WO2022152141A2 - Polymer conjugated lipid compounds and lipid nanoparticle compositions - Google Patents
Polymer conjugated lipid compounds and lipid nanoparticle compositions Download PDFInfo
- Publication number
- WO2022152141A2 WO2022152141A2 PCT/CN2022/071492 CN2022071492W WO2022152141A2 WO 2022152141 A2 WO2022152141 A2 WO 2022152141A2 CN 2022071492 W CN2022071492 W CN 2022071492W WO 2022152141 A2 WO2022152141 A2 WO 2022152141A2
- Authority
- WO
- WIPO (PCT)
- Prior art keywords
- compound
- alkyl
- independently
- nucleic acid
- lipid
- Prior art date
- Legal status (The legal status is an assumption and is not a legal conclusion. Google has not performed a legal analysis and makes no representation as to the accuracy of the status listed.)
- Ceased
Links
Images
Classifications
-
- A—HUMAN NECESSITIES
- A61—MEDICAL OR VETERINARY SCIENCE; HYGIENE
- A61K—PREPARATIONS FOR MEDICAL, DENTAL OR TOILETRY PURPOSES
- A61K47/00—Medicinal preparations characterised by the non-active ingredients used, e.g. carriers or inert additives; Targeting or modifying agents chemically bound to the active ingredient
- A61K47/50—Medicinal preparations characterised by the non-active ingredients used, e.g. carriers or inert additives; Targeting or modifying agents chemically bound to the active ingredient the non-active ingredient being chemically bound to the active ingredient, e.g. polymer-drug conjugates
- A61K47/51—Medicinal preparations characterised by the non-active ingredients used, e.g. carriers or inert additives; Targeting or modifying agents chemically bound to the active ingredient the non-active ingredient being chemically bound to the active ingredient, e.g. polymer-drug conjugates the non-active ingredient being a modifying agent
- A61K47/56—Medicinal preparations characterised by the non-active ingredients used, e.g. carriers or inert additives; Targeting or modifying agents chemically bound to the active ingredient the non-active ingredient being chemically bound to the active ingredient, e.g. polymer-drug conjugates the non-active ingredient being a modifying agent the modifying agent being an organic macromolecular compound, e.g. an oligomeric, polymeric or dendrimeric molecule
- A61K47/58—Medicinal preparations characterised by the non-active ingredients used, e.g. carriers or inert additives; Targeting or modifying agents chemically bound to the active ingredient the non-active ingredient being chemically bound to the active ingredient, e.g. polymer-drug conjugates the non-active ingredient being a modifying agent the modifying agent being an organic macromolecular compound, e.g. an oligomeric, polymeric or dendrimeric molecule obtained by reactions only involving carbon-to-carbon unsaturated bonds, e.g. poly[meth]acrylate, polyacrylamide, polystyrene, polyvinylpyrrolidone, polyvinylalcohol or polystyrene sulfonic acid resin
- A61K47/585—Ion exchange resins, e.g. polystyrene sulfonic acid resin
-
- A—HUMAN NECESSITIES
- A61—MEDICAL OR VETERINARY SCIENCE; HYGIENE
- A61K—PREPARATIONS FOR MEDICAL, DENTAL OR TOILETRY PURPOSES
- A61K48/00—Medicinal preparations containing genetic material which is inserted into cells of the living body to treat genetic diseases; Gene therapy
- A61K48/0008—Medicinal preparations containing genetic material which is inserted into cells of the living body to treat genetic diseases; Gene therapy characterised by an aspect of the 'non-active' part of the composition delivered, e.g. wherein such 'non-active' part is not delivered simultaneously with the 'active' part of the composition
- A61K48/0025—Medicinal preparations containing genetic material which is inserted into cells of the living body to treat genetic diseases; Gene therapy characterised by an aspect of the 'non-active' part of the composition delivered, e.g. wherein such 'non-active' part is not delivered simultaneously with the 'active' part of the composition wherein the non-active part clearly interacts with the delivered nucleic acid
- A61K48/0041—Medicinal preparations containing genetic material which is inserted into cells of the living body to treat genetic diseases; Gene therapy characterised by an aspect of the 'non-active' part of the composition delivered, e.g. wherein such 'non-active' part is not delivered simultaneously with the 'active' part of the composition wherein the non-active part clearly interacts with the delivered nucleic acid the non-active part being polymeric
-
- A—HUMAN NECESSITIES
- A61—MEDICAL OR VETERINARY SCIENCE; HYGIENE
- A61P—SPECIFIC THERAPEUTIC ACTIVITY OF CHEMICAL COMPOUNDS OR MEDICINAL PREPARATIONS
- A61P7/00—Drugs for disorders of the blood or the extracellular fluid
-
- C—CHEMISTRY; METALLURGY
- C08—ORGANIC MACROMOLECULAR COMPOUNDS; THEIR PREPARATION OR CHEMICAL WORKING-UP; COMPOSITIONS BASED THEREON
- C08F—MACROMOLECULAR COMPOUNDS OBTAINED BY REACTIONS ONLY INVOLVING CARBON-TO-CARBON UNSATURATED BONDS
- C08F120/00—Homopolymers of compounds having one or more unsaturated aliphatic radicals, each having only one carbon-to-carbon double bond, and only one being terminated by only one carboxyl radical or a salt, anhydride, ester, amide, imide or nitrile thereof
- C08F120/02—Monocarboxylic acids having less than ten carbon atoms; Derivatives thereof
- C08F120/10—Esters
- C08F120/34—Esters containing nitrogen, e.g. N,N-dimethylaminoethyl (meth)acrylate
- C08F120/36—Esters containing nitrogen, e.g. N,N-dimethylaminoethyl (meth)acrylate containing oxygen in addition to the carboxy oxygen, e.g. 2-N-morpholinoethyl (meth)acrylate or 2-isocyanatoethyl (meth)acrylate
-
- C—CHEMISTRY; METALLURGY
- C08—ORGANIC MACROMOLECULAR COMPOUNDS; THEIR PREPARATION OR CHEMICAL WORKING-UP; COMPOSITIONS BASED THEREON
- C08F—MACROMOLECULAR COMPOUNDS OBTAINED BY REACTIONS ONLY INVOLVING CARBON-TO-CARBON UNSATURATED BONDS
- C08F120/00—Homopolymers of compounds having one or more unsaturated aliphatic radicals, each having only one carbon-to-carbon double bond, and only one being terminated by only one carboxyl radical or a salt, anhydride, ester, amide, imide or nitrile thereof
- C08F120/02—Monocarboxylic acids having less than ten carbon atoms; Derivatives thereof
- C08F120/10—Esters
- C08F120/38—Esters containing sulfur
-
- C—CHEMISTRY; METALLURGY
- C08—ORGANIC MACROMOLECULAR COMPOUNDS; THEIR PREPARATION OR CHEMICAL WORKING-UP; COMPOSITIONS BASED THEREON
- C08F—MACROMOLECULAR COMPOUNDS OBTAINED BY REACTIONS ONLY INVOLVING CARBON-TO-CARBON UNSATURATED BONDS
- C08F130/00—Homopolymers of compounds having one or more unsaturated aliphatic radicals, each having only one carbon-to-carbon double bond, and containing phosphorus, selenium, tellurium or a metal
- C08F130/02—Homopolymers of compounds having one or more unsaturated aliphatic radicals, each having only one carbon-to-carbon double bond, and containing phosphorus, selenium, tellurium or a metal containing phosphorus
-
- C—CHEMISTRY; METALLURGY
- C08—ORGANIC MACROMOLECULAR COMPOUNDS; THEIR PREPARATION OR CHEMICAL WORKING-UP; COMPOSITIONS BASED THEREON
- C08F—MACROMOLECULAR COMPOUNDS OBTAINED BY REACTIONS ONLY INVOLVING CARBON-TO-CARBON UNSATURATED BONDS
- C08F220/00—Copolymers of compounds having one or more unsaturated aliphatic radicals, each having only one carbon-to-carbon double bond, and only one being terminated by only one carboxyl radical or a salt, anhydride ester, amide, imide or nitrile thereof
- C08F220/02—Monocarboxylic acids having less than ten carbon atoms; Derivatives thereof
- C08F220/10—Esters
- C08F220/34—Esters containing nitrogen, e.g. N,N-dimethylaminoethyl (meth)acrylate
-
- C—CHEMISTRY; METALLURGY
- C08—ORGANIC MACROMOLECULAR COMPOUNDS; THEIR PREPARATION OR CHEMICAL WORKING-UP; COMPOSITIONS BASED THEREON
- C08F—MACROMOLECULAR COMPOUNDS OBTAINED BY REACTIONS ONLY INVOLVING CARBON-TO-CARBON UNSATURATED BONDS
- C08F2438/00—Living radical polymerisation
- C08F2438/01—Atom Transfer Radical Polymerization [ATRP] or reverse ATRP
Definitions
- the present disclosure generally relates to polymer conjugated lipid compounds that can be used in combination with other lipid components, such as cationic lipids, neutral lipids, and cholesterol, to form lipid nanoparticles for delivery of therapeutic agents (e.g., nucleic acid molecules, including nucleic acid mimics such as locked nucleic acids (LNAs) , peptide nucleic acids (PNAs) , and morpholinos) , both in vitro and in vivo, for therapeutic or prophylactic purposes, including vaccination.
- therapeutic agents e.g., nucleic acid molecules, including nucleic acid mimics such as locked nucleic acids (LNAs) , peptide nucleic acids (PNAs) , and morpholinos
- nucleic acids have the potential to revolutionize vaccination, gene therapies, protein replacement therapies, and other treatments of genetic diseases. Since the commencement of the first clinical studies on therapeutic nucleic acids in the 2000s, significant progresses have been made through the design of nucleic acid molecules and delivery methods thereof. However, nucleic acid therapeutics still face several challenges, including low cell permeability and high susceptibility to degradation of certain nucleic acids molecules, including RNAs. Thus, there exists a need to develop new nucleic acid molecules, as well as related methods and compositions that facilitate their delivery in vitro or in vivo for therapeutic and/or prophylactic purposes.
- Lipid nanoparticles can be formed from lipids formulated with other lipid components, such as neutral lipids, cholesterol, polymer conjugated lipids.
- lipids formulated with other lipid components, such as neutral lipids, cholesterol, polymer conjugated lipids.
- PEGylated lipid One of the most commonly used polymer conjugated lipids.
- carboxylate based zwitterionic polymer conjugated lipids have also been reported. See, e.g., Murou et al., Journal of Colloid and Interface Science 2013, 390, 47–53; Li et al., Theranostics 2015, 5 (5) , 583–596; and Cao et al., Langmuir 2012, 28, 11625-11632.
- polymer conjugated lipid compounds including pharmaceutically acceptable salts or stereoisomers thereof, which can be used alone or in combination with other lipid components such as cationic lipids, neutral lipids, charged lipids, steroids (including for example, all sterols) and/or their analogs, and/or polymers to form lipid nanoparticles for the delivery of therapeutic agents (e.g., nucleic acid molecules, including nucleic acid mimics such as locked nucleic acids (LNAs) , peptide nucleic acids (PNAs) , and morpholinos) .
- therapeutic agents e.g., nucleic acid molecules, including nucleic acid mimics such as locked nucleic acids (LNAs) , peptide nucleic acids (PNAs) , and morpholinos
- the lipid nanoparticles are used to deliver nucleic acids such as antisense and/or messenger RNA. Methods for use of such lipid nanoparticles for treatment of various diseases or conditions, such as
- the polymer conjugated lipid compounds provided herein are derived from monomers that comprise a zwitterionic moiety.
- a nanoparticle composition comprising a compound provided herein, and a therapeutic or prophylactic agent.
- the therapeutic or prophylactic agent comprises at least one mRNA encoding an antigen or a fragment or epitope thereof.
- FIG. 1 shows the effects of selected polymer compounds on the hEPO expression levels in an animal study.
- FIG. 2 shows the effects of selected polymer compounds on the hEPO expression levels in an animal study.
- FIG. 3 shows the Cryo-EM imaging of lipid nanoparticles comprising selected polymer compounds.
- lipid refers to a group of organic compounds that include, but are not limited to, esters of fatty acids and are generally characterized by being poorly soluble in water, but soluble in many nonpolar organic solvents. While lipids generally have poor solubility in water, there are certain categories of lipids (e.g., lipids modified by polar groups, e.g., DMG-PEG2000) that have limited aqueous solubility and can dissolve in water under certain conditions. Known types of lipids include biological molecules such as fatty acids, waxes, sterols, fat-soluble vitamins, monoglycerides, diglycerides, triglycerides, and phospholipids.
- lipids include biological molecules such as fatty acids, waxes, sterols, fat-soluble vitamins, monoglycerides, diglycerides, triglycerides, and phospholipids.
- Lipids can be divided into at least three classes: (1) “simple lipids, ” which include fats and oils as well as waxes; (2) “compound lipids, ” which include phospholipids and glycolipids (e.g., DMPE-PEG2000) ; and (3) “derived lipids” such as steroids. Further, as used herein, lipids also encompass lipidoid compounds.
- the term “lipidoid compound, ” also simply “lipidoid” refers to a lipid-like compound (e.g. an amphiphilic compound with lipid-like physical properties) .
- lipid nanoparticle refers to a particle having at least one dimension on the order of nanometers (nm) (e.g., 1 to 1,000 nm) , which contains one or more types of lipid molecules.
- the LNP provided herein can further contain at least one non-lipid payload molecule (e.g., one or more nucleic acid molecules) .
- the LNP comprises a non-lipid payload molecule either partially or completely encapsulated inside a lipid shell.
- the payload is a negatively charged molecule (e.g., mRNA encoding a viral protein)
- the lipid components of the LNP comprise at least one cationic lipid.
- cationic lipids can interact with the negatively charged payload molecules and facilitates incorporation and/or encapsulation of the payload into the LNP during LNP formation.
- Other lipids that can form part of a LNP as provided herein include but are not limited to neutral lipids and charged lipids, such as steroids, polymer conjugated lipids, and various zwitterionic lipids.
- a LNP according to the present disclosure comprises one or more polymer conjugated lipids of Formula (I) or (II) (and sub-formulas thereof) as described herein.
- cationic lipid refers to a lipid that is either positively charged at any pH value or hydrogen ion activity of its environment, or capable of being positively charged in response to the pH value or hydrogen ion activity of its environment (e.g., the environment of its intended use) .
- the term “cationic” encompasses both “permanently cationic” and “cationisable. ”
- the positive charge in a cationic lipid results from the presence of a quaternary nitrogen atom.
- the cationic lipid comprises a zwitterionic lipid that assumes a positive charge in the environment of its intended use (e.g., at physiological pH) .
- polymer conjugated lipid refers to a molecule comprising both a lipid portion and a polymer portion.
- An example of a polymer conjugated lipid is a pegylated lipid (PEG-lipid) , in which the polymer portion comprises a polyethylene glycol.
- the polymer conjugated lipid is one or more lipids of Formula (I) or (II) (and sub-formulas thereof) as described herein.
- neutral lipid encompasses any lipid molecules existing in uncharged forms or neutral zwitterionic forms at a selected pH value or within a selected pH range.
- the selected useful pH value or range corresponds to the pH condition in an environment of the intended uses of the lipids, such as the physiological pH.
- neutral lipids that can be used in connection with the present disclosure include, but are not limited to, phosphotidylcholines such as 1, 2-distearoyl-sn-glycero-3-phosphocholine (DSPC) , 1, 2-dipalmitoyl-sn-glycero-3-phosphocholine (DPPC) , 1, 2-dimyristoyl-sn-glycero-3-phosphocholine (DMPC) , 1-palmitoyl-2-oleoyl-sn-glycero-3-phosphocholine (POPC) , 1, 2-dioleoyl-sn-glycero-3-phosphocholine (DOPC) , phophatidylethanolamines such as 1, 2-dioleoyl-sn-glycero-3-phosphoethanolamine (DOPE) , 2- ( (2, 3-bis (oleoyloxy) propyl) dimethylammonio) ethyl hydrogen phosphate (DOPE) ,
- charged lipid encompasses any lipid molecules that exist in either positively charged or negatively charged forms at a selected pH or within a selected pH range.
- the selected pH value or range corresponds to the pH condition in an environment of the intended uses of the lipids, such as the physiological pH.
- charged lipids that can be used in connection with the present disclosure include, but are not limited to, phosphatidylserines, phosphatidic acids, phosphatidylglycerols, phosphatidylinositols, sterol hemisuccinates, dialkyl trimethylarnmonium-propanes, (e.g., DOTAP, DOTMA) , dialkyl dimethylaminopropanes, ethyl phosphocholines, dimethylaminoethane carbamoyl sterols (e.g., DC-Chol) , 1, 2-dioleoyl-sn-glycero-3-phospho-L-serine sodium salt (DOPS-Na) , 1, 2-dioleoyl-sn-glycero-3-phospho- (1'-rac-glycerol) sodium salt (DOPG-Na) , and 1, 2-dioleoyl-sn-g
- alkyl refers to a straight or branched hydrocarbon chain radical consisting solely of carbon and hydrogen atoms, which is saturated.
- the alkyl group has, for example, from one to twenty-four carbon atoms (C 1 -C 24 alkyl) , four to twenty carbon atoms (C 4 -C 20 alkyl) , six to sixteen carbon atoms (C 6 -C 16 alkyl) , six to nine carbon atoms (C 6 -C 9 alkyl) , one to fifteen carbon atoms (C 1 -C 15 alkyl) , one to twelve carbon atoms (C 1 -C 12 alkyl) , one to eight carbon atoms (C 1 -C 8 alkyl) or one to six carbon atoms (C 1 -C 6 alkyl) and which is attached to the rest of the molecule by a single bond.
- alkyl groups include, but are not limited to, methyl, ethyl, n-propyl, 1-methylethyl (isopropyl) , n-butyl, n-pentyl, 1, 1-dimethylethyl (t-butyl) , 3-methylhexyl, 2-methylhexyl, and the like. Unless otherwise specified, an alkyl group is optionally substituted.
- alkenyl refers to a straight or branched hydrocarbon chain radical consisting solely of carbon and hydrogen atoms, which contains one or more carbon-carbon double bonds.
- alkenyl also embraces radicals having “cis” and “trans” configurations, or alternatively, “E” and “Z” configurations, as appreciated by those of ordinary skill in the art.
- the alkenyl group has, for example, from two to twenty-four carbon atoms (C 2 -C 24 alkenyl) , four to twenty carbon atoms (C 4 -C 20 alkenyl) , six to sixteen carbon atoms (C 6 -C 16 alkenyl) , six to nine carbon atoms (C 6 -C 9 alkenyl) , two to fifteen carbon atoms (C 2 -C 15 alkenyl) , two to twelve carbon atoms (C 2 -C 12 alkenyl) , two to eight carbon atoms (C 2 -C 8 alkenyl) or two to six carbon atoms (C 2 -C 6 alkenyl) and which is attached to the rest of the molecule by a single bond.
- alkenyl groups include, but are not limited to, ethenyl, prop-1-enyl, but-1-enyl, pent-1-enyl, penta-1, 4-dienyl, and the like. Unless otherwise specified, an alkenyl group is optionally substituted.
- alkynyl refers to a straight or branched hydrocarbon chain radical consisting solely of carbon and hydrogen atoms, which contains one or more carbon-carbon triple bonds.
- the alkynyl group has, for example, from two to twenty-four carbon atoms (C 2 -C 24 alkynyl) , four to twenty carbon atoms (C 4 -C 20 alkynyl) , six to sixteen carbon atoms (C 6 -C 16 alkynyl) , six to nine carbon atoms (C 6 -C 9 alkynyl) , two to fifteen carbon atoms (C 2 -C 15 alkynyl) , two to twelve carbon atoms (C 2 -C 12 alkynyl) , two to eight carbon atoms (C 2 -C 8 alkynyl) or two to six carbon atoms (C 2 -C 6 alkynyl) and which is attached to the
- alkynyl groups include, but are not limited to, ethynyl, propynyl, butynyl, pentynyl, and the like. Unless otherwise specified, an alkynyl group is optionally substituted.
- alkylene or “alkylene chain” refers to a straight or branched divalent hydrocarbon chain linking the rest of the molecule to a radical group, consisting solely of carbon and hydrogen, which is saturated.
- the alkylene has, for example, from one to twenty-four carbon atoms (C 1 -C 24 alkylene) , one to fifteen carbon atoms (C 1 -C 15 alkylene) , one to twelve carbon atoms (C 1 -C 12 alkylene) , one to eight carbon atoms (C 1 -C 8 alkylene) , one to six carbon atoms (C 1 -C 6 alkylene) , two to four carbon atoms (C 2 -C 4 alkylene) , one to two carbon atoms (C 1 -C 2 alkylene) .
- alkylene groups include, but are not limited to, methylene, ethylene, propylene, n-butylene, and the like.
- the alkylene chain is attached to the rest of the molecule through a single bond and to the radical group through a single bond.
- the points of attachment of the alkylene chain to the rest of the molecule and to the radical group can be through one carbon or any two carbons within the chain. Unless otherwise specified, an alkylene chain is optionally substituted.
- alkenylene refers to a straight or branched divalent hydrocarbon chain linking the rest of the molecule to a radical group, consisting solely of carbon and hydrogen, which contains one or more carbon-carbon double bonds.
- the alkenylene has, for example, from two to twenty-four carbon atoms (C 2 -C 24 alkenylene) , two to fifteen carbon atoms (C 2 -C 15 alkenylene) , two to twelve carbon atoms (C 2 -C 12 alkenylene) , two to eight carbon atoms (C 2 -C 8 alkenylene) , two to six carbon atoms (C 2 -C 6 alkenylene) or two to four carbon atoms (C 2 -C 4 alkenylene) .
- alkenylene include, but are not limited to, ethenylene, propenylene, n-butenylene, and the like.
- the alkenylene is attached to the rest of the molecule through a single or double bond and to the radical group through a single or double bond.
- the points of attachment of the alkenylene to the rest of the molecule and to the radical group can be through one carbon or any two carbons within the chain. Unless otherwise specified, an alkenylene is optionally substituted.
- cycloalkyl refers to a non-aromatic monocyclic or polycyclic hydrocarbon radical consisting solely of carbon and hydrogen atoms, and which is saturated. Cycloalkyl group may include fused or bridged ring systems. In one embodiment, the cycloalkyl has, for example, from 3 to 15 ring carbon atoms (C 3 -C 15 cycloalkyl) , from 3 to 10 ring carbon atoms (C 3 -C 10 cycloalkyl) , or from 3 to 8 ring carbon atoms (C 3 -C 8 cycloalkyl) .
- the cycloalkyl is attached to the rest of the molecule by a single bond.
- Examples of monocyclic cycloalkyl radicals include, but are not limited to, cyclopropyl, cyclobutyl, cyclopentyl, cyclohexyl, cycloheptyl, and cyclooctyl.
- Examples of polycyclic cycloalkyl radicals include, but are not limited to, adamantyl, norbornyl, decalinyl, 7, 7-dimethyl-bicyclo [2.2.1] heptanyl, and the like. Unless otherwise specified, a cycloalkyl group is optionally substituted.
- cycloalkylene is a divalent cycloalkyl group. Unless otherwise specified, a cycloalkylene group is optionally substituted.
- cycloalkenyl refers to a non-aromatic monocyclic or polycyclic hydrocarbon radical consisting solely of carbon and hydrogen atoms, and which includes one or more carbon-carbon double bonds. Cycloalkenyl may include fused or bridged ring systems. In one embodiment, the cycloalkenyl has, for example, from 3 to 15 ring carbon atoms (C 3 -C 15 cycloalkenyl) , from 3 to 10 ring carbon atoms (C 3 -C 10 cycloalkenyl) , or from 3 to 8 ring carbon atoms (C 3 -C 8 cycloalkenyl) .
- the cycloalkenyl is attached to the rest of the molecule by a single bond.
- monocyclic cycloalkenyl radicals include, but are not limited to, cyclopropenyl, cyclobutenyl, cyclopentenyl, cyclohexenyl, cycloheptenyl, cyclooctenyl, and the like. Unless otherwise specified, a cycloalkenyl group is optionally substituted.
- cycloalkenylene is a divalent cycloalkenyl group. Unless otherwise specified, a cycloalkenylene group is optionally substituted.
- heterocyclyl refers to a non-aromatic radical monocyclic or polycyclic moiety that contains one or more (e.g., one, one or two, one to three, or one to four) heteroatoms independently selected from nitrogen, oxygen, phosphorous, and sulfur.
- the heterocyclyl may be attached to the main structure at any heteroatom or carbon atom.
- a heterocyclyl group can be a monocyclic, bicyclic, tricyclic, tetracyclic, or other polycyclic ring system, wherein the polycyclic ring systems can be a fused, bridged or spiro ring system.
- Heterocyclyl polycyclic ring systems can include one or more heteroatoms in one or more rings.
- a heterocyclyl group can be saturated or partially unsaturated.
- Saturated heterocycloalkyl groups can be termed “heterocycloalkyl” .
- Partially unsaturated heterocycloalkyl groups can be termed “heterocycloalkenyl” if the heterocyclyl contains at least one double bond, or “heterocycloalkynyl” if the heterocyclyl contains at least one triple bond.
- the heterocyclyl has, for example, 3 to 18 ring atoms (3-to 18-membered heterocyclyl) , 4 to 18 ring atoms (4-to 18-membered heterocyclyl) , 5 to 18 ring atoms (3-to 18-membered heterocyclyl) , 4 to 8 ring atoms (4-to 8-membered heterocyclyl) , or 5 to 8 ring atoms (5-to 8-membered heterocyclyl) .
- a numerical range such as “3 to 18” refers to each integer in the given range; e.g., “3 to 18 ring atoms” means that the heterocyclyl group can consist of 3 ring atoms, 4 ring atoms, 5 ring atoms, 6 ring atoms, 7 ring atoms, 8 ring atoms, 9 ring atoms, 10 ring atoms, etc., up to and including 18 ring atoms.
- heterocyclyl groups include, but are not limited to, imidazolyl, imidazolidinyl, oxazolyl, oxazolidinyl, thiazolyl, thiazolidinyl, pyrazolidinyl, pyrazolyl, isoxazolidinyl, isoxazolyl, isothiazolidinyl, isothiazolyl, morpholinyl, pyrrolyl, pyrrolidinyl, furyl, tetrahydrofuryl, thiophenyl, pyridinyl, piperidinyl, quinolyl, and isoquinolyl. Unless otherwise specified, a heterocyclyl group is optionally substituted.
- heterocyclylene is a divalent heterocyclyl group. Unless otherwise specified, a heterocyclylene group is optionally substituted.
- aryl refers to a monocyclic aromatic group and/or multicyclic monovalent aromatic group that contain at least one aromatic hydrocarbon ring.
- the aryl has from 6 to 18 ring carbon atoms (C 6 -C 18 aryl) , from 6 to 14 ring carbon atoms (C 6 -C 14 aryl) , or from 6 to 10 ring carbon atoms (C 6 -C 10 aryl) .
- aryl groups include, but are not limited to, phenyl, naphthyl, fluorenyl, azulenyl, anthryl, phenanthryl, pyrenyl, biphenyl, and terphenyl.
- aryl also refers to bicyclic, tricyclic, or other multicyclic hydrocarbon rings, where at least one of the rings is aromatic and the others of which may be saturated, partially unsaturated, or aromatic, for example, dihydronaphthyl, indenyl, indanyl, or tetrahydronaphthyl (tetralinyl) . Unless otherwise specified, an aryl group is optionally substituted.
- arylene is a divalent aryl group. Unless otherwise specified, an arylene group is optionally substituted.
- heteroaryl refers to a monocyclic aromatic group and/or multicyclic aromatic group that contains at least one aromatic ring, wherein at least one aromatic ring contains one or more (e.g., one, one or two, one to three, or one to four) heteroatoms independently selected from O, S, and N.
- the heteroaryl may be attached to the main structure at any heteroatom or carbon atom. In certain embodiments, the heteroaryl has from 5 to 20, from 5 to 15, or from 5 to 10 ring atoms.
- heteroaryl also refers to bicyclic, tricyclic, or other multicyclic rings, where at least one of the rings is aromatic and the others of which may be saturated, partially unsaturated, or aromatic, wherein at least one aromatic ring contains one or more heteroatoms independently selected from O, S, and N.
- Examples of monocyclic heteroaryl groups include, but are not limited to, pyrrolyl, pyrazolyl, pyrazolinyl, imidazolyl, oxazolyl, isoxazolyl, thiazolyl, thiadiazolyl, isothiazolyl, furanyl, thienyl, oxadiazolyl, pyridyl, pyrazinyl, pyrimidinyl, pyridazinyl, and triazinyl.
- bicyclic heteroaryl groups include, but are not limited to, indolyl, benzothiazolyl, benzoxazolyl, benzothienyl, quinolinyl, tetrahydroisoquinolinyl, isoquinolinyl, benzimidazolyl, benzopyranyl, indolizinyl, benzofuranyl, isobenzofuranyl, chromonyl, coumarinyl, cinnolinyl, quinoxalinyl, indazolyl, purinyl, pyrrolopyridinyl, furopyridinyl, thienopyridinyl, dihydroisoindolyl, and tetrahydroquinolinyl.
- tricyclic heteroaryl groups include, but are not limited to, carbazolyl, benzindolyl, phenanthrollinyl, acridinyl, phenanthridinyl, and xanthenyl. Unless otherwise specified, a heteroaryl group is optionally substituted.
- heteroarylene is a divalent heteroaryl group. Unless otherwise specified, a heteroarylene group is optionally substituted.
- the substituent is a C 1 -C 12 alkyl group. In other embodiments, the substituent is a cycloalkyl group. In other embodiments, the substituent is a halo group, such as fluoro. In other embodiments, the substituent is an oxo group. In other embodiments, the substituent is a hydroxyl group. In other embodiments, the substituent is an alkoxy group (-OR’) . In other embodiments, the substituent is a carboxyl group. In other embodiments, the substituent is an amino group (-NR’R’) .
- optionally substituted means that the subsequently described event of circumstances may or may not occur, and that the description includes instances where said event or circumstance occurs and instances in which it does not.
- optionally substituted alkyl means that the alkyl radical may or may not be substituted and that the description includes both substituted alkyl radicals and alkyl radicals having no substitution.
- prodrug of a biologically active compound refers to a compound that may be converted under physiological conditions or by solvolysis to the biologically active compound.
- prodrug refers to a metabolic precursor of the biologically active compound that is pharmaceutically acceptable.
- a prodrug may be inactive when administered to a subject in need thereof, but is converted in vivo to the biologically active compound.
- Prodrugs are typically rapidly transformed in vivo to yield the parent biologically active compound, for example, by hydrolysis in blood.
- the prodrug compound often offers advantages of solubility, tissue compatibility or delayed release in a mammalian organism (see, Bundgard, H., Design of Prodrugs (1985) , pp.
- prodrugs are provided in Higuchi, T., et al., A.C.S. Symposium Series, Vol. 14, and in Bioreversible Carriers in Drug Design, Ed. Edward B. Roche, American Pharmaceutical Association and Pergamon Press, 1987.
- prodrug is also meant to include any covalently bonded carriers, which release the active compound in vivo when such prodrug is administered to a mammalian subject.
- Prodrugs of a compound may be prepared by modifying functional groups present in the compound in such a way that the modifications are cleaved, either in routine manipulation or in vivo, to the parent compound.
- Prodrugs include compounds wherein a hydroxyl, amino or mercapto group is bonded to any group that, when the prodrug of the compound is administered to a mammalian subject, cleaves to form a free hydroxyl, free amino or free mercapto group, respectively.
- prodrugs include, but are not limited to, acetate, formate and benzoate derivatives of alcohol or amide derivatives of amine functional groups in the compounds provided herein.
- the term “pharmaceutically acceptable salt” includes both acid and base addition salts.
- Examples of pharmaceutically acceptable acid addition salts include, but are not limited to, hydrochloric acid, hydrobromic acid, sulfuric acid, nitric acid, phosphoric acid and the like, and organic acids such as, but not limited to, acetic acid, 2, 2-dichloroacetic acid, adipic acid, alginic acid, ascorbic acid, aspartic acid, benzenesulfonic acid, benzoic acid, 4-acetamidobenzoic acid, camphoric acid, camphor-10-sulfonic acid, capric acid, caproic acid, caprylic acid, carbonic acid, cinnamic acid, citric acid, cyclamic acid, dodecylsulfuric acid, ethane-1, 2-disulfonic acid, ethanesulfonic acid, 2-hydroxyethanesulfonic acid, formic acid, fumaric acid, galactaric acid, gentisic acid, glucoheptonic acid, gluconic acid, glu
- Examples of pharmaceutically acceptable base addition salt include, but are not limited to, salts prepared from addition of an inorganic base or an organic base to a free acid compound.
- Salts derived from inorganic bases include, but are not limited to, the sodium, potassium, lithium, ammonium, calcium, magnesium, iron, zinc, copper, manganese, aluminum salts and the like.
- the inorganic salts are the ammonium, sodium, potassium, calcium, and magnesium salts.
- Salts derived from organic bases include, but are not limited to, salts of primary, secondary, and tertiary amines, substituted amines including naturally occurring substituted amines, cyclic amines and basic ion exchange resins, such as ammonia, isopropylamine, trimethylamine, diethylamine, triethylamine, tripropylamine, diethanolamine, ethanolamine, deanol, 2-dimethylaminoethanol, 2-diethylaminoethanol, dicyclohexylamine, lysine, arginine, histidine, caffeine, procaine, hydrabamine, choline, betaine, benethamine, benzathine, ethylenediamine, glucosamine, methylglucamine, theobromine, triethanolamine, tromethamine, purines, piperazine, piperidine, N-ethylpiperidine, polyamine resins and the like.
- the organic bases are isopropyl
- a compound provided herein may contain one or more asymmetric centers and may thus give rise to enantiomers, diastereomers, and other stereoisomeric forms that may be defined, in terms of absolute stereochemistry, as (R) -or (S) -or, as (D) -or (L) -for amino acids. Unless otherwise specified, a compound provided herein is meant to include all such possible isomers, as well as their racemic and optically pure forms. Optically active (+) and (-) , (R) -and (S) -, or (D) -and (L) -isomers may be prepared using chiral synthons or chiral reagents, or resolved using conventional techniques, for example, chromatography and fractional crystallization.
- the term “isomer” refers to different compounds that have the same molecular formula.
- “Stereoisomers” are isomers that differ only in the way the atoms are arranged in space.
- “Atropisomers” are stereoisomers from hindered rotation about single bonds.
- “Enantiomers” are a pair of stereoisomers that are non-superimposable mirror images of each other. A mixture of a pair of enantiomers in any proportion can be known as a “racemic” mixture.
- “Diastereoisomers” are stereoisomers that have at least two asymmetric atoms, but which are not mirror-images of each other.
- Stepoisomers can also include E and Z isomers, or a mixture thereof, and cis and trans isomers or a mixture thereof.
- a compound described herein is isolated as either the E or Z isomer.
- a compound described herein is a mixture of the E and Z isomers.
- Tautomers refers to isomeric forms of a compound that are in equilibrium with each other. The concentrations of the isomeric forms will depend on the environment the compound is found in and may be different depending upon, for example, whether the compound is a solid or is in an organic or aqueous solution.
- a compound described herein can contain unnatural proportions of atomic isotopes at one or more of the atoms.
- the compounds may be radiolabeled with radioactive isotopes, such as for example tritium ( 3 H) , iodine-125 ( 125 I) , sulfur-35 ( 35 S) , or carbon-14 ( 14 C) , or may be isotopically enriched, such as with deuterium ( 2 H) , carbon-13 ( 13 C) , or nitrogen-15 ( 15 N) .
- an “isotopolog” is an isotopically enriched compound.
- isotopically enriched refers to an atom having an isotopic composition other than the natural isotopic composition of that atom. “Isotopically enriched” may also refer to a compound containing at least one atom having an isotopic composition other than the natural isotopic composition of that atom. The term “isotopic composition” refers to the amount of each isotope present for a given atom. Radiolabeled and isotopically enriched compounds are useful as therapeutic agents, e.g., cancer therapeutic agents, research reagents, e.g., binding assay reagents, and diagnostic agents, e.g., in vivo imaging agents.
- isotopologs of a compound described herein are deuterium, carbon-13, and/or nitrogen-15 enriched.
- deuterated means a compound wherein at least one hydrogen (H) has been replaced by deuterium (indicated by D or 2 H) , that is, the compound is enriched in deuterium in at least one position.
- the term “pharmaceutically acceptable carrier, diluent or excipient” includes without limitation any adjuvant, carrier, excipient, glidant, sweetening agent, diluent, preservative, dye/colorant, flavor enhancer, surfactant, wetting agent, dispersing agent, suspending agent, stabilizer, isotonic agent, solvent, or emulsifier which has been approved by the United States Food and Drug Administration as being acceptable for use in humans or domestic animals.
- composition is intended to encompass a product containing the specified ingredients (e.g., a mRNA molecule provided herein) in, optionally, the specified amounts.
- polynucleotide or “nucleic acid, ” as used interchangeably herein, refers to polymers of nucleotides of any length and includes, e.g., DNA and RNA.
- the nucleotides can be deoxyribonucleotides, ribonucleotides, modified nucleotides or bases, and/or their analogs, or any substrate that can be incorporated into a polymer by DNA or RNA polymerase or by a synthetic reaction.
- a polynucleotide may comprise modified nucleotides, such as methylated nucleotides and their analogs.
- Nucleic acid can be in either single-or double-stranded forms.
- nucleic acid also includes nucleic acid mimics such as locked nucleic acids (LNAs) , peptide nucleic acids (PNAs) , and morpholinos.
- LNAs locked nucleic acids
- PNAs peptide nucleic acids
- morpholinos morpholinos.
- Oligonucleotide refers to short synthetic polynucleotides that are generally, but not necessarily, fewer than about 200 nucleotides in length.
- oligonucleotide and polynucleotide are not mutually exclusive. The description above for polynucleotides is equally and fully applicable to oligonucleotides.
- the left-hand end of any single-stranded polynucleotide sequence disclosed herein is the 5’ end; the left-hand direction of double-stranded polynucleotide sequences is referred to as the 5’ direction.
- the direction of 5’ to 3’ addition of nascent RNA transcripts is referred to as the transcription direction; sequence regions on the DNA strand having the same sequence as the RNA transcript that are 5’ to the 5’ end of the RNA transcript are referred to as “upstream sequences” ; sequence regions on the DNA strand having the same sequence as the RNA transcript that are 3’ to the 3’ end of the RNA transcript are referred to as “downstream sequences. ”
- an “isolated nucleic acid” is a nucleic acid, for example, an RNA, DNA, or a mixed nucleic acids, which is substantially separated from other genome DNA sequences as well as proteins or complexes such as ribosomes and polymerases, which naturally accompany a native sequence.
- An “isolated” nucleic acid molecule is one which is separated from other nucleic acid molecules which are present in the natural source of the nucleic acid molecule.
- an “isolated” nucleic acid molecule, such as an mRNA molecule can be substantially free of other cellular material, or culture medium when produced by recombinant techniques, or substantially free of chemical precursors or other chemicals when chemically synthesized.
- nucleic acid molecules encoding an antigen as described herein are isolated or purified.
- the term embraces nucleic acid sequences that have been removed from their naturally occurring environment, and includes recombinant or cloned DNA or RNA isolates and chemically synthesized analogues or analogues biologically synthesized by heterologous systems.
- a substantially pure molecule may include isolated forms of the molecule.
- nucleic acid or grammatical equivalents thereof as it is used in reference to nucleic acid molecule encompasses (a) a nucleic acid molecule in its native state or when manipulated by methods well known to those skilled in the art that can be transcribed to produce mRNA which is then translated into a peptide and/or polypeptide, and (b) the mRNA molecule itself.
- the antisense strand is the complement of such a nucleic acid molecule, and the encoding sequence can be deduced therefrom.
- coding region refers to a portion in an encoding nucleic acid sequence that is translated into a peptide or polypeptide.
- UTR untranslated region
- 5’-UTR a UTR if located to the 5’-end of a coding region
- 3’-UTR a UTR if located to the 3’-end of a coding region
- mRNA refers to a message RNA molecule comprising one or more open reading frame (ORF) that can be translated by a cell or an organism provided with the mRNA to produce one or more peptide or protein product.
- ORF open reading frame
- the region containing the one or more ORFs is referred to as the coding region of the mRNA molecule.
- the mRNA molecule further comprises one or more untranslated regions (UTRs) .
- the mRNA is a monocistronic mRNA that comprises only one ORF.
- the monocistronic mRNA encodes a peptide or protein comprising at least one epitope of a selected antigen (e.g., a pathogenic antigen or a tumor associated antigen) .
- the mRNA is a multicistronic mRNA that comprises two or more ORFs.
- the multiecistronic mRNA encodes two or more peptides or proteins that can be the same or different from each other.
- each peptide or protein encoded by a multicistronic mRNA comprises at least one epitope of a selected antigen.
- different peptide or protein encoded by a multicistronic mRNA each comprises at least one epitope of different antigens.
- the at least one epitope can be at least 2, at least 3, at least 4, at least 5, at least 6, at least 7, at least 8, at least 9, or at least 10 epitopes of an antigen.
- nucleobases encompasses purines and pyrimidines, including natural compounds adenine, thymine, guanine, cytosine, uracil, inosine, and natural or synthetic analogs or derivatives thereof.
- nucleotide analog refers to a modified version of a canonical nucleotide A, G, C, U or T that (a) retains the base-pairing properties of the corresponding canonical nucleotide, and (b) contains at least one chemical modification to (i) the nucleobase, (ii) the sugar group, (iii) the phosphate group, or (iv) any combinations of (i) to (iii) , of the corresponding natural nucleotide.
- base pairing encompasses not only the canonical Watson-Crick adenine-thymine, adenine-uracil, or guanine-cytosine base pairs, but also base pairs formed between canonical nucleotides and functional nucleotide analogs or between a pair of functional nucleotide analogs, wherein the arrangement of hydrogen bond donors and hydrogen bond acceptors permits hydrogen bonding between a modified nucleobase and a canonical nucleobase or between two complementary modified nucleobase structures.
- a functional analog of guanosine (G) retains the ability to base-pair with cytosine (C) or a functional analog of cytosine.
- a functional nucleotide analog can be either naturally occurring or non-naturally occurring. Accordingly, a nucleic acid molecule containing a functional nucleotide analog can have at least one modified nucleobase, sugar group and/or internucleoside linkage. Exemplary chemical modifications to the nucleobases, sugar groups, or internucleoside linkages of a nucleic acid molecule are provided herein.
- translational enhancer element refers to an region in a nucleic acid molecule that functions to promotes translation of a coding sequence of the nucleic acid into a protein or peptide product, such as via cap-dependent or cap-independent translation.
- a TEE typically locates in the UTR region of a nucleic acid molecule (e.g., mRNA) and enhance the translational level of a coding sequence located either upstream or downstream. For example, a TEE in a 5’-UTR of a nucleic acid molecule can locate between the promoter and the starting codon of the nucleic acid molecule.
- TEE sequences are known in the art (Wellensiek et al. Genome-wide profiling of human cap-independent translation-enhancing elements, Nature Methods, 2013 Aug; 10 (8) : 747–750; Chappell et al. PNAS June 29, 2004 101 (26) 9590-9594) . Some TEEs are known to be conserved across multiple species (Pánek et al. Nucleic Acids Research, Volume 41, Issue 16, 1 September 2013, Pages 7625–7634) .
- stem-loop sequence refers to a single-stranded polynucleotide sequence having at least two regions that are complementary or substantially complementary to each other when read in opposite directions, and thus capable of base-pairing with each other to form at least one double helix and an unpaired loop.
- the resulting structure is known as a stem-loop structure, a hairpin, or a hairpin loop, which is a secondary structure found in many RNA molecules.
- peptide refers to a polymer containing between two and fifty (2-50) amino acid residues linked by one or more covalent peptide bond (s) .
- the terms apply to naturally occurring amino acid polymers as well as amino acid polymers in which one or more amino acid residues is a non-naturally occurring amino acid (e.g., an amino acid analog or non-natural amino acid) .
- polypeptide and protein are used interchangeably herein to refer to a polymer of greater than fifty (50) amino acid residues linked by covalent peptide bonds. That is, a description directed to a polypeptide applies equally to a description of a protein, and vice versa.
- the terms apply to naturally occurring amino acid polymers as well as amino acid polymers in which one or more amino acid residues is a non-naturally occurring amino acid (e.g., an amino acid analog) .
- the terms encompass amino acid chains of any length, including full length proteins (e.g., antigens) .
- the term “antigen” refers to a substance that can be recognized by the immune system of a subject (including by the adaptive immune system) , and is capable of triggering an immune response after the subject is contacted with the antigen (including an antigen-specific immune response) .
- the antigen is a protein associated with a diseased cell, such as a cell infected by a pathogen or a neoplastic cell (e.g., tumor associated antigen (TAA) ) .
- fragment refers to a peptide or polypeptide that comprises less than the full length amino acid sequence. Such a fragment may arise, for example, from a truncation at the amino terminus, a truncation at the carboxy terminus, and/or an internal deletion of a residue (s) from the amino acid sequence. Fragments may, for example, result from alternative RNA splicing or from in vivo protease activity.
- fragments refers to polypeptides comprising an amino acid sequence of at least 5 contiguous amino acid residues, at least 10 contiguous amino acid residues, at least 15 contiguous amino acid residues, at least 20 contiguous amino acid residues, at least 25 contiguous amino acid residues, at least 30 contiguous amino acid residues, at least 40 contiguous amino acid residues, at least 50 contiguous amino acid residues, at least 60 contiguous amino residues, at least 70 contiguous amino acid residues, at least 80 contiguous amino acid residues, at least 90 contiguous amino acid residues, at least contiguous 100 amino acid residues, at least 125 contiguous amino acid residues, at least 150 contiguous amino acid residues, at least 175 contiguous amino acid residues, at least 200 contiguous amino acid residues, at least 250, at least 300, at least 350, at least 400, at least 450, at least 500, at least 550, at least 600, at least 650, at least 700, at least
- An “epitope” is the site on the surface of an antigen molecule to which a single antibody molecule binds, such as a localized region on the surface of an antigen that is capable of being bound to one or more antigen binding regions of an antibody, and that has antigenic or immunogenic activity in an animal, such as a mammal (e.g., a human) , that is capable of eliciting an immune response.
- An epitope having immunogenic activity is a portion of a polypeptide that elicits an antibody response in an animal.
- An epitope having antigenic activity is a portion of a polypeptide to which an antibody binds as determined by any method well known in the art, including, for example, by an immunoassay.
- Antigenic epitopes need not necessarily be immunogenic. Epitopes often consist of chemically active surface groupings of molecules such as amino acids or sugar side chains and have specific three dimensional structural characteristics as well as specific charge characteristics. Antibody epitopes may be linear epitopes or conformational epitopes. Linear epitopes are formed by a continuous sequence of amino acids in a protein. Conformational epitopes are formed of amino acids that are discontinuous in the protein sequence, but which are brought together upon folding of the protein into its three-dimensional structure. Induced epitopes are formed when the three dimensional structure of the protein is in an altered conformation, such as following activation or binding of another protein or ligand.
- an epitope is a three-dimensional surface feature of a polypeptide. In other embodiments, an epitope is linear feature of a polypeptide. Generally an antigen has several or many different epitopes and may react with many different antibodies.
- the term “genetic vaccine” as used herein refers to a therapeutic or prophylactic composition comprising at least one nucleic acid molecule encoding an antigen associated with a target disease (e.g., an infectious disease or a neoplastic disease) .
- Administration of the vaccine to a subject allows for the production of the encoded peptide or protein, thereby eliciting an immune response against the target disease in the subject.
- the immune response comprises adaptive immune response, such as the production of antibodies against the encoded antigen, and/or activation and proliferations of immune cells capable of specifically eliminating diseased cells expressing the antigen.
- the immune response further comprises innate immune response.
- a vaccine can be administered to a subject either before or after the onset of clinical symptoms of the target disease.
- vaccination of a healthy or asymptomatic subject renders the vaccinated subject immune or less susceptible to the development of the target disease.
- vaccination of a subject showing symptoms of the disease improves the condition of, or treats, the disease in the vaccinated subject.
- innate immune response and “innate immunity” are recognized in the art, and refer to non-specific defense mechanism a body’s immune system initiates upon recognition of pathogen-associated molecular patterns, which involves different forms of cellular activities, including cytokine production and cell death through various pathways.
- innate immune responses include, without limitation, increased production of inflammation cytokines (e.g., type I interferon or IL-10 production) , activation of the NF ⁇ B pathway, increased proliferation, maturation, differentiation and/or survival of immune cells, and in some cases, induction of cell apoptosis.
- Activation of the innate immunity can be detected using methods known in the art, such as measuring the (NF) - ⁇ B activation.
- adaptive immune response and “adaptive immunity” are recognized in the art, and refer to antigen-specific defense mechanism a body’s immune system initiates upon recognition of a specific antigen, which include both humoral response and cell-mediated responses.
- adaptive immune responses include cellular responses that is triggered and/or augmented by a vaccine composition, such as a genetic composition described herein.
- the vaccine composition comprises an antigen that is the target of the antigen-specific adaptive immune response.
- the vaccine composition upon administration, allows the production in an immunized subject of an antigen that is the target of the antigen-specific adaptive immune response. Activation of an adaptive immune response can be detected using methods known in the art, such as measuring the antigen-specific antibody production, or the level of antigen-specific cell-mediated cytotoxicity.
- antibody is intended to include a polypeptide product of B cells within the immunoglobulin class of polypeptides that is able to bind to a specific molecular antigen and is composed of two identical pairs of polypeptide chains, wherein each pair has one heavy chain (about 50-70 kDa) and one light chain (about 25 kDa) , each amino-terminal portion of each chain includes a variable region of about 100 to about 130 or more amino acids, and each carboxy-terminal portion of each chain includes a constant region. See, e.g., Antibody Engineering (Borrebaeck ed., 2d ed. 1995) ; and Kuby, Immunology (3d ed. 1997) .
- the specific molecular antigen can be bound by an antibody provided herein, including a polypeptide, a fragment or an epitope thereof.
- Antibodies also include, but are not limited to, synthetic antibodies, recombinantly produced antibodies, camelized antibodies, intrabodies, anti-idiotypic (anti-Id) antibodies, and functional fragments of any of the above, which refers to a portion of an antibody heavy or light chain polypeptide that retains some or all of the binding activity of the antibody from which the fragment was derived.
- functional fragments include single-chain Fvs (scFv) (e.g., including monospecific, bispecific, etc.
- antibodies provided herein include immunoglobulin molecules and immunologically active portions of immunoglobulin molecules, for example, antigen-binding domains or molecules that contain an antigen-binding site (e.g., one or more CDRs of an antibody) .
- antigen-binding domains or molecules that contain an antigen-binding site e.g., one or more CDRs of an antibody
- the antibodies provided herein can be of any class (e.g., IgG, IgE, IgM, IgD, and IgA) or any subclass (e.g., IgG1, IgG2, IgG3, IgG4, IgA1, and IgA2) of immunoglobulin molecule.
- administer refers to the act of injecting or otherwise physically delivering a substance as it exists outside the body (e.g., a lipid nanoparticle composition as described herein) into a patient, such as by mucosal, intradermal, intravenous, intramuscular delivery, and/or any other method of physical delivery described herein or known in the art.
- a disease, disorder, condition, or a symptom thereof is being treated, administration of the substance typically occurs after the onset of the disease, disorder, condition, or symptoms thereof.
- a disease, disorder, condition, or symptoms thereof are being prevented, administration of the substance typically occurs before the onset of the disease, disorder, condition, or symptoms thereof.
- Chronic administration refers to administration of the agent (s) in a continuous mode (e.g., for a period of time such as days, weeks, months, or years) as opposed to an acute mode, so as to maintain the initial therapeutic effect (activity) for an extended period of time.
- Intermittent administration is treatment that is not consecutively done without interruption, but rather is cyclic in nature.
- target delivery refers to the process that promotes the arrival of a delivered agent (such as a therapeutic payload molecule in a lipid nanoparticle composition as described herein) at a specific organ, tissue, cell and/or intracellular compartment (referred to as the targeted location) more than any other organ, tissue, cell or intracellular compartment (referred to as the non-target location) .
- a delivered agent such as a therapeutic payload molecule in a lipid nanoparticle composition as described herein
- Targeted delivery can be detected using methods known in the art, for example, by comparing the concentration of the delivered agent in a targeted cell population with the concentration of the delivered agent at a non-target cell population after systemic administration. In certain embodiments, targeted delivery results in at least 2 fold higher concentration at a targeted location as compared to a non-target location.
- an “effective amount” is generally an amount sufficient to reduce the severity and/or frequency of symptoms, eliminate the symptoms and/or underlying cause, prevent the occurrence of symptoms and/or their underlying cause, and/or improve or remediate the damage that results from or is associated with a disease, disorder, or condition, including, for example, infection and neoplasia.
- the effective amount is a therapeutically effective amount or a prophylactically effective amount.
- terapéuticaally effective amount refers to the amount of an agent (e.g., a vaccine composition) that is sufficient to reduce and/or ameliorate the severity and/or duration of a given disease, disorder, or condition, and/or a symptom related thereto (e.g., an infectious disease such as caused by viral infection, or a neoplastic disease such as cancer) .
- a “therapeutically effective amount” of a substance/molecule/agent of the present disclosure may vary according to factors such as the disease state, age, sex, and weight of the individual, and the ability of the substance/molecule/agent to elicit a desired response in the individual.
- a therapeutically effective amount encompasses an amount in which any toxic or detrimental effects of the substance/molecule/agent are outweighed by the therapeutically beneficial effects.
- the term “therapeutically effective amount” refers to an amount of a lipid nanoparticle composition as described herein or a therapeutic or prophylactic agent contained therein (e.g., a therapeutic mRNA) effective to “treat” a disease, disorder, or condition, in a subject or mammal.
- a “prophylactically effective amount” is an amount of a pharmaceutical composition that, when administered to a subject, will have the intended prophylactic effect, e.g., preventing, delaying, or reducing the likelihood of the onset (or reoccurrence) of a disease, disorder, condition, or associated symptom (s) (e.g., an infectious disease such as caused by viral infection, or a neoplastic disease such as cancer) .
- a prophylactically effective amount may be less than a therapeutically effective amount.
- the full therapeutic or prophylactic effect does not necessarily occur by administration of one dose, and may occur only after administration of a series of doses. Thus, a therapeutically or prophylactically effective amount may be administered in one or more administrations.
- prevent, ” and “prevention” refer to reducing the likelihood of the onset (or recurrence) of a disease, disorder, condition, or associated symptom (s) (e.g., an infectious disease such as caused by viral infection, or a neoplastic disease such as cancer) .
- a disease, disorder, condition, or associated symptom e.g., an infectious disease such as caused by viral infection, or a neoplastic disease such as cancer
- a subject is administered one or more therapies (e.g., prophylactic or therapeutic agents, such as a lipid nanoparticle composition as described herein) to “manage” an infectious or neoplastic disease, one or more symptoms thereof, so as to prevent the progression or worsening of the disease.
- therapies e.g., prophylactic or therapeutic agents, such as a lipid nanoparticle composition as described herein
- prophylactic agent refers to any agent that can totally or partially inhibit the development, recurrence, onset, or spread of disease and/or symptom related thereto in a subject.
- therapeutic agent refers to any agent that can be used in treating, preventing, or alleviating a disease, disorder, or condition, including in the treatment, prevention, or alleviation of one or more symptoms of a disease, disorder, or condition and/or a symptom related thereto.
- the term “therapy” refers to any protocol, method, and/or agent that can be used in the prevention, management, treatment, and/or amelioration of a disease, disorder, or condition.
- the terms “therapies” and “therapy” refer to a biological therapy, supportive therapy, and/or other therapies useful in the prevention, management, treatment, and/or amelioration of a disease, disorder, or condition, known to one of skill in the art such as medical personnel.
- a “prophylactically effective serum titer” is the serum titer of an antibody in a subject (e.g., a human) , that totally or partially inhibits the development, recurrence, onset, or spread of a disease, disorder, or condition, and/or symptom related thereto in the subject.
- a “therapeutically effective serum titer” is the serum titer of an antibody in a subject (e.g., a human) , that reduces the severity, the duration, and/or the symptoms associated with a disease, disorder, or condition, in the subject.
- serum titer refers to an average serum titer in a subject from multiple samples (e.g., at multiple time points) or in a population of at least 10, at least 20, at least 40 subjects, up to about 100, 1000, or more.
- side effects encompasses unwanted and/or adverse effects of a therapy (e.g., a prophylactic or therapeutic agent) . Unwanted effects are not necessarily adverse. An adverse effect from a therapy (e.g., a prophylactic or therapeutic agent) might be harmful, uncomfortable, or risky.
- a therapy e.g., a prophylactic or therapeutic agent
- side effects include, diarrhea, cough, gastroenteritis, wheezing, nausea, vomiting, anorexia, abdominal cramping, fever, pain, loss of body weight, dehydration, alopecia, dyspenea, insomnia, dizziness, mucositis, nerve and muscle effects, fatigue, dry mouth, loss of appetite, rashes or swellings at the site of administration, flu-like symptoms such as fever, chills, and fatigue, digestive tract problems, and allergic reactions. Additional undesired effects experienced by patients are numerous and known in the art. Many are described in Physician’s Desk Reference (68th ed. 2014) .
- a subject is a mammal, such as a non-primate (e.g., cow, pig, horse, cat, dog, rat, etc. ) or a primate (e.g., monkey and human) .
- the subject is a human.
- the subject is a mammal (e.g., a human) having an infectious disease or neoplastic disease.
- the subject is a mammal (e.g., a human) at risk of developing an infectious disease or neoplastic disease.
- detectable probe refers to a composition that provides a detectable signal.
- the term includes, without limitation, any fluorophore, chromophore, radiolabel, enzyme, antibody or antibody fragment, and the like, that provide a detectable signal via its activity.
- detectable agent refers to a substance that can be used to ascertain the existence or presence of a desired molecule, such as an antigen encoded by an mRNA molecule as described herein, in a sample or subject.
- a detectable agent can be a substance that is capable of being visualized or a substance that is otherwise able to be determined and/or measured (e.g., by quantitation) .
- substantially all refers to at least about 60%, at least about 65%, at least about 70%, at least about 75%, at least about 80%, at least about 85%, at least about 90%, at least about 95%, at least about 98%, at least about 99%, or about 100%.
- the term “about” or “approximately” means an acceptable error for a particular value as determined by one of ordinary skill in the art, which depends in part on how the value is measured or determined. In certain embodiments, the term “about” or “approximately” means within 1, 2, 3, or 4 standard deviations. In certain embodiments, the term “about” or “approximately” means within 20%, 15%, 10%, 9%, 8%, 7%, 6%, 5%, 4%, 3%, 2%, 1%, 0.5%, 0.05%, or less of a given value or range.
- targeting moiety or “targeting group” refers to a moiety or group that is capable of specifically binding to a molecule on the surface of a target cell, such as a cell within a target tissue of a subject.
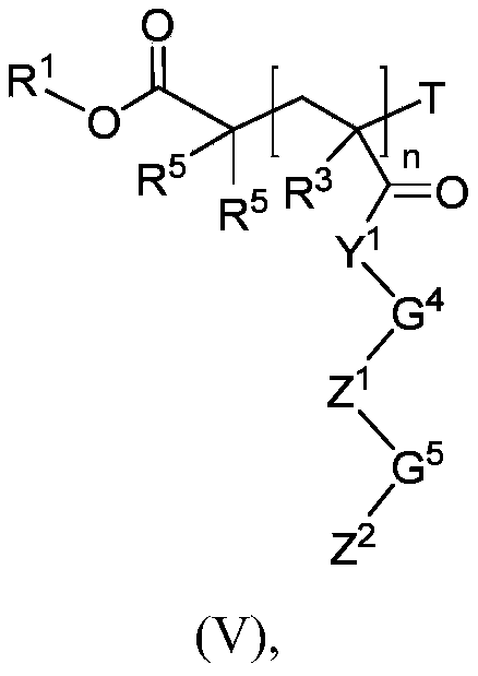
- L is a lipid
- X is a linker
- each R 3 is independently H or C 1 -C 6 alkyl
- each Y 1 is independently a bond, O, S, or NR a ;
- each G 4 is independently a bond or C 1 -C 12 alkylene, wherein one or more -CH 2 -is independently optionally replaced by -O-, -S-, or -NR a -;
- each G 5 is independently a bond or C 1 -C 12 alkylene, wherein one or more -CH 2 -is independently optionally replaced by -O-, -S-, or -NR a -;
- each R a is independently H, C 1 -C 12 alkyl, or C 2 -C 12 alkenyl
- one of Z 1 and Z 2 is a positively charged moiety and the other of Z 1 and Z 2 is a negatively charged moiety;
- n is an integer from 2 to 100;
- each alkyl, alkenyl, alkylene, aryl, and heteroaryl is independently optionally substituted;
- T when the negatively charged moiety of Z 1 or Z 2 is a carboxylate (-COO – ) , T is not bromo.
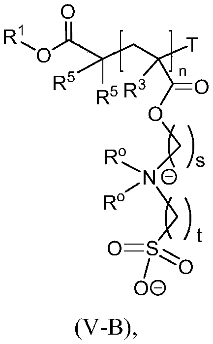
- the compound is a compound of Formula (II) :
- L is a lipid
- X is a linker
- each R 3 is independently H or C 1 -C 6 alkyl
- each R 4 is independently H or C 1 -C 6 alkyl
- each X 1 is independently a bond or -C (O) -Y 1 -;
- each X 2 is independently a bond or -C (O) -Y 2 -;
- each Y 1 is independently a bond, O, S, or NR a ;
- each Y 2 is independently a bond, O, S, or NR a ;
- each G 4 is independently a bond or C 1 -C 12 alkylene, wherein one or more -CH 2 -is independently optionally replaced by -O-, -S-, or -NR a -;
- each G 5 is independently a bond or C 1 -C 12 alkylene, wherein one or more -CH 2 -is independently optionally replaced by -O-, -S-, or -NR a -;
- each R a is independently H, C 1 -C 12 alkyl, or C 2 -C 12 alkenyl
- one of Z 1 and Z 2 is a positively charged moiety and the other of Z 1 and Z 2 is a negatively charged moiety;
- n is an even integer from 2 to 100;
- each alkyl, alkenyl, alkylene, aryl, and heteroaryl is independently optionally substituted.
- the positively charged moiety e.g., a unit when Z 1 is positively charged
- the negatively charged moiety e.g., a unit when Z 2 is negatively charged
- the charged moieties within the ⁇ can be +, –, +, –, +, –...; can be +, +, +, –, –, –...; can be +, +, –, +, –, –...; can be –, –, +, +, +, –, ...
- X 1 is a bond. In one embodiment, X 1 is -C (O) -Y 1 -.
