WO2024078871A1 - 1-pyridyl-5-phenylpyrazolyl-3-oxy- and -3-thioalkyl acids and derivatives and their use for controlling undesired plant growth - Google Patents
1-pyridyl-5-phenylpyrazolyl-3-oxy- and -3-thioalkyl acids and derivatives and their use for controlling undesired plant growth Download PDFInfo
- Publication number
- WO2024078871A1 WO2024078871A1 PCT/EP2023/076659 EP2023076659W WO2024078871A1 WO 2024078871 A1 WO2024078871 A1 WO 2024078871A1 EP 2023076659 W EP2023076659 W EP 2023076659W WO 2024078871 A1 WO2024078871 A1 WO 2024078871A1
- Authority
- WO
- WIPO (PCT)
- Prior art keywords
- alkyl
- cycloalkyl
- haloalkyl
- hydrogen
- group
- Prior art date
- Legal status (The legal status is an assumption and is not a legal conclusion. Google has not performed a legal analysis and makes no representation as to the accuracy of the status listed.)
- Ceased
Links
Classifications
-
- C—CHEMISTRY; METALLURGY
- C07—ORGANIC CHEMISTRY
- C07D—HETEROCYCLIC COMPOUNDS
- C07D401/00—Heterocyclic compounds containing two or more hetero rings, having nitrogen atoms as the only ring hetero atoms, at least one ring being a six-membered ring with only one nitrogen atom
- C07D401/02—Heterocyclic compounds containing two or more hetero rings, having nitrogen atoms as the only ring hetero atoms, at least one ring being a six-membered ring with only one nitrogen atom containing two hetero rings
- C07D401/04—Heterocyclic compounds containing two or more hetero rings, having nitrogen atoms as the only ring hetero atoms, at least one ring being a six-membered ring with only one nitrogen atom containing two hetero rings directly linked by a ring-member-to-ring-member bond
-
- A—HUMAN NECESSITIES
- A01—AGRICULTURE; FORESTRY; ANIMAL HUSBANDRY; HUNTING; TRAPPING; FISHING
- A01N—PRESERVATION OF BODIES OF HUMANS OR ANIMALS OR PLANTS OR PARTS THEREOF; BIOCIDES, e.g. AS DISINFECTANTS, AS PESTICIDES OR AS HERBICIDES; PEST REPELLANTS OR ATTRACTANTS; PLANT GROWTH REGULATORS
- A01N43/00—Biocides, pest repellants or attractants, or plant growth regulators containing heterocyclic compounds
- A01N43/48—Biocides, pest repellants or attractants, or plant growth regulators containing heterocyclic compounds having rings with two nitrogen atoms as the only ring hetero atoms
- A01N43/56—1,2-Diazoles; Hydrogenated 1,2-diazoles
-
- C—CHEMISTRY; METALLURGY
- C07—ORGANIC CHEMISTRY
- C07D—HETEROCYCLIC COMPOUNDS
- C07D401/00—Heterocyclic compounds containing two or more hetero rings, having nitrogen atoms as the only ring hetero atoms, at least one ring being a six-membered ring with only one nitrogen atom
- C07D401/14—Heterocyclic compounds containing two or more hetero rings, having nitrogen atoms as the only ring hetero atoms, at least one ring being a six-membered ring with only one nitrogen atom containing three or more hetero rings
Definitions
- the invention relates to the technical field of plant protection products, in particular that of herbicides for controlling weeds and grass weeds in crops and in ornamental gardens and for the general control of weeds and grass weeds in environmental areas in which plant growth is disruptive.
- the invention relates to substituted l-pyridyl-5-phenylpyrazolyl-3-oxy- and -3-thioalkyl acids and their derivatives, processes for their preparation and their use for controlling harmful plants.
- the derivatives of l-pyridyl-5-phenylpyrazolyl-3-oxy- and -3-thioalkyl acids include in particular their esters, salts and/or amides.
- l-pyridyl-5-phenylpyrazolyl-3-oxy- and -3-thioalkyl acids according to the invention and their derivatives differ from the already known bisarylpyrazoles disclosed in WO2020/245044, WO 2021/122728 and WO2021/219527 by the specific substitution on the pyrazole ring (phenyl in 5-position; pyridyl in 1-position).
- 1,5-Diphenyl-pyrazolyl-3-oxoacetic acid derivatives are disclosed as bactericidal agrochemicals in CN101284815. Further syntheses and the fungicidal activity of 1,5-diphenyl-pyrazolyl-3-oxoacetic acids are described in Journal of Heterocyclic Chemistry (2012), 49(6), 1370-1375.
- the object of the present invention is to provide new pyrazole derivatives, namely l-pyridyl-5-phenylpyrazolyl-3-oxy- and -3-thioalkyl acids, which can be used as herbicides with a good herbicidal effect and a broad spectrum of activity against harmful plants.
- substituted pyrazolyl-3-oxo- and -3-thioalkyl acids which are characterized by a phenyl radical in the 5-position and a pyridyl radical in the 1-position of the pyrazole ring, ie by substituted l-pyridyl-5-phenylpyrazolyl-3-oxy- and -3-thioalkyl acids and their derivatives, which have a very good herbicidal effect.
- these compounds are highly effective against a wide range of economically important grass and weeds.
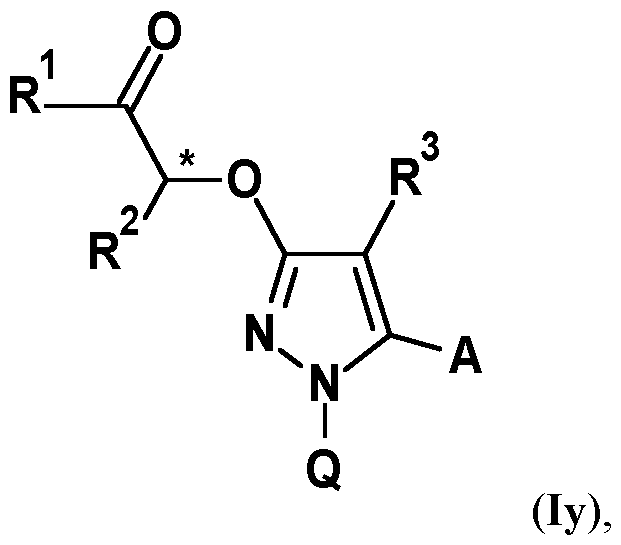
- the present invention therefore relates to the substituted 1-pyridyl-5-phenylpyrazolyl-3-oxy- and -3-thioalkyl acid derivatives of the general formula (I) and their agrochemically acceptable salts, N-oxides, hydrates and hydrates of the salts and N-oxides, wherein Q is selected from the group consisting of Q1 - Q3 Q 1 Q2 Q3 , R1 is selected from the group consisting of - OR1a and - NR9R10; wherein R1a is hydrogen or (C1-C6)-alkyl which is unsubstituted or substituted by a radical selected from the group consisting of CO 8 5 2R , OR or (C1-C6)-haloalkyl, (C3-C7)-cycloalkyl-(C1-C6)-alkyl, cyano-(C1-C6)-alkyl, nitro-(C1-C6)-alkyl or (C3-C7)-
- R1 is selected from the group consisting of - OR1a and - NR9R10; wherein R1a is hydrogen or (C1-C5)-alkyl which is unsubstituted or substituted by a radical selected from the group consisting of (C 1 -C 6 )-alkoxycarbonyl, (C 1 -C 6 )-alkoxy or (C 1 -C 3 )-haloalkyl, (C 3 -C 6 )-cycloalkyl-(C 1 -C 2 )-alkyl, cyano-(C 1 -C 2 )-alkyl, nitro-(C 1 -C 2 )-alkyl or (C3-C6)-cycloalkyl which is unsubstituted or substituted by a radical (C1-C6)-alkoxycarbonyl or (C3
- the present invention further relates to compounds of the formula (Is) where the definitions described above apply, including all preferred, particularly preferred and very particularly preferred definitions.
- the present invention further relates to compounds of the formula (It) where the definitions described above apply, including all preferred, particularly preferred and most particularly preferred definitions.
- the present invention further relates to compounds of the formula (lu) where the definitions described above apply, including all preferred, particularly preferred and most particularly preferred definitions.
- the present invention further relates to compounds of formula (Iv) where the definitions described above apply, including all preferred, particularly preferred and most particularly preferred definitions.
- the present invention further relates to compounds of formula (Ix) where the definitions described above apply, including all preferred, particularly preferred and very particularly preferred definitions.
- the present invention further relates to compounds of formula (ly) where the definitions described above apply, including all preferred, particularly preferred and very particularly preferred definitions.
- the present invention further relates to compounds of formula (Iz) where the definitions described above apply, including all preferred, particularly preferred and very particularly preferred definitions.
- the present invention further relates to compounds of the formula (II) where the definitions described above apply, including all preferred, particularly preferred and very particularly preferred definitions.
- the substituents and symbols, unless defined otherwise, have the same meaning as described under formula (I). Not included are combinations which contradict the laws of nature and which the person skilled in the art would therefore exclude on the basis of his knowledge.
- Alkyl means saturated, straight-chain or branched hydrocarbon radicals with the specified number of carbon atoms, e.g. C1-C12-alkyl, preferably C1-C6-alkyl such as methyl, ethyl, propyl, 1-methylethyl, butyl, 1-methylpropyl, 2-methylpropyl, 1,1-dimethylethyl, pentyl, 1-methylbutyl, 2-methylbutyl, 3-methylbutyl, 2,2-dimethylpropyl, 1-ethylpropyl, hexyl, 1,1-dimethylpropyl, 1,2-dimethylpropyl,1-methylpentyl, 2-methylpentyl, 3-methylpentyl, 4-methylpentyl, 1,1-dimethylbutyl, 1,2-dimethylbutyl, 1,3-dimethylbutyl, 2,2-dimethylbutyl, 2,3-dimethylbutyl, 3,3-dimethylbutyl
- Alkyl substituted by halogen means straight-chain or branched alkyl groups, where in these groups the hydrogen atoms can be partially or completely replaced by halogen atoms, e.g. C iC ( , -haloalkyl.
- Ci-C2-haloalkyl such as chloromethyl, bromomethyl, dichloromethyl, trichloromethyl, fluoromethyl, difluoromethyl, trifluoromethyl, chlorofluoromethyl, dichlorofluoromethyl, chlorodifluoromethyl, 1-chloroethyl, 1-bromoethyl, 1-fluoroethyl, 2-fluoroethyl, 2,2-difluoroethyl, 2,2,2-trifluoroethyl, 2-chloro-2-fluoroethyl, 2-chloro,2-difluoroethyl, 2,2-dichloro-2-fluoroethyl, 2,2,2-trichloroethyl, pentafluoroethyl and l,l,l-trifluoroprop-2-yl.
- Ci-C2-haloalkyl such as chloromethyl, bromomethyl, dichloromethyl, trichloromethyl, flu
- Alkenyl means unsaturated, straight-chain or branched hydrocarbon radicals with the specified number of carbon atoms and a double bond in any position, e.g. C2-Cs-alkenyl, preferably C2-Ce-alkenyl such as ethenyl, 1-propenyl, 2-propenyl, 1-methylethenyl, 1-butenyl, 2-butenyl, 3-butenyl, 1-methyl- 1-propenyl, 2-methyl-l-propenyl, 1-methyl-2-propenyl, 2-methyl-2-propenyl, 1-pentenyl, 2-pentenyl, 3-pentenyl, 4-pentenyl, 1-methyl- 1-butenyl, 2-methyl-l-butenyl, 3-methyl- 1-butenyl, 1-methyl-2-butenyl, 2-Methyl-2-butenyl, 3-Methyl-2-butenyl, 1 -Methyl - 3-butenyl, 2-Methyl-3
- Alkynyl means straight-chain or branched hydrocarbon radicals with the specified number of carbon atoms and a triple bond in any position, e.g. C2-C12-alkynyl, preferably C2-G, -alkynyl such as ethynyl, 1-propynyl, 2-propynyl (or propargyl), 1-butynyl, 2-butynyl, 3-butynyl, 1-methyl-2-propynyl, 1-pentynyl, 2-pentynyl, 3-pentynyl, 4-pentynyl, 3-methyl- 1-butynyl, 1-methyl-2-butynyl, 1-methyl-3-butynyl, 2-methyl-3-butynyl, 1,1-dimethyl-2-propynyl, 1-ethyl- 2-propynyl, 1-hexynyl, 2-hexynyl, 3-hexynyl, 4-Hexyny
- Cycloalkyl means a carbocyclic, saturated ring system with preferably 3-8 ring carbon atoms, e.g. cyclopropyl, cyclobutyl, cyclopentyl or cyclohexyl.
- cyclic systems with substituents are included, which also includes substituents with a double bond on the cycloalkyl radical, e.g. an alkylidene group such as methylidene.
- polycyclic aliphatic systems are also included, such as bicyclo[1.1.0]butan-l-yl, bicyclo[1.1.0]butan-2-yl, bicyclo[2.1.0]pentan-1-yl, bicyclo[2.1.0]pentan-2-yl, bicyclo[2.1.0]pentan-5-yl, bicyclo[2.2.1]hept-2-yl (norbornyl), adamantan-l-yl and adamantan-2-yl.
- spirocyclic aliphatic systems are also included, such as spiro[2.2]pent-l-yl, spiro[2.3]hex-l-yl and spiro[2.3]hex-4-yl, 3-spiro[2.3]hex-5-yl.
- Cycloalkenyl means a carbocyclic, non-aromatic, partially unsaturated ring system with preferably 4-8 C atoms, e.g. 1-cyclobutenyl, 2-cyclobutenyl, 1-cyclopentenyl, 2-cyclopentenyl, 3-cyclopentenyl, or 1-cyclohexenyl, 2-cyclohexenyl, 3-cyclohexenyl, 1,3-cyclohexadienyl or 1,4-cyclohexadienyl, which also includes substituents with a double bond on the cycloalkenyl radical, e.g. an alkylidene group such as methylidene.
- the explanations for substituted cycloalkyl apply accordingly.
- Alkoxy means saturated, straight-chain or branched alkoxy radicals with the specified number of carbon atoms, e.g. Ci-Ce-alkoxy such as methoxy, ethoxy, propoxy, 1-methylethoxy, butoxy, 1-methyl-propoxy, 2-methylpropoxy, 1,1-dimethylethoxy, pentoxy, 1-methylbutoxy, 2-methylbutoxy, 3-methylbutoxy, 2,2-dimethylpropoxy, 1-ethylpropoxy, hexoxy, 1,1-dimethylpropoxy, 1,2-dimethylpropoxy,1-methylpentoxy, 2-methylpentoxy, 3-methylpentoxy, 4-methylpentoxy, 1,1-dimethylbutoxy, 1,2-dimethylbutoxy, 1,3-dimethylbutoxy, 2,2-dimethylbutoxy, 2,3-dimethylbutoxy, 3,3-dimethylbutoxy, 1 -Ethylbutoxy, 2-Ethylbutoxy, 1,1,2-Trimethylpropoxy, 1,2,2-Trimethylpropoxy, 1-
- Alkoxy substituted by halogen means straight-chain or branched alkoxy radicals with the respective number of carbon atoms stated, where in these groups the hydrogen atoms can be partially or completely replaced by halogen atoms as mentioned above, e.g.
- C1-C2-halogenalkoxy such as chloromethoxy, bromomethoxy, dichlormethoxy, trichloromethoxy, fluoromethoxy, difluoromethoxy, trifluoromethoxy, chlorofluoromethoxy, dichlorofluoromethoxy, chlorodifluoromethoxy, 1-chloroethoxy, 1-bromoethoxy, 1-fluoroethoxy, 2-fluoroethoxy, 2,2-difluoroethoxy, 2,2,2-trifluoroethoxy, 2-chloro-2-fluoroethoxy, 2-chloro-1,2-difluoroethoxy, 2,2-dichloro-2-fluoroethoxy, 2,2,2-trichloroethoxy, pentafluoroethoxy and l,l,l-trifluoroprop-2-oxy.
- Aryl means a phenyl optionally substituted by 0 - 5 radicals from the group fluorine, chlorine, bromine, iodine, cyano, hydroxy, (Ci-C 3 )-alkyl, (Ci-C 3 )-alkoxy, (C 3 - C 4 )-cycloalkyl, (C 2 - C 3 )-alkenyl or (C 2 - C 3 )-alkynyl.
- multicyclic systems are also included, such as 8-aza-bicyclo[3.2.1]octanyl, 8-aza-bicyclo[2.2.2]octanyl or 1-aza-bicyclo[2.2.1]heptyl.
- spirocyclic systems are also included, such as, for example, l-oxa-5-aza-spiro[2.3]hexyl.
- the heterocyclic ring preferably contains 3 to 9 ring atoms, in particular 3 to 6 ring atoms, and one or more, preferably 1 to 4, in particular 1, 2 or 3 heteroatoms in the heterocyclic ring, preferably from the group N, O, and S, but two oxygen atoms should not be directly adjacent, such as, for example, with a heteroatom from the group N, O and S 1- or 2- or 3-pyrrolidinyl, 3,4-dihydro-2H-pyrrol-2- or 3-yl, 2,3-dihydro-lH-pyrrol-
- 3-ring and 4-ring heterocycles are, for example, 1- or 2-aziridinyl, oxiranyl, thiiranyl, 1- or 2- or 3-azetidinyl, 2- or 3-oxetanyl, 2- or 3-thietanyl, l,3-dioxetan-2-yl.
- heterocyclyl are a partially or fully hydrogenated heterocyclic radical with two heteroatoms from the group N, O and S, such as, for example,
- 6- or 7-yl 2,5-dihydro-l,2-oxazepin-2- or 3- or 4- or 5- or 6- or 7-yl; 2,7-dihydro-l,2- oxazepin-2- or 3- or 4- or 5- or 6- or 7-yl; 4,5-dihydro-l,2-oxazepin-3- or 4- or 5- or 6- or 7-yl; 4,7-dihydro-l,2-oxazepin-3- or 4- or 5- or 6- or 7-yl; 6,7-dihydro-l,2-oxazepin-3- or 4- or 5- or 6- or 7-yl; l,2-oxazepin-3- or 4- or 5- or 6- or 7-yl; l,3-oxazepan-2- or
- heterocyclyl are a partially or fully hydrogenated heterocyclic radical with 3 heteroatoms from the group N, O and S, such as, for example, l,4,2-dioxazolidin-2- or 3- or 5-yl; l,4,2-dioxazol-3- or 5-yl; l,4,2-dioxazinan-2- or -3- or 5- or 6-yl; 5,6-dihydro-l,4,2-dioxazin-3- or 5- or 6-yl; l,4,2-dioxazin-3- or 5- or 6-yl; l,4,2-dioxazepan-2- or 3- or 5- or 6- or 7-yl; 6,7-dihydro-5H-l,4,2-dioxazepin-3- or 5- or 6- or 7-yl; 2,3-dihydro-7H-l,4,2-dioxazepin-2- or 3- or 5- or 6- or 7-yl; 2,3- dihydro-5
- heterocycles listed above are preferably, for example, hydrogen, halogen, alkyl, haloalkyl, hydroxy, alkoxy, cycloalkoxy, aryloxy, alkoxyalkyl, alkoxyalkoxy, cycloalkyl, halocycloalkyl, aryl, arylalkyl, heteroaryl, heterocyclyl, alkenyl, alkylcarbonyl, cycloalkylcarbonyl, arylcarbonyl, heteroarylcarbonyl, alkoxycarbonyl, hydroxycarbonyl, cycloalkoxycarbonyl, cycloalkylalkoxycarbonyl, alkoxycarbonylalkyl, arylalkoxycarbonyl, arylalkoxycarbonylalkylalkyl,
- Alkylaminocarbonyl bis-alkylaminocarbonyl, cycloalkylaminocarbonyl,
- the above-mentioned substituents can be used as substituents for a substituted heterocyclic radical, as well as oxo and thioxo.
- the oxo group as a substituent on a ring -C atom then means, for example, a carbonyl group in the heterocyclic ring. This preferably also includes lactones and lactams.
- the oxo group can also appear on the hetero ring atoms, which can exist in different oxidation states, e.g. N and S, and then forms, for example, the divalent groups N(O), S(O) (also abbreviated to SO) and S(O)2 (also abbreviated to SO2) in the heterocyclic ring. In the case of -N(O)- and -S(O)- groups, both enantiomers are included.
- heteroaryl stands for heteroaromatic compounds, ie completely unsaturated aromatic heterocyclic compounds, preferably for 5- to 7-membered rings with 1 to 4, preferably 1 or 2 identical or different heteroatoms, preferably O, S or N.
- Heteroaryls according to the invention are, for example, IH-pyrrol-1-yl; IH-pyrrol-2-yl; IH-pyrrol-3-yl; furan-2-yl; furan-3-yl; thien-2-yl; thien-3-yl, IH-imidazol-1-yl; IH-imidazol-2-yl; IH-imidazol-4-yl; IH-imidazol-5-yl; IH-pyrazol-1-yl; IH-pyrazol-3-yl; IH-pyrazol-4-yl; lH-pyrazol-5-yl, 1H-1,2,3-triazol-l-yl, lH-l,2,3-triazol-4-yl, lH-l,2,3-triazol-5-yl, 2H-l,2,3-triazol-2-yl, 2H-l,2,3-triazol-4-yl, lH-
- heteroaryl groups according to the invention can also be substituted by one or more identical or different radicals. If two adjacent carbon atoms are part of another aromatic ring, these are fused heteroaromatic systems, such as benzo-fused or multiply fused heteroaromatics. Preference is given to, for example, quinolines (e.g. quinolin-2-yl, quinolin-3-yl, quinolin-4-yl, quinolin-5-yl, quinolin-6-yl, quinolin-7-yl, quinolin-8-yl); Isoquinolines (e.g.
- heteroaryl are also 5- or 6-membered benzo-fused rings from the group IH-indol-l-yl, lH-indol-2-yl, lH-indol-3-yl, lH-indol-4-yl, lH-indol-5-yl, lH-indol-6-yl, lH-indol-7-yl, l-benzofiiran-2-yl, l-benzofiiran-3-yl, l-benzofiiran-4-yl, l-benzofiiran-5-yl, 1-benzofiiran-6-yl, l-benzofiiran-7-yl, l-benzothiophen-2-yl, l-benzothiophen-3-yl, l-benzothiophen-4- yl, l-benzothiophen-5-yl, l-benzothiophen-6-yl,
- halogen means fluorine, chlorine, bromine or iodine. If the term is used for a radical, then "halogen" means a fluorine, chlorine, bromine or iodine atom.
- the compounds of formula (I) have acidic properties and can form salts, optionally also internal salts or adducts, with inorganic or organic bases or with metal ions. If the compounds of formula (I) carry hydroxy, carboxy or other groups that induce acidic properties, these compounds can be converted to salts with bases.
- Suitable bases are, for example, hydroxides, carbonates, Hydrogen carbonates of alkali and alkaline earth metals, in particular those of sodium, potassium, magnesium and calcium, furthermore ammonia, primary, secondary and tertiary amines with (Ci-C4-)-alkyl groups, mono-, di- and trialkanolamines of (Ci-CO-alkanols, choline and chlorocholine, as well as organic amines, such as trialkylamines, morpholine, piperidine or pyridine.
- salts are compounds in which the acidic hydrogen is replaced by a cation suitable for agriculture, for example metal salts, in particular alkali metal salts or alkaline earth metal salts, in particular sodium and potassium salts, or also ammonium salts, salts with organic amines or quaternary ammonium salts, for example with cations of the formula [NRR'R "R '] + , in which R to R each independently represent an organic radical, in particular alkyl, aryl, aralkyl or alkylaryl.
- Alkylsulfonium and Alkylsulfoxonium salts such as (C1-C4)-trialkylsulfonium and (Ci-C4)-trialkylsulfoxonium salts.
- the compounds of formula (I) can form salts by addition of a suitable inorganic or organic acid, such as mineral acids such as HCl, HBr, H2SO4, H3PO4 or HNO3, or organic acids, e.g. carboxylic acids such as formic acid, acetic acid, propionic acid, oxalic acid, lactic acid or salicylic acid or sulfonic acids such as p-toluenesulfonic acid, to a basic group such as amino, alkylamino, dialkylamino, piperidino, morpholino or pyridino.
- a suitable inorganic or organic acid such as mineral acids such as HCl, HBr, H2SO4, H3PO4 or HNO3, or organic acids, e.g. carboxylic acids such as formic acid, acetic acid, propionic acid, oxalic acid, lactic acid or salicylic acid or sulfonic acids such as p-toluenesul
- Suitable substituents that are present in deprotonated form can form inner salts with protonatable groups, such as amino groups.
- the present compounds of general formula (I) have a chiral carbon atom on the second carbon of the alkyl acid structure, which is indicated in the structure shown below by the marking (*):
- this carbon atom can have both an (R) and an (S) configuration.
- the present invention covers compounds of the general formula (I) with both (S) and (R) configuration, i.e. the present invention covers the compounds of the general formula (I) in which the carbon atom in question
- the present invention also relates to
- a further aspect of the invention relates to the preparation of the compounds of the general formula (I) according to the invention.
- the compounds of the invention can be prepared in different ways.
- Compounds according to the invention can be prepared, for example, from substituted l-pyridyl-5-phenyl-lH-pyrazol-3-ols (II) according to the synthesis processes listed in Scheme 1 below.
- the compound of general formula (Ia) can be prepared by alkylating the compound of general formula (II) with a halide of general formula (III) in the presence of a base by or analogously to methods known to those skilled in the art (see Scheme 1).
- the base can be a carbonate salt of an alkali metal.
- a preferred base is a carbonate salt of an alkali metal selected from the group consisting of lithium, sodium, potassium and cesium, and the reaction preferably takes place in the temperature range between room temperature and 150 °C in an appropriate solvent such as dichloromethane, acetonitrile, N,N-dimethylformamide or ethyl acetate.
- an appropriate solvent such as dichloromethane, acetonitrile, N,N-dimethylformamide or ethyl acetate.
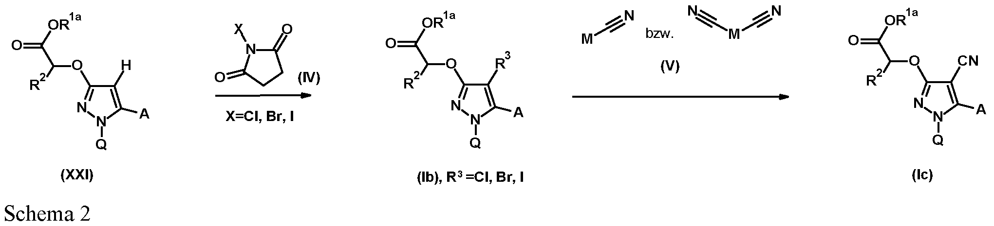
- Scheme 2 describes the synthesis of the compound of general formula (Ib) by reaction of a pyrazole of general formula (XXI) with a halogenosuccinimide of general formula (IV) in an appropriate solvent such as N,N-dimethylformamide.
- a compound of the general formula (Ic) can be prepared, for example, by reacting a compound of the formula (Ib) in a suitable solvent with a metal cyanide M-CN (V) with the addition of an adequate amount of a transition metal catalyst, in particular palladium catalysts such as palladium(0)-tetrakis(triphenylphosphine) or palladium diacetate or Bis(triphenylphosphine)palladium(II) dichloride or nickel catalysts such as nickel(II) acetylacetonate or bis(triphenylphosphine)nickel(II) chloride, preferably at elevated temperature in an organic solvent such as 1,2-dimethoxyethane or N,N-dimethylformamide (Scheme 2).
- a transition metal catalyst in particular palladium catalysts such as palladium(0)-tetrakis(triphenylphosphine) or palladium diacetate or Bis(triphenylphosphine)palladium
- the radical "M” stands for magnesium, zinc, lithium or sodium, for example.
- cross-coupling methods are suitable, as described in RD Larsen, Organometallics in Process Chemistry 2004 Springer Verlag, in I. Tsuji, Palladium Reagents and Catalysts 2004 Wiley, in M. Belier, C. Bolm, Transition Metals for Organic Synthesis 2004 VCH-Wiley.
- Other suitable synthesis methods are described in Chem. Rev. 2006, 106, 2651; Platinum Metals Review, 2009, 53, 183; Platinum Metals Review 2008, 52, 172 and Acc. Chem. Res. 2008, 41, 1486.
- the 3-hydroxypyrazoles (II) can be prepared analogously to literature-known methods from substituted 3-phenylpropionic acid derivatives and pyridylhydrazines (Scheme 3; e.g.: Adv. Synth. Catal. 2014, 356, 3135-3147) or from substituted phenylacrylic acid derivatives and pyridylhydrazines (Scheme 3; e.g.: J. Heterocyclic Chem., 49, 130 (2012)).
- the synthesis of the compounds of the general formula (VIII) is carried out via an amide coupling of an acid of the general formula (VI) with a pyridylhydrazine of the general formula (VII) in the presence of an amide coupling reagent such as T3P, dicyclohexylcarbodiimide, N-(3-dimethylaminopropyl)-A'-methylcarbodiimide, A'A'-carbonyldiimidazole, 2-chloro-1,3-dimethyl-imidazolium chloride or 2-chloro-1-methylpyridinium iodide (see Chemistry of Peptide Synthesis, Ed. N.
- Polymer-bound reagents such as polymer-bound dicyclohexylcarbodiimide are also suitable for this coupling reaction.
- the reaction preferably takes place in the temperature range between 0 °C and 80 °C, in an appropriate solvent such as dichloromethane, tetrahydrofuran, acetonitrile, N,N-dimethylformamide or ethyl acetate and in the presence of a base such as triethylamine, N,N-diisopropylethylamine or l,8-diazabicyclo[5.4.0]undec-7-cene (see Scheme 3).
- an appropriate solvent such as dichloromethane, tetrahydrofuran, acetonitrile, N,N-dimethylformamide or ethyl acetate
- a base such as triethylamine, N,N-diisopropylethylamine or l,8-diazabicyclo
- Scheme 3 describes the synthesis of the compound of general formula (II) by reaction of a pyrazole of general formula (IIa) with an electrophile such as N-bromosuccinimide.
- the reaction preferably takes place in the temperature range between 0°C and 120°C in an appropriate solvent such as n-dimethylformamide, 1,2-dichloroethane or acetonitrile.
- the synthesis of the 3-hydroxypyrazoles of the general formula (IIa) is carried out by reacting the compounds of the general formula (VIII) in the presence of a copper halide such as, for example, copper(I) iodide, copper(I) bromide or an acid such as methanesulfonic acid.
- a copper halide such as, for example, copper(I) iodide, copper(I) bromide or an acid such as methanesulfonic acid.
- the reaction preferably takes place in the temperature range between 0 °C and 120 °C, in an appropriate solvent such as, for example, 1,2-dichloroethane, acetonitrile, ethyl acetate, n-propanol or ethyl acetate.
- the reaction preferably takes place in ethyl acetate.
- Compounds of the general formula (X) can be prepared by an amide coupling of an acid of the general formula (IX) with a pyridylhydrazine of the general formula (VII) in the presence of an amide coupling reagent such as T3P, dicyclohexylcarbodiimide, N-(3-dimethylaminopropyl)-A'-methylcarbodiimide, A'A'-carbonyldiimidazole, 2-chloro-1,3-dimethyl-imidazolium chloride or 2-chloro-1-methylpyridinium iodide.
- an amide coupling reagent such as T3P, dicyclohexylcarbodiimide, N-(3-dimethylaminopropyl)-A'-methylcarbodiimide, A'A'-carbonyldiimidazole, 2-chloro-1,3-dimethyl-imidazolium chloride or 2-chloro
- the reaction preferably takes place in the temperature range between 0 °C and 80 °C, in an appropriate solvent such as dichloromethane, acetonitrile, N,N-dimethylformamide or ethyl acetate and in the presence of a base such as triethylamine, W-diisopropylmethylamine or 1,8-diazabicyclo[5.4.0]undec-7-ene (see Scheme 4).
- an appropriate solvent such as dichloromethane, acetonitrile, N,N-dimethylformamide or ethyl acetate
- a base such as triethylamine, W-diisopropylmethylamine or 1,8-diazabicyclo[5.4.0]undec-7-ene (see Scheme 4).
- the synthesis of the 3-hydroxypyrazoles of the general formula (IIa) is carried out by reacting the compounds of the general formula (X) in the presence of an iron halide such as iron(III) chloride.
- the reaction preferably takes place in the temperature range between 0°C and 120°C, in an appropriate solvent such as 1,2-dichloroethane, acetonitrile, N,N-dimethylformamide or ethyl acetate.
- the synthesis of the 5-iodopyrazoles of the general formula (XIV) is carried out by reacting the compounds of the general formula (XIII) in the presence of a base such as lithium diisopropylamide and iodine.
- the reaction (Scheme 5) preferably takes place in the temperature range between -78 °C and -60 °C, in an adequate solvent such as diethyl ether and tetrahydrofuran.
- a compound of formula (XV) can be prepared, for example, by reacting a compound of formula (XIV) in a suitable solvent with a phenyl compound AM of general formula (XVI) with the addition of an adequate amount of a transition metal catalyst, in particular palladium catalysts such as palladium diacetate or bis(triphenylphosphine)palladium(II) dichloride or nickel catalysts such as nickel(II) acetylacetonate or bis(triphenylphosphine)nickel(II) chloride, preferably at elevated temperature in an organic solvent such as 1,2-dimethoxyethane.
- a transition metal catalyst in particular palladium catalysts such as palladium diacetate or bis(triphenylphosphine)palladium(II) dichloride or nickel catalysts such as nickel(II) acetylacetonate or bis(triphenylphosphine)nickel(II) chloride, preferably at elevated temperature in an organic solvent such
- radical "M” stands, for example, for B(OR b )(OR c ), where the radicals R b and R c independently of one another are, for example, hydrogen, (Ci-C ⁇ -alkyl, or, when the radicals R b and R c are linked to one another, together are ethylene or propylene (Scheme 6).
- the synthesis of the compound of general formula (XVIII) can be carried out by alkylation of the compound of general formula (XVII) with a halide of general formula (III) in presence of a base by or analogously to methods known to those skilled in the art (see Scheme 7).
- the base can be a carbonate salt of an alkali metal (such as lithium, sodium, potassium or cesium) and the reaction preferably takes place in the temperature range between room temperature and 150 °C in an appropriate solvent such as dichloromethane, acetonitrile, VA'-dimethylformamide or ethyl acetate.
- the compounds of the general formula (XVII) are commercially available.
- Compounds of the general formula (XIX) can be prepared by diazotization (Sandmeyer reaction) with the compound of the general formula (XVIII) with the usual organic and inorganic nitrites such as 1,1-dimethylethyl nitrite, tert-butyl nitrite or isoamyl nitrite in the presence of reagents such as mixtures of copper(I) and copper(II) bromide/chloride or iodine (Scheme 7).
- the reaction preferably takes place in the temperature range between room temperature and 0 and 120°C in an appropriate solvent such as dichloromethane, acetonitrile, VN-dimethylformamide or diiodomethane.
- the radical "X” stands for chlorine, bromine or iodine, for example.
- a compound of formula (Ia) can be prepared, for example, by reacting a compound of formula (XIX) in a suitable solvent with a compound of general formula MA (XVI) with the addition of an adequate amount of a transition metal catalyst, in particular palladium catalysts such as palladium diacetate or bis(triphenylphosphine)palladium(II) dichloride or nickel catalysts such as nickel(II) acetylacetonate or bis(triphenylphosphine)nickel(II) chloride, preferably at elevated temperature in an organic solvent such as 1,2-dimethoxyethane.
- a transition metal catalyst in particular palladium catalysts such as palladium diacetate or bis(triphenylphosphine)palladium(II) dichloride or nickel catalysts such as nickel(II) acetylacetonate or bis(triphenylphosphine)nickel(II) chloride, preferably at elevated temperature in an organic solvent such as 1,2-
- the radical "M” stands, for example, for Mg-Hal, Zn-Hal, Sn((Ci-C4)alkyl)3, lithium, copper or B(OR b )(OR c ), where the radicals R b and R c independently of one another are, for example, hydrogen, (Ci-CO-alkyl, or, when the radicals R b and R c are linked to one another, together are ethylene or propylene.
- Compounds of the general formulas (Ig) and (Ih) can be prepared by reacting a compound of the formula (If) in the presence of an oxidizing agent such as mCPBA (3-chloroperbenzoic acid) in an appropriate solvent such as dichloromethane or 1,2-dichloroethane (Scheme 8).
- an oxidizing agent such as mCPBA (3-chloroperbenzoic acid)
- an appropriate solvent such as dichloromethane or 1,2-dichloroethane (Scheme 8).
- the reaction preferably takes place in the temperature range between -30 °C and 100 °C.
- a compound of the general formula (If) can be carried out by reacting a 3-aminopyrazol of the general formula (XXIII) with a disulfide of the general formula (XXIV) in the presence of an organic nitrite such as 1,1-dimethylethyl nitrite, tert-butyl nitrite or isoamyl nitrite in the presence of a metal M such as copper (see Scheme 9).
- the reaction preferably takes place in the temperature range between room temperature and 120°C in an appropriate solvent such as dichloromethane, acetonitrile, VA-dimethylformamide or 1,2-dichloroethane.
- the synthesis of the compounds of general formula (XXIII) is carried out via a Curtius reaction of an acid of general formula (XXII) with an azide of general formula (XXV).
- the reaction preferably takes place in the temperature range between 0 °C and 100 °C, in an adequate Solvents such as tert-butanol and in the presence of a base such as triethylamine, W-diisopropylethylamine or l,8-diazabicyclo[5.4.0]undec-7-ene.
- the intermediate product of general formula (XXVI) formed can then be converted into the amine (XXIII) in the presence of a Lewis acid such as trifluoroacetic acid, a hydrogen chloride solution in dioxane or analogously using methods known to those skilled in the art (Scheme 10).
- a Lewis acid such as trifluoroacetic acid, a hydrogen chloride solution in dioxane or analogously using methods known to those skilled in the art (Scheme 10).
- the reaction preferably takes place in the temperature range between room temperature and 140 °C.
- the synthesis of the compounds of the general formula (XX) is carried out via the condensation of a diketoester of the general formula (XXVII) with a pyridylhydrazine of the general formula (VII) in the presence of a Broensted acid such as acetic acid or hydrogen chloride in an appropriate solvent such as methanol, ethanol, isopropanol, n-butanol, tetrahydrofuran, dioxane, toluene or chlorobenzene (Scheme 11).
- the reaction preferably takes place in the temperature range between 0 °C and 150 °C.
- the compounds of the general formulas (XXVII) and (VII) are commercially available or can be prepared analogously using methods known to the person skilled in the art.
- a further option for the synthesis of thio compounds of the general formula (If) consists in the construction of the precursor (XXVIII), which can be alkylated and further functionalized according to the methods described in this application analogous to the hydroxypyrazole of the formula (Ila).
- This precursor (XXVIII) can be obtained by reacting a hydroxypyrazole of the general formula (Ila) in the presence of a sulfurizing reagent such as phosphorus pentasulfide or the Lawesson reagent in an adequate solvent such as toluene.
- a further aspect of the invention relates to compounds of the general formula (II) and their salts wherein the radicals R 3 , Q and A are each defined according to one of the abovementioned embodiments and their preparation according to Scheme 3.
- an additional aspect of the invention relates to a process for preparing the compounds of general formula (II) and/or their agrochemically acceptable salts, wherein the radicals R 3 , Q and A are each defined according to one of the abovementioned embodiments, by reacting a substituted propionic acid of the formula (VI), wherein A is defined according to one of the above embodiments, with a compound of formula (VII), wherein Q is defined according to any of the above embodiments. in a suitable solvent in the presence of a metal halide.
- a further aspect concerns the use of compounds of the general formula (II) and their salts as intermediates for the production of fine chemicals and active ingredients for
- the present invention therefore also relates to a method for controlling undesirable plants or for regulating the growth of plants, preferably in plant crops, in which one or more compounds according to the invention are applied to the plants (e.g. harmful plants such as monocotyledonous or dicotyledonous weeds or undesirable crop plants), the seed (e.g. grains, seeds or vegetative propagation organs such as tubers or shoot parts with buds) or the area on which the plants grow (e.g. the cultivation area).
- the compounds according to the invention can be applied, for example, before sowing (if appropriate also by incorporation into the soil), pre-emergence or post-emergence.
- some representatives of the monocotyledonous and dicotyledonous weed flora that can be controlled by the compounds according to the invention are mentioned by way of example, without the mention being intended to restrict the use to certain species.
- the compounds according to the invention are applied to the soil surface before germination, either the emergence of weed seedlings is completely prevented or the weeds grow to the cotyledon stage but then stop growing.
- the compounds of the invention can exhibit selectivities in crops and can also be used as non-selective herbicides.
- the transgenic plants are generally characterized by particularly advantageous properties, for example resistance to certain active ingredients used in the agricultural industry, in particular certain herbicides, resistance to plant diseases or pathogens of plant diseases such as certain insects or microorganisms such as fungi, bacteria or viruses.
- Other special properties relate, for example, to the harvested material in terms of quantity, quality, storability, composition and special ingredients.
- Transgenic plants with an increased starch content or altered quality of the starch or those with a different fatty acid composition of the harvested material are known.
- Other special properties include tolerance or resistance to abiotic stressors, e.g. heat, cold, drought, salt and ultraviolet radiation.
- the compounds of formula (I) can be used as herbicides in crops which are resistant to the phytotoxic effects of the herbicides or have been made genetically resistant.
- new plants with modified properties can be created using genetic engineering techniques (see e.g. EP 0221044, EP 0131624).
- genetic engineering techniques see e.g. EP 0221044, EP 0131624.
- transgenic crop plants which are resistant to certain herbicides of the glufosinate type cf. e.g.
- transgenic crops such as cotton, with the ability to produce Bacillus thuringiensis toxins (Bt toxins), which make the plants resistant to certain pests (EP 0142924 A, EP 0193259 A).
- Bt toxins Bacillus thuringiensis toxins
- genetically modified crops with new ingredients or secondary substances e.g. new phytoalexins, which cause increased disease resistance (EP 0309862 A, EP 0464461 A).
- genetically modified plants with reduced photorespiration, which have higher yields and higher stress tolerance EP 0305398 A).
- transgenic crops that produce pharmaceutically or diagnostically important proteins (“molecular pharming”).
- transgenic crops that are characterized by higher yields or better quality transgenic crops that are characterized by a combination of the above-mentioned new properties (“gene stacking”).
- nucleic acid molecules can be introduced into plasmids that allow mutagenesis or sequence changes through recombination of DNA sequences.
- base exchanges can be carried out, partial sequences can be removed, or natural or synthetic sequences can be added.
- Adapters or linkers can be attached to the fragments to connect the DNA fragments to one another, see e.g. Sambrook et al., 1989, Molecular Cloning, A Laboratory Manual, 2nd edition, Cold Spring Harbor Laboratory Press, Cold Spring Harbor, NY; or Winnacker "Gene and Clones", VCH Weinheim 2nd edition 1996
- the production of plant cells with a reduced activity of a gene product can be achieved, for example, by expressing at least one corresponding antisense RNA, a sense RNA to achieve a cosuppression effect or the expression of at least one appropriately constructed ribozyme that specifically cleaves transcripts of the above-mentioned gene product.
- DNA molecules can be used that comprise the entire coding sequence of a gene product, including any flanking sequences that may be present, as well as DNA molecules that comprise only parts of the coding sequence, whereby these parts must be long enough to cause an antisense effect in the cells. It is also possible to use DNA sequences that have a high degree of homology to the coding sequences of a gene product, but are not completely identical.
- the synthesized protein can be localized in any compartment of the plant cell.
- the coding region can be linked to DNA sequences that ensure localization in a specific compartment.
- sequences are known to the person skilled in the art (see, for example, Braun et al., EMBO J. 11 (1992), 3219-3227; Wolter et al., Proc. Natl. Acad. Sci. USA 85 (1988), 846-850; Sonnewald et al., Plant J. 1 (1991), 95-106).
- the expression of the nucleic acid molecules can also take place in the organelles of the plant cells.
- the transgenic plant cells can be regenerated into whole plants using known techniques.
- the compounds (I) according to the invention can be used in transgenic cultures which are resistant to growth factors such as 2,4-D, dicamba or to herbicides which inhibit essential plant enzymes, e.g. acetolactate synthases (ALS), EPSP synthases, glutamine synthases (GS) or hydroxyphenylpyruvate dioxygenases (HPPD), or to herbicides from the group of sulfonylureas, glyphosates, glufosinates or benzoylisoxazoles and analogous active substances, or to any combination of these active substances.
- ALS acetolactate synthases
- EPSP synthases glutamine synthases
- HPPD hydroxyphenylpyruvate dioxygenases
- the compounds according to the invention can particularly preferably be used in transgenic crop plants which are resistant to a combination of glyphosates and glufosinates, glyphosates and sulfonylureas or imidazolinones.
- the compounds according to the invention can very particularly preferably be used in transgenic crop plants such as corn or soy with the trade name or designation OptimumTM GATTM (Glyphosate ALS Tolerant).
- the invention therefore also relates to the use of the compounds according to the invention of Formula (I) as herbicides for controlling weeds in transgenic crops.
- the compounds according to the invention can be used in the form of wettable powders, emulsifiable concentrates, sprayable solutions, dusts or granules in the usual preparations.
- the invention therefore also relates to herbicidal and plant growth regulating agents which contain the compounds according to the invention.
- the compounds according to the invention can be formulated in various ways, depending on which biological and/or chemical-physical parameters are specified.
- Possible formulation options include, for example: wettable powders (WP), water-soluble powders (SP), water-soluble concentrates, emulsifiable concentrates (EC), emulsions (EW), such as oil-in-water and water-in-oil emulsions, sprayable solutions, suspension concentrates (SC), oil- or water-based dispersions, oil-miscible solutions, capsule suspensions (CS), dusting agents (DP), dressing agents, granules for broadcast and soil application, granules (GR) in the form of micro-, spray, coating and adsorption granules, water-dispersible granules (WG), water-soluble granules (SG), ULV formulations, microcapsules and waxes.
- WP wettable powders
- SP water-soluble powders
- EC emulsifiable concentrates
- the necessary formulation aids such as inert materials, surfactants, solvents and other additives are also known and are described, for example, in: Watkins, "Handbook of Insecticide Dust Diluents and Carriers", 2nd Ed., Darland Books, Caldwell N.J., H.v. Olphen, "Introduction to Clay Colloid Chemistry", 2nd Ed., J. Wiley & Sons, N.Y., C. Marsden, “Solvents Guide”, 2nd Ed., Interscience, N.Y. 1963, McCutcheon's "Detergents and Emulsifiers Annual", MC Publ. Corp., Ridgewood N.J.
- combinations with other active ingredients can also be produced, e.g. in the form of a ready-made formulation or as a tank mix.
- active substances are, for example, based on an inhibition of, for example, Acetolactate synthase, acetyl-CoA carboxylase, cellulose synthase, enolpyruvylshikimate 3-phosphate synthase, glutamine synthetase, p-hydroxyphenylpyruvate dioxygenase, phytoene desaturase, photosystem I, photosystem II, protoporphyrinogen oxidase or act as plant growth regulators, as described e.g. in Weed Research 26 (1986) 441-445 or "The Pesticide Manual", 19th edition, The British Crop Protection Council and the Royal Soc. of Chemistry, 2021 and literature cited therein.
- Known herbicides or plant growth regulators that can be combined with compounds of the general formula (I) include the following active ingredients (the compounds are designated either by the "common name” according to the International Organization for Standardization (ISO) or by the chemical name or by the code number) and always include all application forms such as acids, salts, esters and isomers such as stereoisomers and optical isomers.
- ISO International Organization for Standardization
- One and sometimes several application forms are mentioned as examples:
- dicamba biproamine dicamba N,N-bis(3-aminopropyl)methylamine, dicamba butotyl, dicamba choline, dicamba diglycolamine, dicamba dimethylammonium, dicamba diethanolamine ammonium, dicamba diethylammonium, dicamba isopropylammonium, dicamba methyl, dicamba monoethanolamine, dicamba olamine, dicamba potassium, dicamba sodium, dicamba triethanolamine), dichlobenil, 2-(2,4-dichlorobenzyl)-4,4-dimethyl- 1 ,2-oxazolidin-3 -one, 2-(2,5 -dichlorobenzyl)-4,4-dimethyl- 1 ,2-oxazolidin-3 -one, Dichlorprop, Dichlorprop-butotyl, Dichlorprop-dimethylammonium, Dichlorprop-etexyl, Dichlorpropethylammonium, Dichlor
- Abscisic acid and related analogues [e.g. (2Z,4E)-5-[6-ethynyl-l-hydroxy-2,6-dimethyl-4- oxocyclohex-2-en- 1 -yl] -3 -methylpenta-2,4-dienoic acid, methyl-(2Z,4E)-5-[6-ethynyl- 1 -hydroxy-2,6- dimethyl-4-oxocyclohex-2-en-l-yl]-3-methylpenta-2,4-dienoate, (2Z,4E)-3-ethyl-5-(l-hydroxy-2,6,6- trimethyl-4-oxocyclohex-2-en- 1 -yl)penta-2,4-dienoic acid, (2E,4E)-5-( 1 -hydroxy-2,6,6-trimethyl-4- oxocyclohex-2-en- 1 -yl)-3 -(trifluoromethyl)pent
- COs differ from LCOs in that they lack the fatty acid side chain characteristic of LCOs.
- COs sometimes referred to as N-acetylchitooligosaccharides, are also composed of GlcNAc units but have side chains that distinguish them from chitin molecules [(CSHBNOS) ⁇ CAS NO. 1398-61-4] and chitosan molecules [(CsHnNO-On, CAS No.
- chitin-like compounds chlormequat chloride, cloprop, cyclanilide, 3-(cycloprop- l-enyl)propionic acid, l-[2-(4-cyano-3,5-dicyclopropylphenyl)acetamido]cyclohexanecarboxylic acid, l-[2-(4-cyano-3- cyclopropylphenyl)acetamido]cyclohexanecarboxylic acid, 1-cyclopropenylmethanol, daminozide, dazomet, dazomet sodium, n-decanol, dikegulac, dikegulac sodium, endothal, endothal-di-potassium, -di- sodium, and mono(N,N-dimethylalkylammonium), ethephon, l-ethylcyclopropene, flumetralin, flurenol, flurenol-butyl,
- LCO lipochitooligosaccharides
- Nod or Nod factors symbiotic nodulation signals
- Myc factors consist of an oligosaccharide backbone of ß-l,4-linked JV-acetyl-D-glucosamine residues (“GlcNAc”) with an N-linked Fatty acid side chain condensed at the non-reducing end.
- LCOs differ in the number of GlcNAc units in the backbone structure, in the length and degree of saturation of the fatty acid chain as well as in the substitution of the reducing and non-reducing sugar units), linoleic acid or its derivatives, linolenic acid or its derivatives, maleic hydrazide, mepiquat chloride, mepiquat pentaborate, 1-methylcyclopropene, 3-methylcyclopropene, methoxyvinylglycine (MVG), 3'-methylabscisic acid, l-(4-methylphenyl)-N-(2-oxo-1-propyl- 1,2, 3, 4-tetrahydroquinolin-6-yl)methanesulfonamide and related substituted (tetrahydroquinolin-6-yl)methanesulfonamides, (3E,3aR,8bS)-3-( ⁇ [(2R)-4-methyl-5-oxo-2,
- Safeners are preferably selected from the group consisting of:
- n A is a natural number from 0 to 5, preferably 0 to 3;
- R 1 A is halogen, (C1-C4)alkyl, (C1-C4)alkoxy, nitro or (C1-C4)haloalkyl;
- W A is an unsubstituted or substituted divalent heterocyclic radical from the group of partially saturated or aromatic five-membered ring heterocycles with 1 to 3 hetero ring atoms from the group N and O, where at least one N atom and at most one O atom is contained in the ring, preferably a radical from the group (W 1) b 5 A is (WA ), m A is 0 or 1;
- R A 2 is OR A 3, SR A 3 or NR A 3R A 4 or a saturated or unsaturated 3- to 7-membered heterocycle having at least one N atom and up to 3 heteroatoms, preferably from the group O and S, which is
- R 1 B is halogen, (C1-C4)alkyl, (C1-C4)alkoxy, nitro or (C1-C4)haloalkyl
- nB is a natural number from 0 to 5, preferably 0 to 3
- R 2 is OR 3, S 3 3 4 BB RB or NRB RB or a saturated or unsaturated 3- to 7-membered heterocycle having at least one N atom and up to 3 heteroatoms, preferably from the group O and S, which is linked via the N atom to the carbonyl group in (S2) and is unsubstituted or substituted by radicals from the group (C1-C4)alkyl, (C1-C4)alkoxy or optionally substituted phenyl, preferably a radical of the formula OR 3 B , NHR 4 or N(CH ) , in particular 3 B 3 2 in particular of the formula ORB ; R B 3
- R 1 C is (C1-C4)alkyl, (C1-C4)haloalkyl, (C2-C4)alkenyl, (C2-C4)haloalkenyl, (C3-C7)cycloalkyl, preferably dichloromethyl;
- R 2 C , R 3 C are identical or different and are hydrogen, (C1-C4)alkyl, (C2-C4)alkenyl, (C 2 -C 4 )alkynyl, (C 1 -C 4 )haloalkyl, (C 2 -C 4 )haloalkenyl, (C 1 -C 4 )alkylcarbamoyl-(C 1 -C 4 )alkyl, (C 2 - C4)alkenylcarbamoyl-(C1-C4)alkyl, (C1-C4)alkoxy-(C1-C4)alkyl, dio
- XD is CH or N;
- R D 1 is CO-NR D 5R D 6 or NHCO-R D 7;
- R D 2 is halogen, (C 1 -C 4 )-haloalkyl, (C 1 -C 4 )-haloalkoxy, nitro, (C 1 -C 4 )-alkyl, (C 1 -C 4 )-alkoxy, (C 1 - C 4 )-alkylsulfonyl, (C 1 -C 4 )-alkoxycarbonyl or (C 1 -C 4 )-alkylcarbonyl;
- R D 3 is hydrogen, (C 1 -C 4 )alkyl, (C 2 -C 4 )alkenyl or (C 2 -C 4 )alkynyl;
- R 4 D is halogen,
- R D 7 is (C 1 -C 6 )alkyl, (C 3 -C 6 )cycloalkyl, the last 2 radicals being substituted by v D substituents from the group halogen, (C 1 -C 4 )alkoxy, (C 1 -C 6 )haloalkoxy and (C 1 -C 4 )alkylthio and in the case of cyclic radicals also (C 1 -C 4 )alkyl and (C 1 -C 4 )haloalkyl; R D 4 is halogen, (C 1 -C 4 )alkyl, (C 1 -C 4 )alkoxy, CF 3; m D is 1 or 2; v D is 0, 1, 2 or 3; and acylsulfamoylbenzoic acid amides, eg of the following formula (S4b), which are known e
- compounds of the type of N-acylsulfamoylphenylureas of the formula (S4c) which are known e.g.
- R 8 D and R 9 D independently of one another are hydrogen, (C1-C8)alkyl, (C3-C8)cycloalkyl, (C3-C6)alkenyl, (C3-C6)alkynyl, R 4 D is halogen, (C1-C4)alkyl, (C1-C4)alkoxy, CF3 mD 1 or 2; for example 1-[4-(N-2-methoxybenzoylsulfamoyl)phenyl]-3-methylurea, 1-[4-(N-2-methoxybenzoylsulfamoyl)phenyl]-3,3-dimethylurea, 1-[4-(N-4,5-dimethylbenzoylsulfamoyl)phenyl]-3-methylurea.
- S5 Active ingredients from the class of hydroxyaromatics and aromatic-aliphatic carboxylic acid derivatives (S5), e.g. ethyl 3,4,5-triacetoxybenzoate, 3,5-dimethoxy-4-hydroxybenzoic acid, 3,5-dihydroxybenzoic acid, 4-hydroxysalicylic acid, 4-fluorosalicyclic acid, 2-hydroxycinnamic acid, 2,4-dichlorocinnamic acid, as described in WO-A-2004/084631, WO-A-2005/015994, WO-A-2005/016001.
- S6 Active substances from the class of 1,2-dihydroquinoxalin-2-ones (S6), e.g.
- R E 1, R E 2 are independently of one another halogen, (C 1 -C 4 )alkyl, (C 1 -C 4 )alkoxy, (C 1 -C 4 )haloalkyl, (C 1 -C 4 )alkylamino, di-(C 1 -C 4 )alkylamino, nitro;
- a E is COOR E 3 or COSR E 4 R E 3, R E 4 are independently hydrogen, (C 1 -C 4 )alkyl, (C 2 -C 6 )alkenyl, (C 2 -C 4 )alkynyl, cyanoalkyl, (C 1 -C 4 )haloalkyl, phenyl, nitrophenyl, benzyl, halobenzyl, pyridinylalkyl and alkylammonium,
- R 3 F hydrogen, (C1-C8)alkyl, (C2-C4)alkenyl, (C2-C4)alkynyl, or aryl, where each of the aforementioned C-containing radicals is unsubstituted or substituted by one or more, preferably up to three identical or different radicals from the group consisting of halogen and alkoxy; or their salts, preferably compounds in which XF is CH, nF is an integer from 0 to 2, R 1 F is halogen, (C1-C4)alkyl, (C1-C4)haloalkyl, (C1-C4)alkoxy, (C1-C4)haloalkoxy, R 2 F is hydrogen or (C1-C4)alkyl, R 3 F is hydrogen, (C1-C8)alkyl, (C2-C4)alkenyl, (C2-C4)alkynyl, or
- S9 Active substances from the class of 3-(5-tetrazolylcarbonyl)-2-quinolones (S9), e.g. 1,2-dihydro-4-hydroxy-1-ethyl-3-(5-tetrazolylcarbonyl)-2-quinolone (CAS Reg. No. 219479-18-2), 1,2- Dihydro-4-hydroxy-1-methyl-3-(5-tetrazolyl-carbonyl)-2-quinolone (CAS Reg. No. 95855-00-8), as described in WO-A-1999/000020.
- S9 3-(5-tetrazolylcarbonyl)-2-quinolones
- R 1 G is halogen, (C1-C4)alkyl, methoxy, nitro, cyano, CF3, OCF3 YG, ZG is independently O or S
- nG is an integer from 0 to 4
- R 2 G is (C1-C16)alkyl, (C2-C6)alkenyl, (C3-C6)cycloalkyl, aryl; benzyl, halobenzyl
- R 3 G is hydrogen or (C1-C6)alkyl.
- S11 Active ingredients of the oxyimino compound type (S11), which are known as seed dressers, such as. E.g., "Oxabetrinil” ((Z)-1,3-dioxolan-2-ylmethoxyimino(phenyl)acetonitrile) (S11-1), which is known as a seed dressing safener for millet against metolachlor damage, "Fluxofenim” (1-(4-chlorophenyl)-2,2,2-trifluoro-1-ethanone-O-(1,3-dioxolan-2-ylmethyl)oxime) (S11-2), which is known as a seed dressing safener for millet against metolachlor damage, and "Cyometrinil” or “CGA-43089” ((Z)-cyanomethoxyimino(phenyl)acetonitrile) (S11-3), which is known as a seed dressing safener for millet against metolachlor damage.
- S12 Active ingredients from the class of isothiochromanones (S12), such as methyl [(3-oxo-lH-2-benzothiopyran-4(3H)-ylidene)methoxy]acetate (CAS Reg. No. 205121-04-6) (S 12-1) and related compounds from WO-A-1998/13361.
- S12 isothiochromanones
- Active substances which, in addition to a herbicidal effect against harmful plants, also have a safener effect on cultivated plants such as rice, such as
- R H 1 is a (C 1 -C 6 )haloalkyl radical and R H 2 is hydrogen or halogen and R H 3, R H 4 are independently hydrogen, (C 1 -C 16 )alkyl, (C 2 -C 16 )alkenyl or (C 2 -C 16 )alkynyl, where each of the last-mentioned 3 radicals is unsubstituted or substituted by one or more radicals from the group halogen, hydroxy, cyano, (C 1 -C 4 )alkoxy, (C 1 -C 4 )haloalkoxy, (C 1 -C 4 )alkylthio, (C 1 -C 4 )alkylamino, di[(C 1 -C 4 )alkyl]amino, [(C 1 -C 4 )
- Wettable powders are preparations that can be evenly dispersed in water and which, in addition to the active ingredient and a diluent or inert substance, also contain ionic and/or non-ionic surfactants (wetting agents, dispersants), e.g.
- the herbicidal active ingredients are finely ground in conventional equipment such as hammer mills, blower mills and air jet mills and mixed simultaneously or subsequently with the formulation aids.
- Emulsifiable concentrates are produced by dissolving the active ingredient in an organic solvent, e.g. butanol, cyclohexanone, dimethylformamide, xylene or higher-boiling aromatics or hydrocarbons or mixtures of organic solvents with the addition of one or more surfactants of ionic and/or non-ionic nature (emulsifiers).
- organic solvent e.g. butanol, cyclohexanone, dimethylformamide, xylene or higher-boiling aromatics or hydrocarbons or mixtures of organic solvents.
- Emulsifiers can be used, for example: alkylarylsulfonic acid calcium salts such as -Ca-dodecylbenzenesulfonate or non-ionic emulsifiers such as fatty acid polyglycol esters, alkylaryl polyglycol ethers, fatty alcohol polyglycol ethers, propylene oxide-ethylene oxide condensation products, alkyl polyethers, sorbitan esters such as sorbitan fatty acid esters or polyoxyethylene sorbitan esters such as polyoxyethylene sorbitan fatty acid esters.
- alkylarylsulfonic acid calcium salts such as -Ca-dodecylbenzenesulfonate
- non-ionic emulsifiers such as fatty acid polyglycol esters, alkylaryl polyglycol ethers, fatty alcohol polyglycol ethers, propylene oxide-ethylene oxide condensation products, alkyl polyethers, sorbitan est
- Dusting agents are obtained by grinding the active ingredient with finely divided solid substances, e.g. talc, natural clays such as kaolin, bentonite and pyrophyllite, or diatomaceous earth.
- finely divided solid substances e.g. talc, natural clays such as kaolin, bentonite and pyrophyllite, or diatomaceous earth.
- Suspension concentrates can be water- or oil-based. They can be produced, for example, by wet grinding using commercially available bead mills and, if necessary, by adding surfactants, such as those listed above for the other formulation types.
- Emulsions e.g. oil-in-water emulsions (EW)
- EW oil-in-water emulsions
- Granules can be produced either by spraying the active ingredient onto adsorbable, granulated inert material or by applying active ingredient concentrates using adhesives, e.g. polyvinyl alcohol, polyacrylic acid sodium or mineral oils, to the surface of carrier materials such as sand, kaolinite or granulated inert material.
- adhesives e.g. polyvinyl alcohol, polyacrylic acid sodium or mineral oils
- Suitable active ingredients can also be granulated in the usual way for the production of fertilizer granules - if desired in a mixture with fertilizers.
- Water-dispersible granules are usually produced by conventional processes such as spray drying, fluid bed granulation, disc granulation, mixing with high-speed mixers and extrusion without solid inert material.
- the agrochemical preparations usually contain 0.1 to 99 wt.%, in particular 0.1 to 95 % by weight of compounds according to the invention.
- the active ingredient concentration is, for example, about 10 to 90 wt. %, the remainder to 100 wt. % consists of conventional formulation components.
- the active ingredient concentration can be about 1 to 90, preferably 5 to 80 wt. %.
- Dust-like formulations contain 1 to 30 wt. % of active ingredient, preferably mostly 5 to 20 wt. % of active ingredient, sprayable solutions contain about 0.05 to 80, preferably 2 to 50 wt. % of active ingredient.
- the active ingredient content depends in part on whether the active compound is liquid or solid and which granulation aids, fillers, etc. are used.
- the active ingredient content is, for example, between 1 and 95 wt. %, preferably between 10 and 80 wt. %.
- the active ingredient formulations mentioned may contain the usual adhesive, wetting, dispersing, emulsifying, penetrating, preservative, antifreeze and solvent agents, fillers, carriers and colorants, defoamers, evaporation inhibitors and agents which influence the pH value and viscosity.
- combinations with other pesticidally active substances such as insecticides, acaricides, herbicides, fungicides, as well as with safeners, fertilizers and/or growth regulators, can also be produced, e.g. in the form of a ready-made formulation or as a tank mix.
- the formulations in commercial form are diluted in the usual way, e.g. with water in the case of wettable powders, emulsifiable concentrates, dispersions and water-dispersible granules. Dust-like preparations, soil or spreading granules and sprayable solutions are usually not diluted with other inert substances before use.
- the required application rate of the compounds of formula (I) and their salts varies with external conditions such as temperature, humidity, the type of herbicide used, etc. It can vary within wide limits, e.g. between 0.001 and 10.0 kg/ha or more of active substance, but is preferably between 0.005 and 5 kg/ha, more preferably in the range from 0.01 to 1.5 kg/ha, particularly preferably in the range from 0.05 to 1 kg/ha g/ha. This applies both to pre-emergence and post-emergence applications.
- Carrier means a natural or synthetic, organic or inorganic substance with which the active ingredients are mixed or combined for better applicability, especially for application to plants or parts of plants or seeds.
- the carrier which can be solid or liquid, is generally inert and should be usable in agriculture.
- Solid or liquid carriers can be used: e.g. ammonium salts and natural rock flours such as kaolins, clays, talc, chalk, quartz, attapulgite, montmorillonite or diatomaceous earth and synthetic mineral flours such as highly dispersed silica, aluminium oxide and natural or synthetic silicates, resins, waxes, solid fertilizers, water, alcohols, particularly butanol, organic solvents, mineral and vegetable oils and derivatives thereof. Mixtures of such carriers can also be used.
- Solid carriers for granules include: e.g.
- broken and fractionated natural rocks such as calcite, marble, pumice, sepiolite, dolomite as well as synthetic granules made from inorganic and organic flours and granules made from organic material such as sawdust, coconut shells, corn cobs and tobacco stalks.
- Suitable liquefied gaseous extenders or carriers are liquids which are gaseous at normal temperature and pressure, e.g. aerosol propellants such as halogenated hydrocarbons, as well as butane, propane, nitrogen and carbon dioxide.
- aerosol propellants such as halogenated hydrocarbons, as well as butane, propane, nitrogen and carbon dioxide.
- Adhesives such as carboxymethylcellulose, natural and synthetic powdered, granular or latex polymers such as gum arabic, polyvinyl alcohol, polyvinyl acetate, as well as natural phospholipids such as cephalins and lecithins and synthetic phospholipids can be used in the formulations.
- Other additives can be mineral and vegetable oils.
- organic solvents can also be used as auxiliary solvents.
- the following liquid solvents are essentially suitable: aromatics such as xylene, toluene or alkylnaphthalenes, chlorinated aromatics or chlorinated aliphatic hydrocarbons such as chlorobenzenes, chloroethylenes or dichloromethane, aliphatic hydrocarbons such as cyclohexane or paraffins, e.g.
- the agents according to the invention can additionally contain other components, such as surface-active substances.
- Suitable surface-active substances are emulsifying and/or foam-producing agents, dispersing agents or wetting agents with ionic or non-ionic properties or mixtures of these surface-active substances.
- salts of polyacrylic acid salts of lignosulphonic acid, salts of phenolsulphonic acid or naphthalenesulphonic acid, polycondensates of ethylene oxide with fatty alcohols or with fatty acids or with fatty amines, substituted phenols (preferably alkylphenols or arylphenols), salts of sulphobenzene esters, taurine derivatives (preferably alkyl taurates), phosphoric acid esters of polyethoxylated alcohols or phenols, fatty acid esters of polyols, and derivatives of compounds containing sulphates, sulphonates and phosphates, e.g.
- alkylaryl polyglycol ethers alkylsulphonates, alkyl sulphates, arylsulphonates, protein hydrolysates, lignin sulphite waste liquors and methylcellulose.
- the presence of a surface-active substance is necessary if one of the active ingredients and/or one of the inert Carrier substances are not soluble in water and when the application takes place in water.
- the proportion of surface-active substances is between 5 and 40 percent by weight of the agent according to the invention.
- Dyes such as inorganic pigments, eg iron oxide, titanium oxide, ferrocyan blue and organic dyes such as alizarin, azo and metal phthalocyanine dyes and trace nutrients such as salts of iron, manganese, boron, copper, cobalt, molybdenum and zinc can be used.
- the active ingredients can be combined with any solid or liquid additive that is usually used for formulation purposes.
- the agents and formulations according to the invention contain between 0.05 and 99% by weight, 0.01 and 98% by weight, preferably between 0.1 and 95% by weight, particularly preferably between 0.5 and 90% active ingredient, very particularly preferably between 10 and 70% by weight.
- the active ingredients or agents according to the invention can be used as such or depending on their respective physical and/or chemical properties in the form of their formulations or the application forms prepared therefrom, such as aerosols, capsule suspensions, cold mist concentrates, hot mist concentrates, encapsulated granules, fine granules, flowable concentrates for the treatment of seed, ready-to-use solutions, dustable powders, emulsifiable concentrates, oil-in-water emulsions, water-in-oil emulsions, macrogranules, microgranules, oil-dispersible powders, oil-miscible flowable concentrates, oil-miscible liquids, foams, pastes, pesticide-coated seed, suspension concentrates, suspension-emulsion concentrates, soluble concentrates, suspensions, wettable powders, soluble powders, dusts and granules, water-soluble granules or tablets, water-soluble powders for seed treatment, wettable powders, Active
- the formulations mentioned can be prepared in a manner known per se, e.g. by mixing the active ingredients with at least one conventional extender, solvent or diluent, emulsifier, dispersant and/or binder or fixing agent, wetting agent, water repellent, optionally siccatives and UV stabilizers and optionally dyes and pigments, defoamers, preservatives, secondary thickeners, adhesives, gibberellins and other processing aids.
- the agents according to the invention include not only formulations which are already ready for use and can be applied to the plant or seed using suitable equipment, but also commercial concentrates which must be diluted with water before use.
- the active ingredients according to the invention can be used as such or in their (commercially available) formulations as well as in the application forms prepared from these formulations in mixture with other (known) active ingredients such as insecticides, attractants, sterilants, bactericides, acaricides, nematicides, fungicides, growth regulators, herbicides, fertilizers, safeners or semiochemicals.
- active ingredients such as insecticides, attractants, sterilants, bactericides, acaricides, nematicides, fungicides, growth regulators, herbicides, fertilizers, safeners or semiochemicals.
- the treatment of plants and plant parts with the active substances or agents according to the invention takes place directly or by acting on their environment, habitat or storage space according to the usual treatment methods, e.g. by dipping, spraying, atomizing, sprinkling, evaporating, atomizing, misting, scattering, foaming, coating, spreading, watering (drenching), drip irrigation and, in the case of propagation material, in particular seeds, by dry dressing, wet dressing, slurry dressing, encrustation, single or multi-layer coating, etc. It is also possible to apply the active substances using the ultra-low-volume method or to inject the active substance preparation or the active substance itself into the soil.
- transgenic seed As also described below, the treatment of transgenic seed with the active substances or agents according to the invention is of particular importance.
- This relates to the seed of plants which contain at least one heterologous gene which enables the expression of a polypeptide or protein with insecticidal properties.
- the heterologous gene in transgenic seed can originate, for example, from microorganisms of the species Bacillus, Rhizobium, Pseudomonas, Serratia, Trichoderma, Clavibacter, Glomus or Gliocladium.
- this heterologous gene originates from Bacillus sp., the gene product having an effect against the European corn borer and/or Western corn rootworm.
- the heterologous gene originates from Bacillus thuringiensis.
- the agent according to the invention is applied to the seed alone or in a suitable formulation.
- the seed is preferably treated in a state in which it is so stable that no damage occurs during the treatment.
- the treatment of the seed can take place at any time between harvesting and sowing.
- seed is used which is separated from the plant and freed from cobs, shells, stems, husks, wool or pulp.
- seed can be used which is harvested, cleaned and dried to a moisture content of less than 15% by weight.
- seed can be used which is treated after drying, e.g. with water and then dried again.
- care when treating the seed, care must be taken to ensure that the amount of the agent according to the invention and/or other additives applied to the seed is selected so that the germination of the seed is not impaired or the resulting plant is not damaged. This is particularly important for active substances that can have phytotoxic effects at certain application rates.
- the agents according to the invention can be applied directly, i.e. without further components and without having been diluted.
- suitable formulations and methods for seed treatment are known to the person skilled in the art and are described, for example, in the following documents: US 4,272,417 A, US 4,245,432 A, US 4,808,430, US 5,876,739, US 2003/0176428 A1, WO 2002/080675 A1, WO 2002/028186 A2.
- the active ingredients according to the invention can be converted into the usual seed dressing formulations, such as solutions, emulsions, suspensions, powders, foams, slurries or other coating masses for seed, as well as UEV formulations.
- formulations are prepared in a known manner by mixing the active ingredients with conventional additives, such as conventional extenders as well as solvents or diluents, dyes, wetting agents, dispersants, emulsifiers, defoamers, preservatives, secondary thickeners, adhesives, gibberellins and also water.
- conventional additives such as conventional extenders as well as solvents or diluents, dyes, wetting agents, dispersants, emulsifiers, defoamers, preservatives, secondary thickeners, adhesives, gibberellins and also water.
- dyes that are customary for such purposes can be considered as dyes that can be contained in the mordant formulations that can be used according to the invention. Both pigments that are slightly soluble in water and dyes that are soluble in water can be used. Examples include the dyes known under the names Rhodamine B, C.I. Pigment Red 112 and C.I. Solvent Red 1.
- Wetting agents which can be contained in the seed dressing formulations which can be used according to the invention are all substances which promote wetting and which are customary for the formulation of agrochemical active ingredients.
- Alkyl naphthalene sulfonates such as diisopropyl or diisobutyl naphthalene sulfonates, can preferably be used.
- non-ionic, anionic and cationic dispersants customary for the formulation of agrochemical active ingredients are suitable as dispersants and/or emulsifiers which can be contained in the seed dressing formulations which can be used according to the invention.
- Non-ionic or anionic dispersants or mixtures of non-ionic or anionic dispersants can preferably be used.
- Suitable non-ionic dispersants are in particular ethylene oxide-propylene oxide block polymers, alkylphenol polyglycol ethers and tristyrylphenol polyglycol ethers and their phosphated or sulfated derivatives.
- Suitable anionic dispersants are in particular lignin sulfonates, polyacrylic acid salts and arylsulfonate-formaldehyde condensates.
- Defoamers that can be contained in the seed dressing formulations used according to the invention include all foam-inhibiting substances that are customary for the formulation of agrochemical active ingredients. Silicone defoamers and magnesium stearate are preferably used.
- Preservatives that can be used in the pickling agent formulations according to the invention are all substances that can be used in agrochemical products for such purposes must be present. Examples include dichlorophene and benzyl alcohol hemiformal.
- Suitable secondary thickeners which can be contained in the seed dressing formulations used according to the invention are all substances which can be used for such purposes in agrochemical agents. Cellulose derivatives, acrylic acid derivatives, xanthan, modified clays and highly disperse silica are preferred.
- binding agents that can be used in mordants are suitable as adhesives that can be contained in the mordant formulations that can be used according to the invention.
- the seed dressing formulations that can be used according to the invention can be used either directly or after prior dilution with water to treat seeds of various types, including seeds of transgenic plants. In this case, additional synergistic effects can also occur in conjunction with the substances formed by expression.
- All mixing devices that can usually be used for seed dressing can be used to treat seed with the seed dressing formulations that can be used according to the invention or with the preparations made from them by adding water.
- the seed dressing procedure involves placing the seed in a mixer, adding the desired amount of seed dressing formulations either as such or after diluting with water, and mixing until the formulation is evenly distributed over the seed. A drying process follows if necessary.
- the active ingredients according to the invention are suitable for protecting plants and plant organs, increasing crop yields and improving the quality of the harvested crop, as they are well tolerated by plants, have favorable toxicity to warm-blooded animals and are environmentally friendly. They can preferably be used as plant protection products. They are effective against normally sensitive and resistant species and against all or individual stages of development.
- plants which can be treated according to the invention corn, soybeans, cotton, Brassica oilseeds such as Brassica napus (e.g. canola), Brassica rapa, B. juncea (e.g. (field) mustard) and Brassica carinata, rice, wheat, sugar beet, sugar cane, oats, rye, barley, millet, triticale, flax, wine and various fruits and vegetables from various botanical taxa such as Rosaceae sp. (e.g.
- pome fruits such as apples and pears, but also stone fruits such as apricots, cherries, almonds and peaches and berries such as strawberries), Ribesioidae sp., Juglandaceae sp., Betulaceae sp., Anacardiaceae sp., Fagaceae sp., Moraceae sp., Oleaceae sp., Actinidaceae sp., Lauraceae sp., Musaceae sp. (e.g. banana trees and plantations), Rubiaceae sp. (e.g.
- Theaceae sp. Sterculiceae sp., Rutaceae sp. (e.g. lemons, oranges and grapefruit); Solanaceae sp. (e.g. tomatoes, potatoes, peppers, aubergines), Liliaceae sp., Compositae sp. (e.g. lettuce, artichoke and chicory - including chicory root, endive or common chicory), Umbelliferae sp. (e.g. carrot, parsley, celery and celeriac), Cucurbitaceae sp. (e.g. cucumber - including gherkin, pumpkin, watermelon, gourd and melons), Alliaceae sp.
- Solanaceae sp. e.g. tomatoes, potatoes, peppers, aubergines
- Liliaceae sp. Compositae sp.
- Umbelliferae sp. e.g. carrot, parsley,
- Cruciferae sp. e.g. white cabbage, red cabbage, broccoli, cauliflower, Brussels sprouts, pak choi, kohlrabi, radishes, horseradish, cress and Chinese cabbage
- Leguminosae sp. e.g. peanuts, peas, and beans - such as runner beans and broad beans
- Chenopodiaceae sp. e.g. chard, fodder beet, spinach, beetroot
- Malvaceae e.g. okra
- Asparagaceae e.g. asparagus
- plants and parts thereof can be treated according to the invention.
- plant species and plant varieties that occur in the wild or that have been obtained by conventional biological breeding methods, such as crossing or protoplast fusion, and their parts are treated.
- transgenic plants and plant varieties that have been obtained by genetic engineering methods, optionally in combination with conventional methods (genetically modified organisms) and their parts are treated.
- the term "parts” or “parts of plants” or “plant parts” is explained above.
- plants of the respective commercially available or in-use plant varieties are treated according to the invention.
- Plant varieties are understood to mean plants with new properties ("traits") that have been bred by conventional breeding, mutagenesis or recombinant DNA techniques. These can be varieties, races, biotypes and genotypes.
- the treatment method according to the invention can be used for the treatment of genetically modified organisms (GMOs), e.g. plants or seeds.
- GMOs genetically modified organisms
- Genetically modified plants are plants in which a heterologous gene has been stably integrated into the genome.
- heterologous gene essentially means a gene which is provided or assembled outside the plant and which, when introduced into the nuclear genome, the chloroplast genome or the mitochondrial genome of the transformed plant, confers new or improved agronomic or other properties by expressing a protein or polypeptide of interest or by down-regulating or switching off another gene(s) present in the plant (for example by means of antisense technology, cosuppression technology or RNAi technology [RNA interference]).
- a heterologous gene present in the genome is also referred to as a transgene.
- a transgene which, by its specific presence in the plant genome is called a transformation or transgenic event.
- the treatment according to the invention can also lead to superadditive (“synergistic”) effects.
- superadditive the following effects are possible which go beyond the effects actually expected: reduced application rates and/or expanded spectrum of action and/or increased effectiveness of the active ingredients and compositions which can be used according to the invention, better plant growth, increased tolerance to high or low temperatures, increased tolerance to drought or water or soil salinity, increased flowering performance, easier harvesting, accelerated ripening, higher yields, larger fruits, greater plant height, more intense green leaf color, earlier flowering, higher quality and/or higher nutritional value of the harvest products, higher sugar concentration in the fruits, better storage capacity and/or processability of the harvest products.
- Plants and plant varieties which are preferably treated according to the invention include all plants which have genetic material which gives these plants particularly advantageous, useful characteristics (regardless of whether this is achieved by breeding and/or biotechnology).
- nematode-resistant plants are described in the following US patent applications: 11/765,491, 11/765,494, 10/926,819, 10/782,020, 12/032,479, 10/783,417, 10/782,096, 11/657,964, 12/192,904, 11/396,808, 12/166,253, 12/166,239, 12/166,124, 12/166,209, 11/762,886, 12/364,335, 11/763,947, 12/252,453, 12/209,354, 12/491,396 and 12/497,221.
- Plants that can be treated according to the invention are hybrid plants that already express the properties of heterosis or the hybrid effect, which generally result in higher yield, higher vigor, better health and better resistance to biotic and abiotic stress factors.
- Such plants are typically produced by crossing an inbred male sterile parent line (the female crossing partner) with another inbred male fertile parent line (the male crossing partner).
- the hybrid seed is typically harvested from the male sterile plants and sold to propagators.
- Male sterile plants can sometimes (e.g. in maize) be produced by defatting (i.e. mechanically removing the male sex organs or male flowers), but it is more common for male sterility to be due to genetic determinants in the plant genome.
- pollen fertility is fully restored in hybrid plants containing the genetic determinants responsible for pollen sterility.
- This can be achieved by ensuring that the male Crossing partners possess appropriate fertility restorer genes that are capable of restoring pollen fertility in hybrid plants containing the genetic determinants responsible for pollen sterility.
- Genetic determinants for pollen sterility can be localized in the cytoplasm. Examples of cytoplasmic pollen sterility (CMS) have been described for Brassica species, for example. However, genetic determinants for pollen sterility can also be localized in the nuclear genome. Pollen-sterile plants can also be obtained using plant biotechnology methods, such as genetic engineering.
- a ribonuclease such as bamase is selectively expressed in the tapetum cells in the stamens. Fertility can then be restored by expressing a ribonuclease inhibitor such as barstar in the tapetum cells.
- Plants or plant varieties obtained by plant biotechnology techniques such as genetic engineering which can be treated according to the invention are herbicide-tolerant plants, i.e. plants which have been rendered tolerant to one or more given herbicides. Such plants can be obtained either by genetic transformation or by selection of plants containing a mutation conferring such herbicide tolerance.
- Herbicide-tolerant plants are, for example, glyphosate-tolerant plants, i.e. plants that have been made tolerant to the herbicide glyphosate or its salts. Plants can be made tolerant to glyphosate using various methods. For example, glyphosate-tolerant plants can be obtained by transforming the plant with a gene that codes for the enzyme 5-enolpyruvylshikimate-3-phosphate synthase (EPSPS). Examples of such EPSPS genes are the AroA gene (mutant CT7) of the bacterium Salmonella typhimurium (Comai et al., 1983, Science 221, 370-371), the CP4 gene of the bacterium Agrobacterium sp.
- EPSPS 5-enolpyruvylshikimate-3-phosphate synthase
- Glyphosate-tolerant plants can also be obtained by expressing a gene encoding a glyphosate oxidoreductase enzyme.
- Glyphosate-tolerant plants can also be obtained by expressing a gene encoding a glyphosate acetyltransferase enzyme. Glyphosate-tolerant plants can also be obtained by selecting plants containing naturally occurring mutations of the above-mentioned genes. Plants expressing EPSPS genes conferring glyphosate tolerance are described. Plants expressing other genes conferring glyphosate tolerance, e.g. decarboxylase genes, are described.
- herbicide-resistant plants include plants that have been made tolerant to herbicides that inhibit the enzyme glutamine synthase, such as bialaphos, phosphinotricin or glufosinate. Such plants can be obtained by expressing an enzyme which detoxifies the herbicide or a mutant of the enzyme glutamine synthase which is resistant to inhibition.
- an effective detoxifying enzyme is, for example, an enzyme encoding a phosphinotricin acetyltransferase (such as the bar or pat protein from Streptomyces species). Plants which express an exogenous phosphinotricin acetyltransferase have been described.
- herbicide-tolerant plants include plants that have been made tolerant to herbicides that inhibit the enzyme hydroxyphenylpyruvate dioxygenase (HPPD).
- HPPD hydroxyphenylpyruvate dioxygenase
- Hydroxyphenylpyruvate dioxygenases are enzymes that catalyze the reaction in which para-hydroxyphenylpyruvate (HPP) is converted to homogentisate.
- Plants that are tolerant to HPPD inhibitors can be transformed with a gene that encodes a naturally occurring resistant HPPD enzyme or a gene that encodes a mutated or chimeric HPPD enzyme, as described in WO 96/38567, WO 99/24585, WO 99/24586, WO 2009/144079, WO 2002/046387 or US 6,768,044.
- Tolerance to HPPD inhibitors can also be achieved by transforming plants with genes encoding certain enzymes that enable the formation of homogentisate despite inhibition of the native HPPD enzyme by the HPPD inhibitor. Such plants are described in WO 99/34008 and WO 02/36787.
- the tolerance of plants to HPPD inhibitors can also be improved by transforming plants with a gene encoding a prephenate dehydrogenase enzyme in addition to a gene encoding an HPPD-tolerant enzyme, as described in WO 2004/024928.
- plants can be made even more tolerant to HPPD inhibitors by inserting a gene into their genome that encodes an enzyme that metabolizes or degrades HPPD inhibitors, such as CYP450 enzymes (see WO 2007/103567 and WO 2008/150473).
- ALS inhibitors include, for example, sulfonylurea, imidazolinone, triazolopyrimidines, pyrimidinyloxy(thio)benzoates and/or sulfonylaminocarbonyltriazolinone herbicides.
- ALS also known as acetohydroxyacid synthase, AHAS
- AHAS acetohydroxyacid synthase
- plants that are tolerant to imidazolinones and/or sulfonylureas can be obtained by induced mutagenesis, selection in cell cultures in the presence of the herbicide or by mutation breeding (see, for example, for soybean US 5,084,082, for rice WO 97/41218, for sugar beet US 5,773,702 and WO 99/057965, for lettuce US 5,198,599 or for sunflower WO 01/065922).
