WO2023122778A1 - Pyridazinone derivatives useful as t cell activators - Google Patents
Pyridazinone derivatives useful as t cell activators Download PDFInfo
- Publication number
- WO2023122778A1 WO2023122778A1 PCT/US2022/082319 US2022082319W WO2023122778A1 WO 2023122778 A1 WO2023122778 A1 WO 2023122778A1 US 2022082319 W US2022082319 W US 2022082319W WO 2023122778 A1 WO2023122778 A1 WO 2023122778A1
- Authority
- WO
- WIPO (PCT)
- Prior art keywords
- iii
- occurrence
- independently
- alkyl
- haloalkyl
- Prior art date
- Legal status (The legal status is an assumption and is not a legal conclusion. Google has not performed a legal analysis and makes no representation as to the accuracy of the status listed.)
- Ceased
Links
Classifications
-
- A—HUMAN NECESSITIES
- A61—MEDICAL OR VETERINARY SCIENCE; HYGIENE
- A61P—SPECIFIC THERAPEUTIC ACTIVITY OF CHEMICAL COMPOUNDS OR MEDICINAL PREPARATIONS
- A61P35/00—Antineoplastic agents
-
- C—CHEMISTRY; METALLURGY
- C07—ORGANIC CHEMISTRY
- C07D—HETEROCYCLIC COMPOUNDS
- C07D237/00—Heterocyclic compounds containing 1,2-diazine or hydrogenated 1,2-diazine rings
- C07D237/02—Heterocyclic compounds containing 1,2-diazine or hydrogenated 1,2-diazine rings not condensed with other rings
- C07D237/06—Heterocyclic compounds containing 1,2-diazine or hydrogenated 1,2-diazine rings not condensed with other rings having three double bonds between ring members or between ring members and non-ring members
- C07D237/10—Heterocyclic compounds containing 1,2-diazine or hydrogenated 1,2-diazine rings not condensed with other rings having three double bonds between ring members or between ring members and non-ring members with hetero atoms or with carbon atoms having three bonds to hetero atoms with at the most one bond to halogen, e.g. ester or nitrile radicals, directly attached to ring carbon atoms
- C07D237/22—Nitrogen and oxygen atoms
-
- C—CHEMISTRY; METALLURGY
- C07—ORGANIC CHEMISTRY
- C07D—HETEROCYCLIC COMPOUNDS
- C07D401/00—Heterocyclic compounds containing two or more hetero rings, having nitrogen atoms as the only ring hetero atoms, at least one ring being a six-membered ring with only one nitrogen atom
- C07D401/02—Heterocyclic compounds containing two or more hetero rings, having nitrogen atoms as the only ring hetero atoms, at least one ring being a six-membered ring with only one nitrogen atom containing two hetero rings
- C07D401/12—Heterocyclic compounds containing two or more hetero rings, having nitrogen atoms as the only ring hetero atoms, at least one ring being a six-membered ring with only one nitrogen atom containing two hetero rings linked by a chain containing hetero atoms as chain links
-
- C—CHEMISTRY; METALLURGY
- C07—ORGANIC CHEMISTRY
- C07D—HETEROCYCLIC COMPOUNDS
- C07D401/00—Heterocyclic compounds containing two or more hetero rings, having nitrogen atoms as the only ring hetero atoms, at least one ring being a six-membered ring with only one nitrogen atom
- C07D401/14—Heterocyclic compounds containing two or more hetero rings, having nitrogen atoms as the only ring hetero atoms, at least one ring being a six-membered ring with only one nitrogen atom containing three or more hetero rings
-
- C—CHEMISTRY; METALLURGY
- C07—ORGANIC CHEMISTRY
- C07D—HETEROCYCLIC COMPOUNDS
- C07D403/00—Heterocyclic compounds containing two or more hetero rings, having nitrogen atoms as the only ring hetero atoms, not provided for by group C07D401/00
- C07D403/02—Heterocyclic compounds containing two or more hetero rings, having nitrogen atoms as the only ring hetero atoms, not provided for by group C07D401/00 containing two hetero rings
- C07D403/12—Heterocyclic compounds containing two or more hetero rings, having nitrogen atoms as the only ring hetero atoms, not provided for by group C07D401/00 containing two hetero rings linked by a chain containing hetero atoms as chain links
-
- C—CHEMISTRY; METALLURGY
- C07—ORGANIC CHEMISTRY
- C07D—HETEROCYCLIC COMPOUNDS
- C07D405/00—Heterocyclic compounds containing both one or more hetero rings having oxygen atoms as the only ring hetero atoms, and one or more rings having nitrogen as the only ring hetero atom
- C07D405/02—Heterocyclic compounds containing both one or more hetero rings having oxygen atoms as the only ring hetero atoms, and one or more rings having nitrogen as the only ring hetero atom containing two hetero rings
- C07D405/12—Heterocyclic compounds containing both one or more hetero rings having oxygen atoms as the only ring hetero atoms, and one or more rings having nitrogen as the only ring hetero atom containing two hetero rings linked by a chain containing hetero atoms as chain links
-
- C—CHEMISTRY; METALLURGY
- C07—ORGANIC CHEMISTRY
- C07D—HETEROCYCLIC COMPOUNDS
- C07D405/00—Heterocyclic compounds containing both one or more hetero rings having oxygen atoms as the only ring hetero atoms, and one or more rings having nitrogen as the only ring hetero atom
- C07D405/14—Heterocyclic compounds containing both one or more hetero rings having oxygen atoms as the only ring hetero atoms, and one or more rings having nitrogen as the only ring hetero atom containing three or more hetero rings
-
- C—CHEMISTRY; METALLURGY
- C07—ORGANIC CHEMISTRY
- C07D—HETEROCYCLIC COMPOUNDS
- C07D409/00—Heterocyclic compounds containing two or more hetero rings, at least one ring having sulfur atoms as the only ring hetero atoms
- C07D409/02—Heterocyclic compounds containing two or more hetero rings, at least one ring having sulfur atoms as the only ring hetero atoms containing two hetero rings
- C07D409/12—Heterocyclic compounds containing two or more hetero rings, at least one ring having sulfur atoms as the only ring hetero atoms containing two hetero rings linked by a chain containing hetero atoms as chain links
-
- C—CHEMISTRY; METALLURGY
- C07—ORGANIC CHEMISTRY
- C07D—HETEROCYCLIC COMPOUNDS
- C07D409/00—Heterocyclic compounds containing two or more hetero rings, at least one ring having sulfur atoms as the only ring hetero atoms
- C07D409/14—Heterocyclic compounds containing two or more hetero rings, at least one ring having sulfur atoms as the only ring hetero atoms containing three or more hetero rings
-
- C—CHEMISTRY; METALLURGY
- C07—ORGANIC CHEMISTRY
- C07D—HETEROCYCLIC COMPOUNDS
- C07D411/00—Heterocyclic compounds containing two or more hetero rings, at least one ring having oxygen and sulfur atoms as the only ring hetero atoms
- C07D411/14—Heterocyclic compounds containing two or more hetero rings, at least one ring having oxygen and sulfur atoms as the only ring hetero atoms containing three or more hetero rings
-
- C—CHEMISTRY; METALLURGY
- C07—ORGANIC CHEMISTRY
- C07D—HETEROCYCLIC COMPOUNDS
- C07D413/00—Heterocyclic compounds containing two or more hetero rings, at least one ring having nitrogen and oxygen atoms as the only ring hetero atoms
- C07D413/02—Heterocyclic compounds containing two or more hetero rings, at least one ring having nitrogen and oxygen atoms as the only ring hetero atoms containing two hetero rings
- C07D413/12—Heterocyclic compounds containing two or more hetero rings, at least one ring having nitrogen and oxygen atoms as the only ring hetero atoms containing two hetero rings linked by a chain containing hetero atoms as chain links
-
- C—CHEMISTRY; METALLURGY
- C07—ORGANIC CHEMISTRY
- C07D—HETEROCYCLIC COMPOUNDS
- C07D413/00—Heterocyclic compounds containing two or more hetero rings, at least one ring having nitrogen and oxygen atoms as the only ring hetero atoms
- C07D413/14—Heterocyclic compounds containing two or more hetero rings, at least one ring having nitrogen and oxygen atoms as the only ring hetero atoms containing three or more hetero rings
-
- C—CHEMISTRY; METALLURGY
- C07—ORGANIC CHEMISTRY
- C07D—HETEROCYCLIC COMPOUNDS
- C07D417/00—Heterocyclic compounds containing two or more hetero rings, at least one ring having nitrogen and sulfur atoms as the only ring hetero atoms, not provided for by group C07D415/00
- C07D417/02—Heterocyclic compounds containing two or more hetero rings, at least one ring having nitrogen and sulfur atoms as the only ring hetero atoms, not provided for by group C07D415/00 containing two hetero rings
- C07D417/12—Heterocyclic compounds containing two or more hetero rings, at least one ring having nitrogen and sulfur atoms as the only ring hetero atoms, not provided for by group C07D415/00 containing two hetero rings linked by a chain containing hetero atoms as chain links
-
- C—CHEMISTRY; METALLURGY
- C07—ORGANIC CHEMISTRY
- C07D—HETEROCYCLIC COMPOUNDS
- C07D417/00—Heterocyclic compounds containing two or more hetero rings, at least one ring having nitrogen and sulfur atoms as the only ring hetero atoms, not provided for by group C07D415/00
- C07D417/14—Heterocyclic compounds containing two or more hetero rings, at least one ring having nitrogen and sulfur atoms as the only ring hetero atoms, not provided for by group C07D415/00 containing three or more hetero rings
Definitions
- the present invention generally relates to compounds that activate T cells, promote T cell proliferation, and/or exhibit antitumor activity.
- compounds, compositions comprising such compounds, and methods of their use are compounds, compositions comprising such compounds, and methods of their use.
- the invention further pertains to pharmaceutical compositions comprising at least one compound according to the invention that are useful for the treatment of proliferative disorders, such as cancer, and viral infections.
- tumors may exploit several distinct mechanisms to actively subvert anti-tumor immunity. These mechanisms include dysfunctional T-cell signaling (Mizoguchi et al, Science, 1992, 258, 1795-98), suppressive regulatory cells (Facciabene et al, Cancer Res, 2012, 72, 2162-71), and the co-opting of endogenous "immune checkpoints", which serve to down-modulate the intensity of adaptive immune responses and protect normal tissues from collateral damage, by tumors to evade immune destruction (Topalian et al, Curr. Opin. Immunol., 2012, 24, 1-6; Mellman et al, Nature, 2011, 480, 480-489).
- DGKs Diacylglycerol kinases
- DGKs are lipid kinases that mediate the conversion of diacylglycerol to phosphatidic acid thereby terminating T cell functions propagated through the TCR signaling pathway.
- DGKs serve as intracellular checkpoints and inhibition of DGKs are expected to enhance T cell signaling pathways and T cell activation.
- Supporting evidence include knock-out mouse models of either DGK ⁇ or DGK ⁇ which show a hyper-responsive T cell phenotype and improved anti-tumor immune activity (Riese et al, Journal of Biological Chemistry, 2011, 7, 5254-5265; Zha et al, Nature Immunology, 2006, 12, 1343).
- DGK ⁇ and DGK ⁇ are viewed as targets for cancer immunotherapy (Riese et al, Front Cell Dev Biol., 2016, 4, 108; Chen et al, Front Cell Dev Biol., 2016, 4, 130; Avila-Flores et al, Immunology and Cell Biology, 2017, 95, 549-563; Noessner, Front Cell Dev Biol., 2017, 5, 16; Krishna, et al, Front Immunology, 2013, 4,178; Jing, et al, Cancer Research, 2017, 77, 5676-5686.
- SEQ ID NO: 1 The full length human diacylglycerol kinsase alpha isoform a enzyme is disclosed as SEQ ID NO: 1, and the full length human diacylglycerol kinsase zeta
- An agent that is safe and effective in restoring T cell activation, lowering antigen threshold, enhancing anti- tumor functionality, and/or overcoming the suppressive effects of one or more endogenous immune checkpoints, such as PD-1, LAG-3 and TGF ⁇ , would be significant for the treatment of patients with proliferative disorders, such as cancer, as well as viral infections.
- Described herein are compounds that have activity as inhibitors of one or both of DGK ⁇ and DGK ⁇ . Further, the compounds that have activity as inhibitors of one or both of DGK ⁇ and DGK ⁇ and have selectivity over other diacylglycerol kinases, protein kinases, and/or other lipid kinases.
- a compound having the structure of Formula (I′): or a pharmaceutically acceptable salt, solvate, hydrate, isomer, tautomer, racemate, or isotope thereof, wherein: R 1 is a saturated heterocycle or a 5- or 6-membered heteroaryl; L 1 is a bond, –(CR 8 R 9 ) q ⁇ , or ⁇ (CR 8 R 9 ) q C(O) ⁇ ; R 2 is halo or C 1-3 haloalkyl;L 2 is a 5–10 membered carbocycle or a 5–10 membered heterocycle; R 3 is H, ⁇ CN, halo, C 1-6 alkyl, C 1-6 haloalkyl, ⁇ OR 10 , ⁇ NR 10 R 11 , ⁇ C(O)R 10 ,
- the compound having the structure of Formula (I), or a pharmaceutically acceptable salt, solvate, hydrate, isomer, tautomer, racemate, or isotope thereof is provided wherein R 1 is a 6-membered heterocycloalkyl.
- the compound having the structure of Formula (I), or a pharmaceutically acceptable salt, solvate, hydrate, isomer, tautomer, racemate, or isotope thereof is provided wherein R 1 is a 5- or 6-membered heteroaryl.
- a pharmaceutical composition comprising a compound having the structure of Formula (I), or a pharmaceutically acceptable salt, solvate, hydrate, isomer, tautomer, racemate, or isotope thereof, and at least one pharmaceutically acceptable excipient.
- the compounds of Formula (I), or a pharmaceutically acceptable salt, solvate, hydrate, isomer, tautomer, racemate or isotope thereof are useful as inhibitors of DGK ⁇ or DGK ⁇ , or both DGK ⁇ and DGK ⁇ .
- the compounds of Formula (I), or a pharmaceutically acceptable salt, solvate, hydrate, isomer, tautomer, racemate or isotope thereof are useful in therapy.
- the therapy is treatment of proliferative disorders, such as cancer and viral infections.
- a method of modulating the activity of DGK ⁇ or DGK ⁇ , or both DGK ⁇ and DGK ⁇ is provided comprising contacting the kinase with an effective amount of a compound having the structure of Formula (I), or a pharmaceutically acceptable salt, solvate, hydrate, isomer, tautomer, racemate, isotope, or pharmaceutical composition thereof.
- a method for treating a disease or disorder associated with the activity of DGK ⁇ or DGK ⁇ , or both DGK ⁇ and DGK ⁇ comprising administering to a subject in need thereof an effective amount of a compound having the structure of Formula (I), or a pharmaceutically acceptable salt, solvate, hydrate, isomer, tautomer, racemate, isotope, or pharmaceutical composition thereof.
- a compound having the structure of Formula (I), or a pharmaceutically acceptable salt, solvate, hydrate, isomer, tautomer, racemate, isotope, or pharmaceutical composition thereof is provided, in the manufacture of a medicament.
- the medicament is useful for the treatment of proliferative disorders, such as cancer and viral infections.
- the compounds of Formula (I) and compositions comprising the compounds of Formula (I) may be used in treating, preventing, or curing viral infections and various proliferative disorders, such as cancer.
- Pharmaceutical compositions comprising these compounds are useful in treating, preventing, or slowing the progression of diseases or disorders in a variety of therapeutic areas, such as viral infections and cancer.
- processes are provided for the preparation of the compounds of Formula (I) or a pharmaceutically acceptable salt, solvate, hydrate, isomer, tautomer, racemate, or isotope thereof.
- synthetic intermediates useful for the preparation of the compounds of Formula (I), or a pharmaceutically acceptable salt, solvate, hydrate, isomer, tautomer, racemate, or isotope thereof are provided.
- Embodiments identified herein as exemplary or preferred are intended to be illustrative and not limiting.
- DETAILED DESCRIPTION As mentioned above, described herein are compounds that have activity as inhibitors of one or both of DGK ⁇ and DGK ⁇ . Further, the compounds that have activity as inhibitors of one or both of DGK ⁇ and DGK ⁇ and have selectivity over other diacylglycerol kinases, protein kinases, and/or other lipid kinases. Unless defined otherwise, all technical and scientific terms used herein have the same meaning as is commonly understood by one of skill in the art to which the claimed subject matter belongs. It is to be understood that the detailed description is exemplary and explanatory only and are not restrictive of any subject matter claimed.
- ranges and amounts can be expressed as “about” a particular value or range. About also includes the exact amount. Hence “about 100 ⁇ L” means “about 100 ⁇ L” and also “100 ⁇ L.” In some embodiments, about means within 5% of the value. Hence, “about 100 ⁇ L” means 95–105 ⁇ L. In some embodiments, about means within 4% of the value. In some embodiments, about means within 3% of the value. In some embodiments, about means within 2% of the value. In some embodiments, about means within 1% of the value. Generally, the term "about” includes an amount that would be expected to be within experimental error.
- a compound having the structure of Formula (I′): or a pharmaceutically acceptable salt, solvate, hydrate, isomer, tautomer, racemate, or isotope thereof, wherein: R 1 is a saturated heterocycle; L 1 is a bond, –(CR 8 R 9 ) q ⁇ , or ⁇ (CR 8 R 9 ) q C(O) ⁇ ; R 2 is halo or C 1-3 haloalkyl; L 2 is a 5–10 membered carbocycle or a 5–10 membered heterocycle; R 3 is H, ⁇ CN, halo, C 1-6 alkyl, C 1-6 haloalkyl, ⁇ OR 10 , ⁇ NR 10 R 11 , ⁇ C(O)R 10 , ⁇ C(O)OR 10 , ⁇ C(O)NR 10 R 11 , ⁇ S(O) t R 10 , ⁇ S(O) t NR 10 R 11 , ⁇ S(O) t NR
- alkyl means a straight chain or branched saturated hydrocarbon group.
- “Lower alkyl” means a straight chain or branched alkyl group having from 1 to 8 carbon atoms, in some embodiments from 1 to 6 carbon atoms, in some embodiments from 1 to 4 carbon atoms, and in some embodiments from 1 to 2 carbon atoms.
- straight chain lower alkyl groups include, but are not limited to, methyl, ethyl, n-propyl, n-butyl, n-pentyl, n-hexyl, n- heptyl, and n-octyl groups.
- alkenyl groups include straight and branched chain and cyclic alkyl groups as defined above, except that at least one double bond exists between two carbon atoms. Thus, alkenyl groups have from 2 to about 20 carbon atoms, and typically from 2 to 12 carbons or, in some embodiments, from 2 to 8 carbon atoms.
- alkynyl groups include straight and branched chain alkyl groups, except that at least one triple bond exists between two carbon atoms. Thus, alkynyl groups have from 2 to about 20 carbon atoms, and typically from 2 to 12 carbons or, in some embodiments, from 2 to 8 carbon atoms. Examples include, but are not limited to and among others. As used herein, “alkylene” means a divalent alkyl group.
- straight chain lower alkylene groups include, but are not limited to, methylene (i.e., ⁇ CH 2 ⁇ ), ethylene (i.e., ⁇ CH 2 CH 2 ⁇ ), propylene (i.e., ⁇ CH 2 CH 2 CH 2 ⁇ ), and butylene (i.e., ⁇ CH 2 CH 2 CH 2 CH 2 ⁇ ).
- heteroalkylene is an alkylene group of which one or more carbon atoms is replaced with a heteroatom such as, but not limited to, N, O, S, or P.
- Alkoxy refers to an alkyl as defined above joined by way of an oxygen atom (i.e., ⁇ O ⁇ alkyl).
- lower alkoxy groups include, but are not limited to, methoxy, ethoxy, n- propoxy, n-butoxy, isopropoxy, sec-butoxy, tert-butoxy, and the like.
- the terms "carbocyclic” and “carbocycle” denote a ring structure wherein the atoms of the ring are carbon. Carbocycles may be monocyclic or polycyclic. The rings of multi-ring carbocycles may be fused, bridged, or joined through one or more spiro atoms.
- Carbocycles include, but are not limited to, 3- to 10-membered monocyclic rings, 6- to 12-membered bicyclic rings, 6- to 12-membered bridged rings, or 6-12-membered spirocyclic rings.
- Carbocycle encompasses both saturated and unsaturated rings.
- Carbocycle encompasses both cycloalkyl and aryl groups. In some embodiments, the carbocycle has 3 to 8 ring members, whereas in other embodiments the number of ring carbon atoms is 4, 5, 6, or 7.
- the carbocyclic ring can be substituted with as many as N substituents wherein N is the size of the carbocyclic ring with for example, alkyl, amino, hydroxy, cyano, carboxy, nitro, thio, alkoxy, and halogen groups.
- Cycloalkyl are alkyl groups forming a ring structure, which can be substituted or unsubstituted. Examples of cycloalkyl include, but are not limited to, cyclopropyl, cyclobutyl, cyclopentyl, cyclohexyl, cycloheptyl, and cyclooctyl groups.
- the cycloalkyl group has 3 to 8 ring members, whereas in other embodiments the number of ring carbon atoms range from 3 to 5, 3 to 6, or 3 to 7.
- Cycloalkyl groups further include polycyclic cycloalkyl groups such as, but not limited to, norbornyl, adamantyl, bornyl, camphenyl, isocamphenyl, and carenyl groups, and fused rings such as, but not limited to, decalinyl, and the like. Unless specifically indicated to the contrary, the cycloalkyl ring can be substituted.
- substituted cycloalkyl groups can be mono-substituted, such as, but not limited to, 1-, 2-, 3-, or 4- substituted cyclobutyl, or substituted more than once, such as, but not limited to, 2,2-, 2,3-, 2,4- 2,5- or 2,6-disubstituted cyclohexyl groups or mono-, di- or tri- substituted norbornyl or cycloheptyl groups, which can be substituted with, for example, straight or branched chain alkyl groups as defined above, amino, hydroxy, cyano, carboxy, nitro, thio, alkoxy, and halogen groups.
- “Aryl” groups are cyclic aromatic hydrocarbons that do not contain heteroatoms.
- aryl groups include, but are not limited to, phenyl, azulenyl, heptalenyl, biphenyl, indacenyl, fluorenyl, phenanthrenyl, triphenylenyl, pyrenyl, naphthacenyl, chrysenyl, biphenylenyl, anthracenyl, and naphthyl groups.
- aryl groups contain 6-14 carbons in the ring portions of the groups.
- aryl and aryl groups include fused rings wherein at least one ring, but not necessarily all rings, are aromatic, such as fused aromatic-aliphatic ring systems (e.g., indanyl, tetrahydronaphthyl, and the like). Unless specifically indicated to the contrary, aryl can be substituted.
- Carbocyclealkyl refers to an alkyl as defined above with one or more hydrogen atoms replaced with carbocycle. Examples of carbocyclealkyl groups include, but are not limited to, benzyl and the like.
- heterocycle or “heterocyclyl” groups include aromatic and non-aromatic ring compounds (heterocyclic rings) containing 3 or more ring members, of which one or more is a heteroatom such as, but not limited to, N, O, S, or P.
- the rings of multi-ring heterocycles may be fused, bridged, or joined through one or more spiro atoms.
- Heterocycles include, but are not limited to, 3- to 10-membered monocyclic rings, 6- to 12-membered bicyclic rings, 6- to 12-membered bridged rings, or 6-12-membered spirocyclic rings.
- a heterocycle group as defined herein can be a heteroaryl group or a partially or completely saturated cyclic group including at least one ring heteroatom.
- heterocycle groups include 3 to 20 ring members, whereas other such groups have 3 to 15 ring members.
- At least one ring contains a heteroatom, but every ring in a polycyclic system need not contain a heteroatom.
- a dioxolanyl ring and a benzodioxolanyl ring system are both heterocycle groups within the meaning herein.
- a heterocycle group designated as a C 2 -heterocycle can be a 5-membered ring with two carbon atoms and three heteroatoms, a 6-membered ring with two carbon atoms and four heteroatoms and so forth.
- a C 4 -heterocycle can be a 5-membered ring with one heteroatom, a 6-membered ring with two heteroatoms, and so forth.
- the number of carbon atoms plus the number of heteroatoms sums up to equal the total number of ring atoms.
- a saturated heterocyclic ring refers to a heterocyclic ring containing no unsaturated carbon atoms.
- heterocycle can be substituted with as many as N substituents wherein N is the size of the heterocyclic ring with for example, alkyl, amino, hydroxy, cyano, carboxy, nitro, thio, alkoxy, and halogen groups.
- Representative substituted heterocycle groups can be mono-substituted, such as, but not limited to, 2-, or 3- substituted oxetan-3-yl or 2-, 3-, or 4- substituted tetrahydropyran-4-yl.
- "Heteroaryl” groups are aromatic ring compounds containing 5 or more ring members, of which, one or more is a heteroatom such as, but not limited to, N, O, and S.
- a heteroaryl group designated as a C 2 -heteroaryl can be a 5-membered ring with two carbon atoms and three heteroatoms, a 6-membered ring with two carbon atoms and four heteroatoms and so forth.
- a C 4 -heteroaryl can be a 5-membered ring with one heteroatom, a 6-membered ring with two heteroatoms, and so forth.
- the number of carbon atoms plus the number of heteroatoms sums up to equal the total number of ring atoms.
- Heteroaryl groups include, but are not limited to, groups such as pyrrolyl, pyrazolyl, triazolyl, tetrazolyl, oxazolyl, isoxazolyl, thiazolyl, pyridinyl, thiophenyl, benzothiophenyl, benzofuranyl, indolyl, azaindolyl, indazolyl, benzimidazolyl, azabenzimidazolyl, benzoxazolyl, benzothiazolyl, benzothiadiazolyl, imidazopyridinyl, isoxazolopyridinyl, thianaphthalenyl, purinyl, xanthinyl, adeninyl, guaninyl, quinolinyl, isoquinolinyl, tetrahydroquinolinyl, tetrahydroisoquinolinyl, quinoxalinyl, and quina
- heteroaryl and heteroaryl groups include fused ring compounds such as wherein at least one ring, but not necessarily all rings, are aromatic, including tetrahydroquinolinyl, tetrahydroisoquinolinyl, indolyl and 2,3-dihydro indolyl.
- Heterocyclealkyl refers to an alkyl as defined above with one or more hydrogen atoms replaced with heterocycle. Examples of heterocyclealkyl groups include, but are not limited to, morpholinoethyl and the like.
- Halo or “halogen” refers to fluorine, chlorine, bromine and iodine.
- Haloalkyl refers to an alkyl as defined above with one or more hydrogen atoms replaced with halogen.
- lower haloalkyl groups include, but are not limited to, ⁇ CF 3 , ⁇ CH 2 CF 3 , and the like.
- Haloalkoxy refers to an alkoxy as defined above with one or more hydrogen atoms replaced with halogen.
- lower haloalkoxy groups include, but are not limited to ⁇ OCF 3 , ⁇ OCH 2 CF 3 , and the like.
- Hydrodroxyalkyl refers to an alkyl as defined above with one or more hydrogen atoms replaced with ⁇ OH.
- lower hydroxyalkyl groups include, but are not limited to ⁇ CH 2 OH, ⁇ CH 2 CH 2 OH, and the like.
- the term “optionally substituted” refers to a group (e.g., an alkyl, carbocycle, or heterocycle) having 0, 1, or more substituents, such as 0–25, 0–20, 0–10 or 0–5 substituents.
- Substituents include, but are not limited to –OR a , ⁇ NR a R b , ⁇ S(O) 2 R a or ⁇ S(O) 2 OR a , halogen, cyano, alkyl, haloalkyl, alkoxy, carbocycle, heterocycle, carbocyclalkyl, or heterocyclealkyl, wherein each R a and R b is, independently, H, alkyl, haloalkyl, carbocycle, or heterocycle, or R a and R b , together with the atom to which they are attached, form a 3–8 membered carbocycle or heterocycle.
- a compound having the structure of Formula (I): Formula (I) or a pharmaceutically acceptable salt, solvate, hydrate, isomer, tautomer, racemate, or isotope thereof, wherein: R 1 is a 6-membered heterocycloalkyl or a 5- or 6-membered heteroaryl; L 1 is ⁇ CH 2 ⁇ or ⁇ C(O) ⁇ ; R 2 is halo; L 2 is a 5–10 membered carbocycle or a 5–10 membered heterocycle; R 3 is H, ⁇ OH, halo, C 1-4 alkyl, C 1-4 alkoxy, C 1-4 haloalkyl, or C 1-4 haloalkoxy, or ⁇ L 3 ⁇ R 5 ; R 4 is, at each occurrence, independently ⁇ OH, halo, C 1-4 alkyl, C 1-4 alkoxy, C 1-4 haloalkyl, or C 1-4 haloalkoxy; L 3 is a
- the compound having the structure of Formula (I′) or (I), or a pharmaceutically acceptable salt, solvate, hydrate, isomer, tautomer, racemate, or isotope thereof is provided wherein R 1 is a 6-membered heterocycloalkyl.
- the compound having the structure of Formula (I′) or (I), or a pharmaceutically acceptable salt, solvate, hydrate, isomer, tautomer, racemate, or isotope thereof is provided wherein R 1 is a 5- or 6-membered heteroaryl.
- a compound having the structure of Formula (II′): Formula (II′) or a pharmaceutically acceptable salt, solvate, hydrate, isomer, tautomer, racemate, or isotope thereof, wherein: Q 1 , Q 2 , Q 3 , Q 4 , and Q 5 are each, independently ⁇ CR′R′′ ⁇ or ⁇ O ⁇ , or ⁇ S(O)t ⁇ , wherein at least one of Q 1 , Q 2 , or Q 3 is ⁇ O ⁇ ; R′ and R′′ are, at each occurrence, independently H, halo, C 1-4 alkyl, C 1-6 hydroxyalkyl, C 1-4 haloalkyl, ⁇ OR, or ⁇ NHR, or one occurrence of R′ and one occurrence of R′′ may optionally form, together with the one or more carbon atoms to which they are attached, a fused, bridged, or spiro ring; L 1 is a bond, –(CR 8 R 9 )q
- a compound having the structure of Formula (II): Formula (II) or a pharmaceutically acceptable salt, solvate, hydrate, isomer, tautomer, racemate, or isotope thereof, wherein: Q 1 , Q 2 , Q 3 , and Q 4 are each, independently, ⁇ CH 2 ⁇ or ⁇ O ⁇ , wherein at least one of Q 1 , Q 2 , and Q 3 is O; L 1 is ⁇ CH 2 ⁇ or ⁇ C(O) ⁇ ; R 2 is Cl or F; L 2 is a 5- or 6-membered carbocycle or a 5- or 6-membered heterocycle; R 3 is H, ⁇ OH, halo, C 1-4 alkyl, C 1-4 alkoxy, C 1-4 haloalkyl, or C 1-4 haloalkoxy, or ⁇ L 3 ⁇ R 5 ; R 4 is, at each occurrence, independently ⁇ OH, halo, C 1-4 alkyl, C 1-4 alkoxy,
- a compound having the structure of any one of Formula (II′-A), Formula (II′-B), Formula (II′-C), or Formula (II′-D): , or a pharmaceutically acceptable salt, solvate, hydrate, isomer, tautomer, racemate, or isotope thereof, wherein: R′ and R′′ are, at each occurrence, independently H, halo, C 1-4 alkyl, C 1-6 hydroxyalkyl, C 1-4 haloalkyl, ⁇ OR, or ⁇ NHR, or one occurrence of R′ and one occurrence of R′′ may optionally form, together with the one or more carbon atoms to which they are attached, a fused, bridged, or spiro ring; L 1 is a bond, –(CR 8 R 9 ) q ⁇ , or ⁇ (CR 8 R 9 ) q C(O) ⁇ ; R 2 is Cl or F; L 2 is a 5- or 6-membered carbocycle
- a compound having the structure of any one of Formula (II-A), Formula (II-B), Formula (II-C), or Formula (II-D): , , Formula (II-C) Formula (II-D) or a pharmaceutically acceptable salt, solvate, hydrate, isomer, tautomer, racemate, or isotope thereof, wherein: L 1 is ⁇ CH 2 ⁇ or ⁇ C(O) ⁇ ; R 2 is Cl or F; L 2 is a 5- or 6-membered carbocycle or a 5- or 6-membered heterocycle; R 3 is H, ⁇ OH, halo, C 1-4 alkyl, C 1-4 alkoxy, C 1-4 haloalkyl, or C 1-4 haloalkoxy, or ⁇ L 3 ⁇ R 5 ; R 4 is, at each occurrence, independently ⁇ OH, halo, C 1-4 alkyl, C 1-4 alkoxy, C 1-4 haloalkyl, or C
- a compound having the structure of Formula (II) or Formula (II′), or a pharmaceutically acceptable salt, solvate, hydrate, isomer, tautomer, racemate, or isotope thereof wherein L 2 is cyclopentyl, cyclohexyl, phenyl, pyrrolidinyl, pyrrolyl, pyrazolyl, imidazolyl, triazolyl, tetrahydrofuranyl, furanyl, tetrahydrothiophenyl, thiophenyl, oxazolyl, isoxazolyl, thiazolyl, isothiazolyl, oxadiazolyl, thiadiazolyl, piperidinyl, piperazinyl, pyridinyl, pyridazinyl, pyrimidinyl, pyrazinyl, triazinyl, tetrahydropyranyl, or morpholinyl.
- a compound having the structure of any one of Formula (II′-A-1), Formula (II′-A-2), Formula (II′-A-3), Formula (II′-A-4), Formula (II′-A-5), or Formula (II′-A-6): , , Formula (II′-A-5) Formula (II′-A-6) or a pharmaceutically acceptable salt, solvate, hydrate, isomer, tautomer, racemate, or isotope thereof, wherein: R′ and R′′ are, at each occurrence, independently H, halo, C 1-4 alkyl, C 1-6 hydroxyalkyl, C 1-4 haloalkyl, ⁇ OR, or ⁇ NHR, or one occurrence of R′ and one occurrence of R′′ may optionally form, together with the one or more carbon atoms to which they are attached, a fused, bridged, or spiro ring; R 2 is Cl or F; L 2 is a 5- or 6-membered
- a compound having the structure of any one of Formula (II-A-1), Formula (II-A-2), Formula (II-A-3), Formula (II-A-4), or Formula (II-A-5): , , Formula (II-A-1) Formula (II-A-2) , Formula (II-A-5) or a pharmaceutically acceptable salt, solvate, hydrate, isomer, tautomer, racemate, or isotope thereof, wherein: R 2 is Cl or F; R 3 is H, ⁇ OH, halo, C 1-4 alkyl, C 1-4 alkoxy, C 1-4 haloalkyl, or C 1-4 haloalkoxy, or ⁇ L 3 ⁇ R 5 ; R 4 is, at each occurrence, independently ⁇ OH, halo, C 1-4 alkyl, C 1-4 alkoxy, C 1-4 haloalkyl, or C 1-4 haloalkoxy; L 3 is a bond, ⁇ O ⁇
- a compound having the structure of any one of Formula (II′-B-1), Formula (II′-B-2), Formula (II′-B-3), Formula (II′-B-4), or Formula (II′-B-5), Formula (II′-B-6):
- R′ and R′′ are, at each occurrence, independently H, halo, C 1-4 alkyl, C 1-6 hydroxyalkyl, C 1-4 haloalkyl, ⁇ OR, or ⁇ NHR, or one occurrence of R′ and one occurrence of R′′ may optionally form, together with the one or more carbon atoms to which they are attached, a fused, bridged, or spiro ring;
- R 2 is Cl or F;
- L 2 is a 5- or 6-membered carbocycle or a 5- or 6-membered heterocycle;
- R 3 is H, ⁇ CN, halo, C 1-6 alkyl, C 1-6 haloalkyl, ⁇ OR 10 , ⁇ NR 10 R 11 , ⁇ C(O)R 10 , ⁇ C
- a compound having the structure of any one of Formula (II-B-1), Formula (II-B-2), Formula (II-B-3), Formula (II-B-4), or Formula (II-B-5): Formula (II-B-3) Formula (II-B-4) , Formula (II-B-5) or a pharmaceutically acceptable salt, solvate, hydrate, isomer, tautomer, racemate, or isotope thereof, wherein: R 2 is Cl or F; R 3 is H, ⁇ OH, halo, C 1-4 alkyl, C 1-4 alkoxy, C 1-4 haloalkyl, or C 1-4 haloalkoxy, or ⁇ L 3 ⁇ R 5 ; R 4 is, at each occurrence, independently ⁇ OH, halo, C 1-4 alkyl, C 1-4 alkoxy, C 1-4 haloalkyl, or C 1-4 haloalkoxy; L 3 is a bond, ⁇ O ⁇ , ⁇ CH
- a compound having the structure of any one of Formula (II′-C-1), Formula (II′-C-2), Formula (II′-C-3), Formula (II′-C-4), or Formula (II′-C-5), or Formula (II′-C-6): , , Formula (II′-C-1) Formula (II′-C-2)
- R′ and R′′ are, at each occurrence, independently H, halo, C 1-4 alkyl, C 1-6 hydroxyalkyl, C 1-4 haloalkyl, ⁇ OR, or ⁇ NHR, or one occurrence of R′ and one occurrence of R′′ may optionally form, together with the one or more carbon atoms to which they are attached, a fused, bridged, or spiro ring;
- R 2 is Cl or F;
- L 2 is a 5- or 6-membered carbocycle or a 5- or 6-membered heterocycle;
- R 3 is H, ⁇ CN, halo, C 1-6 alkyl, C 1-6 haloalkyl, ⁇ OR 10 , ⁇ NR 10 R 11 , ⁇ C(O)R 10 , ⁇ C
- a compound having the structure of any one of Formula (II-C-1), Formula (II-C-2), Formula (II-C-3), Formula (II-C-4), or Formula (II-C-5): Formula (II-C-3) Formula (II-C-4) , Formula (II-C-5) or a pharmaceutically acceptable salt, solvate, hydrate, isomer, tautomer, racemate, or isotope thereof, wherein: R 2 is Cl or F; R 3 is H, ⁇ OH, halo, C 1-4 alkyl, C 1-4 alkoxy, C 1-4 haloalkyl, or C 1-4 haloalkoxy, or ⁇ L 3 ⁇ R 5 ; R 4 is, at each occurrence, independently ⁇ OH, halo, C 1-4 alkyl, C 1-4 alkoxy, C 1-4 haloalkyl, or C 1-4 haloalkoxy; L 3 is a bond, ⁇ O ⁇ , ⁇ CH
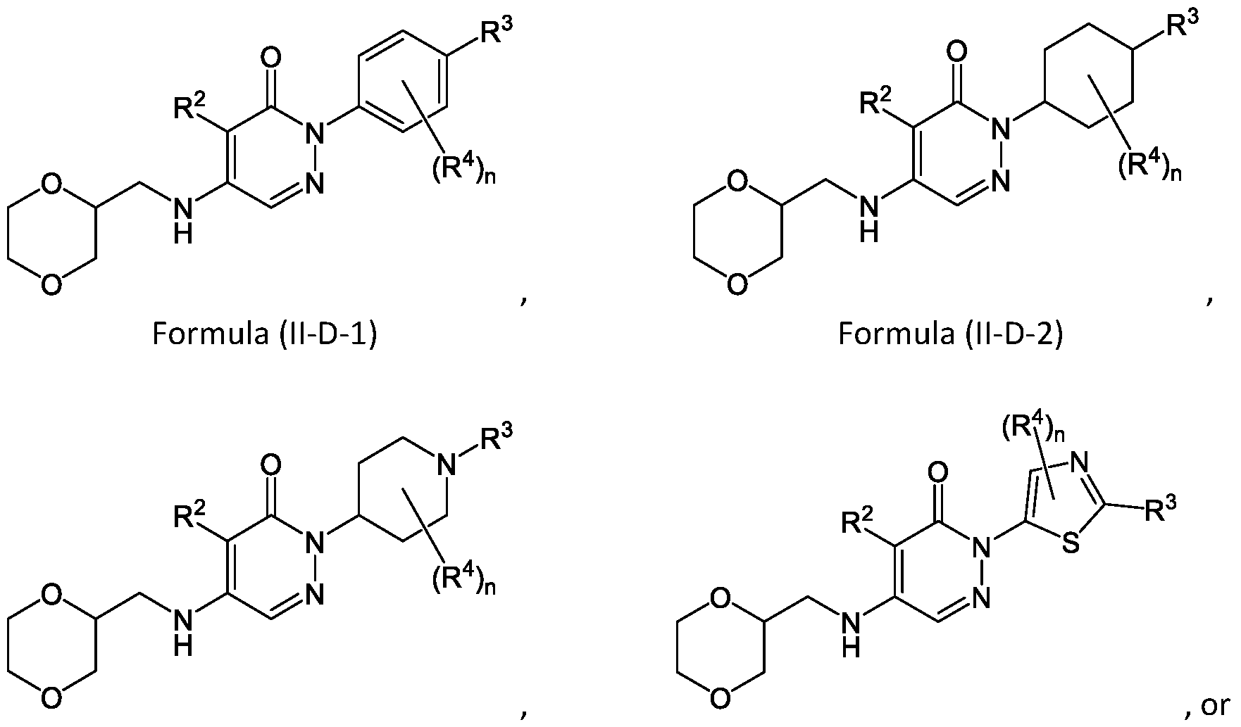
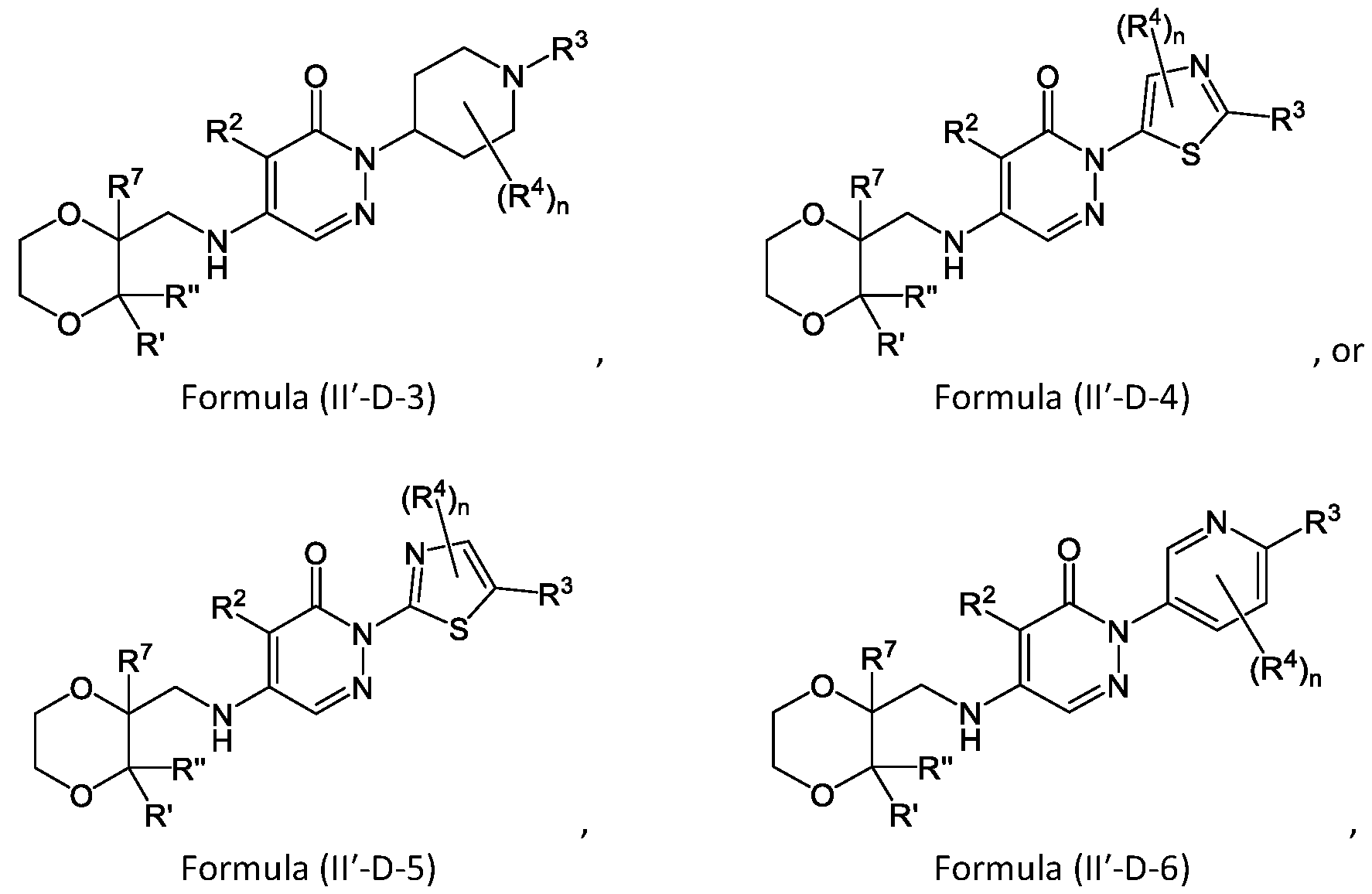
- a compound having the structure of any one of Formula (II′-D-1), Formula (II′-D-2), Formula (II′-D-3), Formula (II′-D-4), Formula (II′-D-5), or Formula (II′-D-6): or a pharmaceutically acceptable salt, solvate, hydrate, isomer, tautomer, racemate, or isotope thereof, wherein: R′ and R′′ are, at each occurrence, independently H, halo, C 1-4 alkyl, C 1-6 hydroxyalkyl, C 1-4 haloalkyl, ⁇ OR, or ⁇ NHR, or one occurrence of R′ and one occurrence of R′′ may optionally form, together with the one or more carbon atoms to which they are attached, a fused, bridged, or spiro ring; R 2 is Cl or F; L 2 is a 5- or 6-membered carbocycle or a 5- or 6-membered heterocycle; R 3 is H, ⁇
- a compound having the structure of any one of Formula (II-D-1), Formula (II-D-2), Formula (II-D-3), Formula (II-D-4), or Formula (II-D-5): Formula (II-D-3) Formula (II-D-4) , Formula (II-D-5) or a pharmaceutically acceptable salt, solvate, hydrate, isomer, tautomer, racemate, or isotope thereof, wherein: R 2 is Cl or F; R 3 is H, ⁇ OH, halo, C 1-4 alkyl, C 1-4 alkoxy, C 1-4 haloalkyl, or C 1-4 haloalkoxy, or ⁇ L 3 ⁇ R 5 ; R 4 is, at each occurrence, independently ⁇ OH, halo, C 1-4 alkyl, C 1-4 alkoxy, C 1-4 haloalkyl, or C 1-4 haloalkoxy; L 3 is a bond, ⁇ O ⁇ , ⁇ CH
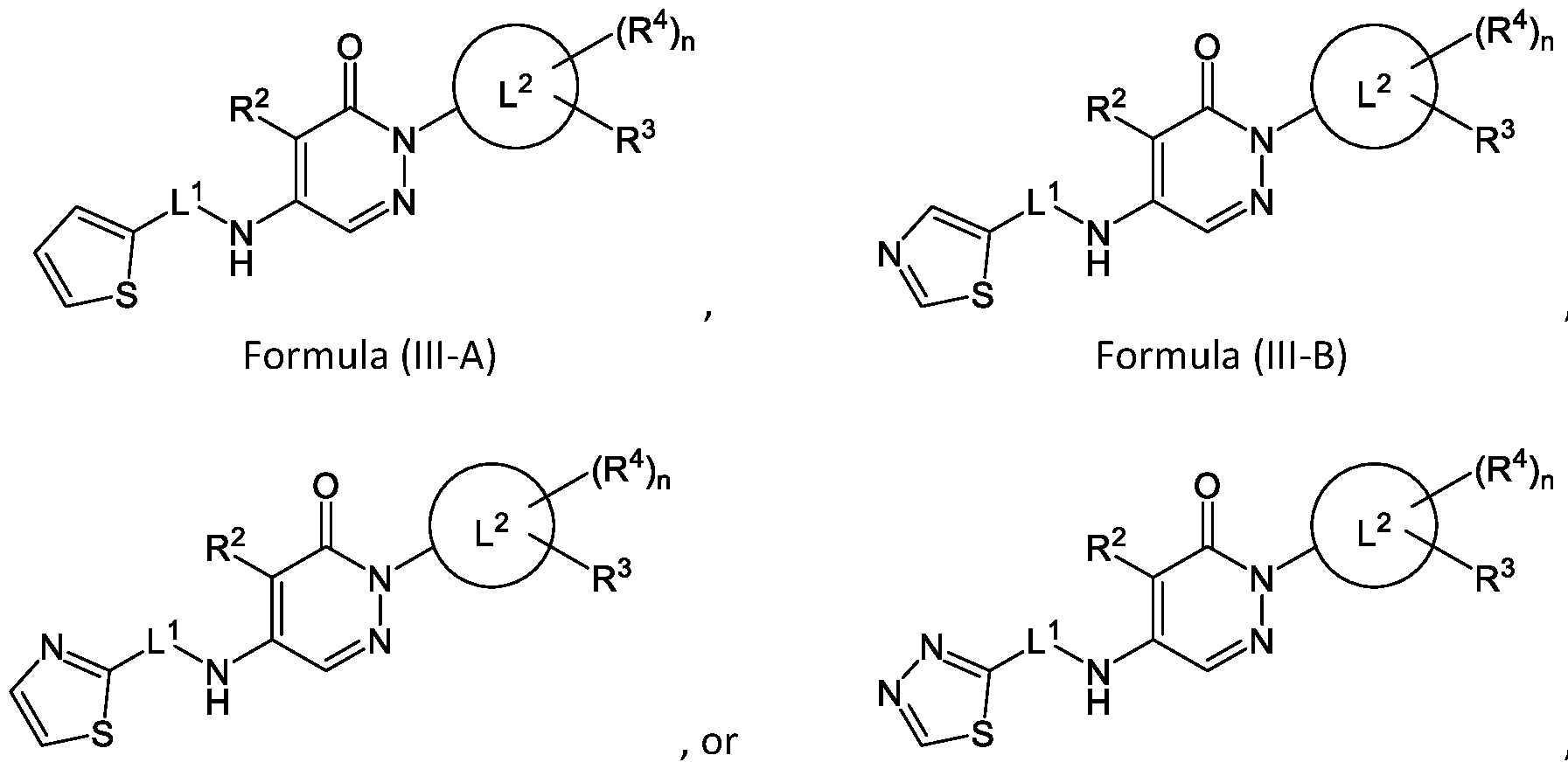
- a compound having the structure of any one of Formula (III′-A), Formula (III′-B), or Formula (III′-C), Formula (III′-D), or Formula (III′-E): , , , Formula (III′-C) Formula (III′-D) or a pharmaceutically acceptable salt, solvate, hydrate, isomer, tautomer, racemate, or isotope thereof, wherein: L 1 is ⁇ CHR ⁇ or ⁇ C(O) ⁇ ; R 2 is Cl or F; L 2 is a 5- or 6-membered carbocycle or a 5- or 6-membered heterocycle; R 3 is H, ⁇ OH, halo, C 1-4 alkyl, C 1-4 alkoxy, C 1-4 haloalkyl, or C 1-4 haloalkoxy, or ⁇ L 3 ⁇ R 5 ; R 4 is, at each occurrence, independently ⁇ OH, halo, C 1-4 alkyl, C 1-4 alkoxy, C 1-4
- a compound having the structure of any one of Formula (III-A), Formula (III-B), or Formula (III-C), or Formula (III-D): , , Formula (III-C) Formula (III-D) or a pharmaceutically acceptable salt, solvate, hydrate, isomer, tautomer, racemate, or isotope thereof, wherein: L 1 is ⁇ CH 2 ⁇ or ⁇ C(O) ⁇ ; R 2 is Cl or F; L 2 is a 5- or 6-membered carbocycle or a 5- or 6-membered heterocycle; R 3 is H, ⁇ OH, halo, C 1-4 alkyl, C 1-4 alkoxy, C 1-4 haloalkyl, or C 1-4 haloalkoxy, or ⁇ L 3 ⁇ R 5 ; R 4 is, at each occurrence, independently ⁇ OH, halo, C 1-4 alkyl, C 1-4 alkoxy, C 1-4 haloalkyl, or C 1-4 halo
- a compound of Formula (III′) or Formula (III), or a pharmaceutically acceptable salt, solvate, hydrate, isomer, tautomer, racemate, or isotope thereof wherein L 2 is cyclopentyl, cyclohexyl, phenyl, pyrrolidinyl, pyrrolyl, pyrazolyl, imidazolyl, triazolyl, tetrahydrofuranyl, furanyl, tetrahydrothiophenyl, thiophenyl, oxazolyl, isoxazolyl, thiazolyl, isothiazolyl, oxadiazolyl, thiadiazolyl, piperidinyl, piperazinyl, pyridinyl, pyridazinyl, pyrimidinyl, pyrazinyl, triazinyl, tetrahydropyranyl, or morpholinyl.
- a compound having the structure of any one of Formula (III′-A-1), Formula (III′-A-2), Formula (III′-A-3), Formula (III′-A-4), Formula (III′-A-5), or Formula (III′-A-6): or a pharmaceutically acceptable salt, solvate, hydrate, isomer, tautomer, racemate, or isotope thereof, wherein: R 2 is Cl or F; R 3 is H, ⁇ OH, halo, C 1-4 alkyl, C 1-4 alkoxy, C 1-4 haloalkyl, or C 1-4 haloalkoxy, or ⁇ L 3 ⁇ R 5 ; R 4 is, at each occurrence, independently ⁇ OH, halo, C 1-4 alkyl, C 1-4 alkoxy, C 1-4 haloalkyl, or C 1-4 haloalkoxy; L 3 is a bond, ⁇ O ⁇ , ⁇ CH 2 ⁇ , or ⁇ N(R) ⁇ R 5 is a 3
- a compound having the structure of any one of Formula (III-A-1), Formula (III-A-2), Formula (III-A-3), Formula (III-A-4), or Formula (III-A-5): Formula (III-A-3) Formula (III-A-4) , Formula (III-A-5) or a pharmaceutically acceptable salt, solvate, hydrate, isomer, tautomer, racemate, or isotope thereof, wherein: R 2 is Cl or F; R 3 is H, ⁇ OH, halo, C 1-4 alkyl, C 1-4 alkoxy, C 1-4 haloalkyl, or C 1-4 haloalkoxy, or ⁇ L 3 ⁇ R 5 ; R 4 is, at each occurrence, independently ⁇ OH, halo, C 1-4 alkyl, C 1-4 alkoxy, C 1-4 haloalkyl, or C 1-4 haloalkoxy; L 3 is a bond, ⁇ O ⁇ , ⁇ CH 2 ⁇ , or ⁇ N
- a compound having the structure of any one of Formula (III′-B-1), Formula (III′-B-2), Formula (III′-B-3), Formula (III′-B-4), Formula (III′-B-5), or Formula (III′-B-6): , Formula (III′-B-1) Formula (III′-B-2) Formula (III′-B-5) Formula (III′-B-6) or a pharmaceutically acceptable salt, solvate, hydrate, isomer, tautomer, racemate, or isotope thereof, wherein: R 2 is Cl or F; R 3 is H, ⁇ OH, halo, C 1-4 alkyl, C 1-4 alkoxy, C 1-4 haloalkyl, or C 1-4 haloalkoxy, or ⁇ L 3 ⁇ R 5 ; R 4 is, at each occurrence, independently ⁇ OH, halo, C 1-4 alkyl, C 1-4 alkoxy, C 1-4 haloalkyl, or C 1-4 haloalkoxy
- a compound having the structure of any one of Formula (III-B-1), Formula (III-B-2), Formula (III-B-3), Formula (III-B-4), or Formula (III-B-5): Formula (III-B-3) Formula (III-B-4) , Formula (III-B-5) or a pharmaceutically acceptable salt, solvate, hydrate, isomer, tautomer, racemate, or isotope thereof, wherein: R 2 is Cl or F; R 3 is H, ⁇ OH, halo, C 1-4 alkyl, C 1-4 alkoxy, C 1-4 haloalkyl, or C 1-4 haloalkoxy, or ⁇ L 3 ⁇ R 5 ; R 4 is, at each occurrence, independently ⁇ OH, halo, C 1-4 alkyl, C 1-4 alkoxy, C 1-4 haloalkyl, or C 1-4 haloalkoxy; L 3 is a bond, ⁇ O ⁇ , ⁇ CH 2 ⁇ , or ⁇ N
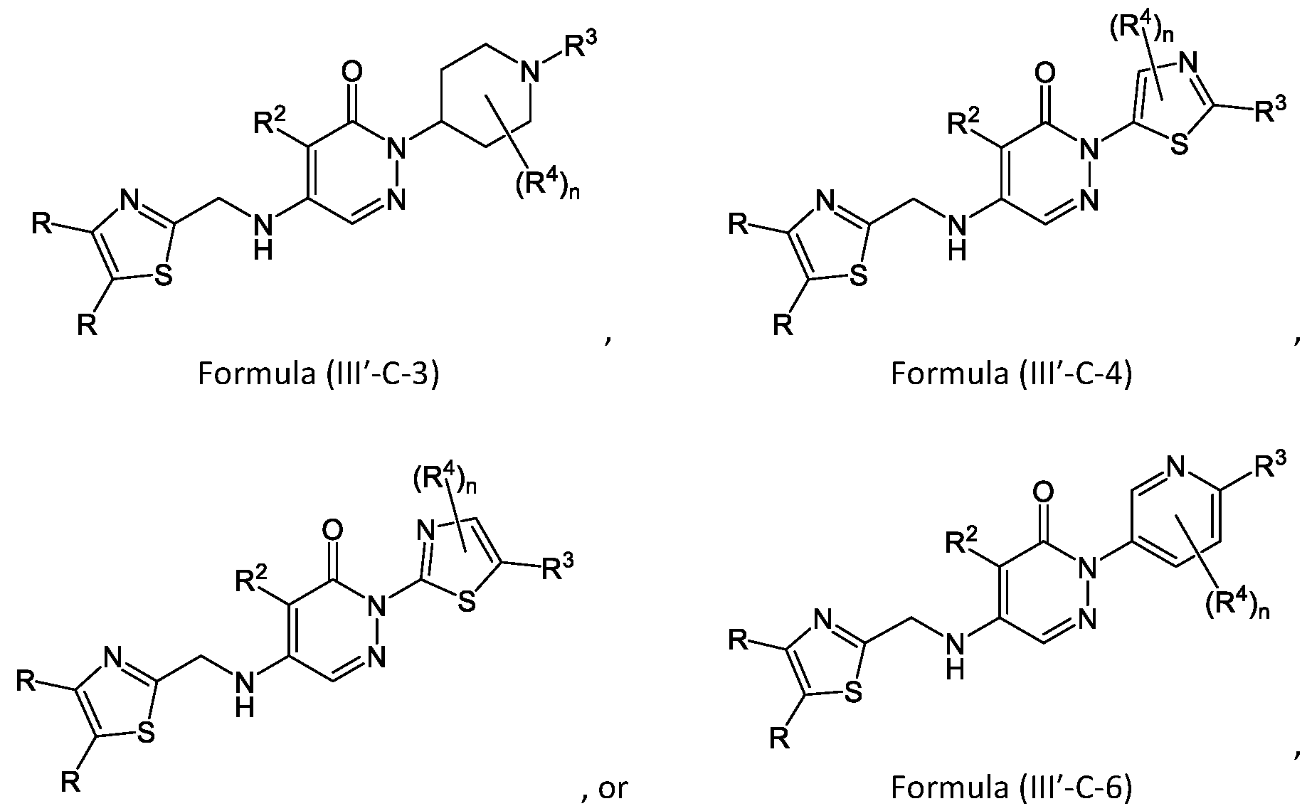
- a compound having the structure of any one of Formula (III′-C-1), Formula (III′-C-2), Formula (III′-C-3), Formula (III′-C-4), Formula (III′-C-5), or Formula (III′-C-6): , , Formula (III′-C-5) Formula (III′-C-6) or a pharmaceutically acceptable salt, solvate, hydrate, isomer, tautomer, racemate, or isotope thereof, wherein: R 2 is Cl or F; R 3 is H, ⁇ OH, halo, C 1-4 alkyl, C 1-4 alkoxy, C 1-4 haloalkyl, or C 1-4 haloalkoxy, or ⁇ L 3 ⁇ R 5 ; R 4 is, at each occurrence, independently ⁇ OH, halo, C 1-4 alkyl, C 1-4 alkoxy, C 1-4 haloalkyl, or C 1-4 haloalkoxy; L 3 is a bond, ⁇ O ⁇ ,
- a compound having the structure of any one of Formula (III-C-1), Formula (III-C-2), Formula (III-C-3), Formula (III-C-4), or Formula (III-C-5): Formula (III-C-3) Formula (III-C-4) , Formula (III-C-5) or a pharmaceutically acceptable salt, solvate, hydrate, isomer, tautomer, racemate, or isotope thereof, wherein: R 2 is Cl or F; R 3 is H, ⁇ OH, halo, C 1-4 alkyl, C 1-4 alkoxy, C 1-4 haloalkyl, or C 1-4 haloalkoxy, or ⁇ L 3 ⁇ R 5 ; R 4 is, at each occurrence, independently ⁇ OH, halo, C 1-4 alkyl, C 1-4 alkoxy, C 1-4 haloalkyl, or C 1-4 haloalkoxy; L 3 is a bond, ⁇ O ⁇ , ⁇ CH 2 ⁇ , or ⁇ N
- a compound having the structure of any one of Formula (III′-D-1), Formula (III′-D-2), Formula (III′-D-3), Formula (III′-D-4), Formula (III′-D-5), or Formula (III′-D-6): , , Formula (III′-D-1) Formula (III′-D-2)
- R 2 is Cl or F
- R 3 is H, ⁇ OH, halo, C 1-4 alkyl, C 1-4 alkoxy, C 1-4 haloalkyl, or C 1-4 haloalkoxy, or ⁇ L 3 ⁇ R 5
- R 4 is, at each occurrence, independently ⁇ OH, halo, C 1-4 alkyl, C 1-4 alkoxy, C 1-4 haloalkyl, or C 1-4 haloalkoxy
- L 3 is a bond, ⁇ O ⁇ , ⁇ CH 2 ⁇ , or ⁇ N(R) ⁇
- R 5 is a 3–10 membered carbocycle or a 3–10 membered heterocycle, wherein R 5 is substituted with (R 6 )p
- R 6 is, at each occurrence, independently, ⁇ CH 3 , F, or ⁇ OCH 3
- R is,
- R 2 is Cl or F
- R 3 is H, ⁇ OH, halo, C 1-4 alkyl, C 1-4 alkoxy, C 1-4 haloalkyl, or C 1-4 haloalkoxy, or ⁇ L 3 ⁇ R 5
- R 4 is, at each occurrence, independently ⁇ OH, halo, C 1-4 alkyl, C 1-4 alkoxy, C 1-4 haloalkyl, or C 1-4 haloalkoxy
- L 3 is a bond, ⁇ O ⁇ , ⁇ CH 2 ⁇ , or ⁇ N(R) ⁇
- R 5 is a 3–10 membered carbocycle or a 3–10 membered heterocycle, wherein R 5 is substituted with (R 6 )p;
- R 6 is, at each occurrence, independently, ⁇ CH 3
- a compound having the structure of any one of Formula (III′-E-1), Formula (III′-E-2), Formula (III′-E-3), Formula (III′-E-4), Formula (III′-E-5), or Formula (III′-E-6): Formula (III′-E-5) Formula (III′-E-6) or a pharmaceutically acceptable salt, solvate, hydrate, isomer, tautomer, racemate, or isotope thereof, wherein: R 2 is Cl or F; R 3 is H, ⁇ OH, halo, C 1-4 alkyl, C 1-4 alkoxy, C 1-4 haloalkyl, or C 1-4 haloalkoxy, or ⁇ L 3 ⁇ R 5 ; R 4 is, at each occurrence, independently ⁇ OH, halo, C 1-4 alkyl, C 1-4 alkoxy, C 1-4 haloalkyl, or C 1-4 haloalkoxy; L 3 is a bond, ⁇ O ⁇ , ⁇ CH 2
- a compound having the structure of Formula (IV′): or a pharmaceutically acceptable salt, solvate, hydrate, isomer, tautomer, racemate, or isotope thereof, wherein: Y 1 is C or N; R 2 is halo or C 1-3 haloalkyl; R 6 is, at each occurrence, independently, halo, oxo, ⁇ NO 2 , ⁇ CN, C 1-6 alkyl, C 1-6 haloalkyl, ⁇ OR 10 , ⁇ NR 10 R 11 , ⁇ C(O)R 10 , ⁇ C(O)OR 10 , ⁇ OC(O)R 10 , ⁇ C(O)NR 10 R 11 , ⁇ NR 11 C(O)R 10 , ⁇ OC(O)NR 10 R 11 , ⁇ NR 11 C(O)OR 10 , ⁇ NR 10 C(O)NR 10 R 11 , ⁇ S(O) t R 10 , ⁇ NR 10 S(O)
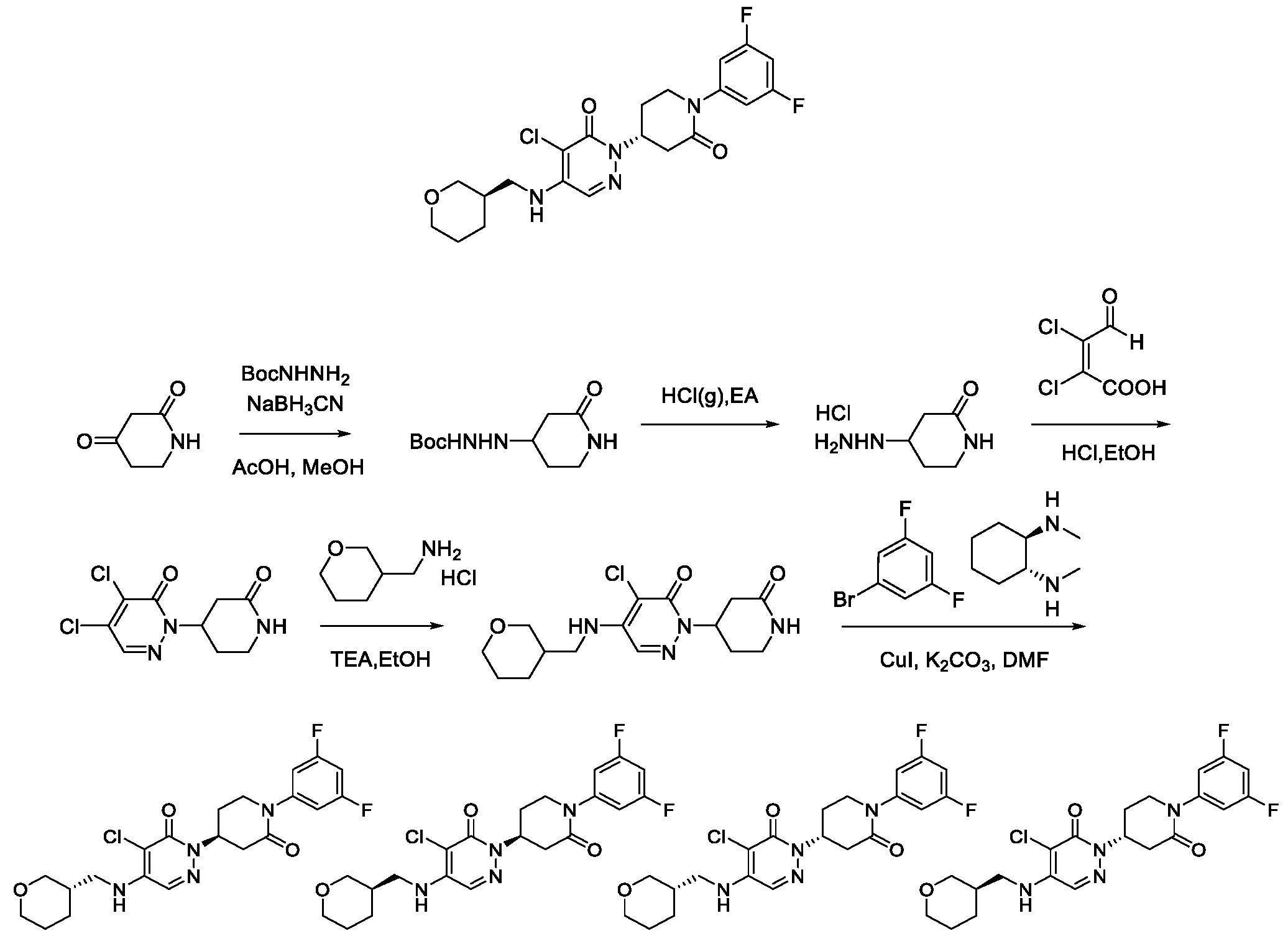
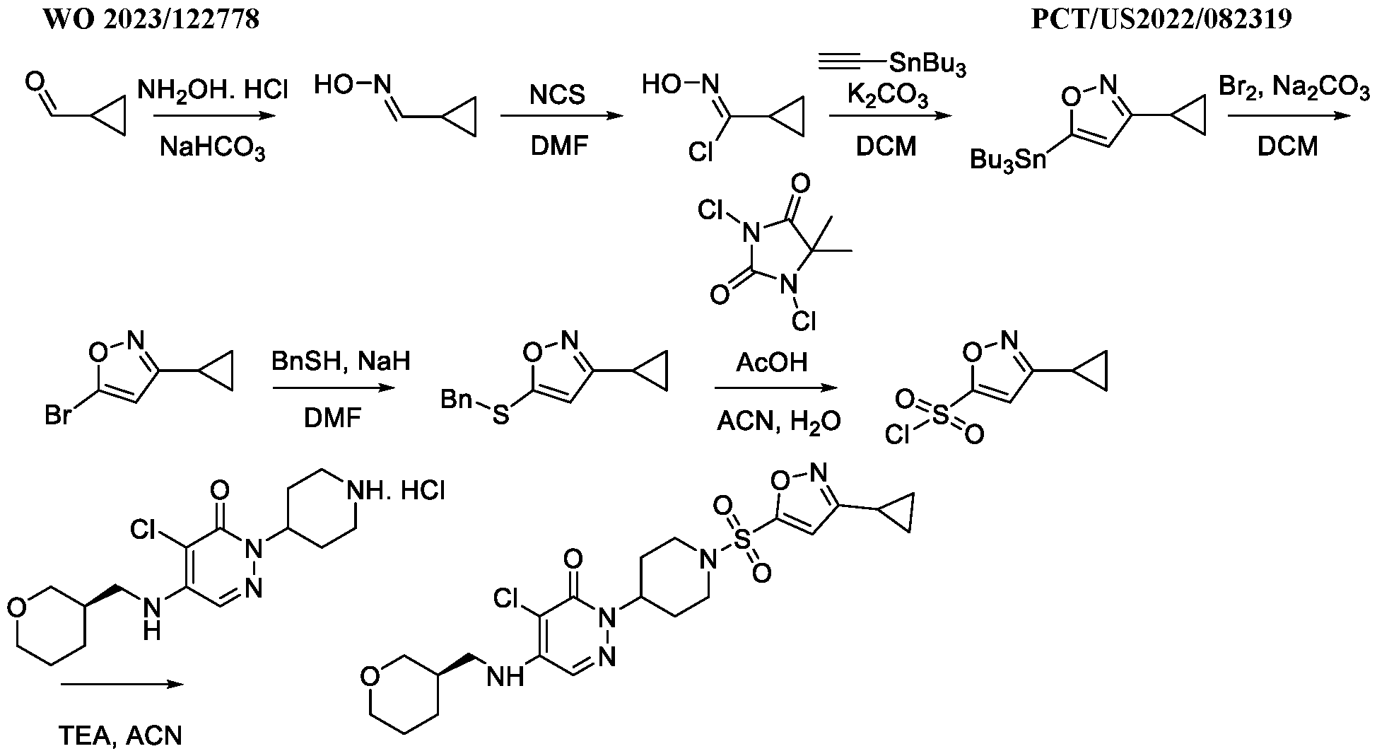
- Representative compounds of Formula (I), and Formulas (II) through (III) as applicable include the compounds having the structure of those listed in Table 1 and Examples 2–881, below, as well as pharmaceutically acceptable isomers, racemates, tautomers, hydrates, solvates, isotopes, or salts thereof.
- representative compounds are identified herein by their respective “Compound Number”, which is sometimes abbreviated as “Compound No.”, “Cmpd. No.” or “No.” TABLE 1 No. Structure "Isomer” is used herein to encompass all chiral, diastereomeric or racemic forms of a structure, unless a particular stereochemistry or isomeric form is specifically indicated.
- Such compounds can be enriched or resolved optical isomers at any or all asymmetric atoms as are apparent from the depictions, at any degree of enrichment. Both racemic and diastereomeric mixtures, as well as the individual optical isomers can be synthesized to be substantially free of their enantiomeric or diastereomeric partners, and these are all within the scope of certain embodiments of the disclosure.
- the particular form is meant to indicate an assumed stereochemistry or isomeric form unless it is specifically indicated that the particular stereochemistry or isomeric form has been definitively determined.
- the isomers resulting from the presence of a chiral center comprise a pair of non-superimposable isomers that are called "enantiomers.”
- Single enantiomers of a pure compound are optically active (i.e., they can rotate the plane of plane polarized light and designated R or S).
- R or S the plane of plane polarized light and designated R or S.
- the term also encompasses isomers arising from substitution patterns across double bonds, in particular (E)- and (Z)- isomers, or cis- and trans- isomers.
- E–Z configuration describes the absolute stereochemistry across double bonds having two, three or four substituents.
- each substituent on a double bond is assigned a priority, and the positions of the higher of the two substituents on each carbon determined. If the two groups of higher priority are on the same side of the double bond (cis to each other), the bond is assigned Z ("zusammen", German for "together”). If the two groups of higher priority are on opposite sides of the double bond (trans to each other), the bond is assigned E ("ent ought", German for "opposite”).
- Each isomer may be isolated separately or exist as mixtures. The mixtures may be predominantly one isomer, e.g. 99.9%, or 99% or 90%, predominantly the other isomer, enriched in one or the other of the isomer(e.g.
- 1,4-disubstitued cyclohexanes may exist as cis and trans isomers. Each isomer may be isolated separately or exist as mixtures. The mixtures may be predominantly one isomer, e.g.99.9%, or 99% or 90%, predominantly the other isomer, enriched in one or the other of the isomer(e.g. an 80/20 mixture, or a 40/60 mixture), or be approximately equal mixtures. Assignment of cis or trans is illustrated in the figure below. When a particular cis or trans isomeric form is indicated herein, the particular form is meant to indicate an assumed stereochemistry or isomeric form unless it is specifically indicated that the particular isomeric form has been definitively determined.
- isolated optical isomer means a compound which has been substantially purified from the corresponding optical isomer(s) of the same formula.
- the isolated isomer may be at least about 80%, at least 80% or at least 85% pure. In other embodiments, the isolated isomer is at least 90% pure or at least 98% pure, or at least 99% pure by weight.
- Substantially enantiomerically or diastereomerically pure means a level of enantiomeric or diastereomeric enrichment of one enantiomer with respect to the other enantiomer or diastereomer of at least about 80%, and more specifically in excess of 80%, 85%, 90%, 95%, 98%, 99%, 99.5% or 99.9%.
- the terms “racemate” and “racemic mixture” refer to an equal mixture of two enantiomers. A racemate is labeled “( ⁇ )” because it is not optically active (i.e., will not rotate plane-polarized light in either direction since its constituent enantiomers cancel each other out).
- a "hydrate” is a compound that exists in combination with water molecules.
- the combination can include water in stoichiometric quantities, such as a monohydrate or a dihydrate, or can include water in random amounts.
- a "hydrate” refers to a solid form; that is, a compound in a water solution, while it may be hydrated, is not a hydrate as the term is used herein.
- a "solvate” is similar to a hydrate except that a solvent other that water is present. For example, methanol or ethanol can form an "alcoholate", which can again be stoichiometric or non-stoichiometric.
- solvate refers to a solid form; that is, a compound in a solvent solution, while it may be solvated, is not a solvate as the term is used herein.
- isotope refers to atoms with the same number of protons but a different number of neutrons, and an isotope of a compound of Formulas (I) includes any such compound wherein one or more atoms are replaced by an isotope of that atom.
- carbon 12 the most common form of carbon, has six protons and six neutrons, whereas carbon 13 has six protons and seven neutrons, and carbon 14 has six protons and eight neutrons.
- an isotope of a compound having the structure of Formulas (I) includes, but not limited to, compounds of Formulas (I) wherein one or more carbon 12 atoms are replaced by carbon-13 and/or carbon- 14 atoms, wherein one or more hydrogen atoms are replaced with deuterium and/or tritium, and/or wherein one or more fluorine atoms are replaced by fluorine-19.
- the isotope comprises at least one deuterium atom.
- an isotope is provided wherein R 15 is ⁇ CD3.
- an isotope is provided wherein R 6 is ⁇ OR 10 , and R 10 is ⁇ CD3.
- Salt generally refers to an organic compound, such as a carboxylic acid or an amine, in ionic form, in combination with a counter ion. For example, salts formed between acids in their anionic form and cations are referred to as "acid addition salts".
- base addition salts salts formed between bases in the cationic form and anions are referred to as “base addition salts.”
- pharmaceutically acceptable refers an agent that has been approved for human consumption and is generally non-toxic.
- pharmaceutically acceptable salt refers to nontoxic inorganic or organic acid and/or base addition salts (see, e.g., Lit et al., Salt Selection for Basic Drugs, Int. J. Pharm., 33, 201-217, 1986) (incorporated by reference herein).
- Pharmaceutically acceptable base addition salts of compounds of the disclosure include, for example, metallic salts including alkali metal, alkaline earth metal, and transition metal salts such as, for example, calcium, magnesium, potassium, sodium, and zinc salts.
- Pharmaceutically acceptable base addition salts also include organic salts made from basic amines such as, for example, N,N’dibenzylethylenediamine, chloroprocaine, choline, diethanolamine, ethylenediamine, meglumine (N-methylglucamine), and procaine.
- Pharmaceutically acceptable acid addition salts may be prepared from an inorganic acid or from an organic acid. Examples of inorganic acids include hydrochloric, hydrobromic, hydriodic, nitric, carbonic, sulfuric, and phosphoric acids.
- organic acids may be selected from aliphatic, cycloaliphatic, aromatic, aromatic aliphatic, heterocyclic, carboxylic, and sulfonic classes of organic acids, examples of which include formic, acetic, propionic, succinic, glycolic, gluconic, lactic, malic, tartaric, citric, ascorbic, glucuronic, maleic, fumaric, pyruvic, aspartic, glutamic, benzoic, anthranilic, 4-hydroxybenzoic, phenylacetic, mandelic, hippuric, malonic, oxalic, embonic (pamoic), methanesulfonic, ethanesulfonic, benzenesulfonic, panthothenic, trifluoromethanesulfonic, 2-hydroxyethanesulfonic, p-toluenesulfonic, sulfanilic, cyclohexylaminosulfonic, stearic
- the compounds are pharmaceutically acceptable salts.
- the compounds are isomers.
- the compounds are racemates.
- the compounds are solvates.
- the compounds are hydrates.
- the compounds are isotopes.
- Pharmaceutical Compositions in certain embodiment, also disclosed herein are pharmaceutical compositions comprising a compound as described herein, or a pharmaceutically acceptable salt, solvate, hydrate, isomer, tautomer, racemate or isotope thereof.
- the pharmaceutical compositions further comprise a pharmaceutically acceptable carrier, diluent, or excipient.
- the active compound will usually be mixed with a carrier, or diluted by a carrier, or enclosed within a carrier which can be in the form of an ampoule, capsule, sachet, paper, or other container.
- a carrier which can be in the form of an ampoule, capsule, sachet, paper, or other container.
- the active compound can be solid, semi-solid, or liquid material that acts as a vehicle, excipient, or medium for the active compound.
- the active compound can be adsorbed on a granular solid carrier, for example contained in a sachet.
- suitable carriers are water, salt solutions, alcohols, polyethylene glycols, polyhydroxyethoxylated castor oil, peanut oil, olive oil, gelatin, lactose, terra alba, sucrose, dextrin, magnesium carbonate, sugar, cyclodextrin, amylose, magnesium stearate, talc, gelatin, agar, pectin, acacia, stearic acid, or lower alkyl ethers of cellulose, silicic acid, fatty acids, fatty acid amines, fatty acid monoglycerides and diglycerides, pentaerythritol fatty acid esters, polyoxyethylene, hydroxymethylcellulose, and polyvinylpyrrolidone.
- the carrier or diluent can include any sustained release material known in the art, such as glyceryl monostearate or glyceryl distearate, alone or mixed with a wax.
- pharmaceutical composition refers to a composition containing one or more of the compounds described herein, or a pharmaceutically acceptable isomer, racemate, hydrate, solvate, homolog or salt thereof, formulated with a pharmaceutically acceptable carrier, which can also include other additives, and manufactured or sold with the approval of a governmental regulatory agency as part of a therapeutic regimen for the treatment of disease in a mammal.
- compositions can be formulated, for example, for oral administration in unit dosage form (e.g., a tablet, capsule, caplet, gelcap, or syrup); for topical administration (e.g., as a cream, gel, lotion, or ointment); for intravenous administration (e.g., as a sterile solution free of particulate emboli and in a solvent system suitable for intravenous use); or in any other formulation described herein.
- unit dosage form e.g., a tablet, capsule, caplet, gelcap, or syrup
- topical administration e.g., as a cream, gel, lotion, or ointment
- intravenous administration e.g., as a sterile solution free of particulate emboli and in a solvent system suitable for intravenous use
- compositions of a compound described herein including formulating a compound of the disclosure with a pharmaceutically acceptable carrier or diluent.
- the pharmaceutically acceptable carrier or diluent is suitable for oral administration.
- the methods can further include the step of formulating the composition into a tablet or capsule.
- the pharmaceutically acceptable carrier or diluent is suitable for parenteral administration.
- the methods further include the step of lyophilizing the composition to form a lyophilized preparation.
- pharmaceutically acceptable carrier refers to any ingredient other than the disclosed compounds, or a pharmaceutically acceptable isomer, racemate, hydrate, solvate, homolog or salt thereof (e.g., a carrier capable of suspending or dissolving the active compound) and having the properties of being nontoxic and non-inflammatory in a patient.
- Excipients may include, for example: antiadherents, antioxidants, binders, coatings, compression aids, disintegrants, dyes (colors), emollients, emulsifiers, fillers (diluents), film formers or coatings, flavors, fragrances, glidants (flow enhancers), lubricants, preservatives, printing inks, sorbents, suspensing or dispersing agents, sweeteners, or waters of hydration.
- excipients include, but are not limited to: butylated hydroxytoluene (BHT), calcium carbonate, calcium phosphate (dibasic), calcium stearate, croscarmellose, crosslinked polyvinyl pyrrolidone, citric acid, crospovidone, cysteine, ethylcellulose, gelatin, hydroxypropyl cellulose, hydroxypropyl methylcellulose, lactose, magnesium stearate, maltitol, mannitol, methionine, methylcellulose, methyl paraben, microcrystalline cellulose, polyethylene glycol, polyvinyl pyrrolidone, povidone, pregelatinized starch, propyl paraben, retinyl palmitate, shellac, silicon dioxide, sodium carboxymethyl cellulose, sodium citrate, sodium starch glycolate, sorbitol, starch (corn), stearic acid, stearic acid, sucrose, talc, titanium dioxide, vitamin A, B
- the formulations can be mixed with auxiliary agents which do not deleteriously react with the active compounds.
- auxiliary agents which do not deleteriously react with the active compounds.
- Such additives can include wetting agents, emulsifying and suspending agents, salt for influencing osmotic pressure, buffers and/or coloring substances, preserving agents, sweetening agents, or flavoring agents.
- the compositions can also be sterilized if desired.
- the route of administration can be any route which effectively transports the active compound of the disclosure to the appropriate or desired site of action, such as oral, nasal, pulmonary, buccal, subdermal, intradermal, transdermal, or parenteral, e.g., rectal, depot, subcutaneous, intravenous, intraurethral, intramuscular, intranasal, ophthalmic solution, or an ointment, the oral route being preferred.
- Dosage forms can be administered once a day, or more than once a day, such as twice or thrice daily. Alternatively, dosage forms can be administered less frequently than daily, such as every other day, or weekly, if found to be advisable by a prescribing physician.
- Dosing regimens include, for example, dose titration to the extent necessary or useful for the indication to be treated, thus allowing the patient’s body to adapt to the treatment and/or to minimize or avoid unwanted side effects associated with the treatment.
- Other dosage forms include delayed or controlled-release forms.
- Suitable dosage regimens and/or forms include those set out, for example, in the latest edition of the Physicians’ Desk Reference, incorporated herein by reference.
- DGK activity and Treating Diseases Associated with DGK ⁇ and/or DGK ⁇ are methods for inhibiting the activity of at least one diacylglycerol kinase comprising contacting the diacylglycerol kinase with a compound as described herein, or a pharmaceutically acceptable salt, solvate, hydrate, isomer, tautomer, racemate, isotope, or composition thereof.
- the diacylglycerol kinase is diacylglycerol kinase alpha (DGKa) or diacylglycerol kinase zeta (DGK ⁇ ).
- methods of treating a subject having a disease or disorder associated with the activity of DGK ⁇ , DGK ⁇ , or both DGK ⁇ and DGK ⁇ are disclosed, the method comprising administering to a subject in need thereof a pharmaceutically effective amount of a compound as described herein, or a pharmaceutically acceptable salt, solvate, hydrate, isomer, tautomer, racemate, isotope, or composition thereof.
- administering or “administration” refers to providing a compound, a pharmaceutical composition comprising the same, to a subject by any acceptable means or route, including (for example) by oral, parenteral (e.g., intravenous), or topical administration.
- treatment refers to an intervention that ameliorates a sign or symptom of a disease or pathological condition.
- treatment also refers to any observable beneficial effect of the treatment.
- the beneficial effect can be evidenced, for example, by a delayed onset of clinical symptoms of the disease in a susceptible subject, a reduction in severity of some or all clinical symptoms of the disease, a slower progression of the disease, a reduction in the number of relapses of the disease, an improvement in the overall health or well-being of the subject, or by other parameters well known in the art that are specific to the particular disease.
- a prophylactic treatment is a treatment administered to a subject who does not exhibit signs of a disease or exhibits only early signs, for the purpose of decreasing the risk of developing pathology.
- a therapeutic treatment is a treatment administered to a subject after signs and symptoms of the disease have developed.
- the terms cover the treatment of a disease-state in a mammal, particularly in a human, and include: (a) preventing the disease-state from occurring in a mammal, in particular, when such mammal is predisposed to the disease state but has not yet been diagnosed as having it; (b) inhibiting the disease-state, i.e., arresting its development: and/or (c) relieving the disease-state, i.e., causing regression of the disease state.
- DGK-mediated or “DGK -modulated” or “DGK-dependent” diseases or disorders means any disease or other deleterious condition in which DGK, or a mutant thereof, is known to play a role.
- another embodiment of the present application relates to treating or lessening the severity of one or more diseases in which DGK ⁇ , DGK ⁇ , or both DGK ⁇ and DGK ⁇ , or a mutant thereof, are known to play a role.
- the present application relates to a method of treating or lessening the severity of a disease or condition selected from a viral infection or a proliferative disorder, such as cancer, wherein said method comprises administering to a patient in need thereof a compound of Formula (I), ), or a pharmaceutically acceptable salt, solvate, hydrate, isomer, tautomer, racemate, isotope, or composition thereof, according to the present application.
- a subject refers to an animal (e.g., a mammal, such as a human).
- a subject to be treated according to the methods described herein may be one who has been diagnosed with a viral infection or proliferative disorder, such as cancer.
- Diagnosis may be performed by any method or technique known in the art.
- a subject to be treated according to the present disclosure may have been subjected to standard tests or may have been identified, without examination, as one at risk due to the presence of one or more risk factors associated with the disease or condition.
- the term "effective amount" refers to a quantity of a specified agent sufficient to achieve a desired effect in a subject being treated with that agent.
- an effective amount of an agent is an amount sufficient to inhibit or treat the disease without causing substantial toxicity in the subject.
- the effective amount of an agent will be dependent on the subject being treated, the severity of the affliction, and the manner of administration of the pharmaceutical composition.
- the term "therapeutically effective amount” or “"pharmaceutically effective amount” is intended to include an amount of a compound of the present invention alone or an amount of a compound of the present invention in combination with other active ingredients effective to act as an inhibitor of DGK ⁇ and/or DGK ⁇ or effective to treat or prevent viral infections and proliferative disorders, such as cancer.
- the terms “modulate”, or “modulating” refer to the ability to increase or decrease the activity of one or more kinases.
- compounds of the invention can be used in methods of modulating a kinase by contacting the kinase with any one or more of the compounds or compositions described herein.
- the compounds can act as inhibitors of one or more kinases.
- the compounds can act to stimulate the activity of one or more kinases.
- the compounds of the invention can be used to modulate activity of a kinase in an individual in need of modulation of the receptor by administering a modulating amount of a compound as described herein.
- the term "contacting" refers to the bringing together of indicated moieties in an in vitro system or an in vivo system.
- contacting the DGK ⁇ and DGK ⁇ enzyme with a compound of Formula (I) includes the administration of a compound of the present invention to an individual or patient, such as a human, having DGK ⁇ and DGK ⁇ , as well as, for example, introducing a compound of Formula (I) into a sample containing a cellular or purified preparation containing DGK ⁇ and DGK ⁇ enzyme.
- DGK ⁇ and DGK ⁇ inhibitor refers to an agent capable of inhibiting the activity of diacylglycerol kinase alpha and/or diacylglycerol kinase zeta (DGK ⁇ and DGK ⁇ ) in T cells resulting in T cell stimulation.
- the DGK ⁇ and DGK ⁇ inhibitor may be a reversible or irreversible DGK ⁇ and DGK ⁇ inhibitor.
- a "reversible DGK ⁇ and DGK ⁇ inhibitor” is a compound that reversibly inhibits DGK ⁇ and DGK ⁇ enzyme activity either at the catalytic site or at a non-catalytic site and "an irreversible DGK ⁇ and DGK ⁇ inhibitor” is a compound that irreversibly destroys DGK ⁇ and DGK ⁇ enzyme activity by forming a covalent bond with the enzyme.
- the term "cell” is meant to refer to a cell that is in vitro, ex vivo or in vivo.
- an ex vivo cell can be part of a tissue sample excised from an organism such as a mammal.
- an in vitro cell can be a cell in a cell culture.
- an in vivo cell is a cell living in an organism such as a mammal.
- the compounds of Formula (I) can inhibit activity of diacylglycerol kinase alpha (DGK ⁇ ) and/or diacylglycerol kinase zeta (DGK ⁇ ).
- the compounds of Formula (I) can be used to inhibit activity of DGK ⁇ and DGK ⁇ in a cell or in an individual in need of modulation of DGK ⁇ and DGK ⁇ by administering an inhibiting amount of a compound of Formula (I) or a salt thereof.
- the compounds for Formula (I) and pharmaceutical compositions comprising at least one compound of Formula (I) are useful in treating or preventing any disease or condition associated with DGK target inhibition in T cells. These include viral and other infections (e.g., skin infections, GI infection, urinary tract infections, genito- urinary infections, systemic infections), and proliferative diseases (e.g., cancer).
- kinase in some embodiments, are methods of inhibiting a kinase comprising contacting the kinase with an effective amount of a compound of Formula (I), or a pharmaceutically acceptable salt, solvate, hydrate, isomer, tautomer, racemate, isotope, or pharmaceutical composition thereof.
- a compound of Formula (I) or a pharmaceutically acceptable salt, solvate, hydrate, isomer, tautomer, racemate, isotope, or pharmaceutical composition thereof.
- the kinase is DGK.
- the kinase is DGK ⁇ .
- the kinase is DGK ⁇ .
- a DGK dependent condition is a DGK ⁇ dependent condition.
- the a DGK dependent condition is a DGK ⁇ dependent condition.
- the DGK dependent condition is an infection.
- the DGK dependent condition is a a viral infection.
- the DGK dependent condition is cancer.
- the invention provides a method of treating a patient suffering from or susceptible to a medical condition that is associated with DGK target inhibition in T cells. A number of medical conditions can be treated. The method comprises administering to the patient a therapeutically effective amount of a composition comprising a compound of Formula (l) and/or a pharmaceutically acceptable salt thereof, a stereoisomer thereof or a tautomer thereof.
- the compounds described herein may be used to treat or prevent viral infections and proliferative diseases such as cancer.
- the present invention further provides methods of treating diseases associated with activity or expression, including abnormal activity and/or overexpression, of DGK ⁇ and DGK ⁇ in an individual (e.g., patient) by administering to the individual in need of such treatment a therapeutically effective amount or dose of a compound of Formula (I) or a pharmaceutical composition thereof.
- Example diseases can include any disease, disorder or condition that is directly or indirectly linked to expression or activity of DGK ⁇ and DGK ⁇ enzyme, such as over expression or abnormal activity.
- a DGK ⁇ and/or DGK ⁇ associated disease can also include any disease, disorder or condition that can be prevented, ameliorated, or cured by modulating DGK ⁇ and DGK ⁇ enzyme activity.
- Examples of DGK ⁇ and DGK ⁇ associated diseases include cancer and viral infections such as HIV infection, hepatitis B, and hepatitis C.
- the compounds of Formula (I) and pharmaceutical compositions comprising at least one compound of Formula (I) may be administered to animals, preferably mammals (e.g., domesticated animals, cats, dogs, mice, rats), and more preferably humans. Any method of administration may be used to deliver the compound or pharmaceutical composition to the patient.
- the compound of Formula (I) or pharmaceutical composition comprising at least one compound of Formula (I) is administered orally.
- the compound of Formula (I) or pharmaceutical composition comprising at least one compound of Formula (I) is administered parenterally.
- Described herein are methods of treating a subject having a proliferative disorder or a viral infection comprising administering to the subject in need thereof a pharmaceutically effective amount of a compound as described herein, or a pharmaceutically acceptable salt, solvate, hydrate, isomer, tautomer, racemate, isotope, or composition thereof.
- a compound of formula (I), or a pharmaceutically acceptable salt, solvate, hydrate, isomer, tautomer, racemate, isotope, or composition thereof for inhibiting the activity of at least one of diacylglycerol kinase selected from diacylglycerol kinase alpha (DGKa) and diacylglycerol kinase zeta (DGK ⁇ ).
- DGKa diacylglycerol kinase alpha
- DGK ⁇ diacylglycerol kinase zeta
- a compound of formula (I), or a pharmaceutically acceptable salt, solvate, hydrate, isomer, tautomer, racemate, isotope, or composition thereof for treating a disease or disorder associated with the activity of DGK ⁇ or DGK ⁇ , or both DGK ⁇ and DGK ⁇ .
- uses of a compound of formula (I), or a pharmaceutically acceptable salt, solvate, hydrate, isomer, tautomer, racemate, isotope, or composition thereof for the treatment of proliferative disorders or viral infections.
- the proliferative disorder is cancer.
- the invention provides methods of treating cancer associated with activity or expression, including abnormal activity and/or overexpression, of DGK ⁇ and DGK ⁇ in an individual (e.g., patient) by administering to the individual in need of such treatment a therapeutically effective amount or dose of a compound of Formula (I) or a pharmaceutical composition thereof.
- Types of cancers that may be treated with the compound of Formula (I) include, but are not limited to, brain cancers, skin cancers, bladder cancers, ovarian cancers, breast cancers, gastric cancers, pancreatic cancers, prostate cancers, colon cancers, blood cancers, lung cancers and bone cancers.
- cancer types include neuroblastoma, intestine carcinoma such as rectum carcinoma, colon carcinoma, familiar adenomatous polyposis carcinoma and hereditary non-polyposis colorectal cancer, esophageal carcinoma, labial carcinoma, larynx carcinoma, hypopharynx carcinoma, tongue carcinoma, salivary gland carcinoma, gastric carcinoma, adenocarcinoma, medullary thyroid carcinoma, papillary thyroid carcinoma, renal carcinoma, kidney parenchymal carcinoma, ovarian carcinoma, cervix carcinoma, uterine corpus carcinoma, endometrium carcinoma, chorion carcinoma, pancreatic carcinoma, prostate carcinoma, testis carcinoma, breast carcinoma, urinary carcinoma, melanoma, brain tumors such as glioblastoma, astrocytoma, meningioma, medulloblastoma and peripheral neuroectodermal tumors, Hodgkin lymphoma, non-Hodgkin lymphoma, Burkitt lymphoma, acute lymphatic leuk
- the cancer is cancer of the colon, pancreatic cancer, breast cancer, prostate cancer, lung cancer, ovarian cancer, cervical cancer, renal cancer, bladder cancer, cancer of the head and neck, lymphoma, leukemia, or melanoma.
- the cancer is colon cancer.
- the cancer is pancreatic cancer.
- the cancer is breast cancer.
- the cancer is prostate cancer.
- the cancer is ovarian cancer.
- the cancer is cervical cancer.
- the cancer is renal cancer.
- the cancer is renal cancer.
- the cancer is cancer of the head and neck.
- the cancer is lymphoma. In some embodiments, the cancer is leukemia. In some embodiments, the cancer is melanoma. Also described herein, are uses of a compound of formula (I), or a pharmaceutically acceptable salt, solvate, hydrate, isomer, tautomer, racemate, isotope, or composition thereof, for the treatment of proliferative disorders or viral infections. In some embodiments, the proliferative disorder is cancer. In some embodiments, the cancer is cancer of the colon, pancreatic cancer, breast cancer, prostate cancer, lung cancer, ovarian cancer, cervical cancer, renal cancer, cancer of the head and neck, lymphoma, leukemia and melanoma.
- the invention provides methods of treating infections associated with activity or expression, including abnormal activity and/or overexpression, of DGK ⁇ and DGK ⁇ in an individual (e.g., patient) by administering to the individual in need of such treatment a therapeutically effective amount or dose of a compound of Formula (I) or a pharmaceutical composition thereof.
- the infections are viral infections.
- the infections are chronic viral infections.
- Chronic viral infections that may be treated using the present combinatorial treatment include, but are not limited to, diseases caused by: hepatitis C virus (HCV), human papilloma virus (HPV), cytomegalovirus (CIVIV), herpes simplex virus (HSV), Epstein-Barr virus (EBV), varicella zoster virus, coxsackie virus, human immunodeficiency virus (HIV)
- parasitic infections e.g., malaria
- One or more additional pharmaceutical agents or treatment methods such as, for example, anti-viral agents; chemotherapeutics, immuno-oncology agents, or other anti-cancer agents; immune enhancers; immunosuppressants; radiation; anti-tumor and anti-viral vaccines; cytokine therapy (e.g.
- IL2 and GM-CSF can be optionally used in combination with the compounds of Formula (I) for treatment of DGK ⁇ and DGK ⁇ associated diseases, disorders or conditions.
- the agents can be combined with the present compounds in a single dosage form, or the agents can be administered simultaneously or sequentially as separate dosage forms.
- the combination therapy is intended to embrace administration of these therapeutic agents in a sequential manner, that is, wherein each therapeutic agent is administered at a different time, as well as administration of these therapeutic agents, or at least two of the therapeutic agents, in a substantially simultaneous manner.
- Substantially simultaneous administration can be accomplished, for example, by administering to the subject a single dosage form having a fixed ratio of each therapeutic agent or in multiple, single dosage forms for each of the therapeutic agents.
- Sequential or substantially simultaneous administration of each therapeutic agent can be effected by any appropriate route including, but not limited to, oral mutes, intravenous mutes, intramuscular routes, and direct absorption through mucous membrane tissues.
- the therapeutic agents can be administered by the same route or by different routes.
- a first therapeutic agent of the combination selected may be administered by intravenous injection while the other therapeutic agents of the combination may be administered orally.
- all therapeutic agents may be administered orally, or all therapeutic agents may be administered by intravenous injection.
- Combination therapy also can embrace the administration of the therapeutic agents as described above in further combination with other biologically active ingredients and non-drug therapies (e.g., surgery or radiation treatment.)
- the combination therapy further comprises a non-drug treatment
- the non-dmg treatment may be conducted at any suitable time so long as a beneficial effect from the co-action of the combination of the therapeutic agents and non-dmg treatment is achieved.
- the beneficial effect is still achieved when the non-drug treatment is temporally removed from the administration of the therapeutic agents, perhaps by days or even weeks.
- the present invention provides a combined preparation of a compound of Formula (I), and/or a pharmaceutically acceptable salt thereof, a stereoisomer thereof or a tautomer thereof; and additional therapeutic agent(s) for simultaneous, separate or sequential use in the treatment and/or prophylaxis of multiple diseases or disorders associated with DGK target inhibition in T cells.
- T cell responses can be stimulated by a combination of a compound of Formula (I) and one or more of: (i) an antagonist of a protein that inhibits T cell activation (e.g., immune checkpoint inhibitors) such as CTLA-4, PD-1, PD-L1, PD-L2, LAG-3, TIM-3, Galectin 9, CEACAM-1, BTLA, CD69, Galectin-1, TIGIT, CD113, GPR56, VISTA, 2B4, CD48, GARP, PD1H, LAIR1, TIM-1, and TIM-4; and (ii) an agonist of a protein that stimulates T cell activation such as B7-1, B7-2, CD28, 4-1BB (CD137), 4-1BBL, ICOS, ICOS-L, OX40, OX40L, GITR.
- an antagonist of a protein that inhibits T cell activation e.g., immune checkpoint inhibitors
- CTLA-4 e.g., immune checkpoint inhibitors
- compounds of Formula (I) may be administered in combination with an anti-cancer agent.
- Anti-cancer agents include, for example, small molecule drugs, antibodies, or other biologic or small molecule.
- biologic immuno-oncology agents include, but are not limited to, cancer vaccines, antibodies, tumor infiltrating lymphocytes, and cytokines.
- the antibody is a monoclonal antibody. In another aspect, the monoclonal antibody is humanized or human.
- the immuno-oncology agent is an agonist of a stimulatory (including a co- stimulatory) receptor; or an antagonist of an inhibitory (including a co- inhibitory) signal on T cells, both of which result in amplifying antigen-specific T cell responses (often referred to as immune checkpoint regulators).
- a stimulatory and inhibitory molecules are members of the immunoglobulin super family (IgSF).
- B7 family which includes B7-l, B7-2, B7-HI (PD-L1), B7-DC (PD-L2), B7-H2 (ICOS-L), B7-H3, B7-H4, B7-H5 (VISTA), and B7-H6.
- B7-l B7-2, B7-HI (PD-L1), B7-DC (PD-L2), B7-H2 (ICOS-L), B7-H3, B7-H4, B7-H5 (VISTA), and B7-H6.
- TNF family of molecules that bind to cognate TNF receptor family members which includes CD40 and CD40L, OX-40, OX-40L, CD70, CD27L, CD30, CD30L, 4-1BBL, CD137 (4-1BB), TRAIL/Apo2-L, TRAILR1/DR4, TRAILR 2 /DR5, TRAILR3, TRAILR4, OPG, RANK, RANKL, TWEAKR/Fn14, TWEAK, BAFFR, EDAR, XEDAR, TACI, APRIL, BCMA, LT ⁇ R, LIGHT, DcR3, HVEM, VEG1/TL1A, TRAMP/DR3, EDAR, EDA1, XEDAR, EDA2, TNFR1, Lymphotoxin ⁇ /TNF ⁇ , TNFR 2 , TNF ⁇ , LT ⁇ R, Lymphotoxin ⁇ 1 ⁇ 2, FA
- agents for combination therapies for the treatment of cancer include antagonists of inhibitory receptors on NK cells or agonists of activating receptors on NK cells.
- antagonists of KIR such as lirilumab.
- agents for combination therapies for the treatment of cancer include agents that inhibit or deplete macrophages or monocytes, including but not limited to CSF-1R antagonists such as CSF-1R antagonist antibodies including RG-7155 or FPA-008.
- agents for combination therapies for the treatment of cancer include agonistic agents that ligate positive co-stimulatory receptors, blocking agents that attenuate signaling through inhibitory receptors, antagonists, and one or more agents that increase systemically the frequency of anti-tumor T cells, agents that overcome distinct immune suppressive pathways within the tumor microenvironment, e.g., block inhibitory receptor engagement, such as PD-L1/PD-1 interactions; deplete or inhibit Tregs, such as using an anti-CD25 monoclonal antibody (e.g., daclizumab); or by ex vivo anti-CD25 bead depletion; inhibit metabolic enzymes such as IDO, or reverse/prevent T cell anergy or exhaustion; and agents that trigger innate immune activation and/or inflammation at tumor sites.
- agonistic agents that ligate positive co-stimulatory receptors e.g., blocking agents that attenuate signaling through inhibitory receptors, antagonists, and one or more agents that increase systemically the frequency of anti-tumor
- tumor infiltrating lymphocytes are transferred to a subject in need thereof through adoptive cell transfer.
- the adoptive cell transfer to the subject in need thereof is of autologous T cells.
- the adoptive cell transfer to the subject in need thereof is of allogeneic T cells.
- the adoptive cell transfer to the subject in need thereof is of T cells expressing chimeric antigen receptors (CAR-T cells).
- the other agents for combination therapies for the treatment of cancer are CAR-T cells, including, but not limited to, KYMRIAH (tisagenlecleucel), YESCARTA (axicabtagene ciloleucel), TECARTUS (brexucabtagene autoleucel), BREYANZI (lisocabtagene maraleucel), and ABECMA (idecabtagene vicleucel).
- CAR-T cells including, but not limited to, KYMRIAH (tisagenlecleucel), YESCARTA (axicabtagene ciloleucel), TECARTUS (brexucabtagene autoleucel), BREYANZI (lisocabtagene maraleucel), and ABECMA (idecabtagene vicleucel).
- CTLA-4 antagonists such as an antagonistic CTLA-4 antibody.
- Suitable CTLA-4 antibodies include, for example, YERVOY (ipilimumab) or tremelimumab.
- PD-1 antagonists such as an antagonistic PD-1 antibody.
- Suitable PD-1 antibodies include, for example, OPDIVO (nivolumab), KEYTRUDA (pembrolizumab), MEDI-0680 (AMP-514; WO2012/145493) or pidilizumab (CT-011).
- OPDIVO nivolumab
- KEYTRUDA pembrolizumab
- MEDI-0680 AMP-514; WO2012/145493
- CT-011 pidilizumab
- Another approach to target the PD-1 receptor is the recombinant protein composed of the extracellular domain of PD-L2 (B7-DC) fused to the Fe portion of IgG1, called AMP-224.
- PD-L1 antagonists such as an antagonistic PD-L1 antibody
- Suitable PD-L1 antibodies include, for example, MPDL3280A (RG7446; WO2010/077634), durvaluma (MEDI4736), BMS-936559 (WO2007/005874), and MSB0010718C (WO2013/79174).
- LAG-3 antagonists such as an antagonistic LAG-3 antibody.
- Suitable LAG3 antibodies include, for example, BMS-986016 (WO10/19570, WO14/08218), or IMP-731 or IMP-321 (WO08/132601, WO09/44273).
- CD137 (4- 1BB) agonists such as an agonistic CD137 antibody.
- Suitable CD137 antibodies include, for example, urelumab and PF-05082566 (WO12/32433).
- agents for combination therapies for the treatment of cancer include GITR agonists such as an agonistic GITR antibody.
- Suitable GITR antibodies include, for example, BMS-986153, BMS-986156, TRX-518 (WO06/105021, WO09/009116) and MK-4166 (WO11/028683).
- IDO antagonists IDO antagonists.
- Suitable IDO antagonists include, for example, INCB-024360 (WO2006/122150, WO07/75598, WO08/36653, WO08/36642), indoximod, BMS-986205, or NLG-919 (WO09/73620, WO09/1156652, WO11/56652, WO12/142237).
- OX40 agonists such as an agonistic OX40 antibody.
- Suitable OX40 antibodies include, for example, MEDI-6383 or MEDI-6469.
- OX40L antagonists such as an antagonistic OX40L antibody
- Suitable OX40L antagonists include, for example, RG-7888 (WO06/029879).
- CD40 agonists such as an agonistic CD40 antibody.
- CD40 antagonists such as an antagonistic CD40 antibody.
- Suitable CD40 antibodies include, for example, lucatumumab or dacetuzumab.
- CD27 agonists such as an agonistic CD27 antibody.
- Suitable CD27 antibodies include, for example, varlilumab.
- alkylating agents including, without limitation, nitrogen mustards, ethylenimine derivatives, alkyl sulfonates, nitrosoureas and triazenes
- alkylating agents including, without limitation, nitrogen mustards, ethylenimine derivatives, alkyl sulfonates, nitrosoureas and triazenes
- alkylating agents such as uracil mustard, 5 chlormethine, cyclophosphamide (CYTOXAN), ifosfamide, melphalan, chlorambucil pipobroman, triethylene- melamine, triethylenethiophosphoramine, busulfan, carmustine, lomustine, streptozocin, dacarbazine, and temozolomide.
- Suitable chemotherapeutic or other anti-cancer agents further include, for example, antimetabolites (including, without limitation, folic acid antagonists, pyrimidine analogs, purine analogs and adenosine deaminase inhibitors) such as methotrexate, 5-fluorouracil, floxuridine, cytarabine, 6-mercaptopurine, 6-thioguanine, fludarabine phosphate, pentostatine, and gemcitabine.
- antimetabolites including, without limitation, folic acid antagonists, pyrimidine analogs, purine analogs and adenosine deaminase inhibitors
- methotrexate including, without limitation, folic acid antagonists, pyrimidine analogs, purine analogs and adenosine deaminase inhibitors
- methotrexate including, without limitation, folic acid antagonists, pyrimidine analogs, purine analogs and adenosine deaminase inhibitor
- Suitable chemotherapeutic or other anti-cancer agents further include, for example, certain natural products and their derivatives (for example, vinca alkaloids, antitumor antibiotics, enzymes, lymphokines and epipodophyllotoxins) such as vinblastine, vincristine, vindesine, bleomycin, dactinomycin, daunorubicin, doxorubicin, epirubicin, idarubicin, ara-C, paclitaxel (Taxol), mithramycin, deoxyco-formcin, mitomycin-C, L- asparaginase, interferons (especially IFN- ⁇ ), etoposide, and teniposide.
- certain natural products and their derivatives for example, vinca alkaloids, antitumor antibiotics, enzymes, lymphokines and epipodophyllotoxins
- vinblastine vincristine, vindesine
- bleomycin dactinomycin
- daunorubicin da
- Suitable chemotherapeutic or other anti-cancer agents further include, for example, epidophyllotoxin; an antineoplastic enzyme; a topoisomerase inhibitor; procarbazine; mitoxantrone; platinum coordination complexes such as cisplatin and carboplatin; biological response modifiers; growth inhibitors; antihormonal therapeutic agents; leucovorin; tegafur; haematopoietic growth factors; navelbene, CPT-11, anastrazole, letrazole, capecitabine, reloxafine, droloxafine; antibody therapeutics such as trastuzumab (HERCEPTIN), antibodies to costimulatory molecules such as CTLA-4, 4-1BB and PD-1, or antibodies to cytokines (IL-1O or TGF- ⁇ ); and agents that block immune cell migration such as antagonists to chemokine receptors, including CCR 2 and CCR4.
- epidophyllotoxin an antineoplastic enzyme
- agents for combination therapies for the treatment of cancer include anti-cancer vaccines, including dendritic cells, synthetic peptides, DNA vaccines and recombinant viruses.
- agents for combination therapies for the treatment of cancer include signal transduction inhibitors (STI).
- STI signal transduction inhibitors
- Suitable STI's include, but are not limited to: (i) bcr/abl kinase inhibitors such as, for example, STI 571 (GLEEVEC); (ii) epidermal growth factor (EGF) receptor inhibitors such as, for example, kinase inhibitors (IRESSA, SSI-774) and antibodies (Imclone: C225 [Goldstein et al, Clin. Cancer Res, 1995, 1, 1311-1318; and Abgenix: ABX-EGF); (iii) her-2/neu receptor inhibitors such as farnesyl transferase inhibitors (FTI) such as, for example, L-744,832 (Kohl et al, Nat.
- FTI farnesyl transferase inhibitors
- Akt family kinases or the Akt pathway such as, for example, rapamycin
- cell cycle kinase inhibitors such as, for example, flavopiridol and UCN-01
- phosphatidyl inositol kinase inhibitors such as, for example, LY294002.
- suitable agents for use in combination with the compounds of Formula (I) include: dacarbazine (DTIC), optionally, along with other chemotherapy drugs such as carmustine (BCNU) and cisplatin; the "Dartmouth regimen", which consists of DTIC, BCNU, cisplatin and tamoxifen; a combination of cisplatin, vinblastine, and DTIC, temozolomide or YERVOYTM.
- DTIC dacarbazine
- BCNU carmustine
- cisplatin the "Dartmouth regimen” which consists of DTIC, BCNU, cisplatin and tamoxifen
- a combination of cisplatin, vinblastine, and DTIC, temozolomide or YERVOYTM a combination of cisplatin, vinblastine, and DTIC, temozolomide or YERVOYTM.
- Compounds of Formula (I) may also be combined with immunotherapy drugs, including cytokines such as inter
- Anti-melanoma vaccines are, in some ways, similar to the anti-virus vaccines which are used to prevent diseases caused by viruses such as polio, measles, and mumps.
- Weakened melanoma cells or parts of melanoma cells called antigens may be injected into a patient to stimulate the body's immune system to destroy melanoma cells.
- Melanomas confined to the arms or legs may also be treated with a combination of agents including one or more compounds of Formula (I), using a hyperthermic isolated limb perfusion technique.
- Suitable antiviral agents contemplated for use in combination with the compound of Formula (I) include nucleoside and nucleotide reverse transcriptase inhibitors (NRTIs), non- nucleoside reverse transcriptase inhibitors (NNRTis), protease inhibitors and other antiviral drugs.
- NRTIs nucleoside and nucleotide reverse transcriptase inhibitors
- NRTis non- nucleoside reverse transcriptase inhibitors
- protease inhibitors and other antiviral drugs.
- NRTIs examples include zidovudine (AZT); didanosine (ddl); zalcitabine (ddC); stavudine (d4T); lamivaidine (3TC): abacavir (1592U89); adefovir dipivoxil [bis(POM)-PMEA]; lobucavir (BMS-180194); BCH-I0652, emitricitabine [(-)- FTC]; beta-L-FD4 (also called beta-L-D4C and nan1ed beta-L-2',3'-dicleoxy-5-fluorocytidene); DAPD, ((-)-beta-D-2,6-diamino-purine dioxolane); and lodenosine (FddA).
- ZT zidovudine
- ddl didanosine
- ddC zalcitabine
- stavudine d4T
- lamivaidine
- NNRTIs examples include nevirapine (BI-RG-587); delaviradine (BHAP, U-90152); efavirenz (DMP-266); PNU-142721, AG-1549; MKC-442 (l-(ethoxy-methyl)-5- (]-methylethyl)-6- (phenylmethyl)-(2,4(1H,3H)-pyrimidinedione); and (+)-calanolide A (NSC-675451) and B.
- protease inhibitors examples include saquinavir (Ro 31-8959); ritonavir (ABT- 538); indinavir (MK-639); nelfinavir (AG-1343): amprenavir (141W94); lasinavir (BMS-234475): DMP-450; BMS-2322623, ABT-378; and AG-1549.
- Other antiviral agents include hydroxyurea, ribavirin, IL-2, IL-12, pentafuside and Yissum Project No.11607.
- the present invention further provides pharmaceutical compositions comprising at least one compound of Formula (I), a pharmaceutically acceptable carrier, optionally, at least one chemotherapeutic drug, and, optionally, at least one antiviral agent.
- Routes of Administration The compounds of this invention can be administered for any of the uses described herein by any suitable means, for example, orally, such as tablets, capsules (each of which includes sustained release or timed release formulations), pills, powders, granules, elixirs, tinctures, suspensions (including nanosuspensions, micro suspensions, spray-dried dispersions), syrups, and emulsions; sublingually; buccally; parenterally, such as by subcutaneous, intravenous, intramuscular, or intratarsal injection, or infusion techniques (e.g., as sterile injectable aqueous or non-aqueous solutions or suspensions); nasally, including administration to the nasal membranes, such as by inhalation spray; topically, such as in the form of a
- kits useful, for example, in the treatment or prevention of DGK ⁇ and DGK ⁇ associated diseases or disorders, and other diseases referred to herein, which include one or more containers containing a pharmaceutical composition comprising a therapeutically effective amount of a compound of Formula (I).
- kits can further include, if desired, one or more of various conventional pharmaceutical kit components, such as, for example, containers with one or more pharmaceutically acceptable carriers, additional containers, as will be readily apparent to those skilled in the art.
- kits can also be included in the kit.
- Compound Synthesis Compounds having the structure of Formulas (I) can be synthesized using standard synthetic techniques known to those of skill in the art. Modifications to the methods described herein will be apparent to one skilled in the art. To this end, the reactions, processes and synthetic methods described herein are not limited to the specific conditions described in the following experimental section, but rather are intended as a guide to one with suitable skill in this field. For example, reactions may be carried out in any suitable solvent, or other reagents to perform the transformation[s] necessary.
- suitable solvents are protic or aprotic solvents which are substantially non-reactive with the reactants, the intermediates or products at the temperatures at which the reactions are carried out (i.e., temperatures which may range from the freezing to boiling temperatures).
- a given reaction may be carried out in one solvent or a mixture of more than one solvent.
- suitable solvents for a particular work-up following the reaction may be employed.
- conventional methods of mass spectroscopy (MS), liquid chromatography-mass spectroscopy (LCMS), NMR, HPLC, protein chemistry, biochemistry, recombinant DNA techniques, and pharmacology are employed.
- the syntheses may be carried out using non-chiral starting materials to produce racemic mixtures of products. These may be separated using standard techniques, well known to those of skill in the art, such as chiral chromatography. Alternatively, the syntheses may be carried out chiral starting materials to produce single isomers.
- the specific stereochemistry presented in the examples are all assumed unless definitive determination is specifically indicated.
- the S- configuration is assumed for the most active of the stereoisomers. Although there is strong evidence to suggest that the S-configuration is the desired stereochemistry, there is still the chance that the R-enantiomer could be the more active enantiomer in some of the Examples.
- EXAMPLE 1A Preparation of Synthetic Intermediates
- EXAMPLE 1A Synthesis of 4-(4-bromophenyl)-1,1-dioxo-thian-4-ol
- STEP 1 4-(4-bromophenyl)tetrahydrothiopyran-4-ol
- 1,4-dibromobenzene 10 g, 42.39 mmol, 5.43 mL, 1.0 eq
- THF 100 mL
- n-BuLi 2.5 M, 22.04 mL, 1.3 eq
- STEP 1 4,5-dichloro-2-tetrahydropyran-2-yl-pyridazin-3-one
- the reaction mixture was quenched by addition of saturated aqueous solution of ammonium chloride (100.00 mL) and extracted with ethyl acetate (100.00 mL x 3). The combined organic layers were washed with brine (100.00 mL x 2), dried over anhydrous sodium sulfate and concentrated under vacuum. The crude material was then purified by Prep- HPLC to yield the title compound (785 mg, 3.15 mmol, 51.99% yield) as a white solid.
- EXAMPLE 1X Synthesis of tert-Butyl 4-hydrazinopiperidine-1-carboxylate Hydrazine hydrate (7.54 g, 150.57 mmol, 7.34 mL, 30 eq) was added to a solution of tert- butyl 4-oxopiperidine-1-carboxylate (1 g, 5.02 mmol) in ethanol (20 mL) at 0°C and stirred for 16h. Sodium cyanoboranuide (630.80 mg, 10.04 mmol, 2 eq) was then added and the mixture stirred for a further 16h at rt.
- STEP 2 3-(aminomethyl) tetrahydropyran-3-ol
- a mixture of 3-(nitromethyl)tetrahydropyran-3-ol (2.00 g, 12.4 mmol) and Pd-C (10%, 1.00 g) in methanol (20 mL) was stirred under a H2 atmosphere o/n. After purging the H2 atmosphere, the slurry was filtered over celite. The filtrate was concentrated under reduced pressure to afford the title compound (2.00 g, crude) as a brown oil and used as such in the subsequent step.
- the mixture was warmed to rt and stirred for 16 h, whereupon water (500 mL) was added followed by extraction with DCM (3 x 500 mL). The combined organic layers were washed with brine (1000 mL), dried over Na 2 SO 4 and concentrated onto silica gel. The material was purified by column chromatography to afford 30 g of the racemate. The racemate was further separated by chiral- prep-SFC to afford the first title compound (10.5 g, 31%) as a white solid and the second title compound (11.0 g, 32%) as an off-white solid.
- the mixture was cooled to rt and concentrated under reduced pressure to afford the crude intermediate.
- the crude intermediate was dissolved in DCM (600 mL) followed by addition of TEA (40.1 g, 396 mmol) and Boc 2 O (43.2 g, 198 mmol) in portions. The mixture was stirred for 1 h, then quenched with H 2 O (200 mL) and extracted with EtOAc (3 x 200 mL). The combined organic layers were dried over anhydrous Na 2 SO 4 , filtered, and concentrated onto silica gel. The residue was purified by column chromatography to afford the title compound (15.0 g, 31%) as a yellow solid.
- STEP 2 5-bromo-2-(2-cyclopropyl-5-methyl-phenoxy)pyridine
- 2-cyclopropyl-5-methyl-phenol 500 mg, 3.37 mmol
- 5-bromo-2-fluoro- pyridine 890 mg, 5.06 mmol
- K 2 CO 3 932 mg, 6.75 mmol
- DMF 3 mL
- STEP 2 2-tetrahydropyran-2-yl-5-(tetrahydropyran-3-ylmethylamino)pyridazin-3-one
- 5-chloro-2-tetrahydropyran-2-yl-pyridazin-3-one 500 mg, 2.33 mmol, 1.0 eq
- tetrahydropyran-3-ylmethanamine 268.8 mg, 2.33 mmol, 1.0 eq
- N,N-diethylethanamine 235.71 mg, 2.33 mmol, 324.67 ⁇ L, 1.0 eq
- STEP 3 4-fluoro-2-tetrahydropyran-2-yl-5-(tetrahydropyran-3-ylmethylamino)pyridazin-3-one
- 2-tetrahydropyran-2-yl-5-(tetrahydropyran-3-ylmethylamino)pyridazin-3-one 100 mg, 340.88 ⁇ mol, 1.0 eq
- acetonitrile 2 mL
- lithium hydroxide 90.02 mg, 681.76 ⁇ mol, 2.0 eq
- 1-(chloromethyl)-4-fluoro-1,4- diazoniabicyclo[2.2.2]octane;ditetrafluoroborate (241.34 mg, 681.76 ⁇ mol, 2.0 eq) and the mixture stirred for 40 min at 70 °C.
- STEP 4 5-fluoro-4-(tetrahydropyran-3-ylmethylamino)-1H-pyridazin-6-one
- 4-fluoro-2-tetrahydropyran-2-yl-5-(tetrahydropyran-3- ylmethylamino)pyridazin-3-one 300 mg, 963.54 ⁇ mol
- TFA 54.93 mg, 481.77 ⁇ mol, 37.12 ⁇ L
- Solvent was then removed in vacuo and the crude material was taken forward without further purification.
- STEP 1 5-chloro-4-[[(3R)-tetrahydropyran-3-yl]methylamino]-1H-pyridazin-6-one and 5-chloro- 4-[[(3S)-tetrahydropyran-3-yl]methylamino]-1H-pyridazin-6-one
- TEA 6.0 g, 455 mmol
- HCl salt of tetrahydropyran-3-ylmethanamine (13.7 g, 90.9 mmol) in ethanol (80 mL).
- STEP 3 N-(4-bromophenyl)-2,2-dideuterio-1,3-benzodioxol-5-amine
- a solution of copper (II) bromide (760 mg, 3.40 mmol) in acetonitrile (10 mL) was cooled to 0°C and tert-butyl nitrite (455 mg, 4.42 mmol) was slowly added. The temperature was maintained for 20 mins and then N1-(2,2-dideuterio-1,3-benzodioxol-5-yl)benzene-1,4-diamine (900 mg, 3.91 mmol) in acetonitrile (30 mL) was added.
- STEP 1 N-(4-bromophenyl)-4-methoxy-aniline
- 4-bromoaniline 50 g, 291 mmol
- 1-iodo-4-methoxy-benzene 68.0 g, 291 mmol
- toluene 200 mL
- SPhos 11.6 g, 14.5 mmol
- Pd 2 dba 3 6.94 g, 14.5 mmol
- t-BuONa 83.8 g, 872 mmol
- Methyl iodide (2.20 g, 15.5 mmol) was added at 0 °C, and the mixture stirred for 2 h at 25 °C and then poured into ice water (40 mL) and extracted with ethyl acetate (3 x 50 mL). The combined organic extracts were washed with brine (40 mL), dried over anhydrous sodium sulfate, concentrated under reduced pressure, and purified by silica gel column chromatography (PE:ethyl acetate, 10:1) to afford N-(4-bromophenyl)-N-methyl-4-nitro-aniline (1.70 g,74% yield) as a yellow solid.
- STEP 3 4-chloro-2-[4-[[1-(o-tolyl)-4-piperidyl]oxy]phenyl]-5-[[(3R)-tetrahydropyran-3- yl]methylamino]pyridazin-3-one
- a mixture of 4-chloro-2-[4-(4-piperidyloxy)phenyl]-5-[[(3R)-tetrahydropyran-3-yl]methyl amino]pyridazin-3-one 200 mg, 319 ⁇ mol, 85% purity
- 1-bromo-2-methyl-benzene (244 mg, 1.43 mmol) t-BuONa (196 mg, 477 ⁇ mol)
- 3 rd Gen 4-chloro-2-[4-[[1-(o-tolyl)-4-piperidyl]oxy]phenyl]-5-[[(3R)-tetrahydropyran-3- yl]methylamino]pyridazin-3
- racemate was then further purified by chiral-prep HPLC to afford 4-chloro-2-[4-[[1-(o-tolyl)-4- piperidyl]oxy]phenyl]-5-[[(3R)-tetrahydropyran-3-yl]methylamino]pyridazin-3-one (9.80 mg, 4% yield) as a white solid.
- STEP 3 trans-4-chloro-2-[4-(3-hydroxycyclobutoxy)phenyl]-5-[[(3R)-tetrahydropyran-3- yl]methylamino]pyridazin-3-one TBAF (1 M in THF, 2.40 mL) was added to a solution of trans-4-chloro-2-[4-[3-[1,1- dimethylethyl (dimethyl)silyl] oxycyclobutoxy]phenyl]-5-[[(3R)-tetrahydropyran-3- yl]methylamino]pyridazin-3-one (125 mg, 240 ⁇ mol) in THF (2 mL) and stirred for 1 h at rt.
- STEP 3 4-chloro-2-[4-[methyl(tetrahydropyran-4-yl)amino]phenyl]-5-[[(3R)-tetrahydropyran-3- yl]methylamino]pyridazin-3-one
- a mixture of N-(4-bromophenyl)-N-methyl-tetrahydropyran-4-amine (249 mg, 923 ⁇ mol)
- potassium carbonate (425 mg, 3.08 mmol
- trans-N1,N2-dimethylcyclohexane-1,2-diamine 87.56 mg, 615.54 ⁇ mol
- copper iodide 117.2 mg, 615.5 ⁇ mol
- STEP 3 2-[4-[(1-acetyl-4-piperidyl)-methyl-amino]phenyl]-4-chloro-5-[[(3R)-tetrahydropyran-3- yl]methylamino]pyridazin-3-one
- potassium carbonate (343 mg, 2.48 mmol
- trans-cyclohexane-1,2-diamine 28.32 mg, 248.02 ⁇ mol
- copper iodide (47.2 mg, 248 ⁇ mol) in DMF (2.00 mL) was heated for 2 h at 90 °C under nitrogen atmosphere.
- STEP 4 4-chloro-2-(4-(((R)-1-isobutyrylpyrrolidin-3-yl)oxy)phenyl)-5-((((R)-tetrahydro-2H-pyran- 3-yl)methyl)amino)pyridazin-3(2H)-one (assumed) and 4-chloro-2-(4-(((R)-1-isobutyrylpyrrolidin-3-yl)oxy)phenyl)-5-(((S)-tetrahydro-2H-pyran-3- yl)methyl)amino)pyridazin-3(2H)-one (assumed) Trans-N1,N2-dimethylcyclohexane-1,2-diamine (58.4 mg, 410 ⁇ mol), copper iodide (78.2 mg, 410 ⁇ mol) and potassium carbonate (284 mg, 2.05 mmol) were added to 5-chloro-4-[[(3R)
- STEP 3 ethyl 4-[5-chloro-6-oxo-4-(tetrahydropyran-3-ylmethylamino)pyridazin-1- yl]cyclohexanecarboxylate
- ethyl 4-(4,5-dichloro-6-oxo-pyridazin-1-yl)cyclohexanecarboxylate 5 g, 15.66 mmol
- TEA 7.9 g, 78 mmol
- HCl salt of tetrahydropyran-3-ylmethanamine (4.73 g, 31.3 mmol) in ethanol (50 mL) was heated for 16 h at 80 °C.
- STEP 4 HCl salt of 4-[5-chloro-6-oxo-4-(tetrahydropyran-3-ylmethylamino)pyridazin-1- yl]cyclohexanecarboxylic acid
- Sodium hydroxide (1.81 g, 45.2 mmol) was added to a solution of ethyl 4-[5-chloro-6-oxo-4- (tetrahydropyran-3-ylmethylamino)pyridazin-1-yl]cyclohexanecarboxylate (5.0 g, 11 mmol) in methanol (40 mL) and water (20 mL) at 0 °C and then stirred for 4 h at rt.
- the first collected fraction afforded a mixture of 330A & 330B.
- the second collected fractions afforded 4-chloro-2-((1s,4R)-4-(pyrrolidine-1-carbonyl) cyclohexyl)-5-((((S)-tetrahydro-2H-pyran-3-yl)methyl)amino)pyridazin-3(2H)-one (compound 330C, 6.1 mg, 12% yield) as a white solid.
- STEP 2 N-(4-fluorophenyl)-N-isopropyl-1,4-dioxaspiro[4.5]decan-8-amine 2-Iodopropane (5.4 g, 32 mmol) was added to a solution of N-(4-fluorophenyl)-1,4- dioxaspiro[4.5]decan-8-amine (2.7 g, 11 mmol) and potassium carbonate (4.4 g, 32 mmol) in DMF (20 mL) and heated at 90 °C for 16 h.
- STEP 3 4-(4-fluoro-N-isopropyl-anilino)cyclohexanone
- N-(4-fluorophenyl)-N-isopropyl-1,4-dioxaspiro[4.5]decan-8-amine 2.3 g, 7.1 mmol
- HCl 4 M in water, 15 mL
- THF 15 mL
- the mixture was basified to pH ⁇ 8 with saturated aqueous sodium bicarbonate solution and extracted with ethyl acetate (3 x 40 mL).
- STEP 7 Trans-4-chloro-2-[4-(4-fluoro-N-isopropyl-anilino)cyclohexyl]-5-[[(3S)-tetrahydropyran- 3-yl]methylamino]pyridazin-3-one and Trans-4-chloro-2-[4-(4-fluoro-N-isopropyl-anilino)cyclohexyl]-5-[[(3R)-tetrahydropyran-3- yl]methylamino]pyridazin-3-one
- STEP 8 HCl salt of cis-4-fluoro-N-(4-hydrazinocyclohexyl)-N-isopropyl-aniline
- a mixture of cis-1,1-dimethylethyl N-[[4-(4-fluoro-N-isopropyl-anilino)cyclohexyl]amino] carbamate (800 mg, 2.19 mmol) and HCl (4 M in 1,4-dioxane, 6 mL) in ethyl acetate (6 mL) was stirred for 2 h at 25 °C and then concentrated to afford the HCl salt of cis-4-fluoro-N-(4- hydrazinocyclohexyl)-N-isopropyl-aniline (900 mg, crude) as a yellow solid.
- STEP 3 2-((trans)-4-(1H-indol-1-yl)cyclohexyl)-4-chloro-5-(((S)-tetrahydro-2H-pyran-3- yl)methylamino)pyridazin-3(2H)-one; 2-((cis)-4-(1H-indol-1-yl)cyclohexyl)-4-chloro-5-(((S)-tetrahydro-2H-pyran-3- yl)methylamino)pyridazin-3(2H)-one; 2-((trans)-4-(1H-indol-1-yl)cyclohexyl)-4-chloro-5-(((R)-tetrahydro-2H-pyran-3- yl)methylamino)pyridazin-3(2H)-one; and 2-((cis)-4-(1H-indol-1-yl)cyclohexyl
- the mixture was heated at 90 °C for 16 hours and then cooled to rt.
- the mixture was diluted with ethyl acetate (50 mL) and washed with water (50 mL) and brine (50 mL) respectively.
- STEP 2 4,5-dichloro-2-(4-oxocyclohexyl)pyridazin-3-one
- tert-butyl N-(1,4-dioxaspiro[4.5]decan-8-ylamino)carbamate 60 g, 220 mmol
- (Z)-2,3-dichloro-4-oxo-but-2-enoic acid 37.22 g, 220.31 mmol
- hydrochloric acid (12 M, 91.8 mL
- STEP 5 4,5-dichloro-2-[4-[4-fluoro-N-(pyrrolidin-3-ylmethyl)anilino]cyclohexyl]pyridazin-3-one hydrochloride
- tert-butyl 3-[(N-[4-(4,5-dichloro-6-oxo-pyridazin-1-yl)cyclohexyl]-4- fluoro-anilino)methyl]pyrrolidine-1-carboxylate (2.7 g, 5.0 mmol) in ethyl acetate (17 mL) was added HCl (4 M in ethyl acetate, 12.5 mL) dropwise at rt.
- STEP 6 4,5-dichloro-2-[4-[4-fluoro-N-[(1-methylpyrrolidin-3- yl)methyl]anilino]cyclohexyl]pyridazin-3-one
- Formaldehyde (4.99 g, 61.45 mmol, 37%) was added to a mixture of 4,5-dichloro-2-[4-[4- fluoro-N-(pyrrolidin-3-ylmethyl)anilino] cyclohexyl]pyridazin-3-one hydrochloride (2.7 g, 5.7 mmol) and acetic acid (4 drops) in DCM (22 mL) and stirred at rt for 30 mins.
- STEP 1 tert-butyl N-[3-(N-[4-(4,5-dichloro-6-oxo-pyridazin-1-yl)cyclohexyl]-4-fluoro- anilino)propyl]carbamate tert-butyl N-(3-oxopropyl)carbamate (729 mg, 4.21 mmol), 4,5-dichloro-2-[4-(4- fluoroanilino) cyclohexyl]pyridazin-3-one (500 mg, 1.40 mmol) and acetic acid (2 mL) in DCM (10 mL) were stirred for 1 h at 25°C.
- STEP 3 2-((1s,4R)-4-((3-aminopropyl)(4-fluorophenyl)amino) cyclohexyl)-4-chloro-5-(((S)- tetrahydro-2H-pyran-3-yl)methyl)amino)pyridazin-3(2H)-one; and 2-((1s,4S)-4-((3-aminopropyl)(4-fluorophenyl)amino) cyclohexyl)-4-chloro-5-(((R)-tetrahydro- 2H-pyran-3-yl)methyl)amino)pyridazin-3(2H)-one
- STEP 2 Trans-3-[4-[(1R)-4,5-dichloro-6-oxo-pyridazin-1-yl]cyclohexyl]-1H-benzimidazol-2-one
- a solution of di(imidazol-1-yl)methanone (627 mg, 3.86 mmol) in THF (4 ml) was cooled to 0 °C, and trans-2-[4-(2-aminoanilino)cyclohexyl]-4,5-dichloro-pyridazin-3-one (1.50 g, 3.86 mmol) in THF (6 ml) was added.
- STEP 4 Trans-1-[4-[4,5-dichloro-6-oxo-pyridazin-1-yl]cyclohexyl]-3-methyl-benzimidazol-2-one
- STEP 6 Trans-1-[4-[5-chloro-6-oxo-4-(tetrahydropyran-3-ylmethylamino)pyridazin-1- yl]cyclohexyl]-3-methyl-benzimidazol-2-one (337A) To a stirred mixture of trans-1-[4-(4,5-dichloro-6-oxo-pyridazin-1-yl)cyclohexyl]-3-methyl- benzimidazol-2-one (200 mg, 457.71 ⁇ mol), and tetrahydropyran-3-ylmethanamine hydrochloride (208 mg, 1.37 mmol) in ethanol (2 mL) was added TEA (232 mg, 2.29 mmol).
- STEP 3 1-[4-[5-chloro-6-oxo-4-[[(3S)-tetrahydropyran-3-yl]methylamino]pyridazin-1- yl]cyclohexyl]-3-(2-hydroxyethyl)benzimidazol-2-one; and 1-[4-[5-chloro-6-oxo-4-[[(3R)-tetrahydropyran-3-yl]methylamino]pyridazin-1-yl]cyclohexyl]- 3-(2-hydroxyethyl)benzimidazol-2-one To a stirred mixture of trans-1-[4-[5-chloro-6-oxo-4-[[(3S)-tetrahydropyran-3- yl]methylamino]pyridazin-1-yl]cyclohexyl]-3-[2-[1,1-dimethylethyl(dimethyl)silyl]oxyethy
- STEP 2 4-chloro-2-(1-(2-fluorophenyl)-2-oxopiperidin-4-yl)-5-(((S)-tetrahydro-2H-pyran-3- yl)methyl)amino)pyridazin-3(2H)-one (5493A); and 4-chloro-2-((R)-1-(2-fluorophenyl)-2-oxopiperidin-4-yl)-5-(((R)-tetrahydro-2H-pyran-3- yl)methyl)amino)pyridazin-3(2H)-one (493B); and 4-chloro-2-((S)-1-(2-fluorophenyl)-2-oxopiperidin-4-yl)-5-(((R)-tetrahydro-2H-pyran-3- yl)methyl)amino) pyridazin-3(2H)-one (493C) A solution of 4-chloro-2-[
- the mixture was cooled to rt, diluted with water (50 mL) and extracted with DCM (3 x 50 mL). The combined organic extracts were washed with brine (200 mL), dried over anhydrous sodium sulfate, concentrated and was purified by silica gel column to afford the racemate (210 mg). The racemate was further separated by Chiral-prep-HPLC.
- STEP 4 4-chloro-2-(2-oxo-4-piperidyl)-5-(tetrahydropyran-3-ylmethylamino)pyridazin-3-one
- STEP 5 4-chloro-2-((S)-1-(3,5-difluorophenyl)-2-oxopiperidin-4-yl)-5-((((S)-tetrahydro-2H-pyran- 3-yl)methyl)amino)pyridazin-3(2H)-one (494A); and 4-chloro-2-((S)-1-(3,5-difluorophenyl)-2-oxopiperidin-4-yl)-5-(((R)-tetrahydro-2H-pyran-3- yl)methyl)amino)pyridazin-3(2H)-one (549B); and 4-chloro-2-((R)-1-(3,5-difluorophenyl)-2-oxopiperidin-4-yl)-5-(((S)-tetrahydro-2H-pyran-3- yl)methyl)amino)pyridazin-3(2H)-one (494A);
- STEP 2 1-(2-fluorophenyl)piperidin-4-one To a solution of 8-(2-fluorophenyl)-1,4-dioxa-8-azaspiro[4.5]decane (13.0 g, 54.8 mmol) in tetrahydrofuran (100 mL) was added hydrochloric acid (2 M, 65 mL). The mixture was heated to refux for 5 h, cooled to rt and basified to pH 9 with aqueous sodium hydroxide solution (2N) and extracted with ethyl acetate (2 x 200 mL).
- STEP 3 tert-butyl N-[[1-(2-fluorophenyl)-4-piperidyl]amino]carbamate
- tert-butyl N-aminocarbamate 7.18 g, 54.3 mmol
- acetic acid 22.9 g, 382 mmol
- the mixture was stirred at rt for 1 hour and then sodium cyanoborohydride (5.69 g, 90.5 mmol) was added in portions.
- EXAMPLE 503 4-chloro-2-(1-((S)-1-(4-fluorophenyl)ethyl)piperidin-4-yl)-5-((((S)-tetrahydro-2H-pyran-3- yl)methyl)amino)pyridazin-3(2H)-one (503A); and 4-chloro-2-(1-((R)-1-(4-fluorophenyl)ethyl)piperidin-4-yl)-5-(((S)-tetrahydro-2H-pyran-3- yl)methyl)amino)pyridazin-3(2H)-one (503B); and 4-chloro-2-(1-((S)-1-(4-fluorophenyl)ethyl)piperidin-4-yl)-5-(((R)-tetrahydro-2H-pyran-3- yl)methyl)amino)pyridazin-3(2H
- STEP 2 1-bromo-1-(4-fluorophenyl)-3,3-dimethylbutan-2-one
- a mixture of 1-(4-fluorophenyl)-3,3-dimethyl-butan-2-one (1.00 g, 5.15 mmol), NBS (1.10 g, 6.18 mmol) and AIBN (422 mg, 2.57 mmol) in CCl 4 (20 mL) was heated for 16 hr at 80 °C, cooled to rt and partitioned between water (50 mL) and DCM (3 x 50 mL).
- STEP 3 4-chloro-2-(1-(1-(4-fluorophenyl)-3,3-dimethyl-2-oxobutyl)piperidin-4-yl)-5- (((tetrahydro-2H-pyran-3-yl)methyl)amino)pyridazin-3(2H)-one
- 4- chloro-2-(4-piperidyl)-5-(tetrahydropyran-3-ylmethylamino)pyridazin-3-one 358 mg, 1.10 mmol
- potassium carbonate 202 mg, 1.46 mmol
- STEP 3 4-chloro-2-(1-((S)-1-(2,6-difluorophenyl)ethyl)piperidin-4-yl)-5-(((S)-tetrahydro-2H- pyran-3-yl)methylamino)pyridazin-3(2H)-one (505A); and 4-chloro-2-(1-((S)-1-(2,6-difluorophenyl)ethyl)piperidin-4-yl)-5-(((R)-tetrahydro-2H-pyran-3- yl)methylamino)pyridazin-3(2H)-one (505B); and 4-chloro-2-(1-((R)-1-(2,6-difluorophenyl)ethyl)piperidin-4-yl)-5-(((S)-tetrahydro-2H-pyran-3- yl)methylamino)pyridazin-3(
- the mixture was heated for 0.5 h at 80 °C, cooled to rt, diluted with water (30 mL) and extracted with ethyl acetate (3 x 30 mL). The combined organic extracts were washed with brine (100 mL), dried over anhydrous sodium sulfate, concentrated and purified by column chromatography, to afford the racemic product (250mg).
- the racemate was separated by prep-CHIRAL-HPLC to give two mixtures. The first eluting isomer afforded a mixture of 505A / 505B (120 mg). The second eluting isomer afforded a mixture of 505C / 505D (90 mg).
- the 505A / 505B mixture was further separated by prep-CHIRAL-HPLC to afford two products:
- the first eluting isomer was 4-chloro-2-(1-((S)-1-(2,6-difluorophenyl)ethyl)piperidin-4-yl)-5- (((S)-tetrahydro-2H-pyran-3-yl)methylamino)pyridazin-3(2H)-one (compound 505A, 23.8 mg, 4% yield) as a white solid.
- the second eluting isomer was 4-chloro-2-(1-((S)-1-(2,6-difluorophenyl)ethyl)piperidin-4-yl)- 5-(((R)-tetrahydro-2H-pyran-3-yl)methylamino)pyridazin-3(2H)-one (compound 505B, 30 mg, 6% yield) as a white solid.
- the 505C / 505D mixture was further separated by prep-CHIRAL-HPLC to afford two products:
- the first eluting isomer was 4-chloro-2-(1-((R)-1-(2,6-difluorophenyl)ethyl)piperidin-4-yl)-5- (((S)-tetrahydro-2H-pyran-3-yl)methylamino)pyridazin-3(2H)-one (compound 505C, 27.2 mg, 5% yield) as a white solid.
- the second eluting isomer was 4-chloro-2-(1-((R)-1-(2,6-difluorophenyl)ethyl)piperidin-4-yl)- 5-(((R)-tetrahydro-2H-pyran-3-yl)methylamino)pyridazin-3(2H)-one (compound 505D, 27.6 mg, 4.9% yield) as a white solid.
- STEP 4 4-chloro-2-(4-piperidyl)-5-[[(3S)-tetrahydropyran-3-yl]methylamino]pyridazin-3-one
- DCM 1,1-dimethylethyl 4-[5-chloro-6-oxo-4-[[(3S)-tetrahydropyran-3- yl]methylamino]pyridazin-1-yl]piperidine-1-carboxylate (5.5 g, 12.9 mmol) in DCM (50 mL) was added TFA (10 mL) and stirred for 2 h at rt. The mixture was quenched with water and extracted with DCM (3 x 20 mL).
- Methyl 4-chlorosulfonylbenzoate (172 mg, 734 ⁇ mol) was then slowly added and the resulting mixture warmed to rt for 1 h. Water (50 mL) was added and the mixture extracted with ethyl acetate (3 x 50 mL).
- STEP 1 4-(4-(4,5-dichloro-6-oxopyridazin-1(6H)-yl) piperidin-1-ylsulfonyl) benzonitrile TEA (490 mg, 616 ⁇ mol) was added dropwise to a mixture of 4,5-dichloro-2-(4-piperidyl) pyridazin-3-one (400 mg, 1.61 mmol) and 4-cyanobenzenesulfonyl chloride (650 mg, 3.22 mmol) in acetonitrile (6.3 mL) and the resulting mixture heated for 36 h at 80 °C, then cooled to rt, concentrated and purified by reverse flash to give 4-[[4-(4,5-dichloro-6-oxo-pyridazin-1-yl)-1- piperidyl] sulfonyl] benzonitrile (700 mg, 94% yield) as a white solid.
- the mixture was heated to 100 °C for 1 h, cooled to rt and partitioned between water (50 mL) and ethyl acetate (2 x 50 mL). The combined organic extracts were washed with brine (80 mL), dried over sodium sulfate, concentrated onto silica gel, purified by column chromatography to yield the racemate which were separates by chiral-prep-HPLC.
- STEP 1 methyl 4-(benzylamino)tetrahydropyran-3-carboxylate To a solution of methyl 4-oxotetrahydropyran-3-carboxylate (3.00 g, 18.9 mmol) in methanol (60 mL) was added phenylmethanamine (2.44 g, 22.7 mmol) and acetic acid (1.14 g, 18.9 mmol). The mixture was stirred for 0.5 h at 25 °C and then sodium cyanoborohydride (15.6 g, 37.9 mmol) was added.
- STEP 3 4-(tert-butoxycarbonylamino)tetrahydropyran-3-carboxylic acid To a solution of methyl 4-(tert-butoxycarbonylamino)tetrahydropyran-3-carboxylate (1.80 g, 6.94 mmol) in methanol (10 mL) and THF (10 mL) was added a solution of sodium hydroxide (1.39 g, 34.7 mmol) in water (10 mL) at 0 °C. The mixture was stirred for 2 h at 25 °C, acidified to pH ⁇ 3 with HCl (2M) at 0 °C and extracted with ethyl acetate (3 x 100 mL).
- STEP 5 tert-butyl N-[3-(aminomethyl)tetrahydropyran-4-yl]carbamate
- a solution of tert-butyl N-(3-carbamoyltetrahydropyran-4-yl)carbamate 700 mg, 2.87 mmol
- Lithium Aluminum Hydride 217 mg, 5.73 mmol
- the mixture was stirred for 5 h at 25 °C and then quenched with water (1 ml), sodium hydroxide solution (15% (w/w), 1 ml) and water (3 ml) at 0 °C.
- the first eluting isomer was 1,1-dimethylethyl N-[(3S,4S)-3-[[[5-chloro-6-oxo-1-[1- (phenylsulfamoyl)-4-piperidyl]pyridazin-4-yl]amino]methyl]tetrahydropyran-4-yl]carbamate (assumed, 20 mg, 4.5% yield) isolated as a white solid
- the second eluting isomer was 1,1-dimethylethyl N-[(3S)-3-[[[5-chloro-6-oxo-1-[1- (phenylsulfamoyl)-4-piperidyl]pyridazin-4-yl]amino]methyl]tetrahydropyran-4-yl]carbamate (9.0 mg, 2% yield) isolated as a white solid
- the third eluting isomer was 1,1-dimethyleth
- STEP 8 4-[4-[[(3S,4R)-4-amino-tetrahydro-2H-pyran-3-yl]methylamino]-5-chloro-6- oxopyridazin-1(6H)-yl]-N-phenylpiperidine-1-sulfonamide (534B)
- a solution of 1,1-dimethylethyl N-[(3S)-3-[[[5-chloro-6-oxo-1-[1-(phenylsulfamoyl)-4- piperidyl]pyridazin-4-yl]amino]methyl]tetrahydropyran-4-yl]carbamate (9.0 mg, 15.1 ⁇ mol) in DCM (2 mL) and TFA (0.5 mL) was stirred for 0.5 h at 25°C, then concentrated and purified by prep-HPLC (XSelect CSH prep C18 OBD Column, 19 x 250 mm, 5 ⁇ m
- the first eluting isomer was 4-(5-chloro-4-((((3R,4R)-4-hydroxytetrahydro-2H-pyran-3- yl)methyl)amino)-6-oxopyridazin-1(6H)-yl)-N-phenylpiperidine-1-sulfonamide (compound 535A, 152 mg, 14% yield) isolated as a white solid.
- STEP 2 4-[(1S)-5-chloro-6-oxo-4-[[(3S)-tetrahydropyran-3-yl]methylamino]pyridazin-1-yl]-N-(4- cyanophenyl)-N-cyclopropyl-piperidine-1-sulfonamide (545A); and 4-[(1R)-5-chloro-6-oxo-4-[[(3R)-tetrahydropyran-3-yl]methylamino]pyridazin-1-yl]-N-(4- cyanophenyl)-N-cyclopropyl-piperidine-1-sulfonamide (545B) A solution of N-(4-cyanophenyl)-N-cyclopropyl-4-(4,5-dichloro-6-oxo-pyridazin-1- yl)piperidine-1-sulfonamide (200 mg, 427 ⁇ mol), tetrahydro
- STEP 2 4-[5-chloro-4-[[(2R)-1,4-dioxan-2-yl]methylamino]-6-oxo-pyridazin-1-yl]-N-(4-cyano-2- fluoro-phenyl)-N-(difluoromethyl)piperidine-1-sulfonamide
- [(2R)-1,4-dioxan-2- yl]methanamine 60.4 mg, 387 ⁇ mol
- N,N-diethylethanamine 65.3 mg, 644 ⁇ mol
- STEP 1 N-[2-[tert-butyl(dimethyl)silyl]oxyethyl]-N-(4-cyanophenyl)-4-(4,5-dichloro-6-oxo- pyridazin-1-yl)piperidine-1-sulfonamide tert-butyl-(2-iodoethoxy)-dimethyl-silane (722 mg, 2.52 mmol) and cesium carbonate (1.37 g, 4.20 mmol) were added to a solution of N-(4-cyanophenyl)-4-(4,5-dichloro-6-oxo-pyridazin-1- yl)piperidine-1-sulfonamide (900 mg, 2.10 mmol) in DMA (10 mL) and the mixture heated for 16 h at 80°C.
Landscapes
- Organic Chemistry (AREA)
- Chemical & Material Sciences (AREA)
- Nitrogen Condensed Heterocyclic Rings (AREA)
- Health & Medical Sciences (AREA)
- General Chemical & Material Sciences (AREA)
- Nuclear Medicine, Radiotherapy & Molecular Imaging (AREA)
- Medicinal Chemistry (AREA)
- Pharmacology & Pharmacy (AREA)
- Life Sciences & Earth Sciences (AREA)
- Animal Behavior & Ethology (AREA)
- General Health & Medical Sciences (AREA)
- Public Health (AREA)
- Veterinary Medicine (AREA)
- Chemical Kinetics & Catalysis (AREA)
- Nitrogen And Oxygen Or Sulfur-Condensed Heterocyclic Ring Systems (AREA)
Abstract
Disclosed herein are oxime compounds having the structure of Formula (I'): or a pharmaceutically acceptable salt, solvate, hydrate, isomer, tautomer, racemate, or isotope thereof, wherein L1, L2, R1, R2, R3, R4, R7, n, and r are as defined herein. Pharmaceutical compositions comprising them, processes for preparing them and uses of them to treat or prevent diseases, disorders and conditions are also provided. The compounds are inhibitors of one or both of diacylglycerol kinase alpha (DGKα) and diacylglycerol kinase zeta (DGKζ) and are useful in the treatment of diseases, disorders and conditions related to DGKα and / or DGKζ activity. In particular, the compounds are useful for treating viral infections and proliferative disorders, such as cancer.
Description
PYRIDAZINONE DERIVATIVES USEFUL AS T CELL ACTIVATORS
REFERENCE TO AN ELECTRONIC SEQUENCE LISTING
The contents of the electronic sequence listing (360474_405WO_SEQUENCE_LISTING.xml; Size: 9,762 bytes; and Date of Creation: December 22, 2022) is herein incorporated by reference in its entirety.
FIELD OF THE INVENTION
The present invention generally relates to compounds that activate T cells, promote T cell proliferation, and/or exhibit antitumor activity. Provided herein are compounds, compositions comprising such compounds, and methods of their use. The invention further pertains to pharmaceutical compositions comprising at least one compound according to the invention that are useful for the treatment of proliferative disorders, such as cancer, and viral infections.
BACKGROUND
Human cancers harbor numerous genetic and epigenetic alterations, generating neoantigens potentially recognizable by the immune system (Sjoblom et al, Science, 2006, 314, 268-74). The adaptive immune system, comprised of T and B lymphocytes, has powerful anticancer potential, with a broad capacity and exquisite specificity to respond to diverse tumor antigens. Further, the immune system demonstrates considerable plasticity and a memory component. The successful harnessing of all these attributes of the adaptive immune system would make immunotherapy unique among all cancer treatment modalities. However, although an endogenous immune response to cancer is observed in preclinical models and patients, this response is ineffective, and established cancers are viewed as "self" and tolerated by the immune system. Contributing to this state of tolerance, tumors may exploit several distinct mechanisms to actively subvert anti-tumor immunity. These mechanisms include dysfunctional T-cell signaling (Mizoguchi et al, Science, 1992, 258, 1795-98), suppressive regulatory cells (Facciabene et al, Cancer Res, 2012, 72, 2162-71), and the co-opting of endogenous "immune checkpoints", which serve to down-modulate the intensity of adaptive immune responses and protect normal tissues from collateral damage, by tumors to evade immune destruction (Topalian et al, Curr. Opin. Immunol., 2012, 24, 1-6; Mellman et al, Nature, 2011, 480, 480-489).
