WO2022237626A1 - Substituted spiro derivatives - Google Patents
Substituted spiro derivatives Download PDFInfo
- Publication number
- WO2022237626A1 WO2022237626A1 PCT/CN2022/091065 CN2022091065W WO2022237626A1 WO 2022237626 A1 WO2022237626 A1 WO 2022237626A1 CN 2022091065 W CN2022091065 W CN 2022091065W WO 2022237626 A1 WO2022237626 A1 WO 2022237626A1
- Authority
- WO
- WIPO (PCT)
- Prior art keywords
- alkyl
- het
- group
- atom
- substituted
- Prior art date
- Legal status (The legal status is an assumption and is not a legal conclusion. Google has not performed a legal analysis and makes no representation as to the accuracy of the status listed.)
- Ceased
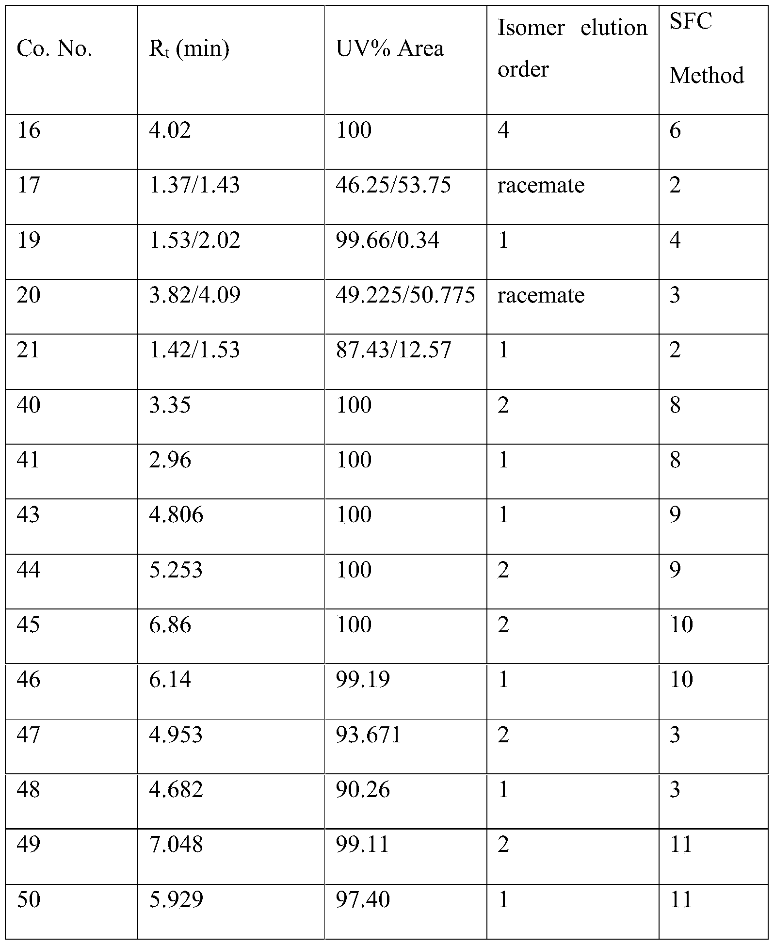
Links
Classifications
-
- C—CHEMISTRY; METALLURGY
- C07—ORGANIC CHEMISTRY
- C07D—HETEROCYCLIC COMPOUNDS
- C07D487/00—Heterocyclic compounds containing nitrogen atoms as the only ring hetero atoms in the condensed system, not provided for by groups C07D451/00 - C07D477/00
- C07D487/02—Heterocyclic compounds containing nitrogen atoms as the only ring hetero atoms in the condensed system, not provided for by groups C07D451/00 - C07D477/00 in which the condensed system contains two hetero rings
- C07D487/10—Spiro-condensed systems
-
- A—HUMAN NECESSITIES
- A61—MEDICAL OR VETERINARY SCIENCE; HYGIENE
- A61K—PREPARATIONS FOR MEDICAL, DENTAL OR TOILETRY PURPOSES
- A61K31/00—Medicinal preparations containing organic active ingredients
- A61K31/33—Heterocyclic compounds
- A61K31/395—Heterocyclic compounds having nitrogen as a ring hetero atom, e.g. guanethidine or rifamycins
- A61K31/495—Heterocyclic compounds having nitrogen as a ring hetero atom, e.g. guanethidine or rifamycins having six-membered rings with two or more nitrogen atoms as the only ring heteroatoms, e.g. piperazine or tetrazines
- A61K31/505—Pyrimidines; Hydrogenated pyrimidines, e.g. trimethoprim
- A61K31/513—Pyrimidines; Hydrogenated pyrimidines, e.g. trimethoprim having oxo groups directly attached to the heterocyclic ring, e.g. cytosine
-
- A—HUMAN NECESSITIES
- A61—MEDICAL OR VETERINARY SCIENCE; HYGIENE
- A61K—PREPARATIONS FOR MEDICAL, DENTAL OR TOILETRY PURPOSES
- A61K31/00—Medicinal preparations containing organic active ingredients
- A61K31/33—Heterocyclic compounds
- A61K31/395—Heterocyclic compounds having nitrogen as a ring hetero atom, e.g. guanethidine or rifamycins
- A61K31/53—Heterocyclic compounds having nitrogen as a ring hetero atom, e.g. guanethidine or rifamycins having six-membered rings with three nitrogens as the only ring hetero atoms, e.g. chlorazanil, melamine
-
- A—HUMAN NECESSITIES
- A61—MEDICAL OR VETERINARY SCIENCE; HYGIENE
- A61P—SPECIFIC THERAPEUTIC ACTIVITY OF CHEMICAL COMPOUNDS OR MEDICINAL PREPARATIONS
- A61P3/00—Drugs for disorders of the metabolism
- A61P3/08—Drugs for disorders of the metabolism for glucose homeostasis
- A61P3/10—Drugs for disorders of the metabolism for glucose homeostasis for hyperglycaemia, e.g. antidiabetics
-
- A—HUMAN NECESSITIES
- A61—MEDICAL OR VETERINARY SCIENCE; HYGIENE
- A61P—SPECIFIC THERAPEUTIC ACTIVITY OF CHEMICAL COMPOUNDS OR MEDICINAL PREPARATIONS
- A61P35/00—Antineoplastic agents
-
- A—HUMAN NECESSITIES
- A61—MEDICAL OR VETERINARY SCIENCE; HYGIENE
- A61P—SPECIFIC THERAPEUTIC ACTIVITY OF CHEMICAL COMPOUNDS OR MEDICINAL PREPARATIONS
- A61P35/00—Antineoplastic agents
- A61P35/02—Antineoplastic agents specific for leukemia
-
- C—CHEMISTRY; METALLURGY
- C07—ORGANIC CHEMISTRY
- C07D—HETEROCYCLIC COMPOUNDS
- C07D405/00—Heterocyclic compounds containing both one or more hetero rings having oxygen atoms as the only ring hetero atoms, and one or more rings having nitrogen as the only ring hetero atom
- C07D405/14—Heterocyclic compounds containing both one or more hetero rings having oxygen atoms as the only ring hetero atoms, and one or more rings having nitrogen as the only ring hetero atom containing three or more hetero rings
-
- C—CHEMISTRY; METALLURGY
- C07—ORGANIC CHEMISTRY
- C07D—HETEROCYCLIC COMPOUNDS
- C07D471/00—Heterocyclic compounds containing nitrogen atoms as the only ring hetero atoms in the condensed system, at least one ring being a six-membered ring with one nitrogen atom, not provided for by groups C07D451/00 - C07D463/00
- C07D471/02—Heterocyclic compounds containing nitrogen atoms as the only ring hetero atoms in the condensed system, at least one ring being a six-membered ring with one nitrogen atom, not provided for by groups C07D451/00 - C07D463/00 in which the condensed system contains two hetero rings
- C07D471/10—Spiro-condensed systems
-
- C—CHEMISTRY; METALLURGY
- C07—ORGANIC CHEMISTRY
- C07D—HETEROCYCLIC COMPOUNDS
- C07D491/00—Heterocyclic compounds containing in the condensed ring system both one or more rings having oxygen atoms as the only ring hetero atoms and one or more rings having nitrogen atoms as the only ring hetero atoms, not provided for by groups C07D451/00 - C07D459/00, C07D463/00, C07D477/00 or C07D489/00
- C07D491/02—Heterocyclic compounds containing in the condensed ring system both one or more rings having oxygen atoms as the only ring hetero atoms and one or more rings having nitrogen atoms as the only ring hetero atoms, not provided for by groups C07D451/00 - C07D459/00, C07D463/00, C07D477/00 or C07D489/00 in which the condensed system contains two hetero rings
- C07D491/04—Ortho-condensed systems
- C07D491/044—Ortho-condensed systems with only one oxygen atom as ring hetero atom in the oxygen-containing ring
- C07D491/048—Ortho-condensed systems with only one oxygen atom as ring hetero atom in the oxygen-containing ring the oxygen-containing ring being five-membered
Definitions
- the present invention relates to pharmaceutical agents useful for therapy and/or prophylaxis in a mammal, pharmaceutical composition comprising such compounds, and their use as menin/MLL protein/protein interaction inhibitors, useful for treating diseases such as cancer, myelodysplastic syndrome (MDS) and diabetes.
- MDS myelodysplastic syndrome
- MLL mixed lineage leukemia gene
- KMT2A mixed lineage leukemia gene
- MLL is a histone methyltransferase that methylates histone H3 on lysine 4 (H3K4) and functions in multiprotein complexes.
- HSCs hematopoietic stem cells
- B cells histone methyltransferase activity is dispensable for hematopoiesis
- Menin which is encoded by the Multiple Endocrine Neoplasia type 1 (MEN1) gene is expressed ubiquitously and is predominantly localized in the nucleus. It has been shown to interact with numerous proteins and is, therefore, involved in a variety of cellular processes. The best understood function of menin is its role as an oncogenic cofactor of MLL fusion proteins. Menin interacts with two motifs within the N-terminal fragment of MLL that is retained in all fusion proteins, MBM1 (menin-binding motif 1) and MBM2 (Thiel et al., Bioessays 2012. 34, 771-80) . Menin/MLL interaction leads to the formation of a new interaction surface for lens epithelium-derived growth factor (LEDGF) .
- LEDGF lens epithelium-derived growth factor
- MLL directly binds to LEDGF
- menin is obligatory for the stable interaction between MLL and LEDGF and the gene specific chromatin recruitment of the MLL complex via the PWWP domain of LEDGF (Cermakova et al., Cancer Res 2014. 15, 5139-51; Yokoyama & Cleary, Cancer Cell 2008. 8, 36-46) .
- MLL fusion proteins suggest the menin/MLL interaction as an attractive therapeutic target.
- conditional deletion of Men1 prevents leukomogenesis in bone marrow progenitor cells ectopically expressing MLL fusions (Chen et al., Proc Natl Acad Sci 2006.
- MLL protein is also known as Histone-lysine N-methyltransferase 2A (KMT2A) protein in the scientific field (UniProt Accession # Q03164) .
- KMT2A Histone-lysine N-methyltransferase 2A
- WO2017192543 describes piperidines as Menin inhibitors.
- WO2017112768, WO2017207387, WO2017214367, WO2018053267 and WO2018024602 describe inhibitors of the menin-MLL interaction.
- WO2017161002 and WO2017161028 describe inhibitors of menin-MLL.
- WO2018050686, WO2018050684 and WO2018109088 describe inhibitors of the menin-MLL interaction.
- WO2018226976 describes methods and compositions for inhibiting the interaction of menin with MLL proteins.
- WO2019060365 describes substituted inhibitors of menin-MLL. Krivtsov et al., Cancer Cell 2019. No. 6 Vol. 36, 660-673 describes a menin-MLL inhibitor.
- WO2020069027 discloses inhibitors of Menin.
- WO2018175746 discloses methods for treating hematological malignancies and ewing's sarcoma.
- WO2020045334 discloses azabicyclic derivative used in pharmaceutical compositions.
- WO2019120209 discloses substituted heterocyclic compounds as menin/MLL protein/protein interaction inhibitors.
- CN111297863 discloses use of menin-mixed lineage leukemia (MLL) inhibitors.
- WO2021121327 describes substituted straight chain spiro derivatives and their use as menin/MLL protein/protein interaction inhibitors.
- the present invention concerns novel compounds of Formula (I) ,
- R xa and R xb are each independently selected from the group consisting of hydrogen; C 3-6 cycloalkyl; C 1-4 alkyl; C 1-4 alkyl substituted with 1, 2 or 3 halo atoms; and C 1-4 alkyl substituted with one -OH, -OC 1-4 alkyl, or NR 11c R 11d ;
- R 1b represents F or Cl
- Y 1 represents -CR 5a R 5b -, -O-, -S-, or -NR 5c -;
- R 2 is selected from the group consisting of hydrogen, halo, C 1-4 alkyl, -O-C 1-4 alkyl, and -NR 7a R 7b ;
- U 1 and U 2 each independently represent N or CH;
- n1, n2, n3 and n4 are each independently selected from 1 and 2;
- X 1 represents CH, and X 2 represents N;
- R 4 represents C 1-5 alkyl
- R 5a , R 5b , R 5c , R 7a , and R 7b are each independently selected from the group consisting of hydrogen, C 1-4 alkyl and C 3-6 cycloalkyl;
- R 3 is selected from the group consisting of Het 1 , Het 2 , Cy 2 , and -C 1-6 alkyl-NR xc R xd ;
- R xc represents Cy 1 ; Het 5 ; -C 1-6 alkyl-Cy 1 ; -C 1-6 alkyl-Het 3 ; -C 1-6 alkyl-Het 4 ;
- Het 2 represents C-linked pyrazolyl or triazolyl; which is substituted on one nitrogen atom with R 6a ;
- R 6a represents C 1-6 alkyl substituted with one substituent selected from the group consisting of -NR 11a R 11b , Het 3a , and Het 6a ;
- R 8 represents C 1-6 alkyl optionally substituted with one, two or three substituents each independently selected from -OH, halo, cyano, -NR 11a R 11b , Het 3a , and Het 6a ;
- heterocyclyl is optionally substituted on one carbon atom with C 1-4 alkyl, halo, -OH, -NR 11a R 11b , or oxo; and wherein said heterocyclyl is optionally substituted on one nitrogen atom with C 1-4 alkyl;
- Het 4 and Het 7 each independently represent a monocyclic C-linked 5-or 6-membered aromatic ring containing one, two, three or four heteroatoms each independently selected from O, S, and N; wherein said 5-membered aromatic ring is optionally substituted on one nitrogen atom with C 1-4 alkyl; and wherein said 5-or 6-membered aromatic ring is optionally substituted on one carbon atom with -OH;
- Cy 2 represents C 3-7 cycloalkyl substituted with one or two substituents each independently selected from the group consisting of -NR 9a R 9b ; Het 6a ; Het 6b ; and C 1-6 alkyl substituted with one or two substituents each independently selected from the group consisting of Het 3a , Het 6a , Het 6b , and -NR 9a R 9b ; and said C 3-7 cycloalkyl is optionally substituted with one or two additional substituents each independently selected from the group consisting of halo, R 6 , C 1-4 alkyl, and -OH;
- Cy 3 represents C 3-7 cycloalkyl; wherein said C 3-7 cycloalkyl is optionally substituted with one, two or three halo substituents;
- R 11a , R 11b , R 13a , R 13b , R 15a , R 15b , R 17a , and R 17b are each independently selected from the group consisting of hydrogen and C 1-4 alkyl;
- R 14 represents Het 5a ; Het 8a ; or C 1-4 alkyl substituted with one, two or three substituents selected from the group consisting of -NR 13a R 13b and Het 8a ;
- the present invention also relates to a pharmaceutical composition
- a pharmaceutical composition comprising a therapeutically effective amount of a compound of Formula (I) , a pharmaceutically acceptable salt, or a solvate thereof, and a pharmaceutically acceptable carrier or excipient.
- the invention relates to a compound of Formula (I) , a pharmaceutically acceptable salt, or a solvate thereof, for use as a medicament, and to a compound of Formula (I) , a pharmaceutically acceptable salt, or a solvate thereof, for use in the treatment or in the prevention of cancer, myelodysplastic syndrome (MDS) and diabetes.
- MDS myelodysplastic syndrome
- the invention relates to a compound of Formula (I) , a pharmaceutically acceptable salt, or a solvate thereof, for use in the treatment or in the prevention of cancer.
- said cancer is selected from leukemias, myeloma or a solid tumor cancer (e.g. prostate cancer, lung cancer, breast cancer, pancreatic cancer, colon cancer, liver cancer, melanoma and glioblastoma, etc. ) .
- a solid tumor cancer e.g. prostate cancer, lung cancer, breast cancer, pancreatic cancer, colon cancer, liver cancer, melanoma and glioblastoma, etc.