- X 2 is a bond. In one embodiment, X 2 is -C (O) -Y 2 -.
- Y 1 is O. In one embodiment, Y 1 is S. In one embodiment, Y 1 is NR a . In one embodiment, Y 1 is NH. In one embodiment, Y 1 is a bond.
- Y 2 is O. In one embodiment, Y 2 is S. In one embodiment, Y 2 is NR a . In one embodiment, Y 2 is NH. In one embodiment, Y 2 is a bond.
- G 4 is a bond. In one embodiment, G 4 is C 1 -C 6 alkylene, wherein one or more -CH 2 -is independently optionally replaced by -O-, -S-, or -NR a -. In one embodiment, G 4 is C 1 -C 3 alkylene. In one embodiment, G 4 is C 1 alkylene. In one embodiment, G 4 is C 2 alkylene. In one embodiment, G 4 is C 3 alkylene.
- G 5 is a bond.
- G 5 is C 1 -C 6 alkylene, wherein one or more -CH 2 -is independently optionally replaced by -O-, -S-, or -NR a -.
- G 5 is C 1 -C 3 alkylene.
- G 5 is C 1 alkylene.
- G 5 is C 2 alkylene.
- G 5 is C 3 alkylene.
- Z 1 is a positively charged moiety and Z 2 is a negatively charged moiety.
- Z 2 is a positively charged moiety and Z 1 is a negatively charged moiety.
- a “charged moiety” refers to a moiety that is either charged at any pH value or hydrogen ion activity of its environment, or capable of being charged in response to the pH value or hydrogen ion activity of its environment (e.g., the environment of its intended use) .
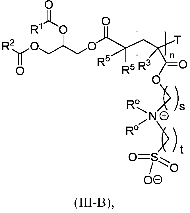
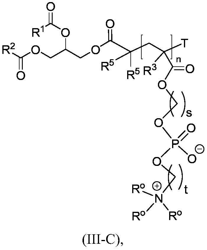
- the positively charged moiety of Z 1 or Z 2 is a quaternary amine cation.
- the negatively charged moiety of Z 1 or Z 2 is a carboxylate, sulfonate, or phosphate anion.
- the negatively charged moiety of Z 1 or Z 2 is a carboxylate, and the corresponding X 1 and G 4 or the corresponding X 2 and G 5 are both a bond.
- the unit is In one embodiment, the unit is
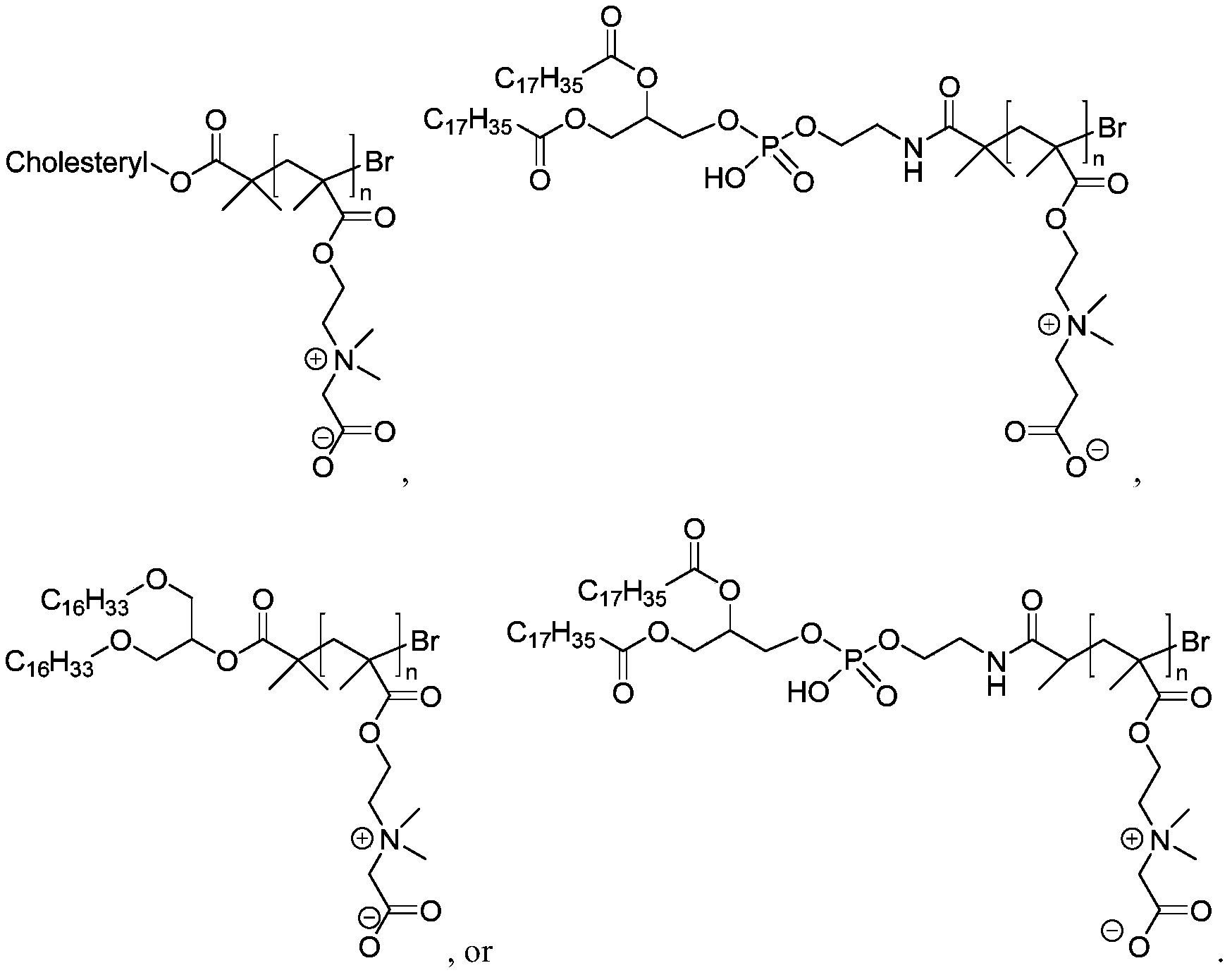
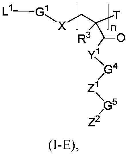
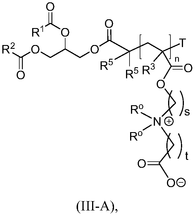
- the compound is a compound of Formula (I-A) :
- s is an integer from 1 to 6;
- t is an integer from 1 to 6;
- each R o is independently C 1 -C 6 alkyl; or two R o together with the nitrogen to which they are attached form a cyclic moiety;
- each alkyl and cyclic moiety is independently optionally substituted.
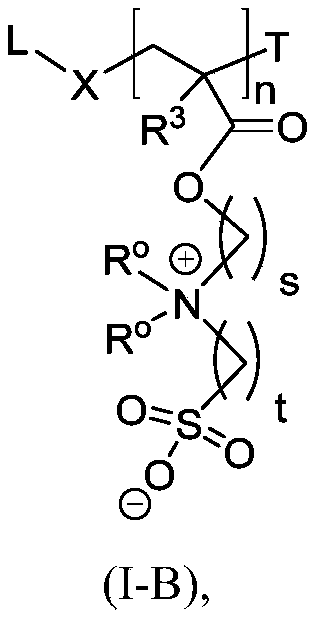
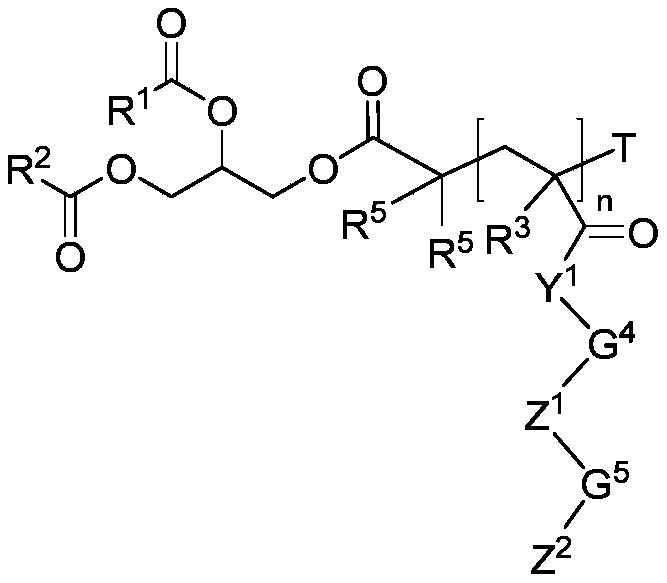
- the compound is a compound of Formula (I-B) :
- s is an integer from 1 to 6;
- t is an integer from 1 to 6;
- each R o is independently C 1 -C 6 alkyl; or two R o together with the nitrogen to which they are attached form a cyclic moiety;
- each alkyl and cyclic moiety is independently optionally substituted.
- the compound is a compound of Formula (I-C) :
- s is an integer from 1 to 6;
- t is an integer from 1 to 6;
- each R o is independently C 1 -C 6 alkyl; or two R o together with the nitrogen to which they are attached form a cyclic moiety; or three R o together with the nitrogen to which they are attached form a bicyclic moiety; and
- each alkyl, cyclic moiety and bicyclic moiety is independently optionally substituted.
- the compound is a compound of Formula (II-A) :
- s is an integer from 1 to 6;
- each R o is independently C 1 -C 6 alkyl; or two R o together with the nitrogen to which they are attached form a cyclic moiety; or three R o together with the nitrogen to which they are attached form a bicyclic moiety; and
- each alkyl, cyclic moiety and bicyclic moiety is independently optionally substituted.
- the compound is a compound of Formula (II-B) :
- s is an integer from 1 to 6;
- t is an integer from 1 to 6;
- each R o is independently C 1 -C 6 alkyl; or two R o together with the nitrogen to which they are attached form a cyclic moiety; or three R o together with the nitrogen to which they are attached form a bicyclic moiety; and
- each alkyl, cyclic moiety and bicyclic moiety is independently optionally substituted.
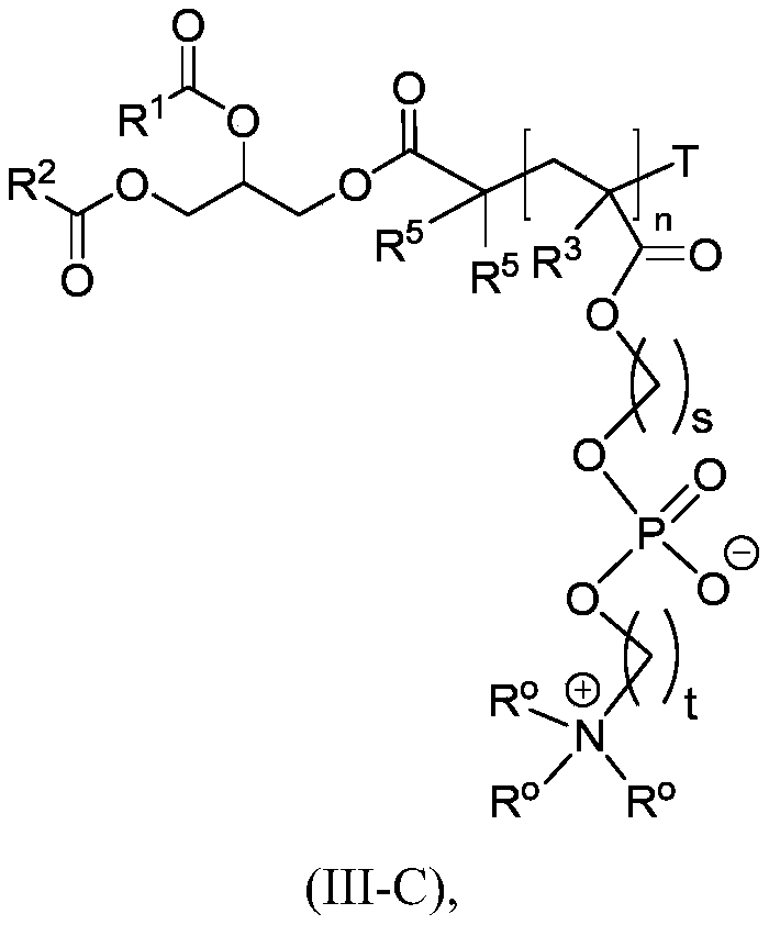
- the compound is a compound of Formula (II-C) :
- s is an integer from 1 to 6;
- t is an integer from 1 to 6;
- each R o is independently C 1 -C 6 alkyl; or two R o together with the nitrogen to which they are attached form a cyclic moiety; or three R o together with the nitrogen to which they are attached form a bicyclic moiety;
- each R p is independently C 1 -C 6 alkyl or -O- (C 1 -C 6 alkyl) ;
- each alkyl, cyclic moiety and bicyclic moiety is independently optionally substituted.
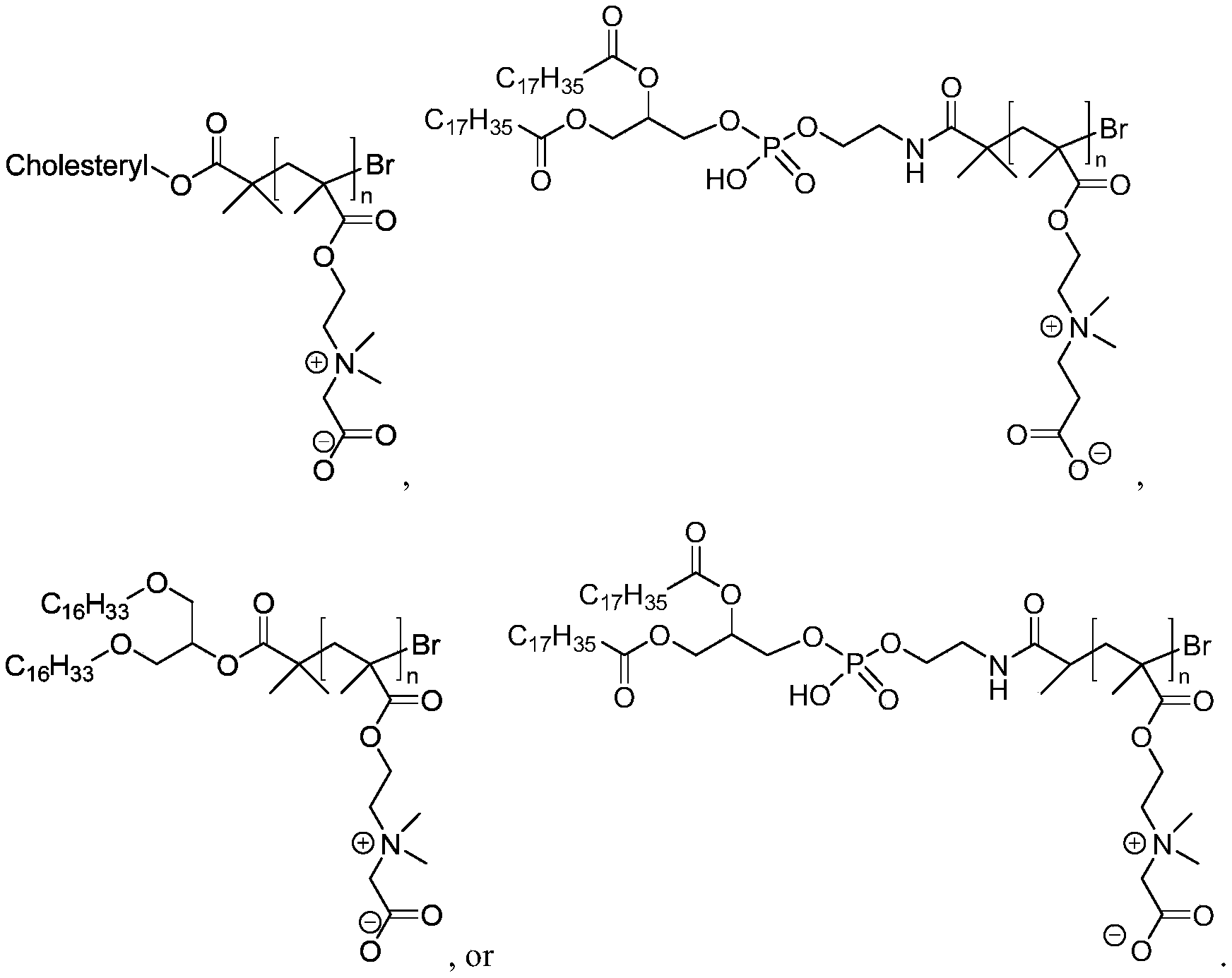
- L is a lipid comprising one or more C 6 -C 24 hydrocarbon chains (e.g., one or more C 6 -C 24 alkyl or C 6 -C 24 alkenyl) . In one embodiment, L is a lipid comprising two C 8 -C 24 hydrocarbon chains.
- the two C 8 -C 24 hydrocarbon chains are selected from two C 8 -C 22 hydrocarbon chains, two C 8 -C 20 hydrocarbon chains, two C 8 -C 19 hydrocarbon chains, two C 8 -C 18 hydrocarbon chains, two C 8 -C 17 hydrocarbon chains, two C 10 -C 24 hydrocarbon chains, two C 10 -C 22 hydrocarbon chains, two C 10 -C 20 hydrocarbon chains, two C 10 -C 19 hydrocarbon chains, two C 10 -C 18 hydrocarbon chains, two C 10 -C 17 hydrocarbon chains, two C 12 -C 24 hydrocarbon chains, two C 12 -C 22 hydrocarbon chains, two C 12 -C 20 hydrocarbon chains, two C 12 -C 19 hydrocarbon chains, two C 12 -C 18 hydrocarbon chains, two C 12 -C 17 hydrocarbon chains, two C 13 -C 24 hydrocarbon chains, two C 13 -C 22 hydrocarbon chains, two C 13 -C 20 hydrocarbon chains, two C 13 -C 19 hydrocarbon chains, two C 13 -C 24 hydrocarbon
- the lipid is a glycerophospholid.
- suitable glycerophospholipids include 1, 2-dilauroyl-sn-glycero-3-phosphoethanolamine, 1, 2-ditridecyloyl-sn-glycero-3-phosphoethanolamine, 1, 2-dimyristoyl-sn-glycero-3-phosphoethanolamine (DMPE) , 1, 2-dipentadecyloyl-sn-glycero-3-phosphoethanolamine, 1, 2-dipalmitoyl-sn-glycero-3-phosphoethanolamine (DPPE) , 1, 2-dimargaroyl-sn-glycero-3-phosphoethanolamine, 1, 2-distearoyl-sn-glycero-3-phosphoethanolamine (DSPE) , 1, 2-dinanodecyloyl-sn-glycero-3-phosphoethanolamine, 1, 2-diarachidoyl-sn-glycero-3-phospholipid
- the lipid is a glycerolipid.
- suitable glycerolipids include dimyristolglycerol (DMG) , distearoyl glycerol (DSG) , dipalmitoyl glycerol (DPG) , dilauroyl glycerol, ditridecyloyl glycerol, dipentadecyloyl glycerol, dimargaroyl glycerol, dinanodecyloyl glycerol, diarachidoyl glycerol, dimyristoleoyl glycerol, dipalmitoleoyl glycerol, disapieneoyl glycerol, dioleoyl glycerol, dielaideoyl glycerol, divacceneoyl glycerol, dilinoleoyl glycerol, dilinoleo
- L is a sterol lipid.
- the lipid is selected from cholesterol, cholesteryl hemisuccinate, sitoindoside I, sitoindoside II, glucosyl stigmasterol, 16: 0 stigmasteryl glucose, 18: 1 stigmasteryl glucose, glucosyl sitosterolB, cholesterol sulfate, DHEA, DHEA sulfate, FF-MAS, campesterol, campestanol, zymostenol, sitostanol, sitosterol, stigmasterol, diosgenin, 7-dehydrodesmosterol, lanosterol, lanosterol-95, dihydrolanosterol, 14-demethyl-lanosterol, zymosterol, desmosterol, lathosterol, and pregnenolone.
- the lipid is cholesterol.
- L is a sphingolipid.
- the sphingolipid is selected from N-octanoyl-sphingosine, sphinganine-1-phosphate (d17: 0) , sphingosine-1-phosphate (d17: 1) , sphinganine-1-phosphate (d18: 0) , sphingosine-1-phosphate (d18: 1) , sphinganine-1-phosphate (d20: 0) , sphingosine-1-phosphate (d20: 1) , 1-deoxysphinganine, 1- desoxymethylsphinganine, sphinganine (d17: 0) , sphinganine (d18: 0) , safingol, sphinganine (d20: 0) , sphingosine (d14: 1) , sphingosine (d17: 1) , sphingosine (d18: 1) , sphingosine (
- L is a lipid comprising the formula, and in one embodiment, L is a lipid of the formula:
- G 1 , G 2 , and G 3 are each independently a bond, C 1 -C 12 alkylene, or C 2 -C 12 alkenylene;
- R 1 and R 2 are each independently C 6 -C 24 alkyl or C 6 -C 24 alkenyl
- R a , R b , R d , and R e are each independently H, C 1 -C 12 alkyl, or C 2 -C 12 alkenyl;
- R c and R f are each independently C 1 -C 12 alkyl or C 2 -C 12 alkenyl
- x 0, 1, or 2
- each alkyl, alkenyl, alkylene, alkenylene, arylene, and heteroarylene is independently optionally substituted.
- the compound is a compound of Formula (I-D) :
- the compound is a compound of Formula (II-D) :
- L is a lipid comprising the formula, and in one embodiment, L is a lipid of the formula:
- L is a lipid comprising the formula, and in one embodiment, L is a lipid of the formula:
- the compound is a compound of Formula (I-E) :
- the compound is a compound of Formula (II-E) :
- G 1 is a bond. In one embodiment, G 1 is C 1 alkylene. In one embodiment, G 1 is C 2 -C 12 alkylene. In one embodiment, G 1 is C 4 -C 8 alkylene. In one embodiment, G 1 is C 5 -C 7 alkylene. In one embodiment, G 1 is C 5 alkylene. In one embodiment, G 1 is C 7 alkylene. In one embodiment, G 1 is C 2 -C 12 alkenylene. In one embodiment, G 1 is C 4 -C 8 alkenylene. In one embodiment, G 1 is C 5 -C 7 alkenylene. In one embodiment, G 1 is C 5 alkenylene. In one embodiment, G 1 is C 7 alkenylene.
- G 2 is a bond. In one embodiment, G 2 is C 1 alkylene. In one embodiment, G 2 is C 2 -C 12 alkylene. In one embodiment, G 2 is C 4 -C 8 alkylene. In one embodiment, G 2 is C 5 -C 7 alkylene. In one embodiment, G 2 is C 5 alkylene. In one embodiment, G 2 is C 7 alkylene. In one embodiment, G 2 is C 2 -C 12 alkenylene. In one embodiment, G 2 is C 4 -C 8 alkenylene. In one embodiment, G 2 is C 5 -C 7 alkenylene. In one embodiment, G 2 is C 5 alkenylene. In one embodiment, G 2 is C 7 alkenylene.
- G 1 and G 2 are each independently a bond or C 2 -C 12 alkylene (e.g., C 4 -C 8 alkylene, e.g., C 5 -C 7 alkylene, e.g., C 5 alkylene or C 7 alkylene) .
- G 1 and G 2 are both a bond.
- one of G 1 and G 2 is a bond, and the other is C 2 - C 12 alkylene (e.g., C 4 -C 8 alkylene, e.g., C 5 -C 7 alkylene, e.g., C 5 alkylene or C 7 alkylene) .
- G 1 and G 2 are each independently C 2 -C 12 alkylene (e.g., C 4 -C 8 alkylene, e.g., C 5 -C 7 alkylene, e.g., C 5 alkylene or C 7 alkylene) .
- G 1 and G 2 are each independently a bond, C 5 alkylene, or C 7 alkylene.
- G 1 and G 2 are each independently a bond or C 1 alkylene.
- one of G 1 and G 2 is a bond, and the other is C 1 alkylene.
- G 1 and G 2 are both C 1 alkylene.
- G 3 is a bond. In one embodiment, G 3 is C 1 alkylene. In one embodiment, G 3 is C 2 -C 12 alkylene. In one embodiment, G 3 is C 4 -C 8 alkylene. In one embodiment, G 3 is C 5 -C 7 alkylene. In one embodiment, G 3 is C 5 alkylene. In one embodiment, G 3 is C 7 alkylene. In one embodiment, G 3 is C 2 -C 12 alkenylene. In one embodiment, G 3 is C 4 -C 8 alkenylene. In one embodiment, G 3 is C 5 -C 7 alkenylene. In one embodiment, G 3 is C 5 alkenylene. In one embodiment, G 3 is C 7 alkenylene.
- L 1 is R 1 .
- L 2 is R 2 .
- L is a lipid of the formula In one embodiment, L is a lipid of the formula or a stereoisomer thereof.
- X is C 1 -C 12 alkylene, wherein:
- x 0, 1, or 2;
- R a and R b are each independently H, C 1 -C 12 alkyl, or C 2 -C 12 alkenyl;
- each alkyl, alkenyl, alkylene, arylene, and heteroarylene is optionally substituted.
- the alkylene of X is optionally substituted with one or more of C 1 -C 6 alkyl (e.g., methyl) or cyano.
- X has one of the following structures:
- the polymer conjugated lipid compounds provided herein can be prepared by controlled radical polymerization (CRP) .
- the CRP is atom transfer radical polymerization (ATRP) .
- the CRP is reversible addition fragmentation transfer (RAFT) polymerization.
- T is a polymer chain-end group resulted from CRP, or a modification of the chain-end group.
- One common chain-end group from ATRP is –Br.
- One common chain-end group from RAFT polymerization is a thiocarbonylthio group.
- T is hydrogen. In one embodiment, T is bromo. In one embodiment, T is allyl. In one embodiment, T is -SR” . In one embodiment, T is -S-alkyl, wherein alkyl is optionally substituted with one or more hydroxyl, carboxyl, or alkoxy, . In one embodiment, T is -S-CH 2 -CH 2 -OH. In one embodiment, T is -S-CH 2 -CH 2 -COOH. In one embodiment, T is -S-CH 2 -CH 2 -OMe. In one embodiment, T is -NH-alkyl, wherein alkyl is optionally substituted with one or more hydroxyl, carboxyl, or alkoxy. In one embodiment, T is -NH-CH 2 -CH 2 -OH. In one embodiment, T is -NH-CH 2 -CH 2 -COOH. In one embodiment, T is -NH-CH 2 -CH 2 -OMe.
- T is azido (-N 3 ) . In one embodiment, T is an optionally substituted 1, 2, 3-triazole.
- the targeting group specifically recognizes a molecule on the surface of the target cell, such as, e.g., a cell surface receptor.
- a molecule on the surface of the target cell such as, e.g., a cell surface receptor.
- Particularly suitable targeting groups include antibodies, antibody-like molecules, polypeptides, proteins (e.g., insulin-like growth factor II (IGF -II) ) , peptides (e.g., an integrin-binding peptide such as an RGD-containing peptide) , and small molecules such as, for example, sugars (e.g., lactose, galactose, N-acetyl galactosamine (GalNAc) , mannose, mannose-6-phosphate (M6P) ) or vitamins (e.g., folate) .
- sugars e.g., lactose, galactose, N-acetyl galactosamine (GalNAc)
- the targeting group is a small molecular targeting group (e.g., folic acid) .
- the targeting group is a peptide, adapter, or a fragment of a monoclonal antibody.
- the targeting group comprises one or more N-acetyl galactosamine (GalNAc) residues.
- the compound is a compound of Formula (III) :
- each R 5 is independently H, C 1 -C 6 alkyl, or cyano.
- the compound is a compound of Formula (IV) :
- each R 5 is independently H, C 1 -C 6 alkyl, or cyano.
- the compound is a compound of Formula (III-A) :
- s is an integer from 1 to 6;
- t is an integer from 1 to 6;
- each R o is independently C 1 -C 6 alkyl; or two R o together with the nitrogen to which they are attached form a cyclic moiety;
- each alkyl and cyclic moiety is independently optionally substituted.
- the compound is a compound of Formula (III-B) :
- s is an integer from 1 to 6;
- t is an integer from 1 to 6;
- each R o is independently C 1 -C 6 alkyl; or two R o together with the nitrogen to which they are attached form a cyclic moiety;
- each alkyl and cyclic moiety is independently optionally substituted.
- the compound is a compound of Formula (III-C) :
- s is an integer from 1 to 6;
- t is an integer from 1 to 6;
- each R o is independently C 1 -C 6 alkyl; or two R o together with the nitrogen to which they are attached form a cyclic moiety; or three R o together with the nitrogen to which they are attached form a bicyclic moiety; and
- each alkyl, cyclic moiety and bicyclic moiety is independently optionally substituted.
- the compound is a compound of Formula (IV-A) :
- s is an integer from 1 to 6;
- each R o is independently C 1 -C 6 alkyl; or two R o together with the nitrogen to which they are attached form a cyclic moiety; or three R o together with the nitrogen to which they are attached form a bicyclic moiety; and
- each alkyl, cyclic moiety and bicyclic moiety is independently optionally substituted.
- the compound is a compound of Formula (IV-B) :
- s is an integer from 1 to 6;
- t is an integer from 1 to 6;
- each R o is independently C 1 -C 6 alkyl; or two R o together with the nitrogen to which they are attached form a cyclic moiety; or three R o together with the nitrogen to which they are attached form a bicyclic moiety; and
- each alkyl, cyclic moiety and bicyclic moiety is independently optionally substituted.
- the compound is a compound of Formula (IV-C) :
- s is an integer from 1 to 6;
- t is an integer from 1 to 6;
- each R o is independently C 1 -C 6 alkyl; or two R o together with the nitrogen to which they are attached form a cyclic moiety; or three R o together with the nitrogen to which they are attached form a bicyclic moiety;
- each R p is independently C 1 -C 6 alkyl or -O- (C 1 -C 6 alkyl) ;
- each alkyl, cyclic moiety and bicyclic moiety is independently optionally substituted.
- the compound is a compound of Formula (V) :
- each R 5 is independently H, C 1 -C 6 alkyl, or cyano.
- the compound is a compound of Formula (VI) :
- each R 5 is independently H, C 1 -C 6 alkyl, or cyano.
- the compound is a compound of Formula (V-A) :
- s is an integer from 1 to 6;
- t is an integer from 1 to 6;
- each R o is independently C 1 -C 6 alkyl; or two R o together with the nitrogen to which they are attached form a cyclic moiety;
- each alkyl and cyclic moiety is independently optionally substituted.
- the compound is a compound of Formula (V-B) :
- s is an integer from 1 to 6;
- t is an integer from 1 to 6;
- each R o is independently C 1 -C 6 alkyl; or two R o together with the nitrogen to which they are attached form a cyclic moiety;
- each alkyl and cyclic moiety is independently optionally substituted.
- the compound is a compound of Formula (V-C) :
- s is an integer from 1 to 6;
- t is an integer from 1 to 6;
- each R o is independently C 1 -C 6 alkyl; or two R o together with the nitrogen to which they are attached form a cyclic moiety; or three R o together with the nitrogen to which they are attached form a bicyclic moiety; and
- each alkyl, cyclic moiety and bicyclic moiety is independently optionally substituted.
- the compound is a compound of Formula (VI-A) :
- s is an integer from 1 to 6;
- each R o is independently C 1 -C 6 alkyl; or two R o together with the nitrogen to which they are attached form a cyclic moiety; or three R o together with the nitrogen to which they are attached form a bicyclic moiety; and
- each alkyl, cyclic moiety and bicyclic moiety is independently optionally substituted.
- the compound is a compound of Formula (VI-B) :
- s is an integer from 1 to 6;
- t is an integer from 1 to 6;
- each R o is independently C 1 -C 6 alkyl; or two R o together with the nitrogen to which they are attached form a cyclic moiety; or three R o together with the nitrogen to which they are attached form a bicyclic moiety; and
- each alkyl, cyclic moiety and bicyclic moiety is independently optionally substituted.
- the compound is a compound of Formula (VI-C) :
- s is an integer from 1 to 6;
- t is an integer from 1 to 6;
- each R o is independently C 1 -C 6 alkyl; or two R o together with the nitrogen to which they are attached form a cyclic moiety; or three R o together with the nitrogen to which they are attached form a bicyclic moiety;
- each R p is independently C 1 -C 6 alkyl or -O- (C 1 -C 6 alkyl) ;
- each alkyl, cyclic moiety and bicyclic moiety is independently optionally substituted.
- s is 1. In one embodiment, s is 2. In one embodiment, s is 3. In one embodiment, s is 4. In one embodiment, s is 5. In one embodiment, s is 6.
- t is 1. In one embodiment, t is 2. In one embodiment, t is 3. In one embodiment, t is 4. In one embodiment, t is 5. In one embodiment, t is 6.
- s is an integer from 1 to 3, and t is an integer from 1 to 3.
- s is 1, and t is 1.
- s is 1, and t is 2.
- s is 1, and t is 3.
- s is 2, and t is 1.
- s is 2, and t is 2. In one embodiment, s is 2, and t is 3. In one embodiment, s is 3, and t is 1. In one embodiment, s is 3, and t is 2. In one embodiment, s is 3, and t is 3.
- each R o is independently C 1 -C 6 alkyl. In one embodiment, each R o is independently C 1 -C 3 alkyl. In one embodiment, all R o are methyl. In one embodiment, all R o are ethyl. In one embodiment, two R o together with the nitrogen to which they are attached form a cyclic moiety. In one embodiment, three R o together with the nitrogen to which they are attached form a bicyclic moiety.
- R p is C 1 -C 6 alkyl. In one embodiment, R p is C 1 -C 3 alkyl. In one embodiment, R p is methyl. In one embodiment, R p is ethyl.
- R p is -O- (C 1 -C 6 alkyl) . In one embodiment, R p is -O- (C 1 -C 3 alkyl) . In one embodiment, R p is methoxy. In one embodiment, R p is ethoxy.
- R 1 and R 2 are each independently straight C 6 -C 24 alkyl, branched C 6 -C 24 alkyl, or straight C 6 -C 24 alkenyl.
- R 1 and R 2 are each independently straight C 6 -C 18 alkyl, -R 7 -CH (R 8 ) (R 9 ) , or C 6 -C 18 alkenyl, wherein R 7 is C 0 -C 5 alkylene, and R 8 and R 9 are independently C 2 -C 10 alkyl.
- R 1 and R 2 are each independently straight C 7 -C 15 alkyl or -R 7 -CH (R 8 ) (R 9 ) , wherein R 7 is C 0 -C 1 alkylene, and R 8 and R 9 are independently C 4 -C 8 alkyl.
- R 1 and R 2 are each independently straight C 6 -C 24 alkyl. In one embodiment, R 1 and R 2 are each independently straight C 7 -C 15 alkyl. In one embodiment, R 1 and R 2 are each independently straight C 7 alkyl. In one embodiment, R 1 and R 2 are each independently straight C 9 alkyl. In one embodiment, R 1 and R 2 are each independently straight C 11 alkyl. In one embodiment, R 1 and R 2 are each independently straight C 13 alkyl. In one embodiment, R 1 and R 2 are each independently straight C 15 alkyl.
- R 1 and R 2 are each independently branched C 6 -C 24 alkyl or branched C 6 -C 24 alkenyl.
- R 1 and R 2 are each independently -R 7 -CH (R 8 ) (R 9 ) , wherein R 7 is C 1 -C 5 alkylene, and R 8 and R 9 are independently C 2 -C 10 alkyl or C 2 -C 10 alkenyl.
- R 1 and R 2 are each independently straight C 6 -C 24 alkenyl. In one embodiment, R 1 and R 2 are each independently straight C 6 -C 18 alkenyl. In one embodiment, R 1 and R 2 are each independently straight C 17 alkenyl.
- R 1 or R 2 independently has one of the following structures:
- R a and R d are each independently H.
- R b , R c , R e , and R f are each independently n-hexyl or n-octyl.
- R 3 is H. In one embodiment, R 3 is C 1 -C 6 alkyl. In one embodiment, R 3 is C 1 -C 4 alkyl. In one embodiment, R 3 is methyl. In one embodiment, R 3 is ethyl. In one embodiment, R 3 is n-propyl. In one embodiment, R 3 is isopropyl. In one embodiment, R 3 is n-butyl. In one embodiment, R 3 is n-pentyl. In one embodiment, R 3 is n-hexyl.
- n is an integer from 2 to 100. In one embodiment, n is an integer from 2 to 50. In one embodiment, n is an integer from 5 to 20. In one embodiment, n is 5. In one embodiment, n is 10. In one embodiment, n is 15. In one embodiment, n is 20.
- the compound is a compound in Table 1, or a pharmaceutically acceptable salt, prodrug or stereoisomer thereof.
- the compound is a compound in Table 2, or a pharmaceutically acceptable salt, prodrug or stereoisomer thereof.
- any embodiment of the compounds provided herein, as set forth above, and any specific substituent and/or variable in the compound provided herein, as set forth above, may be independently combined with other embodiments and/or substituents and/or variables of the compounds to form embodiments not specifically set forth above.
- substituents and/or variables may be listed for any particular group or variable, it is understood that each individual substituent and/or variable may be deleted from the particular embodiment and/or claim and that the remaining list of substituents and/or variables will be considered to be within the scope of embodiments provided herein.
- nanoparticle compositions comprising a polymer conjugated lipid compound described herein.
- the nanoparticle composition comprises a compound according to Formulae (I) or (II) (and sub-formulas thereof) as described herein.
- composition comprising a compound provided herein (e.g., a compound according to Formulae (I) or (II) (and sub-formulas thereof) , and a therapeutic or prophylactic agent.
- a compound provided herein e.g., a compound according to Formulae (I) or (II) (and sub-formulas thereof)
- a therapeutic or prophylactic agent e.g., a compound according to Formulae (I) or (II) (and sub-formulas thereof
- the composition further comprising one or more cationic lipids.
- the molar ratio of the cationic lipid to the compound ranges from about 100: 1 to about 20: 1.
- the composition further comprising one or more neutral lipids.
- the one or more neutral lipids is DSPC.
- the molar ratio of the cationic lipid to the neutral lipids ranges from about 2: 1 to about 8: 1.
- the composition further comprising a steroid.
- the steroid is cholesterol.
- the molar ratio of the cationic lipid to the steroid ranges from about 5: 1 to about 1: 1.
- the therapeutic or prophylactic agent comprises at least one mRNA encoding an antigen or a fragment or epitope thereof.
- the mRNA is monocistronic mRNA.
- the mRNA is multicistronic mRNA.
- the antigen is a pathogenic antigen.
- the antigen is a tumor associated antigen.
- the mRNA comprises one or more functional nucleotide analog.
- the functional nucleotide analog is one or more selected from pseudouridine, 1-methyl-pseudouridine and 5-methylcytosine.
- the composition is a nanoparticle.
- a lipid nanoparticle comprising a compound provided herein (e.g., a compound according to Formulae (I) or (II) (and sub-formulas thereof) , or a composition provided herein.
- a pharmaceutical composition comprising a compound provided herein (e.g., a compound according to Formulae (I) or (II) (and sub-formulas thereof) , a composition provided herein, or a lipid nanoparticle provided herein, and a pharmaceutically acceptable excipient or diluent.
- the largest dimension of a nanoparticle composition provided herein is 1 ⁇ m or shorter (e.g., ⁇ 1 ⁇ m, ⁇ 900 nm, ⁇ 800 nm, ⁇ 700 nm, ⁇ 600 nm, ⁇ 500 nm, ⁇ 400 nm, ⁇ 300 nm, ⁇ 200 nm, ⁇ 175 nm, ⁇ 150 nm, ⁇ 125 nm, ⁇ 100 nm, ⁇ 75 nm, ⁇ 50 nm, or shorter) , such as when measured by dynamic light scattering (DLS) , transmission electron microscopy, scanning electron microscopy, or another method.
- the lipid nanoparticle provided herein has at least one dimension that is in the range of from about 40 to about 200 nm. In one embodiment, the at least one dimension is in the range of from about 40 to about 100 nm.
- Nanoparticle compositions that can be used in connection with the present disclosure include, for example, lipid nanoparticles (LNPs) , nano liproprotein particles, liposomes, lipid vesicles, and lipoplexes.
- nanoparticle compositions are vesicles including one or more lipid bilayers.
- a nanoparticle composition includes two or more concentric bilayers separated by aqueous compartments. Lipid bilayers may be functionalized and/or crosslinked to one another. Lipid bilayers may include one or more ligands, proteins, or channels.
- the characteristics of a nanoparticle composition may depend on the components thereof. For example, a nanoparticle composition including cholesterol as a structural lipid may have different characteristics than a nanoparticle composition that includes a different structural lipid. Similarly, the characteristics of a nanoparticle composition may depend on the absolute or relative amounts of its components. For instance, a nanoparticle composition including a higher molar fraction of a phospholipid may have different characteristics than a nanoparticle composition including a lower molar fraction of a phospholipid. Characteristics may also vary depending on the method and conditions of preparation of the nanoparticle composition.
- Nanoparticle compositions may be characterized by a variety of methods. For example, microscopy (e.g., transmission electron microscopy or scanning electron microscopy) may be used to examine the morphology and size distribution of a nanoparticle composition. Dynamic light scattering or potentiometry (e.g., potentiometric titrations) may be used to measure zeta potentials. Dynamic light scattering may also be utilized to determine particle sizes. Instruments such as the Zetasizer Nano ZS (Malvem Instruments Ltd, Malvem, and Worcestershire, UK) may also be used to measure multiple characteristics of a nanoparticle composition, such as particle size, polydispersity index, and zeta potential.
- microscopy e.g., transmission electron microscopy or scanning electron microscopy
- Dynamic light scattering or potentiometry e.g., potentiometric titrations
- Dynamic light scattering may also be utilized to determine particle sizes.
- Instruments such as the
- the mean size of a nanoparticle composition may be between 10s of nm and 100s of nm.
- the mean size may be from about 40 nm to about 150 nm, such as about 40 nm, 45 nm, 50 nm, 55 nm, 60 nm, 65 nm, 70 nm, 75 nm, 80 nm, 85 nm, 90 nm, 95 nm, 100 nm, 105 nm, 110 nm, 115 nm, 120 nm, 125 nm, 130 nm, 135 nm, 140 nm, 145 nm, or 150 nm.
- the mean size of a nanoparticle composition may be from about 50 nm to about 100 nm, from about 50 nm to about 90 nm, from about 50 nm to about 80 nm, from about 50 nm to about 70 nm, from about 50 nm to about 60 nm, from about 60 nm to about 100 nm, from about 60 nm to about 90 nm, from about 60 nm to about 80 nm, from about 60 nm to about 70 nm, from about 70 nm to about 100 nm, from about 70 nm to about 90 nm, from about 70 nm to about 80 nm, from about 80 nm to about 100 nm, from about 80 nm to about 90 nm, or from about 90 nm to about 100 nm.
- the mean size of a nanoparticle composition may be from about 70 nm to about 100 nm. In some embodiments, the mean size may be about 80
- a nanoparticle composition may be relatively homogenous.
- a polydispersity index may be used to indicate the homogeneity of a nanoparticle composition, e.g., the particle size distribution of the nanoparticle compositions.
- a small (e.g., less than 0.3) polydispersity index generally indicates a narrow particle size distribution.
- a nanoparticle composition may have a polydispersity index from about 0 to about 0.25, such as 0.01, 0.02, 0.03, 0.04, 0.05, 0.06, 0.07, 0.08, 0.09, 0.10, 0.11, 0.12, 0.13, 0.14, 0.15, 0.16, 0.17, 0.18, 0.19, 0.20, 0.21, 0.22, 0.23, 0.24, or 0.25.
- the polydispersity index of a nanoparticle composition may be from about 0.10 to about 0.20.
- the efficiency of encapsulation of a therapeutic and/or prophylactic agent describes the amount of therapeutic and/or prophylactic agent that is encapsulated or otherwise associated with a nanoparticle composition after preparation, relative to the initial amount provided.
- the encapsulation efficiency is desirably high (e.g., close to 100 %) .
- the encapsulation efficiency may be measured, for example, by comparing the amount of therapeutic and/or prophylactic agent in a solution containing the nanoparticle composition before and after breaking up the nanoparticle composition with one or more organic solvents or detergents. Fluorescence may be used to measure the amount of free therapeutic and/or prophylactic agent (e.g., RNA) in a solution.
- free therapeutic and/or prophylactic agent e.g., RNA
- the encapsulation efficiency of a therapeutic and/or prophylactic agent may be at least 50 %, for example 50 %, 55 %, 60 %, 65 %, 70 %, 75 %, 80 %, 85 %, 90 %, 91 %, 92 %, 93 %, 94 %, 95 %, 96 %, 97 %, 98 %, 99 %, or 100 %.
- the encapsulation efficiency may be at least 80 %.
- the encapsulation efficiency may be at least 90 %.
- the zeta potential of a nanoparticle composition may be used to indicate the electrokinetic potential of the composition.
- the zeta potential may describe the surface charge of a nanoparticle composition.
- Nanoparticle compositions with relatively low charges, positive or negative, are generally desirable, as more highly charged species may interact undesirably with cells, tissues, and other elements in the body.
- the zeta potential of a nanoparticle composition may be from about -10 mV to about + 20 mV, from about -10 mV to about + 15mV, from about -10 mV to about + 10 mV, from about -10 mV to about + 5 mV, from about -10 mV to about 0 mV, from about -10 mV to about -5 mV, from about -5 mV to about + 20 mV, from about -5 mV to about + 15 mV, from about -5 mV to about + 10 mV, from about -5 mV to about + 5 mV, from about -5 mV to about 0 mV, from about 0 mV to about + 20 mV, from about 0 mV to about + 15 mV, from about 0 mV to about + 10 mV, from about 0 mV to about + 5 mV, from about + 5 mV to about + 20 mV,
- the self-replicating RNA may be formulated in a liposome.
- the self-replicating RNA may be formulated in liposomes as described in International Publication No. WO20120067378, herein incorporated by reference in its entirety.
- the liposomes may comprise lipids which have a pKa value which may be advantageous for delivery of mRNA.
- the liposomes may have an essentially neutral Surface charge at physiological pH and may therefore be effective for immunization (see, e.g., the liposomes described in International Publication No. WO20120067378, herein incorporated by reference in its entirety) .
- nanoparticle compositions as described comprise a polymer conjugated lipid component including at least one polymer conjugated lipid, such as a compound according to one of Formulae (I) or (II) (and sub-formulas thereof) as described herein.
- a nanoparticle composition may include a polymer conjugated lipid component including one of compounds provided herein.
- Nanoparticle compositions may also include one or more other lipid or non-lipid components as described below.
- a nanoparticle composition provided herein comprises one or more charged or ionizable lipids in addition to a polymer conjugated lipid according to Formula (I) or (II) (and sub-formulas thereof) .
- a nanoparticle composition comprises one or more charged or ionizable lipids in addition to a polymer conjugated lipid according to Formula (I) or (II) (and sub-formulas thereof) .
- certain charged or zwitterionic lipid components of a nanoparticle composition resembles the lipid component in the cell membrane, thereby can improve cellular uptake of the nanoparticle.
- Exemplary charged or ionizable lipids that can form part of the present nanoparticle composition include but are not limited to 3- (didodecylamino) -N1, N1, 4-tridodecyl-1-piperazineethanamine (KL10) , N1- [2- (didodecylamino) ethyl] -N1, N4, N4-tridodecyl-1, 4-piperazinediethanamine (KL22) , 14, 25-ditridecyl-15, 18, 21, 24-tetraaza-octatriacontane (KL25) , 1, 2-dilinoleyloxy-N, N-dimethylaminopropane (DLinDMA) , 2, 2-dilinoleyl-4-dimethylaminomethyl- [1, 3] -dioxolane (DLin-K-DMA) , heptatriaconta-6, 9, 28, 31-tetraen-19-yl 4-
- Additional exemplary charged or ionizable lipids that can form part of the present nanoparticle composition include the lipids (e.g., lipid 5) described in Sabnis et al. “A Novel Amino Lipid Series for mRNA Delivery: Improved Endosomal Escape and Sustained Pharmacology and Safety in Non-human Primates” , Molecular Therapy Vol. 26 No 6, 2018, the entirety of which is incorporated herein by reference.
- suitable cationic lipids include N- [1- (2, 3-dioleyloxy) propyl] -N,N, N-trimethylammonium chloride (DOTMA) ; N- [1- (2, 3-dioleoyloxy) propyl] -N, N, N-trimethylammonium chloride (DOTAP) ; 1, 2-dioleoyl-sn-glycero-3-ethylphosphocholine (DOEPC) ; 1, 2-dilauroyl-sn-glycero-3-ethylphosphocholine (DLEPC) ; 1, 2-dimyristoyl-sn-glycero-3-ethylphosphocholine (DMEPC) ; 1, 2-dimyristoleoyl-sn-glycero-3-ethylphosphocholine (14: 1) ; N1- [2- ( (1S) -1- [ (3-aminopropyl) amino] -4- [di (3
- cationic lipids with headgroups that are charged at physiological pH such as primary amines (e.g., DODAG N', N'-dioctadecyl-N-4, 8-diaza-10-aminodecanoylglycine amide) and guanidinium head groups (e.g., bis-guanidinium-spermidine-cholesterol (BGSC) , bis-guanidiniumtren-cholesterol (BGTC) , PONA, and (R) -5-guanidinopentane-1, 2-diyl dioleate hydrochloride (DOPen-G) ) .
- primary amines e.g., DODAG N', N'-dioctadecyl-N-4, 8-diaza-10-aminodecanoylglycine amide
- guanidinium head groups e.g., bis-guanidinium-spermidine-cholesterol (BGSC
- cationic lipid is (R) -5- (dimethylamino) pentane- 1, 2-diyl dioleate hydrochloride (DODAPen-Cl) .
- the cationic lipid is a particular enantiomer or the racemic form, and includes the various salt forms of a cationic lipid as above (e.g., chloride or sulfate) .
- the cationic lipid is N- [1- (2, 3-dioleoyloxy) propyl] -N, N, N-trimethylammonium chloride (DOTAP-Cl) or N- [1- (2, 3-dioleoyloxy) propyl] -N, N, N-trimethylammonium sulfate (DOTAP-Sulfate) .
- DOTAP-Cl N-trimethylammonium chloride
- DOTAP-Sulfate N- [1- (2, 3-dioleoyloxy) propyl] -N, N, N-trimethylammonium sulfate
- the cationic lipid is an ionizable cationic lipid such as, e.g., dioctadecyldimethylammonium bromide (DDAB) ; 1, 2-dilinoleyloxy-3-dimethylaminopropane (DLinDMA) ; 2, 2-dilinoleyl-4- (2dimethylaminoethyl) - [1, 3] -dioxolane (DLin-KC2-DMA) ; heptatriaconta-6, 9, 28, 31-tetraen-19-yl 4- (dimethylamino) butanoate (DLin-MC3-DMA) ; 1, 2-dioleoyloxy-3-dimethylaminopropane (DODAP) ; 1, 2-dioleyloxy-3-dimethylaminopropane (DODMA) ; and morpholinocholesterol (Mo-CHOL) .
- DDAB dioct
- the charged or ionizable lipid that can form part of the present nanoparticle composition is a lipid including a cyclic amine group.
- Additional cationic lipids that are suitable for the formulations and methods disclosed herein include those described in WO2015199952, WO2016176330, and WO2015011633, the entire contents of each of which are hereby incorporated by reference in their entireties.
- the lipid component of a nanoparticle composition can include one or more polymer conjugated lipids, such as PEGylated lipids (PEG lipids) , in addition to a polymer conjugated lipid of Formula (I) or (II) (and sub-formulas thereof) .
- PEG lipids PEGylated lipids
- a polymer conjugated lipid component in a nanoparticle composition can improve of colloidal stability and/or reduce protein absorption of the nanoparticles.
- Exemplary polymer conjugated lipids that can be used in connection with the present disclosure include but are not limited to PEG-modified phosphatidylethanolamines, PEG-modified phosphatidic acids, PEG-modified ceramides, PEG-modified dialkylamines, PEG-modified diacylglycerols, PEG-modified dialkylglycerols, and mixtures thereof.
- a PEG lipid may be PEG-c-DOMG, PEG-DMG, PEG-DLPE, PEG-DMPE, PEG-DPPC, PEG-DSPE, Ceramide-PEG2000, or Chol-PEG2000.
- the additional polymer conjugated lipid is a pegylated lipid.
- some embodiments include a pegylated diacylglycerol (PEG-DAG) such as 1- (monomethoxy-polyethyleneglycol) -2, 3-dimyristoylglycerol (PEG-DMG) , a pegylated phosphatidylethanoloamine (PEG-PE) , a PEG succinate diacylglycerol (PEG-S-DAG) such as 4-O- (2’, 3’-di (tetradecanoyloxy) propyl-1-O- ( ⁇ -methoxy (polyethoxy) ethyl) butanedioate (PEG-S-DMG) , a pegylated ceramide (PEG-cer) , or a PEG dialkoxypropylcarbamate such as ⁇ -methoxy (polyethoxy) ethyl
- the polymer conjugated lipid is present in a concentration ranging from 1.0 to 2.5 molar percent. In one embodiment, the polymer conjugated lipid is present in a concentration of about 1.7 molar percent. In one embodiment, the polymer conjugated lipid is present in a concentration of about 1.5 molar percent.
- the molar ratio of cationic lipid to the polymer conjugated lipid ranges from about 35: 1 to about 25: 1. In one embodiment, the molar ratio of cationic lipid to polymer conjugated lipid ranges from about 100: 1 to about 20: 1.
- the pegylated lipid has the following Formula:
- R 12 and R 13 are each independently a straight or branched, saturated or unsaturated alkyl chain containing from 10 to 30 carbon atoms, wherein the alkyl chain is optionally interrupted by one or more ester bonds;
- w has a mean value ranging from 30 to 60.
- R 12 and R 13 are each independently straight, saturated alkyl chains containing from 12 to 16 carbon atoms.
- the average w ranges from 42 to 55, for example, the average w is 42, 43, 44, 45, 46, 47, 48, 49, 50, 51, 52, 53, 54 or 55. In some specific embodiments, the average w is about 49.
- the pegylated lipid has the following Formula:
- the lipid component of a nanoparticle composition can include one or more structural lipids.
- structural lipids can stabilize the amphiphilic structure of a nanoparticle, such as but not limited to the lipid bilayer structure of a nanoparticle.
- Exemplary structural lipids that can be used in connection with the present disclosure include but are not limited to cholesterol, fecosterol, sitosterol, ergosterol, campesterol, stigmasterol, brassicasterol, tomatidine, tomatine, ursolic acid, alpha-tocopherol, and mixtures thereof.
- the structural lipid is cholesterol.
- the structural lipid includes cholesterol and a corticosteroid (such as prednisolone, dexamethasone, prednisone, and hydrocortisone) , or a combination thereof.
- the lipid nanoparticles provided herein comprise a steroid or steroid analogue.
- the steroid or steroid analogue is cholesterol.
- the steroid is present in a concentration ranging from 39 to 49 molar percent, 40 to 46 molar percent, from 40 to 44 molar percent, from 40 to 42 molar percent, from 42 to 44 molar percent, or from 44 to 46 molar percent.
- the steroid is present in a concentration of 40, 41, 42, 43, 44, 45, or 46 molar percent.
- the molar ratio of cationic lipid to the steroid ranges from 1.0: 0.9 to 1.0: 1.2, or from 1.0: 1.0 to 1.0: 1.2. In one embodiment, the molar ratio of cationic lipid to cholesterol ranges from about 5: 1 to 1: 1. In one embodiment, the steroid is present in a concentration ranging from 32 to 40 mol percent of the steroid.
- the lipid component of a nanoparticle composition can include one or more phospholipids, such as one or more (poly) unsaturated lipids.
- phospholipids may assemble into one or more lipid bilayers structures.
- Exemplary phospholipids that can form part of the present nanoparticle composition include but are not limited to 1, 2-distearoyl-sn-glycero-3-phosphocholine (DSPC) , 1, 2-dioleoyl-sn-glycero-3-phosphoethanolamine (DOPE) , 1, 2-dilinoleoyl-sn-glycero-3-phosphocholine (DLPC) , 1, 2-dimyristoyl-sn-glycero-phosphocholine (DMPC) , 1, 2-dioleoyl-sn-glycero-3-phosphocholine (DOPC) , 1, 2-dipalmitoyl-sn-glycero-3-phosphocholine (DPPC) , 1, 2-diundecanoyl-sn-glycero-phosphocholine (DUPC) , 1-palmitoyl-2-oleoyl-sn-glycero-3-phosphocholine (POPC) , 1, 2-di-O
- Additional exemplary neutral lipids include, for example, dipalmitoylphosphatidylglycerol (DPPG) , palmitoyloleoyl-phosphatidylethanolamine (POPE) and dioleoyl-phosphatidylethanolamine 4- (N-maleimidomethyl) -cyclohexane-1carboxylate (DOPE-mal) , dipalmitoyl phosphatidyl ethanolamine (DPPE) , dimyristoylphosphoethanolamine (DMPE) , distearoyl-phosphatidylethanolamine (DSPE) , 16-O-monomethyl PE, 16-O-dimethyl PE, 18-1-trans PE, 1-stearioyl-2-oleoylphosphatidyethanol amine (SOPE) , and 1, 2-dielaidoyl-sn-glycero-3-phophoethanolamine (transDOPE) .
- DPPG dipalmitoylphosphatidylglycerol
- the neutral lipid is 1, 2-distearoyl-sn-glycero-3phosphocholine (DSPC) .
- the neutral lipid is selected from DSPC, DPPC, DMPC, DOPC, POPC, DOPE and SM.
- the neutral lipid is phosphatidylcholine (PC) , phosphatidylethanolamine (PE) phosphatidylserine (PS) , phosphatidic acid (PA) , or phosphatidylglycerol (PG) .
- PC phosphatidylcholine
- PE phosphatidylethanolamine
- PS phosphatidylserine
- PA phosphatidic acid
- PG phosphatidylglycerol
- phospholipids that can form part of the present nanoparticle composition also include those described in WO2017/112865, the entire content of which is hereby incorporated by reference in its entirety.
- nanoparticle compositions as described herein can further comprise one or more therapeutic and/or prophylactic agents.
- therapeutic and/or prophylactic agents are sometimes referred to as a “therapeutic payload” or “payload” in the present disclosure.
- the therapeutic payload can be administered in vivo or in vitro using the nanoparticles as a delivery vehicle.
- the nanoparticle composition comprises, as the therapeutic payload, a small molecule compound (e.g., a small molecule drug) such as antineoplastic agents (e.g., vincristine, doxorubicin, mitoxantrone, camptothecin, cisplatin, bleomycin, cyclophosphamide, methotrexate, and streptozotocin) , antitumor agents (e.g., actinomycin D, vincristine, vinblastine, cytosine arabinoside, anthracyclines, alkylating agents, platinum compounds, antimetabolites, and nucleoside analogs, such as methotrexate and purine and pyrimidine analogs) , anti-infective agents, local anesthetics (e.g., dibucaine and chlorpromazine) , beta-adrenergic blockers (e.g., propranolol, timolol, and
- the therapeutic payload comprises a cytotoxin, a radioactive ion, a chemotherapeutic, a vaccine, a compound that elicits an immune response, and/or another therapeutic and/or prophylactic agent.
- a cytotoxin or cytotoxic agent includes any agent that may be detrimental to cells.
- Examples include, but are not limited to, taxol, cytochalasin B, gramicidin D, ethidium bromide, emetine, mitomycin, etoposide, teniposide, vincristine, vinblastine, colchicine, doxorubicin, daunorubicin, dihydroxyanthracinedione, mitoxantrone, mithramycin, actinomycin D, 1-dehydrotestosterone, glucocorticoids, procaine, tetracaine, lidocaine, propranolol, puromycin, maytansinoids, e.g., maytansinol, rachelmycin (CC-1065) , and analogs or homologs thereof.
- taxol cytochalasin B, gramicidin D, ethidium bromide, emetine, mitomycin, etoposide, teniposide, vincristine, vinblastine, colchicine
- Radioactive ions include, but are not limited to iodine (e.g., iodine 125 or iodine 131) , strontium 89, phosphorous, palladium, cesium, iridium, phosphate, cobalt, yttrium 90, samarium 153, and praseodymium.
- iodine e.g., iodine 125 or iodine 131
- strontium 89 phosphorous
- palladium cesium
- iridium phosphate
- cobalt yttrium 90
- samarium 153 samarium 153
- praseodymium praseodymium
- the therapeutic payload of the present nanoparticle composition can include, but is not limited to, therapeutic and/or prophylactic agents such as antimetabolites (e.g., methotrexate, 6-mercaptopurine, 6-thioguanine, cytarabine, 5-fluorouracil, dacarbazine) , alkylating agents (e.g., mechlorethamine, thiotepa chlorambucil, rachelmycin (CC-1065) , melphalan, carmustine (BSNU) , lomustine (CCNU) , cyclophosphamide, busulfan, dibromomannitol, streptozotocin, mitomycin C, and cis-dichlorodiamine platinum (II) (DDP) cisplatin) , anthracyclines (e.g., daunorubicin (formerly daunomycin) and doxorubicin) , antibiotics (e.g., 5-flu
- the nanoparticle composition comprises, as the therapeutic payload, a biological molecule such as peptides and polypeptides.
- a biological molecule such as peptides and polypeptides.
- the biological molecules forming part of the present nanoparticle composition can be either of a natural source or synthetic.
- the therapeutic payload of the present nanoparticle composition can include, but is not limited to gentamycin, amikacin, insulin, erythropoietin (EPO) , granulocyte-colony stimulating factor (G-CSF) , granulocyte-macrophage colony stimulating factor (GM-CSF) , Factor VIR, luteinizing hormone-releasing hormone (LHRH) analogs, interferons, heparin, Hepatitis B surface antigen, typhoid vaccine, cholera vaccine, and peptides and polypeptides.
- EPO erythropoietin
- G-CSF granulocyte-colony
- the present nanoparticle composition comprises one or more nucleic acid molecules (e.g., DNA or RNA molecules) as the therapeutic payload.
- nucleic acid molecules e.g., DNA or RNA molecules
- Exemplary forms of nucleic acid molecules that can be included in the present nanoparticle composition as therapeutic payload include, but are not limited to, one or more of deoxyribonucleic acid (DNA) , ribonucleic acid (RNA) including messenger mRNA (mRNA) , hybrids thereof, RNAi-inducing agents, RNAi agents, siRNAs, shRNAs, miRNAs, antisense RNAs, ribozymes, catalytic DNA, RNAs that induce triple helix formation, aptamers, vectors, etc.
- the therapeutic payload comprises an RNA.
- RNA molecules that can be included in the present nanoparticle composition as the therapeutic payload include, but are not limited to, shortmers, agomirs, antagomirs, antisense, ribozymes, small interfering RNA (siRNA) , asymmetrical interfering RNA (aiRNA) , microRNA (miRNA) , Dicer-substrate RNA (dsRNA) , small hairpin RNA (shRNA) , transfer RNA (tRNA) , messenger RNA (mRNA) , and other forms of RNA molecules known in the art.
