WO2022171143A1 - 5,6,7,8-tetrahydropyridine[3,4-d] pyrimidine compound - Google Patents
5,6,7,8-tetrahydropyridine[3,4-d] pyrimidine compound Download PDFInfo
- Publication number
- WO2022171143A1 WO2022171143A1 PCT/CN2022/075725 CN2022075725W WO2022171143A1 WO 2022171143 A1 WO2022171143 A1 WO 2022171143A1 CN 2022075725 W CN2022075725 W CN 2022075725W WO 2022171143 A1 WO2022171143 A1 WO 2022171143A1
- Authority
- WO
- WIPO (PCT)
- Prior art keywords
- compound
- pharmaceutically acceptable
- acceptable salt
- structural unit
- membered
- Prior art date
- Legal status (The legal status is an assumption and is not a legal conclusion. Google has not performed a legal analysis and makes no representation as to the accuracy of the status listed.)
- Ceased
Links
Images
Classifications
-
- A—HUMAN NECESSITIES
- A61—MEDICAL OR VETERINARY SCIENCE; HYGIENE
- A61K—PREPARATIONS FOR MEDICAL, DENTAL OR TOILETRY PURPOSES
- A61K31/00—Medicinal preparations containing organic active ingredients
- A61K31/33—Heterocyclic compounds
- A61K31/395—Heterocyclic compounds having nitrogen as a ring hetero atom, e.g. guanethidine or rifamycins
- A61K31/495—Heterocyclic compounds having nitrogen as a ring hetero atom, e.g. guanethidine or rifamycins having six-membered rings with two or more nitrogen atoms as the only ring heteroatoms, e.g. piperazine or tetrazines
- A61K31/505—Pyrimidines; Hydrogenated pyrimidines, e.g. trimethoprim
- A61K31/519—Pyrimidines; Hydrogenated pyrimidines, e.g. trimethoprim ortho- or peri-condensed with heterocyclic rings
-
- A—HUMAN NECESSITIES
- A61—MEDICAL OR VETERINARY SCIENCE; HYGIENE
- A61P—SPECIFIC THERAPEUTIC ACTIVITY OF CHEMICAL COMPOUNDS OR MEDICINAL PREPARATIONS
- A61P35/00—Antineoplastic agents
-
- C—CHEMISTRY; METALLURGY
- C07—ORGANIC CHEMISTRY
- C07D—HETEROCYCLIC COMPOUNDS
- C07D487/00—Heterocyclic compounds containing nitrogen atoms as the only ring hetero atoms in the condensed system, not provided for by groups C07D451/00 - C07D477/00
- C07D487/02—Heterocyclic compounds containing nitrogen atoms as the only ring hetero atoms in the condensed system, not provided for by groups C07D451/00 - C07D477/00 in which the condensed system contains two hetero rings
- C07D487/08—Bridged systems
-
- C—CHEMISTRY; METALLURGY
- C07—ORGANIC CHEMISTRY
- C07D—HETEROCYCLIC COMPOUNDS
- C07D491/00—Heterocyclic compounds containing in the condensed ring system both one or more rings having oxygen atoms as the only ring hetero atoms and one or more rings having nitrogen atoms as the only ring hetero atoms, not provided for by groups C07D451/00 - C07D459/00, C07D463/00, C07D477/00 or C07D489/00
- C07D491/02—Heterocyclic compounds containing in the condensed ring system both one or more rings having oxygen atoms as the only ring hetero atoms and one or more rings having nitrogen atoms as the only ring hetero atoms, not provided for by groups C07D451/00 - C07D459/00, C07D463/00, C07D477/00 or C07D489/00 in which the condensed system contains two hetero rings
- C07D491/04—Ortho-condensed systems
-
- C—CHEMISTRY; METALLURGY
- C07—ORGANIC CHEMISTRY
- C07D—HETEROCYCLIC COMPOUNDS
- C07D519/00—Heterocyclic compounds containing more than one system of two or more relevant hetero rings condensed among themselves or condensed with a common carbocyclic ring system not provided for in groups C07D453/00 or C07D455/00
Definitions
- the present invention relates to a class of 5,6,7,8-tetrahydropyridine[3,4-d]pyrimidine compounds, in particular to a compound represented by formula (II) or a pharmaceutically acceptable salt thereof.
- RAS oncogene mutations are the most common mutations in human cancers, with NRAS, HRAS and KRAS mutations in the RAS family causing nearly a quarter of all human cancers, making it one of the most common genetic mutations associated with cancer . Covers almost all cancer types and causes 1 million deaths worldwide each year.
- KRAS is the most common oncogene (85% of all RAS mutations), present in 90% of pancreatic cancers, 30-40% of colon cancers, and 15-20% of lung cancers (mostly non-small cell lung cancers). ).
- G12C, G12D, and G12R are the most common KRAS mutations.
- KRAS gene mutation is also a well-known "undruggable" target.
- the full name of KRAS gene is Kirsten rats arcomaviral oncogene homolog, which is "Kirsten rat sarcoma virus oncogene homolog”.
- the protein encoded by the KARS gene is a small GTPase, which belongs to the RAS superprotein family.
- KRAS is like a molecular switch, which can control the path of regulating cell growth when it is normal; after KRAS gene mutation, it can independently transmit growth and proliferation signals to downstream pathways independently of upstream growth factor receptor signals, resulting in uncontrolled cell growth and tumor progression.
- whether the KRAS gene has mutation is also an important indicator of tumor prognosis.
- KRAS G12C small molecules that directly target KRAS mutations are mainly concentrated in the field of KRAS G12C .
- Amgen's AMG510 and Mirati Therapeutics' MRTX849 have shown good therapeutic effects on KRAS G12C- mutated tumor patients in clinical studies.
- people With the unremitting efforts of scientists and drug R&D personnel, people have also witnessed the milestone of breaking through KRAS's "undruggable" step by step.
- KRAS-targeting therapies will be developed, such as KRAS G12D , to save the lives of more cancer patients.
- the present invention provides a compound represented by formula (II) or a pharmaceutically acceptable salt thereof
- T 1 is selected from CR 7 R 8 , NR 9 and O;
- T when is selected from single bond, T is selected from CH and N;
- L 1 is selected from -CH 2 - and a bond
- R 1 , R 2 , R 3 , R 4 and R 5 are each independently selected from H and C 1-3 alkyl optionally substituted with 1 , 2 or 3 Ra ;
- R 6 is selected from C 6-10 aryl and 5-10 membered heteroaryl, the C 6-10 aryl and 5-10 membered heteroaryl are optionally surrounded by 1, 2, 3, 4 or 5 R b replace;
- R 7 and R 8 are each independently selected from H, CH 3 and NH 2 ;
- R 9 is selected from H and CH 3 ;
- R 10 is selected from H, C 1-3 alkyl, C 1-3 alkoxy and cyclopropyl, the C 1-3 alkyl, C 1-3 alkoxy and cyclopropyl are optionally replaced by 1, 2 or 3 R c substitutions;
- R 11 is selected from 4-8 membered heterocycloalkyl and The 4-8 membered heterocycloalkyl and optionally substituted with 1, 2 or 3 Rd ;
- Structural units selected from 5-6 membered heterocycloalkenyl
- R 1 and R 2 form a ring with the connected atoms, making the structural unit form
- R 1 and R 2 form a ring with the connected atoms, making the structural unit form
- R 1 and R 4 form a ring with the connected atoms, making the structural unit form
- R 4 and R 5 form a ring with the connected atoms, making the structural unit form
- R 2 and R 7 form tetrahydropyrrolidinyl with the attached atoms;
- R 2 and R 3 and the connected atom form a C 3-5 membered cycloalkyl
- R 7 and R 8 form a 4-5 membered heterocycloalkyl with the attached atom;
- n is selected from 0, 1 or 2;
- n is selected from 0, 1 or 2;
- p is selected from 0, 1 or 2;
- q is selected from 1, 2 or 3;
- r is selected from 1 or 2;
- s is selected from 1, 2 or 3;
- each R a is independently selected from F, Cl, Br and I;
- Each R b is independently selected from F, Cl, Br, I, OH, NH 2 , CN, C 1-3 alkyl, C 1-3 alkoxy, C 2-3 alkynyl, C 2-3 alkene and C 3-5 cycloalkyl, the C 1-3 alkyl, C 1-3 alkoxy, C 2-3 alkynyl, C 2-3 alkenyl and C 3-5 cycloalkyl are optional replaced by 1, 2 or 3 Rs;
- each R c is independently selected from F, Cl, Br and I;
- the R 2 and R 7 form with the attached atoms
- Other variables are as defined in the present invention.
- the R 2 and R 3 form with the attached atoms
- Other variables are as defined in the present invention.
- the R7 and R8 form with the attached atom
- Other variables are as defined in the present invention.
- each R b is independently selected from F, Cl, OH, NH 2 , CN, CH 3 , CF 3 , CH 2 CH 3 and , -C ⁇ CH and cyclopropyl, Other variables are as defined in the present invention.
- each R b is independently selected from F, OH, NH 2 , CH 3 , CF 3 , CH 2 CH 3 and -C ⁇ CH, and other variables are as defined herein.
- the R 6 is selected from phenyl, pyridyl, naphthyl, indolyl and indazolyl, and said phenyl, pyridyl, naphthyl, indolyl and indazolyl are any Optionally substituted with 1, 2, 3, 4 or 5 R b , other variables are as defined in the present invention.
- the R 6 is selected from Other variables are as defined in the present invention.
- the R 6 is selected from Other variables are as defined in the present invention.
- the R 6 is selected from Other variables are as defined in the present invention.
- the R 6 is selected from Other variables are as defined in the present invention.
- the R 6 is selected from Other variables are as defined in the present invention.
- the R 6 is selected from Other variables are as defined in the present invention.
- said R 10 is selected from H, CH 3 , OCH 3 and cyclopropyl, said CH 3 , OCH 3 and cyclopropyl are optionally substituted with 1, 2 or 3 R c , Other variables are as defined in the present invention.
- the R 10 is selected from H and CH 3 , and other variables are as defined herein.
- each R d is independently selected from H, F, Cl, Br, OH, CN, CH 3 , CH 2 CH 3 , CH 2 CF 3 , OCH 3 , OCF 3 and Other variables are as defined in the present invention.
- each R d is independently selected from H, F, Cl, Br, OH, CN, CH 3 , CH 2 CF 3 , OCH 3
- Other variables are as defined in the present invention.
- said R 11 is selected from tetrahydropyrrolyl and hexahydro-1H-pyrrolizinyl, said tetrahydropyrrolyl and hexahydro-1H-pyrrolizinyl being separated by 1, 2 or 3 R d substitutions, other variables are as defined in the present invention.
- the R 11 is selected from Other variables are as defined in the present invention.
- the present invention provides a compound represented by formula (I) or a pharmaceutically acceptable salt thereof
- T 1 is selected from CR 7 R 8 and NR 9 ;
- T when is selected from single bond, T is selected from CH and N;
- R 1 , R 2 , R 3 , R 4 and R 5 are each independently selected from H and C 1-3 alkyl optionally substituted with 1 , 2 or 3 Ra ;
- R is selected from phenyl and naphthyl optionally substituted with 1 , 2 , 3, 4 or 5 R;
- R 7 and R 8 are each independently selected from H, CH 3 and NH 2 ;
- R 9 is selected from H and CH 3 ;
- R 10 is selected from H, C 1-3 alkyl, C 1-3 alkoxy and cyclopropyl, the C 1-3 alkyl, C 1-3 alkoxy and cyclopropyl are optionally replaced by 1, 2 or 3 R c substitutions;
- R 11 is selected from tetrahydropyrrolyl and hexahydro-1H-pyrrolizinyl substituted with 1, 2 or 3 R d ;
- R 1 and R 2 form a ring with the connected atoms, making the structural unit form
- R 1 and R 4 are connected with the atoms to form a ring to make the structural unit form
- R 4 and R 5 form a ring with the connected atoms, making the structural unit form
- R 2 and R 7 form tetrahydropyrrolidinyl with the attached atom
- R 2 and R 3 and the connected atoms form a C 3-5 membered cycloalkyl
- R 7 and R 8 form a 4-5 membered heterocycloalkyl with the attached atom
- n is selected from 0, 1 or 2;
- n is selected from 0, 1 or 2;
- p is selected from 1 or 2;
- q is selected from 1, 2 or 3;
- r is selected from 1 or 2;
- s is selected from 1, 2 or 3;
- each R a is independently selected from F, Cl, Br and I;
- each R b is independently selected from F, Cl, Br, I, OH, NH 2 , CN, CH 3 , CF 3 and OCH 3 ;
- each R c is independently selected from F, Cl, Br and I;
- Each Rd is independently selected from H, F, Cl, Br and CH3 .
- the R 2 and R 7 form with the attached atoms
- Other variables are as defined in the present invention.
- the R 2 and R 3 form with the attached atoms
- Other variables are as defined in the present invention.
- the R7 and R8 form with the attached atom
- Other variables are as defined in the present invention.
- the R 6 is selected from Other variables are as defined in the present invention.
- said R 10 is selected from H, CH 3 , OCH 3 and cyclopropyl, said CH 3 , OCH 3 and cyclopropyl are optionally substituted with 1, 2 or 3 R c , Other variables are as defined in the present invention.
- the R 10 is selected from H and CH 3 , and other variables are as defined herein.
- the R 11 is selected from Other variables are as defined in the present invention.
- the compound, or a pharmaceutically acceptable salt thereof is selected from
- T 2 and R 6 are as defined in the present invention.
- the compound, or a pharmaceutically acceptable salt thereof is selected from
- T2 is as defined in the present invention ;
- R b1 , R b2 , R b3 , R b4 , R b5 , R b6 and R b7 are each independently selected from H, F, Cl, Br, I, OH, NH 2 , CN, C 1-3 alkyl, C 1-3 alkoxy, C 2-3 alkynyl, C 2-3 alkenyl and C 3-5 cycloalkyl, the C 1-3 alkyl, C 1-3 alkoxy, C 2-3 Alkynyl, C2-3alkenyl and C3-5cycloalkyl are optionally substituted with 1, 2 or 3 R;
- R is as defined in the present invention.
- the R b1 , R b2 , R b3 , R b4 , R b5 , R b6 and R b7 are each independently selected from H, F, Cl, OH, NH 2 , CN, CH 3 , CF3 , CH2CH3 , -C ⁇ CH and cyclopropyl, other variables are as defined in the present invention.
- the present invention also provides a compound represented by the following formula or a pharmaceutically acceptable salt thereof, wherein the compound is selected from the group consisting of
- the compound or a pharmaceutically acceptable salt thereof is selected from,
- the compound, or a pharmaceutically acceptable salt thereof is selected from
- the present invention also provides following synthetic method:
- R 6 and R 11 are as defined in the present invention.
- the present invention also provides the following test methods:
- RPMI 1640 fetal bovine serum
- FBS fetal bovine serum
- Antibiotic-antimycotic antibiotic-antifungal
- L-glutamine L-glutamine
- DMSO dimethyl sulfoxide
- the tumor cell lines were cultured in a 37°C, 5% CO2 incubator according to the culture conditions indicated in the culture method. Periodically passaged, cells in logarithmic growth phase were taken for plating.
- the plates were incubated overnight in an incubator at 37°C, 5% CO2 , and 100% relative humidity.
- the solution in the ULA plate was then transferred to a black bottom plate (#655090) and left at room temperature for 25 minutes to stabilize the luminescent signal.
- Luminescent signals were detected on a 2104 EnVision plate reader.
- IR(%) (1 ⁇ (RLU compound ⁇ RLU blank control)/(RLU vehicle control ⁇ RLU blank control)*100%.
- the inhibition rates of different concentrations of compounds were calculated in Excel, and then the GraphPad Prism software was used to plot the inhibition curves and calculate the relevant parameters, including the minimum inhibition rate, the maximum inhibition rate and IC 50 .
- the purpose of this experiment is to investigate the pharmacokinetic characteristics of the compounds of the present invention under oral and intravenous injection in SD mice.
- test compound was mixed with 10% dimethyl sulfoxide/60% polyethylene glycol 400/30% aqueous solution, vortexed and sonicated to prepare a clear solution of about 1 mg/mL, which was filtered through a microporous membrane for use.
- Male SD mice aged 7 to 10 weeks were selected, and the candidate compound solution was administered intravenously at a dose of about 3 mg/kg.
- Candidate compound solutions are administered orally at a dose of approximately 30 mg/kg.
- Whole blood was collected for a certain period of time, plasma was prepared, drug concentration was analyzed by LC-MS/MS method, and pharmacokinetic parameters were calculated by Phoenix WinNonlin software (Pharsight, USA).
- Cell culture Human colorectal cancer GP2D cells were cultured in monolayer in vitro, and the culture conditions were DMEM/F12 medium with 20% fetal bovine serum, 1% double antibody, and a 37°C 5% carbon dioxide incubator. Conventional digestion with trypsin-EDTA was performed twice a week for passage. When the cell saturation is 80%-90% and the number reaches the requirement, collect the cells, count them, resuspend in an appropriate amount of PBS, and add Matrigel 1:1 to obtain a cell suspension with a cell density of 25x 10 6 cells/mL.
- Tumor diameters were measured with vernier calipers twice a week.
- Relative tumor proliferation rate T/C (%) TRTV/CRTV ⁇ 100% (TRTV: RTV of treatment group; CRTV: RTV of negative control group).
- TGI (%) reflecting tumor growth inhibition rate.
- TGI(%) [(1-(average tumor volume at the end of administration of a certain treatment group-average tumor volume at the beginning of administration of this treatment group))/(average tumor volume at the end of treatment in the solvent control group-the start of treatment in the solvent control group time average tumor volume)] ⁇ 100%.
- the compound of the present invention has good binding effect and inhibitory effect on KRAS G12D protein, has good cell proliferation inhibitory activity on KRAS G12D mutant cells, and has excellent tumor inhibitory effect.
- the compounds of the present invention have better pharmacokinetic characteristics.
- the term "pharmaceutically acceptable” refers to those compounds, materials, compositions and/or dosage forms that, within the scope of sound medical judgment, are suitable for use in contact with human and animal tissue , without excessive toxicity, irritation, allergic reactions or other problems or complications, commensurate with a reasonable benefit/risk ratio.
- salts refers to salts of the compounds of the present invention, prepared from compounds with specific substituents discovered by the present invention and relatively non-toxic acids or bases.
- base addition salts can be obtained by contacting such compounds with a sufficient amount of base in neat solution or in a suitable inert solvent.
- Pharmaceutically acceptable base addition salts include sodium, potassium, calcium, ammonium, organic amine or magnesium salts or similar salts.
- acid addition salts can be obtained by contacting such compounds with a sufficient amount of acid in neat solution or in a suitable inert solvent.
- Examples of pharmaceutically acceptable acid addition salts include inorganic acid salts including, for example, hydrochloric acid, hydrobromic acid, nitric acid, carbonic acid, bicarbonate, phosphoric acid, monohydrogen phosphate, dihydrogen phosphate, sulfuric acid, Hydrogen sulfate, hydroiodic acid, phosphorous acid, etc.; and organic acid salts including, for example, acetic acid, propionic acid, isobutyric acid, maleic acid, malonic acid, benzoic acid, succinic acid, suberic acid, Similar acids such as fumaric, lactic, mandelic, phthalic, benzenesulfonic, p-toluenesulfonic, citric, tartaric, and methanesulfonic acids; also include salts of amino acids such as arginine, etc. , and salts of organic acids such as glucuronic acid. Certain specific compounds of the present invention contain both basic and acidic functional groups and thus can be converted into either base
- the pharmaceutically acceptable salts of the present invention can be synthesized from the acid or base containing parent compound by conventional chemical methods. Generally, such salts are prepared by reacting the free acid or base form of these compounds with a stoichiometric amount of the appropriate base or acid in water or an organic solvent or a mixture of the two.
- the compounds of the present invention may exist in specific geometric or stereoisomeric forms.
- the present invention contemplates all such compounds, including cis and trans isomers, (-)- and (+)-enantiomers, (R)- and (S)-enantiomers, diastereomers isomers, (D)-isomers, (L)-isomers, and racemic mixtures thereof and other mixtures, such as enantiomerically or diastereomerically enriched mixtures, all of which belong to this within the scope of the invention.
- Additional asymmetric carbon atoms may be present in substituents such as alkyl groups. All such isomers, as well as mixtures thereof, are included within the scope of the present invention.
- the compounds of the present invention may contain unnatural proportions of atomic isotopes at one or more of the atoms that constitute the compound.
- compounds can be labeled with radioisotopes, such as tritium ( 3 H), iodine-125 ( 125 I) or C-14 ( 14 C).
- deuterated drugs can be formed by replacing hydrogen with deuterium, and the bond formed by deuterium and carbon is stronger than the bond formed by ordinary hydrogen and carbon. Compared with undeuterated drugs, deuterated drugs can reduce toxic side effects and increase drug stability. , enhance the efficacy, prolong the biological half-life of drugs and other advantages. All transformations of the isotopic composition of the compounds of the present invention, whether radioactive or not, are included within the scope of the present invention.
- substituted means that any one or more hydrogen atoms on a specified atom are replaced by a substituent, which may include deuterium and hydrogen variants, as long as the valence of the specified atom is normal and the substituted compound is stable.
- oxygen it means that two hydrogen atoms are substituted. Oxygen substitution does not occur on aromatic groups.
- optionally substituted means that it may or may not be substituted, and unless otherwise specified, the type and number of substituents may be arbitrary on a chemically achievable basis.
- any variable eg, R
- its definition in each case is independent.
- the group may optionally be substituted with up to two Rs, with independent options for R in each case.
- combinations of substituents and/or variants thereof are permissible only if such combinations result in stable compounds.
- linking group When the number of a linking group is 0, such as -(CRR) 0 -, it means that the linking group is a single bond.
- the direction of attachment is arbitrary, for example,
- the linking group L in the middle is -MW-, at this time -MW- can connect ring A and ring B in the same direction as the reading order from left to right. It is also possible to connect ring A and ring B in the opposite direction to the reading order from left to right.
- Combinations of the linking groups, substituents and/or variants thereof are permissible only if such combinations result in stable compounds.
- any one or more sites in the group can be linked to other groups by chemical bonds.
- connection method of the chemical bond is not positioned and there is an H atom at the connectable site, when the chemical bond is connected, the number of H atoms at the site will decrease correspondingly with the number of chemical bonds connected to the corresponding valence. the group.
- the chemical bond connecting the site to other groups can be represented by straight solid line bonds straight dotted key or wavy lines express.
- a straight solid bond in -OCH 3 indicates that it is connected to other groups through the oxygen atom in this group;
- the straight dashed bond in the group indicates that it is connected to other groups through the two ends of the nitrogen atom in the group;
- the wavy line in the phenyl group indicates that it is connected to other groups through the 1 and 2 carbon atoms in the phenyl group;
- C 1-3 alkyl is used to denote a straight or branched chain saturated hydrocarbon group consisting of 1 to 3 carbon atoms.