- the leukemias include acute leukemias, chronic leukemias, myeloid leukemias, myelogeneous leukemias, lymphoblastic leukemias, lymphocytic leukemias, Acute myelogeneous leukemias (AML) , Chronic myelogenous leukemias (CML) , Acute lymphoblastic leukemias (ALL) , Chronic lymphocytic leukemias (CLL) , T cell prolymphocytic leukemias (T-PLL) , Large granular lymphocytic leukemia, Hairy cell leukemia (HCL) , MLL-rearranged leukemias, MLL-PTD leukemias, MLL amplified leukemias, MLL-positive leukemias, leukemias exhibiting HOX/MEIS1 gene expression signatures etc.
- the invention also relates to the use of a compound of Formula (I) , a pharmaceutically acceptable salt, or a solvate thereof, in combination with an additional pharmaceutical agent for use in the treatment or prevention of cancer, myelodysplastic syndrome (MDS) and diabetes.
- MDS myelodysplastic syndrome
- the invention relates to a process for preparing a pharmaceutical composition according to the invention, characterized in that a pharmaceutically acceptable carrier is intimately mixed with a therapeutically effective amount of a compound of Formula (I) , a pharmaceutically acceptable salt, or a solvate thereof.
- the invention also relates to a product comprising a compound of Formula (I) , a pharmaceutically acceptable salt, or a solvate thereof, and an additional pharmaceutical agent, as a combined preparation for simultaneous, separate or sequential use in the treatment or prevention of cancer, myelodysplastic syndrome (MDS) and diabetes.
- a product comprising a compound of Formula (I) , a pharmaceutically acceptable salt, or a solvate thereof, and an additional pharmaceutical agent, as a combined preparation for simultaneous, separate or sequential use in the treatment or prevention of cancer, myelodysplastic syndrome (MDS) and diabetes.
- MDS myelodysplastic syndrome
- the invention relates to a method of treating or preventing a cell proliferative disease in a warm-blooded animal which comprises administering to the said animal an effective amount of a compound of Formula (I) , a pharmaceutically acceptable salt, or a solvate thereof, as defined herein, or a pharmaceutical composition or combination as defined herein.
- halo or ‘halogen’ as used herein represents fluoro, chloro, bromo and iodo.
- C x-y refers to the number of carbon atoms in a given group.
- a C 1-6 alkyl group contains from 1 to 6 carbon atoms, and so on.
- C 1-4 alkyl as used herein as a group or part of a group represents a straight or branched chain saturated hydrocarbon radical having from 1 to 4 carbon atoms, such as methyl, ethyl, n-propyl, isopropyl, n-butyl, s-butyl, t-butyl and the like.
- C 1-6 alkyl as used herein as a group or part of a group represents a straight or branched chain saturated hydrocarbon radical having from 1 to 6 carbon atoms, such as methyl, ethyl, n-propyl, isopropyl, n-butyl, s-butyl, t-butyl, n-pentyl, n-hexyl and the like.
- C 3-6 cycloalkyl as used herein as a group or part of a group defines a saturated, cyclic hydrocarbon radical having from 3 to 6 carbon atoms, such as cyclopropyl, cyclobutyl, cyclopentyl and cyclohexyl.
- C 3-7 cycloalkyl as used herein as a group or part of a group defines a saturated, cyclic hydrocarbon radical having from 3 to 7 carbon atoms, such as cyclopropyl, cyclobutyl, cyclopentyl, cyclohexyl and cycloheptyl.
- the term ‘monocyclic C-linked 4-to 7-membered fully saturated heterocyclyl containing one N-atom, and optionally one or two additional heteroatoms each independently selected from O, S, and N’ defines a fully saturated, cyclic hydrocarbon radical having from 4 to 7 ring members and containing 1 nitrogen atom and optionally one or two additional heteroatoms each independently selected from O, S, and N, such as for example C-linked azetidinyl, C-linked pyrrolidinyl, C-linked morpholinyl and C-linked piperidinyl.
- the term ‘monocyclic N-linked 4-to 7-membered fully saturated heterocyclyl containing one N-atom and optionally one or two additional heteroatoms each independently selected from O, S, and N’, is defined similar but is attached to the remainder of the molecule of formula (I) via a nitrogen atom.
- Examples are N-linked azetidinyl, N-linked pyrrolidinyl, N-linked morpholinyl, N-linked thiomorpholinyl, N-linked piperazinyl, N-linked 1, 4-diazepanyl, and N-linked piperidinyl.
- Two R groups taken together to form together with the N-atom to which they are attached a 4-to 7-membered monocyclic fully saturated heterocyclyl containing one N-atom and optionally one additional heteroatom selected from O, S, and N are defined similar.
- the term ‘monocyclic C-linked 4-to 7-membered fully saturated heterocyclyl containing one, two or three heteroatoms each independently selected from O, S, and N’ defines a fully saturated, cyclic hydrocarbon radical having from 4 to 7 ring members and containing one, two or three heteroatoms each independently selected from O, S, and N, such as for example C-linked azetidinyl, C-linked pyrrolidinyl, C-linked morpholinyl, C-linked tetrahydrofuranyl, C-linked thiolanyl, C-linked oxetanyl, C-linked thietanyl, C-linked tetrahydropyranyl, and C-linked piperidinyl.
- the term ‘monocyclic N-linked 4-to 7-membered fully saturated heterocyclyl containing two N-atoms and optionally one additional heteroatom selected from O, S, and N’ defines a fully saturated, cyclic hydrocarbon radical having from 4 to 7 ring members and containing 2 nitrogen atoms and optionally one additional heteroatom selected from O, S, and N, such as for example N-linked piperazinyl, and N-linked 1, 4-diazepanyl.
- the 4-to 7-membered fully or partially saturated heterocyclyls have from 4 to 7 ring members including the heteroatoms.
- Non-limiting examples of ‘monocyclic 5-or 6-membered aromatic rings containing one or two nitrogen atoms and optionally a carbonyl moiety’ include, but are not limited to pyrazolyl, imidazolyl, pyridinyl, pyridazinyl, pyrimidinyl, pyrazinyl, 1H-1, 2, 4-triazolyl, 4H-1, 2, 4-triazolyl, 1, 2, 4-triazinyl, 1, 2-dihydro-2-oxo-5-pyrimidinyl, 1, 2-dihydro-2-oxo-6-pyridinyl, 1, 2-dihydro-2-oxo-4-pyridinyl, and 1, 6-dihydro-6-oxo-3-pyridazinyl.
- Non-limiting examples of ‘monocyclic C-linked 5-or 6-membered aromatic rings containing one, two or three heteroatoms each independently selected from O, S, and N’ include, but are not limited to C-linked pyrazolyl, C-linked imidazolyl, C-linked pyridinyl, C-linked triazolyl, C-linked pyridazinyl, C-linked pyrimidinyl, C-linked oxazolyl, C-linked furanyl, C-linked isothiazolyl, or C-linked pyrazinyl.
- bicyclic C-linked 6-to 11-membered fully saturated heterocyclyl groups include fused, spiro and bridged bicycles.
- bicyclic N-linked 6-to 11-membered fully saturated heterocyclyl groups include fused, spiro and bridged bicycles.
- Fused bicyclic groups are two cycles that share two atoms and the bond between these atoms.
- Spiro bicyclic groups are two cycles that are joined at a single atom.
- Bridged bicyclic groups are two cycles that share more than two atoms.
- bicyclic C-linked 6-to 11-membered fully saturated heterocyclyl containing one N-atom and optionally one or two additional heteroatoms each independently selected from O, S, and N include, but are not limited to
- bicyclic C-linked 6-to 11-membered fully saturated heterocyclyl containing one, two or three heteroatoms each independently selected from O, S, and N include, but are not limited to
- bicyclic N-linked 6-to 11-membered fully saturated heterocyclyl containing one N-atom and optionally one or two additional heteroatoms each independently selected from O, S, and N include, but are not limited to
- each definition is independent.
- substituted in general, whenever the term ‘substituted’ is used in the present invention, it is meant, unless otherwise indicated or clear from the context, to indicate that one or more hydrogens, in particular from 1 to 4 hydrogens, more in particular from 1 to 3 hydrogens, preferably 1 or 2 hydrogens, more preferably 1 hydrogen, on the atom or radical indicated in the expression using ‘substituted’ are replaced with a selection from the indicated group, provided that the normal valency is not exceeded, and that the substitution results in a chemically stable compound, i.e. a compound that is sufficiently robust to survive isolation to a useful degree of purity from a reaction mixture.
- the number of substituents is one.
- substituents When two or more substituents are present on a moiety they may, where possible and unless otherwise indicated or clear from the context, replace hydrogens on the same atom or they may replace hydrogen atoms on different atoms in the moiety.
- saturated means ‘fully saturated’ , if not otherwise specified.
- aromatic rings and heterocyclyl goups can be attached to the remainder of the molecule of Formula (I) through any available ring carbon atom (C-linked) or nitrogen atom (N-linked) .
- aromatic rings and heterocyclyl goups may optionally be substituted, where possible, on carbon and/or nitrogen atoms according to the embodiments.
- subject refers to an animal, preferably a mammal (e.g. cat, dog, primate or human) , more preferably a human, who is or has been the object of treatment, observation or experiment.
- a mammal e.g. cat, dog, primate or human
- terapéuticaally effective amount means that amount of active compound or pharmaceutical agent that elicits the biological or medicinal response in a tissue system, animal or human that is being sought by a researcher, veterinarian, medicinal doctor or other clinician, which includes alleviation or reversal of the symptoms of the disease or disorder being treated.
- composition is intended to encompass a product comprising the specified ingredients in the specified amounts, as well as any product which results, directly or indirectly, from combinations of the specified ingredients in the specified amounts.
- treatment is intended to refer to all processes wherein there may be a slowing, interrupting, arresting or stopping of the progression of a disease, but does not necessarily indicate a total elimination of all symptoms.
- compound (s) of the (present) invention or “compound (s) according to the (present) invention” as used herein, is meant to include the compounds of Formula (I) and the pharmaceutically acceptable salts, and the solvates thereof.
- stereoisomers , “stereoisomeric forms” or “stereochemically isomeric forms” hereinbefore or hereinafter are used interchangeably.
- the invention includes all stereoisomers of the compounds of the invention either as a pure stereoisomer or as a mixture of two or more stereoisomers.
- Enantiomers are stereoisomers that are non-superimposable mirror images of each other.
- a 1: 1 mixture of a pair of enantiomers is a racemate or racemic mixture.
- Atropisomers are stereoisomers which have a particular spatial configuration, resulting from a restricted rotation about a single bond, due to large steric hindrance. All atropisomeric forms of the compounds of Formula (I) are intended to be included within the scope of the present invention.
- Diastereomers are stereoisomers that are not enantiomers, i.e. they are not related as mirror images. If a compound contains a double bond, the substituents may be in the E or the Z configuration.
- Substituents on bivalent cyclic saturated or partially saturated radicals may have either the cis-or trans-configuration; for example if a compound contains a disubstituted cycloalkyl group, the substituents may be in the cis or trans configuration.
- the invention includes enantiomers, atropisomers, diastereomers, racemates, E isomers, Z isomers, cis isomers, trans isomers and mixtures thereof, whenever chemically possible.
- the absolute configuration is specified according to the Cahn-Ingold-Prelog system.
- the configuration at an asymmetric atom is specified by either R or S.
- Resolved stereoisomers whose absolute configuration is not known can be designated by (+) or
- stereoisomer is substantially free, i.e. associated with less than 50%, preferably less than 20%, more preferably less than 10%, even more preferably less than 5%, in particular less than 2%and most preferably less than 1%, of the other stereoisomers.
- a compound of Formula (I) is for instance specified as (R)
- a compound of Formula (I) is for instance specified as E
- this means that the compound is substantially free of the Z isomer
- a compound of Formula (I) is for instance specified as cis, this means that the compound is substantially free of the trans isomer.
- Some of the compounds according to Formula (I) may also exist in their tautomeric form.
- salts include acid addition salts and base addition salts.
- Such salts may be formed by conventional means, for example by reaction of a free acid or a free base form with one or more equivalents of an appropriate base or acid, optionally in a solvent, or in a medium in which the salt is insoluble, followed by removal of said solvent, or said medium, using standard techniques (e.g. in vacuo, by freeze-drying or by filtration) .
- Salts may also be prepared by exchanging a counter-ion of a compound of the invention in the form of a salt with another counter-ion, for example using a suitable ion exchange resin.
- the pharmaceutically acceptable salts as mentioned hereinabove or hereinafter are meant to comprise the therapeutically active non-toxic acid and base salt forms which the compounds of Formula (I) and solvates thereof, are able to form.
- Appropriate acids comprise, for example, inorganic acids such as hydrohalic acids, e.g. hydrochloric or hydrobromic acid, sulfuric, nitric, phosphoric and the like acids; or organic acids such as, for example, acetic, propanoic, hydroxyacetic, lactic, pyruvic, oxalic (i.e. ethanedioic) , malonic, succinic (i.e.
- inorganic acids such as hydrohalic acids, e.g. hydrochloric or hydrobromic acid, sulfuric, nitric, phosphoric and the like acids
- organic acids such as, for example, acetic, propanoic, hydroxyacetic, lactic, pyruvic, oxalic (i.e. ethanedioic) , malonic, succinic (i.e.
- salt forms can be converted by treatment with an appropriate base into the free base form.
- the compounds of Formula (I) and solvates thereof containing an acidic proton may also be converted into their non-toxic metal or amine salt forms by treatment with appropriate organic and inorganic bases.
- Appropriate base salt forms comprise, for example, the ammonium salts, the alkali and earth alkaline metal salts, e.g. the lithium, sodium, potassium, cesium, magnesium, calcium salts and the like, salts with organic bases, e.g.
- primary, secondary and tertiary aliphatic and aromatic amines such as methylamine, ethylamine, propylamine, isopropylamine, the four butylamine isomers, dimethylamine, diethylamine, diethanolamine, dipropylamine, diisopropylamine, di-n-butylamine, pyrrolidine, piperidine, morpholine, trimethylamine, triethylamine, tripropylamine, quinuclidine, pyridine, quinoline and isoquinoline; the benzathine, N-methyl-D-glucamine, hydrabamine salts, and salts with amino acids such as, for example, arginine, lysine and the like.
- the salt form can be converted by treatment with acid into the free acid form.
- solvate comprises the solvent addition forms as well as the salts thereof, which the compounds of Formula (I) are able to form.
- solvent addition forms are e.g. hydrates, alcoholates and the like.
- the compounds of the invention as prepared in the processes described below may be synthesized in the form of mixtures of enantiomers, in particular racemic mixtures of enantiomers, that can be separated from one another following art-known resolution procedures.
- a manner of separating the enantiomeric forms of the compounds of Formula (I) , and pharmaceutically acceptable salts, and solvates thereof involves liquid chromatography using a chiral stationary phase.
- Said pure stereochemically isomeric forms may also be derived from the corresponding pure stereochemically isomeric forms of the appropriate starting materials, provided that the reaction occurs stereospecifically.
- enantiomerically pure means that the product contains at least 80%by weight of one enantiomer and 20%by weight or less of the other enantiomer. Preferably the product contains at least 90%by weight of one enantiomer and 10%by weight or less of the other enantiomer. In the most preferred embodiment the term “enantiomerically pure” means that the composition contains at least 99%by weight of one enantiomer and 1%or less of the other enantiomer.
- the present invention also embraces isotopically-labeled compounds of the present invention which are identical to those recited herein, but for the fact that one or more atoms are replaced by an atom having an atomic mass or mass number different from the atomic mass or mass number usually found in nature (or the most abundant one found in nature) .
- isotopes and isotopic mixtures of any particular atom or element as specified herein are contemplated within the scope of the compounds of the invention, either naturally occurring or synthetically produced, either with natural abundance or in an isotopically enriched form.
- Exemplary isotopes that can be incorporated into compounds of the invention include isotopes of hydrogen, carbon, nitrogen, oxygen, phosphorus, sulfur, fluorine, chlorine and iodine, such as 2 H, 3 H, 11 C, 13 C, 14 C , 13 N, 15 O, 17 O, 18 O, 32 P, 33 P, 35 S, 18 F, 36 Cl, 122 I, 123 I, 125 I, 131 I, 75 Br, 76 Br, 77 Br and 82 Br.
- the isotope is selected from the group of 2 H, 3 H, 11 C and 18 F. More preferably, the isotope is 2 H.
- deuterated compounds are intended to be included within the scope of the present invention.
- Certain isotopically-labeled compounds of the present invention may be useful for example in substrate tissue distribution assays.
- Tritiated ( 3 H) and carbon-l4 ( 14 C) isotopes are useful for their ease of preparation and detectability.
