WO2022148822A1 - Usp5 binding survival-targeting chimeric (surtac) molecules & uses thereof - Google Patents
Usp5 binding survival-targeting chimeric (surtac) molecules & uses thereof Download PDFInfo
- Publication number
- WO2022148822A1 WO2022148822A1 PCT/EP2022/050219 EP2022050219W WO2022148822A1 WO 2022148822 A1 WO2022148822 A1 WO 2022148822A1 EP 2022050219 W EP2022050219 W EP 2022050219W WO 2022148822 A1 WO2022148822 A1 WO 2022148822A1
- Authority
- WO
- WIPO (PCT)
- Prior art keywords
- alkyl
- formula
- usp5
- protein
- binder
- Prior art date
- Legal status (The legal status is an assumption and is not a legal conclusion. Google has not performed a legal analysis and makes no representation as to the accuracy of the status listed.)
- Ceased
Links
Classifications
-
- C—CHEMISTRY; METALLURGY
- C12—BIOCHEMISTRY; BEER; SPIRITS; WINE; VINEGAR; MICROBIOLOGY; ENZYMOLOGY; MUTATION OR GENETIC ENGINEERING
- C12N—MICROORGANISMS OR ENZYMES; COMPOSITIONS THEREOF; PROPAGATING, PRESERVING, OR MAINTAINING MICROORGANISMS; MUTATION OR GENETIC ENGINEERING; CULTURE MEDIA
- C12N9/00—Enzymes; Proenzymes; Compositions thereof; Processes for preparing, activating, inhibiting, separating or purifying enzymes
- C12N9/14—Hydrolases (3)
- C12N9/48—Hydrolases (3) acting on peptide bonds (3.4)
- C12N9/485—Exopeptidases (3.4.11-3.4.19)
-
- A—HUMAN NECESSITIES
- A61—MEDICAL OR VETERINARY SCIENCE; HYGIENE
- A61K—PREPARATIONS FOR MEDICAL, DENTAL OR TOILETRY PURPOSES
- A61K47/00—Medicinal preparations characterised by the non-active ingredients used, e.g. carriers or inert additives; Targeting or modifying agents chemically bound to the active ingredient
- A61K47/50—Medicinal preparations characterised by the non-active ingredients used, e.g. carriers or inert additives; Targeting or modifying agents chemically bound to the active ingredient the non-active ingredient being chemically bound to the active ingredient, e.g. polymer-drug conjugates
- A61K47/51—Medicinal preparations characterised by the non-active ingredients used, e.g. carriers or inert additives; Targeting or modifying agents chemically bound to the active ingredient the non-active ingredient being chemically bound to the active ingredient, e.g. polymer-drug conjugates the non-active ingredient being a modifying agent
- A61K47/54—Medicinal preparations characterised by the non-active ingredients used, e.g. carriers or inert additives; Targeting or modifying agents chemically bound to the active ingredient the non-active ingredient being chemically bound to the active ingredient, e.g. polymer-drug conjugates the non-active ingredient being a modifying agent the modifying agent being an organic compound
- A61K47/545—Heterocyclic compounds
-
- A—HUMAN NECESSITIES
- A61—MEDICAL OR VETERINARY SCIENCE; HYGIENE
- A61K—PREPARATIONS FOR MEDICAL, DENTAL OR TOILETRY PURPOSES
- A61K47/00—Medicinal preparations characterised by the non-active ingredients used, e.g. carriers or inert additives; Targeting or modifying agents chemically bound to the active ingredient
- A61K47/50—Medicinal preparations characterised by the non-active ingredients used, e.g. carriers or inert additives; Targeting or modifying agents chemically bound to the active ingredient the non-active ingredient being chemically bound to the active ingredient, e.g. polymer-drug conjugates
- A61K47/51—Medicinal preparations characterised by the non-active ingredients used, e.g. carriers or inert additives; Targeting or modifying agents chemically bound to the active ingredient the non-active ingredient being chemically bound to the active ingredient, e.g. polymer-drug conjugates the non-active ingredient being a modifying agent
- A61K47/54—Medicinal preparations characterised by the non-active ingredients used, e.g. carriers or inert additives; Targeting or modifying agents chemically bound to the active ingredient the non-active ingredient being chemically bound to the active ingredient, e.g. polymer-drug conjugates the non-active ingredient being a modifying agent the modifying agent being an organic compound
- A61K47/55—Medicinal preparations characterised by the non-active ingredients used, e.g. carriers or inert additives; Targeting or modifying agents chemically bound to the active ingredient the non-active ingredient being chemically bound to the active ingredient, e.g. polymer-drug conjugates the non-active ingredient being a modifying agent the modifying agent being an organic compound the modifying agent being also a pharmacologically or therapeutically active agent, i.e. the entire conjugate being a codrug, i.e. a dimer, oligomer or polymer of pharmacologically or therapeutically active compounds
-
- C—CHEMISTRY; METALLURGY
- C12—BIOCHEMISTRY; BEER; SPIRITS; WINE; VINEGAR; MICROBIOLOGY; ENZYMOLOGY; MUTATION OR GENETIC ENGINEERING
- C12Y—ENZYMES
- C12Y304/00—Hydrolases acting on peptide bonds, i.e. peptidases (3.4)
- C12Y304/19—Omega peptidases (3.4.19)
- C12Y304/19012—Ubiquitinyl hydrolase 1 (3.4.19.12)
Definitions
- Bifunctional chimeric molecules disclosed herein comprise survival-targeting chimeric (SURTAC) molecules designed to designed bring into close proximity a USP5 enzyme with target ubiquitinylated proteins and thereby deubiquitinate and decrease cellular degradation of these specific target proteins.
- SURTAC survival-targeting chimeric
- Disclosed herein are methods of use of chimeric molecules, including SURTACs, for increasing the stability and or survival of targeted ubiquitinylated proteins, and for treating a disease.
- BACKGROUND [003] The concentration of any protein within a living cell is determined by the balance of protein synthesis and protein degradation. Regulated protein degradation is key in precisely controlling individual protein level within cells.
- Ubiquitin is a small protein consisting of 76 amino acids that is important in the regulation of protein half-life in the cell. Proteins are post-translationally modified by covalent conjugation with ubiquitin in a process referred to as ubiquitination. [005] Ubiquitin can be covalently attached to lysine residues on polypeptide substrates through the sequential action of three enzymes: an ubiquitin activation enzyme (E1); an ubiquitin-conjugating enzyme (E2); and an ubiquitin ligase (E3), that catalyzes transfer of ubiquitin to substrates.
- E1 an ubiquitin activation enzyme
- E2 ubiquitin-conjugating enzyme
- E3 ubiquitin ligase
- Ubiquitin contains seven lysine residues (K6, K11, K27, K29, K33, K48, K63) that, together with its N-terminus methionine (Met1), can serve as secondary attachment points to make diverse polyubiquitin chains with different structures and functions.
- Ubiquitination has classically been ascribed to targeting cytosolic proteins for degradation by the proteasome.
- ubiquitination of membrane proteins can lead to more nuanced outcomes including regulating protein trafficking/sorting, stability, and/or function.
- the type and number of poly-ubiquitin chains that are conjugated to a target is highly regulated to generate distinct signals that affect different physiological processes.
- polyubiquitination can mark a modified protein for proteasome-mediated degradation. Proteins targeted for degradation by the proteasome in a cell are "tagged" with three or more ubiquitin molecules (polyubiquitination). The binding of a single ubiquitin molecule (monoubiquitination) does not generally target the monoubiquitinated protein for degradation. Protein ubiquitination is a dynamic two-way process that can be reversed or regulated by deubiquitinating (deubiquitinase, DUB) enzymes.
- Proteasomes are protein complexes, which degrade proteins by proteolysis, a chemical reaction that breaks peptide bonds.
- the proteasomes form a pivotal component for the Ubiquitin-Proteasome System (UPS).
- UPS Ubiquitin-Proteasome System
- Protein ubiquitination and subsequent proteolysis and degradation by the proteasome are important mechanisms in the regulation of the half- life of a protein.
- the UPS also functions in protein quality control, rapidly identifying and destroying misfolded proteins.
- the solved structures of all known Ub chains are unique, strongly suggesting that the formation and hydrolysis of each linkage is catalyzed by a specific set of conjugation enzymes and DUBs.
- Ub chains More recently, novel Ub chains have been identified and these include non-degradable “forked” chains with heterogeneous linkages. Ubiquitination has been associated with inherited disorders such as cystic fibrosis, cardiac arrhythmias, epilepsy, and neuropathic pain, as well as infectious disease, contributing to the pathogenic lifecycle of diverse viral and bacterial pathogens.
- DRBs Deubiquitinases
- isopeptidases that provide salience to ubiquitin signaling through the revision and removal of ubiquitin chains.
- DUBs There are over 100 human DUBs, comprising 6 distinct families: 1) the ubiquitin specific proteases (USP) family, 2) the ovarian tumor proteases (OUT) family, 3) the ubiquitin C-terminal hydrolases (UCH) family, 4) the Josephin domain family (Josephin), 5) the motif interacting with ubiquitin-containing novel DUB family (MINDY), and 6) the JABl/MPN/Mov34 metalloenzyme domain family (JAMM).
- USP family is relatively promiscuous, hydrolyzing all ubiquitin linkages, in stark contrast to the OTU family, which contains a diverse set of enzymes with distinct linkage preferences. Linkage-specific DUBs have been purified and used in cell-free in vitro assays.
- the deubiquitinating enzymes For the deubiquitinating enzymes (DUBs) to perform their activity on ubiquitinylated protein(s), they comprise at least one catalytic domain.
- the catalytic domain is the domain that comes in contact with the ubiquitin attached to the target protein and removes it from the target protein.
- Deubiquitinating enzyme 5 also known as ubiquitin carboxyl-terminal hydrolase
- USP5 ubiquitin-specific protease (USP). USP5 cleaves linear and branched multiubiquitin polymers with a preference for branched polymers. It is involved in unanchored 'Lys-48'-linked polyubiquitin disassembly and binds linear and 'Lys- 63'-linked polyubiquitin with a lower affinity.
- Cystic fibrosis is an autosomal recessive genetic disorder caused by mutations of the gene encoding for the cystic fibrosis transmembrane conductance regulator
- CFTR that lead to loss of function of the CFTR.
- the incidence of the disease among the Caucasian population is 1/2000-3000 newborns, whereas it is much lower among native Africans and Asians.
- the cystic fibrosis transmembrane conductance regulator (CFTR) gene encodes an epithelial ion channel responsible for aiding in the regulation of salt and water absorption and secretion in various tissues.
- the CFTR protein is a 1480 amino acid plasma membrane protein that belongs to the superfamily of ATP -binding cassette (ABC) transporters.
- CFTR structure consists of a cytosolic N-terminus followed by six transmembrane helices, a nucleotide-binding domain (NBD1), a regulatory (R) domain, six additional transmembrane helices, a second nucleotide-binding domain (NBD2), and a cytosolic C -terminus (Riordan, Annu Rev Biochem 77:701-726, 2008).
- the transmembrane helices form a pore permeable to chloride, bicarbonate, iodide, and other anions.
- CFTR is a cAMP/ATP-modulated anion channel that is expressed in a variety of cell types, and particularly in epithelial cells of various organs including lungs, pancreas, liver, and intestine (Mall and Hartl, Eur Respir J 44:1042-1054, 2014). Physiological signals that increase intracellular cAMP levels elicit CFTR activation. In most tissues, opening of CFTR pore leads to chloride and bicarbonate secretion.
- CF patients In addition to respiratory disease, CF patients typically suffer from gastrointestinal problems and pancreatic insufficiency. If left untreated, CF results in death. In addition, the majority of males with CF are infertile and fertility is decreased among females with CF. In contrast to the severe effects of two copies of the CF associated gene, individuals with a single copy of the CF associated gene may exhibit increased resistance to dehydration resulting from diarrhea. This heterozygote advantage could explain the relatively high frequency of the CF gene within the population. [0017] Sequence analysis of the CFTR gene of CF patients has revealed a variety of disease-causing mutations (Cutting, G. R. et al. (1990) Nature 346:366-369; Dean, M. et al.
- F508del a single mutation, F508del, is present in 50-90% of CF patients.
- F508del i.e., loss of phenylalanine at position 508 within NBD1 causes multiple defects to CFTR protein (Okiyoneda et al., Nat Chem Biol 9:444-454, 2013).
- F508del-CFTR folding and stability are severely impaired.
- Such problems which arise from the intrinsic instability of NBD1 and the altered interaction between NBD1 and the cytosolic loop 4, strongly reduce the trafficking of F508del-CFTR to the plasma membrane (trafficking defect).
- mutant CFTR remains trapped in the endoplasmic reticulum (ER) where it is rapidly degraded by the ubiquitin-proteasome system (Lukacs and Verkman, Trends Mol Med 18:81-91, 2012).
- a second defect caused by F508del is the reduction of the open channel probability, i.e., the fraction of time spent by the channel in the open state (gating defect).
- F508del-CFTR shows also a decreased half-time. Because of such defects, F508del mutation has combined class II, class III, and class VI characteristics.
- the trafficking and gating defects can also be caused, often separately, by other CF mutations.
- G85E, L1077P, A455E, and N1303K defined as class II mutations, impair CFTR trafficking (Van Goor et al., J Cyst Fibros 13:29-36, 2014).
- G551D, G1349D, G178R, and G970R defined as class III mutations, do not affect trafficking but strongly reduce CFTR open time (Yu et al., J Cyst Fibros 11:237-245, 2012).
- PARP-1 Poly(ADP-ribose) polymerase-1
- DDR DNA damage repair
- PARPi Inhibitors of PARP-1
- PARPi bind to PARP-1 on the DNA and induce the accumulation of ‘trapped’ PARP-DNA complexes. This leads to an accumulation of potentially toxic DNA strand breaks that may prove lethal to cells.
- Healthy non-tumor cells retain an ability to detoxify these trapped PARP-DNA complexes and survive.
- PARPi have been utilized to target a synthetic lethality mechanism of action in cancer cells.
- the present disclosure describes chimeric molecules and uses thereof for targeted protein rescue (TPR), wherein targeting may (1) increase the concentration of a functionally mutant or misfolded form of a protein, for example but not limited to CFTR in order to correct folding, potentiate activity, restore function, and or amplify function of the CFTR protein, and thereby treat CF; or may (2) increase the localized concentration of a wild-type protein, for example but not limited to PARP in order to retain PARP-DNA trapping activity and thereby increase DNA damage, cellular stress and cell death in tumor cells.
- TPR targeted protein rescue
- a chimeric molecule comprising a first binding domain, wherein said first binding domain comprises a ubiquitin-specific-processing protease 5 (USP5) binder that binds a ubiquitin carbonyl-terminal protease 5 enzyme.
- USP5 ubiquitin-specific-processing protease 5
- a chimeric molecule comprises a first binding domain, wherein the first binding domain comprises a ubiquitin-specific-processing protease 5 (USP5) binder that binds a ubiquitin carbonyl-terminal protease 5 enzyme, wherein said first binding domain ) or wherein: W 1 -W 16 are each independently a hydrogen, halide, alkyl, cycloalkyl, heterocycloalkyl, aryl, amine, CN, -NHCOR 3 , NH-alkyl, NH-aryl, NH-cycloalkyl, NH-heterocycloalkyl, NH- alkyl-COOH, NH-CH 2 -COOH, NO 2 , alkoxy, COOH, OH or SH; X 1 -X 4 and X 6 -X 9 are each independently C or N; R 1 is alkyl, aryl, cycloalkyl, heterocycloalkyl,
- the first binding domain comprising sthe USP5 binder is represented by the structure of Formula (2): O O (5) or a pharmaceutically acceptable salt thereof.
- W 1 -W 2 and W 4 -W 16 are each independently a hydrogen, halide, alkyl, cycloalkyl, heterocycloalkyl, aryl, amine, CN, -NHCOR 3 , NH-alkyl, NH-aryl, NH-cycloalkyl, NH- heterocycloalkyl, NH-alkyl-COOH, NH-CH 2 -COOH, NO 2 , alkoxy, COOH, OH or SH;
- X 1 -X 3 and X 6 -X 9 are each independently C or N;
- X 5 is CH or N;
- R 3 is alkyl, aryl, cycloalkyl or heterocycloalkyl;
- W 19 is hydrogen, halide, alkyl, cycloalkyl, heterocyclo
- the first binding domain comprising said USP5 binder is represented by the H (8) : O N N COOH or a pharmaceutically acceptable salt thereof.
- a chimeric molecule comprising a second binding domain, wherein said second binding domain comprises a target binder configured to bind to a ubiquitinylated protein.
- the target binder comprises (a) an antibody or an antigen-binding fragment thereof that binds to the ubiquitinylated protein; or (b) a ligand that binds to the ubiquitinylated protein.
- the target binder directly binds to the ubiquitinylated protein.
- the target binder binds an intermediate molecule that binds to the ubiquitinylated protein.
- the ubiquitinylated protein comprises a CFTR (cystic fibrosis transmembrane conductance regulator) protein, or a PARP (Poly(ADP-ribose) polymerase) protein.
- the ubiquitinylated protein comprises a Protein kinase A (PKA).
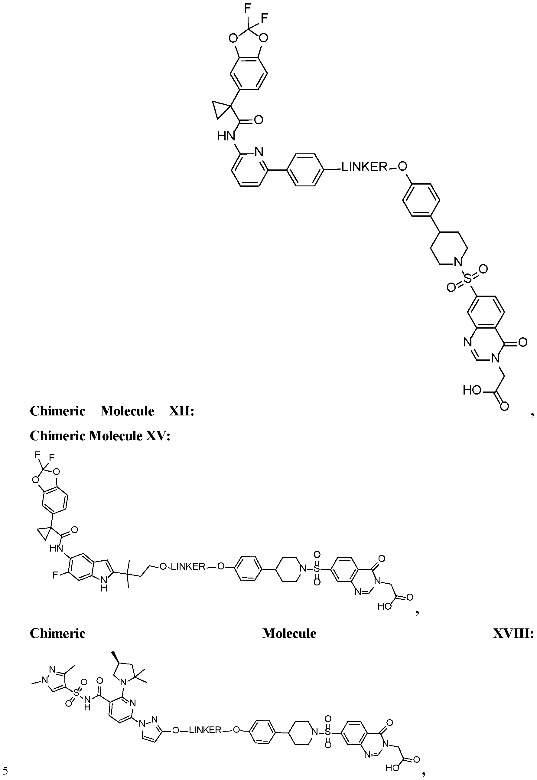
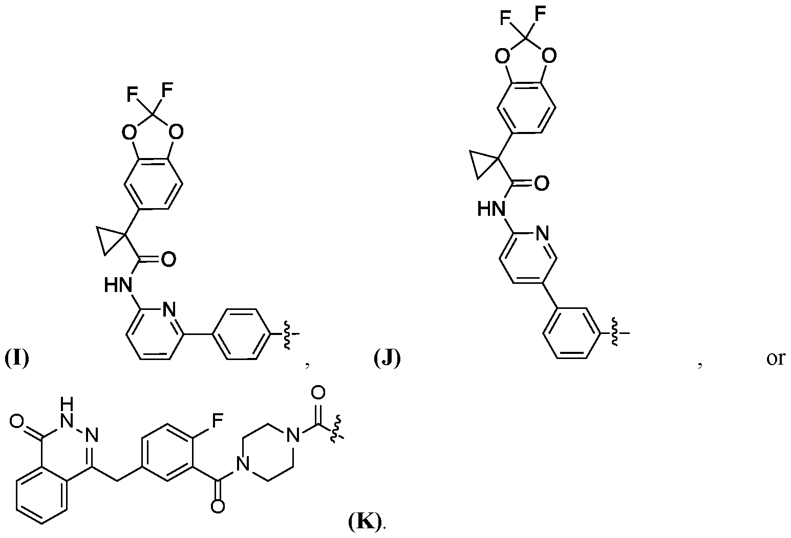
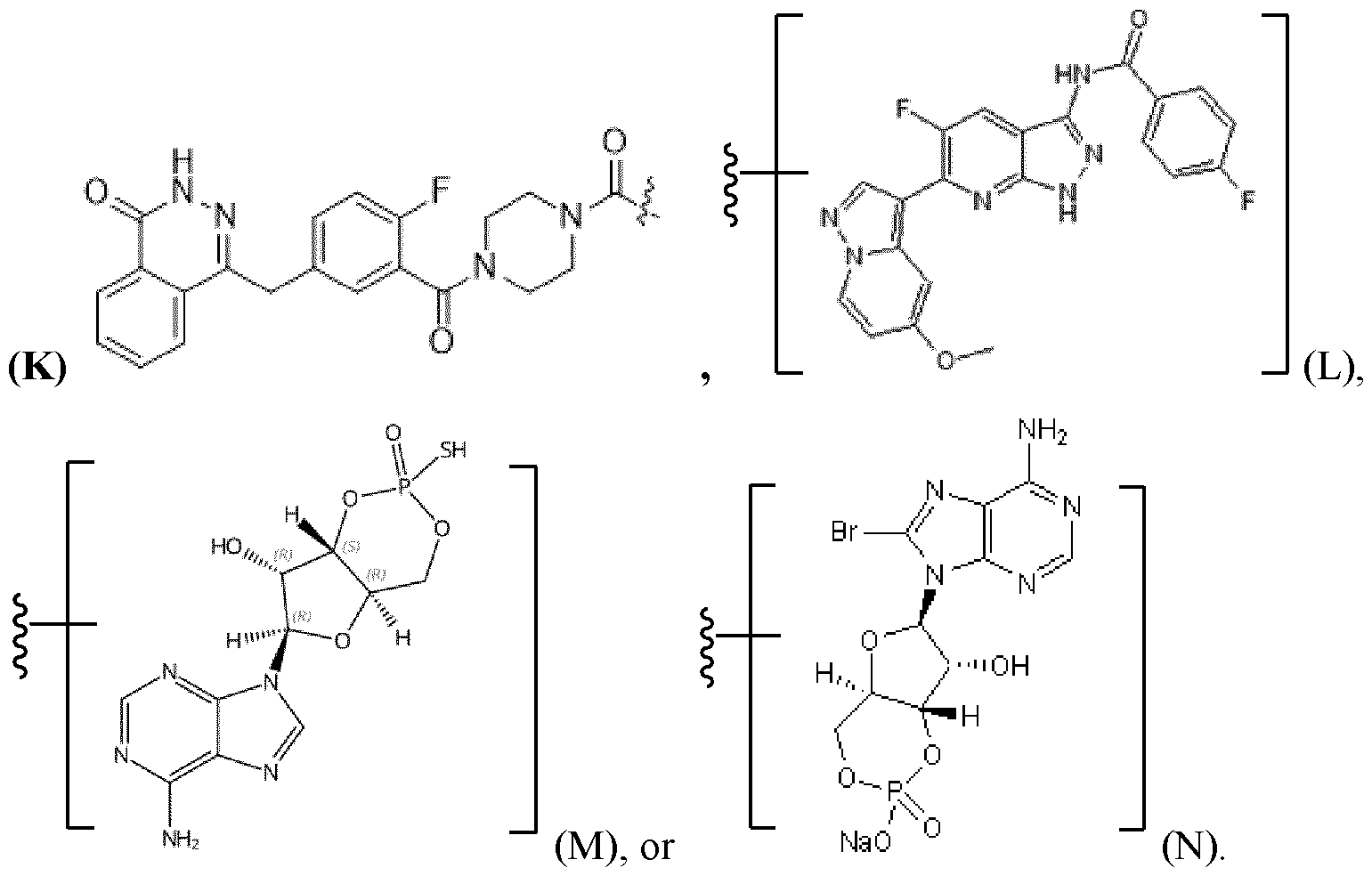
- the second binding domain comprising the target binder comprises a structure represented by any of Formula A-N: (A) C) , (D) , (E)
- the second binding domain comprising said target binder comprises a structure represented by Formulas (L) to (N):
- a chimeric molecule disclosed herein further comprises a linker domain linked to the first binding domain, and configured to link the first binding domain to the second binding domain.
- the linker domain covalently links the first binding domain to the second binding domain.
- the linker domain non-covalently links the first binding domain to the second binding domain.
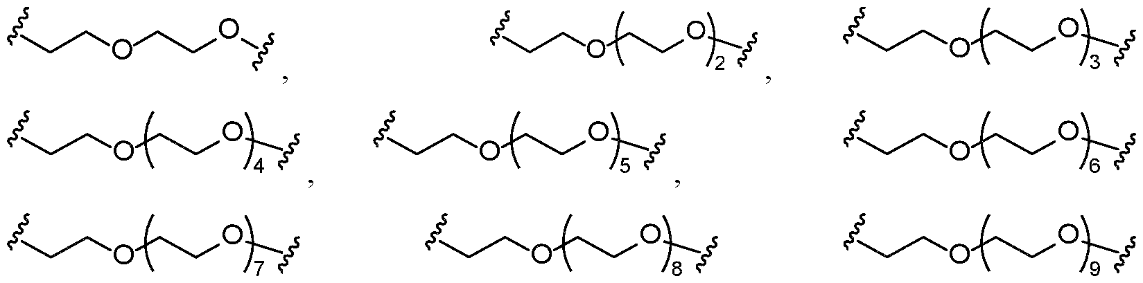
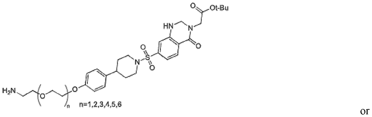
- the linker domain comprises - a structure selected from the group comprises of polyethylene glycol, an aromatic group, an alkyl, an alkenyl, an alkyl phosphate, an alkyl siloxane, an epoxy, an acyl halide, a glycidyl, a carboxylate, alkyl amine, alkyl amide, an anhydride, or any combination thereof; or - a polypeptide of natural or synthetic source having a chain length of between 2 to 18 carbon atoms
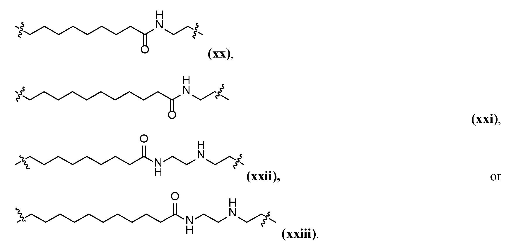
- the linker is represented by any of
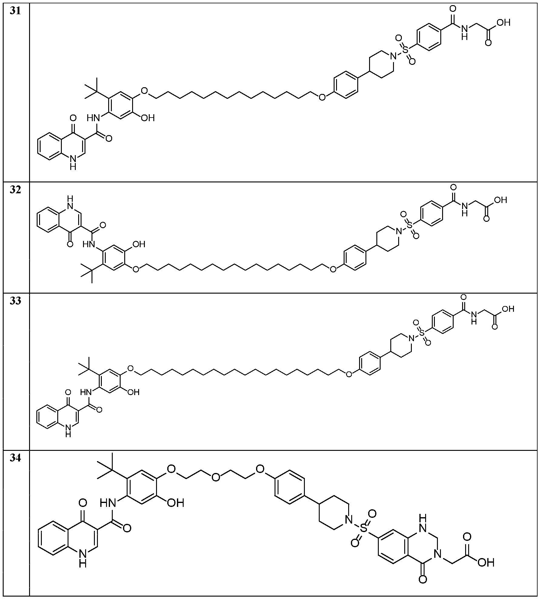
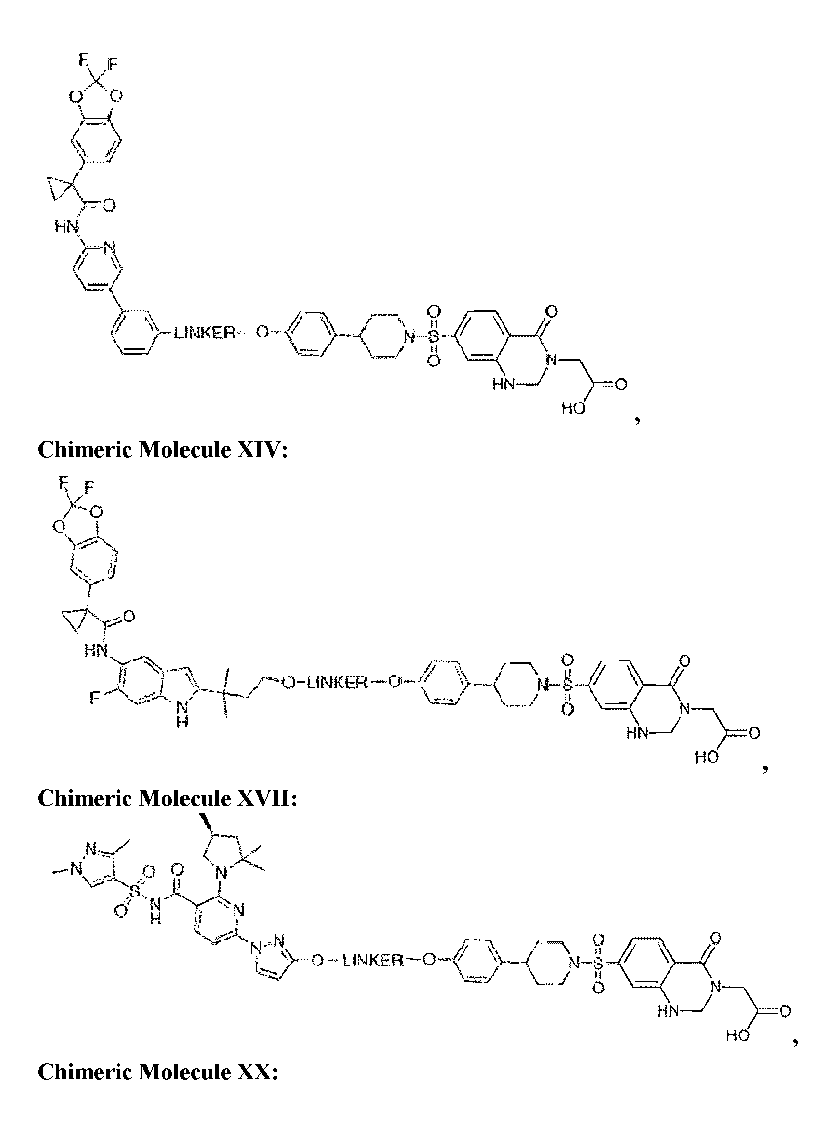
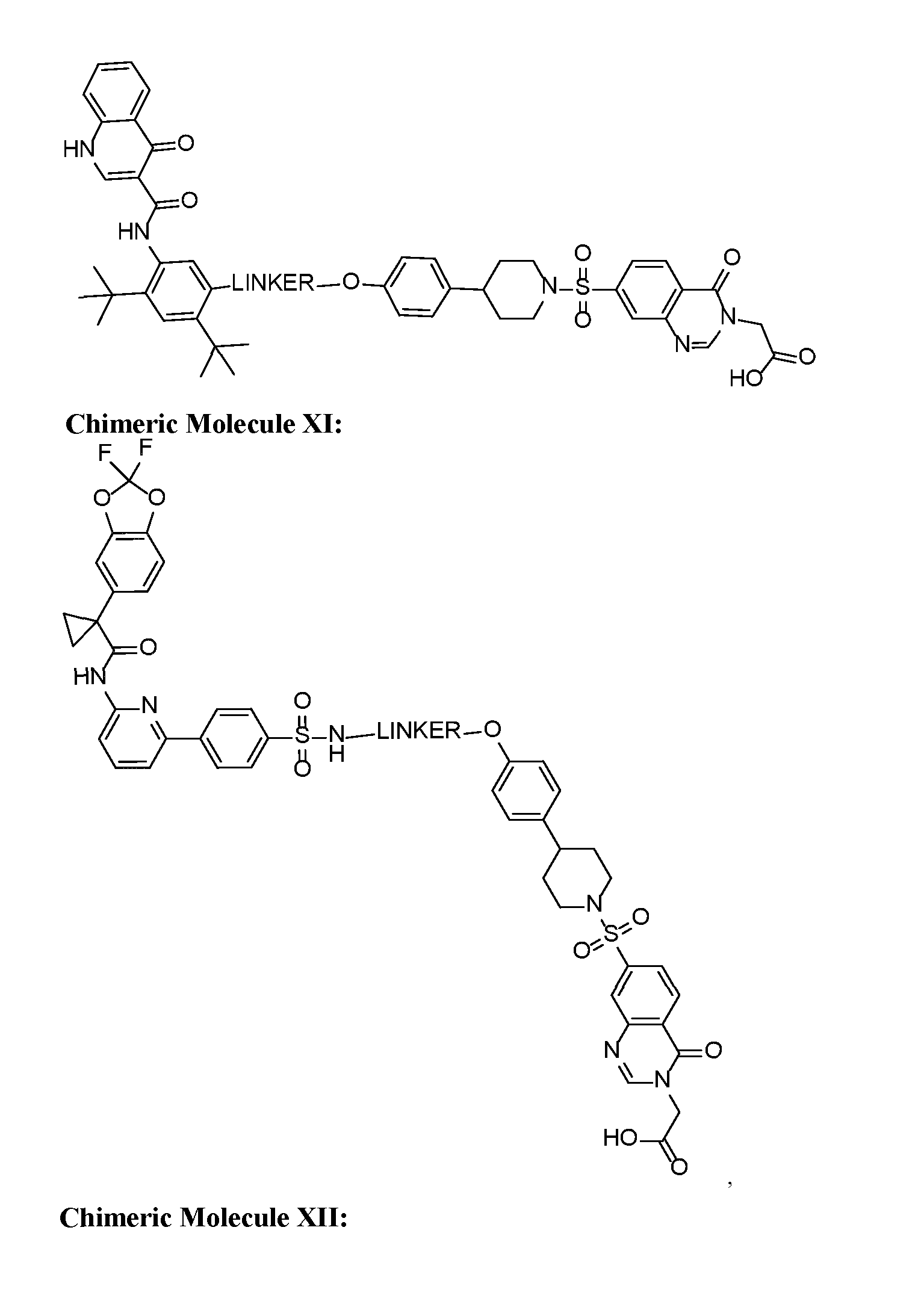
- a chimeric molecule disclosed herein is represented by the structure of any one of
- a chimeric molecule disclosed herein is represented by the structure of any one of chimeric molecules 1-210 of Table 2.