- the C 1-3 alkyl group includes C 1-2 and C 2-3 alkyl groups, etc.; it can be monovalent (eg methyl), divalent (eg methylene) or multivalent (eg methine) .
- Examples of C1-3 alkyl groups include, but are not limited to, methyl (Me), ethyl (Et), propyl (including n-propyl and isopropyl), and the like.
- C1-3alkoxy refers to those alkyl groups containing 1 to 3 carbon atoms attached to the remainder of the molecule through an oxygen atom.
- the C 1-3 alkoxy group includes C 1-2 , C 2-3 , C 3 and C 2 alkoxy and the like.
- Examples of C 1-3 alkoxy groups include, but are not limited to, methoxy, ethoxy, propoxy (including n-propoxy and isopropoxy), and the like.
- C 1-3 alkylamino refers to those alkyl groups containing 1 to 3 carbon atoms attached to the remainder of the molecule through an amino group.
- the C 1-3 alkylamino groups include C 1-2 , C 3 and C 2 alkylamino groups and the like.
- Examples of C 1-3 alkylamino include, but are not limited to, -NHCH 3 , -N(CH 3 ) 2 , -NHCH 2 CH 3 , -N(CH 3 )CH 2 CH 3 , -NHCH 2 CH 2 CH 3 , - NHCH 2 (CH 3 ) 2 and the like.
- C 2-3 alkenyl is used to denote a straight or branched chain hydrocarbon group consisting of 2 to 3 carbon atoms containing at least one carbon-carbon double bond, a carbon-carbon double bond can be located anywhere in the group.
- the C 2-3 alkenyl group includes C 3 and C 2 alkenyl groups; the C 2-3 alkenyl group may be monovalent, divalent or multivalent. Examples of C 2-3 alkenyl groups include, but are not limited to, vinyl, propenyl, and the like.
- C 2-3 alkynyl is used to denote a straight or branched chain hydrocarbon group consisting of 2 to 3 carbon atoms containing at least one carbon-carbon triple bond, a carbon-carbon triple bond can be located anywhere in the group. It can be monovalent, bivalent or multivalent.
- the C 2-3 alkynyl groups include C 3 and C 2 alkynyl groups. Examples of C2-3alkynyl groups include, but are not limited to, ethynyl, propynyl, and the like.
- the term "4-5 membered heterocycloalkyl” by itself or in combination with other terms denotes a saturated monocyclic group consisting of 4 to 5 ring atoms, 1, 2, 3 or 4 ring atoms, respectively are heteroatoms independently selected from O, S, and N, and the remainder are carbon atoms, where the nitrogen atom is optionally quaternized, and the nitrogen and sulfur heteroatoms are optionally oxidized (ie, NO and S(O) p , p is 1 or 2). Furthermore, with respect to the "4-5 membered heterocycloalkyl", a heteroatom may occupy the position of attachment of the heterocycloalkyl to the remainder of the molecule.
- the 4-5 membered heterocycloalkyl includes 4 and 5 membered heterocycloalkyl.
- Examples of 4-5 membered heterocycloalkyl include, but are not limited to, azetidinyl, oxetanyl, thietanyl, pyrrolidinyl, pyrazolidinyl, imidazolidinyl, tetrahydrothienyl ( Including tetrahydrothiophen-2-yl and tetrahydrothiophen-3-yl, etc.) or tetrahydrofuranyl (including tetrahydrofuran-2-yl, etc.) and the like.
- C 3-5 cycloalkyl means a saturated cyclic hydrocarbon group consisting of 3 to 5 carbon atoms, which is a monocyclic ring system, said C 3-5 cycloalkyl including C 3 -4 and C 4-5 cycloalkyl, etc.; it may be monovalent, divalent or polyvalent.
- Examples of C3-5 cycloalkyl include, but are not limited to, cyclopropyl, cyclobutyl, cyclopentyl, and the like.
- C 6-10 aryl ring and “C 6-10 aryl group” can be used interchangeably in the present invention
- C 6-10 aryl ring” or C 6-10 aryl group means by A cyclic hydrocarbon group composed of 6 to 10 carbon atoms with a conjugated ⁇ -electron system, which may be a monocyclic, fused bicyclic or fused tricyclic system, wherein each ring is aromatic. It may be monovalent, divalent or polyvalent, and C6-10 aryl groups include C6-9 , C9 , C10 and C6 aryl groups and the like. Examples of C6-10 aryl groups include, but are not limited to, phenyl, naphthyl (including 1-naphthyl and 2-naphthyl, and the like).
- 5-10-membered heteroaryl ring and “5-10-membered heteroaryl” can be used interchangeably in the present invention, and the term “5-10-membered heteroaryl” refers to a ring consisting of 5 to 10 rings.
- a cyclic group composed of atoms with a conjugated ⁇ -electron system, wherein 1, 2, 3 or 4 ring atoms are heteroatoms independently selected from O, S and N, and the rest are carbon atoms. It can be a monocyclic, fused bicyclic or fused tricyclic ring system, wherein each ring is aromatic.
- the nitrogen and sulfur heteroatoms may be optionally oxidized (ie, NO and S(O) p , p is 1 or 2).
- a 5-10 membered heteroaryl group can be attached to the rest of the molecule through a heteroatom or a carbon atom.
- the 5-10-membered heteroaryl groups include 10-membered, 9-membered, 9-10-membered, 5-8-membered, 5-7-membered, 5-6-membered, 5-membered, and 6-membered heteroaryl groups, and the like.
- Examples of the 5-10 membered heteroaryl group include, but are not limited to, pyrrolyl (including N-pyrrolyl, 2-pyrrolyl and 3-pyrrolyl, etc.), pyrazolyl (including 2-pyrazolyl and 3-pyrrolyl, etc.) azolyl, etc.), imidazolyl (including N-imidazolyl, 2-imidazolyl, 4-imidazolyl and 5-imidazolyl, etc.), oxazolyl (including 2-oxazolyl, 4-oxazolyl and 5- oxazolyl, etc.), triazolyl (1H-1,2,3-triazolyl, 2H-1,2,3-triazolyl, 1H-1,2,4-triazolyl and 4H-1, 2,4-triazolyl, etc.), tetrazolyl, isoxazolyl (3-isoxazolyl, 4-isoxazolyl and 5-isoxazolyl, etc.), thiazolyl (
- the term "4-8 membered heterocycloalkyl" by itself or in combination with other terms denotes a saturated cyclic group consisting of 4 to 8 ring atoms, respectively, of which 1, 2, 3 or 4 ring atoms are heteroatoms independently selected from O, S, and N, and the remainder are carbon atoms, where the nitrogen atom is optionally quaternized, and the nitrogen and sulfur heteroatoms are optionally oxidized (ie, NO and S(O) p , p is 1 or 2). It includes monocyclic and bicyclic ring systems, wherein bicyclic ring systems include spiro, paracyclic and bridged rings.
- a heteroatom may occupy the position of attachment of the heterocycloalkyl to the remainder of the molecule.
- the 4-8 membered heterocycloalkyl includes 4-6 membered, 5-6 membered, 4 membered, 5 membered and 6 membered heterocycloalkyl and the like.
- 4-8 membered heterocycloalkyl examples include, but are not limited to, azetidinyl, oxetanyl, thietanyl, pyrrolidinyl, pyrazolidinyl, imidazolidinyl, tetrahydrothienyl ( Including tetrahydrothiophen-2-yl and tetrahydrothiophen-3-yl, etc.), tetrahydrofuranyl (including tetrahydrofuran-2-yl, etc.), tetrahydropyranyl, piperidinyl (including 1-piperidinyl, 2- piperidinyl and 3-piperidyl, etc.), piperazinyl (including 1-piperazinyl and 2-piperazinyl, etc.), morpholinyl (including 3-morpholinyl and 4-morpholinyl, etc.), Dioxanyl, dithianyl, isoxazolidinyl, isothiazolidinyl,
- the term "5-6 membered heterocycloalkenyl" by itself or in combination with other terms respectively denotes a partially unsaturated cyclic group consisting of 5 to 6 ring atoms containing at least one carbon-carbon double bond , whose 1, 2, 3 or 4 ring atoms are heteroatoms independently selected from O, S and N, and the rest are carbon atoms, wherein the nitrogen atom is optionally quaternized, and the nitrogen and sulfur heteroatoms may optionally be Oxidation (ie NO and S(O) p , p is 1 or 2).
- bicyclic ring systems include spiro, paracyclic and bridged rings, any ring of this system is non-aromatic.
- a heteroatom may occupy the position of attachment of the heterocycloalkenyl to the rest of the molecule.
- the 5-6 membered heterocyclenyl includes 5-membered and 6-membered heterocyclenyl and the like. Examples of 5-6 membered heterocycloalkenyl include but are not limited to
- Cn-n+m or Cn - Cn+m includes any particular instance of n to n+ m carbons, eg C1-12 includes C1 , C2 , C3, C 4 , C 5 , C 6 , C 7 , C 8 , C 9 , C 10 , C 11 , and C 12 , also including any range from n to n+ m , eg C 1-12 includes C 1-3 , C 1-6 , C 1-9 , C 3-6 , C 3-9 , C 3-12 , C 6-9 , C 6-12 , and C 9-12 , etc.; in the same way, n yuan to n +m-membered means that the number of atoms in the ring is from n to n+m, for example, 3-12-membered ring includes 3-membered ring, 4-membered ring, 5-membered ring, 6-membered ring, 7-membered ring, 8-membere
- the compounds of the present invention can be prepared by a variety of synthetic methods well known to those skilled in the art, including the specific embodiments enumerated below, embodiments formed in combination with other chemical synthesis methods, and those well known to those skilled in the art Equivalent to alternatives, preferred embodiments include, but are not limited to, the embodiments of the present invention.
- the structure of the compound of the present invention can be confirmed by conventional methods well known to those skilled in the art. If the present invention relates to the absolute configuration of the compound, the absolute configuration can be confirmed by conventional technical means in the art. For example, single crystal X-ray diffraction method (SXRD), the cultured single crystal is collected by Bruker D8 venture diffractometer, the light source is CuK ⁇ radiation, and the scanning mode is: After scanning and collecting relevant data, the crystal structure was further analyzed by the direct method (Shelxs97), and the absolute configuration could be confirmed.
- SXRD single crystal X-ray diffraction method
- the cultured single crystal is collected by Bruker D8 venture diffractometer
- the light source is CuK ⁇ radiation
- the scanning mode is: After scanning and collecting relevant data, the crystal structure was further analyzed by the direct method (Shelxs97), and the absolute configuration could be confirmed.
- the solvent used in the present invention is commercially available.
- the molecular docking process was performed by using Maestro ( Glide SP[1] and default options in version 2017-2).
- the crystal structure PDB:6UT0 of KRAS_G12C in the PDB database was selected, Cys12 was simulated and mutated to Asp12, and after energy optimization, it was used as the docking template.
- To prepare the protein hydrogen atoms were added using the Protein Preparation Wizard module of Maestro [2] and the OPLS3 force field was used.
- the 3D structure of the molecule was generated using LigPrep and energy minimization was performed [3], and the small molecule conformation was sampled using the confgen module.
- the side length is The cube docking grid. Place reference compounds during molecular docking. The interaction types between protein receptors and ligands are analyzed, and the interaction types between protein receptors and ligands are analyzed, and then a reasonable docking conformation is selected and saved according to the calculated docking scrore and binding mode.
- the compound of the present invention has good binding with KRAS G12D.
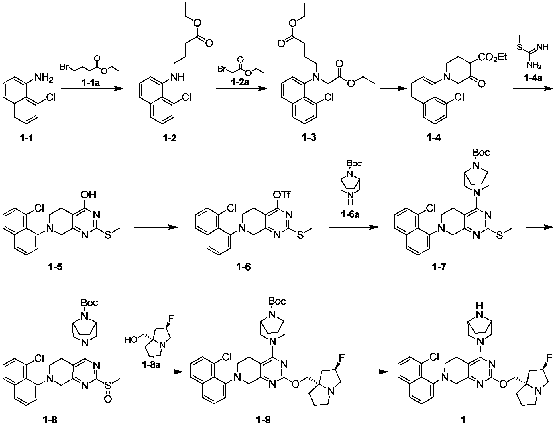
- compound 1-3 (10 g, 26.46 mmol, 1 eq) was dissolved in THF (200 mL) at -65 °C, and then LDA (2M, 27.79 mL, 2.1 eq) was slowly added dropwise, and the reaction was performed at -65 °C for 1 hour.
- a saturated ammonium chloride solution (100 mL) was added to the reaction system, the aqueous phase was extracted with methyl tertiary ether (100 mL*2), and the layers were separated. The organic phases were combined, washed with saturated brine (100 mL), dried over anhydrous sodium sulfate, filtered, and concentrated under reduced pressure to obtain the crude product.
- compound 1-4 (5.9 g, 11.56 mmol, 1 eq) was dissolved in MeOH (59 mL), and compound 1-4a (3.26 g, 17.34 mmol, 1.5 eq) and CH 3 ONa (2.87 were added in three batches at 0°C) g, 53.17 mmol, 4.6 eq), during which the temperature was maintained at 0-15 °C, and then reacted at 20 °C for 21 hours.
- compound 1-5 (0.98g, 2.74mmol, 1eq) was dissolved in dichloromethane (10mL), N,N-diisopropylethylamine (1.06g, 8.22mmol, 1.43mL, 3eq) was added, Trifluoromethanesulfonic anhydride (1.55g, 5.48mmol, 903.68 ⁇ L, 2eq) was slowly added dropwise at 0°C, maintaining the temperature at 0-8°C during the period, and after the dropwise addition was completed, the temperature was slowly raised to 20°C for reaction for 1 hour. Water (50 mL) was added to the reaction system, and the layers were separated.
- compound 1-6 (3g, 1.84mmol, 1eq) and compound 1-6a (397.78mg, 1.87mmol, 1.02eq) were dissolved in acetonitrile (18mL), and potassium carbonate (507.79mg, 3.67mmol, 2eq) was added. , 10 °C reaction for 13 hours. Water (50 mL) was added to the reaction system, the aqueous phase was extracted with methyl tertiary ether (60 mL*2), and the layers were separated. The organic phases were combined, washed with saturated brine (50 mL), dried over anhydrous sodium sulfate, filtered, and concentrated under reduced pressure to obtain the crude product.
- acetonitrile 18mL
- potassium carbonate 507.79mg, 3.67mmol, 2eq
- compound 1-7 (0.74g, 1.34mmol, 1eq) was dissolved in dichloromethane (25mL), m-chloroperoxybenzoic acid (326.53mg, 1.61mmol, 1.2eq) was added at 0°C, and then the temperature was slowly raised to The reaction was carried out at 20°C for 2 hours.
- Saturated sodium thiosulfate solution (10 mL) was added to the reaction system, and the solution was separated.
- the aqueous phase was extracted with dichloromethane (20 mL*2), and the layers were separated.
- the organic phases were combined, washed with saturated sodium bicarbonate solution (10 mL), and separated.
- compound 1-8 (0.15g, 264.02 ⁇ mol, 1eq) and compound 1-8a (50.44mg, 316.83 ⁇ mol, 1.2eq) were dissolved in toluene (10mL), and sodium tert-butoxide (38.06mg, 0 °C) was added. 396.04 ⁇ mol, 1.5eq), and then react at 0°C for 1 hour. Water (5 mL) was added to the reaction system, the aqueous phase was extracted with ethyl acetate (10 mL*3), and the layers were separated.
- Step 1 Synthesis of Compounds 4-1a and 4-1b
- the crude product was directly separated by preparative high performance liquid chromatography (chromatographic column: Welch Xtimate C18 100*40mm*3 ⁇ m; mobile phase: [water (0.075% trifluoroacetic acid)-acetonitrile]; acetonitrile%: 52%-82%, 8min) to obtain Compounds 4-1a and 4-1b.
- control compound stock solution 1 mM
- concentration of the test compound stock solution 10 mM.
- the compounds of the present invention have a significant inhibitory effect on KRAS G12D enzyme.
Landscapes
- Chemical & Material Sciences (AREA)
- Organic Chemistry (AREA)
- Health & Medical Sciences (AREA)
- Animal Behavior & Ethology (AREA)
- Life Sciences & Earth Sciences (AREA)
- Pharmacology & Pharmacy (AREA)
- General Health & Medical Sciences (AREA)
- Public Health (AREA)
- Veterinary Medicine (AREA)
- Medicinal Chemistry (AREA)
- Epidemiology (AREA)
- Chemical Kinetics & Catalysis (AREA)
- General Chemical & Material Sciences (AREA)
- Nuclear Medicine, Radiotherapy & Molecular Imaging (AREA)
- Pharmaceuticals Containing Other Organic And Inorganic Compounds (AREA)
Abstract
Description
本发明主张如下优先权The present invention claims the following priority
CN202110182356.1,申请日:2021年02月09日;CN202110182356.1, application date: February 9, 2021;
CN202110252391.6,申请日:2021年03月08日;CN202110252391.6, application date: March 08, 2021;
CN202110704068.8,申请日:2021年06月24日。CN202110704068.8, application date: June 24, 2021.
本发明涉及一类5,6,7,8-四氢吡啶[3,4-d]嘧啶化合物,具体涉及式(II)所示化合物或其药学上可接受的盐。The present invention relates to a class of 5,6,7,8-tetrahydropyridine[3,4-d]pyrimidine compounds, in particular to a compound represented by formula (II) or a pharmaceutically acceptable salt thereof.
RAS癌基因突变是人类癌症中最常见的突变,RAS家族中的NRAS,HRAS和KRAS突变引起的癌症占所有人类癌症的近四分之一,使其成为与癌症相关的最常见基因突变之一。几乎覆盖了所有的癌症类型,每年在全球造成100万人死亡。其中,KRAS是最常见的致癌基因(所有RAS突变的85%),存在于90%的胰腺癌中,30-40%的结肠癌中,15-20%的肺癌中(大多为非小细胞肺癌)。根据存在的特定突变,G12C、G12D和G12R是最常见的KRAS突变。除此之外,还有G12A、G12S、G12V等。RAS oncogene mutations are the most common mutations in human cancers, with NRAS, HRAS and KRAS mutations in the RAS family causing nearly a quarter of all human cancers, making it one of the most common genetic mutations associated with cancer . Covers almost all cancer types and causes 1 million deaths worldwide each year. Of these, KRAS is the most common oncogene (85% of all RAS mutations), present in 90% of pancreatic cancers, 30-40% of colon cancers, and 15-20% of lung cancers (mostly non-small cell lung cancers). ). Depending on the specific mutation present, G12C, G12D, and G12R are the most common KRAS mutations. In addition, there are G12A, G12S, G12V and so on.
KRAS基因突变作为癌症患者中最常见的致癌基因突变之一,也是著名的“不可成药”靶点。KRAS基因全名为Kirsten rats arcomaviral oncogene homolog,即“Kirsten大鼠肉瘤病毒癌基因同源物”。KARS基因编码的蛋白是一种小GTP酶(smallGTPase),属于RAS超蛋白家族。KRAS好像分子开关,当正常时能控制调控细胞生长的路径;KRAS基因突变后,可以不依赖于上游生长因子受体信号,独立向下游通路传输生长和增殖信号,造成不受控制的细胞生长和肿瘤进展。同时KRAS基因是否有突变,也是肿瘤预后的一个重要指标。As one of the most common oncogene mutations in cancer patients, KRAS gene mutation is also a well-known "undruggable" target. The full name of KRAS gene is Kirsten rats arcomaviral oncogene homolog, which is "Kirsten rat sarcoma virus oncogene homolog". The protein encoded by the KARS gene is a small GTPase, which belongs to the RAS superprotein family. KRAS is like a molecular switch, which can control the path of regulating cell growth when it is normal; after KRAS gene mutation, it can independently transmit growth and proliferation signals to downstream pathways independently of upstream growth factor receptor signals, resulting in uncontrolled cell growth and tumor progression. At the same time, whether the KRAS gene has mutation is also an important indicator of tumor prognosis.
目前,直接靶向KRAS突变的小分子主要集中在KRAS G12C领域。其中,Amgen公司的AMG510和和Mirati Therapeutics的MRTX849在临床研究中,对KRAS G12C突变的肿瘤患者都展现出了良好的治疗效果。在科学家和药物研发人员的不懈努力下,人们也一步步见证了突破KRAS“不可成药”的里程碑。未来将有更多靶向KRAS的疗法将被开发,如KRAS G12D等,以拯救更多的癌症患者生命。 Currently, small molecules that directly target KRAS mutations are mainly concentrated in the field of KRAS G12C . Among them, Amgen's AMG510 and Mirati Therapeutics' MRTX849 have shown good therapeutic effects on KRAS G12C- mutated tumor patients in clinical studies. With the unremitting efforts of scientists and drug R&D personnel, people have also witnessed the milestone of breaking through KRAS's "undruggable" step by step. In the future, more KRAS-targeting therapies will be developed, such as KRAS G12D , to save the lives of more cancer patients.
