WO2022251594A1 - Pharmacokinetics and dose-related improvments in subjects treated with phosphoramidate clevudine prodrugs - Google Patents
Pharmacokinetics and dose-related improvments in subjects treated with phosphoramidate clevudine prodrugs Download PDFInfo
- Publication number
- WO2022251594A1 WO2022251594A1 PCT/US2022/031287 US2022031287W WO2022251594A1 WO 2022251594 A1 WO2022251594 A1 WO 2022251594A1 US 2022031287 W US2022031287 W US 2022031287W WO 2022251594 A1 WO2022251594 A1 WO 2022251594A1
- Authority
- WO
- WIPO (PCT)
- Prior art keywords
- treatment
- hbv
- compound
- ati
- clevudine
- Prior art date
- Legal status (The legal status is an assumption and is not a legal conclusion. Google has not performed a legal analysis and makes no representation as to the accuracy of the status listed.)
- Ceased
Links
Classifications
-
- A—HUMAN NECESSITIES
- A61—MEDICAL OR VETERINARY SCIENCE; HYGIENE
- A61P—SPECIFIC THERAPEUTIC ACTIVITY OF CHEMICAL COMPOUNDS OR MEDICINAL PREPARATIONS
- A61P31/00—Antiinfectives, i.e. antibiotics, antiseptics, chemotherapeutics
- A61P31/12—Antivirals
- A61P31/20—Antivirals for DNA viruses
-
- A—HUMAN NECESSITIES
- A61—MEDICAL OR VETERINARY SCIENCE; HYGIENE
- A61K—PREPARATIONS FOR MEDICAL, DENTAL OR TOILETRY PURPOSES
- A61K31/00—Medicinal preparations containing organic active ingredients
- A61K31/66—Phosphorus compounds
- A61K31/675—Phosphorus compounds having nitrogen as a ring hetero atom, e.g. pyridoxal phosphate
-
- A—HUMAN NECESSITIES
- A61—MEDICAL OR VETERINARY SCIENCE; HYGIENE
- A61K—PREPARATIONS FOR MEDICAL, DENTAL OR TOILETRY PURPOSES
- A61K31/00—Medicinal preparations containing organic active ingredients
- A61K31/66—Phosphorus compounds
- A61K31/683—Diesters of a phosphorus acid with two hydroxy compounds, e.g. phosphatidylinositols
-
- A—HUMAN NECESSITIES
- A61—MEDICAL OR VETERINARY SCIENCE; HYGIENE
- A61K—PREPARATIONS FOR MEDICAL, DENTAL OR TOILETRY PURPOSES
- A61K31/00—Medicinal preparations containing organic active ingredients
- A61K31/70—Carbohydrates; Sugars; Derivatives thereof
- A61K31/7042—Compounds having saccharide radicals and heterocyclic rings
- A61K31/7052—Compounds having saccharide radicals and heterocyclic rings having nitrogen as a ring hetero atom, e.g. nucleosides, nucleotides
- A61K31/706—Compounds having saccharide radicals and heterocyclic rings having nitrogen as a ring hetero atom, e.g. nucleosides, nucleotides containing six-membered rings with nitrogen as a ring hetero atom
- A61K31/7064—Compounds having saccharide radicals and heterocyclic rings having nitrogen as a ring hetero atom, e.g. nucleosides, nucleotides containing six-membered rings with nitrogen as a ring hetero atom containing condensed or non-condensed pyrimidines
- A61K31/7068—Compounds having saccharide radicals and heterocyclic rings having nitrogen as a ring hetero atom, e.g. nucleosides, nucleotides containing six-membered rings with nitrogen as a ring hetero atom containing condensed or non-condensed pyrimidines having oxo groups directly attached to the pyrimidine ring, e.g. cytidine, cytidylic acid
- A61K31/7072—Compounds having saccharide radicals and heterocyclic rings having nitrogen as a ring hetero atom, e.g. nucleosides, nucleotides containing six-membered rings with nitrogen as a ring hetero atom containing condensed or non-condensed pyrimidines having oxo groups directly attached to the pyrimidine ring, e.g. cytidine, cytidylic acid having two oxo groups directly attached to the pyrimidine ring, e.g. uridine, uridylic acid, thymidine, zidovudine
-
- A—HUMAN NECESSITIES
- A61—MEDICAL OR VETERINARY SCIENCE; HYGIENE
- A61K—PREPARATIONS FOR MEDICAL, DENTAL OR TOILETRY PURPOSES
- A61K45/00—Medicinal preparations containing active ingredients not provided for in groups A61K31/00 - A61K41/00
- A61K45/06—Mixtures of active ingredients without chemical characterisation, e.g. antiphlogistics and cardiaca
Definitions
- the present invention relates to methods for treating a patient infected with hepatitis B virus (HBV) with a therapeutically effective amount of a phosphoramidate prodrug of clevudine either alone or in combination with a second antiviral agent.
- HBV hepatitis B virus
- Hepatitis B virus is an infectious disease that targets the liver resulting in either an acute infection, with symptoms arising in 45 to 160 days, or a chronic infection.
- Chronic HBV infection affects 240 to 300 million people worldwide, predominately individuals in sub- Saharan Africa, central and east Asia, and the Pacific region. Estimates indicate that 600,000 deaths occur each year as a result of consequences related to HBV infection. See “Hepatitis B Foundation.
- HBV possesses a 3.2- kb relaxed circular DNA (rcDNA) genome that is used to form covalently closed circular DNA (cccDNA) in a host cell.
- the cccDNA is then transcribed by RNA polymerase II, a host DNA-dependent RNA polymerase, to produce pregenomic RNA (pgRNA).
- pgRNA pregenomic RNA
- the pgRNA is then used by the virally encoded reverse transcriptase to form rcDNA.
- the goals of current treatments for chronic HBV infections are to reduce HBV replication and reduce liver damage.
- nucleoside/nucleotide analogues including tenofovir disoproxil fumarate, tenofovir alafenamide, and entecavir.
- nucleoside or nucleotide analogues effectively control viral replication via chain termination, they are not thought to impact covalently closed circular DNA (cccDNA), the stable archive of HBVDNA that persists in infected hepatocytes.
- ATI-2173 is a novel next-generation active site polymerase inhibitor nucleotide
- ASPIN phosphoramidate prodrug of clevudine and is efficiently metabolized to the active metabolite cl evudine-5’ -triphosphate.
- the active 5’ -triphosphate of ATI-2173 and clevudine noncompetitively distorts the HBV polymerase active site to inhibit all polymerase functions, including protein priming, primer elongation, and DNA synthesis.
- HBV polymerase active site to inhibit all polymerase functions, including protein priming, primer elongation, and DNA synthesis.
- Clevudine demonstrated potent anti-HBV activity and prolonged off-treatment viral load suppression in preclinical studies using a woodchuck HBV model and resulted in significant reductions in intrahepatic cccDNA. See Korba et al., “Clevudine therapy with vaccine inhibits progression of chronic hepatitis and delays onset of hepatocellular carcinoma in chronic woodchuck hepatitis virus infection,” (2004) Antivir Ther 9(6): pp.
- clevudine demonstrated potent HBV viral load suppression and a favorable safety and tolerability profile after 4 to 24 weeks of treatment, with sustained reductions in HBV DNA for up to 24 weeks off treatment. See Lee et al., “A 12-week clevudine therapy showed potent and durable antiviral activity in HBeAg-positive chronic hepatitis B,” (2006) Hepatology 43(5): pp.
- Clevudine was initially approved in South Korea. After extended dosing (>8 months), reversible proximal skeletal muscle myopathy was seen in a small subset of patients, which halted further clinical development. See Kim et al., “Clevudine myopathy in patients with chronic hepatitis B,” (2009) J Hepatol 51(4): pp. 829-834; Tak et al., “Mitochondrial myopathy caused by clevudine therapy in chronic hepatitis B patients,” (2009) Hepatol Res 39(9): pp.
- ATI-2173 metabolism bypasses the first phosphorylation step of clevudine, targeting clevudine-5’ -monophosphate directly to the liver, thereby reducing systemic clevudine exposure and the associated risk of extrahepatic toxicity. See Squires et al. 2020. Enzymatic and nonenzymatic processes convert ATI-2173 into the Ml metabolite, which is enzymatically cleaved to the 5’ -monophosphate, ion trapped in hepatocytes, and converted in a stepwise manner to the diphosphate and triphosphate forms.
- ATI-2173 demonstrated potent HBV suppression, with additive or synergistic anti-HBV activity when combined with other anti-HBV agents, including tenofovir. Compared with clevudine dosing in a preclinical model, ATI-2173 administration reduced systemic exposure to clevudine while retaining comparable liver triphosphate levels. Given its potent antiviral activity, unique mechanism of action, and improved PK profile in preclinical studies, ATI-2173 is currently in development as part of a potentially curative regimen for chronic HBV infection.
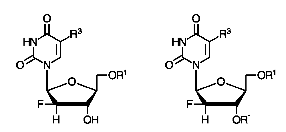
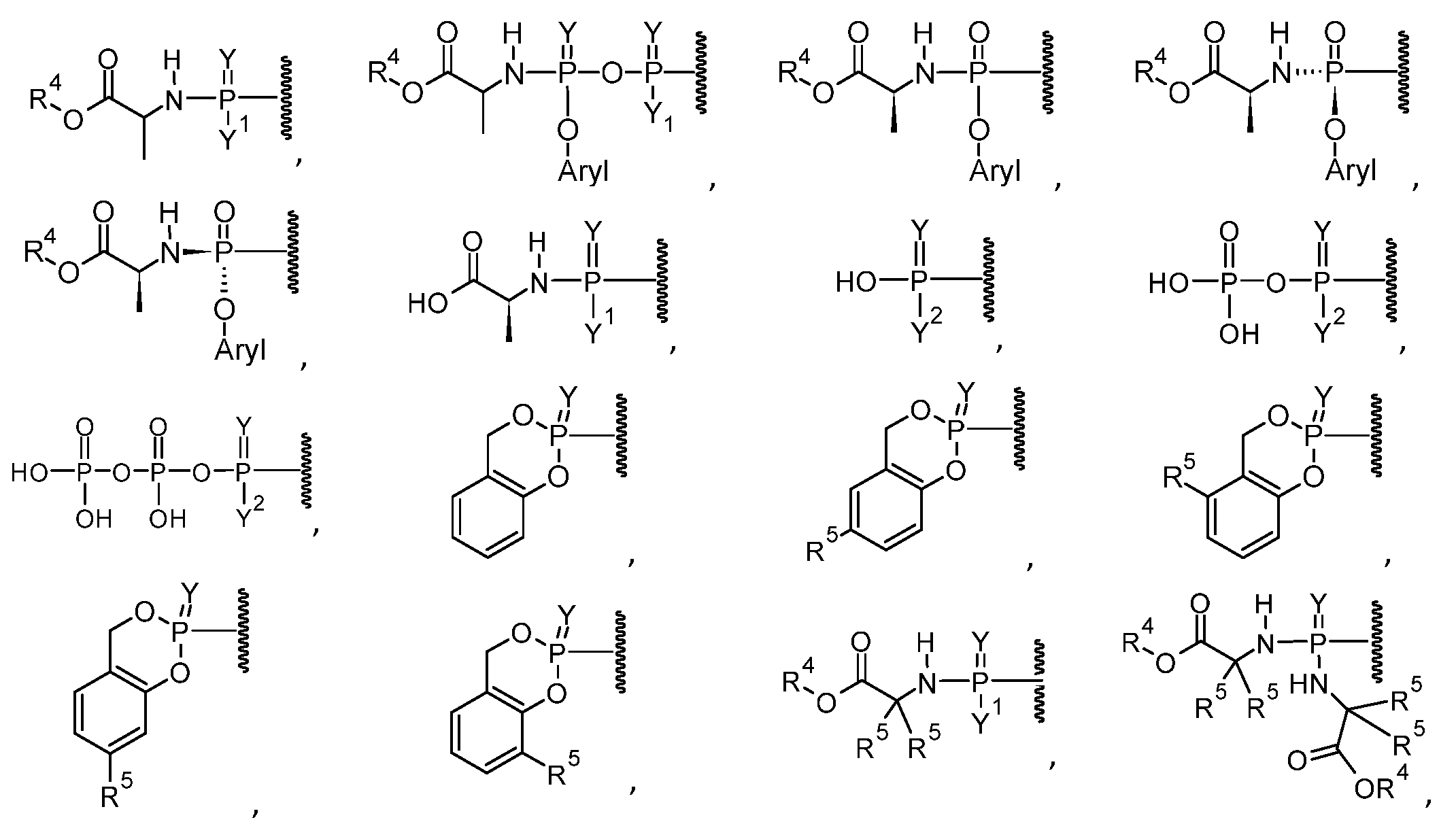
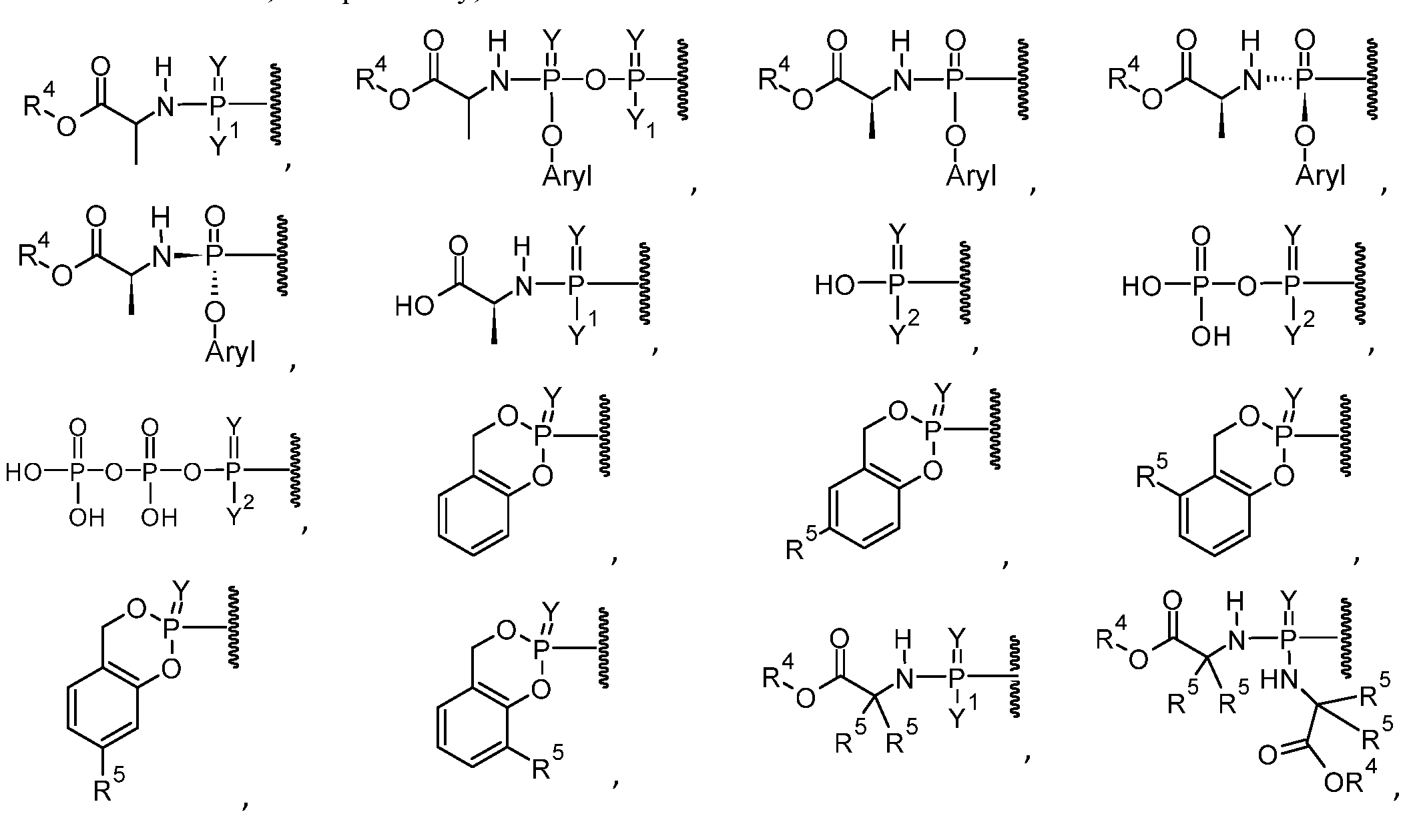
- WO2016099982 discloses the discovery and synthesis of the (S,S) and (S,R) diastereomers of clevudine phosphoramidate compounds having the general formula: where each R is, independently, hydrogen or selected from one of the formulae:
- Y is O or S
- Y 1 is OH, OAryl, OAlkyl, or BH 3 -M + ;
- Y 2 is OH or BH 3 -M + ;
- Aryl is phenyl, 1-naphthyl, 2-naphthyl, aromatic, heteroaromatic, 4-sub stituted phenyl, 4- chlorophenyl, or 4-bromophenyl;
- R 3 is hydrogen, deuterium, methyl, fluoromethyl, difluoromethyl, trifluoromethyl, alkyl, alkenyl, alkynyl, amino, fluoro, chloro, bromo, iodo, hydroxyl, cyano, formyl, acyl, substituted alkyl, substituted alkenyl, substituted alkynyl, substituted amino, or hydroxymethyl;
- R 4 is hydrogen, methyl, ethyl, isopropyl, cyclopentyl, cyclohexyl, neopentyl, benzyl, alkyl, branched alkyl, cycloalkyl, or lipid;
- R 5 is hydrogen, deuterium, hydroxyl, cyano, azido, amino, substituted amino, aryl, heteroaryl, substituted aryl, lipid, C 1-22 alkoxy, C 1-22 alkyl, C 2-22 alkenyl, C 2-22 alkynyl, or substituted heteroaryl;
- R 6 is methyl, ethyl, tert-butyl, C 1-22 alkoxy, C 1-22 alkyl, branched alkyl, cycloalkyl, aryl, substituted aryl, or alkyoxy.
- WO2017223421 discloses that clevudine phosphoramidate compounds, such as ATI-2173, are additive or synergistic when combined with other antivirals such as lamivudine, adefovir, tenofovir, telbivudine, entecavir, or combinations thereof.
- the present disclosure provides materials and methods for treating suffering from HBV infection.
- the present disclosure provides a method for treating a patient infected with HBV with the administration of a therapeutically effective amount of a pharmaceutical composition comprising a compound which is a phosphoramidate prodrug of clevudine wherein the compound decreases HBV activity for at least 30 days following initial treatment.
- the HBV activity is decreased for up to 6 months after the discontinuation of treatment.
- the invention provides for methods of treating a patient infected with HBV with the administration of a therapeutically effective amount of a pharmaceutical composition
- a pharmaceutical composition comprising a compound that produces a steady-state maximal plasma concentration (Cmax) of clevudine of at least 5 ng/mL to about 50 ng/mL, an area under the concentration-time curve over the dosing interval of 24 hours (AUC) of at least 90 ng*h/mL to about 700 ng*h/ml, or a minimal plasma concentration (Cmin) of at least 3 ng/mL to about 24 ng/mL.
- the compound is a phosphoramidate prodrug of clevudine or clevudine.
- the invention provides for methods of treating a patient with
- a pharmaceutical composition comprising a compound that produces a steady-state maximal plasma concentration (Cmax) of clevudine of at least 15 ng/mL, an area under the concentration-time curve over the dosing interval of 24 hours (AUC) of at least 250 ng*h/mL, or a minimal plasma concentration (Cmin) of at least 9 ng/mL.
- the compound is a phosphoramidate prodrug of clevudine or clevudine.
- the invention provides for methods of treating a patient with HBV with the administration of a therapeutically effective amount of a pharmaceutical composition comprising a compound that induces a decrease in HBV DNA from baseline levels prior to treatment by at least 2.0-3.0 log 10 IU/mL or to undetectable levels following at least 28 days of treatment.
- the compound induces a decrease in HBV DNA from baseline levels prior to treatment by at least 2.5 log 10 IU/mL or to undetectable levels following at least 28 days of treatment.
- the compound is a phosphoramidate prodrug of clevudine or clevudine.
- the invention provides for methods of treating a patient with HBV with a therapeutically effective amount of a pharmaceutical composition comprising a compound that induces a decrease in HBV DNA wherein the decrease in HBV DNA is maintained for at least 24 weeks following the cessation of treatment.
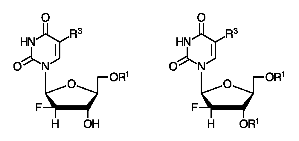
- the compound is a phosphoramidate prodrug of clevudine as disclosed in W020160062364.
- the clevudine phosphoramidate compound has the general formula: where each R 1 is, independently, hydrogen or selected from one of the formulae:
- Y is O or S
- Y 1 is OH, OAryl, OAlkyl, or BH 3 -M + ;
- Y 2 is OH or BH 3 -M + ;
- Aryl is phenyl, 1 -naphthyl, 2-naphthyl, aromatic, heteroaromatic, 4-substituted phenyl, 4- chlorophenyl, or 4-bromophenyl;
- R 3 is hydrogen, deuterium, methyl, fluoromethyl, difluoromethyl, trifluoromethyl, alkyl, alkenyl, alkynyl, amino, fluoro, chloro, bromo, iodo, hydroxyl, cyano, formyl, acyl, substituted alkyl, substituted alkenyl, substituted alkynyl, substituted amino, or hydroxymethyl;
- R 4 is hydrogen, methyl, ethyl, isopropyl, cyclopentyl, cyclohexyl, neopentyl, benzyl, alkyl, branched alkyl, cycloalkyl, or lipid;
- R 5 is hydrogen, deuterium, hydroxyl, cyano, azido, amino, substituted amino, aryl, heteroaryl, substituted aryl, lipid, C 1-22 alkoxy, C 1-22 alkyl, C 2-22 alkenyl, C 2-22 alkynyl, or substituted heteroaryl;
- R 6 is methyl, ethyl, tert-butyl, C 1-22 alkoxy, C 1-22 alkyl, branched alkyl, cycloalkyl, aryl, substituted aryl, or alkyoxy.