Diacylglycerol kinases (DGKs) are lipid kinases that mediate the conversion of diacylglycerol to phosphatidic acid thereby terminating T cell functions propagated through the TCR signaling pathway. Thus, DGKs serve as intracellular checkpoints and inhibition of DGKs are expected to enhance T cell signaling pathways and T cell activation. Supporting evidence include knock-out mouse models of either DGKα or DGKζ which show a hyper-responsive T cell phenotype and improved anti-tumor immune activity (Riese et al, Journal of Biological Chemistry, 2011, 7, 5254-5265; Zha et al, Nature Immunology, 2006, 12, 1343). Furthermore, tumor infiltrating lymphocytes isolated from human renal cell carcinoma patients were observed to overexpress DGKα which resulted in inhibited T cell function (Prinz et al, .J immunology, 2012, 12, 5990-6000). Thus, DGKα and DGKζ are viewed as targets for cancer immunotherapy (Riese et al, Front Cell Dev Biol., 2016, 4, 108; Chen et al, Front Cell Dev Biol., 2016, 4, 130; Avila-Flores et al, Immunology and Cell Biology, 2017, 95, 549-563; Noessner, Front Cell Dev Biol., 2017, 5, 16; Krishna, et al, Front Immunology, 2013, 4,178; Jing, et al, Cancer Research, 2017, 77, 5676-5686.) The full length human diacylglycerol kinsase alpha isoform a enzyme is disclosed as SEQ ID NO: 1, and the full length human diacylglycerol kinsase zeta enzyme is disclosed as SEQ ID NO: 2. Accordingly, there remains a need for compounds useful as inhibitors of one or both of DGKα and DGKζ. Additionally, there remains a need for compounds useful as inhibitors of one or both of DGKα and DGKζ that have selectivity over other diacylglycerol kinases, protein kinases, and/or other lipid kinases, as well as for related compositions and methods for treating diseases, disorders and conditions that would benefit from such modulation. An agent that is safe and effective in restoring T cell activation, lowering antigen threshold, enhancing anti- tumor functionality, and/or overcoming the suppressive effects of one or more endogenous immune checkpoints, such as PD-1, LAG-3 and TGFβ, would be significant for the treatment of patients with proliferative disorders, such as cancer, as well as viral infections. Described herein are compounds that have activity as inhibitors of one or both of DGKα and DGKζ. Further, the compounds that have activity as inhibitors of one or both of DGKα and DGKζ and have selectivity over other diacylglycerol kinases, protein kinases, and/or other lipid kinases. These compounds are provided to be useful as pharmaceuticals with desirable stability, bioavailability, therapeutic index, and toxicity values that are important to their drugability.
BRIEF SUMMARY In one embodiment, a compound is provided having the structure of Formula (I′):
or a pharmaceutically acceptable salt, solvate, hydrate, isomer, tautomer, racemate, or isotope thereof, wherein: R1 is a saturated heterocycle or a 5- or 6-membered heteroaryl; L1 is a bond, –(CR8R9)q−, or −(CR8R9)qC(O)−; R2 is halo or C1-3 haloalkyl;L2 is a 5–10 membered carbocycle or a 5–10 membered heterocycle; R3 is H, −CN, halo, C1-6 alkyl, C1-6 haloalkyl, −OR10, −NR10R11, −C(O)R10, −C(O)OR10, −C(O)NR10R11, −S(O)tR10, −S(O)tNR10R11, −L3−R5, or L4−R12; R4 is, at each occurrence, independently −OH, −NH2, −CN, oxo, halo, C1-6 alkyl, C1-6 alkoxy, C1-6 haloalkyl, or C1-6 haloalkoxy; L3 is a bond, −O−, −C(R15R16)−, −C(O)−, −C(OR14)−, −C(O)N(R15)−, −C(=N−O−R15)−, −S(O)t−, −S(O)tC(R15R16)−, −S(O)tN(R15)−, or −N(R15)−; R5 is a 3–10 membered carbocycle or a 3–10 membered heterocycle, wherein R5 is substituted with (R6)p; R6 is, at each occurrence, independently, halo, oxo, −NO2, −CN, C1-6 alkyl, C1-6 haloalkyl, −OR10, −NR10R11, −C(O)R10, −C(O)OR10, −OC(O)R10, −C(O)NR10R11, −NR11C(O)R10, −OC(O)NR10R11, −NR11C(O)OR10, −NR10C(O)NR10R11, −S(O)tR10, −NR10S(O)tR11−, −S(O)tNR10R11, −NR10S(O)tNR10−, −NR10S(O)tOR11, −OS(O)tNR10R11, R20, or −L4−R12; R7 is H, −OH, halo, C1-4 alkyl, C1-6 alkoxy, C1-6 haloalkyl, or C1-6 haloalkoxy; R8 and R9 are, at each occurrence, independently H, halo, C1-6 alkyl, or C1-6 haloalkyl; R10 and R11 are, at each occurrence, independently H, C1-6 alkyl, C1-6 haloalkyl, carbocycle, heterocycle, or −L4−R12; L4 is –(CR22R23)m−;
R12 is −OR13, −NR13R14, −C(O)R13, −C(O)OR13, −OC(O)R13, −C(O)NR13R14, −NR14C(O)OR13, −OC(O)NR13R14, −NR14C(O)OR13, −NR13C(O)NR13R14, −S(O)tR13, −NR13S(O)tR14, −S(O)tNR13R14, −NR13S(O)tNR14−, −NR13S(O)tOR14, −OS(O)tNR13R14, or R20; R13 and R14 are, at each occurrence, independently H, C1-6 alkyl, or C1-6 haloalkyl, or R13 and R14, when attached to the same or a different nitrogen, can form a 3-6 membered heterocycle; R15 and R16 are, at each occurrence, independently H, C1-6 alkyl, C1-6 haloalkyl, −NR17R18, −C(O)R17, carbocycle, heterocycle, or −L4−R19, or R15 and R16, when attached to the same carbon can form a 3-6 membered carbocycle or a 3-6 membered heterocycle; R17 and R18 are, at each occurrence, independently H, C1-6 alkyl, or heterocycle; R19 is, at each occurrence, independently −OR, −NR2, −C(O)R, −C(O)OR, −OC(O)R, −OC(O)NR2, −NRC(O)OR, −NRC(O)NR2, carbocycle, or heterocycle, wherein carbocycle and heterocycle are substituted by 0-3 R; R20 is, at each occurrence, independently carbocycle or heterocycle, wherein R20 is substituted by (R21)u; R21 is, at each occurrence, independently halo, oxo, −CN, C1-6 alkyl, C1-6 haloalkyl, −OR, −NR2, −C(O)R, −C(O)OR, −OC(O)R, −OC(O)NR2, −NRC(O)OR, −NRC(O)NR2, carbocycle, or heterocycle; R22 and R23 are, at each occurrence, independently H, C1-6 alkyl, or C1-6 haloalkyl, or R22 and R23, together with the carbon atom to which they are attached, form a 3-6 membered carbocycle or 3-6 membered heterocycle; R is, at each occurrence, independently H, halo, C1-6 alkyl, or C1-6 haloalkyl; m is 1, 2, 3, 4, 5, or 6; n is 0, 1, 2, or 3; p is 0, 1, 2, or 3; q is 0, 1, or 2; r is 0, 1, 2, 3, 4, or 5; and t is, at each occurrence, independently 0, 1, or 2. In one embodiment, the compound having the structure of Formula (I), or a pharmaceutically acceptable salt, solvate, hydrate, isomer, tautomer, racemate, or isotope thereof, is provided wherein R1 is a 6-membered heterocycloalkyl. In one embodiment, the compound having the structure of Formula (I), or a pharmaceutically acceptable salt, solvate, hydrate, isomer, tautomer, racemate, or isotope thereof, is provided wherein R1 is a 5- or 6-membered heteroaryl.
In some embodiments, a pharmaceutical composition is provided comprising a compound having the structure of Formula (I), or a pharmaceutically acceptable salt, solvate, hydrate, isomer, tautomer, racemate, or isotope thereof, and at least one pharmaceutically acceptable excipient. In some embodiments, the compounds of Formula (I), or a pharmaceutically acceptable salt, solvate, hydrate, isomer, tautomer, racemate or isotope thereof, are useful as inhibitors of DGKα or DGKζ, or both DGKα and DGKζ . In some embodiments, the compounds of Formula (I), or a pharmaceutically acceptable salt, solvate, hydrate, isomer, tautomer, racemate or isotope thereof, are useful in therapy. In some embodiments, the therapy is treatment of proliferative disorders, such as cancer and viral infections. In some embodiments, a method of modulating the activity of DGKα or DGKζ, or both DGKα and DGKζ is provided comprising contacting the kinase with an effective amount of a compound having the structure of Formula (I), or a pharmaceutically acceptable salt, solvate, hydrate, isomer, tautomer, racemate, isotope, or pharmaceutical composition thereof. In some embodiments, a method for treating a disease or disorder associated with the activity of DGKα or DGKζ, or both DGKα and DGKζ, the method comprising administering to a subject in need thereof an effective amount of a compound having the structure of Formula (I), or a pharmaceutically acceptable salt, solvate, hydrate, isomer, tautomer, racemate, isotope, or pharmaceutical composition thereof. In some embodiments, the use of a compound having the structure of Formula (I), or a pharmaceutically acceptable salt, solvate, hydrate, isomer, tautomer, racemate, isotope, or pharmaceutical composition thereof is provided, in the manufacture of a medicament. In some embodiemnts the medicament is useful for the treatment of proliferative disorders, such as cancer and viral infections. In some embodiments, the compounds of Formula (I) and compositions comprising the compounds of Formula (I) may be used in treating, preventing, or curing viral infections and various proliferative disorders, such as cancer. Pharmaceutical compositions comprising these compounds are useful in treating, preventing, or slowing the progression of diseases or disorders in a variety of therapeutic areas, such as viral infections and cancer.
In some embodiments, processes are provided for the preparation of the compounds of Formula (I) or a pharmaceutically acceptable salt, solvate, hydrate, isomer, tautomer, racemate, or isotope thereof. In some embodiments, synthetic intermediates useful for the preparation of the compounds of Formula (I), or a pharmaceutically acceptable salt, solvate, hydrate, isomer, tautomer, racemate, or isotope thereof, are provided. These and other features of the invention will be set forth in expanded form as the disclosure continues. The features and advantages of the invention may be more readily understood by those of ordinary skill in the art upon reading the following detailed description. It is to be appreciated that certain features of the invention that are, for clarity reasons, described above and below in the context of separate embodiments, may also be combined to form a single embodiment. Conversely, various features of the invention that are, for brevity reasons, described in the context of a single embodiment, may also be combined so as to form sub-combinations thereof. Embodiments identified herein as exemplary or preferred are intended to be illustrative and not limiting. DETAILED DESCRIPTION As mentioned above, described herein are compounds that have activity as inhibitors of one or both of DGKα and DGKζ. Further, the compounds that have activity as inhibitors of one or both of DGKα and DGKζ and have selectivity over other diacylglycerol kinases, protein kinases, and/or other lipid kinases. Unless defined otherwise, all technical and scientific terms used herein have the same meaning as is commonly understood by one of skill in the art to which the claimed subject matter belongs. It is to be understood that the detailed description is exemplary and explanatory only and are not restrictive of any subject matter claimed. In this application, the use of the singular includes the plural unless specifically stated otherwise. It must be noted that, as used in the specification, the singular forms "a," "an" and "the" include plural referents unless the context clearly dictates otherwise. In this application, the use of "or" means "and/or" unless stated otherwise. Furthermore, use of the term "including" as well as other forms, such as "include", "includes," and "included," is not limiting. Although various features of the invention may be described in the context of a single embodiment, the features may also be provided separately or in any suitable combination.
Conversely, although the invention may be described herein in the context of separate embodiments for clarity, the invention may also be implemented in a single embodiment. Reference in the specification to "some embodiments", "an embodiment", "one embodiment" or "other embodiments" means that a particular feature, structure, or characteristic described in connection with the embodiments is included in at least some embodiments, but not necessarily all embodiments, of the inventions. The present invention may be embodied in other specific forms without departing from the spirit or essential attributes thereof. This invention encompasses all combinations of the aspects and/or embodiments of the invention noted herein. It is understood that any and all embodiments of the present invention may be taken in conjunction with any other embodiment or embodiments to describe additional embodiments. It is also to be understood that each individual element of the embodiments is meant to be combined with any and all other elements from any embodiment to describe an additional embodiment. As used herein, ranges and amounts can be expressed as "about" a particular value or range. About also includes the exact amount. Hence "about 100µL" means "about 100µL" and also "100µL." In some embodiments, about means within 5% of the value. Hence, "about 100 µL" means 95–105 μL. In some embodiments, about means within 4% of the value. In some embodiments, about means within 3% of the value. In some embodiments, about means within 2% of the value. In some embodiments, about means within 1% of the value. Generally, the term "about" includes an amount that would be expected to be within experimental error. Compounds In one embodiment, a compound is provided having the structure of Formula (I′):
or a pharmaceutically acceptable salt, solvate, hydrate, isomer, tautomer, racemate, or isotope thereof, wherein: R1 is a saturated heterocycle;
L1 is a bond, –(CR8R9)q−, or −(CR8R9)qC(O)−; R2 is halo or C1-3 haloalkyl; L2 is a 5–10 membered carbocycle or a 5–10 membered heterocycle; R3 is H, −CN, halo, C1-6 alkyl, C1-6 haloalkyl, −OR10, −NR10R11, −C(O)R10, −C(O)OR10, −C(O)NR10R11, −S(O)tR10, −S(O)tNR10R11, −L3−R5, or L4−R12; R4 is, at each occurrence, independently −OH, −NH2, −CN, oxo, halo, C1-6 alkyl, C1-6 alkoxy, C1-6 haloalkyl, or C1-6 haloalkoxy; L3 is a bond, −O−, −C(R15R16)−, −C(O)−, -C(OR14)-, −C(O)N(R15)−, −C(=N−O−R15)−, −S(O)t−, −S(O)tC(R15R16)−, −S(O)tN(R15)−, or −N(R15)−; R5 is a 3–10 membered carbocycle or a 3–10 membered heterocycle, wherein R5 is substituted with (R6)p; R6 is, at each occurrence, independently, halo, oxo, −NO2, −CN, C1-6 alkyl, C1-6 haloalkyl, −OR10, −NR10R11, −C(O)R10, −C(O)OR10, −OC(O)R10, −C(O)NR10R11, −NR11C(O)R10, −OC(O)NR10R11, −NR11C(O)OR10, −NR10C(O)NR10R11, −S(O)tR10, −NR10S(O)tR11−, −S(O)tNR10R11, −NR10S(O)tNR10−, −NR10S(O)tOR11, −OS(O)tNR10R11, R20, or −L4−R12; R7 is H, −OH, halo, C1-4 alkyl, C1-6 alkoxy, C1-6 haloalkyl, or C1-6 haloalkoxy; R8 and R9 are, at each occurrence, independently H, halo, C1-6 alkyl, or C1-6 haloalkyl; R10 and R11 are, at each occurrence, independently H, C1-6 alkyl, C1-6 haloalkyl, carbocycle, heterocycle, or −L4−R12; L4 is –(CR22R23)m−; R12 is −OR13, −NR13R14, −C(O)R13, −C(O)OR13, −OC(O)R13, −C(O)NR13R14, −NR14C(O)OR13, −OC(O)NR13R14, −NR14C(O)OR13, −NR13C(O)NR13R14, −S(O)tR13, −NR13S(O)tR14, −S(O)tNR13R14, −NR13S(O)tNR14−, −NR13S(O)tOR14, −OS(O)tNR13R14, or R20; R13 and R14 are, at each occurrence, independently H, C1-6 alkyl, or C1-6 haloalkyl, or when attached to the same or a different nitrogen, they can form a 3-6 membered carbocycle or 3-6 membered heterocycle; R15 and R16 are, at each occurrence, independently H, C1-6 alkyl, C1-6 haloalkyl, −NR17R18, −C(O)R17, carbocycle, heterocycle, or −L4−R19, or when attached to the same carbon can form a 3-6 membered carbocycle or 3-6 membered heterocycle; R17 and R18 are, at each occurrence, independently H, C1-6 alkyl, or heterocycle;
R19 is, at each occurrence, independently −OR, −NR2, −C(O)R, −C(O)OR, −OC(O)R, −OC(O)NR2, −NRC(O)OR, −NRC(O)NR2, carbocycle, or heterocycle, wherein carbocycle and heterocycle are substituted by 0-3 R; R20 is, at each occurrence, independently carbocycle or heterocycle, wherein R20 is substituted by (R21)u; R21 is, at each occurrence, independently halo, oxo, −CN, C1-6 alkyl, C1-6 haloalkyl, −OR, −NR2, −C(O)R, −C(O)OR, −OC(O)R, −OC(O)NR2, −NRC(O)OR, −NRC(O)NR2, carbocycle, or heterocycle; R22 and R23 are, at each occurrence, independently H, C1-6 alkyl, or C1-6 haloalkyl, or R22 and R23, together with the carbon atom to which they are attached, form a 3-6 membered carbocycle or 3-6 membered heterocycle; R is, at each occurrence, independently H, halo, C1-6 alkyl, or C1-6 haloalkyl; m is 1, 2, 3, 4, 5, or 6; n is 0, 1, 2, or 3; p is 0, 1, 2, or 3; q is 0, 1, or 2; r is 0, 1, 2, 3, 4, or 5; and t is, at each occurrence, independently 0, 1, or 2. As used herein, "alkyl" means a straight chain or branched saturated hydrocarbon group. "Lower alkyl" means a straight chain or branched alkyl group having from 1 to 8 carbon atoms, in some embodiments from 1 to 6 carbon atoms, in some embodiments from 1 to 4 carbon atoms, and in some embodiments from 1 to 2 carbon atoms. Examples of straight chain lower alkyl groups include, but are not limited to, methyl, ethyl, n-propyl, n-butyl, n-pentyl, n-hexyl, n- heptyl, and n-octyl groups. Examples of branched lower alkyl groups include, but are not limited to, isopropyl, iso-butyl, sec-butyl, t-butyl, neopentyl, isopentyl, and 2,2-dimethylpropyl groups. "Alkenyl" groups include straight and branched chain and cyclic alkyl groups as defined above, except that at least one double bond exists between two carbon atoms. Thus, alkenyl groups have from 2 to about 20 carbon atoms, and typically from 2 to 12 carbons or, in some embodiments, from 2 to 8 carbon atoms. Examples include, but are not limited to −CH=CH2, −CH=CH(CH3), −CH=C(CH3)2, −C(CH3)=CH2, −C(CH3)=CH(CH3), −C(CH2CH3)=CH2, −CH=CHCH2CH3, −CH=CH(CH2)2CH3, −CH=CH(CH2)3CH3, −CH=CH(CH2)4CH3, vinyl, cyclohexenyl, cyclopentenyl, cyclohexadienyl, butadienyl, pentadienyl, and hexadienyl among others.
"Alkynyl" groups include straight and branched chain alkyl groups, except that at least one triple bond exists between two carbon atoms. Thus, alkynyl groups have from 2 to about 20 carbon atoms, and typically from 2 to 12 carbons or, in some embodiments, from 2 to 8 carbon atoms. Examples include, but are not limited to
and
among others.
As used herein, "alkylene" means a divalent alkyl group. Examples of straight chain lower alkylene groups include, but are not limited to, methylene (i.e., −CH2−), ethylene (i.e., −CH2CH2−), propylene (i.e., −CH2CH2CH2−), and butylene (i.e., −CH2CH2CH2CH2−). As used herein, "heteroalkylene" is an alkylene group of which one or more carbon atoms is replaced with a heteroatom such as, but not limited to, N, O, S, or P. "Alkoxy" refers to an alkyl as defined above joined by way of an oxygen atom (i.e., −O−alkyl). Examples of lower alkoxy groups include, but are not limited to, methoxy, ethoxy, n- propoxy, n-butoxy, isopropoxy, sec-butoxy, tert-butoxy, and the like. The terms "carbocyclic" and "carbocycle" denote a ring structure wherein the atoms of the ring are carbon. Carbocycles may be monocyclic or polycyclic. The rings of multi-ring carbocycles may be fused, bridged, or joined through one or more spiro atoms. Carbocycles include, but are not limited to, 3- to 10-membered monocyclic rings, 6- to 12-membered bicyclic rings, 6- to 12-membered bridged rings, or 6-12-membered spirocyclic rings. Carbocycle encompasses both saturated and unsaturated rings. Carbocycle encompasses both cycloalkyl and aryl groups. In some embodiments, the carbocycle has 3 to 8 ring members, whereas in other embodiments the number of ring carbon atoms is 4, 5, 6, or 7. Unless specifically indicated to the contrary, the carbocyclic ring can be substituted with as many as N substituents wherein N is the size of the carbocyclic ring with for example, alkyl, amino, hydroxy, cyano, carboxy, nitro, thio, alkoxy, and halogen groups. "Cycloalkyl" groups are alkyl groups forming a ring structure, which can be substituted or unsubstituted. Examples of cycloalkyl include, but are not limited to, cyclopropyl, cyclobutyl, cyclopentyl, cyclohexyl, cycloheptyl, and cyclooctyl groups. In some embodiments, the cycloalkyl group has 3 to 8 ring members, whereas in other embodiments the number of ring carbon atoms range from 3 to 5, 3 to 6, or 3 to 7. Cycloalkyl groups further include polycyclic cycloalkyl groups such as, but not limited to, norbornyl, adamantyl, bornyl, camphenyl, isocamphenyl, and carenyl groups, and fused rings such as, but not limited to, decalinyl, and the like. Unless specifically indicated to the contrary, the cycloalkyl ring can be substituted.
Representative substituted cycloalkyl groups can be mono-substituted, such as, but not limited to, 1-, 2-, 3-, or 4- substituted cyclobutyl, or substituted more than once, such as, but not limited to, 2,2-, 2,3-, 2,4- 2,5- or 2,6-disubstituted cyclohexyl groups or mono-, di- or tri- substituted norbornyl or cycloheptyl groups, which can be substituted with, for example, straight or branched chain alkyl groups as defined above, amino, hydroxy, cyano, carboxy, nitro, thio, alkoxy, and halogen groups. "Aryl" groups are cyclic aromatic hydrocarbons that do not contain heteroatoms. Thus, aryl groups include, but are not limited to, phenyl, azulenyl, heptalenyl, biphenyl, indacenyl, fluorenyl, phenanthrenyl, triphenylenyl, pyrenyl, naphthacenyl, chrysenyl, biphenylenyl, anthracenyl, and naphthyl groups. In some embodiments, aryl groups contain 6-14 carbons in the ring portions of the groups. The terms "aryl" and "aryl groups" include fused rings wherein at least one ring, but not necessarily all rings, are aromatic, such as fused aromatic-aliphatic ring systems (e.g., indanyl, tetrahydronaphthyl, and the like). Unless specifically indicated to the contrary, aryl can be substituted. "Carbocyclealkyl" refers to an alkyl as defined above with one or more hydrogen atoms replaced with carbocycle. Examples of carbocyclealkyl groups include, but are not limited to, benzyl and the like. As used herein, "heterocycle" or "heterocyclyl" groups include aromatic and non-aromatic ring compounds (heterocyclic rings) containing 3 or more ring members, of which one or more is a heteroatom such as, but not limited to, N, O, S, or P. The rings of multi-ring heterocycles may be fused, bridged, or joined through one or more spiro atoms. Heterocycles include, but are not limited to, 3- to 10-membered monocyclic rings, 6- to 12-membered bicyclic rings, 6- to 12-membered bridged rings, or 6-12-membered spirocyclic rings. A heterocycle group as defined herein can be a heteroaryl group or a partially or completely saturated cyclic group including at least one ring heteroatom. In some embodiments, heterocycle groups include 3 to 20 ring members, whereas other such groups have 3 to 15 ring members. At least one ring contains a heteroatom, but every ring in a polycyclic system need not contain a heteroatom. For example, a dioxolanyl ring and a benzodioxolanyl ring system (methylenedioxyphenyl ring system) are both heterocycle groups within the meaning herein. A heterocycle group designated as a C2-heterocycle can be a 5-membered ring with two carbon atoms and three heteroatoms, a 6-membered ring with two carbon atoms and four heteroatoms and so forth. Likewise, a C4-heterocycle can be a 5-membered ring with one heteroatom, a 6-membered ring
with two heteroatoms, and so forth. The number of carbon atoms plus the number of heteroatoms sums up to equal the total number of ring atoms. A saturated heterocyclic ring refers to a heterocyclic ring containing no unsaturated carbon atoms. Unless specifically indicated to the contrary, the heterocycle can be substituted with as many as N substituents wherein N is the size of the heterocyclic ring with for example, alkyl, amino, hydroxy, cyano, carboxy, nitro, thio, alkoxy, and halogen groups. Representative substituted heterocycle groups can be mono-substituted, such as, but not limited to, 2-, or 3- substituted oxetan-3-yl or 2-, 3-, or 4- substituted tetrahydropyran-4-yl. "Heteroaryl" groups are aromatic ring compounds containing 5 or more ring members, of which, one or more is a heteroatom such as, but not limited to, N, O, and S. A heteroaryl group designated as a C2-heteroaryl can be a 5-membered ring with two carbon atoms and three heteroatoms, a 6-membered ring with two carbon atoms and four heteroatoms and so forth. Likewise, a C4-heteroaryl can be a 5-membered ring with one heteroatom, a 6-membered ring with two heteroatoms, and so forth. The number of carbon atoms plus the number of heteroatoms sums up to equal the total number of ring atoms. Heteroaryl groups include, but are not limited to, groups such as pyrrolyl, pyrazolyl, triazolyl, tetrazolyl, oxazolyl, isoxazolyl, thiazolyl, pyridinyl, thiophenyl, benzothiophenyl, benzofuranyl, indolyl, azaindolyl, indazolyl, benzimidazolyl, azabenzimidazolyl, benzoxazolyl, benzothiazolyl, benzothiadiazolyl, imidazopyridinyl, isoxazolopyridinyl, thianaphthalenyl, purinyl, xanthinyl, adeninyl, guaninyl, quinolinyl, isoquinolinyl, tetrahydroquinolinyl, tetrahydroisoquinolinyl, quinoxalinyl, and quinazolinyl groups. The terms "heteroaryl" and "heteroaryl groups" include fused ring compounds such as wherein at least one ring, but not necessarily all rings, are aromatic, including tetrahydroquinolinyl, tetrahydroisoquinolinyl, indolyl and 2,3-dihydro indolyl. "Heterocyclealkyl" refers to an alkyl as defined above with one or more hydrogen atoms replaced with heterocycle. Examples of heterocyclealkyl groups include, but are not limited to, morpholinoethyl and the like. "Halo" or "halogen" refers to fluorine, chlorine, bromine and iodine. "Haloalkyl" refers to an alkyl as defined above with one or more hydrogen atoms replaced with halogen. Examples of lower haloalkyl groups include, but are not limited to, −CF3, −CH2CF3, and the like.
"Haloalkoxy" refers to an alkoxy as defined above with one or more hydrogen atoms replaced with halogen. Examples of lower haloalkoxy groups include, but are not limited to −OCF3, −OCH2CF3, and the like. "Hydroxyalkyl" refers to an alkyl as defined above with one or more hydrogen atoms replaced with −OH. Examples of lower hydroxyalkyl groups include, but are not limited to −CH2OH, −CH2CH2OH, and the like. As used herein, the term "optionally substituted" refers to a group (e.g., an alkyl, carbocycle, or heterocycle) having 0, 1, or more substituents, such as 0–25, 0–20, 0–10 or 0–5 substituents. Substituents include, but are not limited to –ORa, −NRaRb, −S(O)2Ra or −S(O)2ORa, halogen, cyano, alkyl, haloalkyl, alkoxy, carbocycle, heterocycle, carbocyclalkyl, or heterocyclealkyl, wherein each Ra and Rb is, independently, H, alkyl, haloalkyl, carbocycle, or heterocycle, or Ra and Rb, together with the atom to which they are attached, form a 3–8 membered carbocycle or heterocycle. In another embodiment, a compound is provided having the structure of Formula (I):
Formula (I) or a pharmaceutically acceptable salt, solvate, hydrate, isomer, tautomer, racemate, or isotope thereof, wherein: R1 is a 6-membered heterocycloalkyl or a 5- or 6-membered heteroaryl; L1 is −CH2− or −C(O)−; R2 is halo; L2 is a 5–10 membered carbocycle or a 5–10 membered heterocycle; R3 is H, −OH, halo, C1-4 alkyl, C1-4 alkoxy, C1-4 haloalkyl, or C1-4 haloalkoxy, or −L3−R5; R4 is, at each occurrence, independently −OH, halo, C1-4 alkyl, C1-4 alkoxy, C1-4 haloalkyl, or C1-4 haloalkoxy; L3 is a bond, −O−, −CH2−, or −N(R)− R5 is a 3–10 membered carbocycle or a 3–10 membered heterocycle, wherein R5 is substituted with (R6)p;
R6 is, at each occurrence, independently, halo, C1-4 alkyl, or C1-4 alkoxy; and R is H or C1-5 alkyl; n is 0, 1, 2, or 3; and p is 0, 1, 2, or 3. In one embodiment, the compound having the structure of Formula (I′) or (I), or a pharmaceutically acceptable salt, solvate, hydrate, isomer, tautomer, racemate, or isotope thereof, is provided wherein R1 is a 6-membered heterocycloalkyl. In one embodiment, the compound having the structure of Formula (I′) or (I), or a pharmaceutically acceptable salt, solvate, hydrate, isomer, tautomer, racemate, or isotope thereof, is provided wherein R1 is a 5- or 6-membered heteroaryl. In one embodiment, a compound is provided having the structure of Formula (II′):
Formula (II′) or a pharmaceutically acceptable salt, solvate, hydrate, isomer, tautomer, racemate, or isotope thereof, wherein: Q1, Q2, Q3, Q4, and Q5 are each, independently −CR′R′′− or −O−, or −S(O)t−, wherein at least one of Q1, Q2, or Q3 is −O−; R′ and R′′ are, at each occurrence, independently H, halo, C1-4 alkyl, C1-6 hydroxyalkyl, C1-4 haloalkyl, −OR, or −NHR, or one occurrence of R′ and one occurrence of R′′ may optionally form, together with the one or more carbon atoms to which they are attached, a fused, bridged, or spiro ring; L1 is a bond, –(CR8R9)q−, or −(CR8R9)qC(O)−; R2 is halo or C1-3 haloalkyl; L2 is a 5–10 membered carbocycle or a 5–10 membered heterocycle; R3 is H, −CN, halo, C1-6 alkyl, C1-6 haloalkyl, −OR10, −NR10R11, −C(O)R10, −C(O)OR10, −C(O)NR10R11, −S(O)tR10, −S(O)tNR10R11, −L3−R5, or L4−R12;
R4 is, at each occurrence, independently −OH, −NH2, −CN, oxo, halo, C1-6 alkyl, C1-6 alkoxy, C1-6 haloalkyl, or C1-6 haloalkoxy; L3 is a bond, −O−, −C(R15R16)−, −C(O)−, -C(OR14)-, −C(O)N(R15)−, −C(=N−O−R15)−, −S(O)t−, −S(O)tC(R15R16)−, −S(O)tN(R15)−, or −N(R15)−; R5 is a 3–10 membered carbocycle or a 3–10 membered heterocycle, wherein R5 is substituted with (R6)p; R6 is, at each occurrence, independently, halo, oxo, −NO2, −CN, C1-6 alkyl, C1-6 haloalkyl, −OR10, −NR10R11, −C(O)R10, −C(O)OR10, −OC(O)R10, −C(O)NR10R11, −NR11C(O)R10, −OC(O)NR10R11, −NR11C(O)OR10, −NR10C(O)NR10R11, −S(O)tR10, −NR10S(O)tR11−, −S(O)tNR10R11, −NR10S(O)tNR10−, −NR10S(O)tOR11, −OS(O)tNR10R11, R20, or −L4−R12; R7 is H, −OH, halo, C1-4 alkyl, C1-6 alkoxy, C1-6 haloalkyl, or C1-6 haloalkoxy; R8 and R9 are, at each occurrence, independently H, halo, C1-6 alkyl, or C1-6 haloalkyl; R10 and R11 are, at each occurrence, independently H, C1-6 alkyl, C1-6 haloalkyl, carbocycle, heterocycle, or −L4−R12; L4 is –(CR22R23)m−; R12 is −OR13, −NR13R14, −C(O)R13, −C(O)OR13, −OC(O)R13, −C(O)NR13R14, −NR14C(O)OR13, −OC(O)NR13R14, −NR14C(O)OR13, −NR13C(O)NR13R14, −S(O)tR13, −NR13S(O)tR14, −S(O)tNR13R14, −NR13S(O)tNR14−, −NR13S(O)tOR14, −OS(O)tNR13R14, or R20; R13 and R14 are, at each occurrence, independently H, C1-6 alkyl, or C1-6 haloalkyl, or when attached to the same or a different nitrogen, they can form a 3-6 membered carbocycle or 3-6 membered heterocycle; R15 and R16 are, at each occurrence, independently H, C1-6 alkyl, C1-6 haloalkyl, −NR17R18, −C(O)R17, carbocycle, heterocycle, or −L4−R19, or when attached to the same carbon can form a 3-6 membered carbocycle or 3-6 membered heterocycle; R17 and R18 are, at each occurrence, independently H, C1-6 alkyl, or heterocycle; R19 is, at each occurrence, independently −OR, −NR2, −C(O)R, −C(O)OR, −OC(O)R, −OC(O)NR2, −NRC(O)OR, −NRC(O)NR2, carbocycle, or heterocycle, wherein carbocycle and heterocycle are substituted by 0–3 R; R20 is, at each occurrence, independently carbocycle or heterocycle, wherein R20 is substituted by (R21)u; R21 is, at each occurrence, independently halo, oxo, −CN, C1-6 alkyl, C1-6 haloalkyl, −OR, −NR2, −C(O)R, −C(O)OR, −OC(O)R, −OC(O)NR2, −NRC(O)OR, −NRC(O)NR2, carbocycle, or heterocycle;
R22 and R23 are, at each occurrence, independently H, C1-6 alkyl, or C1-6 haloalkyl, or R22 and R23, together with the carbon atom to which they are attached, form a 3-6 membered carbocycle or 3-6 membered heterocycle; R is, at each occurrence, independently H, halo, C1-6 alkyl, or C1-6 haloalkyl; m is 1, 2, 3, 4, 5, or 6; n is 0, 1, 2, or 3; p is 0, 1, 2, or 3; q is 0, 1, or 2; u is, at each occurrence, independently 0, 1, 2, or 3; and t is, at each occurrence, independently 0, 1, or 2; wherein R3 is not H or halo and R4 is not halo when L2 is phenyl and n is 0 or 1; and R3 is not H when L2 is pyridine. In one embodiment, a compound is provided having the structure of Formula (II):
Formula (II) or a pharmaceutically acceptable salt, solvate, hydrate, isomer, tautomer, racemate, or isotope thereof, wherein: Q1, Q2, Q3, and Q4 are each, independently, −CH2− or −O−, wherein at least one of Q1, Q2, and Q3 is O; L1 is −CH2− or −C(O)−; R2 is Cl or F; L2 is a 5- or 6-membered carbocycle or a 5- or 6-membered heterocycle; R3 is H, −OH, halo, C1-4 alkyl, C1-4 alkoxy, C1-4 haloalkyl, or C1-4 haloalkoxy, or −L3−R5; R4 is, at each occurrence, independently −OH, halo, C1-4 alkyl, C1-4 alkoxy, C1-4 haloalkyl, or C1-4 haloalkoxy; L3 is a bond, −O−, −CH2−, or −N(R)−
R5 is a 3–10 membered carbocycle or a 3–10 membered heterocycle, wherein R5 is substituted with (R6)p; R6 is, at each occurrence, independently, −CH3, F, or −OCH3; and R is H or C1-5 alkyl; n is 0, 1, 2, or 3; and p is 0, 1, 2, or 3; wherein R3 is not H or halo and R4 is not halo when L2 is phenyl and n is 0 or 1; and R3 is not H when L2 is pyridine. In one embodiment, a compound is provided having the structure of any one of Formula (II′-A), Formula (II′-B), Formula (II′-C), or Formula (II′-D): ,
or a pharmaceutically acceptable salt, solvate, hydrate, isomer, tautomer, racemate, or isotope thereof, wherein: R′ and R′′ are, at each occurrence, independently H, halo, C1-4 alkyl, C1-6 hydroxyalkyl, C1-4 haloalkyl, −OR, or −NHR, or one occurrence of R′ and one occurrence of R′′ may optionally form, together with the one or more carbon atoms to which they are attached, a fused, bridged, or spiro ring; L1 is a bond, –(CR8R9)q−, or −(CR8R9)qC(O)−; R2 is Cl or F; L2 is a 5- or 6-membered carbocycle or a 5- or 6-membered heterocycle;
R3 is H, −CN, halo, C1-6 alkyl, C1-6 haloalkyl, −OR10, −NR10R11, −C(O)R10, −C(O)OR10, −C(O)NR10R11, −S(O)tR10, −S(O)tNR10R11, −L3−R5, or L4−R12; R4 is, at each occurrence, independently −OH, −NH2, −CN, oxo, halo, C1-6 alkyl, C1-6 alkoxy, C1-6 haloalkyl, or C1-6 haloalkoxy; L3 is a bond, −O−, −C(R15R16)−, −C(O)−, -C(OR14)-, −C(O)N(R15)−, −C(=N−O−R15)−, −S(O)t−, −S(O)tC(R15R16)−, −S(O)tN(R15)−, or −N(R15)−; R5 is a 3–10 membered carbocycle or a 3–10 membered heterocycle, wherein R5 is substituted with (R6)p; R6 is, at each occurrence, independently, halo, oxo, −NO2, −CN, C1-6 alkyl, C1-6 haloalkyl, −OR10, −NR10R11, −C(O)R10, −C(O)OR10, −OC(O)R10, −C(O)NR10R11, −NR11C(O)R10, −OC(O)NR10R11, −NR11C(O)OR10, −NR10C(O)NR10R11, −S(O)tR10, −NR10S(O)tR11−, −S(O)tNR10R11, −NR10S(O)tNR10−, −NR10S(O)tOR11, −OS(O)tNR10R11, R20, or −L4−R12; R7 is H, −OH, halo, C1-4 alkyl, C1-6 alkoxy, C1-6 haloalkyl, or C1-6 haloalkoxy; R8 and R9 are, at each occurrence, independently H, halo, C1-6 alkyl, or C1-6 haloalkyl; R10 and R11 are, at each occurrence, independently H, C1-6 alkyl, C1-6 haloalkyl, carbocycle, heterocycle, or −L4−R12; L4 is –(CR22R23)m−; R12 is −OR13, −NR13R14, −C(O)R13, −C(O)OR13, −OC(O)R13, −C(O)NR13R14, −NR14C(O)OR13, −OC(O)NR13R14, −NR14C(O)OR13, −NR13C(O)NR13R14, −S(O)tR13, −NR13S(O)tR14, −S(O)tNR13R14, −NR13S(O)tNR14−, −NR13S(O)tOR14, −OS(O)tNR13R14, or R20; R13 and R14 are, at each occurrence, independently H, C1-6 alkyl, or C1-6 haloalkyl, or when attached to the same or a different nitrogen, they can form a 3-6 membered carbocycle or 3-6 membered heterocycle; R15 and R16 are, at each occurrence, independently H, C1-6 alkyl, C1-6 haloalkyl, −NR17R18, −C(O)R17, carbocycle, heterocycle, or −L4−R19, or when attached to the same carbon can form a 3-6 membered carbocycle or 3-6 membered heterocycle; R17 and R18 are, at each occurrence, independently H, C1-6 alkyl, or heterocycle; R19 is, at each occurrence, independently −OR, −NR2, −C(O)R, −C(O)OR, −OC(O)R, −OC(O)NR2, −NRC(O)OR, −NRC(O)NR2, carbocycle, or heterocycle, wherein carbocycle and heterocycle are substituted by 0–3 R; R20 is, at each occurrence, independently carbocycle or heterocycle, wherein R20 is substituted by (R21)u;
R21 is, at each occurrence, independently halo, oxo, −CN, C1-6 alkyl, C1-6 haloalkyl, −OR, −NR2, −C(O)R, −C(O)OR, −OC(O)R, −OC(O)NR2, −NRC(O)OR, −NRC(O)NR2, carbocycle, or heterocycle; R22 and R23 are, at each occurrence, independently H, C1-6 alkyl, or C1-6 haloalkyl, or R22 and R23, together with the carbon atom to which they are attached, form a 3-6 membered carbocycle or 3-6 membered heterocycle; R is, at each occurrence, independently H, halo, C1-6 alkyl, or C1-6 haloalkyl; n is 0, 1, 2, or 3; p is 0, 1, 2, or 3; q is 0, 1, or 2; u is, at each occurrence, independently 0, 1, 2, or 3; and t is, at each occurrence, independently 0, 1, or 2; wherein R3 is not H or halo and R4 is not halo when L2 is phenyl and n is 0 or 1; and R3 is not H when L2 is pyridine. In one embodiment, a compound is provided having the structure of any one of Formula (II-A), Formula (II-B), Formula (II-C), or Formula (II-D): ,
, Formula (II-C) Formula (II-D) or a pharmaceutically acceptable salt, solvate, hydrate, isomer, tautomer, racemate, or isotope thereof, wherein:
L1 is −CH2− or −C(O)−; R2 is Cl or F; L2 is a 5- or 6-membered carbocycle or a 5- or 6-membered heterocycle; R3 is H, −OH, halo, C1-4 alkyl, C1-4 alkoxy, C1-4 haloalkyl, or C1-4 haloalkoxy, or −L3−R5; R4 is, at each occurrence, independently −OH, halo, C1-4 alkyl, C1-4 alkoxy, C1-4 haloalkyl, or C1-4 haloalkoxy; L3 is a bond, −O−, −CH2−, or −N(R)− R5 is a 3–10 membered carbocycle or a 3–10 membered heterocycle, wherein R5 is substituted with (R6)p; R6 is, at each occurrence, independently, −CH3, F, or −OCH3; and R is H or C1-5 alkyl; n is 0, 1, 2, or 3; and p is 0, 1, 2, or 3; wherein R3 is not H or halo and R4 is not halo when L2 is phenyl and n is 0 or 1; and R3 is not H when L2 is pyridine. In some embodiments is provided a compound having the structure of Formula (II) or Formula (II′), or a pharmaceutically acceptable salt, solvate, hydrate, isomer, tautomer, racemate, or isotope thereof, wherein L2 is a 5- or 6-membered carbocycle. In some embodiments is provided a compound of Formula (II) or a pharmaceutically acceptable salt, solvate, hydrate, isomer, tautomer, racemate, or isotope thereof, wherein L2 is a 5- or 6-membered heterocycle. In some embodiments is provided a compound having the structure of Formula (II) or Formula (II′), or a pharmaceutically acceptable salt, solvate, hydrate, isomer, tautomer, racemate, or isotope thereof, wherein L2 is cyclopentyl, cyclohexyl, phenyl, pyrrolidinyl, pyrrolyl, pyrazolyl, imidazolyl, triazolyl, tetrahydrofuranyl, furanyl, tetrahydrothiophenyl, thiophenyl, oxazolyl, isoxazolyl, thiazolyl, isothiazolyl, oxadiazolyl, thiadiazolyl, piperidinyl, piperazinyl, pyridinyl, pyridazinyl, pyrimidinyl, pyrazinyl, triazinyl, tetrahydropyranyl, or morpholinyl. In some embodiments is provided a compound having the structure of Formula (II) or Formula (II′), or a pharmaceutically acceptable salt, solvate, hydrate, isomer, tautomer, racemate, or isotope thereof, wherein L2 is cyclohexyl, phenyl, piperidinyl, or thiazolyl.
In some embodiments is provided a compound having the structure of Formula (II) or Formula (II′), or a pharmaceutically acceptable salt, solvate, hydrate, isomer, tautomer, racemate, or isotope thereof, wherein L1 is −CH2−. In some embodiments is provided a compound having the structure of Formula (II) or Formula (II′), or a pharmaceutically acceptable salt, solvate, hydrate, isomer, tautomer, racemate, or isotope thereof, wherein L1 is −C(O)−. In one embodiment, a compound is provided having the structure of any one of Formula (II′-A-1), Formula (II′-A-2), Formula (II′-A-3), Formula (II′-A-4), Formula (II′-A-5), or Formula (II′-A-6):
, , Formula (II′-A-5) Formula (II′-A-6) or a pharmaceutically acceptable salt, solvate, hydrate, isomer, tautomer, racemate, or isotope thereof, wherein:
R′ and R′′ are, at each occurrence, independently H, halo, C1-4 alkyl, C1-6 hydroxyalkyl, C1-4 haloalkyl, −OR, or −NHR, or one occurrence of R′ and one occurrence of R′′ may optionally form, together with the one or more carbon atoms to which they are attached, a fused, bridged, or spiro ring; R2 is Cl or F; L2 is a 5- or 6-membered carbocycle or a 5- or 6-membered heterocycle; R3 is H, −CN, halo, C1-6 alkyl, C1-6 haloalkyl, −OR10, −NR10R11, −C(O)R10, −C(O)OR10, −C(O)NR10R11, −S(O)tR10, −S(O)tNR10R11, −L3−R5, or L4−R12; R4 is, at each occurrence, independently −OH, −NH2, −CN, oxo, halo, C1-6 alkyl, C1-6 alkoxy, C1-6 haloalkyl, or C1-6 haloalkoxy; L3 is a bond, −O−, −C(R15R16)−, −C(O)−, -C(OR14)-, −C(O)N(R15)−, −C(=N−O−R15)−, −S(O)t−, −S(O)tC(R15R16)−, −S(O)tN(R15)−, or −N(R15)−; R5 is a 3–10 membered carbocycle or a 3–10 membered heterocycle, wherein R5 is substituted with (R6)p; R6 is, at each occurrence, independently, halo, oxo, −NO2, −CN, C1-6 alkyl, C1-6 haloalkyl, −OR10, −NR10R11, −C(O)R10, −C(O)OR10, −OC(O)R10, −C(O)NR10R11, −NR11C(O)R10, −OC(O)NR10R11, −NR11C(O)OR10, −NR10C(O)NR10R11, −S(O)tR10, −NR10S(O)tR11−, −S(O)tNR10R11, −NR10S(O)tNR10−, −NR10S(O)tOR11, −OS(O)tNR10R11, R20, or −L4−R12; R7 is H, −OH, halo, C1-4 alkyl, C1-6 alkoxy, C1-6 haloalkyl, or C1-6 haloalkoxy; R8 and R9 are, at each occurrence, independently H, halo, C1-6 alkyl, or C1-6 haloalkyl; R10 and R11 are, at each occurrence, independently H, C1-6 alkyl, C1-6 haloalkyl, carbocycle, heterocycle, or −L4−R12; L4 is –(CR22R23)m−; R12 is −OR13, −NR13R14, −C(O)R13, −C(O)OR13, −OC(O)R13, −C(O)NR13R14, −NR14C(O)OR13, −OC(O)NR13R14, −NR14C(O)OR13, −NR13C(O)NR13R14, −S(O)tR13, −NR13S(O)tR14, −S(O)tNR13R14, −NR13S(O)tNR14−, −NR13S(O)tOR14, −OS(O)tNR13R14, or R20; R13 and R14 are, at each occurrence, independently H, C1-6 alkyl, or C1-6 haloalkyl, or when attached to the same or a different nitrogen, they can form a 3-6 membered carbocycle or 3-6 membered heterocycle; R15 and R16 are, at each occurrence, independently H, C1-6 alkyl, C1-6 haloalkyl, −NR17R18, −C(O)R17, carbocycle, heterocycle, or −L4−R19, or when attached to the same carbon can form a 3-6 membered carbocycle or 3-6 membered heterocycle;
R17 and R18 are, at each occurrence, independently H, C1-6 alkyl, or heterocycle; R19 is, at each occurrence, independently −OR, −NR2, −C(O)R, −C(O)OR, −OC(O)R, −OC(O)NR2, −NRC(O)OR, −NRC(O)NR2, carbocycle, or heterocycle, wherein carbocycle and heterocycle are substituted by 0–3 R; R20 is, at each occurrence, independently carbocycle or heterocycle, wherein R20 is substituted by (R21)u; R21 is, at each occurrence, independently halo, oxo, −CN, C1-6 alkyl, C1-6 haloalkyl, −OR, −NR2, −C(O)R, −C(O)OR, −OC(O)R, −OC(O)NR2, −NRC(O)OR, −NRC(O)NR2, carbocycle, or heterocycle; R22 and R23 are, at each occurrence, independently H, C1-6 alkyl, or C1-6 haloalkyl, or R22 and R23, together with the carbon atom to which they are attached, form a 3-6 membered carbocycle or 3-6 membered heterocycle; R is, at each occurrence, independently H, halo, C1-6 alkyl, or C1-6 haloalkyl; n is 0, 1, 2, or 3; p is 0, 1, 2, or 3; q is 0, 1, or 2; u is, at each occurrence, independently 0, 1, 2, or 3; and t is, at each occurrence, independently 0, 1, or 2; wherein R3 is not H or halo and R4 is not halo when L2 is phenyl and n is 0 or 1; and R3 is not H when L2 is pyridine. In one embodiment, a compound is provided having the structure of any one of Formula (II-A-1), Formula (II-A-2), Formula (II-A-3), Formula (II-A-4), or Formula (II-A-5):
, , Formula (II-A-1) Formula (II-A-2)
, Formula (II-A-5) or a pharmaceutically acceptable salt, solvate, hydrate, isomer, tautomer, racemate, or isotope thereof, wherein: R2 is Cl or F; R3 is H, −OH, halo, C1-4 alkyl, C1-4 alkoxy, C1-4 haloalkyl, or C1-4 haloalkoxy, or −L3−R5; R4 is, at each occurrence, independently −OH, halo, C1-4 alkyl, C1-4 alkoxy, C1-4 haloalkyl, or C1-4 haloalkoxy; L3 is a bond, −O−, −CH2−, or −N(R)− R5 is a 3–10 membered carbocycle or a 3–10 membered heterocycle, wherein R5 is substituted with (R6)p; R6 is, at each occurrence, independently, −CH3, F, or −OCH3; and R is H or C1-5 alkyl; n is 0, 1, 2, or 3; and p is 0, 1, 2, or 3; wherein R3 is not H or halo and R4 is not halo when L2 is phenyl and n is 0 or 1. In one embodiment, a compound is provided having the structure of any one of Formula (II′-B-1), Formula (II′-B-2), Formula (II′-B-3), Formula (II′-B-4), or Formula (II′-B-5), Formula (II′-B-6):
, , Formula (II′-B-5) Formula (II′-B-6) or a pharmaceutically acceptable salt, solvate, hydrate, isomer, tautomer, racemate, or isotope thereof, wherein: R′ and R′′ are, at each occurrence, independently H, halo, C1-4 alkyl, C1-6 hydroxyalkyl, C1-4 haloalkyl, −OR, or −NHR, or one occurrence of R′ and one occurrence of R′′ may optionally form, together with the one or more carbon atoms to which they are attached, a fused, bridged, or spiro ring; R2 is Cl or F; L2 is a 5- or 6-membered carbocycle or a 5- or 6-membered heterocycle; R3 is H, −CN, halo, C1-6 alkyl, C1-6 haloalkyl, −OR10, −NR10R11, −C(O)R10, −C(O)OR10, −C(O)NR10R11, −S(O)tR10, −S(O)tNR10R11, −L3−R5, or L4−R12; R4 is, at each occurrence, independently −OH, −NH2, −CN, oxo, halo, C1-6 alkyl, C1-6 alkoxy, C1-6 haloalkyl, or C1-6 haloalkoxy;
L3 is a bond, −O−, −C(R15R16)−, −C(O)−, -C(OR14)-, −C(O)N(R15)−, −C(=N−O−R15)−, −S(O)t−, −S(O)tC(R15R16)−, −S(O)tN(R15)−, or −N(R15)−; R5 is a 3–10 membered carbocycle or a 3–10 membered heterocycle, wherein R5 is substituted with (R6)p; R6 is, at each occurrence, independently, halo, oxo, −NO2, −CN, C1-6 alkyl, C1-6 haloalkyl, −OR10, −NR10R11, −C(O)R10, −C(O)OR10, −OC(O)R10, −C(O)NR10R11, −NR11C(O)R10, −OC(O)NR10R11, −NR11C(O)OR10, −NR10C(O)NR10R11, −S(O)tR10, −NR10S(O)tR11−, −S(O)tNR10R11, −NR10S(O)tNR10−, −NR10S(O)tOR11, −OS(O)tNR10R11, R20, or −L4−R12; R7 is H, −OH, halo, C1-4 alkyl, C1-6 alkoxy, C1-6 haloalkyl, or C1-6 haloalkoxy; R8 and R9 are, at each occurrence, independently H, halo, C1-6 alkyl, or C1-6 haloalkyl; R10 and R11 are, at each occurrence, independently H, C1-6 alkyl, C1-6 haloalkyl, carbocycle, heterocycle, or −L4−R12; L4 is –(CR22R23)m−; R12 is −OR13, −NR13R14, −C(O)R13, −C(O)OR13, −OC(O)R13, −C(O)NR13R14, −NR14C(O)OR13, −OC(O)NR13R14, −NR14C(O)OR13, −NR13C(O)NR13R14, −S(O)tR13, −NR13S(O)tR14, −S(O)tNR13R14, −NR13S(O)tNR14−, −NR13S(O)tOR14, −OS(O)tNR13R14, or R20; R13 and R14 are, at each occurrence, independently H, C1-6 alkyl, or C1-6 haloalkyl, or when attached to the same or a different nitrogen, they can form a 3-6 membered carbocycle or 3-6 membered heterocycle; R15 and R16 are, at each occurrence, independently H, C1-6 alkyl, C1-6 haloalkyl, −NR17R18, −C(O)R17, carbocycle, heterocycle, or −L4−R19, or when attached to the same carbon can form a 3-6 membered carbocycle or 3-6 membered heterocycle; R17 and R18 are, at each occurrence, independently H, C1-6 alkyl, or heterocycle; R19 is, at each occurrence, independently −OR, −NR2, −C(O)R, −C(O)OR, −OC(O)R, −OC(O)NR2, −NRC(O)OR, −NRC(O)NR2, carbocycle, or heterocycle, wherein carbocycle and heterocycle are substituted by 0–3 R; R20 is, at each occurrence, independently carbocycle or heterocycle, wherein R20 is substituted by (R21)u; R21 is, at each occurrence, independently halo, oxo, −CN, C1-6 alkyl, C1-6 haloalkyl, −OR, −NR2, −C(O)R, −C(O)OR, −OC(O)R, −OC(O)NR2, −NRC(O)OR, −NRC(O)NR2, carbocycle, or heterocycle;
R22 and R23 are, at each occurrence, independently H, C1-6 alkyl, or C1-6 haloalkyl, or R22 and R23, together with the carbon atom to which they are attached, form a 3-6 membered carbocycle or 3-6 membered heterocycle; R is, at each occurrence, independently H, halo, C1-6 alkyl, or C1-6 haloalkyl; n is 0, 1, 2, or 3; p is 0, 1, 2, or 3; q is 0, 1, or 2; u is, at each occurrence, independently 0, 1, 2, or 3; and t is, at each occurrence, independently 0, 1, or 2; wherein R3 is not H or halo and R4 is not halo when L2 is phenyl and n is 0 or 1; and R3 is not H when L2 is pyridine. In one embodiment, a compound is provided having the structure of any one of Formula (II-B-1), Formula (II-B-2), Formula (II-B-3), Formula (II-B-4), or Formula (II-B-5):
Formula (II-B-3) Formula (II-B-4)
, Formula (II-B-5) or a pharmaceutically acceptable salt, solvate, hydrate, isomer, tautomer, racemate, or isotope thereof, wherein: R2 is Cl or F; R3 is H, −OH, halo, C1-4 alkyl, C1-4 alkoxy, C1-4 haloalkyl, or C1-4 haloalkoxy, or −L3−R5; R4 is, at each occurrence, independently −OH, halo, C1-4 alkyl, C1-4 alkoxy, C1-4 haloalkyl, or C1-4 haloalkoxy; L3 is a bond, −O−, −CH2−, or −N(R)− R5 is a 3–10 membered carbocycle or a 3–10 membered heterocycle, wherein R5 is substituted with (R6)p; R6 is, at each occurrence, independently, −CH3, F, or −OCH3; and R is H or C1-5 alkyl; n is 0, 1, 2, or 3; and p is 0, 1, 2, or 3; wherein R3 is not H or halo and R4 is not halo when L2 is phenyl and n is 0 or 1. In another embodiment, a compound is provided having the structure of any one of Formula (II′-C-1), Formula (II′-C-2), Formula (II′-C-3), Formula (II′-C-4), or Formula (II′-C-5), or Formula (II′-C-6):
, , Formula (II′-C-1) Formula (II′-C-2)
, , Formula (II′-C-5) Formula (II′-C-6) or a pharmaceutically acceptable salt, solvate, hydrate, isomer, tautomer, racemate, or isotope thereof, wherein: R′ and R′′ are, at each occurrence, independently H, halo, C1-4 alkyl, C1-6 hydroxyalkyl, C1-4 haloalkyl, −OR, or −NHR, or one occurrence of R′ and one occurrence of R′′ may optionally form, together with the one or more carbon atoms to which they are attached, a fused, bridged, or spiro ring; R2 is Cl or F; L2 is a 5- or 6-membered carbocycle or a 5- or 6-membered heterocycle; R3 is H, −CN, halo, C1-6 alkyl, C1-6 haloalkyl, −OR10, −NR10R11, −C(O)R10, −C(O)OR10, −C(O)NR10R11, −S(O)tR10, −S(O)tNR10R11, −L3−R5, or L4−R12; R4 is, at each occurrence, independently −OH, −NH2, −CN, oxo, halo, C1-6 alkyl, C1-6 alkoxy, C1-6 haloalkyl, or C1-6 haloalkoxy; L3 is a bond, −O−, −C(R15R16)−, −C(O)−, -C(OR14)-, −C(O)N(R15)−, −C(=N−O−R15)−, −S(O)t−, −S(O)tC(R15R16)−, −S(O)tN(R15)−, or −N(R15)−; R5 is a 3–10 membered carbocycle or a 3–10 membered heterocycle, wherein R5 is substituted with (R6)p; R6 is, at each occurrence, independently, halo, oxo, −NO2, −CN, C1-6 alkyl, C1-6 haloalkyl, −OR10, −NR10R11, −C(O)R10, −C(O)OR10, −OC(O)R10, −C(O)NR10R11, −NR11C(O)R10, −OC(O)NR10R11,
−NR11C(O)OR10, −NR10C(O)NR10R11, −S(O)tR10, −NR10S(O)tR11−, −S(O)tNR10R11, −NR10S(O)tNR10−, −NR10S(O)tOR11, −OS(O)tNR10R11, R20, or −L4−R12; R7 is H, −OH, halo, C1-4 alkyl, C1-6 alkoxy, C1-6 haloalkyl, or C1-6 haloalkoxy; R8 and R9 are, at each occurrence, independently H, halo, C1-6 alkyl, or C1-6 haloalkyl; R10 and R11 are, at each occurrence, independently H, C1-6 alkyl, C1-6 haloalkyl, carbocycle, heterocycle, or −L4−R12; L4 is –(CR22R23)m−; R12 is −OR13, −NR13R14, −C(O)R13, −C(O)OR13, −OC(O)R13, −C(O)NR13R14, −NR14C(O)OR13, −OC(O)NR13R14, −NR14C(O)OR13, −NR13C(O)NR13R14, −S(O)tR13, −NR13S(O)tR14, −S(O)tNR13R14, −NR13S(O)tNR14−, −NR13S(O)tOR14, −OS(O)tNR13R14, or R20; R13 and R14 are, at each occurrence, independently H, C1-6 alkyl, or C1-6 haloalkyl, or when attached to the same or a different nitrogen, they can form a 3-6 membered carbocycle or 3-6 membered heterocycle; R15 and R16 are, at each occurrence, independently H, C1-6 alkyl, C1-6 haloalkyl, −NR17R18, −C(O)R17, carbocycle, heterocycle, or −L4−R19, or when attached to the same carbon can form a 3-6 membered carbocycle or 3-6 membered heterocycle; R17 and R18 are, at each occurrence, independently H, C1-6 alkyl, or heterocycle; R19 is, at each occurrence, independently −OR, −NR2, −C(O)R, −C(O)OR, −OC(O)R, −OC(O)NR2, −NRC(O)OR, −NRC(O)NR2, carbocycle, or heterocycle, wherein carbocycle and heterocycle are substituted by 0–3 R; R20 is, at each occurrence, independently carbocycle or heterocycle, wherein R20 is substituted by (R21)u; R21 is, at each occurrence, independently halo, oxo, −CN, C1-6 alkyl, C1-6 haloalkyl, −OR, −NR2, −C(O)R, −C(O)OR, −OC(O)R, −OC(O)NR2, −NRC(O)OR, −NRC(O)NR2, carbocycle, or heterocycle; R22 and R23 are, at each occurrence, independently H, C1-6 alkyl, or C1-6 haloalkyl, or R22 and R23, together with the carbon atom to which they are attached, form a 3-6 membered carbocycle or 3-6 membered heterocycle; R is, at each occurrence, independently H, halo, C1-6 alkyl, or C1-6 haloalkyl; n is 0, 1, 2, or 3; p is 0, 1, 2, or 3; q is 0, 1, or 2; u is, at each occurrence, independently 0, 1, 2, or 3; and
t is, at each occurrence, independently 0, 1, or 2; wherein R3 is not H or halo and R4 is not halo when L2 is phenyl and n is 0 or 1; and R3 is not H when L2 is pyridine. In another embodiment, a compound is provided having the structure of any one of Formula (II-C-1), Formula (II-C-2), Formula (II-C-3), Formula (II-C-4), or Formula (II-C-5):
Formula (II-C-3) Formula (II-C-4)
, Formula (II-C-5) or a pharmaceutically acceptable salt, solvate, hydrate, isomer, tautomer, racemate, or isotope thereof, wherein: R2 is Cl or F; R3 is H, −OH, halo, C1-4 alkyl, C1-4 alkoxy, C1-4 haloalkyl, or C1-4 haloalkoxy, or −L3−R5; R4 is, at each occurrence, independently −OH, halo, C1-4 alkyl, C1-4 alkoxy, C1-4 haloalkyl, or C1-4 haloalkoxy; L3 is a bond, −O−, −CH2−, or −N(R)−
R5 is a 3–10 membered carbocycle or a 3–10 membered heterocycle, wherein R5 is substituted with (R6)p; R6 is, at each occurrence, independently, −CH3, F, or −OCH3; and R is H or C1-5 alkyl; n is 0, 1, 2, or 3; and p is 0, 1, 2, or 3; wherein R3 is not H or halo and R4 is not halo when L2 is phenyl and n is 0 or 1. In another embodiment, a compound is provided having the structure of any one of Formula (II′-D-1), Formula (II′-D-2), Formula (II′-D-3), Formula (II′-D-4), Formula (II′-D-5), or Formula (II′-D-6):
or a pharmaceutically acceptable salt, solvate, hydrate, isomer, tautomer, racemate, or isotope thereof, wherein:
R′ and R′′ are, at each occurrence, independently H, halo, C1-4 alkyl, C1-6 hydroxyalkyl, C1-4 haloalkyl, −OR, or −NHR, or one occurrence of R′ and one occurrence of R′′ may optionally form, together with the one or more carbon atoms to which they are attached, a fused, bridged, or spiro ring; R2 is Cl or F; L2 is a 5- or 6-membered carbocycle or a 5- or 6-membered heterocycle; R3 is H, −CN, halo, C1-6 alkyl, C1-6 haloalkyl, −OR10, −NR10R11, −C(O)R10, −C(O)OR10, −C(O)NR10R11, −S(O)tR10, −S(O)tNR10R11, −L3−R5, or L4−R12; R4 is, at each occurrence, independently −OH, −NH2, −CN, oxo, halo, C1-6 alkyl, C1-6 alkoxy, C1-6 haloalkyl, or C1-6 haloalkoxy; L3 is a bond, −O−, −C(R15R16)−, −C(O)−, -C(OR14)-, −C(O)N(R15)−, −C(=N−O−R15)−, −S(O)t−, −S(O)tC(R15R16)−, −S(O)tN(R15)−, or −N(R15)−; R5 is a 3–10 membered carbocycle or a 3–10 membered heterocycle, wherein R5 is substituted with (R6)p; R6 is, at each occurrence, independently, halo, oxo, −NO2, −CN, C1-6 alkyl, C1-6 haloalkyl, −OR10, −NR10R11, −C(O)R10, −C(O)OR10, −OC(O)R10, −C(O)NR10R11, −NR11C(O)R10, −OC(O)NR10R11, −NR11C(O)OR10, −NR10C(O)NR10R11, −S(O)tR10, −NR10S(O)tR11−, −S(O)tNR10R11, −NR10S(O)tNR10−, −NR10S(O)tOR11, −OS(O)tNR10R11, R20, or −L4−R12; R7 is H, −OH, halo, C1-4 alkyl, C1-6 alkoxy, C1-6 haloalkyl, or C1-6 haloalkoxy; R8 and R9 are, at each occurrence, independently H, halo, C1-6 alkyl, or C1-6 haloalkyl; R10 and R11 are, at each occurrence, independently H, C1-6 alkyl, C1-6 haloalkyl, carbocycle, heterocycle, or −L4−R12; L4 is –(CR22R23)m−; R12 is −OR13, −NR13R14, −C(O)R13, −C(O)OR13, −OC(O)R13, −C(O)NR13R14, −NR14C(O)OR13, −OC(O)NR13R14, −NR14C(O)OR13, −NR13C(O)NR13R14, −S(O)tR13, −NR13S(O)tR14, −S(O)tNR13R14, −NR13S(O)tNR14−, −NR13S(O)tOR14, −OS(O)tNR13R14, or R20; R13 and R14 are, at each occurrence, independently H, C1-6 alkyl, or C1-6 haloalkyl, or when attached to the same or a different nitrogen, they can form a 3-6 membered carbocycle or 3-6 membered heterocycle; R15 and R16 are, at each occurrence, independently H, C1-6 alkyl, C1-6 haloalkyl, −NR17R18, −C(O)R17, carbocycle, heterocycle, or −L4−R19, or when attached to the same carbon can form a 3-6 membered carbocycle or 3-6 membered heterocycle;
R17 and R18 are, at each occurrence, independently H, C1-6 alkyl, or heterocycle; R19 is, at each occurrence, independently −OR, −NR2, −C(O)R, −C(O)OR, −OC(O)R, −OC(O)NR2, −NRC(O)OR, −NRC(O)NR2, carbocycle, or heterocycle, wherein carbocycle and heterocycle are substituted by 0–3 R; R20 is, at each occurrence, independently carbocycle or heterocycle, wherein R20 is substituted by (R21)u; R21 is, at each occurrence, independently halo, oxo, −CN, C1-6 alkyl, C1-6 haloalkyl, −OR, −NR2, −C(O)R, −C(O)OR, −OC(O)R, −OC(O)NR2, −NRC(O)OR, −NRC(O)NR2, carbocycle, or heterocycle; R22 and R23 are, at each occurrence, independently H, C1-6 alkyl, or C1-6 haloalkyl, or R22 and R23, together with the carbon atom to which they are attached, form a 3-6 membered carbocycle or 3-6 membered heterocycle; R is, at each occurrence, independently H, halo, C1-6 alkyl, or C1-6 haloalkyl; n is 0, 1, 2, or 3; p is 0, 1, 2, or 3; q is 0, 1, or 2; u is, at each occurrence, independently 0, 1, 2, or 3; and t is, at each occurrence, independently 0, 1, or 2. In another embodiment, a compound is provided having the structure of any one of Formula (II-D-1), Formula (II-D-2), Formula (II-D-3), Formula (II-D-4), or Formula (II-D-5):
Formula (II-D-3) Formula (II-D-4)
, Formula (II-D-5) or a pharmaceutically acceptable salt, solvate, hydrate, isomer, tautomer, racemate, or isotope thereof, wherein: R2 is Cl or F; R3 is H, −OH, halo, C1-4 alkyl, C1-4 alkoxy, C1-4 haloalkyl, or C1-4 haloalkoxy, or −L3−R5; R4 is, at each occurrence, independently −OH, halo, C1-4 alkyl, C1-4 alkoxy, C1-4 haloalkyl, or C1-4 haloalkoxy; L3 is a bond, −O−, −CH2−, or −N(R)− R5 is a 3–10 membered carbocycle or a 3–10 membered heterocycle, wherein R5 is substituted with (R6)p; R6 is, at each occurrence, independently, −CH3, F, or −OCH3; and R is H or C1-5 alkyl; n is 0, 1, 2, or 3; and p is 0, 1, 2, or 3. In one embodiment, a compound is provided having the structure of Formula (III′):
Formula (III′) or a pharmaceutically acceptable salt, solvate, hydrate, isomer, tautomer, racemate, or isotope thereof, wherein: G1 is −S−, −O−, −C(R2)−, or −C(R)=; G2 and G3 are each, independently, −CH=, −C(R2)−, −N=, or −N(R)−, wherein at least one of G2 and G3 is −N= or −N(R)− when G1 is −C(R2)−, or −C(R)=; L1 is −CHR− or −C(O)−;
R2 is Cl or F; L2 is a 5- or 6-membered carbocycle or a 5- or 6-membered heterocycle; R3 is H, −OH, halo, C1-4 alkyl, C1-4 alkoxy, C1-4 haloalkyl, or C1-4 haloalkoxy, or −L3−R5; R4 is, at each occurrence, independently −OH, halo, C1-4 alkyl, C1-4 alkoxy, C1-4 haloalkyl, or C1-4 haloalkoxy; L3 is a bond, −O−, −CH2−, or −N(R)− R5 is a 3–10 membered carbocycle or a 3–10 membered heterocycle, wherein R5 is substituted with (R6)p; R6 is, at each occurrence, independently, −CH3, F, or −OCH3; and R is, at each occurrence, independently H, halo, C1-6 alkyl, or C1-6 haloalkyl; n is 0, 1, 2, or 3; and p is 0, 1, 2, or 3; wherein at least one of G2 or G3 is −N= when G1 is −O−. In one embodiment, a compound is provided having the structure of Formula (III):
Formula (III) or a pharmaceutically acceptable salt, solvate, hydrate, isomer, tautomer, racemate, or isotope thereof, wherein: G1 is −S− or −O−; G2 and G3 are each, independently, −CH= or −N=; L1 is −CH2− or −C(O)−; R2 is Cl or F; L2 is a 5- or 6-membered carbocycle or a 5- or 6-membered heterocycle; R3 is H, −OH, halo, C1-4 alkyl, C1-4 alkoxy, C1-4 haloalkyl, or C1-4 haloalkoxy, or −L3−R5; R4 is, at each occurrence, independently −OH, halo, C1-4 alkyl, C1-4 alkoxy, C1-4 haloalkyl, or C1-4 haloalkoxy; L3 is a bond, −O−, −CH2−, or −N(R)−
R5 is a 3–10 membered carbocycle or a 3–10 membered heterocycle, wherein R5 is substituted with (R6)p; R6 is, at each occurrence, independently, −CH3, F, or −OCH3; and R is H or C1-5 alkyl; n is 0, 1, 2, or 3; and p is 0, 1, 2, or 3; wherein at least one of G2 or G3 is −N= when G1 is −O−. In another embodiment, a compound is provided having the structure of any one of Formula (III′-A), Formula (III′-B), or Formula (III′-C), Formula (III′-D), or Formula (III′-E): ,
, , Formula (III′-C) Formula (III′-D)
or a pharmaceutically acceptable salt, solvate, hydrate, isomer, tautomer, racemate, or isotope thereof, wherein: L1 is −CHR− or −C(O)−; R2 is Cl or F; L2 is a 5- or 6-membered carbocycle or a 5- or 6-membered heterocycle;
R3 is H, −OH, halo, C1-4 alkyl, C1-4 alkoxy, C1-4 haloalkyl, or C1-4 haloalkoxy, or −L3−R5; R4 is, at each occurrence, independently −OH, halo, C1-4 alkyl, C1-4 alkoxy, C1-4 haloalkyl, or C1-4 haloalkoxy; L3 is a bond, −O−, −CH2−, or −N(R)− R5 is a 3–10 membered carbocycle or a 3–10 membered heterocycle, wherein R5 is substituted with (R6)p; R6 is, at each occurrence, independently, −CH3, F, or −OCH3; and R is, at each occurrence, independently H, halo, C1-6 alkyl, or C1-6 haloalkyl; n is 0, 1, 2, or 3; and p is 0, 1, 2, or 3; and z is 1, 2, or 3. In another embodiment, a compound is provided having the structure of any one of Formula (III-A), Formula (III-B), or Formula (III-C), or Formula (III-D): ,
, Formula (III-C) Formula (III-D) or a pharmaceutically acceptable salt, solvate, hydrate, isomer, tautomer, racemate, or isotope thereof, wherein: L1 is −CH2− or −C(O)−; R2 is Cl or F; L2 is a 5- or 6-membered carbocycle or a 5- or 6-membered heterocycle; R3 is H, −OH, halo, C1-4 alkyl, C1-4 alkoxy, C1-4 haloalkyl, or C1-4 haloalkoxy, or −L3−R5; R4 is, at each occurrence, independently −OH, halo, C1-4 alkyl, C1-4 alkoxy, C1-4 haloalkyl, or C1-4 haloalkoxy;
L3 is a bond, −O−, −CH2−, or −N(R)− R5 is a 3–10 membered carbocycle or a 3–10 membered heterocycle, wherein R5 is substituted with (R6)p; R6 is, at each occurrence, independently, −CH3, F, or −OCH3; and R is H or C1-5 alkyl; n is 0, 1, 2, or 3; and p is 0, 1, 2, or 3. In one embodiment is provided a compound of Formula (III′) or Formula (III), or a pharmaceutically acceptable salt, solvate, hydrate, isomer, tautomer, racemate, or isotope thereof, wherein L2 is a 5- or 6-membered carbocycle. In one embodiment is provided a compound of Formula (III′) or Formula (III), or a pharmaceutically acceptable salt, solvate, hydrate, isomer, tautomer, racemate, or isotope thereof, wherein L2 is a 5- or 6-membered heterocycle. In one embodiment is provided a compound of Formula (III′) or Formula (III), or a pharmaceutically acceptable salt, solvate, hydrate, isomer, tautomer, racemate, or isotope thereof, wherein L2 is cyclopentyl, cyclohexyl, phenyl, pyrrolidinyl, pyrrolyl, pyrazolyl, imidazolyl, triazolyl, tetrahydrofuranyl, furanyl, tetrahydrothiophenyl, thiophenyl, oxazolyl, isoxazolyl, thiazolyl, isothiazolyl, oxadiazolyl, thiadiazolyl, piperidinyl, piperazinyl, pyridinyl, pyridazinyl, pyrimidinyl, pyrazinyl, triazinyl, tetrahydropyranyl, or morpholinyl. In one embodiment is provided a compound of Formula (III′) or Formula (III), or a pharmaceutically acceptable salt, solvate, hydrate, isomer, tautomer, racemate, or isotope thereof, wherein L2 is cyclohexyl, phenyl, piperidinyl, or thiazolyl. In one embodiment is provided a compound of any one of Formula (III′), Formula (III′-A), Formula (III′-B), Formula (III′-C), Formula (III′-D), Formula (III′-E), Formula (III), Formula (III-A), Formula (III-B), Formula (III-C), Formula (III-D), or a pharmaceutically acceptable salt, solvate, hydrate, isomer, tautomer, racemate, or isotope thereof, wherein L1 is −CH2−. In one embodiment is provided a compound of any one of Formula (III′), Formula (III′-A), Formula (III′-B), Formula (III′-C), Formula (III′-D), Formula (III′-E), Formula (III), Formula (III-A), Formula (III-B), Formula (III-C), Formula (III-D), or a pharmaceutically acceptable salt, solvate, hydrate, isomer, tautomer, racemate, or isotope thereof, wherein L1 is −C(O)−.
In another embodiment, a compound is provided having the structure of any one of Formula (III′-A-1), Formula (III′-A-2), Formula (III′-A-3), Formula (III′-A-4), Formula (III′-A-5), or Formula (III′-A-6):
or a pharmaceutically acceptable salt, solvate, hydrate, isomer, tautomer, racemate, or isotope thereof, wherein: R2 is Cl or F; R3 is H, −OH, halo, C1-4 alkyl, C1-4 alkoxy, C1-4 haloalkyl, or C1-4 haloalkoxy, or −L3−R5; R4 is, at each occurrence, independently −OH, halo, C1-4 alkyl, C1-4 alkoxy, C1-4 haloalkyl, or C1-4 haloalkoxy; L3 is a bond, −O−, −CH2−, or −N(R)− R5 is a 3–10 membered carbocycle or a 3–10 membered heterocycle, wherein R5 is substituted with (R6)p;
R6 is, at each occurrence, independently, −CH3, F, or −OCH3; and R is, at each occurrence, independently H, halo, C1-6 alkyl, or C1-6 haloalkyl; n is 0, 1, 2, or 3; and p is 0, 1, 2, or 3. In another embodiment, a compound is provided having the structure of any one of Formula (III-A-1), Formula (III-A-2), Formula (III-A-3), Formula (III-A-4), or Formula (III-A-5):
Formula (III-A-3) Formula (III-A-4)
, Formula (III-A-5) or a pharmaceutically acceptable salt, solvate, hydrate, isomer, tautomer, racemate, or isotope thereof, wherein: R2 is Cl or F; R3 is H, −OH, halo, C1-4 alkyl, C1-4 alkoxy, C1-4 haloalkyl, or C1-4 haloalkoxy, or −L3−R5; R4 is, at each occurrence, independently −OH, halo, C1-4 alkyl, C1-4 alkoxy, C1-4 haloalkyl, or C1-4 haloalkoxy; L3 is a bond, −O−, −CH2−, or −N(R)−
R5 is a 3–10 membered carbocycle or a 3–10 membered heterocycle, wherein R5 is substituted with (R6)p; R6 is, at each occurrence, independently, −CH3, F, or −OCH3; and R is H or C1-5 alkyl; n is 0, 1, 2, or 3; and p is 0, 1, 2, or 3. In another embodiment, a compound is provided having the structure of any one of Formula (III′-B-1), Formula (III′-B-2), Formula (III′-B-3), Formula (III′-B-4), Formula (III′-B-5), or Formula (III′-B-6):
, Formula (III′-B-1) Formula (III′-B-2)
Formula (III′-B-5) Formula (III′-B-6) or a pharmaceutically acceptable salt, solvate, hydrate, isomer, tautomer, racemate, or isotope thereof, wherein: R2 is Cl or F;
R3 is H, −OH, halo, C1-4 alkyl, C1-4 alkoxy, C1-4 haloalkyl, or C1-4 haloalkoxy, or −L3−R5; R4 is, at each occurrence, independently −OH, halo, C1-4 alkyl, C1-4 alkoxy, C1-4 haloalkyl, or C1-4 haloalkoxy; L3 is a bond, −O−, −CH2−, or −N(R)− R5 is a 3–10 membered carbocycle or a 3–10 membered heterocycle, wherein R5 is substituted with (R6)p; R6 is, at each occurrence, independently, −CH3, F, or −OCH3; and R is, at each occurrence, independently H, halo, C1-6 alkyl, or C1-6 haloalkyl; n is 0, 1, 2, or 3; and p is 0, 1, 2, or 3. In another embodiment, a compound is provided having the structure of any one of Formula (III-B-1), Formula (III-B-2), Formula (III-B-3), Formula (III-B-4), or Formula (III-B-5):
Formula (III-B-3) Formula (III-B-4)
, Formula (III-B-5) or a pharmaceutically acceptable salt, solvate, hydrate, isomer, tautomer, racemate, or isotope thereof, wherein: R2 is Cl or F;
R3 is H, −OH, halo, C1-4 alkyl, C1-4 alkoxy, C1-4 haloalkyl, or C1-4 haloalkoxy, or −L3−R5; R4 is, at each occurrence, independently −OH, halo, C1-4 alkyl, C1-4 alkoxy, C1-4 haloalkyl, or C1-4 haloalkoxy; L3 is a bond, −O−, −CH2−, or −N(R)− R5 is a 3–10 membered carbocycle or a 3–10 membered heterocycle, wherein R5 is substituted with (R6)p; R6 is, at each occurrence, independently, −CH3, F, or −OCH3; and R is H or C1-5 alkyl; n is 0, 1, 2, or 3; and p is 0, 1, 2, or 3. In another embodiment, a compound is provided having the structure of any one of Formula (III′-C-1), Formula (III′-C-2), Formula (III′-C-3), Formula (III′-C-4), Formula (III′-C-5), or Formula (III′-C-6): ,
,
Formula (III′-C-5) Formula (III′-C-6) or a pharmaceutically acceptable salt, solvate, hydrate, isomer, tautomer, racemate, or isotope thereof, wherein: R2 is Cl or F; R3 is H, −OH, halo, C1-4 alkyl, C1-4 alkoxy, C1-4 haloalkyl, or C1-4 haloalkoxy, or −L3−R5; R4 is, at each occurrence, independently −OH, halo, C1-4 alkyl, C1-4 alkoxy, C1-4 haloalkyl, or C1-4 haloalkoxy; L3 is a bond, −O−, −CH2−, or −N(R)− R5 is a 3–10 membered carbocycle or a 3–10 membered heterocycle, wherein R5 is substituted with (R6)p; R6 is, at each occurrence, independently, −CH3, F, or −OCH3; and R is, at each occurrence, independently H, halo, C1-6 alkyl, or C1-6 haloalkyl; n is 0, 1, 2, or 3; and p is 0, 1, 2, or 3. In another embodiment, a compound is provided having the structure of any one of Formula (III-C-1), Formula (III-C-2), Formula (III-C-3), Formula (III-C-4), or Formula (III-C-5):
Formula (III-C-3) Formula (III-C-4)
, Formula (III-C-5) or a pharmaceutically acceptable salt, solvate, hydrate, isomer, tautomer, racemate, or isotope thereof, wherein: R2 is Cl or F; R3 is H, −OH, halo, C1-4 alkyl, C1-4 alkoxy, C1-4 haloalkyl, or C1-4 haloalkoxy, or −L3−R5; R4 is, at each occurrence, independently −OH, halo, C1-4 alkyl, C1-4 alkoxy, C1-4 haloalkyl, or C1-4 haloalkoxy; L3 is a bond, −O−, −CH2−, or −N(R)− R5 is a 3–10 membered carbocycle or a 3–10 membered heterocycle, wherein R5 is substituted with (R6)p; R6 is, at each occurrence, independently, −CH3, F, or −OCH3; and R is H or C1-5 alkyl; n is 0, 1, 2, or 3; and p is 0, 1, 2, or 3. In another embodiment, a compound is provided having the structure of any one of Formula (III′-D-1), Formula (III′-D-2), Formula (III′-D-3), Formula (III′-D-4), Formula (III′-D-5), or Formula (III′-D-6):
, , Formula (III′-D-1) Formula (III′-D-2)
or a pharmaceutically acceptable salt, solvate, hydrate, isomer, tautomer, racemate, or isotope thereof, wherein: R2 is Cl or F; R3 is H, −OH, halo, C1-4 alkyl, C1-4 alkoxy, C1-4 haloalkyl, or C1-4 haloalkoxy, or −L3−R5; R4 is, at each occurrence, independently −OH, halo, C1-4 alkyl, C1-4 alkoxy, C1-4 haloalkyl, or C1-4 haloalkoxy; L3 is a bond, −O−, −CH2−, or −N(R)− R5 is a 3–10 membered carbocycle or a 3–10 membered heterocycle, wherein R5 is substituted with (R6)p; R6 is, at each occurrence, independently, −CH3, F, or −OCH3; and R is, at each occurrence, independently H, halo, C1-6 alkyl, or C1-6 haloalkyl; n is 0, 1, 2, or 3; and p is 0, 1, 2, or 3. In another embodiment, a compound is provided having the structure of any one of Formula (III-D-1), Formula (III-D-2), Formula (III-D-3), Formula (III-D-4), or Formula (III-D-5):
Formula (III-D-4)
, Formula (III-D-5) or a pharmaceutically acceptable salt, solvate, hydrate, isomer, tautomer, racemate, or isotope thereof, wherein: R2 is Cl or F; R3 is H, −OH, halo, C1-4 alkyl, C1-4 alkoxy, C1-4 haloalkyl, or C1-4 haloalkoxy, or −L3−R5; R4 is, at each occurrence, independently −OH, halo, C1-4 alkyl, C1-4 alkoxy, C1-4 haloalkyl, or C1-4 haloalkoxy; L3 is a bond, −O−, −CH2−, or −N(R)− R5 is a 3–10 membered carbocycle or a 3–10 membered heterocycle, wherein R5 is substituted with (R6)p; R6 is, at each occurrence, independently, −CH3, F, or −OCH3; and
R is H or C1-5 alkyl; n is 0, 1, 2, or 3; and p is 0, 1, 2, or 3. In another embodiment, a compound is provided having the structure of any one of Formula (III′-E-1), Formula (III′-E-2), Formula (III′-E-3), Formula (III′-E-4), Formula (III′-E-5), or Formula (III′-E-6):
Formula (III′-E-5) Formula (III′-E-6) or a pharmaceutically acceptable salt, solvate, hydrate, isomer, tautomer, racemate, or isotope thereof, wherein: R2 is Cl or F; R3 is H, −OH, halo, C1-4 alkyl, C1-4 alkoxy, C1-4 haloalkyl, or C1-4 haloalkoxy, or −L3−R5; R4 is, at each occurrence, independently −OH, halo, C1-4 alkyl, C1-4 alkoxy, C1-4 haloalkyl, or C1-4 haloalkoxy; L3 is a bond, −O−, −CH2−, or −N(R)−
R5 is a 3–10 membered carbocycle or a 3–10 membered heterocycle, wherein R5 is substituted with (R6)p; R6 is, at each occurrence, independently, −CH3, F, or −OCH3; and R is, at each occurrence, independently H, halo, C1-6 alkyl, or C1-6 haloalkyl; n is 0, 1, 2, or 3; p is 0, 1, 2, or 3; and z is 0, 1, 2, or 3. In one embodiment, a compound is provided having the structure of Formula (IV′):
or a pharmaceutically acceptable salt, solvate, hydrate, isomer, tautomer, racemate, or isotope thereof, wherein: Y1 is C or N; R2 is halo or C1-3 haloalkyl; R6 is, at each occurrence, independently, halo, oxo, −NO2, −CN, C1-6 alkyl, C1-6 haloalkyl, −OR10, −NR10R11, −C(O)R10, −C(O)OR10, −OC(O)R10, −C(O)NR10R11, −NR11C(O)R10, −OC(O)NR10R11, −NR11C(O)OR10, −NR10C(O)NR10R11, −S(O)tR10, −NR10S(O)tR11−, −S(O)tNR10R11, −NR10S(O)tNR10−, −NR10S(O)tOR11, −OS(O)tNR10R11, R20, or −L4−R12; L4 is–(CR22R23)m−; R12 is −OR13, −NR13R14, −C(O)R13, −C(O)OR13, −OC(O)R13, −C(O)NR13R14, −NR14C(O)OR13, −OC(O)NR13R14, −NR14C(O)OR13, −NR13C(O)NR13R14, −S(O)tR13, −NR13S(O)tR14, −S(O)tNR13R14, −NR13S(O)tNR14−, −NR13S(O)tOR14, −OS(O)tNR13R14, or R20; R13 and R14 are, at each occurrence, independently H, C1-6 alkyl, or C1-6 haloalkyl, or when attached to the same or a different nitrogen, they can form a 3-6 membered carbocycle or 3-6 membered heterocycle; R20 is, at each occurrence, independently carbocycle or heterocycle, wherein R20 is substituted by (R21)u;
R21 is, at each occurrence, independently halo, oxo, −CN, C1-6 alkyl, C1-6 haloalkyl, −OR, −NR2, −C(O)R, −C(O)OR, −OC(O)R, −OC(O)NR2, −NRC(O)OR, −NRC(O)NR2, carbocycle, or heterocycle; R22 and R23 are, at each occurrence, independently H, C1-6 alkyl, or C1-6 haloalkyl, or R22 and R23, together with the carbon atom to which they are attached, form a 3-6 membered carbocycle or 3-6 membered heterocycle; R is, at each occurrence, independently H, halo, C1-6 alkyl, or C1-6 haloalkyl; R7 is H or halo; m is 1, 2, or 3; t is 1 or 2; u is 0, 1, 2, or 3; and z is 0, 1, 2, or 3. In one embodiment is provided a compound having the structure of any one of Formula (I′), (II′), (II′-A), (II′-A-1), (II′-A-2), (II′-A-3), (II′-A-4), (II′-A-5), (II′-A-6), (II′-B), (II′-B-1), (II′-B-2), (II′-B-3), (II′-B-4), (II′-B-5), (II′-B-6), (II′-C), (II′-C-1), (II′-C-2), (II′-C-3), (II′-C-4), (II′-C-5), (II′-C-6), (II′-D), (II′-D- 1), (II′-D-2), (II′-D-3), (II′-D-4), (II′-D-5), (II′-D-6), (III′), (III′-A), (III′-A-1), (III′-A-2), (III′-A-3), (III′-A-4), (III′-A-5), (III′-A-6), (III′-B), (III′-B-1), (III′-B-2), (III′-B-3), (III′-B-4), (III′-B-5), (III′-B-6), (III′-C), (III′-C- 1), (III′-C-2), (III′-C-3), (III′-C-4), (III′-C-5), (III′-C-6), (III′-D), (III′-D-1), (III′-D-2), (III′-D-3), (III′-D-4), (III′-D-5), (III′-D-6), (III′-E), (III′-E-1), (III′-E-2), (III′-E-3), (III′-E-4), (III′-E-5), (III′-E-6), (IV′), (I), (II), (II-A), (II-A-1), (II-A-2), (II-A-3), (II-A-4), (II-A-5), (II-B), (II-B-1), (II-B-2), (II-B-3), (II-B-4), (II-B-5), (II-C), (II-C-1), (II-C-2), (II-C-3), (II-C-4), (II-C-5), (II-D), (II-D-1), (II-D-2), (II-D-3), (II-D-4), (II-D-5), (III), (III-A), (III-A-1), (III-A-2), (III-A-3), (III-A-4), (III-A-5), (III-B), (III-B-1), (III-B-2), (III-B-3), (III-B-4), (III-B-5), (III-C), (III-C-1), (III-C-2), (III-C-3), (III-C-4), (III-C-5), (III-D), (III-D-1), (III-D-2), (III-D-3), (III-D-4), or (III-D-5), or a pharmaceutically acceptable salt, solvate, hydrate, isomer, tautomer, racemate, or isotope thereof, wherein R2 is F. In one embodiment is provided a compound having the structure of any one of Formula (I′), (II′), (II′-A), (II′-A-1), (II′-A-2), (II′-A-3), (II′-A-4), (II′-A-5), (II′-A-6), (II′-B), (II′-B-1), (II′-B-2), (II′-B-3), (II′-B-4), (II′-B-5), (II′-B-6), (II′-C), (II′-C-1), (II′-C-2), (II′-C-3), (II′-C-4), (II′-C-5), (II′-C-6), (II′-D), (II′-D- 1), (II′-D-2), (II′-D-3), (II′-D-4), (II′-D-5), (II′-D-6), (III′), (III′-A), (III′-A-1), (III′-A-2), (III′-A-3), (III′-A-4), (III′-A-5), (III′-A-6), (III′-B), (III′-B-1), (III′-B-2), (III′-B-3), (III′-B-4), (III′-B-5), (III′-B-6), (III′-C), (III′-C- 1), (III′-C-2), (III′-C-3), (III′-C-4), (III′-C-5), (III′-C-6), (III′-D), (III′-D-1), (III′-D-2), (III′-D-3), (III′-D-4), (III′-D-5), (III′-D-6), (III′-E), (III′-E-1), (III′-E-2), (III′-E-3), (III′-E-4), (III′-E-5), (III′-E-6), (IV′), (I), (II), (II-A), (II-A-1), (II-A-2), (II-A-3), (II-A-4), (II-A-5), (II-B), (II-B-1), (II-B-2), (II-B-3), (II-B-4), (II-B-5),
(II-C), (II-C-1), (II-C-2), (II-C-3), (II-C-4), (II-C-5), (II-D), (II-D-1), (II-D-2), (II-D-3), (II-D-4), (II-D-5), (III), (III-A), (III-A-1), (III-A-2), (III-A-3), (III-A-4), (III-A-5), (III-B), (III-B-1), (III-B-2), (III-B-3), (III-B-4), (III-B-5), (III-C), (III-C-1), (III-C-2), (III-C-3), (III-C-4), (III-C-5), (III-D), (III-D-1), (III-D-2), (III-D-3), (III-D-4), or (III-D-5), or a pharmaceutically acceptable salt, solvate, hydrate, isomer, tautomer, racemate, or isotope thereof, wherein R2 is Cl. In one embodiment is provided a compound having the structure of any one of Formula (I′), (II′), (II′-A), (II′-A-1), (II′-A-2), (II′-A-3), (II′-A-4), (II′-A-5), (II′-A-6), (II′-B), (II′-B-1), (II′-B-2), (II′-B-3), (II′-B-4), (II′-B-5), (II′-B-6), (II′-C), (II′-C-1), (II′-C-2), (II′-C-3), (II′-C-4), (II′-C-5), (II′-C-6), (II′-D), (II′-D- 1), (II′-D-2), (II′-D-3), (II′-D-4), (II′-D-5), (II′-D-6), (III′), (III′-A), (III′-A-1), (III′-A-2), (III′-A-3), (III′-A-4), (III′-A-5), (III′-A-6), (III′-B), (III′-B-1), (III′-B-2), (III′-B-3), (III′-B-4), (III′-B-5), (III′-B-6), (III′-C), (III′-C- 1), (III′-C-2), (III′-C-3), (III′-C-4), (III′-C-5), (III′-C-6), (III′-D), (III′-D-1), (III′-D-2), (III′-D-3), (III′-D-4), (III′-D-5), (III′-D-6), (III′-E), (III′-E-1), (III′-E-2), (III′-E-3), (III′-E-4), (III′-E-5), (III′-E-6), (IV′), (I), (II), (II-A), (II-A-1), (II-A-2), (II-A-3), (II-A-4), (II-A-5), (II-B), (II-B-1), (II-B-2), (II-B-3), (II-B-4), (II-B-5), (II-C), (II-C-1), (II-C-2), (II-C-3), (II-C-4), (II-C-5), (II-D), (II-D-1), (II-D-2), (II-D-3), (II-D-4), (II-D-5), (III), (III-A), (III-A-1), (III-A-2), (III-A-3), (III-A-4), (III-A-5), (III-B), (III-B-1), (III-B-2), (III-B-3), (III-B-4), (III-B-5), (III-C), (III-C-1), (III-C-2), (III-C-3), (III-C-4), (III-C-5), (III-D), (III-D-1), (III-D-2), (III-D-3), (III-D-4), or (III-D-5), or a pharmaceutically acceptable salt, solvate, hydrate, isomer, tautomer, racemate, or isotope thereof, wherein n is 1. In one embodiment is provided a compound having the structure of any one of Formula (I′), (II′), (II′-A), (II′-A-1), (II′-A-2), (II′-A-3), (II′-A-4), (II′-A-5), (II′-A-6), (II′-B), (II′-B-1), (II′-B-2), (II′-B-3), (II′-B-4), (II′-B-5), (II′-B-6), (II′-C), (II′-C-1), (II′-C-2), (II′-C-3), (II′-C-4), (II′-C-5), (II′-C-6), (II′-D), (II′-D- 1), (II′-D-2), (II′-D-3), (II′-D-4), (II′-D-5), (II′-D-6), (III′), (III′-A), (III′-A-1), (III′-A-2), (III′-A-3), (III′-A-4), (III′-A-5), (III′-A-6), (III′-B), (III′-B-1), (III′-B-2), (III′-B-3), (III′-B-4), (III′-B-5), (III′-B-6), (III′-C), (III′-C- 1), (III′-C-2), (III′-C-3), (III′-C-4), (III′-C-5), (III′-C-6), (III′-D), (III′-D-1), (III′-D-2), (III′-D-3), (III′-D-4), (III′-D-5), (III′-D-6), (III′-E), (III′-E-1), (III′-E-2), (III′-E-3), (III′-E-4), (III′-E-5), (III′-E-6), (IV′), (I), (II), (II-A), (II-A-1), (II-A-2), (II-A-3), (II-A-4), (II-A-5), (II-B), (II-B-1), (II-B-2), (II-B-3), (II-B-4), (II-B-5), (II-C), (II-C-1), (II-C-2), (II-C-3), (II-C-4), (II-C-5), (II-D), (II-D-1), (II-D-2), (II-D-3), (II-D-4), (II-D-5), (III), (III-A), (III-A-1), (III-A-2), (III-A-3), (III-A-4), (III-A-5), (III-B), (III-B-1), (III-B-2), (III-B-3), (III-B-4), (III-B-5), (III-C), (III-C-1), (III-C-2), (III-C-3), (III-C-4), (III-C-5), (III-D), (III-D-1), (III-D-2), (III-D-3), (III-D-4), or (III-D-5), or a pharmaceutically acceptable salt, solvate, hydrate, isomer, tautomer, racemate, or isotope thereof, wherein at least one occurrence of R4 is −OH, −F, −Cl, −CH3, or −CF3.
In one embodiment is provided a compound having the structure of any one of Formula (I′), (II′), (II′-A), (II′-A-1), (II′-A-2), (II′-A-3), (II′-A-4), (II′-A-5), (II′-A-6), (II′-B), (II′-B-1), (II′-B-2), (II′-B-3), (II′-B-4), (II′-B-5), (II′-B-6), (II′-C), (II′-C-1), (II′-C-2), (II′-C-3), (II′-C-4), (II′-C-5), (II′-C-6), (II′-D), (II′-D- 1), (II′-D-2), (II′-D-3), (II′-D-4), (II′-D-5), (II′-D-6), (III′), (III′-A), (III′-A-1), (III′-A-2), (III′-A-3), (III′-A-4), (III′-A-5), (III′-A-6), (III′-B), (III′-B-1), (III′-B-2), (III′-B-3), (III′-B-4), (III′-B-5), (III′-B-6), (III′-C), (III′-C- 1), (III′-C-2), (III′-C-3), (III′-C-4), (III′-C-5), (III′-C-6), (III′-D), (III′-D-1), (III′-D-2), (III′-D-3), (III′-D-4), (III′-D-5), (III′-D-6), (III′-E), (III′-E-1), (III′-E-2), (III′-E-3), (III′-E-4), (III′-E-5), (III′-E-6), (IV′), (I), (II), (II-A), (II-A-1), (II-A-2), (II-A-3), (II-A-4), (II-A-5), (II-B), (II-B-1), (II-B-2), (II-B-3), (II-B-4), (II-B-5), (II-C), (II-C-1), (II-C-2), (II-C-3), (II-C-4), (II-C-5), (II-D), (II-D-1), (II-D-2), (II-D-3), (II-D-4), (II-D-5), (III), (III-A), (III-A-1), (III-A-2), (III-A-3), (III-A-4), (III-A-5), (III-B), (III-B-1), (III-B-2), (III-B-3), (III-B-4), (III-B-5), (III-C), (III-C-1), (III-C-2), (III-C-3), (III-C-4), (III-C-5), (III-D), (III-D-1), (III-D-2), (III-D-3), (III-D-4), or (III-D-5), or a pharmaceutically acceptable salt, solvate, hydrate, isomer, tautomer, racemate, or isotope thereof, wherein n is 0. In one embodiment is provided a compound having the structure of any one of Formula (I′), (II′), (II′-A), (II′-A-1), (II′-A-2), (II′-A-3), (II′-A-4), (II′-A-5), (II′-A-6), (II′-B), (II′-B-1), (II′-B-2), (II′-B-3), (II′-B-4), (II′-B-5), (II′-B-6), (II′-C), (II′-C-1), (II′-C-2), (II′-C-3), (II′-C-4), (II′-C-5), (II′-C-6), (II′-D), (II′-D- 1), (II′-D-2), (II′-D-3), (II′-D-4), (II′-D-5), (II′-D-6), (III′), (III′-A), (III′-A-1), (III′-A-2), (III′-A-3), (III′-A-4), (III′-A-5), (III′-A-6), (III′-B), (III′-B-1), (III′-B-2), (III′-B-3), (III′-B-4), (III′-B-5), (III′-B-6), (III′-C), (III′-C- 1), (III′-C-2), (III′-C-3), (III′-C-4), (III′-C-5), (III′-C-6), (III′-D), (III′-D-1), (III′-D-2), (III′-D-3), (III′-D-4), (III′-D-5), (III′-D-6), (III′-E), (III′-E-1), (III′-E-2), (III′-E-3), (III′-E-4), (III′-E-5), (III′-E-6), (IV′), (I), (II), (II-A), (II-A-1), (II-A-2), (II-A-3), (II-A-4), (II-A-5), (II-B), (II-B-1), (II-B-2), (II-B-3), (II-B-4), (II-B-5), (II-C), (II-C-1), (II-C-2), (II-C-3), (II-C-4), (II-C-5), (II-D), (II-D-1), (II-D-2), (II-D-3), (II-D-4), (II-D-5), (III), (III-A), (III-A-1), (III-A-2), (III-A-3), (III-A-4), (III-A-5), (III-B), (III-B-1), (III-B-2), (III-B-3), (III-B-4), (III-B-5), (III-C), (III-C-1), (III-C-2), (III-C-3), (III-C-4), (III-C-5), (III-D), (III-D-1), (III-D-2), (III-D-3), (III-D-4), or (III-D-5), or a pharmaceutically acceptable salt, solvate, hydrate, isomer, tautomer, racemate, or isotope thereof, wherein R3 is −OH, halo, C1-4 alkyl, C1-4 alkoxy, or C1-4 haloalkyl. In one embodiment is provided a compound having the structure of any one of Formula (I′), (II′), (II′-A), (II′-A-1), (II′-A-2), (II′-A-3), (II′-A-4), (II′-A-5), (II′-A-6), (II′-B), (II′-B-1), (II′-B-2), (II′-B-3), (II′-B-4), (II′-B-5), (II′-B-6), (II′-C), (II′-C-1), (II′-C-2), (II′-C-3), (II′-C-4), (II′-C-5), (II′-C-6), (II′-D), (II′-D- 1), (II′-D-2), (II′-D-3), (II′-D-4), (II′-D-5), (II′-D-6), (III′), (III′-A), (III′-A-1), (III′-A-2), (III′-A-3), (III′-A-4), (III′-A-5), (III′-A-6), (III′-B), (III′-B-1), (III′-B-2), (III′-B-3), (III′-B-4), (III′-B-5), (III′-B-6), (III′-C), (III′-C- 1), (III′-C-2), (III′-C-3), (III′-C-4), (III′-C-5), (III′-C-6), (III′-D), (III′-D-1), (III′-D-2), (III′-D-3), (III′-D-4),
(III′-D-5), (III′-D-6), (III′-E), (III′-E-1), (III′-E-2), (III′-E-3), (III′-E-4), (III′-E-5), (III′-E-6), (IV′), (I), (II), (II-A), (II-A-1), (II-A-2), (II-A-3), (II-A-4), (II-A-5), (II-B), (II-B-1), (II-B-2), (II-B-3), (II-B-4), (II-B-5), (II-C), (II-C-1), (II-C-2), (II-C-3), (II-C-4), (II-C-5), (II-D), (II-D-1), (II-D-2), (II-D-3), (II-D-4), (II-D-5), (III), (III-A), (III-A-1), (III-A-2), (III-A-3), (III-A-4), (III-A-5), (III-B), (III-B-1), (III-B-2), (III-B-3), (III-B-4), (III-B-5), (III-C), (III-C-1), (III-C-2), (III-C-3), (III-C-4), (III-C-5), (III-D), (III-D-1), (III-D-2), (III-D-3), (III-D-4), or (III-D-5), or a pharmaceutically acceptable salt, solvate, hydrate, isomer, tautomer, racemate, or isotope thereof, wherein R3 is −OH, −OCH3, F, −Cl, −CF3, −CH3, or isopropyl. In one embodiment is provided a compound having the structure of any one of Formula (I′), (II′), (II′-A), (II′-A-1), (II′-A-2), (II′-A-3), (II′-A-4), (II′-A-5), (II′-A-6), (II′-B), (II′-B-1), (II′-B-2), (II′-B-3), (II′-B-4), (II′-B-5), (II′-B-6), (II′-C), (II′-C-1), (II′-C-2), (II′-C-3), (II′-C-4), (II′-C-5), (II′-C-6), (II′-D), (II′-D- 1), (II′-D-2), (II′-D-3), (II′-D-4), (II′-D-5), (II′-D-6), (III′), (III′-A), (III′-A-1), (III′-A-2), (III′-A-3), (III′-A-4), (III′-A-5), (III′-A-6), (III′-B), (III′-B-1), (III′-B-2), (III′-B-3), (III′-B-4), (III′-B-5), (III′-B-6), (III′-C), (III′-C- 1), (III′-C-2), (III′-C-3), (III′-C-4), (III′-C-5), (III′-C-6), (III′-D), (III′-D-1), (III′-D-2), (III′-D-3), (III′-D-4), (III′-D-5), (III′-D-6), (III′-E), (III′-E-1), (III′-E-2), (III′-E-3), (III′-E-4), (III′-E-5), (III′-E-6), (IV′), (I), (II), (II-A), (II-A-1), (II-A-2), (II-A-3), (II-A-4), (II-A-5), (II-B), (II-B-1), (II-B-2), (II-B-3), (II-B-4), (II-B-5), (II-C), (II-C-1), (II-C-2), (II-C-3), (II-C-4), (II-C-5), (II-D), (II-D-1), (II-D-2), (II-D-3), (II-D-4), (II-D-5), (III), (III-A), (III-A-1), (III-A-2), (III-A-3), (III-A-4), (III-A-5), (III-B), (III-B-1), (III-B-2), (III-B-3), (III-B-4), (III-B-5), (III-C), (III-C-1), (III-C-2), (III-C-3), (III-C-4), (III-C-5), (III-D), (III-D-1), (III-D-2), (III-D-3), (III-D-4), or (III-D-5), or a pharmaceutically acceptable salt, solvate, hydrate, isomer, tautomer, racemate, or isotope thereof, wherein R3 is −L3−R5. In one embodiment is provided a compound having the structure of any one of Formula (I′), (II′), (II′-A), (II′-A-1), (II′-A-2), (II′-A-3), (II′-A-4), (II′-A-5), (II′-A-6), (II′-B), (II′-B-1), (II′-B-2), (II′-B-3), (II′-B-4), (II′-B-5), (II′-B-6), (II′-C), (II′-C-1), (II′-C-2), (II′-C-3), (II′-C-4), (II′-C-5), (II′-C-6), (II′-D), (II′-D- 1), (II′-D-2), (II′-D-3), (II′-D-4), (II′-D-5), (II′-D-6), (III′), (III′-A), (III′-A-1), (III′-A-2), (III′-A-3), (III′-A-4), (III′-A-5), (III′-A-6), (III′-B), (III′-B-1), (III′-B-2), (III′-B-3), (III′-B-4), (III′-B-5), (III′-B-6), (III′-C), (III′-C- 1), (III′-C-2), (III′-C-3), (III′-C-4), (III′-C-5), (III′-C-6), (III′-D), (III′-D-1), (III′-D-2), (III′-D-3), (III′-D-4), (III′-D-5), (III′-D-6), (III′-E), (III′-E-1), (III′-E-2), (III′-E-3), (III′-E-4), (III′-E-5), (III′-E-6), (IV′), (I), (II), (II-A), (II-A-1), (II-A-2), (II-A-3), (II-A-4), (II-A-5), (II-B), (II-B-1), (II-B-2), (II-B-3), (II-B-4), (II-B-5), (II-C), (II-C-1), (II-C-2), (II-C-3), (II-C-4), (II-C-5), (II-D), (II-D-1), (II-D-2), (II-D-3), (II-D-4), (II-D-5), (III), (III-A), (III-A-1), (III-A-2), (III-A-3), (III-A-4), (III-A-5), (III-B), (III-B-1), (III-B-2), (III-B-3), (III-B-4), (III-B-5), (III-C), (III-C-1), (III-C-2), (III-C-3), (III-C-4), (III-C-5), (III-D), (III-D-1), (III-D-2), (III-D-3),
(III-D-4), or (III-D-5), or a pharmaceutically acceptable salt, solvate, hydrate, isomer, tautomer, racemate, or isotope thereof, wherein L3 is a bond. In one embodiment is provided a compound having the structure of any one of Formula (I′), (II′), (II′-A), (II′-A-1), (II′-A-2), (II′-A-3), (II′-A-4), (II′-A-5), (II′-A-6), (II′-B), (II′-B-1), (II′-B-2), (II′-B-3), (II′-B-4), (II′-B-5), (II′-B-6), (II′-C), (II′-C-1), (II′-C-2), (II′-C-3), (II′-C-4), (II′-C-5), (II′-C-6), (II′-D), (II′-D- 1), (II′-D-2), (II′-D-3), (II′-D-4), (II′-D-5), (II′-D-6), (III′), (III′-A), (III′-A-1), (III′-A-2), (III′-A-3), (III′-A-4), (III′-A-5), (III′-A-6), (III′-B), (III′-B-1), (III′-B-2), (III′-B-3), (III′-B-4), (III′-B-5), (III′-B-6), (III′-C), (III′-C- 1), (III′-C-2), (III′-C-3), (III′-C-4), (III′-C-5), (III′-C-6), (III′-D), (III′-D-1), (III′-D-2), (III′-D-3), (III′-D-4), (III′-D-5), (III′-D-6), (III′-E), (III′-E-1), (III′-E-2), (III′-E-3), (III′-E-4), (III′-E-5), (III′-E-6), (IV′), (I), (II), (II-A), (II-A-1), (II-A-2), (II-A-3), (II-A-4), (II-A-5), (II-B), (II-B-1), (II-B-2), (II-B-3), (II-B-4), (II-B-5), (II-C), (II-C-1), (II-C-2), (II-C-3), (II-C-4), (II-C-5), (II-D), (II-D-1), (II-D-2), (II-D-3), (II-D-4), (II-D-5), (III), (III-A), (III-A-1), (III-A-2), (III-A-3), (III-A-4), (III-A-5), (III-B), (III-B-1), (III-B-2), (III-B-3), (III-B-4), (III-B-5), (III-C), (III-C-1), (III-C-2), (III-C-3), (III-C-4), (III-C-5), (III-D), (III-D-1), (III-D-2), (III-D-3), (III-D-4), or (III-D-5), or a pharmaceutically acceptable salt, solvate, hydrate, isomer, tautomer, racemate, or isotope thereof, wherein L3 is −O−. In one embodiment is provided a compound having the structure of any one of Formula (I′), (II′), (II′-A), (II′-A-1), (II′-A-2), (II′-A-3), (II′-A-4), (II′-A-5), (II′-A-6), (II′-B), (II′-B-1), (II′-B-2), (II′-B-3), (II′-B-4), (II′-B-5), (II′-B-6), (II′-C), (II′-C-1), (II′-C-2), (II′-C-3), (II′-C-4), (II′-C-5), (II′-C-6), (II′-D), (II′-D- 1), (II′-D-2), (II′-D-3), (II′-D-4), (II′-D-5), (II′-D-6), (III′), (III′-A), (III′-A-1), (III′-A-2), (III′-A-3), (III′-A-4), (III′-A-5), (III′-A-6), (III′-B), (III′-B-1), (III′-B-2), (III′-B-3), (III′-B-4), (III′-B-5), (III′-B-6), (III′-C), (III′-C- 1), (III′-C-2), (III′-C-3), (III′-C-4), (III′-C-5), (III′-C-6), (III′-D), (III′-D-1), (III′-D-2), (III′-D-3), (III′-D-4), (III′-D-5), (III′-D-6), (III′-E), (III′-E-1), (III′-E-2), (III′-E-3), (III′-E-4), (III′-E-5), (III′-E-6), (IV′), (I), (II), (II-A), (II-A-1), (II-A-2), (II-A-3), (II-A-4), (II-A-5), (II-B), (II-B-1), (II-B-2), (II-B-3), (II-B-4), (II-B-5), (II-C), (II-C-1), (II-C-2), (II-C-3), (II-C-4), (II-C-5), (II-D), (II-D-1), (II-D-2), (II-D-3), (II-D-4), (II-D-5), (III), (III-A), (III-A-1), (III-A-2), (III-A-3), (III-A-4), (III-A-5), (III-B), (III-B-1), (III-B-2), (III-B-3), (III-B-4), (III-B-5), (III-C), (III-C-1), (III-C-2), (III-C-3), (III-C-4), (III-C-5), (III-D), (III-D-1), (III-D-2), (III-D-3), (III-D-4), or (III-D-5), or a pharmaceutically acceptable salt, solvate, hydrate, isomer, tautomer, racemate, or isotope thereof, wherein L3 is −CH2−. In one embodiment is provided a compound having the structure of any one of Formula (I′), (II′), (II′-A), (II′-A-1), (II′-A-2), (II′-A-3), (II′-A-4), (II′-A-5), (II′-A-6), (II′-B), (II′-B-1), (II′-B-2), (II′-B-3), (II′-B-4), (II′-B-5), (II′-B-6), (II′-C), (II′-C-1), (II′-C-2), (II′-C-3), (II′-C-4), (II′-C-5), (II′-C-6), (II′-D), (II′-D- 1), (II′-D-2), (II′-D-3), (II′-D-4), (II′-D-5), (II′-D-6), (III′), (III′-A), (III′-A-1), (III′-A-2), (III′-A-3), (III′-A-4),
(III′-A-5), (III′-A-6), (III′-B), (III′-B-1), (III′-B-2), (III′-B-3), (III′-B-4), (III′-B-5), (III′-B-6), (III′-C), (III′-C- 1), (III′-C-2), (III′-C-3), (III′-C-4), (III′-C-5), (III′-C-6), (III′-D), (III′-D-1), (III′-D-2), (III′-D-3), (III′-D-4), (III′-D-5), (III′-D-6), (III′-E), (III′-E-1), (III′-E-2), (III′-E-3), (III′-E-4), (III′-E-5), (III′-E-6), (IV′), (I), (II), (II-A), (II-A-1), (II-A-2), (II-A-3), (II-A-4), (II-A-5), (II-B), (II-B-1), (II-B-2), (II-B-3), (II-B-4), (II-B-5), (II-C), (II-C-1), (II-C-2), (II-C-3), (II-C-4), (II-C-5), (II-D), (II-D-1), (II-D-2), (II-D-3), (II-D-4), (II-D-5), (III), (III-A), (III-A-1), (III-A-2), (III-A-3), (III-A-4), (III-A-5), (III-B), (III-B-1), (III-B-2), (III-B-3), (III-B-4), (III-B-5), (III-C), (III-C-1), (III-C-2), (III-C-3), (III-C-4), (III-C-5), (III-D), (III-D-1), (III-D-2), (III-D-3), (III-D-4), or (III-D-5), or a pharmaceutically acceptable salt, solvate, hydrate, isomer, tautomer, racemate, or isotope thereof, wherein L3 is −N(R15)−. In one embodiment is provided a compound having the structure of any one of Formula (I′), (II′), (II′-A), (II′-A-1), (II′-A-2), (II′-A-3), (II′-A-4), (II′-A-5), (II′-A-6), (II′-B), (II′-B-1), (II′-B-2), (II′-B-3), (II′-B-4), (II′-B-5), (II′-B-6), (II′-C), (II′-C-1), (II′-C-2), (II′-C-3), (II′-C-4), (II′-C-5), (II′-C-6), (II′-D), (II′-D- 1), (II′-D-2), (II′-D-3), (II′-D-4), (II′-D-5), (II′-D-6), (III′), (III′-A), (III′-A-1), (III′-A-2), (III′-A-3), (III′-A-4), (III′-A-5), (III′-A-6), (III′-B), (III′-B-1), (III′-B-2), (III′-B-3), (III′-B-4), (III′-B-5), (III′-B-6), (III′-C), (III′-C- 1), (III′-C-2), (III′-C-3), (III′-C-4), (III′-C-5), (III′-C-6), (III′-D), (III′-D-1), (III′-D-2), (III′-D-3), (III′-D-4), (III′-D-5), (III′-D-6), (III′-E), (III′-E-1), (III′-E-2), (III′-E-3), (III′-E-4), (III′-E-5), (III′-E-6), (IV′), (I), (II), (II-A), (II-A-1), (II-A-2), (II-A-3), (II-A-4), (II-A-5), (II-B), (II-B-1), (II-B-2), (II-B-3), (II-B-4), (II-B-5), (II-C), (II-C-1), (II-C-2), (II-C-3), (II-C-4), (II-C-5), (II-D), (II-D-1), (II-D-2), (II-D-3), (II-D-4), (II-D-5), (III), (III-A), (III-A-1), (III-A-2), (III-A-3), (III-A-4), (III-A-5), (III-B), (III-B-1), (III-B-2), (III-B-3), (III-B-4), (III-B-5), (III-C), (III-C-1), (III-C-2), (III-C-3), (III-C-4), (III-C-5), (III-D), (III-D-1), (III-D-2), (III-D-3), (III-D-4), or (III-D-5), or a pharmaceutically acceptable salt, solvate, hydrate, isomer, tautomer, racemate, or isotope thereof, wherein L3 is −S(O)2− or −S(O)−. In one embodiment is provided a compound having the structure of any one of Formula (I′), (II′), (II′-A), (II′-A-1), (II′-A-2), (II′-A-3), (II′-A-4), (II′-A-5), (II′-A-6), (II′-B), (II′-B-1), (II′-B-2), (II′-B-3), (II′-B-4), (II′-B-5), (II′-B-6), (II′-C), (II′-C-1), (II′-C-2), (II′-C-3), (II′-C-4), (II′-C-5), (II′-C-6), (II′-D), (II′-D- 1), (II′-D-2), (II′-D-3), (II′-D-4), (II′-D-5), (II′-D-6), (III′), (III′-A), (III′-A-1), (III′-A-2), (III′-A-3), (III′-A-4), (III′-A-5), (III′-A-6), (III′-B), (III′-B-1), (III′-B-2), (III′-B-3), (III′-B-4), (III′-B-5), (III′-B-6), (III′-C), (III′-C- 1), (III′-C-2), (III′-C-3), (III′-C-4), (III′-C-5), (III′-C-6), (III′-D), (III′-D-1), (III′-D-2), (III′-D-3), (III′-D-4), (III′-D-5), (III′-D-6), (III′-E), (III′-E-1), (III′-E-2), (III′-E-3), (III′-E-4), (III′-E-5), (III′-E-6), (IV′), (I), (II), (II-A), (II-A-1), (II-A-2), (II-A-3), (II-A-4), (II-A-5), (II-B), (II-B-1), (II-B-2), (II-B-3), (II-B-4), (II-B-5), (II-C), (II-C-1), (II-C-2), (II-C-3), (II-C-4), (II-C-5), (II-D), (II-D-1), (II-D-2), (II-D-3), (II-D-4), (II-D-5), (III), (III-A), (III-A-1), (III-A-2), (III-A-3), (III-A-4), (III-A-5), (III-B), (III-B-1), (III-B-2), (III-B-3), (III-B-4),
(III-B-5), (III-C), (III-C-1), (III-C-2), (III-C-3), (III-C-4), (III-C-5), (III-D), (III-D-1), (III-D-2), (III-D-3), (III-D-4), or (III-D-5), or a pharmaceutically acceptable salt, solvate, hydrate, isomer, tautomer, racemate, or isotope thereof, wherein R5 is a 3–10 member cycloalkyl. In one embodiment is provided a compound having the structure of any one of Formula (I′), (II′), (II′-A), (II′-A-1), (II′-A-2), (II′-A-3), (II′-A-4), (II′-A-5), (II′-A-6), (II′-B), (II′-B-1), (II′-B-2), (II′-B-3), (II′-B-4), (II′-B-5), (II′-B-6), (II′-C), (II′-C-1), (II′-C-2), (II′-C-3), (II′-C-4), (II′-C-5), (II′-C-6), (II′-D), (II′-D- 1), (II′-D-2), (II′-D-3), (II′-D-4), (II′-D-5), (II′-D-6), (III′), (III′-A), (III′-A-1), (III′-A-2), (III′-A-3), (III′-A-4), (III′-A-5), (III′-A-6), (III′-B), (III′-B-1), (III′-B-2), (III′-B-3), (III′-B-4), (III′-B-5), (III′-B-6), (III′-C), (III′-C- 1), (III′-C-2), (III′-C-3), (III′-C-4), (III′-C-5), (III′-C-6), (III′-D), (III′-D-1), (III′-D-2), (III′-D-3), (III′-D-4), (III′-D-5), (III′-D-6), (III′-E), (III′-E-1), (III′-E-2), (III′-E-3), (III′-E-4), (III′-E-5), (III′-E-6), (IV′), (I), (II), (II-A), (II-A-1), (II-A-2), (II-A-3), (II-A-4), (II-A-5), (II-B), (II-B-1), (II-B-2), (II-B-3), (II-B-4), (II-B-5), (II-C), (II-C-1), (II-C-2), (II-C-3), (II-C-4), (II-C-5), (II-D), (II-D-1), (II-D-2), (II-D-3), (II-D-4), (II-D-5), (III), (III-A), (III-A-1), (III-A-2), (III-A-3), (III-A-4), (III-A-5), (III-B), (III-B-1), (III-B-2), (III-B-3), (III-B-4), (III-B-5), (III-C), (III-C-1), (III-C-2), (III-C-3), (III-C-4), (III-C-5), (III-D), (III-D-1), (III-D-2), (III-D-3), (III-D-4), or (III-D-5), or a pharmaceutically acceptable salt, solvate, hydrate, isomer, tautomer, racemate, or isotope thereof, wherein R5 is cyclopropyl, cyclobutyl, cyclopentyl, or cyclohexyl. In one embodiment is provided a compound having the structure of any one of Formula (I′), (II′), (II′-A), (II′-A-1), (II′-A-2), (II′-A-3), (II′-A-4), (II′-A-5), (II′-A-6), (II′-B), (II′-B-1), (II′-B-2), (II′-B-3), (II′-B-4), (II′-B-5), (II′-B-6), (II′-C), (II′-C-1), (II′-C-2), (II′-C-3), (II′-C-4), (II′-C-5), (II′-C-6), (II′-D), (II′-D- 1), (II′-D-2), (II′-D-3), (II′-D-4), (II′-D-5), (II′-D-6), (III′), (III′-A), (III′-A-1), (III′-A-2), (III′-A-3), (III′-A-4), (III′-A-5), (III′-A-6), (III′-B), (III′-B-1), (III′-B-2), (III′-B-3), (III′-B-4), (III′-B-5), (III′-B-6), (III′-C), (III′-C- 1), (III′-C-2), (III′-C-3), (III′-C-4), (III′-C-5), (III′-C-6), (III′-D), (III′-D-1), (III′-D-2), (III′-D-3), (III′-D-4), (III′-D-5), (III′-D-6), (III′-E), (III′-E-1), (III′-E-2), (III′-E-3), (III′-E-4), (III′-E-5), (III′-E-6), (IV′), (I), (II), (II-A), (II-A-1), (II-A-2), (II-A-3), (II-A-4), (II-A-5), (II-B), (II-B-1), (II-B-2), (II-B-3), (II-B-4), (II-B-5), (II-C), (II-C-1), (II-C-2), (II-C-3), (II-C-4), (II-C-5), (II-D), (II-D-1), (II-D-2), (II-D-3), (II-D-4), (II-D-5), (III), (III-A), (III-A-1), (III-A-2), (III-A-3), (III-A-4), (III-A-5), (III-B), (III-B-1), (III-B-2), (III-B-3), (III-B-4), (III-B-5), (III-C), (III-C-1), (III-C-2), (III-C-3), (III-C-4), (III-C-5), (III-D), (III-D-1), (III-D-2), (III-D-3), (III-D-4), or (III-D-5), or a pharmaceutically acceptable salt, solvate, hydrate, isomer, tautomer, racemate, or isotope thereof, wherein R5 is a 3–10 member aryl. In one embodiment is provided a compound having the structure of any one of Formula (I′), (II′), (II′-A), (II′-A-1), (II′-A-2), (II′-A-3), (II′-A-4), (II′-A-5), (II′-A-6), (II′-B), (II′-B-1), (II′-B-2), (II′-B-3), (II′-B-4), (II′-B-5), (II′-B-6), (II′-C), (II′-C-1), (II′-C-2), (II′-C-3), (II′-C-4), (II′-C-5), (II′-C-6), (II′-D), (II′-D-
1), (II′-D-2), (II′-D-3), (II′-D-4), (II′-D-5), (II′-D-6), (III′), (III′-A), (III′-A-1), (III′-A-2), (III′-A-3), (III′-A-4), (III′-A-5), (III′-A-6), (III′-B), (III′-B-1), (III′-B-2), (III′-B-3), (III′-B-4), (III′-B-5), (III′-B-6), (III′-C), (III′-C- 1), (III′-C-2), (III′-C-3), (III′-C-4), (III′-C-5), (III′-C-6), (III′-D), (III′-D-1), (III′-D-2), (III′-D-3), (III′-D-4), (III′-D-5), (III′-D-6), (III′-E), (III′-E-1), (III′-E-2), (III′-E-3), (III′-E-4), (III′-E-5), (III′-E-6), (IV′), (I), (II), (II-A), (II-A-1), (II-A-2), (II-A-3), (II-A-4), (II-A-5), (II-B), (II-B-1), (II-B-2), (II-B-3), (II-B-4), (II-B-5), (II-C), (II-C-1), (II-C-2), (II-C-3), (II-C-4), (II-C-5), (II-D), (II-D-1), (II-D-2), (II-D-3), (II-D-4), (II-D-5), (III), (III-A), (III-A-1), (III-A-2), (III-A-3), (III-A-4), (III-A-5), (III-B), (III-B-1), (III-B-2), (III-B-3), (III-B-4), (III-B-5), (III-C), (III-C-1), (III-C-2), (III-C-3), (III-C-4), (III-C-5), (III-D), (III-D-1), (III-D-2), (III-D-3), (III-D-4), or (III-D-5), or a pharmaceutically acceptable salt, solvate, hydrate, isomer, tautomer, racemate, or isotope thereof, wherein R5 is phenyl or naphthyl. In one embodiment is provided a compound having the structure of any one of Formula (I′), (II′), (II′-A), (II′-A-1), (II′-A-2), (II′-A-3), (II′-A-4), (II′-A-5), (II′-A-6), (II′-B), (II′-B-1), (II′-B-2), (II′-B-3), (II′-B-4), (II′-B-5), (II′-B-6), (II′-C), (II′-C-1), (II′-C-2), (II′-C-3), (II′-C-4), (II′-C-5), (II′-C-6), (II′-D), (II′-D- 1), (II′-D-2), (II′-D-3), (II′-D-4), (II′-D-5), (II′-D-6), (III′), (III′-A), (III′-A-1), (III′-A-2), (III′-A-3), (III′-A-4), (III′-A-5), (III′-A-6), (III′-B), (III′-B-1), (III′-B-2), (III′-B-3), (III′-B-4), (III′-B-5), (III′-B-6), (III′-C), (III′-C- 1), (III′-C-2), (III′-C-3), (III′-C-4), (III′-C-5), (III′-C-6), (III′-D), (III′-D-1), (III′-D-2), (III′-D-3), (III′-D-4), (III′-D-5), (III′-D-6), (III′-E), (III′-E-1), (III′-E-2), (III′-E-3), (III′-E-4), (III′-E-5), (III′-E-6), (IV′), (I), (II), (II-A), (II-A-1), (II-A-2), (II-A-3), (II-A-4), (II-A-5), (II-B), (II-B-1), (II-B-2), (II-B-3), (II-B-4), (II-B-5), (II-C), (II-C-1), (II-C-2), (II-C-3), (II-C-4), (II-C-5), (II-D), (II-D-1), (II-D-2), (II-D-3), (II-D-4), (II-D-5), (III), (III-A), (III-A-1), (III-A-2), (III-A-3), (III-A-4), (III-A-5), (III-B), (III-B-1), (III-B-2), (III-B-3), (III-B-4), (III-B-5), (III-C), (III-C-1), (III-C-2), (III-C-3), (III-C-4), (III-C-5), (III-D), (III-D-1), (III-D-2), (III-D-3), (III-D-4), or (III-D-5), or a pharmaceutically acceptable salt, solvate, hydrate, isomer, tautomer, racemate, or isotope thereof, wherein R5 is a 3–10 member heterocycloalkyl. In one embodiment is provided a compound having the structure of any one of Formula (I′), (II′), (II′-A), (II′-A-1), (II′-A-2), (II′-A-3), (II′-A-4), (II′-A-5), (II′-A-6), (II′-B), (II′-B-1), (II′-B-2), (II′-B-3), (II′-B-4), (II′-B-5), (II′-B-6), (II′-C), (II′-C-1), (II′-C-2), (II′-C-3), (II′-C-4), (II′-C-5), (II′-C-6), (II′-D), (II′-D- 1), (II′-D-2), (II′-D-3), (II′-D-4), (II′-D-5), (II′-D-6), (III′), (III′-A), (III′-A-1), (III′-A-2), (III′-A-3), (III′-A-4), (III′-A-5), (III′-A-6), (III′-B), (III′-B-1), (III′-B-2), (III′-B-3), (III′-B-4), (III′-B-5), (III′-B-6), (III′-C), (III′-C- 1), (III′-C-2), (III′-C-3), (III′-C-4), (III′-C-5), (III′-C-6), (III′-D), (III′-D-1), (III′-D-2), (III′-D-3), (III′-D-4), (III′-D-5), (III′-D-6), (III′-E), (III′-E-1), (III′-E-2), (III′-E-3), (III′-E-4), (III′-E-5), (III′-E-6), (IV′), (I), (II), (II-A), (II-A-1), (II-A-2), (II-A-3), (II-A-4), (II-A-5), (II-B), (II-B-1), (II-B-2), (II-B-3), (II-B-4), (II-B-5), (II-C), (II-C-1), (II-C-2), (II-C-3), (II-C-4), (II-C-5), (II-D), (II-D-1), (II-D-2), (II-D-3), (II-D-4), (II-D-5),
(III), (III-A), (III-A-1), (III-A-2), (III-A-3), (III-A-4), (III-A-5), (III-B), (III-B-1), (III-B-2), (III-B-3), (III-B-4), (III-B-5), (III-C), (III-C-1), (III-C-2), (III-C-3), (III-C-4), (III-C-5), (III-D), (III-D-1), (III-D-2), (III-D-3), (III-D-4), or (III-D-5), or a pharmaceutically acceptable salt, solvate, hydrate, isomer, tautomer, racemate, or isotope thereof, wherein R5 is pyrrolidinyl or piperidinyl. In one embodiment is provided a compound having the structure of any one of Formula (I′), (II′), (II′-A), (II′-A-1), (II′-A-2), (II′-A-3), (II′-A-4), (II′-A-5), (II′-A-6), (II′-B), (II′-B-1), (II′-B-2), (II′-B-3), (II′-B-4), (II′-B-5), (II′-B-6), (II′-C), (II′-C-1), (II′-C-2), (II′-C-3), (II′-C-4), (II′-C-5), (II′-C-6), (II′-D), (II′-D- 1), (II′-D-2), (II′-D-3), (II′-D-4), (II′-D-5), (II′-D-6), (III′), (III′-A), (III′-A-1), (III′-A-2), (III′-A-3), (III′-A-4), (III′-A-5), (III′-A-6), (III′-B), (III′-B-1), (III′-B-2), (III′-B-3), (III′-B-4), (III′-B-5), (III′-B-6), (III′-C), (III′-C- 1), (III′-C-2), (III′-C-3), (III′-C-4), (III′-C-5), (III′-C-6), (III′-D), (III′-D-1), (III′-D-2), (III′-D-3), (III′-D-4), (III′-D-5), (III′-D-6), (III′-E), (III′-E-1), (III′-E-2), (III′-E-3), (III′-E-4), (III′-E-5), (III′-E-6), (IV′), (I), (II), (II-A), (II-A-1), (II-A-2), (II-A-3), (II-A-4), (II-A-5), (II-B), (II-B-1), (II-B-2), (II-B-3), (II-B-4), (II-B-5), (II-C), (II-C-1), (II-C-2), (II-C-3), (II-C-4), (II-C-5), (II-D), (II-D-1), (II-D-2), (II-D-3), (II-D-4), (II-D-5), (III), (III-A), (III-A-1), (III-A-2), (III-A-3), (III-A-4), (III-A-5), (III-B), (III-B-1), (III-B-2), (III-B-3), (III-B-4), (III-B-5), (III-C), (III-C-1), (III-C-2), (III-C-3), (III-C-4), (III-C-5), (III-D), (III-D-1), (III-D-2), (III-D-3), (III-D-4), or (III-D-5), or a pharmaceutically acceptable salt, solvate, hydrate, isomer, tautomer, racemate, or isotope thereof, wherein R5 is a 3–6 member heteroaryl. In one embodiment is provided a compound having the structure of any one of Formula (I′), (II′), (II′-A), (II′-A-1), (II′-A-2), (II′-A-3), (II′-A-4), (II′-A-5), (II′-A-6), (II′-B), (II′-B-1), (II′-B-2), (II′-B-3), (II′-B-4), (II′-B-5), (II′-B-6), (II′-C), (II′-C-1), (II′-C-2), (II′-C-3), (II′-C-4), (II′-C-5), (II′-C-6), (II′-D), (II′-D- 1), (II′-D-2), (II′-D-3), (II′-D-4), (II′-D-5), (II′-D-6), (III′), (III′-A), (III′-A-1), (III′-A-2), (III′-A-3), (III′-A-4), (III′-A-5), (III′-A-6), (III′-B), (III′-B-1), (III′-B-2), (III′-B-3), (III′-B-4), (III′-B-5), (III′-B-6), (III′-C), (III′-C- 1), (III′-C-2), (III′-C-3), (III′-C-4), (III′-C-5), (III′-C-6), (III′-D), (III′-D-1), (III′-D-2), (III′-D-3), (III′-D-4), (III′-D-5), (III′-D-6), (III′-E), (III′-E-1), (III′-E-2), (III′-E-3), (III′-E-4), (III′-E-5), (III′-E-6), (IV′), (I), (II), (II-A), (II-A-1), (II-A-2), (II-A-3), (II-A-4), (II-A-5), (II-B), (II-B-1), (II-B-2), (II-B-3), (II-B-4), (II-B-5), (II-C), (II-C-1), (II-C-2), (II-C-3), (II-C-4), (II-C-5), (II-D), (II-D-1), (II-D-2), (II-D-3), (II-D-4), (II-D-5), (III), (III-A), (III-A-1), (III-A-2), (III-A-3), (III-A-4), (III-A-5), (III-B), (III-B-1), (III-B-2), (III-B-3), (III-B-4), (III-B-5), (III-C), (III-C-1), (III-C-2), (III-C-3), (III-C-4), (III-C-5), (III-D), (III-D-1), (III-D-2), (III-D-3), (III-D-4), or (III-D-5), or a pharmaceutically acceptable salt, solvate, hydrate, isomer, tautomer, racemate, or isotope thereof, wherein R5 is pyrazolyl, pyridinyl, or indazolyl. In one embodiment is provided a compound having the structure of any one of Formula (I′), (II′), (II′-A), (II′-A-1), (II′-A-2), (II′-A-3), (II′-A-4), (II′-A-5), (II′-A-6), (II′-B), (II′-B-1), (II′-B-2), (II′-B-3),
(II′-B-4), (II′-B-5), (II′-B-6), (II′-C), (II′-C-1), (II′-C-2), (II′-C-3), (II′-C-4), (II′-C-5), (II′-C-6), (II′-D), (II′-D- 1), (II′-D-2), (II′-D-3), (II′-D-4), (II′-D-5), (II′-D-6), (III′), (III′-A), (III′-A-1), (III′-A-2), (III′-A-3), (III′-A-4), (III′-A-5), (III′-A-6), (III′-B), (III′-B-1), (III′-B-2), (III′-B-3), (III′-B-4), (III′-B-5), (III′-B-6), (III′-C), (III′-C- 1), (III′-C-2), (III′-C-3), (III′-C-4), (III′-C-5), (III′-C-6), (III′-D), (III′-D-1), (III′-D-2), (III′-D-3), (III′-D-4), (III′-D-5), (III′-D-6), (III′-E), (III′-E-1), (III′-E-2), (III′-E-3), (III′-E-4), (III′-E-5), (III′-E-6), (IV′), (I), (II), (II-A), (II-A-1), (II-A-2), (II-A-3), (II-A-4), (II-A-5), (II-B), (II-B-1), (II-B-2), (II-B-3), (II-B-4), (II-B-5), (II-C), (II-C-1), (II-C-2), (II-C-3), (II-C-4), (II-C-5), (II-D), (II-D-1), (II-D-2), (II-D-3), (II-D-4), (II-D-5), (III), (III-A), (III-A-1), (III-A-2), (III-A-3), (III-A-4), (III-A-5), (III-B), (III-B-1), (III-B-2), (III-B-3), (III-B-4), (III-B-5), (III-C), (III-C-1), (III-C-2), (III-C-3), (III-C-4), (III-C-5), (III-D), (III-D-1), (III-D-2), (III-D-3), (III-D-4), or (III-D-5), or a pharmaceutically acceptable salt, solvate, hydrate, isomer, tautomer, racemate, or isotope thereof, wherein wherein p is 1, 2, or 3. In one embodiment is provided a compound having the structure of any one of Formula (I′), (II′), (II′-A), (II′-A-1), (II′-A-2), (II′-A-3), (II′-A-4), (II′-A-5), (II′-A-6), (II′-B), (II′-B-1), (II′-B-2), (II′-B-3), (II′-B-4), (II′-B-5), (II′-B-6), (II′-C), (II′-C-1), (II′-C-2), (II′-C-3), (II′-C-4), (II′-C-5), (II′-C-6), (II′-D), (II′-D- 1), (II′-D-2), (II′-D-3), (II′-D-4), (II′-D-5), (II′-D-6), (III′), (III′-A), (III′-A-1), (III′-A-2), (III′-A-3), (III′-A-4), (III′-A-5), (III′-A-6), (III′-B), (III′-B-1), (III′-B-2), (III′-B-3), (III′-B-4), (III′-B-5), (III′-B-6), (III′-C), (III′-C- 1), (III′-C-2), (III′-C-3), (III′-C-4), (III′-C-5), (III′-C-6), (III′-D), (III′-D-1), (III′-D-2), (III′-D-3), (III′-D-4), (III′-D-5), (III′-D-6), (III′-E), (III′-E-1), (III′-E-2), (III′-E-3), (III′-E-4), (III′-E-5), (III′-E-6), (IV′), (I), (II), (II-A), (II-A-1), (II-A-2), (II-A-3), (II-A-4), (II-A-5), (II-B), (II-B-1), (II-B-2), (II-B-3), (II-B-4), (II-B-5), (II-C), (II-C-1), (II-C-2), (II-C-3), (II-C-4), (II-C-5), (II-D), (II-D-1), (II-D-2), (II-D-3), (II-D-4), (II-D-5), (III), (III-A), (III-A-1), (III-A-2), (III-A-3), (III-A-4), (III-A-5), (III-B), (III-B-1), (III-B-2), (III-B-3), (III-B-4), (III-B-5), (III-C), (III-C-1), (III-C-2), (III-C-3), (III-C-4), (III-C-5), (III-D), (III-D-1), (III-D-2), (III-D-3), (III-D-4), or (III-D-5), or a pharmaceutically acceptable salt, solvate, hydrate, isomer, tautomer, racemate, or isotope thereof, wherein R6 is halo, −NO2, oxo, or −CN. In one embodiment is provided a compound having the structure of any one of Formula (I′), (II′), (II′-A), (II′-A-1), (II′-A-2), (II′-A-3), (II′-A-4), (II′-A-5), (II′-A-6), (II′-B), (II′-B-1), (II′-B-2), (II′-B-3), (II′-B-4), (II′-B-5), (II′-B-6), (II′-C), (II′-C-1), (II′-C-2), (II′-C-3), (II′-C-4), (II′-C-5), (II′-C-6), (II′-D), (II′-D- 1), (II′-D-2), (II′-D-3), (II′-D-4), (II′-D-5), (II′-D-6), (III′), (III′-A), (III′-A-1), (III′-A-2), (III′-A-3), (III′-A-4), (III′-A-5), (III′-A-6), (III′-B), (III′-B-1), (III′-B-2), (III′-B-3), (III′-B-4), (III′-B-5), (III′-B-6), (III′-C), (III′-C- 1), (III′-C-2), (III′-C-3), (III′-C-4), (III′-C-5), (III′-C-6), (III′-D), (III′-D-1), (III′-D-2), (III′-D-3), (III′-D-4), (III′-D-5), (III′-D-6), (III′-E), (III′-E-1), (III′-E-2), (III′-E-3), (III′-E-4), (III′-E-5), (III′-E-6), (IV′), (I), (II), (II-A), (II-A-1), (II-A-2), (II-A-3), (II-A-4), (II-A-5), (II-B), (II-B-1), (II-B-2), (II-B-3), (II-B-4), (II-B-5),
(II-C), (II-C-1), (II-C-2), (II-C-3), (II-C-4), (II-C-5), (II-D), (II-D-1), (II-D-2), (II-D-3), (II-D-4), (II-D-5), (III), (III-A), (III-A-1), (III-A-2), (III-A-3), (III-A-4), (III-A-5), (III-B), (III-B-1), (III-B-2), (III-B-3), (III-B-4), (III-B-5), (III-C), (III-C-1), (III-C-2), (III-C-3), (III-C-4), (III-C-5), (III-D), (III-D-1), (III-D-2), (III-D-3), (III-D-4), or (III-D-5), or a pharmaceutically acceptable salt, solvate, hydrate, isomer, tautomer, racemate, or isotope thereof, wherein at least one R6 is C1-6 alkyl, C1-6 haloalkyl. In one embodiment is provided a compound having the structure of any one of Formula (I′), (II′), (II′-A), (II′-A-1), (II′-A-2), (II′-A-3), (II′-A-4), (II′-A-5), (II′-A-6), (II′-B), (II′-B-1), (II′-B-2), (II′-B-3), (II′-B-4), (II′-B-5), (II′-B-6), (II′-C), (II′-C-1), (II′-C-2), (II′-C-3), (II′-C-4), (II′-C-5), (II′-C-6), (II′-D), (II′-D- 1), (II′-D-2), (II′-D-3), (II′-D-4), (II′-D-5), (II′-D-6), (III′), (III′-A), (III′-A-1), (III′-A-2), (III′-A-3), (III′-A-4), (III′-A-5), (III′-A-6), (III′-B), (III′-B-1), (III′-B-2), (III′-B-3), (III′-B-4), (III′-B-5), (III′-B-6), (III′-C), (III′-C- 1), (III′-C-2), (III′-C-3), (III′-C-4), (III′-C-5), (III′-C-6), (III′-D), (III′-D-1), (III′-D-2), (III′-D-3), (III′-D-4), (III′-D-5), (III′-D-6), (III′-E), (III′-E-1), (III′-E-2), (III′-E-3), (III′-E-4), (III′-E-5), (III′-E-6), (IV′), (I), (II), (II-A), (II-A-1), (II-A-2), (II-A-3), (II-A-4), (II-A-5), (II-B), (II-B-1), (II-B-2), (II-B-3), (II-B-4), (II-B-5), (II-C), (II-C-1), (II-C-2), (II-C-3), (II-C-4), (II-C-5), (II-D), (II-D-1), (II-D-2), (II-D-3), (II-D-4), (II-D-5), (III), (III-A), (III-A-1), (III-A-2), (III-A-3), (III-A-4), (III-A-5), (III-B), (III-B-1), (III-B-2), (III-B-3), (III-B-4), (III-B-5), (III-C), (III-C-1), (III-C-2), (III-C-3), (III-C-4), (III-C-5), (III-D), (III-D-1), (III-D-2), (III-D-3), (III-D-4), or (III-D-5), or a pharmaceutically acceptable salt, solvate, hydrate, isomer, tautomer, racemate, or isotope thereof, wherein at least one R6 is −OR10 or −NR10R11. In one embodiment is provided a compound having the structure of any one of Formula (I′), (II′), (II′-A), (II′-A-1), (II′-A-2), (II′-A-3), (II′-A-4), (II′-A-5), (II′-A-6), (II′-B), (II′-B-1), (II′-B-2), (II′-B-3), (II′-B-4), (II′-B-5), (II′-B-6), (II′-C), (II′-C-1), (II′-C-2), (II′-C-3), (II′-C-4), (II′-C-5), (II′-C-6), (II′-D), (II′-D- 1), (II′-D-2), (II′-D-3), (II′-D-4), (II′-D-5), (II′-D-6), (III′), (III′-A), (III′-A-1), (III′-A-2), (III′-A-3), (III′-A-4), (III′-A-5), (III′-A-6), (III′-B), (III′-B-1), (III′-B-2), (III′-B-3), (III′-B-4), (III′-B-5), (III′-B-6), (III′-C), (III′-C- 1), (III′-C-2), (III′-C-3), (III′-C-4), (III′-C-5), (III′-C-6), (III′-D), (III′-D-1), (III′-D-2), (III′-D-3), (III′-D-4), (III′-D-5), (III′-D-6), (III′-E), (III′-E-1), (III′-E-2), (III′-E-3), (III′-E-4), (III′-E-5), (III′-E-6), (IV′), (I), (II), (II-A), (II-A-1), (II-A-2), (II-A-3), (II-A-4), (II-A-5), (II-B), (II-B-1), (II-B-2), (II-B-3), (II-B-4), (II-B-5), (II-C), (II-C-1), (II-C-2), (II-C-3), (II-C-4), (II-C-5), (II-D), (II-D-1), (II-D-2), (II-D-3), (II-D-4), (II-D-5), (III), (III-A), (III-A-1), (III-A-2), (III-A-3), (III-A-4), (III-A-5), (III-B), (III-B-1), (III-B-2), (III-B-3), (III-B-4), (III-B-5), (III-C), (III-C-1), (III-C-2), (III-C-3), (III-C-4), (III-C-5), (III-D), (III-D-1), (III-D-2), (III-D-3), (III-D-4), or (III-D-5), or a pharmaceutically acceptable salt, solvate, hydrate, isomer, tautomer, racemate, or isotope thereof, wherein at least one R6 is −C(O)R10, −C(O)OR10, or −OC(O)R10.