- Plants or plant varieties which can also be treated according to the invention are tolerant to abiotic stress factors. Such plants can be obtained by genetic transformation or by selection of plants containing a mutation conferring such stress resistance.
- Particularly useful plants with stress tolerance include the following: a. plants containing a transgene capable of reducing the expression and/or activity of the gene encoding poly(ADP-ribose) polymerase (PARP) in the plant cells or plants.
- PARP poly(ADP-ribose) polymerase
- Plants containing a stress tolerance-promoting transgene encoding a plant-functional enzyme of the nicotinamide adenine dinucleotide salvage biosynthesis pathway including nicotinamidase, nicotinate phosphoribosyltransferase, nicotinic acid mononucleotide adenyltransferase, nicotinamide adenine dinucleotide synthetase or nicotinamide phosphoribosyltransferase.
- Plants or plant varieties obtained by methods of plant biotechnology, such as genetic engineering
- Plants or plant varieties which can also be treated according to the invention, have an altered quantity, quality and/or storage capacity of the harvest product and/or altered properties of certain components of the harvest product, such as:
- Transgenic plants that synthesize non-starch carbohydrate polymers or non-starch carbohydrate polymers whose properties are altered compared to wild-type plants without genetic modification. Examples are plants that produce polyfmctose, particularly of the inulin and levan type, plants that produce alpha-1,4-glucans, plants that produce alpha-1,6-branched alpha-1,4-glucans and plants that produce Alteman.
- Transgenic plants or hybrid plants such as onions with certain properties such as ‘high soluble solids content’, ‘low pungency’ (LP) and/or ‘long storage’ (LS).
- LP low pungency
- LS long storage
- Plants or plant varieties which can also be treated according to the invention are plants such as cotton plants with altered fibre properties.
- Such plants can be obtained by genetic transformation or by selection of plants which contain a mutation which confers such altered fibre properties; these include: a) plants such as cotton plants which contain an altered form of cellulose synthase genes, b) plants such as cotton plants which contain an altered form of rsw2 or rsw3 homologous nucleic acids, such as cotton plants with an increased expression of sucrose phosphate synthase; c) plants such as cotton plants with an increased expression of sucrose synthase; d) plants such as cotton plants in which the timing of the gate control of the plasmodesmata at the base of the fibre cell is altered, e.g.
- Plants or plant varieties which can also be treated according to the invention are plants such as rapeseed or related Brassica plants with altered oil composition properties.
- Such plants can be obtained by genetic transformation or by selection of plants containing a mutation conferring such altered oil properties; these include: a) plants such as rapeseed plants which produce oil with a high oleic acid content; b) plants such as rapeseed plants which produce oil with a low linolenic acid content. c) plants such as rapeseed plants which produce oil with a low saturated fatty acid content.
- Plants or plant varieties which can be obtained by methods of plant biotechnology, such as genetic engineering
- plants which can also be treated according to the invention are plants such as potatoes which are virus-resistant, e.g. against the potato virus Y (Event SY230 and SY233 from Tecnoplant, Argentina), or which are resistant to diseases such as potato late blight (e.g. RB gene), or which show reduced cold-induced sweetness (which which carry the genes Nt-Inh, II-INV) or which show the dwarf phenotype (gene A-20 oxidase).
- viruses which are virus-resistant, e.g. against the potato virus Y (Event SY230 and SY233 from Tecnoplant, Argentina), or which are resistant to diseases such as potato late blight (e.g. RB gene), or which show reduced cold-induced sweetness (which which carry the genes Nt-Inh, II-INV) or which show the dwarf phenotype (gene A-20 oxidase).
- Plants or plant varieties obtained by plant biotechnology methods such as genetic engineering which may also be treated according to the invention are plants such as oilseed rape or related Brassica plants having altered seed shattering properties. Such plants may be obtained by genetic transformation or by selection of plants containing a mutation conferring such altered properties, and include plants such as oilseed rape having delayed or reduced seed shattering.
- transgenic plants that can be treated according to the invention are plants with transformation events or combinations of transformation events that are the subject of granted or pending petitions for non-regulated status with the Animal and Plant Health Inspection Service (APHIS) of the United States Department of Agriculture (USDA) in the USA. Information on this is available at any time from APHIS (4700 River Road Riverdale, MD 20737, USA), e.g. via the Internet site http://www.aphis.usda.gov/brs/not_reg.html. On the filing date of this application, petitions with the following information were either granted or pending with APHIS:
- Transgenic phenotype the property (“trait”) conferred on the plant by the transformation event.
- APHIS Documents various documents published by APHIS regarding the petition or available from APHIS upon request.
- transgenic plants that can be treated according to the invention are plants with one or more genes encoding one or more toxins, the transgenic plants offered under the following trade names: YIELD GARD® (for example maize, cotton, soybeans), KnockOut® (e.g. maize), BiteGard® (e.g. maize), BT-Xtra® (e.g. maize), StarLink® (e.g. maize), Bollgard® (cotton), Nucotn® (cotton), Nucotn 33B® (cotton), NatureGard® (e.g. maize), Protecta® and NewLeaf® (potato).
- YIELD GARD® for example maize, cotton, soybeans
- KnockOut® e.g. maize
- BiteGard® e.g. maize
- BT-Xtra® e.g. maize
- StarLink® e.g. maize
- Bollgard® cotton
- Nucotn® cotton
- Nucotn 33B®
- Herbicide-tolerant plants that should be mentioned include maize, cotton and soybean varieties sold under the following trade names: Roundup Ready® (glyphosate tolerance, e.g. maize, cotton, soybeans), Liberty Link® (phosphinotric acid tolerance, e.g. rapeseed), IMI® (imidazolinone tolerance) and SCS® (sulfonylurea tolerance), e.g. maize.
- Herbicide-resistant plants plants traditionally bred for herbicide tolerance
- Clearfield® for example, maize.
- a 1 M lithium trimethyl-N-(trimethylsilyl)silanaminide solution in THF (33.63 mL, 33.63 mmol, 1.05 equiv) was placed in diethyl ether (80 mL) under a nitrogen atmosphere and cooled to -78 °C using a dry ice bath.
- a solution of l-(3,4-difluorophenyl-ethanone (5.0 g, 32 mmol, 1.0 equiv.) in diethyl ether (20 ml) is added dropwise to this solution over a period of 10 minutes and the mixture is stirred at -78°C for 1 hour.
- reaction solution is then mixed with diethyl oxalate (4.35 ml, 32 mmol, 1.0 equiv.).
- diethyl oxalate (4.35 ml, 32 mmol, 1.0 equiv.).
- the resulting reaction mixture is stirred at -78°C for 3 hours and then at room temperature overnight.
- the suspension is then cooled to 0 to 4°C using an ice bath, mixed with 1M hydrochloric acid and stirred at room temperature for 30 minutes.
- the reaction mixture is extracted three times with 100 ml of ethyl acetate each time.
- the organic phase is dried over magnesium sulfate and the solvent is removed in vacuo.
- Ethyl (3Z)-4-(3,4-difluorophenyl)-4-hydroxy-2-oxobut-3-enoate (6.0 g, 22.89 mmol, 1.0 equiv) and 2-hydrazinopyridine (2.62 g, 24.03 mmol, 1.05 equiv) are suspended in acetic acid (30 ml) and heated to boiling for 4 h. After cooling to room temperature, the solvent is removed in vacuo.
- Ethyl 4-bromo-5-(3,4-difluorophenyl)-l-(pyridin-2-yl)-lH-pyrazole-3-carboxylate (0.90 g, 2.21 mmol, 1.0 equiv), zinc(II) cyanide (246 mg, 2.10 mmol, 0.95 equiv) and tetrakis(triphenylphosphine)palladium(0) (255 mg, 0.22 mmol, 0.1 equiv) are suspended in degassed DMF (12 ml) in a 30 ml microwave vessel under nitrogen atmosphere and heated for 40 min at 180°C in a Biotage Initator + microwave.
- reaction is stirred for 4 h at 60 °C, during which gas evolution occurs.
- reaction solution is treated with a saturated sodium hydrogen carbonate solution (10 ml) and extracted twice with ethyl acetate (50 ml).
- the organic phase is dried over magnesium sulfate and the solvent is removed in vacuo.
- the crude intermediate is dissolved in dichloromethane (30 ml) and trifluoroacetic acid (0.28 ml, 3.68 mmol, 1 equiv) is added.
- the reaction mixture is stirred overnight at room temperature.
- the solvent is then removed in vacuo.
- reaction mixture is then poured into H2O and extracted several times with CH2Cl2.
- organic phase is dried over Na2SO4, concentrated and the crude product thus obtained is purified by column chromatography on silica gel with heptane/ethyl acetate (8:2). In this way, 0.13 g (91%) of product is obtained.
- NMR data of selected examples NMR data of selected examples
- the spectroscopic data of selected table examples listed below were evaluated either using classical NMR interpretation and/or 1H NMR peak list methods.
- Example No. I-221 1H NMR (401 MHz, CDCl3): ⁇ H 1.28-1.35 (t, 3H), 4.28-4.35 (q, 2H), 4.95 (s, 2H), 7.01-7.15 (m, 3H), 7.28-7.34 (m, 2H), 7.40-7.44 (d, 1H), 7.66-7
- I-218 1H-NMR (400 MHz, d6-DMSO d, ppm) 12.96 (bs, 1H), 8.62 (m, 1H), 8.44 (m, 1H), 7.70 (m, 1H), 7.50- 7.35 (m, 2H), 7.02 (m, 1H), 4.77 (s, 2H).
- Example No. I-217 1H NMR (400 MHz, CDCl3 d, ppm) 8.49 (m, 1H), 8.12 (m, 1H), 7.42 (m, 1H), 7.19-7.02 (m, 3H), 4.86 (s, 2H), 4.24 (q, 2H), 1.28 (t, 3H).
- I-145 1H NMR (400 MHz, d6-DMSO d, ppm): 13.1 (bs, 1H), 8.30 (d, 1H), 7.94 (t, 1H), 7.59 (m, 1H), 7.48 (d, 2H), 7.28 (d, 2H), 4.84 (s, 2H).
- peaks or the center of the signal and their relative intensity compared to the most intense signal in the spectrum can be shown.
- the tetramethylsilane peak may or may not appear in NMR peak lists.
- the lists of 1H NMR peaks are similar to classical 1H NMR printouts and thus usually contain all peaks that are listed in a classical NMR interpretation.
- they may include solvent signals, signals of stereoisomers of the target compounds, which are also the subject of of the invention and/or show peaks of impurities.
- a dust is obtained by mixing 10 parts by weight of a compound of formula (I) and/or salts thereof and 90 parts by weight of talc as an inert substance and grinding in a hammer mill.
- a wettable powder which is easily dispersible in water is obtained by mixing 25 parts by weight of a compound of formula (I) and/or salts thereof, 64 parts by weight of kaolin-containing quartz as an inert substance, 10 parts by weight of potassium ligninsulfonate and 1 part by weight of sodium oleoylmethyltaurine as a wetting agent and dispersant and grinding in a pin mill.
- a dispersion concentrate which is easily dispersible in water is obtained by mixing 20 parts by weight of a compound of formula (I) and/or its salts with 6 parts by weight of alkylphenol polyglycol ether ( ⁇ Triton X 207), 3 parts by weight of isotridecanol polyglycol ether (8 EO) and 71 parts by weight of paraffinic mineral oil (boiling range e.g. approx. 255 to over 277 C) and grinding in a ball mill to a fineness of less than 5 microns.
- An emulsifiable concentrate is obtained from 15 parts by weight of a compound of formula (I) and/or its salts, 75 parts by weight of cyclohexanone as solvent and 10 parts by weight of oxyethylated nonylphenol as emulsifier.
- a granulate which is easily dispersible in water is obtained by
- a water-dispersible granulate is also obtained by
- ABUTH Abutilon theophrasti
- ECHCG Echinochloa crus-galli
- KCHSC Kochia scoparia
- MATIN Matricaria inodora
- PHBPU Pharbitis purpurea
- POLCO Polygonum sylvatica
- VERPE Veronica persica VIOTR: Viola tricolor
- BRSNW Brassica napus
- ORYZA Oryza sativa
- TRZAS Triticum aestivum
- Seeds of monocotyledonous and dicotyledonous weeds are placed in plastic pots in sandy loam soil (double sowings with one species of monocotyledonous or dicotyledonous weed per pot) and covered with soil.
- Tables 1a to 12c below show the effects of selected compounds of general formula (I) according to Table 1 on various weeds and at an application rate corresponding to 1280 g/ha and lower, obtained according to the test procedure mentioned above.
- Table la Pre-emergence effect at 320g/ha against ABUTH in %
- Table 12b Pre-emergence effect at 320g/ha against AMARE in Table 12c : Pre-emergence effect at 1280g/ha against AMARE in
- compounds according to the invention such as compounds Nos. 1-18, 1-16 and 1-23 and other compounds from Tables 1a to 12c, have good herbicidal activity against harmful plants when treated pre-emergence.
- compounds Nos. 1-18, 1-16 and 1-23 have a very good herbicidal activity (90% to 100% herbicidal activity) in the pre-emergence process against harmful plants such as Alopecurus myrosoroides, Digitaria sanguinalis, Echinochloa crus-galli and Setaria viridis at an application rate of 1.28 kg of active substance.
- the compounds according to the invention are therefore suitable for use in the pre-emergence process for controlling unwanted plant growth.
- Seeds of monocotyledonous and dicotyledonous weeds and cultivated plants were placed in plastic or organic plant pots and covered with soil.
- Tables 13a to 30c below show the effects of selected compounds of general formula (I) according to Table 1 on various pests and crops and at an application rate corresponding to 320 g/ha or lower, which were obtained according to the test procedure mentioned above.
- Tables 13a to 17c below show the crop tolerances of selected compounds of general formula (I) at an application rate corresponding to 320 g/ha or lower, which were observed in tests according to the test procedure mentioned above. The observed effects on selected crops are given in comparison with the untreated controls (values in %).
- Table 15a Pre-emergence effect at 20g/ha against ORYSA in %
- Table 15b Pre-emergence effect at 80g/ha against ORYSA in %
- Table 15c Pre-emergence effect at 320g/ha against ORYSA in %
- Table 16a Pre-emergence effect at 20g/ha against GLXMA in %
- compounds according to the invention such as compounds 1-22, 1-100 and 1-104 and other compounds from Tables 18a to 30c, have good herbicidal activity against harmful plants when treated pre-emergence.
- compound No. 1-22 has a very good herbicidal activity in the pre-emergence method (90% herbicidal activity).
- Seeds of monocotyledonous or dicotyledonous weeds are placed in plastic pots in sandy loam soil (double sowings with one species of monocotyledonous or dicotyledonous weed per pot), covered with soil and grown in the greenhouse under controlled growth conditions. 2 to 3 weeks after sowing, the test plants are treated in the single-leaf stage.
- the compounds according to the invention formulated in the form of wettable powders (WP) or as emulsion concentrates (EC), are applied to the green parts of the plant as an aqueous suspension or emulsion, with the addition of 0.5% additive, at a water application rate of the equivalent of 600 liters per hectare.
- the effect of the preparations is assessed visually in comparison to untreated controls. For example, 100% effect means plants have died, 0% effect means like control plants.
- Tables 3la to 42c below show the effects of selected compounds of general formula (I) according to Table 1 on various weeds and at an application rate corresponding to 1280 g/ha and lower, obtained according to the test procedure mentioned above.
- Table 35b Post-emergence effect at 320g/ha against KCHSC in %
- Table 35c Post-emergence effect at 1280g/ha against KCHSC in
- Table 39c Post-emergence effect at 1280g/ha against SETVI in %
- Table 40a Post-emergence effect at 80g/ha against STEME in %
- Table 40b Post-emergence effect at 320g/ha against STEME in %
- Table 40c Post-emergence effect at 1280g/ha against STEME in
- compounds according to the invention such as compounds Nos. 1-51, 1-05 and 1-120 and other compounds from Tables 31a to 42c, have good herbicidal activity against harmful plants when treated post-emergence.
- compounds Nos. 1-51, 1-05 and 1-120 have very good herbicidal activity in the post-emergence process.
- Effectiveness (90% to 100% herbicidal activity) against weeds such as Abutylon threophrasti, Alopecurus myosuroides, Digitaria sanguinalis and Echinochloa crus-galli at an application rate of 1.28 kg active substance per hectare.
- the compounds according to the invention are therefore suitable for post-emergence control of undesirable plant growth.
- the following tables show the effects of selected compounds of general formula (I) according to Tables 43a to 61c on various weeds and crops and at an application rate corresponding to 320 g/ha and lower, which were obtained according to the test procedure mentioned above.
- the following tables 43a to 47c show the crop tolerances of selected compounds of general formula (I) at an application rate corresponding to 320 g/ha or lower, which were observed in tests according to the test procedure mentioned above. The observed effects on selected crops are given in comparison with the untreated controls (values in %).
- Table 43a Post-emergence effect at 20g/ha against ZEAMX in %
- Table 43b Post-emergence effect at 80g/ha against ZEAMX in %
- Table 55b Post-emergence effect at 80g/ha against PHBPU in %
- Table 55c Post-emergence effect at 320g/ha against PHBPU in %
- Table 60c Post-emergence effect at 320g/ha against DIGSA in %
- Table 61a Post-emergence effect at 20g/ha against KCHSC in %
- compounds according to the invention such as compound 1-26 and other compounds from Tables 48a to 61c, have good herbicidal activity against harmful plants when applied post-emergence.
- compound 1-26 has
- Post-emergence treatment has a very good herbicidal effect (80% to 100% herbicidal effect) against harmful plants such as Abutilon theophrasti and Setaria viridis at an application rate of 320 g of active substance or less per hectare.
- compounds according to the invention such as compound 1-61 and other compounds from Tables 43a to 47c, have good tolerance in crop plants when treated post-emergence.
Landscapes
- Chemical & Material Sciences (AREA)
- Organic Chemistry (AREA)
- Life Sciences & Earth Sciences (AREA)
- Health & Medical Sciences (AREA)
- Pest Control & Pesticides (AREA)
- Plant Pathology (AREA)
- Agronomy & Crop Science (AREA)
- Engineering & Computer Science (AREA)
- Dentistry (AREA)
- General Health & Medical Sciences (AREA)
- Wood Science & Technology (AREA)
- Zoology (AREA)
- Environmental Sciences (AREA)
- Agricultural Chemicals And Associated Chemicals (AREA)
- Plural Heterocyclic Compounds (AREA)
Abstract
Description
l-Pyridyl-5-phenylpyrazolyl-3-oxy- und -3-thioalkylsäuren und Derivate und deren Verwendung zur Bekämpfung unerwünschten Pflanzenwachstums l-Pyridyl-5-phenylpyrazolyl-3-oxy- and -3-thioalkyl acids and derivatives and their use for controlling undesirable plant growth
Beschreibung Description
Die Erfindung betrifft das technische Gebiet der Pflanzenschutzmittel, insbesondere das der Herbizide zur Bekämpfung von Unkräutern und Ungräsem in Nutzpflanzenkulturen sowie im Ziergartenbereich und zur generellen Bekämpfung von Unkräutern und Ungräsem in Umweltbereichen, in denen Pflanzenwuchs störend ist. The invention relates to the technical field of plant protection products, in particular that of herbicides for controlling weeds and grass weeds in crops and in ornamental gardens and for the general control of weeds and grass weeds in environmental areas in which plant growth is disruptive.
Insbesondere betrifft die Erfindung substituierte l-Pyridyl-5-phenylpyrazolyl-3-oxy- und -3- thioalkylsäuren sowie deren Derivate, Verfahren zu deren Herstellung und deren Verwendung zur Bekämpfung von Schadpflanzen. In particular, the invention relates to substituted l-pyridyl-5-phenylpyrazolyl-3-oxy- and -3-thioalkyl acids and their derivatives, processes for their preparation and their use for controlling harmful plants.
Die Derivate der l-Pyridyl-5-phenylpyrazolyl-3-oxy- und -3-thioalkylsäuren umfassen insbesondere deren Ester, Salze und/oder Amide. The derivatives of l-pyridyl-5-phenylpyrazolyl-3-oxy- and -3-thioalkyl acids include in particular their esters, salts and/or amides.
Die erfindungsgemäßen l-Pyridyl-5-phenylpyrazolyl-3-oxy- und -3-thioalkylsäuren sowie deren Derivate unterscheiden sich von den bereits bekannten Bisarylpyrazolen, die in W02020/245044, WO 2021/122728 und WO2021/219527 offenbart werden, durch die spezifische Substitution am Pyrazolring (Phenyl in 5-Position; Pyridyl in 1-Position). The l-pyridyl-5-phenylpyrazolyl-3-oxy- and -3-thioalkyl acids according to the invention and their derivatives differ from the already known bisarylpyrazoles disclosed in WO2020/245044, WO 2021/122728 and WO2021/219527 by the specific substitution on the pyrazole ring (phenyl in 5-position; pyridyl in 1-position).
Aus dem Stand der Technik sind außerdem biologische Wirkungen von substituierten 1,5 -Diphenyl - pyrazolyl-3-oxoessigsäuren sowie Verfahren zur Herstellung dieser Verbindungen bekannt. In DE 2828529 Al werden die Herstellung und die lipidsenkende Wirkung von l,5-Diphenyl-pyrazolyl-3- oxoessigsäuren beschrieben. Biological effects of substituted 1,5-diphenylpyrazolyl-3-oxoacetic acids and processes for the preparation of these compounds are also known from the prior art. DE 2828529 A1 describes the preparation and lipid-lowering effect of 1,5-diphenylpyrazolyl-3-oxoacetic acids.
Als bakterizid wirksame Agrochemikalien werden l,5-Diphenyl-pyrazolyl-3-oxoessigsäure-Derivate in CN101284815 offenbart. In Journal of Heterocyclic Chemistry (2012), 49(6), 1370-1375 werden weitere Synthesen und die fungizide Wirkung von 1,5 -Diphenyl -pyrazolyl-3-oxoessigsäuren beschrieben. 1,5-Diphenyl-pyrazolyl-3-oxoacetic acid derivatives are disclosed as bactericidal agrochemicals in CN101284815. Further syntheses and the fungicidal activity of 1,5-diphenyl-pyrazolyl-3-oxoacetic acids are described in Journal of Heterocyclic Chemistry (2012), 49(6), 1370-1375.
Die Aufgabe der vorliegenden Erfindung besteht in der Bereitstellung neuer Pyrazol-Derivate, nämlich von l-Pyridyl-5-phenylpyrazolyl-3-oxy- und -3-thioalkylsäuren, welche als Herbizide mit einer guten herbiziden Wirkung und einem breiten Wirkspektrum gegenüber Schadpflanzen eingesetzt werden können. The object of the present invention is to provide new pyrazole derivatives, namely l-pyridyl-5-phenylpyrazolyl-3-oxy- and -3-thioalkyl acids, which can be used as herbicides with a good herbicidal effect and a broad spectrum of activity against harmful plants.
Gelöst wird die Aufgabe durch substituierte Pyrazolyl-3-oxo- und -3-thioalkylsäuren, die sich durch einen Phenylrest in 5-Position und einen Pyridylrest in 1-Position des Pyrazolrings auszeichnen, d.h. durch substituierte l-Pyridyl-5-phenylpyrazolyl-3-oxy- und -3-thioalkylsäuren und deren Derviate, welche eine sehr gute herbizide Wirkung aufweisen. Überraschenderweise sind diese Verbindungen gegen eine große Bandbreite wirtschaftlich wichtiger Ungräser und Unkräuter hochwirksam. Gegenstand der vorliegenden Erfindung sind daher die substituierten 1-Pyridyl-5-phenylpyrazolyl-3-oxy- und -3-thioalkylsäure-Derivaten der allgemeinen Formel (I) und deren agrochemisch akzeptable Salze, N-Oxide, Hydrate und Hydrate der Salze und N-Oxide, wobei Q ausgewählt ist aus der Gruppe, bestehend aus Q1 - Q3 Q1 Q2 Q3 , R1 ausgewählt ist aus der Gruppe, bestehend aus - OR1a und - NR9R10; worin R1a Wasserstoff bedeutet oder (C1-C6)-Alkyl bedeutet, welches unsubstituiert ist oder substituiert ist mit einem Rest ausgewählt aus der Gruppe bestehend aus CO 8 5 2R , OR oder (C1-C6)-Halogenalkyl, (C3-C7)-Cycloalkyl-(C1-C6)-alkyl, Cyano-(C1-C6)-alkyl, Nitro-(C1-C6)-alkyl bedeutet oder (C3-C7)-Cycloalkyl bedeutet, welches unsubstituiert oder substituiert ist durch einen Rest 3 ausgewählt aus der Gruppe bestehend aus CO2R8, OR5oder (C3-C7)-Halogencycloalkyl, (C1-C6)-Alkyl-(C3-C7)-cycloalkyl, (C3-C7)-Cycloalkyl-(C3-C7)- cycloalkyl, (C1-C6)-Halogenalkyl-(C3-C7)-cycloalkyl bedeutet oder (C2-C6)-Alkenyl, (C3-C6)-Alkinyl bedeutet oder (C1-C6)-Alkyl-S-(C1-C6)-alkyl-, (C1-C6)-Alkyl-SO-(C1-C6)-alkyl-, (C1-C6)-Alkyl-SO2-(C1-C6)- alkyl- bedeutet oder -N=C[(C1-C6)-Alkyl]2, Cyclopentylidenamino, Cyclohexylidenamino bedeutet oder Heterocyclyl, Heteroaryl, Aryl bedeutet oder Heterocyclyl-(C1-C4)-alkyl-, Heteroaryl-(C1-C4)-alkyl-, Aryl-(C1-C4)-alkyl- bedeutet, welches unsubstituiert oder jeweils unabhängig voneinander substituiert ist durch „m“ Reste ausgewählt aus der Gruppe bestehend aus Halogen, (C1-C6)-Alkyl, (C1-C6)-Halogenalkyl; R9 Wasserstoff, (C1-C6)-Alkyl bedeutet; R10 Wasserstoff, Aryl, Heteroaryl, Heterocyclyl, (C1-C6)-Alkyl, (C3-C7)-Cycloalkyl, (C3-C7)- Cycloalkyl-(C -C )-a 5 1 6 lkyl-, (C2-C6)-Alkenyl, (C5-C7)-Cycloalkenyl, (C2-C6)-Alkinyl, S(O)nR , Cyano, OR5, SO2NR6R7, CO2R8, COR8, bedeutet, wobei die oben genannten Alkyl, Cycloalkyl, Alkenyl, Cycloalkenyl und Alkinyl Reste unsubstituiert sind oder jeweils unabhängig voneinander substituiert sind durch „m“ Reste ausgewählt aus der Gruppe bestehend aus gegebenenfalls einfach oder mehrfach substituiertes Aryl, Halogen, Cyano, Nitro, OR5, S(O) 5 6 7 8 nR , SO2NR R , CO2R , CONR6R8, COR6, NR6R8, NR6COR8, NR6CONR8R8, NR6CO 8 6 8 6 6 8 2R , NR SO2R , NR SO2NR R , C(R6)=NOR8; oder R9 und R10 bilden mit dem Stickstoffatom, an das sie gebunden sind, einen gegebenenfalls durch „m“ Reste aus der Gruppe bestehend aus Halogen, (C - 5 1 C6)-Alkyl, (C1-C6)-Halogenalkyl, OR , S(O) R5, CO R8, CONR6R8, CO 6 6 8 n 2 R und C(R )=NOR substituierten, gesättigten, teilweise oder vollständig ungesättigten fünf-, sechs- oder siebengliedrigen Ring, der neben diesem Stickstoffatom „r“ Kohlenstoffatome, „o“ Sauerstoffatome, „p“ Schwefelatome und „q“ Elemente aus der Gruppe bestehend aus NR7, CO und NCOR7 als Ringatome enthält; R5 (C1-C6)-Alkyl, (C3-C6)-Cycloalkyl, (C1-C6)-Halogenalkyl, Aryl bedeutet; R6 Wasserstoff, (C1-C6)-Alkyl, (C3-C6)-Cycloalkyl, (C1-C6)-Halogenalkyl, Aryl bedeutet; R7 Wasserstoff, (C1-C6)-Alkyl, (C3-C6)-Cycloalkyl, (C3-C4)-Alkenyl, (C3-C4)-Alkinyl bedeutet; oder R6 und R7 bilden mit dem Stickstoffatom, an das sie gebunden sind, einen gesättigten oder ungesättigten fünf- oder sechsgliedrigen Ring, R8 Wasserstoff, (C1-C6)-Alkyl, (C3-C6)-Cycloalkyl, (C2-C4)-Alkenyl, (C1-C6)-Alkyl-COO-(C1-C2)- alkyl- oder (C3-C4)-Alkinyl bedeutet; R2 Wasserstoff, Cyano, (C1-C6)-Alkyl, (C1-C6)-Alkoxy-(C1-C6)-Alkyl, (C1-C6)-Halogenalkyl, (C2- C6)-Alkenyl, (C2-C6)-Halogenalkenyl; (C2-C6)-Alkinyl, (C2-C6)-Halogenalkinyl; (C3-C6)-Cycloalkyl bedeutet; R3 Halogen, Cyano, Isocyano, Nitro, (C1-C6)-Alkyl, (C3-C6)-Cycloalkyl, (C1-C6)-Halogenalkyl, (C3- C6)-Halogencycloalkyl, (C1-C6)-Alkylcarbonyl-, (C1-C6)-Halogenalkylcarbonyl-, (C1-C6)- Alkyloxycarbonyl, (C2-C6)-Alkenyl, (C2-C6)-Halogenalkenyl, (C2-C6)-Alkinyl, (C2-C6)-Halogenalkinyl, (C1-C6)-Alkyl-S(O)n , (C1-C6)-Halogenalkyl-S(O)n , Ethinyl bedeutet; A ist R12 unabhängig voneinander Halogen, Cyano, Nitro, Hydroxy, (C1-C6)-Alkyl, (C1-C6)-Halogenalkyl, (C1-C6)-Alkoxy, (C1-C6)-Halogenalkoxy, (C3-C6)-Cycloalkyl bedeutet; R13 unabhängig voneinander Halogen, Cyano, Nitro, Hydroxy, (C1-C6)-Alkyl, (C1-C6)-Halogenalkyl, (C1-C6)-Alkylcarbonyl, (C1-C6)-Halogenalkylcarbonyl, (C1-C6)-Alkoxycarbonyl, (C1-C6)-Alkoxy, (C1-C6)-Halogenalkoxy, (C1-C6)–Alkyl-S(O)n, (C2-C3)-Alkenyl, (C2-C3)-Halogenalkenyl, (C2-C3)- Alkinyl, (C2-C3)-Halogenalkinyl bedeutet; Y ausgewählt ist aus der Gruppe bestehend aus Sauerstoff oder S(O)n und wobei die Laufzahl k 0, 1, 2, 3 oder 4 bedeutet; m 0, 1, 2 oder 3; n 0, 1 oder 2; o 0, 1 oder 2; p 0 oder 1; q 0 oder 1; r 3, 4, 5 oder 6; und s 0, 1, 2, 3, 4 oder 5 bedeutet. Im Folgenden werden, jeweils für die einzelnen Substituenten bevorzugte, besonders bevorzugte und ganz besonders bevorzugte Bedeutungen beschrieben. Somit ergeben sich verschiedene Ausführungsformen für die Verbindung der allgemeinen Formel (I). Bevorzugt sind Verbindungen der Formel (I), wobei Q ausgewählt ist aus der Gruppe, bestehend aus Q1-Q3 , R1 ausgewählt ist aus der Gruppe, bestehend aus - OR1a und - NR9R10; worin R1a Wasserstoff bedeutet oder (C1-C5)-Alkyl bedeutet, welches unsubstituiert ist oder substituiert ist mit einem Rest ausgewählt aus der Gruppe bestehend aus CO 8 5 2R , OR oder (C1-C5)-Halogenalkyl, (C3-C6)-Cycloalkyl-(C1-C3)-alkyl, Cyano-(C1-C3)-Alkyl, Nitro-(C1-C3)- Alkyl bedeutet oder (C3-C6)-Cycloalkyl bedeutet, welches unsubstituiert oder substituiert ist durch einen Rest ausgewählt aus der Gruppe bestehend aus CO2R8, OR5oder (C3-C6)-Halogencycloalkyl, (C1-C3)-Alkyl-(C3-C6)-cycloalkyl, (C3-C6)-Cycloalkyl-(C3-C6)- cycloalkyl, (C1-C3)-Halogenalkyl-(C3-C6)-cycloalkyl bedeutet oder (C2-C4)-Alkenyl, (C3-C4)-Alkinyl bedeutet oder (C1-C5)-Alkyl-S-(C1-C5)-alkyl-, (C1-C5)-Alkyl-SO-(C1-C5)-alkyl-, (C1-C5)-Alkyl-SO2-(C1-C5)- alkyl- bedeutet, oder -N=C[(C1-C6)-Alkyl]2 bedeutet, oder Heterocyclyl, Heteroaryl, Aryl bedeutet oder Heterocyclyl-(C1-C5)-alkyl-, Heteroaryl-(C1-C5)-alkyl-, Aryl-(C1-C5)-alkyl- bedeutet, welches unsubstituiert oder jeweils unabhängig voneinander substituiert ist durch „m“ Reste ausgewählt aus der Gruppe bestehend aus Halogen, (C1-C5)-Alkyl, (C1-C6)-Halogenalkyl; R9 Wasserstoff, (C1-C5)-Alkyl bedeutet; R10 Wasserstoff, Aryl, Heteroaryl, Heterocyclyl, (C1-C5)-Alkyl, (C3-C6)-Cycloalkyl, (C3-C6)- Cycloalkyl-(C -C )-alkyl-, (C -C 5 1 5 2 6)-Alkenyl, (C5-C7)-Cycloalkenyl, (C2-C6)-Alkinyl, S(O)nR , Cyano, OR5, SO2NR6R7, CO2R8, COR8, bedeutet, wobei die oben genannten Alkyl, Cycloalkyl, Alkenyl, Cycloalkenyl und Alkinyl Reste unsubstituiert sind oder jeweils unabhängig voneinander substituiert sind durch „m“ Reste ausgewählt aus der Gruppe bestehend Aryl, Halogen, Cyano, Nitro, OR5, S(O) R5, SO NR6R7, CO R8 6 8 6 6 8 n 2 2 , CONR R , COR , NR R ; oder R9 und R10 bilden mit dem Stickstoffatom, an das sie gebunden sind, einen gegebenenfalls durch „m“ Reste aus der Gruppe bestehend aus Halogen, (C 5 1-C6)-Alkyl, (C1-C6)-Halogenalkyl, OR , S(O)nR5, CO2R8, CONR6R8, COR6 und C(R6)=NOR8 substituierten, gesättigten, teilweise oder vollständig ungesättigten fünf-, sechs- oder siebengliedrigen Ring; R5 (C1-C6)-Alkyl, (C3-C6)-Cycloalkyl, (C1-C6)-Halogenalkyl, Aryl bedeutet; R6 Wasserstoff, (C1-C6)-Alkyl, (C3-C6)-Cycloalkyl, (C1-C6)-Halogenalkyl, Aryl bedeutet; R7 Wasserstoff, (C1-C6)-Alkyl, (C3-C6)-Cycloalkyl, (C3-C4)-Alkenyl, (C3-C4)-Alkinyl bedeutet; oder R6 und R7 bilden mit dem Stickstoffatom, an das sie gebunden sind, einen gesättigten oder ungesättigten fünf- oder sechsgliedrigen Ring, R8 Wasserstoff, (C1-C6)-Alkyl, (C3-C6)-Cycloalkyl, (C2-C4)-Alkenyl, (C1-C6)-Alkyl-COO(C1-C2)- alkyl- oder (C3-C4)-Alkinyl bedeutet; R2 Wasserstoff, Cyano, (C1-C6)-Alkyl bedeutet; R3 Halogen, Cyano, Nitro, (C1-C6)-Alkyl, (C2-C6)-Alkenyl, (C2-C6)-Alkinyl, (C3-C6)-Cycloalkyl, (C3-C6)-Halogencycloalkyl, (C1-C6)-Halogenalkyl, Ethinyl; A ist R12 unabhängig voneinander Halogen, Cyano, Nitro, (C1-C6)-Alkyl, (C1-C6)-Halogenalkyl, (C1-C6)- Alkoxy, (C1-C6)-Halogenalkoxy, (C3-C6)-Cycloalkyl bedeutet; R13 unabhängig voneinander Halogen, Cyano, (C1-C6)-Alkyl, (C1-C6)-Halogenalkyl, (C1-C6)-Alkoxy bedeutet; Y ausgewählt ist aus der Gruppe, bestehend aus Sauerstoff und S(O)n und wobei die Laufzahl k 0, 1, 2 oder 3 bedeutet; m 0, 1, 2 oder 3; n 0, 1 oder 2; s 0, 1, 2, 3 oder 4 bedeutet. Besonders bevorzugt sind Verbindungen der Formel (I), wobei Q ausgewählt ist aus der Gruppe, bestehend aus Q1 - Q3 Q1 Q2 Q3 , R1 ausgewählt ist aus der Gruppe, bestehend aus - OR1a und - NR9R10; worin R1a Wasserstoff bedeutet oder (C1-C5)-Alkyl bedeutet, welches unsubstituiert ist oder substituiert ist mit einem Rest ausgewählt aus der Gruppe bestehend aus (C1-C6)-Alkoxycarbonyl, (C1-C6)-Alkoxy oder (C1-C3)-Halogenalkyl, (C3-C6)-Cycloalkyl-(C1-C2)-alkyl, Cyano-(C1-C2)-Alkyl, Nitro-(C1-C2)- Alkyl bedeutet oder (C3-C6)-Cycloalkyl bedeutet, welches unsubstituiert oder substituiert ist durch einen Rest (C1-C6)- Alkoxycarbonyl oder (C3-C6)-Halogencycloalkyl, (C1-C2)-Alkyl-(C3-C6)-cycloalkyl bedeutet oder (C2-C4)-Alkenyl, (C3-C4)-Alkinyl bedeutet oder -N=C[(C1-C6)-Alkyl]2 bedeutet, oder Oxetan-3-yl-(C1-C2)-alkyl-, Tetrahydrofuran-2-yl-(C1-C2)-alkyl-, Tetrahydrofuran-3-yl-(C1-C2)- alkyl-, 1,3-Dioxolan-2-yl-(C1-C2)-alkyl-, Pyridin-2-yl-(C1-C2)-alkyl-, Pyridin-3-yl-(C1-C2)-alkyl-, Pyridin-4-yl-(C1-C2)-alkyl-, Phenyl-(C1-C2)-alkyl- bedeutet R9 Wasserstoff, (C1-C2)-Alkyl bedeutet; R10 Wasserstoff, (C1-C4)-Alkyl, (C1-C4)-Halogenalkyl, (C3-C6)-Cycloalkyl, (C2-C6)-Alkenyl, (C5-C7)- Cycloalkenyl, (C -C 5 6 7 3 6)-Alkinyl, SO2R , SO2NR R bedeutet, wobei die oben genannten Alkyl, Cycloalkyl, Alkenyl, Cycloalkenyl und Alkinyl Reste unsubstituiert sind oder jeweils unabhängig voneinander substituiert sind durch einen Rest „m“ ausgewählt aus der Gruppe CO 8 6 8 2R , CONR R ; OR5 oder R9 und R10 bilden mit dem Stickstoffatom, an das sie gebunden sind, einen gegebenenfalls durch einen Rest „m“ aus der Gruppe bestehend aus CO2R8, CONR6R8 substituierten, gesättigten fünf- oder sechsgliedrigen Ring; R5 (C1-C4)-Alkyl, (C3-C6)-Cycloalkyl, (C1-C4)-Halogenalkyl, Phenyl bedeutet; R6 Wasserstoff, (C1-C4)-Alkyl, Phenyl bedeutet; R7 Wasserstoff, (C1-C4)-Alkyl, (C3-C6)-Cycloalkyl, (C3-C4)-Alkenyl, (C3-C4)-Alkinyl bedeutet; oder R6 und R7 bilden mit dem Stickstoffatom, an das sie gebunden sind, einen gesättigten fünf- oder sechsgliedrigen Ring, R8 Wasserstoff, (C1-C4)-Alkyl, (C3-C6)-Cycloalkyl, (C2-C4)-Alkenyl oder (C3-C4)-Alkinyl bedeutet; R2 Wasserstoff, (C1-C4)-Alkyl bedeutet; R3 Halogen, insbesondere Chlor, Brom oder Iod, Cyano, Nitro, (C1-C4)-Alkyl, (C2-C4)-Alkenyl, (C3-C6)-Cycloalkyl, (C3-C6)-Halogencycloalkyl, (C1-C4)-Halogenalkyl, Ethinyl; R12 unabhängig voneinander Halogen, insbesondere Fluor, Chlor oder Brom, Cyano, (C1-C6)-Alkyl, (C1-C6)-Halogenalkyl, (C1-C6)-Alkoxy, (C1-C6)-Halogenalkoxy, (C3-C6)-Cycloalkyl bedeutet; R13 unabhängig voneinander Halogen, insbesondere Fluor, Chlor oder Brom, Cyano, (C1-C4)-Alkyl, (C1-C4)-Halogenalkyl, (C1-C4)-Alkoxy bedeutet; Y ausgewählt ist aus der Gruppe, bestehend aus Sauerstoff und S(O)n und wobei die Laufzahl k 0, 1 oder 2 bedeutet; m 0, 1, 2 oder 3 bedeutet; n 0, 1 oder 2 bedeutet; s 0, 1, 2 oder 3 bedeutet. Ganz besonders bevorzugt sind Verbindungen der Formel (I), wobei Q ausgewählt ist aus der Gruppe, bestehend aus Q1 - Q3 Q1 Q2 Q3 , R1 ausgewählt ist aus der Gruppe, bestehend aus - OR1a und - NR9R10; worin R1a Wasserstoff bedeutet oder (C1-C3)-Alkyl bedeutet, welches unsubstituiert ist oder substituiert ist mit einem Rest ausgewählt aus der Gruppe bestehend aus (C1-C3)-Alkoxycarbonyl, (C1-C3)-Alkoxy oder (C1-C3)-Halogenalkyl, (C3-C6)-Cycloalkylmethyl, Cyanomethyl bedeutet oder (C3-C6)-Cycloalkyl bedeutet oder Prop-2-in-1-yl bedeutet oder -N=C[(C1-C6)-Alkyl]2 bedeutet, oder Oxetan-3-yl-methyl-, Tetrahydrofuran-2-yl-methyl-, Tetrahydrofuran-3-yl-methyl -, 1,3-Dioxolan- 2-yl-methyl-, Pyridin-2-yl- methyl-, Pyridin-3-yl-methyl-, Pyridin-4-yl-methyl-, Phenylmethyl- bedeutet; R9 Wasserstoff oder Methyl bedeutet; R10 (C -C )-Alkyl, (C -C )-Cycloalkyl, (C - 5 6 7 1 3 5 6 2 C3)-Alkenyl, SO2R , SO2NR R bedeutet, wobei die oben genannten Alkyl, Cycloalkyl und Alkenyl Reste unsubstituiert sind oder jeweils unabhängig voneinander substituiert sind durch einem Rest CO 8 5 2R ; OR oder R9 und R10 bilden mit dem Stickstoffatom, an das sie gebunden sind, ein gegebenenfalls durch CO2R8 substituiertes Pyrrolidin oder Piperidin; R5 (C1-C4)-Alkyl, (C1-C2)-Halogenalkyl bedeutet; R6 (C1-C4)-Alkyl bedeutet; R7 Wasserstoff, (C1-C4)-Alkyl bedeutet; oder R6 und R7 bilden mit dem Stickstoffatom, an das sie gebunden sind, ein Pyrrolidin oder Piperidin; R8 Wasserstoff, (C1-C4)-Alkyl bedeutet; R2 Wasserstoff, Methyl, Ethyl bedeutet; R3 Chlor, Brom, Iod, Cyano, Nitro, Methyl, Ethyl, Trifluormethyl, Cyclopropyl, Cyclobutyl, 2,2´- Difluorcyclopropyl, Ethenyl, Ethinyl, Vinyl, Acetyl, Methylsulfanyl, Methylsulfinyl, Methylsulfonyl; R12 unabhängig voneinander Fluor, Chlor, Brom, Iod, Methyl, Trifluormethyl, Methoxy, Difluormethoxy, Trifluormethoxy, Ethoxy, Cyclopropyl, Cyano bedeutet; R13 unabhängig voneinander Fluor, Chlor, Brom, Iod, Trifluormethyl, Methoxy, Cyano bedeutet; Y ausgewählt ist aus der Gruppe, bestehend aus Sauerstoff und S(O)n und wobei die Laufzahl k 0, 1 oder 2 bedeutet; n 0, 1 oder 2 bedeutet; s 0, 1 oder 2 bedeutet. Ein weiterer Gegenstand der vorliegenden Erfindung sind Verbindungen der Formel (Is) wobei die oben beschriebenen Definitionen gelten einschließlich aller bevorzugten, besonders bevorzugten und ganz besonders bevorzugten Definitionen. Ein weiterer Gegenstand der vorliegenden Erfindung sind Verbindungen der Formel (It) wobei die oben beschriebenen Definitionen gelten einschließlich aller bevorzugten, besonders bevorzugten und ganz besonders bevorzugten Definitionen. The problem is solved by substituted pyrazolyl-3-oxo- and -3-thioalkyl acids, which are characterized by a phenyl radical in the 5-position and a pyridyl radical in the 1-position of the pyrazole ring, ie by substituted l-pyridyl-5-phenylpyrazolyl-3-oxy- and -3-thioalkyl acids and their derivatives, which have a very good herbicidal effect. Surprisingly, these compounds are highly effective against a wide range of economically important grass and weeds. The present invention therefore relates to the substituted 1-pyridyl-5-phenylpyrazolyl-3-oxy- and -3-thioalkyl acid derivatives of the general formula (I) and their agrochemically acceptable salts, N-oxides, hydrates and hydrates of the salts and N-oxides, wherein Q is selected from the group consisting of Q1 - Q3 Q 1 Q2 Q3 , R1 is selected from the group consisting of - OR1a and - NR9R10; wherein R1a is hydrogen or (C1-C6)-alkyl which is unsubstituted or substituted by a radical selected from the group consisting of CO 8 5 2R , OR or (C1-C6)-haloalkyl, (C3-C7)-cycloalkyl-(C1-C6)-alkyl, cyano-(C1-C6)-alkyl, nitro-(C1-C6)-alkyl or (C3-C7)-cycloalkyl which is unsubstituted or substituted by a radical 3 selected from the group consisting of CO 2 R8, OR5 or (C 3 -C 7 )-halocycloalkyl, (C 1 -C 6 )-alkyl-(C 3 -C 7 )-cycloalkyl, (C 3 -C 7 )-cycloalkyl-(C 3 -C 7 )-cycloalkyl, (C 1 -C 6 )-haloalkyl-(C 3 -C 7 )-cycloalkyl or (C 2 -C 6 )-alkenyl, (C 3 -C 6 )-alkynyl or (C1-C6)-alkyl-S-(C1-C6)-alkyl-, (C1-C6)-alkyl-SO-(C1-C6)-alkyl-, (C1-C6)-alkyl-SO2-(C1-C6)-alkyl- or -N=C[(C1-C6)-alkyl]2, cyclopentylideneamino, cyclohexylideneamino or heterocyclyl, heteroaryl, aryl or heterocyclyl-(C1-C4)-alkyl-, heteroaryl-(C1-C4)-alkyl-, aryl-(C1-C4)-alkyl-, which is unsubstituted or each independently substituted by "m" radicals selected from the group consisting of halogen, (C1-C6)-alkyl, (C1-C6)-haloalkyl; R9 is hydrogen, (C1-C6)-alkyl; R10 is hydrogen, aryl, heteroaryl, heterocyclyl, (C1-C6)-alkyl, (C3-C7)-cycloalkyl, (C3-C7)-cycloalkyl-(C -C )-a 5 1 6 lkyl-, (C2-C6)-alkenyl, (C5-C7)-cycloalkenyl, (C2-C6)-alkynyl, S(O)nR , cyano, OR5, SO2NR6R7, CO2R8, COR8, where the above-mentioned alkyl, cycloalkyl, alkenyl, cycloalkenyl and alkynyl radicals are unsubstituted or are each independently substituted by "m" radicals selected from the group consisting of optionally mono- or polysubstituted aryl, halogen, cyano, nitro, OR5, S(O) 5 6 7 8 nR , SO2NR R , CO2R , CONR6R8, COR6, NR6R8, NR6COR8, NR6CONR8R8, NR6CO 8 6 8 6 6 8 2R , NR SO2R , NR SO2NR R , C(R6)=NOR8; or R9 and R10 form with the nitrogen atom to which they are bonded a saturated, partially or fully unsaturated five-, six- or seven-membered ring which is optionally substituted by “m” radicals from the group consisting of halogen, (C - 5 1 C6)-alkyl, (C1-C6)-haloalkyl, OR , S(O) R5, CO R8, CONR6R8, CO 6 6 8 n 2 R and C(R )=NOR and which, in addition to this nitrogen atom, contains “r” carbon atoms, “o” oxygen atoms, “p” sulfur atoms and “q” elements from the group consisting of NR7, CO and NCOR7 as ring atoms; R5 is (C 1 -C 6 )-alkyl, (C 3 -C 6 )-cycloalkyl, (C 1 -C 6 )-haloalkyl, aryl; R6 is hydrogen, (C 1 -C 6 )-alkyl, (C 3 -C 6 )-cycloalkyl, (C 1 -C 6 )-haloalkyl, aryl; R7 is hydrogen, (C 1 -C 6 )-alkyl, (C 3 -C 6 )-cycloalkyl, (C 3 -C 4 )-alkenyl, (C 3 -C 4 )-alkynyl; or R6 and R7 form with the nitrogen atom to which they are bonded a saturated or unsaturated five- or six-membered ring, R8 is hydrogen, (C1-C6)-alkyl, (C3-C6)-cycloalkyl, (C2-C4)-alkenyl, (C1-C6)-alkyl-COO-(C1-C2)-alkyl- or (C3-C4)-alkynyl; R2 is hydrogen, cyano, (C1-C6)alkyl, (C1-C6)alkoxy-(C1-C6)alkyl, (C1-C6)haloalkyl, (C2-C6)alkenyl, (C2-C6)haloalkenyl; (C2-C6)-alkynyl, (C2-C6)-haloalkynyl; (C3-C6)-cycloalkyl; R3 is halogen, cyano, isocyano, nitro, (C1-C6)-alkyl, (C3-C6)-cycloalkyl, (C1-C6)-haloalkyl, (C3- C6)-halocycloalkyl, (C1-C6)-alkylcarbonyl, (C1-C6)-haloalkylcarbonyl, (C1-C6)-alkyloxycarbonyl, (C2-C6)-alkenyl, (C2-C6)-haloalkenyl, (C2-C6)-alkynyl, (C2-C6)-haloalkynyl, (C1-C6)-alkyl-S(O)n, (C1-C6)-haloalkyl-S(O)n, ethynyl; A is R12 independently represents halogen, cyano, nitro, hydroxy, (C1-C6)alkyl, (C1-C6)haloalkyl, (C1-C6)alkoxy, (C1-C6)haloalkoxy, (C3-C6)cycloalkyl; R13 independently of one another is halogen, cyano, nitro, hydroxy, (C 1 -C 6 )-alkyl, (C 1 -C 6 )-haloalkyl, (C 1 -C 6 )-alkylcarbonyl, (C 1 -C 6 )-haloalkylcarbonyl, (C 1 -C 6 )-alkoxycarbonyl, (C 1 -C 6 )-alkoxy, (C 1 -C 6 )-haloalkoxy, (C 1 -C 6 )-alkyl-S(O) n , (C 2 -C 3 )-alkenyl, (C 2 -C 3 )-haloalkenyl, (C 2 -C 3 )-alkynyl, (C 2 -C 3 )-haloalkynyl; Y is selected from the group consisting of oxygen or S(O) n and wherein the serial number k is 0, 1, 2, 3 or 4; m 0, 1, 2 or 3; n is 0, 1 or 2; o is 0, 1 or 2; p is 0 or 1; q is 0 or 1; r is 3, 4, 5 or 6; and s is 0, 1, 2, 3, 4 or 5. Preferred, particularly preferred and very particularly preferred meanings for the individual substituents are described below. This results in various embodiments for the compound of the general formula (I). Preference is given to compounds of the formula (I) where Q is selected from the group consisting of Q1-Q3 , R1 is selected from the group consisting of - OR1a and - NR9R10; wherein R1a is hydrogen or (C1-C5)-alkyl which is unsubstituted or substituted with a radical selected from the group consisting of CO 8 5 2R , OR or (C1-C5)-haloalkyl, (C3-C6)-cycloalkyl-(C1-C3)-alkyl, cyano-(C1-C3)-alkyl, nitro-(C1-C3)-alkyl or (C 3 -C 6 )-cycloalkyl which is unsubstituted or substituted by a radical selected from the group consisting of CO 2 R8, OR5 or (C 3 -C 6 )-halocycloalkyl, (C 1 -C 3 )-alkyl-(C 3 -C 6 )-cycloalkyl, (C 3 -C 6 )-cycloalkyl-(C 3 -C 6 )-cycloalkyl, (C1-C3)-haloalkyl-(C3-C6)-cycloalkyl or (C2-C4)-alkenyl, (C3-C4)-alkynyl or (C1-C5)-alkyl-S-(C1-C5)-alkyl-, (C1-C5)-alkyl-SO-(C1-C5)-alkyl-, (C1-C5)-alkyl-SO2-(C1-C5)-alkyl-, or -N=C[(C1-C6)-alkyl]2, or means heterocyclyl, heteroaryl, aryl or means heterocyclyl-(C1-C5)-alkyl-, heteroaryl-(C1-C5)-alkyl-, aryl-(C1-C5)-alkyl-, which is unsubstituted or each independently substituted by "m" radicals selected from the group consisting of halogen, (C1-C5)-alkyl, (C1-C6)-haloalkyl; R9 means hydrogen, (C1-C5)-alkyl; R10 is hydrogen, aryl, heteroaryl, heterocyclyl, (C1-C5)-alkyl, (C3-C6)-cycloalkyl, (C3-C6)-cycloalkyl-(C -C )-alkyl-, (C -C 5 1 5 2 6)-alkenyl, (C5-C7)-cycloalkenyl, (C2-C6)-alkynyl, S(O)nR , cyano, OR5, SO2NR6R7, CO2R8, COR8, where the above-mentioned alkyl, cycloalkyl, alkenyl, cycloalkenyl and alkynyl radicals are unsubstituted or are each independently substituted by "m" radicals selected from the group consisting of aryl, halogen, cyano, nitro, OR5, S(O) R5, SO NR6R7, CO R8 6 8 6 6 8 n 2 2 , CONR R , COR , NR R ; or R9 and R10 form with the nitrogen atom to which they are attached a saturated, partially or fully unsaturated five-, six- or seven-membered ring which is optionally substituted by "m" radicals from the group consisting of halogen, (C 5 1-C6)-alkyl, (C1-C6)-haloalkyl, OR , S(O)nR5, CO2R8, CONR6R8, COR6 and C(R6)=NOR8; R5 is (C 1 -C 6 )-alkyl, (C 3 -C 6 )-cycloalkyl, (C 1 -C 6 )-haloalkyl, aryl; R6 is hydrogen, (C 1 -C 6 )-alkyl, (C 3 -C 6 )-cycloalkyl, (C 1 -C 6 )-haloalkyl, aryl; R7 is hydrogen, (C 1 -C 6 )-alkyl, (C 3 -C 6 )-cycloalkyl, (C 3 -C 4 )-alkenyl, (C 3 -C 4 )-alkynyl; or R6 and R7 form with the nitrogen atom to which they are attached a saturated or unsaturated five- or six-membered ring, R8 is hydrogen, (C 1 -C 6 )-alkyl, (C 3 -C 6 )-cycloalkyl, (C 2 -C 4 )-alkenyl, (C 1 -C 6 )-alkyl-COO(C 1 -C 2 )-alkyl- or (C3-C4)-alkynyl; R2 is hydrogen, cyano, (C1-C6)-alkyl; R3 is halogen, cyano, nitro, (C1-C6)-alkyl, (C2-C6)-alkenyl, (C2-C6)-alkynyl, (C3-C6)-cycloalkyl, (C3-C6)-halocycloalkyl, (C1-C6)-haloalkyl, ethynyl; A is R12 independently of one another is halogen, cyano, nitro, (C1-C6)-alkyl, (C1-C6)-haloalkyl, (C1-C6)-alkoxy, ( C1 - C6 )-haloalkoxy, ( C3 - C6 )-cycloalkyl; R13 independently of one another is halogen, cyano, (C1-C6)-alkyl, (C1-C6)-haloalkyl, (C1-C6)-alkoxy; Y is selected from the group consisting of oxygen and S(O)n and where the serial number k is 0, 1, 2 or 3; m is 0, 1, 2 or 3; n is 0, 1 or 2; s is 0, 1, 2, 3 or 4. Particularly preferred are compounds of the formula (I) where Q is selected from the group consisting of Q1 - Q3 Q 1 Q2 Q3 , R1 is selected from the group consisting of - OR1a and - NR9R10; wherein R1a is hydrogen or (C1-C5)-alkyl which is unsubstituted or substituted by a radical selected from the group consisting of (C 1 -C 6 )-alkoxycarbonyl, (C 1 -C 6 )-alkoxy or (C 1 -C 3 )-haloalkyl, (C 3 -C 6 )-cycloalkyl-(C 1 -C 2 )-alkyl, cyano-(C 1 -C 2 )-alkyl, nitro-(C 1 -C 2 )-alkyl or (C3-C6)-cycloalkyl which is unsubstituted or substituted by a radical (C1-C6)-alkoxycarbonyl or (C3-C6)-halocycloalkyl, (C1-C2)-alkyl-(C3-C6)-cycloalkyl or (C2-C4)-alkenyl, (C3-C4)-alkynyl or -N=C[(C1-C6)-alkyl]2, or oxetan-3-yl-(C1-C2)-alkyl-, tetrahydrofuran-2-yl-(C1-C2)-alkyl-, tetrahydrofuran-3-yl-(C1-C2)-alkyl-, 1,3-dioxolan-2-yl-(C1-C2)-alkyl-, pyridin-2-yl-(C1-C2)-alkyl-, pyridin-3-yl-(C1-C2)-alkyl-, pyridin-4-yl-(C1-C2)-alkyl-, phenyl-(C1-C2)-alkyl- R9 means hydrogen, (C1-C2)-alkyl; R10 is hydrogen, (C1-C4)-alkyl, (C1-C4)-haloalkyl, (C3-C6)-cycloalkyl, (C2-C6)-alkenyl, (C5-C7)-cycloalkenyl, (C -C 5 6 7 3 6)-alkynyl, SO2R , SO2NR R, where the above-mentioned alkyl, cycloalkyl, alkenyl, cycloalkenyl and alkynyl radicals are unsubstituted or are each independently substituted by a radical "m" selected from the group CO 8 6 8 2R , CONR R ; OR5 or R9 and R10 form with the nitrogen atom to which they are attached a saturated five- or six-membered ring which is optionally substituted by a radical "m" from the group consisting of CO 2 R8, CONR6R8; R5 is (C 1 -C 4 )-alkyl, (C 3 -C 6 )-cycloalkyl, (C 1 -C 4 )-haloalkyl, phenyl; R6 is hydrogen, (C1-C4)-alkyl, phenyl; R7 is hydrogen, (C1-C4)-alkyl, (C3-C6)-cycloalkyl, (C3-C4)-alkenyl, (C3-C4)-alkynyl; or R6 and R7 form with the nitrogen atom to which they are attached a saturated five- or six-membered ring, R8 is hydrogen, (C1-C4)-alkyl, (C3-C6)-cycloalkyl, (C2-C4)-alkenyl or (C3-C4)-alkynyl; R2 is hydrogen, (C1-C4)-alkyl; R3 is halogen, in particular chlorine, bromine or iodine, cyano, nitro, (C1-C4)-alkyl, (C2-C4)-alkenyl, (C3-C6)-cycloalkyl, (C3-C6)-halocycloalkyl, (C1-C4)-haloalkyl, ethynyl; R12 independently of one another denotes halogen, in particular fluorine, chlorine or bromine, cyano, (C1-C6)-alkyl, (C1-C6)-haloalkyl, (C1-C6)-alkoxy, (C1-C6)-haloalkoxy, (C3-C6)-cycloalkyl; R13 independently of one another denotes halogen, in particular fluorine, chlorine or bromine, cyano, ( C1 - C4 )-alkyl, ( C1 - C4 )-haloalkyl, ( C1 - C4 )-alkoxy; Y is selected from the group consisting of oxygen and S(O) n and where the serial number k denotes 0, 1 or 2; m denotes 0, 1, 2 or 3; n denotes 0, 1 or 2; s is 0, 1, 2 or 3. Very particular preference is given to compounds of formula (I) wherein Q is selected from the group consisting of Q1 - Q3 Q 1 Q2 Q3 , R1 is selected from the group consisting of - OR1a and - NR9R10; wherein R1a is hydrogen or ( C1 - C3 )alkyl which is unsubstituted or substituted with a radical selected from the group consisting of (C1-C3)alkoxycarbonyl, (C1-C3)alkoxy or (C1-C3)haloalkyl, (C3-C6)cycloalkylmethyl, cyanomethyl or (C3-C6)cycloalkyl or prop-2-yn-1-yl or -N=C[(C1-C6)alkyl]2, or oxetan-3-ylmethyl, tetrahydrofuran-2-ylmethyl, tetrahydrofuran-3-ylmethyl, 1,3-dioxolan-2-ylmethyl, pyridin-2-ylmethyl, pyridin-3-ylmethyl, pyridin-4-ylmethyl, phenylmethyl; R9 is hydrogen or methyl; R10 is (C -C )-alkyl, (C -C )-cycloalkyl, (C - 5 6 7 1 3 5 6 2 C3)-alkenyl, SO2R , SO2NR R, where the above-mentioned alkyl, cycloalkyl and alkenyl radicals are unsubstituted or are each independently substituted by a radical CO 8 5 2R ; OR or R9 and R10 form, with the nitrogen atom to which they are bonded, a pyrrolidine or piperidine which is optionally substituted by CO 2 R8; R5 is (C 1 -C 4 )-alkyl, (C 1 -C 2 )-haloalkyl; R6 is (C 1 -C 4 )-alkyl; R7 is hydrogen, (C1-C4)-alkyl; or R6 and R7 form, with the nitrogen atom to which they are bonded, a pyrrolidine or piperidine; R8 is hydrogen, (C1-C4)-alkyl; R2 is hydrogen, methyl, ethyl; R3 is chlorine, bromine, iodine, cyano, nitro, methyl, ethyl, trifluoromethyl, cyclopropyl, cyclobutyl, 2,2'-difluorocyclopropyl, ethenyl, ethynyl, vinyl, acetyl, methylsulfanyl, methylsulfinyl, methylsulfonyl; R12 independently of one another is fluorine, chlorine, bromine, iodine, methyl, trifluoromethyl, methoxy, difluoromethoxy, trifluoromethoxy, ethoxy, cyclopropyl, cyano; R13 independently of one another is fluorine, chlorine, bromine, iodine, trifluoromethyl, methoxy, cyano; Y is selected from the group consisting of oxygen and S(O)n and where the serial number k is 0, 1 or 2; n is 0, 1 or 2; s is 0, 1 or 2. The present invention further relates to compounds of the formula (Is) where the definitions described above apply, including all preferred, particularly preferred and very particularly preferred definitions. The present invention further relates to compounds of the formula (It) where the definitions described above apply, including all preferred, particularly preferred and most particularly preferred definitions.
Ein weiterer Gegenstand der vorliegenden Erfindung sind Verbindungen der Formel (lu) wobei die oben beschriebenen Definitionen gelten einschließlich aller bevorzugten, besonders bevorzugten und ganz besonders bevorzugten Definitionen. The present invention further relates to compounds of the formula (lu) where the definitions described above apply, including all preferred, particularly preferred and most particularly preferred definitions.
Ein weiterer Gegenstand der vorliegenden Erfindung sind Verbindungen der Formel (Iv) wobei die oben beschriebenen Definitionen gelten einschließlich aller bevorzugten, besonders bevorzugten und ganz besonders bevorzugten Definitionen. The present invention further relates to compounds of formula (Iv) where the definitions described above apply, including all preferred, particularly preferred and most particularly preferred definitions.
Ein weiterer Gegenstand der vorliegenden Erfindung sind Verbindungen der Formel (Ix) wobei die oben beschriebenen Definitionen einschließlich aller bevorzugten, besonders bevorzugten und ganz besonders bevorzugten Definitionen gelten. The present invention further relates to compounds of formula (Ix) where the definitions described above apply, including all preferred, particularly preferred and very particularly preferred definitions.
Ein weiterer Gegenstand der vorliegenden Erfindung sind Verbindungen der Formel (ly) wobei die oben beschriebenen Definitionen einschließlich aller bevorzugten, besonders bevorzugten und ganz besonders bevorzugten Definitionen gelten. Ein weiterer Gegenstand der vorliegenden Erfindung sind Verbindungen der Formel (Iz) wobei die oben beschriebenen Definitionen einschließlich aller bevorzugten, besonders bevorzugten und ganz besonders bevorzugten Definitionen gelten. Ein weiterer Gegenstand der vorliegenden Erfindung sind Verbindungen der Formel (II) wobei die oben beschriebenen Definitionen gelten einschließlich aller bevorzugten, besonders bevorzugten und ganz besonders bevorzugten Definitionen. In allen nachfolgend genannten Formeln haben die Substituenten und Symbole, sofern nicht anders definiert, dieselbe Bedeutung wie unter Formel (I) beschrieben. Nicht umfasst sind Kombinationen, die gegen Naturgesetze widersprechen und welche der Fachmann daher aufgrund seines Wissens ausschließen würde. Definitionen Alkyl bedeutet gesättigte, geradkettige oder verzweigte Kohlenwasserstoffreste mit der jeweils angegebenen Anzahl von Kohlenstoffatomen, z.B. C1-C12-Alkyl, bevorzugt C1-C6-Alkyl wie Methyl, Ethyl, Propyl, 1-Methylethyl, Butyl, 1-Methyl-propyl, 2-Methylpropyl, 1,1-Dimethylethyl, Pentyl, 1- Methylbutyl, 2-Methylbutyl, 3-Methylbutyl, 2,2-Di-methylpropyl, 1-Ethylpropyl, Hexyl, 1,1- Dimethylpropyl, 1,2-Dimethylpropyl,1-Methylpentyl, 2-Methylpentyl, 3-Methylpentyl, 4-Methylpentyl, 1,1-Dimethylbutyl, 1,2-Dimethylbutyl, 1,3-Dimethylbutyl, 2,2-Dimethylbutyl, 2,3-Dimethylbutyl, 3,3- Dimethylbutyl, 1-Ethylbutyl, 2-Ethylbutyl, 1,1,2-Trimethylpropyl, 1,2,2-Trimethylpropyl, 1-Ethyl-1- methylpropyl und 1-Ethyl-2-methylpropyl. Durch Halogen substitiertes Alkyl bedeutet geradkettige oder verzweigte Alkylgruppen, wobei in diesen Gruppen teilweise oder vollständig die Wasserstoffatome durch Halogenatome ersetzt sein können, z.B. C i-C(, -Halogenalkyl. bevorzugt Ci-C2-Halogenalkyl wie Chlormethyl, Brommethyl, Dichlormethyl, Trichlormethyl, Fluormethyl, Difluormethyl, Trifluormethyl, Chlorfluormethyl, Dichlorfluormethyl, Chlordifluormethyl, 1-Chlorethyl, 1-Bromethyl, 1-Fluorethyl, 2-Fluorethyl, 2,2-Difluorethyl, 2,2,2- Trifluorethyl, 2-Chlor-2-fluorethyl, 2-Chlor,2-difluorethyl, 2,2-Dichlor-2-fluorethyl, 2,2,2- Trichlorethyl, Pentafluorethyl und l,l,l-Trifluorprop-2-yl. The present invention further relates to compounds of formula (ly) where the definitions described above apply, including all preferred, particularly preferred and very particularly preferred definitions. The present invention further relates to compounds of formula (Iz) where the definitions described above apply, including all preferred, particularly preferred and very particularly preferred definitions. The present invention further relates to compounds of the formula (II) where the definitions described above apply, including all preferred, particularly preferred and very particularly preferred definitions. In all formulas given below, the substituents and symbols, unless defined otherwise, have the same meaning as described under formula (I). Not included are combinations which contradict the laws of nature and which the person skilled in the art would therefore exclude on the basis of his knowledge. Definitions Alkyl means saturated, straight-chain or branched hydrocarbon radicals with the specified number of carbon atoms, e.g. C1-C12-alkyl, preferably C1-C6-alkyl such as methyl, ethyl, propyl, 1-methylethyl, butyl, 1-methylpropyl, 2-methylpropyl, 1,1-dimethylethyl, pentyl, 1-methylbutyl, 2-methylbutyl, 3-methylbutyl, 2,2-dimethylpropyl, 1-ethylpropyl, hexyl, 1,1-dimethylpropyl, 1,2-dimethylpropyl,1-methylpentyl, 2-methylpentyl, 3-methylpentyl, 4-methylpentyl, 1,1-dimethylbutyl, 1,2-dimethylbutyl, 1,3-dimethylbutyl, 2,2-dimethylbutyl, 2,3-dimethylbutyl, 3,3-dimethylbutyl, 1-ethylbutyl, 2-ethylbutyl, 1,1,2-trimethylpropyl, 1,2,2-trimethylpropyl, 1-ethyl-1-methylpropyl and 1-ethyl-2-methylpropyl. Alkyl substituted by halogen means straight-chain or branched alkyl groups, where in these groups the hydrogen atoms can be partially or completely replaced by halogen atoms, e.g. C iC ( , -haloalkyl. preferably Ci-C2-haloalkyl such as chloromethyl, bromomethyl, dichloromethyl, trichloromethyl, fluoromethyl, difluoromethyl, trifluoromethyl, chlorofluoromethyl, dichlorofluoromethyl, chlorodifluoromethyl, 1-chloroethyl, 1-bromoethyl, 1-fluoroethyl, 2-fluoroethyl, 2,2-difluoroethyl, 2,2,2-trifluoroethyl, 2-chloro-2-fluoroethyl, 2-chloro,2-difluoroethyl, 2,2-dichloro-2-fluoroethyl, 2,2,2-trichloroethyl, pentafluoroethyl and l,l,l-trifluoroprop-2-yl.
Alkenyl bedeutet ungesättigte, geradkettige oder verzweigte Kohlenwasserstoffreste mit der jeweils angegebenen Anzahl von Kohlenstoffatomen und einer Doppelbindung in einer beliebigen Position, z.B. C2-Cs-Alkenyl, bevorzugt C2-Ce-Alkenyl wie Ethenyl, 1 -Propenyl, 2-Propenyl, 1-Methylethenyl, 1- Butenyl, 2-Butenyl, 3-Butenyl, 1 -Methyl- 1 -propenyl, 2-Methyl-l -propenyl, 1 -Methyl -2 -propenyl, 2- Methyl -2 -propenyl, 1-Pentenyl, 2-Pentenyl, 3-Pentenyl, 4-Pentenyl, 1 -Methyl- 1-butenyl, 2-Methyl-l- butenyl, 3 -Methyl- 1-butenyl, 1 -Methyl -2 -butenyl, 2-Methyl-2-butenyl, 3-Methyl-2-butenyl, 1 -Methyl - 3-butenyl, 2-Methyl-3 -butenyl, 3 -Methyl-3 -butenyl, 1,1 -Dimethyl -2 -propenyl, 1,2-Dimethyl- 1- propenyl, 1,2-Dimethyl -2 -propenyl, 1 -Ethyl- 1 -propenyl, 1 -Ethyl -2 -propenyl, 1 -Hexenyl, 2-Hexenyl, 3- Hexenyl, 4-Hexenyl, 5 -Hexenyl, 1 -Methyl- 1 -pentenyl, 2-Methyl-l -pentenyl, 3 -Methyl- 1 -pentenyl, 4- Methyl-1 -pentenyl, 1 -Methyl -2 -pentenyl, 2 -Methyl -2 -pentenyl, 3 -Methyl -2 -pentenyl, 4-Methyl-2- pentenyl, 1 -Methyl-3 -pentenyl, 2-Methyl-3 -pentenyl, 3-Methyl-3-pentenyl, 4-Methyl-3 -pentenyl, 1- Methyl-4-pentenyl, 2-Methyl-4-pentenyl, 3 -Methyl -4-pentenyl, 4-Methyl-4-pentenyl, 1,1 -Dimethyl -2- butenyl, l,l-Dimethyl-3 -butenyl, 1,2-Dimethyl- 1-butenyl, 1,2-Dimethyl -2 -butenyl, l,2-Dimethyl-3- butenyl, 1,3-Dimethyl-l-butenyl, 1,3 -Dimethyl -2 -butenyl, l,3-Dimethyl-3-butenyl, 2,2-Dimethyl-3- butenyl, 2,3-Dimethyl-l-butenyl, 2,3 -Dimethyl -2 -butenyl, 2,3-Dimethyl-3-butenyl, 3, 3 -Dimethyl- 1- butenyl, 3,3-Dimethyl-2-butenyl, 1 -Ethyl- 1-butenyl, 1 -Ethyl -2 -butenyl, l-Ethyl-3 -butenyl, 2-Ethyl-l- butenyl, 2 -Ethyl -2 -butenyl, 2-Ethyl-3 -butenyl, 1,1,2-Trimethyl -2 -propenyl, 1 -Ethyl- 1 -methyl -2- propenyl, 1 -Ethyl -2 -methyl- 1 -propenyl und 1 -Ethyl -2 -methyl -2 -propenyl. Alkenyl means unsaturated, straight-chain or branched hydrocarbon radicals with the specified number of carbon atoms and a double bond in any position, e.g. C2-Cs-alkenyl, preferably C2-Ce-alkenyl such as ethenyl, 1-propenyl, 2-propenyl, 1-methylethenyl, 1-butenyl, 2-butenyl, 3-butenyl, 1-methyl- 1-propenyl, 2-methyl-l-propenyl, 1-methyl-2-propenyl, 2-methyl-2-propenyl, 1-pentenyl, 2-pentenyl, 3-pentenyl, 4-pentenyl, 1-methyl- 1-butenyl, 2-methyl-l-butenyl, 3-methyl- 1-butenyl, 1-methyl-2-butenyl, 2-Methyl-2-butenyl, 3-Methyl-2-butenyl, 1 -Methyl - 3-butenyl, 2-Methyl-3 -butenyl, 3 -Methyl-3 -butenyl, 1,1 -Dimethyl -2 -propenyl, 1,2-Dimethyl- 1- propenyl, 1,2-Dimethyl -2 -propenyl, 1 -Ethyl- 1 -propenyl, 1 -Ethyl -2 -propenyl, 1 -Hexenyl, 2-Hexenyl, 3- Hexenyl, 4-Hexenyl, 5 -Hexenyl, 1 -Methyl- 1 -pentenyl, 2-Methyl-l -pentenyl, 3 -Methyl- 1 -pentenyl, 4- Methyl-1 -pentenyl, 1 -Methyl -2 -pentenyl, 2 -Methyl -2 -pentenyl, 3 -Methyl -2 -pentenyl, 4-Methyl-2-pentenyl, 1-Methyl-3-pentenyl, 2-Methyl-3-pentenyl, 3-Methyl-3-pentenyl, 4-Methyl-3-pentenyl, 1-Methyl-4-pentenyl, 2-Methyl-4-pentenyl, 3-Methyl-4-pentenyl, 4-Methyl-4-pentenyl, 1,1-Dimethyl-2-butenyl, l,l-Dimethyl-3-butenyl, 1,2-Dimethyl-1-butenyl, 1,2-Dimethyl-2-butenyl, l,2-Dimethyl-3- butenyl, 1,3-Dimethyl-l-butenyl, 1,3 -Dimethyl-2-butenyl, l,3-Dimethyl-3-butenyl, 2,2-Dimethyl-3- butenyl, 2,3-Dimethyl-l-butenyl, 2,3 -Dimethyl-2-butenyl, 2,3-dimethyl-3-butenyl, 3, 3-dimethyl- 1- butenyl, 3,3-dimethyl-2-butenyl, 1-ethyl- 1-butenyl, 1-ethyl-2-butenyl, l-ethyl-3-butenyl, 2-ethyl-l- butenyl, 2-ethyl-2-butenyl, 2-ethyl-3-butenyl, 1,1,2-trimethyl-2-propenyl, 1-ethyl- 1-methyl-2- propenyl, 1-ethyl-2-methyl- 1-propenyl and 1-ethyl-2-methyl-2-propenyl.
Alkinyl bedeutet geradkettige oder verzweigte Kohlenwasserstoffreste mit der jeweils angegebenen Anzahl von Kohlenstoffatomen und einer Dreifachbindung in einer beliebigen Position, z.B. C2-C12- Alkinyl, bevorzugt C2-G, -Alkinyl wie Ethinyl, 1-Propinyl, 2-Propinyl (oder Propargyl), 1-Butinyl, 2- Butinyl, 3-Butinyl, 1 -Methyl -2 -propinyl, 1-Pentinyl, 2-Pentinyl, 3-Pentinyl, 4-Pentinyl, 3 -Methyl- 1- butinyl, 1 -Methyl -2 -butinyl, 1 -Methyl-3 -butinyl, 2-Methyl-3-butinyl, 1,1 -Dimethyl -2 -propinyl, 1 -Ethyl - 2 -propinyl, 1-Hexinyl, 2-Hexinyl, 3-Hexinyl, 4-Hexinyl, 5-Hexinyl, 3 -Methyl- 1-pentinyl, 4-Methyl-l- pentinyl, 1 -Methyl -2 -pentinyl, 4-Methyl-2-pentinyl, 1 -Methyl-3 -pentinyl, 2-Methyl-3-pentinyl, 1- Methyl-4-pentinyl, 2-Methyl-4-pentinyl, 3 -Methyl -4-pentinyl, 1,1 -Dimethyl -2 -butinyl, l,l-Dimethyl-3- butinyl, l,2-Dimethyl-3 -butinyl, 2, 2-Dimethyl-3 -butinyl, 3,3-Dimethyl-l-butinyl, 1 -Ethyl -2 -butinyl, 1- Ethyl-3 -butinyl, 2-Ethyl-3 -butinyl und 1 -Ethyl- 1 -methyl -2 -propinyl. Cycloalkyl bedeutet ein carbocyclisches, gesättigtes Ringsystem mit vorzugsweise 3-8 Ring-C-Atomen, z.B. Cyclopropyl, Cyclobutyl, Cyclopentyl oder Cyclohexyl. Im Falle von gegebenenfalls substituiertem Cycloalkyl werden cyclische Systeme mit Substituenten umfasst, wobei auch Substituenten mit einer Doppelbindung am Cycloalkylrest, z. B. eine Alkylidengruppe wie Methyliden, umfasst sind. Alkynyl means straight-chain or branched hydrocarbon radicals with the specified number of carbon atoms and a triple bond in any position, e.g. C2-C12-alkynyl, preferably C2-G, -alkynyl such as ethynyl, 1-propynyl, 2-propynyl (or propargyl), 1-butynyl, 2-butynyl, 3-butynyl, 1-methyl-2-propynyl, 1-pentynyl, 2-pentynyl, 3-pentynyl, 4-pentynyl, 3-methyl- 1-butynyl, 1-methyl-2-butynyl, 1-methyl-3-butynyl, 2-methyl-3-butynyl, 1,1-dimethyl-2-propynyl, 1-ethyl- 2-propynyl, 1-hexynyl, 2-hexynyl, 3-hexynyl, 4-Hexynyl, 5-Hexynyl, 3-methyl-1-pentynyl, 4-methyl-l-pentynyl, 1-methyl-2-pentynyl, 4-methyl-2-pentynyl, 1-methyl-3-pentynyl, 2-methyl-3-pentynyl, 1-methyl-4-pentynyl, 2-methyl-4-pentynyl, 3-methyl-4-pentynyl, 1,1-dimethyl-2-butynyl, l,l-dimethyl-3-butynyl, l,2-dimethyl-3-butynyl, 2,2-dimethyl-3-butynyl, 3,3-dimethyl-l-butynyl, 1-ethyl-2-butynyl, 1-ethyl-3-butynyl, 2-ethyl-3-butynyl and 1-ethyl-1-methyl-2-propynyl. Cycloalkyl means a carbocyclic, saturated ring system with preferably 3-8 ring carbon atoms, e.g. cyclopropyl, cyclobutyl, cyclopentyl or cyclohexyl. In the case of optionally substituted cycloalkyl, cyclic systems with substituents are included, which also includes substituents with a double bond on the cycloalkyl radical, e.g. an alkylidene group such as methylidene.
Im Falle von gegebenenfalls substituiertem Cycloalkyl werden auch mehrcyclische aliphatische Systeme umfaßt, wie beispielsweise Bicyclo[1.1.0]butan-l-yl, Bicyclo[1.1.0]butan-2-yl, Bicyclo[2.1.0]pentan-1- yl, Bicyclo[2.1.0]pentan-2-yl, Bicyclo[2.1.0]pentan-5-yl, Bicyclo[2.2.1]hept-2-yl (Norbomyl), Adamantan-l-yl und Adamantan-2-yl. In the case of optionally substituted cycloalkyl, polycyclic aliphatic systems are also included, such as bicyclo[1.1.0]butan-l-yl, bicyclo[1.1.0]butan-2-yl, bicyclo[2.1.0]pentan-1-yl, bicyclo[2.1.0]pentan-2-yl, bicyclo[2.1.0]pentan-5-yl, bicyclo[2.2.1]hept-2-yl (norbornyl), adamantan-l-yl and adamantan-2-yl.
Im Falle von substituiertem Cycloalkyl werden auch spirocyclische aliphatische Systeme umfaßt, wie beispielsweise Spiro[2.2]pent-l-yl, Spiro[2.3]hex-l-yl und Spiro[2.3]hex-4-yl, 3-Spiro[2.3]hex-5-yl. In the case of substituted cycloalkyl, spirocyclic aliphatic systems are also included, such as spiro[2.2]pent-l-yl, spiro[2.3]hex-l-yl and spiro[2.3]hex-4-yl, 3-spiro[2.3]hex-5-yl.
Cycloalkenyl bedeutet ein carbocyclisches, nicht aromatisches, partiell ungesättigtes Ringsystem mit vorzugsweise 4-8 C-Atomen, z.B. 1-Cyclobutenyl, 2-Cyclobutenyl, 1-Cyclopentenyl, 2-Cyclopentenyl, 3-Cyclopentenyl, oder 1-Cyclohexenyl, 2-Cyclohexenyl, 3-Cyclohexenyl, 1,3-Cyclohexadienyl oder 1,4-Cyclohexadienyl, wobei auch Substituenten mit einer Doppelbindung am Cycloalkenylrest, z. B. eine Alkylidengruppe wie Methyliden, umfasst sind. Im Falle von gegebenenfalls substituiertem Cycloalkenyl gelten die Erläuterungen für substituiertes Cycloalkyl entsprechend. Cycloalkenyl means a carbocyclic, non-aromatic, partially unsaturated ring system with preferably 4-8 C atoms, e.g. 1-cyclobutenyl, 2-cyclobutenyl, 1-cyclopentenyl, 2-cyclopentenyl, 3-cyclopentenyl, or 1-cyclohexenyl, 2-cyclohexenyl, 3-cyclohexenyl, 1,3-cyclohexadienyl or 1,4-cyclohexadienyl, which also includes substituents with a double bond on the cycloalkenyl radical, e.g. an alkylidene group such as methylidene. In the case of optionally substituted cycloalkenyl, the explanations for substituted cycloalkyl apply accordingly.
