WO2023122777A1 - Oxime derivatives useful as t cell activators - Google Patents
Oxime derivatives useful as t cell activators Download PDFInfo
- Publication number
- WO2023122777A1 WO2023122777A1 PCT/US2022/082317 US2022082317W WO2023122777A1 WO 2023122777 A1 WO2023122777 A1 WO 2023122777A1 US 2022082317 W US2022082317 W US 2022082317W WO 2023122777 A1 WO2023122777 A1 WO 2023122777A1
- Authority
- WO
- WIPO (PCT)
- Prior art keywords
- compound
- pharmaceutically acceptable
- cancer
- racemate
- isomer
- Prior art date
- Legal status (The legal status is an assumption and is not a legal conclusion. Google has not performed a legal analysis and makes no representation as to the accuracy of the status listed.)
- Ceased
Links
Classifications
-
- C—CHEMISTRY; METALLURGY
- C07—ORGANIC CHEMISTRY
- C07D—HETEROCYCLIC COMPOUNDS
- C07D471/00—Heterocyclic compounds containing nitrogen atoms as the only ring hetero atoms in the condensed system, at least one ring being a six-membered ring with one nitrogen atom, not provided for by groups C07D451/00 - C07D463/00
- C07D471/02—Heterocyclic compounds containing nitrogen atoms as the only ring hetero atoms in the condensed system, at least one ring being a six-membered ring with one nitrogen atom, not provided for by groups C07D451/00 - C07D463/00 in which the condensed system contains two hetero rings
- C07D471/04—Ortho-condensed systems
-
- A—HUMAN NECESSITIES
- A61—MEDICAL OR VETERINARY SCIENCE; HYGIENE
- A61P—SPECIFIC THERAPEUTIC ACTIVITY OF CHEMICAL COMPOUNDS OR MEDICINAL PREPARATIONS
- A61P35/00—Antineoplastic agents
Definitions
- the present invention generally relates to oxime compounds that activate T cells, promote T cell proliferation, and/or exhibit antitumor activity.
- oxime compounds that activate T cells, promote T cell proliferation, and/or exhibit antitumor activity.
- compositions comprising such compounds, and methods of their use.
- the invention further pertains to pharmaceutical compositions comprising at least one compound according to the invention that are useful for the treatment of proliferative disorders, such as cancer, and viral infections.
- the adaptive immune system comprised of T and B lymphocytes, has powerful anti- cancer potential, with a broad capacity and extraordinar specificity to respond to diverse tumor antigens. Further, the immune system demonstrates considerable plasticity and a memory component. The successful harnessing of all these attributes of the adaptive immune system would make immunotherapy unique among all cancer treatment modalities. However, although an endogenous immune response to cancer is observed in preclinical models and patients, this response is ineffective, and established cancers are viewed as "self" and tolerated by the immune system.
- tumors may exploit several distinct mechanisms to actively subvert anti-tumor immunity. These mechanisms include dysfunctional T-cell signaling (Mizoguchi et al, Science, 1992, 258, 1795-98), suppressive regulatory cells (Facciabene et al, Cancer Res, 2012, 72, 2162-71), and the co-opting of endogenous ''immune checkpoints", which serve to down-modulate the intensity of adaptive immune responses and protect normal tissues from collateral damage, by tumors to evade immune destruction (Topalian et al, Curr. Opin. Immunol., 2012, 24, 1-6; Mellman et al, Nature, 2011, 480, 480-489).
- DGKs Diacylglycerol kinases
- DGKs are lipid kinases that mediate the conversion of diacylglycerol to phosphatidic acid thereby terminating T cell functions propagated through the TCR signaling pathway.
- DGKs serve as intracellular checkpoints and inhibition of DGKs are expected to enhance T cell signaling pathways and T cell activation.
- Supporting evidence include knock-out mouse models of either DGK ⁇ or DGK ⁇ which show a hyper-responsive T cell phenotype and improved anti-tumor immune activity (Riese et al, Journal of Biological Chemistry, 2011, 7, 5254-5265; Zha et al, Nature Immunology, 2006, 12, 1343).
- DGK ⁇ and DGK ⁇ are viewed as targets for cancer immunotherapy (Riese et al, Front Cell Dev Biol., 2016, 4, 108; Chen et al, Front Cell Dev Biol., 2016, 4, 130; Avila-Flores et al, Immunology and Cell Biology, 2017, 95, 549-563; Noessner, Front Cell Dev Biol., 2017, 5, 16; Krishna, et al, Front Immunology, 2013, 4,178; Jing, et al, Cancer Research, 2017, 77, 5676-5686.
- SEQ ID NO: 1 The full length human diacylglycerol kinsase alpha isoform a enzyme is disclosed as SEQ ID NO: 1, and the full length human diacylglycerol kinsase zeta
- An agent that is safe and effective in restoring T cell activation, lowering antigen threshold, enhancing anti- tumor functionality, and/or overcoming the suppressive effects of one or more endogenous immune checkpoints, such as PD-1, LAG-3 and TGF ⁇ , would be significant for the treatment of patients with proliferative disorders, such as cancer, as well as viral infections.
- Described herein are compounds that have activity as inhibitors of one or both of DGK ⁇ and DGK ⁇ . Further, the compounds that have activity as inhibitors of one or both of DGK ⁇ and DGK ⁇ and have selectivity over other diacylglycerol kinases, protein kinases, and/or other lipid kinases.
- compounds having the structure of Formula (I): or a pharmaceutically acceptable salt, solvate, hydrate, isomer, tautomer, racemate, or isotope thereof, wherein: X is N or CH; Y is N or CH; R 1 is an 8–13 membered heteroaryl ring comprising 1–5 N atoms; R 2 is aryl or heteroaryl; R 3 is ⁇ C 2-6 alkyl, ⁇ C 1-6 haloalkyl, ⁇ O ⁇ C 1-6 alkyl, ⁇ C 1-6 alkyl ⁇ OH, or ⁇ C 1-6 alkyl ⁇ C(O)OH; R 4 is, at each occurrence, independently ⁇ OH, oxo, halo, ⁇ CN, ⁇ NO 2 , ⁇ C 1-4 alkyl, ⁇ C 1-4 hal
- a pharmaceutical composition comprising a compound having the structure of Formula (I), or a pharmaceutically acceptable salt, solvate, hydrate, isomer, tautomer, racemate, or isotope thereof, and at least one pharmaceutically acceptable excipient.
- the compounds of Formula (I), or a pharmaceutically acceptable salt, solvate, hydrate, isomer, tautomer, racemate or isotope thereof are useful as inhibitors of DGK ⁇ or DGK ⁇ , or both DGK ⁇ and DGK ⁇ .
- the compounds of Formula (I), or a pharmaceutically acceptable salt, solvate, hydrate, isomer, tautomer, racemate or isotope thereof are useful in therapy.
- the therapy is treatment of proliferative disorders, such as cancer and viral infections.
- a method of modulating the activity of DGK ⁇ or DGK ⁇ , or both DGK ⁇ and DGK ⁇ is provided comprising contacting the kinase with an effective amount of a compound having the structure of Formula (I), or a pharmaceutically acceptable salt, solvate, hydrate, isomer, tautomer, racemate, isotope, or pharmaceutical composition thereof.
- a method for treating a disease or disorder associated with the activity of DGK ⁇ or DGK ⁇ , or both DGK ⁇ and DGK ⁇ comprising administering to a subject in need thereof an effective amount of a compound having the structure of Formula (I), or a pharmaceutically acceptable salt, solvate, hydrate, isomer, tautomer, racemate, isotope, or pharmaceutical composition thereof.
- a compound having the structure of Formula (I), or a pharmaceutically acceptable salt, solvate, hydrate, isomer, tautomer, racemate, isotope, or pharmaceutical composition thereof is provided, in the manufacture of a medicament.
- the medicament is useful for the treatment of proliferative disorders, such as cancer and viral infections.
- the compounds of Formula (I) and compositions comprising the compounds of Formula (I) may be used in treating, preventing, or curing viral infections and various proliferative disorders, such as cancer.
- Pharmaceutical compositions comprising these compounds are useful in treating, preventing, or slowing the progression of diseases or disorders in a variety of therapeutic areas, such as viral infections and cancer.
- processes are provided for the preparation of the compounds of Formula (I) or a pharmaceutically acceptable salt, solvate, hydrate, isomer, tautomer, racemate, or isotope thereof.
- synthetic intermediates useful for the preparation of the compounds of Formula (I), or a pharmaceutically acceptable salt, solvate, hydrate, isomer, tautomer, racemate, or isotope thereof are provided.
- Embodiments identified herein as exemplary or preferred are intended to be illustrative and not limiting.
- DETAILED DESCRIPTION As mentioned above, described herein are compounds that have activity as inhibitors of one or both of DGK ⁇ and DGK ⁇ . Further, the compounds that have activity as inhibitors of one or both of DGK ⁇ and DGK ⁇ and have selectivity over other diacylglycerol kinases, protein kinases, and/or other lipid kinases. Unless defined otherwise, all technical and scientific terms used herein have the same meaning as is commonly understood by one of skill in the art to which the claimed subject matter belongs. It is to be understood that the detailed description is exemplary and explanatory only and are not restrictive of any subject matter claimed.
- ranges and amounts can be expressed as “about” a particular value or range. About also includes the exact amount. Hence “about 100 ⁇ L” means “about 100 ⁇ L” and also “100 ⁇ L.” In some embodiments, about means within 5% of the value. Hence, “about 100 ⁇ L” means 95–105 ⁇ L. In some embodiments, about means within 4% of the value. In some embodiments, about means within 3% of the value. In some embodiments, about means within 2% of the value. In some embodiments, about means within 1% of the value. Generally, the term "about” includes an amount that would be expected to be within experimental error.
- compounds having the structure of Formula (I): or a pharmaceutically acceptable salt, solvate, hydrate, isomer, tautomer, racemate, or isotope thereof, wherein: X is N or CH; Y is N or CH; R 1 is an 8–13 membered heteroaryl ring comprising 1–5 N atoms; R 2 is aryl or heteroaryl; R 3 is ⁇ C 2-6 alkyl, ⁇ C 1-6 haloalkyl, ⁇ O ⁇ C 1-6 alkyl, ⁇ C 1-6 alkyl ⁇ OH, or ⁇ C 1-6 alkyl ⁇ C(O)OH; R 4 is, at each occurrence, independently ⁇ OH, oxo, halo, ⁇ CN, ⁇ NO 2 , ⁇ C 1-4 alkyl, ⁇ C 1-4 haloalkyl, ⁇ O ⁇ C 1-4 alkyl, ⁇ C 1-4 alkyl ⁇ OH, ⁇ C 1-4 alkenyl,
- alkyl means a straight chain or branched saturated hydrocarbon group.
- “Lower alkyl” means a straight chain or branched alkyl group having from 1 to 8 carbon atoms, in some embodiments from 1 to 6 carbon atoms, in some embodiments from 1 to 4 carbon atoms, and in some embodiments from 1 to 2 carbon atoms.
- straight chain lower alkyl groups include, but are not limited to, methyl, ethyl, n-propyl, n-butyl, n-pentyl, n- hexyl, n-heptyl, and n-octyl groups.
- alkenyl groups include straight and branched chain and cyclic alkyl groups as defined above, except that at least one double bond exists between two carbon atoms. Thus, alkenyl groups have from 2 to about 20 carbon atoms, and typically from 2 to 12 carbons or, in some embodiments, from 2 to 8 carbon atoms.
- alkynyl groups include straight and branched chain alkyl groups, except that at least one triple bond exists between two carbon atoms. Thus, alkynyl groups have from 2 to about 20 carbon atoms, and typically from 2 to 12 carbons or, in some embodiments, from 2 to 8 carbon atoms. Examples include, but are not limited to ⁇ C ⁇ CH, ⁇ C ⁇ C(CH 3 ), ⁇ C ⁇ C(CH 2 CH 3 ), ⁇ CH 2 C ⁇ CH, ⁇ CH 2 C ⁇ C(CH 3 ), and ⁇ CH 2 C ⁇ C(CH 2 CH 3 ), among others. As used herein, "alkylene” means a divalent alkyl group.
- straight chain lower alkylene groups include, but are not limited to, methylene (i.e., ⁇ CH 2 ⁇ ), ethylene (i.e., ⁇ CH 2 CH 2 ⁇ ), propylene (i.e., ⁇ CH 2 CH 2 CH 2 ⁇ ), and butylene (i.e., ⁇ CH 2 CH 2 CH 2 CH 2 ⁇ ).
- heteroalkylene is an alkylene group of which one or more carbon atoms is replaced with a heteroatom such as, but not limited to, N, O, S, or P.
- Alkoxy refers to an alkyl as defined above joined by way of an oxygen atom (i.e., ⁇ O ⁇ alkyl).
- lower alkoxy groups include, but are not limited to, methoxy, ethoxy, n- propoxy, n-butoxy, isopropoxy, sec-butoxy, tert-butoxy, and the like.
- the terms "carbocyclic” and “carbocycle” denote a ring structure wherein the atoms of the ring are carbon. Carbocycles may be monocyclic or polycyclic. Carbocycle encompasses both saturated and unsaturated rings. Carbocycle encompasses both cycloalkyl and aryl groups. In some embodiments, the carbocycle has 3 to 8 ring members, whereas in other embodiments the number of ring carbon atoms is 4, 5, 6, or 7.
- the carbocyclic ring can be substituted with as many as Q substituents wherein Q is the size of the carbocyclic ring with for example, alkyl, amino, hydroxy, cyano, carboxy, nitro, thio, alkoxy, and halogen groups.
- Q is the size of the carbocyclic ring with for example, alkyl, amino, hydroxy, cyano, carboxy, nitro, thio, alkoxy, and halogen groups.
- Cycloalkyl groups are alkyl groups forming a ring structure, which can be substituted or unsubstituted. Examples of cycloalkyl include, but are not limited to, cyclopropyl, cyclobutyl, cyclopentyl, cyclohexyl, cycloheptyl, and cyclooctyl groups.
- the cycloalkyl group has 3 to 8 ring members, whereas in other embodiments the number of ring carbon atoms range from 3 to 5, 3 to 6, or 3 to 7.
- Cycloalkyl groups further include polycyclic cycloalkyl groups such as, but not limited to, norbornyl, adamantyl, bornyl, camphenyl, isocamphenyl, and carenyl groups, and fused rings such as, but not limited to, decalinyl, and the like. Unless specifically indicated to the contrary, the cycloalkyl ring can be substituted.
- substituted cycloalkyl groups can be mono-substituted, such as, but not limited to, 1-, 2-, 3-, or 4- substituted cyclobutyl, or substituted more than once, such as, but not limited to, 2,2-, 2,3-, 2,4- 2,5- or 2,6-disubstituted cyclohexyl groups or mono-, di- or tri- substituted norbornyl or cycloheptyl groups, which can be substituted with, for example, straight or branched chain alkyl groups as defined above, amino, hydroxy, cyano, carboxy, nitro, thio, alkoxy, and halogen groups.
- “Aryl” groups are cyclic aromatic hydrocarbons that do not contain heteroatoms.
- aryl groups include, but are not limited to, phenyl, azulenyl, heptalenyl, biphenyl, indacenyl, fluorenyl, phenanthrenyl, triphenylenyl, pyrenyl, naphthacenyl, chrysenyl, biphenylenyl, anthracenyl, and naphthyl groups.
- aryl groups contain 6-14 carbons in the ring portions of the groups.
- aryl and aryl groups include fused rings wherein at least one ring, but not necessarily all rings, are aromatic, such as fused aromatic-aliphatic ring systems (e.g., indanyl, tetrahydronaphthyl, and the like). Unless specifically indicated to the contrary, aryl can be substituted.
- Carbocyclealkyl refers to an alkyl as defined above with one or more hydrogen atoms replaced with carbocycle. Examples of carbocyclealkyl groups include, but are not limited to, benzyl and the like.
- heterocycle or “heterocyclyl” groups include aromatic and non- aromatic ring compounds (heterocyclic rings) containing 3 or more ring members, of which one or more is a heteroatom such as, but not limited to, N, O, S, or P.
- Heterocycles include, but are not limited to, 3- to 10-membered monocyclic rings, 6- to 12-membered bicyclic rings, 6- to 12- membered bridged rings, or 6-12-membered spirocyclic rings.
- a heterocycle group as defined herein can be a heteroaryl group or a partially or completely saturated cyclic group including at least one ring heteroatom.
- heterocycle groups include 3 to 20 ring members, whereas other such groups have 3 to 15 ring members. At least one ring contains a heteroatom, but every ring in a polycyclic system need not contain a heteroatom.
- a dioxolanyl ring and a benzodioxolanyl ring system are both heterocycle groups within the meaning herein.
- a heterocycle group designated as a C 2 - heterocycle can be a 5-membered ring with two carbon atoms and three heteroatoms, a 6- membered ring with two carbon atoms and four heteroatoms and so forth.
- a C 4 - heterocycle can be a 5-membered ring with one heteroatom, a 6-membered ring with two heteroatoms, and so forth.
- the number of carbon atoms plus the number of heteroatoms sums up to equal the total number of ring atoms.
- a saturated heterocyclic ring refers to a heterocyclic ring containing no unsaturated carbon atoms.
- the heterocycle can be substituted with as many as N substituents wherein N is the size of the heterocyclic ring with for example, alkyl, amino, hydroxy, cyano, carboxy, nitro, thio, alkoxy, and halogen groups.
- substituted heterocycle groups can be mono- substituted, such as, but not limited to, 2-, or 3- substituted oxetan-3-yl or 2-, 3-, or 4- substituted tetrahydropyran-4-yl.
- "Heteroaryl” groups are aromatic ring compounds containing 5 or more ring members, of which, one or more is a heteroatom such as, but not limited to, N, O, and S.
- a heteroaryl group designated as a C 2 -heteroaryl can be a 5-membered ring with two carbon atoms and three heteroatoms, a 6-membered ring with two carbon atoms and four heteroatoms and so forth.
- a C 4 -heteroaryl can be a 5-membered ring with one heteroatom, a 6-membered ring with two heteroatoms, and so forth.
- the number of carbon atoms plus the number of heteroatoms sums up to equal the total number of ring atoms.
- Heteroaryl groups include, but are not limited to, groups such as pyrrolyl, pyrazolyl, triazolyl, tetrazolyl, oxazolyl, isoxazolyl, thiazolyl, pyridinyl, thiophenyl, benzothiophenyl, benzofuranyl, indolyl, azaindolyl, indazolyl, benzimidazolyl, azabenzimidazolyl, benzoxazolyl, benzothiazolyl, benzothiadiazolyl, imidazopyridinyl, isoxazolopyridinyl, thianaphthalenyl, purinyl, xanthinyl, adeninyl, guaninyl, quinolinyl, isoquinolinyl, tetrahydroquinolinyl, tetrahydroisoquinolinyl, quinoxalinyl, and quina
- heteroaryl and “heteroaryl groups” include fused ring compounds such as wherein at least one ring, but not necessarily all rings, are aromatic, including phenyl-dioxalanyl, tetrahydroquinolinyl, tetrahydroisoquinolinyl, indolyl, benzo[d][1,3]dioxolyl, 2,3-dihydrobenzo[d]oxazolyl-2-one, and 2,3-dihydroindolyl.
- Heterocyclealkyl refers to an alkyl as defined above with one or more hydrogen atoms replaced with heterocycle.
- heterocyclealkyl groups include, but are not limited to, morpholinoethyl and the like.
- Halo or “halogen” refers to fluorine, chlorine, bromine and iodine.
- Haloalkyl refers to an alkyl as defined above with one or more hydrogen atoms replaced with halogen.
- lower haloalkyl groups include, but are not limited to, ⁇ CF 3 , ⁇ CH 2 CF 3 , and the like.
- Haloalkoxy refers to an alkoxy as defined above with one or more hydrogen atoms replaced with halogen.
- lower haloalkoxy groups include, but are not limited to ⁇ OCF 3 , ⁇ OCH 2 CF 3 , and the like.
- Hydroalkyl refers to an alkyl as defined above with one or more hydrogen atoms replaced with ⁇ OH.
- lower hydroxyalkyl groups include, but are not limited to ⁇ CH 2 OH, ⁇ CH 2 CH 2 OH, and the like.
- the term "optionally substituted” refers to a group (e.g., an alkyl, carbocycle, or heterocycle) having 0, 1, or more substituents, such as 0–25, 0–20, 0–10 or 0–5 substituents.
- Substituents include, but are not limited to –OR a , ⁇ NR a R b , ⁇ S(O) 2 R a or ⁇ S(O) 2 OR a , halogen, cyano, alkyl, haloalkyl, alkoxy, carbocycle, heterocycle, carbocyclalkyl, or heterocyclealkyl, wherein each R a and R b is, independently, H, alkyl, haloalkyl, carbocycle, or heterocycle, or R a and R b , together with the atom to which they are attached, form a 3–8 membered carbocycle or heterocycle.
- a compound of Formula (I), or a pharmaceutically acceptable salt, solvate, hydrate, isomer, tautomer, racemate, or isotope thereof wherein Y is CH.
- a compound of Formula (I), or a pharmaceutically acceptable salt, solvate, hydrate, isomer, tautomer, racemate, or isotope thereof wherein X is CH and Y is CH.
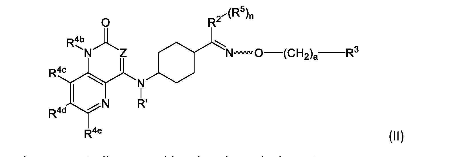
- a compound having the structure of Formula (II): or a pharmaceutically acceptable salt, solvate, hydrate, isomer, tautomer, racemate, or isotope thereof, wherein: Z is N or C(R 4a ); R 2 is aryl or heteroaryl; R 3 is ⁇ C 2-6 alkyl, or ⁇ C 1-6 haloalkyl; R 4a is ⁇ H, ⁇ CN, ⁇ C 1-4 alkyl, ⁇ C(O)C 1-4 alkyl, ⁇ C(O)N(R ⁇ ) 2 ; R 4b is ⁇ H or ⁇ C 1-4 alkyl; R 4c is ⁇ H, ⁇ C 1-4 alkyl, ⁇ C 1-4 haloalkyl, ⁇ O ⁇ C 1-4 alkyl; R 4d is ⁇ H, ⁇ C 1-4 alkyl, ⁇ C 1-4 haloalkyl, ⁇ O ⁇ C 1-4 alkyl, ⁇ O ⁇ carb
- Representative compounds of Formula (I) or Formula (II) as applicable include the compounds having the structure of those listed in Table 1 below, as well as pharmaceutically acceptable isomers, racemates, tautomers, hydrates, solvates, isotopes, or salts thereof.
- representative compounds are identified herein by their respective “Compound Number”, which is sometimes abbreviated as “Compound No.”, “Cmpd. No.”, “Cmpd.” or “No.” TABLE 1
- a pharmaceutical composition comprising a compound having the structure of Formula (I), or a pharmaceutically acceptable salt, solvate, hydrate, isomer, tautomer, racemate, or isotope thereof, and at least one pharmaceutically acceptable excipient.
- the compounds of Formula (I), or a pharmaceutically acceptable salt, solvate, hydrate, isomer, tautomer, racemate or isotope thereof are useful as inhibitors of DGK ⁇ or DGK ⁇ , or both DGK ⁇ and DGK ⁇ .
- the compounds of Formula (I), or a pharmaceutically acceptable salt, solvate, hydrate, isomer, tautomer, racemate or isotope thereof are useful in therapy.
- the therapy is treatment of proliferative disorders, such as cancer and viral infections.
- a method of modulating the activity of DGK ⁇ or DGK ⁇ , or both DGK ⁇ and DGK ⁇ comprising contacting the kinase with an effective amount of a compound having the structure of Formula (I), or a pharmaceutically acceptable salt, solvate, hydrate, isomer, tautomer, racemate, isotope, or pharmaceutical composition thereof.
- a method for treating a disease or disorder associated with the activity of DGK ⁇ or DGK ⁇ , or both DGK ⁇ and DGK ⁇ comprising administering to a subject in need thereof an effective amount of a compound having the structure of Formula (I), or a pharmaceutically acceptable salt, solvate, hydrate, isomer, tautomer, racemate, isotope, or pharmaceutical composition thereof.
- a compound having the structure of Formula (I), or a pharmaceutically acceptable salt, solvate, hydrate, isomer, tautomer, racemate, isotope, or pharmaceutical composition thereof is provided, in the manufacture of a medicament.
- the medicament is useful for the treatment of proliferative disorders, such as cancer and viral infections.
- the compounds of Formula (I) and compositions comprising the compounds of Formula (I) may be used in treating, preventing, or curing viral infections and various proliferative disorders, such as cancer.
- Pharmaceutical compositions comprising these compounds are useful in treating, preventing, or slowing the progression of diseases or disorders in a variety of therapeutic areas, such as viral infections and cancer.
- processes are provided for the preparation of the compounds of Formula (I) or a pharmaceutically acceptable salt, solvate, hydrate, isomer, tautomer, racemate, or isotope thereof.
- synthetic intermediates useful for the preparation of the compounds of Formula (I), or a pharmaceutically acceptable salt, solvate, hydrate, isomer, tautomer, racemate, or isotope thereof are provided.
- compositions comprising a compound as described herein, or a pharmaceutically acceptable salt, solvate, hydrate, isomer, tautomer, racemate or isotope thereof.
- the pharmaceutical compositions further comprise a pharmaceutically acceptable carrier, diluent, or excipient.
- the active compound will usually be mixed with a carrier, or diluted by a carrier, or enclosed within a carrier which can be in the form of an ampoule, capsule, sachet, paper, or other container.
- the active compound When the active compound is mixed with a carrier, or when the carrier serves as a diluent, it can be solid, semi-solid, or liquid material that acts as a vehicle, excipient, or medium for the active compound.
- the active compound can be adsorbed on a granular solid carrier, for example contained in a sachet.
- suitable carriers are water, salt solutions, alcohols, polyethylene glycols, polyhydroxyethoxylated castor oil, peanut oil, olive oil, gelatin, lactose, terra alba, sucrose, dextrin, magnesium carbonate, sugar, cyclodextrin, amylose, magnesium stearate, talc, gelatin, agar, pectin, acacia, stearic acid, or lower alkyl ethers of cellulose, silicic acid, fatty acids, fatty acid amines, fatty acid monoglycerides and diglycerides, pentaerythritol fatty acid esters, polyoxyethylene, hydroxymethylcellulose, and polyvinylpyrrolidone.
- the carrier or diluent can include any sustained release material known in the art, such as glyceryl monostearate or glyceryl distearate, alone or mixed with a wax.
- pharmaceutical composition refers to a composition containing one or more of the compounds described herein, or a pharmaceutically acceptable isomer, racemate, hydrate, solvate, homolog or salt thereof, formulated with a pharmaceutically acceptable carrier, which can also include other additives, and manufactured or sold with the approval of a governmental regulatory agency as part of a therapeutic regimen for the treatment of disease in a mammal.
- compositions can be formulated, for example, for oral administration in unit dosage form (e.g., a tablet, capsule, caplet, gelcap, or syrup); for topical administration (e.g., as a cream, gel, lotion, or ointment); for intravenous administration (e.g., as a sterile solution free of particulate emboli and in a solvent system suitable for intravenous use); or in any other formulation described herein.
- unit dosage form e.g., a tablet, capsule, caplet, gelcap, or syrup
- topical administration e.g., as a cream, gel, lotion, or ointment
- intravenous administration e.g., as a sterile solution free of particulate emboli and in a solvent system suitable for intravenous use
- compositions of a compound described herein including formulating a compound of the disclosure with a pharmaceutically acceptable carrier or diluent.
- the pharmaceutically acceptable carrier or diluent is suitable for oral administration.
- the methods can further include the step of formulating the composition into a tablet or capsule.
- the pharmaceutically acceptable carrier or diluent is suitable for parenteral administration.
- the methods further include the step of lyophilizing the composition to form a lyophilized preparation.
- pharmaceutically acceptable carrier refers to any ingredient other than the disclosed compounds, or a pharmaceutically acceptable isomer, racemate, hydrate, solvate, homolog or salt thereof (e.g., a carrier capable of suspending or dissolving the active compound) and having the properties of being nontoxic and non-inflammatory in a patient.
- Excipients may include, for example: antiadherents, antioxidants, binders, coatings, compression aids, disintegrants, dyes (colors), emollients, emulsifiers, fillers (diluents), film formers or coatings, flavors, fragrances, glidants (flow enhancers), lubricants, preservatives, printing inks, sorbents, suspensing or dispersing agents, sweeteners, or waters of hydration.
- excipients include, but are not limited to: butylated hydroxytoluene (BHT), calcium carbonate, calcium phosphate (dibasic), calcium stearate, croscarmellose, crosslinked polyvinyl pyrrolidone, citric acid, crospovidone, cysteine, ethylcellulose, gelatin, hydroxypropyl cellulose, hydroxypropyl methylcellulose, lactose, magnesium stearate, maltitol, mannitol, methionine, methylcellulose, methyl paraben, microcrystalline cellulose, polyethylene glycol, polyvinyl pyrrolidone, povidone, pregelatinized starch, propyl paraben, retinyl palmitate, shellac, silicon dioxide, sodium carboxymethyl cellulose, sodium citrate, sodium starch glycolate, sorbitol, starch (corn), stearic acid, stearic acid, sucrose, talc, titanium dioxide, vitamin A, B
- the formulations can be mixed with auxiliary agents which do not deleteriously react with the active compounds.
- auxiliary agents which do not deleteriously react with the active compounds.
- Such additives can include wetting agents, emulsifying and suspending agents, salt for influencing osmotic pressure, buffers and/or coloring substances, preserving agents, sweetening agents, or flavoring agents.
- the compositions can also be sterilized if desired.
- the route of administration can be any route which effectively transports the active compound of the disclosure to the appropriate or desired site of action, such as oral, nasal, pulmonary, buccal, subdermal, intradermal, transdermal, or parenteral, e.g., rectal, depot, subcutaneous, intravenous, intraurethral, intramuscular, intranasal, ophthalmic solution, or an ointment, the oral route being preferred.
- Dosage forms can be administered once a day, or more than once a day, such as twice or thrice daily. Alternatively, dosage forms can be administered less frequently than daily, such as every other day, or weekly, if found to be advisable by a prescribing physician.
- Dosing regimens include, for example, dose titration to the extent necessary or useful for the indication to be treated, thus allowing the patient’s body to adapt to the treatment and/or to minimize or avoid unwanted side effects associated with the treatment.
- Other dosage forms include delayed or controlled-release forms.
- Suitable dosage regimens and/or forms include those set out, for example, in the latest edition of the Physicians’ Desk Reference, incorporated herein by reference.
- DGK activity and Treating Diseases Associated with DGK ⁇ and/or DGK ⁇ are methods for inhibiting the activity of at least one diacylglycerol kinase comprising contacting the diacylglycerol kinase with a compound as described herein, or a pharmaceutically acceptable salt, solvate, hydrate, isomer, tautomer, racemate, isotope, or composition thereof.
