WO2022194273A1 - Fused ring compounds as inhibitors of fgfr tyrosine kinases - Google Patents
Fused ring compounds as inhibitors of fgfr tyrosine kinases Download PDFInfo
- Publication number
- WO2022194273A1 WO2022194273A1 PCT/CN2022/081635 CN2022081635W WO2022194273A1 WO 2022194273 A1 WO2022194273 A1 WO 2022194273A1 CN 2022081635 W CN2022081635 W CN 2022081635W WO 2022194273 A1 WO2022194273 A1 WO 2022194273A1
- Authority
- WO
- WIPO (PCT)
- Prior art keywords
- alkyl
- group
- independently selected
- haloalkyl
- halo
- Prior art date
- Legal status (The legal status is an assumption and is not a legal conclusion. Google has not performed a legal analysis and makes no representation as to the accuracy of the status listed.)
- Ceased
Links
Classifications
-
- A—HUMAN NECESSITIES
- A61—MEDICAL OR VETERINARY SCIENCE; HYGIENE
- A61P—SPECIFIC THERAPEUTIC ACTIVITY OF CHEMICAL COMPOUNDS OR MEDICINAL PREPARATIONS
- A61P35/00—Antineoplastic agents
-
- C—CHEMISTRY; METALLURGY
- C07—ORGANIC CHEMISTRY
- C07D—HETEROCYCLIC COMPOUNDS
- C07D471/00—Heterocyclic compounds containing nitrogen atoms as the only ring hetero atoms in the condensed system, at least one ring being a six-membered ring with one nitrogen atom, not provided for by groups C07D451/00 - C07D463/00
- C07D471/12—Heterocyclic compounds containing nitrogen atoms as the only ring hetero atoms in the condensed system, at least one ring being a six-membered ring with one nitrogen atom, not provided for by groups C07D451/00 - C07D463/00 in which the condensed system contains three hetero rings
- C07D471/14—Ortho-condensed systems
Definitions
- the present disclosure relates to thia-tricyclic compounds, and pharmaceutical compositions including the same, that are inhibitors of one or more FGFR enzymes and are useful in the treatment of FGFR-associated diseases, especially FGFR1-, FGFR2-and FGFR3-associated diseases, such as cancer.
- the Fibroblast Growth Factor Receptor (FGFR) tyrosine kinase (TK) family consists of four members (FGFR1-4) , activated through 22 different fibroblast growth factor (FGF) ligands, which regulate multiple biological processes, including cell proliferation, migration, differentiation, apoptosis, metabolism, and angiogenesis (Wilkie et al., Curr. Biol. 1995, 5, 500–507) .
- FGF fibroblast growth factor
- the receptors When FGF ligands bind to their specific FGFRs, the receptors undergo dimerization and phosphorylation of the intracellular tyrosine kinase domains which results in the activation of a cascade of downstream events including the mitogen-activated protein kinase (MAPK) , the signal transducer and activator of transcription (STAT) , the phosphoinositide-3-kinase (PI3K) /Akt, the nuclear factor-kappa B, and the PLC-gamma DAG/PKC/IP3-Ca 2+ pathways resulting in DNA transcription. These pathways have critical roles in cell proliferation, metabolism and survival (Eswarakumar et al. Cytokine &Growth Factor Reviews, 2005, 16, 139-149) .
- MAPK mitogen-activated protein kinase
- STAT signal transducer and activator of transcription
- PI3K phosphoinositide-3-kinase
- Akt the nuclear factor
- FGFR signaling has been demonstrated to mediate crucial physiological processes such as embryogenesis, tissue repair, wound healing, and angiogenesis (Dieci et al., Cancer Discovery, 2013, 3, 264-279) . Additionally, the dysregulation of FGFR has also been implicated in the poor prognosis, metastatic progression, and resistance to both cytotoxic and targeted agents during clinical treatment (Turner et al., Cancer Res. 2010, 70, 2085-2094; Greulich et al., Trends Mol. Med.
- somatic activating mutations in FGFR3 in solid tumors being particularly high in bladder carcinomas (Cappeln, D. et al., Nature Genet. 1999, 23, 18–20) , and activating point mutations of FGFR2 in gastric cancer (Takeda, M. et al., Clin. Cancer Res. 2007, 13, 3051–3057) and in endometrial carcinomas (Pollock, P.M. et al., Oncogene 2007, 26, 7158–7162) have been described.
- Aberrant signaling of the FGF/FGFR pathway has the potential to drive the pathogenesis of a broad range of human malignancies, including urothelial cancers, breast cancers, endometrial cancers, squamous lung cancers, ovarian cancers, and cholangiocarcinomas (Helsten et al., Clin. Cancer Res. 2016, 22, 259-267; Turner et al., Nat. Rev. Cancer 2010, 10, 116–129) .
- FGF19 signals the liver to reduce bile acid synthesis by inhibiting expression of cholesterol 7 ⁇ -hydroxylase (CYP7A1) , the enzyme responsible for the rate-limiting step of bile acid synthesis, via activation of hepatic FGFR4, thus completing a negative feedback loop on bile acid synthesis.
- CYP7A1 cholesterol 7 ⁇ -hydroxylase
- FGFR4 inhibition may cause elevated bile acid synthesis, enhanced bile acid efflux and reduced uptake into the hepatocytes.
- Increased bile acid alters solute transporters in enterocytes and disrupts enterohepatic recirculation of bile acids subsequently causing diarrhea and liver toxicity.
- inhibitors targeting FGFR may be useful in the clinical treatment of cancer and other diseases that have elevated FGF or FGFR activity and the demand for selective small molecule inhibitors of specific kinases, especially selective inhibitors of FGFR 1-3, is also a significant challenge.
- composition comprising the compound according to the present disclosure or the pharmaceutically acceptable salt thereof, and at least one pharmaceutically acceptable excipient.
- a method of treating a proliferative disorder comprising administering to a subject in need thereof a therapeutically effective amount of the compound or the pharmaceutically acceptable salt thereof, or the pharmaceutical composition according to the present disclosure.
- the proliferative disorder is selected from the group consisting of a cancer, a myeloproliferative disease, a skeletal or chondrocyte disorder, and a hypophosphatemia.
- compositions and methods which are described herein in the context of separate aspects, may also be provided in combination in a single aspect.
- the expression “about 0.01%to about 1%” means any values between 0.01%and 1%, for example 0.01%, 0.05%, 0.1%, 0.15%, 0.2%, 0.25%, 0.3%, 0.35%, 0.4%, 0.45%, 0.5%, 0.55%, 0.6%, 0.65%, 0.7%, 0.75%, 0.8%, 0.85%, 0.9%, 0.95%and 1%.
- Other similar expressions like “40%-50%to about 50%-70%” should also be understood in a similar manner.
- mixture is intended to mean a mixture containing more than one species of compounds, wherein one or more species of compounds can be target compound (s) .
- target compound means a compound to be separated or purified. When defining a separation process, the species of the target compound (s) are determined before the separation operations. It is to be understood that the product which contains the target compound (s) could be in any desired form, for example a product containing a pure isomer compound or a mixture containing a plurality of predefined species of the target compounds.
- the substituents of an “optionally substituted” group may include, without limitation, one or more substituents independently selected from the following groups or a particular designated set of groups, alone or in combination, as defined herein: alkyl, alkenyl, alkynyl, alkanoyl, heteroalkyl, heterocycloalkyl, haloalkyl, haloalkenyl, haloalkynyl, perhaloalkyl, perhaloalkoxy, cycloalkyl, phenyl, aryl, aryloxy, alkoxy, haloalkoxy, oxo, acyloxy, carbonyl, carboxyl, alkylcarbonyl, carboxyester, carboxamido, cyano, hydrogen, halogen, hydroxy, amino, alkylamino, arylamino, amido, nitro, thiol, alkylthio, haloalkylthio, perhaloalkylthio,
- Two substituents may be joined together to form a fused five-, six-, or seven-membered carbocyclic or heterocyclic ring comprising zero to three heteroatoms, for example forming methylenedioxy or ethylenedioxy.
- An optionally substituted group may be unsubstituted (e.g., -CH 2 CH 3 ) , fully substituted (e.g., -CF 2 CF 3 ) , mono-substituted (e.g., -CH 2 CH 2 F) or substituted at a level anywhere in-between fully substituted and mono-substituted (e.g., -CH 2 CF 3 ) .
- the chemical bond in the compound of the disclosure can be depicted herein with a solid line awavy line asolid wedge or a dashed wedge It is intended that a bond to an asymmetric atom depicted with a solid line indicates that all possible stereoisomers at the atom (e.g., specific enantiomers, racemic mixtures and the like) are contemplated. It is intended that a bond to an asymmetric atom depicted with a wavy line indicates that the bond is either a solid wedge bond or a dashed wedge bond. It is intended that a bond to an asymmetric atom depicted with a solid or dashed wedge indicates the existence of the stereoisomer that is shown.
- a solid or dashed wedge is used to define relative stereochemistry rather than absolute stereochemistry.
- the compound of the disclosure can be present in the form of stereoisomers (including cis-and trans-isomers, optical isomers (e.g., R and S enantiomers) , diastereomers, geometric isomers, rotamers, conformers, atropisomers, and mixtures thereof) .
- the compound of the disclosure can exhibit one or more types of the above isomerism and can be consisted of a mixture thereof (e.g., a racemic mixture and/or a diastereomeric pair) .
- stable refers to a compound that is sufficiently robust to survive isolation to a useful degree of purity from a reaction mixture, and preferably capable of formulation into an efficacious therapeutic agent.
- alkyl when used alone or as part of a substituent group, refers to a straight-or branched-chain hydrocarbon group having from 1 to 6 carbons atoms ( “C 1-6 ” ) , in the group.
- alkyl groups include methyl (Me, C 1 alkyl) , ethyl (Et, C 2 alkyl) , n-propyl (C 3 alkyl) , isopropyl (C 3 alkyl) , butyl (C 4 alkyl) , isobutyl (C 4 alkyl) , sec-butyl (C 4 alkyl) , tert-butyl (C 4 alkyl) , pentyl (C 5 alkyl) , isopentyl (C 5 alkyl) , tert-pentyl (C 5 alkyl) , hexyl (C 6 alkyl) , isohexyl (C 6 alkyl)
- haloalkyl when used alone or as part of a substituent group, refers to a straight or branched-chain hydrocarbon group having from 1 to 6 carbons atoms ( “C 1-6 ” ) in the group, wherein one or more of the hydrogen atoms in the group have been replaced by a halogen atom.
- haloalkyl groups include trifluoromethyl (-CF 3 , C 1 haloalkyl) , trifluoroethyl (-CH 2 CF 3 , C 2 haloalkyl) , and the like.
- alkylene when used alone or as part of a substituent group, refers to an alkyl diradical, i.e., a straight-or branched-chain hydrocarbon group having from 1 to 6 carbons atoms ( “C 1-6 ” ) , in the group, wherein the group is directly attached to two other variable groups.
- cycloalkyl refers to non-aromatic cyclic hydrocarbons including cyclized alkyl and/or alkenyl groups. Cycloalkyl groups thus also encompass cycloalkenyl groups. Cycloalkyl groups can include mono-or polycyclic (e.g., having 2 or more than 2 fused rings) groups, spirocycles, and bridged rings (e.g., a bridged bicycloalkyl group) . Ring-forming carbon atoms of a cycloalkyl group can be optionally substituted by oxo or sulfido (e.g., C (O) or C (S) ) .
- oxo or sulfido e.g., C (O) or C (S)
- cycloalkyl moieties that have one or more aromatic rings fused (i.e., having a bond in common with) to the cycloalkyl ring, for example, benzo or thienyl derivatives of cyclopentane, cyclohexane, and the like.
- a cycloalkyl group containing a fused aromatic ring can be attached through any ring-forming atom including a ring-forming atom of the fused aromatic ring.
- Cycloalkyl groups can have 3, 4, 5, 6, 7, 8, 9, or 10 ring-forming carbons (C 3-10 ) .
- the cycloalkyl is a C 3-10 monocyclic or bicyclic cyclocalkyl.
- the cycloalkyl is a C 3-10 monocyclic or bicyclic cycloalkyl which is optionally substituted by CH 2 F, CHF 2 , CF 3 , and CF 2 CF 3 . In some embodiments, the cycloalkyl is a C 3-7 monocyclic cycloalkyl. In some embodiments, the cycloalkyl is a C 4-10 spirocycle or bridged cycloalkyl.
- Example cycloalkyl groups include cyclopropyl, cyclobutyl, cyclopentyl, cyclohexyl, cycloheptyl, cyclopentenyl, cyclohexenyl, cyclohexadienyl, cycloheptatrienyl, norbornyl, nopinyl, norcarnyl, cubane, adamantane, bicyclo [l. 1.1] pentyl, bicyclo [2. l. l] hexyl, bicyclo [2.2.
- cycloalkyl is cyclopropyl, cyclobutyl, cyclopentyl, or cyclohexyl.
- cycloalkyl are cyclic-containing, non-aromatic hydrocarbon groups having from 3 to 1 2 carbon atoms ( “C 3-12 ” ) , preferably from 3 to 6 carbon atoms ( “C 3-6 ” ) .
- cycloalkyl groups include, for example, cyclopropyl (C 3 ; 3-membered) , cyclobutyl (C 4 ; 4-membered) , cyclopropylmethyl (C 4 ) , cyclopentyl (C 5 ) , cyclohexyl (C 6 ) , 1 -methylcyclopropyl (C 4 ) , 2-methylcyclopentyl (C 6 ) , adamantanyl (C 10 ) , and the like.
- heterocycloalkyl refers to monocyclic or polycyclic heterocycles having at least one non-aromatic ring (saturated or partially unsaturated ring) , wherein one or more of the ring-forming carbon atoms of the heterocycloalkyl is replaced by a heteroatom selected from the group consisting of N, O, S and B, and wherein the ring-forming carbon atoms and heteroatoms of the heterocycloalkyl group can be optionally substituted by one or more oxo or sulfido (e.g., C (O) , S (O) , C (S) , or S (O) 2 , etc. ) .
- oxo or sulfido e.g., C (O) , S (O) , C (S) , or S (O) 2 , etc.
- Heterocycloalkyl groups include monocyclic and polycyclic (e.g., having 2 or more than 2 fused rings) systems. Included in heterocycloalkyl are monocyclic and polycyclic 4-10, 4-7, and 5-6 membered heterocycloalkyl groups. Heterocycloalkyl groups can also include spirocycles and bridged rings (e.g., a 5-10 membered bridged biheterocycloalkyl ring having one or more of the ring-forming carbon atoms replaced by a heteroatom independently selected from the group consisting of N, O, S and B) . The heterocycloalkyl group can be attached through a ring-forming carbon atom or a ring-forming heteroatom. In some embodiments, the heterocycloalkyl group contains 0 to 3 double bonds. In some embodiments, the heterocycloalkyl group contains 0 to 2 double bonds.
- heterocycloalkyl moieties that have one or more aromatic rings fused (i.e., having a bond in common with) to the non-aromatic heterocyclic ring, for example, benzo or thienyl derivatives of piperidine, morpholine, azepine, etc.
- a heterocycloalkyl group containing a fused aromatic ring can be attached through any ring-forming atom including a ring-forming atom of the fused aromatic ring.
- the heterocycloalkyl group contains 4 to 10 ring-forming atoms, 4 to 7 ring-forming atoms, or 5 to 6 ring-forming atoms.
- the heterocycloalkyl group has 1 to 4 heteroatoms, 1 to 3 heteroatoms, 1 to 2 heteroatoms or 1 heteroatom.
- the heterocycloalkyl is a monocyclic 4-6 membered heterocycloalkyl having 1 or 2 heteroatoms independently selected from the group consisting of N, O, S and B and having one or more oxidized ring members.
- Example heterocycloalkyl groups include but not limited to pyrrolidin-2-one, l, 3-isoxazolidin-2-one, pyranyl, tetrahydropyran, tetrahydropyridine, oxetanyl, azetidinyl, morpholino, thiomorpholino, piperazinyl, tetrahydrofuranyl, tetrahydrothienyl, piperidinyl, pyrrolidinyl, isoxazolidinyl, isothiazolidinyl, pyrazolidinyl, oxazolidinyl, thiazolidinyl, imidazolidinyl, azepanyl, benzazapene, 1, 2, 3, 4-tetrahydroisoquinoline, 2, 3-dihydrobenzofuryl, 1, 3-benzodioxole, benzo-1, 4-dioxane, azabicyclo [3.1.0] hexany
- heterocycloalkyl refers to any 3 to 10 membered monocyclic or bicyclic, saturated ring structure containing at least one heteroatom selected from the group consisting of O, N and S.
- the heterocycloalkyl group may be attached at any heteroatom or carbon atom of the ring such that the result is a stable structure.
- heterocycloalkyl groups include, but are not limited to, azepanyl, aziridinyl, azetidinyl, pyrrolidinyl, dioxolanyl, imidazolidinyl, pyrazolidinyl, piperazinyl, piperidinyl, dioxanyl, morpholinyl, dithianyl, thiomorpholinyl, oxazepanyl, oxiranyl, oxetanyl, quinuclidinyl, tetrahydrofuranyl, tetrahydropyranyl, piperazinyl, and the like.
- alkenyl when used alone or as part of a substituent group refers to a straight-or branched-chain group having from 2 to 6 carbon atoms ( “C 2-6 ” ) , preferably 2 to 4 carbons atoms ( “C 2-4 ” ) , in the group, wherein the group includes at least one carbon-carbon double bond.
- alkynyl when used alone or as part of a substituent group refers to a straight-or branched-chain group having from 2 to 6 carbon atoms ( “C 2-6 ” ) , preferably 2 to 4 carbons atoms ( “C 2-4 ” ) , in the group, wherein the group includes at least one carbon-carbon triple bond.
- alkynyl groups include ethynyl (-C ⁇ CH; C 2 alkynyl) , propragyl (-CH 2 -CH ⁇ CH; C 3 alkynyl) , and the like.
- aryl when used alone or as part of a substituent group refers to a monocyclic all carbon aromatic ring or a multicyclic all carbon ring system wherein the rings are aromatic.
- aryl refers to a mono-or bicyclic-aromatic hydrocarbon ring structure having 6-10 carbon atoms in the ring, wherein one or more of the carbon atoms in the ring is optionally substituted. Examples of aryl include but not limited to phenyl, naphthyl or the like.
- heteroaryl when used alone or as part of a substituent group, the term “heteroaryl” as used herein refers to a monocyclic aromatic ring that has at least one atom other than carbon in the ring, wherein the atom is selected from the group consisting of oxygen, nitrogen and sulfur. “Heteroaryl” also includes multicyclic ring systems that have at least one such aromatic ring. Thus, “heteroaryl” includes single aromatic rings of from about 1 to 6 carbon atoms and about 1-4 heteroatoms selected from the group consisting of oxygen, nitrogen and sulfur. The sulfur and nitrogen atoms may also be present in an oxidized form provided the ring is aromatic.
- Heteroaryl also includes multiple condensed ring systems (e.g., ring systems comprising 2, 3 or 4 rings) wherein a heteroaryl group is condensed with one or more rings selected from the group consisting of heteroaryls or aryls.
- a heteroaryl (asingle aromatic ring or multiple condensed ring system) has about 1-20 carbon atoms and about 1-6 heteroatoms within the heteroaryl ring system.
- a heteroaryl (amonocyclic aromatic ring or multicyclic condensed ring system) can also have about 5 to 10 members within the heteroaryl ring.
- heteroaryl refers to a mono-or bicyclic-aromatic ring structure including carbon atoms as well as up to four heteroatoms selected from the group consisting of nitrogen, oxygen, and sulfur.
- heteroaryl rings can include a total of 5, 6, 9, or 10 ring atoms.
- the heteroaryl moiety can be optionally substituted.
- substituents include but not limited to halogen atoms; -C 1-3 alkyl groups, and C 1-3 haloalkyl groups. Halogen atoms include chlorine, fluorine, bromine, and iodine.
- alkoxy when used alone or as part of a substituent group refers to an oxygen radical attached to an alkyl group as defined herein by a single bond.
- the alkoxy may be C 1- 6 alkoxy, e.g. C 1-4 alkoxy.
- Examples of alkoxy groups include methoxy (-OCH 3 , ethoxy (-OCH 2 CH 3 , isopropoxy (-OCH (CH 3 ) 2 ) and the like.
- haloalkoxy when used alone or as part of a substituent group refers to an oxygen radical attached to a haloalkyl group as defined herein by a single bond.
- the haloalkoxy may be C 1-6 haloalkoxy, e.g. C 1-4 haloalkoxy.
- Examples of haloalkoxy groups include -OCF 3 , -OCH 2 CF 3 , -OCH (CF 3 ) 2 , and the like.
- alkylamino refers to an amino group substituted by an alkyl group as defined herein.
- the alkylamino may be C 1-6 alkylamino, e.g. C 1-4 alkylamino.
- dialkylamino refers to an amino group substituted by two alkyl groups as defined herein.
- the alkyl groups in dialkylamino may be independently C 1-6 alkyl, either identical or different.
- halogen or “halo” refers to F, Cl, Br, or I.
- C 1-3 includes C 1-3 , C 1-2 , C 2-3 , C 1 , C 2 , and C 3 .
- C 1-6 alkyl when used alone or as part of a substituent group refers to an aliphatic linker having 1, 2, 3, 4, 5, or 6 carbon atoms and includes, for example, -CH 2 -, -CH (CH 3 ) -, -CH (CH 3 ) -CH 2 -, and -C (CH 3 ) 2 -
- -C 0 alk- refers to a bond.
- the C 1-6 alkyl can be substituted with one or more substituents.
- the compounds described herein can be asymmetric (e.g., having one or more stereocenters) . All stereoisomers, such as enantiomers and diastereomers, are intended unless otherwise indicated.
- Tautomeric forms result from the swapping of a single bond with an adjacent double bond together with the concomitant migration of a proton.
- Tautomeric forms include prototropic tautomers which are isomeric protonation states having the same empirical formula and total charge.
- Example prototropic tautomers include ketone -enol pairs, amide -imidic acid pairs, lactam -lactim pairs, amide -imidic acid pairs, enamine imine pairs, and annular forms where a proton can occupy two or more positions of a heterocyclic system, for example, 1H-and 3H-imidazole, 1H-, 2H-and 4H-1, 2, 4-triazole, 1H-and 2H-isoindole, and 1H-and 2H-pyrazole.
- Tautomeric forms can be in equilibrium or sterically locked into one form by appropriate substitution.
- the compounds of the present disclosure may exist as rotational isomers. In some embodiments, the compounds of the present disclosure exist as mixtures of rotational isomers in any proportion. In other embodiments, the compounds of the present disclosure exist as particular rotational isomers, substantially free of other rotational isomers.
- Compounds of the disclosure can also include all isotopes of atoms occurring in the intermediates or final compounds.
- Isotopes include those atoms having the same atomic number but different mass numbers.
- isotopes of hydrogen include tritium and deuterium.
- the compounds of the disclosure, and salts thereof are substantially isolated.
- substantially isolated is meant that the compound is at least partially or substantially separated from the environment in which is formed or detected.
- Partial separation can include, for example, a composition enriched in the compound of the disclosure.
- Substantial separation can include compositions containing at least about 50%, at least about 60%, at least about 70%, at least about 80%, at least about 90%, at least about 95%, at least about 97%, or at least about 99%by weight of the compound of the disclosure, or salt thereof.
- phrases “pharmaceutically acceptable” is employed herein to refer to those compounds, materials, compositions, and/or dosage forms which are, within the scope of sound medical judgment, suitable for use in contact with the tissues of human beings and animals without excessive toxicity, irritation, allergic response, or other problem or complication, commensurate with a reasonable benefit/risk ratio.
- the present disclosure also includes pharmaceutically acceptable salts of the compounds described herein.
- pharmaceutically acceptable salts refers to derivatives of the disclosed compounds wherein the parent compound is modified by converting an existing acid or base moiety to its salt form.
- examples of pharmaceutically acceptable salts include, but are not limited to, mineral or organic acid salts of basic residues such as amines; alkali or organic salts of acidic residues such as carboxylic acids; and the like.
- the pharmaceutically acceptable salts of the present disclosure include the conventional non-toxic salts of the parent compound formed, for example, from non-toxic inorganic or organic acids.
- the pharmaceutically acceptable salts of the present disclosure can be synthesized from the parent compound which contains a basic or acidic moiety by conventional chemical methods.
- such salts can be prepared by reacting the free acid or base forms of these compounds with a stoichiometric amount of the appropriate base or acid in water or in an organic solvent, or in a mixture of the two; generally, nonaqueous media like ether, ethyl acetate, ethanol, isopropanol, or acetonitrile are preferred. Lists of suitable salts are found in Remington ’s PharmaceuticaI Sciences, 17th ed., Mack Publishing Company, Easton, Pa., 1985, p. 1418 and Journal of Ph ⁇ rmaceutical Science, 66, 2 (1977) , each of which is incorporated herein by reference in its entirety.
- a “pharmaceutically acceptable salt” refers to a salt of a compound of the disclosure that is pharmaceutically acceptable and that possesses the desired pharmacological activity of the parent compound.
- such salts are non-toxic may be inorganic or organic acid addition salts and base addition salts.
- such salts include: (1) acid addition salts, formed with inorganic acids; or formed with organic acids ; or (2) salts formed when an acidic proton present in the parent compound either is replaced by a metal ion, e.g., an alkali metal ion, an alkaline earth ion, or an aluminum ion; or coordinates with an organic baseSalts further include, by way of example only, sodium, potassium, calcium, magnesium, ammonium, tetraalkylammonium, and the like; and when the compound contains a basic functionality, salts of non-toxic organic or inorganic acids.
- a metal ion e.g., an alkali metal ion, an alkaline earth ion, or an aluminum ion
- coordinates with an organic baseSalts further include, by way of example only, sodium, potassium, calcium, magnesium, ammonium, tetraalkylammonium, and the like; and when the compound contains a basic functionality, salts of non-toxic organic
- a “pharmaceutically acceptable excipient” refers to a substance that is non-toxic, biologically tolerable, and otherwise biologically suitable for administration to a subject, such as an inert substance, added to a pharmacological composition or otherwise used as a vehicle, carrier, or diluent to facilitate administration of an agent and that is compatible therewith.
- excipients include calcium carbonate, calcium phosphate, various sugars and types of starch, cellulose derivatives, gelatin, vegetable oils, and polyethylene glycols.
- terapéuticaally effective amount refers to the amount of active compound or pharmaceutical agent that elicits the biological or medicinal response in a tissue, system, animal, individual or human that is being sought by a researcher, veterinarian, medical doctor or other clinician, which includes one or more of the following: (1) Preventing the disease; for example, preventing a disease, condition or disorder in an individual that may be predisposed to the disease, condition or disorder but does not yet experience or display the pathology or symptomatology of the disease, (2) Inhibiting the disease; for example, inhibiting a disease, condition or disorder in an individual that is experiencing or displaying the pathology or symptomatology of the disease, condition or disorder (i.e., arresting further development of the pathology and/or symptomatology) , and (3) Ameliorating the disease; for example, ameliorating a disease, condition or disorder in an individual that is experiencing or displaying the pathology or symptomatology of the disease, condition or disorder (i.e., reversing the pathology and/or symptom
- a “solvate” refers to a physical association of a compound of Formula I with one or more solvent molecules.
- a “subject” refers to a mammal, particularly a human.
- the terms “human, ” “patient, ” and “subject” are used interchangeably herein.
- Treating” or “treatment” of any disease or disorder refers, in one embodiment, to ameliorating the disease or disorder (i.e., arresting or reducing the development of the disease or at least one of the clinical symptoms thereof) .
- “treating” or “treatment” refers to ameliorating at least one physical parameter, which may not be discernible by the subject.
- “treating” or “treatment” refers to modulating the disease or disorder, either physically, (e.g., stabilization of a discernible symptom) , physiologically, (e.g., stabilization of a physical parameter) , or both.
- “treating” or “treatment” refers to delaying the onset of the disease or disorder.
- Compounds of the present disclosure, ” and equivalent expressions are meant to embrace compounds of Formula I as described herein, as well as its subgenera for example, Formulae I-1 to I-5, which expression includes the stereoisomers (e.g., entaniomers, diastereomers) and constitutional isomers (e.g., tautomers) of compounds of Formula I as well as the pharmaceutically acceptable salts, where the context so permits.
- stereoisomers e.g., entaniomers, diastereomers
- constitutional isomers e.g., tautomers
- isotopic variant refers to a compound that contains proportions of isotopes at one or more of the atoms that constitute such compound that is greater than natural abundance.
- an “isotopic variant” of a compound can be radiolabeled, that is, contain one or more radioactive isotopes, or can be labeled with non-radioactive isotopes such as for example, deuterium ( 2 H or D) , carbon-13 ( 13 C) , nitrogen-15 ( 15 N) , or the like.
- any hydrogen may be 2 H/D
- any carbon may be 13 C
- any nitrogen may be 15 N, and that the presence and placement of such atoms may be determined within the skill of the art.
- proliferative disorder refers to a disorder or condition characterized by abnormal and uncontrolled cell proliferation. It may start at one site (primary site) with the potential to invade and to spread to other sites (secondary sites, metastases) which differentiate cancer (malignant tumor) from benign tumor. Virtually all the organs can be affected, leading to more than 100 types of cancer that can affect humans. Cancer is a typical proliferative disorder and can result from many causes including genetic predisposition, viral infection, exposure to ionizing radiation, exposure environmental pollutant, tobacco and or alcohol use, obesity, poor diet, lack of physical activity or any combination thereof.
- isomers compounds that have the same molecular formula but differ in the nature or sequence of bonding of their atoms or the arrangement of their atoms in space are termed “isomers. ” Isomers that differ in the arrangement of their atoms in space are termed “stereoisomers” , for example, diastereomers, enantiomers, and atrop-isomers.
- the compounds of this disclosure may possess one or more asymmetric centers; such compounds can therefore be produced as individual (R) -or (S) -stereoisomers at each asymmetric center, or as mixtures thereof.
- the compound according to the present disclosure may be present in unsolvated or solvated forms, including hydrate form.
- the solvated forms are equivalent to unsolvated forms and both of them are encompassed within the scope of the present disclosure.
- the present disclosure also encompasses any pharmaceutically acceptable derivative of the compounds according to formula (I) , e.g. ester, salt of the ester.
- a particularly preferable derivative is prodrug. Upon administration to a subject, such a derivative can directly or indirectly provide the compound according to the present disclosure or its metabolite or residue with pharmaceutical activity.
- a particularly preferable derivative e.g. prodrug
- X is NR 10 , OR 10 or S;
- Z is CR 14 , or N
- L is absent or C 1-6 alkylene
- R 6 and R 7 together with the carbon atom to which they are attached form a 3-7 membered cycloalkyl ring or a 4-7 membered heterocycloalkyl ring, each optionally substituted by 1, 2, or 3 substituents independently selected from the group consisting of halo, C 1-6 alkyl, C 1- 6 haloalkyl, CN, OR a , SR a , C (O) R b , C (O) NR c R d , C (O) OR a , OC (O) R b , OC (O) NR c R d , N R c R d , NR c C (O) R b , and NR c C (O) OR a ;
- R 8 is selected from the group consisting of H, D, F, CN, OR A , NR C R D , C 1-6 alkoxy, alkylamino, dialkylamino, C 1-6 alkyl and C 1-6 haloalkyl;
- R 10 is selected from the group consisting of H, D, C 1-6 alkyl, C 3-6 alkenyl, C 3-6 alkynyl, C 1- 6 haloalkyl, Cy, CN, C (O) R B , C (O) NR C R D , C (O) OR A , S (O) R B , S (O) NR C R D , S (O) 2 R B , and S (O) 2 NR C R D , wherein said C 1-6 alkyl, C 3-6 alkenyl, C 3-6 alkynyl, and C 1-6 haloalkyl are each optionally substituted with 1, 2, 3, 4, or 5 substituents independently selected from the group consisting of D, halo, C 1-6 alkyl, C 2-6 alkenyl, C 2-6 alkynyl, C 1-6 haloalkyl, CN, NO 2 , OR a , SR a , C (O) R b , C (O)
- R 11 is independently selected from the group consisting of H, D, C 1-6 alkyl, C 2-6 alkenyl, C 2- 6 alkynyl, C 1-6 haloalkyl, Cy, Cy-C 1-6 alkyl, wherein said C 1-6 alkyl, C 2-6 alkenyl, C 2-6 alkynyl, Cy and Cy-C 1-6 alkyl, are each optionally substituted with 1, 2, 3, 4, or 5 substituents independently selected from the group consisting of R 21 ;
- each R A , R B , R C , R D , R a , R b , R c , R d , R a1 , R b1 , R c1 and R d1 is independently selected from the group consisting of H, D, C 1-6 alkyl, C 2-6 alkenyl, C 2-6 alkynyl, C 1-6 haloalkyl, C 6-10 aryl, C 3- 10 cycloalkyl, 5-10 membered heteroaryl, 4-10 membered heterocycloalkyl, C 6-10 aryl-C 1-6 alkyl, C 3-10 cycloalkyl-C 1-6 alkyl, (5-10 membered heteroaryl) -C 1-6 alkyl and (4-10 membered heterocycloalkyl) -C 1-6 alkyl, wherein said C 1-6 alkyl, C 2-6 alkenyl, C 2-6 alkynyl, C 1-6 haloalkyl, C 6- 10
- each R E , R e and R e1 is independently selected from the group consisting of H, D, C 1-6 alkyl, CN, OR a2 , SR a2 , C (O) R b2 , C (O) NR c2 R d2 , S (O) 2 R b2 , and S (O) 2 NR c2 R d2 ;
- each R a2 , R b2 , R c2 and R d2 is independently selected from the group consisting of H, D, C 1-6 alkyl, C 1-6 haloalkyl, C 2-4 alkenyl, and C 2-4 alkynyl, wherein C 1-6 alkyl, C 2-4 alkenyl, and C 2-4 alkynyl is optionally substituted with 1, 2, or 3 substituents independently selected from the group consisting of OH, CN, amino, halo, C 1-6 alkyl, C 1-6 alkoxy, C 1-6 alkylthio, C 1-6 alkylamino, di (C 1- 6 alkyl) amino, C 1-6 haloalkyl and C 1-6 haloalkoxy;
- R c2 and R d2 together with the N atom to which they are attached form a 4-, 5-, 6 -, or 7-membered heterocycloalkyl group optionally substituted with 1, 2, or 3 substituents independently selected from the group consisting of OH, CN, amino, halo, C 1-6 alkyl, C 1-6 alkoxy, C 1-6 alkylthio, C 1-6 alkylamino, di (C 1-6 alkyl) amino, C 1-6 haloalkyl and C 1-6 haloalkoxy; and each R e2 is independently selected from the group consisting of H, D, C 1-6 alkyl and CN.
- X is OR 10 , wherein R 10 is as defined in Formula (I) herein.
- X is OR 10 , wherein R 10 is selected from the group consisting of H, D, C 1-6 alkyl, C 3-6 alkenyl, C 3-6 alkynyl, C 1-6 haloalkyl, and CN; preferably wherein R 10 is C 1-6 alkyl; more preferably wherein R 10 is methyl or ethyl.
- X is NR 10 , wherein R 10 is as defined in Formula (I) herein.
- X is NR 10 , wherein R 10 is selected from the group consisting of H, D, C 1-6 alkyl, C 3-6 alkenyl, C 3-6 alkynyl, C 1-6 haloalkyl, and CN; preferably wherein R 10 is selected from the group consisting of H and C 1-6 alkyl; more preferably wherein R 10 is H, methyl or ethyl.
- X is S.
- Y is NR 11 , wherein R 11 is as defined in Formula (I) herein.