- the compound is: pharmaceutically acceptable salt.
- the dose of the compound administered can be any therapeutically acceptable dose.
- the dose of the compound can be from about 10 mg to about 75 mg per day. In other embodiments, the dose of the compound is from about 25 mg to about 50 mg per day.
- the invention provides for methods of treating a patient with HBV with a therapeutically effective amount of a pharmaceutical composition
- a pharmaceutical composition comprising a compound that produces a steady-state maximal plasma concentration (Cmax) of a compound Ml having the formula: of at least 9 ng/mL to about 40 mg/mL, an area under the concentration-time curve over the dosing interval of 24 hours (AUC) of at least 93 ng*h/mL to about 200 mg*h/mL and the time to maximum concentration (T max ) of at least 1 hr.
- the compound is a phosphoramidate prodrug of clevudine or clevudine.
- the invention provides for methods of treating a patient with HBV with a therapeutically effective amount of a pharmaceutical composition comprising a compound that induces a decrease in HBV DNA from baseline levels prior to treatment by at least 2.0-3.0 log 10 IU/mL or to undetectable levels following at least 28 days of treatment.
- the compound induces a decrease in HBV DNA from baseline levels prior to treatment by at least 2.5 log 10 IU/mL or to undetectable levels following at least 28 days of treatment.
- the compound is a phosphoramidate prodrug of clevudine or clevudine.
- the decrease in HBV DNA is maintained for at least 24 weeks following the cessation of treatment.
- the methods can further comprise the administration of a second antiviral agent.
- the second antiviral agent is selected from the group consisting of: an immunomodulator, a capsid assembly inhibitor/modulator, interferon or modified interferon, an HBV polymerase inhibitor, an HBV RNA destabilizer, and another small-molecule inhibitor of HBV protein expression.
- the HBV polymerase inhibitor can be tenofovir or a tenofovir prodrug such as tenofovir alafenamide fumarate (TAF) or tenofovir disoproxil fumerate (TDF).
- TAF tenofovir alafenamide fumarate
- TDF tenofovir disoproxil fumerate
- the amount of tenofovir or a tenofovir prodrug such as tenofovir alafenamide fumarate (TAF) or tenofovir disoproxil fumerate (TDF) can be from about 25 mg to about 1000 mg per day.
- the therapeutically effective amount of a pharmaceutical composition comprising any of the disclosed compounds can be administered in in combination or in alternation.
- the compound or compounds can be administred in a pharmaceutically acceptable carrier or diluent.
- FIG. 1 is a chart depicting the disposition of patients from Example 1 administered varying doses of ATI-2173.
- FIG. 2A-C depict the mean plasma ATI-2173, Ml, and clevudine concentrations on Day 28 following treatment with ATI-2173 (10, 25 and 50 mg). Dashed line (FIG. 2C) represents the historical steady-state minimum plasma clevudine concentration observed following treatment with clevudine 30 mg for 12 weeks in patients with chronic HBV virus infection [00037]
- FIG. 3A depicts the on-treatment mean change from baseline in HBV DNA following treatment with placebo and ATI-2173 (10, 25 and 50 mg).
- FIG. 3B shows the mean on- and off-treatment alanine aminotransferase (ALT) levels. Gray shading indicates the 28-day treatment period.
- FIG. 4 A depicts the on- and off-treatment change from baseline in HBV RNA following treatment with placebo and ATI-2173 (25 and 50 mg). Gray shading indicates the 28- day treatment period.
- FIG. 4B shows the on-treatment change from baseline in (FIG. 4B) HBV RNA and (FIG. 4C) HBcrAg by patient. HBcrAg, hepatitis B core-related antigen.
- FIG. 5 depicts the on- and off-treatment viral load responses following treatment with placebo and ATI-2173 (10, 25 and 50 mg). Gray shading indicates the 28-day treatment period.
- FIG. 6 shows the off-treatment virologic relapses after ATI-2173 administration for
- FIG. 7A, 7B, 7C depict the pharmacokinetic data, which indicated that there was not drug interaction between ATI-2173 and TDF responses following treatment with either ATI- 2173 (50 mg) and ATI-2173 (50 mg) + TDF (300 mg). Data shown are concentration of clevudine (FIG.
- FIG. 8 shows that treatment with ATI-2173 (50 mg) + TDF (300 mg) demonstrated prolonged off-treatment DNA suppression compared to TDF alone. 4/4 TDF + placebo subjects had detectable HBV DNA at 1 month off treatment while 8/16 TDF + ATI-2173 subjects remained below the level of quantification (BLQ) at 1 month off treatment.
- FIG. 9A, 9B and 9C depict on-treatment HBV RNA reduction mirrors HBV DNA decline following treatment with TDF (300 mg) + placebo (FIG. 9 A), ATI-2173 (25 mg) + TDF (300 mg) (FIG. 9B) and ATI-2173 (50 mg) + TDF (300 mg) (FIG. 9C).
- FIG. 10 depicts the results showing that treatemt of ATI-2173 alone following treatment with ATI-2173 (25 and 50 mg) versus placebo demonstrates prolonged off-treatment HBV DNA suppression.
- FIG. 10 shows that sustained viral load responses through 6 months off treatment were observed following just one month of ATI-2173 treatment at either 25 mg or 50 mg. During the 6-month off-treatment follow-up period, HBV DNA gradually increased toward baseline levels. Gray shading indicates the 28-day treatment period.
- FIG. 11 depicts the results showing that one month of treatment of ATI-2173 (50 mg) alone demonstrates prolonged HBV RNA and potential cccDNA activity.
- BLQ below the limit of quantification
- cccDNA covalently closed circular DNA
- a BLQ HBV RNA ⁇ 10 copies/mL
- D28 Day 28 of treatment
- Ml one month off treatment
- M3 three months off treatment
- M6 6 months off treatment.
- FIG. 12 depicts the results following three months of ATI-2173 (25 mg and 50 mg) + TDF (300 mg) on sustained HBV DNA suppression without off-treatment viral rebound. Gray shading indicates the 90-day treatment period.
- FIG. 13 shows that three months of treatment with ATI-2173 (25 mg and 50 mg) + TDF or TDF alone demonstrated off-treatment HBV RNA suppression. Gray shading indicates the 90-day treatment period.
- reduce or other forms of the word, such as “reducing” or “reduction,” is meant lowering of an event or characteristic (e.g., viral infection). It is understood that this is typically in relation to some standard or expected value, in other words it is relative, but that it is not always necessary for the standard or relative value to be referred to. For example, “reduces viral infection” means decreasing the amount of bacteria relative to a standard or a control.
- an event or characteristic e.g., viral infection
- prevent or other forms of the word, such as “preventing” or “prevention,” is meant to stop a particular event or characteristic, to stabilize or delay the development or progression of a particular event or characteristic, or to minimize the chances that a particular event or characteristic will occur. Prevent does not require comparison to a control as it is typically more absolute than, for example, reduce. As used herein, something could be reduced but not prevented, but something that is reduced could also be prevented. Likewise, something could be prevented but not reduced, but something that is prevented could also be reduced. It is understood that where reduce or prevent are used, unless specifically indicated otherwise, the use of the other word is also expressly disclosed. [00057] As used herein, “treatment” refers to obtaining beneficial or desired clinical results.
- Beneficial or desired clinical results include, but are not limited to, any one or more of: alleviation of one or more symptoms (such as infection), diminishment of extent of infection, stabilized (i.e., not worsening) state of infection, preventing or delaying spread of the infection, preventing or delaying occurrence or recurrence of infection, and delay or slowing of infection progression.
- the term “patient” may refer to a human in need of treatment with an antibiotic or treatment for any purpose, such as a human in need of such a treatment to treat viral infection.
- the term “patient” can also refer to non-human animals, preferably mammals such as dogs, cats, horses, cows, pigs, sheep and non-human primates, among others, that are in need of treatment with an antibiotics.
- composition is intended to encompass a product comprising the specified ingredients in the specified amounts, as well as any product which results, directly or indirectly, from combination of the specified ingredients in the specified amounts.
- References in the specification and concluding claims to parts by weight of a particular element or component in a composition denotes the weight relationship between the element or component and any other elements or components in the composition or article for which a part by weight is expressed.
- X and Y are present at a weight ratio of 2:5, and are present in such ratio regardless of whether additional components are contained in the mixture.
- a weight percent (wt.%) of a component unless specifically stated to the contrary, is based on the total weight of the formulation or composition in which the component is included.
- substantially pure means sufficiently homogeneous to appear free of readily detectable impurities as determined by standard methods of analysis, such as thin layer chromatography (TLC), nuclear magnetic resonance (NMR), gel electrophoresis, high performance liquid chromatography (HPLC) and mass spectrometry (MS), gas-chromatography mass spectrometry (GC-MS), and similar, used by those of skill in the art to assess such purity, or sufficiently pure such that further purification would not detectably alter the physical and chemical properties, such as enzymatic and biological activities, of the substance.
- TLC thin layer chromatography
- NMR nuclear magnetic resonance
- HPLC high performance liquid chromatography
- MS mass spectrometry
- GC-MS gas-chromatography mass spectrometry
- a “pharmaceutically acceptable” component is one that is suitable for use with humans and/or animals without undue adverse side effects (such as toxicity, irritation, and allergic response) commensurate with a reasonable benefit/risk ratio.
- “Pharmaceutically acceptable salt” refers to a salt that is pharmaceutically acceptable and has the desired pharmacological properties. Such salts include those that may be formed where acidic protons present in the compounds are capable of reacting with inorganic or organic bases. Suitable inorganic salts include those formed with the alkali metals, e.g., sodium, potassium, magnesium, calcium, and aluminum. Suitable organic salts include those formed with organic bases such as the amine bases, e.g., ethanolamine, diethanolamine, triethanolamine, tromethamine, N-methylglucamine, and the like.
- Such salts also include acid addition salts formed with inorganic acids (e.g., hydrochloric and hydrobromic acids) and organic acids (e.g., acetic acid, citric acid, maleic acid, and the alkane- and arene-sulfonic acids such as methanesulfonic acid and benzenesulfonic acid).
- inorganic acids e.g., hydrochloric and hydrobromic acids
- organic acids e.g., acetic acid, citric acid, maleic acid, and the alkane- and arene-sulfonic acids such as methanesulfonic acid and benzenesulfonic acid.
- acetic acid e.g., citric acid, maleic acid
- alkane- and arene-sulfonic acids such as methanesulfonic acid and benzenesulfonic acid.
- “Pharmaceutically acceptable excipient” refers to an excipient that is conventionally useful in preparing a pharmaceutical composition that is generally safe, non-toxic, and desirable, and includes excipients that are acceptable for veterinary use as well as for human pharmaceutical use. Such excipients can be solid, liquid, semisolid, or, in the case of an aerosol composition, gaseous.
- a “pharmaceutically acceptable carrier” is a carrier, such as a solvent, suspending agent or vehicle, for delivering the disclosed compounds to the patient.
- the carrier can be liquid or solid and is selected with the planned manner of administration in mind.
- Liposomes are also a pharmaceutical carrier.
- carrier includes any and all solvents, dispersion media, vehicles, coatings, diluents, antibacterial and antifungal agents, isotonic and absorption delaying agents, buffers, carrier solutions, suspensions, colloids, and the like. The use of such media and agents for pharmaceutical active substances is well known in the art. Except insofar as any conventional media or agent is incompatible with the active ingredient, its use in the therapeutic compositions is contemplated.
- terapéuticaally effective amount means that amount of active compound or pharmaceutical agent that elicits the biological or medicinal response in a tissue, system, animal or human that is being sought by a researcher, veterinarian, medical doctor or other clinician.
- any agent useful for the current invention is clevudine or any compound, that through its metabolism, causes theraptucally useful levels of clevudine in blood, plasma or intracellularly in hepatocytes.
- Clevudine has been shown to have potent anti-HBV activity and prolonged off- treatment viral load suppression in preclinical animal studies using a woodchuck HBV model and resulted in significant reductions in intrahepatic cccDNA. See Korba et al., “Clevudine therapy with vaccine inhibits progression of chronic hepatitis and delays onset of hepatocellular carcinoma in chronic woodchuck hepatitis virus infection,” (2004) Antivir Ther 9(6): pp.
- clevudine demonstrated potent HBV viral load suppression and a favorable safety and tolerability profile after 4 to 24 weeks of treatment, with sustained reductions in HBV DNA for up to 24 weeks off treatment. See Lee et al., “A 12-week clevudine therapy showed potent and durable antiviral activity in HBeAg-positive chronic hepatitis B,” (2006) Hepatology 43(5): pp.
- Clevudine was initially approved in South Korea. After extended dosing (>8 months), reversible proximal skeletal muscle myopathy was seen in a small subset of patients, which halted further clinical development. See Kim et al., “Clevudine myopathy in patients with chronic hepatitis B,” (2009) J Hepatol 51(4): pp. 829-834; Tak et al., “Mitochondrial myopathy caused by clevudine therapy in chronic hepatitis B patients,” (2009) Hepatol Res 39(9): pp.
- ATI-2173 is a novel next-generation active site polymerase inhibitor nucleotide
- ASPIN phosphoramidate prodrug of clevudine and is efficiently metabolized to the active metabolite cl evudine-5’ -triphosphate.
- the active 5’ -triphosphate of ATI-2173 and clevudine noncompetitively distorts the HBV polymerase active site to inhibit all polymerase functions, including protein priming, primer elongation, and DNA synthesis.
- HBV polymerase active site to inhibit all polymerase functions, including protein priming, primer elongation, and DNA synthesis.
- ATI-2173 metabolism bypasses the first phosphorylation step of clevudine, targeting clevudine-5’ -monophosphate directly to the liver, thereby reducing systemic clevudine exposure and the associated risk of extrahepatic toxicity. See Squires et al. 2020. Enzymatic and nonenzymatic processes convert ATI-2173 into the Ml metabolite, which is enzymatically cleaved to the 5’ -monophosphate, ion trapped in hepatocytes, and converted in a stepwise manner to the diphosphate and triphosphate forms.
- ATI-2173 demonstrated potent HBV suppression, with additive or synergistic anti-HBV activity when combined with other anti-HBV agents, including tenofovir. Compared with clevudine dosing in a preclinical model, ATI-2173 administration reduced systemic exposure to clevudine while retaining comparable liver triphosphate levels. Given its potent antiviral activity, unique mechanism of action, and improved PK profile in preclinical studies, ATI-2173 is currently in development as part of a potentially curative regimen for chronic HBV infection.
- WO2016099982 discloses the discovery and synthesis of the (S,S) and (S,R) diastereomers of clevudine phosphoramidate compounds, including AT 1-2173, having the general formula: where each R 1 is, independently, hydrogen or selected from one of the formulae:
- Y is O or S
- Y 1 is OH, OAryl, OAlkyl, or BH 3 -M + ;
- Y 2 is OH or BH 3 -M + ;
- Aryl is phenyl, 1 -naphthyl, 2-naphthyl, aromatic, heteroaromatic, 4-substituted phenyl, 4- chlorophenyl, or 4-bromophenyl;
- R 3 is hydrogen, deuterium, methyl, fluoromethyl, difluoromethyl, trifluoromethyl, alkyl, alkenyl, alkynyl, amino, fluoro, chloro, bromo, iodo, hydroxyl, cyano, formyl, acyl, substituted alkyl, substituted alkenyl, substituted alkynyl, substituted amino, or hydroxymethyl;
- R 4 is hydrogen, methyl, ethyl, isopropyl, cyclopentyl, cyclohexyl, neopentyl, benzyl, alkyl, branched alkyl, cycloalkyl, or lipid;
- R 5 is hydrogen, deuterium, hydroxyl, cyano, azido, amino, substituted amino, aryl, heteroaryl, substituted aryl, lipid, C 1-22 alkoxy, C 1-22 alkyl, C 2-22 alkenyl, C 2-22 alkynyl, or substituted heteroaryl;
- R 6 is methyl, ethyl, tert-butyl, C 1-22 alkoxy, C 1-22 alkyl, branched alkyl, cycloalkyl, aryl, substituted aryl, or alkyoxy.
- WO20 17223421 discloses that clevudine phosphoramidate compounds, such as
- ATI-2173 are additive or synergistic when combined with other antivirals such as lamivudine, adefovir, tenofovir, telbivudine, entecavir, or combinations thereof.
- clevudine phosphoramidate compounds disclosed in WO2016099982 including the (S,S) and (S,R) diastereomers of clevudine phosphoramidate compounds, including AT 1-2173, having the general formula: where R 1 can be used in any embodiment of the current invention and where each R 1 is, independently, hydrogen or selected from one of the formulae:
- Y is O or S
- Y 1 is OH, OAryl, OAlkyl, or BH 3 -M + ;
- Y 2 is OH or BH 3 -M + ;
- Aryl is phenyl, 1 -naphthyl, 2-naphthyl, aromatic, heteroaromatic, 4-substituted phenyl, 4- chlorophenyl, or 4-bromophenyl;
- R 3 is hydrogen, deuterium, methyl, fluoromethyl, difluoromethyl, trifluoromethyl, alkyl, alkenyl, alkynyl, amino, fluoro, chloro, bromo, iodo, hydroxyl, cyano, formyl, acyl, substituted alkyl, substituted alkenyl, substituted alkynyl, substituted amino, or hydroxymethyl;
- R 4 is hydrogen, methyl, ethyl, isopropyl, cyclopentyl, cyclohexyl, neopentyl, benzyl, alkyl, branched alkyl, cycloalkyl, or lipid;
- R 5 is hydrogen, deuterium, hydroxyl, cyano, azido, amino, substituted amino, aryl, heteroaryl, substituted aryl, lipid, C 1-22 alkoxy, C 1-22 alkyl, C 2-22 alkenyl, C 2-22 alkynyl, or substituted heteroaryl;
- R 6 is methyl, ethyl, tert-butyl, C 1-22 alkoxy, C 1-22 alkyl, branched alkyl, cycloalkyl, aryl, substituted aryl, or alkyoxy.
- Doses of the clevudine phosphoramidate compounds useful in the current invention are from about 1.0 mg to about 1000 mg once or twice daily. More specifically, doses of the clevudine phosphoramidate compounds useful in the current invention are from about 10 mg to about 750 mg once or twice daily. More specifically, doses of the clevudine phosphoramidate compounds useful in the current invention are from about 20 mg to about 500 mg once or twice daily. More specifically, doses of the clevudine phosphoramidate compounds useful in the current invention are from about 30 mg to about 250 mg once or twice daily.
- doses of the clevudine phosphoramidate compounds useful in the current invention are from about 50 mg to about 150 mg once or twice daily. More specifically, doses of the clevudine phosphoramidate compounds useful in the current invention are from about 20 mg to about 75 mg once or twice daily.
- Primary Safety Measures include: i) the percentage of subjects who experienced at least 1 treatment-emergent adverse event (TEAE); ii) the percentage of subjects who experienced at least one treatment emergent serious AE (SAE); iii) percentage of subjects who experienced a treatment-emergent dose limiting toxicity (DLT); iv) percentage of subjects who experienced at least one treatment emergent Grade 1, 2, 3, 4 or 5 laboratory abnormality; v) percentage of subjects who discontinued study drug due to a TEAE; and, vi) alanine aminotransferase and aspartate aminotransferase levels versus time.
- TEAE treatment-emergent adverse event
- SAE the percentage of subjects who experienced at least one treatment emergent serious AE
- DLT treatment-emergent dose limiting toxicity
- DLT treatment-emergent dose limiting toxicity
- the Primary Efficacy and Pharmacodynamic endpoints include: i) time to HBV viral load relapse in HBV-infected subjects; and, ii) the reduction of HBV RNA on-treatment and off-treatment for HBV infected subjects.
- Representative Secondary Efficacy and Pharmacodynamic measures include: i) baseline-adjusted maximal reduction in HBV DNA viral load (E max,HBV ) through 6 months after end of treatment following ATI-2173 at dose ranges of about 25 mg to about 50 mg) alone or incombination with tenofovir dispoproxil fumerate (TDF) (300 mg) for at least 90 days in HBV infected subjects; ii) baseline-adjusted maximal reduction in HBV RNA viral load (E max,HBVRNA ) through 6 months after end of treatment following ATI-2173 at dose ranges of about 25 mg to about 50 mg) alone or incombination with tenofovir dispoproxil fumerate (TDF) (300 mg) for at least 90 days in HBV infected subjects; iii) proportion of subjects with HBV sustatained virological response (6 mo; SVR6; a viral load below the respective HBV DNA or HBV RNA assay lower limit
- pharmacodynamic endpints include: i) proportion of subjects by treatment arm with HBV SVR at 12 months (SVR12), SVR at 18 months (SVR18), and SVR at 24 months (SVR24); ii) proportion of subjects by treatment arm with on- treatment serum alanine aminotransferase (ALT) flares (ie, from Day 1 to Day 90); iii) proportion of subjects by treatment arm with off-treatment ALT flares (ie, from Day 90 to the end of the study, with no on-treatment ALT flares) by treatment arm; iv) HBV DNA slope off-treatment; vi) relationship between HBV pregenomic RNA (pgRNA) and HBV SVR6; v) HBV pgRNA at the end of treatment; vii) relationship between HBV SVR and HBV surface antigen (HBsAg); vi) TE max,HBV and AUECHBV through 6 months after end of treatment following (25 mg or 50 mg)
- ALT serum alanine aminotransfera
- Various pharmacokinetic parameters to be measured include (see Table 2 below): i) ATI-2173, clevudine, Ml, and tenofovir C max , t max , C trough , Ct au , AUC 0-24 or, AUC tau , t 1/2 , R AC (C max ), and R AC (AUC) in plasma.