Alkoxy bedeutet gesättigte, geradkettige oder verzweigte Alkoxyreste mit der jeweils angegebenen Anzahl von Kohlenstoffatomen, z.B. Ci-Ce-Alkoxy wie Methoxy, Ethoxy, Propoxy, 1 -Methylethoxy, Butoxy, 1 -Methyl -propoxy, 2-Methylpropoxy, 1,1 -Dimethylethoxy, Pentoxy, 1 -Methylbutoxy, 2- Methylbutoxy, 3 -Methylbutoxy, 2,2-Di-methylpropoxy, 1 -Ethylpropoxy, Hexoxy, 1,1- Dimethylpropoxy, 1,2-Dimethylpropoxy,l -Methylpentoxy, 2-Methylpentoxy, 3 -Methylpentoxy, 4- Methylpentoxy, 1,1 -Dimethylbutoxy, 1,2-Dimethylbutoxy, 1,3 -Dimethylbutoxy, 2,2-Dimethylbutoxy, 2,3-Dimethylbutoxy, 3, 3 -Dimethylbutoxy, 1 -Ethylbutoxy, 2-Ethylbutoxy, 1,1,2-Trimethylpropoxy, 1,2,2-Trimethylpropoxy, 1 -Ethyl- 1 -methylpropoxy und 1 -Ethyl -2 -methylpropoxy. Durch Halogen substitiertes Alkoxy bedeutet geradkettige oder verzweigte Alkoxyreste mit der jeweils angegebenen Anzahl von Kohlenstoffatomen, wobei in diesen Gruppen teilweise oder vollständig die Wasserstoffatome durch Halogenatome wie vorstehend genannt ersetzt sein können, z.B. C1-C2- Halogenalkoxy wie Chlormethoxy, Brommethoxy, Dichlormethoxy, Trichlormethoxy, Fluormethoxy, Difluormethoxy, Trifluormethoxy, Chlorfluormethoxy, Dichlor-fluormethoxy, Chlordifluormethoxy, 1- Chlorethoxy, 1 -Bromethoxy, 1 -Fluorethoxy, 2-Fluorethoxy, 2,2-Difluorethoxy, 2,2,2-Trifluorethoxy, 2- Chlor-2 -fluorethoxy, 2-Chlor-l,2-difluorethoxy, 2, 2-Dichlor-2 -fluorethoxy, 2,2,2-Trichlorethoxy, Pentafluor-ethoxy und l,l,l-Trifluorprop-2-oxy. Aryl bedeutet ein gegebenenfalls durch 0 - 5 Reste aus der Gruppe Fluor, Chlor, Brom, lod, Cyano, Hydroxy, (Ci- C3)-Alkyl, (Ci-C3)-Alkoxy, (C3- C4)-Cycloalkyl, (C2- C3)-Alkenyl oder (C2- C3)-Alkinyl substituiertes Phenyl. Alkoxy means saturated, straight-chain or branched alkoxy radicals with the specified number of carbon atoms, e.g. Ci-Ce-alkoxy such as methoxy, ethoxy, propoxy, 1-methylethoxy, butoxy, 1-methyl-propoxy, 2-methylpropoxy, 1,1-dimethylethoxy, pentoxy, 1-methylbutoxy, 2-methylbutoxy, 3-methylbutoxy, 2,2-dimethylpropoxy, 1-ethylpropoxy, hexoxy, 1,1-dimethylpropoxy, 1,2-dimethylpropoxy,1-methylpentoxy, 2-methylpentoxy, 3-methylpentoxy, 4-methylpentoxy, 1,1-dimethylbutoxy, 1,2-dimethylbutoxy, 1,3-dimethylbutoxy, 2,2-dimethylbutoxy, 2,3-dimethylbutoxy, 3,3-dimethylbutoxy, 1 -Ethylbutoxy, 2-Ethylbutoxy, 1,1,2-Trimethylpropoxy, 1,2,2-Trimethylpropoxy, 1-Ethyl- 1-methylpropoxy and 1-Ethyl-2-methylpropoxy. Alkoxy substituted by halogen means straight-chain or branched alkoxy radicals with the respective number of carbon atoms stated, where in these groups the hydrogen atoms can be partially or completely replaced by halogen atoms as mentioned above, e.g. C1-C2-halogenalkoxy such as chloromethoxy, bromomethoxy, dichlormethoxy, trichloromethoxy, fluoromethoxy, difluoromethoxy, trifluoromethoxy, chlorofluoromethoxy, dichlorofluoromethoxy, chlorodifluoromethoxy, 1-chloroethoxy, 1-bromoethoxy, 1-fluoroethoxy, 2-fluoroethoxy, 2,2-difluoroethoxy, 2,2,2-trifluoroethoxy, 2-chloro-2-fluoroethoxy, 2-chloro-1,2-difluoroethoxy, 2,2-dichloro-2-fluoroethoxy, 2,2,2-trichloroethoxy, pentafluoroethoxy and l,l,l-trifluoroprop-2-oxy. Aryl means a phenyl optionally substituted by 0 - 5 radicals from the group fluorine, chlorine, bromine, iodine, cyano, hydroxy, (Ci-C 3 )-alkyl, (Ci-C 3 )-alkoxy, (C 3 - C 4 )-cycloalkyl, (C 2 - C 3 )-alkenyl or (C 2 - C 3 )-alkynyl.
Ein heterocyclischer Rest (Heterocyclyl) enthält mindestens einen heterocyclischen Ring (= carbocyclischer Ring, in dem mindestens ein C-Atom durch ein Heteroatom ersetzt ist, vorzugsweise durch ein Heteroatom aus der Gruppe N, O, S, P) der gesättigt, ungesättigt, teilgesättigt oder heteroaromatisch ist und dabei unsubstituiert oder substituiert sein kann, wobei die Bindungsstelle an einem Ringatom lokalisiert ist. Ist der Heterocyclylrest oder der heterocyclische Ring gegebenenfalls substituiert, kann er mit anderen carbocyclischen oder heterocyclischen Ringen annelliert sein. Im Falle von gegebenenfalls substituiertem Heterocyclyl werden auch mehrcyclische Systeme umfasst, wie beispielsweise 8-Aza-bicyclo[3.2.1]octanyl, 8-Aza-bicyclo[2.2.2]octanyl oder 1-Aza- bicyclo[2.2.1]heptyl. Im Falle von gegebenenfalls substituiertem Heterocyclyl werden auch spirocyclische Systeme umfasst, wie beispielsweise l-Oxa-5-aza-spiro[2.3]hexyl. Wenn nicht anders definiert, enthält der heterocyclische Ring vorzugsweise 3 bis 9 Ringatome, insbesondere 3 bis 6 Ringatome, und ein oder mehrere, vorzugsweise 1 bis 4, insbesondere 1, 2 oder 3 Heteroatome im heterocyclischen Ring, vorzugsweise aus der Gruppe N, O, und S, wobei jedoch nicht zwei Sauerstoffatome direkt benachbart sein sollen, wie beispielsweise mit einem Heteroatom aus der Gruppe N, O und S 1- oder 2- oder 3-Pyrrolidinyl, 3,4-Dihydro-2H-pyrrol-2- oder 3-yl, 2,3-Dihydro-lH-pyrrol-A heterocyclic radical (heterocyclyl) contains at least one heterocyclic ring (= carbocyclic ring in which at least one C atom is replaced by a heteroatom, preferably by a heteroatom from the group N, O, S, P) which is saturated, unsaturated, partially saturated or heteroaromatic and can be unsubstituted or substituted, where the bonding site is located on a ring atom. If the heterocyclyl radical or the heterocyclic ring is optionally substituted, it can be fused to other carbocyclic or heterocyclic rings. In the case of optionally substituted heterocyclyl, multicyclic systems are also included, such as 8-aza-bicyclo[3.2.1]octanyl, 8-aza-bicyclo[2.2.2]octanyl or 1-aza-bicyclo[2.2.1]heptyl. In the case of optionally substituted heterocyclyl, spirocyclic systems are also included, such as, for example, l-oxa-5-aza-spiro[2.3]hexyl. Unless defined otherwise, the heterocyclic ring preferably contains 3 to 9 ring atoms, in particular 3 to 6 ring atoms, and one or more, preferably 1 to 4, in particular 1, 2 or 3 heteroatoms in the heterocyclic ring, preferably from the group N, O, and S, but two oxygen atoms should not be directly adjacent, such as, for example, with a heteroatom from the group N, O and S 1- or 2- or 3-pyrrolidinyl, 3,4-dihydro-2H-pyrrol-2- or 3-yl, 2,3-dihydro-lH-pyrrol-
1- oder 2- oder 3- oder 4- oder 5-yl; 2,5-Dihydro-lH-pyrrol-l- oder 2- oder 3-yl, 1- oder 2- oder 3- oder 4-Piperidinyl; 2,3,4,5-Tetrahydropyridin-2- oder 3- oder 4- oder 5-yl oder 6-yl; 1, 2,3,6- Tetrahydropyridin-1- oder 2- oder 3- oder 4- oder 5- oder 6-yl; 1,2,3,4-Tetrahydropyridin-l- oder 2- oder 3- oder 4- oder 5- oder 6-yl; 1,4-Dihydropyridin-l- oder 2- oder 3- oder 4-yl; 2,3-Dihydropyridin-2- oder 3- oder 4- oder 5- oder 6-yl; 2,5-Dihydropyridin-2- oder 3- oder 4- oder 5- oder 6-yl, 1- oder 2- oder 3- oder 4-Azepanyl; 2,3,4,5-Tetrahydro-lH-azepin-l- oder 2- oder 3- oder 4- oder 5- oder 6- oder 7-yl; 2,3,4,7-Tetrahydro-lH-azepin-l- oder 2- oder 3- oder 4- oder 5- oder 6- oder 7-yl; 2,3,6,7-Tetrahydro- IH-azepin-l- oder 2- oder 3- oder 4-yl; 3,4,5,6-Tetrahydro-2H-azepin-2- oder 3- oder 4- oder 5- oder 6- oder 7-yl; 4,5-Dihydro-lH-azepin-l- oder 2- oder 3- oder 4-yl; 2,5-Dihydro-lH-azepin-l- oder -2- oder1- or 2- or 3- or 4- or 5-yl; 2,5-dihydro-lH-pyrrol-l- or 2- or 3-yl, 1- or 2- or 3- or 4-piperidinyl; 2,3,4,5-tetrahydropyridin-2- or 3- or 4- or 5-yl or 6-yl; 1, 2,3,6-tetrahydropyridin-1- or 2- or 3- or 4- or 5- or 6-yl; 1,2,3,4-tetrahydropyridin-l- or 2- or 3- or 4- or 5- or 6-yl; 1,4-dihydropyridin-l- or 2- or 3- or 4-yl; 2,3-dihydropyridin-2- or 3- or 4- or 5- or 6-yl; 2,5-dihydropyridin-2- or 3- or 4- or 5- or 6-yl, 1- or 2- or 3- or 4-azepanyl; 2,3,4,5-tetrahydro-lH-azepin-l- or 2- or 3- or 4- or 5- or 6- or 7-yl; 2,3,4,7-tetrahydro-lH-azepin-l- or 2- or 3- or 4- or 5- or 6- or 7-yl; 2,3,6,7-tetrahydro- IH-azepin-l- or 2- or 3- or 4-yl; 3,4,5,6-tetrahydro-2H-azepin-2- or 3- or 4- or 5- or 6- or 7-yl; 4,5-Dihydro-lH-azepin-l- or 2- or 3- or 4-yl; 2,5-Dihydro-lH-azepin-l- or -2- or
3- oder 4- oder 5- oder 6- oder 7-yl; 2,7-Dihydro-lH-azepin-l- oder -2- oder 3- oder 4-yl; 2,3-Dihydro- IH-azepin-l- oder -2- oder 3- oder 4- oder 5- oder 6- oder 7-yl; 3,4-Dihydro-2H-azepin-2- oder 3- oder3- or 4- or 5- or 6- or 7-yl; 2,7-dihydro-lH-azepin-l- or -2- or 3- or 4-yl; 2,3-dihydro- IH-azepin-l- or -2- or 3- or 4- or 5- or 6- or 7-yl; 3,4-dihydro-2H-azepin-2- or 3- or
4- oder 5- oder 6- oder 7-yl; 3,6-Dihydro-2H-azepin-2- oder 3- oder 4- oder 5- oder 6- oder 7-yl; 5,6- Dihydro-2H-azepin-2- oder 3- oder 4- oder 5- oder 6- oder 7-yl; 4,5-Dihydro-3H-azepin-2- oder 3- oder 4- oder 5- oder 6- oder 7-yl; IH-Azepin-l- oder -2- oder 3- oder 4- oder 5- oder 6- oder 7-yl; 2H-Azepin-4- or 5- or 6- or 7-yl; 3,6-dihydro-2H-azepin-2- or 3- or 4- or 5- or 6- or 7-yl; 5,6-dihydro-2H-azepin-2- or 3- or 4- or 5- or 6- or 7-yl; 4,5-dihydro-3H-azepin-2- or 3- or 4- or 5- or 6- or 7-yl; IH-azepin-l- or -2- or 3- or 4- or 5- or 6- or 7-yl; 2H-azepin-
2- oder 3- oder 4- oder 5- oder 6- oder 7-yl; 3H-Azepin-2- oder 3- oder 4- oder 5- oder 6- oder 7-yl; 4H- Azepin-2- oder 3- oder 4- oder 5- oder 6- oder 7-yl, 2- oder 3-Oxolanyl (= 2- oder 3-Tetrahydrofuranyl); 2,3-Dihydrofuran-2- oder 3- oder 4- oder 5-yl; 2,5-Dihydrofuran-2- oder 3-yl, 2- oder 3- oder 4-Oxanyl (= 2- oder 3- oder 4-Tetrahydropyranyl); 3,4-Dihydro-2H-pyran-2- oder 3- oder 4- oder 5- oder 6-yl; 3,6- Dihydro-2H-pyran-2- oder 3-oder 4- oder 5- oder 6-yl; 2H-Pyran-2- oder 3- oder 4- oder 5- oder 6-yl; 4H- Pyran-2- oder 3- oder 4-yl, 2- oder 3- oder 4-Oxepanyl; 2,3,4,5-Tetrahydrooxepin-2- oder 3- oder 4- oder2- or 3- or 4- or 5- or 6- or 7-yl; 3H-azepin-2- or 3- or 4- or 5- or 6- or 7-yl; 4H-azepin-2- or 3- or 4- or 5- or 6- or 7-yl, 2- or 3-oxolanyl (= 2- or 3-tetrahydrofuranyl); 2,3-dihydrofuran-2- or 3- or 4- or 5-yl; 2,5-dihydrofuran-2- or 3-yl, 2- or 3- or 4-oxanyl (= 2- or 3- or 4-tetrahydropyranyl); 3,4-dihydro-2H-pyran-2- or 3- or 4- or 5- or 6-yl; 3,6-dihydro-2H-pyran-2- or 3- or 4- or 5- or 6-yl; 2H-pyran-2- or 3- or 4- or 5- or 6-yl; 4H- Pyran-2- or 3- or 4-yl, 2- or 3- or 4-oxepanyl; 2,3,4,5-tetrahydrooxepin-2- or 3- or 4- or
5- oder 6- oder 7-yl; 2,3,4,7-Tetrahydrooxepin-2- oder 3- oder 4- oder 5- oder 6- oder 7-yl; 2, 3,6,7- Tetrahydrooxepin-2- oder 3- oder 4-yl; 2,3-Dihydrooxepin-2- oder 3- oder 4- oder 5- oder 6- oder 7-yl;5- or 6- or 7-yl; 2,3,4,7-tetrahydrooxepin-2- or 3- or 4- or 5- or 6- or 7-yl; 2, 3,6,7- tetrahydrooxepin-2- or 3- or 4-yl; 2,3-dihydrooxepin-2- or 3- or 4- or 5- or 6- or 7-yl;
4.5-Dihydrooxepin-2- oder 3- oder 4-yl; 2,5-Dihydrooxepin-2- oder 3- oder 4- oder 5- oder 6- oder 7-yl; Oxepin-2- oder 3- oder 4- oder 5- oder 6- oder 7-yl; 2- oder 3 -Tetrahydrothiophenyl; 2,3- Dihydrothiophen-2- oder 3- oder 4- oder 5-yl; 2,5-Dihydrothiophen-2- oder 3-yl; Tetrahydro-2H- thiopyran-2- oder 3- oder 4-yl; 3,4-Dihydro-2H-thiopyran-2- oder 3- oder 4- oder 5- oder 6-yl; 3,6- Dihydro-2H-thiopyran-2- oder 3- oder 4- oder 5- oder 6-yl; 2H-Thiopyran-2- oder 3- oder 4- oder 5- oder4.5-dihydrooxepin-2- or 3- or 4-yl; 2,5-dihydrooxepin-2- or 3- or 4- or 5- or 6- or 7-yl; oxepin-2- or 3- or 4- or 5- or 6- or 7-yl; 2- or 3-tetrahydrothiophenyl; 2,3-dihydrothiophen-2- or 3- or 4- or 5-yl; 2,5-dihydrothiophen-2- or 3-yl; tetrahydro-2H-thiopyran-2- or 3- or 4-yl; 3,4-dihydro-2H-thiopyran-2- or 3- or 4- or 5- or 6-yl; 3,6-dihydro-2H-thiopyran-2- or 3- or 4- or 5- or 6-yl; 2H-thiopyran-2- or 3- or 4- or 5- or
6-yl; 4H-Thiopyran-2- oder 3- oder 4-yl. Bevorzugte 3 -Ring und 4-Ring -Heterocyclen sind beispielsweise 1- oder 2-Aziridinyl, Oxiranyl, Thiiranyl, 1- oder 2- oder 3-Azetidinyl, 2- oder 3-Oxetanyl, 2- oder 3- Thietanyl, l,3-Dioxetan-2-yl. Weitere Beispiele für “Heterocyclyl“ sind ein partiell oder vollständig hydrierter heterocyclischer Rest mit zwei Heteroatomen aus der Gruppe N, O und S, wie beispielsweise6-yl; 4H-thiopyran-2- or 3- or 4-yl. Preferred 3-ring and 4-ring heterocycles are, for example, 1- or 2-aziridinyl, oxiranyl, thiiranyl, 1- or 2- or 3-azetidinyl, 2- or 3-oxetanyl, 2- or 3-thietanyl, l,3-dioxetan-2-yl. Further examples of “heterocyclyl” are a partially or fully hydrogenated heterocyclic radical with two heteroatoms from the group N, O and S, such as, for example,
1- oder 2- oder 3- oder 4-Pyrazolidinyl; 4,5-Dihydro-3H-pyrazol- 3- oder 4- oder 5-yl; 4,5-Dihydro-lH- pyrazol-1- oder 3- oder 4- oder 5-yl; 2,3-Dihydro-lH-pyrazol-l- oder 2- oder 3- oder 4- oder 5-yl; 1- oder1- or 2- or 3- or 4-pyrazolidinyl; 4,5-dihydro-3H-pyrazol- 3- or 4- or 5-yl; 4,5-dihydro-lH-pyrazol-1- or 3- or 4- or 5-yl; 2,3-dihydro-lH-pyrazol-l- or 2- or 3- or 4- or 5-yl; 1- or
2- oder 3- oder 4- Imidazolidinyl; 2,3-Dihydro-lH-imidazol-l- oder 2- oder 3- oder 4-yl; 2,5-Dihydro- IH-imidazol-l- oder 2- oder 4- oder 5-yl; 4,5-Dihydro-lH-imidazol-l- oder 2- oder 4- oder 5-yl; Hexahydropyridazin- 1- oder 2- oder 3- oder 4-yl; 1,2,3,4-Tetrahydropyridazin-l- oder 2- oder 3- oder 4- oder 5- oder 6-yl; 1,2,3,6-Tetrahydropyridazin-l- oder 2- oder 3- oder 4- oder 5- oder 6-yl; 1, 4,5,6- Tetrahydropyridazin-1- oder 3- oder 4- oder 5- oder 6-yl; 3,4,5,6-Tetrahydropyridazin-3- oder 4- oder 5- yl; 4,5-Dihydropyridazin-3- oder 4-yl; 3,4-Dihydropyridazin-3- oder 4- oder 5- oder 6-yl; 3,6- Dihydropyridazin-3- oder 4-yl; 1,6-Dihydropyriazin-l- oder 3- oder 4- oder 5- oder 6-yl; Hexahydropyrimidin- 1- oder 2- oder 3- oder 4-yl; 1,4,5,6-Tetrahydropyrimidin-l- oder 2- oder 4- oder 5- oder 6-yl; 1,2,5,6-Tetrahydropyrimidin-l- oder 2- oder 4- oder 5- oder 6-yl; 1,2,3,4-Tetrahydropyrimidin- 1- oder 2- oder 3- oder 4- oder 5- oder 6-yl; 1,6-Dihydropyrimidin-l- oder 2- oder 4- oder 5- oder 6-yl; 1,2-Dihydropyrimidin-l- oder 2- oder 4- oder 5- oder 6-yl; 2,5-Dihydropyrimidin-2- oder 4- oder 5-yl;2- or 3- or 4- imidazolidinyl; 2,3-dihydro-1H-imidazol-1- or 2- or 3- or 4-yl; 2,5-dihydro-1H-imidazol-1- or 2- or 4- or 5-yl; 4,5-dihydro-1H-imidazol-1- or 2- or 4- or 5-yl; hexahydropyridazin-1- or 2- or 3- or 4-yl; 1,2,3,4-tetrahydropyridazin-1- or 2- or 3- or 4- or 5- or 6-yl; 1,2,3,6-tetrahydropyridazin-1- or 2- or 3- or 4- or 5- or 6-yl; 1, 4,5,6-Tetrahydropyridazin-1- or 3- or 4- or 5- or 6-yl; 3,4,5,6-Tetrahydropyridazin-3- or 4- or 5- yl; 4,5-Dihydropyridazin-3- or 4-yl; 3,4-Dihydropyridazin-3- or 4- or 5- or 6-yl; 3,6-Dihydropyridazin-3- or 4-yl; 1,6-Dihydropyriazin-l- or 3- or 4- or 5- or 6-yl; Hexahydropyrimidin- 1- or 2- or 3- or 4-yl; 1,4,5,6-Tetrahydropyrimidin-l- or 2- or 4- or 5- or 6-yl; 1,2,5,6-tetrahydropyrimidin-l- or 2- or 4- or 5- or 6-yl; 1,2,3,4-tetrahydropyrimidin- 1- or 2- or 3- or 4- or 5- or 6-yl; 1,6-dihydropyrimidin-l- or 2- or 4- or 5- or 6-yl; 1,2-dihydropyrimidin-l- or 2- or 4- or 5- or 6-yl; 2,5-dihydropyrimidin-2- or 4- or 5-yl;
4.5-Dihydropyrimidin- 4- oder 5- oder 6-yl; 1,4-Dihydropyrimidin-l- oder 2- oder 4- oder 5- oder 6-yl; 1- oder 2- oder 3-Piperazinyl; 1,2,3,6-Tetrahydropyrazin-l- oder 2- oder 3- oder 5- oder 6-yl; 1, 2,3,4- Tetrahydropyrazin-1- oder 2- oder 3- oder 4- oder 5- oder 6-yl; 1,2-Dihydropyrazin-l- oder 2- oder 3- oder 5- oder 6-yl; 1,4-Dihydropyrazin-l- oder 2- oder 3-yl; 2,3-Dihydropyrazin-2- oder 3- oder 5- oder 6- yl; 2,5-Dihydropyrazin-2- oder 3-yl; l,3-Dioxolan-2- oder 4- oder 5-yl; l,3-Dioxol-2- oder 4-yl; 1,3- Dioxan-2- oder 4- oder 5-yl; 4H-l,3-Dioxin-2- oder 4- oder 5- oder 6-yl; l,4-Dioxan-2- oder 3- oder 5- oder 6-yl; 2,3-Dihydro-l,4-dioxin-2- oder 3- oder 5- oder 6-yl; l,4-Dioxin-2- oder 3-yl; l,2-Dithiolan-3- oder 4-yl; 3H-l,2-Dithiol-3- oder 4- oder 5-yl; l,3-Dithiolan-2- oder 4-yl; l,3-Dithiol-2- oder 4-yl; 1,2- Dithian-3- oder 4-yl; 3,4-Dihydro-l,2-dithiin-3- oder 4- oder 5- oder 6-yl; 3,6-Dihydro-l,2-dithiin-3- oder 4-yl; l,2-Dithiin-3- oder 4-yl; l,3-Dithian-2- oder 4- oder 5-yl; 4H-l,3-Dithiin-2- oder 4- oder 5- oder 6- yl; Isoxazolidin-2- oder 3- oder 4- oder 5-yl; 2,3-Dihydroisoxazol-2- oder 3- oder 4- oder 5-yl; 2,5- Dihydroisoxazol-2- oder 3- oder 4- oder 5-yl; 4,5-Dihydroisoxazol-3- oder 4- oder 5-yl; 1,3-Oxazolidin- 2- oder 3- oder 4- oder 5-yl; 2,3-Dihydro-l,3-oxazol-2- oder 3- oder 4- oder 5-yl; 2,5-Dihydro-l,3-oxazol- 2- oder 4- oder 5-yl; 4,5-Dihydro-l,3-oxazol-2- oder 4- oder 5-yl; l,2-Oxazinan-2- oder 3- oder 4- oder 5- oder 6-yl; 3,4-Dihydro-2H-l,2-oxazin-2- oder 3- oder 4- oder 5- oder 6-yl; 3,6-Dihydro-2H-l,2-oxazin-4.5-Dihydropyrimidin- 4- or 5- or 6-yl; 1,4-Dihydropyrimidin-l- or 2- or 4- or 5- or 6-yl; 1- or 2- or 3-piperazinyl; 1,2,3,6-Tetrahydropyrazin-l- or 2- or 3- or 5- or 6-yl; 1, 2,3,4- Tetrahydropyrazin-1- or 2- or 3- or 4- or 5- or 6-yl; 1,2-Dihydropyrazin-l- or 2- or 3- or 5- or 6-yl; 1,4-Dihydropyrazin-l- or 2- or 3-yl; 2,3-Dihydropyrazin-2- or 3- or 5- or 6- yl; 2,5-dihydropyrazin-2- or 3-yl; l,3-dioxolan-2- or 4- or 5-yl; l,3-dioxol-2- or 4-yl; 1,3-dioxan-2- or 4- or 5-yl; 4H-l,3-dioxin-2- or 4- or 5- or 6-yl; l,4-dioxan-2- or 3- or 5- or 6-yl; 2,3-dihydro-l,4-dioxin-2- or 3- or 5- or 6-yl; l,4-dioxin-2- or 3-yl; l,2-dithiolan-3- or 4-yl; 3H-l,2-dithiol-3- or 4- or 5-yl; l,3-dithiolan-2- or 4-yl; l,3-dithiol-2- or 4-yl; 1,2-Dithian-3- or 4-yl; 3,4-Dihydro-l,2-dithiin-3- or 4- or 5- or 6-yl; 3,6-Dihydro-l,2-dithiin-3- or 4-yl; l,2-Dithiin-3- or 4-yl; l,3-Dithian-2- or 4- or 5-yl; 4H-l,3-Dithiin-2- or 4- or 5- or 6- yl; Isoxazolidin-2- or 3- or 4- or 5-yl; 2,3-Dihydroisoxazol-2- or 3- or 4- or 5-yl; 2,5-Dihydroisoxazol-2- or 3- or 4- or 5-yl; 4,5-Dihydroisoxazol-3- or 4- or 5-yl; 1,3-Oxazolidin- 2- or 3- or 4- or 5-yl; 2,3-dihydro-l,3-oxazol-2- or 3- or 4- or 5-yl; 2,5-dihydro-l,3-oxazol- 2- or 4- or 5-yl; 4,5-dihydro-l,3-oxazol-2- or 4- or 5-yl; l,2-oxazinan-2- or 3- or 4- or 5- or 6-yl; 3,4-dihydro-2H-l,2-oxazin-2- or 3- or 4- or 5- or 6-yl; 3,6-dihydro-2H-l,2-oxazin-
2- oder 3- oder 4- oder 5- oder 6-yl; 5,6-Dihydro-2H-l,2-oxazin-2- oder 3- oder 4- oder 5- oder 6-yl; 5,6- Dihydro-4H-l,2-oxazin-3- oder 4- oder 5- oder 6-yl; 2H-l,2-Oxazin-2- oder 3- oder 4- oder 5- oder 6-yl; 6H-l,2-Oxazin-3- oder 4- oder 5- oder 6-yl; 4H-l,2-Oxazin-3- oder 4- oder 5- oder 6-yl; l,3-Oxazinan-2- oder 3- oder 4- oder 5- oder 6-yl; 3,4-Dihydro-2H-l,3-oxazin-2- oder 3- oder 4- oder 5- oder 6-yl; 3,6- Dihydro-2H-l,3-oxazin-2- oder 3- oder 4- oder 5- oder 6-yl; 5,6-Dihydro-2H-l,3-oxazin-2- oder 4- oder2- or 3- or 4- or 5- or 6-yl; 5,6-dihydro-2H-l,2-oxazin-2- or 3- or 4- or 5- or 6-yl; 5,6-dihydro-4H-l,2-oxazin-3- or 4- or 5- or 6-yl; 2H-l,2-oxazin-2- or 3- or 4- or 5- or 6-yl; 6H-l,2-oxazin-3- or 4- or 5- or 6-yl; 4H-l,2-oxazin-3- or 4- or 5- or 6-yl; l,3-oxazinan-2- or 3- or 4- or 5- or 6-yl; 3,4-dihydro-2H-l,3-oxazin-2- or 3- or 4- or 5- or 6-yl; 3,6-dihydro-2H-l,3-oxazin-2- or 3- or 4- or 5- or 6-yl; 5,6-dihydro-2H-l,3-oxazin-2- or 4- or
5- oder 6-yl; 5,6-Dihydro-4H-l,3-oxazin-2- oder 4- oder 5- oder 6-yl; 2H-l,3-Oxazin-2- oder 4- oder 5- oder 6-yl; 6H-l,3-Oxazin-2- oder 4- oder 5- oder 6-yl; 4H-l,3-Oxazin-2- oder 4- oder 5- oder 6-yl; Morpholin-2- oder 3- oder 4-yl; 3,4-Dihydro-2H-l,4-oxazin-2- oder 3- oder 4- oder 5- oder 6-yl; 3,6- Dihydro-2H-l,4-oxazin-2- oder 3- oder 5- oder 6-yl; 2H-l,4-oxazin-2- oder 3- oder 5- oder 6-yl; 4H-1,4- oxazin-2- oder 3-yl; l,2-Oxazepan-2- oder 3- oder 4- oder 5- oder 6- oder 7-yl; 2,3,4,5-Tetrahydro-l,2- oxazepin-2- oder 3- oder 4- oder 5- oder 6- oder 7-yl; 2,3,4,7-Tetrahydro-l,2-oxazepin-2- oder 3- oder 4- oder 5- oder 6- oder 7-yl; 2,3,6,7-Tetrahydro-l,2-oxazepin-2- oder 3- oder 4- oder 5- oder 6- oder 7-yl; 2,5,6,7-Tetrahydro-l,2-oxazepin-2- oder 3- oder 4- oder 5- oder 6- oder 7-yl; 4,5,6,7-Tetrahydro-l,2- oxazepin-3- oder 4- oder 5- oder 6- oder 7-yl; 2,3-Dihydro-l,2-oxazepin-2- oder 3- oder 4- oder 5- oder5- or 6-yl; 5,6-dihydro-4H-l,3-oxazin-2- or 4- or 5- or 6-yl; 2H-l,3-oxazin-2- or 4- or 5- or 6-yl; 6H-l,3-oxazin-2- or 4- or 5- or 6-yl; 4H-l,3-oxazin-2- or 4- or 5- or 6-yl; morpholin-2- or 3- or 4-yl; 3,4-dihydro-2H-l,4-oxazin-2- or 3- or 4- or 5- or 6-yl; 3,6-dihydro-2H-l,4-oxazin-2- or 3- or 5- or 6-yl; 2H-l,4-oxazin-2- or 3- or 5- or 6-yl; 4H-1,4- oxazin-2- or 3-yl; l,2-oxazepan-2- or 3- or 4- or 5- or 6- or 7-yl; 2,3,4,5-tetrahydro-l,2- oxazepin-2- or 3- or 4- or 5- or 6- or 7-yl; 2,3,4,7-tetrahydro-l,2-oxazepin-2- or 3- or 4- or 5- or 6- or 7-yl; 2,3,6,7-tetrahydro-l,2-oxazepin-2- or 3- or 4- or 5- or 6- or 7-yl; 2,5,6,7-tetrahydro-l,2-oxazepin-2- or 3- or 4- or 5- or 6- or 7-yl; 4,5,6,7-Tetrahydro-l,2-oxazepine-3- or 4- or 5- or 6- or 7-yl; 2,3-Dihydro-l,2-oxazepine-2- or 3- or 4- or 5- or
6- oder 7-yl; 2,5-Dihydro-l,2-oxazepin-2- oder 3- oder 4- oder 5- oder 6- oder 7-yl; 2,7-Dihydro-l,2- oxazepin-2- oder 3- oder 4- oder 5- oder 6- oder 7-yl; 4,5-Dihydro-l,2-oxazepin-3- oder 4- oder 5- oder 6- oder 7-yl; 4,7-Dihydro-l,2-oxazepin-3- oder 4- oder 5- oder 6- oder 7-yl; 6,7-Dihydro-l,2-oxazepin-3- oder 4- oder 5- oder 6- oder 7-yl; l,2-Oxazepin-3- oder 4- oder 5- oder 6- oder 7-yl; l,3-Oxazepan-2- oder6- or 7-yl; 2,5-dihydro-l,2-oxazepin-2- or 3- or 4- or 5- or 6- or 7-yl; 2,7-dihydro-l,2- oxazepin-2- or 3- or 4- or 5- or 6- or 7-yl; 4,5-dihydro-l,2-oxazepin-3- or 4- or 5- or 6- or 7-yl; 4,7-dihydro-l,2-oxazepin-3- or 4- or 5- or 6- or 7-yl; 6,7-dihydro-l,2-oxazepin-3- or 4- or 5- or 6- or 7-yl; l,2-oxazepin-3- or 4- or 5- or 6- or 7-yl; l,3-oxazepan-2- or
3- oder 4- oder 5- oder 6- oder 7-yl; 2,3,4,5-Tetrahydro-l,3-oxazepin-2- oder 3- oder 4- oder 5- oder 6- oder 7-yl; 2,3,4,7-Tetrahydro-l,3-oxazepin-2- oder 3- oder 4- oder 5- oder 6- oder 7-yl; 2, 3,6,7- Tetrahydro-l,3-oxazepin-2- oder 3- oder 4- oder 5- oder 6- oder 7-yl; 2,5,6,7-Tetrahydro-l,3-oxazepin-2- oder 4- oder 5- oder 6- oder 7-yl; 4,5,6,7-Tetrahydro-l,3-oxazepin-2- oder 4- oder 5- oder 6- oder 7-yl;3- or 4- or 5- or 6- or 7-yl; 2,3,4,5-tetrahydro-l,3-oxazepin-2- or 3- or 4- or 5- or 6- or 7-yl; 2,3,4,7-tetrahydro-l,3-oxazepin-2- or 3- or 4- or 5- or 6- or 7-yl; 2, 3,6,7-tetrahydro-l,3-oxazepin-2- or 3- or 4- or 5- or 6- or 7-yl; 2,5,6,7-tetrahydro-l,3-oxazepin-2- or 4- or 5- or 6- or 7-yl; 4,5,6,7-tetrahydro-l,3-oxazepin-2- or 4- or 5- or 6- or 7-yl;
2.3-Dihydro-l,3-oxazepin-2- oder 3- oder 4- oder 5- oder 6- oder 7-yl; 2,5-Dihydro-l,3-oxazepin-2- oder2,3-Dihydro-l,3-oxazepine-2- or 3- or 4- or 5- or 6- or 7-yl; 2,5-Dihydro-l,3-oxazepine-2- or
4- oder 5- oder 6- oder 7-yl; 2,7-Dihydro-l,3-oxazepin-2- oder 4- oder 5- oder 6- oder 7-yl; 4,5-Dihydro-4- or 5- or 6- or 7-yl; 2,7-dihydro-l,3-oxazepin-2- or 4- or 5- or 6- or 7-yl; 4,5-dihydro-
1.3-oxazepin-2- oder 4- oder 5- oder 6- oder 7-yl; 4,7-Dihydro-l,3-oxazepin-2- oder 4- oder 5- oder 6- oder 7-yl; 6,7-Dihydro-l,3-oxazepin-2- oder 4- oder 5- oder 6- oder 7-yl; l,3-Oxazepin-2- oder 4- oder1,3-oxazepine-2- or 4- or 5- or 6- or 7-yl; 4,7-dihydro-l,3-oxazepine-2- or 4- or 5- or 6- or 7-yl; 6,7-dihydro-l,3-oxazepine-2- or 4- or 5- or 6- or 7-yl; l,3-oxazepine-2- or 4- or
5- oder 6- oder 7-yl; l,4-Oxazepan-2- oder 3- oder 5- oder 6- oder 7-yl; 2,3,4,5-Tetrahydro-l,4-oxazepin- 2- oder 3- oder 4- oder 5- oder 6- oder 7-yl; 2,3,4,7-Tetrahydro-l,4-oxazepin-2- oder 3- oder 4- oder 5- oder 6- oder 7-yl; 2,3,6,7-Tetrahydro-l,4-oxazepin-2- oder 3- oder 5- oder 6- oder 7-yl; 2, 5,6,7- Tetrahydro-l,4-oxazepin-2- oder 3- oder 5- oder 6- oder 7-yl; 4,5,6,7-Tetrahydro-l,4-oxazepin-2- oder 3- oder 4- oder 5- oder 6- oder 7-yl; 2,3-Dihydro-l,4-oxazepin-2- oder 3- oder 5- oder 6- oder 7-yl; 2,5- Dihydro-l,4-oxazepin-2- oder 3- oder 5- oder 6- oder 7-yl; 2,7-Dihydro-l,4-oxazepin-2- oder 3- oder 5- oder 6- oder 7-yl; 4,5-Dihydro-l,4-oxazepin-2- oder 3- oder 4- oder 5- oder 6- oder 7-yl; 4,7-Dihydro-5- or 6- or 7-yl; l,4-oxazepan-2- or 3- or 5- or 6- or 7-yl; 2,3,4,5-tetrahydro-l,4-oxazepin- 2- or 3- or 4- or 5- or 6- or 7-yl; 2,3,4,7-tetrahydro-l,4-oxazepin-2- or 3- or 4- or 5- or 6- or 7-yl; 2,3,6,7-tetrahydro-l,4-oxazepin-2- or 3- or 5- or 6- or 7-yl; 2, 5,6,7- tetrahydro-l,4-oxazepin-2- or 3- or 5- or 6- or 7-yl; 4,5,6,7-Tetrahydro-l,4-oxazepin-2- or 3- or 4- or 5- or 6- or 7-yl; 2,3-Dihydro-l,4-oxazepin-2- or 3- or 5- or 6- or 7-yl; 2,5- Dihydro-l,4-oxazepin-2- or 3- or 5- or 6- or 7-yl; 2,7-Dihydro-l,4-oxazepin-2- or 3- or 5- or 6- or 7-yl; 4,5-Dihydro-l,4-oxazepin-2- or 3- or 4- or 5- or 6- or 7-yl; 4,7-Dihydro-
1.4-oxazepin-2- oder 3- oder 4- oder 5- oder 6- oder 7-yl; 6,7-Dihydro-l,4-oxazepin-2- oder 3- oder 5- oder 6- oder 7-yl; l,4-Oxazepin-2- oder 3- oder 5- oder 6- oder 7-yl; Isothiazolidin-2- oder 3- oder 4- oder 5-yl; 2,3-Dihydroisothiazol-2- oder 3- oder 4- oder 5-yl; 2,5-Dihydroisothiazol-2- oder 3- oder 4- oder 5- yl; 4,5-Dihydroisothiazol-3- oder 4- oder 5-yl; l,3-Thiazolidin-2- oder 3- oder 4- oder 5-yl; 2,3-Dihydro- l,3-thiazol-2- oder 3- oder 4- oder 5-yl; 2,5-Dihydro-l,3-thiazol-2- oder 4- oder 5-yl; 4,5-Dihydro-l,3- thiazol-2- oder 4- oder 5-yl; l,3-Thiazinan-2- oder 3- oder 4- oder 5- oder 6-yl; 3,4-Dihydro-2H-l,3- thiazin-2- oder 3- oder 4- oder 5- oder 6-yl; 3,6-Dihydro-2H-l,3-thiazin-2- oder 3- oder 4- oder 5- oder 6- yl; 5,6-Dihydro-2H-l,3-thiazin-2- oder 4- oder 5- oder 6-yl; 5,6-Dihydro-4H-l,3-thiazin-2- oder 4- oder1,4-oxazepine-2- or 3- or 4- or 5- or 6- or 7-yl; 6,7-dihydro-l,4-oxazepine-2- or 3- or 5- or 6- or 7-yl; l,4-oxazepin-2- or 3- or 5- or 6- or 7-yl; isothiazolidin-2- or 3- or 4- or 5-yl; 2,3-dihydroisothiazol-2- or 3- or 4- or 5-yl; 2,5-dihydroisothiazol-2- or 3- or 4- or 5- yl; 4,5-dihydroisothiazol-3- or 4- or 5-yl; l,3-thiazolidin-2- or 3- or 4- or 5-yl; 2,3-dihydro- l,3-thiazol-2- or 3- or 4- or 5-yl; 2,5-dihydro-l,3-thiazol-2- or 4- or 5-yl; 4,5-dihydro-l,3- thiazol-2- or 4- or 5-yl; l,3-thiazinan-2- or 3- or 4- or 5- or 6-yl; 3,4-dihydro-2H-l,3- thiazin-2- or 3- or 4- or 5- or 6-yl; 3,6-dihydro-2H-l,3-thiazin-2- or 3- or 4- or 5- or 6- yl; 5,6-dihydro-2H-l,3-thiazin-2- or 4- or 5- or 6-yl; 5,6-dihydro-4H-l,3-thiazin-2- or 4- or
5- oder 6-yl; 2H-l,3-Thiazin-2- oder 4- oder 5- oder 6-yl; 6H-l,3-Thiazin-2- oder 4- oder 5- oder 6-yl; 4H-l,3-Thiazin-2- oder 4- oder 5- oder 6-yl. Weitere Beispiele für “Heterocyclyl“ sind ein partiell oder vollständig hydrierter heterocyclischer Rest mit 3 Heteroatomen aus der Gruppe N, O und S, wie beispielsweise l,4,2-Dioxazolidin-2- oder 3- oder 5-yl; l,4,2-Dioxazol-3- oder 5-yl; l,4,2-Dioxazinan-2- oder -3- oder 5- oder 6-yl; 5,6-Dihydro-l,4,2-dioxazin-3- oder 5- oder 6-yl; l,4,2-Dioxazin-3- oder 5- oder 6-yl; l,4,2-Dioxazepan-2- oder 3- oder 5- oder 6- oder 7-yl; 6,7-Dihydro-5H-l,4,2-Dioxazepin-3- oder 5- oder 6- oder 7-yl; 2,3-Dihydro-7H-l,4,2-Dioxazepin-2- oder 3- oder 5- oder 6- oder 7-yl; 2,3- Dihydro-5H-l,4,2-Dioxazepin-2- oder 3- oder 5- oder 6- oder 7-yl; 5H-l,4,2-Dioxazepin-3- oder 5- oder5- or 6-yl; 2H-l,3-thiazin-2- or 4- or 5- or 6-yl; 6H-l,3-thiazin-2- or 4- or 5- or 6-yl; 4H-l,3-thiazin-2- or 4- or 5- or 6-yl. Further examples of “heterocyclyl” are a partially or fully hydrogenated heterocyclic radical with 3 heteroatoms from the group N, O and S, such as, for example, l,4,2-dioxazolidin-2- or 3- or 5-yl; l,4,2-dioxazol-3- or 5-yl; l,4,2-dioxazinan-2- or -3- or 5- or 6-yl; 5,6-dihydro-l,4,2-dioxazin-3- or 5- or 6-yl; l,4,2-dioxazin-3- or 5- or 6-yl; l,4,2-dioxazepan-2- or 3- or 5- or 6- or 7-yl; 6,7-dihydro-5H-l,4,2-dioxazepin-3- or 5- or 6- or 7-yl; 2,3-dihydro-7H-l,4,2-dioxazepin-2- or 3- or 5- or 6- or 7-yl; 2,3- dihydro-5H-l,4,2-dioxazepin-2- or 3- or 5- or 6- or 7-yl; 5H-l,4,2-dioxazepin-3- or 5- or
6- oder 7-yl; 7H-l,4,2-Dioxazepin-3- oder 5- oder 6- oder 7-yl. Strukturbeispiele für gegebenenfalls weiter substituierte Heterocyclen sind auch im Folgenden aufgefuhrt: Die oben aufgeführten Heterocyclen sind bevorzugt beispielsweise durch Wasserstoff, Halogen, Alkyl, Haloalkyl, Hydroxy, Alkoxy, Cycloalkoxy, Aryloxy, Alkoxyalkyl, Alkoxyalkoxy, Cycloalkyl, Halocycloalkyl, Aryl, Arylalkyl, Heteroaryl, Heterocyclyl, Alkenyl, Alkylcarbonyl, Cycloalkylcarbonyl, Arylcarbonyl, Heteroarylcarbonyl, Alkoxycarbonyl, Hydroxycarbonyl, Cycloalkoxycarbonyl, Cycloalkylalkoxycarbonyl, Alkoxycarbonylalkyl, Arylalkoxycarbonyl, Arylalkoxycarbonylalkyl, Alkinyl, Alkinylalkyl, Alkylalkinyl, Tris-alkylsilylalkinyl, Nitro, Amino, Cyano, Haloalkoxy, Haloalkylthio, Alkylthio, Hydrothio, Hydroxyalkyl, Oxo, Heteroarylalkoxy, Arylalkoxy, Heterocyclylalkoxy, Heterocyclylalkylthio, Heterocyclyloxy, Heterocyclylthio, Heteroaryloxy, Bisalkylamino, Alkylamino, Cycloalkylamino, Hydroxycarbonylalkylamino, Alkoxycarbonylalkylamino, Arylalkoxycarbonylalkylamino, Alkoxycarbonylalkyl(alkyl)amino, Aminocarbonyl,6- or 7-yl; 7H-l,4,2-dioxazepine-3- or 5- or 6- or 7-yl. Structural examples of optionally further substituted heterocycles are also listed below: The heterocycles listed above are preferably, for example, hydrogen, halogen, alkyl, haloalkyl, hydroxy, alkoxy, cycloalkoxy, aryloxy, alkoxyalkyl, alkoxyalkoxy, cycloalkyl, halocycloalkyl, aryl, arylalkyl, heteroaryl, heterocyclyl, alkenyl, alkylcarbonyl, cycloalkylcarbonyl, arylcarbonyl, heteroarylcarbonyl, alkoxycarbonyl, hydroxycarbonyl, cycloalkoxycarbonyl, cycloalkylalkoxycarbonyl, alkoxycarbonylalkyl, arylalkoxycarbonyl, arylalkoxycarbonylalkyl, alkynyl, alkynylalkyl, alkylalkynyl, tris-alkylsilylalkynyl, nitro, amino, cyano, haloalkoxy, haloalkylthio, alkylthio, hydrothio, hydroxyalkyl, oxo, heteroarylalkoxy, arylalkoxy, heterocyclylalkoxy, heterocyclylalkylthio, heterocyclyloxy, heterocyclylthio, Heteroaryloxy, Bisalkylamino, Alkylamino, Cycloalkylamino, Hydroxycarbonylalkylamino, Alkoxycarbonylalkylamino, Arylalkoxycarbonylalkylamino, Alkoxycarbonylalkyl(alkyl)amino, Aminocarbonyl,
Alkylaminocarbonyl, Bis-alkylaminocarbonyl, Cycloalkylaminocarbonyl,Alkylaminocarbonyl, bis-alkylaminocarbonyl, cycloalkylaminocarbonyl,
Hydroxycarbonylalkylaminocarbonyl, Alkoxycarbonylalkylaminocarbonyl,Hydroxycarbonylalkylaminocarbonyl, Alkoxycarbonylalkylaminocarbonyl,
Arylalkoxycarbonylalkylaminocarbonyl substituiert. Arylalkoxycarbonylalkylaminocarbonyl substituted.
Wenn ein Grundkörper "durch einen oder mehrere Reste" aus einer Aufzählung von Resten (= Gruppe) oder einer generisch definierten Gruppe von Resten substituiert ist, so schließt dies jeweils die gleichzeitige Substitution durch mehrere gleiche und/oder strukturell unterschiedliche Reste ein. If a basic structure is substituted "by one or more residues" from a list of residues (= group) or a generically defined group of residues, this includes the simultaneous substitution by several identical and/or structurally different residues.
Handelt es sich es sich um einen teilweise oder vollständig gesättigten Stickstoff-Heterocyclus, so kann dieser sowohl über Kohlenstoff als auch über den Stickstoff mit dem Rest des Moleküls verknüpft sein. If it is a partially or fully saturated nitrogen heterocycle, it can be linked to the rest of the molecule via both carbon and nitrogen.
Als Substituenten für einen substituierten heterocyclischen Rest kommen die o.g. Substituenten in Frage, zusätzlich auch Oxo und Thioxo. Die Oxogruppe als Substituent an einem Ring -C -Atom bedeutet dann beispielsweise eine Carbonylgruppe im heterocyclischen Ring. Dadurch sind vorzugsweise auch Lactone und Lactame umfasst. Die Oxogruppe kann auch an den Heteroringatomen, die in verschiedenen Oxidationsstufen existieren können, z.B. bei N und S, auftreten und bildet dann beispielsweise die divalenten Gruppen N(O) , S(O) (auch kurz SO) und S(O)2 (auch kurz SO2) im heterocyclischen Ring. Im Fall von -N(O)- und -S(O)-Gruppen sind jeweils beide Enantiomere umfasst. The above-mentioned substituents can be used as substituents for a substituted heterocyclic radical, as well as oxo and thioxo. The oxo group as a substituent on a ring -C atom then means, for example, a carbonyl group in the heterocyclic ring. This preferably also includes lactones and lactams. The oxo group can also appear on the hetero ring atoms, which can exist in different oxidation states, e.g. N and S, and then forms, for example, the divalent groups N(O), S(O) (also abbreviated to SO) and S(O)2 (also abbreviated to SO2) in the heterocyclic ring. In the case of -N(O)- and -S(O)- groups, both enantiomers are included.
Erfmdungsgemäß steht der Ausdruck „Heteroaryl“ für heteroaromatische Verbindungen, d. h. vollständig ungesättigte aromatische heterocyclische Verbindungen, vorzugsweise für 5- bis 7-gliedrige Ringe mit 1 bis 4, vorzugsweise 1 oder 2 gleichen oder verschiedenen Heteroatomen, vorzugsweise O, S oder N. Erfmdungsgemäße Heteroaryle sind beispielsweise IH-Pyrrol-l-yl; lH-Pyrrol-2-yl; lH-Pyrrol-3-yl; Furan-2-yl; Furan-3-yl; Thien-2-yl; Thien-3-yl, IH-Imidazol-l-yl; lH-Imidazol-2-yl; lH-Imidazol-4-yl; lH-Imidazol-5-yl; IH-Pyrazol-l-yl; lH-Pyrazol-3-yl; lH-Pyrazol-4-yl; lH-Pyrazol-5-yl, 1H-1,2,3- Triazol-l-yl, lH-l,2,3-Triazol-4-yl, lH-l,2,3-Triazol-5-yl, 2H-l,2,3-Triazol-2-yl, 2H-l,2,3-Triazol-4-yl, lH-l,2,4-Triazol-l-yl, lH-l,2,4-Triazol-3-yl, 4H-l,2,4-Triazol-4-yl, l,2,4-Oxadiazol-3-yl, 1,2,4- Oxadiazol-5-yl, l,3,4-Oxadiazol-2-yl, l,2,3-Oxadiazol-4-yl, l,2,3-Oxadiazol-5-yl, l,2,5-Oxadiazol-3-yl, Azepinyl, Pyridin-2-yl, Pyridin-3-yl, Pyridin-4-yl, Pyrazin-2-yl, Pyrazin-3-yl, Pyrimidin-2-yl, Pyrimidin- 4-yl, Pyrimidin-5-yl, Pyridazin-3-yl, Pyridazin-4-yl, l,3,5-Triazin-2-yl, l,2,4-Triazin-3-yl, 1,2,4-Triazin-According to the invention, the term "heteroaryl" stands for heteroaromatic compounds, ie completely unsaturated aromatic heterocyclic compounds, preferably for 5- to 7-membered rings with 1 to 4, preferably 1 or 2 identical or different heteroatoms, preferably O, S or N. Heteroaryls according to the invention are, for example, IH-pyrrol-1-yl; IH-pyrrol-2-yl; IH-pyrrol-3-yl; furan-2-yl; furan-3-yl; thien-2-yl; thien-3-yl, IH-imidazol-1-yl; IH-imidazol-2-yl; IH-imidazol-4-yl; IH-imidazol-5-yl; IH-pyrazol-1-yl; IH-pyrazol-3-yl; IH-pyrazol-4-yl; lH-pyrazol-5-yl, 1H-1,2,3-triazol-l-yl, lH-l,2,3-triazol-4-yl, lH-l,2,3-triazol-5-yl, 2H-l,2,3-triazol-2-yl, 2H-l,2,3-triazol-4-yl, lH-l,2,4-triazol-l-yl, lH-l,2,4-triazol-3-yl, 4H-l,2,4-triazol-4-yl, l,2,4-oxadiazol-3-yl, 1,2,4-oxadiazol-5-yl, l,3,4-oxadiazol-2-yl, l,2,3-oxadiazol-4-yl, l,2,3-oxadiazol-5-yl, l,2,5-oxadiazol-3-yl, azepinyl, pyridin-2-yl, Pyridin-3-yl, pyridin-4-yl, pyrazin-2-yl, pyrazin-3-yl, pyrimidin-2-yl, pyrimidin- 4-yl, pyrimidin-5-yl, pyridazin-3-yl, pyridazin-4-yl, l,3,5-triazin-2-yl, l,2,4-triazin-3-yl, 1,2,4-triazin-
5-yl, l,2,4-Triazin-6-yl, l,2,3-Triazin-4-yl, l,2,3-Triazin-5-yl, 1,2,4-, 1,3,2-, 1,3,6- und 1,2,6-Oxazinyl, Isoxazol-3-yl, Isoxazol-4-yl, Isoxazol-5-yl, l,3-Oxazol-2-yl, l,3-Oxazol-4-yl, l,3-Oxazol-5-yl, Isothiazol-3-yl, Isothiazol-4-yl, Isothiazol-5-yl, l,3-Thiazol-2-yl, l,3-Thiazol-4-yl, l,3-Thiazol-5-yl, Oxepinyl, Thiepinyl, 1,2,4-Triazolonyl und 1,2,4-Diazepinyl, 2H-l,2,3,4-Tetrazol-5-yl, 1H-1,2,3,4- Tetrazol-5-yl, l,2,3,4-Oxatriazol-5-yl, l,2,3,4-Thiatriazol-5-yl, l,2,3,5-Oxatriazol-4-yl, 1, 2,3,5- Thiatriazol-4-yl. Die erfindungsgemäßen Heteroarylgruppen können ferner mit einem oder mehreren, gleichen oder verschiedenen Resten substituiert sein. Sind zwei benachbarte Kohlenstoffatome Bestandteil eines weiteren aromatischen Rings, so handelt es sich um annellierte heteroaromatische Systeme, wie benzokondensierte oder mehrfach annellierte Heteroaromaten. Bevorzugt sind beispielsweise Chinoline (z. B. Chinolin-2-yl, Chinolin-3-yl, Chinolin-4-yl, Chinolin-5-yl, Chinolin-6-yl, Chinolin-7-yl, Chinolin-8-yl); Isochinoline (z. B. Isochinolin- 1-yl, Isochinolin-3-yl, Isochinolin-4-yl, Isochinolin-5-yl, Isochinolin-6-yl, Isochinolin-7-yl, Isochinolin-8-yl); Chinoxalin; Chinazolin; Cinnolin; 1,5-Naphthyridin; 1,6-Naphthyridin; 1,7-Naphthyridin; 1,8-Naphthyridin; 2,6-Naphthyridin; 2,7- Naphthyridin; Phthalazin; Pyridopyrazine; Pyridopyrimidine; Pyridopyridazine; Pteridine; Pyrimidopyrimidine. Beispiele für Heteroaryl sind auch 5- oder 6-gliedrige benzokondensierte Ringe aus der Gruppe IH-Indol-l-yl, lH-Indol-2-yl, lH-Indol-3-yl, lH-Indol-4-yl, lH-Indol-5-yl, lH-Indol-6-yl, lH-Indol-7-yl, l-Benzofiiran-2-yl, l-Benzofiiran-3-yl, l-Benzofiiran-4-yl, l-Benzofiiran-5-yl, 1- Benzofiiran-6-yl, l-Benzofiiran-7-yl, l-Benzothiophen-2-yl, l-Benzothiophen-3-yl, l-Benzothiophen-4- yl, l-Benzothiophen-5-yl, l-Benzothiophen-6-yl, l-Benzothiophen-7-yl, IH-Indazol-l-yl, lH-Indazol-3- yl, lH-Indazol-4-yl, lH-Indazol-5-yl, lH-Indazol-6-yl, lH-Indazol-7-yl, 2H-Indazol-2-yl, 2H-Indazol-3- yl, 2H-Indazol-4-yl, 2H-Indazol-5-yl, 2H-Indazol-6-yl, 2H-Indazol-7-yl, 2H-Isoindol-2-yl, 2H-Isoindol- 1-yl, 2H-Isoindol-3-yl, 2H-Isoindol-4-yl, 2H-Isoindol-5-yl, 2H-Isoindol-6-yl; 2H-Isoindol-7-yl, 1H- Benzimidazol-l-yl, lH-Benzimidazol-2-yl, lH-Benzimidazol-4-yl, lH-Benzimidazol-5-yl, 1H- Benzimidazol-6-yl, lH-Benzimidazol-7-yl, l,3-Benzoxazol-2-yl, l,3-Benzoxazol-4-yl, 1,3-Benzoxazol- 5-yl, l,3-Benzoxazol-6-yl, l,3-Benzoxazol-7-yl, l,3-Benzthiazol-2-yl, l,3-Benzthiazol-4-yl, 1,3- Benzthiazol-5-yl, l,3-Benzthiazol-6-yl, l,3-Benzthiazol-7-yl, l,2-Benzisoxazol-3-yl, 1,2-Benzisoxazol- 4-yl, l,2-Benzisoxazol-5-yl, l,2-Benzisoxazol-6-yl, l,2-Benzisoxazol-7-yl, l,2-Benzisothiazol-3-yl, 1,2- Benzisothiazol-4-yl, l,2-Benzisothiazol-5-yl, l,2-Benzisothiazol-6-yl, l,2-Benzisothiazol-7-yl. 5-yl, l,2,4-triazin-6-yl, l,2,3-triazin-4-yl, l,2,3-triazin-5-yl, 1,2,4-, 1,3,2-, 1,3,6- and 1,2,6-oxazinyl, isoxazol-3-yl, isoxazol-4-yl, isoxazol-5-yl, l,3-oxazol-2-yl, l,3-oxazol-4-yl, l,3-oxazol-5-yl, isothiazol-3-yl, isothiazol-4-yl, isothiazol-5-yl, l,3-thiazol-2-yl, l,3-thiazol-4-yl, l,3-thiazol-5-yl, oxepinyl, thiepinyl, 1,2,4-triazolonyl and 1,2,4-diazepinyl, 2H-1,2,3,4-tetrazol-5-yl, 1H-1,2,3,4-tetrazol-5-yl, 1,2,3,4-oxatriazol-5-yl, 1,2,3,4-thiatriazol-5-yl, 1,2,3,5-oxatriazol-4-yl, 1, 2,3,5-thiatriazol-4-yl. The heteroaryl groups according to the invention can also be substituted by one or more identical or different radicals. If two adjacent carbon atoms are part of another aromatic ring, these are fused heteroaromatic systems, such as benzo-fused or multiply fused heteroaromatics. Preference is given to, for example, quinolines (e.g. quinolin-2-yl, quinolin-3-yl, quinolin-4-yl, quinolin-5-yl, quinolin-6-yl, quinolin-7-yl, quinolin-8-yl); Isoquinolines (e.g. isoquinolin-1-yl, isoquinolin-3-yl, isoquinolin-4-yl, isoquinolin-5-yl, isoquinolin-6-yl, isoquinolin-7-yl, isoquinolin-8-yl); quinoxaline; quinazoline; Cinnoline; 1,5-naphthyridine; 1,6-naphthyridine; 1,7-naphthyridine; 1,8-naphthyridine; 2,6-naphthyridine; 2,7-naphthyridine; phthalazine; pyridopyrazines; Pyridopyrimidines; Pyridopyridazines; pteridines; Pyrimidopyrimidines. Examples of heteroaryl are also 5- or 6-membered benzo-fused rings from the group IH-indol-l-yl, lH-indol-2-yl, lH-indol-3-yl, lH-indol-4-yl, lH-indol-5-yl, lH-indol-6-yl, lH-indol-7-yl, l-benzofiiran-2-yl, l-benzofiiran-3-yl, l-benzofiiran-4-yl, l-benzofiiran-5-yl, 1-benzofiiran-6-yl, l-benzofiiran-7-yl, l-benzothiophen-2-yl, l-benzothiophen-3-yl, l-benzothiophen-4- yl, l-benzothiophen-5-yl, l-benzothiophen-6-yl, l-benzothiophen-7-yl, IH-indazol-l-yl, lH-Indazol-3- yl, lH-Indazol-4-yl, lH-Indazol-5-yl, lH-Indazol-6-yl, lH-Indazol-7-yl, 2H-Indazol-2-yl, 2H-Indazol-3- yl, 2H-Indazol-4-yl, 2H-Indazol-5-yl, 2H-Indazol-6-yl, 2H-Indazol-7-yl, 2H-Isoindol-2-yl, 2H-Isoindol- 1-yl, 2H-Isoindol-3-yl, 2H-Isoindol-4-yl, 2H-Isoindol-5-yl, 2H-Isoindol-6-yl; 2H-Isoindol-7-yl, 1H-Benzimidazol-l-yl, lH-Benzimidazol-2-yl, lH-Benzimidazol-4-yl, lH-Benzimidazol-5-yl, 1H-Benzimidazol-6-yl, lH-Benzimidazol-7-yl, l,3-Benzoxazol-2-yl, l,3-Benzoxazol-4-yl, 1,3-Benzoxazol- 5-yl, l,3-Benzoxazol-6-yl, l,3-Benzoxazol-7-yl, l,3-Benzthiazol-2-yl, l,3-Benzthiazol-4-yl, 1,3-Benzthiazol-5-yl, l,3-Benzthiazol-6-yl, l,3-Benzthiazol-7-yl, l,2-Benzisoxazol-3-yl, 1,2-Benzisoxazol- 4-yl, l,2-Benzisoxazol-5-yl, l,2-Benzisoxazol-6-yl, l,2-Benzisoxazol-7-yl, l,2-Benzisothiazol-3-yl, 1,2-Benzisothiazol-4-yl, l,2-Benzisothiazol-5-yl, l,2-Benzisothiazol-6-yl, l,2-Benzisothiazol-7-yl.
Die Bezeichnung "Halogen" bedeutet Fluor, Chlor, Brom oder lod. Wird die Bezeichnung für einen Rest verwendet, dann bedeutet "Halogen" ein Fluor-, Chlor-, Brom- oder lodatom. The term "halogen" means fluorine, chlorine, bromine or iodine. If the term is used for a radical, then "halogen" means a fluorine, chlorine, bromine or iodine atom.
Je nach Art der oben definierten Substituenten weisen die Verbindungen der Formel (I) saure Eigenschaften auf und können mit anorganischen oder organischen Basen oder mit Metallionen Salze, gegebenenfalls auch innere Salze oder Addukte bilden. Tragen die Verbindungen der Formel (I) Hydroxy, Carboxy oder andere, saure Eigenschaften induzierende Gruppen, so können diese Verbindungen mit Basen zu Salzen umgesetzt werden. Geeignete Basen sind beispielsweise Hydroxide, Carbonate, Hydrogencarbonate der Alkali- und Erdalkalimetalle, insbesondere die von Natrium, Kalium, Magnesium und Calcium, weiterhin Ammoniak, primäre, sekundäre und teritäre Amine mit (Ci-C4-)-Alkyl-Gruppen, Mono-, Di- und Trialkanolamine von (Ci-C-O-Alkanolen, Cholin sowie Chlorcholin, sowie organische Amine, wie Trialkylamine, Morpholin, Piperidin oder Pyridin. Diese Salze sind Verbindungen, in denen der acide Wasserstoff durch ein für die Landwirtschaft geeignetes Kation ersetzt wird, beispielsweise Metallsalze, insbesondere Alkalimetallsalze oder Erdalkalimetallsalze, insbesondere Natrium und Kaliumsalze, oder auch Ammoniumsalze, Salze mit organischen Aminen oder quartäre (quaternäre) Ammoniumsalze, zum Beispiel mit Kationen der Formel [NRR'R "R ']+, worin R bis R jeweils unabhängig voneinander einen organischen Rest, insbesondere Alkyl, Aryl, Aralkyl oder Alkylaryl darstellen. Infrage kommen auch Alkylsulfonium- und Alkylsulfoxoniumsalze, wie (C1-C4)- Trialkylsulfonium- und (Ci-C4)-Trialkylsulfoxoniumsalze. Depending on the nature of the substituents defined above, the compounds of formula (I) have acidic properties and can form salts, optionally also internal salts or adducts, with inorganic or organic bases or with metal ions. If the compounds of formula (I) carry hydroxy, carboxy or other groups that induce acidic properties, these compounds can be converted to salts with bases. Suitable bases are, for example, hydroxides, carbonates, Hydrogen carbonates of alkali and alkaline earth metals, in particular those of sodium, potassium, magnesium and calcium, furthermore ammonia, primary, secondary and tertiary amines with (Ci-C4-)-alkyl groups, mono-, di- and trialkanolamines of (Ci-CO-alkanols, choline and chlorocholine, as well as organic amines, such as trialkylamines, morpholine, piperidine or pyridine. These salts are compounds in which the acidic hydrogen is replaced by a cation suitable for agriculture, for example metal salts, in particular alkali metal salts or alkaline earth metal salts, in particular sodium and potassium salts, or also ammonium salts, salts with organic amines or quaternary ammonium salts, for example with cations of the formula [NRR'R "R '] + , in which R to R each independently represent an organic radical, in particular alkyl, aryl, aralkyl or alkylaryl. Alkylsulfonium and Alkylsulfoxonium salts, such as (C1-C4)-trialkylsulfonium and (Ci-C4)-trialkylsulfoxonium salts.
Die Verbindungen der Formel (I) können durch Anlagerung einer geeigneten anorganischen oder organischen Säure, wie beispielsweise Mineralsäuren, wie beispielsweise HCl, HBr, H2SO4, H3PO4 oder HNO3, oder organischen Säuren, z. B. Carbonsäuren, wie Ameisensäure, Essigsäure, Propionsäure, Oxalsäure, Milchsäure oder Salicylsäure oder Sulfonsäuren, wie zum Beispiel p-Toluolsulfonsäure, an eine basische Gruppe, wie z.B. Amino, Alkylamino, Dialkylamino, Piperidino, Morpholino oder Pyridino, Salze bilden. Diese Salze enthalten dann die konjugierte Base der Säure als Anion. The compounds of formula (I) can form salts by addition of a suitable inorganic or organic acid, such as mineral acids such as HCl, HBr, H2SO4, H3PO4 or HNO3, or organic acids, e.g. carboxylic acids such as formic acid, acetic acid, propionic acid, oxalic acid, lactic acid or salicylic acid or sulfonic acids such as p-toluenesulfonic acid, to a basic group such as amino, alkylamino, dialkylamino, piperidino, morpholino or pyridino. These salts then contain the conjugate base of the acid as an anion.
Geeignete Substituenten, die in deprotonierter Form, wie z.B. Sulfonsäuren oder Carbonsäuren, vorliegen, können innere Salze mit ihrerseits protonierbaren Gruppen, wie Aminogruppen bilden. Suitable substituents that are present in deprotonated form, such as sulfonic acids or carboxylic acids, can form inner salts with protonatable groups, such as amino groups.
Ist eine Gruppe mehrfach durch Reste substituiert, so bedeutet dies, dass diese Gruppe durch einen oder mehrere gleiche oder verschiedene der genannten Reste substituiert ist. If a group is substituted multiple times by residues, this means that this group is substituted by one or more of the same or different residues mentioned.
In allen nachfolgend genannten Formeln haben die Substituenten und Symbole, sofern nicht anders definiert, dieselbe Bedeutung wie unter Formel (I) beschrieben. Pfeile in einer chemischen Formel bedeuten die Verknüpfiingsorte zum restlichen Molekül. In all formulas given below, the substituents and symbols, unless defined otherwise, have the same meaning as described under formula (I). Arrows in a chemical formula indicate the linkage points to the rest of the molecule.
Im Folgenden werden, jeweils für die einzelnen Substituenten, bevorzugte, besonders bevorzugte und ganz besonders bevorzugte Bedeutungen beschrieben. Die übrigen Substituenten der allgemeinen Formel (I), welche nachfolgend nicht genannt werden, weisen die oben genannte Bedeutung auf. Preferred, particularly preferred and very particularly preferred meanings are described below for each individual substituent. The other substituents of the general formula (I), which are not mentioned below, have the meaning given above.
Die vorliegenden Verbindungen der allgemeinen Formel (I) weisen am zweiten Kohlenstoff der Alkylsäurestruktur ein chirales Kohlenstoffatom auf, welches in der unten dargestellten Struktur durch die Kennzeichnung (*) verdeutlicht ist: The present compounds of general formula (I) have a chiral carbon atom on the second carbon of the alkyl acid structure, which is indicated in the structure shown below by the marking (*):
Gemäß den Regeln nach Cahn, Ingold und Prelog (CIP -Regeln) kann dieses Kohlenstoffatom sowohl eine (R)- als auch eine (S)-Konfiguration aufweisen. According to the Cahn, Ingold and Prelog rules (CIP rules), this carbon atom can have both an (R) and an (S) configuration.
Von der vorliegenden Erfindung werden Verbindungen der allgemeinen Formel (I) sowohl mit (S)- als auch mit (R)-Konfiguration erfasst, d.h., dass die vorliegende Erfindung die Verbindungen der allgemeinen Formel (I) erfasst, in welchen das betreffende Kohlenstoffatom The present invention covers compounds of the general formula (I) with both (S) and (R) configuration, i.e. the present invention covers the compounds of the general formula (I) in which the carbon atom in question
(1) eine (R)-Konfiguration oder (1) an (R) configuration or
(2) eine (S)-Konfiguration aufweist. (2) has an (S) configuration.
Darüber hinaus werden im Rahmen der vorliegenden Erfindung auch In addition, the present invention also relates to
(3) beliebige Mischungen von Verbindungen der allgemeinen Formel (I), welche eine (R)- Konfiguration (Verbindungen der allgemeinen Formel (I-(R)) aufweisen, mit Verbindungen der allgemeinen Formel (I), welche eine (S)-Konfiguration (Verbindungen der allgemeinen Formel (I-S)) aufweisen, erfasst, wobei eine racemische Mischung der Verbindungen der allgemeinen Formel (I) mit (R)- und (S)-Konfiguration von der vorliegenden Erfindung ebenfalls umfasst ist. (3) any mixtures of compounds of the general formula (I) which have an (R) configuration (compounds of the general formula (I-(R)) with compounds of the general formula (I) which have an (S) configuration (compounds of the general formula (I-S)), wherein a racemic mixture of the compounds of the general formula (I) with (R) and (S) configuration is also encompassed by the present invention.
Darüber hinaus können, je nach Wahl der jeweiligen Reste, weitere Stereoelemente in den erfindungsgemäßen Verbindungen der allgemeinen Formel (I) vorliegen. In addition, depending on the choice of the respective radicals, further stereoelements may be present in the compounds of the general formula (I) according to the invention.
Im Folgenden werden in tabellarischer Form Beispiele der Verbindungen der allgemeinen Formel (I) wiedergegeben. Examples of the compounds of the general formula (I) are given below in tabular form.
Tabelle 1: Table 1:
Ein weiterer Aspekt der Erfindung betrifft die Herstellung der erfindungsgemäßen Verbindungen der allgemeinen Formel (I). Die erfindungsgemäßen Verbindungen können auf unterschiedliche Weise hergestellt werden. A further aspect of the invention relates to the preparation of the compounds of the general formula (I) according to the invention. The compounds of the invention can be prepared in different ways.
Erfindungsgemäße Verbindungen können beispielsweise nach den im nachfolgenden Schema 1 aufgeführten Synthese verfahren aus substituierten l-Pyridyl-5-phenyl-lH-pyrazol-3-olen (II) hergestellt werden. Die Verbindung der allgemeinen Formel (la) lässt sich durch Alkylierung der Verbindung der allgemeinen Formel (II) mit einem Halogenid der allgemeinen Formel (III) in Gegenwart einer Base nach oder analog dem Fachmann bekannten Methoden herstellen (siehe Schema 1). Die Base kann ein Carbonat-Salz von einem Alkali-Metall sein. Bevorzugt als Base ist ein Carbonat-Salz von einem Alkali-Metall ausgewählt aus der Gruppe bestehend aus Lithium, Natrium, Kalium und Cäsium, und die Reaktion findet bevorzugt in dem Temperaturbereich zwischen Raumtemperatur und 150 °C in einem adäquaten Lösungsmittel wie zum Beispiel Dichlormethan, Acetonitril, N, JV-Dimethylformamid oder Ethylacetat statt. Siehe J Med. Chem. 2011, 54(16), 5820-5835 und W02010/010154. Der Rest "X" steht beispielsweise für Chlor, Brom oder lod. Compounds according to the invention can be prepared, for example, from substituted l-pyridyl-5-phenyl-lH-pyrazol-3-ols (II) according to the synthesis processes listed in Scheme 1 below. The compound of general formula (Ia) can be prepared by alkylating the compound of general formula (II) with a halide of general formula (III) in the presence of a base by or analogously to methods known to those skilled in the art (see Scheme 1). The base can be a carbonate salt of an alkali metal. A preferred base is a carbonate salt of an alkali metal selected from the group consisting of lithium, sodium, potassium and cesium, and the reaction preferably takes place in the temperature range between room temperature and 150 °C in an appropriate solvent such as dichloromethane, acetonitrile, N,N-dimethylformamide or ethyl acetate. See J Med. Chem. 2011, 54(16), 5820-5835 and W02010/010154. The radical "X" stands for example for chlorine, bromine or iodine.
In Schema 2 wird die Synthese der Verbindung der allgemeinen Formel (Ib) durch Reaktion eines Pyrazoles der allgemeinen Formel (XXI) mit einem Halogensuccinimid der allgemeinen Formel (IV) in einem adäquaten Lösungsmittel wie zum Beispiel N,N-Dimethylformamid beschrieben. Scheme 2 describes the synthesis of the compound of general formula (Ib) by reaction of a pyrazole of general formula (XXI) with a halogenosuccinimide of general formula (IV) in an appropriate solvent such as N,N-dimethylformamide.
Eine Verbindung der allgemeinen Formel (Ic) lässt sich beispielsweise durch Reaktion von einer Verbindung der Formel (Ib) in einem geeigneten Lösungsmittel mit einem Metallcyanid M-CN (V) unter Zusatz einer adäquaten Menge eines Übergangsmetallkatalysators, insbesondere Palladium- Katalysatoren wie Palladium(0)-tetrakis(triphenylphosphin) oder Palladiumdiacetat oder Bis(triphenylphosphin)-palladium(ll)-dichlorid oder um Nickelkatalysatoren wie Nickel(ll)- acetylacetonat oder Bis(triphenylphosphin)nickel(ll)-chlorid vorzugsweise bei erhöhter Temperatur in einem organischen Lösungsmittel wie zum Beispiel 1,2-Dimethoxyethan oder N,N-Dimethylformamid darstellen (Schema 2). Der Rest "M" steht beispielsweise für Magnesium, Zink, Lithium oder Natrium. Allgemein eignen sich Methoden von Kreuzkupplungen, die in R. D. Larsen, Organometallics in Process Chemistry 2004 Springer Verlag, die in I. Tsuji, Palladium Reagents and Catalysts 2004 Wiley, die in M. Belier, C. Bolm, Transition Metals for Organic Synthesis 2004 VCH-Wiley beschrieben werden. Weitere geeignete Synthesemethoden sind in Chem. Rev. 2006, 106, 2651; Platinum Metals Review, 2009, 53, 183; Platinum Metals Review 2008, 52, 172 und Acc. Chem. Res. 2008, 41, 1486 beschrieben. A compound of the general formula (Ic) can be prepared, for example, by reacting a compound of the formula (Ib) in a suitable solvent with a metal cyanide M-CN (V) with the addition of an adequate amount of a transition metal catalyst, in particular palladium catalysts such as palladium(0)-tetrakis(triphenylphosphine) or palladium diacetate or Bis(triphenylphosphine)palladium(II) dichloride or nickel catalysts such as nickel(II) acetylacetonate or bis(triphenylphosphine)nickel(II) chloride, preferably at elevated temperature in an organic solvent such as 1,2-dimethoxyethane or N,N-dimethylformamide (Scheme 2). The radical "M" stands for magnesium, zinc, lithium or sodium, for example. In general, cross-coupling methods are suitable, as described in RD Larsen, Organometallics in Process Chemistry 2004 Springer Verlag, in I. Tsuji, Palladium Reagents and Catalysts 2004 Wiley, in M. Belier, C. Bolm, Transition Metals for Organic Synthesis 2004 VCH-Wiley. Other suitable synthesis methods are described in Chem. Rev. 2006, 106, 2651; Platinum Metals Review, 2009, 53, 183; Platinum Metals Review 2008, 52, 172 and Acc. Chem. Res. 2008, 41, 1486.
Die 3-Hydroxypyrazole (II) können analog literaturbekannter Methoden aus substituierten 3- Phenylpropinsäurederivaten und Pyridylhydrazinen (Schema 3; z. B.: Adv. Synth. Catal. 2014, 356, 3135-3147) oder aus substituierten Phenylacrylsäurederivaten und Pyridylhydrazinen (Schema 3; z. B.: J. Heterocyclic Chem., 49, 130 (2012)) hergestellt werden. The 3-hydroxypyrazoles (II) can be prepared analogously to literature-known methods from substituted 3-phenylpropionic acid derivatives and pyridylhydrazines (Scheme 3; e.g.: Adv. Synth. Catal. 2014, 356, 3135-3147) or from substituted phenylacrylic acid derivatives and pyridylhydrazines (Scheme 3; e.g.: J. Heterocyclic Chem., 49, 130 (2012)).
Die Synthese der Verbindungen der allgemeinen Formel (VIII) erfolgt über eine Amidkupplung von einer Säure der allgemeinen Formel (VI) mit einem Pyridylhydrazin der allgemeinen Formel (VII) in Gegenwart eines Amidkupplungsreagenzes wie zum Beispiel T3P, Dicyclohexylcarbodiimid, N-(3- Dimcthylaminopropyl)-A' -cthylcarbodiimid. A'A' -Cabonyldiimidazol. 2-Chlor- 1,3 -dimethyl - imidazolium chlorid oder 2-Chlor-l -methylpyridinium iodid (siehe Chemistry of Peptide Synthesis, Ed. N. Leo Benoiton, Taylor & Francis, 2006, ISBN-10: 1-57444-454-9). Polymergebundene Reagenzien wie zum Beispiel polymergebundenes Dicyclohexylcarbodiimid sind auch für diese Kupplungsreaktion geeignet. Die Reaktion findet bevorzugt in dem Temperaturbereich zwischen 0 °C und 80 °C, in einem adäquaten Lösungsmittel wie zum Beispiel Dichlormethan, Tetrahydrofuran, Acetonitril, N, N- Dimethylformamid oder Ethylacetat und in Gegenwart eine Base wie zum Beispiel Triethylamin, N,N- Diisopropylethylamin oder l,8-Diazabicyclo[5.4.0]undec-7-cen statt (siehe Schema 3). Für die T3P Peptidkupplungsbedingungen siehe Organic Process Research & Development 2009, 13, 900-906. The synthesis of the compounds of the general formula (VIII) is carried out via an amide coupling of an acid of the general formula (VI) with a pyridylhydrazine of the general formula (VII) in the presence of an amide coupling reagent such as T3P, dicyclohexylcarbodiimide, N-(3-dimethylaminopropyl)-A'-methylcarbodiimide, A'A'-carbonyldiimidazole, 2-chloro-1,3-dimethyl-imidazolium chloride or 2-chloro-1-methylpyridinium iodide (see Chemistry of Peptide Synthesis, Ed. N. Leo Benoiton, Taylor & Francis, 2006, ISBN-10: 1-57444-454-9). Polymer-bound reagents such as polymer-bound dicyclohexylcarbodiimide are also suitable for this coupling reaction. The reaction preferably takes place in the temperature range between 0 °C and 80 °C, in an appropriate solvent such as dichloromethane, tetrahydrofuran, acetonitrile, N,N-dimethylformamide or ethyl acetate and in the presence of a base such as triethylamine, N,N-diisopropylethylamine or l,8-diazabicyclo[5.4.0]undec-7-cene (see Scheme 3). For the T3P peptide coupling conditions see Organic Process Research & Development 2009, 13, 900-906.
Schema 3 In Schema 3 wird die Synthese der Verbindung der allgemeinen Formel (II) durch Reaktion eines Pyrazoles der allgemeinen Formel (Ila) mit einem Elektrophil wie zum Beispiel N-Bromsuccinimid beschrieben. Die Reaktion findet bevorzugt in dem Temperaturbereich zwischen 0°C und 120 °C in einem adäquaten Lösungsmittel wie zum Beispiel W-Dimcthylformamid. 1,2-Dichlorethan oder Acetonitril statt. Scheme 3 Scheme 3 describes the synthesis of the compound of general formula (II) by reaction of a pyrazole of general formula (IIa) with an electrophile such as N-bromosuccinimide. The reaction preferably takes place in the temperature range between 0°C and 120°C in an appropriate solvent such as n-dimethylformamide, 1,2-dichloroethane or acetonitrile.
Die Synthese der 3-Hydroxypyrazole der allgemeinen Formel (Ila) erfolgt durch Reaktion der Verbindungen der allgemeinen Formel (VIII) in Gegenwart eines Kupferhalogenides wie zum Beispiel Kupfer(I)-iodid, Kupfer(I)-bromid oder einer Säure wie Methansulfonsäure. Die Reaktion findet bevorzugt in dem Temperaturbereich zwischen 0 °C und 120 °C, in einem adäquaten Lösungsmittel wie zum Beispiel 1,2-Dichlorethan, Acetonitril, W-Dimcthylformamid. n-Propanol oder Ethylacetat statt. Die Reaktion findet bevorzugt in W-Dimcthylformamid statt. The synthesis of the 3-hydroxypyrazoles of the general formula (IIa) is carried out by reacting the compounds of the general formula (VIII) in the presence of a copper halide such as, for example, copper(I) iodide, copper(I) bromide or an acid such as methanesulfonic acid. The reaction preferably takes place in the temperature range between 0 °C and 120 °C, in an appropriate solvent such as, for example, 1,2-dichloroethane, acetonitrile, ethyl acetate, n-propanol or ethyl acetate. The reaction preferably takes place in ethyl acetate.
Schema 4 Scheme 4
Verbindungen der allgemeinen Formel (X) lassen sich durch eine eine Amidkupplung von einer Säure der allgemeinen Formel (IX) mit einem Pyridylhydrazin der allgemeinen Formel (VII) in Gegenwart eines Amidkupplungsreagenzes wie zum Beispiel T3P, Dicyclohexylcarbodiimid, N-(3- Dimcthylaminopropyl)-A' -cthylcarbodiimid. A'A' -Cabonyldiimidazol. 2-Chlor- 1,3 -dimethyl - imidazoliumchlorid oder 2-Chlor-l-methylpyridiniumiodid. Die Reaktion findet bevorzugt in dem Temperaturbereich zwischen 0 °C und 80 °C, in einem adäquaten Lösungsmittel wie zum Beispiel Dichlormethan, Acetonitril, N, JV-Dimethylformamid oder Ethylacetat und in Gegenwart eine Base wie zum Beispiel Triethylamin, W-Diisopropylcthylamin oder l,8-Diazabicyclo[5.4.0]undec-7-en statt (siehe Schema 4). Compounds of the general formula (X) can be prepared by an amide coupling of an acid of the general formula (IX) with a pyridylhydrazine of the general formula (VII) in the presence of an amide coupling reagent such as T3P, dicyclohexylcarbodiimide, N-(3-dimethylaminopropyl)-A'-methylcarbodiimide, A'A'-carbonyldiimidazole, 2-chloro-1,3-dimethyl-imidazolium chloride or 2-chloro-1-methylpyridinium iodide. The reaction preferably takes place in the temperature range between 0 °C and 80 °C, in an appropriate solvent such as dichloromethane, acetonitrile, N,N-dimethylformamide or ethyl acetate and in the presence of a base such as triethylamine, W-diisopropylmethylamine or 1,8-diazabicyclo[5.4.0]undec-7-ene (see Scheme 4).
Die Synthese der 3-Hydroxypyrazole der allgemeinen Formel (Ila) erfolgt durch Reaktion der Verbindungen der allgemeinen Formel (X) in Gegenwart eines Eisenhalogenides wie zum Beispiel Eisen(III)-chlorid. Die Reaktion findet bevorzugt in dem Temperaturbereich zwischen 0 °C und 120 °C, in einem adäquaten Lösungsmittel wie zum Beispiel 1,2-Dichlorethan, Acetonitril, N,N- Dimethylformamid oder Ethylacetat statt. The synthesis of the 3-hydroxypyrazoles of the general formula (IIa) is carried out by reacting the compounds of the general formula (X) in the presence of an iron halide such as iron(III) chloride. The reaction preferably takes place in the temperature range between 0°C and 120°C, in an appropriate solvent such as 1,2-dichloroethane, acetonitrile, N,N-dimethylformamide or ethyl acetate.
Verbindungen der allgemeinen Formel (XIII) lassen sich durch eine N-Arylierung eines 3-Compounds of the general formula (XIII) can be prepared by N-arylation of a 3-
Hydroxypyrazols der allgemeinen Formel (XI) mit einem Pyridylhalogenid der allgemeinen Formel (XII) in Gegegenwart eines Kupferhalogenides wie zum Beispiel Kupfer(I)-iodid herstellen. Die Reaktion findet bevorzugt in dem Temperaturbereich zwischen 0 °C und 120 °C, in einem adäquaten Lösungsmittel wie zum Beispiel Acetonitril oder N, A'-Dimcthylformamid und in Gegenwart eine Base wie zum Beispiel Triethylamin, Cäsiumcarbonat (siehe Schema 5) statt. Die Verbindungen der allgemeinen Formel (XI) können nach analog dem Fachmann bekannten Methoden hergestellt werden (Chem. Med. Chem. 2015, 10, 1184-1199). Der Rest "X" steht beispielsweise für Chlor, Brom oder lod. Hydroxypyrazole of the general formula (XI) with a pyridyl halide of the general formula (XII) in the presence of a copper halide such as copper(I) iodide. The reaction preferably takes place in the temperature range between 0 °C and 120 °C, in an appropriate solvent such as acetonitrile or N, A'-dimethylformamide and in the presence of a base such as triethylamine, cesium carbonate (see Scheme 5). The compounds of the general formula (XI) can be prepared by methods known to those skilled in the art (Chem. Med. Chem. 2015, 10, 1184-1199). The radical "X" stands for chlorine, bromine or iodine, for example.