- Y is NR 11 , wherein R 11 is independently selected from the group consisting of H, D, C 1-6 alkyl, C 2-6 alkenyl, C 2-6 alkynyl, C 1-6 haloalkyl, Cy, Cy-C 1-6 alkyl, wherein said C 1-6 alkyl, C 2-6 alkenyl, C 2-6 alkynyl, Cy and Cy-C 1-6 alkyl, are each optionally substituted with 1, 2, 3, 4, or 5 substituents independently selected from the group consisting of R 21 ;
- each R 21 is independently selected from the group consisting of Cy 1 , D, halo, C 1-6 alkyl, C 1-6 haloalkyl, CN, NO 2 , OR a , and SR a , wherein said Cy 1 , C 1-6 alkyl and C 1-6 haloalkyl are each optionally substituted with 1, 2, or 3 substituents independently selected from the group consisting of D, halo, CN, NO 2 , OR a1 , SR a1 , C (O) R b1 , NR c1 R d1 , NR c1 C (O) R b1 , S (O) R b1 , S (O) NR c1 R d1 , S (O) 2 R b1 , and S (O) 2 NR c1 R d1 ;
- R 11 is independently selected from the group consisting of H, C 1-6 alkyl, Cy, Cy-C 1-6 alkyl, wherein said C 1-6 alkyl, Cy and Cy-C 1-6 alkyl are each optionally substituted with 1, 2, 3, 4, or 5 substituents independently selected from the group consisting of R 21 ;
- each R 21 is independently selected from the group consisting of Cy 1 , halo, and OR a , wherein said Cy 1 is optionally substituted with 1, 2, or 3 substituents independently selected from the group consisting of C (O) R b1 , NR c1 C (O) R b1 , and S (O) 2 R b1 .
- Y is NR 11 , wherein R 11 is independently selected from the group consisting of H,
- Y is NR 11 , wherein R 11 is independently selected from the group consisting of H,
- Y is CR 12 R 13 , wherein R 12 and R 13 are as defined in formula (I) herein.
- Y CR 12 , wherein R 12 is as defined in formula (I) herein.
- Z is CR 14 , wherein R 14 is as defined in formula (I) herein.
- Z is CR 14 , wherein R 14 is selected from the group consisting of H, D, halo, C 1-6 alkyl, Cy, Cy-C 1-6 alkyl, CN, and NO 2 , wherein said C 1-6 alkyl, Cy, and Cy-C 1-6 alkyl are each optionally substituted with 1, 2, 3, 4, or 5 substituents independently selected from the group consisting of R 20 ;
- each R 20 is independently selected from the group consisting of D, halo, C 1-6 alkyl, CN, NO 2 , OR a , and SR a , wherein R a is C 1-6 alkyl.
- Z is CR 14 , wherein R 14 is selected from the group consisting of H or
- Z is N.
- L is absent. In another embodiment, L is C 1-6 alkylene, preferably methylene.
- R 1 , R 2 , R 3 , R 4 , and R 5 are each independently selected from the group consisting of H, D, halo, C 1-6 alkyl, C 1-6 haloalkyl, CN, OR A , SR A , C (O) R B , NR C R D , and S (O) R B , wherein R A , R B , R C and R D are independently selected from C 1-6 alkyl;
- R 1 , R 2 , R 3 , R 4 , and R 5 are each independently selected from the group consisting of H, halo, and OR A , wherein R A is C 1-6 alkyl.
- R 1 , R 2 , R 3 , R 4 , and R 5 are each independently selected from the group consisting of H, F and methoxy.
- R 1 is selected from the group consisting of halogen, preferably F.
- R 2 is selected from the group consisting of C 1-6 alkoxy, preferably methoxy.
- R 3 is H.
- R 4 is selected from the group consisting of C 1-6 alkoxy, preferably methoxy.
- R 5 is selected from the group consisting of halogen, preferably F.
- R 6 and R 7 are each independently selected from the group consisting of H, D, CN and C 1-6 alkyl.
- R 6 and R 7 together with the carbon atom to which they are attached form a 3-7 membered cycloalkyl ring or a 4-7 membered heterocycloalkyl ring, each optionally substituted by 1, 2, or 3 substituents independently selected from the group consisting of halo, C 1-6 alkyl, C 1-6 haloalkyl, CN, OR a , SR a , wherein R a is C 1-6 alkyl.
- R 6 and R 7 are H or D, particularly H.
- R 8 is selected from the group consisting of H, D, F, CN, C 1-6 alkoxy, alkylamino, dialkylamino, C 1-6 alkyl and C 1-6 haloalkyl.
- R 8 is H or D, particularly H.
- R 9 is selected from the group consisting of H, D, halo, C 1-6 alkyl, C 2-6 alkenyl, C 2-6 alkynyl, C 1-6 haloalkyl, Cy, Cy-C 1-6 alkyl, CN, NO 2 , OR A , SR A , and NR C R D , wherein said C 1-6 alkyl, C 2-6 alkenyl, C 2-6 alkynyl, Cy, and Cy-C 1-6 alkyl are each optionally substituted with 1, 2, 3, 4, or 5 substituents independently selected from the group consisting of R 20 ;
- each R 20 is independently selected from the group consisting of Cy 1 , D, halo, C 1-6 alkyl, C 2-6 alkenyl, C 2-6 alkynyl, C 1-6 haloalkyl, CN, NO 2 , OR a , SR a , C (O) R b , wherein R a and R b are independently selected from the group consisting of H, C 1-6 alkyl and C 2-6 alkenyl;
- Cy is selected from the group consisting of C 6-10 aryl, 5-10 membered heteroaryl and 4-10 membered heterocycloalkyl, each of which is optionally substituted with 1, 2, 3, 4, or 5 substituents independently selected from the group consisting of D, halo, C 1-6 alkyl, C 1-6 haloalkyl, CN, NO 2 , OR a , SR a , C (O) R b , and S (O) R b .
- R 9 is selected from the group consisting of H, C 2-6 alkenyl, Cy, OR A , NR C R D , wherein said C 2-6 alkenyl, and Cy are each optionally substituted with 1, 2, 3, 4, or 5 substituents independently selected from the group consisting of R 20 ;
- each R 20 is independently selected from the group consisting of halo, C 1-6 alkyl, OR a , C (O) R b , wherein R a and R b are independently selected from the group consisting of H and C 2- 6 alkenyl.
- R 9 is selected from the group consisting of H, -OH,
- R 9 is selected from the group consisting of H, -OH,
- R 9 is selected from the group consisting of H, -OH,
- R 10 is selected from the group consisting of H, D, C 1-6 alkyl, C 3-6 alkenyl, C 3-6 alkynyl, C 1-6 haloalkyl, and CN.
- R 10 is selected from the group consisting of H and C 1-6 alkyl. In a specific embodiment, R 10 is H, methyl or ethyl.
- R 11 is independently selected from the group consisting of H, D, C 1- 6 alkyl, C 2-6 alkenyl, C 2-6 alkynyl, C 1-6 haloalkyl, Cy, Cy-C 1-6 alkyl, wherein said C 1-6 alkyl, C 2- 6 alkenyl, C 2-6 alkynyl, Cy and Cy-C 1-6 alkyl, are each optionally substituted with 1, 2, 3, 4, or 5 substituents independently selected from the group consisting of R 21 ;
- each R 21 is independently selected from the group consisting of Cy 1 , D, halo, C 1-6 alkyl, C 1-6 haloalkyl, CN, NO 2 , OR a , and SR a , wherein said Cy 1 , C 1-6 alkyl and C 1-6 haloalkyl are each optionally substituted with 1, 2, or 3 substituents independently selected from the group consisting of D, halo, CN, NO 2 , OR a1 , SR a1 , C (O) R b1 , NR c1 R d1 , NR c1 C (O) R b1 , S (O) R b1 , S (O) NR c1 R d1 , S (O) 2 R b1 , and S (O) 2 NR c1 R d1 .
- R 11 is independently selected from the group consisting of H, C 1-6 alkyl, Cy, Cy-C 1-6 alkyl, wherein said C 1-6 alkyl, Cy and Cy-C 1-6 alkyl are each optionally substituted with 1, 2, 3, 4, or 5 substituents independently selected from the group consisting of R 21 ;
- each R 21 is independently selected from the group consisting of Cy 1 , halo, and OR a , wherein said Cy 1 is optionally substituted with 1, 2, or 3 substituents independently selected from the group consisting of C (O) R b1 , NR c1 C (O) R b1 , and S (O) 2 R b1 .
- R 11 is selected from the group consisting of H,
- R 11 is selected from the group consisting of H,
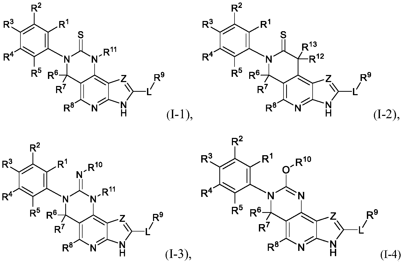
- the present compound has the formula (I-1) , (I-2) , (I-3) , or (I-4) .
- Z is CR 14 , wherein R 14 is as defined in formula (I) herein.
- Z is CR 14 , wherein R 14 is selected from the group consisting of H, D, halo, C 1-6 alkyl, Cy, Cy-C 1-6 alkyl, CN, and NO 2 , wherein said C 1-6 alkyl, Cy, and Cy-C 1-6 alkyl are each optionally substituted with 1, 2, 3, 4, or 5 substituents independently selected from the group consisting of R 20 ;
- each R 20 is independently selected from the group consisting of D, halo, C 1-6 alkyl, CN, NO 2 , OR a , and SR a , wherein R a is C 1-6 alkyl.
- Z is CR 14 , wherein R 14 is selected from the group consisting of H or
- R 1 , R 2 , R 3 , R 4 , and R 5 are each independently selected from the group consisting of H, D, halo, C 1-6 alkyl, C 1-6 haloalkyl, CN, OR A , SR A , C (O) R B , NR C R D , and S (O) R B , wherein R A , R B , R C and R D are independently selected from C 1-6 alkyl;
- R 1 , R 2 , R 3 , R 4 , and R 5 are each independently selected from the group consisting of H, halo, and OR A , wherein R A is C 1-6 alkyl.
- R 1 , R 2 , R 3 , R 4 , and R 5 are each independently selected from the group consisting of H, F and methoxy.
- R 1 is selected from the group consisting of halogen, preferably F.
- R 2 is selected from the group consisting of C 1- 6 alkoxy, preferably methoxy.
- R 3 is H.
- R 4 is selected from the group consisting of C 1- 6 alkoxy, preferably methoxy.
- R 5 is selected from the group consisting of halogen, preferably F.
- R 6 and R 7 are each independently selected from the group consisting of H, D, CN and C 1-6 alkyl.
- R 6 and R 7 together with the carbon atom to which they are attached form a 3-7 membered cycloalkyl ring or a 4-7 membered heterocycloalkyl ring, each optionally substituted by 1, 2, or 3 substituents independently selected from the group consisting of halo, C 1-6 alkyl, C 1-6 haloalkyl, CN, OR a , SR a , wherein R a is C 1-6 alkyl.
- R 6 and R 7 are H or D, particularly H.
- R 8 is selected from the group consisting of H, D, F, CN, C 1-6 alkoxy, alkylamino, dialkylamino, C 1-6 alkyl and C 1-6 haloalkyl.
- R 8 is H or D, particularly H.
- R 9 is selected from the group consisting of H, D, halo, C 1-6 alkyl, C 2-6 alkenyl, C 2-6 alkynyl, C 1-6 haloalkyl, Cy, Cy-C 1-6 alkyl, CN, NO 2 , OR A , SR A , and NR C R D , wherein said C 1-6 alkyl, C 2-6 alkenyl, C 2-6 alkynyl, Cy, and Cy-C 1-6 alkyl are each optionally substituted with 1, 2, 3, 4, or 5 substituents independently selected from the group consisting of R 20 ;
- each R 20 is independently selected from the group consisting of Cy 1 , D, halo, C 1-6 alkyl, C 2-6 alkenyl, C 2-6 alkynyl, C 1-6 haloalkyl, CN, NO 2 , OR a , SR a , C (O) R b , wherein R a and R b are independently selected from the group consisting of H, C 1-6 alkyl and C 2-6 alkenyl;
- Cy is selected from the group consisting of C 6-10 aryl, 5-10 membered heteroaryl and 4-10 membered heterocycloalkyl, each of which is optionally substituted with 1, 2, 3, 4, or 5 substituents independently selected from the group consisting of D, halo, C 1-6 alkyl, C 1-6 haloalkyl, CN, NO 2 , OR a , SR a , C (O) R b , and S (O) R b .
- R 9 is selected from the group consisting of H, C 2-6 alkenyl, Cy, OR A , NR C R D , wherein said C 2-6 alkenyl, and Cy are each optionally substituted with 1, 2, 3, 4, or 5 substituents independently selected from the group consisting of R 20 ;
- each R 20 is independently selected from the group consisting of halo, C 1-6 alkyl, OR a , C (O) R b , wherein R a and R b are independently selected from the group consisting of H and C 2- 6 alkenyl.
- R 9 is selected from the group consisting of H, -OH,
- R 10 is selected from the group consisting of H, D, C 1- 6 alkyl, C 3-6 alkenyl, C 3-6 alkynyl, C 1-6 haloalkyl, and CN.
- R 10 is selected from the group consisting of H and C 1- 6 alkyl.
- R 10 is H, methyl or ethyl.
- R 11 is independently selected from the group consisting of H, D, C 1-6 alkyl, C 2-6 alkenyl, C 2-6 alkynyl, C 1-6 haloalkyl, Cy, Cy-C 1-6 alkyl, wherein said C 1-6 alkyl, C 2-6 alkenyl, C 2-6 alkynyl, Cy and Cy-C 1-6 alkyl, are each optionally substituted with 1, 2, 3, 4, or 5 substituents independently selected from the group consisting of R 21 ;
- each R 21 is independently selected from the group consisting of Cy 1 , D, halo, C 1-6 alkyl, C 1-6 haloalkyl, CN, NO 2 , OR a , and SR a , wherein said Cy 1 , C 1-6 alkyl and C 1-6 haloalkyl are each optionally substituted with 1, 2, or 3 substituents independently selected from the group consisting of D, halo, CN, NO 2 , OR a1 , SR a1 , C (O) R b1 , NR c1 R d1 , NR c1 C (O) R b1 , S (O) R b1 , S (O) NR c1 R d1 , S (O) 2 R b1 , and S (O) 2 NR c1 R d1 .
- R 11 is independently selected from the group consisting of H, C 1-6 alkyl, Cy, Cy-C 1-6 alkyl, wherein said C 1-6 alkyl, Cy and Cy-C 1-6 alkyl are each optionally substituted with 1, 2, 3, 4, or 5 substituents independently selected from the group consisting of R 21 ;
- each R 21 is independently selected from the group consisting of Cy 1 , halo, and OR a , wherein said Cy 1 is optionally substituted with 1, 2, or 3 substituents independently selected from the group consisting of C (O) R b1 , NR c1 C (O) R b1 , and S (O) 2 R b1 .
- R 11 is selected from the group consisting of H,
- Z is CR 14 , wherein R 14 is selected from the group consisting of H, D, halo, C 1-6 alkyl, Cy, Cy-C 1-6 alkyl, CN, and NO 2 .
- Z is CR 14 , wherein R 14 is H.
- L is C 1-6 alkylene, preferably methylene.
- R 1 , R 2 , R 3 , R 4 , and R 5 are each independently selected from the group consisting of H, D, halo, C 1-6 alkyl, C 1-6 haloalkyl, CN, OR A , SR A , C (O) R B , NR C R D , and S (O) R B , wherein R A , R B , R C and R D are independently selected from C 1-6 alkyl;
- R 1 , R 2 , R 3 , R 4 , and R 5 are each independently selected from the group consisting of H, halo, and OR A , wherein R A is C 1-6 alkyl.
- R 1 , R 2 , R 3 , R 4 , and R 5 are each independently selected from the group consisting of H, F and methoxy.
- R 1 is selected from the group consisting of halogen, preferably F.
- R 2 is selected from the group consisting of C 1- 6 alkoxy, preferably methoxy.
- R 3 is H.
- R 4 is selected from the group consisting of C 1- 6 alkoxy, preferably methoxy.
- R 5 is selected from the group consisting of halogen, preferably F.
- R 6 and R 7 are each independently selected from the group consisting of H, D, CN and C 1-6 alkyl.
- R 6 and R 7 together with the carbon atom to which they are attached form a 3-7 membered cycloalkyl ring or a 4-7 membered heterocycloalkyl ring, each optionally substituted by 1, 2, or 3 substituents independently selected from the group consisting of halo, C 1-6 alkyl, C 1-6 haloalkyl, CN, OR a , SR a , wherein R a is C 1-6 alkyl.
- R 6 and R 7 are H or D, particularly H.
- R 8 is selected from the group consisting of H, D, F, CN, C 1-6 alkoxy, alkylamino, dialkylamino, C 1-6 alkyl and C 1-6 haloalkyl.
- R 8 is H or D, particularly H.
- R 9 is Cy, wherein said Cy are each optionally substituted with 1, 2, 3, 4, or 5 substituents independently selected from the group consisting of R 20 ;
- each R 20 is independently selected from the group consisting of halo, C 1-6 alkyl, OR a , C (O) R b , wherein R a and R b are independently selected from the group consisting of H and C 2- 6 alkenyl.
- R 9 is morpholinyl.
- R 10 is selected from the group consisting of H, D, C 1- 6 alkyl, C 3-6 alkenyl, C 3-6 alkynyl, C 1-6 haloalkyl, and CN.
- R 10 is selected from the group consisting of H and C 1- 6 alkyl.
- R 10 is H, methyl or ethyl.
- R 10 is ethyl
- R 11 is independently selected from the group consisting of H, D, C 1-6 alkyl, C 2-6 alkenyl, C 2-6 alkynyl, C 1-6 haloalkyl.
- R 11 is independently selected from the group consisting of H and C 1-6 alkyl.
- R 11 is selected from the group consisting of H, methyl and ethyl.
- R 11 is H.
- Z is CR 14 , wherein R 14 is selected from the group consisting of H, D, halo, C 1-6 alkyl, Cy, Cy-C 1-6 alkyl, CN, and NO 2 .
- Z is CR 14 , wherein R 14 is H.
- L is C 1-6 alkylene, preferably methylene.
- R 1 , R 2 , R 3 , R 4 , and R 5 are each independently selected from the group consisting of H, D, halo, C 1-6 alkyl, C 1-6 haloalkyl, CN, OR A , SR A , C (O) R B , NR C R D , and S (O) R B , wherein R A , R B , R C and R D are independently selected from C 1-6 alkyl;
- R 1 , R 2 , R 3 , R 4 , and R 5 are each independently selected from the group consisting of H, halo, and OR A , wherein R A is C 1-6 alkyl.
- R 1 , R 2 , R 3 , R 4 , and R 5 are each independently selected from the group consisting of H, F and methoxy.
- R 1 is selected from the group consisting of halogen, preferably F.
- R 2 is selected from the group consisting of C 1- 6 alkoxy, preferably methoxy.
- R 3 is H.
- R 4 is selected from the group consisting of C 1- 6 alkoxy, preferably methoxy.
- R 5 is selected from the group consisting of halogen, preferably F.
- R 6 and R 7 are each independently selected from the group consisting of H, D, CN and C 1-6 alkyl.
- R 6 and R 7 together with the carbon atom to which they are attached form a 3-7 membered cycloalkyl ring or a 4-7 membered heterocycloalkyl ring, each optionally substituted by 1, 2, or 3 substituents independently selected from the group consisting of halo, C 1-6 alkyl, C 1-6 haloalkyl, CN, OR a , SR a , wherein R a is C 1-6 alkyl.
- R 6 and R 7 are H or D, particularly H.
- R 8 is selected from the group consisting of H, D, F, CN, C 1-6 alkoxy, alkylamino, dialkylamino, C 1-6 alkyl and C 1-6 haloalkyl.
- R 8 is H or D, particularly H.
- R 9 is Cy, wherein said Cy are each optionally substituted with 1, 2, 3, 4, or 5 substituents independently selected from the group consisting of R 20 ;
- each R 20 is independently selected from the group consisting of halo, C 1-6 alkyl, OR a , C (O) R b , wherein R a and R b are independently selected from the group consisting of H and C 2- 6 alkenyl.
- R 9 is morpholinyl
- R 10 is selected from the group consisting of H, D, C 1- 6 alkyl, C 3-6 alkenyl, C 3-6 alkynyl, C 1-6 haloalkyl, and CN.
- R 10 is C 1-6 alkyl.
- R 10 is methyl or ethyl.
- a compound selected from
- the compound according to the present disclosure may be present in the form of pharmaceutically acceptable salt.
- pharmaceutically acceptable salt for example, the following examples may be provided: metal salts, ammonium salts, salts formed with organic bases, inorganic acids, organic acids, basic or acidic amino acids or the like.
- the pharmaceutically acceptable salt (s) according to the present disclosure may be prepared from the parent compound containing acidic or basic group through conventional chemical procedures. Generally, such salts may be prepared through the reaction of the compounds in the form of free acid or base with stoichiometric appropriate base or acid in water, organic solvent or the mixture thereof. Typically, nonaqueous medium like ether, ethyl acetate, ethanol, isopropanol or acetonitrile etc. are preferable.
- the compound (s) according to the present disclosure will be administered in effective amount (s) via any of the usual and acceptable modes known in the art, either singly or in combination with additional therapeutic agent (s) .
- the effective amount may vary depending on the severity of the disease, the age and relative health of the subject, the potency of the compound used and other factors known to a person skilled in the art.
- daily dosages of from about 0.001 to about 100 mg/kg per body weight, or particularly, from about 0.03 to 2.5 mg/kg per body weight may be used.
- a daily dosage in the larger mammal, e.g. humans, may be in the range from about 0.5 mg to about 2000 mg, or more particularly, from about 0.5 mg to about 1000 mg.
- compositions comprising an active therapeutic agent, i.e., and a variety of other pharmaceutically acceptable components. See Remington's Pharmaceutical Science (15th ed., Mack Publishing Company, Easton, Pa., 1980) .
- the preferred or desired form depends on the intended mode of administration and therapeutic application.
- the compositions can also include, depending on the formulation desired, pharmaceutically acceptable, non-toxic carriers or diluents, which are defined as vehicles commonly used to formulate pharmaceutical compositions for animal or human administration. The diluent is selected so as not to affect the biological activity of the combination.
- compositions or formulation may also include other carriers, adjuvants, or nontoxic, nontherapeutic, nonimmunogenic stabilizers and the like.
- Compound (s) according to the present disclosure may be administered in the form of a pharmaceutical composition by any conventional route; for example, enterally, e.g., orally, e.g., in the form of tablets or capsules; parenterally, e.g., in the form of injectable solutions or suspensions; or topically, e.g., in the form of lotions, gels, ointments or creams, or in a nasal or suppository form.
- enterally e.g., orally, e.g., in the form of tablets or capsules
- parenterally e.g., in the form of injectable solutions or suspensions
- topically e.g., in the form of lotions, gels, ointments or creams, or in a nasal or suppository form.
- composition comprising the compound according to or the pharmaceutically acceptable salt thereof according to the present disclosure, and at least one pharmaceutically acceptable excipient.
- the compound of the present disclosure may be present in free form or in a pharmaceutically acceptable salt form in association with at least one pharmaceutically acceptable excipient and may be manufactured in a conventional manner, e.g. by mixing, granulating, coating, dissolving or lyophilizing processes.
- the pharmaceutical composition is a solution of the active ingredient, including suspensions or dispersions, such as isotonic aqueous solutions.
- suspensions or dispersions such as isotonic aqueous solutions.
- dispersions or suspensions can be prepared before use.
- Non-limiting examples of the carriers include fillers, such as sugars, for example lactose, saccharose, mannitol or sorbitol, cellulose preparations and/or calcium phosphates, for example tricalcium phosphate or calcium hydrogen phosphate, and also binders, such as starches, for example corn, wheat, rice or potato starch, methylcellulose, hydroxypropyl methylcellulose, sodium carboxymethylcellulose, and/or polyvinylpyrrolidone, and/or, if desired, disintegrators, such as the above-mentioned starches, carboxymethyl starch, crosslinked polyvinylpyrrolidone, alginic acid or a salt thereof, such as sodium alginate.
- fillers such as sugars, for example lactose, saccharose, mannitol or sorbitol
- cellulose preparations and/or calcium phosphates for example tricalcium phosphate or calcium hydrogen phosphate
- binders such as starches, for example corn
- Additional excipients include but are not limited to flow conditioners and lubricants, for example silicic acid, talc, stearic acid or salts thereof, such as magnesium or calcium stearate, and/or polyethylene glycol, or derivatives thereof.
- flow conditioners and lubricants for example silicic acid, talc, stearic acid or salts thereof, such as magnesium or calcium stearate, and/or polyethylene glycol, or derivatives thereof.
- kits comprising a) a first agent which is the compound or the pharmaceutically acceptable salt thereof according to the present disclosure, and b) at least one additional agent.
- the kit can comprise instructions for its administration.
- a method for treating a proliferative disorder comprising administering to a subject in need thereof a therapeutically effective amount of the compound or the pharmaceutically acceptable salt thereof, or the pharmaceutical composition according to the present disclosure.
- the compound or the pharmaceutically acceptable salt thereof, or the pharmaceutical composition according to the present disclosure for use in treating a proliferative disorder.
- the proliferative disorder is a FGFR-associated (especially FGFRs 1-3, particularly FGFR 2) proliferative disorder, for example, a cancer, a myeoloproliferative disease, a skeletal or chondrocyte disorder, or a hypophosphatemia.
- the proliferative disorder is a cancer, particularly a FGFR-associated cancer.
- the proliferative disorder like cancer types in which FGF/FGFRs include, but are not limited to: bladder cancer, breast cancer, cervical cancer, colorectal cancer, endometrial cancer, gastric cancer, head and neck cancer, renal carcinoma, hepatic carcinoma, lung cancer, ovarian cancer, prostate cancer, esophageal cancer, gallbladder cancer, pancreatic cancer, thyroid cancer, skin cancer, leukemia, multiple myeloma, chronic lymphocytic lymphoma, adult T cell leukemia, B cell lymphoma, acute myelocytic leukemia, Hodgkin lymphoma or non-Hodgkin lymphoma, Waldenstrom macroglobulinemia, hairy cell lymphoma, cell lymphoma, Bunkitt’s lymphoma, glioblastoma, melanoma and rhabdomyosarcoma.
- the compounds of the present disclosure can be administered in combination with one or more additional therapeutic agents.
- additional therapeutic agents A person skilled in the art will understand that the phrase “combination therapy” , “combined with” or the like refers to the application of more than one medication or treatment together to increase the efficacy.
- the use, treatment method, or the compound (s) for use according to the present disclosure can optionally comprise administration of one or more additional therapeutic agents or therapies.
- the present compound (s) may be administered in the same pharmaceutical composition as other therapeutic agent (s) , or due to different physical and chemical characteristics, be administered by a different route.
- the present compound (s) may be administered orally, while the additional therapeutic agent (s) may be administered intravenously. Therefore, the present compound (s) may be administered concurrently, sequentially or dosed separately to additional therapeutic agent (s) .
- the compound (s) according to the present disclosure show significant inhibitory effect on growth of cells dependent on FGFR signaling (especially FGFRs 1-3, particularly FGFR 2) , thereby showing a great effect on relevant FGFR-associated proliferative disorder.
- the present compound (s) are also useful in FGFR1-, FGFR2-and FGFR3-associated (particularly FGFR 2) proliferative disorder, of the efficacy is superior over the prior art.
- the present compound (s) show a low inhibitory effect on FGFR4, showing superior selectivity and safety and reducing the undesirable side effect.
- a series of thio-lactam derivatives of formula 1-8 can be prepared by the methods outlined in Scheme 1.
- Introduction of a protecting group (PG: e.g., ArSO 2 -, THP-, Boc-, CBz-, SEM-etc8) to the aldehyde 1-1 can afford the corresponding aldehyde 1-2.
- Chloro-amine derivative 1-3 can be obtained by reductive amination of the aldehyde 1-2 with an aniline derivative by using suitable reductive reagent (e.g., NaBH 4 , NaBH 3 (CN) or NaBH (OAc) 3 ) .
- suitable reductive reagent e.g., NaBH 4 , NaBH 3 (CN) or NaBH (OAc) 3
- a series of thiourea derivatives of formula 2-4 can be prepared by the methods outlined in Scheme 2.
- the chloro-amine derivative 2-1 can react with a suitable thiocyanate ester 2-2 to produce the thiourea derivative 2-3 under basic conditions (e.g., Cs 2 CO 3 , NaH, LiHMDS, NaHMDS, KHMDS or KOBu-t) .
- a suitable base such as, but not limited to, for example, K 2 CO 3 , KOH, t-BuOK, or tetra-n-butylammonium fluoride (TBAF) .
- a series of guanidine derivatives of formula 3-4 can be prepared by the methods outlined in Scheme 3.
- the diamino derivative 3-2 can be obtained by Buchwald-Hartwig reaction or Ullmann reaction with an appropriate amine R 11 NH 2 . Cyclization of the diamino compound 3- 2 with carbonyldiimidazole (CDI) , triphosgene, phosgene, or diphosgene etc. can afford the urea derivatives of formula 3-3.
- the guanidines 3-4 can be obtained by chlorination under acyl chloride conditions (e.g. POCl 3 , SOCl 2 , (COCl) 2 ) following displacement of the chlorine with an appropriate amine R 11 NH 2 in the presence of a suitable base (e.g. TEA or DIEA) and removal of the PG.
- a suitable base e.g. TEA or DIEA
- guanidine derivatives of formula 4-3 and 4-5 can be prepared by the methods outlined in Scheme 4.
- the guanidine derivatives 4-3 can be obtained by reaction of the diamino compound 4-1 with BrCN following by removal of the PG.
- the guanidine derivatives 4-5 can be prepared by alkylation of the guanidine derivatives 4-2 with a suitable alkyl reagent R 10 X (e.g., X is Cl, Br, I, OTf, or OMs etc. ) following by removal of the PG.
- a series of chloro-amine derivatives of formula 5-6 can be prepared by the methods outlined in Scheme 5.
- Grignard reaction of 5-1 with suitable Grignard reagent or lithium reagent can produce the corresponding alcohol 5-2.
- Oxidation of the hydroxyl group of 5-2 using a suitable oxidant e.g., Dess-Martin or Swern oxidation conditions
- ketone 5-3 which can be transformed into the alcohol 5-4 with suitable Grignard reagent or Lithium reagent.
- the hydroxyl group of 5-4 was converted to 5-5 with a leaving group LG (e.g., but not limited to, OMs, OTs, halo (I, Br, Cl) , OTf etc... ) .
- LG e.g., but not limited to, OMs, OTs, halo (I, Br, Cl) , OTf etc...
- Treatment with aniline derivative ArNH 2 to form the chloro-amine derivative 5-6 can be achieved in the presence of a base such as, but not limited to, K 2 CO 3 , Cs 2 CO 3 , NaH, LiHMDS, NaHMDS, KHMDS and so on.
- a base such as, but not limited to, K 2 CO 3 , Cs 2 CO 3 , NaH, LiHMDS, NaHMDS, KHMDS and so on.
- the chloro-amine derivative 5-6 can then be transformed into the desired final product as described in Schemes 1-4.
- a series of tricyclic amine derivatives of formula 6-4 can be prepared according to the methods outlined in Scheme 6.
- a strong base such as, but not limited to, lithium diisopropylamide (LDA) , butyllithium, or lithium bis (trimethylsilyl) amide (LiHMDS) in an inert solvent such as THF, ether, or HMPA at low temperature
- LDA lithium diisopropylamide
- LiHMDS lithium bis (trimethylsilyl) amide
- the amino-derivative 6-3 can be prepared by reductive amination of aldehyde 6-2 with an appropriate amine (e.g. NHR 9A R 9B ) to yield compound 6-3.
- the tricyclic amine derivatives 6-4 can be obtained by removal of the protecting group (PG) in the presence of a suitable base such as, for example, K 2 CO 3 , KOH, t-BuOK, or tetra-n-butylammonium fluoride (TBAF) .
- a series of the tricyclic derivatives of formula 7-4 can be prepared according to the procedures outlined in Scheme 7.
- a series of amine-derivatives of formula 8-4 can be prepared according to the procedures outlined in Scheme 8.
- the transformation of the acetal compound 8-1 to the corresponding amino-derivative 8-3 are very similarly to those from tricyclic compound 6-1 to the trcyclic amine 6-3 as described in scheme 6.
- Removal of the acetal protecting group of 8-3 in the presence of a suitable acid such as, but not limited to, aq. HCl, p-toluenesulfonic acid, or TFA etc., can afford the aldehyde 8-4 which can be transformed into the final product 8-5 according to the procedures described in above schemes 1-4.
- Step 1 4-Chloro-1- (phenylsulfonyl) -1H-pyrrolo [2, 3-b] pyridine-5-carbaldehyde
- Step2 4-Chloro-5- (1, 3-dioxolan-2-yl) -1- (phenylsulfonyl) -1H-pyrrolo [2, 3-b] pyridine
- Step3 4- ( (4-Chloro-5- (1, 3-dioxolan-2-yl) -1- (phenylsulfonyl) -1H-pyrrolo [2, 3-b] pyridin-2-yl) methyl) morpholine
- Step4 4-Chloro-2- (morpholinomethyl) -1- (phenylsulfonyl) -1H-pyrrolo [2, 3-b] pyridine-5-carbaldehyde
- the mixture was cooled to 0-5 °C and adjusted with aqueous sodium hydroxide solution (1.0 N, 1.0 mL) to pH about 10-11. n-Heptane (2.4 mL) was added and the reaction mixture were stirred at r.t. for 1 h.
- aqueous sodium hydroxide solution 1.0 N, 1.0 mL
- n-Heptane 2.4 mL
- Step 5 N- ( (4-chloro-2- (morpholinomethyl) -1- (phenylsulfonyl) -1H-pyrrolo [2, 3-b] pyridin-5-yl) methyl) -2, 6-difluoro-3, 5-dimethoxyaniline
- Step 6 3- (2, 6-Difluoro-3, 5-dimethoxyphenyl) -1-ethyl-8- (morpholinomethyl) -7- (phenylsulfonyl) -1, 3, 4, 7-tetrahydro-2H-pyrrolo [3', 2': 5, 6] pyrido [4, 3-d] pyrimidine-2-thione
- Step 1 4-chloro-1- (phenylsulfonyl) -1H-pyrrolo [2, 3-b] pyridine-5-carbaldehyde
- Step 2 N- ( (4-chloro-1- (phenylsulfonyl) -1H-pyrrolo [2, 3-b] pyridin-5-yl) methyl) -2, 6-difluoro-3, 5-dimethoxyaniline
- Trimethylsilyl chloride (19 g, 174 mmol) was added dropwise into a mixture of 4-chloro-1- (phenylsulfonyl) -1H-pyrrolo [2, 3-b] pyridine-5-carbaldehyde (20 g, 62.5 mmol) and 2, 6-difluoro-3, 5-dimethoxyaniline (14 g, 74 mmol) in DMF (200 mL) .
- the reaction mixture was stirred at r.t. for 0.5 h., then BH 3 -THF (71 mL, 71 mmol, 1.0 M) was added. The mixture was stirred at r.t.
- Step 3 3- (2, 6-difluoro-3, 5-dimethoxyphenyl) -1-ethyl-7- (phenylsulfonyl) -1, 3, 4, 7-tetrahydro-2H-pyrrolo [3', 2': 5, 6] pyrido [4, 3-d] pyrimidine-2-thione
- Step 4 3- (2, 6-difluoro-3, 5-dimethoxyphenyl) -1-ethyl-7- (phenylsulfonyl) -2-thioxo-2, 3, 4, 7-tetrahydro-1H-pyrrolo [3', 2': 5, 6] pyrido [4, 3-d] pyrimidine-8-carbaldehyde
- Step 5 3- (2, 6-difluoro-3, 5-dimethoxyphenyl) -1-ethyl-7- (phenylsulfonyl) -8- (pyrrolidin-1-ylmethyl) -1, 3, 4, 7-tetrahydro-2H-pyrrolo [3', 2': 5, 6] pyrido [4, 3-d] pyrimidine-2-thione
- Step 6 3- (2, 6-difluoro-3, 5-dimethoxyphenyl) -1-ethyl-8- (pyrrolidin-1-ylmethyl) -1, 3, 4, 7-tetrahydro-2H-pyrrolo [3', 2': 5, 6] pyrido [4, 3-d] pyrimidine-2-thione
- Step 1 tert-butyl (5- ( ( (2, 6-difluoro-3, 5-dimethoxyphenyl) amino) methyl) -2- (morpholinomethyl) -1- (phenylsulfonyl) -1H-pyrrolo [2, 3-b] pyridin-4-yl) carbamate and 3- (2, 6-difluoro-3, 5-dimethoxyphenyl) -8- (morpholinomethyl) -7- (phenylsulfonyl) -1, 3, 4, 7-tetrahydro-2H-pyrrolo [3', 2': 5, 6] pyrido [4, 3-d] pyrimidin-2-one
- Step 2 5- ( ( (2, 6-difluoro-3, 5-dimethoxyphenyl) amino) methyl) -2- (morpholinomethyl) -1- (phenylsulfonyl) -1H-pyrrolo [2, 3-b] pyridin-4-amine
- Step 3 3- (2, 6-difluoro-3, 5-dimethoxyphenyl) -N-ethyl-8- (morpholinomethyl) -7- (phenylsulfonyl) -4, 7-dihydro-3H-pyrrolo [3', 2': 5, 6] pyrido [4, 3-d] pyrimidin-2-amine
- Step 4 3- (2, 6-difluoro-3, 5-dimethoxyphenyl) -N-ethyl-8- (morpholinomethyl) -4, 7-dihydro-3H-pyrrolo [3', 2': 5, 6] pyrido [4, 3-d] pyrimidin-2-amine
- Step 1 4- ( (3- (2, 6-difluoro-3, 5-dimethoxyphenyl) -2-methoxy-7- (phenylsulfonyl) -4, 7-dihydro-3H-pyrrolo [3', 2': 5, 6] pyrido [4, 3-d] pyrimidin-8-yl) methyl) morpholine
- MeO 3 BF 4 (49.9 mg, 0.333 mmol) was added and the mixture was stirred at ambient temperature for 6 h. LCMS showed SM was consumed. The mixture was quenched with aqueous NH 4 Cl and extracted with DCM (20 mL x 4) . The combined organic layers were washed with brine, dried over Na 2 SO 4 , concentrated under reduced pressure.
