WO2022247994A1 - System for sensor data fusion for environmental perception - Google Patents
System for sensor data fusion for environmental perception Download PDFInfo
- Publication number
- WO2022247994A1 WO2022247994A1 PCT/DE2022/100397 DE2022100397W WO2022247994A1 WO 2022247994 A1 WO2022247994 A1 WO 2022247994A1 DE 2022100397 W DE2022100397 W DE 2022100397W WO 2022247994 A1 WO2022247994 A1 WO 2022247994A1
- Authority
- WO
- WIPO (PCT)
- Prior art keywords
- grid
- data
- occupancy
- model
- environment
- Prior art date
- Legal status (The legal status is an assumption and is not a legal conclusion. Google has not performed a legal analysis and makes no representation as to the accuracy of the status listed.)
- Ceased
Links
Classifications
-
- G—PHYSICS
- G01—MEASURING; TESTING
- G01S—RADIO DIRECTION-FINDING; RADIO NAVIGATION; DETERMINING DISTANCE OR VELOCITY BY USE OF RADIO WAVES; LOCATING OR PRESENCE-DETECTING BY USE OF THE REFLECTION OR RERADIATION OF RADIO WAVES; ANALOGOUS ARRANGEMENTS USING OTHER WAVES
- G01S13/00—Systems using the reflection or reradiation of radio waves, e.g. radar systems; Analogous systems using reflection or reradiation of waves whose nature or wavelength is irrelevant or unspecified
- G01S13/88—Radar or analogous systems specially adapted for specific applications
- G01S13/93—Radar or analogous systems specially adapted for specific applications for anti-collision purposes
- G01S13/931—Radar or analogous systems specially adapted for specific applications for anti-collision purposes of land vehicles
-
- G—PHYSICS
- G01—MEASURING; TESTING
- G01C—MEASURING DISTANCES, LEVELS OR BEARINGS; SURVEYING; NAVIGATION; GYROSCOPIC INSTRUMENTS; PHOTOGRAMMETRY OR VIDEOGRAMMETRY
- G01C21/00—Navigation; Navigational instruments not provided for in groups G01C1/00 - G01C19/00
- G01C21/38—Electronic maps specially adapted for navigation; Updating thereof
- G01C21/3804—Creation or updating of map data
- G01C21/3833—Creation or updating of map data characterised by the source of data
- G01C21/3848—Data obtained from both position sensors and additional sensors
-
- G—PHYSICS
- G01—MEASURING; TESTING
- G01S—RADIO DIRECTION-FINDING; RADIO NAVIGATION; DETERMINING DISTANCE OR VELOCITY BY USE OF RADIO WAVES; LOCATING OR PRESENCE-DETECTING BY USE OF THE REFLECTION OR RERADIATION OF RADIO WAVES; ANALOGOUS ARRANGEMENTS USING OTHER WAVES
- G01S13/00—Systems using the reflection or reradiation of radio waves, e.g. radar systems; Analogous systems using reflection or reradiation of waves whose nature or wavelength is irrelevant or unspecified
- G01S13/86—Combinations of radar systems with non-radar systems, e.g. sonar, direction finder
- G01S13/865—Combination of radar systems with lidar systems
-
- G—PHYSICS
- G01—MEASURING; TESTING
- G01S—RADIO DIRECTION-FINDING; RADIO NAVIGATION; DETERMINING DISTANCE OR VELOCITY BY USE OF RADIO WAVES; LOCATING OR PRESENCE-DETECTING BY USE OF THE REFLECTION OR RERADIATION OF RADIO WAVES; ANALOGOUS ARRANGEMENTS USING OTHER WAVES
- G01S13/00—Systems using the reflection or reradiation of radio waves, e.g. radar systems; Analogous systems using reflection or reradiation of waves whose nature or wavelength is irrelevant or unspecified
- G01S13/86—Combinations of radar systems with non-radar systems, e.g. sonar, direction finder
- G01S13/867—Combination of radar systems with cameras
-
- G—PHYSICS
- G01—MEASURING; TESTING
- G01S—RADIO DIRECTION-FINDING; RADIO NAVIGATION; DETERMINING DISTANCE OR VELOCITY BY USE OF RADIO WAVES; LOCATING OR PRESENCE-DETECTING BY USE OF THE REFLECTION OR RERADIATION OF RADIO WAVES; ANALOGOUS ARRANGEMENTS USING OTHER WAVES
- G01S13/00—Systems using the reflection or reradiation of radio waves, e.g. radar systems; Analogous systems using reflection or reradiation of waves whose nature or wavelength is irrelevant or unspecified
- G01S13/88—Radar or analogous systems specially adapted for specific applications
- G01S13/89—Radar or analogous systems specially adapted for specific applications for mapping or imaging
-
- G—PHYSICS
- G01—MEASURING; TESTING
- G01S—RADIO DIRECTION-FINDING; RADIO NAVIGATION; DETERMINING DISTANCE OR VELOCITY BY USE OF RADIO WAVES; LOCATING OR PRESENCE-DETECTING BY USE OF THE REFLECTION OR RERADIATION OF RADIO WAVES; ANALOGOUS ARRANGEMENTS USING OTHER WAVES
- G01S17/00—Systems using the reflection or reradiation of electromagnetic waves other than radio waves, e.g. lidar systems
- G01S17/86—Combinations of lidar systems with systems other than lidar, radar or sonar, e.g. with direction finders
-
- G—PHYSICS
- G01—MEASURING; TESTING
- G01S—RADIO DIRECTION-FINDING; RADIO NAVIGATION; DETERMINING DISTANCE OR VELOCITY BY USE OF RADIO WAVES; LOCATING OR PRESENCE-DETECTING BY USE OF THE REFLECTION OR RERADIATION OF RADIO WAVES; ANALOGOUS ARRANGEMENTS USING OTHER WAVES
- G01S17/00—Systems using the reflection or reradiation of electromagnetic waves other than radio waves, e.g. lidar systems
- G01S17/88—Lidar systems specially adapted for specific applications
- G01S17/89—Lidar systems specially adapted for specific applications for mapping or imaging
-
- G—PHYSICS
- G01—MEASURING; TESTING
- G01S—RADIO DIRECTION-FINDING; RADIO NAVIGATION; DETERMINING DISTANCE OR VELOCITY BY USE OF RADIO WAVES; LOCATING OR PRESENCE-DETECTING BY USE OF THE REFLECTION OR RERADIATION OF RADIO WAVES; ANALOGOUS ARRANGEMENTS USING OTHER WAVES
- G01S17/00—Systems using the reflection or reradiation of electromagnetic waves other than radio waves, e.g. lidar systems
- G01S17/88—Lidar systems specially adapted for specific applications
- G01S17/93—Lidar systems specially adapted for specific applications for anti-collision purposes
- G01S17/931—Lidar systems specially adapted for specific applications for anti-collision purposes of land vehicles
-
- G—PHYSICS
- G01—MEASURING; TESTING
- G01S—RADIO DIRECTION-FINDING; RADIO NAVIGATION; DETERMINING DISTANCE OR VELOCITY BY USE OF RADIO WAVES; LOCATING OR PRESENCE-DETECTING BY USE OF THE REFLECTION OR RERADIATION OF RADIO WAVES; ANALOGOUS ARRANGEMENTS USING OTHER WAVES
- G01S7/00—Details of systems according to groups G01S13/00, G01S15/00, G01S17/00
- G01S7/48—Details of systems according to groups G01S13/00, G01S15/00, G01S17/00 of systems according to group G01S17/00
- G01S7/4808—Evaluating distance, position or velocity data
-
- G—PHYSICS
- G06—COMPUTING OR CALCULATING; COUNTING
- G06V—IMAGE OR VIDEO RECOGNITION OR UNDERSTANDING
- G06V10/00—Arrangements for image or video recognition or understanding
- G06V10/70—Arrangements for image or video recognition or understanding using pattern recognition or machine learning
- G06V10/77—Processing image or video features in feature spaces; using data integration or data reduction, e.g. principal component analysis [PCA] or independent component analysis [ICA] or self-organising maps [SOM]; Blind source separation
- G06V10/80—Fusion, i.e. combining data from various sources at the sensor level, preprocessing level, feature extraction level or classification level
- G06V10/806—Fusion, i.e. combining data from various sources at the sensor level, preprocessing level, feature extraction level or classification level of extracted features
-
- G—PHYSICS
- G06—COMPUTING OR CALCULATING; COUNTING
- G06V—IMAGE OR VIDEO RECOGNITION OR UNDERSTANDING
- G06V20/00—Scenes; Scene-specific elements
- G06V20/50—Context or environment of the image
- G06V20/56—Context or environment of the image exterior to a vehicle by using sensors mounted on the vehicle
- G06V20/58—Recognition of moving objects or obstacles, e.g. vehicles or pedestrians; Recognition of traffic objects, e.g. traffic signs, traffic lights or roads
Definitions
- the invention relates to a system for merging data from different sensors in the field of environment perception, specifically for the environment perception of highly automated or autonomous road users, such as self-driving vehicles, mobile robots and driverless transport systems.
- Examples would be the fusion of several radars, e.g. for an adaptive cruise control, or the lidar camera fusion, in which lidar point clouds are transformed into the camera image and then fused with the object classes recognized by the camera. Objects are then generated in the vehicle coordinate system from the classified lidar points.
- radars e.g. for an adaptive cruise control
- lidar camera fusion in which lidar point clouds are transformed into the camera image and then fused with the object classes recognized by the camera. Objects are then generated in the vehicle coordinate system from the classified lidar points.
- the necessary pre-processing of the sensor data in the sensor is disadvantageous, since only defined object data can be processed.
- the respective sensors In order to generate this object data, the respective sensors must be designed for raw data evaluation and object extraction and therefore each require high decentralized computing power.
- the classic object data fusion cannot be expanded with further information layers, eg unoccupied areas, and/or data from other sensor sources without object extraction.
- the second approach uses occupancy grid-based particle filters, which determine the static and dynamic elements of the environment on the basis of individual grid cells.
- Particle filter is a common name of sequential Monte Carlo methods. This is intended to estimate the current but unknown probability density of the distribution of a state variable. For this purpose, a large number of particles (pairs of characteristics and point coordinates in the state space) are generated. The totality of the particles represents the probability density.
- the particle filter approach has the disadvantage that a large number of processing steps to be calculated in parallel for estimating the state on the basis of a large number of estimation methods and a large number of particles require a very high computing power. This is currently performed by graphics processors (GPU) that are designed for parallel data processing.
- GPU graphics processors
- DE 102015201 747 A1 discloses a sensor system for a vehicle in which the sensor devices calculate an occupancy grid from the respective raw data and a control device calculates a merged occupancy grid from the individual occupancy grids.
- DE 102020005597 A1 describes a method for generating an environment map for environment representation in the form of an occupancy grid, the coordinate origin of which is dynamically adapted depending on the driving speed, the driving situation or a vehicle application using the environment representation, and the resolution and the displayed detection area of the Occupancy grid can be set depending on the coordinate origin.
- the input data from various sensors, such as cameras, radars, lidars, etc., are displayed in the occupancy grid.
- DE 102016209704 A1 relates to a method for controlling a personal protection device of a vehicle, in which information relevant to an accident is processed in an occupancy grid. On the basis of this environmental grid, the processed information is already available in a time-critical driving state and can therefore be used for rapid and robust triggering of the personal protection device.
- DE 102017217972 A1 relates to a method for generating an inverse sensor model for radar sensor devices.
- real obstacles are positioned in the vicinity of the radar sensor device and then measured by the radar sensor device.
- the inverse sensor model is generated using the generated radar measurement data and the specified dimensions and spatial positions of the obstacles and assigns an occupancy probability to a cell of an occupancy grid as a function of specified radar measurement data.
- the object of the present invention is to create an environment model for highly automated or autonomously driving vehicles with a large number of sensors in a resource-minimised manner with a high degree of reliability.
- the object is achieved by a method for creating an environment model for a highly automated or autonomously operated vehicle with at least two sensors for detecting the environment according to the measures of independent claim 1, and by a control unit, a computer-implemented method, a computer program and a program code according to claims 11 to 14 solved.
- Advantageous configurations of the invention are the subject matter of the dependent claims.
- Environment models also called environment models, are known per se for mobile applications, such as driver assistance systems in motor vehicles or mobile robots.
- For use in a highly automated or autonomously operated vehicle degree of automation level 3 to 5 according to SAE standard J3016; automated and autonomous mode according to the Federal Highway Research Institute - BASt), there are particularly high demands on the quality of the environment model.
- Environment models are an image of the environment surrounding the vehicle that is as accurate as possible. They extend from the vehicle to the detection limit of the environmental sensors, which can be 100m away or more for long-distance sensors. Environment models contain as many stationary and dynamic, i.e. moving, objects as possible. This can be other vehicles or pedestrians. Stationary objects are stationary objects, such as infrastructure elements, traffic lights, traffic signs, but also lane markings. Ideally, the environmental object not only contains the occupancy of grid cells by these objects, referenced via a vehicle coordinate system, but also other information about these objects. This can be dynamic information such as speed, direction of movement or a predicted position, but also object properties such as object class, lane data, traffic information or free spaces. In order to capture the environmental data required to obtain this content, vehicles have a large number of different sensors installed to capture the environment. These differ in arrangement, detection principle and sensor data evaluation.
- Lidar sensors emit radiant laser pulses in the non-visible spectrum and receive the light reflections at specific points. This creates a high-resolution image of the covered environment, which, however, has a very high number of individual sensor values.
- Radar sensors emit electromagnetic waves in the radio frequency range and also detect reflected signals at specific points. However, the point density and the resolution are significantly lower than with lidar sensors. Both lidar and radar have the greatest measuring distance (long-distance sensors) of the usual environment sensors and can in principle calculate distances (radar, ToF lidar - time of flight) and relative speeds (radar, FMCW lidar - frequency modulated continuous wave) on the basis of runtime differences and the Doppler effect ) of objects in the environment.
- Optical sensors such as cameras, have a significantly higher resolution/pixel density than radar sensors and often also than lidar sensors. However, estimating the positions of objects is significantly less accurate. They are therefore preferably used as medium to short-distance sensors.
- the images from the optical sensors are processed, with objects being recognized and identified using feature vectors for object classification, using identified geometric shapes or using the optical flow. This is often implemented using machine learning methods, for example in the object recognition of a convolutional neural network (CNN).
- CNN convolutional neural network
- the pre-processing of the object data is usually already integrated in the camera.
- These sensors are available in different versions with different measuring ranges and resolutions. All sensors are calibrated in the vehicle coordinate system depending on the field of vision, which means that a sensor value can be located in the environment relative to the vehicle.
- the method according to the invention uses at least two, preferably a large number of sensors.
- An exemplary sensor configuration for highly automated applications in urban areas consists of two lidar sensors arranged on the roof for monitoring the front and rear area at long distances and four lidar sensors arranged at the corners of the vehicle floor for detecting the environment at medium distances.
- Four additional lidar sensors are arranged in the center of the vehicle's roof edges. Their detection range is directed downwards Close range to capture the vehicle.
- the recorded environment data is used in addition to self-localization within the environment, among other things for pedestrian or lane detection.
- Eight radar sensors are arranged on two levels at the corners of the vehicle to monitor medium distances. These have different detection properties to reduce the influence of different weather conditions and to increase detection reliability through redundant or overlapping detection areas.
- the exemplary sensor configuration includes five optical cameras, one of which is aligned in the direction of travel to provide object and lane information in the short to medium range, and four additional cameras arranged on the vehicle edges to capture the immediate surroundings around the vehicle.
- a V2X-based sensor can also be installed, which wirelessly receives information from other road users or infrastructure facilities in the form of objects via vehicle-to-vehicle or vehicle-to-infrastructure communication.
- an assignment rule between the coordinate systems of the vehicle and the communication partner is required in order to be able to use the transmitted object positions.
- the assignment can take place via a global coordinate system.
- the method according to the invention can be used particularly advantageously in such sensor configurations with differently generated environment data (lidar and radar provide point clouds, cameras and V2X-based sensors provide objects), since it enables a very efficient use of resources to create the environment model with the highest detection or model quality. In principle, however, the method can also be used advantageously with a smaller number of sensors.
- the surroundings are represented by means of an occupancy grid as a coherent arrangement of grid cells.
- a grid cell dimension is assigned to each grid cell and the resolution of the occupancy grid is determined by the number of grid cells for a defined section of the environment.
- Occupancy grids also known as occupancy grids, are discrete representations of the constantly existing environment and are known per se. When creating them, the section of the environment to be covered must be defined. Shape and size of the grid cells as well as the resolution of the occupancy grid, i.e. the number of grid cells in relation to the area covered, must also be specified. Occupancy grids can be designed as polar grids or as Cartesian grids.
- each grid cell is assigned a grid cell dimension. In the simplest and preferred case, this is an occupancy probability. This indicates how high the probability is that an object is present in the section of the environment represented by a grid cell.
- the grid cell metric can also be expressed as a cost value.
- the grid cell dimensions can be reset to an initial value or taken over from the previous magazine. For example, the initial value of the grid cell measure is 0.5. This corresponds to an unclear occupancy of the grid cell. A value of zero corresponds to a definitely vacant grid cell and a value of 1 corresponds to a definitely occupied grid cell.
- captured raw data from at least one first sensor is projected onto the occupancy grid by generating a grid cell dimension as a function of an inverse sensor model.
- An inverse sensor model gives the accuracy or the error range of the individual measuring points of the raw data and depicts measuring errors or detection tolerances caused by the principle as a distribution around the measuring point.
- the distribution can have a defined shape and extent and/or correspond to a probability distribution around the measurement point.
- the properties of the sensor can be taken into account, as can the calibration accuracy and other influencing variables.
- the inverse sensor models can be specified a priori specifically for the measurement principle, installation location and alignment and can be easily selected and adjusted by an operator or depending on environmental conditions (light conditions, precipitation). If the distribution of a measurement point extends over several grid cells, the grid cell dimension is generated proportionally. This can be done using the area of the grid cell covered by the distribution or by mapping the probability distribution around the measurement point.
- the distribution determined by the inverse sensor model can be configured differently for each individual sensor. So e.g. B. a radar due to its ability to detect relative movements in the raw data have a shift in the distribution opposite to its direction of movement. This property is compensated or enhanced by the inverse sensor model, depending on the design required.
- the grid cell measure is calculated for all projected raw data points and their error areas, for example in the form of an occupancy probability.
- the pre-processed object data of at least one further sensor is projected onto the occupancy grid by generating a further grid cell dimension as a function of an inverse sensor object model.
- An inverse sensor object model reflects the detection accuracy of the pre-processed object data parallel or radiating to the sensor line of sight and relates the characteristics of the object-generating sensor (camera, V2X-based sensor), such as the field of view, the detection accuracy or the accuracy of the object detection in the raw data as well as possible projection errors, eg due to inaccuracies in the assignment of sensor coordinate system and occupancy grid coordinate system (calibration quality).
- the detection accuracy in the form of geometric or statistical uncertainty intervals can be increased by comparison with reference data, for example by retrieving object dimensions from a database for classified objects.
- object edges and object surfaces are provided with an uncertainty distribution and are thus mapped onto the coverage grid or the individual grid cells.
- the inverse sensor object model is likewise defined, selected or adapted a priori in a sensor-specific manner.
- the grid cell dimension is generated in the same way as the distribution around the measuring point in the raw data projection.
- the projected raw data and the projected, pre-processed object data are merged into an occupancy grid by calculating a merged grid cell dimension.
- the occupancy grid as a uniform interface combines the grid cell dimensions of the individual raw or object data-based measuring points of all environmental sensors used into a merged grid cell dimension.
- the calculation can be normalized using the number of grid cell dimensions.
- a distance-dependent uncertainty of unoccupied cells (occupancy probability ⁇ 0.5) can be taken into account, so that from a certain distance every grid cell recorded as unoccupied assumes the initial dimension 0.5, i.e. is considered undetermined.
- the occupancy grid is processed to extract grid data.
- the purpose of the occupancy grid is to represent the environment. For this purpose, objects such as other road users, infrastructure objects, road markings, etc. and unoccupied open spaces are to be recognized and mapped. These objects (open spaces are also treated as objects) are the mesh data to be extracted.
- the processing of the occupancy grid can include a qualitative preparation of the grid cell dimensions and/or a determination of geometric shapes of coherent or related object-specific grid cell dimensions.
- the extracted grid data is processed to create the environment model. Each extracted object is recognized with its properties and processed accordingly. In this way, objects can be classified into road users such as vehicles or pedestrians. These are processed differently than stationary objects such as lane markings, traffic lights or other obstacles. The latter, for example, do not have to be tracked individually or their behavior predicted.
- the environment model for the highly automated or autonomous operation of the vehicle is provided by the method according to the invention, preferably by storing the processed, extracted grid data in the occupancy grid.