- a pharmaceutical composition comprises a chimeric molecule represented by the structure of any one of chimeric molecules 1-210 of Table 2, and a pharmaceutically acceptable carrier.
- a method for preventing or reducing the degradation of a ubiquitinylated protein comprising contacting the ubiquitinylated protein with a chimeric molecule represented by the structure of any one of chimeric molecules 1-210 of Table 2, thereby preventing or reducing the degradation of said ubiquitinylated protein.
- a method for removing at least one ubiquitin molecule from a ubiquitinylated protein comprising contacting the ubiquitinylated protein with a chimeric molecule represented by the structure of any one of chimeric molecules 1-210 of Table 2, thereby removing at least on ubiquitin molecule from said ubiquitinylated protein.
- the ubiquitinylated protein comprises a non-natural target of the ubiquitin protease.
- a method for treating a disease in a subject in need thereof comprising administering a therapeutically effective amount of a pharmaceutical composition comprising at least one chimeric molecule represented by the structure of any one of chimeric molecules 1-210 of Table 2, thereby treating said disease in said subject in need.
- the disease comprises a cancer, a neurodegenerative disease or disorder, anemia, a metabolic syndrome, autoimmunity, an inflammatory disease or disorder, infection, cystic fibrosis, or a muscle dystrophy.
- the disease comprises cystic fibrosis or cancer.
- the administration is in combination with at least one additional cystic fibrosis therapeutic compound or treatment.
- At least one additional cystic fibrosis therapeutic compound is selected from Ivacaftor, Lumacaftor, Tezacaftor, Elexacaftor, ABBV-2222, Posenacaftor, or Nesolicaftor, or any combination thereof.
- said cancer comprises a PARP1 inhibitor resistant cancer.
- administration is in combination with at least one additional cancer therapeutic compound or treatment.
- Figures 1A, 1B, 1C, and 1D represent embodiments of chimeric molecules described herein.
- Figure 1A presents a chimeric molecule comprising a USP5 binder domain.
- Figure 1B presents a chimeric molecule comprising a USP5 binder domain and a Target Binder domain.
- Figure 1C presents a chimeric molecule comprising a USP5 binder domain-linker domain.
- Figure 1D presents a chimeric molecule comprising a USP5 binder domain-linker domain-Target Binder Domain.
- Figure 2 presents a schematic drawing showing the principle of SURTAC activity.
- Figures 3A and 3B present the assay design and control results for the PathHunter® del508 CFTR-assay.
- Figure 3A shows functionally within a cell what is being measure, while Figure 3B shows the results using the known CFTR-binder Lumacaftor (VX-809).
- Figure 4 presents Figure 4 presents the increase in del508CFTR at the cell membrane in the presence of SURTAC molecules when compared to ivacaftor and untreated cells. Values are averages of duplicate experiments performed on separate occasions. Error bars are of 1 standard deviation.
- Figure 5 presents the amount of nuclear PARP1 enzyme in the cellular nucleus in the presence of SURTAC compounds.
- Each value for SURTAC compounds is shown as a ratio of the nuclear PARP1 measured in the control Olaparib treated cells. Six replicates were performed for each SURTAC and six replicates for each Olaparib control. Error bars are of 1 standard deviation. Numbers shown above each bar are two tailed t-test p-values indicating the significance of difference of SURTAC treated controls from the matched Olaparib treated controls.
- chimeric molecules comprising a first binding domain, wherein said first binding domain comprises a deubiquitinase binder that binds a ubiquitin carbonyl-terminal protease 5 enzyme (ubiquitin-specific-processing protease 5 (USP5)).
- ubiquitin-specific-processing protease 5 USP5
- USP5 binder encompasses a domain that binds ubiquitin carbonyl-terminal protease 5 enzyme.
- Ubiquitin carbonyl-terminal protease 5 enzyme is a deubiquitinating enzyme that provides thiol- dependent hydrolysis of ester, thioester, amide, peptide and isopeptide bonds formed by the C-terminal Gly of ubiquitin (“Ub”), a 76-residue protein attached to proteins (ubiquitinylated proteins).
- Ub ubiquitin
- the term “chimeric molecule” generally means that the referenced molecule is made of two or more different domains or structures that are not found together in nature in a single molecule.
- the chimeric molecules provided herein comprises at least two domains: a USP5 binding domain and an additional domain.
- chimeric molecules provided herein are comprise at least two different domains or structures that are not found together in nature in a single molecule, i.e. the first and second binding domains.
- a chimeric structure disclosed herein functionally binds a USP5 enzyme and a target ubiquitinylated proteins. In nature, no molecule has been found to specifically and simultaneously bind USP5 enzyme and target ubiquitinylated proteins as described herein.
- chimeric molecules provided herein are comprise at least two different domains or structures that are not found together in nature in a single molecule, i.e. the first domain and a linker domain.
- chimeric molecules provided herein comprise at least three different domains or structures that are not found together in nature in a single molecule, i.e. the first domain the binds a USP5 enzyme, a second domain that binds a target ubiquitinylated (Ub) proteins, and a linker domain connecting the USP5 binding and target ubiquitinylated protein binding domains.
- the first domain the binds a USP5 enzyme
- a second domain that binds a target ubiquitinylated (Ub) proteins
- a linker domain connecting the USP5 binding and target ubiquitinylated protein binding domains.
- a chimeric molecule having the structure of Formula (AA), BD1-LINKER-BD2, Formula (AA) or a pharmaceutically acceptable salt or solvate thereof, wherein BD1 is a first binding domain, wherein the first binding domain comprises a ubiquitin- specific-processing protease 5 (USP5) binder that binds a USP5 enzyme; BD2 is a second binding domain, wherein the second binding domain comprises a target binder configured to bind to a ubiquitinylated protein; and LINKER is a linker domain that links the first binding domain to the second binding domain covalently or non-covaently.
- Formula (AA) Formula (AA) or a pharmaceutically acceptable salt or solvate thereof
- BD1 is a first binding domain, wherein the first binding domain comprises a ubiquitin- specific-processing protease 5 (USP5) binder that binds a USP5 enzyme
- BD2 is a second binding domain, wherein the second binding domain
- BD1 is a USP5 binder, e.g., a USP5 binder described herein. In some embodiments, BD1 comprises a structure of Formulas (1)-(9) or (1*)-(9*).
- BD2 is a target binder. In some embodiments, BD2 binds to a ubiquitinylated protein that comprises a CFTR protein. In some embodiments, BD2 binds to a ubiquitinylated protein that comprises a PARP1 protein. In some embodiments, BD2 binds to a ubiquitinylated protein that comprises a PKA protein.
- BD2 comprises a structure represented by Formulas A-N, K*, K**, B* and B**.
- the linker domain comprises a structure of Formulas (i)–(xxiv).
- a complex comprising a USP5 protein, a chimeric molecule of the present disclosure and a target protein.
- the target protein is Ub-CFTR.
- the target protein is Ub- PARP1.
- the target protein is Ub-PKA.
- Ubiquitin carbonyl-terminal protease 5 may be used interchangeably having the same meanings and qualities.
- USP5 may selectively and non-covalently bind with a specific target ubiquitinylated protein.
- USP5 may non- covalently bind a non-natural ubiquitinylated protein target.
- the previously unknown target may encompass a non-natural target of USP5, e.g., a protein that is not known to be a substrate for the USP5.
- the Ub-protein bound by the chimeric molecules provided herein can be a protein that is outside of the list of currently known substrates of USP5.
- deubiquitinases including USP5 have been proposed to functionally recognize the ubiquitin-ubiquitin linkage rather than the ubiquitin-target protein linkage so that any protein having one or more ubiquitin-ubiquitin linkage can be a target protein of the chimeric molecules provided herein.
- the Ub-protein bound by the chimeric molecules provided herein can interact with ubiquitin protease USP5.
- Ub-proteins include, but are not limited to, CACNA1H (Voltage-dependent T-type calcium channel subunit alpha-1H), FOXM1 (Forkhead box protein M1), MAF (Transcription factor Maf), SMURF1 (E3 ubiquitin-protein ligase SMURF1), or TRIML1 (Tripartite motif family-like protein 1).
- CACNA1H Voltage-dependent T-type calcium channel subunit alpha-1H
- FOXM1 Formhead box protein M1
- MAF Transcription factor Maf
- SMURF1 E3 ubiquitin-protein ligase SMURF1
- TRIML1 Tripartite motif family-like protein
- the chimeric molecules provided herein simultaneously target at least two naturally occurring cellular proteins, one being an ubiquitinylated protein and the other being a USP5 enzyme.
- the chimeric molecules provided herein have two different binding domains, each targeting a different target protein.
- the USP5 enzyme to perform its action on the ubiquitinylated protein, the two binding domains are spatially arranged to bring the USP5 enzyme and Ub- protein to sufficient proximity.
- Ub-protein encompasses a protein that is ubiquitylated, independent of the number of Ub molecules attached.
- a Ub-protein comprises a single Ub molecule. In some it represents multiple Ub molecules, and these Ub molecules are attached to both the target protein and multiple other ubiquitin molecules in a mixture of linear and branched ubiquitin chains of complex architecture and theoretically indefinite number” .
- a chimeric molecule comprising a first binding domain comprising a USP5 binder may be used in a method for preventing or reducing the degradation of a ubiquitinylated protein.
- the ubiquitinylated protein is a known target of USP5. In some embodiments, the ubiquitinylated protein is not a known target of USP5.
- a chimeric molecule comprising a first binding domain comprising a USP5 binder may be used in a method for removing at least one ubiquitin molecule from a ubiquitinylated protein.
- the ubiquitinylated protein is a known target of USP5.
- the ubiquitinylated protein is not a known target of USP5.
- a chimeric molecule comprising a first binding domain comprising a USP5 binder may be used in a method for treating a disease in a subject in need.
- a chimeric molecule comprising a first binding domain comprising a USP5 binder may be used in a method for treating a disease in a subject in need, wherein said treating comprises removing at least one ubiquitin from a protein associated with the disease.
- a chimeric molecule comprising a first binding domain comprising a USP5 binder may be used in a method for treating a disease in a subject in need, wherein said disease is selected from a cancer, a neurodegenerative disease or disorder, anemia, a metabolic syndrome, autoimmunity, an inflammatory disease or disorder, an infection, cystic fibrosis, and a muscle dystrophy.
- the disease being treated comprises cystic fibrosis.
- First Binding Domain Comprising USP5 Binders USP5 binding chimeric molecules provided herein, bind to a cellular USP5 at a first binding domain comprising a deubiquitinase binder (“USP5 binder”) ( Figure 1A).
- USP5 binder a deubiquitinase binder
- Figure 1A a deubiquitinase binder
- a skilled artisan would appreciate that the technical characteristics of an isolated USP5 binder and the same USP5 binder comprised as a component of a chimeric molecule, may in some embodiments be the same or similar, and in alternative embodiments may differ, dependent on the characteristic being measured.
- the chimeric molecules disclosed herein are used in methods for treating a disease.
- a USP5 binder comprised within a first binding domain of a chimeric molecule has at least one beneficial characteristic not present in the isolated USP5 binder with regard to the interaction between the USP5 binder and the target USP5 enzyme.
- a USP5 binder comprised within a first binding domain of a chimeric molecule has at least one enhanced beneficial characteristic compared with the isolated USP5 binder.
- a USP5 binder comprised within a first binding domain of a chimeric molecule has at least one characteristic that is the same or similar compared with the isolated USP5 binder. In some embodiments, a USP5 binder comprised within a first binding domain of a chimeric molecule has at least one characteristic that is different compared with the isolated USP5 binder. [0058] In some embodiments, a USP5 binder comprised within a first binding domain of a chimeric molecule has increased binding affinity for USP5 compared with the isolated USP5 binder.
- a USP5 binder comprised within a first binding domain of a chimeric molecule has the same or similar binding affinity for USP5 compared with the isolated USP5 binder. In some embodiments, a USP5 binder comprised within a first binding domain of a chimeric molecule has reduced binding affinity for USP5 compared with the isolated USP5 binder. [0059] In some embodiments, binding of USP5 with a USP5 binder comprised within a first binding domain of a chimeric molecule leads to increased inhibition of the USP5 hydrolase activity compared with the isolated USP5 compound.
- binding of USP5 with a USP5 binder comprised within a first binding domain of a chimeric molecule does not affect the USP5 hydrolase activity compared with the isolated USP5 compound activity. In some embodiments, binding of USP5 with a USP5 binder comprised within a first binding domain of a chimeric molecule minimally inhibits the USP5 hydrolase activity compared with the isolated USP5 compound activity. In some embodiments, binding of USP5 with a USP5 binder comprised within a first binding domain of a chimeric molecule increases the USP5 hydrolase activity compared with the isolated USP5 compound activity.
- USP5 binds to the USP5 binder comprised by said first binding domain. In certain embodiments, binding of a USP5 binder comprised by said first binding domain, with USP5 does not inhibit the USP5 enzyme’s deubiquitinating activity (thiol-dependent hydrolysis activity). In some embodiments, binding of the USP5 binder comprised with the first binding domain of a chimeric molecule, with USP5, does not inhibit the USP5 enzyme’s deubiquitinating activity compared with USP5’s deubiquitinating activity when bound to a USP5 binder that is not linked to a chimeric molecule.
- binding of a first binding domain comprising a USP5 binder with USP5 does not reduce the USP5 enzyme’s deubiquitinating activity (thiol-dependent hydrolysis activity), compared with USP5’s hydrolysis activity when bound to a USP5 binder independent of a chimeric molecule.
- binding of a first binding domain comprising a USP5 binder with USP5 reduces the USP5 enzyme’s deubiquitinating activity (thiol-dependent hydrolysis activity), compared with USP5’s hydrolysis activity when bound to a USP5 binder independent of a chimeric molecule.
- the binding affinity of a USP5 binder comprised within a first binding domain to USP5 is comparable with the binding affinity of USP5 to an isolated form of the USP5 binder, independent of a chimeric molecule.
- the binding affinity of a USP5 binder comprised within a first binding domain to USP5 is increased compared with the binding affinity of USP5 to an isolated form of the USP5 binder, independent of a chimeric molecule.
- the binding affinity of a USP5 binder comprised within a first binding domain to USP5 is decreased compared with the binding affinity of USP5 to an isolated form of the USP5 binder, independent of a chimeric molecule.
- binding of USP5 with a USP5 binder comprised within a first binding domain modifies the USP5 enzyme’s deubiquitinating activity (thiol- dependent hydrolysis activity) compared with binding of USP5 with an isolated USP5 binder.
- binding of USP5 with a USP5 binder comprised within a first binding domain increases the USP5 enzyme’s deubiquitinating activity (thiol-dependent hydrolysis activity) compared with binding of USP5 with an isolated USP5 binder.
- binding of USP5 with a USP5 binder comprised within a first binding domain decreases the USP5 enzyme’s deubiquitinating activity (thiol-dependent hydrolysis activity) compared with binding of USP5 with an isolated USP5 binder.
- a “domain” comprises a small molecule or an active portion thereof.
- a “domain” comprises a peptide.
- a “domain” comprises a polypeptide or a portion thereof.
- a “domain” comprises a protein or an active portion thereof.
- a first binding domain can be a small molecule.
- the small molecule is an organic compound.
- the small molecule has a size between 0.1 nm to 10 nm across its longest axis. In another embodiment, the small molecule has a size between 0.5 nm to 5 nm across its longest axis. In one embodiment, the small molecule has a weight of 1 Dalton up to 1000 Daltons. In another embodiment, the small molecule has a weight of 1 Dalton up to 500 Daltons. In another embodiment, the small molecule has a weight of 1 Dalton up to 100 Daltons. [0065] In some embodiments, a “small molecule” may encompass a substantially non- peptidic, non-oligomeric organic compound either prepared in the laboratory or found in nature.
- Small molecules may in certain embodiments encompass compounds that are “natural product-like,” however, the term “small molecule” is not limited to “natural product-like” compounds. Rather, a small molecule is typically characterized in that it contains several carbon-carbon bonds, and has a molecular weight of less than 1500 g/mol, less than 1250 g/mol, less than 1000 g/mol, less than 750 g/mol, less than 500 g/mol, or less than 250 g/mol, although this characterization is not intended to be limiting for the purposes of the chimeric molecules disclosed herein.
- the first binding domain encompass a discrete region of the chimeric molecule described herein, and can be distinctively identified by physical and functional properties as disclosed herein.
- the first binding domain is in charge of recruiting (e.g., identifying and binding in a specific manner) a USP5 deubiquitinase enzyme.
- a first binding domain comprises a USP5 deubiquitinase binder (“USP5” binder).
- USP5 binder specifically recognizes USP5.
- a USP5 binder comprises an antibody or a fragment thereof.
- a USP5 binder comprises a small molecule that specifically recognizes USP5. In some embodiments, a USP5 binder comprises a ligand of USP5. In some embodiments, a USP5 binder comprises a small molecule that specifically recognizes USP5. In some embodiments, a USP5 binder comprises an aptamer. [0068] It will be understood by those skilled in the art that since the first binding domain binds the USP5 inside a cell, it does not covalently link to the USP5 after binding, without additional steps.
- the first binding domain transiently binds to USP5, at least for a minimal time to allow the USP5 to perform an activity (removal of at least one Ub molecule) from the ubiquitinylated protein bound by the second binding domain, as described herein.
- the binding between the chimeric molecules provided herein and USP5 may be direct, or indirect.
- the first binding domain comprising the USP5 binder may directly and specifically bind to an intermediary molecule that directly and specifically binds to USP5.
- the first binding domain specifically binds to an intermediary molecule, and the intermediary molecule specifically binds to USP5.
- the first binding domain indirectly but specifically binds to USP5.
- more than one intermediary molecule can be employed between the first binding domain and USP5, wherein the first binding domain indirectly but specifically binds to USP5.
- the intermediate molecule that binds to the USP5 comprises an antibody or an antigen-binding fragment thereof that binds to USP5.
- the intermediate molecule that binds to USP5 comprises a ligand of USP5.
- the intermediate molecule that binds to USP5 comprises an aptamer.
- the first binding domain transiently binds to USP5 and dissociates from USP5 when the ubiquitinylated protein is de-ubiquitinylated. In certain embodiments, the first binding domain transiently binds to USP5 and dissociates from USP5 when one or more ubiquitin molecules are removed from the ubiquitinylated protein. In certain embodiments, the first binding domain irreversibly binds to USP5 and does not dissociate from USP5 when the ubiquitinylated protein is de-ubiquitinylated or when Ub molecules are removed from the ubiquitinylated protein.
- the first binding domain binds to USP5 that cleaves ubiquitin from the ubiquitinylated protein bound by the second binding domain.
- a chimeric molecule having the structure of Formula (AA), BD1-LINKER-BD2, Formula (AA) or a pharmaceutically acceptable salt or solvate thereof, wherein BD1, BD2 and LINKER are defined above.
- BD1 comprises a USP5 binder, e.g., a structure of Formulas (1)-(9) and (1*)-(9*).
- a first binding domain comprises a USP5 binder represented by the structure of Formula (1) a pharmaceutically acceptable salt thereof wherein: W 1 -W 16 are each independently a hydrogen, halide, alkyl, cycloalkyl, heterocycloalkyl, aryl, amine, CN, -NHCOR 3 , NH-alkyl, NH-aryl, NH-cycloalkyl, NH-heterocycloalkyl, NH-alkyl-COOH, NH-CH 2 -COOH, NO 2 , alkoxy, COOH, OH or SH; X 1 -X 4 and X 6 -X 9 are each independently C or N; X 5 is CH or N; R 1 is alkyl, aryl, cycloalkyl, heterocycloalkyl, amine, -NHCH 2 COOH, -O-alkyl, -NH- alkyl, or -CH 2 -aryl; or
- X 1 is CW 1 . In some embodiments of Formula (1*), X 1 is N. In some embodiments of Formula (1*), X 2 is N. In some embodiments of Formula (1*), X 2 is CW 2 . In some embodiments of Formula (1*), X 3 is N. In some embodiments of Formula (1*), X3 is CW 4 . In some embodiments of Formula (1*), X 4 is N. In some embodiments of Formula (1*), X 4 is CW 3 . In some embodiments of Formula (1*), X 5 is N. In some embodiments of Formula (1*), X 5 is CR 5 . In some embodiments of Formula (1*), X 6 is N.
- X 6 is CW 13 .
- X 7 is N.
- X 7 is CW 14 .
- X 8 is N.
- X 8 is CW 16 .
- X9 is N.
- X 9 is CW 15 .
- the first binding domain comprising said USP5 binder is represented by the structure of Formula (2): O (2), or a pharmaceutically acceptable salt thereof; wherein R1 is alkyl, aryl, cycloalkyl, heterocycloalkyl, amine, -NHCH 2 COOH, -O-alkyl, -NH-alkyl, or -CH 2 -aryl; and wherein each of said alkyl, aryl, cycloalkyl or heterocycloalkyl is optionally substituted.
- the first binding domain comprising said USP5 binder is represented by the structure of Formula (2*): N S R 1 O (2*), wherein R 1 is C 1 -C 9 alkyl, C 2 -C 9 alkenyl, C 2 -C 9 alkynyl, C 1 -C 9 heteroalkyl, aryl, heteroaryl, cycloalkyl, heterocycloalkyl, -NR c R d , -OR a , L R1 -aryl, L R1 -heteroaryl, L R1 - cycloalkyl, or L R1 -heterocycloalkyl, wherein each of said alkyl, heteroalkyl, alkenyl, alkynyl, aryl, heteroaryl, cycloalkyl or heterocycloalkyl is optionally substituted; and L R1 is an optionally substituted C 1 -C 3 alkylene or an optionally substituted C 1 -C
- the first binding domain comprising said USP5 binder is represented by the structure of Formula (3): R 2 O (3) or a pharmaceutically acceptable salt thereof, wherein R 2 is an alkyl, aryl, cycloalkyl, heterocycloalkyl, alkyl-COOH or -CH 2 -COOH, wherein each of said alkyl, aryl, cycloalkyl or heterocycloalkyl is optionally substituted.
- the first binding domain comprising said USP5 binder is represented by the structure of Formula (3*) N S N H O (3*) wherein R 2 is an alkyl, heteroalkyl, aryl, cycloalkyl, heterocycloalkyl, alkyl-COOH or -CH 2 - COOH, wherein each of said alkyl, heteroalkyl, aryl, cycloalkyl or heterocycloalkyl is optionally substituted.
- the first binding domain comprising said USP5 binder is represented by the structure of Formula (4): OH 1 6 W 11 W 10 (4) or a pharmaceutically acceptable salt thereof wherein: W 1 -W 16 are each independently a hydrogen, halide, alkyl, cycloalkyl, heterocycloalkyl, aryl, amine, CN, -NHCOR 3 , NH-alkyl, NH-aryl, NH-cycloalkyl, NH-heterocycloalkyl, NH-alkyl-COOH, NH-CH 2 -COOH, NO 2 , alkoxy, COOH, OH or SH; X 1 -X 4 and X 6 -X 9 are each independently C or N; X 5 is CH or N; R 3 is alkyl, aryl, cycloalkyl or heterocycloalkyl, wherein each of said alkyl, aryl, cycloalkyl or heterocycloalkyl is optionally
- the first binding domain comprising said USP5 binder is represented by the structure of Formula (4*): X 8 X 9 O X 3 X 4 W 12 W W W 9 11 10 (4*), wherein the substituents have the same meaning as defined in Formula (I*).
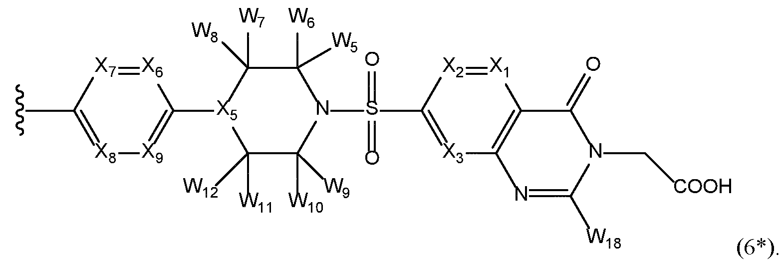
- the USP5 binder is represented by the structure of Formula (5): H (5) , or a pharmaceutically acceptable salt thereof,wherein W 1 -W 2 and W 4 -W 16 are each independently a hydrogen, halide, alkyl, cycloalkyl, heterocycloalkyl, aryl, amine, CN, -NHCOR 3 , NH-alkyl, NH-aryl, NH-cycloalkyl, NH- heterocycloalkyl, NH-alkyl-COOH, NH-CH 2 -COOH, NO 2 , alkoxy, COOH, OH or SH; X 1 -X 3 and X 6 -X 9 are each independently C or N; X 5 is CH or N; R 3 is alkyl, aryl, cycloalkyl or heterocycloalkyl; W 19 is hydrogen, halide, alkyl, cycloalkyl, heterocycloalkyl or aryl;
- a structure of Formula (5*) has a structure of Formula (6*):
- the USP5 binder is represented by the structure of Formula (6):
- W 1 -W 2 and W 4 -W 16 are each independently a hydrogen, halide, alkyl, cycloalkyl, heterocycloalkyl, aryl, amine, CN, -NHCOR 3 , NH-alkyl, NH-aryl, NH-cycloalkyl, NH-heterocycloalkyl, NH-alkyl-COOH, NH-CH 2 -COOH, NO 2 , alkoxy, COOH, OH or SH;
- W 20 is null or hydrogen;
- X 1 -X 3 and X 6 -X 9 are each independently C or N;
- X 5 is CH or N;
- R3 is alkyl, aryl, cycloalkyl or heterocycloalkyl; wherein each of said alkyl,
- the USP5 binder is represented by the structure of (8) , or a pharmaceutically acceptable salt thereof.