- Step 2 4- ( (3- (2, 6-difluoro-3, 5-dimethoxyphenyl) -2-methoxy-4, 7-dihydro-3H-pyrrolo [3', 2': 5, 6] pyrido [4, 3-d] pyrimidin-8-yl) methyl) morpholine
- Step 1 9-bromo-3- (2, 6-difluoro-3, 5-dimethoxyphenyl) -1-ethyl-7- (phenylsulfonyl) -1, 3, 4, 7-tetrahydro-2H-pyrrolo [3', 2': 5, 6] pyrido [4, 3-d] pyrimidine-2-thione and 8-bromo-3- (2, 6-difluoro-3, 5-dimethoxyphenyl) -1-ethyl-7- (phenylsulfonyl) -1, 3, 4, 7-tetrahydro-2H-pyrrolo [3', 2': 5, 6] pyrido [4, 3-d] pyrimidine-2-thione
- the reaction mixture was stirred for additional 2 h. at -78 °C, and quenched with sat. NH 4 Cl (20 mL) and stirred at ambient temperature for 30 min., and then extracted with EA (30.0 mL x 2) . The combined organic layers were dried over Na 2 SO 4 , filtered and concentrated under reduced pressure. The residue was purified by flash chromatography on a silica gel column with AcOEt in PE (0-40 %) to afford two products P1 (90 mg, the earlier eluted isomer) and P2 (140 mg, the latter eluted isomer) .
- P1 was assigned to 9-bromo-3- (2, 6-difluoro-3, 5-dimethoxyphenyl) -1-ethyl-7- (phenylsulfonyl) -1, 3, 4, 7-tetrahydro-2H-pyrrolo [3', 2': 5, 6] pyrido [4, 3-d] pyrimidine-2-thione LCMS calc.
- Step2 3- (2, 6-difluoro-3, 5-dimethoxyphenyl) -1-ethyl-8- (4-methoxyphenyl) -7- (phenylsulfonyl) -1, 3, 4, 7-tetrahydro-2H-pyrrolo [3', 2': 5, 6] pyrido [4, 3-d] pyrimidine-2-thione
- the mixture was stirred at 100 °C overnight. After cooling to r.t., the mixture was diluted with water (10 mL) and extracted with EA (20 mL x 3) . The combined organic layers were dried over sodium sulfate, filtered and concentrated under reduced pressure.
- Step 3 3- (2, 6-difluoro-3, 5-dimethoxyphenyl) -1-ethyl-8- (4-methoxyphenyl) -1, 3, 4, 7-tetrahydro-2H-pyrrolo [3', 2': 5, 6] pyrido [4, 3-d] pyrimidine-2-thione
- Step 1 3- (2, 6-difluoro-3, 5-dimethoxyphenyl) -8- (morpholinomethyl) -7- (phenylsulfonyl) -1- (piperidin-4-ylmethyl) -1, 3, 4, 7-tetrahydro-2H-pyrrolo [3', 2': 5, 6] pyrido [4, 3-d] pyrimidine-2-thione
- the reaction mixture was stirred at 0 °C for 20 min., and tert-butyl 4- (isothiocyanatomethyl) piperidine-1-carboxylate (97.2 mg, 0.379 mmol) was added.
- the mixture was stirred at r.t. for 3 h., and quenched with aqueous ammonia chloride (5.0 mL, 2.0 M) .
- the mixture was stirred for 10 min. and filtered.
- Step 2 3- (2, 6-difluoro-3, 5-dimethoxyphenyl) -8- (morpholinomethyl) -1- (piperidin-4-ylmethyl) -1, 3, 4, 7-tetrahydro-2H-pyrrolo [3', 2': 5, 6] pyrido [4, 3-d] pyrimidine-2-thione
- Step 1 1- (4- ( (3- (2, 6-difluoro-3, 5-dimethoxyphenyl) -8- (morpholinomethyl) -7- (phenylsulfonyl) -2-thioxo-2, 3, 4, 7-tetrahydro-1H-pyrrolo [3', 2': 5, 6] pyrido [4, 3-d] pyrimidin-1-yl) methyl) piperidin-1-yl) ethan-1-one
- Step 2 1- (4- ( (3- (2, 6-Difluoro-3, 5-dimethoxyphenyl) -8- (morpholinomethyl) -2-thioxo-2, 3, 4, 7-tetrahydro-1H-pyrrolo [3', 2': 5, 6] pyrido [4, 3-d] pyrimidin-1-yl) methyl) piperidin-1-yl) ethan-1-one
- the inhibitor potency of the exemplified compounds was measured in Mobility shift assay with ATP (Sigma, Cat. No. A7699-1G) concentration at Km.
- the compounds were diluted to 50X of the final desired highest inhibitor concentration in reaction by 100%DMSO. 100 ⁇ l of this compound dilution was transferred to a well in a 96-well plate. Then the compounds were serially diluted in DMSO by 3-fold for a total of 10 concentrations. 100 ⁇ l of 100%DMSO was added to two empty wells for no compound control (DMSO control) and no enzyme control (low control) in the same 96-well plate (Corning, 3365) . This plate was marked as source plate. 10 ⁇ l of compound was transferred from source plate to a new 96-well plate as the intermediate plate. 90 ⁇ l of 1x kinase buffer was added to each well of the intermediate plate.
- the compounds were mixed in the intermediate plate for 10 min on shaker. 5 ⁇ l of diluted compounds in each well from the 96-well intermediate plate was transferred to a 384-well plate as assay plate in duplicates. 10 ⁇ l of 2.5x enzyme solution (prepared in 1x kinase base buffer, i.e. 50 mM HEPES, pH 7.5; 0.0015%Brij-35) was added to each well of the 384-well (Corning, 3573) assay plate and incubate at room temperature for 10 min. Then 10 ⁇ l of 2.5x peptide solution (FAM-labeled peptide and ATP added in the 1x kinase base buffer) was added to each well of the 384-well assay plate.
- 1x kinase base buffer i.e. 50 mM HEPES, pH 7.5; 0.0015%Brij-35
- stop buffer 100 mM HEPES, pH 7.5; 0.015%Brij-35; 0.2%Coating Reagent #3; 50 mM EDTA
- IC 50 data is provided below in Table 1.
- the symbol “++++” indicates an IC 50 less than 10 nM
- the symbol “+++” indicates an IC 50 of 10 to 100 nM
- “++” indicates an IC 50 of 100 to 500 nM
- the symbol “+” indicates an IC 50 more than 500 nM
- “NT” indicates not test.
- Example B Anti-proliferative activity in FGFR1-4 amplified cancer cell lines
- the ability of the compounds to inhibit the growth of cells dependent on FGFR signaling for survival was measured using Growth inhibition assays (CellTiter-Glo, Promega, G7570) .
- CellTiter-Glo Growth inhibition assays
- Several cell lines (AN3CA, human endometrial carcinoma cell line (cobioer biosciences, Cat#CPB60663) , MFE296, human endometrial carcinoma cell line (cobioer biosciences, Cat#CPB60840) , SNU-16, gastric cancer cell line (cobioer biosciences, Cat#CPB60502) ) were used in cell proliferation assays, and compounds are screened for their ability to inhibit cell proliferation/survival.
- Cells were seeded into the Nunc microwell-96 plates (Thermo, 165305) at appropriate cell density in 90 ⁇ L cell culture media containing 10%FBS (AN3CA 3000 cells/well; MFE296 750 cells/well; SNU16 2000 cells/well; JHH7 2000 cells/well; HEP3B 1500 cells/well; Huh7 2000 cells/well) .
- Cells were treated with 10 ⁇ L of 10X concentrations of serially diluted compounds (serially diluted by 1: 2 ratio for a total of 9 concentrations and the final concentration of DMSO is 0.1%) to a final volume of 100 ⁇ L/well.
- the symbol “++++” indicates an IC 50 less than 10 nM
- the symbol “+++” indicates an IC 50 of 10 to 100 nM
- “++” indicates an IC 50 of 100 to 500 nM
- the symbol “+” indicates an IC 50 more than 500 nM
- “NT” indicates not test.
Landscapes
- Chemical & Material Sciences (AREA)
- Organic Chemistry (AREA)
- Health & Medical Sciences (AREA)
- Chemical Kinetics & Catalysis (AREA)
- General Chemical & Material Sciences (AREA)
- Medicinal Chemistry (AREA)
- Nuclear Medicine, Radiotherapy & Molecular Imaging (AREA)
- Pharmacology & Pharmacy (AREA)
- Life Sciences & Earth Sciences (AREA)
- Animal Behavior & Ethology (AREA)
- General Health & Medical Sciences (AREA)
- Public Health (AREA)
- Veterinary Medicine (AREA)
- Pharmaceuticals Containing Other Organic And Inorganic Compounds (AREA)
Abstract
Provided are thia-tricyclic compounds, and pharmaceutical compositions including the same, that are inhibitors of one or more FGFR enzymes and are useful in the treatment of FGFR-associated diseases.
Description
The present disclosure relates to thia-tricyclic compounds, and pharmaceutical compositions including the same, that are inhibitors of one or more FGFR enzymes and are useful in the treatment of FGFR-associated diseases, especially FGFR1-, FGFR2-and FGFR3-associated diseases, such as cancer.
The Fibroblast Growth Factor Receptor (FGFR) tyrosine kinase (TK) family consists of four members (FGFR1-4) , activated through 22 different fibroblast growth factor (FGF) ligands, which regulate multiple biological processes, including cell proliferation, migration, differentiation, apoptosis, metabolism, and angiogenesis (Wilkie et al., Curr. Biol. 1995, 5, 500–507) . When FGF ligands bind to their specific FGFRs, the receptors undergo dimerization and phosphorylation of the intracellular tyrosine kinase domains which results in the activation of a cascade of downstream events including the mitogen-activated protein kinase (MAPK) , the signal transducer and activator of transcription (STAT) , the phosphoinositide-3-kinase (PI3K) /Akt, the nuclear factor-kappa B, and the PLC-gamma DAG/PKC/IP3-Ca
2+ pathways resulting in DNA transcription. These pathways have critical roles in cell proliferation, metabolism and survival (Eswarakumar et al. Cytokine &Growth Factor Reviews, 2005, 16, 139-149) .
Genetic aberrations such as gene amplifications and activating mutations are common in the FGFR family members. FGFR signaling has been demonstrated to mediate crucial physiological processes such as embryogenesis, tissue repair, wound healing, and angiogenesis (Dieci et al., Cancer Discovery, 2013, 3, 264-279) . Additionally, the dysregulation of FGFR has also been implicated in the poor prognosis, metastatic progression, and resistance to both cytotoxic and targeted agents during clinical treatment (Turner et al., Cancer Res. 2010, 70, 2085-2094; Greulich et al., Trends Mol. Med. 2011, 17, 283-292; Ho et al., Drug Discovery Today 2014, 19, 51-62; Kim et al., Oncogene 2015, 34, 1083-1093; Saito et al., BMC Cancer 2015, 15, 82) . A variety of genetic alterations, including deregulated expression and/or abnormal activation of FGFs and FGFR family members, has been found in diverse tumor types (Turner, N. et al., Nature Rev. Cancer 2010, 10, 116–129) . For example, translocation and fusion of FGFR1 to other genes resulting in constitutive activation of its kinase by oligomerization is responsible for 8p11 myeloproliferative disorder (MPD) (Walz, C. et al., Leukemia 2005, 19, 1005–1009) . Frequent and focal FGFR1 amplification has been identified in squamous cell lung cancer and found to be associated with tumor growth and survival (Weiss, J.M. et al., Sci. Transl. Med. 2010, 2, 62–93) . Gene amplification and protein overexpression have been reported for FGFR1, FGFR2, and FGFR4 in breast cancer (Penault-Llorca, F. et al., Int. J. Cancer 1995, 61, 170–176) . Similar translocations and fusions for FGFR3 are associated with peripheral T-cell lymphoma (Yagasaki, F. et al., Cancer Res. 2001, 61, 8371–8374) . Further, somatic activating mutations in FGFR3 in solid tumors, being particularly high in bladder carcinomas (Cappellen, D. et al., Nature Genet. 1999, 23, 18–20) , and activating point mutations of FGFR2 in gastric cancer (Takeda, M. et al., Clin. Cancer Res. 2007, 13, 3051–3057) and in endometrial carcinomas (Pollock, P.M. et al., Oncogene 2007, 26, 7158–7162) have been described. Aberrant signaling of the FGF/FGFR pathway has the potential to drive the pathogenesis of a broad range of human malignancies, including urothelial cancers, breast cancers, endometrial cancers, squamous lung cancers, ovarian cancers, and cholangiocarcinomas (Helsten et al., Clin. Cancer Res. 2016, 22, 259-267; Turner et al., Nat. Rev. Cancer 2010, 10, 116–129) .
In addition, the role of fibroblast growth factor receptor 4 (FGFR4) in regulating bile acid synthesis has been well defined. FGF19 signals the liver to reduce bile acid synthesis by inhibiting expression of cholesterol 7α-hydroxylase (CYP7A1) , the enzyme responsible for the rate-limiting step of bile acid synthesis, via activation of hepatic FGFR4, thus completing a negative feedback loop on bile acid synthesis. FGFR4 inhibition may cause elevated bile acid synthesis, enhanced bile acid efflux and reduced uptake into the hepatocytes. Increased bile acid alters solute transporters in enterocytes and disrupts enterohepatic recirculation of bile acids subsequently causing diarrhea and liver toxicity. Thus, there is a benefit in developing FGFR inhibitor that spare FGFR4. (Holt et al. 2003 Genes Dev. 17, 1581–1591; Rama et al., toxicological sciences 2012, 126 (2) , 446–456) .
Therefore, development of inhibitors targeting FGFR may be useful in the clinical treatment of cancer and other diseases that have elevated FGF or FGFR activity and the demand for selective small molecule inhibitors of specific kinases, especially selective inhibitors of FGFR 1-3, is also a significant challenge.
SUMMARY
In an aspect, provided is a compound of Formula (I) :
or a pharmaceutically acceptable salt thereof, wherein constituent variables are defined hereinbelow.
In an embodiment, provided is a compound of Formula (I-1) , (I-2) , (I-3) , or (I-4) :
or a pharmaceutically acceptable salt thereof, wherein constituent variables are defined herein or for formula (I) herein.
In another aspect, provided is a pharmaceutical composition comprising the compound according to the present disclosure or the pharmaceutically acceptable salt thereof, and at least one pharmaceutically acceptable excipient.
In yet another aspect, provided is a method of treating a proliferative disorder comprising administering to a subject in need thereof a therapeutically effective amount of the compound or the pharmaceutically acceptable salt thereof, or the pharmaceutical composition according to the present disclosure.
In yet another aspect, provided is also use of the compound or the pharmaceutically acceptable salt thereof, or the pharmaceutical composition according to the present disclosure for the manufacture of a medicament for treating a proliferative disorder.
In yet another aspect, provided is also the compound or the pharmaceutically acceptable salt thereof, or the pharmaceutical composition according to the present disclosure for use in treating a proliferative disorder.
In yet another aspect, the proliferative disorder is selected from the group consisting of a cancer, a myeloproliferative disease, a skeletal or chondrocyte disorder, and a hypophosphatemia.
General definition
Unless stated otherwise, the terms and phrases used herein have the following meaning. A specific term or phrase shall not be considered as unclear or indefinite when it is not specifically defined. It should be understood according to the general meaning. The trade name used herein refers to the corresponding product or the active ingredient.
Unless otherwise defined hereinafter, all technical and scientific terms used herein have the same meaning as commonly understood by a person skilled in the art. The techniques used herein refer to those that are generally understood in the art, including the variants and equivalent substitutions that are obvious to those skilled in the art. While the following terms are believed to be readily comprehensible by a person skilled in the art, the following definitions are set forth to better illustrate the present disclosure. All patents, published patents applications, and publications cited herein are hereby incorporated by reference.
The present disclosure may be more fully appreciated by reference to the following description, including the following definitions and examples. Certain features of the disclosed compositions and methods which are described herein in the context of separate aspects, may also be provided in combination in a single aspect. Alternatively, various features of the disclosed compositions and methods that are, for brevity, described in the context of a single aspect, may also be provided separately or in any sub-combination.
When a certain amount, concentration, or other value or parameter is set forth in the form of a range, a preferred range, or a preferred upper limit or a preferred lower limit, it should be understood that it is equivalent to specifically revealing any range formed by combining any upper limit or preferred value with any lower limit or preferred value, regardless of whether the said range is explicitly recited. Unless otherwise stated, the numerical ranges listed herein are intended to include the endpoints of the range and all integers and fractions (decimals) within the range. For example, the expression “about 0.01%to about 1%” means any values between 0.01%and 1%, for example 0.01%, 0.05%, 0.1%, 0.15%, 0.2%, 0.25%, 0.3%, 0.35%, 0.4%, 0.45%, 0.5%, 0.55%, 0.6%, 0.65%, 0.7%, 0.75%, 0.8%, 0.85%, 0.9%, 0.95%and 1%. Other similar expressions like “40%-50%to about 50%-70%” should also be understood in a similar manner.
Unless otherwise stated herein, singular forms like “a” and “the” include the plural forms. The expression “one or more” or “at least one” may mean 1, 2, 3, 4, 5, 6, 7, 8, 9 or more.
The terms “about” and “approximately” , when used in connection with a numerical variable, generally mean that the value of the variable and all values of the variable are within experimental error (for example, within a 95%confidence interval for the mean) or within ±10%of a specified value, or a wider range.
The term “mixture” is intended to mean a mixture containing more than one species of compounds, wherein one or more species of compounds can be target compound (s) . The term “target compound” means a compound to be separated or purified. When defining a separation process, the species of the target compound (s) are determined before the separation operations. It is to be understood that the product which contains the target compound (s) could be in any desired form, for example a product containing a pure isomer compound or a mixture containing a plurality of predefined species of the target compounds.
The term “optional” or “optionally” means the event described subsequent thereto may, but not necessarily happen, and the description includes the cases wherein the said event or circumstance happens or does not happen. Accordingly, the term “optionally substituted” means the given group may be substituted or unsubstituted. When substituted, the substituents of an “optionally substituted” group may include, without limitation, one or more substituents independently selected from the following groups or a particular designated set of groups, alone or in combination, as defined herein: alkyl, alkenyl, alkynyl, alkanoyl, heteroalkyl, heterocycloalkyl, haloalkyl, haloalkenyl, haloalkynyl, perhaloalkyl, perhaloalkoxy, cycloalkyl, phenyl, aryl, aryloxy, alkoxy, haloalkoxy, oxo, acyloxy, carbonyl, carboxyl, alkylcarbonyl, carboxyester, carboxamido, cyano, hydrogen, halogen, hydroxy, amino, alkylamino, arylamino, amido, nitro, thiol, alkylthio, haloalkylthio, perhaloalkylthio, arylthio, sulfonate, sulfonic acid, tri substituted silyl, N
3, SH, SCH
3, C (O) CH
3, CO
2CH
3, CO
2H, pyridinyl, thiophene, furanyl, carbamate, and lower urea. Two substituents may be joined together to form a fused five-, six-, or seven-membered carbocyclic or heterocyclic ring comprising zero to three heteroatoms, for example forming methylenedioxy or ethylenedioxy. An optionally substituted group may be unsubstituted (e.g., -CH
2CH
3) , fully substituted (e.g., -CF
2CF
3) , mono-substituted (e.g., -CH
2CH
2F) or substituted at a level anywhere in-between fully substituted and mono-substituted (e.g., -CH
2CF
3) .
The expression “comprising” or similar expressions “including, ” “containing” and “having” are open-ended, and do not exclude additional unrecited elements, steps, or ingredients. The expression “consisting of” excludes any element, step, or ingredient not designated. The expression “consisting essentially of” means that the scope is limited to the designated elements, steps or ingredients, plus elements, steps or ingredients that are optionally present that do not substantially affect the essential and novel characteristics of the claimed subject matter. It should be understood that the expression “comprising” encompasses the expressions “consisting essentially of” and “consisting of” .
The chemical bond in the compound of the disclosure can be depicted herein with a solid line
awavy line
asolid wedge
or a dashed wedge
It is intended that a bond to an asymmetric atom depicted with a solid line indicates that all possible stereoisomers at the atom (e.g., specific enantiomers, racemic mixtures and the like) are contemplated. It is intended that a bond to an asymmetric atom depicted with a wavy line indicates that the bond is either a solid wedge
bond or a dashed wedge
bond. It is intended that a bond to an asymmetric atom depicted with a solid or dashed wedge indicates the existence of the stereoisomer that is shown. When present in a racemic mixture, a solid or dashed wedge is used to define relative stereochemistry rather than absolute stereochemistry. Unless otherwise indicated, it is intended that the compound of the disclosure can be present in the form of stereoisomers (including cis-and trans-isomers, optical isomers (e.g., R and S enantiomers) , diastereomers, geometric isomers, rotamers, conformers, atropisomers, and mixtures thereof) . The compound of the disclosure can exhibit one or more types of the above isomerism and can be consisted of a mixture thereof (e.g., a racemic mixture and/or a diastereomeric pair) .
It is further intended that the compounds of the present disclosure are stable. As used herein “stable” refers to a compound that is sufficiently robust to survive isolation to a useful degree of purity from a reaction mixture, and preferably capable of formulation into an efficacious therapeutic agent.
The term “alkyl” , when used alone or as part of a substituent group, refers to a straight-or branched-chain hydrocarbon group having from 1 to 6 carbons atoms ( “C
1-6” ) , in the group. Examples of alkyl groups include methyl (Me, C
1alkyl) , ethyl (Et, C
2alkyl) , n-propyl (C
3alkyl) , isopropyl (C
3alkyl) , butyl (C
4alkyl) , isobutyl (C
4alkyl) , sec-butyl (C
4alkyl) , tert-butyl (C
4alkyl) , pentyl (C
5alkyl) , isopentyl (C
5alkyl) , tert-pentyl (C
5alkyl) , hexyl (C
6alkyl) , isohexyl (C
6alkyl) , and the like.
The term “haloalkyl” , when used alone or as part of a substituent group, refers to a straight or branched-chain hydrocarbon group having from 1 to 6 carbons atoms ( “C
1-6” ) in the group, wherein one or more of the hydrogen atoms in the group have been replaced by a halogen atom. Examples of haloalkyl groups include trifluoromethyl (-CF
3, C
1haloalkyl) , trifluoroethyl (-CH
2CF
3, C
2haloalkyl) , and the like.
The term “alkylene” , when used alone or as part of a substituent group, refers to an alkyl diradical, i.e., a straight-or branched-chain hydrocarbon group having from 1 to 6 carbons atoms ( “C
1-6” ) , in the group, wherein the group is directly attached to two other variable groups.
The term “cycloalkyl” refers to non-aromatic cyclic hydrocarbons including cyclized alkyl and/or alkenyl groups. Cycloalkyl groups thus also encompass cycloalkenyl groups. Cycloalkyl groups can include mono-or polycyclic (e.g., having 2 or more than 2 fused rings) groups, spirocycles, and bridged rings (e.g., a bridged bicycloalkyl group) . Ring-forming carbon atoms of a cycloalkyl group can be optionally substituted by oxo or sulfido (e.g., C (O) or C (S) ) . Also included in the definition of cycloalkyl are moieties that have one or more aromatic rings fused (i.e., having a bond in common with) to the cycloalkyl ring, for example, benzo or thienyl derivatives of cyclopentane, cyclohexane, and the like. A cycloalkyl group containing a fused aromatic ring can be attached through any ring-forming atom including a ring-forming atom of the fused aromatic ring. Cycloalkyl groups can have 3, 4, 5, 6, 7, 8, 9, or 10 ring-forming carbons (C
3-10) . In some embodiments, the cycloalkyl is a C
3-10 monocyclic or bicyclic cyclocalkyl. In some embodiments, the cycloalkyl is a C
3-10 monocyclic or bicyclic cycloalkyl which is optionally substituted by CH
2F, CHF
2, CF
3, and CF
2CF
3. In some embodiments, the cycloalkyl is a C
3-7 monocyclic cycloalkyl. In some embodiments, the cycloalkyl is a C
4-10 spirocycle or bridged cycloalkyl. Example cycloalkyl groups include cyclopropyl, cyclobutyl, cyclopentyl, cyclohexyl, cycloheptyl, cyclopentenyl, cyclohexenyl, cyclohexadienyl, cycloheptatrienyl, norbornyl, nopinyl, norcarnyl, cubane, adamantane, bicyclo [l. 1.1] pentyl, bicyclo [2. l. l] hexyl, bicyclo [2.2. l] heptanyl, bicyclo [3.1.1] heptanyl, bicyclo [2.2.2] octanyl, spiro [3.3] heptanyl, and the like. In some embodiments, cycloalkyl is cyclopropyl, cyclobutyl, cyclopentyl, or cyclohexyl. In some embodiments, cycloalkyl are cyclic-containing, non-aromatic hydrocarbon groups having from 3 to 1 2 carbon atoms ( “C
3-12” ) , preferably from 3 to 6 carbon atoms ( “C
3-6” ) . Examples of cycloalkyl groups include, for example, cyclopropyl (C
3; 3-membered) , cyclobutyl (C
4; 4-membered) , cyclopropylmethyl (C
4) , cyclopentyl (C
5) , cyclohexyl (C
6) , 1 -methylcyclopropyl (C
4) , 2-methylcyclopentyl (C
6) , adamantanyl (C
10) , and the like.
The term “heterocycloalkyl” refers to monocyclic or polycyclic heterocycles having at least one non-aromatic ring (saturated or partially unsaturated ring) , wherein one or more of the ring-forming carbon atoms of the heterocycloalkyl is replaced by a heteroatom selected from the group consisting of N, O, S and B, and wherein the ring-forming carbon atoms and heteroatoms of the heterocycloalkyl group can be optionally substituted by one or more oxo or sulfido (e.g., C (O) , S (O) , C (S) , or S (O)
2, etc. ) . Heterocycloalkyl groups include monocyclic and polycyclic (e.g., having 2 or more than 2 fused rings) systems. Included in heterocycloalkyl are monocyclic and polycyclic 4-10, 4-7, and 5-6 membered heterocycloalkyl groups. Heterocycloalkyl groups can also include spirocycles and bridged rings (e.g., a 5-10 membered bridged biheterocycloalkyl ring having one or more of the ring-forming carbon atoms replaced by a heteroatom independently selected from the group consisting of N, O, S and B) . The heterocycloalkyl group can be attached through a ring-forming carbon atom or a ring-forming heteroatom. In some embodiments, the heterocycloalkyl group contains 0 to 3 double bonds. In some embodiments, the heterocycloalkyl group contains 0 to 2 double bonds.
Also included in the definition of heterocycloalkyl are moieties that have one or more aromatic rings fused (i.e., having a bond in common with) to the non-aromatic heterocyclic ring, for example, benzo or thienyl derivatives of piperidine, morpholine, azepine, etc. A heterocycloalkyl group containing a fused aromatic ring can be attached through any ring-forming atom including a ring-forming atom of the fused aromatic ring. In some embodiments, the heterocycloalkyl group contains 4 to 10 ring-forming atoms, 4 to 7 ring-forming atoms, or 5 to 6 ring-forming atoms. In some embodiments, the heterocycloalkyl group has 1 to 4 heteroatoms, 1 to 3 heteroatoms, 1 to 2 heteroatoms or 1 heteroatom. In some embodiments, the heterocycloalkyl is a monocyclic 4-6 membered heterocycloalkyl having 1 or 2 heteroatoms independently selected from the group consisting of N, O, S and B and having one or more oxidized ring members.
Example heterocycloalkyl groups include but not limited to pyrrolidin-2-one, l, 3-isoxazolidin-2-one, pyranyl, tetrahydropyran, tetrahydropyridine, oxetanyl, azetidinyl, morpholino, thiomorpholino, piperazinyl, tetrahydrofuranyl, tetrahydrothienyl, piperidinyl, pyrrolidinyl, isoxazolidinyl, isothiazolidinyl, pyrazolidinyl, oxazolidinyl, thiazolidinyl, imidazolidinyl, azepanyl, benzazapene, 1, 2, 3, 4-tetrahydroisoquinoline, 2, 3-dihydrobenzofuryl, 1, 3-benzodioxole, benzo-1, 4-dioxane, azabicyclo [3.1.0] hexanyl, diazabicyclo [3.1.0] hexanyl, oxabicyclo [2. l. l] hexanyl, azabicyclo [2.2. l] heptanyl, diazabicyclo [2.2. l] heptanyl, azabicyclo [3.1.1] heptanyl, diazabicyclo [3.1.1] heptanyl, azabicyclo [3.2. l] octanyl, diazabicyclo [3.2.1] octanyl, oxabicyclo [2.2.2] octanyl, azabicyclo [2.2.2] octanyl, azaadamantanyl, diazaadamantanyl, oxa-adamantanyl, azaspiro [3.3] heptanyl, diazaspiro [3.3] heptanyl, oxa-azaspiro [3.3] heptanyl, azaspiro [3.4] octanyl, diazaspiro [3.4] octanyl, oxa-azaspiro [3.4] octanyl, azaspiro [2.5] octanyl, diazaspiro [2.5] octanyl, azaspiro [4.4] nonanyl, diazaspiro [4.4] nonanyl, oxa-azaspiro [4.4] nonanyl, azaspiro [4.5] decanyl, diazaspiro [4.5] decanyl, diazaspiro [4.4] nonanyl, oxa-diazaspiro [4.4] nonanyl and the like.
In some embodiments, heterocycloalkyl refers to any 3 to 10 membered monocyclic or bicyclic, saturated ring structure containing at least one heteroatom selected from the group consisting of O, N and S. The heterocycloalkyl group may be attached at any heteroatom or carbon atom of the ring such that the result is a stable structure. Examples of suitable heterocycloalkyl groups include, but are not limited to, azepanyl, aziridinyl, azetidinyl, pyrrolidinyl, dioxolanyl, imidazolidinyl, pyrazolidinyl, piperazinyl, piperidinyl, dioxanyl, morpholinyl, dithianyl, thiomorpholinyl, oxazepanyl, oxiranyl, oxetanyl, quinuclidinyl, tetrahydrofuranyl, tetrahydropyranyl, piperazinyl, and the like.
The term “alkenyl” when used alone or as part of a substituent group refers to a straight-or branched-chain group having from 2 to 6 carbon atoms ( “C
2-6” ) , preferably 2 to 4 carbons atoms ( “C
2-4” ) , in the group, wherein the group includes at least one carbon-carbon double bond.
Examples of alkenyl groups include vinyl (-CH=CH
2; C
2alkenyl) , allyl (-CH
2-CH=CH
2; C
3alkenyl) , propenyl (-CH=CHCH
3 C
3alkenyl) ; isopropenyl (-C (CH
3) =CH
2; C
3alkenyl) , butenyl (-CH=CHCH
2CH
3; C
4alkenyl) , sec-butenyl (-C (CH
3) =CHCH
3; C
4alkenyl) , iso-butenyl (-CH=C (CH
3)
2; C
4alkenyl) , 2-butenyl (-CH
2CH=CHCH
3 C
4alkyl) , pentenyl (-CH=CHCH
2CH
2CH
3 or CH
2=CHCH
2CH
2CH
2-; C
5alkenyl) , and the like.
The term “alkynyl” , when used alone or as part of a substituent group refers to a straight-or branched-chain group having from 2 to 6 carbon atoms ( “C
2-6” ) , preferably 2 to 4 carbons atoms ( “C
2-4” ) , in the group, wherein the group includes at least one carbon-carbon triple bond. Examples of alkynyl groups include ethynyl (-C≡CH; C
2alkynyl) , propragyl (-CH
2-CH≡CH; C
3alkynyl) , and the like.
The term “aryl” when used alone or as part of a substituent group refers to a monocyclic all carbon aromatic ring or a multicyclic all carbon ring system wherein the rings are aromatic. In some embodiments, “aryl” refers to a mono-or bicyclic-aromatic hydrocarbon ring structure having 6-10 carbon atoms in the ring, wherein one or more of the carbon atoms in the ring is optionally substituted. Examples of aryl include but not limited to phenyl, naphthyl or the like.
The term “heteroaryl” , when used alone or as part of a substituent group, the term “heteroaryl” as used herein refers to a monocyclic aromatic ring that has at least one atom other than carbon in the ring, wherein the atom is selected from the group consisting of oxygen, nitrogen and sulfur. “Heteroaryl” also includes multicyclic ring systems that have at least one such aromatic ring. Thus, “heteroaryl” includes single aromatic rings of from about 1 to 6 carbon atoms and about 1-4 heteroatoms selected from the group consisting of oxygen, nitrogen and sulfur. The sulfur and nitrogen atoms may also be present in an oxidized form provided the ring is aromatic. “Heteroaryl” also includes multiple condensed ring systems (e.g., ring systems comprising 2, 3 or 4 rings) wherein a heteroaryl group is condensed with one or more rings selected from the group consisting of heteroaryls or aryls. Thus, a heteroaryl (asingle aromatic ring or multiple condensed ring system) has about 1-20 carbon atoms and about 1-6 heteroatoms within the heteroaryl ring system. A heteroaryl (amonocyclic aromatic ring or multicyclic condensed ring system) can also have about 5 to 10 members within the heteroaryl ring. The rings of a multi cyclic ring system can be connected to each other via fused, spiro and bridged bonds when allowed by valency requirements. In some embodiments, “heteroaryl” refers to a mono-or bicyclic-aromatic ring structure including carbon atoms as well as up to four heteroatoms selected from the group consisting of nitrogen, oxygen, and sulfur. In such embodiments, heteroaryl rings can include a total of 5, 6, 9, or 10 ring atoms. The heteroaryl moiety can be optionally substituted. Exemplary substituents include but not limited to halogen atoms; -C
1-3alkyl groups, and C
1-3haloalkyl groups. Halogen atoms include chlorine, fluorine, bromine, and iodine.
The term “oxo” refers to an oxygen substituent that is connected by a double bond (i.e., =O) .
The term “alkoxy” when used alone or as part of a substituent group refers to an oxygen radical attached to an alkyl group as defined herein by a single bond. The alkoxy may be C
1-
6alkoxy, e.g. C
1-4alkoxy. Examples of alkoxy groups include methoxy (-OCH
3, ethoxy (-OCH
2CH
3, isopropoxy (-OCH (CH
3)
2) and the like.
The term “haloalkoxy” when used alone or as part of a substituent group refers to an oxygen radical attached to a haloalkyl group as defined herein by a single bond. The haloalkoxy may be C
1-6haloalkoxy, e.g. C
1-4haloalkoxy. Examples of haloalkoxy groups include -OCF
3, -OCH
2CF
3, -OCH (CF
3)
2, and the like.
The term “alkylamino” refers to an amino group substituted by an alkyl group as defined herein. The alkylamino may be C
1-6 alkylamino, e.g. C
1-4alkylamino.
The term “dialkylamino” refers to an amino group substituted by two alkyl groups as defined herein. The alkyl groups in dialkylamino may be independently C
1-6 alkyl, either identical or different.
The term “halogen” or “halo” refers to F, Cl, Br, or I.