Schema 5 Scheme 5
Die Synthese der 5-Iodpyrazole der allgemeinen Formel (XIV) erfolgt durch Reaktion der Verbindungen der allgemeinen Formel (XIII) in Gegenwart einer Base wie zum Beispiel Lithiumdiisopropylamid und lod. Die Reaktion (Schema 5) findet bevorzugt in dem Temperaturbereich zwischen -78 °C und -60°C, in einem adäquaten Lösungsmittel wie zum Beispiel Diethylether und Tetrahydrofuran statt. The synthesis of the 5-iodopyrazoles of the general formula (XIV) is carried out by reacting the compounds of the general formula (XIII) in the presence of a base such as lithium diisopropylamide and iodine. The reaction (Scheme 5) preferably takes place in the temperature range between -78 °C and -60 °C, in an adequate solvent such as diethyl ether and tetrahydrofuran.
Eine Verbindung der Formel (XV) lasst sich beispielsweise durch Reaktion von einer Verbindung der Formel (XIV) in einem geeigneten Lösungsmittel mit eine Phenylverbindung A-M der allgemeinen Formel (XVI) unter Zusatz einer adäquaten Menge eines Übergangsmetallkatalysators, insbesondere Palladiumkatalysatoren wie Palladiumdiacetat oder Bis(triphenylphosphin)palladium(ll)-dichlorid oder um Nickelkatalysatoren wie Nickel(ll)-acetylacetonat oder Bis(triphenylphosphin)nickel(ll)-chlorid, vorzugsweise bei erhöhter Temperatur in einem organischen Lösungsmittel wie 1,2-Dimethoxyethan darstellen. Der Rest "M" steht beispielsweise für B(ORb)(ORc), wobei die Reste Rb und Rc unabhängig voneinander beispielsweise Wasserstoff, (Ci-C^-Alkyl, oder, wenn die Reste Rb und Rc miteinander verbunden sind, gemeinsam Ethylen oder Propylen bedeuten (Schema 6). A compound of formula (XV) can be prepared, for example, by reacting a compound of formula (XIV) in a suitable solvent with a phenyl compound AM of general formula (XVI) with the addition of an adequate amount of a transition metal catalyst, in particular palladium catalysts such as palladium diacetate or bis(triphenylphosphine)palladium(II) dichloride or nickel catalysts such as nickel(II) acetylacetonate or bis(triphenylphosphine)nickel(II) chloride, preferably at elevated temperature in an organic solvent such as 1,2-dimethoxyethane. The radical "M" stands, for example, for B(OR b )(OR c ), where the radicals R b and R c independently of one another are, for example, hydrogen, (Ci-C^-alkyl, or, when the radicals R b and R c are linked to one another, together are ethylene or propylene (Scheme 6).
Schema 6 Scheme 6
Die Synthese der Verbindung der allgemeinen Formel (XVIII) lässt sich durch Alkylierung der Verbindung der allgemeinen Formel (XVII) mit einem Halogenid der allgemeinen Formel (III) in Gegenwart einer Base nach oder analog dem Fachmann bekannten Methoden herstellen (siehe Schema 7). Die Base kann ein Carbonat-Salz von einem Alkalimetall (wie zum Beispiel Lithium, Natrium, Kalium oder Cäsium) sein, und die Reaktion findet bevorzugt in dem Temperaturbereich zwischen Raumtemperatur und 150 °C in einem adäquaten Lösungsmittel wie zum Beispiel Dichlormethan, Acetonitril, VA'-Dimcthylformamid oder Ethylacetat statt. Die Verbindungen der allgemeinen Formeln (XVII) sind kommerziell erhältlich. The synthesis of the compound of general formula (XVIII) can be carried out by alkylation of the compound of general formula (XVII) with a halide of general formula (III) in presence of a base by or analogously to methods known to those skilled in the art (see Scheme 7). The base can be a carbonate salt of an alkali metal (such as lithium, sodium, potassium or cesium) and the reaction preferably takes place in the temperature range between room temperature and 150 °C in an appropriate solvent such as dichloromethane, acetonitrile, VA'-dimethylformamide or ethyl acetate. The compounds of the general formula (XVII) are commercially available.
Verbindungen der allgemeinen Formel (XIX) lassen sich durch eine Diazotierung (Sandmeyer- Reaktion) mit der Verbindung der allgemeinen Formel (XVIII) mit den üblichen organischen und anorganischen Nitriten wie beispielsweise 1,1-Dimethylethylnitrit, tert-Butylnitrit oder Isoamylnitrit in Gegenwart von Reagenzien wie beispielsweise Gemische aus Kupfer(I)- und Kupfer(II)-bromid/-chlorid oder lod herstellen (Schema 7). Die Reaktion findet bevorzugt in dem Temperaturbereich zwischen Raumtemperatur und 0 und 120°C in einem adäquaten Lösungsmittel wie zum Beispiel Dichlormethan, Acetonitril, VN-Dimethylformamid oder Diiodmethan statt. Der Rest "X" steht beispielsweise für Chlor, Brom oder lod. Compounds of the general formula (XIX) can be prepared by diazotization (Sandmeyer reaction) with the compound of the general formula (XVIII) with the usual organic and inorganic nitrites such as 1,1-dimethylethyl nitrite, tert-butyl nitrite or isoamyl nitrite in the presence of reagents such as mixtures of copper(I) and copper(II) bromide/chloride or iodine (Scheme 7). The reaction preferably takes place in the temperature range between room temperature and 0 and 120°C in an appropriate solvent such as dichloromethane, acetonitrile, VN-dimethylformamide or diiodomethane. The radical "X" stands for chlorine, bromine or iodine, for example.
Schema 7 Scheme 7
Eine Verbindung der Formel (la) lässt sich beispielsweise durch Reaktion von einer Verbindung der Formel (XIX) in einem geeigneten Lösungsmittel mit einer Verbindung der allgemeinen Formel M-A (XVI) unter Zusatz einer adäquaten Menge eines Übergangsmetallkatalysators, insbesondere Palladiumkatalysatoren wie Palladiumdiacetat oder Bis(triphenylphosphin)palladium(ll)-dichlorid oder Nickelkatalysatoren wie Nickel(ll)-acetylacetonat oder Bis(triphenylphosphin)nickel(ll)-chlorid vorzugsweise bei erhöhter Temperatur in einem organischen Lösungsmittel wie 1,2-Dimethoxyethan darstellen. Der Rest "M" steht beispielsweise für Mg-Hal, Zn-Hal, Sn((Ci-C4)Alkyl)3, Lithium, Kupfer oder B(ORb)(ORc), wobei die Reste Rb und Rc unabhängig voneinander beispielsweise Wasserstoff, (Ci- C-O-Alkyl, oder, wenn die Reste Rb und Rc miteinander verbunden sind, gemeinsam Ethylen oder Propylen bedeuten. A compound of formula (Ia) can be prepared, for example, by reacting a compound of formula (XIX) in a suitable solvent with a compound of general formula MA (XVI) with the addition of an adequate amount of a transition metal catalyst, in particular palladium catalysts such as palladium diacetate or bis(triphenylphosphine)palladium(II) dichloride or nickel catalysts such as nickel(II) acetylacetonate or bis(triphenylphosphine)nickel(II) chloride, preferably at elevated temperature in an organic solvent such as 1,2-dimethoxyethane. The radical "M" stands, for example, for Mg-Hal, Zn-Hal, Sn((Ci-C4)alkyl)3, lithium, copper or B(OR b )(OR c ), where the radicals R b and R c independently of one another are, for example, hydrogen, (Ci-CO-alkyl, or, when the radicals R b and R c are linked to one another, together are ethylene or propylene.
Verbindungen der allgemeinen Formeln (Ig) und (Ih) lassen sich durch Reaktion einer Verbindung der Formel (If) in Gegenwart eines Oxidationsmittels wie zum Beispiel mCPBA (3 -Chlorperbenzoesäure) in einem adäquaten Lösungsmittel wie zum Beispiel Dichlormethan oder 1,2-Dichlorethan herstellen (Schema 8). Die Reaktion findet bevorzugt in dem Temperaturbereich zwischen -30 °C und 100 °C statt. Compounds of the general formulas (Ig) and (Ih) can be prepared by reacting a compound of the formula (If) in the presence of an oxidizing agent such as mCPBA (3-chloroperbenzoic acid) in an appropriate solvent such as dichloromethane or 1,2-dichloroethane (Scheme 8). The reaction preferably takes place in the temperature range between -30 °C and 100 °C.
Schema 8 Scheme 8
Der Aufbau einer Verbindung der allgemeinen Formel (If) lässt sich durch Reaktion eines 3- Aminopyrazoles der allgemeinen Formel (XXIII) mit einem Disulfid der allgemeinen Formel (XXIV) in Gegenwart eines organischen Nitrites wie beispielsweise 1,1-Dimethylethylnitrit, tert-Butylnitrit oder Isoamylnitrit in Gegenwart von einem Metall M wie zum Beispiel Kupfer durchfuhren (siehe Schema 9). Die Reaktion findet bevorzugt in dem Temperaturbereich zwischen Raumtemperatur und 120°C in einem adäquaten Lösungsmittel wie zum Beispiel Dichlormethan, Acetonitril, VA-Dimethylformamid oder 1,2-Dichlorethan statt. The construction of a compound of the general formula (If) can be carried out by reacting a 3-aminopyrazol of the general formula (XXIII) with a disulfide of the general formula (XXIV) in the presence of an organic nitrite such as 1,1-dimethylethyl nitrite, tert-butyl nitrite or isoamyl nitrite in the presence of a metal M such as copper (see Scheme 9). The reaction preferably takes place in the temperature range between room temperature and 120°C in an appropriate solvent such as dichloromethane, acetonitrile, VA-dimethylformamide or 1,2-dichloroethane.
Schema 9 Scheme 9
Die Synthese der Verbindungen der allgemeinen Formel (XXIII) erfolgt über eine Curtius-Reaktion von einer Säure der allgemeinen Formel (XXII) mit einem Azid der allgemeinen Formel (XXV). Die Reaktion findet bevorzugt in dem Temperaturbereich zwischen 0 °C und 100 °C, in einem adäquaten Lösungsmittel wie zum Beispiel tert. -Butanol und in Gegenwart eine Base wie zum Beispiel Triethylamin, W-Diisopropylcthylamin oder l,8-Diazabicyclo[5.4.0]undec-7-en statt. The synthesis of the compounds of general formula (XXIII) is carried out via a Curtius reaction of an acid of general formula (XXII) with an azide of general formula (XXV). The reaction preferably takes place in the temperature range between 0 °C and 100 °C, in an adequate Solvents such as tert-butanol and in the presence of a base such as triethylamine, W-diisopropylethylamine or l,8-diazabicyclo[5.4.0]undec-7-ene.
Das gebildete Zwischenprodukt der allgemeinen Formel (XXVI) lässt sich dann in Gegenwart einer Lewis-Säure wie zum Beispiel Trifluoressigsäure, einer Chlorwasserstoff-Lösung in Dioxan oder analog nach den dem Fachmann bekannten Methoden in das Amin (XXIII) überfuhren (Schema 10). Die Reaktion findet bevorzugt in dem Temperaturbereich zwischen Raumtemperatur und 140 °C statt. The intermediate product of general formula (XXVI) formed can then be converted into the amine (XXIII) in the presence of a Lewis acid such as trifluoroacetic acid, a hydrogen chloride solution in dioxane or analogously using methods known to those skilled in the art (Scheme 10). The reaction preferably takes place in the temperature range between room temperature and 140 °C.
Schema 10 Scheme 10
Die Synthese der Verbindungen der allgemeinen Formel (XX) erfolgt über die Kondensation eines Diketoesters der allgemeinen Formel (XXVII) mit einem Pyridylhydrazin der allgemeinen Formel (VII) in Gegenwart einer Broensted-Säure wie zum Beispiel Essigsäure oder Chlorwasserstoff in einem adäquaten Lösungsmittel wie zum Beispiel Methanol, Ethanol, Isopropanol, n-Butanol, Tetrahydrofuran, Dioxan, Toluol oder Chlorbenzol (Schema 11). Die Reaktion findet bevorzugt in dem Temperaturbereich zwischen 0 °C und 150 °C statt. Die Verbindungen der allgemeinen Formeln (XXVII) und (VII) sind kommerziell erhältlich oder lassen sich analog nach dem Fachmann bekannten Methoden herstellen. The synthesis of the compounds of the general formula (XX) is carried out via the condensation of a diketoester of the general formula (XXVII) with a pyridylhydrazine of the general formula (VII) in the presence of a Broensted acid such as acetic acid or hydrogen chloride in an appropriate solvent such as methanol, ethanol, isopropanol, n-butanol, tetrahydrofuran, dioxane, toluene or chlorobenzene (Scheme 11). The reaction preferably takes place in the temperature range between 0 °C and 150 °C. The compounds of the general formulas (XXVII) and (VII) are commercially available or can be prepared analogously using methods known to the person skilled in the art.
Schema 11 Scheme 11
Eine weitere Option zur Synthese von Thioverbindungen der allgemeinen Formel (If) besteht in dem Aufbau der Vorstufe (XXVIII), die nach den in dieser Anmeldung beschriebenen Methoden analog zum Hydroxypyrazol der Formel (Ila) alkyliert und weiter fimktionalisiert werden kann. Diese Vorstufe (XXVIII) kann durch Reaktion eines Hydroxypyrazols der allgemeinen Formel (Ila) in Gegenwart eines Schwefelungsreagenzes wie zum Beispiel Phosphorpentasulfid oder dem Lawesson- Reagenz in einem adäquaten Lösungsmittel wie zum Beispiel Toluol erhalten werden. A further option for the synthesis of thio compounds of the general formula (If) consists in the construction of the precursor (XXVIII), which can be alkylated and further functionalized according to the methods described in this application analogous to the hydroxypyrazole of the formula (Ila). This precursor (XXVIII) can be obtained by reacting a hydroxypyrazole of the general formula (Ila) in the presence of a sulfurizing reagent such as phosphorus pentasulfide or the Lawesson reagent in an adequate solvent such as toluene.
Schema 12 Scheme 12
Verbindungen der allgemeinen Formel (Ij), in welchen R2, Rla, R3, A, Y und Q die oben angegebenen Bedeutungen haben, können in Anwesenheit einer Base oder einer Lewis-Säure zu Verbindungen der allgemeinen Formel (Ik) umgesetzt werden (Schema 13): Compounds of the general formula (Ij), in which R 2 , R la , R 3 , A, Y and Q have the meanings given above, can be converted in the presence of a base or a Lewis acid to compounds of the general formula (Ik) (Scheme 13):
Schema 13 Scheme 13
Verbindungen der allgemeinen Formel (Ik) oder eines agrochemisch akzeptablen Salzes davon, in welchen R2, R3, A, Y und Q die oben angegebenen Bedeutungen haben, können dann mit einem entsprechenden Amin HNR9R10, in welcher R9 und R10 die oben angegebenen Bedeutungen haben, in Gegenwart eines Peptidkupplungsreagenzes umgesetzt werden (Schema 14). Compounds of the general formula (Ik) or an agrochemically acceptable salt thereof, in which R 2 , R 3 , A, Y and Q have the meanings given above, can then be reacted with a corresponding amine HNR 9 R 10 , in which R 9 and R 10 have the meanings given above, in the presence of a peptide coupling reagent (Scheme 14).
Peptidkupplungsreagenz Peptide coupling reagent
Schema 14 Scheme 14
Ein weiterer Aspekt der Erfindung betrifft Verbindungen der allgemeinen Formel (II) sowie deren Salze worin die Reste R3, Q und A jeweils gemäß einer der oben genannten Ausführungsformen definiert sind und deren Herstellung gemäß Schema 3. A further aspect of the invention relates to compounds of the general formula (II) and their salts wherein the radicals R 3 , Q and A are each defined according to one of the abovementioned embodiments and their preparation according to Scheme 3.
Entsprechend betrifft ein zusätzlicher Aspekt der Erfindung ein Verfahren zur Herstellung der Verbindungen der allgemeinen Formel (II) und/oder deren agrochemisch verträglichen Salze, worin die Reste R3, Q und A jeweils gemäß einer der oben genannten Ausführungsformen definiert sind, durch Umsetzung einer mit einer substituierten Propinsäure der Formel (VI), worin A gemäß einer der oben genannten Ausfuhrungsformen definiert ist, mit einer Verbindung der Formel (VII), worin Q gemäß gemäß einer der oben genannten Ausführungsformen definiert ist. in einem geeigneten Lösungmittel in Gegenwart eines Metallhalogenids. Accordingly, an additional aspect of the invention relates to a process for preparing the compounds of general formula (II) and/or their agrochemically acceptable salts, wherein the radicals R 3 , Q and A are each defined according to one of the abovementioned embodiments, by reacting a substituted propionic acid of the formula (VI), wherein A is defined according to one of the above embodiments, with a compound of formula (VII), wherein Q is defined according to any of the above embodiments. in a suitable solvent in the presence of a metal halide.
Ein weiterer Aspekt betrifft die Verwendung von Verbindungen der allgemeinen Formel (II) sowie deren Salze als Zwischenprodukte für die Herstellung von Feinchemikalien und Wirkstoffen für dieA further aspect concerns the use of compounds of the general formula (II) and their salts as intermediates for the production of fine chemicals and active ingredients for
Landwirtschaft. Die erfindungsgemäßen Verbindungen der Formel (I) (und/oder deren Salze), im Folgenden zusammen als „erfindungsgemäße Verbindungen“ bezeichnet, weisen eine ausgezeichnete herbizide Wirksamkeit gegen ein breites Spektrum wirtschaftlich wichtiger mono und dikotyler annueller Schadpflanzen auf. Agriculture. The compounds of the formula (I) according to the invention (and/or salts thereof), hereinafter referred to collectively as “compounds according to the invention”, have excellent herbicidal activity against a broad spectrum of economically important monocotyledonous and dicotyledonous annual weeds.
Gegenstand der vorliegenden Erfindung ist daher auch ein Verfahren zur Bekämpfung von unerwünschten Pflanzen oder zur Wachstumsregulierung von Pflanzen, vorzugsweise in Pflanzenkulturen, worin eine oder mehrere erfmdungsgemäße Verbindung(en) auf die Pflanzen (z.B. Schadpflanzen wie mono- oder dikotyle Unkräuter oder unerwünschte Kulturpflanzen), das Saatgut (z.B. Körner, Samen oder vegetative Vermehrungsorgane wie Knollen oder Sprossteile mit Knospen) oder die Fläche, auf der die Pflanzen wachsen (z.B. die Anbaufläche), ausgebracht werden. Dabei können die erfmdungsgemäßen Verbindungen z.B. im Vorsaat (ggf. auch durch Einarbeitung in den Boden), Vorauflauf oder Nachauflaufverfahren ausgebracht werden. Im Einzelnen seien beispielhaft einige Vertreter der mono und dikotylen Unkrautflora genannt, die durch die erfindungsgemäßen Verbindungen kontrolliert werden können, ohne dass durch die Nennung eine Beschränkung auf bestimmte Arten erfolgen soll. The present invention therefore also relates to a method for controlling undesirable plants or for regulating the growth of plants, preferably in plant crops, in which one or more compounds according to the invention are applied to the plants (e.g. harmful plants such as monocotyledonous or dicotyledonous weeds or undesirable crop plants), the seed (e.g. grains, seeds or vegetative propagation organs such as tubers or shoot parts with buds) or the area on which the plants grow (e.g. the cultivation area). The compounds according to the invention can be applied, for example, before sowing (if appropriate also by incorporation into the soil), pre-emergence or post-emergence. In particular, some representatives of the monocotyledonous and dicotyledonous weed flora that can be controlled by the compounds according to the invention are mentioned by way of example, without the mention being intended to restrict the use to certain species.
Monokotyle Schadpflanzen der Gattungen: Aegilops, Agropyron, Agrostis, Alopecurus, Apera, Avena, Brachiaria, Bromus, Cenchrus, Commelina, Cynodon, Cyperus, Dactyloctenium, Digitaria, Echinochloa, Eleocharis, Eleusine, Eragrostis, Eriochloa, Festuca, Fimbristylis, Heteranthera, Imperata, Ischaemum, Leptochloa, Lolium, Monochoria, Panicum, Paspalum, Phalaris, Phleum, Poa, Rottboellia, Sagittaria, Scirpus, Setaria, Sorghum. Monocotyledonous weeds of the genera: Aegilops, Agropyron, Agrostis, Alopecurus, Apera, Avena, Brachiaria, Bromus, Cenchrus, Commelina, Cynodon, Cyperus, Dactyloctenium, Digitaria, Echinochloa, Eleocharis, Eleusine, Eragrostis, Eriochloa, Festuca, Fimbristylis, Heteranthera, Imperata, Ischaemum, Leptochloa, Lolium, Monochoria, Panicum, Paspalum, Phalaris, Phleum, Poa, Rottboellia, Sagittaria, Scirpus, Setaria, Sorghum.
Dikotyle Unkräuter der Gattungen: Abutilon, Amaranthus, Ambrosia, Anoda, Anthemis, Aphanes, Artemisia, Atriplex, Bellis, Bidens, Capsella, Carduus, Cassia, Centaurea, Chenopodium, Cirsium, Convolvulus, Datura, Desmodium, Emex, Erysimum, Euphorbia, Galeopsis, Galinsoga, Galium, Hibiscus, Ipomoea, Kochia, Lamium, Lepidium, Lindemia, Matricaria, Mentha, Mercurialis, Mullugo, Myosotis, Papaver, Pharbitis, Plantago, Polygonum, Portulaca, Ranunculus, Raphanus, Rorippa, Rotala, Rumex, Salsola, Senecio, Sesbania, Sida, Sinapis, Solanum, Sonchus, Sphenoclea, Stellaria, Taraxacum, Thlaspi, Trifolium, Urtica, Veronica, Viola, Xanthium. Dicotyledonous weeds of the genera: Abutilon, Amaranthus, Ambrosia, Anoda, Anthemis, Aphanes, Artemisia, Atriplex, Bellis, Bidens, Capsella, Carduus, Cassia, Centaurea, Chenopodium, Cirsium, Convolvulus, Datura, Desmodium, Emex, Erysimum, Euphorbia, Galeopsis, Galinsoga, Galium, Hibiscus, Ipomoea, Kochia, Lamium, Lepidium, Lindemia, Matricaria, Mentha, Mercurialis, Mullugo, Myosotis, Papaver, Pharbitis, Plantago, Polygonum, Portulaca, Ranunculus, Raphanus, Rorippa, Rotala, Rumex, Salsola, Senecio, Sesbania, Sida, Sinapis, Solanum, Sonchus, Sphenoclea, Stellaria, Taraxacum, Thlaspi, Trifolium, Urtica, Veronica, Viola, Xanthium.
Werden die erfindungsgemäßen Verbindungen vor dem Keimen auf die Erdoberfläche appliziert, so wird entweder das Auflaufen der Unkrautkeimlinge vollständig verhindert oder die Unkräuter wachsen bis zum Keimblattstadium heran, stellen jedoch dann ihr Wachstum ein. If the compounds according to the invention are applied to the soil surface before germination, either the emergence of weed seedlings is completely prevented or the weeds grow to the cotyledon stage but then stop growing.
Bei Applikation der Wirkstoffe auf die grünen Pflanzenteile im Nachauflaufverfahren tritt nach der Behandlung Wachstumsstop ein und die Schadpflanzen bleiben in dem zum Applikationszeitpunkt vorhandenen Wachstumsstadium stehen oder sterben nach einer gewissen Zeit ganz ab, so dass auf diese Weise eine für die Kulturpflanzen schädliche Unkrautkonkurrenz sehr früh und nachhaltig beseitigt wird. Die erfindungsgemäßen Verbindungen können in Nutzkulturen Selektivitäten aufweisen und können auch als nichtselektive Herbizide eingesetzt werden. When the active ingredients are applied to the green parts of the plant using the post-emergence method, growth stops after treatment and the weeds remain in the growth stage they were in at the time of application or die completely after a certain time, so that weed competition that is harmful to the crops is eliminated very early and sustainably. The compounds of the invention can exhibit selectivities in crops and can also be used as non-selective herbicides.
Aufgrund ihrer herbiziden und pflanzenwachstumsregulatorischen Eigenschaften können die Wirkstoffe auch zur Bekämpfung von Schadpflanzen in Kulturen von bekannten oder noch zu entwickelnden gentechnisch veränderten Pflanzen eingesetzt werden. Die transgenen Pflanzen zeichnen sich in der Regel durch besondere vorteilhafte Eigenschaften aus, beispielsweise durch Resistenzen gegenüber bestimmten in der Agrarindustrie verwendeten Wirkstoff , vor allem bestimmten Herbiziden, Resistenzen gegenüber Pflanzenkrankheiten oder Erregern von Pflanzenkrankheiten wie bestimmten Insekten oder Mikroorganismen wie Pilzen, Bakterien oder Viren. Andere besondere Eigenschaften betreffen z.B. das Emtegut hinsichtlich Menge, Qualität, Lagerfähigkeit, Zusammensetzung und spezieller Inhaltsstoffe. So sind transgene Pflanzen mit erhöhtem Stärkegehalt oder veränderter Qualität der Stärke oder solche mit anderer Fettsäurezusammensetzung des Emteguts bekannt. Weitere besondere Eigenschaften hegen in einer Toleranz oder Resistenz gegen abiotische Stressoren z.B. Hitze, Kälte, Trockenheit, Salz und ultraviolette Strahlung. Due to their herbicidal and plant growth regulatory properties, the active ingredients can also be used to combat weeds in crops of known or yet-to-be-developed genetically modified plants. The transgenic plants are generally characterized by particularly advantageous properties, for example resistance to certain active ingredients used in the agricultural industry, in particular certain herbicides, resistance to plant diseases or pathogens of plant diseases such as certain insects or microorganisms such as fungi, bacteria or viruses. Other special properties relate, for example, to the harvested material in terms of quantity, quality, storability, composition and special ingredients. Transgenic plants with an increased starch content or altered quality of the starch or those with a different fatty acid composition of the harvested material are known. Other special properties include tolerance or resistance to abiotic stressors, e.g. heat, cold, drought, salt and ultraviolet radiation.
Bevorzugt ist die Anwendung der erfindungsgemäßen Verbindungen der Formel (I) oder deren Salze in wirtschaftlich bedeutenden transgenen Kulturen von Nutz-und Zierpflanzen, Preference is given to using the compounds of formula (I) according to the invention or their salts in economically important transgenic crops of useful and ornamental plants,
Die Verbindungen der Formel (I) können als Herbizide in Nutzpflanzenkulturen eingesetzt werden, welche gegenüber den phytotoxischen Wirkungen der Herbizide resistent sind bzw. gentechnisch resistent gemacht wurden. The compounds of formula (I) can be used as herbicides in crops which are resistant to the phytotoxic effects of the herbicides or have been made genetically resistant.
Herkömmliche Wege zur Herstellung neuer Pflanzen, die im Vergleich zu bisher vorkommenden Pflanzen modifizierte Eigenschaften aufweisen, bestehen beispielsweise in klassischen Züchtungsverfahren und der Erzeugung von Mutanten. Alternativ können neue Pflanzen mit veränderten Eigenschaften mit Hilfe gentechnischer Verfahren erzeugt werden (siehe z.B. EP 0221044, EP 0131624). Beschrieben wurden beispielsweise in mehreren Fällen gentechnische Veränderungen von Kulturpflanzen zwecks Modifikation der in den Pflanzen synthetisierten Stärke (z.B. WO 92/011376 A, WO 92/014827 A, WO 91/019806 A), transgene Kulturpflanzen, welche gegen bestimmte Herbizide vom Typ Glufosinate (vgl. z.B. EP 0242236 A, EP 0242246 A) oder Glyphosate (WO 92/000377 A) oder der Sulfonylharnstoffe (EP 0257993 A, US 5,013,659) oder gegen Kombinationen oder Mischungen dieser Herbizide durch „gene stacking“ resistent sind, wie transgenen Kulturpflanzen z. B. Mais oder Soja mit dem Handelsnamen oder der Bezeichnung Optimum™ GAT™ (Glyphosate ALS Tolerant). transgene Kulturpflanzen, beispielsweise Baumwolle, mit der Fähigkeit Bacillus thuringiensis- Toxine (Bt-Toxine) zu produzieren, welche die Pflanzen gegen bestimmte Schädlinge resistent machen (EP 0142924 A, EP 0193259 A). transgene Kulturpflanzen mit modifizierter Fettsäurezusammensetzung (WO 91/013972 A). gentechnisch veränderte Kulturpflanzen mit neuen Inhalts- oder Sekundärstoffen z.B. neuen Phytoalexinen, die eine erhöhte Krankheitsresistenz verursachen (EP 0309862 A, EP 0464461 A) gentechnisch veränderte Pflanzen mit reduzierter Photorespiration, die höhere Erträge und höhere Stresstoleranz aufweisen (EP 0305398 A) transgene Kulturpflanzen, die pharmazeutisch oder diagnostisch wichtige Proteine produzieren („molecular pharming“) transgene Kulturpflanzen, die sich durch höhere Erträge oder bessere Qualität auszeichnen transgene Kulturpflanzen die sich durch eine Kombinationen z.B. der o. g. neuen Eigenschaften auszeichnen („gene stacking“) Conventional ways of producing new plants that have modified properties compared to existing plants include classical breeding methods and the creation of mutants. Alternatively, new plants with modified properties can be created using genetic engineering techniques (see e.g. EP 0221044, EP 0131624). For example, several cases have been described of genetic modifications of crop plants for the purpose of modifying the starch synthesized in the plants (e.g. WO 92/011376 A, WO 92/014827 A, WO 91/019806 A), transgenic crop plants which are resistant to certain herbicides of the glufosinate type (cf. e.g. EP 0242236 A, EP 0242246 A) or glyphosate (WO 92/000377 A) or sulfonylureas (EP 0257993 A, US 5,013,659) or to combinations or mixtures of these herbicides by "gene stacking", such as transgenic crop plants e.g. maize or soy with the trade name or designation Optimum™ GAT™ (Glyphosate ALS Tolerant). transgenic crops, such as cotton, with the ability to produce Bacillus thuringiensis toxins (Bt toxins), which make the plants resistant to certain pests (EP 0142924 A, EP 0193259 A). transgenic crops with modified fatty acid composition (WO 91/013972 A). genetically modified crops with new ingredients or secondary substances, e.g. new phytoalexins, which cause increased disease resistance (EP 0309862 A, EP 0464461 A). genetically modified plants with reduced photorespiration, which have higher yields and higher stress tolerance (EP 0305398 A). transgenic crops that produce pharmaceutically or diagnostically important proteins (“molecular pharming”). transgenic crops that are characterized by higher yields or better quality. transgenic crops that are characterized by a combination of the above-mentioned new properties (“gene stacking”).
Zahlreiche molekularbiologische Techniken, mit denen neue transgene Pflanzen mit veränderten Eigenschaften hergestellt werden können, sind im Prinzip bekannt; siehe z.B. I. Potrykus und G. Spangenberg (eds.) Gene Transfer to Plants, Springer Lab Manual (1995), Springer Verlag Berlin, Heidelberg, oder Christou, "Trends in Plant Science" 1 (1996) 423-431). Numerous molecular biological techniques with which new transgenic plants with altered properties can be produced are known in principle; see e.g. I. Potrykus and G. Spangenberg (eds.) Gene Transfer to Plants, Springer Lab Manual (1995), Springer Verlag Berlin, Heidelberg, or Christou, "Trends in Plant Science" 1 (1996) 423-431).
Für derartige gentechnische Manipulationen können Nucleinsäuremoleküle in Plasmide eingebracht werden, die eine Mutagenese oder eine Sequenzveränderung durch Rekombination von DNA- Sequenzen erlauben. Mit Hilfe von Standardverfahren können z.B. Basenaustausche vorgenommen, Teilsequenzen entfernt oder natürliche oder synthetische Sequenzen hinzugefügt werden. Für die Verbindung der DNA-Fragmente untereinander können an die Fragmente Adaptoren oder Linker angesetzt werden, siehe z.B. Sambrook et al., 1989, Molecular Cloning, A Laboratory Manual, 2. Aufl. Cold Spring Harbor Laboratory Press, Cold Spring Harbor, NY; oder Winnacker "Gene und Klone", VCH Weinheim 2. Auflage 1996 For such genetic manipulations, nucleic acid molecules can be introduced into plasmids that allow mutagenesis or sequence changes through recombination of DNA sequences. Using standard procedures, base exchanges can be carried out, partial sequences can be removed, or natural or synthetic sequences can be added. Adapters or linkers can be attached to the fragments to connect the DNA fragments to one another, see e.g. Sambrook et al., 1989, Molecular Cloning, A Laboratory Manual, 2nd edition, Cold Spring Harbor Laboratory Press, Cold Spring Harbor, NY; or Winnacker "Gene and Clones", VCH Weinheim 2nd edition 1996
Die Herstellung von Pflanzenzellen mit einer verringerten Aktivität eines Genprodukts kann beispielsweise erzielt werden durch die Expression mindestens einer entsprechenden antisense-RNA, einer sense-RNA zur Erzielung eines Cosuppressionseffektes oder die Expression mindestens eines entsprechend konstruierten Ribozyms, das spezifisch Transkripte des obengenannten Genprodukts spaltet. Hierzu können zum einen DNA-Moleküle verwendet werden, die die gesamte codierende Sequenz eines Genprodukts einschließlich eventuell vorhandener flankierender Sequenzen umfassen, als auch DNA-Moleküle, die nur Teile der codierenden Sequenz umfassen, wobei diese Teile lang genug sein müssen, um in den Zellen einen antisense-Effekt zu bewirken. Möglich ist auch die Verwendung von DNA-Sequenzen, die einen hohen Grad an Homologie zu den codiereden Sequenzen eines Genprodukts aufweisen, aber nicht vollkommen identisch sind. Bei der Expression von Nucleinsäuremolekülen in Pflanzen kann das synthetisierte Protein in jedem beliebigen Kompartiment der pflanzlichen Zelle lokalisiert sein. Um aber die Lokalisation in einem bestimmten Kompartiment zu erreichen, kann z.B. die codierende Region mit DNA-Sequenzen verknüpft werden, die die Lokalisierung in einem bestimmten Kompartiment gewährleisten. Derartige Sequenzen sind dem Fachmann bekannt (siehe beispielsweise Braun et al., EMBO J. 11 (1992), 3219- 3227; Wolter et al., Proc. Natl. Acad. Sei. USA 85 (1988), 846-850; Sonnewald et al., Plant J. 1 (1991), 95-106). Die Expression der Nukleinsäuremoleküle kann auch in den Organellen der Pflanzenzellen stattfinden. The production of plant cells with a reduced activity of a gene product can be achieved, for example, by expressing at least one corresponding antisense RNA, a sense RNA to achieve a cosuppression effect or the expression of at least one appropriately constructed ribozyme that specifically cleaves transcripts of the above-mentioned gene product. For this purpose, DNA molecules can be used that comprise the entire coding sequence of a gene product, including any flanking sequences that may be present, as well as DNA molecules that comprise only parts of the coding sequence, whereby these parts must be long enough to cause an antisense effect in the cells. It is also possible to use DNA sequences that have a high degree of homology to the coding sequences of a gene product, but are not completely identical. When nucleic acid molecules are expressed in plants, the synthesized protein can be localized in any compartment of the plant cell. However, in order to achieve localization in a specific compartment, the coding region can be linked to DNA sequences that ensure localization in a specific compartment. Such sequences are known to the person skilled in the art (see, for example, Braun et al., EMBO J. 11 (1992), 3219-3227; Wolter et al., Proc. Natl. Acad. Sci. USA 85 (1988), 846-850; Sonnewald et al., Plant J. 1 (1991), 95-106). The expression of the nucleic acid molecules can also take place in the organelles of the plant cells.
Die transgenen Pflanzenzellen können nach bekannten Techniken zu ganzen Pflanzen regeneriert werden. Bei den transgenen Pflanzen kann es sich prinzipiell um Pflanzen jeder beliebigen Pflanzenspezies handeln, d.h., sowohl monokotyle als auch dikotyle Pflanzen. So sind transgene Pflanzen erhältlich, die veränderte Eigenschaften durch Überexpression, Suppression oder Inhibierung homologer (= natürlicher) Gene oder Gensequenzen oder Expression heterologer (= fremder) Gene oder Gensequenzen aufweisen. The transgenic plant cells can be regenerated into whole plants using known techniques. The transgenic plants can in principle be plants of any plant species, i.e. both monocotyledonous and dicotyledonous plants. Transgenic plants are thus available that have altered properties through overexpression, suppression or inhibition of homologous (= natural) genes or gene sequences or expression of heterologous (= foreign) genes or gene sequences.
Vorzugsweise können die erfmdungsgemäßen Verbindungen (I) in transgenen Kulturen eingesetzt werden, welche gegen Wuchsstoffe, wie z.B. 2,4-D, Dicamba oder gegen Herbizide, die essentielle Pflanzenenzyme, z.B. Acetolactatsynthasen (ALS), EPSP Synthasen, Glutaminsynthasen (GS) oder Hydoxyphenylpyruvat Dioxygenasen (HPPD) hemmen, respektive gegen Herbizide aus der Gruppe der Sulfonylharnstoffe, der Glyphosate, Glufosinate oder Benzoylisoxazole und analogen Wirkstoffe, oder gegen beliebige Kombinationen dieser Wirkstoffe, resistent sind. Preferably, the compounds (I) according to the invention can be used in transgenic cultures which are resistant to growth factors such as 2,4-D, dicamba or to herbicides which inhibit essential plant enzymes, e.g. acetolactate synthases (ALS), EPSP synthases, glutamine synthases (GS) or hydroxyphenylpyruvate dioxygenases (HPPD), or to herbicides from the group of sulfonylureas, glyphosates, glufosinates or benzoylisoxazoles and analogous active substances, or to any combination of these active substances.
Besonders bevorzugt können die erfmdungsgemäßen Verbindungen in transgenen Kulturpflanzen eingesetzt werden, die gegen eine Kombination von Glyphosaten und Glufosinaten, Glyphosaten und Sulfonylharnstoffen oder Imidazolinonen resistent sind. Ganz besonders bevorzugt können die erfmdungsgemäßen Verbindungen in transgenen Kulturpflanzen wie z. B. Mais oder Soja mit dem Handelsnamen oder der Bezeichnung OptimumTM GATTM (Glyphosate ALS Tolerant) eingesetzt werden. The compounds according to the invention can particularly preferably be used in transgenic crop plants which are resistant to a combination of glyphosates and glufosinates, glyphosates and sulfonylureas or imidazolinones. The compounds according to the invention can very particularly preferably be used in transgenic crop plants such as corn or soy with the trade name or designation OptimumTM GATTM (Glyphosate ALS Tolerant).
Bei der Anwendung der erfindungsgemäßen Wirkstoffe in transgenen Kulturen treten neben den in anderen Kulturen zu beobachtenden Wirkungen gegenüber Schadpflanzen oftmals Wirkungen auf, die für die Applikation in der jeweiligen transgenen Kultur spezifisch sind, beispielsweise ein verändertes oder speziell erweitertes Unkrautspektrum, das bekämpft werden kann, veränderte Aufwandmengen, die für die Applikation eingesetzt werden können, vorzugsweise gute Kombinierbarkeit mit den Herbiziden, gegenüber denen die transgene Kultur resistent ist, sowie Beeinflussung von Wuchs und Ertrag der transgenen Kulturpflanzen. When the active ingredients according to the invention are used in transgenic crops, in addition to the effects on weeds observed in other crops, effects often occur which are specific to the application in the respective transgenic crop, for example a modified or specifically expanded weed spectrum that can be controlled, modified application rates that can be used for the application, preferably good combinability with the herbicides to which the transgenic crop is resistant, and influence on the growth and yield of the transgenic crops.
Gegenstand der Erfindung ist deshalb auch die Verwendung der erfindungsgemäßen Verbindungen der Formel (I) als Herbizide zur Bekämpfung von Schadpflanzen in transgenen Kulturpflanzen. The invention therefore also relates to the use of the compounds according to the invention of Formula (I) as herbicides for controlling weeds in transgenic crops.
Die erfindungsgemäßen Verbindungen können in Form von Spritzpulvem, emulgierbaren Konzentraten, versprühbaren Lösungen, Stäubemitteln oder Granulaten in den üblichen Zubereitungen angewendet werden. Gegenstand der Erfindung sind deshalb auch herbizide und pflanzenwachstumsregulierende Mittel, welche die erfindungsgemäßen Verbindungen enthalten. The compounds according to the invention can be used in the form of wettable powders, emulsifiable concentrates, sprayable solutions, dusts or granules in the usual preparations. The invention therefore also relates to herbicidal and plant growth regulating agents which contain the compounds according to the invention.
Die erfindungsgemäßen Verbindungen können auf verschiedene Art formuliert werden, je nachdem welche biologischen und/oder chemisch-physikalischen Parameter vorgegeben sind. Als Formulierungsmöglichkeiten kommen beispielsweise in Frage: Spritzpulver (WP), wasserlösliche Pulver (SP), wasserlösliche Konzentrate, emulgierbare Konzentrate (EC), Emulsionen (EW), wie Öl-in-Wasser- und Wasser-in-Öl-Emulsionen, versprühbare Lösungen, Suspensionskonzentrate (SC), Dispersionen auf Öl- oder Wasserbasis, ölmischbare Lösungen, Kapselsuspensionen (CS), Stäubemittel (DP), Beizmittel, Granulate für die Streu- und Bodenapplikation, Granulate (GR) in Form von Mikro-, Sprüh-, Aufzugs- und Adsorptionsgranulaten, wasserdispergierbare Granulate (WG), wasserlösliche Granulate (SG), ULV-Formulierungen, Mikrokapseln und Wachse. Diese einzelnen Formulierungstypen sind im Prinzip bekannt und werden beispielsweise beschrieben in: Winnacker-Küchler, "Chemische Technologie", Band 7, C. Hanser Verlag München, 4. Aufl. 1986, Wade van Valkenburg, "Pesticide Formulations", Marcel Dekker, N.Y., 1973, K. Martens, "Spray Drying" Handbook, 3rd Ed. 1979, G. Goodwin Ltd. London. The compounds according to the invention can be formulated in various ways, depending on which biological and/or chemical-physical parameters are specified. Possible formulation options include, for example: wettable powders (WP), water-soluble powders (SP), water-soluble concentrates, emulsifiable concentrates (EC), emulsions (EW), such as oil-in-water and water-in-oil emulsions, sprayable solutions, suspension concentrates (SC), oil- or water-based dispersions, oil-miscible solutions, capsule suspensions (CS), dusting agents (DP), dressing agents, granules for broadcast and soil application, granules (GR) in the form of micro-, spray, coating and adsorption granules, water-dispersible granules (WG), water-soluble granules (SG), ULV formulations, microcapsules and waxes. These individual formulation types are known in principle and are described, for example, in: Winnacker-Küchler, "Chemische Technologie", Volume 7, C. Hanser Verlag Munich, 4th edition 1986, Wade van Valkenburg, "Pesticide Formulations", Marcel Dekker, N.Y., 1973, K. Martens, "Spray Drying" Handbook, 3rd Ed. 1979, G. Goodwin Ltd. London.
Die notwendigen Formulierungshilfsmittel wie Inertmaterialien, Tenside, Lösungsmittel und weitere Zusatzstoffe sind ebenfalls bekannt und werden beispielsweise beschrieben in: Watkins, "Handbook of Insecticide Dust Diluents and Carriers", 2nd Ed., Darland Books, Caldwell N.J., H.v. Olphen, "Introduction to Clay Colloid Chemistry", 2nd Ed., J. Wiley & Sons, N.Y., C. Marsden, "Solvents Guide", 2nd Ed., Interscience, N.Y. 1963, McCutcheon's "Detergents and Emulsifiers Annual", MC Publ. Corp., Ridgewood N.J. , Sisley and Wood, "Encyclopedia of Surface Active Agents", Chem. Publ. Co. Inc., N.Y. 1964, Schönfeldt, "Grenzflächenaktive Äthylenoxid-addukte", Wiss. Verlagsgesell., Stuttgart 1976, Winnacker-Küchler, "Chemische Technologie", Band 7, C. Hanser Verlag München, 4. Aufl. 1986. The necessary formulation aids such as inert materials, surfactants, solvents and other additives are also known and are described, for example, in: Watkins, "Handbook of Insecticide Dust Diluents and Carriers", 2nd Ed., Darland Books, Caldwell N.J., H.v. Olphen, "Introduction to Clay Colloid Chemistry", 2nd Ed., J. Wiley & Sons, N.Y., C. Marsden, "Solvents Guide", 2nd Ed., Interscience, N.Y. 1963, McCutcheon's "Detergents and Emulsifiers Annual", MC Publ. Corp., Ridgewood N.J. , Sisley and Wood, "Encyclopedia of Surface Active Agents", Chem. Publ. Co. Inc., N.Y. 1964, Schönfeldt, "Grenzflächenaktive Äthylenoxid-addukte", Wiss. Verlagsgesell., Stuttgart 1976, Winnacker-Küchler, "Chemical Technology", Volume 7, C. Hanser Verlag Munich, 4th edition 1986.
Auf der Basis dieser Formulierungen lassen sich auch Kombinationen mit anderen Wirkstoffen, wie z.B. Insektiziden, Akariziden, Herbiziden, Fungiziden, sowie mit Safenern, Düngemitteln und/oder Wachstumsregulatoren herstellen, z.B. in Form einer Fertigformulierung oder als Tankmix. On the basis of these formulations, combinations with other active ingredients, such as insecticides, acaricides, herbicides, fungicides, as well as with safeners, fertilizers and/or growth regulators, can also be produced, e.g. in the form of a ready-made formulation or as a tank mix.
Als Kombinationspartner für die Verbindungen der allgemeinen Formel (I) in Mischungsformulierungen oder im Tank-Mix sind beispielsweise bekannte Wirkstoffe, die auf einer Inhibition von beispielsweise Acetolactat-Synthase, Acetyl-CoA-Carboxylase, Cellulose-Synthase, Enolpyruvylshikimat-3-phosphat- Synthase, Glutamin-Synthetase, p-Hydroxyphenylpyruvat-Dioxygenase, Phytoendesaturase, Photosystem I, Photosystem II, Protoporphyrinogen-Oxidase beruhen oder als Pflanzenwuchsregulatoren wirken, einsetzbar, wie sie z.B. aus Weed Research 26 (1986) 441-445 oder "The Pesticide Manual", 19th edition, The British Crop Protection Council and the Royal Soc. of Chemistry, 2021 und dort zitierter Literatur beschrieben sind. As combination partners for the compounds of the general formula (I) in mixture formulations or in the tank mix, known active substances are, for example, based on an inhibition of, for example, Acetolactate synthase, acetyl-CoA carboxylase, cellulose synthase, enolpyruvylshikimate 3-phosphate synthase, glutamine synthetase, p-hydroxyphenylpyruvate dioxygenase, phytoene desaturase, photosystem I, photosystem II, protoporphyrinogen oxidase or act as plant growth regulators, as described e.g. in Weed Research 26 (1986) 441-445 or "The Pesticide Manual", 19th edition, The British Crop Protection Council and the Royal Soc. of Chemistry, 2021 and literature cited therein.
Als bekannte Herbizide oder Pflanzenwachstumsregulatoren, die mit Verbindungen der allgemeinen Formel (I) kombiniert werden können, sind z.B. folgende Wirkstoffe zu nennen (die Verbindungen sind entweder mit dem "common name" nach der International Organization for Standardization (ISO) oder mit dem chemischen Namen oder mit der Codenummer bezeichnet) und umfassen stets sämtliche Anwendungsformen wie Säuren, Salze, Ester und Isomere wie Stereoisomere und optische Isomere. Dabei sind beispielhaft eine und zum Teil auch mehrere Anwendungsformen genannt: Known herbicides or plant growth regulators that can be combined with compounds of the general formula (I) include the following active ingredients (the compounds are designated either by the "common name" according to the International Organization for Standardization (ISO) or by the chemical name or by the code number) and always include all application forms such as acids, salts, esters and isomers such as stereoisomers and optical isomers. One and sometimes several application forms are mentioned as examples:
Acetochlor, Acifluorfen, Acifluorfen-methyl, Acifluorfen-Natrium, Aclonifen, Alachlor, Allidochlor, Alloxydim, Alloxydim -Natrium, Ametryn, Amicarbazon, Amidochlor, Amidosulfiiron, 4-Amino-3- chlor-6-(4-chlor-2-fluor-3-methylphenyl)-5-fluorpyridin-2 -carbonsäure, Aminocyclopyrachlor, Aminocyclopyrachlor-Kalium, Aminocyclopyrachlor-methyl, Aminopyralid, Aminopyralid- dimethylammonium, Aminopyralid-tripromine, Amitrol, Ammoniumsulfamate, Anilofos, Asulam, Asulam-Kalium, Asulam-Natrium, Atrazin, Azafenidin, Azimsulfuron, Beflubutamid, (S)-(-)- Beflubutamid, Beflubutamid-M, Benazolin, Benazolin-ethyl, Benazolin-dimethylammonium, Benazolin-Klaium, Benfluralin, Benfuresate, Bensulfiiron, Bensulfiiron-methyl, Bensulid, Bentazon, Bentazon-Natrium, Benzobicyclon, Benzofenap, Bicyclopyrone, Bifenox, Bilanafos, Bilanafos-Natium, Bipyrazone, Bispyribac, Bispyribac-Natium, Bixlozon, Bromacil, Bromacil-lithium, Bromacil-Natrium, Bromobutid, Bromofenoxim, Bromoxynil, Bromoxynilbutyrat, Bromoxynil-Kalium, Bromoxynil- heptanoat und Bromoxynil-octanoat, Busoxinon, Butachlor, Butafenacil, Butamifos, Butenachlor, Butralin, Butroxydim, Butylat, Cafenstrol, Cambendichlor, Carbetamide, Carfentrazon, Carfentrazon- Ethyl, Chloramben, Chloramben-ammonium, Chloramben-diolamin, Chlroamben-methyl, Chlorambenmethylammonium, Chloramben-Natium, Chlorbromuron, Chlorfenac, Chlorfenac-ammonium, Chlorfenac-Natium, Chlorfenprop, Chlorfenprop-methyl, Chlorflurenol, Chlorflurenol-methyl, Chloridazon, Chlorimuron, Chlorimuron-ethyl, Chlorophthalim, Chlorotoluron, Chlorsulfuron, Chlorthal, Chlorthal-dimethyl, Chlorthal-monomethyl, Cinidon, Cinidon-ethyl, Cinmethylin, exo-(+)- Cinmethylin, d.h. (lR,2S,4S)-4-isopropyl-l-methyl-2-[(2-methylbenzyl)oxy]-7-oxabicyclo[2.2.1]heptan, exo-(-)-Cinmethylin, d.h. (lR,2S,4S)-4-isopropyl-l-methyl-2-[(2-methylbenzyl)oxy]-7- oxabicyclo[2.2.1]heptan, Cinosulfiiron, Clacyfos, Clethodim, Clodinafop, Clodinafop-ethyl, Clodinafop- propargyl, Clomazon, Clomeprop, Clopyralid, Clopyralid-methyl, Clopyralid-olamin, Clopyralid- Kalium, Clopyralid-tripomin, Cloransulam, Cloransulam-methyl, Cumyluron, Cyanamide, Cyanazine, Cycloat, Cyclopyranil, Cyclopyrimorat, Cyclosulfamuron, Cycloxydim, Cyhalofop, Cyhalofop-butyl, Cyprazin, 2,4-D (sowie die Ammonium, Butotyl, Butyl, Cholin, Diethylammonium, Dimethylammonium, Diolamin, Doboxyl, Dodecylammonium, Etexyl, Ethyl, 2-Ethylhexyl, Heptylammonium, Isobutyl, Isooctyl, Isopropyl, Isopropylammonium, Lithium, Meptyl, Methyl, Kalium, Tetradecylammonium, Triethylammonium, Triisopropanolammonium, Tripromin and Trolamin Salze davon), 2,4-DB, 2,4-DB-butyl, 2,4-DB-Dimethylammonium, 2,4-DB-isooctyl, 2,4-DB-Kalium und 2,4-DB-Natrium, Daimuron (Dymron), Dalapon, Dalapon-Calcium, Dalapon-Magnesium, Dalapon- Natium, Dazomet, Dazomet-Natrium, n-Decanol, 7-Deoxy-D-sedoheptulose, Desmedipham, Detosyl - pyrazolat (DTP), Dicamba und seine Salze (z.B. Dicamba-biproamin, Dicamba-N,N-Bis(3- aminopropyl)methylamin, Dicamba-butotyl, Dicamba-cholin, Dicamba-Diglycolamin, Dicamba- Dimethylammonium, Dicamba-Diethanolaminemmonium, Dicamba-Diethylammonium, Dicamba- isopropylammonium, Dicamba-methyl, Dicamba-monoethanolamin, Dicamba-olamin, Dicamba- Kalium, Dicamba-Natium, Dicamba-Triethanolamin), Dichlobenil, 2-(2,4-Dichlorbenzyl)-4,4-dimethyl- 1 ,2-oxazolidin-3 -on, 2-(2,5 -Dichlorbenzyl)-4,4-dimethyl- 1 ,2-oxazolidin-3 -one, Dichlorprop, Dichlorprop-butotyl, Dichlorprop-Dimethylammonium, Dichhlorprop-etexyl, Dichlorpropethylammonium, Dichlorprop-isoctyl, Dichlorprop-methyl, Dichlorprop-Kalium, Dichlorprop-Natrium, Dichlorprop-P, Dichlorprop-P -Dimethylammonium, Dichlorprop-P -etexyl, Dichlorprop-P -Kalium, Dichlorprop-Natrium, Diclofop, Diclofop-methyl, Diclofop-P, Diclofop-P -methyl, Diclosulam, Difenzoquat, Difenzoquat-metilsulfate, Diflufenican, Diflufenzopyr, Diflufenzopyr-Natrium, Dimefuron, Dimepiperate, Dimesulfazet, Dimethachlor, Dimethametryn, Dimethenamid, Dimethenamid-P, Dimetrasulfuron, Dinitramine, Dinoterb, Dinoterb-Acetate, Diphenamid, Diquat, Diquat-Dibromid, Diquat-Dichloride, Dithiopyr, Diuron, DNOC, DNOC-Ammonium, DNOC-Kalium, DNOC-Natrium, Endothal, Endothal-Diammonium, Endothal-Dikalium, Endothal-Dinatrium, Epyrifenacil (S-3100), EPTC, Esprocarb, Ethalfluralin, Ethametsulfuron, Ethametsulfuron-Methyl, Ethiozin, Ethofumesate, Ethoxyfen, Ethoxyfen-Ethyl, Ethoxysulfuron, Etobenzanid, F-5231, d.h. N-[2- Chlor-4-fluor-5 - [4 -(3 -fluorpropyl)-4, 5 -dihydro-5 -oxo- 1 H-tetrazol- 1 -yl] -phenyl] -ethansulfonamid, F- 7967, i.e. 3-[7 -Chlor-5 -fluor-2-(trifluormethyl)- lH-benzimidazol-4-yl] - 1 -methyl-6- (trifluormethyl)pyrimidin-2,4(lH,3H)-dion, Fenoxaprop, Fenoxaprop-P, Fenoxaprop-Ethyl, Fenoxaprop-P -Ethyl, Fenoxasulfone, Fenpyrazone, Fenquinotrione, Fentrazamid, Flamprop, Flamprop- Isoproyl, Flamprop-Methyl, Flamprop-M-Isopropyl, Flamprop-M-Methyl, Flazasulfuron, Florasulam, Florpyrauxifen, Florpyrauxifen-benzyl, Fluazifop, Fluazifop-Butyl, Fluazifop-Methyl, Fluazifop-P, Fluazifop-P -Butyl, Flucarbazone, Flucarbazone-Natrium, Flucetosulfuron, Fluchloralin, Flufenacet, Flufenoximacil, Flufenpyr, Flufenpyr-Ethyl, Flumetsulam, Flumiclorac, Flumiclorac-Pentyl, Flumioxazin, Fluometuron, Flurenol, Flurenol-Butyl, -Dimethylammonium und -Methyl, Fluoroglycofen, Fluoroglycofen-Ethyl, Flupropanat, Flupropanat-Natrium, Flupyrsulfuron, Flupyrsulfuron-Methyl, Flupyrsulfuron-Methyl-Natrium, Fluridon, Flurochloridon, Fluroxypyr, Fluroxypyr-Butometyl, Fluroxypyr-Meptyl, Flurtamon, Fluthiacet, Fluthiacet-Methyl, Fomesafen, Fomesafen-Natrium, Foramsulfuron, Foramsulfuron-Natrium, Fosamine, Fosamine-Ammonium, Glufosinat, Glufosinat-Ammonium, Glufosinat-Natrium, L-Glufosinat-Ammonium, L-Glufosinat- Natrium, Glufosinat-P -Natrium, Glufosinat-P -Ammonium, Glyphosat, Glyphosat-Ammonium, Glyphosat-Isopropylammonium, Glyphosat-Diammonium, Glyphosat-Dimethylammonium, Glyphosat- Kalium, Glyphosat-Natrium, Glyphosat-Sesquinatrium und Glyphosat-Trimesium, H-9201, d.h. O-(2,4- Dimethyl-6-nitrophenyl)-O-ethyl-isopropylphosphoramidothioat, Halauxifen, Halauxifen-methyl, Halosafen, Halosulfuron, Halosulfuron-Methyl, Haloxyfop, Haloxyfop-P, Haloxyfop-Ethoxyethyl, Haloxyfop-P -Ethoxyethyl, Haloxyfop-Methyl, Haloxyfop-P -Methyl, Haloxifop-Natrium, Hexazinon, HNPC-A8169, i.e. Prop-2-yn-l-yl (2S)-2-{3-[(5-tert-butylpyridin-2-yl)oxy]phenoxy}propanoat, HW- 02, d.h. l-(Dimethoxyphosphoryl)-ethyl-(2,4-dichlorphenoxy)acetat, Hydantocidin, Icafolin, Icafolin- Methyl, Imazamethabenz, Imazamethabenz-Methyl, Imazamox, Imazamox-Ammonium, Imazapic, Imazapic-Ammonium, Imazapyr, Imazapyr-Isopropylammonium, Imazaquin, Imazaquin-Ammonium, Imazaquin-Methyl, Imazethapyr, Imazethapyr-Ammonium, Imazosulfuron, Indanofan, Indaziflam, Indolauxipyr, lodosulfuron, lodosulfuron-Methyl, lodosulfuron-Methyl-Natrium, Ioxynil, loxynil- Lithium, -Octanoat, -Kalium und Natrium, Ipfencarbazon, Iptriazopyrid, i.e. 3- [(Isopropylsulfonyl)methyl]-N-(5-methyl-l,3,4-oxadiazol-2-yl)-5-(trifluormethyl)[l,2,4]triazolo-[4,3- a]pyridin-8-carboxamid, Isoproturon, Isouron, Isoxaben, Isoxaflutole, Karbutilat, KUH-043, d.h. 3-({ [5- (Difluormethyl)- 1 -methyl-3 -(trifluormethyl)- lH-pyrazol-4-yl]methyl } sulfonyl)-5 ,5 -dimethyl -4,5 - dihydro-l,2-oxazol, Ketospiradox, Ketospiradox-Kalium, Lactofen, Lenacil, Linuron, MCPA, MCPA- Butotyl, -Butyl, -Dimethylammonium, -Diolamin, -2-Ethylhexyl, -Ethyl, -Isobutyl, Isoctyl, -Isopropyl, - Isopropylammonium, -Methyl, Olamin, -Kalium, -Natrium und -Trolamin, MCPB, MCPB- Methyl, -Ethyl und -Natrium, Mecoprop, Mecoprop-Butotyl, Mecoprop- dimethylammonium, Mecoprop-Diolamin, Mecoprop-Etexyl, Mecoprop-Ethadyl, Mecoprop-Isoctyl, Mecoprop-Methyl, Mecoprop-Kalium, Mecoprop-Natrium, und Mecoprop-Trolamin, Mecoprop-P, Mecoprop-P-Butotyl, - Dimethylammonium, -2-Ethylhexyl und -Kalium, Mefenacet, Mefluidid, Mefluidid-Diolamin, Mefluidid-Kalium, Mesosulfuron, Mesosulfuron-Methyl, Mesosulfuron-Natrium, Mesotrion, Methabenzthiazuron, Metam, Metamifop, Metamitron, Metazachlor, Metazosulfuron, Methabenzthiazuron, Methiopyrsulfuron, Methiozolin, Methyl isothiocyanat, Metobromuron, Metolachlor, S-Metolachlor, Metosulam, Metoxuron, Metproxybicyclon, Metribuzin, Metsulfuron, Metsulfuron-Methyl, Molinat, Monolinuron, Monosulfuron, Monosulfuron-Methyl, MT-5950, d.h. N- [3-Chlor-4-(l-methylethyl)-phenyl]-2-methylpentanamid, NGGC-011, Napropamid, NC-310, i.e. 4-(2,4- Dichlorbenzoyl)-l-methyl-5-benzyloxypyrazol, Neburon, Nicosulfuron, Nonansäure (Pelargonsäure), Norflurazon, Ölsäure (Fettsäuren), Orbencarb, Orthosulfamuron, Oryzalin, Oxadiargyl, Oxadiazon, Oxasulfuron, Oxaziclomefone, Oxyfluorfen, Paraquat, Paraquat-dichlorid, Paraquat-Dimethylsulfat, Pebulat, Pendimethalin, Penoxsulam, Pentachlorphenol, Pentoxazon, Pethoxamid, Petroleumöl, Phenmedipham, Phenmedipham-Ethyl, Picloram, Picloram-dimethylammonium, Picloram-Etexyl, Picloram-Isoctyl, Picloram-Methyl, Picloram-Olamin, Picloram-Kalium, Picloram-Triethylammonium, Picloram-Tripromin, Picloram-Trolamin, Picolinafen, Pinoxaden, Piperophos, Pretilachlor, Primisulfuron, Primisulfuron-Methyl, Prodiamine, Profoxydim, Prometon, Prometryn, Propachlor, Propanil, Propaquizafop, Propazine, Propham, Propisochlor, Propoxycarbazone, Propoxycarbazone- Natrium, Propyrisulfuron, Propyzamid, Prosulfocarb, Prosulfuron, Pyraclonil, Pyraflufen, Pyraflufen- Ethyl, Pyraquinat, Pyrasulfotol, Pyrazolynat (Pyrazolat), Pyrazosulfuron, Pyrazosulfuron-Ethyl, Pyrazoxyfen, Pyribambenz, Pyribambenz-Isopropyl, Pyribambenz-Propyl, Pyribenzoxim, Pyributicarb, Pyridafol, Pyridat, Pyriftalid, Pyriminobac, Pyriminobac-Methyl, Pyrimisulfan, Pyrithiobac, Pyrithiobac-Natrium, Pyroxasulfon, Pyroxsulam, Quinclorac, Quinclorac-Dimethylammonium, Quinclorac-Methyl, Quinmerac, Quinoclamin, Quizalofop, Quizalofop-Ethyl, Quizalofop-P, Quizalofop-P-Ethyl, Quizalofop-P-Tefuryl, QYM201, i.e. l-{2-Chlor-3-[(3-cyclopropyl-5-hydroxy-l- methyl-lH-pyrazol-4-yl)carbonyl]-6-(trifluormethyl)phe-nyl}piperidin-2-on, Rimisoxafen, Rimsulfuron, Saflufenacil, Sethoxydim, Siduron, Simazine, Simetryn, SL-261, Sulcotrione, Sulfentrazone, Sulfo- meturon, Sulfometuron-Methyl, Sulfosulfuron, , SYP-249, d.h. 1 -Ethoxy-3 -methyl- l-oxobut-3-en-2-yl- 5 -[2-chlor-4-(trifluormethyl)phenoxy] -2-nitrobenzoat, SYP-300, i.e. 1 -[7 -Fluor-3 -oxo-4-(prop-2-in- 1 - yl)-3 ,4-dihydro-2H- 1 ,4-benzoxazin-6-yl] -3 -propyl-2-thioxoimidazolidin-4,5 -dion, 2,3 ,6-TB A, TCA (Trichloressigsäure) und seine Salze, z.B. TCA-ammonium, TCA-Calcium, TCA-Ethyl, TCA- Magnesium, TCA-Natrium, Tebuthiuron, Tefuryltrione, Tembotrion, Tepraloxydim, Terbacil, Terbucarb, Terbumeton, Terbuthylazine, Terbutryn, Tetflupyrolimet, Thaxtomin, Thenylchlor, Thiazopyr, Thiencarbazone, Thiencarbazon-Methyl, Thifensulfuron, Thifensulfuron-Methyl, Thiobencarb, Tiafenacil, Tolpyralat, Topramezon, Tralkoxydim, Triafamon, Tri-allat, Triasulfuron, Triaziflam, Tribenuron, Tribenuron-Methyl, Triclopyr, Triclopyr-Butotyl, Triclopyr-Cholin, Triclopyr- Ethyl, Triclopyr-Triethylammonium, Trietazine, Trifloxysulfuron, Trifloxysulfuron-Natrium, Trifludimoxazin, Trifluralin, Triflusulfuron, Triflusulfuron-Methyl, Tritosulfuron, Hamstoffsulfat, Vemolat, XDE-848, ZJ-0862, d.h. 3,4-Dichlor-N-{2-[(4,6-dimethoxypyrimidin-2-yl)oxy]benzyl}anilin, 3 -(2-Chlor-4-fluor-5 -(3 -methyl -2, 6-dioxo-4-trifluormethyl-3 ,6-dihydropyrimidin- 1 (2H)-yl)phenyl)-5 - methyl-4,5-dihydroisoxazol-5-carbonsäuremethylester, 3-(2-Chlor-4-fluor-5-(3-methyl-2,6-dioxo-4- trifluormethyl-3,6-dihydropyrimidin-l(2H)-yl)phenyl)-5-methyl-4,5-dihydroisoxazol-5- carbonsäureethylester, 3-(2-Chlor-4-fluor-5-(3-methyl-2,6-dioxo-4-trifluormethyl-3,6-dihydropyrimidin- l(2H)-yl)phenyl)-5-methyl-4,5-dihydroisoxazol-5-carbonsäure, Ethyl-[(3-{2-chlor-4-fluor-5-[3-methyl- 2,6-dioxo-4-(trifluormethyl)-3,6-dihydropyrimidin-l(2H)-yl]phenoxy}pyridin-2-yl)oxy]acetat, 3-Chlor- 2-[3-(difluormethyl)isoxazolyl-5-yl]phenyl-5-chlorpyrimidin-2-ylether, 2-(3,4-Dimethoxyphenyl)-4-[(2- hydroxy-6-oxocyclohex- 1 -en- 1 -yl)carbonyl] -6-methylpyridazin-3 (2//)-on. 2-( {2-[(2- Methoxyethoxy)methyl] -6-methylpyridin-3 -yl } carbonyl)cyclohexane- 1 ,3 -dion, (5 -Hydroxy- 1 -methyl - lH-pyrazol-4-yl)(3,3,4-trimethyl-l,l-dioxido-2,3-dihydro-l-benzothiophen-5-yl)methanon, l-Methyl-4- [(3 ,3 ,4-trimethyl- 1 , 1 -dioxido-2, 3 -dihydro- 1 -benzothiophen-5 -yl)carbonyl] - lH-pyrazol-5 -yl propan- 1 - sulfonat, 4- {2-Chlor-3 -[(3 ,5 -dimethyl- IH-pyrazol- 1 -yl)methyl] -4-(methylsulfonyl)benzoyl } - 1 -methyl - lH-pyrazol-5-yl-l,3-dimethyl-lH-pyrazol-4-carboxylat; Cyanomethyl -4-amino-3-chlor-5-fluor-6-(7- fluor- lH-indol-6-yl)pyridin-2-carboxylat, Prop-2 -yn- 1 -yl 4-amino-3 -chlor-5 -fluor-6-(7 -fluor- IH-indol- 6-yl)pyridin-2-carboxylat, Methyl-4-amino-3-chlor-5-fluor-6-(7-fluor-lH-indol-6-yl)pyridin-2- carboxylat, Benzyl-4-amino-3-chlor-5-fluor-6-(7-fluor-lH-indol-6-yl)pyridin-2-carboxylat, Ethyl-4- amino-3 -chlor-5 -fluor-6-(7 -fluor- lH-indol-6-yl)pyridin-2-carboxylat, Methyl -4-amino-3 -chlor-5 -fluor- 6-(7 -fluor- 1 -isobutyryl- lH-indol-6-yl)pyridin-2-carboxylat, Methyl 6-( 1 -acetyl-7 -fluor- lH-indol-6-yl)-Acetochlor, Acifluorfen, Acifluorfen-methyl, Acifluorfen-sodium, Aclonifen, Alachlor, Allidochlor, Alloxydim, Alloxydim-sodium, Ametryn, Amicarbazone, Amidochlor, Amidosulfiiron, 4-Amino-3-chloro-6-(4-chloro-2-fluoro-3-methylphenyl)-5-fluoropyridine-2-carboxylic acid, Aminocyclopyrachlor, Aminocyclopyrachlor-potassium, Aminocyclopyrachlor-methyl, Aminopyralid, Aminopyralid-dimethylammonium, Aminopyralid-tripromine, Amitrol, Ammoniumsulfamate, Anilofos, Asulam, Asulam-potassium, Asulam-sodium, Atrazine, Azafenidine, Azimsulfuron, Beflubutamide, (S)-(-)- Beflubutamide, Beflubutamide-M, Benazolin, Benazolin-ethyl, Benazolin-dimethylammonium, Benazolin-Klaium, Benfluralin, Benfuresate, Bensulfiiron, Bensulfiiron-methyl, Bensulide, Bentazon, Bentazon-sodium, Benzobicyclon, Benzofenap, Bicyclopyrone, Bifenox, Bilanafos, Bilanafos-sodium, Bipyrazone, Bispyribac, Bispyribac-sodium, Bixlozone, Bromacil, Bromacil-lithium, Bromacil-sodium, Bromobutide, Bromofenoxime, Bromoxynil, Bromoxynil butyrate, Bromoxynil potassium, Bromoxynil heptanoate and Bromoxynil octanoate, Busoxinon, Butachlor, Butafenacil, Butamifos, Butenachlor, Butralin, Butroxydim, Butylate, Cafenstrol, Cambendichlor, Carbetamide, Carfentrazone, Carfentrazone- Ethyl, chloramben, chloramben-ammonium, chloramben-diolamine, chloramben-methyl, chlorambenmethylammonium, chloramben-sodium, chlorbromuron, chlorfenac, chlorfenac-ammonium, chlorfenac-sodium, chlorfenprop, chlorfenprop-methyl, chlorflurenol, chlorflurenol-methyl, chloridazon, chlorimuron, chlorimuron-ethyl, chlorophthalim, chlorotoluron, chlorsulfuron, chlorthal, chlorthal-dimethyl, chlorthal-monomethyl, cinidon, cinidon-ethyl, cinmethylin, exo-(+)- cinmethylin, dh (lR,2S,4S)-4-isopropyl-l-methyl-2-[(2-methylbenzyl)oxy]-7-oxabicyclo[2.2.1]heptane, exo-(-)-cinmethylin, dh (lR,2S,4S)-4-isopropyl-l-methyl-2-[(2-methylbenzyl)oxy]-7- oxabicyclo[2.2.1]heptane, Cinosulfiiron, Clacyfos, Clethodim, Clodinafop, Clodinafop-ethyl, Clodinafop- propargyl, Clomazone, Clomeprop, Clopyralid, Clopyralid-methyl, Clopyralid-olamine, Clopyralid- potassium, Clopyralid-tripomin, Cloransulam, Cloransulam-methyl, Cumyluron, Cyanamide, Cyanazine, Cycloate, Cyclopyranil, Cyclopyrimorate, Cyclosulfamuron, Cycloxydim, Cyhalofop, Cyhalofop-butyl, Cyprazine, 2,4-D (and the ammonium, butotyl, butyl, choline, diethylammonium, dimethylammonium, diolamine, doboxyl, dodecylammonium, etexyl, ethyl, 2-ethylhexyl, heptylammonium, isobutyl, isooctyl, isopropyl, isopropylammonium, lithium, meptyl, methyl, potassium, tetradecylammonium, triethylammonium, triisopropanolammonium, tripromine and trolamine salts thereof), 2,4-DB, 2,4-DB-butyl, 2,4-DB-dimethylammonium, 2,4-DB-isooctyl, 2,4-DB-potassium and 2,4-DB-sodium, daimuron (dymron), dalapon, dalapon calcium, dalapon magnesium, dalapon sodium, dazomet, dazomet sodium, n-decanol, 7-Deoxy-D-sedoheptulose, desmedipham, detosyl pyrazolate (DTP), dicamba and its salts (e.g. dicamba biproamine, dicamba N,N-bis(3-aminopropyl)methylamine, dicamba butotyl, dicamba choline, dicamba diglycolamine, dicamba dimethylammonium, dicamba diethanolamine ammonium, dicamba diethylammonium, dicamba isopropylammonium, dicamba methyl, dicamba monoethanolamine, dicamba olamine, dicamba potassium, dicamba sodium, dicamba triethanolamine), dichlobenil, 2-(2,4-dichlorobenzyl)-4,4-dimethyl- 1 ,2-oxazolidin-3 -one, 2-(2,5 -dichlorobenzyl)-4,4-dimethyl- 1 ,2-oxazolidin-3 -one, Dichlorprop, Dichlorprop-butotyl, Dichlorprop-dimethylammonium, Dichlorprop-etexyl, Dichlorpropethylammonium, Dichlorprop-isoctyl, Dichlorprop-methyl, Dichlorprop-potassium, Dichlorprop-sodium, Dichlorprop-P, Dichlorprop-P -dimethylammonium, Dichlorprop-P -etexyl, Dichlorprop-P -potassium, Dichlorprop-sodium, Diclofop, Diclofop-methyl, Diclofop-P, Diclofop-P -methyl, Diclosulam, Difenzoquat, Difenzoquat-metilsulfate, Diflufenican, Diflufenzopyr, Diflufenzopyr-sodium, Dimefuron, Dimepiperate, Dimesulfazet, Dimethachlor, Dimethametryn, Dimethenamid, Dimethenamid-P, Dimetrasulfuron, Dinitramine, Dinoterb, Dinoterb-Acetate, Diphenamid, Diquat, Diquat Dibromide, Diquat Dichloride, Dithiopyr, Diuron, DNOC, DNOC Ammonium, DNOC Potassium, DNOC Sodium, Endothal, Endothal Diammonium, Endothal Dipotassium, Endothal Disodium, Epyrifenacil (S-3100), EPTC, Esprocarb, Ethalfluralin, Ethametsulfuron, Ethametsulfuron Methyl, Ethiozine, Ethofumesate, Ethoxyfen, Ethoxyfen Ethyl, Ethoxysulfuron, Etobenzanide, F-5231, ie N-[2-chloro-4-fluoro-5-[4-(3-fluoropropyl)-4, 5-dihydro-5-oxo- 1H-tetrazol- 1-yl]-phenyl]-ethanesulfonamide, F-7967, ie 3-[7-chloro-5 -fluoro-2-(trifluoromethyl)- lH-benzimidazol-4-yl] - 1 -methyl-6- (trifluoromethyl)pyrimidine-2,4(lH,3H)-dione, fenoxaprop, fenoxaprop-P, fenoxaprop-ethyl, fenoxaprop-P -ethyl, fenoxasulfone, fenpyrazone, fenquinotrion, fentrazamid, flamprop, flamprop- isoproyl, flamprop-methyl, flamprop-M-isopropyl, flamprop-M-methyl, flazasulfuron, florasulam, florpyrauxifen, florpyrauxifen-benzyl, fluazifop, fluazifop-butyl, fluazifop-methyl, fluazifop-P, fluazifop-P -butyl, flucarbazone, flucarbazone sodium, flucetosulfuron, Fluchloraline, flufenacet, flufenoximacil, flufenpyr, flufenpyr-ethyl, flumetsulam, flumiclorac, flumiclorac-pentyl, flumioxazin, fluometuron, flurenol, flurenol-butyl, -dimethylammonium and -methyl, fluoroglycofen, fluoroglycofen-ethyl, flupropanate, flupropanate sodium, flupyrsulfuron, flupyrsulfuron-methyl, flupyrsulfuron-methyl sodium, fluridone, flurochloridone, fluroxypyr, fluroxypyr-butometyl, fluroxypyr-meptyl, flurtamone, fluthiacet, fluthiacet-methyl, fomesafen, fomesafen sodium, foramsulfuron, foramsulfuron sodium, fosamine, fosamine ammonium, Glufosinate, Glufosinate Ammonium, Glufosinate Sodium, L-Glufosinate Ammonium, L-Glufosinate Sodium, Glufosinate P Sodium, Glufosinate P Ammonium, Glyphosate, Glyphosate Ammonium, Glyphosate Isopropylammonium, Glyphosate Diammonium, Glyphosate Dimethylammonium, Glyphosate Potassium, Glyphosate Sodium, Glyphosate Sesquinodium and Glyphosate Trimesium, H-9201, i.e. O-(2,4-Dimethyl-6-nitrophenyl)-O-ethyl-isopropylphosphoramidothioate, Halauxifen, Halauxifen-methyl, Halosafen, Halosulfuron, Halosulfuron-methyl, Haloxyfop, Haloxyfop-P, Haloxyfop-Ethoxyethyl, Haloxyfop-P -Ethoxyethyl, Haloxyfop-Methyl, Haloxyfop-P -Methyl, Haloxifop Sodium, Hexazinone, HNPC-A8169, ie Prop-2-yn-l-yl (2S)-2-{3-[(5-tert-butylpyridin-2-yl)oxy]phenoxy}propanoate, HW-02, ie l-(Dimethoxyphosphoryl)-ethyl-(2,4-dichlorophenoxy)acetate, Hydantocidin, Icafolin, Icafolin-Methyl, Imazamethabenz, Imazamethabenz-Methyl, Imazamox, Imazamox-Ammonium, Imazapic, Imazapic-Ammonium, Imazapyr, Imazapyr-Isopropylammonium, Imazaquin, Imazaquin-Ammonium, Imazaquin-Methyl, Imazethapyr, Imazethapyr-Ammonium, Imazosulfuron, Indanofan, Indaziflam, Indolauxipyr, lodosulfuron, lodosulfuron-methyl, lodosulfuron-methyl sodium, Ioxynil, loxynil- lithium, -octanoate, -potassium and sodium, Ipfencarbazone, Iptriazopyridine, ie 3-[(Isopropylsulfonyl)methyl]-N-(5-methyl-l,3,4-oxadiazol-2-yl)-5-(trifluoromethyl)[l,2,4]triazolo-[4,3- a]pyridine-8-carboxamide, Isoproturon, Isouron, Isoxaben, Isoxaflutole, Karbutilate, KUH-043, ie 3-({[5-(difluoromethyl)-1-methyl-3-(trifluoromethyl)-lH-pyrazol-4-yl]methyl}sulfonyl)-5,5-dimethyl-4,5- dihydro-l,2-oxazole, ketospiradox, ketospiradox potassium, lactofen, lenacil, linuron, MCPA, MCPA- butotyl, -butyl, -dimethylammonium, -diolamine, -2-ethylhexyl, -ethyl, -isobutyl, isoctyl, -isopropyl, - isopropylammonium, -methyl, olamine, -potassium, -sodium and -trolamine, MCPB, MCPB- methyl, -ethyl and -sodium, mecoprop, mecoprop-butotyl, mecoprop-dimethylammonium, mecoprop-diolamine, mecoprop-etexyl, mecoprop-ethadyl, mecoprop-isoctyl, mecoprop-methyl, mecoprop-potassium, mecoprop-sodium, and mecoprop-trolamine, mecoprop-P, mecoprop-P-butotyl, -dimethylammonium, -2-ethylhexyl and -potassium, Mefenacet, Mefluidide, Mefluidide-Diolamine, Mefluidide Potassium, Mesosulfuron, Mesosulfuron-Methyl, Mesosulfuron-Sodium, Mesotrione, Methabenzthiazuron, Metam, Metamifop, Metamitron, Metazachlor, Metazosulfuron, Methabenzthiazuron, Methiopyrsulfuron, Methiozolin, Methyl Isothiocyanate, Metobromuron, Metolachlor, S-Metolachlor, Metosulam, Metoxuron, Metproxybicyclon, Metribuzin, Metsulfuron, Metsulfuron-Methyl, Molinate, Monolinuron, Monosulfuron, Monosulfuron-Methyl, MT-5950, i.e. N-[3-chloro-4-(l-methylethyl)-phenyl]-2-methylpentanamide, NGGC-011, Napropamide, NC-310, ie 4-(2,4-Dichlorobenzoyl)-l-methyl-5-benzyloxypyrazole, Neburon, Nicosulfuron, Nonanoic Acid (Pelargonic Acid), Norflurazon, Oleic Acid (Fatty Acids), Orbencarb, Orthosulfamuron, Oryzalin, Oxadiargyl, Oxadiazon, Oxasulfuron, Oxaziclomefone, Oxyfluorfen, Paraquat, Paraquat Dichloride, Paraquat Dimethyl Sulfate, Pebulate, Pendimethalin, Penoxsulam, Pentachlorophenol, Pentoxazone, Pethoxamide, Petroleum Oil, Phenmedipham, Phenmedipham Ethyl, Picloram, Picloram Dimethylammonium, Picloram Etexyl, Picloram Isoctyl, Picloram Methyl, Picloram Olamine, Picloram Potassium, Picloram Triethylammonium, Picloram Tripromine, Picloram Trolamine, Picolinafen, Pinoxaden, Piperophos, Pretilachlor, Primisulfuron, Primisulfuron-Methyl, Prodiamine, Profoxydim, Prometon, Prometryn, Propachlor, Propanil, Propaquizafop, Propazine, Propham, Propisochlor, Propoxycarbazone, Propoxycarbazone- Sodium, Propyrisulfuron, Propyzamide, Prosulfocarb, Prosulfuron, Pyraclonil, Pyraflufen, Pyraflufen-Ethyl, Pyraquinate, Pyrasulfotol, Pyrazolynate (Pyrazolate), Pyrazosulfuron, Pyrazosulfuron-Ethyl, Pyrazoxyfen, Pyribambenz, Pyribambenz-Isopropyl, Pyribambenz-Propyl, Pyribenzoxime, Pyributicarb, Pyridafol, Pyridate, Pyriftalide, Pyriminobac, Pyriminobac-Methyl, Pyrimisulfan, Pyrithiobac, Pyrithiobac Sodium, Pyroxasulfone, Pyroxsulam, Quinclorac, Quinclorac-Dimethylammonium, Quinclorac-Methyl, Quinmerac, Quinoclamin, Quizalofop, Quizalofop-Ethyl, Quizalofop-P, Quizalofop-P-Ethyl, Quizalofop-P-Tefuryl, QYM201, ie l-{2-chloro-3-[(3-cyclopropyl-5-hydroxy-l- methyl-lH-pyrazol-4-yl)carbonyl]-6-(trifluoromethyl)phe-nyl}piperidin-2-one, Rimisoxafen, Rimsulfuron, Saflufenacil, Sethoxydim, Siduron, Simazine, Simetryn, SL-261, Sulcotrione, Sulfentrazone, Sulfo- meturon, Sulfometuron-Methyl, Sulfosulfuron, , SYP-249, ie 1 -Ethoxy-3 -methyl- l-oxobut-3-en-2-yl- 5 -[2-chloro-4-(trifluoromethyl)phenoxy] -2-nitrobenzoate, SYP-300, ie 1 -[7 -fluoro-3 -oxo-4-(prop-2-yn- 1 - yl)-3 ,4-dihydro-2H- 1 ,4-benzoxazin-6-yl] -3 -propyl-2-thioxoimidazolidin-4,5 -dione, 2,3 ,6-TB A, TCA (trichloroacetic acid) and its salts, eg TCA-ammonium, TCA-calcium, TCA-ethyl, TCA-magnesium, TCA-sodium, tebuthiuron, tefuryltrione, tembotrione, tepraloxydim, terbacil, terbucarb, terbumetone, terbuthylazine, terbutryn, tetflupyrolimet, thaxtomin, thenylchlor, Thiazopyr, Thiencarbazone, Thiencarbazone-Methyl, Thifensulfuron, Thifensulfuron-Methyl, Thiobencarb, Tiafenacil, Tolpyralate, Topramezone, Tralkoxydim, Triafamon, Tri-allate, Triasulfuron, Triaziflam, Tribenuron, Tribenuron-Methyl, Triclopyr, Triclopyr-Butotyl, Triclopyr-Choline, Triclopyr-Ethyl, Triclopyr-Triethylammonium, Trietazine, Trifloxysulfuron, Trifloxysulfuron-Sodium, Trifludimoxazine, Trifluralin, Triflusulfuron, Triflusulfuron-Methyl, Tritosulfuron, Urea Sulfate, Vemolate, XDE-848, ZJ-0862, dh 3,4-Dichloro-N-{2-[(4,6-dimethoxypyrimidin-2-yl)oxy]benzyl}aniline, 3 -(2-chloro-4-fluoro-5 -(3 -methyl -2, 6-dioxo-4-trifluoromethyl-3 ,6-dihydropyrimidin- 1 (2H)-yl)phenyl)-5 - methyl-4,5-dihydroisoxazole-5-carboxylic acid methyl ester, 3-(2-chloro-4-fluoro-5-(3-methyl-2,6-dioxo-4-trifluoromethyl-3,6-dihydropyrimidin-l(2H)-yl)phenyl)-5-methyl-4,5-dihydroisoxazole-5-carboxylic acid ethyl ester, 3-(2-chloro-4-fluoro-5-(3-methyl-2,6-dioxo-4-trifluoromethyl-3,6-dihydropyrimidine- l(2H)-yl)phenyl)-5-methyl-4,5-dihydroisoxazole-5-carboxylic acid, ethyl [(3-{2-chloro-4-fluoro-5-[3-methyl- 2,6-dioxo-4-(trifluoromethyl)-3,6-dihydropyrimidin-l(2H)-yl]phenoxy}pyridin-2-yl)oxy]acetate, 3-chloro- 2-[3-(difluoromethyl)isoxazolyl-5-yl]phenyl-5-chloropyrimidin-2-yl ether, 2-(3,4-dimethoxyphenyl)-4-[(2-hydroxy-6-oxocyclohex- 1 -en- 1 -yl)carbonyl] -6-methylpyridazin-3 (2//)-one. 2-( {2-[(2- Methoxyethoxy)methyl] -6-methylpyridin-3 -yl } carbonyl)cyclohexane- 1 ,3 -dione, (5 -Hydroxy- 1 -methyl - lH-pyrazol-4-yl)(3,3,4-trimethyl-l,l-dioxido-2,3-dihydro-l-benzothiophen-5-yl)methanone, l-Methyl-4- [(3 ,3 ,4-trimethyl- 1 , 1 -dioxido-2, 3 -dihydro- 1 -benzothiophen-5 -yl)carbonyl] - lH-pyrazol-5 -yl propane- 1 - sulfonate, 4- {2-Chloro-3 -[(3 ,5 -dimethyl- IH-pyrazol- 1 -yl)methyl] -4-(methylsulfonyl)benzoyl } - 1 -methyl - lH-pyrazol-5-yl-l,3-dimethyl-lH-pyrazol-4-carboxylate; Cyanomethyl -4-amino-3-chloro-5-fluoro-6-(7- fluor- lH-indol-6-yl)pyridine-2-carboxylate, Prop-2 -yn- 1 -yl 4-amino-3 -chloro-5 -fluoro-6-(7 -fluor- IH-indol- 6-yl)pyridine-2-carboxylate, Methyl 4-amino-3-chloro-5-fluoro-6-(7-fluoro-lH-indol-6-yl)pyridine-2-carboxylate, Benzyl 4-amino-3-chloro-5-fluoro-6-(7-fluoro-lH-indol-6-yl)pyridine-2-carboxylate, Ethyl 4- amino-3 -chloro-5 -fluoro-6-(7 -fluoro- lH-indol-6-yl)pyridine-2-carboxylate, Methyl -4-amino-3 -chloro-5 -fluoro- 6-(7 -fluoro- 1 -isobutyryl- lH-indol-6-yl)pyridine-2-carboxylate, Methyl 6-( 1 -acetyl-7 -fluoro- lH-indol-6-yl)-