- This current occupancy grid is made available to the driving functions or driver assistance functions in the form of a uniform interface.
- the method according to the invention advantageously enables sensor-independent environmental data processing or environmental data fusion, particularly with a large number of different sensors, since the object extraction, tracking and prediction is carried out independently on the basis of a uniform representation of all sensor data.
- Another major advantage is the relatively small amount of computing resources required to create the environment model compared to the high informative value and reliability of the environment model for all applications in the vehicle. This plays a significant role, especially in mobile applications.
- the processing according to the invention of the recorded environmental data is therefore highly scalable, ie it can be used with a large number of environmental sensors with little use of resources.
- a simplification and thus optimization of the assistive or autonomous driving functions accessing the environment model is possible, since these do not have to be adapted to different interfaces.
- distributed control units can also be saved.
- the uniform interface enables a uniform and complete representation of dynamic and static parts of the environment. Objects can also be output that cannot be represented by classic object fusion (e.g. crash barriers or a house wall). Previously, these had to be considered separately, i.e. additionally.
- the resolution of the occupancy grid, the size of the grid cells and/or the shape of the grid cells can be changed as a function of an environmental category and/or a specific scenario.
- the environment can be categorized based on specific movement patterns of road users, such as expected speeds or actions. This can be done based on road categories, such as a freeway or residential area road, the presence of vulnerable road users, such as pedestrians or cyclists, or function-specific environments, such as a parking garage.
- Application scenarios can be specified depending on the specific degree of autonomy or specific use cases, such as autonomous parking or autonomous passenger transport.
- the autonomous driving of a vehicle in an urban environment requires a significantly larger spatial extent of the environment model in order to be able to be carried out with foresight.
- a parking assistant requires a high resolution in the immediate vicinity of the vehicle.
- Environment categories and scenarios can be specified or based on sensor data or database queries, e.g. depending on the position within a digital map, selected or specified or activated from outside the vehicle, e.g. when entering a parking garage.
- the occupancy grid is a dynamic data layer for storing grid cell attributes assigned.
- Grid cell attributes are additional properties of the measuring points or the respective grid cell, which go beyond the assignment itself, i.e. the presence of a grid cell dimension.
- This can be dynamic information, such as the speed or direction of movement of the detected object point, or information about the object class, such as pedestrians, lane markings or lanes, or trafficability (open space).
- the grid cell attributes may be known from a previous time step and retained when fusing the projected data and processing the grid data.
- the grid cell attributes can also be encoded directly in the captured raw or pre-processed object data, such as the relative speed in a radar measurement point or the object class of an object captured and recognized by a camera.
- the data layer can consist of a large number of data layers, each containing different information categories (e.g. object classes, dynamic information, navigability).
- the inverse sensor model or sensor object model preferably models which sensor-specific information is projected onto the occupancy grid in which data layer and then merged with the further data of the grid cell.
- the grid cell attributes stored in the corresponding data layer can also be used as the main feature for the fusion if they are more meaningful than the pure occupancy probability.
- Dynamic data layers have the advantage of providing a large amount of additional information with layer-specific information classes, which minimize calculation resources and calculation times through assignment to the grid cells.
- the projection of the recorded raw data also includes the projection of grid cell attributes derived from the raw data into the at least one dynamic data layer.
- the merging of the projected raw data and the projected preprocessed object data includes combining the current merged grid cell dimension with the merged grid cell dimension of the previous time step and compensating for the vehicle's own movements and/or the projected preprocessed object data and/or grid cells with dynamic information.
- Each time step can be viewed as its own occupancy grid. Since the procedure is carried out regularly or quasi-permanently, there is always an occupancy grid from the previous time step, except for the start of the system. In order not to have to laboriously redefine the information contained there for each time step, the current time step is merged with the previous one. This requires an assignment of the grid cells to the grid cell data from the previous step. This is achieved by calculating out, i.e.
- Grid cells can also have dynamic information without an object reference, for example a relative speed from one or more radar measuring points merged into a grid cell dimension.
- the merging of the projected raw data and the projected pre-processed data includes Object data combining the current merged grid cell measure with the merged grid cell measure of the previous time step by means of a grid update.
- a grid update is a method in which changing or new information is integrated into an existing occupancy grid without recalculating all other data. This results in an updated grid cell measure, ie, for example, an updated occupancy probability of the cell.
- the update function used can be specified depending on the type of grid cell measure (occupancy probability, cost value) or by a user or operator. Exemplary functions are a Bayesian update function or a Dempster-Shafer update function.
- the processing of the coverage grid includes morphological operations across all grid cells for consistent distribution of the merged grid cell dimensions, ie for consistent imaging or reproduction of object shapes in the coverage grid.
- Morphological operations are known from image processing. They are used to correct or reduce incorrect image information due to contamination or insufficient templates.
- Exemplary basic operations are opening and closing (indefinite image content is omitted or enhanced to open or close geometric shapes) as well as erosion and dilatation, i.e. the dissolution or connection of structures in (image) data.
- the advantageous application of the morphological operations to the occupancy grid, ie the entirety or certain subsets of the grid cells leads to a higher data consistency of the recorded sensor data and compensates for interference or measurement deviations.
- the processing of the occupancy grid includes a cluster analysis for extracting the grid data.
- shapes that are connected in the grid cell dimensions or data layer attributes are advantageously defined as objects without great computational effort. Individual grid cells are thus associated or clustered with one another.
- the cluster analysis includes determining connected regions of grid cells of the occupancy grid on the basis of neighborhood relationships of the grid cell dimensions and/or on the basis of the attributes assigned to the grid cells, for example on the basis of the same directions of movement, speed information, dynamic states of the grid cells or object classes .
- Neighborhood relationships exist between neighboring grid cells.
- each grid cell can have a different number of neighboring grid cells.
- An exemplary neighborhood relationship in a square grid is the Moore neighborhood, where the grid cells that share a corner or an edge with the starting row are considered neighbors (8-neighborhood).
- Another exemplary adjacency relationship in a square grid is the von Neumann adjacency, in which the grid cells that share an edge with the seed row are considered neighbors. (4-neighborhood).
- a connected component analysis approach is used.
- a sufficiently reliably occupied grid cell is defined as the “condensation nucleus” of a new cluster.
- the Moore neighborhood of this grid cell is examined for further sufficiently reliably occupied grid cells and these are added to the cluster.
- the Moore neighborhood of the added grid cells is analyzed until there are no more sufficiently reliably occupied grid cells in the Moore neighborhood.
- other criteria for cluster formation can also be used, e.g. B.
- Object classifications or dynamic state variables such as speed and direction of movement.
- the clustering of grid cells is significantly less computationally intensive than the clustering of point clouds, their number of measurement points exceeds the number of grid cells by several orders of magnitude. This pre-processing is required for classic object data fusion.
- the processing of the extracted grid data includes a tracking of objects in order to obtain dynamic information about the objects.
- This includes stationary objects in the area, such as traffic lights or open spaces.
- the tracking only depends on the reliably known movement information of the vehicle and is therefore easy to carry out.
- Dynamic information about dynamic objects e.g. B. speed and direction of movement, are not only dependent on the movement of the vehicle and can therefore not be calculated directly from the ego data. Therefore, this dynamic information must be estimated from the real movement detected.
- tracking lattice objects is one way to estimate this dynamics information.
- the preferred tracking algorithm is characterized by low resource requirements combined with great robustness and high quality. Tracking can also be used to transfer the additional information of the grid cell attributes within the occupancy grid to other grid cells if the associated element (object, measured value) shifts in the occupancy grid.
- dynamic objects are tracked using an interacting multiple model with at least two Kalman filters (IMMKF), which are expanded according to a selected basic characteristic.
- IMMKF Kalman filters
- an IMMKF allows the coupling of any number of systems and can therefore also be extended to more than two Kalman filters, which can then map other estimation characteristics.
- the number of coupled systems is proportional to the required computing power, which is why two Kalman filters represent a good compromise, for example for autonomous people carriers in slow-speed inner-city traffic.
- the first Kalman filter is a constant motion model with constant velocity and the second Kalman filter is a constant curve model with constant velocity and constant trajectory radius.
- Dynamic objects are objects that move or can move in relation to the environment. The tracking thus requires the inclusion of the own speed of the dynamic objects.
- the Interacting Multiple Model is a dynamically coupled system of two Kalman filters. These are specially selected for the application with the intended characteristics. In the present case, the two Kalman filters deal with the extremes of possible movements of the object: driving straight ahead and cornering. The advantage of this approach is that a special Kalman filter can describe certain movements particularly well, but delivers relatively poor results for other movements.
- the dynamic coupling makes it possible to use the best Kalman filter in each case.
- the configuration as an interacting multiple model which is known per se, enables the independent selection of the preferred Kalman filter without external intervention. It is particularly advantageous that the use of computationally intensive particle filters can be dispensed with, which makes additional hardware (eg GPU) unnecessary.
- One aspect of the invention relates to a control unit which is designed as a computing unit in order to carry out all the steps of the method according to the invention.
- One aspect of the invention relates to a computer-implemented method, the computer-implemented method for creating an environment model for a highly automated or autonomously operated vehicle being configured according to the method according to the invention.
- One aspect of the invention relates to a computer program, the computer program causing a control unit to carry out all the steps of a method according to the invention when it is being run on the control unit.
- One aspect of the invention relates to a program code with processing instructions for creating a computer program that can be run on a computer, the program code resulting in the computer program according to the invention when the program code is converted into an executable computer program in accordance with the processing instructions.
- FIG. 1 shows an exemplary flow chart of the method according to the invention for creating an environment model
- FIG. 2 shows a projection of a measuring point of raw sensor data onto a section of an occupancy grid for determining grid cell dimensions
- FIG. 3 shows a projection of a preprocessed object received by a sensor onto a section of an occupancy grid for determining grid cell dimensions
- FIG. 4 shows an exemplary flow chart of an interacting multiple model with two extended Kalman filters.
- the exemplary embodiments described relate to partial aspects of the invention and relate equally to the method, the computer-implemented method, the control device, the computer program and the program code.
- the features mentioned below, for example with regard to the method can also be implemented in the control device, the computer program and the program code and vice versa.
- FIG. 1 shows an exemplary flow chart of the method according to the invention for creating an environment model.
- the aim is to merge raw sensor data and pre-processed object data in order to be able to use a large number of different environmental sensors for the most comprehensive possible detection of the environment and to enable efficient or minimized use of computing resources.
- the method according to the invention is thus independent of specific sensor configurations and is highly scalable, ie by different ones Sensor types can be supplemented or replaced, and the modularity means it can be easily adapted to technical conditions and configured according to use cases.
- the creation of the environment model uses an extended occupancy grid approach. It starts with the data input 10.
- the raw sensor data, pre-processed objects and additional information, for example in the form of grid cell attributes, are received by a calculation unit, for example a control unit.
- the data is obtained from the sensors and a possibly already existing occupancy grid from an earlier magazine.
- the raw sensor data are initially projected onto the occupancy grid by means of an inverse sensor model and calculated to form an averaged occupancy probability (FIG. 2).
- the pre-processed object data are projected onto the occupancy grid by means of an inverse sensor object model (FIG. 3).
- the pre-processed object data also includes further pre-processed object data, such as object classes (cars, pedestrians, infrastructure elements) or dynamic data (direction of movement, speed of movement). These are also projected as grid cell attributes onto the occupancy grid using the inverse sensor model, for example onto a dynamic data layer.
- the inverse sensor or sensor object models are entered as fusion models 16 for data fusion 11 .
- the occupancy grid that may be present is then updated using a grid update function and the current input data.
- the procedure is illustrated using a Bayesian update function as an example.
- Dynamic grid cells are grid cells with dynamic information, for example in the form of grid cell attributes of additional data layers. For this purpose, a one-to-one mapping between the grid cells of both occupancy grids is carried out.
- all grid cells C 0 associated with a dynamic object 0 become the journal t-1 motion compensated.
- the grid cells C 0 have a center point r.
- the object has the speed v.
- the properties of the grid cells C 0 are mapped to a grid cell transferred or shifted with the center r': where ⁇ t is the time interval between the time steps t-1 and t and is the vehicle's own speed.
- Other example motion compensations may alternatively or additionally use angular velocity or other dynamic attributes of the object.
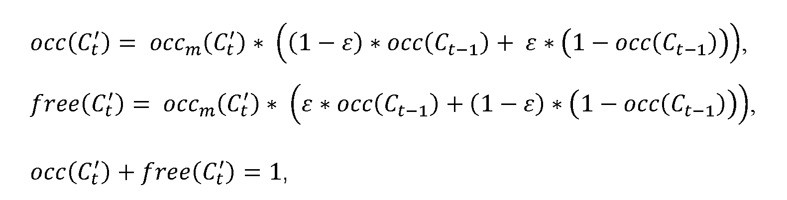
- the Bayesian update rule for calculating the current occupancy probability reads: whereby is the average occupancy probability from the projection of the sensor raw or pre-processed object data. ⁇ is one
- Transition probability to include alignment errors is complementary to the occupancy probability and describes how free or unoccupied the grid cell C', to which the object or the grid cell property was moved, is at time t.
- the occupancy grid is processed 12. For this purpose, for example, morphological operations are applied to the grid data and then connected grid cells are merged into clusters (see description above) in order to extract the grid data.
- the processing 13 of the extracted grid data takes place.
- an input 17 of additional information for example in the form of grid cell attributes.
- the processing 13 of the extracted grid data can include object tracking (FIG. 4) using an interactive multiple model 18 and free space calculation depending on the extracted grid data and the additional information.
- the output 14 of the processed grid data takes place in the form of occupancy probabilities and additional information or grid cell attributes, such as object speed, object movement direction, object class or an open space classification by taking them over into a current grid model as a current image of the environment (environment model).
- This environment model can also be extended by further or derived data by means of further processing.
- the navigability of open spaces, the presence of streets or other navigability attributes, such as the quality of the asphalt, can be stored as properties in the grid cells.
- Driver assistance functions as well as highly automated or autonomous driving functions then access the current environment model.
- the environment model from the previous time step t-1 can be archived, overwritten on a rolling basis, or deleted.
- the current occupancy grid together with a data input 10 updated in the next time step, enters the next loop 15 in the method according to the invention.
- FIG. 2 shows the projection of a measured data point (measuring point 23) of a radar sensor 22 onto an occupancy grid 20, which is composed of a large number of grid cells 21 arranged relative to one another.
- Measuring point 23 is imprecise due to the characteristics of the radar sensor.
- a specific inverse sensor model for the radar sensor 22 specifies a probability distribution in the error area 24 of the measurement point 23, which specifies the probability for the real location (distance, direction) of the measurement.
- the inverse sensor model takes into account measurement deviations of radar sensor 22 that are dependent on distance and solid angle, with the probability being increased around measuring point 23, for example, and falling towards the edge.
- Other inverse sensor models can have other distributions, e.g. B. use a uniform distribution.
- an inverse sensor model can also transform the measurement points 23 as a function of further map measurements.
- the distribution of the occupancy probability can be shifted along the direction of movement of the detection in order to compensate for deviations caused by the measuring principle.
- the inverse sensor model changes the grid cell size of all grid cells 21 that lie within the error range 24 of the measuring point 23 . This can be achieved by an increase 26 in the grid cell size proportional to the overlap area of the respective grid cell 21 and the error area 24 .
- the expression of the probability distribution of the inverse sensor model aggregated over the overlapping area can also be included.
- the increases 26 in the respective grid cell dimension are shown using exemplary numerical values.
- the grid cell dimensions are increased analogously.
- Several measuring points can also lie in one grid cell.
- the grid cell measure is then formed as a function of all increases 26 resulting from all measurement points 23, for example as an average occupancy probability a count value C, which represents the aggregated increases in the grid cell size of the respective grid cell and, if applicable, the original grid cell size, is normalized over the number of projected measurement points N c .
- the tanh function ensures that for plausible values for C and N c the occupancy probability OCC m remains ⁇ 1.
- the original grid cell metric may be formed from a grid cell metric from a previous time step in creating the environment model.
- the initial value of all grid cells is 0.5. This corresponds to an indeterminate occupancy of the grid cell. This condition is also present at the maximum limit of the measuring range.
- FIG. 3 shows a projection of a preprocessed object 33 received by a sensor onto a section 30 of an occupancy grid for determining grid cell dimensions.
- the projection is based on a representative occupancy probability of the object 33, carried out using an inverse sensor object model.
- the peculiarities of the sensor here a camera 32
- the pre-processed object 33 available such as the detection range, detection accuracy or ability to classify objects, are taken into account.
- the dimensions of the object 33 and the reliability of the occupancy detection or its distribution over the object dimensions must be modeled.
- the certainty or trust (confidence) in the occupancy detection can be written into the occupancy grid 30 as a grid cell measure analogous to the occupancy probability of the raw data projection.
- the occupancy grid 30 consists of a large number of grid cells (34, 35, 36).
- the resolution of the occupancy grid 30 shown here in relation to the size of the object vehicle is to be understood only schematically.
- the object 33 captured by the camera 32 is not true to scale in its dimensions as a rectangle.
- An example Cartesian occupancy grid used in practice has a size of 100m by 100m.
- Polar occupancy grids can have a radius of 50m centered on the vehicle.
- the required expansion of the movement grid depends on the application. Use cases with high vehicle and object speeds tend to require larger expansions.
- Grid cells modeled in urban, speed-limited environments have edge lengths of 20cm by 20cm.
- An occupancy grid with an edge length of 100 m and grid cell dimensions of 20 x 20 cm comprises approx. 250,000 grid cells. A correspondingly higher edge length is required for applications with significantly higher speeds to be expected, such as motorways or country roads.
- the pre-processed object vehicle 33 transmitted by the camera 32 is now projected onto the occupancy grid 30 with its location-referenced dimensions.
- the visual edges of the object 33 are determined by the inverse sensor object model. These are the solid edges of the object 33 in FIG. This is illustrated by the lines of sight 31 . Anything outside of the acute angle between the lines of sight 31 can still be captured as long as it is within the capture range (angle of view) of the camera 32 . In contrast, the area delimited by the lines of sight 31 and the visible edges of the object 33 can be taken over into the occupancy grid 30 as being definitely unoccupied.
- the distribution of the reliability of the occupancy detection can be variably modeled by the inverse sensor object model depending on the reliability of the object detection.
- the certainty can be evenly distributed over the projected object area. This can be the case if the object was clearly identified as a vehicle with specific dimensions, for example by comparison with a database using pattern recognition. Since such comparisons are resource intensive, this will not be the case in the majority of practical operations. Then the distribution of the detection reliability from the visible edges of the object in direction
- the inverse sensor object model then covers the grid cells overlapped by the object 33 with a grid cell dimension that results from the distribution of the detection reliability.
- the grid cell measure is, for example, the occupancy probability occ calculated above.
- FIG. 3 the grid cells that are overlapped by the visible object edges are rated as definitely occupied. These grid cells are marked by a cross in FIG. 3 (cf. grid cell 34).
- the grid cells that border on the grid cells rated as definitely occupied are only rated as probably occupied (cf. grid cell 35 with diagonal).
- the subsequent grid cells in the direction of the corner of the object 33 facing away from the camera sensor 32 are modeled with low detection reliability in accordance with the inverse sensor object model used here.
- the relevant grid cells like all grid cells lying outside the field of view of the camera 32 (angle of view, range of vision), are rated as indefinitely occupied. In this case, there is no entry in the occupancy grid 30.
- the inverse sensor object model therefore takes into account the field of view and the ability of the sensor used to recognize objects.
- FIG. 4 shows an exemplary flowchart of an interacting multiple model 40 with two extended Kalman filters (42, 43) as a dynamically coupled system.
- the status data of the objects and the model from the previous time step t ⁇ 1 as well as the grid data extracted from the occupancy grid and processed in the current time step t go into the model.
- the model is used for calculation and output estimated state data at time t.
- the model state of the previous time step t-1 is called the conditional model probability taken from the previous time step t.
- the grid data extracted describe the object-related, merged grid data, for example in the form of the object-related occupancy of the occupancy grid and advantageously extracted additional information, such as the speed or direction of movement of the extracted object.
- State data are state vectors for the constant motion model 42 and the constant curve model 43 where x and y the position of the object in the occupancy grid, ⁇ the direction of movement of the object, v the object speed ⁇ the angular speed.
- the constant motion model 42 (CV constant velocity) is adapted to suitably describe rectilinear uniform motion.
- the constant curve model 43 (CTRV constant turn rate and velocity) is very well adapted to suitably describe curved uniform motion.
- the model with the higher estimation quality is used weighted higher, i.e. used preferentially. This takes place in the case of dynamic state coupling 41.
- the coupling of both models which can also be understood as a mixing of both models, results in coupled state vectors which represent better estimates of the object-related dynamics information than either of the two independent state vectors (CV, CTRV).