发明内容SUMMARY OF THE INVENTION
本发明提供了式(II)所示化合物或其药学上可接受的盐The present invention provides a compound represented by formula (II) or a pharmaceutically acceptable salt thereof
其中,in,
选自单键或双键; is selected from single bond or double bond;
T 1选自CR 7R 8、NR 9和O; T 1 is selected from CR 7 R 8 , NR 9 and O;
当 选自单键,T 2选自CH和N; when is selected from single bond, T is selected from CH and N;
当 选自双键,T 2选自C; when is selected from double bonds, and T is selected from C;
L 1选自-CH 2-和键; L 1 is selected from -CH 2 - and a bond;
R 1、R 2、R 3、R 4和R 5分别独立地选自H和C 1-3烷基,所述C 1-3烷基任选被1、2或3个R a取代; R 1 , R 2 , R 3 , R 4 and R 5 are each independently selected from H and C 1-3 alkyl optionally substituted with 1 , 2 or 3 Ra ;
R 6选自C 6-10芳基和5-10元杂芳基,所述C 6-10芳基和5-10元杂芳基任选被1、2、3、4或5个R b取代; R 6 is selected from C 6-10 aryl and 5-10 membered heteroaryl, the C 6-10 aryl and 5-10 membered heteroaryl are optionally surrounded by 1, 2, 3, 4 or 5 R b replace;
R 7和R 8分别独立地选自H、CH 3和NH 2; R 7 and R 8 are each independently selected from H, CH 3 and NH 2 ;
R 9选自H和CH 3; R 9 is selected from H and CH 3 ;
R 10选自H、C 1-3烷基、C 1-3烷氧基和环丙基,所述C 1-3烷基、C 1-3烷氧基和环丙基任选被1、2或3个R c取代; R 10 is selected from H, C 1-3 alkyl, C 1-3 alkoxy and cyclopropyl, the C 1-3 alkyl, C 1-3 alkoxy and cyclopropyl are optionally replaced by 1, 2 or 3 R c substitutions;
R 11选自4-8元杂环烷基和 所述4-8元杂环烷基和 任选被1、2或3个R d取代; R 11 is selected from 4-8 membered heterocycloalkyl and The 4-8 membered heterocycloalkyl and optionally substituted with 1, 2 or 3 Rd ;
结构单元 选自5-6元杂环烯基; Structural units selected from 5-6 membered heterocycloalkenyl;
条件是,requirement is,
1)R 1和R 2与相连的原子成环,使结构单元 形成 1) R 1 and R 2 form a ring with the connected atoms, making the structural unit form
2)或者,R 1和R 2与相连的原子成环,使结构单元 形成 2) Alternatively, R 1 and R 2 form a ring with the connected atoms, making the structural unit form
3)或者,R 1和R 4与相连的原子成环,使结构单元 形成 3) Alternatively, R 1 and R 4 form a ring with the connected atoms, making the structural unit form
4)或者,R 4和R 5与相连的原子成环,使结构单元 形成 4) Alternatively, R 4 and R 5 form a ring with the connected atoms, making the structural unit form
5)或者,R 2和R 7与相连的原子形成四氢吡咯烷基; 5) Alternatively, R 2 and R 7 form tetrahydropyrrolidinyl with the attached atoms;
6)或者,R 2和R 3与相连的原子形成C 3-5元环烷基; 6) Alternatively, R 2 and R 3 and the connected atom form a C 3-5 membered cycloalkyl;
7)或者,R 7和R 8与相连的原子形成4-5元杂环烷基; 7) Alternatively, R 7 and R 8 form a 4-5 membered heterocycloalkyl with the attached atom;
m选自0、1或2;m is selected from 0, 1 or 2;
n选自0、1或2;n is selected from 0, 1 or 2;
p选自0、1或2;p is selected from 0, 1 or 2;
q选自1、2或3;q is selected from 1, 2 or 3;
r选自1或2;r is selected from 1 or 2;
s选自1、2或3;s is selected from 1, 2 or 3;
各R a分别独立地选自F、Cl、Br和I; each R a is independently selected from F, Cl, Br and I;
各R b分别独立地选自F、Cl、Br、I、OH、NH 2、CN、C 1-3烷基、C 1-3烷氧基、C 2-3炔基、C 2-3烯基和C 3-5环烷基,所述C 1-3烷基、C 1-3烷氧基、C 2-3炔基、C 2-3烯基和C 3-5环烷基任选被1、2或3个R取代; Each R b is independently selected from F, Cl, Br, I, OH, NH 2 , CN, C 1-3 alkyl, C 1-3 alkoxy, C 2-3 alkynyl, C 2-3 alkene and C 3-5 cycloalkyl, the C 1-3 alkyl, C 1-3 alkoxy, C 2-3 alkynyl, C 2-3 alkenyl and C 3-5 cycloalkyl are optional replaced by 1, 2 or 3 Rs;
各R c分别独立地选自F、Cl、Br和I; each R c is independently selected from F, Cl, Br and I;
各R d分别独立地选自H、F、Cl、Br、OH、CN、C 1-3烷基、C 1-3烷氧基和-C 1-3烷基-O-C(=O)-C 1-3烷氨基;各R分别独立地选自F、Cl和Br。 Each R d is independently selected from H, F, Cl, Br, OH, CN, C 1-3 alkyl, C 1-3 alkoxy and -C 1-3 alkyl-OC(=O)-C 1-3 Alkylamino; each R is independently selected from F, Cl and Br.
在本发明的一些方案中,所述结构单元 选自 其他变量如本发明所定义。 In some aspects of the invention, the structural unit selected from Other variables are as defined in the present invention.
在本发明的一些方案中,所述结构单元 选自 其他变量如本发明所定义。 In some aspects of the invention, the structural unit selected from Other variables are as defined in the present invention.
在本发明的一些方案中,所述结构单元 选自 其他变量如本发明所定义。 In some aspects of the invention, the structural unit selected from Other variables are as defined in the present invention.
在本发明的一些方案中,所述结构单元 选自 其他变量如本发明所定义。 In some aspects of the invention, the structural unit selected from Other variables are as defined in the present invention.
在本发明的一些方案中,所述R 2和R 7与相连的原子形成 其他变量如本发明所定义。 In some aspects of the invention, the R 2 and R 7 form with the attached atoms Other variables are as defined in the present invention.
在本发明的一些方案中,所述R 2和R 3与相连的原子形成 其他变量如本发明所定义。 In some aspects of the invention, the R 2 and R 3 form with the attached atoms Other variables are as defined in the present invention.
在本发明的一些方案中,所述R 7和R 8与相连的原子形成 其他变量如本发明所定义。 In some aspects of the invention, the R7 and R8 form with the attached atom Other variables are as defined in the present invention.
在本发明的一些方案中,所述结构单元 选自 其他变量如本发明所定义。 In some aspects of the invention, the structural unit selected from Other variables are as defined in the present invention.
在本发明的一些方案中,所述结构单元 选自 其他变量如本发明所定义。 In some aspects of the invention, the structural unit selected from Other variables are as defined in the present invention.
在本发明的一些方案中,所述各R b分别独立地选自F、Cl、Br、I、OH、NH 2、CN、CH 3、CH 2CH 3、OCH 3、OCH 2CH 3、-CH=CH 2、-CH 2-CH=CH 2、-C≡CH和环丙基,所述CH 3、CH 2CH 3、OCH 3、OCH 2CH 3、-CH=CH 2、-CH 2-CH=CH 2、-C≡CH和环丙基任选被1、2或3个R取代,其他变量如本发明所定义。 In some aspects of the present invention, each R b is independently selected from F, Cl, Br, I, OH, NH 2 , CN, CH 3 , CH 2 CH 3 , OCH 3 , OCH 2 CH 3 , - CH=CH 2 , -CH 2 -CH=CH 2 , -C≡CH and cyclopropyl, the CH 3 , CH 2 CH 3 , OCH 3 , OCH 2 CH 3 , -CH=CH 2 , -CH 2 -CH= CH2 , -C≡CH and cyclopropyl are optionally substituted with 1, 2 or 3 R, other variables are as defined in the present invention.
在本发明的一些方案中,所述各R b分别独立地选自F、Cl、OH、NH 2、CN、CH 3、CF 3、CH 2CH 3和、-C≡CH和环丙基,其他变量如本发明所定义。 In some aspects of the invention, each R b is independently selected from F, Cl, OH, NH 2 , CN, CH 3 , CF 3 , CH 2 CH 3 and , -C≡CH and cyclopropyl, Other variables are as defined in the present invention.
在本发明的一些方案中,所述各R b分别独立地选自F、OH、NH 2、CH 3、CF 3、CH 2CH 3和-C≡CH,其他变量如本发明所定义。 In some aspects of the present invention, each R b is independently selected from F, OH, NH 2 , CH 3 , CF 3 , CH 2 CH 3 and -C≡CH, and other variables are as defined herein.
在本发明的一些方案中,所述R 6选自苯基、吡啶基、萘基、吲哚基和吲唑基,所述苯基、吡啶基、萘基、吲哚基和吲唑基任选被1、2、3、4或5个R b取代,其他变量如本发明所定义。 In some embodiments of the present invention, the R 6 is selected from phenyl, pyridyl, naphthyl, indolyl and indazolyl, and said phenyl, pyridyl, naphthyl, indolyl and indazolyl are any Optionally substituted with 1, 2, 3, 4 or 5 R b , other variables are as defined in the present invention.
在本发明的一些方案中,所述R 6选自 其他变量如本发明所定义。 In some aspects of the invention, the R 6 is selected from Other variables are as defined in the present invention.
在本发明的一些方案中,所述R 6选自 其他变量如本发明所定义。 In some aspects of the invention, the R 6 is selected from Other variables are as defined in the present invention.
在本发明的一些方案中,所述R 6选自 其他变量如本发明所定义。 In some aspects of the invention, the R 6 is selected from Other variables are as defined in the present invention.
在本发明的一些方案中,所述R 6选自 其他变量如本发明所定义。 In some aspects of the invention, the R 6 is selected from Other variables are as defined in the present invention.
在本发明的一些方案中,所述R 6选自 其他变量如本发明所定义。 In some aspects of the invention, the R 6 is selected from Other variables are as defined in the present invention.
在本发明的一些方案中,所述R 6选自 其他变量如本发明所定义。 In some aspects of the invention, the R 6 is selected from Other variables are as defined in the present invention.
在本发明的一些方案中,所述R 10选自H、CH 3、OCH 3和环丙基,所述CH 3、OCH 3和环丙基任选被1、2或3个R c取代,其他变量如本发明所定义。 In some embodiments of the present invention, said R 10 is selected from H, CH 3 , OCH 3 and cyclopropyl, said CH 3 , OCH 3 and cyclopropyl are optionally substituted with 1, 2 or 3 R c , Other variables are as defined in the present invention.
在本发明的一些方案中,所述R 10选自H和CH 3,其他变量如本发明所定义。 In some aspects of the present invention, the R 10 is selected from H and CH 3 , and other variables are as defined herein.
在本发明的一些方案中,所述各R d分别独立地选自H、F、Cl、Br、OH、CN、CH 3、CH 2CH 3、CH 2CF 3、OCH 3、OCF 3和 其他变量如本发明所定义。 In some aspects of the invention, each R d is independently selected from H, F, Cl, Br, OH, CN, CH 3 , CH 2 CH 3 , CH 2 CF 3 , OCH 3 , OCF 3 and Other variables are as defined in the present invention.
在本发明的一些方案中,所述各R d分别独立地选自H、F、Cl、Br、OH、CN、CH 3、CH 2CF 3、OCH 3 其他变量如本发明所定义。 In some aspects of the present invention, each R d is independently selected from H, F, Cl, Br, OH, CN, CH 3 , CH 2 CF 3 , OCH 3 Other variables are as defined in the present invention.
在本发明的一些方案中,所述R 11选自四氢吡咯基和六氢-1H-吡咯里嗪基,所述四氢吡咯基和六氢-1H-吡咯里嗪基被1、2或3个R d取代,其他变量如本发明所定义。 In some embodiments of the present invention, said R 11 is selected from tetrahydropyrrolyl and hexahydro-1H-pyrrolizinyl, said tetrahydropyrrolyl and hexahydro-1H-pyrrolizinyl being separated by 1, 2 or 3 R d substitutions, other variables are as defined in the present invention.
在本发明的一些方案中,所述R 11选自 其他变量如本发明所定义。 In some aspects of the invention, the R 11 is selected from Other variables are as defined in the present invention.
本发明提供了式(I)所示化合物或其药学上可接受的盐The present invention provides a compound represented by formula (I) or a pharmaceutically acceptable salt thereof
其中,in,
选自单键或双键; is selected from single bond or double bond;
T 1选自CR 7R 8和NR 9; T 1 is selected from CR 7 R 8 and NR 9 ;
当 选自单键,T 2选自CH和N; when is selected from single bond, T is selected from CH and N;
当 选自双键,T 2选自C; when is selected from double bonds, and T is selected from C;
R 1、R 2、R 3、R 4和R 5分别独立地选自H和C 1-3烷基,所述C 1-3烷基任选被1、2或3个R a取代; R 1 , R 2 , R 3 , R 4 and R 5 are each independently selected from H and C 1-3 alkyl optionally substituted with 1 , 2 or 3 Ra ;
R 6选自苯基和萘基,所述苯基和萘基任选被1、2、3、4或5个R b取代; R is selected from phenyl and naphthyl optionally substituted with 1 , 2 , 3, 4 or 5 R;
R 7和R 8分别独立地选自H、CH 3和NH 2; R 7 and R 8 are each independently selected from H, CH 3 and NH 2 ;
R 9选自H和CH 3; R 9 is selected from H and CH 3 ;
R 10选自H、C 1-3烷基、C 1-3烷氧基和环丙基,所述C 1-3烷基、C 1-3烷氧基和环丙基任选被1、2或3个R c取代; R 10 is selected from H, C 1-3 alkyl, C 1-3 alkoxy and cyclopropyl, the C 1-3 alkyl, C 1-3 alkoxy and cyclopropyl are optionally replaced by 1, 2 or 3 R c substitutions;
R 11选自四氢吡咯基和六氢-1H-吡咯里嗪基,所述四氢吡咯基和六氢-1H-吡咯里嗪基被1、2或3个R d取代; R 11 is selected from tetrahydropyrrolyl and hexahydro-1H-pyrrolizinyl substituted with 1, 2 or 3 R d ;
条件是,requirement is,
1)R 1和R 2与相连的原子成环,使结构单元 形成 1) R 1 and R 2 form a ring with the connected atoms, making the structural unit form
2)或者,R 1和R 4与相连的原子,成环使结构单元 形成 2) Or, R 1 and R 4 are connected with the atoms to form a ring to make the structural unit form
3)或者,R 4和R 5与相连的原子成环,使结构单元 形成 3) Alternatively, R 4 and R 5 form a ring with the connected atoms, making the structural unit form
4)或者,R 2和R 7与相连的原子形成四氢吡咯烷基; 4) Alternatively, R 2 and R 7 form tetrahydropyrrolidinyl with the attached atom;
5)或者,R 2和R 3与相连的原子形成C 3-5元环烷基; 5) Alternatively, R 2 and R 3 and the connected atoms form a C 3-5 membered cycloalkyl;
6)或者,R 7和R 8与相连的原子形成4-5元杂环烷基; 6) Alternatively, R 7 and R 8 form a 4-5 membered heterocycloalkyl with the attached atom;
m选自0、1或2;m is selected from 0, 1 or 2;
n选自0、1或2;n is selected from 0, 1 or 2;
p选自1或2;p is selected from 1 or 2;
q选自1、2或3;q is selected from 1, 2 or 3;
r选自1或2;r is selected from 1 or 2;
s选自1、2或3;s is selected from 1, 2 or 3;
各R a分别独立地选自F、Cl、Br和I; each R a is independently selected from F, Cl, Br and I;
各R b分别独立地选自F、Cl、Br、I、OH、NH 2、CN、CH 3、CF 3和OCH 3; each R b is independently selected from F, Cl, Br, I, OH, NH 2 , CN, CH 3 , CF 3 and OCH 3 ;
各R c分别独立地选自F、Cl、Br和I; each R c is independently selected from F, Cl, Br and I;
各R d分别独立地选自H、F、Cl、Br和CH 3。 Each Rd is independently selected from H, F, Cl, Br and CH3 .
在本发明的一些方案中,所述结构单元 选自 其他变量如本发明所定义。 In some aspects of the invention, the structural unit selected from Other variables are as defined in the present invention.
在本发明的一些方案中,所述结构单元 选自 其他变量如本发明所定义。 In some aspects of the invention, the structural unit selected from Other variables are as defined in the present invention.
在本发明的一些方案中,所述结构单元 选自 其他变量如本发明所定义。 In some aspects of the invention, the structural unit selected from Other variables are as defined in the present invention.
在本发明的一些方案中,所述R 2和R 7与相连的原子形成 其他变量如本发明所定义。 In some aspects of the invention, the R 2 and R 7 form with the attached atoms Other variables are as defined in the present invention.
在本发明的一些方案中,所述R 2和R 3与相连的原子形成 其他变量如本发明所定义。 In some aspects of the invention, the R 2 and R 3 form with the attached atoms Other variables are as defined in the present invention.
在本发明的一些方案中,所述R 7和R 8与相连的原子形成 其他变量如本发明所定义。 In some aspects of the invention, the R7 and R8 form with the attached atom Other variables are as defined in the present invention.
在本发明的一些方案中,所述结构单元 选自 其他变量如本发明所定义。 In some aspects of the invention, the structural unit selected from Other variables are as defined in the present invention.
在本发明的一些方案中,所述R 6选自 其他变量如本发明所定义。 In some aspects of the invention, the R 6 is selected from Other variables are as defined in the present invention.
在本发明的一些方案中,所述R 10选自H、CH 3、OCH 3和环丙基,所述CH 3、OCH 3和环丙基任选被1、2或3个R c取代,其他变量如本发明所定义。 In some embodiments of the present invention, said R 10 is selected from H, CH 3 , OCH 3 and cyclopropyl, said CH 3 , OCH 3 and cyclopropyl are optionally substituted with 1, 2 or 3 R c , Other variables are as defined in the present invention.
在本发明的一些方案中,所述R 10选自H和CH 3,其他变量如本发明所定义。 In some aspects of the present invention, the R 10 is selected from H and CH 3 , and other variables are as defined herein.
在本发明的一些方案中,所述R 11选自 其他变量如本发明所定义。 In some aspects of the invention, the R 11 is selected from Other variables are as defined in the present invention.
在本发明的一些方案中,所述化合物或其药学上可接受的盐,其化合物选自In some embodiments of the invention, the compound, or a pharmaceutically acceptable salt thereof, is selected from
其中,in,
选自单键或双键; is selected from single bond or double bond;
T 2和R 6如本发明所定义。 T 2 and R 6 are as defined in the present invention.
在本发明的一些方案中,所述化合物或其药学上可接受的盐,其化合物选自In some embodiments of the invention, the compound, or a pharmaceutically acceptable salt thereof, is selected from
其中,in,
T 2如本发明所定义; T2 is as defined in the present invention ;
R b1、R b2、R b3、R b4、R b5、R b6和R b7分别独立地选自H、F、Cl、Br、I、OH、NH 2、CN、C 1-3烷基、C 1-3烷氧基、C 2-3炔基、C 2-3烯基和C 3-5环烷基,所述C 1-3烷基、C 1-3烷氧基、C 2-3炔基、C 2-3烯基和C 3-5环烷基任选被1、2或3个R取代; R b1 , R b2 , R b3 , R b4 , R b5 , R b6 and R b7 are each independently selected from H, F, Cl, Br, I, OH, NH 2 , CN, C 1-3 alkyl, C 1-3 alkoxy, C 2-3 alkynyl, C 2-3 alkenyl and C 3-5 cycloalkyl, the C 1-3 alkyl, C 1-3 alkoxy, C 2-3 Alkynyl, C2-3alkenyl and C3-5cycloalkyl are optionally substituted with 1, 2 or 3 R;
R如本发明所定义。R is as defined in the present invention.
在本发明的一些方案中,所述R b1、R b2、R b3、R b4、R b5、R b6和R b7分别独立地选自H、F、Cl、Br、I、OH、NH 2、CN、CH 3、CH 2CH 3、OCH 3、OCH 2CH 3、-CH=CH 2、-CH 2-CH=CH 2、-C≡CH和环丙基,所述CH 3、CH 2CH 3、OCH 3、OCH 2CH 3、-CH=CH 2、-CH 2-CH=CH 2、-CH=CH 2和环丙基任选被1、2或3个R取代,其他变量如本发明所定义。 In some aspects of the invention, the R b1 , R b2 , R b3 , R b4 , R b5 , R b6 and R b7 are each independently selected from H, F, Cl, Br, I, OH, NH 2 , CN, CH3 , CH2CH3 , OCH3 , OCH2CH3 , -CH = CH2 , -CH2 - CH = CH2 , -C≡CH and cyclopropyl, the CH3 , CH2CH 3 , OCH 3 , OCH 2 CH 3 , -CH=CH 2 , -CH 2 -CH=CH 2 , -CH=CH 2 and cyclopropyl are optionally substituted by 1, 2 or 3 R, other variables are as in invention is defined.
在本发明的一些方案中,所述R b1、R b2、R b3、R b4、R b5、R b6和R b7分别独立地选自H、F、Cl、OH、NH 2、CN、CH 3、CF 3、CH 2CH 3、-C≡CH和环丙基,其他变量如本发明所定义。 In some aspects of the invention, the R b1 , R b2 , R b3 , R b4 , R b5 , R b6 and R b7 are each independently selected from H, F, Cl, OH, NH 2 , CN, CH 3 , CF3 , CH2CH3 , -C≡CH and cyclopropyl, other variables are as defined in the present invention.
本发明还有一些方案是由上述变量任意组合而来。There are also some solutions of the present invention that are formed by any combination of the above variables.
本发明还提供了下式所示化合物或其药学上可接受的盐,其化合物选自The present invention also provides a compound represented by the following formula or a pharmaceutically acceptable salt thereof, wherein the compound is selected from the group consisting of
在本发明的一些方案中,所述化合物或其药学上可接受的盐,其化合物选自,In some aspects of the invention, the compound or a pharmaceutically acceptable salt thereof, the compound is selected from,
在本发明的一些方案中,所述化合物或其药学上可接受的盐,其化合物选自In some embodiments of the invention, the compound, or a pharmaceutically acceptable salt thereof, is selected from
本发明还提供了下列合成方法:The present invention also provides following synthetic method:
方法1:method 1:
其中,in,
R 6和R 11如本发明所定义。 R 6 and R 11 are as defined in the present invention.
方法2:Method 2:
本发明还提供了下列测试方法:The present invention also provides the following test methods:
方法2.化合物在肿瘤细胞系AsPC-1和GP2D中的抗细胞增殖作用Method 2. Anti-proliferative effects of compounds in tumor cell lines AsPC-1 and GP2D
研究目的Research purposes
本实验通过检测化合物在肿瘤细胞系AsPC-1和GP2D中对体外细胞活性的影响而研究化合物抑制细胞增殖的作用。In this experiment, the inhibitory effect of the compound on cell proliferation was studied by detecting the effect of the compound on the cell viability in vitro in the tumor cell lines AsPC-1 and GP2D.
实验材料Experimental Materials
表1.实验材料Table 1. Experimental Materials
Ultra Low Cluster-96孔板(Corning-7007)Ultra Low Cluster-96 well plate (Corning-7007)
Greiner CELLSTAR 96-孔板(#655090)Greiner CELLSTAR 96-well plate (#655090)
Promega CellTiter-Glo 3D发光法细胞活性检测试剂盒(Promega-G9683)Promega CellTiter-Glo 3D Luminescence Cell Viability Assay Kit (Promega-G9683)
2104-10 EnVision读板器,PerkinElmer2104-10 EnVision Plate Reader, PerkinElmer
RPMI 1640,DMEM,PBS(磷酸盐缓冲溶液),FBS(胎牛血清),Antibiotic-antimycotic(抗生素-抗真菌药),L-glutamine(L-谷氨酰胺),DMSO(二甲基亚砜)RPMI 1640, DMEM, PBS (phosphate buffered saline), FBS (fetal bovine serum), Antibiotic-antimycotic (antibiotic-antifungal), L-glutamine (L-glutamine), DMSO (dimethyl sulfoxide)
实验方法及步骤Experimental methods and steps
细胞培养cell culture
将肿瘤细胞系按培养方法所示的培养条件在37℃,5%CO2的培养箱中进行培养。定期传代,取处于对数生长期的细胞用于铺板。The tumor cell lines were cultured in a 37°C, 5% CO2 incubator according to the culture conditions indicated in the culture method. Periodically passaged, cells in logarithmic growth phase were taken for plating.
细胞铺板Cell plating
用台盼兰进行细胞染色并计数活细胞。Cells were stained with trypan blue and viable cells were counted.