- the RNA is an mRNA.
- the nanoparticle composition comprises a siRNA molecule as the therapeutic payload.
- the siRNA molecule is capable of selectively interfering with and downregulate the expression of a gene of interest.
- the siRNA payload selectively silence a gene associated with a particular disease, disorder, or condition upon administration to a subject in need thereof of a nanoparticle composition including the siRNA.
- the siRNA molecule comprises a sequence that is complementary to an mRNA sequence encoding a protein product of interest.
- the siRNA molecule is an immunomodulatory siRNA.
- the nanoparticle composition comprises a shRNA molecule or a vector encoding the shRNA molecule as the therapeutic payload.
- the therapeutic payload upon administering to a target cell, produces shRNA inside the target cell. Constructs and mechanisms relating to shRNA are well known in the relevant arts.
- the nanoparticle composition comprises an mRNA molecule as the therapeutic payload.
- the mRNA molecule encodes a polypeptide of interest, including any naturally or non-naturally occurring or otherwise modified polypeptide.
- a polypeptide encoded by an mRNA may be of any size and may have any secondary structure or activity.
- the polypeptide encoded by an mRNA payload can have a therapeutic effect when expressed in a cell.
- a nucleic acid molecule of the present disclosure comprises an mRNA molecule.
- the nucleic acid molecule comprises at least one coding region encoding a peptide or polypeptide of interest (e.g., an open reading frame (ORF) ) .
- the nucleic acid molecule further comprises at least one untranslated region (UTR) .
- the untranslated region (UTR) is located upstream (to the 5’-end) of the coding region, and is referred to herein as the 5’-UTR.
- the untranslated region is located downstream (to the 3’-end) of the coding region, and is referred to herein as the 3’-UTR.
- the nucleic acid molecule comprises both a 5’-UTR and a 3’-UTR.
- the 5’-UTR comprises a 5’-Cap structure.
- the nucleic acid molecule comprises a Kozak sequence (e.g., in the 5’-UTR) .
- the nucleic acid molecule comprises a poly-A region (e.g., in the 3’-UTR) .
- the nucleic acid molecule comprises a polyadenylation signal (e.g., in the 3’-UTR) . In some embodiments, the nucleic acid molecule comprises stabilizing region (e.g., in the 3’-UTR) . In some embodiments, the nucleic acid molecule comprises a secondary structure. In some embodiments, the secondary structure is a stem-loop. In some embodiments, the nucleic acid molecule comprises a stem-loop sequence (e.g., in the 5’-UTR and/or the 3’-UTR) . In some embodiments, the nucleic acid molecule comprises one or more intronic regions capable of being excised during splicing.
- the nucleic acid molecule comprises one or more region selected from a 5’-UTR, and a coding region. In a specific embodiment, the nucleic acid molecule comprises one or more region selected from a coding region and a 3’-UTR. In a specific embodiment, the nucleic acid molecule comprises one or more region selected from a 5’-UTR, a coding region, and a 3’-UTR.
- the nucleic acid molecule of the present disclosure comprises at least one coding region.
- the coding region is an open reading frame (ORF) that encodes for a single peptide or protein.
- the coding region comprises at least two ORFs, each encoding a peptide or protein.
- the encoded peptides and/or proteins can be the same as or different from each other.
- the multiple ORFs in a coding region are separated by non-coding sequences.
- a non-coding sequence separating two ORFs comprises an internal ribosome entry sites (IRES) .
- an internal ribosome entry sites can act as the sole ribosome binding site, or serve as one of multiple ribosome binding sites of an mRNA.
- An mRNA molecule containing more than one functional ribosome binding site can encode several peptides or polypeptides that are translated independently by the ribosomes (e.g., multicistronic mRNA) .
- the nucleic acid molecule of the present disclosure e.g., mRNA
- IRES sequences that can be used in connection with the present disclosure include, without limitation, those from picomaviruses (e.g., FMDV) , pest viruses (CFFV) , polio viruses (PV) , encephalomyocarditis viruses (ECMV) , foot-and-mouth disease viruses (FMDV) , hepatitis C viruses (HCV) , classical swine fever viruses (CSFV) , murine leukemia virus (MLV) , simian immune deficiency viruses (SIV) or cricket paralysis viruses (CrPV) .
- picomaviruses e.g., FMDV
- CFFV pest viruses
- PV polio viruses
- ECMV encephalomyocarditis viruses
- FMDV foot-and-mouth disease viruses
- HCV hepatitis C viruses
- CSFV classical swine fever viruses
- MLV murine leukemia virus
- SIV simian immune deficiency
- the nucleic acid molecule of the present disclose encodes for at least 1, 2, 3, 4, 5, 6, 7, 8, 9, 10 or more than 10 peptides or proteins. Peptides and proteins encoded by a nucleic acid molecule can be the same or different.
- the nucleic acid molecule of the present disclosure encodes a dipeptide (e.g., camosine and anserine) .
- the nucleic acid molecule encodes a tripeptide.
- the nucleic acid molecule encodes a tetrapeptide.
- the nucleic acid molecule encodes a pentapeptide.
- the nucleic acid molecule encodes a hexapeptide. In some embodiments, the nucleic acid molecule encodes a heptapeptide. In some embodiments, the nucleic acid molecule encodes an octapeptide. In some embodiments, the nucleic acid molecule encodes a nonapeptide. In some embodiments, the nucleic acid molecule encodes a decapeptide. In some embodiments, the nucleic acid molecule encodes a peptide or polypeptide that has at least about 15 amino acids. In some embodiments, the nucleic acid molecule encodes a peptide or polypeptide that has at least about 50 amino acids.
- the nucleic acid molecule encodes a peptide or polypeptide that has at least about 100 amino acids. In some embodiments, the nucleic acid molecule encodes a peptide or polypeptide that has at least about 150 amino acids. In some embodiments, the nucleic acid molecule encodes a peptide or polypeptide that has at least about 300 amino acids. In some embodiments, the nucleic acid molecule encodes a peptide or polypeptide that has at least about 500 amino acids. In some embodiments, the nucleic acid molecule encodes a peptide or polypeptide that has at least about 1000 amino acids.
- the nucleic acid molecule of the present disclosure is at least about 30 nucleotides (nt) in length. In some embodiments, the nucleic acid molecule is at least about 35 nt in length. In some embodiments, the nucleic acid molecule is at least about 40 nt in length. In some embodiments, the nucleic acid molecule is at least about 45 nt in length. In some embodiments the nucleic acid molecule is at least about 50 nt in length. In some embodiments, the nucleic acid molecule is at least about 55 nt in length. In some embodiments, the nucleic acid molecule is at least about 60 nt in length.
- the nucleic acid molecule is at least about 65 nt in length. In some embodiments, the nucleic acid molecule is at least about 70 nt in length. In some embodiments, the nucleic acid molecule is at least about 75 nt in length. In some embodiments, the nucleic acid molecule is at least about 80 nt in length. In some embodiments the nucleic acid molecule is at least about 85 nt in length. In some embodiments, the nucleic acid molecule is at least about 90 nt in length. In some embodiments, the nucleic acid molecule is at least about 95 nt in length. In some embodiments, the nucleic acid molecule is at least about 100 nt in length.
- the nucleic acid molecule is at least about 120 nt in length. In some embodiments, the nucleic acid molecule is at least about 140 nt in length. In some embodiments, the nucleic acid molecule is at least about 160 nt in length. In some embodiments, the nucleic acid molecule is at least about 180 nt in length. In some embodiments, the nucleic acid molecule is at least about 200 nt in length. In some embodiments, the nucleic acid molecule is at least about 250 nt in length. In some embodiments, the nucleic acid molecule is at least about 300 nt in length. In some embodiments, the nucleic acid molecule is at least about 400 nt in length.
- the nucleic acid molecule is at least about 500 nt in length. In some embodiments, the nucleic acid molecule is at least about 600 nt in length. In some embodiments, the nucleic acid molecule is at least about 700 nt in length. In some embodiments, the nucleic acid molecule is at least about 800 nt in length. In some embodiments, the nucleic acid molecule is at least about 900 nt in length. In some embodiments, the nucleic acid molecule is at least about 1000 nt in length. In some embodiments, the nucleic acid molecule is at least about 1100 nt in length. In some embodiments, the nucleic acid molecule is at least about 1200 nt in length.
- the nucleic acid molecule is at least about 1300 nt in length. In some embodiments, the nucleic acid molecule is at least about 1400 nt in length. In some embodiments, the nucleic acid molecule is at least about 1500 nt in length. In some embodiments, the nucleic acid molecule is at least about 1600 nt in length. In some embodiments, the nucleic acid molecule is at least about 1700 nt in length. In some embodiments, the nucleic acid molecule is at least about 1800 nt in length. In some embodiments, the nucleic acid molecule is at least about 1900 nt in length. In some embodiments, the nucleic acid molecule is at least about 2000 nt in length.
- the nucleic acid molecule is at least about 2500 nt in length. In some embodiments, the nucleic acid molecule is at least about 3000 nt in length. In some embodiments, the nucleic acid molecule is at least about 3500 nt in length. In some embodiments, the nucleic acid molecule is at least about 4000 nt in length. In some embodiments, the nucleic acid molecule is at least about 4500 nt in length. In some embodiments, the nucleic acid molecule is at least about 5000 nt in length.
- the therapeutic payload comprises a vaccine composition (e.g., a genetic vaccine) as described herein.
- the therapeutic payload comprises a compound capable of eliciting immunity against one or more target conditions or disease.
- the target condition is related to or caused by infection by a pathogen, such as a coronavirus (e.g. 2019-nCoV) , influenza, measles, human papillomavirus (HPV) , rabies, meningitis, whooping cough, tetanus, plague, hepatitis, and tuberculosis.
- a coronavirus e.g. 2019-nCoV
- influenza e.g. 2019-nCoV
- HPV human papillomavirus
- rabies rabies
- meningitis whooping cough
- tetanus plague
- hepatitis hepatitis
- tuberculosis tuberculosis
- the therapeutic payload comprises a nucleic acid sequence (e.g., mRNA) encoding a pathogenic protein characteristic for the pathogen, or an antigenic fragment or epitope thereof.
- the vaccine upon administration to a vaccinated subject, allows for expression of the encoded pathogenic protein (or the antigenic fragment or epitope thereof) , thereby eliciting immunity in the subject against the pathogen.
- the target condition is related to or caused by neoplastic growth of cells, such as a cancer.
- the therapeutic payload comprises a nucleic acid sequence (e.g., mRNA) encoding a tumor associated antigen (TAA) characteristic for the cancer, or an antigenic fragment or epitope thereof.
- TAA tumor associated antigen
- the vaccine upon administration to a vaccinated subject, allows for expression of the encoded TAA (or the antigenic fragment or epitope thereof) , thereby eliciting immunity in the subject against the neoplastic cells expressing the TAA.
- a 5’-cap structure of a polynucleotide is involved in nuclear export and increasing polynucleotide stability and binds the mRNA Cap Binding Protein (CBP) , which is responsible for polynucleotide stability in the cell and translation competency through the association of CBP with poly-A binding protein to form the mature cyclic mRNA species.
- CBP mRNA Cap Binding Protein
- the 5’-cap structure further assists the removal of 5’-proximal introns removal during mRNA splicing.
- the nucleic acid molecules of the present disclosure comprise a 5’-cap structure.
- Nucleic acid molecules may be 5’-end capped by the endogenous transcription machinery of a cell to generate a 5’-ppp-5’-triphosphate linkage between a terminal guanosine cap residue and the 5’-terminal transcribed sense nucleotide of the polynucleotide. This 5’-guanylate cap may then be methylated to generate an N7-methyl-guanylate residue.
- the ribose sugars of the terminal and/or anteterminal transcribed nucleotides of the 5’ end of the polynucleotide may optionally also be 2’-O-methylated.
- 5’-decapping through hydrolysis and cleavage of the guanylate cap structure may target a nucleic acid molecule, such as an mRNA molecule, for degradation.
- the nucleic acid molecules of the present disclosure comprise one or more alterations to the natural 5’-cap structure generated by the endogenous process.
- a modification on the 5’-cap may increase the stability of polynucleotide, increase the half-life of the polynucleotide, and could increase the polynucleotide translational efficiency.
- Exemplary alterations to the natural 5’-Cap structure include generation of a non-hydrolyzable cap structure preventing decapping and thus increasing polynucleotide half-life.
- modified nucleotides may be used during the capping reaction.
- a Vaccinia Capping Enzyme from New England Biolabs (Ipswich, Mass. ) may be used with ⁇ -thio-guanosine nucleotides according to the manufacturer’s instructions to create a phosphorothioate linkage in the 5’-ppp-5’ cap.
- Additional modified guanosine nucleotides may be used, such as ⁇ -methyl-phosphonate and seleno-phosphate nucleotides.
- Additional exemplary alterations to the natural 5’-Cap structure also include modification at the 2’-and/or 3’-position of a capped guanosine triphosphate (GTP) , a replacement of the sugar ring oxygen (that produced the carbocyclic ring) with a methylene moiety (CH 2 ) , a modification at the triphosphate bridge moiety of the cap structure, or a modification at the nucleobase (G) moiety.
- GTP capped guanosine triphosphate
- CH 2 methylene moiety
- G nucleobase
- Additional exemplary alterations to the natural 5’-cap structure include, but are not limited to, 2’-O-methylation of the ribose sugars of 5’-terminal and/or 5’-anteterminal nucleotides of the polynucleotide (as mentioned above) on the 2’-hydroxy group of the sugar.
- Multiple distinct 5’-cap structures can be used to generate the 5’-cap of a polynucleotide, such as an mRNA molecule.
- Additional exemplary 5’-Cap structures that can be used in connection with the present disclosure further include those described in International Patent Publication Nos. WO2008127688, WO 2008016473, and WO 2011015347, the entire contents of each of which are incorporated herein by reference.
- 5’-terminal caps can include cap analogs.
- Cap analogs which herein are also referred to as synthetic cap analogs, chemical caps, chemical cap analogs, or structural or functional cap analogs, differ from natural (i.e., endogenous, wild-type, or physiological) 5’-caps in their chemical structure, while retaining cap function.
- Cap analogs may be chemically (i.e., non-enzymatically) or enzymatically synthesized and/linked to a polynucleotide.
- the Anti-Reverse Cap Analog (ARCA) cap contains two guanosines linked by a 5’-5’-triphosphate group, wherein one guanosine contains an N7-methyl group as well as a 3’-O-methyl group (i.e., N7, 3’-O-dimethyl-guanosine-5’-triphosphate-5’-guanosine, m 7 G-3’mppp-G, which may equivalently be designated 3’ O-Me-m7G (5’) ppp (5’) G) .
- N7, 3’-O-dimethyl-guanosine-5’-triphosphate-5’-guanosine, m 7 G-3’mppp-G which may equivalently be designated 3’ O-Me-m7G (5’) ppp (5’) G
- the 3’-O atom of the other, unaltered, guanosine becomes linked to the 5’-terminal nucleotide of the capped polynucleotide (e.g., an mRNA) .
- the N7-and 3’-O-methlyated guanosine provides the terminal moiety of the capped polynucleotide (e.g., mRNA) .
- Another exemplary cap structure is mCAP, which is similar to ARCA but has a 2’-O-methyl group on guanosine (i.e., N7, 2’-O-dimethyl-guanosine-5’-triphosphate-5’-guanosine, m 7 Gm-ppp-G) .
- a cap analog can be a dinucleotide cap analog.
- the dinucleotide cap analog may be modified at different phosphate positions with a boranophosphate group or a phophoroselenoate group such as the dinucleotide cap analogs described in U.S. Patent No.: 8,519,110, the entire content of which is herein incorporated by reference in its entirety.
- a cap analog can be a N7- (4-chlorophenoxyethyl) substituted dinucleotide cap analog known in the art and/or described herein.
- Non-limiting examples of N7- (4-chlorophenoxyethyl) substituted dinucleotide cap analogs include a N7- (4-chlorophenoxyethyl) -G (5’) ppp (5’) G and a N7- (4-chlorophenoxyethyl) -m3’-OG (5’) ppp (5’) G cap analog (see, e.g., the various cap analogs and the methods of synthesizing cap analogs described in Kore et al.
- a cap analog useful in connection with the nucleic acid molecules of the present disclosure is a 4-chloro/bromophenoxyethyl analog.
- a cap analog can include a guanosine analog.
- Useful guanosine analogs include but are not limited to inosine, N1-methyl-guanosine, 2’-fluoro-guanosine, 7-deaza-guanosine, 8-oxo-guanosine, 2-amino-guanosine, LNA-guanosine, and 2-azido-guanosine.
- cap analogs allow for the concomitant capping of a polynucleotide in an in vitro transcription reaction, up to 20%of transcripts remain uncapped. This, as well as the structural differences of a cap analog from the natural 5’-cap structures of polynucleotides produced by the endogenous transcription machinery of a cell, may lead to reduced translational competency and reduced cellular stability.
- a nucleic acid molecule of the present disclosure can also be capped post-transcriptionally, using enzymes, in order to generate more authentic 5’-cap structures.
- the phrase “more authentic” refers to a feature that closely mirrors or mimics, either structurally or functionally, an endogenous or wild type feature. That is, a “more authentic” feature is better representative of an endogenous, wild-type, natural or physiological cellular function, and/or structure as compared to synthetic features or analogs of the prior art, or which outperforms the corresponding endogenous, wild-type, natural, or physiological feature in one or more respects.
- Non-limiting examples of more authentic 5’-cap structures useful in connection with the nucleic acid molecules of the present disclosure are those which, among other things, have enhanced binding of cap binding proteins, increased half-life, reduced susceptibility to 5’-endonucleases, and/or reduced 5’-decapping, as compared to synthetic 5’-cap structures known in the art (or to a wild-type, natural or physiological 5’-cap structure) .
- recombinant Vaccinia Virus Capping Enzyme and recombinant 2’-O-methyltransferase enzyme can create a canonical 5’-5’-triphosphate linkage between the 5’-terminal nucleotide of a polynucleotide and a guanosine cap nucleotide wherein the cap guanosine contains an N7-methylation and the 5’-terminal nucleotide of the polynucleotide contains a 2’-O-methyl.
- a structure is termed the Cap1 structure.
- cap results in a higher translational-competency, cellular stability, and a reduced activation of cellular pro-inflammatory cytokines, as compared, e.g., to other 5’cap analog structures known in the art.
- Other exemplary cap structures include 7mG (5’) ppp (5’) N, pN2p (Cap 0) , 7mG (5’) ppp (5’) NlmpNp (Cap 1) , 7mG (5’) -ppp (5’) NlmpN2mp (Cap 2) , and m (7) Gpppm (3) (6, 6, 2’) Apm (2’) Apm (2’) Cpm (2) (3, 2’) Up (Cap 4) .
- nucleic acid molecules of the present disclosure can be capped post-transcriptionally, and because this process is more efficient, nearly 100%of the nucleic acid molecules may be capped.
- the nucleic acid molecules of the present disclosure comprise one or more untranslated regions (UTRs) .
- an UTR is positioned upstream to a coding region in the nucleic acid molecule, and is termed 5’-UTR.
- an UTR is positioned downstream to a coding region in the nucleic acid molecule, and is termed 3’-UTR.
- the sequence of an UTR can be homologous or heterologous to the sequence of the coding region found in a nucleic acid molecule.
- Multiple UTRs can be included in a nucleic acid molecule and can be of the same or different sequences, and/or genetic origin. According to the present disclosure, any portion of UTRs in a nucleic acid molecule (including none) can be codon optimized and any may independently contain one or more different structural or chemical modification, before and/or after codon optimization.
- a nucleic acid molecule of the present disclosure comprises UTRs and coding regions that are homologous with respect to each other.
- a nucleic acid molecule of the present disclosure e.g., mRNA
- a nucleic acid molecule comprising the UTR and a coding sequence of a detectable probe can be administered in vitro (e.g., cell or tissue culture) or in vivo (e.g., to a subject) , and an effect of the UTR sequence (e.g., modulation on the expression level, cellular localization of the encoded product, or half-life of the encoded product) can be measured using methods known in the art.
- an effect of the UTR sequence e.g., modulation on the expression level, cellular localization of the encoded product, or half-life of the encoded product
- the UTR of a nucleic acid molecule of the present disclosure comprises at least one translation enhancer element (TEE) that functions to increase the amount of polypeptide or protein produced from the nucleic acid molecule.
- TEE translation enhancer element
- the TEE is located in the 5’-UTR of the nucleic acid molecule.
- the TEE is located at the 3’-UTR of the nucleic acid molecule.
- at least two TEE are located at the 5’-UTR and 3’-UTR of the nucleic acid molecule respectively.
- a nucleic acid molecule of the present disclosure can comprise one or more copies of a TEE sequence or comprise more than one different TEE sequences.
- different TEE sequences that are present in a nucleic acid molecule of the present disclosure can be homologues or heterologous with respect to one another.
- the TEE can be an internal ribosome entry site (IRES) , HCV-IRES or an IRES element. Chappell et al. Proc. Natl. Acad. Sci. USA 101: 9590-9594, 2004; Zhou et al. Proc. Natl. Acad. Sci. 102: 6273-6278, 2005. Additional internal ribosome entry site (IRES) that can be used in connection with the present disclosure include but are not limited to those described in U.S. Patent No. 7,468,275, U.S. Patent Publication No. 2007/0048776 and U.S. Patent Publication No.
- the TEE can be those described in Supplemental Table 1 and in Supplemental Table 2 of Wellensiek et al Genome-wide profiling of human cap-independent translation-enhancing elements, Nature Methods, 2013 Aug; 10 (8) : 747–750; the content of which is incorporated by reference in its entirety.
- Additional exemplary TEEs that can be used in connection with the present disclosure include but are not limited to the TEE sequences disclosed in U.S. Patent No. 6,310,197, U.S. Patent No. 6,849,405, U.S. Patent No. 7,456,273, U.S. Patent No. 7,183,395, U.S. Patent Publication No. 2009/0226470, U.S. Patent Publication No. 2013/0177581, U.S. Patent Publication No. 2007/0048776, U.S. Patent Publication No. 2011/0124100, U.S. Patent Publication No. 2009/0093049, International Patent Publication No. WO2009/075886, International Patent Publication No. WO2012/009644, and International Patent Publication No.
- a nucleic acid molecule of the present disclosure comprises at least one UTR that comprises at least 1, at least 2, at least 3, at least 4, at least 5, at least 6, at least 7, at least 8, at least 9, at least 10, at least 11, at least 12, at least 13, at least 14, at least 15, at least 16, at least 17, at least 18 at least 19, at least 20, at least 21, at least 22, at least 23, at least 24, at least 25, at least 30, at least 35, at least 40, at least 45, at least 50, at least 55 or more than 60 TEE sequences.
- the TEE sequences in the UTR of a nucleic acid molecule are copies of the same TEE sequence.
- At least two TEE sequences in the UTR of a nucleic acid molecule are of different TEE sequences.
- multiple different TEE sequences are arranged in one or more repeating patterns in the UTR region of a nucleic acid molecule.
- a repeating pattern can be, for example, ABABAB, AABBAABBAABB, ABCABCABC, or the like, where in these exemplary patterns, each capitalized letter (A, B, or C) represents a different TEE sequence.
- at least two TEE sequences are consecutive with one another (i.e., no spacer sequence in between) in a UTR of a nucleic acid molecule.
- a UTR can comprise a TEE sequence-spacer sequence module that is repeated at least once, at least twice, at least 3 times, at least 4 times, at least 5 times, at least 6 times, at least 7 times, at least 8 times, at least 9 times, or more than 9 times in the UTR.
- the UTR can be a 5’-UTR, a 3’-UTR or both 5’-UTR and 3’-UTR of a nucleic acid molecule.
- the UTR of a nucleic acid molecule of the present disclosure comprises at least one translation suppressing element that functions to decrease the amount of polypeptide or protein produced from the nucleic acid molecule.
- the UTR of the nucleic acid molecule comprises one or more miR sequences or fragment thereof (e.g., miR seed sequences) that are recognized by one or more microRNA.
- the UTR of the nucleic acid molecule comprises one or more stem-loop structure that downregulates translational activity of the nucleic acid molecule.
- Other mechanisms for suppressing translational activities associated with a nucleic acid molecules are known in the art.
- the UTR can be a 5’-UTR, a 3’-UTR or both 5’-UTR and 3’-UTR of a nucleic acid molecule.
- poly-A region a long chain of adenosine nucleotides (poly-A region) is normally added to messenger RNA (mRNA) molecules to increase the stability of the molecule.
- mRNA messenger RNA
- poly-A polymerase adds a chain of adenosine nucleotides to the RNA.
- the process called polyadenylation, adds a poly-A region that is between 100 and 250 residues long. Without being bound by the theory, it is contemplated that a poly-A region can confer various advantages to the nucleic acid molecule of the present disclosure.
- a nucleic acid molecule of the present disclosure comprises a polyadenylation signal.
- a nucleic acid molecule of the present disclosure comprises one or more polyadenylation (poly-A) regions.
- a poly-A region is composed entirely of adenine nucleotides or functional analogs thereof.
- the nucleic acid molecule comprises at least one poly-A region at its 3’-end.
- the nucleic acid molecule comprises at least one poly-A region at its 5’-end.
- the nucleic acid molecule comprises at least one poly-A region at its 5’-end and at least one poly-A region at its 3’-end.
- the poly-A region can have varied lengths in different embodiments. Particularly, in some embodiments, the poly-A region of a nucleic acid molecule of the present disclosure is at least 30 nucleotides in length. In some embodiments, the poly-A region of a nucleic acid molecule of the present disclosure is at least 35 nucleotides in length. In some embodiments, the poly-A region of a nucleic acid molecule of the present disclosure is at least 40 nucleotides in length. In some embodiments, the poly-A region of a nucleic acid molecule of the present disclosure is at least 45 nucleotides in length.
- the poly-A region of a nucleic acid molecule of the present disclosure is at least 50 nucleotides in length. In some embodiments, the poly-A region of a nucleic acid molecule of the present disclosure is at least 55 nucleotides in length. In some embodiments, the poly-A region of a nucleic acid molecule of the present disclosure is at least 60 nucleotides in length. In some embodiments, the poly-A region of a nucleic acid molecule of the present disclosure is at least 65 nucleotides in length. In some embodiments, the poly-A region of a nucleic acid molecule of the present disclosure is at least 70 nucleotides in length.
- the poly-A region of a nucleic acid molecule of the present disclosure is at least 75 nucleotides in length. In some embodiments, the poly-A region of a nucleic acid molecule of the present disclosure is at least 80 nucleotides in length. In some embodiments, the poly-A region of a nucleic acid molecule of the present disclosure is at least 85 nucleotides in length. In some embodiments, the poly-A region of a nucleic acid molecule of the present disclosure is at least 90 nucleotides in length. In some embodiments, the poly-A region of a nucleic acid molecule of the present disclosure is at least 95 nucleotides in length.
- the poly-A region of a nucleic acid molecule of the present disclosure is at least 100 nucleotides in length. In some embodiments, the poly-A region of a nucleic acid molecule of the present disclosure is at least 110 nucleotides in length. In some embodiments, the poly-A region of a nucleic acid molecule of the present disclosure is at least 120 nucleotides in length. In some embodiments, the poly-A region of a nucleic acid molecule of the present disclosure is at least 130 nucleotides in length. In some embodiments, the poly-Aregion of a nucleic acid molecule of the present disclosure is at least 140 nucleotides in length.
- the poly-A region of a nucleic acid molecule of the present disclosure is at least 150 nucleotides in length. In some embodiments, the poly-A region of a nucleic acid molecule of the present disclosure is at least 160 nucleotides in length. In some embodiments, the poly-A region of a nucleic acid molecule of the present disclosure is at least 170 nucleotides in length. In some embodiments, the poly-A region of a nucleic acid molecule of the present disclosure is at least 180 nucleotides in length. In some embodiments, the poly-A region of a nucleic acid molecule of the present disclosure is at least 190 nucleotides in length.
- the poly-A region of a nucleic acid molecule of the present disclosure is at least 200 nucleotides in length. In some embodiments, the poly-A region of a nucleic acid molecule of the present disclosure is at least 225 nucleotides in length. In some embodiments, the poly-A region of a nucleic acid molecule of the present disclosure is at least 250 nucleotides in length. In some embodiments, the poly-A region of a nucleic acid molecule of the present disclosure is at least 275 nucleotides in length. In some embodiments, the poly-A region of a nucleic acid molecule of the present disclosure is at least 300 nucleotides in length.
- the poly-A region of a nucleic acid molecule of the present disclosure is at least 350 nucleotides in length. In some embodiments, the poly-A region of a nucleic acid molecule of the present disclosure is at least 400 nucleotides in length. In some embodiments, the poly-A region of a nucleic acid molecule of the present disclosure is at least 450 nucleotides in length. In some embodiments, the poly-A region of a nucleic acid molecule of the present disclosure is at least 500 nucleotides in length. In some embodiments, the poly-A region of a nucleic acid molecule of the present disclosure is at least 600 nucleotides in length.
- the poly-Aregion of a nucleic acid molecule of the present disclosure is at least 700 nucleotides in length. In some embodiments, the poly-A region of a nucleic acid molecule of the present disclosure is at least 800 nucleotides in length. In some embodiments, the poly-A region of a nucleic acid molecule of the present disclosure is at least 900 nucleotides in length. In some embodiments, the poly-A region of a nucleic acid molecule of the present disclosure is at least 1000 nucleotides in length. In some embodiments, the poly-A region of a nucleic acid molecule of the present disclosure is at least 1100 nucleotides in length.
- the poly-A region of a nucleic acid molecule of the present disclosure is at least 1200 nucleotides in length. In some embodiments, the poly-A region of a nucleic acid molecule of the present disclosure is at least 1300 nucleotides in length. In some embodiments, the poly-A region of a nucleic acid molecule of the present disclosure is at least 1400 nucleotides in length. In some embodiments, the poly-Aregion of a nucleic acid molecule of the present disclosure is at least 1500 nucleotides in length. In some embodiments, the poly-A region of a nucleic acid molecule of the present disclosure is at least 1600 nucleotides in length.
- the poly-A region of a nucleic acid molecule of the present disclosure is at least 1700 nucleotides in length. In some embodiments, the poly-A region of a nucleic acid molecule of the present disclosure is at least 1800 nucleotides in length. In some embodiments, the poly-A region of a nucleic acid molecule of the present disclosure is at least 1900 nucleotides in length. In some embodiments, the poly-A region of a nucleic acid molecule of the present disclosure is at least 2000 nucleotides in length. In some embodiments, the poly-A region of a nucleic acid molecule of the present disclosure is at least 2250 nucleotides in length.
- the poly-A region of a nucleic acid molecule of the present disclosure is at least 2500 nucleotides in length. In some embodiments, the poly-A region of a nucleic acid molecule of the present disclosure is at least 2750 nucleotides in length. In some embodiments, the poly-A region of a nucleic acid molecule of the present disclosure is at least 3000 nucleotides in length.
- length of a poly-A region in a nucleic acid molecule can be selected based on the overall length of the nucleic acid molecule, or a portion thereof (such as the length of the coding region or the length of an open reading frame of the nucleic acid molecule, etc. ) .
- the poly-A region accounts for about 5%, 10%, 15%, 20%, 25%, 30%, 35%, 40%, 45%, 50%, 55%, 60%, 65%, 70%, 75%, 80%, 85%, 90%, 95%or more of the total length of nucleic acid molecule containing the poly-A region.
- RNA-binding proteins can bind to the poly-A region located at the 3’-end of an mRNA molecule.
- These poly-A binding proteins PABP
- PABP poly-A binding proteins
- the nucleic acid molecule of the present disclosure comprises at least one binding site for poly-A binding protein (PABP) .
- PABP poly-A binding protein
- the nucleic acid molecule is conjugated or complex with a PABP before loaded into a delivery vehicle (e.g., lipid nanoparticles) .
- the nucleic acid molecule of the present disclosure comprises a poly-A-G quartet.
- the G-quartet is a cyclic hydrogen bonded array of four guanosine nucleotides that can be formed by G-rich sequences in both DNA and RNA.
- the G-quartet is incorporated at the end of the poly-A region.
- the resultant polynucleotides e.g., mRNA
- the nucleic acid molecule of the present disclosure may include a poly-A region and may be stabilized by the addition of a 3’-stabilizing region.
- the 3’-stabilizing region which may be used to stabilize a nucleic acid molecule (e.g., mRNA) including the poly-A or poly-A-G quartet structures as described in International Patent Publication No. WO2013/103659, the content of which is incorporated herein by reference in its entirety.
- the 3’-stabilizing region which may be used in connection with the nucleic acid molecules of the present disclosure include a chain termination nucleoside such as but is not limited to 3’-deoxyadenosine (cordycepin) , 3’-deoxyuridine, 3’-deoxycytosine, 3’-deoxyguanosine, 3’-deoxythymine, 2’, 3’-dideoxynucleosides, such as 2’, 3’-dideoxyadenosine, 2’, 3’-dideoxyuridine, 2’, 3’-dideoxycytosine, 2’, 3’-dideoxyguanosine, 2’, 3’-dideoxythymine, a 2’-deoxynucleoside, or an O-methylnucleoside, 3’-deoxynucleoside, 2’, 3’-dideoxynucleoside 3’-O-methylnucleosides, 3’-O-ethyl
- a stem-loop structure can direct RNA folding, protect structural stability of a nucleic acid molecule (e.g., mRNA) , provide recognition sites for RNA binding proteins, and serve as a substrate for enzymatic reactions.
- a nucleic acid molecule e.g., mRNA
- the incorporation of a miR sequence and/or a TEE sequence changes the shape of the stem loop region which may increase and/or decrease translation (Kedde et al. A Pumilio-induced RNA structure switch in p27-3’UTR controls miR-221 and miR-222 accessibility. Nat Cell Biol., 2010 Oct; 12 (10) : 1014-20, the content of which is herein incorporated by reference in its entirety) .
- the nucleic acid molecules as described herein may assume a stem-loop structure, such as but is not limited to a histone stem loop.
- the stem-loop structure is formed from a stem-loop sequence that is about 25 or about 26 nucleotides in length such as, but not limited to, those as described in International Patent Publication No. WO2013/103659, the content of which is incorporated herein by reference in its entirety. Additional examples of stem-loop sequences include those described in International Patent Publication No. WO2012/019780 and International Patent Publication No. WO201502667, the contents of which are incorporated herein by reference.
- the step-loop sequence comprises a TEE as described herein. In some embodiments, the step-loop sequence comprises a miR sequence as described herein. In specific embodiments, the stem loop sequence may include a miR-122 seed sequence. In specific embodiments, the nucleic acid molecule comprises the stem-loop sequence CAAAGGCTCTTTTCAGAGCCACCA (SEQ ID NO: 1) . In other embodiments, the nucleic acid molecule comprises the stem-loop sequence CAAAGGCUCUUUUCAGAGCCACCA (SEQ ID NO: 2) .
- the nucleic acid molecule of the present disclosure comprises a stem-loop sequence located upstream (to the 5’-end) of the coding region in a nucleic acid molecule. In some embodiments, the stem-loop sequence is located within the 5’-UTR of the nucleic acid molecule. In some embodiments, the nucleic acid molecule of the present disclosure (e.g., mRNA) comprises a stem-loop sequence located downstream (to the 3’-end) of the coding region in a nucleic acid molecule. In some embodiments, the stem-loop sequence is located within the 3’-UTR of the nucleic acid molecule.
- a nucleic acid molecule can contain more than one stem-loop sequences.
- the nucleic acid molecule comprises at least one stem-loop sequence in the 5’-UTR, and at least one stem-loop sequence in the 3’-UTR.
- a nucleic acid molecule comprising a stem-loop structure further comprises a stabilization region.
- the stabilization region comprises at least one chain terminating nucleoside that functions to slow down degradation and thus increases the half-life of the nucleic acid molecule.
- Exemplary chain terminating nucleoside that can be used in connection with the present disclosure include but are not limited to 3’-deoxyadenosine (cordycepin) , 3’-deoxyuridine, 3’-deoxycytosine, 3’-deoxyguanosine, 3’-deoxythymine, 2’, 3’-dideoxynucleosides, such as 2’, 3’-dideoxyadenosine, 2’, 3’-dideoxyuridine, 2’, 3’-dideoxycytosine, 2’, 3’-dideoxyguanosine, 2’, 3’-dideoxythymine, a 2’-deoxynucleoside, or an O-methylnucleoside, 3’-deoxynucleoside, 2’, 3’-dideoxynucleoside 3’-O-methylnucleosides, 3’-O-ethylnucleosides, 3’-arabinosides, and other alternative
- a stem-loop structure may be stabilized by an alteration to the 3’-region of the polynucleotide that can prevent and/or inhibit the addition of oligio (U) (International Patent Publication No. WO2013/103659, incorporated herein by reference in its entirety) .
- a nucleic acid molecule of the present disclosure comprises at least one stem-loop sequence and a poly-A region or polyadenylation signal.
- Non-limiting examples of polynucleotide sequences comprising at least one stem-loop sequence and a poly-Aregion or a polyadenylation signal include those described in International Patent Publication No. WO2013/120497, International Patent Publication No. WO2013/120629, International Patent Publication No. WO2013/120500, International Patent Publication No. WO2013/120627, International Patent Publication No. WO2013/120498, International Patent Publication No. WO2013/120626, International Patent Publication No. WO2013/120499 and International Patent Publication No. WO2013/120628, the content of each of which is incorporated herein by reference in its entirety.
- the nucleic acid molecule comprising a stem-loop sequence and a poly-A region or a polyadenylation signal can encode for a pathogen antigen or fragment thereof such as the polynucleotide sequences described in International Patent Publication No. WO2013/120499 and International Patent Publication No. WO2013/120628, the content of each of which is incorporated herein by reference in its entirety.
- the nucleic acid molecule comprising a stem-loop sequence and a poly-A region or a polyadenylation signal can encode for a therapeutic protein such as the polynucleotide sequences described in International Patent Publication No. WO2013/120497 and International Patent Publication No. WO2013/120629, the content of each of which is incorporated herein by reference in its entirety.
- the nucleic acid molecule comprising a stem-loop sequence and a poly-A region or a polyadenylation signal can encode for a tumor antigen or fragment thereof such as the polynucleotide sequences described in International Patent Publication No. WO2013/120500 and International Patent Publication No. WO2013/120627, the content of each of which is incorporated herein by reference in its entirety.
- the nucleic acid molecule comprising a stem-loop sequence and a poly-A region or a polyadenylation signal can code for an allergenic antigen or an autoimmune self-antigen such as the polynucleotide sequences described in International Patent Publication No. WO2013/120498 and International Patent Publication No. WO2013/120626, the content of each of which is incorporated herein by reference in its entirety.
- a payload nucleic acid molecule described herein contains only canonical nucleotides selected from A (adenosine) , G (guanosine) , C (cytosine) , U (uridine) , and T (thymidine) .
- canonical nucleotides selected from A (adenosine) , G (guanosine) , C (cytosine) , U (uridine) , and T (thymidine) .
- Examples of such as useful properties in the context of the present disclosure include but are not limited to increased stability of the nucleic acid molecule, reduced immunogenicity of the nucleic acid molecule in inducing innate immune responses, enhanced production of protein encoded by the nucleic acid molecule, increased intracellular delivery and/or retention of the nucleic acid molecule, and/or reduced cellular toxicity of the nucleic acid molecule, etc.
- a payload nucleic acid molecule comprises at least one functional nucleotide analog as described herein.
- the functional nucleotide analog contains at least one chemical modification to the nucleobase, the sugar group and/or the phosphate group.
- a payload nucleic acid molecule comprising at least one functional nucleotide analog contains at least one chemical modification to the nucleobases, the sugar groups, and/or the internucleoside linkage. Exemplary chemical modifications to the nucleobases, sugar groups, or internucleoside linkages of a nucleic acid molecule are provided herein.
- ranging from 0%to 100%of all nucleotides in a payload nucleic acid molecule can be functional nucleotide analogs as described herein.
- a functional nucleotide analog can be present at any position (s) of a nucleic acid molecule, including the 5’-terminus, 3’-terminus, and/or one or more internal positions.
- a single nucleic acid molecule can contain different sugar modifications, different nucleobase modifications, and/or different types internucleoside linkages (e.g., backbone structures) .
- nucleotide analogs as described herein.
- all nucleotides of a kind e.g., all purine-containing nucleotides as a kind, or all pyrimidine-containing nucleotides as a kind, or all A, G, C, T or U as a kind
- a payload nucleic acid molecule can be functional nucleotide analogs as described herein.
- a functional nucleotide analog can be present at any position (s) of a nucleic acid molecule, including the 5’-terminus, 3’-terminus, and/or one or more internal positions.
- a single nucleic acid molecule can contain different sugar modifications, different nucleobase modifications, and/or different types internucleoside linkages (e.g., backbone structures) .
- a functional nucleotide analog contains a non-canonical nucleobase.
- canonical nucleobases e.g., adenine, guanine, uracil, thymine, and cytosine
- Exemplary modification to nucleobases include but are not limited to one or more substitutions or modifications including but not limited to alkyl, aryl, halo, oxo, hydroxyl, alkyloxy, and/or thio substitutions; one or more fused or open rings, oxidation, and/or reduction.
- the non-canonical nucleobase is a modified uracil.
- Exemplary nucleobases and nucleosides having an modified uracil include pseudouridine ( ⁇ ) , pyridin-4-one ribonucleoside, 5-aza-uracil, 6-aza-uracil, 2-thio-5-aza-uracil, 2-thio-uracil (s 2 U) , 4-thio-uracil (s 4 U) , 4-thio-pseudouridine, 2-thio-pseudouridine, 5-hydroxy-uracil (ho 5 U) , 5-aminoallyl-uracil, 5-halo-uracil (e.g., 5-iodo-uracil or 5-bromo-uracil) , 3-methyl-uracil (m 3 U) , 5-methoxy-uracil (mo 5 U) , uracil 5-oxyacetic acid (cmo 5 U) , uracil
- the non-canonical nucleobase is a modified cytosine.
- exemplary nucleobases and nucleosides having a modified cytosine include 5-aza-cytosine, 6-aza-cytosine, pseudoisocytidine, 3-methyl-cytosine (m3C) , N4-acetyl-cytosine (ac4C) , 5-formyl-cytosine (f5C) , N4-methyl-cytosine (m4C) , 5-methyl-cytosine (m5C) , 5-halo-cytosine (e.g., 5-iodo-cytosine) , 5-hydroxymethyl-cytosine (hm5C) , 1-methyl-pseudoisocytidine, pyrrolo-cytosine, pyrrolo-pseudoisocytidine, 2-thio-cytosine (s2C) , 2-thio-5-methyl-cytosine, 4-thio-ps
- the non-canonical nucleobase is a modified adenine.
- Exemplary nucleobases and nucleosides having an alternative adenine include 2-amino-purine, 2, 6-diaminopurine, 2-amino-6-halo-purine (e.g., 2-amino-6-chloro-purine) , 6-halo-purine (e.g., 6-chloro-purine) , 2-amino-6-methyl-purine, 8-azido-adenine, 7-deaza-adenine, 7-deaza-8-aza- adenine, 7-deaza-2-amino-purine, 7-deaza-8-aza-2-amino-purine, 7-deaza-2, 6-diaminopurine, 7-deaza-8-aza-2, 6-diaminopurine, 1-methyl-adenine (m1A) , 2-methyl-adenine (m2A) , N6-methyl-adenine
- the non-canonical nucleobase is a modified guanine.
- Exemplary nucleobases and nucleosides having a modified guanine include inosine (I) , 1-methyl-inosine (m1I) , wyosine (imG) , methylwyosine (mimG) , 4-demethyl-wyosine (imG-14) , isowyosine (imG2) , wybutosine (yW) , peroxywybutosine (o2yW) , hydroxywybutosine (OHyW) , undermodified hydroxywybutosine (OHyW*) , 7-deaza-guanine, queuosine (Q) , epoxyqueuosine (oQ) , galactosyl-queuosine (galQ) , mannosyl-queuosine (manQ) , 7-cyano-7
- the non-canonical nucleobase of a functional nucleotide analog can be independently a purine, a pyrimidine, a purine or pyrimidine analog.
- the non-canonical nucleobase can be modified adenine, cytosine, guanine, uracil, or hypoxanthine.
- the non-canonical nucleobase can also include, for example, naturally-occurring and synthetic derivatives of a base, including pyrazolo [3, 4-d] pyrimidines, 5-methylcytosine (5-me-C) , 5-hydroxymethyl cytosine, xanthine, hypoxanthine, 2-aminoadenine, 6-methyl and other alkyl derivatives of adenine and guanine, 2-propyl and other alkyl derivatives of adenine and guanine, 2-thiouracil, 2-thiothymine and 2-thiocytosine, 5-propynyl uracil and cytosine, 6-azo uracil, cytosine and thymine, 5-uracil (pseudouracil) , 4-thiouracil, 8-halo (e.g., 8-bromo) , 8-amino, 8-thiol, 8-thioalkyl, 8-hydroxy and other 8
- a functional nucleotide analog contains a non-canonical sugar group.
- the non-canonical sugar group can be a 5-carbon or 6-carbon sugar (such as pentose, ribose, arabinose, xylose, glucose, galactose, or a deoxy derivative thereof) with one or more substitutions, such as a halo group, a hydroxy group, a thiol group, an alkyl group, an alkoxy group, an alkenyloxy group, an alkynyloxy group, an cycloalkyl group, an aminoalkoxy group, an alkoxyalkoxy group, an hydroxyalkoxy group, an amino group, an azido group, an aryl group, an aminoalkyl group, an aminoalkenyl group, an aminoalkynyl group, etc.
- RNA molecules contains the ribose sugar group, which is a 5-membered ring having an oxygen.
- exemplary, non-limiting alternative nucleotides include replacement of the oxygen in ribose (e.g., with S, Se, or alkylene, such as methylene or ethylene) ; addition of a double bond (e.g., to replace ribose with cyclopentenyl or cyclohexenyl) ; ring contraction of ribose (e.g., to form a 4-membered ring of cyclobutane or oxetane) ; ring expansion of ribose (e.g., to form a 6-or 7-membered ring having an additional carbon or heteroatom, such as for anhydrohexitol, altritol, mannitol, cyclohexanyl, cyclohexenyl, and morpholino (that also has a phosphoramidate backbone
- the sugar group contains one or more carbons that possess the opposite stereochemical configuration of the corresponding carbon in ribose.
- a nucleic acid molecule can include nucleotides containing, e.g., arabinose or L-ribose, as the sugar.
- the nucleic acid molecule includes at least one nucleoside wherein the sugar is L-ribose, 2’-O-methyl-ribose, 2’-fluoro-ribose, arabinose, hexitol, an LNA, or a PNA.
- the payload nucleic acid molecule of the present disclosure can contain one or more modified internucleoside linkage (e.g., phosphate backbone) .
- Backbone phosphate groups can be altered by replacing one or more of the oxygen atoms with a different substituent.
- the functional nucleotide analogs can include the replacement of an unaltered phosphate moiety with another internucleoside linkage as described herein.
- alternative phosphate groups include, but are not limited to, phosphorothioate, phosphoroselenates, boranophosphates, boranophosphate esters, hydrogen phosphonates, phosphoramidates, phosphorodiamidates, alkyl or aryl phosphonates, and phosphotriesters.
- Phosphorodithioates have both non-linking oxygens replaced by sulfur.
- the phosphate linker can also be altered by the replacement of a linking oxygen with nitrogen (bridged phosphoramidates) , sulfur (bridged phosphorothioates) , and carbon (bridged methylene-phosphonates) .
- the alternative nucleosides and nucleotides can include the replacement of one or more of the non-bridging oxygens with a borane moiety (BH 3 ) , sulfur (thio) , methyl, ethyl, and/or methoxy.
- a borane moiety BH 3
- sulfur (thio) a sulfur (thio)
- methyl ethyl
- methoxy e.g., methyl, ethyl
- methoxy e.g., a methoxy
- two non-bridging oxygens at the same position e.g., the alpha ( ⁇ ) , beta ( ⁇ ) or gamma ( ⁇ ) position
- a sulfur (thio) and a methoxy e.g., the alpha ( ⁇ ) , beta ( ⁇ ) or gamma ( ⁇ ) position
- the replacement of one or more of the oxygen atoms at the position of the phosphate moiety is provided to confer stability (such as against exonucleases and endonucleases) to RNA and DNA through the unnatural phosphorothioate backbone linkages.
- Phosphorothioate DNA and RNA have increased nuclease resistance and subsequently a longer half-life in a cellular environment.
- internucleoside linkages that may be employed according to the present disclosure, including internucleoside linkages which do not contain a phosphorous atom, are described herein.
- nucleic acid molecules e.g., mRNA
- compositions, formulations and/or methods associated therewith that can be used in connection with the present disclosure further include those described in WO2002/098443, WO2003/051401, WO2008/052770, WO2009127230, WO2006122828, WO2008/083949, WO2010088927, WO2010/037539, WO2004/004743, WO2005/016376, WO2006/024518, WO2007/095976, WO2008/014979, WO2008/077592, WO2009/030481, WO2009/095226, WO2011069586, WO2011026641, WO2011/144358, WO2012019780, WO2012013326, WO2012089338, WO2012113513, WO2012116811, WO2012116810, WO2013113502, WO2013113501, WO2013113736, WO2013143698
- nanoparticle compositions described herein can include at least one lipid component and one or more additional components, such as a therapeutic and/or prophylactic agent.
- a nanoparticle composition may be designed for one or more specific applications or targets.
- the elements of a nanoparticle composition may be selected based on a particular application or target, and/or based on the efficacy, toxicity, expense, ease of use, availability, or other feature of one or more elements.
- the particular formulation of a nanoparticle composition may be selected for a particular application or target according to, for example, the efficacy and toxicity of particular combinations of elements.
- the lipid component of a nanoparticle composition may include, for example, a polymer conjugated lipid according to formula (I) or (II) (and sub-formulas thereof) described herein, a cationic lipid, a phospholipid (such as an unsaturated lipid, e.g., DOPE or DSPC) , and a structural lipid.
- a polymer conjugated lipid according to formula (I) or (II) (and sub-formulas thereof) described herein a cationic lipid
- a phospholipid such as an unsaturated lipid, e.g., DOPE or DSPC
- structural lipid such as an unsaturated lipid, e.g., DOPE or DSPC
- the elements of the lipid component may be provided in specific fractions.
- a nanoparticle compositions comprising a polymer conjugated lipid compound provided herein, a therapeutic agent, and one or more excipients.
- polymer conjugated lipid compound comprises a compound according to Formula (I) or (II) (and sub-formulas thereof) as described herein, and optionally one or more additional polymer conjugated lipid compounds.
- the one or more excipients are selected from cationic lipids, neutral lipids, and steroids.
- the therapeutic agent is encapsulated within or associated with the lipid nanoparticle.
- nanoparticle composition comprising:
- mol percent refers to a component’s molar percentage relative to total mols of all lipid components in the LNP (i.e., total mols of cationic lipid (s) , the neutral lipid, the steroid and the polymer conjugated lipid) .
- the lipid nanoparticle comprises from 41 to 49 mol percent, from 41 to 48 mol percent, from 42 to 48 mol percent, from 43 to 48 mol percent, from 44 to 48 mol percent, from 45 to 48 mol percent, from 46 to 48 mol percent, or from 47.2 to 47.8 mol percent of the cationic lipid. In one embodiment, the lipid nanoparticle comprises about 47.0, 47.1, 47.2, 47.3, 47.4, 47.5, 47.6, 47.7, 47.8, 47.9 or 48.0 mol percent of the cationic lipid.
- the neutral lipid is present in a concentration ranging from 5 to 15 mol percent, 7 to 13 mol percent, or 9 to 11 mol percent. In one embodiment, the neutral lipid is present in a concentration of about 9.5, 10 or 10.5 mol percent. In one embodiment, the molar ratio of the cationic lipid to the neutral lipid ranges from about 4.1: 1.0 to about 4.9: 1.0, from about 4.5: 1.0 to about 4.8: 1.0, or from about 4.7: 1.0 to 4.8: 1.0.
- the steroid is present in a concentration ranging from 39 to 49 molar percent, 40 to 46 molar percent, from 40 to 44 molar percent, from 40 to 42 molar percent, from 42 to 44 molar percent, or from 44 to 46 molar percent. In one embodiment, the steroid is present in a concentration of 40, 41, 42, 43, 44, 45, or 46 molar percent. In one embodiment, the molar ratio of cationic lipid to the steroid ranges from 1.0: 0.9 to 1.0: 1.2, or from 1.0: 1.0 to 1.0: 1.2. In one embodiment, the steroid is cholesterol.
- the therapeutic agent to lipid ratio in the LNP i.e., N/P, were N represents the moles of cationic lipid and P represents the moles of phosphate present as part of the nucleic acid backbone
- N/P ranges from 6: 1 to 20: 1 or 2: 1 to 12: 1.
- Exemplary N/P ranges include about 3: 1. About 6: 1, about 12: 1 and about 22: 1.
- lipid nanoparticle comprising:
- a therapeutic agent or a pharmaceutically acceptable salt or prodrug thereof, wherein the mol percent is determined based on total mol of lipid present in the lipid nanoparticle.
- the cationic lipid can be any of a number of lipid species which carry a net positive charge at a selected pH, such as physiological pH. Exemplary cationic lipids are described herein below.
- the cationic lipid has a pKa greater than 6.25.
- the cationic lipid has a pKa greater than 6.5.
- the cationic lipid has a pKa greater than 6.1, greater than 6.2, greater than 6.3, greater than 6.35, greater than 6.4, greater than 6.45, greater than 6.55, greater than 6.6, greater than 6.65, or greater than 6.7.
- the lipid nanoparticle comprises from 40 to 45 mol percent of the cationic lipid. In one embodiment, the lipid nanoparticle comprises from 45 to 50 mole percent of the cationic lipid.
- the molar ratio of the cationic lipid to the neutral lipid ranges from about 2: 1 to about 8: 1. In one embodiment, the lipid nanoparticle comprises from 5 to 10 mol percent of the neutral lipid.
- Exemplary anionic lipids include, but are not limited to, phosphatidylglycerol, dioleoylphosphatidylglycerol (DOPG) , dipalmitoylphosphatidylglycerol (DPPG) or 1, 2-distearoyl-sn-glycero-3-phospho- (1'-rac-glycerol) (DSPG) .
- DOPG dioleoylphosphatidylglycerol
- DPPG dipalmitoylphosphatidylglycerol
- DSPG 1, 2-distearoyl-sn-glycero-3-phospho- (1'-rac-glycerol
- the lipid nanoparticle comprises from 1 to 10 mole percent of the anionic lipid. In one embodiment, the lipid nanoparticle comprises from 1 to 5 mole percent of the anionic lipid. In one embodiment, the lipid nanoparticle comprises from 1 to 9 mole percent, from 1 to 8 mole percent, from 1 to 7 mole percent, or from 1 to 6 mole percent of the anionic lipid. In one embodiment, the mol ratio of anionic lipid to neutral lipid ranges from 1: 1 to 1: 10.
- the steroid cholesterol In one embodiment, the steroid cholesterol. In one embodiment, the molar ratio of the cationic lipid to cholesterol ranges from about 5: 1 to 1: 1. In one embodiment, the lipid nanoparticle comprises from 32 to 40 mol percent of the steroid.
- the sum of the mol percent of neutral lipid and mol percent of anionic lipid ranges from 5 to 15 mol percent. In one embodiment, wherein the sum of the mol percent of neutral lipid and mol percent of anionic lipid ranges from 7 to 12 mol percent.
- the mol ratio of anionic lipid to neutral lipid ranges from 1: 1 to 1: 10. In one embodiment, the sum of the mol percent of neutral lipid and mol percent steroid ranges from 35 to 45 mol percent.
- the lipid nanoparticle comprises from 1.0 to 2.5 mol percent of the conjugated lipid. In one embodiment, the polymer conjugated lipid is present in a concentration of about 1.5 mol percent.
- the neutral lipid is present in a concentration ranging from 5 to 15 mol percent, 7 to 13 mol percent, or 9 to 11 mol percent. In one embodiment, the neutral lipid is present in a concentration of about 9.5, 10 or 10.5 mol percent. In one embodiment, the molar ratio of the cationic lipid to the neutral lipid ranges from about 4.1: 1.0 to about 4.9: 1.0, from about 4.5: 1.0 to about 4.8: 1.0, or from about 4.7: 1.0 to 4.8: 1.0.
- the steroid is cholesterol. In some embodiments, the steroid is present in a concentration ranging from 39 to 49 molar percent, 40 to 46 molar percent, from 40 to 44 molar percent, from 40 to 42 molar percent, from 42 to 44 molar percent, or from 44 to 46 molar percent. In one embodiment, the steroid is present in a concentration of 40, 41, 42, 43, 44, 45, or 46 molar percent. In certain embodiments, the molar ratio of cationic lipid to the steroid ranges from 1.0: 0.9 to 1.0: 1.2, or from 1.0: 1.0 to 1.0: 1.2.
- the molar ratio of cationic lipid to steroid ranges from 5: 1 to 1: 1.
- the lipid nanoparticle comprises from 1.0 to 2.5 mol percent of the conjugated lipid. In one embodiment, the polymer conjugated lipid is present in a concentration of about 1.5 mol percent.
- the molar ratio of cationic lipid to polymer conjugated lipid ranges from about 100: 1 to about 20: 1. In one embodiment, the molar ratio of cationic lipid to the polymer conjugated lipid ranges from about 35: 1 to about 25: 1.
- the lipid nanoparticle has a mean diameter ranging from 50 nm to 100 nm, or from 60 nm to 85 nm.
- the composition comprises a cationic lipid, DSPC, cholesterol, and a polymer conjugated lipid, and mRNA.
- the cationic lipid, DSPC, cholesterol, and a polymer conjugated lipid provided herein are at a molar ratio of about 50:10: 38.5: 1.5.
- Nanoparticle compositions can be designed for one or more specific applications or targets.
- a nanoparticle composition can be designed to deliver a therapeutic and/or prophylactic agent such as an RNA to a particular cell, tissue, organ, or system or group thereof in a mammal’s body.
- Physiochemical properties of nanoparticle compositions can be altered in order to increase selectivity for particular bodily targets. For instance, particle sizes can be adjusted based on the fenestration sizes of different organs.
- the therapeutic and/or prophylactic agent included in a nanoparticle composition can also be selected based on the desired delivery target or targets.
- a therapeutic and/or prophylactic agent can be selected for a particular indication, condition, disease, or disorder and/or for delivery to a particular cell, tissue, organ, or system or group thereof (e.g., localized or specific delivery) .
- a nanoparticle composition can include an mRNA encoding a polypeptide of interest capable of being translated within a cell to produce the polypeptide of interest.
- Such a composition can be designed to be specifically delivered to a particular organ.
- a composition can be designed to be specifically delivered to a mammalian liver.
- the amount of a therapeutic and/or prophylactic agent in a nanoparticle composition can depend on the size, composition, desired target and/or application, or other properties of the nanoparticle composition as well as on the properties of the therapeutic and/or prophylactic agent.
- the amount of an RNA useful in a nanoparticle composition can depend on the size, sequence, and other characteristics of the RNA.
- the relative amounts of a therapeutic and/or prophylactic agent and other elements (e.g., lipids) in a nanoparticle composition can also vary.
- the wt/wt ratio of the lipid component to a therapeutic and/or prophylactic agent in a nanoparticle composition can be from about 5: 1 to about 60: 1, such as 5: 1, 6: 1, 7: 1, 8: 1, 9: 1, 10: 1, 11: 1, 12: 1, 13: 1, 14: 1, 15: 1, 16: 1, 17: 1, 18: 1, 19: 1, 20: 1, 25: 1, 30: 1, 35: 1, 40: 1, 45: 1, 50: 1, and 60: 1.
- the wt/wt ratio of the lipid component to a therapeutic and/or prophylactic agent can be from about 10: 1 to about 40: 1.
- the wt/wt ratio is about 20: 1.
- the amount of a therapeutic and/or prophylactic agent in a nanoparticle composition can, for example, be measured using absorption spectroscopy (e.g., ultraviolet-visible spectroscopy) .
- a nanoparticle composition includes one or more RNAs, and the one or more RNAs, lipids, and amounts thereof can be selected to provide a specific N: P ratio.
- the N: P ratio of the composition refers to the molar ratio of nitrogen atoms in one or more lipids to the number of phosphate groups in an RNA. In some embodiments, a lower N: P ratio is selected.
- the one or more RNA, lipids, and amounts thereof can be selected to provide an N: P ratio from about 2: 1 to about 30: 1, such as 2: 1, 3: 1, 4: 1, 5: 1, 6: 1, 7: 1, 8: 1, 9: 1, 10: 1, 12: 1, 14: 1, 16: 1, 18: 1, 20: 1, 22: 1, 24: 1, 26: 1, 28: 1, or 30: 1.
- the N: P ratio can be from about 2: 1 to about 8: 1.
- the N: P ratio is from about 5: 1 to about 8: 1.
- the N: P ratio may be about 5.0: 1, about 5.5: 1, about 5.67: 1, about 6.0: 1, about 6.5: 1, or about 7.0: 1.
- the N: P ratio may be about 5.67: 1.
- the physical properties of a nanoparticle composition can depend on the components thereof.
- a nanoparticle composition including cholesterol as a structural lipid can have different characteristics compared to a nanoparticle composition that includes a different structural lipid.
- the characteristics of a nanoparticle composition can depend on the absolute or relative amounts of its components. For instance, a nanoparticle composition including a higher molar fraction of a phospholipid may have different characteristics than a nanoparticle composition including a lower molar fraction of a phospholipid. Characteristics may also vary depending on the method and conditions of preparation of the nanoparticle composition.
- Nanoparticle compositions may be characterized by a variety of methods. For example, microscopy (e.g., transmission electron microscopy or scanning electron microscopy) may be used to examine the morphology and size distribution of a nanoparticle composition. Dynamic light scattering or potentiometry (e.g., potentiometric titrations) may be used to measure zeta potentials. Dynamic light scattering may also be utilized to determine particle sizes. Instruments such as the Zetasizer Nano ZS (Malvem Instruments Ltd, Malvem, Worcestershire, UK) may also be used to measure multiple characteristics of a nanoparticle composition, such as particle size, polydispersity index, and zeta potential.
- microscopy e.g., transmission electron microscopy or scanning electron microscopy
- Dynamic light scattering or potentiometry e.g., potentiometric titrations
- Dynamic light scattering may also be utilized to determine particle sizes.
- Instruments such as the Ze
- the mean size of a nanoparticle composition can be between 10s of nm and 100s of nm.