- Additional pharmacokinetic parameters will be estimated to support the key endpoints include: i) correlation between individual time to viral load relapse and Day 90 clevudine and/or tenofovir C min and AUC; and ii) correlation between SVR6 and Day 90 clevudine and/or tenofovir C min and AUC. [00091] Table 2
- the current invention includes any treatment protocol that includes administration of ATI-2173 alone, as a monotherapy, and in combination with at least a second antiviral agent.
- the second antiviral agent can be any antiviral agent known to the skilled artisan to be useful in the treatment of HBV infections.
- Charmley “New and current treatment options for hepatitis B,” (March 2022), https://www.medicalnewstoday.com/articles/new-treatment-for-hepatitis-b discloses several potential useful treamtents of HBV infection including immune modulator drugs to boost the immune system to help get rid of the hepatitis B virus as well as direct or indirect acting antiviral agent to slow down or prevent the virus from reproducing.
- useful agents include: i) nucleos(t)ide analogues (NAs) including, but not limited to, tenofovir prodrugs including tenofovir disoproxil, tenofovir alafenamide, entecavir, telbivudine, adefovir dipivoxil, lamivudine; ii) pegylated interferon; iii) interferon Alpha (Intron A); iv) small interfering RNA (nucleotide drugs that interfere with or destroy viral RNA; v) tenofovir prodrugs; vi) HBV entry inhibitors; vii) capsid assembly modulators/inhibitors (CAMS); viii) HBV surface antigen inhibitors; ix) covalently closed circular DNA (cccDNA) inhibitors; x) Crispr-Cas and transcription activator-like effector nucleases; xi) therapeutic vaccines; xii) toll
- WO20 17223421 discloses that clevudine phosphoramidate compounds, such as
- ATI-2173 are additive or synergistic when combined with other antivirals such as lamivudine, adefovir, tenofovir, telbivudine, entecavir, or combinations thereof.
- useful capsid assembly inhibitors/modulators can include those disclosed in WO2020234483, “Oxal ami do- substituted tricyclic inhibitors of hepatitis B virus” and W02020030781, “Tricyclic inhibitors of hepatitis B virus.”
- HBV polymerase inhibitors useful in the current invention include entecavir, lamivudine, telbivudine, clevudine, besifovir, adefovir, and tenofovir.
- Tenofovir can be in a salt form or prodrug form, specifically, tenofovir disoproxil fumarate (Viread), tenofovir alafenamide fumarate (TAF), tenofovir disoproxil orotate, tenofovir disopropxil aspartate or any tenofovir salt or prodrug known to those skilled in the art.
- the clevudine phosphoramidate prodrug, ATI-2173 is used in combination with one, two or more of the second antiviral agents as defined above.
- any of the compounds of the invention can be administered in combination.
- any of the compounds of the invention can be administered in alternation.
- any of the compounds of the invention can be administered in a pharmaceutically acceptable carrier or diluent, where the pharmaceutically acceptable carrier is suitable for oral, parenteral eg. intravenous, or topical delivery.
- This study was a randomized, double-blind, placebo-controlled, multicenter, multiple-ascending-dose trial of ATI-2173 in treatment-naive adults with chronic HBV infection conducted in the Republic of Moldova and Ukraine. This study was conducted in accordance with the principles outlined in the Declaration of Helsinki. The study protocol was approved by an independent ethics committee or institutional review board.
- Eligible patients were aged 18 to 65 years with a body mass index of 18 to 35 kg/m 2 and positive results for serum hepatitis B surface antigen (HBsAg) at screening and >6 months before screening.
- Patients positive for serum hepatitis B e antigen (HBeAg) with HBV DNA >20,000 IU/mL or negative for serum HBeAg with HBV DNA >2000 IU/mL at screening were included.
- Alanine aminotransferase (ALT) and aspartate aminotransferase (AST) levels must have been ⁇ 5 times the upper limit of normal (ULN) at screening and the day before dosing started. Patients who received any previous treatment for HBV were excluded.
- Exclusion criteria also included cirrhosis of the liver; clinically significant muscle disorder, myopathy, or liver disease; presence or history of hepatocellular carcinoma or clinically significant gastrointestinal or kidney disease; history of drug dependency, alcohol abuse, or hypersensitivity to clevudine or related products; use of amiodarone within 28 days of first study drug administration; and positive screening results for HIV antigen and antibodies, hepatitis C virus (HCV), or hepatitis Delta virus (HDV). All patients provided written informed consent.
- HCV hepatitis C virus
- HDV hepatitis Delta virus
- Patients were enrolled by blinded staff and randomized 6:2 to receive ATI-2173 or placebo according to a computer-generated randomization code. Placebo was matched to ATI- 2173 capsules for shape, color, and qualitative composition. Treatment assignments were blinded to all investigators, patients, and clinical and research staff for the entire treatment duration. Designated pharmacy staff remained unblinded to dispense ATI-2173 or placebo from uniquely numbered blinded bottles. The bioanalytical team was unblinded after pharmacokinetic (PK) results were generated to measure ATI-2173 exposure. The sponsor was unblinded after the safety review during the follow-up period to determine whether patients required further HB V treatment. Unblinded and blinded monitors were assigned to check blinding procedures and ensure patients and site staff remained blinded.
- PK pharmacokinetic
- the primary endpoints were maximum observed reduction in HBV DNA from baseline through day 28 on treatment and week 24 off treatment and the following plasma PK parameters for ATI-2173 and clevudine: maximum steady-state plasma concentration (C max ), steady-state minimum observed concentration (C min ), area under the concentration-time curve over the dosing interval (AUCtau), time to maximum concentration (T max ), and half-life (t 1/2 ).
- a secondary endpoint was ALT concentration over time.
- An exploratory endpoint was plasma PK parameters for the Ml metabolite.
- Safety endpoints included the proportion of patients who experienced >1 treatment-emergent AE (TEAE), serious AE, dose-limiting toxicity, or laboratory abnormality; and the proportion who discontinued because of a TEAE.
- plasma clevudine exposure exhibited a delayed onset, with a median T max of 2. 5 to 4.0 hours post-dose across all ATI-2173 doses on day 28 (FIG. 2C; Table 3).
- plasma clevudine was quantifiable through 6 hours post-dose with ATI-2173 10 mg and 24 hours post-dose with ATI-2173 25 and 50 mg.
- clevudine accumulation was observed, with detectable plasma clevudine concentrations through 312 hours post-dose in all patients on day 28.
- Viral load decreased from baseline with each ATI-2173 dose, with mean (SD) decreases in HBV DNA of 2.78 (0.70), 2.72 (0.34), and 2.75 (0.42) log 10 IU/mL on day 28 in the ATI-2173 10, 25, and 50 mg groups, respectively, compared with a mean (SD) increase of 0.17 (0.42) log 10 IU/mL in the placebo group (FIG. 3A).
- mean (SD) HBsAg levels were 3.37 (0.36) to 3.90 (0.69) log 10 IU/mL in the ATI-2173 groups and 3.82 (0.84) log 10 IU/mL in the placebo group (Table 5).
- Mean HBsAg levels did not change substantially during treatment with any ATI-2173 dose or placebo, with mean (SD) changes from baseline of -0.11 (0.40), -0.07 (0.12), and -0.09 (0.10) log 10 IU/mL in the ATI-2173 10, 25, and 50 mg groups, respectively, and -0.08 (0.11) log 10 IU/mL in the placebo group on day 28.
- ALT levels decreased from baseline throughout the dosing period in the ATI- 2173 10 mg group, with ALT levels below the ULN achieved within 14 days and maintained throughout the off-treatment follow-up period (FIG. 3B).
- mean ALT levels were below the ULN at baseline and remained normal throughout the dosing and follow-up periods.
- One patient in the 10 mg group had an ALT level 8 x ULN at baseline, which decreased to 2 x ULN by day 28 and 1 x ULN by day 55. All other patients in the ATI-2173 groups had ALT levels below 2 x ULN throughout the dosing and follow-up periods.
- ALT levels were >1 x ULN at baseline, increased to 2 x ULN by day 14, and remained >2 x ULN through day 10 off treatment and >1 x ULN throughout the follow-up period; two patients in the placebo group had ALT levels >2 x ULN on day 28 that were maintained throughout the follow-up period.
- HBV RNA exhibited a mean (SD) decrease from baseline of 0.58 (0.36) log 10 copies/mL compared with a mean (SD) decrease of 0.01 (0.32) log 10 copies/mL with placebo (FIG. 4A).
- SD mean
- HBV RNA On day 28 in the ATI- 2173 10 mg group, HBV RNA exhibited a mean (SD) decrease of 0.99 (1.16) log 10 copies/mL.
- HBV RNA values were decreased from baseline on day 28 in each of the 8 patients in the ATI-2173 25 and 50 mg groups, 3 of 4 in the ATI-2173 10 mg group, and 2 of 6 in the placebo group (FIG. 4B).
- HBV RNA exhibited mean (SD) decreases of 0.77 (0.56), 0.67 (0.51), and 0.20 (0.23) log 10 copies/mL in the pooled ATI-2173 25 and 50mg group, respectively, compared with mean (SD) increases of 0.23 (0.72), 0.11 (1.66), and 0.22 (1.24) log 10 copies/mL in the placebo group, respectively.
- SD mean
- HBV RNA exhibited mean (SD) decreases of 1.08 (1.35), 0.93 (1.25), and 1.05 (0.66) log 10 copies/mL at weeks 4, 12, and 24 off treatment, respectively.
- SD mean
- HBV RNA exhibited mean (SD) decreases of 1.08 (1.35), 0.93 (1.25), and 1.05 (0.66) log 10 copies/mL at weeks 4, 12, and 24 off treatment, respectively.
- ATI-2173 25 or 50 mg groups who had undetectable HBV DNA for >12 weeks off treatment, all had undetectable HBV RNA at the end of treatment.
- the 4 patients in the ATI-2173 25 or 50 mg groups who did not maintain DNA suppression through >12 weeks off treatment and had detectable HBV RNA at baseline, only one had undetectable HBV RNA at the end of treatment.
- HBcrAg exhibited a mean (SD) decrease from baseline of 0.17 (0.25) log 10 U/mL in the pooled ATI-2173 25 and 50 mg group compared with a mean (SD) increase of 0 36 (0 42) log 10 U/mL in the placebo group (FIG. 4C).
- SD mean
- HBcrAg exhibited a mean (SD) decrease of 0.62 (0.66) log 10 U/mL.
- HBcrAg values were decreased from baseline on day 28 in 6 of 10 patients, including one with undetectable HBV DNA at 12 weeks off treatment and 1 with undetectable HBV DNA at 24 weeks off treatment. None of the 5 patients in the placebo group and 4 in the ATI-2173 10 mg group had decreased HBcrAg levels from baseline on day 28.
- virologic relapse (defined as any detectable HBV DNA) by 10 days off treatment and 2 had virologic relapse by 12 weeks off treatment.
- next-generation ASPIN ATI-2173 inhibits all HBV polymerase functions and may complement the antiviral activity of traditional chain-terminating nucleoside/nucleotide analogues in a potentially curative regimen for chronic HBV infection. See Squires et al., “ATI- 2173, a novel liver-targeted non-chain-terminating nucleotide for hepatitis B virus cure regimens,” (2020) Antimicrob Agents Chemother. 64(9): e000836-20. In the current study, ATI-2173 monotherapy was safe, with no AEs leading to discontinuation, and demonstrated potent antiviral activity after 28 days of administration in patients with chronic HBV infection.
- ATI-2173 a novel active site polymerase inhibitor nucleotide (ASPIN), for HBV cure regimens is well tolerated and has favorable pharmacokinetics in healthy volunteers.” (2021) Abstr Hepatitis B-Therapeutic Agents, June 11-12, 2021.
- ATI-2173 dosing resulted in generally dose-proportional PK and substantially reduced systemic clevudine exposure compared with historical clevudine clinical dosing. See Lim et al. 2008. Prolonged off-treatment viral load responses were noted up to 24 weeks after ATI-2173 discontinuation, with 1 patient maintaining undetectable HBV DNA for 24 weeks off treatment. Overall, results from this study support the continued clinical development of ATI-2173.
- ATI-2173 and its primary metabolite, Ml showed no indication of accumulation in plasma.
- the plasma Cmax for clevudine with ATI-2173 dosing was well below the Cmin previously reported with the 30-mg marketed dose of clevudine. See Lim et al. 2008.
- the 25 mg ATI-2173 dose resulted in an AUCtau that was roughly one-eighth of that reported for the 30 mg clevudine dose.
- the volume of distribution at steady state for ATI-2173 was high in the 25 and 50 mg groups, indicating that ATI-2173 left the plasma and targeted the liver.
- Each ATI-2173 dose demonstrated potent anti-HBV activity, with decreases of 2.72 to 2.78 log 10 IU/mL after 28 days of treatment.
- 12 of 17 patients (71%) treated with ATI-2173 had HBV DNA that was BLQ.
- no correlations between baseline HBsAg level and rate or durability of HBV DNA declines were observed across the ATI-2173 groups.
- HBV DNA In patients who relapsed off treatment, HBV DNA gradually increased but remained below baseline levels in all patients in the 25 and 50 mg groups and in 1 of 3 patients in the 10 mg group. Similar antiviral effects were observed in a study of 1 -month clevudine monotherapy, with reductions from baseline in HBV DNA of 2.5 to 3.0 log 10 IU/mL and 2 of 31 patients maintaining undetectable HB V DNA through 24 weeks off treatment. See Marcellin et al., “A phase II dose-escalating trial of clevudine in patients with chronic hepatitis B,” (2004) Hepatology 40(1): pp. 140-148.
- ATI-2173 25 or 50 mg resulted in a decreased rate of virologic relapse (defined as any detectable HBV DNA) that was delayed compared with other studies in patients with chronic HBV infection who discontinued nucleoside/nucleotide analogues and/or capsid assembly modulators after >1 year of treatment.
- HBeAg-positive or HBeAg-negative patients who received combination treatment with the capsid assembly modulator ABI-H0731 plus either tenofovir disoproxil fumarate, entecavir, or tenofovir alafenamide for 12 to 18 months (n 41), 80% of patients had virologic relapse by week 4, 88% by week 8, and 95% by week 16. See Assembly Biosciences [press release] 2020. Therefore, despite the substantially decreased treatment duration, ATI-2173 monotherapy resulted in a much greater proportion of patients achieving sustained viral suppression compared with nucleoside/nucleotide analogues as either monotherapy or combination therapy. In addition, 28-day ATI-2173 monotherapy resulted in normalization of ALT levels in all dose groups, with no ALT flares occurring after treatment discontinuation.
- This 28-day monotherapy study demonstrated the safety and antiviral potency of the next-generation ASPIN ATI-2173. No dose-related toxicities were noted and systemic clevudine exposure was substantially reduced with ATI-2173 dosing compared with historical clevudine clinical dosing.
- ATI-2173 treatment for 28 days reduced biomarkers of intrahepatic cccDNA activity and led to prolonged off-treatment viral load responses, including 1 patient who maintained undetectable HBV DNA for >24 weeks off treatment. Overall, these results support the continued clinical development of ATI-2173 as part of a possibly curative regimen for chronic HBV infection, including its evaluation in studies with a longer treatment duration, in which greater effects on cccDNA biomarkers and sustained viral suppression may be observed.
- Phase 2a Results of ATI-2173, A Novel Active Site Polymerase Inhibitor Nucleotide, Combined With TDF in Chronic Hepatitis B Patients
- HBV therapy to improve survival and quality of life by preventing disease progression for patients with chronic HBV infection, has only been partially attained.
- Current treatment options consist of interferon alfa, which is poorly tolerated and must be administered subcutaneously for 48 weeks or nucleos(t)ide analogs.
- the great majority of treated patients do not respond to interferon alfa and those treated with nucleos(t)ide analogs must remain on chronic treatment, possibly for a lifetime.
- Ideal treatment for chronic HBV infection would be effective for most patients, be safe, well tolerated, oral and of short duration. Current scientific consensus holds that this will require the combination of drugs with multiple, complementary mechanisms of action, including HBV interactions with host factors and hindering HBV immune evasion.
- the present study was being conducted to evaluate the safety and clinical efficacy of ATI-2173 coadministered with the tenofovir prodrug, tenofovir disoproxil fumarate (TDF; VIREAD®) in subjects infected with chronic HBV.
- TDF tenofovir disoproxil fumarate
- PK pharmacokinetics
- the doses were selected based on preliminary data from the Phase lb study of Example 1.
- the magnitude of the HBV DNA response suggests that the 25 mg and 50 mg doses of ATI-2173 demonstrate similar antiviral activity after 28 days of dosing.
- the dose of TDF 300 mg per day is the standard of care for TDF.
- Cohort C consisted of HBV/Hepatitis Delta (D) virus (HDV) coinfected patents whose data are presented elsewhere.
- Primary endpoints were as described above and herein. Briefly, they included included emergence of adverse events (AE), time to HBV viral load relapse in HBV-infected patients and reduction of HBV DNA on-treatment. In this initial study, all subjects completed 90 days of dosing with no significant AEs (SAEs) or AEs leading to study drug discontinuation.
- SAEs adverse events
- Testing procedures and assays are described in detail as above.
- FIG. 7A, 7B, 7C depict the pharmacokinetic data indicated that there was no drug interaction between ATI-2173 and TDF responses following treatment with either ATI-2173 (50 mg) and ATI-2173 (50 mg) + TDF (300 mg). Data shown are concentration of clevudine (FIG. 7A), ATI-2173 (FIG. 7B) and the Ml metabolite (FIG. 7C) in the blood over 24 hours. Only two patients on ATI-2173 + TDF had asymptomatic on-treatment ALT flares associated with significant HBV DNA reductions (Table 7 below). [00167] Table 7:
- Table 8 shows that there were no off-treatment ALT flares with ATI-2173 + TDF demonstrating that there were no additional safter concerns upon cessation of therapy.
- FIG. 8 shows that ATI-2173 + TDF demonstrated prolonged off-treatment HBV DNA suppression compared to TDF alone.
- FIG. 9A, 9B and 9C depict on-treatment HBV RNA reduction mirrors HBV DNA decline following treatment with TDF (300 mg) + placebo (FIG. 9 A), ATI-2173 (25 mg) + TDF (300 mg) (FIG. 9B) and ATI-2173 (50 mg) + TDF (300 mg) (FIG. 9C).
- TDF 300 mg
- placebo placebo
- ATI-2173 25 mg
- TDF 300 mg
- FIG. 9B ATI-2173
- 50 mg + TDF
- ATI-2173 + TDF The inventors determined in this study that the combination of ATI-2173 + TDF was safe and well-tolerated. All patients completed 90 days of dosing with no SAEs or dose- limiting toxicities. Further, in the ATI-2173 + TDF treated subjects, ALTs were normalized on- treatment. In addition, there were no off-treatment ALT flares with the combination of ATI-2173 + TDF demonstrating additional safety when stopping therapy.
- a cure for chronic HBV infection will require functional control of cccDNA, the stable archive of HBV that persists in infected hepatocytes.
- cccDNA the stable archive of HBV that persists in infected hepatocytes.
- current nucleos(t)ide analogues, such as TDF effectively control viral replication but do not target cccDNA and rarely achieve HBsAg seroclearance. See Asselah et al. 2019; Seto et al. 2021.
- HBV RNA circulating HBV RNA.
- surrogates including circulating HBV RNA.
- undetectable HBV RNA at the end of treatment is associated with better off- treatment response. See Wang et al. 2016; Carey et al. 2020; Seto et al. 2021.
- Example 1 The study involved follow up measurements of subjects from Example 1, i.e. those subjects treated with: i) ATI-2173 (25 mg) or placebo for 1 month; ii) ATI-2173 (50 mg) or placebo for 1 month; and from Example 2, i.e. those subjects treated with: iii) ATI-2173 (25 mg) and TDF (300 mg) or TDF alone; and, iv) ATI-2173 (50 mg) and TDF (300 mg) or TDF alone, for 3 months.
- Antiviral activity i.e. HBV DNA and HBV RNA, were measured at baseline; end of treatment; and months 1, 3, and 6 off treatment as described above.
- FIG. 10 depicts the results showing that treatemt of ATI-2173 alone following treatment with ATI-2173 (25 and 50 mg) versus placebo demonstrates prolonged off-treatment HBV DNA suppression.
- FIG. 10 shows that sustained viral load responses through 6 months off treatment were observed following just one month of ATI-2173 treatment at either 25 mg or 50 mg.
- HBV DNA gradually increased toward baseline levels without ALT flares (data not shown).
- Nine of eleven patients (82%) receiving who received ATI-2173 alone at either dose were BLQ at the end of the 1 -month treatment period.
- One of these nine patients remained BLQ through 6 months off treatment
- FIG. 11 depicts the results showing that one month of treatment of ATI-2173 (50 mg) alone demonstrates prolonged HBV RNA and potential cccDNA activity.
- one month of ATI-2173 treatment 50 mg
- induced rapid HBV RNA declines, with continued decreases for 1 month off treatment, similar to HBV DNA.
- sustained off-treatment reductions in HBV RNA were observed through 6 months following the cessation of treatment. All patients receiving ATI-2173 (50 mg) had undetectable HBV RNA at 1 month off treatment. Patients treated with placebo showed no pattern of change in HBV RNA.
- Table 9 shows the number of patients that had HBV DNA below the level of quantification (BLQ) at each time point (Day 28 of treatment; and 1, 3, 6 months off treatment) in the placebo and ATI-2173 treated groups.
- FIG. 12 depicts the results following three months of ATI-2173 (25 mg and 50 mg) + TDF (300 mg) on sustained HBV DNA suppression without off-treatment viral rebound. Gray shading indicates the 90-day treatment period.