- the USP5 binder is represented by the structure of Formula (8*): ( ).
- the USP5 binder is represented by the structure of Formula (9): N COOH (9) , or a pharmaceutically acceptable salt thereof.
- the USP5 binder is represented by the structure of For * O N COOH (9*).
- chimeric molecules comprising a first binding domain, wherein said first binding domain, e.g., Formula (1)-(9) or (1*)- (9*), or a pharmaceutically acceptable salt thereof, comprises a deubiquitinase binder that binds a ubiquitin carbonyl-terminal protease 5 enzyme (ubiquitin-specific-processing protease 5 (USP5)).
- said first binding domain e.g., Formula (1)-(9) or (1*)- (9*
- said first binding domain e.g., Formula (1)-(9) or (1*)- (9*
- a pharmaceutically acceptable salt thereof comprises a deubiquitinase binder that binds a ubiquitin carbonyl-terminal protease 5 enzyme (ubiquitin-specific-processing protease 5 (USP5)).
- compositions refers to “pharmaceutically acceptable salts” of drug substances according to IUPAC conventions. Pharmaceutical salt is an inactive ingredient in a salt form combined with a drug.
- pharmaceutically acceptable salt refers to salts of the general formula (1)-(9), (1*)-(9*) or any other salt form encompassed by the generic formula, which are substantially non-toxic to living organisms.
- Typical pharmaceutically acceptable salts include those salts prepared by reaction of the compounds of the present invention with a pharmaceutically acceptable mineral, base, acid or salt as described herein. Acid salts are also known as acid addition salts.
- the pharmaceutically acceptable salts include any pharmaceutically acceptable organic or inorganic acid or base.
- Pharmaceutical salts such as are known in the art (Stahl and Wermuth, 2011, Handbook of pharmaceutical salts, Second edition), the contents of which are hereby incorporated by reference in their entirety, are exemplified herein below in some non- limiting embodiments.
- the pharmaceutically acceptable organic or inorganic acid or residue of an acid are exemplified herein below in some non- limiting embodiments.
- acids including aceturic, 4-acetamido-benzoic, adipic, aminohippuric, 4-amino-salicylic, alginic, aspartic, boric, butyric, capric (decanoic), caproic (hexanoic), carbonic, camphoric, camphorsulfonic, caprylic (octanoic), cyclamic, cinnamic, 2,2-dichloro-acetic, di(t-butyl)- naphthalenesulfonic, di(t-butyl)-naphthalenedisulfonic, dehydroacetic, diatrizoic, dodecylsulfuric, ethane-1,2-disulfonic, edetic, ethanesulfonic, 2-ethyl-hexanoic, erythorbic, formic, fumaric, galactaric (mucic),
- the pharmaceutically acceptable salt are organic or inorganic base or residue of a base, selected from the group consisting of alkali metals, alkaline earth metals, aluminum, zinc and ammonium.
- the pharmaceutically acceptable salt are inorganic cation selected from the group consisting of lithium, sodium, potassium, calcium, magnesium, aluminum, zinc and ammonium.
- the pharmaceutically acceptable organic amine salt selected from the group consisting of ammonium, a primary amine, a secondary amine, a tertiary amine, a quaternary ammonium compound, an amino alcohol and an amino sugar.
- Non-limiting examples of organic amine base are benethamine, benzathine, betaine, t- butylamine (erbumine), deanol, dicyclohexylamine, diethylamine, 2-diethylamino-ethanol, diethanolamine, ethanolamine, ethylenediamine, hydrabamine, morpholine, 4-(2- hydroxyethyl) morpholine, 1-(2-hydroxyethyl)-pyrrolidine (epolamine), imidazole, N- methylglucamine (meglumine), 4-phenylcyclohexylamine, piperazine, and tromethamine.
- benzathine betaine
- t- butylamine erbumine
- deanol dicyclohexylamine
- diethylamine diethylamine
- 2-diethylamino-ethanol diethanolamine
- ethanolamine ethylenediamine
- hydrabamine morpholine
- compositions disclosed herein include, without limitation, the non-toxic inorganic and organic acid addition salts such as the hydrochloride, the hydrobromide, the L-tartrate, the nitrate, the perchlorate, the phosphate, the sulphate, the formate, the acetate, the aconate, the ascorbate, the benzenesulphonate, the benzoate, the cinnamate, the citrate, the embonate, the enantate, the fumarate, the glutamate, the glycolate, the lactate, the maleate, the malonate, the mandelate, the methanesulphonate, the naphthalene-2-sulphonate, the phthalate, the salicylate, the sorbate, the stearate, the succinate, the tartrate, the toluene-p-sulphonate, and the like
- a chimeric molecule disclosed herein further comprises a second binding domain comprising a target binder configured to bind a protein that is ubiquitinylated ( Figure 1B).
- a chimeric molecule comprises a first binding domain, wherein said first binding domain comprises a deubiquitinase binder that binds USP5 and a second binding domain comprising a target binder configured to bind a ubiquitinylated protein.
- the binding of a target binder with the ubiquitinylated protein is independent of the number of Ub attached to the protein. In some embodiments, the binding of a target binder with the ubiquitinylated protein is independent of having Ub attached to the protein. In some embodiments, the ubiquitinylated protein target of the second binding domain is a known target of USP5. In some embodiments, the ubiquitinylated protein target of the second binding domain comprises a non-natural or not previously known target of USP5. In some embodiments, the target binder directly binds to the ubiquitinylated protein.
- a target binder specifically binds to a target protein that is ubiquitinylated by one or more ubiquitin (“Ub”) molecules.
- the binding between the chimeric molecules provided herein, and a ubiquitinylated-protein (“Ub-protein”) target may be direct, or indirect. Indirect binding may be through one intermediate molecule, or by a series or chain of intermediate molecules.
- the second binding domain is in charge of recruiting (e.g., identifying and binding in a specific manner) an Ub-protein.
- the Ub-proteins targeted by the target binder comprised within the second binding domain may be any Ub-protein, or any defined sub-category of Ub-protein.
- the target binder comprised within the second binding domain specifically binds to a Ub-protein.
- the target binder comprised within the second binding domain comprises an antibody or an antigen-binding fragment thereof that binds to the Ub-protein.
- the target binder comprised within the second binding domain comprises a ligand that binds to the Ub- protein.
- the target binder comprised within the second binding domain comprises a ligand that binds to the Ub-protein, wherein said ligand comprises a peptide.
- the target binder comprised within the second binding domain comprises a ligand that binds to the Ub-protein, wherein said ligand comprises a small molecule.
- the target binder comprises a molecule which specifically recognizes the Ub-protein, such as an antibody or a fragment thereof.
- the target binder comprises a molecule which is specifically recognized by the Ub-protein, such as a ligand of the Ub-protein.
- the target binder comprises a molecule which is specifically recognized by the Ub-protein, such as an aptamer.
- the target binder comprises a molecular chaperone that assists in the conformational folding or unfolding and the assembly or disassembly of the Ub-protein.
- the target binder comprises a molecular chaperone that corrects the conformational folding or unfolding of a mutant form of the target Ub-protein. In some embodiments, the target binder comprises a molecular chaperone that corrects the conformational folding or unfolding of a mutant form of the target protein prior to its being ubiquitylated. In some embodiments, the target binder comprises a molecular chaperone that corrects the conformational folding or unfolding of a mutant form of the target Ub- protein at the site of protein synthesis.
- the target binder comprises a molecular chaperone that corrects the conformational folding or unfolding of a mutant form of the target protein at the site of protein synthesis prior to its being ubiquitylated. In some embodiments, the target binder comprises a molecular chaperone that corrects the conformational folding or unfolding of a mutant form of the target Ub-protein at the destination site of the target Ub-protein. In some embodiments, the target binder comprises a molecular chaperone that corrects the conformational folding or unfolding of a mutant form of the target protein at the destination site of the target protein prior to its being ubiquitylated.
- a target destination site of synthesis or destination site is selected from the cytosol, an organellar inner membrane surface, an organellar outer membrane surface, the nuclear inner membrane surface, the nuclear membrane outer membrane surface, the inner membrane of the plasma membrane, or the outer membrane of the plasma membrane.
- the target binder comprises a molecular chaperone that assists in the assembly or disassembly of the Ub-protein.
- the target binder comprises a molecular chaperone that corrects the assembly or disassembly of a mutant form of the target Ub-protein.
- the target binder comprises a molecular chaperone that corrects the assembly or disassembly of a mutant form of the target protein prior to its being ubiquitylated. In some embodiments, the target binder comprises a molecular chaperone that corrects the assembly or disassembly of a mutant form of the target Ub-protein at the site of protein synthesis. In some embodiments, the target binder comprises a molecular chaperone that corrects the assembly or disassembly of a mutant form of the target protein at the site of protein synthesis prior to its being ubiquitylated.
- the target binder comprises a molecular chaperone that corrects the assembly or disassembly of a mutant form of the target Ub-protein at the destination site of the target Ub-protein. In some embodiments, the target binder comprises a molecular chaperone that corrects the assembly or disassembly of a mutant form of the target protein at the destination site of the target protein prior to its being ubiquitylated. In some embodiments, a target destination site of synthesis or destination site is selected from the cytosol, an organellar inner membrane surface, an organellar outer membrane surface, the nuclear inner membrane surface, the nuclear membrane outer membrane surface, the inner membrane of the plasma membrane, or the outer membrane of the plasma membrane.
- a target binder binds to a mutant form of the target protein. In some embodiments, a target binder binds to a misfolded form of the target protein. In some embodiments, a target binder binds to a wild-type (WT) form of the target protein. In some embodiments, when the target binder binds with a mutant form of the target Ub- protein, deubiquitination by the USP5 bound to the USP5 binder leads to increasing half-life of the mutant protein and thereby rescuing the functionality of the mutant protein.
- WT wild-type
- the target binder when the target binder binds with a misfolded form of the target Ub-protein, deubiquitination by the USP5 bound to the USP5 binder leads to increasing half-life of the mutant protein and thereby rescuing the functionality of the mutant protein.
- deubiquitination by the USP5 bound to the USP5 binder leads to increasing the half-life and therefore the localized concentration of the WT protein, thereby enhancing a therapeutic outcome performed by the WT protein.
- enhanced concentration of a WT target protein results in increases in clinical efficacy of a disease therapy, for example but not limited to a cancer therapy.
- the target binder when the target binder comprises a molecular chaperone or active portion thereof, it binds with a mutant form of the target Ub-protein and assists in conformation folding and assembly of the target protein. In some embodiments, the target binder binds with the target protein prior to its’ being ubiquitylated. In some embodiments, when the target binder comprises a molecular chaperone or active portion thereof, it binds with the target protein prior to its’ being ubiquitylated, and assists in its conformation folding and assembly at the time of protein synthesis.
- the target binder when the target binder comprises a molecular chaperone or active portion thereof, it binds with a mutant form of the target protein prior to ubiquitylation, and assists in conformation folding and assembly of the target protein. In some embodiments, when the target binder comprises a molecular chaperone or active portion thereof, it binds with the target protein prior to its’ being ubiquitylated, and stabilizes the target protein. In some embodiments, when the target binder comprises a molecular chaperone or active portion thereof, it binds with a mutant form of the target protein prior to ubiquitylation, and assists in stabilizing the target protein.
- the target binder when the target binder comprises a molecular chaperone or active portion thereof, it binds with the target protein prior to its’ being ubiquitylated, and assists in its proper insertion within a membrane by stabilizing the target protein. In some embodiments, when the target binder comprises a molecular chaperone or active portion thereof, it binds with a mutant form of the target protein prior to ubiquitylation, and assists in the proper insertion within a membrane by stabilizing the target protein. [00112] In some embodiments, the target binder comprises a potentiator of a target protein’s activity, wherein binding of the target binder with a target Ub-protein enhances or restores the function of the target Ub-protein.
- the target binder comprises a potentiator of a target protein’s activity, wherein binding of the target binder with a target protein prior to ubiquitylation enhances or restores the function of the target protein.
- the target binder comprises a potentiator of a target protein’s activity, wherein binding of the target binder with a mutant target Ub-protein enhances or restores the function of the target Ub-protein.
- the target binder comprises a potentiator of a target protein’s activity, wherein binding of the target binder with a mutant form of the target protein prior to ubiquitylation, enhances or restores the function of the target protein.
- binding of target binder with a target Ub-protein enhances or restores or potentiates ion transport activity across a membrane, wherein the target-protein comprises an ion channel.
- binding of target binder with a target protein prior to ubiquitylation enhances or restores or potentiates ion transport activity across a membrane wherein the target protein comprises an ion channel.
- binding of target binder with a target Ub-protein enhances ion transport activity across a membrane, wherein the target-protein comprises an ion channel.
- binding of target binder with a target protein prior to ubiquitylation enhances ion transport activity across a membrane wherein the target protein comprises an ion channel.
- binding of target binder with a target Ub-protein restores ion transport activity across a membrane, wherein the target-protein comprises an ion channel.
- binding of target binder with a target protein prior to ubiquitylation restores ion transport activity across a membrane wherein the target protein comprises an ion channel.
- binding of target binder with a target Ub-protein potentiates ion transport activity across a membrane, wherein the target-protein comprises an ion channel.
- binding of target binder with a target protein prior to ubiquitylation potentiates ion transport activity across a membrane wherein the target protein comprises an ion channel.
- potentiation of ion transport activity comprises increasing chloride transport across the PM.
- restoration of ion transport activity comprises facilitating increased chloride transport.
- binding of target binder with a mutant form of a target Ub-protein enhances or restores or potentiates ion transport activity across a membrane, wherein the mutant form of the target-protein comprises an ion channel having decreased function or no function.
- binding of target binder with a mutant form of a target protein prior to ubiquitylation enhances or restores or potentiates ion transport activity across a membrane, wherein the target protein comprises an ion channel having decreased function or no function.
- binding of target binder with a mutant form of a target Ub-protein enhances ion transport activity across a membrane, wherein the mutant form of the target-protein comprises an ion channel having decreased function or no function.
- binding of target binder with a mutant form of a target protein prior to ubiquitylation enhances ion transport activity across a membrane, wherein the target protein comprises an ion channel having decreased function or no function.
- binding of target binder with a mutant form of a target Ub- protein restores ion transport activity across a membrane, wherein the mutant form of the target-protein comprises an ion channel having decreased function or no function.
- binding of target binder with a mutant form of a target protein prior to ubiquitylation restores ion transport activity across a membrane, wherein the target protein comprises an ion channel having decreased function or no function.
- binding of target binder with a mutant form of a target Ub-protein potentiates ion transport activity across a membrane, wherein the mutant form of the target-protein comprises an ion channel having decreased function or no function.
- binding of target binder with a mutant form of a target protein prior to ubiquitylation potentiates ion transport activity across a membrane, wherein the target protein comprises an ion channel having decreased function or no function.
- restoration of ion transport activity comprises facilitating increased chloride transport.
- restoration of activity reaches normal levels observed in a non-mutant form of the target protein.
- restoration of activity reaches normal levels of ion transport observed in a non-mutant form of the target protein.
- enhancement of ion transport activity comprises facilitating increased chloride transport, compared with the activity level absent binding with a chimeric molecule comprising a second binding domain comprising a target protein binder.
- binding of Ub-target protein facilitates increased chloride transport by potentiating the channel-open probability (or gating) of the Ub-target protein.
- potentiation of ion transport activity comprises increasing chloride transport across the PM.
- the target binder modulates a functional activity of a Ub- target protein.
- the target binder modulates a functional activity of a mutant form of the Ub-target protein.
- the target binder modulates a functional activity of a Ub-target protein, wherein binding of the target binder with a target Ub-protein enhances the function of the target Ub-protein.
- the target binder modulates a functional activity of a Ub-target protein, wherein binding of the target binder with a target Ub-protein restores the function of the target Ub-protein. In some embodiments, the target binder modulates a functional activity of a mutant form of the Ub- target protein, wherein binding of the target binder with a target Ub-protein enhances the function of the mutated target Ub-protein. In some embodiments, the target binder modulates a functional activity of a mutant form of the Ub-target protein, wherein binding of the target binder with a target Ub-protein restores the function of the mutated target Ub-protein to wild- type or near wild-type levels.
- the target binder modulates a functional activity of a mutant form of the target protein prior to its ubiquitylation, wherein binding of the target binder with a target protein enhances the function of the mutated target protein. In some embodiments, the target binder modulates a functional activity of a mutant form of the target protein prior to its ubiquitylation, wherein binding of the target binder with a target protein restores the function of the mutated target protein to wild-type or near wild-type levels. [00117] In some embodiments, binding of a Ub-protein with a target binder comprised within the second domain stabilizes the Ub-protein.
- binding of a Ub- protein with a target binder comprised within the second domain increases localized the concentration of the Ub-protein in the cell.
- the terms “Ub-protein”, “target Ub-protein”, and “target protein” may be used interchangeably having all the same meaning and qualities of being a binding target of the target binder comprised within a second binding domain of a chimeric molecule disclosed herein. The skilled artisan would appreciate that the inclusion of “Ub” indicates the ubiquitylation status of the target protein.
- binding of the target protein with the target binder comprised within the second binding domain is independent of ubiquitylation status.
- binding of the target protein with the target binder comprised within the second binding domain is dependent upon or requires ubiquitylation of the target protein.
- the second binding domain transiently binds to a Ub-protein target, at least for a minimal time to allow the USP5 bound by the first binding domain to remove at least one Ub.
- the second binding domain directly and specifically binds to an intermediary molecule that directly and specifically binds to the target Ub- protein.
- the first binding domain indirectly but specifically binds to the Ub-protein.
- more than one intermediary molecule can be employed between the first binding domain and the Ub-protein, thus again the first binding domain indirectly but specifically binds to the Ub-protein.
- the intermediate molecule that binds to the Ub-protein comprises an antibody or an antigen-binding fragment thereof that binds to the Ub-protein.
- the intermediate molecule that binds to the Ub-protein comprises a ligand of the Ub-protein.
- the intermediate molecule that binds to the Ub-protein comprises an aptamer the binds to the Ub-protein.
- the intermediate molecule comprises an antibody or an antigen-binding fragment thereof that binds to the ubiquitinylated protein.
- the intermediate molecule comprises a ligand that binds to the ubiquitinylated protein.
- an ubiquitinylated target polypeptide is a cytosolic polypeptide.
- an ubiquitinylated target polypeptide is a nuclear polypeptide.
- an ubiquitinylated target polypeptide is a DNA binding protein.
- an ubiquitinylated target polypeptide is localized to sites of DNA damage in the nucleus. In some embodiments, an ubiquitinylated target polypeptide is a membrane bound polypeptide. In some embodiments, an ubiquitinylated target polypeptide is a cell surface polypeptide. In some embodiments, an ubiquitinylated target polypeptide is associated with a cell surface polypeptide. [00123] A skilled artisan would recognize that the second binding domain encompass a discrete region of the chimeric molecule described herein, and can be distinctively identified by physical and functional properties as disclosed herein. [00124] In certain embodiments, the Ub-target protein can interact with USP5.
- the Ub-target protein comprises a target for deubiquitination by USP5. In certain embodiments, the Ub-target protein comprises a non-natural target for deubiquitination by USP5. In some embodiments, a Ub-target protein comprises a Cystic fibrosis transmembrane conductance regulator (CFTR). In some embodiments, a Ub-target protein comprises a mutant form of CFTR. In some embodiments, a Ub-target protein comprises a mutant form of CFTR with reduced anion channel function. In some embodiments, a Ub-target protein comprises a mutant form of CFTR with minimal to no anion channel function.
- CFTR Cystic fibrosis transmembrane conductance regulator
- a Ub-target protein comprises a mutant form of CFTR that is misfolded. In some embodiments, a Ub-target protein comprises a mutant form of CFTR, wherein said CFTR protein and or gene encoding the protein comprises protein production mutations. In some embodiments, a Ub-target protein comprises a mutant form of CFTR, wherein said CFTR protein and or gene encoding the protein comprises protein processing mutations. In some embodiments, a Ub-target protein comprises a mutant form of CFTR, wherein said CFTR protein and or gene encoding the protein comprises gating mutations.
- a Ub-target protein comprises a mutant form of CFTR, wherein said CFTR protein or gene encoding the protein comprises conduction mutations.
- a Ub-target protein comprises a Poly-ADP-ribosyl transferase 1 (PARP-1).
- a Ub-target protein comprises a WT PARP- 1.
- a Ub-target protein comprises a mutant form of CFTR, wherein said CFTR protein comprises a F508del mutation, wherein a single amino acid is missing from the CFTR protein.
- a Ub-target protein comprises a mutant form of CFTR, wherein said CFTR protein comprises a N1303K substitution mutation.
- a Ub-target protein comprises a mutant form of CFTR, wherein said CFTR protein comprises a I507del, wherein a single amino acid is missing from the CFTR protein.
- a Ub-target protein comprises a mutant form of CFTR, wherein said CFTR protein comprises a G551D substitution mutation.
- a Ub-target protein comprises a mutant form of CFTR, wherein said CFTR protein comprises a S549N substitution mutation. In some embodiments, a Ub-target protein comprises a mutant form of CFTR, wherein said CFTR protein comprises a D1152H substitution mutation. In some embodiments, a Ub-target protein comprises a mutant form of CFTR, wherein said CFTR protein comprises a R347P substitution mutation. In some embodiments, a Ub-target protein comprises a mutant form of CFTR, wherein said CFTR protein comprises a R117H substitution mutation.
- a Ub-target protein comprises a mutant form of CFTR, wherein said CFTR protein comprises a 3849+10kbC to T mutation. In some embodiments, a Ub-target protein comprises a mutant form of CFTR, wherein said CFTR protein comprises a 2789+5G to A mutation. In some embodiments, a Ub-target protein comprises a mutant form of CFTR, wherein said CFTR protein comprises a A455E substitution mutation. In some embodiments, a Ub-target protein comprises a mutant form of CFTR, wherein said CFTR protein comprises a G85E substitution mutation.
- a Ub-target protein comprises a mutant form of CFTR, wherein said CFTR protein comprises a L1077P substitution mutation. In some embodiments, a Ub-target protein comprises a mutant form of CFTR, wherein said CFTR protein comprises a G1349D substitution mutation. In some embodiments, a Ub-target protein comprises a mutant form of CFTR, wherein said CFTR protein comprises a G178R substitution mutation. In some embodiments, a Ub-target protein comprises a mutant form of CFTR, wherein said CFTR protein comprises a G970R mutation.
- a Ub-target protein comprises a mutant form of CFTR, wherein said CFTR protein comprises a mutation causing misfolding of CFTR protein. In some embodiments, a Ub-target protein comprises a mutant form of CFTR, wherein said CFTR protein comprises a mutation causing misfolding of CFTR channel formation. In some embodiments, a Ub-target protein comprises a mutant form of CFTR, wherein the gene encoding said CFTR protein comprises a frameshift, splicing, or nonsense mutation that introduce premature termination codons into the mRNA.
- a Ub-target protein comprises a mutant form of CFTR, wherein said CFTR protein comprises a mutation that leads to misfolding, premature degradation by the endoplasmic reticulum (ER) quality- control system, and impaired protein biogenesis, that severely reducing the number of CFTR molecules that reach the cell surface.
- a Ub-target protein comprises a mutant form of CFTR, wherein said CFTR protein comprises a mutation that impairs the regulation of the CFTR channel, resulting in abnormal gating characterized by a reduced open probability.
- a Ub-target protein comprises a mutant form of CFTR, wherein said CFTR protein comprises a mutation that alters the channel conductance by impeding the ion conduction pore, leading to a reduced unitary conductance.
- a Ub-target protein comprises a mutant form of CFTR, wherein said CFTR protein comprises a mutation that does not change the conformation of the protein but alter its abundance by introducing promoter or splicing abnormalities.
- a Ub-target protein comprises a mutant form of CFTR, wherein said CFTR protein comprises a mutation that destabilizes the channel in post-ER compartments and/or at the plasma membrane (PM), by reducing its conformational stability and/or generating additional internalization signals.
- a Ub-target protein comprises a mutant form of CFTR, wherein said CFTR protein comprises a mutation that accelerates plasma membrane turnover of the CFTR and reduced apical membrane expression of CFTR.
- a second binding domain comprising said target binder comprises a structure represented by Formula A-K, provided that the linker portion or the USP5 binder portion is selected so that the resulting chimeric molecule does not include a peroxide moiety:
- a second binding domain comprising said target binder comprises a structure represented by Formula A-K, K*, K**, B* or B**, wherein the structure represented by Formula A-K, K*, K**, B* or B** is optionally substituted.
- an aryl group of Formula A-K, K*, K**, B* or B** is optionally substituted with halogen, methyl, ethyl, - CN, -CF , -OH, -OMe, -NH 2 , -NO 2 , -S(O) 2 NH 2 , -S(O) 2 NHCH 3, -S(O) 2 NHCH 2 CH 3 , - S(O) 2 NHCH(CH 3 ) 2 , -S(O) 2 N(CH 3 ) 2 , and/or -S(O) 2 NHC(CH 3 ) 3 .
- an aryl group of Formula A-K, K*, K**, B* B** is optionally substituted with halogen, methyl, ethyl, propyl, -CN, -CF 3 , -OH, -OMe, -NH2, and -NO 2 .
- a heteroaryl group of Formula A-K, K*, K**, B* or B** is optionally substituted with halogen, methyl, ethyl, -CN, -CF , -OH, -OMe, -NH 2 , -NO 2 , -S(O) 2 NH 2 , -S(O) 2 NHCH 3, - S(O) 2 NHCH 2 CH 3 , -S(O) 2 NHCH(CH 3 ) 2 , -S(O) 2 N(CH 3 ) 2 , and/or -S(O) 2 NHC(CH 3 ) 3 .
- a heteroaryl group of Formula A-K, K*, K**, B* or B** is optionally substituted with halogen, methyl, ethyl, propyl, -CN, -CF 3 , -OH, -OMe, -NH 2 , and -N0 2 .
- an alkyl group of Formula A-K, K*, K**, B* or B** is optionally substituted with one or more substituents selected from oxo, halogen, amino, nitrile, nitro, hydroxyl, haloalkyl, alkoxy, aryl, cycloalkyl, heterocycloalkyl, heteroaryl, and the like.
- an alkyl group of Formula A-K, K*, K**, B* or B** is optionally substituted with one or more substituents selected from oxo, halogen, -CN, - CF 3 , -OH, -OMe, -NH 2 , -NO 2 , or -C ⁇ CH.
- an alkyl group of Formulas A-K, K*, K**, B* or B** is optionally substituted one or more halogen.
- a cycloalkyl or heterocyloalkyl group of Formula A-K, K*, K**, B* or B** is optionally substituted with one or more substituents selected from oxo, halogen, amino, nitrile, nitro, hydroxyl, alkyl, alkenyl, alkynyl, haloalkyl, alkoxy, aryl, cycloalkyl, heterocycloalkyl, heteroaryl, and the like.
- a cycloalkyl or heterocyloalkyl group of Formula A-K, K*, K**, B* or B** is optionally substituted with one or more substituents selected from oxo, halogen, methyl, ethyl, -CN, -CF 3 , -OH, - OMe, NH 2 , or NO 2
- a target binder has a structure of Formula (K*),
- a and B together represent a fused aromatic ring, optionally substituted with one or more substituent groups selected from halo, nitro, hydroxyl, ether, thiol, thioether, amino, C 1-7 alkyl, C 3-20 heterocyclyl and C 5-20 aryl;
- R x is selected from H, C 1-20 alkyl, C 5-20 aryl, C 3-20 heterocyclyl, amido, thioamido, ester, acyl, and sulfonyl groups, wherein the acyl, C 1-20 alkyl, C 5-20 aryl or C 3 - 20 heterocyclyl group is optionally substituted with one or more substituent groups selected from C 1-20 alkyl, C 5-20 aryl, C 3-20 heterocyclyl, halo, hydroxyl, ether, nitro, cyano, acyl, carboxy, ester, amido, amino, acylamido, ureido, acyloxy, thiol, thioether, sulfoxide, sulfonyl, thioamido and sulfonamido;
- a target binder has a structure of Formula (K**),
- R 11 is selected from H and halo
- R C3 is selected from H, C 1-7 alkyl, C 5-20 aryl and C 3-20 heterocyclyl, wherein the C 1-7 alkyl, C 5-20 aryl or C 3-20 heterocyclyl group is optionally substituted with one or more substituent groups selected from C 1-20 alkyl, C 5-20 aryl.
- a target binder of Formula (K**) is attached to the linker via R C3 In some embodiments a target binder of Formula (K*) is attached to the linker via R x .
- each R 21 is an optionally substituted Ci-6 aliphatic, an optionally substituted aryl, an optionally substituted heteroaryl, an optionally substituted C 3-10 cycloaliphatic, an optionally substituted 3 to 10 membered heterocycloabphatic, carboxy, amido, amino, halo, or hydroxy, provided that at least one R 21 is an optionally substituted cycloaliphatic, an optionally substituted heterocycloabphatic, an optionally substituted aryl, or an optionally substituted heteroaryl attached to the 5- or 6-position of the pyridyl ring; each R 22 is hydrogen, an optionally substituted Ci-6 aliphatic, an optionally substituted C 3- 6 cycloaliphatic, an optionally substituted phenyl, or an optionally substituted heteroaryl; each R 23 and R 23 together with the carbon atom to which they are attached form an optionally substituted C 3-7 cycloaliphatic or an optionally substituted heterocyclo
- a target binder of Formula (B*) is attached to the linker via R 21 .
- one R 21 that is attached to 5- or 6-position of the pyridyl ring is aryl or heteroaryl, each optionally substituted with 1, 2, or 3 of R°; wherein R D is — Z D R 29 ; wherein each Z D is independently a bond or an optionally substituted branched or straight C 1-6 aliphatic chain wherein up to two carbon units of Z D are optionally and independently replaced by — CO — , — CS — , — CONR E — , — CONR E NR E — , —CO 2 — , — OCO— , — NR E CO — , — O— , — NR E CONR e — , — OCONR e — , — NR E NR e — , — NR E CO— , — S— , —SO—, — SO 2 — , — NR E — , —
- the one Ri attached to the 5- or 6-position of the pyridyl ring is phenyl optionally substituted with 1, 2, or 3 of R°. In some embodiments, the one Ri attached to the 5- or 6-position of the pyridyl ring is heteroaryl optionally substituted with 1, 2, or 3 of R d .
