WO2023201072A1 - Novel 6-azauridine compounds as broad spectrum antiviral agents - Google Patents
Novel 6-azauridine compounds as broad spectrum antiviral agents Download PDFInfo
- Publication number
- WO2023201072A1 WO2023201072A1 PCT/US2023/018706 US2023018706W WO2023201072A1 WO 2023201072 A1 WO2023201072 A1 WO 2023201072A1 US 2023018706 W US2023018706 W US 2023018706W WO 2023201072 A1 WO2023201072 A1 WO 2023201072A1
- Authority
- WO
- WIPO (PCT)
- Prior art keywords
- compound
- azauridine
- alkyl
- cycloalkyl
- aryl
- Prior art date
- Legal status (The legal status is an assumption and is not a legal conclusion. Google has not performed a legal analysis and makes no representation as to the accuracy of the status listed.)
- Ceased
Links
Classifications
-
- C—CHEMISTRY; METALLURGY
- C07—ORGANIC CHEMISTRY
- C07H—SUGARS; DERIVATIVES THEREOF; NUCLEOSIDES; NUCLEOTIDES; NUCLEIC ACIDS
- C07H19/00—Compounds containing a hetero ring sharing one ring hetero atom with a saccharide radical; Nucleosides; Mononucleotides; Anhydro-derivatives thereof
- C07H19/02—Compounds containing a hetero ring sharing one ring hetero atom with a saccharide radical; Nucleosides; Mononucleotides; Anhydro-derivatives thereof sharing nitrogen
- C07H19/04—Heterocyclic radicals containing only nitrogen atoms as ring hetero atom
- C07H19/12—Triazine radicals
Definitions
- the present disclosure generally relates to antiviral compounds and in particular to novel 6-azauridine compounds and methods of treating or preventing viral infections using same.
- Human respiratory viruses such as SARS-CoV-2 include a broad range of viruses that infect cells of the respiratory tract, transmitted mainly by respiratory secretions of infected persons. Respiratory viruses belong to a range of viral families encompassing different genomic and structural characteristics, with associated differences in severity and subpopulations of patients at higher risk for severe disease. Collectively, they contribute to substantial morbidity, mortality and concomitant economic losses annually worldwide. Viral respiratory tract infections also can lead to misuse of antibiotics and drive antibiotic resistance. In addition, respiratory pandemics cause extreme disruption to societies and economies as exemplified by the current COVID-19 pandemic.
- Influenza virus is an enveloped segmented negative-sense RNA virus of the Orthomyxoviridae family that causes symptoms ranging from mild to severe, including fever, runny nose, sore throat, muscle pain, headache, coughing, diarrhea, vomiting and fatigue. Influenza may progress to pneumonia or other complications including acute respiratory distress syndrome, meningitis, encephalitis, and exacerbations of asthma and cardiovascular disease. Influenza antigenic drift and shift is cause for vigilant surveillance. Variant viruses (e.g, influenza that normally infect swine) can sometimes infect humans and cases are being closely tracked. Current influenza antivirals have limitations regarding their effectiveness and the potential for emergence of resistance.
- Influenza A virus which is the major cause of morbidity and mortality, remains a significant pandemic threat.
- IAV and influenza B virus (IBV) strains are generally susceptible to oseltamivir and zanamivir.
- treatment- emergent resistance to zanamivir or oseltamivir has been observed; in one study, oseltamivir- resistant IAV was isolated from nine (18%) of 50 children during treatment. Household transmission of neuraminidase inhibitor resistant IBV was also reported.
- the development of resistance to oseltamivir during treatment was more common among seasonal IAV (H1N1) virus infections (27%) compared with seasonal IAV (H3N2) (3%) or IBV (0%).
- Respiratory Syncytial Virus is an enveloped negative-sense, single-stranded RNA virus of the Pneumoviridae family, that is the causative agent of respiratory tract infection in multiple vulnerable patient populations, including children under age two, immunocompromised patients, the elderly, chronic obstructive pulmonary disease (COPD), asthma and chronic heart failure (CHF) patients; RSV represents a leading cause of morbidity and mortality worldwide. According to CDC, in the U.S.
- RSV causes over 2 million cases and 58,000 hospitalizations annually in children under age five, and 177,000 hospitalizations and 14,000 deaths in adults over age 65.
- RSV has eluded many attempts to develop safe and effective vaccines.
- the viral infection results in airway inflammation, bronchiolitis, pneumonia and, in extreme cases, respiratory failure. Higher risk patients may experience prolonged wheezing and hyperinflation, cyanosis, and hypoxemia.
- repeated RSV infections may occur frequently throughout life.
- the standard of care for RSV- infected patients is supportive, including fluids and oxygen, and treatment options are limited.
- Pahvizumab a monoclonal antibody (mAb), is approved for prophylactic use but is only reduces hospitalization rates by 60%.
- Ribavirin the only small molecule drug approved for RSV, is a guanosine analog that acts by inhibiting viral RNA synthesis and capping, on the market since 1986, it is currently used as an inhaled treatment option in infants, albeit with limited efficacy and significant safety concerns. It is evident there is an urgent medical need for developing novel antiviral agents against RSV infection and the fight against resistance to RSV.
- RVs Human rhinoviruses
- Picomaviridae family responsible for up to 50% of all adult “common colds” and infections can occur frequently especially in children. More than 160 strains of RV have been identified and classified into three genetic clades (A, B and C). Cellular binding studies have further grouped RVs into major or minor group viruses depending on the use of ICAM-1 or LDLR as receptors. CDHR3, the asthma susceptibility gene product, mediates RV-C binding and replication. RV infections are mainly transmitted through direct hand to eye or nose contact and RV primarily infects the upper respiratory tract.
- RV infection often compromises epithelial barrier integrity, increasing the risk of pathogen adhesion, translocation, and associated complications.
- RV infection increases risk of bronchiolitis in infants, pneumonia in the immunosuppressed and exacerbations of asthma or COPD.
- the considerable antigenic diversity across RV serotypes has presented challenges for development of an effective universal RV vaccine.
- the development of mouse human ICAM-1 chimeras has greatly facilitated prechmcal studies on the path to better therapeutics.
- the antiviral derivatives of 6-azauridine in accordance with the present disclosure comprise 6- azauridine, wherein any one of the 2’-, 3’- and 5’-hydroxyl groups are denvatized with a substituent.
- novel 6- azauridine compounds have now been prepared. These compounds were unexpectedly found to exhibit broad spectrum in vitro antiviral activity and are anticipated to exhibit broad spectrum in vivo antiviral activity in humans and non-human animals.
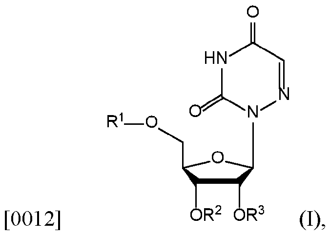
- a 6-azauridine compound has a chemical structure represented by Formula (I):
- R 1 , R 2 and R 3 are independently selected from:
- R 1 and R 2 are independently alkylenyl such that taken together with the 3’-0 and 5’-0 atoms and the intervening C atoms to which they are atached, form a heterocyclic ring, or independent of R 1 , R 2 and R 3 are independently alkylenyl such that when taken together with the 2’-0 and 3’-0 atoms and the intervening C atoms to which they are atached, form a heterocyclic ring;
- a 6-azauridine compound is characterized by Formula (I), wherein R 1 has a substructure,
- R 5 , R 6 and R 9 are independently selected from alkyl, alkenyl, cycloalkyl, heterocyclyl, or aryl, with R 9 being any alkyl, alkenyl, cycloalkyl, heterocyclyl, or aryl corresponding to a natural or unnatural a-armno acid.
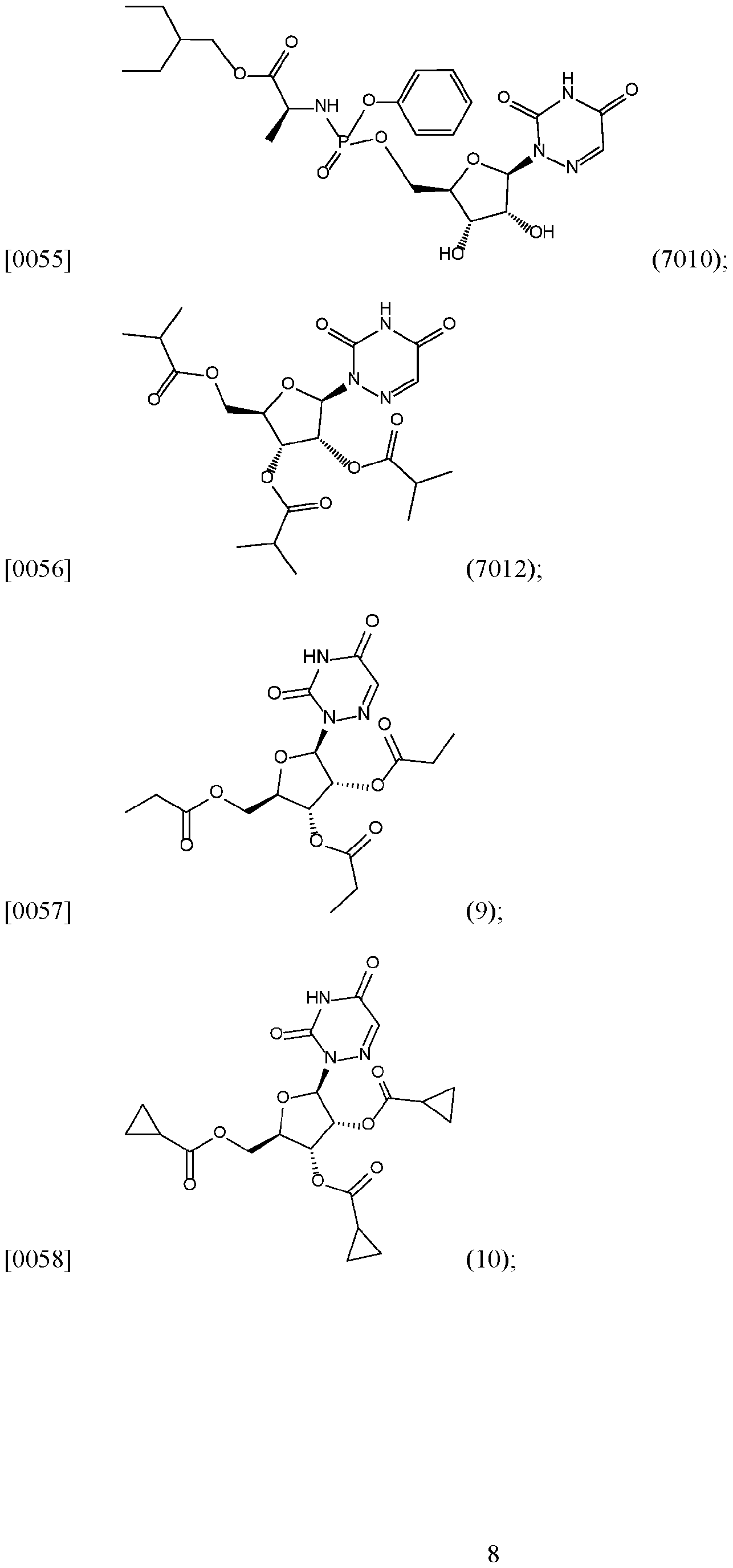
- R 2 and R 3 are -H.
- R 9 is -CH3.
- R 5 is a Ci-Cs-alkyl or a Cs-Cs-cycloalkyl.
- R 6 is aryl
- R 6 is -CeHs.
- R 5 is -CFhCHCCFLCHsX
- R 6 is -CsHs
- R 9 is CH 3 .
- R 6 is aryl, and R 5 is selected from methyl, ethyl, isopropyl, cyclopropyl, cyclobutyl, cyclopentyl, cyclohexyl, cyclopropylmethylenyl, cyclobutylmethylenyl, cyclopentylmethylenyl, cyclohexylmethylenyl, -CH(CH3)(CH2CH3,), - CH(CH3)CH(CH 2 CH 3 )2, and -CH 2 CH(CH 2 CH 3 )2.
- a 6-azauridine compound has a structure represented by Formula (2):
- each R 7 is independently selected from a
- C2-C6-alkyl a Ca-Ce-cyclolkyl, -alkenyl, -heterocyclyl, or -aryl.
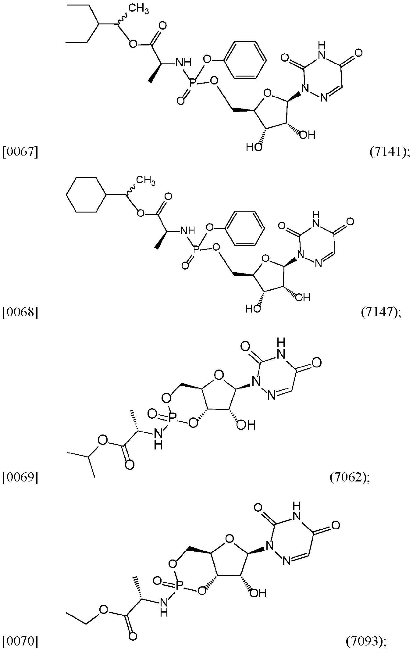
- each R 7 is ethyl.
- each R 7 is isopropyl.
- each R 7 is cyclopropyl.
- each R 7 is cyclobutyl.
- each R 7 is -CFXCFRXCFbCFh).
- each R 7 is independently methyl, ethyl, isopropyl, cyclopropyl, cyclobutyl, cyclopentyl, cyclohexyl, cyclopropylmethylenyl, cyclobutylmethylenyl, cyclopentylmethylenyl, cyclohexylmethylenyl, -CHCCHsXCFbCFh), - CH(CH3)CH(CH2CH3)2, and -CFFCIXCFhCFhX, with the proviso that all three R 7 groups cannot be methyl.
- a 6-azauridine compound has a structure represented by Formula (II):
- R 5 , R 6 and R 9 are independently selected from alkyl, alkenyl, cycloalkyl, heterocyclyl, or aryl, with R 9 being any alkyl, alkenyl, cycloalkyl, heterocyclyl, or aryl corresponding to a natural or unnatural a-amino acid.
- R 9 is -CH3 such that the phosphoramidate side chain is an alanine ester.
- R 5 is a Ci-Cs-alkyl or a Cs-Cs-cycloalkyl.
- R 6 is aryl
- R 5 is -CH3, -CH2CH3, -CH(CH3)2, - CH(CH 2 CH 3 ) 2 , -cyclopentyl, -methylcyclopentyl, or -CftyCItyCItyCItyty;
- R 6 is -G etty: and
- R 9 is -City.
- a 6-azauridine compound has a structure represented by Formula (IV):
- R 3 and R 8 are independently selected from -H, -alkyl, -alkenyl, -cycloalkyl, -heterocyclyl, and -aryl, and R 9 is selected from any alkyl, alkenyl, cycloalkyl, heterocyclyl, or aryl corresponding to a natural or unnatural a-amino acid.
- R 3 is -H.
- R 9 is -City.
- R 3 is -H
- R 9 is -City
- R 8 is selected from methyl, ethyl, isopropyl, cyclopropyl, cyclobutyl, cyclopentyl, cyclohexyl, cyclopropylmethylenyl, cyclobutylmethylenyl, cyclopentylmethylenyl, cyclohexylmethylenyl, -CftyCItyXCItyCIty), -CH(CH3)CH(CH2Clty)2, and CH 2 CH(CH 2 CH 3 )2.
- R 8 is a Ci-Ce-alkyl.
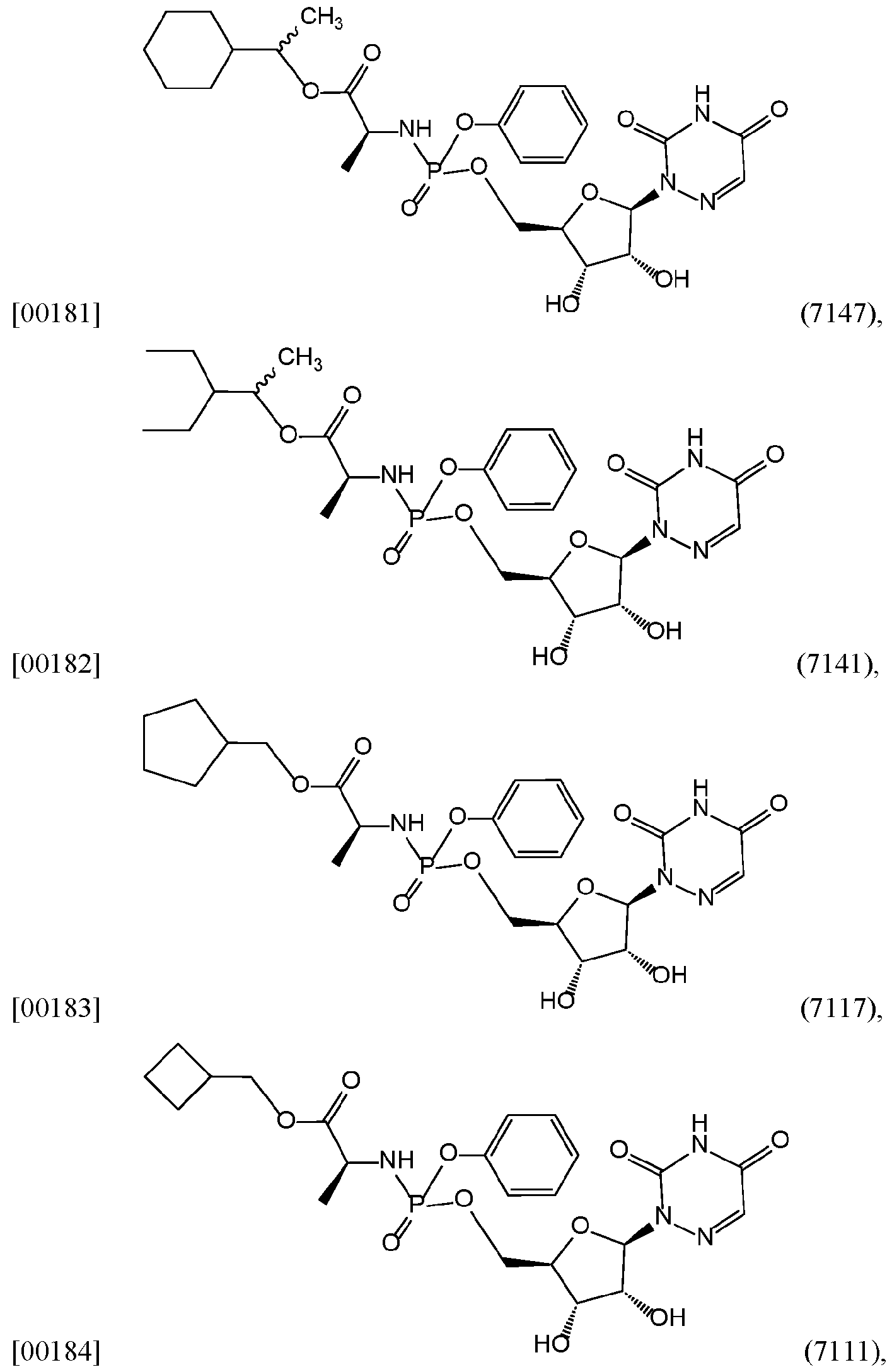
- a 6-azauridine compound is selected from:
- a method of treating a viral infection in a subject in need thereof comprises administering to the subject a therapeutically effective amount of a 6-azauridine compound or a combination of 6-azauridine compounds having a structure represented by Formula (I).
- a method of preventing the onset of a viral infection in a subject in need thereof comprises administering to the subject a prophylactically effective amount of a 6-azauridine compound or a combination of 6- azauridine compounds having a structure represented by Formula (I).
- a pharmaceutical composition comprises (a) at least one 6-azauridine compound having a structure represented by Formula (I); and (b) at least one pharmaceutically acceptable excipient.
- a method of treating a viral infection in a subject in need thereof comprises administering to the subject a therapeutically effective amount of such pharmaceutical composition.
- a method of preventing the onset of a viral infection in a subject in need thereof comprises administering to the subject a prophylactically effective amount of such pharmaceutical composition.
- a 6-azauridine compound according to any one of Formulas (I), (2), (3), (4), (5), (6), (7), (II), (III), (IV), or (V) finds use in the manufacture of a medicament for treating a viral infection in a subj ect in need thereof or for preventing the onset of a viral infection in a subject in need thereof.
- novel 6-azauridine compounds are disclosed, along with their syntheses and efficacy testing. In various embodiments, these compounds were unexpectedly found to exhibit broad spectrum in vitro antiviral activity. [0082] Definitions and Interpretations
- Compounds of the present disclosure comprise any physiochemical or stereochemical form they may possibly assume, such as, for example, isomers, prodrugs, active metabolites, tautomers, stereoisomers, regioisomers, solvated forms, pharmaceutically acceptable salts, and polymorphic forms.
- Amorphous forms lack a distinguishable crystal lattice and therefore lack an orderly arrangement of structural units.
- Many pharmaceutical compounds have amorphous forms, crystalline forms, or mixtures thereof. Methods of generating such chemical forms are known to one skilled in the art, in addition to the cry stallographic methods to determine extent and type of crystallinity.
- the term "pharmaceutically acceptable” indicates that a particular compound or composition does not have adverse characteristics that would cause a reasonably prudent medical practitioner to avoid administration of the compound or composition to a subject in need thereof, taking into consideration the infectious disease or condition to be treated and the respective route of administration of the compound or composition.
- the term denotes any salt, ester, or salt of such ester, of such compound, or any other adduct or derivative which, upon administration to a patient, is capable of directly or indirectly providing a compound of the present disclosure, or a metabolite or residue thereof.
- prodrug refers to a derivative of a compound according to the present disclosure, usually with significantly reduced pharmacological activity, which contains one or more additional moieties susceptible to removal in vivo, or in vitro conditions designed to mimic in vivo reaction, to yield the parent molecule as the pharmacologically active species.
- An example of a prodrug is an ester hydrolyzed in vivo or in vitro to yield a pharmaceutically active compound.
- various 6-azauridine compounds found to exhibit antiviral activity are characterizable as prodrugs.
- any one of the 2’-, 3’-, and 5’-hydroxyl groups on the ribofuranosyl portion of 6- azauridine may be derivatized with a labile moiety, as well as the 3-N-position (i.e., the NH moiety) on the 6-azauracil portion of 6-azauridine.
- ProTide refers to a phosphoramidate prodrug capable of delivering an endogenous nucleoside or a nucleoside analog as a monophosphate in vitro or in vivo.
- an antiviral 6-azauridine compound may comprise a phosphoramidate substituent on the 5 ’-oxygen atom of the ribofuranosyl ring or a cyclic phosphoramidate monophosphate that includes both the 3’- and 5 ’-oxygen atoms of the ribofuranosyl in the cyclic prodrug structure.
- these 6-azauridine phosphoramidates may be referred to as ProTides or more simply as prodrugs.