- the coupled state vectors go together with the current (object-related) grid or status data from time step t into the respective model (42, 43).
- the constant motion model 42 is designed and processed as an extended Kalman filter and to a current state vector This estimates the dynamics of the object since the last time step, assuming a uniform, rectilinear motion of the object object.
- the state transition of the state vectors between the time steps is determined for the constant motion model 42 as follows:
- the constant motion model 42 assumes zero object acceleration. Therefore, the direction of movement ⁇ and the speed v remain constant.
- the constant curve model 43 is also designed and processed as an extended Kalman filter to a current state vector This estimates the dynamics of the object since the last time step, assuming a uniform, curved movement of the object on a trajectory.
- the state transition of the state vectors between the time steps is determined for the constant curve model 43 as follows:
- Both models 42 and 43 can implicitly include an existing acceleration via a process noise matrix known from Kalman filters. Put simply, this reflects the system noise that results from the noise of the individual variables, for example fluctuations in speed due to fluctuating air or rolling resistance, which can be interpreted as noise and filtered out or taken into account accordingly.
- both models 42 and 43 output their own model likelihood ⁇ cv and ⁇ CTRV . These describe how well the estimate of the respective model fits the recorded status data.
- the model likelihood is also called the model quality, model plausibility or model probability and is a measure of the informative value of the current estimate.
- conditional model probability for the current time step t is determined during the update 44 .
- the currently estimated dynamic state is output 45 for each object.
- the estimated dynamic state is calculated from the current state vectors, taking into account the model qualities ⁇ cv and ⁇ CTRV and the updated model probability calculated.
- the dynamic state transferred to the occupancy grid as the current status.
- An up-to-date image of the environment is thus available for automated or autonomous driving functions, for example for trajectory planning.
- the dynamic coupling of two simple motion models in the form of characteristically extended Kalman filters enables a significant increase in resource efficiency compared to conventional Kalman filters with particle filters. Due to the efficiency of the method, distances between the time steps of well under 100ms can be achieved. In this way, functional safety can be guaranteed or further increased even with commercially available computer technology, and the use of expensive graphics processors can be avoided.
Landscapes
- Engineering & Computer Science (AREA)
- Remote Sensing (AREA)
- Radar, Positioning & Navigation (AREA)
- Physics & Mathematics (AREA)
- General Physics & Mathematics (AREA)
- Computer Networks & Wireless Communication (AREA)
- Electromagnetism (AREA)
- Theoretical Computer Science (AREA)
- Computer Vision & Pattern Recognition (AREA)
- Multimedia (AREA)
- Computing Systems (AREA)
- Databases & Information Systems (AREA)
- Evolutionary Computation (AREA)
- General Health & Medical Sciences (AREA)
- Medical Informatics (AREA)
- Software Systems (AREA)
- Artificial Intelligence (AREA)
- Health & Medical Sciences (AREA)
- Automation & Control Theory (AREA)
- Traffic Control Systems (AREA)
Abstract
Description
System zur Sensordatenfusion für die Umgebungswahrnehmung System for sensor data fusion for environmental perception
Beschreibung description
Die Erfindung betrifft ein System zur Fusion von Daten unterschiedlicher Sensoren auf dem Gebiet der Umgebungswahrnehmung, speziell für die Umgebungswahrnehmung hochautomatisierter bzw. autonomer Verkehrsteilnehmer, wie selbstfahrende Fahrzeuge, mobile Roboter und fahrerlose Transportsysteme. The invention relates to a system for merging data from different sensors in the field of environment perception, specifically for the environment perception of highly automated or autonomous road users, such as self-driving vehicles, mobile robots and driverless transport systems.
Stand der Technik State of the art
In dynamischen Umgebungen, wie z.B. im innerstädtischen Bereich, ist eine große Anzahl unterschiedlichster Verkehrsteilnehmer unterwegs. Daraus folgt eine Vielzahl möglicher Situationen, deren Kenntnis eine Voraussetzung für hochautomatisches oder autonomes Fahren ist. Daher ist eines der zentralen Elemente, welches für das autonome Fahren notwendig ist, die Umgebungswahrnehmung zur zuverlässigen Erfassung und Interpretation der Umgebungssituation. Diese erfolgt aktuell unter Verwendung von Radar-, Lidar-, Ultraschall- und Kamerasensoren. Für die Verarbeitung bzw. das Zusammenführen und Analysieren der Daten dieser unterschiedlichen Sensoren sind grundsätzlich zwei Methoden zu nennen. Der erste Ansatz ist die klassische Objektfusion. In diesem Fall generieren die einzelnen Sensoren aus ihren Messdaten Objekte, beispielsweise in Form von Objektlisten, welche in einem weiteren Schritt mit den Objektlisten anderer Sensoren fusioniert werden. Dies bedeutet, dass die Datenfusion rein auf Objektbasis oder auf Rohdatenbasis stattfindet. Beispiele wären die Fusion mehrerer Radare, z.B. für einen Abstandsregeltempomaten, oder die Lidar-Kamera-Fusion, bei der Lidar-Punktwolken in das Kamerabild transformiert und anschließend mit den von der Kamera erkannten Objektklassen fusioniert werden. Dann werden aus den klassifizierten Lidar-Punkten Objekte im Fahrzeugkoordinatensystem generiert. In dynamic environments, such as in inner-city areas, a large number of different road users are on the move. This results in a large number of possible situations, knowledge of which is a prerequisite for highly automated or autonomous driving. Therefore, one of the central elements that is necessary for autonomous driving is the perception of the environment for reliable detection and interpretation of the environmental situation. This is currently done using radar, lidar, ultrasonic and camera sensors. There are basically two methods for processing or combining and analyzing the data from these different sensors. The first approach is classic object fusion. In this case, the individual sensors generate objects from their measurement data, for example in the form of object lists, which are merged with the object lists of other sensors in a further step. This means that the data fusion takes place purely on an object basis or on a raw data basis. Examples would be the fusion of several radars, e.g. for an adaptive cruise control, or the lidar camera fusion, in which lidar point clouds are transformed into the camera image and then fused with the object classes recognized by the camera. Objects are then generated in the vehicle coordinate system from the classified lidar points.
Nachteilig ist die notwendige Vorverarbeitung der Sensordaten im Sensor, da nur definierte Objektdaten verarbeitet werden können. Um diese Objektdaten zu erzeugen, müssen die jeweiligen Sensoren zur Rohdatenauswertung und Objektextraktion ausgebildet sein und benötigen daher jeweils hohe dezentrale Rechenleistung. Außerdem kann die klassische Objektdatenfusion nicht mit weiteren Informationsschichten, z.B. unbelegten Flächen, und/oder Daten anderer Sensorquellen ohne Objektextraktion erweitert werden. The necessary pre-processing of the sensor data in the sensor is disadvantageous, since only defined object data can be processed. In order to generate this object data, the respective sensors must be designed for raw data evaluation and object extraction and therefore each require high decentralized computing power. In addition, the classic object data fusion cannot be expanded with further information layers, eg unoccupied areas, and/or data from other sensor sources without object extraction.
Der zweite Ansatz nutzt Occupancy Grid- bzw. Belegungsgitter-basierte Partikelfilter, welche die statischen und dynamischen Elemente der Umgebung auf Basis einzelner Gitterzellen bestimmen. Partikelfilter ist eine geläufige Bezeichnung sequentieller Monte-Carlo-Methoden. Damit soll die gerade aktuell vorliegende aber unbekannte Wahrscheinlichkeitsdichte der Verteilung einer Zustandsgröße geschätzt werden. Dazu wird eine Vielzahl von Partikeln (Paare aus Ausprägung und Punktkoordinaten im Zustandsraum) erzeugt. Die Gesamtheit der Partikel repräsentiert die Wahrscheinlichkeitsdichte. Der Partikelfilteransatz hat den Nachteil, dass eine Vielzahl parallel zu berechnender Verarbeitungsschritte zur Schätzung des Zustandes auf Basis einer Vielzahl von Schätzverfahren und eine hohe Anzahl von Partikeln eine sehr hohe Rechenleistung benötigt. Diese wird derzeit von Grafikprozessoren (GPU) durchgeführt, die auf parallele Datenverarbeitung ausgelegt sind. Diese hohe Rechenleistung steigt zusätzlich noch stark mit weiteren Sensorquellen an, was die Skalierbarkeit für Applikationen mit einer hohen Anzahl an Sensoren, wie z.B. urbane automatisierte Shuttlesysteme, reduziert. Schließlich sind derartige auf Partikelfilter basierte Umgebungsmodelle in der Regel auf bestimmte Anwendungsfälle abgestimmt und können nur mit erheblichem Aufwand für neue Umgebungsszenarien oder Funktionen angepasst werden. The second approach uses occupancy grid-based particle filters, which determine the static and dynamic elements of the environment on the basis of individual grid cells. Particle filter is a common name of sequential Monte Carlo methods. This is intended to estimate the current but unknown probability density of the distribution of a state variable. For this purpose, a large number of particles (pairs of characteristics and point coordinates in the state space) are generated. The totality of the particles represents the probability density. The particle filter approach has the disadvantage that a large number of processing steps to be calculated in parallel for estimating the state on the basis of a large number of estimation methods and a large number of particles require a very high computing power. This is currently performed by graphics processors (GPU) that are designed for parallel data processing. This high computing power also increases significantly with additional sensor sources, which reduces scalability for applications with a large number of sensors, such as urban automated shuttle systems. Finally, such environmental models based on particle filters are generally tailored to specific applications and can only be adapted for new environmental scenarios or functions with considerable effort.
Die DE 102015201 747 A1 offenbart ein Sensorsystem für ein Fahrzeug, bei dem die Sensoreinrichtungen aus den jeweiligen Rohdaten ein Belegungsgitter berechnen und eine Steuereinrichtung aus den einzelnen Belegungsgittern ein fusioniertes Belegungsgitter berechnet. DE 102015201 747 A1 discloses a sensor system for a vehicle in which the sensor devices calculate an occupancy grid from the respective raw data and a control device calculates a merged occupancy grid from the individual occupancy grids.
Die DE 102020005597 A1 beschreibt ein Verfahren zur Erzeugung einer Umgebungskarte zur Umgebungsrepräsentation in Form eines Belegungsgitters, dessen Koordinatenursprung in Abhängigkeit der Fahrgeschwindigkeit, der Fahrsituation oder einer die Umgebungsrepräsentation nutzende Fahrzeuganwendung dynamisch angepasst und die Auflösung und der dargestellte Erfassungsbereich des Belegungsgitters in Abhängigkeit des Koordinatenursprungs eingestellt werden. In dem Belegungsgitter werden die Eingangsdaten verschiedener Sensoren, wie Kameras, Radare, Lidare usw., dargestellt. DE 102020005597 A1 describes a method for generating an environment map for environment representation in the form of an occupancy grid, the coordinate origin of which is dynamically adapted depending on the driving speed, the driving situation or a vehicle application using the environment representation, and the resolution and the displayed detection area of the Occupancy grid can be set depending on the coordinate origin. The input data from various sensors, such as cameras, radars, lidars, etc., are displayed in the occupancy grid.
Die DE 102016209704 A1 betrifft ein Verfahren zur Ansteuerung einer Personenschutzeinrichtung eines Fahrzeugs, bei dem unfallrelevante Informationen in einem Umgebungsraster (occupancy grid) verarbeitet werden. Auf Basis dieses Umgebungsrasters liegen die verarbeiteten Informationen in einem zeitkritischen Fahrzustand bereits vor und können somit zum schnellen und robusten Auslösen der Personenschutzreinrichtung verwendet werden. DE 102016209704 A1 relates to a method for controlling a personal protection device of a vehicle, in which information relevant to an accident is processed in an occupancy grid. On the basis of this environmental grid, the processed information is already available in a time-critical driving state and can therefore be used for rapid and robust triggering of the personal protection device.
Die DE 102017217972 A1 betrifft ein Verfahren zum Erzeugen eines inversen Sensormodells für Radarsensorvorrichtungen. Dazu werden reale Hindernisse im Umfeld der Radarsensorvorrichtung positioniert und dann durch die Radarsensorvorrichtung vermessen. Das inverse Sensormodell wird unter Verwendung der erzeugten Radarmessdaten und der vorgegebenen Abmessungen und räumlichen Positionen der Hindernisse generiert und ordnet einer Zelle eines Belegungsgitters eine Belegtheitswahrscheinlichkeit in Abhängigkeit von vorgegebenen Radarmessdaten zu. DE 102017217972 A1 relates to a method for generating an inverse sensor model for radar sensor devices. For this purpose, real obstacles are positioned in the vicinity of the radar sensor device and then measured by the radar sensor device. The inverse sensor model is generated using the generated radar measurement data and the specified dimensions and spatial positions of the obstacles and assigns an occupancy probability to a cell of an occupancy grid as a function of specified radar measurement data.
Aufgabe der Erfindung object of the invention
Die Aufgabe der vorliegenden Erfindung ist es, ein Umfeldmodell für hochautomatisiert oder autonom fahrende Fahrzeuge mit einer hohen Zahl an Sensoren ressourcenminimiert mit hoher Vertrauenssicherheit zu erstellen. The object of the present invention is to create an environment model for highly automated or autonomously driving vehicles with a large number of sensors in a resource-minimised manner with a high degree of reliability.
Darstellung und Vorteile der Erfindung Presentation and advantages of the invention
Die Aufgabe wird durch ein Verfahren zum Erstellen eines Umgebungsmodells für ein hochautomatisiert oder autonom betriebenes Fahrzeug mit mindestens zwei Sensoren zur Umgebungserfassung entsprechend den Maßnahmen des unabhängigen Anspruchs 1, sowie durch ein Steuergerät, ein computerimplementiertes Verfahren, ein Computerprogramm und einen Programmcode entsprechend der Ansprüche 11 bis 14 gelöst. Vorteilhafte Ausgestaltungen der Erfindung sind Gegenstand der abhängigen Ansprüche. Umgebungsmodelle, auch Umfeldmodelle genannt, sind für mobile Anwendungen, wie Fahrerassistenzsysteme von Kraftfahrzeugen oder mobile Roboter an sich bekannt. Für die Anwendung in einem hochautomatisiert oder autonom betriebenen Fahrzeug (Automatisierungsgrad Level 3 bis 5 nach SAE-Standard J3016; automatisierter und autonomer Modus nach Bundesanstalt für Straßenwesen-BASt) bestehen besonders hohe Anforderungen an die Güte des Umgebungsmodells. The object is achieved by a method for creating an environment model for a highly automated or autonomously operated vehicle with at least two sensors for detecting the environment according to the measures of independent claim 1, and by a control unit, a computer-implemented method, a computer program and a program code according to claims 11 to 14 solved. Advantageous configurations of the invention are the subject matter of the dependent claims. Environment models, also called environment models, are known per se for mobile applications, such as driver assistance systems in motor vehicles or mobile robots. For use in a highly automated or autonomously operated vehicle (degree of automation level 3 to 5 according to SAE standard J3016; automated and autonomous mode according to the Federal Highway Research Institute - BASt), there are particularly high demands on the quality of the environment model.
Umgebungsmodelle sind ein möglichst genaues Abbild der das Fahrzeug umgebenden Umwelt. Sie erstrecken sich vom Fahrzeug bis zur Erfassungsgrenze der Umgebungssensoren, die bei Langstreckensensoren in 100m Entfernung oder mehr liegen kann. Umgebungsmodelle beinhalten möglichst alle stationären und dynamischen, also beweglichen Objekte. Dies können andere Fahrzeuge oder Fußgänger sein. Stationäre Objekte sind ortsfeste Objekte, wie Infrastrukturelemente, Ampeln, Verkehrsschilder, aber auch Spurmarkierungen. Idealerweise enthält das Umgebungsobjekt nicht nur die Belegung von Gitterzellen durch diese Objekte, referenziert über ein Fahrzeug-Koordinatensystem, sondern auch weitere Informationen über diese Objekte. Dies können Dynamikinformationen, wie Geschwindigkeit, Bewegungsrichtung oder eine prädizierte Position, aber auch Objekteigenschaften, wie Objektklasse, Fahrspurdaten, Verkehrsinformationen oder Freiräume, sein. Zur Erfassung der zur Gewinnung dieser Inhalte erforderlichen Umgebungsdaten ist in Fahrzeugen eine Vielzahl unterschiedlicher Sensoren zur Erfassung der Umgebung verbaut. Diese unterscheiden sich nach Anordnung, Erfassungsprinzip und Sensordatenauswertung. Environment models are an image of the environment surrounding the vehicle that is as accurate as possible. They extend from the vehicle to the detection limit of the environmental sensors, which can be 100m away or more for long-distance sensors. Environment models contain as many stationary and dynamic, i.e. moving, objects as possible. This can be other vehicles or pedestrians. Stationary objects are stationary objects, such as infrastructure elements, traffic lights, traffic signs, but also lane markings. Ideally, the environmental object not only contains the occupancy of grid cells by these objects, referenced via a vehicle coordinate system, but also other information about these objects. This can be dynamic information such as speed, direction of movement or a predicted position, but also object properties such as object class, lane data, traffic information or free spaces. In order to capture the environmental data required to obtain this content, vehicles have a large number of different sensors installed to capture the environment. These differ in arrangement, detection principle and sensor data evaluation.
Lidarsensoren senden strahlenförmige Laserimpulse im nicht sichtbaren Spektrum aus und empfangen die Lichtreflektionen punktuell. Dadurch entsteht ein hochaufgelöstes Abbild der abgedeckten Umgebung, das allerdings eine sehr hohe Anzahl einzelner Sensorwerte aufweist. Lidar sensors emit radiant laser pulses in the non-visible spectrum and receive the light reflections at specific points. This creates a high-resolution image of the covered environment, which, however, has a very high number of individual sensor values.
Radarsensoren senden elektromagnetische Wellen im Radiofrequenzbereich aus und detektieren reflektierte Signale ebenfalls punktuell. Die Punktdichte und die Auflösung sind aber deutlich geringer als bei Lidarsensoren. Sowohl Lidar als auch Radar haben unter den üblichen Umfeldsensoren die größte Messentfernung (Langstreckensensoren) und können auf Basis von Laufzeitdifferenzen und Dopplereffekt prinzipiell Abstände (Radar, ToF-Lidar- Time of Flight) und Relativgeschwindigkeiten (Radar, FMCW-Lidar - Frequency Modulated Continuous Wave) von Objekten in der Umgebung ermitteln. Radar sensors emit electromagnetic waves in the radio frequency range and also detect reflected signals at specific points. However, the point density and the resolution are significantly lower than with lidar sensors. Both lidar and radar have the greatest measuring distance (long-distance sensors) of the usual environment sensors and can in principle calculate distances (radar, ToF lidar - time of flight) and relative speeds (radar, FMCW lidar - frequency modulated continuous wave) on the basis of runtime differences and the Doppler effect ) of objects in the environment.
Optische Sensoren, wie Kameras weisen eine wesentlich höhere Auflösung/Pixeldichte gegenüber Radarsensoren und häufig auch als Lidarsensoren auf. Die Schätzung von Positionen von Objekten ist jedoch deutlich ungenauer. Sie werden daher bevorzugt als Mittel- bis Kurzstreckensensoren eingesetzt. Die Bilder der optischen Sensoren werden verarbeitet, wobei anhand von Merkmalsvektoren zur Objektklassifikation, anhand von identifizierten geometrischen Formen oder auch unter Nutzung des optischen Flusses Objekte erkannt und identifiziert werden. Häufig wird dies mit Methoden des Maschinellen Lernens umgesetzt, zum Beispiel bei der Objekterkennung eines Convolutional Neural Networks (CNN). Die Vorverarbeitung der Objektdaten ist üblicherweise bereits in der Kamera integriert. Diese Sensoren gibt es in verschiedenen Ausführungen mit unterschiedlichen Messbereichen und Auflösungen. Alle Sensoren sind im Fahrzeugkoordinatensystem in Abhängigkeit des Sichtbereichs kalibriert, das heißt, ein erfasster Sensorwert kann in der Umgebung relativ zum Fahrzeug verortet werden. Optical sensors, such as cameras, have a significantly higher resolution/pixel density than radar sensors and often also than lidar sensors. However, estimating the positions of objects is significantly less accurate. They are therefore preferably used as medium to short-distance sensors. The images from the optical sensors are processed, with objects being recognized and identified using feature vectors for object classification, using identified geometric shapes or using the optical flow. This is often implemented using machine learning methods, for example in the object recognition of a convolutional neural network (CNN). The pre-processing of the object data is usually already integrated in the camera. These sensors are available in different versions with different measuring ranges and resolutions. All sensors are calibrated in the vehicle coordinate system depending on the field of vision, which means that a sensor value can be located in the environment relative to the vehicle.