In one embodiment is provided a compound having the structure of any one of Formula (I′), (II′), (II′-A), (II′-A-1), (II′-A-2), (II′-A-3), (II′-A-4), (II′-A-5), (II′-A-6), (II′-B), (II′-B-1), (II′-B-2), (II′-B-3), (II′-B-4), (II′-B-5), (II′-B-6), (II′-C), (II′-C-1), (II′-C-2), (II′-C-3), (II′-C-4), (II′-C-5), (II′-C-6), (II′-D), (II′-D- 1), (II′-D-2), (II′-D-3), (II′-D-4), (II′-D-5), (II′-D-6), (III′), (III′-A), (III′-A-1), (III′-A-2), (III′-A-3), (III′-A-4), (III′-A-5), (III′-A-6), (III′-B), (III′-B-1), (III′-B-2), (III′-B-3), (III′-B-4), (III′-B-5), (III′-B-6), (III′-C), (III′-C- 1), (III′-C-2), (III′-C-3), (III′-C-4), (III′-C-5), (III′-C-6), (III′-D), (III′-D-1), (III′-D-2), (III′-D-3), (III′-D-4), (III′-D-5), (III′-D-6), (III′-E), (III′-E-1), (III′-E-2), (III′-E-3), (III′-E-4), (III′-E-5), (III′-E-6), (IV′), (I), (II), (II-A), (II-A-1), (II-A-2), (II-A-3), (II-A-4), (II-A-5), (II-B), (II-B-1), (II-B-2), (II-B-3), (II-B-4), (II-B-5), (II-C), (II-C-1), (II-C-2), (II-C-3), (II-C-4), (II-C-5), (II-D), (II-D-1), (II-D-2), (II-D-3), (II-D-4), (II-D-5), (III), (III-A), (III-A-1), (III-A-2), (III-A-3), (III-A-4), (III-A-5), (III-B), (III-B-1), (III-B-2), (III-B-3), (III-B-4), (III-B-5), (III-C), (III-C-1), (III-C-2), (III-C-3), (III-C-4), (III-C-5), (III-D), (III-D-1), (III-D-2), (III-D-3), (III-D-4), or (III-D-5), or a pharmaceutically acceptable salt, solvate, hydrate, isomer, tautomer, racemate, or isotope thereof, wherein at least one R6 is −C(O)NR10R11, −NR11C(O)R10, −OC(O)NR10R11, −NR11C(O)OR10, or −NR10C(O)NR10R11. In one embodiment is provided a compound having the structure of any one of Formula (I′), (II′), (II′-A), (II′-A-1), (II′-A-2), (II′-A-3), (II′-A-4), (II′-A-5), (II′-A-6), (II′-B), (II′-B-1), (II′-B-2), (II′-B-3), (II′-B-4), (II′-B-5), (II′-B-6), (II′-C), (II′-C-1), (II′-C-2), (II′-C-3), (II′-C-4), (II′-C-5), (II′-C-6), (II′-D), (II′-D- 1), (II′-D-2), (II′-D-3), (II′-D-4), (II′-D-5), (II′-D-6), (III′), (III′-A), (III′-A-1), (III′-A-2), (III′-A-3), (III′-A-4), (III′-A-5), (III′-A-6), (III′-B), (III′-B-1), (III′-B-2), (III′-B-3), (III′-B-4), (III′-B-5), (III′-B-6), (III′-C), (III′-C- 1), (III′-C-2), (III′-C-3), (III′-C-4), (III′-C-5), (III′-C-6), (III′-D), (III′-D-1), (III′-D-2), (III′-D-3), (III′-D-4), (III′-D-5), (III′-D-6), (III′-E), (III′-E-1), (III′-E-2), (III′-E-3), (III′-E-4), (III′-E-5), (III′-E-6), (IV′), (I), (II), (II-A), (II-A-1), (II-A-2), (II-A-3), (II-A-4), (II-A-5), (II-B), (II-B-1), (II-B-2), (II-B-3), (II-B-4), (II-B-5), (II-C), (II-C-1), (II-C-2), (II-C-3), (II-C-4), (II-C-5), (II-D), (II-D-1), (II-D-2), (II-D-3), (II-D-4), (II-D-5), (III), (III-A), (III-A-1), (III-A-2), (III-A-3), (III-A-4), (III-A-5), (III-B), (III-B-1), (III-B-2), (III-B-3), (III-B-4), (III-B-5), (III-C), (III-C-1), (III-C-2), (III-C-3), (III-C-4), (III-C-5), (III-D), (III-D-1), (III-D-2), (III-D-3), (III-D-4), or (III-D-5), or a pharmaceutically acceptable salt, solvate, hydrate, isomer, tautomer, racemate, or isotope thereof, wherein at least one R6 is −S(O)tR10, −S(O)tR10, −NR10S(O)tR11−, −S(O)tNR10R11, −NR10S(O)tNR10−, −NR10S(O)tOR11, or −OS(O)tNR10R11. In one embodiment is provided a compound having the structure of any one of Formula (I′), (II′), (II′-A), (II′-A-1), (II′-A-2), (II′-A-3), (II′-A-4), (II′-A-5), (II′-A-6), (II′-B), (II′-B-1), (II′-B-2), (II′-B-3), (II′-B-4), (II′-B-5), (II′-B-6), (II′-C), (II′-C-1), (II′-C-2), (II′-C-3), (II′-C-4), (II′-C-5), (II′-C-6), (II′-D), (II′-D- 1), (II′-D-2), (II′-D-3), (II′-D-4), (II′-D-5), (II′-D-6), (III′), (III′-A), (III′-A-1), (III′-A-2), (III′-A-3), (III′-A-4),
(III′-A-5), (III′-A-6), (III′-B), (III′-B-1), (III′-B-2), (III′-B-3), (III′-B-4), (III′-B-5), (III′-B-6), (III′-C), (III′-C- 1), (III′-C-2), (III′-C-3), (III′-C-4), (III′-C-5), (III′-C-6), (III′-D), (III′-D-1), (III′-D-2), (III′-D-3), (III′-D-4), (III′-D-5), (III′-D-6), (III′-E), (III′-E-1), (III′-E-2), (III′-E-3), (III′-E-4), (III′-E-5), (III′-E-6), (IV′), (I), (II), (II-A), (II-A-1), (II-A-2), (II-A-3), (II-A-4), (II-A-5), (II-B), (II-B-1), (II-B-2), (II-B-3), (II-B-4), (II-B-5), (II-C), (II-C-1), (II-C-2), (II-C-3), (II-C-4), (II-C-5), (II-D), (II-D-1), (II-D-2), (II-D-3), (II-D-4), (II-D-5), (III), (III-A), (III-A-1), (III-A-2), (III-A-3), (III-A-4), (III-A-5), (III-B), (III-B-1), (III-B-2), (III-B-3), (III-B-4), (III-B-5), (III-C), (III-C-1), (III-C-2), (III-C-3), (III-C-4), (III-C-5), (III-D), (III-D-1), (III-D-2), (III-D-3), (III-D-4), or (III-D-5), or a pharmaceutically acceptable salt, solvate, hydrate, isomer, tautomer, racemate, or isotope thereof, wherein at least one R6 is R20. In one embodiment is provided a compound having the structure of any one of Formula (I′), (II′), (II′-A), (II′-A-1), (II′-A-2), (II′-A-3), (II′-A-4), (II′-A-5), (II′-A-6), (II′-B), (II′-B-1), (II′-B-2), (II′-B-3), (II′-B-4), (II′-B-5), (II′-B-6), (II′-C), (II′-C-1), (II′-C-2), (II′-C-3), (II′-C-4), (II′-C-5), (II′-C-6), (II′-D), (II′-D- 1), (II′-D-2), (II′-D-3), (II′-D-4), (II′-D-5), (II′-D-6), (III′), (III′-A), (III′-A-1), (III′-A-2), (III′-A-3), (III′-A-4), (III′-A-5), (III′-A-6), (III′-B), (III′-B-1), (III′-B-2), (III′-B-3), (III′-B-4), (III′-B-5), (III′-B-6), (III′-C), (III′-C- 1), (III′-C-2), (III′-C-3), (III′-C-4), (III′-C-5), (III′-C-6), (III′-D), (III′-D-1), (III′-D-2), (III′-D-3), (III′-D-4), (III′-D-5), (III′-D-6), (III′-E), (III′-E-1), (III′-E-2), (III′-E-3), (III′-E-4), (III′-E-5), (III′-E-6), (IV′), (I), (II), (II-A), (II-A-1), (II-A-2), (II-A-3), (II-A-4), (II-A-5), (II-B), (II-B-1), (II-B-2), (II-B-3), (II-B-4), (II-B-5), (II-C), (II-C-1), (II-C-2), (II-C-3), (II-C-4), (II-C-5), (II-D), (II-D-1), (II-D-2), (II-D-3), (II-D-4), (II-D-5), (III), (III-A), (III-A-1), (III-A-2), (III-A-3), (III-A-4), (III-A-5), (III-B), (III-B-1), (III-B-2), (III-B-3), (III-B-4), (III-B-5), (III-C), (III-C-1), (III-C-2), (III-C-3), (III-C-4), (III-C-5), (III-D), (III-D-1), (III-D-2), (III-D-3), (III-D-4), or (III-D-5), or a pharmaceutically acceptable salt, solvate, hydrate, isomer, tautomer, racemate, or isotope thereof, wherein R20 is carbocycle substituted by –(R21)u. In one embodiment is provided a compound having the structure of any one of Formula (I′), (II′), (II′-A), (II′-A-1), (II′-A-2), (II′-A-3), (II′-A-4), (II′-A-5), (II′-A-6), (II′-B), (II′-B-1), (II′-B-2), (II′-B-3), (II′-B-4), (II′-B-5), (II′-B-6), (II′-C), (II′-C-1), (II′-C-2), (II′-C-3), (II′-C-4), (II′-C-5), (II′-C-6), (II′-D), (II′-D- 1), (II′-D-2), (II′-D-3), (II′-D-4), (II′-D-5), (II′-D-6), (III′), (III′-A), (III′-A-1), (III′-A-2), (III′-A-3), (III′-A-4), (III′-A-5), (III′-A-6), (III′-B), (III′-B-1), (III′-B-2), (III′-B-3), (III′-B-4), (III′-B-5), (III′-B-6), (III′-C), (III′-C- 1), (III′-C-2), (III′-C-3), (III′-C-4), (III′-C-5), (III′-C-6), (III′-D), (III′-D-1), (III′-D-2), (III′-D-3), (III′-D-4), (III′-D-5), (III′-D-6), (III′-E), (III′-E-1), (III′-E-2), (III′-E-3), (III′-E-4), (III′-E-5), (III′-E-6), (IV′), (I), (II), (II-A), (II-A-1), (II-A-2), (II-A-3), (II-A-4), (II-A-5), (II-B), (II-B-1), (II-B-2), (II-B-3), (II-B-4), (II-B-5), (II-C), (II-C-1), (II-C-2), (II-C-3), (II-C-4), (II-C-5), (II-D), (II-D-1), (II-D-2), (II-D-3), (II-D-4), (II-D-5), (III), (III-A), (III-A-1), (III-A-2), (III-A-3), (III-A-4), (III-A-5), (III-B), (III-B-1), (III-B-2), (III-B-3), (III-B-4),
(III-B-5), (III-C), (III-C-1), (III-C-2), (III-C-3), (III-C-4), (III-C-5), (III-D), (III-D-1), (III-D-2), (III-D-3), (III-D-4), or (III-D-5), or a pharmaceutically acceptable salt, solvate, hydrate, isomer, tautomer, racemate, or isotope thereof, wherein R20 is heterocycle substituted by –(R21)u. In one embodiment is provided a compound having the structure of any one of Formula (I′), (II′), (II′-A), (II′-A-1), (II′-A-2), (II′-A-3), (II′-A-4), (II′-A-5), (II′-A-6), (II′-B), (II′-B-1), (II′-B-2), (II′-B-3), (II′-B-4), (II′-B-5), (II′-B-6), (II′-C), (II′-C-1), (II′-C-2), (II′-C-3), (II′-C-4), (II′-C-5), (II′-C-6), (II′-D), (II′-D- 1), (II′-D-2), (II′-D-3), (II′-D-4), (II′-D-5), (II′-D-6), (III′), (III′-A), (III′-A-1), (III′-A-2), (III′-A-3), (III′-A-4), (III′-A-5), (III′-A-6), (III′-B), (III′-B-1), (III′-B-2), (III′-B-3), (III′-B-4), (III′-B-5), (III′-B-6), (III′-C), (III′-C- 1), (III′-C-2), (III′-C-3), (III′-C-4), (III′-C-5), (III′-C-6), (III′-D), (III′-D-1), (III′-D-2), (III′-D-3), (III′-D-4), (III′-D-5), (III′-D-6), (III′-E), (III′-E-1), (III′-E-2), (III′-E-3), (III′-E-4), (III′-E-5), (III′-E-6), (IV′), (I), (II), (II-A), (II-A-1), (II-A-2), (II-A-3), (II-A-4), (II-A-5), (II-B), (II-B-1), (II-B-2), (II-B-3), (II-B-4), (II-B-5), (II-C), (II-C-1), (II-C-2), (II-C-3), (II-C-4), (II-C-5), (II-D), (II-D-1), (II-D-2), (II-D-3), (II-D-4), (II-D-5), (III), (III-A), (III-A-1), (III-A-2), (III-A-3), (III-A-4), (III-A-5), (III-B), (III-B-1), (III-B-2), (III-B-3), (III-B-4), (III-B-5), (III-C), (III-C-1), (III-C-2), (III-C-3), (III-C-4), (III-C-5), (III-D), (III-D-1), (III-D-2), (III-D-3), (III-D-4), or (III-D-5), or a pharmaceutically acceptable salt, solvate, hydrate, isomer, tautomer, racemate, or isotope thereof, wherein u is 0. In one embodiment is provided a compound having the structure of any one of Formula (I′), (II′), (II′-A), (II′-A-1), (II′-A-2), (II′-A-3), (II′-A-4), (II′-A-5), (II′-A-6), (II′-B), (II′-B-1), (II′-B-2), (II′-B-3), (II′-B-4), (II′-B-5), (II′-B-6), (II′-C), (II′-C-1), (II′-C-2), (II′-C-3), (II′-C-4), (II′-C-5), (II′-C-6), (II′-D), (II′-D- 1), (II′-D-2), (II′-D-3), (II′-D-4), (II′-D-5), (II′-D-6), (III′), (III′-A), (III′-A-1), (III′-A-2), (III′-A-3), (III′-A-4), (III′-A-5), (III′-A-6), (III′-B), (III′-B-1), (III′-B-2), (III′-B-3), (III′-B-4), (III′-B-5), (III′-B-6), (III′-C), (III′-C- 1), (III′-C-2), (III′-C-3), (III′-C-4), (III′-C-5), (III′-C-6), (III′-D), (III′-D-1), (III′-D-2), (III′-D-3), (III′-D-4), (III′-D-5), (III′-D-6), (III′-E), (III′-E-1), (III′-E-2), (III′-E-3), (III′-E-4), (III′-E-5), (III′-E-6), (IV′), (I), (II), (II-A), (II-A-1), (II-A-2), (II-A-3), (II-A-4), (II-A-5), (II-B), (II-B-1), (II-B-2), (II-B-3), (II-B-4), (II-B-5), (II-C), (II-C-1), (II-C-2), (II-C-3), (II-C-4), (II-C-5), (II-D), (II-D-1), (II-D-2), (II-D-3), (II-D-4), (II-D-5), (III), (III-A), (III-A-1), (III-A-2), (III-A-3), (III-A-4), (III-A-5), (III-B), (III-B-1), (III-B-2), (III-B-3), (III-B-4), (III-B-5), (III-C), (III-C-1), (III-C-2), (III-C-3), (III-C-4), (III-C-5), (III-D), (III-D-1), (III-D-2), (III-D-3), (III-D-4), or (III-D-5), or a pharmaceutically acceptable salt, solvate, hydrate, isomer, tautomer, racemate, or isotope thereof, wherein u is 1, 2, or 3. In one embodiment is provided a compound having the structure of any one of Formula (I′), (II′), (II′-A), (II′-A-1), (II′-A-2), (II′-A-3), (II′-A-4), (II′-A-5), (II′-A-6), (II′-B), (II′-B-1), (II′-B-2), (II′-B-3), (II′-B-4), (II′-B-5), (II′-B-6), (II′-C), (II′-C-1), (II′-C-2), (II′-C-3), (II′-C-4), (II′-C-5), (II′-C-6), (II′-D), (II′-D-
1), (II′-D-2), (II′-D-3), (II′-D-4), (II′-D-5), (II′-D-6), (III′), (III′-A), (III′-A-1), (III′-A-2), (III′-A-3), (III′-A-4), (III′-A-5), (III′-A-6), (III′-B), (III′-B-1), (III′-B-2), (III′-B-3), (III′-B-4), (III′-B-5), (III′-B-6), (III′-C), (III′-C- 1), (III′-C-2), (III′-C-3), (III′-C-4), (III′-C-5), (III′-C-6), (III′-D), (III′-D-1), (III′-D-2), (III′-D-3), (III′-D-4), (III′-D-5), (III′-D-6), (III′-E), (III′-E-1), (III′-E-2), (III′-E-3), (III′-E-4), (III′-E-5), (III′-E-6), (IV′), (I), (II), (II-A), (II-A-1), (II-A-2), (II-A-3), (II-A-4), (II-A-5), (II-B), (II-B-1), (II-B-2), (II-B-3), (II-B-4), (II-B-5), (II-C), (II-C-1), (II-C-2), (II-C-3), (II-C-4), (II-C-5), (II-D), (II-D-1), (II-D-2), (II-D-3), (II-D-4), (II-D-5), (III), (III-A), (III-A-1), (III-A-2), (III-A-3), (III-A-4), (III-A-5), (III-B), (III-B-1), (III-B-2), (III-B-3), (III-B-4), (III-B-5), (III-C), (III-C-1), (III-C-2), (III-C-3), (III-C-4), (III-C-5), (III-D), (III-D-1), (III-D-2), (III-D-3), (III-D-4), or (III-D-5), or a pharmaceutically acceptable salt, solvate, hydrate, isomer, tautomer, racemate, or isotope thereof, wherein at least one R6 is −L4−R12. In one embodiment is provided a compound having the structure of any one of Formula (I′), (II′), (II′-A), (II′-A-1), (II′-A-2), (II′-A-3), (II′-A-4), (II′-A-5), (II′-A-6), (II′-B), (II′-B-1), (II′-B-2), (II′-B-3), (II′-B-4), (II′-B-5), (II′-B-6), (II′-C), (II′-C-1), (II′-C-2), (II′-C-3), (II′-C-4), (II′-C-5), (II′-C-6), (II′-D), (II′-D- 1), (II′-D-2), (II′-D-3), (II′-D-4), (II′-D-5), (II′-D-6), (III′), (III′-A), (III′-A-1), (III′-A-2), (III′-A-3), (III′-A-4), (III′-A-5), (III′-A-6), (III′-B), (III′-B-1), (III′-B-2), (III′-B-3), (III′-B-4), (III′-B-5), (III′-B-6), (III′-C), (III′-C- 1), (III′-C-2), (III′-C-3), (III′-C-4), (III′-C-5), (III′-C-6), (III′-D), (III′-D-1), (III′-D-2), (III′-D-3), (III′-D-4), (III′-D-5), (III′-D-6), (III′-E), (III′-E-1), (III′-E-2), (III′-E-3), (III′-E-4), (III′-E-5), (III′-E-6), (IV′), (I), (II), (II-A), (II-A-1), (II-A-2), (II-A-3), (II-A-4), (II-A-5), (II-B), (II-B-1), (II-B-2), (II-B-3), (II-B-4), (II-B-5), (II-C), (II-C-1), (II-C-2), (II-C-3), (II-C-4), (II-C-5), (II-D), (II-D-1), (II-D-2), (II-D-3), (II-D-4), (II-D-5), (III), (III-A), (III-A-1), (III-A-2), (III-A-3), (III-A-4), (III-A-5), (III-B), (III-B-1), (III-B-2), (III-B-3), (III-B-4), (III-B-5), (III-C), (III-C-1), (III-C-2), (III-C-3), (III-C-4), (III-C-5), (III-D), (III-D-1), (III-D-2), (III-D-3), (III-D-4), or (III-D-5), or a pharmaceutically acceptable salt, solvate, hydrate, isomer, tautomer, racemate, or isotope thereof, wherein L4 is
. In one embodiment is provided a compound having the structure of any one of Formula (I′), (II′), (II′-A), (II′-A-1), (II′-A-2), (II′-A-3), (II′-A-4), (II′-A-5), (II′-A-6), (II′-B), (II′-B-1), (II′-B-2), (II′-B-3), (II′-B-4), (II′-B-5), (II′-B-6), (II′-C), (II′-C-1), (II′-C-2), (II′-C-3), (II′-C-4), (II′-C-5), (II′-C-6), (II′-D), (II′-D- 1), (II′-D-2), (II′-D-3), (II′-D-4), (II′-D-5), (II′-D-6), (III′), (III′-A), (III′-A-1), (III′-A-2), (III′-A-3), (III′-A-4), (III′-A-5), (III′-A-6), (III′-B), (III′-B-1), (III′-B-2), (III′-B-3), (III′-B-4), (III′-B-5), (III′-B-6), (III′-C), (III′-C- 1), (III′-C-2), (III′-C-3), (III′-C-4), (III′-C-5), (III′-C-6), (III′-D), (III′-D-1), (III′-D-2), (III′-D-3), (III′-D-4),
(III′-D-5), (III′-D-6), (III′-E), (III′-E-1), (III′-E-2), (III′-E-3), (III′-E-4), (III′-E-5), (III′-E-6), (IV′), (I), (II), (II-A), (II-A-1), (II-A-2), (II-A-3), (II-A-4), (II-A-5), (II-B), (II-B-1), (II-B-2), (II-B-3), (II-B-4), (II-B-5), (II-C), (II-C-1), (II-C-2), (II-C-3), (II-C-4), (II-C-5), (II-D), (II-D-1), (II-D-2), (II-D-3), (II-D-4), (II-D-5), (III), (III-A), (III-A-1), (III-A-2), (III-A-3), (III-A-4), (III-A-5), (III-B), (III-B-1), (III-B-2), (III-B-3), (III-B-4), (III-B-5), (III-C), (III-C-1), (III-C-2), (III-C-3), (III-C-4), (III-C-5), (III-D), (III-D-1), (III-D-2), (III-D-3), (III-D-4), or (III-D-5), or a pharmaceutically acceptable salt, solvate, hydrate, isomer, tautomer, racemate, or isotope thereof, wherein R22 is, at each occurrence, independently H, C1-6 alkyl, or C1-6 haloalkyl. In one embodiment is provided a compound having the structure of any one of Formula (I′), (II′), (II′-A), (II′-A-1), (II′-A-2), (II′-A-3), (II′-A-4), (II′-A-5), (II′-A-6), (II′-B), (II′-B-1), (II′-B-2), (II′-B-3), (II′-B-4), (II′-B-5), (II′-B-6), (II′-C), (II′-C-1), (II′-C-2), (II′-C-3), (II′-C-4), (II′-C-5), (II′-C-6), (II′-D), (II′-D- 1), (II′-D-2), (II′-D-3), (II′-D-4), (II′-D-5), (II′-D-6), (III′), (III′-A), (III′-A-1), (III′-A-2), (III′-A-3), (III′-A-4), (III′-A-5), (III′-A-6), (III′-B), (III′-B-1), (III′-B-2), (III′-B-3), (III′-B-4), (III′-B-5), (III′-B-6), (III′-C), (III′-C- 1), (III′-C-2), (III′-C-3), (III′-C-4), (III′-C-5), (III′-C-6), (III′-D), (III′-D-1), (III′-D-2), (III′-D-3), (III′-D-4), (III′-D-5), (III′-D-6), (III′-E), (III′-E-1), (III′-E-2), (III′-E-3), (III′-E-4), (III′-E-5), (III′-E-6), (IV′), (I), (II), (II-A), (II-A-1), (II-A-2), (II-A-3), (II-A-4), (II-A-5), (II-B), (II-B-1), (II-B-2), (II-B-3), (II-B-4), (II-B-5), (II-C), (II-C-1), (II-C-2), (II-C-3), (II-C-4), (II-C-5), (II-D), (II-D-1), (II-D-2), (II-D-3), (II-D-4), (II-D-5), (III), (III-A), (III-A-1), (III-A-2), (III-A-3), (III-A-4), (III-A-5), (III-B), (III-B-1), (III-B-2), (III-B-3), (III-B-4), (III-B-5), (III-C), (III-C-1), (III-C-2), (III-C-3), (III-C-4), (III-C-5), (III-D), (III-D-1), (III-D-2), (III-D-3), (III-D-4), or (III-D-5), or a pharmaceutically acceptable salt, solvate, hydrate, isomer, tautomer, racemate, or isotope thereof, wherein R23 is, at each occurrence, independently H, C1-6 alkyl, or C1-6 haloalkyl. In one embodiment is provided a compound having the structure of any one of Formula (I′), (II′), (II′-A), (II′-A-1), (II′-A-2), (II′-A-3), (II′-A-4), (II′-A-5), (II′-A-6), (II′-B), (II′-B-1), (II′-B-2), (II′-B-3), (II′-B-4), (II′-B-5), (II′-B-6), (II′-C), (II′-C-1), (II′-C-2), (II′-C-3), (II′-C-4), (II′-C-5), (II′-C-6), (II′-D), (II′-D- 1), (II′-D-2), (II′-D-3), (II′-D-4), (II′-D-5), (II′-D-6), (III′), (III′-A), (III′-A-1), (III′-A-2), (III′-A-3), (III′-A-4), (III′-A-5), (III′-A-6), (III′-B), (III′-B-1), (III′-B-2), (III′-B-3), (III′-B-4), (III′-B-5), (III′-B-6), (III′-C), (III′-C- 1), (III′-C-2), (III′-C-3), (III′-C-4), (III′-C-5), (III′-C-6), (III′-D), (III′-D-1), (III′-D-2), (III′-D-3), (III′-D-4), (III′-D-5), (III′-D-6), (III′-E), (III′-E-1), (III′-E-2), (III′-E-3), (III′-E-4), (III′-E-5), (III′-E-6), (IV′), (I), (II), (II-A), (II-A-1), (II-A-2), (II-A-3), (II-A-4), (II-A-5), (II-B), (II-B-1), (II-B-2), (II-B-3), (II-B-4), (II-B-5), (II-C), (II-C-1), (II-C-2), (II-C-3), (II-C-4), (II-C-5), (II-D), (II-D-1), (II-D-2), (II-D-3), (II-D-4), (II-D-5), (III), (III-A), (III-A-1), (III-A-2), (III-A-3), (III-A-4), (III-A-5), (III-B), (III-B-1), (III-B-2), (III-B-3), (III-B-4),
(III-B-5), (III-C), (III-C-1), (III-C-2), (III-C-3), (III-C-4), (III-C-5), (III-D), (III-D-1), (III-D-2), (III-D-3), (III-D-4), or (III-D-5), or a pharmaceutically acceptable salt, solvate, hydrate, isomer, tautomer, racemate, or isotope thereof, wherein at least one occurrence of R22 and R23, together with the carbon atom to which they are attached, form a 3-6 membered carbocycle or 3-6 membered heterocycle. In one embodiment is provided a compound having the structure of any one of Formula (I′), (II′), (II′-A), (II′-A-1), (II′-A-2), (II′-A-3), (II′-A-4), (II′-A-5), (II′-A-6), (II′-B), (II′-B-1), (II′-B-2), (II′-B-3), (II′-B-4), (II′-B-5), (II′-B-6), (II′-C), (II′-C-1), (II′-C-2), (II′-C-3), (II′-C-4), (II′-C-5), (II′-C-6), (II′-D), (II′-D- 1), (II′-D-2), (II′-D-3), (II′-D-4), (II′-D-5), (II′-D-6), (III′), (III′-A), (III′-A-1), (III′-A-2), (III′-A-3), (III′-A-4), (III′-A-5), (III′-A-6), (III′-B), (III′-B-1), (III′-B-2), (III′-B-3), (III′-B-4), (III′-B-5), (III′-B-6), (III′-C), (III′-C- 1), (III′-C-2), (III′-C-3), (III′-C-4), (III′-C-5), (III′-C-6), (III′-D), (III′-D-1), (III′-D-2), (III′-D-3), (III′-D-4), (III′-D-5), (III′-D-6), (III′-E), (III′-E-1), (III′-E-2), (III′-E-3), (III′-E-4), (III′-E-5), (III′-E-6), (IV′), (I), (II), (II-A), (II-A-1), (II-A-2), (II-A-3), (II-A-4), (II-A-5), (II-B), (II-B-1), (II-B-2), (II-B-3), (II-B-4), (II-B-5), (II-C), (II-C-1), (II-C-2), (II-C-3), (II-C-4), (II-C-5), (II-D), (II-D-1), (II-D-2), (II-D-3), (II-D-4), (II-D-5), (III), (III-A), (III-A-1), (III-A-2), (III-A-3), (III-A-4), (III-A-5), (III-B), (III-B-1), (III-B-2), (III-B-3), (III-B-4), (III-B-5), (III-C), (III-C-1), (III-C-2), (III-C-3), (III-C-4), (III-C-5), (III-D), (III-D-1), (III-D-2), (III-D-3), (III-D-4), or (III-D-5), or a pharmaceutically acceptable salt, solvate, hydrate, isomer, tautomer, racemate, or isotope thereof, wherein R12 is −OR13, −NR13R14, −C(O)R13, −C(O)OR13, −OC(O)R13, −C(O)NR13R14, −NR14C(O)OR13, −OC(O)NR13R14, −NR14C(O)OR13, −NR13C(O)NR13R14, −S(O)tR13, −NR13S(O)tR14, −S(O)tNR13R14, −NR13S(O)tNR14−, −NR13S(O)tOR14, or −OS(O)tNR13R14. In one embodiment is provided a compound having the structure of any one of Formula (I′), (II′), (II′-A), (II′-A-1), (II′-A-2), (II′-A-3), (II′-A-4), (II′-A-5), (II′-A-6), (II′-B), (II′-B-1), (II′-B-2), (II′-B-3), (II′-B-4), (II′-B-5), (II′-B-6), (II′-C), (II′-C-1), (II′-C-2), (II′-C-3), (II′-C-4), (II′-C-5), (II′-C-6), (II′-D), (II′-D- 1), (II′-D-2), (II′-D-3), (II′-D-4), (II′-D-5), (II′-D-6), (III′), (III′-A), (III′-A-1), (III′-A-2), (III′-A-3), (III′-A-4), (III′-A-5), (III′-A-6), (III′-B), (III′-B-1), (III′-B-2), (III′-B-3), (III′-B-4), (III′-B-5), (III′-B-6), (III′-C), (III′-C- 1), (III′-C-2), (III′-C-3), (III′-C-4), (III′-C-5), (III′-C-6), (III′-D), (III′-D-1), (III′-D-2), (III′-D-3), (III′-D-4), (III′-D-5), (III′-D-6), (III′-E), (III′-E-1), (III′-E-2), (III′-E-3), (III′-E-4), (III′-E-5), (III′-E-6), (IV′), (I), (II), (II-A), (II-A-1), (II-A-2), (II-A-3), (II-A-4), (II-A-5), (II-B), (II-B-1), (II-B-2), (II-B-3), (II-B-4), (II-B-5), (II-C), (II-C-1), (II-C-2), (II-C-3), (II-C-4), (II-C-5), (II-D), (II-D-1), (II-D-2), (II-D-3), (II-D-4), (II-D-5), (III), (III-A), (III-A-1), (III-A-2), (III-A-3), (III-A-4), (III-A-5), (III-B), (III-B-1), (III-B-2), (III-B-3), (III-B-4), (III-B-5), (III-C), (III-C-1), (III-C-2), (III-C-3), (III-C-4), (III-C-5), (III-D), (III-D-1), (III-D-2), (III-D-3),
(III-D-4), or (III-D-5), or a pharmaceutically acceptable salt, solvate, hydrate, isomer, tautomer, racemate, or isotope thereof, wherein R12 is R20. Representative compounds of Formula (I), and Formulas (II) through (III) as applicable, include the compounds having the structure of those listed in Table 1 and Examples 2–881, below, as well as pharmaceutically acceptable isomers, racemates, tautomers, hydrates, solvates, isotopes, or salts thereof. To this end, representative compounds are identified herein by their respective “Compound Number”, which is sometimes abbreviated as “Compound No.”, “Cmpd. No.” or “No.” TABLE 1
No. Structure
"Isomer" is used herein to encompass all chiral, diastereomeric or racemic forms of a structure, unless a particular stereochemistry or isomeric form is specifically indicated. Such compounds can be enriched or resolved optical isomers at any or all asymmetric atoms as are apparent from the depictions, at any degree of enrichment. Both racemic and diastereomeric mixtures, as well as the individual optical isomers can be synthesized to be substantially free of their enantiomeric or diastereomeric partners, and these are all within the scope of certain
embodiments of the disclosure. However, when a particular stereochemistry or isomeric form is indicated herein, the particular form is meant to indicate an assumed stereochemistry or isomeric form unless it is specifically indicated that the particular stereochemistry or isomeric form has been definitively determined. The isomers resulting from the presence of a chiral center comprise a pair of non-superimposable isomers that are called "enantiomers." Single enantiomers of a pure compound are optically active (i.e., they can rotate the plane of plane polarized light and designated R or S). The term also encompasses isomers arising from substitution patterns across double bonds, in particular (E)- and (Z)- isomers, or cis- and trans- isomers. E–Z configuration describes the absolute stereochemistry across double bonds having two, three or four substituents. Following the Cahn-Ingold-Prelog priority rules (CIP rules), each substituent on a double bond is assigned a priority, and the positions of the higher of the two substituents on each carbon determined. If the two groups of higher priority are on the same side of the double bond (cis to each other), the bond is assigned Z ("zusammen", German for "together"). If the two groups of higher priority are on opposite sides of the double bond (trans to each other), the bond is assigned E ("entgegen", German for "opposite"). Each isomer may be isolated separately or exist as mixtures. The mixtures may be predominantly one isomer, e.g. 99.9%, or 99% or 90%, predominantly the other isomer, enriched in one or the other of the isomer(e.g. an 80/20 mixture, or a 40/60 mixture), or be approximately equal mixtures. 1,4-disubstitued cyclohexanes, as described herein, may exist as cis and trans isomers. Each isomer may be isolated separately or exist as mixtures. The mixtures may be predominantly one isomer, e.g.99.9%, or 99% or 90%, predominantly the other isomer, enriched in one or the other of the isomer(e.g. an 80/20 mixture, or a 40/60 mixture), or be approximately equal mixtures. Assignment of cis or trans is illustrated in the figure below. When a particular cis or trans isomeric form is indicated herein, the particular form is meant to indicate an assumed stereochemistry or isomeric form unless it is specifically indicated that the particular isomeric form has been definitively determined.
"Isolated optical isomer" means a compound which has been substantially purified from the corresponding optical isomer(s) of the same formula. For example, the isolated isomer may be at least about 80%, at least 80% or at least 85% pure. In other embodiments, the isolated isomer is at least 90% pure or at least 98% pure, or at least 99% pure by weight. "Substantially enantiomerically or diastereomerically" pure means a level of enantiomeric or diastereomeric enrichment of one enantiomer with respect to the other enantiomer or diastereomer of at least about 80%, and more specifically in excess of 80%, 85%, 90%, 95%, 98%, 99%, 99.5% or 99.9%. The terms "racemate" and "racemic mixture" refer to an equal mixture of two enantiomers. A racemate is labeled "(±)" because it is not optically active (i.e., will not rotate plane-polarized light in either direction since its constituent enantiomers cancel each other out). A "hydrate" is a compound that exists in combination with water molecules. The combination can include water in stoichiometric quantities, such as a monohydrate or a dihydrate, or can include water in random amounts. As the term is used herein a "hydrate" refers to a solid form; that is, a compound in a water solution, while it may be hydrated, is not a hydrate as the term is used herein. A "solvate" is similar to a hydrate except that a solvent other that water is present. For example, methanol or ethanol can form an "alcoholate", which can again be stoichiometric or non-stoichiometric. As the term is used herein a "solvate" refers to a solid form; that is, a compound in a solvent solution, while it may be solvated, is not a solvate as the term is used herein. "Isotope" refers to atoms with the same number of protons but a different number of neutrons, and an isotope of a compound of Formulas (I) includes any such compound wherein one or more atoms are replaced by an isotope of that atom. For example, carbon 12, the most common form of carbon, has six protons and six neutrons, whereas carbon 13 has six protons
and seven neutrons, and carbon 14 has six protons and eight neutrons. Hydrogen has two stable isotopes, deuterium (one proton and one neutron) and tritium (one proton and two neutrons). While fluorine has several isotopes, fluorine 19 is longest-lived. Thus, an isotope of a compound having the structure of Formulas (I) includes, but not limited to, compounds of Formulas (I) wherein one or more carbon 12 atoms are replaced by carbon-13 and/or carbon- 14 atoms, wherein one or more hydrogen atoms are replaced with deuterium and/or tritium, and/or wherein one or more fluorine atoms are replaced by fluorine-19. In one embodiment is provided an isotope of a compound of Table 1 or of any one of Formula (I′), (II′), (II′-A), (II′-A-1), (II′-A-2), (II′-A-3), (II′-A-4), (II′-A-5), (II′-A-6), (II′-B), (II′-B-1), (II′-B-2), (II′-B-3), (II′-B-4), (II′-B-5), (II′-B-6), (II′-C), (II′-C-1), (II′-C-2), (II′-C-3), (II′-C-4), (II′-C-5), (II′-C-6), (II′-D), (II′-D-1), (II′-D-2), (II′-D-3), (II′-D-4), (II′-D-5), (II′-D-6), (III′), (III′-A), (III′-A-1), (III′-A-2), (III′-A-3), (III′-A-4), (III′-A-5), (III′-A-6), (III′-B), (III′-B-1), (III′-B-2), (III′-B-3), (III′-B-4), (III′-B-5), (III′-B-6), (III′-C), (III′-C-1), (III′-C-2), (III′-C-3), (III′-C-4), (III′-C-5), (III′-C-6), (III′-D), (III′-D- 1), (III′-D-2), (III′-D-3), (III′-D-4), (III′-D-5), (III′-D-6), (III′-E), (III′-E-1), (III′-E-2), (III′-E-3), (III′-E-4), (III′-E-5), (III′-E-6), (IV′), (I), (II), (II-A), (II-A-1), (II-A-2), (II-A-3), (II-A-4), (II-A-5), (II-B), (II-B-1), (II-B-2), (II-B-3), (II-B-4), (II-B-5), (II-C), (II-C-1), (II-C-2), (II-C-3), (II-C-4), (II-C-5), (II-D), (II-D-1), (II-D-2), (II-D-3), (II-D-4), (II-D-5), (III), (III-A), (III-A-1), (III-A-2), (III-A-3), (III-A-4), (III-A-5), (III-B), (III-B-1), (III-B-2), (III-B-3), (III-B-4), (III-B-5), (III-C), (III-C-1), (III-C-2), (III-C-3), (III-C-4), (III-C-5), (III-D), (III-D-1), (III-D-2), (III-D-3), (III-D-4), or (III-D-5). In one embodiment, the isotope comprises at least one deuterium atom. In another embodiment, an isotope is provided wherein R15 is −CD3. In another embodiment, an isotope is provided wherein R6 is −OR10, and R10 is −CD3. "Salt" generally refers to an organic compound, such as a carboxylic acid or an amine, in ionic form, in combination with a counter ion. For example, salts formed between acids in their anionic form and cations are referred to as "acid addition salts". Conversely, salts formed between bases in the cationic form and anions are referred to as "base addition salts." The term "pharmaceutically acceptable" refers an agent that has been approved for human consumption and is generally non-toxic. For example, the term "pharmaceutically acceptable salt" refers to nontoxic inorganic or organic acid and/or base addition salts (see, e.g., Lit et al., Salt Selection for Basic Drugs, Int. J. Pharm., 33, 201-217, 1986) (incorporated by reference herein).
Pharmaceutically acceptable base addition salts of compounds of the disclosure include, for example, metallic salts including alkali metal, alkaline earth metal, and transition metal salts such as, for example, calcium, magnesium, potassium, sodium, and zinc salts. Pharmaceutically acceptable base addition salts also include organic salts made from basic amines such as, for example, N,N’dibenzylethylenediamine, chloroprocaine, choline, diethanolamine, ethylenediamine, meglumine (N-methylglucamine), and procaine. Pharmaceutically acceptable acid addition salts may be prepared from an inorganic acid or from an organic acid. Examples of inorganic acids include hydrochloric, hydrobromic, hydriodic, nitric, carbonic, sulfuric, and phosphoric acids. Appropriate organic acids may be selected from aliphatic, cycloaliphatic, aromatic, aromatic aliphatic, heterocyclic, carboxylic, and sulfonic classes of organic acids, examples of which include formic, acetic, propionic, succinic, glycolic, gluconic, lactic, malic, tartaric, citric, ascorbic, glucuronic, maleic, fumaric, pyruvic, aspartic, glutamic, benzoic, anthranilic, 4-hydroxybenzoic, phenylacetic, mandelic, hippuric, malonic, oxalic, embonic (pamoic), methanesulfonic, ethanesulfonic, benzenesulfonic, panthothenic, trifluoromethanesulfonic, 2-hydroxyethanesulfonic, p-toluenesulfonic, sulfanilic, cyclohexylaminosulfonic, stearic, alginic, βhydroxybutyric, salicylic, -galactaric, and galacturonic acid. Although pharmaceutically unacceptable salts are not generally useful as medicaments, such salts may be useful, for example as intermediates in the Synthesis of the compounds described herein, for example in their purification by recrystallization. In some embodiments, the compounds are pharmaceutically acceptable salts. In some embodiments, the compounds are isomers. In some embodiments, the compounds are racemates. In some embodiments, the compounds are solvates. In some embodiments, the compounds are hydrates. In some embodiments, the compounds are isotopes. Pharmaceutical Compositions In certain embodiment, also disclosed herein are pharmaceutical compositions comprising a compound as described herein, or a pharmaceutically acceptable salt, solvate, hydrate, isomer, tautomer, racemate or isotope thereof. In some embodiments, the pharmaceutical compositions further comprise a pharmaceutically acceptable carrier, diluent, or excipient. For example, the active compound will usually be mixed with a carrier, or diluted by a carrier, or enclosed within a carrier which can be in the form of an ampoule, capsule, sachet, paper, or
other container. When the active compound is mixed with a carrier, or when the carrier serves as a diluent, it can be solid, semi-solid, or liquid material that acts as a vehicle, excipient, or medium for the active compound. The active compound can be adsorbed on a granular solid carrier, for example contained in a sachet. Some examples of suitable carriers are water, salt solutions, alcohols, polyethylene glycols, polyhydroxyethoxylated castor oil, peanut oil, olive oil, gelatin, lactose, terra alba, sucrose, dextrin, magnesium carbonate, sugar, cyclodextrin, amylose, magnesium stearate, talc, gelatin, agar, pectin, acacia, stearic acid, or lower alkyl ethers of cellulose, silicic acid, fatty acids, fatty acid amines, fatty acid monoglycerides and diglycerides, pentaerythritol fatty acid esters, polyoxyethylene, hydroxymethylcellulose, and polyvinylpyrrolidone. Similarly, the carrier or diluent can include any sustained release material known in the art, such as glyceryl monostearate or glyceryl distearate, alone or mixed with a wax. As used herein, the term "pharmaceutical composition" refers to a composition containing one or more of the compounds described herein, or a pharmaceutically acceptable isomer, racemate, hydrate, solvate, homolog or salt thereof, formulated with a pharmaceutically acceptable carrier, which can also include other additives, and manufactured or sold with the approval of a governmental regulatory agency as part of a therapeutic regimen for the treatment of disease in a mammal. Pharmaceutical compositions can be formulated, for example, for oral administration in unit dosage form (e.g., a tablet, capsule, caplet, gelcap, or syrup); for topical administration (e.g., as a cream, gel, lotion, or ointment); for intravenous administration (e.g., as a sterile solution free of particulate emboli and in a solvent system suitable for intravenous use); or in any other formulation described herein. Conventional procedures and ingredients for the selection and preparation of suitable formulations are described, for example, in Remington: The Science and Practice of Pharmacy, 21st Ed., Gennaro, Ed., Lippencott Williams & Wilkins (2005) and in The United States Pharmacopeia: The National Formulary (USP 36 NF31), published in 2013. In other embodiments, there are provided methods of making a composition of a compound described herein including formulating a compound of the disclosure with a pharmaceutically acceptable carrier or diluent. In some embodiments, the pharmaceutically acceptable carrier or diluent is suitable for oral administration. In some such embodiments, the methods can further include the step of formulating the composition into a tablet or capsule. In other embodiments, the pharmaceutically acceptable carrier or diluent is suitable for
parenteral administration. In some such embodiments, the methods further include the step of lyophilizing the composition to form a lyophilized preparation. As used herein, the term "pharmaceutically acceptable carrier" refers to any ingredient other than the disclosed compounds, or a pharmaceutically acceptable isomer, racemate, hydrate, solvate, homolog or salt thereof (e.g., a carrier capable of suspending or dissolving the active compound) and having the properties of being nontoxic and non-inflammatory in a patient. Excipients may include, for example: antiadherents, antioxidants, binders, coatings, compression aids, disintegrants, dyes (colors), emollients, emulsifiers, fillers (diluents), film formers or coatings, flavors, fragrances, glidants (flow enhancers), lubricants, preservatives, printing inks, sorbents, suspensing or dispersing agents, sweeteners, or waters of hydration. Exemplary excipients include, but are not limited to: butylated hydroxytoluene (BHT), calcium carbonate, calcium phosphate (dibasic), calcium stearate, croscarmellose, crosslinked polyvinyl pyrrolidone, citric acid, crospovidone, cysteine, ethylcellulose, gelatin, hydroxypropyl cellulose, hydroxypropyl methylcellulose, lactose, magnesium stearate, maltitol, mannitol, methionine, methylcellulose, methyl paraben, microcrystalline cellulose, polyethylene glycol, polyvinyl pyrrolidone, povidone, pregelatinized starch, propyl paraben, retinyl palmitate, shellac, silicon dioxide, sodium carboxymethyl cellulose, sodium citrate, sodium starch glycolate, sorbitol, starch (corn), stearic acid, stearic acid, sucrose, talc, titanium dioxide, vitamin A, vitamin E, vitamin C, and xylitol. The formulations can be mixed with auxiliary agents which do not deleteriously react with the active compounds. Such additives can include wetting agents, emulsifying and suspending agents, salt for influencing osmotic pressure, buffers and/or coloring substances, preserving agents, sweetening agents, or flavoring agents. The compositions can also be sterilized if desired. The route of administration can be any route which effectively transports the active compound of the disclosure to the appropriate or desired site of action, such as oral, nasal, pulmonary, buccal, subdermal, intradermal, transdermal, or parenteral, e.g., rectal, depot, subcutaneous, intravenous, intraurethral, intramuscular, intranasal, ophthalmic solution, or an ointment, the oral route being preferred. Dosage forms can be administered once a day, or more than once a day, such as twice or thrice daily. Alternatively, dosage forms can be administered less frequently than daily, such as every other day, or weekly, if found to be advisable by a prescribing physician. Dosing regimens
include, for example, dose titration to the extent necessary or useful for the indication to be treated, thus allowing the patient’s body to adapt to the treatment and/or to minimize or avoid unwanted side effects associated with the treatment. Other dosage forms include delayed or controlled-release forms. Suitable dosage regimens and/or forms include those set out, for example, in the latest edition of the Physicians’ Desk Reference, incorporated herein by reference. Inhibiting DGK Activity and Treating Diseases Associated with DGKα and/or DGKζ In certain embodiments, described herein, are methods for inhibiting the activity of at least one diacylglycerol kinase comprising contacting the diacylglycerol kinase with a compound as described herein, or a pharmaceutically acceptable salt, solvate, hydrate, isomer, tautomer, racemate, isotope, or composition thereof. In some embodiments, the diacylglycerol kinase is diacylglycerol kinase alpha (DGKa) or diacylglycerol kinase zeta (DGKζ). In certain embodiments, methods of treating a subject having a disease or disorder associated with the activity of DGKα, DGKζ, or both DGKα and DGKζ are disclosed, the method comprising administering to a subject in need thereof a pharmaceutically effective amount of a compound as described herein, or a pharmaceutically acceptable salt, solvate, hydrate, isomer, tautomer, racemate, isotope, or composition thereof. As used herein, the term "administering" or "administration" refers to providing a compound, a pharmaceutical composition comprising the same, to a subject by any acceptable means or route, including (for example) by oral, parenteral (e.g., intravenous), or topical administration. As used herein, the term "treatment" refers to an intervention that ameliorates a sign or symptom of a disease or pathological condition. As used herein, the terms "treatment", "treat" and "treating," with reference to a disease, pathological condition or symptom, also refers to any observable beneficial effect of the treatment. The beneficial effect can be evidenced, for example, by a delayed onset of clinical symptoms of the disease in a susceptible subject, a reduction in severity of some or all clinical symptoms of the disease, a slower progression of the disease, a reduction in the number of relapses of the disease, an improvement in the overall health or well-being of the subject, or by other parameters well known in the art that are specific to the particular disease. A prophylactic treatment is a treatment administered to a subject who does not exhibit signs of a disease or exhibits only early signs, for the purpose of
decreasing the risk of developing pathology. A therapeutic treatment is a treatment administered to a subject after signs and symptoms of the disease have developed. The terms cover the treatment of a disease-state in a mammal, particularly in a human, and include: (a) preventing the disease-state from occurring in a mammal, in particular, when such mammal is predisposed to the disease state but has not yet been diagnosed as having it; (b) inhibiting the disease-state, i.e., arresting its development: and/or (c) relieving the disease-state, i.e., causing regression of the disease state. As used herein, the term "DGK-mediated" or "DGK -modulated" or "DGK-dependent" diseases or disorders means any disease or other deleterious condition in which DGK, or a mutant thereof, is known to play a role. Accordingly, another embodiment of the present application relates to treating or lessening the severity of one or more diseases in which DGKα, DGKζ, or both DGKα and DGKζ, or a mutant thereof, are known to play a role. Specifically, the present application relates to a method of treating or lessening the severity of a disease or condition selected from a viral infection or a proliferative disorder, such as cancer, wherein said method comprises administering to a patient in need thereof a compound of Formula (I), ), or a pharmaceutically acceptable salt, solvate, hydrate, isomer, tautomer, racemate, isotope, or composition thereof, according to the present application. As used herein, the term "subject" refers to an animal (e.g., a mammal, such as a human). A subject to be treated according to the methods described herein may be one who has been diagnosed with a viral infection or proliferative disorder, such as cancer. Diagnosis may be performed by any method or technique known in the art. One skilled in the art will understand that a subject to be treated according to the present disclosure may have been subjected to standard tests or may have been identified, without examination, as one at risk due to the presence of one or more risk factors associated with the disease or condition. As used herein, the term "effective amount" refers to a quantity of a specified agent sufficient to achieve a desired effect in a subject being treated with that agent. Ideally, an effective amount of an agent is an amount sufficient to inhibit or treat the disease without causing substantial toxicity in the subject. The effective amount of an agent will be dependent on the subject being treated, the severity of the affliction, and the manner of administration of the pharmaceutical composition. Methods of determining an effective amount of the disclosed compound sufficient to achieve a desired effect in a subject will be understood by those of skill in the art in light of this disclosure.
As used herein, the term "therapeutically effective amount" or “"pharmaceutically effective amount" is intended to include an amount of a compound of the present invention alone or an amount of a compound of the present invention in combination with other active ingredients effective to act as an inhibitor of DGKα and/or DGKζ or effective to treat or prevent viral infections and proliferative disorders, such as cancer. As used herein, the terms "modulate", or "modulating" refer to the ability to increase or decrease the activity of one or more kinases. Accordingly, compounds of the invention can be used in methods of modulating a kinase by contacting the kinase with any one or more of the compounds or compositions described herein. In some embodiments, the compounds can act as inhibitors of one or more kinases. In some embodiments, the compounds can act to stimulate the activity of one or more kinases. In further embodiments, the compounds of the invention can be used to modulate activity of a kinase in an individual in need of modulation of the receptor by administering a modulating amount of a compound as described herein. As used herein, the term "contacting" refers to the bringing together of indicated moieties in an in vitro system or an in vivo system. For example, "contacting" the DGKα and DGKζ enzyme with a compound of Formula (I) includes the administration of a compound of the present invention to an individual or patient, such as a human, having DGKα and DGKζ, as well as, for example, introducing a compound of Formula (I) into a sample containing a cellular or purified preparation containing DGKα and DGKζ enzyme. The term "DGKα and DGKζ inhibitor" refers to an agent capable of inhibiting the activity of diacylglycerol kinase alpha and/or diacylglycerol kinase zeta (DGKα and DGKζ) in T cells resulting in T cell stimulation. The DGKα and DGKζ inhibitor may be a reversible or irreversible DGKα and DGKζ inhibitor. A "reversible DGKα and DGKζ inhibitor" is a compound that reversibly inhibits DGKα and DGKζ enzyme activity either at the catalytic site or at a non-catalytic site and "an irreversible DGKα and DGKζ inhibitor" is a compound that irreversibly destroys DGKα and DGKζ enzyme activity by forming a covalent bond with the enzyme. As used herein, the term "cell" is meant to refer to a cell that is in vitro, ex vivo or in vivo. In some embodiments, an ex vivo cell can be part of a tissue sample excised from an organism such as a mammal. In some embodiments, an in vitro cell can be a cell in a cell culture. In some embodiments, an in vivo cell is a cell living in an organism such as a mammal. The compounds of Formula (I) can inhibit activity of diacylglycerol kinase alpha (DGKα) and/or diacylglycerol kinase zeta (DGKαζ). For example, the compounds of Formula (I) can be
used to inhibit activity of DGKα and DGKζ in a cell or in an individual in need of modulation of DGKα and DGKζ by administering an inhibiting amount of a compound of Formula (I) or a salt thereof. The compounds for Formula (I) and pharmaceutical compositions comprising at least one compound of Formula (I) are useful in treating or preventing any disease or condition associated with DGK target inhibition in T cells. These include viral and other infections (e.g., skin infections, GI infection, urinary tract infections, genito- urinary infections, systemic infections), and proliferative diseases (e.g., cancer). In some embodiments, are methods of inhibiting a kinase comprising contacting the kinase with an effective amount of a compound of Formula (I), or a pharmaceutically acceptable salt, solvate, hydrate, isomer, tautomer, racemate, isotope, or pharmaceutical composition thereof. In some embodiments the kinase is DGK. In some embodiments the kinase is DGKα. In some embodiments the kinase is DGKζ. In some embodiments, are methods for treating a DGK dependent condition, comprising administering to a subject in need thereof, an effective amount of a compound of Formula (I), or a pharmaceutically acceptable salt, solvate, hydrate, isomer, tautomer, racemate, isotope, or pharmaceutical composition thereof. In some embodiments, the a DGK dependent condition is a DGKα dependent condition. In some embodiments, the a DGK dependent condition is a DGKζ dependent condition. In some embodiments the DGK dependent condition is an infection. In some embodiments the DGK dependent condition is a a viral infection. In some embodiments the DGK dependent condition is cancer. In some embodiments are uses of a compound of Formula (I), or a pharmaceutically acceptable salt, solvate, hydrate, isomer, tautomer, racemate, isotope, or pharmaceutical composition thereof in the manufacture of a medicament. In some embodiments the medicament is for the treatment of cancer. In some embodiments the medicament is for the treatment of an autoimmune disease. In some aspects, the invention provides a method of treating a patient suffering from or susceptible to a medical condition that is associated with DGK target inhibition in T cells. A number of medical conditions can be treated. The method comprises administering to the patient a therapeutically effective amount of a composition comprising a compound of Formula (l) and/or a pharmaceutically acceptable salt thereof, a stereoisomer thereof or a tautomer
thereof. For example, the compounds described herein may be used to treat or prevent viral infections and proliferative diseases such as cancer. The present invention further provides methods of treating diseases associated with activity or expression, including abnormal activity and/or overexpression, of DGKα and DGKζ in an individual (e.g., patient) by administering to the individual in need of such treatment a therapeutically effective amount or dose of a compound of Formula (I) or a pharmaceutical composition thereof. Example diseases can include any disease, disorder or condition that is directly or indirectly linked to expression or activity of DGKα and DGKζ enzyme, such as over expression or abnormal activity. A DGKα and/or DGKζ associated disease can also include any disease, disorder or condition that can be prevented, ameliorated, or cured by modulating DGKα and DGKζ enzyme activity. Examples of DGKα and DGKζ associated diseases include cancer and viral infections such as HIV infection, hepatitis B, and hepatitis C. The compounds of Formula (I) and pharmaceutical compositions comprising at least one compound of Formula (I) may be administered to animals, preferably mammals (e.g., domesticated animals, cats, dogs, mice, rats), and more preferably humans. Any method of administration may be used to deliver the compound or pharmaceutical composition to the patient. In certain embodiments, the compound of Formula (I) or pharmaceutical composition comprising at least one compound of Formula (I) is administered orally. In other embodiments, the compound of Formula (I) or pharmaceutical composition comprising at least one compound of Formula (I) is administered parenterally. Described herein are methods of treating a subject having a proliferative disorder or a viral infection comprising administering to the subject in need thereof a pharmaceutically effective amount of a compound as described herein, or a pharmaceutically acceptable salt, solvate, hydrate, isomer, tautomer, racemate, isotope, or composition thereof. Also described herein, are uses of a compound of formula (I), or a pharmaceutically acceptable salt, solvate, hydrate, isomer, tautomer, racemate, isotope, or composition thereof, for inhibiting the activity of at least one of diacylglycerol kinase selected from diacylglycerol kinase alpha (DGKa) and diacylglycerol kinase zeta (DGKζ). Also described herein, are uses of a compound of formula (I), or a pharmaceutically acceptable salt, solvate, hydrate, isomer, tautomer, racemate, isotope, or composition thereof, for treating a disease or disorder associated with the activity of DGKα or DGKζ, or both DGKα and DGKζ.
Also described herein, are uses of a compound of formula (I), or a pharmaceutically acceptable salt, solvate, hydrate, isomer, tautomer, racemate, isotope, or composition thereof, for the treatment of proliferative disorders or viral infections. Cancer In some embodiments, the proliferative disorder is cancer. Thus, in some aspects, the invention provides methods of treating cancer associated with activity or expression, including abnormal activity and/or overexpression, of DGKα and DGKζ in an individual (e.g., patient) by administering to the individual in need of such treatment a therapeutically effective amount or dose of a compound of Formula (I) or a pharmaceutical composition thereof. Types of cancers that may be treated with the compound of Formula (I) include, but are not limited to, brain cancers, skin cancers, bladder cancers, ovarian cancers, breast cancers, gastric cancers, pancreatic cancers, prostate cancers, colon cancers, blood cancers, lung cancers and bone cancers. Examples of such cancer types include neuroblastoma, intestine carcinoma such as rectum carcinoma, colon carcinoma, familiar adenomatous polyposis carcinoma and hereditary non-polyposis colorectal cancer, esophageal carcinoma, labial carcinoma, larynx carcinoma, hypopharynx carcinoma, tongue carcinoma, salivary gland carcinoma, gastric carcinoma, adenocarcinoma, medullary thyroid carcinoma, papillary thyroid carcinoma, renal carcinoma, kidney parenchymal carcinoma, ovarian carcinoma, cervix carcinoma, uterine corpus carcinoma, endometrium carcinoma, chorion carcinoma, pancreatic carcinoma, prostate carcinoma, testis carcinoma, breast carcinoma, urinary carcinoma, melanoma, brain tumors such as glioblastoma, astrocytoma, meningioma, medulloblastoma and peripheral neuroectodermal tumors, Hodgkin lymphoma, non-Hodgkin lymphoma, Burkitt lymphoma, acute lymphatic leukemia (ALL), chronic lymphatic leukemia (CLL), acute myeloid leukemia (AML), chronic myeloid leukemia (CML), adult T-cell leukemia lymphoma, diffuse large B-cell lymphoma (DLBCL), hepatocellular carcinoma, gall bladder carcinoma, bronchial carcinoma, small cell lung carcinoma, non-small cell lung carcinoma, multiple myeloma, basalioma, teratoma, retinoblastoma, choroid melanoma, seminoma, rhabdomyosarcoma, craniopharyngioma, osteosarcoma, chondrosarcoma, myosarcoma, liposarcoma, fibrosarcoma, Ewing sarcoma and plasmocytoma. In some embodiments, the cancer is cancer of the colon, pancreatic cancer, breast cancer, prostate cancer, lung cancer, ovarian cancer, cervical cancer, renal cancer, bladder cancer,
cancer of the head and neck, lymphoma, leukemia, or melanoma. In some embodiments, the cancer is colon cancer. In some embodiments, the cancer is pancreatic cancer. In some embodiments, the cancer is breast cancer. In some embodiments, the cancer is prostate cancer. In some embodiments, the cancer lung cancer. In some embodiments, the cancer is ovarian cancer. In some embodiments, the cancer is cervical cancer. In some embodiments, the cancer is renal cancer. In some embodiments, the cancer is renal cancer. In some embodiments, the cancer is cancer of the head and neck. In some embodiments, the cancer is lymphoma. In some embodiments, the cancer is leukemia. In some embodiments, the cancer is melanoma. Also described herein, are uses of a compound of formula (I), or a pharmaceutically acceptable salt, solvate, hydrate, isomer, tautomer, racemate, isotope, or composition thereof, for the treatment of proliferative disorders or viral infections. In some embodiments, the proliferative disorder is cancer. In some embodiments, the cancer is cancer of the colon, pancreatic cancer, breast cancer, prostate cancer, lung cancer, ovarian cancer, cervical cancer, renal cancer, cancer of the head and neck, lymphoma, leukemia and melanoma. Also described herein, are uses of a compound of formula (I), or a pharmaceutically acceptable salt, solvate, hydrate, isomer, tautomer, racemate, isotope, or composition thereof, for the manufacture of a medicament. Infections In other aspects, the invention provides methods of treating infections associated with activity or expression, including abnormal activity and/or overexpression, of DGKα and DGKζ in an individual (e.g., patient) by administering to the individual in need of such treatment a therapeutically effective amount or dose of a compound of Formula (I) or a pharmaceutical composition thereof. In some embodiemnts, the infections are viral infections. In some embodiemnts, the infections are chronic viral infections. Chronic viral infections that may be treated using the present combinatorial treatment include, but are not limited to, diseases caused by: hepatitis C virus (HCV), human papilloma virus (HPV), cytomegalovirus (CIVIV), herpes simplex virus (HSV), Epstein-Barr virus (EBV), varicella zoster virus, coxsackie virus, human immunodeficiency virus (HIV) Notably, parasitic
infections (e.g., malaria) may also be treated by the above methods wherein compounds known to treat the parasitic conditions are optionally added in place of the antiviral agents Combination Therapy One or more additional pharmaceutical agents or treatment methods such as, for example, anti-viral agents; chemotherapeutics, immuno-oncology agents, or other anti-cancer agents; immune enhancers; immunosuppressants; radiation; anti-tumor and anti-viral vaccines; cytokine therapy (e.g. IL2 and GM-CSF); and/or tyrosine kinase inhibitors can be optionally used in combination with the compounds of Formula (I) for treatment of DGKα and DGKζ associated diseases, disorders or conditions. The agents can be combined with the present compounds in a single dosage form, or the agents can be administered simultaneously or sequentially as separate dosage forms. The combination therapy is intended to embrace administration of these therapeutic agents in a sequential manner, that is, wherein each therapeutic agent is administered at a different time, as well as administration of these therapeutic agents, or at least two of the therapeutic agents, in a substantially simultaneous manner. Substantially simultaneous administration can be accomplished, for example, by administering to the subject a single dosage form having a fixed ratio of each therapeutic agent or in multiple, single dosage forms for each of the therapeutic agents. Sequential or substantially simultaneous administration of each therapeutic agent can be effected by any appropriate route including, but not limited to, oral mutes, intravenous mutes, intramuscular routes, and direct absorption through mucous membrane tissues. The therapeutic agents can be administered by the same route or by different routes. For example, a first therapeutic agent of the combination selected may be administered by intravenous injection while the other therapeutic agents of the combination may be administered orally. Alternatively, for example, all therapeutic agents may be administered orally, or all therapeutic agents may be administered by intravenous injection. Combination therapy also can embrace the administration of the therapeutic agents as described above in further combination with other biologically active ingredients and non-drug therapies (e.g., surgery or radiation treatment.) Where the combination therapy further comprises a non-drug treatment, the non-dmg treatment may be conducted at any suitable time so long as a beneficial effect from the co-action of the combination of the therapeutic agents and non-dmg treatment is achieved. For example, in appropriate cases, the beneficial effect is still achieved
when the non-drug treatment is temporally removed from the administration of the therapeutic agents, perhaps by days or even weeks. In some aspects, the present invention provides a combined preparation of a compound of Formula (I), and/or a pharmaceutically acceptable salt thereof, a stereoisomer thereof or a tautomer thereof; and additional therapeutic agent(s) for simultaneous, separate or sequential use in the treatment and/or prophylaxis of multiple diseases or disorders associated with DGK target inhibition in T cells. In one aspect, T cell responses can be stimulated by a combination of a compound of Formula (I) and one or more of: (i) an antagonist of a protein that inhibits T cell activation (e.g., immune checkpoint inhibitors) such as CTLA-4, PD-1, PD-L1, PD-L2, LAG-3, TIM-3, Galectin 9, CEACAM-1, BTLA, CD69, Galectin-1, TIGIT, CD113, GPR56, VISTA, 2B4, CD48, GARP, PD1H, LAIR1, TIM-1, and TIM-4; and (ii) an agonist of a protein that stimulates T cell activation such as B7-1, B7-2, CD28, 4-1BB (CD137), 4-1BBL, ICOS, ICOS-L, OX40, OX40L, GITR. GITRL, CD70, CD27, CD40, DR3 and CD28H. Combination with Anti-Cancer Agents In another aspect, compounds of Formula (I) may be administered in combination with an anti-cancer agent. Anti-cancer agents include, for example, small molecule drugs, antibodies, or other biologic or small molecule. Examples of biologic immuno-oncology agents include, but are not limited to, cancer vaccines, antibodies, tumor infiltrating lymphocytes, and cytokines. In one aspect, the antibody is a monoclonal antibody. In another aspect, the monoclonal antibody is humanized or human. In one aspect the immuno-oncology agent is an agonist of a stimulatory (including a co- stimulatory) receptor; or an antagonist of an inhibitory (including a co- inhibitory) signal on T cells, both of which result in amplifying antigen-specific T cell responses (often referred to as immune checkpoint regulators). Certain of the stimulatory and inhibitory molecules are members of the immunoglobulin super family (IgSF). One important family of membrane- bound ligands that bind to co-stimulatory or co-inhibitory receptors is the B7 family, which includes B7-l, B7-2, B7-HI (PD-L1), B7-DC (PD-L2), B7-H2 (ICOS-L), B7-H3, B7-H4, B7-H5 (VISTA), and B7-H6. Another family of membrane bound ligands that bind to costimulatory or
coinhibitory receptors is the TNF family of molecules that bind to cognate TNF receptor family members, which includes CD40 and CD40L, OX-40, OX-40L, CD70, CD27L, CD30, CD30L, 4-1BBL, CD137 (4-1BB), TRAIL/Apo2-L, TRAILR1/DR4, TRAILR2/DR5, TRAILR3, TRAILR4, OPG, RANK, RANKL, TWEAKR/Fn14, TWEAK, BAFFR, EDAR, XEDAR, TACI, APRIL, BCMA, LTβR, LIGHT, DcR3, HVEM, VEG1/TL1A, TRAMP/DR3, EDAR, EDA1, XEDAR, EDA2, TNFR1, Lymphotoxin α/TNFβ, TNFR2, TNFα, LTβR, Lymphotoxin α 1β2, FAS, FASL, RELT, DR6, TROY, NGFR. Yet other agents for combination therapies for the treatment of cancer include antagonists of inhibitory receptors on NK cells or agonists of activating receptors on NK cells. For example, antagonists of KIR, such as lirilumab. Yet other agents for combination therapies for the treatment of cancer include agents that inhibit or deplete macrophages or monocytes, including but not limited to CSF-1R antagonists such as CSF-1R antagonist antibodies including RG-7155 or FPA-008. Yet other agents for combination therapies for the treatment of cancer include agonistic agents that ligate positive co-stimulatory receptors, blocking agents that attenuate signaling through inhibitory receptors, antagonists, and one or more agents that increase systemically the frequency of anti-tumor T cells, agents that overcome distinct immune suppressive pathways within the tumor microenvironment, e.g., block inhibitory receptor engagement, such as PD-L1/PD-1 interactions; deplete or inhibit Tregs, such as using an anti-CD25 monoclonal antibody (e.g., daclizumab); or by ex vivo anti-CD25 bead depletion; inhibit metabolic enzymes such as IDO, or reverse/prevent T cell anergy or exhaustion; and agents that trigger innate immune activation and/or inflammation at tumor sites. Yet other agents for combination therapies for the treatment of cancer include tumor infiltrating lymphocytes. In one embodiment, the tumor infiltrating lymphocytes are transferred to a subject in need thereof through adoptive cell transfer. In one embodiment, the adoptive cell transfer to the subject in need thereof is of autologous T cells. In another embodiment, the adoptive cell transfer to the subject in need thereof is of allogeneic T cells. In one embodiment, the adoptive cell transfer to the subject in need thereof is of T cells expressing chimeric antigen receptors (CAR-T cells). In one embodiment, the other agents for combination therapies for the treatment of cancer are CAR-T cells, including, but not limited to, KYMRIAH (tisagenlecleucel), YESCARTA (axicabtagene ciloleucel), TECARTUS (brexucabtagene autoleucel), BREYANZI (lisocabtagene maraleucel), and ABECMA (idecabtagene vicleucel).
Yet other agents for combination therapies for the treatment of cancer include CTLA-4 antagonists such as an antagonistic CTLA-4 antibody. Suitable CTLA-4 antibodies include, for example, YERVOY (ipilimumab) or tremelimumab. Yet other agents for combination therapies for the treatment of cancer include PD-1 antagonists, such as an antagonistic PD-1 antibody. Suitable PD-1 antibodies include, for example, OPDIVO (nivolumab), KEYTRUDA (pembrolizumab), MEDI-0680 (AMP-514; WO2012/145493) or pidilizumab (CT-011). Another approach to target the PD-1 receptor is the recombinant protein composed of the extracellular domain of PD-L2 (B7-DC) fused to the Fe portion of IgG1, called AMP-224. Yet other agents for combination therapies for the treatment of cancer include PD-L1 antagonists, such as an antagonistic PD-L1 antibody Suitable PD-L1 antibodies include, for example, MPDL3280A (RG7446; WO2010/077634), durvaluma (MEDI4736), BMS-936559 (WO2007/005874), and MSB0010718C (WO2013/79174). Yet other agents for combination therapies for the treatment of cancer include LAG-3 antagonists, such as an antagonistic LAG-3 antibody. Suitable LAG3 antibodies include, for example, BMS-986016 (WO10/19570, WO14/08218), or IMP-731 or IMP-321 (WO08/132601, WO09/44273). Yet other agents for combination therapies for the treatment of cancer include CD137 (4- 1BB) agonists, such as an agonistic CD137 antibody. Suitable CD137 antibodies include, for example, urelumab and PF-05082566 (WO12/32433). Yet other agents for combination therapies for the treatment of cancer include GITR agonists such as an agonistic GITR antibody. Suitable GITR antibodies include, for example, BMS-986153, BMS-986156, TRX-518 (WO06/105021, WO09/009116) and MK-4166 (WO11/028683). Yet other agents for combination therapies for the treatment of cancer include IDO antagonists. Suitable IDO antagonists include, for example, INCB-024360 (WO2006/122150, WO07/75598, WO08/36653, WO08/36642), indoximod, BMS-986205, or NLG-919 (WO09/73620, WO09/1156652, WO11/56652, WO12/142237). Yet other agents for combination therapies for the treatment of cancer include OX40 agonists, such as an agonistic OX40 antibody. Suitable OX40 antibodies include, for example, MEDI-6383 or MEDI-6469.
Yet other agents for combination therapies for the treatment of cancer include OX40L antagonists, such as an antagonistic OX40L antibody Suitable OX40L antagonists include, for example, RG-7888 (WO06/029879). Yet other agents for combination therapies for the treatment of cancer include CD40 agonists, such as an agonistic CD40 antibody. Yet other agents for combination therapies for the treatment of cancer include CD40 antagonists, such as an antagonistic CD40 antibody. Suitable CD40 antibodies include, for example, lucatumumab or dacetuzumab. Yet other agents for combination therapies for the treatment of cancer include CD27 agonists, such as an agonistic CD27 antibody. Suitable CD27 antibodies include, for example, varlilumab. Yet other agents for combination therapies for the treatment of cancer include, for example, alkylating agents (including, without limitation, nitrogen mustards, ethylenimine derivatives, alkyl sulfonates, nitrosoureas and triazenes) such as uracil mustard, 5 chlormethine, cyclophosphamide (CYTOXAN), ifosfamide, melphalan, chlorambucil pipobroman, triethylene- melamine, triethylenethiophosphoramine, busulfan, carmustine, lomustine, streptozocin, dacarbazine, and temozolomide. Suitable chemotherapeutic or other anti-cancer agents further include, for example, antimetabolites (including, without limitation, folic acid antagonists, pyrimidine analogs, purine analogs and adenosine deaminase inhibitors) such as methotrexate, 5-fluorouracil, floxuridine, cytarabine, 6-mercaptopurine, 6-thioguanine, fludarabine phosphate, pentostatine, and gemcitabine. Suitable chemotherapeutic or other anti-cancer agents further include, for example, certain natural products and their derivatives (for example, vinca alkaloids, antitumor antibiotics, enzymes, lymphokines and epipodophyllotoxins) such as vinblastine, vincristine, vindesine, bleomycin, dactinomycin, daunorubicin, doxorubicin, epirubicin, idarubicin, ara-C, paclitaxel (Taxol), mithramycin, deoxyco-formcin, mitomycin-C, L- asparaginase, interferons (especially IFN-α), etoposide, and teniposide. Suitable chemotherapeutic or other anti-cancer agents further include, for example, epidophyllotoxin; an antineoplastic enzyme; a topoisomerase inhibitor; procarbazine; mitoxantrone; platinum coordination complexes such as cisplatin and carboplatin; biological response modifiers; growth inhibitors; antihormonal therapeutic agents; leucovorin; tegafur; haematopoietic growth factors; navelbene, CPT-11, anastrazole, letrazole, capecitabine, reloxafine, droloxafine; antibody therapeutics such as trastuzumab (HERCEPTIN), antibodies to costimulatory molecules
such as CTLA-4, 4-1BB and PD-1, or antibodies to cytokines (IL-1O or TGF-β); and agents that block immune cell migration such as antagonists to chemokine receptors, including CCR2 and CCR4. Yet other agents for combination therapies for the treatment of cancer include anti-cancer vaccines, including dendritic cells, synthetic peptides, DNA vaccines and recombinant viruses. Yet other agents for combination therapies for the treatment of cancer include signal transduction inhibitors (STI). A "signal transduction inhibitor" is an agent that selectively inhibits one or more vital steps in signaling pathways, in the normal function of cancer cells, thereby leading to apoptosis. Suitable STI's include, but are not limited to: (i) bcr/abl kinase inhibitors such as, for example, STI 571 (GLEEVEC); (ii) epidermal growth factor (EGF) receptor inhibitors such as, for example, kinase inhibitors (IRESSA, SSI-774) and antibodies (Imclone: C225 [Goldstein et al, Clin. Cancer Res, 1995, 1, 1311-1318; and Abgenix: ABX-EGF); (iii) her-2/neu receptor inhibitors such as farnesyl transferase inhibitors (FTI) such as, for example, L-744,832 (Kohl et al, Nat. Med., 1995, 1(8), 792-797); (iv) inhibitors of Akt family kinases or the Akt pathway, such as, for example, rapamycin; (v) cell cycle kinase inhibitors such as, for example, flavopiridol and UCN-01; and (vi) phosphatidyl inositol kinase inhibitors such as, for example, LY294002. In the treatment of melanoma, suitable agents for use in combination with the compounds of Formula (I) include: dacarbazine (DTIC), optionally, along with other chemotherapy drugs such as carmustine (BCNU) and cisplatin; the "Dartmouth regimen", which consists of DTIC, BCNU, cisplatin and tamoxifen; a combination of cisplatin, vinblastine, and DTIC, temozolomide or YERVOYTM. Compounds of Formula (I) may also be combined with immunotherapy drugs, including cytokines such as interferon alpha, interleukin 2, and tumor necrosis factor (TNF) in the treatment of melanoma. Compounds of Formula (I) may also be used in combination with vaccine therapy in the treatment of melanoma. Anti-melanoma vaccines are, in some ways, similar to the anti-virus vaccines which are used to prevent diseases caused by viruses such as polio, measles, and mumps. Weakened melanoma cells or parts of melanoma cells called antigens may be injected into a patient to stimulate the body's immune system to destroy melanoma cells.
Melanomas confined to the arms or legs may also be treated with a combination of agents including one or more compounds of Formula (I), using a hyperthermic isolated limb perfusion technique. This treatment protocol temporarily separates the circulation of the involved limb from the rest of the body and injects high doses of chemotherapy into the artery feeding the limb, thus providing high doses to the area of the tumor without exposing internal organs to these doses that might otherwise cause severe side effects. Combination with Anti-Viral Agents Suitable antiviral agents contemplated for use in combination with the compound of Formula (I) include nucleoside and nucleotide reverse transcriptase inhibitors (NRTIs), non- nucleoside reverse transcriptase inhibitors (NNRTis), protease inhibitors and other antiviral drugs. Examples of suitable NRTIs include zidovudine (AZT); didanosine (ddl); zalcitabine (ddC); stavudine (d4T); lamivaidine (3TC): abacavir (1592U89); adefovir dipivoxil [bis(POM)-PMEA]; lobucavir (BMS-180194); BCH-I0652, emitricitabine [(-)- FTC]; beta-L-FD4 (also called beta-L-D4C and nan1ed beta-L-2',3'-dicleoxy-5-fluorocytidene); DAPD, ((-)-beta-D-2,6-diamino-purine dioxolane); and lodenosine (FddA). Examples of suitable NNRTIs include nevirapine (BI-RG-587); delaviradine (BHAP, U-90152); efavirenz (DMP-266); PNU-142721, AG-1549; MKC-442 (l-(ethoxy-methyl)-5- (]-methylethyl)-6- (phenylmethyl)-(2,4(1H,3H)-pyrimidinedione); and (+)-calanolide A (NSC-675451) and B. Examples of suitable protease inhibitors include saquinavir (Ro 31-8959); ritonavir (ABT- 538); indinavir (MK-639); nelfinavir (AG-1343): amprenavir (141W94); lasinavir (BMS-234475): DMP-450; BMS-2322623, ABT-378; and AG-1549. Other antiviral agents include hydroxyurea, ribavirin, IL-2, IL-12, pentafuside and Yissum Project No.11607. The present invention further provides pharmaceutical compositions comprising at least one compound of Formula (I), a pharmaceutically acceptable carrier, optionally, at least one chemotherapeutic drug, and, optionally, at least one antiviral agent. Routes of Administration The compounds of this invention can be administered for any of the uses described herein by any suitable means, for example, orally, such as tablets, capsules (each of which includes
sustained release or timed release formulations), pills, powders, granules, elixirs, tinctures, suspensions (including nanosuspensions, micro suspensions, spray-dried dispersions), syrups, and emulsions; sublingually; buccally; parenterally, such as by subcutaneous, intravenous, intramuscular, or intratarsal injection, or infusion techniques (e.g., as sterile injectable aqueous or non-aqueous solutions or suspensions); nasally, including administration to the nasal membranes, such as by inhalation spray; topically, such as in the form of a cream or ointment; or rectally such as in the form of suppositories. They can be administered alone, but generally will be administered with a pharmaceutical carrier selected on the basis of the chosen route of administration and standard pharmaceutical practice. Kits The present invention also includes pharmaceutical kits useful, for example, in the treatment or prevention of DGKα and DGKζ associated diseases or disorders, and other diseases referred to herein, which include one or more containers containing a pharmaceutical composition comprising a therapeutically effective amount of a compound of Formula (I). Such kits can further include, if desired, one or more of various conventional pharmaceutical kit components, such as, for example, containers with one or more pharmaceutically acceptable carriers, additional containers, as will be readily apparent to those skilled in the art. Instructions, either as inserts or as labels, indicating quantities of the components to be administered, guidelines for administration, and/or guidelines for mixing the components, can also be included in the kit. Compound Synthesis Compounds having the structure of Formulas (I) can be synthesized using standard synthetic techniques known to those of skill in the art. Modifications to the methods described herein will be apparent to one skilled in the art. To this end, the reactions, processes and synthetic methods described herein are not limited to the specific conditions described in the following experimental section, but rather are intended as a guide to one with suitable skill in this field. For example, reactions may be carried out in any suitable solvent, or other reagents to perform the transformation[s] necessary. Generally, suitable solvents are protic or aprotic solvents which are substantially non-reactive with the reactants, the intermediates or products at the temperatures at which the reactions are carried
out (i.e., temperatures which may range from the freezing to boiling temperatures). A given reaction may be carried out in one solvent or a mixture of more than one solvent. Depending on the particular reaction, suitable solvents for a particular work-up following the reaction may be employed. Unless otherwise indicated, conventional methods of mass spectroscopy (MS), liquid chromatography-mass spectroscopy (LCMS), NMR, HPLC, protein chemistry, biochemistry, recombinant DNA techniques, and pharmacology are employed. Compounds are prepared using standard organic chemistry techniques such as those described in, for example, March’s Advanced Organic Chemistry, 7th Edition, John Wiley and Sons, Inc (2013). Alternate reaction conditions for the synthetic transformations described herein may be employed such as variation of solvent, reaction temperature, reaction time, as well as different chemical reagents and other reaction conditions. As necessary, the use of appropriate protecting groups may be required. The incorporation and cleavage of such groups may be carried out using standard methods described in Peter G. M. Wuts and Theodora W. Green, Protecting Groups in Organic Synthesis, 4th Edition, Wiley-Interscience. (2006). All starting materials and reagents are commercially available or readily prepared. EXAMPLES The following examples are provided for illustrative purposes only and not to limit the scope of the claims provided herein. While preferred embodiments of the present invention have been shown and described herein, it will be obvious to those skilled in the art that such embodiments are provided by way of example only. Numerous variations, changes, and substitutions will now occur to those skilled in the art without departing from the invention. It should be understood that various alternatives to the embodiments of the invention described herein may be employed in practicing the invention. It is intended that the following claims define the scope of the invention and that methods and structures within the scope of these claims and their equivalents be covered thereby. In some instances, depending on the nature of the substituents, the product is chiral. The syntheses may be carried out using non-chiral starting materials to produce racemic mixtures of products. These may be separated using standard techniques, well known to those of skill in the art, such as chiral chromatography. Alternatively, the syntheses may be carried out chiral starting materials to produce single isomers. The specific stereochemistry presented in the
examples are all assumed unless definitive determination is specifically indicated. The S- configuration is assumed for the most active of the stereoisomers. Although there is strong evidence to suggest that the S-configuration is the desired stereochemistry, there is still the chance that the R-enantiomer could be the more active enantiomer in some of the Examples. EXAMPLE 1 Preparation of Synthetic Intermediates EXAMPLE 1A Synthesis of 4-(4-bromophenyl)-1,1-dioxo-thian-4-ol
STEP 1: 4-(4-bromophenyl)tetrahydrothiopyran-4-ol To a solution of 1,4-dibromobenzene (10 g, 42.39 mmol, 5.43 mL, 1.0 eq) in THF (100 mL) was added n-BuLi (2.5 M, 22.04 mL, 1.3 eq) dropwise at -78°C under nitrogen and stirred for 0.5 h. To this was added tetrahydrothiopyran-4-one (5.91 g, 50.87 mmol, 1.2 eq) dropwise and the reaction was stirred for 1.5 h at rt. The mixture was diluted with 1N HCl, then extracted with ethyl acetate (3 x 100 mL). The combined organic layers were washed with brine (200 mL), dried over anhydrous sodium sulfate and concentrated under reduced pressure. The residue was purified by silica gel column to afford 4-(4-bromophenyl)tetrahydrothiopyran-4-ol (7.3 g, 21.38 mmol, 50.43% yield, 80% purity) as a yellow oil. STEP 2: 4-(4-bromophenyl)-1,1-dioxo-thian-4-ol To a solution of 4-(4-bromophenyl)tetrahydrothiopyran-4-ol (200 mg, 732.09 μmol, 1.0 eq) in DCM (100 mL) was added 3-chlorobenzenecarboperoxoic acid (379.00 mg, 2.20 mmol, 3.0 eq) at rt and stirred for 1h at rt. The mixture was diluted with sodium carbonate (aq), then extracted with DCM (3 x 100 mL). The combined organic layers were washed with brine (200 mL), dried over anhydrous sodium sulfate and concentrated under reduced pressure. The
residue was purified by reversed phase column (0.05% TFA/ACN=1/1) to afford 4-(4- bromophenyl)-1,1-dioxo-thian-4-ol (50 mg, 147.45 μmol, 20.14% yield, 90% purity) as a white solid. EXAMPLE 1B Synthesis of 4-(4-bromophenyl)thiane 1,1-dioxide
To a solution of 4-(4-bromophenyl)-1,1-dioxo-thian-4-ol (3 g, 9.83 mmol) in DCM (7.07 mL) was added diethyloxonio(trifluoro)boranuide (2.09 g, 14.75 mmol) and triethylsilane (2.29 g, 19.66 mmol, 3.14 mL) dropwise at 0°C under nitrogen and stirred for 16h at rt to afford the title compound (750 mg, 23%). EXAMPLE 1C Synthesis of (4-(1,1-dioxidotetrahydro-2H-thiopyran-4-yl)phenyl)boronic acid
(4-(1,1-Dioxidotetrahydro-2H-thiopyran-4-yl)phenyl)boronic acid was prepared as described in PCT Intl Appl.2009126691 EXAMPLE 1D Synthesis of tert-Butyl 3-(4-(4,4,5,5-tetramethyl-1,3,2-dioxaborolan-2-yl) phenyl)morpholine-4-carboxylate
STEP 1: N-[1-(4-bromophenyl)-2-hydroxy-ethyl]-2-chloro-acetamide To a solution of 2-amino-2-(4-bromophenyl)ethanol (5 g, 23.14 mmol, 1.0 eq) in DCM (50 mL) was added N,N-diethylethanamine (7.02 g, 69.42 mmol, 9.68 mL, 3.0 eq) and 2- chloroacetyl chloride (3.14 g, 27.77 mmol, 2.21 mL, 1.2 eq) at 0°C. The reaction was stirred for 1h. The mixture was concentrated under reduced pressure. The residue was applied on reverse phase column and eluted with TFA/ACN (3:1) to afford N-[1-(4-bromophenyl)-2-hydroxy-ethyl]- 2-chloro-acetamide (3.5 g, 9.81 mmol, 42.39% yield, 82% purity). STEP 2: 5-(4-bromophenyl)morpholin-3-one To a solution of a N-[1-(4-bromophenyl)-2-hydroxy-ethyl]-2-chloro-acetamide (3.5 g, 11.96 mmol, 1.0 eq) in DMF (20 mL) was added sodium hydride (861.29 mg, 35.89 mmol, 3.0 eq) at 0°C, and the reaction was stirred for 1h and then the reaction was gently warmed to 25°C. The mixture was poured into water (300 mL) and extracted with ethyl acetate (3 x 100 mL). The combined organic layers were washed with brine (200 mL), dried over anhydrous sodium sulfate and concentrated under reduced pressure. The residue was applied on reverse phase column and eluted with TFA/ACN to afford 5-(4-bromophenyl)morpholin-3-one (1.6 g, 6.25 mmol, 52.22% yield) as a yellow solid. STEP 3: 3-(4-bromophenyl)morpholine To a solution of 5-(4-bromophenyl)morpholin-3-one (1.6 g, 6.25 mmol, 1.0 eq) in THF (4 mL) and was added BH3-THF (10.74 g, 124.95 mmol, 12.23 mL, 20.0 eq). The reaction was stirred at 80°C for 16h.The mixture was poured into MeOH (200ml) at 0°C and refluxed at 80°C stirred for 3h.The mixture was concentrated under reduced pressure, and the product moved forward without further characterization.
STEP 4: tert-butyl 3-(4-bromophenyl)morpholine-4-carboxylate To a solution of 3-(4-bromophenyl)morpholine (1 g, 4.13 mmol, 1.0 eq) in THF (10 mL) was added N,N-diethylethanamine (1.25 g, 12.39 mmol, 1.73 mL, 3.0 eq) tert-butoxycarbonyl tert- butyl carbonate (1.80 g, 8.26 mmol, 1.90 mL, 2.0 eq). The reaction was stirred for 2 hr at 25 °C. Once complete the reaction was concentrated under reduced pressure. The residue was purified by silica gel column to afford 2-tetrahydropyran-2-yl-5-(tetrahydropyran-3- ylmethylamino)pyridazin-3-one (100 mg, 306.79 μmol, 32.93% yield, 90% purity) as a yellow solid. STEP 5: tert-Butyl 3-[4-(4,4,5,5-tetramethyl-1,3,2-dioxaborolan-2-yl)phenyl]morpholine-4- carboxylate To a solution of tert-butyl 3-(4-bromophenyl)morpholine-4-carboxylate (200 mg, 584.41 μmol, 1.0 eq) in dioxane (1.89 mL) was added 4,4,5,5-tetramethyl-2-(4,4,5,5-tetramethyl-1,3,2- dioxaborolan-2-yl)-1,3,2-dioxaborolane (296.81 mg, 1.17 mmol, 2.0 eq) cyclopentyl(diphenyl)phosphane;dichloropalladium;iron (42.76 mg, 58.44 μmol, 0.1 eq) potassium acetate (172.07 mg, 1.75 mmol, 109.60 μL, 3.0 eq). The reaction was stirred for 16h at 90°C under nitrogen atmosphere. The mixture was concentrated under vacuum. The crude product was applied on silica gel column and eluted with PE/EtOAc (5:1) to afford tert-butyl 3- [4-(4,4,5,5-tetramethyl-1,3,2-dioxaborolan-2-yl)phenyl]morpholine-4-carboxylate (90 mg, 208.07 μmol, 35.60% yield, 90% purity) as a white solid. EXAMPLE 1E Synthesis of [4-(5-methyltetrahydrofuran-2-yl)phenyl]boronic acid
STEP 1: 1-(4-bromophenyl)pent-4-en-1-ol A solution of bromo(but-3-enyl)magnesium (1 M, 100 mL, 2.0 eq) in THF (100 mL) was cooled to 0°C under nitrogen, 4-bromobenzaldehyde (9.25 g, 50.00 mmol, 1.0 eq) in THF (20 mL) was added dropwise at 0°C and the reaction was stirred for 2h. The mixture was diluted with 3N HCl (200 mL), then extracted with ethyl acetate (3 x 100 mL). The combined organic layers were washed with brine (300 mL), dried over anhydrous sodium sulfate and concentrated under reduced pressure to afford 1-(4-bromophenyl)pent-4-en-1-ol (13 g, 48.52 mmol, 97.05% yield, 90% purity) as a yellow oil. STEP 2: 2-(4-bromophenyl)-5-(iodomethyl)tetrahydrofuran A solution of 1-(4-bromophenyl)pent-4-en-1-ol (12 g, 49.77 mmol, 1.0 eq) in DCM (100 mL) was added NIS (16.80 g, 74.65 mmol, 1.5 eq) at rt and stirred for 16h. The mixture was diluted with sodium thiosulfate (aq), then extracted with DCM (3 x 100 mL). The combined organic layers were washed with brine (300 mL), dried over anhydrous sodium sulfate and concentrated under reduced pressure. The residue was purified by silica gel column (ether/ethyl acetate =50/1) to afford 2-(4-bromophenyl)-5-(iodomethyl)tetrahydrofuran (11.3 g, 21.55 mmol, 43.31% yield, 70% purity) as a yellow oil. STEP 3: 2-(4-bromophenyl)-5-methyl-tetrahydrofuran To a solution of 2-(4-bromophenyl)-5-(iodomethyl)tetrahydrofuran (7.8 g, 21.25 mmol, 1.0 eq) in THF (100 mL) was added LAH (1 M, 25.50 mL, 1.2 eq) dropwise at 0°C and the reaction was stirred for 16h at rt. The mixture was diluted with water, then extracted with ethyl acetate (3 x 100 mL). The combined organic layers were washed with brine (200 mL), dried over anhydrous sodium sulfate and concentrated under reduced pressure. The residue was purified by reversed phase column to afford 2-(4-bromophenyl)-5-methyl-tetrahydrofuran (3.7 g, 14.58 mmol, 68.59% yield, 95% purity) as a yellow oil. STEP 4: [4-(5-methyltetrahydrofuran-2-yl)phenyl]boronic acid To a solution of 2-(4-bromophenyl)-5-methyl-tetrahydrofuran (1 g, 4.15 mmol, 1.0 eq) in THF (20 mL) was added n-BuLi (2.5 M, 2.49 mL, 1.5 eq) dropwise at -78°C under nitrogen and stirred for 0.5h. To this was added triisopropyl borate (1.01 g, 5.39 mmol, 1.24 mL, 1.3 eq) dropwise and stirred for 1h at rt. The mixture was diluted with 1N HCl, then extracted with
ethyl acetate (3 x 100 mL). The combined organic layers were washed with brine (200 mL), dried over anhydrous sodium sulfate and concentrated under reduced pressure. The residue was purified by silica gel column to afford [4-(5-methyltetrahydrofuran-2-yl)phenyl]boronic acid (650 mg, 2.84 mmol, 68.46% yield, 90% purity) as a yellow oil. EXAMPLE 1F Synthesis of (5-Cyclopentyl-2-pyridyl)hydrazine
STEP 1: 5-cyclopentyl-2-fluoro-pyridine In a glovebox, into a 10 mL Biotage Microwave vial were added cesium carbonate (956.65 mg, 1.14 mmol, 3.0 eq) Pd(OAc)2 (25.83 mg, 114.04 μmol, 0.3 eq) n-BuPAd2 (68.23 mg, 190.06 μmol, 0.5 eq) and potassium;cyclopentyl(trifluoro)boranuide (200.74 mg, 1.14 mmol, 3.0 eq). This mixture was sealed in the microwave vial and removed from the glovebox. To the vial was added water (0.1 mL) and toluene (1 mL) and then the reaction was heated to 100°C for 24 h. The reaction mixture was allowed to cool to room temperature and then the crude material was purified by column chromatography to yield the desired compound (20 mg, 31%) STEP 2: (5-cyclopentyl-2-pyridyl)hydrazine 5-cyclopentyl-2-fluoro-pyridine (30 mg, 181.59 μmol, 1.0 eq) and hydrazine hydrate (181.59 μmol, 1.0 eq) were heated to 110°C for 24 h in a glove box. The reaction mixture was allowed to cool to room temperature, and the product was filtered out of the aqueous layer.
EXAMPLE 1G Synthesis of [4-(1-methylpyrazol-3-yl)phenyl]boronic acid
STEP 1: 1-Methyl-4-[4-(4,4,5,5-tetramethyl-1,3,2-dioxaborolan-2-yl)phenyl]pyrazole To a stirred solution of 3-(4-bromophenyl)-1-methyl-pyrazole (100 mg, 421.77 μmol, 1.0 eq) in dioxane (2 mL) was placed 4,4,5,5-tetramethyl-2-(4,4,5,5-tetramethyl-1,3,2-dioxaborolan-2- yl)-1,3,2-dioxaborolane (214.21 mg, 843.54 μmol, 2.0 eq), potassium acetate (124.00 mg, 1.27 mmol, 3.0 eq) and Pd(dppf)Cl2 (30.86 mg, 42.18 μmol, 0.1 eq). The resulting solution was stirred overnight at 90°C under nitrogen atmosphere. The resulting solution was concentrated under reduced pressure. The crude product was purified by Prep-TLC with (DCM/MeOH=15/1). This result in 1-methyl-4-[4-(4,4,5,5-tetramethyl-1,3,2-dioxaborolan-2-yl)phenyl]pyrazole (95 mg, 334.32 μmol, 79.27% yield) as a white solid. LCMS (ES, m/z): 285.1 [M+H] STEP 2: [4-(1-Methylpyrazol-3-yl)phenyl]boronic acid (intermediate N) To a stirred solution of 1-methyl-3-[4-(4,4,5,5-tetramethyl-1,3,2-dioxaborolan-2- yl)phenyl]pyrazole (50 mg, 175.96 μmol, 1.0 eq) in THF (4 mL) and H2O (1 mL) was added sodium periodate (114.02 mg, 527.87 μmol, 3.0 eq). The resulting solution was stirred for 30 min at room temperature. This was followed addition of HCl (1M) (0.25 mL). The resulting solution was stirred for 4h at room temperature. The resulting mixture was concentrated under reduced pressure. The crude product was purified by Prep-TLC with (DCM/MeOH=10/1). This resulted in [4-(1-methylpyrazol-3-yl)phenyl]boronic acid (20 mg, 99.00 μmol, 56.26% yield) as a yellow solid. EXAMPLES 1H–1T Intermediates 1H–1T were prepared in an analogous manner to [4-(1-methylpyrazol-3- yl)phenyl]boronic acid (Example 1G)
EXAMPLE 1H Synthesis of (4-(1-(tert-butoxycarbonyl)piperidin-4-yl)phenyl)boronic acid
LCMS (ES, m/z): 206.10 [M-Des Boc +H+] EXAMPLE 1I Synthesis of [4-(3-methylimidazol-4-yl)phenyl]boronic acid
LCMS (ES, m/z): 203.05 [M+H+] EXAMPLE 1J Synthesis of (2-tert-butoxycarbonyl-3,4-dihydro-1H-isoquinolin-7-yl)boronic acid
LCMS (ES, m/z): 304.05 [M+H+]
EXAMPLE 1K Synthesis of [4-(1-methyl-2-oxo-pyrrolidin-3-yl)oxyphenyl]boronic acid
LCMS (ES, m/z): NOT PROVIDED EXAMPLE 1L Synthesis of [4-(4-pyridyloxy)phenyl]boronic acid
LCMS (ES, m/z): 216.10 [M+H+] EXAMPLE 1M Synthesis of 3-[4-(4,4,5,5-tetramethyl-1,3,2-dioxaborolan-2-yl)phenoxy]pyridine
LCMS (ES, m/z): 298.05 [M+H+]
EXAMPLE 1N Synthesis of [4-[2-(dimethylamino)ethoxy]phenyl]boronic acid
LCMS (ES, m/z): 210.30 [M+H+] EXAMPLE 1O Synthesis of [4-(2-pyridyloxy)phenyl]boronic acid
LCMS (ES, m/z): 295.95 [M+H+] EXAMPLE 1P Synthesis of [4-[(1-tert-Butoxycarbonyl-4-piperidyl)oxy]phenyl]boronic acid
LCMS (ES, m/z): 344.15 [M+Na+]
EXAMPLE 1Q Synthesis of [4-(2-methylbutoxy)phenyl]boronic acid
EXAMPLE 1R Synthesis of (3-fluoro-4-phenoxy-phenyl)boronic acid
EXAMPLE 1S Synthesis of [4-(4-fluorophenoxy)phenyl]boronic acid
EXAMPLE 1T Synthesis of (2-methyl-4-phenoxy-phenyl)boronic acid
LCMS (ES, m/z): 227.10 [M-H+] EXAMPLE 1U Synthesis of [5-cyclopentyl-2-(2-trimethylsilylethoxymethyl)pyrazol-3-yl]boronic acid
STEP 1: 2-[(3-iodopyrazol-1-yl)methoxy]ethyl-trimethyl-silane To a stirred mixture of 3-iodo-1H-pyrazole (10 g, 51.55 mmol, 1.0 eq) in THF (100 mL) was added NaH (1.86 g, 77.33 mmol, 60% in mineral oil, 1.5 eq) in portions at 0 °C under nitrogen atmosphere. The resulting mixture was stirred for 1 h at 0 °C under nitrogen atmosphere. Then was added 2-(chloromethoxy)ethyl-trimethyl-silane (12.89 g, 77.33 mmol, 13.68 mL, 1.5 eq) The resulting mixture was stirred for 1 h at 25 °C under nitrogen atmosphere. The mixture was (slowly) poured into ice/water (600 mL) and extracted with EtOAc (3 x 600 mL). The combined organic layers were washed dried over anhydrous sodium sulfate and concentrated under reduced pressure. The crude product was purified by silica gel column chromatography, eluted with PE/EtOAc (5:1) to afford 2-[(3-iodopyrazol-1-yl)methoxy]ethyl-trimethyl-silane (12 g, 37.01 mmol, 71.80% yield) as a yellow oil. LCMS (ES, m/z): 324.95 [M] STEP 2: 2-[[3-(cyclopenten-1-yl)pyrazol-1-yl]methoxy]ethyl-trimethyl-silane To a stirred mixture of 2-[(3-iodopyrazol-1-yl)methoxy]ethyl-trimethyl-silane (2 g, 6.17 mmol, 1.0 eq) and cyclopenten-1-ylboronic acid (1.04 g, 9.25 mmol, 1.5 eq) in dioxane (20 mL) and Water (4 mL) was added Pd(PPh3)4 (1.43 g, 1.23 mmol, 0.2 eq) and potassium carbonate (2.56 g, 18.51 mmol, 3.0 eq). The resulting mixture was stirred for 16 h at 85 °C under nitrogen atmosphere. The mixture was allowed to cool down to room temperature. The mixture was
poured into ice/water (300 mL) and extracted with ethyl acetate (3 x 300 mL). The combined organic layers were dried over anhydrous sodium sulfate and concentrated under reduced pressure. The residue was purified by silica gel column chromatography, eluted with ether / ethyl acetate (5:1) to afford 2-[[3-(cyclopenten-1-yl)pyrazol-1-yl]methoxy]ethyl-trimethyl-silane (1.1 g, 4.16 mmol, 67.44% yield) as a yellow oil. LCMS (ES, m/z): 265.20 [M+H+] STEP 3: 2-[(3-cyclopentylpyrazol-1-yl)methoxy]ethyl-trimethyl-silane A mixture of 2-[[3-(cyclopenten-1-yl)pyrazol-1-yl]methoxy]ethyl-trimethyl-silane (1.1 g, 4.16 mmol, 1.0 eq) and Pd/C (1.1 g, 10%) in Methanol (20 mL) was stirred for 24 h at 25 °C under hydrogen (~ 3 atm) atmosphere. The solids were filtered out and the filtrate was concentrated under reduced pressure to afford 2-[(3-cyclopentylpyrazol-1-yl)methoxy]ethyl-trimethyl-silane (1 g, crude) as a yellow oil. LCMS (ES, m/z): 267.40 [M+H+] STEP 4: [5-cyclopentyl-2-(2-trimethylsilylethoxymethyl)pyrazol-3-yl]boronic acid To a stirred mixture of 2-[(3-cyclopentylpyrazol-1-yl)methoxy]ethyl-trimethyl-silane (1 g, 3.75 mmol, 1.0 eq) in THF (20 mL) was added butyllithium (360.60 mg, 5.63 mmol, 2.25 mL, 1.5 eq) dropwise at -78 °C under nitrogen atmosphere. The resulting mixture was stirred for 1 h at - 78 °C under nitrogen atmosphere. Then was added triisopropyl borate (1.06 g, 5.63 mmol, 1.30 mL, 1.5 eq) dropwise at -78 °C under nitrogen atmosphere. The resulting mixture was stirred for 1 h at 25 °C under nitrogen atmosphere. The mixture was (slowly) poured into ammonium chloride (aq.) (200 mL) and extracted with ethyl acetate (3 x 200 mL). The combined organic layers were dried over anhydrous sodium sulfate and concentrated under reduced pressure. The crude product was purified by silica gel column chromatography, eluted with PE/EtOAc (5 :1) to afford [5-cyclopentyl-2-(2-trimethylsilylethoxymethyl)pyrazol-3-yl]boronic acid (150 mg, 386.76 μmol, 10.31% yield, 80% purity) as a yellow oil. LCMS (ES, m/z): 311.20 [M+H]
EXAMPLE 1V Synthesis of 4,5-Dichloro-2-(4-cyclopentylphenyl)pyridazin-3(2H)-one
A mixture of 4,5-dichloro-1H-pyridazin-6-one (1 g, 6.06 mmol), (4-cyclopentylphenyl) boronic acid (1.50 g, 7.88 mmol, 1.3 eq.) and copper acetate (550.47 mg, 3.03 mmol, 0.5 eq) in pyridine:DCM (1:10) (22 mL) was stirred overnight at room temperature under oxygen atmosphere and then concentrated under vacuum. The crude product was purified by column chromatography (eluting in 0-10% EtOAc/Hex) to yield the product as a white solid (735 mg, 2.38 mmol, 39.22% yield). LCMS (ES, m/z): 309.9 [M+H+] EXAMPLE 1W Synthesis of 5-chloro-4-[[(3R)-tetrahydropyran-3-yl]methylamino]-1H-pyridazin-6-one Intermediates (R)-4-chloro-5-(((tetrahydro-2H-pyran-3-yl)methyl)amino)pyridazin-3(2H)- one and (S)-4-chloro-5-(((tetrahydro-2H-pyran-3-yl)methyl)amino)pyridazin-3(2H)-one may be prepared either by synthesizing the mixture of isomers and separating them, or by using chiral reagents to as to obtain chiral pure compounds without the need for chiral separation, as shown below:
STEP 1: 4,5-dichloro-2-tetrahydropyran-2-yl-pyridazin-3-one A mixture of 4,5-dichloro-1H-pyridazin-6-one (1 g, 6.06 mmol, 1.0 eq), 3,4-dihydro-2H-pyran (1.27 g, 15.15 mmol, 1.38 mL, 2.5 eq) and p-Toluenesulfonic acid (208.76 mg, 1.21 mmol, 2.0 eq) in THF (6 mL) was stirred overnight at 70 °C under nitrogen atmosphere and then cooled to room temperature. The reaction mixture was quenched by addition of saturated aqueous solution of ammonium chloride (100.00 mL) and extracted with ethyl acetate (100.00 mL x 3). The combined organic layers were washed with brine (100.00 mL x 2), dried over anhydrous sodium sulfate and concentrated under vacuum. The crude material was then purified by Prep- HPLC to yield the title compound (785 mg, 3.15 mmol, 51.99% yield) as a white solid. LCMS (ES, m/z): 377.20 [M] STEP 2: (2R)-4-chloro-2-[(2R)-tetrahydropyran-2-yl]-5-[[(3R)-tetrahydropyran-3- yl]methylamino]pyridazin-3-one A mixture of 4,5-dichloro-2-tetrahydropyran-2-yl-pyridazin-3-one (200 mg, 802.91 μmol, 1.0 eq), [(3R)-tetrahydropyran-3-yl]methanamine (146.10 mg, 963.49 μmol, 1.2 eq) and Triethylamine (243.74 mg, 2.41 mmol, 335.73 μL, 3.0 eq) in ethanol (8 mL) was stirred overnight at 80 °C under nitrogen atmosphere. The reaction mixture was cooled to room temperature, evaporated under reduced pressure and purified by Prep-TLC (ether / ethyl acetate =0:1). This resulted in (2R)-4-chloro-2-[(2R)-tetrahydropyran-2-yl]-5-[[(3R)-
tetrahydropyran-3-yl]methylamino]pyridazin-3-one (195 mg, 594.86 μmol, 74.09% yield) as a white solid. LCMS (ES, m/z): 328.05 [M+H+] STEP 3: 5-chloro-4-[[(3R)-tetrahydropyran-3-yl]methylamino]-1H-pyridazin-6-one A mixture of (2R)-4-chloro-2-[(2R)-tetrahydropyran-2-yl]-5-[[(3R)-tetrahydropyran-3- yl]methylamino]pyridazin-3-one (180 mg, 549.11 μmol, 1.0 eq) in TFA:DCM=1:5 (6 mL) was stirred overnight at room temperature. After the reaction finished, the resulting mixture was concentrated under vacuum and purified by Prep-TLC (DCM:MeOH=10:1). This resulted in 5- chloro-4-[[(3R)-tetrahydropyran-3-yl]methylamino]-1H-pyridazin-6-one (121.2 mg, 497.35 μmol, 90.58% yield) as a yellow solid. EXAMPLE 1X: Synthesis of tert-Butyl 4-hydrazinopiperidine-1-carboxylate
Hydrazine hydrate (7.54 g, 150.57 mmol, 7.34 mL, 30 eq) was added to a solution of tert- butyl 4-oxopiperidine-1-carboxylate (1 g, 5.02 mmol) in ethanol (20 mL) at 0°C and stirred for 16h. Sodium cyanoboranuide (630.80 mg, 10.04 mmol, 2 eq) was then added and the mixture stirred for a further 16h at rt.
EXAMPLE 1Y Synthesis of 5-chloro-4-[(3-hydroxytetrahydropyran-3-yl)methylamino]-1H-pyridazin-6-one
A solution of tetrahydropyran-3-one (5.00 g, 49.9 mmol), nitromethane (13.5 g, 222 mmol) and TEA (505 mg, 4.99 mmol) in EtOH (30 mL) was stirred for 4 h, whereupon the mixture was concentrated onto silica gel and purified by column chromatography to afford the title compound (7.0 g, 78%) as a colorless oil. STEP 2: 3-(aminomethyl) tetrahydropyran-3-ol A mixture of 3-(nitromethyl)tetrahydropyran-3-ol (2.00 g, 12.4 mmol) and Pd-C (10%, 1.00 g) in methanol (20 mL) was stirred under a H2 atmosphere o/n. After purging the H2 atmosphere, the slurry was filtered over celite. The filtrate was concentrated under reduced pressure to afford the title compound (2.00 g, crude) as a brown oil and used as such in the subsequent step. LCMS (ES, m/z): 132.20 [M+H]+ STEP 3: tert-butyl N-[(3-hydroxytetrahydropyran-3-yl)methyl]carbamate To a solution of 3-(aminomethyl)tetrahydropyran-3-ol (1.0 g, 7.6 mmol) and TEA (2.31 g, 22.8 mmol) in DCM (15 mL) at 0 °C was added di-tert-butyl dicarbonate (2.50 g, 11.4 mmol), portion-wise. After warming to rt and stirring for 16 h, water (30 mL) was added followed by extraction with DCM (2 x 30 mL). The combined organic layers were washed with brine (50 mL), dried over NasSO4, concentrated onto silica gel and purified by column chromatography to afford the title compound (600 mg, 42%) as a colorless oil. LCMS (ES, m/z): 176.05 [M-56+H]+
STEP 4: 3-(aminomethyl)tetrahydropyran-3-ol hydrochloride tert-Butyl N-[(3-hydroxytetrahydropyran-3-yl)methyl]carbamate (2.00 g, 8.65 mmol) was dissolved in HCl (4M in EtOAc, 36 mL) and stirred for 1 h. The resulting mixture was concentrated under reduced pressure then filtered. The solid was washed with Et2O (3 x 20 mL) and then dried under vacuum to afford the title compound (1.30 g, 90%) as an off-white solid. LCMS (ES, m/z): 132.20 [M-HCl+H]+ STEP 5: 5-chloro-4-[(3-hydroxytetrahydropyran-3-yl)methylamino]-1H-pyridazin-6-one A solution of 3-(aminomethyl)tetrahydropyran-3-ol hydrochloride (1.02 g, 6.06 mmol), 4,5- dichloro-1H-pyridazin-6-one (1.00 g, 6.06 mmol) and TEA (3.07 g, 30.3 mmol) in ethanol (10 mL) was heated to 80 °C for 16 h. After cooling to rt, it was concentrated onto silica and purified by column chromatography to afford the title compound (1.00 g, 64%) as a white solid. LCMS (ES, m/z): 260.05, 262.05 [M+H]+ EXAMPLE 1Z Synthesis of (R)-(tetrahydro-2H-pyran-3-yl)methanamine hydrochloride
STEP 1: benzyl N-[[(3R)-tetrahydropyran-3-yl]methyl]carbamate and benzyl N-[[(3S)-tetrahydropyran-3-yl]methyl]carbamate To a mixture of tetrahydropyran-3-ylmethanamine hydrochloride (20.0 g, 131 mmol), TEA (66.7 g, 659 mmol) in DCM (529 mL) at 0 oC was added CbzOSu (49.3 g, 197 mmol). The mixture was warmed to rt and stirred for 16 h, whereupon water (500 mL) was added followed by extraction with DCM (3 x 500 mL). The combined organic layers were washed with brine (1000 mL), dried over Na2SO4 and concentrated onto silica gel. The material was purified by column chromatography to afford 30 g of the racemate. The racemate was further separated by chiral- prep-SFC to afford the first title compound (10.5 g, 31%) as a white solid and the second title compound (11.0 g, 32%) as an off-white solid. LCMS (ES, m/z): 250.10 [M+H]+
STEP 2: 1,1-dimethylethyl N-[[(3R)-tetrahydropyran-3-yl]methyl]carbamate A mixture of benzyl N-[[(3R)-tetrahydropyran-3-yl]methyl]carbamate (10.5 g, 42.1 mmol), Boc2O (13.7 g, 63.1 mmol) and Pd/C (5 g, 10%) in EtOAc (80 mL)/THF (80 mL) was stirred for 8 h at rt under H2 (10 atm) atmosphere. The H2 atmosphere was then removed, and the slurry was passed through a pad of celite and evaporated onto silica gel. The crude material was purified by column chromatography to afford the title compound as an off-white solid. LCMS (ES, m/z): 216.10 [M+H]+ STEP 3: [(3R)-tetrahydropyran-3-yl]methanamine hydrochloride To a stirred mixture of 1,1-dimethylethyl N-[[(3R)-tetrahydropyran-3-yl]methyl]carbamate (9.00 g, 41.8 mmol) in EtOAc (70 mL) was added HCl (4 M in EtOAc, 52.0 mL)The mixture was stirred for 1 h and concentrated under reduced pressure to afford the title compound (6.00 g, 94.6%) as an off-white solid. 1H NMR (400 MHz, DMSO-d6) δ 8.26 (s, 3H), 3.91-3.78 (m, 1H), 3.70 (dt, J = 11.2, 4.1 Hz, 1H), 3.31 (td, J = 10.6, 2.9 Hz, 1H), 3.12 (dd, J = 11.3, 8.8 Hz, 1H), 2.78-2.58 (m, 2H), 1.94-1.75 (m, 2H), 1.64-1.52 (m, 1H), 1.50-1.36 (m, 1H), 1.33-1.19 (m, 1H) LCMS (ES, m/z): 116.05 [M+H]+
EXAMPLE 1AA Synthesis of 4,5-dichloro-2-[(3S,5S)-3,5-difluoro-4-piperidyl]pyridazin-3-one hydrochloride and 4,5-dichloro-2-[(3S,5R)-3,5-difluoro-4-piperidyl]pyridazin-3-one hydrochloride
STEP 1: 1-(tert-butyl) 3-methyl 3-fluoro-4-oxopiperidine-1,3-dicarboxylate To a solution of 1-(tert-butyl) 3-methyl 4-oxopiperidine-1,3-dicarboxylate (150 g, 583 mmol) in THF (500 mL) at 0 °C was added NaH (25.6 g, 60%, 641 mmol) in THF (1 L). After 0.5 h, it was warmed to rt for 1.5 h, whereupon SelectFluor (206 g, 583 mmol) was added, and the resulting mixture was stirred for 3 h. The mixture was cooled to 0 °C and quenched with brine (3 L) followed by extraction with EtOAc (3 x 2 L). The combined organic layers were dried over Na2SO4 and concentrated onto silica gel. The crude product was purified by column chromatography to afford the title compound (110 g, 69%) as a light-yellow oil. LCMS (ES, m/z): 220.05 [M-56+H]+ STEP 2: 1-(tert-butyl) 3-methyl 3,5-difluoro-4-oxopiperidine-1,3-dicarboxylate TMSCl (52.1 g, 479 mmol) and TEA (101 g, 999 mmol) were added to a solution of 1-(tert- butyl) 3-methyl 3-fluoro-4-oxopiperidine-1,3-dicarboxylate (110 g, 399 mmol) in DMF (1.2 L).
After stirring for 0.5 h, it was quenched with NaHCO3 (satd, aq, 2 L) and extracted with cyclohexane (3 x 1.5 L). The combined organic layers were dried over Na2SO4, filtered, and concentrated under vacuum to afford a pale-yellow oil. The oil was dissolved in ACN (1.2 L) and SelectFluor (283 g, 799 mmol) was added. After stirring for 16 h, the mixture was concentrated under reduced pressure. The residue was diluted with brine (1.0 L) and extracted with EtOAc (2 x 1.5 L). The combined organic layers were dried over anhydrous Na2SO4, filtered, and concentrated onto silica gel. The crude material was purified by column chromatography to afford the title compound (60.0 g, 51% yield) as an off-white solid. LCMS (ES, m/z): 238.00 [M-56+H]+ STEP 3: 1-tert-butoxycarbonyl-3,5-difluoro-4-oxo-piperidine-3-carboxylic acid LiOH (2.12 g, 88.6 mmol) was added to a solution of 1-(tert-butyl) 3-methyl 3,5-difluoro-4- oxopiperidine-1,3-dicarboxylate (13.0 g, 44.3 mmol) in methanol (450 mL)/water (450 mL). The mixture was stirred for 0.5 h and concentrated under reduced pressure to partially remove the methanol. The aqueous solution was adjusted to pH 5-6 with HCl (0.2N, aq) and extracted with EtOAc (3 x 800 mL). The combined organic layers were dried over Na2SO4, filtered, and concentrated under vacuum to afford the title compound (9.00 g, 73% yield) as a light yellow- solid. LCMS (ES, m/z): 242.10 [M-56+H+18]+ STEP 4: tert-butyl 3,5-difluoro-4-oxo-piperidine-1-carboxylate A solution of 1-tert-butoxycarbonyl-3,5-difluoro-4-oxo-piperidine-3-carboxylic acid (300 mg, 1.07 mmol) in ACN (15 mL) was heated at 80°C under microwave irradiation for 5 min.30 batches were combined, concentrated, and purified by column chromatography afford afford the title compound (6.3 g, 26.8 mmol) as an off-white solid. LCMS (ES, m/z): 198.10 [M-56+H+18]+ STEP 5: tert-butyl 4-(2-tert-butoxycarbonylhydrazino)-3,5-difluoro-piperidine-1-carboxylate A solution of tert-butyl 3,5-difluoro-4-oxo-piperidine-1-carboxylate (6.30 g, 26.7 mmol) and tert-butyl N-aminocarbamate (7.08 g, 53.5 mmol) in AcOH (60 mL) was stirred for 0.5 h. NaBH3CN (3.37 g, 53.5 mmol) was added in portions. The resulting solution was stirred for 3 h, after which the pH was adjusted 9-10 with Na2CO3 (satd. aq.). The mixture was extracted with
EtOAc (3 x 100 mL) and the combined organic layers were dried over Na2SO4, filtered, and concentrated onto silica gel. The crude material was purified by column chromatography to afford the title compound (6.50 g, 69% yield) as a light-yellow oil. LCMS (ES, m/z): 374.15 [M+Na]+ STEP 6: (3,5-difluoro-4-piperidyl)hydrazine hydrochloride A solution of tert-butyl 4-(2-tert-butoxycarbonylhydrazino)-3,5-difluoro-piperidine-1- carboxylate (6.50 g, 18.5 mmol) and HCl (4 M in EtOAc, 46 mL) in EtOAc (25 mL) was stirred for 1 h. The solvent was removed under reduced pressure to afford the title compound (4.3 g, 23% crude) as a white solid. LCMS (ES, m/z): 152.10 [M-HCl+H]+ STEP 7: 1,1-dimethylethyl (3S,5S)-4-[(1R)-4,5-dichloro-6-oxo-pyridazin-1-yl]-3,5-difluoro- piperidine-1-carboxylate and 1,1-dimethylethyl (3R,5S)-4-[(1R)-4,5-dichloro-6-oxo-pyridazin-1- yl]-3,5-difluoro-piperidine-1-carboxylate A solution of (3,5-difluoro-4-piperidyl)hydrazine hydrochloride (4.00 g, 21.3 mmol), (Z)-2,3- dichloro-4-oxo-but-2-enoic acid (7.20 g, 42.6 mmol) and acetic acid (1.28 g, 21.3 mmol, 1.22 mL) in EtOH (30 mL)/water (5 mL) was heated to 80 °C for 2 h. The mixture was cooled to rt and concentrated under reduced pressure. The residue was taken up in DCM (30 mL) then TEA (10.8 g, 106 mmol) and tert-butoxycarbonyl tert-butyl carbonate (9.31 g, 42.6 mmol) were added. The resulting mixture was stirred for 2 h, then concentrated directly onto silica gel and purified by column chromatography to yield the title compound (1.60 g, 20%) as a light-yellow solid. LCMS (ES, m/z): 405.90, 407.90 [M+Na]+ STEP 8: 4,5-dichloro-2-[(3S,5S)-3,5-difluoro-4-piperidyl]pyridazin-3-one hydrochloride HCl (4 M in EtOAc, 0.5 mL) was added to a solution of 1,1-dimethylethyl (3S,5S)-4-[(1R)-4,5- dichloro-6-oxo-pyridazin-1-yl]-3,5-difluoro-piperidine-1-carboxylate (120 mg, 312 μmol) in EtOAc (2 mL). After stirring for 2 h, it was concentrated under reduced pressure to afford the title compound (95.0 mg, 95% yield) as a white solid. LCMS (ES, m/z): 283.95, 285.95 [M-HCl+H]+
STEP 9: 4,5-dichloro-2-[(3S,5R)-3,5-difluoro-4-piperidyl]pyridazin-3-one hydrochloride To a stirred mixture of 1,1-dimethylethyl (3S,5R)-4-(4,5-dichloro-6-oxo-pyridazin-1-yl)-3,5- difluoropiperidine-1-carboxylate (1.20 g, 3.12 mmol) in EtOAc (10 mL) was added HCl (4M in EtOAc, 10 mL). The resulting mixture was stirred for 1 h. The solids were collected by filtration, washed with EtOAc (3 mL) and dried to afford the title compound (300 mg, 30% yield) as a light- yellow solid. LCMS (ES, m/z): 283.95, 285.95 [M-HCl+H]+ EXAMPLE 1AB Synthesis of cis-4,5-dichloro-2-[3-fluoro-4-piperidyl]pyridazin-3-one hydrochloride and trans-4,5-dichloro-2-[3-fluoro-4-piperidyl]pyridazin-3-one hydrochloride
STEP 1: tert-butyl 4-(2-tert-butoxycarbonylhydrazino)-3-fluoro-piperidine-1-carboxylate To a solution of tert-butyl 3-fluoro-4-oxo-piperidine-1-carboxylate (30.0 g, 138 mmol) and tert-butyl N-aminocarbamate (21.9 g, 165 mmol) in AcOH (100 mL) at 0 °C was added NaBH3CN (17.4 g, 276 mmol) in portions. The mixture was warmed to rt for 10 h, whereupon the pH was adjusted to 9 with Na2CO3. The aqueous layer was then extracted with DCM (3 x 500 mL) and the combined organic layers were washed with brine (500 mL), dried over Na2SO4 and concentrated to afford the title compound (45 g, 98%) as a colorless oil. LCMS (ES, m/z): 334.20, 336.20 [M+H]+
STEP 2: cis-1,1-dimethylethyl 4-[4,5-dichloro-6-oxo-pyridazin-1-yl]-3-fluoro-piperidine-1- carboxylate and trans-1,1-dimethylethyl (4-[(4,5-dichloro-6-oxo-pyridazin-1-yl]-3-fluoro- piperidine-1-carboxylate A solution of tert-butyl 4-(2-tert-butoxycarbonylhydrazino)-3-fluoro-piperidine-1- carboxylate (45.0 g, 134 mmol), (Z)-2,3-dichloro-4-oxo-but-2-enoic acid (34.2 g, 202 mmol) and HCl (conc, 22.5 mL) in ethanol (400 mL) was heated to 80 °C for 3 h. The mixture was cooled to rt and concentrated under reduced pressure to afford the crude intermediate. The crude intermediate was dissolved in DCM (600 mL) followed by addition of TEA (40.1 g, 396 mmol) and Boc2O (43.2 g, 198 mmol) in portions. The mixture was stirred for 1 h, then quenched with H2O (200 mL) and extracted with EtOAc (3 x 200 mL). The combined organic layers were dried over anhydrous Na2SO4, filtered, and concentrated onto silica gel. The residue was purified by column chromatography to afford the title compound (15.0 g, 31%) as a yellow solid. LCMS (ES, m/z): 309.90, 311.90[M-56+H]+ STEP 3: cis-4,5-dichloro-2-[3-fluoro-4-piperidyl]pyridazin-3-one hydrochloride To a solution of cis-1,1-dimethylethyl 4-[4,5-dichloro-6-oxo-pyridazin-1-yl]-3-fluoro- piperidine-1-carboxylate (5.00 g, 13.6 mmol) in EtOAc (20 mL) was added HCl (12 M in EtOAc, 12 mL). The mixture was stirred o/n and concentrated under reduced pressure to afford the title compound as an off-white solid (4.10 g, 99% yield). LCMS (ES, m/z): 266.00, 268.00[M-HCl+H]+ STEP 4: trans-4,5-dichloro-2-[3-fluoro-4-piperidyl]pyridazin-3-one hydrochloride To a solution of trans-1,1-dimethylethyl 4-[4,5-dichloro-6-oxo-pyridazin-1-yl]-3-fluoro- piperidine-1-carboxylate (5.00 g, 13.6 mmol) in EtOAc (30 mL) was added HCl (4 M in EtOAc, 34 mL). The mixture was stirred overnight and concentrated under reduced pressure to afford the title compound (4.10 g, 99% yield) as a yellow solid. LCMS (ES, m/z): 266.00, 268.00[M-HCl+H]+
EXAMPLE 1AC Synthesis of 5-bromo-2-((1-cyclopropyl-5-methyl-1H-pyrazol-4-yl)oxy)pyridine (intermediate for compound 602) and 5-bromo-2-((1-cyclopropyl-3-methyl-1H-pyrazol-4-yl)oxy)pyridine (intermediate for compound 603)
STEP 1: 5-bromo-2-((1-cyclopropyl-3-methyl-1H-pyrazol-4-yl)oxy)pyridine and 5-bromo-2-((1- cyclopropyl-5-methyl-1H-pyrazol-4-yl)oxy)pyridine To a flask charged with 4-bromo-3-methyl-1H-pyrazole (10.0 g, 62.1 mmol), cyclopropylboronic acid (10.7 g, 124 mmol), copper diacetate hydrate (12.4 g, 62.1 mmol), Na2CO3 (13.1 g, 124 mmol) and 2-(2-pyridyl)pyridine (9.70 g, 62.1 mmol) was added 1,2- dichloroethane (200 mL). The mixture was heated at 70 °C for 16 h, under an oxygen atmosphere. After cooling to rt, water (200 mL) was added followed by extraction with DCM (3 x 200 mL). The combined organic layers were washed with brine (200 mL), dried over Na2SO4 and concentrated onto silica gel. The crude residue was purified by silica gel chromatography to afford the title compounds (6.0 g, 48%) as a yellow oil. LCMS (ES, m/z): 201.15, 203.05 [M+H]+ STEP 2: 1-cyclopropyl-3-methyl-4-(4,4,5,5-tetramethyl-1,3,2-dioxaborolan-2-yl)pyrazol and 1- cyclopropyl-5-methyl-4-(4,4,5,5-tetramethyl-1,3,2-dioxaborolan-2-yl)pyrazole To a dried flask, under a N2 atmosphere, were added a mixture of 5-bromo-2-((1- cyclopropyl-3-methyl-1H-pyrazol-4-yl)oxy)pyridine and 5-bromo-2-((1-cyclopropyl-5-methyl-1H- pyrazol-4-yl)oxy)pyridine (4.50 g, 22.3 mmol), methyl 4-(4,4,5,5-tetramethyl-1,3,2-
dioxaborolan-2-yl)pyridine-2-carboxylate (11.7 g, 44.7 mmol), Pd(dppf)Cl2 (3.28 g, 4.48 mmol), KOAc (4.39 g, 44.7 mmol) and dioxane (100 mL). The mixture was heated at 100 °C for 3 h, whereupon it was cooled to rt, diluted with water (100 mL) and extracted with EtOAc (3 x 100 mL). The combined organic layers were washed with brine (150 mL), dried over Na2SO4 and concentrated onto silica gel. The crude material was purified by silica gel chromatography to afford a mixture of the title compounds (4.0 g, 60% purity, 43%) as a yellow oil. LCMS (ES, m/z): 249.20 [M+H]+ STEP 3: 1-cyclopropyl-3-methyl-pyrazol-4-ol and 1-cyclopropyl-5-methyl-pyrazol-4-ol A solution of 1-cyclopropyl-3-methyl-4-(4,4,5,5-tetramethyl-1,3,2-dioxaborolan-2- yl)pyrazole and 1-cyclopropyl-5-methyl-4-(4,4,5,5-tetramethyl-1,3,2-dioxaborolan-2-yl)pyrazole (4.20 g, 60%, 10.2 mmol) at 0 °C in THF (60 mL) was added NaOH (541 mg, 13.5 mmol) in water (7.5 mL) followed by hydrogen peroxide (19.1 g, 30% aq, 169 mmol), dropwise. After stirring for 2 h, it was quenched with NH4Cl (80 mL) and extracted with EtOAc (3 x 80 mL). The combined organic layers were washed with brine (150 mL), dried over Na2SO4 and concentrated under reduced pressure to yield a mixture of the title compounds (2.1 g, crude) as a yellow oil. LCMS (ES, m/z): 139.05 [M+H]+ STEP 4: 5-bromo-2-(1-cyclopropyl-3-methyl-pyrazol-4-yl)oxy-pyridine and 5-bromo-2-(1- cyclopropyl-5-methyl-pyrazol-4-yl)oxy-pyridine To a mixture of 1-cyclopropyl-3-methyl-pyrazol-4-ol and 1-cyclopropyl-5-methyl-pyrazol-4- ol (2.10 g, crude) and 5-bromo-2-fluoro-pyridine (2.67 g, 15.2 mmol) in DMF (60 mL) was added K2CO3 (4.20 g, 30.4 mmol). The mixture was heated at 90 °C for 16 h, cooled to rt, diluted with water (60 mL) and extracted with EtOAc (3x 60 mL). The combined organic layers were washed with brine (100 mL), dried over Na2SO4 and concentrated under reduced pressure. The crude residue was purified by reversed phase chromatography followed by chiral-prep-HPLC to afford 5-bromo-2-(1-cyclopropyl-3-methyl-pyrazol-4-yl)oxy-pyridine (50 mg, 1.7% over 2 steps) and 5- bromo-2-(1-cyclopropyl-5-methyl-pyrazol-4-yl)oxy-pyridine (110 mg, 3.5% over 2 steps) as yellow oils. LCMS (ES, m/z): 294.00, 296.00 [M+H]+
EXAMPLE 1AD Synthesis of 5-bromo-2-(2-cyclopropyl-5-methylphenoxy)pyridine (intermediate for preparation of compound 634)
A dried flask, under a N2 atmosphere, was charged with 2-bromo-5-methyl-phenol (2.00 g, 10.7 mmol), cyclopropylboronic acid (1.10 g, 12.8 mmol), Pd(dppf)Cl2 (1.56 g, 2.14 mmol) and K3PO4 (6.81 g, 32.1 mmol), followed by dioxane (15 mL) and water (3 mL). The solution was degassed and then heated at 100 °C for 16 h. After cooling to rt, water (100 mL) was added followed by extraction with EtOAc (3 x 100 mL). The combined organic layers were washed with brine (100 mL), dried over Na2SO4 and concentrated onto silica gel. The crude material was purified by silica gel chromatography to yield the title compound as a brown oil (570 mg, 36%). 1HNMR (400 MHz, DMSO-d6) δ 9.09 (s, 1H), 6.62-6.55 (m, 2H), 6.48 (dd, J = 7.7, 1.7 Hz, 1H), 2.15 (s, 3H), 1.24 (d, J = 5.2 Hz, 1H), 0.83-0.77 (m, 2H), 0.58-0.46 (m, 2H). STEP 2: 5-bromo-2-(2-cyclopropyl-5-methyl-phenoxy)pyridine A mixture of 2-cyclopropyl-5-methyl-phenol (500 mg, 3.37 mmol), 5-bromo-2-fluoro- pyridine (890 mg, 5.06 mmol) and K2CO3 (932 mg, 6.75 mmol) in DMF (3 mL) was heated at 120 °C for 16 h. After cooling to rt, it was filtered and purified by reverse phase column chromatography to afford title compound (500 mg, 29%) as a yellow oil. LCMS (ES, m/z): 304.20, 306.20 [M+H]+
EXAMPLE 1AE Synthesis of 5-bromo-2-(2-(difluoromethoxy)-4-methylphenoxy)pyridine (intermediate for preparation of compound 642) and 5-bromo-2-(2-(difluoromethoxy)-5-methylphenoxy)pyridine (intermediate for preparation of compound 641)
STEP 1: 5-bromo-2-(2-methoxy-5-methylphenoxy)pyridine A mixture of 2-methoxy-5-methyl-phenol (2.00 g, 14.5 mmol), 5-bromo-2-fluoro-pyridine (3.06 g, 17.4 mmol) and K2CO3 (6.00 g, 43.4 mmol) in DMF (50 mL) was heated to 80 °C for 16 h. After cooling to rt, it was slowly poured into water (200 mL) and extracted with EtOAc (2 x 250 mL). The combined organic layers were washed with brine (200 mL), dried over Na2SO4 and concentrated onto silica gel. The crude material was purified by column chromatography to afford the title compound (2.5 g, 53%) as a light-yellow oil. LCMS (ES, m/z): 294.20, 296.20[M+H]+ STEP 2: 2-((5-bromopyridin-2-yl)oxy)-4-methylphenol To a solution of BBr3 (1 M in DCM, 6.80 mL) at 0 °C was added a solution of 5-bromo-2-(2- methoxy-5-methylphenoxy)pyridine (1.00 g, 3.40 mmol) in DCM (12 mL) was added dropwise. After stirring at rt for 1 h, it was quenched with NaHCO3 (150 mL) and extracted with EtOAc (2 x 130 mL). The combined organic layers were washed with brine (1 x 200 mL), dried over Na2SO4, concentrated onto silica gel and purified by column chromatography to afford the title compound (900 mg, 85%) as a light-yellow solid.
LCMS (ES, m/z): 280.15, 282.15 [M+H]+ STEP 3: 5-bromo-2-(2-(difluoromethoxy)-4-methylphenoxy)pyridine and 5-bromo-2-(2-(difluoromethoxy)-5-methylphenoxy)pyridine A mixture of 2-[(5-bromo-2-pyridyl)oxy]-5-methyl-phenol (500 mg, 1.78 mmol), Cs2CO3 (2.25 g, 2.68 mmol) and sodium 2-chloro-2,2-difluoro-acetate (544.27 mg, 3.57 mmol) in DMF (10 mL) was stirred for 2 h at 80 °C. The mixture cooled to 25°C. The mixture was slowly poured into water (50 mL) and extracted with EtOAc (2 x 50 mL). The combined organic layers were washed with brine (100 mL), dried over anhydrous Na2SO4, concentrated under reduced pressure and purified by silica gel column chromatography to afford a mixture of 5-bromo-2-[2- (difluoromethoxy)-4-methyl-phenoxy]pyridine (100 mg, 15%) and 5-bromo-2-[2- (difluoromethoxy)-5-methyl-phenoxy]pyridine (200 mg, 31%) as a light-yellow oil. EXAMPLE 2 Synthesis of (R)-4-chloro-2-(4-cyclopentylphenyl)-5-(((tetrahydro-2H-pyran-3- yl)methyl)amino)pyridazin-3(2H)-one (2A) and (S)-4-chloro-2-(4-cyclopentylphenyl)-5-(((tetrahydro-2H-pyran-3-yl)methyl)amino)pyridazin- 3(2H)-one (2B)
K2CO3 (191.04 mg, 1.38 mmol, 2.8 eq) and tetrahydropuran-3-ylmethanamine (79.27 mg, 0.688 mmol, 1.4 eq) were added to a solution of added 4,5-dichloro-2-(4- cyclopentylphenyl)pyridazin-3-one (152.00 mg, 0.4961 mmol, 1.00 eq) in acetonitrile (4 mL). The mixture was stirred at 85 °C overnight, cooled to room temperature and then partitioned between water and ethyl acetate. The combined organic layers were washed with brine, dried
over MgSO4 and then the material was evaporated onto silica gel. The crude material was purified by column chromatography to afford the final product as a white solid (117 mg, 61.35%). The material was then purified by column chromatography to yield two enantiomers: Compound 2A: (R)- isomer: LCMS (ES, m/z): 388.1881 [M+H+] 1HNMR(400 MHz, DMSO) δ 8.07 (s, 1H), 7.38 (d,J = 8.5 Hz, 2H), 7.32 (d,J = 8.5 Hz, 2H), 6.88 (t,J = 6.3 Hz, 1H), 3.77 (dd,J = 11.4, 2.2 Hz, 1H), 3.70 (dt,J = 10.7, 3.6 Hz, 1H), 3.383.33 (m, 1H), 3.293.20 (m, 2H), 3.16 (dd,J =10.9, 8.9 Hz, 1H), 3.072.95 (m, 1H), 2.091.98 (m, 2H), 1.891.73 (m, 4H), 1.701.52 (m, 5H), 1.481.38 (m,1H), 1.331.17 (m, 1H) Compound 2B: (S)- isomer: LCMS (ES, m/z): 388.1880 [M+H+] 1HNMR(400 MHz, DMSO) δ 8.07 (s, 1H), 7.38 (d,J = 8.5 Hz, 2H), 7.32 (d,J = 8.5 Hz, 2H), 6.88 (t,J = 6.3 Hz, 1H), 3.77 (dd,J = 11.5, 1.9 Hz, 1H), 3.70 (dt,J = 7.0, 3.2 Hz, 1H), 3.383.33 (m, 1H), 3.303.22 (m, 2H), 3.16 (dd, J = 10.9, 8.9 Hz, 1H), 3.072.96 (m, 1H), 2.111.97 (m, 2H), 1.861.73 (m, 4H), 1.701.51 (m, 5H), 1.491.37 (m, 1H), 1.331.18 (m, 1H) EXAMPLE 3 Synthesis of 4-chloro-2-(4-cyclopentylphenyl)-5-[[(3R)-tetrahydropyran-3-yl]methylamino] pyridazin-3-one
A solution of 4,5-dichloro-2-(4-cyclopentylphenyl)pyridazin-3-one (500 mg, 1.62 mmol, 1.0 eq) [(3R)-tetrahydropyran-3-yl]methanamine (200 mg, 1.74 mmol, 1.07 eq) in DMF (5 mL) was heated at 80°C for 8h and then washed with water and purified by Prep-HPLC to afford the final product as a white solid (162.7 mg, 419.02 μmol, 25.91% yield). LCMS (ES, m/z): 388.20 [M+H+]
1HNMR (300 MHz, DMSO) δ 8.08 (s, 1H), 7.40-7.20 (dd, J = 8.7, 9.0 Hz, 4H), 6.90 (t, J = 6.4 Hz, 1H), 3.74 (ddt, J = 23.4, 11.2, 3.5 Hz, 2H), 3.37 (d, J = 2.8 Hz, 1H), 3.32-2.94 (m, 4H), 2.12- 1.92 (m, 2H), 1.92-1.14 (m, 11H). EXAMPLE 4 Synthesis of 4-chloro-2-(4-cyclopentylphenyl)-5-[[(3S)-tetrahydropyran-3- yl]methylamino]pyridazin-3-one
A solution of 4,5-dichloro-2-(4-cyclopentylphenyl)pyridazin-3-one (500 mg, 1.62 mmol, 1.0 eq) [(3S)-tetrahydropyran-3-yl]methanamine (200 mg, 1.74 mmol, 1.07 eq) and N-ethyl-N- isopropyl-propan-2-amine (209.00 mg, 1.62 mmol, 281.67 μL, 1 eq) in DMF (5 mL) was heated to 80°C for 8 hr and then washed with water and purified by Prep-HPLC to afford the final product as a white solid (134.5 mg, 21.42%) LCMS (ES, m/z): 388.20 [M+H+] EXAMPLE 5 Synthesis of 4-chloro-2-(4-cyclopentylphenyl)-5-((tetrahydro-2H-pyran-3-yl)amino)pyridazin- 3(2H)-one
Triethylamine (98.00 mg, 970.28 μmol) was added to a mixture of 4,5-dichloro-2-(4- cyclopentylphenyl) pyridazin-3-one (100 mg, 323.43 μmol, 1.0 eq) and tetrahydropyran-3- amine (49.07 mg, 485.14 μmol, 1.5 eq) suspended in ethanol (3 mL). The resulting solution was stirred at 80°C under nitrogen atmosphere overnight, cooled to room temperature and
concentrated under vacuum. The crude material was purified by column chromatography (eluting in 1:1 EtOAc/Hexanes) and then purified via Prep-HPLC (30-57% Water/Acetonitrile) to provide the product as a white solid (73.7 mg, 197.12 μmol, 60.95% yield). LCMS (ES, m/z): 374.20 [M+H+] 1H NMR (400 MHz, Methanol-d4) δ 8.06 (s, 1H), 7.447.26 (m, 4H), 3.963.84 (m, 2H), 3.81 3.79 (m, 1H), 3.563.55 (m, 1H), 3.46 (dd, J = 10.8, 7.5 Hz, 1H), 3.083.06 (m, 1H), 2.162.02 (m, 3H), 1.911.52 (m, 9H). EXAMPLE 6 Synthesis of 4-chloro-2-(4-cyclopentylphenyl)-5-(((1s,4s)-4- hydroxycyclohexyl)amino)pyridazin-3(2H)-one
4,5-dichloro-2-(4-cyclopentylphenyl)pyridazin-3-one (100 mg, 323.43 μmol, 1.0 eq), 4- aminocyclohexanol (44.70 mg, 388.11 μmol, 1.2 eq) ,triethylamine (98.00 mg, 970.28 μmol, 3 eq) and ethanol (6 mL) were heated to 80 °C for 4h, cooled to room temperature and concentrated under vacuum. The crude product was purified by Prep-HPLC to yield the final product as a white solid (102 mg, 262.95 μmol, 81.30% yield). LCMS (ES, m/z): 388.15 [M+H+] 1H NMR (300 MHz, Methanol-d4) δ 7.94 (s, 1H), 7.38-7.15 (m, 4H), 3.83 (d, J = 4.5 Hz, 1H), 3.81-3.47 (m, 1H), 2.99-2.97 (m, 1H), 2.15-1.85 (m, 2H), 1.85-1.40 (m, 14H). EXAMPLE 7 Synthesis of 4-chloro-2-(4-cyclopentylphenyl)-5-[(3-hydroxycyclohexyl)amino]pyridazin-3-one
A mixture of 4,5-dichloro-2-(4-cyclopentylphenyl)pyridazin-3-one (150 mg, 485.14 μmol, 1.00 eq), 3-aminocyclohexanol (67.05 mg, 582.17 μmol, 1.2 eq) and Triethylamine (147.27 mg, 1.46 mmol, 202.86 μL, 3 eq) in ethanol (5 mL) was stirred overnight at 80 °C under nitrogen atmosphere. The reaction mixture was cooled to room temperature, evaporated under reduced pressure and purified by Prep-TLC (ether / ethyl acetate =1:2). The product was further purified by Prep-HPLC to afford to the final product as a white solid (32.8 mg, 84.56 μmol, 17.43%). LCMS (ES, m/z): 388.20 [M+H+] 1H NMR (400 MHz, Methanol-d4) δ 8.04 (s, 1H), 7.37 (q, J = 8.6 Hz, 4H), 4.16 (s, 1H), 4.10 3.99 (m, 1H), 3.133.10 (m, 1H), 2.121.98 (m, 4H), 1.891.42 (m, 12H). EXAMPLE 8 Synthesis of 4-chloro-2-(4-cyclopentylphenyl)-5-[(1,1-dioxothian-3-yl)methylamino]pyridazin- 3-one
A suspension of 4,5-dichloro-2-(4-cyclopentylphenyl)pyridazin-3-one (100 mg, 323.43 μmol, 1.0 eq) and (1,1-dioxothian-3-yl)methanamine (79.19 mg, 485.14 μmol, 1.5 eq), and in ethanol/triethylamine (2:1, 3 mL) was heated to 100 °C overnight and then concentrated and purified by column chromatography. The material was then further purified by Prep-HPLC to afford the final compound as a white solid (63.7 mg, 45%). LCMS (Es, m/z): 436.05 [M+H+] 1H NMR (400 MHz, DMSO-d6) δ 8.15 (s, 1H), 7.467.28 (m, 4H), 7.04 (t, J = 6.6 Hz, 1H), 3.37 3.35 (m, 2H), 3.203.00 (m, 4H), 3.002.88 (m, 1H), 2.242.12 (m, 1H), 2.062.05 (m, 3H), 1.82 1.80 (m, 4H), 1.671.66 (m, 2H), 1.581.56 (m, 2H), 1.341.08 (m, 1H).
EXAMPLE 9 Synthesis of 4-chloro-2-(4-cyclopentylphenyl)-5-(2-methoxyanilino)pyridazin-3-one
A solution of 4,5-dichloro-2-(4-cyclopentylphenyl)pyridazin-3-one (120.00 mg, 0.39 mmol, 1.00 eq), 2-methoxyaniline (71.70 mg, 0.58 mmol, 1.50 eq), Dioxanes (1.50 mL), Water (1.50 mL) and triethylamine (0.27 mL, 1.94 mmol, 5.00 eq), was heated to 120°C under nitrogen atmosphere overnight. The reaction was then cooled to room temperature and the crude product purified by TLC (1:1 EtOAc/Pet Ether) and further purified by Prep-HPLC to yield the final product as a light yellow solid (20.90 mg, 0.05 mmol, 13.60% yield). LCMS (ES, m/z): 395.15 [M+H+] 1H NMR (300 MHz, DMSOd6 ) δ 8.52-8.44 (m, 2H), 8.08 (s, 1H), 7.41-7.28 (m, 6H), 6.88 (t, J = 6.3 Hz, 1H), 3.74-3.61 (m, 2H), 3.02-2.91 (m, 3H), 2.12-1.96 (m, 2H), 1.88-1.46 (m, 6H). EXAMPLE 10 Synthesis of 4-chloro-2-(4-cyclopentylphenyl)-5-(4-methoxyanilino)pyridazin-3-one
A solution of 4,5-dichloro-2-(4-cyclopentylphenyl)pyridazin-3-one (100.00mg, 0.32 mmol, 1.00 eq), 4-methoxyaniline (59.75 mg, 0.49 mmol, 1.50 eq), ethanol (3.00 mL) and triethylamine (0.22 mL, 1.63 mmol, 5.00 eq) was heated to 100 °C overnight. The crude material was purified by TLC (Pet Ether: EtOAc 1:1) and then further purified by Prep-HPLC to afford the final compound as a light yellow solid (32.8 mg, 25%). LCMS (ES, m/z): 396.16 [M+H+]
1H NMR (400 MHz, Methanol-d4) δ 7.69 (s, 1H), 7.517.40 (m, 2H), 7.387.30 (m, 2H), 7.30 7.21 (m, 2H), 7.086.98 (m, 2H), 3.83 (s, 3H), 3.133.01 (m, 1H), 2.152.03 (m, 2H), 1.981.79 (m, 2H), 1.781.70 (m, 2H), 1.701.55 (m, 2H). EXAMPLE 11 Synthesis of 4-chloro-2-(4-cyclopentylphenyl)-5-(2-thienylmethylamino)pyridazin-3-one
A solution of 4,5-dichloro-2-(4-cyclopentylphenyl)pyridazin-3-one (100 mg, 323.43 μmol, 1.0 eq), 2-thienylmethanamine (54.91 mg, 485.14 μmol, 49.92 μL, 1.5 eq) and Triethylamine (163.64 mg, 1.62 mmol, 225.40 μL, 5 eq) in ethanol (5 mL) was stirred overnight at 80 °C under nitrogen atmosphere. The reaction mixture was cooled to room temperature, evaporated under reduced pressure and purified by Prep-TLC (ether / ethyl acetate =3:1) and further purified by Prep-HPLC to afford the final compound as a white solid (32.0 mg, 64.01 μmol, 19.79% yield) LCMS (ES, m/z): 386.05 [M+H+] 1H NMR (400 MHz, Methanol-d4) δ 7.96 (s, 1H), 7.407.29 (m, 5H), 7.107.06 (m, 1H), 6.99 (dd, J = 5.1, 3.5 Hz, 1H), 4.84 (d, J = 1.0 Hz, 2H), 3.122.99 (m, 1H), 2.152.01 (m, 2H), 1.891.80 (m, 2H), 1.791.65 (m, 2H), 1.621.54 (m, 2H). EXAMPLE 12 Synthesis of 4-chloro-2-(4-cyclopentylphenyl)-5-(2-phenylethylamino)pyridazin-3-one
A mixture of 4,5-dichloro-2-(4-cyclopentylphenyl)pyridazin-3-one (100 mg, 323.43 μmol, 1.0 eq), 2-phenylethanamine (47.03 mg, 388.11 μmol, 48.79 μL, 1.2 eq) , triethylamine (98.00 mg,
970.28 μmol, 3.0 eq) in ethanol (8 mL) was stirred at 80 °C for 4 h under nitrogen atmosphere. The mixture was concentrated under vacuum and then purified by Prep-HPLC to afford the final compound as a white solid (57.2 mg, 44%). LCMS (ES, m/z): 394.20 [M+H+] 1H NMR (300 MHz, Methanol-d4) δ 7.79 (s, 1H), 7.37-7.16 (m, 9H), 3.70 (t, J = 7.0 Hz, 2H), 2.95 (t, J = 7.0 Hz, 3H), 2.08 (s, 2H), 1.89-1.53 (m, 7H). EXAMPLE 13 Synthesis of tert-butyl 3-[[[5-chloro-1-(4-cyclopentylphenyl)-6-oxo-pyridazin-4- yl]amino]methyl]morpholine-4-carboxylate
A suspension of 4,5-dichloro-2-(4-cyclopentylphenyl)pyridazin-3-one (300 mg, 970.28 μmol, 1.0 eq) and tert-butyl 3-(aminomethyl)morpholine-4-carboxylate (314.77 mg, 1.46 mmol, 1.5 eq), and Et3N (489.99 mg, 4.85 mmol, 5 eq) in ethanol (6 mL) was heated to 80 °C overnight. The mixture was concentrated and purified by column chromatography to afford the desired compound as a clear oily solid (400 mg, 84%). LCMS (ES, m/z): 489.10 [M+H+] 1H NMR (400 MHz, Methanol-d4) δ 8.20 (d, J = 17.3 Hz, 1H), 7.38 (s, 4H), 4.25 (s, 1H), 3.89 (d, J = 13.8 Hz, 3H), 3.69 (d, J = 15.6 Hz, 2H), 3.633.60 (m, 1H), 3.48 (d, J = 2.9 Hz, 1H), 3.36 (d, J = 4.1 Hz, 1H), 3.103.09 (m, 1H), 2.242.04 (m, 2H), 1.981.82 (m, 2H), 1.821.70 (m, 2H), 1.70 1.68 (m, 2H), 1.501.40 (m, 9H).
EXAMPLE 14 Synthesis of 4-chloro-2-(4-cyclopentylphenyl)-5-(morpholin-3-ylmethylamino)pyridazin-3-one
A suspension of tert-butyl 3-[[[5-chloro-1-(4-cyclopentylphenyl)-6-oxo-pyridazin-4-yl]amino] methyl]morpholine-4-carboxylate 300 mg (613.49 μmol, 1 eq) in DCM/TFA (2:1, 12 mL) was stirred at room temperature until reaction was complete. The crude material was purified by Prep-HPLC to afford the desired material as a brown oil (230 mg, 96.4%). LCMS (ES, m/z): 389.10 [M+H+] 1H NMR (400 MHz, Methanol-d4) δ 8.08 (s, 1H), 7.39 (q, J = 8.6 Hz, 4H), 3.89 (dd, J = 11.3, 3.1 Hz, 1H), 3.803.79 (m, 1H), 3.583.55 (m, 1H), 3.43 (d, J = 6.6 Hz, 2H), 3.36 (d, J = 4.1 Hz, 1H), 3.162.98 (m, 2H), 2.982.86 (m, 2H), 2.182.04 (m, 2H), 1.901.86 (m, 2H), 1.811.70 (m, 2H), 1.691.56 (m, 2H). EXAMPLE 15 5-[(4-acetylmorpholin-3-yl)methylamino]-4-chloro-2-(4-cyclopentylphenyl)pyridazin-3-one
Triethylamine (77.91 mg, 771.43 μmol, 3.0 eq) was added to a solution of 4-chloro-2-(4- cyclopentylphenyl)-5-(morpholin-3-ylmethylamino)pyridazin-3-one (100 mg, 257.14 μmol, 1.0 eq) in DCM (8 mL) and the mixture was cooled to 0 °C. At 0 °C acetyl chloride (20.19 mg, 257.14 μmol, 15.60 μL, 1.0 eq) was added and the mixture allowed to warm to rt for 1 h. The reaction was quenched by addition of water, and the organic phase separated and dried over sodium sulfate. The crude material was purified by Prep-HPLC to afford the desired compound as a white solid (45.6 mg, 41%).
LCMS (ES, m/z): 431.00 [M+H+] 1H NMR (400 MHz, Methanol-d4) δ 8.21 (d, J = 43.7 Hz, 1H), 7.487.28 (m, 4H), 4.624.12 (m, 1H), 4.103.61 (m, 4H), 3.603.41 (m, 4H), 3.163.00 (m, 1H), 2.13 –2.11 (m, 5H), 1.971.82 (m, 2H), 1.78 –1.75 (m, 2H), 1.721.58 (m, 2H). EXAMPLE 16 Synthesis of 4-chloro-2-(4-cyclopentylphenyl)-5-(3-isopropoxypropylamino)pyridazin-3-one
A solution of 4,5-dichloro-2-(4-cyclopentylphenyl)pyridazin-3-one (100 mg, 323.43 μmol, 1.00 eq), 3-isopropoxypropan-1-amine (45.48 mg, 388.11 μmol, 54.15 μL, 1.2 eq) and Triethylamine (98.18 mg, 970.28 μmol, 135.24 μL, 3 eq) in ethanol (3 mL) was stirred overnight at 80 °C under nitrogen atmosphere. The reaction mixture was cooled to room temperature, evaporated under reduced pressure and purified by Prep-TLC (ether / ethyl acetate =1:1). The product was then further purified by Prep-HPLC to afford the final compound as a white solid (55.2 mg, 109.54 μmol, 33.87% yield). LCMS (Es, m/z): 390.10 [M+H+] 1H NMR (400 MHz, Methanol 3.05 ( m 1H), 2.15 d4 ) δ 8.13 (s, 1H), 7.36 (q, J = 8.7 Hz, 4H), 3.682.04 (m, 2H), 1.971.81 (m, 4H), 1.80–– 1.56 (m, 43.52 (m, 5H), 3.07 H), 1.17 (d, J = 6.1 Hz, 6 H). EXAMPLES 17–50 Synthesis of Compounds 17–50 Compounds 17–50, shown below in Table 2, were prepared in a manner analogous to Examples 1–16:
TABLE 2
EXAMPLE 51 Synthesis of (2R)-4-chloro-2-(2-naphthyl)-5-[[(3R)-tetrahydropyran-3- yl]methylamino]pyridazin-3-one
A mixture of 5-chloro-4-[[(3R)-tetrahydropyran-3-yl]methylamino]-1H-pyridazin-6-one (110 mg, 451.39 μmol, 1.0 eq), 2-naphthylboronic acid (77.63 mg, 451.39 μmol, 1.0 eq) and copper
acetate (40.99 mg, 225.70 μmol, 0.5 eq) in pyridine:DCM(1:10) (11 mL) was stirred overnight at room temperature under oxygen atmosphere. The resulting mixture was concentrated under vacuum and purified by Prep-TLC (DCM:MeOH=20:1) and then prep-HPLC to afford the title compound (34.0 mg, 91.93 μmol, 20.37% yield) as a white solid. LCMS (ES, m/z): 370.10[M+H+] 1H NMR (400 MHz, Methanol-d4) δ 8.09 (s, 1H), 8.03 (d, J = 2.1 Hz, 1H), 7.987.87 (m, 3H), 7.62 (dd, J = 8.8, 2.1 Hz, 1H), 7.597.50 (m, 2H), 3.943.86 (m, 1H), 3.853.78 (m, 1H), 3.553.30 (m, 4H), 1.971.93 (m, 2H), 1.771.54 (m, 2H), 1.441.39 (m, 1H). EXAMPLE 52 Synthesis of (2R)-4-chloro-2-(6-isoquinolyl)-5-[[(3R)-tetrahydropyran-3- yl]methylamino]pyridazin-3-one
A mixture of 5-chloro-4-[[(3R)-tetrahydropyran-3-yl]methylamino]-1H-pyridazin-6-one (100 mg, 410.36 μmol, 1.0 eq) ,6-isoquinolylboronic acid (70.98 mg, 410.36 μmol, 1.0 eq) and copper acetate (37.27 mg, 205.18 μmol, 0.5 eq) in pyridine:DCM (1:10) (11 mL) was stirred overnight at room temperature, under oxygen atmosphere. The resulting mixture was concentrated under vacuum and purified by Prep-TLC (DCM:MeOH=20:1) and then Prep-HPLC to afford the title compound (19.6 mg, 40.42 μmol, 9.85% yield) as a light yellow solid. LCMS (ES, m/z): 371.10 [M+H+] 1H NMR (300 MHz, Methanol-d4) δ 9.75 (s, 1H), 8.668.51 (m, 3H), 8.47 (d, J = 6.6 Hz, 1H), 8.408.30 (m, 1H), 8.23 (s, 1H), 3.963.76 (m, 2H), 3.593.33 (m, 4H), 2.061.86 (m, 2H), 1.801.53 (m, 2H), 1.501.32 (m, 1H).
EXAMPLE 53 Synthesis of (2R)-4-chloro-2-[4-[(1S)-1-methylpyrazol-3-yl]phenyl]-5-[[(3R)-tetrahydropyran- 3-yl]methylamino]pyridazin-3-one
A mixture of 5-chloro-4-[[(3R)-tetrahydropyran-3-yl]methylamino]-1H-pyridazin-6-one (84.44 mg, 346.51 μmol, 0.7 eq), [4-(1-methylpyrazol-3-yl)phenyl]boronic acid (100 mg, 495.01 μmol,1.0 eq) and copper acetate (49.41 mg, 247.50 μmol, 0.5 eq)in DCM (10 mL) and pyridine (1 mL) was stirred overnight at 50 °C under oxygen atmosphere. The resulting mixture was concentrated under reduced pressure and purified by Prep-TLC with (DCM/MeOH=7/1) and then purified by Prep-HPLC to afford the title compound (38.3 mg, 95.78 μmol, 19.35% yield) as a yellow solid. LCMS (ES, m/z): 400.15 [M+H+] 1H NMR (300 MHz, Methanol-d4) δ 8.05 (s, 1H), 7.927.82 (m, 2H), 7.63 (d, J = 2.3 Hz, 1H), 7.607.51 (m, 2H), 6.68 (d, J = 2.4 Hz, 1H), 3.95 (s, 3H), 3.913.75 (m, 2H), 3.563.32 (m, 4H), 2.00 1.90 (m, 2H), 1.801.65 (m, 2H), 1.471.25 (m, 1H). EXAMPLE 54 Synthesis of (2R)-4-chloro-2-[4-[(3R)-3-methylimidazol-4-yl]phenyl]-5-[[(3R)-tetrahydropyran- 3-yl]methylamino]pyridazin-3-one
A mixture of 5-chloro-4-[[(3R)-tetrahydropyran-3-yl]methylamino]-1H-pyridazin-6-one (120.63 mg, 495.01 μmol, 1.0 eq), [4-(3-methylimidazol-4-yl)phenyl]boronic acid (100 mg, 495.01 μmol, 1.0 eq) and copper acetate (98.83 mg, 495.01 μmol, 1.0 eq) in DMF (10 mL) and pyridine (1 mL) was stirred overnight at 50 °C, under oxygen atmosphere. The resulting mixture was concentrated under reduced pressure and purified by Prep-TLC with (DCM/MeOH=7/1) and then purified by Prep-HPLC to afford the title compound (21.2 mg, 53.02 μmol, 10.71% yield) as a yellow solid. LCMS (ES, m/z): 400.15 [M+H+] 1H NMR (300 MHz, Methanol-d4) δ 9.01 (s, 1H), 8.11 (s, 1H), 7.78 (d, J = 8.6 Hz, 2H), 7.74 7.65 (m, 3H), 3.93 (s, 3H), 3.923.81 (m, 2H), 3.583.32 (m, 4H), 2.021.90 (m, 2H), 1.801.60 (m, 2H), 1.491.25 (m, 1H). EXAMPLE 55 Synthesis of (2S)-4-chloro-2-(4-phenoxyphenyl)-5-[[(3S)-tetrahydropyran-3- yl]methylamino]pyridazin-3-one
A mixture of 5-chloro-4-[[(3S)-tetrahydropyran-3-yl]methylamino]-1H-pyridazin-6-one (80.00 mg, 0.31 mmol, 1.00 eq), (4-phenoxyphenyl)boronic acid (84.31 mg, 0.39 mmol, 1.20 eq) and copper acetate (59.63 mg, 0.33 mmol, 1.00 eq), in DCM (6.00 mL) and pyridine (0.60 mL) was stirred overnight at room temperature under oxygen atmosphere. The resulting solution was purified by TLC (D:M=20:1) and then further purified by Prep-HPLC to afford the title compound (57.80 mg, 0.14 mmol, 42.75% yield) as a white solid. LCMS (ES, m/z): 410.10 [M + H+] 1H NMR (400 MHz, Methanol-d4) δ 8.03 (d, J = 0.8 Hz, 1H), 7.527.43 (m, 2H), 7.437.34 (m, 2H), 7.217.12 (m, 1H), 7.106.99 (m, 4H), 3.933.85 (m, 1H), 3.853.68 (m, 1H), 3.553.31 (m, 4H), 1.94 (s, 2H), 1.851.68 (m, 1H), 1.681.50 (m, 1H), 1.481.28 (m, 1H).