- substitution with heavier isotopes such as deuterium (i.e., 2 H) may afford certain therapeutic advantages resulting from greater metabolic stability (e.g., increased in vivo half-life or reduced dosage requirements) and hence may be preferred in some circumstances.
- Positron emitting isotopes such as 15 O, 13 N, 11 C and 18 F are useful for positron emission tomography (PET) studies.
- PET imaging in cancer finds utility in helping locate and identify tumours, stage the disease and determine suitable treatment.
- Human cancer cells overexpress many receptors or proteins that are potential disease-specific molecular targets.
- Radiolabelled tracers that bind with high affinity and specificity to such receptors or proteins on tumour cells have great potential for diagnostic imaging and targeted radionuclide therapy (Charron, Carlie L. et al. Tetrahedron Lett. 2016, 57 (37) , 4119-4127) .
- target-specific PET radiotracers may be used as biomarkers to examine and evaluate pathology, by for example, measuring target expression and treatment response (Austin R. et al. Cancer Letters (2016) , doi: 10.1016/j. canlet. 2016.05.008) .
- the present invention relates in particular to compounds of Formula (I) as defined herein, and the tautomers and the stereoisomeric forms thereof, wherein
- R xa and R xb are each independently selected from the group consisting of hydrogen; C 3-6 cycloalkyl; C 1-4 alkyl; and C 1-4 alkyl substituted with 1, 2 or 3 halo atoms;
- R 1b represents F or Cl
- Y 1 represents -CR 5a R 5b -, -O-, -S-, or -NR 5c -;
- R 2 is selected from the group consisting of hydrogen, halo, C 1-4 alkyl, -O-C 1-4 alkyl, and -NR 7a R 7b ;
- U 1 and U 2 each independently represent N or CH;
- n1, n2, n3 and n4 are each independently selected from 1 and 2;
- X 1 represents CH, and X 2 represents N;
- R 4 represents C 1-5 alkyl
- R 5a , R 5b , R 5c , R 7a , and R 7b are each independently selected from the group consisting of hydrogen, C 1-4 alkyl and C 3-6 cycloalkyl;
- R 3 is selected from the group consisting of Het 1 , Het 2 , Cy 2 , and -C 1-6 alkyl-NR xc R xd ;
- R xc represents Cy 1 ; Het 5 ; -C 1-6 alkyl-Cy 1 ; -C 1-6 alkyl-Het 3 ; -C 1-6 alkyl-Het 4 ;
- R xd represents hydrogen; C 1-4 alkyl; or C 1-4 alkyl substituted with one, two or three substituents selected from the group consisting of halo, -OH, -O-C 1-4 alkyl, and cyano;
- Het 2 represents C-linked pyrazolyl or triazolyl; which is substituted on one nitrogen atom with R 6a ;
- R 6a represents C 1-6 alkyl substituted with one substituent selected from the group consisting of -NR 11a R 11b , Het 3a , and Het 6a ;
- R 8 represents C 1-6 alkyl substituted with one substituent selected from the group consisting of -OH, -NR 11a R 11b , Het 3a , and Het 6a ;
- heterocyclyl is optionally substituted on one carbon atom with C 1-4 alkyl, halo, -OH, -NR 11a R 11b , or oxo; and wherein said heterocyclyl is optionally substituted on one nitrogen atom with C 1-4 alkyl;
- heterocyclyl is optionally substituted on one carbon atom with C 1-4 alkyl, halo, -OH, -NR 11a R 11b , or oxo; and wherein said heterocyclyl is optionally substituted on one nitrogen atom with C 1-4 alkyl;
- Het 4 and Het 7 each independently represent a monocyclic C-linked 5-or 6-membered aromatic ring containing one, two or three heteroatoms each independently selected from O, S, and N; wherein said 5-membered aromatic ring is optionally substituted on one nitrogen atom with C 1-4 alkyl; and wherein said 5-or 6-membered aromatic ring is optionally substituted on one carbon atom with -OH;
- Cy 2 represents C 3-7 cycloalkyl substituted with one or two substituents each independently selected from the group consisting of -NR 9a R 9b ; Het 6a ; Het 6b ; and C 1-6 alkyl substituted with one or two substituents each independently selected from the group consisting of Het 3a , Het 6a , Het 6b , and -NR 9a R 9b ; and said C 3-7 cycloalkyl is optionally substituted with one or two additional substituents each independently selected from the group consisting of halo, R 6 , C 1-4 alkyl, and -OH;
- Cy 3 represents C 3-7 cycloalkyl; wherein said C 3-7 cycloalkyl is optionally substituted with one, two or three halo substituents;
- R 10a , R 10b , R 11a , R 11b , R 13a , R 13b , R 15a , R 15b , R 17a , and R 17b are each independently selected from the group consisting of hydrogen and C 1-4 alkyl;
- R 14 represents Het 5a ; Het 8a ; or C 1-4 alkyl substituted with one, two or three substituents selected from the group consisting of -NR 13a R 13b and Het 8a ;
- the present invention relates in particular to compounds of Formula (I) as defined herein, and the tautomers and the stereoisomeric forms thereof, wherein
- R xa and R xb are each independently selected from the group consisting of C 3-6 cycloalkyl; C 1-4 alkyl; and C 1-4 alkyl substituted with 1, 2 or 3 halo atoms;
- R 1b represents F
- Y 1 represents -O-
- R 2 represents hydrogen
- U 1 and U 2 each independently represent N or CH;
- n1, n2, n3 and n4 are each independently selected from 1 and 2;
- X 1 represents CH, and X 2 represents N;
- R 4 represents C 1-5 alkyl
- R 3 is selected from the group consisting of Het 1 and Cy 2 ;
- Het 1 represents a monocyclic C-linked 4-to 7-membered fully saturated heterocyclyl containing one N-atom;
- R 6 is selected from the group consisting of Het 3 ;
- R 8 represents C 1-6 alkyl substituted with one substituent selected from the group consisting of - OH and -NR 11a R 11b ;
- Het 4 represents a monocyclic C-linked 5-or 6-membered aromatic ring containing one, two or three heteroatoms each independently selected from O, S, and N; wherein said 5-or 6-membered aromatic ring is optionally substituted on one carbon atom with -OH;
- Cy 2 represents C 3-7 cycloalkyl substituted with one or two substituents each independently selected from the group consisting of -NR 9a R 9b ; Het 6a ; and Het 6b ;
- R 9a and R 9b are each independently selected from the group consisting of hydrogen; C 1-4 alkyl; C 3-6 cycloalkyl; Het 5 ; -C 1-4 alkyl-R 16 ; and C 1-4 alkyl substituted with one, two or three -O-C 1-4 alkyl substituents;
- R 10a , R 10b , R 11a , and R 11b represent C 1-4 alkyl
- R 16 represents Het 5 ;
- the present invention relates in particular to compounds of Formula (I) as defined herein, and the tautomers and the stereoisomeric forms thereof, wherein
- R xa and R xb represent C 1-4 alkyl
- R 1b represents F
- Y 1 represents -O-
- R 2 represents hydrogen
- U 1 and U 2 each independently represent N or CH;
- n1, n2, n3 and n4 are each independently selected from 1 and 2;
- X 1 represents CH, and X 2 represents N;
- R 4 represents isopropyl
- R 3 is selected from the group consisting of Het 1 and Cy 2 ;
- Het 1 represents a monocyclic C-linked 4-to 7-membered fully saturated heterocyclyl containing one N-atom;
- heterocyclyl is optionally substituted on one nitrogen with a substituent selected from the group consisting of R 6 ;
- R 6 represents C 1-6 alkyl substituted with one Het 3 ;
- Het 6a represents a monocyclic N-linked 4-to 7-membered fully saturated heterocyclyl containing one N-atom; wherein said heterocyclyl is optionally substituted on one carbon atom with one -O-C 1-4 alkyl;
- Cy 2 represents C 3-7 cycloalkyl substituted with one substituents selected from the group consisting of Het 6a and Het 6b ;
- R 10a and R 10b represent C 1-4 alkyl
- the present invention relates to those compounds of Formula (I) and the pharmaceutically acceptable salts, and the solvates thereof, or any subgroup thereof as mentioned in any of the other embodiments, wherein
- the present invention relates to those compounds of Formula (I) and the pharmaceutically acceptable salts, and the solvates thereof, or any subgroup thereof as mentioned in any of the other embodiments, wherein
- R 1b represents F.
- the present invention relates to those compounds of Formula (I) and the pharmaceutically acceptable salts, and the solvates thereof, or any subgroup thereof as mentioned in any of the other embodiments, wherein
- R 2 represents hydrogen
- the present invention relates to those compounds of Formula (I) and the pharmaceutically acceptable salts, and the solvates thereof, or any subgroup thereof as mentioned in any of the other embodiments, wherein n1 is 1, n2 is 2, n3 is 1, and n4 is 1.
- the present invention relates to those compounds of Formula (I) and the pharmaceutically acceptable salts, and the solvates thereof, or any subgroup thereof as mentioned in any of the other embodiments, wherein U 1 represents N.
- the present invention relates to those compounds of Formula (I) and the pharmaceutically acceptable salts, and the solvates thereof, or any subgroup thereof as mentioned in any of the other embodiments, wherein U 1 represents N, and U 2 represents N.
- the present invention relates to those compounds of Formula (I) and the pharmaceutically acceptable salts, and the solvates thereof, or any subgroup thereof as mentioned in any of the other embodiments, wherein U 1 represents CH, and U 2 represents N.
- the present invention relates to those compounds of Formula (I) and the pharmaceutically acceptable salts, and the solvates thereof, or any subgroup thereof as mentioned in any of the other embodiments, wherein
- Y 1 represents -O-.
- the present invention relates to those compounds of Formula (I) and the pharmaceutically acceptable salts, and the solvates thereof, or any subgroup thereof as mentioned in any of the other embodiments, wherein
- Y 1 represents -O-
- the present invention relates to those compounds of Formula (I) and the pharmaceutically acceptable salts, and the solvates thereof, or any subgroup thereof as mentioned in any of the other embodiments, wherein
- Y 1 represents -O-
- the present invention relates to those compounds of Formula (I) and the pharmaceutically acceptable salts, and the solvates thereof, or any subgroup thereof as mentioned in any of the other embodiments, wherein
- Y 1 represents -O-
- R 1b represents F
- R 2 represents hydrogen
- the present invention relates to those compounds of Formula (I) and the pharmaceutically acceptable salts, and the solvates thereof, or any subgroup thereof as mentioned in any of the other embodiments, wherein
- Y 1 represents -O-
- R 1b represents F
- R 2 represents hydrogen
- the present invention relates to those compounds of Formula (I) and the pharmaceutically acceptable salts, and the solvates thereof, or any subgroup thereof as mentioned in any of the other embodiments, wherein
- Y 1 represents -O-
- R 1b represents F
- R 2 represents hydrogen
- R 4 represents isopropyl
- the present invention relates to those compounds of Formula (I) and the pharmaceutically acceptable salts, and the solvates thereof, or any subgroup thereof as mentioned in any of the other embodiments, wherein
- R 4 represents isopropyl
- the present invention relates to those compounds of Formula (I) and the pharmaceutically acceptable salts, and the solvates thereof, or any subgroup thereof as mentioned in any of the other embodiments, wherein
- R 3 represents Het 1 or Cy 2 .
- the present invention relates to those compounds of Formula (I) and the pharmaceutically acceptable salts, and the solvates thereof, or any subgroup thereof as mentioned in any of the other embodiments, wherein
- R 3 represents Cy 2 .
- the present invention relates to those compounds of Formula (I) and the pharmaceutically acceptable salts, and the solvates thereof, or any subgroup thereof as mentioned in any of the other embodiments, wherein
- R 3 represents Het 1 .
- the present invention relates to those compounds of Formula (I) and the pharmaceutically acceptable salts, and the solvates thereof, or any subgroup thereof as mentioned in any of the other embodiments, wherein
- heterocyclyl is optionally substituted on one nitrogen with R 6 ; and wherein said heterocyclyl is optionally substituted on one or two carbon atoms with in total one, two, three or four substituents each independently selected from the group consisting of halo, R 6 , Het 6a , Het 6b , C 1-4 alkyl, oxo, -NR 9a R 9b and -OH.
- the present invention relates to those compounds of Formula (I) and the pharmaceutically acceptable salts, and the solvates thereof, or any subgroup thereof as mentioned in any of the other embodiments, wherein
- R 3 represents Het 1 ;
- heterocyclyl is optionally substituted on one nitrogen with R 6 ; and wherein said heterocyclyl is optionally substituted on one or two carbon atoms with in total one, two, three or four substituents each independently selected from the group consisting of halo, R 6 , Het 6a , Het 6b , C 1-4 alkyl, oxo, -NR 9a R 9b and -OH.
- the present invention relates to those compounds of Formula (I) and the pharmaceutically acceptable salts, and the solvates thereof, or any subgroup thereof as mentioned in any of the other embodiments, wherein
- the present invention relates to those compounds of Formula (I) and the pharmaceutically acceptable salts, and the solvates thereof, or any subgroup thereof as mentioned in any of the other embodiments, wherein
- the present invention relates to those compounds of Formula (I) and the pharmaceutically acceptable salts, and the solvates thereof, or any subgroup thereof as mentioned in any of the other embodiments, wherein
- R 4 represents
- the present invention relates to those compounds of Formula (I) and the pharmaceutically acceptable salts, and the solvates thereof, or any subgroup thereof as mentioned in any of the other embodiments, wherein
- R 3 represents Het 1 ;
- Het 1 represents a monocyclic C-linked 4-to 7-membered fully saturated heterocyclyl containing one N-atom;
- heterocyclyl is substituted on one nitrogen with R 6 ; and wherein said heterocyclyl is optionally substituted on one or two carbon atoms with in total one, two, three or four halo substituents;
- R 6 is selected from the group consisting of C 1-6 alkyl optionally substituted with one or two substituents each independently selected from the group consisting of Het 3 , Het 4 , Het 6a , and Cy 1 .
- the present invention relates to those compounds of Formula (I) and the pharmaceutically acceptable salts, and the solvates thereof, or any subgroup thereof as mentioned in any of the other embodiments, wherein
- R 3 represents Het 1 ;
- Het 1 represents a monocyclic C-linked 4-to 7-membered fully saturated heterocyclyl containing one N-atom;
- heterocyclyl is substituted on one nitrogen with R 6 ; and wherein said heterocyclyl is optionally substituted on one or two carbon atoms with in total one, two, three or four halo substituents;
- R 6 is selected from the group consisting of C 1-6 alkyl optionally substituted with one or two substituents each independently selected from the group consisting of Het 3 , Het 4 , Het 6a , and Cy 1 .
- the present invention relates to those compounds of Formula (I) and the pharmaceutically acceptable salts, and the solvates thereof, or any subgroup thereof as mentioned in any of the other embodiments, wherein
- Y 1 represents -O-
- R 1b represents F
- R 2 represents hydrogen
- R 4 represents isopropyl
- R 3 represents Het 1 ;
- Het 1 represents a monocyclic C-linked 4-to 7-membered fully saturated heterocyclyl containing one N-atom;
- heterocyclyl is substituted on one nitrogen with R 6 ; and wherein said heterocyclyl is optionally substituted on one or two carbon atoms with in total one, two, three or four halo substituents;
- R 6 is selected from the group consisting of C 1-6 alkyl optionally substituted with one or two substituents each independently selected from the group consisting of Het 3 , Het 4 , Het 6a , and Cy 1 .
- the present invention relates to those compounds of Formula (I) and the pharmaceutically acceptable salts, and the solvates thereof, or any subgroup thereof as mentioned in any of the other embodiments, wherein
- R 3 represents Het 1 ;
- Het 1 represents a monocyclic C-linked 4-to 7-membered fully saturated heterocyclyl containing one N-atom;
- heterocyclyl is substituted on one nitrogen with R 6 ;
- R 6 represents C 1-6 alkyl substituted with one Het 3 .
- the present invention relates to those compounds of Formula (I) and the pharmaceutically acceptable salts, and the solvates thereof, or any subgroup thereof as mentioned in any of the other embodiments, wherein
- R 3 represents Het 1 ;
- Het 1 represents a monocyclic C-linked 4-to 7-membered fully saturated heterocyclyl containing one N-atom;
- heterocyclyl is substituted on one nitrogen with R 6 ;
- R 6 represents C 1-6 alkyl substituted with one Het 3 .
- the present invention relates to those compounds of Formula (I) and the pharmaceutically acceptable salts, and the solvates thereof, or any subgroup thereof as mentioned in any of the other embodiments, wherein
- Y 1 represents -O-
- R 1b represents F
- R 2 represents hydrogen
- R 4 represents isopropyl
- R 3 represents Het 1 ;
- Het 1 represents a monocyclic C-linked 4-to 7-membered fully saturated heterocyclyl containing one N-atom;
- heterocyclyl is substituted on one nitrogen with R 6 ;
- R 6 represents C 1-6 alkyl substituted with one Het 3 .