- Compounds of the present disclosure may be in the form of a pharmaceutically acceptable salt.
- Pharmaceutically acceptable salts include any salt derived from an organic or inorganic acid. Examples of such salts include but are not limited to, salts of hydrobromic acid, hydrochloric acid, nitric acid, phosphoric acid and sulfuric acid.
- Organic acid addition salts include, for example, salts of acetic acid, trifluoroacetic acid, benzoic acid, citric acid, ethylenediammetetraacetic acid (EDTA), fumaric acid, gluconic acid, glutamic acid, maleic acid, malic acid, mandelic acid, methane sulfonic acid, picric acid, salicylic acid, stearic acid, succinic acid, tannic acid, tartaric acid, or any other such acid presently known or yet to be discovered.
- acetic acid trifluoroacetic acid
- benzoic acid citric acid, ethylenediammetetraacetic acid (EDTA), fumaric acid, gluconic acid, glutamic acid, maleic acid, malic acid, mandelic acid, methane sulfonic acid, picric acid, salicylic acid, stearic acid, succinic acid, tannic acid, tartaric acid, or any other such acid presently known or yet to be
- Such salts can be prepared by reaction of the base compound with a suitable acid in a manner known by those skilled in the art, recognizing that a compound of the present disclosure may be protonated by one of the above acids and thus the counterion of the pharmaceutically acceptable salt includes the negatively charged conjugate base of the particular acid used.
- a compound of the present disclosure may be quaternary or positively charged and already carry ing a negatively charged counterion, and that counterion might later be switched out for other counterions to arrive at a pharmaceutically acceptable salt.
- halo includes any halogen substituent. Examples include, but are not limited to, F, Cl, Br, or I.
- alkyl refers to linear or branched monovalent saturated hydrocarbon substituents, optionally substituted with one or more functional groups anywhere on or within the substituent. Unless otherwise specified, an alkyd group may contain any number of carbon atoms, such as for example, C1-C24, Ci-Cis, C1-C10, Ci-Cs, or Ci-Ce.
- alkyl substituents include, but are not limited to, methyl, ethyl, n-propyl, isopropyl, n-butyl, isobutyl, sec-buty l, tert-butyl, n-pentyl, iso-pentyl neo-pentyl, n-hexyl, iso- hexyl, octadecyl, dodecyl, and so forth.
- An alkyl substituent herein may be substituted, i. e. , having one or more substituent groups appended on the alkyl group or incorporated within the alkyl chain.
- cycloalkyl includes any 3-, 4-, 5-, 6-, 7-, or 8-membered, saturated or unsaturated, non-aromatic carbocyclic ring, optionally substituted with one or more functional groups at any location on the cyclic substituent.
- cycloalkyl groups include, but are not limited to, cyclopropyl, cyclobutyl, cyclopentyl, 1-, 2-, or 5- cyclopentadienyl, cyclohexyl, 1-, 3- or 4-cyclohexenyl, 1-, 2-, or 5 -(1,3 -cyclohexadienyl), 1- or 3-(l,4-cyclohexadienyl), cycloheptyl, 1-, 3-, 4-, or 5-cycloheptenyl, cyclooctanyl, and so forth.
- alkenyl refers to linear or branched monovalent or divalent unsaturated hydrocarbon substituents, optionally substituted with one or more functional groups anywhere on or within the substituent.
- An alkenyl substituent can be viewed as being divalent if the sp 2 carbon is part of a molecule bearing the alkenyl substituent.
- an alkenyl group may contain any number of carbon atoms, such as for example, C1-C24, Ci- Cis, Ci-Cio, Ci-Cs, or Ci-Ce, and any degrees of unsaturation.
- alkenyl substituent herein may be substituted, i.e., having one or more substituent groups appended on the alkenyl group or incorporated within the alkenyl chain.
- alkylenyl refers to saturated or unsaturated linear or branched divalent hydrocarbon substituents, optionally substituted with one or more functional groups anywhere on or within the substituent.
- An alkylenyl group can be thought of as a bivalent linker or a bivalent bridge.
- two alkylenyl substituents on the same atom, on adjacent atoms, or on nearby atoms may optionally link together to form 3-, 4- , 5-, 6-, 7-, or 8-membered fused or spirocyclic carbocyclic rings, heterocyclic rings, or aryl rings.
- alkylenyl groups include, but are not limited to, methylenyl -CH 2 -, ethylenyl -CH 2 CH 2 -, propylenyl -CH 2 CH 2 CH 2 -, and so forth.
- An alky lenyl substituent herein may be substituted, i.e., having one or more substituent groups appended on the alkylenyl group or incorporated within the alkylenyl chain.
- aryl includes any aromatic ring or fused polycyclic aromatic ring system, such as phenyl, naphthyl, anthracenyl, and phenanthrenyl, optionally substituted with one or more functional groups anywhere on the aromatic substituent.
- An unsubstituted phenyl substituent may also be denoted as -CsHs.
- Aromatic heterocyclic rings are distinct and are included in the definition of heterocycyl substituents set forth herein below.
- heterocycle refers to an unsubstituted or optionally substituted, saturated, unsaturated or aromatic, carbocyclic ring interrupted in its carbocyclic structure by at least one heteroatom selected from oxygen (O), sulfur (S) or nitrogen (N).
- heterocyclyl refers to a heterocyclic ring as a substituent group, being attached to another atom in a compound from any C atom or heteroatom present in the heterocyclic ring.
- pyridinyl includes 2-, 3- and 4-pyridinyl moieties as substituent groups.
- Heterocycles may be monocyclic or fused polycyclic in structure.
- heterocycles include but are not limited to: azepinyl, aziridinyl, azetyl, azetidinyl, diazepinyl, dithiadiazinyl, dioxazepinyl, dioxolanyl, dithiazolyl, furanyl, isooxazolyl, isothiazolyl, imidazolyl, morpholinyl, morpholino, oxetanyl, oxadiazolyl, oxiranyl, oxazinyl, oxazolyl, piperazinyl, pyrazinyl, pyridazinyl, pyrimidinyl, piperidyl, piperidino, pyridyl, pyranyl, pyrazolyl, pyrrolyl, pyrrolidinyl, thiatriazolyl, tetrazolyl, thiadiazolyl, triazolyl,
- virus takes on its ordinary meaning in virology and pathology, and broadly includes any Group I, Group II, Group III, Group IV, Group V and Group VI viruses.
- infectious disease refers to any disease caused by an infectious agent.
- infectious agent includes any exogenous pathogen including, without limitation, bacteria, fungi, viruses, mycoplasma, and parasites.
- Infectious agents that may be treated with the compounds of the present disclosure include any art-recognized infectious organisms that cause pathogenesis in an animal, such as a human animal, including such organisms as bacteria that are gram-negative or gram-positive cocci or bacilli, Group I-VI viruses, including, but not limited to, DNA viruses such as papilloma viruses, parvoviruses, adenoviruses, herpesviruses and vaccinia viruses, and RNA viruses, including single-stranded RNA viruses, such as, for example, arenaviruses, coronaviruses, rhinoviruses, respiratory syncytial viruses, influenza viruses, picomaviruses, paramyxoviruses, reoviruses, retroviruses, and rhabdoviruses.
- Group I-VI viruses including, but not limited to, DNA viruses such as papilloma viruses, parvoviruses, adenoviruses, herpesviruses and
- the terms “subject,” “subject in need thereof,” “patient,” or “patient in need thereof,” each refer to any human or non-human animal (e.g, a canine, or poultry) expressing symptoms of an infectious disease, diagnosed as having an infectious disease, determined to be at risk of developing an infectious disease (such as by having an underlying comorbidity or otherwise compromised immune system), or identified as having been exposed to a pathogen and therefore at risk of developing an infectious disease.
- a “subject” herein include a human of any age, gender, and ethnicity, a canine, a feline, a rabbit, a bovine, a porcine, and a bird.
- treatment refers to any type of intervention used in an attempt to alter the natural course of the subject, including mitigating the pathogenesis of an infectious disease in the subject or preventing the onset of an infectious disease in a subject having been exposed to a pathogen.
- Treatment includes, but is not limited to, administration of a compound of the present disclosure or administration of a pharmaceutical composition comprising a compound of the present disclosure and may be performed either prophylactically or subsequent to the initiation of a pathologic event or contact with a pathogen.
- prophylactic administrations directed to reducing the rate of progression of an infectious disease or condition being treated, delaying the onset of that disease or condition, or reducing the severity of its onset.
- the term “modulate” includes to “increase” or “decrease” one or more quantifiable parameters, optionally by a defined and/or statistically significant amount.
- the terms “increase” or “increasing,” “enhance” or “enhancing,” or “stimulate” or “stimulating,” refer generally to the ability of one or more compounds of the present disclosure or compositions therefrom to produce or cause a greater physiological response (i.e., downstream effects) in a subject in need thereof relative to the response caused by either no administration of a compound per the present disclosure or a control compound.
- physiological responses will be apparent to persons skilled in the art, and may include a physiological response noted by a decrease in pathogen count in a blood sample or other physiological fluid sample of the subject.
- An “increased” or “enhanced” amount is typically a “statistically significant” amount, and may include an increase that is 1.1, 1.2, 2, 3, 4, 5, 6, 7, 8, 9, 10, 15, 20, 30, 40, 50 or more times (e.g., 500, 1000 times), including all integers and decimal points in between and above 1 (e.g., 1.5, 1.6, 1.7. 1.8), the amount produced by no administration of a compound of the present disclosure (the absence of an agent) or a control compound.
- the term “reduce” or “inhibit” may relate generally to the ability of one or more compounds of the present disclosure or compositions therefrom to “decrease” a relevant physiological response, such as a symptom of an infectious disease or condition, as measured according to known medical diagnostics. Relevant physiological responses will be apparent to persons skilled in the art and may include reductions in the symptoms or pathology of an infectious disease, such as a viral infection, for example, a decrease in the viral counts in one or more tissues or fluids of the subject.
- a “decrease” in a response may be “statistically significant” as compared to the response produced by no administration of a compound of the present disclosure or a control composition, and may include a 1%, 2%, 3%, 4%, 5%, 6%, 7%, 8%, 9%, 10%, 11%, 12%, 13%, 14%, 15%, 16%, 17%, 18%, 19%, 20%, 25%, 30%, 35%, 40%, 45%, 50%, 55%, 60%, 65%, 70%, 75%, 80%, 85%, 90%, 95%, or 100% decrease, including all integers in between.
- a therapeutically effective amount when referring to administration of a compound or composition according to the present disclosure to a subject in need thereof, refers to a minimum dosage of a compound or composition in accordance with the present disclosure that provides a desired therapeutic effect in the subject presenting the symptoms of a viral infection or having been diagnosed with a viral infection.
- a therapeutically effective amount for an existing viral infection in a subject in need thereof varies by the nature of the subject (human or non-human animal, age, gender, weight, overall health, presence of comorbidities, etc.), the nature and severity of the present infectious disease state (especially the species of virus), the particular compound and purity of the compound administered, dosage form of the compound, dosage form of a composition comprising an antiviral compound, concentration of active compound or compounds in the composition, and the ultimate results desired, recognizing that the ultimate results desired may be subjectively observed and/or confirmed or may be objectively measured and/or confirmed.
- a therapeutically effective amount in treating a subject presenting a viral infection may be that amount that results in a reduction in a viral load in a serum or plasma sample taken from the subject undergoing antiviral administration.
- a prophylactically effective amount when referring to administration of a compound or composition according to the present disclosure to a subject in need thereof, refers to a minimum dosage of a compound or composition in accordance with the present disclosure that prevents the onset of an infectious disease.
- a subject in need thereof may have documented proof of exposure to a viral pathogen or may simply suspect prior exposure or afraid of the possibility of it.
- a prophylactically effective amount also varies by the nature of the subject (human, canine, weight, age, overall health, comorbidities, etc.), the nature, frequency and concentration of an exposure to a pathogen, the particular compound and purity of the compound administered, dosage form of the compound, dosage form of a composition comprising an antiviral compound, concentration of active compound or compounds in the composition, and the ultimate results desired, recognizing that the ultimate results desired may be entirely subjective, such as no onset of an infectious disease observed in spite of pathogen exposure or suspicions of pathogen exposure.
- dosage form takes on its ordinary meaning in the pharmaceutical arts as the physical form of a compound or composition therefrom designed for a particular administration route.
- dosage forms include, but are not limited to, injectables, infusible liquids, nasal sprays, nasal gels, topicals such as transdermal creams, ointments and patches, loose powders, tablets, sublingual tabs, capsules, lozenges, syrups, vapors, and so forth.
- compounds in accordance with the present disclosure and compositions comprising such compounds of interest may, for example, comprise powders, and the dosage form comprises a capsule comprising the powdered compound or composition encased (also called encapsulated) within the capsule shell, or comprises a tablet comprising the powdered compound or composition compressed into a size and shape suitable for oral administration and swallowing, or for sublingual dissolution.
- the dosage form comprises a capsule comprising the powdered compound or composition encased (also called encapsulated) within the capsule shell, or comprises a tablet comprising the powdered compound or composition compressed into a size and shape suitable for oral administration and swallowing, or for sublingual dissolution.
- the term “about” refers to a quantity, level, value, number, frequency, percentage, dimension, size, amount, weight or length that varies by as much as 10, 9, 8, 7, 6, 5, 4, 3, 2 or 1% to a reference quantity, level, value, number, frequency, percentage, dimension, size, amount, weight or length.
- a quantity expressed as being “about 5 wt.%” includes a variance of up to 4.5 to 5.5 wt.%.
- novel 6-azauridine compounds are provided.
- the 6-azauridine compounds of the present disclosure may be characterized as prodrugs, comprising one or more labile groups covalently bonded on any one ofthe 2’-O, 3’-O, or 5’-0 sites in the 6-azauridine framework.
- substituents on two of these sites such as 2’-O/3’-O or 3’-O/5’-O may link to form rings.
- an antiviral 6-azauridine compound has a structure represented by Formula (I):
- R 1 , R 2 and R 3 are independently selected from: [00110] -H, with the proviso that R 1 , R 2 and R 3 cannot all be -H, (i.e., 6-azauridine is expressly excluded from Formula (I));
- R 1 and R 2 are independently alkylenyl such that taken together with the 3’-0 and 5’-0 atoms and the intervening C atoms to which they are attached, form a heterocyclic ring, or independent of R 1 , R 2 and R 3 are independently alkylenyl such that when taken together with the 2’-0 and 3’-0 atoms and the intervening C atoms to which they are attached, form a heterocyclic ring;
- a 6-azauridine compound has a structure of Formula (2):
- each R 7 is independently selected from a C2-Ce-alkyl, a Cs-Ce-cyclolkyl, - alkenyl, -heterocyclyl, or -aryl.
- each R 7 is independently methyl, ethyl, isopropyl, cyclopropyl, cyclobutyl, cyclopentyl, cyclohexyl, cyclopropylmethylenyl, cyclobutylmethylenyl, cyclopentylmethylenyl, cyclohexylmethylenyl, -CI I(CI h)(CI bCI Ity - CH(CH3)CH(CH2CHS)2, and -QtyCltyCltyCBtyX with the proviso that not all R 7 can be methyl.
- each of the three R 7 substituents are identical, with the continuing proviso that the three R 7 substituents are not all methyl groups.
- a 6-azauridine compound has a structure of Formula (3):
- each R 7 is independently selected from -alkyl, -alkenyl, -cycloalkyl, - heterocyclyl, or -aryl.
- each R 7 is independently selected from a C2-C6- alkyl, a Cs-Ce-cyclolkyl, -alkenyl, -heterocyclyl, or -aryl.
- each R 7 is independently methyl, ethyl, isopropyl, cyclopropyl, cyclobutyl, cyclopentyl, cyclohexyl, cyclopropylmethylenyl, cyclobutylmethylenyl, cyclopentyl methylenyl, cyclohexylmethylenyl, -CH(CH3)(CH2CHs), -CH(CH3)CH(CH2CH3)2, and CH 2 CH(CH 2 CH3) 2 .
- a 6-azauridine compound has a structure of Formula (4):
- each R 7 is independently selected from -alkyl, -alkenyl, -cycloalkyl, - heterocyclyl, or -aryl.
- each R 7 is independently selected from a C2-C6- alkyl, a Cs-Ce-cyclolkyl, -alkenyl, -heterocyclyl, or -aryl.
- each R 7 is independently methyl, ethyl, isopropyl, cyclopropyl, cyclobutyl, cyclopentyl, cyclohexyl, cyclopropylmethylenyl, cyclobutylmethylenyl, cyclopentylmethylenyl, cyclohexylmethylenyl, -CHCCFhXCFbCFh), -CH(CH3)CH(CH2CH3)2, and CH 2 CH(CH 2 CH 3 )2.
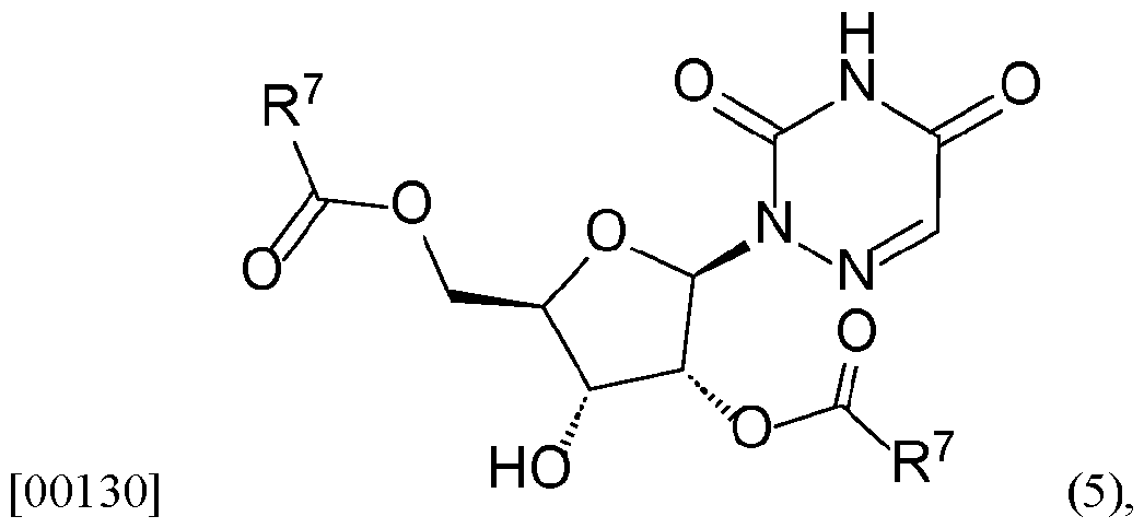
- a 6-azauridine compound has a structure of Formula (5):
- each R 7 is independently selected from -alkyl, -alkenyl, -cycloalkyl, - heterocyclyl, or -aryl.
- each R 7 is independently selected from a C2-C6- alkyl, a Cs-Ce-cyclolkyl, -alkenyl, -heterocyclyl, or -aryl.
- each R 7 is independently methyl, ethyl, isopropyl, cyclopropyl, cyclobutyl, cyclopentyl, cyclohexyl, cyclopropylmethylenyl, cyclobutylmethylenyl, cyclopentyl methylenyl, cyclohexylmethylenyl, -CH(CH3)(CH2CH3), -CH(CH3)CH(CH2CH3)2, and CH 2 CH(CH 2 CH3) 2 .
- a 6-azauridine compound has a structure of Formula (6):
- R 7 is selected from -alkyl, -alkenyl, -cycloalkyl, -heterocyclyl, or -aryl.
- R 7 is selected from a C2-Cc-alkyl, a Cs-Cc-cyclolkyl, -alkenyl, -heterocyclyl, or -aryl.
- R 7 is methyl, ethyl, isopropyl, cyclopropyl, cyclobutyl, cyclopentyl, cyclohexyl, cyclopropylmethylenyl, cyclobutylmethylenyl, cyclopentylmethylenyl, cyclohexylmethylenyl, -CHCCFhXCFbCFfo), CH(CH 3 )CH(CH 2 CH 3 )2, and -CH 2 CH(CH 2 CH3)2.
- a 6-azauridine compound has a structure of Formula (7):
- R 7 is selected from -alkyl, -alkenyl, -cycloalkyl, -heterocyclyl, or -aryl.
- R 7 is selected from a C2-Ce-alkyl, a C 3 -C6-cyclolkyl, -alkenyl, -heterocyclyl, or -aryl.
- R 7 is methyl, ethyl, isopropyl, cyclopropyl, cyclobutyl, cyclopentyl, cyclohexyl, cyclopropylmethylenyl, cyclobutylmethylenyl, cyclopentylmethylenyl, cyclohexylmethylenyl, -CH(CH 3 )(CH 2 CH 3 ), CH(CH 3 )CH(CH 2 CH 3 )2, and -CH 2 CH(CH 2 CH 3 ) 2 .
- R 8 is selected as an optionally substituted alkyl substituent, R 8 can have the structure of an a-amino acid or ester.
- R 8 is selected as an optionally substituted alkyl substituent, R 8 can have the structure of an a- amino acid or ester.
- a compound of Formula (I) has a structure wherein R 2 and R 3 are both alkyl groups that when taken together form a cyclic acetal or ketal, independent of R 1 selection.
- the acetal or ketal may be substituted, such as in the form of a BOC or MOC-ethylidene.
- the choices for R 2 and R 3 operate to protect this 1,2-diol with a protecting group.
- a compound of Formula (I) has a structure wherein R 1 has the substructure:
- R 9 is independently selected from alkyl, alkenyl, cycloalkyl, heterocyclyl, or aryl, with R 9 being any alkyl, alkenyl, cycloalkyl, heterocyclyl, or aryl corresponding to a natural or unnatural a-amino acid.
- R 9 is alkyl that is cyclized to the N-atom of the amino substituent, forming the pyrrolidine ring of proline.
- R 9 H and there is no chiral center as illustrated by the wedged bond.
- R 9 CFh and thus the substructure comprises an alanine ester side chain.
- R 9 CHs and R 5 is a Ci-Cs-alkyl or a Cj-Cs-cycloalkyl, and thus the side chain comprises an alanine alkyl ester or alanine cycloalkyl ester.
- a compound of Formula (I) has a structure wherein R 1 has the substructure:
- R 5 and R 6 are independently selected from alkyl, alkenyl, cycloalkyl, heterocyclyl, or aryl, independent of R 2 and R 3 .
- this particular substructure introduces an additional chiral center to the 6-azauridine compound provided that the a-amino acid used in the phosphoramidate substituent is not glycine.
- a compound of Formula (I) has a structure wherein R 1 has the substructure: [00149]
- R 5 and R fi are independently selected from alkyl, alkenyl, cycloalkyl, heterocyclyl, or ary l . and wherein R 2 and R 3 are both -H.
- a compound of Formula (I) has a structure wherein R 1 has the substructure:
- R 5 is selected from alkyl, alkenyl, cycloalkyl, heterocyclyl, or aryl
- R 6 is aryl, independent of R 2 and R 3 selections.