4-amino-3 -chlor-5 -fluorpyridin-2-carboxylat, Methyl-4-amino-3-chlor-6-[l-(2,2-dimethylpropanoyl)-7- fluor- lH-indol-6-yl] -5 -fluorpyridin-2-carboxylat, Methyl -4-amino-3 -chlor-5 -fluor-6-[7 -fluor- 1 - (methoxyacetyl)-lH-indol-6-yl]pyridin-2-carboxylat, Kalium 4-amino-3-chlor-5-fluor-6-(7-fluor-lH- indol-6-yl)pyridin-2-carboxylat, Natrium-4-amino-3-chlor-5-fluor-6-(7-fluor-lH-indol-6-yl)pyridin-2- carboxylat, Butyl-4-amino-3-chlor-5-fluoro-6-(7-fluoro-lH-indol-6-yl)pyridin-2-carboxylat, 4-Hydroxy- 1 -methyl-3 -[4-(trifluoromethyl)pyridin-2-yl]imidazolidin-2-on, 3 -(5 -tert-butyl- 1 ,2-oxazol-3 -yl)-4- hydroxy- 1 -methylimidazolidin-2-on, 3 -[5 -Chlor-4-(trifluormethyl)pyridin-2-yl] -4-hydroxy- 1 - methylimidazolidin-2-on, 4-Hydroxy-l-methoxy-5-methyl-3-[4-(trifluormethyl)pyridin-2- yl]imidazolidin-2-on, 6-[(2-Hydroxy-6-oxocyclohex- 1 -en- 1 -yl)carbonyl] - 1 ,5 -dimethyl-3 -(2- methylphenyl)chinazolin-2,4(lH,3H)-dion, 3-(2,6-Dimethylphenyl)-6-[(2-hydroxy-6-oxocyclohex-l-en-4-amino-3-chloro-5-fluoropyridine-2-carboxylate, Methyl 4-amino-3-chloro-6-[l-(2,2-dimethylpropanoyl)-7- fluor- lH-indol-6-yl] -5 -fluoropyridine-2-carboxylate, Methyl -4-amino-3-chloro-5-fluor-6-[7 -fluor- 1 - (methoxyacetyl)-lH-indol-6-yl]pyridine-2-carboxylate, Potassium 4-amino-3-chloro-5-fluoro-6-(7-fluoro-lH-indol-6-yl)pyridine-2-carboxylate, Sodium 4-amino-3-chloro-5-fluoro-6-(7-fluoro-lH-indol-6-yl)pyridine-2-carboxylate, Butyl-4-amino-3-chloro-5-fluoro-6-(7-fluoro-lH-indol-6-yl)pyridine-2-carboxylate, 4-Hydroxy- 1 -methyl-3 -[4-(trifluoromethyl)pyridin-2-yl]imidazolidin-2-one, 3 -(5 -tert-butyl- 1 ,2-oxazol-3 -yl)-4- hydroxy- 1 -methylimidazolidin-2-one, 3 -[5 -chloro-4-(trifluoromethyl)pyridin-2-yl] -4-hydroxy- 1 - methylimidazolidin-2-one, 4-Hydroxy-l-methoxy-5-methyl-3-[4-(trifluoromethyl)pyridin-2- yl]imidazolidin-2-one, 6-[(2-Hydroxy-6-oxocyclohex- 1 -en- 1 -yl)carbonyl] - 1 ,5 -dimethyl-3 -(2-methylphenyl)quinazoline-2,4(lH,3H)-dione, 3-(2,6-dimethylphenyl)-6-[(2-hydroxy-6-oxocyclohex-l-ene-
1-yl)carbonyl]-l-methylchinazolin-2,4(lH,3H)-dion, 2-[2-chlor-4-(methylsulfonyl)-3-(morpholin-4- ylmethyl)benzoyl] -3 -hydroxy cyclohex-2 -en- 1 -on, 1 -(2-carboxyethyl)-4-(pyrimidin-2-yl)pyridazin- 1 - iumsalz (mit passenden Anionen wie z.B Chlorid, Acetat oder Trifluoracetat), l-(2-Carboxyethyl)-4- (pyridazin-3-yl)pyridazin-l-iumsalz (mit passenden Anionen wie z.B. Chlorid, Acetat oder Trifluoracetat), 4-(Pyrimidin-2-yl)-l-(2-sulfoethyl)pyridazin-l-ium salz (mit passenden Anionen wie z.B Chlorid, Acetat oder Trifluoracetat), 4-(Pyridazin-3-yl)-l-(2-sulfoethyl)pyridazin-l -iumsalz (mit passenden Anionen wie z.B Chlorid, Acetat oder Trifluoracetat), l-(2-Carboxyethyl)-4-(l,3-thiazol-2- yl)pyridazin-l -iumsalz (mit passenden Anionen wie z.B Chlorid, Acetat oder Trifluoracetat), l-(2- Carboxyethyl)-4-(l, 3, 4-thiadiazol-2-yl)pyridazin-l -iumsalz (mit passenden Anionen wie z.B Chlorid, Acetat oder Trifluoracetat), Methyl (2R)-2-{[(E)-({2-chlor-4-fluor-5-[3-methyl-2,6-dioxo-4- (trifluormethyl)-3,6-dihydropyrimidin-l(2H)-yl]phenyl}methyliden)amino]oxy}propanoat, Methyl (2S)-1-yl)carbonyl]-l-methylquinazolin-2,4(lH,3H)-dione, 2-[2-chloro-4-(methylsulfonyl)-3-(morpholin-4- ylmethyl)benzoyl] -3 -hydroxy cyclohex-2 -en- 1 -one, 1 -(2-carboxyethyl)-4-(pyrimidin-2-yl)pyridazin- 1 - ium salt (with suitable anions such as chloride, acetate or trifluoroacetate), l-(2-carboxyethyl)-4- (pyridazin-3-yl)pyridazin-l-ium salt (with suitable anions such as chloride, acetate or trifluoroacetate), 4-(pyrimidin-2-yl)-l-(2-sulfoethyl)pyridazin-l-ium salt (with suitable anions such as chloride, acetate or trifluoroacetate), 4-(pyridazin-3-yl)-l-(2-sulfoethyl)pyridazin-l -ium salt (with suitable anions such as chloride, acetate or trifluoroacetate), l-(2-carboxyethyl)-4-(l,3-thiazol-2-yl)pyridazin-l -ium salt (with suitable anions such as chloride, acetate or trifluoroacetate), l-(2-carboxyethyl)-4-(l,3,4-thiadiazol-2-yl)pyridazin-l -ium salt (with suitable anions such as chloride, acetate or trifluoroacetate), methyl (2R)-2-{[(E)-({2-chloro-4-fluoro-5-[3-methyl-2,6-dioxo-4-(trifluoromethyl)-3,6-dihydropyrimidin-l(2H)-yl]phenyl}methylidene)amino]oxy}propanoate, methyl (2S)-
2-{[(E)-({2-chlor-4-fluor-5-[3-methyl-2,6-dioxo-4-(trifluormethyl)-3,6-dihydropyrimidin-l(2H)- yl]phenyl}methyliden)amino]oxy}propanoat, Methyl (2R/S)-2-{[(E)-({2-chlor-4-fluor-5-[3-methyl-2,6- dioxo-4-(trifluormethyl)-3,6-dihydropyrimidin-l(2H)-yl]phenyl}methyliden)amino]oxy}propanoat, (E)- 2-(Trifluormethyl)benzaldehyd-O-{2,6-bis[(4,6-dimethoxypyrimidin-2-yl)oxy]benzoyl}oxim, 2-Fluor- N-(5-methyl-l,3,4-oxadiazol-2-yl)-3-[(R)-propylsulfinyl]-4-(trifluormethyl)benzamid, (2R)-2-[(4- Amino-3,5-dichlor-6-fluor-2-pyridyl)oxy]propancarbonsäure, 2-Ethoxy-2-oxoethyl-l-{2-chlor-4-fluor-2-{[(E)-({2-chloro-4-fluoro-5-[3-methyl-2,6-dioxo-4-(trifluoromethyl)-3,6-dihydropyrimidin-l(2H)- yl]phenyl}methylidene)amino]oxy}propanoate, Methyl (2R/S)-2-{[(E)-({2-chloro-4-fluoro-5-[3-methyl-2,6- dioxo-4-(trifluoromethyl)-3,6-dihydropyrimidin-l(2H)-yl]phenyl}methylidene)amino]oxy}propanoate, (E)- 2-(Trifluoromethyl)benzaldehyde-O-{2,6-bis[(4,6-dimethoxypyrimidin-2-yl)oxy]benzoyl}oxime, 2-Fluoro- N-(5-methyl-l,3,4-oxadiazol-2-yl)-3-[(R)-propylsulfinyl]-4-(trifluoromethyl)benzamide, (2R)-2-[(4- Amino-3,5-dichloro-6-fluoro-2-pyridyl)oxy]propanecarboxylic acid, 2-Ethoxy-2-oxoethyl-l-{2-chloro-4-fluoro-
5-[3-methyl-2,6-dioxo-4-(trifluormethyl)-3,6-dihydropyrimidin-l(2H)- yl]phenoxy}cyclopropancarboxylat, 2-Methoxy-2-oxoethyl-l-{2-chlor-4-fluor-5-[3-methyl-2,6-dioxo-4- (trifluormethyl)-3,6-dihydropyrimidin-l(2H)-yl]phenoxy}cyclopropancarboxylat, {[(l-{2-Chlor-4- fluor-5-[3-methyl-2,6-dioxo-4-(trifluormethyl)-3,6-dihydropyrimidin-l(2H)- yl]phenoxy}cyclopropyl)carbonyl]oxy}essigsäure, 2-(2 -Brom -4-chlorbenzyl)-4,4-dimethyl- 1,2- oxazolidin-3 -on, Methyl 3 - {2-chlor-4-fluor-5 -[3 -methyl -2, 6-dioxo-4-(trifluoromethyl)-3 ,6- dihydropyrimidin- 1 (2H)-yl]phenyl} -3a,4,5,6-tetrahydro-6aH-cyclopenta[d] [ 1 ,2]oxazol-6a-carboxylat,5-[3-methyl-2,6-dioxo-4-(trifluoromethyl)-3,6-dihydropyrimidin-l(2H)- yl]phenoxy}cyclopropanecarboxylate, 2-methoxy-2-oxoethyl-l-{2-chloro-4-fluoro-5-[3-methyl-2,6-dioxo-4- (trifluoromethyl)-3,6-dihydropyrimidin-l(2H)-yl]phenoxy}cyclopropanecarboxylate, {[(l-{2-chloro-4- fluoro-5-[3-methyl-2,6-dioxo-4-(trifluoromethyl)-3,6-dihydropyrimidin-l(2H)- yl]phenoxy}cyclopropyl)carbonyl]oxy}acetic acid, 2-(2-bromo-4-chlorobenzyl)-4,4-dimethyl- 1,2- oxazolidin-3 -one, methyl 3 - {2-chloro-4-fluoro-5-[3-methyl-2, 6-dioxo-4-(trifluoromethyl)-3 ,6- dihydropyrimidin- 1 (2H)-yl]phenyl} -3a,4,5,6-tetrahydro-6aH-cyclopenta[d] [ 1 ,2]oxazole-6a-carboxylate,
Ethyl 3-{2-chlor-4-fluor-5-[3-methyl-2,6-dioxo-4-(trifluoromethyl)-3,6-dihydropyrimidin-l(2H)- yl]phenyl } -3a, 4, 5 ,6-tetrahydro-6aH-cyclopenta[d] [ 1 ,2] oxazol-6a-carboxylat Ethyl 3-{2-chloro-4-fluoro-5-[3-methyl-2,6-dioxo-4-(trifluoromethyl)-3,6-dihydropyrimidin-l(2H)- yl]phenyl } -3a, 4, 5 ,6-tetrahydro-6aH-cyclopenta[d] [ 1 ,2] oxazole-6a-carboxylate
Wuchsregulatoren und Pflanzenstimulantien als Mischungspartner Growth regulators and plant stimulants as mixing partners
Abscisinsäure und verwandte Analoga [z.B. (2Z,4E)-5-[6-Ethinyl-l-hydroxy-2,6-dimethyl-4- oxocyclohex-2-en- 1 -yl] -3 -methylpenta-2,4-diensäure, methyl-(2Z,4E)-5-[6-ethinyl- 1 -hydroxy-2,6- dimethyl-4-oxocyclohex-2-en-l-yl]-3-methylpenta-2,4-dienoat, (2Z,4E)-3-ethyl-5-(l-hydroxy-2,6,6- trimethyl-4-oxocyclohex-2-en- 1 -yl)penta-2,4-diensäure, (2E,4E)-5-( 1 -hydroxy-2,6,6-trimethyl-4- oxocyclohex-2-en- 1 -yl)-3 -(trifluoromethyl)penta-2,4-diensäure, methyl (2E,4E)-5-( 1 -hydroxy-2,6,6- trimethyl-4-oxocyclohex-2-en-l-yl)-3-(trifluoromethyl)penta-2,4-dienoat, (2Z,4E)-5-(2-hydroxy-l,3- dimethyl-5-oxobicyclo[4.1 ,0]hept-3-en-2-yl)-3-methylpenta-2,4-diensäure], Acibenzolar, Acibenzolar- S-methyl, S-Adenosylhomocystein, Allantoin, 2-Aminoethoxyvinylglycin (AVG), Aminooxyessigsäure and verwandte Ester [z.B. (Isopropyliden)-aminooxyessigsäure-2-(methoxy)-2-oxoethylester, (Isopropyliden)-aminooxyessigsäure-2-(hexyloxy)-2-oxoethylester, (Cyclohexyliden)- aminooxyessigsäure-2-(isopropyloxy)-2-oxoethylester], 1-Aminocycloprop-l-ylcarbonsäure N-Methyl- 1-aminocyclopropyl-l -carbonsäure, 1 -Aminocyclopropyl- 1 -carbonsäureamid, substituierte 1- Aminocyclopropyl-1 -carbonsäurederivate wie sie in DE3335514, EP30287, DE2906507 oder US5123951 beschrieben werden, 1 -Aminocyclopropyl- 1-hydroxamsäure, 5-Aminolevulinsäure, Ancymidol, 6-Benzylaminopurin, Bikinin, Brassinolid, Brassinolide-ethyl, L-Canalin, Catechin und catechine (z.B. (2S,3R)-2-(3,4-Dihydroxyphenyl)-3,4-dihydro-2H-chromen-3,5,7-triol), Chitooligosaccharides (CO; COs unterscheiden sich von LCOs dadurch, daß ihnen die für LCOs charakteristische Fettsäureseitenkette fehlt. COs, in manchen Fällen als N-Acetylchitooligosaccharide bezeichnet, sind auch aus GlcNAc-Einheiten aufgebaut, aber haben Seitenketten, durch die sies ich von Chitinmolekülen unterscheiden [(CSHBNOS)^ CAS NO. 1398-61-4] und chitosan Moleküle [(CsHnNO-On, CAS No. 9012-76-4]), Chitin-artige Verbindungen, Chlormequat chloride, Cloprop, Cyclanilide, 3 -(Cy cloprop- l-enyl)propionsäure, l-[2-(4-Cyano-3,5- dicyclopropylphenyl)acetamido]cyclohexancarbonsäure, l-[2-(4-Cyano-3- cyclopropylphenyl)acetamido]cyclohexancarbonsäure, 1-Cyclopropenylmethanol, Daminozid, Dazomet, Dazomet-Natrium, n-Decanol, Dikegulac, Dikegulac-Natrium, Endothal, Endothal-di-Kalium, -di- Natrium, und mono(N,N-dimethylalkylammonium), Ethephon, l-Ethylcyclopropen,Flumetralin, Flurenol, Flurenol-butyl, Flurenol-methyl, Flurprimidol, Forchlorfenuron, Gibberellinsäure, Inabenfid, Indol-3-essigsäure (IAA), 4-Indol-3-ylbuttersäure, Isoprothiolan, Probenazole, Jasmonsäure, Jasmonsäureester oder andere Derivate (z.B. Jasmonsäuremethylester, Jasmonsäureethylester), Lipochitooligosaccharide (LCO, in manchen Fällen auch als Symbiotische Nodulationssignale (Nod oder Nod Faktoren) oder als Myc Faktoren bezeichnet, bestehen aus einem Oligosacchariderückgrat aus ß-l,4-verknüpften JV-Acetyl-D-Glucosaminresten (“GlcNAc”) mit einer N-verknüpften Fettsäureseitenkette, die am nicht reduzierenden Ende ankondensiert ist. Wie aus der Literatur zu entnehmen ist, unterscheiden sich LCOs in der Zahl an GlcNAc-EInheiten in der Rückgratstruktur, in der Länge und dem Sättigungsgrad der Fettsäurekette sowie in der Substitution der reduzierenden und nicht-reduzierenden Zuckereinheiten), Linoleinsäure oder ihre Derivate, Linolensäure oder ihre Derivate, Maleinsäurehydrazid, Mepiquatchlorid, Mepiquatpentaborat, 1-Methylcyclopropen, 3- Methylcyclopropen, Methoxyvinylglycin (MVG), 3’-Methylabscisinsäure, l-(4-Methylphenyl)-N-(2- oxo-1 -propyl- 1,2, 3, 4-tetrahydrochinolin-6-yl)methansulfonamid und verwandte substituierte (Tetrahydrochinolin-6-yl)methansulfonamide, (3E,3aR,8bS)-3-({[(2R)-4-Methyl-5-oxo-2,5- dihydrofuran-2-yl]oxy}methylen)-3,3a,4,8b-tetrahydro-2H-indeno[l,2-b]furan-2-on und verwandte Laktone wie sie in EP2248421 beschrieben sind, 2-(l-Naphthyl)acetamid, 1-Naphthylessigsäure, 2- Naphthyloxyessigsäure, Nitrophenolatmischung, 4-Oxo-4[(2-phenylethyl)amino]buttersäure, Paclobutrazol, 4-Phenylbuttersäure and ihre Salze (z.B. Natrium -4-phenylbutanoat, Kalium -4- phenylbutanoat), Phenylalanine, N-Phenylphthalamsäure, Prohexadione, Prohexadion-Calcium, , 1-n- Propylcyclopropen, Putrescin, Prohydrojasmon, Rhizobitoxin, Salicylsäure und Salicyclsäuremethylester, Sarcosin, Natriumcycloprop-l-en-l-ylacetat, Natriumcycloprop-2-en-l- ylacetat, Natrium-3 -(cycloprop-2-en- 1 -yl)propanoat, Natrium-3 -(cycloprop- 1 -en- 1 -yl)propanoat, Sidefungin, Spermidin, Spermine, Strigolactone, Tecnazene, Thidiazuron, Triacontanol, Trinexapac, Trinexapac-ethyl, Tryptophan, Tsitodef, Uniconazol, Uniconazol-P, 2-Fluoro-N-(3-methoxyphenyl)-9H- purin-6-amin, 2-chloro-N-(3-methoxyphenyl)-9H-purin-6-amin. Abscisic acid and related analogues [e.g. (2Z,4E)-5-[6-ethynyl-l-hydroxy-2,6-dimethyl-4- oxocyclohex-2-en- 1 -yl] -3 -methylpenta-2,4-dienoic acid, methyl-(2Z,4E)-5-[6-ethynyl- 1 -hydroxy-2,6- dimethyl-4-oxocyclohex-2-en-l-yl]-3-methylpenta-2,4-dienoate, (2Z,4E)-3-ethyl-5-(l-hydroxy-2,6,6- trimethyl-4-oxocyclohex-2-en- 1 -yl)penta-2,4-dienoic acid, (2E,4E)-5-( 1 -hydroxy-2,6,6-trimethyl-4- oxocyclohex-2-en- 1 -yl)-3 -(trifluoromethyl)penta-2,4-dienoic acid, methyl (2E,4E)-5-( 1 -hydroxy-2,6,6- trimethyl-4-oxocyclohex-2-en-l-yl)-3-(trifluoromethyl)penta-2,4-dienoate, (2Z,4E)-5-(2-hydroxy-l,3- dimethyl-5-oxobicyclo[4.1 ,0]hept-3-en-2-yl)-3-methylpenta-2,4-dienoic acid], acibenzolar, acibenzolar- S-methyl, S-adenosylhomocysteine, allantoin, 2-aminoethoxyvinylglycine (AVG), aminooxyacetic acid and related esters [e.g. (isopropylidene)-aminooxyacetic acid 2-(methoxy)-2-oxoethyl ester, (Isopropylidene)-aminooxyacetic acid-2-(hexyloxy)-2-oxoethyl ester, (Cyclohexylidene)-aminooxyacetic acid-2-(isopropyloxy)-2-oxoethyl ester], 1-aminocycloprop-l-ylcarboxylic acid N-methyl- 1-aminocyclopropyl-l-carboxylic acid, 1 -aminocyclopropyl- 1 -carboxylic acid amide, substituted 1-aminocyclopropyl-1-carboxylic acid derivatives as described in DE3335514, EP30287, DE2906507 or US5123951, 1 -aminocyclopropyl- 1-hydroxamic acid, 5-aminolevulinic acid, ancymidol, 6-benzylaminopurine, bikinin, brassinolide, brassinolide-ethyl, L-canalin, catechin and catechins (e.g. (2S,3R)-2-(3,4-dihydroxyphenyl)-3,4-dihydro-2H-chromene-3,5,7-triol), chitooligosaccharides (CO; COs differ from LCOs in that they lack the fatty acid side chain characteristic of LCOs. COs, sometimes referred to as N-acetylchitooligosaccharides, are also composed of GlcNAc units but have side chains that distinguish them from chitin molecules [(CSHBNOS)^ CAS NO. 1398-61-4] and chitosan molecules [(CsHnNO-On, CAS No. 9012-76-4]), chitin-like compounds, chlormequat chloride, cloprop, cyclanilide, 3-(cycloprop- l-enyl)propionic acid, l-[2-(4-cyano-3,5-dicyclopropylphenyl)acetamido]cyclohexanecarboxylic acid, l-[2-(4-cyano-3- cyclopropylphenyl)acetamido]cyclohexanecarboxylic acid, 1-cyclopropenylmethanol, daminozide, dazomet, dazomet sodium, n-decanol, dikegulac, dikegulac sodium, endothal, endothal-di-potassium, -di- sodium, and mono(N,N-dimethylalkylammonium), ethephon, l-ethylcyclopropene, flumetralin, flurenol, flurenol-butyl, Flurenol-methyl, flurprimidol, forchlorfenuron, gibberellic acid, inabenfid, indole-3-acetic acid (IAA), 4-indol-3-ylbutyric acid, isoprothiolane, probenazole, jasmonic acid, jasmonic acid esters or other derivatives (e.g. jasmonic acid methyl ester, jasmonic acid ethyl ester), lipochitooligosaccharides (LCO, in some cases also referred to as symbiotic nodulation signals (Nod or Nod factors) or as Myc factors, consist of an oligosaccharide backbone of ß-l,4-linked JV-acetyl-D-glucosamine residues (“GlcNAc”) with an N-linked Fatty acid side chain condensed at the non-reducing end. As can be seen from the literature, LCOs differ in the number of GlcNAc units in the backbone structure, in the length and degree of saturation of the fatty acid chain as well as in the substitution of the reducing and non-reducing sugar units), linoleic acid or its derivatives, linolenic acid or its derivatives, maleic hydrazide, mepiquat chloride, mepiquat pentaborate, 1-methylcyclopropene, 3-methylcyclopropene, methoxyvinylglycine (MVG), 3'-methylabscisic acid, l-(4-methylphenyl)-N-(2-oxo-1-propyl- 1,2, 3, 4-tetrahydroquinolin-6-yl)methanesulfonamide and related substituted (tetrahydroquinolin-6-yl)methanesulfonamides, (3E,3aR,8bS)-3-({[(2R)-4-methyl-5-oxo-2,5- dihydrofuran-2-yl]oxy}methylene)-3,3a,4,8b-tetrahydro-2H-indeno[l,2-b]furan-2-one and related lactones as described in EP2248421, 2-(l-naphthyl)acetamide, 1-naphthylacetic acid, 2-naphthyloxyacetic acid, nitrophenolate mixture, 4-oxo-4[(2-phenylethyl)amino]butyric acid, paclobutrazol, 4-phenylbutyric acid and its salts (e.g. sodium 4-phenylbutanoate, potassium 4-phenylbutanoate), phenylalanine, N-phenylphthalamic acid, prohexadione, prohexadione calcium, , 1-n-propylcyclopropene, putrescine, prohydrojasmone, rhizobitoxin, salicylic acid and salicyclic acid methyl ester, sarcosine, Sodium cycloprop-l-en-l-yl acetate, sodium cycloprop-2-en-l-yl acetate, sodium 3-(cycloprop-2-en-1-yl)propanoate, sodium 3-(cycloprop-1-en-1-yl)propanoate, sidefungin, spermidine, spermine, strigolactone, tecnazene, thidiazuron, triacontanol, trinexapac, trinexapac-ethyl, tryptophan, tsitodef, uniconazole, uniconazole-P, 2-fluoro-N-(3-methoxyphenyl)-9H-purin-6-amine, 2-chloro-N-(3-methoxyphenyl)-9H-purin-6-amine.
Safener sind vorzugsweise ausgewählt aus der Gruppe bestehend aus: Safeners are preferably selected from the group consisting of:
Sl) Verbindungen der Formel (Sl), wobei die Symbole und Indizes folgende Bedeutungen haben: nA ist eine natürliche Zahl von 0 bis 5, vorzugsweise 0 bis 3; R 1 A ist Halogen, (C1-C4)Alkyl, (C1-C4)Alkoxy, Nitro oder (C1-C4)Haloalkyl; WA ist ein unsubstituierter oder substituierter divalenter heterocyclischer Rest aus der Gruppe der teilungesättigten oder aromatischen Fünfring-Heterocyclen mit 1 bis 3 Heteroringatomen aus der Gruppe N und O, wobei mindestens ein N-Atom und höchstens ein O-Atom im Ring enthalten ist, vorzugsweise ein Rest aus der Gruppe (W 1) b 5 A is (WA ), mA ist 0 oder 1; RA2 ist ORA3, SRA3 oder NRA3RA4 oder ein gesättigter oder ungesättigter 3- bis 7-gliedriger Heterocyclus mit mindestens einem N-Atom und bis zu 3 Heteroatomen, vorzugsweise aus der Gruppe O und S, der über das N-Atom mit der Carbonylgruppe in (S1) verbunden ist und unsubstituiert oder durch Reste aus der Gruppe (C1-C4)Alkyl, (C1-C4)Alkoxy oder gegebenenfalls substituiertes Phenyl substituiert ist, vorzugsweise ein Rest der Formel ORA3, NHRA4 oder N(CH3)2, insbesondere der Formel ORA3; RA3 ist Wasserstoff oder ein unsubstituierter oder substituierter aliphatischer Kohlenwasserstoffrest, vorzugsweise mit insgesamt 1 bis 18 C-Atomen; RA4 ist Wasserstoff, (C1-C6)Alkyl, (C1-C6)Alkoxy oder substituiertes oder unsubstituiertes Phenyl; RA5 ist H, (C1-C8)Alkyl, (C1-C8)Haloalkyl, (C1-C4)Alkoxy(C1-C8)Alkyl, Cyano oder COORA9, worin RA9 Wasserstoff, (C1-C8)Alkyl, (C1-C8)Haloalkyl, (C1-C4)Alkoxy-(C1-C4)alkyl, (C1-C6)Hydroxyalkyl, (C3-C12)Cycloalkyl oder Tri-(C1-C4)-alkyl-silyl ist; RA6, RA7, RA8 sind gleich oder verschieden Wasserstoff, (C1-C8)Alkyl, (C1-C8)Haloalkyl, (C3- C12)Cycloalkyl oder substituiertes oder unsubstituiertes Phenyl; RA10 ist H, (C3-C12)Cycloalkyl, substituiertes oder unsubstituiertes Phenyl oder substituiertes oder unsubstituiertes Heteroaryl; vorzugsweise: a) Verbindungen vom Typ der Dichlorphenylpyrazolin-3-carbonsäure (S1a), vorzugsweise Verbindungen wie 1-(2,4-Dichlorphenyl)-5-(ethoxycarbonyl)-5-methyl- 2-pyrazolin-3-carbonsäure, 1-(2,4-Dichlorphenyl)-5-(ethoxycarbonyl)-5-methyl-2-pyrazolin-3-carbonsäureethylester (S1-1) ("Mefenpyr-diethyl"), und verwandte Verbindungen, wie sie in der WO-A-91/07874 beschrieben sind; b) Derivate der Dichlorphenylpyrazolcarbonsäure (S1b), vorzugsweise Verbindungen wie 1-(2,4-Dichlorphenyl)-5-methyl-pyrazol-3-carbonsäureethylester (S1-2), 1-(2,4-Di- chlorphenyl)-5-isopropyl-pyrazol-3-carbonsäureethylester (S1-3), 1-(2,4-Dichlor- phenyl)-5-(1,1-dimethyl-ethyl)pyrazol-3-carbonsäureethyl-ester (S1-4) und verwandte Verbindungen, wie sie in EP-A-333131 und EP-A-269806 beschrieben sind; c) Derivate der 1,5-Diphenylpyrazol-3-carbonsäure (S1c), vorzugsweise Verbindungen wie 1-(2,4-Dichlorphenyl)-5-phenylpyrazol-3-carbonsäureethylester (S1-5), 1-(2-Chlorphenyl)-5-phenylpyrazol-3-carbonsäuremethylester (S1-6) und verwandte Verbindungen wie sie beispielsweise in der EP-A-268554 beschrieben sind; d) Verbindungen vom Typ der Triazolcarbonsäuren (S1d), vorzugsweise Verbindungen wie Fenchlorazol(-ethylester), d.h.1-(2,4-Dichlorphenyl)-5-trichlormethyl-(1H)-1,2,4-triazol-3-carbonsäure- ethylester (S1-7), und verwandte Verbindungen wie sie in EP-A-174562 und EP-A-346620 beschrieben sind; e) Verbindungen vom Typ der 5-Benzyl- oder 5-Phenyl-2-isoxazolin-3- carbonsäure oder der 5,5- Diphenyl-2-isoxazolin-3-carbonsäure (S1e), vorzugsweise Verbindungen wie 5-(2,4-Dichlorbenzyl)-2-isoxazolin-3-carbonsäureethylester (S1-8) oder 5-Phenyl-2-isoxazolin-3- carbonsäureethylester (S1-9) und verwandte Verbindungen, wie sie in WO-A-91/08202 beschrieben sind, bzw.5,5-Diphenyl-2-isoxazolin-3-carbonsäure (S1-10) oder 5,5-Diphenyl-2-isoxazolin-3- carbonsäureethylester (S1-11) ("Isoxadifen-ethyl") oder -n-propylester (S1-12) oder der 5-(4-Fluorphenyl)-5-phenyl-2-isoxazolin-3-carbonsäureethylester (S1-13), wie sie in der Patentanmeldung WO-A-95/07897 beschrieben sind. f) Verbindungen vom Typ der Triazolyloxyessigsäurederivate (S1f), vorzugsweise Verbindungen wie Methyl-{[1,5-bis(4-chlor-2-fluorphenyl)-1H-1,2,4-triazol-3-yl]oxy}acetat (S1-14) oder {[1,5-Bis(4- chlor-2-fluorphenyl)-1H-1,2,4-triazol-3-yl]oxy}essigsäure (S1-15) oder Methyl-{[5-(4-chlor-2- fluorphenyl)-1-(2,4-difluorphenyl)-1H-1,2,4-triazol-3-yl]oxy}acetat (S1-16) oder {[5-(4-Chlor-2- fluorphenyl)-1-(2,4-difluorphenyl)-1H-1,2,4-triazol-3-yl]oxy}essigsäure (S1-17) oder Methyl-{[1-(4- chlor-2-fluorphenyl)-5-(2,4-difluorphenyl)-1H-1,2,4-triazol-3-yl]oxy}acetat (S1-18) oder {[1-(4-chlor- 2-fluorphenyl)-5-(2,4-difluorphenyl)-1H-1,2,4-triazol-3-yl]oxy}essigsäure (S1-19), wie sie in der Patentanmeldung WO2021/105101 beschrieben sind. S2) Chinolinderivate der Formel (S2), wobei die Symbole und Indizes folgende Bedeutungen haben: R 1 B ist Halogen, (C1-C4)Alkyl, (C1-C4)Alkoxy, Nitro oder (C1-C4)Haloalkyl; nB ist eine natürliche Zahl von 0 bis 5, vorzugsweise 0 bis 3; R 2 ist OR 3, S 3 3 4 B B RB oder NRB RB oder ein gesättigter oder ungesättigter 3- bis 7-gliedriger Heterocyclus mit mindestens einem N-Atom und bis zu 3 Heteroatomen, vorzugsweise aus der Gruppe O und S, der über das N-Atom mit der Carbonylgruppe in (S2) verbunden ist und unsubstituiert oder durch Reste aus der Gruppe (C1-C4)Alkyl, (C1-C4)Alkoxy oder gegebenenfalls substituiertes Phenyl substituiert ist, vorzugsweise ein Rest der Formel OR 3 B , NHR 4 oder N(CH ) , insbe 3 B 3 2 sondere der Formel ORB ; RB3 ist Wasserstoff oder ein unsubstituierter oder substituierter aliphatischer Kohlenwasserstoffrest, vorzugsweise mit insgesamt 1 bis 18 C-Atomen; RB4 ist Wasserstoff, (C1-C6)Alkyl, (C1-C6)Alkoxy oder substituiertes oder unsubstituiertes Phenyl; TB ist eine (C1 oder C2)-Alkandiylkette, die unsubstituiert oder mit einem oder zwei (C1- C4)Alkylresten oder mit [(C1-C3)-Alkoxy]-carbonyl substituiert ist; vorzugsweise: a) Verbindungen vom Typ der 8-Chinolinoxyessigsäure (S2a), vorzugsweise (5-Chlor-8-chinolinoxy)essigsäure-(1-methylhexyl)ester ("Cloquintocet-mexyl") (S2-1), (5-Chlor-8- chinolinoxy)essigsäure-(1,3-dimethyl-but-1-yl)ester (S2-2), (5-Chlor-8-chinolinoxy)essigsäure-4-allyloxy-butylester (S2-3), (5-Chlor-8-chinolin-oxy)essigsäure-1- allyloxy-prop-2-ylester (S2-4), (5-Chlor-8-chinolinoxy)essigsäure-ethylester (S2-5), (5-Chlor-8- chinolinoxy)essigsäuremethylester (S2-6), (5-Chlor-8-chinolinoxy)essigsäureallylester (S2-7), (5-Chlor- 8-chinolinoxy)essigsäure-2-(2-propyliden-iminoxy)-1-ethylester (S2-8), (5-Chlor-8- chinolinoxy)essigsäure-2-oxo-prop-1-ylester (S2-9) und verwandte Verbindungen, wie sie in EP-A-86750, EP-A-94349 und EP-A-191736 oder EP-A-0492366 beschrieben sind, sowie (5-Chlor- 8-chinolinoxy)essigsäure (S2-10), deren Hydrate und Salze, beispielsweise deren Lithium-, Natrium- Kalium-, Kalzium-, Magnesium-, Aluminium-, Eisen-, Ammonium-, quartäre Ammonium-, Sulfonium-, oder Phosphoniumsalze wie sie in der WO-A-2002/34048 beschrieben sind; b) Verbindungen vom Typ der (5-Chlor-8-chinolinoxy)malonsäure (S2b), vorzugsweise Verbindungen wie (5-Chlor-8-chinolinoxy)malonsäurediethylester, (5-Chlor- 8-chinolinoxy)malonsäurediallylester, (5-Chlor-8-chinolinoxy)malonsäure-methyl-ethylester und verwandte Verbindungen, wie sie in EP-A-0582198 beschrieben sind. S3) Verbindungen der Formel (S3) wobei die Symbole und Indizes folgende Bedeutungen haben: R 1 C ist (C1-C4)Alkyl, (C1-C4)Haloalkyl, (C2-C4)Alkenyl, (C2-C4)Haloalkenyl, (C3-C7)Cycloalkyl, vorzugsweise Dichlormethyl; R 2 C , R 3 C sind gleich oder verschieden Wasserstoff, (C1-C4)Alkyl, (C2-C4)Alkenyl, (C2-C4)Alkinyl, (C1-C4)Haloalkyl, (C2-C4)Haloalkenyl, (C1-C4)Alkylcarbamoyl-(C1-C4)alkyl, (C2- C4)Alkenylcarbamoyl-(C1-C4)alkyl, (C1-C4)Alkoxy-(C1-C4)alkyl, Dioxolanyl-(C1-C4)alkyl, Thiazolyl, Furyl, Furylalkyl, Thienyl, Piperidyl, substituiertes oder unsubstituiertes Phenyl, oder R 2 3 C und RC bilden zusammen einen substituierten oder unsubstituierten heterocyclischen Ring, vorzugsweise einen Oxazolidin-, Thiazolidin-, Piperidin-, Morpholin-, Hexahydropyrimidin- oder Benzoxazinring; vorzugsweise: Wirkstoffe vom Typ der Dichloracetamide, die häufig als Vorauflaufsafener (bodenwirksame Safener) angewendet werden, wie z. B. "Dichlormid" (N,N-Diallyl-2,2-dichloracetamid) (S3-1), "R-29148" (3-Dichloracetyl-2,2,5-trimethyl- 1,3-oxazolidin) der Firma Stauffer (S3-2), "R-28725" (3-Dichloracetyl-2,2,-dimethyl-1,3-oxazolidin) der Firma Stauffer (S3-3), "Benoxacor" (4-Dichloracetyl-3,4-dihydro-3-methyl-2H-1,4-benzoxazin) (S3-4), "PPG-1292" (N-Allyl-N-[(1,3-dioxolan-2-yl)-methyl]-dichloracetamid) der Firma PPG Industries (S3-5), "DKA-24" (N-Allyl-N-[(allylaminocarbonyl)methyl]-dichloracetamid) der Firma Sagro-Chem (S3-6), "AD-67" oder "MON 4660" (3-Dichloracetyl-1-oxa-3-aza-spiro[4,5]decan) der Firma Nitrokemia bzw. Monsanto (S3-7), "TI-35" (1-Dichloracetyl-azepan) der Firma TRI-Chemical RT (S3-8), "Diclonon" (Dicyclonon) oder "BAS145138" oder "LAB145138" (S3-9) ((RS)-1-Dichloracetyl- 3,3,8a-trimethylperhydropyrrolo[1,2-a]pyrimidin-6-on) der Firma BASF, "Furilazol" oder "MON 13900" ((RS)-3-Dichloracetyl-5-(2-furyl)-2,2-dimethyloxazolidin) (S3-10); sowie dessen (R)-Isomer (S3-11). S4) N-Acylsulfonamide der Formel (S4) und ihre Salze, worin die Symbole und Indizes folgende Bedeutungen haben: XD ist CH oder N; RD1 ist CO-NRD5RD6 oder NHCO-RD7; RD2 ist Halogen, (C1-C4)-Haloalkyl, (C1-C4)-Haloalkoxy, Nitro, (C1-C4)-Alkyl, (C1-C4)-Alkoxy, (C1- C4)-Alkylsulfonyl, (C1-C4)-Alkoxycarbonyl oder (C1-C4)-Alkylcarbonyl; RD3 ist Wasserstoff, (C1-C4)Alkyl, (C2-C4)Alkenyl oder (C2-C4)-Alkinyl; R 4 D ist Halogen, Nitro, (C1-C4)-Alkyl, (C1-C4)-Haloalkyl, (C1-C4)-Haloalkoxy, (C3-C6)-Cycloalkyl, Phenyl, (C1-C4)-Alkoxy, Cyano, (C1-C4)-Alkylthio, (C1-C4)-Alkylsulfinyl, (C1-C4)-Alkylsulfonyl, (C1- C4)Alkoxycarbonyl oder (C1-C4)Alkylcarbonyl; R 5 D ist Wasserstoff, (C1-C6)-Alkyl, (C3-C6)-Cycloalkyl, (C2-C6)-Alkenyl, (C2-C6)-Alkinyl, (C5-C6)- Cycloalkenyl, Phenyl oder 3- bis 6-gliedriges Heterocyclyl enthaltend vD Heteroatome aus der Gruppe Stickstoff, Sauerstoff und Schwefel, wobei die sieben letztgenannten Reste durch vD Substituenten aus der Gruppe Halogen, (C1-C6)Alkoxy, (C1-C6)Haloalkoxy, (C1-C2)Alkylsulfinyl, (C1-C2)Alkylsulfonyl, (C3-C6)Cycloalkyl, (C1-C4)Alkoxycarbonyl, (C1-C4)Alkylcarbonyl und Phenyl und im Falle cyclischer Reste auch (C1-C4) Alkyl und (C1-C4)Haloalkyl substituiert sind; R 6 D ist Wasserstoff, (C1-C6)Alkyl, (C2-C6)Alkenyl oder (C2-C6)Alkinyl, wobei die drei letztgenannten Reste durch vD Reste aus der Gruppe Halogen, Hydroxy, (C1-C4)Alkyl, (C1-C4)Alkoxy und (C1-C4)Alkylthio substituiert sind, oder R 5 und 6 D RD gemeinsam mit dem dem sie tragenden Stickstoffatom einen Pyrrolidinyl- oder Piperidinyl-Rest bilden; R 7 D ist Wasserstoff, (C1-C4)Alkylamino, Di-(C1-C4)alkylamino, (C1-C6)Alkyl, (C3-C6)Cycloalkyl, wobei die 2 letztgenannten Reste durch vD Substituenten aus der Gruppe Halogen, (C1-C4)Alkoxy, (C1- C6)Haloalkoxy und (C1-C4)Alkylthio und im Falle cyclischer Reste auch (C1-C4)Alkyl und (C1-C4)Haloalkyl substituiert sind; nD ist 0, 1 oder 2; mD ist 1 oder 2; vD ist 0, 1, 2 oder 3; davon bevorzugt sind Verbindungen vom Typ der N-Acylsulfonamide, z.B. der nachfolgenden Formel (S4a), die z. B. bekannt sind aus WO-A-97/45016 worin RD7 (C1-C6)Alkyl, (C3-C6)Cycloalkyl, wobei die 2 letztgenannten Reste durch vD Substituenten aus der Gruppe Halogen, (C1-C4)Alkoxy, (C1-C6)Haloalkoxy und (C1-C4)Alkylthio und im Falle cyclischer Reste auch (C1-C4)Alkyl und (C1-C4)Haloalkyl substituiert sind; RD4 Halogen, (C1-C4)Alkyl, (C1-C4)Alkoxy, CF3; mD 1 oder 2; vD ist 0, 1, 2 oder 3 bedeutet; sowie Acylsulfamoylbenzoesäureamide, z.B. der nachfolgenden Formel (S4b), die z.B. bekannt sind aus WO-A-99/16744, z.B. solche worin R 5 D = Cyclopropyl und (R 4 D ) = 2-OMe ist ("Cyprosulfamide", S4-1), R 5 D = Cyclopropyl und (R 4 D ) = 5-Cl-2-OMe ist (S4-2), RD5 = Ethyl und (RD4) = 2-OMe ist (S4-3), R 5 D = Isopropyl und (R 4 D ) = 5-Cl-2-OMe ist (S4-4) und RD5= Isopropyl und (RD4) = 2-OMe ist (S4-5). sowie Verbindungen vom Typ der N-Acylsulfamoylphenylharnstoffe der Formel (S4c), die z.B. bekannt sind aus der EP-A-365484, worin R 8 D und R 9 D unabhängig voneinander Wasserstoff, (C1-C8)Alkyl, (C3-C8)Cycloalkyl, (C3-C6)Alkenyl, (C3-C6)Alkinyl, R 4 D Halogen, (C1-C4)Alkyl, (C1-C4)Alkoxy, CF3 mD 1 oder 2 bedeutet; beispielsweise 1-[4-(N-2-Methoxybenzoylsulfamoyl)phenyl]-3-methylharnstoff, 1-[4-(N-2-Methoxybenzoylsulfamoyl)phenyl]-3,3-dimethylharnstoff, 1-[4-(N-4,5-Dimethylbenzoylsulfamoyl)phenyl]-3-methylharnstoff. S5) Wirkstoffe aus der Klasse der Hydroxyaromaten und der aromatisch-aliphatischen Carbonsäurederivate (S5), z.B.3,4,5-Triacetoxybenzoesäureethylester, 3,5-Di-methoxy-4- hydroxybenzoesäure, 3,5-Dihydroxybenzoesäure, 4-Hydroxysalicylsäure, 4-Fluorsalicyclsäure, 2- Hydroxyzimtsäure, 2,4-Dichlorzimtsäure, wie sie in der WO-A-2004/084631, WO-A-2005/015994, WO-A-2005/016001 beschrieben sind. S6) Wirkstoffe aus der Klasse der 1,2-Dihydrochinoxalin-2-one (S6), z.B. 1-Methyl-3-(2-thienyl)-1,2-dihydrochinoxalin-2-on, 1-Methyl-3-(2-thienyl)-1,2-dihydrochinoxalin-2- thion, 1-(2-Aminoethyl)-3-(2-thienyl)-1,2-dihydro-chinoxalin-2-on-hydrochlorid, 1-(2- Methylsulfonylaminoethyl)-3-(2-thienyl)-1,2-dihydrochinoxa-lin-2-on, wie sie in der WO-A- 2005/112630 beschrieben sind. S7) Verbindungen der Formel (S7),wie sie in der WO-A-1998/38856 beschrieben sind worin die Symbole und Indizes folgende Bedeutungen haben: RE1, RE2 sind unabhängig voneinander Halogen, (C1-C4)Alkyl, (C1-C4)Alkoxy, (C1-C4)Haloalkyl, (C1- C4)Alkylamino, Di-(C1-C4)Alkylamino, Nitro; AE ist COORE3 oder COSRE4 RE3, RE4 sind unabhängig voneinander Wasserstoff, (C1-C4)Alkyl, (C2-C6)Alkenyl, (C2-C4)Alkinyl, Cyanoalkyl, (C1-C4)Haloalkyl, Phenyl, Nitrophenyl, Benzyl, Halobenzyl, Pyridinylalkyl und Alkylammonium, nE1 ist 0 oder 1 n 2 E , n 3 E sind unabhängig voneinander 0, 1 oder 2, vorzugsweise Diphenylmethoxyessigsäure, Diphenylmethoxyessigsäureethylester, Diphenyl- methoxyessigsäuremethylester (CAS-Reg.Nr.41858-19-9) (S7-1). S8) Verbindungen der Formel (S8),wie sie in der WO-A-98/27049 beschrieben sind Worin XF CH oder N, nF für den Fall, dass XF=N ist, eine ganze Zahl von 0 bis 4 und für den Fall, dass XF=CH ist, eine ganze Zahl von 0 bis 5 , R 1 F Halogen, (C1-C4)Alkyl, (C1-C4)Haloalkyl, (C1-C4)Alkoxy, (C1-C4)Haloalkoxy, Nitro, (C1- C4)Alkylthio, (C1-C4)-Alkylsulfonyl, (C1-C4)Alkoxycarbonyl, ggf. substituiertes. Phenyl, ggf. substituiertes Phenoxy, R 2 F Wasserstoff oder (C1-C4)Alkyl R 3 F Wasserstoff, (C1-C8)Alkyl, (C2-C4)Alkenyl, (C2-C4)Alkinyl, oder Aryl, wobei jeder der vorgenannten C-haltigen Reste unsubstituiert oder durch einen oder mehrere, vorzugsweise bis zu drei gleiche oder verschiedene Reste aus der Gruppe, bestehend aus Halogen und Alkoxy substituiert ist; bedeuten, oder deren Salze, vorzugsweise Verbindungen worin XF CH, nF eine ganze Zahl von 0 bis 2 , R 1 F Halogen, (C1-C4)Alkyl, (C1-C4)Haloalkyl, (C1-C4)Alkoxy, (C1-C4)Haloalkoxy, R 2 F Wasserstoff oder (C1-C4)Alkyl, R 3 F Wasserstoff, (C1-C8)Alkyl, (C2-C4)Alkenyl, (C2-C4)Alkinyl, oder Aryl, wobei jeder der vorgenannten C-haltigen Reste unsubstituiert oder durch einen oder mehrere, vorzugsweise bis zu drei gleiche oder verschiedene Reste aus der Gruppe, bestehend aus Halogen und Alkoxy substituiert ist, bedeuten, oder deren Salze. S9) Wirkstoffe aus der Klasse der 3-(5-Tetrazolylcarbonyl)-2-chinolone (S9), z.B. 1,2-Dihydro-4-hydroxy-1-ethyl-3-(5-tetrazolylcarbonyl)-2-chinolon (CAS-Reg.Nr.219479-18-2), 1,2- Dihydro-4-hydroxy-1-methyl-3-(5-tetrazolyl-carbonyl)-2-chinolon (CAS-Reg.Nr.95855-00-8), wie sie in der WO-A-1999/000020 beschrieben sind. S10) Verbindungen der Formeln (S10a) oder (S10b) wie sie in der WO-A-2007/023719 und WO-A-2007/023764 beschrieben sind worin R 1 G Halogen, (C1-C4)Alkyl, Methoxy, Nitro, Cyano, CF3, OCF3 YG, ZG unabhängig voneinander O oder S, nG eine ganze Zahl von 0 bis 4, R 2 G (C1-C16)Alkyl, (C2-C6)Alkenyl, (C3-C6)Cycloalkyl, Aryl; Benzyl, Halogenbenzyl, R 3 G Wasserstoff oder (C1-C6)Alkyl bedeutet. S11) Wirkstoffe vom Typ der Oxyimino-Verbindungen (S11), die als Saatbeizmittel bekannt sind, wie z. B. "Oxabetrinil" ((Z)-1,3-Dioxolan-2-ylmethoxyimino(phenyl)acetonitril) (S11-1), das als Saatbeiz-Safener für Hirse gegen Schäden von Metolachlor bekannt ist, "Fluxofenim" (1-(4- Chlorphenyl)-2,2,2-trifluor-1-ethanon-O-(1,3-dioxolan-2-ylmethyl)-oxim) (S11-2), das als Saatbeiz- Safener für Hirse gegen Schäden von Metolachlor bekannt ist, und "Cyometrinil" oder "CGA-43089" ((Z)-Cyanomethoxyimino(phenyl)acetonitril) (S11-3), das als Saatbeiz-Safener für Hirse gegen Schäden von Metolachlor bekannt ist. S12) Wirkstoffe aus der Klasse der Isothiochromanone (S12), wie z.B. Methyl-[(3-oxo-lH-2- benzothiopyran-4(3H)-yliden)methoxy]acetat (CAS-Reg.Nr. 205121-04-6) (S 12-1) und verwandte Verbindungen aus WO-A-1998/13361. Sl) Compounds of the formula (Sl), where the symbols and indices have the following meanings: n A is a natural number from 0 to 5, preferably 0 to 3; R 1 A is halogen, (C1-C4)alkyl, (C1-C4)alkoxy, nitro or (C1-C4)haloalkyl; W A is an unsubstituted or substituted divalent heterocyclic radical from the group of partially saturated or aromatic five-membered ring heterocycles with 1 to 3 hetero ring atoms from the group N and O, where at least one N atom and at most one O atom is contained in the ring, preferably a radical from the group (W 1) b 5 A is (WA ), m A is 0 or 1; R A 2 is OR A 3, SR A 3 or NR A 3R A 4 or a saturated or unsaturated 3- to 7-membered heterocycle having at least one N atom and up to 3 heteroatoms, preferably from the group O and S, which is linked to the carbonyl group in (S1) via the N atom and is unsubstituted or substituted by radicals from the group (C 1 -C 4 )alkyl, (C 1 -C 4 )alkoxy or optionally substituted phenyl, preferably a radical of the formula OR A 3, NHR A 4 or N(CH 3 ) 2 , in particular of the formula OR A 3; R A 3 is hydrogen or an unsubstituted or substituted aliphatic hydrocarbon radical, preferably having a total of 1 to 18 C atoms; R A 4 is hydrogen, (C 1 -C 6 )alkyl, (C 1 -C 6 )alkoxy or substituted or unsubstituted phenyl; R A 5 is H, (C 1 -C 8 )alkyl, (C 1 -C 8 )haloalkyl, (C 1 -C 4 )alkoxy(C 1 -C 8 )alkyl, cyano or COOR A 9, wherein R A 9 is hydrogen, (C 1 -C 8 )alkyl, (C 1 -C 8 )haloalkyl, (C 1 -C 4 )alkoxy(C 1 -C 4 )alkyl, (C 1 -C 6 )hydroxyalkyl, (C 3 -C 12 )cycloalkyl or tri(C 1 -C 4 )alkylsilyl; R A 6, R A 7, R A 8 are identical or different and are hydrogen, (C 1 -C 8 )alkyl, (C 1 -C 8 )haloalkyl, (C 3 - C 12)cycloalkyl or substituted or unsubstituted phenyl; R A 10 is H, (C 3 -C 12 )cycloalkyl, substituted or unsubstituted phenyl or substituted or unsubstituted heteroaryl; preferably: a) compounds of the dichlorophenylpyrazolin-3-carboxylic acid type (S1a), preferably compounds such as 1-(2,4-dichlorophenyl)-5-(ethoxycarbonyl)-5-methyl-2-pyrazolin-3-carboxylic acid, 1-(2,4-dichlorophenyl)-5-(ethoxycarbonyl)-5-methyl-2-pyrazolin-3-carboxylic acid ethyl ester (S1-1) ("mefenpyr-diethyl"), and related compounds as described in WO-A-91/07874; b) derivatives of dichlorophenylpyrazolecarboxylic acid (S1b), preferably compounds such as ethyl 1-(2,4-dichlorophenyl)-5-methylpyrazole-3-carboxylate (S1-2), ethyl 1-(2,4-dichlorophenyl)-5-isopropylpyrazole-3-carboxylate (S1-3), ethyl 1-(2,4-dichlorophenyl)-5-(1,1-dimethylethyl)pyrazole-3-carboxylate (S1-4) and related compounds as described in EP-A-333131 and EP-A-269806; c) derivatives of 1,5-diphenylpyrazole-3-carboxylic acid (S1c), preferably compounds such as 1-(2,4-dichlorophenyl)-5-phenylpyrazole-3-carboxylic acid ethyl ester (S1-5), 1-(2-chlorophenyl)-5-phenylpyrazole-3-carboxylic acid methyl ester (S1-6) and related compounds as described, for example, in EP-A-268554; d) compounds of the triazolecarboxylic acid type (S1d), preferably compounds such as fenchlorazole(ethyl ester), dh1-(2,4-dichlorophenyl)-5-trichloromethyl-(1H)-1,2,4-triazole-3-carboxylic acid ethyl ester (S1-7), and related compounds as described in EP-A-174562 and EP-A-346620; e) compounds of the type 5-benzyl- or 5-phenyl-2-isoxazoline-3-carboxylic acid or 5,5-diphenyl-2-isoxazoline-3-carboxylic acid (S1e), preferably compounds such as 5-(2,4-dichlorobenzyl)-2-isoxazoline-3-carboxylic acid ethyl ester (S1-8) or 5-phenyl-2-isoxazoline-3-carboxylic acid ethyl ester (S1-9) and related compounds as described in WO-A-91/08202, or 5,5-diphenyl-2-isoxazoline-3-carboxylic acid (S1-10) or 5,5-diphenyl-2-isoxazoline-3-carboxylic acid ethyl ester (S1-11) ("isoxadifen-ethyl") or -n-propyl ester (S1-12) or the 5-(4-Fluorophenyl)-5-phenyl-2-isoxazoline-3-carboxylic acid ethyl ester (S1-13) as described in patent application WO-A-95/07897. f) compounds of the triazolyloxyacetic acid derivatives type (S1f), preferably compounds such as methyl {[1,5-bis(4-chloro-2-fluorophenyl)-1H-1,2,4-triazol-3-yl]oxy}acetate (S1-14) or {[1,5-bis(4-chloro-2-fluorophenyl)-1H-1,2,4-triazol-3-yl]oxy}acetic acid (S1-15) or methyl {[5-(4-chloro-2-fluorophenyl)-1-(2,4-difluorophenyl)-1H-1,2,4-triazol-3-yl]oxy}acetate (S1-16) or {[5-(4-chloro-2-fluorophenyl)-1-(2,4-difluorophenyl)-1H-1,2,4-triazol-3-yl]oxy}acetic acid (S1-17) or methyl {[1-(4- chloro-2-fluorophenyl)-5-(2,4-difluorophenyl)-1H-1,2,4-triazol-3-yl]oxy}acetate (S1-18) or {[1-(4-chloro- 2-fluorophenyl)-5-(2,4-difluorophenyl)-1H-1,2,4-triazol-3-yl]oxy}acetic acid (S1-19), as described in the patent application WO2021/105101. S2) Quinoline derivatives of the formula (S2), where the symbols and indices have the following meanings: R 1 B is halogen, (C1-C4)alkyl, (C1-C4)alkoxy, nitro or (C1-C4)haloalkyl; nB is a natural number from 0 to 5, preferably 0 to 3; R 2 is OR 3, S 3 3 4 BB RB or NRB RB or a saturated or unsaturated 3- to 7-membered heterocycle having at least one N atom and up to 3 heteroatoms, preferably from the group O and S, which is linked via the N atom to the carbonyl group in (S2) and is unsubstituted or substituted by radicals from the group (C1-C4)alkyl, (C1-C4)alkoxy or optionally substituted phenyl, preferably a radical of the formula OR 3 B , NHR 4 or N(CH ) , in particular 3 B 3 2 in particular of the formula ORB ; R B 3 is hydrogen or an unsubstituted or substituted aliphatic hydrocarbon radical, preferably having a total of 1 to 18 C atoms; R B 4 is hydrogen, (C 1 -C 6 )alkyl, (C 1 -C 6 )alkoxy or substituted or unsubstituted phenyl; TB is a (C1 or C2)-alkanediyl chain which is unsubstituted or substituted by one or two (C1-C4)alkyl radicals or by [(C1-C3)-alkoxy]-carbonyl; preferably: a) compounds of the 8-quinolinoxyacetic acid type (S2a), preferably (5-chloro-8-quinolinoxy)acetic acid (1-methylhexyl) ester ("Cloquintocet-mexyl") (S2-1), (5-chloro-8-quinolinoxy)acetic acid (1,3-dimethyl-but-1-yl) ester (S2-2), (5-chloro-8-quinolinoxy)acetic acid 4-allyloxy-butyl ester (S2-3), (5-chloro-8-quinolinoxy)acetic acid 1-allyloxy-prop-2-yl ester (S2-4), (5-chloro-8-quinolinoxy)acetic acid ethyl ester (S2-5), (5-chloro-8-quinolinoxy)acetic acid methyl ester (S2-6), (5-chloro-8-quinolinoxy)acetic acid allyl ester (S2-7), (5-chloro- 8-quinolinoxy)acetic acid 2-(2-propylidene-iminoxy)-1-ethyl ester (S2-8), (5-chloro-8-quinolinoxy)acetic acid 2-oxo-prop-1-yl ester (S2-9) and related compounds as described in EP-A-86750, EP-A-94349 and EP-A-191736 or EP-A-0492366, and (5-chloro-8-quinolinoxy)acetic acid (S2-10), their hydrates and salts, for example their lithium, sodium, potassium, calcium, magnesium, aluminum, iron, ammonium, quaternary ammonium, sulfonium or phosphonium salts as described in WO-A-2002/34048; b) Compounds of the (5-chloro-8-quinolinoxy)malonic acid type (S2b), preferably compounds such as (5-chloro-8-quinolinoxy)malonic acid diethyl ester, (5-chloro-8-quinolinoxy)malonic acid diallyl ester, (5-chloro-8-quinolinoxy)malonic acid methyl ethyl ester and related compounds as described in EP-A-0582198. S3) Compounds of the formula (S3) where the symbols and indices have the following meanings: R 1 C is (C1-C4)alkyl, (C1-C4)haloalkyl, (C2-C4)alkenyl, (C2-C4)haloalkenyl, (C3-C7)cycloalkyl, preferably dichloromethyl; R 2 C , R 3 C are identical or different and are hydrogen, (C1-C4)alkyl, (C2-C4)alkenyl, (C 2 -C 4 )alkynyl, (C 1 -C 4 )haloalkyl, (C 2 -C 4 )haloalkenyl, (C 1 -C 4 )alkylcarbamoyl-(C 1 -C 4 )alkyl, (C 2 - C4)alkenylcarbamoyl-(C1-C4)alkyl, (C1-C4)alkoxy-(C1-C4)alkyl, dioxolanyl-(C1-C4)alkyl, thiazolyl, furyl, furylalkyl, thienyl, piperidyl, substituted or unsubstituted phenyl, or R 2 3 C and RC together form a substituted or unsubstituted heterocyclic ring, preferably an oxazolidine, thiazolidine, piperidine, Morpholine, hexahydropyrimidine or benzoxazine ring; preferably: active ingredients of the dichloroacetamide type, which are frequently used as pre-emergence safeners (soil-effective safeners), such as: B. "Dichlormid" (N,N-diallyl-2,2-dichloroacetamide) (S3-1), "R-29148" (3-dichloroacetyl-2,2,5-trimethyl-1,3-oxazolidine) from Stauffer (S3-2), "R-28725" (3-dichloroacetyl-2,2,-dimethyl-1,3-oxazolidine) from Stauffer (S3-3), "Benoxacor" (4-dichloroacetyl-3,4-dihydro-3-methyl-2H-1,4-benzoxazine) (S3-4), "PPG-1292" (N-allyl-N-[(1,3-dioxolan-2-yl)-methyl]-dichloroacetamide) from PPG Industries (S3-5), "DKA-24" (N-allyl-N-[(allylaminocarbonyl)methyl]-dichloroacetamide) from Sagro-Chem (S3-6), "AD-67" or "MON 4660" (3-dichloroacetyl-1-oxa-3-aza-spiro[4,5]decane) from Nitrokemia or Monsanto (S3-7), "TI-35" (1-dichloroacetyl-azepane) from TRI-Chemical RT (S3-8), "Diclonon" (dicyclonone) or "BAS145138" or "LAB145138" (S3-9) ((RS)-1-dichloroacetyl- 3,3,8a-trimethylperhydropyrrolo[1,2-a]pyrimidin-6-one) from BASF, "Furilazol" or "MON 13900" ((RS)-3-Dichloroacetyl-5-(2-furyl)-2,2-dimethyloxazolidine) (S3-10); and its (R)-isomer (S3-11). S4) N-acylsulfonamides of the formula (S4) and their salts, wherein the symbols and indices have the following meanings: XD is CH or N; R D 1 is CO-NR D 5R D 6 or NHCO-R D 7; R D 2 is halogen, (C 1 -C 4 )-haloalkyl, (C 1 -C 4 )-haloalkoxy, nitro, (C 1 -C 4 )-alkyl, (C 1 -C 4 )-alkoxy, (C 1 - C 4 )-alkylsulfonyl, (C 1 -C 4 )-alkoxycarbonyl or (C 1 -C 4 )-alkylcarbonyl; R D 3 is hydrogen, (C 1 -C 4 )alkyl, (C 2 -C 4 )alkenyl or (C 2 -C 4 )alkynyl; R 4 D is halogen, nitro, (C1-C4)alkyl, (C1-C4)haloalkyl, (C1-C4)haloalkoxy, (C3-C6)cycloalkyl, phenyl, (C1-C4)alkoxy, cyano, (C1-C4)alkylthio, (C1-C4)alkylsulfinyl, (C1-C4)alkylsulfonyl, (C1-C4)alkoxycarbonyl or (C1-C4)alkylcarbonyl; R 5 D is hydrogen, (C1-C6)-alkyl, (C3-C6)-cycloalkyl, (C2-C6)-alkenyl, (C2-C6)-alkynyl, (C5-C6)-cycloalkenyl, phenyl or 3- to 6-membered heterocyclyl containing vD heteroatoms from the group nitrogen, oxygen and sulfur, where the last-mentioned seven radicals are substituted by vD substituents from the group halogen, (C1-C6)alkoxy, (C1-C6)haloalkoxy, (C1-C2)alkylsulfinyl, (C1-C2)alkylsulfonyl, (C3-C6)cycloalkyl, (C1-C4)alkoxycarbonyl, (C1-C4)alkylcarbonyl and phenyl and in the case of cyclic radicals also (C1-C4)alkyl and (C1-C4)haloalkyl; R 6 D is hydrogen, (C1-C6)alkyl, (C2-C6)alkenyl or (C2-C6)alkynyl, where the last three radicals are substituted by vD radicals from the group halogen, hydroxy, (C1-C4)alkyl, (C1-C4)alkoxy and (C1-C4)alkylthio, or R 5 and 6 D RD together with the nitrogen atom carrying them form a pyrrolidinyl or piperidinyl radical; R 7 D is hydrogen, (C1-C4)alkylamino, di-(C1-C4)alkylamino, (C1-C6)alkyl, (C3-C6)cycloalkyl, where the last two radicals are substituted by vD substituents from the group halogen, (C1-C4)alkoxy, (C1-C6)haloalkoxy and (C1-C4)alkylthio and in the case of cyclic radicals also (C1-C4)alkyl and (C1-C4)haloalkyl; nD is 0, 1 or 2; m D is 1 or 2; v D is 0, 1, 2 or 3; preferred are compounds of the N-acylsulfonamide type, e.g. of the following formula (S4a), which are known, for example, from WO-A-97/45016 wherein R D 7 is (C 1 -C 6 )alkyl, (C 3 -C 6 )cycloalkyl, the last 2 radicals being substituted by v D substituents from the group halogen, (C 1 -C 4 )alkoxy, (C 1 -C 6 )haloalkoxy and (C 1 -C 4 )alkylthio and in the case of cyclic radicals also (C 1 -C 4 )alkyl and (C 1 -C 4 )haloalkyl; R D 4 is halogen, (C 1 -C 4 )alkyl, (C 1 -C 4 )alkoxy, CF 3; m D is 1 or 2; v D is 0, 1, 2 or 3; and acylsulfamoylbenzoic acid amides, eg of the following formula (S4b), which are known eg from WO-A-99/16744, e.g. those in which R 5 D = cyclopropyl and (R 4 D ) = 2-OMe ("Cyprosulfamide", S4-1), R 5 D = cyclopropyl and (R 4 D ) = 5-Cl-2-OMe (S4-2), R D 5 = ethyl and (R D 4) = 2-OMe (S4-3), R 5 D = isopropyl and (R 4 D ) = 5-Cl-2-OMe (S4-4) and R D 5= isopropyl and (R D 4) = 2-OMe is (S4-5). as well as compounds of the type of N-acylsulfamoylphenylureas of the formula (S4c), which are known e.g. from EP-A-365484, wherein R 8 D and R 9 D independently of one another are hydrogen, (C1-C8)alkyl, (C3-C8)cycloalkyl, (C3-C6)alkenyl, (C3-C6)alkynyl, R 4 D is halogen, (C1-C4)alkyl, (C1-C4)alkoxy, CF3 mD 1 or 2; for example 1-[4-(N-2-methoxybenzoylsulfamoyl)phenyl]-3-methylurea, 1-[4-(N-2-methoxybenzoylsulfamoyl)phenyl]-3,3-dimethylurea, 1-[4-(N-4,5-dimethylbenzoylsulfamoyl)phenyl]-3-methylurea. S5) Active ingredients from the class of hydroxyaromatics and aromatic-aliphatic carboxylic acid derivatives (S5), e.g. ethyl 3,4,5-triacetoxybenzoate, 3,5-dimethoxy-4-hydroxybenzoic acid, 3,5-dihydroxybenzoic acid, 4-hydroxysalicylic acid, 4-fluorosalicyclic acid, 2-hydroxycinnamic acid, 2,4-dichlorocinnamic acid, as described in WO-A-2004/084631, WO-A-2005/015994, WO-A-2005/016001. S6) Active substances from the class of 1,2-dihydroquinoxalin-2-ones (S6), e.g. 1-methyl-3-(2-thienyl)-1,2-dihydroquinoxalin-2-one, 1-methyl-3-(2-thienyl)-1,2-dihydroquinoxalin-2-thione, 1-(2-aminoethyl)-3-(2-thienyl)-1,2-dihydro-quinoxalin-2-one hydrochloride, 1-(2- Methylsulfonylaminoethyl)-3-(2-thienyl)-1,2-dihydroquinoxa-lin-2-one, as described in WO-A-2005/112630. S7) Compounds of formula (S7), as described in WO-A-1998/38856 wherein the symbols and indices have the following meanings: R E 1, R E 2 are independently of one another halogen, (C 1 -C 4 )alkyl, (C 1 -C 4 )alkoxy, (C 1 -C 4 )haloalkyl, (C 1 -C 4 )alkylamino, di-(C 1 -C 4 )alkylamino, nitro; A E is COOR E 3 or COSR E 4 R E 3, R E 4 are independently hydrogen, (C 1 -C 4 )alkyl, (C 2 -C 6 )alkenyl, (C 2 -C 4 )alkynyl, cyanoalkyl, (C 1 -C 4 )haloalkyl, phenyl, nitrophenyl, benzyl, halobenzyl, pyridinylalkyl and alkylammonium, n E 1 is 0 or 1 n 2 E , n 3 E are independently 0, 1 or 2, preferably diphenylmethoxyacetic acid, diphenylmethoxyacetic acid ethyl ester, diphenylmethoxyacetic acid methyl ester (CAS Reg. No. 41858-19-9) (S7-1). S8) Compounds of the formula (S8), as described in WO-A-98/27049 Wherein XF is CH or N, n F, in the case that X is F =N, is an integer from 0 to 4 and in the case that X is F =CH, is an integer from 0 to 5, R 1 F is halogen, (C1-C4)alkyl, (C1-C4)haloalkyl, (C1-C4)alkoxy, (C1-C4)haloalkoxy, nitro, (C1- C 4 )alkylthio, (C 1 -C 4 )alkylsulfonyl, (C 1 -C 4 )alkoxycarbonyl, optionally substituted. Phenyl, optionally substituted phenoxy, R 2 F hydrogen or (C1-C4)alkyl R 3 F hydrogen, (C1-C8)alkyl, (C2-C4)alkenyl, (C2-C4)alkynyl, or aryl, where each of the aforementioned C-containing radicals is unsubstituted or substituted by one or more, preferably up to three identical or different radicals from the group consisting of halogen and alkoxy; or their salts, preferably compounds in which XF is CH, nF is an integer from 0 to 2, R 1 F is halogen, (C1-C4)alkyl, (C1-C4)haloalkyl, (C1-C4)alkoxy, (C1-C4)haloalkoxy, R 2 F is hydrogen or (C1-C4)alkyl, R 3 F is hydrogen, (C1-C8)alkyl, (C2-C4)alkenyl, (C2-C4)alkynyl, or aryl, where each of the aforementioned C-containing radicals is unsubstituted or substituted by one or more, preferably up to three identical or different radicals from the group consisting of halogen and alkoxy, or their salts. S9) Active substances from the class of 3-(5-tetrazolylcarbonyl)-2-quinolones (S9), e.g. 1,2-dihydro-4-hydroxy-1-ethyl-3-(5-tetrazolylcarbonyl)-2-quinolone (CAS Reg. No. 219479-18-2), 1,2- Dihydro-4-hydroxy-1-methyl-3-(5-tetrazolyl-carbonyl)-2-quinolone (CAS Reg. No. 95855-00-8), as described in WO-A-1999/000020. S10) Compounds of the formulas (S10a) or (S10b) as described in WO-A-2007/023719 and WO-A-2007/023764 wherein R 1 G is halogen, (C1-C4)alkyl, methoxy, nitro, cyano, CF3, OCF3 YG, ZG is independently O or S, nG is an integer from 0 to 4, R 2 G is (C1-C16)alkyl, (C2-C6)alkenyl, (C3-C6)cycloalkyl, aryl; benzyl, halobenzyl, R 3 G is hydrogen or (C1-C6)alkyl. S11) Active ingredients of the oxyimino compound type (S11), which are known as seed dressers, such as. E.g., "Oxabetrinil" ((Z)-1,3-dioxolan-2-ylmethoxyimino(phenyl)acetonitrile) (S11-1), which is known as a seed dressing safener for millet against metolachlor damage, "Fluxofenim" (1-(4-chlorophenyl)-2,2,2-trifluoro-1-ethanone-O-(1,3-dioxolan-2-ylmethyl)oxime) (S11-2), which is known as a seed dressing safener for millet against metolachlor damage, and "Cyometrinil" or "CGA-43089" ((Z)-cyanomethoxyimino(phenyl)acetonitrile) (S11-3), which is known as a seed dressing safener for millet against metolachlor damage. S12) Active ingredients from the class of isothiochromanones (S12), such as methyl [(3-oxo-lH-2-benzothiopyran-4(3H)-ylidene)methoxy]acetate (CAS Reg. No. 205121-04-6) (S 12-1) and related compounds from WO-A-1998/13361.
513) Eine oder mehrere Verbindungen aus Gruppe (S 13): "Naphthalic anhydrid" (1,8-Naphthalindicarbonsäureanhydrid) (S13-1), das als Saatbeiz-Safener für Mais gegen Schäden von Thiocarbamatherbiziden bekannt ist, "Fenclorim" (4,6-Dichlor-2-phenylpyrimidin) (S13-2), das als Safener für Pretilachlor in gesätem Reis bekannt ist, "Flurazole" (Benzyl-2-chlor-4-trifluormethyl-l,3- thiazol-5-carboxylat) (S13-3), das als Saatbeiz-Safener für Hirse gegen Schäden von Alachlor und Metolachlor bekannt ist, "CL 304415" (CAS-Reg.Nr. 31541-57-8) (4-Carboxy-3,4-dihydro-2H-l- benzopyran-4-essigsäure) (S13-4) der Firma American Cyanamid, das als Safener für Mais gegen Schäden von Imidazolinonen bekannt ist, "MG 191" (CAS-Reg.Nr. 96420-72-3) (2-Dichlormethyl-2- methyl-l,3-dioxolan) (S13-5) der Firma Nitrokemia, das als Safener für Mais bekannt ist, "MG-838" (CAS-Reg.Nr. 133993-74-5) (2 -propenyl l-oxa-4-azaspiro[4.5]decan-4-carbodithioat) (S13-6) der Firma Nitrokemia, "Disulfoton" (O,O-Diethyl S-2-ethylthioethyl phosphordithioat) (S13-7), "Dietholate" (O,O-Diethyl-O-phenylphosphorothioat) (S13-8), "Mephenate" (4-Chlorphenyl- methylcarbamat) (S13-9). 513) One or more compounds from group (S 13): "Naphthalic anhydride" (1,8-naphthalenedicarboxylic anhydride) (S13-1), which is known as a seed dressing safener for maize against damage from thiocarbamate herbicides, "Fenclorim" (4,6-dichloro-2-phenylpyrimidine) (S13-2), which is known as a safener for pretilachlor in sown rice, "Flurazole" (benzyl-2-chloro-4-trifluoromethyl-l,3-thiazole-5-carboxylate) (S13-3), which is known as a seed dressing safener for millet against damage from alachlor and metolachlor, "CL 304415" (CAS Reg. No. 31541-57-8) (4-carboxy-3,4-dihydro-2H-l-benzopyran-4-acetic acid) (S13-4) of American Cyanamid, known as a corn safener against damage from imidazolinones, "MG 191" (CAS Reg. No. 96420-72-3) (2-dichloromethyl-2-methyl-l,3-dioxolane) (S13-5) from Nitrokemia, known as a corn safener, "MG-838" (CAS Reg. No. 133993-74-5) (2-propenyl l-oxa-4-azaspiro[4.5]decane-4-carbodithioate) (S13-6) from Nitrokemia, "Disulfoton" (O,O-diethyl S-2-ethylthioethyl phosphorodithioate) (S13-7), "Dietholate" (O,O-diethyl-O-phenylphosphorothioate) (S13-8), "Mephenate" (4-chlorophenyl methylcarbamate) (S13-9).
514) Wirkstoffe, die neben einer herbiziden Wirkung gegen Schadpflanzen auch Safenerwirkung an Kulturpflanzen wie Reis aufweisen, wie z. B. 514) Active substances which, in addition to a herbicidal effect against harmful plants, also have a safener effect on cultivated plants such as rice, such as
"Dimepiperate" oder "MY-93" (.S'- l -Methyl- 1 -phenylethyl -piperidin- 1-carbothioat), das als Safener für Reis gegen Schäden des Herbizids Molinate bekannt ist, "Daimuron" oder "SK 23" ( 1-(1 -Methyl- 1- phenylethyl)-3-p-tolyl-hamstoff), das als Safener für Reis gegen Schäden des Herbizids Imazosulfuron bekannt ist, "Cumyluron" = "JC-940" (3 -(2-Chlorphenylmethyl)-l-(l -methyl- 1 -phenyl -ethyl)hamstoff, siehe JP-A-60087254), das als Safener für Reis gegen Schäden einiger Herbizide bekannt ist, "Methoxyphenon" oder "NK 049" (3,3'-Dimethyl-4-methoxy-benzophenon), das als Safener für Reis gegen Schäden einiger Herbizide bekannt ist, "CSB" (l-Brom-4-(chlormethylsulfonyl)benzol) von Kumiai, (CAS-Reg.Nr. 54091-06-4), das als Safener gegen Schäden einiger Herbizide in Reis bekannt ist. "Dimepiperate" or "MY-93" (.S'- l -methyl- 1 -phenylethyl -piperidine- 1-carbothioate), known as a safener for rice against damage from the herbicide Molinate, "Daimuron" or "SK 23" (1-(1 -methyl- 1-phenylethyl)-3-p-tolyl-urea), known as a safener for rice against damage from the herbicide Imazosulfuron, "Cumyluron" = "JC-940" (3 -(2-chlorophenylmethyl)-l-(l -methyl- 1 -phenyl-ethyl)urea, see JP-A-60087254), known as a safener for rice against damage from some herbicides, "Methoxyphenone" or "NK 049" (3,3'-dimethyl-4-methoxy-benzophenone), known as a safener for rice against damage from some herbicides, "CSB" (l-Bromo-4-(chloromethylsulfonyl)benzene) from Kumiai, (CAS Reg. No. 54091-06-4), which is known as a safener against damage from some herbicides in rice.