- the present invention relates to those compounds of Formula (I) and the pharmaceutically acceptable salts, and the solvates thereof, or any subgroup thereof as mentioned in any of the other embodiments, wherein the compounds of Formula (I) are restricted to compounds of Formula (I-y) :
- R 3 is as defined for the compounds of Formula (I) or any subgroup thereof as mentioned in any of the other embodiments.
- the present invention relates to those compounds of Formula (I) and the pharmaceutically acceptable salts, and the solvates thereof, or any subgroup thereof as mentioned in any of the other embodiments, wherein the compounds of Formula (I) are restricted to compounds of Formula (I-y) :
- R 3 represents Het 1 .
- the present invention relates to those compounds of Formula (I) and the pharmaceutically acceptable salts, and the solvates thereof, or any subgroup thereof as mentioned in any of the other embodiments, wherein the compounds of Formula (I) are restricted to compounds of Formula (I-y) :
- R 3 represents Cy 2 .
- the present invention relates to those compounds of Formula (I) and the pharmaceutically acceptable salts, and the solvates thereof, or any subgroup thereof as mentioned in any of the other embodiments, wherein the compounds of Formula (I) are restricted to compounds of Formula (I-z) :
- R 3 is as defined for the compounds of Formula (I) or any subgroup thereof as mentioned in any of the other embodiments.
- the present invention relates to those compounds of Formula (I) and the pharmaceutically acceptable salts, and the solvates thereof, or any subgroup thereof as mentioned in any of the other embodiments, wherein the compounds of Formula (I) are restricted to compounds of Formula (I-z) :
- R 3 represents Het 1 .
- the present invention relates to those compounds of Formula (I) and the pharmaceutically acceptable salts, and the solvates thereof, or any subgroup thereof as mentioned in any of the other embodiments, wherein the compounds of Formula (I) are restricted to compounds of Formula (I-z) :
- R 3 represents Cy 2 .
- the present invention relates to a subgroup of Formula (I) as defined in the general reaction schemes.
- the compound of Formula (I) is selected from the group consisting of any of the exemplified compounds, tautomers and stereoisomeric forms thereof, and the free bases, any pharmaceutically acceptable salts, and the solvates thereof.
- references to Formula (I) also include all other sub-groups and examples thereof as defined herein.
- the general preparation of some typical examples of the compounds of Formula (I) is described hereunder and in the specific examples, and are generally prepared from starting materials which are either commercially available or prepared by standard synthetic processes commonly used by those skilled in the art of organic chemistry.
- the following schemes are only meant to represent examples of the invention and are in no way meant to be a limit of the invention.
- compounds of the present invention may also be prepared by analogous reaction protocols as described in the general schemes below, combined with standard synthetic processes commonly used by those skilled in the art.
- reaction work-up refers to the series of manipulations required to isolate and purify the product (s) of a chemical reaction such as for example quenching, column chromatography, extraction) .
- microwave heating may be used instead of conventional heating to shorten the overall reaction time.
- intermediates and final compounds shown in the Schemes below may be further functionalized according to methods well-known by the person skilled in the art.
- the intermediates and compounds described herein can be isolated in free form or as a salt, or a solvate thereof.
- the intermediates and compounds described herein may be synthesized in the form of mixtures of tautomers and stereoisomeric forms that can be separated from one another following art-known resolution procedures.
- Step 1 at a suitable temperature such as ranged from room temperature to 90 °C, in the presence of a suitable base such as for example diisopropylethylamine or triethylamine or sodium carbonate, in a suitable solvent such as for example acetonitrile or dimethylformamide or dichloromethane;
- a suitable base such as for example diisopropylethylamine or triethylamine or sodium carbonate
- a suitable solvent such as for example acetonitrile or dimethylformamide or dichloromethane
- Step 2 at a suitable temperature range from room temperature to 130°C, in presence of a suitable base such as for example cesium carbonate, in a suitable solvent such as for example dimethylformamide or 1-methyl-2-pyrrolidinone;
- a suitable base such as for example cesium carbonate
- a suitable solvent such as for example dimethylformamide or 1-methyl-2-pyrrolidinone
- a suitable temperature such as for example room temperature
- a suitable deprotonating agent such as for example sodium hydride
- a suitable solvent such as for example dimethylsulfoxide
- a suitable temperature such as room temperature
- a suitable base such as 1, 8-Diazabicyclo [5.4.0] undec-7-ene (DBU)
- a suitable solvent such as for example tetrahydrofuran
- Step 3 at a suitable temperature such as room temperature, in the presence of a suitable catalyst such as palladium on charcoal (Pd/C) , in a suitable solvent such as methanol, under H 2 pressure such as for example from 1 to 3 bar, optionally in the presence of a base such as triethylamine;
- a suitable catalyst such as palladium on charcoal (Pd/C)
- a suitable solvent such as methanol
- H 2 pressure such as for example from 1 to 3 bar
- a base such as triethylamine
- a suitable temperature such as room temperature
- a suitable catalyst such as for example 1, 1'-Bis (diphenylphosphino) ferrocene-palladium (II) dichloride dichloromethane complex
- a suitable reducing agent such as sodium borohydride
- a suitable base such as for example N, N, N', N'-tetramethylethylenediamine, in a suitable solvent such as for example tetrahydrofuran
- a suitable solvent such as for example tetrahydrofuran
- Step 4 at a suitable temperature range from 100 to 130°C, in presence of a suitable base such as for example cesium carbonate, in a suitable solvent such as for example dimethylformamide or 1-methyl-2-pyrrolidinone;
- a suitable base such as for example cesium carbonate
- a suitable solvent such as for example dimethylformamide or 1-methyl-2-pyrrolidinone
- Step 5 at a suitable temperature range from 100 to 130°C, in presence of a suitable base such as for example cesium carbonate, in a suitable solvent such as for example dimethylformamide or 1-methyl-2-pyrrolidinone;
- a suitable base such as for example cesium carbonate
- a suitable solvent such as for example dimethylformamide or 1-methyl-2-pyrrolidinone
- a suitable temperature ranged from 80 to 100°C in presence of a suitable catalyst such as palladium acetate (Pd (OAc) 2 ) , in presence of a suitable ligand such as for example 2, 2′-bis (diphenylphosphino) -1, 1′-binaphthyl, in presence of a suitable base such as cesium carbonate, in a suitable solvent such as for example dioxane;
- a suitable catalyst such as palladium acetate (Pd (OAc) 2 )
- a suitable ligand such as for example 2, 2′-bis (diphenylphosphino) -1, 1′-binaphthyl
- a suitable base such as cesium carbonate
- Step 6 at a suitable temperature from room temperature to 60°C, in presence of a suitable catalyst such as palladium acetate (Pd (OAc) 2 ) or Tris (dibenzylideneacetone) dipalladium (0) (Pd 2 dba 3 ) , in presence or not of a suitable ligand such as for example triphenylphosphine, in a suitable solvent such as for example dioxane;
- a suitable catalyst such as palladium acetate (Pd (OAc) 2 ) or Tris (dibenzylideneacetone) dipalladium (0) (Pd 2 dba 3 )
- a suitable ligand such as for example triphenylphosphine
- Step 1 at a suitable temperature ranged from 60°C to 100°C, in presence of a suitable catalyst such as palladium acetate (Pd (OAc) 2 ) or Tris (dibenzylideneacetone) dipalladium (0) (Pd 2 (dba) 3 ) or Tetrakis (triphenylphosphine) palladium (0) , in a suitable solvent such as for example tetrahydrofuran or dioxane.
- a suitable catalyst such as palladium acetate (Pd (OAc) 2 ) or Tris (dibenzylideneacetone) dipalladium (0) (Pd 2 (dba) 3 ) or Tetrakis (triphenylphosphine) palladium (0)
- a suitable solvent such as for example tetrahydrofuran or dioxane.
- Step 1 at a suitable temperature ranged from 80°C to 200°C, in presence of a suitable catalyst such as palladium acetate (Pd (OAc) 2 ) , in the presence of a suitable ligand such as for example triphenylphosphine or tricyclohexylphosphine, in a suitable solvent such as for example dioxane, preferably in sealed conditions, optionally under microwave irradiation.
- a suitable catalyst such as palladium acetate (Pd (OAc) 2 )
- a suitable ligand such as for example triphenylphosphine or tricyclohexylphosphine
- a suitable solvent such as for example dioxane
- compounds of Formula (I) hereby named compounds of Formula (Ib) can be alternatively prepared according to the following reaction Scheme 4.
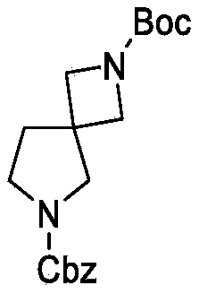
- PG 1 represents a suitable protecting group, such as for example tert-butyloxycarbonyl and LG 1 is a leaving group such as for example chloro, bromo, iodo or tosylate or mesylate; all other variables are defined as listed before or according to the scope of the present invention.
- Step 1 at a suitable temperature such as ranged from room temperature to 90 °C, in the presence of a suitable base such as for example diisopropylethylamine or triethylamine or sodium carbonate, in a suitable solvent such as for example acetonitrile or dimethylformamide or dichloromethane;
- a suitable base such as for example diisopropylethylamine or triethylamine or sodium carbonate
- a suitable solvent such as for example acetonitrile or dimethylformamide or dichloromethane
- Step 2 at a suitable temperature range from room temperature to 130°C, in presence of a suitable base such as for example cesium carbonate, in a suitable solvent such as for example dimethylformamide or 1-methyl-2-pyrrolidinone;
- a suitable base such as for example cesium carbonate
- a suitable solvent such as for example dimethylformamide or 1-methyl-2-pyrrolidinone
- a suitable temperature such as for example room temperature
- a suitable deprotonating agent such as for example sodium hydride
- a suitable solvent such as for example dimethylsulfoxide
- a suitable temperature such as room temperature
- a suitable base such as 1, 8-Diazabicyclo [5.4.0] undec-7-ene (DBU)
- a suitable solvent such as for example tetrahydrofuran
- Step 3 at a suitable temperature such as room temperature, in the presence of a suitable catalyst such as palladium on charcoal (Pd/C) , in a suitable solvent such as methanol, under H 2 pressure such as for example from 1 to 3 bar;
- a suitable catalyst such as palladium on charcoal (Pd/C)
- Pd/C palladium on charcoal
- a suitable solvent such as methanol
- a suitable temperature such as room temperature
- a suitable catalyst such as for example 1, 1'-Bis (diphenylphosphino) ferrocene-palladium (II) dichloride dichloromethane complex
- a suitable reducing agent such as sodium borohydride
- a suitable base such as for example N, N, N', N'-tetramethylethylenediamine, in a suitable solvent such as for example tetrahydrofuran;
- Step 4 when PG 1 is tert-butyloxycarbonyl, at a suitable temperature range such as for example from 0 °C to room temperature, in the presence of suitable cleavage conditions, such as for example an acid such as HCl or trifluoroacetic acid in a suitable solvent such as acetonitrile or DCM or methanol (MeOH) ;
- suitable cleavage conditions such as for example an acid such as HCl or trifluoroacetic acid in a suitable solvent such as acetonitrile or DCM or methanol (MeOH) ;
- Step 5 represents all type of reactions, such as for examples reductive amination, nucleophilic substitution, leading to final examples (Ib) ;
- Step 1 at a suitable temperature such as room temperature, in the presence of a suitable base such as for example potassium carbonate, in a suitable solvent such as for example dimethylformamide;
- a suitable base such as for example potassium carbonate
- a suitable solvent such as for example dimethylformamide
- Step 2 at a suitable temperature such as room temperature, in presence of a suitable base such as lithium hydroxyde, in a suitable solvent such as for example a mixture of tetrahydrofuran, ethanol and water;
- a suitable base such as lithium hydroxyde
- a suitable solvent such as for example a mixture of tetrahydrofuran, ethanol and water;
- Step 3 at a suitable temperature such as room temperature, in the presence of a dibromoisocyanurate, in a suitable solvent such as dichloroethane;
- Step 4 when W 2 is chloro, at a suitable temperature range such as room temperature, in the presence of a chlorinating reagent such as oxalyl chlorine, in the presence of a catalytic amount of dimethylformamide, in the presence of a suitable base such as triethylamine, in a suitable solvent such as dichloromethane;
- a chlorinating reagent such as oxalyl chlorine
- a catalytic amount of dimethylformamide in the presence of a suitable base such as triethylamine
- a suitable solvent such as dichloromethane
- W 2 is a trifluoroethoxy
- a suitable temperature such as 65°C
- suitable activating agents such as 1, 3-dibromo-1, 3, 5-triazinane-2, 4, 6-trione, in the presence of molecular sieve;
- Step 5 At a suitable temperature such as room temperature, in the presence of a suitable base such as for example triethylamine or 1, 8-Diazabicyclo [5.4.0] undec-7-ene (DBU) , in a suitable solvent such as for example dichloromethane or acetonitrile;
- a suitable base such as for example triethylamine or 1, 8-Diazabicyclo [5.4.0] undec-7-ene (DBU)
- a suitable solvent such as for example dichloromethane or acetonitrile
- Step 6 At a suitable temperature such as room temperature, in the presence of a suitable base such as for example triethylamine or 1, 8-Diazabicyclo [5.4.0] undec-7-ene (DBU) , in a suitable solvent such as for example dichloromethane or acetonitrile;
- a suitable base such as for example triethylamine or 1, 8-Diazabicyclo [5.4.0] undec-7-ene (DBU)
- a suitable solvent such as for example dichloromethane or acetonitrile
- Step 7 when PG 1 is tert-butyloxycarbonyl, at a suitable temperature range such as for example from 0 °C to room temperature, in the presence of suitable cleavage conditions, such as for example an acid such as HCl or trifluoroacetic acid in a suitable solvent such as acetonitrile or DCM or methanol (MeOH) ;
- suitable cleavage conditions such as for example an acid such as HCl or trifluoroacetic acid in a suitable solvent such as acetonitrile or DCM or methanol (MeOH) ;
- Step 8 represents all type of reactions, such as for examples reductive amination, nucleophilic substitution leading to final examples (Iba) .
- intermediates of formula IIIa can be prepared according to the following reaction Scheme 5.
- PG 2 represents a suitable protecting group, such as for example benzyloxycarbonyl; all other variables are defined according to the scope of the present invention or as defined in the previous schemes.
- Step 1 at a suitable temperature such as room temperature, in the presence of benzyl chloroformate, in the presence of a suitable base such as as for example triethymaine, in a suitable solvent such as for example dichloromethane;
- a suitable temperature such as room temperature
- benzyl chloroformate in the presence of a suitable base such as as for example triethymaine
- a suitable solvent such as for example dichloromethane
- Step 2 when PG 1 is tert-butyloxycarbonyl, at a suitable temperature range such as for example from 0 °C to room temperature, in the presence of suitable cleavage conditions, such as for example an acid such as HCl or trifluoroacetic acid in a suitable solvent such as acetonitrile or DCM or methanol (MeOH) ;
- suitable cleavage conditions such as for example an acid such as HCl or trifluoroacetic acid in a suitable solvent such as acetonitrile or DCM or methanol (MeOH) ;
- Step 3 represents all type of reactions, such as for examples reductive amination, nucleophilic substitution leading to intermediate IIIa.
- Step 1 at a suitable temperature such as 120°C, in the presence of a suitable base such as for example cesium carbonate, in a suitable solvent such as for example dimethylacetamide;
- a suitable base such as for example cesium carbonate
- a suitable solvent such as for example dimethylacetamide
- Step 2 at a suitable temperature such as 0°C to room temperature, in the presence of a suitable oxidative agent such as for example urea hydrogen peroxide, in the presence of a suitable reagent such as trifluoroacetic anhydride, in a suitable solvent such as for example tetrahydrofuran;
- a suitable oxidative agent such as for example urea hydrogen peroxide
- a suitable reagent such as trifluoroacetic anhydride
- a suitable solvent such as for example tetrahydrofuran
- Step 3 at a suitable temperature such as 0°C to room temperature, in the presence of a suitable chlorinated agent such as for example phosphoryl chloride, in the presence of a suitable base such as diisopropylethylamine, in a suitable solvent such as for example ethyl acetate;
- a suitable chlorinated agent such as for example phosphoryl chloride
- a suitable base such as diisopropylethylamine
- a suitable solvent such as for example ethyl acetate
- Step 1 at a suitable temperature such as ranged from room temperature to 90 °C, in the presence of a suitable base such as for example diisopropylethylamine or triethylamine or sodium carbonate, in a suitable solvent such as for example acetonitrile or dimethylformamide or dichloromethane;
- a suitable base such as for example diisopropylethylamine or triethylamine or sodium carbonate
- a suitable solvent such as for example acetonitrile or dimethylformamide or dichloromethane
- the compounds of Formula (I) may be synthesized in the form of racemic mixtures of enantiomers which can be separated from one another following art-known resolution procedures.