EXAMPLE 56 Synthesis of (2S)-4-chloro-2-(4-pyrrolidin-1-ylphenyl)-5-[[(3S)-tetrahydropyran-3- yl]methylamino]pyridazin-3-one
A mixture of 5-chloro-4-[[(3S)-tetrahydropyran-3-yl]methylamino]-1H-pyridazin-6-one (100.00 mg, 0.41 mmol, 1.00 eq), (4-pyrrolidin-1-ylphenyl)boronic acid (94.07 mg, 0.49 mmol, 1.20 eq) and copper acetate (37.27 mg, 0.21 mmol, 0.50 eq) in DCM (5.00 mL) and pyridine (1.00 mL) was heated to 50 °C overnight, under oxygen atmosphere. The resulting solution was purified by TLC (D:M=15:1) and then further purified by Prep-HPLC to afford the title compound (17.70 mg, 0.05 mmol, 11.09% yield) as a light yellow solid. LCMS (ES, m/z): 389.05 [M+H+] 1H NMR (400 MHz, Methanol-d4) δ 7.99 (s, 1H), 7.357.26 (m, 2H), 6.72 (d, J = 8.5 Hz, 2H), 3.933.85 (m, 1H), 3.853.73 (m, 1H), 3.553.42 (m, 1H), 3.443.26 (m, 7H), 2.192.00 (m, 4H), 2.001.87 (m, 2H), 1.771.53 (m, 2H), 1.461.25 (m, 1H). EXAMPLE 57 Synthesis of (2S)-4-chloro-2-(6-quinolyl)-5-[[(3S)-tetrahydropyran-3-yl] methylamino]pyridazin-3-one
A mixture of 5-chloro-4-[[(3S)-tetrahydropyran-3-yl]methylamino]-1H-pyridazin-6-one (100 mg, 410.36 μmol, 1.0 eq) ,6-quinolylboronic acid (85.18 mg, 492.43 μmol, 1.2 eq), copper
acetate (37.27 mg, 205.18 μmol, 1.2 eq) in DCM (6 mL) was stirred at room temperature for 4h. The resulting solution was concentrated under pressure and the crude material purified by Prep-HPLC to yield the desired product as a white solid (111.0 mg, 72%). LCMS (ES, m/z): 371.10 [M+H+] 1H NMR (300 MHz, Methanol-d4) δ 8.908.89 (m, 1H), 8.428.41 (m, 1H), 8.288.07 (m, 3H), 7.987.96 (m, 1H), 7.607.58 (m, 1H), 3.963.72 (m, 2H), 3.613.34 (m, 3H), 3.29 (d, J = 7.0 Hz, 1H), 2.021.80 (m, 2H), 1.781.49 (m, 2H), 1.451.30 (m, 1H). EXAMPLE 58 Synthesis of (2S)-4-chloro-2-[4-(1-hydroxy-1-methyl-ethyl)phenyl]-5-[[(3S)-tetrahydropyran-3- yl]methylamino]pyridazin-3-one
A mixture of 5-chloro-4-[[(3S)-tetrahydropyran-3-yl]methylamino]-1H-pyridazin-6-one (100 mg, 410.36 μmol, 1.0 eq), [4-(1-hydroxy-1-methyl-ethyl)phenyl]boronic acid (88.64 mg, 492.43 μmol, 1.2 eq) and copper acetate (37.21 mg, 205.18 μmol, 0.5 eq) in DCM (6 mL) was stirred at room temperature for 4 h. The mixture was then concentrated under pressure and the crude material purified by Prep-HPLC to yield the desired product as a white solid (124 mg, 79%). LCMS (ES, m/z): 378.15 [M+H+] 1H NMR (300 MHz, Methanol-d4) δ 8.04 (s, 1H), 7.657.54 (m, 2H), 7.517.38 (m, 2H), 3.96 3.74 (m, 2H), 3.563.32 (m, 3H), 3.27 (s, 1H), 2.03 (s, 2H), 1.771.64 (m, 2H), 1.56 (s, 6H), 1.40 1.38 (m, 1H).
EXAMPLE 59 4-[(1S)-5-chloro-6-oxo-4-[[(3S)-tetrahydropyran-3-yl]methylamino]pyridazin-1-yl]benzamide
A mixture of 5-chloro-4-[[(3S)-tetrahydropyran-3-yl]methylamino]-1H-pyridazin-6-one (120 mg, 492.43 μmol, 1.0 eq), (4-carbamoylphenyl)boronic acid (105.60 mg, 640.16 μmol, 1.3 eq) and copper acetate (44.72 mg, 246.21 μmol, 0.5 eq) in pyridine:DCM(1:10) (11 mL) was stirred at 50 °C overnight. After cooling to room temperature, the solvent was removed under reduced pressure. The crude material was purified by Prep-TLC and then further purified by Prep-HPLC to yield the desired compound as a white solid (29.2 mg, 16%). LCMS (ES, m/z): 363.05 [M+H+] 1H NMR (400 MHz, DMSO-d6) δ 8.15 (s, 1H), 8.05 (s, 1H), 7.95 (d, J = 8.2 Hz, 2H), 7.61 (d, J = 8.3 Hz, 2H), 7.44 (s, 1H), 6.99 (t, J = 6.5 Hz, 1H), 3.803.71 (m, 2H), 3.423.38 (m, 1H), 3.333.21 (m, 2H), 3.203.15 (m, 1H), 1.82 (s, 2H), 1.651.57 (m, 1H), 1.521.41 (m, 1H), 1.311.22 (m, 1H). EXAMPLE 60 Synthesis of 4-chloro-2-(5-cyclopentyl-2-pyridyl)-5-(tetrahydropyran-3- ylmethylamino)pyridazin-3-one
A mixture of 4,5-dichloro-2-(5-cyclopentyl-2-pyridyl)pyridazin-3-one (200 mg, 644.79 μmol, 1.0 eq) and tetrahydropyran-3-ylmethanamine (222.79 mg, 1.93 mmol, 3.0 eq) in ethanol (4 mL) was heated to 80 °C overnight. Once complete, the reaction mixture was cooled to room temperature and the solvent was removed under pressure. The crude material was purified by
column chromatography and then Prep-HPLC to yield the desired material as a white solid (49.1 mg, 19%). LCMS (ES, m/z): 389.20 [M+H+] 1H NMR (300 MHz, Methanol-d4) δ 8.43 (d, J = 2.3 Hz, 1H), 8.06 (s, 1H), 7.90 (m, J = 8.4, 2.4 Hz, 1H), 7.52 (d, J = 8.3 Hz, 1H), 3.943.81 (m, 2H), 3.563.37 (m, 3H), 3.15 (p, J = 8.4, 7.9 Hz, 1H), 2.17 (s, 2H), 1.921.41 (m, 12H). EXAMPLE 61 Synthesis of 1,1-dimethylethyl 4-[4-[(1S)-5-chloro-6-oxo-4-[[(3S)-tetrahydropyran-3- yl]methylamino]pyridazin-1-yl]phenyl]piperidine-1-carboxylate
A mixture of 5-chloro-4-[[(3S)-tetrahydropyran-3-yl]methylamino]-1H-pyridazin-6-one (25.38 mg, 104.16 μmol, 1.0 eq), 4-(1-tert-butoxycarbonyl-4-piperidyl)phenyl]boronic acid (30 mg, 98.30 μmol, 2.12 eq) and copper acetate (8.93 mg, 49.15 μmol, 0.5 eq) in DCM/ Pyridine =10/1 (2.2 mL) was stirred at room temperature for 18 h. Once complete, the solvent was removed under reduced pressure and the crude material purified by column chromatography and Prep-HPLC, respectively to yield the title compound as a white solid (8.5 mg, 34%) LCMS (ES, m/z): 503.10 [M+H+] 1H NMR (400 MHz, DMSO-d6) δ 8.09 (s, 1H), 7.467.28 (m, 4H), 6.91 (t, J = 6.4 Hz, 1H), 4.09 (d, J = 12.8 Hz, 2H), 3.853.65 (m, 2H), 3.393.30 (m, 3H), 3.173.16 (m, 1H), 2.902.75 (m, 3H), 1.821.79 (m, 4H), 1.651.43 (m, 13H), 1.281.26 (m, 1H).
EXAMPLE 62 Synthesis of (2S)-4-chloro-2-[4-(4-piperidyl)phenyl]-5-[[(3S)-tetrahydropyran-3- yl]methylamino]pyridazin-3-one A mixture of 1,1-dimethylethyl 4-[4-[(1S)-5-chloro-6-oxo-4-[[(3S)-tetrahydropyran-3- yl]methylamino]pyridazin-1-yl]phenyl]piperidine-1-carboxylate (30 mg, 59.64 μmol) suspended in TFA/DCM (1:2, 3 mL) was stirred at room temperature for 2 h. The solvent was then removed under reduced pressure and the crude material was purified by Prep-HPLC to yield the title compound as a colorless oil (8.9 mg, 37%) LCMS (ES, m/z): 403.05 [M+H+] 1H NMR (400 MHz, DMSO-d6) δ 8.70 (d, J = 11.5 Hz, 1H), 8.43 (q, J = 11.2 Hz, 1H), 8.08 (s, 1H), 7.46 (d, J = 8.1 Hz, 2H), 7.32 (d, J = 8.2 Hz, 2H), 6.91 (t, J = 6.4 Hz, 1H), 3.40 (d, J = 12.6 Hz, 2H), 3.353.11 (m, 5H), 3.112.84 (m, 4H), 1.99 (d, J = 13.6 Hz, 2H), 1.85 –1.81 (m, 4H), 1.64 – 1.62 (m, 1H), 1.48 –1.46 (m, 1H), 1.30 –1.27 (m, 1H). EXAMPLES 63–139 Synthesis of Compounds 63–139 Compounds 63–139, shown below in Table 3, were prepared in a manner analogous to Examples 51–30: TABLE 3
EXAMPLE 140 Synthesis of 4-chloro-2-(4-chlorophenyl)-5-(tetrahydropyran-3-ylmethylamino)pyridazin-3- one
STEP 1: 4,5-dichloro-2-(4-chlorophenyl)pyridazin-3-one A solution of 4,5-dichloro-1H-pyridazin-6-one (300 mg, 1.82 mmol, 1 eq), (4- chlorophenyl)boronic acid (369.66 mg, 2.36 mmol, 1.3 eq) copper acetate (399.35 mg, 2.00 mmol, 1.1 eq) and Pyridine (2.16 g, 27.28 mmol, 2.21 mL, 15 eq) in 10% DCM/MeOH was stirred at rt for 18 h under an oxygen atmosphere. The reaction was then quenched by addition of water and the pH adjusted to pH = 4 with conc. HCl. The aqueous layer was extracted with DCM and the organic layer dried (MgSO4) and then filtered. The crude material was evaporated onto silica gel and purified by column chromatography (0-100% EtOAc/Hexanes) to yield the title compound as a beige solid (449mg, 1.55 mmol, 85.4%). STEP 2: 4-chloro-2-(4-chlorophenyl)-5-(tetrah
n-3-ylmethylamino)pyridazin-3-one To a reaction tube were added. To this K2CO3 (563.09 mg, 4.07 mmol, 2.5 eq) and tetrahydropyran-3-ylmethanamine (206.46 mg, 1.79 mmol, 1.1 eq) were added to 4,5-dichloro-2-(4-chlorophenyl)pyridazin-3-one (449 mg, 1.63 mmol, 1.0 eq) suspended in acetonitrile (6.5mL) and the mixture heated at 72oC for 18 h. After cooling to room temperature, the mixture was partitioned between water and EtOAc. The organic layer was separated, dried (MgSO4), evaporated onto silica gel and purified by column chromatography (0-80% EtOAc/Hexanes) to provide the title compound as a white solid ( 293.7 mg, 50.37%).
EXAMPLES 141–182 Synthesis of Compounds 141–182 Compounds 141–182, shown below in Table 4, were prepared in a manner analogous to Examples 1–140: TABLE 4
EXAMPLE 183 Synthesis of 4-chloro-2-(1-phenyl-4-piperidyl)-5-[[(3S)-tetrahydropyran-3- yl]methylamino]pyridazin-3-one
STEP 1: 4,5-dichloro-2-(1-phenyl-4-piperidyl)pyridazin-3-one A mixture of (1-phenyl-4-piperidyl)hydrazine (500 mg, 2.61 mmol, 1.0 eq), (Z)-2,3-dichloro- 4-oxo-but-2-enoic acid (662.52 mg, 3.92 mmol, 1.5 eq) and Chlorine (95.31 mg, 2.61 mmol, 119.14 μL, 1.0 eq) in ethanol (5 mL) was stirred for at 80 °C for 4 hr. Once complete, the solution was filtered to yield the product as a white solid (4.8 g, 47%). LCMS (ES, m/z): 324.30 [M]
STEP 2: 4-chloro-2-(1-phenyl-4-piperidyl)-5-[[(3S)-tetrahydropyran-3-yl]methylamino]pyridazin- 3-one A mixture of 4,5-dichloro-2-(1-phenyl-4-piperidyl)pyridazin-3-one (200 mg, 616.89 μmol, 1.0 eq), [(3S)-tetrahydropyran-3-yl]methanamine (106.57 mg, 925.34 μmol, 1.5 eq) and N,N- diethylethanamine (249.69 mg, 2.47 mmol, 343.93 μL, 4 eq) in ethanol (5 mL) was heated to 80 °C for 16 h and then poured over ice and extracted with DCM (3 x 50 mL). The combined organic layers were washed with brine (1 x 50 mL), over sodium sulfate and concentrated under pressure. The crude material was purified by Prep-HPLC to yield the title compound as a yellow solid (52.5 mg, 21%). LCMS (ES, m/z): 403.20 [M+H+] 1H NMR (400 MHz, MeOH-d4): δ 7.95 (s, 1H), 7.30-7.20 (t, J = 1.92, 7.36, 14.12 Hz, 2H), 7.07- 6.99 (d, J = 7.96 Hz, 2H), 6.99-6.59 (t, J = 7.28, 14.6 Hz, 1H), 5.05-4.95 (m, 1H), 3.93-3.77 (m, 4H), 3.59-3.44 (m, 1H), 3.40-3.34 (m, 1H), 3.32-3.26 (m, 2H), 2.97-2.82 (m, 2H), 2.21-2.09 (m, 2H), 2.00-1.86 (m, 4H), 1.77-1.55 (m, 2H), 1.45-1.32 (m, 1H). EXAMPLES 184–200 Synthesis of Compounds 184–200 Compounds 184–200, shown below in Table 5, were prepared in a manner analogous to the scheme below:
TABLE 5
EXAMPLE 201 Synthesis of (S)-4-fluoro-2-(4-phenoxyphenyl)-5-(tetrahydropyran-3- ylmethylamino)pyridazin-3-one
STEP 1: 5-chloro-2-tetrahydropyran-2-yl-pyridazin-3-one To a solution of 4-chloro-1H-pyridazin-6-one (6 g, 45.97 mmol, 1.0 eq) in THF (100 mL) was added 3,4-dihydro-2H-pyran (3.87 g, 45.97 mmol, 4.18 mL, 1.0 eq) 4-methylbenzenesulfonic acid (7.92 g, 45.97 mmol, 1.0 eq) and the mixture stirred for 16 hr at 70 °C .The mixture was then cooled to room temperature and partitioned between water and ethyl acetate. The combined organic layers were concentrated under vacuum. The crude product was purified by chromatography (silica gel column eluted with PE/THF (3:1)) to afford the title compound (6 g, 25.16 mmol, 54.73% yield, 90% purity) as a light yellow solid. LCMS (ES, m/z): 215.10 [M+H+]. STEP 2: 2-tetrahydropyran-2-yl-5-(tetrahydropyran-3-ylmethylamino)pyridazin-3-one To a solution of 5-chloro-2-tetrahydropyran-2-yl-pyridazin-3-one (500 mg, 2.33 mmol, 1.0 eq) and tetrahydropyran-3-ylmethanamine (268.8 mg, 2.33 mmol, 1.0 eq) in ethanol (10 mL) was added N,N-diethylethanamine (235.71 mg, 2.33 mmol, 324.67 μL, 1.0 eq) and the resulting solution was stirred for 16 hr at 80 °C. The mixture was concentrated under reduced pressure and the resulting residue purified by reverse flash chromatography (column, C18 silica gel; mobile phase, A: water (containing 10 mmol/L NH4HCO3) and B: ACN (0% to 40% in 20min);
Detector: UV 254 nm) to provide the title compound (350 mg, 1.07 mmol, 46.10% yield, 90% purity) as a yellow solid. STEP 3: 4-fluoro-2-tetrahydropyran-2-yl-5-(tetrahydropyran-3-ylmethylamino)pyridazin-3-one To a solution of 2-tetrahydropyran-2-yl-5-(tetrahydropyran-3-ylmethylamino)pyridazin-3- one (100 mg, 340.88 μmol, 1.0 eq) in acetonitrile (2 mL) was added lithium hydroxide (90.02 mg, 681.76 μmol, 2.0 eq) and 1-(chloromethyl)-4-fluoro-1,4- diazoniabicyclo[2.2.2]octane;ditetrafluoroborate (241.34 mg, 681.76 μmol, 2.0 eq) and the mixture stirred for 40 min at 70 °C. The reaction was cooled to room temperature and solvent removed under reduced pressure. The resulting material was purified by reverse flash chromatography. The racemate was separated by Chiral-Prep-HPLC to provide the title compound (5 mg, 15.26 μmol, 4.48% yield, 95% purity) as a yellow oil. LCMS (ES, m/z): 312.20 [M+H+]. STEP 4: 5-fluoro-4-(tetrahydropyran-3-ylmethylamino)-1H-pyridazin-6-one To a solution of 4-fluoro-2-tetrahydropyran-2-yl-5-(tetrahydropyran-3- ylmethylamino)pyridazin-3-one (300 mg, 963.54 μmol) in DCM (10.00 mL) was added TFA (54.93 mg, 481.77 μmol, 37.12 μL) and the mixture stirred for 1 hr at 25 °C. Solvent was then removed in vacuo and the crude material was taken forward without further purification. LCMS (ES, m/z): 228.20 [M+H+] STEP 5: 4-fluoro-2-(4-phenoxyphenyl)-5-(tetrahydropyran-3-ylmethylamino)pyridazin-3-one To a solution of 5-fluoro-4-(tetrahydropyran-3-ylmethylamino)-1H-pyridazin-6-one (70 mg, 308.05 μmol, 1.0 eq) in DCE (7.89 mL) was added (4-phenoxyphenyl)boronic acid (79.12 mg, 369.66 μmol, 1.5 eq), copper (II) acetate (184.51 mg, 924.15 μmol, 98.04 μL, 3.0 eq) and pyridine (73.10 mg, 924.15 μmol, 74.74 μL, 3.0 eq) and the mixture stirred for 16 hr at 25 °C under oxygen atmosphere. The reaction mixture was passed through a pad of Celite, the solvent removed under reduced pressure and then purified to provide the title compound (5 mg, 12.56 μmol, 4.08% yield, 99.3% purity). LCMS (ES, m/z): 396.15 [M+H+] 1H NMR (300 MHz, CDCl3): δ 7.75 (d, J = 7.8 Hz, 1H), 7.59-7.52 (dt, J = 5.28, 9.0 Hz, 2H), 7.42-7.33 (dt, J = 2.04, 7.62, 13.8 Hz, 2H), 7.20-7.13 (m, 1H), 7.11-7.05 (m, 4H), 4.39-4.29 (m,
1H), 3.93-3.78 (m, 1H), 3.61-3.48 (m, 3H), 2.00-1.87 (m, 2H), 1.75-1.61 (m, 2H), 1.48-1.33 (m, 1H). EXAMPLE 202 Synthesis of N-[5-chloro-1-(4-cyclopentylphenyl)-6-oxo-pyridazin-4-yl]-2-tetrahydropyran-2- yl-acetamide
STEP 1: 4-chloro-2-(4-cyclopentylphenyl)-5-[(4-methoxyphenyl)methylamino]pyridazin-3-one A solution of 4,5-dichloro-2-(4-cyclopentylphenyl)pyridazin-3-one (1 g, 3.23 mmol, 1.0 eq) and ethanol (10 mL), TFA (981.82 mg, 9.70 mmol, 1.35 mL, 3.0 eq) and (4- methoxyphenyl)methanamine (532.41 mg, 3.88 mmol, 507.05 μL, 1.2 eq) was stirred for 2 hr at 80 °C. The resulting mixture was concentrated under vacuum and purified by column chromatography with ethyl acetate/petroleum (1:1) to provide the title compound (1 g, 2.44 mmol, 75.43% yield) as a white solid. STEP 2: 5-amino-4-chloro-2-(4-cyclopentylphenyl)pyridazin-3-one A mixture of 4-chloro-2-(4-cyclopentylphenyl)-5-[(4-methoxyphenyl)methylamino]pyridazin- 3-one (1 g, 2.44 mmol) in DCM (5 mL) and TFA (5 mL) was stirred at room temperature for 1 hr. and then concentrated under vacuum to provide the title compound (600 mg, 2.07 mmol, 84.88% yield) as a white solid.
STEP 3: N-[5-chloro-1-(4-cyclopentylphenyl)-6-oxo-pyridazin-4-yl]-2-tetrahydropyran-2-yl- acetamide To a dry flask, cooled under nitrogen were added A mixture of 2-tetrahydropyran-2-ylacetic acid (49.75 mg, 345.11 μmol) and thionyl chloride (2 mL) was stirred, under nitrogen, for 2 hr at 80 °C and then concentrated under pressure. A solution of 5-amino-4-chloro-2-(4-cyclopentylphenyl)pyridazin-3-one (100 mg, 345.11 μmol, 1.0 eq) in 1-methylpyrrolidin-2-one (2 mL) was cooled to 0 °C, then sodium hydride (9.94 mg, 414.14 μmol, 1.2 eq) was added portion-wise. The mixture was stirred at 0 °C for 30 mins, after which time the acid chloride, dissolved in NMP (2mL), was added. The reaction mixture was stirred at room temperature overnight and then quenched with water and then extracted with EtOAc (3 x 100 mL). The combined organic layers were then washed with brine, dried over MgSO4 and purified by column chromatography and further purified by Prep-HPLC to afford the desired compound as a white solid (43.6 mg, 23%). LCMS (ES, m/z): 416.15 [M+H+] EXAMPLE 203 Synthesis of (2S)-4-chloro-2-[4-[(1R)-2-oxo-1-pyridyl]phenyl]-5-[[(3S)-tetrahydropyran-3-yl] methylamino]pyridazin-3-one
A solution of (2S)-4-chloro-2-(4-iodophenyl)-5-[[(3S)-tetrahydropyran-3-yl]methylamino] pyridazin-3-one (100 mg, 224.38 μmol, 1.0 eq), 1H-pyridin-2-one (106.69 mg, 1.12 mmol, 5.0 eq) copper iodide (460.22 mg, 336.56 μmol, 1.5 eq) N,N'-Dimethyl-1,2-cyclohexanediamine (47.87 mg, 336.56 μmol, 1.5 eq) and cesium carbonate (941.13 mg, 1.12 mmol, 5.00 eq) in dioxane (5 mL) was stirred at 100 °C for 16 h under nitrogen. The mixture was cooled to room temperature, diluted with water (10 mL) and extracted with EtOAc (3 x 10 mL). The combined organic layers were washed with brine (30 mL), dried over anhydrous sodium sulfate and concentrated under reduced pressure. The residue was purified by Prep-HPLC to afford (2S)-4-
chloro-2-[4-[(1R)-2-oxo-1-pyridyl]phenyl]-5-[[(3S)-tetrahydropyran-3-yl]methylamino]pyridazin- 3-one (20.5 mg, 48.01 μmol, 21.40% yield, 96.7% purity) as a light brown solid. LCMS (ES, m/z): 413.05 [M+H+]. 1H NMR (400 MHz, MeOH-d4): δ 8.09 (s, 1H), 7.76 (m, 2H), 7.687.61 (m, 2H), 7.55-7.50 (m, 2H), 6.64 (d, J= 9.1 Hz, 1H), 6.50 (td, J= 6.7, 1.3 Hz, 1H), 3.89 (dd, J= 11.7, 3.6 Hz, 1H), 3.81 (dt, J= 11.4, 4.2 Hz, 1H), 3.54-3.33 (m, 4H), 1.99-1.88 (m, 2H), 1.75-1.56 (m, 2H), 1.44-1.33 (m, 1H). EXAMPLE 204 Synthesis of (2S)-4-chloro-2-[4-[(1R)-2-oxo-1-piperidyl]phenyl]-5-[[(3S)-tetrahydropyran-3- yl]methylamino]pyridazin-3-one
This material was prepared using the methods described for Example 203. LCMS (ES, m/z): 417.10 [M+H+]. 1H NMR (400 MHz, MeOH-d4): δ 7.95 (s, 1H), 7.51-7.44 (m, 2H), 7.32-7.25 (m, 2H), 3.83-3.58 (m, 4H), 3.44-3.24 (m, 3H), 3.22-3.19 (m, 1H), 2.43 (t, J = 6.3 Hz, 2H), 1.94-1.77 (m, 6H), 1.66- 1.43 (m, 2H), 1.35-1.24 (m, 1H). EXAMPLE 205 Synthesis of (S)-4-chloro-2-(4-(4-fluoro-3-methoxyphenoxy)phenyl)-5-(((tetrahydro-2H-pyran- 3-yl)methyl)amino)pyridazin-3(2H)-one (205)
STEP 1: 1-fluoro-2-methoxy-4-(4-nitrophenoxy) benzene A mixture of 1-fluoro-4-nitrobenzene (10.0 g, 70.9 mmol), 4-fluoro-3-methoxy-phenol (8.00 g, 56.3 mmol) and potassium carbonate (13 g, 94.1 mmol) in DMF (50 mL) was heated for 16 h at 100 °C. The reaction mixture was then cooled to rt, quenched with water (200 mL) and the aqueous layer extracted with ethyl acetate (3 x 150 mL). The combined organic extracts were washed with brine (1 x 100 mL), dried over sodium sulfate. and purified by column chromatography to afford 1-fluoro-2-methoxy-4-(4-nitrophenoxy)benzene (6.00 g, 46% yield) as a brown solid. STEP 2: 4-(4-fluoro-3-methoxy-phenoxy)aniline 1-fluoro-2-methoxy-4-(4-nitrophenoxy)benzene (3.80 g, 14.4 mmol), iron (3.00 g, 53.7 mmol) and ammonium chloride (4.00 g, 74.8 mmol) were suspended in THF (10 mL), water (10 mL) and ethanol (10 mL), and the mixture heated to 80 °C for 1h. The mixture was then cooled to rt and any solids removed by filtration. The filtrate was concentrated onto silica gel and purified by column chromatography to afford 4-(4-fluoro-3-methoxy-phenoxy)aniline (3.00 g, 80% yield) as a black solid. LCMS (ES, m/z): 234.00 [M+H]+ STEP 3: 4-(4-bromophenoxy)-1-fluoro-2-methoxy-benzene tert-butyl nitrite (150 mg, 1.45 mmol) and copper (II) bromide (250 mg, 1.12 mmol) in acetonitrile (5 mL) was cooled 0 °C for 0.5 h.4-(4-fluoro-3-methoxy-phenoxy)aniline (300 mg, 1.29 mmol) in acetonitrile (2 mL) was added dropwise at 0 °C and the mixture then gently warmed to rt for 2 h. The mixture was quenched with HCl (aq., 1M, 5 mL) and water (20 mL) added, and the aqueous layer extracted with DCM (3 x 20 mL). The combined organic extracts were washed with brine (1 x 30 mL), dried over sodium sulfate, evaporated onto silica gel and
purified by column chromatography to yield 4-(4-bromophenoxy)-1-fluoro-2-methoxy-benzene (150 mg, 39% yield) as a colorless liquid. 1H NMR (300 MHz, DMSO-d6) δ 7.47-7.37 (m, 2H), 7.23 (dd, J = 11.3, 8.8 Hz, 1H), 7.04-6.98 (m, 2H), 6.98-6.92 (m, 1H), 6.62-6.49 (m, 1H), 3.81 (s, 3H). STEP 4: (S)-4-chloro-2-(4-(4-fluoro-3-methoxyphenoxy)phenyl)-5-(((tetrahydro-2H-pyran-3- yl)methyl)amino)pyridazin-3(2H)-one A solution of 4-(4-bromophenoxy)-1-fluoro-2-methoxy-benzene (150 mg, 505 μmol), 5- chloro-4-[[(3S)-tetrahydropyran-3-yl]methylamino]-1H-pyridazin-6-one (120 mg, 492 μmol), copper iodide (100 mg, 525 μmol), (1R,2R)-N1,N2-dimethylcyclohexane-1,2-diamine (100 mg, 703 μmol) and potassium carbonate (200 mg, 1.45 mmol) in DMF (3 mL) was heated to 90 °C for 3 h under nitrogen atmosphere. The mixture was cooled to rt, concentrated, and the crude material purified by prep HPLC to afford (2S)-4-chloro-2-[4-(4-fluoro-3-methoxy- phenoxy)phenyl]-5-[[(3S)-tetrahydropyran-3-yl]methylamino]pyridazin-3-one (14.7 mg, 6.1% yield) as an off-white solid. 1H NMR (300 MHz, Methanol-d4) δ 8.03 (s, 1H), 7.53-7.40 (m, 2H), 7.17-6.97 (m, 3H), 6.90- 6.79 (m, 1H), 6.64-6.52 (m, 1H), 3.93-3.85 (m, 1H), 3.83 (s, 3H), 3.81-3.75 (m, 1H), 3.55-3.42 (m, 1H), 3.41-3.34 (m, 1H), 3.27 (s, 1H), 1.99-1.83 (m, 2H), 1.77-1.52 (m, 2H), 1.45-1.27 (m, 2H). LCMS (ES, m/z): 460.15, 462.15 [M+H]+. EXAMPLE 206 Synthesis of 4-chloro-2-(4-((4-fluorophenyl)(2-methylbutyl)amino)phenyl)-5-((((S)-tetrahydro- 2H-pyran-3-yl)methyl)amino)pyridazin-3(2H)-one (206)
STEP 1: 5-chloro-4-[[(3R)-tetrahydropyran-3-yl]methylamino]-1H-pyridazin-6-one and 5-chloro- 4-[[(3S)-tetrahydropyran-3-yl]methylamino]-1H-pyridazin-6-one TEA (46.0 g, 455 mmol) was added to a solution of 4,5-dichloro-1H-pyridazin-6-one (15.0 g, 90.9 mmol) and HCl salt of tetrahydropyran-3-ylmethanamine (13.7 g, 90.9 mmol) in ethanol (80 mL). The resulting mixture was heated to 80 °C for 16 h, cooled to rt, concentrated onto silica gel and purified by column chromatography to yield the racemic product. The racemate was further separated by chiral-prep-HPLC to afford two products. The first collected fractions afforded 5-chloro-4-[[(3R)-tetrahydropyran-3-yl]methylamino]- 1H-pyridazin-6-one (5.00 g, 23% yield) as an off-white solid. The second collected fractions afforded 5-chloro-4-[[(3S)-tetrahydropyran-3- yl]methylamino]-1H-pyridazin-6-one (2.02 g, 9% yield) as an off-white solid. LCMS (ES, m/z): 244.10, 246.10 [M+H]+ STEP 2: N-(4-bromophenyl)-4-fluoro-aniline A solution of 1-bromo-4-iodo-benzene (20 g, 70.7 mmol), 4-fluoroaniline (6.28 g, 56.6 mmol, 5.43 mL), Pd2dba3 (3.66 g, 3.53 mmol), S-phos (2.90 g, 7.07 mmol) and t-BuONa (10.2 g, 106 mmol) in toluene (100 mL) was heated for 5 h at 50 °C under nitrogen atmosphere. The mixture was then cooled to rt, quenched with water (100 mL) and the aqueous layer extracted with ethyl acetate (2 x 200 mL). The combined organic extracts were dried over anhydrous sodium sulfate, concentrated onto silica gel and purified by column chromatography to afford N-(4-bromophenyl)-4-fluoro-aniline (7.00 g, 30% yield) as a yellow oil.
LCMS (ES, m/z): 266.00, 268.00 [M+H]+ STEP 3: 4-bromo-N-(4-fluorophenyl)-N-(2-methylbutyl)aniline A solution of N-(4-bromophenyl)-4-fluoro-aniline (300 mg, 1.13 mmol) in DMF (5 mL) was cooled to 0 °C and sodium hydride (90 mg, 2.25 mmol, 60% in mineral oil, added portionwise). The temperature was maintained for 0.5 h and then 1-bromo-2-methyl-butane (255 mg, 1.69 mmol) was added. The mixture was then stirred at rt for 16 h, water (20 mL) added, and the aqueous layer extracted ethyl acetate (3 x 20 mL). The combined organic extracts were washed with brine (1 x 20 mL), dried over sodium sulfate and purified by column chromatography to afford N-(4-bromophenyl)-4-fluoro-N-(2-methylbutyl)aniline (110 mg, 26% yield) as a brown solid. LCMS (ES, m/z): 336.05, 338.05 [M+H]+ STEP 4: 4-chloro-2-(4-((4-fluorophenyl)(2-methylbutyl)amino)phenyl)-5-((((S)-tetrahydro-2H- pyran-3-yl)methyl)amino)pyridazin-3(2H)-one A solution of N-(4-bromophenyl)-4-fluoro-N-(2-methylbutyl)aniline (100 mg, 297 μmol), 5- chloro-4-[[(3S)-tetrahydropyran-3-yl]methylamino]-1H-pyridazin-6-one (72.0 mg, 297 μmol), copper iodide (28.0 mg, 148 μmol), (trans)-N1,N2-dimethylcyclohexane-1,2-diamine (16.0 mg, 148 μmol) and potassium carbonate (82.0 mg, 595 μmol) in DMF (5 mL) was heated to 90 °C for 2 h. The mixture was then cooled to rt, water (50 mL) added, and the aqueous layer extracted with ethyl acetate (3 x 50 mL). The combined organic extracts were washed with brine (50 mL), dried over sodium sulfate, concentrated and the crude material purified by prep HPLC to afford 4-chloro-2-(4-((4-fluorophenyl)(2-methylbutyl)amino)phenyl)-5-((((S)-tetrahydro-2H-pyran-3- yl)methyl)amino)pyridazin-3(2H)-one (46.6 mg, 31% yield) as a yellow solid. 1H NMR (400 MHz, DMSO-d6) δ 8.04 (s, 1H), 7.33-7.13 (m, 6H), 6.86-6.76 (m, 3H), 3.83-3.56 (m, 3H), 3.56-3.45 (m, 1H), 3.39-3.33 (m, 1H), 3.31-3.21 (m, 2H), 3.21-3.09 (m, 1H), 1.91-1.57 (m, 4H), 1.56-1.38 (m, 2H), 1.33-1.20 (m, 1H), 1.20-1.09(m, 1H), 0.95-0.78 (m, 6H). LCMS (ES, m/z): 499.10, 501.10 [M+H]+.
EXAMPLE 207 Synthesis of 4-chloro-2-(4-(4-fluorophenoxy)phenyl)-5-((((3S,4R)-4-hydroxytetrahydrofuran-3- yl)methyl)amino)pyridazin-3(2H)-one (207)
STEP 1: 4,5-dichloro-2-[4-(4-fluorophenoxy)phenyl]pyridazin-3-one A solution of 4,5-dichloro-1H-pyridazin-6-one (760 mg, 4.61 mmol), [4-(4- fluorophenoxy)phenyl]boronic acid (1.60 g, 6.91 mmol), pyridine (1.09 g, 13.82 mmol), and copper (II) acetate (2.51 g, 13.82 mmol) in dichloroethane (20 mL) was stirred for 16 h at rt under oxygen atmosphere. The reaction was quenched with water (30 mL) and the aqueous layer extracted with DCM (3 x 30 mL). The combined organic extracts were washed with brine (30 mL), dried over sodium sulfate, concentrated onto silica gel and purified by column chromatography to afford 4,5-dichloro-2-[4-(4-fluorophenoxy)phenyl]pyridazin-3-one (600 mg, 32% yield) as a yellow solid. LCMS (ES, m/z): 351.00, 353.00 [M+H]+. STEP 2: 4-chloro-2-(4-(4-fluorophenoxy)phenyl)-5-((((3S,4R)-4-hydroxytetrahydrofuran-3- yl)methyl)amino)pyridazin-3(2H)-one DIEA (221 mg, 1.70 mmol) was added to a solution of 4,5-dichloro-2-[4-(4- fluorophenoxy)phenyl] pyridazin-3-one (200 mg, 569 μmol) and (3R,4S)-4-
(aminomethyl)tetrahydrofuran-3-ol (100 mg, 854 μmol) in DMF (2 mL) and the mixture heated to 90 °C for 16 h. The mixture was then cooled to rt, quenched with water (30 mL) and the aqueous layer extracted with ethyl acetate (2 x 30 mL). The combined organic extracts were dried over anhydrous sodium sulfate, concentrated and purified by prep-HPLC to afford 4- chloro-2-(4-(4-fluorophenoxy)phenyl)-5-((((3S,4R)-4-hydroxytetrahydrofuran-3- yl)methyl)amino)pyridazin-3(2H)-one (57.8 mg, 23% yield) as an off-white solid. 1H NMR (400 MHz, Methanol-d4) δ 8.09 (s, 1H), 7.54-7.46 (m, 2H), 7.21-7.02 (m, 6H), 4.27- 4.25 (m, 1H), 4.11-4.00 (m, 2H), 3.71-3.63 (m, 2H), 3.47-3.37 (m, 2H), 2.50-2.46 (m, 1H).19F NMR (376 MHz, Methanol-d4) δ 124.49 (s, 1F). LCMS (ES, m/z): 431.95, 433.95 [M+H]+. EXAMPLE 208 Synthesis of (S)-4-chloro-2-(4-((4-fluorophenyl)(2-hydroxyethyl)amino)phenyl)-5- (((tetrahydro-2H-pyran-3-yl)methyl)amino)pyridazin-3(2H)-one (208)
STEP 1: 4-bromo-N-(2-((tert-butyldimethylsilyl)oxy)ethyl)-N-(4-fluorophenyl)aniline Acetic acid (59.80 mg, 995.83 μmol) was added to a solution of N-(4-bromophenyl)-4- fluoro-aniline (530 mg, 1.99 mmol) and 2-[tert-butyl(dimethyl)silyl]oxyacetaldehyde (1.39 g, 7.97 mmol) in DCM (10 mL) and the mixture stirred at rt for 30 min. STAB (3.28 g, 7.97 mmol) was then added portionwise. The resulting mixture was stirred for 16 h at rt and then slowly poured into water (30 mL) and extracted with DCM (2 x 30 mL). The combined organic extracts were dried over anhydrous sodium sulfate, concentrated onto silica gel and purified by column chromatography to afford N-(4-bromophenyl)-N-[2-[tert-butyl(dimethyl)silyl]oxyethyl]-4-fluoro- aniline (700 mg, 83% yield) as a yellow solid. LCMS (ES, m/z): 424.10, 426.10 [M+H]+. STEP 2: (S)-2-(4-((2-((tert-butyldimethylsilyl)oxy)ethyl)(4-fluorophenyl)amino)phenyl)-4-chloro- 5-(((tetrahydro-2H-pyran-3-yl)methyl)amino)pyridazin-3(2H)-one A solution of N-(4-bromophenyl)-N-[2-[tert-butyl(dimethyl)silyl]oxyethyl]-4-fluoro-aniline (350 mg, 825 μmol), 5-chloro-4-[[(3S)-tetrahydropyran-3-yl]methylamino]-1H-pyridazin-6-one (201 mg, 825 μmol), trans-N1,N2-dimethylcyclohexane-1,2-diamine (58.7 mg, 412 μmol), copper iodide (78.5 mg, 412 μmol) and potassium carbonate (570 mg, 4.12 mmol) in DMF (5 mL) was heated to 100 °C for 2 h, under nitrogen atmosphere. The mixture was then cooled to rt, concentrated and purified by prep-HPLC to afford (S)-2-(4-((2-((tert- butyldimethylsilyl)oxy)ethyl)(4-fluorophenyl)amino)phenyl)-4-chloro-5-(((tetrahydro-2H-pyran- 3-yl)methyl)amino)pyridazin-3(2H)-one (300 mg, 62% yield) as a yellow solid. LCMS (ES, m/z): 587.20, 589.20[M+H]+. STEP 3: (S)-4-chloro-2-(4-((4-fluorophenyl)(2-hydroxyethyl)amino)phenyl)-5-(((tetrahydro-2H- pyran-3-yl)methyl)amino)pyridazin-3(2H)-one TBAF (1 M in THF, 2.04 mL) was added to ((2S)-4-chloro-2-[4-[N-[2-[1,1-dimethylethyl (dimethyl)silyl]oxyethyl]-4-fluoro-anilino]phenyl]-5-[[(3S)-tetrahydropyran-3- yl]methylamino]pyridazin-3-one (120 mg, 204 μmol) in THF (1.2 mL), and the mixture stirred for 2 h at rt. The solvent was then removed under reduced pressure, the crude material evaporated onto silica gel, purified by column chromatography and further purified by prep- HPLC to afford (S)-4-chloro-2-(4-((4-fluorophenyl)(2-hydroxyethyl)amino) phenyl)-5-
(((tetrahydro-2H-pyran-3-yl)methyl)amino)pyridazin-3(2H)-one (43.0 mg, 44% yield) as a yellow solid. 1H NMR (300 MHz, DMSO-d6) δ 8.04 (s, 1H), 7.34-7.11 (m, 6H), 6.90-6.76 (m, 3H),4.95-4.66 (m,1H) 3.85-3.65 (m, 4H), 3.59 (t, J = 6.2 Hz, 2H), 3.38-3.22 (m, 3H), 3.18-3.04 (m, 1H), 1.88-1.70 (m, 2H), 1.70-1.51 (m, 1H), 1.51-1.35 (m, 1H), 1.31-1.18 (m, 1H). LCMS (ES, m/z): 473.10, 475.10 [M+H]+. EXAMPLE 209 Synthesis of 4-chloro-2-[4-[(2,2-dideuterio-1,3-benzodioxol-5-yl)-methyl-amino]phenyl]-5- [[(3R)-tetrahydropyran-3-yl]methylamino]pyridazin-3-one (209)
STEP 1: 2,2-dideuterio-N-(4-nitrophenyl)-1,3-benzodioxol-5-amine 5-bromo-2,2-dideuterio-1,3-benzodioxole (3.53 g, 17.4 mmol), Pd2(dba)3 (1.33 g, 1.45 mmol), SPhos (1.19 g, 2.90 mmol) and t-BuONa (4.17 g, 43.4 mmol) were added to a solution of 4-nitroaniline (2.00 g, 14.5 mmol) in toluene (50 mL) and the mixture was degassed and then heated to 100 °C for 1h. The mixture was then cooled to rt, quenched with saturated aqueous
ammonium carbonate (100 mL) and extracted with ethyl acetate (3 x 80 mL). The combined organic extracts were washed with brine (1 x 80 mL), dried over sodium sulfate, concentrated onto silica gel and purified by column chromatography to afford 2,2-dideuterio-N-(4- nitrophenyl)-1,3-benzodioxol-5-amine (3.00 g, 69% yield) as a yellow solid. LCMS (ES, m/z): 261.10 [M+H]+. STEP 2: N1-(2,2-dideuterio-1,3-benzodioxol-5-yl)benzene-1,4-diamine To a solution of 2,2-dideuterio-N-(4-nitrophenyl)-1,3-benzodioxol-5-amine (2.80 g, 1086 mmol) in THF (10 mL), ethanol (10 mL) and water (10 mL) was added iron (6.01 g, 108 mmol) and ammonium chloride (2.30 g, 43.0 mmol). The mixture was heated for 1 h at 80 °C and then cooled to rt and filtered. The filtrate was concentrated under reduced pressure and purified by silica gel column chromatography (PE:EA, 3:1) to afford N1-(2,2-dideuterio-1,3-benzodioxol-5- yl)benzene-1,4-diamine (2.00 g, 73% yield, 90% purity) as a yellow solid. LCMS (ES, m/z): 231.20 [M+H]+. STEP 3: N-(4-bromophenyl)-2,2-dideuterio-1,3-benzodioxol-5-amine A solution of copper (II) bromide (760 mg, 3.40 mmol) in acetonitrile (10 mL) was cooled to 0°C and tert-butyl nitrite (455 mg, 4.42 mmol) was slowly added. The temperature was maintained for 20 mins and then N1-(2,2-dideuterio-1,3-benzodioxol-5-yl)benzene-1,4-diamine (900 mg, 3.91 mmol) in acetonitrile (30 mL) was added. The mixture was gently warmed to rt for 1 h, quenched with saturated aqueous ammonium carbonate (50 mL) and extracted with ethyl acetate (3 x 50 mL). The combined organic extracts were washed with brine (40 ml), dried over sodium sulfate, concentrated onto silica gel and purified by column chromatography to yield N-(4-bromophenyl)-2,2-dideuterio-1,3-benzodioxol-5-amine (300 mg, 871 μmol, 22% yield, 85% purity) as a yellow solid. LCMS (ES, m/z): 294.45, 296.45 [M+H]+. STEP 4: N-(4-bromophenyl)-2,2-dideuterio-N-methyl-1,3-benzodioxol-5-amine To a solution of N-(4-bromophenyl)-2,2-dideuterio-1,3-benzodioxol-5-amine (300 mg, 1.02 mmol) in DMF (5 mL) was added cesium carbonate (997 mg, 3.06 mmol) and methyl iodide (724 mg, 5.10 mmol). The mixture was heated for 16 h at 80 °C, cooled to rt, poured into saturated aqueous ammonium chloride (50 mL) and extracted with ethyl acetate (3 x 50 mL). The
combined organic extracts were washed with brine (40 mL), dried over anhydrous sodium sulfate, concentrated under reduced pressure and purified by column chromatography to afford N-(4-bromophenyl)-2,2-dideuterio-N-methyl-1,3-benzodioxol-5-amine (100 mg, 32% yield) as a yellow solid. LCMS (ES, m/z): 308.25, 310.25 [M+H]+. STEP 5: 4-chloro-2-[4-[(2,2-dideuterio-1,3-benzodioxol-5-yl)-methyl-amino]phenyl]-5-[[(3R)- tetrahydropyran-3-yl]methylamino]pyridazin-3-one To a mixture of 5-chloro-4-[[(3R)-tetrahydropyran-3-yl]methylamino]-1H-pyridazin-6-one (33.0 mg, 135 μmol), copper iodide (12.9 mg, 67.6 μmol), (1R,2R)-N1,N2-dimethylcyclohexane- 1,2-diamine (19.2 mg, 135.2 μmol) and potassium carbonate (93.4 mg, 676 μmol) in DMF (3 mL) was added N-(4-bromophenyl)-2,2-dideuterio-N-methyl-1,3-benzodioxol-5-amine (50 mg, 162 μmol). The mixture was heated for 2 h at 80°C under nitrogen atmosphere. The reaction was then cooled to rt, poured into saturated aqueous ammonium carbonate (20 mL) and extracted with ethyl acetate (3 x 20 mL). The combined organic extracts were washed with brine (20 mL), dried over anhydrous sodium sulfate, concentrated under reduced pressure and purified by achiral-SFC to afford 4-chloro-2-[4-[(2,2-dideuterio-1,3-benzodioxol-5-yl)-methyl- amino]phenyl]-5-[[(3R)-tetrahydropyran-3-yl]methylamino]pyridazin-3-one (28.0 mg, 44% yield) as a yellow solid. 1H NMR (300 MHz, DMSO-d6) δ 8.03 (s, 1H), 7.25 (d, J = 8.8 Hz, 2H), 6.93 (d, J = 8.3 Hz, 1H), 6.86-6.78 (m, 2H), 6.75 (d, J = 8.8 Hz, 2H), 6.67 (dd, J = 8.1, 2.2 Hz, 1H), 3.78-3.68 (m, 2H), 3.30- 3.11 (m, 7H), 1.86-1.77 (m, 2H), 1.62-1.58 (m, 1H), 1.52-1.38(m, 1H), 1.30-1.23 (m, 1H). LCMS (ES, m/z): 471.15, 473.15 [M+H]+. EXAMPLE 210 Synthesis of[4-[4-[5-chloro-6-oxo-4-[[(3R)-tetrahydropyran-3-yl]methylamino]pyridazin-1-yl]- N-methyl-anilino]phenyl] carbamate (210)
STEP 1: N-(4-bromophenyl)-4-methoxy-aniline To a solution of 4-bromoaniline (50 g, 291 mmol) and 1-iodo-4-methoxy-benzene (68.0 g, 291 mmol) in toluene (200 mL) was added SPhos (11.6 g, 14.5 mmol), Pd2dba3 (6.94 g, 14.5 mmol) and t-BuONa (83.8 g, 872 mmol). The reaction mixture was degassed and heated to 100 °C for 90 mins. The mixture was then cooled to rt and filtered through a celite pad. The filtrate was diluted with cold water (500 mL) and extracted with ethyl acetate (3 x 500 mL). The combined organic extracts were washed with brine (500 mL), dried over sodium sulfate, concentrated onto silica gel and purified by column chromatography to yield N-(4- bromophenyl)-4-methoxy-aniline (10.0 g, 12% yield) as brown oil. LCMS (ES, m/z): 278.15, 280.15 [M+H]+ STEP 2: N-(4-bromophenyl)-4-methoxy-N-methyl-aniline A solution of N-(4-bromophenyl)-4-methoxy-aniline (6 g, 21.6 mmol) in DMF (20 mL) was cooled to 0 °C and sodium hydride (11.3 g, 108 mmol, 60% purity) was added in portions. The temperature was maintained for 30 mins and then methyl iodide (3.06 g, 21.6 mmol) added. The mixture was then warmed to rt for 3 h, poured into ice water (100 mL) and extracted with ethyl acetate (3 x 100 mL). The combined organic extracts were washed with brine (100 mL), dried over sodium sulfate, concentrated onto silica gel and purified by column chromatography to yield N-(4-bromophenyl)-4-methoxy-N-methyl-aniline (5.00 g, 79% yield) as yellow oil. LCMS (ES, m/z): 292.15, 294.15 [M+H]+
STEP 3: 4-(4-bromo-N-methyl-anilino) phenol A solution of N-(4-bromophenyl)-4-methoxy-N-methyl-aniline (5.00 g, 17.1 mmol) in DCM (27.2 mL) was cooled to 0 °C and boron tribromide (34.2 mL, 1 M in DCM) was added dropwise. The reaction was then stirred at rt for 16 h, quenched with water (100 mL) and extracted with DCM (3 x 100 mL). The combined organic extracts were washed with brine (100 mL), dried over sodium sulfate, concentrated onto silica gel and purified by column chromatography to afford 4-(4-bromo-N-methyl-anilino) phenol (4.0 g, 80% yield) as a yellow oil. LCMS (ES, m/z): 278.15, 280.15 [M+H]+ STEP 4: N-(4-bromophenyl)-4-[tert-butyl(dimethyl)silyl] oxy-N-methyl-aniline To a solution of 4-(4-bromo-N-methyl-anilino)phenol (4.0 g, 14 mmol) and imidazole (4.90 g, 71.9 mmol) in DMF (14.5 mL) was added TBS-Cl (11.9 g, 43.1 mmol, 11.1 mL). The mixture was stirred for 16 h at rt, quenched with water (50 mL) and extracted with ethyl acetate (3 x 50 mL). The combined organic extracts were washed with brine (50 mL), dried over anhydrous sodium sulfate, concentrated under reduced pressure and purified by reverse flash chromatography to afford N-(4-bromophenyl)-4-[tert-butyl(dimethyl)silyl] oxy-N-methyl-aniline (4.50 g, mmol, 71.8% yield) as a yellow oil. LCMS (ES, m/z): 392.40, 394.40 [M+H]+ STEP 5: 4-chloro-2-[4-(4-hydroxy-N-methyl-anilino)phenyl]-5-[[(3R)-tetrahydropyran-3- yl]methylamino]pyridazin-3-one To a solution of N-(4-bromophenyl)-4-[tert-butyl(dimethyl)silyl]oxy-N-methyl-aniline (1.50 g, 3.82 mmol) and 5-chloro-4-[[(3R)-tetrahydropyran-3-yl]methylamino]-1H-pyridazin-6-one (466 mg, 1.91 mmol) in DMF (5 mL) was added copper iodide (364 mg, 1.91 mmol), trans- N1,N2-dimethylcyclohexane-1,2-diamine (272 mg, 1.91 mmol) and potassium carbonate (792 mg, 5.73 mmol). The mixture was heated for 1 h at 80°C under nitrogen atmosphere, cooled to rt, diluted with saturated aqueous ammonium chloride (50 mL) and extracted with ethyl acetate (3 x 50 mL). The combined organic extracts were washed with brine (50 mL), dried over anhydrous sodium sulfate, concentrated under reduced pressure and purified by reverse flash chromatography to afford 4-chloro-2-[4-(4-hydroxy-N-methyl-anilino) phenyl]-5-[[(3R)- tetrahydropyran-3-yl] methylamino]pyridazin-3-one (520 mg, 62% yield) as a yellow solid. LCMS (ES, m/z): 440.90, 442.90 [M+H]+
STEP 6: [4-[4-[5-chloro-6-oxo-4-[[(3R)-tetrahydropyran-3-yl]methylamino]pyridazin-1-yl]-N- methyl-anilino]phenyl] carbamate A solution of 4-chloro-2-[4-(4-hydroxy-N-methyl-anilino) phenyl]-5-[[(3R)-tetrahydropyran- 3-yl] methylamino]pyridazin-3-one (100 mg, 227 μmol) in DCM (3 mL) was cooled to 0 °C and chlorosulfonyl isocyanate (25.7 mg, 181 μmol) was added. The temperature was maintained for 30 mins and then the mixture was gently warmed to rt, concentrated and purified by prep HPLC to afford [4-[4-[5-chloro-6-oxo-4-[[(3R)-tetrahydropyran-3-yl]methylamino]pyridazin-1-yl]-N- methyl-anilino]phenyl] carbamate (26.0 mg, 24) as a yellow solid. 1H NMR (300 MHz, DMSO-d6) δ 8.05 (s, 1H), 7.37-7.29 (m, 2H), 7.23-7.03 (m, 5H), 6.98-6.80 (m, 4H), 3.78-3.68 (m, 2H), 3.53-2.97 (m, 7H), 1.82-1.79 (m, 2H), 1.62-1.58 (m, 1H), 1.50-1.39 (m, 1H), 1.27-1.20 (m, 1H). LCMS (ES, m/z): 484.20, 486.20 [M+H]+ EXAMPLE 211 Synthesis of (R)-3-(4-((4-(5-chloro-6-oxo-4-(((tetrahydro-2H-pyran-3-yl)methyl) amino)pyridazin-1(6H)-yl)phenyl)(methyl)amino)phenyl)oxazolidin-2-one (211)
STEP 1: N-(4-bromophenyl)-4-nitro-aniline A solution of 4-bromoaniline (5 g, 29.1 mmol) in DMF (20 mL) was cooled to 0 °C and sodium hydride (3.05 g, 76.3 mmol, 60% in mineral oil) was added portion-wise. The mixture was warmed to rt for 20 mins and then 1-fluoro-4-nitro-benzene (4.50 g, 31.9 mmol, 3.4 mL) was added. The reaction was heated to 100 °C for 6 h, cooled to rt, quenched with water (80 mL) and extracted with ethyl acetate (3 x 80 mL). The combined organic extracts were washed with brine (1 x 80 mL), dried over sodium sulfate, concentrated onto silica gel and purified by column chromatography to afford N-(4-bromophenyl)-4-nitro-aniline (2.30 g, 27% yield) as a brown solid. LCMS (ES, m/z): 293.00, 295.00 [M+H]+. STEP 2: N-(4-bromophenyl)-N-methyl-4-nitro-aniline Sodium hydride (1.17 g, 29.2 mmol, 60%) was added portion-wise to a solution of N-(4- bromophenyl)-4-nitro-aniline (2.20 g, 7.51 mmol) in DMF (15 mL) at 0 °C and the mixture stirred for 30 min at 0 °C. Methyl iodide (2.20 g, 15.5 mmol) was added at 0 °C, and the mixture stirred for 2 h at 25 °C and then poured into ice water (40 mL) and extracted with ethyl acetate (3 x 50 mL). The combined organic extracts were washed with brine (40 mL), dried over anhydrous sodium sulfate, concentrated under reduced pressure, and purified by silica gel column chromatography (PE:ethyl acetate, 10:1) to afford N-(4-bromophenyl)-N-methyl-4-nitro-aniline (1.70 g,74% yield) as a yellow solid. LCMS (ES, m/z): 307.05, 309.05 [M+H]+. STEP 3: N1-(4-bromophenyl)-N1-methyl-benzene-1,4-diamine To a solution of N-(4-bromophenyl)-N-methyl-4-nitro-aniline (1.60 g, 5.21 mmol) in ethanol (5 mL), water (5 mL) and THF (5 mL) were added iron (1.6 g, 28.7 mmol) and ammonium chloride (1.00 g, 18.7 mmol, 654 μL). The resulting mixture was heated at 80 °C for 2 h,then cooled to rt and filtered. Water (30 mL) was added and the mixture was extracted with ethyl acetate (3 x 50 mL). The combined organic extracts were dried over sodium sulfate and concentrated to yield N1-(4-bromophenyl)-N1-methyl-benzene-1,4-diamine (1.05 g, 62% yield) as a brown solid. LCMS (ES, m/z): 277.00, 279.00 [M+H]+.
STEP 4: 3-[4-(4-bromo-N-methyl-anilino)phenyl]oxazolidin-2-one Potassium carbonate (1.00 g, 7.24 mmol) was added N1-(4-bromophenyl)-N1-methyl- benzene-1,4-diamine (1.00 g, 3.61 mmol) and 2-chloroethyl carbonochloridate (800 mg, 5.60 mmol) in acetonitrile (15 mL) and heated for 12 h at 80 °C. The reaction was then cooled to rt, water (30 mL) was added, and the mixture was extracted with ethyl acetate (3 x 40 mL). The combined organic extracts were washed with brine, dried over sodium sulfate, concentrated onto silica gel and purified by column chromatography to afford 3-[4-(4-bromo-N-methyl- anilino)phenyl]oxazolidin-2-one (740 mg, 56% yield) as a yellow solid. LCMS (ES, m/z): 347.05, 349.05 [M+H]+. STEP 5: (R)-3-(4-((4-(5-chloro-6-oxo-4-(((tetrahydro-2H-pyran-3-yl)methyl)amino) pyridazin- 1(6H)-yl)phenyl)(methyl)amino)phenyl)oxazolidin-2-one A mixture of 3-[4-(4-bromo-N-methyl-anilino)phenyl]oxazolidin-2-one (300 mg, 864 μmol) and 5-chloro-4-[[(3R)-tetrahydropyran-3-yl]methylamino]-1H-pyridazin-6-one (150 mg, 616 μmol), copper iodide (50 mg, 263 μmol), trans-N1,N2-dimethylcyclohexane-1,2-diamine (40 mg, 281 μmol) and potassium carbonate (200 mg, 1.45 mmol) in DMF (2 mL) was heated for 1 h at 80°C under nitrogen atmosphere. The mixture was then cooled to rt, concentrated and purified by prep HPLC to afford (R)-3-(4-((4-(5-chloro-6-oxo-4-(((tetrahydro-2H-pyran-3- yl)methyl)amino) pyridazin-1(6H)-yl)phenyl)(methyl)amino)phenyl)oxazolidin-2-one (44.8 mg, 14% yield) as a yellow solid. 1H NMR (300 MHz, DMSO-d6) δ 8.05 (s, 1H), 7.56 (d, J = 8.9 Hz, 2H), 7.31 (d, J = 8.8 Hz, 2H), 7.20 (d, J = 9.0 Hz, 2H), 6.93-6.80 (m, 3H), 4.44 (dd, J = 9.1, 6.7 Hz, 2H), 4.06 (dd, J = 9.0, 7.0 Hz, 2H), 3.84-3.65 (m, 2H), 3.29 (s, 4H), 3.22-3.09 (m, 1H), 1.92-1.71 (m, 2H), 1.66-1.53 (m, 1H), 1.54-1.36 (m, 1H), 1.31-1.21 (m, 1H). LCMS (ES, m/z): 510.15, 512.15 [M+H]+.
EXAMPLE 212 Synthesis of 4-chloro-5-[[dideuterio-[(3S)-tetrahydropyran-3-yl]methyl]amino]-2-[4-[ethyl-(5-fluoro-2- pyridyl)amino]phenyl]pyridazin-3-one (assumed) (212A) and 4-chloro-5-[[dideuterio-[(3R)-tetrahydropyran-3-yl]methyl]amino]-2-[4-[ethyl-(5-fluoro-2- pyridyl)amino]phenyl]pyridazin-3-one (assumed) (212B)
4-chloro-5-[[dideuterio-[(3S)-tetrahydropyran-3-yl]methyl]amino]-2-[4-[ethyl-(5-fluoro-2- pyridyl)amino]phenyl]pyridazin-3-one and 4-chloro-5-[[dideuterio-[(3R)-tetrahydropyran-3-yl]methyl]amino]-2-[4-[ethyl-(5-fluoro-2- pyridyl)amino]phenyl]pyridazin-3-one A mixture of N-(4-bromophenyl)-N-ethyl-5-fluoro-pyridin-2-amine (250 mg, 847 μmol), 5- chloro-4-[[dideuterio(tetrahydropyran-3-yl)methyl]amino]-1H-pyridazin-6-one (208 mg, 847 μmol), potassium carbonate (585 mg, 4.24 mmol), (1S,2S)-N1,N2-dimethylcyclohexane-1,2- diamine (48.4 mg, 340 μmol, 53.6 μL) and copper iodide (80.7 mg, 424 μmol, 14.4 μL) in DMF (3 mL) was heated for 3 h at 100 °C under nitrogen atmosphere. The mixture was then cooled to rt and purified by prep HPLC to afford the racemate, which was further purified by chiral-prep HPLC to afford two products. The first collected fractions afforded 4-chloro-5-[[dideuterio-[(3S)-tetrahydropyran-3- yl]methyl]amino]-2-[4-[ethyl-(5-fluoro-2-pyridyl)amino]phenyl]pyridazin-3-one (compound 212A, 41.4 mg, 10% yield) as a white solid. 1H NMR (300 MHz, DMSO-d6) δ 8.19-8.08 (m, 2H), 7.54 (d, J = 8.6 Hz, 2H), 7.50-7.38 (m, 1H), 7.33 (d, J = 8.7 Hz, 2H), 6.94 (s, 1H), 6.57 (dd, J = 9.3, 3.5 Hz, 1H), 4.04-3.88 (m, 2H), 3.84-3.65 (m, 2H), 3.32-3.29 (m, 1H), 3.23-3.10 (m, 1H), 1.92-1.74 (m, 2H), 1.69-1.54 (m, 1H), 1.54-1.39 (m, 1H), 1.38-1.21 (m, 1H), 1.15 (t, J = 6.9 Hz, 3H). LCMS (ES, m/z): 460.15, 462.15 [M+H]+.
The second collected fractions afforded 4-chloro-5-[[dideuterio-[(3R)-tetrahydropyran-3- yl]methyl]amino]-2-[4-[ethyl-(5-fluoro-2-pyridyl)amino]phenyl]pyridazin-3-one (compound 212B, 31.6 mg, 8% yield) as a white solid. 1H NMR (300 MHz, DMSO-d6) δ 8.19-8.08 (m, 2H), 7.54 (d, J = 8.6 Hz, 2H), 7.50-7.38 (m, 1H), 7.33 (d, J = 8.7 Hz, 2H), 6.94 (s, 1H), 6.57 (dd, J = 9.3, 3.5 Hz, 1H), 4.04-3.88 (m, 2H), 3.84-3.65 (m, 2H), 3.32-3.29 (m, 1H), 3.23-3.10 (m, 1H), 1.92-1.74 (m, 2H), 1.69-1.54 (m, 1H), 1.54-1.39 (m, 1H), 1.38-1.21 (m, 1H), 1.15 (t, J = 6.9 Hz, 3H). LCMS (ES, m/z): 460.15, 462.15 [M+H]+. EXAMPLE 213 Synthesis of 4-chloro-2-(4-((4-fluorophenyl)(methyl)amino)phenyl)-5-(((R)-1-((S)-tetrahydro-2H-pyran-3- yl)ethyl)amino)pyridazin-3(2H)-one (213A)
4-chloro-2-(4-((4-fluorophenyl)(methyl)amino)phenyl)-5-(((S)-1-((R)-tetrahydro-2H-pyran-3- yl)ethyl)amino)pyridazin-3(2H)-one (213B)
4-chloro-2-(4-((4-fluorophenyl)(methyl)amino)phenyl)-5-(((S)-1-((S)-tetrahydro-2H-pyran-3- yl)ethyl)amino)pyridazin-3(2H)-one (213C)
4-chloro-2-(4-((4-fluorophenyl)(methyl)amino)phenyl)-5-(((R)-1-((R)-tetrahydro-2H-pyran-3- yl)ethyl)amino)pyridazin-3(2H)-one (213D)
STEP 1: N-methoxy-N-methyl-tetrahydropyran-3-carboxamide A solution of tetrahydropyran-3-carboxylic acid (20.0 g, 154 mmol) and DMF (0.5 mL) in DCM (500 mL) was cooled to 0°C and oxalyl chloride (23.4 g, 184 mmol) was added dropwise,maintaining the temperature at 0°C. The mixture was then warmed to rt until
evolution of gas was complete. After formation of the acid chloride, the solution was cooled to 0°C and N,O-dimethylhydroxylamine (18.0 g, 184 mmol), and TEA (77.8 g, 768 mmol) in DCM added and the temperature maintained for 1 h. The reaction was quenched with water (250 mL) and extracted with DCM (3 x 500 mL). The combined organic extracts were dried over sodium sulfate, concentrated onto silica gel and purified by column chromatography to afford N-methoxy-N-methyl-tetrahydropyran-3-carboxamide (23.0 g, 60% yield) as a light-yellow oil. LCMS (ES, m/z): 174.15 [M+H]+ STEP 2: 1-tetrahydropyran-3-ylethanone A solution of N-methoxy-N-methyl-tetrahydropyran-3-carboxamide (15.0 g, 60.6 mmol) in ether (600 mL) was cooled to-78 °C. While maintaining the temperature, methyl lithium (1.6 M, 56.8 mL) was added dropwise and the mixture then warmed to 0 °C for 3 h. The reaction was quenched with HCl (0.5 M, 100 mL) and extracted with ethyl acetate (3 x 500 mL). The combined organic extratcs were dried over sodium sulfate, concentrated onto silica gel and purified by column chromatography to afford 1-tetrahydropyran-3-ylethanone (6.00 g, 77% yield) as a light-yellow oil. LCMS (ES, m/z): 129.15 [M+H]+ STEP 3: tert-butyl N-(1-tetrahydropyran-3-ylethyl)carbamate Ammonium acetate (21.7 g, 281 mmol) was added to a solution of 1-tetrahydro pyran-3- ylethanone (3.00 g, 23.4 mmol) in methanol (100 mL) at rt. The resulting mixture was stirred for 10 min and sodium cyanoborohydride (5.88 g, 93.6 mmol) was added. The reaction was heated to 70 °C for 5 h, cooled to rt, concentrated,and the crude material dissolved in DCM (500 mL). To this solution were added (Boc)2O (5.07 g, 23.2 mmol) and TEA (4.70 g, 46.4 mmol). The resulting mixture was stirred at rt for 16 h, then concentrated and purified by prep HPLC to yield tert-butyl N-(1-tetrahydropyran-3-ylethyl)carbamate (3.50 g, 66% yield). LCMS (ES, m/z): 230.20 [M+H]+ STEP 4: 1-tetrahydropyran-3-ylethanamine hydrochloride HCl (4 M in ethanol, 27.3 mL) was added to a mixture of tert-butyl N-(1-tetrahydropyran-3- ylethyl)carbamate (2.50 g, 10.9 mmol) in ethanol and stirred for 3 h at rt. The solvent was then removed under reduced pressure, and the crude material was triturated in ether. The solids
were collected by filtration and rinsed with cold ether to afford 1-tetrahydropyran-3- ylethanamine hydrochloride (1.50 g, 83% yield) as a white solid. LCMS (ES, m/z): 130.20 [M-HCl+H]+ STEP 5: cis-5-chloro-4-[[1-[tetrahydropyran-3-yl]ethyl]amino]-1H-pyridazin-6-one (assumed) and trans-5-chloro-4-[[1-[tetrahydropyran-3-yl]ethyl]amino]-1H-pyridazin-6-one (assumed) TEA (3.07 g, 30.3 mmol) was added to a solution of 4,5-dichloro-1H-pyridazin-6-one (1.00 g, 6.06 mmol) and 1-tetrahydropyran-3-ylethanamine hydrochloride (1.57 g, 9.45 mmol) in ethanol (10 mL) and the resulting mixture heated for 48 h at 80 °C. The mixture was cooled to rt, concentrated and purified by prep HPLC to afford cis-5-chloro-4-[[1-[tetrahydropyran-3- yl]ethyl]amino]-1H-pyridazin-6-one (assumed) (0.200 g, 13% yield) and trans-5-chloro-4-[[1- [tetrahydropyran-3-yl]ethyl]amino]-1H-pyridazin-6-one (assumed) (0.200 g, 13% yield). LCMS (ES, m/z): 258.20, 260.20 [M +H]+ STEP 6: 4-chloro-2-[4-(4-fluoro-N-methyl-anilino)phenyl]-5-[[(1R)-1-[(3S)-tetrahydropyran-3- yl]ethyl]amino]pyridazin-3-one (213A), and 4-chloro-2-[4-(4-fluoro-N-methyl-anilino)phenyl]-5-[[(1S)-1-[(3R)-tetrahydropyran-3- yl]ethyl]amino]pyridazin-3-one (214B) To cis-5-chloro-4-[[(1-[tetrahydropyran-3-yl]ethyl]amino]-1H-pyridazin-6-one (0.200 g, 776 μmol) and N-(4-bromophenyl)-4-fluoro-N-methyl-aniline (239 mg, 854 μmol) in DMF (4 mL) were added (1R,2R)-N1,N2-dimethylcyclohexane-1,2-diamine (55.2 mg, 388 μmol), copper iodide (148 mg, 776 μmol) and potassium carbonate (536 mg, 3.88 mmol). The resulting mixture was heated for 3 h at 100 °C under nitrogen atmosphere. The mixture was then cooled to rt, quenched with water (20 mL) and extracted with ethyl acetate (3 x 30 mL). The combined organic extracts were washed with brine (30 mL), dried over sodium sulfate, concentrated, and purified by prep HPLC to yield the racemate, which was further purified by chiral-prep HPLC to afford two products. The first collected fractions afforded 4-chloro-2-[4-(4-fluoro-N-methyl-anilino)phenyl]-5- [[(1R)-1-[(3S)-tetrahydropyran-3-yl]ethyl]amino]pyridazin-3-one (compound 213A, 53.2 mg, 15% yield) as a light-green solid.
1H NMR (300 MHz, DMSO-d6) δ 8.07 (s, 1H), 7.31 (d, J = 9.0 Hz, 2H), 7.20 (d, J = 6.8 Hz, 4H), 6.86 (d, J = 9.0 Hz, 2H), 6.31 (d, J = 9.8 Hz, 1H), 3.91-3.82 (m, 1H), 3.80-3.70 (m, 2H), 3.27-3.10 (m, 5H), 1.90-1.80 (m, 2H), 1.80-1.52 (m, 1H), 1.50-1.32 (m, 1H), 1.26-1.13 (m, 4H). LCMS (ES, m/z): 457.10, 459.10 [M+H]+ The second collected fractions afforded 4-chloro-2-[4-(4-fluoro-N-methyl-anilino)phenyl]-5- [[(1S)-1-[(3R)-tetrahydropyran-3-yl]ethyl]amino]pyridazin-3-one (compound 213B, 49.7 mg, 13% yield) as a light-yellow solid. 1H NMR (300 MHz, DMSO-d6) δ 8.08 (s, 1H), 7.31 (d, J = 8.9 Hz, 2H), 7.20 (d, J = 6.8 Hz, 4H), 6.86 (d, J = 8.9 Hz, 2H), 6.32 (d, J = 9.7 Hz, 1H), 3.89-3.84 (m, 1H), 3.77-3.73 (m, 2H), 3.27-3.10 (m, 5H), 1.90-1.72 (m, 2H), 1.69-1.52 (m, 1H), 1.50-1.32 (m, 1H), 1.26-1.13 (m, 4H). LCMS (ES, m/z): 457.20, 459.20 [M+H]+ STEP 8: 4-chloro-2-[4-(4-fluoro-N-methyl-anilino)phenyl]-5-[[(1S)-1-[(3S)-tetrahydropyran-3- yl]ethyl]amino]pyridazin-3-one (213C), and 4-chloro-2-[4-(4-fluoro-N-methyl-anilino)phenyl]-5-[[(1R)-1-[(3R)-tetrahydropyran-3- yl]ethyl]amino]pyridazin-3-one (213D) To trans-5-chloro-4-[[1-[tetrahydropyran-3-yl]ethyl]amino]-1H-pyridazin-6-one (0.200 g, 776 μmol) and N-(4-bromophenyl)-4-fluoro-N-methyl-aniline (239 mg, 854 μmol) in DMF (4 mL) were added (1R,2R)-N1,N2-dimethylcyclohexane-1,2-diamine (55.2 mg, 388 μmol), copper iodide (148 mg, 776 μmol) and potassium carbonate (536 mg, 3.88 mmol). The resulting mixture was heated for 3 h at 100 °C under nitrogen atmosphere. The mixture was then cooled to rt, quenched with water (30 mL) and extracted with ethyl acetate (3 x 30 mL). The combined organic extracts were washed with brine (30 mL), dried over sodium sulfate, concentrated and purified by prep HPLC to yield the racemate, which was further purified by chiral-prep HPLC to yield two products. The first collected fractions afforded 4-chloro-2-[4-(4-fluoro-N-methyl-anilino)phenyl]-5- [[(1S)-1-[(3S)-tetrahydropyran-3-yl]ethyl]amino]pyridazin-3-one (compound 213C, 46.7 mg, 13% yield) as a light green solid. 1H NMR (300 MHz, DMSO-d6) δ 8.07 (s, 1H), 7.35-7.25 (m, 2H), 7.21 (d, J = 6.8 Hz, 4H), 6.85 (d, J = 9.0 Hz, 2H), 6.37 (d, J = 9.5 Hz, 1H), 3.85-3.69 (m, 3H), 3.29-3.24 (m, 4H), 3.21-3.09 (m, 1H), 1.85-1.79 (m, 2H), 1.69-1.58 (m, 1H), 1.51-1.41 (m, 1H), 1.38-1.23 (m, 1H), 1.18 (d, J = 6.4 Hz, 3H).
LCMS (ES, m/z): 457.10, 459.10 [M+H]+ The second collected fractions afforded 4-chloro-2-[4-(4-fluoro-N-methyl-anilino)phenyl]-5- [[(1R)-1-[(3R)-tetrahydropyran-3-yl]ethyl]amino]pyridazin-3-one (compound 213D, 0.0443 g, 12% yield) as a yellow solid. 1H NMR (300 MHz, DMSO-d6) δ 8.07 (s, 1H), 7.35-7.28 (m, 2H), 7.21 (d, J = 6.8 Hz, 4H), 6.85 (d, J = 8.9 Hz, 2H), 6.37 (d, J = 9.6 Hz, 1H), 3.85-3.69 (m, 3H), 3.29-3.23 (m, 4H), 3.20-3.09 (m, 1H), 1.88-1.76 (m, 2H), 1.69-1.56 (m, 1H), 1.51-1.41 (m, 1H), 1.38-1.23 (m, 1H), 1.18 (d, J = 6.4 Hz, 3H). LCMS (ES, m/z): 457.05, 459.05 [M+H]+ EXAMPLE 214 Synthesis of 4-chloro-2-[4-[[1-(o-tolyl)-4-piperidyl]oxy]phenyl]-5-[[(3R)-tetrahydropyran-3- yl]methylamino]pyridazin-3-one (214)
STEP 1: 1,1-dimethylethyl 4-[4-[5-chloro-6-oxo-4-[[(3R)-tetrahydropyran-3-yl]methylamino] pyridazin-1-yl]phenoxy]piperidine-1-carboxylate A mixture of 5-chloro-4-[[(3R)-tetrahydropyran-3-yl]methylamino]-1H-pyridazin-6-one (500 mg, 2.05 mmol), tert-butyl 4-(4-bromophenoxy)piperidine-1-carboxylate (730 mg, 2.05 mmol),
copper iodide (195 mg, 1.03 mmol), (trans)-N1,N2-dimethylcyclohexane-1,2-diamine (145 mg, 1.03 mmol) and potassium carbonate (1.40 g, 10.3 mmol) in DMF (10 mL) was heated for 2 h at 90 °C under nitrogen atmosphere. The mixture was cooled to rt, diluted with saturated aqueous ammonium chloride (50 mL) and extracted with ethyl acetate (3 x 50 mL). The combined organic extracts were dried over anhydrous sodium sulfate, concentrated under reduced pressure and purified by reverse phase to afford 1,1-dimethylethyl 4-[4-[5-chloro-6-oxo-4- [[(3R)-tetrahydropyran-3-yl]methylamino]pyridazin-1-yl]phenoxy]piperidine-1-carboxylate (700 mg, 56% yield) as a yellow oil. LCMS (ES, m/z): 463.20, 465.20 [M+H-tBu]+. STEP 2: 4-chloro-2-[4-(4-piperidyloxy)phenyl]-5-[[(3R)-tetrahydropyran-3- yl]methylamino]pyridazin-3-one TFA (3 mL) was added to 1,1-dimethylethyl 4-[4-[5-chloro-6-oxo-4-[[(3R)-tetrahydropyran-3- yl]methylamino]pyridazin-1-yl]phenoxy]piperidine-1-carboxylate (450 mg, 867 μmol) in DCM (15 mL) and stirred for 1 h at rt. The mixture was then concentrated to afford the TFA salt of 4- chloro-2-[4-(4-piperidyloxy)phenyl]-5-[[(3R)-tetrahydropyran-3-yl]methylamino]pyridazin-3-one (400 mg, 74% yield) as yellow oil. LCMS (ES, m/z): 419.20, 421.20 [M+H-TFA]+. STEP 3: 4-chloro-2-[4-[[1-(o-tolyl)-4-piperidyl]oxy]phenyl]-5-[[(3R)-tetrahydropyran-3- yl]methylamino]pyridazin-3-one A mixture of 4-chloro-2-[4-(4-piperidyloxy)phenyl]-5-[[(3R)-tetrahydropyran-3-yl]methyl amino]pyridazin-3-one (200 mg, 319 μmol, 85% purity), 1-bromo-2-methyl-benzene (244 mg, 1.43 mmol) t-BuONa (196 mg, 477 μmol), 3rd Gen. t-Buxphos-Pd (379 mg, 477 μmol) in THF (10 mL) was heated for 2 h at 70 °C under nitrogen atmosphere. The mixture was cooled to rt, quenched with saturated aqueous ammonium chloride (50 mL), and extracted with ethyl acetate (3 x 50 mL). The combined organic extracts were dried over anhydrous sodium sulfate, concentrated under reduced pressure and purified by Prep HPLC to afford the racemate. The racemate was then further purified by chiral-prep HPLC to afford 4-chloro-2-[4-[[1-(o-tolyl)-4- piperidyl]oxy]phenyl]-5-[[(3R)-tetrahydropyran-3-yl]methylamino]pyridazin-3-one (9.80 mg, 4% yield) as a white solid.
1H NMR (300 MHz, DMSO-d6) δ 8.07 (s, 1H), 7.43-7.33 (m, 2H), 7.17-7.12 (m, 2H), 7.09-7.04 (m, 3H), 6.97-6.86 (m, 2H), 4.68-4.51 (m, 1H), 3.79-3.68 (m, 2H), 3.41-3.20 (m, 3H), 3.17-2.98 (m, 3H), 2.83-2.70(m, 2H), 2.26 (s, 3H), 2.15-2.10 (m, 2H), 1.88-1.78 (m, 4H), 1.61-1.50 (m, 1H), 1.47-1.42 (m, 1H), 1.30-1.13(m, 1H). LCMS (ES, m/z): 509.25, 511.25 [M+H]+. EXAMPLE 215 Synthesis of trans-4-chloro-2-[4-(3-hydroxycyclobutoxy)phenyl]-5-[[(3R)-tetrahydropyran-3- yl]methylamino]pyridazin-3-one (215)
STEP 1: Trans-[3-(4-bromophenoxy)cyclobutoxy]-(1,1-dimethylethyl)-dimethyl-silane DIAD (911.6 mg, 4.51 mmol) was added dropwise to a solution of 4-bromophenol (520 mg, 3.01 mmol), cis-3-[1,1-dimethylethyl(dimethyl)silyl] oxycyclobutanol (608 mg, 3.01 mmol) and triphenyl phosphine (946 mg, 3.61 mmol) in THF (20 mL) at 0 °C. The mixture was then warmed to rt for 16 h, quenched with water (20 mL) and extracted with ethyl acetate (3 x 20 mL). The combined organic extracts were dried over sodium sulfate, concentrated onto silica gel and purified by column chromatography to afford trans-[3-(4-bromophenoxy)cyclobutoxy]-(1,1- dimethylethyl)-dimethyl-silane (320 mg, 24% yield) as a yellow oil. GCMS (ES, m/z): 356.05, 358.05 [M+H]+.
STEP 2: trans-4-chloro-2-[4-[3-[1,1-dimethylethyl(dimethyl)silyl]oxycyclobutoxy]phenyl]-5- [[(3R)-tetrahydropyran-3-yl]methylamino]pyridazin-3-one Potassium carbonate (108 mg, 784 μmol), (1R,2R)-cyclohexane-1,2-diamine (44.7 mg, 392 μmol) and copper iodide (74.6 mg, 392 μmol) were added to trans-[3-(4- bromophenoxy)cyclobutoxy]-(1,1-dimethylethyl)-dimethyl-silane (140 mg, 3922 μmol) and 5- chloro-4-[[(3R)-tetrahydropyran-3-yl]methylamino]-1H-pyridazin-6-one (115 mg, 470 μmol) in DMF (2 mL) and the resulting mixture heated for 2 h at 90 °C under nitrogen atmosphere. The mixture was cooled to rt, concentrated under reduced pressure and purified by prep HPLC to afford trans-4-chloro-2-[4-[3-[1,1-dimethylethyl(dimethyl)silyl] oxycyclobutoxy]phenyl]-5-[[(3R)- tetrahydropyran-3-yl]methylamino]pyridazin-3-one (135 mg, 62% yield) as a yellow solid. LCMS (ES, m/z): 520.30, 522.30 [M+H]+. STEP 3: trans-4-chloro-2-[4-(3-hydroxycyclobutoxy)phenyl]-5-[[(3R)-tetrahydropyran-3- yl]methylamino]pyridazin-3-one TBAF (1 M in THF, 2.40 mL) was added to a solution of trans-4-chloro-2-[4-[3-[1,1- dimethylethyl (dimethyl)silyl] oxycyclobutoxy]phenyl]-5-[[(3R)-tetrahydropyran-3- yl]methylamino]pyridazin-3-one (125 mg, 240 μmol) in THF (2 mL) and stirred for 1 h at rt. Water (15 mL) was added, and the mixture was extracted with ethyl acetate (3 x 15 mL). The combined organic extracts were washed with brine (15 mL), dried over sodium sulfate, concentrated onto silica gel, and purified by column chromatography. The mixture was further purified by prep HPLC to afford trans-4-chloro-2-[4-(3-hydroxycyclobutoxy)phenyl]-5-[[(3R)- tetrahydropyran-3-yl]methylamino]pyridazin-3-one (42.2 mg, 41% yield) as a white solid. 1H NMR (300 MHz, DMSO-d6) δ 8.05 (s, 1H), 7.36 (d, J = 9.0 Hz, 2H), 6.89-6.84 (m, 3H), 5.19 (d, J = 5.4 Hz, 1H), 4.89-4.82 (m, 1H), 4.40-4.34 (m, 1H), 3.78-3.68 (m, 2H), 3.27-3.12 (m, 3H), 2.33-2.30 (m, 4H), 1.83-1.64 (m, 2H), 1.63-1.58 (m, 1H), 1.50-1.42 (m, 1H), 1.30-1.23 (m, 1H). LCMS (ES, m/z): 406.10, 408.10 [M+H]+.
EXAMPLE 216 Synthesis of 4-chloro-2-[4-[methyl(tetrahydropyran-4-yl)amino]phenyl]-5-[[(3R)- tetrahydropyran-3-yl]methylamino]pyridazin-3-one (216)
STEP 1: N-(4-bromophenyl)tetrahydropyran-4-amine A solution of 4-bromoaniline (600 mg, 3.49 mmol) and tetrahydropyran-4-one (384 mg, 3.84 mmol) in acetic acid (1.2 mL) and DCM (10 mL) was stirred for 0.5 h at rt. STAB (2.85 g, 10.5 mmol) was added in portions, and the resulting mixture stirred for 1.5 h. The reaction was quenched with saturated aqueous ammonium chloride (40 mL) and extracted with DCM (3 x 40 mL). The combined organic extracts were dried over sodium sulfate, concentrated onto silica gel, and purified by column chromatography to afford N-(4-bromophenyl)tetrahydropyran-4- amine (0.700 g, 71% yield) as a white solid. LCMS (ES, m/z): 256.00, 258.00 [M+H]+. STEP 2: N-(4-bromophenyl)-N-methyl-tetrahydropyran-4-amine Sodium hydride (304 mg, 7.61 mmol, 60% purity) was added portion-wise to a solution of N- (4-bromophenyl)tetrahydropyran-4-amine (650 mg, 2.54 mmol) in DMF (12 mL) at 0 °C. The
temperature was maintained at 0 °C for 30 mins, then methyl iodide (1.42 g, 10.2 mmol) was added slowly. The mixture was then warmed to rt for 3 h, quenched with water (30 mL) and extracted with ethyl acetate (3 x 30 mL). The combined organic extracts were dried over sodium sulfate, concentrated onto silica gel and purified by column chromatography to afford N-(4-bromophenyl)-N-methyl-tetrahydropyran-4-amine (0.50 g, 66% yield) as a yellow solid. LCMS (ES, m/z): 270.00, 272.00 [M+H]+. STEP 3: 4-chloro-2-[4-[methyl(tetrahydropyran-4-yl)amino]phenyl]-5-[[(3R)-tetrahydropyran-3- yl]methylamino]pyridazin-3-one A mixture of N-(4-bromophenyl)-N-methyl-tetrahydropyran-4-amine (249 mg, 923 μmol), 5- chloro-4-[[(3R)-tetrahydropyran-3-yl]methylamino]-1H-pyridazin-6-one (150 mg, 616 μmol), potassium carbonate (425 mg, 3.08 mmol), trans-N1,N2-dimethylcyclohexane-1,2-diamine (87.56 mg, 615.54 μmol) and copper iodide (117.2 mg, 615.5 μmol) in DMF (3 mL) was heated for 2 h at 100 °C under nitrogen atmosphere. The reaction was then quenched with water and extracted with ethyl acetate (3 x 15 mL). The combined organic extracts were dried over sodium sulfate, concentrated under reduced pressure and purified by prep-HPLC to afford 4- chloro-2-[4-[methyl(tetrahydropyran-4-yl)amino]phenyl]-5-[[(3R)-tetrahydropyran-3- yl]methylamino]pyridazin-3-one (70.5 mg, 26% yield) as a yellow solid. 1H NMR (300 MHz, DMSO-d6) δ 8.02 (s, 1H), 7.25 (d, J = 8.8 Hz, 2H), 6.91-6.78 (m, 3H), 4.01- 3.91 (m, 3H), 3.74-3.67 (m, 2H), 3.49-3.36 (m, 2H), 3.29-3.12 (m, 4H), 2.76 (s, 3H), 1.89-1.69 (m, 4H), 1.68-1.58 (m, 3H), 1.52-1.42 (m, 1H), 1.39-1.31 (m, 1H). LCMS (ES, m/z): 433.15, 435.15 [M+H]+. EXAMPLE 217 Synthesis of 2-[4-[(1-acetyl-4-piperidyl)-methyl-amino]phenyl]-4-chloro-5-[[(3R)- tetrahydropyran-3-yl]methylamino]pyridazin-3-one (217)
STEP 1: N-(4-bromophenyl)-N-methyl-piperidin-4-amine hydrochloride HCl (4 M in ethyl acetate, 25.7 mL) was added to a solution of tert-butyl 4-(4-bromo-N- methyl-anilino)piperidine-1-carboxylate (4.0 g, 10 mmol) in ethyl acetate (20 mL) and the mixture stirred for 1 h at rt. The resulting solids were collected by filtration to afford N-(4- bromophenyl)-N-methyl-piperidin-4-amine hydrochloride (3.0 g, 94% yield) as a white solid. LCMS (ES, m/z): 268.95, 270.95 [M-HCl+H]+. STEP 2: 1-[4-(4-bromo-N-methyl-anilino)-1-piperidyl]ethanone Acetyl chloride (378 mg, 4.81 mmol) was slowly added to a solution of N-(4-bromophenyl)- N-methyl-piperidin-4-amine hydrochloride (500 mg, 1.60 mmol) and TEA (812 mg, 8.02 mmol) in DCM (8 mL) at 0 °C. The mixture was then warmed to rt for 1 h, quenched with water (20 mL) and extracted with ethyl acetate (3 x 20 mL). The combined organic extracts were washed with brine (30 mL), dried over sodium sulfate, concentrated onto silica gel and purified by column chromatography to afford 1-[4-(4-bromo-N-methyl-anilino)-1-piperidyl]ethanone (450 mg, 85% yield) as a light-yellow solid. LCMS (ES, m/z): 311.00, 313.00 [M+H]+. STEP 3: 2-[4-[(1-acetyl-4-piperidyl)-methyl-amino]phenyl]-4-chloro-5-[[(3R)-tetrahydropyran-3- yl]methylamino]pyridazin-3-one A mixture of 1-[4-(4-bromo-N-methyl-anilino)-1-piperidyl]ethanone (195 mg, 595 μmol), 5- chloro-4-[[(3R)-tetrahydropyran-3-yl]methylamino]-1H-pyridazin-6-one (120.9 mg, 496.0 μmol), potassium carbonate (343 mg, 2.48 mmol), trans-cyclohexane-1,2-diamine (28.32 mg, 248.02
μmol) and copper iodide (47.2 mg, 248 μmol) in DMF (2.00 mL) was heated for 2 h at 90 °C under nitrogen atmosphere. The mixture was cooled to rt, concentrated under reduced pressure and purified by reverse phase chromatography, and further separated by Achrial-prep- HPLC to afford 2-[4-[(1-acetyl-4-piperidyl)-methyl-amino]phenyl]-4-chloro-5-[[(3R)- tetrahydropyran-3-yl]methylamino]pyridazin-3-one (62.2 mg, 26% yield) as a yellow solid. 1H NMR (300 MHz, DMSO-d6) δ 8.02 (s, 1H), 7.26 (d, J = 8.9 Hz, 2H), 6.86 (d, J = 9.0 Hz, 2H), 6.79 (t, J = 6.3 Hz, 1H), 4.51 (d, J = 13.0 Hz, 1H), 4.00-3.84 (m, 2H), 3.82-3.64 (m, 2H), 3.41-3.35 (m, 1H), 3.31-3.10 (m, 4H), 2.73 (s, 3H), 2.63 (t, J = 12.4 Hz, 1H), 2.02 (s, 3H), 1.90-1.74 (m, 2H), 1.71-1.56 (m, 4H), 1.56-1.38 (m, 2H), 1.32-1.18 (m, 1H). LCMS (ES, m/z): 474.25, 476.25 [M+H]+. EXAMPLE 218 Synthesis of 4-chloro-2-[4-[methyl-[1-methyl-2-oxo-4-piperidyl]amino]phenyl]-5-[[(3R)- tetrahydropyran-3-yl]methylamino]pyridazin-3-one (218)
STEP 1: 4-(4-bromoanilino)piperidin-2-one Acetic acid (10.5 g, 174 mmol) was added drop-wise to 4-bromoaniline (10.0 g, 58.1 mmol) and piperidine-2,4-dione (7.23 g, 64.0 mmol) in methanol (150 mL) and the resulting mixture
stirred for 1 h at rt. Sodium cyanoborohydride (10.96 g, 174.4 mmol) was then added portion- wise and the mixture stirred at rt for 72 h. The mixture was then concentrated onto silica gel and purified by column chromatography to afford 4-(4-bromoanilino)piperidin-2-one (15.0 g, 86% yield). LCMS (ES, m/z): 269.25, 271.25 [M+H]+ STEP 2: 4-(4-bromo-N-methyl-anilino)piperidin-2-one Acetic acid (6.69 g, 111 mmol) was added dropwise to a solution of 4-(4-bromoanilino) piperidin-2-one (5.0 g, 19 mmol) and formaldehyde (18.6 g, 186 mmol, 30% purity) in methanol (40 mL) and the mixture stirred for 1 h at rt. STAB (23.62 g, 111.5 mmol) was then added in portions. Once addition was complete, the mixture was stirred at rt for 16 h, concentrated onto silica gel and purified by column chromatography to afford 4-(4-bromo-N-methyl- anilino)piperidin-2-one (4.0 g, 68% yield). LCMS (ES, m/z): 283.15, 285.15 [M+H]+ STEP 3: 4-(4-bromo-N-methyl-anilino)-1-methyl-piperidin-2-one Sodium hydride (77.7 mg, 1.94 mmol, 60% purity) was added portion-wise to a solution of 4-(4-bromo-N-methyl-anilino)piperidin-2-one (0.50 g, 1.8 mmol) in DMF (10 mL) at 0 °C. The temperature was maintained at 0 °C for 0.5 h and then methyl iodide (275.7 mg, 1.94 mmol) was added drop-wise. The mixture was warmed to rt then stirred for 3 h, whereupon water (20 mL) was added and extracted with ethyl acetate (3 x 20 mL). The combined organic layers were dried over sodium sulfate, evaporated onto silica gel and purified by column chromatography to afford 4-(4-bromo-N-methyl-anilino)-1-methyl-piperidin-2-one (350 mg, 53% yield). LCMS (ES, m/z): 297.05, 299.05 [M+H]+ STEP 4: 4-chloro-2-[4-[methyl-[1-methyl-2-oxo-4-piperidyl]amino]phenyl]-5-[[(3R)- tetrahydropyran-3-yl]methylamino]pyridazin-3-one Trans-N1,N2-dimethylcyclohexane-1,2-diamine (27.9 mg, 196 μmol), copper iodide (74.8 mg, 393 μmol) and potassium carbonate (271.2 mg, 1.96 mmol) were added to 4-(4-bromo-N- methyl-anilino)-1-methyl-piperidin-2-one (175 mg, 471 μmol) and 5-chloro-4-[[(3R)- tetrahydropyran-3-yl]methylamino]-1H-pyridazin-6-one (95.7 mg, 392.57 μmol) in DMF (2 mL) and the resulting mixture heated for 3 h at 100 °C under nitrogen atmosphere. The mixture was
then cooled to rt and passed through a pad of celite. The filtrate was concentrated, purified by reverse phase column chromatography and further separated by Achiral-prep-SFC to afford 4- chloro-2-[4-[methyl-[1-methyl-2-oxo-4-piperidyl]amino]phenyl]-5-[[(3R)-tetrahydropyran-3- yl]methylamino]pyridazin-3-one (28.4 mg, 16% yield) as a yellow solid. 1H NMR (300 MHz, DMSO-d6) δ 8.04 (s, 1H), 7.26 (d, J = 8.7 Hz, 2H), 6.88-6.79 (m, 3H), 4.33- 4.15 (m, 1H), 3.85-3.67 (m, 2H), 3.29-3.11 (m, 5H), 2.83 (s, 3H), 2.77 (s, 3H), 2.49-2.40 (m, 1H), 2.38-2.27 (m, 1H), 2.09-1.94 (m, 1H), 1.93-1.75 (m, 3H), 1.70-1.54 (m, 1H), 1.53-1.41 (m, 1H), 1.33-1.21 (m, 1H). LCMS (ES, m/z): 460.20, 462.20 [M+H]+ EXAMPLE 219 Synthesis of 4-[4-[5-chloro-6-oxo-4-[[(3S)-tetrahydropyran-3-yl]methylamino]pyridazin-1- yl]phenoxy]piperidine-1-carboxamide (219)
STEP 1: 1,1-dimethylethyl 4-[4-[(1S)-5-chloro-6-oxo-4-[[(3S)-tetrahydropyran-3-yl]methylamino] pyridazin-1-yl]phenoxy]piperidine-1-carboxylate and 1,1-dimethylethyl 4-[4-[(1R)-5-chloro-6-oxo-4-[[(3R)-tetrahydropyran-3-yl]methylamino] pyridazin-1-yl]phenoxy]piperidine-1-carboxylate
To a mixture of 5-chloro-4-(tetrahydropyran-3-ylmethylamino)-1H-pyridazin-6-one (8.1 g, 33 mmol) and tert-butyl 4-(4-bromophenoxy)piperidine-1-carboxylate (13.03 g, 36.56 mmol) in DMF (160 mL) was added copper iodide (3.17 g, 16.62 mmol), potassium carbonate (22.97 g, 166.20 mmol), and (1S,2S)-N1,N2-dimethylcyclohexane-1,2-diamine (2.36 g, 16.6 mmol, 2.62 mL). The resulting mixture was heated for 2 h at 100 °C under nitrogen atmosphere, then cooled to rt, water (200 mL) added and extracted with ethyl acetate (3 x 200 mL). The combined organic extracts were washed with brine (200 mL), dried over sodium sulfate, concentrated under reduced pressure and purified by reverse phase column chromatography to yield the racemate which was further separated by prep-SFC to afford two products. The first eluting isomer afforded 1,1-dimethylethyl 4-[4-[(1S)-5-chloro-6-oxo-4-[[(3S)- tetrahydropyran-3-yl]methylamino]pyridazin-1-yl]phenoxy]piperidine-1-carboxylate (3.5 g, 20% yield). The second eluting isomer afforded 1,1-dimethylethyl 4-[4-[(1R)-5-chloro-6-oxo-4-[[(3R)- tetrahydropyran-3-yl]methylamino]pyridazin-1-yl]phenoxy]piperidine-1-carboxylate (3.5 g, 20% yield). LCMS (ES, m/z): 519.00, 521.00 [M+H]+ STEP 2: 4-chloro-2-[4-(4-piperidyloxy)phenyl]-5-[[(3S)-tetrahydropyran-3-yl]methylamino] pyridazin-3-one hydrochloride HCl (4 M in ethanol, 14.45 mL) was added to a solution of 1,1-dimethylethyl 4-[4-[5-chloro- 6-oxo-4-[[(3S)-tetrahydropyran-3-yl]methylamino]pyridazin-1-yl]phenoxy]piperidine-1- carboxylate (3.0 g, 5.8 mmol) in ethanol (10 mL) and stirred for 1 h at rt resulting in the formation of a precipitate which was isolated by filtration to afford 4-chloro-2-[4-(4- piperidyloxy)phenyl]-5-[[(3S)-tetrahydropyran-3-yl]methylamino]pyridazin-3-one hydrochloride (2.5 g, 5.5 mmol) as a white solid. LCMS (ES, m/z): 419.25, 421.25 [M-HCl+H]+ STEP 3: 4-chloro-2-[4-(4-piperidyloxy)phenyl]-5-[[(3R)-tetrahydropyran-3-yl]methylamino] pyridazin-3-one hydrochloride HCl (4 M in ethanol, 10 mL) was added to a solution of 1,1-dimethylethyl 4-[4-[5-chloro-6- oxo-4-[[(3R)-tetrahydropyran-3-yl]methylamino]pyridazin-1-yl]phenoxy]piperidine-1- carboxylate (2.2 g, 4.2 mmol) in ethanol (20 mL) and stirred for 2 h at rt. The mixture was
concentrated under reduced pressure to afford 4-chloro-2-[4-(4-piperidyloxy)phenyl]-5-[[(3R)- tetrahydropyran-3-yl]methylamino]pyridazin-3-one hydrochloride (1.9 g, ) as a light-yellow solid. LCMS (ES, m/z): 419.20, 421.20 [M-HCl+H]+ STEP 4: 4-[4-[5-chloro-6-oxo-4-[[(3S)-tetrahydropyran-3-yl]methylamino]pyridazin-1- yl]phenoxy]piperidine-1-carboxamide TMSNCO (41.2 mg, 358 μmol) and TEA (36 mg, 358 μmol, 50 μL) were added to a solution of 4-chloro-2-[4-(4-piperidyloxy)phenyl]-5-[[(3S)-tetrahydropyran-3-yl]methylamino] pyridazin-3- one (100 mg, 239 μmol) in DCM (3 mL) at 0 °C. The mixture was then warmed to rt for 5 h, the solvent removed under reduced pressure and the resulting residue purified by prep-HPLC to afford 4-[4-[5-chloro-6-oxo-4-[[(3S)-tetrahydropyran-3-yl]methylamino]pyridazin-1- yl]phenoxy]piperidine-1-carboxamide (69.6 mg, 62% yield) as a white solid. 1H NMR (300 MHz, DMSO-d6) δ 8.06 (s, 1H), 7.40-7.34 (m, 2H), 7.07-7.01 (m, 2H), 6.88 (t, J = 6.4 Hz, 1H), 5.97 (s, 2H), 4.64-4.54 (m, 1H), 3.84-3.61 (m, 4H), 3.32-3.20 (m, 3H), 3.20-3.04 (m, 3H), 1.92-1.89 (m, 2H), 1.82-1.78 (m,2H), 1.66-1.37 (m, 4H), 1.33-1.19 (m, 1H). LCMS (ES, m/z): 462.10, 464.10 [M+H]+ EXAMPLE 220 Synthesis of 4-chloro-2-(4-(((R)-1-isobutyrylpyrrolidin-3-yl)oxy)phenyl)-5-((((R)-tetrahydro-2H-pyran-3- yl)methyl)amino)pyridazin-3(2H)-one (assumed) (220A)
4-chloro-2-(4-(((S)-1-isobutyrylpyrrolidin-3-yl)oxy)phenyl)-5-((((R)-tetrahydro-2H-pyran-3- yl)methyl)amino)pyridazin-3(2H)-one (assumed) (220B)
STEP 1: tert-butyl 3-(4-bromophenoxy)pyrrolidine-1-carboxylate DIAD (3.51 g, 17.34 mmol) was added dropwise to a solution of 4-bromophenol (3.0 g, 17 mmol), tert-butyl 3-hydroxypyrrolidine-1-carboxylate (3.25 g, 17.3 mmol) and triphenyl phosphine (4.55 g, 17.3 mmol) in THF (50 mL) at to 0 °C. The mixture was then gently warmed to rt for 16 h, partitioned between water (60 mL) and ethyl acetate (3 x 60 mL) and the combined organic extracts washed with brine (60 mL), dried over sodium sulfate, concentrated onto silica gel and purified by column chromatography to afford tert-butyl 3-(4- bromophenoxy)pyrrolidine-1-carboxylate (5.0 g, 84% yield) as a white solid. LCMS (ES, m/z): 285.95, 287.95 [M+H-tBu]+. STEP 2: 3-(4-bromophenoxy)pyrrolidine hydrochloride A solution of tert-butyl 3-(4-bromophenoxy)pyrrolidine-1-carboxylate (5 g, 14.61 mmol) and HCl (4 M in ethanol, 36.53 mL) in ethanol (45 mL) was stirred for 1 h at rt. The mixture was concentrated under reduced pressure to afford 3-(4-bromophenoxy)pyrrolidine hydrochloride (4.8 g, 17 mmol) as a white solid. LCMS (ES, m/z): 242.05, 244.05 [M-HCl+H]+.
STEP 3: 1-[3-(4-bromophenoxy)pyrrolidin-1-yl]-2-methyl-propan-1-one 2-methylpropanoyl chloride (172 mg, 1.62 mmol, 169 μL) was added drop-wise to a solution of 3-(4-bromophenoxy)pyrrolidine hydrochloride (300 mg, 1.08 mmol) and TEA (327 mg, 3.23 mmol) in DCM (2 mL) at 0 °C. The mixture was then warmed to rt for 1 h, concentrated under reduced pressure and purified by prep-HPLC to afford 1-[3-(4-bromophenoxy)pyrrolidin-1-yl]-2- methyl-propan-1-one (280 mg, 83% yield) as a yellow oil. LCMS (ES, m/z): 312.05, 314.05 [M+H]+. STEP 4: 4-chloro-2-(4-(((R)-1-isobutyrylpyrrolidin-3-yl)oxy)phenyl)-5-((((R)-tetrahydro-2H-pyran- 3-yl)methyl)amino)pyridazin-3(2H)-one (assumed) and 4-chloro-2-(4-(((R)-1-isobutyrylpyrrolidin-3-yl)oxy)phenyl)-5-((((S)-tetrahydro-2H-pyran-3- yl)methyl)amino)pyridazin-3(2H)-one (assumed) Trans-N1,N2-dimethylcyclohexane-1,2-diamine (58.4 mg, 410 μmol), copper iodide (78.2 mg, 410 μmol) and potassium carbonate (284 mg, 2.05 mmol) were added to 5-chloro-4-[[(3R)- tetrahydropyran-3-yl]methylamino]-1H-pyridazin-6-one (100 mg, 410 μmol) and 1-[3-(4- bromophenoxy)pyrrolidin-1-yl]-2-methyl-propan-1-one (256.2 mg, 820.7 μmol) in DMF (1.5 mL) and the resulting mixture heated for 1 h at 100 °C under nitrogen atmosphere, then cooled to rt and passed through a pad of celite. The filtrate was concentrated under reduced pressure, purified by reverse phase column chromatography and further separated by Chiral-prep-HPLC to afford two products. The first collected fractions afforded 4-chloro-2-(4-(((R)-1-isobutyrylpyrrolidin-3-yl)oxy) phenyl)-5-((((R)-tetrahydro-2H-pyran-3-yl)methyl)amino)pyridazin-3(2H)-one (compound 220A, 24 mg, 12% yield) as an off-white solid. 1H NMR (300 MHz, DMSO-d6) δ 8.06 (s, 1H), 7.41-7.38 (m, 2H), 7.05-7.00 (m, 2H), 6.90-6.85 (m, 1H), 5.09 (bd, J = 25.5 Hz, 1H), 3.87-3.50 (m, 6H), 3.28-3.12 (m, 4H), 2.75-2.58 (m, 1H), 2.26- 2.07 (m, 2H), 1.82-1.78 (m, 2H), 1.63-1.59 (m, 1H), 1.49-1.42 (m, 1H), 1.27-1.23 (m, 1H), 1.02- 0.95 (m, 6H). LCMS (ES, m/z): 475.20, 477.20 [M+H]+. The second collected fractions afforded 4-chloro-2-(4-(((S)-1-isobutyrylpyrrolidin-3-yl)oxy) phenyl)-5-((((R)-tetrahydro-2H-pyran-3-yl)methyl)amino)pyridazin-3(2H)-one (compound 220B, 24.3 mg, 51.1 μmol, 12% yield, 99.8% purity) as an off-white solid.
1H NMR (300 MHz, DMSO-d6) δ 8.06 (s, 1H), 7.41-7.38 (m, 2H), 7.05-7.00 (m, 2H), 6.90-6.85 (m, 1H), 5.09 (bd, J = 25.5 Hz, 1H), 3.87-3.50 (m, 6H), 3.28-3.12 (m, 4H), 2.75-2.58 (m, 1H), 2.26- 2.07 (m, 2H), 1.82-1.78 (m, 2H), 1.63-1.59 (m, 1H), 1.49-1.42 (m, 1H), 1.27-1.23 (m, 1H), 1.02- 0.95 (m, 6H). LCMS (ES, m/z): 475.20, 477.20 [M+H]+. EXAMPLES 221-328 Synthesis of compounds 221-328 Compounds 221-328, shown below in Table 6, were prepared in a manner analogous to Examples 205-353 and other procedures described herein.
EXAMPLE 329 Synthesis of 2-((1r,4R)-4-((Z)-(tert-butoxyimino)(6-fluoro-2-methylpyridin-3-yl)methyl)cyclohexyl)-4- chloro-5-((((R)-tetrahydro-2H-pyran-3-yl)methyl)amino)pyridazin-3(2H)-one (329A)
2-((1r,4S)-4-((E)-(tert-butoxyimino)(6-fluoro-2-methylpyridin-3-yl)methyl)cyclohexyl)-4- chloro-5-((((S)-tetrahydro-2H-pyran-3-yl)methyl)amino)pyridazin-3(2H)-one (329B)
2-((1r,4S)-4-((Z)-(tert-butoxyimino)(6-fluoro-2-methylpyridin-3-yl)methyl)cyclohexyl)-4- chloro-5-((((S)-tetrahydro-2H-pyran-3-yl)methyl)amino)pyridazin-3(2H)-one (329C)
2-((1r,4R)-4-((E)-(tert-butoxyimino)(6-fluoro-2-methylpyridin-3-yl)methyl)cyclohexyl)-4- chloro-5-((((R)-tetrahydro-2H-pyran-3-yl)methyl)amino)pyridazin-3(2H)-one (329D)
STEP 1: ethyl 4-(2-tert-butoxycarbonylhydrazino)cyclohexanecarboxylate A solution of tert-butyl N-aminocarbamate (77 g, 587 mmol), ethyl 4-oxocyclohexane carboxylate (50.0 g, 294 mmol), acetic acid (26.0 g, 440 mmol) and sodium cyanoborohydride (27.0 g, 440 mmol) in methanol (500 mL) was stirred for 16 h at 25 °C. The mixture was then concentrated, and the resulting residue diluted with water (500 mL) and extracted with DCM (3 x 50 mL). The combined organic extracts were dried over anhydrous sodium sulfate, filtered, concentrated under vacuum and purified by silica gel column chromatography (PE/EtOAc 2:1) to afford ethyl 4-(2-tert-butoxycarbonylhydrazino)cyclohexane carboxylate (70.0 g, 83% yield) as a light yellow oil. LCMS (ES, m/z): 231.10 [M+H-56]+. STEP 2: ethyl 4-(4,5-dichloro-6-oxo-pyridazin-1-yl)cyclohexanecarboxylate A solution of (Z)-2,3-dichloro-4-oxo-but-2-enoic acid (31.0 g, 183 mmol), ethyl 4-(2-tert- butoxycarbonylhydrazino)cyclohexanecarboxylate (35.0 g, 122 mmol) in ethanol (100 mL) and HCl (conc, 50 mL) was heated for 16 h at 80 °C. The mixture was then cooled to rt, filtered through a Celite pad and the filtrate concentrated. The crude product was purified by silica gel column chromatography to afford ethyl 4-(4,5-dichloro-6-oxo-pyridazin-1- yl)cyclohexanecarboxylate (20 g, 51% yield) as a yellow solid. LCMS (ES, m/z): 319.09, 321.09 [M+H]+.
STEP 3: ethyl 4-[5-chloro-6-oxo-4-(tetrahydropyran-3-ylmethylamino)pyridazin-1- yl]cyclohexanecarboxylate A solution of ethyl 4-(4,5-dichloro-6-oxo-pyridazin-1-yl)cyclohexanecarboxylate (5 g, 15.66 mmol), TEA (7.9 g, 78 mmol) and HCl salt of tetrahydropyran-3-ylmethanamine (4.73 g, 31.3 mmol) in ethanol (50 mL) was heated for 16 h at 80 °C. The mixture was then cooled, concentrated onto silica gel, purified by column chromatography and further purified by reverse flash chromatography to afford ethyl 4-[5-chloro-6-oxo-4-(tetrahydropyran-3- ylmethylamino)pyridazin-1-yl]cyclohexanecarboxylate (5.0 g, 72% yield) as a light yellow solid. LCMS (ES, m/z): 398.15, 400.15 [M+H]+. STEP 4: HCl salt of 4-[5-chloro-6-oxo-4-(tetrahydropyran-3-ylmethylamino)pyridazin-1- yl]cyclohexanecarboxylic acid Sodium hydroxide (1.81 g, 45.2 mmol) was added to a solution of ethyl 4-[5-chloro-6-oxo-4- (tetrahydropyran-3-ylmethylamino)pyridazin-1-yl]cyclohexanecarboxylate (5.0 g, 11 mmol) in methanol (40 mL) and water (20 mL) at 0 °C and then stirred for 4 h at rt. Methanol was removed under reduced pressure and the aqueous solution acidified to pH 5 with HCl (2 N) at 0 °C. The resulting solids were collected by filtration, washed with water (50 mL) and dried under IR light to afford HCl salt of 4-[5-chloro-6-oxo-4-(tetrahydropyran-3-ylmethylamino) pyridazin-1-yl]cyclohexanecarboxylic acid (4.3 g, 84% yield) as a yellow solid. LCMS (ES, m/z): 370.15, 372.15 [M+H]+. STEP 5: Cis-4-[5-chloro-6-oxo-4-(tetrahydropyran-3-ylmethylamino)pyridazin-1-yl]-N-methoxy- N-methyl-cyclohexanecarboxamide and trans-4-[5-chloro-6-oxo-4-(tetrahydropyran-3-ylmethylamino)pyridazin-1-yl]-N-methoxy-N- methyl-cyclohexanecarboxamide To a stirred mixture of HCl salt of N-methoxymethanamine (2.56 g, 26.3 mmol, S01) in DCM (100 mL) was added 4-[5-chloro-6-oxo-4-(tetrahydropyran-3-ylmethylamino)pyridazine-1- yl]cyclohexanecarboxylic acid (9.0 g, 22 mmol), HOBt (3.55 g, 26.3 mmol), EDCI (5.04 g, 26.3 mmol) and 4-methylmorpholine (6.65 g, 65.7 mmol). The resulting mixture was stirred for 16 h at rt and then poured into ice-water (80 mL) and extracted with DCM (3 x 80 mL). The combined organic extracts were dried over anhydrous sodium sulfate, concentrated under
reduced pressure and purified by silica gel column chromatography (DCM/methanol, 10:1). The mixture was separated by Achiral-prep-HPLC to afford: cis-4-[5-chloro-6-oxo-4-(tetrahydropyran-3-ylmethylamino)pyridazin-1-yl]-N-methoxy-N- methyl-cyclohexanecarboxamide (2.5 g, 24% yield) as a yellow oil; and trans-4-[5-chloro-6-oxo-4-(tetrahydropyran-3-ylmethylamino)pyridazin-1-yl]-N-methoxy-N- methyl-cyclohexanecarboxamide (3.3 g, 31% yield) as a yellow oil LCMS (ES, m/z): 413.25, 415.95 [M+H]+. STEP 6: Trans-4-[5-chloro-6-oxo-4-(tetrahydropyran-3-ylmethylamino)pyridazin-1- yl]cyclohexanecarbaldehyde A solution of trans-4-[5-chloro-6-oxo-4-(tetrahydropyran-3-ylmethylamino)pyridazin-1-yl]- N-methoxy-N-methyl-cyclohexanecarboxamide (900 mg, 2.18 mmol) in THF (19 mL) was cooled to-78 °C and then LAH (1M in THF, 2.40 mL) was added drop-wise. The resulting mixture was stirred at-78 °C for 1 h and then quenched with water (4 mL) and sodium hydroxide solution (15%, 1mL). The resulting solids were removed by filtration and the filtrate concentrated under reduced pressure and purified by silica gel column chromatography to afford trans-4-[5-chloro- 6-oxo-4-(tetrahydropyran-3-ylmethylamino)pyridazin-1-yl]cyclohexanecarbaldehyde (660 mg, 86% yield) as a colorless oil. LCMS (ES, m/z): 354.15, 356.15 [M+H]+ STEP 7: Trans-4-chloro-2-[4-[(6-fluoro-2-methyl-3-pyridyl)-hydroxy-methyl]cyclohexyl]-5- (tetrahydropyran-3-ylmethylamino)pyridazin-3-one A solution of 3-bromo-6-fluoro-2-methyl-pyridine (1.42 g, 7.46 mmol), magnesium (362.8 mg, 14.92 mmol) and iodine (50 mg) in THF (30 mL) was heated for 10 min at 60°C under inert atmosphere and then cooled to 0°C. A solution of trans-4-[5-chloro-6-oxo-4-(tetrahydropyran- 3-ylmethylamino)pyridazin-1-yl]cyclohexanecarbaldehyde (660 mg, 1.87 mmol) in THF (5 mL) was added drop-wise at 0°C and the resulting mixture stirred for 1 h at 0 °C, quenched with saturated aqueous ammonium chloride solution (30 mL) and extracted with ethyl acetate (3 x 30 mL). The combined organic extracts were washed with brine (30 mL), dried over anhydrous sodium sulfate, concentrated under reduced pressure and purified by silica gel column chromatography to afford trans-4-chloro-2-[4-[(R)-(6-fluoro-2-methyl-3-pyridyl)-hydroxy-
methyl]cyclohexyl]-5-(tetrahydropyran-3-ylmethylamino)pyridazin-3-one (430 mg, 50% yield) as a colorless oil. LCMS (ES, m/z): 465.25, 467.25 [M+H]+ STEP 8: Trans-4-chloro-2-[4-(6-fluoro-2-methyl-pyridine-3-carbonyl)cyclohexyl]-5- (tetrahydropyran-3-ylmethylamino)pyridazin-3-one trans-4-chloro-2-[4-[(R)-(6-fluoro-2-methyl-3-pyridyl)-hydroxy-methyl]cyclohexyl]-5- (tetrahydropyran-3-ylmethylamino)pyridazin-3-one (430 mg, 925 μmol) and DMP (784 mg, 1.85 mmol) in DCM (10 mL) were stirred for 2 h at rt. The resulting mixture was then concentrated onto silica gel and purified by column chromatography to afford trans-4-chloro-2-[4-(6-fluoro-2- methyl-pyridine-3-carbonyl)cyclohexyl]-5-(tetrahydropyran-3-ylmethylamino) pyridazin-3-one (390 mg, 82% yield) as a yellow solid. LCMS (ES, m/z): 463.20, 465.20 [M+H]+ STEP 9: Trans-2-[4-[(Z/E)-N-tert-butoxy-C-(6-fluoro-2-methyl-3- pyridyl)carbonimidoyl]cyclohexyl]-4-chloro-5-[[(3R)-tetrahydropyran-3- yl]methylamino]pyridazin-3-one A mixture of trans-4-chloro-2-[4-(6-fluoro-2-methyl-pyridine-3-carbonyl)cyclohexyl]-5- (tetrahydropyran-3-ylmethylamino)pyridazin-3-one (390 mg, 842 μmol), HCl salt of O-tert- butylhydroxylamine (529 mg, 4.21 mmol) and sodium acetate (691 mg, 8.42 mmol) in ethanol:water (3:1, 0.8 mL) was heated for 16 h at 80 °C. The mixture was then cooled to rt, concentrated under reduced pressure and purified by reverse flash chromatography to afford 2-[4-[(Z/E)-N-tert-butoxy-C-(6-fluoro-2-methyl-3-pyridyl)carbo nimidoyl]cyclohexyl]-4-chloro-5- [[(3R)-tetrahydropyran-3-yl]methylamino]pyridazin-3-one (130 mg, 29% yield) as a white solid. LCMS (ES, m/z): 534.25, 536.25 [M+H]+ STEP 10: 2-((1r,4R)-4-((Z)-(tert-butoxyimino)(6-fluoro-2-methylpyridin-3-yl)methyl)cyclohexyl)- 4-chloro-5-((((R)-tetrahydro-2H-pyran-3-yl)methyl)amino)pyridazin-3(2H)-one (329A); 2-((1r,4S)-4-((E)-(tert-butoxyimino)(6-fluoro-2-methylpyridin-3-yl)methyl)cyclohexyl)-4- chloro-5-((((S)-tetrahydro-2H-pyran-3-yl)methyl)amino)pyridazin-3(2H)-one (329B); 2-((1r,4S)-4-((Z)-(tert-butoxyimino)(6-fluoro-2-methylpyridin-3-yl)methyl)cyclohexyl)-4- chloro-5-((((S)-tetrahydro-2H-pyran-3-yl)methyl)amino)pyridazin-3(2H)-one (329C); and
2-((1r,4R)-4-((E)-(tert-butoxyimino)(6-fluoro-2-methylpyridin-3-yl)methyl)cyclohexyl)-4- chloro-5-((((R)-tetrahydro-2H-pyran-3-yl)methyl)amino)pyridazin-3(2H)-one (329D) The racemate of 2-((1r,4r)-4-((E/Z)-(tert-butoxyimino)(6-fluoro-2-methylpyridin-3- yl)methyl)cyclohexyl)-4-chloro-5-(((tetrahydro-2H-pyran-3-yl)methyl)amino)pyridazin-3(2H)- one (190 mg, 356 μmol) was separated by Chiral-prep-HPLC. The first collected fractions afforded 2-((1r,4R)-4-((Z)-(tert-butoxyimino)(6-fluoro-2- methylpyridin-3-yl)methyl)cyclohexyl)-4-chloro-5-((((R)-tetrahydro-2H-pyran-3- yl)methyl)amino)pyridazin-3(2H)-one (compound 329A, 52.6 mg, 28% yield) as a white solid. 1H NMR (400 MHz, Chloroform-d) δ (300 MHz, DMSO-d6) δ 7.93 (s, 1H), 7.86 (t, J = 8.3 Hz, 1H), 7.03 (dd, J = 8.4, 3.2 Hz, 1H), 6.69 (t, J = 6.3 Hz, 1H), 4.73-4.57 (m, 1H), 3.71 (t, J = 12.8 Hz, 2H), 3.25-3.07 (m, 5H), 2.38 (s, 3H), 1.91 (bd, J = 12.2 Hz, 2H), 1.83-1.53 (m, 7H), 1.49-1.32 (m, 3H), 1.31-1.18 (m, 10H). LCMS (ES, m/z): 534.25, 536.25 [M+H]+ The second collected fractions afforded 2-((1r,4S)-4-((Z)-(tert-butoxyimino)(6-fluoro-2- methylpyridin-3-yl)methyl)cyclohexyl)-4-chloro-5-((((S)-tetrahydro-2H-pyran-3- yl)methyl)amino)pyridazin-3(2H)-one (compound 329C, 42.1 mg, 22% yield) as a white solid. 1H NMR (300 MHz, DMSO-d6) δ 7.93 (s, 1H), 7.86 (t, J = 8.3 Hz, 1H), 7.03 (dd, J = 8.4, 3.2 Hz, 1H), 6.69 (t, J = 6.3 Hz, 1H), 4.73-4.57 (m, 1H), 3.71 (t, J = 12.8 Hz, 2H), 3.25-3.07 (m, 5H), 2.38 (s, 3H), 1.91 (bd, J = 12.2 Hz, 2H), 1.83-1.53 (m, 7H), 1.49-1.32 (m, 3H), 1.31-1.18 (m, 10H). LCMS (ES, m/z): 534.20, 536.20 [M+H]+ The third collected fractions afforded 2-((1r,4R)-4-((E)-(tert-butoxyimino)(6-fluoro-2- methylpyridin-3-yl)methyl)cyclohexyl)-4-chloro-5-((((R)-tetrahydro-2H-pyran-3- yl)methyl)amino)pyridazin-3(2H)-one (compound 329D, 2.2 mg, 1% yield) as a white solid. 1H NMR (300 MHz, DMSO-d6) δ 7.93 (s, 1H), 7.73 (t, J = 8.3 Hz, 1H), 7.03 (dd, J = 8.3, 3.0 Hz, 1H), 6.68 (t, J = 6.3 Hz, 1H), 4.76-4.62 (m, 1H), 3.71 (t, J = 13.1 Hz, 2H), 3.27-3.05 (m, 5H), 2.28 (s, 3H), 2.12-2.00 (m, 1H), 1.93-1.35 (m, 12H), 1.19 (s, 9H). LCMS (ES, m/z): 534.20, 536.20 [M+H]+ The fourth collected fractions afforded 2-((1r,4S)-4-((E)-(tert-butoxyimino)(6-fluoro-2- methylpyridin-3-yl)methyl)cyclohexyl)-4-chloro-5-((((S)-tetrahydro-2H-pyran-3- yl)methyl)amino)pyridazin-3(2H)-one (compound 329B, 2.3 mg, 1% yield) as a white solid.
1H NMR (300 MHz, DMSO-d6) δ 7.93 (s, 1H), 7.73 (t, J = 8.3 Hz, 1H), 7.03 (dd, J = 8.3, 3.0 Hz, 1H), 6.68 (t, J = 6.3 Hz, 1H), 4.76-4.62 (m, 1H), 3.71 (t, J = 13.1 Hz, 2H), 3.27-3.05 (m, 5H), 2.28 (s, 3H), 2.12-2.00 (m, 1H), 1.93-1.35 (m, 12H), 1.19 (s, 9H). LCMS (ES, m/z): 534.25, 536.25 [M+H]+ EXAMPLE 330 Synthesis of 4-chloro-2-((1r,4S)-4-(pyrrolidine-1-carbonyl)cyclohexyl)-5-((((S)-tetrahydro-2H-pyran-3- yl)methyl)amino)pyridazin-3(2H)-one (330A)
4-chloro-2-((1r,4R)-4-(pyrrolidine-1-carbonyl)cyclohexyl)-5-((((R)-tetrahydro-2H-pyran-3- yl)methyl)amino)pyridazin-3(2H)-one (330B)
4-chloro-2-((1s,4R)-4-(pyrrolidine-1-carbonyl)cyclohexyl)-5-((((S)-tetrahydro-2H-pyran-3- yl)methyl)amino)pyridazin-3(2H)-one (330C)
4-chloro-2-((1s,4S)-4-(pyrrolidine-1-carbonyl)cyclohexyl)-5-((((R)-tetrahydro-2H-pyran-3- yl)methyl)amino)pyridazin-3(2H)-one (330D)
STEP 1: 4-chloro-2-[4-(pyrrolidine-1-carbonyl) cyclohexyl]-5-(tetrahydropyran-3- ylmethylamino)pyridazin-3-one A mixture of 4-(5-chloro-6-oxo-4-(((tetrahydro-2H-pyran-3-yl)methyl)amino)pyridazin- 1(6H)-yl)cyclohexane-1-carboxylic acid (350 mg, 946 μmol), pyrrolidine (80 mg, 1.1 mmol), HATU (542 mg, 1.42 mmol) and DIEA (366 mg, 2.84 mmol) in DMF (10 mL) was stirred for 1 h at 25 °C. The mixture was poured into ice-water (30 mL) and extracted with ethyl acetate (3 x 50 mL). The combined organic extracts were washed with brine (40 mL), dried over anhydrous sodium sulfate, concentrated under reduced pressure and purified by column chromatography to afford 4-chloro-2-[4-(pyrrolidine-1-carbonyl) cyclohexyl]-5-(tetrahydropyran-3- ylmethylamino)pyridazin-3-one (250 mg, 56% yield) as a white solid. LCMS (ES, m/z): 423.21, 425.21 [M+H]+ STEP 2: 4-chloro-2-((1r,4S)-4-(pyrrolidine-1-carbonyl)cyclohexyl)-5-((((S)-tetrahydro-2H-pyran-3- yl)methyl)amino)pyridazin-3(2H)-one (330A) 4-chloro-2-((1r,4R)-4-(pyrrolidine-1-carbonyl)cyclohexyl)-5-((((R)-tetrahydro-2H-pyran-3- yl)methyl)amino)pyridazin-3(2H)-one (330B) 4-chloro-2-((1s,4R)-4-(pyrrolidine-1-carbonyl)cyclohexyl)-5-((((S)-tetrahydro-2H-pyran-3- yl)methyl)amino)pyridazin-3(2H)-one (330C)
4-chloro-2-((1s,4S)-4-(pyrrolidine-1-carbonyl)cyclohexyl)-5-((((R)-tetrahydro-2H-pyran-3- yl)methyl)amino)pyridazin-3(2H)-one (330D) The racemic mixture of 4-chloro-2-[4-(pyrrolidine-1-carbonyl) cyclohexyl]-5- (tetrahydropyran-3-ylmethylamino)pyridazin-3-one (250 mg) was separated by Chiral-prep- HPLC. The first collected fraction afforded a mixture of 330A & 330B. The second collected fractions afforded 4-chloro-2-((1s,4R)-4-(pyrrolidine-1-carbonyl) cyclohexyl)-5-((((S)-tetrahydro-2H-pyran-3-yl)methyl)amino)pyridazin-3(2H)-one (compound 330C, 6.1 mg, 12% yield) as a white solid. 1H NMR (300 MHz, DMSO-d6) δ 7.93 (s, 1H), 6.64 (t, J = 6.2 Hz, 1H), 4.81-4.55 (m, 1H), 3.80- 3.63 (m, 2H), 3.50-3.41 (m, 2H), 3.32-3.04 (m, 6H), 2.68 (s, 1H), 2.20-2.03 (m, 2H), 1.98-1.71 (m, 8H), 1.68-1.51 (m, 5H), 1.50-1.36 (m, 1H), 1.31-1.19 (m, 1H). LCMS (ES, m/z): 423.15, 425.15 [M+H]+. The third collected fractions afforded 4-chloro-2-((1s,4S)-4-(pyrrolidine-1-carbonyl) cyclohexyl)-5-((((R)-tetrahydro-2H-pyran-3-yl)methyl)amino)pyridazin-3(2H)-one (compound 330D, 8.2 mg, 16% yield) as a white solid. 1H NMR (300 MHz, DMSO-d6) δ 7.93 (s, 1H), 6.64 (t, J = 6.2 Hz, 1H), 4.81-4.55 (m, 1H), 3.80- 3.63 (m, 2H), 3.50-3.41 (m, 2H), 3.32-3.04 (m, 6H), 2.68 (s, 1H), 2.20-2.03 (m, 2H), 1.98-1.71 (m, 8H), 1.68-1.51 (m, 5H), 1.50-1.36 (m, 1H), 1.31-1.19 (m, 1H). LCMS (ES, m/z): 423.15, 425.15 [M+H]+. The mixture of 330A & 330B was further separated by Chiral-prep-HPLC. The first collected fractions afforded 4-chloro-2-((1r,4S)-4-(pyrrolidine-1-carbonyl) cyclohexyl)-5-((((S)-tetrahydro-2H-pyran-3-yl)methyl)amino)pyridazin-3(2H)-one (compound 330A, 31.4 mg, 12% yield) as a white solid. 1H NMR (300 MHz, DMSO-d6) δ 7.93 (s, 1H), 6.68 (t, J = 6.25 Hz, 1H), 4.79-4.55 (m, 1H), 3.80-3.64 (m, 2H), 3.58-3.43 (m, 2H), 3.32-3.07 (m, 5H), 2.48-2.35 (m, 1H), 1.91-1.69 (m, 12H), 1.68-1.39 (m, 5H), 1.31-1.21 (m, 1H). LCMS (ES, m/z): 423.15, 425.15 [M+H]+. The second collected fractions afforded 4-chloro-2-((1r,4R)-4-(pyrrolidine-1-carbonyl) cyclohexyl)-5-((((R)-tetrahydro-2H-pyran-3-yl)methyl)amino)pyridazin-3(2H)-one (compound 330B, 43.3 mg, 17% yield) as a white solid.
1H NMR (300 MHz, DMSO-d6) δ 7.93 (s, 1H), 6.75-6.61 (t, J = 6.3 Hz, 1H), 4.79-4.55 (m, 1H), 3.80-3.64 (m, 2H), 3.58-3.43 (m, 2H), 3.32-3.07 (m, 5H), 2.48-2.35 (m, 1H), 1.91-1.69 (m, 12H), 1.68-1.39 (m, 5H), 1.31-1.21 (m, 1H). LCMS (ES, m/z): 423.15, 425.15 [M+H]+. EXAMPLE 331 Synthesis of Trans-4-chloro-2-[4-(4-fluoro-N-isopropyl-anilino)cyclohexyl]-5-[[(3S)-tetrahydropyran-3- yl]methylamino]pyridazin-3-one (331A)
Trans-4-chloro-2-[4-(4-fluoro-N-isopropyl-anilino)cyclohexyl]-5-[[(3R)-tetrahydropyran-3- yl]methylamino]pyridazin-3-one (331B)
Cis-4-chloro-2-[4-(4-fluoro-N-isopropyl-anilino)cyclohexyl]-5-[[(3S)-tetrahydropyran-3- yl]methylamino]pyridazin-3-one (331C)
Cis-4-chloro-2-[4-(4-fluoro-N-isopropyl-anilino)cyclohexyl]-5-[[(3R)-tetrahydropyran-3- yl]methylamino]pyridazin-3-one (331D)
STEP 1: N-(4-fluorophenyl)-1,4-dioxaspiro[4.5]decan-8-amine To a solution of 1,4-dioxaspiro[4.5]decan-8-one (5.0 g, 32 mmol) in DCM (100 mL) were added 4-fluoroaniline (5.3 g, 48 mmol) and acetic acid (384 mg, 6.40 mmol). The mixture was stirred at 25 °C for 1 h, then STAB (20 g, 96 mmol) was added. After stirring at 25 °C for 15 h, the reaction mixture was quenched with saturated aqueous sodium bicarbonate solution (80 mL) and extracted with dichloromethane (3 x 80 mL). The combined organic extracts were washed with water (80 mL) and brine (80 mL), dried over anhydrous sodium sulfate, concentrated under reduced pressure and purified by silica gel column chromatography (ethyl acetate/petroleum ether 1:5) to afford N-(4-fluorophenyl)-1,4-dioxaspiro[4.5]decan-8-amine (7.0 g, 87% yield) as a white solid. LCMS (ES, m/z): 252.15 [M+H]+. STEP 2: N-(4-fluorophenyl)-N-isopropyl-1,4-dioxaspiro[4.5]decan-8-amine 2-Iodopropane (5.4 g, 32 mmol) was added to a solution of N-(4-fluorophenyl)-1,4- dioxaspiro[4.5]decan-8-amine (2.7 g, 11 mmol) and potassium carbonate (4.4 g, 32 mmol) in DMF (20 mL) and heated at 90 °C for 16 h. The mixture was then cooled to rt, quenched with saturated aqueous ammonium chloride solution (50 mL) and extracted with ethyl acetate (3 x
50 mL). The combined organic extracts were washed with water (50 mL) and brine (50 mL), dried over anhydrous sodium sulfate, concentrated under reduced pressure and purified by column to afford N-(4-fluorophenyl)-N-isopropyl-1,4-dioxaspiro[4.5]decan-8-amine (1.3 g, 41% yield) as a yellow oil. LCMS (ES, m/z): 294.15 [M+H]+. STEP 3: 4-(4-fluoro-N-isopropyl-anilino)cyclohexanone A mixture of N-(4-fluorophenyl)-N-isopropyl-1,4-dioxaspiro[4.5]decan-8-amine (2.3 g, 7.1 mmol) and HCl (4 M in water, 15 mL) in THF (15 mL) was stirred for 3 h at 25 °C. The mixture was basified to pH~8 with saturated aqueous sodium bicarbonate solution and extracted with ethyl acetate (3 x 40 mL). The combined organic extracts were dried over anhydrous sodium sulfate and concentrated under reduced pressure to afford 4-(4-fluoro-N-isopropyl- anilino)cyclohexanone (1.7 g, 87% yield) as a yellow oil. LCMS (ES, m/z): 250.00 [M+H]+ STEP 4: Trans-1,1-dimethylethyl N-[[4-(4-fluoro-N-isopropyl- anilino)cyclohexyl]amino]carbamate and cis-1,1-dimethylethyl N-[[4-(4-fluoro-N-isopropyl- anilino)cyclohexyl]amino]carbamate A solution of tert-butyl N-aminocarbamate (1.8 g, 13.64 mmol), 4-(4-fluoro-N-isopropyl- anilino)cyclohexanone (1.7 g, 6.8 mmol) and acetic acid (2ml) in methanol (30 mL) was stirred for 0.5 h at 25°C. Sodium cyanoborohydride (4.2 g, 10 mmol) was then added and the mixture stirred for 16 h at 25 °C. The reaction was quenched with saturated aqueous sodium bicarbonate solution (50 mL) and extracted with DCM (3 x 40 mL). The combined organic extracts were dried over anhydrous sodium sulfate, concentrated under vacuum and purified by reverse flash chromatography to afford trans-1,1-dimethylethyl N-[[4-(4-fluoro-N-isopropyl- anilino)cyclohexyl]amino]carbamate (1.2 g, 2.3 mmol, 34% yield, 70% purity) as a yellow oil and cis-1,1-dimethylethyl N-[[4-(4-fluoro-N-isopropyl-anilino)cyclohexyl]amino]carbamate (900 mg, 31% yield) as a yellow oil. LCMS (ES, m/z): 310.20 [M+H-Bu]+.
STEP 5: HCl salt of trans-4-fluoro-N-(4-hydrazinocyclohexyl)-N-isopropyl-aniline A mixture of trans-1,1-dimethylethyl N-[[4-(4-fluoro-N-isopropyl- anilino)cyclohexyl]amino]carbamate (1.2 g, 3.3 mmol) and HCl (4 M in 1,4-dioxane, 10 mL) in ethyl acetate (10 mL) was stirred for 2 h at 25 °C and then concentrated to afford the HCl salt of trans-4-fluoro-N-(4-hydrazinocyclohexyl)-N-isopropyl-aniline (1.2 g, 100% yield) as a yellow solid. LCMS (ES, m/z): 266.10 [M+H-HCl]+. STEP 6: 4,5-dichloro-2-[4-(4-fluoro-N-isopropyl-anilino)cyclohexyl]pyridazin-3-one A solution of (Z)-2,3-dichloro-4-oxo-but-2-enoic acid (1.0 g, 6.0 mmol), the HCl salt of trans- 4-fluoro-N-(4-hydrazinocyclohexyl)-N-isopropyl-aniline (1.2 g, 4.0 mmol) and HCl (conc, 1 mL) in ethanol (10 mL) was heated for 2 h at 80 °C. The mixture was then cooled and purified by reverse flash chromatography to afford trans-4,5-dichloro-2-[4-(4-fluoro-N-isopropyl- anilino)cyclohexyl]pyridazin-3-one (700 mg, 38% yield) as a yellow oil. LCMS (ES, m/z): 398.10, 400.10 [M+H]+. STEP 7: Trans-4-chloro-2-[4-(4-fluoro-N-isopropyl-anilino)cyclohexyl]-5-[[(3S)-tetrahydropyran- 3-yl]methylamino]pyridazin-3-one and Trans-4-chloro-2-[4-(4-fluoro-N-isopropyl-anilino)cyclohexyl]-5-[[(3R)-tetrahydropyran-3- yl]methylamino]pyridazin-3-one A solution of tetrahydropyran-3-ylmethanamine-HCl (239 mg, 1.58 mmol), 4,5-dichloro-2- [4-(4-fluoro-N-isopropyl-anilino)cyclohexyl]pyridazin-3-one (300 mg, 527 μmol) and TEA (160 mg, 1.58 mmol) in ethanol (5 mL) was heated for 48 h at 80 °C. The reaction was cooled to rt, partially concentrated under reduced pressure and purified by reverse flash chromatography. The mixture was further separated by Chiral-prep-HPLC. The first collected fractions afforded trans-4-chloro-2-[4-(4-fluoro-N-isopropyl-anilino) cyclohexyl]-5-[[(3S)-tetrahydropyran-3-yl]methylamino]pyridazin-3-one (compound 331A, 41.5 mg, 16% yield) as an off-white solid. 1H NMR (300 MHz, DMSO-d6) δ 7.92 (s, 1H), 7.08-6.91 (m, 4H), 6.69-6.65 (m, 1H), 4.66- 4.61(m, 1H), 3.75-3.62 (m, 3H), 3.35-3.09 (m, 5H), 1.83-1.76 (m, 8H), 1.56-1.45 (m, 4H), 1.54- 1.42 (m, 1H), 1.07 (d, J = 6.5 Hz, 6H). LCMS (ES, m/z): 477.20 [M+H]+.
The second collected fractions afforded trans-4-chloro-2-[4-(4-fluoro-N-isopropyl-anilino) cyclohexyl]-5-[[(3R)-tetrahydropyran-3-yl]methylamino]pyridazin-3-one (compound 331B, 40.7 mg, 16% yield) as an off-white solid. 1H NMR (300 MHz, DMSO-d6) δ 7.92 (s, 1H), 7.08-6.91 (m, 4H), 6.69-6.65 (m, 1H), 4.66-4.61 (m, 1H), 3.79-3.62 (m, 3H), 3.33-3.12 (m, 5H), 1.82-1.73 (m, 8H), 1.60-1.45 (m, 4H), 1.27-1.20 (m, 1H), 1.07 (d, J = 6.5 Hz, 6H). LCMS (ES, m/z): 477.25 [M+H]+. STEP 8: HCl salt of cis-4-fluoro-N-(4-hydrazinocyclohexyl)-N-isopropyl-aniline A mixture of cis-1,1-dimethylethyl N-[[4-(4-fluoro-N-isopropyl-anilino)cyclohexyl]amino] carbamate (800 mg, 2.19 mmol) and HCl (4 M in 1,4-dioxane, 6 mL) in ethyl acetate (6 mL) was stirred for 2 h at 25 °C and then concentrated to afford the HCl salt of cis-4-fluoro-N-(4- hydrazinocyclohexyl)-N-isopropyl-aniline (900 mg, crude) as a yellow solid. LCMS (ES, m/z): 266.10 [M+H-HCl]+. STEP 9: Cis-4,5-dichloro-2-[4-(4-fluoro-N-isopropyl-anilino)cyclohexyl]pyridazin-3-one A solution of (Z)-2,3-dichloro-4-oxo-but-2-enoic acid (755 mg, 4.47 mmol), the HCl salt of cis-4-fluoro-N-(4-hydrazinocyclohexyl)-N-isopropyl-aniline (900 mg, 2.98 mmol) and HCl (conc, 1 mL) in ethanol (8 mL) was heated for 2 h at 80 °C. The reaction was cooled to rt and purified by reverse flash chromatography to afford cis-4,5-dichloro-2-[4-(4-fluoro-N-isopropyl- anilino)cyclohexyl]pyridazin-3-one (700 mg, 50% yield) as a yellow oil. LCMS (ES, m/z): 398.25, 400.25 [M+H]+. STEP 10: Cis-4-chloro-2-[4-(4-fluoro-N-isopropyl-anilino)cyclohexyl]-5-[[(3S)-tetrahydropyran-3- yl]methylamino]pyridazin-3-one and Cis-4-chloro-2-[4-(4-fluoro-N-isopropyl-anilino)cyclohexyl]-5-[[(3R)-tetrahydropyran-3- yl]methylamino]pyridazin-3-one A solution of HCl salt of tetrahydropyran-3-ylmethanamine (238.5 mg, 1.58 mmol), 4,5- dichloro-2-[4-(4-fluoro-N-isopropyl-anilino)cyclohexyl]pyridazin-3-one (300 mg, 527 μmol) and TEA (160 mg, 1.58 mmol) in ethanol (5 mL) was heated for 48 h at 80 °C. The reaction was cooled to rt, partially concentrated under reduced pressure and purified by reverse flash chromatography. The mixture was further separated by Chiral-prep-HPLC.