- ATI-2173 (25 mg and 50 mg) + TDF for 3 months induced potent HBV DNA declines. These declines in HBV DNA were sustained through 1 month off treatment.
- TDF placebo + TDF group
- HBV DNA levels began to rebound within 2 weeks off treatment (FIG. 12).
- 4/8 patients (50%) in each ATI-2173 group (25 mg and 50 mg) + TDF were BLQ vs 0/4 in the TDF alone group.
- FIG. 13 shows that three months of treatment with ATI-2173 (25 mg and 50 mg) + TDF or TDF alone demonstrated off-treatment HBV RNA suppression.
- Table 10 shows the number of patients that had HBV DNA below the level of quantification (BLQ) at each time point (Day 90 of treatment; and 1 month off treatment) in the placebo and ATI-2173 + TDF treated groups.
- ATI-2173 monotherapy for 1 month and ATI-2173 (25 mg and 50 mg) + TDF treatment for 3 months exhibits potent HBV DNA suppression that was sustained off treatment. Furthermore, after discontinuation of 1- or 3-month ATI-2173 (25 mg and 50 mg) treatment, HBV DNA rebound was slow.
- ATI-2173 monotherapy (25 mg and 50 mg) and ATI-2173 (25 mg and 50 mg) + TDF decreased circulating HBV RNA with similar directionality and kinetics to HBV DNA and induced prolonged off- treatment HBV RNA suppression. Although rapid rebound of HBV DNA was observed after discontinuation of treatment with TDF alone, HBV RNA remained suppressed through 1 month off treatment.
Landscapes
- Health & Medical Sciences (AREA)
- Life Sciences & Earth Sciences (AREA)
- Medicinal Chemistry (AREA)
- Veterinary Medicine (AREA)
- Public Health (AREA)
- General Health & Medical Sciences (AREA)
- Animal Behavior & Ethology (AREA)
- Chemical & Material Sciences (AREA)
- Pharmacology & Pharmacy (AREA)
- Epidemiology (AREA)
- Virology (AREA)
- Molecular Biology (AREA)
- General Chemical & Material Sciences (AREA)
- Nuclear Medicine, Radiotherapy & Molecular Imaging (AREA)
- Organic Chemistry (AREA)
- Chemical Kinetics & Catalysis (AREA)
- Oncology (AREA)
- Communicable Diseases (AREA)
- Biotechnology (AREA)
- Engineering & Computer Science (AREA)
- Pharmaceuticals Containing Other Organic And Inorganic Compounds (AREA)
Abstract
The present invention relates to methods for treating a patient infected with hepatitis B virus (HBV) with a therapeutically effective amount of a a phosphoramidate prodrug of clevudine either alone or in combination with a second antiviral agent. The methods provide treatment with therapeutically effective amount of a pharmaceutical composition comprising a compound wherein the compound decreases HBV activity for at least 30 days and up to 6 months after the discontinuation of treatment.
Description
PHARMACOKINETICS AND DOSE-RELATED IMPROVMENTS IN SUBJECTS TREATED WITH PHOSPHORAMIDATE CLEVUDINE PRODRUGS
[00001] FIELD OF THE INVENTION
[00002] The present invention relates to methods for treating a patient infected with hepatitis B virus (HBV) with a therapeutically effective amount of a phosphoramidate prodrug of clevudine either alone or in combination with a second antiviral agent.
[00003] BACKGROUND OF THE INVENTION
[00004] Hepatitis B virus (HBV) is an infectious disease that targets the liver resulting in either an acute infection, with symptoms arising in 45 to 160 days, or a chronic infection. Chronic HBV infection affects 240 to 300 million people worldwide, predominately individuals in sub- Saharan Africa, central and east Asia, and the Pacific region. Estimates indicate that 600,000 deaths occur each year as a result of consequences related to HBV infection. See “Hepatitis B Foundation. Hepatitis B facts and figures,” https://www.hepb.org/what-is-hepatitis-b/what-is- hepb/facts-and-figures/ (accessed October 20, 2021); Tang et al., “Chronic hepatitis B infection: a review,” (2018) JAMA 319(17): pp. 1802-1813.
[00005] HBV possesses a 3.2- kb relaxed circular DNA (rcDNA) genome that is used to form covalently closed circular DNA (cccDNA) in a host cell. The cccDNA is then transcribed by RNA polymerase II, a host DNA-dependent RNA polymerase, to produce pregenomic RNA (pgRNA). The pgRNA is then used by the virally encoded reverse transcriptase to form rcDNA. The goals of current treatments for chronic HBV infections are to reduce HBV replication and reduce liver damage.
[00006] Currently available treatment options include pegylated interferon a, which is frequently associated with adverse reactions, and nucleoside/nucleotide analogues, including tenofovir disoproxil fumarate, tenofovir alafenamide, and entecavir. Although nucleoside or nucleotide analogues effectively control viral replication via chain termination, they are not thought to impact covalently closed circular DNA (cccDNA), the stable archive of HBVDNA that persists in infected hepatocytes. See Asselah et al., “Targets and future direct-acting antiviral approaches to achieve hepatitis B virus cure,” (2019) Lancet Gastroenterol Hepatol 4(11): pp. 883-
892. Therefore, current nucleoside/nucleotide analogues are generally not curative and typically require lifelong therapy to maintain virologic suppression.
[00007] ATI-2173 is a novel next-generation active site polymerase inhibitor nucleotide
(ASPIN) that is a phosphoramidate prodrug of clevudine and is efficiently metabolized to the active metabolite cl evudine-5’ -triphosphate. See Squires et al., “ATI-2173, a novel liver-targeted non-chain-terminating nucleotide for hepatitis B virus cure regimens,” (2020) Antimicrob Agents Chemother 64(9):e000836-20. Unlike chain-terminating nucleoside/nucleotide analogues, the active 5’ -triphosphate of ATI-2173 and clevudine noncompetitively distorts the HBV polymerase active site to inhibit all polymerase functions, including protein priming, primer elongation, and DNA synthesis. See Squires et al. 2020; Balakrishna et al., “Inhibition of hepatitis B virus by a novel L-nucleoside, 2'-fluoro-5-methyl-beta-L-arabinofuranosyl uracil,” (1996) Antimicrob Agents Chemother 40(2): pp. 380-386; Chong et al., “Understanding the unique mechanism of L- FMAU (clevudine) against hepatitis B virus: molecular dynamics studies,” (2002) Bioorg Med Chem Lett 12(23): pp. 3459-3462; Jones et al., “Noncompetitive inhibition of hepatitis B virus reverse transcriptase protein priming and DNA synthesis by the nucleoside analog clevudine,” (2013) Antimicrob Agents Chemother 57(9): pp. 4181-4189.
[00008] Clevudine demonstrated potent anti-HBV activity and prolonged off-treatment viral load suppression in preclinical studies using a woodchuck HBV model and resulted in significant reductions in intrahepatic cccDNA. See Korba et al., “Clevudine therapy with vaccine inhibits progression of chronic hepatitis and delays onset of hepatocellular carcinoma in chronic woodchuck hepatitis virus infection,” (2004) Antivir Ther 9(6): pp. 937-952; Peek et al., “Antiviral activity of clevudine [L-FMAU, (1-(2-fluoro-5 -methyl -beta, L-arabinofuranosyl) uracil)] against woodchuck hepatitis virus replication and gene expression in chronically infected woodchucks (Marmota monax),” (2001) Hepatology 33(1): pp. 254-266; Zhu et al., “Kinetics of hepadnavirus loss from the liver during inhibition of viral DNA synthesis,” (2001) J Virol 75(1): pp. 311-322. In phase 2 and 3 clinical studies, clevudine demonstrated potent HBV viral load suppression and a favorable safety and tolerability profile after 4 to 24 weeks of treatment, with sustained reductions in HBV DNA for up to 24 weeks off treatment. See Lee et al., “A 12-week clevudine therapy showed potent and durable antiviral activity in HBeAg-positive chronic hepatitis B,” (2006) Hepatology 43(5): pp. 982-988; Lim et al., “Clinical trial: a phase II, randomized study evaluating the safety, pharmacokinetics and anti -viral activity of clevudine for 12 weeks in patients
with chronic hepatitis B,” (2008) Aliment Pharmacol Ther 27(12): pp.1282-1292; Marcellin et al., “A phase II dose-escalating trial of clevudine in patients with chronic hepatitis B,” (2004) Hepatology 40(1): pp. 140-148; Yoo et al., “Twenty-four-week clevudine therapy showed potent and sustained antiviral activity in HBeAg-positive chronic hepatitis B,” (2007) Hepatology 45(5): pp. 1172-1178; Yoo et al., “Clevudine is highly efficacious in hepatitis B e antigen-negative chronic hepatitis B with durable off-therapy viral suppression,” (2007) Hepatology 46(4): pp. 1041-1048.
[00009] Clevudine was initially approved in South Korea. After extended dosing (>8 months), reversible proximal skeletal muscle myopathy was seen in a small subset of patients, which halted further clinical development. See Kim et al., “Clevudine myopathy in patients with chronic hepatitis B,” (2009) J Hepatol 51(4): pp. 829-834; Tak et al., “Mitochondrial myopathy caused by clevudine therapy in chronic hepatitis B patients,” (2009) Hepatol Res 39(9): pp. 944- 947; Seok et al., “Long-term therapy with clevudine for chronic hepatitis B can be associated with myopathy characterized by depletion of mitochondrial DNA,” (2009) Hepatology 49(6): pp. 2080- 2086. Subsequent reports linked clevudine-associated myopathy to mitochondrial abnormalities, possibly due to competition with endogenous deoxynucleoside substrates for phosphorylation by thymidine kinase, an enzyme that is critical for mitochondrial DNA synthesis and can catalyze the conversion of clevudine to its 5’ -monophosphate. See Tak et al. 2009; Hu et al., “Behavior of thymidylate kinase toward monophosphate metabolites and its role in the metabolism of 1-(2'- deoxy-2'-fluoro-beta-L-arabinofuranosyl)-5-methyluracil (Clevudine) and 2',3'-didehydro-2',3'- dideoxythymidine in cells,” (2005) Antimicrob Agents Chem other 49(5): pp. 2044-2049; Saada et al., “mtDNA depletion myopathy: elucidation of the tissue specificity in the mitochondrial thymidine kinase (TK2) deficiency,” (2003) Mol Genet Metab 79(1): pp. 1-5.
[00010] Because myopathy was observed only after prolonged dosing with clevudine, reducing systemic exposure to unphosphorylated clevudine could improve the pharmacokinetic (PK) and safety profile of this potent molecule. The unique mechanism of action and potent and prolonged antiviral activity make next-generation ASPINs with improved PK profiles desirable for inclusion in a potentially curative regimen for chronic HBV infection.
[00011] ATI-2173 metabolism bypasses the first phosphorylation step of clevudine, targeting clevudine-5’ -monophosphate directly to the liver, thereby reducing systemic clevudine exposure and the associated risk of extrahepatic toxicity. See Squires et al. 2020. Enzymatic and
nonenzymatic processes convert ATI-2173 into the Ml metabolite, which is enzymatically cleaved to the 5’ -monophosphate, ion trapped in hepatocytes, and converted in a stepwise manner to the diphosphate and triphosphate forms. In preclinical studies, ATI-2173 demonstrated potent HBV suppression, with additive or synergistic anti-HBV activity when combined with other anti-HBV agents, including tenofovir. Compared with clevudine dosing in a preclinical model, ATI-2173 administration reduced systemic exposure to clevudine while retaining comparable liver triphosphate levels. Given its potent antiviral activity, unique mechanism of action, and improved PK profile in preclinical studies, ATI-2173 is currently in development as part of a potentially curative regimen for chronic HBV infection.
[00012] WO2016099982 discloses the discovery and synthesis of the (S,S) and (S,R) diastereomers of clevudine phosphoramidate compounds having the general formula:
where each R is, independently, hydrogen or selected from one of the formulae:
Y is O or S;
Y1 is OH, OAryl, OAlkyl, or BH3-M+ ; Y2 is OH or BH3-M+ ;
Aryl is phenyl, 1-naphthyl, 2-naphthyl, aromatic, heteroaromatic, 4-sub stituted phenyl, 4- chlorophenyl, or 4-bromophenyl;
R3 is hydrogen, deuterium, methyl, fluoromethyl, difluoromethyl, trifluoromethyl, alkyl, alkenyl, alkynyl, amino, fluoro, chloro, bromo, iodo, hydroxyl, cyano, formyl, acyl, substituted alkyl, substituted alkenyl, substituted alkynyl, substituted amino, or hydroxymethyl;
R4 is hydrogen, methyl, ethyl, isopropyl, cyclopentyl, cyclohexyl, neopentyl, benzyl, alkyl, branched alkyl, cycloalkyl, or lipid;
R5 is hydrogen, deuterium, hydroxyl, cyano, azido, amino, substituted amino, aryl, heteroaryl, substituted aryl, lipid, C1-22 alkoxy, C1-22 alkyl, C2-22 alkenyl, C2-22 alkynyl, or substituted heteroaryl;
R6 is methyl, ethyl, tert-butyl, C1-22 alkoxy, C1-22 alkyl, branched alkyl, cycloalkyl, aryl, substituted aryl, or alkyoxy.
[00013] Both phosphoramidates showed anti-HBV activity similar to clevudine with the (S,S) diastereomer being slightly more potent. See U.S. Patent No. 10,683,319. Taken orally at doses of 10 to 50 mg per day, ATI-2173 demonstrated potent antiviral activity against chronic
HBV, with mean viral load decreases of 2.7 to 2.8 log10 IU/mL on day 28 for each dose. WO2017223421 discloses that clevudine phosphoramidate compounds, such as ATI-2173, are additive or synergistic when combined with other antivirals such as lamivudine, adefovir, tenofovir, telbivudine, entecavir, or combinations thereof.
[00014] However, what is needed are further studies demonstrating the safety, tolerability, and pharmacokinetics of phosphoramidate prodrugs of clevudine either alone or in combination with asecond antiviral agent.
[00015] SUMMARY OF THE INVENTION
[00016] The present disclosure provides materials and methods for treating suffering from HBV infection.
[00017] In some embodiments, the present disclosure provides a method for treating a patient infected with HBV with the administration of a therapeutically effective amount of a pharmaceutical composition comprising a compound which is a phosphoramidate prodrug of clevudine wherein the compound decreases HBV activity for at least 30 days following initial treatment. In other embodients, the HBV activity is decreased for up to 6 months after the discontinuation of treatment.
[00018] In other embodiments, the invention provides for methods of treating a patient infected with HBV with the administration of a therapeutically effective amount of a pharmaceutical composition comprising a compound that produces a steady-state maximal plasma concentration (Cmax) of clevudine of at least 5 ng/mL to about 50 ng/mL, an area under the concentration-time curve over the dosing interval of 24 hours (AUC) of at least 90 ng*h/mL to about 700 ng*h/ml, or a minimal plasma concentration (Cmin) of at least 3 ng/mL to about 24
ng/mL. In some embodiments, the compound is a phosphoramidate prodrug of clevudine or clevudine.
[00019] In other embodiments, the invention provides for methods of treating a patient with
HBV with the administration of a therapeutically effective amount of a pharmaceutical composition comprising a compound that produces a steady-state maximal plasma concentration (Cmax) of clevudine of at least 15 ng/mL, an area under the concentration-time curve over the dosing interval of 24 hours (AUC) of at least 250 ng*h/mL, or a minimal plasma concentration (Cmin) of at least 9 ng/mL. In some embodiments, the compound is a phosphoramidate prodrug of clevudine or clevudine.
[00020] In still other embodiments, the invention provides for methods of treating a patient with HBV with the administration of a therapeutically effective amount of a pharmaceutical composition comprising a compound that induces a decrease in HBV DNA from baseline levels prior to treatment by at least 2.0-3.0 log10 IU/mL or to undetectable levels following at least 28 days of treatment. In other embodiments, the compound induces a decrease in HBV DNA from baseline levels prior to treatment by at least 2.5 log10 IU/mL or to undetectable levels following at least 28 days of treatment. In some embodiments, the compound is a phosphoramidate prodrug of clevudine or clevudine.
[00021] In any of the embodiments, the invention provides for methods of treating a patient with HBV with a therapeutically effective amount of a pharmaceutical composition comprising a compound that induces a decrease in HBV DNA wherein the decrease in HBV DNA is maintained for at least 24 weeks following the cessation of treatment.
[00022] In any embodiment, the compound is a phosphoramidate prodrug of clevudine as disclosed in W020160062364. In any embodiment, the clevudine phosphoramidate compound has the general formula:
where each R1 is, independently, hydrogen or selected from one of the formulae:
Y is O or S;
Y1 is OH, OAryl, OAlkyl, or BH3-M+ ;
Y2 is OH or BH3-M+ ;
Aryl is phenyl, 1 -naphthyl, 2-naphthyl, aromatic, heteroaromatic, 4-substituted phenyl, 4- chlorophenyl, or 4-bromophenyl;
R3 is hydrogen, deuterium, methyl, fluoromethyl, difluoromethyl, trifluoromethyl, alkyl, alkenyl, alkynyl, amino, fluoro, chloro, bromo, iodo, hydroxyl, cyano, formyl, acyl, substituted alkyl, substituted alkenyl, substituted alkynyl, substituted amino, or hydroxymethyl;
R4 is hydrogen, methyl, ethyl, isopropyl, cyclopentyl, cyclohexyl, neopentyl, benzyl, alkyl, branched alkyl, cycloalkyl, or lipid;
R5 is hydrogen, deuterium, hydroxyl, cyano, azido, amino, substituted amino, aryl, heteroaryl, substituted aryl, lipid, C1-22 alkoxy, C1-22 alkyl, C2-22 alkenyl, C2-22 alkynyl, or substituted heteroaryl;
R6 is methyl, ethyl, tert-butyl, C1-22 alkoxy, C1-22 alkyl, branched alkyl, cycloalkyl, aryl, substituted aryl, or alkyoxy.
[00024] In any embodiment, the dose of the compound administered can be any therapeutically acceptable dose. In some embodiments the dose of the compound can be from about 10 mg to about 75 mg per day. In other embodiments, the dose of the compound is from about 25 mg to about 50 mg per day.
[00025] In still other embodiments, the invention provides for methods of treating a patient with HBV with a therapeutically effective amount of a pharmaceutical composition comprising a compound that produces a steady-state maximal plasma concentration (Cmax) of a compound Ml having the formula:
of at least 9 ng/mL to about 40 mg/mL, an area under the concentration-time curve over the dosing interval of 24 hours (AUC) of at least 93 ng*h/mL to about 200 mg*h/mL and the time to maximum concentration (Tmax) of at least 1 hr. In some embodiments, the compound that produces a steady-state maximal plasma concentration (Cmax) of a compound Ml of about 23 mg/mL, an area under the concentration-time curve over the dosing interval of 24 hours (AUC) of at least 35 ng*h/mL to about 200 mg*h/mL and the time to maximum concentration (Tmax) of at least 1.5 hr. In some embodiments, the compound is a phosphoramidate prodrug of clevudine or clevudine.
[00026] In other embodiments, the invention provides for methods of treating a patient with HBV with a therapeutically effective amount of a pharmaceutical composition comprising a compound that induces a decrease in HBV DNA from baseline levels prior to treatment by at least 2.0-3.0 log10 IU/mL or to undetectable levels following at least 28 days of treatment. In other embodiments, the compound induces a decrease in HBV DNA from baseline levels prior to treatment by at least 2.5 log10 IU/mL or to undetectable levels following at least 28 days of treatment. In some embodiments, the compound is a phosphoramidate prodrug of clevudine or clevudine.
[00027] In any embodiment, the decrease in HBV DNA is maintained for at least 24 weeks following the cessation of treatment.
[00028] In any embodiment, the methods can further comprise the administration of a second antiviral agent. The second antiviral agent is selected from the group consisting of: an immunomodulator, a capsid assembly inhibitor/modulator, interferon or modified interferon, an HBV polymerase inhibitor, an HBV RNA destabilizer, and another small-molecule inhibitor of HBV protein expression.
[00029] The HBV polymerase inhibitor can be tenofovir or a tenofovir prodrug such as tenofovir alafenamide fumarate (TAF) or tenofovir disoproxil fumerate (TDF). In any of the embodiments, the amount of tenofovir or a tenofovir prodrug such as tenofovir alafenamide fumarate (TAF) or tenofovir disoproxil fumerate (TDF) can be from about 25 mg to about 1000 mg per day.
[00030] In any of the embodiments, the therapeutically effective amount of a pharmaceutical composition comprising any of the disclosed compounds can be administered in in combination or in alternation.
[00031] In any of the embodiments, the compound or compounds can be administred in a pharmaceutically acceptable carrier or diluent.
[00032] These and other embodiments and features of the disclosure will become more apparent through reference to the following description, the accompanying figures, and the claims. Furthermore, it is to be understood that the features of the various embodiments described herein are not mutually exclusive and can exist in various combinations and permutations.
[00033] BRIEF DESCRIPTION OF THE FIGURES
[00034] Various other features and attendant advantages of the present invention will be more fully appreciated from the following detailed description when considered in connection with the accompanying drawings in which like reference characters designate like or corresponding parts throughout the several views, and wherein:
[00035] FIG. 1 is a chart depicting the disposition of patients from Example 1 administered varying doses of ATI-2173.