- the racemic compounds of Formula (I) containing a basic nitrogen atom may be converted into the corresponding diastereomeric salt forms by reaction with a suitable chiral acid. Said diastereomeric salt forms are subsequently separated, for example, by selective or fractional crystallization and the enantiomers are liberated therefrom by alkali.
- An alternative manner of separating the enantiomeric forms of the compounds of Formula (I) involves liquid chromatography using a chiral stationary phase. Said pure stereochemically isomeric forms may also be derived from the corresponding pure stereochemically isomeric forms of the appropriate starting materials, provided that the reaction occurs stereospecifically.
- Suitable amino-protecting groups include acetyl, trifluoroacetyl, t-butoxycarbonyl (Boc) , benzyloxycarbonyl (CBz) and 9-fluorenylmethyleneoxycarbonyl (Fmoc) .
- acetyl, trifluoroacetyl, t-butoxycarbonyl (Boc) , benzyloxycarbonyl (CBz) and 9-fluorenylmethyleneoxycarbonyl (Fmoc) The need for such protection is readily determined by one skilled in the art. For a general description of protecting groups and their use, see T.W. Greene and P.G.M. Wuts, Protective Groups in Organic Synthesis, 4th ed., Wiley, Hoboken, New Jersey, 2007.
- the compounds of the present invention block the interaction of menin with MLL proteins and oncogenic MLL fusion proteins. Therefore the compounds according to the present invention and the pharmaceutical compositions comprising such compounds may be useful for the treatment or prevention, in particular treatment, of diseases such as cancer, myelodysplastic syndrome (MDS) and diabetes.
- diseases such as cancer, myelodysplastic syndrome (MDS) and diabetes.
- a solid tumor cancer e.g. prostate cancer, lung cancer, breast cancer, pancreatic cancer, colon cancer, liver cancer, melanoma and glioblastoma, etc.
- the leukemias include acute leukemias, chronic leukemias, myeloid leukemias, myelogeneous leukemias, lymphoblastic leukemias, lymphocytic leukemias, Acute myelogeneous leukemias (AML) , Chronic myelogenous leukemias (CML) , Acute lymphoblastic leukemias (ALL) , Chronic lymphocytic leukemias (CLL) , T cell prolymphocytic leukemias (T-PLL) , Large granular lymphocytic leukemia, Hairy cell leukemia (HCL) , MLL-rearranged leukemias, MLL-PTD leukemias, MLL amplified leukemias, MLL-positive leukemias, leukemias exphibiting HOX/MEIS1 gene expression signatures etc.
- AML acute myelogeneous leukemias
- CML Chronic myelogenous leukemias
- the invention relates to compounds of Formula (I) , the tautomers and the stereoisomeric forms thereof, and the pharmaceutically acceptable salts, and the solvates thereof, for use as a medicament.
- the invention also relates to the use of a compound of Formula (I) , a tautomer or a stereoisomeric form thereof, or a pharmaceutically acceptable salt, or a solvate thereof, or a pharmaceutical composition according to the invention, for the manufacture of a medicament.
- the present invention also relates to a compound of Formula (I) , a tautomer or a stereoisomeric form thereof, or a pharmaceutically acceptable salt, or a solvate thereof, or a pharmaceutical composition according to the invention, for use in the treatment, prevention, amelioration, control or reduction of the risk of disorders associated with the interaction of menin with MLL proteins and oncogenic MLL fusion proteins in a mammal, including a human, the treatment or prevention of which is affected or facilitated by blocking the interaction of menin with MLL proteins and oncogenic MLL fusion proteins.
- the present invention relates to the use of a compound of Formula (I) , a tautomer or a stereoisomeric form thereof, or a pharmaceutically acceptable salt, or a solvate thereof, or a pharmaceutical composition according to the invention, for the manufacture of a medicament for treating, preventing, ameliorating, controlling or reducing the risk of disorders associated with the interaction of menin with MLL proteins and oncogenic MLL fusion proteins in a mammal, including a human, the treatment or prevention of which is affected or facilitated by blocking the interaction of menin with MLL proteins and oncogenic MLL fusion proteins.
- the invention also relates to a compound of Formula (I) , a tautomer or a stereoisomeric form thereof, or a pharmaceutically acceptable salt, or a solvate thereof, for use in the treatment or prevention of any one of the diseases mentioned hereinbefore.
- the invention also relates to a compound of Formula (I) , a tautomer or a stereoisomeric form thereof, or a pharmaceutically acceptable salt, or a solvate thereof, for use in treating or preventing any one of the diseases mentioned hereinbefore.
- the invention also relates to the use of a compound of Formula (I) , a tautomer or a stereoisomeric form thereof, or a pharmaceutically acceptable salt, or a solvate thereof, for the manufacture of a medicament for the treatment or prevention of any one of the disease conditions mentioned hereinbefore.
- the compounds of the present invention can be administered to mammals, preferably humans, for the treatment or prevention of any one of the diseases mentioned hereinbefore.
- Said method comprises the administration, i.e. the systemic or topical administration, of a therapeutically effective amount of a compound of Formula (I) , a tautomer or a stereoisomeric form thereof, or a pharmaceutically acceptable salt, or a solvate thereof, to warm-blooded animals, including humans.
- the invention also relates to a method for the treatment or prevention of any one of the diseases mentioned hereinbefore comprising administering a therapeutically effective amount of compound according to the invention to a patient in need thereof.
- a therapeutically effective amount of the compounds of the present invention is the amount sufficient to have therapeutic activity and that this amount varies inter alias, depending on the type of disease, the concentration of the compound in the therapeutic formulation, and the condition of the patient.
- An effective therapeutic daily amount would be from about 0.005 mg/kg to 100 mg/kg.
- the amount of a compound according to the present invention, also referred to herein as the active ingredient, which is required to achieve a therapeutically effect may vary on case-by-case basis, for example with the particular compound, the route of administration, the age and condition of the recipient, and the particular disorder or disease being treated.
- a method of treatment may also include administering the active ingredient on a regimen of between one and four intakes per day. In these methods of treatment the compounds according to the invention are preferably formulated prior to administration.
- compositions for preventing or treating the disorders referred to herein comprising a therapeutically effective amount of a compound of Formula (I) , a tautomer or a stereoisomeric form thereof, or a pharmaceutically acceptable salt, or a solvate thereof, and a pharmaceutically acceptable carrier or diluent.
- the present invention further provides a pharmaceutical composition comprising a compound according to the present invention, together with a pharmaceutically acceptable carrier or diluent.
- a pharmaceutically acceptable carrier or diluent must be “acceptable” in the sense of being compatible with the other ingredients of the composition and not deleterious to the recipients thereof.
- compositions may be prepared by any methods well known in the art of pharmacy, for example, using methods such as those described in Gennaro et al. Remington’s Pharmaceutical Sciences (18 th ed., Mack Publishing Company, 1990, see especially Part 8: Pharmaceutical preparations and their Manufacture) .
- the compounds of the present invention may be administered alone or in combination with one or more additional therapeutic agents.
- Combination therapy includes administration of a single pharmaceutical dosage formulation which contains a compound according to the present invention and one or more additional therapeutic agents, as well as administration of the compound according to the present invention and each additional therapeutic agent in its own separate pharmaceutical dosage formulation.
- an embodiment of the present invention relates to a product containing as first active ingredient a compound according to the invention and as further active ingredient one or more anticancer agent, as a combined preparation for simultaneous, separate or sequential use in the treatment of patients suffering from cancer.
- the one or more other medicinal agents and the compound according to the present invention may be administered simultaneously (e.g. in separate or unitary compositions) or sequentially in either order. In the latter case, the two or more compounds will be administered within a period and in an amount and manner that is sufficient to ensure that an advantageous or synergistic effect is achieved. It will be appreciated that the preferred method and order of administration and the respective dosage amounts and regimes for each component of the combination will depend on the particular other medicinal agent and compound of the present invention being administered, their route of administration, the particular condition, in particular tumour, being treated and the particular host being treated.
- compounds synthesized using the protocols as indicated may exist as a solvate e.g. hydrate, and/or contain residual solvent or minor impurities.
- Compounds isolated as a salt form may be integer stoichiometric i.e. mono-or di-salts, or of intermediate stoichiometry.
- HCl salt an intermediate or compound in the experimental part below is indicated as ‘HCl salt’ without indication of the number of equivalents of HCl, this means that the number of equivalents of HCl was not determined.
- the stereochemical configuration for centers in some compounds may be designated “R” or “S” when the mixture (s) was separated; for some compounds, the stereochemical configuration at indicated centers has been designated as “*R” or “*S” when the absolute stereochemistry is undetermined (even if the bonds are drawn stereo specifically) although the compound itself has been isolated as a single stereoisomer and is enantiomerically pure.
- enantiomerically pure means that the product contains at least 80%by weight of one enantiomer and 20%by weight or less of the other enantiomer. Preferably the product contains at least 90%by weight of one enantiomer and 10%by weight or less of the other enantiomer. In the most preferred embodiment the term “enantiomerically pure” means that the composition contains at least 99%by weight of one enantiomer and 1%or less of the other enantiomer.
- ‘ACN' or ‘MeCN’ means acetonitrile
- ‘DCM’ means dichloromethane
- ‘DIPEA or DIEA’ means N, N-diisopropylethylamine
- ‘h’ means hours (s)
- ‘min’ means minute (s)
- ‘DMF’ means N, N-dimethylformamide
- ‘TEA’ or ‘Et 3 N’ means triethyl amine
- ‘EtOAc’ or ‘EA’ means ethyl acetate
- ‘THF’ means tetrahydrofuran
- ‘HPLC’ means High-performance Liquid Chromatography
- ‘Prep-HPLC’ means preparative HPLC
- ‘MeOH’ means methanol
- ‘NMR’ means Nuclear Magnetic Resonance
- ‘rt or ‘RT’ means room temperature
- ‘SFC’ means supercritical fluid chromatography, ‘q.s.
- DMSO dimethylsulfoxide
- Pd/C or “Pd/C (10%) ” means palladium on carbon
- atm means atmosphere
- ee means enantiomeric excess
- PE means petroleum ether
- NaBH (OAc) 3 means sodium triacetoxyborohydride
- TMA trifluoroacetic acid
- DCE means dichloroethane
- DMA means N, N-dimethylacetamide
- IPA means isopropyl alcohol
- iPrNH 2 means isopropylamine
- NH 4 OH means ammonium hydroxide
- Pd (OH) 2 means palladium hydroxide
- DBU means 1, 8-diazabicyclo [5.4.0] undec-7-ene
- Cbz means benzoylcarbonyl
- NaBH 3 CN means sodium cyanoborohydride
- NaBH 4 means sodium borohydride
- tlc means thin-
- DCM means [1, 1′-Bis (diphenylphosphino) ferrocene] dichloropalladium (II) , complex with dichloromethane;
- Ni (acac) 2 means Nickel (II) acetylacetonate;
- Zn means Zinc;
- MS means molecular sieve;
- Boc 2 O means di-tert-butyl decarbonate;
- Ar means argon;
- FA means formic acid;
- CC means column chromatography;
- T 3 P means propyl phosphonic anhydride.
- the mixture was gathered with another reaction performed on 100 mg of 2, 6-diazaspiro [3.3] heptane-2-carboxylic acid, phenylmethyl ester and poured onto 10%aqueous solution of K 2 CO 3 .
- the resulting mixture was extracted with DCM.
- the organic layer was decanted, washed with water, dried over MgSO 4 , filtered and evaporated to dryness.
- the residue was purified by chromatography over silica gel (irregular SiOH, 40g; mobile phase: gradient from 0%NH 4 OH, 0%MeOH, 100%DCM to 0.3%NH 4 OH, 3%MeOH, 97%DCM) .
- the pure fractions were collected and evaporated to dryness.
- intermediate 16 (22.0 g, 40.1 mmol) , TEA (15 mL) in MeOH (100 mL) was added Pd/C (wet, 5.0 g, 10%) The resulting mixture was stirred under H 2 atmosphere (30 psi) at 25 °C for 8hr. The reaction mixture was filtered through a celite and the filtrate was concentrated in vacuo to afford intermediate 16 (25.0 g, crude) , which was used directly in next step without further purification.
- intermediate 16 (300 mg, 0.583 mmol) in DCM (5 mL) was added TFA (0.5 mL, 6.4 mmol) and the resulting mixture was stirred at RT for 3 h. Then, 10%NaOH (5 mL) solution was slowly added into the mixture to adjust the pH value to about 12 and the resulting mixture was extracted with DCM (10 mL x 3) . The combined organic layers were dried over anhydrous Na 2 SO 4 , filtered, and concentrated in vacuo to afford intermediate 18 (220 mg, 90%yield) as a white solid.
- reaction was performed twice on 15.7 g of intermediate 23 and respective reaction media were mixed for the work-up and purification.
- the reaction mixtures were stirred at room temperature for 12 hours under N 2 atmosphere and then, poured onto ice-water and a 10%aqueous solution of NH 4 Cl.
- the mixture obtained was combined with the mixture obtained from the second reaction, and the combined mixture was extracted with EtOAc.
- intermediate 35 (2.24 g, 3.618 mmol) in methanol (45 mL) was added palladium on activated carbon (10%palladium) (635 mg, 0.597 mmol) . Then, the mixture was stirred at room temperature for 5 hours under the hydrogen. The mixture was diluted with methanol, filtered through a pad of and the filtrate was evaporated under reduced pressure. The residue was dissolved with ethyl acetate, washed with sodium hydroxide solution (1M in water) and brine. The organic layer was dried over anhydrous sodium sulfate, evaporated under reduced pressure to give 1.4 g (62%yield) of intermediate 27 as a yellow solid.
- intermediate 84 To a mixture of intermediate 83 (4.8 g, 8.32 mmol) in acetone (100 mL) and water (50 mL) was added p-toluenesulfonic acid (7.17 g, 41.62 mmol) . After stirring at 65 °C overnight, the reaction mixture was quenched with saturated sodium bicarbonate solution and extracted with dichloromethane. The combined organic layers were washed with water and brine, dried over Na 2 SO 4 , filtered and concentrated under reduced pressure to give 3.1 g (45%yield, 62.8%purity based on LC/MS) of intermediate 84 as a brown solid.
- reaction solution was diluted with DCM (500 mL) and washed with water, 10%of citric acid aqueous solution, water and brine, dried over anhydrous sodium sulfate and filtered. The filtrate was concentrated under reduced pressure to give 24.0 g of intermediate 36 as a light-yellow oil.
- intermediate 37 (3.79 g, 16.65 mmol) .
- sodium cyanoborohydride (4.36 g, 69.38 mmol) was added.
- the resulting mixture was stirring overnight at 50 °C.
- Additional intermediate 37 (1.58 g, 6.94 mmol) and sodium cyanoborohydride (2.62 g, 41.63 mmol) were added.
- additional sodium cyanoborohydride (1.31 g, 20.814 mmol) was added.
- intermediate 18 (854 mg; 1.13 mmol) and intermediate 37 (385 mg; 1.7 mmol) in THF (15 mL) were stirred at rt for 24h. Then, sodium triacetoxyborohydride (718 mg; 3.39 mmol) was added portionwise. The mixture was stirred at room temperature for 24h. The solution was poured out into cooled water, basified with a solution of NaOH 3N and EtOAc was added. The organic layer was separated, dried over MgSO 4 , filtered and evaporated to dryness.
- HATU (99.5 g, 262 mmol) was added in portions to a 0 °C (ice/water) mixture consisting of 1- (tert-butoxycarbonyl) piperidine-4-carboxylic acid (50.0 g, 218 mmol) , N, O-dimethylhydroxylamine hydrochloride (23.4 g, 240 mmol) , Et 3 N (90.9 mL, 654 mmol) , and dichloromethane (500 mL) .
- the reaction mixture was stirred at room-temperature for 12 hours.
- the reaction mixture was concentrated to dryness under reduced pressure.
- the residue was diluted with water (1500 mL) and extracted with dichloromethane (500 mL x 3) .
- i-PrMgCl (101 mL, 202 mmol, 2 M, in THF) was added dropwise to a 0 °C (ice/water) solution of intermediate 61 (26.0 g, 101 mmol) and THF (250 mL) .
- the reaction mixture was stirred at room-temperature for 10 hours.
- the mixture was quenched with a saturated solution of NH 4 Cl (500 mL) and extracted with ethyl acetate (500 mL x 3) .
- the mixture was stirred at 40 °C for 10 h before poured into water (400 mL) and extracted with ethyl acetate (300 mL x 3) .
- the organic phase was washed with 5%aqueous citric acid solution (3 x 300 mL) , sat. NaHCO 3 (2 x 300 mL) , brine (2 x 300 mL) , dried over anhydrous Na 2 SO 4 , filtered and concentrated under reduced pressure to give the intermediate 65 (12.41 g, 74%) as a yellow oil.