The first collected fractions afforded cis-4-chloro-2-[4-(4-fluoro-N-isopropyl-anilino) cyclohexyl]-5-[[(3S)-tetrahydropyran-3-yl]methylamino]pyridazin-3-one (compound 331C, 66.7 mg, 25% yield) as an off-white solid. 1H NMR (300 MHz, DMSO-d6) δ 8.02 (s, 1H), 7.13 (d, J = 6.9 Hz, 4H), 6.71-6.66 (m, 1H), 4.76- 4.71 (m, 1H), 3.77-3.68 (m, 2H), 3.49-3.44 (m, 2H), 3.36-3.05 (m, 4H), 2.07-1.96 (m, 2H), 1.87- 1.66 (m, 4H), 1.62-1.35 (m, 6H), 1.22-1.10 (m, 1H), 0.87 (d, J = 6.4 Hz, 6H). LCMS (ES, m/z): 477.25 [M+H]+. The second collected fractions afforded cis-4-chloro-2-[4-(4-fluoro-N-isopropyl-anilino) cyclohexyl]-5-[[(3R)-tetrahydropyran-3-yl]methylamino]pyridazin-3-one (compound 331D, 56.4 mg, 22% yield) as an off-white solid. 1H NMR (300 MHz, DMSO-d6) δ 8.03 (s, 1H), 7.13-7.11(m, 4H), 6.70-6.66 (m, 1H), 4.76 (s, 1H), 3.77-3.68 (m, 2H), 3.54-3.40 (m, 2H), 3.25-3.10 (m, 4H), 2.08-1.96 (m, 2H), 1.87-1.66 (m, 4H), 1.62-1.35 (m, 6H), 1.25-1.10 (m, 1H), 0.87 (d, J = 6.4 Hz, 6H). LCMS (ES, m/z): 477.20 [M+H]+. EXAMPLE 332 Synthesis of 2-((1r,4S)-4-(1H-indol-1-yl)cyclohexyl)-4-chloro-5-((((S)-tetrahydro-2H-pyran-3- yl)methyl)amino)pyridazin-3(2H)-one (332A)
2-((1s,4R)-4-(1H-indol-1-yl)cyclohexyl)-4-chloro-5-((((S)-tetrahydro-2H-pyran-3- yl)methyl)amino)pyridazin-3(2H)-one (332B)
2-((1r,4R)-4-(1H-indol-1-yl)cyclohexyl)-4-chloro-5-((((R)-tetrahydro-2H-pyran-3- yl)methyl)amino)pyridazin-3(2H)-one (332C)
2-((1s,4S)-4-(1H-indol-1-yl)cyclohexyl)-4-chloro-5-((((R)-tetrahydro-2H-pyran-3- yl)methyl)amino)pyridazin-3(2H)-one (332D)
STEP 1: 4,5-dichloro-2-(4-indolin-1-ylcyclohexyl)pyridazin-3-one To a solution of 4,5-dichloro-2-(4-oxocyclohexyl)pyridazin-3-one (400 mg, 1.53 mmol) and indoline (365 mg, 3.06 mmol) in dichloromethane (2 mL) were added sodium triacetoxyborohydride (649 mg, 3.06 mmol) and acetic acid (9 mL). After stirring at 25 °C for 16 hours, the reaction mixture was quenched with a saturated aqueous solution of ammonium chloride (10 mL) and extracted with ethyl acetate (20 mL x 2). The combined organic extracts were washed with brine (20 mL), dried over anhydrous sodium sulfate, concentrated under reduce pressure and purified by silica gel column chromatography to afford 4,5-dichloro-2-(4- indolin-1-ylcyclohexyl)pyridazin-3-one (460 mg, 82% yield) as a yellow solid. LCMS (ES, m/z): 363.90, 365.90 [M+H]+. STEP 2: 4,5-dichloro-2-(4-indol-1-ylcyclohexyl)pyridazin-3-one To a solution of 4,5-dichloro-2-(4-indolin-1-ylcyclohexyl)pyridazin-3-one (420 mg, 1.15 mmol) in dichloromethane (4 mL) was added manganese dioxide (301 mg, 3.46 mmol). After stirring at 25 °C for 16 hours, the reaction mixture was filtered through a Celite pad and the filtrate was concentrated under reduced pressure. The residue was purified by silica gel column chromatography to afford 4,5-dichloro-2-(4-indol-1-ylcyclohexyl)pyridazin-3-one (250 mg, 60% yield) as a yellow solid. LCMS (ES, m/z): 361.90, 363.90 [M+H]+. STEP 3: 2-((trans)-4-(1H-indol-1-yl)cyclohexyl)-4-chloro-5-(((S)-tetrahydro-2H-pyran-3- yl)methylamino)pyridazin-3(2H)-one; 2-((cis)-4-(1H-indol-1-yl)cyclohexyl)-4-chloro-5-(((S)-tetrahydro-2H-pyran-3- yl)methylamino)pyridazin-3(2H)-one; 2-((trans)-4-(1H-indol-1-yl)cyclohexyl)-4-chloro-5-(((R)-tetrahydro-2H-pyran-3- yl)methylamino)pyridazin-3(2H)-one; and 2-((cis)-4-(1H-indol-1-yl)cyclohexyl)-4-chloro-5-(((R)-tetrahydro-2H-pyran-3- yl)methylamino)pyridazin-3(2H)-one To a solution of 4,5-dichloro-2-(4-indol-1-ylcyclohexyl)pyridazin-3-one (230 mg, 635 μmol) and (tetrahydro-2H-pyran-3-yl)methanamine hydrochloride (192 mg, 1.27 mmol) in ethanol (2 mL) was added triethylamine (193 mg, 1.90 mmol). The mixture was heated at 90 °C for 16 hours and then cooled to rt. The mixture was diluted with ethyl acetate (50 mL) and washed
with water (50 mL) and brine (50 mL) respectively. The organic layer was dried over anhydrous sodium sulfate, filtered, concentrated under reduced pressure and purified by reversed phase HPLC to afford 150 mg of a mixture, which was further separated by Chiral-prep-HPLC, to afford: 2-((1r,4S)-4-(1H-indol-1-yl)cyclohexyl)-4-chloro-5-((((S)-tetrahydro-2H-pyran-3- yl)methyl)amino)pyridazin-3(2H)-one (compound 332A, 24.4 mg, 9% yield) as an off-white solid. 1H NMR (400 MHz, Methanol-d4) δ 8.01 (s, 1H), 7.56-7.54 (m, 1H), 7.45-7.41 (m, 2H), 7.19- 7.12 (m, 1H), 7.09-7.01 (m, 1H), 6.47-6.44 (m, 1H), 5.06 (t, J = 5.0 Hz, 1H), 4.90-4.82 (m, 1H), 4.59-4.55 (m, 1H), 3.92-3.85 (m, 1H), 3.83-3.75 (m, 1H), 3.55-3.42 (m, 1H), 3.43-3.38 (m, 1H), 3.31-3.22 (m, 1H), 2.48-2.32 (m, 2H), 2.30-2.19 (m, 2H), 2.10-1.98 (m, 4H), 1.95-1.87 (m, 2H), 1.78-1.53 (m, 2H), 1.43-1.25 (m, 1H). LCMS (ES, m/z): 441.10, 443.10 [M+H]+. 2-((1s,4R)-4-(1H-indol-1-yl)cyclohexyl)-4-chloro-5-((((S)-tetrahydro-2H-pyran-3- yl)methyl)amino)pyridazin-3(2H)-one (compound 332B, 28.4 mg, 10% yield) as an off-white solid 1H NMR (400 MHz, Methanol-d4) δ 8.01 (s, 1H), 7.56-7.54 (m, 1H), 7.45-7.41 (m, 2H), 7.19- 7.12 (m, 1H), 7.09-7.01 (m, 1H), 6.47-6.44 (m, 1H), 5.06 (t, J = 5.0 Hz, 1H), 4.90-4.82 (m, 1H), 4.59-4.55 (m, 1H), 3.92-3.85 (m, 1H), 3.83-3.75 (m, 1H), 3.55-3.42 (m, 1H), 3.43-3.38 (m, 1H), 3.31-3.22 (m, 1H), 2.48-2.32 (m, 2H), 2.30-2.19 (m, 2H), 2.10-1.98 (m, 4H), 1.95-1.87 (m, 2H), 1.78-1.53 (m, 2H), 1.43-1.25 (m, 1H). LCMS (ES, m/z): 441.10, 443.10 [M+H]+. 2-((1r,4R)-4-(1H-indol-1-yl)cyclohexyl)-4-chloro-5-((((R)-tetrahydro-2H-pyran-3- yl)methyl)amino)pyridazin-3(2H)-one (compound 332C, 20.2 mg, 7% yield) as an off-white solid 1H NMR (400 MHz, Methanol-d4) δ 7.99 (s, 1H), 7.58-7.51 (m, 1H), 7.50-7.45 (m, 1H), 7.39 (d, J = 3.3 Hz, 1H), 7.20-7.10 (m, 1H), 7.08-7.01 (m, 1H), 6.50-6.45 (m, 1H), 5.05-5.00 (m, 1H), 4.90-4.80 (m, 1H), 4.50-4.35 (m, 1H), 3.94-3.78 (m, 2H), 3.51-3.42 (m, 1H), 3.41-3.34 (m, 1H), 3.34-3.26 (m, 1H), 2.28-2.02 (m, 8H), 2.00-1.85 (m, 2H), 1.73-1.50 (m, 2H), 1.46-1.29 (m, 1H). LCMS (ES, m/z): 441.20, 443.10 [M+H]+. 2-((1s,4S)-4-(1H-indol-1-yl)cyclohexyl)-4-chloro-5-((((R)-tetrahydro-2H-pyran-3- yl)methyl)amino)pyridazin-3(2H)-one (compound 332D, 13.2 mg, 4% yield) as an off white solid. 1H NMR (400 MHz, Methanol-d4) δ 7.99 (s, 1H), 7.58-7.51 (m, 1H), 7.50-7.45 (m, 1H), 7.39 (d, J = 3.3 Hz, 1H), 7.20-7.10 (m, 1H), 7.08-7.01 (m, 1H), 6.50-6.45 (m, 1H), 5.05-5.00 (m, 1H),
4.90-4.80 (m, 1H), 4.50-4.35 (m, 1H), 3.94-3.78 (m, 2H), 3.51-3.42 (m, 1H), 3.41-3.34 (m, 1H), 3.34-3.26 (m, 1H), 2.28-2.02 (m, 8H), 2.00-1.85 (m, 2H), 1.73-1.50 (m, 2H), 1.46-1.29 (m, 1H). LCMS (ES, m/z): 441.20, 443.10 [M+H]+. EXAMPLE 333 Synthesis of 4-chloro-2-((1s,4R)-4-(2-methyl-3,4-dihydroquinolin-1(2H)-yl)cyclohexyl)-5-((((S)-tetrahydro- 2H-pyran-3-yl)methyl)amino)pyridazin-3(2H)-one (333A)
4-chloro-2-((1s,4S)-4-(2-methyl-3,4-dihydroquinolin-1(2H)-yl)cyclohexyl)-5-((((R)-tetrahydro- 2H-pyran-3-yl)methyl)amino)pyridazin-3(2H)-one (333B)
4-chloro-2-((1r,4S)-4-(2-methyl-3,4-dihydroquinolin-1(2H)-yl)cyclohexyl)-5-((((S)-tetrahydro- 2H-pyran-3-yl)methyl)amino)pyridazin-3(2H)-one (333C)
4-chloro-2-((1r,4R)-4-(2-methyl-3,4-dihydroquinolin-1(2H)-yl)cyclohexyl)-5-((((R)-tetrahydro- 2H-pyran-3-yl)methyl)amino)pyridazin-3(2H)-one (333D)
STEP 1: 1-(1,4-dioxaspiro[4.5]decan-8-yl)-2-methyl-3,4-dihydro-2H-quinoline A mixture of 1,4-dioxaspiro[4.5]decan-8-one (56.25 g, 360.16 mmol), 2-methyl-1,2,3,4- tetrahydroquinoline (45 g, 306 mmol) in DCM (450 mL) and acetic acid (54.07 g, 900.41 mmol) was stirred for 0.5 h at rt. STAB (127.22 g, 600.27 mmol) was then added portion-wise and the resulting mixture stirred for additional 16 h at 30 °C. The reaction was quenched with water and extracted with DCM (2 x 500 mL). The combined organic extracts were dried over anhydrous sodium sulfate, filtered, concentrated onto silica gel and purified by column chromatography to afford 1-(1,4-dioxaspiro[4.5]decan-8-yl)-2-methyl-3,4-dihydro-2H-quinoline (5.5 g, 4% yield) as a yellow oil. LCMS (ES, m/z): 288.45 [M+H]+ STEP 2: 4-(2-methyl-3,4-dihydro-2H-quinolin-1-yl)cyclohexanone HCl (6 M, 40 mL) was added dropwise to 1-(1,4-dioxaspiro[4.5]decan-8-yl)-2-methyl-3,4- dihydro-2H-quinoline (5.5 g, 11.5 mmol) in THF (40 mL) and the resulting mixture stirred for 4 h at 25 °C. The crude material was concentrated and purified by reverse flash chromatography to
afford 4-(2-methyl-3,4-dihydro-2H-quinolin-1-yl)cyclohexanone (1.2 g, 43% yield) as a yellow oil. LCMS (ES, m/z): 244.15 [M +H]+ STEP 3: 1,1-dimethylethyl N-[[4-[(1S,2R)-2-methyl-3,4-dihydro-2H-quinolin-1-yl]cyclohexyl] amino]carbamate; and 1,1-dimethylethyl N-[[4-[(1R,2S)-2-methyl-3,4-dihydro-2H-quinolin-1-yl]cyclohexyl] amino]carbamate A mixture of 4-(2-methyl-3,4-dihydro-2H-quinolin-1-yl)cyclohexanone (1.2 g, 4.93 mmol), tert-butyl N-aminocarbamate (1.30 g, 9.86 mmol) and acetic acid (296.1 mg, 4.93 mmol) in methanol (10 mL) was stirred for 0.5 h, at rt. Sodium cyanoborohydride (620 mg, 9.86 mmol) was added portionwise and the resulting mixture stirred for an additional 16 h at 25 °C. The reaction was quenched with water, concentrated and the aqueous layer extracted with DCM (3 x 50 mL). The combined organic extracts were dried over anhydrous sodium sulfate, evaporated onto silica gel and purified by column chromatography to afford 1,1-dimethylethyl N-[[4- [(1S,2R)-2-methyl-3,4-dihydro-2H-quinolin-1-yl]cyclohexyl]amino]carbamate (assumed) (1.0 g, 56% yield) as a yellow oil and 1,1-dimethylethyl N-[[4-[(1R,2S)-2-methyl-3,4-dihydro-2H- quinolin-1-yl]cyclohexyl]amino]carbamate (assumed) (0.49 g, 28% yield) as a yellow solid. LCMS (ES, m/z): 360.20 [M+H]+ STEP 4: 4,5-dichloro-2-[4-[(1R,2S)-2-methyl-3,4-dihydro-2H-quinolin-1-yl]cyclohexyl]pyridazin- 3-one (Z)-2,3-dichloro-4-oxo-but-2-enoic acid (276.4 mg, 1.64 mmol) and concentrated HCl (12 M, 340 μL) were added to 1,1-dimethylethyl N-[[4-[(1R,2S)-2-methyl-3,4-dihydro-2H-quinolin-1- yl]cyclohexyl]amino]carbamate (0.49 g, 1.36 mmol) in ethanol (5 mL) and the resulting mixture heated for 16 h at 80 °C. The mixture was cooled to rt, concentrated and purified by reverse phase flash chromatography to afford 4,5-dichloro-2-[4-[(1R,2S)-2-methyl-3,4-dihydro-2H- quinolin-1-yl]cyclohexyl]pyridazin-3-one (0.40 g, 60% yield) as a yellow solid. LCMS (ES, m/z): 392.15, 394.15 [M+H]+
STEP 5: 4-chloro-2-((1s,4R)-4-(2-methyl-3,4-dihydroquinolin-1(2H)-yl)cyclohexyl)-5-((((S)- tetrahydro-2H-pyran-3-yl)methyl)amino)pyridazin-3(2H)-one (333A); and 4-chloro-2-((1s,4S)-4-(2-methyl-3,4-dihydroquinolin-1(2H)-yl)cyclohexyl)-5-((((R)-tetrahydro- 2H-pyran-3-yl)methyl)amino)pyridazin-3(2H)-one (333B) N,N-diethylethanamine (495.2 mg, 4.89 mmol) was added to a mixture of 4,5-dichloro-2-[4- [(1R,2S)-2-methyl-3,4-dihydro-2H-quinolin-1-yl]cyclohexyl]pyridazin-3-one (0.40 g, 816 μmol) and tetrahydropyran-3-ylmethanamine hydrochloride (247.4 mg, 1.63 mmol) in ethanol (5 mL) and heated for 16 h at 80 °C. The mixture was cooled to rt, concentrated and purified by reverse flash chromatography to afford the racemate which was further separated by Chiral- prep-HPLC. The first collected fractions afforded 4-chloro-2-((1s,4R)-4-(2-methyl-3,4-dihydroquinolin- 1(2H)-yl)cyclohexyl)-5-((((S)-tetrahydro-2H-pyran-3-yl)methyl)amino)pyridazin-3(2H)-one (compound 333A, 71 mg, 18% yield) as a light-yellow solid. 1H NMR (400 MHz, DMSO-d6) δ 8.00 (s, 1H), 7.00-6.94 (m, 1H), 6.91 (d, J = 7.3 Hz, 1H), 6.73 (d, J = 8.4 Hz, 1H), 6.65 (t, J = 6.3 Hz, 1H), 6.46 (t, J = 7.2 Hz, 1H), 4.85-4.78 (m, 1H), 3.78-3.68 (m, 4H), 3.29-3.11 (m, 4H), 2.82-2.71 (m, 1H), 2.63-2.55 (m, 1H), 2.08-1.57 (m, 12H), 1.49-1.39 (m, 2H), 1.28-1.20 (m, 1H), 1.00 (d, J = 6.4 Hz, 3H). The second collected fractions afforded 4-chloro-2-((1s,4S)-4-(2-methyl-3,4- dihydroquinolin-1(2H)-yl)cyclohexyl)-5-((((R)-tetrahydro-2H-pyran-3-yl)methyl)amino)pyridazin- 3(2H)-one (compound 333B, 67.2 mg, 17% yield) as a light-yellow solid. 1H NMR (400 MHz, DMSO-d6) δ 8.00 (s, 1H), 7.00-6.94 (m, 1H), 6.91 (d, J = 7.3, 1.7 Hz, 1H), 6.73 (d, J = 8.4 Hz, 1H), 6.65 (t, J = 6.4 Hz, 1H), 6.46 (t, J = 7.2, 1.0 Hz, 1H), 4.87-4.78 (m, 1H), 3.82-3.65 (m, 4H), 3.30-3.11 (m, 4H), 2.81-2.71 (m, 1H), 2.62-2.55 (m, 1H), 2.08-1.57 (m, 12H), 1.50-1.40 (m, 2H), 1.29-1.20 (m, 1H), 1.00 (d, J = 6.5 Hz, 3H). LCMS (ES, m/z): 471.20, 473.20 [M+H]+ STEP 6: 4,5-dichloro-2-[4-[(1S,2R)-2-methyl-3,4-dihydro-2H-quinolin-1-yl]cyclohexyl]pyridazin- 3-one To a stirred mixture of 1,1-dimethylethyl N-[[4-[(1S,2R)-2-methyl-3,4-dihydro-2H-quinolin-1- yl]cyclohexyl]amino]carbamate (1.0 g, 2.8 mmol) in ethanol (10 mL) were added (Z)-2,3- dichloro-4-oxo-but-2-enoic acid (564 mg, 3.34 mmol) and HCl (12 M, 695 μL). The resulting mixture was heated for 16 h at 80 °C, cooled to rt, concentrated and purified by reverse flash
chromatography to afford 4,5-dichloro-2-[4-[(1S,2R)-2-methyl-3,4-dihydro-2H-quinolin-1- yl]cyclohexyl]pyridazin-3-one (0.95 g, 70% yield) as a yellow oil. LCMS (ES, m/z): 392.15, 394.15 [M+H]+ STEP 7: 4-chloro-2-((1r,4S)-4-(2-methyl-3,4-dihydroquinolin-1(2H)-yl)cyclohexyl)-5-((((S)- tetrahydro-2H-pyran-3-yl)methyl)amino)pyridazin-3(2H)-one (333C); and 4-chloro-2-((1r,4R)-4-(2-methyl-3,4-dihydroquinolin-1(2H)-yl)cyclohexyl)-5-((((R)- tetrahydro-2H-pyran-3-yl)methyl)amino)pyridazin-3(2H)-one (333D) To a stirred mixture of 4,5-dichloro-2-[4-[(1S,2R)-2-methyl-3,4-dihydro-2H-quinolin-1- yl]cyclohexyl]pyridazin-3-one (0.4 g, 1.0 mmol) and tetrahydropyran-3-ylmethanamine hydrochloride (309.2 mg, 2.04 mmol) in ethanol (5 mL) was added N,N-diethylethanamine (619.0 mg, 6.12 mmol). The resulting mixture was heated for 16 h at 80 °C, cooled to rt, concentrated and purified by reverse flash chromatography to afford the racemate. The racemate was further separated by Chiral-prep-HPLC. The first collected fractions afforded 4-chloro-2-((1r,4S)-4-(2-methyl-3,4-dihydroquinolin- 1(2H)-yl)cyclohexyl)-5-((((S)-tetrahydro-2H-pyran-3-yl)methyl)amino)pyridazin-3(2H)-one (compound 333C, 901 mg, 18% yield) as a white solid. 11H NMR (400 MHz, DMSO-d6) δ 7.95 (s, 1H), 6.97 (t, J = 7.8 Hz, 1H), 6.92 (d, J = 7.4 Hz, 1H), 6.74-6.72 (m, 2H), 6.46 (t, J = 7.3 Hz, 1H), 4.81-4.77 (m, 1H), 3.82-3.68 (m, 4H), 3.33-3.31 (m, 1H), 3.25-3.11 (m, 3H), 2.85-2.72 (m, 1H), 2.65-2.57 (m, 1H), 2.00-1.68 (m, 11H), 1.61-1.49 (m, 3H), 1.28-1.21 (m, 1H), 1.02 (d, J = 6.5 Hz, 3H). The second collected fractions afforded 4-chloro-2-((1r,4R)-4-(2-methyl-3,4- dihydroquinolin-1(2H)-yl)cyclohexyl)-5-((((R)-tetrahydro-2H-pyran-3-yl)methyl)amino)pyridazin- 3(2H)-one (compound 333D, 0.0862 g, 18% yield) as a white solid. 1H NMR (400 MHz, DMSO-d6) δ 7.95 (s, 1H), 6.97 (t, J = 7.8 Hz, 1H), 6.92 (d, J = 7.4 Hz, 1H), 6.74-6.67 (m, 2H), 6.46 (t, J = 7.3 Hz, 1H), 4.82-4.77 (m, 1H), 3.82-3.66 (m, 4H), 3.33-3.31 (m, 1H), 3.29-3.11 (m, 3H), 2.86-2.72 (m, 1H), 2.65-2.57 (m, 1H), 1.98-1.68 (m, 11H), 1.64-1.49 (m, 3H), 1.34-1.19 (m, 1H), 1.02 (d, J = 6.5 Hz, 3H). LCMS (ES, m/z): 471.25, 473.25 [M +H]+
EXAMPLE 334 Synthesis of 4-chloro-2-((1s,4R)-4-(pyrrolidin-1-ylsulfonyl)cyclohexyl)-5-((((S)-tetrahydro-2H-pyran-3- yl)methyl)amino)pyridazin-3(2H)-one (334A)
4-chloro-2-((1s,4S)-4-(pyrrolidin-1-ylsulfonyl)cyclohexyl)-5-((((R)-tetrahydro-2H-pyran-3- yl)methyl)amino)pyridazin-3(2H)-one (334B)
4-chloro-2-((1r,4S)-4-(pyrrolidin-1-ylsulfonyl)cyclohexyl)-5-((((S)-tetrahydro-2H-pyran-3- yl)methyl)amino)pyridazin-3(2H)-one (334C)
4-chloro-2-((1r,4R)-4-(pyrrolidin-1-ylsulfonyl)cyclohexyl)-5-((((R)-tetrahydro-2H-pyran-3- yl)methyl)amino)pyridazin-3(2H)-one (334D)
STEP 1: 4-benzyloxycyclohexanol Sodium hydride (25.31 g, 632.76 mmol, 60% in mineral oil) was added portion-wise to cyclohexane-1,4-diol (35.0 g, 301.3 mmol) in DMF (100 mL) and the reaction stirred at rt for 2 h. Benzyl bromide (56.69 g, 331.45 mmol) was then added drop-wise and the resulting solution stirred at rt for 16 h. The mixture was slowly poured into ice water (500 mL) and extracted with ethyl acetate (3 x 200 mL). The combined organic extracts were washed with brine (3 x 300 mL), dried over sodium sulfate, evaporated onto silica gel and purified by column chromatography to yield 4-benzyloxycyclohexanol (20.0 g, 32% yield) as a colorless oil. LCMS (ES, m/z): 207.10 [M+H]+
STEP 2: (4-benzyloxycyclohexyl) methanesulfonate Methanesulfonyl chloride (16.66 g, 145.43 mmol) was added dropwise to a solution of 4- benzyloxycyclohexanol (20.0 g, 97 mmol) and N, N-diethylethanamine (19.62 g, 193.91 mmol) in DCM (300 mL) at 0 °C. The mixture was stirred for 2 h at rt and then quenched with cold water (200 mL) and extracted with DCM (1 x 200 mL). The combined organic extracts were washed with brine (1 x 200 mL), dried over sodium sulfate and concentrated to yield (4- benzyloxycyclohexyl) methanesulfonate (29.0 g, 89% yield) as a yellow solid. STEP 3: S-4-(benzyloxy)cyclohexyl ethanethioate (4-benzyloxycyclohexyl) methanesulfonate (29.0 g, 86.7 mmol) and potassium ethanethioate (39.60 g, 346.73 mmol) in DMF (500 mL) were heated for 16 h at 70 °C. The mixture was cooled to rt, diluted with water (500 mL) and extracted with ethyl acetate (2 x 500 mL). The combined organic extracts were washed with brine (500 mL), dried over anhydrous sodium sulfate, concentrated under reduced pressure and purified by silica gel column to afford S-4-(benzyloxy)cyclohexyl ethanethioate (10.6 g, 46% yield) as a brown oil. LCMS (ES, m/z): 265.15 [M+H]+ STEP 4: 4-benzyloxycyclohexanesulfonyl chloride 1-chloropyrrolidine-2,5-dione (10.61 g, 79.43 mmol) was added portionwise to S-4- (benzyloxy)cyclohexyl ethanethioate (7.0 g, 26.5 mmol) and hydrochloric acid (2 M, 3.7 mL) in acetonitrile (25 mL) at 0 °C. The mixture was stirred at 0 °C for 1 h, diluted with water and extracted ethyl acetate (3 x 100mL). The combined organic extracts were washed with brine (200 mL), dried over sodium sulfate and concentrated to afford 4-benzyloxycyclohexanesulfonyl chloride (7.0 g crude). LCMS (ES, m/z): 289.10 [M+H]+ STEP 5: 1-(4-benzyloxycyclohexyl)sulfonylpyrrolidine Pyrrolidine (3.45 g, 48.48 mmol, 4.03 mL) and N, N-diethylethanamine (7.36 g, 72.72 mmol) in DCM (120 mL) was cooled to 0 °C and 4-benzyloxycyclohexanesulfonyl chloride (7.0 g, 24.2 mmol, crude) in DCM (30 mL) was added. The resulting solution was warmed to rt and then spun for 16 h. The reaction was quenched with water (100 mL) and extracted with DCM (3 x 100 mL). The combined organic extracts were washed with brine (200 mL), dried over sodium
sulfate, concentrated onto silica gel and purified by column chromatography to afford1-(4- benzyloxycyclohexyl)sulfonylpyrrolidine (5.0 g, 57% yield) as a white solid. LCMS (ES, m/z): 324.20 [M+H]+ STEP 6: 4-pyrrolidin-1-ylsulfonylcyclohexanol A mixture of 1-(4-benzyloxycyclohexyl)sulfonylpyrrolidine (3.0 g, 9.3 mmol) and Pd/C (3 g, 10%) in ethanol (60 mL) was stirred for 16 h at rt under hydrogen atmosphere (~ 3 atm). The mixture was then passed through a pad of celite and the filtrate concentrated under reduced pressure to afford 4-pyrrolidin-1-ylsulfonyl cyclohexanol (2.1 g, 97% yield) as a brown oil. LCMS (ES, m/z): 234.25 [M+H]+ STEP 7: 4-pyrrolidin-1-ylsulfonylcyclohexanone A mixture of 4-pyrrolidin-1-ylsulfonylcyclohexanol (2.3 g, 9.9 mmol) and 2-Iodoxybenzoic acid (5.52 g, 19.71 mmol) in acetonitrile (100 mL) was heated for 1 h at 70 °C. The mixture was cooled to rt and precipitated solids removed by filtration. The filtrate was concentrated onto silica gel and purified by column chromatography to afford 4-pyrrolidin-1-ylsulfonyl cyclohexanone (1.70 g, 67% yield) as a light yellow solid. LCMS (ES, m/z): 232.15 [M+H]+ STEP 8: cis-1,1-dimethylethyl N-[(4-pyrrolidin-1-ylsulfonylcyclohexyl)amino]carbamate and trans-1,1-dimethylethyl N-[(4-pyrrolidin-1-ylsulfonylcyclohexyl)amino]carbamate A mixture of 4-pyrrolidin-1-ylsulfonylcyclohexanone (1.70 g, 7.35 mmol), tert-butyl N- aminocarbamate (1.26 g, 9.55 mmol) and acetic acid (441.4 mg, 7.35 mmol) in methanol (30 mL) was stirred for 0.5 h at rt. Sodium cyanoborohydride (6.04 g, 14.70 mmol) was then added and the mixture stirred at rt for 16 h, concentrated and basified to pH ~8 with saturated sodium bicarbonate solution at 0 °C. The aqueous layer was extracted with ethyl acetate (3 x 80 mL) and the combined organic extracts were washed with brine (80 mL), dried over sodium sulfated, concentrated onto silica gel and purified by column chromatography to yield cis-1,1- dimethylethyl N-[(4-pyrrolidin-1-ylsulfonylcyclohexyl)amino] carbamate (900 mg, 25% yield) as a white solid and trans-1,1-dimethylethyl N-[(4-pyrrolidin-1- ylsulfonylcyclohexyl)amino]carbamate (1.60 g, 56% yield) as a white solid. LCMS (ES, m/z): 292.10 [M+H-56]+
STEP 9: HCl salt of cis-(4-pyrrolidin-1-ylsulfonylcyclohexyl)hydrazine A mixture of cis-1,1-dimethylethyl N-[(4-pyrrolidin-1-ylsulfonylcyclohexyl)amino]carbamate (500 mg, 1.44 mmol) and HCl (4 M in ethyl acetate, 3.60 mL) in ethyl acetate (4 mL) was stirred for 2 h at rt. The resulting solution was concentrated to afford the HCl salt of cis-(4-pyrrolidin-1- ylsulfonylcyclohexyl)hydrazine (400 mg, 98% yield) as a white solid. LCMS (ES, m/z): 248.15 [M-HCl+H]+ STEP 10: cis-4,5-dichloro-2-(4-pyrrolidin-1-ylsulfonylcyclohexyl)pyridazin-3-one A mixture of the HCl salt of cis-(4-pyrrolidin-1-ylsulfonylcyclohexyl)hydrazine (400 mg, 1.41 mmol), (Z)-2,3-dichloro-4-oxo-but-2-enoic acid (714.4 mg, 4.23 mmol) and HCl (con.) (0.5 mL) in ethanol (5 mL) was heated for 16 h at 80 °C. The resulting solution was then cooled, concentrated onto silica gel and purified by column chromatography to afford cis-4,5-dichloro- 2-(4-pyrrolidin-1-ylsulfonylcyclohexyl)pyridazin-3-one (390 mg, 65% yield) as a light yellow solid. LCMS (ES, m/z): 380.15, 382.15 [M+H]+ STEP 11: 4-chloro-2-((1s,4R)-4-(pyrrolidin-1-ylsulfonyl)cyclohexyl)-5-((((S)-tetrahydro-2H-pyran- 3-yl)methyl)amino)pyridazin-3(2H)-one (340A); and 4-chloro-2-((1s,4S)-4-(pyrrolidin-1-ylsulfonyl)cyclohexyl)-5-((((R)-tetrahydro-2H-pyran-3- yl)methyl)amino)pyridazin-3(2H)-one (340B) A mixture of 4,5-dichloro-2-(4-pyrrolidin-1-ylsulfonylcyclohexyl)pyridazin-3-one (200 mg, 526 μmol), tetrahydropyran-3-ylmethanamine-hydrochloride (238.6 mg, 1.58 mmol) and N,N- diethylethanamine (266.1 mg, 2.63 mmol) in ethanol (3 mL) was heated for 16 h at 80 °C. The mixture was cooled to rt, concentrated under reduced pressure and purified by reverse flash chromatography to afford the racemate which was separated by Chiral-prep-HPLC. The first collected fractions afforded 4-chloro-2-((1s,4R)-4-(pyrrolidin-1- ylsulfonyl)cyclohexyl) -5-((((S)-tetrahydro-2H-pyran-3-yl)methyl)amino)pyridazin-3(2H)-one (compound 334A, 39.5 mg, 16% yield). 1H NMR (300 MHz, DMSO-d6) δ 7.97 (s, 1H), 6.70 (t, J = 6.4 Hz, 1H), 4.84-4.70 (m, 1H), 3.79- 3.61 (m, 2H), 3.42-3.35 (m, 1H), 3.35-3.26 (m, 4H), 3.26-3.06 (m, 4H), 2.25-2.05 (m, 4H), 1.96- 1.72 (m, 8H), 1.69-1.51 (m, 3H), 1.51-1.34 (m, 1H), 1.29-1.13 (m, 1H).
LCMS (ES, m/z): 459.20, 461.20 [M+H]+ The second collected fractions afforded 4-chloro-2-((1s,4S)-4-(pyrrolidin-1- ylsulfonyl)cyclohexyl)-5-((((R)-tetrahydro-2H-pyran-3-yl)methyl)amino)pyridazin-3(2H)-one (compound 334B, 40.5 mg, 17% yield) as a white solid. 1H NMR (300 MHz, DMSO-d6) δ 7.97 (s, 1H), 6.70 (t, J = 6.4 Hz, 1H), 4.84-4.70 (m, 1H), 3.79- 3.61 (m, 2H), 3.42-3.35 (m, 1H), 3.35-3.26 (m, 4H), 3.26-2.99 (m, 4H), 2.25-2.05 (m, 4H), 1.96- 1.72 (m, 8H), 1.69-1.51 (m, 3H), 1.51-1.34 (m, 1H), 1.29-1.13 (m, 1H). LCMS (ES, m/z): 459.15, 461.15 [M+H]+ STEP 12: HCl salt of trans-(4-pyrrolidin-1-ylsulfonylcyclohexyl)hydrazine A mixture of trans-1,1-dimethylethyl N-[(4-pyrrolidin-1- ylsulfonylcyclohexyl)amino]carbamate (500 mg, 1.44 mmol) and HCl (4 M in dioxane, 3.60 mL) in ethyl acetate (4 mL) was stirred for 2 h at rt. The resulting solution was concentrated to afford the HCl salt of trans-(4-pyrrolidin-1-ylsulfonylcyclohexyl)hydrazine (400 mg, crude) as a white solid. LCMS (ES, m/z): 248.15 [M-HCl +H]+ STEP 13: trans-4,5-dichloro-2-(4-pyrrolidin-1-ylsulfonylcyclohexyl)pyridazin-3-one A mixture of the HCl salt of trans-(4-pyrrolidin-1-ylsulfonylcyclohexyl)hydrazine (400 mg, crude), (Z)-2,3-dichloro-4-oxo-but-2-enoic acid (893 mg, 5.29 mmol) and HCl (con.) (0.5mL) in ethanol (7.00 mL) was heated for 16 h at 80 °C under N2 atmosphere. The mixture was cooled to rt, concentrated and purified by reverse flash chromatography to afford trans-4,5-dichloro-2- (4-pyrrolidin-1-ylsulfonylcyclohexyl)pyridazin-3-one (500 mg, 63% yield) as a light-yellow solid. LCMS (ES, m/z): 380.00, 382.00 [M+H]+ STEP 14: 4-chloro-2-((1r,4S)-4-(pyrrolidin-1-ylsulfonyl)cyclohexyl)-5-((((S)-tetrahydro-2H-pyran- 3-yl)methyl)amino)pyridazin-3(2H)-one (334C); and 4-chloro-2-((1r,4R)-4-(pyrrolidin-1-ylsulfonyl) cyclohexyl)-5-((((R)-tetrahydro-2H-pyran- 3-yl)methyl)amino)pyridazin-3(2H)-one (334D) To a solution of trans-4,5-dichloro-2-(4-pyrrolidin-1-ylsulfonylcyclohexyl)pyridazin-3-one (200 mg, 526 μmol) in ethanol (7 mL) was added tetrahydropyran-3-ylmethanamine- hydrochloride (239 mg, 1.58 mmol) and TEA (319 mg, 3.16 mmol) at 25°C. The reaction mixture
was heated for 16 h at 80 °C, cooled to rt, concentrated under reduced pressure and purified by reverse flash chromatography to afford the racemate which was further separated by pre-Chiral HPLC. The first collected fractions afforded 4-chloro-2-((1r,4S)-4-(pyrrolidin-1-ylsulfonyl) cyclohexyl)-5-((((S)-tetrahydro-2H-pyran-3-yl)methyl)amino)pyridazin-3(2H)-one (compound 334C, 51.5 mg, 21% yield) as an off-white solid. 1H NMR (400 MHz, DMSO-d6) δ 7.93 (s, 1H), 6.69 (t, J = 6.4 Hz, 1H), 4.73-4.64 (m, 1H), 3.77- 3.65 (m, 2H), 3.37-3.34 (m, 1H), 3.32-3.27 (m, 4H), 3.26-3.09 (m, 4H), 2.17-2.07 (m, 2H), 1.90- 1.81 (m, 6H), 1.80-1.54 (m, 7H), 1.49-1.38 (m, 1H), 1.29-1.16 (m, 1H). LCMS (ES, m/z): 459.15, 461.15 [M+H]+ The second collected fractions afforded 4-chloro-2-((1r,4R)-4-(pyrrolidin-1-ylsulfonyl) cyclohexyl)-5-((((R)-tetrahydro-2H-pyran-3-yl)methyl)amino)pyridazin-3(2H)-one (compound 334D, 48.9 mg, 20% yield) as an off-white solid. 1H NMR (400 MHz, DMSO-d6) δ 7.93 (s, 1H), 6.69 (t, J = 6.4 Hz, 1H), 4.73-4.64 (m, 1H), 3.77- 3.66 (m, 2H), 3.38-3.34 (d, J = 2.8 Hz, 1H), 3.32-3.27 (m, 4H), 3.26-3.09 (m, 4H), 2.16-2.06 (m, 2H), 1.91-1.81 (m, 6H), 1.81-1.54 (m, 7H), 1.50-1.37 (m, 1H), 1.29-1.18 (m, 1H). LCMS (ES, m/z): 459.15, 461.15 [M+H]+ EXAMPLE 335 Synthesis of 4-chloro-2-((1S,4R)-4-((4-fluorophenyl)(((R)-1-methylpyrrolidin-3- yl)methyl)amino)cyclohexyl)-5-((((S)-tetrahydro-2H-pyran-3-yl)methyl)amino)pyridazin-3(2H)- one (335A)
4-chloro-2-((1R,4R)-4-((4-fluorophenyl)(((S)-1-methylpyrrolidin-3- yl)methyl)amino)cyclohexyl)-5-((((S)-tetrahydro-2H-pyran-3-yl)methyl)amino)pyridazin-3(2H)- one (335B)
4-chloro-2-((1s,4S)-4-((4-fluorophenyl)((1-methylpyrrolidin-3-yl)methyl)amino)cyclohexyl)-5- ((((R)-tetrahydro-2H-pyran-3-yl)methyl)amino)pyridazin-3(2H)-one (335C)
STEP 1: tert-butyl N-(1,4-dioxaspiro[4.5]decan-8-ylamino)carbamate A solution of 1,4-dioxaspiro[4.5]decan-8-one (100 g, 640 mmol), tert-butyl N-amino carbamate (84.62 g, 640.29 mmol) and acetic acid (38.45 g, 640.29 mmol) in methanol (1 L) was stirred for 0.5 h. Sodium cycanoborohydride (60.36 g, 960.44 mmol) was added and the resulting mixture stirred for 16 h at 25 °C. The reaction was quenched with water (500 mL) and extracted with ethyl acetate (3 x 300 mL). The combined organic extracts were dried over anhydrous sodium sulfate, filtered and concentrated under vacuum to afford tert-butyl N-(1,4- dioxaspiro[4.5]decan-8-ylamino)carbamate (140 g, 80% yield) as a white solid. LCMS (ES, m/z): 273.15 [M+H]+. STEP 2: 4,5-dichloro-2-(4-oxocyclohexyl)pyridazin-3-one To a solution of tert-butyl N-(1,4-dioxaspiro[4.5]decan-8-ylamino)carbamate (60 g, 220 mmol) and (Z)-2,3-dichloro-4-oxo-but-2-enoic acid (37.22 g, 220.31 mmol) in ethanol (500 mL) was added hydrochloric acid (12 M, 91.8 mL). The resulting solution was heated to 80 °C for 16 h, cooled to rt and the ethanol was removed under reduced pressure. To the partially concentrated solution were added THF (800 mL) and HCl (6N, 200 mL). The resulting mixture was stirred for an additional 3 h at 70°C, cooled to rt and the pH adjusted to pH 10 with NaHCO3 (sat.aq.). The aqueous layer was extracted with ethyl acetate (3 x 400 mL) and the combined organic extracts were dried over sodium sulfate, evaporated onto silica gel and purified by column chromatography to afford 4,5-dichloro-2-(4-oxocyclohexyl)pyridazin-3-one as a light yellow solid. LCMS (ES, m/z): 260.95, 262.95 [M+H]+. STEP 3: 4,5-dichloro-2-[4-(4-fluoroanilino)cyclohexyl]pyridazin-3-one 4-fluoroaniline (10.04 g, 90.39 mmol) was added to 4,5-dichloro-2-(4- oxocyclohexyl)pyridazin-3-one (11.8 g, 45.2 mmol) and acetic acid (1 mL) in DCM (100 mL) and stirred for 0.5 h at 25 °C. STAB (23.95 g, 112.98 mmol) was then added. When the reaction was complete (by TLC), the reaction was partitioned between water and DCM (3 x 100mL). The combined organic extracts were dried over sodium sulfate, concentrated onto silica gel and purified by column chromatography to afford 4,5-dichloro-2-[4-(4- fluoroanilino)cyclohexyl]pyridazin-3-one (14.0 g, 87% yield) as a yellow solid. LCMS (ES, m/z): 356.00, 358.00 [M+H]+
STEP 4: tert-butyl 3-[(N-[4-(4,5-dichloro-6-oxo-pyridazin-1-yl)cyclohexyl]-4-fluoro- anilino)methyl]pyrrolidine-1-carboxylate A mixture of 4,5-dichloro-2-[4-(4-fluoroanilino)cyclohexyl]pyridazin-3-one (2.0 g, 5.6 mmol) and tert-butyl 3-formylpyrrolidine-1-carboxylate (4.47 g, 22.46 mmol) in DCM (30 mL) with acetic acid (168 mg, 2.81 mmol) was stirred for 30 minutes. STAB (9.24 g, 22.46 mmol) was added portionwise and the resulting mixture stirred at rt for 16 h, diluted with water and extracted with DCM (3 x 80 mL). The combined organic extracts were dried over sodium sulfate, evaporated onto silica gel and purified by column chromatography to afford tert-butyl 3-[(N-[4- (4,5-dichloro-6-oxo-pyridazin-1-yl)cyclohexyl]-4-fluoro-anilino)methyl]pyrrolidine-1-carboxylate (2.7 g, 89% yield) as a yellow oil LCMS (ES, m/z): 539.15, 541.15 [M+H]+. STEP 5: 4,5-dichloro-2-[4-[4-fluoro-N-(pyrrolidin-3-ylmethyl)anilino]cyclohexyl]pyridazin-3-one hydrochloride To a stirred mixture of tert-butyl 3-[(N-[4-(4,5-dichloro-6-oxo-pyridazin-1-yl)cyclohexyl]-4- fluoro-anilino)methyl]pyrrolidine-1-carboxylate (2.7 g, 5.0 mmol) in ethyl acetate (17 mL) was added HCl (4 M in ethyl acetate, 12.5 mL) dropwise at rt. The resulting mixture was stirred for 2 h at rt. Once complete, the methanol was removed under reduced pressure. The resulting precipitated solids were filtered and washed with Et2O (40 mL) to afford 4,5-dichloro-2-[4-[4- fluoro-N-(pyrrolidin-3-ylmethyl)anilino]cyclohexyl]pyridazin-3-one hydrochloride (2.7 g, 5.7 mmol) as a light-yellow solid. LCMS (ES, m/z): 439.15, 441.15 [M-HCl+H]+. STEP 6: 4,5-dichloro-2-[4-[4-fluoro-N-[(1-methylpyrrolidin-3- yl)methyl]anilino]cyclohexyl]pyridazin-3-one Formaldehyde (4.99 g, 61.45 mmol, 37%) was added to a mixture of 4,5-dichloro-2-[4-[4- fluoro-N-(pyrrolidin-3-ylmethyl)anilino] cyclohexyl]pyridazin-3-one hydrochloride (2.7 g, 5.7 mmol) and acetic acid (4 drops) in DCM (22 mL) and stirred at rt for 30 mins. STAB (3.91 g, 18.44 mmol) was then added, and the mixture stirred for 16 h at rt. The mixture was then poured into sodium bicarbonate solution (40 mL) and extracted with ethyl acetate (3 x 40 mL). The combined organic extracts were washed with brine (50 mL), dried over anhydrous sodium sulfate, concentrated onto silica gel and purified by column chromatography to afford 4,5-
dichloro-2-[4-[4-fluoro-N-[(1-methylpyrrolidin-3-yl)methyl]anilino]cyclohexyl]pyridazin-3-one (1.0 g, 36% yield) as a yellow solid. LCMS (ES, m/z): 453.10, 455.10 [M+H]+. STEP 7: 4-chloro-2-((1S,4R)-4-((4-fluorophenyl)(((R)-1-methylpyrrolidin-3-yl)methyl)amino) cyclohexyl)-5-((((S)-tetrahydro-2H-pyran-3-yl)methyl)amino)pyridazin-3(2H)-one (335A); 4-chloro-2-((1R,4R)-4-((4-fluorophenyl)(((S)-1-methylpyrrolidin-3- yl)methyl)amino)cyclohexyl)-5-((((S)-tetrahydro-2H-pyran-3-yl)methyl)amino)pyridazin-3(2H)- one (335B); and 4-chloro-2-((1s,4S)-4-((4-fluorophenyl)((1-methylpyrrolidin-3-yl)methyl)amino)cyclohexyl) -5-((((R)-tetrahydro-2H-pyran-3-yl)methyl)amino)pyridazin-3(2H)-one (335C) A solution of 4,5-dichloro-2-[4-[4-fluoro-N-[(1-methylpyrrolidin-3- yl)methyl]anilino]cyclohexyl] pyridazin-3-one (1.0 g, 2.2 mmol), tetrahydropyran-3- ylmethanamine hydrochloride (1.00 g, 6.62 mmol) and TEA (1.12 g, 11.03 mmol) in ethanol (8 mL) was heated for 16 h at 80 °C. The reaction was cooled to rt, concentrated and purified by reverse flash chromatography. The first collected fractions afforded a mixture of compounds 335A and 335B. The second collected fractions afforded 4-chloro-2-((1s,4S)-4-((4-fluorophenyl)((1- methylpyrrolidin-3-yl)methyl)amino)cyclohexyl)-5-((((R)-tetrahydro-2H-pyran-3-yl) methyl)amino)pyridazin-3(2H)-one (compound 335C, 116.2 mg, 10% yield) as a white solid. 1H NMR (400 MHz, DMSO-d6) δ 7.98 (s, 1H), 7.19-7.04 (m, 4H), 6.67 (m, 1H), 4.76 (m, 1H), 3.80-3.66 (m, 3H), 3.29-3.07 (m, 5H), 2.92 (m, 2H), 2.44-2.32 (m, 2H), 2.21 (m, 4H), 2.03 (m, 3H), 1.92-1.70 (m, 5H), 1.65-1.33 (m, 7H), 1.31-1.19 (m, 1H). LCMS (ES, m/z): 532.30, 534.30 [M+H]+. The mixture of 335A and 335B was further separated by Chiral-HPLC. The first collected fractions afforded 4-chloro-2-((1S,4R)-4-((4-fluorophenyl)(((R)-1- methylpyrrolidin-3-yl)methyl)amino) cyclohexyl)-5-((((S)-tetrahydro-2H-pyran-3- yl)methyl)amino)pyridazin-3(2H)-one (compound 335A, 35.5 mg, 3% yield) as a white solid. 1H NMR (300 MHz, DMSO-d6) δ 7.98 (s, 1H), 7.05 (d, J = 6.9 Hz, 4H), 6.70-6.65 (m, 1H), 4.82- 4.71 (m, 1H), 3.76-3.69 (m, 2H), 3.29-3.13 (m, 5H), 2.98-2.85 (m, 2H), 2.40-2.21 (m, 3H), 2.27- 2.21 (m, 4H), 2.12-1.93 (m, 3H), 1.91-1.68 (m, 5H), 1.62-1.32 (m, 7H), 1.32-1.15 (m, 1H). LCMS (ES, m/z): 532.20, 534.20 [M+H]+.
The second collected fraction afforded 4-chloro-2-((1R,4R)-4-((4-fluorophenyl)(((S)-1- methylpyrrolidin-3-yl)methyl)amino)cyclohexyl)-5-((((S)-tetrahydro-2H-pyran-3- yl)methyl)amino)pyridazin-3(2H)-one (compound 335B, 52.7 mg, 4.5% yield) as a white solid 1H NMR (300 MHz, DMSO-d6) δ 7.98 (s, 1H), 7.05 (d, J = 6.9 Hz, 4H), 6.70-6.65 (m, 1H), 4.82- 4.71 (m, 1H), 3.76-3.69 (m, 2H), 3.29-3.13 (m, 5H), 2.98-2.85 (m, 2H), 2.40-2.21 (m, 3H), 2.27- 2.21 (m, 4H), 2.12-1.93 (m, 3H), 1.91-1.68 (m, 5H), 1.62-1.32 (m, 7H), 1.32-1.15 (m, 1H). LCMS (ES, m/z): 532.20, 534.20 [M+H]+. EXAMPLE 336 Synthesis of 2-((1s,4R)-4-((3-aminopropyl)(4-fluorophenyl)amino)cyclohexyl)-4-chloro-5-((((S)-tetrahydro- 2H-pyran-3-yl)methyl)amino)pyridazin-3(2H)-one (336A)
2-((1s,4S)-4-((3-aminopropyl)(4-fluorophenyl)amino)cyclohexyl)-4-chloro-5-((((R)-tetrahydro- 2H-pyran-3-yl)methyl)amino)pyridazin-3(2H)-one (336B)
Formic Acid salt of 2-((1r,4S)-4-((3-aminopropyl)(4-fluorophenyl)amino)cyclohexyl)-4-chloro- 5-((((S)-tetrahydro-2H-pyran-3-yl)methyl)amino)pyridazin-3(2H)-one (336C)
Formic Acid salt of 2-((1r,4R)-4-((3-aminopropyl)(4-fluorophenyl)amino)cyclohexyl)-4-chloro- 5-((((R)-tetrahydro-2H-pyran-3-yl)methyl)amino)pyridazin-3(2H)-one (336D)
STEP 1: tert-butyl N-[3-(N-[4-(4,5-dichloro-6-oxo-pyridazin-1-yl)cyclohexyl]-4-fluoro- anilino)propyl]carbamate tert-butyl N-(3-oxopropyl)carbamate (729 mg, 4.21 mmol), 4,5-dichloro-2-[4-(4- fluoroanilino) cyclohexyl]pyridazin-3-one (500 mg, 1.40 mmol) and acetic acid (2 mL) in DCM (10 mL) were stirred for 1 h at 25°C. Sodium cyanoborohydride (594 mg, 2.81 mmol) was then added portionwise and the resulting was stirred for 2 h at 25 °C, quenched with saturated aqueous sodium bicarbonate solution (15 mL) and extracted with DCM (3 x 30 mL). The combined organic extracts were dried over anhydrous sodium sulfate, filtered, concentrated onto silica gel and purified by column chromatography to afford tert-butyl N-[3-(N-[4-(4,5- dichloro-6-oxo-pyridazin-1-yl)cyclohexyl]-4-fluoro-anilino)propyl]carbamate (750 mg, 94% yield) as a white solid. LCMS (Es, m/z): 513.15, 515.15 [M+H]+.
STEP 2: Cis-1,1-dimethylethyl N-[3-(N-[4-[5-chloro-6-oxo-4-(tetrahydropyran-3- ylmethylamino)pyridazin-1-yl]cyclohexyl]-4-fluoro-anilino)propyl]carbamate; and Trans-1,1-dimethylethyl N-[3-(N-[4-[5-chloro-6-oxo-4-[[(3R)-tetrahydropyran-3- yl]methylamino]pyridazin-1-yl]cyclohexyl]-4-fluoro-anilino)propyl]carbamate; and Trans-1,1-dimethylethyl N-[3-(N-[4-[5-chloro-6-oxo-4-[[(3S)-tetrahydropyran-3- yl]methylamino]pyridazin-1-yl]cyclohexyl]-4-fluoro-anilino)propyl]carbamate A solution of tetrahydropyran-3-ylmethanamine hydrochloride (398 mg, 2.63 mmol), tert- butyl N-[3-(N-[4-(4,5-dichloro-6-oxo-pyridazin-1-yl)cyclohexyl]-4-fluoro- anilino)propyl]carbamate (750 mg, 1.31 mmol) and TEA (665 mg, 6.57 mmol) in ethanol (10 mL) was heated for 16 h at 80 °C, cooled to rt, concentrated under reduced pressure, purified by reverse flash chromatography and further separated by AChiral-prep-HPLC. The first collected fractions afforded cis-1,1-dimethylethyl N-[3-(N-[4-[5-chloro-6-oxo-4- (tetrahydropyran-3-ylmethylamino)pyridazin-1-yl]cyclohexyl]-4-fluoro- anilino)propyl]carbamate (260 mg, 32% yield) as an off-white solid. The second collected fractions afforded a mixture of the trans-(3R) and the trans (3S) isomers, (90 mg), which were separated by Chiral-prep-HPLC. The first eluting isomer afforded trans-1,1-dimethylethyl N-[3-(N-[4-[5-chloro-6-oxo-4- [[(3S)-tetrahydropyran-3-yl]methylamino]pyridazin-1-yl]cyclohexyl]-4-fluoro-anilino)propyl] carbamate (20 mg, 2% yield) as a yellow oil. The second eluting isomer afforded trans-1,1-dimethylethyl N-[3-(N-[4-[5-chloro-6-oxo-4- [[(3R)-tetrahydropyran-3-yl]methylamino]pyridazin-1-yl]cyclohexyl]-4-fluoro-anilino)propyl] carbamate (45 mg, 5% yield) as a yellow oil. LCMS (Es, m/z): 492.35, 494.35 [M+H]+. STEP 3: 2-((1s,4R)-4-((3-aminopropyl)(4-fluorophenyl)amino) cyclohexyl)-4-chloro-5-((((S)- tetrahydro-2H-pyran-3-yl)methyl)amino)pyridazin-3(2H)-one; and 2-((1s,4S)-4-((3-aminopropyl)(4-fluorophenyl)amino) cyclohexyl)-4-chloro-5-((((R)-tetrahydro- 2H-pyran-3-yl)methyl)amino)pyridazin-3(2H)-one A solution of 1,1-dimethylethyl N-[3-(N-[4-[5-chloro-6-oxo-4-(tetrahydropyran-3- ylmethylamino)pyridazin-1-yl]cyclohexyl]-4-fluoro-anilino)propyl]carbamate (260 mg, 439 μmol) and TFA (1 mL) in DCM (5 mL) was stirred for 2 h at rt. The mixture was then
concentrated under reduced pressure, purified by prep-HPLC and separated further separated by Chiral-prep-HPLC. The first collected fractions afforded 2-((1s,4R)-4-((3-aminopropyl)(4-fluorophenyl)amino) cyclohexyl)-4-chloro-5-((((S)-tetrahydro-2H-pyran-3-yl)methyl)amino)pyridazin-3(2H)- one(compound 336A, 45.9 mg, 21% yield) as a white solid. 11H NMR (300 MHz, DMSO-d6) δ 7.99 (s, 1H), 7.04 (t, J = 8.8 Hz, 2H), 6.95-6.91 (m, 2H), 6.68 (t, J = 6.2 Hz, 1H), 4.88-4.72 (m, 1H), 3.77-3.68 (m, 2H), 3.55-2.87 (m, 9H), 2.51-2.48 (m, 2H), 2.12-1.86 (m, 5H), 1.79-1.77 (m, 2H), 1.72-1.33 (m, 7H), 1.25-1.21 (m, 1H). LCMS (ES, m/z): 492.15 [M+H]+. The second collected fractions afforded 2-((1s,4S)-4-((3-aminopropyl)(4- fluorophenyl)amino) cyclohexyl)-4-chloro-5-((((R)-tetrahydro-2H-pyran-3- yl)methyl)amino)pyridazin-3(2H)-one (compound 336B, 32.9 mg, 15% yield) as a white solid. 1H NMR (300 MHz, DMSO-d6) δ 7.99 (s, 1H), 7.04 (t, J = 8.8 Hz, 2H), 6.95-6.91 (m, 2H), 6.68 (t, J = 6.2 Hz, 1H), 4.88-4.72 (m, 1H), 3.77-3.68 (m, 2H), 3.55-2.87 (m, 9H), 2.51-2.48 (m, 2H), 2.12-1.86 (m, 5H), 1.79-1.77 (m, 2H), 1.72-1.33 (m, 7H), 1.25-1.21 (m, 1H). LCMS (ES, m/z): 492.15 [M+H]+. STEP 4: Formic Acid salt of 2-((1r,4S)-4-((3-aminopropyl)(4-fluorophenyl)amino)cyclohexyl)-4- chloro-5-((((S)-tetrahydro-2H-pyran-3-yl)methyl)amino)pyridazin-3(2H)-one (336C) A solution of trans-1,1-dimethylethyl N-[3-(N-[4-[5-chloro-6-oxo-4-[[(3S)-tetrahydropyran-3- yl]methylamino]pyridazin-1-yl]cyclohexyl]-4-fluoro-anilino)propyl]carbamate (20 mg, 34 μmol) and TFA (0.3 mL) in DCM (1.5 mL) was stirred for 2 h at rt and then concentrated and purified by prep-HPLC to afford the Formic Acid salt of 2-((1r,4S)-4-((3-aminopropyl)(4- fluorophenyl)amino)cyclohexyl)-4-chloro-5-((((S)-tetrahydro-2H-pyran-3- yl)methyl)amino)pyridazin-3(2H)-one (compound 336C, 14.2 mg, 78% yield) as a white solid. 1H NMR (300 MHz, DMSO-d6) δ 8.45 (s, 1H), 7.94 (s, 1H), 7.02-6.96 (m, 2H), 6.88-6.75 (m, 2H), 6.70 (t, J = 6.4 Hz, 1H), 4.81-4.68 (m, 1H), 3.72-3.67 (m, 2H), 3.53-3.50 (m, 1H), 3.36-3.09 (m, 6H), 2.79 (t, J = 7.2 Hz, 2H), 1.84-1.57 (m, 13H), 1.50-1.37 (m, 1H), 1.28-1.18 (m, 1H). LCMS (ES, m/z): 492.20 [M+H-FA]+.
STEP 5: Formic Acid salt of 2-((1r,4R)-4-((3-aminopropyl)(4-fluorophenyl)amino)cyclohexyl)-4- chloro-5-((((R)-tetrahydro-2H-pyran-3-yl)methyl)amino)pyridazin-3(2H)-one (336D) A solution of 1,1-dimethylethyl N-[3-(N-[4-[5-chloro-6-oxo-4-[[(3R)-tetrahydropyran-3- yl]methylamino]pyridazin-1-yl]cyclohexyl]-4-fluoro-anilino)propyl]carbamate (45 mg, 76 μmol) and TFA (0.5 mL) in DCM (2 mL) was stirred for 2 hr at rt and the mixture then basified to pH~9 with NH3 in methanol (7 M). The neutralized reaction mixture was then concentrated and purified by prep-HPLC to afford the Formic Acid salt of 2-((1r,4R)-4-((3-aminopropyl)(4- fluorophenyl)amino)cyclohexyl)-4-chloro-5-((((R)-tetrahydro-2H-pyran-3- yl)methyl)amino)pyridazin-3(2H)-one (compound 336D, 14.4 mg, 35% yield) as a white solid. 1H NMR (300 MHz, DMSO-d6) δ 8.44 (s, 1H), 7.94 (s, 1H), 7.02-6.97 (m, 2H), 6.83-6.71 (m, 2H), 6.67-6.60 (m, 1H), 4.75-4.73(m,1H),3.71-3.67 (m, 2H), 3.57-3.54 (m, 1H), 3.36-2.99 (m, 6H), 2.79 (t, J = 7.1 Hz, 2H), 1.80-1.57(m, 13H), 1.49-1.41 (m, 1H), 1.37-1.18 (m, 1H). LCMS (ES, m/z): 492.20 [M+H-FA]+. EXAMPLE 337 Synthesis of Trans-1-[4-[5-chloro-6-oxo-4-(tetrahydropyran-3-ylmethylamino)pyridazin-1-yl]cyclohexyl]-3- methyl-benzimidazol-2-one (337A)
Cis-1-[4-[5-chloro-6-oxo-4-[[(3R)-tetrahydropyran-3-yl]methylamino]pyridazin-1- yl]cyclohexyl]-3-methyl-benzimidazol-2-one(337B)
Cis-1-[4-[5-chloro-6-oxo-4-[[(3S)-tetrahydropyran-3-yl]methylamino]pyridazin-1- yl]cyclohexyl]-3-methyl-benzimidazol-2-one(337C)
STEP 1: Trans-2-[4-(2-aminoanilino)cyclohexyl]-4,5-dichloro-pyridazin-3-one and Cis-2-[4-(2- aminoanilino)cyclohexyl]-4,5-dichloro-pyridazin-3-one To a stirred mixture of 4,5-dichloro-2-(4-oxocyclohexyl)pyridazin-3-one (3 g, 11.49 mmol), benzene-1,2-diamine (1.38 g, 12.77 mmol) in DCM (50 mL) was added acetic acid (2.2 mL) dropwise. The resulting mixture was heated for 0.5 h at 25 °C and then STAB (15.75 g, 38.30 mmol) was added and stirred for a further 2 h at 25 °C. The mixture was then poured into saturated aqueous sodium bicarbonate solution (30 mL) and extracted with DCM (3 x 50 mL). The combined organic extracts were washed with brine (30 mL), dried over anhydrous sodium sulfate, concentrated onto silica gel and purified by column to afford trans-2-[4-(2- aminoanilino)cyclohexyl]-4,5-dichloro-pyridazin-3-one (1.70 g, 4.38 mmol, 34% yield, 91.0% purity) and cis-2-[4-(2-aminoanilino)cyclohexyl]-4,5-dichloro-pyridazin-3-one (1.60 g, 35% yield) as a yellow solid. LCMS (ES, m/z): 353.00, 355.00 [M+H]+.
STEP 2: Trans-3-[4-[(1R)-4,5-dichloro-6-oxo-pyridazin-1-yl]cyclohexyl]-1H-benzimidazol-2-one A solution of di(imidazol-1-yl)methanone (627 mg, 3.86 mmol) in THF (4 ml) was cooled to 0 °C, and trans-2-[4-(2-aminoanilino)cyclohexyl]-4,5-dichloro-pyridazin-3-one (1.50 g, 3.86 mmol) in THF (6 ml) was added. The resulting mixture was warmed to rt for 3 h, quenched with water (30 mL) and extracted with ethyl acetate (3 x 20 mL). The combined organic extracts were washed with brine (20 mL), dried over sodium sulfate, concentrated onto silica gel and purified by column chromatography to yield trans-3-[4-[(1R)-4,5-dichloro-6-oxo-pyridazin-1- yl]cyclohexyl]-1H-benzimidazol-2-one (930 mg, 59% yield) as a yellow solid. LCMS (ES, m/z): 379.05, 381.05 [M+H]+. STEP 3: Cis-3-[4-[4,5-dichloro-6-oxo-pyridazin-1-yl]cyclohexyl]-1H-benzimidazol-2-one A solution of di(imidazol-1-yl)methanone (634 mg, 3.91 mmol) in THF (4 ml) was cooled to 0 °C and cis-2-[4-(2-aminoanilino)cyclohexyl]-4,5-dichloro-pyridazin-3-one (1.40 g, 3.91 mmol) in THF(6 ml) was added. The reaction was warmed to rt for 3 h, quenched with water (30 mL) and extracted with ethyl acetate (3 x 20 mL). The combined organic extracts were washed with brine (20 mL), dried over sodium sulfate, concentrated onto silica gel and purified by column chromatography to yield cis-3-[4-[4,5-dichloro-6-oxo-pyridazin-1-yl]cyclohexyl]-1H- benzimidazol-2-one (950 mg, 60% yield) as a yellow solid. LCMS (ES, m/z): 379.05, 381.05 [M+H]+. STEP 4: Trans-1-[4-[4,5-dichloro-6-oxo-pyridazin-1-yl]cyclohexyl]-3-methyl-benzimidazol-2-one A mixture of trans-3-[4-[4,5-dichloro-6-oxo-pyridazin-1-yl]cyclohexyl]-1H-benzimidazol-2- one (500 mg, 1.23 mmol), iodomethane (1.05 g, 7.40 mmol) and cesium carbonate (803 mg, 2.47 mmol) in DMA (10 mL) was stirred for 16 h at rt and then quenched with water (20 mL) and extracted with ethyl acetate (3 x 20 mL). The combined organic extracts were washed with brine (20 mL), dried over sodium sulfate, concentrated and purified by reverse phase column chromatography to yield trans-1-[4-[4,5-dichloro-6-oxo-pyridazin-1-yl]cyclohexyl]-3-methyl- benzimidazol-2-one (400 mg, 74% yield) as a yellow solid. LCMS (ES, m/z): 393.05, 395.05 [M+H]+. STEP 5: Cis-1-[4-[4,5-dichloro-6-oxo-pyridazin-1-yl]cyclohexyl]-3-methyl-benzimidazol-2-one A mixture of Cis-3-[4-[4,5-dichloro-6-oxo-pyridazin-1-yl]cyclohexyl]-1H-benzimidazol-2-one
(500 mg, 1.22 mmol), iodomethane (1.04 g, 7.35 mmol, 457.50 μL) and cesium carbonate (798 mg, 2.45 mmol) in DMA (10 mL) was stirred for 16 h at rt and then quenched with water (20 mL) and extracted with ethyl acetate (3 x 20 mL). The combined organic extracts were washed with brine (20 mL), dried over sodium sulfate, concentrated and purified by reverse phase column chromatography to yield cis-1-[4-[4,5-dichloro-6-oxo-pyridazin-1-yl]cyclohexyl]-3- methyl-benzimidazol-2-one (450 mg, 77% yield) as a yellow solid. LCMS (ES, m/z): 393.00, 395.00 [M+H]+. STEP 6: Trans-1-[4-[5-chloro-6-oxo-4-(tetrahydropyran-3-ylmethylamino)pyridazin-1- yl]cyclohexyl]-3-methyl-benzimidazol-2-one (337A) To a stirred mixture of trans-1-[4-(4,5-dichloro-6-oxo-pyridazin-1-yl)cyclohexyl]-3-methyl- benzimidazol-2-one (200 mg, 457.71 μmol), and tetrahydropyran-3-ylmethanamine hydrochloride (208 mg, 1.37 mmol) in ethanol (2 mL) was added TEA (232 mg, 2.29 mmol). The reaction was heated for 16 h at 80 °C, cooled to rt, concentrated under reduced pressure and purified by reverse phase column chromatography to yield the racemate. The racemate was further purified by prep-HPLC to afford trans-1-[4-[5-chloro-6-oxo-4-(tetrahydropyran-3- ylmethylamino)pyridazin-1-yl]cyclohexyl]-3-methyl-benzimidazol-2-one (compound 337A, 21.0 mg, 9.4% yield) as a white solid. 1H NMR (300 MHz, DMSO-d6) δ 8.12 (s, 1H), 7.31-7.20 (m, 1H), 7.19-7.09 (m, 1H), 7.13-7.01 (m, 2H), 6.72 (t, J = 6.4 Hz, 1H), 4.91-4.87 (m, 1H),4.50-4.30 (m, 1H), 3.90-3.65 (m, 2H), 3.40- 3.35 (m, 1H), 3.32-3.30 (m, 4H), 3.30-3.14 (m, 2H), 2.70-2.54 (m, 2H), 2.25-2.08 (m, 2H), 2.05- 1.90 (m, 2H), 1.90-1.78 (m, 2H), 1.70-1.38 (m, 4H), 1.38-1.41 (m, 4H), 1.38-1.21 (m, 1H). LCMS (ES, m/z): 472.15, 474.15 [M+H]+. STEP 7: Cis-1-[4-[5-chloro-6-oxo-4-[[(3R)-tetrahydropyran-3-yl]methylamino]pyridazin-1- yl]cyclohexyl]-3-methyl-benzimidazol-2-one (337B); and Cis-1-[4-[5-chloro-6-oxo-4-[[(3S)-tetrahydropyran-3-yl]methylamino]pyridazin-1- yl]cyclohexyl]-3-methyl-benzimidazol-2-one (337C) To a stirred mixture of Cis-1-[4-(4,5-dichloro-6-oxo-pyridazin-1-yl)cyclohexyl]-3-methyl- benzimidazol-2-one (200 mg, 421 μmol), tetrahydropyran-3-ylmethanamine hydrochloride (192 mg, 1.26 mmol) in ethanol (2 mL) was added TEA (213 mg, 2.11 mmol). The mixture was heated
for 16 h at 80 °C, cooled to rt, concentrated and purified by reverse phase column chromatography to afford the racemate which was then further separated by Chiral prep-HPLC. The first collected fractions afforded cis-1-[4-[5-chloro-6-oxo-4-[[(3R)-tetrahydropyran-3- yl]methylamino]pyridazin-1-yl]cyclohexyl]-3-methyl-benzimidazol-2-one (compound 337B, 20.6 mg, 10% yield). 1H NMR (300 MHz, DMSO-d6) δ 7.98 (s, 1H), 7.56-7.37 (m, 1H), 7.26-7.10 (m, 1H), 7.10-6.98 (m, 2H), 6.71 (t, J = 6.4 Hz, 1H), 5.06-4.80 (m, 1H), 4.40-4.18 (m, 1H), 3.84-3.62 (m, 2H), 3.40- 3.35 (m, 1H), 3.32-3.30 (m, 3H), 3.28-3.10 (m, 3H), 2.48-2.32 (m, 2H), 1.98-1.70 (m, 8H), 1.69- 1.54 (m, 1H), 1.54-1.36 (m, 1H) 1.30-1.18 (m, 1H). LCMS (ES, m/z): 472.15, 474.15 [M+H]+. The second collected fractions afforded cis-1-[4-[5-chloro-6-oxo-4-[[(3S)-tetrahydropyran-3- yl]methylamino]pyridazin-1-yl]cyclohexyl]-3-methyl-benzimidazol-2-one (compound 337C, 12.9 mg, 6.5% yield) as a white solid. 1H NMR (300 MHz, DMSO-d6) δ 7.98 (s, 1H), 7.56-7.37 (m, 1H), 7.26-7.10 (m, 1H), 7.10-6.98 (m, 2H), 6.71 (t, J = 6.4 Hz, 1H), 5.06-4.80 (m, 1H), 4.40-4.18 (m, 1H), 3.84-3.62 (m, 2H), 3.40- 3.35 (m, 1H), 3.32-3.30 (m, 3H), 3.28-3.10 (m, 3H), 2.48-2.32 (m, 2H), 1.98-1.70 (m, 8H), 1.69- 1.54 (m, 1H), 1.54-1.36 (m, 1H) 1.30-1.18 (m, 1H). LCMS (ES, m/z): 472.15, 474.15 [M+H]+. EXAMPLE 338 Synthesis of Trans-1-[4-[5-chloro-6-oxo-4-[[(3S)-tetrahydropyran-3-yl]methylamino]pyridazin-1- yl]cyclohexyl]-3-(2-hydroxyethyl)benzimidazol-2-one (338A)
Trans-1-[4-[5-chloro-6-oxo-4-[[(3R)-tetrahydropyran-3-yl]methylamino]pyridazin-1- yl]cyclohexyl]-3-(2-hydroxyethyl)benzimidazol-2-one (338B)
Cis-1-[4-[5-chloro-6-oxo-4-[[(3S)-tetrahydropyran-3-yl]methylamino]pyridazin-1- yl]cyclohexyl]-3-(2-hydroxyethyl)benzimidazol-2-one (344C)
Cis-1-[4-[5-chloro-6-oxo-4-[[(3R)-tetrahydropyran-3-yl]methylamino]pyridazin-1- yl]cyclohexyl]-3-(2-hydroxyethyl)benzimidazol-2-one (338D)
STEP 1: Trans-1-[4-(4,5-dichloro-6-oxo-pyridazin-1-yl)cyclohexyl]-3-[2-[1,1- dimethylethyl(dimethyl)silyl]oxyethyl]benzimidazol-2-one Cesium carbonate (515.5 mg, 1.58 mmol) was added to trans-3-[4-(4,5-dichloro-6-oxo- pyridazin-1-yl)cyclohexyl]-1H-benzimidazol-2-one (400 mg, 1.05 mmol) and tert-butyl-(2- iodoethoxy)-dimethyl-silane (452.8 mg, 1.58 mmol) in DMA (4 mL) and the mixture heated for 16 h at 80 °C, cooled to rt, concentrated and purified by reverse flash chromatography to afford trans-1-[4-(4,5-dichloro-6-oxo-pyridazin-1-yl)cyclohexyl]-3-[2-[1,1- dimethylethyl(dimethyl)silyl]oxyethyl]benzimidazol-2-one (270 mg, 48% yield) as a light-yellow solid. LCMS (ES, m/z): 537.15, 539.15 [M+H]+. STEP 2: trans-1-[4-[5-chloro-6-oxo-4-[[tetrahydropyran-3-yl]methylamino]pyridazin-1- yl]cyclohexyl]-3-[2-[1,1-dimethylethyl(dimethyl)silyl]oxyethyl]benzimidazol-2-one To a stirred mixture of trans-(1S,3R)-1-[4-(4,5-dichloro-6-oxo-pyridazin-1-yl)cyclohexyl]-3-[2- [1,1-dimethylethyl(dimethyl)silyl]oxyethyl]benzimidazol-2-one (260 mg, 484 μmol) and tetrahydropyran-3-ylmethanamine hydrochloride (220 mg, 1.45 mmol) in ethanol (2 mL) was added TEA (245 mg, 2.42 mmol). The mixture was stirred for 16 h at 80 °C, cooled to rt, concentrated and purified by reverse phase column chromatography to yield trans-1-[4-[5- chloro-6-oxo-4-[[tetrahydropyran-3-yl]methylamino]pyridazin-1-yl]cyclohexyl]-3-[2-[1,1- dimethylethyl(dimethyl)silyl]oxyethyl]benzimidazol-2-one (260 mg, 87% yield) as a yellow solid. LCMS (ES, m/z): 616.30, 618.30 [M+H]+.
STEP 3: 1-[4-[5-chloro-6-oxo-4-[[(3S)-tetrahydropyran-3-yl]methylamino]pyridazin-1- yl]cyclohexyl]-3-(2-hydroxyethyl)benzimidazol-2-one; and 1-[4-[5-chloro-6-oxo-4-[[(3R)-tetrahydropyran-3-yl]methylamino]pyridazin-1-yl]cyclohexyl]- 3-(2-hydroxyethyl)benzimidazol-2-one To a stirred mixture of trans-1-[4-[5-chloro-6-oxo-4-[[(3S)-tetrahydropyran-3- yl]methylamino]pyridazin-1-yl]cyclohexyl]-3-[2-[1,1-dimethylethyl(dimethyl)silyl]oxyethyl] benzimidazol-2-one (250 mg, 4056 μmol) in THF (2 mL) was added TBAF (1 M, 4.06 mL). The mixture was stirred for 1 h at rt, concentrated under pressure, purified by column chromatography and prep-HPLC to afford the pure racemate (80 mg), which was separated by prep-SFC. The first collected fractions afforded trans-1-[4-[5-chloro-6-oxo-4-[[(3S)-tetrahydropyran-3- yl]methylamino]pyridazin-1-yl]cyclohexyl]-3-(2-hydroxyethyl)benzimidazol-2-one (compound 338A, 21.8 mg, 11% yield) as a white solid. 1H NMR (300 MHz, DMSO-d6) δ 8.12 (s, 1H), 7.27-7.18 (m, 2H), 7.05-7.03 (m, 2H), 6.74-6.70 (m, 1H), 4.89-4.85 (m, 2H), 4.48-4.32 (m, 1H), 3.92-3.81 (m, 2H), 3.81-3.69 (m, 2H), 3.65-3.60 (m, 2H), 3.31-3.15 (m, 4H), 2.67-2.51 (m, 2H), 2.17-2.12 (m, 2H), 2.00-1.82 (m, 4H), 1.59-1.45 (m, 4H), 1.31-1.23 (m, 1H). LCMS (ES, m/z): 502.15, 504.15 [M+H]+. The second collected fractions afforded trans-1-[4-[5-chloro-6-oxo-4-[[(3R)- tetrahydropyran-3-yl]methylamino]pyridazin-1-yl]cyclohexyl]-3-(2-hydroxyethyl)benzimidazol- 2-one (compound 338B, 20.6 mg, 10% yield) as a white solid. 1H NMR (300 MHz, DMSO-d6) δ 8.12 (s, 1H), 7.27-7.18 (m, 2H), 7.05-7.03 (m, 2H), 6.74-6.70 (m, 1H), 4.89-4.85 (m, 2H), 4.48-4.32 (m, 1H), 3.92-3.81 (m, 2H), 3.81-3.69 (m, 2H), 3.65-3.60 (m, 2H), 3.31-3.15 (m, 4H), 2.66-2.52 (m, 2H), 2.17-2.12 (m, 2H), 2.00-1.90 (m, 2H), 1.90-1.80 (m, 2H), 1.59-1.45 (m, 4H), 1.31-1.23 (m, 1H). LCMS (ES, m/z): 502.15, 504.15 [M+H]+. STEP 4: Cis-1-[4-(4,5-dichloro-6-oxo-pyridazin-1-yl)cyclohexyl]-3-[2-[1,1- dimethylethyl(dimethyl)silyl]oxyethyl]benzimidazol-2-one To a mixture of cis-3-[4-(4,5-dichloro-6-oxo-pyridazin-1-yl)cyclohexyl]-1H-benzimidazol-2- one (450 mg, 1.07 mmol) in DMA (3 mL) was added tert-butyl-(2-iodoethoxy)-dimethyl-silane (458.5 mg, 1.60 mmol) and cesium carbonate (521.9 mg, 1.60 mmol). The mixture was heated
for 16 h at 80 °C, cooled to rt, concentrated and purified by reverse phase column chromatography to yield cis-1-[4-(4,5-dichloro-6-oxo-pyridazin-1-yl)cyclohexyl]-3-[2-[1,1- dimethylethyl(dimethyl)silyl]oxyethyl]benzimidazol-2-one (420 mg, 70% yield) as yellow solid. LCMS (ES, m/z): 537.15, 539.15 [M+H]+ STEP 5: cis-1-[4-[5-chloro-6-oxo-4-[[tetrahydropyran-3-yl]methylamino]pyridazin-1- yl]cyclohexyl]-3-[2-[1,1-dimethylethyl(dimethyl)silyl]oxyethyl]benzimidazol-2-one To a mixture of cis-1-[4-(4,5-dichloro-6-oxo-pyridazin-1-yl)cyclohexyl]-3-[2-[1,1- dimethylethyl(dimethyl)silyl]oxyethyl]benzimidazol-2-one (400 mg, 744 μmol) in ethanol (2 mL) was added tetrahydropyran-3-ylmethanamine hydrochloride (257.1 mg, 1.70 mmol) and TEA (376.5 mg, 3.72 mmol). The mixture was heated for 16 h at 80 °C, cooled to rt, concentrated and purified by reverse phase column chromatography to yield cis-1-[4-[5-chloro-6-oxo-4- [[tetrahydropyran-3-yl]methylamino]pyridazin-1-yl]cyclohexyl]-3-[2-[1,1- dimethylethyl(dimethyl)silyl]oxyethyl] benzimidazol-2-one (420 mg, 87% yield) as yellow solid. LCMS (ES, m/z): 616.30 [M+H]+ STEP 6: Cis-1-[4-[5-chloro-6-oxo-4-[[(3S)-tetrahydropyran-3-yl]methylamino]pyridazin-1- yl]cyclohexyl]-3-(2-hydroxyethyl)benzimidazol-2-one; and Cis-1-[4-[5-chloro-6-oxo-4-[[(3R)-tetrahydropyran-3-yl]methylamino]pyridazin-1- yl]cyclohexyl]-3-(2-hydroxyethyl)benzimidazol-2-one To a solution of cis-1-[4-[5-chloro-6-oxo-4-[[(3R)-tetrahydropyran-3- yl]methylamino]pyridazin-1-yl]cyclohexyl]-3-[2-[1,1- dimethylethyl(dimethyl)silyl]oxyethyl]benzimidazol-2-one (400 mg, 649 μmol) in THF (2 mL) was added TBAF (6.49 mL, 6.49 mmol, 1M in THF). The resulting mixture was stirred for 1 h at rt, concentrated, purified by column chromatography and prep-HPLC to afford the pure racemate which was separated by prep-SFC HPLC. The first collected fractions afforded cis-1-[4-[5-chloro-6-oxo-4-[[(3S)-tetrahydropyran-3- yl]methylamino]pyridazin-1-yl]cyclohexyl]-3-(2-hydroxyethyl) benzimidazole-2-one (compound 338C, 35.3 mg, 101% yield) as white solid. 1H NMR (300 MHz, DMSO-d6) δ 7.98 (s, 1H), 7.48-7.45 (m, 1H), 7.21-7.18 (m, 1H), 7.06-7.01 (m, 2H), 6.71 (t, J = 6.3 Hz, 1H), 4.95-4.85 (m, 2H), 4.29 (t, 1H), 3.88-3.80 (m, 2H), 3.77-3.60 (m,
4H), 3.25-3.10 (m, 4H), 2.44-2.38 (m, 2H), 1.90-1.79 (m, 8H), 1.59-1.55 (m, 1H), 1.50-1.35 (m, 1H), 1.30-1.20 (m, 1H). LCMS (ES, m/z): 502.15, 504.15 [M+H]+. The second collected fractions afforded cis-1-[4-[5-chloro-6-oxo-4-[[(3R)-tetrahydropyran-3- yl]methylamino]pyridazin-1-yl]cyclohexyl]-3-(2-hydroxyethyl) benzimidazol-2-one (compound 338D, 39.6 mg, 12% yield) as a white solid. 1H NMR (300 MHz, DMSO-d6) δ 7.98 (s, 1H), 7.48-7.45 (m, 1H), 7.21-7.18 (m, 1H), 7.06-7.01 (m, 2H), 6.71 (t, J = 6.3 Hz, 1H), 4.95-4.85 (m, 2H), 4.29 (t, 1H), 3.88-3.80 (m, 2H), 3.77-3.60 (m, 4H), 3.25-3.10 (m, 4H), 2.44-2.38 (m, 2H), 1.90-1.79 (m, 8H), 1.59-1.55 (m, 1H), 1.50-1.35 (m, 1H), 1.30-1.20 (m, 1H). LCMS (ES, m/z): 502.15, 504.15 [M+H]+. EXAMPLES 339-492 Compounds 339-492, shown below in Table 7, were prepared in a manner analogous to the procedures described herein.
Ex Structure LCMS 1 [M+1] H NMR Name (400 MHz, DMSO-d6) δ 7.94 (s, 1H), 7.45-7.35 (p, J = 6.3 Hz, 1H), 7.08 (t, J = 4-chloro-2-(1-((S)-1-(2,6- 8.9 Hz, 2H), 6.67 (t, J = 6.4 difluorophenyl)ethyl)piper 492 467.05 Hz, 1H), 4.63-4.45 (m, 1H), idin-4-yl)-5-((((S)- 4.15-4.05 (m, 1H), 3.79- tetrahydro-2H-pyran-3- 3.64 (m, 2H), 3.32-2.94 (m, yl)methyl)amino)pyridazin
6H), 2.09-1.55 (m, 9H), -3(2H)-one 1.52-1.35 (m, 4H), 1.29- 1.16 (m, 1H). EXAMPLE 493 Synthesis of 4-chloro-2-(1-(2-fluorophenyl)-2-oxopiperidin-4-yl)-5-((((S)-tetrahydro-2H-pyran-3- yl)methyl)amino)pyridazin-3(2H)-one (493A)
4-chloro-2-((R)-1-(2-fluorophenyl)-2-oxopiperidin-4-yl)-5-((((R)-tetrahydro-2H-pyran-3- yl)methyl)amino)pyridazin-3(2H)-one (493B)
4-chloro-2-((S)-1-(2-fluorophenyl)-2-oxopiperidin-4-yl)-5-((((R)-tetrahydro-2H-pyran-3- yl)methyl)amino) pyridazin-3(2H)-one (493C)
STEP 1: 4-chloro-2-[1-(2-fluorophenyl)-4-piperidyl]-5-(tetrahydropyran-3- ylmethylamino)pyridazin-3-one A mixture of 4-chloro-2-(4-piperidyl)-5-(tetrahydropyran-3-ylmethylamino)pyridazin-3-one (1.00 g, 3.06 mmol), 3rd gen. BrettPhos Pd (277 mg, 305 umol), BrettPhos (164 mg, 305 umol) and cesium carbonate (2.99 g, 9.18 mmol) in dioxane (20 mL) was heated for 16 h at 90 °C under nitrogen atmosphere. The mixture was cooled to rt, diluted with water (50 mL) and extracted with DCM (3 x 50 mL). The combined organic extracts were washed with brine (50 mL), dried over anhydrous sodium sulfate, concentrated and purified by prep-HPLC to afford 4- chloro-2-[1-(2-fluorophenyl)-4-piperidyl]-5-(tetrahydropyran-3-ylmethylamino) pyridazin-3-one (700 mg, 46% yield) as an off-white semi-solid. LCMS (ES, m/z): 421.20, 423.20 [M+H]+. STEP 2: 4-chloro-2-(1-(2-fluorophenyl)-2-oxopiperidin-4-yl)-5-((((S)-tetrahydro-2H-pyran-3- yl)methyl)amino)pyridazin-3(2H)-one (5493A); and 4-chloro-2-((R)-1-(2-fluorophenyl)-2-oxopiperidin-4-yl)-5-((((R)-tetrahydro-2H-pyran-3- yl)methyl)amino)pyridazin-3(2H)-one (493B); and
4-chloro-2-((S)-1-(2-fluorophenyl)-2-oxopiperidin-4-yl)-5-((((R)-tetrahydro-2H-pyran-3- yl)methyl)amino) pyridazin-3(2H)-one (493C) A solution of 4-chloro-2-[1-(2-fluorophenyl)-4-piperidyl]-5-(tetrahydropyran-3- ylmethylamino) pyridazin-3-one (600 mg, 1.43 mmol), KMnO4 (676 mg, 4.28 mmol) and TEBAC (974 mg, 4.28 mmol) in DCM (9.79 mL) was stirred for 16 h at 40 °C. The mixture was cooled to rt, diluted with water (50 mL) and extracted with DCM (3 x 50 mL). The combined organic extracts were washed with brine (200 mL), dried over anhydrous sodium sulfate, concentrated and was purified by silica gel column to afford the racemate (210 mg). The racemate was further separated by Chiral-prep-HPLC. The first collected fractions afforded 4-chloro-2-(1-(2-fluorophenyl)-2-oxopiperidin-4-yl)-5- ((((S)-tetrahydro-2H-pyran-3-yl)methyl)amino)pyridazin-3(2H)-one (compound 493A, 51.7 mg) as a white solid. 1H NMR (300 MHz, DMSO-d6) δ 8.03 (s, 1H), 7.45-7.17 (m, 4H), 6.80 (t, J = 6.4 Hz, 1H), 5.38- 5.33 (m, 1H), 3.82-3.67 (m, 2H), 3.67-3.52 (m, 1H), 3.53-3.40 (m, 1H), 3.34-3.08 (m, 4H), 2.85- 2.75 (m, 1H), 2.75-2.61 (m, 1H), 2.25-2.11 (m, 2H), 1.89-1.70 (m, 2H), 1.68-1.52 (m, 1H), 1.52- 1.35 (m, 1H), 1.35-1.15 (m, 1H). LCMS (ES, m/z): 435.10, 437.10 [M+H]+. The second collected fractions afforded 4-chloro-2-((R)-1-(2-fluorophenyl)-2-oxopiperidin-4- yl)-5-((((R)-tetrahydro-2H-pyran-3-yl)methyl)amino)pyridazin-3(2H)-one (compound 493B, 19.5 mg). 1H NMR (300 MHz, DMSO-d6) δ 8.03 (s, 1H), 7.45-7.17 (m, 4H), 6.80 (t, J = 6.4 Hz, 1H), 5.38- 5.23 (m, 1H), 3.82-3.67 (m, 2H), 3.67-3.52 (m, 1H), 3.53-3.40 (m, 1H), 3.34-3.08 (m, 4H), 2.85- 2.75 (m, 1H), 2.75-2.61 (m, 1H), 2.25-2.11 (m, 2H), 1.89-1.70 (m, 2H), 1.68-1.52 (m, 1H), 1.52- 1.35 (m, 1H), 1.35-1.15 (m, 1H). LCMS (ES, m/z): 435.10, 437.10 [M+H]+. The third collected fractions afforded 4-chloro-2-((S)-1-(2-fluorophenyl)-2-oxopiperidin-4- yl)-5-((((R)-tetrahydro-2H-pyran-3-yl)methyl)amino) pyridazin-3(2H)-one (compound 493C, 23.3 mg) as a white solid. 1H NMR (300 MHz, DMSO-d6) δ 8.03 (s, 1H), 7.45-7.17 (m, 4H), 6.80 (t, J = 6.4 Hz, 1H), 5.38- 5.23 (m, 1H), 3.82-3.67 (m, 2H), 3.67-3.53 (m, 1H), 3.53-3.40 (m, 1H), 3.34-3.30 (m, 1H), 3.30- 3.21 (m, 2H), 3.19-3.10 (m, 1H), 2.85-2.75 (m, 1H), 2.75-2.61 (m, 1H), 2.25-2.11 (m, 2H), 1.89- 1.70 (m, 2H), 1.68-1.52 (m, 1H), 1.52-1.35 (m, 1H), 1.35-1.15 (m, 1H).
LCMS (ES, m/z): 435.10, 437.10 [M+H]+. EXAMPLE 494 Synthesis of 4-chloro-2-((S)-1-(3,5-difluorophenyl)-2-oxopiperidin-4-yl)-5-((((S)-tetrahydro-2H-pyran-3- yl)methyl)amino)pyridazin-3(2H)-one (494A)
4-chloro-2-((S)-1-(3,5-difluorophenyl)-2-oxopiperidin-4-yl)-5-((((R)-tetrahydro-2H-pyran-3- yl)methyl)amino)pyridazin-3(2H)-one (494B)
4-chloro-2-((R)-1-(3,5-difluorophenyl)-2-oxopiperidin-4-yl)-5-((((S)-tetrahydro-2H-pyran-3- yl)methyl)amino)pyridazin-3(2H)-one (494C)
4-chloro-2-((R)-1-(3,5-difluorophenyl)-2-oxopiperidin-4-yl)-5-((((R)-tetrahydro-2H-pyran-3- yl)methyl)amino)pyridazin-3(2H)-one (494D)
STEP 1: tert-butyl N-[(2-oxo-4-piperidyl)amino]carbamate A solution of piperidine-2,4-dione (1.00 g, 8.84 mmol), tert-butyl N-aminocarbamate (1.17 g, 8.84 mmol) and acetic acid (0.2 mL) in methanol (20 mL) was stirred for 1 h at rt. Sodium cyanoborohydride (1.11 g, 17.7 mmol) was then added in portions and the resultant mixture stirred for 16 h at rt, poured into water (70 mL) and extracted with ethyl acetate (3 x 70 mL). The combined organic extracts were washed with brine (70 mL), dried over anhydrous sodium sulfate, concentrated and purified by column chromatography to afford tert-butyl N-[(2-oxo-4- piperidyl)amino]carbamate (800 mg, 40% yield) as a white solid. LCMS (ES, m/z): 230.10 [M+H]+.
STEP 2: 4-hydrazinopiperidin-2-one hydrochloride HCl (4M in ethyl acetate, 130 mL) was added to a solution of tert-butyl N-[(2-oxo-4- piperidyl)amino]carbamate (12 g, 52.3 mmol) in ethyl acetate (80 mL) and the resultant mixture stirred at rt for 2 h. The solvent was then removed to afford 4-hydrazinopiperidin-2-one hydrochloride (8.60 g, 52.1 mmol) as a white solid. LCMS (ES, m/z): 130.10 [M-HCl+H]+.. STEP 3: 4,5-dichloro-2-(2-oxo-4-piperidyl)pyridazin-3-one (E)-2,3-dichloro-4-oxo-but-2-enoic acid (14.3 g, 84.5 mmol, 7.72 mL) and conc. HCl (2.0 mL) were added to 4-hydrazinopiperidin-2-one hydrochloride (8.60 g, 52.1 mmol) in ethanol (150 mL) and heated for 16 h at 80 °C. The mixture was then cooled to rt, concentrated and partitioned between water (100 mL) and ethyl acetate (3 x 100 mL). The combined organic extracts were washed with brine (1 x 100 mL), dried over sodium sulfate, evaporated onto silica gel and purified by column chromatography to afford 4,5-dichloro-2-(2-oxo-4- piperidyl)pyridazin-3-one (3.0 g, 14% yield) as a white solid. LCMS (ES, m/z): 262.00, 263.00 [M+H]+.. STEP 4: 4-chloro-2-(2-oxo-4-piperidyl)-5-(tetrahydropyran-3-ylmethylamino)pyridazin-3-one A solution of 4,5-dichloro-2-(2-oxo-4-piperidyl)pyridazin-3-one (1.50 g, 5.72 mmol), tetrahydropyran-3-ylmethanamine hydrochloride (1.29 g, 8.58 mmol) and TEA (2.32 g, 22.9 mmol) in ethanol (20 mL) was heated to 80 °C for 16 h. The mixture was then cooled to rt, concentrated and partitioned between water (50 mL) and ethyl acetate (3 x 50 mL). The combined organic extracts were washed with brine (1 x 50 mL), dried over sodium sulfate, concentrated onto silica gel and purified by column chromatography to afford 4-chloro-2-(2- oxo-4-piperidyl)-5-(tetrahydropyran-3-ylmethylamino)pyridazin-3-one (800 mg, 37% yield) as a white solid. LCMS (ES, m/z): 341.10, 343.10 [M+H]+.. STEP 5: 4-chloro-2-((S)-1-(3,5-difluorophenyl)-2-oxopiperidin-4-yl)-5-((((S)-tetrahydro-2H-pyran- 3-yl)methyl)amino)pyridazin-3(2H)-one (494A); and 4-chloro-2-((S)-1-(3,5-difluorophenyl)-2-oxopiperidin-4-yl)-5-((((R)-tetrahydro-2H-pyran-3- yl)methyl)amino)pyridazin-3(2H)-one (549B); and
4-chloro-2-((R)-1-(3,5-difluorophenyl)-2-oxopiperidin-4-yl)-5-((((S)-tetrahydro-2H-pyran-3- yl)methyl)amino)pyridazin-3(2H)-one (494C); and 4-chloro-2-((R)-1-(3,5-difluorophenyl)-2-oxopiperidin-4-yl)-5-((((R)-tetrahydro-2H-pyran-3- yl)methyl)amino)pyridazin-3(2H)-on (494D) A mixture of 4-chloro-2-(2-oxo-4-piperidyl)-5-(tetrahydropyran-3-ylmethylamino)pyridazin- 3-one (200 mg, 586 μmol), 1-bromo-3,5-difluoro-benzene (135 mg, 704 μmol), (trans)-N1,N2- dimethylcyclohexane-1,2-diamine (33 mg, 293 μmol), copper iodide (55 mg, 293 μmol) and potassium carbonate (162 mg, 1.17 mmol) in DMF (5 mL) was heated for 1 h at 90 °C. The mixture was then cooled to rt, concentrated, diluted with water and extracted with ethyl acetate (3 x 30 mL). The combined organic extracts were washed with brine (1 x 20 mL), dried over sodium sulfate, concentrated onto silica gel and purified by column chromatography to yield the racemate which was further separated by Chiral-prep-HPLC to provide three products. The first collected fractions afforded a mixture of 494A and 494B. The second collected fractions afforded 4-chloro-2-((R)-1-(3,5-difluorophenyl)-2- oxopiperidin-4-yl)-5-((((S)-tetrahydro-2H-pyran-3-yl)methyl)amino)pyridazin-3(2H)-one (compound 494C, 2 mg, 3% yield) as a white solid. 1H NMR (400 MHz, Methanol-d4) δ 8.06 (s, 1H), 7.08-6.98 (m, 2H), 6.98-6.79 (m, 1H), 5.51- 5.35 (m, 1H), 3.91-3.71 (m, 3H), 3.65-3.48 (m, 2H), 3.44-3.35 (m, 2H), 3.01-2.83 (m, 2H), 2.48- 2.25 (m, 2H), 1.98-1.86 (m, 2H), 1.79-1.67 (m, 1H), 1.67-1.55 (m, 1H), 1.45-1.23 (m, 2H). LCMS (ES, m/z): 453.10, 455.10 [M+H]+. The third collected fractions afforded 4-chloro-2-((R)-1-(3,5-difluorophenyl)-2-oxopiperidin- 4-yl)-5-((((R)-tetrahydro-2H-pyran-3-yl)methyl)amino)pyridazin-3(2H)-one (compound 494D, 1.7 mg, 3% yield) as a white solid. 1H NMR (400 MHz, Methanol-d4) δ 8.05 (s, 1H), 7.07-7.00 (m, 2H), 7.00-6.81 (m, 1H), 5.58- 5.31 (m, 1H), 3.94-3.70 (m, 3H), 3.70-3.56 (m, 1H), 3.56-3.44 (m, 1H), 3.43-3.37 (m, 1H), 3.32- 3.27 (m, 1H), 3.08-2.85 (m, 2H), 2.50-2.26 (m, 2H), 2.03-1.89 (m, 2H), 1.78-1.53 (m, 2H), 1.45- 1.27 (m, 2H). LCMS (ES, m/z): 453.10, 455.10 [M+H]+. The mixture of 494A and 494B was further separated by pre-chiral HPLC. The first collected fractions afforded 4-chloro-2-((S)-1-(3,5-difluorophenyl)-2-oxopiperidin- 4-yl)-5-((((S)-tetrahydro-2H-pyran-3-yl)methyl)amino)pyridazin-3(2H)-one (compound 494A, 2 mg, 3% yield) as a yellow solid.
1H NMR (400 MHz, Methanol-d4) δ 8.05 (s, 1H), 7.09-7.00 (m, 2H), 7.01-6.85 (m, 1H), 5.61- 5.25 (m, 1H), 3.93-3.70 (m, 3H), 3.70-3.58 (m, 1H), 3.58-3.43 (m, 1H), 3.43-3.35 (m, 1H), 3.02- 2.83 (m, 2H), 2.45-2.26 (m, 2H), 2.00-1.86 (m, 2H), 1.75-1.56 (m, 2H), 1.45-1.26 (m, 3H). LCMS (ES, m/z): 453.05, 455.05 [M+H]+. The second collected fractions afforded 4-chloro-2-((S)-1-(3,5-difluorophenyl)-2- oxopiperidin-4-yl)-5-((((R)-tetrahydro-2H-pyran-3-yl)methyl)amino)pyridazin-3(2H)-one (compound 494B, 1.5 mg, 2.40% yield) as a white solid 1H NMR (400 MHz, Methanol-d4) δ 8.06 (s, 1H), 7.16-6.99 (m, 2H), 7.01-6.85 (m, 1H), 5.58- 5.31 (m, 1H), 3.92-3.69 (m, 3H), 3.66-3.47 (m, 2H), 3.43-3.37 (m, 1H), 3.02-2.82 (m, 2H), 2.45- 2.26 (m, 2H), 2.05-1.88 (m, 2H), 1.78-1.57 (m, 2H), 1.45-1.25 (m, 3H). LCMS (ES, m/z): 453.10, 455.10 [M+H]+. EXAMPLE 495 Synthesis of 4-chloro-2-((R)-2-oxo-1-((S)-1-phenylethyl)piperidin-4-yl)-5-((((S)-tetrahydro-2H-pyran-3- yl)methyl)amino)pyridazin-3(2H)-one (495A)
4-chloro-2-((S)-2-oxo-1-((S)-1-phenylethyl)piperidin-4-yl)-5-((((S)-tetrahydro-2H-pyran-3- yl)methyl)amino)pyridazin-3(2H)-one(495B)
4-chloro-2-((R)-2-oxo-1-((S)-1-phenylethyl)piperidin-4-yl)-5-((((R)-tetrahydro-2H-pyran-3- yl)methyl)amino)pyridazin-3(2H)-one(495C)
4-chloro-2-((S)-2-oxo-1-((S)-1-phenylethyl)piperidin-4-yl)-5-((((R)-tetrahydro-2H-pyran-3- yl)methyl)amino)pyridazin-3(2H)-one(495D)
STEP 1: ethyl (S)-3-((1-phenylethyl)amino)propanoate A solution of (S)-1-phenylethan-1-amine (40.0 g, 330 mmol) and ethyl acrylate (35.0 g, 349 mmol) in ethanol (300 mL) was heated for 16 h at 80 °C, cooled to rt and concentrated to afford ethyl (S)-3-((1-phenylethyl)amino)propanoate (70 g, crude) as a colorless liquid. LCMS (ES, m/z): 222.15 [M+H]+ STEP 2: ethyl (S)-3-((3-ethoxy-3-oxopropyl)(1-phenylethyl)amino)-3-oxopropanoate A mixture of ethyl (S)-3-((1-phenylethyl)amino)propanoate (20.0 g, 90.4 mmol) and ethyl 3- chloro-3-oxopropanoate (17.7 g, 117 mmol) in chloroform (300 mL) was heated for 1 h at 80 °C, cooled to rt and concentrated to afford ethyl (S)-3-((3-ethoxy-3-oxopropyl)(1- phenylethyl)amino)-3-oxopropanoate (20 g, crude) as a light-yellow oil which was used without further purification. LCMS (ES, m/z): 336.15 [M+H]+ STEP 3: ethyl 2,4-dioxo-1-((S)-1-phenylethyl)piperidine-3-carboxylate A mixture of ethyl (S)-3-((3-ethoxy-3-oxopropyl)(1-phenylethyl)amino)-3-oxopropanoate (20 g, crude) and sodium ethoxide (7.49 g, 65.6 mmol) in ethanol (200 mL) was heated for 2 h at 80 °C, cooled to rt and concentrated. The crude product was titrated in ether and then filtered to afford ethyl 2,4-dioxo-1-((S)-1-phenylethyl)piperidine-3-carboxylate (12.0 g, 44% yield, 3 steps) as a light yellow solid. LCMS (ES, m/z): 290.10 [M+H]+ STEP 4: (S)-1-(1-phenylethyl)piperidine-2,4-dione A mixture of ethyl 2,4-dioxo-1-((S)-1-phenylethyl)piperidine-3-carboxylate (12.0 g, 41.5 mmol) and hydrochloric acid (1.3 M, 750 mL) was heated at 100 °C for 2 h, cooled and slowly poured into water/ice (300 mL) and extracted with ethyl acetate (2 x 250 mL). The combined organic extracts were washed with brine (300 mL), dried over anhydrous sodium sulfate, concentrated and purified by column chromatography to afford (S)-1-(1-phenylethyl)piperidine- 2,4-dione (8.0 g, 80% yield) as a light yellow solid. LCMS (ES, m/z): 218.00 [M+H]+
STEP 5: tert-butyl 2-(2-oxo-1-((S)-1-phenylethyl)piperidin-4-yl)hydrazine-1-carboxylate To a solution of (S)-1-(1-phenylethyl)piperidine-2,4-dione (8.50 g, 39.1 mmol) in methanol (100 mL) was added NH2NHBoc (15.5 g, 117 mmol) at 25 °C. The temperature was maintained for 30 min. Sodium cyanoborohydride (4.92 g, 78.2 mmol) was added and the mixture stirred for 16 h at rt. The mixture was then concentrated, diluted with water (200 mL) and extracted with ethyl acetate (2 x 200 mL). The combined organic extracts were washed with brine (1 x 250 mL), dried over sodium sulfate, concentrated onto silica gel and purified by column chromatography to afford tert-butyl 2-(2-oxo-1-((S)-1-phenylethyl)piperidin-4-yl)hydrazine-1- carboxylate (6.60 g, 35% yield) as a yellow solid. LCMS (ES, m/z): 334.20 [M+H]+ STEP 6: 4,5-dichloro-2-(2-oxo-1-((S)-1-phenylethyl)piperidin-4-yl)pyridazin-3(2H)-one A mixture of tert-butyl 2-(2-oxo-1-((S)-1-phenylethyl)piperidin-4-yl)hydrazine-1-carboxylate (6.00 g, 18.0 mmol), (Z)-2,3-dichloro-4-oxobut-2-enoic acid (4.28 g, 23.4 mmol) and conc. HCl (7.5 mL) in ethanol (80 mL) was heated for 16 h at 80 °C. The mixture was then cooled to rt, concentrated onto silica gel and purified by column chromatography to afford 4,5-dichloro-2- (2-oxo-1-((S)-1-phenylethyl)piperidin-4-yl)pyridazin-3(2H)-one (5.00 g, 61% yield) as a yellow solid. LCMS (ES, m/z): 366.00, 368.00 [M+H]+ STEP 7: 4-chloro-2-((R)-2-oxo-1-((S)-1-phenylethyl)piperidin-4-yl)-5-((((S)-tetrahydro-2H-pyran- 3-yl)methyl)amino)pyridazin-3(2H)-one (495A); and 4-chloro-2-((S)-2-oxo-1-((S)-1-phenylethyl)piperidin-4-yl)-5-((((S)-tetrahydro-2H-pyran-3- yl)methyl)amino)pyridazin-3(2H)-one(495B) ; and 4-chloro-2-((R)-2-oxo-1-((S)-1-phenylethyl)piperidin-4-yl)-5-((((R)-tetrahydro-2H-pyran-3- yl)methyl)amino)pyridazin-3(2H)-one(495C) ; and 4-chloro-2-((S)-2-oxo-1-((S)-1-phenylethyl)piperidin-4-yl)-5-((((R)-tetrahydro-2H-pyran-3- yl)methyl)amino)pyridazin-3(2H)-one(495D) A mixture of 4,5-dichloro-2-(2-oxo-1-((S)-1-phenylethyl)piperidin-4-yl)pyridazin-3(2H)-one (500 mg, 1.37 mmol), (tetrahydro-2H-pyran-3-yl)methanamine hydrochloride (472 mg, 4.10 mmol) and TEA (690 mg, 6.83 mmol) in ethanol (5 mL) was heated for 16 h at 80 °C. The
mixture was cooled to rt, concentrated and purified by prep-HPLC to afford the racemate which was further separated by Chiral-prep-HPLC to afford mixtures of 495A / 495B and 495C / 495D The mixture of 495A / 495B was separated by chiral-prep-HPLC. The first collected fractions afforded 4-chloro-2-((R)-2-oxo-1-((S)-1-phenylethyl)piperidin-4- yl)-5-((((S)-tetrahydro-2H-pyran-3-yl)methyl)amino)pyridazin-3(2H)-one (compound 495A, 42.9 mg, 7% yield) as a white solid. 1H NMR (400 MHz, DMSO-d6) δ 7.98 (s, 1H), 7.40-7.33 (m, 2H), 7.32-7.23 (m, 3H), 6.76 (t, J = 6.4 Hz, 1H), 5.94-5.86 (m, 1H), 5.11-5.03 (m, 1H), 3.79-3.66 (m, 2H), 3.33-3.28 (m, 1H), 3.27- 3.18 (m, 2H), 3.17-3.08 (m, 1H), 3.04-2.95(m, 1H), 2.80-2.66 (m, 2H), 2.60-2.52 (m, 1H), 2.03- 1.87 (m, 2H), 1.83-1.73 (m, 2H), 1.65-1.55 (m, 1H), 1.49-1.37 (m, 4H), 1.30-1.15 (m, 1H). LCMS (ES, m/z): 445.15, 447.15 [M+H]+ The second collected fractions afforded 4-chloro-2-((S)-2-oxo-1-((S)-1-phenylethyl)piperidin- 4-yl)-5-((((S)-tetrahydro-2H-pyran-3-yl)methyl)amino)pyridazin-3(2H)-one (compound 495B, 37.9 mg, 6% yield) as a white solid. 1H NMR (400 MHz, DMSO-d6) δ 7.98 (s, 1H), 7.42-7.24 (m, 5H), 6.76 (t, J = 6.4 Hz, 1H), 5.95- 5.85 (m, 1H), 5.11-5.03 (m, 1H), 3.80-3.65 (m, 2H), 3.33-3.28 (m, 1H), 3.28-3.09 (m, 3H), 3.04- 2.95 (m, 1H), 2.79-2.66 (m, 2H), 2.60-2.53 (m, 1H), 2.04-1.86 (m, 2H), 1.84-1.72 (m, 2H), 1.64- 1.55 (m, 1H), 1.48-1.36 (m, 4H), 1.30-1.18 (m, 1H). LCMS (ES, m/z): 445.15, 447.15 [M+H]+ The 495C / 495D mixture was separated by prep-chiral HPLC. The first collected fractions afforded 4-chloro-2-((R)-2-oxo-1-((S)-1-phenylethyl)piperidin-4- yl)-5-((((R)-tetrahydro-2H-pyran-3-yl)methyl)amino)pyridazin-3(2H)-one (compound 495C, 62.8 mg, 10% yield) as a white solid. 1H NMR (400 MHz, DMSO-d6) δ 7.91 (s, 1H), 7.40-7.21 (m, 5H), 6.77 (t, J = 6.5 Hz, 1H), 6.01- 5.89 (m, 1H), 5.18-5.05 (m, 1H), 3.80-3.64 (m, 2H), 3.34-3.28 (m, 1H), 3.28-3.06 (m, 4H), 2.77- 2.67 (m, 1H), 2.64-2.53 (m, 2H), 2.03-1.68 (m, 4H), 1.65-1.57 (m, 1H), 1.53-1.40 (m, 4H), 1.31- 1.19 (m, 1H). LCMS (ES, m/z): 445.15, 447.15 [M+H]+ The second collected fractions afforded 4-chloro-2-((S)-2-oxo-1-((S)-1-phenylethyl)piperidin- 4-yl)-5-((((R)-tetrahydro-2H-pyran-3-yl)methyl)amino)pyridazin-3(2H)-one (compound 495D, 64.0 mg, 10% yield) as a white solid.
1H NMR (400 MHz, DMSO-d6) δ 7.90 (s, 1H), 7.41-7.21 (m, 5H), 6.78 (t, J = 6.4 Hz, 1H), 5.98- 5.89 (m, 1H), 5.18-5.08 (m, 1H), 3.82-3.69 (m, 2H), 3.34-3.23 (m, 2H), 3.19-3.07 (m, 3H), 2.76- 2.55 (m, 2H), 2.55-2.51 (m, 1H), 2.03-1.84 (m, 2H), 1.82-1.70 (m, 2H), 1.66-1.56 (m, 1H), 1.51- 1.38 (m, 4H), 1.31-1.17 (m, 1H). LCMS (ES, m/z): 445.15, 447.15 [M+H]+ EXAMPLE 496 Synthesis of (R)-4-chloro-5-(((tetrahydro-2H-pyran-3-yl)methyl)amino)-2-(1-(o-tolyl)piperidin-4- yl)pyridazin-3(2H)-one (496A)
(S)-4-chloro-5-(((tetrahydro-2H-pyran-3-yl)methyl)amino)-2-(1-(o-tolyl)piperidin-4- yl)pyridazin-3(2H)-one (496B)
4-chloro-2-[1-(o-tolyl)-4-piperidyl]-5-[[(3R)-tetrahydropyran-3-yl] methylamino] pyridazin-3- one; and
4-chloro-2-[1-(o-tolyl)-4-piperidyl]-5-[[(3S)-tetrahydropyran-3-yl] methylamino] pyridazin-3- one To a stirred mixture of 4-chloro-2-(4-piperidyl)-5-(tetrahydropyran-3-ylmethylamino) pyridazin-3-one (200 mg, 615 μmol) and 1-bromo-2-methyl-benzene (110 mg, 643 μmol) in THF (3 mL) was added 3rd gen. t-BuXphos Pd (50.0 mg, 62.9 μmol) and tBuONa (100 mg, 1.04 mol). The reaction was degassed and then heated to 70 °C for 16 h. The mixture was then cooled to rt, diluted with water (20 mL) and extracted with ethyl acetate (3 x 20 mL). The combined organic extracts were washed with brine (1 x 20 mL), dried over sodium sulfate, concentrated onto silica gel, and purified by column chromatography to afford the racemate. The racemate was then further purified by Chiral-prep-HPLC. The first collected fractions afforded 4-chloro-2-[1-(o-tolyl)-4-piperidyl]-5-[[(3R)- tetrahydropyran-3-yl]methylamino]pyridazin-3-one (compound 496A, 5.5 mg, 17% yield) as white solid. 1H NMR (400 MHz, DMSO-d6) δ 8.01 (s, 1H), 7.20-7.11 (m, 2H), 7.10-7.04 (m, 1H), 6.98-6.94 (m, 1H), 6.74 (t, J = 6.4 Hz, 1H), 4.91-4.83 (m, 1H), 3.80-3.66 (m, 2H), 3.28-3.18 (m, 3H), 3.18- 3.12 (m, 2H), 2.79 (t, J = 11.7 Hz, 2H), 2.26 (s, 3H), 2.12-1.99 (m, 2H), 2.02-1.81 (m, 4H), 1.65- 1.55 (m, 1H), 1.49-1.41 (m, 1H), 1.34-1.18 (m, 2H). LCMS (ES, m/z): 417.05, 419.05 [M+H]+ The second collected fractions afforded 4-chloro-2-[1-(o-tolyl)-4-piperidyl]-5-[[(3S)- tetrahydropyran-3-yl]methylamino]pyridazin-3-one (compound 496B, 5.6 mg, 17% yield) as a white solid. 1H NMR (400 MHz, DMSO-d6) δ 8.01 (s, 1H), 7.20-7.11 (m, 2H), 7.10-7.04 (m, 1H), 6.98-6.94 (m, 1H), 6.74 (t, J = 6.4 Hz, 1H), 4.91-4.83 (m, 1H), 3.80-3.66 (m, 2H), 3.28-3.15 (m, 3H), 3.18- 3.12 (m, 2H), 2.79 (t, J = 11.7 Hz, 2H), 2.26 (s, 3H), 2.12-1.99 (m, 2H), 2.02-1.81 (m, 4H), 1.65- 1.55 (m, 1H), 1.49-1.41 (m, 1H), 1.34-1.18 (m, 2H). LCMS (ES, m/z): 417.05, 419.05 [M+H]+
EXAMPLE 497 Synthesis of 4-chloro-2-[1-(2-fluorophenyl)-4-piperidyl]-5-(1H-pyrazol-5- ylmethylamino)pyridazin-3-one (497)
STEP 1: 8-(2-fluorophenyl)-1,4-dioxa-8-azaspiro[4.5]decane To a solution of 1,4-dioxa-8-azaspiro[4.5]decane (10.0 g, 69.8 mmol) and 1-bromo-2-fluoro- benzene (14.7 g, 83.8 mmol) in toluene (130 mL) were added BINAP (4.35 g, 6.98 mmol), t- BuONa (13.4 g, 139 mmol) and Pd2dba3 (3.20 g, 3.49 mmol). The solution was degassed and then heated to 95 °C for 16 h, cooled to rt and diluted with ethyl acetate (300 mL). The organic layer was isolated and washed with saturated aqueous ammonium chloride solution (300 mL) and brine (300 mL) respectively, dried over sodium sulfate, concentrated onto silica gel and purified by column chromatography to give 8-(2-fluorophenyl)-1,4-dioxa-8-azaspiro[4.5]decane (14.0 g, 85% yield) as a brown solid. LCMS (ES, m/z): 238.10 [M+H]+. STEP 2: 1-(2-fluorophenyl)piperidin-4-one To a solution of 8-(2-fluorophenyl)-1,4-dioxa-8-azaspiro[4.5]decane (13.0 g, 54.8 mmol) in tetrahydrofuran (100 mL) was added hydrochloric acid (2 M, 65 mL). The mixture was heated to refux for 5 h, cooled to rt and basified to pH 9 with aqueous sodium hydroxide solution (2N)
and extracted with ethyl acetate (2 x 200 mL). The combined organic extracts were dried over sodium sulfate and concentrated to afford 1-(2-fluorophenyl)piperidin-4-one (12.5 g, 45.3 mmol, 83% yield, 70% purity) as a brown oil. LCMS (ES, m/z): 194.10 [M+H]+. STEP 3: tert-butyl N-[[1-(2-fluorophenyl)-4-piperidyl]amino]carbamate To a solution of 1-(2-fluorophenyl)piperidin-4-one (12.5 g, 45.3 mmol, 70%) in methanol (200 mL) were added tert-butyl N-aminocarbamate (7.18 g, 54.3 mmol) and acetic acid (22.9 g, 382 mmol). The mixture was stirred at rt for 1 hour and then sodium cyanoborohydride (5.69 g, 90.5 mmol) was added in portions. The reaction was spun at rt for 15 h, quenched with saturated aqueous ammonium chloride solution (200 mL) and extracted with ethyl acetate (3 x 200 mL). The combined organic extracts were dried over sodium sulfate, concentrated onto silica gel and purified by column chromatography to give tert-butyl N-[[1-(2-fluorophenyl)-4- piperidyl]amino]carbamate (12.0 g, 86% yield) as a white solid. LCMS (ES, m/z): 310.15 [M+H]+. STEP 4: 1-(2-fluorophenyl)-4-hydrazinylpiperidine hydrochloride To a solution of tert-butyl N-[[1-(2-fluorophenyl)-4-piperidyl]amino]carbamate (12.0 g, 38.7 mmol) in ethyl acetate (200 mL) was added HCl (4M in ethyl acetate) (200 mL). The mixture was stirred at rt for 2 hours and concentrated to afford 1-(2-fluorophenyl)-4-hydrazinylpiperidine hydrochloride (14.0 g, crude) as a white solid. LCMS (ES, m/z): 210.10 [M-HCl+H]+. STEP 5: 4,5-dichloro-2-[1-(2-fluorophenyl)-4-piperidyl]pyridazin-3-one To a solution of [1-(2-fluorophenyl)-4-piperidyl]hydrazine hydrochloride (14.0 g, crude) in ethanol (140 mL) was added (Z)-2,3-dichloro-4-oxo-but-2-enoic acid (11.5 g, 68.3 mmol). The mixture was heated to 90 °C for 2 h, cooled to rt and partitioned between ethyl acetate (300 mL) and water (3 x 100 mL). The organic layer was isolated, washed with brine (200 mL), dried over sodium sulfate, concentrated onto silica gel and purified by column chromatography to give 4,5-dichloro-2-[1-(2-fluorophenyl)-4-piperidyl]pyridazin-3-one (12 g, 90% yield, two steps) as a yellow solid. LCMS (ES, m/z): 341.95, 343.95 [M+H]+.
STEP 6: 4-Chloro-2-[1-(2-fluorophenyl)-4-piperidyl]-5-(1H-pyrazol-5-ylmethylamino)pyridazin-3- one To a solution of 4,5-dichloro-2-[1-(2-fluorophenyl)-4-piperidyl]pyridazin-3-one (200 mg, 584 μmol) in ethanol (5 mL) were added 1H-pyrazol-5-ylmethanamine (114 mg, 1.2 mmol) and triethylamine (295 mg, 2.9 mmol). The reaction was heated to 90 °C for 15 h, cooled to rt, concentrated and purified by prep-HPLC to give 4-chloro-2-[1-(2-fluorophenyl)-4-piperidyl]-5- (1H-pyrazol-5-ylmethylamino)pyridazin-3-one (70.7 mg, 30% yield) as a yellow solid. 1H NMR (400 MHz, Methanol-d4) δ 7.93 (s, 1H), 7.64 (s, 1H), 7.18-6.91 (m, 4H), 6.30 (d, J = 2.4 Hz, 1H), 5.05-4.91 (m, 1H), 4.64 (s, 2H), 3.55 (d, J = 12.0 Hz, 2H), 2.99-2.78 (m, 2H), 2.30-2.12 (m, 2H), 1.91 (d, J = 8.0 Hz, 2H). LCMS (ES, m/z): 403.10, 405.10 [M+H]+. EXAMPLE 498 Synthesis of 4-chloro-2-(1-(2-fluorophenyl)piperidin-4-yl)-5-((oxazol-5- ylmethyl)amino)pyridazin-3(2H)-one (498)
4-chloro-2-(1-(2-fluorophenyl)piperidin-4-yl)-5-((oxazol-5-ylmethyl)amino)pyridazin-3(2H)- one was prepared according to similar procedures as described above. 1H NMR (400 MHz, Methanol-d4) δ 8.20 (s, 1H), 8.08 (s, 1H), 7.19-6.92 (m, 5H), 5.00-4.91 (m, 1H), 4.74 (s, 2H), 3.56 (d, J = 12.0 Hz, 2H), 2.98-2.81 (m, 2H), 2.33-2.13 (m, 2H), 2.01-1.86 (m, 2H) LCMS (ES, m/z): 404.10, 406.10[M+H]+
EXAMPLE 499 Synthesis of (R)-4-chloro-5-((oxetan-2-ylmethyl)amino)-2-(1-(o-tolyl)piperidin-4-yl)pyridazin- 3(2H)-one (499)
(R)-4-chloro-5-((oxetan-2-ylmethyl)amino)-2-(1-(o-tolyl)piperidin-4-yl)pyridazin-3(2H)-one was prepared according to similar procedures as described above. 1H NMR (300 MHz, Methanol-d4) δ 8.08 (s, 1H), 7.21-7.01 (m, 3H), 6.99-6.89 (m, 1H), 5.06- 4.92 (m, 2H), 4.74-4.58 (m, 1H), 4.54-4.44 (m, 1H), 3.72-3.59 (m, 2H), 3.25-3.13 (m, 2H), 2.90- 2.77 (m, 2H), 2.76-2.65 (m, 1H), 2.64-2.51 (m, 1H), 2.31 (s, 3H), 2.26-2.10 (m, 2H), 1.95-1.82 (m, 2H) LCMS (ES, m/z): 389.10, 391.10 [M+H]+ EXAMPLE 500 Synthesis of (S)-4-(4-(5-chloro-6-oxo-4-((tetrahydro-2H-pyran-3-yl)methylamino)pyridazin- 1(6H)-yl)piperidin-1-yl)benzonitrile (500)
To a solution of 4-chloro-2-(4-piperidyl)-5-[[(3S)-tetrahydropyran-3-yl]methylamino] pyridazin-3-one (200 mg, 612 μmol) and 4-fluorobenzonitrile (222 mg, 1.84 mmol) in DMSO (3 mL) was added cesium carbonate (598 mg, 1.84 mmol) and TEA (371 mg, 3.67 mmol). The mixture was heated for 1.5 h at 110 °C, cooled to rt, diluted with saturated aqueous ammonium chloride solution (50 mL) and extracted with ethyl acetate (3 x 50 mL). The combined organic extracts were dried over anhydrous sodium sulfate, concentrated and purified by prep-HPLC to
afford (S)-4-(4-(5-chloro-6-oxo-4-((tetrahydro-2H-pyran-3-yl)methylamino)pyridazin-1(6H)- yl)piperidin-1-yl)benzonitrile (35.8 mg, 14% yield) as a white solid. 1H NMR (300 MHz, DMSO-d6) δ 7.93 (s, 1H), 7.64-7.53 (m, 2H), 7.06-7.03 (m, 2H), 6.76-6.71 (m, 1H), 5.14-4.99 (m, 1H), 4.15-4.01 (m, 2H), 3.74-3.66 (m, 2H), 3.32-3.03 (m, 6H), 1.87-1.79 (m, 6H), 1.58 (m, 1H), 1.49-1.34 (m, 1H), 1.29-1.16 (m, 1H). LCMS (ES, m/z): 428.15, 430.15 [M+H]+. EXAMPLE 501 Synthesis of (R)-4-(4-(5-chloro-6-oxo-4-(((tetrahydro-2H-pyran-3-yl)methyl)amino)pyridazin- 1(6H)-yl)piperidin-1-yl)benzonitrile (501)
(R)-4-(4-(5-chloro-6-oxo-4-(((tetrahydro-2H-pyran-3-yl)methyl)amino)pyridazin-1(6H)- yl)piperidin-1-yl)benzonitrile was prepared according to similar procedures as described above. 1H NMR (300 MHz, DMSO-d6) δ 7.93 (s, 1H), 7.64-7.53 (m, 2H), 7.06-7.03 (m, 2H), 6.76-6.71 (m, 1H), 5.14-4.99 (m, 1H), 4.15-4.01 (m, 2H), 3.74-3.66 (m, 2H), 3.32-3.03 (m, 6H), 1.87-1.79 (m, 6H), 1.58 (m, 1H), 1.49-1.34 (m, 1H), 1.29-1.16 (m, 1H). LCMS (ES, m/z): 428.15, 430.15 [M+H]+ EXAMPLE 502 Synthesis of 4-chloro-2-(1-(1-(4-fluorophenyl)ethyl)piperidin-4-yl)-5-(((tetrahydro-2H-pyran-3- yl)methyl)amino)pyridazin-3(2H)-one (502)
A mixture of 1-(4-fluorophenyl)ethanone (300 mg, 2.17 mmol), 4-chloro-2-(4-piperidyl)-5- (tetrahydropyran-3-ylmethylamino)pyridazin-3-one (200 mg, 612 μmol), TEA (200 mg, 1.98 mmol) and titanium tetraisopropanolate (300 mg, 1.06 mmol) in THF (10 mL) was heated to 50 °C for 12 h under nitrogen atmosphere. The mixture was diluted with ethanol (3 mL) and sodium cyanoborohydride (80 mg, 1.3 mmol) added in portions. The mixture was further heated to 50 °C for 12 h, then cooled to rt, quenched with water and the aqueous layer extracted with ethyl acetate (3 x 20 mL). The combined organic extracts were dried over sodium sulfate, concentrated and purified by prep-HPLC to afford 4-chloro-2-[1-[1-(4- fluorophenyl)ethyl]-4-piperidyl]-5-(tetrahydropyran-3-ylmethylamino)pyridazin-3-one (31.1 mg, 11% yield) as a white solid. 1H NMR (300 MHz, Methanol-d4) δ 7.92 (s, 1H), 7.45-7.21 (m, 2H), 7.16-6.94 (m, 2H), 4.80- 4.60 (m, 1H), 3.94-3.68 (m, 2H), 3.64-3.40 (m, 2H), 3.39-3.31 (m, 1H), 3.28-3.13 (m, 2H), 2.99- 2.84 (m, 1H), 2.23-1.96 (m, 4H), 1.96-1.73 (m, 4H), 1.76-1.47 (m, 3H), 1.46-1.18 (m, 4H). LCMS (ES, m/z): 449.15, 451.15 [M+H]+. EXAMPLE 503 4-chloro-2-(1-((S)-1-(4-fluorophenyl)ethyl)piperidin-4-yl)-5-((((S)-tetrahydro-2H-pyran-3- yl)methyl)amino)pyridazin-3(2H)-one (503A); and 4-chloro-2-(1-((R)-1-(4-fluorophenyl)ethyl)piperidin-4-yl)-5-((((S)-tetrahydro-2H-pyran-3- yl)methyl)amino)pyridazin-3(2H)-one (503B); and 4-chloro-2-(1-((S)-1-(4-fluorophenyl)ethyl)piperidin-4-yl)-5-((((R)-tetrahydro-2H-pyran-3- yl)methyl)amino)pyridazin-3(2H)-one (503C); and 4-chloro-2-(1-((R)-1-(4-fluorophenyl)ethyl)piperidin-4-yl)-5-((((R)-tetrahydro-2H-pyran-3- yl)methyl)amino)pyridazin-3(2H)-one (503D) were prepared according to similar procedures as described in example 502 and elsewhere herein.
TABLE 8
EXAMPLE 504 Synthesis of 4-chloro-2-(1-(1-(4-fluorophenyl)-3,3-dimethyl-2-oxobutyl)piperidin-4-yl)-5- (((tetrahydro-2H-pyran-3-yl)methyl)amino)pyridazin-3(2H)-one (504)
STEP 1: 1-(4-fluorophenyl)-3,3-dimethylbutan-2-one A solution of 2-(4-fluorophenyl)acetyl chloride (5.00 g, 28.9 mmol) and cuprous chloride (2.87 g, 28.9 mmol) in THF (50 mL) was cooled to-78 °C. Tert-butyl(chloro)magnesium (30 mL, 1M in THF) was added dropwise and the temperature maintained for 2 h and then warmed to rt. The mixture was then partitioned between water (200 mL) and ethyl acetate (3 x 200 mL). The combined organic extracts were washed with brine (400 mL), dried over sodium sulfate, concentrated onto silica gel and purified by column chromatography to afford 1-(4- fluorophenyl)-3,3-dimethyl-butan-2-one (3.70 g, 59% yield) as a colorless oil. GCMS (EI, m/e): 194.10 [M]. STEP 2: 1-bromo-1-(4-fluorophenyl)-3,3-dimethylbutan-2-one A mixture of 1-(4-fluorophenyl)-3,3-dimethyl-butan-2-one (1.00 g, 5.15 mmol), NBS (1.10 g, 6.18 mmol) and AIBN (422 mg, 2.57 mmol) in CCl4 (20 mL) was heated for 16 hr at 80 °C, cooled to rt and partitioned between water (50 mL) and DCM (3 x 50 mL). The combined organic extracts were washed with brine (200 mL), dried over sodium sulfate, concentrated onto silica gel and purified by column chromatography to yield 1-bromo-1-(4-fluorophenyl)-3,3-dimethyl- butan-2-one (900 mg, 58% yield) as a white solid.
GCMS (EI, m/e): 272.10, 274.10. STEP 3: 4-chloro-2-(1-(1-(4-fluorophenyl)-3,3-dimethyl-2-oxobutyl)piperidin-4-yl)-5- (((tetrahydro-2H-pyran-3-yl)methyl)amino)pyridazin-3(2H)-one A mixture 1-bromo-1-(4-fluorophenyl)-3,3-dimethyl-butan-2-one (200 mg, 732 μmol), 4- chloro-2-(4-piperidyl)-5-(tetrahydropyran-3-ylmethylamino)pyridazin-3-one (358 mg, 1.10 mmol) and potassium carbonate (202 mg, 1.46 mmol) in acetonitrole (5 mL) was heated for 16 hr at 80 °C, cooled to rt and partitioned between water (50 mL) and ethyl acetate (3 x 50 mL). The combined organic extracts were washed with brine (50 mL), dried over sodium sulfate, concentrated and purified by prep-HPLC to afford 4-chloro-2-[1-[1-(4-fluorophenyl)-3,3- dimethyl-2-oxo-butyl]-4-piperidyl]-5-(tetrahydropyran-3-ylmethylamino)pyridazin-3-one (53.6 mg, 14% yield) as a white solid. 1H NMR (300 MHz, Methanol-d4) δ 7.95 (s, 1H), 7.52-7.42 (m, 2H), 7.18-7.03 (m, 2H), 4.87- 4.72 (m, 2H), 4.69 (s, 1H), 3.92-3.77 (m, 2H), 3.57-3.41 (m, 1H), 3.29-3.23 (m, 1H), 3.03-2.91 (m, 1H), 2.72-2.58 (m, 1H), 2.39-2.27 (m, 1H), 2.20-1.99 (m, 3H), 1.97-1.84 (m, 2H), 1.83-1.56 (m, 4H), 1.44-1.28 (m, 1H), 1.22 (s, 1H), 1.09 (s, 9H). LCMS (ES, m/z): 519.25, 521.25 [M+H]+. EXAMPLE 505 Synthesis of 4-chloro-2-(1-((S)-1-(2,6-difluorophenyl)ethyl)piperidin-4-yl)-5-(((S)-tetrahydro-2H-pyran-3- yl)methylamino)pyridazin-3(2H)-one (505A)
4-chloro-2-(1-((S)-1-(2,6-difluorophenyl)ethyl)piperidin-4-yl)-5-(((R)-tetrahydro-2H-pyran-3- yl)methylamino)pyridazin-3(2H)-one (505B)
4-chloro-2-(1-((R)-1-(2,6-difluorophenyl)ethyl)piperidin-4-yl)-5-(((S)-tetrahydro-2H-pyran-3- yl)methylamino)pyridazin-3(2H)-one (505C)
4-chloro-2-(1-((R)-1-(2,6-difluorophenyl)ethyl)piperidin-4-yl)-5-(((R)-tetrahydro-2H-pyran-3- yl)methylamino)pyridazin-3(2H)-one (505D)
STEP 1: 1-(2,6-difluorophenyl)ethanol Sodium borohydride (1.74 g, 46.1 mmol) was added to a solution of 1-(2,6-difluorophenyl) ethanone (6.00 g, 38.4 mmol) in THF (70 mL) and ethanol (70 mL) and stirred for 1 h at rt. The mixture was then slowly poured into water (300 mL) and extracted with ethyl acetate (3 x 200 mL). The combined organic extracts were washed with brine (500 mL), dried over anhydrous sodium sulfate and concentrated to afford 1-(2,6-difluorophenyl)ethanol (6.00 g, 98% yield) as a light yellow oil. LCMS (ES, m/z): 159.15 [M+H]+. STEP 2: 2-(1-bromoethyl)-1,3-difluoro-benzene To a solution of 1-(2,6-difluorophenyl)ethanol (3.0 g, 19 mmol) in DCM (120 mL) was added tribromophosphane (20.5 g, 75.9 mmol) at 0 °C and stirred for 1 h at 25 °C. The mixture was poured into water (200 mL) and extracted with ethyl acetate (3 x 200 mL). The combined organic extracts were washed with brine (500 mL), dried over anhydrous sodium sulfate and concentrated to afford 2-(1-bromoethyl)-1,3-difluoro-benzene (4.00 g, crude) as a yellow oil. LCMS (ES, m/z): 141.10 [M-Br]+. STEP 3: 4-chloro-2-(1-((S)-1-(2,6-difluorophenyl)ethyl)piperidin-4-yl)-5-(((S)-tetrahydro-2H- pyran-3-yl)methylamino)pyridazin-3(2H)-one (505A); and 4-chloro-2-(1-((S)-1-(2,6-difluorophenyl)ethyl)piperidin-4-yl)-5-(((R)-tetrahydro-2H-pyran-3- yl)methylamino)pyridazin-3(2H)-one (505B); and 4-chloro-2-(1-((R)-1-(2,6-difluorophenyl)ethyl)piperidin-4-yl)-5-(((S)-tetrahydro-2H-pyran-3- yl)methylamino)pyridazin-3(2H)-one (505C); and 4-chloro-2-(1-((R)-1-(2,6-difluorophenyl)ethyl)piperidin-4-yl)-5-(((R)-tetrahydro-2H-pyran-3- yl)methylamino)pyridazin-3(2H)-one (505D) To a solution of 4-chloro-2-(4-piperidyl)-5-(tetrahydropyran-3-ylmethylamino)pyridazin-3- one (500 mg, 1.13 mmol) in acetonitrile (8 mL) was added 2-(1-bromoethyl)-1,3-difluoro- benzene (1.25 g, 5.67 mmol) and tripotassium carbonate (783 mg, 5.67 mmol). The mixture was heated for 0.5 h at 80 °C, cooled to rt, diluted with water (30 mL) and extracted with ethyl acetate (3 x 30 mL). The combined organic extracts were washed with brine (100 mL), dried over anhydrous sodium sulfate, concentrated and purified by column chromatography, to
afford the racemic product (250mg). The racemate was separated by prep-CHIRAL-HPLC to give two mixtures. The first eluting isomer afforded a mixture of 505A / 505B (120 mg). The second eluting isomer afforded a mixture of 505C / 505D (90 mg). The 505A / 505B mixture was further separated by prep-CHIRAL-HPLC to afford two products: The first eluting isomer was 4-chloro-2-(1-((S)-1-(2,6-difluorophenyl)ethyl)piperidin-4-yl)-5- (((S)-tetrahydro-2H-pyran-3-yl)methylamino)pyridazin-3(2H)-one (compound 505A, 23.8 mg, 4% yield) as a white solid. 1H NMR (300 MHz, DMSO-d6) δ 7.94 (s, 1H), 7.45-7.35 (m, 1H), 7.08 (t, J = 8.8 Hz, 2H), 6.67 (t, J = 6.3 Hz, 1H), 4.63-4.45 (m, 1H), 4.15-4.05 (m, 1H), 3.79-3.64 (m, 2H), 3.32-2.94 (m, 6H), 2.09-1.55 (m, 9H), 1.52-1.35 (m, 4H), 1.29-1.16 (m, 1H). LCMS (ES, m/z): 467.05, 469.05 [M+H]+. The second eluting isomer was 4-chloro-2-(1-((S)-1-(2,6-difluorophenyl)ethyl)piperidin-4-yl)- 5-(((R)-tetrahydro-2H-pyran-3-yl)methylamino)pyridazin-3(2H)-one (compound 505B, 30 mg, 6% yield) as a white solid. 1H NMR (300 MHz, DMSO-d6) δ 7.94 (s, 1H), 7.45-7.35 (m, 1H), 7.08 (t, J = 8.8 Hz, 2H), 6.67 (t, J = 6.3 Hz, 1H), 4.63-4.45 (m, 1H), 4.15-4.05 (m, 1H), 3.79-3.64 (m, 2H), 3.32-2.94 (m, 6H), 2.09-1.55 (m, 9H), 1.52-1.35 (m, 4H), 1.29-1.16 (m, 1H). LCMS (ES, m/z): 467.05, 469.05 [M+H]+. The 505C / 505D mixture was further separated by prep-CHIRAL-HPLC to afford two products: The first eluting isomer was 4-chloro-2-(1-((R)-1-(2,6-difluorophenyl)ethyl)piperidin-4-yl)-5- (((S)-tetrahydro-2H-pyran-3-yl)methylamino)pyridazin-3(2H)-one (compound 505C, 27.2 mg, 5% yield) as a white solid. 1H NMR (400 MHz, DMSO-d6) δ 7.94 (s, 1H), 7.45-7.35 (m, 1H), 7.08 (t, J = 8.9 Hz, 2H), 6.67 (t, J = 6.4 Hz, 1H), 4.63-4.45 (m, 1H), 4.15-4.05 (m, 1H), 3.79-3.64 (m, 2H), 3.32-2.94 (m, 6H), 2.09-1.55 (m, 9H), 1.52-1.35 (m, 4H), 1.29-1.16 (m, 1H). LCMS (ES, m/z): 467.05, 469.05 [M+H]+. The second eluting isomer was 4-chloro-2-(1-((R)-1-(2,6-difluorophenyl)ethyl)piperidin-4-yl)- 5-(((R)-tetrahydro-2H-pyran-3-yl)methylamino)pyridazin-3(2H)-one (compound 505D, 27.6 mg, 4.9% yield) as a white solid.
1H NMR (400 MHz, DMSO-d6) δ 7.94 (s, 1H), 7.45-7.35 (m, 1H), 7.08 (t, J = 8.9 Hz, 2H), 6.67 (t, J = 6.4 Hz, 1H), 4.63-4.45 (m, 1H), 4.15-4.05 (m, 1H), 3.79-3.64 (m, 2H), 3.32-2.94 (m, 6H), 2.09-1.55 (m, 9H), 1.52-1.35 (m, 4H), 1.29-1.16 (m, 1H). LCMS (ES, m/z): 467.05, 469.05 [M+H]+. EXAMPLES 506-511 Compounds 506-511 were prepared according to similar procedures as described above.
EXAMPLE 512 Synthesis of (S)-4-chloro-2-(1-((4-(dimethylamino)-3-methylphenyl)sulfonyl)piperidin-4-yl)-5- (((tetrahydro-2H-pyran-3-yl)methyl)amino)pyridazin-3(2H)-one (512)
STEP 1: tert-butyl 4-(2-tert-butoxycarbonylhydrazino)piperidine-1-carboxylate Acetic acid (15.0 g, 251 mmol) was added to a solution of tert-butyl 4-oxopiperidine-1- carboxylate (50.0 g, 251 mmol) and tert-Butyl carbazate (33.2 g, 251 mmol) in methanol (800 mL) at rt and the mixture stirred for 0.5 h. Sodium cyanoborohydride (23.65 g, 376.42 mmol) was added in portions and stirred for 4 h at rt. The mixture was concentrated, diluted with saturated aqueous sodium bicarbonate solution (200 mL) and extracted with DCM (3 x 200 mL). The combined organic extracts were dried over anhydrous sodium sulfate, filtered and concentrated to afford tert-butyl 4-(2-tert-butoxycarbonylhydrazino)piperidine-1-carboxylate (70.0 g, 88% yield) as a white solid. LCMS (ES, m/z): 316.15 [M+H]+ STEP 2: tert-butyl 4-(4,5-dichloro-6-oxo-pyridazin-1-yl)piperidine-1-carboxylate A solution of tert-butyl 4-(2-tert-butoxycarbonylhydrazino)piperidine-1-carboxylate (90.0 g, 285 mmol), (Z)-2,3-dichloro-4-oxo-but-2-enoic acid (62.7 g, 371 mmol) and hydrochloric acid
(12 M, 119 mL) in ethanol (600 mL) was heated for 16 h at 80 °C, cooled to rt and concentrated to afford the crude HCl salt of 4,5-dichloro-2-(4-piperidyl)pyridazin-3-one (70 g) as a light yellow solid. The crude material was dissolved in DCM (500 mL) and TEA (85.7 g, 846 mmol) and Boc2O (92.4 g, 423 mmol) were added in portions at 0 °C. The mixture was then warmed to rt for 16 h and then concentrated. The crude solids were washed with cold water and ether before drying under IR lamp to afford tert-butyl 4-(4,5-dichloro-6-oxo-pyridazin-1-yl)piperidine-1-carboxylate (70.0 g, 71% yield) as a light yellow solid. LCMS (ES, m/z): 292.00, 294.00 [M+H-tBu]+ STEP 3: tert-butyl (S)-4-(5-chloro-6-oxo-4-(((tetrahydro-2H-pyran-3-yl)methyl)amino)pyridazin- 1(6H)-yl)piperidine-1-carboxylate; and tert-butyl (R)-4-(5-chloro-6-oxo-4-(((tetrahydro-2H-pyran-3-yl)methyl)amino)pyridazin-1(6H)- yl)piperidine-1-carboxylate A mixture of (tetrahydro-2H-pyran-3-yl)methanamine hydrochloride (12.2 g, 80.4 mmol), tert-butyl 4-(4,5-dichloro-6-oxo-pyridazin-1-yl)piperidine-1-carboxylate (14.0 g, 40.2 mmol) and TEA (20.3 g, 201 mmol) in ethanol (142 mL) was heated for 16 h at 80 °C. The reaction was cooled, concentrated and purified by reverse flash column chromatography to afford the racemate. The racemate was separated by prep-SFC. The first collected fractions afforded tert-butyl 4-[5-chloro-6-oxo-4-[[(3S)-tetrahydropyran- 3-yl]methylamino]pyridazin-1-yl]piperidine-1-carboxylate (5.50 g, 29% yield) as a light yellow solid. The second collected fractions afforded tert-butyl 4-[5-chloro-6-oxo-4-[[(3R)- tetrahydropyran-3-yl]methylamino]pyridazin-1-yl]piperidine-1-carboxylate (6.00 g, 34% yield) as a light yellow solid. LCMS (ES, m/z): 371.20, 373.20 [M+H-tBu]+. STEP 4: 4-chloro-2-(4-piperidyl)-5-[[(3S)-tetrahydropyran-3-yl]methylamino]pyridazin-3-one To a stirred mixture of 1,1-dimethylethyl 4-[5-chloro-6-oxo-4-[[(3S)-tetrahydropyran-3- yl]methylamino]pyridazin-1-yl]piperidine-1-carboxylate (5.5 g, 12.9 mmol) in DCM (50 mL) was added TFA (10 mL) and stirred for 2 h at rt. The mixture was quenched with water and extracted with DCM (3 x 20 mL). The combined organic extracts were dried over sodium sulfate,
concentrated and purified by reverse flash chromatography to afford 4-chloro-2-(4-piperidyl)-5- [[(3S)-tetrahydropyran-3-yl]methylamino]pyridazin-3-one (1.0 g, 2% yield) as off-white solid. LCMS (ES, m/z): 327.00, 329.00 [M+H]+ STEP 5: 4-chloro-2-(4-piperidyl)-5-[[(3R)-tetrahydropyran-3-yl]methylamino]pyridazin-3-one To a stirred mixture of 1,1-dimethylethyl 4-[5-chloro-6-oxo-4-[[(3R)-tetrahydropyran-3- yl]methylamino]pyridazin-1-yl]piperidine-1-carboxylate (4.91 g, 11.5 mmol) in DCM (50 mL) was added TFA (10 mL) and stirred for 2 h at rt. The mixture was quenched with water and extracted with DCM (3 x 20 mL). The combined organic extracts were dried over sodium sulfate, concentrated and purified by reverse phase column chromatography to afford 4-chloro-2-(4- piperidyl)-5-[[(3R)-tetrahydropyran-3-yl]methylamino]pyridazin-3-one (1.0 g, 27% yield) as off- white solid. LCMS (ES, m/z): 327.00, 329.00 [M+H]+ STEP 6: (S)-2-(1-((4-bromo-3-methylphenyl)sulfonyl)piperidin-4-yl)-4-chloro-5-(((tetrahydro-2H- pyran-3-yl)methyl)amino)pyridazin-3(2H)-one 4-chloro-2-(4-piperidyl)-5-[[(3S)-tetrahydropyran-3-yl]methylamino]pyridazin-3-one (336 mg, 765 μmol) in THF (10 mL) was cooled to 0 °C and sodium hydride (55 mg, 2.29 mmol, 60% purity) added in one portion. The temperature was maintained at 0 °C for 0.5 h and then 4- bromo-3-methyl-benzenesulfonyl chloride (247 mg, 917 μmol) was added slowly. The mixture was then warmed to rt for 1 h, quenched with water and extracted with ethyl acetate (3 x 30 mL). The combined organic extracts were washed with brine (30 mL), dried over sodium sulfate, concentrated and purified by reverse phase column chromatography to afford 2-[1-(4-bromo-3- methyl-phenyl)sulfonyl-4-piperidyl]-4-chloro-5-[[(3S)-tetrahydropyran-3- yl]methylamino]pyridazin-3-one (270 mg, 57% yield) as a yellow oil. LCMS (ES, m/z): 559.05, 561.05 [M+H]+. STEP 7: (S)-4-chloro-2-(1-((4-(dimethylamino)-3-methylphenyl)sulfonyl)piperidin-4-yl)-5- (((tetrahydro-2H-pyran-3-yl)methyl)amino)pyridazin-3(2H)-one A mixture of (2S)-2-[1-(4-bromo-3-methyl-phenyl)sulfonyl-4-piperidyl]-4-chloro-5-[[(3S)- tetrahydropyran-3-yl]methylamino]pyridazin-3-one (200 mg, 357 μmol), TEA (0.8 mL, 400 μmol, 2M in THF), Pd(PEPPSI)-IPentCl (30 mg, 35.7 μmol) and tBuONa (34.3 mg, 357 μmol) in dioxane
(20 mL) was heated for 2 h at 100 °C. The mixture was then cooled to rt and extracted with ethyl acetate (3 x 50 mL). The combined organic extracts were washed with brine (50 mL), dried over anhydrous sodium sulfate, concentrated and purified by prep-HPLC to afford (2S)-4-chloro- 2-[1-[4-(dimethylamino)-3-methyl-phenyl]sulfonyl-4-piperidyl]-5-[[(3S)-tetrahydropyran-3- yl]methylamino]pyridazin-3-one (4.3 mg, 2.3% yield) as a white solid. 1H NMR (300 MHz, Methanol-d4) δ 7.95 (s, 1H), 7.62-7.48 (m, 2H), 7.23-7.09 (m, 1H), 4.81- 4.67 (m, 1H), 3.95-3.71 (m, 4H), 3.58-3.38 (m, 2H), 3.29-3.19 (m, 2H), 2.83 (s, 3H), 2.82 (s, 3H), 2.51-2.41 (m, 5H), 2.11-1.95 (m, 2H), 1.95-1.76 (m, 4H), 1.75-1.50 (m, 2H), 1.45-1.25 (m, 1H). LCMS (ES, m/z): 524.15, 526.15 [M+H]+. EXAMPLE 513 Synthesis of (R)-4-chloro-2-(1-((4-(dimethylamino)-3-methylphenyl)sulfonyl)piperidin-4-yl)-5- (((tetrahydro-2H-pyran-3-yl)methyl)amino)pyridazin-3(2H)-one (513)
(R)-4-chloro-2-(1-((4-(dimethylamino)-3-methylphenyl)sulfonyl)piperidin-4-yl)-5- (((tetrahydro-2H-pyran-3-yl)methyl)amino)pyridazin-3(2H)-one was prepared according to similar procedures as described for example 610, using tert-butyl 4-[5-chloro-6-oxo-4-[[(3R)- tetrahydropyran-3-yl]methylamino]pyridazin-1-yl]piperidine-1-carboxylate in place of tert-butyl 4-[5-chloro-6-oxo-4-[[(3S)-tetrahydropyran-3-yl]methylamino]pyridazin-1-yl]piperidine-1- carboxylate. 1H NMR (300 MHz, Methanol-d4) δ 7.95 (s, 1H), 7.62-7.48 (m, 2H), 7.23-7.09 (m, 1H), 4.81- 4.67 (m, 1H), 3.95-3.71 (m, 4H), 3.58-3.38 (m, 2H), 3.29-3.19 (m, 2H), 2.83 (s, 3H), 2.82 (s, 3H), 2.51-2.41 (m, 5H), 2.11-1.95 (m, 2H), 1.95-1.76 (m, 4H), 1.75-1.50 (m, 2H), 1.45-1.25 (m, 1H). LCMS (ES, m/z): 524.20, 526.20 [M+H]+.
EXAMPLE 514 Synthesis of 4-chloro-2-(1-((4-fluorophenyl)sulfonyl)piperidin-4-yl)-5-(((tetrahydro-2H-pyran- 3-yl)methyl)amino)pyridazin-3(2H)-one (514)
4-chloro-2-(1-((4-fluorophenyl)sulfonyl)piperidin-4-yl)-5-(((tetrahydro-2H-pyran-3- yl)methyl)amino)pyridazin-3(2H)-one was prepared according to similar procedures as described above. 1H NMR (300 MHz, DMSO-d6) δ 7.96 (s, 1H), 7.90-7.81 (m, 2H), 7.55-7.46 (m, 2H), 6.72 (t, J = 6.4 Hz, 1H), 4.78-4.59 (m, 1H), 3.81-3.65 (m, 4H), 3.41-3.32 (m, 1H), 3.31-3.07 (m, 4H), 1.88- 1.69 (m, 6H), 1.69-1.54 (m, 1H), 1.54-1.35 (m, 1H), 1.30-1.12 (m, 1H) LCMS (ES, m/z): 485.10, 487.10 [M+H]+. EXAMPLE 515 Synthesis of (S)-4-chloro-2-(1-((2-fluoro-4-isopropylphenyl)sulfonyl)piperidin-4-yl)-5- (((tetrahydro-2H-pyran-3-yl)methyl)amino)pyridazin-3(2H)-one (515)
STEP 1: (S)-2-(1-((4-bromo-3-methylphenyl)sulfonyl)piperidin-4-yl)-4-chloro-5-(((tetrahydro-2H- pyran-3-yl)methyl)amino)pyridazin-3(2H)-one A mixture of (2S)-4-chloro-2-(4-piperidyl)-5-[[(3S)-tetrahydropyran-3- yl]methylamino]pyridazin-3-one (300 mg, 917 μmol) in THF (10 mL) was cooled to 0 °C. Sodium hydride (21 mg, 879 μmol, 60% purity) was added and the temperature maintained for 0.5 h.4- Bromo-2-fluoro-benzenesulfonyl chloride (301 mg, 1.10 mmol) was then added and the resulting mixture warmed to rt for 1 h, poured into ice-waterice-water (50 mL) and extracted with ethyl acetate (3 x 50 mL). The combined organic extracts were washed with brine (200 mL), dried over anhydrous sodium sulfate, concentrated and purified by column chromatography to afford (2S)-2-[1-(4-bromo-2-fluoro-phenyl)sulfonyl-4-piperidyl]-4-chloro-5- [[(3S)-tetrahydropyran-3-yl]methylamino]pyridazin-3-one (270 mg, 47% yield) as a yellow oil. LCMS (ES, m/z): 563.05, 565.05 [M+H]+ STEP 2: (2S)-4-chloro-2-[1-(2-fluoro-4-isopropenyl-phenyl)sulfonyl-4-piperidyl]-5-[[(3S)- tetrahydropyran-3-yl]methylamino]pyridazin-3-one A mixture of ((2S)-2-[1-(4-bromo-2-fluoro-phenyl)sulfonyl-4-piperidyl]-4-chloro-5-[[(3S)- tetrahydropyran-3-yl]methylamino]pyridazin-3-one (200 mg, 354 μmol), 2-isopropenyl-4,4,5,5- tetramethyl-1,3,2-dioxaborolane (50.0 mg, 354 μmol), Pd(dppf)Cl2 (20.0 mg, 35.5 μmol) and potassium carbonate (90 mg, 709 μmol) in dioxane (30 mL) and water (3 mL). was heated for 2 h at 100 °C. The mixture was cooled to rt, water added and extracted with ethyl acetate (3 x 50 mL). The combined organic extracts were washed with brine (100 mL), dried over anhydrous
sodium sulfate, concentrated and purified by column chromatography to afford (2S)-4-chloro-2- [1-(2-fluoro-4-isopropenyl-phenyl)sulfonyl-4-piperidyl]-5-[[(3S)-tetrahydropyran-3- yl]methylamino]pyridazin-3-one (210 mg, 78% yield) as a yellow oil. LCMS (ES, m/z): 525.17, 527.17 [M+H]+ STEP 3: (S)-4-chloro-2-(1-((2-fluoro-4-isopropylphenyl)sulfonyl)piperidin-4-yl)-5-(((tetrahydro- 2H-pyran-3-yl)methyl)amino)pyridazin-3(2H)-one A mixture of (2S)-4-chloro-2-[1-(2-fluoro-4-isopropenyl-phenyl)sulfonyl-4-piperidyl]-5-[[(3S)- tetrahydropyran-3-yl]methylamino]pyridazin-3-one (190 mg, 362 μmol) and Rh(PPh3)Cl2 (64 mg, 72.38 μmol) in ethanol (20 mL) was stirred for 16 h at 25 °C under hydrogen (2 atm) atmosphere. Water was then added (50 mL) and the mixtere extracted with ethyl acetate (3 x 50 mL). The combined organic extracts were washed with brine (50 mL, dried over sodium sulfate, concentrated and purified by prep-SFC to afford (2S)-4-chloro-2-[1-[2-fluoro-4-(1- methylethyl)phenyl]sulfonyl-4-piperidyl]-5-[[(3S)-tetrahydropyran-3-yl]methylamino]pyridazin- 3-one (30.8 mg, 16% yield) as a white solid. 1H NMR (400 MHz, Methanol-d4) δ 7.95 (s, 1H), 7.89-7.74 (t, J = 8.16 Hz, 1H), 7.35-7.24 (m, 2H), 4.89-4.75(m, 1H), 4.09-3.92 (m, 2H), 3.92-3.77 (m, 2H), 3.55-3.44 (m, 1H), 3.42-3.35 (m, 1H), 3.31-3.24 (m, 2H), 3.15-2.96 (m, 1H), 2.89-2.71 (m, 2H), 2.12-1.95 (m, 2H), 1.95-1.85 (m, 4H), 1.76-1.55 (m, 2H), 1.45-1.21 (m, 7H). LCMS (ES, m/z): 527.10, 529.10 [M+H]+.
EXAMPLE 516 Synthesis of (R)-4-chloro-2-(1-((4-(2-hydroxypropan-2-yl)phenyl)sulfonyl)piperidin-4-yl)-5- (((tetrahydro-2H-pyran-3-yl)methyl)amino)pyridazin-3(2H)-one (516)
STEP 1: methyl (R)-4-((4-(5-chloro-6-oxo-4-(((tetrahydro-2H-pyran-3-yl)methyl)amino)pyridazin- 1(6H)-yl)piperidin-1-yl)sulfonyl)benzoate Sodium hydride (14 mg, 586 mmol, 60% purity) was added to a mixture of (2R)-4-chloro-2- (4-piperidyl)-5-[[(3R)-tetrahydropyran-3-yl]methylamino]pyridazin-3-one (200 mg, 612 μmol) in THF at 0°C and the temperature maintained for 0.5 h. Methyl 4-chlorosulfonylbenzoate (172 mg, 734 μmol) was then slowly added and the resulting mixture warmed to rt for 1 h. Water (50 mL) was added and the mixture extracted with ethyl acetate (3 x 50 mL). The combined organic extracts were washed with brine (200 mL), dried over anhydrous sodium sulfate, concentrated and purified by column chromatography to afford methyl 4-[[4-[(1R)-5-chloro-6-oxo-4-[[(3R)- tetrahydropyran-3-yl]methylamino]pyridazin-1-yl]-1-piperidyl]sulfonyl]benzoate (95 mg, 28% yield) as a yellow solid. LCMS (ES, m/z): 525.15, 527.15 [M+H]+ STEP 2: (R)-4-chloro-2-(1-((4-(2-hydroxypropan-2-yl)phenyl)sulfonyl)piperidin-4-yl)-5- (((tetrahydro-2H-pyran-3-yl)methyl)amino)pyridazin-3(2H)-one A mixture of methyl 4-[[4-[(1R)-5-chloro-6-oxo-4-[[(3R)-tetrahydropyran-3- yl]methylamino]pyridazin-1-yl]-1-piperidyl]sulfonyl]benzoate (140 mg, 267 μmol) in THF (4 mL)
was cooled to 0 °C. Methyl magnesium bromide (1.33 mL, 1M) was added dropwise and the temperature maintained for 3h. The mixture was then partitioned between water (50 mL) and ethyl acetate (3 x 50 mL). The combined organic extracts were washed with brine (50 mL), dried over anhydrous sodium sulfate, concentrated and purified by prep-HPLC to afford (R)-4-chloro- 2-(1-((4-(2-hydroxypropan-2-yl)phenyl)sulfonyl)piperidin-4-yl)-5-(((tetrahydro-2H-pyran-3- yl)methyl)amino)pyridazin-3(2H)-one (13 mg, 9% yield) as a white solid. 1H NMR (300 MHz, DMSO-d6) δ 7.95 (s, 1H), 7.79-7.66 (m, 4H), 6.81-6.62 (m, 1H), 5.29 (s, 1H), 4.72-4.49 (m, 1H), 3.85-3.60 (m, 4H), 3.33-3.26 (m, 1H), 3.26-3.11 (m, 3H), 2.49-2.35 (m, 2H), 1.87-1.69 (m, 6H), 1.65-1.51 (m, 1H), 1.51-1.35 (m, 7H), 1.30-1.15 (m, 1H). LCMS (ES, m/z): 507.10, 509.10 [M-OH]+. EXAMPLES 517, 518 AND 519 (S)-4-chloro-2-(1-((4-(2-hydroxypropan-2-yl)phenyl)sulfonyl)piperidin-4-yl)-5-(((tetrahydro- 2H-pyran-3-yl)methyl)amino)pyridazin-3(2H)-one (517); and (R)-4-chloro-2-(1-((3-(2-hydroxypropan-2-yl)phenyl)sulfonyl)piperidin-4-yl)-5-(((tetrahydro-2H- pyran-3-yl)methyl)amino)pyridazin-3(2H)-one (518); and (S)-4-chloro-2-(1-((3-(2-hydroxypropan-2-yl)phenyl)sulfonyl)piperidin-4-yl)-5-(((tetrahydro-2H- pyran-3-yl)methyl)amino)pyridazin-3(2H)-one (519) Were prepared according to similar procedures as described above.
EXAMPLE 520 Synthesis of 4-chloro-2-[1-[2-fluoro-4-(1-methylethoxy)phenyl]sulfonyl-4-piperidyl]-5-[[(3S)- tetrahydropyran-3-yl]methylamino]pyridazin-3-one (520)
STEP 1: 2-fluoro-4-isopropoxy-1-nitro-benzene A mixture of 3-fluoro-4-nitro-phenol (10 g, 63.6 mmol), 2-iodopropane (32.5 g, 191 mmol) and potassium carbonate (17.6 g, 127 mmol) in DMF (200 mL) was heated for 16 h at 60 °C, cooled to rt and partitioned between water (500 mL) and ethyl acetate (3 x 200 mL). The combined organic extracts were dried over sodium sulfate and concentrated to give 2-fluoro-4- isopropoxy-1-nitro-benzene (12.0 g, 47% yield) as a yellow oil. GCMS (ES, m/z): 199.00 [M] STEP 2: 2-fluoro-4-isopropoxy-aniline A mixture of 2-fluoro-4-isopropoxy-1-nitro-benzene (12 g, 30.1 mmol, 50% purity), Iron (16.8 g, 301 mmol) and ammonium chloride (8.06 g, 150 mmol) in ethanol (50 mL), THF (50 mL) and water (30 mL) was heated for 4 h at 70 °C. The reaction mixture was partially concentrated, water (30 mL) added and extracted with ethyl acetate (3 x 80 mL). The combined organic extracts were dried over anhydrous sodium sulfate, concentrated and purified on a silica gel column (PE:ethyl acetate, 6:1) to afford 2-fluoro-4-isopropoxy-aniline (5.0 g, 98% yield) as a yellow oil. LCMS (ES, m/z): 170.10 [M+H]+ STEP 3: 2-fluoro-4-isopropoxy-benzenesulfonyl chloride Concentrated HCl (9.95 mL) was added to a solution of 2-fluoro-4-isopropoxy-aniline (1.0 g, 5.91 mmol) in acetonitrile (25 mL) at 20 °C. The solution was cooled to 0 °C and a solution of sodium nitrite (489 mg, 7.09 mmol) in water (1 mL) was added dropwise and then stirred for 1.5 h at 0 °C. Acetic acid (12 mL) was then added and the temperature maintained for 10 min. Sodium bisulfite (615 mg, 5.91 mmol) was then added and the mixture stirred for 5 min, then CuCl2 (794 mg, 5.91 mmol) and CuCl (58.5 mg, 591 μmol) were added. The reaction was
warmed to 20 °C and stirred for 3.5 h. The reaction was quenched with water (20 mL) and extracted with ethyl acetate (3 x 30 mL). The combined organic extracts were dried over anhydrous sodium sulfate, filtered and concentrated to give 2-fluoro-4-isopropoxy- benzenesulfonyl chloride (1.0 g, 67% yield) as a dark oil. The crude product was used directly without purification. STEP 4: 4-chloro-2-[1-[2-fluoro-4-(1-methylethoxy)phenyl]sulfonyl-4-piperidyl]-5-[[(3S)- tetrahydropyran-3-yl]methylamino]pyridazin-3-one A solution of 4-chloro-2-(4-piperidyl)-5-[[(3S)-tetrahydropyran-3-yl]methylamino]pyridazin- 3-one (150 mg, 340 μmol), 2-fluoro-4-isopropoxy-benzenesulfonyl chloride (172 mg, 680 μmol) and TEA (172 mg, 1.70 mmol) in acetonitrile (3 mL) was heated for 1 h at 80 °C, cooled to rt and directly purified by prep-HPLC to give 4-chloro-2-[1-[2-fluoro-4-(1- methylethoxy)phenyl]sulfonyl-4-piperidyl]-5-[[(3S)-tetrahydropyran-3- yl]methylamino]pyridazin-3-one (48.3 mg, 26% yield) as a white solid. 1H NMR (400 MHz, DMSO-d6) δ 7.96 (s, 1H), 7.66 (t, J = 8.7 Hz, 1H), 7.09 (dd, J = 12.8, 2.4 Hz, 1H), 6.94 (dd, J = 8.9, 2.4 Hz, 1H), 6.74 (t, J = 6.4 Hz, 1H), 4.82-4.74 (m, 2H), 3.81-3.64 (m, 4H), 3.33-3.29 (m, 1H), 3.27-3.08 (m, 3H), 2.75-2.65 (m, 2H), 1.87-1.70 (m, 6H), 1.63-1.55 (m, 1H), 1.50-1.38 (m, 1H), 1.31 (d, J = 6.0 Hz, 6H), 1.27-1.15 (m, 1H). LCMS (ES, m/z): 543.20, 545.20 [M+H]+ EXAMPLE 521 Synthesis of (R)-4-chloro-2-(1-((2-fluoro-4-isopropoxyphenyl)sulfonyl)piperidin-4-yl)-5- (((tetrahydro-2H-pyran-3-yl)methyl)amino)pyridazin-3(2H)-one (521)
(R)-4-chloro-2-(1-((2-fluoro-4-isopropoxyphenyl)sulfonyl)piperidin-4-yl)-5-(((tetrahydro-2H- pyran-3-yl)methyl)amino)pyridazin-3(2H)-one was prepared according to similar procedures as described above.