- the diacylglycerol kinase is diacylglycerol kinase alpha (DGKa) or diacylglycerol kinase zeta (DGK ⁇ ).
- methods of treating a subject having a disease or disorder associated with the activity of DGK ⁇ , DGK ⁇ , or both DGK ⁇ and DGK ⁇ are disclosed, the method comprising administering to a subject in need thereof a pharmaceutically effective amount of a compound as described herein, or a pharmaceutically acceptable salt, solvate, hydrate, isomer, tautomer, racemate, isotope, or composition thereof.
- administering or “administration” refers to providing a compound, a pharmaceutical composition comprising the same, to a subject by any acceptable means or route, including (for example) by oral, parenteral (e.g., intravenous), or topical administration.
- treatment refers to an intervention that ameliorates a sign or symptom of a disease or pathological condition.
- treatment also refers to any observable beneficial effect of the treatment.
- the beneficial effect can be evidenced, for example, by a delayed onset of clinical symptoms of the disease in a susceptible subject, a reduction in severity of some or all clinical symptoms of the disease, a slower progression of the disease, a reduction in the number of relapses of the disease, an improvement in the overall health or well-being of the subject, or by other parameters well known in the art that are specific to the particular disease.
- a prophylactic treatment is a treatment administered to a subject who does not exhibit signs of a disease or exhibits only early signs, for the purpose of decreasing the risk of developing pathology.
- a therapeutic treatment is a treatment administered to a subject after signs and symptoms of the disease have developed.
- the terms cover the treatment of a disease-state in a mammal, particularly in a human, and include: preventing the disease-state from occurring in a mammal, in particular, when such mammal is predisposed to the disease state but has not yet been diagnosed as having it; inhibiting the disease-state, i.e., arresting its development: and/or relieving the disease-state, i.e., causing regression of the disease state.
- DGK-mediated or “DGK -modulated” or “DGK-dependent” diseases or disorders means any disease or other deleterious condition in which DGK, or a mutant thereof, is known to play a role.
- another embodiment of the present application relates to treating or lessening the severity of one or more diseases in which DGK ⁇ , DGK ⁇ , or both DGK ⁇ and DGK ⁇ , or a mutant thereof, are known to play a role.
- the present application relates to a method of treating or lessening the severity of a disease or condition selected from a viral infection or a proliferative disorder, such as cancer, wherein said method comprises administering to a patient in need thereof a compound of Formula (I), ), or a pharmaceutically acceptable salt, solvate, hydrate, isomer, tautomer, racemate, isotope, or composition thereof, according to the present application.
- a subject refers to an animal (e.g., a mammal, such as a human).
- a subject to be treated according to the methods described herein may be one who has been diagnosed with a viral infection or proliferative disorder, such as cancer.
- Diagnosis may be performed by any method or technique known in the art.
- a subject to be treated according to the present disclosure may have been subjected to standard tests or may have been identified, without examination, as one at risk due to the presence of one or more risk factors associated with the disease or condition.
- the term "effective amount" refers to a quantity of a specified agent sufficient to achieve a desired effect in a subject being treated with that agent.
- an effective amount of an agent is an amount sufficient to inhibit or treat the disease without causing substantial toxicity in the subject.
- the effective amount of an agent will be dependent on the subject being treated, the severity of the affliction, and the manner of administration of the pharmaceutical composition.
- the term "therapeutically effective amount” or “"pharmaceutically effective amount” is intended to include an amount of a compound of the present invention alone or an amount of a compound of the present invention in combination with other active ingredients effective to act as an inhibitor of DGK ⁇ and/or DGK ⁇ or effective to treat or prevent viral infections and proliferative disorders, such as cancer.
- the terms “modulate”, or “modulating” refer to the ability to increase or decrease the activity of one or more kinases.
- compounds of the invention can be used in methods of modulating a kinase by contacting the kinase with any one or more of the compounds or compositions described herein.
- the compounds can act as inhibitors of one or more kinases.
- the compounds can act to stimulate the activity of one or more kinases.
- the compounds of the invention can be used to modulate activity of a kinase in an individual in need of modulation of the receptor by administering a modulating amount of a compound as described herein.
- the term "contacting" refers to the bringing together of indicated moieties in an in vitro system or an in vivo system.
- contacting the DGK ⁇ and DGK ⁇ enzyme with a compound of Formula (I) includes the administration of a compound of the present invention to an individual or patient, such as a human, having DGK ⁇ and DGK ⁇ , as well as, for example, introducing a compound of Formula (I) into a sample containing a cellular or purified preparation containing DGK ⁇ and DGK ⁇ enzyme.
- DGK ⁇ and DGK ⁇ inhibitor refers to an agent capable of inhibiting the activity of diacylglycerol kinase alpha and/or diacylglycerol kinase zeta (DGK ⁇ and DGK ⁇ ) in T cells resulting in T cell stimulation.
- the DGK ⁇ and DGK ⁇ inhibitor may be a reversible or irreversible DGK ⁇ and DGK ⁇ inhibitor.
- a "reversible DGK ⁇ and DGK ⁇ inhibitor” is a compound that reversibly inhibits DGK ⁇ and DGK ⁇ enzyme activity either at the catalytic site or at a non-catalytic site and "an irreversible DGK ⁇ and DGK ⁇ inhibitor” is a compound that irreversibly destroys DGK ⁇ and DGK ⁇ enzyme activity by forming a covalent bond with the enzyme.
- the term "cell” is meant to refer to a cell that is in vitro, ex vivo or in vivo.
- an ex vivo cell can be part of a tissue sample excised from an organism such as a mammal.
- an in vitro cell can be a cell in a cell culture.
- an in vivo cell is a cell living in an organism such as a mammal.
- the compounds of Formula (I) can inhibit activity of diacylglycerol kinase alpha (DGK ⁇ ) and/or diacylglycerol kinase zeta (DGK ⁇ ).
- the compounds of Formula (I) can be used to inhibit activity of DGK ⁇ and DGK ⁇ in a cell or in an individual in need of modulation of DGK ⁇ and DGK ⁇ by administering an inhibiting amount of a compound of Formula (I) or a salt thereof.
- the compounds for Formula (I) and pharmaceutical compositions comprising at least one compound of Formula (I) are useful in treating or preventing any disease or condition associated with DGK target inhibition in T cells. These include viral and other infections (e.g., skin infections, GI infection, urinary tract infections, genito- urinary infections, systemic infections), and proliferative diseases (e.g., cancer).
- kinase in some embodiments, are methods of inhibiting a kinase comprising contacting the kinase with an effective amount of a compound of Formula (I), or a pharmaceutically acceptable salt, solvate, hydrate, isomer, tautomer, racemate, isotope, or pharmaceutical composition thereof.
- a compound of Formula (I) or a pharmaceutically acceptable salt, solvate, hydrate, isomer, tautomer, racemate, isotope, or pharmaceutical composition thereof.
- the kinase is DGK.
- the kinase is DGK ⁇ .
- the kinase is DGK ⁇ .
- a DGK dependent condition is a DGK ⁇ dependent condition.
- the a DGK dependent condition is a DGK ⁇ dependent condition.
- the DGK dependent condition is an infection.
- the DGK dependent condition is a a viral infection.
- the DGK dependent condition is cancer.
- the invention provides a method of treating a patient suffering from or susceptible to a medical condition that is associated with DGK target inhibition in T cells. A number of medical conditions can be treated. The method comprises administering to the patient a therapeutically effective amount of a composition comprising a compound of Formula (l) and/or a pharmaceutically acceptable salt thereof, a stereoisomer thereof or a tautomer thereof.
- the compounds described herein may be used to treat or prevent viral infections and proliferative diseases such as cancer.
- the present invention further provides methods of treating diseases associated with activity or expression, including abnormal activity and/or overexpression, of DGK ⁇ and DGK ⁇ in an individual (e.g., patient) by administering to the individual in need of such treatment a therapeutically effective amount or dose of a compound of Formula (I) or a pharmaceutical composition thereof.
- Example diseases can include any disease, disorder or condition that is directly or indirectly linked to expression or activity of DGK ⁇ and DGK ⁇ enzyme, such as over expression or abnormal activity.
- a DGK ⁇ and/or DGK ⁇ associated disease can also include any disease, disorder or condition that can be prevented, ameliorated, or cured by modulating DGK ⁇ and DGK ⁇ enzyme activity.
- Examples of DGK ⁇ and DGK ⁇ associated diseases include cancer and viral infections such as HIV infection, hepatitis B, and hepatitis C.
- the compounds of Formula (I) and pharmaceutical compositions comprising at least one compound of Formula (I) may be administered to animals, preferably mammals (e.g., domesticated animals, cats, dogs, mice, rats), and more preferably humans. Any method of administration may be used to deliver the compound or pharmaceutical composition to the patient.
- the compound of Formula (I) or pharmaceutical composition comprising at least one compound of Formula (I) is administered orally.
- the compound of Formula (I) or pharmaceutical composition comprising at least one compound of Formula (I) is administered parenterally.
- Described herein are methods of treating a subject having a proliferative disorder or a viral infection comprising administering to the subject in need thereof a pharmaceutically effective amount of a compound as described herein, or a pharmaceutically acceptable salt, solvate, hydrate, isomer, tautomer, racemate, isotope, or composition thereof.
- a compound of formula (I), or a pharmaceutically acceptable salt, solvate, hydrate, isomer, tautomer, racemate, isotope, or composition thereof for inhibiting the activity of at least one of diacylglycerol kinase selected from diacylglycerol kinase alpha (DGKa) and diacylglycerol kinase zeta (DGK ⁇ ).
- DGKa diacylglycerol kinase alpha
- DGK ⁇ diacylglycerol kinase zeta
- a compound of formula (I), or a pharmaceutically acceptable salt, solvate, hydrate, isomer, tautomer, racemate, isotope, or composition thereof for treating a disease or disorder associated with the activity of DGK ⁇ or DGK ⁇ , or both DGK ⁇ and DGK ⁇ .
- uses of a compound of formula (I), or a pharmaceutically acceptable salt, solvate, hydrate, isomer, tautomer, racemate, isotope, or composition thereof for the treatment of proliferative disorders or viral infections.
- the proliferative disorder is cancer.
- the invention provides methods of treating cancer associated with activity or expression, including abnormal activity and/or overexpression, of DGK ⁇ and DGK ⁇ in an individual (e.g., patient) by administering to the individual in need of such treatment a therapeutically effective amount or dose of a compound of Formula (I) or a pharmaceutical composition thereof.
- Types of cancers that may be treated with the compound of Formula (I) include, but are not limited to, brain cancers, skin cancers, bladder cancers, ovarian cancers, breast cancers, gastric cancers, pancreatic cancers, prostate cancers, colon cancers, blood cancers, lung cancers and bone cancers.
- cancer types include neuroblastoma, intestine carcinoma such as rectum carcinoma, colon carcinoma, familiar adenomatous polyposis carcinoma and hereditary non-polyposis colorectal cancer, esophageal carcinoma, labial carcinoma, larynx carcinoma, hypopharynx carcinoma, tongue carcinoma, salivary gland carcinoma, gastric carcinoma, adenocarcinoma, medullary thyroid carcinoma, papillary thyroid carcinoma, renal carcinoma, kidney parenchymal carcinoma, ovarian carcinoma, cervix carcinoma, uterine corpus carcinoma, endometrium carcinoma, chorion carcinoma, pancreatic carcinoma, prostate carcinoma, testis carcinoma, breast carcinoma, urinary carcinoma, melanoma, brain tumors such as glioblastoma, astrocytoma, meningioma, medulloblastoma and peripheral neuroectodermal tumors, Hodgkin lymphoma, non-Hodgkin lymphoma, Burkitt lymphoma, acute lymphatic leuk
- the cancer is cancer of the colon, pancreatic cancer, breast cancer, prostate cancer, lung cancer, ovarian cancer, cervical cancer, renal cancer, bladder cancer, cancer of the head and neck, lymphoma, leukemia, or melanoma.
- the cancer is colon cancer.
- the cancer is pancreatic cancer.
- the cancer is breast cancer.
- the cancer is prostate cancer.
- the cancer is ovarian cancer.
- the cancer is cervical cancer.
- the cancer is renal cancer.
- the cancer is renal cancer.
- the cancer is cancer of the head and neck.
- the cancer is lymphoma. In some embodiments, the cancer is leukemia. In some embodiments, the cancer is melanoma. Also described herein, are uses of a compound of formula (I), or a pharmaceutically acceptable salt, solvate, hydrate, isomer, tautomer, racemate, isotope, or composition thereof, for the treatment of proliferative disorders or viral infections. In some embodiments, the proliferative disorder is cancer. In some embodiments, the cancer is cancer of the colon, pancreatic cancer, breast cancer, prostate cancer, lung cancer, ovarian cancer, cervical cancer, renal cancer, cancer of the head and neck, lymphoma, leukemia and melanoma.
- the invention provides methods of treating infections associated with activity or expression, including abnormal activity and/or overexpression, of DGK ⁇ and DGK ⁇ in an individual (e.g., patient) by administering to the individual in need of such treatment a therapeutically effective amount or dose of a compound of Formula (I) or a pharmaceutical composition thereof.
- the infections are viral infections.
- the infections are chronic viral infections.
- Chronic viral infections that may be treated using the present combinatorial treatment include, but are not limited to, diseases caused by: hepatitis C virus (HCV), human papilloma virus (HPV), cytomegalovirus (CIVIV), herpes simplex virus (HSV), Epstein-Barr virus (EBV), varicella zoster virus, coxsackie virus, human immunodeficiency virus (HIV)
- parasitic infections e.g., malaria
- One or more additional pharmaceutical agents or treatment methods such as, for example, anti-viral agents; chemotherapeutics, immuno-oncology agents, or other anti-cancer agents; immune enhancers; immunosuppressants; radiation; anti-tumor and anti-viral vaccines; cytokine therapy (e.g.
- IL2 and GM-CSF can be optionally used in combination with the compounds of Formula (I) for treatment of DGK ⁇ and DGK ⁇ associated diseases, disorders or conditions.
- the agents can be combined with the present compounds in a single dosage form, or the agents can be administered simultaneously or sequentially as separate dosage forms.
- the combination therapy is intended to embrace administration of these therapeutic agents in a sequential manner, that is, wherein each therapeutic agent is administered at a different time, as well as administration of these therapeutic agents, or at least two of the therapeutic agents, in a substantially simultaneous manner.
- Substantially simultaneous administration can be accomplished, for example, by administering to the subject a single dosage form having a fixed ratio of each therapeutic agent or in multiple, single dosage forms for each of the therapeutic agents.
- Sequential or substantially simultaneous administration of each therapeutic agent can be effected by any appropriate route including, but not limited to, oral mutes, intravenous mutes, intramuscular routes, and direct absorption through mucous membrane tissues.
- the therapeutic agents can be administered by the same route or by different routes.
- a first therapeutic agent of the combination selected may be administered by intravenous injection while the other therapeutic agents of the combination may be administered orally.
- all therapeutic agents may be administered orally, or all therapeutic agents may be administered by intravenous injection.
- Combination therapy also can embrace the administration of the therapeutic agents as described above in further combination with other biologically active ingredients and non-drug therapies (e.g., surgery or radiation treatment.)
- the combination therapy further comprises a non-drug treatment
- the non-dmg treatment may be conducted at any suitable time so long as a beneficial effect from the co-action of the combination of the therapeutic agents and non-dmg treatment is achieved.
- the beneficial effect is still achieved when the non-drug treatment is temporally removed from the administration of the therapeutic agents, perhaps by days or even weeks.
- the present invention provides a combined preparation of a compound of Formula (I), and/or a pharmaceutically acceptable salt thereof, a stereoisomer thereof or a tautomer thereof; and additional therapeutic agent(s) for simultaneous, separate or sequential use in the treatment and/or prophylaxis of multiple diseases or disorders associated with DGK target inhibition in T cells.
- T cell responses can be stimulated by a combination of a compound of Formula (I) and one or more of: (i) an antagonist of a protein that inhibits T cell activation (e.g., immune checkpoint inhibitors) such as CTLA-4, PD-1, PD-L1, PD-L2, LAG-3, TIM-3, Galectin 9, CEACAM-1, BTLA, CD69, Galectin-1, TIGIT, CD113, GPR56, VISTA, 2B4, CD48, GARP, PD1H, LAIR1, TIM-1, and TIM-4; and (ii) an agonist of a protein that stimulates T cell activation such as B7-1, B7-2, CD28, 4-1BB (CD137), 4-1BBL, ICOS, ICOS-L, OX40, OX40L, GITR.
- an antagonist of a protein that inhibits T cell activation e.g., immune checkpoint inhibitors
- CTLA-4 e.g., immune checkpoint inhibitors
- compounds of Formula (I) may be administered in combination with an anti-cancer agent.
- Anti-cancer agents include, for example, small molecule drugs, antibodies, or other biologic or small molecule.
- biologic immuno-oncology agents include, but are not limited to, cancer vaccines, antibodies, tumor infiltrating lymphocytes, and cytokines.
- the antibody is a monoclonal antibody. In another aspect, the monoclonal antibody is humanized or human.
- the immuno-oncology agent is an agonist of a stimulatory (including a co- stimulatory) receptor; or an antagonist of an inhibitory (including a co- inhibitory) signal on T cells, both of which result in amplifying antigen-specific T cell responses (often referred to as immune checkpoint regulators).
- a stimulatory and inhibitory molecules are members of the immunoglobulin super family (IgSF).
- B7 family which includes B7-l, B7-2, B7-HI (PD-L1), B7-DC (PD-L2), B7-H2 (ICOS-L), B7-H3, B7-H4, B7-H5 (VISTA), and B7-H6.
- B7-l B7-2, B7-HI (PD-L1), B7-DC (PD-L2), B7-H2 (ICOS-L), B7-H3, B7-H4, B7-H5 (VISTA), and B7-H6.
- TNF family of molecules that bind to cognate TNF receptor family members which includes CD40 and CD40L, OX-40, OX-40L, CD70, CD27L, CD30, CD30L, 4-1BBL, CD137 (4-1BB), TRAIL/Apo2-L, TRAILR1/DR4, TRAILR2/DR5, TRAILR3, TRAILR4, OPG, RANK, RANKL, TWEAKR/Fn14, TWEAK, BAFFR, EDAR, XEDAR, TACI, APRIL, BCMA, LT ⁇ R, LIGHT, DcR3, HVEM, VEG1/TL1A, TRAMP/DR3, EDAR, EDA1, XEDAR, EDA2, TNFR1, Lymphotoxin ⁇ /TNF ⁇ , TNFR2, TNF ⁇ , LT ⁇ R, Lymphotoxin ⁇ 1 ⁇ 2, FAS, FASL
- agents for combination therapies for the treatment of cancer include antagonists of inhibitory receptors on NK cells or agonists of activating receptors on NK cells.
- antagonists of KIR such as lirilumab.
- agents for combination therapies for the treatment of cancer include agents that inhibit or deplete macrophages or monocytes, including but not limited to CSF-1R antagonists such as CSF-1R antagonist antibodies including RG-7155 or FPA-008.
- agents for combination therapies for the treatment of cancer include agonistic agents that ligate positive co-stimulatory receptors, blocking agents that attenuate signaling through inhibitory receptors, antagonists, and one or more agents that increase systemically the frequency of anti-tumor T cells, agents that overcome distinct immune suppressive pathways within the tumor microenvironment, e.g., block inhibitory receptor engagement, such as PD-L1/PD-1 interactions; deplete or inhibit Tregs, such as using an anti-CD25 monoclonal antibody (e.g., daclizumab); or by ex vivo anti-CD25 bead depletion; inhibit metabolic enzymes such as IDO, or reverse/prevent T cell anergy or exhaustion; and agents that trigger innate immune activation and/or inflammation at tumor sites.
- agonistic agents that ligate positive co-stimulatory receptors e.g., blocking agents that attenuate signaling through inhibitory receptors, antagonists, and one or more agents that increase systemically the frequency of anti-tumor
- tumor infiltrating lymphocytes are transferred to a subject in need thereof through adoptive cell transfer.
- the adoptive cell transfer to the subject in need thereof is of autologous T cells.
- the adoptive cell transfer to the subject in need thereof is of allogeneic T cells.
- the adoptive cell transfer to the subject in need thereof is of T cells expressing chimeric antigen receptors (CAR-T cells).
- the other agents for combination therapies for the treatment of cancer are CAR-T cells, including, but not limited to, KYMRIAH (tisagenlecleucel), YESCARTA (axicabtagene ciloleucel), TECARTUS (brexucabtagene autoleucel), BREYANZI (lisocabtagene maraleucel), and ABECMA (idecabtagene vicleucel).
- CAR-T cells including, but not limited to, KYMRIAH (tisagenlecleucel), YESCARTA (axicabtagene ciloleucel), TECARTUS (brexucabtagene autoleucel), BREYANZI (lisocabtagene maraleucel), and ABECMA (idecabtagene vicleucel).
- CTLA-4 antagonists such as an antagonistic CTLA-4 antibody.
- Suitable CTLA-4 antibodies include, for example, YERVOY (ipilimumab) or tremelimumab.
- PD-1 antagonists such as an antagonistic PD-1 antibody.
- Suitable PD-1 antibodies include, for example, OPDIVO (nivolumab), KEYTRUDA (pembrolizumab), MEDI-0680 (AMP-514; WO2012/145493) or pidilizumab (CT-011).
- OPDIVO nivolumab
- KEYTRUDA pembrolizumab
- MEDI-0680 AMP-514; WO2012/145493
- CT-011 pidilizumab
- Another approach to target the PD-1 receptor is the recombinant protein composed of the extracellular domain of PD-L2 (B7-DC) fused to the Fe portion of IgG1, called AMP-224.
- PD-L1 antagonists such as an antagonistic PD-L1 antibody
- Suitable PD-L1 antibodies include, for example, MPDL3280A (RG7446; WO2010/077634), durvaluma (MEDI4736), BMS-936559 (WO2007/005874), and MSB0010718C (WO2013/79174).
- LAG-3 antagonists such as an antagonistic LAG-3 antibody.
- Suitable LAG3 antibodies include, for example, BMS-986016 (WO10/19570, WO14/08218), or IMP-731 or IMP-321 (WO08/132601, WO09/44273).
- CD137 (4-1BB) agonists such as an agonistic CD137 antibody.
- Suitable CD137 antibodies include, for example, urelumab and PF-05082566 (WO12/32433).
- agents for combination therapies for the treatment of cancer include GITR agonists such as an agonistic GITR antibody.
- Suitable GITR antibodies include, for example, BMS-986153, BMS-986156, TRX-518 (WO06/105021, WO09/009116) and MK-4166 (WO11/028683).
- IDO antagonists IDO antagonists.
- Suitable IDO antagonists include, for example, INCB-024360 (WO2006/122150, WO07/75598, WO08/36653, WO08/36642), indoximod, BMS-986205, or NLG-919 (WO09/73620, WO09/1156652, WO11/56652, WO12/142237).
- OX40 agonists such as an agonistic OX40 antibody.
- Suitable OX40 antibodies include, for example, MEDI-6383 or MEDI-6469.
- OX40L antagonists such as an antagonistic OX40L antibody
- Suitable OX40L antagonists include, for example, RG-7888 (WO06/029879).
- CD40 agonists such as an agonistic CD40 antibody.
- CD40 antagonists such as an antagonistic CD40 antibody.
- Suitable CD40 antibodies include, for example, lucatumumab or dacetuzumab.
- CD27 agonists such as an agonistic CD27 antibody.
- Suitable CD27 antibodies include, for example, varlilumab.
- alkylating agents including, without limitation, nitrogen mustards, ethylenimine derivatives, alkyl sulfonates, nitrosoureas and triazenes
- alkylating agents including, without limitation, nitrogen mustards, ethylenimine derivatives, alkyl sulfonates, nitrosoureas and triazenes
- uracil mustard 5 chlormethine, cyclophosphamide (CYTOXAN), ifosfamide, melphalan, chlorambucil pipobroman, triethylene-melamine, triethylenethiophosphoramine, busulfan, carmustine, lomustine, streptozocin, dacarbazine, and temozolomide.
- Suitable chemotherapeutic or other anti-cancer agents further include, for example, antimetabolites (including, without limitation, folic acid antagonists, pyrimidine analogs, purine analogs and adenosine deaminase inhibitors) such as methotrexate, 5-fluorouracil, floxuridine, cytarabine, 6-mercaptopurine, 6-thioguanine, fludarabine phosphate, pentostatine, and gemcitabine.
- antimetabolites including, without limitation, folic acid antagonists, pyrimidine analogs, purine analogs and adenosine deaminase inhibitors
- methotrexate including, without limitation, folic acid antagonists, pyrimidine analogs, purine analogs and adenosine deaminase inhibitors
- methotrexate including, without limitation, folic acid antagonists, pyrimidine analogs, purine analogs and adenosine deaminase inhibitor
- Suitable chemotherapeutic or other anti-cancer agents further include, for example, certain natural products and their derivatives (for example, vinca alkaloids, antitumor antibiotics, enzymes, lymphokines and epipodophyllotoxins) such as vinblastine, vincristine, vindesine, bleomycin, dactinomycin, daunorubicin, doxorubicin, epirubicin, idarubicin, ara-C, paclitaxel (Taxol), mithramycin, deoxyco-formcin, mitomycin-C, L-asparaginase, interferons (especially IFN- ⁇ ), etoposide, and teniposide.
- certain natural products and their derivatives for example, vinca alkaloids, antitumor antibiotics, enzymes, lymphokines and epipodophyllotoxins
- vinblastine vincristine, vindesine
- bleomycin dactinomycin
- daunorubicin
- Suitable chemotherapeutic or other anti-cancer agents further include, for example, epidophyllotoxin; an antineoplastic enzyme; a topoisomerase inhibitor; procarbazine; mitoxantrone; platinum coordination complexes such as cisplatin and carboplatin; biological response modifiers; growth inhibitors; antihormonal therapeutic agents; leucovorin; tegafur; haematopoietic growth factors; navelbene, CPT-11, anastrazole, letrazole, capecitabine, reloxafine, droloxafine; antibody therapeutics such as trastuzumab (HERCEPTIN), antibodies to costimulatory molecules such as CTLA-4, 4-1BB and PD-1, or antibodies to cytokines (IL-1O or TGF- ⁇ ); and agents that block immune cell migration such as antagonists to chemokine receptors, including CCR2 and CCR4.
- epidophyllotoxin an antineoplastic enzyme
- agents for combination therapies for the treatment of cancer include anti- cancer vaccines, including dendritic cells, synthetic peptides, DNA vaccines and recombinant viruses.
- agents for combination therapies for the treatment of cancer include signal transduction inhibitors (STI).
- STI signal transduction inhibitors
- a "signal transduction inhibitor” is an agent that selectively inhibits one or more vital steps in signaling pathways, in the normal function of cancer cells, thereby leading to apoptosis.
- Suitable STI's include, but are not limited to: (i) bcr/abl kinase inhibitors such as, for example, STI 571 (GLEEVEC); (ii) epidermal growth factor (EGF) receptor inhibitors such as, for example, kinase inhibitors (IRESSA, SSI-774) and antibodies (Imclone: C225 [Goldstein et al, Clin. Cancer Res, 1995, 1, 1311-1318; and Abgenix: ABX-EGF); (iii) her-2/neu receptor inhibitors such as farnesyl transferase inhibitors (FTI) such as, for example, L-744,832 (Kohl et al, Nat.
- FTI farnesyl transferase inhibitors
- Akt family kinases or the Akt pathway such as, for example, rapamycin
- cell cycle kinase inhibitors such as, for example, flavopiridol and UCN-01
- phosphatidyl inositol kinase inhibitors such as, for example, LY294002.
- suitable agents for use in combination with the compounds of Formula (I) include: dacarbazine (DTIC), optionally, along with other chemotherapy drugs such as carmustine (BCNU) and cisplatin; the "Dartmouth regimen", which consists of DTIC, BCNU, cisplatin and tamoxifen; a combination of cisplatin, vinblastine, and DTIC, temozolomide or YERVOYTM.
- DTIC dacarbazine
- BCNU carmustine
- cisplatin the "Dartmouth regimen” which consists of DTIC, BCNU, cisplatin and tamoxifen
- a combination of cisplatin, vinblastine, and DTIC, temozolomide or YERVOYTM a combination of cisplatin, vinblastine, and DTIC, temozolomide or YERVOYTM.
- Compounds of Formula (I) may also be combined with immunotherapy drugs, including cytokines such as inter
- Anti-melanoma vaccines are, in some ways, similar to the anti-virus vaccines which are used to prevent diseases caused by viruses such as polio, measles, and mumps.
- Weakened melanoma cells or parts of melanoma cells called antigens may be injected into a patient to stimulate the body's immune system to destroy melanoma cells.
- Melanomas confined to the arms or legs may also be treated with a combination of agents including one or more compounds of Formula (I), using a hyperthermic isolated limb perfusion technique.
- Suitable antiviral agents contemplated for use in combination with the compound of Formula (I) include nucleoside and nucleotide reverse transcriptase inhibitors (NRTIs), non- nucleoside reverse transcriptase inhibitors (NNRTis), protease inhibitors and other antiviral drugs.
- NRTIs nucleoside and nucleotide reverse transcriptase inhibitors
- NRTis non- nucleoside reverse transcriptase inhibitors
- protease inhibitors and other antiviral drugs.
- NRTIs examples include zidovudine (AZT); didanosine (ddl); zalcitabine (ddC); stavudine (d4T); lamivaidine (3TC): abacavir (1592U89); adefovir dipivoxil [bis(POM)-PMEA]; lobucavir (BMS-180194); BCH-I0652, emitricitabine [(-)- FTC]; beta-L-FD4 (also called beta-L-D4C and nan1ed beta-L-2',3'-dicleoxy-5-fluorocytidene); DAPD, ((-)-beta-D-2,6-diamino-purine dioxolane); and lodenosine (FddA).
- ZT zidovudine
- ddl didanosine
- ddC zalcitabine
- stavudine d4T
- lamivaidine
- NNRTIs examples include nevirapine (BI-RG-587); delaviradine (BHAP, U- 90152); efavirenz (DMP-266); PNU-142721, AG-1549; MKC-442 (l-(ethoxy-methyl)-5- (]- methylethyl)-6-(phenylmethyl)-(2,4(1H,3H)-pyrimidinedione); and (+)-calanolide A (NSC- 675451) and B.
- protease inhibitors examples include saquinavir (Ro 31-8959); ritonavir (ABT- 538); indinavir (MK-639); nelfinavir (AG-1343): amprenavir (141W94); lasinavir (BMS-234475): DMP-450; BMS-2322623, ABT-378; and AG-1549.
- Other antiviral agents include hydroxyurea, ribavirin, IL-2, IL-12, pentafuside and Yissum Project No.11607.
- the present invention further provides pharmaceutical compositions comprising at least one compound of Formula (I), a pharmaceutically acceptable carrier, optionally, at least one chemotherapeutic drug, and, optionally, at least one antiviral agent.