- one carbon unit of Z D is replaced by — O — , — NHC(O) — , — C(O)NR E — , — SO 2 — , — NHSO 2 — , — NHC(O)— , —SO—, — NR E SO 2 — , — SO 2 NH— , — SO 2 NR e — , — NH— , or C(O)O— .
- one R 21 that is attached to the 5- or 6-position of the pyridyl ring is cycloaliphatic or heterocycloaliphatic, each optionally substituted with 1, 2, or 3 of R d .
- one R 21 that is attached to the 5- or 6-position of the pyridyl ring is an optionally substituted C 3 -C 8 cycloalkyl or an optionally substituted C 3 -C 8 cycloalkenyl.
- R 29 is independently an optionally substituted aliphatic, an optionally substituted cycloaliphatic, an optionally substituted heterocycloaliphatic, an optionally substituted aryl, or an optionally substituted heteroaryl, H, or halo.
- R 22 is hydrogen
- R 23 and R 23 together with the carbon atom to which they are attached form an unsubstituted cyclopropyl, an unsubstituted cyclopentyl, or an unsubstituted cyclohexyl. In some embodiments, R 23 and R 23 together with the carbon atom to which they are attached form an unsubstituted cyclopropyl, an unsubstituted cyclopentyl, or an unsubstituted cyclohexyl.
- R 24 is an aryl or heteroaryl optionally substituted with 1, 2, or 3 of — Z C R 28 , wherein each Z c is independently a bond or an optionally substituted branched or straight Ci- 6 aliphatic chain wherein up to two carbon units of Z c are optionally and independently replaced by — CO — , — CS — , — CO NR C — , — CONR C NR C — , — CO 2 — , — OCO— , — NR C CO 2 — , — O— , — NR C CONR C — , — OCONR C — , — NR C NR C — , — NR C CO— , — S— , —SO—, — SO 2 — , — NR C — , — SO 2 NR C — , — NR C SO 2 — , or — NR C SO
- a target binder has a structure of Formula (B**), Formula (B**), wherein, R D is —Z D R 29 , wherein each Z D is independently a bond or an optionally substituted branched or straight C 1 -6 aliphatic chain wherein up to two carbon units of Z D are optionally and independently replaced by —CO—, —CS—, —CONR E —, — CONR E NR E —, —CO 2 —, —OCO—, —NR E CO 2 —, —O—, —NR E CONR E —, — OCONR E —, —NR E NR E —, —NR E CO—, —S—, —SO—, —SO 2 —, —NR E —, — SO 2 NR E —, —NR E SO 2 —, or —NR E SO 2 NR E —;
- R 29 is independently R E , halo, —OH,
- Each R 28 is independently R C , halo, — OH, — NH 2 , — NO 2 , — CN, — CF 3 , or — OCF 3 ;
- Each R C is independently an optionally substituted C 1-8 aliphatic group, an optionally substituted cycloaliphatic, an optionally substituted heterocycloaliphatic, an optionally substituted aryl, or an optionally substituted heteroaryl.
- a target binder of Formula (B**) is attached to the linker via R d .
- a target binder comprised in a second binding domain comprises a small molecule selected from ivacaftor, lumacaftor, tezacaftor, elexacaftor, ABBV-2222, posenacaftor, nesolicaftor, ABBV-191, ABBV-3067, ELX-02, PTI-428, PTI- 801, PTI-808, VX-121, VX-561, olaparib, or MRT5005.
- a target binder comprised in a second binding domain comprises a small molecule selected from CW008, 8-Bromo-cAMP, and cAMPS-Sp, or salts thereof.
- a target binder comprised in a second binding domain comprises a small molecule comprising ivacaftor. In some embodiments, a target binder comprised in a second binding domain comprises a small molecule comprising lumacaftor. In some embodiments, a target binder comprised in a second binding domain comprises a small molecule comprising tezacaftor. In some embodiments, a target binder comprised in a second binding domain comprises a small molecule comprising elexacaftor. In some embodiments, a target binder comprised in a second binding domain comprises a small molecule comprising ABBV-2222.
- a target binder comprised in a second binding domain comprises a small molecule comprising posenacaftor. In some embodiments, a target binder comprised in a second binding domain comprises a small molecule comprising nesolicaftor. In some embodiments, a target binder comprised in a second binding domain comprises a small molecule comprising ABBV-191. In some embodiments, a target binder comprised in a second binding domain comprises a small molecule comprising ABBV-3067. In some embodiments, a target binder comprised in a second binding domain comprises a small molecule comprising ELX-02. In some embodiments, a target binder comprised in a second binding domain comprises a small molecule comprising PTI-428.
- a target binder comprised in a second binding domain comprises a small molecule comprising PTI-801. In some embodiments, a target binder comprised in a second binding domain comprises a small molecule comprising PTI-808. In some embodiments, a target binder comprised in a second binding domain comprises a small molecule comprising VX-121. In some embodiments, a target binder comprised in a second binding domain comprises a small molecule comprising VX-561. In some embodiments, a target binder comprised in a second binding domain comprises a small molecule comprising olaparib. In some embodiments, a target binder comprised in a second binding domain comprises a small molecule comprising MRT5005.
- Protein kinase A (also known as the cyclic AMP-dependent protein kinase or A kinase) (or PKA) is an enzyme that covalently decorates proteins with phosphate groups.
- the activity of PKA can be regulated by fluctuating levels of cyclic AMP within cells (hence its alias as the cyclic AMP-dependent protein kinase). This enzyme thus can function as the end effector for a variety of hormones that work through a cyclic AMP signaling pathway.
- the protein kinase A holoenzyme is a heterotetramer composed of two types of subunits: catalytic subunit and regulatory subunit.
- the Ub-target protein can interact with USP5.
- the Ub-target protein comprises a target for deubiquitination by USP5.
- the Ub-target protein comprises a non-natural target for deubiquitination by USP5.
- a Ub-target protein comprises a Protein kinase A (PKA).
- PKA Protein kinase A
- a Ub-target protein comprises a mutant form of PKA.
- a Ub-target protein comprises a mutant form of PKA that is misfolded.
- a Ub-target protein comprises a mutant form of PKA, wherein said PKA protein and or gene encoding the protein comprises protein production mutations.
- a Ub-target protein comprises a mutant form of PKA, wherein said PKA protein and or gene encoding the protein comprises protein processing mutations. In some embodiments, a Ub-target protein comprises a mutant form of PKA, wherein said CFTR protein and or gene encoding the protein comprises gating mutations. In some embodiments, a Ub-target protein comprises a mutant form of PKA, wherein said PKA protein or gene encoding the protein comprises conduction mutations.
- the second binding domain comprising said target binder comprises a structure represented by Formulas (L) to (N): Formulas (L) to (N) can also be illustrated as: In some embodiments, the second binding domain comprises a salt of a structure of Formula (M), such as a triethylammonium salt (attachment point not shown).
- Formulas (L) to (N) can also be illustrated as:
- the second binding domain comprises a salt of a structure of Formula (M), such as a triethylammonium salt (attachment point not shown).
- a chimeric molecule comprising a first domain comprising a USP5 binder further comprises a linker domain linked to said first binding domain ( Figure 1C).
- a chimeric molecule comprising a first domain comprising a USP5 binder further comprises a linker domain linked to said first binding domain ( Figure 1C).
- a chimeric molecule comprising a first domain comprising a USP5 binder further comprises a linker domain linked to said first binding domain ( Figure 1C).
- USP5 binder and a second binding domain comprising a target binder further comprises a linker domain linking said first binding domain to said second binding domain.
- a linker linked to said first binding domain does not affect the binding affinity of said first domain hi some embodiments, a linker linked to said first binding domain affects the binding affinity of said first domain.
- a first binding domain comprises an altered binding affinity for USP5 when said first domain is linked to a linker domain.
- a first binding domain comprises an increased binding affinity for USP5 when said first domain is linked to a linker domain hi some embodiments, a first binding domain comprises a decreased binding affinity for USP5 when said first domain is linked to a linker domain.
- a first binding domain linked to a linker domain has altered capacity to inhibit the hydrolase activity of USP5.
- a first binding domain linked to a linker domain has an increased capacity to inhibit the hydrolase activity of USP5. In some embodiments, a first binding domain linked to a linker domain has a decreased capacity to inhibit the hydrolase activity of USP5. In some embodiments, a first binding domain linked to a linker domain does not inhibit the hydrolase activity of USP5.
- the first and/or second binding domains may be linked to the linker domain directly, indirectly, covalently, non-covalently, rigidly and/or flexibly.
- a binding domain may be linked to the linker domain directly by a rigid covalent bond.
- a binding domain may be linked to the linker domain directly by a covalent bond.
- a binding domain may be linked to the linker domain directly by a flexible, covalent bond.
- a binding domain may be linked to the linker domain directly by a rigid non-covalent bond.
- a binding domain may be linked to the linker domain directly by a non- covalent bond.
- a binding domain may be linked to the linker domain directly by a flexible, non-covalent bond.
- a first or second binding domain may be linked to the linker domain by a covalent bond and while the other binding domain may be linked by a non-covalent bond.
- the linker domain has to be sufficiently flexible to successfully bring the USP5 and the targeted Ub-protein together efficiently.
- the linker domain comprises a linker rigid enough to prevent too much movement and entropy issues.
- the length of the linker domain comprises a length that effectively brings the USP5 and the targeted Ub-protein together efficiently.
- the combination of flexibility and length of the linker domain provide for bringing the USP5 and the targeted ubiquitinylated protein together efficiently. The skilled artisan would appreciate that the linker domain, therefore, should be efficient in both size and flexibility.
- the linker domain functions to connect the first binding domain to the second binding domain. It will be understood by those skilled in the art that the connection between the first binding domain and the second binding domain may be achieved in numerous manners. For example, the connection may be covalent or non- covalent. It will be understood by those skilled in the art that the linker domain may be a direct covalent bond between the first binding domain and the second binding domain.
- covalent linkage includes simple single, double or triple covalent bonds between atoms in the first binding domain and the second binding domain, either directly, or indirectly through a series of atoms and covalent bonds.
- non-covalent linkage includes all forms of non-covalent inter-molecule interactions, including but not limited to, electrostatic interactions, hydrogen-bond interaction, Van der Waals forces, hydrophobic interactions and hydrophilic interactions.
- the linker domain is a single amino acid. In certain embodiments, the linker domain comprises a peptide. In certain embodiments, the peptide comprises 2-50 amino acids. In certain embodiments, the peptide comprises 4-10 amino acids. In some embodiments, the peptide comprises 4, 5, 6, 7, 8, 9, or 10 amino acids. In some embodiments, the peptide comprises 11, 12, 13, 14, 15, 16, 17, 18, 19, 20, 21, 22, 23 24, 25, 26, 27, 28, 29, 30, 31, 32, 33, 34, 35, 36, 37, 38, 39, 40, 41, 42, 43, 44, 45, 46, 47
- the linker domain comprises a small molecule.
- the small molecule is an organic compound.
- the small molecule is a synthetic non-naturally occurring compound.
- the linker domain may be a small organic molecule of a low molecular weight of up to 1,000 Daltons, with a size of 10 nm or less.
- the linker domain may be a short peptide, containing for example, approximately 100 or less amino acids.
- the linker domain is configured to position the USP5 enzyme in proximity to the Ub-protein.
- the proximity or distance between the ubiquitin protease to the Ub-protein necessary for the ubiquitin protease to de-ubiquitinate the Ub-protein would vary depending on the protease/protein combinations.
- the distance of the USP5 to the Ub-protein is 20 A to 1 A. In certain embodiments, the distance of the USP5 to the Ub-protein is 20 A or less. In certain embodiments, the distance of the USP5 to the Ub-protein is 15 A or less. In certain embodiments, the distance of the USP5 to the Ub-protein is 10 A or less. In certain embodiments, the distance of the USP5 to the Ub-protein is 5 A or less.
- the distance between an USP5 to an Ub-protein is such that the USP5, despite not deubiquitinating the Ub-protein when both are not bound by the chimeric molecules provided herein, does deubiquitinate the Ub-protein when both are bound by the chimeric molecules provided herein.
- the linker is between 5 and 20 carbon atoms long. In some embodiments, the linker is between 2 and 18 carbon atoms long. In some embodiments, the linker is between 2 and 20 carbon atoms long. In some embodiments, the linker is between 5 and 10 atoms long. In some embodiments, the linker is between 10 and 15 atoms long. In some embodiments, the linker is between 15 and 20 atoms long. In some embodiments, the linker is between 10 and 20 atoms long.
- the linker is 2 atoms long, 3 atoms long, 4 atoms long, 5 atoms long, 6 atoms long, 7 atoms long, 8 atoms long, 9 atoms long, 10 atoms long, 11 atoms long, 12 atoms long 13 atoms long, 14 atoms long, 15 atoms long, 16 atoms long, 17 atoms long, 18 atoms long, 19 atoms long, or 20 atoms long.
- linkers generally known in the art could be incorporated into the chimeric molecules provided herein.
- the linker comprises a polyethylene glycol. In some embodiments, linker comprises an aromatic group. In some embodiments, linker comprises an alkyl. In some embodiments, the linker comprises an alkenyl. In some embodiments, the linker comprises alkyl amine. In some embodiments, the linker comprises alkyl amide. In some embodiments, the linker comprises an alkyl phosphate. In some embodiments, the linker comprises an alkyl siloxane. In some embodiments, the linker comprises an epoxy. In some embodiments, the linker comprises an acylhalide. In some embodiments, the linker comprises a glycidyl. In some embodiments, the linker comprises a carboxylate. In some embodiments, the linker comprises an anhydride.
- the linker comprises a C1 to C18 alkylene substituted with at least one carboxyl moiety.
- the linker may be derived from a Cl to Cl 8 alkylene substituted with at least one carboxyl moiety.
- the linker may be derived from an amino acid of natural or synthetic source having a chain length of between 2 and 18 carbon atoms (polypeptide), or an acyl halide of said amino acid.
- Non-limiting examples for such amino acids are 18-amino octadecanoic acid and 18-amino stearic acid.
- a linker comprises an amino acid of natural or synthetic source having a chain length of between 2 and 18 carbon atoms (polypeptide), or an acyl halide of said amino acid.
- a linker comprises an amino acid of natural or synthetic source having a chain length of 2, 3, 4, 5, 6, 7, 8, 9, 10, 11, 12, 13, 14, 15, 16, 17, or 18 carbon atoms (polypeptide), or an acyl halide of said amino acid.
- the linker comprises a C1 to C18 alkylene.
- This linker may, in some embodiments, be derived from a di-halo alkylene.
- a linker comprises a C1 alkylene, a C2 alkylene a C3 alkylene, a C4 alkylene, a C5 alkylene, a C6 alkyl ene, a C7 alkyl ene, a C8 alkyl ene, a C9 alkylene, a C10 alkylene, a C11 alkyl ene, a 12 alkylene, a C13 alkylene, a C14 alkylene, a 15 alkylene, a C16 alkylene, a C17 alkylene, or a C18 alkylene.
- the linker is an aromatic group derived from non-limiting examples of 4,4-biphenol, dibenzoic acid, dibenzoic halides, dibenzoic sulphonates, terephthalic acid, tetrphthalic halides, and terephthalic sulphonates.
- the linker domain may comprise an optionally substituted (poly)ethylene glycol having between 1 and about 100 ethylene glycol units, between about 1 and about 50 ethylene glycol units, between 1 and about 25 ethylene glycol units, between about 1 and 10 ethylene glycol units, between 1 and about 8 ethylene glycol units and 1 and 6 ethylene glycol units, between 2 and 4 ethylene glycol units, or optionally substituted alkyl groups inter-dispersed with optionally substituted, O, N, S, P or Si atoms.
- the linker is substituted with an aryl, phenyl, benzyl, alkyl, alkylene, or heterocycle group.
- a linker domain comprises a structure such as of polyethylene glycol, an aromatic group, an alkyl, an alkenyl, an alkyl phosphate, an alkyl siloxane, an epoxy, an acyl halide, a glycidyl, a carboxylate, alkyl amine, alkyl amide, ketone, an anhydride, or combination thereof.
- a linker domain comprises a structure comprising a polyethylene glycol.
- a linker domain comprises a structure comprising an aromatic group.
- a linker domain comprises a structure comprising an alkyl.
- a linker domain comprises a structure comprising an alkenyl. In some embodiments, a linker domain comprises a structure comprising an alkyl phosphate. In some embodiments, a linker domain comprises a structure comprising an alkyl amide. In some embodiments, a linker domain comprises a structure comprising an alkyl and at least one group of amide group. In some embodiments, a linker domain comprises a structure comprising an alkyl and at least one group of amine and amide groups. In some embodiments, a linker domain comprises a structure comprising an alkyl siloxane. In some embodiments, a linker domain comprises a structure comprising an epoxy.
- a linker domain comprises a structure comprising an acyl halide. In some embodiments, a linker domain comprises a structure comprising a glycidyl. In some embodiments, a linker domain comprises a structure comprising a carboxylate. In some embodiments, a linker domain comprises a structure comprising an anhydride.
- the linker domain may comprise one of the following linking domains, represented by Formula (i)- (xxiii):
- a chimeric molecule described herein comprises a linker domain represented by the Formula (xxiv) that connects the first binding domain and the second binding domain,
- LK 1 is connected to the first binding domain and LK 5 is connected to the second binding domain.
- LK 1 is -O-.
- LK 1 is -(CH 2 CH 2 O)p- or -(OCH 2 CH 2 )p-.
- LK 1 is -(CH 2 CH 2 O) p -. In some embodiments, LK 1 is -(OCH 2 CH 2 ) p -. [00172] In some embodiments, LK 1 is substituted or unsubstituted C1-C24 heteroalkylene. In some embodiments, LK 1 is substituted or unsubstituted C 1 -C 12 heteroalkylene.
- LK 1 is substituted or unsubstituted C1-C24 alkylene, substituted or unsubstituted C 1 -C 24 heteroalkylene, substituted or unsubstituted C 2 -C 24 alkenylene, or substituted or unsubstituted C 2 -C 24 alkynylene. In some embodiments, LK 1 is substituted or unsubstituted C 1 -C 18 alkylene. In some embodiments, LK 1 is substituted or unsubstituted C 9 -C 24 alkylene. [00174] In some embodiments, p is 1. In some embodiments, p is 2. In some embodiments, p is 3. In some embodiments, p is 4.
- p is 5. In some embodiments, p is 6. In some embodiments, p is 7. In some embodiments, p is 8. In some embodiments, p is 9. In some embodiments, p is 10. [00175] In some embodiments, LK 2 is substituted or unsubstituted C 1 -C 24 heteroalkylene. In some embodiments, LK 2 is substituted or unsubstituted C 1 -C 12 heteroalkylene.
- LK 2 is substituted or unsubstituted C 1 -C 24 alkylene, substituted or unsubstituted C 1 -C 24 heteroalkylene, substituted or unsubstituted C 2 -C 24 alkenylene, or substituted or unsubstituted C2-C24 alkynylene. In some embodiments, LK 2 is substituted or unsubstituted C 1 -C 18 alkylene. In some embodiments, LK 2 is substituted or unsubstituted C 9 -C 24 alkylene. In some embodiments, LK 2 is substituted or unsubstituted 2 C 1 -C 12 alkylene In some embodiments LK is .
- LK 2 is . In some embodiments, LK 2 is optionally substituted with one or more oxo. In some embodiments, LK 2 is a bond. [00177] In some embodiments, LK 2 is substituted or unsubstituted cycloalkyl, substituted or unsubstituted heterocycloalkyl, substituted or unsubstituted aryl, or substituted or unsubstituted heteroaryl. In some embodiments, LK 2 is substituted or unsubstituted cycloalkyl. In some embodiments, LK 2 is substituted or unsubstituted heterocycloalkyl. In some embodiments, LK 2 is substituted or unsubstituted 5 or 6 membered monocyclic heterocycloalkyl. In some embodiments, LK 2 is piperazinyl.
- LK 3 is a bond. In some embodiments, LK 3 is substituted or unsubstituted cycloalkyl, substituted or unsubstituted heterocycloalkyl, substituted or unsubstituted aryl, or substituted or unsubstituted heteroaryl. In some embodiments, LK 3 is substituted or unsubstituted cycloalkyl. In some embodiments, LK 3 is substituted or unsubstituted heterocycloalkyl. In some emb s substituted or unsubstituted 5 or 6 membered monocyclic heterocycloalkyl. In some embodiments, LK 3 is piperazinyl.
- LK 3 is
- LK 3 is substituted or unsubstituted C 1 -C 24 alkylene, substituted or unsubstituted C 1 -C 24 heteroalkylene, substituted or unsubstituted C 2 -C 24 alkenylene, or substituted or unsubstituted C 2 -C 24 alkynylene. In some embodiments, LK 3 is substituted or unsubstituted C 1 -C 18 alkylene. In some embodiments, LK 3 is substituted or unsubstituted C 9 -C 24 alkylene. In some embodiments, LK 3 is substituted or unsubstituted C 1 -C 12 alkylene. In some embodiments, LK 3 is optionally substituted with one or more oxo. [00183] In some embodiments, LK 4 is a bond.
- LK 4 is substituted or unsubstituted C 1 -C 24 alkylene, substituted or unsubstituted C 1 -C 24 heteroalkylene, substituted or unsubstituted C 2 -C 24 alkenylene, or substituted or unsubstituted C 2 -C 24 alkynylene, In some embodiments, LK 4 is substituted or unsubstituted C 1 -C 18 alkylene. In some embodiments, LK 4 is substituted or unsubstituted C 9 -C 24 alkylene. In some embodiments, LK 4 is substituted or unsubstituted 1 C 1 -C 12 alkylene. In some embodiments, LK 4 is ,
- LK 4 is .
- LK 4 is optionally substituted with one or more oxo.
- LK 4 is substituted or unsubstituted C 1 -C 24 alkylene, substituted or unsubstituted C 1 -C 24 heteroalkylene, substituted or unsubstituted C 2 -C 24 alkenylene, or substituted or unsubstituted C 2 -C 24 alkynylene. In some embodiments, LK 4 is substituted or unsubstituted C 1 -C 24 heteroalkylene. In some embodiments, LK 4 is substituted or unsubstituted Ci-Ci 2 heteroalkylene [00187] In some embodiments, LK 5 is a bond. In some embodiments, LK 5 is O-, -S-, -
- LK 5 is substituted or unsubstituted C 1 -C 24 alkylene, substituted or unsubstituted C 1 -C 24 heteroalkylene, substituted or unsubstituted C 2 -C 24 alkenylene, or substituted or unsubstituted C 2 -C 24 alkynylene.
- each of LK 1 , LK 2 , LK 3 , LK 4 , and LK 5 is independently substituted with one or more additional groups individually and independently selected from D, oxo, halogen, -CN, -NH 2 , -NH(alkyl), -N(alkyl) 2 , -OH, - CO 2 H, C 1 -C 6 alkyl, C 1 -C 6 fluoroalkyl, C 1 -C 6 heteroalkyl, or C 1 -C 6 alkoxy.
- LK 1 is -(CH 2 CH 2 O) p - or -(OCH 2 CH 2 ) p - and each of LK 2 , LK 3 , LK 4 , and LK 5 is a bond.
- p is 5.
- p is 4.
- p is 3.
- p is 6.
- p is 7.
- p is 2-10. J
- LK 1 is -O-
- LK 2 is C 1 -C 6 aikylene
- LK 3 is
- LK 4 is substituted or unsubstituted C 1 -C 24 aikylene or substituted or unsubstituted C 1 -C 24 heteroalkylene.
- LK 1 is -O-
- LK 2 is substituted or unsubstituted C 1 -C 24 aikylene
- each of LK 3 , LK 4 , and LK 5 is a bond.
- each of LK 1 and LK 2 is substituted or unsubstituted Ci- C 24 aikylene or substituted or unsubstituted C 1 -C 24 heteroalkylene.
- each of LK 3 , LK 4 , and LK 5 is a bond.
- R LK is independently H.
- R LK is substituted or unsubstituted C 1 -C 6 alkyl, e.g., C 1 -C 3 alkyl including methyl.
- a linker domain of Formula (xxiv) is selected from: some embodiments, a linker domain is or comprises In some embodiments, a linker domain is or composes In some embodiments, a linker domain is or comprises In some embodiments, a linker domain is or comprises In some embodiments, a linker domain is or comprises A In some embodiments, the -O- is connect to the first binding is attached to second binding domain. In some embodiments, the -O- is connect to the second binding domaina and the ethylene is attached to first binding domain.
- a linker domain of Formula (xxiv) is selected from wherein k is 0 to 25, kl is 0-10, and k2 is 0 to 10. In some embodiments, a linker domain of Formula (xxiv) compnses a structure of or wherein k is 0 to 25, k1 is 0-10, and k2 is 0 to 10. In some embodiments, a linker domain of Formula (xxiv) comprises wherein k is 0 to 25, k1 is
- k2 is 0 to 10.
- k is 0.
- k is 1.
- k is 2.
- k is 3.
- k is 4.
- k is 5.
- k is 6.
- k is 7.
- k is 8.
- k is 9.
- k is 10.
- k is 11.
- k is 12.
- k is 13.
- k is 14.
- k is 15.
- k is 16.
- k is 17. In some embodiments, k is 18.
- k is 19. In some embodiments, k is 20. In some embodiments, k is 21. In some embodiments, k is 22. In some embodiments, k is 23. In some embodiments, k is 24. In some embodiments, k is 25. In some embodiments, k1 is 0. In some embodiments, k1 is 1. In some embodiments, k1 is 2. In some embodiments, k1 is 3. In some embodiments, k1 is 4. In some embodiments, k1 is 5. In some embodiments, k1 is 6. In some embodiments, k1 is 7. In some embodiments, k1 is 8. In some embodiments, k1 is 9. In some embodiments, k1 is 10. In some embodiments, k2 is 0.
- k2 is 1. In some embodiments, k2 is 2. In some embodiments, k2 is 3. In some embodiments, k2 is 4. In some embodiments, k2 is 5. In some embodiments, k2 is 6. In some embodiments, k2 is 7. In some embodiments, k2 is 8. In some embodiments, k2 is 9. In some embodiments, k2 is 10. In some embodiments,
- the linker domain comprises a structure of In some embodiments, the linker domain comprises a structure of
- a chimeric molecule of Formula (AA) comprises a linker of Formula (i)- (xxiv). In some embodiments, a chimeric molecule of Formula (AA) comprises a linker of Formula (xxiv).
- each of the linker units is independently a substituted or unsubstituted linear or branched alkyl chains of 2-50 carbon atoms, alkyl phosphate chains of 2-50 carbon atoms, alkyl ether chains of 2-50 carbon atoms (e.g., PEG, PPG of various lengths), alkyl amide, alkyl amine or any combination thereof.
- the linker comprises an optionally substituted (poly)ethylene glycol having 8 ethylene glycol units.
- the linker comprises an optionally substituted (poly)ethylene glycol having 11 ethylene glycol units.
- the linker comprises an optionally substituted (poly)ethylene glycol having 14 ethylene glycol units.
- the linker comprises an optionally substituted (poly)ethylene glycol having 17 ethylene glycol units.
- the linker may be asymmetric. In certain embodiments, the linker may be symmetrical.
- the chemistry of attachment of a linker to the binding domains include but is not limited to esters, amides, amines, hydrazide, thiols, sulfones, sulfoxides, ethers, hydroxamides, heterocycles, acetylenes, alkyls and alkenes.
- SURTAC Molecules include but is not limited to esters, amides, amines, hydrazide, thiols, sulfones, sulfoxides, ethers, hydroxamides, heterocycles, acetylenes, alkyls and alkenes.
- a chimeric molecule comprises a first binding domain comprising a USP5 binder, a second binding domain comprising a target binder configured to bind to a Ub-protein, and a linker domain that links the first binding domain with the second binding domain ( Figure 1D).
- a chimeric molecule comprising a first binding domain comprising a USP5 binder, a second binding domain comprising a target binder configured to bind to a Ub-protein, and a linker domain that links the first binding domain with the second binding domain, is termed a Survival-Targeting Chimeric (“SURTAC”) molecule.
- SURTAC Survival-Targeting Chimeric
- a chimeric molecule comprises a first binding domain comprising a USP5 binder, a second binding domain comprising a target binder configured to bind to a Ub-CFTR protein, and a linker domain that links the first binding domain with the second binding domain.
- a chimeric molecule comprises a first binding domain comprising a USP5 binder, a second binding domain comprising a target binder configured to bind to a Ub-CFTR protein, and a linker domain that links the first binding domain with the second binding domain, wherein said Ub-CFTR protein comprises a wild-type CFTR or a mutant CFTR.
- a chimeric molecule comprises a first binding domain comprising a USP5 binder, a second binding domain comprising a target binder configured to bind to a Ub-CFTR protein, and a linker domain that links the first binding domain with the second binding domain, wherein said CFTR protein is misfolded.
- a chimeric molecule comprises a first binding domain comprising a USP5 binder, a second binding domain comprising a target binder configured to bind to a Ub-CFTR protein, and a linker domain that links the first binding domain with the second binding domain, wherein said CFTR protein is folded correctly.
- a chimeric molecule comprises a first binding domain comprising a USP5 binder, a second binding domain comprising a target binder configured to bind to a Ub- CFTR protein, and a linker domain that links the first binding domain with the second binding domain, wherein said CFTR protein less than a full-length CFTR.
- a chimeric molecule comprises a first binding domain comprising a USP5 binder, a second binding domain comprising a target binder configured to bind to a Ub-PARP-1 protein, and a linker domain that links the first binding domain with the second binding domain.