1H NMR (400 MHz, DMSO-d6) δ 7.96 (s, 1H), 7.66 (t, J = 8.7 Hz, 1H), 7.09 (dd, J = 12.8, 2.4 Hz, 1H), 6.94 (dd, J = 8.9, 2.4 Hz, 1H), 6.74 (t, J = 6.4 Hz, 1H), 4.82-4.74 (m, 2H), 3.81-3.64 (m, 4H), 3.33-3.29 (m, 1H), 3.27-3.08 (m, 3H), 2.75-2.65 (m, 2H), 1.87-1.70 (m, 6H), 1.63-1.55 (m, 1H), 1.50-1.38 (m, 1H), 1.31 (d, J = 6.0 Hz, 6H), 1.27-1.15 (m, 1H) (ES, m/z): 543.10, 545.10 [M+H]+ EXAMPLE 522 Synthesis of (S)-4-(4-(5-chloro-4-((4,4-difluoro-tetrahydro-2H-pyran-3-yl) methylamino)-6-oxopyridazin- 1(6H)-yl) piperidin-1-ylsulfonyl) benzonitrile (522A)
(R)-4-(4-(5-chloro-4-((4,4-difluoro-tetrahydro-2H-pyran-3-yl) methylamino)-6-oxopyridazin- 1(6H)-yl) piperidin-1-ylsulfonyl) benzonitrile (522B)
STEP 1: 4-(4-(4,5-dichloro-6-oxopyridazin-1(6H)-yl) piperidin-1-ylsulfonyl) benzonitrile TEA (490 mg, 616 μmol) was added dropwise to a mixture of 4,5-dichloro-2-(4-piperidyl) pyridazin-3-one (400 mg, 1.61 mmol) and 4-cyanobenzenesulfonyl chloride (650 mg, 3.22 mmol) in acetonitrile (6.3 mL) and the resulting mixture heated for 36 h at 80 °C, then cooled to rt, concentrated and purified by reverse flash to give 4-[[4-(4,5-dichloro-6-oxo-pyridazin-1-yl)-1- piperidyl] sulfonyl] benzonitrile (700 mg, 94% yield) as a white solid. LCMS (ES, m/z): 413.15, 415.15 [M+H]+ STEP 2: (S)-4-(4-(5-chloro-4-((4,4-difluoro-tetrahydro-2H-pyran-3-yl) methylamino)-6- oxopyridazin-1(6H)-yl) piperidin-1-ylsulfonyl) benzonitrile (522A); and (R)-4-(4-(5-chloro-4-((4,4-difluoro-tetrahydro-2H-pyran-3-yl) methylamino)-6-oxopyridazin- 1(6H)-yl) piperidin-1-ylsulfonyl) benzonitrile (522B) N, N-diethylethanamine (163 mg, 1.62 mmol) was added dropwise to 4-[[4-(4,5-dichloro-6- oxo-pyridazin-1-yl)-1-piperidyl] sulfonyl] benzonitrile (150 mg, 323 μmol) and (4,4- difluorotetrahydropyran-3-yl) methanamine (73.2 mg, 484 μmol) in ethanol (2 mL) and the mixture heated for 48 h at 80 °C. After cooling to rt the mixture was concentrated, purified by reverse flash chromatography, and then further separated by Chiral-prep-HPLC. The first collected fractions afforded (2S)-4-chloro-5-[[(3S)-4,4-difluorotetrahydropyran-3- yl] methylamino]-2-[1-(4-ethynylphenyl) sulfonyl-4-piperidyl] pyridazin-3-one (compound 522A, 8.6 mg, 5% yield)
1H NMR (400 MHz, Chloroform-d) δ 7.96-7.83 (m, 4H), 7.67 (s, 1H), 5.02-4.81 (m, 2H), 4.05- 3.88 (m, 4H), 3.83-3.66 (m, 2H), 3.63-3.54 (m, 1H), 3.49-3.38 (m, 1H), 2.62-2.53 (m, 2H), 2.38- 2.26 (m, 1H), 2.19-2.03 (m, 4H), 1.93 (d, J = 12.7 Hz, 2H). LCMS (ES, m/z): 528.15, 530.15 [M+H]+ The second collected fractions afforded (2R)-4-chloro-5-[[(3R)-4,4-difluorotetrahydropyran- 3-yl] methylamino]-2-[1-(4-ethynylphenyl) sulfonyl-4-piperidyl] pyridazin-3-one (compound 522B, 9.9 mg, 5.6% yield) as a white solid. 1H NMR (300 MHz, Chloroform-d) δ 7.98-7.85 (m, 4H), 7.67 (s, 1H), 5.00-4.80 (m, 2H), 4.05- 3.89 (m, 4H), 3.82-3.64 (m, 2H), 3.63-3.54 (m, 1H), 3.49-3.36 (m, 1H), 2.67-2.46 (m, 2H), 2.32 (d, J = 15.7 Hz, 1H), 2.21-1.98 (m, 4H), 1.93 (d, J = 10.2 Hz, 2H). LCMS (ES, m/z): 528.15, 530.15 [M+H]+ EXAMPLE 523 Synthesis of (S)-4-((4-(5-chloro-6-oxo-4-(((tetrahydro-2H-pyran-3-yl)methyl- d2)amino)pyridazin-1(6H)-yl)piperidin-1-yl)sulfonyl)benzonitrile (523)
(S)-4-((4-(5-chloro-6-oxo-4-(((tetrahydro-2H-pyran-3-yl)methyl-d2)amino)pyridazin-1(6H)- yl)piperidin-1-yl)sulfonyl)benzonitrile was prepared according to similar procedures as described above. 1H NMR (300 MHz, DMSO-d6) δ 8.15 (d, J = 8.2 Hz, 2H), 8.04-7.90 (m, 3H), 6.72 (s, 1H), 4.82- 4.60 (m, 1H), 3.89-3.62 (m, 4H), 3.32-3.28 (m, 1H), 3.16-3.08 (m, 1H), 2.63-2.54 (m, 2H), 1.92- 1.69 (m, 6H), 1.63-1.55 (m, 1H), 1.48-1.36 (m, 1H), 1.27-1.18 (m, 1H) (ES, m/z): 494.15, 496.15 [M+H]+
EXAMPLE 524 Synthesis of (R)-4-((4-(5-chloro-6-oxo-4-(((tetrahydro-2H-pyran-3-yl)methyl- d2)amino)pyridazin-1(6H)-yl)piperidin-1-yl)sulfonyl)benzonitrile (524)
(R)-4-((4-(5-chloro-6-oxo-4-(((tetrahydro-2H-pyran-3-yl)methyl-d2)amino)pyridazin-1(6H)- yl)piperidin-1-yl)sulfonyl)benzonitrile was prepared according to similar procedures as described above. 1H NMR (300 MHz, DMSO-d6) δ 8.15 (d, J = 8.2 Hz, 2H), 8.04-7.90 (m, 3H), 6.72 (s, 1H), 4.82- 4.60 (m, 1H), 3.89-3.62 (m, 4H), 3.32-3.28 (m, 1H), 3.16-3.08 (m, 1H), 2.63-2.54 (m, 2H), 1.92- 1.69 (m, 6H), 1.63-1.55 (m, 1H), 1.48-1.36 (m, 1H), 1.27-1.18 (m, 1H) (ES, m/z): 494.15, 496.15 [M+H]+ EXAMPLE 525 Synthesis of (R)-4-chloro-2-(1-((5-(difluoromethoxy)pyridin-2-yl)sulfonyl)piperidin-4-yl)-5- (((tetrahydro-2H-pyran-3-yl)methyl)amino)pyridazin-3(2H)-one (525
STEP 1: 2-(benzylthio)-5-(difluoromethoxy)pyridine To a stirred mixture of 2-bromo-5-(difluoromethoxy)pyridine (1.50 g, 6.70 mmol) in toluene (30 mL) was added Xantphos (387 mg, 669 μmol), phenylmethanethiol (832 mg, 6.70 mmol), DIEA (1.73 g, 13.4 mmol) and Pd2dba3 (306 mg, 334 μmol). The resulting mixture was heated for 16 h at 110 °C, cooled to rt, partially concentrated, diluted with water (60 mL) and extracted with ethyl acetate (3 x 120 mL). The combined organic extracts were dried over anhydrous sodium sulfate, concentrated and purified by column chromatography to afford 2- benzylsulfanyl-5-(difluoromethoxy)pyridine (1.60 g, 85% yield) as a yellow oil. LCMS (ES, m/z): 268.00 [M+H]+. STEP 2: 5-(difluoromethoxy)pyridine-2-sulfonyl chloride To a stirred mixture of 2-benzylsulfanyl-5-(difluoromethoxy)pyridine (700 mg, 2.62 mmol) in Water (2.5 mL) and AcOH (7 mL) was added 1-chloropyrrolidine-2,5-dione (1.40 g, 10.5 mmol). The resulting mixture was stirred for 0.5 h at rt, diluted with saturated aqueous sodium bicarbonate solution (20 mL) and extracted with ethyl acetate (3 x 40 mL). The combined organic extracts were dried over anhydrous sodium sulfate and concentrated to afford the crude 5-(difluoromethoxy)pyridine-2-sulfonyl chloride (600 mg, 94% yield) as a yellow oil. LCMS (ES, m/z): 244.15, 246.15 [M+H]+ STEP 3: (R)-4-chloro-2-(1-((5-(difluoromethoxy)pyridin-2-yl)sulfonyl)piperidin-4-yl)-5- (((tetrahydro-2H-pyran-3-yl)methyl)amino)pyridazin-3(2H)-one TEA (309 mg, 3.06 mmol) and (2R)-4-chloro-2-(4-piperidyl)-5-[[(3R)-tetrahydropyran-3- yl]methylamino]pyridazin-3-one (200 mg, 453 μmol) were added to 5-(difluoromethoxy)
pyridine-2-sulfonyl chloride (300 mg, 1.23 mmol) in acetonitrile (2 mL) and heated for 2 h at 80 °C. The mixture was then cooled to rt, purified by reverse flash chromatography and further purified by prep-HPLC to afford (R)-4-chloro-2-(1-((5-(difluoromethoxy)pyridin-2- yl)sulfonyl)piperidin-4-yl)-5-(((tetrahydro-2H-pyran-3-yl)methyl)amino)pyridazin-3(2H)-one (47.6 mg, 14% yield) as a white solid. 1H NMR (300 MHz, DMSO-d6) δ 8.70 (d, J = 2.7 Hz, 1H), 8.04 (d, J = 8.7 Hz, 1H), 7.95-7.92 (m, 2H), 7.74-7.26 (m, 1H), 6.73 (t, J = 6.4 Hz, 1H), 4.77-4.70 (m, 1H), 3.84 (bd, J = 12.2 Hz, 2H), 3.74- 3.67 (m, 2H), 3.29-3.08 (m, 4H), 2.91-2.81 (m, 2H), 1.78-1.60 (m, 6H), 1.61-1.56 (m,1H), 1.44- 1.40 (m, 1H), 1.26-1.20 (m, 1H). LCMS (ES, m/z): 534.15, 536.15 [M+H]+. EXAMPLE 526 Synthesis of (S)-4-chloro-2-(1-((5-cyclopropylpyridin-2-yl)sulfonyl)piperidin-4-yl)-5-(((tetrahydro-2H-pyran- 3-yl)methyl-d2)amino)pyridazin-3(2H)-one (526A)
(R)-4-chloro-2-(1-((5-cyclopropylpyridin-2-yl)sulfonyl)piperidin-4-yl)-5-(((tetrahydro-2H-pyran- 3-yl)methyl-d2)amino)pyridazin-3(2H)-one (526B)
STEP 1: 2-(1-((5-bromopyridin-2-yl)sulfonyl)piperidin-4-yl)-4,5-dichloropyridazin-3(2H)-one A mixture of 4,5-dichloro-2-(piperidin-4-yl)pyridazin-3(2H)-one hydrochloride (500 mg, 1.76 mmol), 5-bromopyridine-2-sulfonyl chloride (676 mg, 2.64 mmol) and TEA (533 mg, 5.27 mmol) in acetonitrile (5 mL) was heated for 2 h at 80 °C, cooled to rt and purified by reverse flash chromatography to afford 2-(1-((5-bromopyridin-2-yl)sulfonyl)piperidin-4-yl)-4,5- dichloropyridazin-3(2H)-one (400 mg, 44% yield) as a brown solid. LCMS (ES, m/z): 467.20, 469.20 [M+H]+ STEP 2: 2-(1-((5-bromopyridin-2-yl)sulfonyl)piperidin-4-yl)-4-chloro-5-(((tetrahydro-2H-pyran-3- yl)methyl-d2)amino)pyridazin-3(2H)-one A mixture of 2-(1-((5-bromopyridin-2-yl)sulfonyl)piperidin-4-yl)-4,5-dichloropyridazin-3(2H)- one (300 mg, 641 μmol), (tetrahydro-2H-pyran-3-yl)methan-d2-amine (197 mg, 1.28 mmol) and TEA (259 mg, 2.56 mmol) in ethanol (4 mL) was heated for 16 h at 80 °C. the mixture was then cooled to rt and purified by reverse flash chromatography to afford 2-(1-((5-bromopyridin-2- yl)sulfonyl)piperidin-4-yl)-4-chloro-5-(((tetrahydro-2H-pyran-3-yl)methyl-d2)amino)pyridazin- 3(2H)-one (220 mg, 56% yield) as yellow solid. LCMS (ES, m/z): 548.00, 550.00 [M+H]+ STEP 3: (S)-4-chloro-2-(1-((5-cyclopropylpyridin-2-yl)sulfonyl)piperidin-4-yl)-5-(((tetrahydro-2H- pyran-3-yl)methyl-d2)amino)pyridazin-3(2H)-one (624A); and (R)-4-chloro-2-(1-((5-cyclopropylpyridin-2-yl)sulfonyl)piperidin-4-yl)-5-(((tetrahydro-2H- pyran-3-yl)methyl-d2)amino)pyridazin-3(2H)-one (624B) To a stirred mixture of 2-(1-((5-bromopyridin-2-yl)sulfonyl)piperidin-4-yl)-4-chloro-5- (((tetrahydro-2H-pyran-3-yl)methyl-d2)amino)pyridazin-3(2H)-one (180 mg, 328 μmol) and cyclopropylboronic acid (84.5 mg, 984 μmol) in water (2 mL) and 1,4-dioxane (6 mL) was added
Pd(dppf)Cl2.CH2Cl2 (120 mg, 164 μmol) and potassium carbonate (227 mg, 1.64 mmol). The mixture was heated to 100 °C for 1 h, cooled to rt and partitioned between water (50 mL) and ethyl acetate (2 x 50 mL). The combined organic extracts were washed with brine (80 mL), dried over sodium sulfate, concentrated onto silica gel, purified by column chromatography to yield the racemate which were separates by chiral-prep-HPLC. The first collected fractions afforded (S)-4-chloro-2-(1-((5-cyclopropylpyridin-2- yl)sulfonyl)piperidin-4-yl)-5-(((tetrahydro-2H-pyran-3-yl)methyl-d2)amino)pyridazin-3(2H)-one (compound 526A, 51.6 mg, 30% yield) as white solid. 1H NMR (300 MHz, DMSO-d6) δ 8.60-8.58 (m, 1H), 7.94 (s, 1H), 7.83-7.77 (m, 1H), 7.74-7.68 (m, 1H), 6.71 (s, 1H), 4.80-4.68 (m, 1H), 3.88-3.78 (m, 2H), 3.78-3.65 (m, 2H), 3.32-3.28 (m, 1H), 3.18-3.07 (m, 1H), 2.89-2.77 (m, 2H), 2.16-2.04 (m, 1H), 1.85-1.68 (m, 6H), 1.64-1.53 (m, 1H), 1.51-1.36 (m, 1H), 1.31-1.17 (m, 1H), 1.15-1.10 (m, 2H), 0.92-0.85 (m, 2H). LCMS (ES, m/z): 510.20, 512.20 [M+H]+ The second collected fractions afforded (R)-4-chloro-2-(1-((5-cyclopropylpyridin-2- yl)sulfonyl)piperidin-4-yl)-5-(((tetrahydro-2H-pyran-3-yl)methyl-d2)amino)pyridazin-3(2H)-one (compound 526B, 41.3 mg, 24% yield) as white solid. 1H NMR (300 MHz, DMSO-d6) δ 8.61-8.58 (m, 1H), 7.94 (s, 1H), 7.82-7.76 (m, 1H), 7.74-7.69 (m, 1H), 6.71 (s, 1H), 4.80-4.69(m, 1H), 3.88-3.78 (m, 2H), 3.76-3.65 (m, 2H), 3.31-3.27 (m,1H), 3.18-3.08 (m, 1H), 2.90-2.77 (m, 2H), 2.15-2.05 (m, 1H), 1.83-1.70 (m, 6H), 1.63-1.53(m, 1H), 1.51-1.36 (m, 1H), 1.30-1.19 (m, 1H), 1.17-1.08 (m, 2H), 0.93-0.85 (m, 2H). LCMS (ES, m/z): 510.20, 512.20 [M+H]+
EXAMPLE 527 PREPARATION OF ARYL SULFONAMIDE INTERMEDIATES: Synthesis of N-(2-fluoro-4-isopropylphenyl)-2-oxooxazolidine-3-sulfonamide
STEP 1: 2-fluoro-4-(prop-1-en-2-yl)aniline To a stirred mixture of 4-bromo-2-fluoro-aniline (5.00 g, 26.3 mmol), 2-isopropenyl-4,4,5,5- tetramethyl-1,3,2-dioxaborolane (6.63 g, 39.5 mmol) in 1,4-dioxane (80 mL) and water (20 mL) were added Pd(dppf)Cl2.CH2Cl2 (2.15 g, 2.63 mmol) and potassium carbonate (7.27 g, 52.6 mmol, 3.18 mL). The resulting mixture was heated for 2 h at 100 °C under nitrogen atmosphere, cooled to rt, diluted with water (150 mL) and extracted with ethyl actetae (3 x 150 mL). The combined organic extracts were washed with brine (300 mL), dried over anhydrous sodium sulfate, concentrated and purified by silica gel column chromatography, (PE/EA, 1:4) to afford 2-fluoro-4-isopropenyl-aniline (1.80 g, 45% yield) as a yellow oil. LCMS (ES, m/z): 152.15 [M+H]+. STEP 2: 2-fluoro-4-isopropylaniline A mixture of 2-fluoro-4-isopropenyl-aniline (1.8 g, 11.9 mmol) and Pd/C (1.80 g, 10%) in EA (40 mL) was stirred for 2 h at 25 °C under hydrogen (~ 3 atm) atmosphere. Solids were removed by filtration and the filtrate concentrated to afford 2-fluoro-4-isopropyl-aniline (1.60 g, 10.4 mmol, 88% yield) as a yellow oil. LCMS (ES, m/z): 154.15 [M+H]+. STEP 3: N-(2-fluoro-4-isopropylphenyl)-2-oxooxazolidine-3-sulfonamide 2-bromoethanol (1.31 g, 10.44 mmol) was added to a solution of N- (oxomethylene)sulfamoyl chloride (1.48 g, 10.4 mmol, 909 μL) in DCM (40 mL) at 0 °C under
nitrogen atmosphere and stirred for 0.5 h at 0 °C.2-fluoro-4-isopropyl-aniline (1.6 g, 10 mmol) and N,N-diethylethanamine (2.11 g, 20.9 mmol, 2.91 mL) was then added at 0 °C and stirred for 3 h at 25 °C, acidified to pH~3 with HCl (3 M) at 0 °C and extracted with DCM (3 x 200 mL). The combined organic extracts were dried over anhydrous sodium sulfate, concentrated and purified by silica gel column chromatography, (PE/EA 3/1) to afford N-(2-fluoro-4-isopropyl- phenyl)-2-oxo-oxazolidine-3-sulfonamide (1.2 g, 38% yield) as a yellow solid. LCMS (ES, m/z): 303.10 [M+H]+. The following intermediates were prepared according to similar procedures to those described above.
N-(4-cyano-2-fluorophenyl)-2- 285.95, oxooxazolidine-3-sulfonamide 289.95 [M+H]+
Synthesis of N-(4-cyanophenyl)-4-(4,5-dichloro-6-oxopyridazin-1(6H)-yl)piperidine-1- sulfonamide
STEP 1: 4,5-dichloro-2-(piperidin-4-yl)pyridazin-3(2H)-one hydrochloride HCl (4 M in ethyl acetate, 18.0 mL) was added to a solution of tert-butyl 4-(4,5-dichloro-6- oxo-pyridazin-1-yl)piperidine-1-carboxylate (5.0 g, 14.4 mmol) in ethyl acetate (15 mL) and the solution stirred for 2 h at 25°C and then filtered to afford HCl salt of 4,5-dichloro-2-(4- piperidyl)pyridazin-3-one (3.5 g, 86% yield) as a white solid. LCMS (ES, m/z): 248.10, 250.10 [M+H]+. STEP 2: N-(4-cyanophenyl)-4-(4,5-dichloro-6-oxopyridazin-1(6H)-yl)piperidine-1-sulfonamide A solution of 4,5-dichloro-2-(4-piperidyl)pyridazin-3-one (1.50 g, 6.05 mmol), N-(4- cyanophenyl)-2-oxo-oxazolidine-3-sulfonamide (4.00 g, 15.1 mmol) and TEA (1.80 g, 18.1 mmol) in acetonitrile (20 mL) was heated for 4 h at 80 °C. The reaction was cooled and purified by reverse flash chromatography (C18 silica gel; mobile phase, A: water (containing 10 mmol/L NH4HCO3) and B: acetonitrile (20% to 75% in 25 min)) to afford the title compound (850 mg, 30% yield) as a yellow solid. LCMS (ES, m/z): 428.05, 430.05 [M+H]+. The following intermediates were prepared according to similar procedures as described above.
TABLE 12
Synthesis of (S)-4-(5-chloro-6-oxo-4-(((tetrahydro-2H-pyran-3-yl)methyl)amino)pyridazin-1(6H)-yl)-N- phenylpiperidine-1-sulfonamide(528A)
(S)-4-(5-chloro-6-oxo-4-(((tetrahydro-2H-pyran-3-yl)methyl)amino)pyridazin-1(6H)-yl)-N- methyl-N-phenylpiperidine-1-sulfonamide (528B)
STEP 1: (S)-4-(5-chloro-6-oxo-4-((tetrahydro-2H-pyran-3-yl)methylamino)pyridazin-1(6H)-yl)-N- phenylpiperidine-1-sulfonamide (528A) TEA (186 mg, 1.84 mmol) and 2-oxo-N-phenyl-oxazolidine-3-sulfonamide (296 mg, 1.22 mmol) were added to a solution of 4-chloro-2-(4-piperidyl)-5-[[(3S)-tetrahydropyran-3- yl]methylamino]pyridazin-3-one (200 mg, 612 μmol) in acetonitrile (5 mL) and the mixture heated for 3 h at 80 °C and then cooled to rt and purified by reverse flash chromatography (C18 silica gel, 80 g, 20-35 um; mobile phase, water (10 mmol/L NH4HCO3) and acetonitrile (30% to 50% gradient in 20 min)) to afford 4-[5-chloro-6-oxo-4-[[(3S)-tetrahydropyran-3- yl]methylamino]pyridazin-1-yl]-N-phenyl-piperidine-1-sulfonamide (180 mg, 61% yield) as a white solid. LCMS (ES, m/z): 482.20, 484.20 [M+H]+. STEP 2: 4-[5-chloro-6-oxo-4-[[(3S)-tetrahydropyran-3-yl]methylamino]pyridazin-1-yl]-N-methyl- N-phenyl-piperidine-1-sulfonamide (528B) Cesium carbonate (81.1 mg, 249 μmol) and iodomethane (58.9 mg, 415 μmol) were added to a solution of 4-[5-chloro-6-oxo-4-[[(3S)-tetrahydropyran-3-yl]methylamino]pyridazin-1-yl]-N- phenyl-piperidine-1-sulfonamide (100 mg, 207.5 μmol) in DMF (5 mL) and the mixture stirred for 1 h at 25 °C. Solids were removed by filtration and the filtrate purified by PREP-HPLC (XBridge prep OBD C18, 30 x 150 mm, 5μm; Mobile Phase A: Water (10 mmol/L NH4HCO3), Mobile Phase B: acetonitrile; Flow rate: 60 mL/min; Gradient: 43% B to 63% B in 7 min, 63% B) and PREP-ACHIRAL-SFC (DAICEL Dcpak P4VP, 4.6 x 50 mm, 3um; Mobile Phase B: IPA(1% 2M NH3-MeOH); Flow rate: 2 mL/min; Gradient: isocratic 10% B). The isolated crude product was further separated by PREP-CHIRAL-HPLC (CHIRALPAK ID, 2 x 25 cm, 5 μm; Flow rate: 15 mL/min; Gradient: 40% B to 40% B in 22 min) to afford 4-[5-chloro-6-oxo-4-[[(3S)-tetrahydropyran-3- yl]methylamino]pyridazin-1-yl]-N-methyl-N-phenyl-piperidine-1-sulfonamide (28.3 mg, 27% yield) as a white solid.
1H NMR (300 MHz, DMSO-d6) δ 7.97 (s, 1H), 7.46-7.38 (m, 4H), 7.32-7.25 (m, 1H), 6.74 (t, J = 6.4 Hz, 1H), 4.84-4.79 (m, 1H), 3.77-3.60 (m, 4H), 3.22 (s, 1H), 3.20-3.06 (m, 3H), 3.02-2.93 (m, 2H), 1.85-1.68 (m, 6H), 1.66-1.57 (m, 1H), 1.49-1.34 (m, 1H), 1.27-1.20 (m, 1H). LCMS (ES, m/z): 496.15, 498.15 [M+H]+. EXAMPLE 529 Synthesis of (R)-4-(5-chloro-6-oxo-4-(((tetrahydro-2H-pyran-3-yl)methyl)amino)pyridazin-1(6H)-yl)-N- phenylpiperidine-1-sulfonamide(529A)
(R)-4-(5-chloro-6-oxo-4-(((tetrahydro-2H-pyran-3-yl)methyl)amino)pyridazin-1(6H)-yl)-N- methyl-N-phenylpiperidine-1-sulfonamide (529B)
(R)-4-(5-chloro-6-oxo-4-(((tetrahydro-2H-pyran-3-yl)methyl)amino)pyridazin-1(6H)-yl)-N- phenylpiperidine-1-sulfonamide(529A) was prepared according to the above procedures 1H NMR (300 MHz, DMSO-d6) δ 9.99 (s, 1H), 7.95 (s, 1H), 7.32 (t, J = 7.7 Hz, 2H), 7.20 (d, J = 7.9 Hz, 2H), 7.06 (t, J = 7.3 Hz, 1H), 6.75 (t, J = 6.4 Hz, 1H), 4.81-4.70 (m, 1H), 3.71-3.68 (m, 4H),
3.45-3.42 (m, 1H), 3.34-3.08 (m, 3H), 2.95-2.80 (m, 2H), 1.85-1.50 (m, 7H), 1.50-1.31 (m, 1H), 1.30-1.12 (m, 1H) LCMS (ES, m/z): 482.15, 484.15 [M+H]+ (R)-4-(5-chloro-6-oxo-4-(((tetrahydro-2H-pyran-3-yl)methyl)amino)pyridazin-1(6H)-yl)-N- methyl-N-phenylpiperidine-1-sulfonamide (529B) was prepared according to the above procedures. 1H NMR (400 MHz, DMSO-d6) δ 7.97 (s, 1H), 7.49-7.37 (m, 4H), 7.33-7.24 (m, 1H), 6.74 (t, J = 6.4 Hz, 1H), 4.84-4.79 (m, 1H), 3.78-3.64 (m, 4H), 3.29-3.26(m,1H),3.22-3.15 (m, 4H), 3.12- 3.08(m, 2H),3.02-2.93(m, 2H), 1.75-1.74 (m, 6H), 1.63-1.55 (m, 1H), 1.45-1.41(m, 1H), 1.29-1.18 (m, 1H) LCMS (ES, m/z): 496.15, 498.15 [M+H]+ EXAMPLES 530-533 Synthesis of compounds 530-533 Compounds 530-533 were prepared according to the procedures described above.
. , , . . , EXAMPLE 534 Synthesis of 4-[4-[[(3S,4S)-4-amino-tetrahydro-2H-pyran-3-yl]methylamino]-5-chloro-6-oxopyridazin- 1(6H)-yl]-N-phenylpiperidine-1-sulfonamide (534A)
4-[4-[[(3S,4R)-4-amino-tetrahydro-2H-pyran-3-yl]methylamino]-5-chloro-6-oxopyridazin- 1(6H)-yl]-N-phenylpiperidine-1-sulfonamide (534B)
4-[4-[[(3R,4R)-4-amino-tetrahydro-2H-pyran-3-yl]methylamino]-5-chloro-6-oxopyridazin- 1(6H)-yl]-N-phenylpiperidine-1-sulfonamide (534C)
4-[4-[[(3R,4S)-4-amino-tetrahydro-2H-pyran-3-yl]methylamino]-5-chloro-6-oxopyridazin- 1(6H)-yl]-N-phenylpiperidine-1-sulfonamide (534D)
STEP 1: methyl 4-(benzylamino)tetrahydropyran-3-carboxylate To a solution of methyl 4-oxotetrahydropyran-3-carboxylate (3.00 g, 18.9 mmol) in methanol (60 mL) was added phenylmethanamine (2.44 g, 22.7 mmol) and acetic acid (1.14 g, 18.9 mmol). The mixture was stirred for 0.5 h at 25 °C and then sodium cyanoborohydride (15.6 g, 37.9 mmol) was added. The mixture was stirred for 16 h at 25 °C, quenched with saturated sodium bicarbonate solution (100 mL) and extracted with ethyl acetate (3 x 100 mL). The combined organic extracts were dried over anhydrous sodium sulfate, filtered, concentrated and purified on a silica gel column (PE/ethyl acetate , 4/1) to afford methyl 4- (benzylamino)tetrahydro pyran-3-carboxylate (3.0 g, 63% yield) as a light-yellow oil. LCMS (ES, m/z): 250.20 [M+H]+.
STEP 2: methyl 4-(tert-butoxycarbonylamino)tetrahydropyran-3-carboxylate To a solution of methyl 4-(benzylamino)tetrahydropyran-3-carboxylate (3.0 g, 12.0 mmol) in methanol (50 mL) was added Pd/C (2.56 g, 10%) and Boc2O (3.94 g, 18.0 mmol). The mixture was stirred for 16 h at 40 °C under hydrogen (~3 atm) atmosphere. Solids were removed by filtration and the filtrate concentrated and purified on a silica gel column eluted with (PE/ethyl acetate, 4/1) to afford methyl 4-(tert-butoxycarbonylamino)tetrahydropyran-3-carboxylate (1.80 g, 58% yield) as a white oil. LCMS (ES, m/z): 260.15 [M+H]+. STEP 3: 4-(tert-butoxycarbonylamino)tetrahydropyran-3-carboxylic acid To a solution of methyl 4-(tert-butoxycarbonylamino)tetrahydropyran-3-carboxylate (1.80 g, 6.94 mmol) in methanol (10 mL) and THF (10 mL) was added a solution of sodium hydroxide (1.39 g, 34.7 mmol) in water (10 mL) at 0 °C. The mixture was stirred for 2 h at 25 °C, acidified to pH~3 with HCl (2M) at 0 °C and extracted with ethyl acetate (3 x 100 mL). The combined organic extracts were washed with brine (300 mL), dried over anhydrous sodium sulfate and concentrated to afford 4-(tert-butoxycarbonylamino)tetrahydropyran-3-carboxylic acid (1.50 g, 88% yield) as a white solid. LCMS (ES, m/z): 246.30 [M+H]+. STEP 4: tert-butyl N-(3-carbamoyltetrahydropyran-4-yl)carbamate To a solution of 4-(tert-butoxycarbonylamino)tetrahydropyran-3-carboxylic acid (1.50 g, 6.12 mmol) in DMF (20 mL) was added N,N-diethylethanamine (1.24 g, 12.2 mmol), HATU (2.79 g, 7.34 mmol) and ammonium chloride (3.24 g, 61.1 mmol). The mixture was stirred for 2 h at 40 °C, cooled and purified by reverse flash chromatography (C18 silica gel; mobile phase, A: water (containing 10 mmol/L NH4HCO3) and B: acetonitrile (30% to 70% in 30 min); Detector: UV 254 nm) to afford tert-butyl N-(3-carbamoyltetrahydropyran-4-yl)carbamate (700 mg, 49% yield) as a yellow solid. LCMS (ES, m/z): 245.45 [M+H]+. STEP 5: tert-butyl N-[3-(aminomethyl)tetrahydropyran-4-yl]carbamate To a solution of tert-butyl N-(3-carbamoyltetrahydropyran-4-yl)carbamate (700 mg, 2.87 mmol) in THF (10 mL) was added Lithium Aluminum Hydride (217 mg, 5.73 mmol). The mixture
was stirred for 5 h at 25 °C and then quenched with water (1 ml), sodium hydroxide solution (15% (w/w), 1 ml) and water (3 ml) at 0 °C. The mixture was stirred for 5 min, filtered and the filtrate concentrated and purified by reserve phase column (C18 Column, 19 x 250 mm, 5μm; Mobile Phase A: Water(10 mmol/L NH4HCO3), Mobile Phase B: acetonitrile; Flow rate: 25 mL/min; Gradient: 10% B to 50% B in 30 min) afford tert-butyl N-[3- (aminomethyl)tetrahydropyran-4-yl]carbamate (170 mg, 26% yield) as a white solid. LCMS (ES, m/z): 231.10 [M+H]+. STEP 6: 1,1-dimethylethyl N-[(3S,4S)-3-[[[5-chloro-6-oxo-1-[1-(phenylsulfamoyl)-4- piperidyl]pyridazin-4-yl]amino]methyl]tetrahydropyran-4-yl]carbamate (assumed, first eluting isomer); and 1,1-dimethylethyl N-[(3S)-3-[[[5-chloro-6-oxo-1-[1-(phenylsulfamoyl)-4-piperidyl]pyridazin- 4-yl]amino]methyl]tetrahydropyran-4-yl]carbamate (assumed, second eluting isomer) and 1,1-dimethylethyl N-[(3R,4R)-3-[[[5-chloro-6-oxo-1-[1-(phenylsulfamoyl)-4- piperidyl]pyridazin-4-yl]amino]methyl]tetrahydropyran-4-yl]carbamate (assumed, third eluting isomer) and 1,1-dimethylethyl N-[(3R)-3-[[[5-chloro-6-oxo-1-[1-(phenylsulfamoyl)-4-piperidyl]pyridazin- 4-yl]amino]methyl]tetrahydropyran-4-yl]carbamate (assumed, fourth eluting isomer) To a solution of 4-(4,5-dichloro-6-oxo-pyridazin-1-yl)-N-phenyl-piperidine-1-sulfonamide (300 mg, 744 μmol) in ethanol (5 mL) was added N,N-diethylethanamine (150 mg, 1.49 mmol) and tert-butyl N-[3-(aminomethyl)tetrahydropyran-4-yl]carbamate (171 mg, 744 μmol). The mixture was heated for 16 h at 80 °C, cooled and purified by reverse flash chromatography (C18 silica gel; mobile phase, A: water (containing 10 mmol/L NH4HCO3) and B: acetonitrile (40% to 80% in 30 min); Detector: UV 254 nm) to afford ~ 250 mg product which was further purified by prep-ACHIRAL-SFC (YMC-Actus Triart Diol-HILIC, 3 x 25 cm, 5 μm; Mobile Phase A: CO2, Mobile Phase B: acetonitrile: MEOH = 4:1(0.1% 2M NH3-MEOH); Flow rate: 75 mL/min; Gradient: isocratic 33% B; Column Temperature(°C): 35; Back Pressure(bar): 100). The racemate was separated by prep-CHIARL-HPLC (CHIRALPAK IF, 2 x 25 cm, 5 μm; Mobile Phase A: Hex: DCM=3: 1(0.5% 2M NH3-MeOH), Mobile Phase B: EtOH-HPLC; Flow rate: 20 mL/min; Gradient: 15% B to 15% B in 15 min).
The first eluting isomer was 1,1-dimethylethyl N-[(3S,4S)-3-[[[5-chloro-6-oxo-1-[1- (phenylsulfamoyl)-4-piperidyl]pyridazin-4-yl]amino]methyl]tetrahydropyran-4-yl]carbamate (assumed, 20 mg, 4.5% yield) isolated as a white solid, The second eluting isomer was 1,1-dimethylethyl N-[(3S)-3-[[[5-chloro-6-oxo-1-[1- (phenylsulfamoyl)-4-piperidyl]pyridazin-4-yl]amino]methyl]tetrahydropyran-4-yl]carbamate (9.0 mg, 2% yield) isolated as a white solid, The third eluting isomer was 1,1-dimethylethyl N-[(3R,4R)-3-[[[5-chloro-6-oxo-1-[1- (phenylsulfamoyl)-4-piperidyl]pyridazin-4-yl]amino]methyl]tetrahydropyran-4-yl]carbamate (9.0 mg, 2% yield) isolated as a white solid and The fourth eluting isomer was 1,1-dimethylethyl N-[(3R)-3-[[[5-chloro-6-oxo-1-[1- (phenylsulfamoyl)-4-piperidyl]pyridazin-4-yl]amino]methyl]tetrahydropyran-4-yl]carbamate (8.0 mg1.8% yield) as a white solid. LCMS (ES, m/z): 597.25, 599.25 [M+H]+. STEP 7: 4-[4-[[(3S,4S)-4-amino-tetrahydro-2H-pyran-3-yl]methylamino]-5-chloro-6- oxopyridazin-1(6H)-yl]-N-phenylpiperidine-1-sulfonamide (534A) A solution of 1,1-dimethylethyl N-[(3S,4S)-3-[[[5-chloro-6-oxo-1-[1-(phenylsulfamoyl)-4- piperidyl]pyridazin-4-yl]amino]methyl]tetrahydropyran-4-yl]carbamate (20 mg, 33.5 μmol) in DCM (2 mL) and TFA (0.5 mL) was stirred for 0.5 h at 25°C, then concentrated and purified by reverse flash chromatography (C18 silica gel; mobile phase, A: water (containing 10 mmol/L NH4HCO3) and B: acetonitrile (30% to 60% in 30 min) to afford 4-[4-[[(3S,4S)-4- aminotetrahydropyran-3-yl]methylamino]-5-chloro-6-oxo-pyridazin-1-yl]-N-phenyl-piperidine- 1-sulfonamide (4.0 mg, 24% yield) as a white solid. 1H NMR (300 MHz, DMSO-d6) δ 7.95 (s, 1H), 7.33 (t, J = 7.8 Hz, 2H), 7.23-7.17 (m, 2H), 7.08 (t, J = 7.3 Hz, 1H), 4.76-4.71 (m, 1H), 3.70-3.50 (m, 4H), 3.50-3.35 (m, 4H), 3.13-3.01 (m, 1H), 2.88-2.76 (m, 2H), 1.83-1.54 (m, 7H). LCMS (ES, m/z): 497.10 [M+H]+. STEP 8: 4-[4-[[(3S,4R)-4-amino-tetrahydro-2H-pyran-3-yl]methylamino]-5-chloro-6- oxopyridazin-1(6H)-yl]-N-phenylpiperidine-1-sulfonamide (534B) A solution of 1,1-dimethylethyl N-[(3S)-3-[[[5-chloro-6-oxo-1-[1-(phenylsulfamoyl)-4- piperidyl]pyridazin-4-yl]amino]methyl]tetrahydropyran-4-yl]carbamate (9.0 mg, 15.1 μmol) in
DCM (2 mL) and TFA (0.5 mL) was stirred for 0.5 h at 25°C, then concentrated and purified by prep-HPLC (XSelect CSH prep C18 OBD Column, 19 x 250 mm, 5μm; Mobile Phase A: Water(10 mmol/L NH4HCO3), Mobile Phase B: acetonitrile; Flow rate: 25 mL/min; Gradient: 30% B to 50% B in 7 min, 50% B) to afford 4-[4-[[(3S,4R)-4-amino-tetrahydro-2H-pyran-3- yl]methylamino]-5-chloro-6-oxopyridazin-1(6H)-yl]-N-phenylpiperidine-1-sulfonamide (4.0 mg, 52% yield) as a white solid. 1H NMR (300 MHz, DMSO-d6) δ 7.95 (s, 1H), 7.33 (t, J = 7.8 Hz, 2H), 7.22-7.16 (m, 2H), 7.07 (t, J = 7.3 Hz, 1H), 4.76-4.71 (m, 1H), 3.86-3.58 (m, 5H), 3.56-3.51 (m, 1H), 3.31-3.24 (m, 1H), 3.17-3.10 (m, 1H), 3.04-2.97 (m, 1H), 2.88-2.76 (m, 2H), 1.77-1.23 (m, 7H). LCMS (ES, m/z): 497.10 [M+H]+. STEP 9: 4-[4-[[(3R,4R)-4-amino-tetrahydro-2H-pyran-3-yl]methylamino]-5-chloro-6- oxopyridazin-1(6H)-yl]-N-phenylpiperidine-1-sulfonamide (534C) A solution of 1,1-dimethylethyl N-[(3S)-3-[[[5-chloro-6-oxo-1-[1-(phenylsulfamoyl)-4- piperidyl]pyridazin-4-yl]amino]methyl]tetrahydropyran-4-yl]carbamate (9.0 mg, 15 μmol) in DCM (2 mL) and TFA (0.5 mL) was stirred for 0.5 h at 25°C, then concentrated and purified by prep-HPLC (XSelect CSH prep C18 OBD Column, 19 x 250 mm, 5μm; Mobile Phase A: Water(10 mmol/L NH4HCO3), Mobile Phase B: acetonitrile; Flow rate: 25 mL/min; Gradient: 30% B to 50% B in 7 min, 50% B) to afford 4-[4-[[(3R,4R)-4-amino-tetrahydro-2H-pyran-3-yl]methylamino]-5- chloro-6-oxopyridazin-1(6H)-yl]-N-phenylpiperidine-1-sulfonamide (5.0 mg, 67% yield) as a white solid. 1H NMR (300 MHz, DMSO-d6) δ 7.95 (s, 1H), 7.34 (t, J = 7.8 Hz, 2H), 7.22-7.16 (m, 2H), 7.09 (t, J = 7.3 Hz, 1H), 4.76-4.71 (m, 1H), 3.70-3.57 (m, 4H), 3.40-3.35 (m, 4H), 3.04 (s, 1H), 2.88-2.76 (m, 2H), 1.83-1.54 (m, 7H). LCMS (ES, m/z): 497.10 [M+H]+. STEP 10: 4-[4-[[(3R,4S)-4-amino-tetrahydro-2H-pyran-3-yl]methylamino]-5-chloro-6- oxopyridazin-1(6H)-yl]-N-phenylpiperidine-1-sulfonamide (534D) A solution of 1,1-dimethylethyl N-[(3R)-3-[[[5-chloro-6-oxo-1-[1-(phenylsulfamoyl)-4- piperidyl]pyridazin-4-yl]amino]methyl]tetrahydropyran-4-yl]carbamate (8.0 mg, 13.4 μmol) in DCM (2 mL) and TFA (0.5 mL) was stirred for 0.5 h at 25°C, then concentrated and purified by prep-HPLC (XSelect CSH prep C18 OBD Column, 19 x 250 mm, 5μm; Mobile Phase A: Water(10
mmol/L NH4HCO3), Mobile Phase B: acetonitrile; Flow rate: 25 mL/min; Gradient: 30% B to 50% B in 7 min, 50% B) to afford 4-[4-[[(3R,4S)-4-amino-tetrahydro-2H-pyran-3-yl]methylamino]-5- chloro-6-oxopyridazin-1(6H)-yl]-N-phenylpiperidine-1-sulfonamide (2.0 mg, 29% yield) as a white solid. 1H NMR (300 MHz, DMSO-d6) δ 7.95 (s, 1H), 7.34 (t, J = 7.8 Hz, 2H), 7.22-7.17 (m, 2H), 7.09 (t, J = 7.3 Hz, 1H), 4.76-4.71 (m, 1H), 3.86-3.58 (m, 5H), 3.56-3.51 (m, 1H), 3.31-3.24 (m, 1H), 3.17-3.10 (m, 1H), 3.04-2.97 (m, 1H), 2.88-2.76 (m, 2H), 1.77-1.23 (m, 7H). LCMS (ES, m/z): 497.10 [M+H]+. EXAMPLE 535 Synthesis of 4-(5-chloro-4-((((3R,4R)-4-hydroxytetrahydro-2H-pyran-3-yl)methyl)amino)-6-oxopyridazin- 1(6H)-yl)-N-phenylpiperidine-1-sulfonamide (535A)
4-(5-chloro-4-((((3S,4S)-4-hydroxytetrahydro-2H-pyran-3-yl)methyl)amino)-6-oxopyridazin- 1(6H)-yl)-N-phenylpiperidine-1-sulfonamide (535B)
4-(5-chloro-4-((((3R,4S)-4-hydroxytetrahydro-2H-pyran-3-yl)methyl)amino)-6-oxopyridazin- 1(6H)-yl)-N-phenylpiperidine-1-sulfonamide (535C)
4-(5-chloro-4-((((3S,4R)-4-hydroxytetrahydro-2H-pyran-3-yl)methyl)amino)-6-oxopyridazin- 1(6H)-yl)-N-phenylpiperidine-1-sulfonamide (535D)
STEP 1: methyl 4-hydroxytetrahydropyran-3-carboxylate To a stirred mixture of methyl 4-oxotetrahydropyran-3-carboxylate (4.00 g, 25.3 mmol) in methanol (40 mL) were added sodium borohydride (794 mg, 12.6 mmol) in portions at 0 °C. The
resulting mixture was stirred for 1 h at 25 °C, concentrated and purified by silica gel column chromatography, (PE/ethyl acetate, 10/1) to afford methyl 4-hydroxytetrahydropyran-3- carboxylate (3.00 g, 52% yield). LCMS (ES, m/z): 161.15 [M+H]+ STEP 2: methyl 4-[tert-butyl(dimethyl)silyl]oxytetrahydropyran-3-carboxylate To a stirred mixture of methyl 4-hydroxytetrahydropyran-3-carboxylate (3 g, 13.11 mmol) in DMF (25 mL) were added imidazole (2.68 g, 39.3 mmol) and tert-butyl-chloro-dimethyl-silane (3.95 g, 26.2 mmol) in portions at 0 °C. The resulting mixture was stirred for 16 h at 25 °C, quenched with water (50 mL) and extracted with ethyl acteate (3 x 50 mL). The combined organic extracts were washed with water (100 mL), dried over anhydrous sodium sulfate and concentrated to afford methyl 4-[tert-butyl(dimethyl)silyl]oxytetrahydropyran-3-carboxylate (3.0 g, 58% yield) as a yellow solid. LCMS (ES, m/z): 275.15 [M +H]+ STEP 3: 4-[tert-butyl(dimethyl)silyl]oxytetrahydropyran-3-carboxylic acid To a solution of methyl 4-[tert-butyl(dimethyl)silyl]oxytetrahydropyran-3-carboxylate (3 g, 7.65 mmol) in THF (30 mL) were added sodium hydroxide (1.53 g, 38.2 mmol) in methanol (10 mL) and water (10 mL) dropwise. The resulting mixture was stirred for 16 h at 25 °C, partially concentrated, acidified to pH~7 with HCl (3 M) at 0 °C and extracted with ethyl acetate (3 x 50 mL). The combined organic extracts were dried over anhydrous sodium sulfate and concentrated to afford 4-[tert-butyl(dimethyl)silyl]oxytetrahydropyran-3-carboxylic acid (2.0 g, 70% yield). LCMS (ES, m/z): 261.20 [M+H]+ STEP 4: 4-[tert-butyl(dimethyl)silyl]oxytetrahydropyran-3-carboxamide To a stirred mixture of 4-[tert-butyl(dimethyl)silyl]oxytetrahydropyran-3-carboxylic acid (2 g, 5.38 mmol) in DMF (20 mL) were added HATU (2.47 g, 6.45 mmol), TEA (2.08 g, 16.13 mmol, 2.81 mL) and ammonium chloride (1.44 g, 26.8 mmol) at 0 °C. The resulting mixture was stirred for 2 h at 25 °C and purified by reverse flash chromatography (C18 silica gel, 120 g, 20-35 um; mobile phase, water with 10 mmol/L NH4HCO3 and acetonitrile (40% to 70% gradient in 20
min); detector) to afford 4-[tert-butyl(dimethyl)silyl]oxytetrahydropyran-3-carboxamide (1.0 g, 57% yield). LCMS (ES, m/z): 260.20 [M+H]+ STEP 5: tert-butyl N-[(4-hydroxytetrahydropyran-3-yl)methyl]carbamate To a stirred mixture of 4-[tert-butyl(dimethyl)silyl]oxytetrahydropyran-3-carboxamide (1 g, 3.08 mmol) in DCM (10 mL) was added lithium aluminum hydride (1 M, 3.39 mL) dropwise at 0 °C under nitrogen atmosphere. The resulting mixture was stirred for 2 h at 50 °C under nitrogen atmosphere and then quenched with water. The solids were removed by filtration and the filtrate extracted with ethyl acetate (3 x 20 mL). The aqueous phase was concentrated and re- dissolved in methanol (2 mL) and THF (20 mL). To the above mixture was added Boc2O (673 mg, 3.08 mmol) and N,N-diethylethanamine (936 mg, 9.25 mmol). The resulting mixture was stirred for an additional 2 h at 25 °C, concentrated and purified by prep-HPLC (XBridge Shield RP18 OBD Column, 19 x 150 mm, 5 μm; Mobile Phase A: Water (10 mmol/L NH4HCO3), Mobile Phase B: acetonitrile; Flow rate: 25 mL/min; Gradient: 45% B to 65% B in 7 min, 65% B) to afford tert- butyl N-[(4-hydroxytetrahydropyran-3-yl)methyl]carbamate (0.17 g, 24% yield). LCMS (ES, m/z): 232.20 [M+H]+ STEP 6: HCl salt of 3-(aminomethyl)tetrahydropyran-4-ol To a stirred mixture of tert-butyl N-[(4-hydroxytetrahydropyran-3-yl)methyl]carbamate (0.17 g, 735 μmol) in ethyl acetate (1 mL) was added HCl (4 M in ethyl acetate, 1.47 mL). The resulting mixture was stirred for 3 h at 30 °C and concentrated to afford HCl salt of 3- (aminomethyl)tetra hydropyran-4-ol (0.19 g, 566 μmol, 77% yield, 50% purity). LCMS (ES, m/z): 132.20 [M-HCl+H]+ STEP 7: 4-(5-chloro-4-((((3R,4R)-4-hydroxytetrahydro-2H-pyran-3-yl)methyl)amino)-6- oxopyridazin-1(6H)-yl)-N-phenylpiperidine-1-sulfonamide (535A); and 4-(5-chloro-4-((((3S,4S)-4-hydroxytetrahydro-2H-pyran-3-yl)methyl)amino)-6-oxopyridazin- 1(6H)-yl)-N-phenylpiperidine-1-sulfonamide (535B); and 4-(5-chloro-4-((((3R,4S)-4-hydroxytetrahydro-2H-pyran-3-yl)methyl)amino)-6-oxopyridazin- 1(6H)-yl)-N-phenylpiperidine-1-sulfonamide (535C); and
4-(5-chloro-4-((((3S,4R)-4-hydroxytetrahydro-2H-pyran-3-yl)methyl)amino)-6-oxopyridazin- 1(6H)-yl)-N-phenylpiperidine-1-sulfonamide (535D) To a stirred mixture of HCl salt of 3-(aminomethyl)tetrahydropyran-4-ol (70 mg, 417 μmol) and 4-(4,5-dichloro-6-oxo-pyridazin-1-yl)-N-phenyl-piperidine-1-sulfonamide (168 mg, 208 μmol) in ethanol (2 mL) was added N,N-diethylethanamine (126 mg, 1.25 mmol). The resulting mixture was heated for 48 h at 80 °C, cooled to rt, and purified by reverse flash chromatography (C18 silica gel, 80 g, 20-35 um; mobile phase, water with 10 mmol/L NH4HCO3 and acetonitrile (0% to 100% gradient in 30 min)) to afford the racemate, which was separated by Chiral-prep-HPLC (CHIRALPAK IA, 2 x 25 cm, 5 μm; Mobile Phase A: Hex: DCM=3:1 (0.5% 2M NH3-MeOH), Mobile Phase B: EtOH; Flow rate: 20 mL/min; Gradient: 7% B to 7% B in 54 min). The first eluting isomer was 4-(5-chloro-4-((((3R,4R)-4-hydroxytetrahydro-2H-pyran-3- yl)methyl)amino)-6-oxopyridazin-1(6H)-yl)-N-phenylpiperidine-1-sulfonamide (compound 535A, 152 mg, 14% yield) isolated as a white solid. 1H NMR (400 MHz, DMSO-d6) δ 9.93 (s, 1H), 7.95 (s, 1H), 7.31 (t, J = 7.8 Hz, 2H), 7.23-7.17 (m, 2H), 7.06 (t, J = 7.3 Hz, 1H), 6.70 (t, J = 6.3 Hz, 1H), 4.96 (d, J = 3.6 Hz, 1H), 4.80-4.72 (m, 1H), 3.94-3.84 (m, 1H), 3.76-3.63 (m, 3H), 3.55-3.42 (m, 3H), 3.30-3.21 (m, 1H), 2.92-2.80 (m, 2H), 1.91-1.80 (m, 1H), 1.75-1.52 (m, 6H), 1.29-1.20 (m, 1H). LCMS (ES, m/z): 498.15, 500.15 [M+H]+ The second eluting isomer was a mixture of 535B and 535C. The third eluting isomer was 4-(5-chloro-4-((((3S,4R)-4-hydroxytetrahydro-2H-pyran-3- yl)methyl)amino)-6-oxopyridazin-1(6H)-yl)-N-phenylpiperidine-1-sulfonamide (compound 535D, 16.3 mg, 16% yield) isolated as a white solid. 1H NMR (400 MHz, DMSO-d6) δ 9.84 (s, 1H), 7.91 (s, 1H), 7.36-7.27 (m, 2H), 7.23-7.16 (m, 2H), 7.10-7.02 (m, 1H), 6.80 (t, J = 6.1 Hz, 1H), 5.09 (d, J = 5.3 Hz, 1H), 4.83-4.70 (m, 1H), 3.85- 3.68 (m, 4H), 3.56-3.45 (m, 1H), 3.45-3.33 (m, 1H), 3.33-3.23 (m, 1H), 3.23-3.12 (m, 1H), 3.09- 2.99 (m, 1H), 2.92-2.81 (m, 2H), 1.83-1.57 (m, 6H), 1.48-1.34 (m, 1H). LCMS (ES, m/z): 498.15, 500.15 [M+H]+ The mixture of 535B and 535C was separated by Chiral-prep-HPLC (CHIRALPAK ID, 2 x 25 cm, 5 μm; Mobile Phase A: MtBE(0.5% 2M NH3-MeOH), Mobile Phase B: EtOH; Flow rate: 15 mL/min; Gradient: 30% B to 30% B in 16 min) to afford: 4-(5-chloro-4-((((3S,4S)-4-hydroxytetrahydro-2H-pyran-3-yl)methyl)amino)-6-oxopyridazin- 1(6H)-yl)-N-phenylpiperidine-1-sulfonamide (compound 535B, 9.0 mg, 9% yield) as a white solid.
1H NMR (400 MHz, DMSO-d6) δ 9.97 (s, 1H), 7.95 (s, 1H), 7.36-7.28 (m, 2H), 7.23-7.16 (m, 2H), 7.06 (t, J = 7.4 Hz, 1H), 6.70 (t, J = 6.2 Hz, 1H), 4.97 (d, J = 3.7 Hz, 1H), 4.83-4.73 (m, 1H), 3.94-3.85 (m, 1H), 3.75-3.64 (m, 3H), 3.56-3.30 (m, 3H), 3.30-3.21 (m, 2H), 2.92-2.81 (m, 2H), 1.91-1.81 (m, 1H), 1.79-1.50 (m, 6H). LCMS (ES, m/z): 498.15, 500.15 [M+H]+ 4-(5-chloro-4-((((3R,4S)-4-hydroxytetrahydro-2H-pyran-3-yl)methyl)amino)-6-oxopyridazin- 1(6H)-yl)-N-phenylpiperidine-1-sulfonamide (compound 535C, 144 mg, 14% yield) as a white solid. 1H NMR (400 MHz, DMSO-d6) δ 9.98 (s, 1H), 7.92 (s, 1H), 7.32 (t, J = 7.9 Hz, 2H), 7.23-7.17 (m, 2H), 7.06 (t, J = 7.3 Hz, 1H), 6.80 (t, J = 6.1 Hz, 1H), 5.09 (d, J = 5.3 Hz, 1H), 4.82-4.71 (m, 1H), 3.86-3.69 (m, 4H), 3.56-3.45 (m, 1H), 3.45-3.34 (m, 1H), 3.30-3.24 (m, 1H), 3.24-3.12 (m, 1H), 3.04 (t, J = 10.8 Hz, 1H), 2.93-2.81 (m, 2H), 1.83-1.58 (m, 6H), 1.48-1.34 (m, 1H). LCMS (ES, m/z): 498.15, 500.15 [M+H]+ EXAMPLE 536 Synthesis of (R)-4-(5-chloro-6-oxo-4-(((tetrahydro-2H-pyran-3-yl)methyl)amino)pyridazin-1(6H)-yl)-N-(4-(2- hydroxypropan-2-yl)phenyl)piperidine-1-sulfonamide (536)
STEP 1: methyl (R)-4-((4-(5-chloro-6-oxo-4-(((tetrahydro-2H-pyran-3-yl)methyl)amino)pyridazin- 1(6H)-yl)piperidine)-1-sulfonamido)benzoate N,N-diethylethanamine (311 mg, 3.08 mmol) was added to a mixture of methyl 4-[(2- oxooxazolidin-3-yl)sulfonylamino]benzoate (370 mg, 1.23 mmol) and (2R)-4-chloro-2-(4- piperidyl)-5-[[(3R)-tetrahydropyran-3-yl]methylamino]pyridazin-3-one (271 mg, 616 μmol) in acetonitrile (5 mL) and the mixture heated for 16 h at 80 °C. Purification by reverse flash chromatography (C18 silica gel, 80 g, 20-35 um; mobile phase, water with 0.1% FA and acetonitrile (0% to 100% gradient in 30 min); detector) afforded methyl 4-[[4-[(1R)-5-chloro-6- oxo-4-[[(3R)-tetrahydropyran-3-yl]methylamino]pyridazin-1-yl]-1- piperidyl]sulfonylamino]benzoate (200 mg, 60% yield) as a white solid. LCMS (ES, m/z): 540.15, 542.15 [M+H]+. STEP 2: (R)-4-(5-chloro-6-oxo-4-(((tetrahydro-2H-pyran-3-yl)methyl)amino)pyridazin-1(6H)-yl)- N-(4-(2-hydroxypropan-2-yl)phenyl)piperidine-1-sulfonamide To methyl 4-[[4-[(1R)-5-chloro-6-oxo-4-[[(3R)-tetrahydropyran-3-yl]methylamino] pyridazin- 1-yl]-1-piperidyl]sulfonylamino]benzoate (200 mg, 370 μmol) in THF (3 mL) was added methyl magnesium bromide (1 M, 1.85 mL) dropwise at 0 °C. The resulting mixture was stirred for 3 h at 0 °C, poured into water (6 mL) and extracted with DCM (3 x 6 mL). The combined organic extracts were concentrated and purified by reverse flash chromatography (C18 silica gel, 40 g, 20-35 um; mobile phase, water with 0.1% FA and acetonitrile (0% to 100% gradient in 50 min); and prep-HPLC (DAICEL DCpak P4VP, 3 x 25 cm, 5 μm; Mobile Phase A: CO2, Mobile Phase B: MEOH(0.1% 2M NH3-MEOH); Flow rate: 60 mL/min; Gradient: isocratic 47% B) to afford 4-[(1R)- 5-chloro-6-oxo-4-[[(3R)-tetrahydropyran-3-yl]methylamino]pyridazin-1-yl]-N-[4-(1-hydroxy-1- methyl-ethyl)phenyl]piperidine-1-sulfonamide (4.9 mg, 2.4% yield) as a white solid. 1H NMR (300 MHz, DMSO-d6) δ 9.82 (s, 1H), 7.93 (s, 1H), 7.38 (d, J = 6.3 Hz, 2H), 7.11 (d, J = 6.3 Hz, 2H), 6.74 (t, J = 6.3 Hz, 1H), 4.96 (s, 1H), 4.77-4.72 (m, 1H) 3.71-3.67(m , 4H), 3.34- 3.08(m, 4H), 2.90-2.81(m, 2H), 1.72-1.56 (m, 7H), 1.51-1.29 (m, 7H), 1.26-1.18 (m, 1H). LCMS (ES, m/z): 522.15, 524.15 [M-OH]+.
EXAMPLE 537 Synthesis of (S)-4-(5-chloro-6-oxo-4-(((tetrahydro-2H-pyran-3-yl)methyl)amino)pyridazin- 1(6H)-yl)-N-(4-(2-hydroxypropan-2-yl)phenyl)piperidine-1-sulfonamide (537)
(S)-4-(5-chloro-6-oxo-4-(((tetrahydro-2H-pyran-3-yl)methyl)amino)pyridazin-1(6H)-yl)-N-(4- (2-hydroxypropan-2-yl)phenyl)piperidine-1-sulfonamide was prepared according to similar procedures as described above. 1H NMR (300 MHz, DMSO-d6) δ 9.82 (s, 1H), 7.93 (s, 1H), 7.38 (d, J = 6.3 Hz, 2H), 7.11 (d, J = 6.3 Hz, 2H), 6.74 (t, J = 6.3 Hz, 1H), 4.96 (s, 1H), 4.77-4.72 (m, 1H) 3.71-3.67(m, 4H), 3.34- 3.08(m, 4H), 2.90-2.81(m, 2H), 1.72-1.56 (m, 7H), 1.51-1.29 (m, 7H), 1.26-1.18 (m, 1H) LCMS (ES, m/z): 522.15, 524.15 [M-OH]+ EXAMPLE 538 Synthesis of 4-[5-chloro-6-oxo-4-[[(3S)-tetrahydropyran-3-yl]methylamino]pyridazin-1-yl]-N-[6- (dimethylamino)-3-pyridyl]-N-methyl-piperidine-1-sulfonamide (538A)
4-[5-chloro-6-oxo-4-[[(3R)-tetrahydropyran-3-yl]methylamino]pyridazin-1-yl]-N-[6- (dimethylamino)-3-pyridyl]-N-methyl-piperidine-1-sulfonamide (538B)
STEP 1: 4-(4,5-dichloro-6-oxo-pyridazin-1-yl)-N-[6-(dimethylamino)-3-pyridyl]-N-methyl- piperidine-1-sulfonamide To a stirred mixture of 4-(4,5-dichloro-6-oxo-pyridazin-1-yl)-N-[6-(dimethylamino)-3- pyridyl]piperidine-1-sulfonamide (450 mg, 1.01 mmol) in DMF (5 mL) was added cesium carbonate (655 mg, 2.01 mmol) and iodomethane (428 mg, 3.02 mmol). The resulting mixture was stirred for 2 h at 25 °C, diluted with water (8 mL) and extracted with ethyl acetate (3 x 10 mL). The combined organic extracts were washed with brine (15 mL), dried over anhydrous sodium sulfate, concentrated and purified by silica gel column chromatography (PE/ethyl acetate 3/1) to afford 4-(4,5-dichloro-6-oxo-pyridazin-1-yl)-N-[6-(dimethylamino)-3-pyridyl]-N- methyl-piperidine-1-sulfonamide (400 mg, 86% yield) as light-yellow oil. LCMS (ES, m/z): 461.10, 463.10 [M+H]+ STEP 2: 4-[5-chloro-6-oxo-4-[[(3S)-tetrahydropyran-3-yl]methylamino]pyridazin-1-yl]-N- [6-(dimethylamino)-3-pyridyl]-N-methyl-piperidine-1-sulfonamide (638A)
4-[5-chloro-6-oxo-4-[[(3R)-tetrahydropyran-3-yl]methylamino]pyridazin-1-yl]-N- [6-(dimethylamino)-3-pyridyl]-N-methyl-piperidine-1-sulfonamide (638B) To a stirred mixture of 4-(4,5-dichloro-6-oxo-pyridazin-1-yl)-N-[6-(dimethylamino)-3- pyridyl]-N-methyl-piperidine-1-sulfonamide (200 mg, 433 μmol), tetrahydropyran-3- ylmethanamine (197 mg, 1.30 mmol) in ethanol (2 mL) was added N,N-diethylethanamine (219 mg, 2.17 mmol). The resulting mixture was heated for 16 h at 80 °C, cooled to rt and purified by reversed phase chromatography (C18 silica gel; Mobile phase, A: water (containing 0.1% NH4HCO3) and B: acetonitrile (20% B to 80% B in 30 min)) to afford the racemate, which was separated by Chiral-prep-HPLC (CHIRALPAK ID, 2 x 25 cm, 5 μm; Mobile Phase A: MtBE(0.5% 2M NH3-MeOH), Mobile Phase B: EtOH; Flow rate: 13 mL/min; Gradient: 50% B to 50% B in 50 min; RT1(min): 23.081; RT2(min): 34.685; Sample Solvent: EtOH; Injection Volume: 1 mL; Number Of Runs: 5) to afford: 4-[5-chloro-6-oxo-4-[[(3S)-tetrahydropyran-3-yl]methylamino]pyridazin-1-yl]-N-[6- (dimethylamino)-3-pyridyl]-N-methyl-piperidine-1-sulfonamide (37.5 mg, 16% yield) 1H NMR (300 MHz, DMSO-d6) δ 8.12 (d, J = 2.7 Hz, 1H), 7.98 (s, 1H), 7.58 (dd, J = 9.1, 2.8 Hz, 1H), 6.84-6.68 (m, 1H), 6.67-6.52 (m, 1H), 4.96-4.72 (m, 1H), 3.82-3.56 (m, 4H), 3.34-3.29 (m, 1H), 3.28-3.07 (m, 6H), 3.06-2.96 (m, 8H), 1.87-1.68 (m, 6H), 1.65-1.53 (m, 1H), 1.52-1.35 (m, 1H), 1.33-1.14 (m, 1H). LCMS (ES, m/z): 540.25, 542.20 [M+H]+. and 4-[5-chloro-6-oxo-4-[[(3R)-tetrahydropyran-3-yl]methylamino]pyridazin-1-yl]-N-[6- (dimethylamino)-3-pyridyl]-N-methyl-piperidine-1-sulfonamide (35.4 mg, 15% yield) as a white solid. 1H NMR (300 MHz, DMSO-d6) δ 8.12 (d, J = 2.7 Hz, 1H), 7.98 (s, 1H), 7.58 (dd, J = 9.1, 2.8 Hz, 1H), 6.83-6.69 (m, 1H), 6.68-6.57 (m, 1H), 4.98-4.70 (m, 1H), 3.81-3.57 (m, 4H), 3.34-3.28 (m, 1H), 3.27-3.08 (m, 6H), 3.07-2.96 (m, 8H), 1.85-1.66 (m, 6H), 1.65-1.54 (m, 1H), 1.53-1.36 (m, 1H), 1.30-1.13 (m, 1H). LCMS (ES, m/z): 540.25, 542.20 [M+H]+.
EXAMPLES 539-544 Synthesis of compounds 539-544 Compounds 539-544 were prepared according to similar procedures as described above.
EXAMPLE 545 Synthesis of 4-[(1S)-5-chloro-6-oxo-4-[[(3S)-tetrahydropyran-3-yl]methylamino]pyridazin-1-yl]-N-(4- cyanophenyl)-N-cyclopropyl-piperidine-1-sulfonamide (545A)
4-[(1R)-5-chloro-6-oxo-4-[[(3R)-tetrahydropyran-3-yl]methylamino]pyridazin-1-yl]-N-(4- cyanophenyl)-N-cyclopropyl-piperidine-1-sulfonamide (545B)
STEP 1: N-(4-cyanophenyl)-N-cyclopropyl-4-(4,5-dichloro-6-oxo-pyridazin-1-yl)piperidine-1- sulfonamide A solution of cyclopropylboronic acid (722 mg, 8.41 mmol), N-(4-cyanophenyl)-4-(4,5- dichloro-6-oxo-pyridazin-1-yl)piperidine-1-sulfonamide (1.20 g, 2.80 mmol), copper diacetate (1.70 g, 8.41 mmol) and pyridine (1.10 g, 14.0 mmol) in DCE (50 mL) was heated for 16 h at 60°
C under oxygen atmosphere. The mixture was diluted with water (50 mL) and extracted with DCM (3 x 50 mL). The combined organic extracts were washed with brine (200 mL), dried over anhydrous sodium sulfate, concentrated and purified by silica gel column chromatography (DCM/methanol 25/1) to afford N-(4-cyanophenyl)-N-cyclopropyl-4-(4,5-dichloro-6-oxo- pyridazin-1-yl)piperidine-1-sulfonamide (750 mg, 51% yield) as a yellow oil. LCMS (ES, m/z): 468.15, 470.15 [M+H]+. STEP 2: 4-[(1S)-5-chloro-6-oxo-4-[[(3S)-tetrahydropyran-3-yl]methylamino]pyridazin-1-yl]-N-(4- cyanophenyl)-N-cyclopropyl-piperidine-1-sulfonamide (545A); and 4-[(1R)-5-chloro-6-oxo-4-[[(3R)-tetrahydropyran-3-yl]methylamino]pyridazin-1-yl]-N-(4- cyanophenyl)-N-cyclopropyl-piperidine-1-sulfonamide (545B) A solution of N-(4-cyanophenyl)-N-cyclopropyl-4-(4,5-dichloro-6-oxo-pyridazin-1- yl)piperidine-1-sulfonamide (200 mg, 427 μmol), tetrahydropyran-3-ylmethanamine (147 mg, 930 μmol) and TEA (216 mg, 2.14 mmol) in ethanol (5 mL) was heated for 16 h at 80 °C. The mixture was cooled to rt and purified by reverse flash chromatography (C18 silica gel, 80 g, 20- 35 um; mobile phase, water (containing 10 mmol/L NH4HCO3) and B: acetonitrile (20% to 75% in 25 min) to afford the racemate was separated by Chiral-prep-HPLC (CHIRAL ART Amylose-SA, 2 x 25 cm, 5 μm; Mobile Phase A: Hex: DCM=3: 1(0.5% 2M NH3-MeOH), Mobile Phase B: EtOH; Flow rate: 20 mL/min; Gradient: 20% B to 20% B in 14 min; RT1(min): 8.72; RT2(min): 9.606). The first eluting afforded crude compound which was further purified by PREP ACHIRAL SFC (GreenSep Naphthyl, 3 X 25 cm, 5 μm; Mobile Phase A: CO2, Mobile Phase B: MEOH(0.1% 2M NH3-methanol); Flow rate: 65 mL/min; Gradient: isocratic 30% B; Column Temperature(℃): 35; Back Pressure(bar): 100; RT1(min): 12.08 ) to afford 4-[(1S)-5-chloro-6-oxo-4-[[(3S)- tetrahydropyran-3-yl]methylamino]pyridazin-1-yl]-N-(4-cyanophenyl)-N-cyclopropyl-piperidine- 1-sulfonamide (31.5 mg, 13% yield) as a white solid. 1H NMR (300 MHz, DMSO-d6) δ 7.95 (s, 1H), 7.88-7.85 (m, 2H), 7.59-7.56 (m, 2H), 6.74 (t, J = 6.4 Hz, 1H), 4.88-4.81 (m, 1H), 3.75-3.65 (m, 4H), 3.36-3.04 (m, 7H), 1.76-1.56 (m, 7H), 1.48- 1.38 (m, 1H), 1.27-1.17 (m, 1H), 0.92-0.81(m, 2H), 0.62-0.57(m, 2H). LCMS (ES, m/z): 547.20, 549.20 [M+H]+. The second eluting isomer afforded 4-[(1R)-5-chloro-6-oxo-4-[[(3R)-tetrahydropyran-3- yl]methylamino]pyridazin-1-yl]-N-(4-cyanophenyl)-N-cyclopropyl-piperidine-1-sulfonamide (37.7 mg, 16% yield) as a white solid.
1H NMR (300 MHz, DMSO-d6) δ 7.95 (s, 1H), 7.88-7.85 (m, 2H), 7.59-7.56 (m, 2H), 6.74 (t, J = 6.4 Hz, 1H), 4.88-4.81 (m, 1H), 3.75-3.65 (m, 4H), 3.36-3.04 (m, 7H), 1.76-1.56 (m, 7H), 1.48- 1.38 (m, 1H), 1.27-1.17 (m, 1H), 0.92-0.81(m, 2H), 0.62-0.53(m, 2H). LCMS (ES, m/z): 547.20, 549.20 [M+H]+. EXAMPLE 546 Synthesis of (R)-4-(5-chloro-4-(((3-fluorotetrahydro-2H-pyran-3-yl)methyl)amino)-6- oxopyridazin-1(6H)-yl)-N-(4-cyanophenyl)-N-cyclopropylpiperidine-1-sulfonamide (546)
(R)-4-(5-chloro-4-(((3-fluorotetrahydro-2H-pyran-3-yl)methyl)amino)-6-oxopyridazin-1(6H)- yl)-N-(4-cyanophenyl)-N-cyclopropylpiperidine-1-sulfonamide was prepared according to similar procedures as described above. 1H NMR (300 MHz, DMSO-d6) δ 7.99 (s, 1H), 7.87-7.84 (m, 2H), 7.59-7.56 (m, 2H), 6.77 (t, J = 6.9 Hz, 1H), 4.88-4.80 (m, 1H), 3.73-3.57 (m, 5H), 3.52-3.37 (m, 3H), 3.22-3.19 (m, 1H), 3.12- 3.04 (m, 2H), 1.93-1.53 (m, 8H), 0.89-0.83 (m, 2H), 0.66-0.59 (m, 2H) LCMS (ES, m/z): 565.15, 567.15 [M+H]+ EXAMPLE 547 Synthesis of (S)-4-(5-chloro-4-(((3-fluorotetrahydro-2H-pyran-3-yl)methyl)amino)-6- oxopyridazin-1(6H)-yl)-N-(4-cyanophenyl)-N-cyclopropylpiperidine-1-sulfonamide (547)
(S)-4-(5-chloro-4-(((3-fluorotetrahydro-2H-pyran-3-yl)methyl)amino)-6-oxopyridazin-1(6H)- yl)-N-(4-cyanophenyl)-N-cyclopropylpiperidine-1-sulfonamide was prepared according to similar procedures as described above. 1H NMR (300 MHz, DMSO-d6) δ 7.99 (s, 1H), 7.87-7.84 (m, 2H), 7.59-7.56 (m, 2H), 6.77 (t, J = 6.9 Hz, 1H), 4.88-4.80 (m, 1H), 3.74-3.57 (m, 5H), 3.52-3.36 (m, 3H), 3.24-3.16 (m, 1H), 3.11- 3.04 (m, 2H), 1.84-1.42 (m, 8H), 0.92-0.82 (m, 2H), 0.62-0.57 (m, 2H) LCMS (ES, m/z): 565.15, 567.15 [M+H]+ EXAMPLE 548 Synthesis of 4-[5-chloro-4-[[(2R)-1,4-dioxan-2-yl]methylamino]-6-oxo-pyridazin-1-yl]-N-(4- cyano-2-fluoro-phenyl)-N-(difluoromethyl)piperidine-1-sulfonamide (548)
STEP 1: N-(4-cyano-2-fluoro-phenyl)-4-(4,5-dichloro-6-oxo-pyridazin-1-yl)-N- (difluoromethyl)piperidine-1-sulfonamide A mixture of N-(4-cyano-2-fluoro-phenyl)-4-(4,5-dichloro-6-oxo-pyridazin-1-yl)piperidine-1- sulfonamide (300 mg, 672 μmol), ethyl 2-bromo-2,2-difluoro-acetate (273 mg, 1.34 mmol, 172 μL) and lithium hydroxide (64.4 mg, 2.69 mmol) in DMF (3 mL) was stirred for 16 h at 25 °C. The mixture was diluted with water (5 mL) and extracted with ethyl acetate (3 x 5 mL). The combined organic extracts were washed with brine (5 mL), dried over anhydrous sodium sulfate, concentrated and purified by prep-TLC to afford N-(4-cyano-2-fluoro-phenyl)-4-(4,5- dichloro-6-oxo-pyridazin-1-yl)-N-(difluoromethyl)piperidine-1-sulfonamide (80 mg, 21% yield) as a light yellow solid.
1H NMR (300 MHz, DMSO-d6): δ 8.27 (s, 1H), 8.21-8.11 (m, 1H), 7.93-7.84 (m, 2H), 7.71-7.23 (m, 1H), 5.07-4.87 (m, 1H), 3.81-3.59 (m, 2H), 3.17 (t, J = 11.9 Hz, 2H), 2.03-1.71 (m, 4H). STEP 2: 4-[5-chloro-4-[[(2R)-1,4-dioxan-2-yl]methylamino]-6-oxo-pyridazin-1-yl]-N-(4-cyano-2- fluoro-phenyl)-N-(difluoromethyl)piperidine-1-sulfonamide A solution of N-(4-cyano-2-fluoro-phenyl)-4-(4,5-dichloro-6-oxo-pyridazin-1-yl)-N- (difluoromethyl)piperidine-1-sulfonamide (80 mg, 129 μmol), [(2R)-1,4-dioxan-2- yl]methanamine (59.4 mg, 387 μmol) and N,N-diethylethanamine (65.3 mg, 644 μmol) in ethanol (0.5 mL) was heated for 16 h at 80 °C. The mixture was cooled to rt, concentrated and purified by reverse flash chromatography (C18 silica gel, 40 g, 20-35 um; mobile phase, water with 0.1% FA and acetonitrile (0% to 50% gradient in 50 min)) to afford 80 mg crude product. The crude product was purified by prep-Achiral-HPLC (DAICEL Dcpak P4VP, 4.6 x 50 mm, 3um; Mobile Phase B: MeOH (1% 2M NH3-MeOH); Flow rate: 2 mL/min; Gradient: isocratic 5% B) to afford 4-[5-chloro-4-[[(2R)-1,4-dioxan-2-yl]methylamino]-6-oxo-pyridazin-1-yl]-N-(4-cyano-2- fluoro-phenyl)-N-(difluoromethyl)piperidine-1-sulfonamide (19.4 mg, 25% yield) as a white solid. 1H NMR (300 MHz, DMSO-d6) δ 8.16 (d, J = 9.6 Hz, 1H), 7.98 (s, 1H), 7.94-7.79 (m, 2H), 7.48 (t, J = 59.3 Hz, 1H), 6.62 (t, J = 6.5 Hz, 1H), 5.06-4.80 (m, 1H), 3.80-3.42 (m, 8H), 3.41-3.35 (m, 2H), 3.31-3.20 (m, 1H), 3.20-3.14 (m, 2H), 1.92-1.70 (m, 4H). LCMS (ES, m/z): 577.15, 579.15 [M+H]+. EXAMPLE 549 Synthesis of (S)-4-(4-(((1,4-dioxan-2-yl)methyl)amino)-5-chloro-6-oxopyridazin-1(6H)-yl)-N-(4- cyano-2-fluorophenyl)-N-(difluoromethyl)piperidine-1-sulfonamide (549)
(S)-4-(4-(((1,4-dioxan-2-yl)methyl)amino)-5-chloro-6-oxopyridazin-1(6H)-yl)-N-(4-cyano-2- fluorophenyl)-N-(difluoromethyl)piperidine-1-sulfonamide was prepared according to similar procedures as described above. 1H NMR (300 MHz, DMSO-d6) δ 8.16 (d, J = 9.6 Hz, 1H), 7.98 (s, 1H), 7.90-7.86 (m, 2H), 7.71- 7.28 (m, 1H), 6.67-6.63 (m, 1H), 4.97-4.89 (m, 1H), 3.78-3.36 (m, 10H), 3.25-3.09 (m, 3H), 1.92- =1.70 (m, 4H). LCMS (ES, m/z): 577.15, 578.15 [M+H]+ EXAMPLE 550 Synthesis of (S)-4-(5-chloro-6-oxo-4-(((tetrahydro-2H-pyran-3-yl)methyl)amino)pyridazin-1(6H)-yl)-N-(4- cyanophenyl)-N-(2-methoxyethyl)piperidine-1-sulfonamide (550A)
(R)-4-(5-chloro-6-oxo-4-(((tetrahydro-2H-pyran-3-yl)methyl)amino)pyridazin-1(6H)-yl)-N-(4- cyanophenyl)-N-(2-methoxyethyl)piperidine-1-sulfonamide (550B)
STEP 1: N-[2-[tert-butyl(dimethyl)silyl]oxyethyl]-N-(4-cyanophenyl)-4-(4,5-dichloro-6-oxo- pyridazin-1-yl)piperidine-1-sulfonamide tert-butyl-(2-iodoethoxy)-dimethyl-silane (722 mg, 2.52 mmol) and cesium carbonate (1.37 g, 4.20 mmol) were added to a solution of N-(4-cyanophenyl)-4-(4,5-dichloro-6-oxo-pyridazin-1- yl)piperidine-1-sulfonamide (900 mg, 2.10 mmol) in DMA (10 mL) and the mixture heated for 16 h at 80°C. The mixture was then cooled to rt and purified by reverse flash chromatography (C18 silica gel; mobile phase, A: water (containing 10 mmol/L NH4HCO3) and B: acetonitrile (40% to 60% in 20 min)) to afford N-[2-[tert-butyl(dimethyl)silyl]oxyethyl]-N-(4-cyanophenyl)-4-(4,5- dichloro-6-oxo-pyridazin-1-yl)piperidine-1-sulfonamide (700 mg, 954 μmol, 45% yield, 80% purity) as a yellow solid. LCMS (ES, m/z): 586.30, 588.30 [M+H]+. STEP 2: N-[2-[tert-butyl(dimethyl)silyl]oxyethyl]-4-[5-chloro-6-oxo-4-(tetrahydropyran-3- ylmethylamino)pyridazin-1-yl]-N-(4-cyanophenyl)piperidine-1-sulfonamide To a solution of N-[2-[tert-butyl(dimethyl)silyl]oxyethyl]-N-(4-cyanophenyl)-4-(4,5-dichloro- 6-oxo-pyridazin-1-yl)piperidine-1-sulfonamide (500 mg, 852 μmol) in ethanol (5 mL) was added N,N-diethylethanamine (431 mg, 4.26 mmol) and tetrahydropyran-3-ylmethanamine (258 mg, 1.70 mmol). The mixture was heated for 16 h at 80°C, cooled and purified by reverse flash chromatography (C18 silica gel; mobile phase, A: water (containing 10 mmol/L NH4HCO3) and B:
acetonitrile (40% to 80% in 30 min)) to afford N-[2-[tert-butyl(dimethyl)silyl]oxyethyl]-4-[5- chloro-6-oxo-4-(tetrahydropyran-3-ylmethylamino)pyridazin-1-yl]-N-(4-cyanophenyl)piperidine- 1-sulfonamide (450 mg, 676 μmol, 79% yield) as a white solid. LCMS (ES, m/z): 665.30, 667.30 [M+H]+. STEP 3: 4-[5-chloro-6-oxo-4-(tetrahydropyran-3-ylmethylamino)pyridazin-1-yl]-N-(4- cyanophenyl)-N-(2-hydroxyethyl)piperidine-1-sulfonamide To a solution of N-[2-[tert-butyl(dimethyl)silyl]oxyethyl]-4-[5-chloro-6-oxo-4- (tetrahydropyran-3-ylmethylamino)pyridazin-1-yl]-N-(4-cyanophenyl)piperidine-1-sulfonamide (250 mg, 375 μmol) in THF (2.25 mL) was added tetrabutylammonium fluoride (1 M, 3.76 mL). The mixture was stirred for 1 h at 25 °C and then quenched with saturated aqueous ammonium chloride solution (20 mL) and extracted with ethyl acetate (3 x 20 mL). The combined organic extracts were dried over anhydrous sodium sulfate, filtered, concentrated and purified on a silica gel column (PE/EA, 1/4) to afford 4-[5-chloro-6-oxo-4-(tetrahydropyran-3- ylmethylamino)pyridazin-1-yl]-N-(4-cyanophenyl)-N-(2-hydroxyethyl)piperidine-1-sulfonamide (170 mg, 306 μmol, 15% yield, 99.7% purity) as white solid. LCMS (ES, m/z): 551.20, 553.20 [M+H]+. STEP 4: 4-[5-chloro-6-oxo-4-[[(3S)-tetrahydropyran-3-yl]methylamino]pyridazin-1-yl]-N-(4- cyanophenyl)-N-(2-methoxyethyl)piperidine-1-sulfonamide and 4-[5-chloro-6-oxo-4-[[(3R)-tetrahydropyran-3-yl]methylamino]pyridazin-1-yl]-N-(4- cyanophenyl)-N-(2-methoxyethyl)piperidine-1-sulfonamide To a solution of 4-[5-chloro-6-oxo-4-(tetrahydropyran-3-ylmethylamino)pyridazin-1-yl]-N-(4- cyanophenyl)-N-(2-hydroxyethyl)piperidine-1-sulfonamide (150 mg, 272.2 μmol) in DCM (5 mL) was added N1,N1,N8,N8-tetramethylnaphthalene-1,8-diamine (70.0 mg, 326 μmol) and trimethyloxonium tetrafluoroborate (80.5 mg, 544 μmol). The mixture was stirred for 1 h at 25 °C, quenched with saturated aqueous ammonium chloride solution (20 mL) and extracted with ethyl acetate (3 x 20 mL). The combined organic extracts were dried over anhydrous sodium sulfate, concentrated and purified on a on silica gel column (PE/EA, 2/1) to afford the racemate which was separated by PREP-CHIRAL-HPLC (CHIRALPAK ID, 2 x 25 cm, 5 μm; Mobile Phase A: EtOH-HPLC, Mobile Phase B: MeOH(0.5% 2M NH3-MeOH)-HPLC; Flow rate: 13 mL/min; Gradient: 50% B to 50% B in 20 min) to afford
(S)-4-(5-chloro-6-oxo-4-(((tetrahydro-2H-pyran-3-yl)methyl)amino)pyridazin-1(6H)-yl)-N-(4- cyanophenyl)-N-(2-methoxyethyl)piperidine-1-sulfonamide (compound 650A, 9 mg, 15.2 μmol, 5.6% yield, 95% purity) as a white solid 1H NMR (300 MHz, DMSO-d6) δ 7.97-7.84 (m, 3H), 7.69-7.60 (m, 2H), 6.73 (t, J = 6.3 Hz, 1H), 4.81 (dt, J = 10.8, 5.6 Hz, 1H), 3.89 (t, J = 5.5 Hz, 2H), 3.76-3.61 (m, 4H), 3.39-3.34 (m, 2H), 3.30- 3.05 (m, 7H), 3.03-2.92 (m, 2H), 1.83-1.69 (m, 6H), 1.65-1.51 (m, 1H), 1.48-1.37 (m, 1H), 1.26- 1.19 (m, 1H). LCMS (ES, m/z): 565.10, 567.10 [M+H]+. and (R)-4-(5-chloro-6-oxo-4-(((tetrahydro-2H-pyran-3-yl)methyl)amino)pyridazin-1(6H)-yl)-N-(4- cyanophenyl)-N-(2-methoxyethyl)piperidine-1-sulfonamide (compound 650B, 9 mg, 15.3 μmol, 5.6% yield, 96% purity) as a white solid. 1H NMR (300 MHz, DMSO-d6) δ 7.97-7.84 (m, 3H), 7.68-7.60 (m, 2H), 6.73 (t, J = 6.4 Hz, 1H), 4.81 (t, J = 5.6 Hz, 1H), 3.89 (t, J = 5.5 Hz, 2H), 3.77-3.58 (m, 4H), 3.39-3.33 (m, 2H), 3.29-3.04 (m, 7H), 3.00-2.88 (m, 2H), 1.82-1.68 (m, 6H), 1.65-1.56 (m, 1H), 1.51-1.37 (m, 1H), 1.36-1.28 (m, 1H). LCMS (ES, m/z): 565.10, 567.10 [M+H]+. EXAMPLE 551 Synthesis of 4-(5-chloro-4-(((3-fluorotetrahydro-2H-pyran-3-yl)methyl)amino)-6-oxopyridazin- 1(6H)-yl)-N-(4-cyanophenyl)-N-(2-hydroxyethyl)piperidine-1-sulfonamide (551)
4-(5-chloro-4-(((3-fluorotetrahydro-2H-pyran-3-yl)methyl)amino)-6-oxopyridazin-1(6H)-yl)- N-(4-cyanophenyl)-N-(2-hydroxyethyl)piperidine-1-sulfonamide was prepared according to the procedures described above
1H NMR (300 MHz, DMSO-d6) δ 7.98 (d, J = 1.6 Hz, 1H), 7.90-7.87 (m, 2H), 7.67-7.64 (m, 2H), 6.79-6.75 (m, 1H), 4.84-4.76 (m, 2H), 3.79-3.75 (m, 2H), 3.69-3.57 (m, 5H), 3.53-3.36 (m, 5H), 3.02-2.95 (m, 2H), 1.84-1.53 (m, 8H) LCMS (ES, m/z): 569.20, 571.20 [M+H]+ EXAMPLE 552 Synthesis of 4-chloro-2-(1-((5-cyclopropyl-3-fluoro-2-methoxyphenyl)sulfonyl)-2,2- dimethylpiperidin-4-yl)-5-((((R)-tetrahydro-2H-pyran-3-yl)methyl)amino)pyridazin-3(2H)-one (compound 552)
STEP 1: 1-(5-bromo-3-fluoro-2-methoxy-phenyl)sulfonyl-3,3-dimethyl-piperidin-4-one A mixture of 3,3-dimethylpiperidin-4-one (198.7 mg, 1.22 mmol) and 5-bromo-3-fluoro-2- methoxy-benzenesulfonyl chloride (353.3 mg, 1.22 mmol) in pyridine (6 mL) was stirred at rt, evaporated onto silica gel and purified by column chromatography to afford the title compound as a clear oil (304.1 mg, 63%). LCMS (ES, m/z): 349.6, 396.6 [M+H]+ STEP 2: tert-butyl N-[[1-(5-bromo-3-fluoro-2-methoxy-phenyl)sulfonyl-3,3-dimethyl-4- piperidyl]amino]carbamate tert-butyl N-aminocarbamate (115.5 mg, 848.6 μmol) was added to a clear solution of 1-(5- bromo-3-fluoro-2-methoxy-phenyl)sulfonyl-3,3-dimethyl-piperidin-4-one (304.1 mg, 771.3 μmol) in DCM (9.0 mL) and acetic acid (0.15 mL). The mixture was stirred at rt until formation of the imine intermediate was complete by TLC and then STAB (300.1 mg, 1.08 mmol, 1.4 eq) was added portion-wise. The resulting mixture stirred at rt for 18 h, quenched with water (50 mL), extracted with DCM (3 x 75 mL), and the combined organic extracts were washed with brine (1 x 50 mL), dried over Na2SO4 and concentrated to afford the title compound as a light-yellow solid (407.2 mg, 82%). LCMS (ES, m/z): 510.0, 512.0 [M+H]+ STEP 3: [1-(5-bromo-3-fluoro-2-methoxy-phenyl)sulfonyl-3,3-dimethyl-4-piperidyl]hydrazine A mixture of tert-butyl N-[[1-(5-bromo-3-fluoro-2-methoxy-phenyl)sulfonyl-3,3-dimethyl-4- piperidyl]amino]carbamate (407.1 mg, 638.2 μmol) and 4M HCl in dioxanes (6.0 mL) was stirred at rt for 1 h. The solvent was removed under reduced pressure to afford the hydrochloride salt of the title compound as a light-yellow solid (76.3 mg, 29%). LCMS (ES, m/z): 410.0, 412.0 [M+H]+ STEP 4: 2-[1-(5-bromo-3-fluoro-2-methoxy-phenyl)sulfonyl-2,2-dimethyl-4-piperidyl]-4,5- dichloro-pyridazin-3-one [1-(5-bromo-3-fluoro-2-methoxy-phenyl)sulfonyl-3,3-dimethyl-4-piperidyl]hydrazine (76.3 mg, 185.2 μmol, 1.0 eq), muccochloric acid (33.3 mg, 185.2 μmol) and ethanol (2 mL) were added to a sealed tube and heated to 80 °C for 16 h. The mixture was then cooled to rt and the
solvent was removed under reduced pressured to afford the title compound as a yellow solid (91.9 mg, 91%). LCMS (ES, m/z): 544.3 [M+H]+ STEP 5: 2-[1-(5-bromo-3-fluoro-2-methoxy-phenyl)sulfonyl-2,2-dimethyl-4-piperidyl]-4-chloro- 5-[[(3R)-tetrahydropyran-3-yl]methylamino]pyridazin-3-one A mixture of 2-[1-(5-bromo-3-fluoro-2-methoxy-phenyl)sulfonyl-2,2-dimethyl-4-piperidyl]- 4,5-dichloro-pyridazin-3-one (90mg, 165.6 μmol), [(3R)-tetrahydropyran-3-yl]methanamine (19.8 mg, 497.02 μmol) and DIPEA (0.04 mL, 182.2 μmol) in ethanol (2.0 mL) was heated to 80 °C for 18 h. The mixture was cooled to rt and catalytic amounts of DMAP were added. The mixture was then heated to 100 °C, cooled to rt and the solvent removed under reduced pressure. The crude material was purified by prep HPLC to afford the title compound as a white solid (20.0 mg, 17%). LCMS (ES, m/z): 623.3 [M+H]+ STEP 6: 4-chloro-2-[1-(5-cyclopropyl-3-fluoro-2-methoxy-phenyl)sulfonyl-2,2-dimethyl-4- piperidyl]-5-[[(3R)-tetrahydropyran-3-yl]methylamino]pyridazin-3-one A flame dried, three neck flask was charged with 2-[1-(5-bromo-3-fluoro-2-methoxy- phenyl)sulfonyl-2,2-dimethyl-4-piperidyl]-4-chloro-5-[[(3R)-tetrahydropyran-3- yl]methylamino]pyridazin-3-one 920.0 mg, 1.0 eq), cyclopropylboronic acid (11.05 mg), K3PO4 (24.5 mg), and Pd(dppf)Cl2 (10 mol%). The materials were dissolved in Dioxanes:Water (10: 1, 2.2 mL) and the resulting solution degassed with 5 cycles of evacuation and back fill with nitrogen. The mixture was then heated to 110 °C for 18 h, cooled to rt and passed through a pad of celite. The filtrate was evaporated onto silica gel, and the crude material was purified by column chromatography and prep HPLC to afford the title compound as a white solid (9.3 mg, 49%) 1HNMR (METHANOL-d4, 300 MHz) δ 8.00 (s, 1H), 7.40 (s, 1H), 7.20-7.10 (m, 1H), 4.99-4.95 (m, 1H), 4.10-4.00 (m, 1H), 4.00 (s, 3H), 3.99-3.80 (m, 3H), 3.67-3.40 (m, 3H), 3.00-2.90 (m, 1H), 2.72-2.68 (m, 1H), 2.50-2.40 (m, 1H), 2.0-1.89 (m, 3H), 1.88-1.50 (m, 3H), 1.01 (s, 5H), 0.90 (s, 3H), 0.70-0.06 (m, 2H) LCMS (ES, m/z): 583.50 [M+H]+
EXAMPLES 553–562 The compounds in the table below were made by analogous methods and procedures as described herein (MS = (ES, m/z) [M+H]+ ).
Synthesis of (R)-4-chloro-2-(4-((3,3-difluoropyrrolidin-1-yl)sulfonyl)phenyl)-5-(((tetrahydro- 2H-pyran-3-yl)methyl)amino)pyridazin-3(2H)-one (compound 563)
STEP 1: 3,3-difluoro-1-(4-nitrophenyl)sulfonyl-pyrrolidine 4-nitrobenzenesulfonyl chloride (502.2 mg) and 3,3-difluoropyrrolidine (241 μL) in pyridine (12 mL) were stirred at rt until the reaction was complete. The crude material was loaded onto silica gel and purified by column chromatography to afford the title compound as a white solid (726 mg, 99%). LCMS (ES, m/z): 293.2 [M+H]+ STEP 2: 4-(3,3-difluoropyrrolidin-1-yl)sulfonylaniline A solution of 3,3-difluoro-1-(4-nitrophenyl)sulfonyl-pyrrolidine (736 mg, 2.52 mmol) in methanol (16 mL) was degassed with 3 cycles of evacuation and back fill with nitrogen. Pd/C (10 mol%) was introduced and the reaction mixture further degassed with 3 cycles of evacuation and back fill with nitrogen. The mixture was then placed under hydrogen atmosphere for 18 h. The hydrogen atmosphere was then removed and the mixture passed through a celite pad. The filtrate was concentrated to afford the title compound as a white solid (247.7 mg, 36%). LCMS (ES, m/z): 263.0 [M+H]+ STEP 3: [4-(3,3-difluoropyrrolidin-1-yl)sulfonylphenyl]hydrazine A solution of 4-(3,3-difluoropyrrolidin-1-yl)sulfonylaniline (240.0 mg, 0.915 mmol) in Water:HCl (4.8 mL: 3 mL) was cooled to 0 °C and then sodium nitrite (68.1 mg) in water (0.15 mL) was added dropwise. The solution was warmed to rt for 1 h and then cooled to 0 °C and SnCl2 (346.8 mg) in HCl (0.5 mL) was added dropwise. The reaction was then warmed to rt for 2 h, quenched with aqueous sodium hydroxide solution and extracted with DCM (3 x 75 mL). The combined organic extracts were dried over Na2SO4 and concentrated to afford the title compound as a yellow solid (147.0, 57%). LCMS (ES, m/z): 278.3 [M+H]+ STEP 4: 4,5-dichloro-2-[4-(3,3-difluoropyrrolidin-1-yl)sulfonylphenyl]pyridazin-3-one A solution of muccochloric acid (131.2 mg) and [4-(3,3-difluoropyrrolidin-1- yl)sulfonylphenyl]hydrazine (75 mg) in ethanol (3 mL) was stirred at rt until formation of the imine intermediate was complete by TLC. The solvent was then removed under reduced pressure and the material dissolved in acetic acid (3 mL). The resulting mixture was heated to
reflux until cyclization was complete, cooled to rt and concentrated under reduced pressure to afford the title compound as a yellow solid (93.1 mg, 51%). LCMS (ES, m/z): 410.0, 412.0 [M+H]+ STEP 5: 4-chloro-2-[4-(3,3-difluoropyrrolidin-1-yl)sulfonylphenyl]-5-[[(3R)-tetrahydropyran-3- yl]methylamino]pyridazin-3-one In a sealed tube 4,5-dichloro-2-[4-(3,3-difluoropyrrolidin-1-yl)sulfonylphenyl]pyridazin-3- one (93.1 mg), [(3R)-tetrahydropyran-3-yl]methanamine (29.6 mg) and DIPEA (0.120 mL) in ethanol (2.0 mL) were heated to 80 °C for 16 h. The mixture was cooled to rt, filtered and the isolated solids washed with ether and dried in a vacuum oven to afford the title compound as a white solid (19.3 mg, 17%). 1HNMR (DMSO-d6, 300 MHz) δ 8.20 (s, 1H), 8.00-7.90 (m, 2H), 7.90-7.80 (m, 2H), 7.10-7.00 (m, 1H), 4.40-4.30 (m, 1H), 3.80-3.60 (m, 4H), 3.50-3.40 (m, 3H), 3.20-3.10 (m, 1H), 2.50-2.30 (m, 3H), 1.90-1.80 (m, 2H), 1.70-1.50 (m, 1H), 1.50-1.40 (m, 1H), 1.30-1.20 (m, 1H), 1.10-0.90 (m, 1H) LCMS (ES, m/z): 489.40 [M+H]+ EXAMPLES 564-576 The compounds in the table below were made by analogous methods and procedures as described herein (MS = (ES, m/z) [M+H]+ ).
Cmpd Structure 1HNMR MS
EXAMPLE 568 Synthesis of (3R)-N-[5-chloro-1-[4-(N-ethyl-4-fluoro-anilino)phenyl]-6-oxo-pyridazin-4-yl]tetrahydropyran- 3-carboxamide (compound 568A)
and (3S)-N-[5-chloro-1-[4-(N-ethyl-4-fluoro-anilino)phenyl]-6-oxo-pyridazin-4-yl]tetrahydropyran- 3-carboxamide (compound 568B)
STEP 1: N-(4-bromophenyl)-N-ethyl-4-fluoro-aniline A solution of N-(4-bromophenyl)-4-fluoro-aniline (3.00 g, 11.3 mmol) in DMF (40 mL) was cooled to 0 °C and sodium hydride (60% in mineral oil, 1.35 g, 33.8 mmol) was added in portions. The temperature was maintained for 0.5 h, and then ethyl iodide (5.30 g, 33.8 mmol) was added dropwise. The resulting mixture was warmed to rt for 1 h, quenched with water (50 mL) and extracted with ethyl acetate (3 x 50 mL). The combined organic extracts were washed with brine (1 x 100 mL), dried over Na2SO4, concentrated onto silica gel and purified by column chromatography to afford the title compound (2.3 g, 69%). LCMS (ES, m/z): 294.25, 296.25 [M+H]+ STEP 2: [4-(N-ethyl-4-fluoro-anilino)phenyl]boronic acid A solution of N-(4-bromophenyl)-N-ethyl-4-fluoro-aniline (2.30 g, 7.82 mmol) in THF (25 mL) in a dried flask, under nitrogen atmosphere, was cooled to -78 °C, and n-BuLi (2.5 M, 4.07 mL) was added dropwise. The temperature was maintained while B(OiPr)3 (2.21 g, 11.7 mmol) was added dropwise over 10 minutes. The mixture was then warmed to rt for 1 h, cooled to 0 °C, quenched with HCl (1M, 50 mL) and extracted with ethyl acetate (3 x 50 mL). The combined organic extracts were dried over Na2SO4, concentrated onto silica gel and purified by column chromatography to afford the title compound as a light-yellow oil (1.0 g, 49%). LCMS (ES, m/z): 260.15[M +H]+ STEP 3: 4,5-dichloro-2-[4-(N-ethyl-4-fluoro-anilino)phenyl]pyridazin-3-one To a stirred mixture of [4-(N-ethyl-4-fluoro-anilino)phenyl]boronic acid (1.00 g, 3.86 mmol) and 4,5-dichloro-1H-pyridazin-6-one (636 mg, 3.86 mmol) in DCE (15 mL) were added pyridine (916 mg, 11.6 mmol), Cu(OAc)2 (2.10 g, 11.6 mmol) and 4Å MS (500 mg). The resulting mixture
was stirred for 16 h at rt under oxygen atmosphere. The mixture was passed through a pad of celite and the filtrate concentrated onto silica gel and purified by column chromatography to afford the title compound (0.70 g, 48%). LCMS (ES, m/z): 378.05, 380.05 [M+H]+ STEP 4: (3R)-N-[5-chloro-1-[4-(N-ethyl-4-fluoro-anilino)phenyl]-6-oxo-pyridazin-4- yl]tetrahydropyran-3-carboxamide; and (3S)-N-[5-chloro-1-[4-(N-ethyl-4-fluoro-anilino)phenyl]-6-oxo-pyridazin-4-yl]tetrahydropyran-3- carboxamide BINAP (115 mg, 185 μmol), BINAP Pd G2 (173 mg, 185 μmol) and Cs2CO3 (1.21 g, 3.70 mmol) were added to a mixture of 4,5-dichloro-2-[4-(N-ethyl-4-fluoro-anilino)phenyl]pyridazin-3-one (0.70 g, 1.85 mmol) and tetrahydropyran-3-carboxamide (215 mg, 1.67 mmol) in dioxane (15 mL) in a dried flask, under nitrogen atmosphere. The mixture was degassed before heating to 90 °C for 16 h and then cooled to rt and partitioned between water (50 mL) and ethyl acetate (3 x 50 mL). The combined organic extracts were dried over Na2SO4, concentrated under reduced pressure and purified by prep HPLC followed by Achiral prep SFC to afford the racemate, which further separated by Chiral prep HPLC to afford two products. The first eluting isomer afforded compound 568A as a yellow solid (17.2 mg, 2%). 1H NMR (300 MHz, DMSO-d6) δ 10.11 (s, 1H), 8.57 (s, 1H), 7.33 (d, J = 8.9 Hz, 2H), 7.27-7.21 (m, 4H), 6.80 (d, J = 8.9 Hz, 2H), 4.03-3.92 (m, 1H), 3.85-3.69 (m, 3H), 3.51-3.38 (m, 2H), 3.01- 2.88 (m, 1H), 2.07-1.94 (m, 1H), 1.80-1.49 (m, 3H), 1.21-1.08 (m, 3H). LCMS (ES, m/z): 471.15, 473.15 [M+H]+ The second eluting isomer afforded compound 568B as a yellow solid (21.3 mg, 2.4%). 1H NMR (300 MHz, DMSO-d6) δ 10.11 (s, 1H), 8.57 (s, 1H), 7.32 (d, J = 8.9 Hz, 2H), 7.27-7.21 (m, 4H), 6.80 (d, J = 9.0 Hz, 2H), 4.03-3.92 (m, 1H), 3.82-3.71 (m, 3H), 3.47-3.33 (m, 2H), 2.97- 2.89 (m, 1H), 2.07-1.94 (m, 1H), 1.78-1.49 (m, 3H), 1.23-1.08 (m, 3H). LCMS (ES, m/z): 471.15, 473.15 [M+H]+
STEP 1: 3-fluorotetrahydropyran-3-carboxylic acid A solution of N-isopropylpropan-2-amine (269 g, 2.64 mol) in THF (2 L) was cooled to 0 °C, and n-BuLi (2.5 M, 1.10 L) was added dropwise. The temperature was maintained for 30 minutes, lowered to -78 °C and tetrahydropyran-3-carboxylic acid (156 g, 1.20 mol) in THF (200 mL) was added dropwise. The temperature was maintained for 2 h and then TMS-Cl (286 g, 2.64 mol) was added dropwise. The mixture was warmed to rt for 16 h, concentrated and diluted with Et2O:PE (1:1, 500 mL). Solids were removed by filtration and the filtrate concentrated under reduced pressure to afford the crude intermediate which was dissolved in acetonitrile (100 mL), cooled to 0 °C and Selectfluor (1.27 kg, 3.60 mol) in acetonitrile (2.00 L) was added slowly. The mixture was warmed to rt for 16 h, acidified to pH 4 with HCl (2 M) and then partially concentrated under reduced pressure. The aqueous mixture was extracted with ether (4 x 2 L), and the organic extracts dried over Na2SO4, concentrated onto silica gel and purified by column chromatography (DCM/MeOH, 0-10%) to afford the title compound as an off-white solid (80 g, 45% yield). LCMS (ES, m/z): 147.15 [M+H]+ STEP 2: 3-fluorotetrahydropyran-3-carboxamide A solution of 3-fluorotetrahydropyran-3-carboxylic acid (85.0 g, 573 mmol) and cat. DMF (0.2 mL) in DCM (1 L) was cooled to 0 °C. Oxalyl dichloride (728 g, 5.77 mol) was added dropwise and the solution gently warmed to rt for 3 h. Once acid chloride formation was complete by TLC, the solution was concentrated under reduced pressure. The crude acid chloride was dissolved in THF (150 mL), cooled to 0 °C and a mixture of NH3-H2O (330 mL, 30%) in THF (1 L) was added dropwise. The mixture was warmed to rt for 1h and then partitioned between water (200 mL) and ethyl acetate (5 x 300 mL). The combined organic extracts were
dried over Na2SO4, concentrated and the crude product triturated with Et2O/PE (1:10). The solid was collected by filtration to afford the title compound as a light-yellow solid (60 g, 71% yield). LCMS (ES, m/z): 148.10 [M+H]+ STEP 3: benzyl (R)-((3-fluorotetrahydro-2H-pyran-3-yl)methyl)carbamate A solution of 3-fluorotetrahydropyran-3-carboxamide (120 g, 815 mmol) in THF (2.00 L) was cooled 5-10 °C and borane tetrahydrofuran (1 M, 3.26 L) was added dropwise. The mixture was slowly warmed to rt for 16 h and then cooled to 0 °C. Methanol (2.0 L) was added slowly and the resulting mixture warmed to 30 °C for 5 h. The mixture was then concentrated under reduced pressure, reconstituted in DCM (1 L), cooled to 0 °C and TEA (273 g, 2.70 mol) and Cbz- Osu (337 g, 1.35 mol) were added in portions. The mixture was then warmed to rt for 16 h, poured into ice/water (2 L) and extracted with ethyl acetate (3 x 1 L). The combined organic extracts were washed with brine (1 L), dried over Na2SO4, evaporated onto silica gel and purified by column chromatography (PE/THF, 4:1) to afford the racemate (107 g). The racemate was further separated by chiral prep-HPLC to afford two products. The first eluting isomer afforded benzyl (R)-((3-fluorotetrahydro-2H-pyran-3- yl)methyl)carbamate (30 g, 27% yield) as a colorless oil. The second eluting isomer afforded benzyl (S)-((3-fluorotetrahydro-2H-pyran-3- yl)methyl)carbamate (40 g, 37% yield) as a colorless oil. LCMS (ES, m/z): 268.15 [M+H]+, 266.05 [M-H]+.
STEP 1: 1 tert-Butyl ((3-fluorotetrahydro-2H-pyran-3-yl)methyl)carbamate A mixture of benzyl ((3-fluorotetrahydro-2H-pyran-3-yl)methyl)carbamate (20.0 g, 74.8 mmol) and Boc2O (24.5 g, 112 mmol) in THF (150 mL) and ethyl acetate (150 mL) was degassed
using evacuation and back fill with nitrogen. Pd/C (4 g, 5 mol%) was then added in one portion and then the reaction further degassed. The atmosphere was replaced with hydrogen (3 atm) for 16 h. The hydrogen atmosphere was then removed and the solution passed through a pad of celite. The filtrate was concentrated to afford the title compound as a colorless oil (15.0 g, 86%). LCMS (ES, m/z): 178.15 [M-tBu+H]+, 232.10 [M-H]+. STEP 2: (3-fluoro-tetrahydro-2H-pyran-3-yl)methanamine hydrochloride A solution of tert-butyl N-[(3-fluorotetrahydropyran-3-yl)methyl]carbamate (16.0 g, 68.6 mmol) and HCl in ethyl acetate (4 M, 170 mL) was stirred for 2 h at rt. The solvent was then removed under reduced pressure and the resulting solids collected by filtration. The solids were washed with ether to afford the title compound as a white solid (11.0 g, 95%). LCMS (ES, m/z): 133.00 [M-HCl+H]+. There are examples described herein where steps 1 and 2 were carried out on enantiomerically pure benzyl (S)-((3-fluorotetrahydro-2H-pyran-3-yl)methyl)carbamate, and the enantiomerically pure salt was used. STEP 3: (R)-4-chloro-5-(((3-fluorotetrahydro-2H-pyran-3-yl)methyl)amino)pyridazine-3(2H)-one; and (S)-4-chloro-5-(((3-fluorotetrahydro-2H-pyran-3-yl)methyl)amino)pyridazine-3(2H)-one A mixture of 4,5-dichloro-1H-pyridazin-6-one (8.00 g, 48.5 mmol), (3-fluorotetrahydro-2H- pyran-3-yl)methanamine hydrochloride (9.87 g, 58.2 mmol) and TEA (24.5 g, 242 mmol) in ethanol (200 mL) was heated to 80 °C for 36 h. The mixture was then cooled to rt, the solvent was removed under reduced pressure and the crude product purified by silica gel chromatography to afford the racemate which was further separated by chiral prep-HPLC. The first eluting isomer afforded (R)-4-chloro-5-(((3-fluorotetrahydro-2H-pyran-3- yl)methyl)amino)pyridazine-3(2H)-one as a yellow solid (2.4 g, 34%). The second eluting isomer afforded (S)-4-chloro-5-(((3-fluorotetrahydro-2H-pyran-3- yl)methyl)amino)pyridazine-3(2H)-one as a yellow solid (2.3 g, 32%). LCMS (ES, m/z): 262.10, 264.10 [M+H]+ There are examples described herein where racemic 4-chloro-5-(((3-fluorotetrahydro-2H- pyran-3-yl)methyl)amino)pyridazin-3(2H)-one was used.
EXAMPLE 569 Synthesis of (S)-4-chloro-2-(4-(ethyl(6-fluoropyridazin-3-yl)amino)phenyl)-5-(((3-fluorotetrahydro-2H- pyran-3-yl)methyl)amino)pyridazin-3(2H)-one (compound 569A)
and (R)-4-chloro-2-(4-(ethyl(6-fluoropyridazin-3-yl)amino)phenyl)-5-(((3-fluorotetrahydro-2H- pyran-3-yl)methyl)amino)pyridazin-3(2H)-one (compound 569B)
STEP 1: N-(4-bromophenyl)-6-fluoro-pyridazin-3-amine A solution of 4-bromoaniline (4 g, 23.2 mmol) in DMF (30 mL) was cooled to 0 °C and then sodium hydride (3.0 g, 75.0 mmol, 60% purity) was added in portions. The temperature was maintained for 30 mins and then 3,6-difluoropyridazine (3 g, 25.8 mmol) was added in portions.
The reaction was then heated to 90 °C for 4 h, cooled to rt, poured into ice water (100 mL) and extracted with ethyl acetate (3 x 100 mL). The combined organic extracts were washed with brine (1 x 100 mL), dried over Na2SO4, concentrated onto silica gel and purified by column chromatography to afford the title compound as a brown solid (820 mg, 12%). LCMS (EI, m/z): 268.05, 270.05 [M+H]+. STEP 2: N-(4-bromophenyl)-N-ethyl-6-fluoro-pyridazin-3-amine A solution of N-(4-bromophenyl)-6-fluoro-pyridazin-3-amine (500 mg, 1.87 mmol) in DMF (15 mL) was cooled to 0 °C and sodium hydride (60% in mineral oil, 300 mg, 7.5 mmol) added in portions. The temperature was maintained for 30 mins and then ethyl iodide (600 mg, 3.85 mmol) was added in portions. The mixture was stirred at rt for 2 h and then partitioned between water (30 mL) and ethyl acetate (3 x 30 mL). The combined organic extracts were dried over Na2SO4, concentrated onto silica gel and purified by column chromatography to affford the title compound as a brown solid (280 mg, 51%). LCMS (ES, m/z): 296.10, 298.10 [M+H]+ STEP 3: 4-chloro-2-[4-[ethyl-(6-fluoropyridazin-3-yl)amino]phenyl]-5-[[(3S)-3-fluorotetrahydro pyran-3-yl]methylamino]pyridazine-3-one; and 4-chloro-2-[4-[ethyl-(6-fluoropyridazin-3-yl)amino]phenyl]-5-[[(3R)-3-fluorotetrahydropyran-3- yl]methylamino]pyridazine-3-one N-(4-bromophenyl)-N-ethyl-6-fluoro-pyridazin-3-amine (266 mg, 902 μmol), 5-chloro-4-[(3- fluorotetrahydropyran-3-yl)methylamino]-1H-pyridazin-6-one (157.5 mg, 601.8 μmol), copper iodide (115 mg, 601 μmol), potassium carbonate (249 mg, 1.81 mmol) and (1R,2R)-N1,N2- dimethylcyclohexane-1,2-diamine (85.6 mg, 601 μmol) in DMF (3 mL) were heated to 80 °C, under nitrogen atmosphere, for 1 h. The mixture was then cooled to rt and passed through a pad of celite. The filtrate was concentrated and purified by reverse phase column chromatography to afford the racemate (200 mg) which was further separated by Chiral prep HPLC. The first eluting isomer afforded compound 569A as a white solid (34.4 mg, 12%).
1H NMR (400 MHz, DMSO-d6) δ 8.15 (s, 1H), 7.63-7.58 (m,2H), 7.42-7.37 (m, 2H), 7.32-7.27 (m, 1H), 7.08-6.98 (m, 2H), 4.07-4.03 (m, 2H), 3.68-3.34 (m, 6H), 1.91-1.65 (m, 3H), 1.65-1.54 (m, 1H), 1.19 (t, J = 7.0 Hz, 3H). LCMS (ES, m/z): 477.05, 479.05 [M+H]+. The second eluting isomer afforded compound 569B as a white solid (29.3 mg, 10%). 1H NMR (400 MHz, DMSO-d6) δ 8.15 (s, 1H), 7.64-7.57 (m, 2H), 7.44-7.37 (m, 2H), 7.32-7.28 (m, 1H), 7.09-6.98 (m, 2H), 4.07-4.01 (m, 2H), 3.74-3.39 (m, 6H), 1.92-1.58 (m, 4H), 1.19 (t, J = 7.0 Hz, 3H). LCMS (ES, m/z): 477.15, 479.15 [M+H]+. EXAMPLE 570 Synthesis of (S)-4-chloro-2-(4-((4-(fluoromethoxy)phenyl)(methyl)amino)phenyl)-5-(((3-fluorotetrahydro- 2H-pyran-3-yl)methyl)amino)pyridazine-3(2H)-one (compound 570A)
and (R)-4-chloro-2-(4-((4-(fluoromethoxy)phenyl)(methyl)amino)phenyl)-5-(((3-fluorotetrahydro- 2H-pyran-3-yl)methyl)amino)pyridazine-3(2H)-one (compound 570B)
STEP 1: N-(4-bromophenyl)-4-methoxy-aniline A mixture of 4-bromoaniline (50.0 g, 290 mmol), 1-iodo-4-methoxy-benzene (68.0 g, 290 mmol), Sphos (11.5 g, 14.5 mmol), Pd2(dba)3 (13.3 g, 14.5 mmol) and t-BuONa (83.8 g, 872 mmol) in toluene (200 mL) was heated for 1.5 h at 100 °C under nitrogen atmosphere. The mixture was then cooled to rt and partitioned between water (500 mL) and ethyl acetate (3 x 500 mL). The combined organic extracts were washed with brine (1 x 500 mL), dried over Na2SO4, concentrated onto silica gel and purified by column chromatography to afford the title compound as a brown oil (10 g, 12%). LCMS (ES, m/z): 278.00, 280.00 [M+H]+. STEP 2: N-(4-bromophenyl)-4-methoxy-N-methyl-aniline A solution of N-(4-bromophenyl)-4-methoxy-aniline (3.00 g, 10.8 mmol) in DMF (30 mL) was cooled to 0 °C and then sodium hydride (60% in mineral oil, 2.16 g, 53.9 mmol) was added in portions. The temperature was maintained for 30 mins and then methyl iodide (1.53 g, 10.8 mmol) was added dropwise. The reaction was stirred at rt for 3 h, quenched with water (80 mL) and extracted with ethyl acetate (3 x 80 mL). The combined organic extracts were washed with brine (1 x 80 mL), dried over Na2SO4, concentrated onto silica gel and purified by column chromatography to afford the title compound as a yellow oil (2.5 g, 48%). LCMS (ES, m/z): 292.10, 294.10 [M +H]+.
STEP 3: 4-(4-bromo-N-methyl-anilino)phenol A solution of N-(4-bromophenyl)-4-methoxy-N-methyl-aniline (2.50 g, 8.56 mmol) in DCM (15 mL) was cooled to 0 °C and then BBr3 (1M in DCM, 17.1 mL) was added dropwise. The resulting mixture was warmed to rt for 16 h, quenched with ice water (80 mL) and extracted with DCM (3 x 80 mL). The combined organic extracts were washed with brine (1 x 80 mL), dried over Na2SO4, concentrated onto silica gel and purified by column chromatography to afford the title compound as a yellow oil (1.8 g, 68%). LCMS (ES, m/z): 278.00, 280.00 [M+H]+. STEP 4: N-(4-bromophenyl)-4-(fluoromethoxy)-N-methyl-aniline A solution of 4-(4-bromo-N-methyl-anilino)phenol (1.80 g, 6.47 mmol), fluoro(iodo)methane (2.07 g, 12.94 mmol) and potassium hydroxide (724 mg, 12.9 mmol) in acetonitrile (15 mL) and water (5 mL) was stirred for 3 h at rt. The reaction was quenched with water (50 mL) and extracted with ethyl acetate (3 x 50 mL). The combined organic extracts were dried over anhydrous Na2SO4, concentrated onto silica gel and purified by column chromatography to afford the title compound as a white solid (1.1 g, 49% yield). LCMS (ES, m/z): 310.10, 312.10 [M+H]+. STEP 5: (S)-4-chloro-2-(4-((4-(fluoromethoxy)phenyl)(methyl)amino)phenyl)-5-(((3- fluorotetrahydro-2H-pyran-3-yl)methyl)amino)pyridazine-3(2H)-one; and (R)-4-chloro-2-(4-((4-(fluoromethoxy)phenyl)(methyl)amino)phenyl)-5-(((3-fluorotetrahydro- 2H-pyran-3-yl)methyl)amino)pyridazine-3(2H)-one N-(4-bromophenyl)-4-(fluoromethoxy)-N-methyl-aniline (360 mg, 1.16 mmol), 5-chloro-4- [(3-fluorotetrahydropyran-3-yl)methylamino]-1H-pyridazin-6-one (202 mg, 773 μmol), copper iodide (147 mg, 773 μmol), (1R,2R)-N1,N2-dimethylcyclohexane-1,2-diamine (220 mg, 1.55 mmol) and potassium carbonate (320 mg, 2.32 mmol) in DMF (3 mL) were heated to 80 °C for 1 h under nitrogen atmosphere, in a dried flask. The mixture was then cooled to rt and partitioned between water (30 mL) and ethyl acetate (3 x 30 mL). The combined organic extracts were washed with brine (1 x 30 mL), dried over Na2SO4, concentrated to dryness and purified by prep-Achiral HPLC to afford the racemate (140 mg) which was further separated by Chiral prep HPLC to afford two products.
The first eluting isomer afforded compound 570A as a yellow solid (61.5 mg, 16%). 1H NMR (300 MHz, DMSO-d6) δ 8.07 (s, 1H), 7.35-7.25 (m, 2H), 7.25-7.09 (m, 4H), 6.93-6.80 (m, 3H), 5.95 (s, 1H), 5.76 (s, 1H), 3.73-3.62 (m, 3H), 3.62-3.56 (m, 1H), 3.54-3.37 (m, 2H), 3.27 (s, 3H), 1.95-1.63 (m, 3H), 1.63-1.49 (m, 1H). LCMS (ES, m/z): 491.05, 493.05 [M+H]+. The second eluting isomer afforded compound 570B as a yellow solid (58.7 mg, 15%) 1H NMR (300 MHz, DMSO-d6) δ 8.07 (s, 1H), 7.35-7.25 (m, 2H), 7.25-7.09 (m, 4H), 6.93-6.77 (m, 3H), 5.95 (s, 1H), 5.76 (s, 1H), 3.73-3.56 (m, 4H), 3.54-3.37 (m, 2H), 3.27 (s, 3H), 1.95-1.81 (m, 1H), 1.80-1.70 (m,2H), 1.63-1.49 (m, 1H). LCMS (ES, m/z): 491.05, 493.05 [M+H]+. EXAMPLE 571 Synthesis of (S)-4-chloro-2-(4-(ethyl(5-fluoropyrazin-2-yl)amino)phenyl)-5-(((3-fluoro tetrahydro-2H-pyran-3-yl)methyl)amino)pyridazin-3(2H)-one (Compound 571)
(S)-4-chloro-2-(4-(ethyl(5-fluoropyrazin-2-yl)amino)phenyl)-5-(((3-fluorotetrahydro-2H- pyran-3-yl)methyl)amino)pyridazin-3(2H)-one was prepared according to similar procedures as those described above. 1H NMR (400 MHz, DMSO-d6) δ 8.24-8.12 (m, 2H), 7.63-7.54 (m, 3H), 7.47-7.39 (m, 2H), 7.00 (t, J = 6.9 Hz, 1H), 3.95 (q, J = 7.0 Hz, 2H), 3.76-3.37 (m, 6H), 1.95-1.67 (m, 3H), 1.63-1.51 (m, 1H), 1.17 (t, J = 7.0 Hz, 3H) LCMS (ES, m/z): 477.20, 479.20 [M+H]+ EXAMPLE 572 Synthesis of (S)-4-chloro-2-(4-(ethyl(5-fluoropyrimidin-2-yl)amino)phenyl)-5-(((3-fluoro tetrahydro-2H-pyran-3-yl)methyl)amino)pyridazin-3(2H)-one (compound 572)
(S)-4-chloro-2-(4-(ethyl(5-fluoropyrimidin-2-yl)amino)phenyl)-5-(((3-fluorotetrahydro-2H- pyran-3-yl)methyl)amino)pyridazin-3(2H)-one was prepared according to similar procedures as those described above. 1HNMR (300 MHz, DMSO-d6) δ 8.49-8.43 (m, 2H), 8.16-8.13 (m, 1H), 7.57-7.47 (m, 2H), 7.42-7.33 (m, 2H), 6.98 (t, J = 6.9 Hz, 1H), 4.07-3.91 (m, 2H), 3.80-3.37 (m, 6H), 1.97-1.50 (m, 4H), 1.19 (t, J = 6.9 Hz, 3H)
LCMS (ES, m/z): 477.05, 479.05 [M+H]+ EXAMPLE 573 Synthesis of 4-chloro-2-(4-((2S,5R)-5-cyclopropyltetrahydrofuran-2-yl)phenyl)-5-((((S)-3-fluorotetrahydro- 2H-pyran-3-yl)methyl)amino)pyridazin-3(2H)-one(compound 573A)
4-chloro-2-(4-((2S,5S)-5-cyclopropyltetrahydrofuran-2-yl)phenyl)-5-((((S)-3-fluorotetrahydro- 2H-pyran-3-yl)methyl)amino)pyridazin-3(2H)-one (compound 573B)
4-chloro-2-(4-((2R,5R)-5-cyclopropyltetrahydrofuran-2-yl)phenyl)-5-((((S)-3-fluorotetrahydro- 2H-pyran-3-yl)methyl)amino)pyridazin-3(2H)-one (compound 573C)
and 4-chloro-2-(4-((2R,5S)-5-cyclopropyltetrahydrofuran-2-yl)phenyl)-5-((((S)-3-fluorotetrahydro- 2H-pyran-3-yl)methyl)amino)pyridazin-3(2H)-one (compound 573D)
STEP 1: ethyl (E)-6-bromohex-4-enoate A solution of ethyl acetate (15.6 g, 177 mmol) in THF (900 mL) was cooled to -78 °C and LDA (2 M in THF, 177 mL) was added slowly. The temperature was maintained for 1 h, and then (E)- 1,4-dibromobut-2-ene (76.0 g, 355 mmol) in THF (900 mL) was added in portions. The reaction was then warmed to rt for 2 h and then quenched with HCl (0.1 M, 900 mL), and extracted with hexanes (2 x 1 L). The combined organic extracts were washed with brine (1 x 800 mL), dried over Na2SO4, concentrated onto silica gel and purified by column chromatography to afford the title compound as a light-yellow oil (30 g, 38%). GCMS (EI, m/z): 220, 222 [M]
STEP 2: (E)-6-bromohex-4-enal A solution of ethyl (E)-6-bromohex-4-enoate (11.0 g, 49.7 mmol) in DCM (200 mL) was cooled to -78 °C and DIBAL (1 M, 50 mL) was added dropwise. The temperature was maintained for 30 mins and then the reaction was quenched with water (300 mL) and extracted with DCM (2 x 300 mL). The combined organic extracts were washed with brine (1 x 400 mL), dried over Na2SO4, concentrated onto silica gel and purified by column chromatography to afford the title compound as a yellow oil (3.5 g, 40%). GCMS (EI, m/z): 176, 178 [M] STEP 3: 2-(4-bromophenyl)-5-vinyltetrahydrofuran A solution of 1,4-dibromobenzene (4.40 g, 18.6 mmol) in THF (40 mL) was cooled to -78 °C and t-BuLi (2.5 M in hexane, 8.00 mL) was added dropwise. The temperature was maintained for 20 mins and then (E)-6-bromohex-4-enal (3.00 g, 16.9 mmol) in THF (30 mL) was added dropwise. The reaction was warmed to rt for 16 h, quenched with ammonium chloride solution (150 mL) and extracted with ethyl acetate (2 x 150 mL). The combined organic extracts were washed with brine (100 mL), dried over Na2SO4, concentrated onto silica gel and purified by column chromatography to afford the title compound as a yellow oil (900 mg, 18%). GCMS (ES, m/z): 252, 254 [M] STEP 4: 2-(4-bromophenyl)-5-cyclopropyltetrahydrofuran A solution of 1-methyl-1-nitroso-urea (4.89 g, 47.4 mmol) in Et2O (20 mL) was cooled to 0 °C and KOH (6.21 g, 110 mmol) in water (33 mL) was added slowly. The temperature was maintained for 30 mins, and then the reaction was warmed to rt. The mixture was extracted with Et2O (2 x 25 mL). The organic extracts were dried over Na2SO4 and filtered to afford the diazomethane-Et2O solution. The diazomethane-Et2O solution was added to a solution of 2-(4- bromophenyl)-5-vinyl-tetrahydrofuran (400 mg, 1.58 mmol) in THF (15 mL). The above mixture was cooled to 0 °C and Pd(OAc)2 (20 mg) in THF (3 mL) was added dropwise. The mixture was stirred at 0 °C for 2 h. The mixture was then quenched with water (30 mL) and extracted with ethyl acetate (2 x 30 mL). The combined organic extracts were washed with brine (30 mL), dried over Na2SO4 and concentrated onto to afford the title compound as a yellow oil (200 mg, 38%). LCMS (ES, m/z): 267.15, 269.15[M+H]+
STEP 5: 4-chloro-2-(4-((2S,5R)-5-cyclopropyltetrahydrofuran-2-yl)phenyl)-5-((((S)-3- fluorotetrahydro-2H-pyran-3-yl)methyl)amino)pyridazin-3(2H)-one; 4-chloro-2-(4-((2S,5S)-5-cyclopropyltetrahydrofuran-2-yl)phenyl)-5-((((S)-3-fluorotetrahydro- 2H-pyran-3-yl)methyl)amino)pyridazin-3(2H)-one; 4-chloro-2-(4-((2R,5R)-5-cyclopropyltetrahydrofuran-2-yl)phenyl)-5-((((S)-3-fluorotetrahydro- 2H-pyran-3-yl)methyl)amino)pyridazin-3(2H)-one; and 4-chloro-2-(4-((2R,5S)-5-cyclopropyltetrahydrofuran-2-yl)phenyl)-5-((((S)-3-fluorotetrahydro- 2H-pyran-3-yl)methyl)amino)pyridazin-3(2H)-one To a dried flask, under nitrogen atmosphere, were added a mixture of 2-(4-bromophenyl)-5- cyclopropyltetrahydrofuran (200 mg, 599 μmol, 80%), 5-chloro-4-[[(3S)-3- fluorotetrahydropyran-3-yl]methylamino]-1H-pyridazin-6-one (235 mg, 898 μmol), CuI (512 mg, 2.69 mmol) and K2CO3 (472 mg, 3.42 mmol) in DMF (3 mL). The reaction was heated to 90 °C for 1 h. The reaction was then cooled to rt and passed through a pad of celite. The filtrate was concentrated under reduced pressure and purified by reverse phase column chromatography to afford the crude product. The crude product was purified again by Achiral prep HPLC to afford the racemate. The racemate was then further separated by Chiral prep HPLC to afford 3 products. First Eluting Isomer The first eluting isomer afforded a mixture of 573A/573B as a white solid. Second Eluting Isomer The second eluting isomer afforded 573C (40.0 mg, 12% yield) as a white solid. 1H NMR (400 MHz, DMSO-d6) δ 8.14-8.10 (m, 1H), 7.52-7.41 (m, 4H), 6.94 (t, J = 6.9 Hz, 1H), 4.87–4.81 (m, 1H), 3.74-3.36 (m, 7H), 2.35-2.24 (m, 1H), 2.13-2.01 (m, 1H), 1.93-1.64 (m, 5H), 1.61-1.52 (m, 1H), 1.07-0.97 (m, 1H), 0.57-0.42 (m, 2H), 0.36-0.22 (m, 2H). LCMS (ES, m/z): 448.15, 450.15 [M+H]+ Third Eluting Isomer The third eluting isomer afforded 573D (7.0 mg, 2.1% yield) as a white solid.
1H NMR (400 MHz, DMSO-d6) δ 8.13-8.10 (m, 1H), 7.47-7.35 (m, 4H), 6.94 (t, J = 7.0 Hz, 1H), 5.02-4.97 (m, 1H), 3.75-3.38 (m, 7H), 2.42-2.34 (m, 1H), 2.17-2.08 (m, 1H), 1.93-1.65 (m, 5H), 1.60-1.53 (m, 1H), 1.02-0.93 (m, 1H), 0.52-0.40 (m, 2H), 0.35-0.28 (m, 1H), 0.27-0.19 (m, 1H). LCMS (ES, m/z): 448.15, 450.15 [M+H]+ The 573A/573B mixture was separated by prep SFC. The first eluting isomer afforded 573A as a white solid (7.0 mg, 2.1%). 1H NMR (300 MHz, DMSO-d6) δ 8.14–8.10 (m, 1H), 7.46–7.35 (m, 4H), 6.96 (t, J = 7.0 Hz, 1H), 5.00 (t, J = 6.8 Hz, 1H), 3.78-3.40 (m, 7H), 2.43-2.32 (m, 1H), 2.21-2.07 (m, 1H), 1.92-1.49 (m, 6H), 1.02-0.93 (m, 1H), 0.50-0.36(m, 2H), 0.36-0.21 (m, 2H). LCMS (ES, m/z): 448.15, 450.15 [M+H]+. The second eluting isomer afforded 573B as a white solid (24.0 mg, 7.1%) 1H NMR (300 MHz, DMSO-d6) δ 8.15-8.11 (m, 1H), 7.49-7.39 (m, 4H), 6.96 (t, J = 6.8 Hz, 1H), 4.84 (t, J = 6.9 Hz, 1H), 3.77-3.39 (m, 7H), 2.36–2.26 (m, 1H), 2.14-2.02 (m, 1H), 1.93-1.54 (m, 6H), 1.07-0.97 (m, 1H), 0.59-0.40 (m, 2H), 0.37-0.21 (m, 2H). LCMS (ES, m/z): 448.15, 450.15 [M+H]+. EXAMPLE 574 Synthesis of 4-chloro-5-((((S)-3-fluorotetrahydro-2H-pyran-3-yl)methyl)amino)-2-(4-((2S,5R)-5-isopropyl tetrahydrofuran-2-yl)phenyl)pyridazin-3(2H)-one (compound 574A)
4-chloro-5-((((S)-3-fluorotetrahydro-2H-pyran-3-yl)methyl)amino)-2-(4-((2S,5S)-5-isopropyl tetrahydrofuran-2-yl)phenyl)pyridazin-3(2H)-one (compound 574B)
4-chloro-5-((((S)-3-fluorotetrahydro-2H-pyran-3-yl)methyl)amino)-2-(4-((2R,5R)-5-isopropyl tetrahydrofuran-2-yl)phenyl)pyridazin-3(2H)-one (compound 574C)
and 4-chloro-5-((((S)-3-fluorotetrahydro-2H-pyran-3-yl)methyl)amino)-2-(4-((2R,5S)-5-isopropyl tetrahydrofuran-2-yl)phenyl)pyridazin-3(2H)-one (compound 574D)
STEP 1: 1-(4-bromophenyl)-5-methyl-hex-4-en-1-ol 5-bromo-2-methyl-pent-2-ene (8.81 g, 54.05 mmol), Mg (33.8 g, 1.39 mol) and I2 (20 mg) in THF (30 mL) was heated to 60 °C for 10 mins, under nitrogen atmosphere, and then cooled to 0 °C.4-bromobenzaldehyde (5.00 g, 27.0 mmol) in THF (30 mL) was then added dropwise and the resulting solution stirred for 1 h, then quenched with saturated aqueous ammonium chloride solution (200 mL) and extracted with ethyl acetate (3 x 150 mL). The combined organic extracts were washed with brine (1 x 100 mL), dried over Na2SO4, concentrated onto silica gel and purified by column chromatography to afford the title compound as a colorless oil (4.0 g, 55%). GCMS (EI, m/z): 268.05, 270.05 [M]. STEP 2: 2-(4-bromophenyl)-5-isopropyl-tetrahydrofuran A mixture of 1-(4-bromophenyl)-5-methyl-hex-4-en-1-ol (200 mg, 743 μmol), [Ir(dF(CF3)ppy)2(5,5'-d(CF3)bpy)]PF6 (17.0 mg, 14.8 μmol), 2-methyl-4,5-dihydrooxazole (12.6 mg, 148 μmol) and 4-trifluoromethylthiophenol (39.7 mg, 222 μmol) in PhCF3 (15.0 mL) was heated to 40 °C while being irradiated by blue LED (450 nm) for 16 h. This reaction was repeated 8 times, and the mixtures combined and concentrated onto silica gel and purified by column chromatography to afford the title compound as a yellow oil (450 mg). GCMS (EI, m/z): 268.05, 270.05 [M]. STEP 3: 4-chloro-5-((((S)-3-fluorotetrahydro-2H-pyran-3-yl)methyl)amino)-2-(4-((2S,5R)-5- isopropyltetrahydrofuran-2-yl)phenyl)pyridazin-3(2H)-one; 4-chloro-5-((((S)-3-fluorotetrahydro-2H-pyran-3-yl)methyl)amino)-2-(4-((2S,5S)-5- isopropyltetrahydrofuran-2-yl)phenyl)pyridazin-3(2H)-one; 4-chloro-5-((((S)-3-fluorotetrahydro-2H-pyran-3-yl)methyl)amino)-2-(4-((2R,5R)-5- isopropyltetrahydrofuran-2-yl)phenyl)pyridazin-3(2H)-one; and 4-chloro-5-((((S)-3-fluorotetrahydro-2H-pyran-3-yl)methyl)amino)-2-(4-((2R,5S)-5- isopropyltetrahydrofuran-2-yl)phenyl)pyridazin-3(2H)-one 2-(4-bromophenyl)-5-isopropyl-tetrahydrofuran (308 mg, 1.15 mmol), 5-chloro-4-[[(3S)-3- fluorotetrahydropyran-3-yl]methylamino]-1H-pyridazin-6-one (200 mg, 764 μmol), (1S,2S)- N1,N2-dimethylcyclohexane-1,2-diamine (217 mg, 1.53 mmol), copper iodide (145 mg, 764 μmol) and potassium carbonate (528 mg, 3.82 mmol) in DMF (3 mL) were heated to 100 °C for 2 h, under nitrogen atmosphere. The mixture was cooled to rt, concentrated under reduced
pressure and purified by reverse phase column chromatography to afford the racemate which was then further separated by Chiral prep HPLC. First Eluting Isomer The first eluting isomer afforded a mixture of 574A/574B (30 mg). Second Eluting Isomer The second eluting isomer afforded crude 574C (20 mg), which was further purified by Chiral-Prep-HPLC to afford the title compound (5.3 mg, 1.5% yield) as a white solid. 1H NMR (300 MHz, DMSO-d6) δ 8.12 (s, 1H), 7.46-7.37 (m, 4H), 6.99-6.93 (m, 1H), 4.89-4.81 (m, 1H), 3.76-3.40 (m, 7H), 2.33-2.27(m,1H), 2.03-1.57 (m, 8H), 0.97 (d, J = 6.6 Hz, 3H), 0.88 (d, J = 6.7 Hz, 3H). LCMS (ES, m/z): 450.15, 452.15 [M+H]+. Third Eluting Isomer The third eluting isomer afforded 574D as a white solid (8.1 mg, 2.3%). 1H NMR (300 MHz, DMSO-d6) δ 8.12 (s, 1H), 7.46-7.37 (m, 4H), 6.99-6.93 (m, 1H), 4.96-4.90 (m, 1H), 3.86-3.40 (m, 7H), 2.41-2.32 (m, 1H), 2.08-1.99(m,1H), 1.90-1.52 (m, 7H), 0.97 (d, J = 6.6 Hz, 3H), 0.88 (d, J = 6.7 Hz, 3H). LCMS (ES, m/z): 450.10, 452.10 [M+H]+. Chiral-Prep-HPLC to separate 574A/574B The mixture of 574A/574B was further separated by Chiral-Prep-HPLC to afford: 574A (7.1 mg, 2.0% yield) as a white solid 1H NMR (300 MHz, DMSO-d6) δ 8.12 (s, 1H), 7.46-7.37 (m, 4H), 6.99-6.93 (m, 1H), 4.96-4.90 (m, 1H), 3.86-3.63 (m, 6H), 3.47-3.43 (m, 1H), 2.38-2.32(m,1H), 2.09-1.99 (m, 1H), 1.94-1.52 (m, 7H), 0.97 (d, J = 6.6 Hz, 3H), 0.88 (d, J = 6.7 Hz, 3H). LCMS (ES, m/z): 450.15, 452.15 [M+H]+. and 574B (6.3 mg, 1.8% yield) as a white solid. 1H NMR (300 MHz, DMSO-d6) δ 8.12 (s, 1H), 7.46-7.39 (m, 4H), 6.99-6.93 (m, 1H), 4.89-4.90 (m, 1H), 3.78-3.52 (m, 6H), 3.47-3.41 (m, 1H), 2.33-2.27(m,1H), 2.03-1.52 (m, 8H), 0.99 (d, J = 6.6 Hz, 3H), 0.90 (d, J = 6.7 Hz, 3H).
LCMS (ES, m/z): 450.15, 452.15 [M+H]+. EXAMPLE 575 Synthesis of 4-chloro-5-[[(3S)-3-fluorotetrahydropyran-3-yl]methylamino]-2-[6-[4-(1-hydroxy- 1-methyl-ethyl)phenoxy]-3-pyridyl]pyridazin-3-one (compound 575)
STEP 1: methyl 4-[(5-bromo-2-pyridyl)oxy]benzoate 5-bromo-2-fluoro-pyridine (2 g, 11.4 mmol), methyl 4-hydroxybenzoate (2.60 g, 17.1 mmol) and cesium carbonate (5.60 g, 17.2 mmol) in DMF (35 mL) were heated to 120 °C for 16 h. The mixture was cooled to rt, quenched with water (100 mL) and extracted with ethyl acetate (2 x 100 mL). The combined organic extracts were washed with brine (100 mL), dried over anhydrous Na2SO4, concentrated under reduced pressure and purified by column chromatography to afford the title compound as a yellow oil (3.00 g, 86% yield). LCMS (ES, m/z): 308.05, 310.05 [M+H]+. STEP 2: 2-[4-[(5-bromo-2-pyridyl)-oxy]-phenyl]-propan-2-ol A solution of methyl 4-[(5-bromo-2-pyridyl)-oxy]-benzoate (1 g, 3.3 mmol) in THF (9.6 mL) was cooled to 0 °C and then MeMgBr (1M in THF, 10 mL) was added dropwise. The mixture was then gently warmed to rt for 16 h, quenched with water (30 mL) and extracted with ethyl
acetate (2 x 30 mL). The combined organic extracts were washed with brine (30 mL), dried over Na2SO4, concentrated onto silica gel and purified by column chromatography to afford the title compound (0.8 g, 80%). LCMS (ES, m/z): 308.00, 310.00 [M+H]+. STEP 3: 4-chloro-5-[[(3S)-3-fluorotetrahydropyran-3-yl]-methylamino]-2-[6-[4-(1-hydroxy-1- methyl-ethyl)-phenoxy]-3-pyridyl]-pyridazin-3-one 2-[4-[(5-bromo-2-pyridyl)-oxy]-phenyl]-propan-2-ol (88.5 mg, 287 μmol), 5-chloro-4-[[(3S)- 3-fluorotetrahydropyran-3-yl]-methylamino]-1H-pyridazin-6-one (50.1 mg, 191 μmol), copper iodide (18.2 mg, 95.7 μmol), potassium carbonate (132 mg, 957 μmol) and (1R,2R)-N1, N2- dimethylcyclohexane-1,2-diamine (13.6 mg, 95.7 μmol) in DMF (2.5 mL) were heated to 100 °C for 4 h, under nitrogen atmosphere. The mixture was cooled to rt, concentrated under reduced pressure, purified by reverse phase column chromatography and further separated by Achiral SFC to afford the title compound as a white solid (34 mg, 36%). 1H NMR (400 MHz, DMSO-d6) δ = 8.29-8.16 (m, 2H), 8.00 (dd, J = 8.8, 2.7, 1H), 7.58-7.46 (m, 2H), 7.13-7.03 (m, 4H), 5.05 (s, 1H), 3.74-3.37 (m, 6H), 1.92-1.54 (m, 4H), 1.45 (s, 6H) LCMS (ES, m/z): 489.20, 491.20 [M+H]+ EXAMPLE 576 Synthesis of (S)-4-chloro-2-(6-(4-cyclopropylphenoxy)pyridin-3-yl)-5-(((3-fluorotetrahydro-2H- pyran-3-yl)methyl)amino)pyridazin-3(2H)-one (compound 576)
(S)-4-chloro-2-(6-(4-cyclopropylphenoxy)pyridin-3-yl)-5-(((3-fluorotetrahydro-2H-pyran-3- yl)methyl)amino)pyridazin-3(2H)-one was prepared according to similar procedures as described above. 1H NMR (400 MHz, DMSO-d6) δ = 8.26 (d, J = 2.7, 1H), 8.16 (d, J = 1.8, 1H), 7.98 (dd, J = 8.8, 2.8, 1H), 7.17-7.10 (m, 2H), 7.10-7.02 (m, 4H), 3.79-3.39 (m, 6H), 2.02-1.51 (m, 5H), 1.01-0.82 (m, 2H), 0.70-0.55 (m, 2H) (ES, m/z): 471.15, 473.15 [M+H]+ EXAMPLE 577 Synthesis of (S)-2-(6-(4-(1-aminocyclopropyl)phenoxy)pyridin-3-yl)-4-chloro-5-((3-fluoro- tetrahydro-2H-pyran-3-yl)methylamino)pyridazin-3(2H)-one formate (compound 577)
STEP 1: 4-[(5-bromo-2-pyridyl)oxy]benzonitrile 5-bromo-2-fluoro-pyridine (4.88 g, 27.7 mmol), 4-hydroxybenzonitrile (3.00 g, 25.2 mmol) and potassium carbonate (10.4 g, 75.5 mmol, 4.56 mL) in DMF (50 mL) were heated to 100 °C for 16 h. The mixture was cooled to rt, poured into ice/water (100 mL) and extracted with ethyl acetate (3 x 100 mL). The combined organic extracts were washed with brine (1 x 100 mL), dried over anhydrous Na2SO4, concentrated onto silica gel and purified by column chromatography to afford the title compound as yellow solid (5.0 g, 72%). LCMS (ES, m/z): 274.90, 276.90 [M+H]+ STEP 2: 1-[4-[(5-bromo-2-pyridyl)oxy]phenyl]cyclopropanamine A solution of 4-[(5-bromo-2-pyridyl)oxy]benzonitrile (1.65 g, 6.00 mmol) and Ti(O-iPr)4 (1.88 g, 6.60 mmol) in ether (30 mL) was cooled to -78 °C and EtMgBr (1 M in THF, 13.2 mL) was added dropwise. The mixture was warmed to rt for 1 h, BF3•Et2O (1.70 g, 12.0 mmol) was added dropwise and the mixture stirred for another hour. The reaction was quenched with 1N HCl (9 mL), and after 5 mins aqueous sodium hydroxide solution (10% w/w, 30 mL) was added. The mixture was extracted with ethyl acetate (3 x 50 mL) and the combined organic extracts were washed with brine (1 x 50 mL), dried over Na2SO4, concentrated onto silica gel and purified by column chromatography to afford the title compound as a white solid (390 mg, 21%). LCMS (ES, m/z): 305.05, 307.05 [M+H]+
STEP 3: tert-butyl N-[1-[4-[(5-bromo-2-pyridyl)oxy]phenyl]cyclopropyl]carbamate A solution of 1-[4-[(5-bromo-2-pyridyl)oxy]phenyl]cyclopropanamine (170 mg, 557 μmol), Boc2O (364 mg, 1.67 mmol) and TEA (282 mg, 2.79 mmol) in DCM (3 mL) was stirred at rt for 16 h. The solvent was then removed, and the crude material evaporated onto silica gel and purified by column chromatography to afford the title compound as a colorless oil (100 mg, 44%). LCMS (ES, m/z): 405.10, 407.10 [M+H]+ STEP 4: (R)-tert-butyl 1-(4-(5-(5-chloro-4-((3-fluoro-tetrahydro-2H-pyran-3-yl)methylamino)-6- oxopyridazin-1(6H)-yl)pyridin-2-yloxy)phenyl)cyclopropylcarbamate tert-butyl N-[1-[4-[(5-bromo-2-pyridyl)oxy]phenyl]cyclopropyl]carbamate (154 mg, 382 μmol), 5-chloro-4-[[(3S)-3-fluorotetrahydropyran-3-yl]methylamino]-1H-pyridazin-6-one (50 mg, 191 μmol), copper iodide (36.4 mg, 191 μmol), (1R,2R)-N1,N2-dimethylcyclohexane-1,2- diamine (27.2 mg, 191 μmol) and CsF (58.0 mg, 382 μmol) in acetonitrile (2 mL) were heated to 80 °C for 2 h, under nitrogen atmosphere. The mixture was cooled to rt, concentrated onto silica gel and purified by column chromatography to afford the title compound as a white solid (75 mg, 57%). LCMS (ES, m/z): 586.20, 588.20 [M+H]+ STEP 5: (S)-2-(6-(4-(1-aminocyclopropyl)phenoxy)pyridin-3-yl)-4-chloro-5-((3-fluoro-tetrahydro- 2H-pyran-3-yl)methylamino)pyridazin-3(2H)-one formate A solution of (S)-tert-butyl 1-(4-(5-(5-chloro-4-((3-fluoro-tetrahydro-2H-pyran-3- yl)methylamino)-6-oxopyridazin-1(6H)-yl)pyridin-2-yloxy)phenyl)cyclopropylcarbamate (60 mg, 102 μmol) in TFA (0.5 mL) and DCM (3 mL) was stirred at rt for 1 h. The mixture was concentrated under reduced pressure and purified by reverse phase column chromatography to afford the title compound as a white solid (40 mg, 74%). 1H NMR (400 MHz, DMSO-d6) δ 8.26 (d, J = 2.7 Hz, 1H), 8.16 (d, J = 1.8 Hz, 1H), 7.99 (dd, J = 8.8, 2.7 Hz, 1H), 7.42-7.35 (m, 2H), 7.15-7.08 (m, 3H), 7.05 (t, J = 7.0 Hz, 1H), 3.75-3.65 (m, 3H), 3.63-3.58 (m, 1H), 3.55-3.49 (m, 1H), 3.47-3.44 (m, 1H), 3.44-3.38 (m, 2H), 1.85-1.67 (m, 3H), 1.67-1.50 (m, 1H), 1.06-0.93 (m, 4H) LCMS (ES, m/z): 486.20, 488.20 [M-HCOOH+H]+
EXAMPLE 578 Synthesis of 5-[5-chloro-4-[[(3S)-3-fluorotetrahydropyran-3-yl]methylamino]-6-oxo-pyridazin- 1-yl]-N-(trideuteriomethyl)-N-[4-(trifluoromethoxy)phenyl]pyridine-2-sulfonamide (compound 578)
STEP 1: 5-bromo-N-[4-(trifluoromethoxy)phenyl]pyridine-2-sulfonamide A mixture of 5-bromopyridine-2-sulfonyl chloride (600 mg, 2.34 mmol), 4- (trifluoromethoxy)aniline (621 mg, 3.51 mmol) and potassium carbonate (1.62 g, 11.7 mmol) in DMF (10 mL) was stirred at rt for 1h. The reaction was quenched with water (20 mL) and extracted with ethyl acetate (3 x 25 mL). The combined organic extracts were dried over Na2SO4, concentrated onto silica gel and purified by column chromatography to afford the title compound as a brown oil (570 mg, 37%). LCMS (ES, m/z): 397.15, 399.15 [M+H]+.