- Routes of Administration The compounds of this invention can be administered for any of the uses described herein by any suitable means, for example, orally, such as tablets, capsules (each of which includes sustained release or timed release formulations), pills, powders, granules, elixirs, tinctures, suspensions (including nanosuspensions, micro suspensions, spray-dried dispersions), syrups, and emulsions; sublingually; buccally; parenterally, such as by subcutaneous, intravenous, intramuscular, or intratarsal injection, or infusion techniques (e.g., as sterile injectable aqueous or non-aqueous solutions or suspensions); nasally, including administration to the nasal membranes, such as by inhalation spray; topically, such as in the form of a
- kits useful, for example, in the treatment or prevention of DGK ⁇ and DGK ⁇ associated diseases or disorders, and other diseases referred to herein, which include one or more containers containing a pharmaceutical composition comprising a therapeutically effective amount of a compound of Formula (I).
- kits can further include, if desired, one or more of various conventional pharmaceutical kit components, such as, for example, containers with one or more pharmaceutically acceptable carriers, additional containers, as will be readily apparent to those skilled in the art.
- kits can also be included in the kit.
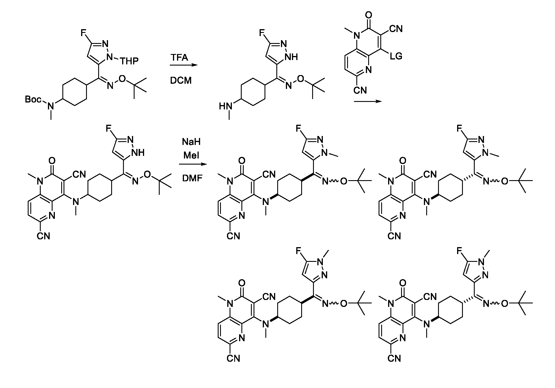
- Compound Synthesis Compounds having the structure of Formulas (I) can be synthesized using standard synthetic techniques known to those of skill in the art. For example, compounds of the present disclosure can be synthesized using the general synthetic procedures set forth in Scheme 1. Modifications to these methods will be apparent to one skilled in the art. To this end, the reactions, processes and synthetic methods described herein are not limited to the specific conditions described in the following experimental section, but rather are intended as a guide to one with suitable skill in this field. For example, reactions may be carried out in any suitable solvent, or other reagents to perform the transformation[s] necessary.
- suitable solvents are protic or aprotic solvents which are substantially non-reactive with the reactants, the intermediates or products at the temperatures at which the reactions are carried out (i.e., temperatures which may range from the freezing to boiling temperatures).
- a given reaction may be carried out in one solvent or a mixture of more than one solvent.
- suitable solvents for a particular work-up following the reaction may be employed.
- conventional methods of mass spectroscopy (MS), liquid chromatography-mass spectroscopy (LCMS), NMR, HPLC, protein chemistry, biochemistry, recombinant DNA techniques, and pharmacology are employed.
- EXAMPLES Compounds of Formula (II) having the following structure: EXAMPLE I-1 cis-8-((-4-((Z or E)-(tert-Butoxyimino)(phenyl)methyl)cyclohexyl)(methyl)amino)-5-methyl-6- oxo-5,6-dihydro-1,5-naphthyridine-2,7-dicarbonitrile (Compound I-1) STEP 1: tert-Butyl (cis-4-benzoylcyclohexyl)(methyl)carbamate To a stirred solution of tert-butyl (cis-4-(methoxy(methyl)carbamoyl)cyclohexyl)- (methyl)carbamate (7.0 g, 23.3 mmol) in THF (90 mL) at -78 °C was added phenyllithium (4.84 mL, 46.6 mmol), dropwise.
- STEP 3 cis-(Z or E)-(-4-(Methylamino)cyclohexyl)(phenyl)methanone O-(tert-butyl) oxime
- the reaction mixture was stirred at 100°C for 16 h.
- the mixture was concentrated under reduced pressure, and the residue was purified by reverse flash chromatography (Column: C18 silica gel, 80 g; Mobile phase A: water (10mmol/L NH4HCO3) and B: ACN (5% to 100% in 50 min); Detector, UV 254 nm).
- the collected fraction was concentrated to afford the title compound (200 mg, 81%) as a yellow oil.
- STEP 2 cis-7-acetyl-8-((4-((Z or E)-(tert-butoxyimino)(phenyl)methyl)cyclohexyl)(methyl) amino)-5-methyl-6-oxo-5,6-dihydro-1,5-naphthyridine-2-carbonitrile
- cis-8-((4-((Z or E)-(tert-butoxyimino)(phenyl)methyl)cyclohexyl) (methyl)amino)-7-(1-ethoxyvinyl)-5-methyl-6-oxo-5,6-dihydro-1,5-naphthyridine-2-carbonitrile 200 mg, 369 ⁇ mol
- THF 3 mL
- HCl 2 M, 3.00 mL
- the reaction mixture was stirred at 25°C for 1 h.
- the reaction was purified by reversed phase chromatography (Column: XBridge Prep OBD C18 Column, 30 ⁇ 150 mm 5 um; Mobile Phase A: water(50 mmol/L NH 4 HCO), Mobile Phase B:ACN; Flow rate: 25 mL/min; Gradient:75-95% B over 7 min; Detector: 254 nm).
- the collected fraction was lyophilized to afford the title compound as a yellow solid. *Isolated as a mixture of oxime isomers.
- STEP 2 cis-tert-butyl (4-((Z or E)-(tert-butoxyimino)(1-(difluoromethyl)-1H-pyrazol-5- yl)methyl)cyclohexyl)(methyl)carbamate
- Compound I-3 cis-tert-butyl (4-((Z or E)-(tert-butoxyimino)(1-(difluoromethyl)-1H-pyrazol-5- yl)methyl)cyclohexyl)(methyl)carbamate was then deprotected and coupled with the appropriate 1,5-naphthyridin-2(1H)-one to provide the title compound according to procedures analogous to those described herein.
- STEP 3 cis-8-((4-((Z or E)-(tert-butoxyimino)(4-methyloxazol-5-yl)methyl)cyclohexyl)(methyl) amino)-5-methyl-6-oxo-5,6-dihydro-1,5-naphthyridine-2,7-dicarbonitrile (Compound I-4) cis-(4-(methylamino)cyclohexyl)(4-methyloxazol-5-yl)methanone O-(tert-butyl) oxime was then coupled with the appropriate 1,5-naphthyridin-2(1H)-one to provide the title compound according to procedures analogous to those described herein.
- EXAMPLE I-6 cis-8-((4-((Z or E)-(tert-butoxyimino)(3-fluoro-1-methyl-1H-pyrazol-5-yl)methyl) cyclohexyl)(methyl)amino)-5-methyl-6-oxo-5,6-dihydro-1,5-naphthyridine-2,7-dicarbonitrile (Compound I-6A) and trans-8-((4-((Z or E)-(tert-butoxyimino)(3-fluoro-1-methyl-1H-pyrazol-5-yl)methyl) cyclohexyl)(methyl)amino)-5-methyl-6-oxo-5,6-dihydro-1,5-naphthyridine-2,7-dicarbonitrile (Compound I-6B) and cis-8-((4-((Z or E)-(tert-butoxyimino)(5-fluoro-1-
- STEP 3 8-((4-((Z or E)-(tert-butoxyimino)((3 or 5)-fluoro-1-methyl-1H-pyrazol-5- yl)methyl)cyclohexyl)(methyl)amino)-5-methyl-6-oxo-5,6-dihydro-1,5-naphthyridine-2,7- dicarbonitrile
- Sodium hydride (79.3 mg, 1.98 mmol, 60% purity) was added to a solution of cis-8-((4- ((Z or E)-(tert-butoxyimino)(3-fluoro-1H-pyrazol-5-yl)methyl)cyclohexyl)(methyl)amino)-5- methyl-6-oxo-5,6-dihydro-1,5-naphthyridine-2,7-dicarbonitrile (500 mg, 991 ⁇ mol) in DMF (5 mL) at 0 °C.
- reaction was stirred for 0.5 h at 0°C, and a solution of iodomethane (422 mg, 2.97 mmol, 185 ⁇ L) was added.
- the reaction was stirred for 2 h at 25 °C.
- the reaction was purified by reverse phase HPLC (Column: XBridge Prep OBD C18 Column, 30 x 150 mm, 5 ⁇ m; Mobile Phase A: Water (5 mM TFA), Mobile Phase B: ACN; Flow rate: 60 mL/min; Gradient: 52- 60% B in 12 min; Wavelength: 254 nm), yielding two product as diastereomeric mixtures A and B.
- Product (A) was separated by chiral reverse phase chromatography (Column: CHIRALPAK IF, 2 x 25 cm, 5 ⁇ m; Mobile Phase A: MTBE(0.5% 2M NH3-MeOH); Mobile Phase B: EtOH; Gradient: 20% B in 13.5 min; Wavelength: 220/254 nm).
- Product (B) was separated by Chiral-Prep-HPLC (Column: CHIRALPAK IF, 2 x 25 cm, 5 ⁇ m; Mobile Phase A: MTBE (0.5% 2M NH3-MeOH); Mobile Phase B: EtOH; Gradient: 10% B in 14 min; Wavelength: 220/254 nm).
- STEP 3 trans-8-((-4-((Z or E)-(tert-Butoxyimino)(pyridin-2-yl)methyl)cyclohexyl)(methyl)amino)- 5-methyl-6-oxo-5,6-dihydro-1,5-naphthyridine-2-carbonitrile and trans-8-((-4-((E or Z)-(tert-Butoxyimino)(pyridin-2-yl)methyl)cyclohexyl)(methyl)amino)-5- methyl-6-oxo-5,6-dihydro-1,5-naphthyridine-2-carbonitrile
- EXAMPLE II-2 cis-8-((4-((Z or E)-((difluoromethoxy)imino)(pyrazin-2-yl)methyl)cyclohexyl)(methyl)amino)-5- methyl-6-oxo-5,6-dihydro-1,5-naphthyridine-2,7-dicarbonitrile (Compound II-2) tert-butyl-4-((hydroxyimino)(pyrazin-2-yl)methyl)cyclohexyl)(methyl)carbamate was prepared according to analogous procedures as described herein.
- STEP 1 cis-tert-butyl (4-(((difluoromethoxy)imino)(pyrazin-2-yl)methyl)cyclohexyl) (methyl)carbamate
- tert-butyl ((1s,4s)-4-((Z)-(hydroxyimino)(pyrazin-2- yl)methyl)cyclohexyl)(methyl)carbamate (1 g, 2.99 mmol) in DMF (10 mL) was added NaH (239 mg, 5.98 mmol, 60% w/w) at 0 °C.
- BIOLOGICAL ASSAYS DGK ⁇ and DGK ⁇ biochemical assays Compounds of the present invention were prepared into 10 mM DMSO solution and 10 nL of stock was transferred into 384 plates (Optiplate 384 plate) using Echo550. DMSO was used as high control, and ATP substrate buffer was used as a low control. A 1x enzyme assay buffer was prepared (Hepes, pH 7.025mM, BSA 0.05%, Triton-X1000.002%,CaCl21 ⁇ M, MgCl2 10mM, DTT 2mM).
- the enzyme assay was performed by diluting enzyme DGK ⁇ (1 ⁇ g/ ⁇ L DGK ⁇ , Carna12-101, SEQ ID NO: 3) or DGK ⁇ (1 ⁇ / ⁇ L DGK ⁇ , Carna 12-110, SEQ ID NO: 4) using 1X assay buffer.
- OAG 1-oleoyl-2-acetyl-sn-glycerol, 25mg/ml, Avanti 800100O
- PS (10 mg/ml, Avanti 840032P) were mixed at the ratio of 1:2.
- a 1X substrate solution was prepared with 1X assay buffer by 100-fold dilution. The substrate solution was sonicated on ice for 1 min.
- the pure ATP was added to the substrate solution (DGKa:400 ⁇ M).5 ⁇ L of the enzyme solution were added to the 384 well plate, and the plate was spun for 1 min at 1000 rpm and incubated for 30 mins at RT.5 ⁇ L of 1X substrate solution were added to the 384 well plate, the plate was spun and then incubated for 45 mins at RT.10 ⁇ L ADP-Glo detergent was added to stop the assay. After 60 mins at RT, 20 ⁇ L ADP-Glo Detection buffer was added as the final step. Plate was read after 45min incubation at RT.
- Hc High control
- Lc Low Control
- ATP/ADP-Glo Jurkat NFNB Reporter Cellular Assay Compounds of the present invention were screened for cellular activity using the NFNB ONE-Glo reporter system in the Jurkat cell line.
- Jurkat cells were maintained in complete RPMI- 1640 medium with 10%FBS, 1% Penicillin-Streptomycin, supplemented with 1mg/mL G418 at 37°C, 5% CO 2 . Passage of the cells was done every 3 days by inoculating 2-5x10 5 cells/mL.
- test compounds were seeded in a white opaque 384-well plate, at 5x10 4 cells/well (20 ⁇ L per well), in G418 free RPMI-1640 medium, and incubated overnight. The next day, test compounds were diluted into 3 mM working solution in DMSO. A 10-point concentration curve of test compounds were prepared by performing 3-fold serial dilutions of the compounds, starting at a concentration of 3000 nM (3000, 1000, 333.3, 111.1, 37, 12.3, 4.1, 1.4, 0.45, and 0.15 nM). Serial dilution of compounds was added to cells and the plate was pre-incubated for 60 mins at 37°C with 5% CO 2 .
- Treated cells were then stimulated with anti-CD3/CD28 antibodies for additional 6 h at 37°C with 5% CO 2 .
- concentrations of anti-CD3 and anti- CD28 antibodies were 0.5 ⁇ g/mL each, diluted in RPMI1640 medium with 10% FBS.
- 20 ⁇ L/well of the One-Glo® reagent was added for One-Glo Reporter detection.
- Cells were centrifuged at 1000 rpm for 1 min and the plate was incubated for 10 additional mins at rt to stabilize the luminescence signal. After incubation, luminescence was measured using a Perkin Elmer Envision 2104 plate reader.
Landscapes
- Chemical & Material Sciences (AREA)
- Organic Chemistry (AREA)
- Health & Medical Sciences (AREA)
- Chemical Kinetics & Catalysis (AREA)
- General Chemical & Material Sciences (AREA)
- Medicinal Chemistry (AREA)
- Nuclear Medicine, Radiotherapy & Molecular Imaging (AREA)
- Pharmacology & Pharmacy (AREA)
- Life Sciences & Earth Sciences (AREA)
- Animal Behavior & Ethology (AREA)
- General Health & Medical Sciences (AREA)
- Public Health (AREA)
- Veterinary Medicine (AREA)
- Pharmaceuticals Containing Other Organic And Inorganic Compounds (AREA)
Abstract
Disclosed herein are oxime compounds having the structure of Formula (I): (I) or a pharmaceutically acceptable salt, solvate, hydrate, isomer, tautomer, racemate, or isotope thereof, wherein R1, R2, R3, R4, R5, R', a, m, and n are as defined herein. Pharmaceutical compositions comprising them, processes for preparing them and uses of them to treat or prevent diseases, disorders and conditions are also provided. The compounds are inhibitors of one or both of diacylglycerol kinase alpha (DGKα) and diacylglycerol kinase zeta (DGKζ) and are useful in the treatment of diseases, disorders and conditions related to DGKα and / or DGKζ activity. In particular, the compounds are useful for treating viral infections and proliferative disorders, such as cancer.
Description
COMPOUNDS USEFUL AS T CELL ACTIVATORS REFERENCE TO AN ELECTRONIC SEQUENCE LISTING The contents of the electronic sequence listing (360474_404WO_SEQUENCE_LISTING.xml; Size: 9,762 bytes; and Date of Creation: December 22, 2022) is herein incorporated by reference in its entirety. FIELD OF THE INVENTION The present invention generally relates to oxime compounds that activate T cells, promote T cell proliferation, and/or exhibit antitumor activity. Provided herein are oxime compounds, compositions comprising such compounds, and methods of their use. The invention further pertains to pharmaceutical compositions comprising at least one compound according to the invention that are useful for the treatment of proliferative disorders, such as cancer, and viral infections. BACKGROUND Human cancers harbor numerous genetic and epigenetic alterations, generating neoantigens potentially recognizable by the immune system (Sjoblom et al, Science, 2006, 314, 268-74). The adaptive immune system, comprised of T and B lymphocytes, has powerful anti- cancer potential, with a broad capacity and exquisite specificity to respond to diverse tumor antigens. Further, the immune system demonstrates considerable plasticity and a memory component. The successful harnessing of all these attributes of the adaptive immune system would make immunotherapy unique among all cancer treatment modalities. However, although an endogenous immune response to cancer is observed in preclinical models and patients, this response is ineffective, and established cancers are viewed as "self" and tolerated by the immune system. Contributing to this state of tolerance, tumors may exploit several distinct mechanisms to actively subvert anti-tumor immunity. These mechanisms include dysfunctional T-cell signaling (Mizoguchi et al, Science, 1992, 258, 1795-98), suppressive regulatory cells (Facciabene et al, Cancer Res, 2012, 72, 2162-71), and the co-opting of endogenous ''immune checkpoints", which serve to down-modulate the intensity of adaptive immune responses and protect normal tissues from collateral damage, by tumors to evade immune destruction (Topalian et al, Curr. Opin. Immunol., 2012, 24, 1-6; Mellman et al, Nature, 2011, 480, 480-489).
Diacylglycerol kinases (DGKs) are lipid kinases that mediate the conversion of diacylglycerol to phosphatidic acid thereby terminating T cell functions propagated through the TCR signaling pathway. Thus, DGKs serve as intracellular checkpoints and inhibition of DGKs are expected to enhance T cell signaling pathways and T cell activation. Supporting evidence include knock-out mouse models of either DGKα or DGKζ which show a hyper-responsive T cell phenotype and improved anti-tumor immune activity (Riese et al, Journal of Biological Chemistry, 2011, 7, 5254-5265; Zha et al, Nature Immunology, 2006, 12, 1343). Furthermore, tumor infiltrating lymphocytes isolated from human renal cell carcinoma patients were observed to overexpress DGKα which resulted in inhibited T cell function (Prinz et al, .J immunology, 2012, 12, 5990-6000). Thus, DGKα and DGKζ are viewed as targets for cancer immunotherapy (Riese et al, Front Cell Dev Biol., 2016, 4, 108; Chen et al, Front Cell Dev Biol., 2016, 4, 130; Avila-Flores et al, Immunology and Cell Biology, 2017, 95, 549-563; Noessner, Front Cell Dev Biol., 2017, 5, 16; Krishna, et al, Front Immunology, 2013, 4,178; Jing, et al, Cancer Research, 2017, 77, 5676-5686.) The full length human diacylglycerol kinsase alpha isoform a enzyme is disclosed as SEQ ID NO: 1, and the full length human diacylglycerol kinsase zeta enzyme is disclosed as SEQ ID NO: 2. Accordingly, there remains a need for compounds useful as inhibitors of one or both of DGKα and DGKζ. Additionally, there remains a need for compounds useful as inhibitors of one or both of DGKα and DGKζ that have selectivity over other diacylglycerol kinases, protein kinases, and/or other lipid kinases, as well as for related compositions and methods for treating diseases, disorders and conditions that would benefit from such modulation. An agent that is safe and effective in restoring T cell activation, lowering antigen threshold, enhancing anti- tumor functionality, and/or overcoming the suppressive effects of one or more endogenous immune checkpoints, such as PD-1, LAG-3 and TGFβ, would be significant for the treatment of patients with proliferative disorders, such as cancer, as well as viral infections. Described herein are compounds that have activity as inhibitors of one or both of DGKα and DGKζ. Further, the compounds that have activity as inhibitors of one or both of DGKα and DGKζ and have selectivity over other diacylglycerol kinases, protein kinases, and/or other lipid kinases. These compounds are provided to be useful as pharmaceuticals with desirable stability, bioavailability, therapeutic index, and toxicity values that are important to their drugability.
BRIEF SUMMARY In one aspect, compounds are provided having the structure of Formula (I):
or a pharmaceutically acceptable salt, solvate, hydrate, isomer, tautomer, racemate, or isotope thereof, wherein: X is N or CH; Y is N or CH; R1 is an 8–13 membered heteroaryl ring comprising 1–5 N atoms; R2 is aryl or heteroaryl; R3 is −C2-6 alkyl, −C1-6 haloalkyl, −O−C1-6 alkyl, −C1-6 alkyl−OH, or −C1-6 alkyl−C(O)OH; R4 is, at each occurrence, independently −OH, oxo, halo, −CN, −NO2, −C1-4 alkyl, −C1-4 haloalkyl, −O−C1-4 alkyl, −C1-4 alkyl−OH, −C1-4 alkenyl, −C3-6 cycloalkyl, −O−carbocycle, or −O−heterocycle; R5 is, at each occurrence, independently −OH, −CN, halo, −C1-4 alkyl, −O−C1-4 alkyl, −O−C3-6cycloalkyl, −C3-6cycloalkyl, or 4–6 membered heterocycle containing 1 or 2 heteroatoms independently selected from O and N, wherein each R5 is independently substituted by –(R6)q; R6 is, at each occurrence, independently, halo, oxo, −CN, C1-6 alkyl, C1-6 haloalkyl, −OR7, −NR7R8, −C(O)R7, −C(O)OR7, −OC(O)R7, −C(O)NR7R8, −NR7C(O)R8, −OC(O)NR7R8, −NR8C(O)OR7, −NR7C(O)NR7R8, −S(O)tR7, −NR7S(O)tR8−, −S(O)tNR7R8, −NR7S(O)tNR8−, −NR7S(O)tOR8, −OS(O)tNR7R8, carbocycle, or heterocycle; R7 and R8 are, at each occurrence, independently H, C1-6 alkyl, C1-6 haloalkyl, carbocycle, or heterocycle;; Rʹ is H, −C1-4alkyl, or −C3-6cycloalkyl; a is 0, 1, or 2; m is 1, 2, 3, 4, or 5; n is 0, 1, 2, or 3; q is 0, 1, 2, or 3; and t is 0, 1, or 2.
In some embodiments, a pharmaceutical composition is provided comprising a compound having the structure of Formula (I), or a pharmaceutically acceptable salt, solvate, hydrate, isomer, tautomer, racemate, or isotope thereof, and at least one pharmaceutically acceptable excipient. In some embodiments, the compounds of Formula (I), or a pharmaceutically acceptable salt, solvate, hydrate, isomer, tautomer, racemate or isotope thereof, are useful as inhibitors of DGKα or DGKζ, or both DGKα and DGKζ . In some embodiments, the compounds of Formula (I), or a pharmaceutically acceptable salt, solvate, hydrate, isomer, tautomer, racemate or isotope thereof, are useful in therapy. In some embodiments, the therapy is treatment of proliferative disorders, such as cancer and viral infections. In some embodiments, a method of modulating the activity of DGKα or DGKζ, or both DGKα and DGKζ is provided comprising contacting the kinase with an effective amount of a compound having the structure of Formula (I), or a pharmaceutically acceptable salt, solvate, hydrate, isomer, tautomer, racemate, isotope, or pharmaceutical composition thereof. In some embodiments, a method for treating a disease or disorder associated with the activity of DGKα or DGKζ, or both DGKα and DGKζ, the method comprising administering to a subject in need thereof an effective amount of a compound having the structure of Formula (I), or a pharmaceutically acceptable salt, solvate, hydrate, isomer, tautomer, racemate, isotope, or pharmaceutical composition thereof. In some embodiments, the use of a compound having the structure of Formula (I), or a pharmaceutically acceptable salt, solvate, hydrate, isomer, tautomer, racemate, isotope, or pharmaceutical composition thereof is provided, in the manufacture of a medicament. In some embodiments the medicament is useful for the treatment of proliferative disorders, such as cancer and viral infections. In some embodiments, the compounds of Formula (I) and compositions comprising the compounds of Formula (I) may be used in treating, preventing, or curing viral infections and various proliferative disorders, such as cancer. Pharmaceutical compositions comprising these compounds are useful in treating, preventing, or slowing the progression of diseases or disorders in a variety of therapeutic areas, such as viral infections and cancer. In some embodiments, processes are provided for the preparation of the compounds of Formula (I) or a pharmaceutically acceptable salt, solvate, hydrate, isomer, tautomer, racemate, or isotope thereof.
In some embodiments, synthetic intermediates useful for the preparation of the compounds of Formula (I), or a pharmaceutically acceptable salt, solvate, hydrate, isomer, tautomer, racemate, or isotope thereof, are provided. These and other features of the invention will be set forth in expanded form as the disclosure continues. The features and advantages of the invention may be more readily understood by those of ordinary skill in the art upon reading the following detailed description. It is to be appreciated that certain features of the invention that are, for clarity reasons, described above and below in the context of separate embodiments, may also be combined to form a single embodiment. Conversely, various features of the invention that are, for brevity reasons, described in the context of a single embodiment, may also be combined so as to form sub-combinations thereof. Embodiments identified herein as exemplary or preferred are intended to be illustrative and not limiting. DETAILED DESCRIPTION As mentioned above, described herein are compounds that have activity as inhibitors of one or both of DGKα and DGKζ. Further, the compounds that have activity as inhibitors of one or both of DGKα and DGKζ and have selectivity over other diacylglycerol kinases, protein kinases, and/or other lipid kinases. Unless defined otherwise, all technical and scientific terms used herein have the same meaning as is commonly understood by one of skill in the art to which the claimed subject matter belongs. It is to be understood that the detailed description is exemplary and explanatory only and are not restrictive of any subject matter claimed. In this application, the use of the singular includes the plural unless specifically stated otherwise. It must be noted that, as used in the specification, the singular forms "a," "an" and "the" include plural referents unless the context clearly dictates otherwise. In this application, the use of "or" means "and/or" unless stated otherwise. Furthermore, use of the term "including" as well as other forms, such as "include", "includes," and "included," is not limiting. Although various features of the invention may be described in the context of a single embodiment, the features may also be provided separately or in any suitable combination. Conversely, although the invention may be described herein in the context of separate embodiments for clarity, the invention may also be implemented in a single embodiment. Reference in the specification to "some embodiments", "an embodiment", "one embodiment" or "other embodiments" means that a particular feature, structure, or
characteristic described in connection with the embodiments is included in at least some embodiments, but not necessarily all embodiments, of the inventions. The present invention may be embodied in other specific forms without departing from the spirit or essential attributes thereof. This invention encompasses all combinations of the aspects and/or embodiments of the invention noted herein. It is understood that any and all embodiments of the present invention may be taken in conjunction with any other embodiment or embodiments to describe additional embodiments. It is also to be understood that each individual element of the embodiments is meant to be combined with any and all other elements from any embodiment to describe an additional embodiment. As used herein, ranges and amounts can be expressed as "about" a particular value or range. About also includes the exact amount. Hence "about 100μL" means "about 100μL" and also "100μL." In some embodiments, about means within 5% of the value. Hence, "about 100 μL" means 95–105 μL. In some embodiments, about means within 4% of the value. In some embodiments, about means within 3% of the value. In some embodiments, about means within 2% of the value. In some embodiments, about means within 1% of the value. Generally, the term "about" includes an amount that would be expected to be within experimental error. Compounds In one embodiment, compounds are provided having the structure of Formula (I):
or a pharmaceutically acceptable salt, solvate, hydrate, isomer, tautomer, racemate, or isotope thereof, wherein: X is N or CH; Y is N or CH; R1 is an 8–13 membered heteroaryl ring comprising 1–5 N atoms; R2 is aryl or heteroaryl; R3 is −C2-6 alkyl, −C1-6 haloalkyl, −O−C1-6 alkyl, −C1-6 alkyl−OH, or −C1-6 alkyl−C(O)OH;
R4 is, at each occurrence, independently −OH, oxo, halo, −CN, −NO2, −C1-4 alkyl, −C1-4 haloalkyl, −O−C1-4 alkyl, −C1-4 alkyl−OH, −C1-4 alkenyl, −C3-6 cycloalkyl, −O−carbocycle, or −O−heterocycle; R5 is, at each occurrence, independently −OH, −CN, halo, −C1-4 alkyl, −O−C1-4 alkyl, −O−C3-6cycloalkyl, −C3-6cycloalkyl, or 4–6 membered heterocycle containing 1 or 2 heteroatoms independently selected from O and N, wherein each R5 is independently substituted by –(R6)q; R6 is, at each occurrence, independently, halo, oxo, −CN, C1-6 alkyl, C1-6 haloalkyl, −OR7, −NR7R8, −C(O)R7, −C(O)OR7, −OC(O)R7, −C(O)NR7R8, −NR7C(O)R8, −OC(O)NR7R8, −NR8C(O)OR7, −NR7C(O)NR7R8, −S(O)tR7, −NR7S(O)tR8−, −S(O)tNR7R8, −NR7S(O)tNR8−, −NR7S(O)tOR8, −OS(O)tNR7R8, carbocycle, or heterocycle; R7 and R8 are, at each occurrence, independently H, C1-6 alkyl, C1-6 haloalkyl, carbocycle, or heterocycle;; Rʹ is H, −C1-4alkyl, or −C3-6cycloalkyl; a is 0, 1, or 2; m is 1, 2, 3, 4, or 5; n is 0, 1, 2, or 3; q is 0, 1, 2, or 3; and t is 0, 1, or 2. As used herein, "alkyl" means a straight chain or branched saturated hydrocarbon group. "Lower alkyl" means a straight chain or branched alkyl group having from 1 to 8 carbon atoms, in some embodiments from 1 to 6 carbon atoms, in some embodiments from 1 to 4 carbon atoms, and in some embodiments from 1 to 2 carbon atoms. Examples of straight chain lower alkyl groups include, but are not limited to, methyl, ethyl, n-propyl, n-butyl, n-pentyl, n- hexyl, n-heptyl, and n-octyl groups. Examples of branched lower alkyl groups include, but are not limited to, isopropyl, iso-butyl, sec-butyl, t-butyl, neopentyl, isopentyl, and 2,2- dimethylpropyl groups. "Alkenyl" groups include straight and branched chain and cyclic alkyl groups as defined above, except that at least one double bond exists between two carbon atoms. Thus, alkenyl groups have from 2 to about 20 carbon atoms, and typically from 2 to 12 carbons or, in some embodiments, from 2 to 8 carbon atoms. Examples include, but are not limited to −CH=CH2, −CH=CH(CH3), −CH=C(CH3)2, −C(CH3)=CH2, −C(CH3)=CH(CH3), −C(CH2CH3)=CH2, −CH=CHCH2CH3, −CH=CH(CH2)2CH3, −CH=CH(CH2)3CH3, −CH=CH(CH2)4CH3, vinyl, cyclohexenyl, cyclopentenyl, cyclohexadienyl, butadienyl, pentadienyl, and hexadienyl among others.