S15) Verbindungen der Formel (S15) oder deren Tautomere wie sie in der WO-A-2008/131861 und WO-A-2008/131860 beschrieben sind worin RH1 einen (C1-C6)Haloalkylrest bedeutet und RH2 Wasserstoff oder Halogen bedeutet und RH3, RH4 unabhängig voneinander Wasserstoff, (C1-C16)Alkyl, (C2-C16)Alkenyl oder (C2-C16)Alkinyl, wobei jeder der letztgenannten 3 Reste unsubstituiert oder durch einen oder mehrere Reste aus der Gruppe Halogen, Hydroxy, Cyano, (C1-C4)Alkoxy, (C1-C4)Haloalkoxy, (C1-C4)Alkylthio, (C1-C4)Alkylamino, Di[(C1-C4)alkyl]-amino, [(C1-C4)Alkoxy]-carbonyl, [(C1-C4)Haloalkoxy]-carbonyl, (C3-C6)Cycloalkyl, das unsubstituiert oder substituiert ist, Phenyl, das unsubstituiert oder substituiert ist, und Heterocyclyl, das unsubstituiert oder substituiert ist, substituiert ist, oder (C3-C6)Cycloalkyl, (C4-C6)Cycloalkenyl, (C3-C6)Cycloalkyl, das an einer Seite des Rings mit einem 4 bis 6-gliedrigen gesättigten oder ungesättigten carbocyclischen Ring kondensiert ist, oder (C4-C6)Cycloalkenyl, das an einer Seite des Rings mit einem 4 bis 6-gliedrigen gesättigten oder ungesättigten carbocyclischen Ring kondensiert ist, wobei jeder der letztgenannten 4 Reste unsubstituiert oder durch einen oder mehrere Reste aus der Gruppe Halogen, Hydroxy, Cyano, (C1-C4)Alkyl, (C1-C4)Haloalkyl, (C1-C4)Alkoxy, (C1-C4)Haloalkoxy, (C1-C4)Alkylthio, (C1-C4)Alkylamino, Di[(C1-C4)alkyl]-amino, [(C1-C4)Alkoxy]-carbonyl, [(C1-C4)Haloalkoxy]-carbonyl, (C3-C6)Cycloalkyl, das unsubstituiert oder substituiert ist, Phenyl, das unsubstituiert oder substituiert ist, und Heterocyclyl, das unsubstituiert oder substituiert ist, substituiert ist, bedeutet oder R 3 H (C1-C4)-Alkoxy, (C2-C4)Alkenyloxy, (C2-C6)Alkinyloxy oder (C2-C4)Haloalkoxy bedeutet und R 4 H Wasserstoff oder (C1-C4)-Alkyl bedeutet oder R 3 H und R 4 H zusammen mit dem direkt gebundenen N-Atom einen vier- bis achtgliedrigen heterocyclischen Ring, der neben dem N-Atom auch weitere Heteroringatome, vorzugsweise bis zu zwei weitere Heteroringatome aus der Gruppe N, O und S enthalten kann und der unsubstituiert oder durch einen oder mehrere Reste aus der Gruppe Halogen, Cyano, Nitro, (C1-C4)Alkyl, (C1-C4)Haloalkyl, (C1- C4)Alkoxy, (C1-C4)Haloalkoxy und (C1-C4)Alkylthio substituiert ist, bedeutet. S16) Wirkstoffe, die vorrangig als Herbizide eingesetzt werden, jedoch auch Safenerwirkung auf Kulturpflanzen aufweisen, z.B. (2,4-Dichlorphenoxy)essigsäure (2,4-D), (4-Chlorphenoxy)essigsäure, (R,S)-2-(4-Chlor-o-tolyloxy)propionsäure (Mecoprop), 4-(2,4-Dichlorphenoxy)buttersäure (2,4-DB), (4- Chlor-o-tolyloxy)-essigsäure (MCPA), 4-(4-Chlor-o-tolyloxy)buttersäure, 4-(4-Chlorphenoxy)- buttersäure, 3,6-Dichlor-2-methoxybenzoesäure (Dicamba), 1-(Ethoxycarbonyl)ethyl-3,6-dichlor-2- methoxybenzoat (Lactidichlor-ethyl). Besonders bevorzugte Safener sind Mefenpyr-diethyl, Cyprosulfamid, Isoxadifen-ethyl, Cloquintocet- mexyl, Dichlormid und Metcamifen. Spritzpulver sind in Wasser gleichmäßig dispergierbare Präparate, die neben dem Wirkstoff außer einem Verdünnungs- oder Inertstoff noch Tenside ionischer und/oder nichtionischer Art (Netzmittel, Dispergiermittel), z.B. polyoxyethylierte Alkylphenole, polyoxethylierte Fettalkohole, polyoxethylierte Fettamine, Fettalkoholpolyglykolether-sulfate, Alkansulfonate, Alkylbenzolsulfonate, ligninsulfonsaures Natrium, 2,2'-dinaphthylmethan-6,6'-disulfonsaures Natrium, dibutylnaphthalin-sulfonsaures Natrium oder auch oleoylmethyltaurinsaures Natrium enthalten. Zur Herstellung der Spritzpulver werden die herbiziden Wirkstoffe beispielsweise in üblichen Apparaturen wie Hammermühlen, Gebläsemühlen und Luftstrahlmühlen feingemahlen und gleichzeitig oder anschließend mit den Formulierungshilfsmitteln vermischt. Emulgierbare Konzentrate werden durch Auflösen des Wirkstoffes in einem organischen Lösungsmittel z.B. Butanol, Cyclohexanon, Dimethylformamid, Xylol oder auch höhersiedenden Aromaten oder Kohlenwasserstoffen oder Mischungen der organischen Lösungsmittel unter Zusatz von einem oder mehreren Tensiden ionischer und/oder nichtionischer Art (Emulgatoren) hergestellt. Als Emulgatoren können beispielsweise verwendet werden: Alkylarylsulfonsaure CalziumSalze wie -Ca-Dodecylbenzolsulfonat oder nichtionische Emulgatoren wie Fettsäurepolyglykolester, Alkylarylpolyglykolether, Fettalkoholpolyglykolether, Propylenoxid-Ethylenoxid-Kondensations- produkte, Alkylpolyether, Sorbitanester wie z.B. Sorbitanfettsäureester oder Polyoxethylensorbitanester wie z.B. Polyoxyethylensorbitan-fettsäureester. S15) Compounds of formula (S15) or their tautomers as described in WO-A-2008/131861 and WO-A-2008/131860 wherein R H 1 is a (C 1 -C 6 )haloalkyl radical and R H 2 is hydrogen or halogen and R H 3, R H 4 are independently hydrogen, (C 1 -C 16 )alkyl, (C 2 -C 16 )alkenyl or (C 2 -C 16 )alkynyl, where each of the last-mentioned 3 radicals is unsubstituted or substituted by one or more radicals from the group halogen, hydroxy, cyano, (C 1 -C 4 )alkoxy, (C 1 -C 4 )haloalkoxy, (C 1 -C 4 )alkylthio, (C 1 -C 4 )alkylamino, di[(C 1 -C 4 )alkyl]amino, [(C 1 -C 4 )alkoxy]carbonyl, [(C 1 -C 4 )haloalkoxy]carbonyl, (C 3 -C 6 )cycloalkyl which is unsubstituted or substituted, phenyl which is unsubstituted or substituted, and heterocyclyl which is unsubstituted or substituted, or (C 3 -C 6 )cycloalkyl, (C 4 -C 6 )cycloalkenyl, (C 3 -C 6 )cycloalkyl which is condensed on one side of the ring with a 4 to 6-membered saturated or unsaturated carbocyclic ring, or (C 4 -C 6 )cycloalkenyl which is condensed on one side of the ring with a 4 to 6-membered saturated or unsaturated carbocyclic ring, where each of the last-mentioned 4 radicals is unsubstituted or substituted by one or more radicals from the group halogen, hydroxy, cyano, (C1-C4)alkyl, (C1-C4)haloalkyl, (C1-C4)alkoxy, (C1-C4)haloalkoxy, (C1-C4)alkylthio, (C1-C4)alkylamino, di[(C1-C4)alkyl]amino, [(C1-C4)alkoxy]carbonyl, [(C1-C4)haloalkoxy]carbonyl, (C3-C6)cycloalkyl, which is unsubstituted or substituted, phenyl, which is unsubstituted or substituted, and heterocyclyl, which is unsubstituted or substituted, is substituted, or R 3 H is (C1-C4)alkoxy, (C2-C4)alkenyloxy, (C2-C6)alkynyloxy or (C2-C4)haloalkoxy and R 4 H is hydrogen or (C1-C4)alkyl or R 3 H and R 4 H together with the directly bound N atom a four- to eight-membered heterocyclic ring which, in addition to the N atom, can also contain further hetero ring atoms, preferably up to two further hetero ring atoms from the group N, O and S and which is unsubstituted or substituted by one or more radicals from the group halogen, cyano, nitro, (C 1 -C 4 )alkyl, (C 1 -C 4 )haloalkyl, (C 1 -C 4 )alkoxy, (C 1 -C 4 )haloalkoxy and (C 1 -C 4 ) alkylthio. S16) Active substances which are primarily used as herbicides but also have a safener effect on cultivated plants, e.g. (2,4-dichlorophenoxy)acetic acid (2,4-D), (4-chlorophenoxy)acetic acid, (R,S)-2-(4-chloro-o-tolyloxy)propionic acid (mecoprop), 4-(2,4-dichlorophenoxy)butyric acid (2,4-DB), (4-chloro-o-tolyloxy)acetic acid (MCPA), 4-(4-chloro-o-tolyloxy)butyric acid, 4-(4-chlorophenoxy)butyric acid, 3,6-dichloro-2-methoxybenzoic acid (dicamba), 1-(ethoxycarbonyl)ethyl-3,6-dichloro-2-methoxybenzoate (lactidichloro-ethyl). Particularly preferred safeners are mefenpyr-diethyl, cyprosulfamide, isoxadifen-ethyl, cloquintocet-mexyl, dichlormid and metcamifen. Wettable powders are preparations that can be evenly dispersed in water and which, in addition to the active ingredient and a diluent or inert substance, also contain ionic and/or non-ionic surfactants (wetting agents, dispersants), e.g. polyoxyethylated alkylphenols, polyoxyethylated fatty alcohols, polyoxyethylated fatty amines, fatty alcohol polyglycol ether sulfates, alkanesulfonates, alkylbenzenesulfonates, sodium ligninsulfonate, sodium 2,2'-dinaphthylmethane-6,6'-disulfonate, sodium dibutylnaphthalenesulfonate or sodium oleoylmethyltaurine. To produce the wettable powders, the herbicidal active ingredients are finely ground in conventional equipment such as hammer mills, blower mills and air jet mills and mixed simultaneously or subsequently with the formulation aids. Emulsifiable concentrates are produced by dissolving the active ingredient in an organic solvent, e.g. butanol, cyclohexanone, dimethylformamide, xylene or higher-boiling aromatics or hydrocarbons or mixtures of organic solvents with the addition of one or more surfactants of ionic and/or non-ionic nature (emulsifiers). Emulsifiers can be used, for example: alkylarylsulfonic acid calcium salts such as -Ca-dodecylbenzenesulfonate or non-ionic emulsifiers such as fatty acid polyglycol esters, alkylaryl polyglycol ethers, fatty alcohol polyglycol ethers, propylene oxide-ethylene oxide condensation products, alkyl polyethers, sorbitan esters such as sorbitan fatty acid esters or polyoxyethylene sorbitan esters such as polyoxyethylene sorbitan fatty acid esters.
Stäubemittel erhält man durch Vermahlen des Wirkstoffes mit fein verteilten festen Stoffen, z.B. Talkum, natürlichen Tonen, wie Kaolin, Bentonit und Pyrophyllit, oder Diatomeenerde. Dusting agents are obtained by grinding the active ingredient with finely divided solid substances, e.g. talc, natural clays such as kaolin, bentonite and pyrophyllite, or diatomaceous earth.
Suspensionskonzentrate können auf Wasser- oder Ölbasis sein. Sie können beispielsweise durch Naß-Vermahlung mittels handelsüblicher Perlmühlen und gegebenenfalls Zusatz von Tensiden, wie sie z.B. oben bei den anderen Formulierungstypen bereits aufgeführt sind, hergestellt werden. Suspension concentrates can be water- or oil-based. They can be produced, for example, by wet grinding using commercially available bead mills and, if necessary, by adding surfactants, such as those listed above for the other formulation types.
Emulsionen, z.B. Öl-in-Wasser-Emulsionen (EW), lassen sich beispielsweise mittels Rührern, Kolloidmühlen und/oder statischen Mischern unter Verwendung von wäßrigen organischen Lösungsmitteln und gegebenenfalls Tensiden, wie sie z.B. oben bei den anderen Formulierungstypen bereits aufgeführt sind, herstellen. Emulsions, e.g. oil-in-water emulsions (EW), can be prepared, for example, by means of stirrers, colloid mills and/or static mixers using aqueous organic solvents and, if appropriate, surfactants, such as those already listed above for the other formulation types.
Granulate können entweder durch Verdüsen des Wirkstoffes auf adsorptionsfähiges, granuliertes Inertmaterial hergestellt werden oder durch Aufbringen von Wirkstoffkonzentraten mittels Klebemitteln, z.B. Polyvinylalkohol, polyacrylsaurem Natrium oder auch Mineralölen, auf die Oberfläche von Trägerstoffen wie Sand, Kaolinite oder von granuliertem Inertmaterial. Auch können geeignete Wirkstoffe in der für die Herstellung von Düngemittelgranulaten üblichen Weise - gewünschtenfalls in Mischung mit Düngemitteln - granuliert werden. Granules can be produced either by spraying the active ingredient onto adsorbable, granulated inert material or by applying active ingredient concentrates using adhesives, e.g. polyvinyl alcohol, polyacrylic acid sodium or mineral oils, to the surface of carrier materials such as sand, kaolinite or granulated inert material. Suitable active ingredients can also be granulated in the usual way for the production of fertilizer granules - if desired in a mixture with fertilizers.
Wasserdispergierbare Granulate werden in der Regel nach den üblichen Verfahren wie Sprühtrocknung, Wirbelbett-Granulierung, Teller-Granulierung, Mischung mit Hochgeschwindigkeitsmischem und Extrusion ohne festes Inertmaterial hergestellt. Water-dispersible granules are usually produced by conventional processes such as spray drying, fluid bed granulation, disc granulation, mixing with high-speed mixers and extrusion without solid inert material.
Zur Herstellung von Teller-, Fließbett-, Extruder- und Sprühgranulate siehe z.B. Verfahren in "Spray-Drying Handbook" 3rd ed. 1979, G. Goodwin Ltd., London, J.E. Browning, "Agglomeration", Chemical and Engineering 1967, Seiten 147 ff, "Perry's Chemical Engineer's Handbook", 5th Ed., McGraw-Hill, New York 1973, S. 8-57. For the production of disc, fluidized bed, extruder and spray granules see e.g. processes in "Spray-Drying Handbook" 3rd ed. 1979, G. Goodwin Ltd., London, J.E. Browning, "Agglomeration", Chemical and Engineering 1967, pages 147 ff, "Perry's Chemical Engineer's Handbook", 5th Ed., McGraw-Hill, New York 1973, pp. 8-57.
Für weitere Einzelheiten zur Formulierung von Pflanzenschutzmitteln siehe z.B. G.C. Klingman, "Weed Control as a Science", John Wiley and Sons, Inc., New York, 1961, Seiten 81-96 und J.D. Freyer, S.A. Evans, "Weed Control Handbook", 5th Ed., Blackwell Scientific Publications, Oxford, 1968, Seiten 101-103. For further details on the formulation of crop protection products see, for example, G.C. Klingman, "Weed Control as a Science", John Wiley and Sons, Inc., New York, 1961, pages 81-96 and J.D. Freyer, S.A. Evans, "Weed Control Handbook", 5th Ed., Blackwell Scientific Publications, Oxford, 1968, pages 101-103.
Die agrochemischen Zubereitungen enthalten in der Regel 0.1 bis 99 Gew.-%, insbesondere 0.1 bis 95 Gew.-%, erfmdungsgemäße Verbindungen. In Spritzpulvem beträgt die Wirkstoff-konzentration z.B. etwa 10 bis 90 Gew.-%, der Rest zu 100 Gew.-% besteht aus üblichen Formulierungsbestandteilen. Bei emulgierbaren Konzentraten kann die Wirkstoffkonzentration etwa 1 bis 90, vorzugsweise 5 bis 80 Gew.-% betragen. Staubförmige Formulierungen enthalten 1 bis 30 Gew. -% Wirkstoff, vorzugsweise meistens 5 bis 20 Gew.-% an Wirkstoff, versprühbare Lösungen enthalten etwa 0.05 bis 80, vorzugsweise 2 bis 50 Gew.-% Wirkstoff. Bei wasser-dispergierbaren Granulaten hängt der Wirkstoffgehalt zum Teil davon ab, ob die wirksame Verbindung flüssig oder fest vorliegt und welche Granulierhilfsmittel, Füllstoffe usw. verwendet werden. Bei den in Wasser dispergierbaren Granulaten liegt der Gehalt an Wirkstoff beispielsweise zwischen 1 und 95 Gew.-%, vorzugsweise zwischen 10 und 80 Gew.-%. The agrochemical preparations usually contain 0.1 to 99 wt.%, in particular 0.1 to 95 % by weight of compounds according to the invention. In spray powders, the active ingredient concentration is, for example, about 10 to 90 wt. %, the remainder to 100 wt. % consists of conventional formulation components. In emulsifiable concentrates, the active ingredient concentration can be about 1 to 90, preferably 5 to 80 wt. %. Dust-like formulations contain 1 to 30 wt. % of active ingredient, preferably mostly 5 to 20 wt. % of active ingredient, sprayable solutions contain about 0.05 to 80, preferably 2 to 50 wt. % of active ingredient. In water-dispersible granules, the active ingredient content depends in part on whether the active compound is liquid or solid and which granulation aids, fillers, etc. are used. In water-dispersible granules, the active ingredient content is, for example, between 1 and 95 wt. %, preferably between 10 and 80 wt. %.
Daneben enthalten die genannten Wirkstofformulierungen gegebenenfalls die jeweils üblichen Haft, Netz, Dispergier, Emulgier, Penetrations, Konservierungs, Frostschutz und Lösungsmittel, Füll, Träger und Farbstoffe, Entschäumer, Verdunstungshemmer und den pH-Wert und die Viskosität beeinflussende Mittel. In addition, the active ingredient formulations mentioned may contain the usual adhesive, wetting, dispersing, emulsifying, penetrating, preservative, antifreeze and solvent agents, fillers, carriers and colorants, defoamers, evaporation inhibitors and agents which influence the pH value and viscosity.
Auf der Basis dieser Formulierungen lassen sich auch Kombinationen mit anderen pestizid wirksamen Stoffen, wie z.B. Insektiziden, Akariziden, Herbiziden, Fungiziden, sowie mit Safenern, Düngemitteln und/oder Wachstumsregulatoren herstellen, z.B. in Form einer Fertigformulierung oder als Tankmix. On the basis of these formulations, combinations with other pesticidally active substances, such as insecticides, acaricides, herbicides, fungicides, as well as with safeners, fertilizers and/or growth regulators, can also be produced, e.g. in the form of a ready-made formulation or as a tank mix.
Zur Anwendung werden die in handelsüblicher Form vorliegenden Formulierungen gegebenenfalls in üblicher weise verdünnt z.B. bei Spritzpulvem, emulgierbaren Konzentraten, Dispersionen und wasserdispergierbaren Granulaten mittels Wasser. Staubförmige Zubereitungen, Boden- bzw. Streugranulate sowie versprühbare Lösungen werden vor der Anwendung üblicherweise nicht mehr mit weiteren inerten Stoffen verdünnt. For use, the formulations in commercial form are diluted in the usual way, e.g. with water in the case of wettable powders, emulsifiable concentrates, dispersions and water-dispersible granules. Dust-like preparations, soil or spreading granules and sprayable solutions are usually not diluted with other inert substances before use.
Mit den äußeren Bedingungen wie Temperatur, Feuchtigkeit, der Art des verwendeten Herbizids, u.a. variiert die erforderliche Aufwandmenge der Verbindungen der Formel (I) und deren Salze. Sie kann innerhalb weiter Grenzen schwanken, z.B. zwischen 0,001 und 10,0 kg/ha oder mehr Aktivsubstanz, vorzugsweise liegt sie jedoch zwischen 0,005 bis 5 kg/ha, weiter bevorzugt im Bereich von 0,01 bis 1,5 kg/ha, insbesondere bevorzugt im Bereich von 0,05 bis 1 kg/ha g/ha. Dies gilt sowohl für die Anwendung im Vorauflauf oder im Nachauflauf. The required application rate of the compounds of formula (I) and their salts varies with external conditions such as temperature, humidity, the type of herbicide used, etc. It can vary within wide limits, e.g. between 0.001 and 10.0 kg/ha or more of active substance, but is preferably between 0.005 and 5 kg/ha, more preferably in the range from 0.01 to 1.5 kg/ha, particularly preferably in the range from 0.05 to 1 kg/ha g/ha. This applies both to pre-emergence and post-emergence applications.
Trägerstoff bedeutet eine natürliche oder synthetische, organische oder anorganische Substanz, mit welchen die Wirkstoffe zur besseren Anwendbarkeit, v.a. zum Aufbringen auf Pflanzen oder Pflanzenteile oder Saatgut, gemischt oder verbunden sind. Der Trägerstoff, welcher fest oder flüssig sein kann, ist im Allgemeinen inert und sollte in der Landwirtschaft verwendbar sein. Carrier means a natural or synthetic, organic or inorganic substance with which the active ingredients are mixed or combined for better applicability, especially for application to plants or parts of plants or seeds. The carrier, which can be solid or liquid, is generally inert and should be usable in agriculture.
Als feste oder flüssige Trägerstoffe kommen infrage: z.B. Ammoniumsalze und natürliche Gesteins- mehle, wie Kaoline, Tonerden, Talkum, Kreide, Quarz, Attapulgit, Montmorillonit oder Diatomeenerde und synthetische Gesteinsmehle, wie hochdisperse Kieselsäure, Aluminiumoxid und natürliche oder synthetische Silikate, Harze, Wachse, feste Düngemittel, Wasser, Alkohole, besonders Butanol, organische Solventien, Mineral- und Pflanzenöle sowie Derivate hiervon. Mischungen solcher Trägerstoffe können ebenfalls verwendet werden. Als feste Trägerstoffe für Granulate kommen infrage: z.B. gebrochene und fraktionierte natürliche Gesteine wie Calcit, Marmor, Bims, Sepiolith, Dolomit sowie synthetische Granulate aus anorganischen und organischen Mehlen sowie Granulate aus organischem Material wie Sägemehl, Kokosnussschalen, Maiskolben und Tabakstängel. Solid or liquid carriers can be used: e.g. ammonium salts and natural rock flours such as kaolins, clays, talc, chalk, quartz, attapulgite, montmorillonite or diatomaceous earth and synthetic mineral flours such as highly dispersed silica, aluminium oxide and natural or synthetic silicates, resins, waxes, solid fertilizers, water, alcohols, particularly butanol, organic solvents, mineral and vegetable oils and derivatives thereof. Mixtures of such carriers can also be used. Solid carriers for granules include: e.g. broken and fractionated natural rocks such as calcite, marble, pumice, sepiolite, dolomite as well as synthetic granules made from inorganic and organic flours and granules made from organic material such as sawdust, coconut shells, corn cobs and tobacco stalks.
Als verflüssigte gasförmige Streckmittel oder Trägerstoffe kommen solche Flüssigkeiten infrage, welche bei normaler Temperatur und unter Normaldruck gasförmig sind, z.B. Aerosol-Treibgase, wie Halogenkohlenwasserstoffe, sowie Butan, Propan, Stickstoff und Kohlendioxid. Suitable liquefied gaseous extenders or carriers are liquids which are gaseous at normal temperature and pressure, e.g. aerosol propellants such as halogenated hydrocarbons, as well as butane, propane, nitrogen and carbon dioxide.
Es können in den Formulierungen Haftmittel wie Carboxymethylcellulose, natürliche und synthetische pulverige, körnige oder latexförmige Polymere verwendet werden, wie Gummiarabikum, Polyvinylalkohol, Polyvinylacetat, sowie natürliche Phospholipide, wie Kephaline und Lecithine, und synthetische Phospholipide. Weitere Additive können mineralische und vegetabile Öle sein. Adhesives such as carboxymethylcellulose, natural and synthetic powdered, granular or latex polymers such as gum arabic, polyvinyl alcohol, polyvinyl acetate, as well as natural phospholipids such as cephalins and lecithins and synthetic phospholipids can be used in the formulations. Other additives can be mineral and vegetable oils.
Im Falle der Benutzung von Wasser als Streckmittel können z.B. auch organische Lösungsmittel als Hilfslösungsmittel verwendet werden. Als flüssige Lösungsmittel kommen im Wesentlichen infrage: Aromaten, wie Xylol, Toluol oder Alkylnaphthaline, chlorierte Aromaten oder chlorierte aliphatische Kohlenwasserstoffe, wie Chlorbenzole, Chlorethylene oder Dichlormethan, aliphatische Kohlenwasserstoffe, wie Cyclohexan oder Paraffine, z.B. Erdölfraktionen, mineralische und pflanzliche Öle, Alkohole, wie Butanol oder Glykol sowie deren Ether und Ester, Ketone, wie Aceton, Methylethylketon, Methylisobutylketon oder Cyclohexanon, stark polare Lösungsmittel wie Dimethylformamid und Dimethylsulfoxid, sowie Wasser. If water is used as an extender, organic solvents can also be used as auxiliary solvents. The following liquid solvents are essentially suitable: aromatics such as xylene, toluene or alkylnaphthalenes, chlorinated aromatics or chlorinated aliphatic hydrocarbons such as chlorobenzenes, chloroethylenes or dichloromethane, aliphatic hydrocarbons such as cyclohexane or paraffins, e.g. petroleum fractions, mineral and vegetable oils, alcohols such as butanol or glycol and their ethers and esters, ketones such as acetone, methyl ethyl ketone, methyl isobutyl ketone or cyclohexanone, strongly polar solvents such as dimethylformamide and dimethyl sulfoxide, and water.
Die erfmdungsgemäßen Mittel können zusätzlich weitere Bestandteile enthalten, wie z.B. oberflächenaktive Stoffe. Als oberflächenaktive Stoffe kommen Emulgier- und/oder Schaum erzeugende Mittel, Dispergiermittel oder Benetzungsmittel mit ionischen oder nicht-ionischen Eigenschaften oder Mischungen dieser oberflächenaktiven Stoffe infrage. Beispiele hierfür sind Salze von Polyacrylsäure, Salze von Lignosulphonsäure, Salze von Phenolsulphonsäure oder Naphthalinsulphonsäure, Polykondensate von Ethylenoxid mit Fettalkoholen oder mit Fettsäuren oder mit Fettaminen, substituierten Phenolen (vorzugsweise Alkylphenole oder Arylphenole), Salze von Sulphobemsteinsäureestem, Taurinderivate (vorzugsweise Alkyltaurate), Phosphorsäureester von polyethoxylierten Alkoholen oder Phenole, Fettsäureester von Polyolen, und Derivate der Verbindungen enthaltend Sulphate, Sulphonate und Phosphate, z.B. Alkylarylpolyglycolether, Alkylsulfonate, Alkylsulfate, Arylsulfonate, Eiweißhydrolysate, Lignin-Sulfitablaugen und Methylcellulose. Die Anwesenheit einer oberflächenaktiven Substanz ist notwendig, wenn einer der Wirkstoff und/oder einer der inerten Trägerstoffe nicht in Wasser löslich ist und wenn die Anwendung in Wasser erfolgt. Der Anteil an oberflächenaktiven Stoffen liegt zwischen 5 und 40 Gewichtsprozent des erfmdungsgemäßen Mittels. Es können Farbstoffe wie anorganische Pigmente, z.B. Eisenoxid, Titanoxid, Ferrocyanblau und organische Farbstoffe, wie Alizarin-, Azo- und Metallphthalocyaninfarbstoffe und Spurennährstoffe, wie Salze von Eisen, Mangan, Bor, Kupfer, Kobalt, Molybdän und Zink verwendet werden. The agents according to the invention can additionally contain other components, such as surface-active substances. Suitable surface-active substances are emulsifying and/or foam-producing agents, dispersing agents or wetting agents with ionic or non-ionic properties or mixtures of these surface-active substances. Examples of these are salts of polyacrylic acid, salts of lignosulphonic acid, salts of phenolsulphonic acid or naphthalenesulphonic acid, polycondensates of ethylene oxide with fatty alcohols or with fatty acids or with fatty amines, substituted phenols (preferably alkylphenols or arylphenols), salts of sulphobenzene esters, taurine derivatives (preferably alkyl taurates), phosphoric acid esters of polyethoxylated alcohols or phenols, fatty acid esters of polyols, and derivatives of compounds containing sulphates, sulphonates and phosphates, e.g. alkylaryl polyglycol ethers, alkylsulphonates, alkyl sulphates, arylsulphonates, protein hydrolysates, lignin sulphite waste liquors and methylcellulose. The presence of a surface-active substance is necessary if one of the active ingredients and/or one of the inert Carrier substances are not soluble in water and when the application takes place in water. The proportion of surface-active substances is between 5 and 40 percent by weight of the agent according to the invention. Dyes such as inorganic pigments, eg iron oxide, titanium oxide, ferrocyan blue and organic dyes such as alizarin, azo and metal phthalocyanine dyes and trace nutrients such as salts of iron, manganese, boron, copper, cobalt, molybdenum and zinc can be used.
Gegebenenfalls können auch andere zusätzliche Komponenten enthalten sein, z.B. schützende Kolloide, Bindemittel, Klebstoffe, Verdicker, thixotrope Stoffe, Penetrationsförderer, Stabilisatoren, Sequestiermittel, Komplexbildner. Im Allgemeinen können die Wirkstoffe mit jedem festen oder flüssigen Additiv, welches für Formulierungszwecke gewöhnlich verwendet wird, kombiniert werden. Im Allgemeinen enthalten die erfmdungsgemäßen Mittel und Formulierungen zwischen 0,05 und 99 Gew.-%, 0,01 und 98 Gew.-%, vorzugsweise zwischen 0,1 und 95 Gew.-%, besonders bevorzugt zwischen 0,5 und 90 % Wirkstoff, ganz besonders bevorzugt zwischen 10 und 70 Gewichtsprozent. Die erfmdungsgemäßen Wirkstoffe bzw. Mittel können als solche oder in Abhängigkeit von ihren jeweiligen physikalischen und/oder chemischen Eigenschaften in Form ihrer Formulierungen oder den daraus bereiteten Anwendungsformen, wie Aerosole, Kapselsuspensionen, Kaltnebelkonzentrate, Heißnebelkonzentrate, verkapselte Granulate, Feingranulate, fließfähige Konzentrate für die Behandlung von Saatgut, gebrauchsfertige Lösungen, verstäubbare Pulver, emulgierbare Konzentrate, Öl-in-Wasser- Emulsionen, Wasser-in-Öl-Emulsionen, Makrogranulate, Mikrogranulate, Öl dispergierbare Pulver, Öl mischbare fließfähige Konzentrate, Öl mischbare Flüssigkeiten, Schäume, Pasten, Pestizid ummanteltes Saatgut, Suspensionskonzentrate, Suspensions-Emulsions-Konzentrate, lösliche Konzentrate, Suspensionen, Spritzpulver, lösliche Pulver, Stäubemittel und Granulate, wasserlösliche Granulate oder Tabletten, wasserlösliche Pulver für Saatgut-behandlung, benetzbare Pulver, Wirkstoff-imprägnierte Natur- und synthetische Stoffe sowie Feinstverkapselungen in polymeren Stoffen und in Hüllmassen für Saatgut, sowie ULV-Kalt- und Warmnebel-Formulierungen eingesetzt werden. If necessary, other additional components may also be included, e.g. protective colloids, binders, adhesives, thickeners, thixotropic substances, penetration enhancers, stabilizers, sequestering agents, complexing agents. In general, the active ingredients can be combined with any solid or liquid additive that is usually used for formulation purposes. In general, the agents and formulations according to the invention contain between 0.05 and 99% by weight, 0.01 and 98% by weight, preferably between 0.1 and 95% by weight, particularly preferably between 0.5 and 90% active ingredient, very particularly preferably between 10 and 70% by weight. The active ingredients or agents according to the invention can be used as such or depending on their respective physical and/or chemical properties in the form of their formulations or the application forms prepared therefrom, such as aerosols, capsule suspensions, cold mist concentrates, hot mist concentrates, encapsulated granules, fine granules, flowable concentrates for the treatment of seed, ready-to-use solutions, dustable powders, emulsifiable concentrates, oil-in-water emulsions, water-in-oil emulsions, macrogranules, microgranules, oil-dispersible powders, oil-miscible flowable concentrates, oil-miscible liquids, foams, pastes, pesticide-coated seed, suspension concentrates, suspension-emulsion concentrates, soluble concentrates, suspensions, wettable powders, soluble powders, dusts and granules, water-soluble granules or tablets, water-soluble powders for seed treatment, wettable powders, Active ingredient-impregnated natural and synthetic materials as well as fine encapsulations in polymeric materials and in seed coatings, as well as ULV cold and warm mist formulations can be used.
Die genannten Formulierungen können in an sich bekannter Weise hergestellt werden, z.B. durch Vermischen der Wirkstoffe mit mindestens einem üblichen Streckmittel, Lösungs- bzw. Verdünnungsmittel, Emulgator, Dispergier- und/oder Binde- oder Fixiermittels, Netzmittel, Wasser-Repellent, gegebenenfalls Sikkative und UV-Stabilisatoren und gegebenenfalls Farbstoffen und Pigmenten, Entschäumer, Konservierungsmittel, sekundäre Verdickungsmittel, Kleber, Gibberelline sowie weiteren Verarbeitungshilfsmitteln. The formulations mentioned can be prepared in a manner known per se, e.g. by mixing the active ingredients with at least one conventional extender, solvent or diluent, emulsifier, dispersant and/or binder or fixing agent, wetting agent, water repellent, optionally siccatives and UV stabilizers and optionally dyes and pigments, defoamers, preservatives, secondary thickeners, adhesives, gibberellins and other processing aids.
Die erfmdungsgemäßen Mittel umfassen nicht nur Formulierungen, welche bereits anwendungsfertig sind und mit einer geeigneten Apparatur auf die Pflanze oder das Saatgut ausgebracht werden können, sondern auch kommerzielle Konzentrate, welche vor Gebrauch mit Wasser verdünnt werden müssen. The agents according to the invention include not only formulations which are already ready for use and can be applied to the plant or seed using suitable equipment, but also commercial concentrates which must be diluted with water before use.
Die erfmdungsgemäßen Wirkstoffe können als solche oder in ihren (handelsüblichen) Formulierungen sowie in den aus diesen Formulierungen bereiteten Anwendungsformen in Mischung mit anderen (bekannten) Wirkstoffen, wie Insektiziden, Lockstoffen, Sterilantien, Bakteriziden, Akariziden, Nema- tiziden, Fungiziden, Wachstumsregulatoren, Herbiziden, Düngemiteln, Safener bzw. Semiochemicals vorliegen. The active ingredients according to the invention can be used as such or in their (commercially available) formulations as well as in the application forms prepared from these formulations in mixture with other (known) active ingredients such as insecticides, attractants, sterilants, bactericides, acaricides, nematicides, fungicides, growth regulators, herbicides, fertilizers, safeners or semiochemicals.
Die erfmdungsgemäße Behandlung der Pflanzen und Pflanzenteile mit den Wirkstoffen bzw. Miteln erfolgt direkt oder durch Einwirkung auf deren Umgebung, Lebensraum oder Lagerraum nach den üblichen Behandlungsmethoden, z.B. durch Tauchen, (Ver-) Spritzen, (Ver-) Sprühen, Berieseln, Verdampfen, Zerstäuben, Vernebeln, (Ver-) Streuen, Verschäumen, Bestreichen, Verstreichen, Gießen (drenchen), Tröpfchenbewässerung und bei Vermehrungsmaterial, insbesondere bei Samen, weiterhin durch Trockenbeizen, Nassbeizen, Schlämmbeizen, Inkrustieren, ein- oder mehrschichtiges Umhüllen usw. Es ist ferner möglich, die Wirkstoffe nach dem Ultra-Low-Volume-Verfahren auszubringen oder die Wirkstoffzubereitung oder den Wirkstoff selbst in den Boden zu injizieren. The treatment of plants and plant parts with the active substances or agents according to the invention takes place directly or by acting on their environment, habitat or storage space according to the usual treatment methods, e.g. by dipping, spraying, atomizing, sprinkling, evaporating, atomizing, misting, scattering, foaming, coating, spreading, watering (drenching), drip irrigation and, in the case of propagation material, in particular seeds, by dry dressing, wet dressing, slurry dressing, encrustation, single or multi-layer coating, etc. It is also possible to apply the active substances using the ultra-low-volume method or to inject the active substance preparation or the active substance itself into the soil.
Wie auch weiter unten beschrieben, ist die Behandlung von transgenem Saatgut mit den erfindungsge- mäßen Wirkstoffen bzw. Miteln von besonderer Bedeutung. Dies betrifft das Saatgut von Pflanzen, die wenigstens ein heterologes Gen enthalten, das die Expression eines Polypeptids oder Proteins mit insektiziden Eigenschaften ermöglicht. Das heterologe Gen in transgenem Saatgut kann z.B. aus Mikroorganismen der Arten Bacillus, Rhizobium, Pseudomonas, Serratia, Trichoderma, Clavibacter, Glomus oder Gliocladium stammen. Bevorzugt stammt dieses heterologe Gen aus Bacillus sp., wobei das Genprodukt eine Wirkung gegen den Maiszünsler (European com borer) und/oder Western Com Rootworm besitzt. Besonders bevorzugt stammt das heterologe Gen aus Bacillus thuringiensis. As also described below, the treatment of transgenic seed with the active substances or agents according to the invention is of particular importance. This relates to the seed of plants which contain at least one heterologous gene which enables the expression of a polypeptide or protein with insecticidal properties. The heterologous gene in transgenic seed can originate, for example, from microorganisms of the species Bacillus, Rhizobium, Pseudomonas, Serratia, Trichoderma, Clavibacter, Glomus or Gliocladium. Preferably, this heterologous gene originates from Bacillus sp., the gene product having an effect against the European corn borer and/or Western corn rootworm. Particularly preferably, the heterologous gene originates from Bacillus thuringiensis.
Im Rahmen der vorliegenden Erfindung wird das erfmdungsgemäße Mitel alleine oder in einer geeigneten Formulierung auf das Saatgut aufgebracht. Vorzugsweise wird das Saatgut in einem Zustand behandelt, in dem so stabil ist, dass keine Schäden bei der Behandlung auftreten. Im Allgemeinen kann die Behandlung des Saatguts zu jedem Zeitpunkt zwischen der Ernte und der Aussaat erfolgen. Üblicherweise wird Saatgut verwendet, das von der Pflanze getrennt und von Kolben, Schalen, Stängeln, Hülle, Wolle oder Fruchtfleisch befreit wird. So kann zum Beispiel Saatgut verwendet werden, das geerntet, gereinigt und bis zu einem Feuchtigkeitsgehalt von unter 15 Gew.-% getrocknet wird. Alternativ kann auch Saatgut verwendet werden, das nach dem Trocknen z.B. mit Wasser behandelt und dann erneut getrocknet wird. In the context of the present invention, the agent according to the invention is applied to the seed alone or in a suitable formulation. The seed is preferably treated in a state in which it is so stable that no damage occurs during the treatment. In general, the treatment of the seed can take place at any time between harvesting and sowing. Usually, seed is used which is separated from the plant and freed from cobs, shells, stems, husks, wool or pulp. For example, seed can be used which is harvested, cleaned and dried to a moisture content of less than 15% by weight. Alternatively, seed can be used which is treated after drying, e.g. with water and then dried again.
Im Allgemeinen muss bei der Behandlung des Saatguts darauf geachtet werden, dass die Menge des auf das Saatgut aufgebrachten erfindungsgemäßen Mitels und/oder weiterer Zusatzstoffe so gewählt wird, dass die Keimung des Saatguts nicht beeinträchtigt bzw. die daraus hervorgehende Pflanze nicht geschädigt wird. Dies ist vor allem bei Wirkstoffen zu beachten, die in bestimmten Aufwandmengen phytotoxische Effekte zeigen können. In general, when treating the seed, care must be taken to ensure that the amount of the agent according to the invention and/or other additives applied to the seed is selected so that the germination of the seed is not impaired or the resulting plant is not damaged. This is particularly important for active substances that can have phytotoxic effects at certain application rates.
Die erfindungsgemäßen Mitel können unmitelbar aufgebracht werden, also ohne weitere Komponenten zu enthalten und ohne verdünnt worden zu sein. In der Regel ist es vorzuziehen, die Mitel in Form einer geeigneten Formulierung auf das Saatgut aufzubringen. Geeignete Formulierungen und Verfahren für die Saatgutbehandlung sind dem Fachmann bekannt und werden z.B. in den folgenden Dokumenten beschrieben: US 4,272,417 A, US 4,245,432 A, US 4,808,430, US 5,876,739, US 2003/0176428 Al, WO 2002/080675 Al, WO 2002/028186 A2. The agents according to the invention can be applied directly, i.e. without further components and without having been diluted. As a rule, it is preferable to apply the agents to the seed in the form of a suitable formulation. Suitable formulations and methods for seed treatment are known to the person skilled in the art and are described, for example, in the following documents: US 4,272,417 A, US 4,245,432 A, US 4,808,430, US 5,876,739, US 2003/0176428 A1, WO 2002/080675 A1, WO 2002/028186 A2.
Die erfindungsgemäßen Wirkstoffe können in die üblichen Beizmitel-Formulierungen überführt werden, wie Uösungen, Emulsionen, Suspensionen, Pulver, Schäume, Slurries oder andere Hüllmassen für Saatgut, sowie UEV-Formulierungen. The active ingredients according to the invention can be converted into the usual seed dressing formulations, such as solutions, emulsions, suspensions, powders, foams, slurries or other coating masses for seed, as well as UEV formulations.
Diese Formulierungen werden in bekannterWeise hergestellt, indem man die Wirkstoffe mit üblichen Zusatzstoffen vermischt, wie zum Beispiel übliche Streckmitel sowie Lösungs- oder Verdünnungsmitel, Farbstoffe, Netzmitel, Dispergiermitel, Emulgatoren, Entschäumer, Konservierungsmitel, sekundäre Verdickungsmitel, Kleber, Gibberelline und auch Wasser. These formulations are prepared in a known manner by mixing the active ingredients with conventional additives, such as conventional extenders as well as solvents or diluents, dyes, wetting agents, dispersants, emulsifiers, defoamers, preservatives, secondary thickeners, adhesives, gibberellins and also water.
Als Farbstoffe, die in den erfindungsgemäß verwendbaren Beizmitel-Formulierungen enthalten sein können, kommen alle für derartige Zwecke üblichen Farbstoffe in Betracht. Dabei sind sowohl in Wasser wenig lösliche Pigmente als auch in Wasser lösliche Farbstoffe verwendbar. Als Beispiele genannt seien die unter den Bezeichnungen Rhodamin B, C.I. Pigment Red 112 und C.I. Solvent Red 1 bekannten Farbstoffe. All dyes that are customary for such purposes can be considered as dyes that can be contained in the mordant formulations that can be used according to the invention. Both pigments that are slightly soluble in water and dyes that are soluble in water can be used. Examples include the dyes known under the names Rhodamine B, C.I. Pigment Red 112 and C.I. Solvent Red 1.
Als Netzmitel, die in den erfindungsgemäß verwendbaren Beizmitel-Formulierungen enthalten sein können, kommen alle zur Formulierung von agrochemischen Wirkstoffen üblichen, die Benetzung fördernden Stoffe in Frage. Vorzugsweise verwendbar sind Alkylnaphthalin-Sulfonate, wie Diisopropyloder Diisobutyl -naphthalin-Sulfonate . Wetting agents which can be contained in the seed dressing formulations which can be used according to the invention are all substances which promote wetting and which are customary for the formulation of agrochemical active ingredients. Alkyl naphthalene sulfonates, such as diisopropyl or diisobutyl naphthalene sulfonates, can preferably be used.
Als Dispergiermitel und/oder Emulgatoren, die in den erfmdungsgemäß verwendbaren Beizmitel- Formulierungen enthalten sein können, kommen alle zur Formulierung von agrochemischen Wirkstoffen üblichen nichtionischen, anionischen und kationischen Dispergiermitel in Betracht. Vorzugsweise verwendbar sind nichtionische oder anionische Dispergiermitel oder Gemische von nichtionischen oder anionischen Dispergiermiteln. Als geeignete nichtionische Dispergiermitel sind insbesondere Ethylen- oxid-Propylenoxid Blockpolymere, Alkylphenolpolyglykolether sowie Tristryrylphenolpolyglykolether und deren phosphatierte oder sulfatierte Derivate zu nennen. Geeignete anionische Dispergiermitel sind insbesondere Ligninsulfonate, Polyacrylsäure salze und Arylsulfonat-Formaldehydkondensate. All non-ionic, anionic and cationic dispersants customary for the formulation of agrochemical active ingredients are suitable as dispersants and/or emulsifiers which can be contained in the seed dressing formulations which can be used according to the invention. Non-ionic or anionic dispersants or mixtures of non-ionic or anionic dispersants can preferably be used. Suitable non-ionic dispersants are in particular ethylene oxide-propylene oxide block polymers, alkylphenol polyglycol ethers and tristyrylphenol polyglycol ethers and their phosphated or sulfated derivatives. Suitable anionic dispersants are in particular lignin sulfonates, polyacrylic acid salts and arylsulfonate-formaldehyde condensates.
Als Entschäumer können in den erfmdungsgemäß verwendbaren Beizmitel-Formulierungen alle zur Formulierung von agrochemischen Wirkstoffen üblichen schaumhemmenden Stoffe enthalten sein. Vorzugsweise verwendbar sind Silikonentschäumer und Magnesiumstearat. Defoamers that can be contained in the seed dressing formulations used according to the invention include all foam-inhibiting substances that are customary for the formulation of agrochemical active ingredients. Silicone defoamers and magnesium stearate are preferably used.
Als Konservierungsmitel können in den erfindungsgemäß verwendbaren Beizmitel-Formulierungen alle fur derartige Zwecke in agrochemischen Mitteln einsetzbaren Stoffe vorhanden sein. Beispielhaft genannt seien Dichlorophen und Benzylalkoholhemiformal. Preservatives that can be used in the pickling agent formulations according to the invention are all substances that can be used in agrochemical products for such purposes must be present. Examples include dichlorophene and benzyl alcohol hemiformal.
Als sekundäre Verdickungsmittel, die in den erfmdungsgemäß verwendbaren Beizmittel-Formulierungen enthalten sein können, kommen alle für derartige Zwecke in agrochemischen Mitteln einsetzbaren Stoffe in Frage. Vorzugsweise in Betracht kommen Cellulosederivate, Acrylsäurederivate, Xanthan, modifizierte Tone und hochdisperse Kieselsäure. Suitable secondary thickeners which can be contained in the seed dressing formulations used according to the invention are all substances which can be used for such purposes in agrochemical agents. Cellulose derivatives, acrylic acid derivatives, xanthan, modified clays and highly disperse silica are preferred.
Als Kleber, die in den erfmdungsgemäß verwendbaren Beizmittel-Formulierungen enthalten sein können, kommen alle üblichen in Beizmitteln einsetzbaren Bindemittel in Frage. Vorzugsweise genannt seien Polyvinylpyrrolidon, Polyvinylacetat, Polyvinylalkohol und Tylose. All of the usual binding agents that can be used in mordants are suitable as adhesives that can be contained in the mordant formulations that can be used according to the invention. Polyvinylpyrrolidone, polyvinyl acetate, polyvinyl alcohol and tylose are preferred.
Die erfmdungsgemäß verwendbaren Beizmittel-Formulierungen können entweder direkt oder nach vorherigem Verdünnen mit Wasser zur Behandlung von Saatgut der verschiedensten Art, auch von Saatgut transgener Pflanzen, eingesetzt werden. Dabei können im Zusammenwirken mit den durch Expression gebildeten Substanzen auch zusätzliche synergistische Effekte auftreten. The seed dressing formulations that can be used according to the invention can be used either directly or after prior dilution with water to treat seeds of various types, including seeds of transgenic plants. In this case, additional synergistic effects can also occur in conjunction with the substances formed by expression.
Zur Behandlung von Saatgut mit den erfmdungsgemäß verwendbaren Beizmittel-Formulierungen oder den daraus durch Zugabe von Wasser hergestellten Zubereitungen kommen alle üblicherweise für die Beizung einsetzbaren Mischgeräte in Betracht. Im Einzelnen geht man bei der Beizung so vor, dass man das Saatgut in einen Mischer gibt, die jeweils gewünschte Menge an Beizmittel-Formulierungen entweder als solche oder nach vorherigem Verdünnen mit Wasser hinzufügt und bis zur gleichmäßigen Verteilung der Formulierung auf dem Saatgut mischt. Gegebenenfalls schließt sich ein Trocknungsvorgang an. All mixing devices that can usually be used for seed dressing can be used to treat seed with the seed dressing formulations that can be used according to the invention or with the preparations made from them by adding water. In detail, the seed dressing procedure involves placing the seed in a mixer, adding the desired amount of seed dressing formulations either as such or after diluting with water, and mixing until the formulation is evenly distributed over the seed. A drying process follows if necessary.
Die erfmdungsgemäßen Wirkstoffe eignen sich bei guter Pflanzenverträglichkeit, günstiger Warmblütertoxizität und guter Umweltverträglichkeit zum Schutz von Pflanzen und Pflanzenorganen, zur Steigerung der Ernteerträge, Verbesserung der Qualität des Emtegutes. Sie können vorzugsweise als Pflanzenschutzmittel eingesetzt werden. Sie sind gegen normal sensible und resistente Arten sowie gegen alle oder einzelne Entwicklungsstadien wirksam. The active ingredients according to the invention are suitable for protecting plants and plant organs, increasing crop yields and improving the quality of the harvested crop, as they are well tolerated by plants, have favorable toxicity to warm-blooded animals and are environmentally friendly. They can preferably be used as plant protection products. They are effective against normally sensitive and resistant species and against all or individual stages of development.
Als Pflanzen, welche erfmdungsgemäß behandelt werden können, seien folgende Hauptanbaupflanzen erwähnt: Mais, Sojabohne, Baumwolle, Brassica Ölsaaten wie Brassica napus (z.B. Canola), Brassica rapa, B. juncea (z.B. (Acker-)Senf) und Brassica carinata, Reis, Weizen Zuckerrübe, Zurckerrohr, Hafer, Roggen, Gerste, Hirse, Triticale, Flachs, Wein und verschiedene Früchte und Gemüse von verschiedenen botanischen Taxa wie z.B. Rosaceae sp. (beispielsweise Kernfrüchte wie Apfel und Birne, aber auch Steinfrüchte wie Aprikosen, Kirschen, Mandeln und Pfirsiche und Beerenfrüchte wie Erdbeeren), Ribesioidae sp., Juglandaceae sp., Betulaceae sp., Anacardiaceae sp., Fagaceae sp., Moraceae sp., Oleaceae sp., Actinidaceae sp., Lauraceae sp., Musaceae sp. (beispielsweise Bananenbäume und -plantagen), Rubiaceae sp. (beispielsweise Kaffee), Theaceae sp., Sterculiceae sp., Rutaceae sp. (beispielsweise Zitronen, Organen und Grapefruit); Solanaceae sp. (beispielsweise Tomaten, Kartoffeln, Pfeffer, Auberginen), Liliaceae sp., Compositae sp. (beispielsweise Salat, Artischocke and Chicoree - einschließlich Wurzelchicoree, Endivie oder gemeinen Chicoree), Umbelliferae sp. (beispielsweise Karrotte, Petersilie, Stangensellerie und Knollensellerie), Cucurbitaceae sp. (beispielsweise Gurke - einschließlich Gewürzgurke, Kürbis, Wassermelone, Flaschenkürbis und Melonen), Alliaceae sp. (beispielsweise Lauch und Zwiebel), Cruciferae sp. (beispielsweise Weißkohl, Rotkohl, Brokkoli, Blumenkohl, Rosenkohl, Pak Choi, Kohlrabi, Radieschen, Meerrettich, Kresse und Chinakohl), Leguminosae sp. (beispielsweise Erdnüsse, Erbsen, und Bohnen - wie z.B. Stangenbohne und Ackerbohne), Chenopodiaceae sp. (beispielsweise Mangold, Futterrübe, Spinat, Rote Rübe), Malvaceae (beispielsweise Okra), Asparagaceae (beispielsweise Spargel); The following main crops may be mentioned as plants which can be treated according to the invention: corn, soybeans, cotton, Brassica oilseeds such as Brassica napus (e.g. canola), Brassica rapa, B. juncea (e.g. (field) mustard) and Brassica carinata, rice, wheat, sugar beet, sugar cane, oats, rye, barley, millet, triticale, flax, wine and various fruits and vegetables from various botanical taxa such as Rosaceae sp. (e.g. pome fruits such as apples and pears, but also stone fruits such as apricots, cherries, almonds and peaches and berries such as strawberries), Ribesioidae sp., Juglandaceae sp., Betulaceae sp., Anacardiaceae sp., Fagaceae sp., Moraceae sp., Oleaceae sp., Actinidaceae sp., Lauraceae sp., Musaceae sp. (e.g. banana trees and plantations), Rubiaceae sp. (e.g. coffee), Theaceae sp., Sterculiceae sp., Rutaceae sp. (e.g. lemons, oranges and grapefruit); Solanaceae sp. (e.g. tomatoes, potatoes, peppers, aubergines), Liliaceae sp., Compositae sp. (e.g. lettuce, artichoke and chicory - including chicory root, endive or common chicory), Umbelliferae sp. (e.g. carrot, parsley, celery and celeriac), Cucurbitaceae sp. (e.g. cucumber - including gherkin, pumpkin, watermelon, gourd and melons), Alliaceae sp. (e.g. leek and onion), Cruciferae sp. (e.g. white cabbage, red cabbage, broccoli, cauliflower, Brussels sprouts, pak choi, kohlrabi, radishes, horseradish, cress and Chinese cabbage), Leguminosae sp. (e.g. peanuts, peas, and beans - such as runner beans and broad beans), Chenopodiaceae sp. (e.g. chard, fodder beet, spinach, beetroot), Malvaceae (e.g. okra), Asparagaceae (e.g. asparagus);
Nutzpflanzen und Zierpflanzen in Garten und Wald; sowie jeweils genetisch modifizierte Arten dieser Pflanzen. Crops and ornamental plants in gardens and forests; as well as genetically modified species of these plants.
Wie oben erwähnt, können erfindungsgemäß alle Pflanzen und deren Teile behandelt werden. In einer bevorzugten Ausführungsform werden wild vorkommende oder durch konventionelle biologische Zuchtmethoden, wie Kreuzung oder Protoplastenfusion erhaltenen Pflanzenarten und Pflanzensorten sowie deren Teile behandelt. In einer weiteren bevorzugten Ausführungsform werden transgene Pflanzen und Pflanzensorten, die durch gentechnologische Methoden gegebenenfalls in Kombination mit konventionellen Methoden erhalten wurden (Genetically Modified Organisms) und deren Teile behandelt. Der Begriff „Teile“ bzw. „Teile von Pflanzen“ oder „Pflanzenteile“ wird oben erläutert. Besonders bevorzugt werden erfindungsgemäß Pflanzen der jeweils handelsüblichen oder in Gebrauch befindlichen Pflanzensorten behandelt. Unter Pflanzensorten versteht man Pflanzen mit neuen Eigenschaften („Traits“), die sowohl durch konventionelle Züchtung, durch Mutagenese oder durch rekombinante DNA-Techniken gezüchtet worden sind. Dies können Sorten, Rassen, Bio- und Genotypen sein. As mentioned above, all plants and parts thereof can be treated according to the invention. In a preferred embodiment, plant species and plant varieties that occur in the wild or that have been obtained by conventional biological breeding methods, such as crossing or protoplast fusion, and their parts are treated. In a further preferred embodiment, transgenic plants and plant varieties that have been obtained by genetic engineering methods, optionally in combination with conventional methods (genetically modified organisms) and their parts are treated. The term "parts" or "parts of plants" or "plant parts" is explained above. Particularly preferably, plants of the respective commercially available or in-use plant varieties are treated according to the invention. Plant varieties are understood to mean plants with new properties ("traits") that have been bred by conventional breeding, mutagenesis or recombinant DNA techniques. These can be varieties, races, biotypes and genotypes.
Das erfindungsgemäße Behandlungsverfahren kann für die Behandlung von genetisch modifizierten Organismen (GMOs), z. B. Pflanzen oder Samen, verwendet werden. Genetisch modifizierte Pflanzen (oder transgene Pflanzen) sind Pflanzen, bei denen ein heterologes Gen stabil in das Genom integriert worden ist. Der Begriff "heterologes Gen" bedeutet im Wesentlichen ein Gen, das außerhalb der Pflanze bereitgestellt oder assembliert wird und das bei Einführung in das Zellkemgenom, das Chloroplastengenom oder das Mitochondriengenom der transformierten Pflanze dadurch neue oder verbesserte agronomische oder sonstige Eigenschaften verleiht, dass es ein interessierendes Protein oder Polypeptid exprimiert oder dass es ein anderes Gen, das in der Pflanze vorliegt bzw. andere Gene, die in der Pflanze vorliegen, herunterreguliert oder abschaltet (zum Beispiel mittels Antisense-Technologie, Cosuppressionstechnologie oder RNAi-Technologie [RNA Interference]). Ein heterologes Gen, das im Genom vorliegt, wird ebenfalls als Transgen bezeichnet. Ein Transgen, das durch sein spezifisches Vorliegen im Pflanzengenom definiert ist, wird als Transformations- bzw. transgenes Event bezeichnet. The treatment method according to the invention can be used for the treatment of genetically modified organisms (GMOs), e.g. plants or seeds. Genetically modified plants (or transgenic plants) are plants in which a heterologous gene has been stably integrated into the genome. The term "heterologous gene" essentially means a gene which is provided or assembled outside the plant and which, when introduced into the nuclear genome, the chloroplast genome or the mitochondrial genome of the transformed plant, confers new or improved agronomic or other properties by expressing a protein or polypeptide of interest or by down-regulating or switching off another gene(s) present in the plant (for example by means of antisense technology, cosuppression technology or RNAi technology [RNA interference]). A heterologous gene present in the genome is also referred to as a transgene. A transgene which, by its specific presence in the plant genome is called a transformation or transgenic event.
In Abhängigkeit von den Pflanzenarten oder Pflanzensorten, ihrem Standort und ihren Wachstumsbedingungen (Böden, Klima, Vegetationsperiode, Ernährung) kann die erfindungsgemäße Behandlung auch zu überadditiven ("synergistischen") Effekten fuhren. So sind zum Beispiel die folgenden Effekte möglich, die über die eigentlich zu erwartenden Effekte hinausgehen: verringerte Aufwandmengen und/oder erweitertes Wirkungsspektrum und/oder erhöhte Wirksamkeit der Wirkstoffe und Zusammensetzungen, die erfmdungsgemäß eingesetzt werden können, besseres Pflanzenwachstum, erhöhte Toleranz gegenüber hohen oder niedrigen Temperaturen, erhöhte Toleranz gegenüber Trockenheit oder Wasser- oder Bodensalzgehalt, erhöhte Blühleistung, Emteerleichterung, Reifebeschleunigung, höhere Erträge, größere Früchte, größere Pflanzenhöhe, intensiver grüne Farbe des Blatts, frühere Blüte, höhere Qualität und/oder höherer Nährwert der Emteprodukte, höhere Zuckerkonzentration in den Früchten, bessere Lagerfähigkeit und/oder Verarbeitbarkeit der Emteprodukte. Depending on the plant species or plant varieties, their location and their growth conditions (soil, climate, vegetation period, nutrition), the treatment according to the invention can also lead to superadditive ("synergistic") effects. For example, the following effects are possible which go beyond the effects actually expected: reduced application rates and/or expanded spectrum of action and/or increased effectiveness of the active ingredients and compositions which can be used according to the invention, better plant growth, increased tolerance to high or low temperatures, increased tolerance to drought or water or soil salinity, increased flowering performance, easier harvesting, accelerated ripening, higher yields, larger fruits, greater plant height, more intense green leaf color, earlier flowering, higher quality and/or higher nutritional value of the harvest products, higher sugar concentration in the fruits, better storage capacity and/or processability of the harvest products.
Zu Pflanzen und Pflanzensorten, die vorzugsweise erfmdungsgemäß behandelt werden, zählen alle Pflanzen, die über Erbgut verfügen, das diesen Pflanzen besonders vorteilhafte, nützliche Merkmale verleiht (egal, ob dies durch Züchtung und/oder Biotechnologie erzielt wird). Plants and plant varieties which are preferably treated according to the invention include all plants which have genetic material which gives these plants particularly advantageous, useful characteristics (regardless of whether this is achieved by breeding and/or biotechnology).
Beispiele fürNematoden-resistente Pflanzen sind z.B. folgenden US Patentanmeldungen beschrieben: 11/765,491, 11/765,494, 10/926,819, 10/782,020, 12/032,479, 10/783,417, 10/782,096, 11/657,964, 12/192,904, 11/396,808, 12/166,253, 12/166,239, 12/166,124, 12/166,209, 11/762,886, 12/364,335, 11/763,947, 12/252,453, 12/209,354, 12/491,396 und 12/497,221. Examples of nematode-resistant plants are described in the following US patent applications: 11/765,491, 11/765,494, 10/926,819, 10/782,020, 12/032,479, 10/783,417, 10/782,096, 11/657,964, 12/192,904, 11/396,808, 12/166,253, 12/166,239, 12/166,124, 12/166,209, 11/762,886, 12/364,335, 11/763,947, 12/252,453, 12/209,354, 12/491,396 and 12/497,221.
Pflanzen, die erfmdungsgemäß behandelt werden können, sind Hybridpflanzen, die bereits die Eigenschaften der Heterosis bzw. des Hybrideffekts exprimieren, was im Allgemeinen zu höherem Ertrag, höherer Wüchsigkeit, besserer Gesundheit und besserer Resistenz gegen biotische und abiotische Stressfaktoren führt. Solche Pflanzen werden typischerweise dadurch erzeugt, dass man eine ingezüchtete pollensterile Eltemlinie (den weiblichen Kreuzungspartner) mit einer anderen ingezüchteten pollenfertilen Eltemlinie (dem männlichen Kreuzungspartner) kreuzt. Das Hybridsaatgut wird typischerweise von den pollensterilen Pflanzen geerntet und an Vermehrer verkauft. Pollensterile Pflanzen können manchmal (z. B. beim Mais) durch Entfahnen (d.h. mechanischem Entfernen der männlichen Geschlechtsorgane bzw. der männlichen Blüten), produziert werden; es ist jedoch üblicher, dass die Pollensterilität auf genetischen Determinanten im Pflanzengenom bemht. In diesem Fall, insbesondere dann, wenn es sich bei dem gewünschten Produkt, da man von den Hybridpflanzen ernten will, um die Samen handelt, ist es üblicherweise günstig, sicherzustellen, dass die Pollenfertilität in Hybridpflanzen, die die für die Pollensterilität verantwortlichen genetischen Determinanten enthalten, völlig restoriert wird. Dies kann erreicht werden, indem sichergestellt wird, dass die männlichen Kreuzungspartner entsprechende Fertilitätsrestorergene besitzen, die in der Lage sind, die Pollenfertilität in Hybridpflanzen, die die genetischen Determinanten, die für die Pollensterilität verantwortlich sind, enthalten, zu restorieren. Genetische Determinanten für Pollensterilität können im Cytoplasma lokalisiert sein. Beispiele für cytoplasmatische Pollensterilität (CMS) wurden zum Beispiel für Brassica- Arten beschrieben. Genetische Determinanten für Pollensterilität können jedoch auch im Zellkemgenom lokalisiert sein. Pollensterile Pflanzen können auch mit Methoden der pflanzlichen Biotechnologie, wie Gentechnik, erhalten werden. Ein besonders günstiges Mittel zur Erzeugung von pollensterilen Pflanzen ist in WO 89/10396 beschrieben, wobei zum Beispiel eine Ribonuklease wie eine Bamase selektiv in den Tapetumzellen in den Staubblättern exprimiert wird. Die Fertilität kann dann durch Expression eines Ribonukleasehemmers wie Barstar in den Tapetumzellen restoriert werden. Plants that can be treated according to the invention are hybrid plants that already express the properties of heterosis or the hybrid effect, which generally result in higher yield, higher vigor, better health and better resistance to biotic and abiotic stress factors. Such plants are typically produced by crossing an inbred male sterile parent line (the female crossing partner) with another inbred male fertile parent line (the male crossing partner). The hybrid seed is typically harvested from the male sterile plants and sold to propagators. Male sterile plants can sometimes (e.g. in maize) be produced by defatting (i.e. mechanically removing the male sex organs or male flowers), but it is more common for male sterility to be due to genetic determinants in the plant genome. In this case, especially when the desired product to be harvested from the hybrid plants is the seeds, it is usually beneficial to ensure that pollen fertility is fully restored in hybrid plants containing the genetic determinants responsible for pollen sterility. This can be achieved by ensuring that the male Crossing partners possess appropriate fertility restorer genes that are capable of restoring pollen fertility in hybrid plants containing the genetic determinants responsible for pollen sterility. Genetic determinants for pollen sterility can be localized in the cytoplasm. Examples of cytoplasmic pollen sterility (CMS) have been described for Brassica species, for example. However, genetic determinants for pollen sterility can also be localized in the nuclear genome. Pollen-sterile plants can also be obtained using plant biotechnology methods, such as genetic engineering. A particularly convenient means of producing pollen-sterile plants is described in WO 89/10396, where, for example, a ribonuclease such as bamase is selectively expressed in the tapetum cells in the stamens. Fertility can then be restored by expressing a ribonuclease inhibitor such as barstar in the tapetum cells.
Pflanzen oder Pflanzensorten (die mit Methoden der Pflanzenbiotechnologie, wie der Gentechnik, erhalten werden), die erfmdungsgemäß behandelt werden können, sind herbizidtolerante Pflanzen, d. h. Pflanzen, die gegenüber einem oder mehreren vorgegebenen Herbiziden tolerant gemacht worden sind. Solche Pflanzen können entweder durch genetische Transformation oder durch Selektion von Pflanzen, die eine Mutation enthalten, die solch eine Herbizidtoleranz verleiht, erhalten werden. Plants or plant varieties (obtained by plant biotechnology techniques such as genetic engineering) which can be treated according to the invention are herbicide-tolerant plants, i.e. plants which have been rendered tolerant to one or more given herbicides. Such plants can be obtained either by genetic transformation or by selection of plants containing a mutation conferring such herbicide tolerance.
Herbizidtolerante Pflanzen sind zum Beispiel glyphosatetolerante Pflanzen, d. h. Pflanzen, die gegenüber dem Herbizid Glyphosate oder dessen Salzen tolerant gemacht worden sind. Pflanzen können mit verschiedenen Methoden tolerant gegenüber Glyphosate gemacht werden. So können zum Beispiel glyphosatetolerante Pflanzen durch Transformation der Pflanze mit einem Gen, das für das Enzym 5- Enolpyruvylshikimat-3-phosphatsynthase (EPSPS) kodiert, erhalten werden. Beispiele für solche EPSPS-Gene sind das AroA-Gen (Mutante CT7) des Bakterium Salmonella typhimurium (Comai et al., 1983, Science 221, 370-371), das CP4-Gen des Bakteriums Agrobacterium sp. (Barry et al., 1992, Curr. Topics Plant Physiol. 7, 139-145), die Gene, die für eine EPSPS aus der Petunie (Shah et al., 1986, Science 233, 478-481), für eine EPSPS aus der Tomate (Gasser et al., 1988, J. Biol. Chem. 263, 4280- 4289) oder für eine EPSPS aus Eleusine (WO 01/66704) kodieren. Es kann sich auch um eine mutierte EPSPS handeln. Glyphosate-tolerante Pflanzen können auch dadurch erhalten werden, dass man ein Gen exprimiert, das für ein Glyphosate-Oxidoreduktase-Enzym kodiert. Glyphosate-tolerante Pflanzen können auch dadurch erhalten werden, dass man ein Gen exprimiert, das für ein Glyphosate- acetyltransferase-Enzym kodiert. Glyphosatetolerante Pflanzen können auch dadurch erhalten werden, dass man Pflanzen, die natürlich vorkommende Mutationen der oben erwähnten Gene enthalten, selektiert. Pflanzen, die EPSPS Gene, welche Glyphosate-Toleranz verleihen, exprimieren, sind beschrieben. Pflanzen, welche andere Gene, die Glyphosate-Toleranz verleihen, z.B. Decarboxylase- Gene, sind beschrieben. Herbicide-tolerant plants are, for example, glyphosate-tolerant plants, i.e. plants that have been made tolerant to the herbicide glyphosate or its salts. Plants can be made tolerant to glyphosate using various methods. For example, glyphosate-tolerant plants can be obtained by transforming the plant with a gene that codes for the enzyme 5-enolpyruvylshikimate-3-phosphate synthase (EPSPS). Examples of such EPSPS genes are the AroA gene (mutant CT7) of the bacterium Salmonella typhimurium (Comai et al., 1983, Science 221, 370-371), the CP4 gene of the bacterium Agrobacterium sp. (Barry et al., 1992, Curr. Topics Plant Physiol. 7, 139-145), the genes encoding an EPSPS from petunia (Shah et al., 1986, Science 233, 478-481), an EPSPS from tomato (Gasser et al., 1988, J. Biol. Chem. 263, 4280- 4289) or an EPSPS from eleusine (WO 01/66704). It may also be a mutated EPSPS. Glyphosate-tolerant plants can also be obtained by expressing a gene encoding a glyphosate oxidoreductase enzyme. Glyphosate-tolerant plants can also be obtained by expressing a gene encoding a glyphosate acetyltransferase enzyme. Glyphosate-tolerant plants can also be obtained by selecting plants containing naturally occurring mutations of the above-mentioned genes. Plants expressing EPSPS genes conferring glyphosate tolerance are described. Plants expressing other genes conferring glyphosate tolerance, e.g. decarboxylase genes, are described.
Sonstige herbizidresistente Pflanzen sind zum Beispiel Pflanzen, die gegenüber Herbiziden, die das Enzym Glutaminsynthase hemmen, wie Bialaphos, Phosphinotricin oder Glufosinate, tolerant gemacht worden sind. Solche Pflanzen können dadurch erhalten werden, dass man ein Enzym exprimiert, das das Herbizid oder eine Mutante des Enzyms Glutaminsynthase, das gegenüber Hemmung resistent ist, entgiftet. Solch ein wirksames entgiftendes Enzym ist zum Beispiel ein Enzym, das für ein Phosphinotricin-acetyltransferase kodiert (wie zum Beispiel das bar- oder pat-Protein aus Streptomyces- Arten). Pflanzen, die eine exogene Phosphinotricin-acetyltransferase exprimieren, sind beschrieben. Other herbicide-resistant plants include plants that have been made tolerant to herbicides that inhibit the enzyme glutamine synthase, such as bialaphos, phosphinotricin or glufosinate. Such plants can be obtained by expressing an enzyme which detoxifies the herbicide or a mutant of the enzyme glutamine synthase which is resistant to inhibition. Such an effective detoxifying enzyme is, for example, an enzyme encoding a phosphinotricin acetyltransferase (such as the bar or pat protein from Streptomyces species). Plants which express an exogenous phosphinotricin acetyltransferase have been described.
Weitere herbizidtolerante Pflanzen sind auch Pflanzen, die gegenüber den Herbiziden, die das Enzym Hydroxyphenylpyruvatdioxygenase (HPPD) hemmen, tolerant gemacht worden sind. Bei den Hydroxyphenylpyruvatdioxygenasen handelt es sich um Enzyme, die die Reaktion, in der para- Hydroxyphenylpyruvat (HPP) zu Homogentisat umgesetzt wird, katalysieren. Pflanzen, die gegenüber HPPD-Hemmem tolerant sind, können mit einem Gen, das für ein natürlich vorkommendes resistentes HPPD-Enzym kodiert, oder einem Gen, das für ein mutiertes oder chimäres HPPD-Enzym kodiert, transformiert werden, wie in WO 96/38567, WO 99/24585, WO 99/24586, WO 2009/144079, WO 2002/046387 oder US 6,768,044 beschrieben. Eine Toleranz gegenüber HPPD-Hemmem kann auch dadurch erzielt werden, dass man Pflanzen mit Genen transformiert, die für gewisse Enzyme kodieren, die die Bildung von Homogentisat trotz Hemmung des nativen HPPD-Enzyms durch den HPPD- Hemmer ermöglichen. Solche Pflanzen sind in WO 99/34008 und WO 02/36787 beschrieben. Die Toleranz von Pflanzen gegenüber HPPD-Hemmem kann auch dadurch verbessert werden, dass man Pflanzen zusätzlich zu einem Gen, das für ein HPPD-tolerantes Enzym kodiert, mit einem Gen transformiert, das für ein Prephenatdehydrogenase-Enzym kodiert, wie in WO 2004/024928 beschrieben ist. Außerdem können Pflanzen noch toleranter gegen HPPD-Hemmem gemacht werden, indem man ein Gen in ihr Genom einfügt, welches für ein Enzym kodiert, das HPPD-Hemmer metabolisiert oder abbaut, wie z.B. CYP450 Enzyme (siehe WO 2007/103567 und WO 2008/150473). Other herbicide-tolerant plants include plants that have been made tolerant to herbicides that inhibit the enzyme hydroxyphenylpyruvate dioxygenase (HPPD). Hydroxyphenylpyruvate dioxygenases are enzymes that catalyze the reaction in which para-hydroxyphenylpyruvate (HPP) is converted to homogentisate. Plants that are tolerant to HPPD inhibitors can be transformed with a gene that encodes a naturally occurring resistant HPPD enzyme or a gene that encodes a mutated or chimeric HPPD enzyme, as described in WO 96/38567, WO 99/24585, WO 99/24586, WO 2009/144079, WO 2002/046387 or US 6,768,044. Tolerance to HPPD inhibitors can also be achieved by transforming plants with genes encoding certain enzymes that enable the formation of homogentisate despite inhibition of the native HPPD enzyme by the HPPD inhibitor. Such plants are described in WO 99/34008 and WO 02/36787. The tolerance of plants to HPPD inhibitors can also be improved by transforming plants with a gene encoding a prephenate dehydrogenase enzyme in addition to a gene encoding an HPPD-tolerant enzyme, as described in WO 2004/024928. Furthermore, plants can be made even more tolerant to HPPD inhibitors by inserting a gene into their genome that encodes an enzyme that metabolizes or degrades HPPD inhibitors, such as CYP450 enzymes (see WO 2007/103567 and WO 2008/150473).
Weitere herbizidresistente Pflanzen sind Pflanzen, die gegenüber Acetolactatsynthase (ALS)-Hemmem tolerant gemacht worden sind. Zu bekannten ALS-Hemmem zählen zum Beispiel Sulfonylharnstoff, Imidazolinon, Triazolopyrimidine, Pyrimidinyloxy(thio)benzoate und/oder Sulfonylaminocarbonyl- triazolinon-Herbizide. Es ist bekannt, dass verschiedene Mutationen im Enzym ALS (auch als Acetohydroxysäure-Synthase, AHAS, bekannt) eine Toleranz gegenüber unterschiedlichen Herbiziden bzw. Gmppen von Herbiziden verleihen wie z.B. in Tranei und Wright (Weed Science 2002, 50, 700- 712) beschrieben ist. Die Herstellung von sulfonylhamstofftoleranten Pflanzen und imidazolinontoleranten Pflanzen ist beschrieben. Weitere Sulfonylharnstoff- und imidazolinontolerante Pflanzen sind auch beschrieben. Other herbicide-resistant plants are plants that have been made tolerant to acetolactate synthase (ALS) inhibitors. Known ALS inhibitors include, for example, sulfonylurea, imidazolinone, triazolopyrimidines, pyrimidinyloxy(thio)benzoates and/or sulfonylaminocarbonyltriazolinone herbicides. It is known that various mutations in the enzyme ALS (also known as acetohydroxyacid synthase, AHAS) confer tolerance to different herbicides or groups of herbicides, as described, for example, in Tranei and Wright (Weed Science 2002, 50, 700-712). The production of sulfonylurea-tolerant plants and imidazolinone-tolerant plants has been described. Other sulfonylurea- and imidazolinone-tolerant plants have also been described.
Weitere Pflanzen, die gegenüber Imidazolinonen und/oder Sulfonylharnstoffen tolerant sind, können durch induzierte Mutagenese, Selektion in Zellkulturen in Gegenwart des Herbizids oder durch Mutationszüchtung erhalten werden (vgl. z.B. für Sojabohne US 5,084,082, für Reis WO 97/41218, für Zuckerrübe US 5,773,702 und WO 99/057965, für Salat US 5,198,599 oder für Sonnenblume WO 01/065922). Other plants that are tolerant to imidazolinones and/or sulfonylureas can be obtained by induced mutagenesis, selection in cell cultures in the presence of the herbicide or by mutation breeding (see, for example, for soybean US 5,084,082, for rice WO 97/41218, for sugar beet US 5,773,702 and WO 99/057965, for lettuce US 5,198,599 or for sunflower WO 01/065922).
Pflanzen oder Pflanzensorten (die nach Methoden der pflanzlichen Biotechnologie, wie der Gentechnik, erhalten wurden), die ebenfalls erfindungsgemäß behandelt werden können, sind gegenüber abiotischen Stressfaktoren tolerant. Solche Pflanzen können durch genetische Transformation oder durch Selektion von Pflanzen, die eine Mutation enthalten, die solch eine Stressresistenz verleiht, erhalten werden. Zu besonders nützlichen Pflanzen mit Stresstoleranz zählen folgende: a. Pflanzen, die ein Transgen enthalten, das die Expression und/oder Aktivität des Gens für die Poly(ADP-ribose)polymerase (PARP) in den Pflanzenzellen oder Pflanzen zu reduzieren vermag. b. Pflanzen, die ein stresstoleranzfördemdes Transgen enthalten, das die Expression und/oder Aktivität der für PARG kodierenden Gene der Pflanzen oder Pflanzenzellen zu reduzieren vermag; c. Pflanzen, die ein stresstoleranzfördemdes Transgen enthalten, das für ein in Pflanzen funktionelles Enzym des Nicotinamidadenindinukleotid-Salvage-Biosynthesewegs kodiert, darunter Nicotinamidase, Nicotinatphosphoribosyltransferase, Nicotinsäuremononukleotidadenyltransferase, Nicotinamidadenindinu- kleotidsynthetase oder Nicotinamidphosphoribosyltransferase. Plants or plant varieties (obtained by methods of plant biotechnology, such as genetic engineering) which can also be treated according to the invention are tolerant to abiotic stress factors. Such plants can be obtained by genetic transformation or by selection of plants containing a mutation conferring such stress resistance. Particularly useful plants with stress tolerance include the following: a. plants containing a transgene capable of reducing the expression and/or activity of the gene encoding poly(ADP-ribose) polymerase (PARP) in the plant cells or plants. b. plants containing a stress tolerance-promoting transgene capable of reducing the expression and/or activity of the genes encoding PARG in the plants or plant cells; c. Plants containing a stress tolerance-promoting transgene encoding a plant-functional enzyme of the nicotinamide adenine dinucleotide salvage biosynthesis pathway, including nicotinamidase, nicotinate phosphoribosyltransferase, nicotinic acid mononucleotide adenyltransferase, nicotinamide adenine dinucleotide synthetase or nicotinamide phosphoribosyltransferase.
Pflanzen oder Pflanzensorten (die nach Methoden der pflanzlichen Biotechnologie, wie der Gentechnik, erhalten wurden), die ebenfalls erfindungsgemäß behandelt werden können, weisen eine veränderte Menge, Qualität und/oder Lagerfähigkeit des Emteprodukts und/oder veränderte Eigenschaften von bestimmten Bestandteilen des Emteprodukts auf, wie zum Beispiel: Plants or plant varieties (obtained by methods of plant biotechnology, such as genetic engineering), which can also be treated according to the invention, have an altered quantity, quality and/or storage capacity of the harvest product and/or altered properties of certain components of the harvest product, such as:
1) Transgene Pflanzen, die eine modifizierte Stärke synthetisieren, die bezüglich ihrer chemisch-physikalischen Eigenschaften, insbesondere des Amylosegehalts oder des Amylose/Amylopektin-Verhältnisses, des Verzweigungsgrads, der durchschnittlichen Kettenlänge, der Verteilung der Seitenketten, des Viskositätsverhaltens, der Gelfestigkeit, der Stärkekomgröße und/oder Stärkekommorphologie im Vergleich mit der synthetisierten Stärke in Wildtyppflanzenzellen oder -pflanzen verändert ist, so dass sich diese modifizierte Stärke besser für bestimmte Anwendungen eignet. 1) Transgenic plants that synthesize a modified starch which is altered with respect to its chemical-physical properties, in particular the amylose content or amylose/amylopectin ratio, the degree of branching, the average chain length, the distribution of side chains, the viscosity behavior, the gel strength, the starch grain size and/or starch grain morphology, compared with the synthesized starch in wild-type plant cells or plants, so that this modified starch is more suitable for certain applications.
2) Transgene Pflanzen, die Nichtstärkekohlenhydratpolymere synthetisieren, oder Nichtstärkekohlenhydratpolymere, deren Eigenschaften im Vergleich zu Wildtyppflanzen ohne genetische Modifikation verändert sind. Beispiele sind Pflanzen, die Polyfmctose, insbesondere des Inulin- und Levantyps, produzieren, Pflanzen, die alpha- 1,4-Glucane produzieren, Pflanzen, die alpha- 1,6-verzweigte alpha- 1,4-Glucane produzieren und Pflanzen, die Alteman produzieren. 2) Transgenic plants that synthesize non-starch carbohydrate polymers or non-starch carbohydrate polymers whose properties are altered compared to wild-type plants without genetic modification. Examples are plants that produce polyfmctose, particularly of the inulin and levan type, plants that produce alpha-1,4-glucans, plants that produce alpha-1,6-branched alpha-1,4-glucans and plants that produce Alteman.
3) Transgene Pflanzen, die Hyaluronan produzieren. 3) Transgenic plants that produce hyaluronan.
4) Transgene Pflanzen oder Hybridpflanzen wie Zwiebeln mit bestimmten Eigenschaften wie „hohem Anteil an löslichen Feststoffen“ (,high soluble solids content’), geringe Schärfe (,low pungency’, LP) und/oder lange Lagerfähigheit (,long storage’, LS). 4) Transgenic plants or hybrid plants such as onions with certain properties such as ‘high soluble solids content’, ‘low pungency’ (LP) and/or ‘long storage’ (LS).
Pflanzen oder Pflanzensorten (die nach Methoden der pflanzlichen Biotechnologie, wie der Gentechnik, erhalten wurden), die ebenfalls erfmdungsgemäß behandelt werden können, sind Pflanzen wie Baumwollpflanzen mit veränderten Fasereigenschaften. Solche Pflanzen können durch genetische Transformation oder durch Selektion von Pflanzen, die eine Mutation enthalten, die solche veränderten Fasereigenschaften verleiht, erhalten werden; dazu zählen: a) Pflanzen wie Baumwollpflanzen, die eine veränderte Form von Cellulosesynthasegenen enthalten, b) Pflanzen wie Baumwollpflanzen, die eine veränderte Form von rsw2- oder rsw3 -homologen Nukleinsäuren enthalten, wie Baumwollpflanzen mit einer erhöhten Expression der Saccharosephosphatsyn- thase; c) Pflanzen wie Baumwollpflanzen mit einer erhöhten Expression der Saccharosesynthase; d) Pflanzen wie Baumwollpflanzen bei denen der Zeitpunkt der Durchlaßsteuerung der Plasmodesmen an der Basis der Faserzelle verändert ist, z. B. durch Herunterregulieren der faserselektiven ß-l,3-Glucanase; e) Pflanzen wie Baumwollpflanzen mit Fasern mit veränderter Reaktivität, z. B. durch Expression des N-Acetylglucosamintransferasegens, darunter auch nodC, und von Chitinsynthasegenen. Plants or plant varieties (obtained by methods of plant biotechnology, such as genetic engineering) which can also be treated according to the invention are plants such as cotton plants with altered fibre properties. Such plants can be obtained by genetic transformation or by selection of plants which contain a mutation which confers such altered fibre properties; these include: a) plants such as cotton plants which contain an altered form of cellulose synthase genes, b) plants such as cotton plants which contain an altered form of rsw2 or rsw3 homologous nucleic acids, such as cotton plants with an increased expression of sucrose phosphate synthase; c) plants such as cotton plants with an increased expression of sucrose synthase; d) plants such as cotton plants in which the timing of the gate control of the plasmodesmata at the base of the fibre cell is altered, e.g. by down-regulating the fibre-selective ß-1,3-glucanase; (e) Plants such as cotton plants with fibres with altered reactivity, e.g. by expression of the N-acetylglucosamine transferase gene, including nodC, and of chitin synthase genes.
Pflanzen oder Pflanzensorten (die nach Methoden der pflanzlichen Biotechnologie, wie der Gentechnik, erhalten wurden), die ebenfalls erfmdungsgemäß behandelt werden können, sind Pflanzen wie Raps oder verwandte Brassica-Pflanzen mit veränderten Eigenschaften der Ölzusammensetzung. Solche Pflanzen können durch genetische Transformation oder durch Selektion von Pflanzen, die eine Mutation enthalten, die solche veränderten Öleigenschaften verleiht, erhalten werden; dazu zählen: a) Pflanzen wie Rapspflanzen, die Öl mit einem hohen Ölsäuregehalt produziere; b) Pflanzen wie Rapspflanzen, die Öl mit einem niedrigen Linolensäuregehalt produzieren. c) Pflanzen wie Rapspflanzen, die Öl mit einem niedrigen gesättigten Fettsäuregehalt produzieren. Plants or plant varieties (obtained by plant biotechnology methods such as genetic engineering) which can also be treated according to the invention are plants such as rapeseed or related Brassica plants with altered oil composition properties. Such plants can be obtained by genetic transformation or by selection of plants containing a mutation conferring such altered oil properties; these include: a) plants such as rapeseed plants which produce oil with a high oleic acid content; b) plants such as rapeseed plants which produce oil with a low linolenic acid content. c) plants such as rapeseed plants which produce oil with a low saturated fatty acid content.
Pflanzen oder Pflanzensorten (die nach Methoden der pflanzlichen Biotechnologie, wie der Gentechnik, erhalten werden können), die ebenfalls erfmdungsgemäß behandelt werden können, sind Pflanzen wie Kartoffeln, welche Virus-resistent sind z.B. gegen den Kartoffelvirus Y (Event SY230 und SY233 von Tecnoplant, Argentinien), oder welche resistent gegen Krankheiten wie die Kraut- und Knollenfäule (potato late blight) (z.B. RB Gen), oder welche eine verminderte kälteinduzierte Süße zeigen (welche die Gene Nt-Inh, II-INV tragen) oder welche den Zwerg -Phänotyp zeigen (Gen A-20 Oxidase). Plants or plant varieties (which can be obtained by methods of plant biotechnology, such as genetic engineering) which can also be treated according to the invention are plants such as potatoes which are virus-resistant, e.g. against the potato virus Y (Event SY230 and SY233 from Tecnoplant, Argentina), or which are resistant to diseases such as potato late blight (e.g. RB gene), or which show reduced cold-induced sweetness (which which carry the genes Nt-Inh, II-INV) or which show the dwarf phenotype (gene A-20 oxidase).
Pflanzen oder Pflanzensorten (die nach Methoden der pflanzlichen Biotechnologie, wie der Gentechnik, erhalten wurden), die ebenfalls erfindungsgemäß behandelt werden können, sind Pflanzen wie Raps oder verwandte Brassica-Pflanzen mit veränderten Eigenschaften im Samenausfall (seed shattering). Solche Pflanzen können durch genetische Transformation oder durch Selektion von Pflanzen, die eine Mutation enthalten, die solche veränderten Eigenschaften verleihen, und umfassen Pflanzen wie Raps mit verzögertem oder vermindertem Samenausfall. Plants or plant varieties (obtained by plant biotechnology methods such as genetic engineering) which may also be treated according to the invention are plants such as oilseed rape or related Brassica plants having altered seed shattering properties. Such plants may be obtained by genetic transformation or by selection of plants containing a mutation conferring such altered properties, and include plants such as oilseed rape having delayed or reduced seed shattering.
Besonders nützliche transgene Pflanzen, die erfmdungsgemäß behandelt werden können, sind Pflanzen mit Transformationsevents oder Kombinationen von Transformationsevent, welche in den USA beim Animal and Plant Health Inspection Service (APHIS) of the United States Department of Agriculture (USDA) Gegenstand von erteilten oder anhängigen Petitionen für den nicht-regulierten Status sind. Die Information hierzu ist jederzeit beim APHIS (4700 River Road Riverdale, MD 20737, USA) erhältlich, z.B. über die Intemetseite http://www.aphis.usda.gov/brs/not_reg.html. Am Anmeldetag dieser Anmeldung waren beim APHIS die Petitionen mit folgenden Informationen entweder erteilt oder anhängig: Particularly useful transgenic plants that can be treated according to the invention are plants with transformation events or combinations of transformation events that are the subject of granted or pending petitions for non-regulated status with the Animal and Plant Health Inspection Service (APHIS) of the United States Department of Agriculture (USDA) in the USA. Information on this is available at any time from APHIS (4700 River Road Riverdale, MD 20737, USA), e.g. via the Internet site http://www.aphis.usda.gov/brs/not_reg.html. On the filing date of this application, petitions with the following information were either granted or pending with APHIS:
- Petition: Identifikationsnummer der Petition. Die Technische Beschreibung des Transformationsevents kann im einzelnen Petitionsdokument erhältlich von APHIS auf der Website über die Petitionsnummer gefunden werden. Diese Beschreibungen sind hiermit per Referenz offenbart. - Petition: Identification number of the petition. The technical description of the transformation event can be found in the individual petition document available from APHIS on the website via the petition number. These descriptions are hereby disclosed by reference.
- Erweiterung einer Petition: Referenz zu einer frühere Petition, für die eine Erweiterung oder Verlängerung beantragt wird. - Extension of a petition: Reference to a previous petition for which an extension or extension is requested.
- Institution: Name der die Petition einreichenden Person. - Institution: Name of the person submitting the petition.
- Regulierter Artikel: die betroffen Pflanzenspecies. - Regulated item: the plant species concerned.
- Transgener Phänotyp: die Eigenschaft („Trait“), die der Pflanze durch das Transformationsevent verliehen wird. - Transgenic phenotype: the property (“trait”) conferred on the plant by the transformation event.
- Transformationevent oder -linie: der Name des oder der Events (manchmal auch als Linie(n) bezeichnet), für die der nicht-regulierte Status beantragt ist. - Transformation event or line: the name of the event(s) (sometimes referred to as line(s)) for which non-regulated status is requested.
- APHIS Documente: verschiedene Dokumente, die von APHIS bzgl. der Petition veröffentlicht warden oder von APHIS auf Anfrage erhalten werden können. - APHIS Documents: various documents published by APHIS regarding the petition or available from APHIS upon request.