将细胞浓度调整至合适浓度。Adjust the cell concentration to an appropriate concentration.
表2.细胞浓度Table 2. Cell Concentrations
在ULA培养板中每孔加入135μL细胞悬液,在空白对照空中加入同样体积且不含细胞的培养液。135 μL of cell suspension was added to each well of the ULA culture plate, and the same volume of culture medium without cells was added to the blank control air.
铺板后,立刻在室温条件下将ULA培养板离心10分钟,离心条件1000rpm。注意:在离心后,务必小心处理后续操作,不要造成不必要的震荡。Immediately after plating, the ULA plates were centrifuged at 1000 rpm for 10 minutes at room temperature. NOTE: After centrifugation, be careful not to cause unnecessary shaking.
将培养板在37℃,5%CO 2,及100%相对湿度的培养箱中培养过夜。 The plates were incubated overnight in an incubator at 37°C, 5% CO2 , and 100% relative humidity.
10X化合物工作液的配制及化合物处理细胞(第一天)Preparation of 10X Compound Working Solution and Compound Treatment of Cells (Day 1)
配制好10X化合物工作液(DMSO 10X工作液)后,分别向ULA培养板内加入15μL的10X化合物工作液,在溶媒对照和空白对照中加入15μL DMSO-细胞培养液混合液。After preparing the 10X compound working solution (DMSO 10X working solution), add 15 μL of 10X compound working solution to the ULA culture plate respectively, and add 15 μL of DMSO-cell culture solution mixture to the vehicle control and blank control.
将96孔细胞板放回培养箱中培养120小时。Return the 96-well cell plate to the incubator for 120 hours.
每天观察细胞成球情况直至实验终点。Cell spheroidization was observed every day until the end of the experiment.
CellTiter-Glo发光法细胞活性检测(第五天)CellTiter-Glo Luminescence Assay for Cell Viability (Day 5)
以下步骤按照Promega CellTiter-Glo 3D发光法细胞活性检测试剂盒(Promega#G9683)的说明书来进行。The following steps were performed according to the instructions of the Promega CellTiter-Glo 3D Luminescence Cell Viability Assay Kit (Promega#G9683).
在每孔中加入150μL(等于每孔中细胞培养液体积)的CellTiter-Glo 3D试剂。用铝箔纸包裹细胞板以避光。Add 150 μL (equivalent to the volume of cell culture medium in each well) of CellTiter-Glo 3D reagent to each well. Wrap the cell plate in aluminum foil to protect from light.
将培养板在轨道摇床上振摇5分钟。Shake the plate on an orbital shaker for 5 minutes.
小心的用移液管上下吹打10次,混匀空内混合物。在继续下一步之前需确保细胞球体充分被分离。Mix the air mixture carefully by pipetting up and down 10 times. Make sure the spheroids are sufficiently detached before proceeding to the next step.
然后将ULA培养板内的溶液转移至黑底培养板(#655090)中,在室温放置25分钟以稳定发光信号。在2104 EnVision读板器上检测发光信号。The solution in the ULA plate was then transferred to a black bottom plate (#655090) and left at room temperature for 25 minutes to stabilize the luminescent signal. Luminescent signals were detected on a 2104 EnVision plate reader.
数据分析data analysis
用下列公式来计算检测化合物的抑制率(Inhibition rate,IR):IR(%)=(1–(RLU化合物–RLU空白对照)/(RLU溶媒对照–RLU空白对照))*100%。在Excel中计算不同浓度化合物的抑制率,然后用GraphPad Prism软件作抑制曲线图和计算相关参数,包括最小抑制率,最大抑制率及IC 50。 The inhibition rate (IR) of the tested compound was calculated by the following formula: IR(%)=(1−(RLU compound−RLU blank control)/(RLU vehicle control−RLU blank control))*100%. The inhibition rates of different concentrations of compounds were calculated in Excel, and then the GraphPad Prism software was used to plot the inhibition curves and calculate the relevant parameters, including the minimum inhibition rate, the maximum inhibition rate and IC 50 .
方法3.体内药代动力学实验Method 3. In vivo pharmacokinetic experiments
实验目的:Purpose:
本实验旨在考察本发明化合物在SD小鼠口服及静脉注射下的药代动力学特征。The purpose of this experiment is to investigate the pharmacokinetic characteristics of the compounds of the present invention under oral and intravenous injection in SD mice.
实验方法:experimental method:
受试化合物与10%二甲基亚砜/60%聚乙二醇400/30%水溶液混合,涡旋并超声,制备得到约1mg/mL澄清溶液,微孔滤膜过滤后备用。选取7至10周龄的雄性SD小鼠,静脉注射给予候选化合物溶液,剂量约为3mg/kg。口服给予候选化合物溶液,剂量约为30mg/kg。收集一定时间的全血,制备得到血浆,以LC-MS/MS方法分析药物浓度,并用Phoenix WinNonlin软件(美国Pharsight公司)计算药代参数。The test compound was mixed with 10% dimethyl sulfoxide/60% polyethylene glycol 400/30% aqueous solution, vortexed and sonicated to prepare a clear solution of about 1 mg/mL, which was filtered through a microporous membrane for use. Male SD mice aged 7 to 10 weeks were selected, and the candidate compound solution was administered intravenously at a dose of about 3 mg/kg. Candidate compound solutions are administered orally at a dose of approximately 30 mg/kg. Whole blood was collected for a certain period of time, plasma was prepared, drug concentration was analyzed by LC-MS/MS method, and pharmacokinetic parameters were calculated by Phoenix WinNonlin software (Pharsight, USA).
方法4.体内药效学实验Method 4. In vivo pharmacodynamic experiments
实验目的:Purpose:
人结直肠癌GP2D细胞裸小鼠皮下移植肿瘤Balb/c Nude小鼠模型的体内药效学研究In vivo pharmacodynamics study of human colorectal cancer GP2D cells in nude mice subcutaneously transplanted in Balb/c Nude mouse model
实验方法:experimental method:
细胞培养:人结直肠癌GP2D细胞体外单层培养,培养条件为DMEM/F12培养基中加20%胎牛血清,1%双抗,37℃5%二氧化碳孵箱培养。一周两次用胰酶-EDTA进行常规消化处理传代。当细胞饱和度为80%-90%,数量到达要求时,收取细胞,计数,重悬于适量PBS中,1:1加入基质胶,获取细胞密度为25x 10 6cells/mL的细胞悬液。 Cell culture: Human colorectal cancer GP2D cells were cultured in monolayer in vitro, and the culture conditions were DMEM/F12 medium with 20% fetal bovine serum, 1% double antibody, and a 37°C 5% carbon dioxide incubator. Conventional digestion with trypsin-EDTA was performed twice a week for passage. When the cell saturation is 80%-90% and the number reaches the requirement, collect the cells, count them, resuspend in an appropriate amount of PBS, and add Matrigel 1:1 to obtain a cell suspension with a cell density of 25x 10 6 cells/mL.
细胞接种:将0.2mL(5×10 6cells/mouse个)Mia PaCa-2细胞(加基质胶,体积比为1:1)皮下接种于每只小鼠的右后背。 Cell seeding: 0.2 mL (5×10 6 cells/mouse) Mia PaCa-2 cells (plus Matrigel, 1:1 by volume) were subcutaneously seeded on the right back of each mouse.
实验操作:肿瘤平均体积达到190mm 3时,根据肿瘤体积进行随机分组,每组6只,空白组给药剂量为0,测试组剂量梯度给药,口服给药,给药22天,每天两次。 Experimental operation: When the average tumor volume reached 190mm3 , random grouping was conducted according to the tumor volume, 6 rats in each group, the blank group was given a dose of 0, and the test group was given a dose gradient, orally, for 22 days, twice a day. .
肿瘤测量和实验指标:Tumor measurements and experimental indicators:
每周两次用游标卡尺测量肿瘤直径。肿瘤体积的计算公式为:V=0.5a×b 2,a和b分别表示肿瘤的长径和短径。 Tumor diameters were measured with vernier calipers twice a week. The calculation formula of tumor volume is: V=0.5a×b 2 , a and b represent the long and short diameters of the tumor, respectively.
化合物的抑瘤疗效用TGI(%)或相对肿瘤增殖率T/C(%)评价。相对肿瘤增殖率T/C(%)=TRTV/CRTV×100%(TRTV:治疗组RTV;CRTV:阴性对照组RTV)。根据肿瘤测量的结果计算出相对肿瘤体积(relative tumor volume,RTV),计算公式为RTV=V t/V 0,其中V 0是分组给药时(即D 0)测量所得平均肿瘤体积,V t为某一次测量时的平均肿瘤体积,TRTV与CRTV取同一天数据。 The antitumor efficacy of the compounds was evaluated by TGI (%) or relative tumor proliferation rate T/C (%). Relative tumor proliferation rate T/C (%)=TRTV/CRTV×100% (TRTV: RTV of treatment group; CRTV: RTV of negative control group). The relative tumor volume (RTV) is calculated according to the results of tumor measurement, and the calculation formula is RTV=V t /V 0 , where V 0 is the average tumor volume measured during group administration (ie, D 0 ), V t The mean tumor volume at one measurement, TRTV and CRTV take the same day data.
TGI(%),反映肿瘤生长抑制率。TGI(%)=[(1-(某处理组给药结束时平均瘤体积-该处理组开始给药时平均瘤体积))/(溶剂对照组治疗结束时平均瘤体积-溶剂对照组开始治疗时平均瘤体积)]×100%。TGI (%), reflecting tumor growth inhibition rate. TGI(%)=[(1-(average tumor volume at the end of administration of a certain treatment group-average tumor volume at the beginning of administration of this treatment group))/(average tumor volume at the end of treatment in the solvent control group-the start of treatment in the solvent control group time average tumor volume)] × 100%.
技术效果technical effect
本发明化合物对KRAS G12D蛋白有较好的结合作用、抑制作用,对KRAS G12D突变的细胞具有良好的细胞增殖抑制活性,具有优异的肿瘤抑制效果。此外,本发明化合物具有较好的药代动力学特征。 The compound of the present invention has good binding effect and inhibitory effect on KRAS G12D protein, has good cell proliferation inhibitory activity on KRAS G12D mutant cells, and has excellent tumor inhibitory effect. In addition, the compounds of the present invention have better pharmacokinetic characteristics.
相关定义Related Definitions
除非另有说明,本文所用的下列术语和短语旨在具有下列含义。一个特定的术语或短语在没有特别定义的情况下不应该被认为是不确定的或不清楚的,而应该按照普通的含义去理解。当本文中出现商品名时,意在指代其对应的商品或其活性成分。Unless otherwise specified, the following terms and phrases used herein are intended to have the following meanings. A particular term or phrase should not be considered indeterminate or unclear without specific definitions, but should be understood in its ordinary meaning. When a trade name appears herein, it is intended to refer to its corresponding commercial product or its active ingredient.
这里所采用的术语“药学上可接受的”,是针对那些化合物、材料、组合物和/或剂型而言,它们在可靠的医学判断的范围之内,适用于与人类和动物的组织接触使用,而没有过多的毒性、刺激性、过敏性反应或其它问题或并发症,与合理的利益/风险比相称。As used herein, the term "pharmaceutically acceptable" refers to those compounds, materials, compositions and/or dosage forms that, within the scope of sound medical judgment, are suitable for use in contact with human and animal tissue , without excessive toxicity, irritation, allergic reactions or other problems or complications, commensurate with a reasonable benefit/risk ratio.
术语“药学上可接受的盐”是指本发明化合物的盐,由本发明发现的具有特定取代基的化合物与相对无毒的酸或碱制备。当本发明的化合物中含有相对酸性的功能团时,可以通过在纯的溶液或合适的惰性溶剂中用足够量的碱与这类化合物接触的方式获得碱加成盐。药学上可接受的碱加成盐包括钠、钾、钙、铵、有机胺或镁盐或类似的盐。当本发明的化合物中含有相对碱性的官能团时,可以通过在纯的溶液或合适的 惰性溶剂中用足够量的酸与这类化合物接触的方式获得酸加成盐。药学上可接受的酸加成盐的实例包括无机酸盐,所述无机酸包括例如盐酸、氢溴酸、硝酸、碳酸,碳酸氢根,磷酸、磷酸一氢根、磷酸二氢根、硫酸、硫酸氢根、氢碘酸、亚磷酸等;以及有机酸盐,所述有机酸包括如乙酸、丙酸、异丁酸、马来酸、丙二酸、苯甲酸、琥珀酸、辛二酸、反丁烯二酸、乳酸、扁桃酸、邻苯二甲酸、苯磺酸、对甲苯磺酸、柠檬酸、酒石酸和甲磺酸等类似的酸;还包括氨基酸(如精氨酸等)的盐,以及如葡糖醛酸等有机酸的盐。本发明的某些特定的化合物含有碱性和酸性的官能团,从而可以被转换成任一碱或酸加成盐。The term "pharmaceutically acceptable salts" refers to salts of the compounds of the present invention, prepared from compounds with specific substituents discovered by the present invention and relatively non-toxic acids or bases. When compounds of the present invention contain relatively acidic functional groups, base addition salts can be obtained by contacting such compounds with a sufficient amount of base in neat solution or in a suitable inert solvent. Pharmaceutically acceptable base addition salts include sodium, potassium, calcium, ammonium, organic amine or magnesium salts or similar salts. When compounds of the present invention contain relatively basic functional groups, acid addition salts can be obtained by contacting such compounds with a sufficient amount of acid in neat solution or in a suitable inert solvent. Examples of pharmaceutically acceptable acid addition salts include inorganic acid salts including, for example, hydrochloric acid, hydrobromic acid, nitric acid, carbonic acid, bicarbonate, phosphoric acid, monohydrogen phosphate, dihydrogen phosphate, sulfuric acid, Hydrogen sulfate, hydroiodic acid, phosphorous acid, etc.; and organic acid salts including, for example, acetic acid, propionic acid, isobutyric acid, maleic acid, malonic acid, benzoic acid, succinic acid, suberic acid, Similar acids such as fumaric, lactic, mandelic, phthalic, benzenesulfonic, p-toluenesulfonic, citric, tartaric, and methanesulfonic acids; also include salts of amino acids such as arginine, etc. , and salts of organic acids such as glucuronic acid. Certain specific compounds of the present invention contain both basic and acidic functional groups and thus can be converted into either base or acid addition salts.
本发明的药学上可接受的盐可由含有酸根或碱基的母体化合物通过常规化学方法合成。一般情况下,这样的盐的制备方法是:在水或有机溶剂或两者的混合物中,经由游离酸或碱形式的这些化合物与化学计量的适当的碱或酸反应来制备。The pharmaceutically acceptable salts of the present invention can be synthesized from the acid or base containing parent compound by conventional chemical methods. Generally, such salts are prepared by reacting the free acid or base form of these compounds with a stoichiometric amount of the appropriate base or acid in water or an organic solvent or a mixture of the two.
本发明的化合物可以存在特定的几何或立体异构体形式。本发明设想所有的这类化合物,包括顺式和反式异构体、(-)-和(+)-对映体、(R)-和(S)-对映体、非对映异构体、(D)-异构体、(L)-异构体,及其外消旋混合物和其他混合物,例如对映异构体或非对映体富集的混合物,所有这些混合物都属于本发明的范围之内。烷基等取代基中可存在另外的不对称碳原子。所有这些异构体以及它们的混合物,均包括在本发明的范围之内。The compounds of the present invention may exist in specific geometric or stereoisomeric forms. The present invention contemplates all such compounds, including cis and trans isomers, (-)- and (+)-enantiomers, (R)- and (S)-enantiomers, diastereomers isomers, (D)-isomers, (L)-isomers, and racemic mixtures thereof and other mixtures, such as enantiomerically or diastereomerically enriched mixtures, all of which belong to this within the scope of the invention. Additional asymmetric carbon atoms may be present in substituents such as alkyl groups. All such isomers, as well as mixtures thereof, are included within the scope of the present invention.
本发明的化合物可以在一个或多个构成该化合物的原子上包含非天然比例的原子同位素。例如,可用放射性同位素标记化合物,比如氚( 3H),碘-125( 125I)或C-14( 14C)。又例如,可用重氢取代氢形成氘代药物,氘与碳构成的键比普通氢与碳构成的键更坚固,相比于未氘化药物,氘代药物有降低毒副作用、增加药物稳定性、增强疗效、延长药物生物半衰期等优势。本发明的化合物的所有同位素组成的变换,无论放射性与否,都包括在本发明的范围之内。 The compounds of the present invention may contain unnatural proportions of atomic isotopes at one or more of the atoms that constitute the compound. For example, compounds can be labeled with radioisotopes, such as tritium ( 3 H), iodine-125 ( 125 I) or C-14 ( 14 C). For another example, deuterated drugs can be formed by replacing hydrogen with deuterium, and the bond formed by deuterium and carbon is stronger than the bond formed by ordinary hydrogen and carbon. Compared with undeuterated drugs, deuterated drugs can reduce toxic side effects and increase drug stability. , enhance the efficacy, prolong the biological half-life of drugs and other advantages. All transformations of the isotopic composition of the compounds of the present invention, whether radioactive or not, are included within the scope of the present invention.
术语“任选”或“任选地”指的是随后描述的事件或状况可能但不是必需出现的,并且该描述包括其中所述事件或状况发生的情况以及所述事件或状况不发生的情况。The terms "optional" or "optionally" mean that the subsequently described event or circumstance may, but need not, occur, and that the description includes instances where said event or circumstance occurs and instances in which it does not. .
术语“被取代的”是指特定原子上的任意一个或多个氢原子被取代基取代,取代基可以包括重氢和氢的变体,只要特定原子的价态是正常的并且取代后的化合物是稳定的。当取代基为氧(即=O)时,意味着两个氢原子被取代。氧取代不会发生在芳香基上。术语“任选被取代的”是指可以被取代,也可以不被取代,除非另有规定,取代基的种类和数目在化学上可以实现的基础上可以是任意的。The term "substituted" means that any one or more hydrogen atoms on a specified atom are replaced by a substituent, which may include deuterium and hydrogen variants, as long as the valence of the specified atom is normal and the substituted compound is stable. When the substituent is oxygen (ie =O), it means that two hydrogen atoms are substituted. Oxygen substitution does not occur on aromatic groups. The term "optionally substituted" means that it may or may not be substituted, and unless otherwise specified, the type and number of substituents may be arbitrary on a chemically achievable basis.
当任何变量(例如R)在化合物的组成或结构中出现一次以上时,其在每一种情况下的定义都是独立的。因此,例如,如果一个基团被0-2个R所取代,则所述基团可以任选地至多被两个R所取代,并且每种情况下的R都有独立的选项。此外,取代基和/或其变体的组合只有在这样的组合会产生稳定的化合物的情况下才是被允许的。When any variable (eg, R) occurs more than once in the composition or structure of a compound, its definition in each case is independent. Thus, for example, if a group is substituted with 0-2 Rs, the group may optionally be substituted with up to two Rs, with independent options for R in each case. Furthermore, combinations of substituents and/or variants thereof are permissible only if such combinations result in stable compounds.
当一个连接基团的数量为0时,比如-(CRR) 0-,表示该连接基团为单键。 When the number of a linking group is 0, such as -(CRR) 0 -, it means that the linking group is a single bond.
当其中一个变量选自单键时,表示其连接的两个基团直接相连,比如A-L-Z中L代表单键时表示该结构实际上是A-Z。When one of the variables is selected from a single bond, it means that the two groups connected thereto are directly connected, for example, when L in A-L-Z represents a single bond, it means that the structure is actually A-Z.
当所列举的连接基团没有指明其连接方向,其连接方向是任意的,例如, 中连接基团L为-M-W-,此时-M-W-既可以按与从左往右的读取顺序相同的方向连接环A和环B构成 也可以按照与从左往右的读取顺序相反的方向连接环A和环B构成 所述连接基团、取代基和/或其变体的组合只有在这样的组合会产生稳定的化合物的情况下才是被允许的。 When the listed linking group does not indicate its direction of attachment, the direction of attachment is arbitrary, for example, The linking group L in the middle is -MW-, at this time -MW- can connect ring A and ring B in the same direction as the reading order from left to right. It is also possible to connect ring A and ring B in the opposite direction to the reading order from left to right. Combinations of the linking groups, substituents and/or variants thereof are permissible only if such combinations result in stable compounds.
除非另有规定,当某一基团具有一个或多个可连接位点时,该基团的任意一个或多个位点可以通过化学键与其他基团相连。当该化学键的连接方式是不定位的,且可连接位点存在H原子时,则连接化学键时,该位点的H原子的个数会随所连接化学键的个数而对应减少变成相应价数的基团。所述位点与其他基团连接的化学键可以用直形实线键 直形虚线键 或波浪线 表示。例如-OCH 3中的直形实线键表示通过该基团中的氧原子与其他基团相连; 中的直形虚线键表示通过该基团中的氮原子的两端与其他基团相连; 中的波浪线表示通过该苯基基团中的1和2位碳原子与其他基团相连; 表示该哌啶基上的任意可连接位点可以通过1个化学键与其他基团相连,至少包括 这4种连接方式,即使-N-上画出了H原子,但是 仍包括 这种连接方式的基团,只是在连接1个化学键时,该位点的H会对应减少1个变成相应的一价哌啶基。 Unless otherwise specified, when a group has one or more attachable sites, any one or more sites in the group can be linked to other groups by chemical bonds. When the connection method of the chemical bond is not positioned and there is an H atom at the connectable site, when the chemical bond is connected, the number of H atoms at the site will decrease correspondingly with the number of chemical bonds connected to the corresponding valence. the group. The chemical bond connecting the site to other groups can be represented by straight solid line bonds straight dotted key or wavy lines express. For example, a straight solid bond in -OCH 3 indicates that it is connected to other groups through the oxygen atom in this group; The straight dashed bond in the group indicates that it is connected to other groups through the two ends of the nitrogen atom in the group; The wavy line in the phenyl group indicates that it is connected to other groups through the 1 and 2 carbon atoms in the phenyl group; Indicates that any linkable site on the piperidinyl group can be connected to other groups through a chemical bond, including at least These 4 connection methods, even if the H atom is drawn on -N-, but still includes The group in this connection method is only that when one chemical bond is connected, the H at the site will be correspondingly reduced by one to become the corresponding monovalent piperidinyl group.