"Alkynyl" groups include straight and branched chain alkyl groups, except that at least one triple bond exists between two carbon atoms. Thus, alkynyl groups have from 2 to about 20 carbon atoms, and typically from 2 to 12 carbons or, in some embodiments, from 2 to 8 carbon atoms. Examples include, but are not limited to −C{CH, −C{C(CH3), −C{C(CH2CH3), −CH2C{CH, −CH2C{C(CH3), and −CH2C{C(CH2CH3), among others. As used herein, "alkylene" means a divalent alkyl group. Examples of straight chain lower alkylene groups include, but are not limited to, methylene (i.e., −CH2−), ethylene (i.e., −CH2CH2−), propylene (i.e., −CH2CH2CH2−), and butylene (i.e., −CH2CH2CH2CH2−). As used herein, "heteroalkylene" is an alkylene group of which one or more carbon atoms is replaced with a heteroatom such as, but not limited to, N, O, S, or P. "Alkoxy" refers to an alkyl as defined above joined by way of an oxygen atom (i.e., −O−alkyl). Examples of lower alkoxy groups include, but are not limited to, methoxy, ethoxy, n- propoxy, n-butoxy, isopropoxy, sec-butoxy, tert-butoxy, and the like. The terms "carbocyclic" and "carbocycle" denote a ring structure wherein the atoms of the ring are carbon. Carbocycles may be monocyclic or polycyclic. Carbocycle encompasses both saturated and unsaturated rings. Carbocycle encompasses both cycloalkyl and aryl groups. In some embodiments, the carbocycle has 3 to 8 ring members, whereas in other embodiments the number of ring carbon atoms is 4, 5, 6, or 7. Unless specifically indicated to the contrary, the carbocyclic ring can be substituted with as many as Q substituents wherein Q is the size of the carbocyclic ring with for example, alkyl, amino, hydroxy, cyano, carboxy, nitro, thio, alkoxy, and halogen groups. "Cycloalkyl" groups are alkyl groups forming a ring structure, which can be substituted or unsubstituted. Examples of cycloalkyl include, but are not limited to, cyclopropyl, cyclobutyl, cyclopentyl, cyclohexyl, cycloheptyl, and cyclooctyl groups. In some embodiments, the cycloalkyl group has 3 to 8 ring members, whereas in other embodiments the number of ring carbon atoms range from 3 to 5, 3 to 6, or 3 to 7. Cycloalkyl groups further include polycyclic cycloalkyl groups such as, but not limited to, norbornyl, adamantyl, bornyl, camphenyl, isocamphenyl, and carenyl groups, and fused rings such as, but not limited to, decalinyl, and the like. Unless specifically indicated to the contrary, the cycloalkyl ring can be substituted. Representative substituted cycloalkyl groups can be mono-substituted, such as, but not limited to, 1-, 2-, 3-, or 4- substituted cyclobutyl, or substituted more than once, such as, but not limited to, 2,2-, 2,3-, 2,4- 2,5- or 2,6-disubstituted cyclohexyl groups or mono-, di- or tri- substituted norbornyl or cycloheptyl groups, which can be substituted with, for example,
straight or branched chain alkyl groups as defined above, amino, hydroxy, cyano, carboxy, nitro, thio, alkoxy, and halogen groups. "Aryl" groups are cyclic aromatic hydrocarbons that do not contain heteroatoms. Thus, aryl groups include, but are not limited to, phenyl, azulenyl, heptalenyl, biphenyl, indacenyl, fluorenyl, phenanthrenyl, triphenylenyl, pyrenyl, naphthacenyl, chrysenyl, biphenylenyl, anthracenyl, and naphthyl groups. In some embodiments, aryl groups contain 6-14 carbons in the ring portions of the groups. The terms "aryl" and "aryl groups" include fused rings wherein at least one ring, but not necessarily all rings, are aromatic, such as fused aromatic-aliphatic ring systems (e.g., indanyl, tetrahydronaphthyl, and the like). Unless specifically indicated to the contrary, aryl can be substituted. "Carbocyclealkyl" refers to an alkyl as defined above with one or more hydrogen atoms replaced with carbocycle. Examples of carbocyclealkyl groups include, but are not limited to, benzyl and the like. As used herein, "heterocycle" or "heterocyclyl" groups include aromatic and non- aromatic ring compounds (heterocyclic rings) containing 3 or more ring members, of which one or more is a heteroatom such as, but not limited to, N, O, S, or P. Heterocycles include, but are not limited to, 3- to 10-membered monocyclic rings, 6- to 12-membered bicyclic rings, 6- to 12- membered bridged rings, or 6-12-membered spirocyclic rings. A heterocycle group as defined herein can be a heteroaryl group or a partially or completely saturated cyclic group including at least one ring heteroatom. In some embodiments, heterocycle groups include 3 to 20 ring members, whereas other such groups have 3 to 15 ring members. At least one ring contains a heteroatom, but every ring in a polycyclic system need not contain a heteroatom. For example, a dioxolanyl ring and a benzodioxolanyl ring system (methylenedioxyphenyl ring system) are both heterocycle groups within the meaning herein. A heterocycle group designated as a C2- heterocycle can be a 5-membered ring with two carbon atoms and three heteroatoms, a 6- membered ring with two carbon atoms and four heteroatoms and so forth. Likewise, a C4- heterocycle can be a 5-membered ring with one heteroatom, a 6-membered ring with two heteroatoms, and so forth. The number of carbon atoms plus the number of heteroatoms sums up to equal the total number of ring atoms. A saturated heterocyclic ring refers to a heterocyclic ring containing no unsaturated carbon atoms. Unless specifically indicated to the contrary, the heterocycle can be substituted with as many as N substituents wherein N is the size of the heterocyclic ring with for example, alkyl, amino, hydroxy, cyano, carboxy, nitro, thio, alkoxy, and halogen groups. Representative substituted heterocycle groups can be mono-
substituted, such as, but not limited to, 2-, or 3- substituted oxetan-3-yl or 2-, 3-, or 4- substituted tetrahydropyran-4-yl. "Heteroaryl" groups are aromatic ring compounds containing 5 or more ring members, of which, one or more is a heteroatom such as, but not limited to, N, O, and S. A heteroaryl group designated as a C2-heteroaryl can be a 5-membered ring with two carbon atoms and three heteroatoms, a 6-membered ring with two carbon atoms and four heteroatoms and so forth. Likewise, a C4-heteroaryl can be a 5-membered ring with one heteroatom, a 6-membered ring with two heteroatoms, and so forth. The number of carbon atoms plus the number of heteroatoms sums up to equal the total number of ring atoms. Heteroaryl groups include, but are not limited to, groups such as pyrrolyl, pyrazolyl, triazolyl, tetrazolyl, oxazolyl, isoxazolyl, thiazolyl, pyridinyl, thiophenyl, benzothiophenyl, benzofuranyl, indolyl, azaindolyl, indazolyl, benzimidazolyl, azabenzimidazolyl, benzoxazolyl, benzothiazolyl, benzothiadiazolyl, imidazopyridinyl, isoxazolopyridinyl, thianaphthalenyl, purinyl, xanthinyl, adeninyl, guaninyl, quinolinyl, isoquinolinyl, tetrahydroquinolinyl, tetrahydroisoquinolinyl, quinoxalinyl, and quinazolinyl groups. The terms "heteroaryl" and "heteroaryl groups" include fused ring compounds such as wherein at least one ring, but not necessarily all rings, are aromatic, including phenyl-dioxalanyl, tetrahydroquinolinyl, tetrahydroisoquinolinyl, indolyl, benzo[d][1,3]dioxolyl, 2,3-dihydrobenzo[d]oxazolyl-2-one, and 2,3-dihydroindolyl. "Heterocyclealkyl" refers to an alkyl as defined above with one or more hydrogen atoms replaced with heterocycle. Examples of heterocyclealkyl groups include, but are not limited to, morpholinoethyl and the like. "Halo" or "halogen" refers to fluorine, chlorine, bromine and iodine. "Haloalkyl" refers to an alkyl as defined above with one or more hydrogen atoms replaced with halogen. Examples of lower haloalkyl groups include, but are not limited to, −CF3, −CH2CF3, and the like. "Haloalkoxy" refers to an alkoxy as defined above with one or more hydrogen atoms replaced with halogen. Examples of lower haloalkoxy groups include, but are not limited to −OCF3, −OCH2CF3, and the like. "Hydroxyalkyl" refers to an alkyl as defined above with one or more hydrogen atoms replaced with −OH. Examples of lower hydroxyalkyl groups include, but are not limited to −CH2OH, −CH2CH2OH, and the like. As used herein, the term "optionally substituted" refers to a group (e.g., an alkyl, carbocycle, or heterocycle) having 0, 1, or more substituents, such as 0–25, 0–20, 0–10 or 0–5
substituents. Substituents include, but are not limited to –ORa, −NRaRb, −S(O)2Ra or −S(O)2ORa, halogen, cyano, alkyl, haloalkyl, alkoxy, carbocycle, heterocycle, carbocyclalkyl, or heterocyclealkyl, wherein each Ra and Rb is, independently, H, alkyl, haloalkyl, carbocycle, or heterocycle, or Ra and Rb, together with the atom to which they are attached, form a 3–8 membered carbocycle or heterocycle. In some embodiments is provided a compound of Formula (I), or a pharmaceutically acceptable salt, solvate, hydrate, isomer, tautomer, racemate, or isotope thereof, wherein X is N. In some embodiments is provided a compound of Formula (I), or a pharmaceutically acceptable salt, solvate, hydrate, isomer, tautomer, racemate, or isotope thereof, wherein X is CH. In some embodiments is provided a compound of Formula (I), or a pharmaceutically acceptable salt, solvate, hydrate, isomer, tautomer, racemate, or isotope thereof, wherein Y is N. In some embodiments is provided a compound of Formula (I), or a pharmaceutically acceptable salt, solvate, hydrate, isomer, tautomer, racemate, or isotope thereof, wherein Y is CH. In some embodiments is provided a compound of Formula (I), or a pharmaceutically acceptable salt, solvate, hydrate, isomer, tautomer, racemate, or isotope thereof, wherein X is CH and Y is CH. In some embodiments, a compound is provided having the structure of Formula (II):
or a pharmaceutically acceptable salt, solvate, hydrate, isomer, tautomer, racemate, or isotope thereof, wherein: Z is N or C(R4a); R2 is aryl or heteroaryl; R3 is −C2-6 alkyl, or −C1-6 haloalkyl; R4a is −H, −CN, −C1-4alkyl, −C(O)C1-4alkyl, −C(O)N(Rʺ)2;
R4b is −H or −C1-4alkyl; R4c is −H, −C1-4alkyl, −C1-4 haloalkyl, −O−C1-4 alkyl; R4d is −H, −C1-4alkyl, −C1-4 haloalkyl, −O−C1-4 alkyl, −O−carbocycle, or −O−heterocycle; R4e is −H, halo, −CN, or −C1-4alkyl; R5 is, at each occurrence, independently −OH, −CN, halo, −C1-4 alkyl, −O−C1-4 alkyl, −O−C3-6cycloalkyl, −C3-6cycloalkyl, or 4–6 membered heterocycle containing 1 or 2 heteroatoms independently selected from O and N, wherein each R5 is independently substituted by –(R6)q; R6 is, at each occurrence, independently, halo, oxo, −CN, C1-6 alkyl, C1-6 haloalkyl, −OR7, −NR7R8, −C(O)R7, −C(O)OR7, −OC(O)R7, −C(O)NR7R8, −NR7C(O)R8, −OC(O)NR7R8, −NR8C(O)OR7, −NR7C(O)NR7R8, −S(O)tR7, −NR7S(O)tR8−, −S(O)tNR7R8, −NR7S(O)tNR8−, −NR7S(O)tOR8, −OS(O)tNR7R8, carbocycle, or heterocycle; R7 and R8 are, at each occurrence, independently H, C1-6 alkyl, C1-6 haloalkyl, carbocycle, or heterocycle;; Rʹ is H, −C1-4alkyl, or −C3-6cycloalkyl; Rʺ is H or −C1-4 alkyl; a is 0, 1, or 2; n is 0, 1, 2, or 3; q is 0, 1, 2, or 3; and t is 0, 1, or 2. In some embodiments is provided a compound of Formula (II), or a pharmaceutically acceptable salt, solvate, hydrate, isomer, tautomer, racemate, or isotope thereof, wherein Z is N. In some embodiments is provided a compound of Formula (II), or a pharmaceutically acceptable salt, solvate, hydrate, isomer, tautomer, racemate, or isotope thereof, wherein Z is C(R4a). In some embodiments is provided a compound of Formula (II), or a pharmaceutically acceptable salt, solvate, hydrate, isomer, tautomer, racemate, or isotope thereof, wherein R4a is −H. In some embodiments is provided a compound of Formula (II), or a pharmaceutically acceptable salt, solvate, hydrate, isomer, tautomer, racemate, or isotope thereof, wherein R4a is −C1-4alkyl.
In some embodiments is provided a compound of Formula (II), or a pharmaceutically acceptable salt, solvate, hydrate, isomer, tautomer, racemate, or isotope thereof, wherein R4a is −CH3. In some embodiments is provided a compound of Formula (II), or a pharmaceutically acceptable salt, solvate, hydrate, isomer, tautomer, racemate, or isotope thereof, wherein R4a is −C(O)CH3, In some embodiments is provided a compound of Formula (II), or a pharmaceutically acceptable salt, solvate, hydrate, isomer, tautomer, racemate, or isotope thereof, wherein R4a is −C(O)NH2, or −C(O)NMe2; In some embodiments is provided a compound of Formula (II), or a pharmaceutically acceptable salt, solvate, hydrate, isomer, tautomer, racemate, or isotope thereof, wherein R4b is −H In some embodiments is provided a compound of Formula (II), or a pharmaceutically acceptable salt, solvate, hydrate, isomer, tautomer, racemate, or isotope thereof, wherein R4b is −C1-4alkyl. In some embodiments is provided a compound of Formula (II), or a pharmaceutically acceptable salt, solvate, hydrate, isomer, tautomer, racemate, or isotope thereof, wherein R4b is −CH3. In some embodiments is provided a compound of Formula (II), or a pharmaceutically acceptable salt, solvate, hydrate, isomer, tautomer, racemate, or isotope thereof, wherein R4e is −CN. In some embodiments is provided a compound of Formula (II), or a pharmaceutically acceptable salt, solvate, hydrate, isomer, tautomer, racemate, or isotope thereof, wherein R4e is −Cl. In some embodiments is provided a compound of Formula (II), or a pharmaceutically acceptable salt, solvate, hydrate, isomer, tautomer, racemate, or isotope thereof, wherein a is 0. In some embodiments is provided a compound of Formula (II), or a pharmaceutically acceptable salt, solvate, hydrate, isomer, tautomer, racemate, or isotope thereof, wherein R3 is −C(CH3)3. In some embodiments is provided a compound of Formula (II), or a pharmaceutically acceptable salt, solvate, hydrate, isomer, tautomer, racemate, or isotope thereof, wherein R3 is −CHF2.
Representative compounds of Formula (I) or Formula (II) as applicable, include the compounds having the structure of those listed in Table 1 below, as well as pharmaceutically acceptable isomers, racemates, tautomers, hydrates, solvates, isotopes, or salts thereof. To this end, representative compounds are identified herein by their respective “Compound Number”, which is sometimes abbreviated as “Compound No.”, “Cmpd. No.”, “Cmpd.” or “No.” TABLE 1
In some embodiments, a pharmaceutical composition is provided comprising a compound having the structure of Formula (I), or a pharmaceutically acceptable salt, solvate, hydrate, isomer, tautomer, racemate, or isotope thereof, and at least one pharmaceutically acceptable excipient. In some embodiments, the compounds of Formula (I), or a pharmaceutically acceptable salt, solvate, hydrate, isomer, tautomer, racemate or isotope thereof, are useful as inhibitors of DGKα or DGKζ, or both DGKα and DGKζ . In some embodiments, the compounds of Formula (I), or a pharmaceutically acceptable salt, solvate, hydrate, isomer, tautomer, racemate or isotope thereof, are useful in therapy. In some embodiments, the therapy is treatment of proliferative disorders, such as cancer and viral infections. In some embodiments, a method of modulating the activity of DGKα or DGKζ, or both DGKα and DGKζ is provided comprising contacting the kinase with an effective amount of a compound having the structure of Formula (I), or a pharmaceutically acceptable salt, solvate, hydrate, isomer, tautomer, racemate, isotope, or pharmaceutical composition thereof. In some embodiments, a method for treating a disease or disorder associated with the activity of DGKα or DGKζ, or both DGKα and DGKζ, the method comprising administering to a subject in need thereof an effective amount of a compound having the structure of Formula (I), or a pharmaceutically acceptable salt, solvate, hydrate, isomer, tautomer, racemate, isotope, or pharmaceutical composition thereof. In some embodiments, the use of a compound having the structure of Formula (I), or a pharmaceutically acceptable salt, solvate, hydrate, isomer, tautomer, racemate, isotope, or pharmaceutical composition thereof is provided, in the manufacture of a medicament. In some embodiments the medicament is useful for the treatment of proliferative disorders, such as cancer and viral infections. In some embodiments, the compounds of Formula (I) and compositions comprising the compounds of Formula (I) may be used in treating, preventing, or curing viral infections and various proliferative disorders, such as cancer. Pharmaceutical compositions comprising these compounds are useful in treating, preventing, or slowing the progression of diseases or disorders in a variety of therapeutic areas, such as viral infections and cancer. In some embodiments, processes are provided for the preparation of the compounds of Formula (I) or a pharmaceutically acceptable salt, solvate, hydrate, isomer, tautomer, racemate, or isotope thereof.
In some embodiments, synthetic intermediates useful for the preparation of the compounds of Formula (I), or a pharmaceutically acceptable salt, solvate, hydrate, isomer, tautomer, racemate, or isotope thereof, are provided. These and other features of the invention will be set forth in expanded form as the disclosure continues. The features and advantages of the invention may be more readily understood by those of ordinary skill in the art upon reading the following detailed description. It is to be appreciated that certain features of the invention that are, for clarity reasons, described above and below in the context of separate embodiments, may also be combined to form a single embodiment. Conversely, various features of the invention that are, for brevity reasons, described in the context of a single embodiment, may also be combined so as to form sub-combinations thereof. Embodiments identified herein as exemplary or preferred are intended to be illustrative and not limiting. Pharmaceutical Compositions In certain embodiment, also disclosed herein are pharmaceutical compositions comprising a compound as described herein, or a pharmaceutically acceptable salt, solvate, hydrate, isomer, tautomer, racemate or isotope thereof. In some embodiments, the pharmaceutical compositions further comprise a pharmaceutically acceptable carrier, diluent, or excipient. For example, the active compound will usually be mixed with a carrier, or diluted by a carrier, or enclosed within a carrier which can be in the form of an ampoule, capsule, sachet, paper, or other container. When the active compound is mixed with a carrier, or when the carrier serves as a diluent, it can be solid, semi-solid, or liquid material that acts as a vehicle, excipient, or medium for the active compound. The active compound can be adsorbed on a granular solid carrier, for example contained in a sachet. Some examples of suitable carriers are water, salt solutions, alcohols, polyethylene glycols, polyhydroxyethoxylated castor oil, peanut oil, olive oil, gelatin, lactose, terra alba, sucrose, dextrin, magnesium carbonate, sugar, cyclodextrin, amylose, magnesium stearate, talc, gelatin, agar, pectin, acacia, stearic acid, or lower alkyl ethers of cellulose, silicic acid, fatty acids, fatty acid amines, fatty acid monoglycerides and diglycerides, pentaerythritol fatty acid esters, polyoxyethylene, hydroxymethylcellulose, and polyvinylpyrrolidone. Similarly, the carrier or diluent can include any sustained release material known in the art, such as glyceryl monostearate or glyceryl distearate, alone or mixed with a wax.
As used herein, the term "pharmaceutical composition" refers to a composition containing one or more of the compounds described herein, or a pharmaceutically acceptable isomer, racemate, hydrate, solvate, homolog or salt thereof, formulated with a pharmaceutically acceptable carrier, which can also include other additives, and manufactured or sold with the approval of a governmental regulatory agency as part of a therapeutic regimen for the treatment of disease in a mammal. Pharmaceutical compositions can be formulated, for example, for oral administration in unit dosage form (e.g., a tablet, capsule, caplet, gelcap, or syrup); for topical administration (e.g., as a cream, gel, lotion, or ointment); for intravenous administration (e.g., as a sterile solution free of particulate emboli and in a solvent system suitable for intravenous use); or in any other formulation described herein. Conventional procedures and ingredients for the selection and preparation of suitable formulations are described, for example, in Remington: The Science and Practice of Pharmacy, 21st Ed., Gennaro, Ed., Lippencott Williams & Wilkins (2005) and in The United States Pharmacopeia: The National Formulary (USP 36 NF31), published in 2013. In other embodiments, there are provided methods of making a composition of a compound described herein including formulating a compound of the disclosure with a pharmaceutically acceptable carrier or diluent. In some embodiments, the pharmaceutically acceptable carrier or diluent is suitable for oral administration. In some such embodiments, the methods can further include the step of formulating the composition into a tablet or capsule. In other embodiments, the pharmaceutically acceptable carrier or diluent is suitable for parenteral administration. In some such embodiments, the methods further include the step of lyophilizing the composition to form a lyophilized preparation. As used herein, the term "pharmaceutically acceptable carrier" refers to any ingredient other than the disclosed compounds, or a pharmaceutically acceptable isomer, racemate, hydrate, solvate, homolog or salt thereof (e.g., a carrier capable of suspending or dissolving the active compound) and having the properties of being nontoxic and non-inflammatory in a patient. Excipients may include, for example: antiadherents, antioxidants, binders, coatings, compression aids, disintegrants, dyes (colors), emollients, emulsifiers, fillers (diluents), film formers or coatings, flavors, fragrances, glidants (flow enhancers), lubricants, preservatives, printing inks, sorbents, suspensing or dispersing agents, sweeteners, or waters of hydration. Exemplary excipients include, but are not limited to: butylated hydroxytoluene (BHT), calcium carbonate, calcium phosphate (dibasic), calcium stearate, croscarmellose, crosslinked polyvinyl pyrrolidone, citric acid, crospovidone, cysteine, ethylcellulose, gelatin, hydroxypropyl cellulose,
hydroxypropyl methylcellulose, lactose, magnesium stearate, maltitol, mannitol, methionine, methylcellulose, methyl paraben, microcrystalline cellulose, polyethylene glycol, polyvinyl pyrrolidone, povidone, pregelatinized starch, propyl paraben, retinyl palmitate, shellac, silicon dioxide, sodium carboxymethyl cellulose, sodium citrate, sodium starch glycolate, sorbitol, starch (corn), stearic acid, stearic acid, sucrose, talc, titanium dioxide, vitamin A, vitamin E, vitamin C, and xylitol. The formulations can be mixed with auxiliary agents which do not deleteriously react with the active compounds. Such additives can include wetting agents, emulsifying and suspending agents, salt for influencing osmotic pressure, buffers and/or coloring substances, preserving agents, sweetening agents, or flavoring agents. The compositions can also be sterilized if desired. The route of administration can be any route which effectively transports the active compound of the disclosure to the appropriate or desired site of action, such as oral, nasal, pulmonary, buccal, subdermal, intradermal, transdermal, or parenteral, e.g., rectal, depot, subcutaneous, intravenous, intraurethral, intramuscular, intranasal, ophthalmic solution, or an ointment, the oral route being preferred. Dosage forms can be administered once a day, or more than once a day, such as twice or thrice daily. Alternatively, dosage forms can be administered less frequently than daily, such as every other day, or weekly, if found to be advisable by a prescribing physician. Dosing regimens include, for example, dose titration to the extent necessary or useful for the indication to be treated, thus allowing the patient’s body to adapt to the treatment and/or to minimize or avoid unwanted side effects associated with the treatment. Other dosage forms include delayed or controlled-release forms. Suitable dosage regimens and/or forms include those set out, for example, in the latest edition of the Physicians’ Desk Reference, incorporated herein by reference. Inhibiting DGK Activity and Treating Diseases Associated with DGKα and/or DGKζ In certain embodiments, described herein, are methods for inhibiting the activity of at least one diacylglycerol kinase comprising contacting the diacylglycerol kinase with a compound as described herein, or a pharmaceutically acceptable salt, solvate, hydrate, isomer, tautomer, racemate, isotope, or composition thereof. In some embodiments, the diacylglycerol kinase is diacylglycerol kinase alpha (DGKa) or diacylglycerol kinase zeta (DGKζ). In certain embodiments, methods of treating a subject having a disease or disorder associated with the activity of DGKα,
DGKζ, or both DGKα and DGKζ are disclosed, the method comprising administering to a subject in need thereof a pharmaceutically effective amount of a compound as described herein, or a pharmaceutically acceptable salt, solvate, hydrate, isomer, tautomer, racemate, isotope, or composition thereof. As used herein, the term "administering" or "administration" refers to providing a compound, a pharmaceutical composition comprising the same, to a subject by any acceptable means or route, including (for example) by oral, parenteral (e.g., intravenous), or topical administration. As used herein, the term "treatment" refers to an intervention that ameliorates a sign or symptom of a disease or pathological condition. As used herein, the terms "treatment", "treat" and "treating," with reference to a disease, pathological condition or symptom, also refers to any observable beneficial effect of the treatment. The beneficial effect can be evidenced, for example, by a delayed onset of clinical symptoms of the disease in a susceptible subject, a reduction in severity of some or all clinical symptoms of the disease, a slower progression of the disease, a reduction in the number of relapses of the disease, an improvement in the overall health or well-being of the subject, or by other parameters well known in the art that are specific to the particular disease. A prophylactic treatment is a treatment administered to a subject who does not exhibit signs of a disease or exhibits only early signs, for the purpose of decreasing the risk of developing pathology. A therapeutic treatment is a treatment administered to a subject after signs and symptoms of the disease have developed. The terms cover the treatment of a disease-state in a mammal, particularly in a human, and include: preventing the disease-state from occurring in a mammal, in particular, when such mammal is predisposed to the disease state but has not yet been diagnosed as having it; inhibiting the disease-state, i.e., arresting its development: and/or relieving the disease-state, i.e., causing regression of the disease state. As used herein, the term "DGK-mediated" or "DGK -modulated" or "DGK-dependent" diseases or disorders means any disease or other deleterious condition in which DGK, or a mutant thereof, is known to play a role. Accordingly, another embodiment of the present application relates to treating or lessening the severity of one or more diseases in which DGKα, DGKζ, or both DGKα and DGKζ, or a mutant thereof, are known to play a role. Specifically, the present application relates to a method of treating or lessening the severity of a disease or condition selected from a viral infection or a proliferative disorder, such as cancer, wherein said
method comprises administering to a patient in need thereof a compound of Formula (I), ), or a pharmaceutically acceptable salt, solvate, hydrate, isomer, tautomer, racemate, isotope, or composition thereof, according to the present application. As used herein, the term "subject" refers to an animal (e.g., a mammal, such as a human). A subject to be treated according to the methods described herein may be one who has been diagnosed with a viral infection or proliferative disorder, such as cancer. Diagnosis may be performed by any method or technique known in the art. One skilled in the art will understand that a subject to be treated according to the present disclosure may have been subjected to standard tests or may have been identified, without examination, as one at risk due to the presence of one or more risk factors associated with the disease or condition. As used herein, the term "effective amount" refers to a quantity of a specified agent sufficient to achieve a desired effect in a subject being treated with that agent. Ideally, an effective amount of an agent is an amount sufficient to inhibit or treat the disease without causing substantial toxicity in the subject. The effective amount of an agent will be dependent on the subject being treated, the severity of the affliction, and the manner of administration of the pharmaceutical composition. Methods of determining an effective amount of the disclosed compound sufficient to achieve a desired effect in a subject will be understood by those of skill in the art in light of this disclosure. As used herein, the term "therapeutically effective amount" or “"pharmaceutically effective amount" is intended to include an amount of a compound of the present invention alone or an amount of a compound of the present invention in combination with other active ingredients effective to act as an inhibitor of DGKα and/or DGKζ or effective to treat or prevent viral infections and proliferative disorders, such as cancer. As used herein, the terms "modulate", or "modulating" refer to the ability to increase or decrease the activity of one or more kinases. Accordingly, compounds of the invention can be used in methods of modulating a kinase by contacting the kinase with any one or more of the compounds or compositions described herein. In some embodiments, the compounds can act as inhibitors of one or more kinases. In some embodiments, the compounds can act to stimulate the activity of one or more kinases. In further embodiments, the compounds of the invention can be used to modulate activity of a kinase in an individual in need of modulation of the receptor by administering a modulating amount of a compound as described herein. As used herein, the term "contacting" refers to the bringing together of indicated moieties in an in vitro system or an in vivo system. For example, "contacting" the DGKα and
DGKζ enzyme with a compound of Formula (I) includes the administration of a compound of the present invention to an individual or patient, such as a human, having DGKα and DGKζ, as well as, for example, introducing a compound of Formula (I) into a sample containing a cellular or purified preparation containing DGKα and DGKζ enzyme. The term "DGKα and DGKζ inhibitor" refers to an agent capable of inhibiting the activity of diacylglycerol kinase alpha and/or diacylglycerol kinase zeta (DGKα and DGKζ) in T cells resulting in T cell stimulation. The DGKα and DGKζ inhibitor may be a reversible or irreversible DGKα and DGKζ inhibitor. A "reversible DGKα and DGKζ inhibitor" is a compound that reversibly inhibits DGKα and DGKζ enzyme activity either at the catalytic site or at a non-catalytic site and "an irreversible DGKα and DGKζ inhibitor" is a compound that irreversibly destroys DGKα and DGKζ enzyme activity by forming a covalent bond with the enzyme. As used herein, the term "cell" is meant to refer to a cell that is in vitro, ex vivo or in vivo. In some embodiments, an ex vivo cell can be part of a tissue sample excised from an organism such as a mammal. In some embodiments, an in vitro cell can be a cell in a cell culture. In some embodiments, an in vivo cell is a cell living in an organism such as a mammal. The compounds of Formula (I) can inhibit activity of diacylglycerol kinase alpha (DGKα) and/or diacylglycerol kinase zeta (DGKαζ). For example, the compounds of Formula (I) can be used to inhibit activity of DGKα and DGKζ in a cell or in an individual in need of modulation of DGKα and DGKζ by administering an inhibiting amount of a compound of Formula (I) or a salt thereof. The compounds for Formula (I) and pharmaceutical compositions comprising at least one compound of Formula (I) are useful in treating or preventing any disease or condition associated with DGK target inhibition in T cells. These include viral and other infections (e.g., skin infections, GI infection, urinary tract infections, genito- urinary infections, systemic infections), and proliferative diseases (e.g., cancer). In some embodiments, are methods of inhibiting a kinase comprising contacting the kinase with an effective amount of a compound of Formula (I), or a pharmaceutically acceptable salt, solvate, hydrate, isomer, tautomer, racemate, isotope, or pharmaceutical composition thereof. In some embodiments the kinase is DGK. In some embodiments the kinase is DGKα. In some embodiments the kinase is DGKζ. In some embodiments, are methods for treating a DGK dependent condition, comprising administering to a subject in need thereof, an effective amount of a compound of Formula (I), or a pharmaceutically acceptable salt, solvate, hydrate, isomer, tautomer,
racemate, isotope, or pharmaceutical composition thereof. In some embodiments, the a DGK dependent condition is a DGKα dependent condition. In some embodiments, the a DGK dependent condition is a DGKζ dependent condition. In some embodiments the DGK dependent condition is an infection. In some embodiments the DGK dependent condition is a a viral infection. In some embodiments the DGK dependent condition is cancer. In some embodiments are uses of a compound of Formula (I), or a pharmaceutically acceptable salt, solvate, hydrate, isomer, tautomer, racemate, isotope, or pharmaceutical composition thereof in the manufacture of a medicament. In some embodiments the medicament is for the treatment of cancer. In some embodiments the medicament is for the treatment of an autoimmune disease. In some aspects, the invention provides a method of treating a patient suffering from or susceptible to a medical condition that is associated with DGK target inhibition in T cells. A number of medical conditions can be treated. The method comprises administering to the patient a therapeutically effective amount of a composition comprising a compound of Formula (l) and/or a pharmaceutically acceptable salt thereof, a stereoisomer thereof or a tautomer thereof. For example, the compounds described herein may be used to treat or prevent viral infections and proliferative diseases such as cancer. The present invention further provides methods of treating diseases associated with activity or expression, including abnormal activity and/or overexpression, of DGKα and DGKζ in an individual (e.g., patient) by administering to the individual in need of such treatment a therapeutically effective amount or dose of a compound of Formula (I) or a pharmaceutical composition thereof. Example diseases can include any disease, disorder or condition that is directly or indirectly linked to expression or activity of DGKα and DGKζ enzyme, such as over expression or abnormal activity. A DGKα and/or DGKζ associated disease can also include any disease, disorder or condition that can be prevented, ameliorated, or cured by modulating DGKα and DGKζ enzyme activity. Examples of DGKα and DGKζ associated diseases include cancer and viral infections such as HIV infection, hepatitis B, and hepatitis C. The compounds of Formula (I) and pharmaceutical compositions comprising at least one compound of Formula (I) may be administered to animals, preferably mammals (e.g., domesticated animals, cats, dogs, mice, rats), and more preferably humans. Any method of administration may be used to deliver the compound or pharmaceutical composition to the patient. In certain embodiments, the compound of Formula (I) or pharmaceutical composition comprising at least one compound of Formula (I) is administered orally. In other embodiments,
the compound of Formula (I) or pharmaceutical composition comprising at least one compound of Formula (I) is administered parenterally. Described herein are methods of treating a subject having a proliferative disorder or a viral infection comprising administering to the subject in need thereof a pharmaceutically effective amount of a compound as described herein, or a pharmaceutically acceptable salt, solvate, hydrate, isomer, tautomer, racemate, isotope, or composition thereof. Also described herein, are uses of a compound of formula (I), or a pharmaceutically acceptable salt, solvate, hydrate, isomer, tautomer, racemate, isotope, or composition thereof, for inhibiting the activity of at least one of diacylglycerol kinase selected from diacylglycerol kinase alpha (DGKa) and diacylglycerol kinase zeta (DGKζ). Also described herein, are uses of a compound of formula (I), or a pharmaceutically acceptable salt, solvate, hydrate, isomer, tautomer, racemate, isotope, or composition thereof, for treating a disease or disorder associated with the activity of DGKα or DGKζ, or both DGKα and DGKζ. Also described herein, are uses of a compound of formula (I), or a pharmaceutically acceptable salt, solvate, hydrate, isomer, tautomer, racemate, isotope, or composition thereof, for the treatment of proliferative disorders or viral infections. Cancer In some embodiments, the proliferative disorder is cancer. Thus, in some aspects, the invention provides methods of treating cancer associated with activity or expression, including abnormal activity and/or overexpression, of DGKα and DGKζ in an individual (e.g., patient) by administering to the individual in need of such treatment a therapeutically effective amount or dose of a compound of Formula (I) or a pharmaceutical composition thereof. Types of cancers that may be treated with the compound of Formula (I) include, but are not limited to, brain cancers, skin cancers, bladder cancers, ovarian cancers, breast cancers, gastric cancers, pancreatic cancers, prostate cancers, colon cancers, blood cancers, lung cancers and bone cancers. Examples of such cancer types include neuroblastoma, intestine carcinoma such as rectum carcinoma, colon carcinoma, familiar adenomatous polyposis carcinoma and hereditary non-polyposis colorectal cancer, esophageal carcinoma, labial carcinoma, larynx carcinoma, hypopharynx carcinoma, tongue carcinoma, salivary gland carcinoma, gastric carcinoma, adenocarcinoma, medullary thyroid carcinoma, papillary thyroid carcinoma, renal carcinoma, kidney parenchymal carcinoma, ovarian carcinoma, cervix
carcinoma, uterine corpus carcinoma, endometrium carcinoma, chorion carcinoma, pancreatic carcinoma, prostate carcinoma, testis carcinoma, breast carcinoma, urinary carcinoma, melanoma, brain tumors such as glioblastoma, astrocytoma, meningioma, medulloblastoma and peripheral neuroectodermal tumors, Hodgkin lymphoma, non-Hodgkin lymphoma, Burkitt lymphoma, acute lymphatic leukemia (ALL), chronic lymphatic leukemia (CLL), acute myeloid leukemia (AML), chronic myeloid leukemia (CML), adult T-cell leukemia lymphoma, diffuse large B-cell lymphoma (DLBCL), hepatocellular carcinoma, gall bladder carcinoma, bronchial carcinoma, small cell lung carcinoma, non-small cell lung carcinoma, multiple myeloma, basalioma, teratoma, retinoblastoma, choroid melanoma, seminoma, rhabdomyosarcoma, craniopharyngioma, osteosarcoma, chondrosarcoma, myosarcoma, liposarcoma, fibrosarcoma, Ewing sarcoma and plasmocytoma. In some embodiments, the cancer is cancer of the colon, pancreatic cancer, breast cancer, prostate cancer, lung cancer, ovarian cancer, cervical cancer, renal cancer, bladder cancer, cancer of the head and neck, lymphoma, leukemia, or melanoma. In some embodiments, the cancer is colon cancer. In some embodiments, the cancer is pancreatic cancer. In some embodiments, the cancer is breast cancer. In some embodiments, the cancer is prostate cancer. In some embodiments, the cancer lung cancer. In some embodiments, the cancer is ovarian cancer. In some embodiments, the cancer is cervical cancer. In some embodiments, the cancer is renal cancer. In some embodiments, the cancer is renal cancer. In some embodiments, the cancer is cancer of the head and neck. In some embodiments, the cancer is lymphoma. In some embodiments, the cancer is leukemia. In some embodiments, the cancer is melanoma. Also described herein, are uses of a compound of formula (I), or a pharmaceutically acceptable salt, solvate, hydrate, isomer, tautomer, racemate, isotope, or composition thereof, for the treatment of proliferative disorders or viral infections. In some embodiments, the proliferative disorder is cancer. In some embodiments, the cancer is cancer of the colon, pancreatic cancer, breast cancer, prostate cancer, lung cancer, ovarian cancer, cervical cancer, renal cancer, cancer of the head and neck, lymphoma, leukemia and melanoma. Also described herein, are uses of a compound of formula (I), or a pharmaceutically acceptable salt, solvate, hydrate, isomer, tautomer, racemate, isotope, or composition thereof, for the manufacture of a medicament.