- a chimeric molecule comprises a first binding domain comprising a USP5 binder, a second binding domain comprising a target binder configured to bind to a Ub-PARP-1 protein, and a linker domain that links the first binding domain with the second binding domain, wherein said Ub-PARP-1 protein comprises a WT PARP-1.
- a chimeric molecule comprises a first binding domain comprising a USP5 binder, a second binding domain comprising a target binder configured to bind to a Ub-PKA protein, and a linker domain that links the first binding domain with the second binding domain.
- the first binding domain and the second binding domain are spatially arranged to bring the USP5 and Ub-protein into sufficient proximity to allow the USP5 to deubiquitinate the bound Ub-protein. In some embodiments, deubiquitination of the Ub-protein increases the half-life of said protein. In some embodiments, the first binding domain and the second binding domain are spatially arranged to bring the USP5 and Ub-CFTR into sufficient proximity to allow the USP5 to deubiquitinate the bound Ub- CFTR. In some embodiments, deubiquitination of the Ub-protein increases the half-life of said CFTR.
- the first binding domain and the second binding domain are spatially arranged to bring the USP5 and Ub-PARP-1 into sufficient proximity to allow the USP5 to deubiquitinate the bound Ub-PARP-1.
- deubiquitination of the Ub-protein increases the half-life of said PARP-1.
- deubiquitination of the Ub-protein increases the localized concentration of said PARP-1 in the nucleus.
- deubiquitination of the Ub-protein increases the quantity of said PARP-1 bound to DNA.
- the relative orientation of the first binding domain, the second binding domain, and the linker domain to each other is addressed when designing a particular embodiment of the chimeric molecules provided herein.
- the chimeric molecules provided herein, and specifically the relative orientation of these three domains is configured to allow the USP5 bound by the first binding domain to deubiquitinate the Ub-protein bound by the second binding domain.
- the chimeric molecules provided herein are designed to specifically bind various cellular proteins e g USP5 enzyme and Ub-target proteins.
- a chimeric molecule provided herein binds to a Ub-target protein that comprises an intracellular protein.
- a chimeric molecule provided herein binds to a Ub-target protein that comprises a nuclear protein.
- a chimeric molecule provided herein binds to a Ub-protein target that is partially intracellular and partially embedded within a membrane, e.g., the plasma membrane (“PM”), wherein access to the Ub-protein is intracellular.
- a membrane e.g., the plasma membrane (“PM”)
- a non-limiting example includes a receptor protein or a pore protein that is embedded in the plasma membrane, which in some embodiments, may have protein surfaces exposed just on the cytosolic side of a cell (of the PM) or on the cytosolic side and extracellularly of the PM.
- the chimeric molecule provided herein is bound to the Ub-protein. In certain embodiments, the chimeric molecule provided herein is bound to the USP5. In certain embodiments, the chimeric molecule provided herein is bound to both the Ub-protein and the USP5 simultaneously. In certain embodiments, the chimeric molecule provided herein is bound to both the Ub-protein and the USP5 at overlapping times while it is not required that the Ub-protein binding time and the USP5 binding time be identical. In certain embodiments, the chimeric molecule provided herein is bound to the Ub-protein, to the USP5, or to both the Ub-protein and the USP5.
- a chimeric molecule enters a cell, binds a Ub-protein and a USP5. In some embodiments, a chimeric molecule enters a cell, and first binds an Ub- protein and then USP5. In some embodiments, a chimeric molecule enters a cell, and first binds USP5 and then a Ub-protein.
- a chimeric molecule enters a cell, binds a Ub-CFTR and a USP5. In some embodiments, a chimeric molecule enters a cell, and first binds a CFTR and then USP5. In some embodiments, a chimeric molecule enters a cell, and first binds USP5 and then a CFTR.
- a chimeric molecule enters a cell, binds a Ub-PARP-1 and a USP5. In some embodiments, a chimeric molecule enters a cell, and first binds a PARP-1 and then USP5. In some embodiments, a chimeric molecule enters a cell, and first binds USP5 and then a PARP-1.
- a chimeric molecule binds a Ub-protein at the second binding site and the USP5 bound at the first binding site deubiquitinates the Ub-protein.
- the deubiquitination leads to increased stability of the Ub-protein.
- the deubiquitination leads to increased half-life of the Ub-protein.
- the deubiquitination leads to increased localized concentration of the Ub-protein.
- a chimeric molecule when a Ub-protein comprises a CFTR, a chimeric molecule enhances the functionality of the CFTR, wherein it may enhance trafficking of the CFTR to the PM. In some embodiments, a chimeric molecule enhances trafficking of the CFTR to the membrane and even enhances proper internalization and folding of the CFTR in the PM. In some embodiments, a chimeric molecule corrects trafficking of the CFTR to the PM to ensure more CFTR channel reaches the external cell surface. In some embodiments, a chimeric molecule corrects trafficking of the CFTR to the PM to ensure functional CFTR channel at the PM.
- a chimeric molecule corrects trafficking of the CFTR to the PM to increase the number of functional CFTR channels at the PM. In some embodiments, a chimeric molecule increases the quantity of functional CFTR channel at the PM. In some embodiments, a chimeric molecule assists to activate CFTR function at the PM. In some embodiments, a chimeric molecule activates CFTR function at the PM, wherein there is increased CFTR channel function, e.g., anion transport. In some embodiments, a chimeric molecule activates CFTR restores CFTR function at the PM. In some embodiments, a chimeric molecule potentiates CFTR function at the PM.
- a chimeric molecule potentiates CFTR function at the PM, wherein there is increased CFTR channel function, e.g., anion transport. In some embodiments, a chimeric molecule potentates CFTR and restores CFTR function at the PM. In some embodiments, a chimeric molecule restores correct CFTR function at the PM.
- a chimeric molecule binds a Ub-CFTR at the second binding site and the USP5 bound at the first binding site deubiquitinates the Ub-protein.
- the deubiquitination leads to increased stability of the Ub-protein.
- the deubiquitination leads to increased half-life of the Ub-protein.
- a chimeric molecule enhances the functionality of the PARP-1, wherein PARP-1 retains it trapping activity with DNA.
- a chimeric molecule enhances the functionality of the PARP-1, wherein increased quantity of PARP-1 in a nucleus increases DNA damage, cellular stress and cell death in tumor cells.
- chimeric molecule is bifunction and (1) the USP5 deubiquitinates the Ub-protein leading to increased stability, increased half-life, or both, and (2) the target binder affects the functionality of the Ub-protein, for example but not limited to enhancing the quantity of available Ub-protein or the de-ubiquitinated form thereof for a therapeutic treatment, improves folding of said Ub-protein, corrects folding of said Ub- protein, enhances the activity of the Ub-protein, assists to correctly target the Ub-protein within a cell, potentiates the activity of the Ub-protein, and or enhances trafficking of the Ub-protein.
- chimeric molecule is bifunction and (1) the USP5 deubiquitinates a Ub-CFTR protein leading to increased stability, increased half-life, or both, and (2) the target binder affects the functionality of the Ub-CFTR, for example but not limited to enhancing trafficking of the CFTR to the PM, enhancing trafficking of the CFTR to the membrane and enhancing proper internalization and folding of the CFTR in the PM, correcting trafficking of the CFTR to the PM to ensure more CFTR channel reaches the external cell surface, correcting trafficking of the CFTR to the PM to ensure functional CFTR channel at the PM, correcting trafficking of the CFTR to the PM to ensure more CFTR channel reaches the external cell surface, correcting trafficking of the CFTR to the PM to ensure increased functional CFTR channel at the PM, increasing the number of functional CFTR channels at the PM, increasing the quantity of functional CFTR channel at the PM, assisting to activate CFTR function at the PM, increasing
- a chimeric molecule is bifunctional binding a USP5 enzyme and a Ub-target protein, wherein the bound USP5 deubiquitinates the bound Ub- protein, leading to increased half-life or increased localized concentration, or both of the targeted Ub-protein.
- a chimeric molecule is bifunctional binding a USP5 enzyme and a Ub-CFTR target protein, wherein the bound USP5 deubiquitinates the bound Ub-CFTR, leading to increased half-life or increased localized concentration, or both of the Ub-CFTR target.
- the increased half-life of CFTR leads to increased functionality of CFTR at the plasma membrane.
- a chimeric molecule is bifunctional binding a USP5 enzyme and a Ub-PARP1 target protein, wherein the bound USP5 deubiquitinates the bound Ub-PARP1, leading to increased half-life or increased localized concentration, or both of the Ub-PARP1 target.
- the increased quantity of PARP-1 leads to increased PARP-1 trapped on DNA, and increased DNA damage, increased cellular stress, and increased cell death in tumor cells.
- chimeric molecule is bifunction and (1) the USP5 deubiquitinates a Ub-PKA protein leading to increased half-life and increased localized concentration, or both, wherein the increased quantity of PKA functions as an activator of the cAMP/PKA/CREB pathway in osteogenic differentiation.
- the chimeric molecule can be used to treat bone-related diseases such as Osteogenesis imperfecta (01).
- the chimeric molecule can be used to promote osteogenesis.
- the chimeric molecule can be used to treat a disease or condition associated with PKA.
- the chimeric molecules provided herein do not inhibit the activity of the Ub-protein and/or the activity of the USP5 during and/or after de- ubiquitination. In certain embodiments, the chimeric molecules provided herein do not inhibit the activity of the Ub-protein during and after de-ubiquitination. In certain embodiments, the chimeric molecules provided herein do not inhibit the activity of the USP5 during and after de-ubiquitination. In certain embodiments, the chimeric molecules provided herein do not inhibit the activity of the Ub-protein and the activity of the USP5 during and after de-ubiquitination.
- the chimeric molecules provided herein do not inhibit the activity of the Ub-CFTR and/or the activity of the USP5 during and/or after de- ubiquitination. In certain embodiments, the chimeric molecules provided herein do not inhibit the activity of the Ub-CFTR during and after de-ubiquitination. In certain embodiments, the chimeric molecules provided herein do not inhibit the activity of the Ub- CFTR and the activity of the USP5 during and after de-ubiquitination. [00220] In certain embodiments, the chimeric molecules provided herein do not inhibit the activity of the Ub-P ARP-1 and/or the activity of the USP5 during and/or after de- ubiquitination.
- the chimeric molecules provided herein do not inhibit the activity of the Ub-P ARP- 1 during and after de-ubiquitination. In certain embodiments, the chimeric molecules provided herein do not inhibit the activity of the Ub- PARP-1 and the activity of the USP5 during and after de-ubiquitination.
- a chimeric molecule may bring a USP5 and an Ub- protein, for example but not limited to Ub CFTR and or Ub-PARP-1, within functional range, independent of its effect on the USP5 activity or Ub-protein activity, e.g., Ub-CFTR and or Ub-PARP-1 activity.
- the chimeric molecule in certain embodiments, could be displaced, while at the same time the USP5 would now be in position to cleave Ub molecules from the Ub-protein. Therefore, use of the chimeric molecule would effectively maintain or increase the expected half-life of the Ub-protein, for example but not limited to Ub-CFTR and or Ub-PARP-1.
- a de-ubiquitinated protein may still in some embodiments comprise one or more Ub molecule wherein the number of Ub molecules is less after contact with a chimeric SURTAC molecule disclosed herein than the number of Ub molecules prior to contact with a SURTC molecule.
- a de-ubiquitinated protein may comprise no Ub molecules.
- the term “Ub-targef" encompasses a target with at least one Ub molecule, while in other embodiments, the term encompasses a de-ubiquitinated target that has fewer or no Ub molecules, compared with the number of Ub molecules prior to binding with a chimeric molecule described herein.
- the chimeric molecules provided herein passively diffusing across cell membranes. In one embodiment, the chimeric molecules provided herein passively diffusing across the PM. In one embodiment, the chimeric molecules provided herein passively diffusing across the nuclear membrane.
- the chimeric molecules provided herein do not target any particular cell population. However, promiscuous cell entry may be problematic in-vivo, especially during systemic administration.
- the chimeric molecules provided herein may further comprise a third binding domain that specifically targets antigen(s) presented by a defined cell population.
- the third binding domain may comprise a molecule which specifically recognizes the cell-presented antigen, such as an antibody or a fragment thereof.
- the third binding domain may comprise a molecule which is specifically recognized by the cell-presented antigen, such as a ligand of the cell-presented antigen.
- the third binding domain may comprise a molecule which is specifically recognized by the cell-presented antigen, such as an aptamer. It will be understood by those skilled in the art that since the third binding domain binds the cell-presented antigen outside a cell, it does not covalently-link to the cell-presented antigen after binding, without additional steps. [00225] Without being bound to any theory or mechanism, it is hypothesized that the third binding domain transiently binds to the cell-presented antigen, at least for a minimal time to allow the chimeric molecules provided herein bound to the cell-presented antigen to enter the cell.
- the intrinsic capability of the chimeric molecules provided herein to penetrate membranes may be fortified by further comprising a cell-penetrating tag.
- the chimeric molecules provided herein may further comprise a cell-penetrating tag, which increases the cell or membrane-penetrating propensity of the chimeric molecules provided herein.
- the cell-penetrating tag transiently interacts with the membrane of cells, at least for a minimal time to allow the chimeric molecules provided herein to enter the cell.
- CPPs cell-penetrating peptides
- CPPs cell-penetrating peptides
- the chimeric molecules provided herein may be associated with the CPPs either through chemical linkage via covalent bonds or through non-covalent interactions.
- an ubiquitinylated target polypeptide is cytosolic. In some embodiments, an ubiquitinylated target polypeptide is a membrane bound polypeptide.
- the chimeric molecules provided herein are synthetic, i.e., are not found in nature, it will be understood by those skilled in the art that the chimeric molecules provided herein may be produced by any known method, e.g., in the fields of protein synthesis and organic chemistry. As such, the chimeric molecules provided herein may be produced in- vitro.
- chimeric molecules provided herein may be made completely or partly by amino-acids, e.g., may be peptides or proteins
- the chimeric molecules provided herein may be produced by nucleic acid sequences, such as mRNA, single-stranded DNA (ssDNA) and double-stranded DNA (dsDNA), encoding the chimeric molecules provided herein.
- the second binding domain transiently binds to the Ub-protein, for example but not limited to Ub-CFTRand or PARP-1, and dissociates from the protein after one or more ubiquitin molecules are removed from the Ub-protein, for example but not limited to Ub-CFTR and or PARP-1, by the USP5.
- the second binding domain recognizes the Ub-protein, for example but not limited to Ub-CFTR and or PARP-1, only in its ubiquitinylated state and does not recognize the same protein in its de-ubiquitinylated state (e.g., when all or some of the ubiquitin molecules are removed from the Ub-protein, for example but not limited to Ub-CFTR and or PARP-1).
- the second binding domain recognizes the Ub-protein, for example but not limited to Ub-CFTR and or PARP-1, independent of its ubiquitinylated state.
- the second binding domain transiently binds to the Ub- protein, for example but not limited to Ub-PKA and dissociates from the protein after one or more ubiquitin molecules are removed from the Ub-protein, for example but not limited to Ub-CFTR, PKA, and or PARP-1, by the USP5.
- the second binding domain recognizes the Ub-protein, for example but not limited to Ub-PKA only in its ubiquitinylated state and does not recognize the same protein in its de-ubiquitinylated state (e.g., when all or some of the ubiquitin molecules are removed from the Ub-protein, for example but not limited to Ub-CFTR, PKA, and or PARP-1).
- the second binding domain recognizes the Ub-protein, for example but not limited to Ub- PKA independent of its ubiquitinylated state.
- the chimeric molecules provided herein are designed to bring any Ub-protein in close proximity to USP5, so that the deubiquitinases can remove one or more ubiquitin molecules from the Ub-protein.
- the Ub-protein comprises Ub-CFTR.
- the Ub-protein comprises Ub-P ARP-1.
- the Ub-protein comprises Ub-PKA.
- the Ub- protein carries a mono-ubiquitin molecule.
- the Ub-protein carries a mono-ubiquitin molecule upon binding to the chimeric molecule described above.
- the Ub-protein carries apoly-ubiquitin chain.
- the Ub-protein carries a poly-ubiquitin chain upon binding to the chimeric molecule described above.
- the poly-ubiquitin chain comprises at least 2 ubiquitin molecules.
- the poly-ubiquitin chain comprises at least 4 ubiquitin molecules.
- the poly-ubiquitin chain comprises at least 6 ubiquitin molecules.
- the poly-ubiquitin chain comprises at least 8 ubiquitin molecules.
- the poly-ubiquitin chain comprises at least 10 ubiquitin molecules.
- the poly-ubiquitin chain comprises 2-50 ubiquitin molecules.
- the poly-ubiquitin chain comprises 4-45 ubiquitin molecules.
- the poly-ubiquitin chain comprises 6-40 ubiquitin molecules. In certain embodiments, the poly-ubiquitin chain comprises 8-35 ubiquitin molecules. In certain embodiments, the poly-ubiquitin chain comprises 10-30 ubiquitin molecules.
- the Ub-protein bound by the chimeric molecules provided herein can be anon-natural target of USP5, e.g., a protein that is not known to be a substrate for the USP5.
- the dual binding activity of a chimeric molecule disclosed herein results in the cleaving of one or more ubiquitin molecules from a USP5 protein substrates. In one embodiment, the dual binding activity of a chimeric molecule disclosed herein results in the cleaving of one or more ubiquitin molecules from a Ub-protein not known as a USP5 substrate.
- cleavage comprises cleavage of a Ub-Ub bond. In some embodiments, cleavage comprises cleavage of a Ub-protein bond. In some embodiments, cleavage comprises enhanced cleavage of a Ub-Ub bond compared with cleavage of a Ub- protein bond.
- the removal of ubiquitin(s) from the protein substrates may be partial, i.e. the proteins disengage from the chimeric molecules provided herein with a shorter Ub chain than the Ub chain with which they were bound.
- the removal of ubiquitin(s) may be complete, i.e. the proteins disengage from the chimeric molecules provided herein are free of any Ub molecule. In either case, the propensity of the resulting partly or completely deubiquitinated proteins to undergo UPS-related protein degradation is considerably decreased, if not nullified.
- a chimeric molecule comprising a USP5 binder represented by the structure of any one of the following Formula (1) - Formula (9) or a pharmaceutically acceptable salt thereof, as described in detail above.
- a chimeric molecule comprising a USP5 binder represented by the structure of any one of the following Formula (1*) - Formula (9*), as described in detail above.
- a chimeric molecule comprising a USP5 binder represented by the structure of Formula (1) or a pharmaceutically acceptable salt thereof.
- provided herein is a chimeric molecule comprising a USP5 binder represented by the structure of Formula (2) or a pharmaceutically acceptable salt thereof. In some embodiments, provided herein is a chimeric molecule comprising a USP5 binder represented by the structure of Formula (3) or a pharmaceutically acceptable salt thereof. In some embodiments, provided herein is a chimeric molecule comprising a USP5 binder represented by the structure of Formula (4) or a pharmaceutically acceptable salt thereof. In some embodiments, provided herein is a chimeric molecule comprising a USP5 binder represented by the structure of Formula (5) or a pharmaceutically acceptable salt thereof.
- provided herein is a chimeric molecule comprising a USP5 binder represented by the structure of Formula (6) or a pharmaceutically acceptable salt thereof. In some embodiments, provided herein is a chimeric molecule comprising a USP5 binder represented by the structure of Formula (7) or a pharmaceutically acceptable salt thereof. In some embodiments, provided herein is a chimeric molecule comprising a USP5 binder represented by the structure of Formula (8) or a pharmaceutically acceptable salt thereof. In some embodiments, provided herein is a chimeric molecule comprising a USP5 binder represented by the structure of Formula (9) or a pharmaceutically acceptable salt thereof.
- provided herein is a chimeric molecule comprising a USP5 binder represented by the structure of Formula (1*). In some embodiments, provided herein is a chimeric molecule comprising a USP5 binder represented by the structure of Formula (2*). In some embodiments, provided herein is a chimeric molecule comprising a USP5 binder represented by the structure of Formula (3*). In some embodiments, provided herein is a chimeric molecule comprising a USP5 binder represented by the structure of Formula (4*). In some embodiments, provided herein is a chimeric molecule comprising a USP5 binder represented by the structure of Formula (5*).
- provided herein is a chimeric molecule comprising a USP5 binder represented by the structure of Formula (6*). In some embodiments, provided herein is a chimeric molecule comprising a USP5 binder represented by the structure of Formula (7*). In some embodiments, provided herein is a chimeric molecule comprising a USP5 binder represented by the structure of Formula (8*). In some embodiments, provided herein is a chimeric molecule comprising a USP5 binder represented by the structure of Formula (9*).
- a chimeric molecule comprising a USP5 binder represented by the structure of any one of the following Formula (1) - Formula (9) and a target binder represented by the structure of Formula (A)-(N).
- a chimeric molecule comprising a USP5 binder represented by the structure of any one of the following Formula (1*) -(9*) and a target binder represented by the structure of Formula (A)-(N).
- a chimeric molecule may comprise for example a USP5 binder represented by any of Formula (1) - Formula (9) and a target binder represented by any of Formula (A)-(N).
- a chimeric molecule may comprise for example a USP5 binder represented by any of Formula (l*)-(9*) and a target binder represented by any of Formula (A)-(N).
- a chimeric molecule comprising a USP5 binder represented by the structure of Formula (1) and a target binder represented by the structure of Formula (A) -(K).
- a chimeric molecule comprising a USP5 binder represented by the structure of Formula (1) and a target binder represented by the structure of Formula (L) -(N).
- a chimeric molecule comprising a USP5 binder represented by the structure of Formula (2) and a target binder represented by the structure of Formula (A)-(K).
- a chimeric molecule comprising a USP5 binder represented by the structure of Formula (2) and a target binder represented by the structure of Formula (L) -(N).
- a chimeric molecule comprising a USP5 binder represented by the structure of Formula (3) and a target binder represented by the structure of Formula (A)-(K).
- a chimeric molecule comprising a USP5 binder represented by the structure of Formula (3) and a target binder represented by the structure of Formula (L) -(N).
- a chimeric molecule comprising a USP5 binder represented by the structure of Formula (4) and a target binder represented by the structure of Formula (A)-(K).
- a chimeric molecule comprising a USP5 binder represented by the structure of Formula (4) and a target binder represented by the structure of Formula (L) -(N).
- a chimeric molecule comprising a USP5 binder represented by the structure of Formula (5) and atarget binder represented by the structure of Formula (A)-(K).
- a chimeric molecule comprising a USP5 binder represented by the structure of Formula (5) and a target binder represented by the structure of Formula (L) -(N).
- a chimeric molecule comprising a USP5 binder represented by the structure of Formula (6) and a target binder represented by the structure of Formula (A)-(K).
- a chimeric molecule comprising a USP5 binder represented by the structure of Formula (6) and a target binder represented by the structure of Formula (L) -(N).
- a chimeric molecule comprising a USP5 binder represented by the structure of Formula (7) and atarget binder represented by the structure of Formula (A)-(K).
- a chimeric molecule comprising a USP5 binder represented by the structure of Formula (7) and a target binder represented by the structure of Formula (L) -(N).
- a chimeric molecule comprising a USP5 binder represented by the structure of Formula (8) and atarget binder represented by the structure of Formula (A)-(K).
- a chimeric molecule comprising a USP5 binder represented by the structure of Formula (8) and a target binder represented by the structure of Formula (L) -(N).
- a chimeric molecule comprising a USP5 binder represented by the structure of Formula (9) and atarget binder represented by the structure of Formula (A)-(K).
- a chimeric molecule comprising a USP5 binder represented by the structure of Formula (9) and a target binder represented by the structure of Formula (L) -(N).
- a chimeric molecule comprising a USP5 binder represented by the structure of Formula (1) and atarget binder represented by the structure of Formula (A).
- a chimeric molecule comprising a USP5 binder represented by the structure of Formula (1) and atarget binder represented by the structure of Formula (B).
- a chimeric molecule comprising a USP5 binder represented by the structure of Formula (1) and a target binder represented by the structure of Formula (C).
- a chimeric molecule comprising a USP5 binder represented by the structure of Formula (1) and a target binder represented by the structure of Formula (D).
- a chimeric molecule comprising a USP5 binder represented by the structure of Formula (1) and atarget binder represented by the structure of Formula (E).
- a chimeric molecule comprising a USP5 binder represented by the structure of Formula (1) and a target binder represented by the structure of Formula (F).
- a chimeric molecule comprising a USP5 binder represented by the structure of Formula (1) and atarget binder represented by the structure of Formula (G).
- a chimeric molecule comprising a USP5 binder represented by the structure of Formula (1) and a target binder represented by the structure of Formula (H).
- a chimeric molecule comprising a USP5 binder represented by the structure of Formula (1) and atarget binder represented by the structure of Formula (I).
- a chimeric molecule comprising a USP5 binder represented by the structure of Formula (1) and atarget binder represented by the structure of Formula (J).
- a chimeric molecule comprising a USP5 binder represented by the structure of Formula (1) and a target binder represented by the structure of Formula (K).
- a chimeric molecule comprising a USP5 binder represented by the structure of Formula (1) and atarget binder represented by the structure of Formula (L).
- a chimeric molecule comprising a USP5 binder represented by the structure of Formula (1)
- a chimeric molecule comprising a USP5 binder represented by the structure of Formula (1) and a target binder represented by the structure of Formula (N).
- a chimeric molecule comprising a USP5 binder represented by the structure of Formula (1), (2), (3), (4), (5), (6), (7), (8), or (9) and a target binder represented by the structure of Formula (A).
- a chimeric molecule comprising a USP5 binder represented by the structure of Formula (1*), (2*), (3*), (4*), (5*), (6*), (7*), (8*), or (9*) and atarget binder represented by the structure of Formula (A).
- a chimeric molecule comprising a USP5 binder represented by the structure of Formula (1),
- a chimeric molecule comprising a USP5 binder represented by the structure of Formula (1*), (2*), (3*), (4*), (5*), (6*), (7*), (8*), or (9*) and a target binder represented by the structure of Formula (B).
- a chimeric molecule comprising a USP5 binder represented by the structure of Formula (1), (2), (3), (4), (5), (6), (7), (8), or (9) and a target binder represented by the structure of Formula (C).
- a chimeric molecule comprising a USP5 binder represented by the structure of Formula (1*), (2*), (3*), (4*), (5*), (6*), (7*), (8*), or (9*) and atarget binder represented by the structure of Formula (C).
- a chimeric molecule comprising a USP5 binder represented by the structure of Formula (1), (2), (3), (4), (5), (6), (7), (8), or (9) and a target binder represented by the structure of Formula (D).
- a chimeric molecule comprising a USP5 binder represented by the structure of Formula (1*), (2*), (3*), (4*), (5*), (6*), (7*), (8*), or (9*) and a target binder represented by the structure of Formula (D).
- a chimeric molecule comprising a USP5 binder represented by the structure of Formula (1), (2), (3), (4), (5), (6), (7), (8), or (9) and a target binder represented by the structure of Formula (E).
- a chimeric molecule comprising a USP5 binder represented by the structure of Formula (1*), (2*), (3*), (4*), (5*), (6*), (7*), (8*), or (9*) and a target binder represented by the structure of Formula (E).
- a chimeric molecule comprising a USP5 binder represented by the structure of Formula (1), (2), (3), (4), (5), (6), (7), (8), or (9) and a target binder represented by the structure of Formula (F).
- a chimeric molecule comprising a USP5 binder represented by the structure of Formula (1*), (2*), (3*), (4*), (5*), (6*), (7*), (8*), or (9*) and a target binder represented by the structure of F ormula (F).
- a chimeric molecule comprising a USP5 binder represented by the structure of Formula (1), (2), (3), (4), (5), (6), (7), (8), or (9) and a target binder represented by the structure of Formula (G).
- a chimeric molecule comprising a USP5 binder represented by the structure of Formula (1*), (2*), (3*), (4*), (5*), (6*), (7*), (8*), or (9*) and a target binder represented by the structure of Formula (G).
- a chimeric molecule comprising a USP5 binder represented by the structure of Formula (1), (2), (3), (4), (5), (6), (7), (8), or (9) and a target binder represented by the structure of Formula (H).
- a chimeric molecule comprising a USP5 binder represented by the structure of Formula (1*), (2*), (3*), (4*), (5*), (6*), (7*), (8*), or (9*) and a target binder represented by the structure of Formula (H).
- a chimeric molecule comprising a USP5 binder represented by the structure of Formula (1), (2), (3), (4), (5), (6), (7), (8), or (9) and a target binder represented by the structure of Formula (I).
- a chimeric molecule comprising a USP5 binder represented by the structure of Formula Formula (1*), (2*), (3*), (4*), (5*), (6*) (7*) (8*), or (9*) and a target binder represented by the structure of Formula (I).
- a chimeric molecule comprising a USP5 binder represented by the structure of Formula (1), (2), (3), (4), (5), (6), (7), (8), or (9) and a target binder represented by the structure of Formula (J).
- a chimeric molecule comprising a USP5 binder represented by the structure of Formula (1*), (2*), (3*), (4*), (5*), (6*), (7*), (8*), or (9*) and a target binder represented by the structure of Formula (J).
- a chimeric molecule comprising a USP5 binder represented by the structure of Formula (1), (2), (3), (4), (5), (6), (7), (8), or (9) and a target binder represented by the structure of Formula (K).
- a chimeric molecule comprising a USP5 binder represented by the structure of Formula (1*), (2*), (3*), (4*), (5*), (6*), (7*), (8*), or (9*) and a target binder represented by the structure of Formula (K).
- a chimeric molecule comprising a USP5 binder represented by the structure of Formula (1), (2), (3), (4), (5), (6), (7), (8), or (9) and a target binder represented by the structure of Formula (L).
- a chimeric molecule comprising a USP5 binder represented by the structure of Formula (1*), (2*), (3*), (4*), (5*), (6*), (7*), (8*), or (9*) and a target binder represented by the structure of Formula (L).