除非另有说明,用楔形实线键 和楔形虚线键 表示一个立体中心的绝对构型,用直形实线键 和直形虚线键 表示立体中心的相对构型,用波浪线 表示楔形实线键 或楔形虚线键 或用波浪线 表示直形实线键 或直形虚线键 Use solid wedge keys unless otherwise specified and wedge-dotted keys Indicate the absolute configuration of a stereocenter, using a straight solid key and straight dashed keys Indicate the relative configuration of the stereocenter, with a wavy line Represents a solid wedge key or wedge-dotted key or with wavy lines Represents a straight solid key or straight dashed key
除非另有规定,术语“C 1-3烷基”用于表示直链或支链的由1至3个碳原子组成的饱和碳氢基团。所述C 1-3烷基包括C 1-2和C 2-3烷基等;其可以是一价(如甲基)、二价(如亚甲基)或者多价(如次甲基)。C 1-3烷基的实例包括但不限于甲基(Me)、乙基(Et)、丙基(包括n-丙基和异丙基)等。 Unless otherwise specified, the term "C 1-3 alkyl" is used to denote a straight or branched chain saturated hydrocarbon group consisting of 1 to 3 carbon atoms. The C 1-3 alkyl group includes C 1-2 and C 2-3 alkyl groups, etc.; it can be monovalent (eg methyl), divalent (eg methylene) or multivalent (eg methine) . Examples of C1-3 alkyl groups include, but are not limited to, methyl (Me), ethyl (Et), propyl (including n-propyl and isopropyl), and the like.
除非另有规定,术语“C 1-3烷氧基”表示通过一个氧原子连接到分子的其余部分的那些包含1至3个碳原子的烷基基团。所述C 1-3烷氧基包括C 1-2、C 2-3、C 3和C 2烷氧基等。C 1-3烷氧基的实例包括但不限于甲氧基、乙氧基、丙氧基(包括正丙氧基和异丙氧基)等。 Unless otherwise specified, the term " C1-3alkoxy " refers to those alkyl groups containing 1 to 3 carbon atoms attached to the remainder of the molecule through an oxygen atom. The C 1-3 alkoxy group includes C 1-2 , C 2-3 , C 3 and C 2 alkoxy and the like. Examples of C 1-3 alkoxy groups include, but are not limited to, methoxy, ethoxy, propoxy (including n-propoxy and isopropoxy), and the like.
除非另有规定,术语“C 1-3烷氨基”表示通过氨基连接到分子的其余部分的那些包含1至3个碳原子的烷基基团。所述C 1-3烷氨基包括C 1-2、C 3和C 2烷氨基等。C 1-3烷氨基的实例包括但不限于-NHCH 3、-N(CH 3) 2、-NHCH 2CH 3、-N(CH 3)CH 2CH 3、-NHCH 2CH 2CH 3、-NHCH 2(CH 3) 2等。 Unless otherwise specified, the term "C 1-3 alkylamino" refers to those alkyl groups containing 1 to 3 carbon atoms attached to the remainder of the molecule through an amino group. The C 1-3 alkylamino groups include C 1-2 , C 3 and C 2 alkylamino groups and the like. Examples of C 1-3 alkylamino include, but are not limited to, -NHCH 3 , -N(CH 3 ) 2 , -NHCH 2 CH 3 , -N(CH 3 )CH 2 CH 3 , -NHCH 2 CH 2 CH 3 , - NHCH 2 (CH 3 ) 2 and the like.
除非另有规定,“C 2-3烯基”用于表示直链或支链的包含至少一个碳-碳双键的由2至3个碳原子组成的 碳氢基团,碳-碳双键可以位于该基团的任何位置上。所述C 2-3烯基包括C 3和C 2烯基;所述C 2-3烯基可以是一价、二价或者多价。C 2-3烯基的实例包括但不限于乙烯基、丙烯基等。 Unless otherwise specified, "C 2-3 alkenyl" is used to denote a straight or branched chain hydrocarbon group consisting of 2 to 3 carbon atoms containing at least one carbon-carbon double bond, a carbon-carbon double bond can be located anywhere in the group. The C 2-3 alkenyl group includes C 3 and C 2 alkenyl groups; the C 2-3 alkenyl group may be monovalent, divalent or multivalent. Examples of C 2-3 alkenyl groups include, but are not limited to, vinyl, propenyl, and the like.
除非另有规定,“C 2-3炔基”用于表示直链或支链的包含至少一个碳-碳三键的由2至3个碳原子组成的碳氢基团,碳-碳三键可以位于该基团的任何位置上。其可以是一价、二价或者多价。所述C 2-3炔基包括C 3和C 2炔基。C 2-3炔基的实例包括但不限于乙炔基、丙炔基等。 Unless otherwise specified, "C 2-3 alkynyl" is used to denote a straight or branched chain hydrocarbon group consisting of 2 to 3 carbon atoms containing at least one carbon-carbon triple bond, a carbon-carbon triple bond can be located anywhere in the group. It can be monovalent, bivalent or multivalent. The C 2-3 alkynyl groups include C 3 and C 2 alkynyl groups. Examples of C2-3alkynyl groups include, but are not limited to, ethynyl, propynyl, and the like.
除非另有规定,术语“4-5元杂环烷基”本身或者与其他术语联合分别表示由4至5个环原子组成的饱和单环基团,其1、2、3或4个环原子为独立选自O、S和N的杂原子,其余为碳原子,其中氮原子任选地被季铵化,氮和硫杂原子可任选被氧化(即NO和S(O) p,p是1或2)。此外,就该“4-5元杂环烷基”而言,杂原子可以占据杂环烷基与分子其余部分的连接位置。所述4-5元杂环烷基包括4元和5元杂环烷基。4-5元杂环烷基的实例包括但不限于氮杂环丁基、氧杂环丁基、硫杂环丁基、吡咯烷基、吡唑烷基、咪唑烷基、四氢噻吩基(包括四氢噻吩-2-基和四氢噻吩-3-基等)或四氢呋喃基(包括四氢呋喃-2-基等)等。 Unless otherwise specified, the term "4-5 membered heterocycloalkyl" by itself or in combination with other terms denotes a saturated monocyclic group consisting of 4 to 5 ring atoms, 1, 2, 3 or 4 ring atoms, respectively are heteroatoms independently selected from O, S, and N, and the remainder are carbon atoms, where the nitrogen atom is optionally quaternized, and the nitrogen and sulfur heteroatoms are optionally oxidized (ie, NO and S(O) p , p is 1 or 2). Furthermore, with respect to the "4-5 membered heterocycloalkyl", a heteroatom may occupy the position of attachment of the heterocycloalkyl to the remainder of the molecule. The 4-5 membered heterocycloalkyl includes 4 and 5 membered heterocycloalkyl. Examples of 4-5 membered heterocycloalkyl include, but are not limited to, azetidinyl, oxetanyl, thietanyl, pyrrolidinyl, pyrazolidinyl, imidazolidinyl, tetrahydrothienyl ( Including tetrahydrothiophen-2-yl and tetrahydrothiophen-3-yl, etc.) or tetrahydrofuranyl (including tetrahydrofuran-2-yl, etc.) and the like.
除非另有规定,“C 3-5环烷基”表示由3至5个碳原子组成的饱和环状碳氢基团,其为单环体系,所述C 3-5环烷基包括C 3-4和C 4-5环烷基等;其可以是一价、二价或者多价。C 3-5环烷基的实例包括,但不限于,环丙基、环丁基、环戊基等。 Unless otherwise specified, "C 3-5 cycloalkyl" means a saturated cyclic hydrocarbon group consisting of 3 to 5 carbon atoms, which is a monocyclic ring system, said C 3-5 cycloalkyl including C 3 -4 and C 4-5 cycloalkyl, etc.; it may be monovalent, divalent or polyvalent. Examples of C3-5 cycloalkyl include, but are not limited to, cyclopropyl, cyclobutyl, cyclopentyl, and the like.
除非另有规定,本发明术语“C 6-10芳环”和“C 6-10芳基”可以互换使用,术语“C 6-10芳环”或“C 6-10芳基”表示由6至10个碳原子组成的具有共轭π电子体系的环状碳氢基团,它可以是单环、稠合双环或稠合三环体系,其中各个环均为芳香性的。其可以是一价、二价或者多价,C 6-10芳基包括C 6-9、C 9、C 10和C 6芳基等。C 6-10芳基的实例包括但不限于苯基、萘基(包括1-萘基和2-萘基等)。 Unless otherwise specified, the terms "C 6-10 aryl ring" and "C 6-10 aryl group" can be used interchangeably in the present invention, and the term "C 6-10 aryl ring" or "C 6-10 aryl group" means by A cyclic hydrocarbon group composed of 6 to 10 carbon atoms with a conjugated π-electron system, which may be a monocyclic, fused bicyclic or fused tricyclic system, wherein each ring is aromatic. It may be monovalent, divalent or polyvalent, and C6-10 aryl groups include C6-9 , C9 , C10 and C6 aryl groups and the like. Examples of C6-10 aryl groups include, but are not limited to, phenyl, naphthyl (including 1-naphthyl and 2-naphthyl, and the like).
除非另有规定,本发明术语“5-10元杂芳环”和“5-10元杂芳基”可以互换使用,术语“5-10元杂芳基”是表示由5至10个环原子组成的具有共轭π电子体系的环状基团,其1、2、3或4个环原子为独立选自O、S和N的杂原子,其余为碳原子。其可以是单环、稠合双环或稠合三环体系,其中各个环均为芳香性的。其中氮原子任选地被季铵化,氮和硫杂原子可任选被氧化(即NO和S(O) p,p是1或2)。5-10元杂芳基可通过杂原子或碳原子连接到分子的其余部分。所述5-10元杂芳基包括10元、9元、9-10元、5-8元、5-7元、5-6元、5元和6元杂芳基等。所述5-10元杂芳基的实例包括但不限于吡咯基(包括N-吡咯基、2-吡咯基和3-吡咯基等)、吡唑基(包括2-吡唑基和3-吡唑基等)、咪唑基(包括N-咪唑基、2-咪唑基、4-咪唑基和5-咪唑基等)、噁唑基(包括2-噁唑基、4-噁唑基和5-噁唑基等)、三唑基(1H-1,2,3-三唑基、2H-1,2,3-三唑基、1H-1,2,4-三唑基和4H-1,2,4-三唑基等)、四唑基、异噁唑基(3-异噁唑基、4-异噁唑基和5-异噁唑基等)、噻唑基(包括2-噻唑基、4-噻唑基和5-噻唑基等)、呋喃基(包括2-呋喃基和3-呋喃基等)、噻吩基(包括2-噻吩基和3-噻吩基等)、吡啶基(包括2-吡啶基、3-吡啶基和4-吡啶基等)、吡嗪基、嘧啶基(包括2-嘧啶基和4-嘧啶基等)、苯并噻唑基(包括5-苯并噻唑基等)、嘌呤基、苯并咪唑基(包括2-苯并咪唑基等)、苯并噁唑基、吲哚基(包括5-吲哚基等)、异喹啉基(包括1-异喹啉基和5-异喹啉基等)、喹喔啉基(包括2-喹喔啉基和5-喹喔啉基等)或喹啉基(包括3-喹啉基和6-喹啉基等)。 Unless otherwise specified, the terms "5-10-membered heteroaryl ring" and "5-10-membered heteroaryl" can be used interchangeably in the present invention, and the term "5-10-membered heteroaryl" refers to a ring consisting of 5 to 10 rings. A cyclic group composed of atoms with a conjugated π-electron system, wherein 1, 2, 3 or 4 ring atoms are heteroatoms independently selected from O, S and N, and the rest are carbon atoms. It can be a monocyclic, fused bicyclic or fused tricyclic ring system, wherein each ring is aromatic. Where the nitrogen atom is optionally quaternized, the nitrogen and sulfur heteroatoms may be optionally oxidized (ie, NO and S(O) p , p is 1 or 2). A 5-10 membered heteroaryl group can be attached to the rest of the molecule through a heteroatom or a carbon atom. The 5-10-membered heteroaryl groups include 10-membered, 9-membered, 9-10-membered, 5-8-membered, 5-7-membered, 5-6-membered, 5-membered, and 6-membered heteroaryl groups, and the like. Examples of the 5-10 membered heteroaryl group include, but are not limited to, pyrrolyl (including N-pyrrolyl, 2-pyrrolyl and 3-pyrrolyl, etc.), pyrazolyl (including 2-pyrazolyl and 3-pyrrolyl, etc.) azolyl, etc.), imidazolyl (including N-imidazolyl, 2-imidazolyl, 4-imidazolyl and 5-imidazolyl, etc.), oxazolyl (including 2-oxazolyl, 4-oxazolyl and 5- oxazolyl, etc.), triazolyl (1H-1,2,3-triazolyl, 2H-1,2,3-triazolyl, 1H-1,2,4-triazolyl and 4H-1, 2,4-triazolyl, etc.), tetrazolyl, isoxazolyl (3-isoxazolyl, 4-isoxazolyl and 5-isoxazolyl, etc.), thiazolyl (including 2-thiazolyl , 4-thiazolyl and 5-thiazolyl, etc.), furyl (including 2-furyl and 3-furyl, etc.), thienyl (including 2-thienyl and 3-thienyl, etc.), pyridyl (including 2- -pyridyl, 3-pyridyl and 4-pyridyl, etc.), pyrazinyl, pyrimidinyl (including 2-pyrimidinyl and 4-pyrimidinyl, etc.), benzothiazolyl (including 5-benzothiazolyl, etc.) , purinyl, benzimidazolyl (including 2-benzimidazolyl, etc.), benzoxazolyl, indolyl (including 5-indolyl, etc.), isoquinolinyl (including 1-isoquinolinyl, etc.) and 5-isoquinolinyl, etc.), quinoxalinyl (including 2-quinoxalinyl and 5-quinoxalinyl, etc.) or quinolinyl (including 3-quinolinyl and 6-quinolinyl, etc.) .
除非另有规定,术语“4-8元杂环烷基”本身或者与其他术语联合分别表示由4至8个环原子组成的饱和环状基团,其1、2、3或4个环原子为独立选自O、S和N的杂原子,其余为碳原子,其中氮原子任选地被季铵化,氮和硫杂原子可任选被氧化(即NO和S(O) p,p是1或2)。其包括单环和双环体系,其中双 环体系包括螺环、并环和桥环。此外,就该“4-8元杂环烷基”而言,杂原子可以占据杂环烷基与分子其余部分的连接位置。所述4-8元杂环烷基包括4-6元、5-6元、4元、5元和6元杂环烷基等。4-8元杂环烷基的实例包括但不限于氮杂环丁基、氧杂环丁基、硫杂环丁基、吡咯烷基、吡唑烷基、咪唑烷基、四氢噻吩基(包括四氢噻吩-2-基和四氢噻吩-3-基等)、四氢呋喃基(包括四氢呋喃-2-基等)、四氢吡喃基、哌啶基(包括1-哌啶基、2-哌啶基和3-哌啶基等)、哌嗪基(包括1-哌嗪基和2-哌嗪基等)、吗啉基(包括3-吗啉基和4-吗啉基等)、二噁烷基、二噻烷基、异噁唑烷基、异噻唑烷基、1,2-噁嗪基、1,2-噻嗪基、六氢哒嗪基、高哌嗪基、高哌啶基或二氧杂环庚烷基等。 Unless otherwise specified, the term "4-8 membered heterocycloalkyl" by itself or in combination with other terms denotes a saturated cyclic group consisting of 4 to 8 ring atoms, respectively, of which 1, 2, 3 or 4 ring atoms are heteroatoms independently selected from O, S, and N, and the remainder are carbon atoms, where the nitrogen atom is optionally quaternized, and the nitrogen and sulfur heteroatoms are optionally oxidized (ie, NO and S(O) p , p is 1 or 2). It includes monocyclic and bicyclic ring systems, wherein bicyclic ring systems include spiro, paracyclic and bridged rings. Additionally, with respect to the "4-8 membered heterocycloalkyl", a heteroatom may occupy the position of attachment of the heterocycloalkyl to the remainder of the molecule. The 4-8 membered heterocycloalkyl includes 4-6 membered, 5-6 membered, 4 membered, 5 membered and 6 membered heterocycloalkyl and the like. Examples of 4-8 membered heterocycloalkyl include, but are not limited to, azetidinyl, oxetanyl, thietanyl, pyrrolidinyl, pyrazolidinyl, imidazolidinyl, tetrahydrothienyl ( Including tetrahydrothiophen-2-yl and tetrahydrothiophen-3-yl, etc.), tetrahydrofuranyl (including tetrahydrofuran-2-yl, etc.), tetrahydropyranyl, piperidinyl (including 1-piperidinyl, 2- piperidinyl and 3-piperidyl, etc.), piperazinyl (including 1-piperazinyl and 2-piperazinyl, etc.), morpholinyl (including 3-morpholinyl and 4-morpholinyl, etc.), Dioxanyl, dithianyl, isoxazolidinyl, isothiazolidinyl, 1,2-oxazinyl, 1,2-thiazinyl, hexahydropyridazinyl, homopiperazinyl, homopiperyl pyridyl or dioxepanyl, etc.
除非另有规定,术语“5-6元杂环烯基”本身或者与其他术语联合分别表示包含至少一个碳-碳双键的由5至6个环原子组成的部分不饱和的环状基团,其1、2、3或4个环原子为独立选自O、S和N的杂原子,其余为碳原子,其中氮原子任选地被季铵化,氮和硫杂原子可任选被氧化(即NO和S(O) p,p是1或2)。其包括单环和双环体系,其中双环体系包括螺环、并环和桥环,此体系的任意环都是非芳香性的。此外,就该“5-6元杂环烯基”而言,杂原子可以占据杂环烯基与分子其余部分的连接位置。所述5-6元杂环烯基包括5元和6元杂环烯基等。5-6元杂环烯基的实例包括但不限于 Unless otherwise specified, the term "5-6 membered heterocycloalkenyl" by itself or in combination with other terms respectively denotes a partially unsaturated cyclic group consisting of 5 to 6 ring atoms containing at least one carbon-carbon double bond , whose 1, 2, 3 or 4 ring atoms are heteroatoms independently selected from O, S and N, and the rest are carbon atoms, wherein the nitrogen atom is optionally quaternized, and the nitrogen and sulfur heteroatoms may optionally be Oxidation (ie NO and S(O) p , p is 1 or 2). It includes monocyclic and bicyclic ring systems, wherein bicyclic ring systems include spiro, paracyclic and bridged rings, any ring of this system is non-aromatic. Furthermore, in the case of the "5-6 membered heterocycloalkenyl", a heteroatom may occupy the position of attachment of the heterocycloalkenyl to the rest of the molecule. The 5-6 membered heterocyclenyl includes 5-membered and 6-membered heterocyclenyl and the like. Examples of 5-6 membered heterocycloalkenyl include but are not limited to
除非另有规定,C n-n+m或C n-C n+m包括n至n+m个碳的任何一种具体情况,例如C 1-12包括C 1、C 2、C 3、C 4、C 5、C 6、C 7、C 8、C 9、C 10、C 11、和C 12,也包括n至n+m中的任何一个范围,例如C 1-12包括C 1- 3、C 1-6、C 1-9、C 3-6、C 3-9、C 3-12、C 6-9、C 6-12、和C 9-12等;同理,n元至n+m元表示环上原子数为n至n+m个,例如3-12元环包括3元环、4元环、5元环、6元环、7元环、8元环、9元环、10元环、11元环、和12元环,也包括n至n+m中的任何一个范围,例如3-12元环包括3-6元环、3-9元环、5-6元环、5-7元环、6-7元环、6-8元环、和6-10元环等。 Unless otherwise specified, Cn-n+m or Cn - Cn+m includes any particular instance of n to n+ m carbons, eg C1-12 includes C1 , C2 , C3, C 4 , C 5 , C 6 , C 7 , C 8 , C 9 , C 10 , C 11 , and C 12 , also including any range from n to n+ m , eg C 1-12 includes C 1-3 , C 1-6 , C 1-9 , C 3-6 , C 3-9 , C 3-12 , C 6-9 , C 6-12 , and C 9-12 , etc.; in the same way, n yuan to n +m-membered means that the number of atoms in the ring is from n to n+m, for example, 3-12-membered ring includes 3-membered ring, 4-membered ring, 5-membered ring, 6-membered ring, 7-membered ring, 8-membered ring, 9-membered ring , 10-membered ring, 11-membered ring, and 12-membered ring, also including any one range from n to n+m, for example, 3-12-membered ring includes 3-6 membered ring, 3-9 membered ring, 5-6 membered ring ring, 5-7 membered ring, 6-7 membered ring, 6-8 membered ring, and 6-10 membered ring, etc.
本发明的化合物可以通过本领域技术人员所熟知的多种合成方法来制备,包括下面列举的具体实施方式、其与其他化学合成方法的结合所形成的实施方式以及本领域技术上人员所熟知的等同替换方式,优选的实施方式包括但不限于本发明的实施例。The compounds of the present invention can be prepared by a variety of synthetic methods well known to those skilled in the art, including the specific embodiments enumerated below, embodiments formed in combination with other chemical synthesis methods, and those well known to those skilled in the art Equivalent to alternatives, preferred embodiments include, but are not limited to, the embodiments of the present invention.
本发明的化合物可以通过本领域技术人员所熟知的常规方法来确认结构,如果本发明涉及化合物的绝对构型,则该绝对构型可以通过本领域常规技术手段予以确证。例如单晶X射线衍射法(SXRD),把培养出的单晶用Bruker D8 venture衍射仪收集衍射强度数据,光源为CuKα辐射,扫描方式: 扫描,收集相关数据后,进一步采用直接法(Shelxs97)解析晶体结构,便可以确证绝对构型。 The structure of the compound of the present invention can be confirmed by conventional methods well known to those skilled in the art. If the present invention relates to the absolute configuration of the compound, the absolute configuration can be confirmed by conventional technical means in the art. For example, single crystal X-ray diffraction method (SXRD), the cultured single crystal is collected by Bruker D8 venture diffractometer, the light source is CuKα radiation, and the scanning mode is: After scanning and collecting relevant data, the crystal structure was further analyzed by the direct method (Shelxs97), and the absolute configuration could be confirmed.
本发明所使用的溶剂可经市售获得。The solvent used in the present invention is commercially available.
化合物依据本领域常规命名原则或者使用 软件命名,市售化合物采用供应商目录名称。 Compounds are named according to conventional nomenclature in the art or are used Software naming, commercially available compounds use supplier catalog names.
图1.化合物A与和KRAS G12D蛋白的结合模式图; Figure 1. Binding pattern of compound A and KRAS G12D protein;
图2.化合物B与和KRAS G12D蛋白的结合模式图; Figure 2. Binding pattern of compound B and KRAS G12D protein;
图3.化合物C与和KRAS G12D蛋白的结合模式图。 Figure 3. Binding pattern of Compound C and KRAS G12D protein.
下面通过实施例对本发明进行详细描述,但并不意味着对本发明任何不利限制。本文已经详细地描述了本发明,其中也公开了其具体实施例方式,对本领域的技术人员而言,在不脱离本发明精神和范围的情况下针对本发明具体实施方式进行各种变化和改进将是显而易见的。The present invention will be described in detail by the following examples, but it does not mean any unfavorable limitation of the present invention. The present invention has been described in detail herein, and specific embodiments thereof have also been disclosed. For those skilled in the art, various changes and modifications can be made to the specific embodiments of the present invention without departing from the spirit and scope of the invention. will be obvious.