When a range of carbon atoms is used herein, for example, C
1-6, all ranges, as well as individual numbers of carbon atoms are encompassed. For example, “C
1-3” includes C
1-3, C
1-2, C
2-3, C
1, C
2, and C
3.
The term “C
1-6alkyl” when used alone or as part of a substituent group refers to an aliphatic linker having 1, 2, 3, 4, 5, or 6 carbon atoms and includes, for example, -CH
2-, -CH (CH
3) -, -CH (CH
3) -CH
2-, and -C (CH
3)
2-The term “-C
0alk-” refers to a bond. In some embodiments, the C
1-6alkyl can be substituted with one or more substituents.
The compounds described herein can be asymmetric (e.g., having one or more stereocenters) . All stereoisomers, such as enantiomers and diastereomers, are intended unless otherwise indicated. Compounds of the present disclosure that contain asymmetrically substituted carbon atoms can be isolated in optically active or racemic forms. Methods on how to prepare optically active forms from optically active starting materials are known in the art, such as by resolution of racemic mixtures or by stereoselective synthesis. Many geometric isomers of olefins, C=N double bonds, and the like can also be present in the compounds described herein, and all such stable isomers are contemplated in the present disclosure. Cis and trans geometric isomers of the compounds of the present disclosure are described and may be isolated as a mixture of isomers or as separated isomeric forms.
Compounds of the present disclosure also include tautomeric forms. Tautomeric forms result from the swapping of a single bond with an adjacent double bond together with the concomitant migration of a proton. Tautomeric forms include prototropic tautomers which are isomeric protonation states having the same empirical formula and total charge. Example prototropic tautomers include ketone -enol pairs, amide -imidic acid pairs, lactam -lactim pairs, amide -imidic acid pairs, enamine imine pairs, and annular forms where a proton can occupy two or more positions of a heterocyclic system, for example, 1H-and 3H-imidazole, 1H-, 2H-and 4H-1, 2, 4-triazole, 1H-and 2H-isoindole, and 1H-and 2H-pyrazole. Tautomeric forms can be in equilibrium or sterically locked into one form by appropriate substitution.
In some embodiments, the compounds of the present disclosure may exist as rotational isomers. In some embodiments, the compounds of the present disclosure exist as mixtures of rotational isomers in any proportion. In other embodiments, the compounds of the present disclosure exist as particular rotational isomers, substantially free of other rotational isomers.
Compounds of the disclosure can also include all isotopes of atoms occurring in the intermediates or final compounds. Isotopes include those atoms having the same atomic number but different mass numbers. For example, isotopes of hydrogen include tritium and deuterium.
In some embodiments, the compounds of the disclosure, and salts thereof, are substantially isolated. By “substantially isolated” is meant that the compound is at least partially or substantially separated from the environment in which is formed or detected. Partial separation can include, for example, a composition enriched in the compound of the disclosure. Substantial separation can include compositions containing at least about 50%, at least about 60%, at least about 70%, at least about 80%, at least about 90%, at least about 95%, at least about 97%, or at least about 99%by weight of the compound of the disclosure, or salt thereof. Methods for isolating compounds and their salts are routine in the art.
The phrase “pharmaceutically acceptable” is employed herein to refer to those compounds, materials, compositions, and/or dosage forms which are, within the scope of sound medical judgment, suitable for use in contact with the tissues of human beings and animals without excessive toxicity, irritation, allergic response, or other problem or complication, commensurate with a reasonable benefit/risk ratio.
The present disclosure also includes pharmaceutically acceptable salts of the compounds described herein. As used herein, “pharmaceutically acceptable salts” refers to derivatives of the disclosed compounds wherein the parent compound is modified by converting an existing acid or base moiety to its salt form. Examples of pharmaceutically acceptable salts include, but are not limited to, mineral or organic acid salts of basic residues such as amines; alkali or organic salts of acidic residues such as carboxylic acids; and the like. The pharmaceutically acceptable salts of the present disclosure include the conventional non-toxic salts of the parent compound formed, for example, from non-toxic inorganic or organic acids. The pharmaceutically acceptable salts of the present disclosure can be synthesized from the parent compound which contains a basic or acidic moiety by conventional chemical methods. Generally, such salts can be prepared by reacting the free acid or base forms of these compounds with a stoichiometric amount of the appropriate base or acid in water or in an organic solvent, or in a mixture of the two; generally, nonaqueous media like ether, ethyl acetate, ethanol, isopropanol, or acetonitrile are preferred. Lists of suitable salts are found in Remington ’s PharmaceuticaI Sciences, 17th ed., Mack Publishing Company, Easton, Pa., 1985, p. 1418 and Journal of Phαrmaceutical Science, 66, 2 (1977) , each of which is incorporated herein by reference in its entirety.
A “pharmaceutically acceptable salt” refers to a salt of a compound of the disclosure that is pharmaceutically acceptable and that possesses the desired pharmacological activity of the parent compound. In particular, such salts are non-toxic may be inorganic or organic acid addition salts and base addition salts. Specifically, such salts include: (1) acid addition salts, formed with inorganic acids; or formed with organic acids ; or (2) salts formed when an acidic proton present in the parent compound either is replaced by a metal ion, e.g., an alkali metal ion, an alkaline earth ion, or an aluminum ion; or coordinates with an organic baseSalts further include, by way of example only, sodium, potassium, calcium, magnesium, ammonium, tetraalkylammonium, and the like; and when the compound contains a basic functionality, salts of non-toxic organic or inorganic acids.
A “pharmaceutically acceptable excipient” refers to a substance that is non-toxic, biologically tolerable, and otherwise biologically suitable for administration to a subject, such as an inert substance, added to a pharmacological composition or otherwise used as a vehicle, carrier, or diluent to facilitate administration of an agent and that is compatible therewith. Examples of excipients include calcium carbonate, calcium phosphate, various sugars and types of starch, cellulose derivatives, gelatin, vegetable oils, and polyethylene glycols.
The term “therapeutically effective amount” as used herein refers to the amount of active compound or pharmaceutical agent that elicits the biological or medicinal response in a tissue, system, animal, individual or human that is being sought by a researcher, veterinarian, medical doctor or other clinician, which includes one or more of the following: (1) Preventing the disease; for example, preventing a disease, condition or disorder in an individual that may be predisposed to the disease, condition or disorder but does not yet experience or display the pathology or symptomatology of the disease, (2) Inhibiting the disease; for example, inhibiting a disease, condition or disorder in an individual that is experiencing or displaying the pathology or symptomatology of the disease, condition or disorder (i.e., arresting further development of the pathology and/or symptomatology) , and (3) Ameliorating the disease; for example, ameliorating a disease, condition or disorder in an individual that is experiencing or displaying the pathology or symptomatology of the disease, condition or disorder (i.e., reversing the pathology and/or symptomatology) .
A “solvate” refers to a physical association of a compound of Formula I with one or more solvent molecules.
A “subject” refers to a mammal, particularly a human. The terms “human, ” “patient, ” and “subject” are used interchangeably herein.
“Treating” or “treatment” of any disease or disorder refers, in one embodiment, to ameliorating the disease or disorder (i.e., arresting or reducing the development of the disease or at least one of the clinical symptoms thereof) . In another embodiment “treating” or “treatment” refers to ameliorating at least one physical parameter, which may not be discernible by the subject. In yet another embodiment, “treating” or “treatment” refers to modulating the disease or disorder, either physically, (e.g., stabilization of a discernible symptom) , physiologically, (e.g., stabilization of a physical parameter) , or both. In yet another embodiment, “treating” or “treatment” refers to delaying the onset of the disease or disorder.
“Compounds of the present disclosure, ” and equivalent expressions, are meant to embrace compounds of Formula I as described herein, as well as its subgenera for example, Formulae I-1 to I-5, which expression includes the stereoisomers (e.g., entaniomers, diastereomers) and constitutional isomers (e.g., tautomers) of compounds of Formula I as well as the pharmaceutically acceptable salts, where the context so permits.
As used herein, the term “isotopic variant” refers to a compound that contains proportions of isotopes at one or more of the atoms that constitute such compound that is greater than natural abundance. For example, an “isotopic variant” of a compound can be radiolabeled, that is, contain one or more radioactive isotopes, or can be labeled with non-radioactive isotopes such as for example, deuterium (
2H or D) , carbon-13 (
13C) , nitrogen-15 (
15N) , or the like. It will be understood that, in a compound where such isotopic substitution is made, the following atoms, where present, may vary, so that for example, any hydrogen may be
2H/D, any carbon may be
13C, or any nitrogen may be
15N, and that the presence and placement of such atoms may be determined within the skill of the art.
The term “proliferative disorder” refers to a disorder or condition characterized by abnormal and uncontrolled cell proliferation. It may start at one site (primary site) with the potential to invade and to spread to other sites (secondary sites, metastases) which differentiate cancer (malignant tumor) from benign tumor. Virtually all the organs can be affected, leading to more than 100 types of cancer that can affect humans. Cancer is a typical proliferative disorder and can result from many causes including genetic predisposition, viral infection, exposure to ionizing radiation, exposure environmental pollutant, tobacco and or alcohol use, obesity, poor diet, lack of physical activity or any combination thereof.
It is also to be understood that compounds that have the same molecular formula but differ in the nature or sequence of bonding of their atoms or the arrangement of their atoms in space are termed “isomers. ” Isomers that differ in the arrangement of their atoms in space are termed “stereoisomers” , for example, diastereomers, enantiomers, and atrop-isomers. The compounds of this disclosure may possess one or more asymmetric centers; such compounds can therefore be produced as individual (R) -or (S) -stereoisomers at each asymmetric center, or as mixtures thereof. Unless indicated otherwise, the description or naming of a particular compound in the specification and claims is intended to include all stereoisomers and mixtures, racemic or otherwise, thereof. Where one chiral center exists in a structure, but no specific stereochemistry is shown for that center, both enantiomers, individually or as a mixture of enantiomers, are encompassed by that structure. Where more than one chiral center exists in a structure, but no specific stereochemistry is shown for the centers, all enantiomers and diastereomers, individually or as a mixture, are encompassed by that structure. The methods for the determination of stereochemistry and the separation of stereoisomers are well-known in the art.
The compound according to the present disclosure may be present in unsolvated or solvated forms, including hydrate form. In general, the solvated forms are equivalent to unsolvated forms and both of them are encompassed within the scope of the present disclosure.
The present disclosure also encompasses any pharmaceutically acceptable derivative of the compounds according to formula (I) , e.g. ester, salt of the ester. A particularly preferable derivative is prodrug. Upon administration to a subject, such a derivative can directly or indirectly provide the compound according to the present disclosure or its metabolite or residue with pharmaceutical activity. A particularly preferable derivative (e.g. prodrug) is the compound, which upon administration to a subject, will increase bioavailability of the compound according to the present disclosure or improve delivery of the parent compound to the tissues or organs of a living body.
The compound ofFormula I
In an aspect, provided is a compound of Formula (I) :
or a pharmaceutically acceptable salt thereof, wherein:
X is NR
10, OR
10 or S;
Y is NR
11, CR
12R
13, or =CR
12;
Z is CR
14, or N;
L is absent or C
1-6alkylene;
R
1, R
2, R
3, R
4, and R
5 are each independently selected from the group consisting of H, D, halo, C
1-6alkyl, C
2-6 alkenyl, C
2-6alkynyl, C
1-6haloalkyl, Cy, CN, OR
A, SR
A, C (O) R
B, C (O) NR
CR
D, C (O) OR
A, OC (O) R
B, OC (O) NR
CR
D, NR
CR
D, NR
CC (O) R
D, NR
CC (O) OR
D, NR
CC (O) NR
CR
D, C (=NR
E) R
B, C (=NR
E) NR
CR
D, NR
CC (=NR
E) NR
CR
D, NR
CS (O) R
B, NR
CS (O)
2R
B, NR
CS (O)
2NR
CR
D, S (O) R
B, S (O) NR
CR
D, S (O)
2R
B, and S (O)
2NR
CR
D; wherein said C
1-6alkyl, C
2-6 alkenyl, C
2-6alkynyl, and C
1-6haloalkyl are each optionally substituted with 1, 2, 3, 4, or 5 substituents independently selected from the group consisting of D, halo, C
1-6alkyl, C
2-6 alkenyl, C
2-6alkynyl, C
1-6haloalkyl, CN, NO
2, OR
a, SR
a, C (O) R
b, C (O) NR
cR
d, C (O) OR
a, OC (O) R
b, OC (O) NR
cR
d, C (=NR
e) NR
cR
d, NR
cC (=NR
e) NR
cR
d, NR
cR
d, NR
cC (O) R
b, NR
cC (O) OR
a, NR
cC (O) NR
cR
d, NR
cS (O) R
b, NR
cS (O)
2R
b, NR
cS (O)
2NR
cR
d, S (O) R
b, S (O) NR
cR
d, S (O)
2R
b, and S (O)
2NR
cR
d;
R
6 and R
7 are each independently selected from the group consisting of H, D, CN, C (O) NR
CR
D, and C
1-6alkyl, wherein said C
1-6alkyl is optionally substituted by 1, 2, or 3 substituents independently selected from the group consisting of D, halo, OR
a, CN, NR
cR
d, and C (O) NR
cR
d; or R
6 and R
7 is =O or =S;
or R
6 and R
7 together with the carbon atom to which they are attached form a 3-7 membered cycloalkyl ring or a 4-7 membered heterocycloalkyl ring, each optionally substituted by 1, 2, or 3 substituents independently selected from the group consisting of halo, C
1-6alkyl, C
1-
6haloalkyl, CN, OR
a, SR
a, C (O) R
b, C (O) NR
cR
d, C (O) OR
a, OC (O) R
b, OC (O) NR
cR
d, N R
cR
d, NR
cC (O) R
b, and NR
cC (O) OR
a;
R
8 is selected from the group consisting of H, D, F, CN, OR
A, NR
CR
D, C
1-6alkoxy, alkylamino, dialkylamino, C
1-6alkyl and C
1-6haloalkyl;
R
9, R
12, R
13 and R
14 are each independently selected from the group consisting of H, D, halo, C
1-6alkyl, C
2-6 alkenyl, C
2-6alkynyl, C
1-6haloalkyl, Cy, Cy-C
1-6alkyl, CN, NO
2, OR
A, SR
A, C (O) R
B, C (O) NR
CR
D, C (O) OR
A, OC (O) R
B, OC (O) NR
CR
D, C (=NR
E) R
B, C (=NR
E) NR
CR
D, NR
CC (=NR
E) NR
CR
D, NR
CR
D, NR
CC (O) R
B, NR
CC (O) OR
A, NR
CC (O) NR
CR
D, NR
CS (O) R
B, NR
CS (O)
2R
B, NR
CS (O)
2NR
CR
D, S (O) R
B, S (O) NR
CR
D, S (O)
2R
B, and S (O)
2NR
CR
D, wherein said C
1-6alkyl, C
2-6alkenyl, C
2-6alkynyl, C
6-10aryl, Cy, and Cy-C
1-6alkyl are each optionally substituted with 1, 2, 3, 4, or 5 substituents independently selected from the group consisting of R
20;
each R
20 is independently selected from the group consisting of Cy
1, D, halo, C
1-6alkyl, C
2-6 alkenyl, C
2-6alkynyl, C
1-6haloalkyl, CN, NO
2, OR
a, SR
a, C (O) R
b, C (O) NR
cR
d, C (O) OR
a, OC (O) R
b, OC (O) NR
cR
d, C (=NR
e) NR
cR
d, NR
cC (=NR
e) NR
cR
d, NR
cR
d, NR
cC (O) R
b, NR
cC (O) OR
a, NR
cC (O) NR
cR
d, NR
cS (O) R
b, NR
cS (O)
2R
b, NR
cS (O)
2NR
cR
d, S (O) R
b, S (O) NR
cR
d, S (O)
2R
b, and S (O)
2NR
cR
d, wherein said Cy
1, C
1-6alkyl, C
2-6 alkenyl, C
2-6alkynyl and C
1-6haloalkyl are each optionally substituted with 1, 2, or 3 substituents independently selected from the group consisting of Cy
2, D, halo, CN, NO
2, OR
a1, SR
a1, C (O) R
b1, C (O) NR
c1R
d1, C (O) OR
a1, OC (O) R
b1, OC (O) NR
c1R
d1, C (=NR
e1) NR
c1R
d1, NR
c1C (=NR
e1) NR
c1R
d1, NR
c1R
d1, NR
c1C (O) R
b1, NR
c1C (O) OR
a1, NR
c1C (O) NR
c1R
d1, NR
c1S (O) R
b1, NR
c1S (O)
2R
b1, NR
c1S (O)
2NR
c1R
d1, S (O) R
b1, S (O) NR
c1R
d1, S (O)
2R
b1, and S (O)
2NR
c1R
d1;
R
10 is selected from the group consisting of H, D, C
1-6alkyl, C
3-6 alkenyl, C
3-6alkynyl, C
1-
6haloalkyl, Cy, CN, C (O) R
B, C (O) NR
CR
D, C (O) OR
A, S (O) R
B, S (O) NR
CR
D, S (O)
2R
B, and S (O)
2NR
CR
D, wherein said C
1-6alkyl, C
3-6 alkenyl, C
3-6alkynyl, and C
1-6haloalkyl are each optionally substituted with 1, 2, 3, 4, or 5 substituents independently selected from the group consisting of D, halo, C
1-6alkyl, C
2-6 alkenyl, C
2-6alkynyl, C
1-6haloalkyl, CN, NO
2, OR
a, SR
a, C (O) R
b, C (O) NR
cR
d, C (O) OR
a, OC (O) R
b, OC (O) NR
cR
d, C (=NR
e) NR
cR
d, NR
cC (=NR
e) NR
cR
d, NR
cR
d, NR
cC (O) R
b, NR
cC (O) OR
a, NR
cC (O) NR
cR
d, NR
cS (O) R
b, NR
cS (O)
2R
b, NR
cS (O)
2NR
cR
d, S (O) R
b, S (O) NR
cR
d, S (O)
2R
b, and S (O)
2NR
cR
d;
R
11 is independently selected from the group consisting of H, D, C
1-6alkyl, C
2-6 alkenyl, C
2-
6alkynyl, C
1-6haloalkyl, Cy, Cy-C
1-6alkyl, wherein said C
1-6alkyl, C
2-6alkenyl, C
2-6alkynyl, Cy and Cy-C
1-6alkyl, are each optionally substituted with 1, 2, 3, 4, or 5 substituents independently selected from the group consisting of R
21;
each R
21 is independently selected from the group consisting of Cy
1, D, halo, C
1-6alkyl, C
2-6 alkenyl, C
2-6alkynyl, C
1-6haloalkyl, CN, NO
2, OR
a, SR
a, C (O) R
b, C (O) NR
cR
d, C (O) OR
a, OC (O) R
b, OC (O) NR
cR
d, C (=NR
e) NR
cR
d, NR
cC (=NR
e) NR
cR
d, NR
cR
d, NR
cC (O) R
b, NR
cC (O) OR
a, NR
cC (O) NR
cR
d, NR
cS (O) R
b, NR
cS (O)
2R
b, NR
cS (O)
2NR
cR
d, S (O) R
b, S (O) NR
cR
d, S (O)
2R
b, and S (O)
2NR
cR
d, wherein said Cy
1
, C
1-6alkyl, C
2-6 alkenyl, C
2-6alkynyl and C
1-6haloalkyl are each optionally substituted with 1, 2, or 3 substituents independently selected from the group consisting of Cy
2, D, halo, CN, NO
2, OR
a1, SR
a1, C (O) R
b1, C (O) NR
c1R
d1, C (O) OR
a1, OC (O) R
b1, OC (O) NR
c1R
d1, C (=NR
e1) NR
c1R
d1, NR
c1C (=NR
e1) NR
c1R
d1, NR
c1R
d1, NR
c1C (O) R
b1, NR
c1C (O) OR
a1, NR
c1C (O) NR
c1R
d1, NR
c1S (O) R
b1, NR
c1S (O)
2R
b1, NR
c1S (O)
2NR
c1R
d1, S (O) R
b1, S (O) NR
c1R
d1, S (O)
2R
b1, and S (O)
2NR
c1R
d1;
or R
12 and R
13 together with the carbon atom to which they are attached form a 3-, 4-, 5-, 6-, or 7-membered cycloalkyl group or a 4-, 5-, 6-, or 7-membered heterocycloalkyl group, each optionally substituted with 1, 2, or 3 substituents independently selected from the group consisting of Cy
1, D, halo, C
1-6alkyl, C
2-6 alkenyl, C
2-6alkynyl, C
1-6haloalkyl, CN, NO
2, OR
a, SR
a, C (O) R
b, C (O) NR
cR
d, C (O) OR
a, OC (O) R
b, OC (O) NR
cR
d, C (=NR
e) NR
cR
d, NR
cC (=NR
e) NR
cR
d, NR
cR
d, NR
cC (O) R
b, NR
cC (O) OR
a, NR
cC (O) NR
cR
d, NR
cS (O) R
b2, NR
cS (O)
2R
b, NR
cS (O)
2NR
cR
d, S (O) R
b, S (O) NR
cR
d, S (O)
2R
b, and S (O)
2NR
cR
d, wherein said C
1-6alkyl, C
2-6 alkenyl, C
2-6alkynyl, are each optionally substituted with 1, 2, or 3 substituents independently selected from the group consisting of Cy
2, D, halo, CN, NO
2, OR
a1, SR
a1, C (O) R
b1, C (O) NR
c1R
d1, C (O) OR
a1, OC (O) R
b1, OC (O) NR
c1R
d1, C (=NR
e1) NR
c1R
d1, NR
c1C (=NR
e1) NR
c1R
d1, NR
c1R
d1, NR
c1C (O) R
b1, NR
c1C (O) OR
a1, NR
c1C (O) NR
c1R
d1, NR
c1S (O) R
b1, NR
c1S (O)
2R
b1, NR
c1S (O)
2NR
c1R
d1, S (O) R
b1, S (O) NR
c1R
d1, S (O)
2R
b1, and S (O)
2NR
c1R
d1;
Cy, Cy
1 and Cy
2 are each independently selected from the group consisting of C
6-10aryl, C
3-
10cycloalkyl, 5-10 membered heteroaryl and 4-10 membered heterocycloalkyl, each of which is optionally substituted with 1, 2, 3, 4, or 5 substituents independently selected from the group consisting of D, halo, C
1-6alkyl, C
2-6 alkenyl, C
2-6alkynyl, C
1-6haloalkyl, C
6-10aryl, C
3-
10cycloalkyl, 5-10 membered heteroaryl and 4-10 membered heterocycloalkyl, CN, NO
2, OR
a, SR
a, C (O) R
b, C (O) NR
cR
d, C (O) OR
a, OC (O) R
b, OC (O) NR
cR
d, C (=NR
e) NR
cR
d, NR
cC (=NR
e) NR
cR
d, NR
cR
d, NR
cC (O) R
b, NR
cC (O) OR
a, NR
cC (O) NR
cR
d, NR
cS (O) R
b, NR
cS (O)
2R
b, NR
cS (O)
2NR
cR
d, S (O) R
b, S (O) NR
cR
d, S (O)
2R
b, and S (O)
2NR
cR
d, wherein said C
1-6alkyl, C
2-6 alkenyl, C
2-6alkynyl, C
1-6haloalkyl, C
6-10aryl, C
3-10cycloalkyl, 5-10 membered heteroaryl and 4-10 membered heterocycloalkyl, are each optionally substituted with 1, 2, 3, 4, or 5 substituents independently selected from the group consisting of D, halo, C
1-6alkyl, C
2-6 alkenyl, C
2-6alkynyl, C
1-6haloalkyl, CN, NO
2, OR
a1, SR
a1, C (O) R
b1, C (O) NR
c1R
d1, C (O) OR
a1, OC (O) R
b1, OC (O) NR
c1R
d1, C (=NR
e1) NR
c1R
d1, NR
c1C (=NR
e1) NR
clR
dl, NR
clR
dl, NR
c1C (O) R
b1, NR
c1C (O) OR
a1, NR
c1C (O) NR
c1R
d1, NR
c1S (O) R
b1, NR
c1S (O)
2R
b1, NR
c1S (O)
2NR
c1R
d1, S (O) R
b1, S (O) NR
c1R
d1, S (O)
2R
b1, and S (O)
2NR
c1R
d1;
each R
A, R
B, R
C, R
D, R
a, R
b, R
c, R
d, R
a1, R
b1, R
c1 and R
d1 is independently selected from the group consisting of H, D, C
1-6alkyl, C
2-6 alkenyl, C
2-6alkynyl, C
1-6haloalkyl, C
6-10aryl, C
3-
10cycloalkyl, 5-10 membered heteroaryl, 4-10 membered heterocycloalkyl, C
6-10aryl-C
1-6alkyl, C
3-10cycloalkyl-C
1-6alkyl, (5-10 membered heteroaryl) -C
1-6alkyl and (4-10 membered heterocycloalkyl) -C
1-6alkyl, wherein said C
1-6alkyl, C
2-6alkenyl, C
2-6alkynyl, C
1-6haloalkyl, C
6-
10aryl, C
3-10cycloalkyl, 5-10 membered heteroaryl, 4-10 membered heterocycloalkyl, C
6-10aryl-C
1-6alkyl, C
3-10cycloalkyl-C
1-6alkyl, (5-10 membered heteroaryl) -C
1-6alkyl and (4-10 membered heterocycloalkyl) -C
1-6alkyl is optionally substituted with 1, 2, 3, 4, or 5 substituents independently selected from the group consisting of C
1-6alkyl, C
1-6haloalkyl, D, halo, CN, OR
a2, SR
a2, C (O) R
b2, C (O) NR
c2R
d2, C (O) OR
a2, OC (O) R
b2, OC (O) NR
c2R
d2, C (=NR
e2) NR
c2R
d2, NR
c2C (=NR
e2) NR
c2R
d2, NR
c2R
d2, NR
c2C (O) R
b2, NR
c2C (O) OR
a2, NR
c2C (O) NR
c2R
d2, NR
c2S (O) R
b2, NR
c2S (O)
2R
b2, NR
c2S (O)
2NR
c2R
d2, S (O) R
b2, S (O) NR
c2R
d2, S (O)
2R
b2, and S (O)
2NR
c2R
d2;
each R
E, R
e and R
e1 is independently selected from the group consisting of H, D, C
1-6alkyl, CN, OR
a2, SR
a2, C (O) R
b2, C (O) NR
c2R
d2, S (O)
2R
b2, and S (O)
2NR
c2R
d2;
or any R
C and R
D together with the N atom to which they are attached form a 4-, 5-, 6-, or 7-membered heterocycloalkyl group optionally substituted with 1, 2, or 3 substituents independently selected from the group consisting of C
1-6alkyl, C
3-7cycloalkyl, 4-7 membered heterocycloalkyl, C
6-10aryl, 5-6 membered heteroaryl, C
1-6haloalkyl, halo, CN, OR
a2, SR
a2, C (O) R
b2, C (O) NR
c2R
d2, C (O) OR
a2, OC (O) R
b2, OC (O) NR
c2R
d2, C (=NR
e2) NR
c2R
d2, NR
c2C (=NR
e2) NR
c2R
d2, NR
c2R
d2, NR
c2C (O) R
b2, NR
c2C (O) OR
a2, NR
c2C (O) NR
c2R
d2, NR
c2S (O) R
b2, NR
c2S (O)
2R
b2, NR
c2S (O)
2NR
c2R
d2, S (O) R
b2, S (O) NR
c2R
d2, S (O)
2R
b2, and S (O)
2NR
c2R
d2, wherein said C
1-6alkyl, C
3-7cycloalkyl, 4-7 membered heterocycloalkyl, C
6-
10aryl, 5-6 membered heteroaryl are optionally substituted by 1, 2, or 3 substituents independently selected from the group consisting of halo, D, CN, OR
a2, SR
a2, C (O) R
b2, C (O) NR
c2R
d2, C (O) OR
a2, OC (O) R
b2, OC (O) NR
c2R
d2, C (=NR
e2) NR
c2R
d2, NR
c2C (=NR
e2) NR
c2R
d2, NR
c2R
d2, NR
c2C (O) R
b2, NR
c2C (O) OR
a2, NR
c2C (O) NR
c2R
d2, NR
c2S (O) R
b2, NR
c2S (O)
2R
b2, NR
c2S (O)
2NR
c2R
d2, S (O) R
b2, S (O) NR
c2R
d2, S (O)
2R
b2, and S (O)
2NR
c2R
d2;
or any R
c and R
d together with the N atom to which they are attached form a 4-, 5-, 6-, or 7-membered heterocycloalkyl group optionally substituted with 1, 2, or 3 substituents independently selected from the group consisting of C
1-6alkyl, C
3-7cycloalkyl, 4-7 membered heterocycloalkyl, C
6-10aryl, 5-6 membered heteroaryl, C
1-6haloalkyl, halo, CN, OR
a2, SR
a2, C (O) R
b2, C (O) NR
c2R
d2, C (O) OR
a2, OC (O) R
b2, OC (O) NR
c2R
d2, C (=NR
e2) NR
c2R
d2, NR
c2C (=NR
e2) NR
c2R
d2, NR
c2R
d2, NR
c2C (O) R
b2, NR
c2C (O) OR
a2, NR
c2C (O) NR
c2R
d2, NR
c2S (O) R
b2, NR
c2S (O)
2R
b2, NR
c2S (O)
2NR
c2R
d2, S (O) R
b2, S (O) NR
c2R
d2, S (O)
2R
b2, and S (O)
2NR
c2R
d2, wherein said C
1-6alkyl, C
3-7cycloalkyl, 4-7 membered heterocycloalkyl, C
6-
10aryl, 5-6 membered heteroaryl are optionally substituted by 1, 2, or 3 substituents independently selected from the group consisting of halo, D, CN, OR
a2, SR
a2, C (O) R
b2, C (O) NR
c2R
d2, C (O) OR
a2, OC (O) R
b2, OC (O) NR
c2R
d2, C (=NR
e2) NR
c2R
d2, NR
c2C (=NR
e2) NR
c2R
d2, NR
c2R
d2, NR
c2C (O) R
b2, NR
c2C (O) OR
a2, NR
c2C (O) NR
c2R
d2, NR
c2S (O) R
b2, NR
c2S (O)
2R
b2, NR
c2S (O)
2NR
c2R
d2, S (O) R
b2, S (O) NR
c2R
d2, S (O)
2R
b2, and S (O)
2NR
c2R
d2;
or any R
c1 and R
d1 together with the N atom to which they are attached form a 4-, 5-, 6-, or 7-membered heterocycloalkyl group optionally substituted with 1, 2, or 3 substituents independently selected from the group consisting of C
1-6alkyl, C
3-7cycloalkyl, 4-7 membered heterocycloalkyl, C
6-10aryl, 5-6 membered heteroaryl, C
1-6haloalkyl, halo, CN, OR
a2, SR
a2, C (O) R
b2, C (O) NR
c2R
d2, C (O) OR
a2, OC (O) R
b2, OC (O) NR
c2R
d2, C (=NR
e2) NR
c2R
d2, NR
c2C (=NR
e2) NR
c2R
d2, NR
c2R
d2, NR
c2C (O) R
b2, NR
c2C (O) OR
a2, NR
c2C (O) NR
c2R
d2, NR
c2S (O) R
b2, NR
c2S (O)
2R
b2, NR
c2S (O)
2NR
c2R
d2, S (O) R
b2, S (O) NR
c2R
d2, S (O)
2R
b2, and S (O)
2NR
c2R
d2, wherein said C
1-6alkyl, C
3-7cycloalkyl, 4-7 membered heterocycloalkyl, C
6-
10aryl, 5-6 membered heteroaryl are optionally substituted by 1, 2, or 3 substituents independently selected from the group consisting of halo, D, CN, OR
a2, SR
a2, C (O) R
b2, C (O) NR
c2R
d2, C (O) OR
a2, OC (O) R
b2, OC (O) NR
c2R
d2, C (=NR
e2) NR
c2R
d2, NR
c2C (=NR
e2) NR
c2R
d2, NR
c2R
d2, NR
c2C (O) R
b2, NR
c2C (O) OR
a2, NR
c2C (O) NR
c2R
d2, NR
c2S (O) R
b2, NR
c2S (O)
2R
b2, NR
c2S (O)
2NR
c2R
d2, S (O) R
b2, S (O) NR
c2R
d2, S (O)
2R
b2, and S (O)
2NR
c2R
d2;
each R
a2, R
b2, R
c2 and R
d2 is independently selected from the group consisting of H, D, C
1-6alkyl, C
1-6haloalkyl, C
2-4alkenyl, and C
2-4alkynyl, wherein C
1-6alkyl, C
2-4alkenyl, and C
2-4alkynyl is optionally substituted with 1, 2, or 3 substituents independently selected from the group consisting of OH, CN, amino, halo, C
1-6alkyl, C
1-6alkoxy, C
1-6alkylthio, C
1-6alkylamino, di (C
1-
6alkyl) amino, C
1-6haloalkyl and C
1-6haloalkoxy;
or any R
c2 and R
d2 together with the N atom to which they are attached form a 4-, 5-, 6 -, or 7-membered heterocycloalkyl group optionally substituted with 1, 2, or 3 substituents independently selected from the group consisting of OH, CN, amino, halo, C
1-6alkyl, C
1-6alkoxy, C
1-6alkylthio, C
1-6alkylamino, di (C
1-6alkyl) amino, C
1-6haloalkyl and C
1-6haloalkoxy; and each R
e2 is independently selected from the group consisting of H, D, C
1-6alkyl and CN.
In an embodiment, X is OR
10, wherein R
10 is as defined in Formula (I) herein.
In an embodiment, X is OR
10, wherein R
10 is selected from the group consisting of H, D, C
1-6alkyl, C
3-6 alkenyl, C
3-6alkynyl, C
1-6haloalkyl, and CN; preferably wherein R
10 is C
1-6alkyl; more preferably wherein R
10 is methyl or ethyl.
In an embodiment, X is NR
10, wherein R
10 is as defined in Formula (I) herein.
In an embodiment, X is NR
10, wherein R
10 is selected from the group consisting of H, D, C
1-6alkyl, C
3-6 alkenyl, C
3-6alkynyl, C
1-6haloalkyl, and CN; preferably wherein R
10 is selected from the group consisting of H and C
1-6alkyl; more preferably wherein R
10 is H, methyl or ethyl.
In another embodiment, X is S.
In another embodiment, Y is NR
11, wherein R
11 is as defined in Formula (I) herein.
In another embodiment, Y is NR
11, wherein R
11 is independently selected from the group consisting of H, D, C
1-6alkyl, C
2-6 alkenyl, C
2-6alkynyl, C
1-6haloalkyl, Cy, Cy-C
1-6alkyl, wherein said C
1-6alkyl, C
2-6alkenyl, C
2-6alkynyl, Cy and Cy-C
1-6alkyl, are each optionally substituted with 1, 2, 3, 4, or 5 substituents independently selected from the group consisting of R
21;
each R
21 is independently selected from the group consisting of Cy
1, D, halo, C
1-6alkyl, C
1-6haloalkyl, CN, NO
2, OR
a, and SR
a, wherein said Cy
1, C
1-6alkyl and C
1-6haloalkyl are each optionally substituted with 1, 2, or 3 substituents independently selected from the group consisting of D, halo, CN, NO
2, OR
a1, SR
a1, C (O) R
b1, NR
c1R
d1, NR
c1C (O) R
b1, S (O) R
b1, S (O) NR
c1R
d1, S (O)
2R
b1, and S (O)
2NR
c1R
d1;
preferably wherein R
11 is independently selected from the group consisting of H, C
1-6alkyl, Cy, Cy-C
1-6alkyl, wherein said C
1-6alkyl, Cy and Cy-C
1-6alkyl are each optionally substituted with 1, 2, 3, 4, or 5 substituents independently selected from the group consisting of R
21;
each R
21 is independently selected from the group consisting of Cy
1, halo, and OR
a, wherein said Cy
1is optionally substituted with 1, 2, or 3 substituents independently selected from the group consisting of C (O) R
b1, NR
c1C (O) R
b1, and S (O)
2R
b1.
In an embodiment, Y is NR
11, wherein R
11 is independently selected from the group consisting of H,
In another embodiment, Y is NR
11, wherein R
11 is independently selected from the group consisting of H,
In another embodiment, Y is CR
12R
13, wherein R
12 and R
13 are as defined in formula (I) herein.
In another embodiment, Y is =CR
12, wherein R
12 is as defined in formula (I) herein.