STEP 2: 5-bromo-N-(trideuteriomethyl)-N-[4-(trifluoromethoxy)phenyl]pyridine-2-sulfonamide 5-bromo-N-[4-(trifluoromethoxy)phenyl]pyridine-2-sulfonamide (500 mg, 0.76 mmol, 60%), cesium carbonate (820 mg, 2.52 mmol) and CD3I (273 mg, 1.89 mmol) in DMF (8 mL) were stirred at rt for 1 h. The reaction was quenched with water (20 mL) and extracted with ethyl acetate (3 x 25 mL). The combined organic extracts were dried over Na2SO4, concentrated onto silica gel and purified by column chromatography to afford the title compound as a brown oil (150 mg, 45%). LCMS (ES, m/z): 414.05, 416.05 [M+H]+ STEP 3: 5-[5-chloro-4-[[(3S)-3-fluorotetrahydropyran-3-yl]methylamino]-6-oxo-pyridazin-1-yl]- N-(trideuteriomethyl)-N-[4-(trifluoromethoxy)phenyl]pyridine-2-sulfonamide 5-bromo-N-(trideuteriomethyl)-N-[4-(trifluoromethoxy)phenyl]pyridine-2-sulfonamide (130 mg, 313 μmol), 5-chloro-4-[[(3S)-3-fluorotetrahydropyran-3-yl]methylamino]-1H-pyridazin-6- one (82.1 mg, 313 μmol), (1R,2R)-N,N'-Dimethyl-1,2-cyclohexanediamine (89.2 mg, 627 μmol), copper iodide (59.7 mg, 313 μmol) and potassium carbonate (216 mg, 1.57 mmol) in DMF (3 mL) were heated to 100 °C for 2 h, under nitrogen atmosphere. The mixture was cooled to rt, purified by reverse phase column chromatography and further purified by prep HPLC to afford the title compound as a white solid (25.2 mg, 13%). 1H NMR (400 MHz, DMSO-d6) δ 9.06-9.04 (m, 1H), 8.32-8.29 (m, 1H), 8.28-8.27 (m, 1H), 7.95 (d, J = 8.8, 1H), 7.43-7.40 (m, 2H), 7.37-73.5 (m, 2H), 7.23-7.20 (m, 1H), 3.80-3.58 (m, 4H), 3.55-3.45 (m, 1H), 3.44-3.32 (m, 1H), 2.03-1.63 (m, 3H), 1.62-1.42(m, 1H) LCMS (ES, m/z): 595.20, 597.20 [M+H]+ EXAMPLE 579 Synthesis of 4-chloro-2-[4-[4-(difluoromethyl)phenoxy]phenyl]-5-[[(3R)-tetrahydropyran-3- yl]methylamino]pyridazin-3-one (compound 579)
STEP 1: 1-bromo-4-[4-(difluoromethyl)phenoxy]benzene 4-bromophenol (1.00 g, 5.78 mmol), [4-(difluoromethyl)phenyl]boronic acid (1.99 g, 11.5 mmol), Cu(OAc)2 (1.15 g, 5.78 mmol) and TEA (2.34 g, 23.1 mmol, 3) in DCM (25 mL) were stirred for 16 h at rt under oxygen atmosphere. The mixture was then filtered through a celite pad and diluted with water (25 mL). The organic phase was washed with brine (30 mL), dried over Na2SO4, concentrated onto silica gel and purified by column chromatography to afford the title compound as a yellow solid (700 mg, 28%). GCMS (EI, m/z): 298.10, 300.10 [M] STEP 2: 4-chloro-2-[4-[4-(difluoromethyl)phenoxy]phenyl]-5-[[(3R)-tetrahydropyran-3-yl] methylamino]pyridazin-3-one 1-bromo-4-[4-(difluoromethyl)phenoxy] benzene (294 mg, 984 μmol), 5-chloro-4-[[(3R)- tetrahydropyran-3-yl]methylamino]-1H-pyridazin-6-one (120 mg, 492 μmol), potassium carbonate (340 mg, 2.46 mmol), (1R,2R)-N,N'-dimethyl-1,2-cyclohexanediamine (56.2 mg, 492 μmol) and copper iodide (93.7 mg, 492 μmol) in DMF (2.0 mL) were heated to 100 °C for 2 h, under nitrogen atmosphere. The mixture was cooled to rt, purified by reverse phase column chromatography and further separated by Achiral prep SFC to afford the title compound as a white solid (58.8 mg, 26%). 1H NMR (300 MHz, DMSO-d6) δ 8.10 (s, 1H), 7.63 (d, J = 8.3 Hz, 2H), 7.59-7.51 (m, 2H), 7.24- 6.85 (m, 6H), 3.80-3.66 (m, 2H), 3.38-3.33 (m, 1H), 3.32-3.21 (m, 2H), 3.16 (dd, J = 11.1, 8.6 Hz, 1H), 1.90-1.75 (m, 2H), 1.68-1.54 (m, 1H), 1.54-1.35 (m, 1H), 1.34-1.20 (m, 1H) LCMS (ES, m/z): 462.15, 464.15 [M+H]+
EXAMPLE 580 Synthesis of 4-chloro-2-((1r,4R)-4-(cyclopropyl(phenyl)amino)cyclohexyl)-5-((((3R,4S)-4-methoxy tetrahydro-2H-pyran-3-yl)methyl)amino)pyridazin-3(2H)-one (compound 580A)
4-chloro-2-((1r,4S)-4-(cyclopropyl(phenyl)amino)cyclohexyl)-5-((((3S,4R)-4-methoxy tetrahydro-2H-pyran-3-yl)methyl)amino)pyridazin-3(2H)-one (compound 580B)
4-chloro-2-((1r,4S)-4-(cyclopropyl(phenyl)amino)cyclohexyl)-5-((((3S,4S)-4-methoxy tetrahydro-2H-pyran-3-yl)methyl)amino)pyridazin-3(2H)-one (compound 580C)
and 4-chloro-2-((1r,4R)-4-(cyclopropyl(phenyl)amino)cyclohexyl)-5-((((3R,4R)-4-methoxy tetrahydro-2H-pyran-3-yl)methyl)amino)pyridazin-3(2H)-one (compound 580D)
STEP 1: methyl 4-hydroxytetrahydropyran-3-carboxylate A solution of methyl 4-oxotetrahydropyran-3-carboxylate (16.0 g, 101 mmol) in methanol (200 mL) was cooled to 0 °C and NaBH4 (3.83 g, 101 mmol) added in portions. The mixture was then warmed to rt for 2 h, concentrated, evaporated onto silica gel and purified by column chromatography to afford the title compound (11 g, 68%). LCMS (ES, m/z): 161.15 [M+H]+
STEP 2: methyl 4-methoxy-tetrahydro-2H-pyran-3-carboxylate A solution of methyl 4-hydroxytetrahydropyran-3-carboxylate (4.86 g, 30.3 mmol) in DCM (90 mL) was cooled to 0 °C and then ProtonSponge (7.80 g, 36.4 mmol) and trimethyloxonium tetrafluoroborate (9.00 g, 60.8 mmol) were added respectively. The mixture was warmed to rt for 1 h, filtered and the filtrate diluted with water (80 mL) and extracted with DCM (3 x 100mL). The combined organic extracts were washed with brine (1 x 100 mL), dried over Na2SO4, evaporated onto silica gel and purified by column chromatography to afford the title compound (3.9 g, 74%). LCMS (ES, m/z): 175.15 [M+H]+ STEP 3: 4-methoxytetrahydropyran-3-carboxylic acid A solution of methyl 4-methoxytetrahydropyran-3-carboxylate (3.90 g, 22.3 mmol) and sodium hydroxide (1.79 g, 44.7 mmol) in water (20 mL) and methanol (40 mL) was stirred at rt for 16 h. The solution was acidified to pH 2 with HCl (1 N), diluted with water and extracted with ethyl acetate (3 x 100 mL). The combined organic extracts were dried over Na2SO4 and concentrated to afford the title compound (3.0 g, 84%). LCMS (ES, m/z): 159.10 [M-H]- STEP 4: 4-methoxytetrahydropyran-3-carboxamide 4-methoxytetrahydropyran-3-carboxylic acid (3 g, 18.7 mmol), TEA (5.69 g, 56.1 mmol), HATU (8.59 g, 22.4 mmol), and ammonium chloride (5.01 g, 93.6 mmol) in DMF (50 mL) were stirred at rt for 2 h. The mixture was partitioned between water (100 mL) and ethyl acetate (3 x 50 mL). The combined organic extracts were dried over Na2SO4, concentrated and purified by prep HPLC to afford the title compound (2.0 g, 67%). LCMS (ES, m/z): 160.15 [M+H]+ STEP 5: (4-methoxytetrahydropyran-3-yl)methanamine A solution of 4-methoxytetrahydropyran-3-carboxamide (2.00 g, 12.5 mmol) in THF (20 mL) was cooled to 0 °C and then LiAlH4 (1 M in THF, 25.1 mL) was added dropwise. The reaction was gently warmed to 50 °C for 2 h, cooled to rt, quenched with water (25 mL) and extracted with ethyl acetate (3 x 40 mL). The combined organic extracts were dried over Na2SO4 and concentrated to afford the title compound as an oil (1.5 g, crude).
LCMS (ES, m/z): 146.20 [M+H]+ STEP 6: tert-butyl N-[(4-methoxytetrahydropyran-3-yl)methyl]carbamate (4-methoxytetrahydropyran-3-yl)methanamine (1.5 g, crude), TEA (3.13 g, 30.9 mmol), and Boc2O (2.71 g, 12.4 mmol) in DCM (10 mL) were stirred at rt for 2 h. The reaction was quenched with water and extracted with DCM (3 x 50 mL). The combined organic extracts were dried over Na2SO4, concentrated onto silica gel and purified by column chromatography to afford the title compound (350 mg, 11%). LCMS (ES, m/z): 246.25 [M+H]+. STEP 7: (4-methoxytetrahydropyran-3-yl)methanamine hydrochloride A solution of tert-butyl N-[(4-methoxytetrahydropyran-3-yl)methyl]carbamate (120 mg, 489 μmol) in ethyl acetate (2 mL) and HCl (4M in ethyl acetate, 1 mL) was stirred at rt for 1 h. The solution was then concentrated and the resulting solid washed with ether (20 mL) and filtered to afford the title compound as a white solid (70 mg, 79%). LCMS (ES, m/z): 146.01 [M-HCl+H]+. The alkylation, coupling, purification and separation steps were performed according to similar procedures as described herein to afford the four isomers shown in Table 17 below (MS = ES, m/z, [M+H]+).
EXAMPLE 581 Synthesis of 5-((((1R,5R,6S)-3-oxabicyclo[4.1.0]heptan-5-yl)methyl)amino)-4-chloro-2-((1r,4R)-4-(cyclo propyl(4-(trifluoromethyl)phenyl)amino)cyclohexyl)pyridazin-3(2H)-one (compound 581A)
5-((((1S,5R,6R)-3-oxabicyclo[4.1.0]heptan-5-yl)methyl)amino)-4-chloro-2-((1r,4R)-4-(cyclo propyl(4-(trifluoromethyl)phenyl)amino)cyclohexyl)pyridazin-3(2H)-one (compound 581B)
5-((((1S,5S,6R)-3-oxabicyclo[4.1.0]heptan-5-yl)methyl)amino)-4-chloro-2-((1r,4S)-4-(cyclo propyl(4-(trifluoromethyl)phenyl)amino)cyclohexyl)pyridazin-3(2H)-one (compound 581C)
and 5-((((1R,5S,6S)-3-oxabicyclo[4.1.0]heptan-5-yl)methyl)amino)-4-chloro-2-((1r,4S)-4-(cyclo propyl(4-(trifluoromethyl)phenyl)amino)cyclohexyl)pyridazin-3(2H)-one (compound 581D)
STEP 1: diethyl 2-(3-methylbutylidene) malonate A solution of 3-methylbutanal (86.1 g, 1.00 mol), diethyl propanedioate (152 g, 950 mmol), piperidine (4.26 g, 50.0 mmol) and acetic acid (15.01 g, 250 mmol) in toluene (125 mL) was heated at reflux in a Dean-Stark apparatus, until water formation was no longer observed. The solution was cooled to rt, diluted with water (500 mL) and extracted with ethyl acetate (3 x 500 mL). The organic extracts were washed with brine (1 L), dried over anhydrous Na2SO4 and concentrated under reduced pressure to afford the title compound (220 g, crude) as a brown oil. LCMS (ES, m/z): 229.15 [M+H]+ STEP 2: (E)-diethyl 2-(3-methylbut-1-enyl) malonate A solution of diethyl 2-(3-methylbutylidene) malonate (220 g, crude) in THF (300 mL) was added dropwise into a stirred mixture of sodium hydride (60% in mineral oil, 115 g, 2.89 mol) in THF (1.5 L). The resulting mixture was heated to 40 °C for 24 h, then cooled to rt, poured into ice/saturated aqueous ammonium chloride solution (1 L) and extracted with ethyl acetate (3 x 1
L). The combined organic extracts were washed with brine (2 L), dried over anhydrous Na2SO4 and concentrated under reduced pressure to afford the title compound (200 g, crude) as a yellow oil. LCMS (ES, m/z): 229.15 [M+H]+ STEP 3: 2-[(E)-3-methylbut-1-enyl] propane-1,3-diol A solution of (E)-diethyl 2-(3-methylbut-1-enyl) malonate (200 g, crude) in THF (250 mL) was cooled to 0 °C and LiAlH4 (133 g, 3.50 mol) in THF (2 L) was added in portions. The mixture was warmed to rt for 16 h, then cooled to 0 °C and slowly quenched with ethyl acetate (880 mL) followed by methanol (100 mL) and 3 M HCl (4 L). The resulting mixture was extracted with ethyl acetate (3 x 1 L). The combined organic extracts were washed with brine, dried over Na2SO4, concentrated onto silica gel and purified by column chromatography to afford the title compound as a colorless oil (59 g, 40%). GCMS (EI, m/z): 144 [M] STEP 4: (E)-2-((tert-butyldimethylsilyloxy)methyl)-5-methylhex-3-en-1-ol A solution of of 2-[(E)-3-methylbut-1-enyl] propane-1,3-diol (55.0 g, 381 mmol) in THF (1000 mL) was cooled to 0 °C and sodium hydride (19.8 g, 495 mmol, 60%) added portion-wise. The temperature was maintained for 0.5 h and then TBSCl (63.2 g, 419 mmol) in THF (100 mL) was added dropwise. The mixture was warmed to rt for 2 h and then quenched with saturated aqueous ammonium chloride solution (1L) and extracted with ethyl acetate (2 x 1 L). The organic phase was washed with brine (2 L), dried over Na2SO4, concentrated onto silica gel and purified by column chromatography to afford the title compound as a yellow oil (95 g, 87%). LCMS (ES, m/z): 259.25 [M+H]+ STEP 5: [(E)-2-(allyloxymethyl)-5-methyl-hex-3-enoxy]-tert-butyl-dimethyl-silane A solution of (E)-2-((tert-butyldimethylsilyloxy)methyl)-5-methylhex-3-en-1-ol (10.0 g, 38.7 mmol) in THF (100 mL) was cooled to 0 °C and sodium hydride (3.09 g, 77.3 mmol, 60%) was added in portions. The temperature was maintained for 0.5 h and then 3-bromoprop-1-ene (7.02 g, 58.0 mmol) in THF (10 mL) was added dropwise. The resulting solution was warmed to rt for 3 h and then quenched with saturated aqueous ammonium chloride solution (100 mL), extracted with ethyl acetate (3 x 100 mL). The organic extracts were washed with brine (100
mL), dried over Na2SO4, concentrated onto silica gel and purified by column chromatography to afford the title compound as a yellow oil (10 g, 78%). LCMS (ES, m/z): 299.25 [M+H]+. STEP 6: tert-butyl-(3,6-dihydro-2H-pyran-3-ylmethoxy)-dimethyl-silane A mixture of [(E)-2-(allyloxymethyl)-5-methyl-hex-3-enoxy]-tert-butyl-dimethyl-silane (90 g, 301 mmol) and Grubbs catalyst I (24.8 g, 30.1 mmol) in DCM (1000 mL) was stirred at rt for 2 h. The mixture was concentrated and purified by column chromatography to afford the title compound (55 g, 72%) as a brown oil. LCMS (ES, m/z): 229.20 [M+H]+. STEP 7: tert-butyl-dimethyl-(3-oxabicyclo[4.1.0] heptan-5-ylmethoxy)silane A solution of Zn(Et)2 (1 M in hexane, 49.9 mL) in DCM (75 mL) was cooled to 0 °C and TFA (5.69 g, 49.9 mmol) in DCM (25 mL) was added dropwise. The temperature was maintained for 20 mins, and then CH2I2 (13.3 g, 49.9 mmol) in DCM (25 mL) was added dropwise. The temperature was maintained for another 20 mins and then tert-butyl-(3,6-dihydro-2H-pyran-3- ylmethoxy)-dimethyl-silane (2.28 g, 9.98 mmol) in DCM (25 mL) was added dropwise. The mixture was warmed to rt for 20 h and then quenched with HCl (1N, 100 mL) and extracted with DCM (3 x 100 mL). The organic extracts were washed with brine (1 x 100 mL), dried over Na2SO4, concentrated onto silica gel and purified by column chromatography to afford the title compound as a colorless oil (2.2 g, 91%). LCMS (ES, m/z): 243.15 [M+H]+. STEP 8: 3-oxabicyclo [4.1.0] heptan-5-ylmethanol A solution of tert-butyl-dimethyl-(3-oxabicyclo[4.1.0] heptan-5-ylmethoxy)silane (10.0 g, 41.2 mmol) in TBAF (1 M in THF, 206 mL) was stirred at rt for 2 h. The mixture was then concentrated onto silica gel and purified by column chromatography to afford the title compound (4.8 g, 91%) as a colorless oil. GCMS (EI, m/z): 128 [M]. STEP 9: 2-(3-oxabicyclo[4.1.0] heptan-5-ylmethyl) isoindoline-1,3-dione A solution of isoindoline-1,3-dione (8.27 g, 56.1 mmol) and PPh3 (29.4 g, 112 mmol) in THF (150 mL) was cooled to 0 °C and then DIAD (18.9 g, 93.6 mmol) was added dropwise. A solution
of 3-oxabicyclo [4.1.0] heptan-5-ylmethanol (4.80 g, 37.4 mmol) in THF (10 mL) was then added dropwise. The mixture was warmed to rt for 16 h and then quenched with water (200 mL) and extracted with ethyl acetate (2 x 150 mL). The organic extracts were washed with brine (1 x 200 mL), dried over Na2SO4, concentrated onto silica gel and purified by column chromatography to afford the title compound as a white solid (9.2 g, 95%). LCMS (ES, m/z): 258.10 [M+H]+. STEP 10: 3-oxabicyclo [4.1.0] heptan-5-ylmethanamine A solution of 2-(3-oxabicyclo [4.1.0] heptan-5-ylmethyl) isoindoline-1,3-dione (1.00 g, 3.89 mmol) and hydrazine hydrate (2.43 g, 38.8 mmol, 80% purity) in ethanol (15 mL) was heated to 80 °C for 3 h. The mixture was cooled to rt and solids removed by filtration. The filtrate was concentrated to afford the title compound (800 mg, crude) as a colorless oil. LCMS (ES, m/z): 128.20 [M+H]+. STEP 11: tert-butyl N-(3-oxabicyclo[4.1.0] heptan-5-ylmethyl)carbamate A solution of 3-oxabicyclo [4.1.0] heptan-5-ylmethanamine (800 mg, crude) and TEA (3.98 g, 39.3 mmol) in THF (20 mL) was cooled to 0 °C and then Boc2O (4.29 g, 19.6 mmol) was added in portions. The reaction was warmed to rt for 16 h and then partitioned between water and ethyl acetate (2 x 100 mL). The organic extracts were washed with brine, dried over Na2SO4, concentrated onto silica gel and purified by column chromatography to afford the title compound as a colorless oil (450 mg, 50%). LCMS (ES, m/z): 228.15 [M+H]+. STEP 12: 3-oxabicyclo [4.1.0] heptan-5-ylmethanamine hydrochloride A solution of tert-butyl N-(3-oxabicyclo[4.1.0] heptan-5-ylmethyl)carbamate (450 mg, 1.98 mmol) in HCl (4 M in EA, 10 mL) was stirred at rt for 3 h. The mixture was concentrated under reduced pressure to afford 3-oxabicyclo [4.1.0] heptan-5-ylmethanamine hydrochloride (350 mg, crude) as a white solid. LCMS (ES, m/z): 128.20 [M-HCl+H]+. The alkylation, coupling, purification and separation steps were performed according to similar procedures as described herein to afford the four isomers shown in Table 18 below (MS = (ES, m/z), [M+H]+).
TABLE 18
EXAMPLE 582 Synthesis of 4-[5-chloro-4-({[(3R)-3-fluorooxan-3-yl]methyl}amino)-6-oxo-1,6-dihydropyridazin-1-yl]-N-(5- cyanopyridin-2-yl)-N-(²H₃)methylpiperidine-1-sulfonamide (compound 582A)
and 4-[5-chloro-4-({[(3S)-3-fluorooxan-3-yl]methyl}amino)-6-oxo-1,6-dihydropyridazin-1-yl]-N-(5- cyanopyridin-2-yl)-N-(²H₃)methylpiperidine-1-sulfonamide (compound 582B)
STEP 1: N-(5-cyanopyridin-2-yl)-2-oxooxazolidine-3-sulfonamide A solution of N-(oxomethylene)sulfamoyl chloride (13.1 g, 92.3 mmol) in DCM (200 mL) was cooled to 0 °C and then 2-bromoethanol (11.5 g, 92.3 mmol) in DCM (200 mL) was added slowly. The temperature was maintained for 0.5 h and then 6-aminopyridine-3-carbonitrile
(10.0 g, 83.9 mmol) and TEA (17.0 g, 167 mmol) in DCM (200 mL) were added. The reaction was warmed to rt for 3 h. Once complete, the mixture was acidified to pH 2 with HCl (0.2 N) and then extracted with DCM (3 x 200 mL). The organic phase was washed with water (2 x 200 mL), dried over Na2SO4 and then concentrated to afford the title compound as a yellow solid (10 g, 40%). LCMS (ES, m/z): 269.10 [M+H]+. STEP 2: N-(5-cyanopyridin-2-yl)-4-(4,5-dichloro-6-oxopyridazin-1(6H)-yl)piperidine-1- sulfonamide A solution of N-(5-cyano-2-pyridyl)-2-oxo-oxazolidine-3-sulfonamide (4.00 g, 14.9 mmol), 4,5-dichloro-2-(4-piperidyl)pyridazin-3-one hydrochloride (2.12 g, 7.46 mmol) and DIEA (4.82 g, 37.2 mmol) in ACN (10 mL) was heated to 80 °C for 2 h. The mixture was cooled to rt, diluted with water (50 mL), extracted with ethyl acetate (3 x 50 mL). The organic phase was dried over Na2SO4 and then concentrated to dryness. The residue was purified by reverse phase column chromatography to afford the title compound as a yellow solid (500 mg, 16%). LCMS (ES, m/z): 429.10, 431.10 [M+H]+. STEP 3: N-(5-cyano-2-pyridyl)-4-(4,5-dichloro-6-oxo-pyridazin-1-yl)-N- (trideuteriomethyl)piperidine-1-sulfonamide To a solution of N-(5-cyano-2-pyridyl)-4-(4,5-dichloro-6-oxo-pyridazin-1-yl)piperidine-1- sulfonamide (500 mg, 1.16 mmol) in DMF (3 mL) was added Cs2CO3 (569 mg, 1.75 mmol) and iodomethane-D3 (337 mg, 2.33 mmol). The mixture was stirred for 1 h at rt. The reaction was quenched with water (30 mL) and extracted with ethyl acetate (3 x 30mL). The combined organic extracts were dried over anhydrous Na2SO4 and concentrated onto silica gel. The material was purified by column chromatography to afford the title compound as a yellow solid (145 mg, 25%). LCMS (ES, m/z): 446.30, 448.30 [M+H]+.
STEP 4: 4-[5-chloro-4-({[(3R)-3-fluorooxan-3-yl]methyl}amino)-6-oxo-1,6-dihydropyridazin-1-yl]- N-(5-cyanopyridin-2-yl)-N-(²H₃)methylpiperidine-1-sulfonamide; and 4-[5-chloro-4-({[(3S)-3-fluorooxan-3-yl]methyl}amino)-6-oxo-1,6-dihydropyridazin-1-yl]-N-(5- cyanopyridin-2-yl)-N-(²H₃)methylpiperidine-1-sulfonamide To a solution of N-(5-cyano-2-pyridyl)-4-(4,5-dichloro-6-oxo-pyridazin-1-yl)-N- (trideuteriomethyl)piperidine-1-sulfonamide (125 mg, 280 μmol) in EtOH (2 mL) was added (3- fluorotetrahydropyran-3-yl)methanamine hydrochloride (74.5 mg, 439 μmol) and TEA (141 mg, 1.40 mmol). The mixture was heated to 80 °C for 7 days. Once complete, the reaction was cooled to rt and then concentrated under reduced pressure. The mixture was purified by reverse phase column chromatography to afford the crude product which was separated by Achiral PREP SFC to afford the racemate (30 mg). The racemate was purified a final time by Chiral prep-HPLC to afford two products. First Eluting Isomer The first eluting isomer afforded compound 582A (9 mg, 5.8%) as a white solid. 1H NMR (400 MHz, DMSO-d6) δ 8.87 (d, J = 2.2 Hz, 1H), 8.03 (d, J = 1.7 Hz, 1H), 7.91 (dd, J = 9.5, 2.3 Hz, 1H), 7.37 (d, J = 9.6 Hz, 1H), 6.79 (t, J = 6.9 Hz, 1H), 4.90-4.76 (m, 1H), 3.77-3.40 (m, 8H), 2.83 (td, J = 12.4, 2.7 Hz, 2H), 2.01-1.74 (m, 5H), 1.74-1.63 (m, 2H), 1.61-1.50 (m, 1H). LCMS (ES, m/z): 543.20, 545.20 [M+H]+. Second Eluting Isomer The second eluting isomer afforded compound 582B (9.4 mg, 6.2%) as a white solid. 1H NMR (400 MHz, DMSO-d6) δ 8.87 (d, J = 2.2 Hz, 1H), 8.03 (d, J = 1.7 Hz, 1H), 7.91 (dd, J = 9.5, 2.3 Hz, 1H), 7.37 (d, J = 9.6 Hz, 1H), 6.79 (t, J = 6.9 Hz, 1H), 4.90-4.76 (m, 1H), 3.77-3.40 (m, 8H), 2.83 (td, J = 12.4, 2.7 Hz, 2H), 2.01-1.74 (m, 5H), 1.74-1.63 (m, 2H), 1.61-1.50 (m, 1H). LCMS (ES, m/z): 543.20, 545.20 [M+H]+.
EXAMPLE 583 Synthesis of tert-butyl (S)-(2-((4-(5-chloro-6-oxo-4-(((tetrahydro-2H-pyran-3-yl)methyl)amino) pyridazin-1(6H)-yl)-N-(4-cyanophenyl)piperidine)-1-sulfonamido)ethyl)carbamate (compound 583)
tert-butyl (S)-(2-((4-(5-chloro-6-oxo-4-(((tetrahydro-2H-pyran-3-yl)methyl)amino)pyridazin- 1(6H)-yl)-N-(4-cyanophenyl)piperidine)-1-sulfonamido)ethyl)carbamate was prepared according to similar procedures as described above. 1H NMR (300 MHz, DMSO-d6) δ 8.00-7.85 (m, 3H), 7.70–7.63 (m, 2H), 6.94 (t, J = 5.8 Hz, 1H), 6.75 (t, J = 6.4 Hz, 1H), 4.89–4.77 (m, 1H), 3.80-3.59 (m, 6H), 3.33-3.27 (m, 1H), 3.25-3.08 (m, 3H), 3.05-2.91 (m, 4H), 1.84-1.65 (m, 6H), 1.62-1.51(m, 1H), 1.50-1.38 (m, 1H), 1.37-1.27 (m, 9H), 1.25-1.16 (m, 1H) (ES, m/z) 650.30, 652.30 [M+H]+ EXAMPLE 584 Synthesis of tert-butyl (R)-(2-((4-(5-chloro-6-oxo-4-(((tetrahydro-2H-pyran-3-yl)methyl)amino) pyridazin-1(6H)-yl)-N-(4-cyanophenyl)piperidine)-1-sulfonamido)ethyl)carbamate (compound 584)
tert-butyl (R)-(2-((4-(5-chloro-6-oxo-4-(((tetrahydro-2H-pyran-3-yl)methyl)amino)pyridazin- 1(6H)-yl)-N-(4-cyanophenyl)piperidine)-1-sulfonamido)ethyl)carbamate was prepared according to similar procedures as described above.
1H NMR (300 MHz, DMSO-d6) δ 7.99-7.86 (m, 3H), 7.69-7.63 (m, 2H), 6.93 (t, J = 5.8 Hz, 1H), 6.74 (t, J = 6.4 Hz, 1H), 4.89-4.76 (m, 1H), 3.82-3.58 (m, 6H), 3.31-3.27 (m, 1H), 3.25-3.07 (m, 3H), 3.04-2.90 (m, 4H), 1.84-1.65 (m, 6H), 1.64-1.51 (m, 1H), 1.48-1.19 (m, 11H) (ES, m/z) 650.35, 652.35 [M+H]+ EXAMPLE 585 Synthesis of (R)-4-chloro-2-(1-((2-(difluoromethoxy)-5-ethylphenyl)sulfonyl)piperidin-4-yl)-5- (((tetrahydro-2H-pyran-3-yl)methyl)amino)pyridazin-3(2H)-one (compound 585)
(R)-4-chloro-2-(1-((2-(difluoromethoxy)-5-ethylphenyl)sulfonyl)piperidin-4-yl)-5- (((tetrahydro-2H-pyran-3-yl)methyl)amino)pyridazin-3(2H)-one was prepared according to methods and procedures similar to those described herein. 1H NMR (300 MHz, DMSO-d6) δ 7.97 (s, 1H), 7.71 (d, J = 2.2 Hz, 1H), 7.63-7.58 (m, 1H), 7.51- 7.01 (m, 2H), 6.74 (t, J = 6.4 Hz, 1H), 4.84-4.77 (m, 1H), 3.84-3.68 (m, 4H), 3.30-3.09 (m, 4H), 2.88-2.78 (m, 2H), 2.70 (q, J = 7.6 Hz, 2H), 1.89-1.72 (m, 6H), 1.65-1.54 (m, 1H), 1.48-1.36 (m, 1H), 1.20 (t, J = 7.6 Hz, 4H) (ES, m/z) 561.20, 563.20 [M+H]+
EXAMPLES 586–590 The compounds in the table below were made by analogous methods and procedures as described herein (MS = (ES, m/z) [M+H]+ ).
EXAMPLE 591 Synthesis of 4-[5-chloro-4-[(3-fluorotetrahydropyran-3-yl)methylamino]-6-oxo-pyridazin-1- yl]-N-(5-cyano-2-pyridyl)-N-(difluoromethyl)piperidine-1-sulfonamide (compound 591)
STEP 1: 4-[5-chloro-4-[(3-fluorotetrahydropyran-3-yl)methylamino]-6-oxo-pyridazin-1-yl]-N-(5- cyano-2-pyridyl)piperidine-1-sulfonamide N-(5-cyano-2-pyridyl)-4-(4,5-dichloro-6-oxo-pyridazin-1-yl)piperidine-1-sulfonamide (400 mg, 931 μmol), (3-fluorotetrahydropyran-3-yl)methanamine hydrochloride (632 mg, 3.73 mmol) and TEA (754 mg, 7.45 mmol) in ethanol (3 mL) were heated to 80 °C for 16 h. The reaction was then cooled to rt and purified by reverse phase column chromatography to afford the title compound as a yellow solid (200 mg, 37%). LCMS (ES, m/z): 526.15, 528.15 [M+H]+ STEP 2: 4-[5-chloro-4-[(3-fluorotetrahydropyran-3-yl)methylamino]-6-oxo-pyridazin-1-yl]-N-(5- cyano-2-pyridyl)-N-(difluoromethyl)piperidine-1-sulfonamide 4-[5-chloro-4-[(3-fluorotetrahydropyran-3-yl)methylamino]-6-oxo-pyridazin-1-yl]-N-(5- cyano-2-pyridyl)piperidine-1-sulfonamide (200 mg, 380 μmol), 2,2-difluoro-2- triphenylphosphaniumyl-acetate (203 mg, 570 μmol) and S8 (24.3 mg, 95.1 μmol) in DME (1 mL) were heated to 50 °C, under nitrogen atmosphere, for 1 h. The resulting solution was cooled to rt, purified by reverse flash chromatography and separated by Achiral-SFC to afford the title compound (10.1 mg, 4.6%) as a white solid.
1H NMR (300 MHz, DMSO-d6) δ 9.05 (d, J = 2.0 Hz, 1H), 8.31-7.85 (m, 3H), 7.41 (d, J = 9.8 Hz, 1H), 6.79 (t, J = 6.8 Hz, 1H), 4.94-4.87 (m, 1H), 3.79-3.49 (m, 6H), 3.49-3.36 (m, 2H), 2.95 (t, J = 11.5 Hz, 2H), 2.00-1.46 (m, 8H) LCMS (ES, m/z): 576.20, 578.20 [M+H]+ EXAMPLE 592 Synthesis of (R)-4-(5-chloro-4-((morpholin-3-ylmethyl)amino)-6-oxopyridazin-1(6H)-yl)-N-(4-cyano-2- fluorophenyl)-N-(difluoromethyl)piperidine-1-sulfonamide (compound 592A)
and (S)-4-(5-chloro-4-((morpholin-3-ylmethyl)amino)-6-oxopyridazin-1(6H)-yl)-N-(4-cyano-2- fluorophenyl)-N-(difluoromethyl)piperidine-1-sulfonamide (compound 592B)
STEP 1: N-(4-cyano-2-fluoro-phenyl)-2-oxo-oxazolidine-3-sulfonamide A solution of N-(oxomethylene)sulfamoyl chloride (31.2 g, 220 mmol) in DCM (200 mL) was cooled to 0 °C and 2-bromoethanol (27.5 g, 220 mmol) was added dropwise. The temperature was maintained for 0.5 h and then 4-amino-3-fluoro-benzonitrile (30 g, 220 mmol) and N,N- diethylethanamine (44.6 g, 440.8 mmol) in DCM (200 mL) were added. The resulting mixture was warmed to rt for 3 h and then partitioned between water (500 mL) and DCM (3 x 500 mL). The organic extracts were washed with brine (1500 mL), dried over Na2SO4 and concentrated under reduced pressure. The solid was washed with ether and dried under IR light to afford the title compound as a white solid (28 g, 45%). LCMS (ES, m/z): 284.05 [M-H]-. STEP 2: N-(4-cyano-2-fluoro-phenyl)-4-(4,5-dichloro-6-oxo-pyridazin-1-yl)piperidine-1- sulfonamide A solution of N-(4-cyano-2-fluoro-phenyl)-2-oxo-oxazolidine-3-sulfonamide (6.00 g, 21.0 mmol), 4,5-dichloro-2-(4-piperidyl)pyridazin-3-one hydrochloride (2.99 g, 10.5 mmol) and TEA (4.26 g, 42.0 mmol) in DMF (50 mL) was heated to 110 °C for 2 h. The reaction was cooled, concentrated and purified by reverse flash chromatography to afford the title compound (2.5 g, 46%) as a light yellow solid. LCMS (ES, m/z): 445.95, 447.95 [M+H]+
STEP 3: N-(4-cyano-2-fluoro-phenyl)-4-(4,5-dichloro-6-oxo-pyridazin-1-yl)-N- (difluoromethyl)piperidine-1-sulfonamide N-(4-cyano-2-fluoro-phenyl)-4-(4,5-dichloro-6-oxo-pyridazin-1-yl)piperidine-1-sulfonamide (2.50 g, 4.87 mmol, 87%), ethyl 2-bromo-2,2-difluoro-acetate (1.98 g, 9.75 mmol) and lithium hydroxide (466 mg, 19.5 mmol) in DMF (15 mL) were stirred for 16 h at rt. The mixture was diluted with water (30 mL), the solid was collected by filtration and purified by column chromatography to afford the title compound (800 mg, 27%) as a light-yellow solid. LCMS (ES, m/z): 496.05, 498.05 [M+H]+ STEP 4: 1,1-dimethylethyl (3R)-3-[[[5-chloro-1-[1-[(4-cyano-2-fluoro-phenyl)- (difluoromethyl)sulfamoyl]-4-piperidyl]-6-oxo-pyridazin-4-yl]amino]methyl]morpholine-4- carboxylate; and 1,1-dimethylethyl (3S)-3-[[[5-chloro-1-[1-[(4-cyano-2-fluoro-phenyl)-(difluoromethyl)sulfamoyl]- 4-piperidyl]-6-oxo-pyridazin-4-yl]amino]methyl]morpholine-4-carboxylate N-(4-cyano-2-fluoro-phenyl)-4-(4,5-dichloro-6-oxo-pyridazin-1-yl)-N- (difluoromethyl)piperidine-1-sulfonamide (200 mg, 403 μmol), tert-butyl - (aminomethyl)morpholine-4-carboxylate (130 mg, 604 μmol) and TEA (203 mg, 2.01 mmol) in ethanol (2 mL) were heated to 80 °C for 16 h. The resulting mixture was cooled to rt and purified by reverse flash column to afford the racemate (130 mg) which was separated by chiral-prep-HPLC to afford 1,1-dimethylethyl (3R)-3-[[[5-chloro-1-[1-[(4-cyano-2-fluoro-phenyl)- (difluoromethyl)sulfamoyl] -4-piperidyl]-6-oxo-pyridazin-4-yl]amino]methyl]morpholine-4- carboxylate (40 mg, 15% yield) as a colorless oil and 1,1-dimethylethyl (3S)-3-[[[5-chloro-1-[1-[(4-cyano-2-fluoro-phenyl)- (difluoromethyl)sulfamoyl]- 4-piperidyl]-6-oxo-pyridazin-4-yl]amino]methyl]morpholine-4- carboxylate (30 mg, 11% yield) as a colorless oil. LCMS (ES, m/z): 676.10, 678.10 [M+H]+. STEP 5: (R)-4-(5-chloro-4-((morpholin-3-ylmethyl)amino)-6-oxopyridazin-1(6H)-yl)-N-(4-cyano- 2-fluorophenyl)-N-(difluoromethyl)piperidine-1-sulfonamide 1,1-dimethylethyl (3R)-3-[[[5-chloro-1-[1-[(4-cyano-2-fluoro-phenyl)- (difluoromethyl)sulfamoyl] -4-piperidyl]-6-oxo-pyridazin-4-yl]amino]methyl]morpholine-4-
carboxylate (25 mg, 36.9 μmol) and HCl (4 M in ethyl acetate, 0.5 mL) in ethyl acetate (0.5 mL) were stirred for 1 h at 30 °C. The reaction was cooled to rt, concentrated and purified by reverse phase column chromatography to afford the title compound as a white solid (8.1 mg, 37%). 1H NMR (400 MHz, DMSO-d6) δ 8.21-8.13 (m, 1H), 8.02 (s, 1H), 7.93-7.84 (m, 2H), 7.62-7.34 (m, 1H), 6.63 (t, J = 6.3 Hz, 1H), 4.94 (tt, J = 9.9, 4.8 Hz, 1H), 3.80-3.60 (m, 5H), 3.23 (t, J = 6.3 Hz, 2H), 3.18-3.07 (m, 3H), 2.83-2.62 (m, 3H), 1.91-1.72 (m, 4H). LCMS (ES, m/z): 576.20, 578.20 [M+H]+. STEP 6: (S)-4-(5-chloro-4-((morpholin-3-ylmethyl)amino)-6-oxopyridazin-1(6H)-yl)-N-(4-cyano-2- fluorophenyl)-N-(difluoromethyl)piperidine-1-sulfonamide 1,1-dimethylethyl (3S)-3-[[[5-chloro-1-[1-[(4-cyano-2-fluoro-phenyl)- (difluoromethyl)sulfamoyl]-4-piperidyl]-6-oxo-pyridazin-4-yl]amino]methyl]morpholine-4- carboxylate (30 mg, 44.37μmol) and HCl (4 M in ethyl acetate, 0.6 mL) in ethyl acetate (0.5 mL) was stirred for 1 h at 30 °C. The reaction was cooled to rt, concentrated and purified by reverse phase column chromatography to afford the title compound as a white solid (4.3 mg, 17%) as white solid. 1H NMR (400 MHz, DMSO-d6) δ 8.21-8.13 (m, 1H), 8.02 (s, 1H), 7.91-7.85 (m, 2H), 7.62-7.34 (m, 1H), 6.63 (t, J = 6.3 Hz, 1H), 4.94 (tt, J = 9.8, 4.9 Hz, 1H), 3.80-3.60 (m, 5H), 3.24 (t, J = 6.3 Hz, 2H), 3.19-3.08 (m, 3H), 2.88-2.75 (m, 2H), 2.73-2.63 (m, 1H), 1.93-1.71 (m, 4H) LCMS (ES, m/z): 576.20, 578.20 [M+H]+ EXAMPLE 593 Synthesis of 4-((4-(5-chloro-6-oxo-4-(((R)-1-((S)-tetrahydro-2H-pyran-3-yl)ethyl)amino)pyridazin-1(6H)- yl)piperidin-1-yl)sulfonyl)benzonitrile (compound 593A)
4-((4-(5-chloro-6-oxo-4-(((R)-1-((R)-tetrahydro-2H-pyran-3-yl)ethyl)amino)pyridazin-1(6H)- yl)piperidin-1-yl)sulfonyl)benzonitrile (compound 593B)
4-((4-(5-chloro-6-oxo-4-(((S)-1-((S)-tetrahydro-2H-pyran-3-yl)ethyl)amino)pyridazin-1(6H)- yl)piperidin-1-yl)sulfonyl)benzonitrile (compound 593C)
and 4-((4-(5-chloro-6-oxo-4-(((S)-1-((R)-tetrahydro-2H-pyran-3-yl)ethyl)amino)pyridazin-1(6H)- yl)piperidin-1-yl)sulfonyl)benzonitrile (compound 593D)
TEA (610 mg, 6.04 mmol) was added to a mixture of 4-[[4-(4,5-dichloro-6-oxo-pyridazin-1- yl)-1-piperidyl]sulfonyl]benzonitrile (499 mg, 1.21 mmol) and 1-tetrahydropyran-3-
ylethanamine hydrochloride (400 mg, 2.41 mmol) in ethanol (8 mL). The mixture was stirred at 80 °C for 5 days, cooled to rt, concentrated, and purified by reverse phase chromatography and separated by chiral pREP- HPLC. First Eluting Isomer The first eluting isomer afforded 593A (23.1 mg, 3.7%) as a white solid. 1H NMR (400 MHz, DMSO-d6) δ 8.15 (d, J = 8.4 Hz, 2H), 7.97-7.94 (m, 3H), 6.24 (d, J = 9.6 Hz, 1H), 4.73-4.69 (m, 1H), 3.79-3.72 (m, 5H), 3.34-3.25 (m, 1H), 3.12-3.06 (m, 1H), 2.59-2.50 (m, 2H), 1.80 (d, J = 3.6 Hz, 6H), 1.61 (d, J = 13.5 Hz, 1H), 1.47-1.39 (m, 1H), 1.31-1.23 (m, 1H), 1.14 (d, J = 6.4 Hz, 3H). LCMS (ES, m/z): 506.15, 508.15 [M+H]+. Second Eluting Isomer Mixture The second eluting isomer afforded a mixture of 593A/593B/593C (150 mg), which was further separated by Chiral-Prep-HPLC to afford: 593B (24.1 mg, 3.9% yield) as a white solid. 1H NMR (400 MHz, DMSO-d6) δ 8.15 (d, J = 8.5 Hz, 2H), 7.98-7.94 (m, 3H), 6.19 (d, J = 9.6 Hz, 1H), 4.73-4.67 (m, 1H), 3.86-3.66 (m, 5H), 3.25-3.19 (m, 1H), 3.14-3.08 (m, 1H), 2.62-2.49 (m, 2H), 1.82-1.70 (m, 6H), 1.56-1.53 (m, 1H), 1.46-1.40 (m, 1H), 1.23-1.12 (m, 4H). LCMS (ES, m/z): 506.05, 508.05 [M+H]+. 593C (16.4 mg, 2.6%) as a white solid. 1H NMR (400 MHz, DMSO-d6) δ 8.15 (d, J = 8.4 Hz, 2H), 7.99-7.94 (m, 3H), 6.21 (d, J = 9.6 Hz, 1H), 4.71 (m, 1H), 3.79-3.76 (m, 5H), 3.34-3.08 (m, 2H), 2.61-2.50 (m, 2H), 1.81-1.79 (m, 6H), 1.56-1.40 (m, 2H), 1.23-1.11 (m, 4H). LCMS (ES, m/z): 506.10, 508.10 [M+H]+. and 593D (13.5 mg, 2.2%) as a white solid. 1H NMR (400 MHz, DMSO-d6) δ 8.14 (m, 2H), 7.96 (m, 3H), 6.24 (d, J = 9.6 Hz, 1H), 4.73-4.69 (m, 1H), 3.76-3.51 (m, 5H), 3.33-3.27 (m, 1H), 3.13-3.08 (m, 1H), 2.59-2.50 (m, 2H), 1.81-1.73 (m, 6H), 1.63-1.60 (m, 1H), 1.48-1.38 (m, 1H), 1.31-1.23 (m, 1H), 1.14 (d, J = 6.4 Hz, 3H). LCMS (ES, m/z): 506.10, 508.10 [M+H]+.
EXAMPLE 594–595 The compounds in Table 20, below, were made by analogous methods and procedures as described herein (MS = (ES, m/z) [M+H]+ ).
Synthesis of 4-chloro-2-[1-(3-cyclopropylisoxazol-5-yl)sulfonyl-4-piperidyl]-5-[[(3R)- tetrahydropyran-3-yl]methylamino]pyridazin-3-one (compound 596)
STEP 1: Cyclopropanecarbaldehyde oxime Sodium bicarbonate (70.4 g, 838 mmol) was added to a solution of hydroxylamine hydrochloride (58.3 g, 838 mmol) in water (700 mL) and ethanol (700 mL) and the mixtures stirred for 5 minutes. Cyclopropanecarbaldehyde (49.0 g, 699 mmol) was then added and the resulting mixture stirred at rt for 2 h, concentrated and the solid washed with water and dried under IR light to afford the title compound (20.0 g, 34% yield) as a white solid. LCMS (ES, m/z): 86.15 [M+H]+ STEP 2: N-hydroxycyclopropanecarboximidoyl chloride A solution of cyclopropanecarbaldehyde oxime (851 mg, 10.0 mmol) in DMF (20 mL) was cooled to 0 °C and NCS (2.67 g, 20.0 mmol) added in portions. The reaction was warmed to 40 °C for 2 h, cooled to rt, diluted with saturated aqueous sodium thiosulfate solution (100 mL) and extracted with ethyl acetate (3 x 50mL). The organic extracts were washed with brine, dried over Na2SO4, concentrated onto silica gel and purified by column chromatography to afford the title compound as a colorless oil (1.0 g, 84%). LCMS (ES, m/z): 161.00 [M+H+41]+ STEP 3: tributyl-(3-cyclopropylisoxazol-5-yl)stannane Tributyl(ethynyl)stannane (4.74 g, 15.0 mmol) was added dropwise at 25 °C to a mixture of N-hydroxycyclopropanecarboximidoyl chloride (1.2 g, 10.0 mmol) and potassium carbonate
(4.16 g, 30.1 mmol) in DCM (30 mL) and stirred at 40 °C for 2 h. The mixture was then cooled to rt, concentrated onto silica gel and purified by column chromatography to afford the title compound as a colorless oil (3.5 g, 88%). LCMS (ES, m/z): 400.25 [M+H]+. STEP 4: 5-bromo-3-cyclopropyl-isoxazole A solution of tributyl-(3-cyclopropylisoxazol-5-yl)stannane (1.20 g, 3.01 mmol) in DCM (12 mL) was cooled to 0 °C and bromine (963 mg, 6.03 mmol) was added dropwise. The mixture was stirred for 1 h at rt before quenching with sodium bicarbonate solution (50 mL), and extracting with DCM (3 x 30 mL). The organic extracts were washed with brine (50 mL), dried over Na2SO4, concentrated onto silica gel and purified by column chromatography to afford the title compound as a yellow oil (300 mg, 53%). LCMS (ES, m/z): 206.20, 208.20 [M+H+H2O]+. STEP 5: 5-benzylsulfanyl-3-cyclopropyl-isoxazole Sodium hydride (60% in mineral oil, 400 mg, 10.0 mmol) was added to a solution of 5- bromo-3-cyclopropyl-isoxazole (940 mg, 5.00 mmol) and phenylmethanethiol (745 mg, 6.00 mmol) in DMF (20 mL) at rt. The resulting mixture was then heated at 60 °C for 1 h, cooled to rt, poured into cooled saturated aqueous ammonium chloride solution (100mL), and extracted with ethyl acetate (3 x 50 mL). The organic extracts were washed with brine (100 mL), dried over anhydrous Na2SO4, concentrated onto silica gel and purified by column chromatography to afford the title compound (800 mg, 69%) as a white solid. LCMS (ES, m/z): 232.20 [M+H]+ STEP 6: 3-cyclopropylisoxazole-5-sulfonyl chloride A solution of 5-benzylsulfanyl-3-cyclopropyl-isoxazole (200 mg, 864 μmol) in water (108 μL) and ACN (4.33 mL) was cooled to 0 °C and 1,3-dichloro-5,5-dimethyl-imidazolidine-2,4-dione (340 mg, 1.73 mmol) was added slowly. The reaction was stirred at rt for 1 h before quenching with water (10 mL) and extracting with ethyl acetate (3 x 10 mL). The organic extracts were washed with brine (10 mL), dried over Na2SO4 and concentrated to afford the title compound as a yellow oil (250 mg, crude).
STEP 7: 4-chloro-2-[1-(3-cyclopropylisoxazol-5-yl)sulfonyl-4-piperidyl]-5-[[(3R)-tetrahydropyran- 3-yl]methylamino]pyridazin-3-one A solution of 4-chloro-2-(4-piperidyl)-5-[[(3R)-tetrahydropyran-3-yl]methylamino]pyridazin- 3-one hydrochloride (50 mg, 137 μmol), 3-cyclopropylisoxazole-5-sulfonyl chloride (85.7 mg, 412 μmol) and TEA (69.6 mg, 688 μmol) in acetonitrile (1 mL) was stirred at rt for 1 h. The mixture was purified by reverse phase column chromatography to afford the title compound (21.7 mg, 31%) as a white solid. 1H NMR (400 MHz, DMSO-d6) δ 7.96 (s, 1H), 7.09 (s, 1H), 6.76 (t, J = 6.5 Hz, 1H), 4.93-4.83 (m, 1H), 3.87-3.63 (m, 4H), 3.32-3.10 (m, 4H), 3.00 (td, J = 12.4, 3.2 Hz, 2H), 2.17-2.07 (m,1H), 1.94-1.71 (m, 6H), 1.65-1.54 (m, 1H), 1.49-1.37 (m, 1H), 1.29-1.18 (m, 1H), 1.13-1.03 (m, 2H), 1.00-0.84 (m, 2H) LCMS (ES, m/z): 498.20, 500.20 [M+H]+ EXAMPLE 597 Synthesis of 4-chloro-2-[1-(2-cyclopropyl-4-methyl-oxazol-5-yl)sulfonyl-4-piperidyl]-5-[[(3R)- tetrahydropyran-3-yl]methylamino]pyridazin-3-one (compound 597)
STEP 1: 2-bromo-4-methyl-oxazole A solution of 4-methyloxazole (5.00 g, 60.1 mmol) in THF (100 mL) was cooled to -78 °C and n-BuLi (2.5 M, 26.4 mL) was added dropwise. The temperature was maintained for 0.5 h and then 1,2-dibromo-1,1,2,2-tetrafluoro-ethane (18.7 g, 72.2 mmol) was added dropwise. The temperature was maintained for 2 h and then the reaction was quenched with saturated aqueous ammonium chloride solution (100 mL) and extracted with ethyl acetate (3 x 100 mL). The organic extracts were washed with brine (1 x 200 mL), dried over Na2SO4, concentrated onto silica gel and purified by column chromatography to afford the title compound as a colorless oil (3.7 g, 38%). LCMS (ES, m/z): 161.90, 163.90 [M+H]+ STEP 2: 2-cyclopropyl-4-methyl-oxazole 2-bromo-4-methyl-oxazole (20.0 g, 123 mmol), cyclopropylboronic acid (21.2 g, 246 mmol), Pd(dppf)Cl2•CH2Cl2 (20.2 g, 24.6 mmol) and potassium carbonate (51.2 g, 370 mmol) in dioxanes (100 mL) and water (20 mL), were heated to 100 °C for 2 h in a pre-dried flask. The reaction was then cooled to rt and partitioned between water and ether (3 x 100 mL). The organic extracts were washed with brine (1 x 150 mL), dried over Na2SO4, concentrated onto silica gel and purified by column chromatography to afford the title compound as a light-yellow oil (3.5 g, 23%). LCMS (ES, m/z): 124.05 [M+H]+
STEP 3: 2-cyclopropyl-4-methyl-oxazole-5-sulfonyl chloride A solution of 2-cyclopropyl-4-methyl-oxazole (500 mg, 4.06 mmol) in THF (20 mL) was cooled to -78 °C and then n-BuLi (2.5 M, 2.44 mL) was added dropwise. The temperature was maintained for 0.5 h and then SO2 (g) was introduced for 5 minutes, then SO2Cl2 (822 mg, 6.09 mmol) was added. The mixture was warmed to rt for 1 h and then partitioned between saturated aqueous ammonium chloride solution (50 mL) and ethyl acetate (3 x 30 mL). The organic extracts were washed with brine (1 x 50 mL), dried over Na2SO4 and concentrated to afford the title compound as a yellow oil (340 mg, crude). LCMS (ES, m/z): 222.00, 224 [M+H]+. STEP 4: 4-chloro-2-[1-(2-cyclopropyl-4-methyl-oxazol-5-yl)sulfonyl-4-piperidyl]-5-[[(3R)- tetrahydropyran-3-yl]methylamino]pyridazin-3-one A solution of 4-chloro-2-(4-piperidyl)-5-[[(3R)-tetrahydropyran-3-yl]methylamino]pyridazin- 3-one hydrochloride (60 mg, 165 μmol), 2-cyclopropyl-4-methyl-oxazole-5-sulfonyl chloride (146 mg, 660 μmol) and TEA (50.1 mg, 495 μmol) in acetonitrile (1 mL) was heated to 80 °C for 2 h. The reaction was cooled to rt, concentrated under reduced pressure onto silica gel and purified by column chromatography and then prep HPLC to afford the title compound as a white solid (73.3 mg, 87%). 1H NMR (300 MHz, DMSO-d6) δ 7.94 (s, 1H), 6.75 (t, J = 6.4 Hz, 1H), 4.93-4.77 (m, 1H), 3.70- 3.65 (m, 4H), 3.31-3.09 (m, 4H), 2.98-2.86 (m, 2H), 2.27 (s, 3H), 2.25-2.13 (m, 1H), 1.90-1.66 (m, 6H), 1.65-1.53 (m, 1H), 1.52-1.34 (m, 1H), 1.32-1.19 (m, 1H), 1.18-1.08 (m, 2H), 1.08-1.00 (m, 2H) LCMS (ES, m/z): 512.10, 514.10 [M+H]+
EXAMPLE 598 Synthesis of (S)-4-chloro-2-(1-((2-cyclopropyl-4-methyloxazol-5-yl)sulfonyl)piperidin-4-yl)-5- (((3-fluorotetrahydro-2H-pyran-3-yl)methyl)amino)pyridazin-3(2H)-one (compound 598)
(R)-4-chloro-2-(1-((2-cyclopropyl-4-methyloxazol-5-yl)sulfonyl)piperidin-4-yl)-5-(((3- fluorotetrahydro-2H-pyran-3-yl)methyl)amino)pyridazin-3(2H)-one was prepared according to similar procedures as described above. 1H NMR (300 MHz, DMSO-d6) δ 7.98 (s, 1H), 6.79 (t, J = 7.1 Hz, 1H), 4.95-4.78 (m, 1H), 3.80- 3.35 (m, 8H), 3.00-2.87 (m, 2H), 2.27 (s, 3H), 2.24-2.12 (m, 1H), 1.90-1.49 (m, 8H), 1.19-1.08 (m, 2H), 1.08-0.99 (m, 2H) (ES, m/z) 530.10, 532.10 [M+H]+ EXAMPLE 599 Synthesis of 4-chloro-2-(1-((S)-1-(3-cyclopropyl-1,2,4-oxadiazol-5-yl)propyl)piperidin-4-yl)-5-(((S)-3-fluoro- tetrahydro-2H-pyran-3-yl)methylamino)pyridazin-3(2H)-one (compound 599A)
and 4-chloro-2-(1-((R)-1-(3-cyclopropyl-1,2,4-oxadiazol-5-yl)propyl)piperidin-4-yl)-5-(((S)-3-fluoro- tetrahydro-2H-pyran-3-yl)methylamino)pyridazin-3(2H)-one (compound 599B)
STEP 1: 2-(4-(4,5-dichloro-6-oxopyridazin-1(6H)-yl)piperidin-1-yl)butanoic acid A solution of 4,5-dichloro-2-(4-piperidyl)pyridazin-3-one hydrochloride (3.00 g, 10.5 mmol) in ACN (30 mL), 2-bromobutanoic acid (1.94 g, 11.6 mmol) and DIEA (3.41 g, 26.3 mmol) was heated to 85 °C for 1 h. The reaction was cooled, concentrated and purified by reverse phase column chromatography to afford the title compound as a white solid (1.0 g, 27%). LCMS (ES, m/z): 334.10, 336.10 [M+H]+. STEP 2: N-(cyclopropyl(hydroxyimino)methyl)-2-(4-(4,5-dichloro-6-oxopyridazin-1(6H)- yl)piperidin-1-yl)butanamide To a solution of 2-[4-(4,5-dichloro-6-oxo-pyridazin-1-yl)-1-piperidyl]butanoic acid (700 mg, 2.09 mmol) in DMF (10 mL) was added DIEA (812 mg, 6.28 mmol) and BOP (1.39 g, 3.14 mmol). The mixture was stirred for 30 min at rt and then N-hydroxycyclopropanecarboxamidine (230 mg, 2.30 mmol) was added. The mixture was stirred for 30 min at rt, concentrated and purified by reverse phase column chromatography to afford the title compound as a yellow solid (700 mg, 80%). LCMS (ES, m/z): 416.20, 418.20 [M+H]+.
STEP 3: 4,5-dichloro-2-(1-(1-(3-cyclopropyl-1,2,4-oxadiazol-5-yl)propyl)piperidin-4-yl)pyridazin- 3(2H)-one A solution of N-(cyclopropyl(hydroxyimino)methyl)-2-(4-(4,5-dichloro-6-oxopyridazin-1(6H)- yl)piperidin-1-yl)butanamide (680 mg, 1.63 mmol) in DMF (5 mL) was heated to 85 °C for 2 h. The reaction was cooled to rt and purified by reverse flash chromatography to afford the title compound as a yellow solid (250 mg, 38% yield). LCMS (ES, m/z): 398.15, 400.15 [M+H]+. STEP 4: 4-chloro-2-(1-((S)-1-(3-cyclopropyl-1,2,4-oxadiazol-5-yl)propyl)piperidin-4-yl)-5-(((S)-3- fluoro-tetrahydro-2H-pyran-3-yl)methylamino)pyridazin-3(2H)-one; and 4-chloro-2-(1-((R)-1-(3-cyclopropyl-1,2,4-oxadiazol-5-yl)propyl)piperidin-4-yl)-5-(((S)-3-fluoro- tetrahydro-2H-pyran-3-yl)methylamino)pyridazin-3(2H)-one To a solution of 4,5-dichloro-2-[1-[1-(3-cyclopropyl-1,2,4-oxadiazol-5-yl)propyl]-4- piperidyl]pyridazin-3-one (120 mg, 301 μmol) in ethanol (2 mL) was added [(3R)-3- fluorotetrahydropyran-3-yl]methanamine hydrochloride (102 mg, 602 μmol) and TEA (152 mg, 1.51 mmol). The mixture was heated to 80 °C for 16 h, cooled to rt and purified by reverse flash chromatography to afford the racemate (80 mg) which was separated by prep-chiral-HPLC. First Eluting Isomer The first collected fractions afforded compound 599A (12.0 mg, 7.8%) as a white solid. 1H NMR (300 MHz, Methanol-d4) δ 8.00 (d, J = 1.5 Hz, 1H), 4.76-4.60 (m, 1H), 3.89 (t, J = 7.7 Hz, 1H), 3.82-3.64 (m, 3H), 3.64-3.46 (m, 3H), 3.13-3.00 (m, 2H), 2.40-2.30 (m, 1H), 2.21-2.02 (m, 3H), 2.02-1.85 (m, 5H), 1.85-1.70 (m, 3H), 1.70-1.57 (m, 1H), 1.13-1.02 (m, 2H), 1.02-0.82 (m, 5H). LCMS (ES, m/z): 495.15, 497.15 [M+H]+. Second Eluting Isomer The second collected fractions afforded compound 599B (18.0 mg, 12%) as a white solid. 1H NMR (300 MHz, Methanol-d4) δ 8.00 (d, J = 1.5 Hz, 1H), 4.76-4.60 (m, 1H), 3.89 (t, J = 7.7 Hz, 1H), 3.82-3.64 (m, 3H), 3.64-3.46 (m, 3H), 3.13-3.00 (m, 2H), 2.40-2.30 (m, 1H), 2.21-2.02 (m, 3H), 2.02-1.85 (m, 5H), 1.85-1.70 (m, 3H), 1.70-1.57 (m, 1H), 1.11-1.02 (m, 2H), 1.02-0.82 (m, 5H).
LCMS (ES, m/z): 495.10, 497.10 [M+H]+. EXAMPLES 600–721 The compounds in Table 21, below, were made by analogous methods and procedures as described herein (MS = (ES, m/z) [M+H]+ ).
EXAMPLE 722 Synthesis of (S)-4-chloro-2-(1-((3-(difluoromethoxy)-6-ethylpyridin-2-yl)sulfonyl)piperidin-4- yl)-5-(((3-fluorotetrahydro-2H-pyran-3-yl)methyl)amino)pyridazin-3(2H)-one (compound 722)
STEP 1: 6-bromo-3-(difluoromethoxy)-2-iodopyridine A mixture of 6-bromo-2-iodo-pyridin-3-ol (1.50 g, 5.00 mmol), sodium 2-chloro-2,2- difluoroacetate (1.53 g, 10.0 mmol) and Cs2CO3 (2.44 g, 7.50 mmol) in DMF (15 mL) was heated to 80 °C for 2 h. The mixture was cooled to rt, whereupon water (30 mL) was added followed by extraction with EtOAc (3 x 30 mL). The combined organic layers were washed with brine (30 mL), dried over Na2SO4 and concentrated onto silica gel. The crude material was purified by column chromatography to afford the title compound (1.30 g, 74%) as a white solid. LCMS (ES, m/z): 349.75, 351.75 [M+H]+ STEP 2: 2-(benzylthio)-6-bromo-3-(difluoromethoxy)pyridine A dried flask was charged with a mixture of 6-bromo-3-(difluoromethoxy)-2-iodo-pyridine (700 mg, 2.00 mmol), phenylmethanethiol (323 mg, 2.60 mmol), Xantphos (115 mg, 200 μmol),
Pd2(dba)3 (183 mg, 200 μmol), and DIPEA (517 mg, 4.0 mmol) in toluene (8 mL). The mixture was heated to 70 °C for 1 h, then cooled to rt and water (20 mL) was added followed by extraction with EtOAc (3 x 20 mL). The combined organic layers were washed with brine (20 mL), dried over Na2SO4 and concentrated onto silica gel. The crude material was purified by column chromatography to afford the title compound (550 mg, 79%) as a colorless oil. LCMS (ES, m/z): 345.90, 347.90 [M+H]+ STEP 3: 6-bromo-3-(difluoromethoxy)pyridine-2-sulfonyl chloride NCS (771 mg, 5.78 mmol) was added to a stirred mixture of 2-benzylsulfanyl-6-bromo-3- (difluoromethoxy)pyridine (500 mg, 1.44 mmol) in AcOH (2 mL)/water (1 mL). The resulting mixture was stirred for 1 h, then diluted with water (10 mL) and extracted with EtOAc (3 x 20 mL). The combined organic layers were washed with brine (20 mL), dried over Na2SO4 and concentrated under reduced pressure to afford the title compound (350 mg, crude) as a yellow oil. STEP 4: (S)-2-(1-((6-bromo-3-(difluoromethoxy)pyridin-2-yl)sulfonyl)piperidin-4-yl)-4-chloro-5- (((3-fluorotetrahydro-2H-pyran-3-yl)methyl)amino)pyridazin-3(2H)-one To a stirred mixture of 4-chloro-5-[[(3S)-fluorotetrahydropyran-3-yl]methylamino]-2-(4- piperidyl)pyridazin-3-one hydrochloride (70.0 mg, 183 μmol) and 6-bromo-3- (difluoromethoxy)pyridine-2-sulfonyl chloride (118 mg, crude) in ACN (0.5 mL) was added TEA (92.8 mg, 917 μmol). The resulting mixture was heated to 80 °C for 1 h, after which it was cooled to rt and purified by reverse phase column chromatography to afford the title compound (30 mg, 26% yield) as a white solid. LCMS (ES, m/z): 629.90, 631.90 [M+H]+ STEP 5: (S)-4-chloro-2-(1-((3-(difluoromethoxy)-6-ethylpyridin-2-yl)sulfonyl)piperidin-4-yl)-5- (((3-fluorotetrahydro-2H-pyran-3-yl)methyl)amino)pyridazin-3(2H)-one A dried flask was charged with a mixture of 2-[1-[[6-bromo-3-(difluoromethoxy)-2- pyridyl]sulfonyl]-4-piperidyl]-4-chloro-5-[[(3S)-fluorotetrahydropyran-3- yl]methylamino]pyridazin-3-one (25.0 mg, 39.6 μmol), ethylboronic acid (4.39 mg, 59.4 μmol), Pd(dppf)Cl2.CH2Cl2 (6.55 mg, 7.93 μmol), and K2CO3 (10.9 mg, 79.2 μmol) then water (0.1mL) and dioxane (0.5 mL) were added. The mixture was heated to 100 °C for 1 h, cooled to
rt and purified directly by prep HPLC to afford the title compound (6.30 mg, 27%) as a white solid. 1H NMR (300 MHz, DMSO-d6) δ 8.01 (s, 1H), 7.88 (d, J = 8.6 Hz, 1H), 7.66 (d, J = 8.6 Hz, 1H), 7.5 (t, J = 73.1 Hz, 1H), 6.81 (t, J = 6.4 Hz, 1H), 4.92 (br s, 1H), 3.95-3.90 (m, 2H), 3.71-3.49 (m, 5H), 3.49-3.38 (m, 3H), 2.91-2.83 (m, 2H), 1.92-1.55 (m, 8H), 1.30-1.23 (m, 3H) LCMS (ES, m/z): 580.20.582.20 [M+H]+ EXAMPLES 723–728 The compounds in Table 22, below, were made by analogous methods and procedures as described herein (MS = (ES, m/z) [M+H]+ ).
EXAMPLE 729 Synthesis of 4-chloro-2-[1-(3-cyclopropyl-4-methyl-isoxazol-5-yl)sulfonyl-4-piperidyl]-5-[[(3R)- tetrahydropyran-3-yl]methylamino]pyridazin-3-one (compound 729)
STEP 1: methyl 3-cyclopropyl-2-methyl-3-oxo-propanoate To a stirred mixture of ethyl 3-cyclopropyl-3-oxo-propanoate (2.00 g, 12.8 mmol) in acetone (20 mL) were added K2CO3 (2.65 g, 19.2 mmol) and iodomethane (3.64 g, 25.6 mmol). The resulting mixture was heated to 50 °C for 10 h. The mixture was cooled to rt and filtered. The filtrate was concentrated onto silica gel and purified by column chromatography to afford the title compound (15.0 g, 83%) as a colorless oil. GCMS (EI, m/z): 156.00 [M] STEP 2: 3-cyclopropyl-4-methyl-4H-isoxazol-5-one A solution of methyl 3-cyclopropyl-2-methyl-3-oxo-propanoate (2.00 g, 12.8 mmol) in EtOH (20 mL) was cooled to 0 °C. Hydroxylamine hydrochloride (978 mg, 14.1 mmol) and pyridine (1.11 g, 14.1 mmol) were added. The mixture was heated to 80 °C for 2 h, then cooled to rt and filtered. The filtrate was concentrated to afford the title compound (2.00 g, crude). LCMS (ES, m/z): 140.10 [M+H]+ STEP 3: 5-chloro-3-cyclopropyl-4-methyl-isoxazole A solution of 3-cyclopropyl-4-methyl-4H-isoxazol-5-one (15 g, crude) in POCl3 (87 mL) was cooled to 0 °C and TEA (7.77 g, 76.7 mmol) was added dropwise. The mixture was then warmed to 100 °C for 16 h, whereupon it was cooled to rt and concentrated under reduced pressure. The residue was quenched with NaHCO3 (100 mL) and extracted with EtOAc (3 x 200 mL). The
combined organic layers were dried over Na2SO4 and concentrated onto silica gel. The crude material was purified by column chromatography to afford the title compound (8.00 g, 44%) as a yellow oil. LCMS (ES, m/z): 157.95, 159.95 [M+H]+ STEP 4: 5-benzylsulfanyl-3-cyclopropyl-4-methyl-isoxazole A solution of phenylmethanethiol (693 mg, 5.58 mmol) in THF (50 mL) was cooled to 0 °C and NaH (406 mg, 60%, 10.1 mmol) was added in portions. After 0.5 h, 5-chloro-3-cyclopropyl- 4-methyl-isoxazole (0.800 g, 5.08 mmol) was added. The mixture was heated to 65 °C for 16 h, cooled to rt and diluted with water (30 mL) then extracted with EtOAc (3 x 30 mL). The combined organic layers were dried over Na2SO4 and concentrated onto silica gel. The crude material was purified by column chromatography to yield the title compound (600 mg, 48%) as a light-yellow oil. GCMS (EI, m/z): 245 [M]. STEP 5: 3-cyclopropyl-4-methylisoxazole-5-sulfonyl chloride A solution of 5-benzylsulfanyl-3-cyclopropyl-4-methyl-isoxazole (500 mg, 2.04 mmol) in water (0.3 mL) and ACN (10 mL) was cooled to 0 °C and 3-dichloro-5,5-dimethyl-imidazolidine- 2,4-dione (795 mg, 4.08 mmol) was added dropwise. The mixture was stirred at rt for 1 h, then diluted with water (20 mL) and extracted with EtOAc (3 x 20 mL). The combined organic layers were washed with brine, dried over Na2SO4 and concentrated to afford the title compound (250 mg, crude) as a yellow oil. STEP 6: 4-chloro-2-[1-(3-cyclopropyl-4-methyl-isoxazol-5-yl)sulfonyl-4-piperidyl]-5-[[(3R)- tetrahydropyran-3-yl]methylamino]pyridazin-3-one A solution of 4-chloro-2-(4-piperidyl)-5-[[(3R)-tetrahydropyran-3-yl]methylamino]pyridazin- 3-one (0.100 g, 305 μmol) and TEA (92.8 mg, 917 μmol) in ACN (3 mL) was cooled to 0 °C, then 3-cyclopropyl-4-methyl-isoxazole-5-sulfonyl chloride (0.500 g, crude) was added in portions. The mixture was warmed to rt for 1 h, then concentrated onto silica gel and purified by column chromatography, which was further separated by prep-HPLC to afford the title compound (51.6 mg, 33%) as a white solid.
1H NMR (400 MHz, DMSO-d6) δ 7.94 (s, 1H), 6.73 (t, J = 6.4 Hz, 1H), 4.83-4.81 (m, 1H), 3.86- 3.61 (m, 4H), 3.38-3.35 (m, 1H), 3.28-3.19 (m, 2H), 3.18-3.12 (m, 1H), 3.02-2.88 (m, 2H), 2.24 (s, 3H), 2.03-1.92 (m, 1H), 1.88-1.67 (m, 6H), 1.64-1.52 (m, 1H), 1.49- 1.34 (m, 1H), 1.32-1.14 (m, 1H), 1.07- 0.96 (m, 2H), 0.94-0.87 (m, 2H). EXAMPLES 730–751 The compounds in Table 23, below, were made by analogous methods and procedures as described herein (MS = (ES, m/z) [M+H]+ ).
EXAMPLES 752 AND 753 Synthesis of 4-chloro-2-((3R,4R)-1-((5-ethyl-2-(trifluoromethoxy)phenyl)sulfonyl)-3-fluoropiperidin-4-yl)-5- ((((S)-3-fluorotetrahydro-2H-pyran-3-yl)methyl)amino)pyridazin-3(2H)-one (compound 752) and 4-chloro-2-((3S,4S)-1-((5-ethyl-2-(trifluoromethoxy)phenyl)sulfonyl)-3-fluoropiperidin-4-yl)-5- ((((S)-3-fluorotetrahydro-2H-pyran-3-yl)methyl)amino)pyridazin-3(2H)-one (compound 753)
STEP 1: trans-2-[1-[5-bromo-2-(trifluoromethoxy) phenyl] sulfonyl-3-fluoro-4-piperidyl]-4,5- dichloro-pyridazin-3-one 5-bromo-2-(trifluoromethoxy) benzenesulfonyl chloride (306 mg, 901 μmol) was added into a solution of trans-4,5-dichloro-2-[3-fluoro-4-piperidyl] pyridazin-3-one hydrochloride (120 mg, 450 μmol) and TEA (91.2 mg, 901 μmol) in DCM (2 mL) at 0 °C. The resulting mixture was stirred for 1 h, whereupon it was concentrated onto silica gel and purified by column chromatography to afford the title compound (187 mg, 59%) as a white solid. LCMS (ES, m/z): 567.85, 569.85, 571.85[M+H]+ STEP 2: trans-2-[2-[5-bromo-2-(trifluoromethoxy) phenyl] sulfonyl-6-fluoro-oxazinan-5-yl]-4- chloro-5-[[(3R)-3-fluorotetrahydropyran-3-yl] methylamino] pyridazin-3-one A solution of trans-2-[1-[5-bromo-2-(trifluoromethoxy) phenyl] sulfonyl-3-fluoro-4- piperidyl]-4,5-dichloro-pyridazin-3-one (160 mg, 281 μmol), [(3S)-3-fluorotetrahydropyran-3-yl] methanamine hydrochloride (71.2 mg, 421 μmol) and TEA (113 mg, 1.12 mmol) in EtOH (3.96
mL) was heated to 80 °C for 1 h. The mixture was cooled to rt and concentrated under vacuum. The residue was purified by reverse phase column chromatography to afford the title compound (50 mg, 26%) as a yellow solid. LCMS (ES, m/z): 664.95, 666.95[M+H]+ STEP 3: trans-4-chloro-2-[1-[5-ethyl-2-(trifluoromethoxy)phenyl]sulfonyl-3-fluoro-4-piperidyl]- 5-[[(3S)-3-fluorotetrahydropyran-3-yl]methylamino]pyridazin-3-one; and trans-4-chloro-2-[1-[5-ethyl-2-(trifluoromethoxy) phenyl]sulfonyl-3-fluoro-4-piperidyl]-5- [[(3S)-3-fluorotetrahydropyran-3-yl]methylamino] pyridazin-3-one A dried flask was charged with a mixture of trans-2-[2-[5-bromo-2-(trifluoromethoxy) phenyl] sulfonyl-6-fluoro-oxazinan-5-yl]-4-chloro-5-[[(3R)-3-fluorotetrahydropyran-3-yl] methylamino] pyridazin-3-one (170 mg, 254 μmol), ethylboronic acid (37.6 mg, 509 μmol), Pd(dppf)Cl2•CH2Cl2 (20.8 mg, 25.4 μmol), K2CO3 (160 mg, 763 μmol) and1,4-dioxane (3 mL)/water (1 mL) under nitrogen atmosphere. The mixture was heated to 100 °C for 1 h, whereupon it was cooled to rt and water (20 mL) was added followed by extraction with EtOAc (3 x 20 mL). The combined organic layers were washed with brine (1 x 20 mL), dried over Na2SO4 and concentrated under reduced pressure. The crude material was purified by prep HPLC to afford the racemate then further purified by chiral prep HPLC. The first eluting fractions afforded the 4-chloro-2-((3R,4R)-1-((5-ethyl-2- (trifluoromethoxy)phenyl)sulfonyl)-3-fluoropiperidin-4-yl)-5-((((S)-3-fluorotetrahydro-2H-pyran- 3-yl)methyl)amino)pyridazin-3(2H)-one (compound 752, 19.7 mg, 12% yield) as a white solid. 1H NMR (400 MHz, DMSO-d6) δ 8.01 (s, 1H), 7.76 (s, 1H), 7.66 (dd, J = 8.5, 2.1 Hz, 1H), 7.54 (d, J = 7.24 Hz, 1H), 6.89-6.83 (m, 1H), 5.06-4.87(m, 2H), 4.02-3.85 (m, 2H), 3.72-3.37(m, 6H), 3.30-3.14 (m, 1H), 3.09-3.00 (m, 1H), 2.77-2.56 (m, 2H), 2.49-2.40 (m, 1H), 1.90-1.80 (m, 1H), 1.78-1.60 (m, 3H), 1.59-1.50 (m, 1H), 1.26-1.17 (m, 3H) LCMS (ES, m/z): 615.1 [M+H]+ and The second eluting fractions afford 4-chloro-2-((3S,4S)-1-((5-ethyl-2- (trifluoromethoxy)phenyl)sulfonyl)-3-fluoropiperidin-4-yl)-5-((((S)-3-fluorotetrahydro-2H-pyran- 3-yl)methyl)amino)pyridazin-3(2H)-one (compound 753, 15.4 mg, 9.6% yield) as a white solid 1H NMR (400 MHz, DMSO-d6) δ 8.01 (s, 1H), 7.76 (s, 1H), 7.66 (dd, J = 8.8, 2.0 Hz, 1H), 7.54 (d, J = 8.4 Hz, 1H), 6.87 (t, J = 6.8 Hz, 1H), 5.06-4.87 (m, 2H), 4.02-3.85 (m, 2H), 3.72-3.37 (m,
6H), 3.30-3.14 (m, 1H), 3.09-3.00 (m, 1H), 2.77-2.56 (m, 2H), 2.49-2.40 (m, 1H), 1.90-1.80 (m, 1H), 1.78-1.60 (m, 3H), 1.59-1.50 (m, 1H), 1.26-1.17 (m, 3H) LCMS (ES, m/z): 615.1 [M+H]+ EXAMPLES 754–763 The compounds in Table 24, below, were made by analogous methods and procedures as described herein (MS = (ES, m/z) [M+H]+ ).
EXAMPLE 764 Synthes is of 4-chloro-2-[1-[cyclopropyl-(3-cyclopropyl-1,2,4-oxadiazol-5-yl)methyl]-4- piperidyl]-5-[[(3S)-fluorotetrahydropyran-3-yl]methylamino]pyridazin-3-one (compound 764)
STEP 1: 2-cyclopropyl-2-[4-(4,5-dichloro-6-oxo-pyridazin-1-yl)-1-piperidyl]acetic acid A solution of 2-oxoacetic acid (1.94 g, 26.2 mmol), 4,5-dichloro-2-(4-piperidyl)pyridazin-3- one hydrochloride (3.00 g, 10.5 mmol) and potassium cyclopropyltrifluoroborate (3.12 g, 21.0 mmol) in DMF (30 mL) was heated to 50 °C for 2 h. The mixture was cooled to rt and purified by reverse phase column chromatography to afford the title compound (500 mg, 11%) as a light- yellow solid. LCMS (ES, m/z): 346.00, 348.00 [M+H]+ STEP 2: 2-cyclopropyl-N-[(E)-C-cyclopropyl-N-hydroxy-carbonimidoyl]-2-[4-(4,5-dichloro-6-oxo- pyridazin-1-yl)-1-piperidyl]acetamide To a solution of 2-cyclopropyl-2-[4-(4,5-dichloro-6-oxo-pyridazin-1-yl)-1-piperidyl]acetic acid (500 mg, 1.16 mmol) in DMF (5 mL) was added BOP (766 mg, 1.73 mmol) and DIEA (447 mg, 3.47 mmol). The mixture was stirred for 30 min, then N-hydroxycyclopropanecarboxamidine
(127 mg, 1.27 mmol) was added. The mixture was stirred for an additional 30 min, then purified by reverse phase column chromatography to afford the title compound (300 mg, 42%) as a yellow solid. LCMS (EI, m/z): 428.15, 430.15 [M+H]+ STEP 3: 4,5-dichloro-2-[1-[cyclopropyl-(3-cyclopropyl-1,2,4-oxadiazol-5-yl)methyl]-4- piperidyl]pyridazin-3-one A solution of 2-cyclopropyl-N-[(E)-C-cyclopropyl-N-hydroxy-carbonimidoyl]-2-[4-(4,5- dichloro-6-oxo-pyridazin-1-yl)-1-piperidyl]acetamide (300 mg, 490 μmol) in DMF (4 mL) was heated to 100 °C for 2 h. The mixture was cooled to rt and purified by reverse flash chromatography to afford the title compound as a yellow oil. LCMS (ES, m/z): 410.10, 412.10 [M+H]+ STEP 4: 4-chloro-2-[1-[cyclopropyl-(3-cyclopropyl-1,2,4-oxadiazol-5-yl)methyl]-4-piperidyl]-5- [[(3S)-fluorotetrahydropyran-3-yl]methylamino]pyridazin-3-one A solution of 4,5-dichloro-2-[1-[cyclopropyl-(3-cyclopropyl-1,2,4-oxadiazol-5-yl)methyl]-4- piperidyl]pyridazin-3-one (200 mg, 292 μmol), [(3S)-fluorotetrahydropyran-3-yl]methanamine hydrochloride (77.8 mg, 459 μmol) and TEA (147 mg, 1.46 mmol) in ethanol (2 mL) was heated to 80 °C for 24 h. The mixture was cooled to rt and purified by reverse phase column chromatography, then further purified by achiral prep HPLC to afford the title compound (22.4 mg, 15%) as a white solid. 1H NMR (400 MHz, DMSO-d6) δ 7.99 (d, J = 1.7 Hz, 1H), 6.74 (t, J = 6.9 Hz, 1H), 4.62 (tt, J = 11.5, 4.1 Hz, 1H), 3.79-3.37 (m, 6H), 3.21 (d, J = 9.7 Hz, 1H), 3.13 (d, J = 11.2 Hz, 1H), 2.97 (d, J = 11.3 Hz, 1H), 2.25 (td, J = 11.7, 2.6 Hz, 2H), 2.14 (tt, J = 8.3, 4.8 Hz, 1H), 1.92-1.61 (m, 7H), 1.56- 1.50 (m, 1H), 1.45-1.35 (m, 1H), 1.13-1.02 (m, 2H), 0.98-0.82 (m, 2H), 0.76-0.63 (m, 1H), 0.52- 0.42 (m, 2H), 0.22-0.11 (m, 1H) LCMS (ES, m/z): 507.2 [M+H]+ EXAMPLES 765–775 The compounds in Table 25, below, were made by analogous methods and procedures as described herein (MS = (ES, m/z) [M+H]+ ).
TABLE 25
C S S
EXAMPLE 776 Synthesis of (S)-4-(5-chloro-4-(((3-fluorotetrahydro-2H-pyran-3-yl)methyl)amino)-6- oxopyridazin-1(6H)-yl)-N-(6-cyanopyridin-3-yl)-N-(methyl-d3)piperidine-1-sulfonamide (compound 776)
STEP 1: N-(6-cyano-3-pyridyl)-2-oxo-oxazolidine-3-sulfonamide A solution of 2-bromoethanol (11.5 g, 92.3 mmol) in DCM (240 mL) was cooled to 0 °C and chlorosulfonyl isocyanate (13.0 g, 92.3 mmol) was added. The temperature was maintained for 0.5 h and a solution of 5-aminopyridine-2-carbonitrile (10.0 g, 83.9 mmol) and TEA (21.2 g, 209 mmol) in DCM (50 mL) were added dropwise. The resulting mixture was warmed to rt for 3 h. The mixture was acidified to pH 3 with HCl (3 M) and extracted with DCM (3 x 300 mL). The combined organic layers were washed with Et2O (1L), dried over Na2SO4 and concentrated under reduced pressure. The material was purified by reverse phase column chromatography to yield the title compound (12 g, 53%) as a light-yellow solid. LCMS (ES, m/z): 269.00 [M+H]+
STEP 2: N-(6-cyano-3-pyridyl)-4-(4,5-dichloro-6-oxo-pyridazin-1-yl)piperidine-1-sulfonamide To a stirred mixture of 4,5-dichloro-2-(4-piperidyl)pyridazin-3-one hydrochloride (1.00 g, 3.51 mmol) and N-(6-cyano-3-pyridyl)-2-oxo-oxazolidine-3-sulfonamide (2.83 g, 10.5 mmol) in ACN (10 mL) was added DIEA (2.27 g, 17.5 mmol). The mixture was heated to 100 °C for 16 h, then cooled to rt and concentrated under reduced pressure. The crude material was purified by reverse phase column chromatography to afford the title compound (150 mg, 10%) as a colorless oil. LCMS (ES, m/z): 428.90, 430.90 [M+H]+ STEP 3: N-(6-cyano-3-pyridyl)-4-(4,5-dichloro-6-oxo-pyridazin-1-yl)-N- (trideuteriomethyl)piperidine-1-sulfonamide Trideuterio(iodo)methane (131 mg, 908 mol) was added to a stirred mixture of N-(6-cyano- 3-pyridyl)-4-(4,5-dichloro-6-oxo-pyridazin-1-yl)piperidine-1-sulfonamide (130 mg, 302 μmol) and Cs2CO3 (197 mg, 605 μmol) in DMF (1 mL). The resulting mixture was stirred for 1 h, then purified by reverse phase column chromatography to afford the title compound (90.0 mg, 67%) as a white solid. LCMS (ES, m/z): 446.05.448.05 [M+H]+ STEP 4: (S)-4-(5-chloro-4-(((3-fluorotetrahydro-2H-pyran-3-yl)methyl)amino)-6-oxopyridazin- 1(6H)-yl)-N-(6-cyanopyridin-3-yl)-N-(methyl-d3)piperidine-1-sulfonamide A solution of N-(6-cyano-3-pyridyl)-4-(4,5-dichloro-6-oxo-pyridazin-1-yl)-N- (trideuteriomethyl)piperidine-1-sulfonamide (65.0 mg, 145 μmol), [(3S)-fluorotetrahydropyran- 3-yl]methanamine hydrochloride (49.4 mg, 291 μmol) and TEA (73.6 mg, 728 μmol) in ethanol (2 ml) was heated to 80 °C for 48 h. The mixture was cooled to rt and purified by reverse phase column chromatography to afford the crude product, which was further purified with prep achiral SFC to afford the title compound (10.0 mg, 12% yield) as an off-white solid. 1H NMR (300 MHz, Methanol-d4) δ 8.80-8.79 (m, 1H), 8.04 (dd, J = 5.9, 2.6 Hz, 1H), 7.98 (d, J = 1.2 Hz, 1H) 7.90 (d, J = 8.6 Hz, 1H), 5.00-4.90 (m, 1H), 3.92-3.71 (m, 4H), 3.68-3.62 (m, 1H), 3.58-3.49 (m, 3H), 3.16 (td, J = 14.1, 3.6 Hz, 2H), 1.97-1.72 (m, 7H), 1.68-1.60 (m, 1H) LCMS (ES, m/z): 543.20, 545.20 [M+H]+
EXAMPLES 777–808 The compounds in Table 26, below, were made by analogous methods and procedures as described herein (MS = (ES, m/z) [M+H]+ ). TABLE 26
EXAMPLE 809 Synthesis of 4-chloro-2-[4-[[(2R)-1,4-dioxan-2-yl]methyl-[6-(trifluoromethoxy)-3- pyridyl]amino]cyclohexyl]-5-[[(1R,5R,6S)-3-oxabicyclo[4.1.0]heptan-5- yl]methylamino]pyridazin-3-one (compound 809A) and 4-chloro-2-[4-[[(2S)-1,4-dioxan-2-yl]methyl-[6-(trifluoromethoxy)-3- pyridyl]amino]cyclohexyl]-5-[[(1R,5R,6S)-3-oxabicyclo[4.1.0]heptan-5- yl]methylamino]pyridazin-3-one (Compound 809B)
STEP 1: [6-chloro-2-(trifluoromethoxy)-3-pyridyl]-trimethyl-silane A solution of diisopropylamine (1.6 g, 12.4 mmol) in THF (5 mL) was cooled to 0 °C and n- Buli (2.5 M in hexane, 5.5 mL, 11.2 mmol) was added dropwise. The solution was cooled to -78 °C and 2-chloro-6-(trifluoromethoxy)pyridine (1.7 g, 8.61 mmol) in THF (5mL) was added dropwise. After 2 h, TMSCl (3.32 g, 11.2 mmol) was added dropwise and the mixture was warmed to rt for 1 h. The mixture was diluted with water (100 mL) and extracted with EtOAc (2
x 100 mL). The combined organic layers were washed with brine (150 mL), dried over Na2SO4 and concentrated onto silica gel. The material was purified by column chromatography to yield the title compound (1.1 g, 47%) as a yellow oil. STEP 2: [5-azido-6-chloro-2-(trifluoromethoxy)-3-pyridyl]-trimethyl-silane To a solution of HTMP (261 mg, 1.85 mmol) and in THF (1 mL) at 0 °C was added n-BuLi (2.5 M, 655.5 μL).After 0.5 h, it was cooled to -78 °C, followed by addition of 6-chloro-2- (trifluoromethoxy)-3-pyridyl]-trimethyl-silane (340 mg, 1.26 mmol) as a solution in THF (1 mL). After an additional 3 hat -78 °C, N-diazo-4-methyl-benzenesulfonamide (373 mg, 1.89 mmol) was added as a solution in THF (1 mL). After 1 h, the mixture was quenched with NH4Cl (50 mL) and extracted with EtOAc (2 x 30 mL). The combined organic layers were washed with brine (40 mL), dried over Na2SO4 and concentrated onto silica gel. The material was purified by column chromatography to afford the title compound (150 mg, 34%) as a light-yellow oil. STEP 3: 2-chloro-6-(trifluoromethoxy)-5-trimethylsilyl-pyridin-3-amine A solution of [5-azido-6-chloro-2-(trifluoromethoxy)-3-pyridyl]-trimethyl-silane (130 mg, 418 μmol) in THF (2 mL) was cooled to 0 °C and LiAlH4 (2 M, 418.4 μL) was added. The mixture was warmed to rt and stirred for 16 h, whereupon water (10 mL) was added followed by extraction with EtOAc (2 x 10 mL). The combined organic layers were washed with brine (10 mL), dried over Na2SO4 and concentrated onto silica gel. The material was purified by column chromatography to yield the title compound (70 mg, 59%) as a light-yellow oil. STEP 4: 2-chloro-6-(trifluoromethoxy)pyridin-3-amine To a solution of 2-chloro-6-(trifluoromethoxy)-5-trimethylsilyl-pyridin-3-amine (70 mg, 246 μmol) in THF (1 mL) was added TBAF (1 M in THF, 320 μL). After 16 h, it was concentrated onto silica gel and purified by silica gel chromatography to afford the title compound (40 mg, 69%) as an off-white solid. STEP 5: 6-(trifluoromethoxy)pyridin-3-amine A mixture of 2-chloro-6-(trifluoromethoxy)pyridin-3-amine (40 mg, 188 μmol), Pd-C (20.03 mg, 188.18 μmol) and ammonium formate (23.73 mg, 376.37 μmol) in MeOH was heated to 55 °C for 16 h. The mixture was cooled to rt, filtered through celite, and then concentrated to afford the title compound (33.5 mg, 99%).
STEP 6: cis-4,5-dichloro-2-[4-[[6-(trifluoromethoxy)-3-pyridyl]amino]cyclohexyl]pyridazin-3-one & trans-4,5-dichloro-2-[4-[[6-(trifluoromethoxy)-3-pyridyl]amino]cyclohexyl]pyridazin-3-one A solution of -(trifluoromethoxy)pyridin-3-amine (1.0 g, 5.61 mmol), 4,5-dichloro-2-(4- oxocyclohexyl)pyridazin-3-one (1.47 g, 5.61 mmol), AcOH (169 mg, 2.81 mmol) and STAB (1.53 g, 7.21 mmol, 1.28 eq) in DCM (20 mL) was stirred for 1 h. The mixture was then concentrated, and the residue was partitioned between EtOAc (2 x 150 mL) and NaHCO3 (200 mL). The combined organic layers were washed with brine (200 mL), dried over Na2SO4, and concentrated onto silica gel. The material was purified by column chromatography to yield the first title compound (700 mg, 27%) as a yellow solid and the second title compound (1.0 g, 38%) as a yellow solid. STEP 7: trans-4,5-dichloro-2-[4-[[(2S)-1,4-dioxan-2-yl]methyl-[6-(trifluoromethoxy)-3- pyridyl]amino]cyclohexyl]pyridazin-3-one To a solution of trans-4,5-dichloro-2-[4-[[6-(trifluoromethoxy)-3- pyridyl]amino]cyclohexyl]pyridazin-3-one (200 mg, 473 μmol), 1,4-dioxane-2-carbaldehyde (54.9 mg, 473 μmol) and AcOH (13.5 μL, 236 μmol) in DCM (3.99 mL) was stirred for 0.5 h, whereupon STAB (257 mg, 1.21 mmol). After 16 h, the mixture was concentrated under reduced pressure, diluted with NaHCO3 (satd, aq, 80mL) and extracted it with EA (2 x 100mL). The combined organic layers were washed with brine (100mL), dried over anhydrous Na2SO4 and concentrated under reduced pressure. The crude residue was purified by silica gel chromatography to afford the title compound (100 mg, 36%) as a yellow solid. STEP 8: 4-chloro-2-[4-[[(2R)-1,4-dioxan-2-yl]methyl-[6-(trifluoromethoxy)-3- pyridyl]amino]cyclohexyl]-5-[[(1R,5R,6S)-3-oxabicyclo[4.1.0]heptan-5- yl]methylamino]pyridazin-3-one; and 4-chloro-2-[4-[[(2S)-1,4-dioxan-2-yl]methyl-[6-(trifluoromethoxy)-3-pyridyl]amino]cyclohexyl]- 5-[[(1R,5R,6S)-3-oxabicyclo[4.1.0]heptan-5-yl]methylamino]pyridazin-3-one A mixture of trans-4,5-dichloro-2-[4-[[(2S)-1,4-dioxan-2-yl]methyl-[6-(trifluoromethoxy)-3- pyridyl]amino]cyclohexyl]pyridazin-3-one (50 mg, 96 μmol), [(1R,5R,6S)-3- oxabicyclo[4.1.0]heptan-5-yl]methanamine (23.5 mg, 143.3 μmol) and TEA (40 μL, 287 μmol) in ethanol (1 mL) was heated at 80 °C for 16 h. The solution was cooled to rt and directly purified by prep-HPLC, which was further purified by prep-chiral-HPLC to yield:
2-((1S,4R)-4-((((S)-1,4-dioxan-2-yl)methyl)(6-(trifluoromethoxy)pyridin-3- yl)amino)cyclohexyl)-5-((((1R,5R,6S)-3-oxabicyclo[4.1.0]heptan-5-yl)methyl)amino)-4- chloropyridazin-3(2H)-one (Stereochemistry assumed, 11.0 mg, 19%) as a white solid; 1H NMR (400 MHz, DMSO-d6) δ 7.96 (s, 1H), 7.92 (d, J = 3.1 Hz, 1H) 7.48 (dd, J = 9.1, 3.2 Hz, 1H), 7.09 (d, J = 9.0 Hz, 1H), 6.76 (t, J = 6.3 Hz, 1H), 4.84-4.73 (m, 1H), 3.87-3.79 (m, 2H), 3.77- 3.68 (m, 3H), 3.66-3.56 (m, 2H), 3.54-3.43 (m, 3H), 3.41-3.34 (m, 2H), 3.30-3.14 (m, 3H), 2.98- 2.91 (m, 1H), 2.02-1.93 (m, 1H), 1.93-1.63 (m, 8H), 1.01-0.88 (m, 2H), 0.73-0.64 (m, 1H), 0.32- 0.25 (m, 1H). LCMS (ES, m/z): 614.2 [M+H]+ and 2-((1R,4R)-4-((((R)-1,4-dioxan-2-yl)methyl)(6-(trifluoromethoxy)pyridin-3- yl)amino)cyclohexyl)-5-((((1R,5R,6S)-3-oxabicyclo[4.1.0]heptan-5-yl)methyl)amino)-4- chloropyridazin-3(2H)-one (stereochemistry assumed, 5.5 mg, 9.3%) as a white solid. 1H NMR (400 MHz, DMSO-d6) δ 7.96 (s, 1H), 7.93 (d, J = 3.2 Hz, 1H), 7.48 (dd, J = 9.1, 3.2 Hz, 1H), 7.09 (d, J = 9.0 Hz, 1H), 6.76 (t, J = 6.3 Hz, 1H), 4.83-4.71 (m, 1H), 3.87-3.79 (m, 2H), 3.77- 3.67 (m, 3H), 3.65-3.55 (m, 2H), 3.54-3.44 (m, 3H), 3.43-3.34 (m, 2H), 3.31-3.14 (m, 3H), 2.98- 2.91 (m, 1H), 2.03-1.93 (m, 1H), 1.92-1.65 (m, 8H), 1.03-0.89 (m, 2H), 0.72-0.65 (m, 1H), 0.23- 0.25 (m, 1H) LCMS (ES, m/z): 614.2 [M+H]+
EXAMPLE 810 Synthesis of 4-chloro-2-[4-[N-[[(2R)-1,4-dioxan-2-yl]methyl]-4-(trideuteriomethoxy)anilino]cyclohexyl]-5- [[(1R,5R,6S)-3-oxabicyclo[4.1.0]heptan-5-yl]methylamino]pyridazin-3-one(compound 810A) and 4-chloro-2-[4-[N-[[(2S)-1,4-dioxan-2-yl]methyl]-4-(trideuteriomethoxy)anilino]cyclohexyl]-5- [[(1R,5R,6S)-3-oxabicyclo[4.1.0]heptan-5-yl]methylamino]pyridazin-3-one (compound 810B)
STEP 1: 1-nitro-4-(trideuteriomethoxy)benzene A mixture of 4-nitrophenol (10.0 g, 71.9 mmol), K2CO3 (14.9 g, 108 mmol) and CD3I (20.98 g, 143.77 mmol) in DMF (150 mL) was stirred for 2 h. Water (300 mL) added followed by extraction with EtOAc (3 x 500 mL). The combined organic layers were washed with brine (1000 mL), dried over Na2SO4 and concentrated onto silica gel. The crude material was purified by column chromatography to afford the title compound (10.0 g, 80%) as a yellow solid.
STEP 2: 4-(trideuteriomethoxy)aniline A mixture of 1-nitro-4-(trideuteriomethoxy)benzene (10.0 g, 64.0 mmol), Iron (35.77 g, 640.39 mmol), and NH4Cl (13.7 g, 256 mmol) in THF (60 mL) , EtOH (60 mL) and water (60 mL) was heated to 80 °C for 1 h. The mixture was cooled to rt and then filtered. The filtrate was diluted with NH4Cl (1000 mL) and extracted with EtOAc (3 x 1000 mL). The combined organic layers were dried over Na2SO4 and concentrated onto silica gel. The crude material was purified by column chromatography to afford the title compound (7.0 g, 80%) as a yellow oil. STEP 3: cis-4,5-dichloro-2-[4-[4-(trideuteriomethoxy)anilino]cyclohexyl]pyridazin-3-one & trans- 4,5-dichloro-2-[4-[4-(trideuteriomethoxy)anilino]cyclohexyl]pyridazin-3-one A solution of 4,5-dichloro-2-(4-oxocyclohexyl)pyridazin-3-one (5.0 g, 19.2 mmol), 4- (trideuteriomethoxy)aniline (3.14 g, 24.9 mmol), AcOH (1.15 g, 19.2 mmol) and STAB (15.75 g, 38.3 mmol) in DCM (60 mL) was stirred for 16 h. The mixture was quenched with NaHCO3 (satd, aq, 500 mL) and extracted with DCM (3 x 500 mL). The combined organic layers were dried over Na2SO4 and concentrated onto silica gel. The crude material was purified by column chromatography to yield the first title compound as a yellow solid (3.0 g, 42%) and the second title compound as a yellow solid (2.0 g, 28%). STEP 4: trans-4,5-dichloro-2-[4-[N-[[(2S)-1,4-dioxan-2-yl]methyl]-4- (trideuteriomethoxy)anilino]cyclohexyl]pyridazin-3-one A solution of trans-4,5-dichloro-2-[4-[4-(trideuteriomethoxy)anilino]cyclohexyl]pyridazin-3- one (200 mg, 539 μmol), 1,4-dioxane-2-carbaldehyde (312.8 mg, 2.69 mmol), AcOH (3 mL) and STAB (443.0 mg, 1.08 mmol) was stirred for 16 h. The mixture was diluted with NaHCO3 (satd, aq, 20 mL) and extracted with DCM (3 x 20 mL). The combined organic layers were dried over Na2SO4 and concentrated onto silica gel. The crude material was purified by column chromatography to afford the title compound (150 mg, 59%) as a yellow solid.
STEP 5: 4-chloro-2-[4-[N-(1,4-dioxan-2-ylmethyl)-4-(trideuteriomethoxy)anilino]cyclohexyl]-5- [[(1R,5R,6S)-3-oxabicyclo[4.1.0]heptan-5-yl]methylamino]pyridazin-3-one; and 4-chloro-2-[4-[N-[[(2S)-1,4-dioxan-2-yl]methyl]-4-(trideuteriomethoxy)anilino]cyclohexyl]-5- [[(1R,5R,6S)-3-oxabicyclo[4.1.0]heptan-5-yl]methylamino]pyridazin-3-one A solution of 4,5-dichloro-2-[4-[N-[[(2S)-1,4-dioxan-2-yl]methyl]-4- (trideuteriomethoxy)anilino]cyclohexyl]pyridazin-3-one (70 mg, 149 μmol), [(1R,5R,6S)-3- oxabicyclo[4.1.0]heptan-5-yl]methanamine (36.5 mg, 222.8 μmol) and TEA (45 mg, 445 μmol) in EtOH (1 mL) was heated to 80 °C. After 16 h, the mixture was cooled to rt and directly purified by prep-HPLC to afford 4-chloro-2-[4-[N-(1,4-dioxan-2-ylmethyl)-4-(trideuteriomethoxy)anilino]cyclohexyl]-5- [[(1R,5R,6S)-3-oxabicyclo[4.1.0]heptan-5-yl]methylamino]pyridazin-3-one (10.0 mg, 12%) as a white solid; 1H NMR (400 MHz, DMSO-d6) δ 7.94 (s, 1H), 6.93-6.85 (m, 2H), 6.85-6.79 (m, 2H), 6.75 (t, J = 6.2 Hz, 1H), 4.82-4.61 (m, 1H), 3.88-3.80 (m, 1H), 3.77-3.68 (m, 3H), 3.64-3.59 (m, 1H), 3.49- 3.39 (m, 4H), 3.39-3.33 (m, 2H), 3.30-3.27 (m, 1H), 3.25-3.19 (m, 1H), 3.15-3.02 (m, 2H), 2.97- 2.92 (m, 1H), 2.02-1.95 (m, 1H), 1.85-1.68 (m, 6H), 1.62-1.53 (m, 1H), 1.53-1.43 (m, 1H), 1.02- 0.87 (m, 2H), 1.72-0.66 (m, 1H), 0.32-0.27 (m, 1H). LCMS (ES, m/z): 562.2 [M+H]+ and 4-chloro-2-[4-[N-[[(2S)-1,4-dioxan-2-yl]methyl]-4-(trideuteriomethoxy)anilino]cyclohexyl]-5- [[(1R,5R,6S)-3-oxabicyclo[4.1.0]heptan-5-yl]methylamino]pyridazin-3-one (10.0 mg, 12%) as a white solid. 1H NMR (400 MHz, DMSO-d6) δ 7.94 (s, 1H), 6.90 (d, J = 9.0 Hz, 2H), 6.82 (d, J = 8.9 Hz, 2H), 6.75 (t, J = 6.2 Hz, 1H), 4.82-4.61 (m, 1H), 3.88-3.80 (m, 1H), 3.77-3.68 (m, 3H), 3.64-3.59 (m, 1H), 3.49-3.39 (m, 4H), 3.39-3.33 (m, 2H), 3.30-3.27 (m, 1H), 3.25-3.19 (m, 1H), 3.15-3.02 (m, 2H), 2.97-2.92 (m, 1H), 2.02-1.95 (m, 1H), 1.85-1.68 (m, 6H), 1.62-1.53 (m, 1H), 1.53-1.43 (m, 1H), 1.02-0.87 (m, 2H), 1.72-0.66 (m, 1H), 0.32-0.27 (m, 1H) LCMS (ES, m/z): 562.2 [M+H]+
EXAMPLE 811 Synthesis of 4-chloro-2-[4-(5-cyclopropyl-2-methyl-oxazol-4-yl)sulfonylphenyl]-5-[[(3S)- fluorotetrahydropyran-3-yl]methylamino]pyridazin-3-one (compound 811)
STEP 1: (4-bromo-2-iodo-phenoxy)-trimethyl-silane A solution of 4-bromo-2-iodophenol (11.4 g, 38.1 mmol), and [dimethyl- (trimethylsilylamino)silyl] methane (12.3 g, 76.3 mmol) in THF (60 mL) was heated at 70 °C for 0.5 h. The mixture was cooled to rt and concentrated under pressure to yield the title compound (assumed quantitative) as a red oil. STEP 2: 4-bromo-2-trimethylsilyl-phenol A solution of (4-bromo-2-iodo-phenoxy)-trimethyl-silane (14.8 g, 39.9 mmol) in THF (200 mL) was cooled to -78 °C and butyllithium (2.5 M in THF) was slowly added. The mixture was then warmed to 70 °C for 1 h, then cooled to rt and quenched with NaHCO3 (satd, aq, 400 mL) then extracted with DCM (3 x 500 mL). The combined organic layers were dried over Na2SO4
and concentrated under reduced pressure to yield the title compound (12.0 g, crude) as a black oil. STEP 3: (4-bromo-2-trimethylsilyl-phenyl) trifluoromethanesulfonate A solution of 4-bromo-2-trimethylsilyl-phenol (9.00 g, 36.7 mmol), and DIPEA (7.80 g, 77.1 mmol) in DCM (80 mL) was cooled to 0 °C. Triflic anhydride (12.4 g, 44.1 mmol) was added slowly, and the mixture was warmed to rt for 2 h. The mixture was then quenched with NaHCO3 (satd, aq, 100 mL) and extracted with DCM (3 x 100 mL). The combined organic layers were dried over Na2SO4 and evaporated onto silica gel. The crude material was purified by column chromatography to afford the title compound (8.30 g, 59%) as a colorless oil. STEP 4: S-(2-cyclopropyl-2-oxo-ethyl) ethanethioate A solution of 2-bromo-1-cyclopropylethanone (1.00 g, 6.13 mmol) and potassium ethanethioate (1.05 g, 9.20 mmol) in EtOH (10 mL) was heated to 80 °C for 2 h. The mixture was cooled to rt and concentrated under reduced pressure to afford the title compound (assumed quantitative). STEP 5: 1-cyclopropyl-2-sulfanyl-ethanone A solution of S-(2-cyclopropyl-2-oxo-ethyl) ethanethioate (5 g, 31.60 mmol) in methanol (50 mL) was cooled to 0 °C. NaOH (12.6 g, 316 mmol) in water (50 mL) was slowly added. The mixture was then warmed to rt for 2 h and acidified to pH 5 with HCl (conc, 30 mL). The aqueous mixture was extracted with EtOAc (3 x 150 mL). The combined organic layers were dried over Na2SO4 and concentrated under reduced pressure to yield the title compound (3.50 g, 95%) as a brown oil. STEP 6: 2-(2-cyclopropyl-2-oxo-ethyl)sulfanylacetonitrile A solution of 1-cyclopropyl-2-sulfanylethanone (3.50 g, 30.1 mmol), 2-bromoacetonitrile (3.61 g, 30.1 mmol, 2.10 mL) and TEA (12.6 mL, 90.4 mmol) in MeCN (30 mL) was heated at 80 °C for 24 h, then cooled to rt and concentrated onto silica gel. The crude material was purified by column chromatography to yield the title compound (2.50 g, 54%) as a red oil.
STEP 7: 4-(4-bromophenyl)sulfanyl-5-cyclopropyl-2-methyl-oxazole A solution of 2-(2-cyclopropyl-2-oxo-ethyl)sulfanylacetonitrile (100 mg, 644 μmol) , (4- bromo-2-trimethylsilylphenyl) trifluoromethanesulfonate (365 mg, 966 μmol), KF (805 mg, 1.93 mmol) and 18-crown-6 (511 mg, 1.93 mmol, 435 μL) in benzonitrile (5 mL) was heated at 80°C for 2 h, then cooled to rt and concentrated onto silica gel. The crude material was purified by column chromatography to yield the title compound (80.0 mg, 40%) as a light-yellow oil. STEP 8: 4-(4-bromophenyl)sulfonyl-5-cyclopropyl-2-methyl-oxazole A solution of 4-(4-bromophenyl)sulfanyl-5-cyclopropyl-2-methyl-oxazole (1 g, 3.22 mmol) and mCPBA (1.11 g, 6.45 mmol) in DCM (15 mL) was stirred for 2 h then concentrated onto silica gel and purified by column chromatography to afford the title compound (750 mg, 65%) as a white solid. STEP 9: 4-chloro-2-[4-(5-cyclopropyl-2-methyl-oxazol-4-yl)sulfonylphenyl]-5-[[(3S)- fluorotetrahydropyran-3-yl]methylamino]pyridazin-3-one A mixture of 4-(4-bromophenyl)sulfonyl-5-cyclopropyl-2-methyl-oxazole (157 mg, 459 μmol) and 5-chloro-4-[[(3S)-fluorotetrahydropyran-3-yl]methylamino]-1H-pyridazin-6-one (60.0 mg, 229 μmol), CuI (314 mg, 229 μmol), K2CO3 (145 mg, 688 μmol) and (2R)-N1,N2- dimethylcyclohexane-1,2-diamine (32.6 mg, 229 μmol) in DMF (5 mL) was heated to 80 °C for 2 h. The mixture was then cooled to rt, purified by prep-HPLC, and further purified by prep- achiral-SFC to afford the title compound (36.4 mg, 30%) as a white solid. 1H NMR (400 MHz, DMSO-d6) δ 8.21 (d, J = 1.8 Hz, 1H), 8.02 (d, J = 8.4 Hz, 2H), 7.85 (d, J = 8.4 Hz, 2H), 7.11 (t, J = 7.0 Hz, 1H), 3.74-3.60 (m, 4H), 3.56-3.41 (m, 2H), 2.71-2.67 (m, 1H), 2.31 (s, 3H), 1.90-1.68 (m, 3H), 1.62-1.52 (m, 1H), 1.23-1.18 (m, 2H), 1.01-0.99 (m, 2H). LCMS (ES, m/z): 523.1 [M+H]+
EXAMPLE 812 Synthesis of 4-chloro-5-[[(3S)-3-fluorotetrahydropyran-3-yl]methylamino]-2-[6-[5- methylsulfonyl-2-(trifluoromethoxy)phenoxy]-3-pyridyl]pyridazin-3-one (compound 812)
STEP 1: 5-methylsulfonyl-2-(trifluoromethoxy)phenol A solution of 5-bromo-2-(trifluoromethoxy)phenol (1.00 g, 3.89 mmol), K3PO4 (2.34 g, 7.78 mmol), NaSO2CH3 (1.59 g, 15.6 mmol), DMPHPC (91.0 mg, 0.389 mmol) and CuI (532 mg, 389 μmol) in DMSO (4 mL) was heated to 100 °C. After 15 h, it was cooled to rt, acidified to pH 7 NH4Cl (satd, aq) and extracted with EtOAc (3 x 100 mL). The combined organic layers were washed with brine (150 mL), dried over Na2SO4 and concentrated onto silica gel. The crude material was purified by column chromatography to yield the title compound (600 mg, 54%) as a yellow oil. STEP 2: 5-bromo-2-[5-methylsulfonyl-2-(trifluoromethoxy)phenoxy]pyridine A solution of 5-methylsulfonyl-2-(trifluoromethoxy)phenol (200 mg, 781 μmol) 5- methylsulfonyl-2-(trifluoromethoxy)phenol (200 mg, 781 μmol) and K2CO3 (324 mg, 2.34 mmol) in DMF (3 mL) was heated to 80 °C. After 16 h, it was cooled to rt, acidified to pH 7 with NH4Cl (satd, aq) and extracted with EtOAc (3 x 100 mL). The combined organic layers were washed with brine (150 mL), dried over Na2SO4 and concentrated onto silica gel. The crude material was purified by column chromatography to yield the title compound (50.0 mg, 13%) as a yellow oil.
STEP 3: 4-chloro-5-[[(3S)-fluorotetrahydropyran-3-yl]methylamino]-2-[6-[5-methylsulfonyl-2- (trifluoromethoxy)phenoxy]-3-pyridyl]pyridazin-3-one A mixture of 5-bromo-2-[5-methylsulfonyl-2-(trifluoromethoxy)phenoxy]pyridine (40.0 mg, 97.1 μmol), 5-chloro-4-[[(3S)-fluorotetrahydropyran-3-yl]methylamino]-1H-pyridazin-6-one (25.4 mg, 97.1 μmol), CuI (133 mg, 97.1 μmol), CsF (68.8 mg, 291 μmol) and (2R)-N1,N2- dimethylcyclohexane-1,2-diamine (13.8 mg, 97.1 μmol) in acetonitrile (3 mL) was heated to 80 °C. After 3 h, the mixturewas cooled to rt, concentrated under reduced pressure and purified by prep-HPLC to afford the title compound (10.1 mg, 14%). 1H NMR (400 MHz, Chloroform-d) δ 8.36 (d, J = 2.4 Hz, 1H), 8.11 (d, J = 7.8 Hz, 1H), 7.91 (d, J = 2.0 Hz, 1H), 7.88-7.82 (m, 2H), 7.56-7.54 (m, 1H), 7.14 (d, J = 8.6 Hz, 1H), 5.10 (br s, 1H), 3.76- 3.56 (m, 6H), 3.11 (s, 3H), 2.05-2.00 (m, 1H), 1.97-1.88 (m, 2H), 1.70-1.67 (m, 1H) LCMS (ES, m/z): 593.2 [M+H]+ EXAMPLE 813 Synthesis of 2-[4-[4-(1-aminocyclopropyl)-2-methyl-phenoxy]phenyl]-4-chloro-5-[[(3S)-3- fluorotetrahydropyran-3-yl]methylamino]pyridazin-3-one (compound 813)
STEP 1: 4-(4-bromophenoxy)-3-methyl-benzonitrile A solution of 4-fluoro-3-methyl-benzonitrile (25.0 g, 185 mmol), 4-bromophenol (41.61 g, 240.49 mmol), and K2CO3 (76.7 g, 555 mmol) in DMF (560 mL) was heated to 110 °C. After 16 h, the mixture was cooled to rt, diluted with water and extracted with EtOAc (3 x 600 mL). The combined organic layers were washed with brine (500 mL), dried over Na2SO4 and concentrated onto silica gel. The crude product was purified by column chromatography to yield the title compound as a yellow oil (26 g, 44%). LCMS (ES, m/z): 288.0 [M] STEP 2: 1-[4-(4-bromophenoxy)-3-methyl-phenyl]cyclopropanamine A solution of a 4-(4-bromophenoxy)-3-methyl-benzonitrile (7.0 g, 24 mmol) and Ti(OiPr)4 (7.60 g, 26.7 mmol) in Et2O (150 mL) was cooled to -70 °C followed by addition of EtMgBr (1 M, 2.75 mL), dropwise. The mixture was then warmed to rt for 1 h and additional EtMgBr (1 M, 53.45 mL) was added. It was stirred for 1 h, quenched with HCl (1M, 90 mL) then NaOH (10% aq, 270 mL). The aqueous layer was extracted with EtOAc and the organic layer was washed with brine (100 mL), dried over Na2SO4 and concentrated onto silica gel. The crude material was purified by column chromatography to yield the title compound (8.0 g, 21%) as a yellow oil. LCMS (ES, m/z): 302.95 [M+H]+ STEP 3: tert-butyl N-[1-[4-(4-bromophenoxy)-3-methyl-phenyl]cyclopropyl]carbamate A solution of 1-[4-(4-bromophenoxy)-3-methyl-phenyl]cyclopropanamine (100 mg, 314 μmol), Boc2O (137.1 mg, 638.5 μmol), NaHCO3 (264.0 mg, 3.14 mmol) in water (0.5 mL)/THF (2.0 mL) was stirred for 1 h. The mixture was partitioned between water and EtOAc and the layers separated. The organic layer was dried over Na2SO4 and concentrated under reduced pressure (assumed quantitative). STEP 4: 1,1-dimethylethyl N-[1-[4-[4-[5-chloro-4-[[(3R)-3-fluorotetrahydropyran-3- yl]methylamino]-6-oxo-pyridazin-1-yl]phenoxy]-3-methyl-phenyl]cyclopropyl]carbamate A solution of tert-butyl N-[1-[4-(4-bromophenoxy)-3-methyl-phenyl]cyclopropyl]carbamate (217.4 mg, 519.7 μmol), 5-chloro-4-[[(3S)-3-fluorotetrahydropyran-3-yl]methylamino]-1H- pyridazin-6-one (80 mg, 306 μmol), (1S,2S)-N1,N2-dimethylcyclohexane-1,2-diamine (43.5 mg, 306 μmol), CuI (58.2 mg, 305 μmol) and CsF (92.8 mg, 611 μmol) in MeCN (1.5 mL) was heated
to 80 °C. After 1 h, the mixture was cooled to rt, diluted with water (10 mL) and extracted with EtOAc (3 x 20 mL). The combined organic layers were dried over Na2SO4, concentrated, and purified by prep-HPLC to yield the title compound (150 mg, 78%) as a yellow solid. STEP 5: 2-[4-[4-(1-aminocyclopropyl)-2-methyl-phenoxy]phenyl]-4-chloro-5-[[(3S)-3- fluorotetrahydropyran-3-yl]methylamino]pyridazin-3-one A solution of 1,1-dimethylethyl N-[1-[4-[4-[5-chloro-4-[[(3S)-3-fluorotetrahydropyran-3- yl]methylamino]-6-oxo-pyridazin-1-yl]phenoxy]-3-methyl-phenyl]cyclopropyl]carbamate (150 mg, 250 μmol) in DCM (9 mL) and TFA (1.8 mL) was stirred for 3 h. The solids were collected by filtration and purified by prep-HPLC to yield the title compound (30.8 mg, 25%). 1H NMR (400 MHz, DMSO-d6) δ 8.09 (d, J = 1.7 Hz, 1H), 7.44-7.40 (m, 2H), 7.29 (d, J = 2.4 Hz, 1H), 7.19 (dd, J = 8.4, 2.4 Hz, 1H), 6.93-6.87 (m, 4H), 3.72-3.40 (m, 6H), 2.15 (s, 3H), 1.86-1.69 (m, 3H), 1.58-1.54 (m, 1H), 0.95-0.91 (m, 4H) LCMS (ES, m/z): 499.3 [M+H]+]+ EXAMPLE 814 Synthesis of (S)-3-(1-(4-((5-(5-chloro-4-(((3-fluorotetrahydro-2H-pyran-3-yl)methyl)amino)-6- oxopyridazin-1(6H)-yl)pyridin-2-yl)oxy)phenyl)cyclopropyl)oxazolidin-2-one (compound 814)
STEP 1: 1-[4-[(5-bromo-2-pyridyl)oxy]phenyl]cyclopropanamine A solution of 4-[(5-bromo-2-pyridyl)oxy]benzonitrile (1.37 g, 4.98 mmol) and Ti(OiPr)4 (1.56 g, 5.48 mmol) in ether was cooled to -70°C and ethylmagnesium bromide (1M in Et2O, 11.0 mmol) was added dropwise. The mixture was then warmed and stirred at rt for 1 h, whereupon BF3OEt2 (1.41 g, 9.96 mmol) was added. The resulting mixture was stirred for 1 h then
quenched with HCl (1N, 15 mL) followed by NaOH (10% aq, 50 mL). The aqueous layer was extracted with Et2O and the combined layers were dried over Na2SO4 and evaporated onto silica gel. The crude material was purified by column chromatography to yield the title compound (250 mg, 14%) as a brown oil. LCMS (ES, m/z): 323.95 [M+Na+]+ STEP 2: 2-chloroethyl N-[1-[4-[(5-bromo-2-pyridyl)oxy]phenyl]cyclopropyl]carbamate A mixture of 1-[4-[(5-bromo-2-pyridyl)oxy]phenyl]cyclopropanamine (200 mg, 655 μmol) and TEA (274 μL, 1.97 mmol) in THF (4 mL) was cooled to 0 °C followed by addition of 2- chloroethyl carbonochloridate (141 mg, 983 μmol), dropwise. The mixture was stirred for 30 mins and concentrated under reduced pressure. The crude material was purified by column chromatography to yield the title compound (200 mg, 66%) as a light-yellow oil. STEP 3: 3-[1-[4-[(5-bromo-2-pyridyl)oxy]phenyl]cyclopropyl]oxazolidin-2-one To a solution of 2-chloroethyl N-[1-[4-[(5-bromo-2- pyridyl)oxy]phenyl]cyclopropyl]carbamate (200 mg, 486 μmol) in THF (4 mL) was added NaH (60% in mineral oil, 17.5 mg, 728 μmol). Once gas evolution ceased, the mixture was heated to 70 °C for 6 h, whereupon it was cooled to rt, diluted with water and extracted with EtOAc (2 x 30 mL). The combined organic layers were washed with brine and dried over Na2SO4. The crude material was concentrated onto silica gel and purified by column chromatography to yield the title compound (180 mg, 89%) as an off-white solid. STEP 4: (S)-3-(1-(4-((5-(5-chloro-4-(((3-fluorotetrahydro-2H-pyran-3-yl)methyl)amino)-6- oxopyridazin-1(6H)-yl)pyridin-2-yl)oxy)phenyl)cyclopropyl)oxazolidin-2-one 3-[1-[4-[(5-bromo-2-pyridyl)oxy]phenyl]cyclopropyl]oxazolidin-2-one was coupled with 5- chloro-4-[[(3S)-fluorotetrahydropyran-3-yl]methylamino]-1H-pyridazin-6-one according to procedures described herein to afford the title compound. 1H NMR (400 MHz, DMSO-d6) δ 8.27 (d, J = 2.7 Hz, 1H), 8.17 (s, 1H), 8.02 (dd, J = 8.8, 2.7 Hz, 1H), 7.29-7.25 (m, 2H), 7.17-7.11 (m, 3H), 7.03 (t, J = 7.0 Hz, 1H), 4.32-4.26 (m, 2H), 3.75-3.43 (m, 8H), 1.90-1.67 (m, 3H), 1.61-1.53 (m, 1H), 1.40-1.34 (m, 2H), 1.26-1.20 (m, 2H). LCMS (ES, m/z): 556.2 [M+H]+
EXAMPLE 815 Synthesis of (S)-2-((5-(5-chloro-4-(((3-fluorotetrahydro-2H-pyran-3-yl)methyl)amino)-6- oxopyridazin-1(6H)-yl)pyridin-2-yl)oxy)-4-cyclopropylbenzonitrile (compound 815)
STEP 1: 4-cyclopropyl-2-hydroxy-benzonitrile A dried flask was charged with Pd(dppf)2Cl2 (3.70 g, 5.10 mmol), K3PO4 (22.8 g, 75.7 mmol), 4-bromo-2-hydroxybenzonitrile (5.00 g, 25.3 mmol) and cyclopropylboronic acid (2.60 g, 30.3 mmol), 1,4-dioxane (100 mL) and water (20 mL). The mixture was degassed with N2 and heated to 100 °C. After 16 h, it was cooled to rt and diluted with water, then extracted with EtOAc (800 mL). The combined organic layers were washed with brine (100 mL) and dried over Na2SO4. The crude material was purified by column chromatography to afford the title compound (750 mg, 15%) as a yellow solid. STEP 2: 2-((5-bromopyridin-2-yl)oxy)-4-cyclopropylbenzonitrile A mixture of 4-cyclopropyl-2-hydroxy-benzonitrile (700 mg, 3.52 mmol), 5-bromo-2-fluoro- pyridine (543 μL 5.28 mmol) and K2CO3 (1.46 g, 10.6 mmol) in DMF (5 mL) was heated to 120 °C. After 16 h, it was cooled to rt and diluted with water (80 mL), then extracted with EtOAc (300 mL). The combined organic layers were washed with brine (80 mL), dried over Na2SO4 and concentrated onto silica gel. The crude material was purified by column chromatography to afford the title compound (1.00 g, 81%) as a brown solid.
STEP 3: (S)-2-((5-(5-chloro-4-(((3-fluorotetrahydro-2H-pyran-3-yl)methyl)amino)-6- oxopyridazin-1(6H)-yl)pyridin-2-yl)oxy)-4-cyclopropylbenzonitrile 2-((5-bromopyridin-2-yl)oxy)-4-cyclopropylbenzonitrile was coupled with 5-chloro-4-[[(3S)- fluorotetrahydropyran-3-yl]methylamino]-1H-pyridazin-6-one according to procedures described herein to afford the title compound. 1H NMR (400 MHz, DMSO-d6) δ 8.30 (d, J = 2.7 Hz, 1H), 8.17 (d, J = 1.7 Hz, 1H), 8.09 (dd, J = 8.8, 2.7 Hz, 1H), 7.77 (d, J = 8.1 Hz, 1H), 7.30 (d, J = 8.8 Hz, 1H), 7.17 (d, J = 1.7 Hz, 1H), 7.13 (dd, J = 8.1, 1.7 Hz, 1H), 7.05 (t, J = 6.9 Hz, 1H), 3.72-3.39 (m, 6H), 2.07-2.01 (m, 1H), 1.91-1.66 (m, 3H), 1.57-1.54 (m, 1H), 1.09-0.99 (m, 2H), 0.85-0.79 (m, 2H) LCMS (ES, m/z): 496.2 [M+H]+ EXAMPLE 816 Synthesis of (S)-4-chloro-2-(6-((4-fluorophenyl)sulfonyl)pyridin-3-yl)-5-(((3-fluorotetrahydro- 2H-pyran-3-yl)methyl)amino)pyridazin-3(2H)-one (compound 816)
STEP 1: 5-Bromo-2-((4-fluorophenyl)thio)pyridine A solution of 5-bromo-2-fluoro-pyridine (5.00 g, 28.4 mmol), 4-fluorobenzenethiol (7.28 g, 56.8 mmol) and DIPEA (4.04 g, 31.3 mmol, 5.44 mL) in DMF (7 mL) was heated at 100 °C for 16 h, cooled to rt, poured into water (200 mL) and extracted with EtOAc (3 x 200 mL). The combined organic layers were washed with brine (400 mL), dried over Na2SO4 and concentrated under reduced pressure. The crude residue was purified by silica gel chromatography, affording the title compound (2.50 g, 25%) as a yellow oil.
STEP 2: 5-bromo-2-((4-fluorophenyl)sulfonyl)pyridine To a solution of 5-bromo-2-((4-fluorophenyl)thio)pyridine (1.00 g, 3.52 mmol) in DCM (6 mL) was added m-CPBA (1.82 g, 10.6 mmol), in portions. After stirring for 1 h, the mixture was poured into water (100 mL) and extracted with EtOAc (3 x 100 mL). The crude residue was purified by reverse flash chromatography to afford the title compound (620 mg, 50%) as a yellow solid. STEP 3. (S)-4-chloro-2-(6-((4-fluorophenyl)sulfonyl)pyridin-3-yl)-5-(((3-fluorotetrahydro-2H- pyran-3-yl)methyl)amino)pyridazin-3(2H)-one 5-bromo-2-((4-fluorophenyl)sulfonyl)pyridine was coupled with 5-chloro-4-[[(3S)- fluorotetrahydropyran-3-yl]methylamino]-1H-pyridazin-6-one according to procedures described herein to afford the title compound. 1H NMR (400 MHz, DMSO-d6) δ 8.95 (d, J = 2.0 Hz, 1H), 8.40-8.32 (m, 2H), 8.28-8.24 (m, 1H), 8.11 (dd, J = 8.8, 5.2 Hz, 2H), 7.53 (t, J = 8.8 Hz, 2H), 7.25-7.18 (m, 1H), 3.76-3.60 (m, 4H), 3.58- 3.37(m, 2H), 1.91-1.82 (m, 1H), 1.81-1.65 (m, 2H), 1.60-1.50 (m, 1H) LCMS (ES, m/z): 497.0 [M+H]+ EXAMPLE 817 Synthesis of (S)-4-chloro-5-(((3-fluorotetrahydro-2H-pyran-3-yl)methyl)amino)-2-(6-((4- (trifluoromethoxy)phenyl)sulfonyl)pyridin-3-yl)pyridazin-3(2H)-one (compound 817)
STEP 1: 5-Bromo-2-((4-(trifluoromethoxy)phenyl)thio)pyridine A mixture of 5-bromo-2-fluoro-pyridine (1.36 g, 7.73 mmol), 4- (trifluoromethoxy)benzenethiol (1.00 g, 5.20 mmol) and K2CO3 (712 mg, 5.15 mmol)in DMF (5
mL) was heated at 120 °C for 16 h. the mixture was cooled to rt, poured into water (50 mL) and extracted with EtOAc (300 mL). The layer was washed with brine (50 mL), dried over Na2SO4 and concentrated under reduced pressure. The crude residue was purified by silica gel chromatography to afford the title compound (750 mg, 37%) as a brown solid. STEP 2: 5-Bromo-2-((4-(trifluoromethoxy)phenyl)sulfonyl)pyridine To a solution of 5-bromo-2-((4-(trifluoromethoxy)phenyl)thio)pyridine (500 mg, 1.29 mmol) in DCM (5 mL) was added m-CPBA (444 mg, 2.57 mmol). After stirring for 1 h, the mixture was poured into NaHCO3 (satd, aq, 50 mL) and extracted with EtOAc (300 mL). The combined organic layers were washed with brine (50 mL), dried over Na2SO4 and concentrated under reduced pressure. The crude residue was purified by silica gel chromatography to afford the title compound (480 mg, 88%) as a white solid. STEP 3. (S)-4-chloro-5-(((3-fluorotetrahydro-2H-pyran-3-yl)methyl)amino)-2-(6-((4- (trifluoromethoxy)phenyl)sulfonyl)pyridin-3-yl)pyridazin-3(2H)-one 5-Bromo-2-((4-(trifluoromethoxy)phenyl)sulfonyl)pyridine was coupled with 5-chloro-4- [[(3S)-fluorotetrahydropyran-3-yl]methylamino]-1H-pyridazin-6-one according to procedures described herein to afford the title compound. 1H NMR (400 MHz, DMSO-d6) δ 8.97 (d, J = 2.2 Hz, 1H), 8.40-8.35 (m, 2H), 8.26 (d, J = 1.8 Hz, 1H), 8.17 (d, J = 13.2 Hz, 2H), 7.66 (d, J = 8.4 Hz, 2H), 7.22 (t, J = 6.9 Hz, 1H), 3.74-3.32 (m, 6H), 1.90-1.69 (m, 3H), 1.57-1.54 (m, 1H) LCMS (ES, m/z): 563.1 [M+H]+ EXAMPLE 818 Synthesis of methyl (S)-(1-(4-((5-(5-chloro-4-(((3-fluorotetrahydro-2H-pyran-3- yl)methyl)amino)-6-oxopyridazin-1(6H)-yl)pyridin-2-yl)oxy)phenyl)cyclopropyl)carbamate (compound 818) /
STEP 1: methyl N-[1-[4-[(5-bromo-2-pyridyl)oxy]phenyl]cyclopropyl]carbamate A solution of 1-[4-[(5-bromo-2-pyridyl)oxy]phenyl]cyclopropanamine (300 mg, 983 μmol and TEA (137 μL, 983 μmol) in DCM (2.5 mL) was cooled to 0 °C, whereupon bis(trichloromethyl) carbonate (1.46 g, 4.92 mmol) in DCM (2.5 mL) was added dropwise. After 1 h, MeOH (1 mL) was added, and the mixture was warmed to rt. After an additional 1 h, the mixture was concentrated under reduced pressure then purified by prep-HPLC to afford the title compound (100 mg, 27%). STEP 2: methyl (S)-(1-(4-((5-(5-chloro-4-(((3-fluorotetrahydro-2H-pyran-3-yl)methyl)amino)-6- oxopyridazin-1(6H)-yl)pyridin-2-yl)oxy)phenyl)cyclopropyl)carbamate Methyl N-[1-[4-[(5-bromo-2-pyridyl)oxy]phenyl]cyclopropyl]carbamate was coupled with 5- chloro-4-[[(3S)-fluorotetrahydropyran-3-yl]methylamino]-1H-pyridazin-6-one according to procedures described herein to afford the title compound. 1H NMR (400 MHz, DMSO-d6) δ 8.26 (d, J = 2.7 Hz, 1H), 8.16 (d, J = 1.7 Hz, 1H), 8.06 (s, 1H), 7.99 (dd, J = 8.8, 2.7 Hz, 1H), 7.21 (d, J = 8.5 Hz, 2H), 7.13-7.02 (m, 4H), 3.74-3.57 (m, 4H), 3.52 (s, 3H), 3.49-3.38 (m, 2H), 1.90-1.66 (m, 3H), 1.61-1.50 (m, 1H), 1.20-1.13 (m, 4H) LCMS (ES, m/z): 544.1 [M+H]+ EXAMPLE 819 Synthesis of (S)-4-chloro-5-(((3-fluorotetrahydro-2H-pyran-3-yl)methyl)amino)-2-(5-(4- (trifluoromethoxy)phenoxy)-1,3,4-thiadiazol-2-yl)pyridazin-3(2H)-one (compound 819)
STEP 1: 2-bromo-5-(4-(trifluoromethoxy)phenoxy)-1,3,4-thiadiazole A solution of 2,5-dibromo-1,3,4-thiadiazole (1.37 g, 5.6 mmol), 4-(trifluoromethoxy)phenol (1.00 g, 5.61 mmol) and Cs2CO3 (5.67 g, 16.8 mmol) in DMA (20 mL) was heated to 100 °C for 1 h. The mixture was cooled to rt and directly purified by column chromatography to afford the title compound (1.91 g, 29%) as a yellow oil. STEP 2: (S)-4-chloro-5-(((3-fluorotetrahydro-2H-pyran-3-yl)methyl)amino)-2-(5-(4- (trifluoromethoxy)phenoxy)-1,3,4-thiadiazol-2-yl)pyridazin-3(2H)-one 2-bromo-5-(4-(trifluoromethoxy)phenoxy)-1,3,4-thiadiazole was coupled with 5-chloro-4- [[(3S)-fluorotetrahydropyran-3-yl]methylamino]-1H-pyridazin-6-one according to procedures described herein to afford the title compound. 1H NMR (400 MHz, DMSO-d6) δ 8.45 (d, J = 1.8 Hz, 1H), 7.63-7.56 (m, 3H), 7.55-7.50 (m, 2H), 3.79-3.66 (m, 4H), 3.59-3.49 (m, 1H), 3.48-3.39 (m, 1H), 2.02-1.66 (m, 3H), 1.63-1.52 (m, 1H). LCMS (ES, m/z): 522.0 [M+H]+ EXAMPLE 820 Synthesis of (S)-4-chloro-2-(6-(5-ethyl-2-(methylsulfonyl)phenoxy)pyridin-3-yl)-5-(((3- fluorotetrahydro-2H-pyran-3-yl)methyl)amino)pyridazin-3(2H)-one (compound 820)
STEP 1: 5-bromo-2-methylsulfonyl-phenol A mixture of 5-bromo-2-iodo-phenol (5.00 g, 16.7 mmol), sodium methyl sulfinate (2.22 g, 21.8 mmol), N-(2,6-dimethylphenyl)-4-hydroxy-pyrrolidine-2-carboxamide (196 mg, 836 μmol),
and CuI (159 mg, 836 μmol) in DMSO (15 mL) was heated to 50 °C. After 16 h, the mixture was cooled to rt and filtered through celite. The filtrate was concentrated and purified by prep-HPLC to afford the title compound (2.00 g, 38%) as a yellow oil. STEP 2: 5-ethyl-2-methylsulfonyl-phenol A mixture of ethylboronic acid (2.82 g, 38.2 mmol), 5-bromo-2-methylsulfonyl-phenol (1.20 g, 3.82 mmol), Pd(dppf)2Cl2 (312 mg, 382 μmol) and K3PO4 (2.43 g, 11.5 mmol) in dioxanes (10 mL)/water (2 mL) was heated to 100 °C. After 16 h, it was cooled to rt and diluted with water then extracted with EtOAc (3 x 50 mL). The combined organic layers were washed with brine (50 mL), dried over Na2SO4 and concentrated under reduced pressure. The crude material was purified by reverse phase chromatography to yield the title compound (180 mg, 14%) as a colorless oil. STEP 3: 5-bromo-2-(5-ethyl-2-methylsulfonyl-phenoxy)pyridine A mixture of 5-ethyl-2-methylsulfonyl-phenol (180 mg, 899 μmol), 5-bromo-2-fluoro- pyridine (316 mg, 1.80 mmol) and K2CO3 (248 mg, 1.80 mmol) in DMF (3 mL) was heated to 100 °C. After 16 h, it was cooled to rt and concentrated under reduced pressure. The crude product was purified by prep-HPLC to afford the title compound (60.0 mg, 16%) as a yellow solid. LCMS (ES, m/z): 357.9 [M+H]+ STEP 4: (S)-4-chloro-2-(6-(5-ethyl-2-(methylsulfonyl)phenoxy)pyridin-3-yl)-5-(((3- fluorotetrahydro-2H-pyran-3-yl)methyl)amino)pyridazin-3(2H)-one 5-bromo-2-(5-ethyl-2-methylsulfonyl-phenoxy)pyridine was coupled with 5-chloro-4-[[(3S)- fluorotetrahydropyran-3-yl]methylamino]-1H-pyridazin-6-one according to procedures described herein to afford the title compound. 1H NMR (400 MHz, DMSO-d6) δ 8.30 (d, J = 2.6 Hz, 1H), 8.17 (d, J = 1.8 Hz, 1H), 8.06 (dd, J = 8.8, 2.7 Hz, 1H), 7.86 (d, J = 8.1 Hz, 1H), 7.36 (dd, J = 8.1, 1.6 Hz, 1H), 7.29-7.25 (m, 2H), 7.06 (t, J = 7.0 Hz, 1H), 3.76-3.54 (m, 4H), 3.51-3.38 (m, 2H), 3.28 (s, 3H), 2.73-2.67 (m, 2H), 1.91-1.66 (m, 3H), 1.57-1.54 (m, 1H), 1.19 (t, J = 7.6 Hz, 3H) LCMS (ES, m/z): 537.2 [M+H]+
EXAMPLE 821 Synthesis of 2-[[5-[5-chloro-4-[[(3S)-3-fluorotetrahydropyran-3-yl]methylamino]-6-oxo- pyridazin-1-yl]-2-pyridyl]oxy]-4-ethyl-N-methyl-benzamide (compound 821)
A solution of 2-[[5-[5-chloro-4-[[(3S)-fluorotetrahydropyran-3-yl]methylamino]-6-oxo- pyridazin-1-yl]-2-pyridyl]oxy]-4-ethyl-benzoic acid (140 mg, 278 μmol), methylamine (25.1 mg, 557 μmol), DIPEA (36.0 mg, 278 μmol) and HATU (106 mg, 278 μmol) in DMF (1.2 mL) was stirred for 2 h, whereupon it was directly purified by prep-HPLC to afford the title compound (22.1 mg, 15%) as a white solid. 1H NMR (400 MHz, DMSO-d6) δ 8.22 (d, J = 2.6 Hz, 1H), 8.15 (d, J = 1.8 Hz, 1H), 8.09-7.94 (m, 2H), 7.56 (d, J = 7.9 Hz, 1H), 7.16 (dd, J = 7.9, 1.6 Hz, 1H), 7.10 (d, J = 8.8 Hz, 1H), 7.07-6.98 (m, 2H), 3.81-3.38 (m, 6H), 2.70-2.60 (m, 5H), 1.95-1.86 (m, 1H), 1.84-1.66 (m, 2H), 1.65-1.50 (m, 1H), 1.18 (t, J = 7.6 Hz, 3H) LCMS (ES, m/z): 516.3 [M+H]+ EXAMPLE 822 Synthesis of (S)-4-chloro-5-(((3-fluorotetrahydro-2H-pyran-3-yl)methyl)amino)-2-(6-(4-(1-(2- oxoimidazolidin-1-yl)cyclopropyl)phenoxy)pyridin-3-yl)pyridazin-3(2H)-one (compound 822)
STEP 1: tert-butyl N-[2-[[1-[4-[(5-bromo-2-pyridyl)oxy]phenyl]cyclopropyl]amino]ethyl] carbamate A solution of 1-[4-[(5-bromo-2-pyridyl)oxy]phenyl]cyclopropanamine (1.0 g, 3.28 mmol), tert-butyl N-(2-oxoethyl)carbamate (522 mg, 3.28 mmol), AcOH (98.4 mg, 1.64 mmol) and STAB (1.39 g, 6.55 mmol) in DCM (5 mL) was stirred for 1 h. After aqueous workup, the crude material was purified by prep-HPLC to afford the title compound (340 mg, 20%) as a white solid. STEP 2: N'-[1-[4-[(5-bromo-2-pyridyl)oxy]phenyl]cyclopropyl]ethane-1,2-diamine To a solution of tert-butyl N-[2-[[1-[4-[(5-bromo-2- pyridyl)oxy]phenyl]cyclopropyl]amino]ethyl] carbamate (280 mg, 625 μmol) in EtOAc (439 μL was added HCl (4M in EtOAc, 1.56 mL, 6.25 mmol)After 1 h,The solvent was removed under reduced pressure to yield the title compound (300 mg, 99%) as a yellow solid. STEP 3: 1-[1-[4-[(5-bromo-2-pyridyl)oxy]phenyl]cyclopropyl]imidazolidin-2-one A solution of N'-[1-[4-[(5-bromo-2-pyridyl)oxy]phenyl]cyclopropyl]ethane-1,2-diamine (280 mg, 728 μmol), TEA (736.5 mg, 7.28 mmol) and di(imidazol-1-yl)methanone (153.4 mg, 946.2 μmol) in DCM (4 mL) was stirred for 16 h, whereupon water (50 mL) was added followed by extraction with DCM (3 x 50 mL). The combined organic layers were dried over Na2SO4 and concentrated. The crude material was purified by prep-HPLC to yield the title compound (150 mg, 48%) as a white solid. STEP 4. (S)-4-chloro-5-(((3-fluorotetrahydro-2H-pyran-3-yl)methyl)amino)-2-(6-(4-(1-(2- oxoimidazolidin-1-yl)cyclopropyl)phenoxy)pyridin-3-yl)pyridazin-3(2H)-one 1-[1-[4-[(5-bromo-2-pyridyl)oxy]phenyl]cyclopropyl]imidazolidin-2-one was coupled with 5- chloro-4-[[(3S)-fluorotetrahydropyran-3-yl]methylamino]-1H-pyridazin-6-one according to procedures described herein to afford the title compound. 1H NMR (400 MHz, DMSO-d6) δ 8.29 (d, J = 2.6 Hz, 1H), 8.17-8.14 (m, 1H), 8.02 (dd, J = 8.8, 2.7 Hz, 1H), 7.23 (d, J = 2.0 Hz, 2H), 7.12 (d, J = 8.7 Hz, 3H), 7.02 (m, 1H), 6.30 (s, 1H), 3.74-3.38 (m, 8H), 3.29-3.21 (m, 2H), 1.92-1.69 (m, 3H), 1.60-1.51 (m, 1H), 1.29-1.24 (m, 2H), 1.16-1.10 (m, 2H). LCMS (ES, m/z): 555.4 [M+H]+
EXAMPLE 823 Synthesis of 2-[4-[4-(3-aminooxetan-3-yl)phenoxy]phenyl]-4-chloro-5-[[(3S)-3- fluorotetrahydropyran-3-yl]methylamino]pyridazin-3-one (compound 823)
STEP 1: N-[3-[4-(4-bromophenoxy)phenyl]oxetan-3-yl]-2-methyl-propane-2-sulfinamide A solution of 1-bromo-4-(4-bromophenoxy)benzene (800 mg, 2.44 mmol) in THF (6 mL) was cooled to -78 °C and butyllithium (1.7 M in THF, 1.2 mL, 2.04 mmol) followed by 2-methyl-N- (oxetan-3-ylidene)propane-2-sulfinamide (0.358 g, 2.04 mmol) were consecutively added dropwise. The mixture was warmed to rt and stirred for 1 h, whereupon water (20 mL) was added followed by extraction with EtOAc (3 x 100 mL). The combined organic layers were washed with brine (300 mL), dried over Na2SO4 and concentrated onto silica gel. The crude material was purified by column chromatography to yield the title compound (145 mg, 17%). STEP 2: 2-[4-[4-(3-aminooxetan-3-yl)phenoxy]phenyl]-4-chloro-5-[[(3S)-3- fluorotetrahydropyran-3-yl]methylamino]pyridazin-3-one A mixture of 5-chloro-4-[[(3S)-3-fluorotetrahydropyran-3-yl]methylamino]-1H-pyridazin-6- one (50 mg, 191 μmol), N-[3-[4-(4-bromophenoxy)phenyl]oxetan-3-yl]-2-methyl-propane-2- sulfinamide (121 mg, 285 μmol), CuI (36 mg, 189 μmol), K2CO3 (132 mg, 955 μmol), and (1S,2S)- N1,N2-dimethylcyclohexane-1,2-diamine (27 mg, 190 μmol) in DMF (0.5 mL) was heated to 80 °C for 2 h. The mixture was then cooled to rt and directly purified by prep-HPLC to afford the title compound (11.3 mg, 12%) as a light-blue solid.
1H NMR (400 MHz, DMSO-d6) δ 8.11 (s, 1H), 7.63 (d, J = 8.2 Hz, 2H), 7.49 (d, J = 8.8 Hz, 2H), 7.13-7.03 (m, 4H), 6.98-6.91 (m, 1H), 4.74-4.61 (m, 4H), 3.75-3.59 (m, 4H), 3.56-3.47 (m, 1H), 3.45-3.39 (m, 1H), 1.93-1.84 (m, 1H), 1.80-1.66 (m, 2H), 1.62-1.51 (m, 1H). LCMS (ES, m/z): 501.2 [M+H]+ EXAMPLE 824 Synthesis of (S)-4-chloro-2-(4-(cyclopropyl(5-ethoxypyrazin-2-yl)amino)phenyl)-5-(((3- fluorotetrahydro-2H-pyran-3-yl)methyl)amino)pyridazin-3(2H)-one (compound 824)
STEP 1: N-(4-bromophenyl)-5-chloro-pyrazin-2-amine A solution of 4-bromoaniline (100 mg, 581 μmol) in DMF (1 mL) was cooled to 0 °C and NaH (60% in mineral oil, 30.2 mg, 756 μmol) was added. After 0.5 h, 2,5-dichloropyrazine (173 mg, 1.16 mmol) was added. The mixture was stirred for an additional 1 h, concentrated under reduced pressure and then purified directly by column chromatography to afford the title compound.