[00036] FIG. 2A-C depict the mean plasma ATI-2173, Ml, and clevudine concentrations on Day 28 following treatment with ATI-2173 (10, 25 and 50 mg). Dashed line (FIG. 2C) represents the historical steady-state minimum plasma clevudine concentration observed following treatment with clevudine 30 mg for 12 weeks in patients with chronic HBV virus infection [00037] FIG. 3A depicts the on-treatment mean change from baseline in HBV DNA following treatment with placebo and ATI-2173 (10, 25 and 50 mg). FIG. 3B shows the mean on- and off-treatment alanine aminotransferase (ALT) levels. Gray shading indicates the 28-day treatment period. The upper limit of normal (ULN) was 35 U/L for men and 25 U/L for women. [00038] FIG. 4 A depicts the on- and off-treatment change from baseline in HBV RNA following treatment with placebo and ATI-2173 (25 and 50 mg). Gray shading indicates the 28- day treatment period. FIG. 4B shows the on-treatment change from baseline in (FIG. 4B) HBV RNA and (FIG. 4C) HBcrAg by patient. HBcrAg, hepatitis B core-related antigen.
[00039] FIG. 5 depicts the on- and off-treatment viral load responses following treatment with placebo and ATI-2173 (10, 25 and 50 mg). Gray shading indicates the 28-day treatment period.
[00040] FIG. 6 shows the off-treatment virologic relapses after ATI-2173 administration for
28 days. All patients were negative for hepatitis B e antigen. BLQ = below the limit of
quantification; D, day; HBV, hepatitis B virus; W, week. aBLQ = HBV DNA <10 IU/mL. bFour patients were BLQ at Day 28 (D28); the fifth patient was BLQ at Day 10 (DIO) off treatment. [00041] FIG. 7A, 7B, 7C depict the pharmacokinetic data, which indicated that there was not drug interaction between ATI-2173 and TDF responses following treatment with either ATI- 2173 (50 mg) and ATI-2173 (50 mg) + TDF (300 mg). Data shown are concentration of clevudine (FIG. 7 A), ATI-2173 (FIG. 7B) and the Ml metabolite (FIG. 7C) in the blood over 24 hours. [00042] FIG. 8 shows that treatment with ATI-2173 (50 mg) + TDF (300 mg) demonstrated prolonged off-treatment DNA suppression compared to TDF alone. 4/4 TDF + placebo subjects had detectable HBV DNA at 1 month off treatment while 8/16 TDF + ATI-2173 subjects remained below the level of quantification (BLQ) at 1 month off treatment.
[00043] FIG. 9A, 9B and 9C depict on-treatment HBV RNA reduction mirrors HBV DNA decline following treatment with TDF (300 mg) + placebo (FIG. 9 A), ATI-2173 (25 mg) + TDF (300 mg) (FIG. 9B) and ATI-2173 (50 mg) + TDF (300 mg) (FIG. 9C).
[00044] FIG. 10 depicts the results showing that treatemt of ATI-2173 alone following treatment with ATI-2173 (25 and 50 mg) versus placebo demonstrates prolonged off-treatment HBV DNA suppression. FIG. 10 shows that sustained viral load responses through 6 months off treatment were observed following just one month of ATI-2173 treatment at either 25 mg or 50 mg. During the 6-month off-treatment follow-up period, HBV DNA gradually increased toward baseline levels. Gray shading indicates the 28-day treatment period.
[00045] FIG. 11 depicts the results showing that one month of treatment of ATI-2173 (50 mg) alone demonstrates prolonged HBV RNA and potential cccDNA activity. BLQ = below the limit of quantification; cccDNA, covalently closed circular DNA; aBLQ = HBV RNA <10 copies/mL; D28 = Day 28 of treatment; Ml = one month off treatment, M3 = three months off treatment, M6 = 6 months off treatment. Patients with HBV RNA that was not detectable at baseline and throughout most of the study were excluded from the HBV RNA analysis (n=1 in placebo group; n=2 in ATI-2173 group). One patient in the ATI-2173 group had missing data. Gray shading indicates the 28-day treatment period.
[00046] FIG. 12 depicts the results following three months of ATI-2173 (25 mg and 50 mg) + TDF (300 mg) on sustained HBV DNA suppression without off-treatment viral rebound. Gray shading indicates the 90-day treatment period.
[00047] FIG. 13 shows that three months of treatment with ATI-2173 (25 mg and 50 mg) + TDF or TDF alone demonstrated off-treatment HBV RNA suppression. Gray shading indicates the 90-day treatment period.
[00048] DETAILED DESCRIPTION
[00049] The materials, compounds, compositions, and methods described herein may be understood more readily by reference to the following detailed description of specific aspects of the disclosed subject matter, the Figures, and the Examples included therein. Before the present materials, compounds, compositions, and methods are disclosed and described, it is to be understood that the aspects described below are not limited to specific synthetic methods or specific reagents, as such may, of course, vary. It is also to be understood that the terminology used herein is for the purpose of describing particular aspects only and is not intended to be limiting.
[00050] Also, throughout this specification, various publications are referenced. The disclosures of these publications in their entireties are hereby incorporated by reference into this application in order to more fully describe the state of the art to which the disclosed matter pertains. The references disclosed are also individually and specifically incorporated by reference herein for the material contained in them that is discussed in the sentence in which the reference is relied upon.
[00051] General Definitions
[00052] In this specification and in the claims that follow, reference will be made to a number of terms, which shall be defined to have the following meanings:
[00053] Throughout the specification and claims the word “comprise” and other forms of the word, such as “comprising” and “comprises,” means including but not limited to, and is not intended to exclude, for example, other additives, components, integers, or steps. As used in the description and the appended claims, the singular forms “a,” “an,” and “the” include plural referents unless the context clearly dictates otherwise. Thus, for example, reference to “a composition” includes mixtures of two or more such compositions, reference to “an antibiotic” includes mixtures of two or more such antibiotics, reference to “the compound” includes mixtures of two or more such compounds, and the like. “Optional” or “optionally” means that the
subsequently described event or circumstance can or cannot occur, and that the description includes instances where the event or circumstance occurs and instances where it does not. [00054] Notwithstanding that the numerical ranges and parameters setting forth the broad scope of the disclosure are approximations, the numerical values set forth in the specific examples are reported as precisely as possible. Any numerical value, however, inherently contain certain errors necessarily resulting from the standard deviation found in their respective testing measurements. Furthermore, when numerical ranges of varying scope are set forth herein, it is contemplated that any combination of these values inclusive of the recited values may be used. Further, ranges can be expressed herein as from “about” one particular value, and/or to “about” another particular value. When such a range is expressed, another aspect includes from the one particular value and/or to the other particular value. Similarly, when values are expressed as approximations, by use of the antecedent “about,” it will be understood that the particular value forms another aspect. It will be further understood that the endpoints of each of the ranges are significant both in relation to the other endpoint, and independently of the other endpoint. Unless stated otherwise, the term “about” means within 10% (e.g., within 8% or 5% or 2% or 1%) of the particular value modified by the term “about.”
[00055] By “reduce” or other forms of the word, such as “reducing” or “reduction,” is meant lowering of an event or characteristic (e.g., viral infection). It is understood that this is typically in relation to some standard or expected value, in other words it is relative, but that it is not always necessary for the standard or relative value to be referred to. For example, “reduces viral infection” means decreasing the amount of bacteria relative to a standard or a control.
[00056] By “prevent” or other forms of the word, such as “preventing” or “prevention,” is meant to stop a particular event or characteristic, to stabilize or delay the development or progression of a particular event or characteristic, or to minimize the chances that a particular event or characteristic will occur. Prevent does not require comparison to a control as it is typically more absolute than, for example, reduce. As used herein, something could be reduced but not prevented, but something that is reduced could also be prevented. Likewise, something could be prevented but not reduced, but something that is prevented could also be reduced. It is understood that where reduce or prevent are used, unless specifically indicated otherwise, the use of the other word is also expressly disclosed.
[00057] As used herein, “treatment” refers to obtaining beneficial or desired clinical results. Beneficial or desired clinical results include, but are not limited to, any one or more of: alleviation of one or more symptoms (such as infection), diminishment of extent of infection, stabilized (i.e., not worsening) state of infection, preventing or delaying spread of the infection, preventing or delaying occurrence or recurrence of infection, and delay or slowing of infection progression. [00058] The term “patient” may refer to a human in need of treatment with an antibiotic or treatment for any purpose, such as a human in need of such a treatment to treat viral infection. However, the term “patient” can also refer to non-human animals, preferably mammals such as dogs, cats, horses, cows, pigs, sheep and non-human primates, among others, that are in need of treatment with an antibiotics.
[00059] It is understood that throughout this specification the identifiers “first” and “second” are used solely to aid in distinguishing the various components and steps of the disclosed subject matter. The identifiers “first” and “second” are not intended to imply any particular order, amount, preference, or importance to the components or steps modified by these terms.
[00060] Chemical Definitions
[00061] As used herein, the term “composition” is intended to encompass a product comprising the specified ingredients in the specified amounts, as well as any product which results, directly or indirectly, from combination of the specified ingredients in the specified amounts. References in the specification and concluding claims to parts by weight of a particular element or component in a composition denotes the weight relationship between the element or component and any other elements or components in the composition or article for which a part by weight is expressed. Thus, in a mixture containing 2 parts by weight of component X and 5 parts by weight component Y, X and Y are present at a weight ratio of 2:5, and are present in such ratio regardless of whether additional components are contained in the mixture. A weight percent (wt.%) of a component, unless specifically stated to the contrary, is based on the total weight of the formulation or composition in which the component is included.
[00062] As used herein, substantially pure means sufficiently homogeneous to appear free of readily detectable impurities as determined by standard methods of analysis, such as thin layer chromatography (TLC), nuclear magnetic resonance (NMR), gel electrophoresis, high performance liquid chromatography (HPLC) and mass spectrometry (MS), gas-chromatography
mass spectrometry (GC-MS), and similar, used by those of skill in the art to assess such purity, or sufficiently pure such that further purification would not detectably alter the physical and chemical properties, such as enzymatic and biological activities, of the substance. Both traditional and modem methods for purification of the compounds to produce substantially chemically pure compounds are known to those of skill in the art. A substantially chemically pure compound may, however, be a mixture of stereoisomers.
[00063] A “pharmaceutically acceptable” component is one that is suitable for use with humans and/or animals without undue adverse side effects (such as toxicity, irritation, and allergic response) commensurate with a reasonable benefit/risk ratio.
[00064] “Pharmaceutically acceptable salt” refers to a salt that is pharmaceutically acceptable and has the desired pharmacological properties. Such salts include those that may be formed where acidic protons present in the compounds are capable of reacting with inorganic or organic bases. Suitable inorganic salts include those formed with the alkali metals, e.g., sodium, potassium, magnesium, calcium, and aluminum. Suitable organic salts include those formed with organic bases such as the amine bases, e.g., ethanolamine, diethanolamine, triethanolamine, tromethamine, N-methylglucamine, and the like. Such salts also include acid addition salts formed with inorganic acids (e.g., hydrochloric and hydrobromic acids) and organic acids (e.g., acetic acid, citric acid, maleic acid, and the alkane- and arene-sulfonic acids such as methanesulfonic acid and benzenesulfonic acid). When two acidic groups are present, a pharmaceutically acceptable salt may be a mono-acid-mono-salt or a di-salt. Similarly, where there are more than two acidic groups present, some or all of such groups can be converted into salts.
[00065] “Pharmaceutically acceptable excipient” refers to an excipient that is conventionally useful in preparing a pharmaceutical composition that is generally safe, non-toxic, and desirable, and includes excipients that are acceptable for veterinary use as well as for human pharmaceutical use. Such excipients can be solid, liquid, semisolid, or, in the case of an aerosol composition, gaseous.
[00066] A “pharmaceutically acceptable carrier” is a carrier, such as a solvent, suspending agent or vehicle, for delivering the disclosed compounds to the patient. The carrier can be liquid or solid and is selected with the planned manner of administration in mind. Liposomes are also a pharmaceutical carrier. As used herein, “carrier” includes any and all solvents, dispersion media, vehicles, coatings, diluents, antibacterial and antifungal agents, isotonic and absorption delaying
agents, buffers, carrier solutions, suspensions, colloids, and the like. The use of such media and agents for pharmaceutical active substances is well known in the art. Except insofar as any conventional media or agent is incompatible with the active ingredient, its use in the therapeutic compositions is contemplated.
[00067] The term “therapeutically effective amount” as used herein means that amount of active compound or pharmaceutical agent that elicits the biological or medicinal response in a tissue, system, animal or human that is being sought by a researcher, veterinarian, medical doctor or other clinician.
[00068] Reference will now be made in detail to specific aspects of the disclosed materials, compounds, compositions, articles, and methods, examples of which are illustrated in the accompanying Examples and Figures.
[00069] Compounds Useful in the Invention
[00070] The inventors have discovered that any agent useful for the current invention is clevudine or any compound, that through its metabolism, causes theraptucally useful levels of clevudine in blood, plasma or intracellularly in hepatocytes.
[00071] Clevudine has been shown to have potent anti-HBV activity and prolonged off- treatment viral load suppression in preclinical animal studies using a woodchuck HBV model and resulted in significant reductions in intrahepatic cccDNA. See Korba et al., “Clevudine therapy with vaccine inhibits progression of chronic hepatitis and delays onset of hepatocellular carcinoma in chronic woodchuck hepatitis virus infection,” (2004) Antivir Ther 9(6): pp. 937-952; Peek et al., “Antiviral activity of clevudine [L-FMAU, (1-(2-fluoro-5-methyl-beta, L-arabinofuranosyl) uracil)] against woodchuck hepatitis virus replication and gene expression in chronically infected woodchucks (Marmota monax),” (2001) Hepatology 33(1): pp. 254-266; Zhu et al., “Kinetics of hepadnavirus loss from the liver during inhibition of viral DNA synthesis,” (2001) J Virol 75(1): pp. 311-322.
[00072] In clinical studies, clevudine demonstrated potent HBV viral load suppression and a favorable safety and tolerability profile after 4 to 24 weeks of treatment, with sustained reductions in HBV DNA for up to 24 weeks off treatment. See Lee et al., “A 12-week clevudine therapy showed potent and durable antiviral activity in HBeAg-positive chronic hepatitis B,” (2006) Hepatology 43(5): pp. 982-988; Lim et al., “Clinical trial: a phase II, randomized study
evaluating the safety, pharmacokinetics and anti -viral activity of clevudine for 12 weeks in patients with chronic hepatitis B,” (2008) Aliment Pharmacol Ther 27(12): pp.1282-1292; Marcellin et al., “A phase II dose-escalating trial of clevudine in patients with chronic hepatitis B,” (2004) Hepatology 40(1): pp. 140-148; Yoo et al., “Twenty-four-week clevudine therapy showed potent and sustained antiviral activity in HBeAg-positive chronic hepatitis B,” (2007) Hepatology 45(5): pp. 1172-1178; Yoo et al., “Clevudine is highly efficacious in hepatitis B e antigen-negative chronic hepatitis B with durable off-therapy viral suppression,” (2007) Hepatology 46(4): pp. 1041-1048.
[00073] Clevudine was initially approved in South Korea. After extended dosing (>8 months), reversible proximal skeletal muscle myopathy was seen in a small subset of patients, which halted further clinical development. See Kim et al., “Clevudine myopathy in patients with chronic hepatitis B,” (2009) J Hepatol 51(4): pp. 829-834; Tak et al., “Mitochondrial myopathy caused by clevudine therapy in chronic hepatitis B patients,” (2009) Hepatol Res 39(9): pp. 944- 947; Seok et al., “Long-term therapy with clevudine for chronic hepatitis B can be associated with myopathy characterized by depletion of mitochondrial DNA,” (2009) Hepatology 49(6): pp. 2080- 2086. Subsequent reports linked clevudine-associated myopathy to mitochondrial abnormalities, possibly due to competition with endogenous deoxynucleoside substrates for phosphorylation by thymidine kinase, an enzyme that is critical for mitochondrial DNA synthesis and can catalyze the conversion of clevudine to its 5’ -monophosphate. See Tak et al. 2009; Hu et al., “Behavior of thymidylate kinase toward monophosphate metabolites and its role in the metabolism of l-(2'- deoxy-2'-fluoro-beta-L-arabinofuranosyl)-5-methyluracil (Clevudine) and 2',3'-didehydro-2',3'- dideoxythymidine in cells,” (2005) Antimicrob Agents Chem other 49(5): pp. 2044-2049; Saada et al., “mtDNA depletion myopathy: elucidation of the tissue specificity in the mitochondrial thymidine kinase (TK2) deficiency,” (2003) Mol Genet Metab 79(1): pp. 1-5.
[00074] Because myopathy was observed only after prolonged dosing with clevudine, reducing systemic exposure to unphosphorylated clevudine could improve the pharmacokinetic (PK) and safety profile of this potent molecule.
[00075] ATI-2173 is a novel next-generation active site polymerase inhibitor nucleotide
(ASPIN) that is a phosphoramidate prodrug of clevudine and is efficiently metabolized to the active metabolite cl evudine-5’ -triphosphate. See Squires et al., “ATI-2173, a novel liver-targeted non-chain-terminating nucleotide for hepatitis B virus cure regimens,” (2020) Antimicrob Agents
Chemother 64(9):e000836-20. Unlike chain-terminating nucleoside/nucleotide analogues, the active 5’ -triphosphate of ATI-2173 and clevudine noncompetitively distorts the HBV polymerase active site to inhibit all polymerase functions, including protein priming, primer elongation, and DNA synthesis. See Squires et al. 2020; Balakrishna et al., “Inhibition of hepatitis B virus by a novel L-nucleoside, 2'-fluoro-5-methyl-beta-L-arabinofuranosyl uracil,” (1996) Antimicrob Agents Chemother 40(2): pp. 380-386; Chong et al., “Understanding the unique mechanism of L- FMAU (clevudine) against hepatitis B virus: molecular dynamics studies,” (2002) Bioorg Med Chem Lett 12(23): pp. 3459-3462; Jones et al., “Noncompetitive inhibition of hepatitis B virus reverse transcriptase protein priming and DNA synthesis by the nucleoside analog clevudine,” (2013) Antimicrob Agents Chemother 57(9): pp. 4181-4189.
[00076] ATI-2173 metabolism bypasses the first phosphorylation step of clevudine, targeting clevudine-5’ -monophosphate directly to the liver, thereby reducing systemic clevudine exposure and the associated risk of extrahepatic toxicity. See Squires et al. 2020. Enzymatic and nonenzymatic processes convert ATI-2173 into the Ml metabolite, which is enzymatically cleaved to the 5’ -monophosphate, ion trapped in hepatocytes, and converted in a stepwise manner to the diphosphate and triphosphate forms. In preclinical studies, ATI-2173 demonstrated potent HBV suppression, with additive or synergistic anti-HBV activity when combined with other anti-HBV agents, including tenofovir. Compared with clevudine dosing in a preclinical model, ATI-2173 administration reduced systemic exposure to clevudine while retaining comparable liver triphosphate levels. Given its potent antiviral activity, unique mechanism of action, and improved PK profile in preclinical studies, ATI-2173 is currently in development as part of a potentially curative regimen for chronic HBV infection.
[00077] WO2016099982 discloses the discovery and synthesis of the (S,S) and (S,R) diastereomers of clevudine phosphoramidate compounds, including AT 1-2173, having the general formula:
where each R1 is, independently, hydrogen or selected from one of the formulae:
Y is O or S;
Y1 is OH, OAryl, OAlkyl, or BH3-M+ ;
Y2 is OH or BH3-M+ ;
Aryl is phenyl, 1 -naphthyl, 2-naphthyl, aromatic, heteroaromatic, 4-substituted phenyl, 4- chlorophenyl, or 4-bromophenyl;
R3 is hydrogen, deuterium, methyl, fluoromethyl, difluoromethyl, trifluoromethyl, alkyl, alkenyl, alkynyl, amino, fluoro, chloro, bromo, iodo, hydroxyl, cyano, formyl, acyl, substituted alkyl, substituted alkenyl, substituted alkynyl, substituted amino, or hydroxymethyl;
R4 is hydrogen, methyl, ethyl, isopropyl, cyclopentyl, cyclohexyl, neopentyl, benzyl, alkyl, branched alkyl, cycloalkyl, or lipid;
R5 is hydrogen, deuterium, hydroxyl, cyano, azido, amino, substituted amino, aryl, heteroaryl, substituted aryl, lipid, C1-22 alkoxy, C1-22 alkyl, C2-22 alkenyl, C2-22 alkynyl, or substituted heteroaryl;
R6 is methyl, ethyl, tert-butyl, C1-22 alkoxy, C1-22 alkyl, branched alkyl, cycloalkyl, aryl, substituted aryl, or alkyoxy.
[00078] Both phosphoramidates showed anti-HBV activity similar to clevudine with the (S,S) diastereomer being slightly more potent. See U.S. Patent No. 10,683,319.
[00079] WO20 17223421 discloses that clevudine phosphoramidate compounds, such as
ATI-2173, are additive or synergistic when combined with other antivirals such as lamivudine, adefovir, tenofovir, telbivudine, entecavir, or combinations thereof.
[00080] Administration of phosphoramindate prodrugs of clevudine, or clevudine itself, that can produce therapeutically effective levels of blood or plasma clevudine or or intracellurlar levels of clevudine triphosphate lead to an improved PK profile as part of a potentially curative regimen for chronic HB V infection.