- the aryl group R 6 is a substituted phenyl ring having between one and five substituents on the phenyl ring.
- an antiviral 6-azauridine compound has a structure represented
- R 5 , R 6 and R 9 are independently selected from alkyl, alkenyl, cycloalkyl, heterocyclyl, or aryl.
- R 9 is any alkyl, alkenyl, cycloalkyl, heterocyclyl, or aryl such that the portion of the compound bearing R 9 corresponds to a natural or unnatural a-amino acid.
- an antiviral 6-azauridine compound has a structure represented by Formula
- R 5 and R 6 are independently selected from alkyl, alkenyl, cycloalkyl, heterocyclyl, or ary l .
- a compound of Formula (III) has a structure wherein R 5 is a Ci-Ce alkyl and R 6 is aryl.
- a compound of Formula (III) has a structure wherein R 5 is a Ci-Cg alkyl and R 6 is -CeHs.
- a compound of Formula (III) has a structure wherein R 5 is selected from methyl, ethyl, isopropyl, cyclopropyl, cyclobutyl, -CH(CH3)(CH 2 CH3), and - CH 2 CH(CH 2 CH 3 )2, and R 6 is ary l.
- a compound of Formula (III) has a structure wherein R 5 is selected from methyl, ethyl, isopropyl, cyclopropyl, cyclobutyl, cyclopentyl, cyclohexyl, cyclopropylmethylenyl, cyclobutylmethylenyl, cyclopentylmethylenyl, cyclohexylmethylenyl, -CH(CH3)(CH 2 CH 3 ), -CH(CH3)CH(CH 2 CH3) 2 , and
- a compound of Formula (III) has a structure wherein R 6 is -CeHs and R 5 is selected from:
- a 6-azauridine compound in accordance with the present disclosure has the chemical structure:
- Compound 7010 above is a 6-azauridine compound having the structure of Formula (1), wherein R 2 and R 3 are both -H; and R 1 is:
- R 5 is -CH 2 CH(CH 2 CH 3 ) 2 and R 6 is -C 6 H 5 .
- Compound 7010 as structurally depicted is a mixture of enantiomers with respect to the chiral phosphorous center. These can be separated by chiral HPLC or other purifications methods if desired. [00179] In various embodiments, a 6-azauridine compound in accordance with the present disclosure has the chemical structure:
- a 6-azauridine compound in accordance with the present disclosure includes a cyclic phosphoramidate monophosphate group linking the 5’- and 3’- oxygen atoms of the ribofuranosyl ring.
- an antiviral 6-azauridine compound has a structure represented by Formula (IV):
- R 3 is selected from the options delineated above, excluding those choices for R 3 that cyclize with R 2 since R 2 is no longer available in Formula (IV)
- R 8 is selected from -alkyl, -alkenyl, -cycloalkyl, -heterocyclyl, or -aryl
- R 9 is selected from any alkyl, alkenyl, cycloalkyl, heterocyclyl, or aryl corresponding to a natural or unnatural a-amino acid.
- R 9 is alkyl that is cyclized to the N-atom of the amino substituent, forming the pyrrolidine ring of proline.
- a compound of Formula (IV) has a structure wherein R 3 is -H, R 8 is selected from -alkyl, -alkenyl, -cycloalkyl, -heterocyclyl, or -aryl, and R 9 is selected from any alkyl, alkenyl, cycloalkyl, heterocyclyl, or aryl corresponding to a natural or unnatural a-amino acid.
- a compound of Formula (IV) has a structure wherein R 3 is -H, R 8 is selected from methyl, ethyl, isopropyl, cyclopropyl, cyclobutyl, -CH(CH 3 )(CH 2 CH3), and -CH 2 CH(CH 2 CH3)2, and R 9 is CH 3 .
- R 3 is -H
- R 8 is selected from methyl, ethyl, isopropyl, cyclopropyl, cyclobutyl, -CH(CH 3 )(CH 2 CH3), and -CH 2 CH(CH 2 CH3)2, and R 9 is CH 3 .
- an antiviral 6-azauridine compound has a structure represented
- R 3 is selected from the options delineated above, excluding those choices for R 3 that cyclize with R 2 since R 2 is no longer available in Formula (V), and R 8 is selected from -alkyl, -alkenyl, -cycloalkyl, -heterocyclyl, or -aryl.
- a compound of Formula (V) has a structure wherein R 3 is -H and R 8 is selected from -alkyl, -alkenyl, -cycloalkyl, -heterocyclyl, or -aryl.
- a compound of Formula (V) has a structure wherein R 3 is -H and R 8 is a Ci-Ce-alkyl.
- a compound of Formula (V) has a structure wherein R 3 is -H and R 8 is selected from methyl, ethyl, isopropyl, cyclopropyl, cyclobutyl, -CH(CH 3 )(CH 2 CH 3 ), and -CH 2 CH(CH 2 CH 3 )2.
- a 6-azauridine compound in accordance with the present disclosure has the chemical structure:
- TABLE 1 sets forth non-limiting exemplary 6-azauridine compounds and subgenus collections of compounds in accordance with the present disclosure and the corresponding elections for R 1 , R 2 and R 3 in Formula (I).
- the present disclosure provides genus chemical structures as well as species molecules.
- the compounds of the present disclosure may be made by a variety of synthetic organic methods, well known to those of skill in the chemical arts. General synthetic methods are set forth herein, as well as the synthesis of specific 6- azauridine compounds.
- protecting groups for sensitive or reactive groups may be utilized where necessary in accordance with general aspects of synthetic organic chemistry.
- the 2’- and 3’-0 atoms, or the 3’- O and 5 -0 atoms in the ribofuranose ring are temporarily protected as a dimethyl ketal (reaction of the 1 ,2-diol with acetone), or any of the individual O atoms of the ribofuranose ring separately protected.
- Protecting groups and their uses are discussed, for example, in “Greene’s Protective Groups in Organic Synthesis, 4 th Edition, John Wiley & Sons, New York (2007).
- Protective groups may be removed at a convenient stage in a reaction scheme to expose the underlying functional group. The selection of protecting groups along with reaction conditions for protecting and deprotecting various functionalities are well known in synthetic organic chemistry.
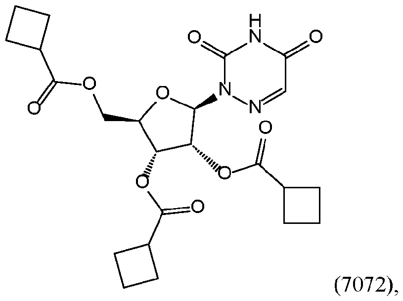
- compound 7012 (TABLE 1) is synthesized by reacting 6-azauridine with 2-methylpropanoyl chloride under alkaline conditions in accordance with Reaction Scheme A.
- 6-azauridine was dissolved in 10 ml THF, 3.1 eq of N-methylimidazole (NMI) was added followed by addition of 3.2 eq of cyclobutylcarbonyl chloride at room temperature. The reaction was stirred until complete. To the reaction, 5 ml of 10% citric acid in water was added. The homogeneous solution was concentrated until no more THF was left. The aqueous was decanted and the oily material washed with DI water by vertexing and decanting three times. The final oil was dissolved in acrylonitrile (CAN), evaporated to dryness, and then dned under high vacuum overnight to produce the cyclobutyl tri-ester compound 7072.
- NMI N-methylimidazole
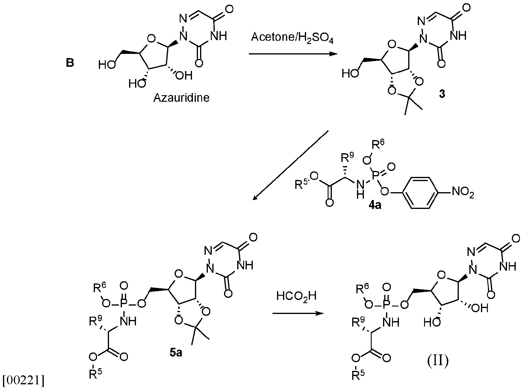
- 6-azauridine compounds of Formula (I), wherein R 2 and R 3 are both -H and R 1 is a phosphorami date, such as compound 7010 are synthesized in three steps from 6-azauridine according to Reaction Scheme B, below:
- R 5 and R 6 are independently selected from -alkyl, -alkenyl, -cycloalkyl, -heterocyclyl, or -aryl
- R 9 is any alkyl, alkenyl, cycloalkyl, heterocyclyl, or aryl corresponding to a natural or unnatural a-amino acid with the proviso that when the amino acid ester side chain is a proline residue
- R 9 is alkyl that is cyclized to the N-atom of the amino substituent, forming the pyrrolidine ring of proline.
- a mixture of diastereomers 5a is formed, that can be separated by HPLC if desired, prior to removal of the acetal protecting group or afterwards.
- the corresponding penta-fluorophenyl compound can be used in place of the p-nitrophenyl compound.
- the reaction was cooled to 0 °C and allowed to stir at this temperature for 3 hours, then quenched with 0.5 M citric acid.
- the bi-phasic mixture was then diluted with EtOAc and the organic layer was separated, and the aqueous layer was back extracted once with EtOAc.
- the combined organic layers were washed with 10% brine, dried over MgSO4, filtered, and concentrated in vacuo.
- 6-azauridine compounds comprising a cyclic phosphoramidate monophosphate substituent bridging the 5’- and 3 ’-oxygen atoms of the ribofuranosyl ring are prepared in accordance with Reaction Scheme C below.
- a phosphoramidate 5b such as prepared in accordance with Reaction Scheme B above, is cyclized by reaction with base:
- R 8 is -alkyl, -alkenyl, -cycloalkyl, -heterocyclyl, or -aryl
- R 9 is any alkyl, alkenyl, cycloalkyl, heterocyclyl, or aryl corresponding to a natural or unnatural a-amino acid with the proviso that when the amino acid ester side chain is a proline residue, R 9 is alkyl that is cyclized to the N-atom of the amino substituent, forming the pyrrolidine ring of proline.
- R 8 is a Ci-Ce-alkyl
- R 9 CH3.
- a key step in Scheme C is the reaction of acetal protected 6-azauridine 3 with the bi s(/?-n 1 tropheny I) ammo acid alkyl ester phosphoramidate 4b to form the adduct 5b.
- This step parallels Scheme B in the sense that phosphoramidate 4a can be used in Scheme C, recognizing that the R 6 substituent is sacrificial. Therefore, the phosphoramidation reaction is simplified in Scheme C by using phosphoramidate 4b, the bisi/i-nitrophenyl) phosphoramidate.
- a mixture of diastereomers 7 is formed, that can be separated by HPLC if desired.
- Step 1 In a 50 mL reaction flask equipped with magnetic stirring, L-alanine isopropyl ester hydrochloride 450 mg, 2.68 mmol) and p-mtrophenyl phosphorodichlondate (687 mg, 1.0 eq) were dissolved in anhydrous dichloromethane (DCM, 20 mL) under dry nitrogen atmosphere. The mixture was stirred at -20° C and triethylamine (TEA) (0.82 mL, 2.2 eq) w as added dropwise. The reaction mixture was then stirred at -20° C for another 1 hour, allowed to warm to room temperature, and stirred overnight. Then the reaction mixture was cooled to -20° C again.
- L-alanine isopropyl ester hydrochloride 450 mg, 2.68 mmol
- p-mtrophenyl phosphorodichlondate 687 mg, 1.0 eq
- 6-azauridine (658 mg, 1 .0 eq) was added in one portion, and additional TEA (0.41 mL, 1. 1 eq) was added slowly.
- the reaction mixture was stirred at -20° C for another 1 hour, allowed to warm to room temperature, and stirred overnight.
- the reaction mixture was then loaded on celite (3.0 g), solvents removed by rotary evaporation, and the residue purified by column chromatography (10-100% acetone in hexanes on silica gel) to give INT-1 (173 mg, 12% yield) as a light yellow solid.
- Step 2 In a 4 mL reaction vial equipped with magnetic stirring, INT-1 (109 mg, 0. 195 mmol) was dissolved in anhydrous dimethyl sulfoxide (DMSO, 1.6 mL). Potassium tert- butoxide (tBuOK) was added in one portion and the reaction mixture was stirred vigorously at room temperature for about 30 min until completion (by LC-MS). The reaction mixture was then neutralized by addition of HC1 (4M) in dioxanes, loaded on a silica gel column and purified by chromatography (10-100% ethyl acetate in hexanes) to give an orange oil. The oil was concentrated under high vacuum until the mass was constant to give the compound 7062 as an orange viscous solid (26.4 mg, 32% yield).
- DMSO dimethyl sulfoxide
- tBuOK potassium tert- butoxide
- 6-azauridine compounds related structurally to the compounds disclosed herein can be made in accordance with the appropriate scheme recited herein above.
- other tri-ester prodrugs are within the scope of the present disclosure and can be prepared by the above-recited acylation procedure using the necessary acyl chloride.
- Possible analogs of the specific species disclosed herein include other tri-ester prodrugs of 6-azauridine and other phosphoramidates and cyclic phosphoramidates, including those having a range of steric hinderance to hydrolysis.
- Various ProTide compounds can be made initially as a mixture of diastereomeric forms and separated as desired once antiviral efficacy is determined.
- SI 50 CC50/EC50.
- a series of tri-esters of 6-azauridine and a series of ProTide derivatives of 6- azauridine can be synthesized to screen for the optimal 6-azauridine compound having the highest efficacy and lowest cytotoxicity.
- in vitro toxicity of these compounds can be monitored in parallel.
- the 6-azauridine compounds having the best in vitro safety margin and most potent antiviral activity can be evaluated further.
- the PK properties of lead compounds can be compared in rodent tests. Lead compounds with the greatest exposure and thus highest potential to be efficacious can be evaluated in animal viral infection models.
- One or more compounds can be identified as future development candidates and/or backup compounds.
- Compounds of the present disclosure can be evaluated in a panel of three primary in vitro cell infection models of respiratory viruses including H1N1, RSV and RV.
- the degree of viral inhibition can be measured by prodrug compounds of 6-azauridine with the following methods: 1) inhibition of virus- induced cytopathic effect (CPE), as determined by visual (microscopic) examination of the cells, and 2) increases in the uptake of the vital dye neutral red (NR) into cells.
- CPE inhibition data can be expressed as the 50% effective concentration (ECso); cytotoxicity can be measured by determining the 50% cytotoxic (cell-viability) concentration (CC50) in stationary cell monolayers of the same cell lines.
- top antiviral compounds EC 50 ⁇ 1 mM in CPE assays and SI50 > 10.
- IV intravenous bolus
- PO oral gavage
- Rats are selected because they are used almost universally for PK studies due in part to their accessibility and the likelihood that this species will be used in safety assessments.
- Suitable formulations can be developed (z.e., solutions in PEG-400 or with excipients such as [Thy droxy propyl cyclodextrin (P-HPCD) or carboxymethyl-cellulose (CMC, 1%)), depending on the solubility of the compounds.
- mice 8-10 weeks of age weighing 200-400 grams can be used.
- all rats intended for PO dosing can be fitted with one jugular vein cannula (JVC) for sample collection.
- Rats intended for IV dosing can be fitted with two JVC (JVC/JVC).
- JVC/JVC jugular vein cannula
- a total of 24 rats can be used for the study (4 compounds x 2 routes of administration x 3 rats/group).
- Plasma samples can be collected via JVC from each rat at pre-dose, 0.083, 0.25, 0.5, 1, 2, 4, 6, 12, 24 hours following IV administration and at predose, 0.25, 0.5, 1, 2, 4, 6, 12, 24 hours following PO administration.
- the concentration of each test article in plasma can be analyzed via LC/MS/MS and PK parameters determined by noncompartmental analysis (NCA) with Phoenix WinNonlin (v8.3) software.
- NCA noncompartmental analysis
- v8.3 Phoenix WinNonlin
- (a) Respiratory Syncytial Virus Cotton Rat Infection Model The cotton rat model is widely used for preclinical evaluation of vaccines, antiviral and antibodies against RSV.
- the cotton rat (.S', hispidus) is susceptible to non-adapted human RSV and the resulting pathologies mirror human disease.
- Synagis® F protein inhibitor monoclonal antibody
- the Cotton rat model has been validated using RSV strain A2. In this model, animals are challenged via intranasal (IN) delivery of RSV. Peak infection in the lungs and BALF occurs 4 days post infection.
- (b) Mouse Influenza Infection Model The mouse is a convenient and efficient model for lead identification and preclinical analysis of safety and efficacy of influenza drug and vaccine candidates.
- the highly characterized murine system offers a reliable model for evaluating various immunological parameters. While wild mice are highly resistant, inbred laboratory mouse strains such as BALB/c and C75BL/6 mice are susceptible to a variety of influenza viruses. Some strains can cause disease in mice without adaptation, but for seasonal H1N1 and H3N2 strains adaptation is required. Changes in body weight, health score and mortality are used to evaluate efficacy of treatments.
- compositions comprises at least one 6-azauridine compound as disclosed herein, including an isomer, tautomer, prodrug, salt, hydrate or other solvate thereof, and at least one pharmaceutically acceptable excipient or additive.
- compositions comprising a 6-azauridine compound can comprise a particular physical form useful for administration to a subject in need of treatment.
- a pharmaceutical composition herein that comprises a 6-azauridine compound may be prepared so that it is amenable to compaction such as in a tablet press into tablets for oral administration.
- Pharmaceutical compositions herein optionally include other medicinal or pharmaceutical agents, carriers, adjuvants, such as preserving, stabilizing, wetting or emulsifying agents, solution promoters, salts for regulating the osmotic pressure, buffers, and/or other therapeutically valuable substances.
- a carrier within a pharmaceutical composition herein may be filler or binder, such as to aid tableting, or a controlled drug release agent such as a starch to control the bioavailability of a particular 6- azauridine compound.
- Methods for the preparation of pharmaceutical compositions in accordance with the present disclosure comprise formulating one or more of the present 6-azauridine compounds with one or more inert, pharmaceutically acceptable excipients or carriers to form a solid, semisolid or liquid composition.
- Solid compositions include, but are not limited to, powders, tablets, dispersible granules, capsules, cachets, and suppositories.
- Liquid compositions include but are not limited to solutions in which a 6-azauridine compound is dissolved, emulsions comprising a 6-azauridine compound, or a solution containing liposomes, micelles, or nanoparticles comprising a 6-azauridine compound as disclosed herein.
- Semi-solid compositions include, but are not limited to, gels, suspensions and creams.
- the form of the pharmaceutical compositions described herein include liquid solutions or suspensions, solid forms suitable for solution or suspension in a liquid prior to use, or as emulsions. These compositions also optionally comprise minor amounts of pharmaceutically acceptable auxiliary substances, such as wetting or emulsifying agents, pH buffering agents, and so forth.
- compositions comprising at least one 6- azauridine compound of the present disclosure can take the form of a liquid, wherein the 6- azauridine compound(s) are present in solution, in suspension, or both.
- a first portion of the 6-azauridine compound may be present in solution, and a second portion of the agent present in particulate form, such as suspended in a liquid matrix.
- a liquid composition includes a gel formulation. In other embodiments, the liquid composition is aqueous.
- pharmaceutical aqueous suspensions include one or more polymers as suspending agents.
- Polymers include water-soluble polymers such as cellulosic polymers, e.g., hydroxypropyl methylcellulose, and water-insoluble polymers such as crosslinked carboxyl-containing polymers.
- Various cellulosic polymers also function as controlled drug release agents by metering bioavailability.
- phannaceutical compositions in accordance with the present disclosure can include a mucoadhesive polymer, such as for example carboxymethylcellulose (CMC), a carbomer (a thickening acrylic acid polymer, optionally cross-linked), poly(methylmetiiacrylate), polyacrylamide, polycarbophil, acrylic acid/butyl acrylate copolymer, other acrylate copolymers, sodium alginate, dextran and so forth.
- a mucoadhesive polymer such as for example carboxymethylcellulose (CMC), a carbomer (a thickening acrylic acid polymer, optionally cross-linked), poly(methylmetiiacrylate), polyacrylamide, polycarbophil, acrylic acid/butyl acrylate copolymer, other acrylate copolymers, sodium alginate, dextran and so forth.
- 6-azauridine compounds of the present disclosure are formulated for oral administration by combining the 6-azauridine compound(s) with, e.g., pharmaceutically acceptable carriers or excipients.
- the compounds of the present invention are formulated in oral dosage forms that include, for example, tablets, powders, pills, capsules, liquids, gels, syrups, elixirs, slurries, suspensions, and the like. Inert binders are typically used to aid compression of a powdered pharmaceutical composition into tablets for oral administration.
- compositions for oral use are obtained by mixing one or more solid excipients with one or more of the 6-azauridine compounds described herein, optionally grinding the resulting mixture, and processing the mixture of granules, after adding suitable auxiliaries, if desired, to obtain tablets.
- suitable excipients include fillers such as sugars, (e.g.
- Disintegrants include, for example, cross-linked croscarmellose sodium, polyvinylpyrrolidone, agar, alginic acid and sodium alginate that facilitate the breakup of the tablet once wetted
- tablets can be provided with one or more suitable coatings.
- concentrated sugar solutions are used for coating the dosage form.
- Sugar solutions can optionally contain additional components, such as for example, gum arabic, talc, polyvinylpyrrolidone, carbopol polyacrylate gels, polyethylene glycol, titanium dioxide, lacquer solutions, organic solvents or solvent mixtures.
- Colorants can be added to the coatings for marketing or dose identification purposes, or other purposes.
- Oral dosage forms include two-piece capsules made of gelatin, as well as soft sealed capsules made of gelatin and a plasticizer, such as glycerol or sorbitol.
- two- piece capsules contain the 6-azauridine compound(s) mixed with one or more fillers.
- Fillers include, for example, lactose, binders such as starches, and/or lubricants such as talc or magnesium stearate and, optionally, stabilizers.
- soft capsules can contain one or more 6-azauridine compounds dissolved or suspended in a suitable liquid. Suitable liquids include, for example, one or more fatty oils, glycerin, glycerides, liquid paraffin, or various polyethylene glycols.
- 6-azauridine compounds in accordance with the present disclosure may be combined with other known antiviral agents in various combination therapies.
- Combination therapy includes administration of a single composition comprising a mixture of at least one 6-azauridine compound of the present disclosure and another antiviral agent, and coadministration of at least one 6-azauridine compound of the present disclosure and another antiviral agent.
- a known antiviral agent that may be used in combination therapies with one or more 6-azauridine compounds of the present disclosure include, but are not limited to, the seasonal influenza drugs oseltamivir phosphate (Tamiflu®), zanamivir (Relenza®), peramivir (Rapivab®), and baloxavir marboxil (Xofluza®).
- An additional antiviral agent to be used in combination therapy with one or more 6-azauridine compounds of the present disclosure may be effective on its own in treating or preventing COVID- 19 (the infection resulting from SARS-CoV-2), HIV, influenza A or B, hepatitis A, B, C or D, herpes, RSV, RV, CMV, smallpox, or any other viral infection.