Die hohe Anforderung an die Güte des Umgebungsmodells erfordert eine Vielzahl von Umgebungssensoren mit unterschiedlich ausgedehnten und sich teilweise überlappenden Messbereichen, um auf Objekte in der Umgebung möglichst frühzeitig und gleichzeitig präzise und flexibel reagieren zu können, beispielsweise durch Bestimmen einer Ausweichtrajektorie. Das erfindungsgemäße Verfahren nutzt dazu wenigstens zwei, vorzugsweise eine Vielzahl von Sensoren. Eine beispielhafte Sensorkonfiguration für hochautomatische Anwendungen in urbanen Gebieten besteht aus zwei auf dem Dach angeordneten Lidarsensoren zur Überwachung des vorderen und rückwärtigen Bereichs auf langen Distanzen und vier an den Ecken des Fahrzeugbodens angeordneten Lidarsensoren zur Erfassung der Umgebung auf mittleren Distanzen. Vier weitere Lidarsensoren sind mittig an den Dachkanten des Fahrzeugs angeordnet. Deren Erfassungsbereich ist nach unten gerichtet, um den Nahbereich um das Fahrzeug zu erfassen. Die erfassten Umgebungsdaten werden zusätzlich zur Eigenlokalisierung innerhalb der Umgebung unter anderem zur Fußgänger- oder Spurerkennung genutzt. The high demands on the quality of the environment model require a large number of environment sensors with differently sized and partially overlapping measuring ranges in order to be able to react to objects in the environment as early as possible and at the same time precisely and flexibly, for example by determining an avoidance trajectory. For this purpose, the method according to the invention uses at least two, preferably a large number of sensors. An exemplary sensor configuration for highly automated applications in urban areas consists of two lidar sensors arranged on the roof for monitoring the front and rear area at long distances and four lidar sensors arranged at the corners of the vehicle floor for detecting the environment at medium distances. Four additional lidar sensors are arranged in the center of the vehicle's roof edges. Their detection range is directed downwards Close range to capture the vehicle. The recorded environment data is used in addition to self-localization within the environment, among other things for pedestrian or lane detection.
Acht Radarsensoren sind an den Fahrzeugecken in zwei Ebenen angeordnet, um mittlere Distanzen zu überwachen. Diese weisen unterschiedliche Erfassungseigenschaften zur Reduzierung des Einflusses unterschiedlicher Wetterbedingungen sowie zur Erhöhung der Erfassungssicherheit durch redundante bzw. überlappende Erfassungsbereiche auf. Eight radar sensors are arranged on two levels at the corners of the vehicle to monitor medium distances. These have different detection properties to reduce the influence of different weather conditions and to increase detection reliability through redundant or overlapping detection areas.
Weiterhin umfasst die beispielhafte Sensorkonfiguration fünf optische Kameras, wobei eine in Fahrtrichtung ausgerichtet ist, um Objekte und Spurinformationen im Nah- bis Mittelstreckenbereich zur Verfügung zu stellen, und vier weiteren an den Fahrzeugkanten angeordneten Kameras zur Erfassung der unmittelbaren Umgebung um das Fahrzeug herum. Furthermore, the exemplary sensor configuration includes five optical cameras, one of which is aligned in the direction of travel to provide object and lane information in the short to medium range, and four additional cameras arranged on the vehicle edges to capture the immediate surroundings around the vehicle.
Schließlich kann auch ein V2X-basierter Sensor installiert sein, der über Fahrzeug-zu- Fahrzeug bzw. Fahrzeug-zu-lnfrastruktur-Kommunikation drahtlos Informationen von anderen Verkehrsteilnehmern oder Infrastruktureinrichtungen in Form von Objekten empfängt. Dabei ist eine Zuordnungsvorschrift zwischen den Koordinatensystemen des Fahrzeugs und des Kommunikationspartners (weiteres Fahrzeug, stationäre Verkehrsraumüberwachung) erforderlich, um die übertragenen Objektpositionen nutzen zu können. Beispielsweise kann die Zuordnung über ein globales Koordinatensystem erfolgen. Finally, a V2X-based sensor can also be installed, which wirelessly receives information from other road users or infrastructure facilities in the form of objects via vehicle-to-vehicle or vehicle-to-infrastructure communication. In this case, an assignment rule between the coordinate systems of the vehicle and the communication partner (additional vehicle, stationary traffic area surveillance) is required in order to be able to use the transmitted object positions. For example, the assignment can take place via a global coordinate system.
Das erfindungsgemäße Verfahren ist besonders vorteilhaft bei derartigen Sensorkonfigurationen mit verschieden generierten Umgebungsdaten (Lidar und Radar liefern Punktwolken, Kameras und V2X-basierte Sensoren liefern Objekte) einsetzbar, da es einen sehr effizienten Ressourceneinsatz zur Erstellung des Umgebungsmodells bei höchster Erfassungs- bzw. Modellgüte ermöglicht. Prinzipiell ist das Verfahren aber auch bei einer geringeren Anzahl von Sensoren vorteilhaft einsetzbar. The method according to the invention can be used particularly advantageously in such sensor configurations with differently generated environment data (lidar and radar provide point clouds, cameras and V2X-based sensors provide objects), since it enables a very efficient use of resources to create the environment model with the highest detection or model quality. In principle, however, the method can also be used advantageously with a smaller number of sensors.
Bei dem erfindungsgemäßen Verfahren wird die Umgebung mittels eines Belegungsgitters als zusammenhängende Anordnung von Gitterzellen repräsentiert. Jeder Gitterzelle wird ein Gitterzellenmaß zugeordnet und die Auflösung des Belegungsgitters wird durch die Anzahl der Gitterzellen für einen definierten Ausschnitt der Umgebung bestimmt. In the method according to the invention, the surroundings are represented by means of an occupancy grid as a coherent arrangement of grid cells. A grid cell dimension is assigned to each grid cell and the resolution of the occupancy grid is determined by the number of grid cells for a defined section of the environment.
Belegungsgitter, auch Occupancy Grid genannt, sind diskrete Repräsentationen der stetig vorhandenen Umgebung und an sich bekannt. Bei deren Erstellung muss der abzudeckende Ausschnitt der Umgebung definiert werden. Form und Größe der Gitterzellen sowie die Auflösung des Belegungsgitters, also die Anzahl Gitterzellen in Relation zum abgedeckten Umgebungsausschnitt, müssen ebenfalls festgelegt werden. Belegungsgitter können als Polargitter oder auch als Kartesisches Gitter ausgeführt sein. Occupancy grids, also known as occupancy grids, are discrete representations of the constantly existing environment and are known per se. When creating them, the section of the environment to be covered must be defined. Shape and size of the grid cells as well as the resolution of the occupancy grid, i.e. the number of grid cells in relation to the area covered, must also be specified. Occupancy grids can be designed as polar grids or as Cartesian grids.
Das Verfahren wird in Zeitschriften mit Schleifenfunktion ausgeführt, also quasi permanent wiederholt. Übliche Erfassungsfrequenzen reichen von mehreren Erfassungen pro Sekunde bis zu Zeitabständen von mehreren Sekunden zwischen den Zeitschriften und ist abhängig von der Anzahl an Messpunkten und Objekten. The process is carried out in magazines with a loop function, i.e. it is repeated almost permanently. Usual acquisition frequencies range from several acquisitions per second to time intervals of several seconds between the magazines and depends on the number of measuring points and objects.
Funktional sichere Umgebungserfassungen sollten im Schnitt mehr als zehn Erfassungen pro Sekunde ermöglichen. Bei der Erstellung des Belegungsgitters, also beim ersten Zeitschrift, wird jeder Gitterzelle ein Gitterzellenmaß zugewiesen. Das ist im einfachsten und bevorzugten Fall eine Belegungs- bzw. Besetzungswahrscheinlichkeit. Diese gibt an, wie groß die Wahrscheinlichkeit ist, dass in dem von einer Gitterzelle repräsentierenden Ausschnitts der Umgebung ein Objekt vorhanden ist. Das Gitterzellenmaß kann auch als Kostenwert ausgedrückt werden. Bei jedem weiteren Zeitschrift können die Gitterzellenmaße auf einen Ausgangswert zurückgesetzt oder aus dem vorherigen Zeitschrift übernommen werden. Der Ausgangswert des Gitterzellenmaßes beträgt beispielsweise 0,5. Dies entspricht einer unklaren Belegung der Gitterzelle. Ein Wert von null entspricht einer sicher unbelegten und ein Wert von 1 entspricht einer sicher belegten Gitterzelle. Functionally safe environmental detection should enable more than ten detections per second on average. When creating the allocation grid, i.e. with the first magazine, each grid cell is assigned a grid cell dimension. In the simplest and preferred case, this is an occupancy probability. This indicates how high the probability is that an object is present in the section of the environment represented by a grid cell. The grid cell metric can also be expressed as a cost value. For each additional magazine, the grid cell dimensions can be reset to an initial value or taken over from the previous magazine. For example, the initial value of the grid cell measure is 0.5. This corresponds to an unclear occupancy of the grid cell. A value of zero corresponds to a definitely vacant grid cell and a value of 1 corresponds to a definitely occupied grid cell.
Im ersten Schritt des erfindungsgemäßen Verfahrens erfolgt eine Projektion erfasster Rohdaten mindestens eines ersten Sensors auf das Belegungsgitter durch Erzeugen eines Gitterzellenmaßes in Abhängigkeit eines inversen Sensormodells. Ein inverses Sensormodell gibt die Genauigkeit bzw. den Fehlerbereich der einzelnen Messpunkte der Rohdaten an und bildet Prinzip bedingte Messfehler bzw. Erfassungstoleranzen als Verteilung um den Messpunkt herum ab. Die Verteilung kann eine definierte Form und Ausdehnung aufweisen und/oder einer Wahrscheinlichkeitsverteilung um den Messpunkt herum entsprechen. In the first step of the method according to the invention, captured raw data from at least one first sensor is projected onto the occupancy grid by generating a grid cell dimension as a function of an inverse sensor model. An inverse sensor model gives the accuracy or the error range of the individual measuring points of the raw data and depicts measuring errors or detection tolerances caused by the principle as a distribution around the measuring point. The distribution can have a defined shape and extent and/or correspond to a probability distribution around the measurement point.
Dabei können die Eigenschaften des Sensors, wie die Messgenauigkeit in radialer Richtung (Entfernungsmessung) und die Winkelauflösung, genauso berücksichtigt werden wie die Kalibrierungsgenauigkeit und andere Einflussgrößen. Die inversen Sensormodelle können spezifisch für Messprinzip, Einbauort und Ausrichtung a priori festgelegt sein und können einfach durch einen Bediener oder in Abhängigkeit von Umgebungsbedingungen (Lichtverhältnisse, Niederschlag) ausgewählt und angepasst werden. Erstreckt sich die Verteilung eines Messpunkts über mehrere Gitterzellen, so wird das Gitterzellenmaß anteilig erzeugt. Dies kann über den von der Verteilung flächenmäßig abgedeckten Anteil der Gitterzelle oder die Abbildung der Wahrscheinlichkeitsverteilung um den Messpunkt herum erfolgen. Die vom inversen Sensormodell bestimmte Verteilung ist sensorindividuell unterschiedlich konfigurierbar. So kann z. B. ein Radar aufgrund seiner Fähigkeit zur Erkennung von Relativbewegungen in den Rohdaten eine Verschiebung der Verteilung entgegen seiner Bewegungsrichtung aufweisen. Diese Eigenschaft wird vom inversen Sensormodell kompensiert oder verstärkt, je nach erforderlicher Ausgestaltung. The properties of the sensor, such as the measurement accuracy in the radial direction (distance measurement) and the angular resolution, can be taken into account, as can the calibration accuracy and other influencing variables. The inverse sensor models can be specified a priori specifically for the measurement principle, installation location and alignment and can be easily selected and adjusted by an operator or depending on environmental conditions (light conditions, precipitation). If the distribution of a measurement point extends over several grid cells, the grid cell dimension is generated proportionally. This can be done using the area of the grid cell covered by the distribution or by mapping the probability distribution around the measurement point. The distribution determined by the inverse sensor model can be configured differently for each individual sensor. So e.g. B. a radar due to its ability to detect relative movements in the raw data have a shift in the distribution opposite to its direction of movement. This property is compensated or enhanced by the inverse sensor model, depending on the design required.
Abhängig von der Auflösung der Rohdaten, z.B. bei Lidar und Radar, liegen je nach Auflösung des Belegungsgitters mehrere Messpunkte in jeder Gitterzelle. Über alle projizierten Rohdatenpunkte und deren Fehlerbereiche wird das Gitterzellenmaß beispielsweise in Form einer Belegungswahrscheinlichkeit berechnet. Depending on the resolution of the raw data, e.g. with lidar and radar, there are several measuring points in each grid cell depending on the resolution of the occupancy grid. The grid cell measure is calculated for all projected raw data points and their error areas, for example in the form of an occupancy probability.
Im nächsten Schritt des erfindungsgemäßen Verfahrens erfolgt eine Projektion der vorverarbeiteten Objektdaten mindestens eines weiteren Sensors auf das Belegungsgitter durch Erzeugen eines weiteren Gitterzellenmaßes in Abhängigkeit eines inversen Sensorobjektmodells. Ein inverses Sensorobjektmodell gibt die Erfassungsgenauigkeit der vorverarbeiteten Objektdaten parallel oder strahlenförmig zur Sensorsichtlinie wieder und bezieht die Eigenheiten des objekterzeugenden Sensors (Kamera, V2X-basierter Sensor), wie das Sichtfeld, die Erfassungsgenauigkeit oder die Genauigkeit der Objekterkennung in den Rohdaten ebenso mit ein, wie mögliche Projektionsfehler, z.B. aufgrund von Ungenauigkeiten der Zuordnung von Sensorkoordinatensystem und Belegungsgitter-Koordinatensystem (Kalibrierungsqualität). Die Erfassungsgenauigkeit in Form von geometrischen oder statistischen Unsicherheitsintervallen kann durch Abgleich mit Referenzdaten, beispielsweise das Abrufen von Objektmaßen bei klassifizierten Objekten aus einer Datenbank, erhöht werden. Praktisch werden beispielsweise Objektkanten und Objektflächen mit einer Unsicherheitsverteilung versehen und so auf das Belegungsgitter bzw. die einzelnen Gitterzellen abgebildet. Das inverse Sensorobjektmodell wird ebenfalls a priori sensorspezifisch festgelegt, ausgewählt oder angepasst. Die Erzeugung des Gitterzellenmaßes erfolgt analog der Verteilung um den Messpunkt bei der Rohdatenprojektion. In the next step of the method according to the invention, the pre-processed object data of at least one further sensor is projected onto the occupancy grid by generating a further grid cell dimension as a function of an inverse sensor object model. An inverse sensor object model reflects the detection accuracy of the pre-processed object data parallel or radiating to the sensor line of sight and relates the characteristics of the object-generating sensor (camera, V2X-based sensor), such as the field of view, the detection accuracy or the accuracy of the object detection in the raw data as well as possible projection errors, eg due to inaccuracies in the assignment of sensor coordinate system and occupancy grid coordinate system (calibration quality). The detection accuracy in the form of geometric or statistical uncertainty intervals can be increased by comparison with reference data, for example by retrieving object dimensions from a database for classified objects. In practice, for example, object edges and object surfaces are provided with an uncertainty distribution and are thus mapped onto the coverage grid or the individual grid cells. The inverse sensor object model is likewise defined, selected or adapted a priori in a sensor-specific manner. The grid cell dimension is generated in the same way as the distribution around the measuring point in the raw data projection.
Im nächsten Schritt des erfindungsgemäßen Verfahrens erfolgt ein Fusionieren der projizierten Rohdaten und der projizierten vorverarbeiteten Objektdaten zu einem Belegungsgitter durch Berechnen eines fusionierten Gitterzellenmaßes. Das Belegungsgitter als einheitliche Schnittstelle führt die Gitterzellenmaße der einzelnen roh- oder objektdatenbasierten Messpunkte aller verwendeten Umgebungssensoren zu einem fusionierten Gitterzellenmaß zusammen. Die Berechnung kann normalisiert über die Anzahl der Gitterzellenmaße erfolgen. Außerdem kann eine entfernungsabhängige Unsicherheit unbelegter Zellen (Belegungswahrscheinlichkeit <0,5) einberechnet werden, so dass ab einer bestimmten Entfernung jede als nicht belegt erfasste Gitterzelle das Ausgangsmaß 0,5 annimmt, also als unbestimmt gilt. In the next step of the method according to the invention, the projected raw data and the projected, pre-processed object data are merged into an occupancy grid by calculating a merged grid cell dimension. The occupancy grid as a uniform interface combines the grid cell dimensions of the individual raw or object data-based measuring points of all environmental sensors used into a merged grid cell dimension. The calculation can be normalized using the number of grid cell dimensions. In addition, a distance-dependent uncertainty of unoccupied cells (occupancy probability <0.5) can be taken into account, so that from a certain distance every grid cell recorded as unoccupied assumes the initial dimension 0.5, i.e. is considered undetermined.
Im nächsten Schritt des erfindungsgemäßen Verfahrens erfolgt ein Verarbeiten des Belegungsgitters zum Extrahieren von Gitterdaten. Zweck des Belegungsgitters ist die Repräsentanz der Umgebung. Dazu sollen Objekte, wie andere Verkehrsteilnehmer, Infrastrukturobjekte, Fahrbahnmarkierungen usw. und nicht belegte Freiflächen erkannt und abgebildet werden. Diese Objekte (auch Freiflächen werden als Objekte behandelt) sind die zu extrahierenden Gitterdaten. Die Verarbeitung des Belegungsgitters kann eine qualitative Aufbereitung der Gitterzellenmaße und/oder eine Ermittlung geometrischer Formen zusammenhängender bzw. in Verbindung stehender objektspezifischer Gitterzellenmaße umfassen. Im nächsten Schritt des erfindungsgemäßen Verfahrens erfolgt ein Verarbeiten der extrahierten Gitterdaten zur Erstellung des Umgebungsmodells. Dabei wird jedes extrahierte Objekt mit seinen Eigenschaften erkannt und entsprechend verarbeitet. So können Objekte in Verkehrsteilnehmer, wie Fahrzeuge oder Fußgänger, klassifiziert werden. Diese werden anders verarbeitet als stationäre Objekte, wie Fahrbahnmarkierungen, Ampeln oder andere Hindernisse. Letztere müssen beispielsweise nicht individuell getrackt oder deren Verhalten vorhergesagt werden. In the next step of the method according to the invention, the occupancy grid is processed to extract grid data. The purpose of the occupancy grid is to represent the environment. For this purpose, objects such as other road users, infrastructure objects, road markings, etc. and unoccupied open spaces are to be recognized and mapped. These objects (open spaces are also treated as objects) are the mesh data to be extracted. The processing of the occupancy grid can include a qualitative preparation of the grid cell dimensions and/or a determination of geometric shapes of coherent or related object-specific grid cell dimensions. In the next step of the method according to the invention, the extracted grid data is processed to create the environment model. Each extracted object is recognized with its properties and processed accordingly. In this way, objects can be classified into road users such as vehicles or pedestrians. These are processed differently than stationary objects such as lane markings, traffic lights or other obstacles. The latter, for example, do not have to be tracked individually or their behavior predicted.
Schließlich wird durch das erfindungsgemäße Verfahren das Umgebungsmodell zum hochautomatisierten oder autonomen Betrieb des Fahrzeugs bereitgestellt, vorzugsweise durch Speichern der verarbeiteten extrahierten Gitterdaten in dem Belegungsgitter. Dieses aktuelle Belegungsgitter wird den Fahrfunktionen oder auch Fahrerassistenzfunktionen in Form einer einheitlichen Schnittstelle zur Verfügung gestellt. Finally, the environment model for the highly automated or autonomous operation of the vehicle is provided by the method according to the invention, preferably by storing the processed, extracted grid data in the occupancy grid. This current occupancy grid is made available to the driving functions or driver assistance functions in the form of a uniform interface.
Vorteilhafterweise ermöglicht das erfindungsgemäße Verfahren eine sensorunabhängige Umgebungsdatenverarbeitung bzw. Umgebungsdatenfusion, besonders bei einer großen Anzahl verschiedener Sensoren, da die Objektextraktion, - Verfolgung und -Vorhersage eigenständig auf Basis einer einheitlichen Repräsentanz sämtlicher Sensordaten durchgeführt wird. Dadurch ergibt sich eine Modulierbarkeit also Austauschbarkeit und Integration weiterer Sensoren, bei denen lediglich das inverse Sensormodell angepasst und/oder übernommen werden muss. Dies ermöglicht die Auswahl einer am besten für ein Nutzungsszenario angepassten Sensorkonfiguration ohne aufwändige Anpassungen beim Verarbeiten der erfassten Umgebungsdaten. The method according to the invention advantageously enables sensor-independent environmental data processing or environmental data fusion, particularly with a large number of different sensors, since the object extraction, tracking and prediction is carried out independently on the basis of a uniform representation of all sensor data. This results in the ability to be modulated, that is to say the ability to be exchanged and to integrate further sensors, in which case only the inverse sensor model has to be adapted and/or adopted. This enables the selection of a sensor configuration that is best adapted to a usage scenario without complex adjustments when processing the recorded environmental data.