- the intermediate 65 (12.4 g, 48.0 mmol) and THF (20 mL) were added into a 250 mL round-bottomed flask.
- Isopropylmagnesium chloride 49 mL, 98 mmol, 2 M in THF was added dropwise into the mixture at 0 °C (ice/water) under N 2 .
- the mixture was stirred with warming to room temperature for 10 h.
- the mixture was quenched with a saturated aqueous solution of NH 4 Cl (100 mL) and extracted with EtOAc (200 mL x 3) .
- the residue was purified by preparative HPLC (Column Welch Xtimate C18 150 x 25mm x 5um, Mobile Phase A: water (0.04%NH 3 H 2 O+10mM NH 4 HCO 3 ) , Mobile Phase B: acetonitrile, Flow rate: 30 mL/min, gradient condition from 61%B to 81%B) .
- the pure fractions were collected and the solvent was evaporated under vacuum.
- the aqueous layers were lyophilized to afford the intermediate 67 (100 mg, 21%yield) as a white solid and the intermediate 68 (105 mg, 22%yield) as a white solid.
- EDCI (3.12 g, 13.7 mmol) was added to a solution of 1- (tert-butoxycarbonyl) -3-fluoroazetidine-3-carboxylic acid (2.00 g, 9.12 mmol) , DIEA (6.5 mL, 36.7 mmol) , N, O-dimethylhydroxylamine hydrochloride (1.78 g, 18.2 mmol) , and HOBT (1.85 g, 13.7 mmol) in acetonitrile (20 mL) and the reaction mixture was allowed to stirred at 25°C under N 2 for 2 h. The mixture was quenched with water (50 mL) and extracted with EtOAc (100 mL x 3) .
- reaction mixture was stirred at 30 °C for 60 hours.
- the reaction mixture was poured into 150 mL of water and extracted with EtOAc (150 mL x 2) .
- the combined extracts were washed with brine (200 mL) , dried over Na 2 SO 4 , filtered and concentrated in vacuum.
- LiCl (565.2 mg, 13.333 mmol) was dried under high vacuum by heating with a heat gun and allowed afterwards to cool to room temperature. Then, Mg turnings (324 mg, 13.333 mmol) and THF (11.1 mL, 1 M, 11.1 mmol) were added. The reaction mixture was cooled to 0 °C and bromocyclobutane (1.5 g, 11.1 mmol) was then added. The reaction mixture was stirred at room temperature for 2 hrs. In this time a grey solution was formed. The THF solution of cyclobutylmagnesium bromide. LiCl or intermediate 76 (approx. 1 M) was used directly in the following reaction.
- intermediate 57 (1.01 g, 3.704 mmol) was dissolved in dry THF (10 mL) .
- the solution was cooled in an ice bath and treated with a solution of freshly prepared intermediate 76 (11.1mL, approx. 1 M, 11.1 mmol) dropwise at this temperature.
- the reaction mixture was stirred over night and was allowed to come to room temperature.
- saturated ammonium chloride solution was added, and the water phase was extracted with ethyl acetate for three times. After the organic phase was dried with magnesium sulfate and filtered, the organic phase was evaporated.
- the crude product (953 mg) was purified with flash CC (silica gel, 15%EA in n-heptane) to give 833 mg (28%yield) of intermediate 77 as a colorless oil.
- intermediate 86 (200 mg, 0.390 mmol) in DCM (2 mL) was added TFA (0.5 mL) at room temperature. The mixture was stirred at room temperature for 0.5 h. The reaction mixture was evaporated under reduce pressure. The residue was diluted by 2 M NaOH (5 mL) , extracted with DCM (10 mL x3) . The combined organic layers was dried over by anhydrous Na 2 SO 4 , filtered and concentrated under reduce pressure to give intermediate 87 (160 mg, 99%yield) as a yellow solid, which was used in next step without further purification.
- intermediate 19 800 mg, 1.475 mmol
- MeOH MeOH
- intermediate 37 838 mg, 3.686 mmol
- the mixture was stirring at room temperature for 1 h.
- NaBHCN 556 mg, 8.848 mmol
- the mixture was stirring at room temperature for overnight.
- the mixture was quenched with Sodium bicarbonate solution, extracted with EA, washed with water and brine, dried over Na 2 SO 4 , filtered and evaporated under reduced pressure.
- the residue was purified by flash chromatography (silica gel, eluent from 100%DCM to 10%MeOH in DCM) to give 300 mg of intermediate 89 as a yellow oil.
- reaction mixture was concentrated, and the residue was dissolved in 40 mL of water.
- the crude (340 mg) was purified by silica gel chromatography (Stationary phase: irregular bare silica 12g, Mobile phase: Gradient from 99%DCM, 1%MeOH (+10%NH 4 OH) to 90%DCM, 10%MeOH (+10%NH 4 OH) ) .
- the crude product was purified by preparative-HPLC (YMC-Actus Triart C18, 30 mm X 150 mm, 5um; Mobile Phase A: Water (10 mmol/L NH 4 HCO 3 +0.1%NH 3 . H 2 O) , Mobile Phase B: ACN; Flow rate: 60 mL/min; Gradient: 40%B to 60%B in 7 min; 254 nm; RT1: 6.95 min; RT2: 8.27 min) . The fractions containing the products were mixed. The solvents were concentrated and both compounds were freeze dried to afford to give 102.6 mg of compound 120 as a white solid and 23.1 mg of compound 121 as a white solid.
- the resulting residue (98 mg) was purified by silica gel chromatography (Stationary phase: irregular SiOH 40 ⁇ m 4 g, Mobile phase: Gradient from 100%DCM to 80%DCM, 20%MeOH (+10%NH 4 OH) ) .
- the fractions containing the product were mixed and concentrated to give 60 mg of compound 38 which was further purified via reverse phase (Stationary phase: YMC-actus Triart C18 10 ⁇ m 30*150mm, Mobile phase: Gradient from 40% NH 4 HCO 3 0.2%, 60%MeOH to 20% NH 4 HCO 3 0.2%, 80%MeOH) .
- the fractions containing the product were mixed and concentrated to give 26 mg of compound 38 which was freeze-dried with acetonitrile/water (20/80) to give 24 mg (25%yield) of compound 38 as a white powder.
- the residue (137 mg) was purified by silica gel chromatography (Stationary phase: irregular SiOH 15-40 ⁇ m 12g, Mobile phase: Gradient from 97%DCM, 3%MeOH (+10%NH 4 OH) to 90%DCM, 10%MeOH (+10%NH 4 OH) ) .
- the fractions containing the product were mixed and concentrated to give 90 mg of an intermediate impure fraction which was further purified by reverse phase (Stationary phase: YMC-actus Triart C18 10 ⁇ m 30*150mm, Mobile phase: Gradient from 65% NH 4 HCO 3 0.2%, 35%ACN to 25% NH 4 HCO 3 0.2%, 75%ACN) .
- the fraction containing the product were mixed and concentrated and the resulting residue (44 mg) was freeze-dried with Acetonitrile/water (20/80) to give 42 mg (26%yield) of compound 39.
- the residue (143 mg) was purified by silica gel chromatography (Stationary phase: irregular SiOH 15-40 ⁇ m 12g, Mobile phase: Gradient from 97%DCM, 3%MeOH (+10%NH 4 OH) to 85%DCM, 15%MeOH (+10%NH 4 OH) ) .
- the fractions containing the product were mixed, concentrated and the resulting residue (54 mg) was freeze-dried with acetonitrile/water (20/80) to give 50 mg (29%yield) of compound 40.
- the reaction mixture was concentrated in vacuum and the residue was purified by preparative HPLC (Column Boston Prime C18 150 x 30mm x 5um, Mobile Phase A: water (0.04%NH 3 H 2 O+10mM NH 4 HCO 3 ) , Mobile Phase B: acetonitrile, Flow rate: 25 mL/min, gradient condition from 45%B to 75%B) .
- the pure fractions were collected and lyophilized to afford the compound 52 (8.38 mg, 1 15%yield) as white solid.
- the crude (79 mg) was purified via Reverse phase (Stationary phase: YMC-actus Triart C18 10 ⁇ m 30*150mm, Mobile phase: Gradient from 65%NH 4 HCO 3 0.2%, 35%ACN to 35%NH 4 HCO 3 0.2%, 65%ACN) .
- the fractions containing the product were mixed and concentrated to afford 48 mg of an intermediate fraction which was freeze-dried with acetonitrile/water (20/80) to give 40 mg (59 %yield) of compound 71 as a white powder and a mixture of two diastereoisomers.
- reaction mixture was filtered and the filtrate was concentrated in vacuum and the residue was purified by preparative-HPLC (Column Boston Prime C18 150*30mm*5um, Mobile Phase A: water (0.04%NH 3 H 2 O+10mM NH 4 HCO 3 ) , Mobile Phase B: acetonitrile, Flow rate: 25 mL/min, gradient condition from 50%B to 80%B) .
- the pure fractions were collected and lyophilized to afford compound 81 (170 mg, 45%yield) as white solid.
- the compound 82 (60 mg, 91.5%purity based on LCMS) was further purified by preparative HPLC (Column Boston Prime C18 150*30mm*5um, Mobile Phase A: water (0.04%NH 3 H 2 O+10mM NH 4 HCO 3 , Mobile Phase B: acetonitrile, Flow rate: 30 mL/min, gradient condition from 50%B to 80%B) to afford compound 82 (40.0 mg, 27%yield) as white solid.
- the compound 83 (60 mg, 94.5%purity based on LCMS) was further purified by preparative HPLC (Column Boston Prime C18 150*30mm*5um, Mobile Phase A: water (0.04%NH 3 H 2 O+10mM NH 4 HCO 3 , Mobile Phase B: acetonitrile, Flow rate: 30 mL/min, gradient condition from 50%B to 80%B) to afford compound 83 as white solid.
- the obtained crude product (200 mg;white solid) was purified by preparative -HPLC (Column: XBridge Shield RP18 OBD Column, 19*250mm, 10um; Mobile Phase A: Water (10 mmol/L NH 4 HCO 3 ) , Mobile Phase B: ACN; Flow rate: 25 mL/min; Gradient: 55%B to 65%B in 7 min; 254/220 nm; RT: 5.93 min) . The fractions containing the product were mixed and concentrated to afford 40.4 mg (16%yield) of compound 119 as a white solid.
Landscapes
- Health & Medical Sciences (AREA)
- Chemical & Material Sciences (AREA)
- Organic Chemistry (AREA)
- General Health & Medical Sciences (AREA)
- Veterinary Medicine (AREA)
- Public Health (AREA)
- Medicinal Chemistry (AREA)
- Pharmacology & Pharmacy (AREA)
- Life Sciences & Earth Sciences (AREA)
- Animal Behavior & Ethology (AREA)
- Nuclear Medicine, Radiotherapy & Molecular Imaging (AREA)
- General Chemical & Material Sciences (AREA)
- Chemical Kinetics & Catalysis (AREA)
- Diabetes (AREA)
- Hematology (AREA)
- Epidemiology (AREA)
- Endocrinology (AREA)
- Emergency Medicine (AREA)
- Engineering & Computer Science (AREA)
- Bioinformatics & Cheminformatics (AREA)
- Obesity (AREA)
- Oncology (AREA)
- Pharmaceuticals Containing Other Organic And Inorganic Compounds (AREA)
- Nitrogen Condensed Heterocyclic Rings (AREA)
- Nitrogen And Oxygen Or Sulfur-Condensed Heterocyclic Ring Systems (AREA)
Abstract
Description
| Co. No. | OR (°) | Conc. |
| 3 | -15.14 | 0.284 |
| 4 | +8.3 | 0.265 |
| 7 | -10.38 | 0.26 |
| 8 | +12.6 | 0.262 |
| 24 | +15.72 | 0.318 |
| 25 | -16.59 | 0.416 |
| 27 | +14.22 | 0.228 |
| 29 | -18.04 | 0.316 |
| 30 | -16.67 | 0.228 |
| 40 | -12.5 | 0.26 |
| 41 | +13.67 | 0.256 |
| 55 | +12.75 | 0.251 |
| 56 | -4.43 | 0.271 |
| 62 | +10.4 | 0.25 |
Claims (15)
- A compound of Formula (I)or a tautomer or a stereoisomeric form thereof, whereinR xa and R xb are each independently selected from the group consisting of hydrogen; C 3-6cycloalkyl; C 1-4alkyl; C 1-4alkyl substituted with 1, 2 or 3 halo atoms; and C 1-4alkyl substituted with one -OH, -OC 1-4alkyl, or NR 11cR 11d;R 1b represents F or Cl;Y 1 represents -CR 5aR 5b-, -O-, -S-, or -NR 5c-;R 2 is selected from the group consisting of hydrogen, halo, C 1-4alkyl, -O-C 1-4alkyl, and -NR 7aR 7b;U 1 and U 2 each independently represent N or CH;n1, n2, n3 and n4 are each independently selected from 1 and 2;X 1 represents CH, and X 2 represents N;R 4 represents C 1-5alkyl;R 5a, R 5b, R 5c, R 7a, and R 7b, are each independently selected from the group consisting of hydrogen, C 1-4alkyl and C 3-6cycloalkyl;R 3 is selected from the group consisting of Het 1, Het 2, Cy 2, and -C 1-6alkyl-NR xcR xd;R xc represents Cy 1; Het 5; -C 1-6alkyl-Cy 1; -C 1-6alkyl-Het 3; -C 1-6alkyl-Het 4;or -C 1-6alkyl-phenyl;R xd represents hydrogen; C 1-4alkyl; or C 1-4alkyl substituted with one, two or three substituents selected from the group consisting of halo, -OH, -O-C 1-4alkyl, and cyano;or R xc and R xd are taken together to form together with the N-atom to which they are attached a 4-to 7-membered monocyclic fully saturated heterocyclyl containing one N-atom and optionally one additional heteroatom selected from O, S, and N, wherein said S-atom might be substituted to form S (=O) or S (=O) 2; wherein said heterocyclyl is optionally substituted with one, two or three substituents selected from the group consisting of halo, -OH, -O-C 1-4alkyl, and cyano;Het 1 represents a monocyclic C-linked 4-to 7-membered fully saturated heterocyclyl containing one N-atom and optionally one or two additional heteroatoms each independently selected from O, S, and N, wherein said S-atom might be substituted to form S (=O) or S (=O) 2; or a bicyclic C-linked 6-to 11-membered fully saturated heterocyclyl containing one N-atom and optionally one or two additional heteroatoms each independently selected from O, S, and N, wherein said S-atom might be substituted to form S (=O) or S (=O) 2;wherein said heterocyclyl is optionally substituted on one nitrogen with a substituent selected from the group consisting of R 6 and -C (=O) -R 8; and wherein said heterocyclyl is optionally substituted on one or two carbon atoms with in total one, two, three or four substituents each independently selected from the group consisting of halo, R 6, Het 6a, Het 6b, C 1-4alkyl, oxo, -NR 9aR 9b and -OH;Het 2 represents C-linked pyrazolyl or triazolyl; which is substituted on one nitrogen atom with R 6a;R 6 is selected from the group consisting ofHet 3; -C (=O) -NH-R 8;C 1-6alkyl optionally substituted with one or two substituents each independently selected from the group consisting of Het 3, Het 4, Het 6a, Het 6b, Cy 1, -CN, -OH,-O-C 1-4alkyl, -C (=O) -NH-C 1-4alkyl, -C (=O) -NH-C 1-4alkyl-C 3-6cycloalkyl, -C (=O) -OH, -NR 11aR 11b and -NH-S (=O) 2-C 1-4alkyl; andC 3-6cycloalkyl optionally substituted by one or two substituents each independently selected from the group consisting of -CN, -OH, -O-C 1-4alkyl, -C (=O) -NH-C 1-4alkyl,-NH-S (=O) 2-C 1-4alkyl, and C 1-4alkyl optionally substituted with one substituent selected from the group consisting of OH, -O-C 1-4alkyl, -C (=O) -NH-C 1-4alkyl and-NH-S (=O) 2-C 1-4alkyl;R 6a represents C 1-6alkyl substituted with one substituent selected from the group consisting of -NR 11aR 11b, Het 3a, and Het 6a;R 8 represents C 1-6alkyl optionally substituted with one, two or three substituents each independently selected from -OH, halo, cyano, -NR 11aR 11b, Het 3a, and Het 6a;Het 3 and Het 5 each independently represent a monocyclic C-linked 4-to 7-membered fully