- a method of treating a viral infection comprises administration of a therapeutically effective amount of a 6-azauridine compound or a combination of 6-azauridine compounds in accordance with the present disclosure to a subject in need thereof.
- a method of preventing a viral infection comprises administration of a prophylactically effective amount of a 6-azauridine compound or a combination of 6-azauridine compounds in accordance with the present disclosure to a subject in need thereof.
- a method of treating a viral infection comprises administration to a subject in need thereof a therapeutically effective amount of a 6-azauridine compound having a structure represented by Formula (I): [00301] , wherein R 1 , R 2 and R 3 are independently selected from:
- R 1 and R 2 are independently alkylenyl such that taken together with the 3’-0 and 5’-0 atoms and the intervening C atoms to which they are attached, form a heterocyclic ring, or independent of R 1 , R 2 and R 3 are independently alkylenyl such that when taken together with the 2’-0 and 3’-0 atoms and the intervening C atoms to which they are attached, form a heterocyclic ring;
- the subject in need thereof is diagnosed as having a viral infection or is observed as having at least one symptom characteristic of a viral infection.
- the viral infection is one of COVID- 19, HIV, influenza A or B, hepatitis A, B, C or D, herpes, RSV, RV, CMV, or smallpox.
- a method of preventing a viral infection comprises administration to a subject in need thereof a prophy lactically effective amount of a 6-azauridine compound having a structure represented by Formula (I): [00308]
- R 1 , R 2 and R 3 are independently selected from:
- R 1 and R 2 are independently alkylenyl such that taken together with the 3’-0 and 5’-0 atoms and the intervening C atoms to which they are attached, form a heterocyclic ring, or independent of R 1 , R 2 and R 3 are independently alkylenyl such that when taken together with the 2’-0 and 3’-0 atoms and the intervening C atoms to which they are attached, form a heterocyclic ring;
- the subject in need thereof was exposed to a pathogen or is believed to have possibly been exposed to a pathogen.
- the subject in need of prophylactic treatment was exposed or believed to have been exposed to one of SARS-CoV-2, HIV, influenza A or B, hepatitis A, B, C or D, herpes, RSV, RV, CMV, or smallpox virus.
- 6-azauridine compounds according to the present disclosure find use in the manufacture of a medicament for the treatment of an existing viral infection and in the prevention of a viral infection, as per the following considerations: [00317] 1.
- a compound of Fomiula (I), or a pharmaceutically acceptable salt thereof, for use in preventing a viral infection wherein R 1 , R 2 and R 3 are selected amongst the aforementioned choices.
- references to “various embodiments”, “one embodiment”, “an embodiment”, “an example embodiment”, etc. indicate that the embodiment described may include a particular feature, structure, or characteristic, but every embodiment may not necessarily include the particular feature, structure, or characteristic. Moreover, such phrases are not necessarily referring to the same embodiment. Further, when a particular feature, structure, or characteristic is described in connection with an embodiment, it is submitted that it is within the knowledge of one skilled in the art to affect such feature, structure, or characteristic in connection with other embodiments whether or not explicitly described. After reading the description, it will be apparent to one skilled in the relevant art(s) how to implement the disclosure in alternative embodiments.
- Steps recited in any of the method or process descriptions may be executed in any order and are not necessarily limited to the order presented.
- any reference to singular includes plural embodiments, and any reference to more than one component or step may include a singular embodiment or step.
- any reference to attached, fixed, connected, coupled or the like may include permanent (e.g., integral), removable, temporary, partial, full, and/or any other possible attachment option. Any of the components may be coupled to each other via friction, snap, sleeves, brackets, clips or other means now known in the art or hereinafter developed. Additionally, any reference to without contact (or similar phrases) may also include reduced contact or minimal contact.
Landscapes
- Chemical & Material Sciences (AREA)
- Organic Chemistry (AREA)
- Health & Medical Sciences (AREA)
- Life Sciences & Earth Sciences (AREA)
- Engineering & Computer Science (AREA)
- Biochemistry (AREA)
- Biotechnology (AREA)
- General Health & Medical Sciences (AREA)
- Genetics & Genomics (AREA)
- Molecular Biology (AREA)
- Pharmaceuticals Containing Other Organic And Inorganic Compounds (AREA)
Abstract
In various embodiments of the present disclosure, antiviral 6-azauridine compounds are described having a structure represented by Formula (I) and comprising 6-azauridine tri-ester, phosphoramidate, and cyclic phosphoramidate monophosphate prodrugs.
Description
TITLE: NOVEL 6- AZAURIDINE COMPOUNDS AS BROAD SPECTRUM
ANTIVIRAL AGENTS
INVENTORS: XICHENG SUN; URS OCHSNER; HANG LIU; TESSA YOUMANS; JOSHUA DAY
ASSIGNEE: Crestone, Inc.
CROSS-REFERENCE TO RELATED APPLICATIONS
[0001] This application claims priority to and the benefit of U.S. Provisional Patent Application Serial No. 63/331,461 filed April 15, 2022 and entitled “Novel 6-Azauridine Compounds as Broad Spectrum Antiviral Agents,” the disclosure of which is incorporated herein by reference in its entirety for all purposes.
FIELD
[0002] The present disclosure generally relates to antiviral compounds and in particular to novel 6-azauridine compounds and methods of treating or preventing viral infections using same.
BACKGROUND
[0003] Hundreds of millions of individuals throughout the world fall victim to viral infections each year. As evidenced recently with the COVID-19 global pandemic caused by the SARS-CoV-2 virus, certain viruses can be highly virulent resulting in high mortality.
[0004] Human respiratory viruses such as SARS-CoV-2 include a broad range of viruses that infect cells of the respiratory tract, transmitted mainly by respiratory secretions of infected persons. Respiratory viruses belong to a range of viral families encompassing different genomic and structural characteristics, with associated differences in severity and subpopulations of patients at higher risk for severe disease. Collectively, they contribute to substantial morbidity, mortality and concomitant economic losses annually worldwide. Viral respiratory tract infections also can lead to misuse of antibiotics and drive antibiotic resistance. In addition, respiratory pandemics cause extreme disruption to societies and economies as exemplified by the current COVID-19 pandemic.
[0005] Influenza virus is an enveloped segmented negative-sense RNA virus of the Orthomyxoviridae family that causes symptoms ranging from mild to severe, including fever, runny nose, sore throat, muscle pain, headache, coughing, diarrhea, vomiting and fatigue. Influenza may progress to pneumonia or other complications including acute respiratory
distress syndrome, meningitis, encephalitis, and exacerbations of asthma and cardiovascular disease. Influenza antigenic drift and shift is cause for vigilant surveillance. Variant viruses (e.g, influenza that normally infect swine) can sometimes infect humans and cases are being closely tracked. Current influenza antivirals have limitations regarding their effectiveness and the potential for emergence of resistance. Influenza A virus (IAV), which is the major cause of morbidity and mortality, remains a significant pandemic threat. IAV and influenza B virus (IBV) strains are generally susceptible to oseltamivir and zanamivir. However, treatment- emergent resistance to zanamivir or oseltamivir has been observed; in one study, oseltamivir- resistant IAV was isolated from nine (18%) of 50 children during treatment. Household transmission of neuraminidase inhibitor resistant IBV was also reported. The development of resistance to oseltamivir during treatment was more common among seasonal IAV (H1N1) virus infections (27%) compared with seasonal IAV (H3N2) (3%) or IBV (0%). There is an urgent need for broad-spectrum inhibitors to address the considerable challenges posed by the rapid evolution of influenza virus that limit the effectiveness of vaccines and lead to the emergence of antiviral drug resistance. 0006] Respiratory Syncytial Virus (RSV) is an enveloped negative-sense, single-stranded RNA virus of the Pneumoviridae family, that is the causative agent of respiratory tract infection in multiple vulnerable patient populations, including children under age two, immunocompromised patients, the elderly, chronic obstructive pulmonary disease (COPD), asthma and chronic heart failure (CHF) patients; RSV represents a leading cause of morbidity and mortality worldwide. According to CDC, in the U.S. alone RSV causes over 2 million cases and 58,000 hospitalizations annually in children under age five, and 177,000 hospitalizations and 14,000 deaths in adults over age 65. RSV has eluded many attempts to develop safe and effective vaccines. The viral infection results in airway inflammation, bronchiolitis, pneumonia and, in extreme cases, respiratory failure. Higher risk patients may experience prolonged wheezing and hyperinflation, cyanosis, and hypoxemia. In addition, repeated RSV infections may occur frequently throughout life. The standard of care for RSV- infected patients is supportive, including fluids and oxygen, and treatment options are limited. Pahvizumab, a monoclonal antibody (mAb), is approved for prophylactic use but is only reduces hospitalization rates by 60%. The combination of high price and limited efficacy have restricted its use primarily to high-risk infants. Ribavirin, the only small molecule drug approved for RSV, is a guanosine analog that acts by inhibiting viral RNA synthesis and capping, on the market since 1986, it is currently used as an inhaled treatment option in infants, albeit with limited efficacy and significant safety concerns. It is evident there is an urgent
medical need for developing novel antiviral agents against RSV infection and the fight against resistance to RSV.
[0007] Human rhinoviruses (RVs) are small nonenveloped, single-stranded RNA viruses of the Picomaviridae family responsible for up to 50% of all adult “common colds” and infections can occur frequently especially in children. More than 160 strains of RV have been identified and classified into three genetic clades (A, B and C). Cellular binding studies have further grouped RVs into major or minor group viruses depending on the use of ICAM-1 or LDLR as receptors. CDHR3, the asthma susceptibility gene product, mediates RV-C binding and replication. RV infections are mainly transmitted through direct hand to eye or nose contact and RV primarily infects the upper respiratory tract. RV infection often compromises epithelial barrier integrity, increasing the risk of pathogen adhesion, translocation, and associated complications. RV infection increases risk of bronchiolitis in infants, pneumonia in the immunosuppressed and exacerbations of asthma or COPD. The considerable antigenic diversity across RV serotypes has presented challenges for development of an effective universal RV vaccine. The development of mouse human ICAM-1 chimeras has greatly facilitated prechmcal studies on the path to better therapeutics. Currently there are no approved drugs for RVs. Given the significant morbidities and associated economic costs attributed to RV infections, development of broadly effective anti-RV drugs remains an important goal.
[0008] The discovery and development of novel antivirals that can be used alone or in combination with existing therapies to treat these important respiratory viral infections discussed above are critical. Given the ubiquitous nature of viruses, the potential for deadly variants and subvariants, and the delay in developing effective vaccines once a virus becomes a pandemic, new antiviral compounds having broad spectrum antiviral activity are continually needed so that viral infections can be treated rapidly and simply, such at the onset of exposure or onset of symptoms. One or more lead compounds are needed that exhibit broad spectrum activities against respiratory viruses such as RSV, influenza and RV along with in vivo efficacy and excellent safety profile. Oral bioavailability with suitable pharmacokinetic (PK) properties for once or twice a day dosing would be highly desirable for ease of distribution and administration in a community, especially to simplify logistical responses to a widespread pandemic.
SUMMARY
[0009] It has now been discovered that certain derivatives of 6-azauridine, a nucleoside analog, exhibit surprising and unexpected antiviral activity. In various embodiments, the
antiviral derivatives of 6-azauridine in accordance with the present disclosure comprise 6- azauridine, wherein any one of the 2’-, 3’- and 5’-hydroxyl groups are denvatized with a substituent.
[0010] In accordance with various embodiments of the present disclosure, novel 6- azauridine compounds have now been prepared. These compounds were unexpectedly found to exhibit broad spectrum in vitro antiviral activity and are anticipated to exhibit broad spectrum in vivo antiviral activity in humans and non-human animals.
[0011] In various embodiments of the present disclosure, novel 6-azauridine compounds are described. In various aspects, a 6-azauridine compound has a chemical structure represented by Formula (I):
[0013] or a pharmaceutically acceptable salt thereof, wherein R1, R2 and R3 are independently selected from:
[0014] -H, with the proviso that R1, R2 and R3 cannot all be -H;
[0015] -alkyl, -alkenyl, -cycloalkyl, -heterocyclyl, and -aryl, or independent of R3, R1 and R2 are independently alkylenyl such that taken together with the 3’-0 and 5’-0 atoms and the intervening C atoms to which they are atached, form a heterocyclic ring, or independent of R1, R2 and R3 are independently alkylenyl such that when taken together with the 2’-0 and 3’-0 atoms and the intervening C atoms to which they are atached, form a heterocyclic ring;
[0016] -C(=O)R', wherein each R7 is independently -alkyl, -alkenyl, -cycloalkyl, - heterocyclyl, or -aryl, with the proviso that R1, R2 and R3 cannot all be -C(=O)CHs; or
[0017] -P(=O)NHR8OR6, wherein R8 and R6 are independently selected from -alkyl, - alkenyl, -cycloalkyl, -heterocyclyl, or -aryl; or independent of R3, R1 and R2 taken together form a cyclic phosphoramidate monophosphate substituent =P(=O)NHR8, wherein R8 is selected from -alkyl, -alkenyl, -cycloalkyl, -heterocyclyl, or -aryl, and wherein both the 5’-0 and the 3’-0 of the 6-azauridine are bonded to the phosphorous of the phosphoramidate monophosphate substituent, forming a cyclic phosphoramidate.
[0018] In various embodiments, R1, R2 and R3 is -C(=O)R7, wherein each R' is independently selected from a C2-Cs-alkyl or a Cs-Cs-cycloalkyl.
[0019] In various embodiments, R1, R2 and R3 is -C(=O)R7, and each R7 is independently selected from ethyl, isopropyl, cyclopropyl, cyclobutyl, cyclopentyl, cyclohexyl, cyclopropylmethylenyl, cyclobutylmethylenyl, cyclopcntylmethylcnyl. cyclohexylmethylenyl, -CH(CH3)(CH2CHs), -CH(CH3)CH(CH2CH3)2, and CH2CH(CH2CH3)2.
[0020] In various embodiments, R1, R2 and R3 is -C(=O)R7, and each R7 is ethyl.
[0021] In various embodiments, R1, R2 and R3 is -C(=O)R7, and each R7 is isopropyl.
[0022] In various embodiments, R1, R2 and R3 is -C(=O)R7, and each R7 is cyclopropyl.
[0023] In various embodiments, R1, R2 and R3 is -C(=O)R7, and each R7 is cyclobutyl.
[0024] In various embodiments, R1, R2 and R3 is -C(=O)R7, and each R7 is -CH(CH3)(CH2CH3).
[0025] In various embodiments, a 6-azauridine compound is characterized by Formula (I), wherein R1 has a substructure,
[0026]
, wherein R5, R6 and R9 are independently selected from alkyl, alkenyl, cycloalkyl, heterocyclyl, or aryl, with R9 being any alkyl, alkenyl, cycloalkyl, heterocyclyl, or aryl corresponding to a natural or unnatural a-armno acid.
[0027] In various aspects of these examples, R2 and R3 are -H.
[0028] In various aspects of these examples, R9 is -CH3.
[0029] In various aspects of these examples, R5 is a Ci-Cs-alkyl or a Cs-Cs-cycloalkyl.
[0030] In various aspects of these examples, R6 is aryl.
[0031] In various aspects of these examples, R6 is -CeHs.
[0032] In various aspects of these examples, R5 is -CFhCHCCFLCHsX R6 is -CsHs, and R9 is CH3.
[0033] In various aspects of these examples, R6 is aryl, and R5 is selected from methyl, ethyl, isopropyl, cyclopropyl, cyclobutyl, cyclopentyl, cyclohexyl, cyclopropylmethylenyl, cyclobutylmethylenyl, cyclopentylmethylenyl, cyclohexylmethylenyl, -CH(CH3)(CH2CH3,), - CH(CH3)CH(CH2CH3)2, and -CH2CH(CH2CH3)2.
[0034] In various embodiments of the present disclosure, a 6-azauridine compound has a structure represented by Formula (2):
[0035] , wherein each R7 is independently selected from a
C2-C6-alkyl, a Ca-Ce-cyclolkyl, -alkenyl, -heterocyclyl, or -aryl.
[0036] In various aspects of Formula (2), each R7 is ethyl.
[0037] In various aspects of Formula (2), each R7 is isopropyl.
[0038] In various aspects of Formula (2), each R7 is cyclopropyl.
[0039] In various aspects of Formula (2), each R7 is cyclobutyl.
[0040] In various aspects of Formula (2), each R7 is -CFXCFRXCFbCFh).
[0041] In various aspects of Formula (2) each R7 is independently methyl, ethyl, isopropyl, cyclopropyl, cyclobutyl, cyclopentyl, cyclohexyl, cyclopropylmethylenyl, cyclobutylmethylenyl, cyclopentylmethylenyl, cyclohexylmethylenyl, -CHCCHsXCFbCFh), - CH(CH3)CH(CH2CH3)2, and -CFFCIXCFhCFhX, with the proviso that all three R7 groups cannot be methyl.
[0042] In various embodiments of the present disclosure, a 6-azauridine compound has a structure represented by Formula (II):
[0043]
wherein R5, R6 and R9 are independently selected from alkyl, alkenyl, cycloalkyl, heterocyclyl, or aryl, with R9 being any alkyl, alkenyl, cycloalkyl, heterocyclyl, or aryl corresponding to a natural or unnatural a-amino acid.
[0044] In various aspects of Formula (II), R9 is -CH3 such that the phosphoramidate side chain is an alanine ester.
[0045] In various aspects of Formula (II), R5 is a Ci-Cs-alkyl or a Cs-Cs-cycloalkyl.
[0046] In various aspects of Formula (II), R6 is aryl.
[0047] In various aspects of Formula (II), R5 is -CH3, -CH2CH3, -CH(CH3)2, - CH(CH2CH3)2, -cyclopentyl, -methylcyclopentyl, or -CftyCItyCItyCItyty; R6 is -G etty: and R9 is -City.
[0048] In various embodiments of the present disclosure, a 6-azauridine compound has a structure represented by Formula (IV):
[0049]
(IV), wherein R3 and R8 are independently selected from -H, -alkyl, -alkenyl, -cycloalkyl, -heterocyclyl, and -aryl, and R9 is selected from any alkyl, alkenyl, cycloalkyl, heterocyclyl, or aryl corresponding to a natural or unnatural a-amino acid.
[0050] In various aspects of Formula (IV), R3 is -H.
[0051] In various aspects of Formula (IV), R9 is -City.
[0052] In various aspects of Formula (IV), R3 is -H, R9 is -City, and R8 is selected from methyl, ethyl, isopropyl, cyclopropyl, cyclobutyl, cyclopentyl, cyclohexyl, cyclopropylmethylenyl, cyclobutylmethylenyl, cyclopentylmethylenyl, cyclohexylmethylenyl, -CftyCItyXCItyCIty), -CH(CH3)CH(CH2Clty)2, and CH2CH(CH2CH3)2.
[0053] In various aspects of Formula (IV), R8 is a Ci-Ce-alkyl.
[0074]
[0075] In various embodiments of the present disclosure, a method of treating a viral infection in a subject in need thereof comprises administering to the subject a therapeutically
effective amount of a 6-azauridine compound or a combination of 6-azauridine compounds having a structure represented by Formula (I).
[0076] In various embodiments of the present disclosure, a method of preventing the onset of a viral infection in a subject in need thereof comprises administering to the subject a prophylactically effective amount of a 6-azauridine compound or a combination of 6- azauridine compounds having a structure represented by Formula (I).
[0077] In various embodiments of the present disclosure, a pharmaceutical composition comprises (a) at least one 6-azauridine compound having a structure represented by Formula (I); and (b) at least one pharmaceutically acceptable excipient.
[0078] In various embodiments, a method of treating a viral infection in a subject in need thereof comprises administering to the subject a therapeutically effective amount of such pharmaceutical composition. In various embodiments, a method of preventing the onset of a viral infection in a subject in need thereof comprises administering to the subject a prophylactically effective amount of such pharmaceutical composition.
[0079] In various embodiments, a 6-azauridine compound according to any one of Formulas (I), (2), (3), (4), (5), (6), (7), (II), (III), (IV), or (V) finds use in the manufacture of a medicament for treating a viral infection in a subj ect in need thereof or for preventing the onset of a viral infection in a subject in need thereof.
DETAILED DESCRIPTION
[0080] The detailed description of exemplary embodiments makes reference to the accompanying drawings, which show exemplary embodiments by way of illustration and their best mode. While these exemplary embodiments are described in sufficient detail to enable those skilled in the art to practice the disclosure, it should be understood that other embodiments may be realized and that logical, chemical, and mechanical changes may be made without departing from the spirit and scope of the disclosure. Thus, the detailed description is presented for purposes of illustration only and not of limitation. For example, unless otherwise noted, the steps recited in any of the method or process descriptions may be executed in any order and are not necessarily limited to the order presented. Furthermore, any reference to singular includes plural embodiments, and any reference to more than one component or step may include a singular embodiment or step.
[0081] In various embodiments of the present disclosure, novel 6-azauridine compounds are disclosed, along with their syntheses and efficacy testing. In various embodiments, these compounds were unexpectedly found to exhibit broad spectrum in vitro antiviral activity.
[0082] Definitions and Interpretations
[0083] Unless defined otherwise, all technical and scientific terms used herein have the same meaning as commonly understood by those of ordinary skill in the chemical arts and medicinal chemistry arts to which this disclosure relates. Although any methods and materials similar or equivalent to those described herein can be used in the practice or testing of the subject matter of the present disclosure, preferred methods and materials are described. As per common practice in organic chemistry, chemical structures having a chiral center not illustrated three dimensionally with wedged/dashed bonds or labeled (R) or (S) adjacent to the chiral center or in the corresponding structural name, is assumed to represent both enantiomers. Similarly, chemical structures having multiple chiral centers not presented three dimensionally or labeled as having particular chirality are assumed to include all possible stereoisomers. Compounds of the present disclosure comprise any physiochemical or stereochemical form they may possibly assume, such as, for example, isomers, prodrugs, active metabolites, tautomers, stereoisomers, regioisomers, solvated forms, pharmaceutically acceptable salts, and polymorphic forms. Amorphous forms lack a distinguishable crystal lattice and therefore lack an orderly arrangement of structural units. Many pharmaceutical compounds have amorphous forms, crystalline forms, or mixtures thereof. Methods of generating such chemical forms are known to one skilled in the art, in addition to the cry stallographic methods to determine extent and type of crystallinity.
[0084] As used herein, the term "pharmaceutically acceptable” indicates that a particular compound or composition does not have adverse characteristics that would cause a reasonably prudent medical practitioner to avoid administration of the compound or composition to a subject in need thereof, taking into consideration the infectious disease or condition to be treated and the respective route of administration of the compound or composition. The term, for example, denotes any salt, ester, or salt of such ester, of such compound, or any other adduct or derivative which, upon administration to a patient, is capable of directly or indirectly providing a compound of the present disclosure, or a metabolite or residue thereof.