Ein weiterer großer Vorteil ist der relativ geringe notwendige Ressourceneinsatz an Rechentechnik zum Erstellen des Umgebungsmodells im Vergleich zur hohen Aussagekraft bzw. Verlässlichkeit des Umgebungsmodells für alle Anwendungen im Fahrzeug. Dies spielt vor allem bei mobilen Anwendungen eine erhebliche Rolle. Die erfindungsgemäße Verarbeitung der erfassten Umgebungsdaten ist damit hoch skalierbar, also mit einer großen Anzahl an Umgebungssensoren bei geringem Ressourceneinsatz anwendbar. Weiterhin wird durch das zur Verfügung stellen einer einheitlichen Schnittstelle für sämtliche Fahrerassistenzfunktionen eine Vereinfachung und damit Optimierung der auf das Umgebungsmodell zugreifenden assistierenden oder autonomen Fahrfunktionen möglich, da diese nicht an verschiedene Schnittstellen adaptiert werden müssen. Dadurch können auch verteilt angeordnete Steuergeräte eingespart werden. Die einheitliche Schnittstelle ermöglicht eine einheitliche und vollständige Repräsentation dynamischer und statischer Anteile der Umgebung. Dabei können auch Objekte ausgegeben werden, die von der klassischen Objektfusion nicht darstellbar sind (z. B. Leitplanken oder eine Häuserwand). Diese mussten bisher separat, also zusätzlich betrachtet werden. Another major advantage is the relatively small amount of computing resources required to create the environment model compared to the high informative value and reliability of the environment model for all applications in the vehicle. This plays a significant role, especially in mobile applications. The processing according to the invention of the recorded environmental data is therefore highly scalable, ie it can be used with a large number of environmental sensors with little use of resources. Furthermore, by providing a uniform interface for all driver assistance functions, a simplification and thus optimization of the assistive or autonomous driving functions accessing the environment model is possible, since these do not have to be adapted to different interfaces. As a result, distributed control units can also be saved. The uniform interface enables a uniform and complete representation of dynamic and static parts of the environment. Objects can also be output that cannot be represented by classic object fusion (e.g. crash barriers or a house wall). Previously, these had to be considered separately, i.e. additionally.
In einer vorteilhaften Weiterbildung des erfindungsgemäßen Verfahrens sind die Auflösung des Belegungsgitters, die Größe der Gitterzellen und/oder die Form der Gitterzellen in Abhängigkeit einer Umgebungskategorie und/oder eines bestimmten Szenarios veränderlich. Die Umgebung kann anhand spezifischer Bewegungsmuster der Verkehrsteilnehmer, wie zu erwartender Geschwindigkeiten oder Aktionen, kategorisiert werden. Dies kann anhand von Straßenkategorien, wie Autobahn oder Wohngebietsstraße, des Vorhandenseins vulnerabler Verkehrsteilnehmer, wie Fußgänger oder Radfahrer, oder funktionsspezifischer Umgebungen, wie einem Parkhaus, erfolgen. Anwendungsszenarios können in Abhängigkeit des bestimmten Autonomiegrades oder spezifischer Anwendungsfälle, wie autonomes Einparken oder autonome Personenbeförderung, vorgegeben werden. Das autonome Führen eines Fahrzeugs im urbanen Umfeld benötigt eine deutlich größere räumliche Ausdehnung des Umgebungsmodells, um vorausschauend durchgeführt werden zu können. Ein Einparkassistent benötigt demgegenüber eine hohe Auflösung in der unmittelbaren Fahrzeugumgebung. Umgebungskategorien und Szenarios können vorgegeben sein oder auf Basis von Sensordaten oder Datenbankabfragen, z.B. in Abhängigkeit der Position innerhalb einer digitalen Karte, ausgewählt werden oder von außerhalb des Fahrzeugs vorgegeben bzw. aktiviert werden, beispielsweise bei der Einfahrt in ein Parkhaus. In an advantageous development of the method according to the invention, the resolution of the occupancy grid, the size of the grid cells and/or the shape of the grid cells can be changed as a function of an environmental category and/or a specific scenario. The environment can be categorized based on specific movement patterns of road users, such as expected speeds or actions. This can be done based on road categories, such as a freeway or residential area road, the presence of vulnerable road users, such as pedestrians or cyclists, or function-specific environments, such as a parking garage. Application scenarios can be specified depending on the specific degree of autonomy or specific use cases, such as autonomous parking or autonomous passenger transport. The autonomous driving of a vehicle in an urban environment requires a significantly larger spatial extent of the environment model in order to be able to be carried out with foresight. In contrast, a parking assistant requires a high resolution in the immediate vicinity of the vehicle. Environment categories and scenarios can be specified or based on sensor data or database queries, e.g. depending on the position within a digital map, selected or specified or activated from outside the vehicle, e.g. when entering a parking garage.
In einer sehr vorteilhaften Weiterbildung des erfindungsgemäßen Verfahrens ist dem Belegungsgitter ein dynamischer Datenlayer zum Hinterlegen von Gitterzellenattributen zugeordnet. Gitterzellenattribute sind zusätzliche Eigenschaften der Messpunkte bzw. der jeweiligen Gitterzelle, die über die Belegung an sich, also das Vorhandensein eines Gitterzellenmaßes hinausgeht. Dies können Dynamikinformationen, wie Geschwindigkeit oder Bewegungsrichtung des erfassten Objektpunktes, oder Informationen über die Objektklasse, wie Fußgänger, Fahrbahnmarkierung bzw. Fahrspur oder die Befahrbarkeit (Freifläche), sein. In a very advantageous development of the method according to the invention, the occupancy grid is a dynamic data layer for storing grid cell attributes assigned. Grid cell attributes are additional properties of the measuring points or the respective grid cell, which go beyond the assignment itself, i.e. the presence of a grid cell dimension. This can be dynamic information, such as the speed or direction of movement of the detected object point, or information about the object class, such as pedestrians, lane markings or lanes, or trafficability (open space).
Die Gitterzellenattribute können aus einem vorhergehenden Zeitschritt bekannt sein und beim Fusionieren der projizierten Daten und Verarbeiten der Gitterdaten beibehalten werden. Die Gitterzellenattribute können auch direkt in den erfassten Roh- bzw. vorverarbeiteten Objektdaten codiert sein, wie die Relativgeschwindigkeit in einem Radar-Messpunkt oder die Objektklasse eines von einer Kamera erfassten und erkannten Objekts. Durch die Übernahme ohnehin im Sensor enthaltender Funktionen, wie das Anreichern von Messpunkten oder Objekten mit Zusatzinformationen, bei der Erstellung des Umgebungsmodells erhöht sich einerseits der Informationsgehalt und reduziert sich andererseits der Ressourceneinsatz durch das Wegfallen der Implementierung von Funktionen zum zusätzlichen oder alternativen Erzeugen dieser Zusatzinformationen beim Erstellen des Umgebungsmodells, sowohl bei der Entwicklung (Anpassungsaufwand verschiedener Sensorkonfigurationen) als auch im Betrieb (verteilte Abarbeitung). The grid cell attributes may be known from a previous time step and retained when fusing the projected data and processing the grid data. The grid cell attributes can also be encoded directly in the captured raw or pre-processed object data, such as the relative speed in a radar measurement point or the object class of an object captured and recognized by a camera. By taking over functions that are already contained in the sensor, such as enriching measuring points or objects with additional information, when creating the environment model, the information content increases on the one hand and the use of resources is reduced on the other hand due to the omission of the implementation of functions for additional or alternative generation of this additional information Creation of the environment model, both during development (adjustment effort for different sensor configurations) and during operation (distributed processing).
Der Datenlayer kann aus einer Vielzahl von Datenlayern bestehen, die jeweils unterschiedliche Informationskategorien (z. B. Objektklassen, Dynamikinformationen, Befahrbarkeit) enthalten. Vorzugsweise modelliert das inverse Sensormodell bzw. Sensorobjektmodell, welche sensorspezifischen Informationen auf das Belegungsgitter in welchen Datenlayer projiziert und anschließend mit den weiteren Daten der Gitterzelle fusioniert werden. Die im entsprechenden Datenlayer hinterlegten Gitterzellenattribute können auch als Hauptmerkmal zur Fusion verwendet werden, wenn sie eine höhere Aussagekraft als die reine Belegungswahrscheinlichkeit aufweisen. Dynamische Datenlayer haben den Vorteil, eine Vielzahl an Zusatzinformationen mit layerindividuellen Informationsklassen bereitzustellen, die durch die Zuordnung zu den Gitterzellen Berechnungsressourcen und Berechnungszeiten minimieren. In einer besonders vorteilhaften Ausgestaltung des erfindungsgemäßen Verfahrens umfasst die Projektion der erfassten Rohdaten zusätzlich das Projizieren von aus den Rohdaten abgeleiteten Gitterzellenattributen in den wenigstens einen dynamischen Datenlayer. Welche Attribute dabei auf welche Gitterzelle projiziert werden, kann durch das inverse Sensormodell bzw. das inverse Sensorobjektmodell festgelegt, also modelliert sein. Dadurch können sensorspezifische Informationen, die über das bloße Vorhandensein eines Objektes hinausgehen, unmittelbar auf das Belegungsgitter projiziert werden, ohne jedes Mal entscheiden zu müssen, welche Daten übernommen werden sollen. The data layer can consist of a large number of data layers, each containing different information categories (e.g. object classes, dynamic information, navigability). The inverse sensor model or sensor object model preferably models which sensor-specific information is projected onto the occupancy grid in which data layer and then merged with the further data of the grid cell. The grid cell attributes stored in the corresponding data layer can also be used as the main feature for the fusion if they are more meaningful than the pure occupancy probability. Dynamic data layers have the advantage of providing a large amount of additional information with layer-specific information classes, which minimize calculation resources and calculation times through assignment to the grid cells. In a particularly advantageous embodiment of the method according to the invention, the projection of the recorded raw data also includes the projection of grid cell attributes derived from the raw data into the at least one dynamic data layer. Which attributes are projected onto which grid cell can be defined, ie modeled, by the inverse sensor model or the inverse sensor object model. As a result, sensor-specific information that goes beyond the mere presence of an object can be projected directly onto the occupancy grid without having to decide each time which data should be accepted.
In einer vorteilhaften Weiterbildung des erfindungsgemäßen Verfahrens umfasst das Fusionieren der projizierten Rohdaten und der projizierten vorverarbeiteten Objektdaten das Kombinieren des aktuellen fusionierten Gitterzellenmaßes mit dem fusionierten Gitterzellenmaß des vorhergehenden Zeitschrittes sowie das Kompensieren der Eigenbewegungen des Fahrzeugs und/oder der projizierten vorverarbeiteten Objektdaten und/oder von Gitterzellen mit Dynamikinformationen. Jeder Zeitschritt kann als eigenes Belegungsgitter angesehen werden. Da das Verfahren regelmäßig bzw. quasi permanent ausgeführt wird, liegt, bis auf den Systemstart, immer ein Belegungsgitter aus dem vorhergehenden Zeitschritt vor. Um die dort enthaltenen Informationen nicht bei jedem Zeitschritt aufwändig neu bestimmen zu müssen, wird der aktuelle Zeitschritt mit dem vorhergehenden fusioniert. Dazu ist eine Zuordnung der Gitterzellen zu den Gitterzellendaten des vorherigen Schrittes erforderlich. Dies wird durch das Herausrechnen, also Kompensieren, der Eigenbewegungen des Fahrzeugs sowie der Eigenbewegungen der Objekte in der Umgebung, repräsentiert durch die projizierten Daten, erreicht. Die Relativbewegungen stationärer Objekte in der Umgebung, wie Bäume oder Verkehrsschilder, werden bei der Kompensation der Eigenbewegung des Fahrzeugs berücksichtigt. Gitterzellen können auch eine Dynamikinformation ohne Objektbezug aufweisen, beispielsweise eine Relativgeschwindigkeit aus einem oder mehreren zu einem Gitterzellenmaß fusionierten Radar-Messpunkten. In an advantageous development of the method according to the invention, the merging of the projected raw data and the projected preprocessed object data includes combining the current merged grid cell dimension with the merged grid cell dimension of the previous time step and compensating for the vehicle's own movements and/or the projected preprocessed object data and/or grid cells with dynamic information. Each time step can be viewed as its own occupancy grid. Since the procedure is carried out regularly or quasi-permanently, there is always an occupancy grid from the previous time step, except for the start of the system. In order not to have to laboriously redefine the information contained there for each time step, the current time step is merged with the previous one. This requires an assignment of the grid cells to the grid cell data from the previous step. This is achieved by calculating out, i.e. compensating for, the movements of the vehicle and the movements of the objects in the environment, represented by the projected data. The relative movements of stationary objects in the environment, such as trees or traffic signs, are taken into account when compensating for the vehicle's own movement. Grid cells can also have dynamic information without an object reference, for example a relative speed from one or more radar measuring points merged into a grid cell dimension.
In einer besonders vorteilhaften Ausgestaltung des erfindungsgemäßen Verfahrens umfasst das Fusionieren der projizierten Rohdaten und der projizierten vorverarbeiteten Objektdaten das Kombinieren des aktuellen fusionierten Gitterzellenmaßes mit dem fusionierten Gitterzellenmaß des vorhergehenden Zeitschrittes mittels eines Grid- Updates. Ein Grid-Update ist eine Methode, bei der sich ändernde oder hinzukommende Informationen in ein bestehendes Belegungsgitter integriert werden, ohne alle anderen Daten neu zu berechnen. Dabei entsteht ein aktualisiertes Gitterzellenmaß, also beispielsweise eine aktualisierte Belegungswahrscheinlichkeit der Zelle. Die verwendete Updatefunktion kann in Abhängigkeit der Art des Gitterzellenmaßes (Belegungswahrscheinlichkeit, Kostenwert) oder durch einen Anwender bzw. Bediener vorgegeben werden. Beispielhafte Funktionen sind eine Bayes'sche Updatefunktion oder eine Dempster-Shafer-Updatefunktion. In a particularly advantageous embodiment of the method according to the invention, the merging of the projected raw data and the projected pre-processed data includes Object data combining the current merged grid cell measure with the merged grid cell measure of the previous time step by means of a grid update. A grid update is a method in which changing or new information is integrated into an existing occupancy grid without recalculating all other data. This results in an updated grid cell measure, ie, for example, an updated occupancy probability of the cell. The update function used can be specified depending on the type of grid cell measure (occupancy probability, cost value) or by a user or operator. Exemplary functions are a Bayesian update function or a Dempster-Shafer update function.
In einer vorteilhaften Weiterbildung des erfindungsgemäßen Verfahrens umfasst das Verarbeiten des Belegungsgitters morphologische Operationen über alle Gitterzellen zur konsistenten Verteilung der fusionierten Gitterzellenmaße, also zur konsistenten Abbildung bzw. Reproduktion von Objektformen im Belegungsgitter. Morphologische Operationen sind aus der Bildbearbeitung bekannt. Sie dienen dazu, fehlerhafte Bildinformation aufgrund von Verunreinigungen oder ungenügender Vorlagen zu korrigieren bzw. zu reduzieren. Beispielhafte Grundoperationen sind Opening und Closing (unbestimmter Bildinhalt wird weggelassen oder verstärkt zum Öffnen oder Schließen geometrischer Formen) sowie Erosion und Dilatation, also das Auflösen oder Verbinden von Strukturen in (Bild-) Daten. Die vorteilhafte Anwendung der morphologischen Operationen auf das Belegungsgitter, also die Gesamtheit oder bestimmte Teilmengen der Gitterzellen, führt zur einer höheren Datenkonsistenz der erfassten Sensordaten und kompensiert Störungen oder Messabweichungen. In an advantageous development of the method according to the invention, the processing of the coverage grid includes morphological operations across all grid cells for consistent distribution of the merged grid cell dimensions, ie for consistent imaging or reproduction of object shapes in the coverage grid. Morphological operations are known from image processing. They are used to correct or reduce incorrect image information due to contamination or insufficient templates. Exemplary basic operations are opening and closing (indefinite image content is omitted or enhanced to open or close geometric shapes) as well as erosion and dilatation, i.e. the dissolution or connection of structures in (image) data. The advantageous application of the morphological operations to the occupancy grid, ie the entirety or certain subsets of the grid cells, leads to a higher data consistency of the recorded sensor data and compensates for interference or measurement deviations.
Besonders vorteilhaft (Ressourcen und Qualität) ist die Anwendung der Operationen auf bereits aggregierte Daten mehrerer Messpunkte und verschiedener Sensoren, da dadurch die Qualität bzw. Konsistenz der Daten bei geringerer gewichteten Operationsparametern (geringere Artefaktbildung) zusätzlich gesteigert und damit auch der rechnertechnische Ressourcenaufwand für die morphologischen Operationen reduziert werden können. Schließlich müssen derartige Verarbeitungsoperationen nicht für jeden Sensor einzeln, sondern für alle Sensordaten lediglich einmal zentral durchgeführt werden. In einer vorteilhaften Weiterbildung des erfindungsgemäßen Verfahrens umfasst das Verarbeiten des Belegungsgitters eine Clusteranalyse zum Extrahieren der Gitterdaten. Dabei werden vorteilhafterweise in den Gitterzellenmaßen oder Datenlayerattributen zusammenhängende Formen ohne großen Rechenaufwand als Objekte definiert. Einzelne Gitterzellen werden also zueinander assoziiert bzw. geclustert. Particularly advantageous (resources and quality) is the application of the operations to already aggregated data from several measuring points and different sensors, as this increases the quality or consistency of the data with lower weighted operation parameters (lower artefact formation) and thus also the computational resources required for the morphological operations can be reduced. Finally, such processing operations do not have to be carried out individually for each sensor, but only once centrally for all sensor data. In an advantageous development of the method according to the invention, the processing of the occupancy grid includes a cluster analysis for extracting the grid data. In this case, shapes that are connected in the grid cell dimensions or data layer attributes are advantageously defined as objects without great computational effort. Individual grid cells are thus associated or clustered with one another.
In einer besonders vorteilhaften Ausgestaltung des erfindungsgemäßen Verfahrens umfasst die Clusteranalyse das Bestimmen verbundener Regionen von Gitterzellen des Belegungsgitters auf Basis von Nachbarschaftsbeziehungen der Gitterzellenmaße und/oder auf Basis der den Gitterzellen zugeordneten Attributen, beispielsweise auf Basis gleicher Bewegungsrichtungen, Geschwindigkeitsinformationen, dynamischer Zustände der Gitterzellen oder Objektklassen. Nachbarschaftsbeziehungen bestehen zwischen benachbarten Gitterzellen. Je nach Ausgestaltung des Belegungsgitters kann jede Gitterzelle eine unterschiedliche Anzahl benachbarter Gitterzellen aufweisen. Eine beispielhafte Nachbarschaftsbeziehung in einem quadratischen Raster ist die Moore- Nachbarschaft, bei der die Gitterzellen, die eine Ecke oder eine Kante mit der Ausgangszeile gemeinsam haben, als Nachbarn gelten (8er-Nachbarschaft). Eine weitere beispielhafte Nachbarschaftsbeziehung in einem quadratischen Raster ist die Von-Neumann-Nachbarschaft, bei der die Gitterzellen, die eine Kante mit der Ausgangszeile gemeinsam haben, als Nachbarn gelten. (4er-Nachbarschaft). In a particularly advantageous embodiment of the method according to the invention, the cluster analysis includes determining connected regions of grid cells of the occupancy grid on the basis of neighborhood relationships of the grid cell dimensions and/or on the basis of the attributes assigned to the grid cells, for example on the basis of the same directions of movement, speed information, dynamic states of the grid cells or object classes . Neighborhood relationships exist between neighboring grid cells. Depending on the configuration of the occupancy grid, each grid cell can have a different number of neighboring grid cells. An exemplary neighborhood relationship in a square grid is the Moore neighborhood, where the grid cells that share a corner or an edge with the starting row are considered neighbors (8-neighborhood). Another exemplary adjacency relationship in a square grid is the von Neumann adjacency, in which the grid cells that share an edge with the seed row are considered neighbors. (4-neighborhood).