In another embodiment, Z is CR
14, wherein R
14 is as defined in formula (I) herein.
In another embodiment, Z is CR
14, wherein R
14 is selected from the group consisting of H, D, halo, C
1-6alkyl, Cy, Cy-C
1-6alkyl, CN, and NO
2, wherein said C
1-6alkyl, Cy, and Cy-C
1-6alkyl are each optionally substituted with 1, 2, 3, 4, or 5 substituents independently selected from the group consisting of R
20;
each R
20 is independently selected from the group consisting of D, halo, C
1-6alkyl, CN, NO
2, OR
a, and SR
a, wherein R
a is C
1-6alkyl.
In another embodiment, Z is N.
In an embodiment, L is absent. In another embodiment, L is C
1-6alkylene, preferably methylene.
In an embodiment, R
1, R
2, R
3, R
4, and R
5 are each independently selected from the group consisting of H, D, halo, C
1-6alkyl, C
1-6haloalkyl, CN, OR
A, SR
A, C (O) R
B, NR
CR
D, and S (O) R
B, wherein R
A, R
B, R
C and R
D are independently selected from C
1-6alkyl;
preferably, wherein R
1, R
2, R
3, R
4, and R
5 are each independently selected from the group consisting of H, halo, and OR
A, wherein R
A is C
1-6alkyl.
In an embodiment, R
1, R
2, R
3, R
4, and R
5 are each independently selected from the group consisting of H, F and methoxy.
In a specific embodiment, R
1 is selected from the group consisting of halogen, preferably F.
In a specific embodiment, R
2 is selected from the group consisting of C
1-6alkoxy, preferably methoxy.
In a specific embodiment, R
3 is H.
In a specific embodiment, R
4 is selected from the group consisting of C
1-6alkoxy, preferably methoxy.
In a specific embodiment, R
5 is selected from the group consisting of halogen, preferably F.
In an embodiment, R
6 and R
7 are each independently selected from the group consisting of H, D, CN and C
1-6alkyl.
In an embodiment, R
6 and R
7 is =O or =S.
In an embodiment, R
6 and R
7 together with the carbon atom to which they are attached form a 3-7 membered cycloalkyl ring or a 4-7 membered heterocycloalkyl ring, each optionally substituted by 1, 2, or 3 substituents independently selected from the group consisting of halo, C
1-6alkyl, C
1-6haloalkyl, CN, OR
a, SR
a, wherein R
a is C
1-6alkyl.
In a specific embodiment, R
6 and R
7 are H or D, particularly H.
In an embodiment, R
8 is selected from the group consisting of H, D, F, CN, C
1-6alkoxy, alkylamino, dialkylamino, C
1-6alkyl and C
1-6haloalkyl.
In a specific embodiment, R
8 is H or D, particularly H.
In an embodiment, R
9 is selected from the group consisting of H, D, halo, C
1-6alkyl, C
2-6 alkenyl, C
2-6alkynyl, C
1-6haloalkyl, Cy, Cy-C
1-6alkyl, CN, NO
2, OR
A, SR
A, and NR
CR
D, wherein said C
1-6alkyl, C
2-6alkenyl, C
2-6alkynyl, Cy, and Cy-C
1-6alkyl are each optionally substituted with 1, 2, 3, 4, or 5 substituents independently selected from the group consisting of R
20;
each R
20 is independently selected from the group consisting of Cy
1, D, halo, C
1-6alkyl, C
2-6 alkenyl, C
2-6alkynyl, C
1-6haloalkyl, CN, NO
2, OR
a, SR
a, C (O) R
b, wherein R
a and R
b are independently selected from the group consisting of H, C
1-6alkyl and C
2-6alkenyl;
preferably wherein Cy is selected from the group consisting of C
6-10aryl, 5-10 membered heteroaryl and 4-10 membered heterocycloalkyl, each of which is optionally substituted with 1, 2, 3, 4, or 5 substituents independently selected from the group consisting of D, halo, C
1-6alkyl, C
1-6haloalkyl, CN, NO
2, OR
a, SR
a, C (O) R
b, and S (O) R
b.
In an embodiment, R
9 is selected from the group consisting of H, C
2-6 alkenyl, Cy, OR
A, NR
CR
D, wherein said C
2-6alkenyl, and Cy are each optionally substituted with 1, 2, 3, 4, or 5 substituents independently selected from the group consisting of R
20;
each R
20 is independently selected from the group consisting of halo, C
1-6alkyl, OR
a, C (O) R
b, wherein R
a and R
b are independently selected from the group consisting of H and C
2-
6alkenyl.
In an embodiment, R
10 is selected from the group consisting of H, D, C
1-6alkyl, C
3-6 alkenyl, C
3-6alkynyl, C
1-6haloalkyl, and CN.
In an embodiment, R
10 is selected from the group consisting of H and C
1-6alkyl. In a specific embodiment, R
10 is H, methyl or ethyl.
In an embodiment, R
11 is independently selected from the group consisting of H, D, C
1-
6alkyl, C
2-6 alkenyl, C
2-6alkynyl, C
1-6haloalkyl, Cy, Cy-C
1-6alkyl, wherein said C
1-6alkyl, C
2-
6alkenyl, C
2-6alkynyl, Cy and Cy-C
1-6alkyl, are each optionally substituted with 1, 2, 3, 4, or 5 substituents independently selected from the group consisting of R
21;
each R
21 is independently selected from the group consisting of Cy
1, D, halo, C
1-6alkyl, C
1-6haloalkyl, CN, NO
2, OR
a, and SR
a, wherein said Cy
1, C
1-6alkyl and C
1-6haloalkyl are each optionally substituted with 1, 2, or 3 substituents independently selected from the group consisting of D, halo, CN, NO
2, OR
a1, SR
a1, C (O) R
b1, NR
c1R
d1, NR
c1C (O) R
b1, S (O) R
b1, S (O) NR
c1R
d1, S (O)
2R
b1, and S (O)
2NR
c1R
d1.
In an embodiment, R
11 is independently selected from the group consisting of H, C
1-6alkyl, Cy, Cy-C
1-6alkyl, wherein said C
1-6alkyl, Cy and Cy-C
1-6alkyl are each optionally substituted with 1, 2, 3, 4, or 5 substituents independently selected from the group consisting of R
21;
each R
21 is independently selected from the group consisting of Cy
1, halo, and OR
a, wherein said Cy
1is optionally substituted with 1, 2, or 3 substituents independently selected from the group consisting of C (O) R
b1, NR
c1C (O) R
b1, and S (O)
2R
b1.
In some embodiments according to the present disclosure, the present compound has the formula (I-1) , (I-2) , (I-3) , or (I-4) .
The compound ofFormula (I-1)
In an embodiment, provided is a compound of Formula (I) which has Formula (I-1) ,
or a pharmaceutically acceptable salt thereof, wherein each of the groups are as defined in Formula (I) herein.
In another embodiment of Formula (I-1) , Z is CR
14, wherein R
14 is as defined in formula (I) herein.
In another embodiment of Formula (I-1) , Z is CR
14, wherein R
14 is selected from the group consisting of H, D, halo, C
1-6alkyl, Cy, Cy-C
1-6alkyl, CN, and NO
2, wherein said C
1-6alkyl, Cy, and Cy-C
1-6alkyl are each optionally substituted with 1, 2, 3, 4, or 5 substituents independently selected from the group consisting of R
20;
each R
20 is independently selected from the group consisting of D, halo, C
1-6alkyl, CN, NO
2, OR
a, and SR
a, wherein R
a is C
1-6alkyl.
In a specific embodiment of Formula (I-1) , Z is CR
14, wherein R
14 is selected from the group consisting of H or
In an embodiment of Formula (I-1) , R
1, R
2, R
3, R
4, and R
5 are each independently selected from the group consisting of H, D, halo, C
1-6alkyl, C
1-6haloalkyl, CN, OR
A, SR
A, C (O) R
B, NR
CR
D, and S (O) R
B, wherein R
A, R
B, R
C and R
D are independently selected from C
1-6alkyl;
preferably, wherein R
1, R
2, R
3, R
4, and R
5 are each independently selected from the group consisting of H, halo, and OR
A, wherein R
A is C
1-6alkyl.
In an embodiment of Formula (I-1) , R
1, R
2, R
3, R
4, and R
5 are each independently selected from the group consisting of H, F and methoxy.
In a specific embodiment of Formula (I-1) , R
1 is selected from the group consisting of halogen, preferably F.
In a specific embodiment of Formula (I-1) , R
2 is selected from the group consisting of C
1-
6alkoxy, preferably methoxy.
In a specific embodiment of Formula (I-1) , R
3 is H.
In a specific embodiment of Formula (I-1) , R
4 is selected from the group consisting of C
1-
6alkoxy, preferably methoxy.
In a specific embodiment of Formula (I-1) , R
5 is selected from the group consisting of halogen, preferably F.
In an embodiment of Formula (I-1) , R
6 and R
7 are each independently selected from the group consisting of H, D, CN and C
1-6alkyl.
In an embodiment of Formula (I-1) , R
6 and R
7 is =O or =S.
In an embodiment of Formula (I-1) , R
6 and R
7 together with the carbon atom to which they are attached form a 3-7 membered cycloalkyl ring or a 4-7 membered heterocycloalkyl ring, each optionally substituted by 1, 2, or 3 substituents independently selected from the group consisting of halo, C
1-6alkyl, C
1-6haloalkyl, CN, OR
a, SR
a, wherein R
a is C
1-6alkyl.
In a specific embodiment of Formula (I-1) , R
6 and R
7 are H or D, particularly H.
In an embodiment of Formula (I-1) , R
8 is selected from the group consisting of H, D, F, CN, C
1-6alkoxy, alkylamino, dialkylamino, C
1-6alkyl and C
1-6haloalkyl.
In a specific embodiment of Formula (I-1) , R
8 is H or D, particularly H.
In an embodiment of Formula (I-1) , R
9 is selected from the group consisting of H, D, halo, C
1-6alkyl, C
2-6 alkenyl, C
2-6alkynyl, C
1-6haloalkyl, Cy, Cy-C
1-6alkyl, CN, NO
2, OR
A, SR
A, and NR
CR
D, wherein said C
1-6alkyl, C
2-6alkenyl, C
2-6alkynyl, Cy, and Cy-C
1-6alkyl are each optionally substituted with 1, 2, 3, 4, or 5 substituents independently selected from the group consisting of R
20;
each R
20 is independently selected from the group consisting of Cy
1, D, halo, C
1-6alkyl, C
2-6 alkenyl, C
2-6alkynyl, C
1-6haloalkyl, CN, NO
2, OR
a, SR
a, C (O) R
b, wherein R
a and R
b are independently selected from the group consisting of H, C
1-6alkyl and C
2-6alkenyl;
preferably wherein Cy is selected from the group consisting of C
6-10aryl, 5-10 membered heteroaryl and 4-10 membered heterocycloalkyl, each of which is optionally substituted with 1, 2, 3, 4, or 5 substituents independently selected from the group consisting of D, halo, C
1-6alkyl, C
1-6haloalkyl, CN, NO
2, OR
a, SR
a, C (O) R
b, and S (O) R
b.
In an embodiment of Formula (I-1) , R
9 is selected from the group consisting of H, C
2-6 alkenyl, Cy, OR
A, NR
CR
D, wherein said C
2-6alkenyl, and Cy are each optionally substituted with 1, 2, 3, 4, or 5 substituents independently selected from the group consisting of R
20;
each R
20 is independently selected from the group consisting of halo, C
1-6alkyl, OR
a, C (O) R
b, wherein R
a and R
b are independently selected from the group consisting of H and C
2-
6alkenyl.
In an embodiment of Formula (I-1) , R
10 is selected from the group consisting of H, D, C
1-
6alkyl, C
3-6 alkenyl, C
3-6alkynyl, C
1-6haloalkyl, and CN.
In an embodiment of Formula (I-1) , R
10 is selected from the group consisting of H and C
1-
6alkyl.
In a specific embodiment of Formula (I-1) , R
10 is H, methyl or ethyl.
In an embodiment of Formula (I-1) , R
11 is independently selected from the group consisting of H, D, C
1-6alkyl, C
2-6 alkenyl, C
2-6alkynyl, C
1-6haloalkyl, Cy, Cy-C
1-6alkyl, wherein said C
1-6alkyl, C
2-6alkenyl, C
2-6alkynyl, Cy and Cy-C
1-6alkyl, are each optionally substituted with 1, 2, 3, 4, or 5 substituents independently selected from the group consisting of R
21;
each R
21 is independently selected from the group consisting of Cy
1, D, halo, C
1-6alkyl, C
1-6haloalkyl, CN, NO
2, OR
a, and SR
a, wherein said Cy
1, C
1-6alkyl and C
1-6haloalkyl are each optionally substituted with 1, 2, or 3 substituents independently selected from the group consisting of D, halo, CN, NO
2, OR
a1, SR
a1, C (O) R
b1, NR
c1R
d1, NR
c1C (O) R
b1, S (O) R
b1, S (O) NR
c1R
d1, S (O)
2R
b1, and S (O)
2NR
c1R
d1.
In an embodiment of Formula (I-1) , R
11 is independently selected from the group consisting of H, C
1-6alkyl, Cy, Cy-C
1-6alkyl, wherein said C
1-6alkyl, Cy and Cy-C
1-6alkyl are each optionally substituted with 1, 2, 3, 4, or 5 substituents independently selected from the group consisting of R
21;
each R
21 is independently selected from the group consisting of Cy
1, halo, and OR
a, wherein said Cy
1is optionally substituted with 1, 2, or 3 substituents independently selected from the group consisting of C (O) R
b1, NR
c1C (O) R
b1, and S (O)
2R
b1.
In a specific embodiment of Formula (I-1) , R
11 is selected from the group consisting of H,
The compound ofFormula (I-2)
In an embodiment, provided is a compound of Formula (I) which has Formula (I-2) ,
or a pharmaceutically acceptable salt thereof, wherein each of the groups are as defined in Formula (I) herein.
The compound ofFormula (I-3)
In an embodiment, provided is a compound of Formula (I) which has Formula (I-3) ,
or a pharmaceutically acceptable salt thereof, wherein each of the groups are as defined in Formula (I) .
In another embodiment of Formula (I-3) , Z is CR
14, wherein R
14 is selected from the group consisting of H, D, halo, C
1-6alkyl, Cy, Cy-C
1-6alkyl, CN, and NO
2.
In a specific embodiment of Formula (I-3) , Z is CR
14, wherein R
14 is H.
In another embodiment of Formula (I-3) , L is C
1-6alkylene, preferably methylene.
In an embodiment of Formula (I-3) , R
1, R
2, R
3, R
4, and R
5 are each independently selected from the group consisting of H, D, halo, C
1-6alkyl, C
1-6haloalkyl, CN, OR
A, SR
A, C (O) R
B, NR
CR
D, and S (O) R
B, wherein R
A, R
B, R
C and R
D are independently selected from C
1-6alkyl;
preferably, wherein R
1, R
2, R
3, R
4, and R
5 are each independently selected from the group consisting of H, halo, and OR
A, wherein R
A is C
1-6alkyl.
In an embodiment of Formula (I-3) , R
1, R
2, R
3, R
4, and R
5 are each independently selected from the group consisting of H, F and methoxy.
In a specific embodiment of Formula (I-3) , R
1 is selected from the group consisting of halogen, preferably F.
In a specific embodiment of Formula (I-3) , R
2 is selected from the group consisting of C
1-
6alkoxy, preferably methoxy.
In a specific embodiment of Formula (I-3) , R
3 is H.
In a specific embodiment of Formula (I-3) , R
4 is selected from the group consisting of C
1-
6alkoxy, preferably methoxy.
In a specific embodiment of Formula (I-3) , R
5 is selected from the group consisting of halogen, preferably F.
In an embodiment of Formula (I-3) , R
6 and R
7 are each independently selected from the group consisting of H, D, CN and C
1-6alkyl.
In an embodiment of Formula (I-3) , R
6 and R
7 is =O or =S.
In an embodiment of Formula (I-3) , R
6 and R
7 together with the carbon atom to which they are attached form a 3-7 membered cycloalkyl ring or a 4-7 membered heterocycloalkyl ring, each optionally substituted by 1, 2, or 3 substituents independently selected from the group consisting of halo, C
1-6alkyl, C
1-6haloalkyl, CN, OR
a, SR
a, wherein R
a is C
1-6alkyl.
In a specific embodiment of Formula (I-3) , R
6 and R
7 are H or D, particularly H.
In an embodiment of Formula (I-3) , R
8 is selected from the group consisting of H, D, F, CN, C
1-6alkoxy, alkylamino, dialkylamino, C
1-6alkyl and C
1-6haloalkyl.
In a specific embodiment of Formula (I-3) , R
8 is H or D, particularly H.
In an embodiment of Formula (I-3) , R
9 is Cy, wherein said Cy are each optionally substituted with 1, 2, 3, 4, or 5 substituents independently selected from the group consisting of R
20;
each R
20 is independently selected from the group consisting of halo, C
1-6alkyl, OR
a, C (O) R
b, wherein R
a and R
b are independently selected from the group consisting of H and C
2-
6alkenyl.
In a specific embodiment of Formula (I-3) , R
9 is morpholinyl.
In an embodiment of Formula (I-3) , R
10 is selected from the group consisting of H, D, C
1-
6alkyl, C
3-6 alkenyl, C
3-6alkynyl, C
1-6haloalkyl, and CN.
In an embodiment of Formula (I-3) , R
10 is selected from the group consisting of H and C
1-
6alkyl.
In a specific embodiment of Formula (I-3) , R
10 is H, methyl or ethyl.
In a specific embodiment of Formula (I-3) , R
10 is ethyl.
In an embodiment of Formula (I-3) , R
11 is independently selected from the group consisting of H, D, C
1-6alkyl, C
2-6 alkenyl, C
2-6alkynyl, C
1-6haloalkyl.
In an embodiment of Formula (I-3) , R
11 is independently selected from the group consisting of H and C
1-6alkyl.
In a specific embodiment of Formula (I-3) , R
11 is selected from the group consisting of H, methyl and ethyl.
In a specific embodiment of Formula (I-3) , R
11 is H.
The compound ofFormula (I-4)
In an embodiment, provided is a compound of Formula (I) which has Formula (I-4) ,
or a pharmaceutically acceptable salt thereof, wherein each of the groups are as defined in Formula (I) .
In another embodiment of Formula (I-4) , Z is CR
14, wherein R
14 is selected from the group consisting of H, D, halo, C
1-6alkyl, Cy, Cy-C
1-6alkyl, CN, and NO
2.
In a specific embodiment of Formula (I-4) , Z is CR
14, wherein R
14 is H.
In another embodiment of Formula (I-4) , L is C
1-6alkylene, preferably methylene.
In an embodiment of Formula (I-4) , R
1, R
2, R
3, R
4, and R
5 are each independently selected from the group consisting of H, D, halo, C
1-6alkyl, C
1-6haloalkyl, CN, OR
A, SR
A, C (O) R
B, NR
CR
D, and S (O) R
B, wherein R
A, R
B, R
C and R
D are independently selected from C
1-6alkyl;
preferably, wherein R
1, R
2, R
3, R
4, and R
5 are each independently selected from the group consisting of H, halo, and OR
A, wherein R
A is C
1-6alkyl.
In an embodiment of Formula (I-4) , R
1, R
2, R
3, R
4, and R
5 are each independently selected from the group consisting of H, F and methoxy.
In a specific embodiment of Formula (I-4) , R
1 is selected from the group consisting of halogen, preferably F.
In a specific embodiment of Formula (I-4) , R
2 is selected from the group consisting of C
1-
6alkoxy, preferably methoxy.
In a specific embodiment of Formula (I-4) , R
3 is H.
In a specific embodiment of Formula (I-4) , R
4 is selected from the group consisting of C
1-
6alkoxy, preferably methoxy.
In a specific embodiment of Formula (I-4) , R
5 is selected from the group consisting of halogen, preferably F.
In an embodiment of Formula (I-4) , R
6 and R
7 are each independently selected from the group consisting of H, D, CN and C
1-6alkyl.
In an embodiment of Formula (I-4) , R
6 and R
7 is =O or =S.
In an embodiment of Formula (I-4) , R
6 and R
7 together with the carbon atom to which they are attached form a 3-7 membered cycloalkyl ring or a 4-7 membered heterocycloalkyl ring, each optionally substituted by 1, 2, or 3 substituents independently selected from the group consisting of halo, C
1-6alkyl, C
1-6haloalkyl, CN, OR
a, SR
a, wherein R
a is C
1-6alkyl.
In a specific embodiment of Formula (I-4) , R
6 and R
7 are H or D, particularly H.
In an embodiment of Formula (I-4) , R
8 is selected from the group consisting of H, D, F, CN, C
1-6alkoxy, alkylamino, dialkylamino, C
1-6alkyl and C
1-6haloalkyl.
In a specific embodiment of Formula (I-4) , R
8 is H or D, particularly H.
In an embodiment of Formula (I-4) , R
9 is Cy, wherein said Cy are each optionally substituted with 1, 2, 3, 4, or 5 substituents independently selected from the group consisting of R
20;
each R
20 is independently selected from the group consisting of halo, C
1-6alkyl, OR
a, C (O) R
b, wherein R
a and R
b are independently selected from the group consisting of H and C
2-
6alkenyl.
In a specific embodiment of Formula (I-4) , R
9 is morpholinyl.
In an embodiment of Formula (I-4) , R
10 is selected from the group consisting of H, D, C
1-
6alkyl, C
3-6 alkenyl, C
3-6alkynyl, C
1-6haloalkyl, and CN.
In an embodiment of Formula (I-4) , R
10 is C
1-6alkyl.
In a specific embodiment of Formula (I-4) , R
10 is methyl or ethyl.
In an embodiment, provided is a compound, selected from
or a pharmaceutically acceptable salt thereof.
Pharmaceutically acceptable salt
A person skilled in the art will understand that the compound according to the present disclosure may be present in the form of pharmaceutically acceptable salt. As pharmaceutically acceptable salt, for example, the following examples may be provided: metal salts, ammonium salts, salts formed with organic bases, inorganic acids, organic acids, basic or acidic amino acids or the like. The pharmaceutically acceptable salt (s) according to the present disclosure may be prepared from the parent compound containing acidic or basic group through conventional chemical procedures. Generally, such salts may be prepared through the reaction of the compounds in the form of free acid or base with stoichiometric appropriate base or acid in water, organic solvent or the mixture thereof. Typically, nonaqueous medium like ether, ethyl acetate, ethanol, isopropanol or acetonitrile etc. are preferable.
Administration, Pharmaceutical Composition and Kit
The compound (s) according to the present disclosure will be administered in effective amount (s) via any of the usual and acceptable modes known in the art, either singly or in combination with additional therapeutic agent (s) . The effective amount may vary depending on the severity of the disease, the age and relative health of the subject, the potency of the compound used and other factors known to a person skilled in the art.
As general example, daily dosages of from about 0.001 to about 100 mg/kg per body weight, or particularly, from about 0.03 to 2.5 mg/kg per body weight may be used. A daily dosage in the larger mammal, e.g. humans, may be in the range from about 0.5 mg to about 2000 mg, or more particularly, from about 0.5 mg to about 1000 mg.
Compounds of the present disclosure are often administered in the form of a pharmaceutical composition comprising an active therapeutic agent, i.e., and a variety of other pharmaceutically acceptable components. See Remington's Pharmaceutical Science (15th ed., Mack Publishing Company, Easton, Pa., 1980) . The preferred or desired form depends on the intended mode of administration and therapeutic application. The compositions can also include, depending on the formulation desired, pharmaceutically acceptable, non-toxic carriers or diluents, which are defined as vehicles commonly used to formulate pharmaceutical compositions for animal or human administration. The diluent is selected so as not to affect the biological activity of the combination. Examples of such diluents are distilled water, physiological phosphate-buffered saline, Ringer's solutions, dextrose solution, and Hank's solution. In addition, the pharmaceutical composition or formulation may also include other carriers, adjuvants, or nontoxic, nontherapeutic, nonimmunogenic stabilizers and the like.
Compound (s) according to the present disclosure may be administered in the form of a pharmaceutical composition by any conventional route; for example, enterally, e.g., orally, e.g., in the form of tablets or capsules; parenterally, e.g., in the form of injectable solutions or suspensions; or topically, e.g., in the form of lotions, gels, ointments or creams, or in a nasal or suppository form.
Accordingly, provided is also a pharmaceutical composition comprising the compound according to or the pharmaceutically acceptable salt thereof according to the present disclosure, and at least one pharmaceutically acceptable excipient. The compound of the present disclosure may be present in free form or in a pharmaceutically acceptable salt form in association with at least one pharmaceutically acceptable excipient and may be manufactured in a conventional manner, e.g. by mixing, granulating, coating, dissolving or lyophilizing processes.
In an embodiment, the pharmaceutical composition is a solution of the active ingredient, including suspensions or dispersions, such as isotonic aqueous solutions. For a lyophilized composition comprising the active ingredient alone or together with a carrier such as mannitol, dispersions or suspensions can be prepared before use.
Non-limiting examples of the carriers include fillers, such as sugars, for example lactose, saccharose, mannitol or sorbitol, cellulose preparations and/or calcium phosphates, for example tricalcium phosphate or calcium hydrogen phosphate, and also binders, such as starches, for example corn, wheat, rice or potato starch, methylcellulose, hydroxypropyl methylcellulose, sodium carboxymethylcellulose, and/or polyvinylpyrrolidone, and/or, if desired, disintegrators, such as the above-mentioned starches, carboxymethyl starch, crosslinked polyvinylpyrrolidone, alginic acid or a salt thereof, such as sodium alginate. Additional excipients include but are not limited to flow conditioners and lubricants, for example silicic acid, talc, stearic acid or salts thereof, such as magnesium or calcium stearate, and/or polyethylene glycol, or derivatives thereof.
Provided is also a pharmaceutical combination, e.g. a kit, comprising a) a first agent which is the compound or the pharmaceutically acceptable salt thereof according to the present disclosure, and b) at least one additional agent. The kit can comprise instructions for its administration.
Use and Treatment Method
Provided is a method for treating a proliferative disorder comprising administering to a subject in need thereof a therapeutically effective amount of the compound or the pharmaceutically acceptable salt thereof, or the pharmaceutical composition according to the present disclosure.
Provided is further use of the compound or the pharmaceutically acceptable salt thereof, or the pharmaceutical composition according to the present disclosure for the manufacture of a medicament for treating a proliferative disorder.
Provided is also the compound or the pharmaceutically acceptable salt thereof, or the pharmaceutical composition according to the present disclosure, for use in treating a proliferative disorder.
In an embodiment, the proliferative disorder is a FGFR-associated (especially FGFRs 1-3, particularly FGFR 2) proliferative disorder, for example, a cancer, a myeoloproliferative disease, a skeletal or chondrocyte disorder, or a hypophosphatemia. In a further embodiment, the proliferative disorder is a cancer, particularly a FGFR-associated cancer.
The proliferative disorder like cancer types in which FGF/FGFRs (especially FGFRs 1-3, particularly FGFR 2) are implicated include, but are not limited to: bladder cancer, breast cancer, cervical cancer, colorectal cancer, endometrial cancer, gastric cancer, head and neck cancer, renal carcinoma, hepatic carcinoma, lung cancer, ovarian cancer, prostate cancer, esophageal cancer, gallbladder cancer, pancreatic cancer, thyroid cancer, skin cancer, leukemia, multiple myeloma, chronic lymphocytic lymphoma, adult T cell leukemia, B cell lymphoma, acute myelocytic leukemia, Hodgkin lymphoma or non-Hodgkin lymphoma, Waldenstrom macroglobulinemia, hairy cell lymphoma, cell lymphoma, Bunkitt’s lymphoma, glioblastoma, melanoma and rhabdomyosarcoma.
Combined Therapy
The compounds of the present disclosure can be administered in combination with one or more additional therapeutic agents. A person skilled in the art will understand that the phrase “combination therapy” , “combined with” or the like refers to the application of more than one medication or treatment together to increase the efficacy.
Accordingly, the use, treatment method, or the compound (s) for use according to the present disclosure can optionally comprise administration of one or more additional therapeutic agents or therapies. In the instances where the compound (s) according to the present disclosure is administered in combination with additional therapeutic agent (s) , the present compound (s) may be administered in the same pharmaceutical composition as other therapeutic agent (s) , or due to different physical and chemical characteristics, be administered by a different route. For example, the present compound (s) may be administered orally, while the additional therapeutic agent (s) may be administered intravenously. Therefore, the present compound (s) may be administered concurrently, sequentially or dosed separately to additional therapeutic agent (s) .
Beneficial Effect
The compound (s) according to the present disclosure show significant inhibitory effect on growth of cells dependent on FGFR signaling (especially FGFRs 1-3, particularly FGFR 2) , thereby showing a great effect on relevant FGFR-associated proliferative disorder. In addition, the present compound (s) are also useful in FGFR1-, FGFR2-and FGFR3-associated (particularly FGFR 2) proliferative disorder, of the efficacy is superior over the prior art.
Furthermore, the present compound (s) show a low inhibitory effect on FGFR4, showing superior selectivity and safety and reducing the undesirable side effect.
The following examples are provided to further illustrate the embodiments of the present disclosure but are not intended to limit the scope of the present disclosure.
EXAMPLES
Synthesis Examples
Compounds of the present disclosure can be prepared according to numerous preparatory routes known in the literature. The Schemes below provide general guidance in connection with preparing the compounds of the present disclosure. One skilled in the art would understand that the preparations shown in the Schemes can be modified or optimized using general knowledge of organic chemistry to prepare various compounds of the present disclosure. Example synthetic methods for preparing compounds of the present disclosure are provided in the Schemes below.
A series of thio-lactam derivatives of formula 1-8 can be prepared by the methods outlined in Scheme 1. Introduction of a protecting group (PG: e.g., ArSO
2-, THP-, Boc-, CBz-, SEM-etc…) to the aldehyde 1-1 can afford the corresponding aldehyde 1-2. Chloro-amine derivative 1-3 can be obtained by reductive amination of the aldehyde 1-2 with an aniline derivative by using suitable reductive reagent (e.g., NaBH
4, NaBH
3 (CN) or NaBH (OAc)
3) . Palladium catalyzed coupling of the chloro-amine 1-3 with potassium methyl or ethyl malonate 1-4 or equivalent, followed by in situ intramolecular cyclization can generate the lactam 1-5, of which alkylation with suitable alkylating reagent can afford the lactam derivative 1-6. Treatment of the lactam derivative 1-6 with Lawessone’s reagent or other sulphur reagent such as P
2S
5 can give thiolactam compound 1-7, followed by removal of the protecting group (PG) to give the desired thiolactam derivative 1-8.
Scheme 1
A series of thiourea derivatives of formula 2-4 can be prepared by the methods outlined in Scheme 2. The chloro-amine derivative 2-1 can react with a suitable thiocyanate ester 2-2 to produce the thiourea derivative 2-3 under basic conditions (e.g., Cs
2CO
3, NaH, LiHMDS, NaHMDS, KHMDS or KOBu-t) . Removal of the PG in 2-3 can afford the desired thiourea 2-4 in the presence of a suitable base such as, but not limited to, for example, K
2CO
3, KOH, t-BuOK, or tetra-n-butylammonium fluoride (TBAF) .
Scheme 2
A series of guanidine derivatives of formula 3-4 can be prepared by the methods outlined in Scheme 3. The diamino derivative 3-2 can be obtained by Buchwald-Hartwig reaction or Ullmann reaction with an appropriate amine R
11NH
2. Cyclization of the diamino compound 3- 2 with carbonyldiimidazole (CDI) , triphosgene, phosgene, or diphosgene etc. can afford the urea derivatives of formula 3-3. The guanidines 3-4 can be obtained by chlorination under acyl chloride conditions (e.g. POCl
3, SOCl
2, (COCl)
2) following displacement of the chlorine with an appropriate amine R
11NH
2 in the presence of a suitable base (e.g. TEA or DIEA) and removal of the PG.
Scheme 3
Alternatively, a series of guanidine derivatives of formula 4-3 and 4-5 can be prepared by the methods outlined in Scheme 4. The guanidine derivatives 4-3 can be obtained by reaction of the diamino compound 4-1 with BrCN following by removal of the PG. The guanidine derivatives 4-5 can be prepared by alkylation of the guanidine derivatives 4-2 with a suitable alkyl reagent R
10X (e.g., X is Cl, Br, I, OTf, or OMs etc. ) following by removal of the PG.
Scheme 4
A series of chloro-amine derivatives of formula 5-6 can be prepared by the methods outlined in Scheme 5. Grignard reaction of 5-1 with suitable Grignard reagent or lithium reagent can produce the corresponding alcohol 5-2. Oxidation of the hydroxyl group of 5-2 using a suitable oxidant (e.g., Dess-Martin or Swern oxidation conditions) can yield ketone 5-3 which can be transformed into the alcohol 5-4 with suitable Grignard reagent or Lithium reagent. The hydroxyl group of 5-4 was converted to 5-5 with a leaving group LG (e.g., but not limited to, OMs, OTs, halo (I, Br, Cl) , OTf etc... ) . Treatment with aniline derivative ArNH
2 to form the chloro-amine derivative 5-6 can be achieved in the presence of a base such as, but not limited to, K
2CO
3, Cs
2CO
3, NaH, LiHMDS, NaHMDS, KHMDS and so on. The chloro-amine derivative 5-6 can then be transformed into the desired final product as described in Schemes 1-4.
Scheme 5
A series of tricyclic amine derivatives of formula 6-4 can be prepared according to the methods outlined in Scheme 6. Treatment of tricyclic compound 6-1 with a strong base such as, but not limited to, lithium diisopropylamide (LDA) , butyllithium, or lithium bis (trimethylsilyl) amide (LiHMDS) in an inert solvent such as THF, ether, or HMPA at low temperature can afford the metalized intermediate in situ following with a suitable formyl-reagent or acyl reagent such as, for example, dimethylformamide (DMF) or 4-acylmorpholine to provide the acyl derivative 6-2. The amino-derivative 6-3 can be prepared by reductive amination of aldehyde 6-2 with an appropriate amine (e.g. NHR
9AR
9B) to yield compound 6-3. The tricyclic amine derivatives 6-4 can be obtained by removal of the protecting group (PG) in the presence of a suitable base such as, for example, K
2CO
3, KOH, t-BuOK, or tetra-n-butylammonium fluoride (TBAF) .
Scheme 6
A series of the tricyclic derivatives of formula 7-4 can be prepared according to the procedures outlined in Scheme 7. The tricyclic halide 7-2 (L = halo) can be prepared by treatment of the compound 7-1 with a strong base as described in scheme 6 following by treatment with a halogen reagent such as iodine, bromine, 1, 2-dibromo-1, 1, 2, 2-tetrachloroethane, NBS or NIS. Suzuki coupling of 7-2 with an appropriate boronic acid or ester R
9B (OR”)
2 (R”= H or alkyl) can produce tricyclic derivative 7-3 which can be converted to the final tricyclic derivatives 7-4 by removal of the PG.
Scheme 7
A series of amine-derivatives of formula 8-4 can be prepared according to the procedures outlined in Scheme 8. The transformation of the acetal compound 8-1 to the corresponding amino-derivative 8-3 are very similarly to those from tricyclic compound 6-1 to the trcyclic amine 6-3 as described in scheme 6. Removal of the acetal protecting group of 8-3 in the presence of a suitable acid such as, but not limited to, aq. HCl, p-toluenesulfonic acid, or TFA etc., can afford the aldehyde 8-4 which can be transformed into the final product 8-5 according to the procedures described in above schemes 1-4.
Scheme 8
Example 1
3- (2, 6-Difluoro-3, 5-dimethoxyphenyl) -1-ethyl-8- (morpholinomethyl) -1, 3, 4, 7-tetrahydro-2H-pyrrolo [3', 2': 5, 6] pyrido [4, 3-d] pyrimidine-2-thione
Step 1: 4-Chloro-1- (phenylsulfonyl) -1H-pyrrolo [2, 3-b] pyridine-5-carbaldehyde
To a 100 mL reactor was charged N, N-dimethyl formamide (20 mL) and 4-chloro-lH-pyrrolo [2, 3-b] pyridine-5-carbaldehyde (2.0 g, 11.1 mmol) and cooled to 0-5 ℃. To the resulting thick slurry was charged cesium carbonate (7.2 g, 22.1 mmol) at 0-5 ℃. The slurry was stirred at 0℃ for about 20 min., and to it was added benzene sulfonyl chloride (1.57 mL, 12.2 mmol) drop-wise. The resulting mixture was stirred for 3 h. at 10 ℃. To the mixture was added water (50 mL) and stirred for 1 h. The solid formed was collected by filtration. The filter cake was washed with water and dried in oven under vacuum to afford 4-chloro-1- (phenylsulfonyl) -1H-pyrrolo [2, 3-b] pyridine-5-carbaldehyde as a light brown solid (3.2 g, 90%yield) : LCMS calc. for C
14H
10ClN
2O
3S [M+H]
+: m/z = 321.0; Found: 320.9.