Infections In other aspects, the invention provides methods of treating infections associated with activity or expression, including abnormal activity and/or overexpression, of DGKα and DGKζ in an individual (e.g., patient) by administering to the individual in need of such treatment a therapeutically effective amount or dose of a compound of Formula (I) or a pharmaceutical composition thereof. In some embodiemnts, the infections are viral infections. In some embodiemnts, the infections are chronic viral infections. Chronic viral infections that may be treated using the present combinatorial treatment include, but are not limited to, diseases caused by: hepatitis C virus (HCV), human papilloma virus (HPV), cytomegalovirus (CIVIV), herpes simplex virus (HSV), Epstein-Barr virus (EBV), varicella zoster virus, coxsackie virus, human immunodeficiency virus (HIV) Notably, parasitic infections (e.g., malaria) may also be treated by the above methods wherein compounds known to treat the parasitic conditions are optionally added in place of the antiviral agents Combination Therapy One or more additional pharmaceutical agents or treatment methods such as, for example, anti-viral agents; chemotherapeutics, immuno-oncology agents, or other anti-cancer agents; immune enhancers; immunosuppressants; radiation; anti-tumor and anti-viral vaccines; cytokine therapy (e.g. IL2 and GM-CSF); and/or tyrosine kinase inhibitors can be optionally used in combination with the compounds of Formula (I) for treatment of DGKα and DGKζ associated diseases, disorders or conditions. The agents can be combined with the present compounds in a single dosage form, or the agents can be administered simultaneously or sequentially as separate dosage forms. The combination therapy is intended to embrace administration of these therapeutic agents in a sequential manner, that is, wherein each therapeutic agent is administered at a different time, as well as administration of these therapeutic agents, or at least two of the therapeutic agents, in a substantially simultaneous manner. Substantially simultaneous administration can be accomplished, for example, by administering to the subject a single dosage form having a fixed ratio of each therapeutic agent or in multiple, single dosage forms for each of the therapeutic agents. Sequential or substantially simultaneous administration of each therapeutic agent can be effected by any appropriate route including, but not limited to, oral mutes, intravenous mutes, intramuscular routes, and direct absorption through mucous membrane tissues. The therapeutic agents can be administered by the same route or by
different routes. For example, a first therapeutic agent of the combination selected may be administered by intravenous injection while the other therapeutic agents of the combination may be administered orally. Alternatively, for example, all therapeutic agents may be administered orally, or all therapeutic agents may be administered by intravenous injection. Combination therapy also can embrace the administration of the therapeutic agents as described above in further combination with other biologically active ingredients and non-drug therapies (e.g., surgery or radiation treatment.) Where the combination therapy further comprises a non-drug treatment, the non-dmg treatment may be conducted at any suitable time so long as a beneficial effect from the co-action of the combination of the therapeutic agents and non-dmg treatment is achieved. For example, in appropriate cases, the beneficial effect is still achieved when the non-drug treatment is temporally removed from the administration of the therapeutic agents, perhaps by days or even weeks. In some aspects, the present invention provides a combined preparation of a compound of Formula (I), and/or a pharmaceutically acceptable salt thereof, a stereoisomer thereof or a tautomer thereof; and additional therapeutic agent(s) for simultaneous, separate or sequential use in the treatment and/or prophylaxis of multiple diseases or disorders associated with DGK target inhibition in T cells. In one aspect, T cell responses can be stimulated by a combination of a compound of Formula (I) and one or more of: (i) an antagonist of a protein that inhibits T cell activation (e.g., immune checkpoint inhibitors) such as CTLA-4, PD-1, PD-L1, PD-L2, LAG-3, TIM-3, Galectin 9, CEACAM-1, BTLA, CD69, Galectin-1, TIGIT, CD113, GPR56, VISTA, 2B4, CD48, GARP, PD1H, LAIR1, TIM-1, and TIM-4; and (ii) an agonist of a protein that stimulates T cell activation such as B7-1, B7-2, CD28, 4-1BB (CD137), 4-1BBL, ICOS, ICOS-L, OX40, OX40L, GITR. GITRL, CD70, CD27, CD40, DR3 and CD28H. Combination with Anti-Cancer Agents In another aspect, compounds of Formula (I) may be administered in combination with an anti-cancer agent. Anti-cancer agents include, for example, small molecule drugs, antibodies, or other biologic or small molecule. Examples of biologic immuno-oncology agents include, but are not limited to, cancer vaccines, antibodies, tumor infiltrating lymphocytes, and
cytokines. In one aspect, the antibody is a monoclonal antibody. In another aspect, the monoclonal antibody is humanized or human. In one aspect the immuno-oncology agent is an agonist of a stimulatory (including a co- stimulatory) receptor; or an antagonist of an inhibitory (including a co- inhibitory) signal on T cells, both of which result in amplifying antigen-specific T cell responses (often referred to as immune checkpoint regulators). Certain of the stimulatory and inhibitory molecules are members of the immunoglobulin super family (IgSF). One important family of membrane- bound ligands that bind to co-stimulatory or co-inhibitory receptors is the B7 family, which includes B7-l, B7-2, B7-HI (PD-L1), B7-DC (PD-L2), B7-H2 (ICOS-L), B7-H3, B7-H4, B7-H5 (VISTA), and B7-H6. Another family of membrane bound ligands that bind to costimulatory or coinhibitory receptors is the TNF family of molecules that bind to cognate TNF receptor family members, which includes CD40 and CD40L, OX-40, OX-40L, CD70, CD27L, CD30, CD30L, 4-1BBL, CD137 (4-1BB), TRAIL/Apo2-L, TRAILR1/DR4, TRAILR2/DR5, TRAILR3, TRAILR4, OPG, RANK, RANKL, TWEAKR/Fn14, TWEAK, BAFFR, EDAR, XEDAR, TACI, APRIL, BCMA, LTβR, LIGHT, DcR3, HVEM, VEG1/TL1A, TRAMP/DR3, EDAR, EDA1, XEDAR, EDA2, TNFR1, Lymphotoxin α/TNFβ, TNFR2, TNFα, LTβR, Lymphotoxin α 1β2, FAS, FASL, RELT, DR6, TROY, NGFR. Yet other agents for combination therapies for the treatment of cancer include antagonists of inhibitory receptors on NK cells or agonists of activating receptors on NK cells. For example, antagonists of KIR, such as lirilumab. Yet other agents for combination therapies for the treatment of cancer include agents that inhibit or deplete macrophages or monocytes, including but not limited to CSF-1R antagonists such as CSF-1R antagonist antibodies including RG-7155 or FPA-008. Yet other agents for combination therapies for the treatment of cancer include agonistic agents that ligate positive co-stimulatory receptors, blocking agents that attenuate signaling through inhibitory receptors, antagonists, and one or more agents that increase systemically the frequency of anti-tumor T cells, agents that overcome distinct immune suppressive pathways within the tumor microenvironment, e.g., block inhibitory receptor engagement, such as PD-L1/PD-1 interactions; deplete or inhibit Tregs, such as using an anti-CD25 monoclonal antibody (e.g., daclizumab); or by ex vivo anti-CD25 bead depletion; inhibit metabolic enzymes such as IDO, or reverse/prevent T cell anergy or exhaustion; and agents that trigger innate immune activation and/or inflammation at tumor sites. Yet other agents for combination therapies for the treatment of cancer include tumor infiltrating lymphocytes. In one embodiment, the tumor infiltrating lymphocytes are
transferred to a subject in need thereof through adoptive cell transfer. In one embodiment, the adoptive cell transfer to the subject in need thereof is of autologous T cells. In another embodiment, the adoptive cell transfer to the subject in need thereof is of allogeneic T cells. In one embodiment, the adoptive cell transfer to the subject in need thereof is of T cells expressing chimeric antigen receptors (CAR-T cells). In one embodiment, the other agents for combination therapies for the treatment of cancer are CAR-T cells, including, but not limited to, KYMRIAH (tisagenlecleucel), YESCARTA (axicabtagene ciloleucel), TECARTUS (brexucabtagene autoleucel), BREYANZI (lisocabtagene maraleucel), and ABECMA (idecabtagene vicleucel). Yet other agents for combination therapies for the treatment of cancer include CTLA-4 antagonists such as an antagonistic CTLA-4 antibody. Suitable CTLA-4 antibodies include, for example, YERVOY (ipilimumab) or tremelimumab. Yet other agents for combination therapies for the treatment of cancer include PD-1 antagonists, such as an antagonistic PD-1 antibody. Suitable PD-1 antibodies include, for example, OPDIVO (nivolumab), KEYTRUDA (pembrolizumab), MEDI-0680 (AMP-514; WO2012/145493) or pidilizumab (CT-011). Another approach to target the PD-1 receptor is the recombinant protein composed of the extracellular domain of PD-L2 (B7-DC) fused to the Fe portion of IgG1, called AMP-224. Yet other agents for combination therapies for the treatment of cancer include PD-L1 antagonists, such as an antagonistic PD-L1 antibody Suitable PD-L1 antibodies include, for example, MPDL3280A (RG7446; WO2010/077634), durvaluma (MEDI4736), BMS-936559 (WO2007/005874), and MSB0010718C (WO2013/79174). Yet other agents for combination therapies for the treatment of cancer include LAG-3 antagonists, such as an antagonistic LAG-3 antibody. Suitable LAG3 antibodies include, for example, BMS-986016 (WO10/19570, WO14/08218), or IMP-731 or IMP-321 (WO08/132601, WO09/44273). Yet other agents for combination therapies for the treatment of cancer include CD137 (4-1BB) agonists, such as an agonistic CD137 antibody. Suitable CD137 antibodies include, for example, urelumab and PF-05082566 (WO12/32433). Yet other agents for combination therapies for the treatment of cancer include GITR agonists such as an agonistic GITR antibody. Suitable GITR antibodies include, for example, BMS-986153, BMS-986156, TRX-518 (WO06/105021, WO09/009116) and MK-4166 (WO11/028683).
Yet other agents for combination therapies for the treatment of cancer include IDO antagonists. Suitable IDO antagonists include, for example, INCB-024360 (WO2006/122150, WO07/75598, WO08/36653, WO08/36642), indoximod, BMS-986205, or NLG-919 (WO09/73620, WO09/1156652, WO11/56652, WO12/142237). Yet other agents for combination therapies for the treatment of cancer include OX40 agonists, such as an agonistic OX40 antibody. Suitable OX40 antibodies include, for example, MEDI-6383 or MEDI-6469. Yet other agents for combination therapies for the treatment of cancer include OX40L antagonists, such as an antagonistic OX40L antibody Suitable OX40L antagonists include, for example, RG-7888 (WO06/029879). Yet other agents for combination therapies for the treatment of cancer include CD40 agonists, such as an agonistic CD40 antibody. Yet other agents for combination therapies for the treatment of cancer include CD40 antagonists, such as an antagonistic CD40 antibody. Suitable CD40 antibodies include, for example, lucatumumab or dacetuzumab. Yet other agents for combination therapies for the treatment of cancer include CD27 agonists, such as an agonistic CD27 antibody. Suitable CD27 antibodies include, for example, varlilumab. Yet other agents for combination therapies for the treatment of cancer include, for example, alkylating agents (including, without limitation, nitrogen mustards, ethylenimine derivatives, alkyl sulfonates, nitrosoureas and triazenes) such as uracil mustard, 5 chlormethine, cyclophosphamide (CYTOXAN), ifosfamide, melphalan, chlorambucil pipobroman, triethylene-melamine, triethylenethiophosphoramine, busulfan, carmustine, lomustine, streptozocin, dacarbazine, and temozolomide. Suitable chemotherapeutic or other anti-cancer agents further include, for example, antimetabolites (including, without limitation, folic acid antagonists, pyrimidine analogs, purine analogs and adenosine deaminase inhibitors) such as methotrexate, 5-fluorouracil, floxuridine, cytarabine, 6-mercaptopurine, 6-thioguanine, fludarabine phosphate, pentostatine, and gemcitabine. Suitable chemotherapeutic or other anti-cancer agents further include, for example, certain natural products and their derivatives (for example, vinca alkaloids, antitumor antibiotics, enzymes, lymphokines and epipodophyllotoxins) such as vinblastine, vincristine, vindesine, bleomycin, dactinomycin, daunorubicin, doxorubicin, epirubicin, idarubicin, ara-C, paclitaxel (Taxol), mithramycin, deoxyco-formcin, mitomycin-C, L-asparaginase, interferons (especially IFN-α), etoposide, and
teniposide. Suitable chemotherapeutic or other anti-cancer agents further include, for example, epidophyllotoxin; an antineoplastic enzyme; a topoisomerase inhibitor; procarbazine; mitoxantrone; platinum coordination complexes such as cisplatin and carboplatin; biological response modifiers; growth inhibitors; antihormonal therapeutic agents; leucovorin; tegafur; haematopoietic growth factors; navelbene, CPT-11, anastrazole, letrazole, capecitabine, reloxafine, droloxafine; antibody therapeutics such as trastuzumab (HERCEPTIN), antibodies to costimulatory molecules such as CTLA-4, 4-1BB and PD-1, or antibodies to cytokines (IL-1O or TGF-β); and agents that block immune cell migration such as antagonists to chemokine receptors, including CCR2 and CCR4. Yet other agents for combination therapies for the treatment of cancer include anti- cancer vaccines, including dendritic cells, synthetic peptides, DNA vaccines and recombinant viruses. Yet other agents for combination therapies for the treatment of cancer include signal transduction inhibitors (STI). A "signal transduction inhibitor" is an agent that selectively inhibits one or more vital steps in signaling pathways, in the normal function of cancer cells, thereby leading to apoptosis. Suitable STI's include, but are not limited to: (i) bcr/abl kinase inhibitors such as, for example, STI 571 (GLEEVEC); (ii) epidermal growth factor (EGF) receptor inhibitors such as, for example, kinase inhibitors (IRESSA, SSI-774) and antibodies (Imclone: C225 [Goldstein et al, Clin. Cancer Res, 1995, 1, 1311-1318; and Abgenix: ABX-EGF); (iii) her-2/neu receptor inhibitors such as farnesyl transferase inhibitors (FTI) such as, for example, L-744,832 (Kohl et al, Nat. Med., 1995, 1(8), 792-797); (iv) inhibitors of Akt family kinases or the Akt pathway, such as, for example, rapamycin; (v) cell cycle kinase inhibitors such as, for example, flavopiridol and UCN-01; and (vi) phosphatidyl inositol kinase inhibitors such as, for example, LY294002. In the treatment of melanoma, suitable agents for use in combination with the compounds of Formula (I) include: dacarbazine (DTIC), optionally, along with other chemotherapy drugs such as carmustine (BCNU) and cisplatin; the "Dartmouth regimen", which consists of DTIC, BCNU, cisplatin and tamoxifen; a combination of cisplatin, vinblastine, and DTIC, temozolomide or YERVOYTM. Compounds of Formula (I) may also be combined with immunotherapy drugs, including cytokines such as interferon alpha, interleukin 2, and tumor necrosis factor (TNF) in the treatment of melanoma.
Compounds of Formula (I) may also be used in combination with vaccine therapy in the treatment of melanoma. Anti-melanoma vaccines are, in some ways, similar to the anti-virus vaccines which are used to prevent diseases caused by viruses such as polio, measles, and mumps. Weakened melanoma cells or parts of melanoma cells called antigens may be injected into a patient to stimulate the body's immune system to destroy melanoma cells. Melanomas confined to the arms or legs may also be treated with a combination of agents including one or more compounds of Formula (I), using a hyperthermic isolated limb perfusion technique. This treatment protocol temporarily separates the circulation of the involved limb from the rest of the body and injects high doses of chemotherapy into the artery feeding the limb, thus providing high doses to the area of the tumor without exposing internal organs to these doses that might otherwise cause severe side effects. Combination with Anti-Viral Agents Suitable antiviral agents contemplated for use in combination with the compound of Formula (I) include nucleoside and nucleotide reverse transcriptase inhibitors (NRTIs), non- nucleoside reverse transcriptase inhibitors (NNRTis), protease inhibitors and other antiviral drugs. Examples of suitable NRTIs include zidovudine (AZT); didanosine (ddl); zalcitabine (ddC); stavudine (d4T); lamivaidine (3TC): abacavir (1592U89); adefovir dipivoxil [bis(POM)-PMEA]; lobucavir (BMS-180194); BCH-I0652, emitricitabine [(-)- FTC]; beta-L-FD4 (also called beta-L-D4C and nan1ed beta-L-2',3'-dicleoxy-5-fluorocytidene); DAPD, ((-)-beta-D-2,6-diamino-purine dioxolane); and lodenosine (FddA). Examples of suitable NNRTIs include nevirapine (BI-RG-587); delaviradine (BHAP, U- 90152); efavirenz (DMP-266); PNU-142721, AG-1549; MKC-442 (l-(ethoxy-methyl)-5- (]- methylethyl)-6-(phenylmethyl)-(2,4(1H,3H)-pyrimidinedione); and (+)-calanolide A (NSC- 675451) and B. Examples of suitable protease inhibitors include saquinavir (Ro 31-8959); ritonavir (ABT- 538); indinavir (MK-639); nelfinavir (AG-1343): amprenavir (141W94); lasinavir (BMS-234475): DMP-450; BMS-2322623, ABT-378; and AG-1549. Other antiviral agents include hydroxyurea, ribavirin, IL-2, IL-12, pentafuside and Yissum Project No.11607.
The present invention further provides pharmaceutical compositions comprising at least one compound of Formula (I), a pharmaceutically acceptable carrier, optionally, at least one chemotherapeutic drug, and, optionally, at least one antiviral agent. Routes of Administration The compounds of this invention can be administered for any of the uses described herein by any suitable means, for example, orally, such as tablets, capsules (each of which includes sustained release or timed release formulations), pills, powders, granules, elixirs, tinctures, suspensions (including nanosuspensions, micro suspensions, spray-dried dispersions), syrups, and emulsions; sublingually; buccally; parenterally, such as by subcutaneous, intravenous, intramuscular, or intratarsal injection, or infusion techniques (e.g., as sterile injectable aqueous or non-aqueous solutions or suspensions); nasally, including administration to the nasal membranes, such as by inhalation spray; topically, such as in the form of a cream or ointment; or rectally such as in the form of suppositories. They can be administered alone, but generally will be administered with a pharmaceutical carrier selected on the basis of the chosen route of administration and standard pharmaceutical practice. Kits The present invention also includes pharmaceutical kits useful, for example, in the treatment or prevention of DGKα and DGKζ associated diseases or disorders, and other diseases referred to herein, which include one or more containers containing a pharmaceutical composition comprising a therapeutically effective amount of a compound of Formula (I). Such kits can further include, if desired, one or more of various conventional pharmaceutical kit components, such as, for example, containers with one or more pharmaceutically acceptable carriers, additional containers, as will be readily apparent to those skilled in the art. Instructions, either as inserts or as labels, indicating quantities of the components to be administered, guidelines for administration, and/or guidelines for mixing the components, can also be included in the kit. Compound Synthesis Compounds having the structure of Formulas (I) can be synthesized using standard synthetic techniques known to those of skill in the art. For example, compounds of the present disclosure can be synthesized using the general synthetic procedures set forth in Scheme 1.
Modifications to these methods will be apparent to one skilled in the art. To this end, the reactions, processes and synthetic methods described herein are not limited to the specific conditions described in the following experimental section, but rather are intended as a guide to one with suitable skill in this field. For example, reactions may be carried out in any suitable solvent, or other reagents to perform the transformation[s] necessary. Generally, suitable solvents are protic or aprotic solvents which are substantially non-reactive with the reactants, the intermediates or products at the temperatures at which the reactions are carried out (i.e., temperatures which may range from the freezing to boiling temperatures). A given reaction may be carried out in one solvent or a mixture of more than one solvent. Depending on the particular reaction, suitable solvents for a particular work-up following the reaction may be employed. Unless otherwise indicated, conventional methods of mass spectroscopy (MS), liquid chromatography-mass spectroscopy (LCMS), NMR, HPLC, protein chemistry, biochemistry, recombinant DNA techniques, and pharmacology are employed. Compounds are prepared using standard organic chemistry techniques such as those described in, for example, March’s Advanced Organic Chemistry, 7th Edition, John Wiley and Sons, Inc (2013). Alternate reaction conditions for the synthetic transformations described herein may be employed such as variation of solvent, reaction temperature, reaction time, as well as different chemical reagents and other reaction conditions. As necessary, the use of appropriate protecting groups may be required. The incorporation and cleavage of such groups may be carried out using standard methods described in Peter G. M. Wuts and Theodora W. Green, Protecting Groups in Organic Synthesis, 4th Edition, Wiley-Interscience. (2006). All starting materials and reagents are commercially available or readily prepared. EXAMPLES Compounds of Formula (II) having the following structure:
EXAMPLE I-1 cis-8-((-4-((Z or E)-(tert-Butoxyimino)(phenyl)methyl)cyclohexyl)(methyl)amino)-5-methyl-6- oxo-5,6-dihydro-1,5-naphthyridine-2,7-dicarbonitrile (Compound I-1)
STEP 1: tert-Butyl (cis-4-benzoylcyclohexyl)(methyl)carbamate To a stirred solution of tert-butyl (cis-4-(methoxy(methyl)carbamoyl)cyclohexyl)- (methyl)carbamate (7.0 g, 23.3 mmol) in THF (90 mL) at -78 °C was added phenyllithium (4.84 mL, 46.6 mmol), dropwise. The resulting mixture was stirred at -78 °C for 3 h, whereupon it was poured into NH4Cl (sat, aq, 30mL) and extracted with EA (3 x 40 mL). The combined organic layers were washed with brine (50mL), dried over anhydrous sodium sulfate and concentrated under reduced pressure. The crude product was purified by silica gel column chromatography (petroleum ether-EtOAc, 4:1) to afford the title compound (7.35 g, 22.2 mmol, 95%) as a yellow solid. LCMS (ES, m/z): 318.20 [M+H]+ STEP 2: (cis-4-(Methylamino)cyclohexyl)(phenyl)methanone To a stirred solution of tert-butyl (cis-4-benzoylcyclohexyl)(methyl)carbamate (5 g, 15.8 mmol) in DCM (40 mL) was added TFA (6.0 mL, 77.9 mmol). After stirring for 2 h, it was concentrated under reduced pressure to afford the crude title compound (5.0 g, 12.1 mmol, 77%), which was used directly in the next step.