Um Objekte und andere Informationen aus dem Belegungsgitter zu extrahieren, wird ein Ansatz zur Analyse von verbundenen Komponenten verwendet. Dabei wird beim Start eine hinreichend sicher belegte Gitterzelle als „Kondensationskeim“ eines neuen Clusters definiert. Dann wird die Moore-Nachbarschaft dieser Gitterzelle auf weitere hinreichend sicher belegte Gitterzellen untersucht und diese zu dem Cluster hinzugefügt. Dann wird die Moore-Nachbarschaft der hinzugefügten Gitterzellen solange analysiert, bis keine weiteren hinreichend sicher belegten Gitterzellen in der Moore-Nachbarschaft vorhanden sind. Neben der Belegungswahrscheinlichkeit der Gitterzelle können auch andere Kriterien zur Clusterbildung verwendet werden, z. B. Objektklassifikationen oder dynamische Zustandsgrößen, wie Geschwindigkeit und Bewegungsrichtung. Vorteilhafterweise ist das Clustern von Gitterzellen deutlich weniger rechenintensiv, wie das Clustern von Punktewolken, deren Messpunktanzahl die Gitterzellenanzahl um mehrfache Größenordnungen übersteigt. Bei der klassischen Objektdatenfusion ist diese Vorverarbeitung erforderlich. To extract objects and other information from the occupancy grid, a connected component analysis approach is used. At the start, a sufficiently reliably occupied grid cell is defined as the “condensation nucleus” of a new cluster. Then the Moore neighborhood of this grid cell is examined for further sufficiently reliably occupied grid cells and these are added to the cluster. Then the Moore neighborhood of the added grid cells is analyzed until there are no more sufficiently reliably occupied grid cells in the Moore neighborhood. In addition to the occupancy probability of the grid cell, other criteria for cluster formation can also be used, e.g. B. Object classifications or dynamic state variables such as speed and direction of movement. Advantageously, the clustering of grid cells is significantly less computationally intensive than the clustering of point clouds, their number of measurement points exceeds the number of grid cells by several orders of magnitude. This pre-processing is required for classic object data fusion.
In einer bevorzugten vorteilhaften Weiterbildung des erfindungsgemäßen Verfahrens umfasst das Verarbeiten der extrahierten Gitterdaten ein Tracking von Objekten zum Erhalten von Dynamikinformationen der Objekte. Dies beinhaltet stationäre Objekte in der Umgebung, wie Ampeln oder auch Freiflächen. Bei stationären Bewegungen ist das Tracking lediglich von den zuverlässig bekannten Bewegungsinformationen des Fahrzeugs abhängig und daher einfach durchzuführen. Dynamikinformationen über dynamische Objekte, z. B. Geschwindigkeit und Bewegungsrichtung, sind nicht nur von der Bewegung des Fahrzeugs abhängig und können daher nicht direkt aus den Ego- Daten berechnet werden. Diese Dynamikinformationen müssen daher aus der erfassten realen Bewegung geschätzt werden. Vorteilhafterweise ist das Tracking von Gitterobjekten eine Möglichkeit zum Schätzen dieser Dynamikinformationen. Der bevorzugte Trackingalgorithmus zeichnet sich durch geringe Ressourcenanforderungen bei gleichzeitig großer Robustheit und hoher Güte aus. Das Tracking kann auch eingesetzt werden, um die Zusatzinformationen der Gitterzellenattribute innerhalb des Belegungsgitters auf andere Gitterzellen zu übertragen, wenn sich das zugehörige Element (Objekt, Messwert) im Belegungsgitter verschiebt. In a preferred advantageous development of the method according to the invention, the processing of the extracted grid data includes a tracking of objects in order to obtain dynamic information about the objects. This includes stationary objects in the area, such as traffic lights or open spaces. In the case of stationary movements, the tracking only depends on the reliably known movement information of the vehicle and is therefore easy to carry out. Dynamic information about dynamic objects, e.g. B. speed and direction of movement, are not only dependent on the movement of the vehicle and can therefore not be calculated directly from the ego data. Therefore, this dynamic information must be estimated from the real movement detected. Advantageously, tracking lattice objects is one way to estimate this dynamics information. The preferred tracking algorithm is characterized by low resource requirements combined with great robustness and high quality. Tracking can also be used to transfer the additional information of the grid cell attributes within the occupancy grid to other grid cells if the associated element (object, measured value) shifts in the occupancy grid.
In einer besonders vorteilhaften Ausgestaltung des erfindungsgemäßen Verfahrens erfolgt das Tracking von dynamischen Objekten mittels eines Interacting Multiple Models mit wenigstens zwei Kalmanfiltern (IMMKF), die entsprechend einer ausgewählten Grundcharakteristik erweitert werden. Grundsätzlich erlaubt ein IMMKF die Kopplung beliebig vieler Systeme und kann daher auch auf mehr als zwei Kalmanfilter erweitert werden, die dann andere Schätzcharakteristiken abbilden können. Die Anzahl der gekoppelten Systeme ist proportional zur notwendigen Rechenleistung, weshalb zwei Kalmanfilter einen guten Kompromiss beispielsweise für autonome Personentransporter im geschwindigkeitsreduzierten Innenstadtverkehr darstellen. In a particularly advantageous embodiment of the method according to the invention, dynamic objects are tracked using an interacting multiple model with at least two Kalman filters (IMMKF), which are expanded according to a selected basic characteristic. In principle, an IMMKF allows the coupling of any number of systems and can therefore also be extended to more than two Kalman filters, which can then map other estimation characteristics. The number of coupled systems is proportional to the required computing power, which is why two Kalman filters represent a good compromise, for example for autonomous people carriers in slow-speed inner-city traffic.
Der erste Kalmanfilter ist ein Konstant-Bewegungsmodell mit konstanter Geschwindigkeit und der zweite Kalmanfilter ein Konstant-Kurven-Modell mit konstanter Geschwindigkeit und konstantem Bahnkurvenradius. Dynamische Objekte sind Objekte, die sich in Relation zur Umgebung bewegen oder bewegen können. Das Tracking erfordert somit das Einbeziehen der Eigengeschwindigkeit der dynamischen Objekte. Das Interacting Multiple Model ist ein dynamisch gekoppeltes System von zwei Kalmanfiltern. Diese werden speziell für den Anwendungsfall mit der beabsichtigten Charakteristik ausgewählt. Im vorliegenden Fall handelt es sich bei den beiden Kalmanfiltern um die Extreme möglicher Bewegungen des Objektes: die Geradeaus- und die Kurvenfahrt. Der Vorteil dieses Ansatzes ist, dass ein spezieller Kalmanfilter bestimmte Bewegungen besonders gut beschreiben kann, bei anderen Bewegungen aber relativ schlechte Ergebnisse liefert. Die dynamische Kopplung erlaubt es, den jeweils besten Kalmanfilter bevorzugt zu verwenden. Die Ausgestaltung als an sich bekanntes Interacting Multiple Model ermöglicht die selbstständige Auswahl des bevorzugten Kalmanfilters ohne Eingriffe von außen. Besonders vorteilhaft kann dadurch auf den Einsatz rechenintensiver Partikelfilter verzichtet werden, was zusätzliche Hardware (z.B. GPU) unnötig macht. The first Kalman filter is a constant motion model with constant velocity and the second Kalman filter is a constant curve model with constant velocity and constant trajectory radius. Dynamic objects are objects that move or can move in relation to the environment. The tracking thus requires the inclusion of the own speed of the dynamic objects. The Interacting Multiple Model is a dynamically coupled system of two Kalman filters. These are specially selected for the application with the intended characteristics. In the present case, the two Kalman filters deal with the extremes of possible movements of the object: driving straight ahead and cornering. The advantage of this approach is that a special Kalman filter can describe certain movements particularly well, but delivers relatively poor results for other movements. The dynamic coupling makes it possible to use the best Kalman filter in each case. The configuration as an interacting multiple model, which is known per se, enables the independent selection of the preferred Kalman filter without external intervention. It is particularly advantageous that the use of computationally intensive particle filters can be dispensed with, which makes additional hardware (eg GPU) unnecessary.
Ein Aspekt der Erfindung betrifft ein Steuergerät, das als Recheneinheit ausgebildet ist, um alle Schritte des erfindungsgemäßen Verfahrens auszuführen. One aspect of the invention relates to a control unit which is designed as a computing unit in order to carry out all the steps of the method according to the invention.
Ein Aspekt der Erfindung betrifft ein computerimplementiertes Verfahren, wobei das computerimplementierte Verfahren zum Erstellen eines Umgebungsmodells für ein hochautomatisiert oder autonom betriebenes Fahrzeug nach dem erfindungsgemäßen Verfahren konfiguriert ist. One aspect of the invention relates to a computer-implemented method, the computer-implemented method for creating an environment model for a highly automated or autonomously operated vehicle being configured according to the method according to the invention.
Ein Aspekt der Erfindung betrifft ein Computerprogramm, wobei das Computerprogramm ein Steuergerät dazu veranlasst, alle Schritte eines erfindungsgemäßen Verfahrens auszuführen, wenn es auf dem Steuergerät ausgeführt wird. One aspect of the invention relates to a computer program, the computer program causing a control unit to carry out all the steps of a method according to the invention when it is being run on the control unit.
Ein Aspekt der Erfindung betrifft einen Programmcode mit Verarbeitungsanweisungen zum Erstellen eines auf einem Computer ablauffähigen Computerprogramms, wobei der Programmcode das erfindungsgemäße Computerprogramm ergibt, wenn der Programmcode gemäß den Verarbeitungsanweisungen in ein ablauffähiges Computerprogramm umgewandelt wird. Ausführungsbeispiel One aspect of the invention relates to a program code with processing instructions for creating a computer program that can be run on a computer, the program code resulting in the computer program according to the invention when the program code is converted into an executable computer program in accordance with the processing instructions. example
Weitere Merkmale, Anwendungsmöglichkeiten und Vorteile der Erfindung ergeben sich aus der nachfolgenden Beschreibung von Ausführungsbeispielen der Erfindung unter Bezugnahme auf die schematisch dargestellten Zeichnungen. Diese dienen lediglich zum Verständnis der Erfindung und haben keinerlei limitierende Wirkung auf den Erfindungsgegenstand, wie er in den Patentansprüchen dargelegt ist. Further features, application possibilities and advantages of the invention result from the following description of exemplary embodiments of the invention with reference to the schematically illustrated drawings. These are only for understanding the invention and do not have any limiting effect on the subject matter of the invention as set out in the patent claims.
Hierbei zeigen: Here show:
Figur 1 ein beispielhaftes Ablaufschema des erfindungsgemäßen Verfahrens zur Erstellung eines Umgebungsmodells; FIG. 1 shows an exemplary flow chart of the method according to the invention for creating an environment model;
Figur 2 eine Projektion eines Messpunktes von Sensorrohdaten auf einen Ausschnitt eines Belegungsgitters zur Bestimmung von Gitterzellenmaßen; FIG. 2 shows a projection of a measuring point of raw sensor data onto a section of an occupancy grid for determining grid cell dimensions;
Figur 3 eine Projektion eines von einem Sensor empfangenen vorverarbeiteten Objektes auf einen Ausschnitt eines Belegungsgitters zur Bestimmung von Gitterzellenmaßen; FIG. 3 shows a projection of a preprocessed object received by a sensor onto a section of an occupancy grid for determining grid cell dimensions;
Figur 4 ein beispielhaftes Ablaufschema eines Interacting Multiple Modells mit zwei erweiterten Kalmanfiltern. FIG. 4 shows an exemplary flow chart of an interacting multiple model with two extended Kalman filters.
Die beschriebenen Ausführungsbeispiele beziehen sich auf Teilaspekte der Erfindung und betreffen gleichermaßen das Verfahren, das computerimplementierte Verfahren, das Steuergerät, das Computerprogramm sowie den Programmcode. In anderen Worten lassen sich die im Folgenden beispielsweise im Hinblick auf die das Verfahren genannten Merkmale auch in dem Steuergerät, dem Computerprogramm und dem Programmcode implementieren und umgekehrt. The exemplary embodiments described relate to partial aspects of the invention and relate equally to the method, the computer-implemented method, the control device, the computer program and the program code. In other words, the features mentioned below, for example with regard to the method, can also be implemented in the control device, the computer program and the program code and vice versa.
Figur 1 zeigt ein beispielhaftes Ablaufschema des erfindungsgemäßen Verfahrens zur Erstellung eines Umgebungsmodells. Ziel ist es, Sensorrohdaten und vorverarbeitete Objektdaten zu fusionieren, um eine Vielzahl unterschiedlicher Umgebungssensoren zur möglichst umfassenden Umgebungserfassung verwenden zu können und dabei einen effizienten bzw. minimierten Ressourceneinsatz an Rechentechnik zu ermöglichen. Damit wird das erfindungsgemäße Verfahren unabhängig von spezifischen Sensorkonfigurationen, ist hoch skalierbar, also durch verschiedene Sensorarten ergänzbar oder ersetzbar, und bleibt durch die Modularität einfach an technische Bedingungen anpassbar sowie nach Anwendungsfällen konfigurierbar. FIG. 1 shows an exemplary flow chart of the method according to the invention for creating an environment model. The aim is to merge raw sensor data and pre-processed object data in order to be able to use a large number of different environmental sensors for the most comprehensive possible detection of the environment and to enable efficient or minimized use of computing resources. The method according to the invention is thus independent of specific sensor configurations and is highly scalable, ie by different ones Sensor types can be supplemented or replaced, and the modularity means it can be easily adapted to technical conditions and configured according to use cases.
Die Erstellung des Umgebungsmodells nutzt einen erweiterten Belegungsgitteransatz. Es startet mit der Dateneingabe 10. Dabei werden die Sensorrohdaten, vorverarbeitete Objekte und Zusatzinformationen, beispielsweise in Form von Gitterzellenattributen, von einer Berechnungseinheit, beispielsweise einem Steuergerät, empfangen. Die Daten werden von den Sensoren und einem eventuell bereits vorhandenen Belegungsgitter aus einem früheren Zeitschrift gewonnen. The creation of the environment model uses an extended occupancy grid approach. It starts with the data input 10. The raw sensor data, pre-processed objects and additional information, for example in the form of grid cell attributes, are received by a calculation unit, for example a control unit. The data is obtained from the sensors and a possibly already existing occupancy grid from an earlier magazine.
Zur Datenfusion 11 werden zunächst die Sensorrohdaten mittels eines inversen Sensormodells auf das Belegungsgitter projiziert und zu einer gemittelten Belegungswahrscheinlichkeit verrechnet (Fig. 2). Parallel oder daraufhin folgend werden die vorverarbeiteten Objektdaten mittels eines inversen Sensorobjektmodells auf das Belegungsgitter projiziert (Fig. 3). Zu den vorverarbeiteten Objektdaten zählen neben dem reinen Vorhandensein des Objektes weitere vorverarbeitete Objektdaten, wie Objektklassen (PKW, Fußgänger, Infrastrukturelement) oder Dynamikdaten (Bewegungsrichtung, Bewegungsgeschwindigkeit). Diese werden ebenfalls mittels des inversen Sensormodells als Gitterzellenattribute auf das Belegungsgitter projiziert, beispielsweise auf einen dynamischen Datenlayer. Die inversen Sensor- bzw. Sensorobjektmodelle werden wie die Grid-Update-Funktionen als Fusionsmodelle 16 zur Datenfusion 11 eingegeben. Anschließend wird das eventuell vorhandene Belegungsgitter mittels einer Grid-Update-Funktion und den aktuellen Eingangsdaten aktualisiert. Das Vorgehen wird am Beispiel einer Bayes’schen Update-Funktion dargestellt. For the data fusion 11, the raw sensor data are initially projected onto the occupancy grid by means of an inverse sensor model and calculated to form an averaged occupancy probability (FIG. 2). In parallel or subsequently, the pre-processed object data are projected onto the occupancy grid by means of an inverse sensor object model (FIG. 3). In addition to the mere presence of the object, the pre-processed object data also includes further pre-processed object data, such as object classes (cars, pedestrians, infrastructure elements) or dynamic data (direction of movement, speed of movement). These are also projected as grid cell attributes onto the occupancy grid using the inverse sensor model, for example onto a dynamic data layer. Like the grid update functions, the inverse sensor or sensor object models are entered as fusion models 16 for data fusion 11 . The occupancy grid that may be present is then updated using a grid update function and the current input data. The procedure is illustrated using a Bayesian update function as an example.
Um das Belegungsgitter des aktuellen Zeitschritts t mit dem des vorhergehenden Zeitschritts t-1 zu fusionieren, ist eine Kompensation der Eigengeschwindigkeiten sowohl des Fahrzeugs als auch der Objekte und dynamischen Gitterzellen erforderlich. Dynamische Gitterzellen sind Gitterzellen mit Dynamikinformationen, zum Beispiel in Form von Gitterzellenattributen zusätzlicher Datenlayer. Dazu wird ein Eins-zu-Eins- Mapping zwischen den Gitterzellen beider Belegungsgitter durchgeführt. Zuerst werden dabei alle mit einem dynamischen Objekt 0 assoziierten Gitterzellen C0 zum Zeitschrift t-1 bewegungskompensiert. Die Gitterzellen C0 weisen einen Mittelpunkt r auf. Das Objekt besitzt die Geschwindigkeit v. Die Eigenschaften der Gitterzellen C0 werden auf eine Gitterzelle mit dem Mittelpunkt r' übertragen bzw. verschoben: wobei Δt der zeitliche Abstand zwischen den Zeitschritten t-1 und t und die Eigengeschwindigkeit des Fahrzeugs ist. Weitere beispielhafte Bewegungskompensationen können alternativ oder zusätzlich die Winkelgeschwindigkeit oder andere dynamische Attribute des Objektes verwenden. In order to merge the occupancy grid of the current time step t with that of the previous time step t-1, a compensation of the own speeds of the vehicle as well as the objects and dynamic grid cells is necessary. Dynamic grid cells are grid cells with dynamic information, for example in the form of grid cell attributes of additional data layers. For this purpose, a one-to-one mapping between the grid cells of both occupancy grids is carried out. First, all grid cells C 0 associated with a dynamic object 0 become the journal t-1 motion compensated. The grid cells C 0 have a center point r. The object has the speed v. The properties of the grid cells C 0 are mapped to a grid cell transferred or shifted with the center r': where Δt is the time interval between the time steps t-1 and t and is the vehicle's own speed. Other example motion compensations may alternatively or additionally use angular velocity or other dynamic attributes of the object.
Anschließend wird die Gitterzelle zum Zeitpunkt t mit der Gitterzelle C t-1 zum Zeitpunkt t-1 für jedes Objekt 0 fusioniert. Die Bayes’sche-Update-Regel zur Berechnung der aktuellen Belegungswahrscheinlichkeit lautet: wobei die gemittelte Belegungswahrscheinlichkeit aus der Projektion der Sensorroh- oder vorverarbeiteten Objektdaten ist. ε ist eineThen, at time t, the grid cell is connected to grid cell C t-1 merged at time t-1 for each object 0. The Bayesian update rule for calculating the current occupancy probability reads: whereby is the average occupancy probability from the projection of the sensor raw or pre-processed object data. ε is one
Übergangswahrscheinlichkeit zum Einbeziehen von Angleichungsfehlern. free ist komplementär zur Belegungswahrscheinlichkeit und beschreibt, wie frei bzw. unbelegt die Gitterzelle C', auf die das Objekt bzw. die Gitterzelleneigenschaft verschoben wurde, zum Zeitpunkt t ist. Transition probability to include alignment errors. free is complementary to the occupancy probability and describes how free or unoccupied the grid cell C', to which the object or the grid cell property was moved, is at time t.
Nach der Datenfusion 11 erfolgt die Verarbeitung 12 des Belegungsgitters. Dazu werden beispielsweise morphologische Operationen auf die Gitterdaten angewendet und anschließend zusammenhängende Gitterzellen zu Clustern zusammengeführt (siehe Beschreibung oben), um die Gitterdaten zu extrahieren. After the data fusion 11, the occupancy grid is processed 12. For this purpose, for example, morphological operations are applied to the grid data and then connected grid cells are merged into clusters (see description above) in order to extract the grid data.