- the mean size can be from about 40 nm to about 150 nm, such as about 40 nm, 45 nm, 50 nm, 55 nm, 60 nm, 65 nm, 70 nm, 75 nm, 80 nm, 85 nm, 90 nm, 95 nm, 100 nm, 105 nm, 110 nm, 115 nm, 120 nm, 125 nm, 130 nm, 135 nm, 140 nm, 145 nm, or 150 nm.
- the mean size of a nanoparticle composition can be from about 50 nm to about 100 nm, from about 50 nm to about 90 nm, from about 50 nm to about 80 nm, from about 50 nm to about 70 nm, from about 50 nm to about 60 nm, from about 60 nm to about 100 nm, from about 60 nm to about 90 nm, from about 60 nm to about 80 nm, from about 60 nm to about 70 nm, from about 70 nm to about 100 nm, from about 70 nm to about 90 nm, from about 70 nm to about 80 nm, from about 80 nm to about 100 nm, from about 80 nm to about 90 nm, or from about 90 nm to about 100 nm.
- the mean size of a nanoparticle composition can be from about 70 nm to about 100 nm. In some embodiments, the mean size can be about 80
- a nanoparticle composition can be relatively homogenous.
- a polydispersity index can be used to indicate the homogeneity of a nanoparticle composition, e.g., the particle size distribution of the nanoparticle compositions.
- a small (e.g., less than 0.3) polydispersity index generally indicates a narrow particle size distribution.
- a nanoparticle composition can have a polydispersity index from about 0 to about 0.25, such as 0.01, 0.02, 0.03, 0.04, 0.05, 0.06, 0.07, 0.08, 0.09, 0.10, 0.11, 0.12, 0.13, 0.14, 0.15, 0.16, 0.17, 0.18, 0.19, 0.20, 0.21, 0.22, 0.23, 0.24, or 0.25.
- the polydispersity index of a nanoparticle composition can be from about 0.10 to about 0.20.
- the zeta potential of a nanoparticle composition can be used to indicate the electrokinetic potential of the composition.
- the zeta potential can describe the surface charge of a nanoparticle composition.
- Nanoparticle compositions with relatively low charges, positive or negative, are generally desirable, as more highly charged species can interact undesirably with cells, tissues, and other elements in the body.
- the zeta potential of a nanoparticle composition can be from about -10 mV to about +20 mV, from about -10 mV to about +15 mV, from about -10 mV to about +10 mV, from about -10 mV to about +5 mV, from about -10 mV to about 0 mV, from about -10 mV to about -5 mV, from about -5 mV to about +20 mV, from about -5 mV to about +15 mV, from about -5 mV to about +10 mV, from about -5 mV to about +5 mV, from about -5 mV to about 0 mV, from about 0 mV to about +20 mV, from about 0 mV to about +15 mV, from about 0 mV to about +10 mV, from about 0 mV to about +5 mV, from about 0 mV to about +20 mV
- the efficiency of encapsulation of a therapeutic and/or prophylactic agent describes the amount of therapeutic and/or prophylactic agent that is encapsulated or otherwise associated with a nanoparticle composition after preparation, relative to the initial amount provided.
- the encapsulation efficiency is desirably high (e.g., close to 100%) .
- the encapsulation efficiency can be measured, for example, by comparing the amount of therapeutic and/or prophylactic agent in a solution containing the nanoparticle composition before and after breaking up the nanoparticle composition with one or more organic solvents or detergents. Fluorescence can be used to measure the amount of free therapeutic and/or prophylactic agent (e.g., RNA) in a solution.
- free therapeutic and/or prophylactic agent e.g., RNA
- the encapsulation efficiency of a therapeutic and/or prophylactic agent can be at least 50%, for example 50%, 55%, 60%, 65%, 70%, 75%, 80%, 85%, 90%, 91%, 92%, 93%, 94%, 95%, 96%, 97%, 98%, 99%, or 100%.
- the encapsulation efficiency can be at least 80%. In certain embodiments, the encapsulation efficiency can be at least 90%.
- a nanoparticle composition can optionally comprise one or more coatings.
- a nanoparticle composition can be formulated in a capsule, film, or tablet having a coating.
- a capsule, film, or tablet including a composition described herein can have any useful size, tensile strength, hardness, or density.
- nanoparticle compositions can be formulated in whole or in part as pharmaceutical compositions.
- Pharmaceutical compositions can include one or more nanoparticle compositions.
- a pharmaceutical composition can include one or more nanoparticle compositions including one or more different therapeutic and/or prophylactic agents.
- Pharmaceutical compositions can further include one or more pharmaceutically acceptable excipients or accessory ingredients such as those described herein.
- General guidelines for the formulation and manufacture of pharmaceutical compositions and agents are available, for example, in Remington’s The Science and Practice of Pharmacy, 21 st Edition, A. R. Gennaro; Lippincott, Williams &Wilkins, Baltimore, Md., 2006.
- excipients and accessory ingredients can be used in any pharmaceutical composition, except insofar as any conventional excipient or accessory ingredient can be incompatible with one or more components of a nanoparticle composition.
- An excipient or accessory ingredient can be incompatible with a component of a nanoparticle composition if its combination with the component can result in any undesirable biological effect or otherwise deleterious effect.
- one or more excipients or accessory ingredients can make up greater than 50%of the total mass or volume of a pharmaceutical composition including a nanoparticle composition.
- the one or more excipients or accessory ingredients can make up 50%, 60%, 70%, 80%, 90%, or more of a pharmaceutical composition.
- a pharmaceutically acceptable excipient is at least 95%, at least 96%, at least 97%, at least 98%, at least 99%, or 100%pure.
- an excipient is approved for use in humans and for veterinary use.
- an excipient is approved by United States Food and Drug Administration.
- an excipient is pharmaceutical grade.
- an excipient meets the standards of the United States Pharmacopoeia (USP) , the European Pharmacopoeia (EP) , the British Pharmacopoeia, and/or the International Pharmacopoeia.
- a pharmaceutical composition in accordance with the present disclosure will vary, depending upon the identity, size, and/or condition of the subject treated and further depending upon the route by which the composition is to be administered.
- a pharmaceutical composition can comprise between 0.1%and 100% (wt/wt) of one or more nanoparticle compositions.
- the nanoparticle compositions and/or pharmaceutical compositions of the disclosure are refrigerated or frozen for storage and/or shipment (e.g., being stored at a temperature of4°Cor lower, such as a temperature between about-150°C and about 0°C or between about-80°C and about-20°C (e.g., about-5°C, -10°C, -15°C, -20°C, -25°C, -30°C, -40°C, -50°C, -60°C, -70°C, -80°C, -90°C, -130°C or-150°C) .
- a temperature of4°Cor lower such as a temperature between about-150°C and about 0°C or between about-80°C and about-20°C (e.g., about-5°C, -10°C, -15°C, -20°C, -25°C, -30°C, -40°C, -50°C, -60°C, -70°C,
- the pharmaceutical composition comprising a compound of Formula (I) or (II) (and sub-formulas thereof) is a solution that is refrigerated for storage and/or shipment at, for example, about-20 °C,-30°C, -40°C, -50°C, -60°C, -70°C, or-80°C.
- the disclosure also relates to a method of increasing stability of the nanoparticle compositions and/or pharmaceutical compositions comprising a compound of Formula (I) or (II) (and sub-formulas thereof) by storing the nanoparticle compositions and/or pharmaceutical compositions at a temperature of4°C or lower, such as a temperature between about-150°C and about 0°C or between about-80°C and about-20°C, e.g., about-5°C, -10°C, -15°C, -20°C, -25°C, -30°C, -40°C, -50°C, -60°C, -70°C, -80°C, -90°C, -130°C or-150°C) .
- a temperature of4°C or lower such as a temperature between about-150°C and about 0°C or between about-80°C and about-20°C, e.g., about-5°C, -10°C, -15°C, -20°C
- the nanoparticle compositions and/or pharmaceutical compositions disclosed herein are stable for about at least 1 week, at least 2 weeks, at least 3 weeks, at least 4 weeks, at least 5 weeks, at least 6 weeks, at least 1 month, at least 2 months, at least 4 months, at least 6 months, at least 8 months, at least 10 months, at least 12 months, at least 14 months, at least 16 months, at least 18 months, at least 20 months, at least 22 months, or at least 24 months, e.g., at a temperature of4 °C or lower (e.g., between about 4°C and-20°C) .
- the formulation is stabilized for at least 4 weeks at about 4°C.
- the pharmaceutical composition of the disclosure comprises a nanoparticle composition disclosed herein and a pharmaceutically acceptable carrier selected from one or more of Tris, an acetate (e.g., sodium acetate) , an citrate (e.g., sodium citrate) , saline, PBS, and sucrose.
- a pharmaceutically acceptable carrier selected from one or more of Tris, an acetate (e.g., sodium acetate) , an citrate (e.g., sodium citrate) , saline, PBS, and sucrose.
- the pharmaceutical composition of the disclosure has a pH value between about 7 and 8 (e.g., 6.8, 6.9, 7.0, 7.1, 7.2, 7.3, 7.4, 7.5, 7.6, 7.7, 7.8, 7.9 or 8.0, or between 7.5 and 8 or between 7 and 7.8) .
- a pharmaceutical composition of the disclosure comprises a nanoparticle composition disclosed herein, Tris, saline and sucrose, and has a pH of about 7.5-8, which is suitable for storage and/or shipment at, for example, about-20°C.
- a pharmaceutical composition of the disclosure comprises a nanoparticle composition disclosed herein and PBS and has a pH of about 7-7.8, suitable for storage and/or shipment at, for example, about 4°C or lower.
- Stability, ” “stabilized, ” and “stable” in the context of the present disclosure refers to the resistance of nanoparticle compositions and/or pharmaceutical compositions disclosed herein to chemical or physical changes (e.g., degradation, particle size change, aggregation, change in encapsulation, etc. ) under given manufacturing, preparation, transportation, storage and/or in-use conditions, e.g., when stress is applied such as shear force, freeze/thaw stress, etc.
- Nanoparticle compositions and/or pharmaceutical compositions including one or more nanoparticle compositions can be administered to any patient or subject, including those patients or subjects that can benefit from a therapeutic effect provided by the delivery of a therapeutic and/or prophylactic agent to one or more particular cells, tissues, organs, or systems or groups thereof, such as the renal system.
- a therapeutic and/or prophylactic agent to one or more particular cells, tissues, organs, or systems or groups thereof, such as the renal system.
- compositions suitable for administration to humans in order to render the compositions suitable for administration to various animals is well understood, and the ordinarily skilled veterinary pharmacologist can design and/or perform such modification with merely ordinary, if any, experimentation.
- Subjects to which administration of the compositions is contemplated include, but are not limited to, humans, other primates, and other mammals, including commercially relevant mammals such as cattle, pigs, horses, sheep, cats, dogs, mice, and/or rats.
- a pharmaceutical composition including one or more nanoparticle compositions can be prepared by any method known or hereafter developed in the art of pharmacology. In general, such preparatory methods include bringing the active ingredient into association with an excipient and/or one or more other accessory ingredients, and then, if desirable or necessary, dividing, shaping, and/or packaging the product into a desired single-or multi-dose unit.
- a pharmaceutical composition in accordance with the present disclosure can be prepared, packaged, and/or sold in bulk, as a single unit dose, and/or as a plurality of single unit doses.
- a “unit dose” is discrete amount of the pharmaceutical composition comprising a predetermined amount of the active ingredient (e.g., nanoparticle composition) .
- the amount of the active ingredient is generally equal to the dosage of the active ingredient which would be administered to a subject and/or a convenient fraction of such a dosage such as, for example, one-half or one-third of such a dosage.
- compositions can be prepared in a variety of forms suitable for a variety of routes and methods of administration.
- pharmaceutical compositions can be prepared in liquid dosage forms (e.g., emulsions, microemulsions, nanoemulsions, solutions, suspensions, syrups, and elixirs) , injectable forms, solid dosage forms (e.g., capsules, tablets, pills, powders, and granules) , dosage forms for topical and/or transdermal administration (e.g., ointments, pastes, creams, lotions, gels, powders, solutions, sprays, inhalants, and patches) , suspensions, powders, and other forms.
- liquid dosage forms e.g., emulsions, microemulsions, nanoemulsions, solutions, suspensions, syrups, and elixirs
- injectable forms e.g., solid dosage forms (e.g., capsules, tablets, pills, powders, and granules)
- Liquid dosage forms for oral and parenteral administration include, but are not limited to, pharmaceutically acceptable emulsions, microemulsions, nanoemulsions, solutions, suspensions, syrups, and/or elixirs.
- liquid dosage forms can comprise inert diluents commonly used in the art such as, for example, water or other solvents, solubilizing agents and emulsifiers such as ethyl alcohol, isopropyl alcohol, ethyl carbonate, ethyl acetate, benzyl alcohol, benzyl benzoate, propylene glycol, 1, 3-butylene glycol, dimethylformamide, oils (in particular, cottonseed, groundnut, corn, germ, olive, castor, and sesame oils) , glycerol, tetrahydrofurfuryl alcohol, polyethylene glycols and fatty acid esters of sorbitan, and mixtures thereof.
- inert diluents commonly used in the
- oral compositions can include additional therapeutic and/or prophylactic agents, additional agents such as wetting agents, emulsifying and suspending agents, sweetening, flavoring, and/or perfuming agents.
- additional agents such as wetting agents, emulsifying and suspending agents, sweetening, flavoring, and/or perfuming agents.
- solubilizing agents such as Cremophor TM , alcohols, oils, modified oils, glycols, polysorbates, cyclodextrins, polymers, and/or combinations thereof.
- Injectable preparations for example, sterile injectable aqueous or oleaginous suspensions can be formulated according to the known art using suitable dispersing agents, wetting agents, and/or suspending agents.
- Sterile injectable preparations can be sterile injectable solutions, suspensions, and/or emulsions in nontoxic parenterally acceptable diluents and/or solvents, for example, as a solution in 1, 3-butanediol.
- the acceptable vehicles and solvents that can be employed are water, Ringer’s solution, U.S.P., and isotonic sodium chloride solution.
- Sterile, fixed oils are conventionally employed as a solvent or suspending medium.
- any bland fixed oil can be employed including synthetic mono-or diglycerides.
- Fatty acids such as oleic acid can be used in the preparation of injectables.
- Injectable formulations can be sterilized, for example, by filtration through a bacterial-retaining filter, and/or by incorporating sterilizing agents in the form of sterile solid compositions which can be dissolved or dispersed in sterile water or other sterile injectable medium prior to use.
- the disclosure features methods of delivering a therapeutic and/or prophylactic agent to a mammalian cell or organ, producing a polypeptide of interest in a mammalian cell, and treating a disease or disorder in a mammal in need thereof comprising administering to a mammal and/or contacting a mammalian cell with a nanoparticle composition including a therapeutic and/or prophylactic agent.
- the LNPs are prepared at a total lipid to mRNA weight ratio of approximately 10: 1 to 30: 1 by mixing the ethanolic lipid solution with the aqueous mRNA solution at a volume ratio of 1: 3 using a microfluidic apparatus, total flow rate ranging from 9-30mL/min. Ethanol is thereby removed and replaced by DPBS using dialysis.
- the lipid nanoparticles are filtered through a 0.2 ⁇ m sterile filter.
- Lipid nanoparticle size were determined by dynamic light scattering using a Malvern Zetasizer Nano ZS (Malvern UK) using a 173° backscatter detection mode.
- the encapsulation efficiency of lipid nanoparticles is determined using a Quant-it Ribogreen RNA quantification assay kit (Thermo Fisher Scientific, UK) according to the manufacturer’s instructions.
- LNP formulations correlates with the delivery efficiency of LNPs for nucleic acids in vivo.
- the apparent pKa of each formulation is determined using an assay based on fluorescence of 2- (p-toluidino) -6-napthalene sulfonic acid (TNS) .
- LNP formulations comprising of cationic lipid /DSPC /cholesterol /DMG-PEG (50 /10 /38.5/1.5 mol %) in PBS are prepared as described above.
- TNS is prepared as a 300uM stock solution in distilled water.
- LNP formulations are diluted to 0.1mg/ml total lipid in 3 mL of buffered solutions containing 50 mM sodium citrate, 50 mM sodium phosphate, 50 mM sodium borate, and 30mM sodium chloride where the pH ranged from 3 to 9.
- An aliquot of the TNS solution is added to give a final concentration of 0.1mg/ml and following vortex mixing fluorescence intensity is measured at room temperature in a Molecular Devices Spectramax iD3 spectrometer using excitation and mission wavelengths of 325 nm and 435 nm.
- a sigmoidal best fit analysis is applied to the fluorescence data and the pKa value is measured as the pH giving rise to half –maximal fluorescent intensity.
- Lipid nanoparticles comprising 50%cationic lipid C1, 38.5%cholesterol, 10%DSPC, and 1.5%polymeric compounds encapsulating human erythropoietin (hEPO) mRNA were systemically administered to 6-8 week old female ICR mice (Xipuer-Bikai, Shanghai) at 0.5mg/kg dose by tail vein injection and mice blood were sampled at 6 hours post administration.
- lipid nanoparticles comprising DMG-PEG2000 encapsulating hEPO mRNA were similarly administered at the same dose to age and gender comparative groups of mice as a positive control. The results are shown in Table 3 and FIG. 1.
- Lipid nanoparticles comprising 50%cationic lipids (one of the following: lipid 5, MC3, C1, and C2) , 38.5%cholesterol, 10%DSPC, and 1.5%polymeric compounds encapsulating human erythropoietin (hEPO) mRNA were systemically administered to 6-8 week old female ICR mice (Xipuer-Bikai, Shanghai) at 0.5mg/kg dose by tail vein injection and mice blood were sampled at 6 hours post administration.
- lipid nanoparticles comprising DMG-PEG2000 encapsulating hEPO mRNA were similarly administered at the same dose to age and gender comparative groups of mice as a positive control. The results are shown in Table 4 and FIG. 2.
- Lipid nanoparticles comprising 50%cationic lipid C1, 38.5%cholesterol, 10%DSPC, and 1.5%polymeric compounds encapsulating Firefly Luciferase (FLuc) mRNA were prepared. 3 ⁇ l of each LNP sample was deposited on a holey carbon grid that was glow-discharged (Quantifoil R1.2/1.3) and vitrificated using a Vitrobot Mark IV (ThermoFisher Scientific) instrument. Cryo-EM imaging was conducted on a Talos F200C Equipped with a Ceta 4k X 4k camera, operated at 200kV accelerating voltage. The results are shown in FIG. 3.
Landscapes
- Health & Medical Sciences (AREA)
- Chemical & Material Sciences (AREA)
- Medicinal Chemistry (AREA)
- Life Sciences & Earth Sciences (AREA)
- Organic Chemistry (AREA)
- Chemical Kinetics & Catalysis (AREA)
- Polymers & Plastics (AREA)
- Engineering & Computer Science (AREA)
- Animal Behavior & Ethology (AREA)
- General Health & Medical Sciences (AREA)
- Public Health (AREA)
- Veterinary Medicine (AREA)
- Pharmacology & Pharmacy (AREA)
- Epidemiology (AREA)
- Bioinformatics & Cheminformatics (AREA)
- Hematology (AREA)
- General Chemical & Material Sciences (AREA)
- Nuclear Medicine, Radiotherapy & Molecular Imaging (AREA)
- Diabetes (AREA)
- Biochemistry (AREA)
- Biotechnology (AREA)
- Genetics & Genomics (AREA)
- Molecular Biology (AREA)
- Pharmaceuticals Containing Other Organic And Inorganic Compounds (AREA)
- Medicines That Contain Protein Lipid Enzymes And Other Medicines (AREA)
Abstract
Provided herein are polymer conjugated lipid compounds that can be used in combination with other lipid components, such as cationic lipids, neutral lipids, and cholesterol, to form lipid nanoparticles for delivery of therapeutic agents (e.g., nucleic acid molecules) for therapeutic or prophylactic purposes, including vaccination. Also provided herein are lipid nanoparticle compositions comprising said polymer conjugated lipid compounds.
Description
1. CROSS-REFERENCE TO RELATED APPLICATIONS
This application claims priority to Chinese Patent Application No. 202110051372.7, filed on January 14, 2021, and U.S. Provisional Application No. 63/140,685, filed on January 22, 2021, the entireties of which are incorporated herein by reference.
2. SEQUENCE LISTING
The present specification is being filed with a computer readable form (CRF) copy of the Sequence Listing. The CRF is entitled 14639-005-228_SeqListing_ST25. txt, which was created on January 3, 2022 and is 736 bytes in size, and is incorporated herein by reference in its entirety.
The present disclosure generally relates to polymer conjugated lipid compounds that can be used in combination with other lipid components, such as cationic lipids, neutral lipids, and cholesterol, to form lipid nanoparticles for delivery of therapeutic agents (e.g., nucleic acid molecules, including nucleic acid mimics such as locked nucleic acids (LNAs) , peptide nucleic acids (PNAs) , and morpholinos) , both in vitro and in vivo, for therapeutic or prophylactic purposes, including vaccination.
Therapeutic nucleic acids have the potential to revolutionize vaccination, gene therapies, protein replacement therapies, and other treatments of genetic diseases. Since the commencement of the first clinical studies on therapeutic nucleic acids in the 2000s, significant progresses have been made through the design of nucleic acid molecules and delivery methods thereof. However, nucleic acid therapeutics still face several challenges, including low cell permeability and high susceptibility to degradation of certain nucleic acids molecules, including RNAs. Thus, there exists a need to develop new nucleic acid molecules, as well as related methods and compositions that facilitate their delivery in vitro or in vivo for therapeutic and/or prophylactic purposes.
One such method involves the use of lipid nanoparticle compositions. Lipid nanoparticles can be formed from lipids formulated with other lipid components, such as neutral lipids, cholesterol, polymer conjugated lipids. One of the most commonly used polymer conjugated lipids is PEGylated lipid. Several carboxylate based zwitterionic polymer conjugated lipids have also been reported. See, e.g., Murou et al., Journal of Colloid and Interface Science 2013, 390, 47–53; Li et al., Theranostics 2015, 5 (5) , 583–596; and Cao et al., Langmuir 2012, 28, 11625-11632. There remains a need for systemic study of zwitterionic polymer conjugated lipids, including, e.g., the molecular weight effect, structure effect, and ending group. There is also a need for alternative or improved polymer conjugated lipids and lipid nanoparticles for the delivery of therapeutic nucleic acids.
5. SUMMARY
In one embodiment, provided herein are polymer conjugated lipid compounds, including pharmaceutically acceptable salts or stereoisomers thereof, which can be used alone or in combination with other lipid components such as cationic lipids, neutral lipids, charged lipids, steroids (including for example, all sterols) and/or their analogs, and/or polymers to form lipid nanoparticles for the delivery of therapeutic agents (e.g., nucleic acid molecules, including nucleic acid mimics such as locked nucleic acids (LNAs) , peptide nucleic acids (PNAs) , and morpholinos) . In some instances, the lipid nanoparticles are used to deliver nucleic acids such as antisense and/or messenger RNA. Methods for use of such lipid nanoparticles for treatment of various diseases or conditions, such as those caused by infectious entities and/or insufficiency of a protein, are also provided.
In one embodiment, the polymer conjugated lipid compounds provided herein are derived from monomers that comprise a zwitterionic moiety.
In one embodiment, provided herein is a compound of Formula (I) or (II) :
or a pharmaceutically acceptable salt or stereoisomer thereof, wherein L, X, X
1, X
2, R
3, R
4, Y
1, G
4, G
5, Z
1, Z
2, “ran” , n, and T are as defined herein or elsewhere.
In one embodiment, provided herein is a nanoparticle composition comprising a compound provided herein, and a therapeutic or prophylactic agent. In one embodiment, the therapeutic or prophylactic agent comprises at least one mRNA encoding an antigen or a fragment or epitope thereof.
Additional features of the present disclosure will become apparent to those skilled in the art upon consideration of the following detailed description of particular embodiments.
6. BRIEF DESCRIPTION OF THE FIGURES
FIG. 1 shows the effects of selected polymer compounds on the hEPO expression levels in an animal study.
FIG. 2 shows the effects of selected polymer compounds on the hEPO expression levels in an animal study.
FIG. 3 shows the Cryo-EM imaging of lipid nanoparticles comprising selected polymer compounds.
7.1 General Techniques
Techniques and procedures described or referenced herein include those that are generally well understood and/or commonly employed using conventional methodology by those skilled in the art, such as, for example, the widely utilized methodologies described in Sambrook et al., Molecular Cloning: A Laboratory Manual (3d ed. 2001) ; Current Protocols in Molecular Biology (Ausubel et al. eds., 2003) .
7.2 Terminology
Unless described otherwise, all technical and scientific terms used herein have the same meaning as is commonly understood by one of ordinary skill in the art. For purposes of interpreting this specification, the following description of terms will apply and whenever appropriate, terms used in the singular will also include the plural and vice versa. All patents, applications, published applications, and other publications are incorporated by reference in their entirety. In the event that any description of terms set forth conflicts with any document incorporated herein by reference, the description of term set forth below shall control.
As used herein and unless otherwise specified, the term “lipid” refers to a group of organic compounds that include, but are not limited to, esters of fatty acids and are generally characterized by being poorly soluble in water, but soluble in many nonpolar organic solvents. While lipids generally have poor solubility in water, there are certain categories of lipids (e.g., lipids modified by polar groups, e.g., DMG-PEG2000) that have limited aqueous solubility and can dissolve in water under certain conditions. Known types of lipids include biological molecules such as fatty acids, waxes, sterols, fat-soluble vitamins, monoglycerides, diglycerides, triglycerides, and phospholipids. Lipids can be divided into at least three classes: (1) “simple lipids, ” which include fats and oils as well as waxes; (2) “compound lipids, ” which include phospholipids and glycolipids (e.g., DMPE-PEG2000) ; and (3) “derived lipids” such as steroids. Further, as used herein, lipids also encompass lipidoid compounds. The term “lipidoid compound, ” also simply “lipidoid” , refers to a lipid-like compound (e.g. an amphiphilic compound with lipid-like physical properties) .
The term “lipid nanoparticle” or “LNP” refers to a particle having at least one dimension on the order of nanometers (nm) (e.g., 1 to 1,000 nm) , which contains one or more types of lipid molecules. The LNP provided herein can further contain at least one non-lipid payload molecule (e.g., one or more nucleic acid molecules) . In some embodiments, the LNP comprises a non-lipid payload molecule either partially or completely encapsulated inside a lipid shell. Particularly, in some embodiments, wherein the payload is a negatively charged molecule (e.g., mRNA encoding a viral protein) , and the lipid components of the LNP comprise at least one cationic lipid. Without being bound by the theory, it is contemplated that the cationic lipids can interact with the negatively charged payload molecules and facilitates incorporation and/or encapsulation of the payload into the LNP during LNP formation. Other lipids that can form part of a LNP as provided herein include but are not limited to neutral lipids and charged lipids, such as steroids, polymer conjugated lipids, and various zwitterionic lipids. In certain embodiments, a LNP according to the present disclosure comprises one or more polymer conjugated lipids of Formula (I) or (II) (and sub-formulas thereof) as described herein.
The term “cationic lipid” refers to a lipid that is either positively charged at any pH value or hydrogen ion activity of its environment, or capable of being positively charged in response to the pH value or hydrogen ion activity of its environment (e.g., the environment of its intended use) . Thus, the term “cationic” encompasses both “permanently cationic” and “cationisable. ” In certain embodiments, the positive charge in a cationic lipid results from the presence of a quaternary nitrogen atom. In certain embodiments, the cationic lipid comprises a zwitterionic lipid that assumes a positive charge in the environment of its intended use (e.g., at physiological pH) .
The term “polymer conjugated lipid” refers to a molecule comprising both a lipid portion and a polymer portion. An example of a polymer conjugated lipid is a pegylated lipid (PEG-lipid) , in which the polymer portion comprises a polyethylene glycol. In certain embodiments, the polymer conjugated lipid is one or more lipids of Formula (I) or (II) (and sub-formulas thereof) as described herein.
The term “neutral lipid” encompasses any lipid molecules existing in uncharged forms or neutral zwitterionic forms at a selected pH value or within a selected pH range. In some embodiments, the selected useful pH value or range corresponds to the pH condition in an environment of the intended uses of the lipids, such as the physiological pH. As non-limiting examples, neutral lipids that can be used in connection with the present disclosure include, but are not limited to, phosphotidylcholines such as 1, 2-distearoyl-sn-glycero-3-phosphocholine (DSPC) , 1, 2-dipalmitoyl-sn-glycero-3-phosphocholine (DPPC) , 1, 2-dimyristoyl-sn-glycero-3-phosphocholine (DMPC) , 1-palmitoyl-2-oleoyl-sn-glycero-3-phosphocholine (POPC) , 1, 2-dioleoyl-sn-glycero-3-phosphocholine (DOPC) , phophatidylethanolamines such as 1, 2-dioleoyl-sn-glycero-3-phosphoethanolamine (DOPE) , 2- ( (2, 3-bis (oleoyloxy) propyl) dimethylammonio) ethyl hydrogen phosphate (DOCP) , sphingomyelins (SM) , ceramides, steroids such as sterols and their derivatives. Neutral lipids as provided herein may be synthetic or derived (isolated or modified) from a natural source or compound.
The term “charged lipid” encompasses any lipid molecules that exist in either positively charged or negatively charged forms at a selected pH or within a selected pH range. In some embodiments, the selected pH value or range corresponds to the pH condition in an environment of the intended uses of the lipids, such as the physiological pH. As non-limiting examples, charged lipids that can be used in connection with the present disclosure include, but are not limited to, phosphatidylserines, phosphatidic acids, phosphatidylglycerols, phosphatidylinositols, sterol hemisuccinates, dialkyl trimethylarnmonium-propanes, (e.g., DOTAP, DOTMA) , dialkyl dimethylaminopropanes, ethyl phosphocholines, dimethylaminoethane carbamoyl sterols (e.g., DC-Chol) , 1, 2-dioleoyl-sn-glycero-3-phospho-L-serine sodium salt (DOPS-Na) , 1, 2-dioleoyl-sn-glycero-3-phospho- (1'-rac-glycerol) sodium salt (DOPG-Na) , and 1, 2-dioleoyl-sn-glycero-3-phosphate sodium salt (DOPA-Na) . Charged lipids as provided herein may be synthetic or derived (isolated or modified) from a natural source or compound.
As used herein, and unless otherwise specified, the term “alkyl” refers to a straight or branched hydrocarbon chain radical consisting solely of carbon and hydrogen atoms, which is saturated. In one embodiment, the alkyl group has, for example, from one to twenty-four carbon atoms (C
1-C
24 alkyl) , four to twenty carbon atoms (C
4-C
20 alkyl) , six to sixteen carbon atoms (C
6-C
16 alkyl) , six to nine carbon atoms (C
6-C
9 alkyl) , one to fifteen carbon atoms (C
1-C
15 alkyl) , one to twelve carbon atoms (C
1-C
12 alkyl) , one to eight carbon atoms (C
1-C
8 alkyl) or one to six carbon atoms (C
1-C
6 alkyl) and which is attached to the rest of the molecule by a single bond. Examples of alkyl groups include, but are not limited to, methyl, ethyl, n-propyl, 1-methylethyl (isopropyl) , n-butyl, n-pentyl, 1, 1-dimethylethyl (t-butyl) , 3-methylhexyl, 2-methylhexyl, and the like. Unless otherwise specified, an alkyl group is optionally substituted.
As used herein, and unless otherwise specified, the term “alkenyl” refers to a straight or branched hydrocarbon chain radical consisting solely of carbon and hydrogen atoms, which contains one or more carbon-carbon double bonds. The term “alkenyl” also embraces radicals having “cis” and “trans” configurations, or alternatively, “E” and “Z” configurations, as appreciated by those of ordinary skill in the art. In one embodiment, the alkenyl group has, for example, from two to twenty-four carbon atoms (C
2-C
24 alkenyl) , four to twenty carbon atoms (C
4-C
20 alkenyl) , six to sixteen carbon atoms (C
6-C
16 alkenyl) , six to nine carbon atoms (C
6-C
9 alkenyl) , two to fifteen carbon atoms (C
2-C
15 alkenyl) , two to twelve carbon atoms (C
2-C
12 alkenyl) , two to eight carbon atoms (C
2-C
8 alkenyl) or two to six carbon atoms (C
2-C
6 alkenyl) and which is attached to the rest of the molecule by a single bond. Examples of alkenyl groups include, but are not limited to, ethenyl, prop-1-enyl, but-1-enyl, pent-1-enyl, penta-1, 4-dienyl, and the like. Unless otherwise specified, an alkenyl group is optionally substituted.
As used herein, and unless otherwise specified, the term “alkynyl” refers to a straight or branched hydrocarbon chain radical consisting solely of carbon and hydrogen atoms, which contains one or more carbon-carbon triple bonds. In one embodiment, the alkynyl group has, for example, from two to twenty-four carbon atoms (C
2-C
24 alkynyl) , four to twenty carbon atoms (C
4-C
20 alkynyl) , six to sixteen carbon atoms (C
6-C
16 alkynyl) , six to nine carbon atoms (C
6-C
9 alkynyl) , two to fifteen carbon atoms (C
2-C
15 alkynyl) , two to twelve carbon atoms (C
2-C
12 alkynyl) , two to eight carbon atoms (C
2-C
8 alkynyl) or two to six carbon atoms (C
2-C
6 alkynyl) and which is attached to the rest of the molecule by a single bond. Examples of alkynyl groups include, but are not limited to, ethynyl, propynyl, butynyl, pentynyl, and the like. Unless otherwise specified, an alkynyl group is optionally substituted.
As used herein, and unless otherwise specified, the term “alkylene” or “alkylene chain” refers to a straight or branched divalent hydrocarbon chain linking the rest of the molecule to a radical group, consisting solely of carbon and hydrogen, which is saturated. In one embodiment, the alkylene has, for example, from one to twenty-four carbon atoms (C
1-C
24 alkylene) , one to fifteen carbon atoms (C
1-C
15 alkylene) , one to twelve carbon atoms (C
1-C
12 alkylene) , one to eight carbon atoms (C
1-C
8 alkylene) , one to six carbon atoms (C
1-C
6 alkylene) , two to four carbon atoms (C
2-C
4 alkylene) , one to two carbon atoms (C
1-C
2 alkylene) . Examples of alkylene groups include, but are not limited to, methylene, ethylene, propylene, n-butylene, and the like. The alkylene chain is attached to the rest of the molecule through a single bond and to the radical group through a single bond. The points of attachment of the alkylene chain to the rest of the molecule and to the radical group can be through one carbon or any two carbons within the chain. Unless otherwise specified, an alkylene chain is optionally substituted.
As used herein, and unless otherwise specified, the term “alkenylene” refers to a straight or branched divalent hydrocarbon chain linking the rest of the molecule to a radical group, consisting solely of carbon and hydrogen, which contains one or more carbon-carbon double bonds. In one embodiment, the alkenylene has, for example, from two to twenty-four carbon atoms (C
2-C
24 alkenylene) , two to fifteen carbon atoms (C
2-C
15 alkenylene) , two to twelve carbon atoms (C
2-C
12 alkenylene) , two to eight carbon atoms (C
2-C
8 alkenylene) , two to six carbon atoms (C
2-C
6 alkenylene) or two to four carbon atoms (C
2-C
4 alkenylene) . Examples of alkenylene include, but are not limited to, ethenylene, propenylene, n-butenylene, and the like. The alkenylene is attached to the rest of the molecule through a single or double bond and to the radical group through a single or double bond. The points of attachment of the alkenylene to the rest of the molecule and to the radical group can be through one carbon or any two carbons within the chain. Unless otherwise specified, an alkenylene is optionally substituted.
As used herein, and unless otherwise specified, the term “cycloalkyl” refers to a non-aromatic monocyclic or polycyclic hydrocarbon radical consisting solely of carbon and hydrogen atoms, and which is saturated. Cycloalkyl group may include fused or bridged ring systems. In one embodiment, the cycloalkyl has, for example, from 3 to 15 ring carbon atoms (C
3-C
15 cycloalkyl) , from 3 to 10 ring carbon atoms (C
3-C
10 cycloalkyl) , or from 3 to 8 ring carbon atoms (C
3-C
8 cycloalkyl) . The cycloalkyl is attached to the rest of the molecule by a single bond. Examples of monocyclic cycloalkyl radicals include, but are not limited to, cyclopropyl, cyclobutyl, cyclopentyl, cyclohexyl, cycloheptyl, and cyclooctyl. Examples of polycyclic cycloalkyl radicals include, but are not limited to, adamantyl, norbornyl, decalinyl, 7, 7-dimethyl-bicyclo [2.2.1] heptanyl, and the like. Unless otherwise specified, a cycloalkyl group is optionally substituted.
As used herein, and unless otherwise specified, the term “cycloalkylene” is a divalent cycloalkyl group. Unless otherwise specified, a cycloalkylene group is optionally substituted.
As used herein, and unless otherwise specified, the term “cycloalkenyl” refers to a non-aromatic monocyclic or polycyclic hydrocarbon radical consisting solely of carbon and hydrogen atoms, and which includes one or more carbon-carbon double bonds. Cycloalkenyl may include fused or bridged ring systems. In one embodiment, the cycloalkenyl has, for example, from 3 to 15 ring carbon atoms (C
3-C
15 cycloalkenyl) , from 3 to 10 ring carbon atoms (C
3-C
10 cycloalkenyl) , or from 3 to 8 ring carbon atoms (C
3-C
8 cycloalkenyl) . The cycloalkenyl is attached to the rest of the molecule by a single bond. Examples of monocyclic cycloalkenyl radicals include, but are not limited to, cyclopropenyl, cyclobutenyl, cyclopentenyl, cyclohexenyl, cycloheptenyl, cyclooctenyl, and the like. Unless otherwise specified, a cycloalkenyl group is optionally substituted.
As used herein, and unless otherwise specified, the term “cycloalkenylene” is a divalent cycloalkenyl group. Unless otherwise specified, a cycloalkenylene group is optionally substituted.
As used herein, and unless otherwise specified, the term “heterocyclyl” refers to a non-aromatic radical monocyclic or polycyclic moiety that contains one or more (e.g., one, one or two, one to three, or one to four) heteroatoms independently selected from nitrogen, oxygen, phosphorous, and sulfur. The heterocyclyl may be attached to the main structure at any heteroatom or carbon atom. A heterocyclyl group can be a monocyclic, bicyclic, tricyclic, tetracyclic, or other polycyclic ring system, wherein the polycyclic ring systems can be a fused, bridged or spiro ring system. Heterocyclyl polycyclic ring systems can include one or more heteroatoms in one or more rings. A heterocyclyl group can be saturated or partially unsaturated. Saturated heterocycloalkyl groups can be termed “heterocycloalkyl” . Partially unsaturated heterocycloalkyl groups can be termed “heterocycloalkenyl” if the heterocyclyl contains at least one double bond, or “heterocycloalkynyl” if the heterocyclyl contains at least one triple bond. In one embodiment, the heterocyclyl has, for example, 3 to 18 ring atoms (3-to 18-membered heterocyclyl) , 4 to 18 ring atoms (4-to 18-membered heterocyclyl) , 5 to 18 ring atoms (3-to 18-membered heterocyclyl) , 4 to 8 ring atoms (4-to 8-membered heterocyclyl) , or 5 to 8 ring atoms (5-to 8-membered heterocyclyl) . Whenever it appears herein, a numerical range such as “3 to 18” refers to each integer in the given range; e.g., “3 to 18 ring atoms” means that the heterocyclyl group can consist of 3 ring atoms, 4 ring atoms, 5 ring atoms, 6 ring atoms, 7 ring atoms, 8 ring atoms, 9 ring atoms, 10 ring atoms, etc., up to and including 18 ring atoms. Examples of heterocyclyl groups include, but are not limited to, imidazolyl, imidazolidinyl, oxazolyl, oxazolidinyl, thiazolyl, thiazolidinyl, pyrazolidinyl, pyrazolyl, isoxazolidinyl, isoxazolyl, isothiazolidinyl, isothiazolyl, morpholinyl, pyrrolyl, pyrrolidinyl, furyl, tetrahydrofuryl, thiophenyl, pyridinyl, piperidinyl, quinolyl, and isoquinolyl. Unless otherwise specified, a heterocyclyl group is optionally substituted.
As used herein, and unless otherwise specified, the term “heterocyclylene” is a divalent heterocyclyl group. Unless otherwise specified, a heterocyclylene group is optionally substituted.
As used herein, and unless otherwise specified, the term “aryl” refers to a monocyclic aromatic group and/or multicyclic monovalent aromatic group that contain at least one aromatic hydrocarbon ring. In certain embodiments, the aryl has from 6 to 18 ring carbon atoms (C
6-C
18 aryl) , from 6 to 14 ring carbon atoms (C
6-C
14 aryl) , or from 6 to 10 ring carbon atoms (C
6-C
10 aryl) . Examples of aryl groups include, but are not limited to, phenyl, naphthyl, fluorenyl, azulenyl, anthryl, phenanthryl, pyrenyl, biphenyl, and terphenyl. The term “aryl” also refers to bicyclic, tricyclic, or other multicyclic hydrocarbon rings, where at least one of the rings is aromatic and the others of which may be saturated, partially unsaturated, or aromatic, for example, dihydronaphthyl, indenyl, indanyl, or tetrahydronaphthyl (tetralinyl) . Unless otherwise specified, an aryl group is optionally substituted.
As used herein, and unless otherwise specified, the term “arylene” is a divalent aryl group. Unless otherwise specified, an arylene group is optionally substituted.
As used herein, and unless otherwise specified, the term “heteroaryl” refers to a monocyclic aromatic group and/or multicyclic aromatic group that contains at least one aromatic ring, wherein at least one aromatic ring contains one or more (e.g., one, one or two, one to three, or one to four) heteroatoms independently selected from O, S, and N. The heteroaryl may be attached to the main structure at any heteroatom or carbon atom. In certain embodiments, the heteroaryl has from 5 to 20, from 5 to 15, or from 5 to 10 ring atoms. The term “heteroaryl” also refers to bicyclic, tricyclic, or other multicyclic rings, where at least one of the rings is aromatic and the others of which may be saturated, partially unsaturated, or aromatic, wherein at least one aromatic ring contains one or more heteroatoms independently selected from O, S, and N. Examples of monocyclic heteroaryl groups include, but are not limited to, pyrrolyl, pyrazolyl, pyrazolinyl, imidazolyl, oxazolyl, isoxazolyl, thiazolyl, thiadiazolyl, isothiazolyl, furanyl, thienyl, oxadiazolyl, pyridyl, pyrazinyl, pyrimidinyl, pyridazinyl, and triazinyl. Examples of bicyclic heteroaryl groups include, but are not limited to, indolyl, benzothiazolyl, benzoxazolyl, benzothienyl, quinolinyl, tetrahydroisoquinolinyl, isoquinolinyl, benzimidazolyl, benzopyranyl, indolizinyl, benzofuranyl, isobenzofuranyl, chromonyl, coumarinyl, cinnolinyl, quinoxalinyl, indazolyl, purinyl, pyrrolopyridinyl, furopyridinyl, thienopyridinyl, dihydroisoindolyl, and tetrahydroquinolinyl. Examples of tricyclic heteroaryl groups include, but are not limited to, carbazolyl, benzindolyl, phenanthrollinyl, acridinyl, phenanthridinyl, and xanthenyl. Unless otherwise specified, a heteroaryl group is optionally substituted.
As used herein, and unless otherwise specified, the term “heteroarylene” is a divalent heteroaryl group. Unless otherwise specified, a heteroarylene group is optionally substituted.
When the groups described herein are said to be “substituted, ” they may be substituted with any appropriate substituent or substituents. Illustrative examples of substituents include, but are not limited to, those found in the exemplary compounds and embodiments provided herein, as well as: a halogen atom such as F, CI, Br, or I; cyano; oxo (=O) ; hydroxyl (-OH) ; alkyl; alkenyl; alkynyl; cycloalkyl; aryl; - (C=O) OR’; -O (C=O) R’; -C (=O) R’; -OR’; -S (O)
xR’; -S-SR’; -C (=O) SR’; -SC (=O) R’; -NR’R’; -NR’C (=O) R’; -C (=O) NR’R’; -NR’C (=O) NR’R’; -OC (=O) NR’R’; -NR’C (=O) OR’; -NR’S (O)
xNR’R’; -NR’S (O)
xR’; and -S (O)
xNR’R’, wherein: R’ is, at each occurrence, independently H, C
1-C
15 alkyl or cycloalkyl, and x is 0, 1 or 2. In some embodiments the substituent is a C
1-C
12 alkyl group. In other embodiments, the substituent is a cycloalkyl group. In other embodiments, the substituent is a halo group, such as fluoro. In other embodiments, the substituent is an oxo group. In other embodiments, the substituent is a hydroxyl group. In other embodiments, the substituent is an alkoxy group (-OR’) . In other embodiments, the substituent is a carboxyl group. In other embodiments, the substituent is an amino group (-NR’R’) .
As used herein, and unless otherwise specified, the term “optional” or “optionally” (e.g., optionally substituted) means that the subsequently described event of circumstances may or may not occur, and that the description includes instances where said event or circumstance occurs and instances in which it does not. For example, “optionally substituted alkyl” means that the alkyl radical may or may not be substituted and that the description includes both substituted alkyl radicals and alkyl radicals having no substitution.
As used herein, and unless otherwise specified, the term “prodrug” of a biologically active compound refers to a compound that may be converted under physiological conditions or by solvolysis to the biologically active compound. In one embodiment, the term “prodrug” refers to a metabolic precursor of the biologically active compound that is pharmaceutically acceptable. A prodrug may be inactive when administered to a subject in need thereof, but is converted in vivo to the biologically active compound. Prodrugs are typically rapidly transformed in vivo to yield the parent biologically active compound, for example, by hydrolysis in blood. The prodrug compound often offers advantages of solubility, tissue compatibility or delayed release in a mammalian organism (see, Bundgard, H., Design of Prodrugs (1985) , pp. 7-9, 21-24 (Elsevier, Amsterdam) ) . A discussion of prodrugs is provided in Higuchi, T., et al., A.C.S. Symposium Series, Vol. 14, and in Bioreversible Carriers in Drug Design, Ed. Edward B. Roche, American Pharmaceutical Association and Pergamon Press, 1987.
In one embodiment, the term “prodrug” is also meant to include any covalently bonded carriers, which release the active compound in vivo when such prodrug is administered to a mammalian subject. Prodrugs of a compound may be prepared by modifying functional groups present in the compound in such a way that the modifications are cleaved, either in routine manipulation or in vivo, to the parent compound. Prodrugs include compounds wherein a hydroxyl, amino or mercapto group is bonded to any group that, when the prodrug of the compound is administered to a mammalian subject, cleaves to form a free hydroxyl, free amino or free mercapto group, respectively.
Examples of prodrugs include, but are not limited to, acetate, formate and benzoate derivatives of alcohol or amide derivatives of amine functional groups in the compounds provided herein.
As used herein, and unless otherwise specified, the term “pharmaceutically acceptable salt” includes both acid and base addition salts.
Examples of pharmaceutically acceptable acid addition salts include, but are not limited to, hydrochloric acid, hydrobromic acid, sulfuric acid, nitric acid, phosphoric acid and the like, and organic acids such as, but not limited to, acetic acid, 2, 2-dichloroacetic acid, adipic acid, alginic acid, ascorbic acid, aspartic acid, benzenesulfonic acid, benzoic acid, 4-acetamidobenzoic acid, camphoric acid, camphor-10-sulfonic acid, capric acid, caproic acid, caprylic acid, carbonic acid, cinnamic acid, citric acid, cyclamic acid, dodecylsulfuric acid, ethane-1, 2-disulfonic acid, ethanesulfonic acid, 2-hydroxyethanesulfonic acid, formic acid, fumaric acid, galactaric acid, gentisic acid, glucoheptonic acid, gluconic acid, glucuronic acid, glutamic acid, glutaric acid, 2-oxo-glutaric acid, glycerophosphoric acid, glycolic acid, hippuric acid, isobutyric acid, lactic acid, lactobionic acid, lauric acid, maleic acid, malic acid, malonic acid, mandelic acid, methanesulfonic acid, mucic acid, naphthalene-1, 5-disulfonic acid, naphthalene-2-sulfonic acid, 1-hydroxy-2-naphthoic acid, nicotinic acid, oleic acid, orotic acid, oxalic acid, palmitic acid, pamoic acid, propionic acid, pyroglutamic acid, pyruvic acid, salicylic acid, 4-aminosalicylic acid, sebacic acid, stearic acid, succinic acid, tartaric acid, thiocyanic acid, p-toluenesulfonic acid, trifluoroacetic acid, undecylenic acid, and the like.
Examples of pharmaceutically acceptable base addition salt include, but are not limited to, salts prepared from addition of an inorganic base or an organic base to a free acid compound. Salts derived from inorganic bases include, but are not limited to, the sodium, potassium, lithium, ammonium, calcium, magnesium, iron, zinc, copper, manganese, aluminum salts and the like. In one embodiment, the inorganic salts are the ammonium, sodium, potassium, calcium, and magnesium salts. Salts derived from organic bases include, but are not limited to, salts of primary, secondary, and tertiary amines, substituted amines including naturally occurring substituted amines, cyclic amines and basic ion exchange resins, such as ammonia, isopropylamine, trimethylamine, diethylamine, triethylamine, tripropylamine, diethanolamine, ethanolamine, deanol, 2-dimethylaminoethanol, 2-diethylaminoethanol, dicyclohexylamine, lysine, arginine, histidine, caffeine, procaine, hydrabamine, choline, betaine, benethamine, benzathine, ethylenediamine, glucosamine, methylglucamine, theobromine, triethanolamine, tromethamine, purines, piperazine, piperidine, N-ethylpiperidine, polyamine resins and the like. In one embodiment, the organic bases are isopropylamine, diethylamine, ethanolamine, trimethylamine, dicyclohexylamine, choline and caffeine.
A compound provided herein may contain one or more asymmetric centers and may thus give rise to enantiomers, diastereomers, and other stereoisomeric forms that may be defined, in terms of absolute stereochemistry, as (R) -or (S) -or, as (D) -or (L) -for amino acids. Unless otherwise specified, a compound provided herein is meant to include all such possible isomers, as well as their racemic and optically pure forms. Optically active (+) and (-) , (R) -and (S) -, or (D) -and (L) -isomers may be prepared using chiral synthons or chiral reagents, or resolved using conventional techniques, for example, chromatography and fractional crystallization. Conventional techniques for the preparation/isolation of individual enantiomers include chiral synthesis from a suitable optically pure precursor or resolution of the racemate (or the racemate of a salt or derivative) using, for example, chiral high pressure liquid chromatography (HPLC) . When the compounds described herein contain olefinic double bonds or other centers of geometric asymmetry, and unless specified otherwise, it is intended that the compounds include both E and Z geometric isomers. Likewise, all tautomeric forms are also intended to be included.
As used herein, and unless otherwise specified, the term “isomer” refers to different compounds that have the same molecular formula. “Stereoisomers” are isomers that differ only in the way the atoms are arranged in space. “Atropisomers” are stereoisomers from hindered rotation about single bonds. “Enantiomers” are a pair of stereoisomers that are non-superimposable mirror images of each other. A mixture of a pair of enantiomers in any proportion can be known as a “racemic” mixture. “Diastereoisomers” are stereoisomers that have at least two asymmetric atoms, but which are not mirror-images of each other.
“Stereoisomers” can also include E and Z isomers, or a mixture thereof, and cis and trans isomers or a mixture thereof. In certain embodiments, a compound described herein is isolated as either the E or Z isomer. In other embodiments, a compound described herein is a mixture of the E and Z isomers.
“Tautomers” refers to isomeric forms of a compound that are in equilibrium with each other. The concentrations of the isomeric forms will depend on the environment the compound is found in and may be different depending upon, for example, whether the compound is a solid or is in an organic or aqueous solution.
It should also be noted a compound described herein can contain unnatural proportions of atomic isotopes at one or more of the atoms. For example, the compounds may be radiolabeled with radioactive isotopes, such as for example tritium (
3H) , iodine-125 (
125I) , sulfur-35 (
35S) , or carbon-14 (
14C) , or may be isotopically enriched, such as with deuterium (
2H) , carbon-13 (
13C) , or nitrogen-15 (
15N) . As used herein, an “isotopolog” is an isotopically enriched compound. The term “isotopically enriched” refers to an atom having an isotopic composition other than the natural isotopic composition of that atom. “Isotopically enriched” may also refer to a compound containing at least one atom having an isotopic composition other than the natural isotopic composition of that atom. The term “isotopic composition” refers to the amount of each isotope present for a given atom. Radiolabeled and isotopically enriched compounds are useful as therapeutic agents, e.g., cancer therapeutic agents, research reagents, e.g., binding assay reagents, and diagnostic agents, e.g., in vivo imaging agents. All isotopic variations of a compound described herein, whether radioactive or not, are intended to be encompassed within the scope of the embodiments provided herein. In some embodiments, there are provided isotopologs of a compound described herein, for example, the isotopologs are deuterium, carbon-13, and/or nitrogen-15 enriched. As used herein, “deuterated” , means a compound wherein at least one hydrogen (H) has been replaced by deuterium (indicated by D or
2H) , that is, the compound is enriched in deuterium in at least one position.
It should be noted that if there is a discrepancy between a depicted structure and a name for that structure, the depicted structure is to be accorded more weight.
As used herein, and unless otherwise specified, the term “pharmaceutically acceptable carrier, diluent or excipient” includes without limitation any adjuvant, carrier, excipient, glidant, sweetening agent, diluent, preservative, dye/colorant, flavor enhancer, surfactant, wetting agent, dispersing agent, suspending agent, stabilizer, isotonic agent, solvent, or emulsifier which has been approved by the United States Food and Drug Administration as being acceptable for use in humans or domestic animals.
The term “composition” is intended to encompass a product containing the specified ingredients (e.g., a mRNA molecule provided herein) in, optionally, the specified amounts.
The term “polynucleotide” or “nucleic acid, ” as used interchangeably herein, refers to polymers of nucleotides of any length and includes, e.g., DNA and RNA. The nucleotides can be deoxyribonucleotides, ribonucleotides, modified nucleotides or bases, and/or their analogs, or any substrate that can be incorporated into a polymer by DNA or RNA polymerase or by a synthetic reaction. A polynucleotide may comprise modified nucleotides, such as methylated nucleotides and their analogs. Nucleic acid can be in either single-or double-stranded forms. As used herein and unless otherwise specified, “nucleic acid” also includes nucleic acid mimics such as locked nucleic acids (LNAs) , peptide nucleic acids (PNAs) , and morpholinos. “Oligonucleotide, ” as used herein, refers to short synthetic polynucleotides that are generally, but not necessarily, fewer than about 200 nucleotides in length. The terms “oligonucleotide” and “polynucleotide” are not mutually exclusive. The description above for polynucleotides is equally and fully applicable to oligonucleotides. Unless specified otherwise, the left-hand end of any single-stranded polynucleotide sequence disclosed herein is the 5’ end; the left-hand direction of double-stranded polynucleotide sequences is referred to as the 5’ direction. The direction of 5’ to 3’ addition of nascent RNA transcripts is referred to as the transcription direction; sequence regions on the DNA strand having the same sequence as the RNA transcript that are 5’ to the 5’ end of the RNA transcript are referred to as “upstream sequences” ; sequence regions on the DNA strand having the same sequence as the RNA transcript that are 3’ to the 3’ end of the RNA transcript are referred to as “downstream sequences. ”
An “isolated nucleic acid” is a nucleic acid, for example, an RNA, DNA, or a mixed nucleic acids, which is substantially separated from other genome DNA sequences as well as proteins or complexes such as ribosomes and polymerases, which naturally accompany a native sequence. An “isolated” nucleic acid molecule is one which is separated from other nucleic acid molecules which are present in the natural source of the nucleic acid molecule. Moreover, an “isolated” nucleic acid molecule, such as an mRNA molecule, can be substantially free of other cellular material, or culture medium when produced by recombinant techniques, or substantially free of chemical precursors or other chemicals when chemically synthesized. In a specific embodiment, one or more nucleic acid molecules encoding an antigen as described herein are isolated or purified. The term embraces nucleic acid sequences that have been removed from their naturally occurring environment, and includes recombinant or cloned DNA or RNA isolates and chemically synthesized analogues or analogues biologically synthesized by heterologous systems. A substantially pure molecule may include isolated forms of the molecule.
The term “encoding nucleic acid” or grammatical equivalents thereof as it is used in reference to nucleic acid molecule encompasses (a) a nucleic acid molecule in its native state or when manipulated by methods well known to those skilled in the art that can be transcribed to produce mRNA which is then translated into a peptide and/or polypeptide, and (b) the mRNA molecule itself. The antisense strand is the complement of such a nucleic acid molecule, and the encoding sequence can be deduced therefrom. The term “coding region” refers to a portion in an encoding nucleic acid sequence that is translated into a peptide or polypeptide. The term “untranslated region” or “UTR” refers to the portion of an encoding nucleic acid that is not translated into a peptide or polypeptide. Depending on the orientation of a UTR with respect to the coding region of a nucleic acid molecule, a UTR is referred to as the 5’-UTR if located to the 5’-end of a coding region, and a UTR is referred to as the 3’-UTR if located to the 3’-end of a coding region.
The term “mRNA” as used herein refers to a message RNA molecule comprising one or more open reading frame (ORF) that can be translated by a cell or an organism provided with the mRNA to produce one or more peptide or protein product. The region containing the one or more ORFs is referred to as the coding region of the mRNA molecule. In certain embodiments, the mRNA molecule further comprises one or more untranslated regions (UTRs) .
In certain embodiments, the mRNA is a monocistronic mRNA that comprises only one ORF. In certain embodiments, the monocistronic mRNA encodes a peptide or protein comprising at least one epitope of a selected antigen (e.g., a pathogenic antigen or a tumor associated antigen) . In other embodiments, the mRNA is a multicistronic mRNA that comprises two or more ORFs. In certain embodiments, the multiecistronic mRNA encodes two or more peptides or proteins that can be the same or different from each other. In certain embodiments, each peptide or protein encoded by a multicistronic mRNA comprises at least one epitope of a selected antigen. In certain embodiments, different peptide or protein encoded by a multicistronic mRNA each comprises at least one epitope of different antigens. In any of the embodiments described herein, the at least one epitope can be at least 2, at least 3, at least 4, at least 5, at least 6, at least 7, at least 8, at least 9, or at least 10 epitopes of an antigen.
The term “nucleobases” encompasses purines and pyrimidines, including natural compounds adenine, thymine, guanine, cytosine, uracil, inosine, and natural or synthetic analogs or derivatives thereof.
The term “functional nucleotide analog” as used herein refers to a modified version of a canonical nucleotide A, G, C, U or T that (a) retains the base-pairing properties of the corresponding canonical nucleotide, and (b) contains at least one chemical modification to (i) the nucleobase, (ii) the sugar group, (iii) the phosphate group, or (iv) any combinations of (i) to (iii) , of the corresponding natural nucleotide. As used herein, base pairing encompasses not only the canonical Watson-Crick adenine-thymine, adenine-uracil, or guanine-cytosine base pairs, but also base pairs formed between canonical nucleotides and functional nucleotide analogs or between a pair of functional nucleotide analogs, wherein the arrangement of hydrogen bond donors and hydrogen bond acceptors permits hydrogen bonding between a modified nucleobase and a canonical nucleobase or between two complementary modified nucleobase structures. For example, a functional analog of guanosine (G) retains the ability to base-pair with cytosine (C) or a functional analog of cytosine. One example of such non-canonical base pairing is the base pairing between the modified nucleotide inosine and adenine, cytosine, or uracil. As described herein, a functional nucleotide analog can be either naturally occurring or non-naturally occurring. Accordingly, a nucleic acid molecule containing a functional nucleotide analog can have at least one modified nucleobase, sugar group and/or internucleoside linkage. Exemplary chemical modifications to the nucleobases, sugar groups, or internucleoside linkages of a nucleic acid molecule are provided herein.
The terms “translational enhancer element, ” “TEE” and “translational enhancers” as used herein refers to an region in a nucleic acid molecule that functions to promotes translation of a coding sequence of the nucleic acid into a protein or peptide product, such as via cap-dependent or cap-independent translation. A TEE typically locates in the UTR region of a nucleic acid molecule (e.g., mRNA) and enhance the translational level of a coding sequence located either upstream or downstream. For example, a TEE in a 5’-UTR of a nucleic acid molecule can locate between the promoter and the starting codon of the nucleic acid molecule. Various TEE sequences are known in the art (Wellensiek et al. Genome-wide profiling of human cap-independent translation-enhancing elements, Nature Methods, 2013 Aug; 10 (8) : 747–750; Chappell et al. PNAS June 29, 2004 101 (26) 9590-9594) . Some TEEs are known to be conserved across multiple species (Pánek et al. Nucleic Acids Research, Volume 41, Issue 16, 1 September 2013, Pages 7625–7634) .
As used herein, the term “stem-loop sequence” refers to a single-stranded polynucleotide sequence having at least two regions that are complementary or substantially complementary to each other when read in opposite directions, and thus capable of base-pairing with each other to form at least one double helix and an unpaired loop. The resulting structure is known as a stem-loop structure, a hairpin, or a hairpin loop, which is a secondary structure found in many RNA molecules.
The term “peptide” as used herein refers to a polymer containing between two and fifty (2-50) amino acid residues linked by one or more covalent peptide bond (s) . The terms apply to naturally occurring amino acid polymers as well as amino acid polymers in which one or more amino acid residues is a non-naturally occurring amino acid (e.g., an amino acid analog or non-natural amino acid) .
The terms “polypeptide” and “protein” are used interchangeably herein to refer to a polymer of greater than fifty (50) amino acid residues linked by covalent peptide bonds. That is, a description directed to a polypeptide applies equally to a description of a protein, and vice versa. The terms apply to naturally occurring amino acid polymers as well as amino acid polymers in which one or more amino acid residues is a non-naturally occurring amino acid (e.g., an amino acid analog) . As used herein, the terms encompass amino acid chains of any length, including full length proteins (e.g., antigens) .
The term “antigen” refers to a substance that can be recognized by the immune system of a subject (including by the adaptive immune system) , and is capable of triggering an immune response after the subject is contacted with the antigen (including an antigen-specific immune response) . In certain embodiments, the antigen is a protein associated with a diseased cell, such as a cell infected by a pathogen or a neoplastic cell (e.g., tumor associated antigen (TAA) ) .