saturated heterocyclyl containing one, two or three heteroatoms each independently selected from O, S, and N, wherein said S-atom might be substituted to form S (=O) or S (=O) 2; or a bicyclic C-linked 6-to 11-membered fully saturated heterocyclyl containing one, two or three heteroatoms each independently selected from O, S, and N, wherein said S-atom might be substituted to form S (=O) or S (=O) 2;wherein said heterocyclyl is optionally substituted on one carbon atom with C 1-4alkyl, halo, -OH, -NR 11aR 11b, or oxo; and wherein said heterocyclyl is optionally substituted on one nitrogen atom with C 1-4alkyl;Het 3a and Het 5a each independently represent a monocyclic C-linked 4-to 7-membered fully saturated heterocyclyl containing one N-atom, and optionally one or two additional heteroatoms each independently selected from O, S, and N, wherein said S-atom might be substituted to form S (=O) or S (=O) 2; or a bicyclic C-linked 6-to 11-membered fully saturated heterocyclyl containing one N-atom, and optionally one or two additional heteroatoms each independently selected from O, S, and N, wherein said S-atom might be substituted to form S (=O) or S (=O) 2;wherein said heterocyclyl is optionally substituted on one carbon atom with C 1-4alkyl, halo, -OH, -NR 11aR 11b, or oxo; and wherein said heterocyclyl is optionally substituted on one nitrogen atom with C 1-4alkyl;Het 4 and Het 7 each independently represent a monocyclic C-linked 5-or 6-membered aromatic ring containing one, two, three or four heteroatoms each independently selected from O, S, and N; wherein said 5-membered aromatic ring is optionally substituted on one nitrogen atom with C 1-4alkyl; and wherein said 5-or 6-membered aromatic ring is optionally substituted on one carbon atom with -OH;Het 6a and Het 8 each independently represent a monocyclic N-linked 4-to 7-membered fully saturated heterocyclyl containing one N-atom and optionally one or two additional heteroatoms each independently selected from O, S, and N, wherein said S-atom might be substituted to form S (=O) or S (=O) 2; wherein said heterocyclyl is optionally substituted on one or two carbon atoms with in total one, two, three or four substituents each independently selected from the group consisting of halo, -OH, oxo, - (C=O) -NR 10aR 10b, -O-C 3-6cycloalkyl, -S (=O) 2-C 1-4alkyl, cyano, C 1-4alkyl, -C 1-4alkyl-OH,-O-C 1-4alkyl, -O- (C=O) -NR 10aR 10b, and-O- (C=O) -C 1-4alkyl; and wherein said heterocyclyl is optionally substituted on one nitrogen with a substituent selected from the group consisting of -C (=O) -C 1-4alkyl and- (C=O) -NR 10aR 10b;Het 8a each independently represent a monocyclic N-linked 4-to 7-membered fully saturated heterocyclyl containing two N-atoms and optionally one additional heteroatom selected from O, S, and N, wherein said S-atom might be substituted to form S (=O) or S (=O) 2; wherein said heterocyclyl is optionally substituted on one or two carbon atoms with in total one, two, three or four substituents each independently selected from the group consisting of halo, -OH, oxo, - (C=O) -NR 10aR 10b,-O-C 3-6cycloalkyl, -S (=O) 2-C 1-4alkyl, cyano, C 1-4alkyl, C 1-4alkyl-OH, -O-C 1-4alkyl,-O- (C=O) -NR 10aR 10b, and -O- (C=O) -C 1-4alkyl; and wherein said heterocyclyl is optionally substituted on one nitrogen with a substituent selected from the group consisting of -C (=O) -C 1-4alkyl and - (C=O) -NR 10aR 10b;Het 6b represents a bicyclic N-linked 6-to 11-membered fully saturated heterocyclyl containing one N-atom and optionally one or two additional heteroatoms each independently selected from O, S, and N, wherein said S-atom might be substituted to form S (=O) or S (=O) 2; wherein said heterocyclyl is optionally substituted on one or two carbon atoms with in total one or two substituents each independently selected from the group consisting of C 1- 4alkyl, -OH, oxo, - (C=O) -NR 10aR 10b,-NH-C (=O) -C 1-4alkyl, -NH-C (=O) -Cy 3, and -O-C 1-4alkyl; and wherein said heterocyclyl is optionally substituted on one nitrogen with a substituent selected from the group consisting of -C (=O) -C 1-4alkyl, -C (=O) -Cy 3, - (C=O) -C 1-4alkyl-OH, -C (=O) -C 1-4alkyl-O-C 1-4alkyl, -C (=O) -C 1-4alkyl-NR 11aR 11b, and C 1-4alkyl;Cy 1 represents C 3-6cycloalkyl optionally substituted with one, two or three substituents selected from the group consisting of -OH, -NH-C (=O) -C 1-4alkyl, C 1-4alkyl, -NH-S (=O) 2-C 1-4alkyl, -S (=O) 2-C 1-4alkyl, and -O-C 1-4alkyl;Cy 2 represents C 3-7cycloalkyl substituted with one or two substituents each independently selected from the group consisting of -NR 9aR 9b; Het 6a; Het 6b; and C 1-6alkyl substituted with one or two substituents each independently selected from the group consisting of Het 3a, Het 6a, Het 6b, and -NR 9aR 9b; and said C 3-7cycloalkyl is optionally substituted with one or two additional substituents each independently selected from the group consisting of halo, R 6, C 1-4alkyl, and -OH;Cy 3 represents C 3-7cycloalkyl; wherein said C 3-7cycloalkyl is optionally substituted with one, two or three halo substituents;R 9a and R 9b are each independently selected from the group consisting of hydrogen;C 1-4alkyl; C 3-6cycloalkyl; Het 5; -C 1-4alkyl-R 16; -C (=O) -C 1-4alkyl-Het 3a; -C (=O) -R 14;C 3-6cycloalkyl substituted with one, two or three substituents selected from the group consisting of halo, -OH, -O-C 1-4alkyl, -NR 11aR 11b, and cyano; andC 1-4alkyl substituted with one, two or three substituents selected from the group consisting of halo, -OH, -O-C 1-4alkyl, -NR 11aR 11b, and cyano;R 11a, R 11b, R 13a, R 13b, R 15a, R 15b, R 17a, and R 17b are each independently selected from the group consisting of hydrogen and C 1-4alkyl;R 11c and R 11d are each independently selected from the group consisting of hydrogen, C 1-6alkyl, and -C (=O) -C 1-4alkyl;R 14 represents Het 5a; Het 8a; or C 1-4alkyl substituted with one, two or three substituents selected from the group consisting of -NR 13aR 13b and Het 8a;R 16 represents -C (=O) -NR 17aR 17b, -S (=O) 2-C 1-4alkyl, Het 5, Het 7, or Het 8;or a pharmaceutically acceptable salt or a solvate thereof.
- The compound according to claim 1, whereinR 1a represents -C (=O) -NR xaR xb;R xa and R xb are each independently selected from the group consisting ofC 3-6cycloalkyl; C 1-4alkyl; and C 1-4alkyl substituted with 1, 2 or 3 halo atoms;R 1b represents F;Y 1 represents -O-;R 2 represents hydrogen;R 4 represents C 1-5alkyl;R 3 is selected from the group consisting of Het 1 and Cy 2;Het 1 represents a monocyclic C-linked 4-to 7-membered fully saturated heterocyclyl containing one N-atom;wherein said heterocyclyl is optionally substituted on one nitrogen with a substituent selected from the group consisting of R 6 and -C (=O) -R 8; and wherein said heterocyclyl is optionally substituted on one or two carbon atoms with in total one, two, three or four halo substituents;R 6 is selected from the group consisting of Het 3;C 1-6alkyl optionally substituted with one or two substituents each independently selected from the group consisting of Het 3, Het 4, Het 6a, Cy 1, -OH, -O-C 1-4alkyl, -C (=O) -NH-C 1-4alkyl, -C (=O) -NH-C 1-4alkyl-C 3-6cycloalkyl, and -NH-S (=O) 2-C 1-4alkyl;R 8 represents C 1-6alkyl substituted with one substituent selected from the group consisting of -OH and -NR 11aR 11b;Het 3 and Het 5 each independently represent a monocyclic C-linked 4-to 7-membered fully saturated heterocyclyl containing one, two or three heteroatoms each independently selected from O, S, and N, wherein said S-atom might be substituted to form S (=O) or S (=O) 2;wherein said heterocyclyl is optionally substituted on one carbon atom with -OH or oxo;Het 4 represents a monocyclic C-linked 5-or 6-membered aromatic ring containing one, two or three heteroatoms each independently selected from O, S, and N; wherein said 5-or 6-membered aromatic ring is optionally substituted on one carbon atom with -OH;Het 6a represents a monocyclic N-linked 4-to 7-membered fully saturated heterocyclyl containing one N-atom and optionally one or two additional heteroatoms each independently selected from O, S, and N, wherein said S-atom might be substituted to form S (=O) or S (=O) 2; wherein said heterocyclyl is optionally substituted on one or two carbon atoms with in total one, two, three or four substituents each independently selected from the group consisting of oxo, -S (=O) 2-C 1-4alkyl, and -O-C 1-4alkyl; and wherein said heterocyclyl is optionally substituted on one nitrogen with-C (=O) -C 1-4alkyl;Het 6b represents a bicyclic N-linked 6-to 11-membered fully saturated heterocyclyl containing one N-atom and optionally one or two additional heteroatoms each independently selected from O, S, and N, wherein said S-atom might be substituted to form S (=O) or S (=O) 2; wherein said heterocyclyl is optionally substituted on one carbon atom with - (C=O) -NR 10aR 10b; and wherein said heterocyclyl is optionally substituted on one nitrogen with -C (=O) -C 1-4alkyl;Cy 1 represents C 3-6cycloalkyl optionally substituted with one, two or three substituents selected from the group consisting of -OH, -NH-C (=O) -C 1-4alkyl, C 1-4alkyl, -NH-S (=O) 2-C 1-4alkyl, and -O-C 1-4alkyl;Cy 2 represents C 3-7cycloalkyl substituted with one or two substituents each independently selected from the group consisting of -NR 9aR 9b; Het 6a; and Het 6b;R 9a and R 9b are each independently selected from the group consisting of hydrogen;C 1-4alkyl; C 3-6cycloalkyl; Het 5; -C 1-4alkyl-R 16; andC 1-4alkyl substituted with one, two or three -O-C 1-4alkyl substituents;R 10a, R 10b, R 11a, and R 11b represent C 1-4alkyl;R 16 represents Het 5.
- The compound according to claim 1, whereinR 1a represents -C (=O) -NR xaR xb;R xa and R xb represent C 1-4alkyl;R 1b represents F;Y 1 represents -O-;R 2 represents hydrogen;R 4 represents isopropyl;R 3 is selected from the group consisting of Het 1 and Cy 2;Het 1 represents a monocyclic C-linked 4-to 7-membered fully saturated heterocyclyl containing one N-atom;wherein said heterocyclyl is optionally substituted on one nitrogen with a substituent selected from the group consisting of R 6;R 6 represents C 1-6alkyl substituted with one Het 3;Het 3 represents a monocyclic C-linked 4-to 7-membered fully saturated heterocyclyl containing one, two or three heteroatoms each independently selected from O, S, and N, wherein said S-atom might be substituted to form S (=O) or S (=O) 2;Het 6a represents a monocyclic N-linked 4-to 7-membered fully saturated heterocyclyl containing one N-atom; wherein said heterocyclyl is optionally substituted on one carbon atom with one -O-C 1-4alkyl;Het 6b represents a bicyclic N-linked 6-to 11-membered fully saturated heterocyclyl containing one N-atom and optionally one or two additional heteroatoms each independently selected from O and N; wherein said heterocyclyl is optionally substituted on one carbon atom with - (C=O) -NR 10aR 10b; and wherein said heterocyclyl is optionally substituted on one nitrogen with -C (=O) -C 1-4alkyl;Cy 2 represents C 3-7cycloalkyl substituted with one substituents selected from the group consisting of Het 6a and Het 6b;R 10a and R 10b represent C 1-4alkyl.
- The compound according to claim 1, wherein R 3 represents Het 1.
- The compound according to claim 1, wherein n1 is 1, n2 is 2, n3 is 1, and n4 is 1.
- The compound according to claim 1, wherein U 1 represents N.
- The compound according to claim 1, whereinR 3 represents Het 1;Het 1 represents a monocyclic C-linked 4-to 7-membered fully saturated heterocyclyl containing one N-atom;wherein said heterocyclyl is substituted on one nitrogen with R 6; and wherein said heterocyclyl is optionally substituted on one or two carbon atoms with in total one, two, three or four halo substituents;R 6 is selected from the group consisting of C 1-6alkyl optionally substituted with one or two substituents each independently selected from the group consisting of Het 3, Het 4, Het 6a, and Cy 1.
- A pharmaceutical composition comprising a compound as claimed in any one of claims 1 to 7 and a pharmaceutically acceptable carrier or diluent.
- A process for preparing a pharmaceutical composition as defined in claim 8 comprising mixing a pharmaceutically acceptable carrier with a therapeutically effective amount of a compound according to any one of claims 1 to 7.
- A compound as claimed in any one of claims 1 to 7 or a pharmaceutical composition as claimed in claim 8 for use as a medicament.
- A compound as claimed in any one of claims 1 to 7 or a pharmaceutical composition as claimed in claim 8 for use in the prevention or treatment of cancer, myelodysplastic syndrome (MDS) and diabetes.
- The compound or a pharmaceutical composition for use according to claim 11, wherein cancer is selected from leukemias, myeloma or a solid tumor cancer such as prostate cancer, lung cancer, breast cancer, pancreatic cancer, colon cancer, liver cancer, melanoma and glioblastoma.
- The compound or a pharmaceutical composition for use according to claim 12, wherein the leukemia is selected from acute leukemias, chronic leukemias, myeloid leukemias, myelogeneous leukemias, lymphoblastic leukemias, lymphocytic leukemias, Acute myelogeneous leukemias (AML) , Chronic myelogenous leukemias (CML) , Acute lymphoblastic leukemias (ALL) , Chronic lymphocytic leukemias (CLL) , T cell prolymphocytic leukemias (T-PLL) , Large granular lymphocytic leukemia, Hairy cell leukemia (HCL) , MLL-rearranged leukemias, MLL-PTD leukemias, MLL amplified leukemias, MLL-positive leukemias, and leukemias exhibiting HOX/MEIS1 gene expression signatures.
- A method of treating or preventing a disorder selected from cancer, myelodysplastic syndrome (MDS) and diabetes comprising administering to a subject in need thereof, a therapeutically effective amount of a compound as claimed in any one of claims 1 to 7 or a pharmaceutical composition as claimed in claim 8.
- The method according to claim 13 wherein the disorder is cancer.