计算例1Calculation example 1
分子对接过程是通过使用Maestro( 版本2017-2)中的Glide SP[1]和默认选项进行的。选取PDB数据库中KRAS_G12C的晶体结构PDB:6UT0,将Cys12模拟突变为Asp12,经过能量优化后,作为对接模板。为了准备蛋白质,使用Maestro[2]的蛋白质准备向导模块添加氢原子,并使用OPLS3力场。对于配体的准备,使用LigPrep生成了分子的三维结构,并进行了能量最小化[3],使用confgen模块对小分子构象进行采样。以6UT0的配体作为质心生成了边长为 的正方体对接网格。在分子对接过程中放置参考化合物。分析蛋白质受体与配体的相互作用类型,分析蛋白质受体与配体的相互作用类型,然后根据计算得到的docking scrore以及结合模式选择并保存了合理对接构象。 The molecular docking process was performed by using Maestro ( Glide SP[1] and default options in version 2017-2). The crystal structure PDB:6UT0 of KRAS_G12C in the PDB database was selected, Cys12 was simulated and mutated to Asp12, and after energy optimization, it was used as the docking template. To prepare the protein, hydrogen atoms were added using the Protein Preparation Wizard module of Maestro [2] and the OPLS3 force field was used. For ligand preparation, the 3D structure of the molecule was generated using LigPrep and energy minimization was performed [3], and the small molecule conformation was sampled using the confgen module. Using the ligand of 6UT0 as the centroid, the side length is The cube docking grid. Place reference compounds during molecular docking. The interaction types between protein receptors and ligands are analyzed, and the interaction types between protein receptors and ligands are analyzed, and then a reasonable docking conformation is selected and saved according to the calculated docking scrore and binding mode.
[1]Glide, LLC,New York,NY,2017. [1]Glide, LLC, New York, NY, 2017.
[2]Maestro, LLC,New York,NY,2017. [2] Maestro, LLC, New York, NY, 2017.
[3]LigPrep, LLC,New York,NY,2017. [3]LigPrep, LLC, New York, NY, 2017.
结论:本发明化合物与KRAS G12D有较好的结合。Conclusion: The compound of the present invention has good binding with KRAS G12D.
实施例1Example 1
合成路线:synthetic route:
步骤1:化合物1-2的合成Step 1: Synthesis of Compounds 1-2
氮气保护,将1-1(72g,405.34mmol,1eq),DMAP(49.52g,405.34mmol,1eq)和1-1a(395.31g,2.03mol,5eq)溶于TEA(261.72g,2.59mol,6.38eq)中,反应液在80℃搅拌12h。向反应液中加入EtOAc(800mL*2)和H 2O(800mL)萃取分液,有机相用饱和食盐水(500mL)洗涤,有机相干燥,过滤浓缩得到1-2粗品。MS m/z:292.1[M+1] +。 Under nitrogen protection, 1-1 (72g, 405.34mmol, 1eq), DMAP (49.52g, 405.34mmol, 1eq) and 1-1a (395.31g, 2.03mol, 5eq) were dissolved in TEA (261.72g, 2.59mol, 6.38 eq), the reaction solution was stirred at 80 °C for 12 h. EtOAc (800 mL*2) and H 2 O (800 mL) were added to the reaction solution for extraction and separation, the organic phase was washed with saturated brine (500 mL), the organic phase was dried, filtered and concentrated to obtain crude product 1-2. MS m/z: 292.1[M+1] + .
步骤2:化合物1-3的合成Step 2: Synthesis of Compounds 1-3
氮气保护,将1-2a(390.64g,2.34mol,13.65eq),KI(71.12g,428.42mmol,2.5eq)和1-2(50g,171.37mmol,1eq)溶于K 2CO 3(59.21g,428.42mmol,2.5eq)中,反应液在80℃搅拌12h。向反应液中加入H 2O(600mL)和EtOAc(600mL*2)萃取分液,有机相用饱和食盐水(500mL)洗涤,有机相干燥过滤浓缩得到化合物1-3。MS m/z:378.1[M+1] +。 Under nitrogen protection, 1-2a (390.64g, 2.34mol, 13.65eq), KI (71.12g, 428.42mmol, 2.5eq) and 1-2 (50g, 171.37mmol, 1eq) were dissolved in K2CO3 ( 59.21g ) , 428.42mmol, 2.5eq), the reaction solution was stirred at 80°C for 12h. H 2 O (600 mL) and EtOAc (600 mL*2) were added to the reaction solution for extraction and separation, the organic phase was washed with saturated brine (500 mL), and the organic phase was dried, filtered and concentrated to obtain compound 1-3. MS m/z: 378.1[M+1] + .
步骤3:化合物1-4的合成Step 3: Synthesis of Compounds 1-4
氮气保护,-65℃下,将化合物1-3(10g,26.46mmol,1eq)溶于THF(200mL),然后缓慢滴加LDA(2M,27.79mL,2.1eq),-65℃反应1小时。向反应体系中加入饱和氯化铵溶液(100mL),水相使用甲叔醚(100mL*2)萃取,分液。合并有机相,使用饱和食盐水(100mL)清洗,无水硫酸钠干燥,过滤,减压浓缩得到粗产品。粗产品通过过柱机(流动相:乙酸乙酯/石油醚=0~0.5%)分离,纯化得到化合物1-4。 1H NMR(400MHz,CDCl 3)δ=12.08(s,1H),7.74-7.73(m,1H),7.63-7.58(m,1H),7.55-7.53(m,1H),7.43(t,J=7.6Hz,1H),7.35-7.33(m,1H),7.22(dd,J=7.6,1.2Hz,1H),4.28(q,J=7.2Hz,2H),3.92-3.88(m,1H), 3.53-3.48(m,1H),3.46-3.40(m,1H),3.10-3.03(m,1H),2.75-2.68(m,1H),2.38-2.32(m,1H),1.35(t,J=6.8Hz,3H).MS m/z:332.1[M+1] +. Under nitrogen protection, compound 1-3 (10 g, 26.46 mmol, 1 eq) was dissolved in THF (200 mL) at -65 °C, and then LDA (2M, 27.79 mL, 2.1 eq) was slowly added dropwise, and the reaction was performed at -65 °C for 1 hour. A saturated ammonium chloride solution (100 mL) was added to the reaction system, the aqueous phase was extracted with methyl tertiary ether (100 mL*2), and the layers were separated. The organic phases were combined, washed with saturated brine (100 mL), dried over anhydrous sodium sulfate, filtered, and concentrated under reduced pressure to obtain the crude product. The crude product was separated by a column machine (mobile phase: ethyl acetate/petroleum ether=0-0.5%), and purified to obtain compound 1-4. 1 H NMR (400 MHz, CDCl 3 ) δ=12.08(s, 1H), 7.74-7.73(m, 1H), 7.63-7.58(m, 1H), 7.55-7.53(m, 1H), 7.43(t, J =7.6Hz,1H),7.35-7.33(m,1H),7.22(dd,J=7.6,1.2Hz,1H),4.28(q,J=7.2Hz,2H),3.92-3.88(m,1H) , 3.53-3.48(m,1H),3.46-3.40(m,1H),3.10-3.03(m,1H),2.75-2.68(m,1H),2.38-2.32(m,1H),1.35(t, J=6.8Hz,3H).MS m/z:332.1[M+1] + .
步骤4:化合物1-5的合成Step 4: Synthesis of Compounds 1-5
氮气保护,将化合物1-4(5.9g,11.56mmol,1eq)溶于MeOH(59mL),0℃分三批加入化合物1-4a(3.26g,17.34mmol,1.5eq)和CH 3ONa(2.87g,53.17mmol,4.6eq),期间保持温度在0~15℃,然后20℃反应21小时。使用2N盐酸溶液调节体系pH至5,有固体析出,过滤,滤饼依次使用甲醇(500mL)和甲叔醚(500mL)清洗,滤饼减压干燥得到化合物1-5粗品。该反应体系无纯化,直接用于下一步反应。MS m/z:358.1[M+1] +. Under nitrogen protection, compound 1-4 (5.9 g, 11.56 mmol, 1 eq) was dissolved in MeOH (59 mL), and compound 1-4a (3.26 g, 17.34 mmol, 1.5 eq) and CH 3 ONa (2.87 were added in three batches at 0°C) g, 53.17 mmol, 4.6 eq), during which the temperature was maintained at 0-15 °C, and then reacted at 20 °C for 21 hours. 2N hydrochloric acid solution was used to adjust the pH of the system to 5, a solid was precipitated, filtered, the filter cake was washed with methanol (500 mL) and methyl tertiary ether (500 mL) successively, and the filter cake was dried under reduced pressure to obtain the crude product of compound 1-5. The reaction system was directly used in the next step without purification. MS m/z: 358.1[M+1] + .
步骤5:化合物1-6的合成Step 5: Synthesis of Compounds 1-6
氮气保护,将化合物1-5(0.98g,2.74mmol,1eq)溶于二氯甲烷(10mL),加入N,N-二异丙基乙胺(1.06g,8.22mmol,1.43mL,3eq),0℃缓慢滴加三氟甲磺酸酐(1.55g,5.48mmol,903.68μL,2eq),期间保持温度在0~8℃,待滴加完毕后,缓慢升温至20℃反应1小时。向反应体系中加入水(50mL),分液。水相使用二氯甲烷(50mL*2)萃取,分液。合并有机相,使用饱和食盐水(50mL)清洗,无水硫酸钠干燥,过滤,减压浓缩得到化合物1-6。该化合物未纯化,直接用于下一步反应。MS m/z:489.9[M+1] +。 Under nitrogen protection, compound 1-5 (0.98g, 2.74mmol, 1eq) was dissolved in dichloromethane (10mL), N,N-diisopropylethylamine (1.06g, 8.22mmol, 1.43mL, 3eq) was added, Trifluoromethanesulfonic anhydride (1.55g, 5.48mmol, 903.68μL, 2eq) was slowly added dropwise at 0°C, maintaining the temperature at 0-8°C during the period, and after the dropwise addition was completed, the temperature was slowly raised to 20°C for reaction for 1 hour. Water (50 mL) was added to the reaction system, and the layers were separated. The aqueous phase was extracted with dichloromethane (50 mL*2), and the layers were separated. The organic phases were combined, washed with saturated brine (50 mL), dried over anhydrous sodium sulfate, filtered, and concentrated under reduced pressure to obtain compound 1-6. This compound was not purified and used directly in the next reaction. MS m/z: 489.9[M+1] + .
步骤6:化合物1-7的合成Step 6: Synthesis of Compounds 1-7
氮气保护,将化合物1-6(3g,1.84mmol,1eq)和化合物1-6a(397.78mg,1.87mmol,1.02eq)溶于乙腈(18mL),加入碳酸钾(507.79mg,3.67mmol,2eq),10℃反应13小时。向反应体系中加入水(50mL),水相使用甲叔醚(60mL*2)萃取,分液。合并有机相,使用饱和食盐水(50mL)清洗,无水硫酸钠干燥,过滤,减压浓缩得到粗产品。粗产品通过柱层析(流动相:石油醚:乙酸乙酯=30:1~10:1)分离,纯化得到化合物1-7。 1H NMR(400MHz,CDCl 3)δ7.74(d,J=8.1Hz,1H),7.59(d,J=8.1Hz,1H),7.51(d,J=7.4Hz,1H),7.43(t,J=7.8Hz,1H),7.32(t,J=7.8Hz,1H),7.21(d,J=7.5Hz,1H),4.42(d,J=17.6Hz,1H),4.37–4.20(m,2H),4.08(d,J=12.6Hz,1H),3.85(d,J=17.8Hz,1H),3.69–3.59(m,1H),3.57–3.48(m,1H),3.47–3.30(m,1H),3.20–3.02(m,3H),2.51(s,3H),2.49(s,1H),2.01–1.87(m,3H),1.81–1.70(m,1H),1.49(s,9H)。MS m/z:552.1[M+1] +。 Under nitrogen protection, compound 1-6 (3g, 1.84mmol, 1eq) and compound 1-6a (397.78mg, 1.87mmol, 1.02eq) were dissolved in acetonitrile (18mL), and potassium carbonate (507.79mg, 3.67mmol, 2eq) was added. , 10 ℃ reaction for 13 hours. Water (50 mL) was added to the reaction system, the aqueous phase was extracted with methyl tertiary ether (60 mL*2), and the layers were separated. The organic phases were combined, washed with saturated brine (50 mL), dried over anhydrous sodium sulfate, filtered, and concentrated under reduced pressure to obtain the crude product. The crude product was separated by column chromatography (mobile phase: petroleum ether: ethyl acetate=30:1-10:1), and purified to obtain compound 1-7. 1 H NMR (400 MHz, CDCl 3 ) δ 7.74 (d, J=8.1 Hz, 1H), 7.59 (d, J=8.1 Hz, 1H), 7.51 (d, J=7.4 Hz, 1H), 7.43 (t , J=7.8Hz, 1H), 7.32(t, J=7.8Hz, 1H), 7.21(d, J=7.5Hz, 1H), 4.42(d, J=17.6Hz, 1H), 4.37–4.20(m ,2H),4.08(d,J=12.6Hz,1H),3.85(d,J=17.8Hz,1H),3.69–3.59(m,1H),3.57–3.48(m,1H),3.47–3.30( m, 1H), 3.20–3.02 (m, 3H), 2.51 (s, 3H), 2.49 (s, 1H), 2.01–1.87 (m, 3H), 1.81–1.70 (m, 1H), 1.49 (s, 9H). MS m/z: 552.1[M+1] + .
步骤7:化合物1-8的合成Step 7: Synthesis of Compounds 1-8
氮气保护,将化合物1-7(0.74g,1.34mmol,1eq)溶于二氯甲烷(25mL),0℃加入间氯过氧苯甲酸(326.53mg,1.61mmol,1.2eq),然后缓慢升温至20℃反应2小时。向反应体系中加入饱和硫代硫酸钠溶液(10mL),分液。水相使用二氯甲烷(20mL*2)萃取,分液。合并有机相,有机相使用饱和碳酸氢钠溶液(10mL)清洗,分液。水相使用二氯甲烷(10mL*2)萃取,分液。合并有机相,使用饱和食盐水(10mL)清洗,无水硫酸钠干燥,过滤,减压浓缩得到化合物1-8。该化合物未纯化,直接用于下一步反应。MS m/z:568.2[M+1] +。 Under nitrogen protection, compound 1-7 (0.74g, 1.34mmol, 1eq) was dissolved in dichloromethane (25mL), m-chloroperoxybenzoic acid (326.53mg, 1.61mmol, 1.2eq) was added at 0°C, and then the temperature was slowly raised to The reaction was carried out at 20°C for 2 hours. Saturated sodium thiosulfate solution (10 mL) was added to the reaction system, and the solution was separated. The aqueous phase was extracted with dichloromethane (20 mL*2), and the layers were separated. The organic phases were combined, washed with saturated sodium bicarbonate solution (10 mL), and separated. The aqueous phase was extracted with dichloromethane (10 mL*2), and the layers were separated. The organic phases were combined, washed with saturated brine (10 mL), dried over anhydrous sodium sulfate, filtered, and concentrated under reduced pressure to obtain compound 1-8. This compound was not purified and used directly in the next reaction. MS m/z: 568.2[M+1] + .
步骤8:化合物1-9的合成Step 8: Synthesis of Compounds 1-9
氮气保护,将化合物1-8(0.15g,264.02μmol,1eq)和化合物1-8a(50.44mg,316.83μmol,1.2eq)溶于甲苯(10mL),0℃加入叔丁醇钠(38.06mg,396.04μmol,1.5eq),然后0℃反应1小时。向反应体系中加入水(5mL),水相使用乙酸乙酯(10mL*3)萃取,分液。合并有机相,使用饱和食盐水(10mL)清洗,无 水硫酸钠干燥,过滤,减压浓缩得到化合物1-9。该化合物未纯化,直接用于下一步反应。MS m/z:663.2[M+1] +。 Under nitrogen protection, compound 1-8 (0.15g, 264.02μmol, 1eq) and compound 1-8a (50.44mg, 316.83μmol, 1.2eq) were dissolved in toluene (10mL), and sodium tert-butoxide (38.06mg, 0 ℃) was added. 396.04μmol, 1.5eq), and then react at 0°C for 1 hour. Water (5 mL) was added to the reaction system, the aqueous phase was extracted with ethyl acetate (10 mL*3), and the layers were separated. The organic phases were combined, washed with saturated brine (10 mL), dried over anhydrous sodium sulfate, filtered, and concentrated under reduced pressure to obtain compound 1-9. This compound was not purified and used directly in the next reaction. MS m/z: 663.2[M+1] + .
步骤9:化合物1的合成Step 9: Synthesis of Compound 1
氮气保护,将化合物1-9(0.32g,482.49μmol)溶于甲醇(5mL),加入盐酸/甲醇(4M,15.71mL,),20℃反应2小时。将反应体系直接减压浓缩得到粗产品。粗产品通过高效液相色谱分离(色谱柱:Waters Xbridge Prep OBD C18 150*40mm*10μm;流动相:A(乙腈)和B(水,含0.05%氨水和10mM碳酸氢铵);梯度:B%:35%-65%,8min),纯化得到化合物1。 1H NMR(400MHz,CDCl 3)δ=7.74(d,J=8.0Hz,1H),7.59(d,J=8.0Hz,1H),7.51(d,J=7.2Hz,1H),7.43(t,J=7.6Hz,1H),7.32(t,J=7.6Hz,1H),7.20(d,J=7.6Hz,1H),5.32-5.19(m,1H),4.40(d,J=16.8Hz,1H),4.15-4.07(m,2H),4.00-3.92(m,1H),3.86(dd,J=17.6,5.6Hz,1H),3.69(d,J=13.2Hz,1H),3.58(s,2H),3.53-3.50(m,1H),3.32(d,J=12.0Hz,1H),3.27-3.22(m,2H),3.16-3.03(m,4H),2.99-2.93(m,1H),2.50(d,J=13.2Hz,1H),2.32-2.12(m,3H),2.01-1.87(m,4H),1.80(s,4H)。MS m/z:563.3[M+1] +。 Under nitrogen protection, compound 1-9 (0.32 g, 482.49 μmol) was dissolved in methanol (5 mL), hydrochloric acid/methanol (4 M, 15.71 mL, ) was added, and the reaction was carried out at 20° C. for 2 hours. The reaction system was directly concentrated under reduced pressure to obtain the crude product. The crude product was separated by high performance liquid chromatography (column: Waters Xbridge Prep OBD C18 150*40mm*10μm; mobile phase: A (acetonitrile) and B (water, containing 0.05% ammonia and 10 mM ammonium bicarbonate); gradient: B% : 35%-65%, 8 min), purified to give compound 1. 1 H NMR (400 MHz, CDCl 3 ) δ=7.74 (d, J=8.0 Hz, 1H), 7.59 (d, J=8.0 Hz, 1H), 7.51 (d, J=7.2 Hz, 1H), 7.43 (t ,J=7.6Hz,1H),7.32(t,J=7.6Hz,1H),7.20(d,J=7.6Hz,1H),5.32-5.19(m,1H),4.40(d,J=16.8Hz ,1H),4.15-4.07(m,2H),4.00-3.92(m,1H),3.86(dd,J=17.6,5.6Hz,1H),3.69(d,J=13.2Hz,1H),3.58( s, 2H), 3.53-3.50(m, 1H), 3.32(d, J=12.0Hz, 1H), 3.27-3.22(m, 2H), 3.16-3.03(m, 4H), 2.99-2.93(m, 1H), 2.50 (d, J=13.2Hz, 1H), 2.32-2.12 (m, 3H), 2.01-1.87 (m, 4H), 1.80 (s, 4H). MS m/z: 563.3[M+1] + .
实施例2Example 2
步骤1:化合物2-2的合成Step 1: Synthesis of Compound 2-2
将中间体2-1(5.53g,16.35mmol)和中间体1-6a(3.47g,16.35mmol)溶于四氢呋喃(50mL)中,接着加入N,N-二异丙基乙胺(2.32g,17.99mmol),升至35℃反应1小时。继续反应1小时。补加N,N-二异丙基乙胺(2.32g,17.99mmol),继续反应5小时。将反应液冷却至25℃,加入乙酸乙酯(50mL)稀释,水洗(2x 50mL),饱和氯化钠溶液(50mL)洗,无水硫酸钠干燥,浓缩。粗产品通过柱层析(流动相:石油醚:乙酸乙酯=10:1~2:1)分离得中间体2-2。MS:MS(ESI)m/z:514.1[M+1] +。 Intermediate 2-1 (5.53 g, 16.35 mmol) and Intermediate 1-6a (3.47 g, 16.35 mmol) were dissolved in tetrahydrofuran (50 mL), followed by the addition of N,N-diisopropylethylamine (2.32 g, 17.99 mmol), it was raised to 35 °C and reacted for 1 hour. The reaction was continued for 1 hour. Additional N,N-diisopropylethylamine (2.32 g, 17.99 mmol) was added, and the reaction was continued for 5 hours. The reaction solution was cooled to 25°C, diluted with ethyl acetate (50 mL), washed with water (2×50 mL), washed with saturated sodium chloride solution (50 mL), dried over anhydrous sodium sulfate, and concentrated. The crude product was separated by column chromatography (mobile phase: petroleum ether: ethyl acetate=10:1-2:1) to obtain Intermediate 2-2. MS: MS(ESI) m/z: 514.1 [M+1] + .
步骤2:化合物2-3的合成Step 2: Synthesis of Compounds 2-3
将中间体2-2(2g,3.89mmol),中间体1-8a(929.16mg,5.84mmol),三(二亚苄基丙酮)二钯(356.30mg,389.09μmol),1,1'-联萘-2,2'-双二苯膦(484.56mg,778.19μmol)和碳酸铯(2.54g,7.78mmol)溶于二氧六环(30mL)中,氮气保护下在95℃下反应16小时。将反应液过滤,母液浓缩干。粗产品通过柱层析(流动相:二氯甲烷:甲醇=100:1~50:1)分离得中间体2-3。MS(ESI)m/z:637.3[M+1] +。 Intermediate 2-2 (2 g, 3.89 mmol), intermediate 1-8a (929.16 mg, 5.84 mmol), tris(dibenzylideneacetone)dipalladium (356.30 mg, 389.09 μmol), 1,1′-dipalladium Naphthalene-2,2'-bisdiphenylphosphine (484.56 mg, 778.19 μmol) and cesium carbonate (2.54 g, 7.78 mmol) were dissolved in dioxane (30 mL) and reacted at 95° C. for 16 hours under nitrogen protection. The reaction solution was filtered, and the mother liquor was concentrated to dryness. The crude product was separated by column chromatography (mobile phase: dichloromethane: methanol=100:1~50:1) to obtain Intermediate 2-3. MS(ESI) m/z: 637.3[M+1] + .