In the context of a peptide or polypeptide, the term “fragment” as used herein refers to a peptide or polypeptide that comprises less than the full length amino acid sequence. Such a fragment may arise, for example, from a truncation at the amino terminus, a truncation at the carboxy terminus, and/or an internal deletion of a residue (s) from the amino acid sequence. Fragments may, for example, result from alternative RNA splicing or from in vivo protease activity. In certain embodiments, fragments refers to polypeptides comprising an amino acid sequence of at least 5 contiguous amino acid residues, at least 10 contiguous amino acid residues, at least 15 contiguous amino acid residues, at least 20 contiguous amino acid residues, at least 25 contiguous amino acid residues, at least 30 contiguous amino acid residues, at least 40 contiguous amino acid residues, at least 50 contiguous amino acid residues, at least 60 contiguous amino residues, at least 70 contiguous amino acid residues, at least 80 contiguous amino acid residues, at least 90 contiguous amino acid residues, at least contiguous 100 amino acid residues, at least 125 contiguous amino acid residues, at least 150 contiguous amino acid residues, at least 175 contiguous amino acid residues, at least 200 contiguous amino acid residues, at least 250, at least 300, at least 350, at least 400, at least 450, at least 500, at least 550, at least 600, at least 650, at least 700, at least 750, at least 800, at least 850, at least 900, or at least 950 contiguous amino acid residues of the amino acid sequence of a polypeptide. In a specific embodiment, a fragment of a polypeptide retains at least 1, at least 2, at least 3, or more functions of the polypeptide.
An “epitope” is the site on the surface of an antigen molecule to which a single antibody molecule binds, such as a localized region on the surface of an antigen that is capable of being bound to one or more antigen binding regions of an antibody, and that has antigenic or immunogenic activity in an animal, such as a mammal (e.g., a human) , that is capable of eliciting an immune response. An epitope having immunogenic activity is a portion of a polypeptide that elicits an antibody response in an animal. An epitope having antigenic activity is a portion of a polypeptide to which an antibody binds as determined by any method well known in the art, including, for example, by an immunoassay. Antigenic epitopes need not necessarily be immunogenic. Epitopes often consist of chemically active surface groupings of molecules such as amino acids or sugar side chains and have specific three dimensional structural characteristics as well as specific charge characteristics. Antibody epitopes may be linear epitopes or conformational epitopes. Linear epitopes are formed by a continuous sequence of amino acids in a protein. Conformational epitopes are formed of amino acids that are discontinuous in the protein sequence, but which are brought together upon folding of the protein into its three-dimensional structure. Induced epitopes are formed when the three dimensional structure of the protein is in an altered conformation, such as following activation or binding of another protein or ligand. In certain embodiments, an epitope is a three-dimensional surface feature of a polypeptide. In other embodiments, an epitope is linear feature of a polypeptide. Generally an antigen has several or many different epitopes and may react with many different antibodies.
The term “genetic vaccine” as used herein refers to a therapeutic or prophylactic composition comprising at least one nucleic acid molecule encoding an antigen associated with a target disease (e.g., an infectious disease or a neoplastic disease) . Administration of the vaccine to a subject ( “vaccination” ) allows for the production of the encoded peptide or protein, thereby eliciting an immune response against the target disease in the subject. In certain embodiments, the immune response comprises adaptive immune response, such as the production of antibodies against the encoded antigen, and/or activation and proliferations of immune cells capable of specifically eliminating diseased cells expressing the antigen. In certain embodiments, the immune response further comprises innate immune response. According to the present disclosure, a vaccine can be administered to a subject either before or after the onset of clinical symptoms of the target disease. In some embodiments, vaccination of a healthy or asymptomatic subject renders the vaccinated subject immune or less susceptible to the development of the target disease. In some embodiments, vaccination of a subject showing symptoms of the disease improves the condition of, or treats, the disease in the vaccinated subject.
The terms “innate immune response” and “innate immunity” are recognized in the art, and refer to non-specific defense mechanism a body’s immune system initiates upon recognition of pathogen-associated molecular patterns, which involves different forms of cellular activities, including cytokine production and cell death through various pathways. As used herein, innate immune responses include, without limitation, increased production of inflammation cytokines (e.g., type I interferon or IL-10 production) , activation of the NFκB pathway, increased proliferation, maturation, differentiation and/or survival of immune cells, and in some cases, induction of cell apoptosis. Activation of the innate immunity can be detected using methods known in the art, such as measuring the (NF) -κB activation.
The terms “adaptive immune response” and “adaptive immunity” are recognized in the art, and refer to antigen-specific defense mechanism a body’s immune system initiates upon recognition of a specific antigen, which include both humoral response and cell-mediated responses. As used herein, adaptive immune responses include cellular responses that is triggered and/or augmented by a vaccine composition, such as a genetic composition described herein. In some embodiments, the vaccine composition comprises an antigen that is the target of the antigen-specific adaptive immune response. In other embodiments, the vaccine composition, upon administration, allows the production in an immunized subject of an antigen that is the target of the antigen-specific adaptive immune response. Activation of an adaptive immune response can be detected using methods known in the art, such as measuring the antigen-specific antibody production, or the level of antigen-specific cell-mediated cytotoxicity.
The term “antibody” is intended to include a polypeptide product of B cells within the immunoglobulin class of polypeptides that is able to bind to a specific molecular antigen and is composed of two identical pairs of polypeptide chains, wherein each pair has one heavy chain (about 50-70 kDa) and one light chain (about 25 kDa) , each amino-terminal portion of each chain includes a variable region of about 100 to about 130 or more amino acids, and each carboxy-terminal portion of each chain includes a constant region. See, e.g., Antibody Engineering (Borrebaeck ed., 2d ed. 1995) ; and Kuby, Immunology (3d ed. 1997) . In specific embodiments, the specific molecular antigen can be bound by an antibody provided herein, including a polypeptide, a fragment or an epitope thereof. Antibodies also include, but are not limited to, synthetic antibodies, recombinantly produced antibodies, camelized antibodies, intrabodies, anti-idiotypic (anti-Id) antibodies, and functional fragments of any of the above, which refers to a portion of an antibody heavy or light chain polypeptide that retains some or all of the binding activity of the antibody from which the fragment was derived. Non-limiting examples of functional fragments include single-chain Fvs (scFv) (e.g., including monospecific, bispecific, etc. ) , Fab fragments, F (ab’) fragments, F (ab)
2 fragments, F (ab’)
2 fragments, disulfide-linked Fvs (dsFv) , Fd fragments, Fv fragments, diabody, triabody, tetrabody, and minibody. In particular, antibodies provided herein include immunoglobulin molecules and immunologically active portions of immunoglobulin molecules, for example, antigen-binding domains or molecules that contain an antigen-binding site (e.g., one or more CDRs of an antibody) . Such antibody fragments can be found in, for example, Harlow and Lane, Antibodies: A Laboratory Manual (1989) ; Mol. Biology and Biotechnology: A Comprehensive Desk Reference (Myers ed., 1995) ; Huston et al., 1993, Cell Biophysics 22: 189-224; Plückthun and Skerra, 1989, Meth. Enzymol. 178: 497-515; and Day, Advanced Immunochemistry (2d ed. 1990) . The antibodies provided herein can be of any class (e.g., IgG, IgE, IgM, IgD, and IgA) or any subclass (e.g., IgG1, IgG2, IgG3, IgG4, IgA1, and IgA2) of immunoglobulin molecule.
The term “administer” or “administration” refers to the act of injecting or otherwise physically delivering a substance as it exists outside the body (e.g., a lipid nanoparticle composition as described herein) into a patient, such as by mucosal, intradermal, intravenous, intramuscular delivery, and/or any other method of physical delivery described herein or known in the art. When a disease, disorder, condition, or a symptom thereof, is being treated, administration of the substance typically occurs after the onset of the disease, disorder, condition, or symptoms thereof. When a disease, disorder, condition, or symptoms thereof, are being prevented, administration of the substance typically occurs before the onset of the disease, disorder, condition, or symptoms thereof.
“Chronic” administration refers to administration of the agent (s) in a continuous mode (e.g., for a period of time such as days, weeks, months, or years) as opposed to an acute mode, so as to maintain the initial therapeutic effect (activity) for an extended period of time. “Intermittent” administration is treatment that is not consecutively done without interruption, but rather is cyclic in nature.
The term “targeted delivery” or the verb form “target” as used herein refers to the process that promotes the arrival of a delivered agent (such as a therapeutic payload molecule in a lipid nanoparticle composition as described herein) at a specific organ, tissue, cell and/or intracellular compartment (referred to as the targeted location) more than any other organ, tissue, cell or intracellular compartment (referred to as the non-target location) . Targeted delivery can be detected using methods known in the art, for example, by comparing the concentration of the delivered agent in a targeted cell population with the concentration of the delivered agent at a non-target cell population after systemic administration. In certain embodiments, targeted delivery results in at least 2 fold higher concentration at a targeted location as compared to a non-target location.
An “effective amount” is generally an amount sufficient to reduce the severity and/or frequency of symptoms, eliminate the symptoms and/or underlying cause, prevent the occurrence of symptoms and/or their underlying cause, and/or improve or remediate the damage that results from or is associated with a disease, disorder, or condition, including, for example, infection and neoplasia. In some embodiments, the effective amount is a therapeutically effective amount or a prophylactically effective amount.
The term “therapeutically effective amount” as used herein refers to the amount of an agent (e.g., a vaccine composition) that is sufficient to reduce and/or ameliorate the severity and/or duration of a given disease, disorder, or condition, and/or a symptom related thereto (e.g., an infectious disease such as caused by viral infection, or a neoplastic disease such as cancer) . A “therapeutically effective amount” of a substance/molecule/agent of the present disclosure (e.g., the lipid nanoparticle composition as described herein) may vary according to factors such as the disease state, age, sex, and weight of the individual, and the ability of the substance/molecule/agent to elicit a desired response in the individual. A therapeutically effective amount encompasses an amount in which any toxic or detrimental effects of the substance/molecule/agent are outweighed by the therapeutically beneficial effects. In certain embodiments, the term “therapeutically effective amount” refers to an amount of a lipid nanoparticle composition as described herein or a therapeutic or prophylactic agent contained therein (e.g., a therapeutic mRNA) effective to “treat” a disease, disorder, or condition, in a subject or mammal.
A “prophylactically effective amount” is an amount of a pharmaceutical composition that, when administered to a subject, will have the intended prophylactic effect, e.g., preventing, delaying, or reducing the likelihood of the onset (or reoccurrence) of a disease, disorder, condition, or associated symptom (s) (e.g., an infectious disease such as caused by viral infection, or a neoplastic disease such as cancer) . Typically, but not necessarily, since a prophylactic dose is used in subjects prior to or at an earlier stage of a disease, disorder, or condition, a prophylactically effective amount may be less than a therapeutically effective amount. The full therapeutic or prophylactic effect does not necessarily occur by administration of one dose, and may occur only after administration of a series of doses. Thus, a therapeutically or prophylactically effective amount may be administered in one or more administrations.
The terms “prevent, ” “preventing, ” and “prevention” refer to reducing the likelihood of the onset (or recurrence) of a disease, disorder, condition, or associated symptom (s) (e.g., an infectious disease such as caused by viral infection, or a neoplastic disease such as cancer) .
The terms “manage, ” “managing, ” and “management” refer to the beneficial effects that a subject derives from a therapy (e.g., a prophylactic or therapeutic agent) , which does not result in a cure of the disease. In certain embodiments, a subject is administered one or more therapies (e.g., prophylactic or therapeutic agents, such as a lipid nanoparticle composition as described herein) to “manage” an infectious or neoplastic disease, one or more symptoms thereof, so as to prevent the progression or worsening of the disease.
The term “prophylactic agent” refers to any agent that can totally or partially inhibit the development, recurrence, onset, or spread of disease and/or symptom related thereto in a subject.
The term “therapeutic agent” refers to any agent that can be used in treating, preventing, or alleviating a disease, disorder, or condition, including in the treatment, prevention, or alleviation of one or more symptoms of a disease, disorder, or condition and/or a symptom related thereto.
The term “therapy” refers to any protocol, method, and/or agent that can be used in the prevention, management, treatment, and/or amelioration of a disease, disorder, or condition. In certain embodiments, the terms “therapies” and “therapy” refer to a biological therapy, supportive therapy, and/or other therapies useful in the prevention, management, treatment, and/or amelioration of a disease, disorder, or condition, known to one of skill in the art such as medical personnel.
As used herein, a “prophylactically effective serum titer” is the serum titer of an antibody in a subject (e.g., a human) , that totally or partially inhibits the development, recurrence, onset, or spread of a disease, disorder, or condition, and/or symptom related thereto in the subject.
In certain embodiments, a “therapeutically effective serum titer” is the serum titer of an antibody in a subject (e.g., a human) , that reduces the severity, the duration, and/or the symptoms associated with a disease, disorder, or condition, in the subject.
The term “serum titer” refers to an average serum titer in a subject from multiple samples (e.g., at multiple time points) or in a population of at least 10, at least 20, at least 40 subjects, up to about 100, 1000, or more.
The term “side effects” encompasses unwanted and/or adverse effects of a therapy (e.g., a prophylactic or therapeutic agent) . Unwanted effects are not necessarily adverse. An adverse effect from a therapy (e.g., a prophylactic or therapeutic agent) might be harmful, uncomfortable, or risky. Examples of side effects include, diarrhea, cough, gastroenteritis, wheezing, nausea, vomiting, anorexia, abdominal cramping, fever, pain, loss of body weight, dehydration, alopecia, dyspenea, insomnia, dizziness, mucositis, nerve and muscle effects, fatigue, dry mouth, loss of appetite, rashes or swellings at the site of administration, flu-like symptoms such as fever, chills, and fatigue, digestive tract problems, and allergic reactions. Additional undesired effects experienced by patients are numerous and known in the art. Many are described in Physician’s Desk Reference (68th ed. 2014) .
The terms “subject” and “patient” may be used interchangeably. As used herein, in certain embodiments, a subject is a mammal, such as a non-primate (e.g., cow, pig, horse, cat, dog, rat, etc. ) or a primate (e.g., monkey and human) . In specific embodiments, the subject is a human. In one embodiment, the subject is a mammal (e.g., a human) having an infectious disease or neoplastic disease. In another embodiment, the subject is a mammal (e.g., a human) at risk of developing an infectious disease or neoplastic disease.
The term “detectable probe” refers to a composition that provides a detectable signal. The term includes, without limitation, any fluorophore, chromophore, radiolabel, enzyme, antibody or antibody fragment, and the like, that provide a detectable signal via its activity.
The term “detectable agent” refers to a substance that can be used to ascertain the existence or presence of a desired molecule, such as an antigen encoded by an mRNA molecule as described herein, in a sample or subject. A detectable agent can be a substance that is capable of being visualized or a substance that is otherwise able to be determined and/or measured (e.g., by quantitation) .
“Substantially all” refers to at least about 60%, at least about 65%, at least about 70%, at least about 75%, at least about 80%, at least about 85%, at least about 90%, at least about 95%, at least about 98%, at least about 99%, or about 100%.
As used herein, and unless otherwise indicated, the term “about” or “approximately” means an acceptable error for a particular value as determined by one of ordinary skill in the art, which depends in part on how the value is measured or determined. In certain embodiments, the term “about” or “approximately” means within 1, 2, 3, or 4 standard deviations. In certain embodiments, the term “about” or “approximately” means within 20%, 15%, 10%, 9%, 8%, 7%, 6%, 5%, 4%, 3%, 2%, 1%, 0.5%, 0.05%, or less of a given value or range.
The singular terms “a, ” “an, ” and “the” as used herein include the plural reference unless the context clearly indicates otherwise.
As used herein, and unless otherwise indicated, the term “targeting moiety” or “targeting group” refers to a moiety or group that is capable of specifically binding to a molecule on the surface of a target cell, such as a cell within a target tissue of a subject.
All publications, patent applications, accession numbers, and other references cited in this specification are herein incorporated by reference in their entirety as if each individual publication or patent application were specifically and individually indicated to be incorporated by reference. The publications discussed herein are provided solely for their disclosure prior to the filing date of the present application. Nothing herein is to be construed as an admission that the present invention is not entitled to antedate such publication by virtue of prior invention. Further, the dates of publication provided can be different from the actual publication dates which can need to be independently confirmed.
A number of embodiments of the invention have been described. Nevertheless, it will be understood that various modifications may be made without departing from the spirit and scope of the invention. Accordingly, the descriptions in the Experimental section and examples are intended to illustrate but not limit the scope of invention described in the claims.
7.3 Polymer Conjugated Lipid Compounds
In one embodiment, provided herein is a compound of Formula (I) :
or a pharmaceutically acceptable salt or stereoisomer thereof, wherein:
L is a lipid;
X is a linker;
each R
3 is independently H or C
1-C
6 alkyl;
each Y
1 is independently a bond, O, S, or NR
a;
each G
4 is independently a bond or C
1-C
12 alkylene, wherein one or more -CH
2-is independently optionally replaced by -O-, -S-, or -NR
a-;
each G
5 is independently a bond or C
1-C
12 alkylene, wherein one or more -CH
2-is independently optionally replaced by -O-, -S-, or -NR
a-;
each R
a is independently H, C
1-C
12 alkyl, or C
2-C
12 alkenyl;
one of Z
1 and Z
2 is a positively charged moiety and the other of Z
1 and Z
2 is a negatively charged moiety;
n is an integer from 2 to 100;
T is hydrogen, halogen, alkyl, alkenyl, -OR” , -SR” , -COOR” , -OCOR” , -NR” R” , -N
+ (R” )
3, -P
+ (R” )
3, -S-C (=S) -S-R” , -S-C (=S) -O-R” , -S-C (=S) -NR” R” , -S-C (=S) -aryl, cyano, azido, aryl, heteroaryl, or a targeting group, wherein each occurrence of R” is independently hydrogen or alkyl; and
wherein each alkyl, alkenyl, alkylene, aryl, and heteroaryl is independently optionally substituted; and
provided that the compound is not:
In one embodiment, when the negatively charged moiety of Z
1 or Z
2 is a carboxylate (-COO
–) , T is not bromo.
In one embodiment, the compound is a compound of Formula (II) :
or a pharmaceutically acceptable salt or stereoisomer thereof, wherein:
L is a lipid;
X is a linker;
each R
3 is independently H or C
1-C
6 alkyl;
each R
4 is independently H or C
1-C
6 alkyl;
each X
1 is independently a bond or -C (O) -Y
1-;
each X
2 is independently a bond or -C (O) -Y
2-;
each Y
1 is independently a bond, O, S, or NR
a;
each Y
2 is independently a bond, O, S, or NR
a;
each G
4 is independently a bond or C
1-C
12 alkylene, wherein one or more -CH
2-is independently optionally replaced by -O-, -S-, or -NR
a-;
each G
5 is independently a bond or C
1-C
12 alkylene, wherein one or more -CH
2-is independently optionally replaced by -O-, -S-, or -NR
a-;
each R
a is independently H, C
1-C
12 alkyl, or C
2-C
12 alkenyl;
one of Z
1 and Z
2 is a positively charged moiety and the other of Z
1 and Z
2 is a negatively charged moiety;
n is an even integer from 2 to 100;
T is hydrogen, halogen, alkyl, alkenyl, -OR” , -SR” , -COOR” , -OCOR” , -NR” R” , -N
+ (R” )
3, -P
+ (R” )
3, -S-C (=S) -S-R” , -S-C (=S) -O-R” , -S-C (=S) -NR” R” , -S-C (=S) -aryl, cyano, azido, aryl, heteroaryl, or a targeting group, wherein each occurrence of R” is independently hydrogen or alkyl; and
wherein each alkyl, alkenyl, alkylene, aryl, and heteroaryl is independently optionally substituted.
In Formula (II) , there are equal number of positive charged moieties and negatively charged moieties such that the compound as a whole is neutral. The positively charged moiety (e.g., a
unit when Z
1 is positively charged) and the negatively charged moiety (e.g., a
unit when Z
2 is negatively charged) can appear in any order within the {} . For example, the charged moieties within the {} can be +, –, +, –, +, –…; can be +, +, +, –, –, –…; can be +, +, –, +, –, –…; can be –, –, +, +, +, –, …
In one embodiment, X
1 is a bond. In one embodiment, X
1 is -C (O) -Y
1-.
In one embodiment, X
2 is a bond. In one embodiment, X
2 is -C (O) -Y
2-.
In one embodiment, Y
1 is O. In one embodiment, Y
1 is S. In one embodiment, Y
1 is NR
a. In one embodiment, Y
1 is NH. In one embodiment, Y
1 is a bond.
In one embodiment, Y
2 is O. In one embodiment, Y
2 is S. In one embodiment, Y
2 is NR
a. In one embodiment, Y
2 is NH. In one embodiment, Y
2 is a bond.
In one embodiment, G
4 is a bond. In one embodiment, G
4 is C
1-C
6 alkylene, wherein one or more -CH
2-is independently optionally replaced by -O-, -S-, or -NR
a-. In one embodiment, G
4 is C
1-C
3 alkylene. In one embodiment, G
4 is C
1 alkylene. In one embodiment, G
4 is C
2 alkylene. In one embodiment, G
4 is C
3 alkylene.
In one embodiment, G
5 is a bond. In one embodiment, G
5 is C
1-C
6 alkylene, wherein one or more -CH
2-is independently optionally replaced by -O-, -S-, or -NR
a-. In one embodiment, G
5 is C
1-C
3 alkylene. In one embodiment, G
5 is C
1 alkylene. In one embodiment, G
5 is C
2 alkylene. In one embodiment, G
5 is C
3 alkylene.
In one embodiment, Z
1 is a positively charged moiety and Z
2 is a negatively charged moiety. In one embodiment, Z
2 is a positively charged moiety and Z
1 is a negatively charged moiety. As used herein and unless otherwise specified, a “charged moiety” refers to a moiety that is either charged at any pH value or hydrogen ion activity of its environment, or capable of being charged in response to the pH value or hydrogen ion activity of its environment (e.g., the environment of its intended use) .
In one embodiment, the positively charged moiety of Z
1 or Z
2 is a quaternary amine cation.
In one embodiment, the negatively charged moiety of Z
1 or Z
2 is a carboxylate, sulfonate, or phosphate anion.
In one embodiment, the negatively charged moiety of Z
1 or Z
2 is a carboxylate, and the corresponding X
1 and G
4 or the corresponding X
2 and G
5 are both a bond. In one embodiment, the
unit is
In one embodiment, the
unit is
In one embodiment, the compound is a compound of Formula (I-A) :
or a pharmaceutically acceptable salt or stereoisomer thereof, wherein:
s is an integer from 1 to 6;
t is an integer from 1 to 6;
each R
o is independently C
1-C
6 alkyl; or two R
o together with the nitrogen to which they are attached form a cyclic moiety; and
wherein each alkyl and cyclic moiety is independently optionally substituted.
In one embodiment, the compound is a compound of Formula (I-B) :
or a pharmaceutically acceptable salt or stereoisomer thereof, wherein:
s is an integer from 1 to 6;
t is an integer from 1 to 6;
each R
o is independently C
1-C
6 alkyl; or two R
o together with the nitrogen to which they are attached form a cyclic moiety; and
wherein each alkyl and cyclic moiety is independently optionally substituted.
In one embodiment, the compound is a compound of Formula (I-C) :
or a pharmaceutically acceptable salt or stereoisomer thereof, wherein:
s is an integer from 1 to 6;
t is an integer from 1 to 6;
each R
o is independently C
1-C
6 alkyl; or two R
o together with the nitrogen to which they are attached form a cyclic moiety; or three R
o together with the nitrogen to which they are attached form a bicyclic moiety; and
wherein each alkyl, cyclic moiety and bicyclic moiety is independently optionally substituted.
In one embodiment, the compound is a compound of Formula (II-A) :
or a pharmaceutically acceptable salt or stereoisomer thereof, wherein:
s is an integer from 1 to 6;
each R
o is independently C
1-C
6 alkyl; or two R
o together with the nitrogen to which they are attached form a cyclic moiety; or three R
o together with the nitrogen to which they are attached form a bicyclic moiety; and
wherein each alkyl, cyclic moiety and bicyclic moiety is independently optionally substituted.
In one embodiment, the compound is a compound of Formula (II-B) :
or a pharmaceutically acceptable salt or stereoisomer thereof, wherein:
s is an integer from 1 to 6;
t is an integer from 1 to 6;
each R
o is independently C
1-C
6 alkyl; or two R
o together with the nitrogen to which they are attached form a cyclic moiety; or three R
o together with the nitrogen to which they are attached form a bicyclic moiety; and
wherein each alkyl, cyclic moiety and bicyclic moiety is independently optionally substituted.
In one embodiment, the compound is a compound of Formula (II-C) :
or a pharmaceutically acceptable salt or stereoisomer thereof, wherein:
s is an integer from 1 to 6;
t is an integer from 1 to 6;
each R
o is independently C
1-C
6 alkyl; or two R
o together with the nitrogen to which they are attached form a cyclic moiety; or three R
o together with the nitrogen to which they are attached form a bicyclic moiety;
each R
p is independently C
1-C
6 alkyl or -O- (C
1-C
6 alkyl) ; and
wherein each alkyl, cyclic moiety and bicyclic moiety is independently optionally substituted.
In one embodiment, L is a lipid comprising one or more C
6-C
24 hydrocarbon chains (e.g., one or more C
6-C
24 alkyl or C
6-C
24 alkenyl) . In one embodiment, L is a lipid comprising two C
8-C
24 hydrocarbon chains. In one embodiment, the two C
8-C
24 hydrocarbon chains are selected from two C
8-C
22 hydrocarbon chains, two C
8-C
20 hydrocarbon chains, two C
8-C
19 hydrocarbon chains, two C
8-C
18 hydrocarbon chains, two C
8-C
17 hydrocarbon chains, two C
10-C
24 hydrocarbon chains, two C
10-C
22 hydrocarbon chains, two C
10-C
20 hydrocarbon chains, two C
10-C
19 hydrocarbon chains, two C
10-C
18 hydrocarbon chains, two C
10-C
17 hydrocarbon chains, two C
12-C
24 hydrocarbon chains, two C
12-C
22 hydrocarbon chains, two C
12-C
20 hydrocarbon chains, two C
12-C
19 hydrocarbon chains, two C
12-C
18 hydrocarbon chains, two C
12-C
17 hydrocarbon chains, two C
13-C
24 hydrocarbon chains, two C
13-C
22 hydrocarbon chains, two C
13-C
20 hydrocarbon chains, two C
13-C
19 hydrocarbon chains, two C
13-C
18 hydrocarbon chains, or two C
13-C
17 hydrocarbon chains. In one embodiment, the lipid is a glycerophospholid. In one embodiment, suitable glycerophospholipids include 1, 2-dilauroyl-sn-glycero-3-phosphoethanolamine, 1, 2-ditridecyloyl-sn-glycero-3-phosphoethanolamine, 1, 2-dimyristoyl-sn-glycero-3-phosphoethanolamine (DMPE) , 1, 2-dipentadecyloyl-sn-glycero-3-phosphoethanolamine, 1, 2-dipalmitoyl-sn-glycero-3-phosphoethanolamine (DPPE) , 1, 2-dimargaroyl-sn-glycero-3-phosphoethanolamine, 1, 2-distearoyl-sn-glycero-3-phosphoethanolamine (DSPE) , 1, 2-dinanodecyloyl-sn-glycero-3-phosphoethanolamine, 1, 2-diarachidoyl-sn-glycero-3-phosphoethanolamine, 1, 2-dimyristoleoyl-sn-glycero-3-phosphoethanolamine, 1, 2-dipalmitoleoyl-sn-glycero-3-phosphoethanolamine, 1, 2-disapieneoyl-sn-glycero-3-phosphoethanolamine, 1, 2-dioleoyl-sn-glycero-3-phosphoethanolamine, 1, 2-dielaideoyl-sn-glycero-3-phosphoethanolamine, 1, 2-divacceneoyl-sn-glycero-3-phosphoethanolamine, 1, 2-dilinoleoyl-sn-glycero-3-phosphoethanolamine, 1, 2-dilinoelaideoyl-sn-glycero-3-phosphoethanolamine, 1, 2-di-α-linoleneoyl-sn-glycero-3-phosphoethanolamine, and 1, 2-diarachioneoyl-sn-glycero-3-phosphoethanolamine. In one embodiment, the lipid is a glycerolipid. In one embodiment, suitable glycerolipids include dimyristolglycerol (DMG) , distearoyl glycerol (DSG) , dipalmitoyl glycerol (DPG) , dilauroyl glycerol, ditridecyloyl glycerol, dipentadecyloyl glycerol, dimargaroyl glycerol, dinanodecyloyl glycerol, diarachidoyl glycerol, dimyristoleoyl glycerol, dipalmitoleoyl glycerol, disapieneoyl glycerol, dioleoyl glycerol, dielaideoyl glycerol, divacceneoyl glycerol, dilinoleoyl glycerol, dilinoelaideoyl glycerol, di-α-linoleneoyl glycerol, and diarachioneoylglycerol.
In one embodiment, L is a sterol lipid. In one embodiment, the lipid is selected from cholesterol, cholesteryl hemisuccinate, sitoindoside I, sitoindoside II, glucosyl stigmasterol, 16: 0 stigmasteryl glucose, 18: 1 stigmasteryl glucose, glucosyl sitosterolB, cholesterol sulfate, DHEA, DHEA sulfate, FF-MAS, campesterol, campestanol, zymostenol, sitostanol, sitosterol, stigmasterol, diosgenin, 7-dehydrodesmosterol, lanosterol, lanosterol-95, dihydrolanosterol, 14-demethyl-lanosterol, zymosterol, desmosterol, lathosterol, and pregnenolone. In one embodiment, the lipid is cholesterol.
In one embodiment, L is a sphingolipid. In one embodiment, the sphingolipid is selected from N-octanoyl-sphingosine, sphinganine-1-phosphate (d17: 0) , sphingosine-1-phosphate (d17: 1) , sphinganine-1-phosphate (d18: 0) , sphingosine-1-phosphate (d18: 1) , sphinganine-1-phosphate (d20: 0) , sphingosine-1-phosphate (d20: 1) , 1-deoxysphinganine, 1- desoxymethylsphinganine, sphinganine (d17: 0) , sphinganine (d18: 0) , safingol, sphinganine (d20: 0) , sphingosine (d14: 1) , sphingosine (d17: 1) , sphingosine (d18: 1) , sphingosine (d20: 1) , 1-deoxysphingosine, 4E, 8Z-sphingadiene, 4E, 11Z-sphingadiene, and 4E, 14Z-sphingadiene. In one embodiment, the sphingolipid is N-octanoyl-sphingosine.
In one embodiment, L is a lipid comprising the formula, and in one embodiment, L is a lipid of the formula:
wherein:
G
1, G
2, and G
3 are each independently a bond, C
1-C
12 alkylene, or C
2-C
12 alkenylene;
L
1 is –OC (=O) R
1, -C (=O) OR
1, -OC (=O) OR
1, -C (=O) R
1, -OR
1, -S (O)
xR
1, -S-SR
1, -C (=O) SR
1, -SC (=O) R
1, -NR
aC (=O) R
1, -C (=O) NR
bR
c, -NR
aC (=O) NR
bR
c, -OC (=O) NR
bR
c, -NR
aC (=O) OR
1, -SC (=S) R
1, -C (=S) SR
1, -C (=S) R
1, -CH (OH) R
1, -P (=O) (OR
b) (OR
c) , - (C
6-C
10 arylene) -R
1, - (6-to 10-membered heteroarylene) -R
1, or R
1;
L
2 is –OC (=O) R
2, -C (=O) OR
2, -OC (=O) OR
2, -C (=O) R
2, -OR
2, -S (O)
xR
2, -S-SR
2, -C (=O) SR
2, -SC (=O) R
2, -NR
dC (=O) R
2, -C (=O) NR
eR
f, -NR
dC (=O) NR
eR
f, -OC (=O) NR
eR
f, -NR
dC (=O) OR
2, -SC (=S) R
2, -C (=S) SR
2, -C (=S) R
2, -CH (OH) R
2, -P (=O) (OR
e) (OR
f) , - (C
6-C
10 arylene) -R
2, - (6-to 10-membered heteroarylene) -R
2, or R
2;
L
3 is -OC (=O) -, -C (=O) O-, -OC (=O) O-, -C (=O) -, -O-, -S (O)
x-, -S-S-, -C (=O) S-, -SC (=O) -, -NR
aC (=O) -, -C (=O) NR
b-, -NR
aC (=O) NR
b-, -OC (=O) NR
b-, -NR
aC (=O) O-, -SC (=S) -, -C (=S) S-, -C (=S) -, -CH (OH) -, -P (=O) (OR
b) O-, - (C
6-C
10 arylene) -, or - (6-to 10-membered heteroarylene) -;
R
1 and R
2 are each independently C
6-C
24 alkyl or C
6-C
24 alkenyl;
R
a, R
b, R
d, and R
e are each independently H, C
1-C
12 alkyl, or C
2-C
12 alkenyl;
R
c and R
f are each independently C
1-C
12 alkyl or C
2-C
12 alkenyl;
x is 0, 1, or 2, and
wherein each alkyl, alkenyl, alkylene, alkenylene, arylene, and heteroarylene is independently optionally substituted.
In one embodiment, the compound is a compound of Formula (I-D) :
or a pharmaceutically acceptable salt or stereoisomer thereof.
In one embodiment, the compound is a compound of Formula (II-D) :
or a pharmaceutically acceptable salt or stereoisomer thereof.
In one embodiment, L is a lipid comprising the formula, and in one embodiment, L is a lipid of the formula:
In one embodiment, L is a lipid comprising the formula, and in one embodiment, L is a lipid of the formula:
In one embodiment, the compound is a compound of Formula (I-E) :
or a pharmaceutically acceptable salt or stereoisomer thereof.
In one embodiment, the compound is a compound of Formula (II-E) :
or a pharmaceutically acceptable salt or stereoisomer thereof.
In one embodiment, G
1 is a bond. In one embodiment, G
1 is C
1 alkylene. In one embodiment, G
1 is C
2-C
12 alkylene. In one embodiment, G
1 is C
4-C
8 alkylene. In one embodiment, G
1 is C
5-C
7 alkylene. In one embodiment, G
1 is C
5 alkylene. In one embodiment, G
1 is C
7 alkylene. In one embodiment, G
1 is C
2-C
12 alkenylene. In one embodiment, G
1 is C
4-C
8 alkenylene. In one embodiment, G
1 is C
5-C
7 alkenylene. In one embodiment, G
1 is C
5 alkenylene. In one embodiment, G
1 is C
7 alkenylene.
In one embodiment, G
2 is a bond. In one embodiment, G
2 is C
1 alkylene. In one embodiment, G
2 is C
2-C
12 alkylene. In one embodiment, G
2 is C
4-C
8 alkylene. In one embodiment, G
2 is C
5-C
7 alkylene. In one embodiment, G
2 is C
5 alkylene. In one embodiment, G
2 is C
7 alkylene. In one embodiment, G
2 is C
2-C
12 alkenylene. In one embodiment, G
2 is C
4-C
8 alkenylene. In one embodiment, G
2 is C
5-C
7 alkenylene. In one embodiment, G
2 is C
5 alkenylene. In one embodiment, G
2 is C
7 alkenylene.
In one embodiment, G
1 and G
2 are each independently a bond or C
2-C
12 alkylene (e.g., C
4-C
8 alkylene, e.g., C
5-C
7 alkylene, e.g., C
5 alkylene or C
7 alkylene) . In one embodiment, G
1 and G
2 are both a bond. In one embodiment, one of G
1 and G
2 is a bond, and the other is C
2- C
12 alkylene (e.g., C
4-C
8 alkylene, e.g., C
5-C
7 alkylene, e.g., C
5 alkylene or C
7 alkylene) . In one embodiment, G
1 and G
2 are each independently C
2-C
12 alkylene (e.g., C
4-C
8 alkylene, e.g., C
5-C
7 alkylene, e.g., C
5 alkylene or C
7 alkylene) . In one embodiment, G
1 and G
2 are each independently a bond, C
5 alkylene, or C
7 alkylene. In one embodiment, G
1 and G
2 are each independently a bond or C
1 alkylene. In one embodiment, one of G
1 and G
2 is a bond, and the other is C
1 alkylene. In one embodiment, G
1 and G
2 are both C
1 alkylene.
In one embodiment, G
3 is a bond. In one embodiment, G
3 is C
1 alkylene. In one embodiment, G
3 is C
2-C
12 alkylene. In one embodiment, G
3 is C
4-C
8 alkylene. In one embodiment, G
3 is C
5-C
7 alkylene. In one embodiment, G
3 is C
5 alkylene. In one embodiment, G
3 is C
7 alkylene. In one embodiment, G
3 is C
2-C
12 alkenylene. In one embodiment, G
3 is C
4-C
8 alkenylene. In one embodiment, G
3 is C
5-C
7 alkenylene. In one embodiment, G
3 is C
5 alkenylene. In one embodiment, G
3 is C
7 alkenylene.
In one embodiment, L
1 is R
1.
In one embodiment, L
1 is –OC (=O) R
1, -C (=O) OR
1, -OC (=O) OR
1, -C (=O) R
1, -OR
1, -S (O)
xR
1, -S-SR
1, -C (=O) SR
1, -SC (=O) R
1, -NR
aC (=O) R
1, -C (=O) NR
bR
c, -NR
aC (=O) NR
bR
c, -OC (=O) NR
bR
c, -NR
aC (=O) OR
1, -SC (=S) R
1, -C (=S) SR
1, -C (=S) R
1, -CH (OH) R
1, or -P (=O) (OR
b) (OR
c) . In one embodiment, L
1 is –OC (=O) R
1, -C (=O) OR
1, -C (=O) SR
1, -SC (=O) R
1, -NR
aC (=O) R
1, or -C (=O) NR
bR
c. In one embodiment, L
1 is –OC (=O) R
1, -C (=O) OR
1, -NR
aC (=O) R
1, or -C (=O) NR
bR
c. In one embodiment, L
1 is –OC (=O) R
1. In one embodiment, L
1 is -C (=O) OR
1. In one embodiment, L
1 is -NR
aC (=O) R
1. In one embodiment, L
1 is -C (=O) NR
bR
c.
In one embodiment, L
2 is R
2.
In one embodiment, L
2 is –OC (=O) R
2, -C (=O) OR
2, -OC (=O) OR
2, -C (=O) R
2, -OR
2, -S (O)
xR
2, -S-SR
2, -C (=O) SR
2, -SC (=O) R
2, -NR
dC (=O) R
2, -C (=O) NR
eR
f, -NR
dC (=O) NR
eR
f, -OC (=O) NR
eR
f, -NR
dC (=O) OR
2, -SC (=S) R
2, -C (=S) SR
2, -C (=S) R
2, -CH (OH) R
2, or -P (=O) (OR
e) (OR
f) . In one embodiment, L
2 is –OC (=O) R
2, -C (=O) OR
2, -C (=O) SR
2, -SC (=O) R
2, -NR
dC (=O) R
2, or -C (=O) NR
eR
f. In one embodiment, L
2 is –OC (=O) R
2, -C (=O) OR
2, -NR
dC (=O) R
2, or -C (=O) NR
eR
f. In one embodiment, L
2 is –OC (=O) R
2. In one embodiment, L
2 is -C (=O) OR
2. In one embodiment, L
2 is -NR
dC (=O) R
2. In one embodiment, L
2 is -C (=O) NR
eR
f.
In one embodiment, G
1 is a bond, and L
1 is R
1. In one embodiment, G
1 is a bond, and L
1 is -OC (=O) R
1. In one embodiment, G
1 is C
1 alkylene, and L
1 is -OC (=O) R
1.
In one embodiment, G
2 is a bond, and L
2 is R
2. In one embodiment, G
2 is a bond, and L
2 is -OC (=O) R
2. In one embodiment, G
2 is C
1 alkylene, and L
2 is -OC (=O) R
2.
In one embodiment, L
3 is -O-. In one embodiment, L
3 is -OC (=O) -. In one embodiment, L
3 is -C (=O) O-. As described herein and unless otherwise specified, the point of attachment on the left side of L
3 is to G
3, and the point of attachment on the right side of L
3 is to X. For example, when L
3 is -OC (=O) -, it refers to G
3-OC (=O) -X.
In one embodiment, L is a lipid of the formula
In one embodiment, L is a lipid of the formula
or a stereoisomer thereof.
In one embodiment, X is C
1-C
12 alkylene, wherein:
one or more -CH
2-is independently optionally replaced by -O-, -NR
a-, -OC (=O) -, -C (=O) O-, -OC (=O) O-, -C (=O) -, -S (O)
x-, -S-S-, -C (=O) S-, -SC (=O) -, -NR
aC (=O) -, -C (=O) NR
b-, -NR
aC (=O) NR
b-, -SC (=S) -, -C (=S) S-, -C (=S) -, -P (=O) (OR
b) -O-, -O-P (=O) (OR
b) -O-, - (C
6-C
10 arylene) -, or - (6-to 10-membered heteroarylene) -;
x is 0, 1, or 2;
R
a and R
b are each independently H, C
1-C
12 alkyl, or C
2-C
12 alkenyl; and
and each alkyl, alkenyl, alkylene, arylene, and heteroarylene is optionally substituted.
In one embodiment, X is C
1-C
12 alkylene, wherein one or more -CH
2-is independently optionally replaced by -O-, -NR
a-, -OC (=O) -, -C (=O) O-, -NR
aC (=O) -, or -C (=O) NR
b-. In one embodiment, X is C
1-C
8 alkylene, wherein one or more -CH
2-is independently optionally replaced by -O-, -NR
a-, -OC (=O) -, -C (=O) O-, -NR
aC (=O) -, or -C (=O) NR
b-.
In one embodiment, X is -C (=O) -C
1-C
11 alkylene, wherein one or more -CH
2-is independently optionally replaced by -O-, -NR
a-, -OC (=O) -, -C (=O) O-, -NR
aC (=O) -, or -C (=O) NR
b-. In one embodiment, X is -C (=O) -C
1-C
7 alkylene, wherein one or more -CH
2-is independently optionally replaced by -O-, -NR
a-, -OC (=O) -, -C (=O) O-, -NR
aC (=O) -, or -C (=O) NR
b-.
In one embodiment, X is -P (=O) (OR
b) -O-C
1-C
11 alkylene, wherein one or more -CH
2-is independently optionally replaced by -O-, -NR
a-, -OC (=O) -, -C (=O) O-, -NR
aC (=O) -, or -C (=O) NR
b-. In one embodiment, X is -P (=O) (OR
b) -O-C
1-C
7 alkylene, wherein one or more -CH
2-is independently optionally replaced by -O-, -NR
a-, -OC (=O) -, -C (=O) O-, -NR
aC (=O) -, or -C (=O) NR
b-.
In one embodiment, the alkylene of X is optionally substituted with one or more of C
1-C
6 alkyl (e.g., methyl) or cyano.
In one embodiment, X has one of the following structures:
In one embodiment, the polymer conjugated lipid compounds provided herein can be prepared by controlled radical polymerization (CRP) . In one embodiment, the CRP is atom transfer radical polymerization (ATRP) . In one embodiment, the CRP is reversible addition fragmentation transfer (RAFT) polymerization. In one embodiment, T is a polymer chain-end group resulted from CRP, or a modification of the chain-end group. One common chain-end group from ATRP is –Br. One common chain-end group from RAFT polymerization is a thiocarbonylthio group. For a review of polymer chain-end modification, see, e.g., Lunn et al., Journal of Polymer Science, Part A: Polymer Chemistry 2017, 55, 2903–2914, the entirety of which is incorporated herein by reference.
In one embodiment, T is hydrogen, halogen, alkyl, alkenyl, -OR” , -SR” , -COOR” , -OCOR” , -NR” R” , -N
+ (R” )
3, -P
+ (R” )
3, -S-C (=S) -S-R” , -S-C (=S) -O-R” , -S-C (=S) -NR” R” , -S-C (=S) -aryl, cyano, azido, aryl, heteroaryl, or a targeting group, wherein each occurrence of R” is independently hydrogen or alkyl, and wherein each alkyl, alkenyl, aryl, and heteroaryl is independently optionally substituted.
In one embodiment, T is hydrogen. In one embodiment, T is bromo. In one embodiment, T is allyl. In one embodiment, T is -SR” . In one embodiment, T is -S-alkyl, wherein alkyl is optionally substituted with one or more hydroxyl, carboxyl, or alkoxy, . In one embodiment, T is -S-CH
2-CH
2-OH. In one embodiment, T is -S-CH
2-CH
2-COOH. In one embodiment, T is -S-CH
2-CH
2-OMe. In one embodiment, T is -NH-alkyl, wherein alkyl is optionally substituted with one or more hydroxyl, carboxyl, or alkoxy. In one embodiment, T is -NH-CH
2-CH
2-OH. In one embodiment, T is -NH-CH
2-CH
2-COOH. In one embodiment, T is -NH-CH
2-CH
2-OMe.
In one embodiment, T is azido (-N
3) . In one embodiment, T is an optionally substituted 1, 2, 3-triazole.
In one embodiment, T is -S-C (=S) -S-Et. In one embodiment, T is -S-C (=S) -S-C
12H
25. In one embodiment, T is -S-C (=S) -phenyl. In one embodiment, T is -S-C (=S) -N (Me) (phenyl) .
In one embodiment, the targeting group specifically recognizes a molecule on the surface of the target cell, such as, e.g., a cell surface receptor. Particularly suitable targeting groups include antibodies, antibody-like molecules, polypeptides, proteins (e.g., insulin-like growth factor II (IGF -II) ) , peptides (e.g., an integrin-binding peptide such as an RGD-containing peptide) , and small molecules such as, for example, sugars (e.g., lactose, galactose, N-acetyl galactosamine (GalNAc) , mannose, mannose-6-phosphate (M6P) ) or vitamins (e.g., folate) . In one embodiment, the targeting group is a small molecular targeting group (e.g., folic acid) . In one embodiment, the targeting group is a peptide, adapter, or a fragment of a monoclonal antibody. In one embodiment, the targeting group comprises one or more N-acetyl galactosamine (GalNAc) residues.
In one embodiment, the compound is a compound of Formula (III) :
or a pharmaceutically acceptable salt or stereoisomer thereof, wherein:
each R
5 is independently H, C
1-C
6 alkyl, or cyano.
In one embodiment, the compound is a compound of Formula (IV) :
or a pharmaceutically acceptable salt or stereoisomer thereof, wherein:
each R
5 is independently H, C
1-C
6 alkyl, or cyano.
In one embodiment, the compound is a compound of Formula (III-A) :
or a pharmaceutically acceptable salt or stereoisomer thereof, wherein:
s is an integer from 1 to 6;
t is an integer from 1 to 6;
each R
o is independently C
1-C
6 alkyl; or two R
o together with the nitrogen to which they are attached form a cyclic moiety; and
wherein each alkyl and cyclic moiety is independently optionally substituted.
In one embodiment, the compound is a compound of Formula (III-B) :
or a pharmaceutically acceptable salt or stereoisomer thereof, wherein:
s is an integer from 1 to 6;
t is an integer from 1 to 6;
each R
o is independently C
1-C
6 alkyl; or two R
o together with the nitrogen to which they are attached form a cyclic moiety; and
wherein each alkyl and cyclic moiety is independently optionally substituted.
In one embodiment, the compound is a compound of Formula (III-C) :
or a pharmaceutically acceptable salt or stereoisomer thereof, wherein:
s is an integer from 1 to 6;
t is an integer from 1 to 6;
each R
o is independently C
1-C
6 alkyl; or two R
o together with the nitrogen to which they are attached form a cyclic moiety; or three R
o together with the nitrogen to which they are attached form a bicyclic moiety; and
wherein each alkyl, cyclic moiety and bicyclic moiety is independently optionally substituted.
In one embodiment, the compound is a compound of Formula (IV-A) :
or a pharmaceutically acceptable salt or stereoisomer thereof, wherein:
s is an integer from 1 to 6;
each R
o is independently C
1-C
6 alkyl; or two R
o together with the nitrogen to which they are attached form a cyclic moiety; or three R
o together with the nitrogen to which they are attached form a bicyclic moiety; and
wherein each alkyl, cyclic moiety and bicyclic moiety is independently optionally substituted.
In one embodiment, the compound is a compound of Formula (IV-B) :
or a pharmaceutically acceptable salt or stereoisomer thereof, wherein:
s is an integer from 1 to 6;
t is an integer from 1 to 6;
each R
o is independently C
1-C
6 alkyl; or two R
o together with the nitrogen to which they are attached form a cyclic moiety; or three R
o together with the nitrogen to which they are attached form a bicyclic moiety; and
wherein each alkyl, cyclic moiety and bicyclic moiety is independently optionally substituted.
In one embodiment, the compound is a compound of Formula (IV-C) :
or a pharmaceutically acceptable salt or stereoisomer thereof, wherein:
s is an integer from 1 to 6;
t is an integer from 1 to 6;
each R
o is independently C
1-C
6 alkyl; or two R
o together with the nitrogen to which they are attached form a cyclic moiety; or three R
o together with the nitrogen to which they are attached form a bicyclic moiety;
each R
p is independently C
1-C
6 alkyl or -O- (C
1-C
6 alkyl) ; and
wherein each alkyl, cyclic moiety and bicyclic moiety is independently optionally substituted.
In one embodiment, the compound is a compound of Formula (V) :
or a pharmaceutically acceptable salt or stereoisomer thereof, wherein:
each R
5 is independently H, C
1-C
6 alkyl, or cyano.
In one embodiment, the compound is a compound of Formula (VI) :
or a pharmaceutically acceptable salt or stereoisomer thereof, wherein:
each R
5 is independently H, C
1-C
6 alkyl, or cyano.
In one embodiment, the compound is a compound of Formula (V-A) :
or a pharmaceutically acceptable salt or stereoisomer thereof, wherein:
s is an integer from 1 to 6;
t is an integer from 1 to 6;
each R
o is independently C
1-C
6 alkyl; or two R
o together with the nitrogen to which they are attached form a cyclic moiety; and
wherein each alkyl and cyclic moiety is independently optionally substituted.
In one embodiment, the compound is a compound of Formula (V-B) :
or a pharmaceutically acceptable salt or stereoisomer thereof, wherein:
s is an integer from 1 to 6;
t is an integer from 1 to 6;
each R
o is independently C
1-C
6 alkyl; or two R
o together with the nitrogen to which they are attached form a cyclic moiety; and
wherein each alkyl and cyclic moiety is independently optionally substituted.
In one embodiment, the compound is a compound of Formula (V-C) :
or a pharmaceutically acceptable salt or stereoisomer thereof, wherein:
s is an integer from 1 to 6;
t is an integer from 1 to 6;
each R
o is independently C
1-C
6 alkyl; or two R
o together with the nitrogen to which they are attached form a cyclic moiety; or three R
o together with the nitrogen to which they are attached form a bicyclic moiety; and
wherein each alkyl, cyclic moiety and bicyclic moiety is independently optionally substituted.
In one embodiment, the compound is a compound of Formula (VI-A) :
or a pharmaceutically acceptable salt or stereoisomer thereof, wherein:
s is an integer from 1 to 6;
each R
o is independently C
1-C
6 alkyl; or two R
o together with the nitrogen to which they are attached form a cyclic moiety; or three R
o together with the nitrogen to which they are attached form a bicyclic moiety; and
wherein each alkyl, cyclic moiety and bicyclic moiety is independently optionally substituted.
In one embodiment, the compound is a compound of Formula (VI-B) :
or a pharmaceutically acceptable salt or stereoisomer thereof, wherein:
s is an integer from 1 to 6;
t is an integer from 1 to 6;
each R
o is independently C
1-C
6 alkyl; or two R
o together with the nitrogen to which they are attached form a cyclic moiety; or three R
o together with the nitrogen to which they are attached form a bicyclic moiety; and
wherein each alkyl, cyclic moiety and bicyclic moiety is independently optionally substituted.
In one embodiment, the compound is a compound of Formula (VI-C) :
or a pharmaceutically acceptable salt or stereoisomer thereof, wherein:
s is an integer from 1 to 6;
t is an integer from 1 to 6;
each R
o is independently C
1-C
6 alkyl; or two R
o together with the nitrogen to which they are attached form a cyclic moiety; or three R
o together with the nitrogen to which they are attached form a bicyclic moiety;
each R
p is independently C
1-C
6 alkyl or -O- (C
1-C
6 alkyl) ; and
wherein each alkyl, cyclic moiety and bicyclic moiety is independently optionally substituted.
In one embodiment of Formula (I-A) , (I-B) , (I-C) , (II-A) , (II-B) , (II-C) , (III-A) , (III-B) , (III-C) , (IV-A) , (IV-B) , (IV-C) , (V-A) , (V-B) , (V-C) , (VI-A) , (VI-B) , or (VI-C) , s is 1. In one embodiment, s is 2. In one embodiment, s is 3. In one embodiment, s is 4. In one embodiment, s is 5. In one embodiment, s is 6.
In one embodiment of Formula (I-A) , (I-B) , (I-C) , (II-B) , (II-C) , (III-A) , (III-B) , (III-C) , (IV-B) , (IV-C) , (V-A) , (V-B) , (V-C) , (VI-B) , or (VI-C) , t is 1. In one embodiment, t is 2. In one embodiment, t is 3. In one embodiment, t is 4. In one embodiment, t is 5. In one embodiment, t is 6.
In one embodiment of Formula (I-A) , (I-B) , (I-C) , (II-B) , (II-C) , (III-A) , (III-B) , (III-C) , (IV-B) , (IV-C) , (V-A) , (V-B) , (V-C) , (VI-B) , or (VI-C) , s is an integer from 1 to 3, and t is an integer from 1 to 3. In one embodiment, s is 1, and t is 1. In one embodiment, s is 1, and t is 2. In one embodiment, s is 1, and t is 3. In one embodiment, s is 2, and t is 1. In one embodiment, s is 2, and t is 2. In one embodiment, s is 2, and t is 3. In one embodiment, s is 3, and t is 1. In one embodiment, s is 3, and t is 2. In one embodiment, s is 3, and t is 3.
In one embodiment of Formula (I-A) , (III-A) , or (V-A) , s is 2, and t is 1.
In one embodiment of Formula (I-B) , (III-B) , or (V-B) , s is 2, and t is 3.
In one embodiment of Formula (I-C) , (III-C) , or (V-C) , s is 2, and t is 2.
In one embodiment of Formula (II-B) , (IV-B) , or (VI-B) , s is 2, and t is 1.
In one embodiment of Formula (II-C) , (IV-C) , or (VI-C) , s is 2, and t is 2.
In one embodiment, each R
o is independently C
1-C
6 alkyl. In one embodiment, each R
o is independently C
1-C
3 alkyl. In one embodiment, all R
o are methyl. In one embodiment, all R
o are ethyl. In one embodiment, two R
o together with the nitrogen to which they are attached form a cyclic moiety. In one embodiment, three R
o together with the nitrogen to which they are attached form a bicyclic moiety.
In one embodiment, R
p is C
1-C
6 alkyl. In one embodiment, R
p is C
1-C
3 alkyl. In one embodiment, R
p is methyl. In one embodiment, R
p is ethyl.
In one embodiment, R
p is -O- (C
1-C
6 alkyl) . In one embodiment, R
p is -O- (C
1-C
3 alkyl) . In one embodiment, R
p is methoxy. In one embodiment, R
p is ethoxy.
In one embodiment, R
1 and R
2 are each independently straight C
6-C
24 alkyl, branched C
6-C
24 alkyl, or straight C
6-C
24 alkenyl.
In one embodiment, R
1 and R
2 are each independently straight C
6-C
18 alkyl, -R
7-CH (R
8) (R
9) , or C
6-C
18 alkenyl, wherein R
7 is C
0-C
5 alkylene, and R
8 and R
9 are independently C
2-C
10 alkyl.
In one embodiment, R
1 and R
2 are each independently straight C
7-C
15 alkyl or -R
7-CH (R
8) (R
9) , wherein R
7 is C
0-C
1 alkylene, and R
8 and R
9 are independently C
4-C
8 alkyl.
In one embodiment, R
1 and R
2 are each independently straight C
6-C
24 alkyl. In one embodiment, R
1 and R
2 are each independently straight C
7-C
15 alkyl. In one embodiment, R
1 and R
2 are each independently straight C
7 alkyl. In one embodiment, R
1 and R
2 are each independently straight C
9 alkyl. In one embodiment, R
1 and R
2 are each independently straight C
11 alkyl. In one embodiment, R
1 and R
2 are each independently straight C
13 alkyl. In one embodiment, R
1 and R
2 are each independently straight C
15 alkyl.
In one embodiment, R
1 and R
2 are each independently branched C
6-C
24 alkyl or branched C
6-C
24 alkenyl.
In one embodiment, R
1 and R
2 are each independently -R
7-CH (R
8) (R
9) , wherein R
7 is C
1-C
5 alkylene, and R
8 and R
9 are independently C
2-C
10 alkyl or C
2-C
10 alkenyl.
In one embodiment, R
1 and R
2 are each independently straight C
6-C
24 alkenyl. In one embodiment, R
1 and R
2 are each independently straight C
6-C
18 alkenyl. In one embodiment, R
1 and R
2 are each independently straight C
17 alkenyl.
In one embodiment, R
1 or R
2, or both, independently has one of the following structures:
In one embodiment, R
a and R
d are each independently H.
In one embodiment, R
b, R
c, R
e, and R
f are each independently n-hexyl or n-octyl.
In one embodiment, R
3 is H. In one embodiment, R
3 is C
1-C
6 alkyl. In one embodiment, R
3 is C
1-C
4 alkyl. In one embodiment, R
3 is methyl. In one embodiment, R
3 is ethyl. In one embodiment, R
3 is n-propyl. In one embodiment, R
3 is isopropyl. In one embodiment, R
3 is n-butyl. In one embodiment, R
3 is n-pentyl. In one embodiment, R
3 is n-hexyl.
In one embodiment, n is an integer from 2 to 100. In one embodiment, n is an integer from 2 to 50. In one embodiment, n is an integer from 5 to 20. In one embodiment, n is 5. In one embodiment, n is 10. In one embodiment, n is 15. In one embodiment, n is 20.
In one embodiment, the compound is a compound in Table 1, or a pharmaceutically acceptable salt, prodrug or stereoisomer thereof.
Table 1.
In one embodiment, the compound is a compound in Table 2, or a pharmaceutically acceptable salt, prodrug or stereoisomer thereof.
Table 2.
It is understood that any embodiment of the compounds provided herein, as set forth above, and any specific substituent and/or variable in the compound provided herein, as set forth above, may be independently combined with other embodiments and/or substituents and/or variables of the compounds to form embodiments not specifically set forth above. In addition, in the event that a list of substituents and/or variables is listed for any particular group or variable, it is understood that each individual substituent and/or variable may be deleted from the particular embodiment and/or claim and that the remaining list of substituents and/or variables will be considered to be within the scope of embodiments provided herein.
It is understood that in the present description, combinations of substituents and/or variables of the depicted formulae are permissible only if such contributions result in stable compounds.
7.4 Nanoparticle Compositions
In one aspect, described herein are nanoparticle compositions comprising a polymer conjugated lipid compound described herein. In particular embodiments, the nanoparticle composition comprises a compound according to Formulae (I) or (II) (and sub-formulas thereof) as described herein.
In one embodiment, provided herein is a composition comprising a compound provided herein (e.g., a compound according to Formulae (I) or (II) (and sub-formulas thereof) , and a therapeutic or prophylactic agent.
In one embodiment, the composition further comprising one or more cationic lipids. In one embodiment, the molar ratio of the cationic lipid to the compound ranges from about 100: 1 to about 20: 1.
In one embodiment, the composition further comprising one or more neutral lipids. In one embodiment, the one or more neutral lipids is DSPC. In one embodiment, the molar ratio of the cationic lipid to the neutral lipids ranges from about 2: 1 to about 8: 1.
In one embodiment, the composition further comprising a steroid. In one embodiment, the steroid is cholesterol. In one embodiment, the molar ratio of the cationic lipid to the steroid ranges from about 5: 1 to about 1: 1.
In one embodiment, the therapeutic or prophylactic agent comprises at least one mRNA encoding an antigen or a fragment or epitope thereof. In one embodiment, the mRNA is monocistronic mRNA. In one embodiment, the mRNA is multicistronic mRNA. In one embodiment, the antigen is a pathogenic antigen. In one embodiment, the antigen is a tumor associated antigen. In one embodiment, the mRNA comprises one or more functional nucleotide analog. In one embodiment, the functional nucleotide analog is one or more selected from pseudouridine, 1-methyl-pseudouridine and 5-methylcytosine.
In one embodiment, the composition is a nanoparticle. In one embodiment, provided herein is a lipid nanoparticle comprising a compound provided herein (e.g., a compound according to Formulae (I) or (II) (and sub-formulas thereof) , or a composition provided herein. In one embodiment, provided herein is a pharmaceutical composition comprising a compound provided herein (e.g., a compound according to Formulae (I) or (II) (and sub-formulas thereof) , a composition provided herein, or a lipid nanoparticle provided herein, and a pharmaceutically acceptable excipient or diluent.
In some embodiments, the largest dimension of a nanoparticle composition provided herein is 1 μm or shorter (e.g., ≤1 μm, ≤900 nm, ≤800 nm, ≤700 nm, ≤600 nm, ≤500 nm, ≤400 nm, ≤300 nm, ≤200 nm, ≤175 nm, ≤150 nm, ≤125 nm, ≤100 nm, ≤75 nm, ≤50 nm, or shorter) , such as when measured by dynamic light scattering (DLS) , transmission electron microscopy, scanning electron microscopy, or another method. In one embodiment, the lipid nanoparticle provided herein has at least one dimension that is in the range of from about 40 to about 200 nm. In one embodiment, the at least one dimension is in the range of from about 40 to about 100 nm.
Nanoparticle compositions that can be used in connection with the present disclosure include, for example, lipid nanoparticles (LNPs) , nano liproprotein particles, liposomes, lipid vesicles, and lipoplexes. In some embodiments, nanoparticle compositions are vesicles including one or more lipid bilayers. In some embodiments, a nanoparticle composition includes two or more concentric bilayers separated by aqueous compartments. Lipid bilayers may be functionalized and/or crosslinked to one another. Lipid bilayers may include one or more ligands, proteins, or channels.
The characteristics of a nanoparticle composition may depend on the components thereof. For example, a nanoparticle composition including cholesterol as a structural lipid may have different characteristics than a nanoparticle composition that includes a different structural lipid. Similarly, the characteristics of a nanoparticle composition may depend on the absolute or relative amounts of its components. For instance, a nanoparticle composition including a higher molar fraction of a phospholipid may have different characteristics than a nanoparticle composition including a lower molar fraction of a phospholipid. Characteristics may also vary depending on the method and conditions of preparation of the nanoparticle composition.
Nanoparticle compositions may be characterized by a variety of methods. For example, microscopy (e.g., transmission electron microscopy or scanning electron microscopy) may be used to examine the morphology and size distribution of a nanoparticle composition. Dynamic light scattering or potentiometry (e.g., potentiometric titrations) may be used to measure zeta potentials. Dynamic light scattering may also be utilized to determine particle sizes. Instruments such as the Zetasizer Nano ZS (Malvem Instruments Ltd, Malvem, and Worcestershire, UK) may also be used to measure multiple characteristics of a nanoparticle composition, such as particle size, polydispersity index, and zeta potential.