[0085] As used herein, the term “prodrug” refers to a derivative of a compound according to the present disclosure, usually with significantly reduced pharmacological activity, which contains one or more additional moieties susceptible to removal in vivo, or in vitro conditions designed to mimic in vivo reaction, to yield the parent molecule as the pharmacologically active species. An example of a prodrug is an ester hydrolyzed in vivo or in vitro to yield a pharmaceutically active compound. In various embodiments herein, various 6-azauridine compounds found to exhibit antiviral activity are characterizable as prodrugs. For such
prodrugs, any one of the 2’-, 3’-, and 5’-hydroxyl groups on the ribofuranosyl portion of 6- azauridine may be derivatized with a labile moiety, as well as the 3-N-position (i.e., the NH moiety) on the 6-azauracil portion of 6-azauridine.
[0086] As used herein, the term “ProTide” refers to a phosphoramidate prodrug capable of delivering an endogenous nucleoside or a nucleoside analog as a monophosphate in vitro or in vivo. In various embodiments herein, an antiviral 6-azauridine compound may comprise a phosphoramidate substituent on the 5 ’-oxygen atom of the ribofuranosyl ring or a cyclic phosphoramidate monophosphate that includes both the 3’- and 5 ’-oxygen atoms of the ribofuranosyl in the cyclic prodrug structure. In various instances, these 6-azauridine phosphoramidates may be referred to as ProTides or more simply as prodrugs.
[0087] Compounds of the present disclosure may be in the form of a pharmaceutically acceptable salt. Pharmaceutically acceptable salts include any salt derived from an organic or inorganic acid. Examples of such salts include but are not limited to, salts of hydrobromic acid, hydrochloric acid, nitric acid, phosphoric acid and sulfuric acid. Organic acid addition salts include, for example, salts of acetic acid, trifluoroacetic acid, benzoic acid, citric acid, ethylenediammetetraacetic acid (EDTA), fumaric acid, gluconic acid, glutamic acid, maleic acid, malic acid, mandelic acid, methane sulfonic acid, picric acid, salicylic acid, stearic acid, succinic acid, tannic acid, tartaric acid, or any other such acid presently known or yet to be discovered. Such salts can be prepared by reaction of the base compound with a suitable acid in a manner known by those skilled in the art, recognizing that a compound of the present disclosure may be protonated by one of the above acids and thus the counterion of the pharmaceutically acceptable salt includes the negatively charged conjugate base of the particular acid used. Alternatively, a compound of the present disclosure may be quaternary or positively charged and already carry ing a negatively charged counterion, and that counterion might later be switched out for other counterions to arrive at a pharmaceutically acceptable salt.
[0088] As used herein, the term “halo” includes any halogen substituent. Examples include, but are not limited to, F, Cl, Br, or I.
[0089] As used herein, the term “alkyl” refers to linear or branched monovalent saturated hydrocarbon substituents, optionally substituted with one or more functional groups anywhere on or within the substituent. Unless otherwise specified, an alkyd group may contain any number of carbon atoms, such as for example, C1-C24, Ci-Cis, C1-C10, Ci-Cs, or Ci-Ce. Examples of alkyl substituents include, but are not limited to, methyl, ethyl, n-propyl, isopropyl, n-butyl, isobutyl, sec-buty l, tert-butyl, n-pentyl, iso-pentyl neo-pentyl, n-hexyl, iso-
hexyl, octadecyl, dodecyl, and so forth. An alkyl substituent herein may be substituted, i. e. , having one or more substituent groups appended on the alkyl group or incorporated within the alkyl chain. A substitution within the alkyl substituent chain may comprise an ether, sulfide, or imine linkage, i.e., -O-, -S-, or -N=, for example, or some other intervening heteroatom(s). Examples of substitution on an alkyl substituent include, but are not limited to, -CN, -N3, -NH2, -NHR', -N(R')2, -NO2, -NH-NH2, -NH-NHR’, -NH-NR’2, -halo, -SH, -SR’, -S(=O)R’, -SO2R’, -OPO32 -PO32 -OH, -OR’, -C(=O)R’, -OC(=O)R’, -CO2R', -NHC(=O)R', -NR’C(=O)R', - C(=O)NHR', -C(=O)NR'2, alkyl, alkenyl, cycloalkyl, heterocyclyl, and aryl, wherein each R' above is independently selected from hydrogen -H and an alkyl moiety, including, for example, C1-6 alkyl (e.g., -CH3, -C2H5, -isopropyl, -tert-butyl, etc.), C1-6 alkoxy (e.g., -OCH3, -OC2H5), halogenated C1-6 alkyl (e.g., -CF3, -CHF2, -CH2F), and halogenated C1-6 alkoxy (e.g., -OCF3, - OC2F5). Thus, an “alkyl” substituent in accordance with the above-mentioned definition can include an amino acid residue as a substituent or a fragment thereof.
[0090] As used herein, the term “cycloalkyl” includes any 3-, 4-, 5-, 6-, 7-, or 8-membered, saturated or unsaturated, non-aromatic carbocyclic ring, optionally substituted with one or more functional groups at any location on the cyclic substituent. Examples of cycloalkyl groups include, but are not limited to, cyclopropyl, cyclobutyl, cyclopentyl, 1-, 2-, or 5- cyclopentadienyl, cyclohexyl, 1-, 3- or 4-cyclohexenyl, 1-, 2-, or 5 -(1,3 -cyclohexadienyl), 1- or 3-(l,4-cyclohexadienyl), cycloheptyl, 1-, 3-, 4-, or 5-cycloheptenyl, cyclooctanyl, and so forth. Examples of substitution on an cycloalkyl substituent include, but are not limited to, - CN, -N3, -NH2, -NHR', -N(R')2, -NO2, -NH-NH2, -NH-NHR’, -NH-NR’2, -halo, -SH, -SR’, - S(=O)R’, -SO2R’, -OPO32; -PO32; -OH, -OR’, -C(=O)R’, -OC(=O)R’, -CO2R', -NHC(=O)R', -NR’C(=O)R', -C(=O)NHR', -C(=O)NR'2, alkyl, alkenyl, cycloalkyl, heterocyclyl, and aryl, wherein each R' above is independently selected from -H and an alkyl moiety, including, for example, C1-6 alkyl (e.g, -CH3, -C2H5, -isopropyl, -tert-butyl, etc.), C1-6 alkoxy (e.g, -OCH3, - OC2HS), halogenated C1-6 alkyl (e.g., -CF3, -CHF2, -CH2F), and halogenated C1-6 alkoxy (e.g., -OCF3, -OC2F5).
[0091] As used herein, the term “alkenyl” refers to linear or branched monovalent or divalent unsaturated hydrocarbon substituents, optionally substituted with one or more functional groups anywhere on or within the substituent. An alkenyl substituent can be viewed as being divalent if the sp2 carbon is part of a molecule bearing the alkenyl substituent. An illustrative example is methylenecyclohexane, which can be viewed as cyclohexane substituted with a methylene group (i. e. , a divalent alkenyl substituent, =CH2). Unless otherwise specified, an alkenyl group may contain any number of carbon atoms, such as for example, C1-C24, Ci-
Cis, Ci-Cio, Ci-Cs, or Ci-Ce, and any degrees of unsaturation. Examples of alkenyl substituents include, but are not limited to, methylene/methylidine (=CH2), ethylene/ethenyl (-CH=CH2 or =CH-CtE). propylene/propenyl (-CH2-CH=CH2, cis or trans -CH=CH-CH,. =C(CH-,)i. or cis or trans =CH-CH2CH3), and so forth. An alkenyl substituent herein may be substituted, i.e., having one or more substituent groups appended on the alkenyl group or incorporated within the alkenyl chain. A substitution within the alkenyl substituent may comprise an ether, sulfide, or imine linkage, i.e., -O-, -S-, or -N=, for example, or some other intervening heteroatom(s). Examples of substitution on an alkenyl substituent include, but are not limited to, -CN, -N3, - halo, -SH, -SR’, -S(=O)R’, -
’, -CO2R', -NHC(=O)R', - NR’C(=O)R', -C(=O)NHR', -C(=O)NR'2, alkyl, alkenyl, cycloalkyl, heterocyclyl, and aryl, wherein each R' above is independently selected from an alkyl moiety, including, for example, C1-6 alkyl (e.g., -CH3, -C2Hs, -isopropyl, -tert-butyl, etc.), C1-6 alkoxy (e.g., -OCH3, -OC2Hs), halogenated C1-6 alkyl (e.g., -CF3, -CHF2, -CH2F), and halogenated Ci-e alkoxy (e.g., -OCF3, - OC2F5).
100921 As used herein, the term “alkylenyl” refers to saturated or unsaturated linear or branched divalent hydrocarbon substituents, optionally substituted with one or more functional groups anywhere on or within the substituent. An alkylenyl group can be thought of as a bivalent linker or a bivalent bridge. In most instances herein, two alkylenyl substituents on the same atom, on adjacent atoms, or on nearby atoms may optionally link together to form 3-, 4- , 5-, 6-, 7-, or 8-membered fused or spirocyclic carbocyclic rings, heterocyclic rings, or aryl rings. Simple examples of unsubstituted alkylenyl groups include, but are not limited to, methylenyl -CH2-, ethylenyl -CH2CH2-, propylenyl -CH2CH2CH2-, and so forth. An alky lenyl substituent herein may be substituted, i.e., having one or more substituent groups appended on the alkylenyl group or incorporated within the alkylenyl chain. A substitution within the alkylenyl substituent may comprise an ether, sulfide, or imine linkage, i.e., -O-, -S-, or -N=, for example, or some other intervening heteroatom(s). Examples of substitution on an alkylenyl substituent include, but are not limited to, -CN, -N3, -NH2, -NHR', -N(R')2, -NO2, -NH-NH2, - NH-NHR’, -NH-NR’2, -halo, -SH, -SR’, -S(=O)R’, -SO2R’, -OPO32; -PO3 2’, -OH, -OR’, - C(=O)R’, -OC(=O)R’, -CO2R', -NHC(=O)R', -NR’C(=O)R', -C(=O)NHR', -C(=O)NR'2, alkyl, alkenyl, cycloalkyl, heterocyclyl, and aryl, wherein each R1 above is independently selected from an alkyl moiety, including, for example, C1-6 alky l (e.g., -CH3, -C2H5, -isopropyl, -tert- butyl, etc.), C 1-6 alkoxy (e.g., -OCH3, -OC2H5), halogenated C1-6 alkyl e.g., -CF3, -CHF2, - CH2F), and halogenated C1-6 alkoxy (e.g, -OCF3, -OC2F5).
[0093] As used herein, the term “aryl” includes any aromatic ring or fused polycyclic aromatic ring system, such as phenyl, naphthyl, anthracenyl, and phenanthrenyl, optionally substituted with one or more functional groups anywhere on the aromatic substituent. An unsubstituted phenyl substituent may also be denoted as -CsHs. Aromatic heterocyclic rings are distinct and are included in the definition of heterocycyl substituents set forth herein below. Examples of substitution on an aryl substituent include, but are not limited to, -CN, -N3, -NH2, -NHR', -N(R')2, -NO2, -NH-NH2, -NH-NHR’, -NH-NR’2, -halo, -SH, -SR’, -S(=O)R’, -SO2R’, -OPO32; -PO3 2’, -OH, -OR’, -C(=O)R’, -OC(=O)R’, -CO2R', -NHC(=O)R’, -NR’C(=O)R’, - C(=O)NHR', -C(=O)NR'2, alkyl, alkenyl, cycloalkyl, heterocyclyl, and aryl, wherein each R' above is independently selected from an alkyl moiety, including, for example, C1-6 alkyl (e.g, -CH3, -C2HS, -isopropyl, -tert-butyl, etc.), C1-6 alkoxy (e.g, -OCH3, -OChH.s), halogenated C1-6 alkyl (e.g., -CF3, -CHF2, -CH2F), and halogenated C1-6 alkoxy (e.g., -OCF3, -OC2F5).
[0094] As used herein, the term “heterocycle” refers to an unsubstituted or optionally substituted, saturated, unsaturated or aromatic, carbocyclic ring interrupted in its carbocyclic structure by at least one heteroatom selected from oxygen (O), sulfur (S) or nitrogen (N). As used herein, the term “heterocyclyl” refers to a heterocyclic ring as a substituent group, being attached to another atom in a compound from any C atom or heteroatom present in the heterocyclic ring. For example, “pyridinyl” includes 2-, 3- and 4-pyridinyl moieties as substituent groups. Heterocycles may be monocyclic or fused polycyclic in structure. Examples of optional substitution on an aryl substituent include, but are not limited to, -CN, -N3, -NH2, - NHR', -N(R')2, -NO2, -NH-NH2, -NH-NHR’, -NH-NR’2, -halo, -SH, -SR’, -S(=O)R’, -SO2R’, -OPO32; -PO32; -OH, -OR’, -C(=O)R’, -OC(=O)R’, -CO2R', -NHC(=O)R', -NR’C(=O)R', - C(=O)NHR', -C(=O)NR'2, alkyl, alkenyl, cycloalkyl, heterocyclyl, and aryl, wherein each R' above is independently selected from an alkyl moiety, including, for example, C1-6 alkyl (e.g, -CH3, -C2H5, -isopropyl, -tert-butyl, etc.), Ci-6 alkoxy (e.g, -OCH3, -OC2H5), halogenated C1-6 alkyl (e.g., -CF3, -CHF2, -CH2F), and halogenated C1-6 alkoxy (e.g., -OCF3, -OC2F5).
[0095] Examples of heterocycles include but are not limited to: azepinyl, aziridinyl, azetyl, azetidinyl, diazepinyl, dithiadiazinyl, dioxazepinyl, dioxolanyl, dithiazolyl, furanyl, isooxazolyl, isothiazolyl, imidazolyl, morpholinyl, morpholino, oxetanyl, oxadiazolyl, oxiranyl, oxazinyl, oxazolyl, piperazinyl, pyrazinyl, pyridazinyl, pyrimidinyl, piperidyl, piperidino, pyridyl, pyranyl, pyrazolyl, pyrrolyl, pyrrolidinyl, thiatriazolyl, tetrazolyl, thiadiazolyl, triazolyl, thiazolyl, thienyl, tetrazinyl, thiadiazinyl, triazinyl, thiazinyl, thiopyranyl furoisoxazolyl, imidazothiazolyl, thienoisothiazolyl, thienothiazolyl, imidazopyrazolyl, cyclopentapyrazolyl, pyrrolopyrrolyl, thienothienyl,
thiadiazolopyrimidinyl, thiazolothiazinyl, thiazolopyrimidinyl, thiazolopyridinyl, oxazolopyrimidinyl, oxazolopyridyl, benzoxazolyl, benzisothiazolyl, benzothiazolyl, imidazopyrazinyl, purinyl, pyrazolopyrimidinyl, imidazopyridinyl, benzimidazolyl, indazolyl, benzoxathiolyl, benzodioxolyl, benzodithiolyl, indolizinyl, indolinyl, isoindolinyl, furopyrimidinyl, furopyridyl, benzofuranyl, isobenzofuranyl, thienopyrimidinyl, thienopyridyl, benzothienyl, cyclopentaoxazinyl, cyclopentafuranyl, benzoxazinyl, benzothiazinyl, quinazolinyl, naphthyndmyl, quinolinyl, isoquinolinyl, benzopyranyl, pyridopyridazinyl and pyridopyrimidinyl. Further examples of heterocyclic systems may be found in A. Katritzky, et al., Handbook of Heterocyclic Chemistry, 3rd Ed., Elsevier, 2010.
[0096] As used herein, the term “virus” takes on its ordinary meaning in virology and pathology, and broadly includes any Group I, Group II, Group III, Group IV, Group V and Group VI viruses.
[0097] As used herein, the term “infectious disease” refers to any disease caused by an infectious agent. An “infectious agent” includes any exogenous pathogen including, without limitation, bacteria, fungi, viruses, mycoplasma, and parasites. Infectious agents that may be treated with the compounds of the present disclosure include any art-recognized infectious organisms that cause pathogenesis in an animal, such as a human animal, including such organisms as bacteria that are gram-negative or gram-positive cocci or bacilli, Group I-VI viruses, including, but not limited to, DNA viruses such as papilloma viruses, parvoviruses, adenoviruses, herpesviruses and vaccinia viruses, and RNA viruses, including single-stranded RNA viruses, such as, for example, arenaviruses, coronaviruses, rhinoviruses, respiratory syncytial viruses, influenza viruses, picomaviruses, paramyxoviruses, reoviruses, retroviruses, and rhabdoviruses.
[0098] As used herein, the terms “subject,” “subject in need thereof,” “patient,” or “patient in need thereof,” each refer to any human or non-human animal (e.g, a canine, or poultry) expressing symptoms of an infectious disease, diagnosed as having an infectious disease, determined to be at risk of developing an infectious disease (such as by having an underlying comorbidity or otherwise compromised immune system), or identified as having been exposed to a pathogen and therefore at risk of developing an infectious disease. Non-limiting examples of a “subject” herein include a human of any age, gender, and ethnicity, a canine, a feline, a rabbit, a bovine, a porcine, and a bird.
[0099] As used herein, the term “treatment” as it pertains to treatment of a “subj ect in need thereof,” refers to any type of intervention used in an attempt to alter the natural course of the subject, including mitigating the pathogenesis of an infectious disease in the subject or
preventing the onset of an infectious disease in a subject having been exposed to a pathogen. Treatment includes, but is not limited to, administration of a compound of the present disclosure or administration of a pharmaceutical composition comprising a compound of the present disclosure and may be performed either prophylactically or subsequent to the initiation of a pathologic event or contact with a pathogen. Also included in “treatment” are prophylactic administrations directed to reducing the rate of progression of an infectious disease or condition being treated, delaying the onset of that disease or condition, or reducing the severity of its onset. Treatment of symptoms of an underlying infectious disease, treatment of an infectious disease, or prophylaxis such as in anticipation of the onset of an infectious disease, do not necessarily indicate complete eradication, cure, or prevention of the disease or condition, or associated symptoms thereof.
[00100] As used herein, the term “modulate” includes to “increase” or “decrease” one or more quantifiable parameters, optionally by a defined and/or statistically significant amount. The terms “increase” or “increasing,” “enhance” or “enhancing,” or “stimulate” or “stimulating,” refer generally to the ability of one or more compounds of the present disclosure or compositions therefrom to produce or cause a greater physiological response (i.e., downstream effects) in a subject in need thereof relative to the response caused by either no administration of a compound per the present disclosure or a control compound. Relevant physiological responses will be apparent to persons skilled in the art, and may include a physiological response noted by a decrease in pathogen count in a blood sample or other physiological fluid sample of the subject. An “increased” or “enhanced” amount is typically a “statistically significant” amount, and may include an increase that is 1.1, 1.2, 2, 3, 4, 5, 6, 7, 8, 9, 10, 15, 20, 30, 40, 50 or more times (e.g., 500, 1000 times), including all integers and decimal points in between and above 1 (e.g., 1.5, 1.6, 1.7. 1.8), the amount produced by no administration of a compound of the present disclosure (the absence of an agent) or a control compound. The term “reduce” or “inhibit” may relate generally to the ability of one or more compounds of the present disclosure or compositions therefrom to “decrease” a relevant physiological response, such as a symptom of an infectious disease or condition, as measured according to known medical diagnostics. Relevant physiological responses will be apparent to persons skilled in the art and may include reductions in the symptoms or pathology of an infectious disease, such as a viral infection, for example, a decrease in the viral counts in one or more tissues or fluids of the subject. A “decrease” in a response may be “statistically significant” as compared to the response produced by no administration of a compound of the present disclosure or a control composition, and may include a 1%, 2%, 3%, 4%, 5%, 6%, 7%,
8%, 9%, 10%, 11%, 12%, 13%, 14%, 15%, 16%, 17%, 18%, 19%, 20%, 25%, 30%, 35%, 40%, 45%, 50%, 55%, 60%, 65%, 70%, 75%, 80%, 85%, 90%, 95%, or 100% decrease, including all integers in between.
[00101] As used herein, the term “a therapeutically effective amount,” when referring to administration of a compound or composition according to the present disclosure to a subject in need thereof, refers to a minimum dosage of a compound or composition in accordance with the present disclosure that provides a desired therapeutic effect in the subject presenting the symptoms of a viral infection or having been diagnosed with a viral infection. Therefore, a therapeutically effective amount for an existing viral infection in a subject in need thereof varies by the nature of the subject (human or non-human animal, age, gender, weight, overall health, presence of comorbidities, etc.), the nature and severity of the present infectious disease state (especially the species of virus), the particular compound and purity of the compound administered, dosage form of the compound, dosage form of a composition comprising an antiviral compound, concentration of active compound or compounds in the composition, and the ultimate results desired, recognizing that the ultimate results desired may be subjectively observed and/or confirmed or may be objectively measured and/or confirmed. In various embodiments, a therapeutically effective amount in treating a subject presenting a viral infection may be that amount that results in a reduction in a viral load in a serum or plasma sample taken from the subject undergoing antiviral administration.
[00102] As used herein, the term “a prophylactically effective amount,” when referring to administration of a compound or composition according to the present disclosure to a subject in need thereof, refers to a minimum dosage of a compound or composition in accordance with the present disclosure that prevents the onset of an infectious disease. In various embodiments, a subject in need thereof may have documented proof of exposure to a viral pathogen or may simply suspect prior exposure or afraid of the possibility of it. As per a therapeutically effective amount in treating an existing disease state, a prophylactically effective amount also varies by the nature of the subject (human, canine, weight, age, overall health, comorbidities, etc.), the nature, frequency and concentration of an exposure to a pathogen, the particular compound and purity of the compound administered, dosage form of the compound, dosage form of a composition comprising an antiviral compound, concentration of active compound or compounds in the composition, and the ultimate results desired, recognizing that the ultimate results desired may be entirely subjective, such as no onset of an infectious disease observed in spite of pathogen exposure or suspicions of pathogen exposure.
[00103] As used herein, the term “dosage form” takes on its ordinary meaning in the pharmaceutical arts as the physical form of a compound or composition therefrom designed for a particular administration route. For example, dosage forms include, but are not limited to, injectables, infusible liquids, nasal sprays, nasal gels, topicals such as transdermal creams, ointments and patches, loose powders, tablets, sublingual tabs, capsules, lozenges, syrups, vapors, and so forth. In various embodiments, compounds in accordance with the present disclosure and compositions comprising such compounds of interest may, for example, comprise powders, and the dosage form comprises a capsule comprising the powdered compound or composition encased (also called encapsulated) within the capsule shell, or comprises a tablet comprising the powdered compound or composition compressed into a size and shape suitable for oral administration and swallowing, or for sublingual dissolution.
[00104] As used herein, the term “about” refers to a quantity, level, value, number, frequency, percentage, dimension, size, amount, weight or length that varies by as much as 10, 9, 8, 7, 6, 5, 4, 3, 2 or 1% to a reference quantity, level, value, number, frequency, percentage, dimension, size, amount, weight or length. For example, a quantity expressed as being “about 5 wt.%” includes a variance of up to 4.5 to 5.5 wt.%.