- a chimeric molecule comprising a USP5 binder represented by the structure of Formula (1), (2), (3), (4), (5), (6), (7), (8), or (9) and a target binder represented by the structure of Formula (M).
- a chimeric molecule comprising a USP5 binder represented by the structure of Formula (1*), (2*), (3*), (4*), (5*), (6*), (7*), (8*), or (9*) and a target binder represented by the structure of Formula (M).
- a chimeric molecule comprising a USP5 binder represented by the structure of Formula (1), (2), (3), (4), (5), (6), (7), (8), or (9) and a target binder represented by the structure of Formula (N).
- a chimeric molecule comprising a USP5 binder represented by the structure of Formula (1*), (2*), (3*), (4*), (5*), (6*), (7*), (8*), or (9*) and a target binder represented by the structure of Formula (N).
- a chimeric molecule comprising a USP5 binder represented by the structure of Formula (7) and a target binder represented by the structure of Formula (A).
- a chimeric molecule comprising a USP5 binder represented by the structure of Formula (7) and a target binder represented by the structure of Formula (B).
- a chimeric molecule comprising a USP5 binder represented by the structure of Formula (7) and a target binder represented by the structure of Formula (C).
- a chimeric molecule comprising a USP5 binder represented by the structure of Formula (7) and a target binder represented by the structure of Formula (D).
- a chimeric molecule comprising a USP5 binder represented by the structure of Formula (7) and a target binder represented by the structure of Formula (E).
- a chimeric molecule comprising a USP5 binder represented by the structure of Formula (7) and a target binder represented by the structure of Formula (F).
- a chimeric molecule comprising a USP5 binder represented by the structure of Formula (7) and a target binder represented by the structure of Formula (G).
- a chimeric molecule comprising a USP5 binder represented by the structure of Formula (7) and a target binder represented by the structure of Formula (H).
- a chimeric molecule comprising a USP5 binder represented by the structure of Formula (7) and atarget binder represented by the structure of Formula (I).
- a chimeric molecule comprising a USP5 binder represented by the structure of Formula (7) and atarget binder represented by the structure of Formula (J).
- a chimeric molecule comprising a USP5 binder represented by the structure of Formula (7) and atarget binder represented by the structure of Formula (K).
- a chimeric molecule comprising a USP5 binder represented by the structure of Formula (7) and atarget binder represented by the structure of Formula (L).
- a chimeric molecule comprising a USP5 binder represented by the structure of Formula (7) and a target binder represented by the structure of Formula (M).
- a chimeric molecule comprising a USP5 binder represented by the structure of Formula (7) and a target binder represented by the structure of Formula (N).
- a chimeric molecule comprising a USP5 binder represented by the structure of Formula (7*) and atarget binder represented by the structure of Formula (A).
- a chimeric molecule comprising a USP5 binder represented by the structure of Formula (7*) and a target binder represented by the structure of Formula (B).
- a chimeric molecule comprising a USP5 binder represented by the structure of Formula (7*) and a target binder represented by the structure of Formula (C). In some embodiments, provided herein is a chimeric molecule comprising a USP5 binder represented by the structure of Formula (7*) and a target binder represented by the structure of Formula (D). In some embodiments, provided herein is a chimeric molecule comprising a USP5 binder represented by the structure of Formula (7*) and atarget binder represented by the structure of Formula (E).
- a chimeric molecule comprising a USP5 binder represented by the structure of Formula (7*) and a target binder represented by the structure of Formula (F).
- a chimeric molecule comprising a USP5 binder represented by the structure of Formula (7*) and a target binder represented by the structure of Formula (G).
- a chimeric molecule comprising a USP5 binder represented by the structure of Formula (7*) and a target binder represented by the structure of Formula (H).
- a chimeric molecule comprising a USP5 binder represented by the structure of Formula (7*) and a target binder represented by the structure of Formula (I). In some embodiments, provided herein is a chimeric molecule comprising a USP5 binder represented by the structure of Formula (7*) and atarget binder represented by the structure of Formula (J). In some embodiments, provided herein is a chimeric molecule comprising a USP5 binder represented by the structure of Formula (7*) and a target binder represented by the structure of Formula (K).
- a chimeric molecule comprising a USP5 binder represented by the structure of Formula (7*) and a target binder represented by the structure of Formula (L).
- a chimeric molecule comprising a USP5 binder represented by the structure of Formula (7*) and a target binder represented by the structure of Formula (M).
- a chimeric molecule comprising a USP5 binder represented by the structure of Formula (7*) and atarget binder represented by the structure of Formula (N).
- a chimeric molecule comprising a USP5 binder represented by the structure of Formula (8) and atarget binder represented by the structure of Formula (A).
- a chimeric molecule comprising a USP5 binder represented by the structure of Formula (8) and atarget binder represented by the structure of Formula (B).
- a chimeric molecule comprising a USP5 binder represented by the structure of Formula (8) and a target binder represented by the structure of Formula (C).
- a chimeric molecule comprising a USP5 binder represented by the structure of Formula (8) and a target binder represented by the structure of Formula (D).
- a chimeric molecule comprising a USP5 binder represented by the structure of Formula (8) and a target binder represented by the structure of Formula (E).
- a chimeric molecule comprising a USP5 binder represented by the structure of Formula (8) and a target binder represented by the structure of Formula (F).
- a chimeric molecule comprising a USP5 binder represented by the structure of Formula (8) and a target binder represented by the structure of Formula (G).
- a chimeric molecule comprising a USP5 binder represented by the structure of Formula (8) and a target binder represented by the structure of Formula (H).
- a chimeric molecule comprising a USP5 binder represented by the structure of Formula (8) and atarget binder represented by the structure of Formula (I).
- a chimeric molecule comprising a USP5 binder represented by the structure of Formula (8) and atarget binder represented by the structure of Formula (J).
- a chimeric molecule comprising a USP5 binder represented by the structure of Formula (8) and a target binder represented by the structure of Formula (K).
- a chimeric molecule comprising a USP5 binder represented by the structure of Formula (8) and atarget binder represented by the structure of Formula (L).
- a chimeric molecule comprising a USP5 binder represented by the structure of Formula (8) and a target binder represented by the structure of Formula (M).
- a chimeric molecule comprising a USP5 binder represented by the structure of Formula (8) and a target binder represented by the structure of Formula (N).
- a chimeric molecule comprising a USP5 binder represented by the structure of Formula (8*) and a target binder represented by the structure of Formula (A).
- a chimeric molecule comprising a USP5 binder represented by the structure of Formula (8*) and a target binder represented by the structure of Formula (B).
- a chimeric molecule comprising a USP5 binder represented by the structure of Formula (8*) and a target binder represented by the structure of Formula (C).
- a chimeric molecule comprising a USP5 binder represented by the structure of Formula (8*) and atarget binder represented by the structure of Formula (D).
- a chimeric molecule comprising a USP5 binder represented by the structure of Formula (8*) and a target binder represented by the structure of Formula (E).
- a chimeric molecule comprising a USP5 binder represented by the structure of Formula (8*) and a target binder represented by the structure of Formula (F).
- a chimeric molecule comprising a USP5 binder represented by the structure of Formula (8*) and a target binder represented by the structure of Formula (G).
- a chimeric molecule comprising a USP5 binder represented by the structure of Formula (8*) and atarget binder represented by the structure of Formula (H).
- a chimeric molecule comprising a USP5 binder represented by the structure of Formula (8*) and atarget binder represented by the structure of Formula (I).
- a chimeric molecule comprising a USP5 binder represented by the structure of Formula (8*) and a target binder represented by the structure of Formula (J).
- a chimeric molecule comprising a USP5 binder represented by the structure of Formula (8*) and a target binder represented by the structure of Formula (K).
- a chimeric molecule comprising a USP5 binder represented by the structure of Formula (8*) and a target binder represented by the structure of Formula (L).
- a chimeric molecule comprising a USP5 binder represented by the structure of Formula (8*) and atarget binder represented by the structure of Formula (M). In some embodiments, provided herein is a chimeric molecule comprising a USP5 binder represented by the structure of Formula (8*) and a target binder represented by the structure of Formula (N).
- a chimeric molecule comprising a USP5 binder represented by the structure of Formula (9) and atarget binder represented by the structure of Formula (A).
- a chimeric molecule comprising a USP5 binder represented by the structure of Formula (9) and atarget binder represented by the structure of Formula (B)
- a chimeric molecule comprising a USP5 binder represented by the structure of Formula (9) and a target binder represented by the structure of Formula (C).
- a chimeric molecule comprising a USP5 binder represented by the structure of Formula (9) and a target binder represented by the structure of Formula (D).
- a chimeric molecule comprising a USP5 binder represented by the structure of Formula (9) and a target binder represented by the structure of Formula (E).
- a chimeric molecule comprising a USP5 binder represented by the structure of Formula (9) and a target binder represented by the structure of Formula (F).
- a chimeric molecule comprising a USP5 binder represented by the structure of Formula (9) and a target binder represented by the structure of Formula (G).
- a chimeric molecule comprising a USP5 binder represented by the structure of Formula (9) and a target binder represented by the structure of Formula (H).
- a chimeric molecule comprising a USP5 binder represented by the structure of Formula (9) and atarget binder represented by the structure of Formula (I).
- a chimeric molecule comprising a USP5 binder represented by the structure of Formula (9) and atarget binder represented by the structure of Formula (J).
- a chimeric molecule comprising a USP5 binder represented by the structure of Formula (9) and a target binder represented by the structure of Formula (K).
- a chimeric molecule comprising a USP5 binder represented by the structure of Formula (9) and atarget binder represented by the structure of Formula (L).
- a chimeric molecule comprising a USP5 binder represented by the structure of Formula (9) and a target binder represented by the structure of Formula (M).
- a chimeric molecule comprising a USP5 binder represented by the structure of Formula (9) and a target binder represented by the structure of Formula (N).
- a chimeric molecule comprising a USP5 binder represented by the structure of Formula (9*) and a target binder represented by the structure of Formula (A).
- a chimeric molecule comprising a USP5 binder represented by the structure of Formula (9*) and a target binder represented by the structure of Formula (B).
- a chimeric molecule comprising a USP5 binder represented by the structure of Formula (9*) and a target binder represented by the structure of Formula (C).
- a chimeric molecule comprising a USP5 binder represented by the structure of Formula (9*) and atarget binder represented by the structure of Formula (D).
- a chimeric molecule comprising a USP5 binder represented by the structure of Formula (9*) and a target binder represented by the structure of Formula (E).
- a chimeric molecule comprising a USP5 binder represented by the structure of Formula (9*) and a target binder represented by the structure of Formula (F).
- a chimeric molecule comprising a USP5 binder represented by the structure of Formula (9*) and a target binder represented by the structure of Formula (G).
- a chimeric molecule comprising a USP5 binder represented by the structure of Formula (9*) and atarget binder represented by the structure of Formula (H).
- a chimeric molecule comprising a USP5 binder represented by the structure of Formula (9*) and atarget binder represented by the structure of Formula (I).
- a chimeric molecule comprising a USP5 binder represented by the structure of Formula (9*) and a target binder represented by the structure of Formula (J).
- a chimeric molecule comprising a USP5 binder represented by the structure of Formula (9*) and a target binder represented by the structure of Formula (K).
- a chimeric molecule comprising a USP5 binder represented by the structure of Formula (9*) and a target binder represented by the structure of Formula (L).
- a chimeric molecule comprising a USP5 binder represented by the structure of Formula (9*) and atarget binder represented by the structure of Formula (M).
- a chimeric molecule comprising a USP5 binder represented by the structure of Formula (9*) and a target binder represented by the structure of Formula (N).
- a chimeric molecule disclosed herein is represented by the structure of the chimeric molecules I-XXX presented in Table 1.
- the left-hand column provides the Chimeric Molecule Number (#)
- the right-hand column presents the chimeric molecule structure grouped based on the Target Binder domain identified.
- the linker domain of the chimeric molecules of Table 1 may comprise any one of the following linking domains, as represented by Formula (i)- (xxiii):
- the linker d omain comprises a structure of Formula (xxiv).
- a chimeric molecule described herein has a structure of wherein LINKER is a linker domain described herein, e.g., a linker domain of Formula (xxiv), wherein the second binding domain is optionally substituted.
- a chimeric molecule described herein has a structure of wherein LINKER is a linker domain described herein, e.g., a linker domain of Formula (xxiv), wherein the second binding domain is optionally substituted.
- a chimeric molecule described herein has a structure of wherein LINKER is a linker domain described herein, e.g., a linker domain of Formula (xxiv), wherein the second binding domain is optionally substituted.
- a chimeric molecule described herein has a structure of wherein LINKER is a lin , . ., mula (xxiv), wherein the second binding domain is optionally substituted.
- a chimeric molecule described herein has a structure of wherein LINKER is a linker domain described herein, e.g., a linker domain of Formula (xxiv), wherein the second binding domain is optionally substituted.
- a chimeric molecule described herein has a structure of wherein LINKER is a linker domain described herein, e.g., a linker domain of Formula (xxiv), wherein the second binding domain is optionally substituted.
- a chimeric molecule described herein has a structure of
- LINKER is a linker domain described herein, e.g., a linker domain of Formula (xxiv), wherein the second binding domain is optionally substituted.
- a chimeric molecule described herein has a structure of wherein LINKER is a linker domain described herein, e.g., a linker domain of Formula (xxiv), wherein the second binding domain is optionally substituted.
- each of the linker units is independently a substituted or unsubstituted linear or branched alkyl chains of 2-50 carbon atoms, alkyl phosphate chains of 2-50 carbon atoms, alkyl ether chains of 2-50 carbon atoms (e.g., PEG, PPG of various lengths), alkyl amide, alkyl amine or any combination thereof.
- the linker comprises an optionally substituted (poly)ethylene glycol having 8 ethylene glycol units.
- the linker comprises an optionally substituted (poly)ethylene glycol having 11 ethylene glycol units.
- the linker comprises an optionally substituted (poly)ethylene glycol having 14 ethylene glycol units.
- the linker comprises an optionally substituted (poly)ethylene glycol having 17 ethylene glycol units.
- the linker may be asymmetric. In certain embodiments, the linker may be symmetrical.
- the chemistry of attachment of a linker to the binding domains include but is not limited to esters, amides, amines, hydrazide, thiols, sulfones, sulfoxides, ethers, hydroxamides, heterocycles, acetylenes, alkyls and alkenes.
- a chimeric molecule disclosed herein is represented by any one of the structures of chimeric molecule 1-210 in Table 2:
- the order of the domains of the chimeric molecules represented by the structures disclosed in Table 2 are in some embodiments Target binder domain-linker domain-USP5 binder domain. In other embodiments, the order of the domains of the chimeric molecules represented by the structures disclosed in Table 2 are USP5 binder domain-linker domain- Target binder domain. A skilled artisan would appreciate which domains are the USP5 binder domains, the linker domains, and the Target binder domains based on the disclosure provided herein, independent of the orientation of the complete chimeric structure.
- W 1 -W 16 of Formula (1) are each independently a hydrogen, halide, alkyl, cycloalkyl, heterocycloalkyl, aryl, amine, CN, -NHCOR 3 , NH- alkyl, NH-aryl, NH-cycloalkyl, NH-heterocycloalyl, NH-alkyl-COOH, NH-CH 2 -COOH, NO 2 , alkoxy, COOH, OH or SH, wherein each of said alkyl, aryl, cycloalkyl or heterocycloalkyl is optionally substituted.
- W 3 and R 1 form together a substituted or unsubstituted 5-6 membered heterocyclic ring.
- X 1 , X 2 , X 3 , X 4 , X 6 , X 7 , X 8 , X 9 is each independently N, then the corresponding substituent W 1 , W 2 , W 4 , W 3 , W 13 , W 14 , W 16 , or W 15 is null.
- W 1 -W 16 of Formula (4) are each independently a hydrogen, halide, alkyl, cycloalkyl, heterocycloalkyl, aryl, amine, CN, -NHCOR 3 , NH- alkyl, NH-aryl, NH-cycloalkyl, NH-heterocycloalyl, NH-alkyl-COOH, NH-CH 2 -COOH, NO 2 , alkoxy, COOH, OH or SH, wherein each of said alkyl, aryl, cycloalkyl or heterocycloalkyl is optionally substituted.
- W 1 -W 2 and W 4 -W 16 of Formula (5) or (6) are each independently a hydrogen, halide, alkyl, cycloalkyl, heterocycloalkyl, aryl, amine, CN, - NHCOR 3 , NH-alkyl, NH-aryl, NH-cycloalkyl, NH-heterocycloalkyl, NH-alkyl-COOH, NH-CH 2 -COOH, NO 2 , alkoxy, COOH, OH or SH; wherein each of said alkyl, aryl, cycloalkyl or heterocycloalkyl is optionally substituted.
- W 1 -W 16 are each independently hydrogen. In one embodiment, W 1 -W 16 are each independently hydrogen. In one embodiment, W 1 -W 16 are each independently halide. In one embodiment, W 1 -W 16 are each independently an alkyl. In one embodiment, W 1 -W 16 are each independently cycloalkyl. In one embodiment, W 1 -W 16 are each independently heterocycloalkyl. In one embodiment, W 1 -W 16 are each independently aryl. In one embodiment, W 1 -W 16 are each independently amine. In one embodiment, W 1 -W 16 are each independently CN. In one embodiment, W 1 -W 16 are each independently -NHCOR 3 .
- W 1 -W 16 are each independently NH-alkyl. In one embodiment, W 1 -W 16 are each independently NH-aryl. In one embodiment, W 1 -W 16 are each independently NH-cycloalkyl. In one embodiment, W 1 -W 16 are each independently NH-heterocycloalyl. In one embodiment, W 1 -W 16 are each independently NH-alkyl-COOH. In one embodiment, W 1 -W 16 are each independently NH-CH 2 -COOH. In one embodiment, W 1 -W 16 are each independently NO 2 . In one embodiment, W 1 -W 16 are each independently alkoxy. In one embodiment, W 1 -W 16 are each independently COOH. In one embodiment, W 1 -W 16 are each independently OH. In one embodiment, W 1 -W 16 are each independently SH.
- R 3 is alkyl aryl cycloalkyl or heterocycloalkyl, wherein each of said alkyl, aryl, cycloalkyl or heterocycloalkyl is optionally substituted.
- W 17 and W 18 of Formula (5) are each independently selected from hydrogen halide, alkyl, cycloalkyl, heterocycloalkyl, aryl, CN, -NHCOR 3 , NH-alkyl, NH-aryl, NH-cycloalkyl, NH-heterocycloalyl, NH-alkyl-COOH, NH-CH 2 - COOH, NO 2 , alkoxy, COOH, OH and SH.
- W 17 and W 18 of Formula (5) are each independently hydrogen.
- W 17 and W 18 of Formula (5) are each independently halide.
- W 17 and W 18 of Formula (5) are each independently alkyl.
- W 17 and W 18 of Formula (5) are each independently cycloalkyl. In another embodiment, W 17 and W 18 of Formula (5) are each independently heterocycloalkyl. In another embodiment, W 17 and W 18 of Formula (5) are each independently aryl. In another embodiment, W 17 and W 18 of Formula (5) are each independently CN. In another embodiment, W 17 and W 18 of Formula (5) are each independently -NHCOR 3 . In another embodiment, W 17 and W 18 of Formula (5) are each independently NH-alkyl. In another embodiment, W 17 and W 18 of Formula (5) are each independently NH-aryl. In another embodiment, W 17 and W 18 of Formula (5) are each independently NH-cycloalkyl.
- W 17 and W 18 of Formula (5) are each independently NH-heterocycloalyl. In another embodiment, W 17 and W 18 of Formula (5) are each independently NH-alkyl-COOH. In another embodiment, W 17 and W 18 of Formula (5) are each independently NH-CH 2 -COOH. In another embodiment, W 17 and W 18 of Formula (5) are each independently NO 2 . In another embodiment, W 17 and W 18 of Formula (5) are each independently alkoxy, In another embodiment, W 17 and W 18 of Formula (5) are each independently COOH. In another embodiment, W 17 and W 18 of Formula (5) are each independently OH. In another embodiment, W 17 and W 18 of Formula (5) are each independently SH.
- W 19 of formula (5) is hydrogen, halide, alkyl, cycloalkyl, heterocycloalkyl or aryl.
- W 19 and W 17 of Formula (5) form together a double bond; [00270]
- W 20 of Formula (6) is null or hydrogen.
- X 1 -X 4 and X 6 -X 9 of Formula (1) or (4) are each independently C or N.
- X 1 -X 3 and X 5 -X 9 of Formula (5) or (6) are each independently C or N.
- X 5 of Formula (1), (4), (5) or (6) is CH or N.
- R 1 of Formula (1) or (2) is alkyl, aryl, cycloalkyl, heterocycloalkyl, amine, -NHCH 2 COOH, -O-alkyl, -NH-alkyl, or -CH 2 -aryl, and wherein each of said alkyl, aryl, cycloalkyl or heterocycloalkyl is optionally substituted.
- Each represent a separate embodiment of this invention
- R2 is alkyl, aryl, cycloalkyl, heterocycloalyl, alkyl-COOH or -CH 2 -COOH, and wherein each of said alkyl, aryl, cycloalkyl or heterocycloalkyl is optionally substitute.
- W 1 is -OH. In some embodiments, W 1 is SH. In some embodiments, W 1 is H. In some embodiments, W 1 is halogen. In some embodiments, W 1 is CN. In some embodiments, W 1 is NO 2. In some embodiments, W 1 is -OR a . In some embodiments, W 1 is -NR c R d (e.g., amino, NH-alkyl or N(alkyl) 2 ).
- W 1 is COOH.
- W 1 is C 1 -C 6 alkyl.
- W 1 is C 1 -C 6 haloalkyl.
- W 1 is C 1 -C 6 hydroxyalkyl.
- W 1 is C 1 -C 6 aminoalkyl.
- W 1 is C 1 -C 6 heteroalkyl.
- W 1 is C 2 -C 6 alkenyl. In some embodiments, W 1 is C 2 -C 6 alkynyl. In some embodiments, W 1 is cycloalkyl (e.g., C 3 -C 6 cycloalkyl). In some embodiments, W 1 is heterocycloalkyl (e.g., 5 or 6 membered heterocycloalkyl). In some embodiments, W 1 is aryl. In some embodiments, W 1 is heteroaryl.
- W 2 is -OH. In some embodiments, W 2 is SH. In some embodiments, W 2 is H. In some embodiments, W 2 is halogen. In some embodiments, W 2 is CN. In some embodiments, W 2 is NO 2. In some embodiments, W 2 is -OR a . In some embodiments W 2 is -NR c R d (e.g., amino, NH-alkyl or N(alkyl) 2 ).
- W 2 is COOH.
- W 2 is C 1 -C 6 alkyl.
- W 2 is C 1 -C 6 haloalkyl.
- W 2 is C 1 -C 6 hydroxyalkyl.
- W 2 is C 1 -C 6 aminoalkyl.
- W 2 is C 1 -C 6 heteroalkyl.
- W 2 is C 2 -C 6 alkenyl. In some embodiments, W 2 is C 2 -C 6 alkynyl. In some embodiments, W 2 is cycloalkyl (e.g., C 3 -C 6 cycloalkyl). In some embodiments, W 2 is heterocycloalkyl (e.g., 5 or 6 membered heterocycloalkyl). In some embodiments, W 2 is aryl. In some embodiments, W 2 is heteroaryl.
- W 4 is -OH. In some embodiments, W 4 is -SH. In some embodiments, W 4 is H. In some embodiments, W 4 is halogen. In some embodiments, W 4 is CN. In some embodiments, W 4 is NO 2. In some embodiments, W 4 is -OR a . In some embodiments, W 4 is -NR c R d (e.g., amino, NH-alkyl or N(alkyl) 2 ).
- W 4 is COOH.
- W 4 is C 1 -C 6 alkyl.
- W 4 is C 1 -C 6 haloalkyl.
- W 4 is C 1 -C 6 hydroxyalkyl.
- W 4 is C 1 -C 6 aminoalkyl.
- W 4 is C 1 -C 6 heteroalkyl.
- W 4 is C 2 -C 6 alkenyl. In some embodiments, W 4 is C 2 -C 6 alkynyl. In some embodiments, W 4 is cycloalkyl (e.g., C 3 - C 6 cycloalkyl). In some embodiments, W 4 is heterocycloalkyl (e.g., 5 or 6 membered heterocycloalkyl). In some embodiments, W 4 is aryl. In some embodiments, W 4 is heteroaryl.
- W 3 is -OH. In some embodiments, W 3 is SH. In some embodiments, W 3 is H. In some embodiments, W 3 is halogen. In some embodiments, W 3 is CN. In some embodiments, W 3 is NO 2 In some embodiments, W 3 is -OR a . In some embodiments, W 3 is -NR c R d (e.g., amino, NH-alkyl or N(alkyl)2).
- W 3 is COOH.
- W 3 is C 1 -C 6 alkyl.
- W 3 is C 1 -C 6 haloalkyl.
- W 3 is C 1 -C 6 hydroxyalkyl.
- W 3 is C 1 -C 6 aminoalkyl.
- W 3 is C 1 -C 6 heteroalkyl.
- W 3 is C 2 -C 6 alkenyl. In some embodiments, W 3 is C 2 -C 6 alkynyl. In some embodiments, W 3 is cycloalkyl (e.g., C 3 -C 6 cycloalkyl). In some embodiments, W 3 is heterocycloalkyl (e.g., 5 or 6 membered heterocycloalkyl). In some embodiments, W 3 is aryl. In some embodiments, W 3 is heteroaryl.
- W 3 and R 1 are taken together to form a substituted or unsubstituted 5-6 membered cyclic or heterocyclic ring. In some embodiments, W 3 and R 1 are taken together to form a substituted or unsubstituted 5-6 membered heterocyclic ring.
- the heterocyclic ring is a heterocycloalkyl. In some embodiments, the heterocyclic ring contains 1-3 nitrogen and 0-1 oxygen. In some embodiments, the heterocyclic ring contains 2 nitrogen. In some embodiments, the heterocyclic ring is substituted.
- the heterocyclic ring is 6 a membered ring. In some embodiments, the heterocyclic ring is 5 a membered ring. In some embodiments, the heterocyclic ring is fully saturated. In some embodiments, the heterocyclic ring is partially saturated.
- the 5-6 membered cyclic or heterocyclic ring are substituted with 1-5 substituents selected from halogen, oxo, -CN, -NO 2 , -OH, -OR a , C 1 -C 6 alkyl, C 1 -C 6 haloalkyl, C 1 -C 6 hydroxyalkyl, and C 1 -C 6 aminoalkyl, wherein each alkyl is independently optionally substituted with one or more R e , and Re is selected from halogen, -OH, and COOH.
- the 5 6 membered cyclic or heterocyclic ring are substituted with oxo and -CH 2 -COOH.
- W 13 is -OH. In some embodiments, W 13 is -SH. In some embodiments, W 13 is H. In some embodiments, W 13 is halogen. In some embodiments, W 13 is CN. In some embodiments, W 13 is NO 2. In some embodiments, W 13 is -OR a . In some embodiments, W 13 is -NR c R d (e.g., amino, NH-alkyl or N(alkyl)2).
- W 13 is COOH.
- W 13 is C 1 -C 6 alkyl.
- W 13 is C 1 -C 6 haloalkyl.
- W 13 is C 1 -C 6 hydroxyalkyl.
- W 13 is C 1 -C 6 aminoalkyl.
- W 13 is C 1 -C 6 heteroalkyl.
- W 13 is C 2 -C 6 alkenyl. In some embodiments, W 13 is C 2 -C 6 alkynyl. In some embodiments, W 13 is cycloalkyl (e.g., C 3 -C 6 cycloalkyl). In some embodiments, W 13 is heterocycloalkyl (e.g., 5 or 6 membered heterocycloalkyl). In some embodiments, W 13 is aryl. In some embodiments, W 13 is heteroaryl.
- W 14 is -OH. In some embodiments, W 14 is -SH. In some embodiments, W 14 is H. In some embodiments, W 14 is halogen. In some embodiments, W 14 is CN. In some embodiments, W 14 is NO 2. In some embodiments, Ww is -OR a . In some embodiments, Ww is -NR c R d (e.g., amino, NH-alkyl or N(alkyl)2).
- W 14 is COOH.
- W 14 is C 1 -C 6 alkyl.
- W 14 is C 1 -C 6 haloalkyl.
- W 14 is C 1 -C 6 hydroxyalkyl.
- W 14 is C 1 -C 6 aminoalkyl.
- Ww is CVCr, heteroalkyl. In some embodiments.
- W 14 is C 2 -C 6 alkenyl. In some embodiments, W 14 is C 2 -C 6 alkynyl In some embodiments, W 14 is cycloalkyl (e.g., C 3 -C 6 cycloalkyl). In some embodiments, W 14 is heterocycloalkyl (e.g., 5 or 6 membered heterocycloalkyl). In some embodiments, W 14 is aryl. In some embodiments, W 14 is heteroaryl.
- W 15 is -OH. In some embodiments, W 15 is -SH. In some embodiments, W 15 is H. In some embodiments, W 15 is halogen. In some embodiments, W 15 is CN. In some embodiments, W 15 is NO 2. In some embodiments, W 15 is -OR a . In some embodiments, W 15 is -NR c R d (e.g., amino, NH-alkyl or N(alkyl)2).
- W 15 is COOH.
- W 15 is C 1 -C 6 alkyl.
- W 15 is C 1 -C 6 haloalkyl.
- W 15 is C 1 -C 6 hydroxyalkyl.
- W 15 is G-G,aminoalkyl.
- W 15 is C 1 -C 6 heteroaikyl.
- W 15 is C 2 -C 6 alkenyl. In some embodiments, W 15 is C 2 -C 6 alkynyl. In some embodiments, W 15 is cycloalkyl (e.g., C 3 -C 6 cycloalkyl). In some embodiments, W 15 is heterocycloalkyl (e.g., 5 or 6 membered heterocycloalkyl). In some embodiments, W 15 is aryl. In some embodiments, W 15 is heteroaryl.