Dh (size) : The mean size of a nanoparticle composition may be between 10s of nm and 100s of nm. For example, the mean size may be from about 40 nm to about 150 nm, such as about 40 nm, 45 nm, 50 nm, 55 nm, 60 nm, 65 nm, 70 nm, 75 nm, 80 nm, 85 nm, 90 nm, 95 nm, 100 nm, 105 nm, 110 nm, 115 nm, 120 nm, 125 nm, 130 nm, 135 nm, 140 nm, 145 nm, or 150 nm. In some embodiments, the mean size of a nanoparticle composition may be from about 50 nm to about 100 nm, from about 50 nm to about 90 nm, from about 50 nm to about 80 nm, from about 50 nm to about 70 nm, from about 50 nm to about 60 nm, from about 60 nm to about 100 nm, from about 60 nm to about 90 nm, from about 60 nm to about 80 nm, from about 60 nm to about 70 nm, from about 70 nm to about 100 nm, from about 70 nm to about 90 nm, from about 70 nm to about 80 nm, from about 80 nm to about 100 nm, from about 80 nm to about 90 nm, or from about 90 nm to about 100 nm. In certain embodiments, the mean size of a nanoparticle composition may be from about 70 nm to about 100 nm. In some embodiments, the mean size may be about 80 nm. In other embodiments, the mean size may be about 100 nm.
PDI: A nanoparticle composition may be relatively homogenous. A polydispersity index may be used to indicate the homogeneity of a nanoparticle composition, e.g., the particle size distribution of the nanoparticle compositions. A small (e.g., less than 0.3) polydispersity index generally indicates a narrow particle size distribution. A nanoparticle composition may have a polydispersity index from about 0 to about 0.25, such as 0.01, 0.02, 0.03, 0.04, 0.05, 0.06, 0.07, 0.08, 0.09, 0.10, 0.11, 0.12, 0.13, 0.14, 0.15, 0.16, 0.17, 0.18, 0.19, 0.20, 0.21, 0.22, 0.23, 0.24, or 0.25. In some embodiments, the polydispersity index of a nanoparticle composition may be from about 0.10 to about 0.20.
Encapsulation Efficiency: The efficiency of encapsulation of a therapeutic and/or prophylactic agent describes the amount of therapeutic and/or prophylactic agent that is encapsulated or otherwise associated with a nanoparticle composition after preparation, relative to the initial amount provided. The encapsulation efficiency is desirably high (e.g., close to 100 %) . The encapsulation efficiency may be measured, for example, by comparing the amount of therapeutic and/or prophylactic agent in a solution containing the nanoparticle composition before and after breaking up the nanoparticle composition with one or more organic solvents or detergents. Fluorescence may be used to measure the amount of free therapeutic and/or prophylactic agent (e.g., RNA) in a solution. For the nanoparticle compositions described herein, the encapsulation efficiency of a therapeutic and/or prophylactic agent may be at least 50 %, for example 50 %, 55 %, 60 %, 65 %, 70 %, 75 %, 80 %, 85 %, 90 %, 91 %, 92 %, 93 %, 94 %, 95 %, 96 %, 97 %, 98 %, 99 %, or 100 %. In some embodiments, the encapsulation efficiency may be at least 80 %. In certain embodiments, the encapsulation efficiency may be at least 90 %.
Apparant pKa: The zeta potential of a nanoparticle composition may be used to indicate the electrokinetic potential of the composition. For example, the zeta potential may describe the surface charge of a nanoparticle composition. Nanoparticle compositions with relatively low charges, positive or negative, are generally desirable, as more highly charged species may interact undesirably with cells, tissues, and other elements in the body. In some embodiments, the zeta potential of a nanoparticle composition may be from about -10 mV to about + 20 mV, from about -10 mV to about + 15mV, from about -10 mV to about + 10 mV, from about -10 mV to about + 5 mV, from about -10 mV to about 0 mV, from about -10 mV to about -5 mV, from about -5 mV to about + 20 mV, from about -5 mV to about + 15 mV, from about -5 mV to about + 10 mV, from about -5 mV to about + 5 mV, from about -5 mV to about 0 mV, from about 0 mV to about + 20 mV, from about 0 mV to about + 15 mV, from about 0 mV to about + 10 mV, from about 0 mV to about + 5 mV, from about + 5 mV to about + 20 mV, from about + 5 mV to about + 15 mV, or from about + 5 mV to about + 10 mV.
In another embodiment, the self-replicating RNA may be formulated in a liposome. As a non-limiting example, the self-replicating RNA may be formulated in liposomes as described in International Publication No. WO20120067378, herein incorporated by reference in its entirety. In one aspect, the liposomes may comprise lipids which have a pKa value which may be advantageous for delivery of mRNA. In another aspect, the liposomes may have an essentially neutral Surface charge at physiological pH and may therefore be effective for immunization (see, e.g., the liposomes described in International Publication No. WO20120067378, herein incorporated by reference in its entirety) .
In some embodiments, nanoparticle compositions as described comprise a polymer conjugated lipid component including at least one polymer conjugated lipid, such as a compound according to one of Formulae (I) or (II) (and sub-formulas thereof) as described herein. For example, in some embodiments, a nanoparticle composition may include a polymer conjugated lipid component including one of compounds provided herein. Nanoparticle compositions may also include one or more other lipid or non-lipid components as described below.
7.4.1 Cationic/Ionizable Lipids
As described herein, in some embodiments, a nanoparticle composition provided herein comprises one or more charged or ionizable lipids in addition to a polymer conjugated lipid according to Formula (I) or (II) (and sub-formulas thereof) . Without being bound by the theory, it is contemplated that certain charged or zwitterionic lipid components of a nanoparticle composition resembles the lipid component in the cell membrane, thereby can improve cellular uptake of the nanoparticle. Exemplary charged or ionizable lipids that can form part of the present nanoparticle composition include but are not limited to 3- (didodecylamino) -N1, N1, 4-tridodecyl-1-piperazineethanamine (KL10) , N1- [2- (didodecylamino) ethyl] -N1, N4, N4-tridodecyl-1, 4-piperazinediethanamine (KL22) , 14, 25-ditridecyl-15, 18, 21, 24-tetraaza-octatriacontane (KL25) , 1, 2-dilinoleyloxy-N, N-dimethylaminopropane (DLinDMA) , 2, 2-dilinoleyl-4-dimethylaminomethyl- [1, 3] -dioxolane (DLin-K-DMA) , heptatriaconta-6, 9, 28, 31-tetraen-19-yl 4- (dimethylamino) butanoate (DLin-MC3-DMA) , 2, 2-dilinoleyl-4- (2-dimethylaminoethyl) - [1, 3] -dioxolane (DLin-KC2-DMA) , 1, 2-dioleyloxy-N, N-dimethylaminopropane (DODMA) , 2- ( {8- [ (3β) -cholest-5-en-3-yloxy] octyl} oxy) -N, N-dimethyl-3 [(9Z, 12Z) -octadeca-9, 12-dien-1-yloxy] propan-1-amine (Octyl-CLinDMA) , (2R) -2- ( {8- [ (3β) - cholest-5-en-3-yloxy] octyl} oxy) -N, N-dimethyl-3- [ (9Z, 12Z) -octadeca-9, 12-dien-1-yloxy] propan-1-amine (Octyl-CLinDMA (2R) ) , (2S) -2- ( {8- [ (3β) -cholest-5-en-3-yloxy] octyl} oxy) -N, N-dimethyl-3- [ (9Z-, 12Z) -octadeca-9, 12-dien-1-yloxy] propan-1-amine (Octyl-CLinDMA (2S) ) , (12Z, 15Z) -N, N-dimethyl-2-nonylhenicosa-12, 15-den-1-amine, N, N-dimethyl-1- { (1S, 2R) -2-octylcyclopropyl} heptadecan-8-amine. Additional exemplary charged or ionizable lipids that can form part of the present nanoparticle composition include the lipids (e.g., lipid 5) described in Sabnis et al. “A Novel Amino Lipid Series for mRNA Delivery: Improved Endosomal Escape and Sustained Pharmacology and Safety in Non-human Primates” , Molecular Therapy Vol. 26 No 6, 2018, the entirety of which is incorporated herein by reference.
In some embodiments, suitable cationic lipids include N- [1- (2, 3-dioleyloxy) propyl] -N,N, N-trimethylammonium chloride (DOTMA) ; N- [1- (2, 3-dioleoyloxy) propyl] -N, N, N-trimethylammonium chloride (DOTAP) ; 1, 2-dioleoyl-sn-glycero-3-ethylphosphocholine (DOEPC) ; 1, 2-dilauroyl-sn-glycero-3-ethylphosphocholine (DLEPC) ; 1, 2-dimyristoyl-sn-glycero-3-ethylphosphocholine (DMEPC) ; 1, 2-dimyristoleoyl-sn-glycero-3-ethylphosphocholine (14: 1) ; N1- [2- ( (1S) -1- [ (3-aminopropyl) amino] -4- [di (3-amino-propyl) amino] butylcarboxamido) ethyl] -3, 4-di [oleyloxy] -benzamide (MVL5) ; dioctadecylamido-glycylspermine (DOGS) ; 3b- [N- (N', N'-dimethylaminoethyl) carbamoyl] cholesterol (DC-Chol) ; dioctadecyldimethylammonium bromide (DDAB) ; SAINT-2, N-methyl-4-(dioleyl) methylpyridinium; 1, 2-dimyristyloxypropyl-3-dimethylhydroxyethylammonium bromide (DMRIE) ; 1, 2-dioleoyl-3-dimethyl-hydroxyethyl ammonium bromide (DORIE) ; 1, 2-dioleoyloxypropyl-3-dimethylhydroxyethyl ammonium chloride (DORI) ; di-alkylated amino acid (DILA
2) (e.g., C18: 1-norArg-C16) ; dioleyldimethylammonium chloride (DODAC) ; 1-palmitoyl-2-oleoyl-sn-glycero-3-ethylphosphocholine (POEPC) ; 1, 2-dimyristoleoyl-sn-glycero-3-ethylphosphocholine (MOEPC) ; (R) -5- (dimethylamino) pentane-1, 2-diyl dioleate hydrochloride (DODAPen-Cl) ; (R) -5-guanidinopentane-1, 2-diyl dioleate hydrochloride (DOPen-G) ; and (R) -N, N, N-trimethyl-4, 5-bis (oleoyloxy) pentan-1-aminium chloride (DOTAPen) . Also suitable are cationic lipids with headgroups that are charged at physiological pH, such as primary amines (e.g., DODAG N', N'-dioctadecyl-N-4, 8-diaza-10-aminodecanoylglycine amide) and guanidinium head groups (e.g., bis-guanidinium-spermidine-cholesterol (BGSC) , bis-guanidiniumtren-cholesterol (BGTC) , PONA, and (R) -5-guanidinopentane-1, 2-diyl dioleate hydrochloride (DOPen-G) ) . Yet another suitable cationic lipid is (R) -5- (dimethylamino) pentane- 1, 2-diyl dioleate hydrochloride (DODAPen-Cl) . In certain embodiments, the cationic lipid is a particular enantiomer or the racemic form, and includes the various salt forms of a cationic lipid as above (e.g., chloride or sulfate) . For example, in some embodiments, the cationic lipid is N- [1- (2, 3-dioleoyloxy) propyl] -N, N, N-trimethylammonium chloride (DOTAP-Cl) or N- [1- (2, 3-dioleoyloxy) propyl] -N, N, N-trimethylammonium sulfate (DOTAP-Sulfate) . In some embodiments, the cationic lipid is an ionizable cationic lipid such as, e.g., dioctadecyldimethylammonium bromide (DDAB) ; 1, 2-dilinoleyloxy-3-dimethylaminopropane (DLinDMA) ; 2, 2-dilinoleyl-4- (2dimethylaminoethyl) - [1, 3] -dioxolane (DLin-KC2-DMA) ; heptatriaconta-6, 9, 28, 31-tetraen-19-yl 4- (dimethylamino) butanoate (DLin-MC3-DMA) ; 1, 2-dioleoyloxy-3-dimethylaminopropane (DODAP) ; 1, 2-dioleyloxy-3-dimethylaminopropane (DODMA) ; and morpholinocholesterol (Mo-CHOL) . In certain embodiments, a lipid nanoparticle includes a combination or two or more cationic lipids (e.g., two or more cationic lipids as above) .
Additionally, in some embodiments, the charged or ionizable lipid that can form part of the present nanoparticle composition is a lipid including a cyclic amine group. Additional cationic lipids that are suitable for the formulations and methods disclosed herein include those described in WO2015199952, WO2016176330, and WO2015011633, the entire contents of each of which are hereby incorporated by reference in their entireties.
7.4.2 Polymer Conjugated Lipids
In some embodiments, the lipid component of a nanoparticle composition can include one or more polymer conjugated lipids, such as PEGylated lipids (PEG lipids) , in addition to a polymer conjugated lipid of Formula (I) or (II) (and sub-formulas thereof) . Without being bound by the theory, it is contemplated that a polymer conjugated lipid component in a nanoparticle composition can improve of colloidal stability and/or reduce protein absorption of the nanoparticles. Exemplary polymer conjugated lipids that can be used in connection with the present disclosure include but are not limited to PEG-modified phosphatidylethanolamines, PEG-modified phosphatidic acids, PEG-modified ceramides, PEG-modified dialkylamines, PEG-modified diacylglycerols, PEG-modified dialkylglycerols, and mixtures thereof. For example, a PEG lipid may be PEG-c-DOMG, PEG-DMG, PEG-DLPE, PEG-DMPE, PEG-DPPC, PEG-DSPE, Ceramide-PEG2000, or Chol-PEG2000.
In one embodiment, the additional polymer conjugated lipid is a pegylated lipid. For example, some embodiments include a pegylated diacylglycerol (PEG-DAG) such as 1- (monomethoxy-polyethyleneglycol) -2, 3-dimyristoylglycerol (PEG-DMG) , a pegylated phosphatidylethanoloamine (PEG-PE) , a PEG succinate diacylglycerol (PEG-S-DAG) such as 4-O- (2’, 3’-di (tetradecanoyloxy) propyl-1-O- (ω-methoxy (polyethoxy) ethyl) butanedioate (PEG-S-DMG) , a pegylated ceramide (PEG-cer) , or a PEG dialkoxypropylcarbamate such as ω-methoxy (polyethoxy) ethyl-N- (2, 3-di (tetradecanoxy) propyl) carbamate or 2, 3-di (tetradecanoxy) propyl-N- (ω-methoxy (polyethoxy) ethyl) carbamate.
In one embodiment, the polymer conjugated lipid is present in a concentration ranging from 1.0 to 2.5 molar percent. In one embodiment, the polymer conjugated lipid is present in a concentration of about 1.7 molar percent. In one embodiment, the polymer conjugated lipid is present in a concentration of about 1.5 molar percent.
In one embodiment, the molar ratio of cationic lipid to the polymer conjugated lipid ranges from about 35: 1 to about 25: 1. In one embodiment, the molar ratio of cationic lipid to polymer conjugated lipid ranges from about 100: 1 to about 20: 1.
In one embodiment, the pegylated lipid has the following Formula:
or a pharmaceutically acceptable salt, tautomer or stereoisomer thereof, wherein:
R
12 and R
13 are each independently a straight or branched, saturated or unsaturated alkyl chain containing from 10 to 30 carbon atoms, wherein the alkyl chain is optionally interrupted by one or more ester bonds; and
w has a mean value ranging from 30 to 60.
In one embodiment, R
12 and R
13 are each independently straight, saturated alkyl chains containing from 12 to 16 carbon atoms. In other embodiments, the average w ranges from 42 to 55, for example, the average w is 42, 43, 44, 45, 46, 47, 48, 49, 50, 51, 52, 53, 54 or 55. In some specific embodiments, the average w is about 49.
In one embodiment, the pegylated lipid has the following Formula:
wherein the average w is about 49.
7.4.3 Structural Lipids
In some embodiments, the lipid component of a nanoparticle composition can include one or more structural lipids. Without being bound by the theory, it is contemplated that structural lipids can stabilize the amphiphilic structure of a nanoparticle, such as but not limited to the lipid bilayer structure of a nanoparticle. Exemplary structural lipids that can be used in connection with the present disclosure include but are not limited to cholesterol, fecosterol, sitosterol, ergosterol, campesterol, stigmasterol, brassicasterol, tomatidine, tomatine, ursolic acid, alpha-tocopherol, and mixtures thereof. In certain embodiments, the structural lipid is cholesterol. In some embodiments, the structural lipid includes cholesterol and a corticosteroid (such as prednisolone, dexamethasone, prednisone, and hydrocortisone) , or a combination thereof.
In one embodiment, the lipid nanoparticles provided herein comprise a steroid or steroid analogue. In one embodiment, the steroid or steroid analogue is cholesterol. In one embodiment, the steroid is present in a concentration ranging from 39 to 49 molar percent, 40 to 46 molar percent, from 40 to 44 molar percent, from 40 to 42 molar percent, from 42 to 44 molar percent, or from 44 to 46 molar percent. In one embodiment, the steroid is present in a concentration of 40, 41, 42, 43, 44, 45, or 46 molar percent.
In one embodiment, the molar ratio of cationic lipid to the steroid ranges from 1.0: 0.9 to 1.0: 1.2, or from 1.0: 1.0 to 1.0: 1.2. In one embodiment, the molar ratio of cationic lipid to cholesterol ranges from about 5: 1 to 1: 1. In one embodiment, the steroid is present in a concentration ranging from 32 to 40 mol percent of the steroid.
7.4.4 Phospholipids
In some embodiments, the lipid component of a nanoparticle composition can include one or more phospholipids, such as one or more (poly) unsaturated lipids. Without being bound by the theory, it is contemplated that phospholipids may assemble into one or more lipid bilayers structures. Exemplary phospholipids that can form part of the present nanoparticle composition include but are not limited to 1, 2-distearoyl-sn-glycero-3-phosphocholine (DSPC) , 1, 2-dioleoyl-sn-glycero-3-phosphoethanolamine (DOPE) , 1, 2-dilinoleoyl-sn-glycero-3-phosphocholine (DLPC) , 1, 2-dimyristoyl-sn-glycero-phosphocholine (DMPC) , 1, 2-dioleoyl-sn-glycero-3-phosphocholine (DOPC) , 1, 2-dipalmitoyl-sn-glycero-3-phosphocholine (DPPC) , 1, 2-diundecanoyl-sn-glycero-phosphocholine (DUPC) , 1-palmitoyl-2-oleoyl-sn-glycero-3-phosphocholine (POPC) , 1, 2-di-O-octadecenyl-sn-glycero-3-phosphocholine (18: 0 Diether PC) , 1-oleoyl-2-cholesterylhemisuccinoyl-sn-glycero-3-phosphocholine (OChemsPC) , 1-hexadecyl-sn-glycero-3-phosphocholine (C16 Lyso PC) , 1, 2-dilinolenoyl-sn-glycero-3-phosphocholine, 1, 2-diarachidonoyl-sn-glycero-3-phosphocholine, 1, 2-didocosahexaenoyl-sn-glycero-3-phosphocholine, 1, 2-diphytanoyl-sn-glycero-3-phosphoethanolamine (ME 16.0 PE) , 1, 2-distearoyl-sn-glycero-3-phosphoethanolamine, 1, 2-dilinoleoyl-sn-glycero-3-phosphoethanolamine, 1, 2-dilinolenoyl-sn-glycero-3-phosphoethanolamine, 1, 2-diarachidonoyl-sn-glycero-3-phosphoethanolamine, 1, 2-didocosahexaenoyl-sn-glycero-3-phosphoethanolamine, 1, 2-dioleoyl-sn-glycero-3-phospho-rac- (1-glycerol) sodium salt (DOPG) , and sphingomyelin. In certain embodiments, a nanoparticle composition includes DSPC. In certain embodiments, a nanoparticle composition includes DOPE. In some embodiments, a nanoparticle composition includes both DSPC and DOPE.
Additional exemplary neutral lipids include, for example, dipalmitoylphosphatidylglycerol (DPPG) , palmitoyloleoyl-phosphatidylethanolamine (POPE) and dioleoyl-phosphatidylethanolamine 4- (N-maleimidomethyl) -cyclohexane-1carboxylate (DOPE-mal) , dipalmitoyl phosphatidyl ethanolamine (DPPE) , dimyristoylphosphoethanolamine (DMPE) , distearoyl-phosphatidylethanolamine (DSPE) , 16-O-monomethyl PE, 16-O-dimethyl PE, 18-1-trans PE, 1-stearioyl-2-oleoylphosphatidyethanol amine (SOPE) , and 1, 2-dielaidoyl-sn-glycero-3-phophoethanolamine (transDOPE) . In one embodiment, the neutral lipid is 1, 2-distearoyl-sn-glycero-3phosphocholine (DSPC) . In one embodiment, the neutral lipid is selected from DSPC, DPPC, DMPC, DOPC, POPC, DOPE and SM.
In one embodiment, the neutral lipid is phosphatidylcholine (PC) , phosphatidylethanolamine (PE) phosphatidylserine (PS) , phosphatidic acid (PA) , or phosphatidylglycerol (PG) .
Additionally phospholipids that can form part of the present nanoparticle composition also include those described in WO2017/112865, the entire content of which is hereby incorporated by reference in its entirety.
7.4.5 Therapeutic Payload
According to the present disclosure, nanoparticle compositions as described herein can further comprise one or more therapeutic and/or prophylactic agents. These therapeutic and/or prophylactic agents are sometimes referred to as a “therapeutic payload” or “payload” in the present disclosure. In some embodiments, the therapeutic payload can be administered in vivo or in vitro using the nanoparticles as a delivery vehicle.
In some embodiments, the nanoparticle composition comprises, as the therapeutic payload, a small molecule compound (e.g., a small molecule drug) such as antineoplastic agents (e.g., vincristine, doxorubicin, mitoxantrone, camptothecin, cisplatin, bleomycin, cyclophosphamide, methotrexate, and streptozotocin) , antitumor agents (e.g., actinomycin D, vincristine, vinblastine, cytosine arabinoside, anthracyclines, alkylating agents, platinum compounds, antimetabolites, and nucleoside analogs, such as methotrexate and purine and pyrimidine analogs) , anti-infective agents, local anesthetics (e.g., dibucaine and chlorpromazine) , beta-adrenergic blockers (e.g., propranolol, timolol, and labetalol) , antihypertensive agents (e.g., clonidine and hydralazine) , anti-depressants (e.g., imipramine, amitriptyline, and doxepin) , anti-convulsants (e.g., phenytoin) , antihistamines (e.g., diphenhydramine, chlorpheniramine, and promethazine) , antibiotic/antibacterial agents (e.g., gentamycin, ciprofloxacin, and cefoxitin) , antifungal agents (e.g., miconazole, terconazole, econazole, isoconazole, butaconazole, clotrimazole, itraconazole, nystatin, naftifine, and amphotericin B) , antiparasitic agents, hormones, hormone antagonists, immunomodulators, neurotransmitter antagonists, antiglaucoma agents, vitamins, narcotics, and imaging agents.
In some embodiments, the therapeutic payload comprises a cytotoxin, a radioactive ion, a chemotherapeutic, a vaccine, a compound that elicits an immune response, and/or another therapeutic and/or prophylactic agent. A cytotoxin or cytotoxic agent includes any agent that may be detrimental to cells. Examples include, but are not limited to, taxol, cytochalasin B, gramicidin D, ethidium bromide, emetine, mitomycin, etoposide, teniposide, vincristine, vinblastine, colchicine, doxorubicin, daunorubicin, dihydroxyanthracinedione, mitoxantrone, mithramycin, actinomycin D, 1-dehydrotestosterone, glucocorticoids, procaine, tetracaine, lidocaine, propranolol, puromycin, maytansinoids, e.g., maytansinol, rachelmycin (CC-1065) , and analogs or homologs thereof. Radioactive ions include, but are not limited to iodine (e.g., iodine 125 or iodine 131) , strontium 89, phosphorous, palladium, cesium, iridium, phosphate, cobalt, yttrium 90, samarium 153, and praseodymium.
In other embodiments, the therapeutic payload of the present nanoparticle composition can include, but is not limited to, therapeutic and/or prophylactic agents such as antimetabolites (e.g., methotrexate, 6-mercaptopurine, 6-thioguanine, cytarabine, 5-fluorouracil, dacarbazine) , alkylating agents (e.g., mechlorethamine, thiotepa chlorambucil, rachelmycin (CC-1065) , melphalan, carmustine (BSNU) , lomustine (CCNU) , cyclophosphamide, busulfan, dibromomannitol, streptozotocin, mitomycin C, and cis-dichlorodiamine platinum (II) (DDP) cisplatin) , anthracyclines (e.g., daunorubicin (formerly daunomycin) and doxorubicin) , antibiotics (e.g., dactinomycin (formerly actinomycin) , bleomycin, mithramycin, and anthramycin (AMC) ) , and anti-mitotic agents (e.g., vincristine, vinblastine, taxol and maytansinoids) .
In some embodiments, the nanoparticle composition comprises, as the therapeutic payload, a biological molecule such as peptides and polypeptides. The biological molecules forming part of the present nanoparticle composition can be either of a natural source or synthetic. For example, in some embodiments, the therapeutic payload of the present nanoparticle composition can include, but is not limited to gentamycin, amikacin, insulin, erythropoietin (EPO) , granulocyte-colony stimulating factor (G-CSF) , granulocyte-macrophage colony stimulating factor (GM-CSF) , Factor VIR, luteinizing hormone-releasing hormone (LHRH) analogs, interferons, heparin, Hepatitis B surface antigen, typhoid vaccine, cholera vaccine, and peptides and polypeptides.
7.4.5.1 Nucleic Acids
In some embodiments, the present nanoparticle composition comprises one or more nucleic acid molecules (e.g., DNA or RNA molecules) as the therapeutic payload. Exemplary forms of nucleic acid molecules that can be included in the present nanoparticle composition as therapeutic payload include, but are not limited to, one or more of deoxyribonucleic acid (DNA) , ribonucleic acid (RNA) including messenger mRNA (mRNA) , hybrids thereof, RNAi-inducing agents, RNAi agents, siRNAs, shRNAs, miRNAs, antisense RNAs, ribozymes, catalytic DNA, RNAs that induce triple helix formation, aptamers, vectors, etc. In certain embodiments, the therapeutic payload comprises an RNA. RNA molecules that can be included in the present nanoparticle composition as the therapeutic payload include, but are not limited to, shortmers, agomirs, antagomirs, antisense, ribozymes, small interfering RNA (siRNA) , asymmetrical interfering RNA (aiRNA) , microRNA (miRNA) , Dicer-substrate RNA (dsRNA) , small hairpin RNA (shRNA) , transfer RNA (tRNA) , messenger RNA (mRNA) , and other forms of RNA molecules known in the art. In particular embodiments, the RNA is an mRNA.
In other embodiments, the nanoparticle composition comprises a siRNA molecule as the therapeutic payload. Particularly, in some embodiments, the siRNA molecule is capable of selectively interfering with and downregulate the expression of a gene of interest. For example, in some embodiments, the siRNA payload selectively silence a gene associated with a particular disease, disorder, or condition upon administration to a subject in need thereof of a nanoparticle composition including the siRNA. In some embodiments, the siRNA molecule comprises a sequence that is complementary to an mRNA sequence encoding a protein product of interest. In some embodiments, the siRNA molecule is an immunomodulatory siRNA.
In some embodiments, the nanoparticle composition comprises a shRNA molecule or a vector encoding the shRNA molecule as the therapeutic payload. Particularly, in some embodiments, the therapeutic payload, upon administering to a target cell, produces shRNA inside the target cell. Constructs and mechanisms relating to shRNA are well known in the relevant arts.
In some embodiments, the nanoparticle composition comprises an mRNA molecule as the therapeutic payload. Particularly, in some embodiments, the mRNA molecule encodes a polypeptide of interest, including any naturally or non-naturally occurring or otherwise modified polypeptide. A polypeptide encoded by an mRNA may be of any size and may have any secondary structure or activity. In some embodiments, the polypeptide encoded by an mRNA payload can have a therapeutic effect when expressed in a cell.
In some embodiment, a nucleic acid molecule of the present disclosure comprises an mRNA molecule. In specific embodiments, the nucleic acid molecule comprises at least one coding region encoding a peptide or polypeptide of interest (e.g., an open reading frame (ORF) ) . In some embodiments, the nucleic acid molecule further comprises at least one untranslated region (UTR) . In particular embodiments, the untranslated region (UTR) is located upstream (to the 5’-end) of the coding region, and is referred to herein as the 5’-UTR. In particular embodiments, the untranslated region (UTR) is located downstream (to the 3’-end) of the coding region, and is referred to herein as the 3’-UTR. In particular embodiments, the nucleic acid molecule comprises both a 5’-UTR and a 3’-UTR. In some embodiments, the 5’-UTR comprises a 5’-Cap structure. In some embodiments, the nucleic acid molecule comprises a Kozak sequence (e.g., in the 5’-UTR) . In some embodiments, the nucleic acid molecule comprises a poly-A region (e.g., in the 3’-UTR) . In some embodiments, the nucleic acid molecule comprises a polyadenylation signal (e.g., in the 3’-UTR) . In some embodiments, the nucleic acid molecule comprises stabilizing region (e.g., in the 3’-UTR) . In some embodiments, the nucleic acid molecule comprises a secondary structure. In some embodiments, the secondary structure is a stem-loop. In some embodiments, the nucleic acid molecule comprises a stem-loop sequence (e.g., in the 5’-UTR and/or the 3’-UTR) . In some embodiments, the nucleic acid molecule comprises one or more intronic regions capable of being excised during splicing. In a specific embodiment, the nucleic acid molecule comprises one or more region selected from a 5’-UTR, and a coding region. In a specific embodiment, the nucleic acid molecule comprises one or more region selected from a coding region and a 3’-UTR. In a specific embodiment, the nucleic acid molecule comprises one or more region selected from a 5’-UTR, a coding region, and a 3’-UTR.
Coding Region
In some embodiments, the nucleic acid molecule of the present disclosure comprises at least one coding region. In some embodiments, the coding region is an open reading frame (ORF) that encodes for a single peptide or protein. In some embodiments, the coding region comprises at least two ORFs, each encoding a peptide or protein. In those embodiments where the coding region comprises more than one ORFs, the encoded peptides and/or proteins can be the same as or different from each other. In some embodiments, the multiple ORFs in a coding region are separated by non-coding sequences. In specific embodiments, a non-coding sequence separating two ORFs comprises an internal ribosome entry sites (IRES) .
Without being bound by the theory, it is contemplated that an internal ribosome entry sites (IRES) can act as the sole ribosome binding site, or serve as one of multiple ribosome binding sites of an mRNA. An mRNA molecule containing more than one functional ribosome binding site can encode several peptides or polypeptides that are translated independently by the ribosomes (e.g., multicistronic mRNA) . Accordingly, in some embodiments, the nucleic acid molecule of the present disclosure (e.g., mRNA) comprises one or more internal ribosome entry sites (IRES) . Examples of IRES sequences that can be used in connection with the present disclosure include, without limitation, those from picomaviruses (e.g., FMDV) , pest viruses (CFFV) , polio viruses (PV) , encephalomyocarditis viruses (ECMV) , foot-and-mouth disease viruses (FMDV) , hepatitis C viruses (HCV) , classical swine fever viruses (CSFV) , murine leukemia virus (MLV) , simian immune deficiency viruses (SIV) or cricket paralysis viruses (CrPV) .
In various embodiments, the nucleic acid molecule of the present disclose encodes for at least 1, 2, 3, 4, 5, 6, 7, 8, 9, 10 or more than 10 peptides or proteins. Peptides and proteins encoded by a nucleic acid molecule can be the same or different. In some embodiments, the nucleic acid molecule of the present disclosure encodes a dipeptide (e.g., camosine and anserine) . In some embodiments, the nucleic acid molecule encodes a tripeptide. In some embodiments, the nucleic acid molecule encodes a tetrapeptide. In some embodiments, the nucleic acid molecule encodes a pentapeptide. In some embodiments, the nucleic acid molecule encodes a hexapeptide. In some embodiments, the nucleic acid molecule encodes a heptapeptide. In some embodiments, the nucleic acid molecule encodes an octapeptide. In some embodiments, the nucleic acid molecule encodes a nonapeptide. In some embodiments, the nucleic acid molecule encodes a decapeptide. In some embodiments, the nucleic acid molecule encodes a peptide or polypeptide that has at least about 15 amino acids. In some embodiments, the nucleic acid molecule encodes a peptide or polypeptide that has at least about 50 amino acids. In some embodiments, the nucleic acid molecule encodes a peptide or polypeptide that has at least about 100 amino acids. In some embodiments, the nucleic acid molecule encodes a peptide or polypeptide that has at least about 150 amino acids. In some embodiments, the nucleic acid molecule encodes a peptide or polypeptide that has at least about 300 amino acids. In some embodiments, the nucleic acid molecule encodes a peptide or polypeptide that has at least about 500 amino acids. In some embodiments, the nucleic acid molecule encodes a peptide or polypeptide that has at least about 1000 amino acids.
In some embodiments, the nucleic acid molecule of the present disclosure is at least about 30 nucleotides (nt) in length. In some embodiments, the nucleic acid molecule is at least about 35 nt in length. In some embodiments, the nucleic acid molecule is at least about 40 nt in length. In some embodiments, the nucleic acid molecule is at least about 45 nt in length. In some embodiments the nucleic acid molecule is at least about 50 nt in length. In some embodiments, the nucleic acid molecule is at least about 55 nt in length. In some embodiments, the nucleic acid molecule is at least about 60 nt in length. In some embodiments, the nucleic acid molecule is at least about 65 nt in length. In some embodiments, the nucleic acid molecule is at least about 70 nt in length. In some embodiments, the nucleic acid molecule is at least about 75 nt in length. In some embodiments, the nucleic acid molecule is at least about 80 nt in length. In some embodiments the nucleic acid molecule is at least about 85 nt in length. In some embodiments, the nucleic acid molecule is at least about 90 nt in length. In some embodiments, the nucleic acid molecule is at least about 95 nt in length. In some embodiments, the nucleic acid molecule is at least about 100 nt in length. In some embodiments, the nucleic acid molecule is at least about 120 nt in length. In some embodiments, the nucleic acid molecule is at least about 140 nt in length. In some embodiments, the nucleic acid molecule is at least about 160 nt in length. In some embodiments, the nucleic acid molecule is at least about 180 nt in length. In some embodiments, the nucleic acid molecule is at least about 200 nt in length. In some embodiments, the nucleic acid molecule is at least about 250 nt in length. In some embodiments, the nucleic acid molecule is at least about 300 nt in length. In some embodiments, the nucleic acid molecule is at least about 400 nt in length. In some embodiments, the nucleic acid molecule is at least about 500 nt in length. In some embodiments, the nucleic acid molecule is at least about 600 nt in length. In some embodiments, the nucleic acid molecule is at least about 700 nt in length. In some embodiments, the nucleic acid molecule is at least about 800 nt in length. In some embodiments, the nucleic acid molecule is at least about 900 nt in length. In some embodiments, the nucleic acid molecule is at least about 1000 nt in length. In some embodiments, the nucleic acid molecule is at least about 1100 nt in length. In some embodiments, the nucleic acid molecule is at least about 1200 nt in length. In some embodiments, the nucleic acid molecule is at least about 1300 nt in length. In some embodiments, the nucleic acid molecule is at least about 1400 nt in length. In some embodiments, the nucleic acid molecule is at least about 1500 nt in length. In some embodiments, the nucleic acid molecule is at least about 1600 nt in length. In some embodiments, the nucleic acid molecule is at least about 1700 nt in length. In some embodiments, the nucleic acid molecule is at least about 1800 nt in length. In some embodiments, the nucleic acid molecule is at least about 1900 nt in length. In some embodiments, the nucleic acid molecule is at least about 2000 nt in length. In some embodiments, the nucleic acid molecule is at least about 2500 nt in length. In some embodiments, the nucleic acid molecule is at least about 3000 nt in length. In some embodiments, the nucleic acid molecule is at least about 3500 nt in length. In some embodiments, the nucleic acid molecule is at least about 4000 nt in length. In some embodiments, the nucleic acid molecule is at least about 4500 nt in length. In some embodiments, the nucleic acid molecule is at least about 5000 nt in length.
In specific embodiments, the therapeutic payload comprises a vaccine composition (e.g., a genetic vaccine) as described herein. In some embodiments, the therapeutic payload comprises a compound capable of eliciting immunity against one or more target conditions or disease. In some embodiments, the target condition is related to or caused by infection by a pathogen, such as a coronavirus (e.g. 2019-nCoV) , influenza, measles, human papillomavirus (HPV) , rabies, meningitis, whooping cough, tetanus, plague, hepatitis, and tuberculosis. In some embodiments, the therapeutic payload comprises a nucleic acid sequence (e.g., mRNA) encoding a pathogenic protein characteristic for the pathogen, or an antigenic fragment or epitope thereof. The vaccine, upon administration to a vaccinated subject, allows for expression of the encoded pathogenic protein (or the antigenic fragment or epitope thereof) , thereby eliciting immunity in the subject against the pathogen.
In some embodiments, the target condition is related to or caused by neoplastic growth of cells, such as a cancer. In some embodiments, the therapeutic payload comprises a nucleic acid sequence (e.g., mRNA) encoding a tumor associated antigen (TAA) characteristic for the cancer, or an antigenic fragment or epitope thereof. The vaccine, upon administration to a vaccinated subject, allows for expression of the encoded TAA (or the antigenic fragment or epitope thereof) , thereby eliciting immunity in the subject against the neoplastic cells expressing the TAA.
5’-Cap Structure
Without being bound by the theory, it is contemplated that, a 5’-cap structure of a polynucleotide is involved in nuclear export and increasing polynucleotide stability and binds the mRNA Cap Binding Protein (CBP) , which is responsible for polynucleotide stability in the cell and translation competency through the association of CBP with poly-A binding protein to form the mature cyclic mRNA species. The 5’-cap structure further assists the removal of 5’-proximal introns removal during mRNA splicing. Accordingly, in some embodiments, the nucleic acid molecules of the present disclosure comprise a 5’-cap structure.
Nucleic acid molecules may be 5’-end capped by the endogenous transcription machinery of a cell to generate a 5’-ppp-5’-triphosphate linkage between a terminal guanosine cap residue and the 5’-terminal transcribed sense nucleotide of the polynucleotide. This 5’-guanylate cap may then be methylated to generate an N7-methyl-guanylate residue. The ribose sugars of the terminal and/or anteterminal transcribed nucleotides of the 5’ end of the polynucleotide may optionally also be 2’-O-methylated. 5’-decapping through hydrolysis and cleavage of the guanylate cap structure may target a nucleic acid molecule, such as an mRNA molecule, for degradation.
In some embodiments, the nucleic acid molecules of the present disclosure comprise one or more alterations to the natural 5’-cap structure generated by the endogenous process. Without being bound by the theory, a modification on the 5’-cap may increase the stability of polynucleotide, increase the half-life of the polynucleotide, and could increase the polynucleotide translational efficiency.
Exemplary alterations to the natural 5’-Cap structure include generation of a non-hydrolyzable cap structure preventing decapping and thus increasing polynucleotide half-life. In some embodiments, because cap structure hydrolysis requires cleavage of 5’-ppp-5’ phosphorodiester linkages, in some embodiments, modified nucleotides may be used during the capping reaction. For example, in some embodiments, a Vaccinia Capping Enzyme from New England Biolabs (Ipswich, Mass. ) may be used with α-thio-guanosine nucleotides according to the manufacturer’s instructions to create a phosphorothioate linkage in the 5’-ppp-5’ cap. Additional modified guanosine nucleotides may be used, such as α-methyl-phosphonate and seleno-phosphate nucleotides.
Additional exemplary alterations to the natural 5’-Cap structure also include modification at the 2’-and/or 3’-position of a capped guanosine triphosphate (GTP) , a replacement of the sugar ring oxygen (that produced the carbocyclic ring) with a methylene moiety (CH
2) , a modification at the triphosphate bridge moiety of the cap structure, or a modification at the nucleobase (G) moiety.
Additional exemplary alterations to the natural 5’-cap structure include, but are not limited to, 2’-O-methylation of the ribose sugars of 5’-terminal and/or 5’-anteterminal nucleotides of the polynucleotide (as mentioned above) on the 2’-hydroxy group of the sugar. Multiple distinct 5’-cap structures can be used to generate the 5’-cap of a polynucleotide, such as an mRNA molecule. Additional exemplary 5’-Cap structures that can be used in connection with the present disclosure further include those described in International Patent Publication Nos. WO2008127688, WO 2008016473, and WO 2011015347, the entire contents of each of which are incorporated herein by reference.
In various embodiments, 5’-terminal caps can include cap analogs. Cap analogs, which herein are also referred to as synthetic cap analogs, chemical caps, chemical cap analogs, or structural or functional cap analogs, differ from natural (i.e., endogenous, wild-type, or physiological) 5’-caps in their chemical structure, while retaining cap function. Cap analogs may be chemically (i.e., non-enzymatically) or enzymatically synthesized and/linked to a polynucleotide.
For example, the Anti-Reverse Cap Analog (ARCA) cap contains two guanosines linked by a 5’-5’-triphosphate group, wherein one guanosine contains an N7-methyl group as well as a 3’-O-methyl group (i.e., N7, 3’-O-dimethyl-guanosine-5’-triphosphate-5’-guanosine, m
7G-3’mppp-G, which may equivalently be designated 3’ O-Me-m7G (5’) ppp (5’) G) . The 3’-O atom of the other, unaltered, guanosine becomes linked to the 5’-terminal nucleotide of the capped polynucleotide (e.g., an mRNA) . The N7-and 3’-O-methlyated guanosine provides the terminal moiety of the capped polynucleotide (e.g., mRNA) . Another exemplary cap structure is mCAP, which is similar to ARCA but has a 2’-O-methyl group on guanosine (i.e., N7, 2’-O-dimethyl-guanosine-5’-triphosphate-5’-guanosine, m
7Gm-ppp-G) .
In some embodiments, a cap analog can be a dinucleotide cap analog. As a non-limiting example, the dinucleotide cap analog may be modified at different phosphate positions with a boranophosphate group or a phophoroselenoate group such as the dinucleotide cap analogs described in U.S. Patent No.: 8,519,110, the entire content of which is herein incorporated by reference in its entirety.
In some embodiments, a cap analog can be a N7- (4-chlorophenoxyethyl) substituted dinucleotide cap analog known in the art and/or described herein. Non-limiting examples of N7- (4-chlorophenoxyethyl) substituted dinucleotide cap analogs include a N7- (4-chlorophenoxyethyl) -G (5’) ppp (5’) G and a N7- (4-chlorophenoxyethyl) -m3’-OG (5’) ppp (5’) G cap analog (see, e.g., the various cap analogs and the methods of synthesizing cap analogs described in Kore et al. Bioorganic &Medicinal Chemistry 2013 21: 4570-4574; the entire content of which is herein incorporated by reference) . In other embodiments, a cap analog useful in connection with the nucleic acid molecules of the present disclosure is a 4-chloro/bromophenoxyethyl analog.
In various embodiments, a cap analog can include a guanosine analog. Useful guanosine analogs include but are not limited to inosine, N1-methyl-guanosine, 2’-fluoro-guanosine, 7-deaza-guanosine, 8-oxo-guanosine, 2-amino-guanosine, LNA-guanosine, and 2-azido-guanosine.
Without being bound by the theory, it is contemplated that while cap analogs allow for the concomitant capping of a polynucleotide in an in vitro transcription reaction, up to 20%of transcripts remain uncapped. This, as well as the structural differences of a cap analog from the natural 5’-cap structures of polynucleotides produced by the endogenous transcription machinery of a cell, may lead to reduced translational competency and reduced cellular stability.
Accordingly, in some embodiments, a nucleic acid molecule of the present disclosure can also be capped post-transcriptionally, using enzymes, in order to generate more authentic 5’-cap structures. As used herein, the phrase “more authentic” refers to a feature that closely mirrors or mimics, either structurally or functionally, an endogenous or wild type feature. That is, a “more authentic” feature is better representative of an endogenous, wild-type, natural or physiological cellular function, and/or structure as compared to synthetic features or analogs of the prior art, or which outperforms the corresponding endogenous, wild-type, natural, or physiological feature in one or more respects. Non-limiting examples of more authentic 5’-cap structures useful in connection with the nucleic acid molecules of the present disclosure are those which, among other things, have enhanced binding of cap binding proteins, increased half-life, reduced susceptibility to 5’-endonucleases, and/or reduced 5’-decapping, as compared to synthetic 5’-cap structures known in the art (or to a wild-type, natural or physiological 5’-cap structure) . For example, in some embodiments, recombinant Vaccinia Virus Capping Enzyme and recombinant 2’-O-methyltransferase enzyme can create a canonical 5’-5’-triphosphate linkage between the 5’-terminal nucleotide of a polynucleotide and a guanosine cap nucleotide wherein the cap guanosine contains an N7-methylation and the 5’-terminal nucleotide of the polynucleotide contains a 2’-O-methyl. Such a structure is termed the Cap1 structure. This cap results in a higher translational-competency, cellular stability, and a reduced activation of cellular pro-inflammatory cytokines, as compared, e.g., to other 5’cap analog structures known in the art. Other exemplary cap structures include 7mG (5’) ppp (5’) N, pN2p (Cap 0) , 7mG (5’) ppp (5’) NlmpNp (Cap 1) , 7mG (5’) -ppp (5’) NlmpN2mp (Cap 2) , and m (7) Gpppm (3) (6, 6, 2’) Apm (2’) Apm (2’) Cpm (2) (3, 2’) Up (Cap 4) .
Without being bound by the theory, it is contemplated that the nucleic acid molecules of the present disclosure can be capped post-transcriptionally, and because this process is more efficient, nearly 100%of the nucleic acid molecules may be capped.
Untranslated Regions (UTRs)
In some embodiments, the nucleic acid molecules of the present disclosure comprise one or more untranslated regions (UTRs) . In some embodiments, an UTR is positioned upstream to a coding region in the nucleic acid molecule, and is termed 5’-UTR. In some embodiments, an UTR is positioned downstream to a coding region in the nucleic acid molecule, and is termed 3’-UTR. The sequence of an UTR can be homologous or heterologous to the sequence of the coding region found in a nucleic acid molecule. Multiple UTRs can be included in a nucleic acid molecule and can be of the same or different sequences, and/or genetic origin. According to the present disclosure, any portion of UTRs in a nucleic acid molecule (including none) can be codon optimized and any may independently contain one or more different structural or chemical modification, before and/or after codon optimization.
In some embodiments, a nucleic acid molecule of the present disclosure (e.g., mRNA) comprises UTRs and coding regions that are homologous with respect to each other. In other embodiments, a nucleic acid molecule of the present disclosure (e.g., mRNA) comprises UTRs and coding regions that are heterogeneous with respect to each other. In some embodiments, to monitor the activity of a UTR sequence, a nucleic acid molecule comprising the UTR and a coding sequence of a detectable probe can be administered in vitro (e.g., cell or tissue culture) or in vivo (e.g., to a subject) , and an effect of the UTR sequence (e.g., modulation on the expression level, cellular localization of the encoded product, or half-life of the encoded product) can be measured using methods known in the art.
In some embodiments, the UTR of a nucleic acid molecule of the present disclosure (e.g., mRNA) comprises at least one translation enhancer element (TEE) that functions to increase the amount of polypeptide or protein produced from the nucleic acid molecule. In some embodiments, the TEE is located in the 5’-UTR of the nucleic acid molecule. In other embodiments, the TEE is located at the 3’-UTR of the nucleic acid molecule. In yet other embodiments, at least two TEE are located at the 5’-UTR and 3’-UTR of the nucleic acid molecule respectively. In some embodiments, a nucleic acid molecule of the present disclosure (e.g., mRNA) can comprise one or more copies of a TEE sequence or comprise more than one different TEE sequences. In some embodiments, different TEE sequences that are present in a nucleic acid molecule of the present disclosure can be homologues or heterologous with respect to one another.
Various TEE sequences that are known in the art and can be used in connection with the present disclosure. For example, in some embodiments, the TEE can be an internal ribosome entry site (IRES) , HCV-IRES or an IRES element. Chappell et al. Proc. Natl. Acad. Sci. USA 101: 9590-9594, 2004; Zhou et al. Proc. Natl. Acad. Sci. 102: 6273-6278, 2005. Additional internal ribosome entry site (IRES) that can be used in connection with the present disclosure include but are not limited to those described in U.S. Patent No. 7,468,275, U.S. Patent Publication No. 2007/0048776 and U.S. Patent Publication No. 2011/0124100 and International Patent Publication No. WO2007/025008 and International Patent Publication No. WO2001/055369, the content of each of which is enclosed herein by reference in its entirety. In some embodiments, the TEE can be those described in Supplemental Table 1 and in Supplemental Table 2 of Wellensiek et al Genome-wide profiling of human cap-independent translation-enhancing elements, Nature Methods, 2013 Aug; 10 (8) : 747–750; the content of which is incorporated by reference in its entirety.
Additional exemplary TEEs that can be used in connection with the present disclosure include but are not limited to the TEE sequences disclosed in U.S. Patent No. 6,310,197, U.S. Patent No. 6,849,405, U.S. Patent No. 7,456,273, U.S. Patent No. 7,183,395, U.S. Patent Publication No. 2009/0226470, U.S. Patent Publication No. 2013/0177581, U.S. Patent Publication No. 2007/0048776, U.S. Patent Publication No. 2011/0124100, U.S. Patent Publication No. 2009/0093049, International Patent Publication No. WO2009/075886, International Patent Publication No. WO2012/009644, and International Patent Publication No. WO1999/024595, International Patent Publication No. WO2007/025008, International Patent Publication No. WO2001/055371, European Patent No. 2610341, European Patent No. 2610340, the content of each of which is enclosed herein by reference in its entirety.
In various embodiments, a nucleic acid molecule of the present disclosure (e.g., mRNA) comprises at least one UTR that comprises at least 1, at least 2, at least 3, at least 4, at least 5, at least 6, at least 7, at least 8, at least 9, at least 10, at least 11, at least 12, at least 13, at least 14, at least 15, at least 16, at least 17, at least 18 at least 19, at least 20, at least 21, at least 22, at least 23, at least 24, at least 25, at least 30, at least 35, at least 40, at least 45, at least 50, at least 55 or more than 60 TEE sequences. In some embodiments, the TEE sequences in the UTR of a nucleic acid molecule are copies of the same TEE sequence. In other embodiments, at least two TEE sequences in the UTR of a nucleic acid molecule are of different TEE sequences. In some embodiments, multiple different TEE sequences are arranged in one or more repeating patterns in the UTR region of a nucleic acid molecule. For illustrating purpose only, a repeating pattern can be, for example, ABABAB, AABBAABBAABB, ABCABCABC, or the like, where in these exemplary patterns, each capitalized letter (A, B, or C) represents a different TEE sequence. In some embodiments, at least two TEE sequences are consecutive with one another (i.e., no spacer sequence in between) in a UTR of a nucleic acid molecule. In other embodiments, at least two TEE sequences are separated by a spacer sequence. In some embodiments, a UTR can comprise a TEE sequence-spacer sequence module that is repeated at least once, at least twice, at least 3 times, at least 4 times, at least 5 times, at least 6 times, at least 7 times, at least 8 times, at least 9 times, or more than 9 times in the UTR. In any of the embodiments described in this paragraph, the UTR can be a 5’-UTR, a 3’-UTR or both 5’-UTR and 3’-UTR of a nucleic acid molecule.
In some embodiments, the UTR of a nucleic acid molecule of the present disclosure (e.g., mRNA) comprises at least one translation suppressing element that functions to decrease the amount of polypeptide or protein produced from the nucleic acid molecule. In some embodiments, the UTR of the nucleic acid molecule comprises one or more miR sequences or fragment thereof (e.g., miR seed sequences) that are recognized by one or more microRNA. In some embodiments, the UTR of the nucleic acid molecule comprises one or more stem-loop structure that downregulates translational activity of the nucleic acid molecule. Other mechanisms for suppressing translational activities associated with a nucleic acid molecules are known in the art. In any of the embodiments described in this paragraph, the UTR can be a 5’-UTR, a 3’-UTR or both 5’-UTR and 3’-UTR of a nucleic acid molecule.
The Polyadenylation (Poly-A) Regions
During natural RNA processing, a long chain of adenosine nucleotides (poly-A region) is normally added to messenger RNA (mRNA) molecules to increase the stability of the molecule. Immediately after transcription, the 3’-end of the transcript is cleaved to free a 3’-hydroxy. Then poly-A polymerase adds a chain of adenosine nucleotides to the RNA. The process, called polyadenylation, adds a poly-A region that is between 100 and 250 residues long. Without being bound by the theory, it is contemplated that a poly-A region can confer various advantages to the nucleic acid molecule of the present disclosure.
Accordingly, in some embodiments, a nucleic acid molecule of the present disclosure (e.g., an mRNA) comprises a polyadenylation signal. In some embodiments, a nucleic acid molecule of the present disclosure (e.g., an mRNA) comprises one or more polyadenylation (poly-A) regions. In some embodiments, a poly-A region is composed entirely of adenine nucleotides or functional analogs thereof. In some embodiments, the nucleic acid molecule comprises at least one poly-A region at its 3’-end. In some embodiments, the nucleic acid molecule comprises at least one poly-A region at its 5’-end. In some embodiments, the nucleic acid molecule comprises at least one poly-A region at its 5’-end and at least one poly-A region at its 3’-end.
According to the present disclosure, the poly-A region can have varied lengths in different embodiments. Particularly, in some embodiments, the poly-A region of a nucleic acid molecule of the present disclosure is at least 30 nucleotides in length. In some embodiments, the poly-A region of a nucleic acid molecule of the present disclosure is at least 35 nucleotides in length. In some embodiments, the poly-A region of a nucleic acid molecule of the present disclosure is at least 40 nucleotides in length. In some embodiments, the poly-A region of a nucleic acid molecule of the present disclosure is at least 45 nucleotides in length. In some embodiments, the poly-A region of a nucleic acid molecule of the present disclosure is at least 50 nucleotides in length. In some embodiments, the poly-A region of a nucleic acid molecule of the present disclosure is at least 55 nucleotides in length. In some embodiments, the poly-A region of a nucleic acid molecule of the present disclosure is at least 60 nucleotides in length. In some embodiments, the poly-A region of a nucleic acid molecule of the present disclosure is at least 65 nucleotides in length. In some embodiments, the poly-A region of a nucleic acid molecule of the present disclosure is at least 70 nucleotides in length. In some embodiments, the poly-A region of a nucleic acid molecule of the present disclosure is at least 75 nucleotides in length. In some embodiments, the poly-A region of a nucleic acid molecule of the present disclosure is at least 80 nucleotides in length. In some embodiments, the poly-A region of a nucleic acid molecule of the present disclosure is at least 85 nucleotides in length. In some embodiments, the poly-A region of a nucleic acid molecule of the present disclosure is at least 90 nucleotides in length. In some embodiments, the poly-A region of a nucleic acid molecule of the present disclosure is at least 95 nucleotides in length. In some embodiments, the poly-A region of a nucleic acid molecule of the present disclosure is at least 100 nucleotides in length. In some embodiments, the poly-A region of a nucleic acid molecule of the present disclosure is at least 110 nucleotides in length. In some embodiments, the poly-A region of a nucleic acid molecule of the present disclosure is at least 120 nucleotides in length. In some embodiments, the poly-A region of a nucleic acid molecule of the present disclosure is at least 130 nucleotides in length. In some embodiments, the poly-Aregion of a nucleic acid molecule of the present disclosure is at least 140 nucleotides in length. In some embodiments, the poly-A region of a nucleic acid molecule of the present disclosure is at least 150 nucleotides in length. In some embodiments, the poly-A region of a nucleic acid molecule of the present disclosure is at least 160 nucleotides in length. In some embodiments, the poly-A region of a nucleic acid molecule of the present disclosure is at least 170 nucleotides in length. In some embodiments, the poly-A region of a nucleic acid molecule of the present disclosure is at least 180 nucleotides in length. In some embodiments, the poly-A region of a nucleic acid molecule of the present disclosure is at least 190 nucleotides in length. In some embodiments, the poly-A region of a nucleic acid molecule of the present disclosure is at least 200 nucleotides in length. In some embodiments, the poly-A region of a nucleic acid molecule of the present disclosure is at least 225 nucleotides in length. In some embodiments, the poly-A region of a nucleic acid molecule of the present disclosure is at least 250 nucleotides in length. In some embodiments, the poly-A region of a nucleic acid molecule of the present disclosure is at least 275 nucleotides in length. In some embodiments, the poly-A region of a nucleic acid molecule of the present disclosure is at least 300 nucleotides in length. In some embodiments, the poly-A region of a nucleic acid molecule of the present disclosure is at least 350 nucleotides in length. In some embodiments, the poly-A region of a nucleic acid molecule of the present disclosure is at least 400 nucleotides in length. In some embodiments, the poly-A region of a nucleic acid molecule of the present disclosure is at least 450 nucleotides in length. In some embodiments, the poly-A region of a nucleic acid molecule of the present disclosure is at least 500 nucleotides in length. In some embodiments, the poly-A region of a nucleic acid molecule of the present disclosure is at least 600 nucleotides in length. In some embodiments, the poly-Aregion of a nucleic acid molecule of the present disclosure is at least 700 nucleotides in length. In some embodiments, the poly-A region of a nucleic acid molecule of the present disclosure is at least 800 nucleotides in length. In some embodiments, the poly-A region of a nucleic acid molecule of the present disclosure is at least 900 nucleotides in length. In some embodiments, the poly-A region of a nucleic acid molecule of the present disclosure is at least 1000 nucleotides in length. In some embodiments, the poly-A region of a nucleic acid molecule of the present disclosure is at least 1100 nucleotides in length. In some embodiments, the poly-A region of a nucleic acid molecule of the present disclosure is at least 1200 nucleotides in length. In some embodiments, the poly-A region of a nucleic acid molecule of the present disclosure is at least 1300 nucleotides in length. In some embodiments, the poly-A region of a nucleic acid molecule of the present disclosure is at least 1400 nucleotides in length. In some embodiments, the poly-Aregion of a nucleic acid molecule of the present disclosure is at least 1500 nucleotides in length. In some embodiments, the poly-A region of a nucleic acid molecule of the present disclosure is at least 1600 nucleotides in length. In some embodiments, the poly-A region of a nucleic acid molecule of the present disclosure is at least 1700 nucleotides in length. In some embodiments, the poly-A region of a nucleic acid molecule of the present disclosure is at least 1800 nucleotides in length. In some embodiments, the poly-A region of a nucleic acid molecule of the present disclosure is at least 1900 nucleotides in length. In some embodiments, the poly-A region of a nucleic acid molecule of the present disclosure is at least 2000 nucleotides in length. In some embodiments, the poly-A region of a nucleic acid molecule of the present disclosure is at least 2250 nucleotides in length. In some embodiments, the poly-A region of a nucleic acid molecule of the present disclosure is at least 2500 nucleotides in length. In some embodiments, the poly-A region of a nucleic acid molecule of the present disclosure is at least 2750 nucleotides in length. In some embodiments, the poly-A region of a nucleic acid molecule of the present disclosure is at least 3000 nucleotides in length.
In some embodiments, length of a poly-A region in a nucleic acid molecule can be selected based on the overall length of the nucleic acid molecule, or a portion thereof (such as the length of the coding region or the length of an open reading frame of the nucleic acid molecule, etc. ) . For example, in some embodiments, the poly-A region accounts for about 5%, 10%, 15%, 20%, 25%, 30%, 35%, 40%, 45%, 50%, 55%, 60%, 65%, 70%, 75%, 80%, 85%, 90%, 95%or more of the total length of nucleic acid molecule containing the poly-A region.
Without being bound by the theory, it is contemplated that certain RNA-binding proteins can bind to the poly-A region located at the 3’-end of an mRNA molecule. These poly-A binding proteins (PABP) can modulate mRNA expression, such as interacting with translation initiation machinery in a cell and/or protecting the 3’-poly-A tails from degradation. Accordingly, in some embodiments, in some embodiments, the nucleic acid molecule of the present disclosure (e.g., mRNA) comprises at least one binding site for poly-A binding protein (PABP) . In other embodiments, the nucleic acid molecule is conjugated or complex with a PABP before loaded into a delivery vehicle (e.g., lipid nanoparticles) .
In some embodiments, the nucleic acid molecule of the present disclosure (e.g., mRNA) comprises a poly-A-G Quartet. The G-quartet is a cyclic hydrogen bonded array of four guanosine nucleotides that can be formed by G-rich sequences in both DNA and RNA. In this embodiment, the G-quartet is incorporated at the end of the poly-A region. The resultant polynucleotides (e.g., mRNA) may be assayed for stability, protein production and other parameters including half-life at various time points. It has been discovered that the polyA-G quartet structure results in protein production equivalent to at least 75%of that seen using a poly-A region of 120 nucleotides alone.
In some embodiments, the nucleic acid molecule of the present disclosure (e.g., mRNA) may include a poly-A region and may be stabilized by the addition of a 3’-stabilizing region. In some embodiments, the 3’-stabilizing region which may be used to stabilize a nucleic acid molecule (e.g., mRNA) including the poly-A or poly-A-G Quartet structures as described in International Patent Publication No. WO2013/103659, the content of which is incorporated herein by reference in its entirety.
In other embodiments, the 3’-stabilizing region which may be used in connection with the nucleic acid molecules of the present disclosure include a chain termination nucleoside such as but is not limited to 3’-deoxyadenosine (cordycepin) , 3’-deoxyuridine, 3’-deoxycytosine, 3’-deoxyguanosine, 3’-deoxythymine, 2’, 3’-dideoxynucleosides, such as 2’, 3’-dideoxyadenosine, 2’, 3’-dideoxyuridine, 2’, 3’-dideoxycytosine, 2’, 3’-dideoxyguanosine, 2’, 3’-dideoxythymine, a 2’-deoxynucleoside, or an O-methylnucleoside, 3’-deoxynucleoside, 2’, 3’-dideoxynucleoside 3’-O-methylnucleosides, 3’-O-ethylnucleosides, 3’-arabinosides, and other alternative nucleosides known in the art and/or described herein.
Secondary Structure
Without being bound by the theory, it is contemplated that a stem-loop structure can direct RNA folding, protect structural stability of a nucleic acid molecule (e.g., mRNA) , provide recognition sites for RNA binding proteins, and serve as a substrate for enzymatic reactions. For example, the incorporation of a miR sequence and/or a TEE sequence changes the shape of the stem loop region which may increase and/or decrease translation (Kedde et al. A Pumilio-induced RNA structure switch in p27-3’UTR controls miR-221 and miR-222 accessibility. Nat Cell Biol., 2010 Oct; 12 (10) : 1014-20, the content of which is herein incorporated by reference in its entirety) .