[00081] Doses of Phosphoramidate Prodrugs of Clevudine
[00082] The clevudine phosphoramidate compounds disclosed in WO2016099982 including the (S,S) and (S,R) diastereomers of clevudine phosphoramidate compounds, including AT 1-2173, having the general formula:
where R1 can be used in any embodiment of the current invention and where each R1 is, independently, hydrogen or selected from one of the formulae:
Y is O or S;
Y1 is OH, OAryl, OAlkyl, or BH3-M+ ; Y2 is OH or BH3-M+ ;
Aryl is phenyl, 1 -naphthyl, 2-naphthyl, aromatic, heteroaromatic, 4-substituted phenyl, 4- chlorophenyl, or 4-bromophenyl;
R3 is hydrogen, deuterium, methyl, fluoromethyl, difluoromethyl, trifluoromethyl, alkyl, alkenyl, alkynyl, amino, fluoro, chloro, bromo, iodo, hydroxyl, cyano, formyl, acyl, substituted alkyl, substituted alkenyl, substituted alkynyl, substituted amino, or hydroxymethyl;
R4 is hydrogen, methyl, ethyl, isopropyl, cyclopentyl, cyclohexyl, neopentyl, benzyl, alkyl, branched alkyl, cycloalkyl, or lipid;
R5 is hydrogen, deuterium, hydroxyl, cyano, azido, amino, substituted amino, aryl, heteroaryl, substituted aryl, lipid, C1-22 alkoxy, C1-22 alkyl, C2-22 alkenyl, C2-22 alkynyl, or substituted heteroaryl;
R6 is methyl, ethyl, tert-butyl, C1-22 alkoxy, C1-22 alkyl, branched alkyl, cycloalkyl, aryl, substituted aryl, or alkyoxy.
[00083] Doses of the clevudine phosphoramidate compounds useful in the current invention are from about 1.0 mg to about 1000 mg once or twice daily. More specifically, doses of the clevudine phosphoramidate compounds useful in the current invention are from about 10 mg to about 750 mg once or twice daily. More specifically, doses of the clevudine phosphoramidate compounds useful in the current invention are from about 20 mg to about 500 mg once or twice daily. More specifically, doses of the clevudine phosphoramidate compounds useful in the current invention are from about 30 mg to about 250 mg once or twice daily. More specifically, doses of the clevudine phosphoramidate compounds useful in the current invention are from about 50 mg
to about 150 mg once or twice daily. More specifically, doses of the clevudine phosphoramidate compounds useful in the current invention are from about 20 mg to about 75 mg once or twice daily.
[00084] Measurements
[00085] Primary Safety Measures include: i) the percentage of subjects who experienced at least 1 treatment-emergent adverse event (TEAE); ii) the percentage of subjects who experienced at least one treatment emergent serious AE (SAE); iii) percentage of subjects who experienced a treatment-emergent dose limiting toxicity (DLT); iv) percentage of subjects who experienced at least one treatment emergent Grade 1, 2, 3, 4 or 5 laboratory abnormality; v) percentage of subjects who discontinued study drug due to a TEAE; and, vi) alanine aminotransferase and aspartate aminotransferase levels versus time.
[00086] The Primary Efficacy and Pharmacodynamic endpoints include: i) time to HBV viral load relapse in HBV-infected subjects; and, ii) the reduction of HBV RNA on-treatment and off-treatment for HBV infected subjects.
[00087] Representative Secondary Efficacy and Pharmacodynamic measures (see Table 1 below) include: i) baseline-adjusted maximal reduction in HBV DNA viral load (Emax,HBV) through 6 months after end of treatment following ATI-2173 at dose ranges of about 25 mg to about 50 mg) alone or incombination with tenofovir dispoproxil fumerate (TDF) (300 mg) for at least 90 days in HBV infected subjects; ii) baseline-adjusted maximal reduction in HBV RNA viral load (Emax,HBVRNA) through 6 months after end of treatment following ATI-2173 at dose ranges of about 25 mg to about 50 mg) alone or incombination with tenofovir dispoproxil fumerate (TDF) (300 mg) for at least 90 days in HBV infected subjects; iii) proportion of subjects with HBV sustatained virological response (6 mo; SVR6; a viral load below the respective HBV DNA or HBV RNA assay lower limit); and, iv) proportion of subjects with HBV SVR6 by treatment arm in the HBV infected subjects.
[00088] As appropriate, other pharmacodynamic endpints (see Table 1 below) include: i) proportion of subjects by treatment arm with HBV SVR at 12 months (SVR12), SVR at 18 months (SVR18), and SVR at 24 months (SVR24); ii) proportion of subjects by treatment arm with on- treatment serum alanine aminotransferase (ALT) flares (ie, from Day 1 to Day 90); iii) proportion of subjects by treatment arm with off-treatment ALT flares (ie, from Day 90 to the end of the
study, with no on-treatment ALT flares) by treatment arm; iv) HBV DNA slope off-treatment; vi) relationship between HBV pregenomic RNA (pgRNA) and HBV SVR6; v) HBV pgRNA at the end of treatment; vii) relationship between HBV SVR and HBV surface antigen (HBsAg); vi) TEmax,HBV and AUECHBV through 6 months after end of treatment following (25 mg or 50 mg) + TDF (300 mg) for 90 days; and, vii) reduction from baseline in HBsAg, HBVpgRNA, and HBV core-related antigen (HBcrAg; a surrogate for covalently closed circular (ccc)DNA) following ATI-2173 at dose ranges of about 25 mg to about 50 mg) alone or incombination with tenofovir dispoproxil fumerate (TDF) (300 mg).
[00090] Various pharmacokinetic parameters to be measured (through at least 1 month off treatment) include (see Table 2 below): i) ATI-2173, clevudine, Ml, and tenofovir Cmax, tmax, Ctrough, Ctau, AUC0-24 or, AUCtau, t1/2, RAC(Cmax), and RAC(AUC) in plasma. Additional pharmacokinetic parameters will be estimated to support the key endpoints include: i) correlation between individual time to viral load relapse and Day 90 clevudine and/or tenofovir Cmin and AUC; and ii) correlation between SVR6 and Day 90 clevudine and/or tenofovir Cmin and AUC.
[00091] Table 2
[00092] Combination Therapy
[00093] It is understood that the current invention includes any treatment protocol that includes administration of ATI-2173 alone, as a monotherapy, and in combination with at least a second antiviral agent.
[00094] The second antiviral agent can be any antiviral agent known to the skilled artisan to be useful in the treatment of HBV infections. For example, Charmley, “New and current
treatment options for hepatitis B,” (March 2022), https://www.medicalnewstoday.com/articles/new-treatment-for-hepatitis-b discloses several potential useful treamtents of HBV infection including immune modulator drugs to boost the immune system to help get rid of the hepatitis B virus as well as direct or indirect acting antiviral agent to slow down or prevent the virus from reproducing. More specifically, useful agents include: i) nucleos(t)ide analogues (NAs) including, but not limited to, tenofovir prodrugs including tenofovir disoproxil, tenofovir alafenamide, entecavir, telbivudine, adefovir dipivoxil, lamivudine; ii) pegylated interferon; iii) interferon Alpha (Intron A); iv) small interfering RNA (nucleotide drugs that interfere with or destroy viral RNA; v) tenofovir prodrugs; vi) HBV entry inhibitors; vii) capsid assembly modulators/inhibitors (CAMS); viii) HBV surface antigen inhibitors; ix) covalently closed circular DNA (cccDNA) inhibitors; x) Crispr-Cas and transcription activator-like effector nucleases; xi) therapeutic vaccines; xii) toll-like agonists; xiii) stimulator of interferon genes (STING); xiv) second mitochondrial-derived activator of caspases mimetics; and xv) cyclophilin inhibitors (viral entry inhibitors).
[00095] WO20 17223421 discloses that clevudine phosphoramidate compounds, such as
ATI-2173, are additive or synergistic when combined with other antivirals such as lamivudine, adefovir, tenofovir, telbivudine, entecavir, or combinations thereof.
[00096] More specifically, useful capsid assembly inhibitors/modulators (CAM) can include those disclosed in WO2020234483, “Oxal ami do- substituted tricyclic inhibitors of hepatitis B virus” and W02020030781, “Tricyclic inhibitors of hepatitis B virus.”
[00097] More specifically, HBV polymerase inhibitors useful in the current invention include entecavir, lamivudine, telbivudine, clevudine, besifovir, adefovir, and tenofovir. Tenofovir can be in a salt form or prodrug form, specifically, tenofovir disoproxil fumarate (Viread), tenofovir alafenamide fumarate (TAF), tenofovir disoproxil orotate, tenofovir disopropxil aspartate or any tenofovir salt or prodrug known to those skilled in the art.
[00098] Any combination of the above mentioned of the second antiviral agents is contemplated for use in the present invention.
[00099] In certain embodiments, the clevudine phosphoramidate prodrug, ATI-2173, is used in combination with one, two or more of the second antiviral agents as defined above.
[00100] It is understood that any of the compounds of the invention can be administered in combination. Alternatively, any of the compounds of the invention can be administered in alternation.
[00101] Further, any of the compounds of the invention can be administered in a pharmaceutically acceptable carrier or diluent, where the pharmaceutically acceptable carrier is suitable for oral, parenteral eg. intravenous, or topical delivery.
[00102] Further reference is made to the following experimental examples.
[00103] EXAMPLES
[00104] EXAMPLE 1
[00105] Randomized Phase lb Trial of the Active Site Polymerase Inhibitor Nucleotide
ATI-2173 in Patients With Chronic Hepatitis B Virus Infection
[00106] Study Design
[00107] This study was a randomized, double-blind, placebo-controlled, multicenter, multiple-ascending-dose trial of ATI-2173 in treatment-naive adults with chronic HBV infection conducted in the Republic of Moldova and Ukraine. This study was conducted in accordance with the principles outlined in the Declaration of Helsinki. The study protocol was approved by an independent ethics committee or institutional review board.
[00108] Patients
[00109] Eligible patients were aged 18 to 65 years with a body mass index of 18 to 35 kg/m2 and positive results for serum hepatitis B surface antigen (HBsAg) at screening and >6 months before screening. Patients positive for serum hepatitis B e antigen (HBeAg) with HBV DNA >20,000 IU/mL or negative for serum HBeAg with HBV DNA >2000 IU/mL at screening were included. Alanine aminotransferase (ALT) and aspartate aminotransferase (AST) levels must have been <5 times the upper limit of normal (ULN) at screening and the day before dosing started. Patients who received any previous treatment for HBV were excluded. Exclusion criteria also included cirrhosis of the liver; clinically significant muscle disorder, myopathy, or liver disease; presence or history of hepatocellular carcinoma or clinically significant gastrointestinal or kidney
disease; history of drug dependency, alcohol abuse, or hypersensitivity to clevudine or related products; use of amiodarone within 28 days of first study drug administration; and positive screening results for HIV antigen and antibodies, hepatitis C virus (HCV), or hepatitis Delta virus (HDV). All patients provided written informed consent.
[00110] Randomization and Masking
[00111] Patients were enrolled by blinded staff and randomized 6:2 to receive ATI-2173 or placebo according to a computer-generated randomization code. Placebo was matched to ATI- 2173 capsules for shape, color, and qualitative composition. Treatment assignments were blinded to all investigators, patients, and clinical and research staff for the entire treatment duration. Designated pharmacy staff remained unblinded to dispense ATI-2173 or placebo from uniquely numbered blinded bottles. The bioanalytical team was unblinded after pharmacokinetic (PK) results were generated to measure ATI-2173 exposure. The sponsor was unblinded after the safety review during the follow-up period to determine whether patients required further HB V treatment. Unblinded and blinded monitors were assigned to check blinding procedures and ensure patients and site staff remained blinded.
[00112] Procedures
[00113] Eligible patients received oral ATI-2173 doses of 10, 25, or 50 mg or placebo once daily for 28 days and were monitored for an additional 24 weeks off treatment.
[00114] Blood samples to measure the PK of ATI-2173, clevudine, and Ml were assessed pre-dose and 0-5, 1, 1 -5, 2, 3, 4, 6, 8, 10, 12, and 24 hours post-dose on day 1 and pre-dose and 0-5, 1, 1 -5, 2, 3, 4, 6, 8, 10, 12, 24, 48, 72, 144, 216, and 312 hours post-dose on day 28. Validated ultra-high-performance liquid chromatography with tandem mass spectrometry was used to measure plasma concentrations of ATI-2173 and clevudine between 1 and 1000 ng/mL and Ml between 1 and 500 ng/mL. Safety was assessed throughout the dosing and follow-up periods, including monitoring of adverse events (AEs) and clinical laboratory parameters.
[00115] Blood samples to evaluate antiviral activity were collected at baseline; days 7, 14, 21, and 28 on treatment; and days 4 and 10 and weeks 4, 12, and 24 off treatment. When samples were collected on both days -1 and 1, values were log-transformed and averaged (mean) for the baseline measurement. Measurements for HBV DNA were conducted using the Cobas® 6800
System (Roche Diagnostics, Indianapolis, IN; lower limit of quantification [LLOQ] = 10 IU/mL). Measurements for HBsAg were conducted using the Elecsys® HBsAg II assay (Roche Diagnostics; LLOQ = 0 05 IU/mL).
[00116] Assessment of HBV RNA was initially conducted using the van Bommel method and validated at DDL Diagnostic Laboratory (Rijswijk, Netherlands; LLOQ = 4 04 log10 copies/mL; limit of detection = 2 49 log10 copies/mL). See van Bommel et al., “Serum hepatitis B virus RNA levels as an early predictor of hepatitis B envelope antigen seroconversion during treatment with polymerase inhibitors,” (2015) Hepatology 61(1): pp., 66-76. Due to low baseline values in this predominately HBeAg-negative population, the HBV RNA assessments were repeated by Q2 Solutions (Morrisville, NC) using the Roche investigational assay on the Cobas® 6800 System (Roche Diagnostics; ( LLOQ = 10 copies/mL; this product is not approved in any market). Data reported are from the more-sensitive Roche investigational HBV RNA assay; patients with HBV RNA that was not detectable at baseline and throughout most of the study were excluded from the HBV RNA analysis. Hepatitis B core-related antigen (HBcrAg) was assessed at baseline and end of treatment using the Lumipulse® G HBcrAg assay (Fujirebio, Malvern, PA; LLOQ = 3 log10 U/mL; limit of detection = 2 5 log10 U/mL) and validated at DDL Diagnostic Laboratory; HBcrAg levels were low at baseline and all values were accepted as quantitative for this exploratory analysis.
[00117] Outcomes
[00118] The primary endpoints were maximum observed reduction in HBV DNA from baseline through day 28 on treatment and week 24 off treatment and the following plasma PK parameters for ATI-2173 and clevudine: maximum steady-state plasma concentration (Cmax), steady-state minimum observed concentration (Cmin), area under the concentration-time curve over the dosing interval (AUCtau), time to maximum concentration (Tmax), and half-life (t1/2). A secondary endpoint was ALT concentration over time. An exploratory endpoint was plasma PK parameters for the Ml metabolite. Safety endpoints included the proportion of patients who experienced >1 treatment-emergent AE (TEAE), serious AE, dose-limiting toxicity, or laboratory abnormality; and the proportion who discontinued because of a TEAE.
[00119] Statistical Analysis
[00120] Sample size was based on feasibility to obtain a clinical assessment regarding the safety profile of ATI-2173. The study was not formally powered. Pharmacokinetic analyses with nominal sampling times were performed by noncompartmental methods using Phoenix® WinNonlin® software (version 8 0; Certara, Princeton, NJ). Results for PK, safety, and antiviral activity were summarized with descriptive statistics using Prism software (GraphPad Software, San Diego, CA). Pharmacokinetic analyses included all patients who received >1 ATI-2173 dose and had sufficient data to derive >1 PK parameter. Antiviral activity included all patients who received >1 dose of ATI-2173 or placebo and had >1 post-baseline assessment. Safety analyses included all patients who received >1 dose of ATI-2173 or placebo. A safety review committee reviewed all data before progressing to the next dose cohort.
[00121] Study Population
[00122] Of the 61 patients screened, 25 patients were enrolled and randomized to receive either ATI-2173 (n=6 per dose) or placebo (n=7); 36 patients were ineligible. Of enrolled patients, 24 completed the 28-day dosing period and 23 completed the 24-week follow-up period. (FIG. 1). One patient in the 25-mg group discontinued on day 4 for personal reasons and was not included in the data analysis because they did not complete the dosing period; this individual was replaced, but the new patient was assigned to the placebo group in error. After completing the dosing period, one patient in the placebo group discontinued between days 55 and 111 for initiation of tenofovir and was included in the data analysis; their last observation was carried forward for HBV DNA. Of 24 patients who completed the dosing period, all were White and not Hispanic or Latino and 23 (96%) were negative for HBeAg; 57% to 67% of patients in each group were women (Table 3). 1 patient missed visits on days 28 and 31 ; their HBV DNA values were imputed based on values on days 21 and 37 (both <10 IU/mL).
[00123] Table 3
[00124] Safety
[00125] Treatment-emergent AEs were reported in 8 of 17 patients (47%) receiving ATI- 2173 and 5 of 7 (71%) receiving placebo, all of which were mild to moderate in severity (Table 4). Headache was the most common AE, reported in two patients in the 25-mg group and 1 each in the placebo and 50-mg groups. Two patients each reported AEs of ALT and AST elevation (both in the placebo group) and COVID-19 infection (n=1 each in the 25- and 50-mg groups). Other AEs were reported by one patient each. No apparent ATI-2173 dose-related AEs, serious AEs, or AEs leading to withdrawal were reported. One grade 3 laboratory abnormality of ALT and AST elevation was reported in the placebo group (Table 4). Other laboratory abnormalities were grade 1 or 2 in severity and included ALT and AST elevation (n=2 in the placebo group), creatine kinase elevation (n=1 in the placebo group), and decreased platelets (n=l in the 50-mg group).
[00126] Table 4
[00127] Pharmacokinetics
[00128] Across all doses, ATI-2173 was rapidly absorbed, with a median Tmax of 0.5 hours post-dose on day 28; plasma levels rapidly declined thereafter, with a mean t1/2 of <1 hour. (FIG. 2A and Table 5). No measurable plasma ATI-2173 concentrations were detected in any patient by 4 hours post-dose on day 1 and 8 hours post-dose on day 28. Plasma ATI-2173 concentration and exposure were generally dose proportional with no indication of accumulation after 28 days. The mean (% coefficient of variation) volume of distribution at steady state for ATI-2173 was 583 L (not calculable) and 1490 L (86%) in the 25- and 50-mg groups, respectively, indicating distribution into tissue.
[00129] Table 5
[00130] Across all ATI-2173 doses on day 28, the intermediate metabolite M1 reached Cmax with a median Tmax of 1 · 5 hours post-dose and then rapidly declined, with a mean t1/2 between 1.89 and 2.31 hours (FIG. 2B; Table 5). No measurable plasma Ml concentrations were detected in any patient by 24 hours post-dose on days 1 and 28, with no accumulation after 28 days.
[00131] Compared with ATI-2173, plasma clevudine exposure exhibited a delayed onset, with a median Tmax of 2. 5 to 4.0 hours post-dose across all ATI-2173 doses on day 28 (FIG. 2C; Table 3). After a single ATI-2173 dose on day 1, plasma clevudine was quantifiable through 6 hours post-dose with ATI-2173 10 mg and 24 hours post-dose with ATI-2173 25 and 50 mg. After repeated administration with each ATI-2173 dose, clevudine accumulation was observed, with detectable plasma clevudine concentrations through 312 hours post-dose in all patients on day 28.
The Cmax for clevudine at all dose levels at steady state with ATI-2173 administration remained below 56 ng/mL, the Cmin previously reported with administration of clevudine 30 mg. See Lim et al., “Clinical trial: a phase II, randomized study evaluating the safety, pharmacokinetics and anti-viral activity of clevudine for 12 weeks in patients with chronic hepatitis B,” (2008) Aliment Pharmacol Ther 27(12): pp. 1282-1292. Mean AUCtau values for clevudine following repeated administration of ATI-2173 10, 25, and 50 mg were 5%, 13%, and 34%, respectively, of the plasma clevudine exposure previously reported with clevudine 30 mg.
[00132] Antiviral Activity
[00133] Viral load decreased from baseline with each ATI-2173 dose, with mean (SD) decreases in HBV DNA of 2.78 (0.70), 2.72 (0.34), and 2.75 (0.42) log10 IU/mL on day 28 in the ATI-2173 10, 25, and 50 mg groups, respectively, compared with a mean (SD) increase of 0.17 (0.42) log10 IU/mL in the placebo group (FIG. 3A). After 28 days of treatment, 3 of 6 patients in the 10 mg group, 4 of 5 in the 25 mg group, 4 of 6 in the 50 mg group, and 0 of 7 in the placebo group had HBV DNA below the limit of quantification (BLQ; <10 IU/mL) by day 28; one additional patient in the 50 mg group achieved BLQ within 10 days off treatment.
[00134] At baseline, mean (SD) HBsAg levels were 3.37 (0.36) to 3.90 (0.69) log10 IU/mL in the ATI-2173 groups and 3.82 (0.84) log10 IU/mL in the placebo group (Table 5). Mean HBsAg levels did not change substantially during treatment with any ATI-2173 dose or placebo, with mean (SD) changes from baseline of -0.11 (0.40), -0.07 (0.12), and -0.09 (0.10) log10 IU/mL in the ATI-2173 10, 25, and 50 mg groups, respectively, and -0.08 (0.11) log10 IU/mL in the placebo group on day 28.
[00135] Mean ALT levels decreased from baseline throughout the dosing period in the ATI- 2173 10 mg group, with ALT levels below the ULN achieved within 14 days and maintained throughout the off-treatment follow-up period (FIG. 3B). In the ATI-2173 25 and 50 mg groups, mean ALT levels were below the ULN at baseline and remained normal throughout the dosing and follow-up periods. One patient in the 10 mg group had an ALT level 8 x ULN at baseline, which decreased to 2 x ULN by day 28 and 1 x ULN by day 55. All other patients in the ATI-2173 groups had ALT levels below 2 x ULN throughout the dosing and follow-up periods. In the placebo group, mean ALT levels were >1 x ULN at baseline, increased to 2 x ULN by day 14, and remained >2 x ULN through day 10 off treatment and >1 x ULN throughout the follow-up
period; two patients in the placebo group had ALT levels >2 x ULN on day 28 that were maintained throughout the follow-up period.