STEP 3: cis-(Z or E)-(-4-(Methylamino)cyclohexyl)(phenyl)methanone O-(tert-butyl) oxime A mixture of (cis-4-(methylamino)cyclohexyl)(phenyl)methanone (5.0 g, 15.1 mmol), O- tert-butylhydroxylamine (4.8 g, 38.2 mmol) and Sodium acetate (6.2 g, 75.6 mmol) in EtOH (60 mL)/water (18 mL) was stirred at 80 °C for 16 h. The crude product was concentrated under reduced pressure and purified by reverse flash chromatography (Column: C18 silica gel, 80g, 20-35 um; Mobile phase A: water with 0.05% NH4HCO3; Mobile phase B: ACN; Gradient: 0-100% over 30 min; Detector: 254 nm and 220 nm), affording the title compound (3.3 g, 10.5 mmol, 70%) as white solid. LCMS (ES, m/z): 289.20 [M+H]+ STEP 4: cis-8-((-4-((Z or E)-(tert-Butoxyimino)(phenyl)methyl)cyclohexyl)(methyl)amino)-5- methyl-6-oxo-5,6-dihydro-1,5-naphthyridine-2,7-dicarbonitrile. To a stirred solution of cis-(Z or E)-(-4-(methylamino)cyclohexyl)(phenyl)methanone O- (tert-butyl) oxime (1.1 g, 3.81 mmol) and 8-chloro-5-methyl-6-oxo-1,5-naphthyridine-2,7- dicarbonitrile (1.05 g, 4.29 mmol) in DMF (12 mL) was added DIPEA (2.0 mL, 11.6 mmol). The mixture was stirred at rt for 2 h, whereupon it was subjected to aqueous workup, extracting with EtOAc. The crude residue was purified by reversed phase flash chromatography (Column: C18 silica gel, 80g, 20-35um; Mobile phase A: water with 10 mmol/L NH4HCO3; Mobile phase B: ACN; Gradient: 0-100% over 40 min; Detector: 254 nm), affording the title compound (523 mg, 1.03 mmol, 27%) as yellow solid. 1H NMR (300 MHz, DMSO-d6) δ 8.25 (d, J = 8.8 Hz, 1H), 8.13 (d, J = 8.9 Hz, 1H), 7.45-7.30 (m, 5H), 4.41-4.32 (m, 1H), 3.53 (s, 3H), 3.27 (s, 3H), 3.01-2.98 (m, 1H), 2.15 (q, J = 11.9 Hz, 2H), 1.93 (d, J = 12.6, 2H), 1.87 (d, J = 10.5 Hz, 2H), 1.67-1.58 (m, 2H), 1.28 (s, 9H). LCMS (ES, m/z): 497.30 [M+H]+
EXAMPLE I-2 cis-7-acetyl-8-((4-((Z or E)-(tert-butoxyimino)(phenyl)methyl)cyclohexyl)(methyl)amino)-5- methyl-6-oxo-5,6-dihydro-1,5-naphthyridine-2-carbonitrile (Compound I-2)
STEP 1: cis-8-((4-((Z or E)-(tert-butoxyimino)(phenyl)methyl)cyclohexyl)(methyl)amino)-7-(1- ethoxyvinyl)-5-methyl-6-oxo-5,6-dihydro-1,5-naphthyridine-2-carbonitrile
To a stirred solution of cis-7-bromo-8-((4-((Z or E)-(tert-butoxyimino)(phenyl)methyl) cyclohexyl)(methyl)amino)-5-methyl-6-oxo-5,6-dihydro-1,5-naphthyridine-2-carbonitrile (250 mg, 454 μmol) and tributyl(1-ethoxyvinyl)stannane (328 mg, 908 μmol, 306 μL) in toluene (6 mL) was added Pd(Ph3P)4 (52.5 mg, 45.4 μmol) . The reaction mixture was stirred at 100°C for 16 h. The mixture was concentrated under reduced pressure, and the residue was purified by reverse flash chromatography (Column: C18 silica gel, 80 g; Mobile phase A: water (10mmol/L NH4HCO3) and B: ACN (5% to 100% in 50 min); Detector, UV 254 nm). The collected fraction was concentrated to afford the title compound (200 mg, 81%) as a yellow oil.
STEP 2: cis-7-acetyl-8-((4-((Z or E)-(tert-butoxyimino)(phenyl)methyl)cyclohexyl)(methyl) amino)-5-methyl-6-oxo-5,6-dihydro-1,5-naphthyridine-2-carbonitrile
To a stirred solution of cis-8-((4-((Z or E)-(tert-butoxyimino)(phenyl)methyl)cyclohexyl) (methyl)amino)-7-(1-ethoxyvinyl)-5-methyl-6-oxo-5,6-dihydro-1,5-naphthyridine-2-carbonitrile (200 mg, 369 μmol) in THF (3 mL) was added HCl (2 M, 3.00 mL) . The reaction mixture was stirred at 25°C for 1 h. The reaction was purified by reversed phase chromatography (Column: XBridge Prep OBD C18 Column, 30 ×150 mm 5 um; Mobile Phase A: water(50 mmol/L NH4HCO), Mobile Phase B:ACN; Flow rate: 25 mL/min; Gradient:75-95% B over 7 min; Detector: 254 nm). The collected fraction was lyophilized to afford the title compound as a yellow solid. *Isolated as a mixture of oxime isomers.1H NMR (300 MHz, DMSO-d6) δ 8.19 (dd, J = 8.8, 5.5 Hz, 1H), 8.09 (dd, J = 8.9, 2.5 Hz, 1H), 7.46-7.25 (m, 5H), 4.06-3.81 (m, 1H), 3.33 (s, 3H), 3.05-2.93 (m, 1H), 2.65 (d, J = 6.1 Hz, 3H), 2.52 (s, 3H), 2.03 (bd, J = 11.3 Hz, 2H), 1.81-1.60 (m, 5H), 1.51-1.35 (m, 1H), 1.27 (s, 5H), 1.17 (s, 4H). LCMS (ES, m/z): 514.30 [M+H]+ EXAMPLE I-3 cis-tert-butyl (4-((Z or E)-(tert-butoxyimino)(1-(difluoromethyl)-1H-pyrazol-5- yl)methyl)cyclohexyl)(methyl)carbamate (Compound I-3)
STEP 1: cis-tert-butyl (4-((Z or E)-(tert-butoxyimino)(1-(difluoromethyl)-1H-pyrazol-5- yl)methyl)cyclohexyl)(methyl)carbamate As solution of cis-tert-butyl (4-((Z or E)-(tert-butoxyimino)(1H-pyrazol-5- yl)methyl)cyclohexyl)(methyl)carbamate (200 mg, 528 μmol) in DCM (4 mL) was added to a stirred mixture of potassium hydroxide (88.9 mg, 1.59 mmol, 43.5 μL) in water (0.8 mL) at 0°C. The mixture was stirred for 10 min at 0°C and then (bromodifluoromethyl)trimethylsilane (322 mg, 1.59 mmol) was added, and the mixture was stirred for 1 hr at 0°C. The resulting solution was extracted with water (5 mL) and DCM (3 x 5mL). The combined organic layers were washed with brine (10 mL), dried over anhydrous sodium sulfate and concentrated under reduced pressure. The crude product was purified by silica gel column chromatography, eluted with PE/EtOAc (4:1) to afford the title compound (120 mg, 48%) as a white solid. STEP 2: cis-tert-butyl (4-((Z or E)-(tert-butoxyimino)(1-(difluoromethyl)-1H-pyrazol-5- yl)methyl)cyclohexyl)(methyl)carbamate (Compound I-3) cis-tert-butyl (4-((Z or E)-(tert-butoxyimino)(1-(difluoromethyl)-1H-pyrazol-5- yl)methyl)cyclohexyl)(methyl)carbamate was then deprotected and coupled with the appropriate 1,5-naphthyridin-2(1H)-one to provide the title compound according to procedures analogous to those described herein. 1H NMR (300 MHz, DMSO-d6) δ 8.30 (d, J = 2.7 Hz, 1H), 8.26 (d, J = 9.0 Hz, 1H), 8.14 (d, J = 8.9 Hz, 1H), 7.88 (t, J = 59.1 Hz, 1H), 7.09 (d, J = 2.7 Hz, 1H), 4.45-4.31 (m, 1H), 3.54 (s, 3H), 3.41 (br s, 1H), 3.24 (s, 3H), 2.30-2.12 (m, 2H), 2.06 (bd, J = 13.5 Hz, 2H), 1.91-1.67 (m, 4H), 1.39 (s, 9H). LCMS (ES, m/z): 537.25 [M+H]+
EXAMPLE I-4 Synthesis of cis-8-((4-((Z or E)-(tert-butoxyimino)(4-methyloxazol-5- yl)methyl)cyclohexyl)(methyl)amino)-5-methyl-6-oxo-5,6-dihydro-1,5-naphthyridine-2,7- dicarbonitrile (Compound I-4)
STEP 1: cis-(4-(methylamino)cyclohexyl)(4-methyloxazol-5-yl)methanone A mixture of cis-tert-butyl methyl(4-(4-methyl-2-(triisopropylsilyl)oxazole-5- carbonyl)cyclohexyl)carbamate (500 mg, 1.04 mmol) and 2,2,2-trifluoroacetic acid (1.18 g, 10.38 mmol, 0.8 mL) in DCM (3 mL) was stirred for 1 hr at 25 °C. The resulting solution was purified by reverse flash chromatography (Column: C18 silica gel, 80 g, 20-35 um; Mobile Phase A: water (10 mM NH4HCO3) and B: ACN (20-80 % in 50 min); Detector: 254/220 nm ) to afford the title compound (190 mg, 74%) as a brown oil.
STEP 2: cis-(Z or E)-(4-(methylamino)cyclohexyl)(4-methyloxazol-5-yl)methanone O-(tert-butyl) oxime A mixture of O-tert-butylhydroxylamine (678 mg, 5.40 mmol,), [4- (methylamino)cyclohexyl]-(4-methyloxazol-5-yl)methanone (400 mg, 1.80 mmol) and sodium acetate (1.03 g, 12.6 mmol, 676 μL) in 0.8 mL EtOH:H2O (3:1) was stirred for 2 hr at 80 °C .The resulting solution was cooled to RT, partially concentrated, and purified by reverse phase flash column (Column: C18 silica gel, 80 g, 20-35 um; Mobile Phase A: water with (1 mM NH4HCO3) and B: ACN Gradient: 20-70% in 25 min); Detector: UV 254/220 nm to afford the title compound (80 mg, 13%) as a brown oil. STEP 3: cis-8-((4-((Z or E)-(tert-butoxyimino)(4-methyloxazol-5-yl)methyl)cyclohexyl)(methyl) amino)-5-methyl-6-oxo-5,6-dihydro-1,5-naphthyridine-2,7-dicarbonitrile (Compound I-4) cis-(4-(methylamino)cyclohexyl)(4-methyloxazol-5-yl)methanone O-(tert-butyl) oxime was then coupled with the appropriate 1,5-naphthyridin-2(1H)-one to provide the title compound according to procedures analogous to those described herein. 1H NMR (400 MHz, DMSO) δ 8.36 (s, 1H), 8.26 (d, J = 8.9 Hz, 1H), 8.14 (d, J = 9.0 Hz, 1H), 4.41-4.31 (m, 1H), 3.53 (s, 3H), 3.21 (s, 3H), 3.02 (br s, 1H), 2.18 (s, 3H), 2.10-1.58 (m, 2H), 1.91- 1.81 (m, 4H), 1.75-1.64 (m, 2H), 1.35 (s, 9H). LCMS (ES, m/z): 502.20 [M+H]+ EXAMPLE I-5 Synthesis of cis-8-((4-((Z or E)-(tert-butoxyimino)(5-methyloxazol-4- yl)methyl)cyclohexyl)(methyl)amino)-5-methyl-6-oxo-5,6-dihydro-1,5-naphthyridine-2,7- dicarbonitrile (Compound I-5)
The title compound was prepared using analogous procedures as to those described herein and according to the scheme above. Deprotection of cis-tert-butyl methyl(4-(5-methyl-2-(triisopropylsilyl)oxazole-4- carbonyl)cyclohexyl)carbamate to provide cis-(4-(methylamino)cyclohexyl)(5-methyloxazol-4- yl)methanone was achieved by treatment with TFA, as follows: A solution of cis-tert-butyl methyl(4-(5-methyl-2-(triisopropylsilyl)oxazole-4-carbonyl)cyclohexyl)carbamate (4.2 g, 8.77 mmol) in TFA (15 mL) was stirred for 1 h at 50 °C. The reaction was concentrated under vacuum to afford the title compound (3.5 g, 95%) as a light yellow oil. 1H NMR (300 MHz, Chloroform-d) δ 7.84 (d, J = 8.7 Hz, 1H), 7.75 (s, 1H), 7.71 (d, J = 9.0 Hz, 1H), 4.52-4.39 (m, 1H), 3.64 (s, 3H), 3.37 (s, 3H), 3.24 (br s, 1H), 2.38 (s, 3H), 2.28-2.07 (m, 4H), 1.98-1.87 (m, 2H), 1.81-1.65 (m, 2H), 1.36 (s, 9H) LCMS is (ES, m/z) 502.20 [M+H]+
EXAMPLE I-6 cis-8-((4-((Z or E)-(tert-butoxyimino)(3-fluoro-1-methyl-1H-pyrazol-5-yl)methyl) cyclohexyl)(methyl)amino)-5-methyl-6-oxo-5,6-dihydro-1,5-naphthyridine-2,7-dicarbonitrile (Compound I-6A) and trans-8-((4-((Z or E)-(tert-butoxyimino)(3-fluoro-1-methyl-1H-pyrazol-5-yl)methyl) cyclohexyl)(methyl)amino)-5-methyl-6-oxo-5,6-dihydro-1,5-naphthyridine-2,7-dicarbonitrile (Compound I-6B) and cis-8-((4-((Z or E)-(tert-butoxyimino)(5-fluoro-1-methyl-1H-pyrazol-3-yl)methyl) cyclohexyl)(methyl)amino)-5-methyl-6-oxo-5,6-dihydro-1,5-naphthyridine-2,7-dicarbonitrile (Compound I-6C) and trans-8-((4-((Z or E)-(tert-butoxyimino)(5-fluoro-1-methyl-1H-pyrazol-3-yl)methyl) cyclohexyl)(methyl)amino)-5-methyl-6-oxo-5,6-dihydro-1,5-naphthyridine-2,7-dicarbonitrile (Compound I-6D)
STEP 1: (3-fluoro-1H-pyrazol-5-yl)(4-(methylamino)cyclohexyl)methanone A mixture of cis-tert-butyl (4-(3-fluoro-1-(tetrahydro-2H-pyran-2-yl)-1H-pyrazole-5- carbonyl)cyclohexyl)(methyl)carbamate (800 mg, 1.95 mmol) and TFA (2 mL) in DCM (10 mL) was stirred for 1 hr at 25 °C. The reaction was concentrated under reduced pressure to afford the title compound (800 mg, 85%) as a brown oil. STEP 2: (3-fluoro-1H-pyrazol-5-yl)(4-(methylamino)cyclohexyl)methanone was then coupled with the appropriate 1,5-naphthyridin-2(1H)-one according to procedures analogous to those described herein. STEP 3: 8-((4-((Z or E)-(tert-butoxyimino)((3 or 5)-fluoro-1-methyl-1H-pyrazol-5- yl)methyl)cyclohexyl)(methyl)amino)-5-methyl-6-oxo-5,6-dihydro-1,5-naphthyridine-2,7- dicarbonitrile Sodium hydride (79.3 mg, 1.98 mmol, 60% purity) was added to a solution of cis-8-((4- ((Z or E)-(tert-butoxyimino)(3-fluoro-1H-pyrazol-5-yl)methyl)cyclohexyl)(methyl)amino)-5- methyl-6-oxo-5,6-dihydro-1,5-naphthyridine-2,7-dicarbonitrile (500 mg, 991 μmol) in DMF (5 mL) at 0 °C. The reaction was stirred for 0.5 h at 0°C, and a solution of iodomethane (422 mg, 2.97 mmol, 185 μL) was added. The reaction was stirred for 2 h at 25 °C. The reaction was purified by reverse phase HPLC (Column: XBridge Prep OBD C18 Column, 30 x 150 mm, 5μm; Mobile Phase A: Water (5 mM TFA), Mobile Phase B: ACN; Flow rate: 60 mL/min; Gradient: 52- 60% B in 12 min; Wavelength: 254 nm), yielding two product as diastereomeric mixtures A and B. Product (A) was separated by chiral reverse phase chromatography (Column: CHIRALPAK IF, 2 x 25 cm, 5 μm; Mobile Phase A: MTBE(0.5% 2M NH3-MeOH); Mobile Phase B: EtOH; Gradient: 20% B in 13.5 min; Wavelength: 220/254 nm). Product (B) was separated by Chiral-Prep-HPLC (Column: CHIRALPAK IF, 2 x 25 cm, 5 μm; Mobile Phase A: MTBE (0.5% 2M NH3-MeOH); Mobile Phase B: EtOH; Gradient: 10% B in 14 min; Wavelength: 220/254 nm). The collected fractions were separately concentrated to give:
cis-8-((4-((Z or E)-(tert-butoxyimino)(3-fluoro-1-methyl-1H-pyrazol-5-yl)methyl) cyclohexyl)(methyl)amino)-5-methyl-6-oxo-5,6-dihydro-1,5-naphthyridine-2,7-dicarbonitrile (37.5 mg, 7%) as a yellow solid. 1H NMR (400 MHz, DMSO-d6) δ 8.26 (d, J = 8.9 Hz, 1H), 8.14 (d, J = 9.0 Hz, 1H), 6.11 (d, J = 5.8 Hz, 1H), 4.42-4.32 (m, 1H), 3.62 (s, 3H), 3.53 (s, 3H), 3.21 (s, 3H), 2.89-2.83 (m, 1H), 2.14- 2.01 (m, 2H), 1.97 (bd, J = 13.4 Hz, 2H), 1.90 (bd, J = 11.5 Hz, 2H), 1.76-1.65 (m, 2H), 1.33 (s, 9H) LCMS is (ES, m/z) 519.25 [M+H]+
trans-8-((4-((Z or E)-(tert-butoxyimino)(3-fluoro-1-methyl-1H-pyrazol-5-yl)methyl) cyclohexyl)(methyl)amino)-5-methyl-6-oxo-5,6-dihydro-1,5-naphthyridine-2,7-dicarbonitrile (5.8 mg, 1%) as an off white solid. 1H NMR (400 MHz, DMSO-d6) δ 8.25 (d, J = 8.9 Hz, 1H), 8.13 (d, J = 9.0 Hz, 1H), 6.02 (d, J = 5.8 Hz, 1H), 4.41-4.31 (m, 1H), 3.53 (s, 3H), 3.51 (s, 3H), 3.26 (s, 3H), 2.56-2.50 (m ,1H), 2.08- 2.01 (m, 2H), 1.98-1.73 (m, 4H), 1.51-1.38 (m, 2H), 1.23 (s, 9H) LCMS is (ES, m/z) 519.25 [M+H]+
cis-8-((4-((Z or E)-(tert-butoxyimino)(5-fluoro-1-methyl-1H-pyrazol-3-yl)methyl) cyclohexyl)(methyl)amino)-5-methyl-6-oxo-5,6-dihydro-1,5-naphthyridine-2,7-dicarbonitrile (44.5 mg, 9%) as a yellow solid. 1H NMR (400 MHz, DMSO-d6) δ 8.26 (d, J = 8.0 Hz, 1H), 8.14 (d, J = 8.4 Hz, 1H), 6.53 (d, J = 5.2 Hz, 1H), 4.44-4.31 (m, 1H), 3.75 (s, 3H), 3.52 (s, 3H), 3.47-3.40 (m, 1H), 3.24 (s, 3H), 2.30- 2.15 (m, 2H), 2.09-1.99 (m, 2H), 1.88-1.68 (m, 4H), 1.37 (s, 9H)
LCMS is (ES, m/z) 519.25 [M+H]+
trans-8-((4-((Z or E)-(tert-butoxyimino)(5-fluoro-1-methyl-1H-pyrazol-3-yl)methyl) cyclohexyl)(methyl)amino)-5-methyl-6-oxo-5,6-dihydro-1,5-naphthyridine-2,7-dicarbonitrile (19.7 mg, 4%) as a yellow solid. 1H NMR (400 MHz, DMSO-d6) δ 8.25 (d, J = 8.8 Hz, 1H), 8.13 (d, J = 8.9 Hz, 1H), 6.50 (d, J = 5.6 Hz, 1H), 4.47-4.37 (m, 1H), 3.77 (s, 3H), 3.54 (s, 3H), 3.30 (s, 3H), 3.11-3.02 (m, 1H), 2.09- 1.87 (m, 6H), 1.65-1.51 (m, 2H), 1.27 (s, 9H) LCMS is (ES, m/z) 519.25 [M+H]+
EXAMPLE I-7 Synthesis of trans-8-((-4-((Z)-(tert-Butoxyimino)(pyridin-2-yl)methyl)cyclohexyl)(methyl)amino)-5-methyl-6- oxo-5,6-dihydro-1,5-naphthyridine-2-carbonitrile (Compound I-7A)
and trans-8-((-4-((E)-(tert-Butoxyimino)(pyridin-2-yl)methyl)cyclohexyl)(methyl)amino)-5-methyl-6- oxo-5,6-dihydro-1,5-naphthyridine-2-carbonitrile (Compound I-7B)
STEP 1: tert-Butyl methyl(trans-4-picolinoylcyclohexyl)carbamate To a stirred mixture of 2-iodopyridine (6.36 g, 31.0 mmol) in THF (139 mL) was added n- butyllithium (2.5 M, 13.2 mL, 33.1 mmol), dropwise at -78 °C. After 20 min at -78°C, a solution of tert-butyl N-[4-[methoxy(methyl)carbamoyl]cyclohexyl]-N-methyl-carbamate (6.9 g, 20.7 mmol) in THF (10 mL) was added. The resulting mixture was stirred at -78°C for 30 min, then slowly poured into ice/water (100 mL), whereupon it was extracted with EtOAc (3 x 100 mL). The combined organic layers were washed with brine (300 mL), dried over anhydrous sodium sulfate and concentrated under reduced pressure. The crude residue was purified by silica gel
column chromatography (petroleum ether-EtOAc, 3:1) to afford the title compound (5.6 g, 17.1 mmol, 83%) as a white solid. LCMS (ES, m/z): 319.20 [M+H]+ STEP 2: trans-(Z)-(-4-(Methylamino)cyclohexyl)(pyridin-2-yl)methanone O-(tert-butyl) oxime To a stirred mixture of tert-butyl methyl(trans-4-picolinoylcyclohexyl)carbamate (3 g, 9.42 mmol) and O-tert-butylhydroxylamine (3.55 g, 28.3 mmol) in ethanol (40 mL) was added HCl (12 M, 2.5 mL), dropwise. The resulting mixture was stirred at 80 °C for 2 h, whereupon it was cooled to rt, slowly poured into water (100 mL) and extracted with EtOAc (3 x 100 mL). The combined organic layers were washed with brine, dried over anhydrous sodium sulfate and concentrated under reduced pressure to afford the crude title compounds (1.7 g, 62%) as a yellow oil, which was a 1.2:1 mixture of oxime isomers. STEP 3: trans-8-((-4-((Z or E)-(tert-Butoxyimino)(pyridin-2-yl)methyl)cyclohexyl)(methyl)amino)- 5-methyl-6-oxo-5,6-dihydro-1,5-naphthyridine-2-carbonitrile and trans-8-((-4-((E or Z)-(tert-Butoxyimino)(pyridin-2-yl)methyl)cyclohexyl)(methyl)amino)-5- methyl-6-oxo-5,6-dihydro-1,5-naphthyridine-2-carbonitrile A solution of trans-(Z and E)-(-4-(methylamino)cyclohexyl)(pyridin-2-yl)methanone O- (tert-butyl) oxime (521 mg, 1.80 mmol), (6-cyano-1-methyl-2-oxo-1,5-naphthyridin-4-yl) trifluoromethanesulfonate (300 mg, 900 μmol) and TEA (627 μL, 4.50 mmol) in DMF (4 mL) was stirred at 80 °C for 1 h. The mixture was cooled to room temperature, diluted with water and extracted with EtOAc. The combined organic layers were washed with brine, dried over anhydrous sodium sulfate and concentrated under reduced pressure. The residue was purified by reversed phase chromatography (Column: XBridge Prep OBD C18, 30 x 150mm, 5 um; Mobile Phase A: water (10 mM NH 4HCO3), Mobile Phase B: ACN; Flow rate: 60 mL/min; Gradient: 48-68% B over 7 min; Detector: 254 nm) to afford the assumed: E-oxime isomer (107.8 mg, 227.7 μmol, 25%) as a light-yellow solid 1H NMR (300 MHz, Chloroform-d) δ 8.60 (d, J = 4.9 Hz, 1H), 7.78 (d, J = 8.8 Hz, 2H), 7.72- 7.62 (m, 2H), 7.28-7.20 (m, 1H), 6.04 (s, 1H), 4.55-4.43 (m, 1H), 3.63 (s, 3H), 3.51-3.38 (m, 1H), 2.97 (s, 3H), 2.42-2.26 (m, 2H), 2.08-1.98 (m, 2H), 1.89-1.61 (m, 4H), 1.36 (s, 9H) LCMS is (ES, m/z) 473.30 [M+H]+
Z-oxime isomer (128.1 mg, 266.2 μmol, 30%) as an off-white solid. 1H NMR (300 MHz, Chloroform-d) δ 8.69-8.64 (m, 1H), 7.77 (d, J = 8.7 Hz, 1H), 7.72-7.62 (m, 3H), 7.27-7.19 (m, 1H), 6.03 (s, 1H), 4.39-4.27 (m, 1H), 3.62 (s, 3H), 3.06-2.95 (m, 1H), 2.94 (s, 3H), 2.07-1.96 (m, 4H), 1.83-1.67 (m, 2H), 1.65-1.43 (m, 2H), 1.26 (s, 9H) LCMS is (ES, m/z) 473.25 [M+H]+
EXAMPLES I-8 TO I-66 Synthesis of Compounds I-8 to I-66 Compounds I-8 to I-66, shown below in Table 2, were prepared in a manner analogous to Examples I-1 to I-7. * LCMS (ES, m/z) [M+H]+. TABLE 2
)
Compounds of Formula (I) having the following structure
EXAMPLE II-1 Synthesis of trans-8-((-4-((Z or E)-((Difluoromethoxy)imino)(phenyl)methyl)cyclohexyl) (methyl)amino)-5-methyl-6-oxo-5,6-dihydro-1,5-naphthyridine-2-carbonitrile (Compound II-1)
STEP 1: trans-8-((-4-((Z or E)-(Hydroxyimino)(phenyl)methyl)cyclohexyl)(methyl)amino)-5- methyl-6-oxo-5,6-dihydro-1,5-naphthyridine-2-carbonitrile A stirred solution of [4-(methylamino)cyclohexyl]-phenyl-methanone oxime (420 mg, 1.81 mmol, prepared in an analogous manner to procedures described in 360474.401WO_PCT Application), 6-cyano-1-methyl-2-oxo-1,2-dihydro-1,5-naphthyridin-4-yl trifluoromethane- sulfonate (602 mg, 1.81 mmol, prepared according to WO2021133749) and TEA (756 μL, 5.42 mmol,) in DMF (6.1 mL) was heated to 80 °C for 1 h. The mixture was cooled to room temperature, diluted with water (15 mL) and extracted with EtOAc (3 x 15 mL). The combined organic layers were washed with brine (50 mL), dried over anhydrous sodium sulfate and concentrated under reduced pressure. The residue was purified by Prep-SFC [Column: DAICEL DCpak P4VP, 2x25cm, 5μm; Mobile Phase A: CO2, Mobile Phase B: IPA (0.5% 2M NH3-MeOH); Flow rate: 50 mL/min; Gradient: 43% B; Column Temperature: 35 ^; Back Pressure: 100 bar;
Detection: 254 nm]. The collected fractions were lyophilized to afford oxime isomers of the title compounds (40.1 mg, 5.3% and 41.5 mg, 5.5%) as a light-yellow solids. Identical mass signals observed for each isomer: LCMS (ES, m/z): 416.15 [M+H]+ STEP 2: trans-8-((-4-((Z or E)-((Difluoromethoxy)imino)(phenyl)methyl)cyclohexyl)- (methyl)amino)-5-methyl-6-oxo-5,6-dihydro-1,5-naphthyridine-2-carbonitrile. To a stirred solution of trans-8-((-4-((Z or E)-(hydroxyimino)(phenyl)methyl)- cyclohexyl)(methyl)amino)-5-methyl-6-oxo-5,6-dihydro-1,5-naphthyridine-2-carbonitrile (500 mg, 1.20 mmol) and potassium hydroxide (405.1 mg, 7.22 mmol) in water (1.6 mL) and DCM (10 mL) was added [bromo(difluoro)methyl]-trimethyl-silane (1.22 g, 6.02 mmol), dropwise at 0 °C. The resulting mixture was stirred at 0 °C for 1 h, whereupon it was slowly poured into water (10 mL) and extracted with DCM (3 x 10 mL). The combined organic layers were washed with brine (30 mL), dried over anhydrous sodium sulfate and concentrated under reduced pressure. The crude residue was purified by reversed phase chromatography (Column: XBridge Prep OBD C18 Column, 5um, 19 x 250 mm; Mobile Phase A: water (10 mmol/L NH4HCO3 + 0.1% NH3•H2O), Mobile Phase B: ACN; Flow rate: 25 mL/min; Gradient: 58-78% B over 7 min; Detector: 220 nm) to afford the title compound (12.3 mg, 22.5 μmol, 1.87%) as a light-yellow solid. 1H NMR (300 MHz, Methanol-d4) δ 8.03 (dd, J = 8.9, 1.2 Hz, 1H), 7.95 (dd, J = 8.8, 1.2 Hz, 1H), 7.47-7.37 (m, 4H), 7.31-7.24 (m, 1H), 6.83 (t, J = 73.5 Hz, 0.5H), 6.70 (t, J = 73.5 Hz, 0.5H), 5.94 (s, 1H), 4.68-4.45 (m, 1H), 3.62 (s, 3H), 3.35-3.23 (m, 0.5H), 2.97 (s, 1.5H), 2.95 (s, 1.5H), 2.70-2.59 (m, 0.5H), 2.10-1.64 (m, 7H), 1.59-1.43 (m, 1H) LCMS is (ES, m/z) 466.15 [M+H]+
EXAMPLE II-2 cis-8-((4-((Z or E)-((difluoromethoxy)imino)(pyrazin-2-yl)methyl)cyclohexyl)(methyl)amino)-5- methyl-6-oxo-5,6-dihydro-1,5-naphthyridine-2,7-dicarbonitrile (Compound II-2)
tert-butyl-4-((hydroxyimino)(pyrazin-2-yl)methyl)cyclohexyl)(methyl)carbamate was prepared according to analogous procedures as described herein. STEP 1: cis-tert-butyl (4-(((difluoromethoxy)imino)(pyrazin-2-yl)methyl)cyclohexyl) (methyl)carbamate To a stirred solution of tert-butyl ((1s,4s)-4-((Z)-(hydroxyimino)(pyrazin-2- yl)methyl)cyclohexyl)(methyl)carbamate (1 g, 2.99 mmol) in DMF (10 mL) was added NaH (239 mg, 5.98 mmol, 60% w/w) at 0 °C. Stirring was continued at 0 °C for 0.5 h, and then bromodifluoromethane (391 mg, 2.99 mmol) was added. The resulting mixture was stirred at 0 °C for 1 h. The mixture was slowly poured into NH4Cl (20 mL, sat. aq.) and extracted with EtOAc (3 x 20 mL). The combined organic layers were washed with brine (30 mL), dried over anhydrous sodium sulfate and concentrated under reduced pressure. The residue was purified by reverse phase chromatography to afford the title compound (90 mg, 7.8%) as a yellow solid. STEP 2: cis-tert-butyl (4-(((difluoromethoxy)imino)(pyrazin-2-yl)methyl)cyclohexyl) (methyl)carbamate was then coupled with the appropriate 1,5-naphthyridin-2(1H)-one to provide the title compound according to procedures analogous to those described herein.