Nach der Verarbeitung 12 des Belegungsgitters erfolgt die Verarbeitung 13 der extrahierten Gitterdaten. Dazu kann eine Eingabe 17 von Zusatzinformationen, beispielsweise in Form von Gitterzellenattributen, genutzt werden. Die Verarbeitung 13 der extrahierten Gitterdaten kann ein Objekt-Tracking (Fig. 4) unter Nutzung eines Interactive Multiple Models 18 und eine Freiraumberechnung in Abhängigkeit der extrahierten Gitterdaten und der Zusatzinformationen umfassen. Schließlich erfolgt die Ausgabe 14 der verarbeiteten Gitterdaten in Form von Belegungswahrscheinlichkeiten und Zusatzinformationen bzw. Gitterzellenattributen, wie Objektgeschwindigkeit, Objektbewegungsrichtung, Objektklasse oder eine Freiflächenklassifikation durch deren Übernahme in ein aktuelles Gittermodell als aktuelles Abbild der Umgebung (Umgebungsmodell). Dieses Umgebungsmodell kann mittels weiterer Verarbeitung auch durch weitere oder abgeleitete Daten erweitert werden. So können beispielsweise die Befahrbarkeit von Freiräumen, das Vorhandensein von Straßenzügen oder weitere Befahrbarkeitsattribute, wie die Güte des Asphalts, als Eigenschaften in den Gitterzellen hinterlegt werden. Fahrerassistenzfunktionen sowie hochautomatisierte oder autonome Fahrfunktionen greifen anschließend auf das aktuelle Umgebungsmodell zu. Das Umgebungsmodell aus dem vorherigen Zeitschritt t-1 kann archiviert, rollierend überschrieben oder gelöscht werden. After the processing 12 of the occupancy grid, the processing 13 of the extracted grid data takes place. For this purpose, an input 17 of additional information, for example in the form of grid cell attributes. The processing 13 of the extracted grid data can include object tracking (FIG. 4) using an interactive multiple model 18 and free space calculation depending on the extracted grid data and the additional information. Finally, the output 14 of the processed grid data takes place in the form of occupancy probabilities and additional information or grid cell attributes, such as object speed, object movement direction, object class or an open space classification by taking them over into a current grid model as a current image of the environment (environment model). This environment model can also be extended by further or derived data by means of further processing. For example, the navigability of open spaces, the presence of streets or other navigability attributes, such as the quality of the asphalt, can be stored as properties in the grid cells. Driver assistance functions as well as highly automated or autonomous driving functions then access the current environment model. The environment model from the previous time step t-1 can be archived, overwritten on a rolling basis, or deleted.
Parallel zur Ausgabe 14 des Umgebungsmodells geht das aktuelle Belegungsgitter zusammen mit einer im nächsten Zeitschritt aktualisierten Dateneingabe 10 als nächste Schleife 15 wieder in das erfindungsgemäße Verfahren ein. Parallel to the output 14 of the environment model, the current occupancy grid, together with a data input 10 updated in the next time step, enters the next loop 15 in the method according to the invention.
Figur 2 zeigt die Projektion eines gemessenen Datenpunktes (Messpunkt 23) eines Radarsensors 22 auf ein Belegungsgitter 20, das aus einer Vielzahl zueinander angeordneten Gitterzellen 21 zusammengesetzt ist. Aufgrund der Charakteristik des Radarsensors ist der Messpunkt 23 ungenau. Ein spezifisches inverses Sensormodell für den Radarsensor 22 gibt eine Wahrscheinlichkeitsverteilung im Fehlerbereich 24 des Messpunktes 23 herum an, die die Wahrscheinlichkeit für den realen Ort (Entfernung, Richtung) der Messung angibt. Das inverse Sensormodell berücksichtigt dabei entfernungs- und raumwinkelabhängige Messabweichungen des Radarsensors 22, wobei die Wahrscheinlichkeit beispielsweise um den Messpunkt 23 herum erhöht ist und zum Rand hin abfällt. Andere inverse Sensormodelle können andere Verteilungen, z. B. eine Gleichverteilung, nutzen. Außerdem kann ein inverses Sensormodell auch eine Transformation der Messpunkte 23 in Abhängigkeit weiterer Messgrößen abbilden. So kann beispielsweise bei Radarsensoren die Verteilung der Belegungswahrscheinlichkeit entlang der Bewegungsrichtung der Detektion verschoben werden, um Messprinzip bedingte Abweichungen zu kompensieren. FIG. 2 shows the projection of a measured data point (measuring point 23) of a radar sensor 22 onto an occupancy grid 20, which is composed of a large number of grid cells 21 arranged relative to one another. Measuring point 23 is imprecise due to the characteristics of the radar sensor. A specific inverse sensor model for the radar sensor 22 specifies a probability distribution in the error area 24 of the measurement point 23, which specifies the probability for the real location (distance, direction) of the measurement. The inverse sensor model takes into account measurement deviations of radar sensor 22 that are dependent on distance and solid angle, with the probability being increased around measuring point 23, for example, and falling towards the edge. Other inverse sensor models can have other distributions, e.g. B. use a uniform distribution. In addition, an inverse sensor model can also transform the measurement points 23 as a function of further map measurements. In the case of radar sensors, for example, the distribution of the occupancy probability can be shifted along the direction of movement of the detection in order to compensate for deviations caused by the measuring principle.
Das inverse Sensormodell verändert das Gitterzellenmaß aller Gitterzellen 21, die innerhalb des Fehlerbereichs 24 des Messpunktes 23 liegen. Dies kann durch eine Erhöhung 26 des Gitterzellenmaßes proportional zur Überlappungsfläche der jeweiligen Gitterzelle 21 und dem Fehlerbereich 24 erreicht werden. Dabei kann auch die Ausprägung der Wahrscheinlichkeitsverteilung des inversen Sensormodells aggregiert über der Überlappungsfläche einbezogen werden. In Figur 2 sind in den vom Fehlerbereich 24 überlappten Gitterzellen 21 die Erhöhungen 26 des jeweiligen Gitterzellenmaßes anhand beispielhafter Zahlenwerte dargestellt. The inverse sensor model changes the grid cell size of all grid cells 21 that lie within the error range 24 of the measuring point 23 . This can be achieved by an increase 26 in the grid cell size proportional to the overlap area of the respective grid cell 21 and the error area 24 . The expression of the probability distribution of the inverse sensor model aggregated over the overlapping area can also be included. In FIG. 2, in the grid cells 21 overlapped by the error region 24, the increases 26 in the respective grid cell dimension are shown using exemplary numerical values.
Für jeden weiteren Messpunkt mit seinem zugehörigen Fehlerbereich erfolgt die Erhöhung der Gitterzellenmaße analog. Dabei können auch mehrere Messpunkte in einer Gitterzelle liegen. Das Gitterzellenmaß wird dann in Abhängigkeit aller Erhöhungen 26 resultierend aus allen Messpunkten 23 gebildet, beispielsweise als gemittelte Belegungswahrscheinlichkeit wobei ein Zählwert C, der die aggregierten Erhöhungen des Gitterzellenmaßes der jeweiligen Gitterzelle sowie ggf. das ursprüngliche Gitterzellenmaß repräsentiert, über die Anzahl projizierter Messpunkte Nc normiert wird. Die tanh-Funktion stellt sicher, dass für plausible Werte für C und Nc die Belegungswahrscheinlichkeit OCCm ≤ 1 bleibt. For each additional measuring point with its associated error range, the grid cell dimensions are increased analogously. Several measuring points can also lie in one grid cell. The grid cell measure is then formed as a function of all increases 26 resulting from all measurement points 23, for example as an average occupancy probability a count value C, which represents the aggregated increases in the grid cell size of the respective grid cell and, if applicable, the original grid cell size, is normalized over the number of projected measurement points N c . The tanh function ensures that for plausible values for C and N c the occupancy probability OCC m remains ≤ 1.
Das ursprüngliche Gitterzellenmaß kann aus einem Gitterzellenmaß eines vorherigen Zeitschrittes bei der Erstellung des Umgebungsmodells gebildet werden. Der Ausgangswert aller Gitterzellen beträgt 0,5. Dies entspricht einer unbestimmten Belegung der Gitterzelle. Dieser Zustand liegt auch an der maximalen Grenze des Messbereichs vor. The original grid cell metric may be formed from a grid cell metric from a previous time step in creating the environment model. The initial value of all grid cells is 0.5. This corresponds to an indeterminate occupancy of the grid cell. This condition is also present at the maximum limit of the measuring range.
Zwischen Radarsensor 22 und Messpunkt 23 bzw. dessen Fehlerbereich 24 liegt messprinzipbedingt kein Objekt, da es sich um die Sichtlinie des Sensors handelt. Die von der Sichtlinie durchquerten Gitterzellen 21 werden daher als unbelegt angesehen. Diesen wird eine Belegungswahrscheinlichkeit occm = 0 zugewiesen. Die Belegungswahrscheinlichkeit unbelegter Zellen nähert sich mit steigender Messentfernung dem Wert 0,5 an, da die Messunsicherheit zunimmt. Die Belegungswahrscheinlichkeit unbelegter Gitterzellen wird dazu mit folgender Formel berechnet λmd entspricht der Wahrscheinlichkeit einer Fehlerkennung, d entspricht der Entfernung des Fahrzeugs von der jeweiligen Gitterzelle und Dc entspricht einer sensorspezifischen Normalisierungskonstante. Die Minimumfunktion verhindert, dass die Belegungswahrscheinlichkeit über das Unbestimmtheitsmaß von 0,5 hinaus wächst und dann als wahrscheinlich belegt zählt. Die Projektion der Rohdaten auf ein Belegungsgitter mittels inverser Sensormodelle erlaubt somit vorteilhafterweise eine recheneffiziente Verarbeitung einer großen Anzahl von Sensoren, die Punktwolken erzeugen. Due to the measuring principle, there is no object between the radar sensor 22 and the measuring point 23 or its error area 24, since this is the line of sight of the sensor. the Grid cells 21 traversed by the line of sight are therefore considered unoccupied. These are assigned an occupancy probability occ m =0. The occupancy probability of unoccupied cells approaches the value 0.5 with increasing measurement distance, since the measurement uncertainty increases. The occupancy probability of unoccupied grid cells is calculated using the following formula λ md corresponds to the probability of an incorrect identification, d corresponds to the distance of the vehicle from the respective grid cell and D c corresponds to a sensor-specific normalization constant. The minimum function prevents the occupancy probability from growing beyond the uncertainty level of 0.5 and then counting as probably occupied. The projection of the raw data onto an occupancy grid by means of inverse sensor models thus advantageously allows computationally efficient processing of a large number of sensors that generate point clouds.
Figur 3 zeigt eine Projektion eines von einem Sensor empfangenen vorverarbeiteten Objektes 33 auf einen Ausschnitt 30 eines Belegungsgitters zur Bestimmung von Gitterzellenmaßen. Die Projektion erfolgt anhand einer repräsentativen Belegungswahrscheinlichkeit des Objektes 33, durchgeführt mittels eines inversen Sensorobjektmodells. Dabei werden die Eigenheiten des Sensors (hier eine Kamera 32), der das vorverarbeitete Objekt 33 zur Verfügung stellt, wie Erfassungsbereich, Erfassungsgenauigkeit oder Fähigkeit zur Klassifikation von Objekten, berücksichtigt. Zur Projektion des Objektes 33 auf das Belegungsgitter 30 müssen die Abmessungen des Objektes 33 und die Sicherheit der Belegungserfassung bzw. deren Verteilung über die Objektdimensionen modelliert werden. Die Sicherheit oder das Vertrauen (Konfidenz) in die Belegungserfassung kann als Gitterzellenmaß analog zur Belegungswahrscheinlichkeit der Rohdatenprojektion in das Belegungsgitter 30 geschrieben werden. Die Belegungswahrscheinlichkeit occ der jeweiligen Gitterzelle kann durch das inverse Sensorobjektmodell wie folgt aus der Erfassungssicherheit f(confidence) berechnet werden: occ = 0.5 + 0.5 * f(confidence), wobei f(confidence) eine Funktion mit der Zielmenge [0,1) ist, die die Verteilung der Erfassungssicherheit über die vom Objekt belegte Fläche beschreibt. FIG. 3 shows a projection of a preprocessed object 33 received by a sensor onto a section 30 of an occupancy grid for determining grid cell dimensions. The projection is based on a representative occupancy probability of the object 33, carried out using an inverse sensor object model. The peculiarities of the sensor (here a camera 32) that makes the pre-processed object 33 available, such as the detection range, detection accuracy or ability to classify objects, are taken into account. In order to project the object 33 onto the occupancy grid 30, the dimensions of the object 33 and the reliability of the occupancy detection or its distribution over the object dimensions must be modeled. The certainty or trust (confidence) in the occupancy detection can be written into the occupancy grid 30 as a grid cell measure analogous to the occupancy probability of the raw data projection. The occupancy probability occ of the respective grid cell can be calculated from the detection reliability f(confidence) using the inverse sensor object model as follows: occ = 0.5 + 0.5 * f(confidence), where f(confidence) is a function with target set [0,1) that describes the distribution of detection confidence over the area occupied by the object.
Das Belegungsgitter 30 besteht aus einer Vielzahl von Gitterzellen (34, 35, 36). Die hier dargestellte Auflösung des Belegungsgitters 30 in Relation zur Größe des Objektfahrzeugs ist lediglich schematisch zu verstehen. Das von der Kamera 32 erfasste Objekt 33 ist in seinen Dimensionen als Rechteck nicht maßstabsgerecht. Ein beispielhaftes, in der Praxis verwendetes kartesisches Belegungsgitter weist eine Größe von 100m mal 100m auf. Polare Belegungsgitter können einen Radius von 50m mit dem Fahrzeug als Mittelpunkt aufweisen. Die erforderliche Ausdehnung des Bewegungsgitters hängt vom Anwendungsfall ab. Anwendungsfälle mit hohen Eigengeschwindigkeiten von Fahrzeug und Objekten benötigen tendenziell größere Ausdehnungen. In urbanen, geschwindigkeitsbegrenzten Umgebungen modellierte Gitterzellen weisen Kantenlängen von 20cm mal 20cm auf. Ein Belegungsgitter mit 100m Kantenlänge und Gitterzellenabmaßen von 20 x 20cm umfasst ca. 250.000 Gitterzellen. Für Anwendungen mit deutlich höheren zu erwartenden Geschwindigkeiten, wie Autobahnen oder Landstraßen, ist eine entsprechend höhere Kantenlänge notwendig. The occupancy grid 30 consists of a large number of grid cells (34, 35, 36). The resolution of the occupancy grid 30 shown here in relation to the size of the object vehicle is to be understood only schematically. The object 33 captured by the camera 32 is not true to scale in its dimensions as a rectangle. An example Cartesian occupancy grid used in practice has a size of 100m by 100m. Polar occupancy grids can have a radius of 50m centered on the vehicle. The required expansion of the movement grid depends on the application. Use cases with high vehicle and object speeds tend to require larger expansions. Grid cells modeled in urban, speed-limited environments have edge lengths of 20cm by 20cm. An occupancy grid with an edge length of 100 m and grid cell dimensions of 20 x 20 cm comprises approx. 250,000 grid cells. A correspondingly higher edge length is required for applications with significantly higher speeds to be expected, such as motorways or country roads.
Das von der Kamera 32 übermittelte vorverarbeitete Objektfahrzeug 33 wird nun mit seinen ortsreferenzierten Abmaßen auf das Belegungsgitter 30 projiziert. Zunächst werden durch das inverse Sensorobjektmodell die Sichtkanten des Objektes 33 bestimmt. Diese sind in Figur 3 die durchgezogenen Kanten des Objektes 33. Die strich-punktierten Kanten sind durch das Objekt selbst verdeckt und daher von der Kamera 32 nicht erfassbar. Dies ist durch die Sichtlinien 31 veranschaulicht. Alles was außerhalb des spitzen Winkels zwischen den Sichtlinien 31 liegt, kann noch erfasst werden, solange es im Erfassungsbereich (Bildwinkel) der Kamera 32 liegt. Die Fläche, die durch die Sichtlinien 31 und die sichtbaren Kanten des Objektes 33 begrenzt wird, kann demgegenüber als sicher unbelegt in das Belegungsgitter 30 übernommen werden. Die Verteilung der Sicherheit der Belegungserfassung kann abhängig von der Sicherheit der Objekterkennung durch das inverse Sensorobjektmodell veränderlich modelliert sein. Erkennt die Bildauswertung der Kamera 32 mit hinreichender Sicherheit ein spezifisches Objekt mit seinen Abmaßen, kann die Sicherheit über die projizierte Objektfläche gleichverteilt sein. Dies kann der Fall sein, wenn das Objekt beispielsweise durch Abgleich mit einer Datenbank mittels Mustererkennung eindeutig als Fahrzeug mit spezifischen Abmaßen erkannt wurde. Da derartige Abgleiche ressourcenintensiv sind, wird dies in der Mehrzahl praktischer Vorgänge nicht der Fall sein. Dann kann die Verteilung der Erkennungssicherheit von den sichtbaren Kanten des Objektes in Richtung The pre-processed object vehicle 33 transmitted by the camera 32 is now projected onto the occupancy grid 30 with its location-referenced dimensions. First, the visual edges of the object 33 are determined by the inverse sensor object model. These are the solid edges of the object 33 in FIG. This is illustrated by the lines of sight 31 . Anything outside of the acute angle between the lines of sight 31 can still be captured as long as it is within the capture range (angle of view) of the camera 32 . In contrast, the area delimited by the lines of sight 31 and the visible edges of the object 33 can be taken over into the occupancy grid 30 as being definitely unoccupied. The distribution of the reliability of the occupancy detection can be variably modeled by the inverse sensor object model depending on the reliability of the object detection. If the image evaluation of the camera 32 detects a specific object with its dimensions with sufficient certainty, the certainty can be evenly distributed over the projected object area. This can be the case if the object was clearly identified as a vehicle with specific dimensions, for example by comparison with a database using pattern recognition. Since such comparisons are resource intensive, this will not be the case in the majority of practical operations. Then the distribution of the detection reliability from the visible edges of the object in direction
Das inverse Sensorobjektmodell belegt dann die vom Objekt 33 überlappten Gitterzellen mit einem Gitterzellenmaß, das sich aus der Verteilung der Erfassungssicherheit ergibt. Das Gitterzellenmaß ist beispielsweise die oben berechnete Belegungswahrscheinlichkeit occ. In Figur 3 sind die Gitterzellen, die von den sichtbaren Objektkanten überlappt werden, als sicher belegt bewertet. Diese Gitterzellen sind durch ein Kreuz in Figur 3 markiert (vgl. Gitterzelle 34). Mit zunehmender Entfernung von der Kamera 32 nimmt die Erfassungssicherheit tendenziell ab. So sind die Gitterzellen, die an die als sicher belegt bewerteten Gitterzellen angrenzen, nur noch als wahrscheinlich belegt bewertet (vgl. Gitterzelle 35 mit Diagonale). Die anschließenden Gitterzellen in Richtung der vom Kamerasensor 32 abgewandte Ecke des Objektes 33 sind entsprechend des hier verwendeten inversen Sensorobjektmodells mit geringer Erfassungssicherheit modelliert. Die betreffenden Gitterzellen sind, wie alle außerhalb des Sichtbereichs der Kamera 32 (Bildwinkel, Sichtweite) liegenden Gitterzellen, als unbestimmt belegt bewertet. In dem Fall erfolgt kein Eintrag in das Belegungsgitter 30. Das inverse Sensorobjektmodell berücksichtigt also das Sichtfeld und die Fähigkeit zur Objekterkennung des eingesetzten Sensors. The inverse sensor object model then covers the grid cells overlapped by the object 33 with a grid cell dimension that results from the distribution of the detection reliability. The grid cell measure is, for example, the occupancy probability occ calculated above. In FIG. 3, the grid cells that are overlapped by the visible object edges are rated as definitely occupied. These grid cells are marked by a cross in FIG. 3 (cf. grid cell 34). As the distance from the camera 32 increases, the reliability of detection tends to decrease. Thus, the grid cells that border on the grid cells rated as definitely occupied are only rated as probably occupied (cf. grid cell 35 with diagonal). The subsequent grid cells in the direction of the corner of the object 33 facing away from the camera sensor 32 are modeled with low detection reliability in accordance with the inverse sensor object model used here. The relevant grid cells, like all grid cells lying outside the field of view of the camera 32 (angle of view, range of vision), are rated as indefinitely occupied. In this case, there is no entry in the occupancy grid 30. The inverse sensor object model therefore takes into account the field of view and the ability of the sensor used to recognize objects.
Figur 4 zeigt ein beispielhaftes Ablaufschema eines Interacting Multiple Modells 40 mit zwei erweiterten Kalmanfiltern (42, 43) als dynamisch gekoppeltes System. In das Modell gehen die Zustandsdaten der Objekte und des Modells aus dem vorherigen Zeitschritt t-1 sowie die im aktuellen Zeitschritt t verarbeiteten, aus dem Belegungsgitter extrahierten Gitterdaten ein. Das Modell dient der Berechnung und Ausgabe geschätzter Zustandsdaten zum Zeitpunkt t. Der Modellzustand des vorherigen Zeitschritts t-1 wird als bedingte Modellwahrscheinlichkeit aus dem vorherigen Zeitschritt t übernommen. Die extrahierten Gitterdaten beschreiben die objektbezogenen, fusionierten Gitterdaten, beispielsweise in Form der objektbezogenen Belegung des Belegungsgitters sowie vorteilhafterweise extrahierter Zusatzinformationen, wie Geschwindigkeit oder Bewegungsrichtung des extrahierten Objektes. FIG. 4 shows an exemplary flowchart of an interacting multiple model 40 with two extended Kalman filters (42, 43) as a dynamically coupled system. The status data of the objects and the model from the previous time step t−1 as well as the grid data extracted from the occupancy grid and processed in the current time step t go into the model. The model is used for calculation and output estimated state data at time t. The model state of the previous time step t-1 is called the conditional model probability taken from the previous time step t. The grid data extracted describe the object-related, merged grid data, for example in the form of the object-related occupancy of the occupancy grid and advantageously extracted additional information, such as the speed or direction of movement of the extracted object.