- W 16 is -OH. In some embodiments, W 1 6 is -SH. In some embodiments, W 16 is H. In some embodiments, W 16 is halogen. In some embodiments, W 16 is CN. In some embodiments, W 16 is NO 2. In some embodiments, W 16 is -OR a . In some embodiments, W 16 is -NR c R d (e.g., amino, NH-alkyl or N(alkyl)2).
- W 16 is COOH.
- W 16 is C 1 -C 6 alkyl.
- W 16 is C 1 -C 6 haloalkyl.
- W 16 is C 1 -C 6 hydroxyalkyl
- W 16 is C 1 -C 6 aminoalkyl.
- W 16 is C 1 -C 6 heteroalkyl.
- W 16 is C 2 -C 6 alkenyl. In some embodiments, W 16 is C 2 -C 6 alkynyl. In some embodiments, W 16 is cycloalkyl (e.g., C 3 -C 6 cycloalkyl). In some embodiments, W 16 is heterocycloalkyl (e.g., 5 or 6 membered heterocycloalkyl). In some embodiments, W 16 is aryl. In some embodiments, W 16 is heteroaryl.
- R 5 is H or C 1 -C 6 alkyl. In some embodiments, R 5 is H. In some embodiments, R 5 is methyl.
- W 5 is -OH. In some embodiments, W 5 is -SH. In some embodiments, W 5 is H. In some embodiments, W 5 is halogen. In some embodiments, W 5 is CN. In some embodiments, W 5 is NO 2. In some embodiments, W 5 is -OR a . In some embodiments, W 5 is -NR c R d (e.g., amino, NH-alkyl or N(alkyl)2).
- W 5 is COOH.
- W 5 is C 1 -C 6 alkyl.
- W 5 is Ci-G,haloalk ⁇ i.
- W 5 is C 1 -C 6 hydroxyalkyl.
- W 5 is C 1 -C 6 aminoalkyl.
- W 5 is C 1 -C 6 heteroalkyl.
- W 5 is C 2 -C 6 alkenyl. In some embodiments, W 5 is C 2 -C 6 alkynyl. In some embodiments, W 5 is cycloalkyl (e.g., C 3 - Ce cycloalkyl). In some embodiments, W 5 is heterocycloalkyl (e.g., 5 or 6 membered heterocycloalkyl). In some embodiments, W 5 is aryl. In some embodiments, W 5 is heteroaryl.
- W 6 is -OH. In some embodiments, W 6 is -SH. In some embodiments, W 6 is H. In some embodiments, W 6 is halogen. In some embodiments, W 6 is CN. In some embodiments, W 6 is NO 2. In some embodiments, W 6 is -OR a . In some embodiments W 6 is -NR c R d (e.g., amino, NH-alkyl or N(alkyl)2). In some embodiments, W 6 is NH 2 .
- W 6 is COOH.
- W 6 is C 1 -C 6 alkyl.
- W 6 is C 1 -C 6 haloalkyl.
- W 6 is C 1 -C 6 hydroxyalkyl.
- W 6 is C 1 -C 6 aminoalkyl.
- W 6 is C 1 -C 6 heteroalkyl.
- W 6 is C 2 -C 6 alkenyl. In some embodiments, W 6 is C 2 -C 6 alkynyl. In some embodiments, W 6 is cycloalkyl (e.g., C 3 -C 6 cycloalkyl). In some embodiments, W 6 is heterocycloalkyl (e.g., 5 or 6 membered heterocycloalkyl). In some embodiments, W 6 is aryl. In some embodiments, W 6 is heteroaryl.
- W 7 is -OH. In some embodiments, W 7 is -SH. In some embodiments, W 7 is H. In some embodiments, W 7 is halogen. In some embodiments, W 7 is CN. In some embodiments, W 7 is NO 2. In some embodiments, W 7 is -OR a . In some embodiments, W 7 is -NR c R d (e.g., amino, NH-alkyl or N(alkyl)2).
- W 7 is COOH.
- W 7 is C 1 -C 6 alkyl.
- W 7 is C 1 -C 6 haloalkyl.
- W 7 is C 1 -C 6 hydroxyalkyl.
- W 7 is C 1 -C 6 aminoalkyl.
- W 7 is C 1 -C 6 heteroalkyl.
- W 7 is C 2 -C 6 alkenyl. In some embodiments, W 7 is C 2 -C 6 alkynyl. In some embodiments, W 7 is cycloalkyl (e.g., C 3 - C 6 cycloalkyl). In some embodiments, W 7 is heterocycloalkyl (e.g., 5 or 6 membered heterocycloalkyl). In some embodiments, W 7 is aryl. In some embodiments, W 7 is heteroaryl.
- W 8 is -OH. In some embodiments, W 8 is -SH. In some embodiments, W 8 is H. In some embodiments, W 8 is halogen. In some embodiments, W 8 is CN. In some embodiments, W 8 is NO 2. In some embodiments, W 8 is -OR a . In some embodiments, W 8 is -NR c R d (e.g., amino, NH-alkyl or N(alk l) 2 ).
- W 8 is COOH.
- W 8 is C 1 -C 6 alkyl.
- W 8 is C 1 -C 6 haloalkyl.
- W 8 is C 1 -C 6 hydroxyalkyl.
- W 8 is C 1 -C 6 aminoalkyl.
- W 8 is C 1 -C 6 heteroalkyl.
- W 8 is C 2 -C 6 alkenyl. In some embodiments, W 8 is C 2 -C 6 alkynyl. In some embodiments, W 8 is cycloalkyl (e.g., C 3 -C 6 cycloalkyl). In some embodiments, W 8 is heterocycloalkyl (e.g., 5 or 6 membered heterocycloalkyl). In some embodiments, W 8 is aryl. In some embodiments, W 8 is heteroaryl.
- W 9 is -OH. In some embodiments, W 9 is -SH. In some embodiments, W 9 is H. In some embodiments, W 9 is halogen. In some embodiments, W 9 is CN. In some embodiments, W 9 is NO 2. In some embodiments, W 9 is -OR a . In some embodiments, W 9 is -NR c R d (e.g., amino, NH-alkyl or N(alkyl) 2 ).
- W 9 is COOH.
- W 9 is C 1 -C 6 alkyl.
- W 9 is C 1 -C3alkyl.
- W 9 is methyl.
- W 9 is ethyl.
- W 9 is propyl.
- W 9 is C 1 -C 6 haloalkyl.
- W 9 is C 1 -C3haloalkyl. In some embodiments, W 9 is C 1 -C 6 hydroxyalkyl. In some embodiments, W 9 is C 1 -C 3 hydroxyalkyl. In some embodiments, W 9 is C 1 -C 6 aminoalkyl. In some embodiments, W 9 is C 1 -C 6 heteroalkyl. In some embodiments, W 9 is C 2 -C 6 alkenyl. In some embodiments, W 9 is C 2 -C 6 alkynyl. In some embodiments, W 9 is cycloalkyl (e.g., C 3 -C 6 cycloalkyl). In some embodiments, W 9 is heterocycloalkyl (e.g., 5 or 6 membered heterocycloalkyl). In some embodiments, W 9 is aryl. In some embodiments, W 9 is heteroaryl.
- W 10 is -OH. In some embodiments, W 10 is -SH. In some embodiments, W 10 is H. In some embodiments, W 10 is halogen. In some embodiments, W 10 is CN. In some embodiments, W 10 is NO 2. In some embodiments, W 10 is -OR a . In some embodiments, W 10 is -NR c R d (e.g., amino, NH-alkyl or N(alkyl)2).
- W 10 is COOH.
- W 10 is C 1 -C 6 alkyl.
- W 10 is C 1 -C 6 haloalkyl.
- W 10 is C 1 -C 6 hydroxyalkyl.
- W 10 is C 1 -C 6 aminoalkyl.
- W 10 is C 1 -C 6 heteroalkyl.
- W 10 is C 2 -C 6 alkenyl. In some embodiments, W 10 is C 2 -C 6 aikynyl. In some embodiments, W 10 is cycloalkyl (e.g., C 3 -C 6 cycloalkyl). In some embodiments, W 10 is heterocycloalkyl (e.g., 5 or 6 membered heterocycloalkyl). In some embodiments, W 10 is aryl. In some embodiments, W 10 is heteroaryl.
- W 11 is -OH. In some embodiments, W 11 is -SH. In some embodiments, W 11 is H. In some embodiments, W 11 is halogen. In some embodiments, W 11 is CN. In some embodiments, W 11 is NO 2. In some embodiments, W 11 is -OR a . In some embodiments, W 11 is -NR c R d (e.g., amino, NH-alkyl or N(alkyl)2).
- W 11 is COOH.
- W 11 is C 1 -C 6 alkyl.
- W 11 is C 1 -C 6 haloalkyl.
- W 11 is C 1 -C 6 hydroxyalkyl.
- W 11 is C 1 -C 6 aminoalkyl.
- W 11 is C 1 -C 6 heteroalkyl.
- W 11 is C 2 -C 6 alkenyl. In some embodiments, W 11 is C 2 -C 6 alkynyl. In some embodiments, W 11 is cycloalkyl (e.g., C 3 -C 6 cycloalkyl). In some embodiments, W 11 is heterocycloalkyl (e.g., 5 or 6 membered heterocycloalkyl). In some embodiments W 11 is aryl. In some embodiments, W 11 is heteroaryl.
- W 12 is -OH. In some embodiments, W 12 is -SH. In some embodiments, W 12 is H. In some embodiments, W 12 is halogen. In some embodiments, W 12 is CN. In some embodiments, W 12 is NO 2. In some embodiments, W 12 is -OR a . In some embodiments, W 12 is -NR c R d (e.g., amino, NH-alkyl or N(alkyl) 2 ).
- W 12 is COOH.
- W 12 is C 1 -C 6 alkyl.
- W 12 is C 1 -C 6 haloalkyl.
- W 12 is C 1 -C 6 hydroxyalkyl.
- W 12 is C 1 -C 6 aminoalkyl.
- W 12 is C 1 -C 6 heteroalkyl.
- W 12 is C 2 -C 6 alkenyl. In some embodiments, W 12 is C 2 -C 6 alkynyl. In some embodiments, W 12 is cycloalkyl (e.g., C 3 -C 6 cycloalkyl). In some embodiments, W 12 is heterocycloalkyl (e.g., 5 or 6 membered heterocycloalkyl). In some embodiments, W 12 is aryl. In some embodiments, W 12 is heteroaryl.
- W 5 and W 6 are taken together to form an oxo.
- W 7 and Wx are taken together to form an oxo.
- W 9 and W 10 are taken together to form an oxo.
- W 11 and W 12 are taken together to form an oxo.
- W 1 9 is hydrogen, halogen, C 1 -C 6 alkyl, cycloalkyl, heterocycloalkyl, aryl, or heteroaryl. In some embodiments W 1 9 is hydrogen. In some embodiments W 19 is C 1 -C 6 alkyl.
- W 18 is OH In some embodiments, W 18 is -SH. In some embodiments, W 18 is H. In some embodiments, W 18 is halogen. In some embodiments, W 18 is CN. In some embodiments, W 18 is NO 2. In some embodiments, W 18 is -OR a . In some embodiments, W 18 is -NR c R d (e.g., amino, NH-alkyl orN(alkyl)2).
- W 18 is COOH.
- W 18 is C 1 -C 6 alkyl.
- W 18 is Ci-G,haloalkyl.
- W 18 is C 1 -C 6 hydroxyalkyl.
- W 18 is C 1 -C 6 aminoalkyl.
- W 18 is C 1 -C 6 heteroalkyl.
- W 18 is C 2 -C 6 alkenyl. In some embodiments, W 18 is C 2 -C 6 alkynyl. In some embodiments, W 18 is cycloalkyl (e.g., C 3 -C 6 cycloalkyl). In some embodiments, W 18 is heterocycloalkyl (e.g., 5 or 6 membered heterocycloalkyl). In some embodiments, W 18 is aryl. In some embodiments, W 18 is heteroaryl.
- W 17 is H.
- W 17 is H.
- W 17 and W 18 are taken together to form an oxo.
- W 1 9 and W 17 are taken together to form a double bond.
- R 1 is C 1 - C 9 alkyl, C 2 - C 9 alkenyl, C 2 -C 9 alkynyl, C 1 -C 9 heteroalkyl, aryl, heteroaryl, cycloalkyl, heterocycloalkyl, - NR c R d , -OR a , L R1 -aryl, L R1 -heteroaryl, L R1 - cycloalkyl, or L R1 -heterocycloalkyl, wherein each of said alkyl, heteroalkyl, alkenyl, alkynyl, aryl, heteroaryl, cycloalkyl or heterocycloalkyl is optionally substituted.
- R 1 is NR c R d . In some embodiments, R 1 is -OR a . In some embodiments, R 1 is L R1 -aryl, L R1 -heteroaryl, L R1 - cycloalkyl, or L R1 -heterocycloalkyl. In some embodiments, R 1 is OH. In some embodiments, R 1 is -NHCH 2 COOH.
- W 3 and R 1 are taken together to form a substituted or unsubstituted 5-6 membered cyclic or heterocyclic ring.
- L R1 is an optionally substituted C 1 - C 3 alkylene or an optionally substituted C 1 -C 3 heteroalkylene. In some embodiments, L R1 is C 1 -C 3 alkylene. In some embodiments, L R1 is C 1 -C 2 heteroalkylene.
- R2 is an alkyl, aryl, cycloalkyl, heterocycloalkyl, alkyl-COOH or -CH 2 -COOH, wherein each of said alkyl, aryl, cycloalkyl or heterocycloalkyl is optionally substituted.
- R2 is optionally substituted C 1 -C 6 alkyl.
- R2 is optionally substituted C 1 -C 6 heteroalkyl.
- alkyl can be any straight- or branched-chain alkyl group containing up to about 30 carbons unless otherwise specified.
- an alkyl includes C 1 -C 5 carbons.
- an alkyl includes C 1 - C 6 carbons.
- an alkyl includes C 1 -C 8 carbons.
- an alkyl includes C 1 -C 10 carbons.
- an alkyl is a C 1 -C 12 carbons.
- an alkyl is a C 1 -C 20 carbons.
- branched alkyl is an alkyl substituted by alkyl side chains of 1 to 5 carbons.
- the alkyl group may be unsubstituted.
- the alkyl group may be substituted.
- the alkyl group can be a sole substituent, or it can be a component of a larger substituent, such as in an alkoxy, alkoxyalkyl, haloalkyl, arylalkyl, alkylamino, dialkylamino, alkylamido, alkylurea, etc.
- Preferred alkyl groups are methyl, ethyl, and propyl, and thus halomethyl, dihalomethyl, trihalomethyl, haloethyl, dihaloethyl, trihaloethyl, halopropyl, dihalopropyl, trihalopropyl, methoxy, ethoxy, propoxy, arylmethyl, arylethyl, arylpropyl, methylamino, ethylamino, propylamino, dimethylamino, diethylamino, methylamido, acetamido, propylamido, halomethylamido, haloethylamido, halopropylamido, methyl-urea, ethyl-urea propyl-urea.
- the alkyl is a C 1 -C 10 alkyl, a C 1 -C 9 alkyl, a C 1 -C 8 alkyl a C 1 -C 7 alkyl, a C 1 -C 6 alkyl, a C 1 -C 5 alkyl, a C 1 - C 4 alkyl, a C 1 -C 3 alkyl, a C 1 -C 2 alkyl, or a Ci alkyl.
- an alkyl examples include, but are not limited to, methyl, ethyl, n-propyl, isopropyl, 2-methyl-1-propyl, 2-methyl -2- propyl, 2-methyl-1-butyl, 3-methyl-1-butyl, 2-methyl-3-butyl, 2,2-dimethyl-1-propyl, 2- methyl-1-pentyl, 3-methyl-1-pentyl, 4-methyl-1-pentyl, 2-methyl-2-pentyl, 3-methyl-2- pentyl, 4-methyl-2-pentyl, 2,2-dimethyl-1-butyl, 3,3-dimethyl-1-butyl, 2-ethyl-1-butyl, n- butyl, isobutyl, sec-butyl, t-butyl, n-pentyl, isopentyl, neopentyl, tert-amyl, and hexyl, and longer alkyl groups, such as heptyl
- aryl refers to any aromatic ring that is directly bonded to another group and can be either substituted or unsubstituted.
- the aryl group can be a sole substituent, or the aryl group can be a component of a larger substituent, such as in an arylalkyl, arylamino, arylamido, etc.
- the term aryl includes also heteroaryl.
- Exemplary aryl groups include, without limitation, phenyl, tolyl, xylyl, furanyl, naphthyl, pyridinyl, pyrimidinyl, pyridazinyl, pyrazinyl, triazinyl, thiazolyl, oxazolyl, isooxazolyl, pyrazolyl, imidazolyl, thiophene-yl, pyrrolyl, indolyl, phenylmethyl, phenylethyl, phenylamino, phenylamido, 3-methyl-4H-1,2,4-triazolyl, oxadiazolyl, 5- methyl-1,2,4-oxadiazolyl, isothiazolyl, thiadiazolyl, triazolyl, etc.
- a “cycloalkyl” or “carbocyclic” group refers, in various embodiments, to a ring structure comprising carbon atoms as ring atoms, which may be either saturated or unsaturated, substituted or unsubstituted, single or fused.
- the cycloalkyl is a 3-10 membered ring.
- the cycloalkyl is a 3-12 membered ring.
- the cycloalkyl is a 6 membered ring.
- the cycloalkyl is a 5-7 membered ring.
- the cycloalkyl is a 3-8 membered ring.
- the cycloalkyl ring may be fused to another saturated or unsaturated cycloalkyl or heterocyclic 3-8 membered ring. In some embodiments, the cycloalkyl ring is a saturated ring. In some embodiments, the cycloalkyl ring is an unsaturated ring.
- Non limiting examples of a cycloalkyl group comprise cyclohexyl, cyclohexenyl, cyclopropyl, cyclopropenyl, cyclopentyl, cyclopentenyl, cyclopentadienyl, cyclobutyl, cyclobutenyl, cycloctyl, cycloctadienyl (COD), cycloctaene (COE) etc.
- alkoxy refers to an ether group substituted by an alkyl group as defined above. Alkoxy refers both to linear and to branched alkoxy groups. Nonlimiting examples of alkoxy groups are methoxy, ethoxy, propoxy, /.sopropoxy. tert- butoxy.
- a “heterocycle”, “heterocycloalkyl” or “heterocyclic” group or ring refers, in various embodiments, to a ring structure comprising in addition to carbon atoms, sulfur, oxygen, nitrogen or any combination thereof, as part of the ring.
- a “heteroaromatic ring” refers in various embodiments, to an aromatic ring structure comprising in addition to carbon atoms, sulfur, oxygen, nitrogen or any combination thereof, as part of the ring.
- the heterocycle or heteroaromatic ring is a 3-10 membered ring.
- the heterocycle or heteroaromatic ring is a 3-12 membered ring.
- the heterocycle or heteroaromatic ring is a 6 membered ring. In some embodiments the heterocycle or heteroaromatic ring is a 5-7 membered ring. In some embodiments the heterocycle or heteroaromatic ring is a 3-8 membered ring. In some embodiments, the heterocycle ring or heteroaromatic ring may be fused to another saturated or unsaturated cycloalkyl or heterocyclic 3-8 membered ring. In some embodiments, the heterocyclic ring is a saturated ring. In some embodiments, the heterocyclic ring is an unsaturated ring.
- Non limiting examples of a heterocyclic ring or heteroaromatic ring systems comprise pyridine, piperidine, morpholine, piperazine, thiophene, pyrrole, benzodioxole, benzofuran-2(3H)-one, benzo[d][l,3]dioxole, indole, oxazole, isoxazole, imidazole and 1-methylimidazole, furane, triazole, pyrimidine, pyrazine, oxacyclobutane (1 or 2-oxacyclobutane), naphthalene, tetrahydrothiophene 1,1 -dioxide, thiazole, benzimidazole, piperidine, 1-methylpiperidine, isoquinoline, 1,3-dihydroisobenzofuran, benzofuran, 3-methyl-4H-1,2, 4-triazole, oxadiazolyl, 5-methyl-1,2,4
- heterocycloalkyl groups include, but are not limited to, aziridinyl, azetidinyl, dioxolanyl, thienyl[l,3]dithianyl, decahydroisoquinolyl, imidazolinyl, imidazolidinyl, isothiazolidinyl, isoxazolidinyl, morpholinyl, octahydroindolyl, octahydroisoindolyl, 2-oxopiperazinyl, 2-oxopiperidinyl, 2-oxopyrrolidinyl, oxazolidinyl, piperidinyl, piperazinyl, 4-piperidonyl, pyrrolidinyl, pyrazolidinyl, quinuclidinyl, thiazolidinyl, tetrahydrofuryl, trithianyl, tetrahydropyranyl, thiomorpholiny
- heteroaryl refers to an aromatic ring system containing from 5-14 member ring having at least one heteroatom in the ring.
- suitable heteroatoms include oxygen, sulfur, phospate and nitrogen.
- heteroaryl rings include pyridinyl, pyrrolyl, oxazolyl, indolyl, isoindolyl, purinyl, furanyl, thienyl, benzofuranyl, benzothiophenyl, carbazolyl, imidazolyl, thiazolyl, isoxazolyl, pyrazolyl, isothiazolyl, quinolyl, isoquinolyl, pyridazyl, pyrimidyl, pyrazyl, etc.
- azepinyl acridinyl, benzimidazolyl, benzothiazolyl, benzindolyl, benzodioxolyl, benzofuranyl, benzooxazolyl, benzothiazolyl, benzothiadiazolyl, benzo[b][l,4]dioxepinyl, 1,4-benzodioxanyl, benzonaphthofuranyl, benzoxazolyl, benzodioxolyl, benzodioxinyl, benzopyranyl, benzopyranonyl, benzofuranyl, benzofuranonyl, benzothienyl (benzothiophenyl), benzotriazolyl, benzo[4,6]imidazo[l,2-a]pyridinyl, carbazolyl, cinnolinyl, dibenzofuranyl, dibenzothiophenyl,
- the heteroaryl group can be unsubtituted or substituted through available carbon atoms with one or more groups such as. halogen, alkyl, aryl, hydroxy, alkoxy, aryloxy, alkylaryloxy, heteroaryloxy, oxo, cycloalkyl, phenyl, heteroaryls, heterocyclyl, naphthyl, amino, amido, alkylamino, arylamino, heteroarylamino, dialkylamino, diarylamino, alkylarylamino, alkylheteroarylamino, arylheteroarylamino, acyl, acyloxy, nitro, carboxy, carbamoyl, carboxamide, cyano, sulfonyl, sulfonylamino, sulfmyl, sulfinylamino, thiol, alkylthio, arylthio, alkylsulfonyl,
- halogen or “halo” or “halide” as used herein refers to -Cl, -Br, -F, or -I groups.
- alkenyl refers to an optionally substituted straight-chain, or optionally substituted branched-chain hydrocarbon monoradical having one or more carbon-carbon double-bonds.
- C 2 -C 6 alkenyl means that the alkenyl group may consist of 2 carbon atoms, 3 carbon atoms, 4 carbon atoms, 5 carbon atoms, or 6 carbon atoms, although the present definition also covers the occurrence of the term “alkenyl” where no numerical range is designated.
- the alkenyl is a C 2 -C 10 alkenyl, a C 2 - C 9 alkenyl, a C 2 -C 8 alkenyl, a C 2 -C 7 alkenyl, a C 2 -C 6 alkenyl, a C 2 -C 5 alkenyl, a C 2 -C 4 alkenyl, a C 2 -C3 alkenyl, or a C 2 alkenyl.
- an alkenyl group is optionally substituted, for example, with oxo, halogen, amino, nitrile, nitro, hydroxyl, haloalkyl, alkoxy, aryl, cycloalkyl, heterocycloalkyl, heteroaryl, and the like.
- an alkenyl is optionally substituted with oxo, halogen, -CN, -CF 3 , -OH, -OMe, -NH 2 , or -NO 2 .
- an alkenyl is optionally substituted with oxo, halogen, -CN, -CF 3 , -OH, or -OMe.
- the alkenyl is optionally substituted with halogen.
- Alkynyl refers to an optionally substituted straight-chain or optionally substituted branched-chain hydrocarbon monoradical having one or more carbon-carbon triple-bonds.
- an alkynyl group has from two to about ten carbon atoms, more preferably from two to about six carbon atoms. Examples include, but are not limited to, ethynyl, 2-propynyl, 2-butynyl, 1,3-butadiynyl, and the like.
- C 2 -C 6 alkynyl means that the alkynyl group may consist of 2 carbon atoms, 3 carbon atoms, 4 carbon atoms, 5 carbon atoms, or 6 carbon atoms, although the present definition also covers the occurrence of the term “alkynyl” where no numerical range is designated.
- the alkynyl is a C 2 -C 10 alkynyl, a C 2 - C 9 alkynyl, a C 2 -C 8 alkynyl, a C 2 -C 7 alkynyl, a C 2 -C 6 alkynyl, a C 2 -C 5 alkynyl, a C 2 -C 4 alkynyl, a C 2 -C 3 alkynyl, or a C 2 alkynyl.
- an alkynyl group is optionally substituted, for example, with oxo, halogen, amino, nitrile, nitro, hydroxyl, haloalkyl, alkoxy, aryl, cycloalkyl, heterocycloalkyl, heteroaryl, and the like.
- an alkynyl is optionally substituted with oxo, halogen, -CN, -CF 3 , -OH, -OMe, -NH 2 , or -NO 2 .
- an alkynyl is optionally substituted with oxo, halogen, -CN, -CF 3 , -OH, or -OMe.
- the alkynyl is optionally substituted with halogen.
- Aminoalkyl refers to an alkyl radical, as defined above, that is substituted by one or more amines. In some embodiments, the alkyl is substituted with one amine. In some embodiments, the alkyl is substituted with one, two, or three amines. Hydroxyalkyl include, for example, aminomethyl, aminoethyl, aminopropyl, aminobutyl, or aminopentyl. In some embodiments, the hydroxyalkyl is aminomethyl.
- Haloalkyl refers to an alkyl radical, as defined above, that is substituted by one or more halogens. In some embodiments, the alkyl is substituted with one, two, or three halogens. In some embodiments, the alkyl is substituted with one, two, three, four, five, or six halogens. Haloalkyl can include, for example, iodoalkyl, bromoalkyl, chloroalkyl, and fluoroalkyl.
- fluoroalkyl refers to an alkyl radical, as defined above, that is substituted by one or more fluoro radicals, as defined above, for example, trifluoromethyl, difluoromethyl, fluoromethyl, 2,2,2-trifluoroethyl, 1 -fluoromethyl-2-fluoroethyl, and the like.
- the alkyl part of the fluoroalkyl radical is optionally substituted.
- Heteroalkyl refers to an alkyl group in which one or more skeletal atoms of the alkyl are selected from an atom other than carbon, e.g., oxygen, nitrogen (e.g., -NH-, - N(alkyl)-), sulfur, or combinations thereof.
- a heteroalkyl is attached to the rest of the molecule at a carbon atom of the heteroalkyl.
- a heteroalkyl is a C 1 -C 6 heteroalkyl wherein the heteroalkyl is comprised of 1 to 6 carbon atoms and one or more atoms other than carbon, e.g., oxygen, nitrogen (e.g.
- heteroalkyl is attached to the rest of the molecule at a carbon atom of the heteroalkyl.
- heteroalkyl examples include, for example, -CH 2 OCH 3 , -CH 2 CH 2 OCH 3 , -CH 2 CH 2 OCH 2 CH 2 OCH 3 , or -CH(CH )OCH .
- a heteroalkyl is optionally substituted for example, with oxo, halogen, amino, nitrile, nitro, hydroxyl alkyl alkenyl, alkynyl, haloalkyl, alkoxy, aryl, cycloalkyl, heterocycloalkyl, heteroaryl, and the like.
- a heteroalkyl is optionally substituted with oxo, halogen, methyl, ethyl, -CN, -CF 3 , -OH, -OMe, -NH 2 , or -NO 2 .
- a heteroalkyl is optionally substituted with oxo, halogen, methyl, ethyl, -CN, -CF 3 , -OH, or -OMe. In some embodiments, the heteroalkyl is optionally substituted with halogen.
- a “heteroalkylene” refers to a divalent heteroalkyl.
- Hydroxyalkyl refers to an alkyl radical, as defined above, that is substituted by one or more hydroxyls. In some embodiments, the alkyl is substituted with one hydroxyl. In some embodiments, the alkyl is substituted with one, two, or three hydroxyls. Hydroxyalkyl include, for example, hydroxymethyl, hydroxyethyl, hydroxypropyl, hydroxybutyl, or hydroxypentyl. In some embodiments, the hydroxyalkyl is hydroxymethyl.
- substituents include the following: F, Cl, Br, I, OH, SH, C 1 -C 5 linear or branched alkyl, aryl (e.g. phenyl), heteroaryl (e.g. dislike pyridine (2, 3, and 4-pyridine), cycloalkyl (e.g.
- cyclopropyl cyclopropyl
- isomers of the chimeric molecules as described hereinabove are isomers of the chimeric molecules as described hereinabove.
- the term “isomer” includes, but is not limited to, stereoisomers including optical isomers and analogs, structural isomers and analogs, conformational isomers and analogs, and the like.
- the isomer is a stereoisomer.
- the isomer is an optical isomer.
- Certain chimeric molecules may exist in particular geometric or stereoisomeric forms. Embodiments described herein contemplate all such chimeric molecules, including cis- and trans-isomers, R- and L-enantiomers. diastereomers, the racemic mixtures thereof, and other mixtures thereof. Additional asymmetric carbon atoms may be present in a substituent such as an alkyl group. All such isomers, as well as mixtures thereof, are comprised in embodiments disclosed herein.
- the chimeric molecules may contain at least one chiral center. Accordingly, the chimeric molecules used in the methods described herein may exist in, and be isolated in, optically-active or racemic forms. The chimeric molecules may further exist as stereoisomers which may be also optically-active isomers (e.g. neighbor enantiomers such as (R) or (S)).