EXAMPLES II-3 TO II-16 Synthesis of Compounds II-3 to II-16 Compounds II-3 to II-16, shown below in Table 3, were prepared in a manner analogous to Examples II-1 and II-2. * LCMS (ES, m/z) [M+H]+. TABLE 3
Synthesis of 4,6-dichloro-1-methyl-pyrido[3,2-d]pyrimidin-2-one
STEP 1: 6-Chloro-3-(methylamino)pyridine-2-carboxylic acid A solution of 6-chloro-3-fluoro-pyridine-2-carboxylic acid (70 g, 399 mmol) and methylamine (700 mL, 40% aq.) in dioxane (700 mL) was stirred at 125 °C for 16 h in a sealed vessel. The mixture was cooled to rt and partially concentrated under reduced pressure. The resulting mixture was cooled to 0 °C and acidified with HCl (2 M, aq) to pH = 3. The solids were collected by filtration, washed with water (500 mL) and dried under vacuum to afford the title compound (60 g, 81%) as a yellow solid. LCMS (ES, m/z): 187.05, 189.05 [M+H]+ STEP 2: 6-chloro-3-(methylamino)pyridine-2-carboxamide A solution of 6-chloro-3-(methylamino)pyridine-2-carboxylic acid (60 g, 321.6 mmol), DIPEA (168 mL, 965 mmol), NH4Cl (172.0 g, 3.22 mol) and HATU (183.40 g, 482.33 mmol) in DMF (1 L) was stirred at rt for 16 h. The mixture was poured into ice-water (2 L) and extracted with EtOAc (3 x 1 L). The combined organic layers were washed with brine (1 L), dried over anhydrous sodium sulfate and concentrated under reduced pressure. The crude residue was purified by reverse flash chromatography (Column: C18 silica gel, 330 g, 20-35 um; Mobile Phase A: water with 10 mM NH4HCO3; Mobile Phase B: ACN, 5-40% over 30 min; Detector: 254 nm), affording the title compound (29 g, 49%) as a yellow solid. LCMS (ES, m/z): 186.25, 188.25 [M+H]+
STEP 3.:6-chloro-1-methyl-pyrido[3,2-d]pyrimidine-2,4-dione To a solution of 6-chloro-3-(methylamino)pyridine-2-carboxamide (55 g, 296.3 mmol) in DMF (600 mL) at 0 °C was slowly added NaH (35.56 g, 889.0 mmol, 60% in mineral oil). The mixture was then warmed to rt and stirred for 30 min followed by addition of CDI (72.07 g, 444.5 mmol). It was heated to 70 °C for 2 h then cooled to rt and quenched with ice-water (20 mL). The pH was adjusted to 5-6 with HCl (1 N) and the resulting solid was collected by filtration to afford the title compound (52 g, 233.5 mmol, 79%) as a light yellow solid. LCMS (ES, m/z): 211.95, 213.95 [M+H]+ STEP 4: 4,6-dichloro-1-methyl-pyrido[3,2-d]pyrimidin-2-one To a solution of 6-chloro-4-hydroxy-1-methyl-pyrido[3,2-d]pyrimidin-2-one (18 g, 85.1 mmol) in toluene (400 mL) at 0 °C was added DIEA (59.3 mL, 340.3 mmol) and POCl3 (65.22 g, 425.3 mmol). After stirring for 16 h at 110 °C it was cooled to rt and concentrated under reduced pressure. The residue was partitioned between EtOAc (1.5 L) and NaHCO3 (sat, aq, 800 mL), then separated. The aqueous layer was extracted with EtOAc (2 x 1.5 L) and the combined organic layers were washed with brine (800 mL), dried over anhydrous sodium sulfate and concentrated under reduced pressure. The crude material was purified by silica gel chromatography (DCM/EtOAc, 8:1) to afford the title compound (5.24 g, 25%) as a red solid. 1H NMR (400 MHz, CDCl3) δ 7.75-7.70 (m, 2H), 3.72 (s, 3H) LCMS (ES, m/z): 230.00, 232.00 [M+H]+ EXAMPLES III-2 TO III-5 Synthesis of Compounds III-2 to III-5 Compounds III-2 to III-5, shown below in Table 4, were prepared in a manner analogous to Example III-1 and the following scheme. * LCMS (ES, m/z) [M+H]+.
TABLE 4
EXAMPLES IV-1 TO IV-9 Synthesis of Compounds IV-1 to IV-9 Compounds IV-1 to IV-9, shown below in Table 5, were prepared in a manner analogous to the following scheme. * LCMS (ES, m/z) [M+H]+.
TABLE 5
EXAMPLES V-1 TO V-120 Synthesis of Compounds V-1 to V-120 Compounds V-1 to V-120, shown below in Table 6, were prepared in a manner analogous to the compounds described herein. * LCMS (ES, m/z) [M+H]+. TABLE 6
y
EXAMPLE VI-1 4-((cis-4-((Z)-(tert-Butoxyimino)(phenyl)methyl)cyclohexyl)(methyl)amino)-6-cyano-1-methyl-2- oxo-7-((tetrahydrofuran-3-yl)oxy)-1,2-dihydro-1,5-naphthyridine-3-carboxamide
STEP 1: Methyl 3-amino-5-bromo-6-chloropicolinate To a solution of methyl 3-amino-5-bromo-pyridine-2-carboxylate (20 g, 86.6 mmol) was added 1-chloropyrrolidine-2,5-dione (17.34 g, 129.84 mmol) in DMF (100 mL). The mixture as stirred at 50 °C for 2 h, then extracted with DCM (3 x 200 ml), washed with brine (200 ml), dried over anhydrous Na2SO4 and concentrated under reduced pressure. The crude residue was purified by silica gel column chromatography to afford the title compound (12.0 g, 52%) as a yellow solid. LCMS (ES, m/z): 265.0, 267.0 [M+H]+ STEP 2: Methyl-5-bromo-6-chloro-3-(3-methoxy-3-oxopropanamido)picolinate To a stirred mixture of methyl-3-amino-5-bromo-6-chloropicolinate (6.0 g, 22.6 mmol) was added methyl-3-chloro-3-oxopropanoate (4.63 g, 33.90 mmol) in DCE (50 mL). The mixture
was stirred at 80 °C for 1 h then extracted with DCM (3 x 50 ml), washed with brine (50 mL), dried over anhydrous Na2SO4 and concentrated under reduced pressure to afford the title compound (8.70 g, 88%), which was subsequently used without further purification. LCMS (ES, m/z): 366.8 [M+H]+ STEP 3: Methyl 7-bromo-6-chloro-2,4-dioxo-1,2,3,4-tetrahydro-1,5-naphthyridine-3-carboxylate To a suspension of methyl-5-bromo-6-chloro-3-(3-methoxy-3- oxopropanamido)picolinate (8.60 g, 25.9 mmol) in MeOH (0.93 mL) was added sodium methoxide (2.35 M in MeOH, 22.0 mL, 51.7 mmol). The mixture was stirred for 1 h at room temperature then cooled to 0 °C and acidified to pH 5 with HCl (2 M). The resulting solids were collected by filtration, washed with water (200 ml) and dried to afford the title compound (2.0 g, 18%) as a light-yellow solid. LCMS (ES, m/z): 335.0 [M+H]+ STEP 4: Methyl 7-bromo-6-chloro-1-methyl-2,4-dioxo-1,2,3,4-tetrahydro-1,5-naphthyridine-3- carboxylate To a solution of methyl 7-bromo-6-chloro-2,4-dioxo-1,2,3,4-tetrahydro-1,5- naphthyridine-3-carboxylate (4.0 g, 12.0 mmol) in DMF (50 mL) was added sodium hydride (60% in mineral oil, 1.92 g, 47.97 mmol). The mixture was stirred at 0 °C for 30 min followed by addition of iodomethane (6.0 mL, 96.4 mmol). After stirring for 1 h at room temperature, the mixture was poured into water then acidified to pH 5 with HCl (2 M) at 0 °C. The resulting solids were collected by filtration, washed with water (200 ml) and dried to afford methyl the title compound (2.9 g, 70%) as a light-yellow solid. LCMS (ES, m/z): 349.0 [M+H]+ STEP 5: Methyl-7-bromo-6-chloro-1-methyl-2-oxo-4-(((trifluoromethyl)sulfonyl)oxy)-1,2- dihydro-1,5-naphthyridine-3-carboxylate To a solution of methyl 7-bromo-6-chloro-1-methyl-2,4-dioxo-1,2,3,4-tetrahydro-1,5- naphthyridine-3-carboxylate (2.30 g, 6.62 mmol), TEA (2.77 mL, 19.9 mmol) and DMAP (80.9 mg, 661.8 μmol) in DCM (50 mL) at 0°C was added trifluoromethanesulfonic anhydride (1.45 mL, 8.60 mmol). After stirring at 0°C for 2 h it was quenched with NH4Cl (sat aq, 50 mL) and extracted with DCM (60 mL x 2). The organic layer was dried over Na2SO4 and concentrated
under reduced pressure to afford the title compound (3.0 g, 76%) as a dark oil, which was used as crude in the subsequent step. STEP 6: Methyl-7-bromo-4-((cis-4-((Z)-(tert-butoxyimino)(phenyl)methyl)cyclohexyl)- (methyl)amino)-6-chloro-1-methyl-2-oxo-1,2-dihydro-1,5-naphthyridine-3-carboxylate A solution of (Z)-(cis-4-(methylamino)cyclohexyl)(phenyl)methanone O-(tert-butyl) oxime (1.10 g, 3.81 mmol), methyl-7-bromo-6-chloro-1-methyl-2-oxo-4- (((trifluoromethyl)sulfonyl)oxy)-1,2-dihydro-1,5-naphthyridine-3-carboxylate (3.43 g, 5.72 mmol) and TEA (2.66 mL, 19.1 mmol) in DMF (20 mL) was stirred at 80°C for 2 h, whereupon it was cooled to rt, diluted with EtOAc and washed with water. The organic layer was dried over Na2SO4 and concentrated in vacuo. The crude residue was purified by reverse phase chromatography to afford the title compound (1.5 g, 57%) as a light-yellow solid. LCMS (ES, m/z): 617.05, 619.05 [M+H]+ STEP 7: 7-bromo-4-((cis-4-((Z)-(tert-butoxyimino)(phenyl)methyl)cyclohexyl)(methyl)amino)-6- chloro-1-methyl-2-oxo-1,2-dihydro-1,5-naphthyridine-3-carboxylic acid A mixture of methyl-7-bromo-4-((cis-4-((Z)-(tert- butoxyimino)(phenyl)methyl)cyclohexyl)-(methyl)amino)-6-chloro-1-methyl-2-oxo-1,2-dihydro- 1,5-naphthyridine-3-carboxylate (1.5 g, 2.43 mmol) and sodium hydroxide (485.4 mg, 12.14 mmol) in water/dioxane (40 mL, 1:1) was heated at 80 °C for 16 h, whereupon the it was partially concentrated in vacuo. The resulting mixture was adjusted pH to 4 with HCl (1N) and the solid was collected and dried to afford the crude title compound as a yellow solid, which was used directly in the subsequent step. LCMS (ES, m/z): 603.5, 605.5 [M+H]+ STEP 8: 7-Bromo-4-((cis-4-((Z)-(tert-butoxyimino)(phenyl)methyl)cyclohexyl)-(methyl)amino)-6- chloro-1-methyl-2-oxo-1,2-dihydro-1,5-naphthyridine-3-carboxamide To a solution of 7-bromo-4-((cis-4-((Z)-(tert-butoxyimino)(phenyl)methyl)cyclohexyl)- (methyl)amino)-6-chloro-1-methyl-2-oxo-1,2-dihydro-1,5-naphthyridine-3-carboxylic acid (2.0 g, 1.7 mmol), ammonium chloride (442.9 mg, 8.28 mmol) and TEA (1.15 mL, 8.28 mmol) in DMF (15 mL) was added HATU (759.5 mg, 1.99 mmol). After stirring 2 h, it was diluted with water and extracted with EtOAc. The organic layer was dried over Na2SO4 and concentrated in vacuo.
The crude residue was purified by reversed phase chromatography to afford the title compound (600 mg, 57%) as a yellow solid. LCMS (ES, m/z): 602.05, 604.05 [M+H]+ STEP 9: 4-((is-4-((Z)-(tert-Butoxyimino)(phenyl)methyl)cyclohexyl)(methyl)amino)-6-chloro-1- methyl-2-oxo-7-((tetrahydrofuran-3-yl)oxy)-1,2-dihydro-1,5-naphthyridine-3-carboxamide A mixture of 7-bromo-4-((cis-4-((Z)-(tert-butoxyimino)(phenyl)methyl)cyclohexyl)- (methyl)amino)-6-chloro-1-methyl-2-oxo-1,2-dihydro-1,5-naphthyridine-3-carboxamide (60 mg, 99 μmol), tetrahydrofuran-3-ol (17.5 mg, 199 μmol) and sodium hydroxide (8.0 mg, 199 μmol) in DMF (0.5 mL) was stirred at 80 °C for 2 h. After cooling to rt, it was diluted with EtOAc and washed with water. The organic layer was dried over Na2SO4 and concentrated in vacuo. The crude residue was purified by reversed phase chromatography to afford the title compound (30 mg, 42%) as a light-yellow solid. LCMS (ES, m/z): 610.15 [M+H]+ STEP 10: 4-((cis-4-((Z)-(tert-Butoxyimino)(phenyl)methyl)cyclohexyl)(methyl)amino)-6-cyano-1- methyl-2-oxo-7-((tetrahydrofuran-3-yl)oxy)-1,2-dihydro-1,5-naphthyridine-3-carboxamide A mixture of 4-((is-4-((Z)-(tert-butoxyimino)(phenyl)methyl)cyclohexyl)(methyl)amino)- 6-chloro-1-methyl-2-oxo-7-((tetrahydrofuran-3-yl)oxy)-1,2-dihydro-1,5-naphthyridine-3- carboxamide (240 mg, 393 μmol), zinc cyanide (92.4 mg, 786.7 μmol), Pd2(dba)3 (36.0 mg, 39.3 μmol), dppf (43.6 mg, 78.7 μmol) and zinc (s, 51.4 mg, 786.7 μmol) in DMA (3 mL) was heated at 125 °C for 2 h in a P-wave. After cooling to rt followed by aqueous workup, the crude residue was purified by reversed phase chromatography to afford the title compound (170 mg, 72%). 60 mg of the sample was further purified by prep-HPLC to afford the title compound (17.3 mg) as a yellow solid. 1H NMR (400 MHz, DMSO-d6) δ 7.58-7.53 (m, 1H), 7.46-7.31 (m, 7H), 5.56-5.51 (m, 1H), 3.98-3.88 (m, 3H), 3.87-3.77 (m, 2H), 3.56 (s, 3H), 2.95-2.88 (m, 4H), 2.41-2.29 (m, 1H), 2.15- 1.95 (m, 3H), 1.92-1.78 (m, 3H), 1.57-1.41 (m, 2H), 1.26 (s, 9H). LCMS (ES, m/z): 601.25 [M+H]+
EXAMPLE VI-2 8-((cis-4-((Z)-(tert-butoxyimino)(phenyl)methyl)cyclohexyl)(methyl)amino)-5-methyl-6-oxo-3- ((tetrahydrofuran-3-yl)oxy)-5,6-dihydro-1,5-naphthyridine-2,7-dicarbonitrile
To a solution of 4-((cis-4-((Z)-(tert- butoxyimino)(phenyl)methyl)cyclohexyl)(methyl)amino)-6-cyano-1-methyl-2-oxo-7- ((tetrahydrofuran-3-yl)oxy)-1,2-dihydro-1,5-naphthyridine-3-carboxamide (100 mg, 166 μmol) and TEA (186 μL, 1.33 mmol) in DCM (4 mL) at 0 °C was added TFAA (118 μL, 832 μmol). After stirring at rt for 2 h, it was concentrated in vacuo and purified by reversed phase chromatography. The product fractions were further purified by prep-HPLC to afford the title compound (45.1 mg, 46%) as a yellow solid. 1H NMR (400 MHz, DMSO-d6) δ 7.48-7.32 (m, 6H), 5.59-5.52 (m, 1H), 4.35-4.25 (m, 1H), 3.98-3.79 (m, 4H), 3.55 (s, 3H), 3.23 (s, 3H), 3.02-2.93 (m, 1H), 2.42-2.30 (m, 1H), 2.20-2.04 (m, 3H), 1.97-1.84 (m, 2H), 1.83-1.73 (m, 2H), 1.68-1.54 (m, 2H), 1.29 (s, 9H). LCMS (ES, m/z): 583.35 [M+H]+
EXAMPLE VI-3 4-((cis-4-((Z)-(tert-Butoxyimino)(6-methoxypyridin-3-yl)methyl)cyclohexyl)(methyl)amino)-6- cyano-1-methyl-2-oxo-1,2-dihydro-1,5-naphthyridine-3-carboxamide
EXAMPLE VI-4 4-((cis-4-((E)-(tert-Butoxyimino)(6-methoxypyridin-3-yl)methyl)cyclohexyl)(methyl)amino)-6- cyano-1-methyl-2-oxo-1,2-dihydro-1,5-naphthyridine-3-carboxamide
STEP 1: 4-((cis-4-((Z)-(tert-butoxyimino)(6-methoxypyridin-3- yl)methyl)cyclohexyl)(methyl)amino)-6-chloro-1-methyl-2-oxo-1,2-dihydro-1,5-naphthyridine-3- carboxamide A solution of 4-((cis-4-((Z)-(tert-butoxyimino)(6-methoxypyridin-3- yl)methyl)cyclohexyl)(methyl)amino)-6-chloro-1-methyl-2-oxo-1,2-dihydro-1,5-naphthyridine-3- carbonitrile (prepared analogously to methods described herein, 340 mg, 614 μmol), Pd(OAc)2 (68.9 mg, 307 μmol) and acetaldoxime (362.8 mg, 6.14 mmol) in Ethanol (9 mL) was stirred at 80 °C for 1 h. After concentrating in vacuo, the crude residue was purified by reverse flash chromatography afford 4-((cis-4-((Z)-(tert-butoxyimino)(6-methoxypyridin-3- yl)methyl)cyclohexyl)(methyl)amino)-6-chloro-1-methyl-2-oxo-1,2-dihydro-1,5-naphthyridine-3- carboxamide (150 mg, 42%) as a yellow solid. LCMS (ES, m/z): 555.50 [M+H]+ STEP 2: 4-((cis-4-((Z)-(tert-butoxyimino)(6-methoxypyridin-3- yl)methyl)cyclohexyl)(methyl)amino)-6-cyano-1-methyl-2-oxo-1,2-dihydro-1,5-naphthyridine-3- carboxamide To a mixture of 4-((cis-4-((Z)-(tert-butoxyimino)(6-methoxypyridin-3- yl)methyl)cyclohexyl)(methyl)amino)-6-chloro-1-methyl-2-oxo-1,2-dihydro-1,5-naphthyridine-3- carboxamide (150 mg, 270 μmol), Pd2(dba)3 (24.8 mg, 27.0 μmol), dppf (30.0 mg, 54.1 μmol), zinc cyanide (63.5 mg, 540.5 μmol) and zinc (17.67 mg, 270.24 μmol) in DMA (5 mL) was heated at 125 °C by P-wave irradiation for 2 h. The cooled mixture was concentrated in vacuo and purified by reverse flash chromatography to afford a product mixture (57 mg) as a yellow solid, which was further purified by prep-HPLC to afford 4-((cis-4-((Z)-(tert-butoxyimino)(6- methoxypyridin-3-yl)methyl)cyclohexyl)(methyl)amino)-6-cyano-1-methyl-2-oxo-1,2-dihydro- 1,5-naphthyridine-3-carboxamide (10.0 mg, 6.8%) as a yellow solid. 1H NMR (300 MHz, DMSO-d6) δ 8.23 (d, J = 1.8 Hz, 1H), 8.15 (d, J = 9.0 Hz, 1H), 8.06 (d, J = 8.7 Hz, 1H), 7.74 (d, J = 8.6, 2.3 Hz, 1H), 7.60 (br s, 1H), 7.47 (br s, 1H), 6.87 (d, J = 8.7 Hz, 1H), 3.92-3.79 (m, 4H), 3.54 (s, 3H), 2.97 (br s, 1H), 2.90 (s, 3H), 2.07-1.80 (m, 6H), 1.62-1.47 (m, 2H), 1.28 (s, 9H). LCMS (ES, m/z): 546.25 [M+H]+ and
4-((cis-4-((E)-(tert-butoxyimino)(6-methoxypyridin-3- yl)methyl)cyclohexyl)(methyl)amino)-6-cyano-1-methyl-2-oxo-1,2-dihydro-1,5-naphthyridine-3- carboxamide (2.0 mg, 1.3%) was obtained as a yellow solid. 1H NMR (300 MHz, DMSO-d6) δ 8.73 (d, J = 8.7, 1H), 8.15 (d, J = 2.2 Hz, 1H), 8.10 (d, J = 8.9 Hz, 1H), 7.80 (d, J = 8.6, 2.4 Hz, 1H), 7.62 (br s, 1H), 7.48 (br s, 1H), 6.84 (d, J = 8.5 Hz, 1H), 3.87 (s, 3H), 3.89-3.79 (m, 1H), 3.57 (s, 3H), 3.22-3.13 (m, 1H), 2.79 (s, 3H), 20.1-1.74 (m, 4H), 1.63-1.50 (m, 2H), 1.49-1.33 (m, 2H), 1.26 (s, 9H). LCMS (ES, m/z): 546.20 [M+H]+ EXAMPLE VI-5 8-((cis-4-((Z)-(tert-butoxyimino)(4-((2-oxooxazolidin-3- yl)methyl)phenyl)methyl)cyclohexyl)(methyl)amino)-5-methyl-6-oxo-5,6-dihydro-1,5- naphthyridine-2,7-dicarbonitrile
EXAMPLE VI-6 8-((cis-4-((E)-(tert-butoxyimino)(4-((2-oxooxazolidin-3- yl)methyl)phenyl)methyl)cyclohexyl)(methyl)amino)-5-methyl-6-oxo-5,6-dihydro-1,5- naphthyridine-2,7-dicarbonitrile
STEP 1: 4-((E/Z)-(tert-butoxyimino)((1s,4s)-4-((3,6-dicyano-1-methyl-2-oxo-1,2-dihydro-1,5- naphthyridin-4-yl)(methyl)amino)cyclohexyl)methyl)benzyl methanesulfonate To a mixture of isomers 8-((cis-4-((E)-(tert-butoxyimino)(4- (hydroxymethyl)phenyl)methyl)cyclohexyl)(methyl)amino)-5-methyl-6-oxo-5,6-dihydro-1,5- naphthyridine-2,7-dicarbonitrile, 8-((cis-4-((Z)-(tert-butoxyimino)(4- (hydroxymethyl)phenyl)methyl)cyclohexyl)(methyl)amino)-5-methyl-6-oxo-5,6-dihydro-1,5- naphthyridine-2,7-dicarbonitrile (60%, 400 mg, 455.7 μmol) and TEA (191 μL, 1.37 mmol) in DCM (10 mL) at 0 °C was added methanesulfonyl chloride (71 μL, 911 μmol). After stirring for 2 h at 0 °C, the mixture was poured into ice water (50 mL) and extracted with DCM (3 x 50 mL). The combined organic layers were concentrated under reduced pressure and the crude residue was purified by silica gel column chromatography (PE/EtOAc, 1:1) to afford a mixture of the title compounds (60% purity, 300 mg, 65%) as a yellow oil. LCMS (ES, m/z): 605.3 [M+H]+ STEP 2: 8-((cis-4-((E)-(tert-butoxyimino)(4-((2-oxooxazolidin-3-yl)methyl)phenyl)methyl) cyclohexyl)(methyl)amino)-5-methyl-6-oxo-5,6-dihydro-1,5-naphthyridine-2,7-dicarbonitrile; and 8-((cis-4-((Z)-(tert-butoxyimino)(4-((2-oxooxazolidin-3-yl)methyl)phenyl)methyl) cyclohexyl)(methyl)amino)-5-methyl-6-oxo-5,6-dihydro-1,5-naphthyridine-2,7-dicarbonitrile. To a solution of oxazolidin-2-one (29.9 mg, 343.4 μmol) in DMF (3 mL) at 0 °C was added NaH (60% in mineral oil, 12 mg, 0.020 mmol). After stirring for 30 min, 4-((E/Z)-(tert- butoxyimino)((1s,4s)-4-((3,6-dicyano-1-methyl-2-oxo-1,2-dihydro-1,5-naphthyridin-4- yl)(methyl)amino)cyclohexyl)methyl)benzyl methanesulfonate (249.2 mg, 412.1 μmol) was added. The resulting mixture was held at 0 °C for 2 h, whereupon it was subjected to an aqueous workup. The crude residue was purified by prep-HPLC. The resulting mixture of isomers (150mg) was further separated by chiral-prep-HPLC (Column: CHIRALPAK IH-3, 4.6x50mm, 3μm; Mobile Phase A: MtBE (0.1% DEA), Mobile Phase B: EtOH) to afford 8-((cis-4- ((Z)-(tert-butoxyimino)(4-((2-oxooxazolidin-3-yl)methyl)phenyl)methyl)cyclohexyl)- (methyl)amino)-5-methyl-6-oxo-5,6-dihydro-1,5-naphthyridine-2,7-dicarbonitrile (20 mg, 9.6%) as a light-yellow solid. 1H NMR (300 MHz, DMSO-d6) δ 8.24 (d, J = 8.8 Hz, 1H), 8.13 (d, J = 8.9 Hz, 1H), 7.39 (d, J = 8.0 Hz, 2H), 7.31 (d, J = 8.0 Hz, 2H), 4.37-4.27 (m, 5H), 3.52 (s, 3H), 3.52-3.44 (m, 2H), 3.25 (s, 3H), 3.00 (br s, 1H), 2.22-2.07 (m, 2H), 1.98-1.76 (m, 4H), 1.71-1.55 (m, 2H), 1.29 (s, 9H).
LCMS (ES, m/z): 596.25 [M+H]+ and 8-((cis-4-((E)-(tert-butoxyimino)(4-((2-oxooxazolidin-3- yl)methyl)phenyl)methyl)cyclohexyl)(methyl)amino)-5-methyl-6-oxo-5,6-dihydro-1,5- naphthyridine-2,7-dicarbonitrile (6.8 mg, 3.3%) as the light-yellow solid. 1H NMR (300 MHz, DMSO-d6) δ 8.26 (d, J = 8.7 Hz, 1H), 8.14 (d, J = 8.7 Hz, 1H), 7.47-7.41 (m, 2H), 7.35-7.29 (m, 2H), 4.39 (s, 2H), 4.38-4.25 (m, 3H), 3.52 (s, 3H), 3.47-3.38 (m, 2H), 3.35- 3.27 (m, 1H), 2.98 (s, 3H), 2.13-2.02 (m, 2H), 1.72-1.53 (m, 6H), 1.28 (s, 9H). LCMS (ES, m/z): 596.30 [M+H]+ EXAMPLE VI-7 N-(4-((Z)-(tert-butoxyimino)(cis-4-((3,6-dicyano-1-methyl-2-oxo-1,2-dihydro-1,5-naphthyridin-4- yl)(methyl)amino)cyclohexyl)methyl)benzyl)-1-(3-(5,5-difluoro-7-(1H-pyrrol-2-yl)-5H-5O4,6O4- dipyrrolo[1,2-c:2',1'-f][1,3,2]diazaborinin-3-yl)propanamido)-3,6,9,12-tetraoxapentadecan-15- amide (Compound VI-7)
To a vial, under nitrogen and wrapped in foil, was added 8-[[4-[(Z)-C-[4- (aminomethyl)phenyl]-N-(1,1-dimethylethoxy)carbonimidoyl]cyclohexyl]-methyl-amino]-5- methyl-6-oxo-1,5-naphthyridine-2,7-dicarbonitrile (4.2 mg, 780 μmol) as a solution in DMF (0.5 mL) followed by DIPEA (39 μL, 223 μmol) and 2,5-dioxopyrrolidin-1-yl 1-(5,5-difluoro-7-(1H- pyrrol-2-yl)-5H-5O4,6O4-dipyrrolo[1,2-c:2',1'-f][1,3,2]diazaborinin-3-yl)-3-oxo-7,10,13,16-
tetraoxa-4-azanonadecan-19-oate (590-PEGO4-SE, 5.0 mg, 7.4 μmol). After stirring for 2 h at rt, the solvent was removed in vacuo then purified by prep-HPLC (2x) to afford the title compound as a purple solid. LCMS (ES, m/z): 1102.0 [M+H2O]. EXAMPLES VI-8 TO VI-22 Synthesis of Compounds VI-8 to VI-22 Compounds VI-8 to VI-22, shown below in Table 7, were prepared in a manner analogous to the compounds described herein. * LCMS (ES, m/z) [M+H]+. TABLE 7
EXAMPLE VII BIOLOGICAL ASSAYS DGKα and DGKζ biochemical assays Compounds of the present invention were prepared into 10 mM DMSO solution and 10 nL of stock was transferred into 384 plates (Optiplate 384 plate) using Echo550. DMSO was used as high control, and ATP substrate buffer was used as a low control. A 1x enzyme assay buffer was prepared (Hepes, pH 7.025mM, BSA 0.05%, Triton-X1000.002%,CaCl21μM, MgCl2 10mM, DTT 2mM). The enzyme assay was performed by diluting enzyme DGKα (1μg/μL DGKα, Carna12-101, SEQ ID NO: 3) or DGKζ (1μ/μL DGKζ, Carna 12-110, SEQ ID NO: 4) using 1X assay buffer. OAG (1-oleoyl-2-acetyl-sn-glycerol, 25mg/ml, Avanti 800100O) and PS (10 mg/ml, Avanti 840032P) were mixed at the ratio of 1:2. A 1X substrate solution was prepared with 1X assay buffer by 100-fold dilution. The substrate solution was sonicated on ice for 1 min. The pure ATP was added to the substrate solution (DGKa:400 μM).5 μL of the enzyme solution were added to the 384 well plate, and the plate was spun for 1 min at 1000 rpm and incubated for 30 mins at RT.5 μL of 1X substrate solution were added to the 384 well plate, the plate was spun and then incubated for 45 mins at RT.10 μL ADP-Glo detergent was added to stop the assay. After 60 mins at RT, 20 μL ADP-Glo Detection buffer was added as the final step. Plate was read after 45min incubation at RT. Data analysis was performed by calculating the % Inhibition using following the formula:
High control (Hc): DMSO/DGKα(DGKζ)/Substrate/ATP/ADP-Glo Low Control (Lc): ATP/ADP-Glo Jurkat NFNB Reporter Cellular Assay Compounds of the present invention were screened for cellular activity using the NFNB ONE-Glo reporter system in the Jurkat cell line. Jurkat cells were maintained in complete RPMI- 1640 medium with 10%FBS, 1% Penicillin-Streptomycin, supplemented with 1mg/mL G418 at 37°C, 5% CO2. Passage of the cells was done every 3 days by inoculating 2-5x105 cells/mL. To test compounds, cells were seeded in a white opaque 384-well plate, at 5x104 cells/well (20 μL per well), in G418 free RPMI-1640 medium, and incubated overnight. The next day, test
compounds were diluted into 3 mM working solution in DMSO. A 10-point concentration curve of test compounds were prepared by performing 3-fold serial dilutions of the compounds, starting at a concentration of 3000 nM (3000, 1000, 333.3, 111.1, 37, 12.3, 4.1, 1.4, 0.45, and 0.15 nM). Serial dilution of compounds was added to cells and the plate was pre-incubated for 60 mins at 37°C with 5% CO2. Treated cells were then stimulated with anti-CD3/CD28 antibodies for additional 6 h at 37°C with 5% CO2. The concentrations of anti-CD3 and anti- CD28 antibodies were 0.5 μg/mL each, diluted in RPMI1640 medium with 10% FBS. Following incubation, 20 μL/well of the One-Glo® reagent was added for One-Glo Reporter detection. Cells were centrifuged at 1000 rpm for 1 min and the plate was incubated for 10 additional mins at rt to stabilize the luminescence signal. After incubation, luminescence was measured using a Perkin Elmer Envision 2104 plate reader. The activity of the compounds of the invention are presented in Table 8, wherein: "A" denotes an IC50 or EC50 of less than 10nM; "B" denotes an IC50 or EC50 of from 10 nM to less than 100 nM; "C" denotes an IC50 or EC50 of from 100 nM to less than 1000 nM; and "D" denotes an IC50 or EC50 of 1000 nM or more. TABLE 8
The various embodiments described above can be combined to provide further embodiments. All of the U.S. patents, U.S. patent application publications, U.S. patent applications, foreign patents, foreign patent applications and non-patent publications referred to in this specification and/or listed in the Application Data Sheet are incorporated herein by reference, in their entirety. Aspects of the embodiments can be modified, if necessary to employ concepts of the various patents, applications and publications to provide yet further embodiments.