Priority Applications (8)
| Application Number | Priority Date | Filing Date | Title |
|---|---|---|---|
| KR1020237038500A KR20240006542A (en) | 2021-05-08 | 2022-05-06 | Substituted Spiro Derivatives |
| AU2022272692A AU2022272692A1 (en) | 2021-05-08 | 2022-05-06 | Substituted spiro derivatives |
| EP22725155.0A EP4334310A1 (en) | 2021-05-08 | 2022-05-06 | Substituted spiro derivatives |
| BR112023023154A BR112023023154A2 (en) | 2021-05-08 | 2022-05-06 | REPLACED SPIRO DERIVATIVES |
| CA3215379A CA3215379A1 (en) | 2021-05-08 | 2022-05-06 | Substituted spiro derivatives |
| JP2023568501A JP2024518434A (en) | 2021-05-08 | 2022-05-06 | Substituted Spiro Derivatives |
| MX2023013174A MX2023013174A (en) | 2021-05-08 | 2022-05-06 | Substituted spiro derivatives. |
| CN202280033667.4A CN117321049A (en) | 2021-05-08 | 2022-05-06 | Substituted spirocyclic derivatives |
Applications Claiming Priority (2)
| Application Number | Priority Date | Filing Date | Title |
|---|---|---|---|
| CNPCT/CN2021/092256 | 2021-05-08 | ||
| CN2021092256 | 2021-05-08 |
Publications (1)
| Publication Number | Publication Date |
|---|---|
| WO2022237626A1 true WO2022237626A1 (en) | 2022-11-17 |
Family
ID=76159225
Family Applications (1)
| Application Number | Title | Priority Date | Filing Date |
|---|---|---|---|
| PCT/CN2022/091065 Ceased WO2022237626A1 (en) | 2021-05-08 | 2022-05-06 | Substituted spiro derivatives |
Country Status (9)
| Country | Link |
|---|---|
| EP (1) | EP4334310A1 (en) |
| JP (1) | JP2024518434A (en) |
| KR (1) | KR20240006542A (en) |
| CN (1) | CN117321049A (en) |
| AU (1) | AU2022272692A1 (en) |
| BR (1) | BR112023023154A2 (en) |
| CA (1) | CA3215379A1 (en) |
| MX (1) | MX2023013174A (en) |
| WO (1) | WO2022237626A1 (en) |
Cited By (2)
| Publication number | Priority date | Publication date | Assignee | Title |
|---|---|---|---|---|
| WO2024110649A1 (en) | 2022-11-24 | 2024-05-30 | Oryzon Genomics, S.A. | Combinations of lsd1 inhibitors and menin inhibitors for treating cancer |
| US12473295B2 (en) | 2019-12-19 | 2025-11-18 | Janssen Pharmaceutica Nv | Substituted straight chain spiro derivatives |
Citations (24)
| Publication number | Priority date | Publication date | Assignee | Title |
|---|---|---|---|---|
| WO2011029054A1 (en) | 2009-09-04 | 2011-03-10 | The Regents Of The University Of Michigan | Compositions and methods for treatment of leukemia |
| WO2014164543A1 (en) | 2013-03-13 | 2014-10-09 | The Regents Of The University Of Michigan | Compositions comprising thienopyrimidine and thienopyridine compounds and methods of use thereof |
| WO2016040330A1 (en) | 2014-09-09 | 2016-03-17 | The Regents Of The University Of Michigan | Thienopyrimidine and thienopyridine compounds and methods of use thereof |
| WO2016195776A1 (en) | 2015-06-04 | 2016-12-08 | Kura Oncology, Inc. | Methods and compositions for inhibiting the interaction of menin with mll proteins |
| WO2016197027A1 (en) | 2015-06-04 | 2016-12-08 | Kura Oncology, Inc. | Methods and compositions for inhibiting the interaction of menin with mll proteins |
| WO2017112768A1 (en) | 2015-12-22 | 2017-06-29 | Vitae Pharmaceuticals, Inc. | Inhibitors of the menin-mll interaction |
| WO2017161002A1 (en) | 2016-03-16 | 2017-09-21 | Kura Oncology, Inc. | Bridged bicyclic inhibitors of menin-mll and methods of use |
| WO2017161028A1 (en) | 2016-03-16 | 2017-09-21 | Kura Oncology, Inc. | Substituted inhibitors of menin-mll and methods of use |
| WO2017192543A1 (en) | 2016-05-02 | 2017-11-09 | Regents Of The University Of Michigan | Piperidines as menin inhibitors |
| WO2017207387A1 (en) | 2016-05-31 | 2017-12-07 | Bayer Pharma Aktiengesellschaft | Spiro condensed azetidine derivatives as inhibitors of the menin-mml1 interaction |
| WO2017214367A1 (en) | 2016-06-10 | 2017-12-14 | Vitae Pharmaceuticals, Inc. | Inhibitors of the menin-mll interaction |
| WO2018024602A1 (en) | 2016-08-04 | 2018-02-08 | Bayer Aktiengesellschaft | 2,7-diazaspiro[4.4]nonanes |
| WO2018053267A1 (en) | 2016-09-16 | 2018-03-22 | Vitae Pharmaceuticals, Inc. | Inhibitors of the menin-mll interaction |
| WO2018050684A1 (en) | 2016-09-14 | 2018-03-22 | Janssen Pharmaceutica Nv | Fused bicyclic inhibitors of menin-mll interaction |
| WO2018050686A1 (en) | 2016-09-14 | 2018-03-22 | Janssen Pharmaceutica Nv | Spiro bicyclic inhibitors of menin-mll interaction |
| WO2018109088A1 (en) | 2016-12-15 | 2018-06-21 | Janssen Pharmaceutica Nv | Azepane inhibitors of menin-mll interaction |
| WO2018175746A1 (en) | 2017-03-24 | 2018-09-27 | Kura Oncology, Inc. | Methods for treating hematological malignancies and ewing's sarcoma |
| WO2018226976A1 (en) | 2017-06-08 | 2018-12-13 | Kura Oncology, Inc. | Methods and compositions for inhibiting the interaction of menin with mll proteins |
| WO2019060365A1 (en) | 2017-09-20 | 2019-03-28 | Kura Oncology, Inc. | Substituted inhibitors of menin-mll and methods of use |
| WO2019120209A1 (en) | 2017-12-20 | 2019-06-27 | Janssen Pharmaceutica Nv | Exo-aza spiro inhibitors of menin-mll interaction |
| WO2020045334A1 (en) | 2018-08-27 | 2020-03-05 | 大日本住友製薬株式会社 | Optically active azabicyclic derivative |
| WO2020069027A1 (en) | 2018-09-26 | 2020-04-02 | Kura Oncology, Inc. | Treatment of hematological malignancies with inhibitors of menin |
| CN111297863A (en) | 2020-03-30 | 2020-06-19 | 四川大学华西医院 | Application of menin-MLL inhibitor in preparation of medicine for treating endometrial cancer |
| WO2021121327A1 (en) | 2019-12-19 | 2021-06-24 | Janssen Pharmaceutica Nv | Substituted straight chain spiro derivatives |
-
2022
- 2022-05-06 WO PCT/CN2022/091065 patent/WO2022237626A1/en not_active Ceased
- 2022-05-06 BR BR112023023154A patent/BR112023023154A2/en not_active Application Discontinuation
- 2022-05-06 CN CN202280033667.4A patent/CN117321049A/en active Pending
- 2022-05-06 EP EP22725155.0A patent/EP4334310A1/en active Pending
- 2022-05-06 CA CA3215379A patent/CA3215379A1/en active Pending
- 2022-05-06 AU AU2022272692A patent/AU2022272692A1/en active Pending
- 2022-05-06 KR KR1020237038500A patent/KR20240006542A/en active Pending
- 2022-05-06 JP JP2023568501A patent/JP2024518434A/en active Pending
- 2022-05-06 MX MX2023013174A patent/MX2023013174A/en unknown
Patent Citations (24)
| Publication number | Priority date | Publication date | Assignee | Title |
|---|---|---|---|---|
| WO2011029054A1 (en) | 2009-09-04 | 2011-03-10 | The Regents Of The University Of Michigan | Compositions and methods for treatment of leukemia |
| WO2014164543A1 (en) | 2013-03-13 | 2014-10-09 | The Regents Of The University Of Michigan | Compositions comprising thienopyrimidine and thienopyridine compounds and methods of use thereof |
| WO2016040330A1 (en) | 2014-09-09 | 2016-03-17 | The Regents Of The University Of Michigan | Thienopyrimidine and thienopyridine compounds and methods of use thereof |
| WO2016195776A1 (en) | 2015-06-04 | 2016-12-08 | Kura Oncology, Inc. | Methods and compositions for inhibiting the interaction of menin with mll proteins |
| WO2016197027A1 (en) | 2015-06-04 | 2016-12-08 | Kura Oncology, Inc. | Methods and compositions for inhibiting the interaction of menin with mll proteins |
| WO2017112768A1 (en) | 2015-12-22 | 2017-06-29 | Vitae Pharmaceuticals, Inc. | Inhibitors of the menin-mll interaction |
| WO2017161002A1 (en) | 2016-03-16 | 2017-09-21 | Kura Oncology, Inc. | Bridged bicyclic inhibitors of menin-mll and methods of use |
| WO2017161028A1 (en) | 2016-03-16 | 2017-09-21 | Kura Oncology, Inc. | Substituted inhibitors of menin-mll and methods of use |
| WO2017192543A1 (en) | 2016-05-02 | 2017-11-09 | Regents Of The University Of Michigan | Piperidines as menin inhibitors |
| WO2017207387A1 (en) | 2016-05-31 | 2017-12-07 | Bayer Pharma Aktiengesellschaft | Spiro condensed azetidine derivatives as inhibitors of the menin-mml1 interaction |
| WO2017214367A1 (en) | 2016-06-10 | 2017-12-14 | Vitae Pharmaceuticals, Inc. | Inhibitors of the menin-mll interaction |
| WO2018024602A1 (en) | 2016-08-04 | 2018-02-08 | Bayer Aktiengesellschaft | 2,7-diazaspiro[4.4]nonanes |
| WO2018050686A1 (en) | 2016-09-14 | 2018-03-22 | Janssen Pharmaceutica Nv | Spiro bicyclic inhibitors of menin-mll interaction |
| WO2018050684A1 (en) | 2016-09-14 | 2018-03-22 | Janssen Pharmaceutica Nv | Fused bicyclic inhibitors of menin-mll interaction |
| WO2018053267A1 (en) | 2016-09-16 | 2018-03-22 | Vitae Pharmaceuticals, Inc. | Inhibitors of the menin-mll interaction |
| WO2018109088A1 (en) | 2016-12-15 | 2018-06-21 | Janssen Pharmaceutica Nv | Azepane inhibitors of menin-mll interaction |
| WO2018175746A1 (en) | 2017-03-24 | 2018-09-27 | Kura Oncology, Inc. | Methods for treating hematological malignancies and ewing's sarcoma |
| WO2018226976A1 (en) | 2017-06-08 | 2018-12-13 | Kura Oncology, Inc. | Methods and compositions for inhibiting the interaction of menin with mll proteins |
| WO2019060365A1 (en) | 2017-09-20 | 2019-03-28 | Kura Oncology, Inc. | Substituted inhibitors of menin-mll and methods of use |
| WO2019120209A1 (en) | 2017-12-20 | 2019-06-27 | Janssen Pharmaceutica Nv | Exo-aza spiro inhibitors of menin-mll interaction |
| WO2020045334A1 (en) | 2018-08-27 | 2020-03-05 | 大日本住友製薬株式会社 | Optically active azabicyclic derivative |
| WO2020069027A1 (en) | 2018-09-26 | 2020-04-02 | Kura Oncology, Inc. | Treatment of hematological malignancies with inhibitors of menin |
| WO2021121327A1 (en) | 2019-12-19 | 2021-06-24 | Janssen Pharmaceutica Nv | Substituted straight chain spiro derivatives |
| CN111297863A (en) | 2020-03-30 | 2020-06-19 | 四川大学华西医院 | Application of menin-MLL inhibitor in preparation of medicine for treating endometrial cancer |
Non-Patent Citations (23)
| Title |
|---|
| AUSTIN R. ET AL., CANCER LETTERS, 2016 |
| BORKIN ET AL., CANCER CELL, vol. 27, 2015, pages 589 - 602 |
| CERMAKOVA ET AL., CANCER RES, vol. 15, 2014, pages 5139 - 51 |
| CHARRON, CARLIE L. ET AL., TETRAHEDRON LETT, vol. 57, no. 37, 2016, pages 4119 - 4127 |
| CHEN ET AL., PROC NATL ACAD SCI, vol. 103, 2006, pages 1018 - 23 |
| CIERPICKIGREMBECKA, FUTURE MED CHEM, vol. 6, 2014, pages 447 - 462 |
| GENNARO ET AL.: "Remington's Pharmaceutical Sciences", 1990, MACK PUBLISHING COMPANY |
| J MED CHEM, vol. 57, 2014, pages 1543 - 1556 |
| J MED CHEM, vol. 59, 2016, pages 892 - 913 |
| KRIVTSOV ANDREI V ET AL: "A Menin-MLL Inhibitor Induces Specific Chromatin Changes and Eradicates Disease in Models of MLL-Rearranged Leukemia", CANCER CELL, CELL PRESS, US, vol. 36, no. 6, 9 December 2019 (2019-12-09), pages 660, XP085945648, ISSN: 1535-6108, [retrieved on 20191209], DOI: 10.1016/J.CCELL.2019.11.001 * |
| KRIVTSOV ET AL., CANCER CELL, vol. 36, no. 6, 2019, pages 660 - 673 |
| LI ET AL., BLOOD, vol. 122, 2013, pages 2039 - 2046 |
| MALIK ET AL., NAT MED, vol. 21, 2015, pages 344 - 52 |
| MARSCHALEK, BR J HAEMATOL, vol. 152, no. 2, 2011, pages 141 - 54 |
| MEYER ET AL., LEUKEMIA, vol. 27, 2013, pages 2165 - 2176 |
| MISHRA ET AL., CELL REP, vol. 7, no. 4, 2014, pages 1239 - 47 |
| NATURE CHEMICAL BIOLOGY, vol. 8, March 2012 (2012-03-01), pages 277 - 284 |
| REN, J. ET AL., BIOORG MED CHEM LETT, vol. 26, no. 18, 2016, pages 4472 - 4476 |
| T. W. GREENEP. G. M. WUTS: "Protective Groups in Organic Synthesis", 2007, WILEY |
| THIEL ET AL., BIOESSAYS, vol. 34, 2012, pages 771 - 80 |
| TOMIZAWA ET AL., PEDIATR BLOOD CANCER, vol. 49, no. 2, 2007, pages 127 - 32 |
| YOKOYAMA ET AL., CELL, vol. 123, 2005, pages 207 - 18 |
| YOKOYAMACLEARY, CANCER CELL, vol. 8, 2008, pages 36 - 46 |
Cited By (2)
| Publication number | Priority date | Publication date | Assignee | Title |
|---|---|---|---|---|
| US12473295B2 (en) | 2019-12-19 | 2025-11-18 | Janssen Pharmaceutica Nv | Substituted straight chain spiro derivatives |
| WO2024110649A1 (en) | 2022-11-24 | 2024-05-30 | Oryzon Genomics, S.A. | Combinations of lsd1 inhibitors and menin inhibitors for treating cancer |
Also Published As
| Publication number | Publication date |
|---|---|
| MX2023013174A (en) | 2023-11-30 |
| BR112023023154A2 (en) | 2024-01-23 |
| CA3215379A1 (en) | 2022-11-17 |
| EP4334310A1 (en) | 2024-03-13 |
| JP2024518434A (en) | 2024-05-01 |
| AU2022272692A1 (en) | 2024-01-04 |
| KR20240006542A (en) | 2024-01-15 |
| CN117321049A (en) | 2023-12-29 |
Similar Documents
| Publication | Publication Date | Title |
|---|---|---|
| CN109715634B (en) | Fused bicyclic inhibitors of the MENIN-MLL interaction | |
| WO2022253167A1 (en) | SUBSTITUTED PHENYL-1H-PYRROLO [2, 3-c] PYRIDINE DERIVATIVES | |
| WO2022237626A1 (en) | Substituted spiro derivatives | |
| US11530226B2 (en) | Azepane inhibitors of menin-MLL interaction | |
| WO2022237627A1 (en) | Substituted spiro derivatives | |
| EP4626883A1 (en) | Substituted 1-phenyl-3, 4-dihydropyrido [3, 4-d] pyrimidin-2-one derivatives | |
| WO2024114662A1 (en) | Cyclobutyl substituted bicyclic compounds | |
| WO2022253289A1 (en) | Pyridazines or 1,2,4-triazines substituted by spirocyclic amines | |
| HK40105326A (en) | Substituted spiro derivatives | |
| HK40013646A (en) | Azepane inhibitors of menin-mll interaction |
Legal Events
| Date | Code | Title | Description |
|---|---|---|---|
| 121 | Ep: the epo has been informed by wipo that ep was designated in this application |
Ref document number: 22725155 Country of ref document: EP Kind code of ref document: A1 |
|
| WWE | Wipo information: entry into national phase |
Ref document number: 3215379 Country of ref document: CA |
|
| WWE | Wipo information: entry into national phase |
Ref document number: 202280033667.4 Country of ref document: CN Ref document number: 2023568501 Country of ref document: JP Ref document number: MX/A/2023/013174 Country of ref document: MX |
|
| REG | Reference to national code |
Ref country code: BR Ref legal event code: B01A Ref document number: 112023023154 Country of ref document: BR |
|
| WWE | Wipo information: entry into national phase |
Ref document number: 2022272692 Country of ref document: AU Ref document number: AU2022272692 Country of ref document: AU |
|
| WWE | Wipo information: entry into national phase |
Ref document number: 2023131577 Country of ref document: RU Ref document number: 2022725155 Country of ref document: EP |
|
| NENP | Non-entry into the national phase |
Ref country code: DE |
|
| ENP | Entry into the national phase |
Ref document number: 2022725155 Country of ref document: EP Effective date: 20231208 |
|
| ENP | Entry into the national phase |
Ref document number: 2022272692 Country of ref document: AU Date of ref document: 20220506 Kind code of ref document: A |
|
| ENP | Entry into the national phase |
Ref document number: 112023023154 Country of ref document: BR Kind code of ref document: A2 Effective date: 20231106 |
|
| WWW | Wipo information: withdrawn in national office |
Ref document number: 2023131577 Country of ref document: RU |







































































































































































































