[00105] Compounds
[00106] In various embodiments of the present disclosure, novel 6-azauridine compounds are provided. In various embodiments, the 6-azauridine compounds of the present disclosure may be characterized as prodrugs, comprising one or more labile groups covalently bonded on any one ofthe 2’-O, 3’-O, or 5’-0 sites in the 6-azauridine framework. In various embodiments, substituents on two of these sites, such as 2’-O/3’-O or 3’-O/5’-O may link to form rings.
[00107] In various embodiments, an antiviral 6-azauridine compound has a structure represented by Formula (I):
[00109] wherein, R1, R2 and R3 are independently selected from:
[00110] -H, with the proviso that R1, R2 and R3 cannot all be -H, (i.e., 6-azauridine is expressly excluded from Formula (I));
[00111] -alkyl, -alkenyl, -cycloalkyl, -heterocyclyl, and -aryl, or independent of R3, R1 and R2 are independently alkylenyl such that taken together with the 3’-0 and 5’-0 atoms and the intervening C atoms to which they are attached, form a heterocyclic ring, or independent of R1, R2 and R3 are independently alkylenyl such that when taken together with the 2’-0 and 3’-0 atoms and the intervening C atoms to which they are attached, form a heterocyclic ring;
[00112] -C(=O)R', wherein each R7 is independently -alkyl, -alkenyl, -cycloalkyl, - heterocyclyl, or -aryl, with the proviso that R1, R2 and R3 cannot all be -C(=O)CH3, (i.e., azaribine is expressly excluded from Formula (I)); or
[00113] -P(=O)NHR8OR6, wherein R8 and R6 are independently selected from -alkyl, - alkenyl, -cycloalkyl, -heterocyclyl, or -aryl; or independent of R3, R1 and R2 taken together form a cyclic phosphoramidate monophosphate substituent =P(=O)NHR8, wherein R8 is selected from -alkyd, -alkenyl, -cycloalkyl, -heterocyclyl, or -aryl, and wherein both the 5’-0 and the 3’-0 of the 6-azauridine are bonded to the phosphorous of the phosphoramidate monophosphate substituent, forming a cyclic phosphoramidate.
[00114] In various embodiments, a compound of Formula (I) has a structure wherein R1, R2 and R3 are each -C(=O)R7, wherein each R7 is independently -alkyl, -alkenyl, -cycloalkyl, - heterocyclyl, or -aryl, with the proviso that each R7 is not CH3 when R1, R2 and R3 are all - C(=O)R7.
[001 15] In various embodiments, a compound of Formula (I) has a structure wherein R1, R2 and R3 are each -C(=O)R7, and wherein each R7 is independently a C2-C6 alkyd or C3-C6 cycloalkyl.
[00116] In various embodiments, a compound of Formula (I) has a structure wherein R1, R2 and R3 are each -C(=O)R7, and wherein each R7 is independently methyl, ethyl, isopropyl, cyclopropyl, cyclobutyl, cyclopentyl, cyclohexyl, cyclopropylmethylenyl, cyclobutylmethylenyl, cyclopentylmethylenyl, cyclohexylmethylenyl, -CH(CH3)(CH2CH3), - CH(CH3)CH(CH2CH3)2, and -CH2CH(CH2CH3)2.
[00117] In various embodiments, a compound of Formula (I) has a structure wherein R1, R2 and R3 are each -C(=O)R7, and wherein each R7 is independently selected from:
[00118]
[00119] In various embodiments, a compound of Formula (I) comprises a monoester, a diester, or a triester, such as by comprising substitution with one, two or three -C(=O)R7 group(s) at the 2 -O, 3 -0 and/or 5’-0 sites in any combination. [00120] In various embodiments of the present disclosure, a 6-azauridine compound has a structure of Formula (2):
[00122] wherein each R7 is independently selected from a C2-Ce-alkyl, a Cs-Ce-cyclolkyl, - alkenyl, -heterocyclyl, or -aryl. In various examples, each R7 is independently methyl, ethyl, isopropyl, cyclopropyl, cyclobutyl, cyclopentyl, cyclohexyl, cyclopropylmethylenyl, cyclobutylmethylenyl, cyclopentylmethylenyl, cyclohexylmethylenyl, -CI I(CI h)(CI bCI Ity - CH(CH3)CH(CH2CHS)2, and -QtyCltyCltyCBtyX with the proviso that not all R7 can be methyl. In various embodiments, each of the three R7 substituents are identical, with the continuing proviso that the three R7 substituents are not all methyl groups. [00123] In various embodiments of the present disclosure, a 6-azauridine compound has a structure of Formula (3):
[00125] wherein each R7 is independently selected from -alkyl, -alkenyl, -cycloalkyl, - heterocyclyl, or -aryl. In various examples, each R7 is independently selected from a C2-C6- alkyl, a Cs-Ce-cyclolkyl, -alkenyl, -heterocyclyl, or -aryl. In various examples, each R7 is independently methyl, ethyl, isopropyl, cyclopropyl, cyclobutyl, cyclopentyl, cyclohexyl, cyclopropylmethylenyl, cyclobutylmethylenyl, cyclopentyl methylenyl, cyclohexylmethylenyl, -CH(CH3)(CH2CHs), -CH(CH3)CH(CH2CH3)2, and CH2CH(CH2CH3)2.
[00126] In various embodiments of the present disclosure, a 6-azauridine compound has a structure of Formula (4):
[00128] wherein each R7 is independently selected from -alkyl, -alkenyl, -cycloalkyl, - heterocyclyl, or -aryl. In various examples, each R7 is independently selected from a C2-C6- alkyl, a Cs-Ce-cyclolkyl, -alkenyl, -heterocyclyl, or -aryl. In various examples, each R7 is independently methyl, ethyl, isopropyl, cyclopropyl, cyclobutyl, cyclopentyl, cyclohexyl, cyclopropylmethylenyl, cyclobutylmethylenyl, cyclopentylmethylenyl, cyclohexylmethylenyl, -CHCCFhXCFbCFh), -CH(CH3)CH(CH2CH3)2, and CH2CH(CH2CH3)2.
[00129] In various embodiments of the present disclosure, a 6-azauridine compound has a structure of Formula (5):
[00131] wherein each R7 is independently selected from -alkyl, -alkenyl, -cycloalkyl, - heterocyclyl, or -aryl. In various examples, each R7 is independently selected from a C2-C6- alkyl, a Cs-Ce-cyclolkyl, -alkenyl, -heterocyclyl, or -aryl. In various examples, each R7 is independently methyl, ethyl, isopropyl, cyclopropyl, cyclobutyl, cyclopentyl, cyclohexyl, cyclopropylmethylenyl, cyclobutylmethylenyl, cyclopentyl methylenyl, cyclohexylmethylenyl, -CH(CH3)(CH2CH3), -CH(CH3)CH(CH2CH3)2, and CH2CH(CH2CH3)2.
[00132] In various embodiments of the present disclosure, a 6-azauridine compound has a structure of Formula (6):
[00134] wherein R7 is selected from -alkyl, -alkenyl, -cycloalkyl, -heterocyclyl, or -aryl. In various examples, R7 is selected from a C2-Cc-alkyl, a Cs-Cc-cyclolkyl, -alkenyl, -heterocyclyl, or -aryl. In various examples, R7 is methyl, ethyl, isopropyl, cyclopropyl, cyclobutyl, cyclopentyl, cyclohexyl, cyclopropylmethylenyl, cyclobutylmethylenyl, cyclopentylmethylenyl, cyclohexylmethylenyl, -CHCCFhXCFbCFfo), CH(CH3)CH(CH2CH3)2, and -CH2CH(CH2CH3)2.
[00135] In various embodiments of the present disclosure, a 6-azauridine compound has a structure of Formula (7):
[00137] wherein R7 is selected from -alkyl, -alkenyl, -cycloalkyl, -heterocyclyl, or -aryl. In various examples, R7 is selected from a C2-Ce-alkyl, a C3-C6-cyclolkyl, -alkenyl, -heterocyclyl, or -aryl. In various examples, R7 is methyl, ethyl, isopropyl, cyclopropyl, cyclobutyl, cyclopentyl, cyclohexyl, cyclopropylmethylenyl, cyclobutylmethylenyl, cyclopentylmethylenyl, cyclohexylmethylenyl, -CH(CH3)(CH2CH3), CH(CH3)CH(CH2CH3)2, and -CH2CH(CH2CH3)2.
[00138] In various embodiments, a compound of Formula (I) has a structure wherein R1 is -P(=O)NHR8OR6, wherein R8 and R6 are independently selected from alkyl, alkenyl, cycloalkyl, heterocyclyl, or aryl, independent of R2 and R3. In various examples wherein R8 is selected as an optionally substituted alkyl substituent, R8 can have the structure of an a-amino acid or ester.
[00139] In various embodiments, a compound of Formula (I) has a structure wherein R1 is -P(=O)NHR8OR6, wherein R8 and R6 are independently selected from alkyl, alkenyl, cycloalkyl, heterocyclyl, or aryl, and R2 and R3 are both -H. In various examples wherein R8 is selected as an optionally substituted alkyl substituent, R8 can have the structure of an a- amino acid or ester.
[00140] In various embodiments, a compound of Formula (I) has a structure wherein R1 is -P(=O)NHR8OR6, R2 and R3 are both -H, R6 is selected from alkyl, alkenyl, cycloalkyl, heterocyclyl, or aryl, and R8 is an a-amino acid ester of structure R5-O2C-CH(R9)-NH-, wherein R5 is alkyl, alkenyl, cycloalkyl, heterocyclyl, or aryl, and R9 is any alkyl, alkenyl, cycloalkyl, heterocyclyl, or aryl corresponding to a natural or unnatural a-amino acid (e.g., alanine R9 = CH3, valine R9 = isopropyl, phenylalanine R9 = -CFB-CeHs, and so forth).
[00141] In various embodiments, a compound of Formula (I) has a structure wherein R2 and R3 are both alkyl groups that when taken together form a cyclic acetal or ketal, independent of R1 selection. In certain examples, the acetal or ketal may be substituted, such as in the form of a BOC or MOC-ethylidene. In various examples, the choices for R2 and R3 operate to protect this 1,2-diol with a protecting group.
[00142] In various embodiments, a compound of Formula (I) has a structure wherein R1 has the substructure:
[00144] wherein, independent of selections for R2 and R3, R5, R6 and R9 are independently selected from alkyl, alkenyl, cycloalkyl, heterocyclyl, or aryl, with R9 being any alkyl, alkenyl, cycloalkyl, heterocyclyl, or aryl corresponding to a natural or unnatural a-amino acid. In the single instance of the above substructure being a proline residue, R9 is alkyl that is cyclized to the N-atom of the amino substituent, forming the pyrrolidine ring of proline. Further, in the single case where the above substructure is a glycine residue, R9 = H and there is no chiral center as illustrated by the wedged bond. In various embodiments, R9 = CFh and thus the substructure comprises an alanine ester side chain. In various embodiments, R9 = CHs and R5 is a Ci-Cs-alkyl or a Cj-Cs-cycloalkyl, and thus the side chain comprises an alanine alkyl ester or alanine cycloalkyl ester.
[00145] In various embodiments, a compound of Formula (I) has a structure wherein R1 has the substructure:
[00147] wherein R5 and R6 are independently selected from alkyl, alkenyl, cycloalkyl, heterocyclyl, or aryl, independent of R2 and R3. In these examples, R8 of the phosphoramidate substituent -P(=O)NHR8OR6 is an alanine ester, with R5 being the alcohol portion of the ester, and the amino end of the alanine residue is bonded to phosphorous. As mentioned, this particular substructure introduces an additional chiral center to the 6-azauridine compound provided that the a-amino acid used in the phosphoramidate substituent is not glycine.
[00148] In various embodiments, a compound of Formula (I) has a structure wherein R1 has the substructure:
[00149]
[00150] wherein R5 and Rfi are independently selected from alkyl, alkenyl, cycloalkyl, heterocyclyl, or ary l . and wherein R2 and R3 are both -H.
[00151] In various embodiments, a compound of Formula (I) has a structure wherein R1 has the substructure:
[00153] wherein R5 is selected from alkyl, alkenyl, cycloalkyl, heterocyclyl, or aryl, and R6 is aryl, independent of R2 and R3 selections. In certain examples, the aryl group R6 is a substituted phenyl ring having between one and five substituents on the phenyl ring.
[00156] wherein R5, R6 and R9 are independently selected from alkyl, alkenyl, cycloalkyl, heterocyclyl, or aryl. In various embodiments, R9 is any alkyl, alkenyl, cycloalkyl, heterocyclyl, or aryl such that the portion of the compound bearing R9 corresponds to a natural or unnatural a-amino acid.
[00157] In the instances of compounds of Formula (II) comprising a proline residue on a phosphonate appendage, R9 is alkyl that is cyclized to the N-atom of the amino substituent, forming the pyrrolidine ring of proline. Further, in the cases where a glycine residue is part of
a phosphonate appendage, the associated R9 = H and there is no chiral center as illustrated in Formula (II) by the wedged bond to R9.
[00158] In various embodiments, a compound of Formula (II) has a structure wherein R5 is a Ci-Ce alkyl, R6 is aryl, and R9 is any alkyl, alkenyl, cycloalkyl, heterocyclyl, or aryl corresponding to a natural or unnatural a-amino acid. In certain examples, R9 = CH3.
[00159] In various embodiments, a compound of Formula (II) has a structure wherein R5 is a Ci-Cg alkyl, R6 is -CgHs and R9 is any alkyl, alkenyl, cycloalkyl, heterocyclyl, or aryl corresponding to a natural or unnatural a-amino acid. In certain examples, R9 = CH3.
[00160] In various embodiments, a compound of Formula (II) has a structure wherein R5 is selected from methyl, ethyl, isopropyl, cyclopropyl, cyclobutyl, -CH(CH3)(CH2CH3), and - CH2CH(CH2CH3)2, R6 is aryl, and R9 is any alkyl, alkenyl, cycloalkyl, heterocyclyl, or aryl corresponding to a natural or unnatural a-amino acid. In certain examples, R9 = CH3.
[00161] In various embodiments, a compound of Formula (II) has a structure wherein R5 is selected from methyl, ethyl, isopropyl, cyclopropyl, cyclobutyl, cyclopentyl, cyclohexyl, cyclopropylmethylenyl, cyclobutylmethylenyl, cyclopentylmethylenyl, cyclohexylmethylenyl, -CH(CH3)(CH2CH3), -CH(CH3)CH(CH2CH3)2, and CH2CH(CH2CH3)2, and wherein R6 is -CsHs and R9 = CH3.
[00162] In various embodiments, a compound of Formula (II) has a structure wherein R6 is -CeHs, R9 = CH3, and R5 is selected from:
[00164] In certain examples, an antiviral 6-azauridine compound has a structure represented by Formula
[00165]
[00166] wherein R5 and R6 are independently selected from alkyl, alkenyl, cycloalkyl, heterocyclyl, or ary l .
[00167] In various embodiments, a compound of Formula (III) has a structure wherein R5 is a Ci-Ce alkyl and R6 is aryl.
[00168] In various embodiments, a compound of Formula (III) has a structure wherein R5 is a Ci-Cg alkyl and R6 is -CeHs.
[00169] In various embodiments, a compound of Formula (III) has a structure wherein R5 is selected from methyl, ethyl, isopropyl, cyclopropyl, cyclobutyl, -CH(CH3)(CH2CH3), and - CH2CH(CH2CH3)2, and R6 is ary l.
[00170] In various embodiments, a compound of Formula (III) has a structure wherein R5 is selected from methyl, ethyl, isopropyl, cyclopropyl, cyclobutyl, cyclopentyl, cyclohexyl, cyclopropylmethylenyl, cyclobutylmethylenyl, cyclopentylmethylenyl, cyclohexylmethylenyl, -CH(CH3)(CH2CH3), -CH(CH3)CH(CH2CH3)2, and
CH2CH(CH2CH3)2, and wherein R6 is -CeHj.
[00171] In various embodiments, a compound of Formula (III) has a structure wherein R6 is -CeHs and R5 is selected from:
[00173] In various embodiments, a 6-azauridine compound in accordance with the present disclosure has the chemical structure:
[00176] Compound 7012 above is a 6-azauridine compound having the structure of Formula (I), wherein each of R1, R2 and R3 are -C(=O)R7, and wherein each R7 is -CH(CH3)2.
[00177] Compound 7010 above is a 6-azauridine compound having the structure of Formula (1), wherein R2 and R3 are both -H; and R1 is:
Compound 7010 as structurally depicted is a mixture of enantiomers with respect to the chiral phosphorous center. These can be separated by chiral HPLC or other purifications methods if desired. [00179] In various embodiments, a 6-azauridine compound in accordance with the present disclosure has the chemical structure:
[00187] In various embodiments, a 6-azauridine compound in accordance with the present disclosure includes a cyclic phosphoramidate monophosphate group linking the 5’- and 3’- oxygen atoms of the ribofuranosyl ring.
[00188] In various embodiments, an antiviral 6-azauridine compound has a structure represented by Formula (I) wherein, independent of R3, R1 and R2 taken together form a cyclic phosphoramidate monophosphate substituent =P(=O)NH-C(R9)-C(=O)-OR8, wherein R8 is selected from -alkyl, -alkenyl, -cycloalkyl, -heterocyclyl, or -aryl, and wherein R9 is any alkyl, alkenyl, cycloalkyl, heterocyclyl, or aryl corresponding to a natural or unnatural a-amino acid. In certain examples, R9 = CH3.
[00189] In certain examples, an antiviral 6-azauridine compound has a structure represented by Formula (IV):
[00191] wherein R3 is selected from the options delineated above, excluding those choices for R3 that cyclize with R2 since R2 is no longer available in Formula (IV), R8 is selected from -alkyl, -alkenyl, -cycloalkyl, -heterocyclyl, or -aryl, and R9 is selected from any alkyl, alkenyl, cycloalkyl, heterocyclyl, or aryl corresponding to a natural or unnatural a-amino acid. In the single instance of a compound of Formula (IV) comprising a proline residue, R9 is alkyl that is cyclized to the N-atom of the amino substituent, forming the pyrrolidine ring of proline. Further, in the single case where R9 = H, there is no chiral center as illustrated in Formula (IV) by the wedged bond to R9.
[00192] In various embodiments, a compound of Formula (IV) has a structure wherein R3 is -H, R8 is selected from -alkyl, -alkenyl, -cycloalkyl, -heterocyclyl, or -aryl, and R9 is selected from any alkyl, alkenyl, cycloalkyl, heterocyclyl, or aryl corresponding to a natural or unnatural a-amino acid.
[00193] In vanous embodiments, a compound of Formula (IV) has a structure wherein R3 is -H, R8 is a Ci-Ce-alkyl, and R9 is selected from any alkyl, alkenyl, cycloalkyl, heterocyclyl, or aryl corresponding to a natural or unnatural a-amino acid. In certain examples, R9 = CH3.
[00194] In various embodiments, a compound of Formula (IV) has a structure wherein R3 is -H, R8 is selected from methyl, ethyl, isopropyl, cyclopropyl, cyclobutyl, -CH(CH3)(CH2CH3), and -CH2CH(CH2CH3)2, and R9 is selected from any alkyl, alkenyl, cycloalkyl, heterocyclyl, or aryl corresponding to a natural or unnatural a-amino acid. In certain examples, R9 = CH3.
[00195] In various embodiments, a compound of Formula (IV) has a structure wherein R3 is -H, R8 is selected from methyl, ethyl, isopropyl, cyclopropyl, cyclobutyl, -CH(CH3)(CH2CH3), and -CH2CH(CH2CH3)2, and R9 is CH3.
[00196] In certain examples, an antiviral 6-azauridine compound has a structure represented
[00198] wherein R3 is selected from the options delineated above, excluding those choices for R3 that cyclize with R2 since R2 is no longer available in Formula (V), and R8 is selected from -alkyl, -alkenyl, -cycloalkyl, -heterocyclyl, or -aryl.
[00199] In various embodiments, a compound of Formula (V) has a structure wherein R3 is -H and R8 is selected from -alkyl, -alkenyl, -cycloalkyl, -heterocyclyl, or -aryl.
[00200] In various embodiments, a compound of Formula (V) has a structure wherein R3 is -H and R8 is a Ci-Ce-alkyl.
[00201] In various embodiments, a compound of Formula (V) has a structure wherein R3 is -H and R8 is selected from methyl, ethyl, isopropyl, cyclopropyl, cyclobutyl, -CH(CH3)(CH2CH3), and -CH2CH(CH2CH3)2.
[00202] In various embodiments, a 6-azauridine compound in accordance with the present disclosure has the chemical structure:
[00207] TABLE 1 sets forth non-limiting exemplary 6-azauridine compounds and subgenus collections of compounds in accordance with the present disclosure and the corresponding elections for R1, R2 and R3 in Formula (I).
[00209] Diastereomers made possible by the phosphorous chiral center of a phosphoramidate are separable by HPLC if desired.
[00210] General Synthetic Methods
[00211] As apparent from the recitations herein, the present disclosure provides genus chemical structures as well as species molecules. The compounds of the present disclosure may be made by a variety of synthetic organic methods, well known to those of skill in the chemical arts. General synthetic methods are set forth herein, as well as the synthesis of specific 6- azauridine compounds.
[00212] In various reaction schemes presented herein, protecting groups for sensitive or reactive groups may be utilized where necessary in accordance with general aspects of synthetic organic chemistry. For example, in some instances, the 2’- and 3’-0 atoms, or the 3’- O and 5 -0 atoms in the ribofuranose ring are temporarily protected as a dimethyl ketal (reaction of the 1 ,2-diol with acetone), or any of the individual O atoms of the ribofuranose ring separately protected. Protecting groups and their uses are discussed, for example, in “Greene’s Protective Groups in Organic Synthesis, 4th Edition, John Wiley & Sons, New York (2007). Protective groups may be removed at a convenient stage in a reaction scheme to expose the underlying functional group. The selection of protecting groups along with reaction conditions for protecting and deprotecting various functionalities are well known in synthetic organic chemistry.
[00213] Syntheses of 6-azauridine tri-esters via Reaction Scheme A
[00214] In various embodiments, 6-azauridine compounds of Formula (I), wherein R1, R2 and R3 are each -C(=O)R7, and wherein R7 = -alkyl, -alkenyl, -cycloalkyl, -heterocyclyl, or - aryl, are made in a single step by reacting 6-azauridine with the appropriate acyl halide (1) in alkaline conditions according to Reaction Scheme A below, (wherein X = halo, typically Cl) to produce a 6-azauridine tri-ester of Formula (2):
[00216] In a non-limiting example, compound 7012 (TABLE 1) is synthesized by reacting 6-azauridine with 2-methylpropanoyl chloride under alkaline conditions in accordance with Reaction Scheme A.