These and other changes can be made to the embodiments in light of the above- detailed description. In general, in the following claims, the terms used should not be construed to limit the claims to the specific embodiments disclosed in the specification and the claims, but should be construed to include all possible embodiments along with the full scope of equivalents to which such claims are entitled. Accordingly, the claims are not limited by the disclosure.
Claims
CLAIMS 1. A compound having the structure of Formula (I):
or a pharmaceutically acceptable salt, solvate, hydrate, isomer, tautomer, racemate, or isotope thereof, wherein: X is N or CH; Y is N or CH; R1 is an 8–13 membered heteroaryl ring comprising 1–5 N atoms; R2 is aryl or heteroaryl; R3 is −C2-6 alkyl, −C1-6 haloalkyl, −O−C1-6 alkyl, −C1-6 alkyl−OH, or −C1-6 alkyl−C(O)OH; R4 is, at each occurrence, independently −OH, oxo, halo, −CN, −NO2, −C1-4 alkyl, −C1-4 haloalkyl, −O−C1-4 alkyl, −C1-4 alkyl−OH, −C1-4 alkenyl, −C3-6 cycloalkyl, −O−carbocycle, or −O−heterocycle; R5 is, at each occurrence, independently −OH, −CN, halo, −C1-4 alkyl, −O−C1-4 alkyl, −O−C3-6cycloalkyl, −C3-6cycloalkyl, or 4–6 membered heterocycle containing 1 or 2 heteroatoms independently selected from O and N, wherein each R5 is independently substituted by –(R6)q; R6 is, at each occurrence, independently, halo, oxo, −CN, C1-6 alkyl, C1-6 haloalkyl, −OR7, −NR7R8, −C(O)R7, −C(O)OR7, −OC(O)R7, −C(O)NR7R8, −NR7C(O)R8, −OC(O)NR7R8, −NR8C(O)OR7, −NR7C(O)NR7R8, −S(O)tR7, −NR7S(O)tR8−, −S(O)tNR7R8, −NR7S(O)tNR8−, −NR7S(O)tOR8, −OS(O)tNR7R8, carbocycle, or heterocycle; R7 and R8 are, at each occurrence, independently H, C1-6 alkyl, C1-6 haloalkyl, carbocycle, or heterocycle;; Rʹ is H, −C1-4alkyl, or −C3-6cycloalkyl; a is 0, 1, or 2; m is 1, 2, 3, 4, or 5; n is 0, 1, 2, or 3; q is 0, 1, 2, or 3; and
t is 0, 1, or 2.
2. The compound of claim 1, or a pharmaceutically acceptable salt, solvate, hydrate, isomer, tautomer, racemate, or isotope thereof, wherein X is N.
3. The compound of claim 1, or a pharmaceutically acceptable salt, solvate, hydrate, isomer, tautomer, racemate, or isotope thereof, wherein X is CH.
4. The compound of claim 1, or a pharmaceutically acceptable salt, solvate, hydrate, isomer, tautomer, racemate, or isotope thereof, wherein Y is N.
5. The compound of claim 1, or a pharmaceutically acceptable salt, solvate, hydrate, isomer, tautomer, racemate, or isotope thereof, wherein Y is CH.
6. The compound of claim 1, or a pharmaceutically acceptable salt, solvate, hydrate, isomer, tautomer, racemate, or isotope thereof, wherein X is CH and Y is CH.
7. The compound of claim 1, having the structure of Formula (II):
or a pharmaceutically acceptable salt, solvate, hydrate, isomer, tautomer, racemate, or isotope thereof, wherein: Z is N or C(R4a); R2 is aryl or heteroaryl; R3 is −C2-6 alkyl, or −C1-6 haloalkyl; R4a is −H, −CN, −C1-4alkyl, −C(O)C1-4alkyl, −C(O)N(Rʺ)2; R4b is −H or −C1-4alkyl; R4c is −H, −C1-4alkyl, −C1-4 haloalkyl, −O−C1-4 alkyl; R4d is −H, −C1-4alkyl, −C1-4 haloalkyl, −O−C1-4 alkyl, −O−carbocycle, or −O−heterocycle; R4e is −H, halo, −CN, or −C1-4alkyl; R5 is, at each occurrence, independently −OH, −CN, halo, −C1-4 alkyl, −O−C1-4 alkyl, −O−C3-6cycloalkyl, −C3-6cycloalkyl, or 4–6 membered heterocycle containing 1 or 2 heteroatoms independently selected from O and N, wherein each R5 is independently substituted by –(R6)q; R6 is, at each occurrence, independently, halo, oxo, −CN, C1-6 alkyl, C1-6 haloalkyl, −OR7, −NR7R8, −C(O)R7, −C(O)OR7, −OC(O)R7, −C(O)NR7R8, −NR7C(O)R8, −OC(O)NR7R8, −NR8C(O)OR7,
−NR7C(O)NR7R8, −S(O)tR7, −NR7S(O)tR8−, −S(O)tNR7R8, −NR7S(O)tNR8−, −NR7S(O)tOR8, −OS(O)tNR7R8, carbocycle, or heterocycle; R7 and R8 are, at each occurrence, independently H, C1-6 alkyl, C1-6 haloalkyl, carbocycle, or heterocycle; Rʹ is H, −C1-4alkyl, or −C3-6cycloalkyl; Rʺ is H or −C1-4 alkyl; a is 0, 1, or 2; n is 0, 1, 2, or 3; q is 0, 1, 2, or 3; and t is 0, 1, or 2.
8. The compound of claim 7, or a pharmaceutically acceptable salt, solvate, hydrate, isomer, tautomer, racemate, or isotope thereof, wherein Z is N.
9. The compound of claim 7, or a pharmaceutically acceptable salt, solvate, hydrate, isomer, tautomer, racemate, or isotope thereof, wherein Z is C(R4a).
10. The compound of any one of claims 7 or 9, or a pharmaceutically acceptable salt, solvate, hydrate, isomer, tautomer, racemate, or isotope thereof, wherein R4a is −H.
11. The compound of any one of claims 7 or 9, or a pharmaceutically acceptable salt, solvate, hydrate, isomer, tautomer, racemate, or isotope thereof, wherein R4a is −C1-4alkyl.
12. The compound of any one of claims 7, 9, or 11, or a pharmaceutically acceptable salt, solvate, hydrate, isomer, tautomer, racemate, or isotope thereof, wherein R4a is −CH3.
13. The compound of any one of claims 7, 9, or 11, or a pharmaceutically acceptable salt, solvate, hydrate, isomer, tautomer, racemate, or isotope thereof, wherein R4a is −C(O)CH3,
14. The compound of any one of claims 7, 9, or 11, or a pharmaceutically acceptable salt, solvate, hydrate, isomer, tautomer, racemate, or isotope thereof, wherein R4a is −C(O)NH2, or −C(O)NMe2;
15. The compound of any one of claims 7–14, or a pharmaceutically acceptable salt, solvate, hydrate, isomer, tautomer, racemate, or isotope thereof, wherein R4b is −H
16. The compound of any one of claims 7–14, or a pharmaceutically acceptable salt, solvate, hydrate, isomer, tautomer, racemate, or isotope thereof, wherein R4b is −C1-4alkyl.
17. The compound of any one of claims 7–14, or 16, or a pharmaceutically acceptable salt, solvate, hydrate, isomer, tautomer, racemate, or isotope thereof, wherein R4b is −CH3.
18. The compound of any one of claims 7–17, or a pharmaceutically acceptable salt, solvate, hydrate, isomer, tautomer, racemate, or isotope thereof, wherein R4e is −CN.
19. The compound of any one of claims 7–17, or a pharmaceutically acceptable salt, solvate, hydrate, isomer, tautomer, racemate, or isotope thereof, wherein R4e is −Cl.
20. The compound of any one of claims 1–19 or a pharmaceutically acceptable salt, solvate, hydrate, isomer, tautomer, racemate, or isotope thereof, wherein a is 0.
21. The compound of any one of claims 1–20 or a pharmaceutically acceptable salt, solvate, hydrate, isomer, tautomer, racemate, or isotope thereof, wherein R3 is −C(CH3)3.
22. The compound of any one of claims 1–20 or a pharmaceutically acceptable salt, solvate, hydrate, isomer, tautomer, racemate, or isotope thereof, wherein R3 is −CHF2.
23. The compound of any one of claims 1–22, or a pharmaceutically acceptable salt, solvate, hydrate, isomer, tautomer, racemate, or isotope thereof, wherein R2 is aryl.
24. The compound of any one of claims 1–23, or a pharmaceutically acceptable salt, solvate, hydrate, isomer, tautomer, racemate, or isotope thereof, wherein R2 is phenyl or naphthyl.
25. The compound of any one of claims 1–22, or a pharmaceutically acceptable salt, solvate, hydrate, isomer, tautomer, racemate, or isotope thereof, wherein R2 is heteroaryl.
26. The compound of any one of claims 1–22 or 25, or a pharmaceutically acceptable salt, solvate, hydrate, isomer, tautomer, racemate, or isotope thereof, wherein R2 is pyridinyl, pyrazinyl, oxazolyl, imidazolyl, pyrazolyl, oxadiazolyl, or phenyl-dioxalanyl.
27. A compound having a structure listed in Table 1, or a pharmaceutically acceptable isomer, racemate, hydrate, solvate, isotope, or salt thereof.
28. A pharmaceutically acceptable salt of the compound of any one of claims 1–27.
29. A racemate of the compound of any one of claims 1–28.
30. A pharmaceutical composition comprising a compound of any one of claims 1–29, or a pharmaceutically acceptable salt, solvate, hydrate, isomer, tautomer, racemate or isotope thereof.
31. The pharmaceutical composition of claim 30, further comprising a pharmaceutically acceptable carrier, diluent, or excipient.
32. A pharmaceutical composition comprising: (1) a therapeutically effective amount of the compound any one of claims 1– 29, or a pharmaceutically acceptable salt, solvate, hydrate, isomer, tautomer, racemate, isotope, or composition thereof; and
(2) an anti-cancer agent.
33. The pharmaceutical composition of claim 32, wherein the anti-cancer is a biologic immune-oncology agent.
34. The pharmaceutical composition of claim 33, wherein the biologic immune-oncology agent is a cancer vaccine, an antibody, a tumor infiltrating lymphocyte, or a cytokine.
35. A method for inhibiting the activity of at least one diacylglycerol kinase comprising contacting the diacylglycerol kinase with a compound of any one of claims 1–29, or a pharmaceutically acceptable salt, solvate, hydrate, isomer, tautomer, racemate, isotope, or composition thereof.
36. The method of claim 35, wherein the diacylglycerol kinase is diacylglycerol kinase alpha (DGKa) or diacylglycerol kinase zeta (DGKζ).
37. A method of treating a subject having a disease or disorder associated with the activity of DGKα, DGKζ, or both DGKα and DGKζ comprising administering to the subject in need thereof a pharmaceutically effective amount of the compound any one of claims 1–29, or a pharmaceutically acceptable salt, solvate, hydrate, isomer, tautomer, racemate, isotope, or composition thereof.
38. A method of treating a subject having a proliferative disorder or a viral infection comprising administering to the subject in need thereof a pharmaceutically effective amount of the compound any one of claims 1–29, or a pharmaceutically acceptable salt, solvate, hydrate, isomer, tautomer, racemate, isotope, or composition thereof.
39. The method of claim 38, wherein the proliferative disorder is cancer.
40. The method of claim 39, wherein the cancer is cancer of the colon, pancreatic cancer, breast cancer, prostate cancer, lung cancer, ovarian cancer, cervical cancer, renal cancer, cancer of the head and neck, lymphoma, leukemia, or melanoma.
41. A method of treating a subject having a proliferative disorder comprising administering to the subject in need thereof (1) a therapeutically effective amount of the compound any one of claims 1– 29, or a pharmaceutically acceptable salt, solvate, hydrate, isomer, tautomer, racemate, isotope, or composition thereof; and (2) a therapeutically effective amount of an anti-cancer agent.
42. The method of claim 41, wherein the proliferative disorder is cancer.
43. The method of claim 42, wherein the cancer is cancer of the colon, pancreatic cancer, breast cancer, prostate cancer, lung cancer, ovarian cancer, cervical cancer, renal cancer, cancer of the head and neck, lymphoma, leukemia, or melanoma.
44. The method of any one of claims 41–43, wherein the anti-cancer is a biologic immune- oncology agent.
45. The method of claim 38, wherein the biologic immune-oncology agent is a cancer vaccine, an antibody, a tumor infiltrating lymphocyte, or a cytokine.
46. Use of a compound according to any one of claims 1–29, or a pharmaceutically acceptable salt, solvate, hydrate, isomer, tautomer, racemate, isotope, or composition thereof, for inhibiting the activity of at least one of diacylglycerol kinase selected from diacylglycerol kinase alpha (DGKa) and diacylglycerol kinase zeta (DGKζ).
47. Use of a compound according to any one of claims 1–29, or a pharmaceutically acceptable salt, solvate, hydrate, isomer, tautomer, racemate, isotope, or composition thereof, for treating a disease or disorder associated with the activity of DGKα or DGKζ, or both DGKα and DGKζ.
48. Use of a compound according to any one of claims 1–29, or a pharmaceutically acceptable salt, solvate, hydrate, isomer, tautomer, racemate, isotope, or composition thereof, for the treatment of proliferative disorders or viral infections.
49. The use of claim 48, wherein the proliferative disorder is cancer.
50. The use of claim 49, wherein said cancer is cancer of the colon, pancreatic cancer, breast cancer, prostate cancer, lung cancer, ovarian cancer, cervical cancer, renal cancer, cancer of the head and neck, lymphoma, leukemia and melanoma.
51. Use of a compound according to any one of claims 1–29, or a pharmaceutically acceptable salt, solvate, hydrate, isomer, tautomer, racemate, isotope, or composition thereof, for the manufacture of a medicament.
Applications Claiming Priority (2)
| Application Number | Priority Date | Filing Date | Title |
|---|---|---|---|
| US202163293052P | 2021-12-22 | 2021-12-22 | |
| US63/293,052 | 2021-12-22 |
Publications (1)
| Publication Number | Publication Date |
|---|---|
| WO2023122777A1 true WO2023122777A1 (en) | 2023-06-29 |
Family
ID=85157318
Family Applications (1)
| Application Number | Title | Priority Date | Filing Date |
|---|---|---|---|
| PCT/US2022/082317 Ceased WO2023122777A1 (en) | 2021-12-22 | 2022-12-22 | Oxime derivatives useful as t cell activators |
Country Status (1)
| Country | Link |
|---|---|
| WO (1) | WO2023122777A1 (en) |
Cited By (2)
| Publication number | Priority date | Publication date | Assignee | Title |
|---|---|---|---|---|
| WO2024131772A1 (en) * | 2022-12-20 | 2024-06-27 | 杭州中美华东制药有限公司 | Oxime-containing compound having sting inhibitory effect, pharmaceutical composition thereof, and use thereof |
| WO2024165470A1 (en) | 2023-02-06 | 2024-08-15 | Bayer Aktiengesellschaft | Combinations of dgk (diacylglycerol kinase) inhibitors |
Citations (28)
| Publication number | Priority date | Publication date | Assignee | Title |
|---|---|---|---|---|
| WO2006029879A2 (en) | 2004-09-17 | 2006-03-23 | F.Hoffmann-La Roche Ag | Anti-ox40l antibodies |
| WO2006105021A2 (en) | 2005-03-25 | 2006-10-05 | Tolerrx, Inc. | Gitr binding molecules and uses therefor |
| WO2006122150A1 (en) | 2005-05-10 | 2006-11-16 | Incyte Corporation | Modulators of indoleamine 2,3-dioxygenase and methods of using the same |
| WO2007005874A2 (en) | 2005-07-01 | 2007-01-11 | Medarex, Inc. | Human monoclonal antibodies to programmed death ligand 1 (pd-l1) |
| WO2007075598A2 (en) | 2005-12-20 | 2007-07-05 | Incyte Corporation | N-hydroxyamidinoheterocycles as modulators of indoleamine 2,3-dioxygenase |
| WO2008036642A2 (en) | 2006-09-19 | 2008-03-27 | Incyte Corporation | N-hydroxyamidinoheterocycles as modulators of indoleamine 2,3-dioxygenase |
| WO2008036653A2 (en) | 2006-09-19 | 2008-03-27 | Incyte Corporation | N-hydroxyamidinoheterocycles as modulators of indoleamine 2,3-dioxygenase |
| WO2008132601A1 (en) | 2007-04-30 | 2008-11-06 | Immutep | Cytotoxic anti-lag-3 monoclonal antibody and its use in the treatment or prevention of organ transplant rejection and autoimmune disease |
| WO2009009116A2 (en) | 2007-07-12 | 2009-01-15 | Tolerx, Inc. | Combination therapies employing gitr binding molecules |
| WO2009044273A2 (en) | 2007-10-05 | 2009-04-09 | Immutep | Use of recombinant lag-3 or the derivatives thereof for eliciting monocyte immune response |
| WO2009073620A2 (en) | 2007-11-30 | 2009-06-11 | Newlink Genetics | Ido inhibitors |
| WO2009115652A2 (en) | 2008-01-03 | 2009-09-24 | Universite De La Mediterannee, Aix-Marseille Ii | Composition and methods used during anti-hiv treatment |
| WO2010019570A2 (en) | 2008-08-11 | 2010-02-18 | Medarex, Inc. | Human antibodies that bind lymphocyte activation gene-3 (lag-3), and uses thereof |
| WO2010077634A1 (en) | 2008-12-09 | 2010-07-08 | Genentech, Inc. | Anti-pd-l1 antibodies and their use to enhance t-cell function |
| WO2011028683A1 (en) | 2009-09-03 | 2011-03-10 | Schering Corporation | Anti-gitr antibodies |
| WO2011056652A1 (en) | 2009-10-28 | 2011-05-12 | Newlink Genetics | Imidazole derivatives as ido inhibitors |
| WO2012032433A1 (en) | 2010-09-09 | 2012-03-15 | Pfizer Inc. | 4-1bb binding molecules |
| WO2012142237A1 (en) | 2011-04-15 | 2012-10-18 | Newlink Geneticks Corporation | Fused imidazole derivatives useful as ido inhibitors |
| WO2012145493A1 (en) | 2011-04-20 | 2012-10-26 | Amplimmune, Inc. | Antibodies and other molecules that bind b7-h1 and pd-1 |
| WO2013079174A1 (en) | 2011-11-28 | 2013-06-06 | Merck Patent Gmbh | Anti-pd-l1 antibodies and uses thereof |
| WO2014008218A1 (en) | 2012-07-02 | 2014-01-09 | Bristol-Myers Squibb Company | Optimization of antibodies that bind lymphocyte activation gene-3 (lag-3), and uses thereof |
| WO2020006016A1 (en) * | 2018-06-27 | 2020-01-02 | Bristol-Myers Squibb Company | Naphthyridinone compounds useful as t cell activators |
| WO2020006018A1 (en) * | 2018-06-27 | 2020-01-02 | Bristol-Myers Squibb Company | Substituted naphthyridinone compounds useful as t cell activators |
| WO2021133751A1 (en) * | 2019-12-23 | 2021-07-01 | Bristol-Myers Squibb Company | Substituted quinazolinyl compounds useful as t cell activators |
| WO2021133752A1 (en) * | 2019-12-23 | 2021-07-01 | Bristol-Myers Squibb Company | Substituted heteroaryl compounds useful as t cell activators |
| WO2021133748A1 (en) * | 2019-12-23 | 2021-07-01 | Bristol-Myers Squibb Company | Substituted quinolinonyl piperazine compounds useful as t cell activators |
| WO2021133749A1 (en) * | 2019-12-23 | 2021-07-01 | Bristol-Myers Squibb Company | Substituted piperazine derivatives useful as t cell activators |
| WO2021258010A1 (en) * | 2020-06-19 | 2021-12-23 | Gossamer Bio Services, Inc. | Oxime compounds useful as t cell activators |
-
2022
- 2022-12-22 WO PCT/US2022/082317 patent/WO2023122777A1/en not_active Ceased
Patent Citations (28)
| Publication number | Priority date | Publication date | Assignee | Title |
|---|---|---|---|---|
| WO2006029879A2 (en) | 2004-09-17 | 2006-03-23 | F.Hoffmann-La Roche Ag | Anti-ox40l antibodies |
| WO2006105021A2 (en) | 2005-03-25 | 2006-10-05 | Tolerrx, Inc. | Gitr binding molecules and uses therefor |
| WO2006122150A1 (en) | 2005-05-10 | 2006-11-16 | Incyte Corporation | Modulators of indoleamine 2,3-dioxygenase and methods of using the same |
| WO2007005874A2 (en) | 2005-07-01 | 2007-01-11 | Medarex, Inc. | Human monoclonal antibodies to programmed death ligand 1 (pd-l1) |
| WO2007075598A2 (en) | 2005-12-20 | 2007-07-05 | Incyte Corporation | N-hydroxyamidinoheterocycles as modulators of indoleamine 2,3-dioxygenase |
| WO2008036642A2 (en) | 2006-09-19 | 2008-03-27 | Incyte Corporation | N-hydroxyamidinoheterocycles as modulators of indoleamine 2,3-dioxygenase |
| WO2008036653A2 (en) | 2006-09-19 | 2008-03-27 | Incyte Corporation | N-hydroxyamidinoheterocycles as modulators of indoleamine 2,3-dioxygenase |
| WO2008132601A1 (en) | 2007-04-30 | 2008-11-06 | Immutep | Cytotoxic anti-lag-3 monoclonal antibody and its use in the treatment or prevention of organ transplant rejection and autoimmune disease |
| WO2009009116A2 (en) | 2007-07-12 | 2009-01-15 | Tolerx, Inc. | Combination therapies employing gitr binding molecules |
| WO2009044273A2 (en) | 2007-10-05 | 2009-04-09 | Immutep | Use of recombinant lag-3 or the derivatives thereof for eliciting monocyte immune response |
| WO2009073620A2 (en) | 2007-11-30 | 2009-06-11 | Newlink Genetics | Ido inhibitors |
| WO2009115652A2 (en) | 2008-01-03 | 2009-09-24 | Universite De La Mediterannee, Aix-Marseille Ii | Composition and methods used during anti-hiv treatment |
| WO2010019570A2 (en) | 2008-08-11 | 2010-02-18 | Medarex, Inc. | Human antibodies that bind lymphocyte activation gene-3 (lag-3), and uses thereof |
| WO2010077634A1 (en) | 2008-12-09 | 2010-07-08 | Genentech, Inc. | Anti-pd-l1 antibodies and their use to enhance t-cell function |
| WO2011028683A1 (en) | 2009-09-03 | 2011-03-10 | Schering Corporation | Anti-gitr antibodies |
| WO2011056652A1 (en) | 2009-10-28 | 2011-05-12 | Newlink Genetics | Imidazole derivatives as ido inhibitors |
| WO2012032433A1 (en) | 2010-09-09 | 2012-03-15 | Pfizer Inc. | 4-1bb binding molecules |
| WO2012142237A1 (en) | 2011-04-15 | 2012-10-18 | Newlink Geneticks Corporation | Fused imidazole derivatives useful as ido inhibitors |
| WO2012145493A1 (en) | 2011-04-20 | 2012-10-26 | Amplimmune, Inc. | Antibodies and other molecules that bind b7-h1 and pd-1 |
| WO2013079174A1 (en) | 2011-11-28 | 2013-06-06 | Merck Patent Gmbh | Anti-pd-l1 antibodies and uses thereof |
| WO2014008218A1 (en) | 2012-07-02 | 2014-01-09 | Bristol-Myers Squibb Company | Optimization of antibodies that bind lymphocyte activation gene-3 (lag-3), and uses thereof |
| WO2020006016A1 (en) * | 2018-06-27 | 2020-01-02 | Bristol-Myers Squibb Company | Naphthyridinone compounds useful as t cell activators |
| WO2020006018A1 (en) * | 2018-06-27 | 2020-01-02 | Bristol-Myers Squibb Company | Substituted naphthyridinone compounds useful as t cell activators |
| WO2021133751A1 (en) * | 2019-12-23 | 2021-07-01 | Bristol-Myers Squibb Company | Substituted quinazolinyl compounds useful as t cell activators |
| WO2021133752A1 (en) * | 2019-12-23 | 2021-07-01 | Bristol-Myers Squibb Company | Substituted heteroaryl compounds useful as t cell activators |
| WO2021133748A1 (en) * | 2019-12-23 | 2021-07-01 | Bristol-Myers Squibb Company | Substituted quinolinonyl piperazine compounds useful as t cell activators |
| WO2021133749A1 (en) * | 2019-12-23 | 2021-07-01 | Bristol-Myers Squibb Company | Substituted piperazine derivatives useful as t cell activators |
| WO2021258010A1 (en) * | 2020-06-19 | 2021-12-23 | Gossamer Bio Services, Inc. | Oxime compounds useful as t cell activators |
Non-Patent Citations (17)
| Title |
|---|
| "The United States Pharmacopeia: The National Formulary (USP 36 NF31", 2013, JOHN WILEY AND SONS, INC |
| AVILA-FLORES ET AL., IMMUNOLOGY AND CELL BIOLOGY, vol. 95, 2017, pages 549 - 563 |
| FACCIABENE ET AL., CANCER RES, vol. 72, 2012, pages 2162 - 71 |
| GOLDSTEIN ET AL., CLIN. CANCER RES, vol. 1, 1995, pages 1311 - 1318 |
| JING ET AL., CANCER RESEARCH, vol. 77, 2017, pages 5676 - 5686 |
| KOHL ET AL., NAT. MED., vol. 1, no. 8, 1995, pages 792 - 797 |
| KRISHNA ET AL., FRONT IMMUNOLOGY, vol. 4, 2013, pages 178 |
| MELLMAN ET AL., NATURE, vol. 480, 2011, pages 480 - 489 |
| MIZOGUCHI ET AL., SCIENCE, vol. 258, 1992, pages 1795 - 98 |
| NOESSNER, FRONT CELL DEV BIOL., 16 May 2017 (2017-05-16) |
| PRINZ ET AL., J IMMUNOLOGY, vol. 12, 2012, pages 5990 - 6000 |
| REMINGTON: "The Science and Practice of Pharmacy", 2005, LIPPENCOTT WILLIAMS & WILKINS |
| RIESE ET AL., FRONT CELL DEV BIOL., no. 4, 2016, pages 130 |
| RIESE ET AL., JOURNAL OF BIOLOGICAL CHEMISTRY, vol. 7, 2011, pages 5254 - 5265 |
| SJOBLOM ET AL., SCIENCE, vol. 314, 2006, pages 268 - 74 |
| TOPALIAN ET AL., CURR. OPIN. IMMUNOL., vol. 24, 2012, pages 1 - 6 |
| ZHA ET AL., NATURE IMMUNOLOGY, vol. 12, 2006, pages 1343 |
Cited By (2)
| Publication number | Priority date | Publication date | Assignee | Title |
|---|---|---|---|---|
| WO2024131772A1 (en) * | 2022-12-20 | 2024-06-27 | 杭州中美华东制药有限公司 | Oxime-containing compound having sting inhibitory effect, pharmaceutical composition thereof, and use thereof |
| WO2024165470A1 (en) | 2023-02-06 | 2024-08-15 | Bayer Aktiengesellschaft | Combinations of dgk (diacylglycerol kinase) inhibitors |
Similar Documents
| Publication | Publication Date | Title |
|---|---|---|
| TWI836159B (en) | Compounds useful as inhibitors of helios protein | |
| EP4081524B1 (en) | Substituted heteroaryl compounds useful as t cell activators | |
| JP7653441B2 (en) | Substituted quinolinonyl piperazine compounds useful as T cell activators - Patents.com | |
| US12492172B2 (en) | Substituted quinazolinyl compounds useful as T cell activators | |
| US11337970B2 (en) | Inhibitors of indoleamine 2,3-dioxygenase and methods of their use | |
| WO2021258010A1 (en) | Oxime compounds useful as t cell activators | |
| AU2021400725A1 (en) | Compounds useful as t cell activators | |
| WO2017192811A1 (en) | Inhibitors of indoleamine 2,3-dioxygenase and methods of their use | |
| KR20200020916A (en) | Amorphous and Crystalline Forms of IDO Inhibitors | |
| WO2023122777A1 (en) | Oxime derivatives useful as t cell activators | |
| WO2023122772A1 (en) | Oxime derivatives useful as t cell activators | |
| EP4568950A1 (en) | Substituted tetrazolyl compounds useful as t cell activators | |
| WO2024137865A1 (en) | Compounds useful as t cell activators | |
| KR20250046310A (en) | Tertiary amine-substituted bicyclic compounds useful as T cell activators | |
| KR20250019700A (en) | Substituted phenyl oxazolone compounds | |
| EA047609B1 (en) | SUBSTITUTED HETEROARYL COMPOUNDS USEFUL AS T-CELL ACTIVATORS |
Legal Events
| Date | Code | Title | Description |
|---|---|---|---|
| 121 | Ep: the epo has been informed by wipo that ep was designated in this application |
Ref document number: 22851368 Country of ref document: EP Kind code of ref document: A1 |
|
| NENP | Non-entry into the national phase |
Ref country code: DE |
|
| 122 | Ep: pct application non-entry in european phase |
Ref document number: 22851368 Country of ref document: EP Kind code of ref document: A1 |



















































































