Zustandsdaten sind Zustandsvektoren für das Konstant-Bewegungsmodell 42 und das Konstant-Kurven-Modell 43 wobei x und y die Position des Objekts im Belegungsgitter, φ die Bewegungsrichtung des Objektes, v die Objektgeschwindigkeit ω die Winkelgeschwindigkeit angeben. Das Konstant-Bewegungsmodell 42 (CV constant velocity) ist angepasst, um geradlinige gleichförmige Bewegungen passend zu beschreiben. Das Konstant-Kurven-Modell 43 (CTRV constant turn rate and velocity) ist sehr gut angepasst, um gekrümmte gleichförmige Bewegungen passend zu beschreiben. State data are state vectors for the constant motion model 42 and the constant curve model 43 where x and y the position of the object in the occupancy grid, φ the direction of movement of the object, v the object speed ω the angular speed. The constant motion model 42 (CV constant velocity) is adapted to suitably describe rectilinear uniform motion. The constant curve model 43 (CTRV constant turn rate and velocity) is very well adapted to suitably describe curved uniform motion.
Die Zustandsvektoren und werden mittels der bedingten Modellwahrscheinlichkeit verrechnet. Dabei wird das Modell mit der höheren Schätzgüte anhand höher gewichtet, also bevorzugt verwendet. Dies erfolgt bei der dynamischen Zustandskopplung 41. Die Kopplung beider Modelle, auch als Vermischen beider Modelle zu verstehen, ergibt gekoppelte Zustandsvektoren die bessere Schätzungen der objektbezogenen Dynamikinformationen als jeder der beiden unabhängigen Zustandsvektoren (CV, CTRV) darstellen. The state vectors and are determined using the conditional model probability charged. The model with the higher estimation quality is used weighted higher, i.e. used preferentially. This takes place in the case of dynamic state coupling 41. The coupling of both models, which can also be understood as a mixing of both models, results in coupled state vectors which represent better estimates of the object-related dynamics information than either of the two independent state vectors (CV, CTRV).
Die gekoppelten Zustandsvektoren gehen zusammen mit den aktuellen (objektbezogenen) Gitter- bzw. Zustandsdaten aus Zeitschritt t in das jeweilige Modell (42, 43) ein. Das Konstant-Bewegungsmodell 42 ist als erweiterter Kalmanfilter ausgebildet und verarbeitet und zu einem aktuellen Zustandsvektor Dieser schätzt die Dynamik des Objektes seit dem letzten Zeitschritt unter der Annahme einer gleichförmigen, geradlinigen Bewegung des Objektes. Der Zustandsübergang der Zustandsvektoren zwischen den Zeitschritten wird für das Konstant-Bewegungsmodell 42 wie folgt bestimmt: The coupled state vectors go together with the current (object-related) grid or status data from time step t into the respective model (42, 43). The constant motion model 42 is designed and processed as an extended Kalman filter and to a current state vector This estimates the dynamics of the object since the last time step, assuming a uniform, rectilinear motion of the object object. The state transition of the state vectors between the time steps is determined for the constant motion model 42 as follows:
Das Konstant-Bewegungsmodell 42 unterstellt eine Objektbeschleunigung von null. Daher bleiben die Bewegungsrichtung φ und die Geschwindigkeit v konstant. The constant motion model 42 assumes zero object acceleration. Therefore, the direction of movement φ and the speed v remain constant.
Das Konstant-Kurven-Modell 43 ist ebenfalls als erweiterter Kalmanfilter ausgebildet und verarbeitet und zu einem aktuellen Zustandsvektor Dieser schätzt die Dynamik des Objektes seit dem letzten Zeitschritt unter der Annahme einer gleichförmigen, gekrümmten Bewegung des Objektes auf einer Bahnkurve. Der Zustandsübergang der Zustandsvektoren zwischen den Zeitschritten wird für das Konstant-Kurven-Modell 43 wie folgt bestimmt: The constant curve model 43 is also designed and processed as an extended Kalman filter to a current state vector This estimates the dynamics of the object since the last time step, assuming a uniform, curved movement of the object on a trajectory. The state transition of the state vectors between the time steps is determined for the constant curve model 43 as follows:
Es wird ebenfalls eine Objektbeschleunigung von null unterstellt. Daher bleiben die Geschwindigkeit v und die Winkelgeschwindigkeit ω konstant. An object acceleration of zero is also assumed. Therefore the velocity v and the angular velocity ω remain constant.
Beide Modelle 42 und 43 können eine vorhandene Beschleunigung implizit über eine bei Kalmanfiltern bekannte Process Noise Matrix einbezogen werden. Diese gibt vereinfacht ausgedrückt das Systemrauschen wieder, dass sich aus dem Rauschen der Einzelgrößen ergibt, beispielsweise Schwankungen der Geschwindigkeit aufgrund von schwankenden Luft- oder Rollwiderständen, die als Rauschen interpretiert und entsprechend herausgefiltert oder berücksichtigt werden können. Both models 42 and 43 can implicitly include an existing acceleration via a process noise matrix known from Kalman filters. Put simply, this reflects the system noise that results from the noise of the individual variables, for example fluctuations in speed due to fluctuating air or rolling resistance, which can be interpreted as noise and filtered out or taken into account accordingly.
Außerdem geben beide Modelle 42 und 43 die eigene Modell-Likelihood λcv und λCTRV aus. Diese beschreiben, wie gut die Schätzung des jeweiligen Modells auf die erfassten Zustandsdaten passt. Die Modell-Likelihood wird auch als Modellgüte, Modellplausibilität bzw. Modellmutmaßlichkeit bezeichnet und ist ein Maß für die Aussagekraft der aktuellen Schätzung. In addition, both models 42 and 43 output their own model likelihood λ cv and λ CTRV . These describe how well the estimate of the respective model fits the recorded status data. The model likelihood is also called the model quality, model plausibility or model probability and is a measure of the informative value of the current estimate.
Aus beiden Modellgüten λcv und λCTRV sowie der bedingten Modell-Wahrscheinlichkeit des vorherigen Zeitschrittes (t-1) wird bei der Aktualisierung 44 die bedingte Modell-Wahrscheinlichkeit für den aktuellen Zeitschritt t bestimmt. From both model qualities λ cv and λ CTRV as well as the conditional model probability of the previous time step (t−1), the conditional model probability for the current time step t is determined during the update 44 .
Schließlich erfolgt die Ausgabe 45 des aktuell geschätzten Dynamikzustands für jedes Objekt. Der geschätzte Dynamikzustand wird aus den aktuellen Zustandsvektoren unter Berücksichtigung der Modellgüten λcv und λCTRV sowie der aktualisierten Modell-Wahrscheinlichkeit berechnet. Im Rahmen des erfindungsgemäßen Verfahrens wird der Dynamikzustand in das Belegungsgitter als aktueller Zustand übergeben. Für automatisierte oder autonome Fahrfunktionen steht damit ein aktuelles Abbild der Umgebung, beispielsweise zur Trajektorienplanung, zur Verfügung. Die dynamische Kopplung von zwei einfachen Bewegungsmodellen in Form von charakteristisch erweiterten Kalmanfiltern ermöglicht eine signifikante Steigerung der Ressourceneffizienz gegenüber herkömmlichen Kalmanfiltern mit Partikelfiltern. Aufgrund der Effizienz des Verfahrens können Abstände zwischen den Zeitschritten von deutlich unter 100ms erzielt werden. Damit kann auch mit handelsüblicher Rechentechnik funktionale Sicherheit gewährleistet bzw. weiter gesteigert werden und der Einsatz von teuren Graphikprozessoren kann unterbleiben. Finally, the currently estimated dynamic state is output 45 for each object. The estimated dynamic state is calculated from the current state vectors, taking into account the model qualities λ cv and λ CTRV and the updated model probability calculated. In the context of the method according to the invention, the dynamic state transferred to the occupancy grid as the current status. An up-to-date image of the environment is thus available for automated or autonomous driving functions, for example for trajectory planning. The dynamic coupling of two simple motion models in the form of characteristically extended Kalman filters enables a significant increase in resource efficiency compared to conventional Kalman filters with particle filters. Due to the efficiency of the method, distances between the time steps of well under 100ms can be achieved. In this way, functional safety can be guaranteed or further increased even with commercially available computer technology, and the use of expensive graphics processors can be avoided.
Bezugszeichenliste Reference List
10 Dateneingabe 10 Data Entry
11 Datenfusion 11 Data Fusion
12 Verarbeitung des Belegungsgitters 12 Occupancy Grid Processing
13 Verarbeitung der extrahierten Gitterdaten 13 Processing of the extracted grid data
14 Ausgabe Umgebungsmodell 14 output environment model
15 Schleife (nächster Zeitschritt) 15 loop (next time step)
16 Eingabe Fusionsmodelle 16 Input fusion models
17 Eingabe Zusatzinformationen 17 Entry of additional information
18 Interacting Multiple Model 18 Interacting Multiple Models
20 Belegungsgitter 20 occupancy grids
21 Gitterzelle 21 grid cell
22 Radarsensor 22 radar sensor
23 Messpunkt 23 measuring point
24 Fehlerbereich des Messpunktes 24 error range of the measuring point
25 Sensorerfassungsbereich 25 sensor detection area
26 Erhöhung Gitterzellenmaß 26 Increase grid cell size
30 Ausschnitt Belegungsgitter 30 Excerpt of the occupancy grid
31 Sichtlinien Kamera 31 line of sight camera
32 Kamera 32 camera
33 Objektfahrzeug 33 object vehicle
34 sicher belegte Gitterzelle (mit Kreuz) 34 safely occupied grid cell (with cross)
35 wahrscheinlich belegte Gitterzelle (mit Diagonale) 35 probably occupied grid cell (with diagonal)
40 Interacting Multiple Model 40 Interacting Multiple Models
41 Zustandskopplung 41 state coupling
42 Konstant-Bewegungsmodell 42 constant motion model
43 Konstant-Kurven-Modell 43 constant curve model
44 Aktualisierung bedingte Modellwahrscheinlichkeit44 update conditional model probability
45 Ausgabe Zustandsschätzung 45 Output State Estimate
Claims
Applications Claiming Priority (2)
| Application Number | Priority Date | Filing Date | Title |
|---|---|---|---|
| DEDE102021113651.2 | 2021-05-27 | ||
| DE102021113651.2A DE102021113651B3 (en) | 2021-05-27 | 2021-05-27 | System for sensor data fusion for environmental perception |
Publications (1)
| Publication Number | Publication Date |
|---|---|
| WO2022247994A1 true WO2022247994A1 (en) | 2022-12-01 |
Family
ID=82402574
Family Applications (1)
| Application Number | Title | Priority Date | Filing Date |
|---|---|---|---|
| PCT/DE2022/100397 Ceased WO2022247994A1 (en) | 2021-05-27 | 2022-05-24 | System for sensor data fusion for environmental perception |
Country Status (2)
| Country | Link |
|---|---|
| DE (1) | DE102021113651B3 (en) |
| WO (1) | WO2022247994A1 (en) |
Cited By (4)
| Publication number | Priority date | Publication date | Assignee | Title |
|---|---|---|---|---|
| CN116908836A (en) * | 2023-07-13 | 2023-10-20 | 大连海事大学 | USV environment sensing method integrating multi-sensor information |
| CN117235520A (en) * | 2023-09-15 | 2023-12-15 | 中国重汽集团济南动力有限公司 | Training methods, equipment and storage media for vehicle control behavior decision-making models |
| WO2024197903A1 (en) * | 2023-03-31 | 2024-10-03 | 华为技术有限公司 | Data transmission method and apparatus |
| WO2025090200A1 (en) * | 2023-10-24 | 2025-05-01 | Qualcomm Incorporated | Dynamic occupancy grid architecture |
Families Citing this family (7)
| Publication number | Priority date | Publication date | Assignee | Title |
|---|---|---|---|---|
| DE102022123303B4 (en) | 2022-09-13 | 2024-08-22 | Bayerische Motoren Werke Aktiengesellschaft | Method and object tracking device for sensor-based object tracking and correspondingly equipped motor vehicle |
| CN115656057A (en) * | 2022-12-05 | 2023-01-31 | 中国水利水电科学研究院 | Precise collaborative monitoring method for water blooms based on multi-source data fusion |
| EP4645213A4 (en) * | 2022-12-29 | 2025-12-10 | Shenzhen Yinwang Intelligent Technology Co Ltd | Obstacle detection method and related apparatus |
| DE102023210003A1 (en) * | 2023-10-12 | 2025-04-17 | Robert Bosch Gesellschaft mit beschränkter Haftung | Method for monitoring the environment of a vehicle |
| WO2025090257A1 (en) * | 2023-10-24 | 2025-05-01 | Qualcomm Incorporated | Dynamic occupancy grid with camera integration |
| EP4586037A1 (en) * | 2024-01-11 | 2025-07-16 | embotech AG | Steering automated vehicles based on trajectories determined from fused occupancy grids |
| DE102024207185A1 (en) | 2024-07-30 | 2026-02-05 | Robert Bosch Gesellschaft mit beschränkter Haftung | Method and device for determining the free space of an environment of a motor vehicle that is at least partially automated |
Citations (6)
| Publication number | Priority date | Publication date | Assignee | Title |
|---|---|---|---|---|
| DE102015201747A1 (en) | 2015-02-02 | 2016-08-04 | Continental Teves Ag & Co. Ohg | SENSOR SYSTEM FOR A VEHICLE AND METHOD |
| DE102016209704A1 (en) | 2016-06-02 | 2017-12-07 | Robert Bosch Gmbh | Method for controlling a passenger protection device of a vehicle and control unit |
| DE102017217972A1 (en) | 2017-10-10 | 2019-04-11 | Robert Bosch Gmbh | Method and device for generating an inverse sensor model and method for detecting obstacles |
| DE102019205008B3 (en) * | 2019-04-08 | 2020-07-02 | Zf Friedrichshafen Ag | Backward collision avoidance system |
| DE102020005597A1 (en) | 2020-09-14 | 2020-11-05 | Daimler Ag | Method for generating an environment map to represent the environment of a vehicle |
| DE102019214628A1 (en) * | 2019-09-25 | 2021-03-25 | Zf Friedrichshafen Ag | Validation of surroundings detection using satellite images and SAR radar data |
-
2021
- 2021-05-27 DE DE102021113651.2A patent/DE102021113651B3/en active Active
-
2022
- 2022-05-24 WO PCT/DE2022/100397 patent/WO2022247994A1/en not_active Ceased
Patent Citations (6)
| Publication number | Priority date | Publication date | Assignee | Title |
|---|---|---|---|---|
| DE102015201747A1 (en) | 2015-02-02 | 2016-08-04 | Continental Teves Ag & Co. Ohg | SENSOR SYSTEM FOR A VEHICLE AND METHOD |
| DE102016209704A1 (en) | 2016-06-02 | 2017-12-07 | Robert Bosch Gmbh | Method for controlling a passenger protection device of a vehicle and control unit |
| DE102017217972A1 (en) | 2017-10-10 | 2019-04-11 | Robert Bosch Gmbh | Method and device for generating an inverse sensor model and method for detecting obstacles |
| DE102019205008B3 (en) * | 2019-04-08 | 2020-07-02 | Zf Friedrichshafen Ag | Backward collision avoidance system |
| DE102019214628A1 (en) * | 2019-09-25 | 2021-03-25 | Zf Friedrichshafen Ag | Validation of surroundings detection using satellite images and SAR radar data |
| DE102020005597A1 (en) | 2020-09-14 | 2020-11-05 | Daimler Ag | Method for generating an environment map to represent the environment of a vehicle |
Non-Patent Citations (1)
| Title |
|---|
| TASDELEN ELIF AKSU ET AL: "Comparison and Application of Multiple 3D LIDAR Fusion Methods for Object Detection and Tracking", 2020 5TH INTERNATIONAL CONFERENCE ON ROBOTICS AND AUTOMATION ENGINEERING (ICRAE), IEEE, 20 November 2020 (2020-11-20), pages 64 - 69, XP033872132, DOI: 10.1109/ICRAE50850.2020.9310833 * |
Cited By (5)
| Publication number | Priority date | Publication date | Assignee | Title |
|---|---|---|---|---|
| WO2024197903A1 (en) * | 2023-03-31 | 2024-10-03 | 华为技术有限公司 | Data transmission method and apparatus |
| CN116908836A (en) * | 2023-07-13 | 2023-10-20 | 大连海事大学 | USV environment sensing method integrating multi-sensor information |
| CN116908836B (en) * | 2023-07-13 | 2024-03-08 | 大连海事大学 | USV environment sensing method integrating multi-sensor information |
| CN117235520A (en) * | 2023-09-15 | 2023-12-15 | 中国重汽集团济南动力有限公司 | Training methods, equipment and storage media for vehicle control behavior decision-making models |
| WO2025090200A1 (en) * | 2023-10-24 | 2025-05-01 | Qualcomm Incorporated | Dynamic occupancy grid architecture |
Also Published As
| Publication number | Publication date |
|---|---|
| DE102021113651B3 (en) | 2022-08-04 |
Similar Documents
| Publication | Publication Date | Title |
|---|---|---|
| DE102021113651B3 (en) | System for sensor data fusion for environmental perception | |
| DE102014223363B4 (en) | Method and device for localizing a motor vehicle in a fixed reference map | |
| DE102009006113B4 (en) | Device and method for sensor fusion with dynamic objects | |
| DE102017204404B3 (en) | A method and predicting device for predicting a behavior of an object in an environment of a motor vehicle and a motor vehicle | |
| DE102011119767A1 (en) | APPEARANCE-BASED ASSOCIATION OF CAMERA AND DISTANCE SENSORS FOR MULTIPLE OBJECTS | |
| DE102018114042A1 (en) | DEVICE, METHOD AND SYSTEM FOR THE MULTIMODAL FUSION PROCESSING OF DATA OF MULTIPLE DIFFERENT FORMATS RECORDED BY HETEROGENIC DEVICES | |
| DE102019121521A1 (en) | VIDEO STABILIZATION | |
| EP3782117A1 (en) | Method, device and computer-readable storage medium having instructions for processing sensor data | |
| EP3298541A1 (en) | Method for estimating traffic lanes | |
| WO2020207528A1 (en) | Method and processing unit for ascertaining the size of an object | |
| DE102010006828A1 (en) | Method for creating model of surrounding of vehicle, involves detecting surrounding of vehicle with help of sensor, where two surrounding models are produced automatically on basis of sensor data | |
| DE102010005293A1 (en) | System and method for tracking path estimation using a sensor combination | |
| DE112021006299T5 (en) | Methods and systems for soil segmentation using graph cuts | |
| EP3490862A1 (en) | Method and device for determining a roadway model for the surroundings of a vehicle | |
| WO2021170321A1 (en) | Method for detecting moving objects in the surroundings of a vehicle, and motor vehicle | |
| WO2018104191A1 (en) | Automated open space identification by means of difference analysis for vehicles | |
| DE102021124810A1 (en) | NEURAL VEHICLE NETWORK | |
| DE102007013664A1 (en) | Tool e.g. blade, measuring and/or adjusting device, has rolling nut designed as roller ring transmission comprising set of roller-supported roller rings with variable upward gradient | |
| DE102021104044A1 (en) | NEURAL NETWORK FOR POSITIONING AND OBJECT DETECTION | |
| DE102020200876B4 (en) | Method for processing sensor data from a sensor system in a vehicle | |
| DE102019109332A1 (en) | Method and processing unit for determining an object status of an object | |
| DE102022123256A1 (en) | Communication system for determining vehicle context and intent based on community infrastructure perception messages | |
| DE102022114589A1 (en) | Method and assistance system for predicting a driving route and motor vehicle | |
| DE102021121712A1 (en) | GROUP OBJECT TRACKING | |
| DE102021201178A1 (en) | COMPUTER-IMPLEMENTED PROCEDURE FOR GENERATION OF RELIABILITY INDICATIONS FOR COMPUTERVISION |
Legal Events
| Date | Code | Title | Description |
|---|---|---|---|
| 121 | Ep: the epo has been informed by wipo that ep was designated in this application |
Ref document number: 22740766 Country of ref document: EP Kind code of ref document: A1 |
|
| 122 | Ep: pct application non-entry in european phase |
Ref document number: 22740766 Country of ref document: EP Kind code of ref document: A1 |