Step2: 4-Chloro-5- (1, 3-dioxolan-2-yl) -1- (phenylsulfonyl) -1H-pyrrolo [2, 3-b] pyridine
A mixture of 4-chloro-1- (phenylsulfonyl) -1H-pyrrolo [2, 3-b] pyridine-5-carbaldehyde (2.4 g, 7.5 mmol) , p-toluene sulfonic acid monohydrate (0.1 g, 0.8 mmol) and 1, 2-ethanediol (6.6 g) in toluene (30.0 mL) was stirred and heated to reflux to remove water for 9 h. (TLC showed material consumed) . After cooling to r.t., the mixture was diluted with EtOAc (ethyl acetate) (30 mL) , washed with saturated NaHCO
3 solution, brine and concentrated under reduced pressure. The residue was treated with heptane (100 mL) . The slurry solid formed was collected by filtration. The solid was dissolved in dichloromethane (10 mL) and filtered. The filtrate was concentrated. The residue was re-crystalized from ethyl acetate (25 mL, 2.5V) to afford 4-chloro-5- (1, 3-dioxolan-2-yl) -1- (phenylsulfonyl) -1H-pyrrolo [2, 3-b] pyridine as a white solid (2.0 g, 75%yield) : LCMS calc. for C
16H
14ClN
2O
4S [M+H]
+: m/z = 365.0; Found: 365.1;
Step3: 4- ( (4-Chloro-5- (1, 3-dioxolan-2-yl) -1- (phenylsulfonyl) -1H-pyrrolo [2, 3-b] pyridin-2-yl) methyl) morpholine
To a cooled (-78 ℃) solution of 4-chloro-5- (1, 3-dioxolan-2-yl) -1- (phenylsulfonyl) -1H-pyrrolo [2, 3-b] pyridine (1.2 g, 3.3 mmol) in tetrahydrofuran (THF) (30 mL) under N
2 was added lithium diisopropylamide (LDA) in THF (1.0 M) (4.6 mL, 4.6 mmol) . The mixture was stirred at -78 ℃ for 1 h., then N-formyl morpholine (720.0 mg, 6.3 mmol) in THF (2.5 mL) was added dropwise. After 30 min., the reaction was quenched with acetic acid (0.4 mL) and the dry ice cooling was removed. To the mixture was added morpholine (0.8 mL, 8.7 mmol) followed by acetic acid (1.6 mL) at 0 ℃. The resulting mixture was stirred overnight. Sodium triacetoxyborohydride (1.2 g, 5.5 mmol) was added and the reaction mixture was stirred at r.t. for 30 min. Water (10 mL) was added and followed by sodium carbonate (Na
2CO
3) in water (2.0 M, 20 mL) slowly. The mixture was stirred for about 30 min. The organic layer was separated and water (10 mL) and heptane (10 mL) were added. The resulting slurry was stirred for 1 h and the solid was collected by filtration. The wet cake was washed with heptane twice (5 mL x 2) before being dried in oven at 50 ℃ overnight to afford the desired product 4- ( (4-chloro-5- (1, 3-dioxolan-2-yl) -1- (phenylsulfonyl) -1H-pyrrolo [2, 3-b] pyridin-2-yl) methyl) morpholine as a light brown solid (1.2 g, 85 %yield) : LCMS calc. for C
21H
23ClN
3O
5S [M+H]
+: m/z = 464.1; Found: 463.9
Step4: 4-Chloro-2- (morpholinomethyl) -1- (phenylsulfonyl) -1H-pyrrolo [2, 3-b] pyridine-5-carbaldehyde
To a solution of 4- ( (4-chloro-5- (1, 3-dioxolan-2-yl) -1- (phenylsulfonyl) -1H-pyrrolo [2, 3-b] pyridin-2-yl) methyl) morpholine (200 mg, 0.4 mmol) in dichloromethane (2 mL) at r.t. was added an aqueous hydrochloric acid solution (0.5 M, 2.0 ml, 1.0 mmol) . After agitations at r.t. for 23 h., the bilayer reaction mixture turned into a thick colorless suspension. The mixture was cooled to 0-5 ℃ and adjusted with aqueous sodium hydroxide solution (1.0 N, 1.0 mL) to pH about 10-11. n-Heptane (2.4 mL) was added and the reaction mixture were stirred at r.t. for 1 h. The solid formed was collected by filtration, and washed with water (2 × 1 mL) , heptane (2 × 1 ml) , and then dried at 50 ℃ under vacuum to afford the desired product 4-chloro-2-(morpholinomethyl) -1- (phenylsulfonyl) -1H-pyrrolo [2, 3-b] pyridine-5-carbaldehyde as a light brown solid (170 mg, 94%yield) : LCMS calc. for C
19H
19ClN
3O
4S [M+H]
+: m/z = 420.1; Found: 419.9.
Step 5: N- ( (4-chloro-2- (morpholinomethyl) -1- (phenylsulfonyl) -1H-pyrrolo [2, 3-b] pyridin-5-yl) methyl) -2, 6-difluoro-3, 5-dimethoxyaniline
To a suspension of 4-chloro-2- (morpholinomethyl) -1- (phenylsulfonyl) -1H-pyrrolo [2, 3-b] pyridine-5-carbaldehyde (100 mg, 0.2 mmol) and 2, 6-difluoro-3, 5-dimethoxyaniline (54 mg, 0.3 mmol) in N, N-dimethyl formamide (2 mL) was added chlorotrimethylsilane (0.1 mL, 0.6 mmol) at r.t. The solution was stirred at r.t. for 1.5 h., and then cooled to 0-5 ℃ with ice-bath. Borane-THF complex in THF (0.2 mL, 1.0 M, 0.2 mmol) was added dropwise over 30 min. while maintaining temperature at 0-5 ℃. After addition, the mixture was stirred for 4 h. Water (6 mL) was added under ice-bath cooling in 10 min, followed by slow addition of ammonium hydroxide solution (28.0%NH
3) to pH 9-10. The slurry was stirred for 30 min. The solid was collected by filtration, washed with water (1 mL x 2) and heptane (2 mL x 2) . The product was dried overnight to afford the desired product N- ( (4-chloro-2- (morpholinomethyl) -1- (phenylsulfonyl) -1H-pyrrolo [2, 3-b] pyridin-5-yl) methyl) -2, 6-difluoro-3, 5-dimethoxyaniline (130 mg, 93%yield) : LCMS calc. for C
27H
28ClF
2N
4O
5S [M+H]
+: m/z = 593.1; Found: 592.9;
1H NMR (400 MHz, DMSO-d
6) δ 8.36 (d, J = 7.5 Hz, 2H) , 8.27 (s, 1H) , 7.72 (t, J = 7.4 Hz, 1H) , 7.63 (t, J = 7.6 Hz, 2H) , 6.78 (s, 1H) , 6.29 (t, J = 7.8 Hz, 1H) , 5.83 (s, 1H) , 4.58 (d, J = 6.6 Hz, 2H) , 3.91 (s, 2H) , 3.75 (s, 6H) , 3.55 (s, 4H) , 2.47 (s, 4H)
Step 6: 3- (2, 6-Difluoro-3, 5-dimethoxyphenyl) -1-ethyl-8- (morpholinomethyl) -7- (phenylsulfonyl) -1, 3, 4, 7-tetrahydro-2H-pyrrolo [3', 2': 5, 6] pyrido [4, 3-d] pyrimidine-2-thione
To a stirring suspension of N- ( (4-chloro-2- (morpholinomethyl) -1- (phenylsulfonyl) -1H-pyrrolo [2, 3-b] pyridin-5-yl) methyl) -2, 6-difluoro-3, 5-dimethoxyaniline (200 mg, 0.3 mmol) in N, N-dimethyl formamide (2 mL) was added sodium hydride (25.0 mg, 1.0 mmol, 60%in mineral oil) . The reaction mixture was stirred at 0 ℃ for 20 min., and isothiocyanatoethane (59.0 mg, 0.7 mmol) was added under N
2. The mixture was stirred at r.t. for 3 h. Aqueous ammonia chloride (5 mL, 2 M) was added and stirred at r.t. for 10 min. The mixture was filtered. The solid was purified by flash chromatography with AcOEt in petroleum (PE) (30%) to afford 3- (2, 6-difluoro-3, 5-dimethoxyphenyl) -1-ethyl-8- (morpholinomethyl) -7- (phenylsulfonyl) -1, 3, 4, 7-tetrahydro-2H-pyrrolo [3', 2': 5, 6] pyrido [4, 3-d] pyrimidine-2-thione as white solid (55 mg, 23.9 %yield) : LCMS calc. for C
30H
32F
2N
5O
5S
2 [M+H]
+: m/z = 644.2; Found: 644.2
Step7: 3- (2, 6-difluoro-3, 5-dimethoxyphenyl) -1-ethyl-8- (morpholinomethyl) -1, 3, 4, 7-tetrahydro-2H-pyrrolo [3', 2': 5, 6] pyrido [4, 3-d] pyrimidine-2-thione
To a stirring suspension of 3- (2, 6-difluoro-3, 5-dimethoxyphenyl) -1-ethyl-8- (morpholinomethyl) -7- (phenylsulfonyl) -1, 3, 4, 7-tetrahydro-2H-pyrrolo [3', 2': 5, 6] pyrido [4, 3-d] pyrimidine-2-thione (50 mg, 0.077 mmol) in 1, 4-dioxane (2 mL) was added aqueous sodium hydroxide (0.5 mL, 1.0 M) . The reaction mixture was heated at 75 ℃ for 5 h. Water (5 mL) was added to give a thick suspension. This slurry was stirred at r.t. for 1 h and filtered. The solid was purified by flash chromatography with MeOH in dichloromethane (DCM) (5.0%) to afford 3- (2, 6-difluoro-3, 5-dimethoxyphenyl) -1-ethyl-8- (morpholinomethyl) -1, 3, 4, 7-tetrahydro-2H-pyrrolo [3', 2': 5, 6] pyrido [4, 3-d] pyrimidine-2-thione as white solid (33 mg, 84%yield) : LCMS calc. for C
24H
28F
2N
5O
3S [M+H]
+: m/z = 504.2; Found: 504.2.
1HNMR (400 MHz, CDCl
3) δ: 7.96 (s, 1H) , 6.68 (m, 1H) , 6.58 (s, 1H) , 5.32 (s, 2H) , 4.88 (m, 2H) , 4.05 (s, 1H) , 4.00~3.85 (m, 11H) , 2.70 (m, 4H) , 1.57 (m, 3H) .
Example 2
3- (2, 6-Difluoro-3, 5-dimethoxyphenyl) -1-ethyl-8- (pyrrolidin-1-ylmethyl) -1, 3, 4, 7-tetrahydro-2H-pyrrolo [3', 2': 5, 6] pyrido [4, 3-d] pyrimidine-2-thione
Step 1: 4-chloro-1- (phenylsulfonyl) -1H-pyrrolo [2, 3-b] pyridine-5-carbaldehyde
To a mixture of 4-chloro-1H-pyrrolo [2, 3-b] pyridine-5-carbaldehyde (26 g, 144 mmol) and Cs
2CO
3 (94 g, 288 mmol) in DMF (260 mL) was added benzenesulfonyl chloride (28 g, 159 mmol) slowly at r.t.. The reaction mixture was stirred at r.t. for 16 h., and poured into ice-water. The mixture was extracted with EtOAc (250 mL x 3) , washed with brine, dried over Na
2SO
4, and filtered. The filtrate was concentrated under reduced pressure. The residue was purified by flash chromatography on a silica gel column with AcOEt in PE (10-25%) to give 4-chloro-1- (phenylsulfonyl) -1H-pyrrolo [2, 3-b] pyridine-5-carbaldehyde as a off -white solid (40 g, yield 90%) . LCMS calc. for C
14H
10ClN
2O
3S [M+H]
+ m/z =321; Found: 320.9.
Step 2: N- ( (4-chloro-1- (phenylsulfonyl) -1H-pyrrolo [2, 3-b] pyridin-5-yl) methyl) -2, 6-difluoro-3, 5-dimethoxyaniline
Trimethylsilyl chloride (TMSCl) (19 g, 174 mmol) was added dropwise into a mixture of 4-chloro-1- (phenylsulfonyl) -1H-pyrrolo [2, 3-b] pyridine-5-carbaldehyde (20 g, 62.5 mmol) and 2, 6-difluoro-3, 5-dimethoxyaniline (14 g, 74 mmol) in DMF (200 mL) . The reaction mixture was stirred at r.t. for 0.5 h., then BH
3-THF (71 mL, 71 mmol, 1.0 M) was added. The mixture was stirred at r.t. for 4 h., then quenched by ice water and extracted with EtOAc (150 mL x 3) . The combined organic layers were washed with brine, dried over Na
2SO
4, and filtered. The filtrate was concentrated under reduced pressure. The residue was purified by column chromatography on a silica gel column with AcOEt in PE (10-25%) to afford N- ( (4-chloro-1- (phenylsulfonyl) -1H-pyrrolo [2, 3-b] pyridin-5-yl) methyl) -2, 6-difluoro-3, 5-dimethoxyaniline as off-white solid (27 g, yield 87%) . LCMS calc. for C
22H
19ClF
2N
3O
4S (M+H)
+ m/z =494.1; Found: 494.3.
1H NMR (400 MHz, DMSO-d
6) δ 8.31 (s, 1H) , 8.13 –8.09 (m, 2H) , 8.02 (d, J = 4.0 Hz, 1H) , 7.73 (t, J = 7.2 Hz, 1H) , 7.62 (t, J = 7.6 Hz, 2H) , 6.86 (d, J = 4.0 Hz, 1H) , 6.29 (t, J = 8.0 Hz, 1H) , 5.82 (t, J = 6.8 Hz, 1H) , 4.59 (d, J = 6.8 Hz, 2H) , 3.75 (s, 6H) .
Step 3: 3- (2, 6-difluoro-3, 5-dimethoxyphenyl) -1-ethyl-7- (phenylsulfonyl) -1, 3, 4, 7-tetrahydro-2H-pyrrolo [3', 2': 5, 6] pyrido [4, 3-d] pyrimidine-2-thione
To a stirring suspension of N- ( (4-chloro-1- (phenylsulfonyl) -1H-pyrrolo [2, 3-b] pyridin-5-yl) methyl) -2, 6-difluoro-3, 5-dimethoxyaniline (2.0 g, 4.1 mmol) in dry THF (20 mL) was added LiHMDS (8.2 mL, 8.2 mmol, 1.0 M in THF) at 0 ℃ under N
2. The reaction mixture was stirred at 0 ℃ for 20 min., then isothiocyanatoethane (713.4 mg, 8.2 mmol) was added under N
2. The mixture was stirred at r.t. for 3 h. Aqueous ammonia chloride (20 mL, 2 M) was added to give a suspension. This slurry was stirred at r.t. for 10 min. and filtered. The solid was purified by flash chromatography with AcOEt in PE (30.0%) to afford 3- (2, 6-difluoro-3, 5-dimethoxyphenyl) -1-ethyl-7- (phenylsulfonyl) -1, 3, 4, 7-tetrahydro-2H-pyrrolo [3', 2': 5, 6] pyrido [4, 3-d] pyrimidine-2-thione as a white solid (1.2 g, 54.5 %yield) : LCMS calc. for C
25H
23F
2N
4O
4S
2 [M+H]
+: m/z = 545.1; Found: 545.2.
Step 4: 3- (2, 6-difluoro-3, 5-dimethoxyphenyl) -1-ethyl-7- (phenylsulfonyl) -2-thioxo-2, 3, 4, 7-tetrahydro-1H-pyrrolo [3', 2': 5, 6] pyrido [4, 3-d] pyrimidine-8-carbaldehyde
To a solution of 3- (2, 6-difluoro-3, 5-dimethoxyphenyl) -1-ethyl-7- (phenylsulfonyl) -1, 3, 4, 7-tetrahydro-2H-pyrrolo [3', 2': 5, 6] pyrido [4, 3-d] pyrimidine-2-thione (110.0 mg, 0.2 mmol) in dry THF (8 mL) at -78 ℃ was added LDA (0.24 mL, 0.48 mmol, 2.0 M in THF ) under Ar. The solution was stirred at -78 ℃ for 30 min. To the cold solution was added DMF (0.1 mL) under Ar. The reaction mixture was stirred at -78 ℃ for 2 h. To the mixture was added saturated NH
4Cl (10 mL) . The mixture was warmed up to r.t. and extracted with AcOEt (20 mL x 2) . The combined organics were dried over sodium sulfate, filtered and evaporated to give a crude product which used next step without further purification. LCMS calc. for C
26H
23F
2N
4O
5S
2 [M+H]
+: m/z = 573.1; Found: 573.2.
Step 5: 3- (2, 6-difluoro-3, 5-dimethoxyphenyl) -1-ethyl-7- (phenylsulfonyl) -8- (pyrrolidin-1-ylmethyl) -1, 3, 4, 7-tetrahydro-2H-pyrrolo [3', 2': 5, 6] pyrido [4, 3-d] pyrimidine-2-thione
To a solution of 3- (2, 6-difluoro-3, 5-dimethoxyphenyl) -1-ethyl-7- (phenylsulfonyl) -2-thioxo-2, 3, 4, 7-tetrahydro-1H-pyrrolo [3', 2': 5, 6] pyrido [4, 3-d] pyrimidine-8-carbaldehyde (110 mg, 0.2 mmol) and pyrrolidine in DCE (8 mL) added AcOH (1 mL) at r.t. The reaction mixture was stirred at r.t. for 18 h. To the mixture was added NaBH (OAc)
3 (127 mg, 0.6 mmol) . After addition, the mixture was stirred for 4 h. Water (6 mL) was added under ice-bath cooling in 10 min. and extracted with AcOEt (10 mL x 2) . The combined organics were dried over sodium sulfate, filtered and evaporated to give a residue. The residue was purified by SGC (PE: EA = 1: 3) to afford the desired product 3- (2, 6-difluoro-3, 5-dimethoxyphenyl) -1-ethyl-7- (phenylsulfonyl) -8- (pyrrolidin-1-ylmethyl) -1, 3, 4, 7-tetrahydro-2H-pyrrolo [3', 2': 5, 6] pyrido [4, 3-d] pyrimidine-2-thione (38.0 mg, 30.3%yield) : LCMS calc. for C
30H
32F
2N
5O
4S
2 [M+H]
+: m/z = 628.1; Found: 628.2.
Step 6: 3- (2, 6-difluoro-3, 5-dimethoxyphenyl) -1-ethyl-8- (pyrrolidin-1-ylmethyl) -1, 3, 4, 7-tetrahydro-2H-pyrrolo [3', 2': 5, 6] pyrido [4, 3-d] pyrimidine-2-thione
This compound was prepared using procedures analogues those described for Example 1, Step 7.LCMS calc. for C
24H
28F
2N
5O
2S [M+H]
+: m/z = 488.2; Found: 488.2.
1HNMR (400 MHz, DMSO-d
6) δ: 11.90 (brs, 1H) , 7.96 (s, 1H) , 7.04 (t, J = 8.0 Hz, 1H) , 6.56 (s, J = 1.6 Hz, 1H) , 4.76-4.71 (m, 4H) , 3.89 (s, 6H) , 3.77-3.74 (m, 2H) , 2.61-2.51 (m, 4H) , 1.76-1.68 (m, 4H) , 1.42 (t, J = 7.2 Hz, 3H) .
Example 3
3- (2, 6-Difluoro-3, 5-dimethoxyphenyl) -1-ethyl-8- ( (4-methoxypiperidin-1-yl) methyl) -1, 3, 4, 7-tetrahydro-2H-pyrrolo [3', 2': 5, 6] pyrido [4, 3-d] pyrimidine-2-thione
This compound was prepared using procedures analogues those described for Example 2, Step 5-6 using 4-methoxypiperidine to replace pyrrolidine in Step 5. LCMS calc. for C
26H
32F
2N
5O
3S [M+H]
+: m/z = 532.2; Found: 532.2.
1HNMR (400 MHz, DMSO-d
6) δ: 11.86 (brs, 1H) , 7.96 (s, 1H) , 7.04 (t, J = 8.0 Hz, 1H) , 6.54 (d, J = 1.6 Hz, 1H) , 4.76-4.73 (m, 4H) , 3.89 (s, 6H) , 3.63 (s, 2H) , 3.21 (s, 3 H) , 3.20-3.16 (m, 1H) , 2.77-2.66 (m, 2H) , 2.20-2.11 (m, 2H) , 1.87-1.78 (m, 2H) , 1.45-1.40 (m, 5H) .
Example 4
3- (2, 6-Difluoro-3, 5-dimethoxyphenyl) -1-ethyl-8- ( (4-methylpiperazin-1-yl) methyl) -1, 3, 4, 7-tetrahydro-2H-pyrrolo [3', 2': 5, 6] pyrido [4, 3-d] pyrimidine-2-thione
This compound was prepared using procedures analogues those described for Example 2, Step 5-6 using 1-methylpiperazine to replace pyrrolidine in Step 5. LCMS calc. for C
25H
31F
2N
6O
2S [M+H]
+: m/z = 517.2; Found: 517.2.
1HNMR (400 MHz, DMSO-d
6) δ: 11.92 (brs, 1H) , 8.34 (s, 1H) , 6.96 (t, J = 8.0 Hz, 1H) , 6.24 (s, 1H) , 5.52 (s, 2H) , 3.77 (s, 6H) , 3.57 (s, 2H) , 3.54-3.47 (m, 2H) , 2.50-2.32 (m, 8H) , 2.14 (s, 3H) , 1.04 (t, J = 6.8 Hz, 3H) .
Example 5
3- (2, 6-Difluoro-3, 5-dimethoxyphenyl) -1-ethyl-8- (piperidin-1-ylmethyl) -1, 3, 4, 7-tetrahydro-2H-pyrrolo [3', 2': 5, 6] pyrido [4, 3-d] pyrimidine-2-thione
This compound was prepared using procedures analogues those described for Example 2, Step 5-6 using piperidine to replace pyrrolidine in Step 5. LCMS calc. for C
25H
30F
2N
5O
2S [M+H]
+: m/z = 502.2; Found: 502.2.
1HNMR (400 MHz, DMSO-d
6) δ: 11.85 (brs, 1H) , 7.96 (s, 1H) , 7.04 (t, J = 8.4 Hz, 1H) , 6.53 (d, J = 1.6 Hz, 1H) , 4.76-4.73 (m, 4H) , 3.89 (s, 6H) , 3.60 (s, 2H) , 2.43-2.35 (m, 4H) , 1.55-1.47 (m, 4H) , 1.44-1.34 (m, 5H) .
Example 6
3- (2, 6-Difluoro-3, 5-dimethoxyphenyl) -1-ethyl-8- ( (4-ethylpiperazin-1-yl) methyl) -1, 3, 4, 7-tetrahydro-2H-pyrrolo [3', 2': 5, 6] pyrido [4, 3-d] pyrimidine-2-thione
This compound was prepared using procedures analogues those described for Example 2, Step 5-6 using 1-ethylpiperazine to replace pyrrolidine in Step 5. LCMS calc. for C
26H
33F
2N
6O
2S [M+H]
+: m/z = 531.2; Found: 531.1.
1HNMR (400 MHz, DMSO-d
6) δ: 11.88 (brs, 1H) , 7.97 (s, 1H) , 7.04 (t, J = 8.4 Hz, 1H) , 6.55 (s, 1H) , 4.76-4.33 (m, 4H) , 3.90 (s, 6H) , 3.63 (s, 2H) , 2.47-2.46 (m, 10H) , 1.42 (t, J = 6.8 Hz, 3H) , 0.97 (t, J = 7.2 Hz, 3H) .
Example 7
3- (2, 6-Difluoro-3, 5-dimethoxyphenyl) -1- (1-methyl-1H-pyrazol-4-yl) -8- (morpholinomethyl) -1, 3, 4, 7-tetrahydro-2H-pyrrolo [3', 2': 5, 6] pyrido [4, 3-d] pyrimidine-2-thione
This compound was prepared using procedures analogues those described for Example 1, Step 6-7 using 4-isothiocyanato-1-methyl-1H-pyrazole to replace isothiocyanatoethane in Step 6. LCMS calc. for C
26H
28F
2N
7O
3S [M+H]
+: m/z = 556.2; Found: 556.2.
1HNMR (400 MHz, CDCl
3) δ
1HNMR (400 MHz, CDCl
3) δ 7.97 (s, 1H) , 7.75 –7.66 (m, 2H) , 6.67 (t, J = 7.8 Hz, 1H) , 4.90 (s, 2H) , 4.03 (s, 3H) , 3.91 (s, 6H) , 3.77~3.76 (m, 4H) , 3.60 (s, 2H) , 2.53~2.52 (m, 2H) , 1.25 (s, 3H) .
Example 8
3- (2, 6-Difluoro-3, 5-dimethoxyphenyl) -N-ethyl-8- (morpholinomethyl) -4, 7-dihydro-3H-pyrrolo [3', 2': 5, 6] pyrido [4, 3-d] pyrimidin-2-amine
Step 1: tert-butyl (5- ( ( (2, 6-difluoro-3, 5-dimethoxyphenyl) amino) methyl) -2- (morpholinomethyl) -1- (phenylsulfonyl) -1H-pyrrolo [2, 3-b] pyridin-4-yl) carbamate and 3- (2, 6-difluoro-3, 5-dimethoxyphenyl) -8- (morpholinomethyl) -7- (phenylsulfonyl) -1, 3, 4, 7-tetrahydro-2H-pyrrolo [3', 2': 5, 6] pyrido [4, 3-d] pyrimidin-2-one
A mixture of N- ( (4-chloro-2- (morpholinomethyl) -1- (phenylsulfonyl) -1H-pyrrolo [2, 3-b] pyridin-5-yl) methyl) -2, 6-difluoro-3, 5-dimethoxyaniline (200 mg, 0.4 mmol) , tert-butyl carbamate (94.8 mg, 0.8 mol) , Xantphos (23.4 mg, 0.04 mmol) , Cs
2CO
3 (263.8 mg, 0.8 mmol) and Pd (OAc)
2 (9 mg, 0.04 mmol) in dry dioxane (10 mL) was degassed and recharged with Ar for three cycles, and stirred at 110 ℃ overnight. After cooled to r.t., and the mixture was filtered through a pad of Celite. The filtrate was concentrated under reduced pressure. The residue was purified by flash chromatography on a silica gel column with MeOH in DCM (1-5%) to afford two products: P1 (120 mg, 51 %yield, the earlier eluted fraction) and P2 (80 mg, 39 %yield, the latter eluted fraction) . P1 was assigned to tert-butyl (5- ( ( (2, 6-difluoro-3, 5-dimethoxyphenyl) amino) methyl) -2- (morpholinomethyl) -1- (phenylsulfonyl) -1H-pyrrolo [2, 3-b] pyridin-4-yl) carbamate as a light yellow solid: LCMS calc. for C
32H
38F
2N
5O
7S [M+H]
+: m/z = 674.2; Found: 674.3. P2 was assigned to 3- (2, 6-difluoro-3, 5-dimethoxyphenyl) -8- (morpholinomethyl) -7- (phenylsulfonyl) -1, 3, 4, 7-tetrahydro-2H-pyrrolo [3', 2': 5, 6] pyrido [4, 3-d] pyrimidin-2-one as a light yellow solid: LCMS calc. for C
28H
28F
2N
5O
6S [M+H]
+: m/z = 600.1; Found: 600.3.
1H NMR (400 MHz, DMSO-d
6) δ 10.60 (s, 1H) , 8.43 –8.17 (m, 2H) , 8.02 (s, 1H) , 7.74 –7.67 (m, 1H) , 7.62 (dd, J = 8.4, 6.9 Hz, 2H) , 7.15 –6.95 (m, 2H) , 4.81 (s, 2H) , 3.88 (d, J = 8.5 Hz, 8H) , 3.58 (t, J = 4.4 Hz, 4H) , 2.48 (s, 4H) .
Step 2: 5- ( ( (2, 6-difluoro-3, 5-dimethoxyphenyl) amino) methyl) -2- (morpholinomethyl) -1- (phenylsulfonyl) -1H-pyrrolo [2, 3-b] pyridin-4-amine
To a solution of tert-butyl (5- ( ( (2, 6-difluoro-3, 5-dimethoxyphenyl) amino) methyl) -1- (phenylsulfonyl) -2- (piperidin-1-ylmethyl) -1H-pyrrolo [2, 3-b] pyridin-4-yl) carbamate (120.0 mg, 0.178 mmol, P1) in DCM (5 mL) was added TFA (2 mL) . The solution was stirred at r.t. for 6 h. The mixture was concentrated. The residue was neutralized with ammonia in MeOH (7 M) . The solution was concentrated and purified by flash chromatography on a silica gel column with MeOH in DCM (5%) to afford 5- ( ( (2, 6-difluoro-3, 5-dimethoxyphenyl) amino) methyl) -2- (morpholinomethyl) -1- (phenylsulfonyl) -1H-pyrrolo [2, 3-b] pyridin-4-amine. LCMS calc. for C
27H
30F
2N
5O
5S [M+H]
+: m/z = 574.2; Found: 574.3.
Step 3: 3- (2, 6-difluoro-3, 5-dimethoxyphenyl) -N-ethyl-8- (morpholinomethyl) -7- (phenylsulfonyl) -4, 7-dihydro-3H-pyrrolo [3', 2': 5, 6] pyrido [4, 3-d] pyrimidin-2-amine
To a solution of 5- ( ( (2, 6-difluoro-3, 5-dimethoxyphenyl) amino) methyl) -2- (morpholinomethyl) -1- (phenylsulfonyl) -1H-pyrrolo [2, 3-b] pyridin-4-amine (200 mg, 0.348 mmol) in anhydrous DMF (5.0 mL) was added LiHMDS (0.7 mL, 0.7 mmol, 1 M in THF) at 0 ℃ under argon. The reaction mixture was stirred at 0 ℃ for 30 min., and isothiocyanatoethane (36.5 mg, 0.418 mmol) was added. The mixture was stirred at r.t. for 2 h., and then DIC (52.8 mg, 0.418 mmol) was added. The resulting mixture was stirred at 80 ℃ overnight. After cooling to r.t., the mixture was partitioned between water (10 mL) and DCM (15 mL) . The aqueous layer was extracted with DCM (10 mL x 3) . The combined organic layers were dried over Na
2SO
4, filtered and concentrated under reduced pressure. The residue was purified by flash chromatography on a silica gel column MeOH in DCM (5%) to afford 3- (2, 6-difluoro-3, 5-dimethoxyphenyl) -1-ethyl-7- (phenylsulfonyl) -8- (pyrrolidin-1-ylmethyl) -1, 3, 4, 7-tetrahydro-2H-pyrrolo [3', 2': 5, 6] pyrido [4, 3-d] pyrimidine-2-thione (22 mg, 10%yield) : LCMS calc. for C
30H
33F
2N
6O
5S [M+H]
+: m/z = 627.2; Found: 627.3.
Step 4: 3- (2, 6-difluoro-3, 5-dimethoxyphenyl) -N-ethyl-8- (morpholinomethyl) -4, 7-dihydro-3H-pyrrolo [3', 2': 5, 6] pyrido [4, 3-d] pyrimidin-2-amine
To a solution of 3- (2, 6-difluoro-3, 5-dimethoxyphenyl) -1-ethyl-7- (phenylsulfonyl) -8- (pyrrolidin-1-ylmethyl) -1, 3, 4, 7-tetrahydro-2H-pyrrolo [3', 2': 5, 6] pyrido [4, 3-d] pyrimidine-2-thione (22 mg, 0.03 mmol) in EtOH (2 mL) was added aqueous sodium hydroxide (0.5 ml, 2.0 M) . The reaction mixture was heated at 80℃ for 6 h. TLC showed the material was consumed. Water (5.0 mL) was added to give a thick suspension. This slurry was stirred at r.t. for 1 h and filtered. The solid was purified by flash chromatography on a silica gel column (10.0%methanol in dichloromethane) to afford 3- (2, 6-difluoro-3, 5-dimethoxyphenyl) -N-ethyl-8- (morpholinomethyl) -4, 7-dihydro-3H-pyrrolo [3', 2': 5, 6] pyrido [4, 3-d] pyrimidin-2-amine as white solid (2.1 mg, 12%yield) . LCMS calc. for C
24H
29F
2N
6O
3 [M+H]
+: m/z = 487.2; Found: 487.0.
1H NMR (400 MHz, DMSO-d
6) δ 11.07 (s, 1H) , 7.64 (s, 1H) , 7.02 (t, J = 8.1 Hz, 1H) , 6.34 (t, J = 5.5 Hz, 1H) , 6.29 (d, J = 2.1 Hz, 1H) , 4.60 (s, 2H) , 3.89 (s, 6H) , 3.58 (dd, J = 8.2, 3.4 Hz, 6H) , 3.34 –3.29 (m, 2H) , 2.40 (d, J = 4.9 Hz, 4H) , 1.08 (t, J = 7.0 Hz, 3H) .
Example 9
4- ( (3- (2, 6-Difluoro-3, 5-dimethoxyphenyl) -2-methoxy-4, 7-dihydro-3H-pyrrolo [3', 2': 5, 6] pyrido [4, 3-d] pyrimidin-8-yl) methyl) morpholine
Step 1: 4- ( (3- (2, 6-difluoro-3, 5-dimethoxyphenyl) -2-methoxy-7- (phenylsulfonyl) -4, 7-dihydro-3H-pyrrolo [3', 2': 5, 6] pyrido [4, 3-d] pyrimidin-8-yl) methyl) morpholine
To a solution of 3- (2, 6-difluoro-3, 5-dimethoxyphenyl) -8- (morpholinomethyl) -7- (phenylsulfonyl) -1, 3, 4, 7-tetrahydro-2H-pyrrolo [3', 2': 5, 6] pyrido [4, 3-d] pyrimidin-2-one(Example 8, Step 1) (100.0 mg, 0.166 mmol) in anhydrous DCM (5 mL) was added KHMDS (1.7 mL, 0.85 mmol, 0.5 M in toluene) at 0 ℃ under argon. The mixture was stirred at 0 ℃ for 10 min. MeO
3BF
4 (49.9 mg, 0.333 mmol) was added and the mixture was stirred at ambient temperature for 6 h. LCMS showed SM was consumed. The mixture was quenched with aqueous NH
4Cl and extracted with DCM (20 mL x 4) . The combined organic layers were washed with brine, dried over Na
2SO
4, concentrated under reduced pressure. The residue was purified by flash chromatography on a silica gel column with MeOH in DCM (0-5%) to afford 4- ( (3- (2, 6-difluoro-3, 5-dimethoxyphenyl) -2-methoxy-7- (phenylsulfonyl) -4, 7-dihydro-3H-pyrrolo [3', 2': 5, 6] pyrido [4, 3-d] pyrimidin-8-yl) methyl) morpholine LCMS calc. for C
29H
30F
2N
5O
6S [M+H]
+: m/z = 614.2; Found: 614.1.
Step 2: 4- ( (3- (2, 6-difluoro-3, 5-dimethoxyphenyl) -2-methoxy-4, 7-dihydro-3H-pyrrolo [3', 2': 5, 6] pyrido [4, 3-d] pyrimidin-8-yl) methyl) morpholine
This compound was prepared using procedures analogues those described for Example 1, Step 7. LCMS calc. for C
23H
26F
2N
5O
4 [M+H]
+: m/z = 474.1; Found: 474.1.
1H NMR (400 MHz, DMSO-d
6) δ 11.74 (s, 1H) , 7.92 (s, 1H) , 7.04 (t, J = 8.2 Hz, 1H) , 6.62 (s, 1H) , 4.74 (s, 2H) , 3.89 (s, 6H) , 3.69 –3.54 (m, 9H) , 2.42 (t, J = 4.7 Hz, 4H) .