[00136] Four patients in the 10 mg group, five in the 25 mg group, three in the 50 mg group, and six in the placebo group were included in the HBV RNA analysis. The 25 and 50 mg groups were pooled for this analysis because the 25 mg dose appeared to reach a maximal on-treatment effect. After 28 days of treatment in the pooled ATI-2173 25 and 50mg group, HBV RNA exhibited a mean (SD) decrease from baseline of 0.58 (0.36) log10 copies/mL compared with a mean (SD) decrease of 0.01 (0.32) log10 copies/mL with placebo (FIG. 4A). On day 28 in the ATI- 2173 10 mg group, HBV RNA exhibited a mean (SD) decrease of 0.99 (1.16) log10 copies/mL. Among patients included in the HBV RNA analysis, HBV RNA values were decreased from baseline on day 28 in each of the 8 patients in the ATI-2173 25 and 50 mg groups, 3 of 4 in the ATI-2173 10 mg group, and 2 of 6 in the placebo group (FIG. 4B). At weeks 4, 12, and 24 off treatment, HBV RNA exhibited mean (SD) decreases of 0.77 (0.56), 0.67 (0.51), and 0.20 (0.23) log10 copies/mL in the pooled ATI-2173 25 and 50mg group, respectively, compared with mean (SD) increases of 0.23 (0.72), 0.11 (1.66), and 0.22 (1.24) log10 copies/mL in the placebo group, respectively. In the ATI-2173 10. mg group, HBV RNA exhibited mean (SD) decreases of 1.08 (1.35), 0.93 (1.25), and 1.05 (0.66) log10 copies/mL at weeks 4, 12, and 24 off treatment, respectively. Of four patients in the ATI-2173 25 or 50 mg groups who had undetectable HBV DNA for >12 weeks off treatment, all had undetectable HBV RNA at the end of treatment. Of the 4 patients in the ATI-2173 25 or 50 mg groups who did not maintain DNA suppression through >12 weeks off treatment and had detectable HBV RNA at baseline, only one had undetectable HBV RNA at the end of treatment.
[00137] At baseline, six patients in the ATI-2173 10-mg group and five each in the ATI- 2173 25 mg, ATI-2173 50 mg, and placebo groups had available data for HBcrAg analysis; the 25 and 50 mg groups were pooled as described above. After 28 days of treatment, HBcrAg exhibited a mean (SD) decrease from baseline of 0.17 (0.25) log10 U/mL in the pooled ATI-2173 25 and 50 mg group compared with a mean (SD) increase of 0 36 (0 42) log10 U/mL in the placebo group (FIG. 4C). On day 28 in the ATI-2173 10 mg group, HBcrAg exhibited a mean (SD) decrease of 0.62 (0.66) log10 U/mL. In the ATI-2173 25 or 50 mg groups, HBcrAg values were decreased from baseline on day 28 in 6 of 10 patients, including one with undetectable HBV DNA at 12 weeks off treatment and 1 with undetectable HBV DNA at 24 weeks off treatment. None of the 5 patients in
the placebo group and 4 in the ATI-2173 10 mg group had decreased HBcrAg levels from baseline on day 28.
[00138] After 28 days of ATI-2173 monotherapy, prolonged off-treatment viral load responses were observed, with mean HBV DNA remaining below baseline levels through 24 weeks off treatment in each group (FIG. 5). Among patients who were BLQ at the end of treatment, 1 of 3 in the 10-mg group, 4 of 4 in the 25-mg group, and 5 of 5 in the 50-mg group had HBV DNA below baseline levels through 24 weeks off treatment. In the ATI-2173 groups, patients who were not BLQ at the end of treatment (n=5) and patients who were BLQ at the end of treatment whose HBV DNA relapsed during the 24-week off-treatment follow-up period (n=l 1) had gradual increases in HBV DNA without associated ALT flares; the remaining patient who was BLQ at the end of treatment remained BLQ through 24 weeks off treatment. In the placebo group, no patients had undetectable HBV DNA off treatment; one patient had ALT flares from day 14 of the dosing period to day 10 off treatment. Of three patients who were BLQ at the end of treatment in the ATI- 2173 10 mg group, one had virologic relapse (defined as any detectable HBV DNA) by 10 days off treatment and 2 had virologic relapse by 12 weeks off treatment. Virologic relapse was delayed among patients in the ATI-2173 25 and 50 mg groups who were BLQ at the end of treatment (n=9), with undetectable HBV DNA maintained through 4 weeks off treatment in all patients and through 12 weeks off treatment in 4 patients, 1 of whom remained undetectable at 24 weeks off treatment (25 mg group; FIG. 6).
[00139] Summary
[00140] The next-generation ASPIN ATI-2173 inhibits all HBV polymerase functions and may complement the antiviral activity of traditional chain-terminating nucleoside/nucleotide analogues in a potentially curative regimen for chronic HBV infection. See Squires et al., “ATI- 2173, a novel liver-targeted non-chain-terminating nucleotide for hepatitis B virus cure regimens,” (2020) Antimicrob Agents Chemother. 64(9): e000836-20. In the current study, ATI-2173 monotherapy was safe, with no AEs leading to discontinuation, and demonstrated potent antiviral activity after 28 days of administration in patients with chronic HBV infection. In the ATI-2173 groups, no dose-related AEs or liver enzyme elevations were reported, with mild headache being the most common AE, consistent with the safety profile of ATI-2173 in healthy volunteers. See Mayers et al., “ATI-2173, a novel active site polymerase inhibitor nucleotide (ASPIN), for HBV
cure regimens is well tolerated and has favorable pharmacokinetics in healthy volunteers.” (2021) Abstr Hepatitis B-Therapeutic Agents, June 11-12, 2021. ATI-2173 dosing resulted in generally dose-proportional PK and substantially reduced systemic clevudine exposure compared with historical clevudine clinical dosing. See Lim et al. 2008. Prolonged off-treatment viral load responses were noted up to 24 weeks after ATI-2173 discontinuation, with 1 patient maintaining undetectable HBV DNA for 24 weeks off treatment. Overall, results from this study support the continued clinical development of ATI-2173.
[00141] After 28 days of treatment, ATI-2173 and its primary metabolite, Ml, showed no indication of accumulation in plasma. Although clevudine accumulation was observed, the plasma Cmax for clevudine with ATI-2173 dosing was well below the Cmin previously reported with the 30-mg marketed dose of clevudine. See Lim et al. 2008. In addition, the 25 mg ATI-2173 dose resulted in an AUCtau that was roughly one-eighth of that reported for the 30 mg clevudine dose. The volume of distribution at steady state for ATI-2173 was high in the 25 and 50 mg groups, indicating that ATI-2173 left the plasma and targeted the liver. See Mansoor et al., “Volume of distribution,” (2021) StatPearls, StatPearls Publishing LLC. Preclinical studies and unpublished data demonstrate liver targeting of ATI-2173, with lower extrahepatic exposures of clevudine and the active 5’ -triphosphate with ATI-2173 administration compared with clevudine dosing. See Squires et al., 2020. Overall, these data support targeting of ATI-2173 to the liver in humans and demonstrate greatly decreased systemic exposure to clevudine, minimizing risk of extrahepatic toxicity observed with prolonged clevudine exposure.
[00142] Each ATI-2173 dose demonstrated potent anti-HBV activity, with decreases of 2.72 to 2.78 log10 IU/mL after 28 days of treatment. At the end of treatment, 12 of 17 patients (71%) treated with ATI-2173 had HBV DNA that was BLQ. Sustained off-treatment viral load responses were observed 4 to 24 weeks after ATI-2173 discontinuation, with 4 patients maintaining HBV DNA suppression through 12 weeks off treatment (n=2 each in the 25 and 50 mg groups) and 1 maintaining HBV DNA suppression through 24 weeks off treatment (25 mg group). Of note, no correlations between baseline HBsAg level and rate or durability of HBV DNA declines were observed across the ATI-2173 groups. In patients who relapsed off treatment, HBV DNA gradually increased but remained below baseline levels in all patients in the 25 and 50 mg groups and in 1 of 3 patients in the 10 mg group. Similar antiviral effects were observed in a study of 1 -month clevudine monotherapy, with reductions from baseline in HBV DNA of 2.5 to 3.0 log10 IU/mL
and 2 of 31 patients maintaining undetectable HB V DNA through 24 weeks off treatment. See Marcellin et al., “A phase II dose-escalating trial of clevudine in patients with chronic hepatitis B,” (2004) Hepatology 40(1): pp. 140-148.
[00143] One month of ATI-2173 25 or 50 mg resulted in a decreased rate of virologic relapse (defined as any detectable HBV DNA) that was delayed compared with other studies in patients with chronic HBV infection who discontinued nucleoside/nucleotide analogues and/or capsid assembly modulators after >1 year of treatment. See Hall et al., “A prospective study of nucleot(s)ide analogue discontinuation in non-cirrhotic HBeAg-negative chronic hepatitis B patients: interim analysis at week 48 demonstrates profound reductions of HBsAg associated with ALT flare, (2020) Abstr The Digital International Liver Congress, abstr AS095; Assembly Biosciences [press release], https://investor.assemblybio.com/news-releases/news-release- details/assembly-biosciences-provides-update-ongoing-phase-2-extension. Accessed October 20, 2021
[00144] After discontinuing ATI-2173 25 or 50 mg (n=9), 0% of patients had virologic relapse by week 4, 56% by week 12, and 89% by week 24. Among HBeAg-negative patients who received tenofovir for >2 years with undetectable HBV DNA for >18 months before treatment discontinuation (n=32), 34% of patients had virologic relapse by week 4, 72% by week 8, and 94% by week 24. See Hall et al. 2020. Among HBeAg-positive or HBeAg-negative patients who received combination treatment with the capsid assembly modulator ABI-H0731 plus either tenofovir disoproxil fumarate, entecavir, or tenofovir alafenamide for 12 to 18 months (n=41), 80% of patients had virologic relapse by week 4, 88% by week 8, and 95% by week 16. See Assembly Biosciences [press release] 2020. Therefore, despite the substantially decreased treatment duration, ATI-2173 monotherapy resulted in a much greater proportion of patients achieving sustained viral suppression compared with nucleoside/nucleotide analogues as either monotherapy or combination therapy. In addition, 28-day ATI-2173 monotherapy resulted in normalization of ALT levels in all dose groups, with no ALT flares occurring after treatment discontinuation.
[00145] The persistence of cccDNA in the nucleus of infected hepatocytes remains a barrier to a cure for chronic HBV infection. See Asselah et al., “Targets and future direct-acting antiviral approaches to achieve hepatitis B virus cure,” (2019) Lancet Gastroenterol Hepatol 4(11): pp. 883- 892. In woodchuck HBV models, clevudine produced 56% to 87% intrahepatic cccDNA loss after
6 weeks of treatment and 95% to 99% loss after 30 weeks, demonstrating that ASPINs have the potential to reduce cccDNA. See Zhu et al., “Kinetics of hepadnavirus loss from the liver during inhibition of viral DNA synthesis,” (2001) J Virol 75(1): pp. 311-322.
[00146] In humans, presence and transcriptional activity of intrahepatic cccDNA is often measured using surrogate biomarkers, including serum HBV RNA and HBcrAg, to avoid the need for liver biopsies. See Asselah et al. 2019. In the present study, 28 days of ATI-2173 25 or 50 mg decreased mean HBV RNA and HBcrAg levels. Of note, of 4 patients who had undetectable HBV DNA for >12 weeks off treatment, all had undetectable HBV RNA at the end of treatment, suggesting that cccDNA biomarkers may predict off-treatment sustained viral suppression, as previously demonstrated by others. See Wang et al., “Serum hepatitis B virus RNA is encapsidated pregenome RNA that may be associated with persistence of viral infection and rebound,” (2016) J Hepatol 65(4): pp. 700-710; Carey et al., “Pregenomic HBV RNA and hepatitis B core-related antigen predict outcomes in hepatitis B e antigen-negative chronic hepatitis B patients suppressed on nucleos(t)ide analogue therapy,” (2020) Hepatology 72(1): pp. 42-57; Seto et al., “Role of serum HBV RNA and hepatitis B surface antigen levels in identifying Asian patients with chronic hepatitis B suitable for entecavir cessation,” (2021) Gut 70(4): pp. 775-783. Although the ti/2 of cccDNA remains unclear, data from a recent study suggest that the cccDNA t1/2 is 5.6 to 21.7 weeks. See Huang et al., “Rapid turnover of hepatitis B virus covalently closed circular DNA indicated by monitoring emergence and reversion of signature-mutation in treated chronic hepatitis B patients,” (2021) Hepatology 73(1): pp. 41-52.
[00147] Thus, the demonstrated ability of ATI-2173 to reduce serum HBV RNA, presumably via an effect on cccDNA, in the present study is promising given the short treatment duration relative to the estimated ti/2 of cccDNA. It is likely that longer durations of ATI-2173 treatment will have a greater effect on cccDNA biomarker levels. Overall, these results suggest that the potent viral suppression by ATI-2173 may be due to reductions in cccDNA activity, highlighting the potential of ATI-2173 as part of a curative combination treatment regimen for chronic HBV infection.
[00148] This 28-day monotherapy study demonstrated the safety and antiviral potency of the next-generation ASPIN ATI-2173. No dose-related toxicities were noted and systemic clevudine exposure was substantially reduced with ATI-2173 dosing compared with historical clevudine clinical dosing. ATI-2173 treatment for 28 days reduced biomarkers of intrahepatic
cccDNA activity and led to prolonged off-treatment viral load responses, including 1 patient who maintained undetectable HBV DNA for >24 weeks off treatment. Overall, these results support the continued clinical development of ATI-2173 as part of a possibly curative regimen for chronic HBV infection, including its evaluation in studies with a longer treatment duration, in which greater effects on cccDNA biomarkers and sustained viral suppression may be observed.
[00149] As described in detail below, the 25- and 50-mg doses of ATI-2173 have been advanced into a phase 2a study for evaluation in combination with tenofovir disoproxil fumarate in patients with HBV mono-infection.
[00150] EXAMPLE 2
[00151] Phase 2a Results of ATI-2173, A Novel Active Site Polymerase Inhibitor Nucleotide, Combined With TDF in Chronic Hepatitis B Patients
[00152] Study Rationale
[00153] The main goal of HBV therapy, to improve survival and quality of life by preventing disease progression for patients with chronic HBV infection, has only been partially attained. Current treatment options consist of interferon alfa, which is poorly tolerated and must be administered subcutaneously for 48 weeks or nucleos(t)ide analogs. The great majority of treated patients do not respond to interferon alfa and those treated with nucleos(t)ide analogs must remain on chronic treatment, possibly for a lifetime. Ideal treatment for chronic HBV infection would be effective for most patients, be safe, well tolerated, oral and of short duration. Current scientific consensus holds that this will require the combination of drugs with multiple, complementary mechanisms of action, including HBV interactions with host factors and hindering HBV immune evasion.
[00154] The standard of care for chronic HBV infection is monotherapy with tenofovir disoproxil. See AASLD 2018 Hepatitis B Guidance. Hepatology 67: 1560-1599; VIREAD® (tenofovir disoproxil fumarate), Initial U.S. Approval 2001 Prescribing Information; BARACLUDE® (entecavir), Initial U.S. Approval 2005 Prescribing Information. These nucleos(t)ide analogs, RNA-dependent DNA polymerase inhibitors share a single, common mechanism of action and their safety and efficacy are well defined.
[00155] The present study was being conducted to evaluate the safety and clinical efficacy of ATI-2173 coadministered with the tenofovir prodrug, tenofovir disoproxil fumarate (TDF; VIREAD®) in subjects infected with chronic HBV. The study also evaluated the pharmacokinetics (PK) of ATI-2173 and its metabolites clevudine and Ml, and tenofovir. Emergence of resistance mutations were also assessed. Multiple oral doses of ATI-2173 and TDF were administered during the study.
[00156] The doses were selected based on preliminary data from the Phase lb study of Example 1. The magnitude of the HBV DNA response suggests that the 25 mg and 50 mg doses of ATI-2173 demonstrate similar antiviral activity after 28 days of dosing. The dose of TDF (300 mg per day) is the standard of care for TDF.
[00157] Screening and Randomization
[00158] Initial patients were randomized according to the methods described herein. Inclusion criteria included: i) treatment-naive HBV monoinfected subjects; ii) presence of HBsAg+ > 6 months; iii) HBV DNA > 2000 IU/ml, if HBeAg-; iv) HBV DNA >20,000, if HBeAg+; and iv) noncirrhotic (Fibrosis Stage F0-F3). All subjects were treated for 90 days and then followed for 30 days after the final treatment of their particular drug treatment.
[00159] Subj ects randomized into three cohorts and were initially screened for 8 weeks prior to any drug treatment. Cohort A consisted of HBV monoinfected patients who were further randomized into one group that were treated with ATI-2173 (25 mg) in combination with TDF (300 mg) (n=8) while the second group received placebo (25 mg) in combination with TDF (300 mg) (n=2). Cohort B consisted of HBV monoinfected patents randomized into one group that receved ATI-2173 (50mg) in combination with TDF (300 mg) (n=8) while the second group received placebo (50 mg) in combination with TDF (300 mg) (n=2). Cohort C consisted of HBV/Hepatitis Delta (D) virus (HDV) coinfected patents whose data are presented elsewhere. [00160] Primary endpoints were as described above and herein. Briefly, they included included emergence of adverse events (AE), time to HBV viral load relapse in HBV-infected patients and reduction of HBV DNA on-treatment. In this initial study, all subjects completed 90 days of dosing with no significant AEs (SAEs) or AEs leading to study drug discontinuation. [00161] Testing procedures and assays are described in detail as above.
[00162] Patient Demographics
[00163] The demgraphics of the HBV monoinfected patients are shown in Table 4 below including baseline HBV DNA levels.
[00165] The combination of ATI-2173 + TDF proved to demonstrate consistant safety with no SAE’s or AEs leading to any pateints having to discontinue the study. In addition, all subjects completed 90 days of dosing with no SAEs or AEs leading to study drug discontinuation.
[00166] FIG. 7A, 7B, 7C depict the pharmacokinetic data indicated that there was no drug interaction between ATI-2173 and TDF responses following treatment with either ATI-2173 (50 mg) and ATI-2173 (50 mg) + TDF (300 mg). Data shown are concentration of clevudine (FIG. 7A), ATI-2173 (FIG. 7B) and the Ml metabolite (FIG. 7C) in the blood over 24 hours. Only two patients on ATI-2173 + TDF had asymptomatic on-treatment ALT flares associated with significant HBV DNA reductions (Table 7 below).
[00167] Table 7:
[00168] Table 8 shows that there were no off-treatment ALT flares with ATI-2173 + TDF demonstrating that there were no additional safter concerns upon cessation of therapy.
[00170] FIG. 8 shows that ATI-2173 + TDF demonstrated prolonged off-treatment HBV DNA suppression compared to TDF alone. Four of the four TDF + placebo subjects had detectable HBV DNA at 1 month off treatment (-2.06 change in mean log10 IU/mL) as comparted to 8 of 16 TDF + ATI-2173 subjects remained BLQ at 1 month off treatment (-3.46 and -3.52 change in mean log10 IU/mL in the 25 and 50 mg ATI-2173 groups respectively).
[00171] FIG. 9A, 9B and 9C depict on-treatment HBV RNA reduction mirrors HBV DNA decline following treatment with TDF (300 mg) + placebo (FIG. 9 A), ATI-2173 (25 mg) + TDF (300 mg) (FIG. 9B) and ATI-2173 (50 mg) + TDF (300 mg) (FIG. 9C).
[00172] Summary:
[00173] The inventors determined in this study that the combination of ATI-2173 + TDF was safe and well-tolerated. All patients completed 90 days of dosing with no SAEs or dose- limiting toxicities. Further, in the ATI-2173 + TDF treated subjects, ALTs were normalized on- treatment. In addition, there were no off-treatment ALT flares with the combination of ATI-2173 + TDF demonstrating additional safety when stopping therapy.
[00174] The study also demonstrated that although ATI-2173 + TDF and TDF alone had similar on-treatment antiviral efficacy, significant off-treatment HBV DNA differences were detected. These included: i) all TDF monotherapy subjects had detectable HBV DNA by 1 month off treatment; and, ii) in the ATI-2173 + TDF subjects, 8 of 16 subjects remained BLQ 1 month off treatment.
[00175] The results indicated that since administration of either 25 mg or 50 mg of ATI- 2173 in combination with TDF demonstrates similar on-treatment safety and antiviral efficacy, with improved off-treatment efficacy compared to TDF alone supporting advancement of future combination studies with other antiviral agents.
[00176] EXAMPLE 3
[00177] ATI-2173 Combined With TDF in Chronic Hepatitis B Patients Induces Sustained
HBV RNA Suppression Following Treatment Cessation
[00178] A cure for chronic HBV infection will require functional control of cccDNA, the stable archive of HBV that persists in infected hepatocytes. See Nassal, “HBV cccDNA: viral persistence reservoir and key obstacle for a cure of chronic hepatitis B,” (2015) Gut, 64(12): pp. 1972-1984. 2015;64:1972-1984; Asselah et al. 2019. As discussed in more detail above, current nucleos(t)ide analogues, such as TDF, effectively control viral replication but do not target cccDNA and rarely achieve HBsAg seroclearance. See Asselah et al. 2019; Seto et al. 2021. [00179] Previous studies have shown that clevudine was associated with potent and prolonged HBV DNA suppression in patients and animal models, with decreases in replication intermediates, including RNA and cccDNA, observed in animal models. See Korba et al., “Clevudine therapy with vaccine inhibits progression of chronic hepatitis and delays onset of
hepaticellular carcinoma in chronic woodchuck hepatitis virus infection,” (2004) Antivir Ther 9(6): pp. 937-952; Peek et al., “Antiviral activity of clevudine [L-FMAU, (l-(2-fluoro-5-methyl- beta, L-arabinofuranosyl) uracil)] against woodchuck hepatitis virus replication and gene expression in chronically infected woodchucks (Marmota monax),” (2001) Hepatology 33(1): pp. 254-266; Yoo et al., “Twenty-four- week clevudine therapy showed potent and sustained antiviral activity in HBeAg-positive chronic hepatitis B,” (2007) Hepatology 45(5): pp. 1172-1178; Yoo et al., “Clevudine is highly efficacious in hepatitis B e antigen-negative chronic hepatitis B with durable off-therapy viral suppression,” (2007) Hepatology 46(4): pp. 1041-1048; Zhu et al., “Kinetics of hepadnavirus loss from the liver during inhibition of viral DNA synthesis,” (2001) J Virol 75(1): pp. 311-322.