Accordingly, in some embodiments, the nucleic acid molecules as described herein (e.g., mRNA) or a portion thereof may assume a stem-loop structure, such as but is not limited to a histone stem loop. In some embodiments, the stem-loop structure is formed from a stem-loop sequence that is about 25 or about 26 nucleotides in length such as, but not limited to, those as described in International Patent Publication No. WO2013/103659, the content of which is incorporated herein by reference in its entirety. Additional examples of stem-loop sequences include those described in International Patent Publication No. WO2012/019780 and International Patent Publication No. WO201502667, the contents of which are incorporated herein by reference. In some embodiments, the step-loop sequence comprises a TEE as described herein. In some embodiments, the step-loop sequence comprises a miR sequence as described herein. In specific embodiments, the stem loop sequence may include a miR-122 seed sequence. In specific embodiments, the nucleic acid molecule comprises the stem-loop sequence CAAAGGCTCTTTTCAGAGCCACCA (SEQ ID NO: 1) . In other embodiments, the nucleic acid molecule comprises the stem-loop sequence CAAAGGCUCUUUUCAGAGCCACCA (SEQ ID NO: 2) .
In some embodiments, the nucleic acid molecule of the present disclosure (e.g., mRNA) comprises a stem-loop sequence located upstream (to the 5’-end) of the coding region in a nucleic acid molecule. In some embodiments, the stem-loop sequence is located within the 5’-UTR of the nucleic acid molecule. In some embodiments, the nucleic acid molecule of the present disclosure (e.g., mRNA) comprises a stem-loop sequence located downstream (to the 3’-end) of the coding region in a nucleic acid molecule. In some embodiments, the stem-loop sequence is located within the 3’-UTR of the nucleic acid molecule. In some cases, a nucleic acid molecule can contain more than one stem-loop sequences. In some embodiment, the nucleic acid molecule comprises at least one stem-loop sequence in the 5’-UTR, and at least one stem-loop sequence in the 3’-UTR.
In some embodiments, a nucleic acid molecule comprising a stem-loop structure further comprises a stabilization region. In some embodiment, the stabilization region comprises at least one chain terminating nucleoside that functions to slow down degradation and thus increases the half-life of the nucleic acid molecule. Exemplary chain terminating nucleoside that can be used in connection with the present disclosure include but are not limited to 3’-deoxyadenosine (cordycepin) , 3’-deoxyuridine, 3’-deoxycytosine, 3’-deoxyguanosine, 3’-deoxythymine, 2’, 3’-dideoxynucleosides, such as 2’, 3’-dideoxyadenosine, 2’, 3’-dideoxyuridine, 2’, 3’-dideoxycytosine, 2’, 3’-dideoxyguanosine, 2’, 3’-dideoxythymine, a 2’-deoxynucleoside, or an O-methylnucleoside, 3’-deoxynucleoside, 2’, 3’-dideoxynucleoside 3’-O-methylnucleosides, 3’-O-ethylnucleosides, 3’-arabinosides, and other alternative nucleosides known in the art and/or described herein. In other embodiments, a stem-loop structure may be stabilized by an alteration to the 3’-region of the polynucleotide that can prevent and/or inhibit the addition of oligio (U) (International Patent Publication No. WO2013/103659, incorporated herein by reference in its entirety) .
In some embodiments, a nucleic acid molecule of the present disclosure comprises at least one stem-loop sequence and a poly-A region or polyadenylation signal. Non-limiting examples of polynucleotide sequences comprising at least one stem-loop sequence and a poly-Aregion or a polyadenylation signal include those described in International Patent Publication No. WO2013/120497, International Patent Publication No. WO2013/120629, International Patent Publication No. WO2013/120500, International Patent Publication No. WO2013/120627, International Patent Publication No. WO2013/120498, International Patent Publication No. WO2013/120626, International Patent Publication No. WO2013/120499 and International Patent Publication No. WO2013/120628, the content of each of which is incorporated herein by reference in its entirety.
In some embodiments, the nucleic acid molecule comprising a stem-loop sequence and a poly-A region or a polyadenylation signal can encode for a pathogen antigen or fragment thereof such as the polynucleotide sequences described in International Patent Publication No. WO2013/120499 and International Patent Publication No. WO2013/120628, the content of each of which is incorporated herein by reference in its entirety.
In some embodiments, the nucleic acid molecule comprising a stem-loop sequence and a poly-A region or a polyadenylation signal can encode for a therapeutic protein such as the polynucleotide sequences described in International Patent Publication No. WO2013/120497 and International Patent Publication No. WO2013/120629, the content of each of which is incorporated herein by reference in its entirety.
In some embodiments, the nucleic acid molecule comprising a stem-loop sequence and a poly-A region or a polyadenylation signal can encode for a tumor antigen or fragment thereof such as the polynucleotide sequences described in International Patent Publication No. WO2013/120500 and International Patent Publication No. WO2013/120627, the content of each of which is incorporated herein by reference in its entirety.
In some embodiments, the nucleic acid molecule comprising a stem-loop sequence and a poly-A region or a polyadenylation signal can code for an allergenic antigen or an autoimmune self-antigen such as the polynucleotide sequences described in International Patent Publication No. WO2013/120498 and International Patent Publication No. WO2013/120626, the content of each of which is incorporated herein by reference in its entirety.
Functional nucleotide analogs
In some embodiments, a payload nucleic acid molecule described herein contains only canonical nucleotides selected from A (adenosine) , G (guanosine) , C (cytosine) , U (uridine) , and T (thymidine) . Without being bound by the theory, it is contemplated that certain functional nucleotide analogs can confer useful properties to a nucleic acid molecule. Examples of such as useful properties in the context of the present disclosure include but are not limited to increased stability of the nucleic acid molecule, reduced immunogenicity of the nucleic acid molecule in inducing innate immune responses, enhanced production of protein encoded by the nucleic acid molecule, increased intracellular delivery and/or retention of the nucleic acid molecule, and/or reduced cellular toxicity of the nucleic acid molecule, etc.
Accordingly, in some embodiments, a payload nucleic acid molecule comprises at least one functional nucleotide analog as described herein. In some embodiments, the functional nucleotide analog contains at least one chemical modification to the nucleobase, the sugar group and/or the phosphate group. Accordingly, a payload nucleic acid molecule comprising at least one functional nucleotide analog contains at least one chemical modification to the nucleobases, the sugar groups, and/or the internucleoside linkage. Exemplary chemical modifications to the nucleobases, sugar groups, or internucleoside linkages of a nucleic acid molecule are provided herein.
As described herein, ranging from 0%to 100%of all nucleotides in a payload nucleic acid molecule can be functional nucleotide analogs as described herein. For example, in various embodiments, from about 1%to about 20%, from about 1%to about 25%, from about 1%to about 50%, from about 1%to about 60%, from about 1%to about 70%, from about 1%to about 80%, from about 1%to about 90%, from about 1%to about 95%, from about 10%to about 20%, from about 10%to about 25%, from about 10%to about 50%, from about 10%to about 60%, from about 10%to about 70%, from about 10%to about 80%, from about 10%to about 90%, from about 10%to about 95%, from about 10%to about 100%, from about 20%to about 25%, from about 20%to about 50%, from about 20%to about 60%, from about 20%to about 70%, from about 20%to about 80%, from about 20%to about 90%, from about 20%to about 95%, from about 20%to about 100%, from about 50%to about 60%, from about 50%to about 70%, from about 50%to about 80%, from about 50%to about 90%, from about 50%to about 95%, from about 50%to about 100%, from about 70%to about 80%, from about 70%to about 90%, from about 70%to about 95%, from about 70%to about 100%, from about 80%to about 90%, from about 80%to about 95%, from about 80%to about 100%, from about 90%to about 95%, from about 90%to about 100%, or from about 95%to about 100%of all nucleotides in a nucleic acid molecule are functional nucleotide analogs described herein. In any of these embodiments, a functional nucleotide analog can be present at any position (s) of a nucleic acid molecule, including the 5’-terminus, 3’-terminus, and/or one or more internal positions. In some embodiments, a single nucleic acid molecule can contain different sugar modifications, different nucleobase modifications, and/or different types internucleoside linkages (e.g., backbone structures) .
As described herein, ranging from 0%to 100%of all nucleotides of a kind (e.g., all purine-containing nucleotides as a kind, or all pyrimidine-containing nucleotides as a kind, or all A, G, C, T or U as a kind) in a payload nucleic acid molecule can be functional nucleotide analogs as described herein. For example, in various embodiments, from about 1%to about 20%, from about 1%to about 25%, from about 1%to about 50%, from about 1%to about 60%, from about 1%to about 70%, from about 1%to about 80%, from about 1%to about 90%, from about 1%to about 95%, from about 10%to about 20%, from about 10%to about 25%, from about 10%to about 50%, from about 10%to about 60%, from about 10%to about 70%, from about 10%to about 80%, from about 10%to about 90%, from about 10%to about 95%, from about 10%to about 100%, from about 20%to about 25%, from about 20%to about 50%, from about 20%to about 60%, from about 20%to about 70%, from about 20%to about 80%, from about 20%to about 90%, from about 20%to about 95%, from about 20%to about 100%, from about 50%to about 60%, from about 50%to about 70%, from about 50%to about 80%, from about 50%to about 90%, from about 50%to about 95%, from about 50%to about 100%, from about 70%to about 80%, from about 70%to about 90%, from about 70%to about 95%, from about 70%to about 100%, from about 80%to about 90%, from about 80%to about 95%, from about 80%to about 100%, from about 90%to about 95%, from about 90%to about 100%, or from about 95%to about 100%of a kind of nucleotides in a nucleic acid molecule are functional nucleotide analogs described herein. In any of these embodiments, a functional nucleotide analog can be present at any position (s) of a nucleic acid molecule, including the 5’-terminus, 3’-terminus, and/or one or more internal positions. In some embodiments, a single nucleic acid molecule can contain different sugar modifications, different nucleobase modifications, and/or different types internucleoside linkages (e.g., backbone structures) .
Modification to Nucleobases
In some embodiments, a functional nucleotide analog contains a non-canonical nucleobase. In some embodiments, canonical nucleobases (e.g., adenine, guanine, uracil, thymine, and cytosine) in a nucleotide can be modified or replaced to provide one or more functional analogs of the nucleotide. Exemplary modification to nucleobases include but are not limited to one or more substitutions or modifications including but not limited to alkyl, aryl, halo, oxo, hydroxyl, alkyloxy, and/or thio substitutions; one or more fused or open rings, oxidation, and/or reduction.
In some embodiments, the non-canonical nucleobase is a modified uracil. Exemplary nucleobases and nucleosides having an modified uracil include pseudouridine (ψ) , pyridin-4-one ribonucleoside, 5-aza-uracil, 6-aza-uracil, 2-thio-5-aza-uracil, 2-thio-uracil (s
2U) , 4-thio-uracil (s
4U) , 4-thio-pseudouridine, 2-thio-pseudouridine, 5-hydroxy-uracil (ho
5U) , 5-aminoallyl-uracil, 5-halo-uracil (e.g., 5-iodo-uracil or 5-bromo-uracil) , 3-methyl-uracil (m
3U) , 5-methoxy-uracil (mo
5U) , uracil 5-oxyacetic acid (cmo
5U) , uracil 5-oxyacetic acid methyl ester (mcmo
5U) , 5-carboxymethyl-uracil (cm
5U) , 1-carboxymethyl-pseudouridine, 5-carboxyhydroxymethyl-uracil (chm
5U) , 5-carboxyhydroxymethyl-uracil methyl ester (mchm
5U) , 5-methoxycarbonylmethyl-uracil (mcm
5U) , 5-methoxycarbonylmethyl-2-thio-uracil (mcm
5s
2U) , 5-aminomethyl-2-thio-uracil (nm
5s
2U) , 5-methylaminomethyl-uracil (mnm
5U) , 5-methylaminomethyl-2-thio-uracil (mnm
5s
2U) , 5-methylaminomethyl-2-seleno-uracil (mnm
5se
2U) , 5-carbamoylmethyl-uracil (ncm
5U) , 5-carboxymethylaminomethyl-uracil (cmnm
5U) , 5-carboxymethylaminomethyl-2-thio-uracil (cmnm
5s
2U) , 5-propynyl-uracil, 1-propynyl-pseudouracil, 5-taurinomethyl-uracil (τm
5U) , 1-taurinomethyl-pseudouridine, 5-taurinomethyl-2-thio-uracil (τm
55s
2U) , 1-taurinomethyl-4-thio-pseudouridine, 5-methyl-uracil (m
5U, i.e., having the nucleobase deoxythymine) , 1-methyl-pseudouridine (m
1ψ) , 1-ethyl-pseudouridine (Et
1ψ) , 5-methyl-2-thio-uracil (m
5s
2U) , 1-methyl-4-thio-pseudouridine (m
1s
4ψ) , 4-thio-1-methyl-pseudouridine, 3-methyl-pseudouridine (m
3ψ) , 2-thio-1-methyl-pseudouridine, 1-methyl-1-deaza-pseudouridine, 2-thio-1-methyl-1-deaza- pseudouridine, dihydrouracil (D) , dihydropseudouridine, 5, 6-dihydrouracil, 5-methyl-dihydrouracil (m
5D) , 2-thio-dihydrouracil, 2-thio-dihydropseudouridine, 2-methoxy-uracil, 2-methoxy-4-thio-uracil, 4-methoxy-pseudouridine, 4-methoxy-2-thio-pseudouridine, N1-methyl-pseudouridine, 3- (3-amino-3-carboxypropyl) uracil (acp
3U) , 1-methyl-3- (3-amino-3-carboxypropyl) pseudouridine (acp
3ψ) , 5- (isopentenylaminomethyl) uracil (m
5U) , 5- (isopentenylaminomethyl) -2-thio-uracil (m
5s
2U) , 5, 2’-O-dimethyl-uridine (m
5Um) , 2-thio-2’-O-methyl-uridine (s
2Um) , 5-methoxycarbonylmethyl-2’-O-methyl-uridine (mcm
5Um) , 5-carbamoylmethyl-2’-O-methyl-uridine (ncm
5Um) , 5-carboxymethylaminomethyl-2’-O-methyl-uridine (cmnm
5Um) , 3, 2’-O-dimethyl-uridine (m
3Um) , and 5- (isopentenylaminomethyl) -2’-O-methyl-uridine (inm
5Um) , 1-thio-uracil, deoxythymidine, 5- (2-carbomethoxyvinyl) -uracil, 5- (carbamoylhydroxymethyl) -uracil, 5-carbamoylmethyl-2-thio-uracil, 5-carboxymethyl-2-thio-uracil, 5-cyanomethyl-uracil, 5-methoxy-2-thio-uracil, and 5- [3- (1-E-propenylamino) ] uracil.
In some embodiments, the non-canonical nucleobase is a modified cytosine. Exemplary nucleobases and nucleosides having a modified cytosine include 5-aza-cytosine, 6-aza-cytosine, pseudoisocytidine, 3-methyl-cytosine (m3C) , N4-acetyl-cytosine (ac4C) , 5-formyl-cytosine (f5C) , N4-methyl-cytosine (m4C) , 5-methyl-cytosine (m5C) , 5-halo-cytosine (e.g., 5-iodo-cytosine) , 5-hydroxymethyl-cytosine (hm5C) , 1-methyl-pseudoisocytidine, pyrrolo-cytosine, pyrrolo-pseudoisocytidine, 2-thio-cytosine (s2C) , 2-thio-5-methyl-cytosine, 4-thio-pseudoisocytidine, 4-thio-1-methyl-pseudoisocytidine, 4-thio-1-methyl-1-deaza-pseudoisocytidine, 1-methyl-1-deaza-pseudoisocytidine, zebularine, 5-aza-zebularine, 5-methyl-zebularine, 5-aza-2-thio-zebularine, 2-thio-zebularine, 2-methoxy-cytosine, 2-methoxy-5-methyl-cytosine, 4-methoxy-pseudoisocytidine, 4-methoxy-1-methyl-pseudoisocytidine, lysidine (k2C) , 5, 2’-O-dimethyl-cytidine (m5Cm) , N4-acetyl-2’-O-methyl-cytidine (ac4Cm) , N4, 2’-O-dimethyl-cytidine (m4Cm) , 5-formyl-2’-O-methyl-cytidine (fSCm) , N4, N4, 2’-O-trimethyl-cytidine (m42Cm) , 1-thio-cytosine, 5-hydroxy-cytosine, 5- (3-azidopropyl) -cytosine, and 5- (2-azidoethyl) -cytosine.
In some embodiments, the non-canonical nucleobase is a modified adenine. Exemplary nucleobases and nucleosides having an alternative adenine include 2-amino-purine, 2, 6-diaminopurine, 2-amino-6-halo-purine (e.g., 2-amino-6-chloro-purine) , 6-halo-purine (e.g., 6-chloro-purine) , 2-amino-6-methyl-purine, 8-azido-adenine, 7-deaza-adenine, 7-deaza-8-aza- adenine, 7-deaza-2-amino-purine, 7-deaza-8-aza-2-amino-purine, 7-deaza-2, 6-diaminopurine, 7-deaza-8-aza-2, 6-diaminopurine, 1-methyl-adenine (m1A) , 2-methyl-adenine (m2A) , N6-methyl-adenine (m6A) , 2-methylthio-N6-methyl-adenine (ms2m6A) , N6-isopentenyl-adenine (i6A) , 2-methylthio-N6-isopentenyl-adenine (ms2i6A) , N6- (cis-hydroxyisopentenyl) adenine (io6A) , 2-methylthio-N6- (cis-hydroxyisopentenyl) adenine (ms2io6A) , N6-glycinylcarbamoyl-adenine (g6A) , N6-threonylcarbamoyl-adenine (t6A) , N6-methyl-N6-threonylcarbamoyl-adenine (m6t6A) , 2-methylthio-N6-threonylcarbamoyl-adenine (ms2g6A) , N6, N6-dimethyl-adenine (m62A) , N6-hydroxynorvalylcarbamoyl-adenine (hn6A) , 2-methylthio-N6-hydroxynorvalylcarbamoyl-adenine (ms2hn6A) , N6-acetyl-adenine (ac6A) , 7-methyl-adenine, 2-methylthio-adenine, 2-methoxy-adenine, N6, 2’-O-dimethyl-adenosine (m6Am) , N6, N6, 2’-O-trimethyl-adenosine (m62Am) , 1, 2’-O-dimethyl-adenosine (m1Am) , 2-amino-N6-methyl-purine, 1-thio-adenine, 8-azido-adenine, N6- (19-amino-pentaoxanonadecyl) -adenine, 2, 8-dimethyl-adenine, N6-formyl-adenine, and N6-hydroxymethyl-adenine.
In some embodiments, the non-canonical nucleobase is a modified guanine. Exemplary nucleobases and nucleosides having a modified guanine include inosine (I) , 1-methyl-inosine (m1I) , wyosine (imG) , methylwyosine (mimG) , 4-demethyl-wyosine (imG-14) , isowyosine (imG2) , wybutosine (yW) , peroxywybutosine (o2yW) , hydroxywybutosine (OHyW) , undermodified hydroxywybutosine (OHyW*) , 7-deaza-guanine, queuosine (Q) , epoxyqueuosine (oQ) , galactosyl-queuosine (galQ) , mannosyl-queuosine (manQ) , 7-cyano-7-deaza-guanine (preQO) , 7-aminomethyl-7-deaza-guanine (preQ1) , archaeosine (G+) , 7-deaza-8-aza-guanine, 6-thio-guanine, 6-thio-7-deaza-guanine, 6-thio-7-deaza-8-aza-guanine, 7-methyl-guanine (m7G) , 6-thio-7-methyl-guanine, 7-methyl-inosine, 6-methoxy-guanine, 1-methyl-guanine (m1G) , N2-methyl-guanine (m2G) , N2, N2-dimethyl-guanine (m22G) , N2, 7-dimethyl-guanine (m2, 7G) , N2, N2, 7-dimethyl-guanine (m2, 2, 7G) , 8-oxo-guanine, 7-methyl-8-oxo-guanine, 1-methyl-6-thio-guanine, N2-methyl-6-thio-guanine, N2, N2-dimethyl-6-thio-guanine, N2-methyl-2’-O-methyl-guanosine (m2Gm) , N2, N2-dimethyl-2’-O-methyl-guanosine (m22Gm) , 1-methyl-2’-O-methyl-guanosine (m1Gm) , N2, 7-dimethyl-2’-O-methyl-guanosine (m2, 7Gm) , 2’-O-methyl-inosine (Im) , 1, 2’-O-dimethyl-inosine (m1Im) , 1-thio-guanine, and O-6-methyl-guanine.
In some embodiments, the non-canonical nucleobase of a functional nucleotide analog can be independently a purine, a pyrimidine, a purine or pyrimidine analog. For example, in some embodiments, the non-canonical nucleobase can be modified adenine, cytosine, guanine, uracil, or hypoxanthine. In other embodiments, the non-canonical nucleobase can also include, for example, naturally-occurring and synthetic derivatives of a base, including pyrazolo [3, 4-d] pyrimidines, 5-methylcytosine (5-me-C) , 5-hydroxymethyl cytosine, xanthine, hypoxanthine, 2-aminoadenine, 6-methyl and other alkyl derivatives of adenine and guanine, 2-propyl and other alkyl derivatives of adenine and guanine, 2-thiouracil, 2-thiothymine and 2-thiocytosine, 5-propynyl uracil and cytosine, 6-azo uracil, cytosine and thymine, 5-uracil (pseudouracil) , 4-thiouracil, 8-halo (e.g., 8-bromo) , 8-amino, 8-thiol, 8-thioalkyl, 8-hydroxy and other 8-substituted adenines and guanines, 5-halo particularly 5-bromo, 5-trifluoromethyl and other 5-substituted uracils and cytosines, 7-methylguanine and 7-methyladenine, 8-azaguanine and 8-azaadenine, deazaguanine, 7-deazaguanine, 3-deazaguanine, deazaadenine, 7-deazaadenine, 3-deazaadenine, pyrazolo [3, 4-d] pyrimidine, imidazo [1, 5-a] 1, 3, 5 triazinones, 9-deazapurines, imidazo [4, 5-d] pyrazines, thiazolo [4, 5-d] pyrimidines, pyrazin-2-ones, 1, 2, 4-triazine, pyridazine; or 1, 3, 5 triazine.
Modification to the Sugar
In some embodiments, a functional nucleotide analog contains a non-canonical sugar group. In various embodiments, the non-canonical sugar group can be a 5-carbon or 6-carbon sugar (such as pentose, ribose, arabinose, xylose, glucose, galactose, or a deoxy derivative thereof) with one or more substitutions, such as a halo group, a hydroxy group, a thiol group, an alkyl group, an alkoxy group, an alkenyloxy group, an alkynyloxy group, an cycloalkyl group, an aminoalkoxy group, an alkoxyalkoxy group, an hydroxyalkoxy group, an amino group, an azido group, an aryl group, an aminoalkyl group, an aminoalkenyl group, an aminoalkynyl group, etc.
Generally, RNA molecules contains the ribose sugar group, which is a 5-membered ring having an oxygen. Exemplary, non-limiting alternative nucleotides include replacement of the oxygen in ribose (e.g., with S, Se, or alkylene, such as methylene or ethylene) ; addition of a double bond (e.g., to replace ribose with cyclopentenyl or cyclohexenyl) ; ring contraction of ribose (e.g., to form a 4-membered ring of cyclobutane or oxetane) ; ring expansion of ribose (e.g., to form a 6-or 7-membered ring having an additional carbon or heteroatom, such as for anhydrohexitol, altritol, mannitol, cyclohexanyl, cyclohexenyl, and morpholino (that also has a phosphoramidate backbone) ) ; multicyclic forms (e.g., tricyclo and “unlocked” forms, such as glycol nucleic acid (GNA) (e.g., R-GNA or S-GNA, where ribose is replaced by glycol units attached to phosphodiester bonds) , threose nucleic acid (TNA, where ribose is replace with α-L-threofuranosyl- (3’→2’) ) , and peptide nucleic acid (PNA, where 2-amino-ethyl-glycine linkages replace the ribose and phosphodiester backbone) .
In some embodiments, the sugar group contains one or more carbons that possess the opposite stereochemical configuration of the corresponding carbon in ribose. Thus, a nucleic acid molecule can include nucleotides containing, e.g., arabinose or L-ribose, as the sugar. In some embodiments, the nucleic acid molecule includes at least one nucleoside wherein the sugar is L-ribose, 2’-O-methyl-ribose, 2’-fluoro-ribose, arabinose, hexitol, an LNA, or a PNA.
Modifications to the Internucleoside Linkage
In some embodiments, the payload nucleic acid molecule of the present disclosure can contain one or more modified internucleoside linkage (e.g., phosphate backbone) . Backbone phosphate groups can be altered by replacing one or more of the oxygen atoms with a different substituent.
In some embodiments, the functional nucleotide analogs can include the replacement of an unaltered phosphate moiety with another internucleoside linkage as described herein. Examples of alternative phosphate groups include, but are not limited to, phosphorothioate, phosphoroselenates, boranophosphates, boranophosphate esters, hydrogen phosphonates, phosphoramidates, phosphorodiamidates, alkyl or aryl phosphonates, and phosphotriesters. Phosphorodithioates have both non-linking oxygens replaced by sulfur. The phosphate linker can also be altered by the replacement of a linking oxygen with nitrogen (bridged phosphoramidates) , sulfur (bridged phosphorothioates) , and carbon (bridged methylene-phosphonates) .
The alternative nucleosides and nucleotides can include the replacement of one or more of the non-bridging oxygens with a borane moiety (BH
3) , sulfur (thio) , methyl, ethyl, and/or methoxy. As a non-limiting example, two non-bridging oxygens at the same position (e.g., the alpha (α) , beta (β) or gamma (γ) position) can be replaced with a sulfur (thio) and a methoxy. The replacement of one or more of the oxygen atoms at the position of the phosphate moiety (e.g., α-thio phosphate) is provided to confer stability (such as against exonucleases and endonucleases) to RNA and DNA through the unnatural phosphorothioate backbone linkages. Phosphorothioate DNA and RNA have increased nuclease resistance and subsequently a longer half-life in a cellular environment.
Other internucleoside linkages that may be employed according to the present disclosure, including internucleoside linkages which do not contain a phosphorous atom, are described herein.
Additional examples of nucleic acid molecules (e.g., mRNA) , compositions, formulations and/or methods associated therewith that can be used in connection with the present disclosure further include those described in WO2002/098443, WO2003/051401, WO2008/052770, WO2009127230, WO2006122828, WO2008/083949, WO2010088927, WO2010/037539, WO2004/004743, WO2005/016376, WO2006/024518, WO2007/095976, WO2008/014979, WO2008/077592, WO2009/030481, WO2009/095226, WO2011069586, WO2011026641, WO2011/144358, WO2012019780, WO2012013326, WO2012089338, WO2012113513, WO2012116811, WO2012116810, WO2013113502, WO2013113501, WO2013113736, WO2013143698, WO2013143699, WO2013143700, WO2013/120626, WO2013120627, WO2013120628, WO2013120629, WO2013174409, WO2014127917, WO2015/024669, WO2015/024668, WO2015/024667, WO2015/024665, WO2015/024666, WO2015/024664, WO2015101415, WO2015101414, WO2015024667, WO2015062738, WO2015101416, the content of each of which is incorporated herein in its entirety.
7.5 Formulation
According to the present disclosure, nanoparticle compositions described herein can include at least one lipid component and one or more additional components, such as a therapeutic and/or prophylactic agent. A nanoparticle composition may be designed for one or more specific applications or targets. The elements of a nanoparticle composition may be selected based on a particular application or target, and/or based on the efficacy, toxicity, expense, ease of use, availability, or other feature of one or more elements. Similarly, the particular formulation of a nanoparticle composition may be selected for a particular application or target according to, for example, the efficacy and toxicity of particular combinations of elements.
The lipid component of a nanoparticle composition may include, for example, a polymer conjugated lipid according to formula (I) or (II) (and sub-formulas thereof) described herein, a cationic lipid, a phospholipid (such as an unsaturated lipid, e.g., DOPE or DSPC) , and a structural lipid. The elements of the lipid component may be provided in specific fractions.
In one embodiment, provided herein is a nanoparticle compositions comprising a polymer conjugated lipid compound provided herein, a therapeutic agent, and one or more excipients. In one embodiment, polymer conjugated lipid compound comprises a compound according to Formula (I) or (II) (and sub-formulas thereof) as described herein, and optionally one or more additional polymer conjugated lipid compounds. In one embodiment, the one or more excipients are selected from cationic lipids, neutral lipids, and steroids. In one embodiment, the therapeutic agent is encapsulated within or associated with the lipid nanoparticle.
In one embodiment, provided herein is a nanoparticle composition (lipid nanoparticle) comprising:
i) between 40 and 50 mol percent of a cationic lipid;
ii) a neutral lipid;
iii) a steroid;
iv) a polymer conjugated lipid; and
v) a therapeutic agent.
As used herein, “mol percent” refers to a component’s molar percentage relative to total mols of all lipid components in the LNP (i.e., total mols of cationic lipid (s) , the neutral lipid, the steroid and the polymer conjugated lipid) .
In one embodiment, the lipid nanoparticle comprises from 41 to 49 mol percent, from 41 to 48 mol percent, from 42 to 48 mol percent, from 43 to 48 mol percent, from 44 to 48 mol percent, from 45 to 48 mol percent, from 46 to 48 mol percent, or from 47.2 to 47.8 mol percent of the cationic lipid. In one embodiment, the lipid nanoparticle comprises about 47.0, 47.1, 47.2, 47.3, 47.4, 47.5, 47.6, 47.7, 47.8, 47.9 or 48.0 mol percent of the cationic lipid.
In one embodiment, the neutral lipid is present in a concentration ranging from 5 to 15 mol percent, 7 to 13 mol percent, or 9 to 11 mol percent. In one embodiment, the neutral lipid is present in a concentration of about 9.5, 10 or 10.5 mol percent. In one embodiment, the molar ratio of the cationic lipid to the neutral lipid ranges from about 4.1: 1.0 to about 4.9: 1.0, from about 4.5: 1.0 to about 4.8: 1.0, or from about 4.7: 1.0 to 4.8: 1.0.
In one embodiment, the steroid is present in a concentration ranging from 39 to 49 molar percent, 40 to 46 molar percent, from 40 to 44 molar percent, from 40 to 42 molar percent, from 42 to 44 molar percent, or from 44 to 46 molar percent. In one embodiment, the steroid is present in a concentration of 40, 41, 42, 43, 44, 45, or 46 molar percent. In one embodiment, the molar ratio of cationic lipid to the steroid ranges from 1.0: 0.9 to 1.0: 1.2, or from 1.0: 1.0 to 1.0: 1.2. In one embodiment, the steroid is cholesterol.
In one embodiment, the therapeutic agent to lipid ratio in the LNP (i.e., N/P, were N represents the moles of cationic lipid and P represents the moles of phosphate present as part of the nucleic acid backbone) range from 2: 1 to 30: 1, for example 3: 1 to 22: 1. In one embodiment, N/P ranges from 6: 1 to 20: 1 or 2: 1 to 12: 1. Exemplary N/P ranges include about 3: 1. About 6: 1, about 12: 1 and about 22: 1.
In one embodiment, provided herein is a lipid nanoparticle comprising:
i) a cationic lipid having an effective pKa greater than 6.0;
ii) from 5 to 15 mol percent of a neutral lipid;
iii) from 1 to 15 mol percent of an anionic lipid;
iv) from 30 to 45 mol percent of a steroid;
v) a polymer conjugated lipid; and
vi) a therapeutic agent, or a pharmaceutically acceptable salt or prodrug thereof, wherein the mol percent is determined based on total mol of lipid present in the lipid nanoparticle.
In one embodiment, the cationic lipid can be any of a number of lipid species which carry a net positive charge at a selected pH, such as physiological pH. Exemplary cationic lipids are described herein below. In one embodiment, the cationic lipid has a pKa greater than 6.25. In one embodiment, the cationic lipid has a pKa greater than 6.5. In one embodiment, the cationic lipid has a pKa greater than 6.1, greater than 6.2, greater than 6.3, greater than 6.35, greater than 6.4, greater than 6.45, greater than 6.55, greater than 6.6, greater than 6.65, or greater than 6.7.
In one embodiment, the lipid nanoparticle comprises from 40 to 45 mol percent of the cationic lipid. In one embodiment, the lipid nanoparticle comprises from 45 to 50 mole percent of the cationic lipid.
In one embodiment, the molar ratio of the cationic lipid to the neutral lipid ranges from about 2: 1 to about 8: 1. In one embodiment, the lipid nanoparticle comprises from 5 to 10 mol percent of the neutral lipid.
Exemplary anionic lipids include, but are not limited to, phosphatidylglycerol, dioleoylphosphatidylglycerol (DOPG) , dipalmitoylphosphatidylglycerol (DPPG) or 1, 2-distearoyl-sn-glycero-3-phospho- (1'-rac-glycerol) (DSPG) .
In one embodiment, the lipid nanoparticle comprises from 1 to 10 mole percent of the anionic lipid. In one embodiment, the lipid nanoparticle comprises from 1 to 5 mole percent of the anionic lipid. In one embodiment, the lipid nanoparticle comprises from 1 to 9 mole percent, from 1 to 8 mole percent, from 1 to 7 mole percent, or from 1 to 6 mole percent of the anionic lipid. In one embodiment, the mol ratio of anionic lipid to neutral lipid ranges from 1: 1 to 1: 10.
In one embodiment, the steroid cholesterol. In one embodiment, the molar ratio of the cationic lipid to cholesterol ranges from about 5: 1 to 1: 1. In one embodiment, the lipid nanoparticle comprises from 32 to 40 mol percent of the steroid.
In one embodiment, the sum of the mol percent of neutral lipid and mol percent of anionic lipid ranges from 5 to 15 mol percent. In one embodiment, wherein the sum of the mol percent of neutral lipid and mol percent of anionic lipid ranges from 7 to 12 mol percent.
In one embodiment, the mol ratio of anionic lipid to neutral lipid ranges from 1: 1 to 1: 10. In one embodiment, the sum of the mol percent of neutral lipid and mol percent steroid ranges from 35 to 45 mol percent.
In one embodiment, the lipid nanoparticle comprises from 1.0 to 2.5 mol percent of the conjugated lipid. In one embodiment, the polymer conjugated lipid is present in a concentration of about 1.5 mol percent.
In one embodiment, the neutral lipid is present in a concentration ranging from 5 to 15 mol percent, 7 to 13 mol percent, or 9 to 11 mol percent. In one embodiment, the neutral lipid is present in a concentration of about 9.5, 10 or 10.5 mol percent. In one embodiment, the molar ratio of the cationic lipid to the neutral lipid ranges from about 4.1: 1.0 to about 4.9: 1.0, from about 4.5: 1.0 to about 4.8: 1.0, or from about 4.7: 1.0 to 4.8: 1.0.
In one embodiment, the steroid is cholesterol. In some embodiments, the steroid is present in a concentration ranging from 39 to 49 molar percent, 40 to 46 molar percent, from 40 to 44 molar percent, from 40 to 42 molar percent, from 42 to 44 molar percent, or from 44 to 46 molar percent. In one embodiment, the steroid is present in a concentration of 40, 41, 42, 43, 44, 45, or 46 molar percent. In certain embodiments, the molar ratio of cationic lipid to the steroid ranges from 1.0: 0.9 to 1.0: 1.2, or from 1.0: 1.0 to 1.0: 1.2.
In one embodiment, the molar ratio of cationic lipid to steroid ranges from 5: 1 to 1: 1.
In one embodiment, the lipid nanoparticle comprises from 1.0 to 2.5 mol percent of the conjugated lipid. In one embodiment, the polymer conjugated lipid is present in a concentration of about 1.5 mol percent.
In one embodiment, the molar ratio of cationic lipid to polymer conjugated lipid ranges from about 100: 1 to about 20: 1. In one embodiment, the molar ratio of cationic lipid to the polymer conjugated lipid ranges from about 35: 1 to about 25: 1.
In one embodiment, the lipid nanoparticle has a mean diameter ranging from 50 nm to 100 nm, or from 60 nm to 85 nm.
In one embodiment, the composition comprises a cationic lipid, DSPC, cholesterol, and a polymer conjugated lipid, and mRNA. In one embodiment, the cationic lipid, DSPC, cholesterol, and a polymer conjugated lipid provided herein are at a molar ratio of about 50:10: 38.5: 1.5.
Nanoparticle compositions can be designed for one or more specific applications or targets. For example, a nanoparticle composition can be designed to deliver a therapeutic and/or prophylactic agent such as an RNA to a particular cell, tissue, organ, or system or group thereof in a mammal’s body. Physiochemical properties of nanoparticle compositions can be altered in order to increase selectivity for particular bodily targets. For instance, particle sizes can be adjusted based on the fenestration sizes of different organs. The therapeutic and/or prophylactic agent included in a nanoparticle composition can also be selected based on the desired delivery target or targets. For example, a therapeutic and/or prophylactic agent can be selected for a particular indication, condition, disease, or disorder and/or for delivery to a particular cell, tissue, organ, or system or group thereof (e.g., localized or specific delivery) . In certain embodiments, a nanoparticle composition can include an mRNA encoding a polypeptide of interest capable of being translated within a cell to produce the polypeptide of interest. Such a composition can be designed to be specifically delivered to a particular organ. In certain embodiments, a composition can be designed to be specifically delivered to a mammalian liver.
The amount of a therapeutic and/or prophylactic agent in a nanoparticle composition can depend on the size, composition, desired target and/or application, or other properties of the nanoparticle composition as well as on the properties of the therapeutic and/or prophylactic agent. For example, the amount of an RNA useful in a nanoparticle composition can depend on the size, sequence, and other characteristics of the RNA. The relative amounts of a therapeutic and/or prophylactic agent and other elements (e.g., lipids) in a nanoparticle composition can also vary. In some embodiments, the wt/wt ratio of the lipid component to a therapeutic and/or prophylactic agent in a nanoparticle composition can be from about 5: 1 to about 60: 1, such as 5: 1, 6: 1, 7: 1, 8: 1, 9: 1, 10: 1, 11: 1, 12: 1, 13: 1, 14: 1, 15: 1, 16: 1, 17: 1, 18: 1, 19: 1, 20: 1, 25: 1, 30: 1, 35: 1, 40: 1, 45: 1, 50: 1, and 60: 1. For example, the wt/wt ratio of the lipid component to a therapeutic and/or prophylactic agent can be from about 10: 1 to about 40: 1. In certain embodiments, the wt/wt ratio is about 20: 1. The amount of a therapeutic and/or prophylactic agent in a nanoparticle composition can, for example, be measured using absorption spectroscopy (e.g., ultraviolet-visible spectroscopy) .
In some embodiments, a nanoparticle composition includes one or more RNAs, and the one or more RNAs, lipids, and amounts thereof can be selected to provide a specific N: P ratio. The N: P ratio of the composition refers to the molar ratio of nitrogen atoms in one or more lipids to the number of phosphate groups in an RNA. In some embodiments, a lower N: P ratio is selected. The one or more RNA, lipids, and amounts thereof can be selected to provide an N: P ratio from about 2: 1 to about 30: 1, such as 2: 1, 3: 1, 4: 1, 5: 1, 6: 1, 7: 1, 8: 1, 9: 1, 10: 1, 12: 1, 14: 1, 16: 1, 18: 1, 20: 1, 22: 1, 24: 1, 26: 1, 28: 1, or 30: 1. In certain embodiments, the N: P ratio can be from about 2: 1 to about 8: 1. In other embodiments, the N: P ratio is from about 5: 1 to about 8: 1. For example, the N: P ratio may be about 5.0: 1, about 5.5: 1, about 5.67: 1, about 6.0: 1, about 6.5: 1, or about 7.0: 1. For example, the N: P ratio may be about 5.67: 1.
The physical properties of a nanoparticle composition can depend on the components thereof. For example, a nanoparticle composition including cholesterol as a structural lipid can have different characteristics compared to a nanoparticle composition that includes a different structural lipid. Similarly, the characteristics of a nanoparticle composition can depend on the absolute or relative amounts of its components. For instance, a nanoparticle composition including a higher molar fraction of a phospholipid may have different characteristics than a nanoparticle composition including a lower molar fraction of a phospholipid. Characteristics may also vary depending on the method and conditions of preparation of the nanoparticle composition.
Nanoparticle compositions may be characterized by a variety of methods. For example, microscopy (e.g., transmission electron microscopy or scanning electron microscopy) may be used to examine the morphology and size distribution of a nanoparticle composition. Dynamic light scattering or potentiometry (e.g., potentiometric titrations) may be used to measure zeta potentials. Dynamic light scattering may also be utilized to determine particle sizes. Instruments such as the Zetasizer Nano ZS (Malvem Instruments Ltd, Malvem, Worcestershire, UK) may also be used to measure multiple characteristics of a nanoparticle composition, such as particle size, polydispersity index, and zeta potential.
In various embodiments, the mean size of a nanoparticle composition can be between 10s of nm and 100s of nm. For example, the mean size can be from about 40 nm to about 150 nm, such as about 40 nm, 45 nm, 50 nm, 55 nm, 60 nm, 65 nm, 70 nm, 75 nm, 80 nm, 85 nm, 90 nm, 95 nm, 100 nm, 105 nm, 110 nm, 115 nm, 120 nm, 125 nm, 130 nm, 135 nm, 140 nm, 145 nm, or 150 nm. In some embodiments, the mean size of a nanoparticle composition can be from about 50 nm to about 100 nm, from about 50 nm to about 90 nm, from about 50 nm to about 80 nm, from about 50 nm to about 70 nm, from about 50 nm to about 60 nm, from about 60 nm to about 100 nm, from about 60 nm to about 90 nm, from about 60 nm to about 80 nm, from about 60 nm to about 70 nm, from about 70 nm to about 100 nm, from about 70 nm to about 90 nm, from about 70 nm to about 80 nm, from about 80 nm to about 100 nm, from about 80 nm to about 90 nm, or from about 90 nm to about 100 nm. In certain embodiments, the mean size of a nanoparticle composition can be from about 70 nm to about 100 nm. In some embodiments, the mean size can be about 80 nm. In other embodiments, the mean size can be about 100 nm.
A nanoparticle composition can be relatively homogenous. A polydispersity index can be used to indicate the homogeneity of a nanoparticle composition, e.g., the particle size distribution of the nanoparticle compositions. A small (e.g., less than 0.3) polydispersity index generally indicates a narrow particle size distribution. A nanoparticle composition can have a polydispersity index from about 0 to about 0.25, such as 0.01, 0.02, 0.03, 0.04, 0.05, 0.06, 0.07, 0.08, 0.09, 0.10, 0.11, 0.12, 0.13, 0.14, 0.15, 0.16, 0.17, 0.18, 0.19, 0.20, 0.21, 0.22, 0.23, 0.24, or 0.25. In some embodiments, the polydispersity index of a nanoparticle composition can be from about 0.10 to about 0.20.
The zeta potential of a nanoparticle composition can be used to indicate the electrokinetic potential of the composition. For example, the zeta potential can describe the surface charge of a nanoparticle composition. Nanoparticle compositions with relatively low charges, positive or negative, are generally desirable, as more highly charged species can interact undesirably with cells, tissues, and other elements in the body. In some embodiments, the zeta potential of a nanoparticle composition can be from about -10 mV to about +20 mV, from about -10 mV to about +15 mV, from about -10 mV to about +10 mV, from about -10 mV to about +5 mV, from about -10 mV to about 0 mV, from about -10 mV to about -5 mV, from about -5 mV to about +20 mV, from about -5 mV to about +15 mV, from about -5 mV to about +10 mV, from about -5 mV to about +5 mV, from about -5 mV to about 0 mV, from about 0 mV to about +20 mV, from about 0 mV to about +15 mV, from about 0 mV to about +10 mV, from about 0 mV to about +5 mV, from about +5 mV to about +20 mV, from about +5 mV to about +15 mV, or from about +5 mV to about +10 mV.
The efficiency of encapsulation of a therapeutic and/or prophylactic agent describes the amount of therapeutic and/or prophylactic agent that is encapsulated or otherwise associated with a nanoparticle composition after preparation, relative to the initial amount provided. The encapsulation efficiency is desirably high (e.g., close to 100%) . The encapsulation efficiency can be measured, for example, by comparing the amount of therapeutic and/or prophylactic agent in a solution containing the nanoparticle composition before and after breaking up the nanoparticle composition with one or more organic solvents or detergents. Fluorescence can be used to measure the amount of free therapeutic and/or prophylactic agent (e.g., RNA) in a solution. For the nanoparticle compositions described herein, the encapsulation efficiency of a therapeutic and/or prophylactic agent can be at least 50%, for example 50%, 55%, 60%, 65%, 70%, 75%, 80%, 85%, 90%, 91%, 92%, 93%, 94%, 95%, 96%, 97%, 98%, 99%, or 100%. In some embodiments, the encapsulation efficiency can be at least 80%. In certain embodiments, the encapsulation efficiency can be at least 90%.
A nanoparticle composition can optionally comprise one or more coatings. For example, a nanoparticle composition can be formulated in a capsule, film, or tablet having a coating. A capsule, film, or tablet including a composition described herein can have any useful size, tensile strength, hardness, or density.
7.6 Pharmaceutical Compositions
According to the present disclosure, nanoparticle compositions can be formulated in whole or in part as pharmaceutical compositions. Pharmaceutical compositions can include one or more nanoparticle compositions. For example, a pharmaceutical composition can include one or more nanoparticle compositions including one or more different therapeutic and/or prophylactic agents. Pharmaceutical compositions can further include one or more pharmaceutically acceptable excipients or accessory ingredients such as those described herein. General guidelines for the formulation and manufacture of pharmaceutical compositions and agents are available, for example, in Remington’s The Science and Practice of Pharmacy, 21
st Edition, A. R. Gennaro; Lippincott, Williams &Wilkins, Baltimore, Md., 2006. Conventional excipients and accessory ingredients can be used in any pharmaceutical composition, except insofar as any conventional excipient or accessory ingredient can be incompatible with one or more components of a nanoparticle composition. An excipient or accessory ingredient can be incompatible with a component of a nanoparticle composition if its combination with the component can result in any undesirable biological effect or otherwise deleterious effect.
In some embodiments, one or more excipients or accessory ingredients can make up greater than 50%of the total mass or volume of a pharmaceutical composition including a nanoparticle composition. For example, the one or more excipients or accessory ingredients can make up 50%, 60%, 70%, 80%, 90%, or more of a pharmaceutical composition. In some embodiments, a pharmaceutically acceptable excipient is at least 95%, at least 96%, at least 97%, at least 98%, at least 99%, or 100%pure. In some embodiments, an excipient is approved for use in humans and for veterinary use. In some embodiments, an excipient is approved by United States Food and Drug Administration. In some embodiments, an excipient is pharmaceutical grade. In some embodiments, an excipient meets the standards of the United States Pharmacopoeia (USP) , the European Pharmacopoeia (EP) , the British Pharmacopoeia, and/or the International Pharmacopoeia.
Relative amounts of the one or more nanoparticle compositions, the one or more pharmaceutically acceptable excipients, and/or any additional ingredients in a pharmaceutical composition in accordance with the present disclosure will vary, depending upon the identity, size, and/or condition of the subject treated and further depending upon the route by which the composition is to be administered. By way of example, a pharmaceutical composition can comprise between 0.1%and 100% (wt/wt) of one or more nanoparticle compositions.
In certain embodiments, the nanoparticle compositions and/or pharmaceutical compositions of the disclosure are refrigerated or frozen for storage and/or shipment (e.g., being stored at a temperature of4℃or lower, such as a temperature between about-150℃ and about 0℃ or between about-80℃ and about-20℃ (e.g., about-5℃, -10℃, -15℃, -20℃, -25℃, -30℃, -40℃, -50℃, -60℃, -70℃, -80℃, -90℃, -130℃ or-150℃) . For example, the pharmaceutical composition comprising a compound of Formula (I) or (II) (and sub-formulas thereof) is a solution that is refrigerated for storage and/or shipment at, for example, about-20 ℃,-30℃, -40℃, -50℃, -60℃, -70℃, or-80℃. In certain embodiments, the disclosure also relates to a method of increasing stability of the nanoparticle compositions and/or pharmaceutical compositions comprising a compound of Formula (I) or (II) (and sub-formulas thereof) by storing the nanoparticle compositions and/or pharmaceutical compositions at a temperature of4℃ or lower, such as a temperature between about-150℃ and about 0℃ or between about-80℃ and about-20℃, e.g., about-5℃, -10℃, -15℃, -20℃, -25℃, -30℃, -40℃, -50℃, -60℃, -70℃, -80℃, -90℃, -130℃ or-150℃) . For example, the nanoparticle compositions and/or pharmaceutical compositions disclosed herein are stable for about at least 1 week, at least 2 weeks, at least 3 weeks, at least 4 weeks, at least 5 weeks, at least 6 weeks, at least 1 month, at least 2 months, at least 4 months, at least 6 months, at least 8 months, at least 10 months, at least 12 months, at least 14 months, at least 16 months, at least 18 months, at least 20 months, at least 22 months, or at least 24 months, e.g., at a temperature of4 ℃ or lower (e.g., between about 4℃ and-20℃) . In one embodiment, the formulation is stabilized for at least 4 weeks at about 4℃. In certain embodiments, the pharmaceutical composition of the disclosure comprises a nanoparticle composition disclosed herein and a pharmaceutically acceptable carrier selected from one or more of Tris, an acetate (e.g., sodium acetate) , an citrate (e.g., sodium citrate) , saline, PBS, and sucrose. In certain embodiments, the pharmaceutical composition of the disclosure has a pH value between about 7 and 8 (e.g., 6.8, 6.9, 7.0, 7.1, 7.2, 7.3, 7.4, 7.5, 7.6, 7.7, 7.8, 7.9 or 8.0, or between 7.5 and 8 or between 7 and 7.8) . For example, a pharmaceutical composition of the disclosure comprises a nanoparticle composition disclosed herein, Tris, saline and sucrose, and has a pH of about 7.5-8, which is suitable for storage and/or shipment at, for example, about-20℃. For example, a pharmaceutical composition of the disclosure comprises a nanoparticle composition disclosed herein and PBS and has a pH of about 7-7.8, suitable for storage and/or shipment at, for example, about 4℃ or lower. “Stability, ” “stabilized, ” and “stable” in the context of the present disclosure refers to the resistance of nanoparticle compositions and/or pharmaceutical compositions disclosed herein to chemical or physical changes (e.g., degradation, particle size change, aggregation, change in encapsulation, etc. ) under given manufacturing, preparation, transportation, storage and/or in-use conditions, e.g., when stress is applied such as shear force, freeze/thaw stress, etc.
Nanoparticle compositions and/or pharmaceutical compositions including one or more nanoparticle compositions can be administered to any patient or subject, including those patients or subjects that can benefit from a therapeutic effect provided by the delivery of a therapeutic and/or prophylactic agent to one or more particular cells, tissues, organs, or systems or groups thereof, such as the renal system. Although the descriptions provided herein of nanoparticle compositions and pharmaceutical compositions including nanoparticle compositions are principally directed to compositions which are suitable for administration to humans, it will be understood by the skilled artisan that such compositions are generally suitable for administration to any other mammal. Modification of compositions suitable for administration to humans in order to render the compositions suitable for administration to various animals is well understood, and the ordinarily skilled veterinary pharmacologist can design and/or perform such modification with merely ordinary, if any, experimentation. Subjects to which administration of the compositions is contemplated include, but are not limited to, humans, other primates, and other mammals, including commercially relevant mammals such as cattle, pigs, horses, sheep, cats, dogs, mice, and/or rats.
A pharmaceutical composition including one or more nanoparticle compositions can be prepared by any method known or hereafter developed in the art of pharmacology. In general, such preparatory methods include bringing the active ingredient into association with an excipient and/or one or more other accessory ingredients, and then, if desirable or necessary, dividing, shaping, and/or packaging the product into a desired single-or multi-dose unit.
A pharmaceutical composition in accordance with the present disclosure can be prepared, packaged, and/or sold in bulk, as a single unit dose, and/or as a plurality of single unit doses. As used herein, a “unit dose” is discrete amount of the pharmaceutical composition comprising a predetermined amount of the active ingredient (e.g., nanoparticle composition) . The amount of the active ingredient is generally equal to the dosage of the active ingredient which would be administered to a subject and/or a convenient fraction of such a dosage such as, for example, one-half or one-third of such a dosage.
Pharmaceutical compositions can be prepared in a variety of forms suitable for a variety of routes and methods of administration. For example, pharmaceutical compositions can be prepared in liquid dosage forms (e.g., emulsions, microemulsions, nanoemulsions, solutions, suspensions, syrups, and elixirs) , injectable forms, solid dosage forms (e.g., capsules, tablets, pills, powders, and granules) , dosage forms for topical and/or transdermal administration (e.g., ointments, pastes, creams, lotions, gels, powders, solutions, sprays, inhalants, and patches) , suspensions, powders, and other forms.
Liquid dosage forms for oral and parenteral administration include, but are not limited to, pharmaceutically acceptable emulsions, microemulsions, nanoemulsions, solutions, suspensions, syrups, and/or elixirs. In addition to active ingredients, liquid dosage forms can comprise inert diluents commonly used in the art such as, for example, water or other solvents, solubilizing agents and emulsifiers such as ethyl alcohol, isopropyl alcohol, ethyl carbonate, ethyl acetate, benzyl alcohol, benzyl benzoate, propylene glycol, 1, 3-butylene glycol, dimethylformamide, oils (in particular, cottonseed, groundnut, corn, germ, olive, castor, and sesame oils) , glycerol, tetrahydrofurfuryl alcohol, polyethylene glycols and fatty acid esters of sorbitan, and mixtures thereof. Besides inert diluents, oral compositions can include additional therapeutic and/or prophylactic agents, additional agents such as wetting agents, emulsifying and suspending agents, sweetening, flavoring, and/or perfuming agents. In certain embodiments for parenteral administration, compositions are mixed with solubilizing agents such as Cremophor
TM, alcohols, oils, modified oils, glycols, polysorbates, cyclodextrins, polymers, and/or combinations thereof.
Injectable preparations, for example, sterile injectable aqueous or oleaginous suspensions can be formulated according to the known art using suitable dispersing agents, wetting agents, and/or suspending agents. Sterile injectable preparations can be sterile injectable solutions, suspensions, and/or emulsions in nontoxic parenterally acceptable diluents and/or solvents, for example, as a solution in 1, 3-butanediol. Among the acceptable vehicles and solvents that can be employed are water, Ringer’s solution, U.S.P., and isotonic sodium chloride solution. Sterile, fixed oils are conventionally employed as a solvent or suspending medium. For this purpose any bland fixed oil can be employed including synthetic mono-or diglycerides. Fatty acids such as oleic acid can be used in the preparation of injectables.
Injectable formulations can be sterilized, for example, by filtration through a bacterial-retaining filter, and/or by incorporating sterilizing agents in the form of sterile solid compositions which can be dissolved or dispersed in sterile water or other sterile injectable medium prior to use.
The disclosure features methods of delivering a therapeutic and/or prophylactic agent to a mammalian cell or organ, producing a polypeptide of interest in a mammalian cell, and treating a disease or disorder in a mammal in need thereof comprising administering to a mammal and/or contacting a mammalian cell with a nanoparticle composition including a therapeutic and/or prophylactic agent.
8. EXAMPLES
The examples in this section are offered by way of illustration, and not by way of limitation.
8.1 Example 1: Preparation of Compound 1.
Step 0: Preparation of Monomer 1
To a solution of 2- (dimethylamino) ethyl methacrylate (7.8 g, 50.0 mmol, 1.0 eq) in ACN (75.0 mL) was added tert-butyl 2-bromoacetate (14.6 g, 75.0 mmol, 1.5 eq) at RT. The mixture was stirred for 16 hours. LCMS showed the reaction was completed, the mixture was evaporated under reduced pressure to provide Monomer 1 (14.0 g, crude) as white solid.
Step 1: Preparation of compound 1‐2
To a solution of 1-1 (2.5 g, 13.7 mmol, 1.0 eq) and myristic acid (7.8 g, 34.2 mmol, 2.5eq) in DCM (30.0 mL) was added EDCI (6.5 g, 34.2 mmol, 2.5 eq) , DMAP (0.344 g, 2.74 mmol, 0.2 eq) and DIEA (8.8 g, 68.5 mmol, 5.0 eq) at RT. The mixture was stirred for 16 hours at 50 ℃. TLC showed the reaction was completed, the mixture was evaporated under reduced pressure and purified with FCC (PE/EA=1/0-20/1) to provide compound 1-2 (6.9 g, 83%yield) as white solid.
Step 2: Preparation of compound 1‐3
To a solution of 1-2 (6.9 g, 11.5 mmol, 1.0 eq) in EA (75.0 mL) was added Pd/C (7.5 g, 0.1eq) at RT. The mixture was stirred for 16 hours at 50 ℃ under H
2 (5Mpa) . TLC showed the reaction was completed, the mixture was filtered and evaporated under reduced pressure to provide compound 1-3 (5.3 g, crude) as white solid.
Step 3: Preparation of compound 1‐5
To a solution of 1-3 (2.56 g, 5.0 mmol, 1.0 eq) and 1-4 (1.47 g, 6.5 mmol, 1.5eq) in DCM (20.0 mL) was added Et
3N (1.01 g, 10.0 mmol, 2.0 eq) at RT. The mixture was stirred for 16 hours at RT. TLC showed the reaction was completed, the mixture was evaporated under reduced pressure and purified with FCC (PE/EA=1/0-100/1) to provide compound 1-5 (3.0 g, 90%yield) as white solid.
Step 4: Preparation of compound 1‐6
To a solution of compound 1-5 (165.0 mg, 0.25 mmol, 1.0 eq) and Monomer 1 (0.44 g, 1.25 mmol, 5.0 eq) in DMF (1.0 mL) and MeOH (1.0 mL) was added CuBr (36.0 mg, 0.25 mmol, 1.0 eq) and 1, 1, 4, 7, 10, 10-Hexamethyltriethylenetetramine (HMTETA) (57.5 mg, 0.25 mmol, 1.0 eq) at RT. The mixture was stirred for 3 hours at 50 ℃, then 2-mercaptoethanol (195.0 mg, 2.5 mmol, 10.0 eq) and DIEA (0.32 g, 2.5 mmol, 10.0 eq) was added. The mixture was stirred for 16 hours at RT. Et
2O was added, filtered to provide compound 1-6 (0.8 g, crude) as white solid.
Step 5: Preparation of compound 1
To a solution of compound 1-6 (0.8 g, 0.4 mmol, 1.0 eq) in toluene (5.0 mL) was added TFA (2.0 mL) at RT. The mixture was stirred for 16 hours at 100 ℃. Et
2O was added, filtered to provide crude product, which was purified by dialysis bag and freeze dried to provide compound 1 (160.0 mg, 20%yield) as white solid.
1H NMR (400 MHz, D
2O) δ: 0.82-1.26 (m, 56H) , 1.53-1.91 (m, 25H) , 3.24-3.32 (m, 50H) , 3.76-3.78 (m, 4H) , 4.04-4.13 (m, 10H) , 4.37-4.41 (m, 5H) .
The following compounds were prepared in analogous fashion as Compound 1, using different equivalents of Monomer 1.
8.2 Example 2: Preparation of Compound 4.
Step 1: Preparation of compound 4
To a solution of 1-5 (165.0 mg, 0.25 mmol, 1.0 eq) and commercially available Monomer 3 (370.0 mg, 1.25 mmol, 5.0 eq) in DMF (1.0 mL) and MeOH (1.0 mL) was added CuBr (36.0 mg, 0.25 mmol, 1.0 eq) and HMTETA (57.5 mg, 0.25 mmol, 1.0 eq) at RT. The mixture was stirred for 3 hours at 50 ℃, then 2-mercaptoethanol (195.0 mg, 2.5 mmol, 10.0 eq) and DIEA (0.32 g, 2.5 mmol, 10.0 eq) were added. The mixture was stirred for 16 hours at RT. Et
2O was added, filtered to provide crude product, which was purified by dialysis bag and freeze dried to provide compound 4 (200 mg, 37%yield) as white solid.
1H NMR (400 MHz, D
2O) δ: 0.82-1.22 (m, 60H) , 1.49-1.70 (m, 5H) , 1.96 (s, 10H) , 3.18 (s, 46H) , 3.63 (s, 14H) , 4.03-4.24 (m, 35H) .
The following compounds were prepared in analogous fashion as Compound 4, using different equivalents of Monomer 3.
8.3 Example 3: Preparation of Compound 7.
Step 0: Preparation of Monomer 2
To a solution of 2- (dimethylamino) ethyl methacrylate (5.0 g, 31.8 mmol, 1.0 eq) in ACN (20 mL) under N
2 at room temperature was added a solution of 1, 2-oxathiolane 2, 2-dioxide (3.9 g, 31.8 mmol, 1.0 eq) in ACN (4 mL) . The reaction mixture was stirred at room temperature for 16 hours, filtered and washed with ACN. The solid was dried in vacuum to provide Monomer 2 (8.2 g, 92%yield) as white solid.
1H NMR (400 MHz, D
2O) δ: 1.88 (s, 3H) , 2.13-2.21 (m, 2H) , 2.90-2.93 (m, 2H) , 3.16 (s, 6H) , 3.51-3.55 (m, 2H) , 3.75-3.76 (m, 2H) , 4.58 (s, 2H) , 5.72 (s, 1H) , 6.10 (s, 1H) .
Step 1: Preparation of compound 7
To a solution of compound 1-5 (165.0 mg, 0.25 mmol, 1.0 eq) and Monomer 2 (0.35 g, 1.25 mmol, 5.0 eq) in DMF (1.0 mL) and MeOH (1.0 mL) was added CuBr (36.0 mg, 0.25 mmol, 1.0 eq) and HMTETA (57.5 mg, 0.25 mmol, 1.0 eq) at RT. The mixture was stirred for 3 hours at 50 ℃, then 2-mercaptoethanol (195.0 mg, 2.5 mmol, 10.0 eq) and DIEA (0.32 g, 2.5 mmol, 10.0 eq) was added. The mixture was stirred for 16 hours at RT. Et
2O was added, filtered to provide crude product, which was purified by dialysis bag and freeze dried to provide compound 7 (12.0 mg, 2.4%yield) as white solid.
1H NMR (400 MHz, D
2O) δ: 0.774-1.29 (m, 53H) , 1.83-1.97 (m, 10H) , 2.20 (s, 30H) , 2.92 (s, 28H) , 3.17 (s, 78H) , 3.51 (s, 29H) , 3.69 (s, 20H) , 4.37-4.42 (m, 20H) .
The following compounds were prepared in analogous fashion as Compound 7, using different equivalents of Monomer 2.