Example 10
3- (2, 6-difluoro-3, 5-dimethoxyphenyl) -1-ethyl-8- (hydroxymethyl) -1, 3, 4, 7-tetrahydro-2H-pyrrolo [3', 2': 5, 6] pyrido [4, 3-d] pyrimidine-2-thione
To a solution of 3- (2, 6-difluoro-3, 5-dimethoxyphenyl) -1-ethyl-7- (phenylsulfonyl) -2-thioxo-2, 3, 4, 7-tetrahydro-1H-pyrrolo [3', 2': 5, 6] pyrido [4, 3-d] pyrimidine-8-carbaldehyde (11 mg, 0.02 mmol, Example 2 Step 4) in DCE (1.0 mL) added AcOH (0.1 mL) was added NaBH (OAc)
3 (16 mg) at r.t. The mixture was stirred for 4 h. Water (2 mL) was added and stirred at r.t. for 1 h. The mixture was then extracted with EA (3 mL x 2) . The combined organics were dried over sodium sulfate, filtered and concentrated under reduced pressure. The residue was purified by SGC (PE: EA = 1: 3) to afford 3- (2, 6-difluoro-3, 5-dimethoxyphenyl) -1-ethyl-8- (hydroxymethyl) -7- (phenylsulfonyl) -1, 3, 4, 7-tetrahydro-2H-pyrrolo [3', 2': 5, 6] pyrido [4, 3-d] pyrimidine-2-thione. LCMS calc. for C
20H
21F
2N
4O
3S [M+H]
+: m/z = 435.1; Found: 435.2.
1HNMR (400 MHz, CDCl
3) δ: 10.78 (brs, 1H) , 8.57 (s, 1H) , 6.60 (t, J = 7.6 Hz, 1H) , 6.32 (s, 1H) , 5.74 (s, 2H) , 4.85 (s, 2H) , 3.80 (s, 6H) , 3.72-3.65 (m, 2H) , 1.14 (t, J = 7.2 Hz, 3H) .
Example 11
3- (2, 6-Difluoro-3, 5-dimethoxyphenyl) -1-ethyl-8- (4-methoxyphenyl) -1, 3, 4, 7-tetrahydro-2H-pyrrolo [3', 2': 5, 6] pyrido [4, 3-d] pyrimidine-2-thione
Step 1: 9-bromo-3- (2, 6-difluoro-3, 5-dimethoxyphenyl) -1-ethyl-7- (phenylsulfonyl) -1, 3, 4, 7-tetrahydro-2H-pyrrolo [3', 2': 5, 6] pyrido [4, 3-d] pyrimidine-2-thione and 8-bromo-3- (2, 6-difluoro-3, 5-dimethoxyphenyl) -1-ethyl-7- (phenylsulfonyl) -1, 3, 4, 7-tetrahydro-2H-pyrrolo [3', 2': 5, 6] pyrido [4, 3-d] pyrimidine-2-thione
To a cooled solution of 3- (2, 6-difluoro-3, 5-dimethoxyphenyl) -1-ethyl-7- (phenylsulfonyl) -1, 3, 4, 7-tetrahydro-2H-pyrrolo [3', 2': 5, 6] pyrido [4, 3-d] pyrimidine-2-thione (586 mg, 1.08 mmol) in THF (60 mL) at -78 ℃ was added LDA (1.08 mL, 2.16 mmol, 2.0 M in THF ) under Ar. The mixture was stirred for 30 min., then 1, 2-dibromo-1, 1, 2, 2-tetrachloroethane (368 mg, 1.1 mmol) was added. The reaction mixture was stirred for additional 2 h. at -78 ℃, and quenched with sat. NH
4Cl (20 mL) and stirred at ambient temperature for 30 min., and then extracted with EA (30.0 mL x 2) . The combined organic layers were dried over Na
2SO
4, filtered and concentrated under reduced pressure. The residue was purified by flash chromatography on a silica gel column with AcOEt in PE (0-40 %) to afford two products P1 (90 mg, the earlier eluted isomer) and P2 (140 mg, the latter eluted isomer) . P1 was assigned to 9-bromo-3- (2, 6-difluoro-3, 5-dimethoxyphenyl) -1-ethyl-7- (phenylsulfonyl) -1, 3, 4, 7-tetrahydro-2H-pyrrolo [3', 2': 5, 6] pyrido [4, 3-d] pyrimidine-2-thione LCMS calc. for C
25H
22BrF
2N
4O
4S
2 [M+H]
+: m/z = 623.0; Found: 623.1; and P2 was assigned to 8-bromo-3- (2, 6-difluoro-3, 5-dimethoxyphenyl) -1-ethyl-7- (phenylsulfonyl) -1, 3, 4, 7-tetrahydro-2H- pyrrolo [3', 2': 5, 6] pyrido [4, 3-d] pyrimidine-2-thione. LCMS calc. for C
25H
22BrF
2N
4O
4S
2 [M+H]
+: m/z = 623.0; Found: 623.2.
Step2: 3- (2, 6-difluoro-3, 5-dimethoxyphenyl) -1-ethyl-8- (4-methoxyphenyl) -7- (phenylsulfonyl) -1, 3, 4, 7-tetrahydro-2H-pyrrolo [3', 2': 5, 6] pyrido [4, 3-d] pyrimidine-2-thione
A mixture of 8-bromo-3- (2, 6-difluoro-3, 5-dimethoxyphenyl) -1-ethyl-7- (phenylsulfonyl) -1, 3, 4, 7-tetrahydro-2H-pyrrolo [3', 2': 5, 6] pyrido [4, 3-d] pyrimidine-2-thione (140 mg, 0.244 mmol, P2 Step 1) , 4-methoxyphenylboronic acid (55.7 mg, 0.366 mmol) , Cs
2CO
3 (158.6 mg, 0.488 mmol) and PdCl
2 (dppf) (17.8 mg, 0.024 mmol) in dioxane (4 mL) and H
2O (1 mL) was degassed and recharged with Ar for three cycles at r.t.. The mixture was stirred at 100 ℃ overnight. After cooling to r.t., the mixture was diluted with water (10 mL) and extracted with EA (20 mL x 3) . The combined organic layers were dried over sodium sulfate, filtered and concentrated under reduced pressure. The residue was purified by flash chromatography on a silica gel column with PE: EA (1: 1) to afford 3- (2, 6-difluoro-3, 5-dimethoxyphenyl) -1-ethyl-8- (4-methoxyphenyl) -7- (phenylsulfonyl) -1, 3, 4, 7-tetrahydro-2H-pyrrolo [3', 2': 5, 6] pyrido [4, 3-d] pyrimidine-2-thione (56 mg, 35%yield) : LCMS calc. for C
32H
29F
2N
4O
5S
2 [M+H]
+: m/z = 651.1; Found: 651.2.
Step 3: 3- (2, 6-difluoro-3, 5-dimethoxyphenyl) -1-ethyl-8- (4-methoxyphenyl) -1, 3, 4, 7-tetrahydro-2H-pyrrolo [3', 2': 5, 6] pyrido [4, 3-d] pyrimidine-2-thione
This compound was prepared using procedures analogues those described for Example 1, Step 7. LCMS calc. for C
26H
25F
2N
4O
3S [M+H]
+: m/z = 511.2; Found: 511.2.
1HNMR (400 MHz, DMSO-d
6) δ12.36 (brs, 1H) , 8.39 (s, 1H) , 7.99 (d, J = 8.4 Hz, 2H) , 7.05-6.96 (m, 3H) , 6.77 (s, 1H) , 5.55 (s, 2H) , 3.88 (s, 3H) , 3.81 (s, 6H) , 3.55-3.48 (m, 2H) , 1.06 (t, J = 6.8 Hz, 3H) .
Example 12
3- (2, 6-difluoro-3, 5-dimethoxyphenyl) -1-ethyl-9- (4-methoxyphenyl) -1, 3, 4, 7-tetrahydro-2H-pyrrolo [3', 2': 5, 6] pyrido [4, 3-d] pyrimidine-2-thione
This compound was prepared using procedures analogues those described for Example 11 Step 2-3 using 9-bromo-3- (2, 6-difluoro-3, 5-dimethoxyphenyl) -1-ethyl-7- (phenylsulfonyl) -1, 3, 4, 7-tetrahydro-2H-pyrrolo [3', 2': 5, 6] pyrido [4, 3-d] pyrimidine-2-thione (P1, Example 11 Step 1) to replace 8-bromo-3- (2, 6-difluoro-3, 5-dimethoxyphenyl) -1-ethyl-7- (phenylsulfonyl) -1, 3, 4, 7-tetrahydro-2H-pyrrolo [3', 2': 5, 6] pyrido [4, 3-d] pyrimidine-2-thione in Step 2. LCMS calc. for C
26H
25F
2N
4O
3S [M+H]
+: m/z = 511.2; Found: 511.2.
1HNMR (400 MHz, DMSO-d
6) δ12.31 (brs, 1H) , 7.99-7.95 (m, 3H) , 7.09-7.03 (m, 4H) , 4.88-4.83 (m, 2H) , 4.78 (s, 1H) , 3.90 (s, 3H) , 3.84 (s, 6H) , 1.44 (t, J = 6.8 Hz, 3H) .
Example 13
3- (2, 6-Difluoro-3, 5-dimethoxyphenyl) -8- (morpholinomethyl) -1- (tetrahydrofuran-3-yl) methyl) -1, 3, 4, 7-tetrahydro-2H-pyrrolo [3', 2': 5, 6] pyrido [4, 3-d] pyrimidine-2-thione
This compound was prepared using procedures analogues those described for Example 1, Step 6-7 using 3- (isothiocyanatomethyl) tetrahydrofuran to replace isothiocyanatoethane. LCMS calc. for C
27H
32F
2N
5O
4S [M+H]
+: m/z = 560.2; Found: 560.1.
1H NMR (400 MHz, DMSO-d
6) δ 11.95 (s, 1H) , 8.35 (s, 1H) , 6.98 (t, J = 8.1 Hz, 1H) , 6.27 (d, J = 1.9 Hz, 1H) , 5.53 (s, 2H) , 3.78 (s, 6H) , 3.69 (td, J = 8.0, 5.8 Hz, 1H) , 3.62 –3.48 (m, 9H) , 3.41 (ddd, J = 18.1, 8.2, 5.3 Hz, 2H) , 2.74 –2.59 (m, 1H) , 2.39 (t, J = 4.7 Hz, 4H) , 1.91 –1.75 (m, 1H) , 1.53 (dt, J = 13.0, 6.3 Hz, 1H) .
Example 14
3- (2, 6-Difluoro-3, 5-dimethoxyphenyl) -1- (4-fluorophenyl) -8- (morpholinomethyl) -1, 3, 4, 7-tetrahydro-2H-pyrrolo [3', 2': 5, 6] pyrido [4, 3-d] pyrimidine-2-thione
This compound was prepared using procedures analogues those described for Example 1, Step 6-7 using 1-fluoro-4-isothiocyanatobenzene to replace isothiocyanatoethane. LCMS calc. for C
28H
27F
3N
5O
3S [M+H]
+: m/z = 570.1; Found: 570.1.
1H NMR (400 MHz, DMSO-d
6) δ 11.95 (s, 1H) , 8.17 (s, 1H) , 7.17 (t, J = 8.8 Hz, 2H) , 7.03 (t, J = 8.1 Hz, 1H) , 6.79 (dd, J = 8.6, 5.2 Hz, 2H) , 6.21 (s, 1H) , 4.92 (s, 2H) , 3.91 (s, 6H) , 3.62 (s, 2H) , 3.58 (t, J = 4.6 Hz, 4H) , 2.40 (t, J = 4.6 Hz, 4H) .
Example 15
3- (2, 6-Difluoro-3, 5-dimethoxyphenyl) -1-isopropyl-8- (morpholinomethyl) -1, 3, 4, 7-tetrahydro-2H-pyrrolo [3', 2': 5, 6] pyrido [4, 3-d] pyrimidine-2-thione
This compound was prepared using procedures analogues those described for Example 1, Step 6-7 using 2-isothiocyanatopropane to replace isothiocyanatoethane. LCMS calc. for C
25H
30F
2N
5O
3S [M+H]
+: m/z = 518.2; Found: 518.1.
1H NMR (400 MHz, DMSO-d
6) δ 11.9 (s, 1H) , 8.09 (s, 1H) , 6.92 (t, J = 8.0 Hz, 1H) , 6.48 –6.19 (m, 1H) , 4.73 (s, 2H) , 3.86 (s, 6H) , 3.80 (d, J = 6.1 Hz, 1H) , 3.64 (s, 2H) , 3.59 (t, J = 4.6 Hz, 4H) , 2.43 (t, J = 4.6 Hz, 4H) , 1.05 (d, J = 6.4 Hz, 6H) .
Example 16
1-Cyclopentyl-3- (2, 6-difluoro-3, 5-dimethoxyphenyl) -8- (morpholinomethyl) -1, 3, 4, 7-tetrahydro-2H-pyrrolo [3', 2': 5, 6] pyrido [4, 3-d] pyrimidine-2-thione
This compound was prepared using procedures analogues those described for Example 1, Step 6-7 using isothiocyanatocyclopentane to replace isothiocyanatoethane. LCMS calc. for C
27H
32F
2N
5O
3S [M+H]
+: m/z = 544.2; Found: 544.2.
1H NMR (400 MHz, DMSO-d
6) δ 11.90 (d, J = 2.1 Hz, 1H) , 8.09 (s, 1H) , 6.92 (t, J = 8.0 Hz, 1H) , 6.37 (d, J = 1.9 Hz, 1H) , 4.73 (s, 2H) , 3.96 (p, J = 6.5 Hz, 1H) , 3.86 (s, 6H) , 3.65 (s, 2H) , 3.60 (t, J = 4.6 Hz, 4H) , 2.43 (t, J = 4.7 Hz, 4H) , 1.84 –1.73 (m, 2H) , 1.60 –1.46 (m, 4H) , 1.31 –1.23 (m, 2H) .
Example 17
3- (2, 6-difluoro-3, 5-dimethoxyphenyl) -8- (morpholinomethyl) -1- (tetrahydro-2H-pyran-4-yl) -1, 3, 4, 7-tetrahydro-2H-pyrrolo [3', 2': 5, 6] pyrido [4, 3-d] pyrimidine-2-thione
This compound was prepared using procedures analogues those described for Example 1, Step 6 using 4-isothiocyanatotetrahydro-2H-pyran to replace isothiocyanatoethane. LCMS calc. for C
27H
32F
2N
5O
4S [M+H]
+: m/z = 560.2; Found: 560.2.
1H NMR (400 MHz, DMSO-d
6) δ 11.92 (s, 1H) , 8.11 (s, 1H) , 6.94 (t, J = 7.8 Hz, 1H) , 6.37 (s, 1H) , 4.76 (s, 2H) , 3.87 (s, 6H) , 3.73 (d, J = 10.9 Hz, 3H) , 3.62 (d, J = 21.3 Hz, 6H) , 3.41 (t, J = 10.8 Hz, 2H) , 2.43 (s, 4H) , 1.73 –1.50 (m, 2H) , 1.33 (s, 2H) .
Example 18
3- (2, 6-Difluoro-3, 5-dimethoxyphenyl) -1-methyl-8- (morpholinomethyl) -1, 3, 4, 7-tetrahydro-2H-pyrrolo [3', 2': 5, 6] pyrido [4, 3-d] pyrimidine-2-thione
This compound was prepared using procedures analogues those described for Example 1, Step 1-7 using isothiocyanatomethane to replace isothiocyanatoethane. LCMS calc. for C
23H
26F
2N
5O
3S [M+H]
+: m/z = 490.1; Found: 490.0.
1H NMR (400 MHz, DMSO-d
6) δ 11.89 (s, 1H) , 7.98 (s, 1H) , 7.04 (t, J = 8.1 Hz, 1H) , 6.65 (d, J = 2.0 Hz, 1H) , 4.78 (s, 2H) , 3.98 (s, 3H) , 3.89 (s, 6H) , 3.68 –3.55 (m, 6H) , 2.43 (t, J = 4.7 Hz, 4H) .
Example 19
3- (2, 6-Difluoro-3, 5-dimethoxyphenyl) -8- (morpholinomethyl) -1- (piperidin-4-ylmethyl) -1, 3, 4, 7-tetrahydro-2H-pyrrolo [3', 2': 5, 6] pyrido [4, 3-d] pyrimidine-2-thione
Step 1: 3- (2, 6-difluoro-3, 5-dimethoxyphenyl) -8- (morpholinomethyl) -7- (phenylsulfonyl) -1- (piperidin-4-ylmethyl) -1, 3, 4, 7-tetrahydro-2H-pyrrolo [3', 2': 5, 6] pyrido [4, 3-d] pyrimidine-2-thione
To a stirring suspension of N- ( (4-chloro-2- (morpholinomethyl) -1- (phenylsulfonyl) -1H-pyrrolo [2, 3-b] pyridin-5-yl) methyl) -2, 6-difluoro-3, 5-dimethoxyaniline (150 mg, 0.253 mmol, Example 1 Step 5) in in N, N-dimethyl formamide (3.0 mL) was added sodium hydride (20.2 mg, 0.506 mmol, 60%in mineral oil) at 0 ℃ under argon. The reaction mixture was stirred at 0 ℃ for 20 min., and tert-butyl 4- (isothiocyanatomethyl) piperidine-1-carboxylate (97.2 mg, 0.379 mmol) was added. The mixture was stirred at r.t. for 3 h., and quenched with aqueous ammonia chloride (5.0 mL, 2.0 M) . The mixture was stirred for 10 min. and filtered. The solid was collected and purified by flash chromatography on a silica gel column with MeOH in DCM (5%) to afford 3- (2, 6-difluoro-3, 5-dimethoxyphenyl) -8- (morpholinomethyl) -7- (phenylsulfonyl) -1- (piperidin-4-ylmethyl) -1, 3, 4, 7-tetrahydro-2H-pyrrolo [3', 2': 5, 6] pyrido [4, 3-d] pyrimidine-2-thione as a light yellow solid (105 mg, 58%yield) : LCMS calc. for C
34H
39F
2N
6O
5S
2 [M+H]
+: m/z = 713.2; Found: 713.3.
Step 2: 3- (2, 6-difluoro-3, 5-dimethoxyphenyl) -8- (morpholinomethyl) -1- (piperidin-4-ylmethyl) -1, 3, 4, 7-tetrahydro-2H-pyrrolo [3', 2': 5, 6] pyrido [4, 3-d] pyrimidine-2-thione
This compound was prepared using procedures analogues those described for Example 1, Step 7. LCMS calc. for C
28H
35F
2N
6O
3S [M+H]
+: m/z = 573.2; Found: 573.2.
1H NMR (400 MHz, DMSO-d
6) δ 11.93 (s, 1H) , 8.10 (s, 1H) , 6.95 (t, J = 8.1 Hz, 1H) , 6.37 (s, 1H) , 4.74 (s, 2H) , 3.86 (s, 6H) , 3.65 (s, 2H) , 3.59 (t, J = 4.6 Hz, 4H) , 3.18 (d, J = 6.3 Hz, 2H) , 2.86 (dd, J = 9.4, 6.4 Hz, 2H) , 2.47 –2.24 (m, 6H) , 1.50 (d, J = 13.2 Hz, 2H) , 1.43 (dq, J = 7.7, 3.8 Hz, 1H) , 1.24 (d, J = 3.3 Hz, 1H) , 0.97 (qd, J = 12.2, 3.9 Hz, 2H) .
Example 20
1- (4- ( (3- (2, 6-Difluoro-3, 5-dimethoxyphenyl) -8- (morpholinomethyl) -2-thioxo-2, 3, 4, 7-tetrahydro-1H-pyrrolo [3', 2': 5, 6] pyrido [4, 3-d] pyrimidin-1-yl) methyl) piperidin-1-yl) ethan-1-one
Step 1: 1- (4- ( (3- (2, 6-difluoro-3, 5-dimethoxyphenyl) -8- (morpholinomethyl) -7- (phenylsulfonyl) -2-thioxo-2, 3, 4, 7-tetrahydro-1H-pyrrolo [3', 2': 5, 6] pyrido [4, 3-d] pyrimidin-1-yl) methyl) piperidin-1-yl) ethan-1-one
To a solution of 3- (2, 6-difluoro-3, 5-dimethoxyphenyl) -8- (morpholinomethyl) -7- (phenylsulfonyl) -1- (piperidin-4-ylmethyl) -1, 3, 4, 7-tetrahydro-2H-pyrrolo [3', 2': 5, 6] pyrido [4, 3-d] pyrimidine-2-thione (65 mg, 0.09 mmol) and Et
3N (18.5 mg, 0.18 mmol) in DCM (5 mL) was added acetyl chloride (8.6 mg, 0.109 mmol) at 0 ℃. The mixture was stirred at r.t. for 2 h., diluted with aqueous NH
4Cl and extracted with DCM (20 mL x 4) . The combined organic layers were washed by brine, dried over Na
2SO
4, filtered and concentrated. The residue was purified by flash chromatography on a silica gel column with MeOH in DCM (5%) to afford 1- (4- ( (3- (2, 6-difluoro-3, 5-dimethoxyphenyl) -8- (morpholinomethyl) -7- (phenylsulfonyl) -2-thioxo-2, 3, 4, 7-tetrahydro-1H-pyrrolo [3', 2': 5, 6] pyrido [4, 3-d] pyrimidin-1-yl) methyl) piperidin-1-yl) ethan-1-one as a light yellow solid (49 mg, 65%yield) LCMS calc. for C
36H
41F
2N
6O
6S
2 [M+H]
+: m/z = 755.2; Found: 755.3
Step 2: 1- (4- ( (3- (2, 6-Difluoro-3, 5-dimethoxyphenyl) -8- (morpholinomethyl) -2-thioxo-2, 3, 4, 7-tetrahydro-1H-pyrrolo [3', 2': 5, 6] pyrido [4, 3-d] pyrimidin-1-yl) methyl) piperidin-1-yl) ethan-1-one
This compound was prepared using procedures analogues those described for Example 1, Step 7. LCMS calc. for C
30H
37F
2N
6O
4S [M+H] +: m/z = 615.2; Found: 615.2. 1H NMR (400 MHz, DMSO-d
6) δ 11.93 (s, 1H) , 8.11 (s, 1H) , 6.95 (t, J = 8.1 Hz, 1H) , 6.37 (d, J = 1.8 Hz, 1H) , 4.75 (s, 2H) , 4.30 (d, J = 13.0 Hz, 1H) , 3.87 (s, 6H) , 3.74 (d, J = 13.7 Hz, 1H) , 3.65 (s, 2H) , 3.59 (t, J = 4.6 Hz, 4H) , 3.26 –3.16 (m, 2H) , 2.92 (t, J = 12.6 Hz, 1H) , 2.43 (s, 4H) , 1.95 (s, 3H) , 1.58 (q, J = 15.1, 14.5 Hz, 3H) , 1.24 (m, 1H) , 1.12 –1.00 (m, 1H) , 0.94 –0.81 (m, 1H) .
Example 21
3- (2, 6-difluoro-3, 5-dimethoxyphenyl) -1- ( (1- (ethylsulfonyl) piperidin-4-yl) methyl) -8- (morpholinomethyl) -1, 3, 4, 7-tetrahydro-2H-pyrrolo [3', 2': 5, 6] pyrido [4, 3-d] pyrimidine-2-thione
This compound was prepared using procedures analogues those described for Example 20, Step 1-2 using ethanesulfonyl chloride replace acetyl chloride in Step 1. LCMS calc. for C
30H
39F
2N
6O
5S
2 [M+H]
+: m/z = 665.2; Found: 665.2.
1H NMR (400 MHz, DMSO-d
6) δ 11.94 (d, J = 14.2 Hz, 1H) , 8.06 (d, J = 37.0 Hz, 1H) , 7.00 (dt, J = 36.9, 8.0 Hz, 1H) , 6.51 (d, J = 107.7 Hz, 1H) , 4.77 (d, J = 10.3 Hz, 2H) , 3.88 (d, J = 12.6 Hz, 6H) , 3.65 (s, 2H) , 3.62 –3.49 (m, 6H) , 3.24 (d, J = 6.3 Hz, 2H) , 2.97 (p, J = 7.5 Hz, 2H) , 2.79 –2.64 (m, 2H) , 2.43 (t, J = 4.6 Hz, 4H) , 1.63 (d, J = 12.8 Hz, 2H) , 1.27 –1.01 (m, 6H) .
Example 22
1- (4- ( (3- (2, 6-difluoro-3, 5-dimethoxyphenyl) -8- (morpholinomethyl) -2-thioxo-2, 3, 4, 7-tetrahydro-1H-pyrrolo [3', 2': 5, 6] pyrido [4, 3-d] pyrimidin-1-yl) methyl) piperidin-1-yl) prop-2-en-1-one
This compound was prepared using procedures analogues those described for Example 20, Step 1 using acryloyl chloride replace acetyl chloride. LCMS calc. for C
31H
37F
2N
6O
4S [M+H]
+: m/z = 627.2; Found: 627.5.
1H NMR (400 MHz, DMSO-d
6) δ 11.94 (dd, J = 15.9, 1.9 Hz, 1H) , 8.06 (d, J = 35.2 Hz, 1H) , 7.00 (dt, J = 39.6, 8.1 Hz, 1H) , 6.76 (dd, J = 16.7, 10.5 Hz, 1H) , 6.50 (dd, J = 109.3, 1.9 Hz, 1H) , 6.05 (dt, J = 16.7, 2.0 Hz, 1H) , 5.62 (dt, J = 10.4, 2.2 Hz, 1H) , 4.77 (d, J = 13.2 Hz, 2H) , 4.34 (t, J = 14.8 Hz, 1H) , 4.11 –3.94 (m, 2H) , 3.88 (d, J = 13.9 Hz, 6H) , 3.65 (d, J = 4.2 Hz, 2H) , 3.59 (t, J = 4.6 Hz, 4H) , 3.26 –3.16 (m, 1H) , 2.94 (q, J = 12.8 Hz, 1H) , 2.43 (t, J = 4.5 Hz, 4H) , 1.94 (s, 1H) , 1.74 (d, J = 14.8 Hz, 1H) , 1.61 (d, J = 14.9 Hz, 1H) , 1.23 (s, 1H) , 1.14 –0.94 (m, 2H) .
Example 23
3- (2, 6-difluoro-3, 5-dimethoxyphenyl) -8- (morpholinomethyl) -1-phenethyl-1, 3, 4, 7-tetrahydro-2H-pyrrolo [3', 2': 5, 6] pyrido [4, 3-d] pyrimidine-2-thione
This compound was prepared using procedures analogues those described for Example 1, Step 1 -7 using (2-isothiocyanatoethyl) benzene to replace isothiocyanatoethane. LCMS calc. for C
30H
32F
2N
5O
3S [M+H]
+: m/z = 580.2; Found: 580.2.
1H NMR (400 MHz, Chloroform-d) δ11.93 (d, J = 1.9 Hz, 1H) , 7.93 (s, 1H) , 7.31-7.24 (m, 2H) , 7.23-7.19 (m, 1H) , 7.17-7.12 (m, 2H) , 7.03 (t, J = 8.1 Hz, 1H) , 6.64 (d, J = 2.0 Hz, 1H) , 5.04 (s, 2H) , 4.48 (s, 2H) , 3.89 (s, 6H) , 3.66 (s, 2H) , 3.60 (t, J = 4.6 Hz, 4H) , 3.14 (t, J = 7.2 Hz, 2H) , 2.45 (t, J = 4.6 Hz, 4H) .
Example 24
3- (2, 6-difluoro-3, 5-dimethoxyphenyl) -1- (4-methoxyphenyl) -8- (morpholinomethyl) -1, 3, 4, 7-tetrahydro-2H-pyrrolo [3', 2': 5, 6] pyrido [4, 3-d] pyrimidine-2-thione
This compound was prepared using procedures analogues those described for Example 1, Step 1-7 using 1-isothiocyanato-4-methoxybenzene to replace isothiocyanatoethane. LCMS calc. for C
29H
30F
2N
5O
4S [M+H]
+: m/z = 582.1; Found: 582.2.
1H NMR (400 MHz, Chloroform-d) δ 9.30 (s, 1H) , 7.95 (s, 1H) , 7.49 –7.39 (m, 2H) , 7.08 –6.97 (m, 2H) , 6.67 (t, J = 7.8 Hz, 1H) , 4.97 (s, 2H) , 4.41 (s, 1H) , 3.92 (s, 3H) , 3.90 (s, 6H) , 3.71 (d, J = 5.0 Hz, 4H) , 3.47 (s, 2H) , 2.43 (s, 4H) .
Example 25
4- ( (3- (2, 6-difluoro-3, 5-dimethoxyphenyl) -2-ethoxy-4, 7-dihydro-3H-pyrrolo [3', 2': 5, 6] pyrido [4, 3-d] pyrimidin-8-yl) methyl) morpholine
This compound was prepared using procedures analogues those described for Example 9, Step 1–2 using EtO
3BF
4 replace MeO
3BF
4. LCMS calc. for C
24H
28F
2N
5O
4 [M+H]
+: m/z = 488.2; Found: 488.2.
1H NMR (400 MHz, DMSO-d
6) δ 11.73 (s, 1H) , 7.92 (s, 1H) , 7.04 (t, J = 8.2 Hz, 1H) , 6.48 (s, 1H) , 4.74 (s, 2H) , 4.15 (q, J = 6.9 Hz, 2H) , 3.90 (d, J = 3.2 Hz, 6H) , 3.63 (s, 2H) , 3.59 (t, J = 4.6 Hz, 4H) , 2.43 (t, J = 4.7 Hz, 4H) , 1.34 (t, J = 6.9 Hz, 3H) .
Example 26
3- (2, 6-difluoro-3, 5-dimethoxyphenyl) -1-ethyl-1, 3, 4, 7-tetrahydro-2H-pyrrolo [3', 2': 5, 6] pyrido [4, 3-d] pyrimidine-2-thione
This compound was prepared using procedures analogues those described for Example 2 step1-3, then using the deprotecting method in step 7 Example 1. LCMS calc. for C
19H
19F
2N
4O
2S [M+H]
+: m/z = 405.1; Found: 405.2.
1HNMR (400 MHz, DMSO-d
6) δ 11.93 (brs, 1H) , 8.02 (s, 1H) , 7.57 (s, 1H) , 7.04 (t, J = 8.4 Hz, 1H) , 6.71 (d, J = 3.2 Hz, 1H) , 4.78-4.75 (m, 4H) , 3.90 (s, 6H) , 1.43 (t, J = 6.8 Hz, 3H) .
Biological Examples
Example A: FGFR Enzymatic Assay
The inhibitor potency of the exemplified compounds was measured in Mobility shift assay with ATP (Sigma, Cat. No. A7699-1G) concentration at Km.
The compounds were diluted to 50X of the final desired highest inhibitor concentration in reaction by 100%DMSO. 100 μl of this compound dilution was transferred to a well in a 96-well plate. Then the compounds were serially diluted in DMSO by 3-fold for a total of 10 concentrations. 100 μl of 100%DMSO was added to two empty wells for no compound control (DMSO control) and no enzyme control (low control) in the same 96-well plate (Corning, 3365) . This plate was marked as source plate. 10 μl of compound was transferred from source plate to a new 96-well plate as the intermediate plate. 90 μl of 1x kinase buffer was added to each well of the intermediate plate. The compounds were mixed in the intermediate plate for 10 min on shaker. 5μl of diluted compounds in each well from the 96-well intermediate plate was transferred to a 384-well plate as assay plate in duplicates. 10μl of 2.5x enzyme solution (prepared in 1x kinase base buffer, i.e. 50 mM HEPES, pH 7.5; 0.0015%Brij-35) was added to each well of the 384-well (Corning, 3573) assay plate and incubate at room temperature for 10 min. Then 10μl of 2.5x peptide solution (FAM-labeled peptide and ATP added in the 1x kinase base buffer) was added to each well of the 384-well assay plate. The plate was incubated at 28℃for a period of time and 30μl of stop buffer (100 mM HEPES, pH 7.5; 0.015%Brij-35; 0.2%Coating Reagent #3; 50 mM EDTA) was added to stop reaction.
Data was collected by Caliper reading and analyzed in XLfit excel add-in version 5.0.4.8. Percent inhibition was calculated as (max-conversion) / (max-min) *100, “max” stands for DMSO control; “min” stands for low control. The IC
50 values were derived by fitting the data to the equation:
Y=Bottom + (Top-Bottom) / (1+ (IC
50/X) ^HillSlope) .
The compounds of the present disclosure were found to be effective inhibitors of one or more of FGFR1, FGFR2, and FGFR3 according to the above-described assay. IC
50 data is provided below in Table 1. The symbol “++++” indicates an IC
50 less than 10 nM, the symbol “+++” indicates an IC
50 of 10 to 100 nM, “++” indicates an IC
50 of 100 to 500 nM, and the symbol “+” indicates an IC
50 more than 500 nM, “NT” indicates not test.
Table 1. FGFR Enzymatic Assay IC
50 (nM)
| Example No. | FGFR1 | FGFR2 | FGFR3 | FGFR4 |
| 1 | ++++ | ++++ | ++++ | +++ |
| 2 | +++ | +++ | +++ | + |
| 3 | ++++ | ++++ | +++ | ++ |
| 5 | +++ | +++ | +++ | + |
| 6 | ++++ | ++++ | ++++ | +++ |
| 7 | ++++ | ++++ | ++++ | ++ |
| 8 | +++ | +++ | +++ | ++ |
| 9 | ++++ | ++++ | +++ | +++ |
| 10 | +++ | +++ | +++ | + |
| 12 | +++ | +++ | ++ | ++ |
| 14 | ++++ | ++++ | +++ | + |
| 15 | ++++ | ++++ | +++ | ++ |
| 16 | ++++ | ++++ | +++ | ++ |
| 17 | ++++ | ++++ | +++ | ++ |
| 18 | ++++ | ++++ | ++++ | +++ |
| 19 | ++++ | ++++ | ++++ | +++ |
| 20 | ++++ | ++++ | +++ | +++ |
| 21 | +++ | ++++ | +++ | ++ |
| 22 | ++++ | ++++ | +++ | ++ |
| 24 | ++++ | ++++ | ++++ | +++ |
| 25 | ++++ | ++++ | ++++ | +++ |
Example B: Anti-proliferative activity in FGFR1-4 amplified cancer cell lines
The ability of the compounds to inhibit the growth of cells dependent on FGFR signaling for survival was measured using Growth inhibition assays (CellTiter-Glo, Promega, G7570) . Several cell lines (AN3CA, human endometrial carcinoma cell line (cobioer biosciences, Cat#CPB60663) , MFE296, human endometrial carcinoma cell line (cobioer biosciences, Cat#CPB60840) , SNU-16, gastric cancer cell line (cobioer biosciences, Cat#CPB60502) ) were used in cell proliferation assays, and compounds are screened for their ability to inhibit cell proliferation/survival. Cells were seeded into the Nunc microwell-96 plates (Thermo, 165305) at appropriate cell density in 90 μL cell culture media containing 10%FBS (AN3CA 3000 cells/well; MFE296 750 cells/well; SNU16 2000 cells/well; JHH7 2000 cells/well; HEP3B 1500 cells/well; Huh7 2000 cells/well) . Cells were treated with 10 μL of 10X concentrations of serially diluted compounds (serially diluted by 1: 2 ratio for a total of 9 concentrations and the final concentration of DMSO is 0.1%) to a final volume of 100 μL/well. After 72-hour incubation, 100 μL of Cell Titer
reagent (Promega Corporation) that measures cellular ATP levels was added to each well. After 20-minute incubation with shaking, the luminescence was read on a plate reader. The luminescent readings were converted to percent inhibition relative to DMSO treated control wells, and the IC
50 values were calculated using GraphPad Prism 8 software by fitting the data to the equation for a log (inhibitor) vs. normalized response --Variable slope. Results are shown in Table 2. The symbol “++++” indicates an IC
50 less than 10 nM, the symbol “+++” indicates an IC
50 of 10 to 100 nM, “++” indicates an IC
50 of 100 to 500 nM, and the symbol “+” indicates an IC
50 more than 500 nM, “NT” indicates not test.