[00180] In patients, presence and transcriptional activity of intrahepatic cccDNA can be measured using surrogates, including circulating HBV RNA. See Asselah et al. 2019. Furthermore, undetectable HBV RNA at the end of treatment is associated with better off- treatment response. See Wang et al. 2016; Carey et al. 2020; Seto et al. 2021.
[00181] This study was undertaken to evaluated the impact of ATI-2173 on circulating HBV
RNA in patients with chronic HBV infection following treatment cessation.
[00182] Study Design
[00183] The study involved follow up measurements of subjects from Example 1, i.e. those subjects treated with: i) ATI-2173 (25 mg) or placebo for 1 month; ii) ATI-2173 (50 mg) or placebo for 1 month; and from Example 2, i.e. those subjects treated with: iii) ATI-2173 (25 mg) and TDF (300 mg) or TDF alone; and, iv) ATI-2173 (50 mg) and TDF (300 mg) or TDF alone, for 3 months. Antiviral activity, i.e. HBV DNA and HBV RNA, were measured at baseline; end of treatment; and months 1, 3, and 6 off treatment as described above.
[00184] Results
[00185] FIG. 10 depicts the results showing that treatemt of ATI-2173 alone following treatment with ATI-2173 (25 and 50 mg) versus placebo demonstrates prolonged off-treatment HBV DNA suppression. FIG. 10 shows that sustained viral load responses through 6 months off treatment were observed following just one month of ATI-2173 treatment at either 25 mg or 50 mg. During the 6-month off-treatment follow-up period, HBV DNA gradually increased toward
baseline levels without ALT flares (data not shown). Nine of eleven patients (82%) receiving who received ATI-2173 alone at either dose were BLQ at the end of the 1 -month treatment period. One of these nine patients remained BLQ through 6 months off treatment
[00186] FIG. 11 depicts the results showing that one month of treatment of ATI-2173 (50 mg) alone demonstrates prolonged HBV RNA and potential cccDNA activity. As seen in FIG.11, one month of ATI-2173 treatment (50 mg) induced rapid HBV RNA declines, with continued decreases for 1 month off treatment, similar to HBV DNA. Furthermore, sustained off-treatment reductions in HBV RNA were observed through 6 months following the cessation of treatment. All patients receiving ATI-2173 (50 mg) had undetectable HBV RNA at 1 month off treatment. Patients treated with placebo showed no pattern of change in HBV RNA.
[00187] Table 9 shows the number of patients that had HBV DNA below the level of quantification (BLQ) at each time point (Day 28 of treatment; and 1, 3, 6 months off treatment) in the placebo and ATI-2173 treated groups.
[00189] FIG. 12 depicts the results following three months of ATI-2173 (25 mg and 50 mg) + TDF (300 mg) on sustained HBV DNA suppression without off-treatment viral rebound. Gray shading indicates the 90-day treatment period. As shown in in Example 2, ATI-2173 (25 mg and 50 mg) + TDF for 3 months induced potent HBV DNA declines. These declines in HBV DNA were sustained through 1 month off treatment. In the placebo + TDF group (i.e. TDF alone), HBV DNA levels began to rebound within 2 weeks off treatment (FIG. 12). At 1 month following the cessation of treatment, 4/8 patients (50%) in each ATI-2173 group (25 mg and 50 mg) + TDF were BLQ vs 0/4 in the TDF alone group.
[00190] FIG. 13 shows that three months of treatment with ATI-2173 (25 mg and 50 mg) + TDF or TDF alone demonstrated off-treatment HBV RNA suppression. As depicted in FIG. 13, treatment of ATI-2173 (25 mg and 50 mg) + TDF (300 mg) induced rapid HBV RNA declines
that mirrored HBV DNA kinetics and persisted for 1 month off treatment. Furthermore, HBV RNA remained suppressed through 1 month off treatment in the placebo + TDF group, unlike the observed HBV DNA kinetics. The data show that HBV RNA and HBV DNA remain suppressed in the ATI-2173 2173 (25 mg and 50 mg) + TDF (300 mg) treatment groups, whereas HBV DNAincreases whild HBV RNA remained suppressed in the placebo + TDF treatment groups. At 1 month off treatment, 5/11 patients had undetectable HBV RNA after being treating with ATI- 2173 (25 mg and 50 mg) + TDF vs 1/3 with TDF alone.
[00191] Table 10 shows the number of patients that had HBV DNA below the level of quantification (BLQ) at each time point (Day 90 of treatment; and 1 month off treatment) in the placebo and ATI-2173 + TDF treated groups.
[00193] Summary:
[00194] The inventors have demonstrated that ATI-2173 monotherapy for 1 month and ATI-2173 (25 mg and 50 mg) + TDF treatment for 3 months exhibits potent HBV DNA suppression that was sustained off treatment. Furthermore, after discontinuation of 1- or 3-month ATI-2173 (25 mg and 50 mg) treatment, HBV DNA rebound was slow. In addition, ATI-2173 monotherapy (25 mg and 50 mg) and ATI-2173 (25 mg and 50 mg) + TDF decreased circulating HBV RNA with similar directionality and kinetics to HBV DNA and induced prolonged off- treatment HBV RNA suppression. Although rapid rebound of HBV DNA was observed after discontinuation of treatment with TDF alone, HBV RNA remained suppressed through 1 month off treatment.
[00195] Overall, this analysis indicates that ASPIN treatment results in concurrent off- treatment declines in HBV DNA and RNA, whereas disparate HBV DNA and RNA patterns are observed off-treatment with a nucleos(t)ide analogue. Furthermore, the data also indicate that
clevudine blood levels of as little as 3-8 ng/mL as the result of ATI-2173 administartion generate sustained off-treatment responses for at least 1 month following cessation of treatment.
[00196] All of the compositions and methods disclosed and claimed herein can be made and executed without undue experimentation in light of the present disclosure. While this invention may be embodied in many different forms, there are described in detail herein specific preferred embodiments of the invention. The present disclosure is an exemplification of the principles of the invention and is not intended to limit the invention to the particular embodiments illustrated. [00197] Furthermore, the invention encompasses any and all possible combinations of some or all of the various embodiments described herein. It should also be understood that various changes and modifications to the presently preferred embodiments described herein will be apparent to those skilled in the art. Such changes and modifications can be made without departing from the spirit and scope of the invention and without diminishing its intended advantages. It is therefore intended that such changes and modifications be covered by the appended claims.
Claims
1. A method of treating a patient infected with HBV comprising administering a therapeutically effective amount of a pharmaceutical composition comprising a compound that produces a steady-state maximal plasma concentration (Cmax) of clevudine of at least 5 ng/mL to about 50 ng/mL, an area under the concentration-time curve over the dosing interval of 24 hours (AUC) of at least 90 ng*h/mL to about 700 ng*h/ml, or a minimal plasma concentration (Cmin) of at least 3 ng/mL to about 24 ng/mL.
2. The method of claim 1, wherein the compound that produces a steady-state maximal plasma concentration (Cmax) of clevudine of at least 15 ng/mL, an area under the concentration-time curve over the dosing interval of 24 hours (AUC) of at least 250 ng*h/mL, or a minimal plasma concentration (Cmin) of at least 9 ng/mL.
3. The method of claim 1, wherein the compound produces a steady-state maximal plasma concentration (Cmax) of clevudine of at least 5 ng/mL to about 50 ng/mL, an area under the concentration-time curve over the dosing interval of 24 hours (AUC) of at least 90 ng*h/mL to about 700 ng*h/ml, or a minimal plasma concentration (Cmin) of at least 3 ng/mL to about 24 ng/mL and wherein the compound induces a decrease in HBV DNA from baseline levels prior to treatment by at least 2.0-3.0 log10 IU/mL or to undetectable levels following at least 28 days of treatment.
4. The method of claim 3, wherein the compound induces a decrease in HBV DNA from baseline levels prior to treatment by at least 2.5 log10 IU/mL or to undetectable levels following at least 28 days of treatment.
5. The method of claim 1, wherein the compound is a phosphoramidate prodrug of clevudine of the general formula:
Y is O or S;
Y1 is OH, OAryl, OAlkyl, or BH3-M+ ;
Y2 is OH or BH3-M+ ;
Aryl is phenyl, 1 -naphthyl, 2-naphthyl, aromatic, heteroaromatic, 4-substituted phenyl, 4- chlorophenyl, or 4-bromophenyl;
R3 is hydrogen, deuterium, methyl, fluoromethyl, difluoromethyl, trifluoromethyl, alkyl, alkenyl, alkynyl, amino, fluoro, chloro, bromo, iodo, hydroxyl, cyano, formyl, acyl, substituted alkyl, substituted alkenyl, substituted alkynyl, substituted amino, or hydroxymethyl;
R4 is hydrogen, methyl, ethyl, isopropyl, cyclopentyl, cyclohexyl, neopentyl, benzyl, alkyl, branched alkyl, cycloalkyl, or lipid;
R5 is hydrogen, deuterium, hydroxyl, cyano, azido, amino, substituted amino, aryl, heteroaryl, substituted aryl, lipid, C1-22 alkoxy, C1-22 alkyl, C2-22 alkenyl, C2-22 alkynyl, or substituted heteroaryl;
R6 is methyl, ethyl, tert-butyl, C1-22 alkoxy, C1-22 alkyl, branched alkyl, cycloalkyl, aryl, substituted aryl, or alkyoxy.
7. The method of claim 5, wherein the dose of the compound administered is a therapeutically acceptable dose from about 10 mg to about 75 mg per day.
8. The method of claim 6, wherein the dose of the compound administered is a therapeutically acceptable dose from about 25 mg to about 50 mg per day.
9. A method of treating a patient infected with HBV comprising administering a therapeutically effective amount of a pharmaceutical composition comprising a compound that produces a steady-state maximal plasma concentration (Cmax) of a compound Ml having the formula:
of at least 9 ng/mL to about 40 mg/mL, an area under the concentration-time curve over the dosing interval of 24 hours (AUC) of at least 93 ng*h/mL to about 200 mg*h/mL and the time to maximum concentration (Tmax) of at least 1 hr.
10. The method of claim 9, wherein compound produces a steady-state maximal plasma concentration (Cmax) of a compound Ml of about 23 mg/mL, an area under the concentrationtime curve over the dosing interval of 24 hours (AUC) of at least 35 ng*h/mL to about 200 mg*h/mL and the time to maximum concentration (Tmax) of at least 1.5 hr.
11. The method of claim 9, wherein the compound produces a steady-state maximal plasma concentration (Cmax) of a compound Ml having the formula:
of at least 9 ng/mL to about 40 mg/mL, an area under the concentration-time curve over the dosing interval of 24 hours (AUC) of at least 93 ng*h/mL to about 200 mg*h/mL and the time to maximum concentration (Tmax) of at least 1 hr and wherein the compound induces induces a
decrease in HBV DNA from baseline levels prior to treatment by at least 2.0-3.0 log10 IU/mL or to undetectable levels following at least 28 days of treatment.
12. The method of claim 11, wherein the compound induces a decrease in HBV DNA from baseline levels prior to treatment by at least 2.5 log10 IU/mL or to undetectable levels following at least 28 days of treatment.
13. The method of claim 9, wherein the compound is a phosphoramidate prodrug of clevudine of the general formula:
where each R1 is, independently, selected from one of the formulae:
Y is O or S;
Y1 is OH, OAryl, OAlkyl, or BH3-M+ ; Y2 is OH or BH3-M+ ;
Aryl is phenyl, 1 -naphthyl, 2-naphthyl, aromatic, heteroaromatic, 4-substituted phenyl, 4- chlorophenyl, or 4-bromophenyl;
R3 is hydrogen, deuterium, methyl, fluoromethyl, difluoromethyl, trifluoromethyl, alkyl, alkenyl, alkynyl, amino, fluoro, chloro, bromo, iodo, hydroxyl, cyano, formyl, acyl, substituted alkyl, substituted alkenyl, substituted alkynyl, substituted amino, or hydroxymethyl;
R4 is hydrogen, methyl, ethyl, isopropyl, cyclopentyl, cyclohexyl, neopentyl, benzyl, alkyl, branched alkyl, cycloalkyl, or lipid;
R5 is hydrogen, deuterium, hydroxyl, cyano, azido, amino, substituted amino, aryl, heteroaryl, substituted aryl, lipid, C1-22 alkoxy, C1-22 alkyl, C2-22 alkenyl, C2-22 alkynyl, or substituted heteroaryl;
R6 is methyl, ethyl, tert-butyl, C1-22 alkoxy, C1-22 alkyl, branched alkyl, cycloalkyl, aryl, substituted aryl, or alkyoxy.
14. The method of claim 13, wherein the compound is:
15. The method of claim 13, wherein the dose of the compound administered is a therapeutically acceptable dose from about 10 mg to about 75 mg per day.
16. The method of claim 14, wherein the dose of the compound administered is a therapeutically acceptable dose from about 25 mg to about 50 mg per day.
17. The method of claim 3, wherein the decrease in HBV DNA is maintained for at least 24 weeks following the cessation of treatment.
18. The method of claim 11, wherein the decrease in HBV DNA is maintained for at least 24 weeks following the cessation of treatment.
19. The method of claim 1, further comprising the administration of a second antiviral agent.
20. The method of claim 19, wherein the second antiviral agent is selected from the group consisting of: an immunomodulator, a capsid assembly inhibitor/modulator, interferon or modified interferon, an HBV polymerase inhibitor, an HBV RNA destabilizer or another small- molecule inhibitor of HBV protein expression.
21. The method of claim 20, wherein the HBV polymerase inhibitor is selected from tenofovir or a tenofovir prodrug.
22. The method of claim 21, wherein the tenofovir prodrug is selected from tenofovir alafenamide fumarate (TAF) or tenofovir disoproxil fumerate (TDF).
23. The method of claim 22, wherein the dose of the tenofovir prodrug is from about 25 mg to about 1000 mg per day.
24. The method of claim 19, wherein the therapeutically effective amount of the compound of the pharmaceutical composition and the second antiviral agent are administered in combination or in alternation.
25. The method of claim 9, further comprising the administration of a second antiviral agent.
26. The method of claim 25, wherein the second antiviral agent is selected from the group consisting of: an immunomodulator, a capsid assembly inhibitor/modulator, interferon or modified interferon, an HBV polymerase inhibitor, an HBV RNA destabilizer or another small- molecule inhibitor of HBV protein expression.
27. The method of claim 26, wherein the HBV polymerase inhibitor is selected from tenofovir or a tenofovir prodrug.
28. The method of claim 27, wherein the tenofovir prodrug is selected from tenofovir alafenamide fumarate (TAF) or tenofovir disoproxil fumerate (TDF).
29. The method of claim 28, wherein the dose of the tenofovir prodrug is from about 25 mg to about 1000 mg per day.
30. The method of claim 25, wherein the therapeutically effective amount of the compound of the pharmaceutical composition and the second antiviral agent are administered in combination or in alternation.
31. The method of claim 1, wherein the compound is in a pharmaceutically acceptable carrier or diluent.
32. The method of claim 9, wherein the compound is in a pharmaceutically acceptable carrier or diluent.
Applications Claiming Priority (2)
| Application Number | Priority Date | Filing Date | Title |
|---|---|---|---|
| US202163193925P | 2021-05-27 | 2021-05-27 | |
| US63/193,925 | 2021-05-27 |
Publications (1)
| Publication Number | Publication Date |
|---|---|
| WO2022251594A1 true WO2022251594A1 (en) | 2022-12-01 |
Family
ID=84230293
Family Applications (1)
| Application Number | Title | Priority Date | Filing Date |
|---|---|---|---|
| PCT/US2022/031287 Ceased WO2022251594A1 (en) | 2021-05-27 | 2022-05-27 | Pharmacokinetics and dose-related improvments in subjects treated with phosphoramidate clevudine prodrugs |
Country Status (1)
| Country | Link |
|---|---|
| WO (1) | WO2022251594A1 (en) |
Citations (4)
| Publication number | Priority date | Publication date | Assignee | Title |
|---|---|---|---|---|
| US7390791B2 (en) * | 2000-07-21 | 2008-06-24 | Gilead Sciences, Inc. | Prodrugs of phosphonate nucleotide analogues |
| US20190100542A1 (en) * | 2016-06-05 | 2019-04-04 | Shanghai Begreat Pharmatech | Crystal form of tenofovir alafenamide salt, preparation method and use thereof |
| US20190350954A1 (en) * | 2016-06-24 | 2019-11-21 | Emory University | Phosphoramidates for the treatment of hepatitis b virus |
| US20200299320A1 (en) * | 2014-12-15 | 2020-09-24 | Emory University | Phosphoramidates for the treatment of hepatitis b virus |
-
2022
- 2022-05-27 WO PCT/US2022/031287 patent/WO2022251594A1/en not_active Ceased
Patent Citations (4)
| Publication number | Priority date | Publication date | Assignee | Title |
|---|---|---|---|---|
| US7390791B2 (en) * | 2000-07-21 | 2008-06-24 | Gilead Sciences, Inc. | Prodrugs of phosphonate nucleotide analogues |
| US20200299320A1 (en) * | 2014-12-15 | 2020-09-24 | Emory University | Phosphoramidates for the treatment of hepatitis b virus |
| US20190100542A1 (en) * | 2016-06-05 | 2019-04-04 | Shanghai Begreat Pharmatech | Crystal form of tenofovir alafenamide salt, preparation method and use thereof |
| US20190350954A1 (en) * | 2016-06-24 | 2019-11-21 | Emory University | Phosphoramidates for the treatment of hepatitis b virus |
Non-Patent Citations (1)
| Title |
|---|
| SQUIRES ET AL.: "ATI-2173, a Novel Liver-Targeted Non-Chain-Terminating Nucleotide for Hepatitis B Virus Cure Regimens", ANTIMICROB AGENTS CHEMOTHER ., vol. 64, no. 9, 2020, pages 1 - 13, XP093013378, DOI: https://doi.org/10.1128/AAC.00836-20 * |
Similar Documents
| Publication | Publication Date | Title |
|---|---|---|
| US10894804B2 (en) | Nucleotide hemi-sulfate salt for the treatment of hepatitis C virus | |
| JP2010502649A5 (en) | ||
| KR20050044587A (en) | Use of phosphonate nucleotide analogue for treating hepatitis b virus infections | |
| US20210260025A1 (en) | Capsid assembly modulator dosing regimen | |
| US20160184332A1 (en) | Medicament comprising a pharmaceutical combination of drugs | |
| EP4081216A1 (en) | Method of treating virus infection using a tlr7 agonist | |
| Squires et al. | A randomized phase 1b trial of the active site polymerase inhibitor nucleotide ATI‐2173 in patients with chronic hepatitis B virus infection | |
| Buti et al. | Drugs in development for hepatitis B | |
| BRPI0610873A2 (en) | treatment of liver disease in which iron plays a role in pathogenesis | |
| CN112121044A (en) | Application of amlexanox in preparing anti-hepatitis virus medicine | |
| CN108367016B (en) | A3 adenosine receptor ligands for the treatment of ectopic fat accumulation | |
| WO2022251594A1 (en) | Pharmacokinetics and dose-related improvments in subjects treated with phosphoramidate clevudine prodrugs | |
| WO2022261046A1 (en) | Compositions and methods of treating hepatitis d and hepatitis b/hepatitis d co-infections with phosphoramidate clevudine prodrugs | |
| EP2519243B1 (en) | Compositions and methods for treating hepatitis b virus infection | |
| Soon et al. | Safety and efficacy of alamifovir in patients with chronic hepatitis B virus infection | |
| US20230330126A1 (en) | Modified adenosine nucleoside for use in the treatment of viral infections | |
| JP7376679B2 (en) | Synergistic effect of EYP001 and IFN for treatment of HBV infection | |
| US20190046552A1 (en) | Compositions and methods for the treatment of hcv infection | |
| EP1933823B1 (en) | Pharmaceutical composition on basis of reverse transcriptase inhibitor and meldonium | |
| WO2021170741A1 (en) | Treatment of hbv | |
| US20220047606A1 (en) | Treatment method with iap inhibitor | |
| OA19838A (en) | Capsid assembly modulator dosing regimen. | |
| Chin et al. | Discontinued Hepatitis Agent: Clevudine | |
| US20170049797A1 (en) | Combination therapy for treating hcv infection | |
| EA046230B1 (en) | SYNERGIC ACTION OF EYP001 AND IFN IN THE TREATMENT OF HBV INFECTION |
Legal Events
| Date | Code | Title | Description |
|---|---|---|---|
| 121 | Ep: the epo has been informed by wipo that ep was designated in this application |
Ref document number: 22812231 Country of ref document: EP Kind code of ref document: A1 |
|
| NENP | Non-entry into the national phase |
Ref country code: DE |
|
| 122 | Ep: pct application non-entry in european phase |
Ref document number: 22812231 Country of ref document: EP Kind code of ref document: A1 |
