8.4 Example 4: Preparation of Compound 10.
Step 1: Preparation of compound 10‐2
To a solution of stearyl alcohol (10.0 g, 37.0 mmol, 1.0 eq) and 1-4 (12.0 g, 55.0 mmol, 1.5eq) in DCM (150.0 mL) was added Et
3N (7.5 g, 74.0 mmol, 2.0 eq) at RT. The mixture was stirred for 16 hours at RT. TLC showed the reaction was completed, the mixture was evaporated under reduced pressure and purified with FCC (PE/EA=1/0-100/1) to provide compound 10-2 (12.0 g, 77%yield) as colourless oil.
Step 2: Preparation of compound 10‐3
To a solution of 10-2 (105.0 mg, 0.25 mmol, 1.0 eq) and Monomer 1 (0.44 g, 1.25 mmol, 5.0 eq) in DMF (1.0 mL) and MeOH (1.0 mL) were added CuBr (36.0 mg, 0.25 mmol, 1.0 eq) and HMTETA (57.5 mg, 0.25 mmol, 1.0 eq) at RT. The mixture was stirred for 3 hours at 50 ℃, then 2-mercaptoethanol (195.0 mg, 2.5 mmol, 10.0 eq) and DIEA (0.32 g, 2.5 mmol, 10.0 eq) was added. The mixture was stirred for 16 hours at RT. Et
2O was added, filtered to provide 10-3 (0.5 g, crude) as white solid.
Step 3: Preparation of compound10
To a solution of 10-3 (0.5 g, 0.3 mmol, 1.0 eq) in toluene (5.0 mL) was added TFA (2.0 mL) at RT. The mixture was stirred for 16 hours at 100 ℃. Et
2O was added, filtered to provide crude product, which was purified by dialysis bag and freeze dried to provide compound 10 (240.0 mg, 44%yield) as white solid.
1H NMR (400 MHz, D
2O) δ: 0.73-1.23 (m, 50H) , 1.43-1.63 (m, 6H) , 1.73-2.06 (m, 10H) , 3.24-3.28 (m, 30H) , 3.75 (s, 2H) , 3.95-4.12 (m, 20H) , 4.29-4.44 (m, 12H) .
The following compounds were prepared in analogous fashion as Compound 10, using different equivalents of Monomer 1.
8.5 Example 5: Preparation of Compound 13.
Step 1: Preparation of compound 13
To a solution of compound 10-2 (105.0 mg, 0.25 mmol, 1.0 eq) and Monomer 3 (368.0 mg, 1.25 mmol, 5.0 eq) in DMF (1.0 mL) and MeOH (1.0 mL) was added CuBr (36.0 mg, 0.25 mmol, 1.0 eq) and HMTETA (57.5 mg, 0.25 mmol, 1.0 eq) at RT. The mixture was stirred for 3 hours at 50 ℃, then mercaptoethanol (195.0 mg, 2.5 mmol, 10.0 eq) and DIEA (0.32 g, 2.5 mmol, 10.0 eq) was added. The mixture was stirred for 16 hours at RT. Et
2O was added, filtered to provide crude product, which was purified by dialysis bag and freeze dried to provide compound 13 (220 mg, 45%yield) as white solid.
1H NMR (400 MHz, D
2O) δ: 0.72-1.23 (m, 41H) , 1.54-2.00 (m, 25H) , 3.17 (s, 44H) , 3.62 (s, 15H) , 4.02 (s, 16H) , 4.16-4.23 (m, 15H) .
The following compounds were prepared in analogous fashion as Compound 13, using different equivalents of Monomer 3.
8.6 Example 6: Preparation of Compound 16.
Step 1: Preparation of compound 16
To a solution of 10-2 (105.0 mg, 0.25 mmol, 1.0 eq) and Monomer 2 (0.2 g, 0.75 mmol, 5.0 eq) in DMF (1.0 mL) and MeOH (1.0 mL) were added CuBr (36.0 mg, 0.25 mmol, 1.0 eq) and HMTETA (57.5 mg, 0.25 mmol, 1.0 eq) at RT. The mixture was stirred for 3 hours at 50 ℃, then mercaptoethanol (195.0 mg, 2.5 mmol, 10.0 eq) and DIEA (0.32 g, 2.5 mmol, 10.0 eq) were added. The mixture was stirred for 16 hours at RT. Et
2O was added, filtered to provide crude product, which was purified by dialysis bag and freeze dried to provide compound 16 (32.0 mg, 2.5%yield) as white solid.
1H NMR (400 MHz, D
2O) δ: 0.78-1.19 (m, 35H) , 1.56-1.79 (m, 6H) , 1.93 (s, 10H) , 2.22 (s, 15H) , 2.92 (s, 12H) , 3.17 (s, 30H) , 3.54 (s, 14H) , 3.75 (s, 13H) , 4.45 (s, 17H) .
The following compounds were prepared in analogous fashion as Compound 16, using different equivalents of Monomer 2.
8.7 Example 7: Preparation of Compound 19.
To a solution of 10-2 (105.0 mg, 0.25 mmol, 1.0 eq) , Monomer 5 (215 mg, 2.5 mmol, 10.0 eq) and monomer 4 (393 mg, 2.5 mmol, 10.0 eq) in DMF (1.0 mL) and MeOH (1.0 mL) were added CuBr (36.0 mg, 0.25 mmol, 1.0 eq) and HMTETA (57.5 mg, 0.25 mmol, 1.0 eq) at RT. The mixture was stirred for 3 hours at 50 ℃, then mercaptoethanol (195.0 mg, 2.5 mmol, 10.0 eq) and DIEA (0.32 g, 2.5 mmol, 10.0 eq) were added. The mixture was stirred for 16 hours at RT. Et
2O was added, filtered to provide crude product, which was purified by dialysis bag and freeze dried to provide compound 19 (139.0 mg, 19.0%yield) as white solid.
1H NMR (400 MHz, D
2O) δ: 0.89 (t, 3H) , 1.10-1.31 (m, 94H) , 1.55-1.89 (b, 42H) , 3.16 (s, 60H) , 3.54 (t, 20H) , 4.2-4.45 (m, 22H) .
8.8 Example 8: Preparation and characterization of lipid nanoparticles
Briefly, a cationic lipid, DSPC, cholesterol, and a polymer conjugated lipid provided herein are solubilized in ethanol at a molar ratio of 50: 10: 38.5: 1.5, and mRNA are diluted in 10 to 50mM citrate buffer, pH = 4. The LNPs are prepared at a total lipid to mRNA weight ratio of approximately 10: 1 to 30: 1 by mixing the ethanolic lipid solution with the aqueous mRNA solution at a volume ratio of 1: 3 using a microfluidic apparatus, total flow rate ranging from 9-30mL/min. Ethanol is thereby removed and replaced by DPBS using dialysis. Finally, the lipid nanoparticles are filtered through a 0.2 μm sterile filter.
Lipid nanoparticle size were determined by dynamic light scattering using a Malvern Zetasizer Nano ZS (Malvern UK) using a 173° backscatter detection mode. The encapsulation efficiency of lipid nanoparticles is determined using a Quant-it Ribogreen RNA quantification assay kit (Thermo Fisher Scientific, UK) according to the manufacturer’s instructions.
As reported in literature, the apparent pKa of LNP formulations correlates with the delivery efficiency of LNPs for nucleic acids in vivo. The apparent pKa of each formulation is determined using an assay based on fluorescence of 2- (p-toluidino) -6-napthalene sulfonic acid (TNS) . LNP formulations comprising of cationic lipid /DSPC /cholesterol /DMG-PEG (50 /10 /38.5/1.5 mol %) in PBS are prepared as described above. TNS is prepared as a 300uM stock solution in distilled water. LNP formulations are diluted to 0.1mg/ml total lipid in 3 mL of buffered solutions containing 50 mM sodium citrate, 50 mM sodium phosphate, 50 mM sodium borate, and 30mM sodium chloride where the pH ranged from 3 to 9. An aliquot of the TNS solution is added to give a final concentration of 0.1mg/ml and following vortex mixing fluorescence intensity is measured at room temperature in a Molecular Devices Spectramax iD3 spectrometer using excitation and mission wavelengths of 325 nm and 435 nm. A sigmoidal best fit analysis is applied to the fluorescence data and the pKa value is measured as the pH giving rise to half –maximal fluorescent intensity.
8.9 Example 9
Lipid nanoparticles comprising 50%cationic lipid C1, 38.5%cholesterol, 10%DSPC, and 1.5%polymeric compounds encapsulating human erythropoietin (hEPO) mRNA were systemically administered to 6-8 week old female ICR mice (Xipuer-Bikai, Shanghai) at 0.5mg/kg dose by tail vein injection and mice blood were sampled at 6 hours post administration. In addition to the aforementioned groups, lipid nanoparticles comprising DMG-PEG2000 encapsulating hEPO mRNA were similarly administered at the same dose to age and gender comparative groups of mice as a positive control. The results are shown in Table 3 and FIG. 1.
Table 3.
| Polymer | Cationic lipid | Z-avg. (nm) | | EE% | |
| 6 | C1 | 88.41 | 0.075 | 93.16% | |
| 12 | C1 | 100.4 | 0.11 | 91.80% | |
| DMG-PEG2000 | C1 | 82.79 | 0.056 | 90.73% |
8.10 Example 10
Lipid nanoparticles comprising 50%cationic lipids (one of the following: lipid 5, MC3, C1, and C2) , 38.5%cholesterol, 10%DSPC, and 1.5%polymeric compounds encapsulating human erythropoietin (hEPO) mRNA were systemically administered to 6-8 week old female ICR mice (Xipuer-Bikai, Shanghai) at 0.5mg/kg dose by tail vein injection and mice blood were sampled at 6 hours post administration. In addition to the aforementioned groups, lipid nanoparticles comprising DMG-PEG2000 encapsulating hEPO mRNA were similarly administered at the same dose to age and gender comparative groups of mice as a positive control. The results are shown in Table 4 and FIG. 2.
Table 4.
| Polymer | Cationic lipid | Z-avg. (nm) | PDI | EE% | |
| DMG- | Lipid | 5 | 63.48 | 0.058 | 91.37% |
| 2 | |
98.23 | 0.128 | 88.38% | |
| 5 | |
83.72 | 0.106 | 90.43% | |
| 11 | |
108 | 0.097 | 89.39% | |
| DMG-PEG2000 | MC3 | 65.64 | 0.059 | 92.68% | |
| 2 | MC3 | 126.1 | 0.035 | 89.24% | |
| 5 | MC3 | 87.92 | 0.063 | 94.49% | |
| 11 | MC3 | 142.3 | 0.115 | 91.08 | |
| DMG-PEG2000 | C1 | 71.78 | 0.064 | 96.09% | |
| 2 | C1 | 140.6 | 0.102 | 92.71% | |
| 5 | C1 | 85.37 | 0.077 | 94.12% |
| 11 | C1 | 83.07 | 0.081 | 93.42% |
| DMG-PEG2000 | C2 | 64.8 | 0.06 | 91.98% |
| 2 | C2 | 81.38 | 0.094 | 91.45% |
| 5 | C2 | 71.92 | 0.108 | 92.44% |
| 11 | C2 | 93.42 | 0.121 | 94.09% |
8.11 Example 11
Lipid nanoparticles comprising 50%cationic lipid C1, 38.5%cholesterol, 10%DSPC, and 1.5%polymeric compounds encapsulating Firefly Luciferase (FLuc) mRNA were prepared. 3μl of each LNP sample was deposited on a holey carbon grid that was glow-discharged (Quantifoil R1.2/1.3) and vitrificated using a Vitrobot Mark IV (ThermoFisher Scientific) instrument. Cryo-EM imaging was conducted on a Talos F200C Equipped with a Ceta 4k X 4k camera, operated at 200kV accelerating voltage. The results are shown in FIG. 3.
The structures of the cationic lipids used in the examples are shown below:
Claims (43)
- A compound of Formula (I) :or a pharmaceutically acceptable salt or stereoisomer thereof, wherein:L is a lipid;X is a linker;each R 3 is independently H or C 1-C 6 alkyl;each Y 1 is independently a bond, O, S, or NR a;each G 4 is independently a bond or C 1-C 12 alkylene, wherein one or more -CH 2-is independently optionally replaced by -O-, -S-, or -NR a-;each G 5 is independently a bond or C 1-C 12 alkylene, wherein one or more -CH 2-is independently optionally replaced by -O-, -S-, or -NR a-;each R a is independently H, C 1-C 12 alkyl, or C 2-C 12 alkenyl;one of Z 1 and Z 2 is a positively charged moiety and the other of Z 1 and Z 2 is a negatively charged moiety;n is an integer from 2 to 100;T is hydrogen, halogen, alkyl, alkenyl, -OR”, -SR”, -COOR”, -OCOR”, -NR”R”, -N + (R”) 3, -P + (R”) 3, -S-C (=S) -S-R”, -S-C (=S) -O-R”, -S-C (=S) -NR”R”, -S-C (=S) -aryl, cyano, azido, aryl, heteroaryl, or a targeting group, wherein each occurrence of R” is independently hydrogen or alkyl; andwherein each alkyl, alkenyl, alkylene, aryl, and heteroaryl is independently optionally substituted; andprovided that the compound is not:
- The compound of claim 1, provided that, when the negatively charged moiety of Z 1 or Z 2 is a carboxylate (-COO –) , T is not bromo.
- A compound of Formula (II) :or a pharmaceutically acceptable salt or stereoisomer thereof, wherein:L is a lipid;X is a linker;each R 3 is independently H or C 1-C 6 alkyl;each R 4 is independently H or C 1-C 6 alkyl;each X 1 is independently a bond or -C (O) -Y 1-;each X 2 is independently a bond or -C (O) -Y 2-;each Y 1 is independently a bond, O, S, or NR a;each Y 2 is independently a bond, O, S, or NR a;each G 4 is independently a bond or C 1-C 12 alkylene, wherein one or more -CH 2-is independently optionally replaced by -O-, -S-, or -NR a-;each G 5 is independently a bond or C 1-C 12 alkylene, wherein one or more -CH 2-is independently optionally replaced by -O-, -S-, or -NR a-;each R a is independently H, C 1-C 12 alkyl, or C 2-C 12 alkenyl;one of Z 1 and Z 2 is a positively charged moiety and the other of Z 1 and Z 2 is a negatively charged moiety;n is an even integer from 2 to 100;T is hydrogen, halogen, alkyl, alkenyl, -OR”, -SR”, -COOR”, -OCOR”, -NR”R”, -N + (R”) 3, -P + (R”) 3, -S-C (=S) -S-R”, -S-C (=S) -O-R”, -S-C (=S) -NR”R”, -S-C (=S) -aryl, cyano, azido, aryl, heteroaryl, or a targeting group, wherein each occurrence of R” is independently hydrogen or alkyl; andwherein each alkyl, alkenyl, alkylene, aryl, and heteroaryl is independently optionally substituted.
- The compound of any one of claims 1 to 3, wherein Y 1 is O and Y 2 is O; G 4 is C 1-C 3 alkylene; G 5 is C 1-C 3 alkylene; the positively charged moiety of Z 1 or Z 2 is a quaternary amine cation; and/or the negatively charged moiety of Z 1 or Z 2 is a carboxylate, sulfonate, or phosphate anion.
- The compound of claim 1, which is a compound of Formula (I-A) :or a pharmaceutically acceptable salt or stereoisomer thereof, wherein:s is an integer from 1 to 6;t is an integer from 1 to 6;each R o is independently C 1-C 6 alkyl; or two R o together with the nitrogen to which they are attached form a cyclic moiety; andwherein each alkyl and cyclic moiety is independently optionally substituted.
- The compound of claim 5, wherein s is 2 and t is 1.
- The compound of claim 1, which is a compound of Formula (I-B) :or a pharmaceutically acceptable salt or stereoisomer thereof, wherein:s is an integer from 1 to 6;t is an integer from 1 to 6;each R o is independently C 1-C 6 alkyl; or two R o together with the nitrogen to which they are attached form a cyclic moiety; andwherein each alkyl and cyclic moiety is independently optionally substituted.
- The compound of claim 7, wherein s is 2 and t is 3.
- The compound of claim 1, which is a compound of Formula (I-C) :or a pharmaceutically acceptable salt or stereoisomer thereof, wherein:s is an integer from 1 to 6;t is an integer from 1 to 6;each R o is independently C 1-C 6 alkyl; or two R o together with the nitrogen to which they are attached form a cyclic moiety; or three R o together with the nitrogen to which they are attached form a bicyclic moiety; andwherein each alkyl, cyclic moiety and bicyclic moiety is independently optionally substituted.
- The compound of claim 9, wherein s is 2 and t is 2.
- The compound of claim 3, which is a compound of Formula (II-A) , (II-B) , or (II-C) :or a pharmaceutically acceptable salt or stereoisomer thereof, wherein:s is an integer from 1 to 6;t is an integer from 1 to 6;each R o is independently C 1-C 6 alkyl; or two R o together with the nitrogen to which they are attached form a cyclic moiety; or three R o together with the nitrogen to which they are attached form a bicyclic moiety;each R p is independently C 1-C 6 alkyl or -O- (C 1-C 6 alkyl) ; andwherein each alkyl, cyclic moiety and bicyclic moiety is independently optionally substituted.
- The compound of claim 11, wherein, in Formula (II-A) , s is 2; or in Formula (II-B) or (II-C) , s is 2 and t is 2.
- The compound of any one of claims 1 to 12, whereinL is a lipid comprising one or more C 6-C 24 alkyl or C 6-C 24 alkenyl, a sterol lipid, or a sphingolipid; orL is a lipid of the formula:wherein:G 1, G 2, and G 3 are each independently a bond, C 1-C 12 alkylene, or C 2-C 12 alkenylene;L 1 is –OC (=O) R 1, -C (=O) OR 1, -OC (=O) OR 1, -C (=O) R 1, -OR 1, -S (O) xR 1, -S-SR 1, -C (=O) SR 1, -SC (=O) R 1, -NR aC (=O) R 1, -C (=O) NR bR c, -NR aC (=O) NR bR c, -OC (=O) NR bR c, - NR aC (=O) OR 1, -SC (=S) R 1, -C (=S) SR 1, -C (=S) R 1, -CH (OH) R 1, -P (=O) (OR b) (OR c) , - (C 6-C 10 arylene) -R 1, - (6-to 10-membered heteroarylene) -R 1, or R 1;L 2 is –OC (=O) R 2, -C (=O) OR 2, -OC (=O) OR 2, -C (=O) R 2, -OR 2, -S (O) xR 2, -S-SR 2, -C (=O) SR 2, -SC (=O) R 2, -NR dC (=O) R 2, -C (=O) NR eR f, -NR dC (=O) NR eR f, -OC (=O) NR eR f, -NR dC (=O) OR 2, -SC (=S) R 2, -C (=S) SR 2, -C (=S) R 2, -CH (OH) R 2, -P (=O) (OR e) (OR f) , - (C 6-C 10 arylene) -R 2, - (6-to 10-membered heteroarylene) -R 2, or R 2;L 3 is -OC (=O) -, -C (=O) O-, -OC (=O) O-, -C (=O) -, -O-, -S (O) x-, -S-S-, -C (=O) S-, -SC (=O) -, -NR aC (=O) -, -C (=O) NR b-, -NR aC (=O) NR b-, -OC (=O) NR b-, -NR aC (=O) O-, -SC (=S) -, -C (=S) S-, -C (=S) -, -CH (OH) -, -P (=O) (OR b) O-, - (C 6-C 10 arylene) -, or - (6-to 10-membered heteroarylene) -;R 1 and R 2 are each independently C 6-C 24 alkyl or C 6-C 24 alkenyl;R a, R b, R d, and R e are each independently H, C 1-C 12 alkyl, or C 2-C 12 alkenyl;R c and R f are each independently C 1-C 12 alkyl or C 2-C 12 alkenyl;x is 0, 1, or 2, andwherein each alkyl, alkenyl, alkylene, alkenylene, arylene, and heteroarylene is independently optionally substituted.
- The compound of claim 13 or 14, wherein G 1 and G 2 are each independently a bond or C 1 alkylene; L 1 is –OC (=O) R 1, -C (=O) OR 1, -C (=O) NR bR c, or R 1; and/or L 2 is –OC (=O) R 2, -C (=O) OR 2, -C (=O) NR eR f, or R 2.
- The compound of any one of claims 1 to 15, wherein X is C 1-C 12 alkylene, wherein:one or more -CH 2-is independently optionally replaced by -O-, -NR a-, -OC (=O) -, -C (=O) O-, -OC (=O) O-, -C (=O) -, -S (O) x-, -S-S-, -C (=O) S-, -SC (=O) -, -NR aC (=O) -, -C (=O) NR b-, -NR aC (=O) NR b-, -SC (=S) -, -C (=S) S-, -C (=S) -, -P (=O) (OR b) -O-, -O-P (=O) (OR b) -O-, - (C 6-C 10 arylene) -, or - (6-to 10-membered heteroarylene) -;x is 0, 1, or 2;R a and R b are each independently H, C 1-C 12 alkyl, or C 2-C 12 alkenyl; andand each alkyl, alkenyl, alkylene, arylene, and heteroarylene is optionally substituted.
- The compound of claim 16, wherein X is -C (=O) -C 1-C 11 alkylene or -P (=O) (OR b) -O-C 1-C 11 alkylene, wherein one or more -CH 2-is independently optionally replaced by -O-, -NR a-, -OC (=O) -, -C (=O) O-, -NR aC (=O) -, or -C (=O) NR b-.
- The compound of claim 16 or 17, wherein the alkylene of X is optionally substituted with one or more of C 1-C 6 alkyl or cyano.
- The compound of claim 19, which is a compound of Formula (III-A) :or a pharmaceutically acceptable salt or stereoisomer thereof, wherein:s is an integer from 1 to 6;t is an integer from 1 to 6;each R o is independently C 1-C 6 alkyl; or two R o together with the nitrogen to which they are attached form a cyclic moiety; andwherein each alkyl and cyclic moiety is independently optionally substituted.
- The compound of claim 20, wherein s is 2 and t is 1.
- The compound of claim 19, which is a compound of Formula (III-B) :or a pharmaceutically acceptable salt or stereoisomer thereof, wherein:s is an integer from 1 to 6;t is an integer from 1 to 6;each R o is independently C 1-C 6 alkyl; or two R o together with the nitrogen to which they are attached form a cyclic moiety; andwherein each alkyl and cyclic moiety is independently optionally substituted.
- The compound of claim 22, wherein s is 2 and t is 3.
- The compound of claim 19, which is a compound of Formula (III-C) :or a pharmaceutically acceptable salt or stereoisomer thereof, wherein:s is an integer from 1 to 6;t is an integer from 1 to 6;each R o is independently C 1-C 6 alkyl; or two R o together with the nitrogen to which they are attached form a cyclic moiety; or three R o together with the nitrogen to which they are attached form a bicyclic moiety; andwherein each alkyl, cyclic moiety and bicyclic moiety is independently optionally substituted.
- The compound of claim 24, wherein s is 2 and t is 2.
- The compound of claim 19, which is a compound of Formula (IV-A) , (IV-B) , or (IV-C) :or a pharmaceutically acceptable salt or stereoisomer thereof, wherein:s is an integer from 1 to 6;t is an integer from 1 to 6;each R o is independently C 1-C 6 alkyl; or two R o together with the nitrogen to which they are attached form a cyclic moiety; or three R o together with the nitrogen to which they are attached form a bicyclic moiety;each R p is independently C 1-C 6 alkyl or -O- (C 1-C 6 alkyl) ; andwherein each alkyl, cyclic moiety and bicyclic moiety is independently optionally substituted.
- The compound of claim 26, wherein, in Formula (IV-A) , s is 2; or in Formula (IV-B) or (IV-C) , s is 2 and t is 2.
- The compound of claim 28, which is a compound of Formula (V-A) :or a pharmaceutically acceptable salt or stereoisomer thereof, wherein:s is an integer from 1 to 6;t is an integer from 1 to 6;each R o is independently C 1-C 6 alkyl; or two R o together with the nitrogen to which they are attached form a cyclic moiety; andwherein each alkyl and cyclic moiety is independently optionally substituted.
- The compound of claim 29, wherein s is 2 and t is 1.
- The compound of claim 28, which is a compound of Formula (V-B) :or a pharmaceutically acceptable salt or stereoisomer thereof, wherein:s is an integer from 1 to 6;t is an integer from 1 to 6;each R o is independently C 1-C 6 alkyl; or two R o together with the nitrogen to which they are attached form a cyclic moiety; andwherein each alkyl and cyclic moiety is independently optionally substituted.
- The compound of claim 31, wherein s is 2 and t is 3.
- The compound of claim 28, which is a compound of Formula (V-C) :or a pharmaceutically acceptable salt or stereoisomer thereof, wherein:s is an integer from 1 to 6;t is an integer from 1 to 6;each R o is independently C 1-C 6 alkyl; or two R o together with the nitrogen to which they are attached form a cyclic moiety; or three R o together with the nitrogen to which they are attached form a bicyclic moiety; andwherein each alkyl, cyclic moiety and bicyclic moiety is independently optionally substituted.
- The compound of claim 33, wherein s is 2 and t is 2.
- The compound of claim 28, which is a compound of Formula (VI-A) , (VI-B) , or (VI-C) :or a pharmaceutically acceptable salt or stereoisomer thereof, wherein:s is an integer from 1 to 6;t is an integer from 1 to 6;each R o is independently C 1-C 6 alkyl; or two R o together with the nitrogen to which they are attached form a cyclic moiety; or three R o together with the nitrogen to which they are attached form a bicyclic moiety;each R p is independently C 1-C 6 alkyl or -O- (C 1-C 6 alkyl) ; andwherein each alkyl, cyclic moiety and bicyclic moiety is independently optionally substituted.
- The compound of claim 35, wherein, in Formula (VI-A) , s is 2; or in Formula (VI-B) or (VI-C) , s is 2 and t is 2.
- The compound of any one of claims 13 to 36, wherein R 1 and R 2 are each independently straight C 6-C 24 alkyl, branched C 6-C 24 alkyl, or straight C 6-C 24 alkenyl; R a and R d are each independently H; and/or R b, R c, R e, and R f are each independently n-hexyl or n-octyl.
- The compound of claim 37, wherein R 1 and R 2 are each independently straight C 6-C 18 alkyl, -R 7-CH (R 8) (R 9) , or C 6-C 18 alkenyl, wherein R 7 is C 0-C 5 alkylene, and R 8 and R 9 are independently C 2-C 10 alkyl.
- The compound of any one of claims 1 to 38, wherein R 3 is methyl; T is -S-CH 2-CH 2-OH; and/or n is an integer from 5 to 20.
- A compound in Table 1 or Table 2, or a pharmaceutically acceptable salt or stereoisomer thereof.
- A composition comprising the compound of any one of claims 1 to 40, and a therapeutic or prophylactic agent.
- A lipid nanoparticle comprising the compound of any one of claims 1 to 40, or the composition of claim 41.
- A pharmaceutical composition comprising the compound of any one of claims 1 to 40, the composition of claim 41, or the lipid nanoparticle of claim 42, and a pharmaceutically acceptable excipient or diluent.
Priority Applications (1)
| Application Number | Priority Date | Filing Date | Title |
|---|---|---|---|
| CN202280007596.0A CN116615472A (en) | 2021-01-14 | 2022-01-12 | Polymer-conjugated lipid compounds and lipid nanoparticle compositions |
Applications Claiming Priority (4)
| Application Number | Priority Date | Filing Date | Title |
|---|---|---|---|
| CN202110051372.7 | 2021-01-14 | ||
| CN202110051372 | 2021-01-14 | ||
| US202163140685P | 2021-01-22 | 2021-01-22 | |
| US63/140,685 | 2021-01-22 |
Publications (2)
| Publication Number | Publication Date |
|---|---|
| WO2022152141A2 true WO2022152141A2 (en) | 2022-07-21 |
| WO2022152141A3 WO2022152141A3 (en) | 2022-08-11 |
Family
ID=81327156
Family Applications (1)
| Application Number | Title | Priority Date | Filing Date |
|---|---|---|---|
| PCT/CN2022/071492 Ceased WO2022152141A2 (en) | 2021-01-14 | 2022-01-12 | Polymer conjugated lipid compounds and lipid nanoparticle compositions |
Country Status (2)
| Country | Link |
|---|---|
| CN (1) | CN116615472A (en) |
| WO (1) | WO2022152141A2 (en) |
Cited By (3)
| Publication number | Priority date | Publication date | Assignee | Title |
|---|---|---|---|---|
| WO2024046448A1 (en) * | 2022-09-02 | 2024-03-07 | Suzhou Abogen Biosciences Co., Ltd. | Lyophilized formulations and liquid formulations of lipid nanoparticles |
| WO2024083172A1 (en) * | 2022-10-20 | 2024-04-25 | 苏州艾博生物科技有限公司 | Lipid compound and lipid nanoparticle composition |
| CN118001254A (en) * | 2024-04-09 | 2024-05-10 | 北京悦康科创医药科技股份有限公司 | Lipid composition targeting antigen presenting cells and its application |
Families Citing this family (2)
| Publication number | Priority date | Publication date | Assignee | Title |
|---|---|---|---|---|
| CN117257965B (en) * | 2023-11-21 | 2024-02-23 | 深圳瑞吉生物科技有限公司 | Nucleic acid delivery carrier composition and application thereof |
| CN119119354B (en) * | 2024-08-23 | 2025-10-24 | 南方医科大学 | A choline polymer and its preparation method and application |
Citations (64)
| Publication number | Priority date | Publication date | Assignee | Title |
|---|---|---|---|---|
| WO1999024595A1 (en) | 1997-11-12 | 1999-05-20 | The Brigham And Women's Hospital, Inc. | The translation enhancer element of the human amyloid precursor protein gene |
| WO2001055371A1 (en) | 2000-01-28 | 2001-08-02 | The Scripps Research Institute | Methods of identifying synthetic transcriptional and translational regulatory elements, and compositions relating to same |
| WO2002098443A2 (en) | 2001-06-05 | 2002-12-12 | Curevac Gmbh | Stabilised mrna with an increased g/c content and optimised codon for use in gene therapy |
| WO2003051401A2 (en) | 2001-12-19 | 2003-06-26 | Curevac Gmbh | Stabilised mrna tumour vaccine |
| WO2004004743A1 (en) | 2002-07-03 | 2004-01-15 | Curevac Gmbh | Immunostimulation by chemically modified rna |
| WO2005016376A1 (en) | 2003-08-05 | 2005-02-24 | Curevac Gmbh | Transfection of blood cells with mrna for immunostimulation and gene therapy |
| WO2006024518A1 (en) | 2004-09-02 | 2006-03-09 | Curevac Gmbh | Combination therapy for immunostimulation |
| WO2006122828A2 (en) | 2005-05-19 | 2006-11-23 | Curevac Gmbh | Optimized injection formulation for rna |
| US20070048776A1 (en) | 2005-08-24 | 2007-03-01 | The Scripps Research Institute | Translation enhancer-element dependent vector systems |
| WO2007095976A2 (en) | 2006-02-17 | 2007-08-30 | Curevac Gmbh | Adjuvant in the form of a lipid-modified nucleic acid |
| WO2008016473A2 (en) | 2006-07-28 | 2008-02-07 | Applera Corporation | Dinucleotide mrna cap analogs |
| WO2008014979A2 (en) | 2006-07-31 | 2008-02-07 | Curevac Gmbh | NUCLEIC ACID OF FORMULA (I): GIXmGn, OR (II): CIXmCn, IN PARTICULAR AS AN IMMUNE-STIMULATING AGENT/ADJUVANT |
| WO2008052770A2 (en) | 2006-10-31 | 2008-05-08 | Curevac Gmbh | (base-)modified rna for increasing the expression of a protein |
| WO2008077592A1 (en) | 2006-12-22 | 2008-07-03 | Curevac Gmbh | Method for purifying rna on a preparative scale by means of hplc |
| WO2008083949A2 (en) | 2007-01-09 | 2008-07-17 | Curevac Gmbh | Rna-coded antibody |
| WO2008127688A1 (en) | 2007-04-13 | 2008-10-23 | Hart Communication Foundation | Synchronizing timeslots in a wireless communication protocol |
| US7468275B2 (en) | 2000-01-28 | 2008-12-23 | The Scripps Research Institute | Synthetic internal ribosome entry sites and methods of identifying same |
| WO2009030481A1 (en) | 2007-09-04 | 2009-03-12 | Curevac Gmbh | Complexes of rna and cationic peptides for transfection and for immunostimulation |
| WO2009075886A1 (en) | 2007-12-11 | 2009-06-18 | The Scripps Research Institute | Compositions and methods related to mrna translational enhancer elements |
| WO2009095226A2 (en) | 2008-01-31 | 2009-08-06 | Curevac Gmbh | Nucleic acids of formula (i) (nuglxmgnnv)a and derivatives thereof as an immunostimulating agent/adjuvant |
| WO2009127230A1 (en) | 2008-04-16 | 2009-10-22 | Curevac Gmbh | MODIFIED (m)RNA FOR SUPPRESSING OR AVOIDING AN IMMUNOSTIMULATORY RESPONSE AND IMMUNOSUPPRESSIVE COMPOSITION |
| WO2010037539A1 (en) | 2008-09-30 | 2010-04-08 | Curevac Gmbh | Composition comprising a complexed (m)rna and a naked mrna for providing or enhancing an immunostimulatory response in a mammal and uses thereof |
| WO2010088927A1 (en) | 2009-02-09 | 2010-08-12 | Curevac Gmbh | Use of pei for the improvement of endosomal release and expression of transfected nucleic acids, complexed with cationic or polycationic compounds |
| WO2011015347A1 (en) | 2009-08-05 | 2011-02-10 | Biontech Ag | Vaccine composition comprising 5'-cap modified rna |
| WO2011026641A1 (en) | 2009-09-03 | 2011-03-10 | Curevac Gmbh | Disulfide-linked polyethyleneglycol/peptide conjugates for the transfection of nucleic acids |
| WO2011069586A1 (en) | 2009-12-09 | 2011-06-16 | Curevac Gmbh | Mannose-containing solution for lyophilization, transfection and/or injection of nucleic acids |
| WO2011144358A1 (en) | 2010-05-21 | 2011-11-24 | Curevac Gmbh | Histidine-containing solution for transfection and/or injection of nucleic acids and uses thereof |
| WO2012009644A2 (en) | 2010-07-16 | 2012-01-19 | Arizona Board Of Regents | Methods to identify synthetic and natural rna elements that enhance protein translation |
| WO2012013326A1 (en) | 2010-07-30 | 2012-02-02 | Curevac Gmbh | Complexation of nucleic acids with disulfide-crosslinked cationic components for transfection and immunostimulation |
| WO2012019780A1 (en) | 2010-08-13 | 2012-02-16 | Curevac Gmbh | Nucleic acid comprising or coding for a histone stem-loop and a poly(a) sequence or a polyadenylation signal for increasing the expression of an encoded protein |
| WO2012067378A2 (en) | 2010-11-17 | 2012-05-24 | 두산인프라코어 주식회사 | Sliding bearing having improved lubrication characteristics |
| WO2012089338A1 (en) | 2010-12-29 | 2012-07-05 | Curevac Gmbh | Combination of vaccination and inhibition of mhc class restricted antigen presentation |
| WO2012113513A1 (en) | 2011-02-21 | 2012-08-30 | Curevac Gmbh | Vaccine composition comprising complexed immunostimulatory nucleic acids and antigens packaged with disulfide-linked polyethyleneglycol/peptide conjugates |
| WO2012116811A1 (en) | 2011-03-02 | 2012-09-07 | Curevac Gmbh | Vaccination in elderly patients |
| WO2012116810A1 (en) | 2011-03-02 | 2012-09-07 | Curevac Gmbh | Vaccination in newborns and infants |
| WO2013103659A1 (en) | 2012-01-04 | 2013-07-11 | Board Of Supervisors Of Louisiana State University And Agricultural And Mechanical College | Stabilizing rna by incorporating chain-terminating nucleosides at the 3'-terminus |
| WO2013113736A1 (en) | 2012-01-31 | 2013-08-08 | Bayer Innovation Gmbh | Pharmaceutical composition comprising a polymeric carrier cargo complex and an antigen |
| WO2013113502A1 (en) | 2012-01-31 | 2013-08-08 | Curevac Gmbh | Negatively charged nucleic acid comprising complexes for immunostimulation |
| WO2013113501A1 (en) | 2012-01-31 | 2013-08-08 | Curevac Gmbh | Pharmaceutical composition comprising a polymeric carrier cargo complex and at least one protein or pepide antigen |
| WO2013120629A1 (en) | 2012-02-15 | 2013-08-22 | Curevac Gmbh | Nucleic acid comprising or coding for a histone stem-loop and a poly(a) sequence or a polyadenylation signal for increasing the expression of an encoded therapeutic protein |
| WO2013120628A1 (en) | 2012-02-15 | 2013-08-22 | Curevac Gmbh | Nucleic acid comprising or coding for a histone stem-loop and a poly(a) sequence or a polyadenylation signal for increasing the expression of an encoded pathogenic antigen |
| WO2013120498A1 (en) | 2012-02-15 | 2013-08-22 | Curevac Gmbh | Nucleic acid comprising or coding for a histone stem-loop and a poly(a) sequence or a polyadenylation signal for increasing the expression of an encoded allergenic antigen or an autoimmune self-antigen |
| WO2013120627A1 (en) | 2012-02-15 | 2013-08-22 | Curevac Gmbh | Nucleic acid comprising or coding for a histone stem-loop and a poly(a) sequence or a polyadenylation signal for increasing the expression of an encoded tumour antigen |
| US8519110B2 (en) | 2008-06-06 | 2013-08-27 | Board Of Supervisors Of Louisiana State University And Agricultural And Mechanical College | mRNA cap analogs |
| WO2013143699A1 (en) | 2012-03-27 | 2013-10-03 | Curevac Gmbh | Artificial nucleic acid molecules for improved protein or peptide expression |
| WO2013143700A2 (en) | 2012-03-27 | 2013-10-03 | Curevac Gmbh | Artificial nucleic acid molecules comprising a 5'top utr |
| WO2013143698A1 (en) | 2012-03-27 | 2013-10-03 | Curevac Gmbh | Artificial nucleic acid molecules |
| WO2013174409A1 (en) | 2012-05-25 | 2013-11-28 | Curevac Gmbh | Reversible immobilization and/or controlled release of nucleic acid containing nanoparticles by (biodegradable) polymer coatings |
| WO2014127917A1 (en) | 2013-02-22 | 2014-08-28 | Curevac Gmbh | Combination of vaccination and inhibition of the pd-1 pathway |
| WO2015002667A1 (en) | 2013-07-01 | 2015-01-08 | Myq, Inc. | A location regulated point-of-sale system and enhancements |
| WO2015011633A1 (en) | 2013-07-23 | 2015-01-29 | Protiva Biotherapeutics, Inc. | Compositions and methods for delivering messenger rna |
| WO2015024665A1 (en) | 2013-08-21 | 2015-02-26 | Curevac Gmbh | Rabies vaccine |
| WO2015024669A1 (en) | 2013-08-21 | 2015-02-26 | Curevac Gmbh | Combination vaccine |
| WO2015024667A1 (en) | 2013-08-21 | 2015-02-26 | Curevac Gmbh | Method for increasing expression of rna-encoded proteins |
| WO2015024668A2 (en) | 2013-08-21 | 2015-02-26 | Curevac Gmbh | Respiratory syncytial virus (rsv) vaccine |
| WO2015024664A1 (en) | 2013-08-21 | 2015-02-26 | Curevac Gmbh | Composition and vaccine for treating prostate cancer |
| WO2015024666A1 (en) | 2013-08-21 | 2015-02-26 | Curevac Gmbh | Composition and vaccine for treating lung cancer |
| WO2015062738A1 (en) | 2013-11-01 | 2015-05-07 | Curevac Gmbh | Modified rna with decreased immunostimulatory properties |
| WO2015101414A2 (en) | 2013-12-30 | 2015-07-09 | Curevac Gmbh | Artificial nucleic acid molecules |
| WO2015101416A1 (en) | 2013-12-30 | 2015-07-09 | Curevac Gmbh | Methods for rna analysis |
| WO2015101415A1 (en) | 2013-12-30 | 2015-07-09 | Curevac Gmbh | Artificial nucleic acid molecules |
| WO2015199952A1 (en) | 2014-06-25 | 2015-12-30 | Acuitas Therapeutics Inc. | Novel lipids and lipid nanoparticle formulations for delivery of nucleic acids |
| WO2016176330A1 (en) | 2015-04-27 | 2016-11-03 | The Trustees Of The University Of Pennsylvania | Nucleoside-modified rna for inducing an adaptive immune response |
| WO2017112865A1 (en) | 2015-12-22 | 2017-06-29 | Modernatx, Inc. | Compounds and compositions for intracellular delivery of agents |
Family Cites Families (5)
| Publication number | Priority date | Publication date | Assignee | Title |
|---|---|---|---|---|
| EP2496614A4 (en) * | 2009-11-06 | 2014-02-26 | Univ Washington Ct Commerciali | SELF-ASSEMBLED PARTICLES OF ZWITTERIONIC POLYMERS AND ASSOCIATED METHODS |
| US10426753B2 (en) * | 2014-04-03 | 2019-10-01 | Invictus Oncology Pvt. Ltd. | Supramolecular combinatorial therapeutics |
| IL243285A0 (en) * | 2015-12-22 | 2016-04-21 | Yeda Res & Dev | Lipid analogs and liposomes comprising same |
| IL301115A (en) * | 2017-04-28 | 2023-05-01 | Acuitas Therapeutics Inc | New lipid carbonyl and lipid nanoparticle formulations for delivery of nucleic acids |
| WO2018226841A1 (en) * | 2017-06-06 | 2018-12-13 | Wayne State University | Methods and compositions relating to carnitine- derived materials |
-
2022
- 2022-01-12 WO PCT/CN2022/071492 patent/WO2022152141A2/en not_active Ceased
- 2022-01-12 CN CN202280007596.0A patent/CN116615472A/en active Pending
Patent Citations (80)
| Publication number | Priority date | Publication date | Assignee | Title |
|---|---|---|---|---|
| US6310197B1 (en) | 1997-11-12 | 2001-10-30 | The Brigham And Women's Hospital, Inc. | Translation enhancer element of the human amyloid precursor protein gene |
| WO1999024595A1 (en) | 1997-11-12 | 1999-05-20 | The Brigham And Women's Hospital, Inc. | The translation enhancer element of the human amyloid precursor protein gene |
| US6849405B2 (en) | 1997-11-12 | 2005-02-01 | The Brigham And Women's Hospital, Inc. | Translation enhancer element of the human amyloid precursor protein gene |
| US7468275B2 (en) | 2000-01-28 | 2008-12-23 | The Scripps Research Institute | Synthetic internal ribosome entry sites and methods of identifying same |
| WO2001055371A1 (en) | 2000-01-28 | 2001-08-02 | The Scripps Research Institute | Methods of identifying synthetic transcriptional and translational regulatory elements, and compositions relating to same |
| WO2001055369A1 (en) | 2000-01-28 | 2001-08-02 | The Scripps Research Institute | Synthetic internal ribosome entry sites and methods of identifying same |
| US7456273B2 (en) | 2000-01-28 | 2008-11-25 | The Scripps Research Institute | Methods of identifying synthetic transcriptional and translational regulatory elements, and compositions relating to same |
| US7183395B2 (en) | 2000-01-28 | 2007-02-27 | The Scripps Research Institute | Methods of identifying synthetic transcriptional and translational regulatory elements, and compositions relating to same |
| US20090093049A1 (en) | 2000-01-28 | 2009-04-09 | The Scripps Research Institute | Methods of Identifying Synthetic Transcriptional and Translational Regulatory Elements, and Compositions Related to Same |
| WO2002098443A2 (en) | 2001-06-05 | 2002-12-12 | Curevac Gmbh | Stabilised mrna with an increased g/c content and optimised codon for use in gene therapy |
| WO2003051401A2 (en) | 2001-12-19 | 2003-06-26 | Curevac Gmbh | Stabilised mrna tumour vaccine |
| WO2004004743A1 (en) | 2002-07-03 | 2004-01-15 | Curevac Gmbh | Immunostimulation by chemically modified rna |
| WO2005016376A1 (en) | 2003-08-05 | 2005-02-24 | Curevac Gmbh | Transfection of blood cells with mrna for immunostimulation and gene therapy |
| WO2006024518A1 (en) | 2004-09-02 | 2006-03-09 | Curevac Gmbh | Combination therapy for immunostimulation |
| WO2006122828A2 (en) | 2005-05-19 | 2006-11-23 | Curevac Gmbh | Optimized injection formulation for rna |
| US20110124100A1 (en) | 2005-08-24 | 2011-05-26 | The Scripps Research Institute | Translation enhancer-element dependent vector systems |
| WO2007025008A2 (en) | 2005-08-24 | 2007-03-01 | The Scripps Research Institute | Translation enhancer-element dependent vector systems |
| US20070048776A1 (en) | 2005-08-24 | 2007-03-01 | The Scripps Research Institute | Translation enhancer-element dependent vector systems |
| WO2007095976A2 (en) | 2006-02-17 | 2007-08-30 | Curevac Gmbh | Adjuvant in the form of a lipid-modified nucleic acid |
| WO2008016473A2 (en) | 2006-07-28 | 2008-02-07 | Applera Corporation | Dinucleotide mrna cap analogs |
| WO2008014979A2 (en) | 2006-07-31 | 2008-02-07 | Curevac Gmbh | NUCLEIC ACID OF FORMULA (I): GIXmGn, OR (II): CIXmCn, IN PARTICULAR AS AN IMMUNE-STIMULATING AGENT/ADJUVANT |
| WO2008052770A2 (en) | 2006-10-31 | 2008-05-08 | Curevac Gmbh | (base-)modified rna for increasing the expression of a protein |
| WO2008077592A1 (en) | 2006-12-22 | 2008-07-03 | Curevac Gmbh | Method for purifying rna on a preparative scale by means of hplc |
| WO2008083949A2 (en) | 2007-01-09 | 2008-07-17 | Curevac Gmbh | Rna-coded antibody |
| WO2008127688A1 (en) | 2007-04-13 | 2008-10-23 | Hart Communication Foundation | Synchronizing timeslots in a wireless communication protocol |
| WO2009030481A1 (en) | 2007-09-04 | 2009-03-12 | Curevac Gmbh | Complexes of rna and cationic peptides for transfection and for immunostimulation |
| EP2610341A1 (en) | 2007-12-11 | 2013-07-03 | The Scripps Research Institute | Compositions and methods related to mRNA translational enhancer elements |
| US20090226470A1 (en) | 2007-12-11 | 2009-09-10 | Mauro Vincent P | Compositions and methods related to mRNA translational enhancer elements |
| WO2009075886A1 (en) | 2007-12-11 | 2009-06-18 | The Scripps Research Institute | Compositions and methods related to mrna translational enhancer elements |
| EP2610340A1 (en) | 2007-12-11 | 2013-07-03 | The Scripps Research Institute | Compositions and methods related to mRNA translational enhancer elements |
| US20130177581A1 (en) | 2007-12-11 | 2013-07-11 | The Scripps Research Institute | Compositions and Methods Related to mRNA Translational Enhancer Elements |
| WO2009095226A2 (en) | 2008-01-31 | 2009-08-06 | Curevac Gmbh | Nucleic acids of formula (i) (nuglxmgnnv)a and derivatives thereof as an immunostimulating agent/adjuvant |
| WO2009127230A1 (en) | 2008-04-16 | 2009-10-22 | Curevac Gmbh | MODIFIED (m)RNA FOR SUPPRESSING OR AVOIDING AN IMMUNOSTIMULATORY RESPONSE AND IMMUNOSUPPRESSIVE COMPOSITION |
| US8519110B2 (en) | 2008-06-06 | 2013-08-27 | Board Of Supervisors Of Louisiana State University And Agricultural And Mechanical College | mRNA cap analogs |
| WO2010037539A1 (en) | 2008-09-30 | 2010-04-08 | Curevac Gmbh | Composition comprising a complexed (m)rna and a naked mrna for providing or enhancing an immunostimulatory response in a mammal and uses thereof |
| WO2010088927A1 (en) | 2009-02-09 | 2010-08-12 | Curevac Gmbh | Use of pei for the improvement of endosomal release and expression of transfected nucleic acids, complexed with cationic or polycationic compounds |
| WO2011015347A1 (en) | 2009-08-05 | 2011-02-10 | Biontech Ag | Vaccine composition comprising 5'-cap modified rna |
| WO2011026641A1 (en) | 2009-09-03 | 2011-03-10 | Curevac Gmbh | Disulfide-linked polyethyleneglycol/peptide conjugates for the transfection of nucleic acids |
| WO2011069586A1 (en) | 2009-12-09 | 2011-06-16 | Curevac Gmbh | Mannose-containing solution for lyophilization, transfection and/or injection of nucleic acids |
| WO2011144358A1 (en) | 2010-05-21 | 2011-11-24 | Curevac Gmbh | Histidine-containing solution for transfection and/or injection of nucleic acids and uses thereof |
| WO2012009644A2 (en) | 2010-07-16 | 2012-01-19 | Arizona Board Of Regents | Methods to identify synthetic and natural rna elements that enhance protein translation |
| WO2012013326A1 (en) | 2010-07-30 | 2012-02-02 | Curevac Gmbh | Complexation of nucleic acids with disulfide-crosslinked cationic components for transfection and immunostimulation |
| WO2012019780A1 (en) | 2010-08-13 | 2012-02-16 | Curevac Gmbh | Nucleic acid comprising or coding for a histone stem-loop and a poly(a) sequence or a polyadenylation signal for increasing the expression of an encoded protein |
| WO2012067378A2 (en) | 2010-11-17 | 2012-05-24 | 두산인프라코어 주식회사 | Sliding bearing having improved lubrication characteristics |
| WO2012089338A1 (en) | 2010-12-29 | 2012-07-05 | Curevac Gmbh | Combination of vaccination and inhibition of mhc class restricted antigen presentation |
| WO2012113513A1 (en) | 2011-02-21 | 2012-08-30 | Curevac Gmbh | Vaccine composition comprising complexed immunostimulatory nucleic acids and antigens packaged with disulfide-linked polyethyleneglycol/peptide conjugates |
| WO2012116811A1 (en) | 2011-03-02 | 2012-09-07 | Curevac Gmbh | Vaccination in elderly patients |
| WO2012116810A1 (en) | 2011-03-02 | 2012-09-07 | Curevac Gmbh | Vaccination in newborns and infants |
| WO2013103659A1 (en) | 2012-01-04 | 2013-07-11 | Board Of Supervisors Of Louisiana State University And Agricultural And Mechanical College | Stabilizing rna by incorporating chain-terminating nucleosides at the 3'-terminus |
| WO2013113736A1 (en) | 2012-01-31 | 2013-08-08 | Bayer Innovation Gmbh | Pharmaceutical composition comprising a polymeric carrier cargo complex and an antigen |
| WO2013113502A1 (en) | 2012-01-31 | 2013-08-08 | Curevac Gmbh | Negatively charged nucleic acid comprising complexes for immunostimulation |
| WO2013113501A1 (en) | 2012-01-31 | 2013-08-08 | Curevac Gmbh | Pharmaceutical composition comprising a polymeric carrier cargo complex and at least one protein or pepide antigen |
| WO2013120629A1 (en) | 2012-02-15 | 2013-08-22 | Curevac Gmbh | Nucleic acid comprising or coding for a histone stem-loop and a poly(a) sequence or a polyadenylation signal for increasing the expression of an encoded therapeutic protein |
| WO2013120497A1 (en) | 2012-02-15 | 2013-08-22 | Curevac Gmbh | Nucleic acid comprising or coding for a histone stem-loop and a poly(a) sequence or a polyadenylation signal for increasing the expression of an encoded therapeutic protein |
| WO2013120498A1 (en) | 2012-02-15 | 2013-08-22 | Curevac Gmbh | Nucleic acid comprising or coding for a histone stem-loop and a poly(a) sequence or a polyadenylation signal for increasing the expression of an encoded allergenic antigen or an autoimmune self-antigen |
| WO2013120626A1 (en) | 2012-02-15 | 2013-08-22 | Curevac Gmbh | Nucleic acid comprising or coding for a histone stem-loop and a poly(a) sequence or a polyadenylation signal for increasing the expression of an encoded allergenic antigen or an autoimmune self-antigen |
| WO2013120627A1 (en) | 2012-02-15 | 2013-08-22 | Curevac Gmbh | Nucleic acid comprising or coding for a histone stem-loop and a poly(a) sequence or a polyadenylation signal for increasing the expression of an encoded tumour antigen |
| WO2013120499A1 (en) | 2012-02-15 | 2013-08-22 | Curevac Gmbh | Nucleic acid comprising or coding for a histone stem-loop and a poly (a) sequence or a polyadenylation signal for increasing the expression of an encoded pathogenic antigen |
| WO2013120500A1 (en) | 2012-02-15 | 2013-08-22 | Curevac Gmbh | Nucleic acid comprising or coding for a histone stem-loop and a poly(a) sequence or a polyadenylation signal for increasing the expression of an encoded tumour antigen |
| WO2013120628A1 (en) | 2012-02-15 | 2013-08-22 | Curevac Gmbh | Nucleic acid comprising or coding for a histone stem-loop and a poly(a) sequence or a polyadenylation signal for increasing the expression of an encoded pathogenic antigen |
| WO2013143700A2 (en) | 2012-03-27 | 2013-10-03 | Curevac Gmbh | Artificial nucleic acid molecules comprising a 5'top utr |
| WO2013143699A1 (en) | 2012-03-27 | 2013-10-03 | Curevac Gmbh | Artificial nucleic acid molecules for improved protein or peptide expression |
| WO2013143698A1 (en) | 2012-03-27 | 2013-10-03 | Curevac Gmbh | Artificial nucleic acid molecules |
| WO2013174409A1 (en) | 2012-05-25 | 2013-11-28 | Curevac Gmbh | Reversible immobilization and/or controlled release of nucleic acid containing nanoparticles by (biodegradable) polymer coatings |
| WO2014127917A1 (en) | 2013-02-22 | 2014-08-28 | Curevac Gmbh | Combination of vaccination and inhibition of the pd-1 pathway |
| WO2015002667A1 (en) | 2013-07-01 | 2015-01-08 | Myq, Inc. | A location regulated point-of-sale system and enhancements |
| WO2015011633A1 (en) | 2013-07-23 | 2015-01-29 | Protiva Biotherapeutics, Inc. | Compositions and methods for delivering messenger rna |
| WO2015024667A1 (en) | 2013-08-21 | 2015-02-26 | Curevac Gmbh | Method for increasing expression of rna-encoded proteins |
| WO2015024669A1 (en) | 2013-08-21 | 2015-02-26 | Curevac Gmbh | Combination vaccine |
| WO2015024665A1 (en) | 2013-08-21 | 2015-02-26 | Curevac Gmbh | Rabies vaccine |
| WO2015024668A2 (en) | 2013-08-21 | 2015-02-26 | Curevac Gmbh | Respiratory syncytial virus (rsv) vaccine |
| WO2015024664A1 (en) | 2013-08-21 | 2015-02-26 | Curevac Gmbh | Composition and vaccine for treating prostate cancer |
| WO2015024666A1 (en) | 2013-08-21 | 2015-02-26 | Curevac Gmbh | Composition and vaccine for treating lung cancer |
| WO2015062738A1 (en) | 2013-11-01 | 2015-05-07 | Curevac Gmbh | Modified rna with decreased immunostimulatory properties |
| WO2015101414A2 (en) | 2013-12-30 | 2015-07-09 | Curevac Gmbh | Artificial nucleic acid molecules |
| WO2015101416A1 (en) | 2013-12-30 | 2015-07-09 | Curevac Gmbh | Methods for rna analysis |
| WO2015101415A1 (en) | 2013-12-30 | 2015-07-09 | Curevac Gmbh | Artificial nucleic acid molecules |
| WO2015199952A1 (en) | 2014-06-25 | 2015-12-30 | Acuitas Therapeutics Inc. | Novel lipids and lipid nanoparticle formulations for delivery of nucleic acids |
| WO2016176330A1 (en) | 2015-04-27 | 2016-11-03 | The Trustees Of The University Of Pennsylvania | Nucleoside-modified rna for inducing an adaptive immune response |
| WO2017112865A1 (en) | 2015-12-22 | 2017-06-29 | Modernatx, Inc. | Compounds and compositions for intracellular delivery of agents |
Non-Patent Citations (23)
| Title |
|---|
| "Current Protocols in Molecular Biology", 2003 |
| "Mol. Biology and Biotechnology: A Comprehensive Desk Reference", 1995 |
| "Physician's Desk Reference", 2014 |
| "Remington's The Science and Practice of Pharmacy", 2006, LIPPINCOTT, WILLIAMS & WILKINS |
| BUNDGARD, H.: "Design of Prodrugs", vol. 21-24, 1985, ELSEVIER, pages: 7 - 9 |
| CAO ET AL., LANGMUIR, vol. 28, 2012, pages 11625 - 11632 |
| CHAPPELL ET AL., PROC. NATL. ACAD. SCI. USA, vol. 101, 2004, pages 9590 - 9594 |
| CHAPPELL, PNAS, vol. 101, no. 26, 29 June 2004 (2004-06-29), pages 9590 - 9594 |
| DAY, ADVANCED IMMUNOCHEMISTRY, 1990 |
| HIGUCHI, T. ET AL.: "Bioreversible Carriers in Drug Design", vol. 14, 1987, AMERICAN PHARMACEUTICAL ASSOCIATION AND PERGAMON |
| HUSTON ET AL., CELL BIOPHYSICS, vol. 22, 1993, pages 189 - 224 |
| KEDDE ET AL.: "A Pumilio-induced RNA structure switch in p27-3'UTR controls miR-221 and miR-222 accessibility", NAT CELL BIOL., vol. 12, no. 10, October 2010 (2010-10-01), pages 1014 - 20 |
| KORE ET AL., BIOORGANIC & MEDICINAL CHEMISTRY, vol. 21, 2013, pages 4570 - 4574 |
| KUBY: "Immunology", 1997 |
| LI ET AL., THERANOSTICS, vol. 5, no. 5, 2015, pages 583 - 596 |
| LUNN ET AL., JOURNAL OF POLYMER SCIENCE, PART A: POLYMER CHEMISTRY, vol. 55, 2017, pages 2903 - 2914 |
| MUROU ET AL., JOURNAL OF COLLOID AND INTERFACE SCIENCE, vol. 390, 2013, pages 47 - 53 |
| PANEK, NUCLEIC ACIDS RESEARCH, vol. 41, 1 September 2013 (2013-09-01), pages 7625 - 7634 |
| PLIICKTHUNSKERRA, METH. ENZYMOL., vol. 178, 1989, pages 497 - 515 |
| SABNIS ET AL.: "A Novel Amino Lipid Series for mRNA Delivery: Improved Endosomal Escape and Sustained Pharmacology and Safety in Non-human Primates", MOLECULAR THERAPY, vol. 26, no. 6, 2018, XP055644778, DOI: 10.1016/j.ymthe.2018.03.010 |
| SAMBROOK ET AL.: "Molecular Cloning: A Laboratory Manual", 2001 |
| WELLENSIEK ET AL.: "Genome-wide profiling of human cap-independent translation-enhancing elements", NATURE METHODS, vol. 10, no. 8, August 2013 (2013-08-01), pages 747 - 750, XP055658496, DOI: 10.1038/nmeth.2522 |
| ZHOU ET AL., PROC. NATL. ACAD. SCI., vol. 102, 2005, pages 6273 - 6278 |
Cited By (5)
| Publication number | Priority date | Publication date | Assignee | Title |
|---|---|---|---|---|
| WO2024046448A1 (en) * | 2022-09-02 | 2024-03-07 | Suzhou Abogen Biosciences Co., Ltd. | Lyophilized formulations and liquid formulations of lipid nanoparticles |
| WO2024083172A1 (en) * | 2022-10-20 | 2024-04-25 | 苏州艾博生物科技有限公司 | Lipid compound and lipid nanoparticle composition |
| CN118001254A (en) * | 2024-04-09 | 2024-05-10 | 北京悦康科创医药科技股份有限公司 | Lipid composition targeting antigen presenting cells and its application |
| CN118001254B (en) * | 2024-04-09 | 2024-07-26 | 北京悦康科创医药科技股份有限公司 | Lipid composition for targeting antigen presenting cells and application thereof |
| US12485170B2 (en) | 2024-04-09 | 2025-12-02 | Beijing Youcare Kechuang Pharmaceutical Technology Co., Ltd. | Lipid composition targeting antigen-presenting cells and use thereof |
Also Published As
| Publication number | Publication date |
|---|---|
| WO2022152141A3 (en) | 2022-08-11 |
| CN116615472A (en) | 2023-08-18 |
Similar Documents
| Publication | Publication Date | Title |
|---|---|---|
| US11472766B2 (en) | Lipid nanoparticle composition | |
| EP4168391A1 (en) | Lipid compounds and lipid nanoparticle compositions | |
| WO2022152109A2 (en) | Lipid compounds and lipid nanoparticle compositions | |
| US11964052B2 (en) | Lipid compounds and lipid nanoparticle compositions | |
| WO2022152141A2 (en) | Polymer conjugated lipid compounds and lipid nanoparticle compositions | |
| WO2023056914A1 (en) | Lipid compounds and lipid nanoparticle compositions | |
| WO2022002040A1 (en) | Lipid compounds and lipid nanoparticle compositions | |
| WO2023056917A1 (en) | Lipid compounds and lipid nanoparticle compositions | |
| WO2023138611A1 (en) | Lipid compounds and lipid nanoparticle compositions | |
| AU2022207550A1 (en) | Lipid compounds and lipid nanoparticle compositions | |
| EP4424670A1 (en) | Lipid compound and lipid nanoparticle composition | |
| WO2024037578A1 (en) | Composition of lipid nanoparticles | |
| WO2024240125A1 (en) | Lipid compounds and lipid nanoparticle compositions | |
| WO2024140624A1 (en) | Lipid compounds and lipid nanoparticle compositions |
Legal Events
| Date | Code | Title | Description |
|---|---|---|---|
| 121 | Ep: the epo has been informed by wipo that ep was designated in this application |
Ref document number: 22705006 Country of ref document: EP Kind code of ref document: A2 |
|
| WWE | Wipo information: entry into national phase |
Ref document number: 202280007596.0 Country of ref document: CN |
|
| NENP | Non-entry into the national phase |
Ref country code: DE |
|
| 122 | Ep: pct application non-entry in european phase |
Ref document number: 22705006 Country of ref document: EP Kind code of ref document: A2 |



























































