Table 2. Anti-proliferative activity in FGFR1-4 amplified cancer cell lines IC
50 (nM)
| Example No. | AN3CA | SNU16 | MFE296 |
| 1 | + | +++ | + |
| 7 | + | +++ | + |
| 9 | + | ++++ | + |
| 11 | ++ | ++++ | ++ |
| 15 | + | +++ | + |
| 18 | + | +++ | + |
| 19 | ++ | ++++ | + |
| 20 | + | +++ | + |
| 24 | + | +++ | + |
Claims (21)
- A compound of Formula (I) :or a pharmaceutically acceptable salt thereof, wherein:X is NR 10, OR 10 or S;Y is NR 11, CR 12R 13, or =CR 12;Z is CR 14, or N;L is absent or C 1-6alkylene;R 1, R 2, R 3, R 4, and R 5 are each independently selected from the group consisting of H, D, halo, C 1-6alkyl, C 2-6 alkenyl, C 2-6alkynyl, C 1-6haloalkyl, Cy, CN, OR A, SR A, C (O) R B, C (O) NR CR D, C (O) OR A, OC (O) R B, OC (O) NR CR D, NR CR D, NR CC (O) R D, NR CC (O) OR D, NR CC (O) NR CR D, C (=NR E) R B, C (=NR E) NR CR D, NR CC (=NR E) NR CR D, NR CS (O) R B, NR CS (O) 2R B, NR CS (O) 2NR CR D, S (O) R B, S (O) NR CR D, S (O) 2R B, and S (O) 2NR CR D; wherein said C 1-6alkyl, C 2-6 alkenyl, C 2-6alkynyl, and C 1-6haloalkyl are each optionally substituted with 1, 2, 3, 4, or 5 substituents independently selected from the group consisting of D, halo, C 1-6alkyl, C 2-6 alkenyl, C 2-6alkynyl, C 1-6haloalkyl, CN, NO 2, OR a, SR a, C (O) R b, C (O) NR cR d, C (O) OR a, OC (O) R b, OC (O) NR cR d, C (=NR e) NR cR d, NR cC (=NR e) NR cR d, NR cR d, NR cC (O) R b, NR cC (O) OR a, NR cC (O) NR cR d, NR cS (O) R b, NR cS (O) 2R b, NR cS (O) 2NR cR d, S (O) R b, S (O) NR cR d, S (O) 2R b, and S (O) 2NR cR d;R 6 and R 7 are each independently selected from the group consisting of H, D, CN, C (O) NR CR D, and C 1-6alkyl, wherein said C 1-6alkyl is optionally substituted by 1, 2, or 3 substituents independently selected from the group consisting of D, halo, OR a, CN, NR cR d, and C (O) NR cR d; or R 6 and R 7 is =O or =S;or R 6 and R 7 together with the carbon atom to which they are attached form a 3-7 membered cycloalkyl ring or a 4-7 membered heterocycloalkyl ring, each optionally substituted by 1, 2, or 3 substituents independently selected from the group consisting of halo, C 1-6alkyl, C 1- 6haloalkyl, CN, OR a, SR a, C (O) R b, C (O) NR cR d, C (O) OR a, OC (O) R b, OC (O) NR cR d, N R cR d, NR cC (O) R b, and NR cC (O) OR a;R 8 is selected from the group consisting of H, D, F, CN, OR A, NR CR D, C 1-6alkoxy, alkylamino, dialkylamino, C 1-6alkyl and C 1-6haloalkyl;R 9, R 12, R 13 and R 14 are each independently selected from the group consisting of H, D, halo, C 1-6alkyl, C 2-6 alkenyl, C 2-6alkynyl, C 1-6haloalkyl, Cy, Cy-C 1-6alkyl, CN, NO 2, OR A, SR A, C (O) R B, C (O) NR CR D, C (O) OR A, OC (O) R B, OC (O) NR CR D, C (=NR E) R B, C (=NR E) NR CR D, NR CC (=NR E) NR CR D, NR CR D, NR CC (O) R B, NR CC (O) OR A, NR CC (O) NR CR D, NR CS (O) R B, NR CS (O) 2R B, NR CS (O) 2NR CR D, S (O) R B, S (O) NR CR D, S (O) 2R B, and S (O) 2NR CR D, wherein said C 1-6alkyl, C 2-6alkenyl, C 2-6alkynyl, C 6-10aryl, Cy, and Cy-C 1-6alkyl are each optionally substituted with 1, 2, 3, 4, or 5 substituents independently selected from the group consisting of R 20;each R 20 is independently selected from the group consisting of Cy 1, D, halo, C 1-6alkyl, C 2-6 alkenyl, C 2-6alkynyl, C 1-6haloalkyl, CN, NO 2, OR a, SR a, C (O) R b, C (O) NR cR d, C (O) OR a, OC (O) R b, OC (O) NR cR d, C (=NR e) NR cR d, NR cC (=NR e) NR cR d, NR cR d, NR cC (O) R b, NR cC (O) OR a, NR cC (O) NR cR d, NR cS (O) R b, NR cS (O) 2R b, NR cS (O) 2NR cR d, S (O) R b, S (O) NR cR d, S (O) 2R b, and S (O) 2NR cR d, wherein said Cy 1, C 1-6alkyl, C 2-6 alkenyl, C 2-6alkynyl and C 1-6haloalkyl are each optionally substituted with 1, 2, or 3 substituents independently selected from the group consisting of Cy 2, D, halo, CN, NO 2, OR a1, SR a1, C (O) R b1, C (O) NR c1R d1, C (O) OR a1, OC (O) R b1, OC (O) NR c1R d1, C (=NR e1) NR c1R d1, NR c1C (=NR e1) NR c1R d1, NR c1R d1, NR c1C (O) R b1, NR c1C (O) OR a1, NR c1C (O) NR c1R d1, NR c1S (O) R b1, NR c1S (O) 2R b1, NR c1S (O) 2NR c1R d1, S (O) R b1, S (O) NR c1R d1, S (O) 2R b1, and S (O) 2NR c1R d1;R 10 is selected from the group consisting of H, D, C 1-6alkyl, C 3-6 alkenyl, C 3-6alkynyl, C 1- 6haloalkyl, Cy, CN, C (O) R B, C (O) NR CR D, C (O) OR A, S (O) R B, S (O) NR CR D, S (O) 2R B, and S (O) 2NR CR D, wherein said C 1-6alkyl, C 3-6 alkenyl, C 3-6alkynyl, and C 1-6haloalkyl are each optionally substituted with 1, 2, 3, 4, or 5 substituents independently selected from the group consisting of D, halo, C 1-6alkyl, C 2-6 alkenyl, C 2-6alkynyl, C 1-6haloalkyl, CN, NO 2, OR a, SR a, C (O) R b, C (O) NR cR d, C (O) OR a, OC (O) R b, OC (O) NR cR d, C (=NR e) NR cR d, NR cC (=NR e) NR cR d, NR cR d, NR cC (O) R b, NR cC (O) OR a, NR cC (O) NR cR d, NR cS (O) R b, NR cS (O) 2R b, NR cS (O) 2NR cR d, S (O) R b, S (O) NR cR d, S (O) 2R b, and S (O) 2NR cR d;R 11 is independently selected from the group consisting of H, D, C 1-6alkyl, C 2-6 alkenyl, C 2- 6alkynyl, C 1-6haloalkyl, Cy, Cy-C 1-6alkyl, wherein said C 1-6alkyl, C 2-6alkenyl, C 2-6alkynyl, Cy and Cy-C 1-6alkyl, are each optionally substituted with 1, 2, 3, 4, or 5 substituents independently selected from the group consisting of R 21;each R 21 is independently selected from the group consisting of Cy 1, D, halo, C 1-6alkyl, C 2-6 alkenyl, C 2-6alkynyl, C 1-6haloalkyl, CN, NO 2, OR a, SR a, C (O) R b, C (O) NR cR d, C (O) OR a, OC (O) R b, OC (O) NR cR d, C (=NR e) NR cR d, NR cC (=NR e) NR cR d, NR cR d, NR cC (O) R b, NR cC (O) OR a, NR cC (O) NR cR d, NR cS (O) R b, NR cS (O) 2R b, NR cS (O) 2NR cR d, S (O) R b, S (O) NR cR d, S (O) 2R b, and S (O) 2NR cR d, wherein said Cy 1 , C 1-6alkyl, C 2-6 alkenyl, C 2-6alkynyl and C 1-6haloalkyl are each optionally substituted with 1, 2, or 3 substituents independently selected from the group consisting of Cy 2, D, halo, CN, NO 2, OR a1, SR a1, C (O) R b1, C (O) NR c1R d1, C (O) OR a1, OC (O) R b1, OC (O) NR c1R d1, C (=NR e1) NR c1R d1, NR c1C (=NR e1) NR c1R d1, NR c1R d1, NR c1C (O) R b1, NR c1C (O) OR a1, NR c1C (O) NR c1R d1, NR c1S (O) R b1, NR c1S (O) 2R b1, NR c1S (O) 2NR c1R d1, S (O) R b1, S (O) NR c1R d1, S (O) 2R b1, and S (O) 2NR c1R d1;or R 12 and R 13 together with the carbon atom to which they are attached form a 3-, 4-, 5-, 6-, or 7-membered cycloalkyl group or a 4-, 5-, 6-, or 7-membered heterocycloalkyl group, each optionally substituted with 1, 2, or 3 substituents independently selected from the group consisting of Cy 1, D, halo, C 1-6alkyl, C 2-6 alkenyl, C 2-6alkynyl, C 1-6haloalkyl, CN, NO 2, OR a, SR a, C (O) R b, C (O) NR cR d, C (O) OR a, OC (O) R b, OC (O) NR cR d, C (=NR e) NR cR d, NR cC (=NR e) NR cR d, NR cR d, NR cC (O) R b, NR cC (O) OR a, NR cC (O) NR cR d, NR cS (O) R b2, NR cS (O) 2R b, NR cS (O) 2NR cR d, S (O) R b, S (O) NR cR d, S (O) 2R b, and S (O) 2NR cR d, wherein said C 1-6alkyl, C 2-6 alkenyl, C 2-6alkynyl, are each optionally substituted with 1, 2, or 3 substituents independently selected from the group consisting of Cy 2, D, halo, CN, NO 2, OR a1, SR a1, C (O) R b1, C (O) NR c1R d1, C (O) OR a1, OC (O) R b1, OC (O) NR c1R d1, C (=NR e1) NR c1R d1, NR c1C (=NR e1) NR c1R d1, NR c1R d1, NR c1C (O) R b1, NR c1C (O) OR a1, NR c1C (O) NR c1R d1, NR c1S (O) R b1, NR c1S (O) 2R b1, NR c1S (O) 2NR c1R d1, S (O) R b1, S (O) NR c1R d1, S (O) 2R b1, and S (O) 2NR c1R d1;Cy, Cy 1 and Cy 2 are each independently selected from the group consisting of C 6-10aryl, C 3- 10cycloalkyl, 5-10 membered heteroaryl and 4-10 membered heterocycloalkyl, each of which is optionally substituted with 1, 2, 3, 4, or 5 substituents independently selected from the group consisting of D, halo, C 1-6alkyl, C 2-6 alkenyl, C 2-6alkynyl, C 1-6haloalkyl, C 6-10aryl, C 3- 10cycloalkyl, 5-10 membered heteroaryl and 4-10 membered heterocycloalkyl, CN, NO 2, OR a, SR a, C (O) R b, C (O) NR cR d, C (O) OR a, OC (O) R b, OC (O) NR cR d, C (=NR e) NR cR d, NR cC (=NR e) NR cR d, NR cR d, NR cC (O) R b, NR cC (O) OR a, NR cC (O) NR cR d, NR cS (O) R b, NR cS (O) 2R b, NR cS (O) 2NR cR d, S (O) R b, S (O) NR cR d, S (O) 2R b, and S (O) 2NR cR d, wherein said C 1-6alkyl, C 2-6 alkenyl, C 2-6alkynyl, C 1-6haloalkyl, C 6-10aryl, C 3-10cycloalkyl, 5-10 membered heteroaryl and 4-10 membered heterocycloalkyl, are each optionally substituted with 1, 2, 3, 4, or 5 substituents independently selected from the group consisting of D, halo, C 1-6alkyl, C 2-6 alkenyl, C 2-6alkynyl, C 1-6haloalkyl, CN, NO 2, OR a1, SR a1, C (O) R b1, C (O) NR c1R d1, C (O) OR a1, OC (O) R b1, OC (O) NR c1R d1, C (=NR e1) NR c1R d1, NR c1C (=NR e1) NR clR dl, NR clR dl, NR c1C (O) R b1, NR c1C (O) OR a1, NR c1C (O) NR c1R d1, NR c1S (O) R b1, NR c1S (O) 2R b1, NR c1S (O) 2NR c1R d1, S (O) R b1, S (O) NR c1R d1, S (O) 2R b1, and S (O) 2NR c1R d1;each R A, R B, R C, R D, R a, R b, R c, R d, R a1, R b1, R c1 and R d1 is independently selected from the group consisting of H, D, C 1-6alkyl, C 2-6 alkenyl, C 2-6alkynyl, C 1-6haloalkyl, C 6-10aryl, C 3- 10cycloalkyl, 5-10 membered heteroaryl, 4-10 membered heterocycloalkyl, C 6-10aryl-C 1-6alkyl, C 3-10cycloalkyl-C 1-6alkyl, (5-10 membered heteroaryl) -C 1-6alkyl and (4-10 membered heterocycloalkyl) -C 1-6alkyl, wherein said C 1-6alkyl, C 2-6alkenyl, C 2-6alkynyl, C 1-6haloalkyl, C 6- 10aryl, C 3-10cycloalkyl, 5-10 membered heteroaryl, 4-10 membered heterocycloalkyl, C 6-10aryl-C 1-6alkyl, C 3-10cycloalkyl-C 1-6alkyl, (5-10 membered heteroaryl) -C 1-6alkyl and (4-10 membered heterocycloalkyl) -C 1-6alkyl is optionally substituted with 1, 2, 3, 4, or 5 substituents independently selected from the group consisting of C 1-6alkyl, C 1-6haloalkyl, D, halo, CN, OR a2, SR a2, C (O) R b2, C (O) NR c2R d2, C (O) OR a2, OC (O) R b2, OC (O) NR c2R d2, C (=NR e2) NR c2R d2, NR c2C (=NR e2) NR c2R d2, NR c2R d2, NR c2C (O) R b2, NR c2C (O) OR a2, NR c2C (O) NR c2R d2, NR c2S (O) R b2, NR c2S (O) 2R b2, NR c2S (O) 2NR c2R d2, S (O) R b2, S (O) NR c2R d2, S (O) 2R b2, and S (O) 2NR c2R d2;each R E, R e and R e1 is independently selected from the group consisting of H, D, C 1-6alkyl, CN, OR a2, SR a2, C (O) R b2, C (O) NR c2R d2, S (O) 2R b2, and S (O) 2NR c2R d2;or any R C and R D together with the N atom to which they are attached form a 4-, 5-, 6-, or 7-membered heterocycloalkyl group optionally substituted with 1, 2, or 3 substituents independently selected from the group consisting of C 1-6alkyl, C 3-7cycloalkyl, 4-7 membered heterocycloalkyl, C 6-10aryl, 5-6 membered heteroaryl, C 1-6haloalkyl, halo, CN, OR a2, SR a2, C (O) R b2, C (O) NR c2R d2, C (O) OR a2, OC (O) R b2, OC (O) NR c2R d2, C (=NR e2) NR c2R d2, NR c2C (=NR e2) NR c2R d2, NR c2R d2, NR c2C (O) R b2, NR c2C (O) OR a2, NR c2C (O) NR c2R d2, NR c2S (O) R b2, NR c2S (O) 2R b2, NR c2S (O) 2NR c2R d2, S (O) R b2, S (O) NR c2R d2, S (O) 2R b2, and S (O) 2NR c2R d2, wherein said C 1-6alkyl, C 3-7cycloalkyl, 4-7 membered heterocycloalkyl, C 6- 10aryl, 5-6 membered heteroaryl are optionally substituted by 1, 2, or 3 substituents independently selected from the group consisting of halo, D, CN, OR a2, SR a2, C (O) R b2, C (O) NR c2R d2, C (O) OR a2, OC (O) R b2, OC (O) NR c2R d2, C (=NR e2) NR c2R d2, NR c2C (=NR e2) NR c2R d2, NR c2R d2, NR c2C (O) R b2, NR c2C (O) OR a2, NR c2C (O) NR c2R d2, NR c2S (O) R b2, NR c2S (O) 2R b2, NR c2S (O) 2NR c2R d2, S (O) R b2, S (O) NR c2R d2, S (O) 2R b2, and S (O) 2NR c2R d2;or any R c and R d together with the N atom to which they are attached form a 4-, 5-, 6-, or 7-membered heterocycloalkyl group optionally substituted with 1, 2, or 3 substituents independently selected from the group consisting of C 1-6alkyl, C 3-7cycloalkyl, 4-7 membered heterocycloalkyl, C 6-10aryl, 5-6 membered heteroaryl, C 1-6haloalkyl, halo, CN, OR a2, SR a2, C (O) R b2, C (O) NR c2R d2, C (O) OR a2, OC (O) R b2, OC (O) NR c2R d2, C (=NR e2) NR c2R d2, NR c2C (=NR e2) NR c2R d2, NR c2R d2, NR c2C (O) R b2, NR c2C (O) OR a2, NR c2C (O) NR c2R d2, NR c2S (O) R b2, NR c2S (O) 2R b2, NR c2S (O) 2NR c2R d2, S (O) R b2, S (O) NR c2R d2, S (O) 2R b2, and S (O) 2NR c2R d2, wherein said C 1-6alkyl, C 3-7cycloalkyl, 4-7 membered heterocycloalkyl, C 6- 10aryl, 5-6 membered heteroaryl are optionally substituted by 1, 2, or 3 substituents independently selected from the group consisting of halo, D, CN, OR a2, SR a2, C (O) R b2, C (O) NR c2R d2, C (O) OR a2, OC (O) R b2, OC (O) NR c2R d2, C (=NR e2) NR c2R d2, NR c2C (=NR e2) NR c2R d2, NR c2R d2, NR c2C (O) R b2, NR c2C (O) OR a2, NR c2C (O) NR c2R d2, NR c2S (O) R b2, NR c2S (O) 2R b2, NR c2S (O) 2NR c2R d2, S (O) R b2, S (O) NR c2R d2, S (O) 2R b2, and S (O) 2NR c2R d2;or any R c1 and R d1 together with the N atom to which they are attached form a 4-, 5-, 6-, or 7-membered heterocycloalkyl group optionally substituted with 1, 2, or 3 substituents independently selected from the group consisting of C 1-6alkyl, C 3-7cycloalkyl, 4-7 membered heterocycloalkyl, C 6-10aryl, 5-6 membered heteroaryl, C 1-6haloalkyl, halo, CN, OR a2, SR a2, C (O) R b2, C (O) NR c2R d2, C (O) OR a2, OC (O) R b2, OC (O) NR c2R d2, C (=NR e2) NR c2R d2, NR c2C (=NR e2) NR c2R d2, NR c2R d2, NR c2C (O) R b2, NR c2C (O) OR a2, NR c2C (O) NR c2R d2, NR c2S (O) R b2, NR c2S (O) 2R b2, NR c2S (O) 2NR c2R d2, S (O) R b2, S (O) NR c2R d2, S (O) 2R b2, and S (O) 2NR c2R d2, wherein said C 1-6alkyl, C 3-7cycloalkyl, 4-7 membered heterocycloalkyl, C 6- 10aryl, 5-6 membered heteroaryl are optionally substituted by 1, 2, or 3 substituents independently selected from the group consisting of halo, D, CN, OR a2, SR a2, C (O) R b2, C (O) NR c2R d2, C (O) OR a2, OC (O) R b2, OC (O) NR c2R d2, C (=NR e2) NR c2R d2, NR c2C (=NR e2) NR c2R d2, NR c2R d2, NR c2C (O) R b2, NR c2C (O) OR a2, NR c2C (O) NR c2R d2, NR c2S (O) R b2, NR c2S (O) 2R b2, NR c2S (O) 2NR c2R d2, S (O) R b2, S (O) NR c2R d2, S (O) 2R b2, and S (O) 2NR c2R d2;each R a2, R b2, R c2 and R d2 is independently selected from the group consisting of H, D, C 1-6alkyl, C 1-6haloalkyl, C 2-4alkenyl, and C 2-4alkynyl, wherein C 1-6alkyl, C 2-4alkenyl, and C 2-4alkynyl is optionally substituted with 1, 2, or 3 substituents independently selected from the group consisting of OH, CN, amino, halo, C 1-6alkyl, C 1-6alkoxy, C 1-6alkylthio, C 1-6alkylamino, di (C 1- 6alkyl) amino, C 1-6haloalkyl and C 1-6haloalkoxy;or any R c2 and R d2 together with the N atom to which they are attached form a 4-, 5-, 6 -, or 7-membered heterocycloalkyl group optionally substituted with 1, 2, or 3 substituents independently selected from the group consisting of OH, CN, amino, halo, C 1-6alkyl, C 1-6alkoxy, C 1-6alkylthio, C 1-6alkylamino, di (C 1-6alkyl) amino, C 1-6haloalkyl and C 1-6haloalkoxy; and each R e2 is independently selected from the group consisting of H, D, C 1-6alkyl and CN.
- The compound according to claim 1 or a pharmaceutically acceptable salt thereof, wherein X is NR 10 or OR 10.
- The compound according to claim 2 or a pharmaceutically acceptable salt thereof, wherein R 10 is selected from the group consisting of H, D, C 1-6alkyl, C 3-6 alkenyl, C 3-6alkynyl, C 1-6haloalkyl, and CN, preferably C 1-6alkyl, more preferably methyl and ethyl.
- The compound according to claim 1 or a pharmaceutically acceptable salt thereof, wherein X is S.
- The compound according to any one of claims 1-4 or a pharmaceutically acceptable salt thereof, wherein Y is NR 11.
- The compound according to any one of claims 1-5 or a pharmaceutically acceptable salt thereof, wherein Z is CR 14.
- The compound according to claim 6 or a pharmaceutically acceptable salt thereof, wherein R 14 is selected from the group consisting of H, D, halo, C 1-6alkyl, Cy, Cy-C 1-6alkyl, CN, and NO 2, wherein said C 1-6alkyl, Cy, and Cy-C 1-6alkyl are each optionally substituted with 1, 2, 3, 4, or 5 substituents independently selected from the group consisting of R 20;each R 20 is independently selected from the group consisting of D, halo, C 1-6alkyl, CN, NO 2, OR a, and SR a, wherein R a is C 1-6alkyl.
- The compound according to any one of claims 1-8 or a pharmaceutically acceptable salt thereof, wherein L is C 1-6alkylene, preferably methylene.
- The compound according to any one of claims 1-9 or a pharmaceutically acceptable salt thereof, wherein R 1, R 2, R 3, R 4, and R 5 are each independently selected from the group consisting of H, D, halo, C 1-6alkyl, C 1-6haloalkyl, CN, OR A, SR A, C (O) R B, NR CR D, and S (O) R B, wherein R A, R B, R C and R D are independently selected from C 1-6alkyl;preferably, wherein R 1, R 2, R 3, R 4, and R 5 are each independently selected from the group consisting of H, halo, and OR A, wherein R A is C 1-6alkyl;more preferably, wherein R 1, R 2, R 3, R 4, and R 5 are each independently selected from the group consisting of H, F and methoxy.
- The compound according to any one of claims 1-10 or a pharmaceutically acceptable salt thereof, wherein R 6 and R 7 are each independently selected from the group consisting of H, D, CN and C 1-6alkyl; or R 6 and R 7 is =O or =S; or R 6 and R 7 together with the carbon atom to which they are attached form a 3-7 membered cycloalkyl ring or a 4-7 membered heterocycloalkyl ring, each optionally substituted by 1, 2, or 3 substituents independently selected from the group consisting of halo, C 1-6alkyl, C 1-6haloalkyl, CN, OR a, SR a, wherein R a is C 1-6alkyl; preferably wherein R 6 and R 7 are H.
- The compound according to any one of claims 1-11 or a pharmaceutically acceptable salt thereof, wherein R 8 is selected from the group consisting of H, D, F, CN, C 1-6alkoxy, alkylamino, dialkylamino, C 1-6alkyl and C 1-6haloalkyl; preferably wherein R 8 is H.
- The compound according to any one of claims 1-12 or a pharmaceutically acceptable salt thereof, wherein R 9 is selected from the group consisting of H, D, halo, C 1-6alkyl, C 2-6 alkenyl, C 2-6alkynyl, C 1-6haloalkyl, Cy, Cy-C 1-6alkyl, CN, NO 2, OR A, SR A, and NR CR D, wherein said C 1-6alkyl, C 2-6alkenyl, C 2-6alkynyl, Cy, and Cy-C 1-6alkyl are each optionally substituted with 1, 2, 3, 4, or 5 substituents independently selected from the group consisting of R 20;each R 20 is independently selected from the group consisting of Cy 1, D, halo, C 1-6alkyl, C 2-6 alkenyl, C 2-6alkynyl, C 1-6haloalkyl, CN, NO 2, OR a, SR a, C (O) R b, wherein R a and R b are independently selected from the group consisting of H, C 1-6alkyl and C 2-6alkenyl;preferably wherein Cy is selected from the group consisting of C 6-10aryl, 5-10 membered heteroaryl and 4-10 membered heterocycloalkyl, each of which is optionally substituted with 1, 2, 3, 4, or 5 substituents independently selected from the group consisting of D, halo, C 1-6alkyl, C 1-6haloalkyl, CN, NO 2, OR a, SR a, C (O) R b, and S (O) R b;preferably wherein R 9 is selected from the group consisting of H, C 2-6 alkenyl, Cy, OR A, NR CR D, wherein said C 2-6alkenyl, and Cy are each optionally substituted with 1, 2, 3, 4, or 5 substituents independently selected from the group consisting of R 20;each R 20 is independently selected from the group consisting of halo, C 1-6alkyl, OR a, C (O) R b, wherein R a and R b are independently selected from the group consisting of H and C 2- 6alkenyl.
- The compound according to any one of claims 1-14 or a pharmaceutically acceptable salt thereof, wherein R 10 is selected from the group consisting of H, D, C 1-6alkyl, C 3-6 alkenyl, C 3-6alkynyl, C 1-6haloalkyl, and CN; preferably wherein R 10 is selected from the group consisting of H and C 1-6alkyl; more preferably wherein R 10 is H, methyl or ethyl.
- The compound according to any one of claims 1-15 or a pharmaceutically acceptable salt thereof, wherein R 11 is independently selected from the group consisting of H, D, C 1-6alkyl, C 2-6 alkenyl, C 2-6alkynyl, C 1-6haloalkyl, Cy, Cy-C 1-6alkyl, wherein said C 1-6alkyl, C 2-6alkenyl, C 2-6alkynyl, Cy and Cy-C 1-6alkyl, are each optionally substituted with 1, 2, 3, 4, or 5 substituents independently selected from the group consisting of R 21;each R 21 is independently selected from the group consisting of Cy 1, D, halo, C 1-6alkyl, C 1-6haloalkyl, CN, NO 2, OR a, and SR a, wherein said Cy 1, C 1-6alkyl and C 1-6haloalkyl are each optionally substituted with 1, 2, or 3 substituents independently selected from the group consisting of D, halo, CN, NO 2, OR a1, SR a1, C (O) R b1, NR c1R d1, NR c1C (O) R b1, S (O) R b1, S (O) NR c1R d1, S (O) 2R b1, and S (O) 2NR c1R d1;preferably wherein R 11 is independently selected from the group consisting of H, C 1-6alkyl, Cy, Cy-C 1-6alkyl, wherein said C 1-6alkyl, Cy and Cy-C 1-6alkyl are each optionally substituted with 1, 2, 3, 4, or 5 substituents independently selected from the group consisting of R 21;each R 21 is independently selected from the group consisting of Cy 1, halo, and OR a, wherein said Cy 1is optionally substituted with 1, 2, or 3 substituents independently selected from the group consisting of C (O) R b1, NR c1C (O) R b1, and S (O) 2R b1.
- A pharmaceutical composition comprising the compound according to any one of claims 1-19 or the pharmaceutically acceptable salt thereof, and at least one pharmaceutically acceptable excipient.
- A method for treating a proliferative disorder comprising administering to a subject in need thereof a therapeutically effective amount of the compound according to claims 1-19 or the pharmaceutically acceptable salt thereof, or the pharmaceutical composition according to claim 20;preferably the proliferative disorder is selected from the group consisting of a cancer, a myeoloproliferative disease, a skeletal or chondrocyte disorder and a hypophosphatemia;more preferably, the proliferative disorder is selected from the group consisting of bladder cancer, breast cancer, cervical cancer, colorectal cancer, endometrial cancer, gastric cancer, head and neck cancer, renal carcinoma, hepatic carcinoma, lung cancer, ovarian cancer, prostate cancer, esophageal cancer, gallbladder cancer, pancreatic cancer, thyroid cancer, skin cancer, leukemia, multiple myeloma, chronic lymphocytic lymphoma, adult T cell leukemia, B cell lymphoma, acute myelocytic leukemia, Hodgkin lymphoma or non-Hodgkin lymphoma, Waldenstrom macroglobulinemia, hairy cell lymphoma, cell lymphoma, Bunkitt’s lymphoma, glioblastoma, melanoma and rhabdomyosarcoma.
Applications Claiming Priority (2)
| Application Number | Priority Date | Filing Date | Title |
|---|---|---|---|
| CNPCT/CN2021/081518 | 2021-03-18 | ||
| PCT/CN2021/081518 WO2022193227A1 (en) | 2021-03-18 | 2021-03-18 | Fused ring compounds as inhibitors of fgfr tyrosine kinases |
Publications (1)
| Publication Number | Publication Date |
|---|---|
| WO2022194273A1 true WO2022194273A1 (en) | 2022-09-22 |
Family
ID=83321327
Family Applications (2)
| Application Number | Title | Priority Date | Filing Date |
|---|---|---|---|
| PCT/CN2021/081518 Ceased WO2022193227A1 (en) | 2021-03-18 | 2021-03-18 | Fused ring compounds as inhibitors of fgfr tyrosine kinases |
| PCT/CN2022/081635 Ceased WO2022194273A1 (en) | 2021-03-18 | 2022-03-18 | Fused ring compounds as inhibitors of fgfr tyrosine kinases |
Family Applications Before (1)
| Application Number | Title | Priority Date | Filing Date |
|---|---|---|---|
| PCT/CN2021/081518 Ceased WO2022193227A1 (en) | 2021-03-18 | 2021-03-18 | Fused ring compounds as inhibitors of fgfr tyrosine kinases |
Country Status (1)
| Country | Link |
|---|---|
| WO (2) | WO2022193227A1 (en) |
Citations (5)
| Publication number | Priority date | Publication date | Assignee | Title |
|---|---|---|---|---|
| WO2007022268A2 (en) * | 2005-08-16 | 2007-02-22 | Irm Llc | Compounds and compositions as protein kinase inhibitors |
| WO2014007951A2 (en) * | 2012-06-13 | 2014-01-09 | Incyte Corporation | Substituted tricyclic compounds as fgfr inhibitors |
| WO2019213506A1 (en) * | 2018-05-04 | 2019-11-07 | Incyte Corporation | Salts of an fgfr inhibitor |
| WO2019213544A2 (en) * | 2018-05-04 | 2019-11-07 | Incyte Corporation | Solid forms of an fgfr inhibitor and processes for preparing the same |
| WO2021007269A1 (en) * | 2019-07-09 | 2021-01-14 | Incyte Corporation | Bicyclic heterocycles as fgfr inhibitors |
Family Cites Families (3)
| Publication number | Priority date | Publication date | Assignee | Title |
|---|---|---|---|---|
| WO2006124731A2 (en) * | 2005-05-12 | 2006-11-23 | Irm Llc | Compounds and compositions as protein kinase inhibitors |
| CN101474186B (en) * | 2009-02-01 | 2013-03-20 | 华中师范大学 | 2,3,4,7,8-polysubstituted naphthyridine [4,3-d] pyridine derivates with anti-tumor activity |
| WO2020185532A1 (en) * | 2019-03-08 | 2020-09-17 | Incyte Corporation | Methods of treating cancer with an fgfr inhibitor |
-
2021
- 2021-03-18 WO PCT/CN2021/081518 patent/WO2022193227A1/en not_active Ceased
-
2022
- 2022-03-18 WO PCT/CN2022/081635 patent/WO2022194273A1/en not_active Ceased
Patent Citations (5)
| Publication number | Priority date | Publication date | Assignee | Title |
|---|---|---|---|---|
| WO2007022268A2 (en) * | 2005-08-16 | 2007-02-22 | Irm Llc | Compounds and compositions as protein kinase inhibitors |
| WO2014007951A2 (en) * | 2012-06-13 | 2014-01-09 | Incyte Corporation | Substituted tricyclic compounds as fgfr inhibitors |
| WO2019213506A1 (en) * | 2018-05-04 | 2019-11-07 | Incyte Corporation | Salts of an fgfr inhibitor |
| WO2019213544A2 (en) * | 2018-05-04 | 2019-11-07 | Incyte Corporation | Solid forms of an fgfr inhibitor and processes for preparing the same |
| WO2021007269A1 (en) * | 2019-07-09 | 2021-01-14 | Incyte Corporation | Bicyclic heterocycles as fgfr inhibitors |
Also Published As
| Publication number | Publication date |
|---|---|
| WO2022193227A1 (en) | 2022-09-22 |
Similar Documents
| Publication | Publication Date | Title |
|---|---|---|
| CN112094269B (en) | Saturated six-membered ring heterocyclic compound, preparation method and application | |
| JP7335882B2 (en) | Pyrimidine-condensed ring compound, method for producing the same, and use | |
| KR100597505B1 (en) | 4-amino-6-phenyl-pyrrolo [2,3-d] pyrimidine derivative | |
| WO2023283933A1 (en) | Compounds useful as kras g12d inhibitors | |
| IL276433A (en) | Conversion of tricyclic compounds as FGFR inhibitors | |
| CN112142735A (en) | Condensed cyanopyridine compound, preparation method and application | |
| JP2021518395A (en) | SHP2 Inhibitors and Their Use | |
| ES2699948T3 (en) | Substituted heteroaryl compounds and methods of use | |
| CN118359642A (en) | Spiro aromatic ring compound and application thereof | |
| KR102604942B1 (en) | Tricyclic compounds for use in the treatment of proliferative disorders | |
| BR112014017749B1 (en) | ALKNYLBENZENE COMPOSITE 3,5-DISPLACED AND SALT OF THE SAME | |
| TW201018696A (en) | Fused bicyclic and tricyclic pyrimidine compounds as tyrosine kinase inhibitors | |
| EP4129996A1 (en) | Novel aminopyrimidine egfr inhibitor | |
| JP2012511502A (en) | Dihydropyrimidopyrimidine derivatives | |
| KR20140014149A (en) | New azaindolylphenyl sulfonamides as serine/threonine kinase inhibitors | |
| CN115710266A (en) | Pyridopyrimidine derivative, preparation method thereof and application thereof in medicines | |
| CN107021963A (en) | Pyrazole fused ring analog derivative, its preparation method and its application in treating cancer, inflammation and immunity disease | |
| AU2020214258A1 (en) | AKT inhibitor | |
| EP4444724A1 (en) | Compounds for the degradation of egfr kinase | |
| KR20040087333A (en) | HETEROARYL SUBSTITUTED 2-PYRIDINYL AND 2-PYRIMIDINYL-6,7,8,9-TETRAHYDROPYRIMIDO[1,2-a]PYRIMIDIN-4-ONE DERIVATIVES | |
| WO2024041440A1 (en) | Tricyclic heterocyclic derivatives, compositions and uses thereof | |
| CN116249690A (en) | Indoline compounds and derivatives as EGFR inhibitors | |
| EP4536668A1 (en) | Pyrido[4,3-d]pyrimidine derivatives as kras inhibitors | |
| WO2024230578A1 (en) | Cyclic derivatives, compositions and uses thereof | |
| EP4688782A1 (en) | Tricyclic heterocyclic derivatives, compositions and uses thereof |
Legal Events
| Date | Code | Title | Description |
|---|---|---|---|
| 121 | Ep: the epo has been informed by wipo that ep was designated in this application |
Ref document number: 22770625 Country of ref document: EP Kind code of ref document: A1 |
|
| NENP | Non-entry into the national phase |
Ref country code: DE |
|
| 122 | Ep: pct application non-entry in european phase |
Ref document number: 22770625 Country of ref document: EP Kind code of ref document: A1 |





















































