步骤3:化合物2-4的合成Step 3: Synthesis of Compounds 2-4
将中间体2-3(2.3g,3.61mmol)溶于四氢呋喃(20mL)和甲醇(10mL)中,接着加入氢氧化钯(345.00mg,491.33μmol),在氢气(15psi)氛围下,25℃反应18小时。将反应液过滤,浓缩。粗产品通过柱层析(流动相:二氯甲烷:甲醇=50:1~20:1)分离得中间体2-4。MS(ESI)m/z:503.3[M+1] +。 Intermediate 2-3 (2.3 g, 3.61 mmol) was dissolved in tetrahydrofuran (20 mL) and methanol (10 mL), then palladium hydroxide (345.00 mg, 491.33 μmol) was added, and the reaction was carried out at 25°C under hydrogen (15 psi) atmosphere. 18 hours. The reaction solution was filtered and concentrated. The crude product was separated by column chromatography (mobile phase: dichloromethane: methanol=50:1~20:1) to obtain Intermediate 2-4. MS(ESI) m/z: 503.3 [M+1] + .
步骤4:化合物2-5的合成Step 4: Synthesis of Compounds 2-5
将中间体2-4(200mg,397.91μmol),中间体2-4a(184.69mg,795.82μmol),三(二亚苄基丙酮)二钯(72.88mg,79.58μmol),2-双环已基膦-2',6'-二异丙氧基联苯(74.27mg,159.16μmol)和碳酸铯(324.12mg,994.78μmol)溶于甲苯(4mL)中,氮气保护下在90℃反应19小时。将反应液冷却至25℃,乙酸乙酯(20mL)稀释,滤去不溶物,浓缩。粗产品通过柱层析(流动相:二氯甲烷:甲醇=50:1~20:1)分离得中间体2-5。LCMS:MS(ESI)m/z:654.3[M+1] +。 Intermediate 2-4 (200 mg, 397.91 μmol), Intermediate 2-4a (184.69 mg, 795.82 μmol), tris(dibenzylideneacetone)dipalladium (72.88 mg, 79.58 μmol), 2-bicyclohexylphosphine -2',6'-diisopropoxybiphenyl (74.27 mg, 159.16 μmol) and cesium carbonate (324.12 mg, 994.78 μmol) were dissolved in toluene (4 mL) and reacted at 90° C. for 19 hours under nitrogen protection. The reaction solution was cooled to 25°C, diluted with ethyl acetate (20 mL), insolubles were filtered off, and concentrated. The crude product was separated by column chromatography (mobile phase: dichloromethane: methanol=50:1~20:1) to obtain Intermediate 2-5. LCMS: MS(ESI) m/z: 654.3 [M+1] + .
步骤5:化合物2的甲酸盐的合成Step 5: Synthesis of the formate salt of compound 2
将中间体2-5(129mg,197.31μmol)溶于二氯甲烷(2mL)中,在25℃下加入三氟乙酸(770.00mg,6.75mmol),继续反应0.5小时。将反应液浓缩干,二氯甲烷(10mL)溶解,加入碳酸氢钠固体中和过量的三氟醋酸,加入乙酸乙酯(20mL)稀释,滤去不溶物,浓缩。粗品经制备HPLC(色谱柱:Welch Xtimate C18 150*25mm*5μm;流动相:[水(甲酸)-乙腈];乙腈%:14%-44%,6min)分离得化合物2的甲酸盐。MS(ESI)m/z:554.5[M+1] +。 1H NMR(400MHz,CD 3OD)δ8.23(br d,J=8.28Hz,1H),8.03(br d,J=7.03Hz,1H),7.87(br d,J=8.03Hz,1H),7.55-7.74(m,3H),5.43-5.66(m,1H),4.40-4.56(m,3H),4.12-4.32(m,3H),3.72-4.05(m,5H),3.50-3.70(m,2H),3.32-3.47(m,4H),3.27-3.31(m,1H),2.62-2.73(m,1H),2.48-2.59(m,1H),2.22-2.42(m,4H),2.00-2.20(m,4H)。 Intermediate 2-5 (129 mg, 197.31 μmol) was dissolved in dichloromethane (2 mL), trifluoroacetic acid (770.00 mg, 6.75 mmol) was added at 25° C., and the reaction was continued for 0.5 hours. The reaction solution was concentrated to dryness, dissolved in dichloromethane (10 mL), sodium bicarbonate solid was added to neutralize excess trifluoroacetic acid, ethyl acetate (20 mL) was added to dilute, insolubles were filtered off, and concentrated. The crude product was separated by preparative HPLC (chromatographic column: Welch Xtimate C18 150*25mm*5μm; mobile phase: [water (formic acid)-acetonitrile]; acetonitrile%: 14%-44%, 6min) to obtain the formate salt of compound 2. MS(ESI) m/z: 554.5[M+1] + . 1 H NMR (400MHz, CD 3 OD) δ 8.23 (br d, J=8.28Hz, 1H), 8.03 (br d, J=7.03Hz, 1H), 7.87 (br d, J=8.03Hz, 1H) ,7.55-7.74(m,3H),5.43-5.66(m,1H),4.40-4.56(m,3H),4.12-4.32(m,3H),3.72-4.05(m,5H),3.50-3.70( m,2H),3.32-3.47(m,4H),3.27-3.31(m,1H),2.62-2.73(m,1H),2.48-2.59(m,1H),2.22-2.42(m,4H), 2.00-2.20 (m, 4H).
实施例3Example 3
步骤1:化合物3-1的合成Step 1: Synthesis of Compound 3-1
将中间体2-4(50mg,99.48μmol)和中间体2-4b(20.80mg,99.48μmol)溶于N,N-二甲基甲酰胺(5mL)中,随后加入N,N-二异丙基乙胺(38.57mg,298.43μmol),80℃下反应12小时。水洗(5mL*2),乙酸乙酯萃取(10mL*2),饱和食盐水洗(5mL),无水硫酸钠干燥,减压浓缩除去有机溶剂。粗产品通过柱层析(流动相:二氯甲烷:甲醇=50:1~20:1)分离得中间体3-1。MS(ESI)m/z:692.3[M+1] +。 Intermediate 2-4 (50 mg, 99.48 μmol) and Intermediate 2-4b (20.80 mg, 99.48 μmol) were dissolved in N,N-dimethylformamide (5 mL) followed by the addition of N,N-diisopropyl Ethylamine (38.57 mg, 298.43 μmol), reacted at 80° C. for 12 hours. Washed with water (5 mL*2), extracted with ethyl acetate (10 mL*2), washed with saturated brine (5 mL), dried over anhydrous sodium sulfate, concentrated under reduced pressure to remove the organic solvent. The crude product was separated by column chromatography (mobile phase: dichloromethane: methanol=50:1~20:1) to obtain Intermediate 3-1. MS(ESI) m/z: 692.3[M+1] + .
步骤2:化合物3-2的合成Step 2: Synthesis of Compound 3-2
将中间体3-1(45mg,65.06μmol)溶于甲醇(5mL)中,氮气换气,加入钯/碳(4.5mg,10%纯度),再氮气换气,随后在氢气氛围下(15psi),25℃下反应4小时。过滤除去钯/碳,滤液减压浓缩除去有机溶剂得粗品中间体3-2。MS(ESI)m/z:662.3[M+1] +。 Intermediate 3-1 (45 mg, 65.06 μmol) was dissolved in methanol (5 mL), purged with nitrogen, palladium on carbon (4.5 mg, 10% pure) was added, purged with nitrogen, and then under an atmosphere of hydrogen (15 psi) , and reacted at 25°C for 4 hours. The palladium/carbon was removed by filtration, and the filtrate was concentrated under reduced pressure to remove the organic solvent to obtain the crude intermediate 3-2. MS(ESI) m/z: 662.3[M+1] + .
步骤3:化合物3的盐酸盐的合成Step 3: Synthesis of the hydrochloride salt of compound 3
将中间体3-2(40mg,57.29μmol)溶于甲醇(1mL)中,随后加入氯化氢/二氧六环(4M,4mL),25℃下反应4小时。直接减压浓缩除去有机溶剂,DCM打浆,过滤得化合物3的盐酸盐。MS(ESI)m/z:562.3[M+1] +。 1H NMR(400MHz,CD 3OD)δ7.67(s,1H),7.53(d,J=8.0Hz,1H),7.34(d,J=8.3Hz,1H),5.70- 5.55(m,1H),δ=4.29(br s,2H),4.23(s,2H),4.02-3.97(m,3H),3.82-3.80(m,3H),3.51-3.47(m,2H),3.29-3.27(m,3H),3.09-3.06(m,3H),2.83-2.74(m,1H),2.74-2.62(m,3H),2.55-2.45(m,2H),2.40-2.35(m,4H),2.29-2.24(m,2H)。 Intermediate 3-2 (40 mg, 57.29 μmol) was dissolved in methanol (1 mL), followed by adding hydrogen chloride/dioxane (4 M, 4 mL), and reacted at 25° C. for 4 hours. Directly concentrate under reduced pressure to remove the organic solvent, beat with DCM, and filter to obtain the hydrochloride of compound 3. MS(ESI) m/z: 562.3[M+1] + . 1 H NMR (400 MHz, CD 3 OD) δ 7.67 (s, 1H), 7.53 (d, J=8.0 Hz, 1H), 7.34 (d, J=8.3 Hz, 1H), 5.70-5.55 (m, 1H) ), δ=4.29(br s, 2H), 4.23(s, 2H), 4.02-3.97(m, 3H), 3.82-3.80(m, 3H), 3.51-3.47(m, 2H), 3.29-3.27( m,3H),3.09-3.06(m,3H),2.83-2.74(m,1H),2.74-2.62(m,3H),2.55-2.45(m,2H),2.40-2.35(m,4H), 2.29-2.24 (m, 2H).
实施例4Example 4
步骤1:化合物4-1a和4-1b的合成Step 1: Synthesis of Compounds 4-1a and 4-1b
将中间体2-4(300mg,596.87μmol),2-二环己膦基-2'-(N,N-二甲胺)-联苯(46.98mg,119.37μmol)和中间体2-4c(478.66mg,895.30μmol)加入到二氧六环(3mL)中,然后加入双三甲基硅基胺基锂(1M,1.19mL)和三(二亚苄基丙酮)二钯(54.66mg,59.69μmol)。所得反应液氮气置换后,置于75℃油浴中搅拌反应6小时。将反应液旋干得到粗品。粗品过柱纯化(甲醇/二氯甲烷=0~6%)得到粗品。粗品直接经制备高效液相色谱分离(色谱柱:Welch Xtimate C18 100*40mm*3μm;流动相:[水(0.075%三氟乙酸)-乙腈];乙腈%:52%-82%,8min)得到化合物4-1a和4-1b。LCMS(色谱柱:ChromCore 120 C18 3μm 3.0*30mm,流动相:[水(0.075%三氟乙酸)-乙腈];乙腈%:30%-90%,7min)中4-1a的保留时间为5.102min,4-1b的保留时间为5.038min。4-1a:MS m/z=887.6[M+H] +,4-1b:MS m/z=887.6[M+H] + Intermediate 2-4 (300 mg, 596.87 μmol), 2-dicyclohexylphosphino-2'-(N,N-dimethylamine)-biphenyl (46.98 mg, 119.37 μmol) and intermediate 2-4c ( 478.66 mg, 895.30 μmol) was added to dioxane (3 mL), followed by lithium bistrimethylsilylamide (1 M, 1.19 mL) and tris(dibenzylideneacetone)dipalladium (54.66 mg, 59.69 μmol). After the obtained reaction liquid was replaced with nitrogen, it was placed in an oil bath at 75° C. to stir and react for 6 hours. The reaction solution was spin-dried to obtain crude product. The crude product was purified by column (methanol/dichloromethane=0-6%) to obtain the crude product. The crude product was directly separated by preparative high performance liquid chromatography (chromatographic column: Welch Xtimate C18 100*40mm*3μm; mobile phase: [water (0.075% trifluoroacetic acid)-acetonitrile]; acetonitrile%: 52%-82%, 8min) to obtain Compounds 4-1a and 4-1b. The retention time of 4-1a in LCMS (column: ChromCore 120 C18 3μm 3.0*30mm, mobile phase: [water (0.075% trifluoroacetic acid)-acetonitrile]; acetonitrile %: 30%-90%, 7 min) was 5.102 min , the retention time of 4-1b was 5.038min. 4-1a: MS m/z=887.6[M+H] + , 4-1b: MS m/z=887.6[M+H] +
步骤2:化合物4-2a的合成Step 2: Synthesis of Compound 4-2a
将氯化氢甲醇溶液(4M,1mL)加入到中间体4-1a(100mg,112.72μmol)中,20℃搅拌反应2小时。将反应液于40℃旋干得到中间体4-2a的粗品,粗品直接用于下一步反应。LCMS(色谱柱:Merck Chromolith Flash RP-18e 25-3mm,流动相:[水(0.075%三氟乙酸)-乙腈];乙腈%:5%-95%,1.5min)中4-2a的保留时间为0.864,MS m/z=743.2[M+H] +. A methanol solution of hydrogen chloride (4M, 1 mL) was added to Intermediate 4-1a (100 mg, 112.72 μmol), and the reaction was stirred at 20° C. for 2 hours. The reaction solution was spin-dried at 40°C to obtain the crude product of intermediate 4-2a, which was directly used in the next reaction. Retention time of 4-2a in LCMS (column: Merck Chromolith Flash RP-18e 25-3 mm, mobile phase: [water (0.075% trifluoroacetic acid)-acetonitrile]; acetonitrile %: 5%-95%, 1.5 min) is 0.864, MS m/z=743.2[M+H] + .
步骤3:化合物4-2b的合成Step 3: Synthesis of Compound 4-2b
将氯化氢甲醇溶液(4M,1mL)加入到中间体4-1b(98mg,110.46μmol)中,20℃搅拌反应2小时。将反应液旋干得到中间体4-2b的粗品,粗品直接用于下一步反应。LCMS(色谱柱:Merck Chromolith Flash RP-18e 25-3mm,流动相:[水(0.075%三氟乙酸)-乙腈];乙腈%:5%-95%,1.5min)中4-2b的保留时间为0.970,MS m/z=743.2[M+H] + A methanol solution of hydrogen chloride (4M, 1 mL) was added to Intermediate 4-1b (98 mg, 110.46 μmol), and the reaction was stirred at 20° C. for 2 hours. The reaction solution was spin-dried to obtain the crude product of intermediate 4-2b, and the crude product was directly used in the next reaction. Retention time of 4-2b in LCMS (column: Merck Chromolith Flash RP-18e 25-3 mm, mobile phase: [water (0.075% trifluoroacetic acid)-acetonitrile]; acetonitrile %: 5%-95%, 1.5 min) is 0.970, MS m/z=743.2[M+H] +
步骤4:化合物4a的合成Step 4: Synthesis of Compound 4a
将中间体4-2a(53mg,71.33μmol)加入到N,N-二甲基甲酰胺(0.5mL)中,然后加入四甲基氟化铵四水合物(35.35mg,213.99μmol,3eq),所得反应液氮气保护下升温至55℃搅拌反应2小时。反应液直接高效 液相色谱制备分离(色谱柱:Phenomenex C18 80*40mm*3μm;流动相:[水(0.05%氨水)-乙腈];乙腈%:47%-77%,8min)得到化合物4a。LCMS(色谱柱:ChromCore 120 C18 3μm 3.0*30mm,流动相:[水(0.075%三氟乙酸)-乙腈];乙腈%:10%-80%,7min)中4-a的保留时间为2.422,MS m/z=587.3[M+H] +. Intermediate 4-2a (53 mg, 71.33 μmol) was added to N,N-dimethylformamide (0.5 mL) followed by tetramethylammonium fluoride tetrahydrate (35.35 mg, 213.99 μmol, 3 eq), The obtained reaction liquid was heated to 55°C under nitrogen protection and stirred for 2 hours. The reaction solution was directly separated by high performance liquid chromatography (chromatographic column: Phenomenex C18 80*40mm*3μm; mobile phase: [water (0.05% ammonia water)-acetonitrile]; acetonitrile %: 47%-77%, 8min) to obtain compound 4a. The retention time of 4-a in LCMS (chromatographic column: ChromCore 120 C18 3μm 3.0*30mm, mobile phase: [water (0.075% trifluoroacetic acid)-acetonitrile]; acetonitrile %: 10%-80%, 7min) was 2.422, MS m/z=587.3[M+H] + .
步骤5:化合物4b的合成Step 5: Synthesis of Compound 4b
将中间体4-2b(70mg,94.21μmol)溶解于N,N-二甲基甲酰胺(1mL)中,然后加入四甲基氟化铵四水合物(46.69mg,282.63μmol),所得反应液升温至55℃搅拌反应2小时。将反应液旋干得到粗品。粗品溶解于乙腈中经过高效液相色谱制备分离(色谱柱:Phenomenex C18 80*40mm*3μm;流动相:[水(0.05%氨水)-乙腈];乙腈%:38%-68%,8min)得到化合物4b。LCMS(色谱柱:ChromCore 120 C18 3μm 3.0*30mm,流动相:[水(0.075%三氟乙酸)-乙腈];乙腈%:10%-80%,7min)中4-b的保留时间为2.724,MS m/z=587.3[M+H] + Intermediate 4-2b (70 mg, 94.21 μmol) was dissolved in N,N-dimethylformamide (1 mL), then tetramethylammonium fluoride tetrahydrate (46.69 mg, 282.63 μmol) was added, and the resulting reaction solution The temperature was raised to 55°C and the reaction was stirred for 2 hours. The reaction solution was spin-dried to obtain crude product. The crude product was dissolved in acetonitrile and separated by high performance liquid chromatography (chromatographic column: Phenomenex C18 80*40mm*3μm; mobile phase: [water (0.05% ammonia water)-acetonitrile]; acetonitrile%: 38%-68%, 8min) to obtain Compound 4b. The retention time of 4-b in LCMS (column: ChromCore 120 C18 3μm 3.0*30mm, mobile phase: [water (0.075% trifluoroacetic acid)-acetonitrile]; acetonitrile %: 10%-80%, 7min) was 2.724, MS m/z=587.3[M+H] +
实施例5Example 5
步骤1:化合物5-1的合成Step 1: Synthesis of Compound 5-1
将中间体2-4(127.13mg,397.91μmol)溶于甲苯(5mL)中,随后加入中间体2-4d(49.55mg,79.58μmol)、醋酸钯(8.93mg,39.79μmol)和碳酸铯(388.94mg,1.19mmol),氮气换气三次,100℃下反应5小时。过滤除去不溶物,滤液直接减压浓缩得粗品5-1,该粗品直接用于下一步。MS m/z=741.2[M+H] + Intermediate 2-4 (127.13 mg, 397.91 μmol) was dissolved in toluene (5 mL), followed by addition of Intermediate 2-4d (49.55 mg, 79.58 μmol), palladium acetate (8.93 mg, 39.79 μmol) and cesium carbonate (388.94 mg, 1.19 mmol), nitrogen was purged three times, and the reaction was carried out at 100° C. for 5 hours. The insolubles were removed by filtration, and the filtrate was directly concentrated under reduced pressure to obtain crude product 5-1, which was directly used in the next step. MS m/z=741.2[M+H] +
步骤2:化合物5的合成Step 2: Synthesis of Compound 5
将中间体5-1(100mg,134.91μmol)溶于甲醇(2mL)中,随后加入氯化氢/甲醇溶液(4M,2mL),25℃下反应3小时。减压浓缩除去有机溶剂,粗品经制备HPLC分离(色谱柱:Xtimate C18 150*40mm*5μm;流动相:[水(0.225%甲酸)-乙腈];乙腈%:10%-50%,8min)得化合物5。MS m/z=597.2[M+H] +. 1H NMR(400MHz,CD 3OD)6.77(d,J=2.4Hz,1H),6.73(d,J=2.4Hz,1H),5.43(d,J=53.2Hz,1H),4.95–4.90(m,1H),4.82–4.73(m,1H),4.38–4.15(m,3H),4.09(s,2H),4.01(s,2H),3.60–3.48(m,3H),3.48–3.36(m,3H),3.28–3.17(m,3H),2.87–2.82(m,2H),2.51–2.33(m,2H),2.28–2.04(m,8H). Intermediate 5-1 (100 mg, 134.91 μmol) was dissolved in methanol (2 mL), followed by adding hydrogen chloride/methanol solution (4 M, 2 mL), and reacted at 25° C. for 3 hours. The organic solvent was removed by concentration under reduced pressure, and the crude product was separated by preparative HPLC (chromatographic column: Xtimate C18 150*40mm*5μm; mobile phase: [water (0.225% formic acid)-acetonitrile]; acetonitrile%: 10%-50%, 8min) to obtain Compound 5. MS m/z=597.2[M+H] + .1H NMR (400MHz, CD3OD ) 6.77(d, J=2.4Hz, 1H), 6.73(d, J=2.4Hz, 1H), 5.43(d , J=53.2Hz, 1H), 4.95–4.90 (m, 1H), 4.82–4.73 (m, 1H), 4.38–4.15 (m, 3H), 4.09 (s, 2H), 4.01 (s, 2H), 3.60–3.48 (m, 3H), 3.48–3.36 (m, 3H), 3.28–3.17 (m, 3H), 2.87–2.82 (m, 2H), 2.51–2.33 (m, 2H), 2.28–2.04 (m ,8H).
实施例6Example 6
步骤1:化合物6-1a-2的合成Step 1: Synthesis of Compound 6-1a-2
将中间体6-1a-1(20g,88.78mmol)在氮气保护下溶于四氢呋喃(100mL)中,25℃下溶解,随后冷却至-78℃,逐滴加入二异丙基氨基锂(2M,57.71mL),-78℃搅拌0.5小时,随后将2-[N,正双(三氟甲烷烷磺酰)氨基]-5-氯吡啶(46.37g,118.07mmol)在氮气保护下溶于四氢呋喃(50mL)中,然后将该溶液逐滴转移至上述体系中,升温至25℃,继续反应2.5小时。加入20mL饱和氯化铵溶液淬灭反应,旋去大部分有机溶剂,水洗(20mL*2),乙酸乙酯萃取(50mL*2),饱和食盐水洗(10mL),无水硫酸钠干燥,旋干除去有机溶剂。粗产品通过柱层析(流动相:石油醚/乙酸乙酯=15:1~10:1)分离得化合物6-1a-2。Intermediate 6-1a-1 (20 g, 88.78 mmol) was dissolved in tetrahydrofuran (100 mL) under nitrogen protection, dissolved at 25 °C, then cooled to -78 °C, and lithium diisopropylamide (2M, 57.71 mL), stirred at -78 °C for 0.5 h, then 2-[N,n-bis(trifluoromethanesulfonyl)amino]-5-chloropyridine (46.37 g, 118.07 mmol) was dissolved in tetrahydrofuran ( 50 mL), the solution was then transferred dropwise to the above system, the temperature was raised to 25°C, and the reaction was continued for 2.5 hours. Add 20mL saturated ammonium chloride solution to quench the reaction, spin off most of the organic solvent, wash with water (20mL*2), extract with ethyl acetate (50mL*2), wash with saturated brine (10mL), dry over anhydrous sodium sulfate, spin dry The organic solvent was removed. The crude product was separated by column chromatography (mobile phase: petroleum ether/ethyl acetate=15:1-10:1) to obtain compound 6-1a-2.