[00217] Synthesis of compound 7072 (TABLE 1):
[00218] 6-azauridine was dissolved in 10 ml THF, 3.1 eq of N-methylimidazole (NMI) was added followed by addition of 3.2 eq of cyclobutylcarbonyl chloride at room temperature. The reaction was stirred until complete. To the reaction, 5 ml of 10% citric acid in water was added. The homogeneous solution was concentrated until no more THF was left. The aqueous was decanted and the oily material washed with DI water by vertexing and decanting three times. The final oil was dissolved in acrylonitrile (CAN), evaporated to dryness, and then dned under high vacuum overnight to produce the cyclobutyl tri-ester compound 7072.
[00219] Synthesis of 6-azauridine phosphoramidates via Reaction Scheme B
[00220] In various embodiments, 6-azauridine compounds of Formula (I), wherein R2 and R3 are both -H and R1 is a phosphorami date, such as compound 7010, are synthesized in three steps from 6-azauridine according to Reaction Scheme B, below:
[00222] In Reaction Scheme B, R5 and R6 are independently selected from -alkyl, -alkenyl, -cycloalkyl, -heterocyclyl, or -aryl, and R9 is any alkyl, alkenyl, cycloalkyl, heterocyclyl, or aryl corresponding to a natural or unnatural a-amino acid with the proviso that when the amino acid ester side chain is a proline residue, R9 is alkyl that is cyclized to the N-atom of the amino substituent, forming the pyrrolidine ring of proline. In the phosphoramidation step, a mixture of diastereomers 5a is formed, that can be separated by HPLC if desired, prior to removal of the acetal protecting group or afterwards. As a substitute for phosphoramidate 4a, the corresponding penta-fluorophenyl compound can be used in place of the p-nitrophenyl compound. The penta-fluorophenyl phosphoramidate is used in an exemplary synthesis below. [00223] In certain exemplary syntheses according to Reaction Scheme B, R5 is a Ci-Ce- alkyl, R6 is phenyl, and R9 = CH3.
[00224] In a specific synthesis example, compound 7010 (TABLE 1) is synthesized according to Reaction Scheme B by reacting the acetal-protected 6-azauridine 3 with phosphoramidate 4a wherein R5 is -CH2CH(CH2CH3)2, R6 is -CeHs. and R9 = CH3, to produce the adduct 5a, which is subsequently deprotected by reaction with formic acid to produce compound 7010 (Formula (II), with R5 = -CH2CH(CH2CH3)2, R6 = -CeHs, and R9 = CH3).
[00225] Protection of 6-azauridine:
[00226] A one-liter round botom flask was charged with 6-azauridine (1.75 g, 7.14 mmol) and acetone (80.0 mL). The reaction mixture was allowed to stir at room temperature. The slurry was then treated with sulfuric acid (140 mL), and the heterogenous mixture heated to 50°C and stirred for 2 days. The reaction was quenched with 7.0 mL of triethylamine at room temperature. The solution was evaporated to dryness to produce the acetal 3 that can be used in the next step without further purification.
[00227] Synthesis of compound 5a with R5 = -CH(CH3,)2, R6 = -CeHs, and R9 = CEE:
[00228] To a solution of (R)-isopropyl 2-(((R)-(perfluorophenoxy)(phenoxy)phosphoryl) amino) propanoate (1.22 g, 2.70 mmol) and 2-((3aR,4R,6R,6aR)-6-(hydroxymethyl)-2,2- dimethyltetrahydrofuro[3,4-d][l,3]dioxol-4-yl)-l,2,4-triazine-3,5(2H,4H)-dione (compound 3, 0.7 g, 2.45 mmol) in THF (18 mL) at 0 °C was added DBU (0.41 mL, 2.70 mmol). The reaction was cooled to 0 °C and allowed to stir at this temperature for 3 hours, then quenched with 0.5 M citric acid. The bi-phasic mixture was then diluted with EtOAc and the organic layer was separated, and the aqueous layer was back extracted once with EtOAc. The combined organic layers were washed with 10% brine, dried over MgSO4, filtered, and concentrated in vacuo. The resulting residue was purified using flash column chromatography on silica gel to provide 0.7 g of the desired compound 5a (R5 = -CH(CH3)2, R6 = -CeHs, and R9 = CEL), isopropyl ((((3aR,4R,6R,6aR)-6-(3,5-dioxo-4,5-dihydro-l,2,4-triazin-2(3H)-yl)-2,2- dimethyltetrahydrofuro[3,4-d][l,3]dioxol-4-yl)methoxy)(phenoxy)phosphoryl)-L-alaninate.
[00229] Synthesis of compound 6a with R5 = -CH(CH3,)2, R6 = -CeHs, and R9 = CEE: [00230] 100 mg of isopropyl ((((3aR,4R,6R,6aR)-6-(3,5-dioxo-4,5-dihydro-l ,2,4-triazin-
2(3H)-yl)-2,2-dimethyltetrahydrofuro[3,4-d][l,3]dioxol-4- yl)methoxy)(phenoxy)phosphoryl)-L-alaninate prepared immediately above was dissolved in 2 mL of >98% pure formic acid and stirred until the deprotection was complete. The solution was evaporated to dryness to produce compound 6a with R5 = -CH(CH3)2, R6 = -Ci, Ek and R9 = CH3.
[00231] Synthesis of 6-azauridine cyclic phosphoramidate monophosphates via Reaction Scheme C
[00232] In various embodiments, 6-azauridine compounds comprising a cyclic phosphoramidate monophosphate substituent bridging the 5’- and 3 ’-oxygen atoms of the ribofuranosyl ring are prepared in accordance with Reaction Scheme C below. In a key step of this synthesis, a phosphoramidate 5b, such as prepared in accordance with Reaction Scheme B above, is cyclized by reaction with base:
[00234] In Reaction Scheme C, R8 is -alkyl, -alkenyl, -cycloalkyl, -heterocyclyl, or -aryl, and R9 is any alkyl, alkenyl, cycloalkyl, heterocyclyl, or aryl corresponding to a natural or unnatural a-amino acid with the proviso that when the amino acid ester side chain is a proline residue, R9 is alkyl that is cyclized to the N-atom of the amino substituent, forming the pyrrolidine ring of proline. In certain exemplary syntheses according to Reaction Scheme C, R8 is a Ci-Ce-alkyl, and R9 = CH3.
[00235] A key step in Scheme C is the reaction of acetal protected 6-azauridine 3 with the bi s(/?-n 1 tropheny I) ammo acid alkyl ester phosphoramidate 4b to form the adduct 5b. This step parallels Scheme B in the sense that phosphoramidate 4a can be used in Scheme C, recognizing that the R6 substituent is sacrificial. Therefore, the phosphoramidation reaction is simplified in Scheme C by using phosphoramidate 4b, the bisi/i-nitrophenyl) phosphoramidate. In the cyclization step, a mixture of diastereomers 7 is formed, that can be separated by HPLC if desired. [00236] Alternative synthesis of cyclic phosphoramidate monophosphates via Reaction
Scheme D (as exemplified by the synthesis of compound 7062 (Formula (V) wherein R5 = -CH(CH3)2 and R9 = CH3)
[00237] A synthesis of compound 7062 is shown in Reaction Scheme D below, recognizing that the scheme is usable to synthesize other prodrugs of interest. The scheme is streamlined in the sense that protection and deprotection of the 2 ’,3 ’-diol in 6-azauridine is not necessary :
[00239] Step 1: In a 50 mL reaction flask equipped with magnetic stirring, L-alanine isopropyl ester hydrochloride 450 mg, 2.68 mmol) and p-mtrophenyl phosphorodichlondate (687 mg, 1.0 eq) were dissolved in anhydrous dichloromethane (DCM, 20 mL) under dry nitrogen atmosphere. The mixture was stirred at -20° C and triethylamine (TEA) (0.82 mL, 2.2 eq) w as added dropwise. The reaction mixture was then stirred at -20° C for another 1 hour, allowed to warm to room temperature, and stirred overnight. Then the reaction mixture was cooled to -20° C again. 6-azauridine (658 mg, 1 .0 eq) was added in one portion, and additional TEA (0.41 mL, 1. 1 eq) was added slowly. The reaction mixture was stirred at -20° C for another 1 hour, allowed to warm to room temperature, and stirred overnight. The reaction mixture was then loaded on celite (3.0 g), solvents removed by rotary evaporation, and the residue purified by column chromatography (10-100% acetone in hexanes on silica gel) to give INT-1 (173 mg, 12% yield) as a light yellow solid.
[00240] Step 2: In a 4 mL reaction vial equipped with magnetic stirring, INT-1 (109 mg, 0. 195 mmol) was dissolved in anhydrous dimethyl sulfoxide (DMSO, 1.6 mL). Potassium tert- butoxide (tBuOK) was added in one portion and the reaction mixture was stirred vigorously at room temperature for about 30 min until completion (by LC-MS). The reaction mixture was then neutralized by addition of HC1 (4M) in dioxanes, loaded on a silica gel column and purified by chromatography (10-100% ethyl acetate in hexanes) to give an orange oil. The oil
was concentrated under high vacuum until the mass was constant to give the compound 7062 as an orange viscous solid (26.4 mg, 32% yield).
[00241] Various 6-azauridine compounds related structurally to the compounds disclosed herein can be made in accordance with the appropriate scheme recited herein above. For example, other tri-ester prodrugs are within the scope of the present disclosure and can be prepared by the above-recited acylation procedure using the necessary acyl chloride. Possible analogs of the specific species disclosed herein include other tri-ester prodrugs of 6-azauridine and other phosphoramidates and cyclic phosphoramidates, including those having a range of steric hinderance to hydrolysis. Various ProTide compounds can be made initially as a mixture of diastereomeric forms and separated as desired once antiviral efficacy is determined.
[00242] The above reaction schemes, varied as necessary by one of skill in the art of organic chemistry, can be used to prepare at least the following 6-azauridine compounds of the present
[00262]
[00263] Pharmacological Activity [00264] Antiviral efficacy in vitro'. [00265] Novel antiviral 6-azauridine compounds were synthesized and screened against a panel of seven different viral pathogens including SARS-CoV-2, MERS, Influenza A virus (IAV), RSV, human RV, Zika virus and Yellow Fever vims. Two compounds, namely the triester prodrug of 6-azauridine represented by compound 7012 in TABLE 1, and a ProTide of 6-azauridine represented by compound 7010 in TABLE 1, exhibited potent in vitro activities against three respiratory viruses including IAV, RSV and RV as evidenced by the data set forth in TABLE 2. The compounds 7012 and 7010 not only demonstrated good antiviral activities as shown in TABLE 2, but also demonstrated low cytotoxicity as indicated by the CC50 values. [00266] TABLE 2: Antiviral Activities of Compounds 7010 and 7012 (from Table 1):
[00267] *In TABLE 2, SI50 = CC50/EC50. [00268] Additional 6-azauridine compounds exhibited in vitro activities against various organisms as shown in TABLE 3.
[00270] Additional 6-azauridine compounds exhibited in vitro activities against various organisms as shown in TABLE 4.
[00272] *In TABLE 4, SI50 = CC50/EC50.
[00273] A series of tri-esters of 6-azauridine and a series of ProTide derivatives of 6- azauridine can be synthesized to screen for the optimal 6-azauridine compound having the highest efficacy and lowest cytotoxicity. In various embodiments, in vitro toxicity of these
compounds can be monitored in parallel. The 6-azauridine compounds having the best in vitro safety margin and most potent antiviral activity can be evaluated further. The PK properties of lead compounds can be compared in rodent tests. Lead compounds with the greatest exposure and thus highest potential to be efficacious can be evaluated in animal viral infection models. One or more compounds can be identified as future development candidates and/or backup compounds.
[00274] Viral Cytopathic Effect CPE Methods
[00275] Assays:
[00276] Compounds of the present disclosure, including those not expressly disclosed but anticipated within the scope of the disclosure, can be evaluated in a panel of three primary in vitro cell infection models of respiratory viruses including H1N1, RSV and RV. The degree of viral inhibition can be measured by prodrug compounds of 6-azauridine with the following methods: 1) inhibition of virus- induced cytopathic effect (CPE), as determined by visual (microscopic) examination of the cells, and 2) increases in the uptake of the vital dye neutral red (NR) into cells. CPE inhibition data can be expressed as the 50% effective concentration (ECso); cytotoxicity can be measured by determining the 50% cytotoxic (cell-viability) concentration (CC50) in stationary cell monolayers of the same cell lines. From these data, the selectivity index (SI50 = CC50/EC50) can be determined for each compound. Those compounds with an EC 50 < 1 mM and the highest SI50 (minimum SI50 > 10) can then be considered lead compounds. Eight one-half logw concentrations of the test compounds can be evaluated in triplicate wells containing virus infected cells. Standard placebo-treated virus controls, toxicity controls, positive controls and normal-medium controls can be included in all assays.
[00277] PK study method:
[00278] The exposure and other PK properties of top antiviral compounds (EC 50 < 1 mM in CPE assays and SI50 > 10) can be evaluated in Sprague-Dawley rats following a single 10 mg/kg dose administered by intravenous bolus (IV) and oral gavage (PO). Rats are selected because they are used almost universally for PK studies due in part to their accessibility and the likelihood that this species will be used in safety assessments. Suitable formulations can be developed (z.e., solutions in PEG-400 or with excipients such as [Thy droxy propyl cyclodextrin (P-HPCD) or carboxymethyl-cellulose (CMC, 1%)), depending on the solubility of the compounds. Male Sprague-Dawley rats 8-10 weeks of age weighing 200-400 grams can be used. To minimize the total number of animals, all rats intended for PO dosing can be fitted with one jugular vein cannula (JVC) for sample collection. Rats intended for IV dosing can be fitted with two JVC (JVC/JVC). A total of 24 rats can be used for the study (4 compounds x 2
routes of administration x 3 rats/group). Plasma samples can be collected via JVC from each rat at pre-dose, 0.083, 0.25, 0.5, 1, 2, 4, 6, 12, 24 hours following IV administration and at predose, 0.25, 0.5, 1, 2, 4, 6, 12, 24 hours following PO administration. The concentration of each test article in plasma can be analyzed via LC/MS/MS and PK parameters determined by noncompartmental analysis (NCA) with Phoenix WinNonlin (v8.3) software. The results of such a PK study can provide an initial understanding of oral bioavailability which guides dosing in subsequent efficacy models. Compounds with the greatest oral bioavailability can be advanced to in vivo efficacy models of viral infection.
[00279] Antiviral efficacy in vivo:
[00280] (a) Respiratory Syncytial Virus Cotton Rat Infection Model: The cotton rat model is widely used for preclinical evaluation of vaccines, antiviral and antibodies against RSV. The cotton rat (.S', hispidus) is susceptible to non-adapted human RSV and the resulting pathologies mirror human disease. Synagis® (F protein inhibitor monoclonal antibody) is one of only two marketed treatments for RSV; it gained FDA approval for clinical testing based on Cotton rat efficacy data. The Cotton rat model has been validated using RSV strain A2. In this model, animals are challenged via intranasal (IN) delivery of RSV. Peak infection in the lungs and BALF occurs 4 days post infection.
[00281] (b) Mouse Influenza Infection Model: The mouse is a convenient and efficient model for lead identification and preclinical analysis of safety and efficacy of influenza drug and vaccine candidates. The highly characterized murine system offers a reliable model for evaluating various immunological parameters. While wild mice are highly resistant, inbred laboratory mouse strains such as BALB/c and C75BL/6 mice are susceptible to a variety of influenza viruses. Some strains can cause disease in mice without adaptation, but for seasonal H1N1 and H3N2 strains adaptation is required. Changes in body weight, health score and mortality are used to evaluate efficacy of treatments.
[00283] In TABLE 5, the abbreviations within the table are as follows: IN = inhalation; LD = lethal dose; p.i. , = post infection; PFU = plaque forming unit; and a = doses may be modified from in vitro and PK findings.
[00284] Pharmaceutical Compositions [00285] In accordance with the present disclosure, a pharmaceutical composition comprises at least one 6-azauridine compound as disclosed herein, including an isomer, tautomer, prodrug, salt, hydrate or other solvate thereof, and at least one pharmaceutically acceptable excipient or additive. Since some of the 6-azauridine compounds disclosed herein can be classified as prodrugs, what is meant by a prodrug of one of these compounds that might already be a prodrug is further derivatization with one or more additional labile substituents, such as a labile group bonded to the NH-group of the 6-azauridine, or a labile group bonded to any of the -OH groups still available after synthesis described herein (such as when R2 or R3 = H in the compounds of Formula (I)).
[00286] Pharmaceutical compositions comprising a 6-azauridine compound can comprise a particular physical form useful for administration to a subject in need of treatment. For example, a pharmaceutical composition herein that comprises a 6-azauridine compound may be prepared so that it is amenable to compaction such as in a tablet press into tablets for oral administration.
[00287] Pharmaceutical compositions herein optionally include other medicinal or pharmaceutical agents, carriers, adjuvants, such as preserving, stabilizing, wetting or emulsifying agents, solution promoters, salts for regulating the osmotic pressure, buffers, and/or other therapeutically valuable substances. In various aspects, a carrier within a pharmaceutical composition herein may be filler or binder, such as to aid tableting, or a controlled drug release agent such as a starch to control the bioavailability of a particular 6- azauridine compound.
[00288] Methods for the preparation of pharmaceutical compositions in accordance with the present disclosure comprise formulating one or more of the present 6-azauridine compounds with one or more inert, pharmaceutically acceptable excipients or carriers to form a solid, semisolid or liquid composition. Solid compositions include, but are not limited to, powders, tablets, dispersible granules, capsules, cachets, and suppositories. Liquid compositions include but are not limited to solutions in which a 6-azauridine compound is dissolved, emulsions comprising a 6-azauridine compound, or a solution containing liposomes, micelles, or nanoparticles comprising a 6-azauridine compound as disclosed herein. Semi-solid compositions include, but are not limited to, gels, suspensions and creams. The form of the pharmaceutical compositions described herein include liquid solutions or suspensions, solid forms suitable for solution or suspension in a liquid prior to use, or as emulsions. These compositions also optionally comprise minor amounts of pharmaceutically acceptable auxiliary substances, such as wetting or emulsifying agents, pH buffering agents, and so forth.
[00289] Tn various embodiments, pharmaceutical compositions comprising at least one 6- azauridine compound of the present disclosure can take the form of a liquid, wherein the 6- azauridine compound(s) are present in solution, in suspension, or both. Typically when the composition is administered as a solution or suspension a first portion of the 6-azauridine compound may be present in solution, and a second portion of the agent present in particulate form, such as suspended in a liquid matrix. In some embodiments, a liquid composition includes a gel formulation. In other embodiments, the liquid composition is aqueous.
[00290] In various embodiments, pharmaceutical aqueous suspensions include one or more polymers as suspending agents. Polymers include water-soluble polymers such as cellulosic polymers, e.g., hydroxypropyl methylcellulose, and water-insoluble polymers such as crosslinked carboxyl-containing polymers. Various cellulosic polymers also function as controlled drug release agents by metering bioavailability. In various embodiments, phannaceutical compositions in accordance with the present disclosure can include a mucoadhesive polymer, such as for example carboxymethylcellulose (CMC), a carbomer (a thickening acrylic acid
polymer, optionally cross-linked), poly(methylmetiiacrylate), polyacrylamide, polycarbophil, acrylic acid/butyl acrylate copolymer, other acrylate copolymers, sodium alginate, dextran and so forth.
[00291] In various embodiments, 6-azauridine compounds of the present disclosure are formulated for oral administration by combining the 6-azauridine compound(s) with, e.g., pharmaceutically acceptable carriers or excipients. In various embodiments, the compounds of the present invention are formulated in oral dosage forms that include, for example, tablets, powders, pills, capsules, liquids, gels, syrups, elixirs, slurries, suspensions, and the like. Inert binders are typically used to aid compression of a powdered pharmaceutical composition into tablets for oral administration.
[00292] In various embodiments, pharmaceutical compositions for oral use are obtained by mixing one or more solid excipients with one or more of the 6-azauridine compounds described herein, optionally grinding the resulting mixture, and processing the mixture of granules, after adding suitable auxiliaries, if desired, to obtain tablets. Suitable excipients include fillers such as sugars, (e.g. lactose, sucrose, mannitol, or sorbitol); cellulosic substances: (e.g., maize starch, wheat starch, rice starch, potato starch, gelatin, gum tragacanth, methylcellulose, microcrystalline cellulose, hydroxypropylmethylcellulose, sodium carboxymethylcellulose); or other materials such as, for example, polyvinylpyrrolidone (“povidone”) or calcium phosphate. In specific embodiments, disintegrants can be added. Disintegrants include, for example, cross-linked croscarmellose sodium, polyvinylpyrrolidone, agar, alginic acid and sodium alginate that facilitate the breakup of the tablet once wetted
[00293] In various embodiments, tablets can be provided with one or more suitable coatings. In specific embodiments, concentrated sugar solutions are used for coating the dosage form. Sugar solutions can optionally contain additional components, such as for example, gum arabic, talc, polyvinylpyrrolidone, carbopol polyacrylate gels, polyethylene glycol, titanium dioxide, lacquer solutions, organic solvents or solvent mixtures. Colorants can be added to the coatings for marketing or dose identification purposes, or other purposes.
[00294] In various embodiments, therapeutically effective amounts of at least one of the 6- azauridine compounds of the present disclosure are formulated into other oral dosage forms. Oral dosage forms include two-piece capsules made of gelatin, as well as soft sealed capsules made of gelatin and a plasticizer, such as glycerol or sorbitol. In various embodiments, two- piece capsules contain the 6-azauridine compound(s) mixed with one or more fillers. Fillers include, for example, lactose, binders such as starches, and/or lubricants such as talc or magnesium stearate and, optionally, stabilizers. In various other embodiments, soft capsules
can contain one or more 6-azauridine compounds dissolved or suspended in a suitable liquid. Suitable liquids include, for example, one or more fatty oils, glycerin, glycerides, liquid paraffin, or various polyethylene glycols.
[00295] Combination Therapies
[00296] In various embodiments, 6-azauridine compounds in accordance with the present disclosure may be combined with other known antiviral agents in various combination therapies. Combination therapy includes administration of a single composition comprising a mixture of at least one 6-azauridine compound of the present disclosure and another antiviral agent, and coadministration of at least one 6-azauridine compound of the present disclosure and another antiviral agent. In various embodiments, a known antiviral agent that may be used in combination therapies with one or more 6-azauridine compounds of the present disclosure include, but are not limited to, the seasonal influenza drugs oseltamivir phosphate (Tamiflu®), zanamivir (Relenza®), peramivir (Rapivab®), and baloxavir marboxil (Xofluza®). An additional antiviral agent to be used in combination therapy with one or more 6-azauridine compounds of the present disclosure may be effective on its own in treating or preventing COVID- 19 (the infection resulting from SARS-CoV-2), HIV, influenza A or B, hepatitis A, B, C or D, herpes, RSV, RV, CMV, smallpox, or any other viral infection.