STEP 2: N-(4-bromophenyl)-5-chloro-N-cyclopropyl-pyrazin-2-amine A mixture of N-(4-bromophenyl)-5-chloro-pyrazin-2-amine (1.10 g, 3.87 mmol), cyclopropylboronic acid (2.66 g, 30.9 mmol), Cu(OAc)2 (702 mg, 3.87 mmol), 2,2’-bipyridine (604 mg, 3.87 mmol) and Na2CO3 (2.05 g, 19.3 mmol) was stirred under an O2 atmosphere for 2 h. Water (100 mL) was added followed by extraction with EtOAc (3 x 100 mL). The combined organic layers were dried over Na2SO4, concentrated and purified by column chromatography to afford the title compound (330 mg, 24%) as a yellow oil. STEP 3: N-(4-bromophenyl)-N-cyclopropyl-5-ethoxy-pyrazin-2-amine A solution of EtOH (288 μL, 4.93 mmol) in DMF (3.5 mL) was cooled to 0 °C and NaH (51.26 mg, 1.28 mmol) was added. The temperature was maintained for 0.5 h, then N-(4- bromophenyl)-5-chloro-N-cyclopropyl-pyrazin-2-amine (320 mg, 986 μmol) was added, portion wise. After 0.5 h, water (50 mL) was added followed by extraction with EtOAc (3 x 50 mL). The organic layers were dried over Na2SO4, concentrated and purified by column chromatography to yield the title compound (180 mg, 49%) as a yellow solid. STEP 4: (S)-4-chloro-2-(4-(cyclopropyl(5-ethoxypyrazin-2-yl)amino)phenyl)-5-(((3- fluorotetrahydro-2H-pyran-3-yl)methyl)amino)pyridazin-3(2H)-one N-(4-bromophenyl)-N-cyclopropyl-5-ethoxy-pyrazin-2-amine was coupled with 5-chloro-4- [[(3S)-fluorotetrahydropyran-3-yl]methylamino]-1H-pyridazin-6-one according to procedures described herein to afford the title compound. 1H NMR (400 MHz, DMSO-d6) δ 8.14 (d, J = 1.2 Hz, 1H), 8.10 (s, 1H), 7.99 (d, J = 1.2, 1H), 7.39 (d, J = 8.8 Hz, 2H), 7.20 (d, J = 8.8 Hz, 2H), 6.94-6.89 (t, J = 6.9 Hz, 1H), 4.37-4.30 ( m, 2H), 3.77-3.51 (m, 4H), 3.51-3.38 (m, 2H), 3.00-2.92 (m, 1H), 1.95-1.66 (m, 3H), 1.61-1.52 (m, 1H), 1.39-1.31 (m, 3H), 1.00-0.94 (m, 2H), 0.62-0.57 (m, 2H). LCMS (ES, m/z): 515.3 [M+H]+
EXAMPLE 825 Synthesis of (S)-4-chloro-2-(6-(5-fluoro-2-(trifluoromethoxy)phenoxy)pyridin-3-yl)-5-(((3- fluorotetrahydro-2H-pyran-3-yl)methyl)amino)pyridazin-3(2H)-one (compound 825)
STEP 1: 2-(5-fluoro-2-(trifluoromethoxy)phenyl)-4,4,5,5-tetramethyl-1,3,2-dioxaborolane A mixture of 2-bromo-4-fluoro-1-(trifluoromethoxy)benzene (2.0 g, 7.72 mmol), methyl 4- (4,4,5,5-tetramethyl-1,3,2-dioxaborolan-2-yl)pyridine-2-carboxylate (4.06 g, 15.4 mmol), Pd(dppf)2Cl2 (630.6 mg, 772.2 μmol) and KOAc (1.52 g, 15.44 mmol) in dioxanes (25 mL) was heated to 100 °C for 3 h. The mixture was cooled to rt, concentrated under reduced pressure and purified by silica gel chromatography to yield the title compound (5.0 g) as a red oil. STEP 2: 5-fluoro-2-(trifluoromethoxy)phenol To a solution of 2-(5-fluoro-2-(trifluoromethoxy)phenyl)-4,4,5,5-tetramethyl-1,3,2- dioxaborolane (2.0 g, 6.5 mmol) and hydrogen peroxide (404 μL, 13.07 mmol) in THF (21 mL) at 0 °C was added NaOH (2M, 2.61 mL). After 4 h, it was concentrated and purified by column chromatography to yield the title compound (150 mg, 12%) as a brown oil. STEP 3: 5-bromo-2-(5-fluoro-2-(trifluoromethoxy)phenoxy)pyridine A mixture of 5-fluoro-2-(trifluoromethoxy)phenol (250 mg, 1.27 mmol), 5-bromo-2-fluoro- pyridine (269 mg, 1.53 mmol), and K2CO3 (529 mg, 3.82 mmol) in DMF (2 mL) was heated at 110
°C for 2 h. Upon cooling to rt, water (10 mL) was added followed by extraction with EtOAc (3 x 10 mL). The combined organic layers were washed with brine (50 mL), dried over Na2SO4 and purified by column chromatography to yield the title compound (200 mg, 45%) as a yellow oil. STEP 4: (S)-4-chloro-2-(6-(5-fluoro-2-(trifluoromethoxy)phenoxy)pyridin-3-yl)-5-(((3- fluorotetrahydro-2H-pyran-3-yl)methyl)amino)pyridazin-3(2H)-one 5-bromo-2-[5-fluoro-2-(trifluoromethoxy)phenoxy]pyridine was coupled with 5-chloro-4- [[(3S)-fluorotetrahydropyran-3-yl]methylamino]-1H-pyridazin-6-one according to procedures described herein to afford the title compound. 1H NMR (400 MHz, DMSO-d6) δ 8.28 (dd, J = 2.6 Hz, 1H), 8.16 (d, J = 1.7 Hz, 1H), 8.07 (dd, J = 8.8, 2.7 Hz, 1H), 7.66-7.59 (m, 1H), 7.49 (dd, J = 9.1, 3.0 Hz, 1H), 7.30-7.24 (m, 2H), 7.05 (t, J = 7.0 Hz, 1H), 3.75-3.60 (m, 4H), 3.56-3.37 (m, 2H), 1.93-1.64 (m, 3H), 1.60-1.52 (m, 1H). LCMS (ES, m/z): 533.0 [M+H]+ EXAMPLE 826 Synthesis of (S)-4-chloro-2-(6-(5-ethoxy-2-propionylphenoxy)pyridin-3-yl)-5-(((3- fluorotetrahydro-2H-pyran-3-yl)methyl)amino)pyridazin-3(2H)-one (compound 826)
STEP 1: methyl 4-ethoxy-2-hydroxy-benzoate To methyl 2,4-dihydroxybenzoate (10 g, 59.4 mmol) in DMF (200 mL) was added C2H5I (9.28 g, 59.4 mmol) and K2CO3 (8.22 g, 59.4 mmol). After stirring for 18 h, the mixture was poured into water (200 mL) and extracted with EtOAc (3 x 300 mL). The combined organic layers were washed with brine (400 mL), dried over Na2SO4 and concentrated under reduced pressure. The crude residue was purified by silica gel column chromatography to afford the title compound (8.80 g, 68%). LCMS (ES, m/z): 197.20[M+H]+ STEP 2: methyl 2-((5-bromopyridin-2-yl)oxy)-4-ethoxybenzoate To methyl 4-ethoxy-2-hydroxy-benzoate (3 g, 15.2 mmol) and 5-bromo-2-fluoropyridine (2.69 g, 15.3 mmol) in DMF (50 mL) was added K2CO3 (3.17 g, 22.9 mmol). The resulting mixture was heated at 100 °C for 16 h, cooled to rt, poured into water (50 mL) and extracted with EtOAc (3 x 100 mL). The combined organic layers were washed with brine (100 mL), dried over Na2SO4 and concentrated under reduced pressure. The crude product was purified by silica gel chromatography to afford the title compound (2.0 g, 37%). LCMS (ES, m/z): 352.15, 354.15 [M+H]+ STEP 3: 2-((5-bromopyridin-2-yl)oxy)-4-ethoxybenzoic acid To methyl 2-((5-bromopyridin-2-yl)oxy)-4-ethoxybenzoate (2.00 g, 5.68 mmol) in MeOH (9 mL) was added a solution of NaOH (681 mg, 17.0 mmol) in water (5 mL). After stirring for 3 h, it was cooled to 0 °C and acidified to pH 7 with HCl (2M), then extracted with EtOAc (3 x 50 mL). The combined organic layers were dried over Na2SO4 and concentrated under reduced pressure. The crude product was purified by silica gel chromatography to afford the title compound (1.40 g, 73%) as a white oil. LCMS (ES, m/z): 338.20, 340.20 [M+H]+ STEP 4: 2-((5-bromopyridin-2-yl)oxy)-4-ethoxy-N-methoxy-N-methylbenzamide To a mixture of 2-((5-bromopyridin-2-yl)oxy)-4-ethoxybenzoic acid (1.00 g, 2.96 mmol), HATU (1.36 g, 3.55 mmol) and DIPEA (1.15 g, 8.87 mmol) in DMF (15 mL) was added N,O- dimethylhydroxylamine hydrochloride (288 mg, 2.96 mmol). After 2 h, it was poured into water (20 mL) and extracted with EtOAc (3 x 20 mL). The combined organic layers were dried over
Na2SO4 and concentrated under reduced pressure. The crude product was purified by silica gel chromatography to afford the title compound (300 mg, 27%) as white solid. LCMS (ES, m/z): 381.20, 383.20 [M+H]+ STEP 5: 1-(2-((5-bromopyridin-2-yl)oxy)-4-ethoxyphenyl)propan-1-one To a 2-((5-bromopyridin-2-yl)oxy)-4-ethoxy-N-methoxy-N-methylbenzamide (200 mg, 524 μmol) in THF (3 mL) and added EtMgBr (1M in THF, 524 μL, 524 μmol). After stirring for 2 h, it was poured into water (20 mL) and extracted with EtOAc (3 x 20 mL). The combined organic layers were dried over Na2SO4 and concentrated under reduced pressure. The crude residue was purified by silica gel chromatography to afford the title compound (100 mg, 54%) as white solid. LCMS (ES, m/z): 350.20, 352.20 [M+H]+ STEP 6: (S)-4-chloro-2-(6-(5-ethoxy-2-propionylphenoxy)pyridin-3-yl)-5-(((3-fluorotetrahydro- 2H-pyran-3-yl)methyl)amino)pyridazin-3(2H)-one 1-(2-((5-bromopyridin-2-yl)oxy)-4-ethoxyphenyl)propan-1-one was coupled with 5-chloro-4- [[(3S)-fluorotetrahydropyran-3-yl]methylamino]-1H-pyridazin-6-one according to procedures described herein to afford the title compound. 1H NMR (400 MHz, DMSO-d6) δ 8.25 (d, J = 2.7 Hz, 1H), 8.16 (d, J = 1.7 Hz, 1H), 8.03 (dd, J = 8.8, 2.7 Hz, 1H), 7.85 (d, J = 8.8 Hz, 1H), 7.18 (d, J = 8.8 Hz, 1H), 7.06-7.00 (m, 1H), 6.93 (dd, J = 8.8, 2.5 Hz, 1H), 6.77 (d, J = 2.5 Hz, 1H), 4.12 (q, J = 6.9 Hz, 2H), 3.74-3.41 (m, 6H), 2.85-2.80 (m, 2H), 1.91-1.69 (m, 3H), 1.60-1.54 (m, 1H), 1.34-1.29 (m, 3H), 0.96-0.91 (m, 3H). LCMS (ES, m/z): 531.3 [M+H]+
EXAMPLE 827 Synthesis of (S)-4-chloro-5-(((3-fluorotetrahydro-2H-pyran-3-yl)methyl)amino)-2-(6-(4-((2- oxoazetidin-1-yl)methyl)phenoxy)pyridin-3-yl)pyridazin-3(2H)-one (compound 827)
STEP 1: (4-((5-bromopyridin-2-yl)oxy)phenyl)methanol A solution of 4-((5-bromopyridin-2-yl)oxy)benzaldehyde (2.00 g, 7.19 mmol) in MeOH (15 mL) at 0°C was added NaBH4 (544 mg, 14.4 mmol). The resulting mixture was stirred for 2 h, whereupon the solvent was removed under reduced pressure, and the crude product was purified by silica gel column chromatography to afford the title compound (1.80 g, 89% yield) as a white solid. STEP 2: 5-bromo-2-(4-(bromomethyl)phenoxy)pyridine To (4-((5-bromopyridin-2-yl)oxy)phenyl)methanol (150 mg, 535 μmol) in DCM (3 mL) at 0 °C was added PBr3 (435 mg, 1.61 mmol), dropwise. The resulting mixture was stirred for 16 h at rt, then poured into water (10 mL) and extracted with EtOAc (3 x 10 mL). The combined organic layers were washed with brine (10 mL), dried over Na2SO4 and concentrated under reduced pressure. The crude residue was purified by column chromatography to afford the title compound (150 mg, 82% yield) as a white oil. STEP 3: (1-(4-((5-bromopyridin-2-yl)oxy)benzyl)azetidin-2-one To 5-bromo-2-(4-(bromomethyl)phenoxy)pyridine (150 mg, 437 μmol) in DMF (2 mL) at 0 °C was added NaH (60% in mineral oil, 70.0 mg, 1.75 mmol) in portions. After 30 minutes, azetidin- 2-one (62.2 mg, 875 μmol) was added and the resulting mixture was stirred for 2 h at rt, then slowly poured into ice-water (10 mL) and extracted with EtOAc (3 x 10 mL). The combined
organic layers were washed with brine (10 mL), dried over Na2SO4 and concentrated under reduced pressure. The crude product was purified by silica gel chromatography to afford the title compound (100 mg, 69% yield) as a light-yellow oil. STEP 4: (S)-4-chloro-5-(((3-fluorotetrahydro-2H-pyran-3-yl)methyl)amino)-2-(6-(4-((2- oxoazetidin-1-yl)methyl)phenoxy)pyridin-3-yl)pyridazin-3(2H)-one A solution of 5-chloro-4-[[(3S)-3-fluorotetrahydropyran-3-yl]methylamino]-1H-pyridazin-6- one (25.0 mg, 95.5 μmol), 1-[[4-[(5-bromo-2-pyridyl)oxy]phenyl]methyl]azetidin-2-one (63.7 mg, 191 μmol), CuI (18.2 mg, 95.5 μmol, 3.24 μL), K2CO3 (66.0 mg, 478 μmol, 28.8 μL) and (1S,2S)-N1,N2-dimethylcyclohexane-1,2-diamine (13.6 mg, 95.5 μmol, 15.1 μL) in DMF (491 μL) was heated to 80 °C for 1 h. After cooling to rt, it was directly purified by reverse flash chromatography to afford the title compound (28.2 mg, 55% yield) as an off-white solid. 1H NMR (400 MHz, DMSO-d6) δ 8.28 (d, J = 2.7 Hz, 1H), 8.16 (d, J = 1.9 Hz, 1H), 8.02 (dd, J = 8.8, 2.7 Hz, 1H), 7.35 (d, J = 9.0 Hz, 2H), 7.18-7.10 (m, 3H), 7.04-7.01 (m, 1H), 4.34 (d, J = 5.7 Hz, 2H), 3.72-3.39 (m, 6H), 3.20-3.15 (m, 2H), 2.95-2.90 (m, 2H), 1.93-1.65 (m, 3H), 1.67-1.54 (m, 1H). LCMS (ES, m/z): 514.2 [M+H]+
EXAMPLE 828 Synthesis of (S)-4-chloro-2-(6-((5-ethyl-2-(trifluoromethoxy)phenyl)sulfonyl)pyridin-3-yl)-5- (((3-fluorotetrahydro-2H-pyran-3-yl)methyl)amino)pyridazin-3(2H)-one (compound 828)
STEP 1: 5-ethyl-2-(trifluoromethoxy)aniline To 5-bromo-2-(trifluoromethoxy)aniline (20.0 g, 78.12 mmol) and ethylboronic acid (11.54 g, 156.24 mmol) in dioxane (200 mL)/water (40 mL) was added [1,1′- Bis(diphenylphosphino)ferrocene]-dichloropalladium(II) (6.38 g, 7.81 mmol) and K2CO3 (32.39 g, 234.36 mmol). The resulting mixture was stirred at 90 °C for 16 h under a N2 atmosphere. After cooling to rt, water was added followed by extraction with EA (3 x 200 mL). The combined organic layers were dried over Na2SO4 and concentrated under reduced pressure. The crude residue was purified by silica gel chromatography to afford the title compound (10.0 g, 62%). LCMS (ES, m/z): 206.30 [M+H]+ STEP 2: O-Ethyl S-(5-ethyl-2-(trifluoromethoxy)phenyl) carbonodithioate To a stirred mixture of 5-ethyl-2-(trifluoromethoxy)aniline (10.0 g, 48.7 mmol) in water (57 mL), at 0°C, was added HCl (6 M, aq, 41 mL) followed by NaNO2 (4 M, aq, 49 mL), dropwise. After stirring at 0°C for 15 min, a solution of potassium O-ethyl carbonodithioate (15.63 g, 97.48 mmol) in water was added dropwise and then heated to 80°C. After 2 h, it was cooled to rt then
extracted with EA (3 x 100mL). The combined organic layers were dried over Na2SO4 and concentrated under reduced pressure. The crude residue was purified by silica gel chromatography to afford the title compound (5.0 g, 60% purity, 20%). STEP 3: 5-Ethyl-2-(trifluoromethoxy)benzenethiol To O-ethyl S-(5-ethyl-2-(trifluoromethoxy)phenyl) carbonodithioate (5.0 g, 60%, 9.67 mmol) in ethanol (25 mL)/water (25 mL) was added KOH (5.42 g, 96.7 mmol) in portions, whereupon it was heated to 85 °C. After stirring for 4 h, it was cooled to rt and the solids were filtered off. The filtrate was concentrated under reduced pressure and the crude residue was purified by silica gel chromatography to afford the title compound (2.0 g, 84%). STEP 4: 5-Bromo-2-((5-ethyl-2-(trifluoromethoxy)phenyl)thio)pyridine To 5-ethyl-2-(trifluoromethoxy)benzenethiol (0.5 g, 2.25 mmol) and 5-bromo-2-fluoro- pyridine (396 mg, 2.25 mmol) in DMF (5 mL) was added K2CO3 (933 mg, 6.75 mmol). After stirring for 16 h, water was added followed by extraction with EA (3 x 10mL). The combined organic layers were dried over Na2SO4 and concentrated under reduced pressure. The crude residue was purified by silica gel chromatography afford the title compound (0.40 g, 47%). LCMS (ES, m/z): 378.20 [M+H]+ STEP 5: 5-Bromo-2-((5-ethyl-2-(trifluoromethoxy)phenyl)sulfonyl)pyridine To 5-bromo-2-[5-ethyl-2-(trifluoromethoxy)phenyl]sulfanyl-pyridine (0.20 g, 529 μmol) in DCM (3 mL) at 0°C was added 3-chloroperbenzoic acid (182.5 mg, 1.06 mmol). After stirring for 1 h, water was added followed by DCM. The combined organic layers were dried over anhydrous Na2SO4. The layers were separated and the organic layer was dried over Na2SO4 then concentrated under reduced pressure. The crude residue was purified by silica gel chromatography to afford the title compound (80 mg, 37%). STEP 6: (S)-4-chloro-2-(6-((5-ethyl-2-(trifluoromethoxy)phenyl)sulfonyl)pyridin-3-yl)-5-(((3- fluorotetrahydro-2H-pyran-3-yl)methyl)amino)pyridazin-3(2H)-one 5-Bromo-2-((5-ethyl-2-(trifluoromethoxy)phenyl)sulfonyl)pyridine was coupled with 5- chloro-4-[[(3S)-fluorotetrahydropyran-3-yl]methylamino]-1H-pyridazin-6-one according to procedures described herein to afford the title compound.
1H NMR (400 MHz, DMSO-d6) δ 8.95-8.92 (m, 1H), 8.46 (dd, J = 8.5, 2.4 Hz, 1H), 8.36 (d, J = 8.5 Hz, 1H), 8.27 (d, J = 1.5 Hz, 1H), 8.08 (d, J = 2.3 Hz, 1H), 7.76 (dd, J = 8.4, 2.5 Hz, 1H), 7.49 (dd, J = 8.3, 1.5 Hz, 1H), 7.23 (t, J = 7.1 Hz, 1H), 3.78-3.60 (m, 4H), 3.54-3.37 (m, 2H), 2.85-2.77 (m, 2H), 1.93-1.65 (m, 3H), 1.62-1.52 (m, 1H), 1.25 (t, J = 7.5 Hz, 3H) LCMS (ES, m/z): 591.2 [M+H]+ EXAMPLE 829 Synthesis of 4-chloro-2-(6-((5-ethyl-2-(trifluoromethoxy)phenyl)sulfinyl)pyridin-3-yl)-5-((((S)- 3-fluorotetrahydro-2H-pyran-3-yl)methyl)amino)pyridazin-3(2H)-one (compound 829)
STEP 1: 5-Bromo-2-((5-ethyl-2-(trifluoromethoxy)phenyl)sulfinyl)pyridine To 5-bromo-2-((5-ethyl-2-(trifluoromethoxy)phenyl)thio)pyridine (20.0 mg, 529 μmol) in DCM (3 mL) at 0 °C was added 3-chloroperbenzoic acid (91.3 mg, 529 μmol). After stirring for 1 h, water was added followed by DCM. The layers were separated and the organic layer was dried over Na2SO4 then concentrated under reduced pressure. The crude residue was purified by silica gel chromatography to afford the title compound (10 mg, 48%). STEP 2: 4-chloro-2-(6-((5-ethyl-2-(trifluoromethoxy)phenyl)sulfinyl)pyridin-3-yl)-5-((((S)-3- fluorotetrahydro-2H-pyran-3-yl)methyl)amino)pyridazin-3(2H)-one 5-Bromo-2-((5-ethyl-2-(trifluoromethoxy)phenyl)sulfinyl)pyridine was coupled with 5- chloro-4-[[(3S)-fluorotetrahydropyran-3-yl]methylamino]-1H-pyridazin-6-one according to procedures described herein to afford the title compound.
1H NMR (400 MHz, DMSO-d6) δ 8.83-8.80 (m, 1H), 8.32 (dd, J = 8.5, 2.4 Hz, 1H), 8.24-8.20 (m, 1H), 8.09 (d, J = 8.5 Hz, 1H), 7.70 (d, J = 2.2 Hz, 1H), 7.55 (dd, J = 8.5, 2.2 Hz, 1H), 7.44 (dd, J = 8.7, 1.2 Hz, 1H), 7.15 (t, J = 7.3 Hz, 1H), 3.77-3.60 (m, 4H), 3.57-3.38 (m, 2H), 2.75-2.66 (m, 2H), 1.94-1.65 (m, 3H), 1.60-1.52 (m, 1H), 1.21-1.15 (m, 3H) LCMS (ES, m/z): 575.3 [M+H]+ EXAMPLE 830 Synthesis of 4-chloro-5-[[(3S)-3-fluorotetrahydropyran-3-yl]methylamino]-2-[4-[5- (trifluoromethoxy)pyrazin-2-yl]oxycyclohexyl]pyridazin-3-one (compound 830)
STEP 1: 2-[bromo(difluoro)methoxy]-5-chloro-pyrazine A solution of 5-chloropyrazin-2-ol (10.0 g, 76.6 mmol) and tetrabutylammonium bromide (987.9 mg, 3.06 mmol) in DMF (15 mL) was cooled to 0°C and NaH (60% in mineral oil, 2.21 g, 91.9 mmol) was added in portions. The mixture was warmed to rt for 2 h, then cooled to -30°C followed by addition of CBr2F2 (64.30 g, 306.4 mmol). The mixture was warmed to 35 °C for 6 h, whereupon water (100 mL) was added followed by extraction with MTBE (2 x 100 mL). The combined organic layers were washed with brine (1 x 100 mL), dried over Na2SO4 and concentrated onto silica gel. The material was purified by column chromatography to yield the title compound (6 g, 26%) as a yellow oil.
STEP 2: 2-chloro-5-(trifluoromethoxy)pyrazine A solution of 2-[bromo(difluoro)methoxy]-5-chloro-pyrazine (6.0 g, 23.1 mmol) in DCM (60 mL) was cooled to -78°C and AgBF4 (247.6 mg, 1.27 mmol) was added in portions. After 16 h at rt, while protected from light exposure, it was quenched with NaHCO3 (satd, aq, 200 mL) and extracted with DCM (2 x 250 mL). The combined organic layer was washed with brine, dried over Na2SO4 and concentrated onto silica gel. The material was purified by column chromatography to yield the title compound (4.0 g, 70%) as a light-yellow oil. STEP 3: 2-(1,4-dioxaspiro[4.5]decan-8-yloxy)-5-(trifluoromethoxy)pyrazine A mixture of 1,4-dioxaspiro[4.5]decan-8-ol (2.39 g, 15.11 mmol) and NaH (483.6 mg, 20.15 mmol) in toluene (30 mL) was stirred for 15 min. Separately, a mixture of 2-chloro-5- (trifluoromethoxy)pyrazine (2 g, 10.07 mmol), BINAP (1.25 g, 2.01 mmol), Pd2(dba)3 (1.84 g, 2.01 mmol) in toluene (30 mL) was prepared. The two solutions were combined and heated to 100°C for 3 h. Upon cooling to rt, the mixture was concentrated onto silica gel. The crude material was purified by column chromatography to yield the title compound (420 mg, 12%) as a light-yellow solid. STEP 4: 4-[5-(trifluoromethoxy)pyrazin-2-yl]oxycyclohexanone 2-(1,4-dioxaspiro[4.5]decan-8-yloxy)-5-(trifluoromethoxy)pyrazine (400 mg, 1.25 mmol) was dissolved in THF (3 mL) and HCl (4M, 3 mL) and stirred for 2 h, whereupon water (80 mL) was added followed by extraction with EtOAc (2 x 80 mL). The combined organic layers were washed with brine (100 mL), dried over Na2SO4 and concentrated under reduced pressure to yield the title compound (350 mg, 81%) as a yellow oil. STEP 5: tert-butyl N-[[4-[5-(trifluoromethoxy)pyrazin-2-yl]oxycyclohexyl]amino]carbamate A mixture of 4-[5-(trifluoromethoxy)pyrazin-2-yl]oxycyclohexanone (350 mg, 1.27 mmol) , tert-butyl N-aminocarbamate (334.9 mg, 2.53 mmol), AcOH (38 mg, 634 μmol) and STAB (537.12 mg, 2.53 mmol) in DCM (5 mL) was stirred for 1.5 h. The mixture was concentrated and then partitioned between NaHCO3 (100 mL) and EtOAc (80 mL). The layers were separated and the aqueous was extracted with EtOAc (80 mL). The combined organic layers were washed with brine (100 mL), dried over Na2SO4 and concentrated to afford the title compound (300 mg, 36%) as a yellow solid.
STEP 6: trans- 4,5-dichloro-2-[4-[5-(trifluoromethoxy)pyrazin-2-yl]oxycyclohexyl]pyridazin-3- one A solution of tert-butyl N-[[4-[5-(trifluoromethoxy)pyrazin-2- yl]oxycyclohexyl]amino]carbamate (300 mg, 764.58 μmol), mucchochloric acid (193.8 mg, 1.15 mmol) and HCl (139.4 mg, 3.82 mmol) in EtOH (4 mL) was heated to 80 °C for 3 h. The mixture was cooled to rt, NaHCO3 (satd, aq, 80 mL) was added followed by extraction with EtOAc (2 x 70 mL). The combined organic layers were washed with brine (100 mL), dried over Na2SO4 and concentrated onto silica gel. The material was purified by column chromatography to afford the title compound (150 mg, 42%) as a light-yellow solid. STEP 7: trans- 4-chloro-5-[[(3S)-3-fluorotetrahydropyran-3-yl]methylamino]-2-[4-[5- (trifluoromethoxy)pyrazin-2-yl]oxycyclohexyl]pyridazin-3-one A mixture of trans-4,5-dichloro-2-[4-[5-(trifluoromethoxy)pyrazin-2- yl]oxycyclohexyl]pyridazin-3-one (40.0 mg, 94.1 μmol), [(3S)-3-fluorotetrahydropyran-3- yl]methanamine (31.9 mg, 188 μmol) and TEA (39 μL, 282 μmol) in EtOH (1 mL) was stirred at 80 °C for 32 h. The mixture was cooled to rt and purified directly by prep-HPLC to afford the title compound (22.4 mg, 45%) as a white solid. 1H NMR (400 MHz, DMSO-d6) δ 8.36 (d, J = 0.8 Hz, 1H), 8.12 (d, J = 0.80 Hz, 1H), 7.99 (s, 1H), 6.73 (t, J = 6.9 Hz, 1H), 5.00-4.90 (m, 1H), 4.85-4.75 (m, 1H), 3.75-3.37 (m, 6H), 2.29-2.16 (m, 2H), 1.91-1.76 (m, 5H), 1.74-1.60 (m, 4H), 1.60-1.51 (m, 1H) LCMS (ES, m/z): 522.1 [M+H]+
EXAMPLE 831 Synthesis of 4-chloro-5-((((S)-3-fluorotetrahydro-2H-pyran-3-yl)methyl)amino)-2-(trans-4-((5- (trifluoromethoxy)pyrimidin-2-yl)oxy)cyclohexyl)pyridazin-3(2H)-one (compound 831)
STEP 1: O-(2-chloropyrimidin-5-yl) ethylsulfanylmethanethioate A mixture of 2-chloropyrimidin-5-ol (10.0 g, 76.6 mmol) and thiocarbonyl dichloride (8.81 g, 76.6 mmol) in NaOH (5% aq, 150 mL) was stirred for 2 h at 0 °C. After warming to rt, it was extracted with DCM (3 x 20 mL) and the organic layer was washed with HCl (1M, 5 mL) then water (2 x 5 mL). The organic layer was dried over Na2SO4 and filtered. The filtrate was cooled to 0 °C and sodium ethanethiolate (7.09 g, 84.3 mmol) was added. The mixture was stirred overnight and then concentrated onto silica gel. The crude material was purified by column chromatography to yield the title compound (5.0 g, 25%) as a light-yellow solid. STEP 2: 2-chloro-5-(trifluoromethoxy)pyrimidine A solution of 1,3-dibromo-5,5-dimethylimidazolidine-2,4-dione (5.48 g, 19.2 mmol) in DCM (100 mL) was cooled to −78°C and HF (45.6 g, 332.1 mmol) was added, dropwise. After 30 min, O-(2-chloropyrimidin-5-yl) ethylsulfanylmethanethioate (1.0 g, 4.26 mmol) in DCM (20 mL) was
added, followed by warming to -5 °C. After 2 h, NaHCO3 (100 mL) and NaHSO3 (150 mL) were added to the mixture (red color disappears). The mixture was basified to pH 10 with NaOH (aq), followed by extraction with DCM (3 x 150 mL). The organic layer was dried over Na2SO4 and purified by column chromatography to afford the title compound (500 mg, 59%) as a yellow oil. 2-chloro-5-(trifluoromethoxy)pyrimidine was converted to 4-chloro-5-((((S)-3- fluorotetrahydro-2H-pyran-3-yl)methyl)amino)-2-(trans-4-((5-(trifluoromethoxy)pyrimidin-2- yl)oxy)cyclohexyl)pyridazin-3(2H)-one according to procedures described herein. 1H NMR (400 MHz, DMSO-d6) δ 8.80 (s, 2H), 8.01 (s, 1H), 6.72 (t, J = 6.9 Hz, 1H), 5.21 (t, J = 3.0 Hz, 1H), 4.92-4.82 (m, 1H), 3.74-3.37 (m, 6H), 2.17-1.94 (m, 4H), 1.91-1.51 (m, 8H) LCMS (ES, m/z): 522.1 [M+H]+ EXAMPLES 832 – 881 Compounds 832 to 881, as shown in Table 27 below, were prepared according to similar methods and procedures as described herein. MS = (ES, m/z) [M+H]+
EXAMPLE 882 BIOLOGICAL ASSAYS DGKα and DGKζ biochemical assays Compounds of the present invention were prepared into 10 mM DMSO solution and 10 nL of stock was transferred into 384 plates (Optiplate 384 plate) using Echo550. DMSO was used as high control, and ATP substrate buffer was used as a low control. A 1x enzyme assay buffer was prepared (Hepes, pH 7.025mM, BSA 0.05%, Triton-X1000.002%,CaCl2 1μM, MgCl210mM, DTT 2mM). The enzyme assay was performed by diluting enzyme DGKα (1μg/μL DGKα, Carna12-101, SEQ ID NO: 3) or DGKζ (1μ/μL DGKζ, Carna 12-110, SEQ ID NO: 4) using 1X assay buffer. OAG (1-oleoyl-2-acetyl-sn-glycerol, 25mg/ml, Avanti 800100O) and PS (10 mg/ml, Avanti 840032P) were mixed at the ratio of 1:2. A 1X substrate solution was prepared with 1X assay buffer by 100-fold dilution. The substrate solution was sonicated on ice for 1 min. The pure ATP was added to the substrate solution (DGKa:400 μM).5 μL of the enzyme solution were added to the 384 well plate, and the plate was spun for 1 min at 1000 rpm and incubated for 30 mins
at RT.5 μL of 1X substrate solution were added to the 384 well plate, the plate was spun and then incubated for 45 mins at RT.10 μL ADP-Glo detergent was added to stop the assay. After 60 mins at RT, 20 μL ADP-Glo Detection buffer was added as the final step. Plate was read after 45min incubation at RT. Data analysis was performed by calculating the % Inhibition using following the formula:
High control (Hc): DMSO/DGKα(DGKζ)/Substrate/ATP/ADP-Glo Low Control (Lc): ATP/ADP-Glo Jurkat NF ^B Reporter Cellular Assay Compounds of the present invention were screened for cellular activity using the
ONE-Glo reporter system in the Jurkat cell line. Jurkat cells were maintained in complete RPMI- 1640 medium with 10%FBS, 1% Penicillin-Streptomycin, supplemented with 1mg/mL G418 at 37°C, 5% CO2. Passage of the cells was done every 3 days by inoculating 2-5x105 cells/mL. To test compounds, cells were seeded in a white opaque 384-well plate, at 5x104 cells/well (20 μL per well), in G418 free RPMI-1640 medium, and incubated overnight. The next day, test compounds were diluted into 3 mM working solution in DMSO. A 10-point concentration curve of test compounds were prepared by performing 3-fold serial dilutions of the compounds, starting at a concentration of 3000 nM (3000, 1000, 333.3, 111.1, 37, 12.3, 4.1, 1.4, 0.45, and 0.15 nM). Serial dilution of compounds was added to cells and the plate was pre-incubated for 60 mins at 37°C with 5% CO2. Treated cells were then stimulated with anti-CD3/CD28 antibodies for additional 6 h at 37°C with 5% CO2. The concentrations of anti-CD3 and anti- CD28 antibodies were 0.5 μg/mL each, diluted in RPMI1640 medium with 10% FBS. Following incubation, 20 μL/well of the One-Glo® reagent was added for One-Glo Reporter detection. Cells were centrifuged at 1000 rpm for 1 min and the plate was incubated for 10 additional mins at rt to stabilize the luminescence signal. After incubation, luminescence was measured using a Perkin Elmer Envision 2104 plate reader. The activity of the compounds of the invention are presented in Table 28 wherein: "A" denotes an IC50 or EC50 of less than 10nM; "B" denotes an IC50 or EC50 of from 10 nM to less than 100 nM; "C" denotes an IC50 or EC50 of from 100 nM to less than 1000 nM; and
"D" denotes an IC50 or EC50 of 1000 nM or more. TABLE 28
The various embodiments described above can be combined to provide further embodiments. All of the U.S. patents, U.S. patent application publications, U.S. patent applications, foreign patents, foreign patent applications and non-patent publications referred to in this specification and/or listed in the Application Data Sheet are incorporated herein by reference, in their entirety. Aspects of the embodiments can be modified, if necessary to employ concepts of the various patents, applications, and publications to provide yet further embodiments. These and other changes can be made to the embodiments in light of the above-detailed description. In general, in the following claims, the terms used should not be construed to limit the claims to the specific embodiments disclosed in the specification and the claims, but should be construed to include all possible embodiments along with the full scope of equivalents to which such claims are entitled. Accordingly, the claims are not limited by the disclosure.
Claims
CLAIMS 1. A compound having the structure of Formula (II′):
Formula (II′) or a pharmaceutically acceptable salt, solvate, hydrate, isomer, tautomer, racemate, or isotope thereof, wherein: Q1, Q2, Q3, Q4, and Q5 are each, independently −CR′R′′− or −O−, or −S(O)t−, wherein at least one of Q1, Q2, or Q3 is −O−; R′ and R′′ are, at each occurrence, independently H, halo, C1-4 alkyl, C1-6 hydroxyalkyl, C1-4 haloalkyl, −OR, or −NHR, or one occurrence of R′ and one occurrence of R′′ may optionally form, together with the one or more carbon atoms to which they are attached, a fused, bridged, or spiro ring; L1 is a bond, –(CR8R9)q−, or −(CR8R9)qC(O)−; R2 is halo or C1-3 haloalkyl; L2 is a 5–10 membered carbocycle or a 5–10 membered heterocycle; R3 is H, −CN, halo, C1-6 alkyl, C1-6 haloalkyl, −OR10, −NR10R11, −C(O)R10, −C(O)OR10, −C(O)NR10R11, −S(O)tR10, −S(O)tNR10R11, −L3−R5, or L4−R12; R4 is, at each occurrence, independently −OH, −NH2, −CN, oxo, halo, C1-6 alkyl, C1-6 alkoxy, C1-6 haloalkyl, or C1-6 haloalkoxy; L3 is a bond, −O−, −C(R15R16)−, −C(O)−, -C(OR14)-, −C(O)N(R15)−, −C(=N−O−R15)−, −S(O)t−, −S(O)tC(R15R16)−, −S(O)tN(R15)−, or −N(R15)−; R5 is a 3–10 membered carbocycle or a 3–10 membered heterocycle, wherein R5 is substituted with (R6)p; R6 is, at each occurrence, independently, halo, oxo, −NO2, −CN, C1-6 alkyl, C1-6 haloalkyl, −OR10, −NR10R11, −C(O)R10, −C(O)OR10, −OC(O)R10, −C(O)NR10R11, −NR11C(O)R10, −OC(O)NR10R11,
−NR11C(O)OR10, −NR10C(O)NR10R11, −S(O)tR10, −NR10S(O)tR11−, −S(O)tNR10R11, −NR10S(O)tNR10−, −NR10S(O)tOR11, −OS(O)tNR10R11, R20, or −L4−R12; R7 is H, −OH, halo, C1-4 alkyl, C1-6 alkoxy, C1-6 haloalkyl, or C1-6 haloalkoxy; R8 and R9 are, at each occurrence, independently H, halo, C1-6 alkyl, or C1-6 haloalkyl; R10 and R11 are, at each occurrence, independently H, C1-6 alkyl, C1-6 haloalkyl, carbocycle, heterocycle, or −L4−R12; L4 is –(CR22R23)m−; R12 is −OR13, −NR13R14, −C(O)R13, −C(O)OR13, −OC(O)R13, −C(O)NR13R14, −NR14C(O)OR13, −OC(O)NR13R14, −NR14C(O)OR13, −NR13C(O)NR13R14, −S(O)tR13, −NR13S(O)tR14, −S(O)tNR13R14, −NR13S(O)tNR14−, −NR13S(O)tOR14, −OS(O)tNR13R14, or R20; R13 and R14 are, at each occurrence, independently H, C1-6 alkyl, or C1-6 haloalkyl, or when attached to the same or a different nitrogen, they can form a 3-6 membered carbocycle or 3-6 membered heterocycle; R15 and R16 are, at each occurrence, independently H, C1-6 alkyl, C1-6 haloalkyl, −NR17R18, −C(O)R17, carbocycle, heterocycle, or −L4−R19, or when attached to the same carbon can form a 3-6 membered carbocycle or 3-6 membered heterocycle; R17 and R18 are, at each occurrence, independently H, C1-6 alkyl, or heterocycle; R19 is, at each occurrence, independently −OR, −NR2, −C(O)R, −C(O)OR, −OC(O)R, −OC(O)NR2, −NRC(O)OR, −NRC(O)NR2, carbocycle, or heterocycle, wherein carbocycle and heterocycle are substituted by 0–3 R; R20 is, at each occurrence, independently carbocycle or heterocycle, wherein R20 is substituted by (R21)u; R21 is, at each occurrence, independently halo, oxo, −CN, C1-6 alkyl, C1-6 haloalkyl, −OR, −NR2, −C(O)R, −C(O)OR, −OC(O)R, −OC(O)NR2, −NRC(O)OR, −NRC(O)NR2, carbocycle, or heterocycle; R22 and R23 are, at each occurrence, independently H, C1-6 alkyl, or C1-6 haloalkyl, or R22 and R23, together with the carbon atom to which they are attached, form a 3-6 membered carbocycle or 3-6 membered heterocycle; R is, at each occurrence, independently H, halo, C1-6 alkyl, or C1-6 haloalkyl; m is 1, 2, 3, 4, 5, or 6; n is 0, 1, 2, or 3; p is 0, 1, 2, or 3; q is 0, 1, or 2;
u is, at each occurrence, independently 0, 1, 2, or 3; and t is, at each occurrence, independently 0, 1, or 2; wherein R3 is not H or halo and R4 is not halo when L2 is phenyl and n is 0 or 1; and R3 is not H when L2 is pyridine. 2. The compound of claim 1, having the structure of any one of Formula (II′-A), Formula (II′-B), Formula (II′-C), or Formula (II′-D):
, , Formula (II′-A) Formula (II′-B) ,
or a pharmaceutically acceptable salt, solvate, hydrate, isomer, tautomer, racemate, or isotope thereof, wherein: R′ and R′′ are, at each occurrence, independently H, halo, C1-4 alkyl, C1-6 hydroxyalkyl, C1-4 haloalkyl, −OR, or −NHR, or one occurrence of R′ and one occurrence of R′′ may optionally form, together with the one or more carbon atoms to which they are attached, a fused, bridged, or spiro ring; L1 is a bond, –(CR8R9)q−, or −(CR8R9)qC(O)−; R2 is Cl or F; L2 is a 5- or 6-membered carbocycle or a 5- or 6-membered heterocycle; R3 is H, −CN, halo, C1-6 alkyl, C1-6 haloalkyl, −OR10, −NR10R11, −C(O)R10, −C(O)OR10, −C(O)NR10R11, −S(O)tR10, −S(O)tNR10R11, −L3−R5, or L4−R12;
R4 is, at each occurrence, independently −OH, −NH2, −CN, oxo, halo, C1-6 alkyl, C1-6 alkoxy, C1-6 haloalkyl, or C1-6 haloalkoxy; L3 is a bond, −O−, −C(R15R16)−, −C(O)−, -C(OR14)-, −C(O)N(R15)−, −C(O)−, -C(OR14)-, −C(O)N(R15)−, −C(=N−O−R15)−, −S(O)t−, −S(O)tC(R15R16)−, −S(O)tN(R15)−, or −N(R15)−; −N(R15)−; R5 is a 3–10 membered carbocycle or a 3–10 membered heterocycle, wherein R5 is substituted with (R6)p; R6 is, at each occurrence, independently, halo, oxo, −NO2, −CN, C1-6 alkyl, C1-6 haloalkyl, −OR10, −NR10R11, −C(O)R10, −C(O)OR10, −OC(O)R10, −C(O)NR10R11, −NR11C(O)R10, −OC(O)NR10R11, −NR11C(O)OR10, −NR10C(O)NR10R11, −S(O)tR10, −NR10S(O)tR11−, −S(O)tNR10R11, −NR10S(O)tNR10−, −NR10S(O)tOR11, −OS(O)tNR10R11, R20, or −L4−R12; R7 is H, −OH, halo, C1-4 alkyl, C1-6 alkoxy, C1-6 haloalkyl, or C1-6 haloalkoxy; R8 and R9 are, at each occurrence, independently H, halo, C1-6 alkyl, or C1-6 haloalkyl; R10 and R11 are, at each occurrence, independently H, C1-6 alkyl, C1-6 haloalkyl, carbocycle, heterocycle, or −L4−R12; L4 is –(CR22R23)m−; R12 is −OR13, −NR13R14, −C(O)R13, −C(O)OR13, −OC(O)R13, −C(O)NR13R14, −NR14C(O)OR13, −OC(O)NR13R14, −NR14C(O)OR13, −NR13C(O)NR13R14, −S(O)tR13, −NR13S(O)tR14, −S(O)tNR13R14, −NR13S(O)tNR14−, −NR13S(O)tOR14, −OS(O)tNR13R14, or R20; R13 and R14 are, at each occurrence, independently H, C1-6 alkyl, or C1-6 haloalkyl, or when attached to the same or a different nitrogen, they can form a 3-6 membered carbocycle or 3-6 membered heterocycle; R15 and R16 are, at each occurrence, independently H, C1-6 alkyl, C1-6 haloalkyl, −NR17R18, −C(O)R17, carbocycle, heterocycle, or −L4−R19, or when attached to the same carbon can form a 3-6 membered carbocycle or 3-6 membered heterocycle; R17 and R18 are, at each occurrence, independently H, C1-6 alkyl, or heterocycle; R19 is, at each occurrence, independently −OR, −NR2, −C(O)R, −C(O)OR, −OC(O)R, −OC(O)NR2, −NRC(O)OR, −NRC(O)NR2, carbocycle, or heterocycle, wherein carbocycle and heterocycle are substituted by 0–3 R; R20 is, at each occurrence, independently carbocycle or heterocycle, wherein R20 is substituted by (R21)u;
R21 is, at each occurrence, independently halo, oxo, −CN, C1-6 alkyl, C1-6 haloalkyl, −OR, −NR2, −C(O)R, −C(O)OR, −OC(O)R, −OC(O)NR2, −NRC(O)OR, −NRC(O)NR2, carbocycle, or heterocycle; R22 and R23 are, at each occurrence, independently H, C1-6 alkyl, or C1-6 haloalkyl, or R22 and R23, together with the carbon atom to which they are attached, form a 3-6 membered carbocycle or 3-6 membered heterocycle; R is, at each occurrence, independently H, halo, C1-6 alkyl, or C1-6 haloalkyl; n is 0, 1, 2, or 3; p is 0, 1, 2, or 3; q is 0, 1, or 2; u is, at each occurrence, independently 0, 1,
2, or 3; and t is, at each occurrence, independently 0, 1, or 2; wherein R3 is not H or halo and R4 is not halo when L2 is phenyl and n is 0 or 1; and R3 is not H when L2 is pyridine.
3. The compound of any one of claims 1–2, or a pharmaceutically acceptable salt, solvate, hydrate, isomer, tautomer, racemate, or isotope thereof, wherein L2 is a 5- or 6-membered carbocycle.
4. The compound of any one of claims 1–2, or a pharmaceutically acceptable salt, solvate, hydrate, isomer, tautomer, racemate, or isotope thereof, wherein L2 is a 5- or 6-membered heterocycle.
5. The compound of any one of claims 1–2, or a pharmaceutically acceptable salt, solvate, hydrate, isomer, tautomer, racemate, or isotope thereof, wherein L2 is cyclopentyl, cyclohexyl, phenyl, pyrrolidinyl, pyrrolyl, pyrazolyl, imidazolyl, triazolyl, tetrahydrofuranyl, furanyl, tetrahydrothiophenyl, thiophenyl, oxazolyl, isoxazolyl, thiazolyl, isothiazolyl, oxadiazolyl, thiadiazolyl, piperidinyl, piperazinyl, pyridinyl, pyridazinyl, pyrimidinyl, pyrazinyl, triazinyl, tetrahydropyranyl, or morpholinyl.
6. The compound of any one of claims 1–2, or a pharmaceutically acceptable salt, solvate, hydrate, isomer, tautomer, racemate, or isotope thereof, wherein L2 is cyclohexyl, phenyl, piperidinyl, or thiazolyl.
7. The compound of any one of claims 1–6, or a pharmaceutically acceptable salt, solvate, hydrate, isomer, tautomer, racemate, or isotope thereof, wherein L1 is −CH2−.
8. The compound of any one of claims 1–6, or a pharmaceutically acceptable salt, solvate, hydrate, isomer, tautomer, racemate, or isotope thereof, wherein L1 is −C(O)−.
9. The compound of any one of claims 1–7, having the structure of any one of Formula (II′-A-1), Formula (II′-A-2), Formula (II′-A-3), Formula (II′-A-4), Formula (II′-A-5), or Formula (II′-A-6):
, , Formula (II′-A-5) Formula (II′-A-6) or a pharmaceutically acceptable salt, solvate, hydrate, isomer, tautomer, racemate, or isotope thereof, wherein:
R′ and R′′ are, at each occurrence, independently H, halo, C1-4 alkyl, C1-6 hydroxyalkyl, C1-4 haloalkyl, −OR, or −NHR, or one occurrence of R′ and one occurrence of R′′ may optionally form, together with the one or more carbon atoms to which they are attached, a fused, bridged, or spiro ring; R2 is Cl or F; L2 is a 5- or 6-membered carbocycle or a 5- or 6-membered heterocycle; R3 is H, −CN, halo, C1-6 alkyl, C1-6 haloalkyl, −OR10, −NR10R11, −C(O)R10, −C(O)OR10, −C(O)NR10R11, −S(O)tR10, −S(O)tNR10R11, −L3−R5, or L4−R12; R4 is, at each occurrence, independently −OH, −NH2, −CN, oxo, halo, C1-6 alkyl, C1-6 alkoxy, C1-6 haloalkyl, or C1-6 haloalkoxy; L3 is a bond, −O−, −C(R15R16)−, −C(O)−, -C(OR14)-, −C(O)N(R15)−, −C(=N−O−R15)−, −S(O)t−, −S(O)tC(R15R16)−, −S(O)tN(R15)−, or −N(R15)−; R5 is a 3–10 membered carbocycle or a 3–10 membered heterocycle, wherein R5 is substituted with (R6)p; R6 is, at each occurrence, independently, halo, oxo, −NO2, −CN, C1-6 alkyl, C1-6 haloalkyl, −OR10, −NR10R11, −C(O)R10, −C(O)OR10, −OC(O)R10, −C(O)NR10R11, −NR11C(O)R10, −OC(O)NR10R11, −NR11C(O)OR10, −NR10C(O)NR10R11, −S(O)tR10, −NR10S(O)tR11−, −S(O)tNR10R11, −NR10S(O)tNR10−, −NR10S(O)tOR11, −OS(O)tNR10R11, R20, or −L4−R12; R7 is H, −OH, halo, C1-4 alkyl, C1-6 alkoxy, C1-6 haloalkyl, or C1-6 haloalkoxy; R8 and R9 are, at each occurrence, independently H, halo, C1-6 alkyl, or C1-6 haloalkyl; R10 and R11 are, at each occurrence, independently H, C1-6 alkyl, C1-6 haloalkyl, carbocycle, heterocycle, or −L4−R12; L4 is –(CR22R23)m−; R12 is −OR13, −NR13R14, −C(O)R13, −C(O)OR13, −OC(O)R13, −C(O)NR13R14, −NR14C(O)OR13, −OC(O)NR13R14, −NR14C(O)OR13, −NR13C(O)NR13R14, −S(O)tR13, −NR13S(O)tR14, −S(O)tNR13R14, −NR13S(O)tNR14−, −NR13S(O)tOR14, −OS(O)tNR13R14, or R20; R13 and R14 are, at each occurrence, independently H, C1-6 alkyl, or C1-6 haloalkyl, or when attached to the same or a different nitrogen, they can form a 3-6 membered carbocycle or 3-6 membered heterocycle; R15 and R16 are, at each occurrence, independently H, C1-6 alkyl, C1-6 haloalkyl, −NR17R18, −C(O)R17, carbocycle, heterocycle, or −L4−R19, or when attached to the same carbon can form a 3-6 membered carbocycle or 3-6 membered heterocycle;
R17 and R18 are, at each occurrence, independently H, C1-6 alkyl, or heterocycle; R19 is, at each occurrence, independently −OR, −NR2, −C(O)R, −C(O)OR, −OC(O)R, −OC(O)NR2, −NRC(O)OR, −NRC(O)NR2, carbocycle, or heterocycle, wherein carbocycle and heterocycle are substituted by 0–3 R; R20 is, at each occurrence, independently carbocycle or heterocycle, wherein R20 is substituted by (R21)u; R21 is, at each occurrence, independently halo, oxo, −CN, C1-6 alkyl, C1-6 haloalkyl, −OR, −NR2, −C(O)R, −C(O)OR, −OC(O)R, −OC(O)NR2, −NRC(O)OR, −NRC(O)NR2, carbocycle, or heterocycle; R22 and R23 are, at each occurrence, independently H, C1-6 alkyl, or C1-6 haloalkyl, or R22 and R23, together with the carbon atom to which they are attached, form a 3-6 membered carbocycle or 3-6 membered heterocycle; R is, at each occurrence, independently H, halo, C1-6 alkyl, or C1-6 haloalkyl; n is 0, 1, 2, or 3; p is 0, 1, 2, or 3; q is 0, 1, or 2; u is, at each occurrence, independently 0, 1, 2, or 3; and t is, at each occurrence, independently 0, 1, or 2; wherein R3 is not H or halo and R4 is not halo when L2 is phenyl and n is 0 or 1; and R3 is not H when L2 is pyridine.
10. The compound of any one of claims 1–7, having the structure of any one of Formula (II′-B-1), Formula (II′-B-2), Formula (II′-B-3), Formula (II′-B-4), or Formula (II′-B-5), Formula (II′-B-6):
, , Formula (II′-B-1) Formula (II′-B-2)
, , Formula (II′-B-5) Formula (II′-B-6) or a pharmaceutically acceptable salt, solvate, hydrate, isomer, tautomer, racemate, or isotope thereof, wherein: R′ and R′′ are, at each occurrence, independently H, halo, C1-4 alkyl, C1-6 hydroxyalkyl, C1-4 haloalkyl, −OR, or −NHR, or one occurrence of R′ and one occurrence of R′′ may optionally form, together with the one or more carbon atoms to which they are attached, a fused, bridged, or spiro ring; R2 is Cl or F; L2 is a 5- or 6-membered carbocycle or a 5- or 6-membered heterocycle; R3 is H, −CN, halo, C1-6 alkyl, C1-6 haloalkyl, −OR10, −NR10R11, −C(O)R10, −C(O)OR10, −C(O)NR10R11, −S(O)tR10, −S(O)tNR10R11, −L3−R5, or L4−R12; R4 is, at each occurrence, independently −OH, −NH2, −CN, oxo, halo, C1-6 alkyl, C1-6 alkoxy, C1-6 haloalkyl, or C1-6 haloalkoxy; L3 is a bond, −O−, −C(R15R16)−, −C(O)−, -C(OR14)-, −C(O)N(R15)−, −C(=N−O−R15)−, −S(O)t−, −S(O)tC(R15R16)−, −S(O)tN(R15)−, or −N(R15)−; R5 is a 3–10 membered carbocycle or a 3–10 membered heterocycle, wherein R5 is substituted with (R6)p; R6 is, at each occurrence, independently, halo, oxo, −NO2, −CN, C1-6 alkyl, C1-6 haloalkyl, −OR10, −NR10R11, −C(O)R10, −C(O)OR10, −OC(O)R10, −C(O)NR10R11, −NR11C(O)R10, −OC(O)NR10R11,
−NR11C(O)OR10, −NR10C(O)NR10R11, −S(O)tR10, −NR10S(O)tR11−, −S(O)tNR10R11, −NR10S(O)tNR10−, −NR10S(O)tOR11, −OS(O)tNR10R11, R20, or −L4−R12; R7 is H, −OH, halo, C1-4 alkyl, C1-6 alkoxy, C1-6 haloalkyl, or C1-6 haloalkoxy; R8 and R9 are, at each occurrence, independently H, halo, C1-6 alkyl, or C1-6 haloalkyl; R10 and R11 are, at each occurrence, independently H, C1-6 alkyl, C1-6 haloalkyl, carbocycle, heterocycle, or −L4−R12; L4 is –(CR22R23)m−; R12 is −OR13, −NR13R14, −C(O)R13, −C(O)OR13, −OC(O)R13, −C(O)NR13R14, −NR14C(O)OR13, −OC(O)NR13R14, −NR14C(O)OR13, −NR13C(O)NR13R14, −S(O)tR13, −NR13S(O)tR14, −S(O)tNR13R14, −NR13S(O)tNR14−, −NR13S(O)tOR14, −OS(O)tNR13R14, or R20; R13 and R14 are, at each occurrence, independently H, C1-6 alkyl, or C1-6 haloalkyl, or when attached to the same or a different nitrogen, they can form a 3-6 membered carbocycle or 3-6 membered heterocycle;R13 and R14 are, at each occurrence, independently H, C1-6 alkyl, or C1-6 haloalkyl, or when attached to the same or a different nitrogen, they can form a 3-6 membered carbocycle or 3-6 membered heterocycle; R15 and R16 are, at each occurrence, independently H, C1-6 alkyl, C1-6 haloalkyl, −NR17R18, −C(O)R17, carbocycle, heterocycle, or −L4−R19, or when attached to the same carbon can form a 3-6 membered carbocycle or 3-6 membered heterocycle; R17 and R18 are, at each occurrence, independently H, C1-6 alkyl, or heterocycle; R19 is, at each occurrence, independently −OR, −NR2, −C(O)R, −C(O)OR, −OC(O)R, −OC(O)NR2, −NRC(O)OR, −NRC(O)NR2, carbocycle, or heterocycle, wherein carbocycle and heterocycle are substituted by 0–3 R; R20 is, at each occurrence, independently carbocycle or heterocycle, wherein R20 is substituted by (R21)u; R21 is, at each occurrence, independently halo, oxo, −CN, C1-6 alkyl, C1-6 haloalkyl, −OR, −NR2, −C(O)R, −C(O)OR, −OC(O)R, −OC(O)NR2, −NRC(O)OR, −NRC(O)NR2, carbocycle, or heterocycle; R22 and R23 are, at each occurrence, independently H, C1-6 alkyl, or C1-6 haloalkyl, or R22 and R23, together with the carbon atom to which they are attached, form a 3-6 membered carbocycle or 3-6 membered heterocycle; R is, at each occurrence, independently H, halo, C1-6 alkyl, or C1-6 haloalkyl; n is 0, 1, 2, or 3; p is 0, 1, 2, or 3;
q is 0, 1, or 2; u is, at each occurrence, independently 0, 1, 2, or 3; and t is, at each occurrence, independently 0, 1, or 2; wherein R3 is not H or halo and R4 is not halo when L2 is phenyl and n is 0 or 1.
11. The compound of any one of claims 1–7, having the structure of any one of Formula (II′-C-1), Formula (II′-C-2), Formula (II′-C-3), Formula (II′-C-4), or Formula (II′-C-5), or Formula (II′-C-6):
Formula (II′-C-3) Formula (II′-C-4)
, , Formula (II′-C-5) Formula (II′-C-6) or a pharmaceutically acceptable salt, solvate, hydrate, isomer, tautomer, racemate, or isotope thereof, wherein:
R′ and R′′ are, at each occurrence, independently H, halo, C1-4 alkyl, C1-6 hydroxyalkyl, C1-4 haloalkyl, −OR, or −NHR, or one occurrence of R′ and one occurrence of R′′ may optionally form, together with the one or more carbon atoms to which they are attached, a fused, bridged, or spiro ring; R2 is Cl or F; L2 is a 5- or 6-membered carbocycle or a 5- or 6-membered heterocycle; R3 is H, −CN, halo, C1-6 alkyl, C1-6 haloalkyl, −OR10, −NR10R11, −C(O)R10, −C(O)OR10, −C(O)NR10R11, −S(O)tR10, −S(O)tNR10R11, −L3−R5, or L4−R12; R4 is, at each occurrence, independently −OH, −NH2, −CN, oxo, halo, C1-6 alkyl, C1-6 alkoxy, C1-6 haloalkyl, or C1-6 haloalkoxy; L3 is a bond, −O−, −C(R15R16)−, −C(O)−, -C(OR14)-, −C(O)N(R15)−, −C(=N−O−R15)−, −S(O)t−, −S(O)tC(R15R16)−, −S(O)tN(R15)−, or −N(R15)−; R5 is a 3–10 membered carbocycle or a 3–10 membered heterocycle, wherein R5 is substituted with (R6)p; R6 is, at each occurrence, independently, halo, oxo, −NO2, −CN, C1-6 alkyl, C1-6 haloalkyl, −OR10, −NR10R11, −C(O)R10, −C(O)OR10, −OC(O)R10, −C(O)NR10R11, −NR11C(O)R10, −OC(O)NR10R11, −NR11C(O)OR10, −NR10C(O)NR10R11, −S(O)tR10, −NR10S(O)tR11−, −S(O)tNR10R11, −NR10S(O)tNR10−, −NR10S(O)tOR11, −OS(O)tNR10R11, R20, or −L4−R12; R7 is H, −OH, halo, C1-4 alkyl, C1-6 alkoxy, C1-6 haloalkyl, or C1-6 haloalkoxy; R8 and R9 are, at each occurrence, independently H, halo, C1-6 alkyl, or C1-6 haloalkyl; R10 and R11 are, at each occurrence, independently H, C1-6 alkyl, C1-6 haloalkyl, carbocycle, heterocycle, or −L4−R12; L4 is –(CR22R23)m−;L4 is –(CR22R23)m−; R12 is −OR13, −NR13R14, −C(O)R13, −C(O)OR13, −OC(O)R13, −C(O)NR13R14, −NR14C(O)OR13, −OC(O)NR13R14, −NR14C(O)OR13, −NR13C(O)NR13R14, −S(O)tR13, −NR13S(O)tR14, −S(O)tNR13R14, −NR13S(O)tNR14−, −NR13S(O)tOR14, −OS(O)tNR13R14, or R20; R13 and R14 are, at each occurrence, independently H, C1-6 alkyl, or C1-6 haloalkyl, or when attached to the same or a different nitrogen, they can form a 3-6 membered carbocycle or 3-6 membered heterocycle; R15 and R16 are, at each occurrence, independently H, C1-6 alkyl, C1-6 haloalkyl, −NR17R18, −C(O)R17, carbocycle, heterocycle, or −L4−R19, or when attached to the same carbon can form a 3-6 membered carbocycle or 3-6 membered heterocycle;
R17 and R18 are, at each occurrence, independently H, C1-6 alkyl, or heterocycle; R19 is, at each occurrence, independently −OR, −NR2, −C(O)R, −C(O)OR, −OC(O)R, −OC(O)NR2, −NRC(O)OR, −NRC(O)NR2, carbocycle, or heterocycle, wherein carbocycle and heterocycle are substituted by 0–3 R; R20 is, at each occurrence, independently carbocycle or heterocycle, wherein R20 is substituted by (R21)u; R21 is, at each occurrence, independently halo, oxo, −CN, C1-6 alkyl, C1-6 haloalkyl, −OR, −NR2, −C(O)R, −C(O)OR, −OC(O)R, −OC(O)NR2, −NRC(O)OR, −NRC(O)NR2, carbocycle, or heterocycle; R22 and R23 are, at each occurrence, independently H, C1-6 alkyl, or C1-6 haloalkyl, or R22 and R23, together with the carbon atom to which they are attached, form a 3-6 membered carbocycle or 3-6 membered heterocycle; R is, at each occurrence, independently H, halo, C1-6 alkyl, or C1-6 haloalkyl; n is 0, 1, 2, or 3; p is 0, 1, 2, or 3; q is 0, 1, or 2; u is, at each occurrence, independently 0, 1, 2, or 3; and t is, at each occurrence, independently 0, 1, or 2; wherein R3 is not H or halo and R4 is not halo when L2 is phenyl and n is 0 or 1.
12. The compound of any one of claims 1–7, having the structure of any one of Formula (II′-D-1), Formula (II′-D-2), Formula (II′-D-3), Formula (II′-D-4), Formula (II′-D-5), or Formula (II′-D-6):
, , Formula (II′-D-1) Formula (II′-D-2)
or a pharmaceutically acceptable salt, solvate, hydrate, isomer, tautomer, racemate, or isotope thereof, wherein: R′ and R′′ are, at each occurrence, independently H, halo, C1-4 alkyl, C1-6 hydroxyalkyl, C1-4 haloalkyl, −OR, or −NHR, or one occurrence of R′ and one occurrence of R′′ may optionally form, together with the one or more carbon atoms to which they are attached, a fused, bridged, or spiro ring; R2 is Cl or F; L2 is a 5- or 6-membered carbocycle or a 5- or 6-membered heterocycle; R3 is H, −CN, halo, C1-6 alkyl, C1-6 haloalkyl, −OR10, −NR10R11, −C(O)R10, −C(O)OR10, −C(O)NR10R11, −S(O)tR10, −S(O)tNR10R11, −L3−R5, or L4−R12; R4 is, at each occurrence, independently −OH, −NH2, −CN, oxo, halo, C1-6 alkyl, C1-6 alkoxy, C1-6 haloalkyl, or C1-6 haloalkoxy; L3 is a bond, −O−, −C(R15R16)−, −C(O)−, -C(OR14)-, −C(O)N(R15)−, −C(=N−O−R15)−, −S(O)t−, −S(O)tC(R15R16)−, −S(O)tN(R15)−, or −N(R15)−; R5 is a 3–10 membered carbocycle or a 3–10 membered heterocycle, wherein R5 is substituted with (R6)p; R6 is, at each occurrence, independently, halo, oxo, −NO2, −CN, C1-6 alkyl, C1-6 haloalkyl, −OR10, −NR10R11, −C(O)R10, −C(O)OR10, −OC(O)R10, −C(O)NR10R11, −NR11C(O)R10, −OC(O)NR10R11,
−NR11C(O)OR10, −NR10C(O)NR10R11, −S(O)tR10, −NR10S(O)tR11−, −S(O)tNR10R11, −NR10S(O)tNR10−, −NR10S(O)tOR11, −OS(O)tNR10R11, R20, or −L4−R12; R7 is H, −OH, halo, C1-4 alkyl, C1-6 alkoxy, C1-6 haloalkyl, or C1-6 haloalkoxy; R8 and R9 are, at each occurrence, independently H, halo, C1-6 alkyl, or C1-6 haloalkyl; R10 and R11 are, at each occurrence, independently H, C1-6 alkyl, C1-6 haloalkyl, carbocycle, heterocycle, or −L4−R12; L4 is –(CR22R23)m−; R12 is −OR13, −NR13R14, −C(O)R13, −C(O)OR13, −OC(O)R13, −C(O)NR13R14, −NR14C(O)OR13, −OC(O)NR13R14, −NR14C(O)OR13, −NR13C(O)NR13R14, −S(O)tR13, −NR13S(O)tR14, −S(O)tNR13R14, −NR13S(O)tNR14−, −NR13S(O)tOR14, −OS(O)tNR13R14, or R20; R13 and R14 are, at each occurrence, independently H, C1-6 alkyl, or C1-6 haloalkyl, or when attached to the same or a different nitrogen, they can form a 3-6 membered carbocycle or 3-6 membered heterocycle; R15 and R16 are, at each occurrence, independently H, C1-6 alkyl, C1-6 haloalkyl, −NR17R18, −C(O)R17, carbocycle, heterocycle, or −L4−R19, or when attached to the same carbon can form a 3-6 membered carbocycle or 3-6 membered heterocycle;R15 and R16 are, at each occurrence, independently H, C1-6 alkyl, C1-6 haloalkyl, −NR17R18, −C(O)R17, carbocycle, heterocycle, or −L4−R19, or when attached to the same carbon can form a 3-6 membered carbocycle or 3-6 membered heterocycle; R17 and R18 are, at each occurrence, independently H, C1-6 alkyl, or heterocycle; R19 is, at each occurrence, independently −OR, −NR2, −C(O)R, −C(O)OR, −OC(O)R, −OC(O)NR2, −NRC(O)OR, −NRC(O)NR2, carbocycle, or heterocycle, wherein carbocycle and heterocycle are substituted by 0–3 R; R20 is, at each occurrence, independently carbocycle or heterocycle, wherein R20 is substituted by (R21)u; R21 is, at each occurrence, independently halo, oxo, −CN, C1-6 alkyl, C1-6 haloalkyl, −OR, −NR2, −C(O)R, −C(O)OR, −OC(O)R, −OC(O)NR2, −NRC(O)OR, −NRC(O)NR2, carbocycle, or heterocycle; R22 and R23 are, at each occurrence, independently H, C1-6 alkyl, or C1-6 haloalkyl, or R22 and R23, together with the carbon atom to which they are attached, form a 3-6 membered carbocycle or 3-6 membered heterocycle; R is, at each occurrence, independently H, halo, C1-6 alkyl, or C1-6 haloalkyl; n is 0, 1, 2, or 3;
p is 0, 1, 2, or 3; q is 0, 1, or 2; u is, at each occurrence, independently 0, 1, 2, or 3; and t is, at each occurrence, independently 0, 1, or 2.
13. A compound having the structure of Formula (III′):
Formula (III′) or a pharmaceutically acceptable salt, solvate, hydrate, isomer, tautomer, racemate, or isotope thereof, wherein: G1 is −S−, −O−, −C(R2)−, or −C(R)=; G2 and G3 are each, independently, −CH=, −C(R2)−, −N=, or −N(R)−, wherein at least one of G2 and G3 is −N= or −N(R)− when G1 is −C(R2)−, or −C(R)=; L1 is −CHR− or −C(O)−; R2 is Cl or F; L2 is a 5- or 6-membered carbocycle or a 5- or 6-membered heterocycle; R3 is H, −OH, halo, C1-4 alkyl, C1-4 alkoxy, C1-4 haloalkyl, or C1-4 haloalkoxy, or −L3−R5; R4 is, at each occurrence, independently −OH, halo, C1-4 alkyl, C1-4 alkoxy, C1-4 haloalkyl, or C1-4 haloalkoxy; L3 is a bond, −O−, −CH2−, or −N(R)− R5 is a 3–10 membered carbocycle or a 3–10 membered heterocycle, wherein R5 is substituted with (R6)p; R6 is, at each occurrence, independently, −CH3, F, or −OCH3; and R is, at each occurrence, independently H, halo, C1-6 alkyl, or C1-6 haloalkyl; n is 0, 1, 2, or 3; and p is 0, 1, 2, or 3; wherein at least one of G2 or G3 is −N= when G1 is −O−.
14. The compound of claim 13, having the structure of any one of Formula (III′-A), Formula (III′-B), or Formula (III′-C), Formula (III′-D), or Formula (III′-E):
or a pharmaceutically acceptable salt, solvate, hydrate, isomer, tautomer, racemate, or isotope thereof, wherein: L1 is −CHR− or −C(O)−; R2 is Cl or F; L2 is a 5- or 6-membered carbocycle or a 5- or 6-membered heterocycle; R3 is H, −OH, halo, C1-4 alkyl, C1-4 alkoxy, C1-4 haloalkyl, or C1-4 haloalkoxy, or −L3−R5; R4 is, at each occurrence, independently −OH, halo, C1-4 alkyl, C1-4 alkoxy, C1-4 haloalkyl, or C1-4 haloalkoxy; L3 is a bond, −O−, −CH2−, or −N(R)− R5 is a 3–10 membered carbocycle or a 3–10 membered heterocycle, wherein R5 is substituted with (R6)p; R6 is, at each occurrence, independently, −CH3, F, or −OCH3; and R is, at each occurrence, independently H, halo, C1-6 alkyl, or C1-6 haloalkyl;
n is 0, 1, 2, or 3; and p is 0, 1, 2, or 3; and z is 1, 2, or 3.
15. The compound of any one of claims 13–14, or a pharmaceutically acceptable salt, solvate, hydrate, isomer, tautomer, racemate, or isotope thereof, wherein L2 is a 5- or 6-membered carbocycle.
16. The compound of any one of claims 13–14, or a pharmaceutically acceptable salt, solvate, hydrate, isomer, tautomer, racemate, or isotope thereof, wherein L2 is a 5- or 6-membered heterocycle.
17. The compound of any one of claims 13–14, or a pharmaceutically acceptable salt, solvate, hydrate, isomer, tautomer, racemate, or isotope thereof, wherein L2 is cyclopentyl, cyclohexyl, phenyl, pyrrolidinyl, pyrrolyl, pyrazolyl, imidazolyl, triazolyl, tetrahydrofuranyl, furanyl, tetrahydrothiophenyl, thiophenyl, oxazolyl, isoxazolyl, thiazolyl, isothiazolyl, oxadiazolyl, thiadiazolyl, piperidinyl, piperazinyl, pyridinyl, pyridazinyl, pyrimidinyl, pyrazinyl, triazinyl, tetrahydropyranyl, or morpholinyl.
18. The compound of any one of claims 13–14, or a pharmaceutically acceptable salt, solvate, hydrate, isomer, tautomer, racemate, or isotope thereof, wherein L2 is cyclohexyl, phenyl, piperidinyl, or thiazolyl.
19. The compound of any one of claims 13–18, or a pharmaceutically acceptable salt, solvate, hydrate, isomer, tautomer, racemate, or isotope thereof, wherein L1 is −CH2−.
20. The compound of any one of claims 13–18, or a pharmaceutically acceptable salt, solvate, hydrate, isomer, tautomer, racemate, or isotope thereof, wherein L1 is −C(O)−.
21. The compound of any one of claims 13–19, having the structure of any one of Formula (III′-A-1), Formula (III′-A-2), Formula (III′-A-3), Formula (III′-A-4), Formula (III′-A-5), or Formula (III′-A-6):
or a pharmaceutically acceptable salt, solvate, hydrate, isomer, tautomer, racemate, or isotope thereof, wherein: R2 is Cl or F; R3 is H, −OH, halo, C1-4 alkyl, C1-4 alkoxy, C1-4 haloalkyl, or C1-4 haloalkoxy, or −L3−R5; R4 is, at each occurrence, independently −OH, halo, C1-4 alkyl, C1-4 alkoxy, C1-4 haloalkyl, or C1-4 haloalkoxy; L3 is a bond, −O−, −CH2−, or −N(R)− R5 is a 3–10 membered carbocycle or a 3–10 membered heterocycle, wherein R5 is substituted with (R6)p;
R6 is, at each occurrence, independently, −CH3, F, or −OCH3; and R is, at each occurrence, independently H, halo, C1-6 alkyl, or C1-6 haloalkyl; n is 0, 1, 2, or 3; and p is 0, 1, 2, or 3.
22. The compound of any one of claims 13–19, having the structure of any one of Formula (III′-B-1), Formula (III′-B-2), Formula (III′-B-3), Formula (III′-B-4), Formula (III′-B-5), or Formula (III′-B-6):
Formula (III′-B-3) Formula (III′-B-4)
, Formula (III′-B-5) Formula (III′-B-6) or a pharmaceutically acceptable salt, solvate, hydrate, isomer, tautomer, racemate, or isotope thereof, wherein: R2 is Cl or F; R3 is H, −OH, halo, C1-4 alkyl, C1-4 alkoxy, C1-4 haloalkyl, or C1-4 haloalkoxy, or −L3−R5;
R4 is, at each occurrence, independently −OH, halo, C1-4 alkyl, C1-4 alkoxy, C1-4 haloalkyl, or C1-4 haloalkoxy; L3 is a bond, −O−, −CH2−, or −N(R)− R5 is a 3–10 membered carbocycle or a 3–10 membered heterocycle, wherein R5 is substituted with (R6)p; R6 is, at each occurrence, independently, −CH3, F, or −OCH3; and R is, at each occurrence, independently H, halo, C1-6 alkyl, or C1-6 haloalkyl; n is 0, 1, 2, or 3; and p is 0, 1, 2, or 3.
23. The compound of any one of claims 13–19, having the structure of any one of Formula (III′-C-1), Formula (III′-C-2), Formula (III′-C-3), Formula (III′-C-4), Formula (III′-C-5), or Formula (III′-C-6):
, , Formula (III′-C-1) Formula (III′-C-2)
Formula (III′-C-5) or a pharmaceutically acceptable salt, solvate, hydrate, isomer, tautomer, racemate, or isotope thereof, wherein: R2 is Cl or F; R3 is H, −OH, halo, C1-4 alkyl, C1-4 alkoxy, C1-4 haloalkyl, or C1-4 haloalkoxy, or −L3−R5; R4 is, at each occurrence, independently −OH, halo, C1-4 alkyl, C1-4 alkoxy, C1-4 haloalkyl, or C1-4 haloalkoxy; L3 is a bond, −O−, −CH2−, or −N(R)− R5 is a 3–10 membered carbocycle or a 3–10 membered heterocycle, wherein R5 is substituted with (R6)p; R6 is, at each occurrence, independently, −CH3, F, or −OCH3; and R is, at each occurrence, independently H, halo, C1-6 alkyl, or C1-6 haloalkyl; n is 0, 1, 2, or 3; and p is 0, 1, 2, or 3.
24. The compound of any one of claims 13–19, having the structure of any one of Formula (III′-D-1), Formula (III′-D-2), Formula (III′-D-3), Formula (III′-D-4), Formula (III′-D-5), or Formula (III′-D-6):
, , Formula (III′-D-1) Formula (III′-D-2)
, , Formula (III′-D-5) Formula (III-D-6) or a pharmaceutically acceptable salt, solvate, hydrate, isomer, tautomer, racemate, or isotope thereof, wherein: R2 is Cl or F; R3 is H, −OH, halo, C1-4 alkyl, C1-4 alkoxy, C1-4 haloalkyl, or C1-4 haloalkoxy, or −L3−R5; R4 is, at each occurrence, independently −OH, halo, C1-4 alkyl, C1-4 alkoxy, C1-4 haloalkyl, or C1-4 haloalkoxy; L3 is a bond, −O−, −CH2−, or −N(R)− R5 is a 3–10 membered carbocycle or a 3–10 membered heterocycle, wherein R5 is substituted with (R6)p; R6 is, at each occurrence, independently, −CH3, F, or −OCH3; and R is, at each occurrence, independently H, halo, C1-6 alkyl, or C1-6 haloalkyl; n is 0, 1, 2, or 3; and p is 0, 1, 2, or 3.
25. The compound of any one of claims 1–34, or a pharmaceutically acceptable salt, solvate, hydrate, isomer, tautomer, racemate, or isotope thereof, wherein R2 is F.
26. The compound of any one of claims 1–34, or a pharmaceutically acceptable salt, solvate, hydrate, isomer, tautomer, racemate, or isotope thereof, wherein R2 is Cl.
27. The compound of any one of claims 1–26, or a pharmaceutically acceptable salt, solvate, hydrate, isomer, tautomer, racemate, or isotope thereof, wherein n is 1.
28. The compound of any one of claims 1–27, or a pharmaceutically acceptable salt, solvate, hydrate, isomer, tautomer, racemate, or isotope thereof, wherein at least one occurrence of R4 is −OH, −F, −Cl, −CH3, or −CF3.
29. The compound of any one of claims 1–28, or a pharmaceutically acceptable salt, solvate, hydrate, isomer, tautomer, racemate, or isotope thereof, wherein n is 0.
30. The compound of any one of claims 1–29, or a pharmaceutically acceptable salt, solvate, hydrate, isomer, tautomer, racemate, or isotope thereof, wherein R3 is −OH, halo, C1-4 alkyl, C1-4 alkoxy, or C1-4 haloalkyl.
31. The compound of any one of claims 1–30, or a pharmaceutically acceptable salt, solvate, hydrate, isomer, tautomer, racemate, or isotope thereof, wherein R3 is −OH, −OCH3, F, −Cl, −CF3, −CH3, or isopropyl.
32. The compound of any one of claims 1–31, or a pharmaceutically acceptable salt, solvate, hydrate, isomer, tautomer, racemate, or isotope thereof, wherein R3 is −L3−R5.
33. The compound of claim 32, or a pharmaceutically acceptable salt, solvate, hydrate, isomer, tautomer, racemate, or isotope thereof, wherein L3 is a bond.
34. The compound of claim 32, or a pharmaceutically acceptable salt, solvate, hydrate, isomer, tautomer, racemate, or isotope thereof, wherein L3 is −O−.
35. The compound of claim 32, or a pharmaceutically acceptable salt, solvate, hydrate, isomer, tautomer, racemate, or isotope thereof, wherein L3 is −CH2−.
36. The compound of claim 32, or a pharmaceutically acceptable salt, solvate, hydrate, isomer, tautomer, racemate, or isotope thereof, wherein L3 is −N(R15)−.
37. The compound of claim 32, or a pharmaceutically acceptable salt, solvate, hydrate, isomer, tautomer, racemate, or isotope thereof, wherein L3 is −S(O)2− or −S(O)−.
38. The compound of any one of claims 32–37, or a pharmaceutically acceptable salt, solvate, hydrate, isomer, tautomer, racemate, or isotope thereof, wherein R5 is a 3–10 member cycloalkyl.
39. The compound of claim 38, or a pharmaceutically acceptable salt, solvate, hydrate, isomer, tautomer, racemate, or isotope thereof, wherein R5 is cyclopropyl, cyclobutyl, cyclopentyl, or cyclohexyl.
40. The compound of any one of claims 32–37, or a pharmaceutically acceptable salt, solvate, hydrate, isomer, tautomer, racemate, or isotope thereof, wherein R5 is a 3–10 member aryl.
41. The compound of claim 40, or a pharmaceutically acceptable salt, solvate, hydrate, isomer, tautomer, racemate, or isotope thereof, wherein R5 is phenyl or naphthyl.
42. The compound of any one of claims 32–37, or a pharmaceutically acceptable salt, solvate, hydrate, isomer, tautomer, racemate, or isotope thereof, wherein R5 is a 3–10 member heterocycloalkyl.
43. The compound of claim 42, or a pharmaceutically acceptable salt, solvate, hydrate, isomer, tautomer, racemate, or isotope thereof, wherein R5 is pyrrolidinyl or piperidinyl.
44. The compound of any one of claims 32–37, or a pharmaceutically acceptable salt, solvate, hydrate, isomer, tautomer, racemate, or isotope thereof, wherein R5 is a 3–6 member heteroaryl.
45. The compound of claim 44, or a pharmaceutically acceptable salt, solvate, hydrate, isomer, tautomer, racemate, or isotope thereof, wherein R5 is pyrazolyl, pyridinyl, or indazolyl.
46. The compound of any one of claims 32–45, or a pharmaceutically acceptable salt, solvate, hydrate, isomer, tautomer, racemate, or isotope thereof, wherein p is 1, 2, or 3.
47. The compound of claim 46, or a pharmaceutically acceptable salt, solvate, hydrate, isomer, tautomer, racemate, or isotope thereof, wherein at least one R6 is halo, −NO2, oxo, or −CN.
48. The compound of claim 46 or 47, or a pharmaceutically acceptable salt, solvate, hydrate, isomer, tautomer, racemate, or isotope thereof, wherein at least one R6 is C1-6 alkyl, C1-6 haloalkyl.
49. The compound of any one of claims 46–48, or a pharmaceutically acceptable salt, solvate, hydrate, isomer, tautomer, racemate, or isotope thereof, wherein at least one R6 is −OR10 or −NR10R11.
50. The compound of any one of claims 46–49, or a pharmaceutically acceptable salt, solvate, hydrate, isomer, tautomer, racemate, or isotope thereof, wherein at least one R6 is −C(O)R10, −C(O)OR10, or −OC(O)R10.
51. The compound of any one of claims 46–50, or a pharmaceutically acceptable salt, solvate, hydrate, isomer, tautomer, racemate, or isotope thereof, wherein at least one R6 is −C(O)NR10R11, −NR11C(O)R10, −OC(O)NR10R11, −NR11C(O)OR10, or −NR10C(O)NR10R11.
52. The compound of any one of claims 46–51, or a pharmaceutically acceptable salt, solvate, hydrate, isomer, tautomer, racemate, or isotope thereof, wherein at least one R6 is −S(O)tR10, −S(O)tR10, −NR10S(O)tR11−, −S(O)tNR10R11, −NR10S(O)tNR10−, −NR10S(O)tOR11, or −OS(O)tNR10R11.
53. The compound of any one of claims 46–52, or a pharmaceutically acceptable salt, solvate, hydrate, isomer, tautomer, racemate, or isotope thereof, wherein at least one R6 is R20.
54. The compound of claim 53, or a pharmaceutically acceptable salt, solvate, hydrate, isomer, tautomer, racemate, or isotope thereof, wherein R20 is carbocycle substituted by – (R21)u.
55. The compound of claim 53, or a pharmaceutically acceptable salt, solvate, hydrate, isomer, tautomer, racemate, or isotope thereof, wherein R20 is heterocycle substituted by – (R21)u.
56. The compound of claim 54 or 55, or a pharmaceutically acceptable salt, solvate, hydrate, isomer, tautomer, racemate, or isotope thereof, wherein u is 0.
57. The compound of claim 54 or 55, or a pharmaceutically acceptable salt, solvate, hydrate, isomer, tautomer, racemate, or isotope thereof, wherein u is 1, 2, or 3.
58. The compound of any one of claims 46–57, or a pharmaceutically acceptable salt, solvate, hydrate, isomer, tautomer, racemate, or isotope thereof, wherein at least one R6 is −L4−R12.
60. The compound of claim 58 or 59, or a pharmaceutically acceptable salt, solvate, hydrate, isomer, tautomer, racemate, or isotope thereof, wherein R22 is, at each occurrence, independently H, C1-6 alkyl, or C1-6 haloalkyl.
61. The compound of any one of claims 58–60, or a pharmaceutically acceptable salt, solvate, hydrate, isomer, tautomer, racemate, or isotope thereof, wherein R23 is, at each occurrence, independently H, C1-6 alkyl, or C1-6 haloalkyl.
62. The compound of claim 58 or 59, or a pharmaceutically acceptable salt, solvate, hydrate, isomer, tautomer, racemate, or isotope thereof, wherein at least one occurrence of R22 and R23, together with the carbon atom to which they are attached, form a 3-6 membered carbocycle or 3-6 membered heterocycle.
63. The compound of any one of claims 58–63, or a pharmaceutically acceptable salt, solvate, hydrate, isomer, tautomer, racemate, or isotope thereof, wherein R12 is −OR13, −NR13R14, −C(O)R13, −C(O)OR13, −OC(O)R13, −C(O)NR13R14, −NR14C(O)OR13, −OC(O)NR13R14,
−NR14C(O)OR13, −NR13C(O)NR13R14, −S(O)tR13, −NR13S(O)tR14, −S(O)tNR13R14, −NR13S(O)tNR14−, −NR13S(O)tOR14, or −OS(O)tNR13R14.
64. The compound of any one of claims 58–63, or a pharmaceutically acceptable salt, solvate, hydrate, isomer, tautomer, racemate, or isotope thereof, wherein R12 is R20.
65. The compound of claim 1, having the structure of Formula (IV′):
or a pharmaceutically acceptable salt, solvate, hydrate, isomer, tautomer, racemate, or isotope thereof, wherein: Y1 is C or N; R2 is halo or C1-3 haloalkyl; R6 is, at each occurrence, independently, halo, oxo, −NO2, −CN, C1-6 alkyl, C1-6 haloalkyl, −OR10, −NR10R11, −C(O)R10, −C(O)OR10, −OC(O)R10, −C(O)NR10R11, −NR11C(O)R10, −OC(O)NR10R11, −NR11C(O)OR10, −NR10C(O)NR10R11, −S(O)tR10, −NR10S(O)tR11−, −S(O)tNR10R11, −NR10S(O)tNR10−, −NR10S(O)tOR11, −OS(O)tNR10R11, R20, or −L4−R12; L4 is–(CR22R23)m−; R12 is −OR13, −NR13R14, −C(O)R13, −C(O)OR13, −OC(O)R13, −C(O)NR13R14, −NR14C(O)OR13, −OC(O)NR13R14, −NR14C(O)OR13, −NR13C(O)NR13R14, −S(O)tR13, −NR13S(O)tR14, −S(O)tNR13R14, −NR13S(O)tNR14−, −NR13S(O)tOR14, −OS(O)tNR13R14, or R20; R13 and R14 are, at each occurrence, independently H, C1-6 alkyl, or C1-6 haloalkyl, or when attached to the same or a different nitrogen, they can form a 3-6 membered carbocycle or 3-6 membered heterocycle; R20 is, at each occurrence, independently carbocycle or heterocycle, wherein R20 is substituted by (R21)u; R21 is, at each occurrence, independently halo, oxo, −CN, C1-6 alkyl, C1-6 haloalkyl, −OR, −NR2, −C(O)R, −C(O)OR, −OC(O)R, −OC(O)NR2, −NRC(O)OR, −NRC(O)NR2, carbocycle, or heterocycle;
R22 and R23 are, at each occurrence, independently H, C1-6 alkyl, or C1-6 haloalkyl, or R22 and R23, together with the carbon atom to which they are attached, form a 3-6 membered carbocycle or 3-6 membered heterocycle; R is, at each occurrence, independently H, halo, C1-6 alkyl, or C1-6 haloalkyl; R7 is H or halo; m is 1, 2, or 3; t is 1 or 2; u is 0, 1, 2, or 3; and z is 0, 1, 2, or 3.
66. A compound having a structure listed in Table 1, or a pharmaceutically acceptable salt, solvate, hydrate, isomer, tautomer, racemate, or isotope thereof.
67. An isotope of a compound of any one of claims 1-66.
68. The isotope of claim 67 comprising at least one deuterium.
69. The isotope of claim 67 or 68, wherein at least one hydrogen is a deuterium isotope.
70. The isotope of any one of claims 67–69, wherein R15 is −CD3.
71. The isotope of any one of claims 67–69, wherein R6 is −OR10, and R10 is −CD3.
72. A pharmaceutical composition comprising a compound having the structure of Formula (I′):
or a pharmaceutically acceptable salt, solvate, hydrate, isomer, tautomer, racemate, or isotope thereof, wherein: R1 is a saturated heterocycle; L1 is a bond, –(CR8R9)q−, or −(CR8R9)qC(O)−; R2 is halo or C1-3 haloalkyl; L2 is a 5–10 membered carbocycle or a 5–10 membered heterocycle; R3 is H, −CN, halo, C1-6 alkyl, C1-6 haloalkyl, −OR10, −NR10R11, −C(O)R10, −C(O)OR10, −C(O)NR10R11, −S(O)tR10, −S(O)tNR10R11, −L3−R5, or L4−R12; R4 is, at each occurrence, independently −OH, −NH2, −CN, oxo, halo, C1-6 alkyl, C1-6 alkoxy, C1-6 haloalkyl, or C1-6 haloalkoxy; L3 is a bond, −O−, −C(R15R16)−, −C(O)−, -C(OR14)-, −C(O)N(R15)−, −C(=N−O−R15)−, −S(O)t−, −S(O)tC(R15R16)−, −C(R15R16)S(O)t−, −S(O)tN(R15)−, −N(R15)S(O)t−, or −N(R15)−; R5 is a 3–10 membered carbocycle or a 3–10 membered heterocycle, wherein R5 is substituted with (R6)p; R6 is, at each occurrence, independently, halo, oxo, −NO2, −CN, C1-6 alkyl, C1-6 haloalkyl, −OR10, −NR10R11, −C(O)R10, −C(O)OR10, −OC(O)R10, −C(O)NR10R11, −NR11C(O)R10, −OC(O)NR10R11, −NR11C(O)OR10, −NR10C(O)NR10R11, −S(O)tR10, −NR10S(O)tR11−, −S(O)tNR10R11, −NR10S(O)tNR10−, −NR10S(O)tOR11, −OS(O)tNR10R11, R20, or −L4−R12; R7 is H, −OH, halo, C1-4 alkyl, C1-6 alkoxy, C1-6 haloalkyl, or C1-6 haloalkoxy; R8 and R9 are, at each occurrence, independently H, halo, C1-6 alkyl, C1-6 haloalkyl, C1-6 hydroxyalkyl, or C1-6 cyanoalkyl; R10 and R11 are, at each occurrence, independently H, C1-6 alkyl, C1-6 haloalkyl, carbocycle, heterocycle, or −L4−R12; L4 is –(CR22R23)m−; R12 is −OR13, −NR13R14, −C(O)R13, −C(O)OR13, −OC(O)R13, −C(O)NR13R14, −NR14C(O)OR13, −OC(O)NR13R14, −NR14C(O)OR13, −NR13C(O)NR13R14, −S(O)tR13, −NR13S(O)tR14, −S(O)tNR13R14, −NR13S(O)tNR14−, −NR13S(O)tOR14, −OS(O)tNR13R14, or R20; R13 and R14 are, at each occurrence, independently H, C1-6 alkyl, or C1-6 haloalkyl, or when attached to the same or a different nitrogen, they can form a 3-6 membered carbocycle or 3-6 membered heterocycle; R15 and R16 are, at each occurrence, independently H, C1-6 alkyl, C1-6 haloalkyl, −NR17R18, −C(O)R17, carbocycle, heterocycle, or −L4−R19, or when attached to the same carbon can form a
3-6 membered carbocycle or 3-6 membered heterocycle;R15 and R16 are, at each occurrence, independently H, C1-6 alkyl, C1-6 haloalkyl, −NR17R18, −C(O)R17, carbocycle, heterocycle, or −L4−R19, or when attached to the same carbon can form a 3-6 membered carbocycle or 3-6 membered heterocycle; R17 and R18 are, at each occurrence, independently H, C1-6 alkyl, or heterocycle;R17 and R18 are, at each occurrence, independently H, C1-6 alkyl, or heterocycle; R19 is, at each occurrence, independently −OR, −NR2, −C(O)R, −C(O)OR, −OC(O)R, −OC(O)NR2, −NRC(O)OR, −NRC(O)NR2, carbocycle, or heterocycle, wherein carbocycle and heterocycle are substituted by 0-3 R; R20 is, at each occurrence, independently carbocycle or heterocycle, wherein R20 is substituted by (R21)u; R21 is, at each occurrence, independently halo, oxo, −CN, C1-6 alkyl, C1-6 haloalkyl, −OR, −NR2, −C(O)R, −C(O)OR, −OC(O)R, −OC(O)NR2, −NRC(O)OR, −NRC(O)NR2, carbocycle, or heterocycle; R22 and R23 are, at each occurrence, independently H, C1-6 alkyl, or C1-6 haloalkyl, or R22 and R23, together with the carbon atom to which they are attached, form a 3-6 membered carbocycle or 3-6 membered heterocycle; R is, at each occurrence, independently H, halo, C1-6 alkyl, or C1-6 haloalkyl; m is 1, 2, 3, 4, 5, or 6; n is 0, 1, 2, or 3; p is 0, 1, 2, or 3; q is 0, 1, or 2; r is 0, 1, 2, 3, 4, or 5; and t is, at each occurrence, independently 0, 1, or 2.
73. A pharmaceutical composition comprising a compound of any one of claims 1–70, or a pharmaceutically acceptable salt, solvate, hydrate, isomer, tautomer, racemate, or isotope thereof.
74. The pharmaceutical composition of claim 72or 73, further comprising a pharmaceutically acceptable carrier, diluent, or excipient.
75. A pharmaceutical composition comprising: an anti-cancer agent; and a therapeutically effective amount of a compound having the structure of Formula (I′):
Formula (I′) or a pharmaceutically acceptable salt, solvate, hydrate, isomer, tautomer, racemate, or isotope thereof, wherein: R1 is a saturated heterocycle; L1 is a bond, –(CR8R9)q−, or −(CR8R9)qC(O)−; R2 is halo or C1-3 haloalkyl; L2 is a 5–10 membered carbocycle or a 5–10 membered heterocycle; R3 is H, −CN, halo, C1-6 alkyl, C1-6 haloalkyl, −OR10, −NR10R11, −C(O)R10, −C(O)OR10, −C(O)NR10R11, −S(O)tR10, −S(O)tNR10R11, −L3−R5, or L4−R12; R4 is, at each occurrence, independently −OH, −NH2, −CN, oxo, halo, C1-6 alkyl, C1-6 alkoxy, C1-6 haloalkyl, or C1-6 haloalkoxy; L3 is a bond, −O−, −C(R15R16)−, −C(O)−, -C(OR14)-, −C(O)N(R15)−, −C(=N−O−R15)−, −S(O)t−, −S(O)tC(R15R16)−, −S(O)tN(R15)−, or −N(R15)−; R5 is a 3–10 membered carbocycle or a 3–10 membered heterocycle, wherein R5 is substituted with (R6)p; R6 is, at each occurrence, independently, halo, oxo, −NO2, −CN, C1-6 alkyl, C1-6 haloalkyl, −OR10, −NR10R11, −C(O)R10, −C(O)OR10, −OC(O)R10, −C(O)NR10R11, −NR11C(O)R10, −OC(O)NR10R11, −NR11C(O)OR10, −NR10C(O)NR10R11, −S(O)tR10, −NR10S(O)tR11−, −S(O)tNR10R11, −NR10S(O)tNR10−, −NR10S(O)tOR11, −OS(O)tNR10R11, R20, or −L4−R12; R7 is H, −OH, halo, C1-4 alkyl, C1-6 alkoxy, C1-6 haloalkyl, or C1-6 haloalkoxy; R8 and R9 are, at each occurrence, independently H, halo, C1-6 alkyl, or C1-6 haloalkyl; R10 and R11 are, at each occurrence, independently H, C1-6 alkyl, C1-6 haloalkyl, carbocycle, heterocycle, or −L4−R12;
L4 is –(CR22R23)m−; R12 is −OR13, −NR13R14, −C(O)R13, −C(O)OR13, −OC(O)R13, −C(O)NR13R14, −NR14C(O)OR13, −OC(O)NR13R14, −NR14C(O)OR13, −NR13C(O)NR13R14, −S(O)tR13, −NR13S(O)tR14, −S(O)tNR13R14, −NR13S(O)tNR14−, −NR13S(O)tOR14, −OS(O)tNR13R14, or R20; R13 and R14 are, at each occurrence, independently H, C1-6 alkyl, or C1-6 haloalkyl, or when attached to the same or a different nitrogen, they can form a 3-6 membered carbocycle or 3-6 membered heterocycle; R15 and R16 are, at each occurrence, independently H, C1-6 alkyl, C1-6 haloalkyl, −NR17R18, −C(O)R17, carbocycle, heterocycle, or −L4−R19, or when attached to the same carbon can form a 3-6 membered carbocycle or 3-6 membered heterocycle;R15 and R16 are, at each occurrence, independently H, C1-6 alkyl, C1-6 haloalkyl, −NR17R18, −C(O)R17, carbocycle, heterocycle, or −L4−R19, or when attached to the same carbon can form a 3-6 membered carbocycle or 3-6 membered heterocycle; R17 and R18 are, at each occurrence, independently H, C1-6 alkyl, or heterocycle;R17 and R18 are, at each occurrence, independently H, C1-6 alkyl, or heterocycle; R19 is, at each occurrence, independently −OR, −NR2, −C(O)R, −C(O)OR, −OC(O)R, −OC(O)NR2, −NRC(O)OR, −NRC(O)NR2, carbocycle, or heterocycle, wherein carbocycle and heterocycle are substituted by 0-3 R; R20 is, at each occurrence, independently carbocycle or heterocycle, wherein R20 is substituted by (R21)u; R21 is, at each occurrence, independently halo, oxo, −CN, C1-6 alkyl, C1-6 haloalkyl, −OR, −NR2, −C(O)R, −C(O)OR, −OC(O)R, −OC(O)NR2, −NRC(O)OR, −NRC(O)NR2, carbocycle, or heterocycle; R22 and R23 are, at each occurrence, independently H, C1-6 alkyl, or C1-6 haloalkyl, or R22 and R23, together with the carbon atom to which they are attached, form a 3-6 membered carbocycle or 3-6 membered heterocycle; R is, at each occurrence, independently H, halo, C1-6 alkyl, or C1-6 haloalkyl; m is 1, 2, 3, 4, 5, or 6; n is 0, 1, 2, or 3; p is 0, 1, 2, or 3; q is 0, 1, or 2; r is 0, 1, 2, 3, 4, or 5; and t is, at each occurrence, independently 0, 1, or 2.
76. A pharmaceutical composition comprising: an anti-cancer agent; and a therapeutically effective amount of the compound any one of claims 1–66, or a pharmaceutically acceptable salt, solvate, hydrate, isomer, tautomer, racemate, isotope, or composition thereof.
77. The pharmaceutical composition of claim 75 or 76, wherein the anti-cancer is a biologic immune-oncology agent.
78. The pharmaceutical composition of claim 77, wherein the biologic immune-oncology agent is a cancer vaccine, an antibody, a tumor infiltrating lymphocyte, or a cytokine.
79. A method for inhibiting the activity of at least one diacylglycerol kinase comprising contacting the diacylglycerol kinase with a compound having the structure of Formula (I′):
or a pharmaceutically acceptable salt, solvate, hydrate, isomer, tautomer, racemate, or isotope thereof, wherein: R1 is a saturated heterocycle; L1 is a bond, –(CR8R9)q−, or −(CR8R9)qC(O)−; R2 is halo or C1-3 haloalkyl; L2 is a 5–10 membered carbocycle or a 5–10 membered heterocycle; R3 is H, −CN, halo, C1-6 alkyl, C1-6 haloalkyl, −OR10, −NR10R11, −C(O)R10, −C(O)OR10, −C(O)NR10R11, −S(O)tR10, −S(O)tNR10R11, −L3−R5, or L4−R12; R4 is, at each occurrence, independently −OH, −NH2, −CN, oxo, halo, C1-6 alkyl, C1-6 alkoxy, C1-6 haloalkyl, or C1-6 haloalkoxy; L3 is a bond, −O−, −C(R15R16)−, −C(O)−, -C(OR14)-, −C(O)N(R15)−, −C(=N−O−R15)−, −S(O)t−, −S(O)tC(R15R16)−, −S(O)tN(R15)−, or −N(R15)−;
R5 is a 3–10 membered carbocycle or a 3–10 membered heterocycle, wherein R5 is substituted with (R6)p; R6 is, at each occurrence, independently, halo, oxo, −NO2, −CN, C1-6 alkyl, C1-6 haloalkyl, −OR10, −NR10R11, −C(O)R10, −C(O)OR10, −OC(O)R10, −C(O)NR10R11, −NR11C(O)R10, −OC(O)NR10R11, −NR11C(O)OR10, −NR10C(O)NR10R11, −S(O)tR10, −NR10S(O)tR11−, −S(O)tNR10R11, −NR10S(O)tNR10−, −NR10S(O)tOR11, −OS(O)tNR10R11, R20, or −L4−R12; R7 is H, −OH, halo, C1-4 alkyl, C1-6 alkoxy, C1-6 haloalkyl, or C1-6 haloalkoxy; R8 and R9 are, at each occurrence, independently H, halo, C1-6 alkyl, or C1-6 haloalkyl; R10 and R11 are, at each occurrence, independently H, C1-6 alkyl, C1-6 haloalkyl, carbocycle, heterocycle, or −L4−R12; L4 is –(CR22R23)m−; R12 is −OR13, −NR13R14, −C(O)R13, −C(O)OR13, −OC(O)R13, −C(O)NR13R14, −NR14C(O)OR13, −OC(O)NR13R14, −NR14C(O)OR13, −NR13C(O)NR13R14, −S(O)tR13, −NR13S(O)tR14, −S(O)tNR13R14, −NR13S(O)tNR14−, −NR13S(O)tOR14, −OS(O)tNR13R14, or R20; R13 and R14 are, at each occurrence, independently H, C1-6 alkyl, or C1-6 haloalkyl, or when attached to the same or a different nitrogen, they can form a 3-6 membered carbocycle or 3-6 membered heterocycle; R15 and R16 are, at each occurrence, independently H, C1-6 alkyl, C1-6 haloalkyl, −NR17R18, −C(O)R17, carbocycle, heterocycle, or −L4−R19, or when attached to the same carbon can form a 3-6 membered carbocycle or 3-6 membered heterocycle; R17 and R18 are, at each occurrence, independently H, C1-6 alkyl, or heterocycle;R17 and R18 are, at each occurrence, independently H, C1-6 alkyl, or heterocycle; R19 is, at each occurrence, independently −OR, −NR2, −C(O)R, −C(O)OR, −OC(O)R, −OC(O)NR2, −NRC(O)OR, −NRC(O)NR2, carbocycle, or heterocycle, wherein carbocycle and heterocycle are substituted by 0-3 R; R20 is, at each occurrence, independently carbocycle or heterocycle, wherein R20 is substituted by (R21)u; R21 is, at each occurrence, independently halo, oxo, −CN, C1-6 alkyl, C1-6 haloalkyl, −OR, −NR2, −C(O)R, −C(O)OR, −OC(O)R, −OC(O)NR2, −NRC(O)OR, −NRC(O)NR2, carbocycle, or heterocycle; R22 and R23 are, at each occurrence, independently H, C1-6 alkyl, or C1-6 haloalkyl, or R22 and R23, together with the carbon atom to which they are attached, form a 3-6 membered carbocycle or 3-6 membered heterocycle;
R is, at each occurrence, independently H, halo, C1-6 alkyl, or C1-6 haloalkyl; m is 1, 2, 3, 4, 5, or 6; n is 0, 1, 2, or 3; p is 0, 1, 2, or 3; q is 0, 1, or 2; r is 0, 1, 2, 3, 4, or 5; and t is, at each occurrence, independently 0, 1, or 2.
80. A method for inhibiting the activity of at least one diacylglycerol kinase comprising contacting the diacylglycerol kinase with a compound of any one of claims 1–71, or a pharmaceutically acceptable salt, solvate, hydrate, isomer, tautomer, racemate, isotope, or composition thereof.
81. The method of claim 79 or 80, wherein the diacylglycerol kinase is diacylglycerol kinase alpha (DGKa) or diacylglycerol kinase zeta (DGKζ).
82. A method of treating a subject having a disease or disorder associated with the activity of DGKα, DGKζ, or both DGKα and DGKζ comprising administering to the subject in need thereof a therapeutically effective amount of a compound having the structure of Formula (I′):
Formula (I′) or a pharmaceutically acceptable salt, solvate, hydrate, isomer, tautomer, racemate, or isotope thereof, wherein: R1 is a saturated heterocycle; L1 is a bond, –(CR8R9)q−, or −(CR8R9)qC(O)−; R2 is halo or C1-3 haloalkyl; L2 is a 5–10 membered carbocycle or a 5–10 membered heterocycle;
R3 is H, −CN, halo, C1-6 alkyl, C1-6 haloalkyl, −OR10, −NR10R11, −C(O)R10, −C(O)OR10, −C(O)NR10R11, −S(O)tR10, −S(O)tNR10R11, −L3−R5, or L4−R12; R4 is, at each occurrence, independently −OH, −NH2, −CN, oxo, halo, C1-6 alkyl, C1-6 alkoxy, C1-6 haloalkyl, or C1-6 haloalkoxy; L3 is a bond, −O−, −C(R15R16)−, −C(O)−, -C(OR14)-, −C(O)N(R15)−, −C(=N−O−R15)−, −S(O)t−, −S(O)tC(R15R16)−, −S(O)tN(R15)−, or −N(R15)−; R5 is a 3–10 membered carbocycle or a 3–10 membered heterocycle, wherein R5 is substituted with (R6)p; R6 is, at each occurrence, independently, halo, oxo, −NO2, −CN, C1-6 alkyl, C1-6 haloalkyl, −OR10, −NR10R11, −C(O)R10, −C(O)OR10, −OC(O)R10, −C(O)NR10R11, −NR11C(O)R10, −OC(O)NR10R11, −NR11C(O)OR10, −NR10C(O)NR10R11, −S(O)tR10, −NR10S(O)tR11−, −S(O)tNR10R11, −NR10S(O)tNR10−, −NR10S(O)tOR11, −OS(O)tNR10R11, R20, or −L4−R12; R7 is H, −OH, halo, C1-4 alkyl, C1-6 alkoxy, C1-6 haloalkyl, or C1-6 haloalkoxy; R8 and R9 are, at each occurrence, independently H, halo, C1-6 alkyl, or C1-6 haloalkyl; R10 and R11 are, at each occurrence, independently H, C1-6 alkyl, C1-6 haloalkyl, carbocycle, heterocycle, or −L4−R12; L4 is –(CR22R23)m−; R12 is −OR13, −NR13R14, −C(O)R13, −C(O)OR13, −OC(O)R13, −C(O)NR13R14, −NR14C(O)OR13, −OC(O)NR13R14, −NR14C(O)OR13, −NR13C(O)NR13R14, −S(O)tR13, −NR13S(O)tR14, −S(O)tNR13R14, −NR13S(O)tNR14−, −NR13S(O)tOR14, −OS(O)tNR13R14, or R20; R13 and R14 are, at each occurrence, independently H, C1-6 alkyl, or C1-6 haloalkyl, or when attached to the same or a different nitrogen, they can form a 3-6 membered carbocycle or 3-6 membered heterocycle; R15 and R16 are, at each occurrence, independently H, C1-6 alkyl, C1-6 haloalkyl, −NR17R18, −C(O)R17, carbocycle, heterocycle, or −L4−R19, or when attached to the same carbon can form a 3-6 membered carbocycle or 3-6 membered heterocycle; R17 and R18 are, at each occurrence, independently H, C1-6 alkyl, or heterocycle;R17 and R18 are, at each occurrence, independently H, C1-6 alkyl, or heterocycle; R19 is, at each occurrence, independently −OR, −NR2, −C(O)R, −C(O)OR, −OC(O)R, −OC(O)NR2, −NRC(O)OR, −NRC(O)NR2, carbocycle, or heterocycle, wherein carbocycle and heterocycle are substituted by 0-3 R;
R20 is, at each occurrence, independently carbocycle or heterocycle, wherein R20 is substituted by (R21)u; R21 is, at each occurrence, independently halo, oxo, −CN, C1-6 alkyl, C1-6 haloalkyl, −OR, −NR2, −C(O)R, −C(O)OR, −OC(O)R, −OC(O)NR2, −NRC(O)OR, −NRC(O)NR2, carbocycle, or heterocycle; R22 and R23 are, at each occurrence, independently H, C1-6 alkyl, or C1-6 haloalkyl, or R22 and R23, together with the carbon atom to which they are attached, form a 3-6 membered carbocycle or 3-6 membered heterocycle; R is, at each occurrence, independently H, halo, C1-6 alkyl, or C1-6 haloalkyl; m is 1, 2, 3, 4, 5, or 6; n is 0, 1, 2, or 3; p is 0, 1, 2, or 3; q is 0, 1, or 2; r is 0, 1, 2, 3, 4, or 5; and t is, at each occurrence, independently 0, 1, or 2.
83. A method of treating a subject having a disease or disorder associated with the activity of DGKα, DGKζ, or both DGKα and DGKζ comprising administering to the subject in need thereof a therapeutically effective amount of the compound any one of claims 1–66, or a pharmaceutically acceptable salt, solvate, hydrate, isomer, tautomer, racemate, isotope, or composition thereof.
84. A method of treating a subject having a proliferative disorder or a viral infection comprising administering to the subject in need thereof a therapeutically effective amount of a compound having the structure of Formula (I′):
or a pharmaceutically acceptable salt, solvate, hydrate, isomer, tautomer, racemate, or isotope thereof, wherein:
R1 is a saturated heterocycle; L1 is a bond, –(CR8R9)q−, or −(CR8R9)qC(O)−; R2 is halo or C1-3 haloalkyl; L2 is a 5–10 membered carbocycle or a 5–10 membered heterocycle; R3 is H, −CN, halo, C1-6 alkyl, C1-6 haloalkyl, −OR10, −NR10R11, −C(O)R10, −C(O)OR10, −C(O)NR10R11, −S(O)tR10, −S(O)tNR10R11, −L3−R5, or L4−R12; R4 is, at each occurrence, independently −OH, −NH2, −CN, oxo, halo, C1-6 alkyl, C1-6 alkoxy, C1-6 haloalkyl, or C1-6 haloalkoxy; L3 is a bond, −O−, −C(R15R16)−, −C(O)−, -C(OR14)-, −C(O)N(R15)−, −C(=N−O−R15)−, −S(O)t−, −S(O)tC(R15R16)−, −S(O)tN(R15)−, or −N(R15)−; R5 is a 3–10 membered carbocycle or a 3–10 membered heterocycle, wherein R5 is substituted with (R6)p; R6 is, at each occurrence, independently, halo, oxo, −NO2, −CN, C1-6 alkyl, C1-6 haloalkyl, −OR10, −NR10R11, −C(O)R10, −C(O)OR10, −OC(O)R10, −C(O)NR10R11, −NR11C(O)R10, −OC(O)NR10R11, −NR11C(O)OR10, −NR10C(O)NR10R11, −S(O)tR10, −NR10S(O)tR11−, −S(O)tNR10R11, −NR10S(O)tNR10−, −NR10S(O)tOR11, −OS(O)tNR10R11, R20, or −L4−R12; R7 is H, −OH, halo, C1-4 alkyl, C1-6 alkoxy, C1-6 haloalkyl, or C1-6 haloalkoxy; R8 and R9 are, at each occurrence, independently H, halo, C1-6 alkyl, or C1-6 haloalkyl; R10 and R11 are, at each occurrence, independently H, C1-6 alkyl, C1-6 haloalkyl, carbocycle, heterocycle, or −L4−R12; L4 is –(CR22R23)m−; R12 is −OR13, −NR13R14, −C(O)R13, −C(O)OR13, −OC(O)R13, −C(O)NR13R14, −NR14C(O)OR13, −OC(O)NR13R14, −NR14C(O)OR13, −NR13C(O)NR13R14, −S(O)tR13, −NR13S(O)tR14, −S(O)tNR13R14, −NR13S(O)tNR14−, −NR13S(O)tOR14, −OS(O)tNR13R14, or R20; R13 and R14 are, at each occurrence, independently H, C1-6 alkyl, or C1-6 haloalkyl, or when attached to the same or a different nitrogen, they can form a 3-6 membered carbocycle or 3-6 membered heterocycle; R15 and R16 are, at each occurrence, independently H, C1-6 alkyl, C1-6 haloalkyl, −NR17R18, −C(O)R17, carbocycle, heterocycle, or −L4−R19, or when attached to the same carbon can form a 3-6 membered carbocycle or 3-6 membered heterocycle; R17 and R18 are, at each occurrence, independently H, C1-6 alkyl, or heterocycle;R17 and R18 are, at each occurrence, independently H, C1-6 alkyl, or heterocycle;
R19 is, at each occurrence, independently −OR, −NR2, −C(O)R, −C(O)OR, −OC(O)R, −OC(O)NR2, −NRC(O)OR, −NRC(O)NR2, carbocycle, or heterocycle, wherein carbocycle and heterocycle are substituted by 0-3 R; R20 is, at each occurrence, independently carbocycle or heterocycle, wherein R20 is substituted by (R21)u; R21 is, at each occurrence, independently halo, oxo, −CN, C1-6 alkyl, C1-6 haloalkyl, −OR, −NR2, −C(O)R, −C(O)OR, −OC(O)R, −OC(O)NR2, −NRC(O)OR, −NRC(O)NR2, carbocycle, or heterocycle; R22 and R23 are, at each occurrence, independently H, C1-6 alkyl, or C1-6 haloalkyl, or R22 and R23, together with the carbon atom to which they are attached, form a 3-6 membered carbocycle or 3-6 membered heterocycle; R is, at each occurrence, independently H, halo, C1-6 alkyl, or C1-6 haloalkyl; m is 1, 2, 3, 4, 5, or 6; n is 0, 1, 2, or 3; p is 0, 1, 2, or 3; q is 0, 1, or 2; r is 0, 1, 2, 3, 4, or 5; and t is, at each occurrence, independently 0, 1, or 2.
85. A method of treating a subject having a proliferative disorder or a viral infection comprising administering to the subject in need thereof a therapeutically effective amount of the compound any one of claims 1–66, or a pharmaceutically acceptable salt, solvate, hydrate, isomer, tautomer, racemate, isotope, or composition thereof.
86. The method of claim 85, wherein the proliferative disorder is cancer.
87. The method of claim 86, wherein the cancer is cancer of the colon, pancreatic cancer, breast cancer, prostate cancer, lung cancer, ovarian cancer, cervical cancer, renal cancer, cancer of the head and neck, lymphoma, leukemia, or melanoma.
88. A method of treating a subject having a proliferative disorder comprising administering to the subject in need thereof: a therapeutically effective amount of an anti-cancer agent; and a therapeutically effective amount of a compound having the structure of Formula (I′):
or a pharmaceutically acceptable salt, solvate, hydrate, isomer, tautomer, racemate, or isotope thereof, wherein: R1 is a saturated heterocycle; L1 is a bond, –(CR8R9)q−, or −(CR8R9)qC(O)−; R2 is halo or C1-3 haloalkyl; L2 is a 5–10 membered carbocycle or a 5–10 membered heterocycle; R3 is H, −CN, halo, C1-6 alkyl, C1-6 haloalkyl, −OR10, −NR10R11, −C(O)R10, −C(O)OR10, −C(O)NR10R11, −S(O)tR10, −S(O)tNR10R11, −L3−R5, or L4−R12; R4 is, at each occurrence, independently −OH, −NH2, −CN, oxo, halo, C1-6 alkyl, C1-6 alkoxy, C1-6 haloalkyl, or C1-6 haloalkoxy; L3 is a bond, −O−, −C(R15R16)−, −C(O)−, -C(OR14)-, −C(O)N(R15)−, −C(=N−O−R15)−, −S(O)t−, −S(O)tC(R15R16)−, −S(O)tN(R15)−, or −N(R15)−; R5 is a 3–10 membered carbocycle or a 3–10 membered heterocycle, wherein R5 is substituted with (R6)p; R6 is, at each occurrence, independently, halo, oxo, −NO2, −CN, C1-6 alkyl, C1-6 haloalkyl, −OR10, −NR10R11, −C(O)R10, −C(O)OR10, −OC(O)R10, −C(O)NR10R11, −NR11C(O)R10, −OC(O)NR10R11, −NR11C(O)OR10, −NR10C(O)NR10R11, −S(O)tR10, −NR10S(O)tR11−, −S(O)tNR10R11, −NR10S(O)tNR10−, −NR10S(O)tOR11, −OS(O)tNR10R11, R20, or −L4−R12; R7 is H, −OH, halo, C1-4 alkyl, C1-6 alkoxy, C1-6 haloalkyl, or C1-6 haloalkoxy; R8 and R9 are, at each occurrence, independently H, halo, C1-6 alkyl, or C1-6 haloalkyl; R10 and R11 are, at each occurrence, independently H, C1-6 alkyl, C1-6 haloalkyl, carbocycle, heterocycle, or −L4−R12; L4 is –(CR22R23)m−; R12 is −OR13, −NR13R14, −C(O)R13, −C(O)OR13, −OC(O)R13, −C(O)NR13R14, −NR14C(O)OR13, −OC(O)NR13R14, −NR14C(O)OR13, −NR13C(O)NR13R14, −S(O)tR13, −NR13S(O)tR14, −S(O)tNR13R14, −NR13S(O)tNR14−, −NR13S(O)tOR14, −OS(O)tNR13R14, or R20;
R13 and R14 are, at each occurrence, independently H, C1-6 alkyl, or C1-6 haloalkyl, or when attached to the same or a different nitrogen, they can form a 3-6 membered carbocycle or 3-6 membered heterocycle; R15 and R16 are, at each occurrence, independently H, C1-6 alkyl, C1-6 haloalkyl, −NR17R18, −C(O)R17, carbocycle, heterocycle, or −L4−R19, or when attached to the same carbon can form a 3-6 membered carbocycle or 3-6 membered heterocycle; R17 and R18 are, at each occurrence, independently H, C1-6 alkyl, or heterocycle; R19 is, at each occurrence, independently −OR, −NR2, −C(O)R, −C(O)OR, −OC(O)R, −OC(O)NR2, −NRC(O)OR, −NRC(O)NR2, carbocycle, or heterocycle, wherein carbocycle and heterocycle are substituted by 0-3 R; R20 is, at each occurrence, independently carbocycle or heterocycle, wherein R20 is substituted by (R21)u; R21 is, at each occurrence, independently halo, oxo, −CN, C1-6 alkyl, C1-6 haloalkyl, −OR, −NR2, −C(O)R, −C(O)OR, −OC(O)R, −OC(O)NR2, −NRC(O)OR, −NRC(O)NR2, carbocycle, or heterocycle; R22 and R23 are, at each occurrence, independently H, C1-6 alkyl, or C1-6 haloalkyl, or R22 and R23, together with the carbon atom to which they are attached, form a 3-6 membered carbocycle or 3-6 membered heterocycle; R is, at each occurrence, independently H, halo, C1-6 alkyl, or C1-6 haloalkyl; m is 1, 2, 3, 4, 5, or 6; n is 0, 1, 2, or 3; p is 0, 1, 2, or 3; q is 0, 1, or 2; r is 0, 1, 2, 3, 4, or 5; and t is, at each occurrence, independently 0, 1, or 2.
89. A method of treating a subject having a proliferative disorder comprising administering to the subject in need thereof a therapeutically effective amount of an anti-cancer agent; and a therapeutically effective amount of the compound any one of claims 1–66, or a pharmaceutically acceptable salt, solvate, hydrate, isomer, tautomer, racemate, isotope, or composition thereof.
90. The method of claim 88 or 89, wherein the proliferative disorder is cancer.
91. The method of claim 90, wherein the cancer is cancer of the colon, pancreatic cancer, breast cancer, prostate cancer, lung cancer, ovarian cancer, cervical cancer, renal cancer, cancer of the head and neck, lymphoma, leukemia, or melanoma.
92. The method of any one of claims 88–91, wherein the anti-cancer agent is a biologic immune-oncology agent.
93. The method of claim 92, wherein the biologic immune-oncology agent is a cancer vaccine, an antibody, a tumor infiltrating lymphocyte, or a cytokine.
94. Use of a compound having the structure of Formula (I′):
Formula (I′) or a pharmaceutically acceptable salt, solvate, hydrate, isomer, tautomer, racemate, or isotope thereof, wherein: R1 is a saturated heterocycle; L1 is a bond, –(CR8R9)q−, or −(CR8R9)qC(O)−; R2 is halo or C1-3 haloalkyl; L2 is a 5–10 membered carbocycle or a 5–10 membered heterocycle; R3 is H, −CN, halo, C1-6 alkyl, C1-6 haloalkyl, −OR10, −NR10R11, −C(O)R10, −C(O)OR10, −C(O)NR10R11, −S(O)tR10, −S(O)tNR10R11, −L3−R5, or L4−R12; R4 is, at each occurrence, independently −OH, −NH2, −CN, oxo, halo, C1-6 alkyl, C1-6 alkoxy, C1-6 haloalkyl, or C1-6 haloalkoxy; L3 is a bond, −O−, −C(R15R16)−, −C(O)−, -C(OR14)-, −C(O)N(R15)−, −C(=N−O−R15)−, −S(O)t−, −S(O)tC(R15R16)−, −S(O)tN(R15)−, or −N(R15)−;
R5 is a 3–10 membered carbocycle or a 3–10 membered heterocycle, wherein R5 is substituted with (R6)p; R6 is, at each occurrence, independently, halo, oxo, −NO2, −CN, C1-6 alkyl, C1-6 haloalkyl, −OR10, −NR10R11, −C(O)R10, −C(O)OR10, −OC(O)R10, −C(O)NR10R11, −NR11C(O)R10, −OC(O)NR10R11, −NR11C(O)OR10, −NR10C(O)NR10R11, −S(O)tR10, −NR10S(O)tR11−, −S(O)tNR10R11, −NR10S(O)tNR10−, −NR10S(O)tOR11, −OS(O)tNR10R11, R20, or −L4−R12; R7 is H, −OH, halo, C1-4 alkyl, C1-6 alkoxy, C1-6 haloalkyl, or C1-6 haloalkoxy; R8 and R9 are, at each occurrence, independently H, halo, C1-6 alkyl, or C1-6 haloalkyl; R10 and R11 are, at each occurrence, independently H, C1-6 alkyl, C1-6 haloalkyl, carbocycle, heterocycle, or −L4−R12; L4 is –(CR22R23)m−; R12 is −OR13, −NR13R14, −C(O)R13, −C(O)OR13, −OC(O)R13, −C(O)NR13R14, −NR14C(O)OR13, −OC(O)NR13R14, −NR14C(O)OR13, −NR13C(O)NR13R14, −S(O)tR13, −NR13S(O)tR14, −S(O)tNR13R14, −NR13S(O)tNR14−, −NR13S(O)tOR14, −OS(O)tNR13R14, or R20; R13 and R14 are, at each occurrence, independently H, C1-6 alkyl, or C1-6 haloalkyl, or when attached to the same or a different nitrogen, they can form a 3-6 membered carbocycle or 3-6 membered heterocycle; R15 and R16 are, at each occurrence, independently H, C1-6 alkyl, C1-6 haloalkyl, −NR17R18, −C(O)R17, carbocycle, heterocycle, or −L4−R19, or when attached to the same carbon can form a 3-6 membered carbocycle or 3-6 membered heterocycle; R17 and R18 are, at each occurrence, independently H, C1-6 alkyl, or heterocycle; R19 is, at each occurrence, independently −OR, −NR2, −C(O)R, −C(O)OR, −OC(O)R, −OC(O)NR2, −NRC(O)OR, −NRC(O)NR2, carbocycle, or heterocycle, wherein carbocycle and heterocycle are substituted by 0-3 R; R20 is, at each occurrence, independently carbocycle or heterocycle, wherein R20 is substituted by (R21)u; R21 is, at each occurrence, independently halo, oxo, −CN, C1-6 alkyl, C1-6 haloalkyl, −OR, −NR2, −C(O)R, −C(O)OR, −OC(O)R, −OC(O)NR2, −NRC(O)OR, −NRC(O)NR2, carbocycle, or heterocycle; R22 and R23 are, at each occurrence, independently H, C1-6 alkyl, or C1-6 haloalkyl, or R22 and R23, together with the carbon atom to which they are attached, form a 3-6 membered carbocycle or 3-6 membered heterocycle; R is, at each occurrence, independently H, halo, C1-6 alkyl, or C1-6 haloalkyl;
m is 1, 2, 3, 4, 5, or 6; n is 0, 1, 2, or 3; p is 0, 1, 2, or 3; q is 0, 1, or 2; r is 0, 1, 2, 3, 4, or 5; and t is, at each occurrence, independently 0, 1, or 2.
95. Use of a compound according to any one of claims 1–66, or a pharmaceutically acceptable salt, solvate, hydrate, isomer, tautomer, racemate, isotope, or composition thereof, for inhibiting the activity of at least one of diacylglycerol kinase selected from diacylglycerol kinase alpha (DGKa) and diacylglycerol kinase zeta (DGKζ).
96. Use of a compound having the structure of Formula (I′):
or a pharmaceutically acceptable salt, solvate, hydrate, isomer, tautomer, racemate, or isotope thereof, wherein: R1 is a saturated heterocycle; L1 is a bond, –(CR8R9)q−, or −(CR8R9)qC(O)−; R2 is halo or C1-3 haloalkyl; L2 is a 5–10 membered carbocycle or a 5–10 membered heterocycle; R3 is H, −CN, halo, C1-6 alkyl, C1-6 haloalkyl, −OR10, −NR10R11, −C(O)R10, −C(O)OR10, −C(O)NR10R11, −S(O)tR10, −S(O)tNR10R11, −L3−R5, or L4−R12; R4 is, at each occurrence, independently −OH, −NH2, −CN, oxo, halo, C1-6 alkyl, C1-6 alkoxy, C1-6 haloalkyl, or C1-6 haloalkoxy; L3 is a bond, −O−, −C(R15R16)−, −C(O)−, -C(OR14)-, −C(O)N(R15)−, −C(=N−O−R15)−, −S(O)t−, −S(O)tC(R15R16)−, −S(O)tN(R15)−, or −N(R15)−;
R5 is a 3–10 membered carbocycle or a 3–10 membered heterocycle, wherein R5 is substituted with (R6)p; R6 is, at each occurrence, independently, halo, oxo, −NO2, −CN, C1-6 alkyl, C1-6 haloalkyl, −OR10, −NR10R11, −C(O)R10, −C(O)OR10, −OC(O)R10, −C(O)NR10R11, −NR11C(O)R10, −OC(O)NR10R11, −NR11C(O)OR10, −NR10C(O)NR10R11, −S(O)tR10, −NR10S(O)tR11−, −S(O)tNR10R11, −NR10S(O)tNR10−, −NR10S(O)tOR11, −OS(O)tNR10R11, R20, or −L4−R12; R7 is H, −OH, halo, C1-4 alkyl, C1-6 alkoxy, C1-6 haloalkyl, or C1-6 haloalkoxy; R8 and R9 are, at each occurrence, independently H, halo, C1-6 alkyl, or C1-6 haloalkyl; R10 and R11 are, at each occurrence, independently H, C1-6 alkyl, C1-6 haloalkyl, carbocycle, heterocycle, or −L4−R12; L4 is –(CR22R23)m−; R12 is −OR13, −NR13R14, −C(O)R13, −C(O)OR13, −OC(O)R13, −C(O)NR13R14, −NR14C(O)OR13, −OC(O)NR13R14, −NR14C(O)OR13, −NR13C(O)NR13R14, −S(O)tR13, −NR13S(O)tR14, −S(O)tNR13R14, −NR13S(O)tNR14−, −NR13S(O)tOR14, −OS(O)tNR13R14, or R20; R13 and R14 are, at each occurrence, independently H, C1-6 alkyl, or C1-6 haloalkyl, or when attached to the same or a different nitrogen, they can form a 3-6 membered carbocycle or 3-6 membered heterocycle; R15 and R16 are, at each occurrence, independently H, C1-6 alkyl, C1-6 haloalkyl, −NR17R18, −C(O)R17, carbocycle, heterocycle, or −L4−R19, or when attached to the same carbon can form a 3-6 membered carbocycle or 3-6 membered heterocycle; R17 and R18 are, at each occurrence, independently H, C1-6 alkyl, or heterocycle; R19 is, at each occurrence, independently −OR, −NR2, −C(O)R, −C(O)OR, −OC(O)R, −OC(O)NR2, −NRC(O)OR, −NRC(O)NR2, carbocycle, or heterocycle, wherein carbocycle and heterocycle are substituted by 0-3 R; R20 is, at each occurrence, independently carbocycle or heterocycle, wherein R20 is substituted by (R21)u; R21 is, at each occurrence, independently halo, oxo, −CN, C1-6 alkyl, C1-6 haloalkyl, −OR, −NR2, −C(O)R, −C(O)OR, −OC(O)R, −OC(O)NR2, −NRC(O)OR, −NRC(O)NR2, carbocycle, or heterocycle; R22 and R23 are, at each occurrence, independently H, C1-6 alkyl, or C1-6 haloalkyl, or R22 and R23, together with the carbon atom to which they are attached, form a 3-6 membered carbocycle or 3-6 membered heterocycle; R is, at each occurrence, independently H, halo, C1-6 alkyl, or C1-6 haloalkyl;
m is 1, 2, 3, 4, 5, or 6; n is 0, 1, 2, or 3; p is 0, 1, 2, or 3; q is 0, 1, or 2; r is 0, 1, 2, 3, 4, or 5; and t is, at each occurrence, independently 0, 1, or 2.
97. Use of a compound according to any one of claims 1–66, or a pharmaceutically acceptable salt, solvate, hydrate, isomer, tautomer, racemate, isotope, or composition thereof, for treating a disease or disorder associated with the activity of DGKα or DGKζ, or both DGKα and DGKζ.
98. Use of a compound having the structure of Formula (I):
or a pharmaceutically acceptable salt, solvate, hydrate, isomer, tautomer, racemate, or isotope thereof, wherein: R1 is a saturated heterocycle; L1 is a bond, –(CR8R9)q−, or −(CR8R9)qC(O)−; R2 is halo or C1-3 haloalkyl; L2 is a 5–10 membered carbocycle or a 5–10 membered heterocycle; R3 is H, −CN, halo, C1-6 alkyl, C1-6 haloalkyl, −OR10, −NR10R11, −C(O)R10, −C(O)OR10, −C(O)NR10R11, −S(O)tR10, −S(O)tNR10R11, −L3−R5, or L4−R12; R4 is, at each occurrence, independently −OH, −NH2, −CN, oxo, halo, C1-6 alkyl, C1-6 alkoxy, C1-6 haloalkyl, or C1-6 haloalkoxy; L3 is a bond, −O−, −C(R15R16)−, −C(O)−, -C(OR14)-, −C(O)N(R15)−, −C(=N−O−R15)−, −S(O)t−, −S(O)tC(R15R16)−, −S(O)tN(R15)−, or −N(R15)−;
R5 is a 3–10 membered carbocycle or a 3–10 membered heterocycle, wherein R5 is substituted with (R6)p; R6 is, at each occurrence, independently, halo, oxo, −NO2, −CN, C1-6 alkyl, C1-6 haloalkyl, −OR10, −NR10R11, −C(O)R10, −C(O)OR10, −OC(O)R10, −C(O)NR10R11, −NR11C(O)R10, −OC(O)NR10R11, −NR11C(O)OR10, −NR10C(O)NR10R11, −S(O)tR10, −NR10S(O)tR11−, −S(O)tNR10R11, −NR10S(O)tNR10−, −NR10S(O)tOR11, −OS(O)tNR10R11, R20, or −L4−R12; R7 is H, −OH, halo, C1-4 alkyl, C1-6 alkoxy, C1-6 haloalkyl, or C1-6 haloalkoxy; R8 and R9 are, at each occurrence, independently H, halo, C1-6 alkyl, or C1-6 haloalkyl; R10 and R11 are, at each occurrence, independently H, C1-6 alkyl, C1-6 haloalkyl, carbocycle, heterocycle, or −L4−R12; L4 is –(CR22R23)m−; R12 is −OR13, −NR13R14, −C(O)R13, −C(O)OR13, −OC(O)R13, −C(O)NR13R14, −NR14C(O)OR13, −OC(O)NR13R14, −NR14C(O)OR13, −NR13C(O)NR13R14, −S(O)tR13, −NR13S(O)tR14, −S(O)tNR13R14, −NR13S(O)tNR14−, −NR13S(O)tOR14, −OS(O)tNR13R14, or R20; R13 and R14 are, at each occurrence, independently H, C1-6 alkyl, or C1-6 haloalkyl, or when attached to the same or a different nitrogen, they can form a 3-6 membered carbocycle or 3-6 membered heterocycle; R15 and R16 are, at each occurrence, independently H, C1-6 alkyl, C1-6 haloalkyl, −NR17R18, −C(O)R17, carbocycle, heterocycle, or −L4−R19, or when attached to the same carbon can form a 3-6 membered carbocycle or 3-6 membered heterocycle; R17 and R18 are, at each occurrence, independently H, C1-6 alkyl, or heterocycle; R19 is, at each occurrence, independently −OR, −NR2, −C(O)R, −C(O)OR, −OC(O)R, −OC(O)NR2, −NRC(O)OR, −NRC(O)NR2, carbocycle, or heterocycle, wherein carbocycle and heterocycle are substituted by 0-3 R; R20 is, at each occurrence, independently carbocycle or heterocycle, wherein R20 is substituted by (R21)u; R21 is, at each occurrence, independently halo, oxo, −CN, C1-6 alkyl, C1-6 haloalkyl, −OR, −NR2, −C(O)R, −C(O)OR, −OC(O)R, −OC(O)NR2, −NRC(O)OR, −NRC(O)NR2, carbocycle, or heterocycle; R22 and R23 are, at each occurrence, independently H, C1-6 alkyl, or C1-6 haloalkyl, or R22 and R23, together with the carbon atom to which they are attached, form a 3-6 membered carbocycle or 3-6 membered heterocycle; R is, at each occurrence, independently H, halo, C1-6 alkyl, or C1-6 haloalkyl;
m is 1, 2, 3, 4, 5, or 6; n is 0, 1, 2, or 3; p is 0, 1, 2, or 3; q is 0, 1, or 2; r is 0, 1, 2, 3, 4, or 5; and t is, at each occurrence, independently 0, 1, or 2.
99. Use of a compound according to any one of claims 1–66, or a pharmaceutically acceptable salt, solvate, hydrate, isomer, tautomer, racemate, isotope, or composition thereof, for the treatment of proliferative disorders or viral infections.
100. The use of claim 98 or 99, wherein the proliferative disorder is cancer.
101. The use of claim 100, wherein said cancer is cancer of the colon, pancreatic cancer, breast cancer, prostate cancer, lung cancer, ovarian cancer, cervical cancer, renal cancer, cancer of the head and neck, lymphoma, leukemia and melanoma.
102. Use of a compound having the structure of Formula (I):
or a pharmaceutically acceptable salt, solvate, hydrate, isomer, tautomer, racemate, or isotope thereof, wherein: R1 is a saturated heterocycle; L1 is a bond, –(CR8R9)q−, or −(CR8R9)qC(O)−; R2 is halo or C1-3 haloalkyl; L2 is a 5–10 membered carbocycle or a 5–10 membered heterocycle; R3 is H, −CN, halo, C1-6 alkyl, C1-6 haloalkyl, −OR10, −NR10R11, −C(O)R10, −C(O)OR10, −C(O)NR10R11, −S(O)tR10, −S(O)tNR10R11, −L3−R5, or L4−R12;
R4 is, at each occurrence, independently −OH, −NH2, −CN, oxo, halo, C1-6 alkyl, C1-6 alkoxy, C1-6 haloalkyl, or C1-6 haloalkoxy; L3 is a bond, −O−, −C(R15R16)−, −C(O)−, -C(OR14)-, −C(O)N(R15)−, −C(=N−O−R15)−, −S(O)t−, −S(O)tC(R15R16)−, −S(O)tN(R15)−, or −N(R15)−; R5 is a 3–10 membered carbocycle or a 3–10 membered heterocycle, wherein R5 is substituted with (R6)p; R6 is, at each occurrence, independently, halo, oxo, −NO2, −CN, C1-6 alkyl, C1-6 haloalkyl, −OR10, −NR10R11, −C(O)R10, −C(O)OR10, −OC(O)R10, −C(O)NR10R11, −NR11C(O)R10, −OC(O)NR10R11, −NR11C(O)OR10, −NR10C(O)NR10R11, −S(O)tR10, −NR10S(O)tR11−, −S(O)tNR10R11, −NR10S(O)tNR10−, −NR10S(O)tOR11, −OS(O)tNR10R11, R20, or −L4−R12; R7 is H, −OH, halo, C1-4 alkyl, C1-6 alkoxy, C1-6 haloalkyl, or C1-6 haloalkoxy; R8 and R9 are, at each occurrence, independently H, halo, C1-6 alkyl, or C1-6 haloalkyl; R10 and R11 are, at each occurrence, independently H, C1-6 alkyl, C1-6 haloalkyl, carbocycle, heterocycle, or −L4−R12; L4 is –(CR22R23)m−; R12 is −OR13, −NR13R14, −C(O)R13, −C(O)OR13, −OC(O)R13, −C(O)NR13R14, −NR14C(O)OR13, −OC(O)NR13R14, −NR14C(O)OR13, −NR13C(O)NR13R14, −S(O)tR13, −NR13S(O)tR14, −S(O)tNR13R14, −NR13S(O)tNR14−, −NR13S(O)tOR14, −OS(O)tNR13R14, or R20; R13 and R14 are, at each occurrence, independently H, C1-6 alkyl, or C1-6 haloalkyl, or when attached to the same or a different nitrogen, they can form a 3-6 membered carbocycle or 3-6 membered heterocycle; R15 and R16 are, at each occurrence, independently H, C1-6 alkyl, C1-6 haloalkyl, −NR17R18, −C(O)R17, carbocycle, heterocycle, or −L4−R19, or when attached to the same carbon can form a 3-6 membered carbocycle or 3-6 membered heterocycle; R17 and R18 are, at each occurrence, independently H, C1-6 alkyl, or heterocycle; R19 is, at each occurrence, independently −OR, −NR2, −C(O)R, −C(O)OR, −OC(O)R, −OC(O)NR2, −NRC(O)OR, −NRC(O)NR2, carbocycle, or heterocycle, wherein carbocycle and heterocycle are substituted by 0-3 R; R20 is, at each occurrence, independently carbocycle or heterocycle, wherein R20 is substituted by (R21)u; R21 is, at each occurrence, independently halo, oxo, −CN, C1-6 alkyl, C1-6 haloalkyl, −OR, −NR2, −C(O)R, −C(O)OR, −OC(O)R, −OC(O)NR2, −NRC(O)OR, −NRC(O)NR2, carbocycle, or heterocycle;
R22 and R23 are, at each occurrence, independently H, C1-6 alkyl, or C1-6 haloalkyl, or R22 and R23, together with the carbon atom to which they are attached, form a 3-6 membered carbocycle or 3-6 membered heterocycle; R is, at each occurrence, independently H, halo, C1-6 alkyl, or C1-6 haloalkyl; m is 1, 2, 3, 4, 5, or 6; n is 0, 1, 2, or 3; p is 0, 1, 2, or 3; q is 0, 1, or 2; r is 0, 1, 2, 3, 4, or 5; and t isq is 0, 1, or 2; r is 0, 1, 2, 3, 4, or 5; and t is, at each occurrence, independently 0, 1, or 2.
103. Use of a compound according to any one of claims 1–66, or a pharmaceutically acceptable salt, solvate, hydrate, isomer, tautomer, racemate, isotope, or composition thereof, for the manufacture of a medicament.
Applications Claiming Priority (8)
| Application Number | Priority Date | Filing Date | Title |
|---|---|---|---|
| US202163293059P | 2021-12-22 | 2021-12-22 | |
| US63/293,059 | 2021-12-22 | ||
| US202263368343P | 2022-07-13 | 2022-07-13 | |
| US63/368,343 | 2022-07-13 | ||
| US202263382466P | 2022-11-04 | 2022-11-04 | |
| US63/382,466 | 2022-11-04 | ||
| US202263384387P | 2022-11-18 | 2022-11-18 | |
| US63/384,387 | 2022-11-18 |
Publications (1)
| Publication Number | Publication Date |
|---|---|
| WO2023122778A1 true WO2023122778A1 (en) | 2023-06-29 |
Family
ID=85150698
Family Applications (1)
| Application Number | Title | Priority Date | Filing Date |
|---|---|---|---|
| PCT/US2022/082319 Ceased WO2023122778A1 (en) | 2021-12-22 | 2022-12-22 | Pyridazinone derivatives useful as t cell activators |
Country Status (1)
| Country | Link |
|---|---|
| WO (1) | WO2023122778A1 (en) |
Cited By (3)
| Publication number | Priority date | Publication date | Assignee | Title |
|---|---|---|---|---|
| CN118198498A (en) * | 2024-05-16 | 2024-06-14 | 河北省科学院能源研究所 | A high voltage lithium ion battery electrolyte and its preparation method and application |
| WO2024137865A1 (en) * | 2022-12-22 | 2024-06-27 | Gossamer Bio Services, Inc. | Compounds useful as t cell activators |
| WO2024165470A1 (en) | 2023-02-06 | 2024-08-15 | Bayer Aktiengesellschaft | Combinations of dgk (diacylglycerol kinase) inhibitors |
Citations (28)
| Publication number | Priority date | Publication date | Assignee | Title |
|---|---|---|---|---|
| US4002751A (en) * | 1974-02-15 | 1977-01-11 | Sandoz, Inc. | 5-Hydrazinopyridazin-3(2H)-ones |
| WO2005007632A1 (en) * | 2003-07-18 | 2005-01-27 | Pharmacia Corporation | Substituted pyridazinones as inhibitors of p38 |
| WO2006029879A2 (en) | 2004-09-17 | 2006-03-23 | F.Hoffmann-La Roche Ag | Anti-ox40l antibodies |
| WO2006105021A2 (en) | 2005-03-25 | 2006-10-05 | Tolerrx, Inc. | Gitr binding molecules and uses therefor |
| WO2006122150A1 (en) | 2005-05-10 | 2006-11-16 | Incyte Corporation | Modulators of indoleamine 2,3-dioxygenase and methods of using the same |
| WO2007005874A2 (en) | 2005-07-01 | 2007-01-11 | Medarex, Inc. | Human monoclonal antibodies to programmed death ligand 1 (pd-l1) |
| WO2007075598A2 (en) | 2005-12-20 | 2007-07-05 | Incyte Corporation | N-hydroxyamidinoheterocycles as modulators of indoleamine 2,3-dioxygenase |
| WO2008036653A2 (en) | 2006-09-19 | 2008-03-27 | Incyte Corporation | N-hydroxyamidinoheterocycles as modulators of indoleamine 2,3-dioxygenase |
| WO2008036642A2 (en) | 2006-09-19 | 2008-03-27 | Incyte Corporation | N-hydroxyamidinoheterocycles as modulators of indoleamine 2,3-dioxygenase |
| WO2008132601A1 (en) | 2007-04-30 | 2008-11-06 | Immutep | Cytotoxic anti-lag-3 monoclonal antibody and its use in the treatment or prevention of organ transplant rejection and autoimmune disease |
| WO2009009116A2 (en) | 2007-07-12 | 2009-01-15 | Tolerx, Inc. | Combination therapies employing gitr binding molecules |
| WO2009044273A2 (en) | 2007-10-05 | 2009-04-09 | Immutep | Use of recombinant lag-3 or the derivatives thereof for eliciting monocyte immune response |
| WO2009073620A2 (en) | 2007-11-30 | 2009-06-11 | Newlink Genetics | Ido inhibitors |
| WO2009116652A1 (en) | 2008-03-21 | 2009-09-24 | Canon Kabushiki Kaisha | Image pickup apparatus and control method therefor |
| WO2009126691A1 (en) | 2008-04-09 | 2009-10-15 | Infinity Pharmaceuticals, Inc | Inhibitors of fatty acid amide hydrolase |
| WO2010019570A2 (en) | 2008-08-11 | 2010-02-18 | Medarex, Inc. | Human antibodies that bind lymphocyte activation gene-3 (lag-3), and uses thereof |
| WO2010077634A1 (en) | 2008-12-09 | 2010-07-08 | Genentech, Inc. | Anti-pd-l1 antibodies and their use to enhance t-cell function |
| WO2011028683A1 (en) | 2009-09-03 | 2011-03-10 | Schering Corporation | Anti-gitr antibodies |
| WO2011056652A1 (en) | 2009-10-28 | 2011-05-12 | Newlink Genetics | Imidazole derivatives as ido inhibitors |
| WO2011097553A1 (en) * | 2010-02-08 | 2011-08-11 | Allergan, Inc. | Pyridazine derivatives useful as cannabinoid - 2 agonists |
| WO2012032433A1 (en) | 2010-09-09 | 2012-03-15 | Pfizer Inc. | 4-1bb binding molecules |
| WO2012142237A1 (en) | 2011-04-15 | 2012-10-18 | Newlink Geneticks Corporation | Fused imidazole derivatives useful as ido inhibitors |
| WO2012145493A1 (en) | 2011-04-20 | 2012-10-26 | Amplimmune, Inc. | Antibodies and other molecules that bind b7-h1 and pd-1 |
| WO2013079174A1 (en) | 2011-11-28 | 2013-06-06 | Merck Patent Gmbh | Anti-pd-l1 antibodies and uses thereof |
| WO2014008218A1 (en) | 2012-07-02 | 2014-01-09 | Bristol-Myers Squibb Company | Optimization of antibodies that bind lymphocyte activation gene-3 (lag-3), and uses thereof |
| WO2017210685A1 (en) * | 2016-06-03 | 2017-12-07 | An2H Discovery Limited | Pyradazinone derivatives and the compositions and methods of treatment regarding the same |
| WO2021105115A1 (en) * | 2019-11-28 | 2021-06-03 | Bayer Aktiengesellschaft | Substituted aminoquinolones as dgkalpha inhibitors for immune activation |
| WO2021133750A1 (en) * | 2019-12-23 | 2021-07-01 | Bristol-Myers Squibb Company | Substituted bicyclic piperidine derivatives useful as t cell activators |
-
2022
- 2022-12-22 WO PCT/US2022/082319 patent/WO2023122778A1/en not_active Ceased
Patent Citations (28)
| Publication number | Priority date | Publication date | Assignee | Title |
|---|---|---|---|---|
| US4002751A (en) * | 1974-02-15 | 1977-01-11 | Sandoz, Inc. | 5-Hydrazinopyridazin-3(2H)-ones |
| WO2005007632A1 (en) * | 2003-07-18 | 2005-01-27 | Pharmacia Corporation | Substituted pyridazinones as inhibitors of p38 |
| WO2006029879A2 (en) | 2004-09-17 | 2006-03-23 | F.Hoffmann-La Roche Ag | Anti-ox40l antibodies |
| WO2006105021A2 (en) | 2005-03-25 | 2006-10-05 | Tolerrx, Inc. | Gitr binding molecules and uses therefor |
| WO2006122150A1 (en) | 2005-05-10 | 2006-11-16 | Incyte Corporation | Modulators of indoleamine 2,3-dioxygenase and methods of using the same |
| WO2007005874A2 (en) | 2005-07-01 | 2007-01-11 | Medarex, Inc. | Human monoclonal antibodies to programmed death ligand 1 (pd-l1) |
| WO2007075598A2 (en) | 2005-12-20 | 2007-07-05 | Incyte Corporation | N-hydroxyamidinoheterocycles as modulators of indoleamine 2,3-dioxygenase |
| WO2008036653A2 (en) | 2006-09-19 | 2008-03-27 | Incyte Corporation | N-hydroxyamidinoheterocycles as modulators of indoleamine 2,3-dioxygenase |
| WO2008036642A2 (en) | 2006-09-19 | 2008-03-27 | Incyte Corporation | N-hydroxyamidinoheterocycles as modulators of indoleamine 2,3-dioxygenase |
| WO2008132601A1 (en) | 2007-04-30 | 2008-11-06 | Immutep | Cytotoxic anti-lag-3 monoclonal antibody and its use in the treatment or prevention of organ transplant rejection and autoimmune disease |
| WO2009009116A2 (en) | 2007-07-12 | 2009-01-15 | Tolerx, Inc. | Combination therapies employing gitr binding molecules |
| WO2009044273A2 (en) | 2007-10-05 | 2009-04-09 | Immutep | Use of recombinant lag-3 or the derivatives thereof for eliciting monocyte immune response |
| WO2009073620A2 (en) | 2007-11-30 | 2009-06-11 | Newlink Genetics | Ido inhibitors |
| WO2009116652A1 (en) | 2008-03-21 | 2009-09-24 | Canon Kabushiki Kaisha | Image pickup apparatus and control method therefor |
| WO2009126691A1 (en) | 2008-04-09 | 2009-10-15 | Infinity Pharmaceuticals, Inc | Inhibitors of fatty acid amide hydrolase |
| WO2010019570A2 (en) | 2008-08-11 | 2010-02-18 | Medarex, Inc. | Human antibodies that bind lymphocyte activation gene-3 (lag-3), and uses thereof |
| WO2010077634A1 (en) | 2008-12-09 | 2010-07-08 | Genentech, Inc. | Anti-pd-l1 antibodies and their use to enhance t-cell function |
| WO2011028683A1 (en) | 2009-09-03 | 2011-03-10 | Schering Corporation | Anti-gitr antibodies |
| WO2011056652A1 (en) | 2009-10-28 | 2011-05-12 | Newlink Genetics | Imidazole derivatives as ido inhibitors |
| WO2011097553A1 (en) * | 2010-02-08 | 2011-08-11 | Allergan, Inc. | Pyridazine derivatives useful as cannabinoid - 2 agonists |
| WO2012032433A1 (en) | 2010-09-09 | 2012-03-15 | Pfizer Inc. | 4-1bb binding molecules |
| WO2012142237A1 (en) | 2011-04-15 | 2012-10-18 | Newlink Geneticks Corporation | Fused imidazole derivatives useful as ido inhibitors |
| WO2012145493A1 (en) | 2011-04-20 | 2012-10-26 | Amplimmune, Inc. | Antibodies and other molecules that bind b7-h1 and pd-1 |
| WO2013079174A1 (en) | 2011-11-28 | 2013-06-06 | Merck Patent Gmbh | Anti-pd-l1 antibodies and uses thereof |
| WO2014008218A1 (en) | 2012-07-02 | 2014-01-09 | Bristol-Myers Squibb Company | Optimization of antibodies that bind lymphocyte activation gene-3 (lag-3), and uses thereof |
| WO2017210685A1 (en) * | 2016-06-03 | 2017-12-07 | An2H Discovery Limited | Pyradazinone derivatives and the compositions and methods of treatment regarding the same |
| WO2021105115A1 (en) * | 2019-11-28 | 2021-06-03 | Bayer Aktiengesellschaft | Substituted aminoquinolones as dgkalpha inhibitors for immune activation |
| WO2021133750A1 (en) * | 2019-12-23 | 2021-07-01 | Bristol-Myers Squibb Company | Substituted bicyclic piperidine derivatives useful as t cell activators |
Non-Patent Citations (20)
| Title |
|---|
| "Remington: The Science and Practice of Pharmacy", 2005, LIPPENCOTT WILLIAMS & WILKINS |
| "The United States Pharmacopeia: The National Formulary (USP 36 NF31", 2013, JOHN WILEY AND SONS, INC |
| AVILA-FLORES ET AL., IMMUNOLOGY AND CELL BIOLOGY, vol. 95, 2017, pages 549 - 563 |
| BROOKE DARBY G ET AL: "Targeting the Warburg Effect in cancer; relationships for 2-arylpyridazinones as inhibitors of the key glycolytic enzyme 6-phosphofructo-2-kinase/2,6-bisphosphatase 3 (PFKFB3)", BIOORGANIC & MEDICINAL CHEMISTRY, ELSEVIER, AMSTERDAM, NL, vol. 22, no. 3, 30 December 2013 (2013-12-30), pages 1029 - 1039, XP028818296, ISSN: 0968-0896, DOI: 10.1016/J.BMC.2013.12.041 * |
| FACCIABENE ET AL., CANCER RES, vol. 72, 2012, pages 2162 - 71 |
| GOLDSTEIN ET AL., CLIN. CANCER RES, vol. 1, 1995, pages 1311 - 1318 |
| JING ET AL., CANCER RESEARCH, vol. 77, 2017, pages 5676 - 5686 |
| KOHL ET AL., NAT. MED., vol. 1, no. 8, 1995, pages 792 - 797 |
| KRISHNA ET AL., FRONT IMMUNOLOGY, vol. 4, 2013, pages 178 |
| LIT ET AL.: "Salt Selection for Basic Drugs", INT. J. PHARM., vol. 33, 1986, pages 201 - 217 |
| MELLMAN ET AL., NATURE, vol. 480, 2011, pages 480 - 489 |
| MIZOGUCHI ET AL., SCIENCE, vol. 258, 1992, pages 1795 - 98 |
| NOESSNER, FRONT CELL DEV BIOL, vol. 5, 2017, pages 16 |
| PETER G. M. WUTSTHEODORA W. GREEN: "Protecting Groups in Organic Synthesis", 2006, WILEY-INTERSCIENCE |
| PRINZ ET AL., J IMMUNOLOGY, vol. 12, 2012, pages 5990 - 6000 |
| RIESE ET AL., FRONT CELL DEV BIOL, vol. 4, 2016, pages 130 |
| RIESE ET AL., JOURNAL OF BIOLOGICAL CHEMISTRY, vol. 7, 2011, pages 5254 - 5265 |
| SJOBLOM ET AL., SCIENCE, vol. 314, 2006, pages 268 - 74 |
| TOPALIAN ET AL., CURR. OPIN. IMMUNOL., vol. 24, 2012, pages 1 - 6 |
| ZHA ET AL., NATURE IMMUNOLOGY, vol. 12, 2006, pages 1343 |
Cited By (3)
| Publication number | Priority date | Publication date | Assignee | Title |
|---|---|---|---|---|
| WO2024137865A1 (en) * | 2022-12-22 | 2024-06-27 | Gossamer Bio Services, Inc. | Compounds useful as t cell activators |
| WO2024165470A1 (en) | 2023-02-06 | 2024-08-15 | Bayer Aktiengesellschaft | Combinations of dgk (diacylglycerol kinase) inhibitors |
| CN118198498A (en) * | 2024-05-16 | 2024-06-14 | 河北省科学院能源研究所 | A high voltage lithium ion battery electrolyte and its preparation method and application |
Similar Documents
| Publication | Publication Date | Title |
|---|---|---|
| US11919887B2 (en) | Substituted tetrahydrofurans as modulators of sodium channels | |
| AU2019291794B2 (en) | Substituted naphthyridinone compounds useful as T cell activators | |
| US20240368135A1 (en) | Substituted tetrahydrofuran-2-carboxamides as modulators of sodium channels | |
| TW202313593A (en) | N-(hydroxyalkyl (hetero)aryl) tetrahydrofuran carboxamides as modulators of sodium channels | |
| TWI651329B (en) | Prodrug of pyridine ketamine as a sodium channel regulator | |
| CA3175436A1 (en) | Biaryl derivatives as yap/taz-tead protein-protein interaction inhibitors | |
| WO2023122778A1 (en) | Pyridazinone derivatives useful as t cell activators | |
| WO2021258010A1 (en) | Oxime compounds useful as t cell activators | |
| CA2981657A1 (en) | Inhibitors of indoleamine 2,3-dioxygenase for the treatment of cancer | |
| US20230271954A1 (en) | Compounds useful as t cell activators | |
| TW201444821A (en) | Substituted piperidine compounds and their use as orexin receptor modulators | |
| IL305721A (en) | Pyridine and methylated pyridazine compounds, their derivatives and methods of using them | |
| TW202333663A (en) | Rxfp1 agonists | |
| EP4587429A1 (en) | Substituted oxoisoindolinyl piperidine-2,6-dione compounds | |
| WO2023122772A1 (en) | Oxime derivatives useful as t cell activators | |
| WO2024137865A1 (en) | Compounds useful as t cell activators | |
| TW202542138A (en) | Compounds which bind to patatin-like phospholipase domain-containing protein3 im and their use to treat liver disease | |
| HK40080163A (en) | Substituted tetrahydrofurans as modulators of sodium channels | |
| HK40080163B (en) | Substituted tetrahydrofurans as modulators of sodium channels | |
| OA21241A (en) | Substituted tetrahydrofurans as modulators of sodium channels. | |
| EA043061B1 (en) | SUBSTITUTED NAPHTHIRIDINONE COMPOUNDS USEFUL AS T-CELL ACTIVATORS |
Legal Events
| Date | Code | Title | Description |
|---|---|---|---|
| 121 | Ep: the epo has been informed by wipo that ep was designated in this application |
Ref document number: 22850991 Country of ref document: EP Kind code of ref document: A1 |
|
| NENP | Non-entry into the national phase |
Ref country code: DE |
|
| 122 | Ep: pct application non-entry in european phase |
Ref document number: 22850991 Country of ref document: EP Kind code of ref document: A1 |



























































































































































































































































































































































































































































































































































































































































































