步骤2:化合物6-1a的合成Step 2: Synthesis of Compound 6-1a
将中间体6-1a-2(35g,97.94mmol)、双联频那醇硼酸酯(29.85g,117.53mmol)溶于二氧六环(50mL)中,氮气换气,随后依次加入醋酸钾(28.84g,293.83mmol)、[1,1'-双(二苯基膦)二茂铁]二氯化钯(14.33g,19.59mmol),再氮气换气,80℃下反应12小时。过滤除去不溶物,减压浓缩除去大部分溶剂,随后水洗(50mL*2),乙酸乙酯萃取(200mL*2),饱和食盐水洗(50mL),无水硫酸钠干燥,减压浓缩除去溶剂。粗产品通过柱层析(流动相:石油醚/乙酸乙酯=10:1~5:1)分离得化合物6-1a。MS m/z=336.2[M+H] +。 Intermediate 6-1a-2 (35 g, 97.94 mmol) and bispinacol boronate (29.85 g, 117.53 mmol) were dissolved in dioxane (50 mL), purged with nitrogen, followed by the addition of potassium acetate (28.84 g, 293.83 mmol), [1,1'-bis(diphenylphosphino)ferrocene]palladium dichloride (14.33 g, 19.59 mmol), and then purged with nitrogen, and reacted at 80° C. for 12 hours. The insolubles were removed by filtration, concentrated under reduced pressure to remove most of the solvent, then washed with water (50 mL*2), extracted with ethyl acetate (200 mL*2), washed with saturated brine (50 mL), dried over anhydrous sodium sulfate, and concentrated under reduced pressure to remove the solvent. The crude product was separated by column chromatography (mobile phase: petroleum ether/ethyl acetate=10:1-5:1) to obtain compound 6-1a. MS m/z=336.2 [M+H] + .
步骤3:化合物6-2的合成Step 3: Synthesis of Compound 6-2
将中间体6-1(3g,10.20mmol)、6-1a(3.42g,10.20mmol)溶于二氧六环(15mL)和水(2mL)的混合溶剂中,氮气换气,随后依次加入碳酸钾(4.23g,30.59mmol)、[1,1'-双(二苯基膦)二茂铁]二氯化钯(746.19mg,1.02mmol),再氮气换气,氮气氛围下50℃反应5小时。过滤除去不溶物,减压浓缩除去有机溶剂。粗品经柱层析(流动相:石油醚/乙酸乙酯=10:1~5:1)分离得化合物6-2。MS m/z=467.2[M+H] +。 Intermediates 6-1 (3 g, 10.20 mmol) and 6-1a (3.42 g, 10.20 mmol) were dissolved in a mixed solvent of dioxane (15 mL) and water (2 mL), purged with nitrogen, followed by adding carbonic acid in sequence Potassium (4.23g, 30.59mmol), [1,1'-bis(diphenylphosphino)ferrocene]palladium dichloride (746.19mg, 1.02mmol), then purged with nitrogen, and reacted at 50°C under nitrogen atmosphere for 5 Hour. The insoluble matter was removed by filtration, and the organic solvent was removed by concentration under reduced pressure. The crude product was separated by column chromatography (mobile phase: petroleum ether/ethyl acetate=10:1-5:1) to obtain compound 6-2. MS m/z=467.2 [M+H] + .
步骤4:化合物6-3的合成Step 4: Synthesis of Compound 6-3
将中间体6-2(2g,4.28mmol)、1-8a(1.02g,6.42mmol)、醋酸钯(96.15mg,428.26μmol)、碳酸铯(4.19g,12.85mmol)、1,1'-联萘-2,2'-双二苯膦(533.33mg,856.53μmol)溶于甲苯(20mL)中,氮气换气,100℃反应12小时。过滤除去不溶物,减压浓缩除去有机溶剂。粗品经柱层析(流动相:二氯甲烷/甲醇=50:1~20:1)分离得化合物6-3。MS m/z=590.3[M+H] +。 Intermediates 6-2 (2 g, 4.28 mmol), 1-8a (1.02 g, 6.42 mmol), palladium acetate (96.15 mg, 428.26 μmol), cesium carbonate (4.19 g, 12.85 mmol), 1,1′-bivalent Naphthalene-2,2'-bisdiphenylphosphine (533.33 mg, 856.53 μmol) was dissolved in toluene (20 mL), purged with nitrogen, and reacted at 100° C. for 12 hours. The insoluble matter was removed by filtration, and the organic solvent was removed by concentration under reduced pressure. The crude product was separated by column chromatography (mobile phase: dichloromethane/methanol=50:1~20:1) to obtain compound 6-3. MS m/z=590.3 [M+H] + .
步骤5:化合物6-4的合成Step 5: Synthesis of Compounds 6-4
将中间体6-3(1g,1.70mmol)溶于甲醇(10mL)中,氮气换气,随后加入氢氧化钯(0.2g,纯度10%),再氮气换气,随后氢气换气,氢气氛围下65℃下反应24小时。过滤除去固体,滤液减压浓缩得6-4粗品。MS m/z=502.2[M+H] +。 Intermediate 6-3 (1 g, 1.70 mmol) was dissolved in methanol (10 mL), purged with nitrogen, followed by addition of palladium hydroxide (0.2 g, purity 10%), purged with nitrogen, then purged with hydrogen, under a hydrogen atmosphere The reaction was carried out at 65°C for 24 hours. The solid was removed by filtration, and the filtrate was concentrated under reduced pressure to obtain crude product 6-4. MS m/z=502.2 [M+H] + .
步骤6:化合物6-5的合成Step 6: Synthesis of Compounds 6-5
将中间体6-4(300mg,598.04μmol)、2-4d(191.08mg,598.04μmol)溶于二氧六环(5mL)中,氮气换气,随后加入四(三苯基膦)钯(138.22mg,119.61μmol)、1,1'-联萘-2,2'-双二苯膦(148.95mg,239.22μmol)和碳酸铯(584.56mg,1.79mmol),再氮气换气,随后升温至90℃,反应12小时。过滤除去不溶物,减压浓缩除去有机溶剂。粗品经制备HPLC(色谱柱:Phenomenex C18 80*40mm*3μm;流动相:[水(0.05%氨水)-乙腈];乙腈%:74%-100%,8min)分离得化合物6-5。MS m/z=740.1[M+H] +。 Intermediates 6-4 (300 mg, 598.04 μmol), 2-4d (191.08 mg, 598.04 μmol) were dissolved in dioxane (5 mL), purged with nitrogen, followed by addition of tetrakis(triphenylphosphine)palladium (138.22 mg, 119.61 μmol), 1,1'-binaphthyl-2,2'-bisdiphenylphosphine (148.95 mg, 239.22 μmol) and cesium carbonate (584.56 mg, 1.79 mmol), purged with nitrogen, and then warmed to 90 ℃, the reaction was carried out for 12 hours. The insoluble matter was removed by filtration, and the organic solvent was removed by concentration under reduced pressure. The crude product was separated by preparative HPLC (chromatographic column: Phenomenex C18 80*40mm*3μm; mobile phase: [water (0.05% ammonia water)-acetonitrile]; acetonitrile%: 74%-100%, 8min) to obtain compound 6-5. MS m/z=740.1 [M+H] + .
步骤7:化合物6a和6b的合成Step 7: Synthesis of Compounds 6a and 6b
将中间体6-5(200mg,216.15μmol)溶于甲醇(5mL)中,随后加入氯化氢/甲醇(4M,1.08mL),25℃下反应4小时。减压浓缩除去有机溶剂,粗品经SFC分离(色谱柱:DAICEL CHIRALPAK IG(250mm*30mm,10μm);流动相:[0.1%氨水-乙醇];乙醇%:50%-50%,8min)得化合物6a和6b。LCMS(色谱柱:ChromCore 120 C18 3μm 3.0*30mm,流动相:[水(0.075%三氟乙酸)-乙腈];乙腈%:10%-80%,7min)中6a的保留时间为2.810,MS m/z=596.4[M+H] +,6b的保留时间为3.035,MS m/z=596.3[M+H] +,经NOESY谱鉴定,6b哌啶4位的氢与桥环上的氢有NOE相关,6a哌啶4位的氢与桥环上的氢没有NOE相关,故可区分这两个结构。 Intermediate 6-5 (200 mg, 216.15 μmol) was dissolved in methanol (5 mL), then hydrogen chloride/methanol (4 M, 1.08 mL) was added, and the reaction was carried out at 25° C. for 4 hours. The organic solvent was removed by concentration under reduced pressure, and the crude product was separated by SFC (chromatographic column: DAICEL CHIRALPAK IG (250mm*30mm, 10μm); mobile phase: [0.1% ammonia water-ethanol]; % ethanol: 50%-50%, 8min) to obtain the compound 6a and 6b. The retention time of 6a in LCMS (column: ChromCore 120 C18 3μm 3.0*30mm, mobile phase: [water (0.075% trifluoroacetic acid)-acetonitrile]; acetonitrile %: 10%-80%, 7min) was 2.810, MS m /z=596.4[M+H] + , the retention time of 6b is 3.035, MS m/z=596.3[M+H] + , the NOESY spectrum identifies that the hydrogen at the 4-position of piperidine in 6b is related to the hydrogen on the bridge ring. NOE correlation, the hydrogen at position 4 of 6a piperidine and the hydrogen on the bridge ring have no NOE correlation, so the two structures can be distinguished.
实验例1.KRAS G12D抑制活性测试 Experimental example 1. KRAS G12D inhibitory activity test
1.实验目的:1. Experimental purpose:
通过TR-FRET的方法,筛选出能有效抑制KRAS G12D与GTP结合的化合物。 Through the TR-FRET method, compounds that can effectively inhibit the binding of KRAS G12D to GTP were screened.
2.耗材和仪器:2. Consumables and instruments:
表3.耗材和仪器Table 3. Consumables and Instruments
3.试剂准备:3. Reagent preparation:
a.储存试剂:a. Storage reagents:
1)KRAS核苷酸交换缓冲液1) KRAS Nucleotide Exchange Buffer
取20mL 1000mM HEPES,20mL 500mM EDTA,10mL 5M氯化钠,100%0.1mL吐温20,949.9mL水,配制成1L溶液,用过滤法消毒,4℃条件下储存。Take 20mL of 1000mM HEPES, 20mL of 500mM EDTA, 10mL of 5M sodium chloride, 100% 0.1mL of Tween 20, and 949.9mL of water to prepare a 1L solution, sterilized by filtration, and stored at 4°C.
2)KRAS实验缓冲液2) KRAS assay buffer
取20mL 1000mM HEPES,10mL 1000mM氯化镁,30mL 5M氯化钠,100%0.05mL吐温20,939.95mL水,配制成1L溶液,用过滤法消毒,4℃条件下储存。Take 20mL of 1000mM HEPES, 10mL of 1000mM magnesium chloride, 30mL of 5M sodium chloride, 100% 0.05mL Tween 20, and 939.95mL of water to prepare a 1L solution, sterilized by filtration, and stored at 4°C.
3)KRAS/Bodipy GDP/Tb-SA混合液3) KRAS/Bodipy GDP/Tb-SA mixture
取9.5μL 95μM KRAS G12D蛋白,440.5μL KRAS核苷酸交换缓冲液混合,室温下孵育1小时后,与8.4μL 17.9μM Tb-SA,1.8μL 5mM Bodipy GDP,9539.8μL KRAS实验缓冲液,配制成1L溶液,混合后室温下静置6小时,储存至-80℃条件下。 Take 9.5μL of 95μM KRAS G12D protein, mixed with 440.5μL of KRAS nucleotide exchange buffer, and incubated at room temperature for 1 hour, then mixed with 8.4μL of 17.9μM Tb-SA, 1.8μL of 5mM Bodipy GDP, and 9539.8μL of KRAS experimental buffer. 1L of the solution, after mixing, let it stand at room temperature for 6 hours, and store it at -80°C.
b.实验试剂:b. Experimental reagents:
1)KRAS酶溶液1) KRAS enzyme solution
取73.3μL KRAS/Bodipy GDP/Tb-SA混合液,2126.7μL KRAS实验缓冲液,配制成2200μL溶液。Take 73.3 μL KRAS/Bodipy GDP/Tb-SA mixture and 2126.7 μL KRAS experimental buffer to prepare a 2200 μL solution.
2)SOS/GTP混合液2) SOS/GTP mixture
取1.59μL 166μM SOS蛋白,198μL 100mM GTP,2000.41μL KRAS实验缓冲液,配制成2200μL溶 液。Take 1.59 μL of 166 μM SOS protein, 198 μL of 100 mM GTP, and 2000.41 μL of KRAS experimental buffer to prepare a 2200 μL solution.
4.实验流程:4. Experimental process:
1)对照化合物母液浓度为1mM,待测化合物母液浓度为10mM。转移9μL对照化合物和待测化合物至384-LDV板内;1) The concentration of the control compound stock solution is 1 mM, and the concentration of the test compound stock solution is 10 mM. Transfer 9 μL of control compound and test compound to 384-LDV plate;
2)使用Bravo将LDV板上的化合物进行10点3倍稀释;2) Use Bravo to make 10:3 dilutions of the compounds on the LDV plate;
3)使用ECHO将LDV板上的化合物转移9nL至实验板;3) Use ECHO to transfer 9nL of the compound on the LDV plate to the experimental plate;
4)使用Dragonfly自动加样仪依次向实验板每孔中加入3μL 3nM Kras/0.5nM TB-SA/30nM BodipyGDP混合液和3μL Ras buffer,以1000rpm/min,将实验板离心1分钟;4) Add 3 μL of 3nM Kras/0.5nM TB-SA/30nM BodipyGDP mixture and 3 μL of Ras buffer to each well of the experimental plate in turn using a Dragonfly automatic sampler, and centrifuge the experimental plate for 1 minute at 1000rpm/min;
5)实验板在室温中孵育1小时;5) Incubate the experimental plate for 1 hour at room temperature;
6)使用Dragonfly自动加样仪在实验板每孔加入3μL 120nM SOS/9mM GTP混合液,以1000rpm/min,将实验板离心1分钟;6) Add 3 μL of 120nM SOS/9mM GTP mixture to each well of the experimental plate using a Dragonfly automatic sampler, and centrifuge the experimental plate for 1 minute at 1000rpm/min;
7)实验板在室温中孵育1小时;7) Incubate the experimental plate for 1 hour at room temperature;
8)使用Envision读板并记录数据;8) Use Envision to read the plate and record the data;
9)使用Excel和Xlfit进行数据分析,计算待测化合物IC 50。 9) Use Excel and Xlfit for data analysis to calculate the IC 50 of the test compound.
5.实验结果:5. Experimental results:
结果见表4。The results are shown in Table 4.
表4化合物对KRAS G12D酶抑制的IC 50值 Table 4 IC50 values of compounds for KRAS G12D enzyme inhibition
6.实验结论:6. Experimental conclusion:
本发明化合物具有显著的KRAS G12D酶抑制作用。 The compounds of the present invention have a significant inhibitory effect on KRAS G12D enzyme.
Claims (20)
Applications Claiming Priority (6)
| Application Number | Priority Date | Filing Date | Title |
|---|---|---|---|
| CN202110182356 | 2021-02-09 | ||
| CN202110182356.1 | 2021-02-09 | ||
| CN202110252391 | 2021-03-08 | ||
| CN202110252391.6 | 2021-03-08 | ||
| CN202110704068.8 | 2021-06-24 | ||
| CN202110704068 | 2021-06-24 |
Publications (1)
| Publication Number | Publication Date |
|---|---|
| WO2022171143A1 true WO2022171143A1 (en) | 2022-08-18 |
Family
ID=82838142
Family Applications (1)
| Application Number | Title | Priority Date | Filing Date |
|---|---|---|---|
| PCT/CN2022/075725 Ceased WO2022171143A1 (en) | 2021-02-09 | 2022-02-09 | 5,6,7,8-tetrahydropyridine[3,4-d] pyrimidine compound |
Country Status (1)
| Country | Link |
|---|---|
| WO (1) | WO2022171143A1 (en) |
Cited By (3)
| Publication number | Priority date | Publication date | Assignee | Title |
|---|---|---|---|---|
| CN114057776A (en) * | 2021-10-31 | 2022-02-18 | 南京碳硅人工智能生物医药技术研究院有限公司 | Novel synthesis method of pyrimidopiperidine derivative with anticancer activity |
| WO2023284881A1 (en) * | 2021-07-16 | 2023-01-19 | Silexon Ai Technology Co., Ltd. | Heterocyclic compounds useful as kras g12d inhibitors |
| US12448400B2 (en) | 2023-09-08 | 2025-10-21 | Gilead Sciences, Inc. | KRAS G12D modulating compounds |
Citations (5)
| Publication number | Priority date | Publication date | Assignee | Title |
|---|---|---|---|---|
| CN109843856A (en) * | 2016-05-18 | 2019-06-04 | 米拉蒂治疗股份有限公司 | KRAS G12C inhibitor |
| CN111989321A (en) * | 2017-11-15 | 2020-11-24 | 米拉蒂治疗股份有限公司 | KRAS G12C inhibitor |
| CN112174950A (en) * | 2019-07-02 | 2021-01-05 | 津福医药(苏州)有限公司 | Heterocyclic derivatives, pharmaceutical compositions containing them and their use |
| WO2021107160A1 (en) * | 2019-11-29 | 2021-06-03 | Taiho Pharmaceutical Co., Ltd. | A compound having inhibitory activity against kras g12d mutation |
| WO2021219072A1 (en) * | 2020-04-30 | 2021-11-04 | 上海科州药物研发有限公司 | Preparation and application method of heterocyclic compound as kras inhibitor |
-
2022
- 2022-02-09 WO PCT/CN2022/075725 patent/WO2022171143A1/en not_active Ceased
Patent Citations (5)
| Publication number | Priority date | Publication date | Assignee | Title |
|---|---|---|---|---|
| CN109843856A (en) * | 2016-05-18 | 2019-06-04 | 米拉蒂治疗股份有限公司 | KRAS G12C inhibitor |
| CN111989321A (en) * | 2017-11-15 | 2020-11-24 | 米拉蒂治疗股份有限公司 | KRAS G12C inhibitor |
| CN112174950A (en) * | 2019-07-02 | 2021-01-05 | 津福医药(苏州)有限公司 | Heterocyclic derivatives, pharmaceutical compositions containing them and their use |
| WO2021107160A1 (en) * | 2019-11-29 | 2021-06-03 | Taiho Pharmaceutical Co., Ltd. | A compound having inhibitory activity against kras g12d mutation |
| WO2021219072A1 (en) * | 2020-04-30 | 2021-11-04 | 上海科州药物研发有限公司 | Preparation and application method of heterocyclic compound as kras inhibitor |
Cited By (3)
| Publication number | Priority date | Publication date | Assignee | Title |
|---|---|---|---|---|
| WO2023284881A1 (en) * | 2021-07-16 | 2023-01-19 | Silexon Ai Technology Co., Ltd. | Heterocyclic compounds useful as kras g12d inhibitors |
| CN114057776A (en) * | 2021-10-31 | 2022-02-18 | 南京碳硅人工智能生物医药技术研究院有限公司 | Novel synthesis method of pyrimidopiperidine derivative with anticancer activity |
| US12448400B2 (en) | 2023-09-08 | 2025-10-21 | Gilead Sciences, Inc. | KRAS G12D modulating compounds |
Similar Documents
| Publication | Publication Date | Title |
|---|---|---|
| CN112300195B (en) | Tetra-fused ring compound and preparation method and application thereof | |
| WO2022170999A1 (en) | Pyridine[4,3-d]pyrimidine compound | |
| CN113666911B (en) | FGFR inhibitor compounds and uses thereof | |
| WO2022171143A1 (en) | 5,6,7,8-tetrahydropyridine[3,4-d] pyrimidine compound | |
| KR20210121168A (en) | Heterocyclic compound benzopyridone and its use | |
| TWI793999B (en) | Pyrimidinopyrane compounds | |
| WO2022171147A1 (en) | Pyrimidine aromatic ring compounds | |
| WO2022199587A1 (en) | Pyrimidine heterocyclic compound and application thereof | |
| CN111712499A (en) | A kind of ATR inhibitor and application thereof | |
| TW202144352A (en) | Sos1 inhibitor containing phosphorus | |
| WO2020200316A1 (en) | Pyrazolopyridine compound as ret inhibitor and application thereof | |
| WO2024012456A1 (en) | Piperazine bridge-substituted heterocyclic pyrimidine compound | |
| CN112745335A (en) | Tri-heterocyclic compound and application thereof | |
| BR112021004269A2 (en) | compound of formula (I) or a pharmaceutically acceptable salt thereof, use thereof, related to the crbn protein and method of treating it | |
| CN112851663B (en) | Parallel heterocyclic compound and application thereof | |
| CN114605390A (en) | Compound with CDK kinase inhibitory activity, pharmaceutical composition and use thereof | |
| TW202527946A (en) | Tricyclic compounds and their medical uses | |
| TWI839504B (en) | Benzethers and anilines of pyrazolyl-amino-pyrimidinyl derivatives, and compositions and methods thereof | |
| TWI796144B (en) | Thienopyrimidinedione compounds and their applications | |
| CN119421874A (en) | Aromatic amide derivative and its application in anti-tumor drugs | |
| WO2022171013A1 (en) | Tetrahydroquinazoline compound | |
| CN113874379B (en) | Tetraheterocyclic compounds as Cdc7 inhibitors | |
| CN120574243A (en) | Polycyclic fused ring derivative inhibitor, preparation method and application thereof | |
| CN113166055B (en) | Estrogen receptor antagonists | |
| TW546298B (en) | Purine derivative dihydrate, drugs containing the same as the active ingredient and intermediate in the production thereof |
Legal Events
| Date | Code | Title | Description |
|---|---|---|---|
| 121 | Ep: the epo has been informed by wipo that ep was designated in this application |
Ref document number: 22752303 Country of ref document: EP Kind code of ref document: A1 |
|
| NENP | Non-entry into the national phase |
Ref country code: DE |
|
| 32PN | Ep: public notification in the ep bulletin as address of the adressee cannot be established |
Free format text: NOTING OF LOSS OF RIGHTS PURSUANT TO RULE 112(1) EPC (EPO FORM 1205A DATED 18/01/2024) |
|
| 122 | Ep: pct application non-entry in european phase |
Ref document number: 22752303 Country of ref document: EP Kind code of ref document: A1 |


















































































