[00297] Methods of treatment and prophylaxis
[00298] In various embodiments, a method of treating a viral infection comprises administration of a therapeutically effective amount of a 6-azauridine compound or a combination of 6-azauridine compounds in accordance with the present disclosure to a subject in need thereof.
[00299] In various embodiments, a method of preventing a viral infection comprises administration of a prophylactically effective amount of a 6-azauridine compound or a combination of 6-azauridine compounds in accordance with the present disclosure to a subject in need thereof.
[00300] In various embodiments, a method of treating a viral infection comprises administration to a subject in need thereof a therapeutically effective amount of a 6-azauridine compound having a structure represented by Formula (I):
[00301]
, wherein R1, R2 and R3 are independently selected from:
[00302] -H, with the proviso that R1, R2 and R3 cannot all be -H, (i.e., 6-azauridine is expressly excluded from Formula (I));
[00303] -alkyl, -alkenyl, -cycloalkyl, -heterocyclyl, and -aryl, or independent of R3, R1 and R2 are independently alkylenyl such that taken together with the 3’-0 and 5’-0 atoms and the intervening C atoms to which they are attached, form a heterocyclic ring, or independent of R1, R2 and R3 are independently alkylenyl such that when taken together with the 2’-0 and 3’-0 atoms and the intervening C atoms to which they are attached, form a heterocyclic ring;
[00304] -C(=O)R7, wherein each R7 is independently -alkyl, -alkenyl, -cycloalkyl, - heterocyclyl, or -aryl, with the proviso that R1, R2 and R3 cannot all be -C(=O)CHs, (z.e., azaribine is expressly excluded from Formula (I)); or
[00305] -P(=O)NHR8OR6, wherein R8 and R6 are independently selected from -alkyl, - alkenyl, -cycloalkyl, -heterocyclyl, or -aryl; or independent of R3, R1 and R2 taken together form a cyclic phosphoramidate monophosphate substituent =P(=O)NHR8, wherein R8 is selected from -alkyl, -alkenyl, -cycloalkyl, -heterocyclyl, or -aryl, and wherein both the 5’-0 and the 3’-0 of the 6-azauridine are bonded to the phosphorous of the phosphoramidate monophosphate substituent, forming a cyclic phosphoramidate.
[00306] In various embodiments, the subject in need thereof is diagnosed as having a viral infection or is observed as having at least one symptom characteristic of a viral infection. In various embodiments, the viral infection is one of COVID- 19, HIV, influenza A or B, hepatitis A, B, C or D, herpes, RSV, RV, CMV, or smallpox.
[00307] In various embodiments, a method of preventing a viral infection comprises administration to a subject in need thereof a prophy lactically effective amount of a 6-azauridine compound having a structure represented by Formula (I):
[00308]
[00309] wherein R1, R2 and R3 are independently selected from:
[00310] -H, with the proviso that R1, R2 and R3 cannot all be -H, (i.e., 6-azauridine is expressly excluded from Formula (I));
[00311] -alkyl, -alkenyl, -cycloalkyl, -heterocyclyl, and -aryl, or independent of R3, R1 and R2 are independently alkylenyl such that taken together with the 3’-0 and 5’-0 atoms and the intervening C atoms to which they are attached, form a heterocyclic ring, or independent of R1, R2 and R3 are independently alkylenyl such that when taken together with the 2’-0 and 3’-0 atoms and the intervening C atoms to which they are attached, form a heterocyclic ring;
[00312] -C(=O)R', wherein each R7 is independently -alkyl, -alkenyl, -cycloalkyl, - heterocyclyl, or -aryl, with the proviso that R1, R2 and R3 cannot all be -C(=O)CHs, (i.e., azaribine is expressly excluded from Formula (I)); or
[00313] -P(=O)NHR8OR6, wherein R8 and R6 are independently selected from -alkyl, - alkenyl, -cycloalkyl, -heterocyclyl, or -aryl; or independent of R3, R1 and R2 taken together form a cyclic phosphoramidate monophosphate substituent =P(=O)NHR8, wherein R8 is selected from -alkyd, -alkenyl, -cycloalkyl, -heterocyclyl, or -aryl, and wherein both the 5’-0 and the 3’-0 of the 6-azauridine are bonded to the phosphorous of the phosphoramidate monophosphate substituent, forming a cyclic phosphoramidate.
[00314] In various embodiments, the subject in need thereof was exposed to a pathogen or is believed to have possibly been exposed to a pathogen. In various embodiments, the subject in need of prophylactic treatment was exposed or believed to have been exposed to one of SARS-CoV-2, HIV, influenza A or B, hepatitis A, B, C or D, herpes, RSV, RV, CMV, or smallpox virus.
[00315] Uses in medicine
[00316] In various embodiments, 6-azauridine compounds according to the present disclosure, and pharmaceutical compositions comprising at least one 6-azauridine compound, find use in the manufacture of a medicament for the treatment of an existing viral infection and in the prevention of a viral infection, as per the following considerations:
[00317] 1. A compound of Formula (I), or a pharmaceutically acceptable salt thereof, for use in medicine, wherein R1, R2 and R3 are selected amongst the aforementioned choices.
[00318] 2. A compound of Formula (I), or a pharmaceutically acceptable salt thereof, for use as a medicament, wherein R1, R2 and R3 are selected amongst the aforementioned choices. [00319] 3. A compound of Formula (I), or a pharmaceutically acceptable salt thereof, for use as a prophylactic, wherein R1, R2 and R3 are selected amongst the aforementioned choices. [00320] 4. A compound of Formula (I), or a pharmaceutically acceptable salt thereof, for use in treating a viral infection, wherein R1, R2 and R3 are selected amongst the aforementioned choices.
[00321] 5. A compound of Fomiula (I), or a pharmaceutically acceptable salt thereof, for use in preventing a viral infection, wherein R1, R2 and R3 are selected amongst the aforementioned choices.
[00322] 6. A use of a compound of Formula (I), or a pharmaceutically acceptable salt thereof, in the manufacture of a medicament for treating a viral infection, wherein R1, R2 and R3 are selected amongst the aforementioned choices.
[00323] 7. A use of a compound of Formula (I), or a pharmaceutically acceptable salt thereof, in the manufacture of a medicament for preventing a viral infection, wherein R1, R2 and R3 are selected amongst the aforementioned choices.
[00324] 8. The compound for use as recited in any one of items 4-7, wherein the viral infection is caused by SARS-CoV-2, IAV, IBV, RSV, or RV.
[00325] 9. The compound for use as recited in any one of items 1 -8, wherein the compound is administered by oral, intravenous, subcutaneous, intramuscular, intradermal, intranasal, topical, sublingual, intrarectal, intrathecal or intracranial administration.
[00326] In the detailed description, references to “various embodiments”, "one embodiment", "an embodiment", "an example embodiment", etc., indicate that the embodiment described may include a particular feature, structure, or characteristic, but every embodiment may not necessarily include the particular feature, structure, or characteristic. Moreover, such phrases are not necessarily referring to the same embodiment. Further, when a particular feature, structure, or characteristic is described in connection with an embodiment, it is submitted that it is within the knowledge of one skilled in the art to affect such feature, structure, or characteristic in connection with other embodiments whether or not explicitly described. After reading the description, it will be apparent to one skilled in the relevant art(s) how to implement the disclosure in alternative embodiments.
[00327] Steps recited in any of the method or process descriptions may be executed in any order and are not necessarily limited to the order presented. Furthermore, any reference to singular includes plural embodiments, and any reference to more than one component or step may include a singular embodiment or step. Also, any reference to attached, fixed, connected, coupled or the like may include permanent (e.g., integral), removable, temporary, partial, full, and/or any other possible attachment option. Any of the components may be coupled to each other via friction, snap, sleeves, brackets, clips or other means now known in the art or hereinafter developed. Additionally, any reference to without contact (or similar phrases) may also include reduced contact or minimal contact.
[00328] Benefits, other advantages, and solutions to problems have been described herein with regard to specific embodiments. However, the benefits, advantages, solutions to problems, and any elements that may cause any benefit, advantage, or solution to occur or become more pronounced are not to be constmed as critical, required, or essential features or elements of the disclosure. The scope of the disclosure is accordingly to be limited by nothing other than the appended claims, in which reference to an element in the singular is not intended to mean "one and only one" unless explicitly so stated, but rather "one or more." Moreover, where a phrase similar to 'at least one of A, B, and C or 'at least one of A, B, or C is used in the claims or specification, it is intended that the phrase be interpreted to mean that A alone may be present in an embodiment, B alone may be present in an embodiment, C alone may be present in an embodiment, or that any combination of the elements A, B and C may be present in a single embodiment; for example, A and B, A and C, B and C, or A and B and C.
[00329] All structural, chemical, and functional equivalents to the elements of the abovedescribed various embodiments that are known to those of ordinary skill in the art are expressly incorporated herein by reference and are intended to be encompassed by the present claims. Moreover, it is not necessary for an apparatus or component of an apparatus, or method in using an apparatus to address each and every problem sought to be solved by the present disclosure, for it to be encompassed by the present claims. Furthermore, no element, component, or method step in the present disclosure is intended to be dedicated to the public regardless of whether the element, component, or method step is explicitly recited in the claims. No claim element is intended to invoke 35 U.S C. 112(f) unless the element is expressly recited using the phrase “means for.” As used herein, the terms “comprises”, “comprising”, or any other variation thereof, are intended to cover a non-exclusive inclusion, such that a chemical, chemical composition, process, method, article, or apparatus that comprises a list of elements
does not include only those elements but may include other elements not expressly listed or inherent to such chemical, chemical composition, process, method, article, or apparatus.
Claims
1. A 6-azauridine compound having a structure represented by Formula (I):
or a pharmaceutically acceptable salt thereof, wherein R1, R2 and R3 are independently selected from:
-H, with the proviso that R1, R2 and R3 cannot all be -H;
-alkyl, -alkenyl, -cycloalkyl, -heterocyclyl, and -aryl, or independent of R3, R1 and R2 are independently alkylenyl such that taken together with the 3 -0 and 5’-0 atoms and the intervening C atoms to which they are attached, form a heterocyclic ring, or independent of R1, R2 and R3 are independently alkylenyl such that when taken together with the 2’-0 and 3’-0 atoms and the intervening C atoms to which they are attached, form a heterocyclic ring;
-C(=O)R7, wherein each R7 is independently -alkyl, -alkenyl, -cycloalkyl, - heterocyclyl, or -aryl, with the proviso that R1, R2 and R3 cannot all be -C(=O)CHs; or
-P(=O)NHR8OR6, wherein R8 and R6 are independently selected from -alkyl, -alkenyl, -cycloalkyl, -heterocyclyl, or -aryl; or independent of R3, R1 and R2 taken together form a cyclic phosphoramidate monophosphate substituent =P(=O)NHR8, wherein R8 is selected from -alkyl, -alkenyl, -cycloalkyl, -heterocyclyl, or -aryl, and wherein both the 5’-0 and the 3’-0 of the 6- azaundine are bonded to the phosphorous of the phosphoramidate monophosphate substituent, forming a cyclic phosphoramidate.
2. The 6-azauridine compound of claim 1, wherein each of R1, R2 and R3 is -C(=O)R7, and wherein each R7 is independently selected from C2-Cs-alkyl or Ci-Cs-cycloalkyl.
3. The 6-azauridine compound of claim 2, wherein each R7 is independently selected from ethyl, isopropyl, cyclopropyl, cyclobutyl, cyclopentyl, cyclohexyl, cyclopropylmethylenyl, cyclobutylmethylenyl, cyclopentylmethylenyl, cyclohexylmethylenyl, -CH(CHs)(CH2CH3), - CH(CH3)CH(CH2CH3)2, and -CILCHCCfhCThh.
4. The 6-azauridine compound of claim 1 , wherein R1 has a substructure,
and wherein R5, R6 and R9 are independently selected from alkyl, alkenyl, cycloalkyl, heterocyclyl, or aryl, with R9 being any alkyl, alkenyl, cycloalkyl, heterocyclyl, or aryl such that an a-amino ester portion of R1 corresponds to an ester of a natural or unnatural a-amino acid.
5. The 6-azauridine compound of claim 4, wherein R2 and R3 are -H.
6 The 6-azauridine compound of claim 4, wherein R5 is Ci-Cs-alkyl or Cs-Cs-cycloalkyl.
7. The 6-azauridine compound of claim 6, wherein R6 is aryl, and R5 is selected from methyl, ethyl, isopropyl, cyclopropyl, cyclobutyl, cyclopentyl, cyclohexyl, cyclopropylmethylenyl, cyclobutylmethylenyl, cyclopentylmethylenyl, cyclohexylmethylenyl, -CH(CH3)(CH2CH3), - CH(CH3)CH(CH2CH3)2, and -CH2CH(CH2CH3)2.
8. The 6-azauridine compound of claim 7, wherein R9 is -CH3 and R6 is -CeHs.
10. The 6-azauridine compound of claim 9, wherein all three R7 groups are identical and are selected from ethyl, isopropyl, cyclopropyl, cyclobutyl, cyclopentyl, cyclohexyl, cyclopropylmethylenyl, cyclobutylmethylenyl, cyclopent lmethylenyl, cyclohexylmethylenyl, -CH(CH3)(CH2CH3), -CH(CH3)CH(CH2CH3)2, and CH2CH(CH2CH3)2.
11. A 6-azauridine compound having a structure represented by Formula (IV):
wherein R3 and R8 are independently selected from -H, -alkyl, -alkenyl, -cycloalkyl. - heterocyclyl, and -aryl, and R9 is selected from any alkyl, alkenyl, cycloalkyl, heterocyclyl, or aryl such that an a-amino acid or ester portion of the compound of Formula (IV) corresponds to a natural or unnatural a-amino acid or ester thereof.
12. The 6-azauridine compound of claim 11, wherein R3 is -H.
13. The 6-azauridine compound of claim 11, wherein R9 is -CH3.
14. The 6-azauridine compound of claim 11, wherein R3 is -H, R9 is -CH3, and R8 is selected from methyl, ethyl, isopropyl, cyclopropyl, cyclobutyl, cyclopentyl, cyclohexyl, cyclopropylmethylenyl, cyclobutylmethylenyl, cyclopent lmethylenyl, cyclohexylmethylenyl, -CH(CH3)(CH2CH3), -CH(CH3)CH(CH2CH3)2, and CH2CH(CH2CH3)2.
15. A 6-azauridine compound having a structure of Formula (II):
17. A pharmaceutical composition comprising at least one 6-azauridine compound according to any one of claims 1-16 and at least one pharmaceutically acceptable excipient.
18. A method of treating a viral infection in a subject in need thereof comprising administering to the subject a therapeutically effective amount of a 6-azauridine compound according to any one of claims 1-16 or a pharmaceutical composition according to claim 17.
19. A method of preventing the onset of a viral infection in a subj ect in need thereof comprising administering to the subject a prophylactically effective amount of a 6-azauridine compound according to any one of claims 1-16 or a pharmaceutical composition according to claim 17.
20. Use of a 6-azauridine compound according to any one of claims 1-16 in the manufacture of a medicament for treating a viral infection in a subject in need thereof or for preventing the onset of a viral infection in a subject in need thereof.
Applications Claiming Priority (2)
| Application Number | Priority Date | Filing Date | Title |
|---|---|---|---|
| US202263331461P | 2022-04-15 | 2022-04-15 | |
| US63/331,461 | 2022-04-15 |
Publications (1)
| Publication Number | Publication Date |
|---|---|
| WO2023201072A1 true WO2023201072A1 (en) | 2023-10-19 |
Family
ID=88330325
Family Applications (1)
| Application Number | Title | Priority Date | Filing Date |
|---|---|---|---|
| PCT/US2023/018706 Ceased WO2023201072A1 (en) | 2022-04-15 | 2023-04-14 | Novel 6-azauridine compounds as broad spectrum antiviral agents |
Country Status (1)
| Country | Link |
|---|---|
| WO (1) | WO2023201072A1 (en) |
Citations (3)
| Publication number | Priority date | Publication date | Assignee | Title |
|---|---|---|---|---|
| WO2012142075A1 (en) * | 2011-04-13 | 2012-10-18 | Merck Sharp & Dohme Corp. | 2'-azido substituted nucleoside derivatives and methods of use thereof for the treatment of viral diseases |
| US20160016986A1 (en) * | 2014-07-21 | 2016-01-21 | Milind Deshpande | Stabilized nucleotides for medical treatment |
| US20170101431A1 (en) * | 2014-05-28 | 2017-04-13 | Idenix Pharmaceuticals Llc | Nucleoside derivatives for the treatment of cancer |
-
2023
- 2023-04-14 WO PCT/US2023/018706 patent/WO2023201072A1/en not_active Ceased
Patent Citations (3)
| Publication number | Priority date | Publication date | Assignee | Title |
|---|---|---|---|---|
| WO2012142075A1 (en) * | 2011-04-13 | 2012-10-18 | Merck Sharp & Dohme Corp. | 2'-azido substituted nucleoside derivatives and methods of use thereof for the treatment of viral diseases |
| US20170101431A1 (en) * | 2014-05-28 | 2017-04-13 | Idenix Pharmaceuticals Llc | Nucleoside derivatives for the treatment of cancer |
| US20160016986A1 (en) * | 2014-07-21 | 2016-01-21 | Milind Deshpande | Stabilized nucleotides for medical treatment |
Non-Patent Citations (4)
| Title |
|---|
| KANO F., ET AL.: "5'-O-ALKYL AND ACYL PRODRUGS OF 1-BETA-D-ARABINOFURANOSYL-E-5-(2-BROMOVINYL)URACIL.", ANTIVIRAL CHEMISTRY & CHEMOTHERAPY., INTERNATIONAL MEDICAL PRESS, GB, vol. 05., no. 02., 1 January 1994 (1994-01-01), GB , pages 74 - 82., XP000909087, ISSN: 0956-3202 * |
| OMARI DERAR M, AKKAM YAZAN, SALLAM ASSAYED: "Drug-Excipient Interactions: An Overview on Mechanisms and Effects on Drug Stability and Bioavailability", ANNALS OF THE ROMANIAN SOCIETY FOR CELL BIOLOGY, "VASILE GOLDIS" WESTERN UNIVERSITY ARAD, ROMANIA, ARAD, 1 January 2021 (2021-01-01), Arad, pages 8402 - 8429, XP093102914, [retrieved on 20231117] * |
| SALAMEH HELANEH, AFRI MICHAL, GOTTLIEB HUGO E., FISCHER BILHA: "β-Cyanuryl Ribose, β-Barbituryl Ribose, and 6-Azauridine as Uridine Mimetics", ACS OMEGA, ACS PUBLICATIONS, US, vol. 5, no. 48, 8 December 2020 (2020-12-08), US , pages 31314 - 31322, XP093102910, ISSN: 2470-1343, DOI: 10.1021/acsomega.0c04788 * |
| ZHAO-YU WANG; YAN-HONG BI; MIN-HUA ZONG: "Regioselective enzymatic procedure for preparing 3′--stearoyl-6-azauridine by usinglipase", BIOTECHNOLOGY AND BIOPROCESS ENGINEERING, THE KOREAN SOCIETY FOR BIOTECHNOLOGY AND BIOENGINEERING, HEIDELBERG, vol. 17, no. 2, 3 April 2012 (2012-04-03), Heidelberg , pages 393 - 397, XP035038819, ISSN: 1976-3816, DOI: 10.1007/s12257-011-0483-y * |
Similar Documents
| Publication | Publication Date | Title |
|---|---|---|
| ES2608871T5 (en) | Tenofovir alafenamide hemifumarate | |
| AU2008227128B2 (en) | Conjugates of synthetic TLR agonists and uses therefor | |
| US9771361B2 (en) | Inhibitors of influenza viruses replication | |
| US12337007B2 (en) | Patentiflorin A analogs as antiviral agents | |
| RU2685730C1 (en) | Formulations of azaindole compounds | |
| KR20200140274A (en) | 4'-halogen containing nucleotide and nucleoside therapeutic compositions and uses related thereto | |
| JPH08501071A (en) | 1,5-anhydrohexitol nucleoside analogues and the use of the analogues as medicaments | |
| CN110317211A (en) | Substituted polycyclic pyridone compound and prodrug thereof | |
| KR20180039666A (en) | Pyrrolopyrimidine nucleosides useful as antiviral agents and analogs thereof | |
| EP1931352A2 (en) | Tlr agonists | |
| BR112017005111B1 (en) | ACYCLIC NUCLEOTIDE ANALOG COMPOUNDS, PHARMACEUTICAL COMPOSITION CONTAINING SUCH COMPOUNDS, AND USES OF THE COMPOSITION IN THE TREATMENT OF A PAPILLOMAVIRUS INFECTION | |
| US20230277566A1 (en) | Broad spectrum antiviral and methods of use | |
| CN102625796B (en) | Methods of treating Orthomyxoviral infections | |
| CN113735928A (en) | N4-hydroxycytidine derivative and preparation method and application thereof | |
| CA2218701C (en) | Immunopotentiating inosine monophosphate 5'-nucleotidase resistant derivatives and uses thereof | |
| WO2023201072A1 (en) | Novel 6-azauridine compounds as broad spectrum antiviral agents | |
| KR20120101397A (en) | Sialochimeric compounds | |
| CN108948084A (en) | Tenofovir pair-l-amino acid ester and preparation method thereof | |
| US8242120B2 (en) | Carbocyclic compounds and methods for treating emerging disease, including influenza and Venezuela equine encephalitis virus | |
| WO1994027607A1 (en) | Antiviral agent | |
| WO2011046901A2 (en) | Broad spectrum antiviral and methods of use | |
| CN113880898B (en) | Flavonoid glycoside-organic amine antimicrobial compound salt compound and preparation method and application thereof | |
| CN111320630A (en) | Compound with TNF- α inhibitory activity and application | |
| JPH037661B2 (en) | ||
| US10851125B2 (en) | Crystalline forms of ethyl ((S)-((((2R,5R)-5-(6-amino-9H-purin-9-yl)-4-fluoro-2,5-dihydrofuran-2-yl)oxy)methyl)(phenoxy)phosphoryl(-L-alaninate |
Legal Events
| Date | Code | Title | Description |
|---|---|---|---|
| 121 | Ep: the epo has been informed by wipo that ep was designated in this application |
Ref document number: 23789027 Country of ref document: EP Kind code of ref document: A1 |
|
| DPE1 | Request for preliminary examination filed after expiration of 19th month from priority date (pct application filed from 20040101) | ||
| NENP | Non-entry into the national phase |
Ref country code: DE |
|
| 122 | Ep: pct application non-entry in european phase |
Ref document number: 23789027 Country of ref document: EP Kind code of ref document: A1 |










































