Besonders nützliche transgene Pflanzen, die erfindungsgemäß behandelt werden können, sind Pflanzen mit einem oder mehreren Genen, die für ein oder mehrere Toxine kodieren, sind die transgenen Pflanzen, die unter den folgenden Handelsbezeichnungen angeboten werden: YIELD GARD® (zum Beispiel Mais, Baumwolle, Sojabohnen), KnockOut® (zum Beispiel Mais), BiteGard® (zum Beispiel Mais), BT-Xtra® (zum Beispiel Mais), StarLink® (zum Beispiel Mais), Bollgard® (Baumwolle), Nucotn® (Baumwolle), Nucotn 33B® (Baumwolle), NatureGard® (zum Beispiel Mais), Protecta® und NewLeaf® (Kartoffel). Herbizidtolerante Pflanzen, die zu erwähnen sind, sind zum Beispiel Maissorten, Baumwollsorten und Sojabohnensorten, die unter den folgenden Handelsbezeichnungen angeboten werden: Roundup Ready® (Glyphosatetoleranz, zum Beispiel Mais, Baumwolle, Sojabohne), Liberty Link® (Phosphinotricintoleranz, zum Beispiel Raps), IMI® (Imidazolinontoleranz) und SCS® (Sylfonylhamstoffloleranz), zum Beispiel Mais. Zu den herbizidresistenten Pflanzen (traditionell auf Herbizidtoleranz gezüchtete Pflanzen), die zu erwähnen sind, zählen die unter der Bezeichnung Clearfield® angebotenen Sorten (zum Beispiel Mais). Particularly useful transgenic plants that can be treated according to the invention are plants with one or more genes encoding one or more toxins, the transgenic plants offered under the following trade names: YIELD GARD® (for example maize, cotton, soybeans), KnockOut® (e.g. maize), BiteGard® (e.g. maize), BT-Xtra® (e.g. maize), StarLink® (e.g. maize), Bollgard® (cotton), Nucotn® (cotton), Nucotn 33B® (cotton), NatureGard® (e.g. maize), Protecta® and NewLeaf® (potato). Herbicide-tolerant plants that should be mentioned include maize, cotton and soybean varieties sold under the following trade names: Roundup Ready® (glyphosate tolerance, e.g. maize, cotton, soybeans), Liberty Link® (phosphinotric acid tolerance, e.g. rapeseed), IMI® (imidazolinone tolerance) and SCS® (sulfonylurea tolerance), e.g. maize. Herbicide-resistant plants (plants traditionally bred for herbicide tolerance) that are worth mentioning include the varieties sold under the name Clearfield® (for example, maize).
Die nachstehenden Beispiele erläutern die vorliegende Erfindung. The following examples illustrate the present invention.
BEISPIELE EXAMPLES
Die vorliegende Erfindung wird anhand der nachfolgenden Beispiele näher erläutert, welche die Erfindung jedoch keinesfalls beschränken. The present invention is explained in more detail with reference to the following examples, which, however, do not limit the invention in any way.
A. Synthesebeispiele A. Synthesis examples
Ethyl-{[4-cyan-5-(3,4-difluorphenyl)-l-(pyridin-2-yl)-lH-pyrazol-3-yl]sulfanyl}acetat (1-51) Ethyl {[4-cyano-5-(3,4-difluorophenyl)-l-(pyridin-2-yl)-lH-pyrazol-3-yl]sulfanyl}acetate (1-51)
Ethyl-(3Z)-4-(3,4-difluorphenyl)-4-hydroxy-2-oxobut-3-enoat Ethyl (3Z)-4-(3,4-difluorophenyl)-4-hydroxy-2-oxobut-3-enoate
Eine 1 M Lithiumtrimethyl-N-(trimethylsilyl)silanaminid-Lösung in THF (33,63 ml, 33,63 mmol, 1,05 equiv) wird in Diethylether (80 ml) unter Stickstoffatmosphäre vorgelegt und mit einem Trockeneisbad auf -78 °C gekühlt. Zu dieser Lösung tropft man innerhalb von 10 min. eine Lösung von l-(3,4-Difluor- phenyljethanon (5,0 g, 32 mmol, 1,0 equiv.) in Diethylether (20 ml) zu und rührte 1 h bei -78°C. Anschließend versetzt man die Reaktionslösung mit Diethyloxalat (4,35 ml, 32 mmol, 1,0 equiv.). Das resultierende Reaktionsgemisch wird 3 h bei -78 °C und danach bei Raumtemperatur über Nacht gerührt. Anschließend kühlt man die Suspension mit einem Eisbad auf 0 bis 4 °C ab, versetzt diese mit IM Salzsäure und rührt 30 min bei Raumtemperatur. Das Reaktionsgemisch wird dreimal mit jeweils 100 ml Ethylacetat extrahiert. Die organische Phase trocknet man über Magnesiumsulfat und entfernt das Lösungsmittel im Vakuum. Das gewünschte Produkt Ethyl-(3Z)-4-(3,4-difluorphenyl)-4-hydroxy-2- oxobut-3-enoat kann in Form eines weißen Feststoffes isoliert werden (8,00 g, 97% der Theorie). ‘H-NMR (400 MHz, CDCh 8, ppm) 15.05 (bs, 1H), 7.87-7.77 (m, 2H), 7.33-7.29 (m, 1H), 7.00 (s, 1H), 4.41 (q, 2H), 1.42 (t, 3H). A 1 M lithium trimethyl-N-(trimethylsilyl)silanaminide solution in THF (33.63 mL, 33.63 mmol, 1.05 equiv) was placed in diethyl ether (80 mL) under a nitrogen atmosphere and cooled to -78 °C using a dry ice bath. A solution of l-(3,4-difluorophenyl-ethanone (5.0 g, 32 mmol, 1.0 equiv.) in diethyl ether (20 ml) is added dropwise to this solution over a period of 10 minutes and the mixture is stirred at -78°C for 1 hour. The reaction solution is then mixed with diethyl oxalate (4.35 ml, 32 mmol, 1.0 equiv.). The resulting reaction mixture is stirred at -78°C for 3 hours and then at room temperature overnight. The suspension is then cooled to 0 to 4°C using an ice bath, mixed with 1M hydrochloric acid and stirred at room temperature for 30 minutes. The reaction mixture is extracted three times with 100 ml of ethyl acetate each time. The organic phase is dried over magnesium sulfate and the solvent is removed in vacuo. The desired product ethyl-(3Z)-4-(3,4-difluorophenyl)-4-hydroxy-2-oxobut-3-enoate can be obtained in the form of a white Solid was isolated (8.00 g, 97% of theory). 'H-NMR (400 MHz, CDCh 8, ppm) 15.05 (bs, 1H), 7.87-7.77 (m, 2H), 7.33-7.29 (m, 1H), 7.00 (s, 1H), 4.41 (q, 2H), 1.42 (t, 3H).
Ethyl-5-(3,4-difluorphenyl)-l-(pyridin-2-yl)-lH-pyrazol-3-carboxylat Ethyl 5-(3,4-difluorophenyl)-l-(pyridin-2-yl)-lH-pyrazole-3-carboxylate
Ethyl-(3Z)-4-(3,4-difluorphenyl)-4-hydroxy-2-oxobut-3-enoat (6,0 g, 22,89 mmol, 1,0 equiv) und 2- Hydrazinopyridin (2,62 g, 24,03 mmol, 1,05 equiv) werden in Essigsäure (30 ml) suspendiert und 4 h lang zum Sieden erhitzt. Nach dem Abkühlen auf Raumtemperatur entfernt man das Lösungsmittel im Vakuum. Durch abschließende säulenchromatographische Reinigung (Gradient Essigester/Heptan) des resultierenden Rohproduktes kann Ethyl-5-(3,4-difluorphenyl)-l-(pyridin-2-yl)-lH-pyrazol-3-carboxylat in Form eines gelben Öls isoliert werden (5,00 g, 66% der Theorie). Ethyl (3Z)-4-(3,4-difluorophenyl)-4-hydroxy-2-oxobut-3-enoate (6.0 g, 22.89 mmol, 1.0 equiv) and 2-hydrazinopyridine (2.62 g, 24.03 mmol, 1.05 equiv) are suspended in acetic acid (30 ml) and heated to boiling for 4 h. After cooling to room temperature, the solvent is removed in vacuo. By final column chromatographic purification (gradient ethyl acetate/heptane) of the resulting crude product, ethyl 5-(3,4-difluorophenyl)-l-(pyridin-2-yl)-lH-pyrazole-3-carboxylate can be isolated in the form of a yellow oil (5.00 g, 66% of theory).
’H-NMR (400 MHz, CDC13 8, ppm) 8.34-8.33 (m, 1H), 7.86 (dt, 1H), 7.74 (d, 1H), 7.32 (dt, 1H), 7.16- 7.06 (m, 2H), 7.02-6.99 (m, 2H), 4.44 (q, 2H), 1.44 (t, 3H). 'H-NMR (400 MHz, CDC1 3 8, ppm) 8.34-8.33 (m, 1H), 7.86 (dt, 1H), 7.74 (d, 1H), 7.32 (dt, 1H), 7.16- 7.06 (m, 2H), 7.02-6.99 (m, 2H), 4.44 (q, 2H), 1.44 (t, 3H).
Ethyl-4-brom-5-(3,4-difluorphenyl)-l-(pyridin-2-yl)-lH-pyrazol-3-carboxylat Ethyl 4-bromo-5-(3,4-difluorophenyl)-l-(pyridin-2-yl)-lH-pyrazole-3-carboxylate
Ethyl-5-(3,4-difluorphenyl)-l-(pyridin-2-yl)-lH-pyrazol-3-carboxylat (5,50 g, 16,70 mmol, 1,0 equiv) wird in Essigsäure (10 ml) gelöst und bei Raumtemperatur mit Brom (2,94 g, 18,37 mmol, 1,1 equiv) versetzt. Das resultierende Reaktionsgemisch wird 6 h bei 60 °C gerührt und dann erneut mit Brom (0,55 g, 3,43 mmol, 0,5 equiv) versetzt. Die Reaktion wird bei Raumtemperatur über Nacht gerührt und anschließend mit Eiswasser (150 ml) versetzt, wobei ein Niederschlag entsteht. Der Niederschlag wird in Dichlormethan (100 ml) gelöst und mit gesättigter Natriumthiosulfat-Lösung extrahiert. Die organische Phase trocknet man über Magnesiumsulfat und entfernt das Lösungsmittel im Vakuum. Durch abschließende säulenchromatographische Reinigung (Gradient Essigester/Heptan) des resultierenden Rohproduktes kann Ethyl-4-brom-5-(3,4-difluorphenyl)-l-(pyridin-2-yl)-lH-pyrazol-3- carboxylat in Form eines weißen Feststoffes isoliert werden (6,0 g, 80% der Theorie). Ethyl 5-(3,4-difluorophenyl)-l-(pyridin-2-yl)-lH-pyrazole-3-carboxylate (5.50 g, 16.70 mmol, 1.0 equiv) is dissolved in acetic acid (10 ml) and bromine (2.94 g, 18.37 mmol, 1.1 equiv) is added at room temperature. The resulting reaction mixture is stirred at 60 °C for 6 h and then bromine (0.55 g, 3.43 mmol, 0.5 equiv) is added again. The reaction is stirred at room temperature overnight and then ice water (150 ml) is added, whereupon a precipitate is formed. The precipitate is dissolved in dichloromethane (100 ml) and extracted with saturated sodium thiosulfate solution. The organic phase is dried over magnesium sulfate and the solvent is removed in vacuo. By final column chromatographic purification (gradient ethyl acetate/heptane) of the From the resulting crude product, ethyl 4-bromo-5-(3,4-difluorophenyl)-l-(pyridin-2-yl)-lH-pyrazole-3-carboxylate can be isolated as a white solid (6.0 g, 80% of theory).
’H-NMR (400 MHz, CDCh 8, ppm) 8.27 (d, 1H), 7.84 (m, 1H), 7.69 (d, 1H), 7.29 (m, 1H), 7.21-7.14 (m, 2H), 7.04 (m, 1H), 4.49 (q, 2H), 1.45 (t, 3H). ’H NMR (400 MHz, CDCh 8, ppm) 8.27 (d, 1H), 7.84 (m, 1H), 7.69 (d, 1H), 7.29 (m, 1H), 7.21-7.14 (m, 2H), 7.04 (m, 1H), 4.49 (q, 2H), 1.45 (t, 3H).
Ethyl-4-cyan-5-(3,4-difluorphenyl)-l-(pyridin-2-yl)-lH-pyrazol-3-carboxylat Ethyl 4-cyano-5-(3,4-difluorophenyl)-l-(pyridin-2-yl)-lH-pyrazole-3-carboxylate
Ethyl-4-brom-5-(3,4-difluorphenyl)-l-(pyridin-2-yl)-lH-pyrazol-3-carboxylat (0,90 g, 2,21 mmol, 1,0 equiv), Zink(II)-cyanid (246 mg, 2,10 mmol, 0,95 equiv) und Tetrakis(triphenylphosphin)palladium(0) (255 mg, 0,22 mmol, 0,1 equiv) werden unter Sickstoffatmosphäre in entgastem DMF (12 ml) in einem 30 ml Mikrowellengefäß suspendiert und 40 min bei 180°C in einer Biotage Initator+ Mikrowelle erhitzt. Das resultierende dunkelgrüne Reaktionsgemisch wird dreimal mit Dichlormethan (15 ml) extrahiert. Die vereinigten organischen Phasen trocknet man über Magnesiumsulfat und entfernt das Lösungsmittel im Vakuum. Durch abschließende säulenchromatographische Reinigung (Gradient Essigester/Heptan) des resultierenden Rohproduktes kann Ethyl-4-cyan-5-(3,4-difluorphenyl)-l-(pyridin-2-yl)-lH-pyrazol-Ethyl 4-bromo-5-(3,4-difluorophenyl)-l-(pyridin-2-yl)-lH-pyrazole-3-carboxylate (0.90 g, 2.21 mmol, 1.0 equiv), zinc(II) cyanide (246 mg, 2.10 mmol, 0.95 equiv) and tetrakis(triphenylphosphine)palladium(0) (255 mg, 0.22 mmol, 0.1 equiv) are suspended in degassed DMF (12 ml) in a 30 ml microwave vessel under nitrogen atmosphere and heated for 40 min at 180°C in a Biotage Initator + microwave. The resulting dark green reaction mixture is extracted three times with dichloromethane (15 ml). The combined organic phases are dried over magnesium sulfate and the solvent is removed in vacuo. By final column chromatographic purification (gradient ethyl acetate/heptane) of the resulting crude product, ethyl 4-cyano-5-(3,4-difluorophenyl)-l-(pyridin-2-yl)-lH-pyrazole-
3-carboxylat in Form eines weißen Feststoffes isoliert werden (0,76 g, 97% der Theorie). 3-carboxylate was isolated as a white solid (0.76 g, 97% of theory).
’H-NMR (400 MHz, CDCh 8, ppm) 8.32 (m, 1H), 7.92 (m, 1H), 7.77 (d, 1H), 7.38 (m, 1H), 7.23-7.18 (m, 3 H), 4.54 (q, 2H), 1.47 (t, 3H). ’H NMR (400 MHz, CDCh 8, ppm) 8.32 (m, 1H), 7.92 (m, 1H), 7.77 (d, 1H), 7.38 (m, 1H), 7.23-7.18 (m, 3H), 4.54 (q, 2H), 1.47 (t, 3H).
4-Cyan-5 -(3 ,4-difluorphenyl)- 1 -(pyridin-2-yl)- lH-pyrazol-3 -carbonsäure 4-Cyan-5-(3,4-difluorophenyl)-1-(pyridin-2-yl)-lH-pyrazole-3-carboxylic acid
Ethyl-4-cyan-5-(3,4-difluorphenyl)-l-(pyridin-2-yl)-lH-pyrazol-3-carboxylat (1,53 g, 4,32 mmol, 1,0 equiv) und Lithiumhydroxid (113,7 mg, 4,75 mmol, 1,1 equiv) werden in einer Mischung aus THF und Wasser (27 ml, THF:Wasser = 7:1) gelöst und 6 h zum Sieden erhitzt. Nach dem Abkühlen säuert man die Lösung mit 2 M Salzsäure an und extrahiert zweimal mit Ethylacetat (50 ml). Die organische Phase trocknet man über Magnesiumsulfat und entfernt das Lösungsmittel im Vakuum.4-Cyan-5-(3,4- difluorphenyl)-1-(pyridin-2-yl)-1H-pyrazol-3-carbonsäure wird in Form eines weißen Feststoffes isoliert (1,40 g, 98% der Theorie). 1H-NMR (400 MHz, DMSO-d6 ^, ppm) 14.09 (bs, 1H), 8.35 (m, 1H), 8.11 (dt, 1H), 7.82 (d, 1H), 7.64- 7.52 (m, 3 H), 7.32 (m, 1H). 3-Amino-5-(3,4-difluorphenyl)-1-(pyridin-2-yl)-1H-pyrazol-4-carbonitril 4-Cyan-5-(3,4-difluorphenyl)-1-(pyridin-2-yl)-1H-pyrazol-3-carbonsäure (1,20 g, 3,68 mmol, 1,0 equiv) und Triethylamin (0,77 ml, 5,52 mmol, 1,5 equiv) werden in tert.-Butanol (30 ml) gelöst und bei Raumtemperatur mit Diphenylphosphorazidat (1,22 g, 4,41 mmol, 1,2 equiv) versetzt. Die Reaktion wird 4 h bei 60 °C gerührt, wobei eine Gasentwicklung auftritt. Nach dem Abkühlen auf Raumtemperatur versetzt man die Reaktionslösung mit einer gesättigten Natriumhydrogencarbonat- Lösung (10 ml) und extrahiert zweimal mit Ethylacetat (50 ml). Die organische Phase trocknet man über Magnesiumsulfat und entfernt das Lösungsmittel im Vakuum. Das Rohintermediat wird in Dichlormethan (30 ml) gelöst und mit Trifluoressigsäure (0,28 ml, 3,68 mmol, 1 equiv) versetzt. Das Reaktionsgemisch wird über Nacht bei Raumtemperatur gerührt. Danach entfernt man das Lösungsmittel im Vakuum. Durch abschließende säulenchromatographische Reinigung (Gradient Essigester/Heptan) des resultierenden Rohproduktes kann 3-Amino-5-(3,4-difluorphenyl)-1-(pyridin-2- yl)-1H-pyrazol-4-carbonitril in Form eines weißen Feststoffes isoliert werden (620 mg, 38% der Theorie über zwei Stufen). 1H-NMR (400 MHz, CDCl3 ^, ppm) 8.34 (m, 1 H), 7.93 (m, 1H), 7.74 (d, 1H), 7.41 (m, 1H), 7.28-7.16 (m, 5H). Ethyl-{[4-cyan-5-(3,4-difluorphenyl)-1-(pyridin-2-yl)-1H-pyrazol-3-yl]sulfanyl}acetat (I-51) Ethyl 4-cyano-5-(3,4-difluorophenyl)-l-(pyridin-2-yl)-lH-pyrazole-3-carboxylate (1.53 g, 4.32 mmol, 1.0 equiv) and lithium hydroxide (113.7 mg, 4.75 mmol, 1.1 equiv) are dissolved in a mixture of THF and Water (27 ml, THF:water = 7:1) and heated to boiling for 6 h. After cooling, the solution is acidified with 2 M hydrochloric acid and extracted twice with ethyl acetate (50 ml). The organic phase is dried over magnesium sulfate and the solvent is removed in vacuo. 4-Cyan-5-(3,4-difluorophenyl)-1-(pyridin-2-yl)-1H-pyrazole-3-carboxylic acid is isolated in the form of a white solid (1.40 g, 98% of theory). 1H-NMR (400 MHz, DMSO-d6 ^, ppm) 14.09 (bs, 1H), 8.35 (m, 1H), 8.11 (dt, 1H), 7.82 (d, 1H), 7.64- 7.52 (m, 3 H), 7.32 (m, 1H). 3-Amino-5-(3,4-difluorophenyl)-1-(pyridin-2-yl)-1H-pyrazole-4-carbonitrile 4-Cyano-5-(3,4-difluorophenyl)-1-(pyridin-2-yl)-1H-pyrazole-3-carboxylic acid (1.20 g, 3.68 mmol, 1.0 equiv) and triethylamine (0.77 ml, 5.52 mmol, 1.5 equiv) are dissolved in tert-butanol (30 ml) and diphenyl phosphorazidate (1.22 g, 4.41 mmol, 1.2 equiv) is added at room temperature. The reaction is stirred for 4 h at 60 °C, during which gas evolution occurs. After cooling to room temperature, the reaction solution is treated with a saturated sodium hydrogen carbonate solution (10 ml) and extracted twice with ethyl acetate (50 ml). The organic phase is dried over magnesium sulfate and the solvent is removed in vacuo. The crude intermediate is dissolved in dichloromethane (30 ml) and trifluoroacetic acid (0.28 ml, 3.68 mmol, 1 equiv) is added. The reaction mixture is stirred overnight at room temperature. The solvent is then removed in vacuo. By final column chromatographic purification (gradient ethyl acetate/heptane) of the resulting crude product, 3-amino-5-(3,4-difluorophenyl)-1-(pyridin-2-yl)-1H-pyrazole-4-carbonitrile can be isolated in the form of a white solid (620 mg, 38% of theory over two steps). 1H-NMR (400 MHz, CDCl 3 ^, ppm) 8.34 (m, 1 H), 7.93 (m, 1H), 7.74 (d, 1H), 7.41 (m, 1H), 7.28-7.16 (m, 5H). Ethyl {[4-cyano-5-(3,4-difluorophenyl)-1-(pyridin-2-yl)-1H-pyrazol-3-yl]sulfanyl}acetate (I-51)
3-Amino-5-(3,4-difluorphenyl)-1-(pyridin-2-yl)-1H-pyrazol-4-carbonitril (400 mg, 1,35 mmol, 1,0 equiv), Diethyl-2,2'-disulfandiyldiacetat (641 mg, 2,69 mmol, 2 equiv) und Kupfer-Pulver (17 mg, 0,27 mmol, 0,2 equiv) werden in 1,2-Dichlorethan (10 ml) suspendiert und 15 min auf 60 °C erhitzt. Anschließend tropft man tert-Butylnitrit (153 mg, 1,48 mmol, 1,1 equiv) zu und erhitzt das Reaktionsgemisch 4 h auf 80 °C. Nach dem Abkühlen verdünnt man das Reaktionsgemisch mit Wasser (10 ml) und Dichlormethan (30 ml) und extrahierte danach zweimal mit DCM (50 ml). Die Phasen trennt man mit einem Phasenseparator. Durch abschließende säulenchromatographische Reinigung (Gradient Essigester/Heptan) des resultierenden Rohproduktes erhält man Ethyl-{[4-cyan-5-(3,4- difluorphenyl)-1-(pyridin-2-yl)-1H-pyrazol-3-yl]sulfanyl}acetat in Form eines weißen Feststoffes (30 mg, 5% der Theorie). 1H-NMR (400 MHz, CDCl3 ^, ppm) 8.25 (m, 1H), 7.86 (dt, 1H), 7.68 (d, 1H), 7.31-7.15 (m, 4H), 4.23 (q, 2H), 3.96 (s, 2H), 1.27 (t, 3H). Ethyl-{[4-brom-5-(3,4-difluorphenyl)-1-(3-fluorpyridin-2-yl)-1H-pyrazol-3-yl]oxy}acetat (I-26) 3-(3,4-Difluorphenyl)prop-2-insäure: Unter Argonatmosphäre gibt man zu 5.00 g (20.83 mmol) 1,2-Difluor-4-iodbenzol in 30 ml trocknem Tetrahydrofuran nacheinander 1.46 g (20.83 mmol) Propiolsäure, 0.29 g (0.42 mmol) Bis(triphenylphosphin)-palladium(ll)dichlorid, 0.16 g (0.83 mmol) Kupfer(I)-iodid und 7.38 g (72.92 mmol) Diisopropylamin. Man rührt die Mischung 2 Stunden bei Raumtemperatur, gibt das Reaktionsgemisch auf Wasser, fügt 15.00 ml 2N Salzsäure zu und extrahiert mehrmals mit Essigester. Die vereinigten organischen Phasen werden über Natriumsulfat getrocknet und im Vakuum eingeengt. Nach säulenchromatographischer Reinigung an Kieselgel mit Heptan/Essigester (Start mit Heptan/Essigester = 95 : 5 innerhalb von 15 min auf Heptan/Essigester = 40 : 60) erhält man 2.89 g (76%) eines Produkts mit m/z = 183 [M+]. 1H-NMR (400 MHz, d6-DMSO): δ = 7.56 (m, 2H), 7.86 (m, 1H), 13.95 (bs, 1H). 3-(3,4-Difluorphenyl)-N'-(3-fluorpyridin-2-yl)prop-2-inhydrazid Zu einer Lösung von 2,20 g (12,08 mmol) 3-(3,4-Difluorphenyl)prop-2-insäure, 1,77 g (13,90 mmol) 2- Fluor-6-hydrazinopyridin und 3,06 g (30,20 mmol) Triethylamin in 180 ml THF gibt man tropfenweise 15,34 g (24,16 mmol) einer 50%igen Propanphosphonsäureanhydrid-Lösung in THF und rührt diese Mischung eine Stunde lang bei Raumtemperatur. Zur Aufarbeitung wird mit H2O versetzt, die organische Phase abgetrennt und die wässerige Phase mehrmals mit CH2Cl2 extrahiert. Die vereinigte organische Phase wird über Na2SO4 getrocknet und eingeengt. Man erhält 3,20 g (72%) Rohprodukt von 80%iger Reinheit, das ohne weitere Reinigung für die nächste Reaktionsstufe eingesetzt wird. 5-(3,4-Difluorphenyl)-1-(3-fluorpyridin-2-yl)-1H-pyrazol-3-ol Eine Lösung von 3,20 g (9,89 mmol) 3-(3,4-Difluorphenyl)-N'-(3-fluorpyridin-2-yl)prop-2-inhydrazid in 50 ml Acetonitril und 8 ml DMF wird mit 151 mg (0,79 mmol) CuI versetzt und drei Stunden refluxiert. Danach wird abfiltriert, eingeengt und das Rohprodukt säulenchromatographisch über Kieselgel mit Heptan/Essigester (3:7) gereinigt. Auf diese Weise erhält man 1,96 g (67%) Produkt als Feststoff. 1H-NMR (400MHz, DMSO-d6): δ 6.15 (s, 1H), 6.95 (m, 1H), 7.30-7.40 (m, 2H), 7.55 (m, 1H), 7.95 (m, 1H), 8.25 (m, 1H). Ethyl-{[5-(3,4-difluorphenyl)-1-(3-fluorpyridin-2-yl)-1H-pyrazol-3-yl]oxy}acetat Eine Lösung von 1,22 g (4,19 mmol) 5-(3,4-Difluorphenyl)-1-(3-fluorpyridin-2-yl)-1H-pyrazol-3-ol in 50 ml DMF wird nacheinander mit 2,05 g (6,28 mmol) Cs2CO3 und 0,84 (5,03 mmol) Ethyl bromacetat versetzt und anschließend 1 Stunde bei 80°C gerührt. Danach wird das Reaktionsgemisch bis zur Trockene eingeengt, in H2O aufgenommen und mehrmals mit CH2Cl2 extrahiert. Die organische Phase wird über Na2SO4 getrocknet und anschließend eingeengt. Säulenchromatographische Reinigung über Kieselgel mit Heptan/Essigester ergibt 1,5 g (90%) Produkt. 1H-NMR (400 MHz, CDCl3): δ 1.25 (t, 3H), 4.25 (q, 2H), 4.90 (s, 2H), 6.10 (s, 1H), 6.95 (m, 1H), 7.10-7.00 (m, 2H), 7.35 (m, 1H), 7.50 (m, 1H), 8.35 (m, 1H). Ethyl-{[4-brom-5-(3,4-difluorphenyl)-1-(3-fluorpyridin-2-yl)-1H-pyrazol-3-yl]oxy}acetat (I-26) Eine Lösung von 0,13 g (0,30 mmol) Ethyl-{[5-(3,4-difluorphenyl)-1-(3-fluorpyridin-2-yl)-1H-pyrazol- 3-yl]oxy}acetat in 2,5 ml DMF wird mit 0,06 g (0,36 mmol) N-Bromsuccinimid versetzt und 1 Stunde bei 70°C gerührt. Danach gibt man das Reaktionsgemisch auf H2O und extrahiert mehrmals mit CH2Cl2. Die organische Phase wird über Na2SO4 getrocknet, eingeengt und das so erhaltene Rohprodukt säulenchromatographisch über Kieselgel mit Heptan/Essigester (8:2) gereinigt. Auf diese Weise erhält man 0,13 g (91%) Produkt. 3-Amino-5-(3,4-difluorophenyl)-1-(pyridin-2-yl)-1H-pyrazole-4-carbonitrile (400 mg, 1.35 mmol, 1.0 equiv), diethyl 2,2'-disulfanediyl diacetate (641 mg, 2.69 mmol, 2 equiv) and copper powder (17 mg, 0.27 mmol, 0.2 equiv) are suspended in 1,2-dichloroethane (10 ml) and heated to 60 °C for 15 min. Tert-butyl nitrite (153 mg, 1.48 mmol, 1.1 equiv) is then added dropwise and the reaction mixture is heated to 80 °C for 4 h. After cooling, the reaction mixture is diluted with water (10 ml) and dichloromethane (30 ml) and then extracted twice with DCM (50 ml). The phases are separated with a phase separator. Final purification by column chromatography (gradient ethyl acetate/heptane) of the resulting crude product gives ethyl {[4-cyano-5-(3,4-difluorophenyl)-1-(pyridin-2-yl)-1H-pyrazol-3-yl]sulfanyl}acetate in the form of a white solid (30 mg, 5% of theory). 1H-NMR (400 MHz, CDCl 3 ^, ppm) 8.25 (m, 1H), 7.86 (dt, 1H), 7.68 (d, 1H), 7.31-7.15 (m, 4H), 4.23 (q, 2H), 3.96 (s, 2H), 1.27 (t, 3H). Ethyl {[4-bromo-5-(3,4-difluorophenyl)-1-(3-fluoropyridin-2-yl)-1H-pyrazol-3-yl]oxy}acetate (I-26) 3-(3,4-Difluorophenyl)prop-2-ic acid: Under an argon atmosphere, 1.46 g (20.83 mmol) of propiolic acid, 0.29 g (0.42 mmol) of bis(triphenylphosphine)-palladium(II) dichloride, 0.16 g (0.83 mmol) of copper(I) iodide and 7.38 g (72.92 mmol) of diisopropylamine are added successively to 5.00 g (20.83 mmol) of 1,2-difluoro-4-iodobenzene in 30 ml of dry tetrahydrofuran. The mixture is stirred for 2 hours at room temperature, the reaction mixture is poured into water, 15.00 ml of 2N hydrochloric acid is added and the mixture is extracted several times with ethyl acetate. The combined organic phases are dried over sodium sulfate and concentrated in vacuo. After column chromatographic purification on silica gel with heptane/ethyl acetate (start with heptane/ethyl acetate = 95:5 within 15 min to heptane/ethyl acetate = 40:60) 2.89 g (76%) of a product with m/z = 183 [M+] are obtained. 1H NMR (400 MHz, d6-DMSO): δ = 7.56 (m, 2H), 7.86 (m, 1H), 13.95 (bs, 1H). 3-(3,4-Difluorophenyl)-N'-(3-fluoropyridin-2-yl)prop-2-ynehydrazide 15.34 g (24.16 mmol) of a 50% propanephosphonic anhydride solution in THF are added dropwise to a solution of 2.20 g (12.08 mmol) of 3-(3,4-difluorophenyl)prop-2-ic acid, 1.77 g (13.90 mmol) of 2-fluoro-6-hydrazinopyridine and 3.06 g (30.20 mmol) of triethylamine in 180 ml of THF and the mixture is stirred for one hour at room temperature. For work-up, H 2 O is added, the organic phase is separated and the aqueous phase is extracted several times with CH 2 Cl 2. The combined organic phase is dried over Na 2 SO 4 and concentrated. This gives 3.20 g (72%) of crude product of 80% purity, which is used for the next reaction step without further purification. 5-(3,4-Difluorophenyl)-1-(3-fluoropyridin-2-yl)-1H-pyrazol-3-ol A solution of 3.20 g (9.89 mmol) of 3-(3,4-difluorophenyl)-N'-(3-fluoropyridin-2-yl)prop-2-ynehydrazide in 50 ml of acetonitrile and 8 ml of DMF is mixed with 151 mg (0.79 mmol) of CuI and refluxed for three hours. The mixture is then filtered off, concentrated and the crude product is purified by column chromatography on silica gel with heptane/ethyl acetate (3:7). This gives 1.96 g (67%) of product as a solid. 1H-NMR (400 MHz, DMSO-d6): δ 6.15 (s, 1H), 6.95 (m, 1H), 7.30-7.40 (m, 2H), 7.55 (m, 1H), 7.95 (m, 1H), 8.25 (m, 1H). Ethyl {[5-(3,4-difluorophenyl)-1-(3-fluoropyridin-2-yl)-1H-pyrazol-3-yl]oxy}acetate A solution of 1.22 g (4.19 mmol) of 5-(3,4-difluorophenyl)-1-(3-fluoropyridin-2-yl)-1H-pyrazol-3-ol in 50 ml of DMF is treated successively with 2.05 g (6.28 mmol) of Cs2CO3 and 0.84 g (5.03 mmol) of ethyl bromoacetate and then stirred for 1 hour at 80°C. The reaction mixture is then evaporated to dryness, taken up in H2O and extracted several times with CH2Cl2. The organic Phase is dried over Na 2 SO 4 and then concentrated. Column chromatographic purification on silica gel with heptane/ethyl acetate yields 1.5 g (90%) of product. 1H-NMR (400 MHz, CDCl 3 ): δ 1.25 (t, 3H), 4.25 (q, 2H), 4.90 (s, 2H), 6.10 (s, 1H), 6.95 (m, 1H), 7.10-7.00 (m, 2H), 7.35 (m, 1H), 7.50 (m, 1H), 8.35 (m, 1H). Ethyl {[4-bromo-5-(3,4-difluorophenyl)-1-(3-fluoropyridin-2-yl)-1H-pyrazol-3-yl]oxy}acetate (I-26) A solution of 0.13 g (0.30 mmol) of ethyl {[5-(3,4-difluorophenyl)-1-(3-fluoropyridin-2-yl)-1H-pyrazol-3-yl]oxy}acetate in 2.5 ml of DMF is treated with 0.06 g (0.36 mmol) of N-bromosuccinimide and stirred for 1 hour at 70°C. The reaction mixture is then poured into H2O and extracted several times with CH2Cl2. The organic phase is dried over Na2SO4, concentrated and the crude product thus obtained is purified by column chromatography on silica gel with heptane/ethyl acetate (8:2). In this way, 0.13 g (91%) of product is obtained.
NMR-Daten ausgewählter Beispiele NMR-Daten ausgewählter Beispiele Die nachfolgend aufgeführten spektroskopischen Daten ausgewählter Tabellenbeispiele wurden entweder über klassische NMR-Interpretation und/oder über 1H-NMR-Peak-Listenverfahren ausgewertet. a) Klassische Interpretation: Beispiel No. I-221: 1H NMR (401 MHz, CDCl3): δH 1.28-1.35 (t, 3H), 4.28-4.35 (q, 2H), 4.95 (s, 2H), 7.01-7.15 (m, 3H), 7.28-7.34 (m, 2H), 7.40-7.44 (d, 1H), 7.66-7.73 (td, 1H), 8.15-8.20 (d, 1H). Beispiel No. I-224: 1H NMR (401 MHz, CDCl3): δH 1.70 (d, 3H), 3.79 (s, 3H), 5.29 (q, 1H), 7.03-7.11 (m, 3H), 7.28-7.33 (m, 2H), 7.45 (dt, 1H), 7.68-7.73 (m, 1H), 8.11-8.15 (m, 1H). Beispiel No. I-225: 1H NMR (401 MHz, CDCl3): δH 1.70 (d, 3H), 3.79 (s, 3H), 5.26-5.33 (q, 1H), 7.04 - 7.12 (m, 3H), 7.28- 7.34 (m, 2H), 7.45 (dt, 1H), 7.68-7.74 (m, 1H), 8.14 (ddd, 1H). Beispiel No. I-226: 1H NMR (401 MHz, DMSO-d6) δH 4.89 (s, 2H), 7.23-7.37 (m, 5H), 7.56 (dt, 1H), 7.91-7.96 (m, 1H), 8.14- 8.18 (m, 1H), 13.05 (s br, OH). Beispiel No. I-227: 1H NMR (401 MHz, DMSO-d6) δH 3.32 (s, 1H), 4.90 (s, 2H), 7.23-7.32 (m, 3H), 7.33-7.39 (m, 2H), 7.57 (dt, 1H), 7.92-7.98 (m, 1H), 8.15-8.19 (m, 1H), 13.09 (s br, OH). Beispiel No. I-228: 1H NMR (401 MHz, CDCl3): δH 1.50 (d, 3H), 3.78 (s, 3H), 4.70 (quin, 1H), 4.90 (s, 2H), 7.05-7.16 (m, 3H), 7.18 (br d, NH), 7.29-7.34 (m, 2H), 7.48 (d, 1H), 7.71-7.76 (m, 1H), 8.19 (dd, 1H). Beispiel No. I-229: 1H NMR (401 MHz, CDCl3): δH 2.70 (t, 2H), 3.68 (s, 3H), 4.50 (t, 2H), 4.95 (s, 2H), 7.03-7.13 (m, 3H), 7.27-7.33 (m, 2H), 7.44 (dt, 1H), 7.69-7.73 (m, 1H), 8.16-8.19 (m, 1H). Beispiel No. I-230: 1H NMR (401 MHz, CDCl3): δH 1.19 (d, 3H), 2.79-2.88 (m, 1H), 3.67 (s, 3H), 4.28-4.42 (m, 2H), 4.95 (s, 2H), 7.04-7.13 (m, 3H), 7.29-7.33 (m, 2H), 7.44 (dt, 1H), 7.68-7.73 (m, 1H), 8.17 (ddd, 1H). Beispiel No. I-231: 1H NMR (401 MHz, CDCl3): δH 1.50 (d, 3H), 3.77 (s, 3H), 4.71 (quin, 1H), 4.90 (s, 2H), 7.05-7.17 (m, 3H & NH), 7.29-7.35 (m, 2H), 7.49 (dt, 1H), 7.71-7.77 (m, 1H), 8.18-8.21 (m, 1H). Beispiel No. I-232: 1H NMR (401 MHz, CDCl3): δH 2.70 (t, 2H), 3.68 (s, 3H), 4.50 (t, 2H), 4.95 (s, 2H), 7.04-7.14 (m, 3H), 7.29-7.34 (m, 2H), 7.44 (dt, 1H), 7.69-7.74 (m, 1H), 8.18 (ddd, 1H). Beispiel No. I-233: 1H NMR (401 MHz, CDCl3): δH 1.19 (d, 3H), 2.83 (td, 1H), 3.67 (s, 3H), 4.29-4.42 (m, 2H), 4.96 (s, 2H), 7.04-7.14 (m, 3H), 7.29-7.34 (m, 2H), 7.44 (dt, 1H), 7.69-7.74 (m, 1H), 8.18 (ddd, 1H). Beispiel No. I-234: 1H NMR (401 MHz, DMSO-d6): δH ppm 1.58 (d, 3H), 5.11 (q, 1H), 7.23-7.30 (m, 3H), 7.31-7.37 (m, 2H), 7.54 (dt, 1H), 7.92-7.96 (m, 1H), 8.14-8.16 (m, 1H), 12.98 (s br, OH). Beispiel No. I-235: 1H NMR (401 MHz, DMSO-d6) δH 1.58 (d, 3H), 5.13 (q, 1H), 7.22-7.32 (m, 3H), 7.32-7.40 (m, 2H), 7.55 (dt, 1H), 7.92-7.97 (m, 1H), 8.15-8.17 (m, 1H), 13.05 (s, OH). Beispiel No. I-236: 1H NMR (401 MHz, CDCl3): δH 1.68 (d, 3H), 2.67 (t, 2H), 3.65 (s, 3H), 4.41-4.51 (m, 2H), 5.25 (q, 1H), 7.03-7.11 (m, 3H), 7.29-7.34 (m, 2H), 7.46-7.49 (m, 1H), 7.69-7.74 (m, 1H), 8.12-8.14 (m, 1H). Beispiel No. I-237: 1H NMR (401 MHz, CDCl3): δH 1.16 (dd, 3H), 1.69 (dd, 3H), 2.77-2.86 (m, 1H), 3.65 (s, 3H), 4.21-4.41 (m, 2H), 5.27 (dd, 1H), 7.03-7.11 (m, 3H), 7.28-7.34 (m, 2H), 7.44-7.50 (m, 1H), 7.68-7.73 (m, 1H), 8.11- 8.15 (m, 1H). Beispiel No. I-238: 1H NMR (401 MHz, CDCl3): δH 1.42-1.50 (dd, 3H) 1.71 (d, 3H), 3.72-3.79 (d, 3H), 4.63 (quin, 1H), 5.30- 5.37 (m, 1H), 7.04-7.14 (m, 3H), 7.15-7.22 (m, 1H), 7.29-7.34 (m, 2H), 7.49-7.54 (m, 1H), 7.71-7.76 (m, 1H), 8.15-8.18 (m, 1H). Beispiel No. I-239: 1H NMR (401 MHz, CDCl3): δH 1.16 (dd, 3H), 1.69 (d, 3H), 2.77-2.87 (m, 1H), 3.65 (s, 3H), 4.21-4.41 (m, 2H), 5.27 (dd, 1H), 7.04-7.12 (m, 3H), 7.29-7.34 (m, 2H), 7.47 (ddt, 1H), 7.69-7.74 (m, 1H), 8.12- 8.15 (m, 1H). Beispiel No. I-240: 1H NMR (401 MHz, CDCl3): δH 1.69 (d, 3H), 2.67 (t, 2H), 3.65 (s, 3H), 4.41-4.51 (m, 2H), 5.22-5.28 (q, 1H), 7.04-7.12 (m, 3H), 7.29-7.34 (m, 2H), 7.48 (dt, 1H), 7.69-7.74 (m, 1H), 8.14 (ddd, 1H). Beispiel No. I-241: 1H NMR (401 MHz, CDCl3): δH 1.40-1.52 (dd, 3H), 1.71 (d, 3H), 3.70-3.80 (d, 3H), 4.64 (quin, 1H), 5.32- 5.36 (t, 1H), 7.04-7.16 (m, 3H), 7.15-7.20 (m, NH), 7.32 (ddd, 2H), 7.50-7.54 (m, 1H), 7.71-7.76 (m, 1H), 8.17 (dd, 1H). Beispiel No. I-439: 1H-NMR (400 MHz, d6-DMSO d, ppm) 13.05 (bs, 1H), 8.25 (m, 1H), 7.86 (m, 1H), 7.48-7.41 (m, 2H), 7.32 (m, 1H), 7.10 (m, 1H), 4.79 (s, 2H), 4.26 (s, 2H), 2.09 (s, 3H). Beispiel No. I-428: 1H-NMR (400 MHz, CDCl3 d, ppm) 8.21 (m, 1H), 7.61 (d, 1H), 7.23-7.02 (m, 4 H), 5.21 (q, 1H), 3,74 (s, 3H), 2.15 (s, 3H), 1.67 (d, 3H). Beispiel No. I-427: 1H-NMR (400 MHz, CDCl3 d, ppm) 8.21 (m, 1H), 7.61 (d, 1H), 7.23-7.02 (m, 4 H), 5.21 (q, 1H), 3,74 (s, 3H), 2.15 (s, 3H), 1.67 (d, 3H). Beispiel No. I-291: 1H-NMR (600 MHz, CDCl3 d, ppm) 8.10 (m, 1H), 7.69 (m, 1H), 7.52 (d, 1H), 7.18-7.01 (m, 4H), 6.28 (m, 1H), 5.93 (m, 1H), 5.23 (m, 1H), 4.97 (s, 2H), 4.30 (q, 2H), 1.32 (t, 3H). Beispiel No. I-290: 1H-NMR (600 MHz, CDCl3 d, ppm) 8.11 (m, 1H), 7.67 (m, 1H), 7.46 (m, 1H), 7.17-7.11 (m, 2H), 7.05- 7.02 (m, 2H), 4.88 (s, 2H), 4.27 (q, 2H), 1.52 (m, 1H), 1.30 (t, 3H), 0.80-0.76 (m, 2H), 0.74-0.70 (m, 2H). Beispiel No. I-220: 1H-NMR (400 MHz, d6-DMSO d, ppm) 12.85 (bs, 1H), 8.57 (m, 1H), 8.40 (m, 1H), 7.63 (m, 1H), 7.45- 7.32 (m, 2H), 6.98 (m, 1H), 4.72 (s, 2H), 1.64 (m, 1H), 0.76-0.66 (m, 4H). Beispiel No. I-219: 1H-NMR (400 MHz, CDCl3 d, ppm) 8.46 (m, 1H), 8.10 (m, 1H), 7.36 (m, 1H), 7.16-6.97 (m, 3H), 4.81 (s, 2H), 4.23 (q, 2H), 1.59 (m, 1H), 1.27 (t, 3H), 0.85-0.74 (m, 4H). Beispiel No. I-218: 1H-NMR (400 MHz, d6-DMSO d, ppm) 12.96 (bs, 1H), 8.62 (m, 1H), 8.44 (m, 1H), 7.70 (m, 1H), 7.50- 7.35 (m, 2H), 7.02 (m, 1H), 4.77 (s, 2H). Beispiel No. I-217: 1H-NMR (400 MHz, CDCl3 d, ppm) 8.49 (m, 1H), 8.12 (m, 1H), 7.42 (m, 1H), 7.19-7.02 (m, 3H), 4.86 (s, 2H), 4.24 (q, 2H), 1.28 (t, 3H). Beispiel No. I-68: 1H-NMR (400 MHz, CDCl3 d, ppm) 8.17 (m, 1H), 7.80 (m, 1H), 7.65 (d, 1H), 7.20-7.13 (m, 3H), 7.05 (m, 1H), 3.95 (s, 2H), 3.78 (s, 3H). Beispiel No. I-18: 1H-NMR (400 MHz, CDCl3 δ, ppm): 8.40 (m, 1H), 7.51-7.31 (m, 7H), 5.00 (s, 2H). Beispiel No. I-25: 1H-NMR (400 MHz, CDCl3 δ, ppm): 8.35 (m, 1H), 7.56 (dd, 1H), 7.45 (m, 1H), 7.22-7.13 (m, 3H), 4.92 (s, 2H), 4.26 (q, 2H), 1.28 (t, 3H). Beispiel No. I-48: 1H-NMR (400 MHz, CDCl3 δ, ppm): 8.04 (m, 1H), 7.44 (m, 2H), 7.21-7.15 (m, 2 H), 7.06-7.02 (m, 1 H), 5.32 (q, 1H), 1.75 (d, 3H). Beispiel No. I-49: 1H-NMR (400 MHz, CDCl3 δ, ppm): 8.06 (m, 1H), 7.45 (m, 2H), 7.22-7.15 (m, 2 H), 7.07-7.03 (m, 1 H), 5.00 (s, 2H). Beispiel No. I-209: 1H-NMR (400 MHz, CDCl3 δ, ppm): 8.28 (m, 1H), 7.45 (dd, 1H), 7.33 (m, 1H), 7.19-7.01 (m, 3H), 4.92 (s, 2H), 4.26 (q, 2H), 1.27 (t, 3H). Beispiel No. I-210: 1H-NMR (400 MHz, CDCl3 δ, ppm): 8.23 (m, 1H), 7.47 (dd, 1H), 7.31 (m, 1H), 7.19-7.03 (m, 3H), 5.26 (q, 1H), 3.76 (s, 3H), 1.67 (d, 3H). Beispiel No. I-211: 1H-NMR (400 MHz, CDCl3 δ, ppm): 8.20 (m, 1H), 7.43 (dd, 1H), 7.25 (m, 1H), 7.15-7.04 (m, 2H), 6.97 (m, 1H), 5.27 (q, 1H), 3.73 (s, 3H), 1.61 (d, 3H), 1.60-1.56 (m, 1H), 0.83-0.73 (m, 4H). Beispiel No. I-212: 1H-NMR (400 MHz, CDCl3 δ, ppm): 8.26 (m, 1H), 7.42 (dd, 1H), 7.27 (m, 1H), 7.16-7.05 (m, 2H), 6.98 (m, 1H), 4.88 (s, 2H), 4.24 (q, 2H), 1.62-1.56 (m, 1H), 1.28 (t, 3H), 0.81-0.73 (m, 4H). Beispiel No. I-213: 1H-NMR (400 MHz, CDCl3 δ, ppm): 8.26 (m, 1H), 7.42 (dd, 1H), 7.28 (m, 1H), 7.16-7.05 (m, 2H), 6.98 (m, 1H), 4.90 (s, 2H), 3.78 (2, 3H), 1.61-1.55 (m, 1H), 0.79-0.75 (m, 4H). Beispiel No. I-214: 1H-NMR (400 MHz, CDCl3 δ, ppm): 8.21 (m, 1H), 7.42 (dd, 1H), 7.23 (m, 1H), 7.15-7.04 (m, 2H), 6.98 (m, 1H), 5.24 (q, 1H), 4.20 (q, 2H), 1.61 (d, 3H), 1.60-1.55 (m, 1H), 1.24 (t, 3H), 0.83-0.72 (m, 4H). Beispiel No. I-215: 1H-NMR (400 MHz, CDCl3 δ, ppm): 8.27 (m, 1H), 7.42 (dd, 1H), 7.27 (m, 1H), 7.15-7.05 (m, 2H), 6.97 (m, 1H), 5.31 (q, 1H), 1.66 (d, 3H), 1.60-1.53 (m, 1H), 0.76-0.72 (m, 4H). Beispiel No. I-216: 1H-NMR (400 MHz, CDCl3 δ, ppm): 8.70-8.20 (bs, 1H), 8.31 (m, 1H), 7.42 (dd, 1H), 7.26 (m, 1H), 7.15- 7.05 (m, 2H), 6.96 (m, 1H), 4.93 (s, 2H), 1.62-1.55 (m, 1H), 0.76-0.74 (m, 4H). Beispiel No. I-258: 1H-NMR (400 MHz, CDCl3 δ, ppm): 8.18 (m, 1H), 7.56 (m, 1H), 7.15 (m, 1H), 7.10 (m, 1H), 7.07 (m, 1H), 6.96 (m, 1H), 5.18 (q, 1H), 4.18 (q, 2H), 2.14 (s, 3H), 1.61 (d, 3H), 1.60-1.56 (m, 1H), 1.24 (t, 3H), 0.83-0.74 (m, 4H). Beispiel No. I-259: 1H-NMR (400 MHz, CDCl3 δ, ppm): 8.24 (m, 1H), 7.56 (m, 1H), 7.18 (m, 1H), 7.11 (m, 1H), 7.07 (m, 1H), 6.95 (m, 1H), 5.18 (q, 1H), 2.11 (s, 3H), 1.63 (d, 3H), 1.61-1.57 (m, 1H), 0.80-0.73 (m, 4H). Beispiel No. I-141: 1H-NMR (400 MHz, d6-DMSO d, ppm): 13.05 (bs, 1H), 8.16 (d, 1H), 8.01 (t, 1H), 7.83 (d, 1H), 7.72 (s, 1H),7.71 (s, 1H), 7.55 (m, 1H), 4.91 (s, 2H). Beispiel No. I-142: 1H-NMR (400 MHz, d6-DMSO d, ppm): 8.15 (d, 1H), 8.02 (t, 1H), 7.83 (d, 1H), 7.72 (s, 1H), 7.71 (s, 1H), 7.55 (m, 1H), 4.97 (s, 2H), 4.18 (q, 2H), 1.20 (t, 3H). Beispiel No. I-143: 1H-NMR (400 MHz, d6-DMSO d, ppm): 8.30 (d, 1H), 7.94 (t, 1H), 7.77 (d, 2H), 7.60 (m, 1H), 7.05 (d, 2H), 4.93 (s, 2H), 4.16 (q, 2H), 1.18 (t, 3H). Beispiel No. I-144: 1H-NMR (400 MHz, d6-DMSO d, ppm): 13.00 (bs, 1H), 8.31 (d, 1H), 7.94 (t, 1H), 7.78 (d, 2H), 7.58 (m, 1H), 7.05 (d, 2H), 4.83 (s, 2H). Beispiel No. I-145: 1H-NMR (400 MHz, d6-DMSO d, ppm): 13.1 (bs, 1H), 8.30 (d, 1H), 7.94 (t, 1H), 7.59 (m, 1H), 7.48 (d, 2H), 7.28 (d, 2H), 4.84 (s, 2H). Beispiel No. I-146: 1H-NMR (400 MHz, d6-DMSO d, ppm): 8.30 (d, 1H), 7.94 (t, 1H), 7.59 (m, 1H), 7.48 (d, 2H), 7.29 (d, 2H), 4.96 (s, 2H), 3.70 (s, 3H). Beispiel No. I-147: 1H-NMR (400 MHz, d6-DMSO d, ppm): 12.75 – 13.12 (bs, 1H), 8.26 (d, 1H), 7.96 (t, 1H), 7.89 (d, 2H), 7.58 (m, 1H), 7.48 (d, 2H), 4.82 (s, 2H). Beispiel No. I-148: 1H-NMR (400 MHz, d6-DMSO d, ppm): 8.25 (d, 1H), 7.97 (t, 1H), 7.89 (d, 2H), 7.59 (m, 1H), 7.49 (d, 2H), 4.96 (s, 2H) , 4.17 (q, 2H), 1.19 (t, 3H). b) 1H-NMR-Peak-Listenverfahren Die 1H-NMR-Daten ausgewählter Beispiele werden in Form von 1H-NMR-Peaklisten notiert. Zu jedem Signalpeak wird erst der ^-Wert in ppm und dann die Signalintensität in runden Klammern aufgeführt. Die ^-Wert – Signalintensitäts- Zahlenpaare von verschiedenen Signalpeaks werden durch Semikolons voneinander getrennt aufgelistet. Die Peakliste eines Beispieles hat daher die Form: ^ (Intensität ); ^ (Intensi ) 1 1 2 tät2);……..; ^i (Intensitäti;……; ^n (Intensitätn) Die Intensität scharfer Signale korreliert mit der Höhe der Signale in einem gedruckten Beispiel eines NMR-Spektrums in cm und zeigt die wirklichen Verhältnisse der Signalintensitäten. Bei breiten Signalen können mehrere Peaks oder die Mitte des Signals und ihre relative Intensität im Vergleich zum intensivsten Signal im Spektrum gezeigt werden. Zur Kalibrierung der chemischen Verschiebung von 1H-NMR-Spektren benutzen wir Tetramethylsilan und/oder die chemische Verschiebung des Lösungsmittels, besondern im Falle von Spektren, die in DMSO gemessen werden. Daher kann in NMR-Peaklisten der Tetramethylsilan-Peak vorkommen, muss es aber nicht. Die Listen der 1H-NMR-Peaks sind ähnlich den klassischen 1H-NMR-Ausdrucken und enthalten somit gewöhnlich alle Peaks, die bei einer klassischen NMR-Interpretation aufgeführt werden. Darüber hinaus können sie wie klassische 1H-NMR-Ausdrucke Lösungsmittelsignale, Signale von Stereoisomeren der Zielverbindungen, die ebenfalls Gegenstand der Erfindung sind, und/oder Peaks von Verunreinigungen zeigen. Bei der Angabe von Verbindungssignalen im Delta-Bereich von Lösungsmitteln und/oder Wasser sind in unseren Listen von 1H-NMR-Peaks die gewöhnlichen Lösungsmittelpeaks, zum Beispiel Peaks von DMSO in DMSO-D6 und der Peak von Wasser, gezeigt, die gewöhnlich im Durchschnitt eine hohe Intensität aufweisen. Die Peaks von Stereoisomeren der Targetverbindungen und/oder Peaks von Verunreinigungen haben gewöhnlich im Durchschnitt eine geringere Intensität als die Peaks der Zielverbindungen (zum Beispiel mit einer Reinheit von >90%). Solche Stereoisomere und/oder Verunreinigungen können typisch für das jeweilige Herstellungsverfahren sein. Ihre Peaks können somit dabei helfen, die Reproduktion unseres Herstellungsverfahrens anhand von “Nebenprodukt-Fingerabdrücken” zu erkennen. Einem Experten, der die Peaks der Zielverbindungen mit bekannten Verfahren (MestreC, ACD- Simulation, aber auch mit empirisch ausgewerteten Erwartungswerten) berechnet, kann je nach Bedarf die Peaks der Zielverbindungen isolieren, wobei gegebenenfalls zusätzliche Intensitätsfilter eingesetzt werden. Diese Isolierung wäre ähnlich dem betreffenden Peak-Picking bei der klassischen 1H-NMR- Interpretation. Weitere Details zu 1H-NMR-Peaklisten können der Research Disclosure Database Number 564025 entnommen werden. NMR data of selected examples NMR data of selected examples The spectroscopic data of selected table examples listed below were evaluated either using classical NMR interpretation and/or 1H NMR peak list methods. a) Classical interpretation: Example No. I-221: 1H NMR (401 MHz, CDCl3): δH 1.28-1.35 (t, 3H), 4.28-4.35 (q, 2H), 4.95 (s, 2H), 7.01-7.15 (m, 3H), 7.28-7.34 (m, 2H), 7.40-7.44 (d, 1H), 7.66-7.73 (td, 1H), 8.15-8.20 (d, 1H). Example No. I-224: 1H NMR (401 MHz, CDCl3): δH 1.70 (d, 3H), 3.79 (s, 3H), 5.29 (q, 1H), 7.03-7.11 (m, 3H), 7.28-7.33 (m, 2H), 7.45 (dt, 1H), 7.68-7.73 (m, 1H), 8.11-8.15 (m, 1H). Example No. I-225: 1H NMR (401 MHz, CDCl3): δH 1.70 (d, 3H), 3.79 (s, 3H), 5.26-5.33 (q, 1H), 7.04 - 7.12 (m, 3H), 7.28- 7.34 (m, 2H), 7.45 (dt, 1H), 7.68-7.74 (m, 1H), 8.14 (ddd, 1H). Example No. I-226: 1H NMR (401 MHz, DMSO-d6) δH 4.89 (s, 2H), 7.23-7.37 (m, 5H), 7.56 (dt, 1H), 7.91-7.96 (m, 1H), 8.14- 8.18 (m, 1H), 13.05 (s br, OH). Example No. I-227: 1H NMR (401 MHz, DMSO-d 6 ) δ H 3.32 (s, 1H), 4.90 (s, 2H), 7.23-7.32 (m, 3H), 7.33-7.39 (m, 2H), 7.57 (dt, 1H), 7.92-7.98 (m, 1H), 8.15-8.19 (m, 1H), 13.09 (s br, OH). Example No. I-228: 1H NMR (401 MHz, CDCl 3 ): δ H 1.50 (d, 3H), 3.78 (s, 3H), 4.70 (quin, 1H), 4.90 (s, 2H), 7.05-7.16 (m, 3H), 7.18 (br d, NH), 7.29-7.34 (m, 2H), 7.48 (d, 1H), 7.71-7.76 (m, 1H), 8.19 (dd, 1H). Example No. I-229: 1H NMR (401 MHz, CDCl 3 ): δ H 2.70 (t, 2H), 3.68 (s, 3H), 4.50 (t, 2H), 4.95 (s, 2H), 7.03-7.13 (m, 3H), 7.27-7.33 (m, 2H), 7.44 (dt, 1H), 7.69-7.73 (m, 1H), 8.16-8.19 (m, 1H). Example No. I-230: 1H NMR (401 MHz, CDCl 3 ): δ H 1.19 (d, 3H), 2.79-2.88 (m, 1H), 3.67 (s, 3H), 4.28-4.42 (m, 2H), 4.95 (s, 2H), 7.04-7.13 (m, 3H), 7.29-7.33 (m, 2H), 7.44 (dt, 1H), 7.68-7.73 (m, 1H), 8.17 (ddd, 1H). Example No. I-231: 1H NMR (401 MHz, CDCl3): δH 1.50 (d, 3H), 3.77 (s, 3H), 4.71 (quin, 1H), 4.90 (s, 2H), 7.05-7.17 (m, 3H & NH), 7.29-7.35 (m, 2H), 7.49 (dt, 1H), 7.71-7.77 (m, 1H), 8.18-8.21 (m, 1H). Example No. I-232: 1H NMR (401 MHz, CDCl3): δH 2.70 (t, 2H), 3.68 (s, 3H), 4.50 (t, 2H), 4.95 (s, 2H), 7.04-7.14 (m, 3H), 7.29-7.34 (m, 2H), 7.44 (dt, 1H), 7.69-7.74 (m, 1H), 8.18 (ddd, 1H). Example No. I-233: 1H NMR (401 MHz, CDCl3): δH 1.19 (d, 3H), 2.83 (td, 1H), 3.67 (s, 3H), 4.29-4.42 (m, 2H), 4.96 (s, 2H), 7.04-7.14 (m, 3H), 7.29-7.34 (m, 2H), 7.44 (dt, 1H), 7.69-7.74 (m, 1H), 8.18 (ddd, 1H). Example No. I-234: 1H NMR (401 MHz, DMSO-d6): δH ppm 1.58 (d, 3H), 5.11 (q, 1H), 7.23-7.30 (m, 3H), 7.31-7.37 (m, 2H), 7.54 (dt, 1H), 7.92-7.96 (m, 1H), 8.14-8.16 (m, 1H), 12.98 (s br, OH). Example No. I-235: 1H NMR (401 MHz, DMSO-d6) δH 1.58 (d, 3H), 5.13 (q, 1H), 7.22-7.32 (m, 3H), 7.32-7.40 (m, 2H), 7.55 (dt, 1H), 7.92-7.97 (m, 1H), 8.15-8.17 (m, 1H), 13.05 (s, OH). Example No. I-236: 1H NMR (401 MHz, CDCl 3 ): δ H 1.68 (d, 3H), 2.67 (t, 2H), 3.65 (s, 3H), 4.41-4.51 (m, 2H), 5.25 (q, 1H), 7.03-7.11 (m, 3H), 7.29-7.34 (m, 2H), 7.46-7.49 (m, 1H), 7.69-7.74 (m, 1H), 8.12-8.14 (m, 1H). Example No. I-237: 1H NMR (401 MHz, CDCl 3 ): δ H 1.16 (dd, 3H), 1.69 (dd, 3H), 2.77-2.86 (m, 1H), 3.65 (s, 3H), 4.21-4.41 (m, 2H), 5.27 (dd, 1H), 7.03-7.11 (m, 3H), 7.28-7.34 (m, 2H), 7.44-7.50 (m, 1H), 7.68-7.73 (m, 1H), 8.11- 8.15 (m, 1H). Example No. I-238: 1H NMR (401 MHz, CDCl 3 ): δ H 1.42-1.50 (dd, 3H) 1.71 (d, 3H), 3.72-3.79 (d, 3H), 4.63 (quin, 1H), 5.30- 5.37 (m, 1H), 7.04-7.14 (m, 3H), 7.15-7.22 (m, 1H), 7.29-7.34 (m, 2H), 7.49-7.54 (m, 1H), 7.71-7.76 (m, 1H), 8.15-8.18 (m, 1H). Example No. I-239: 1H NMR (401 MHz, CDCl 3 ): δ H 1.16 (dd, 3H), 1.69 (d, 3H), 2.77-2.87 (m, 1H), 3.65 (s, 3H), 4.21-4.41 (m, 2H), 5.27 (dd, 1H), 7.04-7.12 (m, 3H), 7.29-7.34 (m, 2H), 7.47 (ddt, 1H), 7.69-7.74 (m, 1H), 8.12- 8.15 (m, 1H). Example No. I-240: 1H NMR (401 MHz, CDCl3): δH 1.69 (d, 3H), 2.67 (t, 2H), 3.65 (s, 3H), 4.41-4.51 (m, 2H), 5.22-5.28 (q, 1H), 7.04-7.12 (m, 3H), 7.29-7.34 (m, 2H), 7.48 (dt, 1H), 7.69-7.74 (m, 1H), 8.14 (ddd, 1H). Example No. I-241: 1H NMR (401 MHz, CDCl3): δH 1.40-1.52 (dd, 3H), 1.71 (d, 3H), 3.70-3.80 (d, 3H), 4.64 (quin, 1H), 5.32- 5.36 (t, 1H), 7.04-7.16 (m, 3H), 7.15-7.20 (m, NH), 7.32 (ddd, 2H), 7.50-7.54 (m, 1H), 7.71-7.76 (m, 1H), 8.17 (dd, 1H). Example No. I-439: 1H NMR (400 MHz, d6-DMSO d, ppm) 13.05 (bs, 1H), 8.25 (m, 1H), 7.86 (m, 1H), 7.48-7.41 (m, 2H), 7.32 (m, 1H), 7.10 (m, 1H), 4.79 (s, 2H), 4.26 (s, 2H), 2.09 (s, 3H). Example No. I-428: 1H-NMR (400 MHz, CDCl3 d, ppm) 8.21 (m, 1H), 7.61 (d, 1H), 7.23-7.02 (m, 4 H), 5.21 (q, 1H), 3.74 (s, 3H), 2.15 (s, 3H), 1.67 (d, 3H). Example No. I-427: 1H-NMR (400 MHz, CDCl3 d, ppm) 8.21 (m, 1H), 7.61 (d, 1H), 7.23-7.02 (m, 4 H), 5.21 (q, 1H), 3.74 (s, 3H), 2.15 (s, 3H), 1.67 (d, 3H). Example No. I-291: 1H NMR (600 MHz, CDCl 3 d, ppm) 8.10 (m, 1H), 7.69 (m, 1H), 7.52 (d, 1H), 7.18-7.01 (m, 4H), 6.28 (m, 1H), 5.93 (m, 1H), 5.23 (m, 1H), 4.97 (s, 2H), 4.30 (q, 2H), 1.32 (t, 3H). Example No. I-290: 1H-NMR (600 MHz, CDCl 3 d, ppm) 8.11 (m, 1H), 7.67 (m, 1H), 7.46 (m, 1H), 7.17-7.11 (m, 2H), 7.05- 7.02 (m, 2H), 4.88 (s, 2H), 4.27 (q, 2H), 1.52 (m, 1H), 1.30 (t, 3H), 0.80-0.76 (m, 2H), 0.74-0.70 (m, 2H). Example No. I-220: 1H-NMR (400 MHz, d6-DMSO d, ppm) 12.85 (bs, 1H), 8.57 (m, 1H), 8.40 (m, 1H), 7.63 (m, 1H), 7.45- 7.32 (m, 2H), 6.98 (m, 1H), 4.72 (s, 2H), 1.64 (m, 1H), 0.76-0.66 (m, 4H). Example No. I-219: 1H-NMR (400 MHz, CDCl 3 d, ppm) 8.46 (m, 1H), 8.10 (m, 1H), 7.36 (m, 1H), 7.16-6.97 (m, 3H), 4.81 (s, 2H), 4.23 (q, 2H), 1.59 (m, 1H), 1.27 (t, 3H), 0.85-0.74 (m, 4H). Example No. I-218: 1H-NMR (400 MHz, d6-DMSO d, ppm) 12.96 (bs, 1H), 8.62 (m, 1H), 8.44 (m, 1H), 7.70 (m, 1H), 7.50- 7.35 (m, 2H), 7.02 (m, 1H), 4.77 (s, 2H). Example No. I-217: 1H NMR (400 MHz, CDCl3 d, ppm) 8.49 (m, 1H), 8.12 (m, 1H), 7.42 (m, 1H), 7.19-7.02 (m, 3H), 4.86 (s, 2H), 4.24 (q, 2H), 1.28 (t, 3H). Example No. I-68: 1H-NMR (400 MHz, CDCl3 d, ppm) 8.17 (m, 1H), 7.80 (m, 1H), 7.65 (d, 1H), 7.20-7.13 (m, 3H), 7.05 (m, 1H), 3.95 (s, 2H), 3.78 (s, 3H). Example No. I-18: 1H-NMR (400 MHz, CDCl3 δ, ppm): 8.40 (m, 1H), 7.51-7.31 (m, 7H), 5.00 (s, 2H). Example No. Example No. I-25: 1H-NMR (400 MHz, CDCl3 δ, ppm): 8.35 (m, 1H), 7.56 (dd, 1H), 7.45 (m, 1H), 7.22-7.13 (m, 3H), 4.92 (s, 2H), 4.26 (q, 2H), 1.28 (t, 3H). Example No. I-48: 1H-NMR (400 MHz, CDCl 3 δ, ppm): 8.04 (m, 1H), 7.44 (m, 2H), 7.21-7.15 (m, 2 H), 7.06-7.02 (m, 1 H), 5.32 (q, 1H), 1.75 (d, 3H). Example No. I-49: 1H-NMR (400 MHz, CDCl 3 δ, ppm): 8.06 (m, 1H), 7.45 (m, 2H), 7.22-7.15 (m, 2 H), 7.07-7.03 (m, 1 H), 5.00 (s, 2H). Example No. I-209: 1H-NMR (400 MHz, CDCl 3 δ, ppm): 8.28 (m, 1H), 7.45 (dd, 1H), 7.33 (m, 1H), 7.19-7.01 (m, 3H), 4.92 (s, 2H), 4.26 (q, 2H), 1.27 (t, 3H). Example No. I-210: 1H-NMR (400 MHz, CDCl 3 δ, ppm): 8.23 (m, 1H), 7.47 (dd, 1H), 7.31 (m, 1H), 7.19-7.03 (m, 3H), 5.26 (q, 1H), 3.76 (s, 3H), 1.67 (d, 3H). Example No. I-211: 1H NMR (400 MHz, CDCl3 δ, ppm): 8.20 (m, 1H), 7.43 (dd, 1H), 7.25 (m, 1H), 7.15-7.04 (m, 2H), 6.97 (m, 1H), 5.27 (q, 1H), 3.73 (s, 3H), 1.61 (d, 3H), 1.60-1.56 (m, 1H), 0.83-0.73 (m, 4H). Example No. I-212: 1H NMR (400 MHz, CDCl3 δ, ppm): 8.26 (m, 1H), 7.42 (dd, 1H), 7.27 (m, 1H), 7.16-7.05 (m, 2H), 6.98 (m, 1H), 4.88 (s, 2H), 4.24 (q, 2H), 1.62-1.56 (m, 1H), 1.28 (t, 3H), 0.81-0.73 (m, 4H). Example No. I-213: 1H NMR (400 MHz, CDCl3 δ, ppm): 8.26 (m, 1H), 7.42 (dd, 1H), 7.28 (m, 1H), 7.16-7.05 (m, 2H), 6.98 (m, 1H), 4.90 (s, 2H), 3.78 (2, 3H), 1.61-1.55 (m, 1H), 0.79-0.75 (m, 4H). Example No. I-214: 1H NMR (400 MHz, CDCl3 δ, ppm): 8.21 (m, 1H), 7.42 (dd, 1H), 7.23 (m, 1H), 7.15-7.04 (m, 2H), 6.98 (m, 1H), 5.24 (q, 1H), 4.20 (q, 2H), 1.61 (d, 3H), 1.60-1.55 (m, 1H), 1.24 (t, 3H), 0.83-0.72 (m, 4H). Example No. I-215: 1H NMR (400 MHz, CDCl3 δ, ppm): 8.27 (m, 1H), 7.42 (dd, 1H), 7.27 (m, 1H), 7.15-7.05 (m, 2H), 6.97 (m, 1H), 5.31 (q, 1H), 1.66 (d, 3H), 1.60-1.53 (m, 1H), 0.76-0.72 (m, 4H). Example No. I-216: 1H-NMR (400 MHz, CDCl 3 δ, ppm): 8.70-8.20 (bs, 1H), 8.31 (m, 1H), 7.42 (dd, 1H), 7.26 (m, 1H), 7.15- 7.05 (m, 2H), 6.96 (m, 1H), 4.93 (s, 2H), 1.62-1.55 (m, 1H), 0.76-0.74 (m, 4H). Example No. I-258: 1H NMR (400 MHz, CDCl 3 δ, ppm): 8.18 (m, 1H), 7.56 (m, 1H), 7.15 (m, 1H), 7.10 (m, 1H), 7.07 (m, 1H), 6.96 (m, 1H), 5.18 (q, 1H), 4.18 (q, 2H), 2.14 (s, 3H), 1.61 (d, 3H), 1.60-1.56 (m, 1H), 1.24 (t, 3H), 0.83-0.74 (m, 4H). Example No. I-259: 1H NMR (400 MHz, CDCl 3 δ, ppm): 8.24 (m, 1H), 7.56 (m, 1H), 7.18 (m, 1H), 7.11 (m, 1H), 7.07 (m, 1H), 6.95 (m, 1H), 5.18 (q, 1H), 2.11 (s, 3H), 1.63 (d, 3H), 1.61-1.57 (m, 1H), 0.80-0.73 (m, 4H). Example No. I-141: 1H NMR (400 MHz, d6-DMSO d, ppm): 13.05 (bs, 1H), 8.16 (d, 1H), 8.01 (t, 1H), 7.83 (d, 1H), 7.72 (s, 1H),7.71 (s, 1H), 7.55 (m, 1H), 4.91 (s, 2H). Example No. I-142: 1H NMR (400 MHz, d6-DMSO d, ppm): 8.15 (d, 1H), 8.02 (t, 1H), 7.83 (d, 1H), 7.72 (s, 1H), 7.71 (s, 1H), 7.55 (m, 1H), 4.97 (s, 2H), 4.18 (q, 2H), 1.20 (t, 3H). Example No. I-143: 1H NMR (400 MHz, d6-DMSO d, ppm): 8.30 (d, 1H), 7.94 (t, 1H), 7.77 (d, 2H), 7.60 (m, 1H), 7.05 (d, 2H), 4.93 (s, 2H), 4.16 (q, 2H), 1.18 (t, 3H). Example No. I-144: 1H NMR (400 MHz, d6-DMSO d, ppm): 13.00 (bs, 1H), 8.31 (d, 1H), 7.94 (t, 1H), 7.78 (d, 2H), 7.58 (m, 1H), 7.05 (d, 2H), 4.83 (s, 2H). Example No. I-145: 1H NMR (400 MHz, d6-DMSO d, ppm): 13.1 (bs, 1H), 8.30 (d, 1H), 7.94 (t, 1H), 7.59 (m, 1H), 7.48 (d, 2H), 7.28 (d, 2H), 4.84 (s, 2H). Example No. I-146: 1H NMR (400 MHz, d6-DMSO d, ppm): 8.30 (d, 1H), 7.94 (t, 1H), 7.59 (m, 1H), 7.48 (d, 2H), 7.29 (d, 2H), 4.96 (s, 2H), 3.70 (s, 3H). Example No. I-147: 1H-NMR (400 MHz, d6-DMSO d, ppm): 12.75 – 13.12 (bs, 1H), 8.26 (d, 1H), 7.96 (t, 1H), 7.89 (d, 2H), 7.58 (m, 1H), 7.48 (d, 2H), 4.82 (s, 2H). Example No. I-148: 1H-NMR (400 MHz, d6-DMSO d, ppm): 8.25 (d, 1H), 7.97 (t, 1H), 7.89 (d, 2H), 7.59 (m, 1H), 7.49 (d, 2H), 4.96 (s, 2H), 4.17 (q, 2H), 1.19 (t, 3H). b) 1H-NMR peak list procedure The 1H-NMR data of selected examples are recorded in the form of 1H-NMR peak lists. For each signal peak, first the ^-value in ppm and then the signal intensity are listed in parentheses. The ^-value - signal intensity number pairs of different signal peaks are listed separated from each other by semicolons. The peak list of an example therefore has the form: ^ (intensity ); ^ (intensi ) 1 1 2 tät2);……..; ^i (Intensityi;……; ^n (Intensitiesn) The intensity of sharp signals correlates with the height of the signals in a printed example of an NMR spectrum in cm and shows the true ratios of the signal intensities. For broad signals, several peaks or the center of the signal and their relative intensity compared to the most intense signal in the spectrum can be shown. To calibrate the chemical shift of 1H NMR spectra we use tetramethylsilane and/or the chemical shift of the solvent, especially in the case of spectra measured in DMSO. Therefore, the tetramethylsilane peak may or may not appear in NMR peak lists. The lists of 1H NMR peaks are similar to classical 1H NMR printouts and thus usually contain all peaks that are listed in a classical NMR interpretation. In addition, like classical 1H NMR printouts, they may include solvent signals, signals of stereoisomers of the target compounds, which are also the subject of of the invention and/or show peaks of impurities. When reporting compound signals in the delta range of solvents and/or water, our lists of 1H NMR peaks show the usual solvent peaks, for example peaks of DMSO in DMSO-D6 and the peak of water, which usually have a high intensity on average. The peaks of stereoisomers of the target compounds and/or peaks of impurities usually have a lower intensity on average than the peaks of the target compounds (for example with a purity of >90%). Such stereoisomers and/or impurities can be typical for the respective manufacturing process. Their peaks can thus help to recognize the reproduction of our manufacturing process by means of “by-product fingerprints”. An expert who calculates the peaks of the target compounds using known methods (MestreC, ACD simulation, but also with empirically evaluated expected values) can isolate the peaks of the target compounds as needed, using additional intensity filters if necessary. This isolation would be similar to the peak picking involved in classical 1H NMR interpretation. Further details on 1H NMR peak lists can be found in the Research Disclosure Database Number 564025.
B. Formulierungsbeispiele a) Ein Stäubemittel wird erhalten, indem man 10 Gew. Teile einer Verbindung der Formel (I) und/oder deren Salze und 90 Gew. Teile Talkum als Inertstoff mischt und in einer Schlagmühle zerkleinert. b) Ein in Wasser leicht dispergierbares, benetzbares Pulver wird erhalten, indem man 25 Gewichtsteile einer Verbindung der Formel (I) und/oder deren Salze, 64 Gew. Teile kaolinhaltigen Quarz als Inertstoff, 10 Gewichtsteile ligninsulfonsaures Kalium und 1 Gew. Teil oleoylmethyltaurinsaures Natrium als Netz und Dispergiermittel mischt und in einer Stiftmühle mahlt. c) Ein in Wasser leicht dispergierbares Dispersionskonzentrat wird erhalten, indem man 20 Gew. Teile einer Verbindung der Formel (I) und/oder deren Salze mit 6 Gew. Teilen Alkylphenolpolyglykolether (©Triton X 207), 3 Gew. Teilen Isotridecanolpolyglykolether (8 EO) und 71 Gew. Teilen paraffinischem Mineralöl (Siedebereich z.B. ca. 255 bis über 277 C) mischt und in einer Reibkugelmühle auf eine Feinheit von unter 5 Mikron vermahlt. d) Ein emulgierbares Konzentrat wird erhalten aus 15 Gew. Teilen einer Verbindung der Formel (I) und/oder deren Salze, 75 Gew. Teilen Cyclohexanon als Lösungsmittel und 10 Gew. Teilen oxethyliertes Nonylphenol als Emulgator. e) Ein in Wasser dispergierbares Granulat wird erhalten indem man B. Formulation examples a) A dust is obtained by mixing 10 parts by weight of a compound of formula (I) and/or salts thereof and 90 parts by weight of talc as an inert substance and grinding in a hammer mill. b) A wettable powder which is easily dispersible in water is obtained by mixing 25 parts by weight of a compound of formula (I) and/or salts thereof, 64 parts by weight of kaolin-containing quartz as an inert substance, 10 parts by weight of potassium ligninsulfonate and 1 part by weight of sodium oleoylmethyltaurine as a wetting agent and dispersant and grinding in a pin mill. c) A dispersion concentrate which is easily dispersible in water is obtained by mixing 20 parts by weight of a compound of formula (I) and/or its salts with 6 parts by weight of alkylphenol polyglycol ether (©Triton X 207), 3 parts by weight of isotridecanol polyglycol ether (8 EO) and 71 parts by weight of paraffinic mineral oil (boiling range e.g. approx. 255 to over 277 C) and grinding in a ball mill to a fineness of less than 5 microns. d) An emulsifiable concentrate is obtained from 15 parts by weight of a compound of formula (I) and/or its salts, 75 parts by weight of cyclohexanone as solvent and 10 parts by weight of oxyethylated nonylphenol as emulsifier. e) A granulate which is easily dispersible in water is obtained by
75 Gew. Teile einer Verbindung der Formel (I) und/oder deren Salze, 75 parts by weight of a compound of formula (I) and/or its salts,
10 Gew. Teile ligninsulfonsaures Calcium, 10 parts by weight of calcium ligninsulfonate,
5 Gew. Teile Natriumlaurylsulfat, 5 parts by weight sodium lauryl sulfate,
3 Gew. Teile Polyvinylalkohol und 3 parts by weight of polyvinyl alcohol and
7 Gew. Teile Kaolin mischt, auf einer Stiftmühle mahlt und das Pulver in einem Wirbelbett durch Aufsprühen von Wasser als Granulierflüssigkeit granuliert. f) Ein in Wasser dispergierbares Granulat wird auch erhalten, indem man 7 parts by weight of kaolin, grinding on a pin mill and granulating the powder in a fluidized bed by spraying water as a granulating liquid. f) A water-dispersible granulate is also obtained by
25 Gew. Teile einer Verbindung der Formel (I) und/oder deren Salze, 25 parts by weight of a compound of formula (I) and/or its salts,
5 Gew. Teile 2,2' Dinaphthylmethan 6,6' disulfonsaures Natrium, 5 parts by weight of 2,2' dinaphthylmethane 6,6' sodium disulfonate,
2 Gew. Teile oleoylmethyltaurinsaures Natrium, 1 Gew. Teil Polyvinylalkohol, 2 parts by weight of sodium oleoylmethyltaurine, 1 part by weight polyvinyl alcohol,
17 Gew. Teile Calciumcarbonat und 17 parts by weight calcium carbonate and
50 Gew. Teile Wasser auf einer Kolloidmühle homogenisiert und vorzerkleinert, anschließend auf einer Perlmühle mahlt und die so erhaltene Suspension in einem Sprühturm mittels einer Einstoffdüse zerstäubt und trocknet. 50 parts by weight of water are homogenized and pre-crushed on a colloid mill, then ground on a bead mill and the suspension thus obtained is atomized and dried in a spray tower using a single-substance nozzle.
C. Biologische Beispiele C. Biological examples
Die folgenden Abkürzungen werden für die in den folgenden Tabellen aufgeführten Kultur- und Schadpflanzen verwendet: The following abbreviations are used for the cultivated and harmful plants listed in the following tables:
Schadpflanzen: Harmful plants:
ABUTH: Abutilon theophrasti ABUTH: Abutilon theophrasti
AGSTE: Agrostis tenuis AGSTE: Agrostis tenuis
ALOMY : Alopecurus myosuroides ALOMY : Alopecurus myosuroides
AVEFA: Avena fatua AVEFA: Avena fatua
AMARE Amaranthus retroflexus AMARE Amaranthus retroflexus
DIGSA: Digitaria sanguinalis DIGSA: Digitaria sanguinalis
ECHCG: Echinochloa crus-galli ECHCG: Echinochloa crus-galli
KCHSC: Kochia scoparia KCHSC: Kochia scoparia
LOLRE Lolium rigidum LOLRE Lolium rigidum
MATIN: Matricaria inodora MATIN: Matricaria inodora
PHBPU: Pharbitis purpurea PHBPU: Pharbitis purpurea
POAAN: Poa annua POAAN: Poa annua
POLCO: Polygonum convolvulus POLCO: Polygonum sylvatica
SETVI: Setaria viridis SETVI: Setaria viridis
STEME: Stellaria media STEME: Stellaria media
VERPE: Veronica persica VIOTR: Viola tricolor VERPE: Veronica persica VIOTR: Viola tricolor
Kulturpflanzen: Crops:
BRSNW : Brassica napus BRSNW : Brassica napus
GLXMA: Glycine max GLXMA: Glycine max
ORYSA: Oryza sativa ORYZA: Oryza sativa
TRZAS: Triticum aestivum TRZAS: Triticum aestivum
ZEAMX: Zea mays ZEAMX: Zea mays
1. Herbizide Wirkung im Vorauflauf 1. Herbicidal effect in pre-emergence
Samen von mono- und dikotylen Unkrautpflanzen werden in Kunststofftöpfen, in sandigem Lehmboden, ausgelegt (Doppelaussaaten mit jeweils eine Spezies mono- bzw. dikotyler Unkrautpflanzen pro Topf) und mit Erde abgedeckt. Die in Form von benetzbaren Pulvern (WP) oder als Emulsionskonzentrate (EC) formulierten erfindungsgemäßen Verbindungen werden dann als wässrige Suspension bzw. Emulsion, unter Zusatz von 0,5% Additiv, mit einer Wasseraufwandmenge von umgerechnet 600 Liter pro Hektar auf die Oberfläche der Abdeckerde appliziert. Nach der Behandlung werden die Töpfe im Gewächshaus aufgestellt und unter guten Wachstumsbedingungen für die Testpflanzen gehalten. Nach ca. 3 Wochen wird die Wirkung der Präparate visuell im Vergleich zu unbehandelten Kontrollen in Prozentwerten bonitiert. Beispielsweise bedeutet 100% Wirkung = Pflanzen sind abgestorben, 0% Wirkung = wie Kontrollpflanzen . Seeds of monocotyledonous and dicotyledonous weeds are placed in plastic pots in sandy loam soil (double sowings with one species of monocotyledonous or dicotyledonous weed per pot) and covered with soil. The compounds according to the invention, formulated in the form of wettable powders (WP) or as emulsion concentrates (EC), are then applied to the surface of the covering soil as an aqueous suspension or emulsion, with the addition of 0.5% additive, at a water application rate of the equivalent of 600 litres per hectare. After treatment, the pots are placed in the greenhouse and kept under good growth conditions for the test plants. After about 3 weeks, the effect of the preparations is visually assessed in percentages in comparison to untreated controls. For example, 100% effect = plants have died, 0% effect = like control plants.
In den nachstehenden Tabellen la bis 12c sind die Wirkungen ausgewählter Verbindungen der allgemeinen Formel (I) gemäß der Tabelle 1 auf verschiedene Schadpflanzen und einer Aufwandmenge entsprechend 1280 g/ha und niedriger, die gemäß zuvor genannter Versuchsvorschrift erhalten wurden, dargestellt. Tabelle la : Vorauflaufwirkung bei 320g/ha gegen ABUTH in % Tables 1a to 12c below show the effects of selected compounds of general formula (I) according to Table 1 on various weeds and at an application rate corresponding to 1280 g/ha and lower, obtained according to the test procedure mentioned above. Table la : Pre-emergence effect at 320g/ha against ABUTH in %
Tabelle 1b : Vorauflaufwirkung bei 1280g/ha gegen ABUTH in % Table 1b : Pre-emergence effect at 1280g/ha against ABUTH in %
Tabelle 2a : Vorauflaufwirkung bei 80g/ha gegen ALOMY in % Table 2a : Pre-emergence effect at 80g/ha against ALOMY in %
Tabelle 2b : Vorauflaufwirkung bei 320g/ha gegen ALOMY in % Table 2b : Pre-emergence effect at 320g/ha against ALOMY in %
Tabelle 2c : Vorauflaufwirkung bei 1280g/ha gegen ALOMY in Table 2c : Pre-emergence effect at 1280g/ha against ALOMY in
Tabelle 3a : Vorauflaufwirkung bei 80g/ha gegen DIGSA in % Table 3a : Pre-emergence effect at 80g/ha against DIGSA in %
Tabelle 3b : Vorauflaufwirkung bei 320g/ha gegen DIGSA in % Table 3b : Pre-emergence effect at 320g/ha against DIGSA in %
Tabelle 3c : Vorauflaufwirkung bei 1280g/ha gegen DIGSA in % Table 3c : Pre-emergence effect at 1280g/ha against DIGSA in %
Tabelle 4a : Vorauflaufwirkung bei 80g/ha gegen ECHCG in % Table 4a : Pre-emergence efficacy at 80g/ha against ECHCG in %
Tabelle 4b : Vorauflaufwirkung bei 320g/ha gegen ECHCG in % Table 4b : Pre-emergence efficacy at 320g/ha against ECHCG in %
Tabelle 4c : Vorauflaufwirkung bei 1280g/ha gegen ECHCG in % Table 4c : Pre-emergence efficacy at 1280g/ha against ECHCG in %
Tabelle 5a : Vorauflaufwirkung bei 80g/ha gegen KCHSC in % Table 5a : Pre-emergence effect at 80g/ha against KCHSC in %
Tabelle 5b : Vorauflaufwirkung bei 320g/ha gegen KCHSC in % Table 5b : Pre-emergence effect at 320g/ha against KCHSC in %
Tabelle 5c : Vorauflaufwirkung bei 1280g/ha gegen KCHSC in % Table 5c : Pre-emergence effect at 1280g/ha against KCHSC in %
Tabelle 6a : Vorauflaufwirkung bei 80g/ha gegen LOLRI in % Table 6a : Pre-emergence efficacy at 80g/ha against LOLRI in %
Tabelle 6b : Vorauflaufwirkung bei 320g/ha gegen LOLRI in % Table 6b : Pre-emergence efficacy at 320g/ha against LOLRI in %
Tabelle 6c : Vorauflaufwirkung bei 1280g/ha gegen LOLRI in % Table 6c : Pre-emergence efficacy at 1280g/ha against LOLRI in %
Tabelle 7a : Vorauflaufwirkung bei 80g/ha gegen MATIN in % Table 7a : Pre-emergence effect at 80g/ha against MATIN in %
Tabelle 7b : Vorauflaufwirkung bei 320g/ha gegen MATIN in % Table 7b : Pre-emergence effect at 320g/ha against MATIN in %
Tabelle 7c : Vorauflaufwirkung bei 1280g/ha gegen MATIN in % Table 7c : Pre-emergence effect at 1280g/ha against MATIN in %
Tabelle 8a : Vorauflaufwirkung bei 80g/ha gegen POAAN in % Table 8a : Pre-emergence effect at 80g/ha against POAAN in %
Tabelle 8b : Vorauflaufwirkung bei 320g/ha gegen POAAN in % Table 8b : Pre-emergence effect at 320g/ha against POAAN in %
Tabelle 8c : Vorauflaufwirkung bei 1280g/ha gegen POAAN in % Table 8c : Pre-emergence effect at 1280g/ha against POAAN in %
Tabelle 9a : Vorauflaufwirkung bei 80g/ha gegen SETVI in % Table 9a : Pre-emergence effect at 80g/ha against SETVI in %
Tabelle 9b : Vorauflaufwirkung bei 320g/ha gegen SETVI in % Table 9b : Pre-emergence effect at 320g/ha against SETVI in %
Tabelle 9c : Vorauflaufwirkung bei 1280g/ha gegen SETVI in % Table 9c : Pre-emergence effect at 1280g/ha against SETVI in %
Tabelle 10a : Vorauflaufwirkung bei 80g/ha gegen STEME in % Table 10a : Pre-emergence effect at 80g/ha against STEME in %
Tabelle 10b : Vorauflaufwirkung bei 320g/ha gegen STEME in % Table 10b : Pre-emergence effect at 320g/ha against STEME in %
Tabelle 10c : Vorauflaufwirkung bei 1280g/ha gegen STEME in Table 10c : Pre-emergence effect at 1280g/ha against STEME in
Tabelle 1 la : Vorauflaufwirkung bei 80g/ha gegen VERPE in % Table 1 la : Pre-emergence effect at 80g/ha against VERPE in %
Tabelle 11b : Vorauflaufwirkung bei 320g/ha gegen VERPE in % Table 11b : Pre-emergence effect at 320g/ha against VERPE in %
Tabelle 1 le : Vorauflaufwirkung bei 1280g/ha gegen VERPE in Table 1 le : Pre-emergence effect at 1280g/ha against VERPE in
Tabelle 12a : Vorauflaufwirkung bei 80g/ha gegen AMARE in % Table 12a : Pre-emergence effect at 80g/ha against AMARE in %
Tabelle 12b : Vorauflaufwirkung bei 320g/ha gegen AMARE in Tabelle 12c : Vorauflaufwirkung bei 1280g/ha gegen AMARE in Wie die Ergebnisse zeigen, weisen erfindungsgemäße Verbindungen, wie beispielsweise die Verbindungen Nr. 1-18, 1-16 und 1-23 und andere Verbindungen aus den Tabellen la bis 12c, bei Behandlung im Vorauflauf eine gute herbizide Wirksamkeit gegen Schadpflanzen auf. Beispielsweise haben dabei die Verbindungen Nr. 1-18, 1-16 und 1-23 im Vorauflaufverfahren eine sehr gute herbizide Wirkung (90% bis 100% herbizide Wirkung) gegen Schadpflanzen wie Alopecurus myrosoroides, Digitaria sanguinalis, Echinochloa crus-galli und Setaria viridis bei einer Aufwandmenge von 1.28 kg Aktivsubstanz. Table 12b : Pre-emergence effect at 320g/ha against AMARE in Table 12c : Pre-emergence effect at 1280g/ha against AMARE in As the results show, compounds according to the invention, such as compounds Nos. 1-18, 1-16 and 1-23 and other compounds from Tables 1a to 12c, have good herbicidal activity against harmful plants when treated pre-emergence. For example, compounds Nos. 1-18, 1-16 and 1-23 have a very good herbicidal activity (90% to 100% herbicidal activity) in the pre-emergence process against harmful plants such as Alopecurus myrosoroides, Digitaria sanguinalis, Echinochloa crus-galli and Setaria viridis at an application rate of 1.28 kg of active substance.
Die erfmdungsgemäßen Verbindungen eignen sich deshalb im Vorauflaufverfahren zur Bekämpfung von unerwünschtem Pflanzenwuchs. The compounds according to the invention are therefore suitable for use in the pre-emergence process for controlling unwanted plant growth.
2. Herbizide Wirkung und Kulturverträglichkeit im Vorauflauf 2. Herbicidal activity and crop tolerance in pre-emergence
Samen von mono- bzw. dikotylen Unkraut und Kulturpflanzen wurden in Kunststoff- oder organischen Pflanztöpfen ausgelegt und mit Erde abgedeckt. Die in Form von benetzbaren Pulvern (WP) oder als Emulsionskonzentrate (EC) formulierten erfmdungsgemäßen Verbindungen wurden dann als wässrige Suspension bzw. Emulsion unter Zusatz von 0,5% Additiv mit einer Wasseraufwandmenge von umgerechnet 600 1/ha auf die Oberfläche der Abdeckerde appliziert. Nach der Behandlung wurden die Töpfe im Gewächshaus aufgestellt und unter guten Wachstumsbedingungen für die Testpflanzen gehalten. Nach ca. 3 Wochen wurde die Wirkung der Präparate visuell im Vergleich zu unbehandelten Kontrollen in Prozentwerten bonitiert. Beispielsweise bedeutet 100% Wirkung = Pflanzen sind abgestorben, 0% Wirkung = wie Kontrollpflanzen . Seeds of monocotyledonous and dicotyledonous weeds and cultivated plants were placed in plastic or organic plant pots and covered with soil. The compounds according to the invention, formulated in the form of wettable powders (WP) or as emulsion concentrates (EC), were then applied to the surface of the covering soil as an aqueous suspension or emulsion with the addition of 0.5% additive at a water application rate of the equivalent of 600 l/ha. After treatment, the pots were placed in the greenhouse and kept under good growth conditions for the test plants. After about 3 weeks, the effect of the preparations was visually assessed in percentage values in comparison to untreated controls. For example, 100% effect = plants have died, 0% effect = like control plants.
In den nachstehenden Tabellen 13a bis 30c sind die Wirkungen ausgewählter Verbindungen der allgemeinen Formel (I) gemäß der Tabelle 1 auf verschiedene Schad- und Kulturpflanzen und einer Aufwandmenge entsprechend 320 g/ha oder niedriger, die gemäß zuvor genannter Versuchsvorschrift erhalten wurden, dargestellt. Dabei sind in den nachstehenden Tabellen 13a bis 17c die Kulturverträglichkeiten ausgewählter Verbindungen der allgemeinen Formel (I) bei einer Aufwandmenge entsprechend 320 g/ha oder niedriger, die bei Versuchen gemäß zuvor genannter Versuchsvorschrift beobachtet wurden, dargestellt. Es werden dabei die beobachteten Effekte an ausgewählten Kulturpflanzen im Vergleich zu den unbehandelten Kontrollen angegeben (Werte in %). Tables 13a to 30c below show the effects of selected compounds of general formula (I) according to Table 1 on various pests and crops and at an application rate corresponding to 320 g/ha or lower, which were obtained according to the test procedure mentioned above. Tables 13a to 17c below show the crop tolerances of selected compounds of general formula (I) at an application rate corresponding to 320 g/ha or lower, which were observed in tests according to the test procedure mentioned above. The observed effects on selected crops are given in comparison with the untreated controls (values in %).
Tabelle 13a : Vorauflaufwirkung bei 20g/ha gegen ZEAMX in % Table 13a : Pre-emergence effect at 20g/ha against ZEAMX in %
Tabelle 13b : Vorauflaufwirkung bei 80g/ha gegen ZEAMX in % Table 13b : Pre-emergence effect at 80g/ha against ZEAMX in %
Tabelle 13c : Vorauflaufwirkung bei 320g/ha gegen ZEAMX in % Table 13c : Pre-emergence effect at 320g/ha against ZEAMX in %
Tabelle 14a : Vorauflaufwirkung bei 20g/ha gegen TRZAS in % Table 14a : Pre-emergence effect at 20g/ha against TRZAS in %
Tabelle 14b : Vorauflaufwirkung bei 80g/ha gegen TRZAS in % Table 14b : Pre-emergence effect at 80g/ha against TRZAS in %
Tabelle 14c : Vorauflaufwirkung bei 320g/ha gegen TRZAS in % Table 14c : Pre-emergence effect at 320g/ha against TRZAS in %
Tabelle 15a : Vorauflaufwirkung bei 20g/ha gegen ORYSA in % Tabelle 15b : Vorauflaufwirkung bei 80g/ha gegen ORYSA in % Tabelle 15c : Vorauflaufwirkung bei 320g/ha gegen ORYSA in % Tabelle 16a : Vorauflaufwirkung bei 20g/ha gegen GLXMA in % Table 15a : Pre-emergence effect at 20g/ha against ORYSA in % Table 15b : Pre-emergence effect at 80g/ha against ORYSA in % Table 15c : Pre-emergence effect at 320g/ha against ORYSA in % Table 16a : Pre-emergence effect at 20g/ha against GLXMA in %
Tabelle 16b : Vorauflaufwirkung bei 80g/ha gegen GLXMA in % Table 16b : Pre-emergence effect at 80g/ha against GLXMA in %
Tabelle 16c : Vorauflaufwirkung bei 320g/ha gegen GLXMA in % Table 16c : Pre-emergence effect at 320g/ha against GLXMA in %
Tabelle 17a : Vorauflaufwirkung bei 20g/ha gegen BRSNW in % Table 17a : Pre-emergence effect at 20g/ha against BRSNW in %
Tabelle 17b : Vorauflaufwirkung bei 80g/ha gegen BRSNW in % Table 17b : Pre-emergence effect at 80g/ha against BRSNW in %
Tabelle 17c : Vorauflaufwirkung bei 320g/ha gegen BRSNW in % Table 17c : Pre-emergence effect at 320g/ha against BRSNW in %
Tabelle 18 : Vorauflaufwirkung bei 320g/ha gegen ABUTH in % Table 18 : Pre-emergence effect at 320g/ha against ABUTH in %
Tabelle 19a : Vorauflaufwirkung bei 80g/ha gegen ALOMY in % Table 19a : Pre-emergence effect at 80g/ha against ALOMY in %
Tabelle 19b : Vorauflaufwirkung bei 320g/ha gegen ALOMY in % Table 19b : Pre-emergence effect at 320g/ha against ALOMY in %
Tabelle 20a : Vorauflaufwirkung bei 80g/ha gegen AMARE in % Table 20a : Pre-emergence effect at 80g/ha against AMARE in %
Tabelle 20b : Vorauflaufwirkung bei 320g/ha gegen AMARE in % Table 20b : Pre-emergence effect at 320g/ha against AMARE in %
Tabelle 21a : Vorauflaufwirkung bei 80g/ha gegen AVEFA in % Table 21a : Pre-emergence effect at 80g/ha against AVEFA in %
Tabelle 21b : Vorauflaufwirkung bei 320g/ha gegen AVEFA in % Table 21b : Pre-emergence effect at 320g/ha against AVEFA in %
Tabelle 22a : Vorauflaufwirkung bei 80g/ha gegen ECHCG in % Table 22a : Pre-emergence efficacy at 80g/ha against ECHCG in %
Tabelle 22b : Vorauflaufwirkung bei 320g/ha gegen ECHCG in % Table 22b : Pre-emergence efficacy at 320g/ha against ECHCG in %
Tabelle 23a : Vorauflaufwirkung bei 80g/ha gegen LOLRI in % Table 23a : Pre-emergence efficacy at 80g/ha against LOLRI in %
Tabelle 23b : Vorauflaufwirkung bei 320g/ha gegen LOLRI in % Table 23b : Pre-emergence efficacy at 320g/ha against LOLRI in %
Tabelle 24a : Vorauflaufwirkung bei 80g/ha gegen MATIN in % Table 24a : Pre-emergence effect at 80g/ha against MATIN in %
Tabelle 24b : Vorauflaufwirkung bei 320g/ha gegen MATIN in % Table 24b : Pre-emergence effect at 320g/ha against MATIN in %
Tabelle 25a : Vorauflaufwirkung bei 80g/ha gegen PHBPU in % Table 25a : Pre-emergence effect at 80g/ha against PHBPU in %
Tabelle 25b : Vorauflaufwirkung bei 320g/ha gegen PHBPU in % Table 25b : Pre-emergence effect at 320g/ha against PHBPU in %
Tabelle 26a : Vorauflaufwirkung bei 80g/ha gegen POLCO in % Table 26a : Pre-emergence effect at 80g/ha against POLCO in %
Tabelle 26b : Vorauflaufwirkung bei 320g/ha gegen POLCO in % Table 26b : Pre-emergence effect at 320g/ha against POLCO in %
Tabelle 27a : Vorauflaufwirkung bei 20g/ha gegen SETVI in % Table 27a : Pre-emergence effect at 20g/ha against SETVI in %
Tabelle 27b : Vorauflaufwirkung bei 80g/ha gegen SETVI in % Table 27b : Pre-emergence effect at 80g/ha against SETVI in %
Tabelle 27c : Vorauflaufwirkung bei 320g/ha gegen SETVI in % Table 27c : Pre-emergence effect at 320g/ha against SETVI in %
Tabelle 28a : Vorauflaufwirkung bei 80g/ha gegen VERPE in % Table 28a : Pre-emergence effect at 80g/ha against VERPE in %
Tabelle 28b : Vorauflaufwirkung bei 320g/ha gegen VERPE in % Table 28b : Pre-emergence effect at 320g/ha against VERPE in %
Tabelle 29a : Vorauflaufwirkung bei 80g/ha gegen VIOTR in % Table 29a : Pre-emergence effect at 80g/ha against VIOTR in %
Tabelle 29b : Vorauflaufwirkung bei 320g/ha gegen VIOTR in % Table 29b : Pre-emergence effect at 320g/ha against VIOTR in %
Tabelle 30a : Vorauflaufwirkung bei 20g/ha gegen DIGSA in % Table 30a : Pre-emergence effect at 20g/ha against DIGSA in %
Tabelle 30b : Vorauflaufwirkung bei 80g/ha gegen DIGSA in % Table 30b : Pre-emergence effect at 80g/ha against DIGSA in %
Tabelle 30c : Vorauflaufwirkung bei 320g/ha gegen DIGSA in % Table 30c : Pre-emergence effect at 320g/ha against DIGSA in %
Wie die Ergebnisse zeigen, weisen erfindungsgemäße Verbindungen, wie beispielsweise die Verbindungen 1-22, 1-100 und 1-104 und andere Verbindungen aus den Tabellen 18a bis 30c, bei Behandlung im Vorauflauf eine gute herbizide Wirksamkeit gegen Schadpflanzen auf. Beispielsweise hat dabei die Verbindung Nr. 1-22 im Vorauflaufverfahren eine sehr gute herbizide Wirkung (90% herbizideAs the results show, compounds according to the invention, such as compounds 1-22, 1-100 and 1-104 and other compounds from Tables 18a to 30c, have good herbicidal activity against harmful plants when treated pre-emergence. For example, compound No. 1-22 has a very good herbicidal activity in the pre-emergence method (90% herbicidal activity).
Wirkung) gegen Schadpflanzen wie Echinochloa crus-galli bei einer Aufwandmenge von 320 g Aktivsubstanz pro Hektar. Wie die Ergebnisse weiterhin zeigen, weisen erfindungsgemäße Verbindungen, wie beispielsweise die Verbindungen 1-22, 1-100 und 1-104 und andere Verbindungen aus den Tabellen 13a bis 17c, bei Behandlung im Vorauflauf eine gute Verträglichkeit in Kulturpflanzen auf. 3. Herbizide Wirkung im Nachauflauf Effect) against harmful plants such as Echinochloa crus-galli at an application rate of 320 g of active substance per hectare. As the results further show, compounds according to the invention, such as compounds 1-22, 1-100 and 1-104 and other compounds from Tables 13a to 17c, are well tolerated in crop plants when applied pre-emergence. 3. Post-emergence herbicidal effect
Samen von mono- bzw. dikotylen Unkrautpflanzen werden in Kunststofftöpfen in sandigem Lehmboden ausgelegt (Doppelaussaaten mit jeweils einer Spezies mono- bzw. dikotyler Unkrautpflanzen pro Topf), mit Erde abgedeckt und im Gewächshaus unter kontrollierten Wachstumsbedingungen angezogen. 2 bis 3 Wochen nach der Aussaat werden die Versuchspflanzen im Einblattstadium behandelt. Die in Form von benetzbaren Pulvern (WP) oder als Emulsionskonzentrate (EC) formulierten erfmdungsgemäßen Verbindungen werden als wässrige Suspension bzw. Emulsion, unter Zusatz von 0,5% Additiv, mit einer Wasseraufwandmenge von umgerechnet 600 Liter pro Hektar, auf die grünen Pflanzenteile appliziert.Seeds of monocotyledonous or dicotyledonous weeds are placed in plastic pots in sandy loam soil (double sowings with one species of monocotyledonous or dicotyledonous weed per pot), covered with soil and grown in the greenhouse under controlled growth conditions. 2 to 3 weeks after sowing, the test plants are treated in the single-leaf stage. The compounds according to the invention, formulated in the form of wettable powders (WP) or as emulsion concentrates (EC), are applied to the green parts of the plant as an aqueous suspension or emulsion, with the addition of 0.5% additive, at a water application rate of the equivalent of 600 liters per hectare.
Nach ca. 3 Wochen Standzeit der Versuchspflanzen im Gewächshaus, unter optimalen Wachstumsbedingungen, wird die Wirkung der Präparate visuell im Vergleich zu unbehandelten Kontrollen bonitiert. Beispielsweise bedeutet 100% Wirkung = Pflanzen sind abgestorben, 0% Wirkung = wie Kontrollpflanzen. After the test plants have been in the greenhouse for around 3 weeks under optimal growth conditions, the effect of the preparations is assessed visually in comparison to untreated controls. For example, 100% effect means plants have died, 0% effect means like control plants.
In den nachstehenden Tabellen 3 la bis 42c sind die Wirkungen ausgewählter Verbindungen der allgemeinen Formel (I) gemäß der Tabellen 1 auf verschiedene Schadpflanzen und einer Aufwandmenge entsprechend 1280 g/ha und niedriger, die gemäß zuvor genannter Versuchsvorschrift erhalten wurden, dargestellt. Tables 3la to 42c below show the effects of selected compounds of general formula (I) according to Table 1 on various weeds and at an application rate corresponding to 1280 g/ha and lower, obtained according to the test procedure mentioned above.
Tabelle 3 la : Nachauflaufwirkung bei 80g/ha gegen ABUTH in % Table 3 la : Post-emergence effect at 80g/ha against ABUTH in %
Tabelle 31b : Nachauflaufwirkung bei 320g/ha gegen ABUTH in % Table 31b : Post-emergence effect at 320g/ha against ABUTH in %
Tabelle 3 le : Nachauflaufwirkung bei 1280g/ha gegen ABUTH in Table 3 le : Post-emergence effect at 1280g/ha against ABUTH in
Tabelle 32a : Nachauflaufwirkung bei 80g/ha gegen ALOMY in % Table 32a : Post-emergence effect at 80g/ha against ALOMY in %
Tabelle 32b : Nachauflaufwirkung bei 320g/ha gegen ALOMY in Table 32b : Post-emergence effect at 320g/ha against ALOMY in
Tabelle 32c : Nachauflaufwirkung bei 1280g/ha gegen ALOMY in Table 32c : Post-emergence effect at 1280g/ha against ALOMY in
Tabelle 33a : Nachauflaufwirkung bei 80g/ha gegen DIGSA in % Table 33a : Post-emergence effect at 80g/ha against DIGSA in %
Tabelle 33b : Nachauflaufwirkung bei 320g/ha gegen DIGSA in % Table 33b : Post-emergence effect at 320g/ha against DIGSA in %
Tabelle 33c : Nachauflaufwirkung bei 1280g/ha gegen DIGSA in % Table 33c : Post-emergence effect at 1280g/ha against DIGSA in %
Tabelle 34a : Nachauflaufwirkung bei 80g/ha gegen ECHCG in % Table 34a : Post-emergence effect at 80g/ha against ECHCG in %
Tabelle 34b : Nachauflaufwirkung bei 320g/ha gegen ECHCG in % Table 34b : Post-emergence effect at 320g/ha against ECHCG in %
Tabelle 34c : Nachauflaufwirkung bei 1280g/ha gegen ECHCG in Table 34c : Post-emergence effect at 1280g/ha against ECHCG in
Tabelle 35a : Nachauflaufwirkung bei 80g/ha gegen KCHSC in % Table 35a : Post-emergence effect at 80g/ha against KCHSC in %
Tabelle 35b : Nachauflaufwirkung bei 320g/ha gegen KCHSC in % Tabelle 35c : Nachauflaufwirkung bei 1280g/ha gegen KCHSC in Table 35b : Post-emergence effect at 320g/ha against KCHSC in % Table 35c : Post-emergence effect at 1280g/ha against KCHSC in
Tabelle 36a : Nachauflaufwirkung bei 320g/ha gegen LOLRI in % Table 36a : Post-emergence effect at 320g/ha against LOLRI in %
Tabelle 36b : Nachauflaufwirkung bei 1280g/ha gegen LOLRI in % Table 36b : Post-emergence effect at 1280g/ha against LOLRI in %
Tabelle 37a : Nachauflaufwirkung bei 80g/ha gegen MATIN in % Table 37a : Post-emergence effect at 80g/ha against MATIN in %
Tabelle 37b : Nachauflaufwirkung bei 320g/ha gegen MATIN in % Table 37b : Post-emergence effect at 320g/ha against MATIN in %
Tabelle 37c : Nachauflaufwirkung bei 1280g/ha gegen MATIN in Table 37c : Post-emergence effect at 1280g/ha against MATIN in
Tabelle 38a : Nachauflaufwirkung bei 80g/ha gegen POAAN in % Table 38a : Post-emergence effect at 80g/ha against POAAN in %
Tabelle 38b : Nachauflaufwirkung bei 320g/ha gegen POAAN in % Table 38b : Post-emergence effect at 320g/ha against POAAN in %
Tabelle 38c : Nachauflaufwirkung bei 1280g/ha gegen POAAN in 1-262 | 1280 | 100 |Table 38c : Post-emergence effect at 1280g/ha against POAAN in 1-262 | 1280 | 100 |
Tabelle 39a : Nachauflaufwirkung bei 80g/ha gegen SETVI in % Table 39a : Post-emergence effect at 80g/ha against SETVI in %
Tabelle 39b : Nachauflaufwirkung bei 320g/ha gegen SETVI in % Table 39b : Post-emergence effect at 320g/ha against SETVI in %
Tabelle 39c : Nachauflaufwirkung bei 1280g/ha gegen SETVI in % Tabelle 40a : Nachauflaufwirkung bei 80g/ha gegen STEME in % Table 39c : Post-emergence effect at 1280g/ha against SETVI in % Table 40a : Post-emergence effect at 80g/ha against STEME in %
Tabelle 40b : Nachauflaufwirkung bei 320g/ha gegen STEME in % Tabelle 40c : Nachauflaufwirkung bei 1280g/ha gegen STEME in Table 40b : Post-emergence effect at 320g/ha against STEME in % Table 40c : Post-emergence effect at 1280g/ha against STEME in
Tabelle 41a : Nachauflaufwirkung bei 80g/ha gegen VERPE in % Table 41a : Post-emergence effect at 80g/ha against VERPE in %
Tabelle 41b : Nachauflaufwirkung bei 320g/ha gegen VERPE in % Table 41b : Post-emergence effect at 320g/ha against VERPE in %
Tabelle 41c : Nachauflaufwirkung bei 1280g/ha gegen VERPE in Table 41c : Post-emergence effect at 1280g/ha against VERPE in
Tabelle 42a : Nachauflaufwirkung bei 80g/ha gegen AMARE in % Table 42a : Post-emergence effect at 80g/ha against AMARE in %
Tabelle 42b : Nachauflaufwirkung bei 320g/ha gegen AMARE in Table 42b : Post-emergence effect at 320g/ha against AMARE in
Tabelle 42c : Nachauflaufwirkung bei 1280g/ha gegen AMARE in Table 42c : Post-emergence effect at 1280g/ha against AMARE in
Wie die Ergebnisse zeigen, weisen erfmdungsgemäße Verbindungen, wie beispielsweise die Verbindungen Nr. 1-51, 1-05 und 1-120 und andere Verbindungen aus den Tabellen 31a bis 42c, bei Behandlung im Nachauflauf eine gute herbizide Wirksamkeit gegen Schadpflanzen auf. Beispielsweise haben dabei die Verbindungen Nr. 1-51, 1-05 und 1-120 im Nachauflaufverfahren eine sehr gute herbizideAs the results show, compounds according to the invention, such as compounds Nos. 1-51, 1-05 and 1-120 and other compounds from Tables 31a to 42c, have good herbicidal activity against harmful plants when treated post-emergence. For example, compounds Nos. 1-51, 1-05 and 1-120 have very good herbicidal activity in the post-emergence process.
Wirkung (90% bis 100% herbizide Wirkung) gegen Schadpflanzen wie Abutylon threophrasti, Alopecurus myosuroides, Digitaria sanguinalis und Echinochloa crus-galli bei einer Aufwandmenge von 1.28 kg Aktivsubstanz pro Hektar. Effectiveness (90% to 100% herbicidal activity) against weeds such as Abutylon threophrasti, Alopecurus myosuroides, Digitaria sanguinalis and Echinochloa crus-galli at an application rate of 1.28 kg active substance per hectare.
Die erfmdungsgemäßen Verbindungen eignen sich deshalb im Nachauflaufverfahren zur Bekämpfung von unerwünschtem Pflanzenwuchs. The compounds according to the invention are therefore suitable for post-emergence control of undesirable plant growth.
4. Herbizide Wirkung und Verträglichkeiten in Kulturpflanzen im Nachauflauf 4. Herbicidal activity and tolerability in post-emergence crops
Samen von mono- bzw. dikotylen Unkraut- bzw. Kulturpflanzen wurden in Kunststoffoder Holzfasertöpfen in sandigem Lehmboden ausgelegt, mit Erde abgedeckt und im Gewächshaus unter kontrollierten Wachstumsbedingungen angezogen. 2 bis 3 Wochen nach der Aussaat wurden die Versuchspflanzen im Einblattstadium behandelt. Die in Form von benetzbaren Pulvern (WP) oder als Emulsionskonzentrate (EC) formulierten erfmdungsgemäßen Verbindungen wurden dann als wässrige Suspension bzw. Emulsion unter Zusatz von 0,5% Additiv mit einer Wasseraufwandmenge von umgerechnet 600 1/ha auf die grünen Pflanzenteile gesprüht. Nach ca. 3 Wochen Standzeit der Versuchspflanzen im Gewächshaus, unter optimalen Wachstumsbedingungen, wurde die Wirkung der Präparate visuell im Vergleich zu unbehandelten Kontrollen bonitiert. Beispielsweise bedeutet 100% Wirkung = Pflanzen sind abgestorben, 0% Wirkung = wie Kontrollpflanzen . Seeds of monocotyledonous or dicotyledonous weeds or cultivated plants were placed in plastic or wood fiber pots in sandy loam soil, covered with soil and grown in the greenhouse under controlled growth conditions. 2 to 3 weeks after sowing, the test plants were treated in the single leaf stage. The compounds according to the invention, formulated in the form of wettable powders (WP) or as emulsion concentrates (EC), were then sprayed onto the green parts of the plant as an aqueous suspension or emulsion with the addition of 0.5% additive at a water application rate of the equivalent of 600 l/ha. After the test plants had been in the greenhouse for about 3 weeks under optimal growth conditions, the effect of the Preparations are visually assessed in comparison to untreated controls. For example, 100% effect means plants are dead, 0% effect means like control plants.
In den nachstehenden Tabellen sind die Wirkungen ausgewählter Verbindungen der allgemeinen Formel (I) gemäß der Tabelle 43a bis 61c auf verschiedene Schad- und Kulturpflanzen und einer Aufwandmenge entsprechend 320 g/ha und niedriger, die gemäß zuvor genannter Versuchsvorschrift erhalten wurden, dargestellt. Dabei sind in den nachstehenden Tabellen 43a bis 47c die Kulturverträglichkeiten ausgewählter Verbindungen der allgemeinen Formel (I) bei einer Aufwandmenge entsprechend 320 g/ha oder niedriger, die bei Versuchen gemäß zuvor genannter Versuchsvorschrift beobachtet wurden, dargestellt. Es werden dabei die beobachteten Effekte an ausgewählten Kulturpflanzen im Vergleich zu den unbehandelten Kontrollen angegeben (Werte in %). The following tables show the effects of selected compounds of general formula (I) according to Tables 43a to 61c on various weeds and crops and at an application rate corresponding to 320 g/ha and lower, which were obtained according to the test procedure mentioned above. The following tables 43a to 47c show the crop tolerances of selected compounds of general formula (I) at an application rate corresponding to 320 g/ha or lower, which were observed in tests according to the test procedure mentioned above. The observed effects on selected crops are given in comparison with the untreated controls (values in %).
Tabelle 43a : Nachauflaufwirkung bei 20g/ha gegen ZEAMX in % Tabelle 43b : Nachauflaufwirkung bei 80g/ha gegen ZEAMX in % Table 43a : Post-emergence effect at 20g/ha against ZEAMX in % Table 43b : Post-emergence effect at 80g/ha against ZEAMX in %
Tabelle 43c : Nachauflaufwirkung bei 320g/ha gegen ZEAMX in % Table 43c : Post-emergence effect at 320g/ha against ZEAMX in %
Tabelle 44a : Nachauflaufwirkung bei 20g/ha gegen TRZAS in % Table 44a : Post-emergence effect at 20g/ha against TRZAS in %
Tabelle 44b : Nachauflaufwirkung bei 80g/ha gegen TRZAS in % Table 44b : Post-emergence effect at 80g/ha against TRZAS in %
Tabelle 44c : Nachauflaufwirkung bei 320g/ha gegen TRZAS in % Table 44c : Post-emergence effect at 320g/ha against TRZAS in %
Tabelle 45a : Nachauflaufwirkung bei 20g/ha gegen ORYSA in % Table 45a : Post-emergence effect at 20g/ha against ORYSA in %
Tabelle 45b : Nachauflaufwirkung bei 80g/ha gegen ORYSA in % Table 45b : Post-emergence effect at 80g/ha against ORYSA in %
Tabelle 45c : Nachauflaufwirkung bei 320g/ha gegen ORYSA in % Table 45c : Post-emergence effect at 320g/ha against ORYSA in %
Tabelle 46a : Nachauflaufwirkung bei 20g/ha gegen GLXMA in % Table 46a : Post-emergence effect at 20g/ha against GLXMA in %
Tabelle 46b : Nachauflaufwirkung bei 80g/ha gegen GLXMA in % Table 46b : Post-emergence effect at 80g/ha against GLXMA in %
Tabelle 46c : Nachauflaufwirkung bei 320g/ha gegen GLXMA in % Table 46c : Post-emergence effect at 320g/ha against GLXMA in %
Tabelle 47a : Nachauflaufwirkung bei 20g/ha gegen BRSNW in % Table 47a : Post-emergence effect at 20g/ha against BRSNW in %
Tabelle 47b : Nachauflaufwirkung bei 80g/ha gegen BRSNW in % Table 47b : Post-emergence effect at 80g/ha against BRSNW in %
Tabelle 47c : Nachauflaufwirkung bei 320g/ha gegen BRSNW in % Table 47c : Post-emergence effect at 320g/ha against BRSNW in %
Tabelle 48a : Nachauflaufwirkung bei 20g/ha gegen ABUTH in % 80Table 48a : Post-emergence effect at 20g/ha against ABUTH in % 80
Tabelle 48b : Nachauflaufwirkung bei 80g/ha gegen ABUTH in % Table 48b : Post-emergence effect at 80g/ha against ABUTH in %
Tabelle 48c : Nachauflaufwirkung bei 320g/ha gegen ABUTH in % Table 48c : Post-emergence effect at 320g/ha against ABUTH in %
Tabelle 49a : Nachauflaufwirkung bei 20g/ha gegen ALOMY in % Table 49a : Post-emergence effect at 20g/ha against ALOMY in %
Tabelle 49b : Nachauflaufwirkung bei 8Og/ha gegen ALOMY in % Table 49b : Post-emergence effect at 8Og/ha against ALOMY in %
Tabelle 49c : Nachauflaufwirkung bei 320g/ha gegen ALOMY in % Table 49c : Post-emergence effect at 320g/ha against ALOMY in %
Tabelle 50a : Nachauflaufwirkung bei 20g/ha gegen AMARE in % Table 50a : Post-emergence effect at 20g/ha against AMARE in %
Tabelle 50b : Nachauflaufwirkung bei 80g/ha gegen AMARE in % Table 50b : Post-emergence effect at 80g/ha against AMARE in %
Tabelle 50c : Nachauflaufwirkung bei 320g/ha gegen AMARE in % Table 50c : Post-emergence effect at 320g/ha against AMARE in %
Tabelle 51a : Nachauflaufwirkung bei 20g/ha gegen AVEFA in % Table 51a : Post-emergence effect at 20g/ha against AVEFA in %
Tabelle 51b : Nachauflaufwirkung bei 80g/ha gegen AVEFA in % Table 51b : Post-emergence effect at 80g/ha against AVEFA in %
Tabelle 5 le : Nachauflaufwirkung bei 320g/ha gegen AVEFA in % Table 5 le : Post-emergence effect at 320g/ha against AVEFA in %
Tabelle 52a : Nachauflaufwirkung bei 20g/ha gegen ECHCG in % Table 52a : Post-emergence effect at 20g/ha against ECHCG in %
Tabelle 52b : Nachauflaufwirkung bei 80g/ha gegen ECHCG in % Table 52b : Post-emergence effect at 80g/ha against ECHCG in %
Tabelle 52c : Nachauflaufwirkung bei 320g/ha gegen ECHCG in % Table 52c : Post-emergence efficacy at 320g/ha against ECHCG in %
Tabelle 53a : Nachauflaufwirkung bei 80g/ha gegen LOLRI in % Table 53a : Post-emergence effect at 80g/ha against LOLRI in %
Tabelle 53b : Nachauflaufwirkung bei 320g/ha gegen LOLRI in % Table 53b : Post-emergence effect at 320g/ha against LOLRI in %
Tabelle 54a : Nachauflaufwirkung bei 20g/ha gegen MATIN in % Table 54a : Post-emergence effect at 20g/ha against MATIN in %
Tabelle 54b : Nachauflaufwirkung bei 80g/ha gegen MATIN in % Table 54b : Post-emergence effect at 80g/ha against MATIN in %
Tabelle 54c : Nachauflaufwirkung bei 320g/ha gegen MATIN in % Table 54c : Post-emergence effect at 320g/ha against MATIN in %
Tabelle 55a : Nachauflaufwirkung bei 20g/ha gegen PHBPU in % Table 55a : Post-emergence effect at 20g/ha against PHBPU in %
Tabelle 55b : Nachauflaufwirkung bei 80g/ha gegen PHBPU in % Tabelle 55c : Nachauflaufwirkung bei 320g/ha gegen PHBPU in % Table 55b : Post-emergence effect at 80g/ha against PHBPU in % Table 55c : Post-emergence effect at 320g/ha against PHBPU in %
Tabelle 56a : Nachauflaufwirkung bei 20g/ha gegen POLCO in % Table 56a : Post-emergence effect at 20g/ha against POLCO in %
Tabelle 56b : Nachauflaufwirkung bei 80g/ha gegen POLCO in % Table 56b : Post-emergence effect at 80g/ha against POLCO in %
Tabelle 56c : Nachauflaufwirkung bei 320g/ha gegen POLCO in % Table 56c : Post-emergence effect at 320g/ha against POLCO in %
Tabelle 57a : Nachauflaufwirkung bei 20g/ha gegen SETVI in % Table 57a : Post-emergence effect at 20g/ha against SETVI in %
Tabelle 57b : Nachauflaufwirkung bei 80g/ha gegen SETVI in % Table 57b : Post-emergence effect at 80g/ha against SETVI in %
Tabelle 57c : Nachauflaufwirkung bei 320g/ha gegen SETVI in % Table 57c : Post-emergence effect at 320g/ha against SETVI in %
Tabelle 58a : Nachauflaufwirkung bei 20g/ha gegen VERPE in % Table 58a : Post-emergence effect at 20g/ha against VERPE in %
Tabelle 58b : Nachauflaufwirkung bei 80g/ha gegen VERPE in % Table 58b : Post-emergence effect at 80g/ha against VERPE in %
Tabelle 58c : Nachauflaufwirkung bei 320g/ha gegen VERPE in % Table 58c : Post-emergence effect at 320g/ha against VERPE in %
Tabelle 59a : Nachauflaufwirkung bei 20g/ha gegen VIOTR in % Table 59a : Post-emergence effect at 20g/ha against VIOTR in %
Tabelle 59b : Nachauflaufwirkung bei 80g/ha gegen VIOTR in % Table 59b : Post-emergence effect at 80g/ha against VIOTR in %
Tabelle 59c : Nachauflaufwirkung bei 320g/ha gegen VIOTR in % Table 59c : Post-emergence effect at 320g/ha against VIOTR in %
Tabelle 60a : Nachauflaufwirkung bei 20g/ha gegen DIGSA in % Table 60a : Post-emergence effect at 20g/ha against DIGSA in %
Tabelle 60b : Nachauflaufwirkung bei 80g/ha gegen DIGSA in % Table 60b : Post-emergence effect at 80g/ha against DIGSA in %
Tabelle 60c : Nachauflaufwirkung bei 320g/ha gegen DIGSA in % Tabelle 61a : Nachauflaufwirkung bei 20g/ha gegen KCHSC in % Table 60c : Post-emergence effect at 320g/ha against DIGSA in % Table 61a : Post-emergence effect at 20g/ha against KCHSC in %
Tabelle 61b : Nachauflaufwirkung bei 80g/ha gegen KCHSC in % Table 61b : Post-emergence effect at 80g/ha against KCHSC in %
Tabelle 61c : Nachauflaufwirkung bei 320g/ha gegen KCHSC in % Table 61c : Post-emergence effect at 320g/ha against KCHSC in %
Wie die Ergebnisse zeigen, weisen erfindungsgemäße Verbindungen, wie beispielsweise die Verbindung 1-26 und andere Verbindungen aus den Tabelle 48a bis 61c, bei Behandlung im Nachauflauf eine gute herbizide Wirksamkeit gegen Schadpflanzen auf. Beispielsweise haben dabei die Verbindung 1-26 imAs the results show, compounds according to the invention, such as compound 1-26 and other compounds from Tables 48a to 61c, have good herbicidal activity against harmful plants when applied post-emergence. For example, compound 1-26 has
Nachauflaufverfahren eine sehr gute herbizide Wirkung (80% bis 100% herbizide Wirkung) gegen Schadpflanzen wie Abutilon theophrasti und Setaria viridis bei einer Aufwandmenge von 320 g Aktivsubstanz oder weniger pro Hektar. Wie die Ergebnisse weiterhin zeigen, weisen erfindungsgemäße Verbindungen, wie beispielsweise die Verbindung 1-61 und andere Verbindungen aus den Tabellen 43a bis 47c, bei Behandlung im Nachauflauf eine gute Verträglichkeit in Kulturpflanzen auf. Post-emergence treatment has a very good herbicidal effect (80% to 100% herbicidal effect) against harmful plants such as Abutilon theophrasti and Setaria viridis at an application rate of 320 g of active substance or less per hectare. As the results further show, compounds according to the invention, such as compound 1-61 and other compounds from Tables 43a to 47c, have good tolerance in crop plants when treated post-emergence.
Claims
Applications Claiming Priority (2)
| Application Number | Priority Date | Filing Date | Title |
|---|---|---|---|
| EP22201595 | 2022-10-14 | ||
| EP22201595.0 | 2022-10-14 |
Publications (1)
| Publication Number | Publication Date |
|---|---|
| WO2024078871A1 true WO2024078871A1 (en) | 2024-04-18 |
Family
ID=83692971
Family Applications (1)
| Application Number | Title | Priority Date | Filing Date |
|---|---|---|---|
| PCT/EP2023/076659 Ceased WO2024078871A1 (en) | 2022-10-14 | 2023-09-27 | 1-pyridyl-5-phenylpyrazolyl-3-oxy- and -3-thioalkyl acids and derivatives and their use for controlling undesired plant growth |
Country Status (3)
| Country | Link |
|---|---|
| AR (1) | AR130697A1 (en) |
| TW (1) | TW202430508A (en) |
| WO (1) | WO2024078871A1 (en) |
Citations (83)
| Publication number | Priority date | Publication date | Assignee | Title |
|---|---|---|---|---|
| DE2828529A1 (en) | 1978-06-29 | 1980-01-17 | Kali Chemie Pharma Gmbh | NEW 5-PHENYLPYRAZOLE DERIVATIVES, METHOD FOR THE PRODUCTION THEREOF AND MEDICINAL PRODUCTS |
| DE2906507A1 (en) | 1979-02-20 | 1980-08-28 | Bayer Ag | Plant growth regulating compsn. - contg. alpha amino cyclo:alkanoic acid derivs., e.g. for dwarfing cereals |
| US4245432A (en) | 1979-07-25 | 1981-01-20 | Eastman Kodak Company | Seed coatings |
| US4272417A (en) | 1979-05-22 | 1981-06-09 | Cargill, Incorporated | Stable protective seed coating |
| EP0030287A1 (en) | 1979-11-29 | 1981-06-17 | Bayer Ag | 1-Aminocyclopropanecarboxylic acid derivatives, methods for their production, their use as plant-growth regulators and compositions containing such derivatives |
| EP0086750A2 (en) | 1982-02-17 | 1983-08-24 | Ciba-Geigy Ag | Use of quinoline derivatives in the protection of crop plants |
| EP0094349A2 (en) | 1982-05-07 | 1983-11-16 | Ciba-Geigy Ag | Use of quinoline derivatives for the protection of cultivated plants |
| EP0131624A1 (en) | 1983-01-17 | 1985-01-23 | Monsanto Co | PLASMIDES FOR TRANSFORMING PLANT CELLS. |
| DE3335514A1 (en) | 1983-09-30 | 1985-04-18 | Bayer Ag, 5090 Leverkusen | 1-METHYLAMINO-CYCLOPROPAN-1-CARBONIC ACID DERIVATIVES |
| JPS6087254A (en) | 1983-10-19 | 1985-05-16 | Japan Carlit Co Ltd:The | Novel urea compound and herbicide containing the same |
| EP0142924A2 (en) | 1983-09-26 | 1985-05-29 | Mycogen Plant Science, Inc. | Insect resistant plants |
| EP0174562A2 (en) | 1984-09-11 | 1986-03-19 | Hoechst Aktiengesellschaft | Plant protecting agents based on 1,2,4 - triazole derivatives as well as 1,2,4-triazole derivatives |
| EP0191736A2 (en) | 1985-02-14 | 1986-08-20 | Ciba-Geigy Ag | Use of quinoline derivatives for the protection of crop plants |
| EP0193259A1 (en) | 1985-01-18 | 1986-09-03 | Plant Genetic Systems N.V. | Modifying plants by genetic engineering to combat or control insects |
| EP0221044A1 (en) | 1985-10-25 | 1987-05-06 | Monsanto Company | Novel plant vectors |
| EP0242246A1 (en) | 1986-03-11 | 1987-10-21 | Plant Genetic Systems N.V. | Plant cells resistant to glutamine synthetase inhibitors, made by genetic engineering |
| EP0257993A2 (en) | 1986-08-26 | 1988-03-02 | E.I. Du Pont De Nemours And Company | Nucleic acid fragment encoding herbicide resistant plant acetolactate synthase |
| EP0268554A2 (en) | 1986-10-22 | 1988-05-25 | Ciba-Geigy Ag | 1,5-Diphenyl pyrazole-3-carbonic-acid derivatives for the protection of cultured plants |
| EP0269806A1 (en) | 1986-10-04 | 1988-06-08 | Hoechst Aktiengesellschaft | Phenylpyrazole carbonic acid derivatives, their preparation and use as plant growth regulators and antidotes |
| US4808430A (en) | 1987-02-27 | 1989-02-28 | Yazaki Corporation | Method of applying gel coating to plant seeds |
| EP0305398A1 (en) | 1986-05-01 | 1989-03-08 | Honeywell Inc | CONNECTING ARRANGEMENT FOR MULTIPLE INTEGRATED CIRCUITS. |
| EP0309862A1 (en) | 1987-09-30 | 1989-04-05 | Bayer Ag | Stilbene synthase gene |
| EP0333131A1 (en) | 1988-03-17 | 1989-09-20 | Hoechst Aktiengesellschaft | Plant protective agent based on pyrazolecarboxylic acid derivatives |
| WO1989010396A1 (en) | 1988-04-28 | 1989-11-02 | Plant Genetic Systems N.V. | Plants with modified stamen cells |
| EP0346620A1 (en) | 1988-05-20 | 1989-12-20 | Hoechst Aktiengesellschaft | Plant protection agents containing 1,2,4-triazole derivatives, and the 1,2,4-triazole derivatives |
| US5013659A (en) | 1987-07-27 | 1991-05-07 | E. I. Du Pont De Nemours And Company | Nucleic acid fragment encoding herbicide resistant plant acetolactate synthase |
| WO1991007874A1 (en) | 1989-11-30 | 1991-06-13 | Hoechst Aktiengesellschaft | Pyrazolines for the protection of crops against herbicides |
| WO1991008202A1 (en) | 1989-11-25 | 1991-06-13 | Hoechst Aktiengesellschaft | Isoxazolines, method of preparation thereof, and their use as plant-protection agents |
| WO1991013972A1 (en) | 1990-03-16 | 1991-09-19 | Calgene, Inc. | Plant desaturases - compositions and uses |
| WO1991019806A1 (en) | 1990-06-18 | 1991-12-26 | Monsanto Company | Increased starch content in plants |
| EP0464461A2 (en) | 1990-06-29 | 1992-01-08 | Bayer Ag | Stilbensynthase gene of grapevine |
| WO1992000377A1 (en) | 1990-06-25 | 1992-01-09 | Monsanto Company | Glyphosate tolerant plants |
| US5084082A (en) | 1988-09-22 | 1992-01-28 | E. I. Du Pont De Nemours And Company | Soybean plants with dominant selectable trait for herbicide resistance |
| US5123951A (en) | 1986-03-31 | 1992-06-23 | Rhone-Poulenc Nederland B.V. | Synergistic plant growth regulator compositions |
| EP0492366A2 (en) | 1990-12-21 | 1992-07-01 | Hoechst Schering AgrEvo GmbH | New 5-chloroquinolin-8-oxyalkanecarbonic acid derivatives, process for their preparation and their use as antidotes for herbicides |
| WO1992011376A1 (en) | 1990-12-21 | 1992-07-09 | Amylogene Hb | Genetically engineered modification of potato to form amylopectin-type starch |
| WO1992014827A1 (en) | 1991-02-13 | 1992-09-03 | Institut Für Genbiologische Forschung Berlin Gmbh | Plasmids containing dna-sequences that cause changes in the carbohydrate concentration and the carbohydrate composition in plants, as well as plant cells and plants containing these plasmids |
| US5198599A (en) | 1990-06-05 | 1993-03-30 | Idaho Resarch Foundation, Inc. | Sulfonylurea herbicide resistance in plants |
| EP0582198A2 (en) | 1992-08-01 | 1994-02-09 | Hoechst Schering AgrEvo GmbH | Substituted (hetero-)aryle compounds, process for their preparation, those containing compositions and their use as safeners |
| WO1995007897A1 (en) | 1993-09-16 | 1995-03-23 | Hoechst Schering Agrevo Gmbh | Substituted isoxazolines, process for producing them, agents containing them and their use as safeners |
| WO1996038567A2 (en) | 1995-06-02 | 1996-12-05 | Rhone-Poulenc Agrochimie | Dna sequence of a gene of hydroxy-phenyl pyruvate dioxygenase and production of plants containing a gene of hydroxy-phenyl pyruvate dioxygenase and which are tolerant to certain herbicides |
| WO1997041218A1 (en) | 1996-04-29 | 1997-11-06 | Board Of Supervisors Of Louisiana State University And Agricultural And Mechanical College | Herbicide resistant rice |
| WO1998013361A1 (en) | 1996-09-26 | 1998-04-02 | Novartis Ag | Herbicidal composition |
| WO1998027049A1 (en) | 1996-12-19 | 1998-06-25 | Hoechst Schering Agrevo Gmbh | Novel 2-fluoroacrylic acid derivatives, novel mixtures of herbicides and antidotes and the use thereof |
| US5773702A (en) | 1996-07-17 | 1998-06-30 | Board Of Trustees Operating Michigan State University | Imidazolinone herbicide resistant sugar beet plants |
| WO1998038856A1 (en) | 1997-03-04 | 1998-09-11 | Zeneca Limited | Compositions for safening rice against acetochlor |
| WO1999000020A1 (en) | 1997-06-27 | 1999-01-07 | Hoechst Schering Agrevo Gmbh | 3-(5-tetrazolyl carbonyl)-2-quinolones and products for protecting useful plants containing the same |
| US5876739A (en) | 1996-06-13 | 1999-03-02 | Novartis Ag | Insecticidal seed coating |
| WO1999024585A1 (en) | 1997-11-07 | 1999-05-20 | Aventis Cropscience S.A. | Mutated hydroxy-phenyl pyruvate dioxygenase, dna sequence and method for obtaining herbicide-tolerant plants containing such gene |
| WO1999034008A1 (en) | 1997-12-24 | 1999-07-08 | Aventis Cropscience S.A. | Method for enzymatic preparation of homogentisate |
| WO1999057965A1 (en) | 1998-05-14 | 1999-11-18 | Aventis Cropscience Gmbh | Sulfonylurea-tolerant sugar beet mutants |
| WO2001066704A2 (en) | 2000-03-09 | 2001-09-13 | Monsanto Technology Llc | Methods for making plants tolerant to glyphosate and compositions thereof |
| WO2001065922A2 (en) | 2000-03-09 | 2001-09-13 | E. I. Du Pont De Nemours And Company | Sulfonylurea-tolerant sunflower plants |
| WO2002028186A2 (en) | 2000-10-06 | 2002-04-11 | Monsanto Technology, Llc | Seed treatment with combinations of insecticides |
| WO2002034048A1 (en) | 2000-10-23 | 2002-05-02 | Syngenta Participations Ag | Agrochemical compositions with quinoline safeners |
| WO2002036787A2 (en) | 2000-10-30 | 2002-05-10 | Bayer Cropscience S.A. | Herbicide-tolerant plants through bypassing metabolic pathway |
| WO2002046387A2 (en) | 2000-12-07 | 2002-06-13 | Syngenta Limited | Plant derived hydroxy phenyl pyruvate dioxygenases (hppd) resistant against triketone herbicides and transgenic plants containing these dioxygenases |
| WO2002080675A1 (en) | 2001-03-21 | 2002-10-17 | Monsanto Technology, Llc | Treated plant seeds with controlled release of active agents |
| US20030176428A1 (en) | 1998-11-16 | 2003-09-18 | Schneidersmann Ferdinand Martin | Pesticidal composition for seed treatment |
| WO2004024928A2 (en) | 2002-09-11 | 2004-03-25 | Bayer Cropscience S.A. | Transformed plants with enhanced prenylquinone biosynthesis |
| US6768044B1 (en) | 2000-05-10 | 2004-07-27 | Bayer Cropscience Sa | Chimeric hydroxyl-phenyl pyruvate dioxygenase, DNA sequence and method for obtaining plants containing such a gene, with herbicide tolerance |
| WO2004084631A1 (en) | 2003-03-26 | 2004-10-07 | Bayer Cropscience Gmbh | Use of aromatic hydroxy compounds as safeners |
| WO2005016001A1 (en) | 2003-08-05 | 2005-02-24 | Bayer Cropscience Gmbh | Safener based on aromatic-aliphatic carboxylic acid derivatives |
| WO2005015994A1 (en) | 2003-08-05 | 2005-02-24 | Bayer Cropscience Gmbh | Use of aromatic compounds as safeners |
| WO2005112630A1 (en) | 2004-05-12 | 2005-12-01 | Bayer Cropscience Gmbh | Quinoxalin-2-one derivatives crop protection agents comprising the same and method for production and use therof |
| WO2007023764A1 (en) | 2005-08-26 | 2007-03-01 | Kumiai Chemical Industry Co., Ltd. | Agent for reduction of harmful effect of herbicide and herbicide composition having reduced harmful effect |
| WO2007023719A1 (en) | 2005-08-22 | 2007-03-01 | Kumiai Chemical Industry Co., Ltd. | Agent for reducing chemical injury and herbicide composition with reduced chemical injury |
| WO2007103567A2 (en) | 2006-03-09 | 2007-09-13 | E. I. Dupont De Nemours & Company | Polynucleotide encoding a maize herbicide resistance gene and methods for use |
| CN101284815A (en) | 2008-05-16 | 2008-10-15 | 南京工业大学 | Pyrazole oxyacetic acid compound, preparation method and use |
| WO2008131860A2 (en) | 2007-04-30 | 2008-11-06 | Bayer Cropscience Ag | Pyridonecarboxamides crop protection agents containing the same method for production and use thereof |
| WO2008131861A1 (en) | 2007-04-30 | 2008-11-06 | Bayer Cropscience Ag | Use of pyridine-2-oxy-3-carbonamides as safeners |
| WO2008150473A2 (en) | 2007-05-30 | 2008-12-11 | Syngenta Participations Ag | Cytochrome p450 genes conferring herbicide resistance |
| WO2009144079A1 (en) | 2008-04-14 | 2009-12-03 | Bayer Bioscience N.V. | New mutated hydroxyphenylpyruvate dioxygenase, dna sequence and isolation of plants which are tolerant to hppd inhibitor herbicides |
| WO2010010154A1 (en) | 2008-07-24 | 2010-01-28 | Nerviano Medical Sciences S.R.L. | 3,4-diarylpyrazoles as protein kinase inhibitors |
| EP2248421A1 (en) | 2009-05-07 | 2010-11-10 | GMI - Gregor-Mendel-Institut für Molekulare Pflanzenbiologie GmbH | Accumulation of biomass in plants |
| WO2020245044A1 (en) | 2019-06-03 | 2020-12-10 | Bayer Aktiengesellschaft | 1-phenyl-5-azinyl pyrazolyl-3-oxyalkyl acids and their use for controlling undesired plant growth |
| WO2021105101A1 (en) | 2019-11-26 | 2021-06-03 | Bayer Aktiengesellschaft | [(1,5-diphenyl-1h-1,2,4-triazol-3-yl)oxy]acetic acid derivatives and salts thereof, crop protection compositions comprising them, methods for producing them and use thereof as safeners |
| WO2021122728A1 (en) | 2019-12-19 | 2021-06-24 | Bayer Aktiengesellschaft | 1,5-diphenylpyrazolyl-3-oxyalkyl acids and 1-phenyl-5-thienylpyrazolyl-3-oxyalkyl acids and the use thereof for control of undesired plant growth |
| WO2021151976A1 (en) * | 2020-01-31 | 2021-08-05 | Bayer Aktiengesellschaft | [(1,4,5-trisubstituted-1h-pyrazol-3-yl)sulfanyl]acetic acid derivatives, salts thereof, and use thereof as herbicidal ingredients |
| WO2021219527A1 (en) | 2020-04-29 | 2021-11-04 | Bayer Aktiengesellschaft | 1-pyrazinylpyrazolyl-3-oxyalkyl acids and their derivatives, and their use for control of undesired plant growth |
| WO2022084278A1 (en) * | 2020-10-23 | 2022-04-28 | Bayer Aktiengesellschaft | 1-(pyridyl)-5-azinylpyrazole derivatives, and their use for control of undesired plant growth |
| WO2022096442A1 (en) * | 2020-11-05 | 2022-05-12 | Bayer Aktiengesellschaft | [(5-phenyl-1-heteroaryl-1h-triazol-3-yl)oxy] acetic acid derivatives as safeners for the protection of useful plants and crop plants |
| WO2022096448A1 (en) * | 2020-11-05 | 2022-05-12 | Bayer Aktiengesellschaft | [(5-phenyl-5-heteroaryl-1h-pyrazol-3-yl)oxy] acetic acid derivatives as safeners for the protection of useful plants and crop plants |
-
2023
- 2023-09-27 WO PCT/EP2023/076659 patent/WO2024078871A1/en not_active Ceased
- 2023-10-05 AR ARP230102675A patent/AR130697A1/en unknown
- 2023-10-12 TW TW112138869A patent/TW202430508A/en unknown
Patent Citations (85)
| Publication number | Priority date | Publication date | Assignee | Title |
|---|---|---|---|---|
| DE2828529A1 (en) | 1978-06-29 | 1980-01-17 | Kali Chemie Pharma Gmbh | NEW 5-PHENYLPYRAZOLE DERIVATIVES, METHOD FOR THE PRODUCTION THEREOF AND MEDICINAL PRODUCTS |
| DE2906507A1 (en) | 1979-02-20 | 1980-08-28 | Bayer Ag | Plant growth regulating compsn. - contg. alpha amino cyclo:alkanoic acid derivs., e.g. for dwarfing cereals |
| US4272417A (en) | 1979-05-22 | 1981-06-09 | Cargill, Incorporated | Stable protective seed coating |
| US4245432A (en) | 1979-07-25 | 1981-01-20 | Eastman Kodak Company | Seed coatings |
| EP0030287A1 (en) | 1979-11-29 | 1981-06-17 | Bayer Ag | 1-Aminocyclopropanecarboxylic acid derivatives, methods for their production, their use as plant-growth regulators and compositions containing such derivatives |
| EP0086750A2 (en) | 1982-02-17 | 1983-08-24 | Ciba-Geigy Ag | Use of quinoline derivatives in the protection of crop plants |
| EP0094349A2 (en) | 1982-05-07 | 1983-11-16 | Ciba-Geigy Ag | Use of quinoline derivatives for the protection of cultivated plants |
| EP0131624A1 (en) | 1983-01-17 | 1985-01-23 | Monsanto Co | PLASMIDES FOR TRANSFORMING PLANT CELLS. |
| EP0142924A2 (en) | 1983-09-26 | 1985-05-29 | Mycogen Plant Science, Inc. | Insect resistant plants |
| DE3335514A1 (en) | 1983-09-30 | 1985-04-18 | Bayer Ag, 5090 Leverkusen | 1-METHYLAMINO-CYCLOPROPAN-1-CARBONIC ACID DERIVATIVES |
| JPS6087254A (en) | 1983-10-19 | 1985-05-16 | Japan Carlit Co Ltd:The | Novel urea compound and herbicide containing the same |
| EP0174562A2 (en) | 1984-09-11 | 1986-03-19 | Hoechst Aktiengesellschaft | Plant protecting agents based on 1,2,4 - triazole derivatives as well as 1,2,4-triazole derivatives |
| EP0193259A1 (en) | 1985-01-18 | 1986-09-03 | Plant Genetic Systems N.V. | Modifying plants by genetic engineering to combat or control insects |
| EP0191736A2 (en) | 1985-02-14 | 1986-08-20 | Ciba-Geigy Ag | Use of quinoline derivatives for the protection of crop plants |
| EP0221044A1 (en) | 1985-10-25 | 1987-05-06 | Monsanto Company | Novel plant vectors |
| EP0242246A1 (en) | 1986-03-11 | 1987-10-21 | Plant Genetic Systems N.V. | Plant cells resistant to glutamine synthetase inhibitors, made by genetic engineering |
| EP0242236A1 (en) | 1986-03-11 | 1987-10-21 | Plant Genetic Systems N.V. | Plant cells resistant to glutamine synthetase inhibitors, made by genetic engineering |
| US5123951A (en) | 1986-03-31 | 1992-06-23 | Rhone-Poulenc Nederland B.V. | Synergistic plant growth regulator compositions |
| EP0305398A1 (en) | 1986-05-01 | 1989-03-08 | Honeywell Inc | CONNECTING ARRANGEMENT FOR MULTIPLE INTEGRATED CIRCUITS. |
| EP0257993A2 (en) | 1986-08-26 | 1988-03-02 | E.I. Du Pont De Nemours And Company | Nucleic acid fragment encoding herbicide resistant plant acetolactate synthase |
| EP0269806A1 (en) | 1986-10-04 | 1988-06-08 | Hoechst Aktiengesellschaft | Phenylpyrazole carbonic acid derivatives, their preparation and use as plant growth regulators and antidotes |
| EP0268554A2 (en) | 1986-10-22 | 1988-05-25 | Ciba-Geigy Ag | 1,5-Diphenyl pyrazole-3-carbonic-acid derivatives for the protection of cultured plants |
| US4808430A (en) | 1987-02-27 | 1989-02-28 | Yazaki Corporation | Method of applying gel coating to plant seeds |
| US5013659A (en) | 1987-07-27 | 1991-05-07 | E. I. Du Pont De Nemours And Company | Nucleic acid fragment encoding herbicide resistant plant acetolactate synthase |
| EP0309862A1 (en) | 1987-09-30 | 1989-04-05 | Bayer Ag | Stilbene synthase gene |
| EP0333131A1 (en) | 1988-03-17 | 1989-09-20 | Hoechst Aktiengesellschaft | Plant protective agent based on pyrazolecarboxylic acid derivatives |
| WO1989010396A1 (en) | 1988-04-28 | 1989-11-02 | Plant Genetic Systems N.V. | Plants with modified stamen cells |
| EP0346620A1 (en) | 1988-05-20 | 1989-12-20 | Hoechst Aktiengesellschaft | Plant protection agents containing 1,2,4-triazole derivatives, and the 1,2,4-triazole derivatives |
| US5084082A (en) | 1988-09-22 | 1992-01-28 | E. I. Du Pont De Nemours And Company | Soybean plants with dominant selectable trait for herbicide resistance |
| WO1991008202A1 (en) | 1989-11-25 | 1991-06-13 | Hoechst Aktiengesellschaft | Isoxazolines, method of preparation thereof, and their use as plant-protection agents |
| WO1991007874A1 (en) | 1989-11-30 | 1991-06-13 | Hoechst Aktiengesellschaft | Pyrazolines for the protection of crops against herbicides |
| WO1991013972A1 (en) | 1990-03-16 | 1991-09-19 | Calgene, Inc. | Plant desaturases - compositions and uses |
| US5198599A (en) | 1990-06-05 | 1993-03-30 | Idaho Resarch Foundation, Inc. | Sulfonylurea herbicide resistance in plants |
| WO1991019806A1 (en) | 1990-06-18 | 1991-12-26 | Monsanto Company | Increased starch content in plants |
| WO1992000377A1 (en) | 1990-06-25 | 1992-01-09 | Monsanto Company | Glyphosate tolerant plants |
| EP0464461A2 (en) | 1990-06-29 | 1992-01-08 | Bayer Ag | Stilbensynthase gene of grapevine |
| WO1992011376A1 (en) | 1990-12-21 | 1992-07-09 | Amylogene Hb | Genetically engineered modification of potato to form amylopectin-type starch |
| EP0492366A2 (en) | 1990-12-21 | 1992-07-01 | Hoechst Schering AgrEvo GmbH | New 5-chloroquinolin-8-oxyalkanecarbonic acid derivatives, process for their preparation and their use as antidotes for herbicides |
| WO1992014827A1 (en) | 1991-02-13 | 1992-09-03 | Institut Für Genbiologische Forschung Berlin Gmbh | Plasmids containing dna-sequences that cause changes in the carbohydrate concentration and the carbohydrate composition in plants, as well as plant cells and plants containing these plasmids |
| EP0582198A2 (en) | 1992-08-01 | 1994-02-09 | Hoechst Schering AgrEvo GmbH | Substituted (hetero-)aryle compounds, process for their preparation, those containing compositions and their use as safeners |
| WO1995007897A1 (en) | 1993-09-16 | 1995-03-23 | Hoechst Schering Agrevo Gmbh | Substituted isoxazolines, process for producing them, agents containing them and their use as safeners |
| WO1996038567A2 (en) | 1995-06-02 | 1996-12-05 | Rhone-Poulenc Agrochimie | Dna sequence of a gene of hydroxy-phenyl pyruvate dioxygenase and production of plants containing a gene of hydroxy-phenyl pyruvate dioxygenase and which are tolerant to certain herbicides |
| WO1997041218A1 (en) | 1996-04-29 | 1997-11-06 | Board Of Supervisors Of Louisiana State University And Agricultural And Mechanical College | Herbicide resistant rice |
| US5876739A (en) | 1996-06-13 | 1999-03-02 | Novartis Ag | Insecticidal seed coating |
| US5773702A (en) | 1996-07-17 | 1998-06-30 | Board Of Trustees Operating Michigan State University | Imidazolinone herbicide resistant sugar beet plants |
| WO1998013361A1 (en) | 1996-09-26 | 1998-04-02 | Novartis Ag | Herbicidal composition |
| WO1998027049A1 (en) | 1996-12-19 | 1998-06-25 | Hoechst Schering Agrevo Gmbh | Novel 2-fluoroacrylic acid derivatives, novel mixtures of herbicides and antidotes and the use thereof |
| WO1998038856A1 (en) | 1997-03-04 | 1998-09-11 | Zeneca Limited | Compositions for safening rice against acetochlor |
| WO1999000020A1 (en) | 1997-06-27 | 1999-01-07 | Hoechst Schering Agrevo Gmbh | 3-(5-tetrazolyl carbonyl)-2-quinolones and products for protecting useful plants containing the same |
| WO1999024585A1 (en) | 1997-11-07 | 1999-05-20 | Aventis Cropscience S.A. | Mutated hydroxy-phenyl pyruvate dioxygenase, dna sequence and method for obtaining herbicide-tolerant plants containing such gene |
| WO1999024586A1 (en) | 1997-11-07 | 1999-05-20 | Aventis Cropscience S.A. | Chimeric hydroxy-phenyl pyruvate dioxygenase, dna sequence and method for obtaining plants containing such a gene, with herbicide tolerance |
| WO1999034008A1 (en) | 1997-12-24 | 1999-07-08 | Aventis Cropscience S.A. | Method for enzymatic preparation of homogentisate |
| WO1999057965A1 (en) | 1998-05-14 | 1999-11-18 | Aventis Cropscience Gmbh | Sulfonylurea-tolerant sugar beet mutants |
| US20030176428A1 (en) | 1998-11-16 | 2003-09-18 | Schneidersmann Ferdinand Martin | Pesticidal composition for seed treatment |
| WO2001066704A2 (en) | 2000-03-09 | 2001-09-13 | Monsanto Technology Llc | Methods for making plants tolerant to glyphosate and compositions thereof |
| WO2001065922A2 (en) | 2000-03-09 | 2001-09-13 | E. I. Du Pont De Nemours And Company | Sulfonylurea-tolerant sunflower plants |
| US6768044B1 (en) | 2000-05-10 | 2004-07-27 | Bayer Cropscience Sa | Chimeric hydroxyl-phenyl pyruvate dioxygenase, DNA sequence and method for obtaining plants containing such a gene, with herbicide tolerance |
| WO2002028186A2 (en) | 2000-10-06 | 2002-04-11 | Monsanto Technology, Llc | Seed treatment with combinations of insecticides |
| WO2002034048A1 (en) | 2000-10-23 | 2002-05-02 | Syngenta Participations Ag | Agrochemical compositions with quinoline safeners |
| WO2002036787A2 (en) | 2000-10-30 | 2002-05-10 | Bayer Cropscience S.A. | Herbicide-tolerant plants through bypassing metabolic pathway |
| WO2002046387A2 (en) | 2000-12-07 | 2002-06-13 | Syngenta Limited | Plant derived hydroxy phenyl pyruvate dioxygenases (hppd) resistant against triketone herbicides and transgenic plants containing these dioxygenases |
| WO2002080675A1 (en) | 2001-03-21 | 2002-10-17 | Monsanto Technology, Llc | Treated plant seeds with controlled release of active agents |
| WO2004024928A2 (en) | 2002-09-11 | 2004-03-25 | Bayer Cropscience S.A. | Transformed plants with enhanced prenylquinone biosynthesis |
| WO2004084631A1 (en) | 2003-03-26 | 2004-10-07 | Bayer Cropscience Gmbh | Use of aromatic hydroxy compounds as safeners |
| WO2005015994A1 (en) | 2003-08-05 | 2005-02-24 | Bayer Cropscience Gmbh | Use of aromatic compounds as safeners |
| WO2005016001A1 (en) | 2003-08-05 | 2005-02-24 | Bayer Cropscience Gmbh | Safener based on aromatic-aliphatic carboxylic acid derivatives |
| WO2005112630A1 (en) | 2004-05-12 | 2005-12-01 | Bayer Cropscience Gmbh | Quinoxalin-2-one derivatives crop protection agents comprising the same and method for production and use therof |
| WO2007023719A1 (en) | 2005-08-22 | 2007-03-01 | Kumiai Chemical Industry Co., Ltd. | Agent for reducing chemical injury and herbicide composition with reduced chemical injury |
| WO2007023764A1 (en) | 2005-08-26 | 2007-03-01 | Kumiai Chemical Industry Co., Ltd. | Agent for reduction of harmful effect of herbicide and herbicide composition having reduced harmful effect |
| WO2007103567A2 (en) | 2006-03-09 | 2007-09-13 | E. I. Dupont De Nemours & Company | Polynucleotide encoding a maize herbicide resistance gene and methods for use |
| WO2008131860A2 (en) | 2007-04-30 | 2008-11-06 | Bayer Cropscience Ag | Pyridonecarboxamides crop protection agents containing the same method for production and use thereof |
| WO2008131861A1 (en) | 2007-04-30 | 2008-11-06 | Bayer Cropscience Ag | Use of pyridine-2-oxy-3-carbonamides as safeners |
| WO2008150473A2 (en) | 2007-05-30 | 2008-12-11 | Syngenta Participations Ag | Cytochrome p450 genes conferring herbicide resistance |
| WO2009144079A1 (en) | 2008-04-14 | 2009-12-03 | Bayer Bioscience N.V. | New mutated hydroxyphenylpyruvate dioxygenase, dna sequence and isolation of plants which are tolerant to hppd inhibitor herbicides |
| CN101284815A (en) | 2008-05-16 | 2008-10-15 | 南京工业大学 | Pyrazole oxyacetic acid compound, preparation method and use |
| WO2010010154A1 (en) | 2008-07-24 | 2010-01-28 | Nerviano Medical Sciences S.R.L. | 3,4-diarylpyrazoles as protein kinase inhibitors |
| EP2248421A1 (en) | 2009-05-07 | 2010-11-10 | GMI - Gregor-Mendel-Institut für Molekulare Pflanzenbiologie GmbH | Accumulation of biomass in plants |
| WO2020245044A1 (en) | 2019-06-03 | 2020-12-10 | Bayer Aktiengesellschaft | 1-phenyl-5-azinyl pyrazolyl-3-oxyalkyl acids and their use for controlling undesired plant growth |
| WO2021105101A1 (en) | 2019-11-26 | 2021-06-03 | Bayer Aktiengesellschaft | [(1,5-diphenyl-1h-1,2,4-triazol-3-yl)oxy]acetic acid derivatives and salts thereof, crop protection compositions comprising them, methods for producing them and use thereof as safeners |
| WO2021122728A1 (en) | 2019-12-19 | 2021-06-24 | Bayer Aktiengesellschaft | 1,5-diphenylpyrazolyl-3-oxyalkyl acids and 1-phenyl-5-thienylpyrazolyl-3-oxyalkyl acids and the use thereof for control of undesired plant growth |
| WO2021151976A1 (en) * | 2020-01-31 | 2021-08-05 | Bayer Aktiengesellschaft | [(1,4,5-trisubstituted-1h-pyrazol-3-yl)sulfanyl]acetic acid derivatives, salts thereof, and use thereof as herbicidal ingredients |
| WO2021219527A1 (en) | 2020-04-29 | 2021-11-04 | Bayer Aktiengesellschaft | 1-pyrazinylpyrazolyl-3-oxyalkyl acids and their derivatives, and their use for control of undesired plant growth |
| WO2022084278A1 (en) * | 2020-10-23 | 2022-04-28 | Bayer Aktiengesellschaft | 1-(pyridyl)-5-azinylpyrazole derivatives, and their use for control of undesired plant growth |
| WO2022096442A1 (en) * | 2020-11-05 | 2022-05-12 | Bayer Aktiengesellschaft | [(5-phenyl-1-heteroaryl-1h-triazol-3-yl)oxy] acetic acid derivatives as safeners for the protection of useful plants and crop plants |
| WO2022096448A1 (en) * | 2020-11-05 | 2022-05-12 | Bayer Aktiengesellschaft | [(5-phenyl-5-heteroaryl-1h-pyrazol-3-yl)oxy] acetic acid derivatives as safeners for the protection of useful plants and crop plants |
Non-Patent Citations (35)
| Title |
|---|
| "CAS", Database accession no. 133993-74-5 |
| "Chemistry of Peptide Synthesis", 2006 |
| "Springer Lab Manual", 1995, SPRINGER VERLAG BERLIN, article "Gene Transfer to Plants" |
| "The Pesticide Manual", 2021, THE BRITISH CROP PROTECTION COUNCIL AND THE ROYAL SOC. OF CHEMISTRY |
| ACC. CHEM. RES, vol. 41, 2008, pages 1486 |
| ADV. SYNTH. CATAL., vol. 356, 2014, pages 3135 - 3147 |
| BARRY ET AL., CURR. TOPICS PLANT PHYSIOL, vol. 7, 1992, pages 139 - 145 |
| BRAUN ET AL., EMBO J, vol. 11, 1992, pages 3219 - 3227 |
| CHEM. MED. CHEM, vol. 10, 2015, pages 1184 - 1199 |
| CHEM. REV, vol. 106, 2006, pages 2651 |
| CHRISTOU, TRENDS IN PLANT SCIENCE, vol. 1, 1996, pages 423 - 431 |
| COMAI ET AL., SCIENCE, vol. 221, 1983, pages 370 - 371 |
| G.C. KLINGMAN: "Weed Control as a Science", 1961, JOHN WILEY AND SONS, INC., pages: 81 - 96 |
| GASSER ET AL., J. BIOL. CHEM, vol. 263, 1988, pages 4280 - 4289 |
| H.V. OLPHEN: "Handbook of Insecticide Dust Diluents and Carriers", 1963, J. WILEY & SONS |
| J. HETEROCYCLIC CHEM, vol. 49, 2012, pages 130 |
| J. MED. CHEM, vol. 54, no. 16, 2011, pages 5820 - 5835 |
| J.D. FREYERS.A. EVANS: "Weed Control Handbook", 1968, BLACKWELL SCIENTIFIC PUBLICATIONS, pages: 101 - 103 |
| J.E. BROWNING: "Agglomeration", 1967, CHEMICAL AND ENGINEERING |
| JOURNAL OF HETEROCYCLIC CHEMISTRY, vol. 49, no. 6, 2012, pages 1370 - 1375 |
| K. MARTENS: "Spray Drying'' Handbook", 1979, G. GOODWIN LTD. |
| M. BELIERC. BOLM: "Transition Metals for Organic Synthesis", 2004, SPRINGER VERLAG |
| ORGANIC PROCESS RESEARCH & DEVELOPMENT, vol. 13, 2009, pages 900 - 906 |
| PLATINUM METALS REVIEW, vol. 52, 2008, pages 172 |
| PLATINUM METALS REVIEW, vol. 53, 2009, pages 183 |
| RIDGEWOOD N.J.SISLEYWOOD: "McCutcheon's ''Detergents and Emulsifiers Annual", 1964, CHEM. PUBL. CO. INC. |
| SAMBROOK ET AL.: "Molecular Cloning, A Laboratory Manual, 2. Aufl", 1989, COLD SPRING HARBOR LABORATORY PRESS |
| SCHÖNFELDT: "Grenzflächenaktive Äthylenoxid-addukte", 1976, WISS. VERLAGSGESELL |
| SHAH ET AL., SCIENCE, vol. 233, 1986, pages 478 - 481 |
| SONNEWALD ET AL., PLANT J, vol. 1, 1991, pages 95 - 106 |
| WADE VAN VALKENBURG: "Perry's Chemical Engineer's Handbook", 1973, MARCEL DEKKER, pages: 8 - 57 |
| WEED RESEARCH, vol. 26, 1986, pages 441 - 445 |
| WEED SCIENCE, vol. 50, 2002, pages 700 - 712 |
| WINNACKER: "Gene und Klone", 1996, VCH WEINHEIM |
| WOLTER ET AL., PROC. NATL. ACAD. SCI. USA, vol. 85, 1988, pages 846 - 850 |
Also Published As
| Publication number | Publication date |
|---|---|
| AR130697A1 (en) | 2025-01-08 |
| TW202430508A (en) | 2024-08-01 |
Similar Documents
| Publication | Publication Date | Title |
|---|---|---|
| WO2018228985A1 (en) | Herbicidally active 3-phenylisoxazoline-5-carboxamides of tetrahydro and dihydrofuran carboxylic acids and esters | |
| US12180187B2 (en) | 1-phenyl-5-azinylpyrazolyl-3-oxyalkyl acids and their use for controlling unwanted plant growth | |
| EP4232443B1 (en) | 1-(pyridyl)-5-azinylpyrazol derivatives and use of same for combating undesired plant growth | |
| WO2019219587A1 (en) | 2-bromo-6-alkoxyphenyl-substituted pyrrolin-2-ones and their use as herbicides | |
| EP3938348A1 (en) | Novel 3-(2-brom-4-alkynyl-6-alkoxyphenyl)-3-pyrrolin-2-ones and their use as herbicides | |
| WO2019219584A1 (en) | New spiro cyclohexyl pyrrolin-2-ones and their use as herbicides | |
| EP3853219B1 (en) | Herbicidally active substituted phenylpyrimidine hydrazides | |
| WO2019228788A1 (en) | 2-bromo-6-alkoxyphenyl-substituted pyrrolin-2-ones and their use as herbicides | |
| WO2024078871A1 (en) | 1-pyridyl-5-phenylpyrazolyl-3-oxy- and -3-thioalkyl acids and derivatives and their use for controlling undesired plant growth | |
| WO2019228787A1 (en) | Specifically substituted 2-alkyl-6-alkoxyphenyl-3-pyrrolin-2-ones and their use as herbicides | |
| WO2022268933A1 (en) | (1,4,5-trisubstituted-1h-pyrazole-3-yl)oxy-2-alkoxy alkyl acids and their derivatives, their salts and their use as herbicidal agents | |
| WO2023099381A1 (en) | (1,4,5-trisubstituted-1h-pyrazole-3-yl)oxy-2-alkoxythio alkyl acids and derivatives thereof, their salts and their use as herbicidal active agents | |
| WO2023274869A1 (en) | 3-(4-alkenyl-phenyl)-3-pyrrolino-2-ones and their use as herbicides | |
| WO2022253700A1 (en) | Specifically substituted pyrroline-2-ones and their use as herbicides | |
| EA047217B1 (en) | 1-PHENYL-5-AZINYLPYRAZOLYL-3-OXYALKYL ACIDS AND THEIR APPLICATION TO COMBAT UNDESIRABLE PLANT GROWTH | |
| EP3938349A1 (en) | Specifically substituted 3-(2-alkoxy-6-alkyl-4-propinylphenyl)-3-pyrrolin-2-ones and their use as herbicides | |
| EP3802516A1 (en) | Herbicidally active substituted phenylpyrimidines | |
| EP3938346A1 (en) | Specifically substituted 3-(2-halogen-6-alkyl-4-propinylphenyl)-3-pyrrolin-2-ones and to the use thereof as herbicides | |
| EP3938350A1 (en) | 3-(2-brom-4-alkynyl-6-alkoxyphenyl)-substituted 5-spirocyclohexyl-3-pyrrolin-2-ones and their use as herbicides | |
| EP3938347A1 (en) | Specifically substituted 3-phenyl-5-spirocyclopentyl-3-pyrrolin-2-ones and their use as herbicides | |
| WO2019219588A1 (en) | Specifically substituted 2-alkyl-6-alkoxyphenyl-3-pyrrolin-2-ones and their use as herbicides | |
| EP3898612A1 (en) | Substituted pyridinyloxybenzenes and salts thereof and use thereof as herbicidal agents | |
| WO2020002083A1 (en) | Substituted heterocyclic pyrrolones and salts thereof and use thereof as herbicidal agents | |
| WO2019219585A1 (en) | New 3-(4-alkynyl-6-alkoxy-2-chlorophenyl)-3-pyrrolin-2-ones and their use as herbicides |
Legal Events
| Date | Code | Title | Description |
|---|---|---|---|
| 121 | Ep: the epo has been informed by wipo that ep was designated in this application |
Ref document number: 23776988 Country of ref document: EP Kind code of ref document: A1 |
|
| NENP | Non-entry into the national phase |
Ref country code: DE |
|
| 122 | Ep: pct application non-entry in european phase |
Ref document number: 23776988 Country of ref document: EP Kind code of ref document: A1 |


















































































































































































































































































































































































































































































































































