- chimeric molecules described herein may encompass any racemic, optically-active, polymorphic, or stereoisomeric form, or mixtures thereof, which form possesses properties useful in the treatment of the various diseases described herein. It is also to be understood that chirality and/or optical activity can affect biological activity of the chimeric molecules.
- optically active forms for example, by resolution of the racemic form by recrystallization techniques, by synthesis from optically- active starting materials, by chiral synthesis, or by chromatographic separation using a chiral stationary phase).
- the chimeric molecules can also be present in the form of a racemic mixture, containing substantially equivalent amounts of stereoisomers.
- the chimeric molecules of can be prepared or otherwise isolated, using known procedures, to obtain a stereoisomer substantially free of its corresponding stereoisomer (i.e., substantially pure).
- substantially pure it is intended that a stereoisomer is at least about 95% pure, more preferably at least about 98% pure, most preferably at least about 99% pure.
- chimeric molecules can also be in the form of a hydrate, which means that the compound further includes a stoichiometric or non-stoichiometric amount of water bound by non-covalent intermolecular forces.
- chimeric molecules may exist in the form of one or more of the possible tautomers and depending on the conditions it may be possible to separate some or all the tautomers into individual and distinct entities. It is to be understood that all the possible tautomers, including all additional enol and keto tautomers and/or isomers are hereby covered. [00326] As used herein, the term “Formula (l)-(9) derivatives”, or “Formula (A)-(K) derivatives”, refer to additional or removal of any functional group to or from the corresponding Formula.
- Non-limiting examples are ketone, amine, amide, alcohol, ester, ather, alkane, alkene, alkyne, alkyl halide, thiol, aldehyde, or any combination thereof. Similar meanings can be applied to Formulas (I*)-(9*), (K*), (K**), (B*) or (B**).
- the compounds described herein exist in their isotopically-labeled forms.
- the methods disclosed herein include methods of treating diseases by administering such isotopically-labeled compounds.
- the methods disclosed herein include methods of treating diseases by administering such isotopically-labeled compounds as pharmaceutical compositions.
- the compounds disclosed herein include isotopically-labeled compounds, which are identical to those recited herein, but for the fact that one or more atoms are replaced by an atom having an atomic mass or mass number different from the atomic mass or mass number usually found in nature.
- isotopes that can be incorporated into compounds described herein, or a solvate, or stereoisomer thereof, include isotopes of hydrogen, carbon, nitrogen, oxygen, phosphorous, sulfur, fluorine, and chloride, such as 2 H, 3 H, 13 C, 14 C, 15 N, 18 O, 17 O, 31 P, 32 P, 35 S, 18 F, and 36 Cl, respectively.
- Compounds described herein, and the pharmaceutically acceptable salts, solvates, or stereoisomers thereof which contain the aforementioned isotopes and/or other isotopes of other atoms are within the scope of this disclosure.
- isotopically- labeled compounds for example those into which radioactive isotopes such as 3 H and 14 C are incorporated, are useful in drug and/or substrate tissue distribution assays. Tritiated, i.e., 3 H and carbon- 14, i.e., 14 C, isotopes are notable for their ease of preparation and detectability. Further, substitution with heavy isotopes such as deuterium, i.e., 2 H, produces certain therapeutic advantages resulting from greater metabolic stability, for example increased in vivo half-life or reduced dosage requirements.
- the isotopically labeled compound or a pharmaceutically acceptable salt, solvate, or stereoisomer thereof is prepared by any suitable method.
- the compounds described herein are labeled by other means, including, but not limited to, the use of chromophores or fluorescent moieties, bioluminescent labels, or chemiluminescent labels.
- the abundance of 2 H atoms in the compounds disclosed herein is enriched for some or all of the 1 H atoms.
- the methods of synthesis for deuterium-containing compounds are known in the art and include, by way of non- limiting example only, the following synthetic methods.
- Deuterium substituted compounds are synthesized using various methods such as described in: Dean, Dennis C.; Editor. Recent Advances in the Synthesis and Applications of Radiolabeled Compounds for Drug Discovery and Development. [In: Curr., Pharm. Des., 2000; 6(10)] 2000, 110 pp; George W.; Varma, Rajender S. The Synthesis of Radiolabeled Compounds via Organometallic Intermediates, Tetrahedron, 1989, 45(21), 6601-21; and Evans, E. Anthony. Synthesis of radiolabeled compounds, J. Radioanal. Chem., 1981, 64(1-2), 9-32.
- Deuterated starting materials are readily available and are subjected to the synthetic methods described herein to provide for the synthesis of deuterium-containing compounds.
- Large numbers of deuterium-containing reagents and building blocks are available commercially from chemical vendors, such as Aldrich Chemical Co.
- Deuterium-transfer reagents suitable for use in nucleophilic substitution reactions are readily available and may be employed to transfer a deuterium-substituted carbon atom under nucleophilic substitution reaction conditions to the reaction substrate.
- Deuterium-transfer reagents such as lithium aluminum deuteride (LiA1D 4 ), can be employed to transfer deuterium under reducing conditions to the reaction substrate.
- Deuterium gas and palladium catalyst can be employed to reduce unsaturated carbon-carbon linkages and to perform a reductive substitution of aryl carbon-halogen bonds.
- the compounds disclosed herein contain one deuterium atom. In another embodiment, the compounds disclosed herein contain two deuterium atoms. In another embodiment, the compounds disclosed herein contain three deuterium atoms. In another embodiment, the compounds disclosed herein contain four deuterium atoms. In another embodiment, the compounds disclosed herein contain five deuterium atoms. In another embodiment, the compounds disclosed herein contain six deuterium atoms. In another embodiment, the compounds disclosed herein contain more than six deuterium atoms. In another embodiment, the compound disclosed herein is fully substituted with deuterium atoms and contains no non-exchangeable 1 H hydrogen atoms. In some embodiments, the level of deuterium incorporation is determined by synthetic methods in which a deuterated synthetic building block is used as a starting material.
- the chimeric molecules disclosed herein may exist in the form of one or more of the possible tautomers and depending on the conditions it may be possible to separate some or all of the tautomers into individual and distinct entities. It is to be understood that all of the possible tautomers, including all additional enol and keto tautomers and/or isomers are hereby covered.
- a process for the preparation of the chimeric molecules, comprising the following steps: (i) linker molecule activation;
- step (iii) second binding domain coupling with second functional group of the activated linker molecule.
- steps of Process 1 (ii)-(iii) are performed following step (i).
- step (ii) is performed prior to step (iii).
- step (ii) is performed following step (iii).
- step (ii) of Process 1 comprises a coupling reaction between USP5 binder selected from Formulas (l)-(9) or derivatives thereof with one functional group of an activated linker (of step (i) or step (iii)).
- step (iii) comprises a coupling reaction between target binder selected from (A)-(K) or derivative thereof with second functional group of an activated linker (of step (i) or of step (ii)).
- step (i) can be represented by Scheme 1 :
- LG is a leaving group, selected from halide, OTs, OMs, and OTf; and n is an integer between 1 and 10.
- the linker molecule activation of step (i) is prepared by reacting linker (9) with Ts-Hal, Ms-Hal, or Tf-Hal, wherein Hal is halide.
- the linker of step (i) is activated only on one end. In another embodiment, after step (ii) the linker connected to the first binding domain is activated before step (iii). In another embodiment, after step (iii) the linker connected to the second binding domain is optionally activated before step (ii).
- step (ii) of Process 1 can be represented by Schemes 2A- 2B: [00342] Schemes 2A-2B: Coupling of activated linker molecule with the first binding domain (1 la-1 lb):
- X 10 is -CH 2 - or -O-;
- LG is a leaving group, selected from halide, OTs, OMs and OTf; n is an integer between 1 and 10;
- Aik is an alkyl
- X 1 -X 9 and W 1 -W 19 are as described hereinabove.
- step (ii) or (iii) comprises a further sub-step done following the reaction between (10) and the first or second binding domain, namely modification of the linker’s moiety leaving group (LG) (at the end where it did not react with the binding domain) in order to afford better coupling with the second or first binding domain, respectively.
- linker’s moiety leaving group (LG) at the end where it did not react with the binding domain
- X 10 is -CH 2 - or -O-; n is an integer between 1 and 10;
- Alk is an alkyl
- X 1 -X 9 and W 1 -W 19 are as described hereinabove.
- the conversion of (12a-1) to (13a) or (12b-1) to (13b) is performed via any known method in the art for converting an -OTs group with an -NH 2 group.
- the conversion is performed by a “Staudinger reaction”, i.e., by reacting (12a-l) or (12b-l) with NaN 3 and then with PPh 3 .
- Formula (10) is represented by the following:
- Formula (1 la) is represented by the following:
- n certa n em o ments, Formula (11b) is represented by the following:
- Formula (12a-1) is represented by the following:
- Formula (13a) is represented by the following:
- Formula (13b) is represented by the following: [ 00353]
- a process for the preparation of the chimeric molecules disclosed herein, comprising the following steps:
- step (i) of Process 2 is performed prior to step (ii). In another embodiment, step (i) is performed following step (ii). In another embodiment, step (i) comprises a coupling reaction between USP5 binder selected from Formulas (l)-(9) or derivatives thereof with one functional group or one end of the linker provided herein. In another embodiment, step (ii) comprises a coupling reaction between target binder selected from (A)-(K) or derivative thereof with second functional group or second end of the linker provided herein. In another embodiment, the linker molecule is optionally activated prior to the coupling reaction (i). In another embodiment, the linker molecule is optionally activated prior to the coupling reaction (ii). In another embodiment, the linker molecule is optionally activated prior to the coupling reaction (iii).
- the coupling reaction of steps (ii) and (iii) of Process 1, and steps (i) and (ii) of Process 2 are performed via any method known in the art for coupling alcohol and carbon substituted with a leaving group. In some embodiments, the coupling reaction of steps (ii) and (iii) of Process 1, and steps (i) and (ii) of Process 2 are performed via any method known in the art for coupling acid and amine group.
- the other end of the linker is substituted with amine.
- the other end of the linker having a leaving group is replaced with an amine.
- the other end of the linker having a leaving group is capable of replacing (converting) OTs (leaving group) group replaced with amine by any method known in the art.
- compositions provided herein are prepared according to Examples 2-65.
- a pharmaceutical composition comprising any one of the chimeric molecules disclosed herein.
- a pharmaceutical composition comprising a pharmaceutically acceptable salt of any one of the chimeric molecules disclosed herein.
- a pharmaceutical composition comprising any one of the chimeric molecules disclosed herein and a pharmaceutically acceptable carrier.
- a pharmaceutical composition comprises a preparation of one or more of the chimeric molecules, described herein with other chemical components, such as physiologically (pharmaceutically) suitable carriers and excipients.
- compositions are known to those skilled in the art, and have been amply described in a variety of publications, including, for example, A. Gennaro (1995) "Remington: The Science and Practice of Pharmacy", 19th edition, Lippincott, Williams, & Wilkins formulations.
- the purpose of a pharmaceutical composition is to facilitate administration of a compound to an organism.
- a pharmaceutical composition provides the pharmaceutical dosage form of a chimeric molecule disclosed herein.
- a pharmaceutical composition comprising a chimeric molecule comprising a USP5 binder.
- a pharmaceutical composition comprising a chimeric molecule comprising a USP5 binder represented by the structure of any one of the following Formula (1) - Formula (9) or a pharmaceutically acceptable salt thereof.
- a pharmaceutical composition comprising a chimeric molecule comprising a USP5 binder represented by the structure of any one of the following Formula (1) - Formula (9) and a target binder represented by the structure of Formula (A)-(K).
- a pharmaceutical composition comprising a chimeric molecule comprising a USP5 binder represented by the structure of any one of the following Formula (1) - Formula (9) and a target binder represented by the structure of Formula (L)-(N).
- a pharmaceutical composition comprising a chimeric molecule comprising a USP5 bi d epresented by the structure of any one of the following Formula (1*) - Formula (9*).
- a pharmaceutical composition comprising a chimeric molecule comprising a USP5 binder represented by the structure of any one of the following Formula (1*) - Formula (9*) and a target binder represented by the structure of Formula (A)-(N).
- a pharmaceutical composition comprising a chimeric molecule represented by the structure of chimeric molecule (I)-(XXX). In one embodiment, provided herein is a pharmaceutical composition comprising a chimeric molecule represented by the structure of chimeric molecule (1)-(210) of Table 2.
- provided herein is a pharmaceutical composition comprising a chimeric molecule comprising a USP5 binder represented by the structure of Formula (1). In some embodiments, provided herein is a pharmaceutical composition comprising a chimeric molecule comprising a USP5 binder represented by the structure of Formula (2). In some embodiments, provided herein is a pharmaceutical composition comprising a chimeric molecule comprising a USP5 binder represented by the structure of Formula (3). In some embodiments, provided herein is a pharmaceutical composition comprising a chimeric molecule comprising a USP5 binder represented by the structure of Formula (4).
- provided herein is a pharmaceutical composition comprising a chimeric molecule comprising a USP5 binder represented by the structure of Formula (5). In some embodiments, provided herein is a pharmaceutical composition comprising a chimeric molecule comprising a USP5 binder represented by the structure of Formula (6). In some embodiments, provided herein is a pharmaceutical composition comprising a chimeric molecule comprising a USP5 binder represented by the structure of Formula (7). In some embodiments, provided herein is a pharmaceutical composition comprising a chimeric molecule comprising a USP5 binder represented by the structure of Formula (8).
- provided herein is a pharmaceutical composition comprising a chimeric molecule comprising a USP5 binder represented by the structure of Formula (9). In some embodiments, provided herein is a pharmaceutical composition comprising a chimeric molecule comprising a USP5 binder represented by the structure of Formulas (l*)-(9*).
- a pharmaceutical composition comprising a chimeric molecule comprising a USP5 binder represented by the structure of any one of the following Formula (1) - Formula (9) and a target binder represented by the structure of Formula (A)-(K).
- a pharmaceutical composition comprising a chimeric molecule comprising a USP5 binder represented by the structure of any one of the following Formula (1*) - Formula (9*) and a target binder represented by the structure of Formula (A)-(K).
- a pharmaceutical composition comprising a chimeric molecule comprising a USP5 binder represented by the structure of Formula (1) and a target binder represented by the structure of Formula (A)-(K).
- a pharmaceutical composition comprising a chimeric molecule comprising a USP5 binder represented by the structure of Formula (2) and a target binder represented by the structure of Formula (A)- (K).
- a pharmaceutical composition comprising a chimeric molecule comprising a USP5 binder represented by the structure of Formula (3) and a target binder represented by the structure of Formula (A)-(K).
- a pharmaceutical composition comprising a chimeric molecule comprising a USP5 binder represented by the structure of Formula (4) and a target binder represented by the structure of Formula (A)-(K).
- a pharmaceutical composition comprising a chimeric molecule comprising a USP5 binder represented by the structure of Formula (5) and a target binder represented by the structure of Formula (A)-(K).
- a pharmaceutical composition comprising a chimeric molecule comprising a USP5 binder represented by the structure of Formula (6) and a target binder represented by the structure of Formula (A)-
- a pharmaceutical composition comprising a chimeric molecule comprising a USP5 binder represented by the structure of Formula (7) and a target binder represented by the structure of Formula (A)-(K).
- a pharmaceutical composition comprising a chimeric molecule comprising a USP5 binder represented by the structure of Formula (8) and a target binder represented by the structure of Formula (A)-(K).
- a pharmaceutical composition comprising a chimeric molecule comprising a USP5 binder represented by the structure of Formula (9) and a target binder represented by the structure of Formula (A)-(K).
- a pharmaceutical composition comprising a chimeric molecule comprising a USP5 binder represented by the structure of Formulas (1)- (9) and a target binder represented by the structure of Formula
- composition comprising a chimeric molecule comprising a USP5 binder represented by the structure of Formulas (1*)- (9*) and a target binder represented by the structure of Formula (A)-(N).
- a pharmaceutical composition comprising a chimeric molecule comprising a USP5 binder represented by the structure of any of Formula (1), (2), (3), (4), (5), (6), (7), (8), or (9) and a target binder represented by the structure of Formula (A).
- a pharmaceutical composition comprising a chimeric molecule comprising a USP5 binder represented by the structure of any of Formula (1), (2), (3), (4), (5), (6), (7), (8), or (9) and a target binder represented by the structure of Formula (B).
- a pharmaceutical composition comprising a chimeric molecule comprising a USP5 binder represented by the structure of any of Formula (1), (2), (3), (4), (5), (6), (7), (8), or (9) and a target binder represented by the structure of Formula (C).
- a pharmaceutical composition comprising a chimeric molecule comprising a USP5 binder represented by the structure of any of Formula (1), (2), (3), (4), (5), (6), (7), (8), or (9) and a target binder represented by the structure of Formula (D).
- a pharmaceutical composition comprising a chimeric molecule comprising a USP5 binder represented by the structure of any of Formula (1), (2), (3), (4), (5), (6), (7), (8), or (9) and a target binder represented by the structure of Formula (E).
- a pharmaceutical composition comprising a chimeric molecule comprising a USP5 binder represented by the structure of any of Formula (1), (2), (3), (4), (5), (6), (7), (8), or (9) and a target binder represented by the structure of Formula (F).
- a pharmaceutical composition comprising a chimeric molecule comprising a USP5 binder represented by the structure of any of Formula (1), (2), (3), (4), (5), (6), (7), (8), or (9) and a target binder represented by the structure of Formula (G).
- a pharmaceutical composition comprising a chimeric molecule comprising a USP5 binder represented by the structure of any of Formula (1), (2), (3), (4), (5), (6), (7), (8), or (9) and a target binder represented by the structure of Formula (H).
- a pharmaceutical composition comprising a chimeric molecule comprising a USP5 binder represented by the structure of any of Formula (1), (2), (3), (4), (5), (6), (7), (8), or (9) and a target binder represented by the structure of Formula (I).
- a pharmaceutical composition comprising a chimeric molecule comprising a USP5 binder represented by the structure of any of Formula (1), (2), (3), (4), (5), (6), (7), (8), or (9) and a target binder represented by the structure of Formula (J).
- a pharmaceutical composition comprising a chimeric molecule comprising a USP5 binder represented by the structure of any of Formula (1), (2), (3), (4), (5), (6), (7), (8), or (9) and a target binder represented by the structure of Formula (K).
- a pharmaceutical composition comprising a chimeric molecule comprising a USP5 binder represented by the structure of any of Formula (1*), (2*), (3*), (4*), (5*), (6*), (7*), (8*), or (9*) and a target binder represented by the structure of Formula (A).
- a pharmaceutical composition comprising a chimeric molecule comprising a USP5 binder represented by the structure of any of Formula (1*), (2*), (3*), (4*), (5*), (6*), (7*), (8*), or (9*) and a target binder represented by the structure of Formula (B).
- a pharmaceutical composition comprising a chimeric molecule comprising a USP5 binder represented by the structure of any of Formula (1*), (2*), (3*), (4*), (5*), (6*), (7*), (8*), or (9*) and a target binder represented by the structure of Formula (C).
- a pharmaceutical composition comprising a chimeric molecule comprising a USP5 binder represented by the structure of any of Formula (1*), (2*), (3*), (4*), (5*), (6*), (7*), (8*), or (9*) and a target binder represented by the structure of Formula (D).
- a pharmaceutical composition comprising a chimeric molecule comprising a USP5 binder represented by the structure of any of Formula (1*), (2*), (3*), (4*), (5*), (6*), (7*), (8*), or (9*) and a target binder represented by the structure of Formula (E).
- a pharmaceutical composition comprising a chimeric molecule comprising a USP5 binder represented by the structure of any of Formula (1*), (2*), (3*), (4*), (5*), (6*), (7*), (8*), or (9*) and a target binder represented by the structure of Formula (F).
- a pharmaceutical composition comprising a chimeric molecule comprising a USP5 binder represented by the structure of any of Formula (1*), (2*), (3*), (4*), (5*), (6*), (7*), (8*), or (9*) and a target binder represented by the structure of Formula (G).
- a pharmaceutical composition comprising a chimeric molecule comprising a USP5 binder represented by the structure of any of Formula (1*), (2*), (3*), (4*), (5*), (6*), (7*), (8*), or (9*) and a target binder represented by the structure of Formula (H).
- a pharmaceutical composition comprising a chimeric molecule comprising a USP5 binder represented by the structure of any of Formula (1*), (2*), (3*), (4*), (5*), (6*), (7*), (8*), or (9*) and a target binder represented by the structure of Formula (I).
- a pharmaceutical composition comprising a chimeric molecule comprising a USP5 binder represented by the structure of any of Formula (1*), (2*), (3*), (4*), (5*), (6*), (7*), (8*), or (9*) and a target binder represented by the structure of Formula (J).
- a pharmaceutical composition comprising a chimeric molecule comprising a USP5 binder represented by the structure of any of Formula (1*), (2*), (3*), (4*), (5*), (6*), (7*), (8*), or (9*) and a target binder represented by the structure of Formula (K).
- a pharmaceutical composition comprising a chimeric molecule comprising a USP5 binder represented by the structure of any of Formula (1*), (2*), (3*), (4*), (5*), (6*), (7*), (8*), or (9*) and a target binder represented by the structure of Formula (L).
- a pharmaceutical composition comprising a chimeric molecule comprising a USP5 binder represented by the structure of any of Formula (1*), (2*), (3*), (4*), (5*), (6*), (7*), (8*), or (9*) and a target binder represented by the structure of Formula (M).
- a pharmaceutical composition comprising a chimeric molecule comprising a USP5 binder represented by the structure of any of Formula (1*), (2*), (3*), (4*), (5*), (6*), (7*), (8*), or (9*) and a target binder represented by the structure of Formula (N).
- a pharmaceutical composition comprising a chimeric molecule comprising a USP5 binder represented by the structure of Formula (7) and a target binder represented by the structure of Formula (A).
- a pharmaceutical composition comprising a chimeric molecule comprising a USP5 binder represented by the structure of Formula (7) and a target binder represented by the structure of Formula (B).
- a pharmaceutical composition comprising a chimeric molecule comprising a USP5 binder represented by the structure of Formula (7) and a target binder represented by the structure of Formula (C).
- a pharmaceutical composition comprising a chimeric molecule comprising a USP5 binder represented by the structure of Formula (7) and a target binder represented by the structure of Formula (D).
- a pharmaceutical composition comprising a chimeric molecule comprising a USP5 binder represented by the structure of Formula (7) and a target binder represented by the structure of Formula (E).
- a pharmaceutical composition comprising a chimeric molecule comprising a USP5 binder represented by the structure of Formula (7) and a target binder represented by the structure of Formula (F).
- a pharmaceutical composition comprising a chimeric molecule comprising a USP5 binder represented by the structure of Formula (7) and a target binder represented by the structure of Formula (G).
- a pharmaceutical composition comprising a chimeric molecule comprising a USP5 binder represented by the structure of Formula (7) and a target binder represented by the structure of Formula (H).
- a pharmaceutical composition comprising a chimeric molecule comprising a USP5 binder represented by the structure of Formula (7) and a target binder represented by the structure of Formula (I).
- a pharmaceutical composition comprising a chimeric molecule comprising a USP5 binder represented by the structure of Formula (7) and a target binder represented by the structure of Formula (J).
- a pharmaceutical composition comprising a chimeric molecule comprising a USP5 binder represented by the structure of Formula (7) and a target binder represented by the structure of Formula (K).
- a pharmaceutical composition comprising a chimeric molecule comprising a USP5 binder represented by the structure of Formula (7) and a target binder represented by the structure of Formula (L).
- a pharmaceutical composition comprising a chimeric molecule comprising a USP5 binder represented by the structure of Formula (7) and a target binder represented by the structure of Formula (M).
- a pharmaceutical composition comprising a chimeric molecule comprising a USP5 binder represented by the structure of Formula (7) and a target binder represented by the structure of Formula (N).
- a pharmaceutical composition comprising a chimeric molecule comprising a USP5 binder represented by the structure of Formula (7*) and a target binder represented by the structure of Formula (A).
- a pharmaceutical composition comprising a chimeric molecule comprising a USP5 binder represented by the structure of Formula (7*) and a target binder represented by the structure of Formula (B).
- a pharmaceutical composition comprising a chimeric molecule comprising a USP5 binder represented by the structure of Formula (7*) and a target binder represented by the structure of Formula (C).
- a pharmaceutical composition comprising a chimeric molecule comprising a USP5 binder represented by the structure of Formula (7*) and a target binder represented by the structure of Formula (D).
- a pharmaceutical composition comprising a chimeric molecule comprising a USP5 binder represented by the structure of Formula (7*) and a target binder represented by the structure of Formula (E).
- a pharmaceutical composition comprising a chimeric molecule comprising a USP5 binder represented by the structure of Formula (7*) and a target binder represented by the structure of Formula (F).
- a pharmaceutical composition comprising a chimeric molecule comprising a USP5 binder represented by the structure of Formula (7*) and a target binder represented by the structure of Formula (G).
- a pharmaceutical composition comprising a chimeric molecule comprising a USP5 binder represented by the structure of Formula (7*) and a target binder represented by the structure of Formula (H).
- a pharmaceutical composition comprising a chimeric molecule comprising a USP5 binder represented by the structure of Formula (7*) and a target binder represented by the structure of Formula (I).
- a pharmaceutical composition comprising a chimeric molecule comprising a USP5 binder represented by the structure of Formula (7*) and a target binder represented by the structure of Formula (J).
- a pharmaceutical composition comprising a chimeric molecule comprising a USP5 binder represented by the structure of Formula (7*) and atarget binder represented by the structure of Formula (K).
- a pharmaceutical composition comprising a chimeric molecule comprising a USP5 binder represented by the structure of Formula (7*) and a target binder represented by the structure of Formula (L).
- a pharmaceutical composition comprising a chimeric molecule comprising a USP5 binder represented by the structure of Formula (7*) and a target binder represented by the structure of Formula (M).
- a pharmaceutical composition comprising a chimeric molecule comprising a USP5 binder represented by the structure of Formula (7*) and a target binder represented by the structure of Formula (N).
- a pharmaceutical composition comprising a chimeric molecule comprising a USP5 binder represented by the structure of Formula (8) and a target binder represented by the structure of Formula (A).
- a pharmaceutical composition comprising a chimeric molecule comprising a USP5 binder represented by the structure of Formula (8) and a target binder represented by the structure of Formula (B).
- a pharmaceutical composition comprising a chimeric molecule comprising a USP5 binder represented by the structure of Formula (8) and a target binder represented by the structure of Formula (C).
- a pharmaceutical composition comprising a chimeric molecule comprising a USP5 binder represented by the structure of Formula (8) and a target binder represented by the structure of Formula (D).
- a pharmaceutical composition comprising a chimeric molecule comprising a USP5 binder represented by the structure of Formula (8) and a target binder represented by the structure of Formula (E).
- a pharmaceutical composition comprising a chimeric molecule comprising a USP5 binder represented by the structure of Formula (8) and a target binder represented by the structure of Formula (F).
- a pharmaceutical composition comprising a chimeric molecule comprising a USP5 binder represented by the structure of Formula (8) and a target binder represented by the structure of Formula (G).
- a pharmaceutical composition comprising a chimeric molecule comprising a USP5 binder represented by the structure of Formula (8) and a target binder represented by the structure of Formula (H).
- a pharmaceutical composition comprising a chimeric molecule comprising a USP5 binder represented by the structure of Formula (8) and a target binder represented by the structure of Formula (I).
- a pharmaceutical composition comprising a chimeric molecule comprising a USP5 binder represented by the structure of Formula (8) and a target binder represented by the structure of Formula (J).
- a pharmaceutical composition comprising a chimeric molecule comprising a USP5 binder represented by the structure of Formula (8) and a target binder represented by the structure of Formula (K).
- a pharmaceutical composition comprising a chimeric molecule comprising a USP5 binder represented by the structure of Formula (8) and a target binder represented by the structure of Formula (L).
- a pharmaceutical composition comprising a chimeric molecule comprising a USP5 binder represented by the structure of Formula (8) and a target binder represented by the structure of Formula (M).
- a pharmaceutical composition comprising a chimeric molecule comprising a USP5 binder represented by the structure of Formula (8) and a target binder represented by the structure of Formula (N).
- a pharmaceutical composition comprising a chimeric molecule comprising a USP5 binder represented by the structure of Formula (8*) and a target binder represented by the structure of Formula (A).
- a pharmaceutical composition comprising a chimeric molecule comprising a USP5 binder represented by the structure of Formula (8*) and a target binder represented by the structure of Formula (B).
- a pharmaceutical composition comprising a chimeric molecule comprising a USP5 binder represented by the structure of Formula (8*) and a target binder represented by the structure of Formula (C).
- a pharmaceutical composition comprising a chimeric molecule comprising a USP5 binder represented by the structure of Formula (8*) and a target binder represented by the structure of Formula (D).
- a pharmaceutical composition comprising a chimeric molecule comprising a USP5 binder represented by the structure of Formula (8*) and a target binder represented by the structure of Formula (E).
- a pharmaceutical composition comprising a chimeric molecule comprising a USP5 binder represented by the structure of Formula (8*) and a target binder represented by the structure of Formula (F).
- a pharmaceutical composition comprising a chimeric molecule comprising a USP5 binder represented by the structure of Formula (8*) and a target binder represented by the structure of Formula (G).
- a pharmaceutical composition comprising a chimeric molecule comprising a USP5 binder represented by the structure of Formula (8*) and a target binder represented by the structure of Formula (H).
- a pharmaceutical composition comprising a chimeric molecule comprising a USP5 binder represented by the structure of Formula (8*) and a target binder represented by the structure of Formula (I).
- a pharmaceutical composition comprising a chimeric molecule comprising a USP5 binder represented by the structure of Formula (8*) and a target binder represented by the structure of Formula (J).
- a pharmaceutical composition comprising a chimeric molecule comprising a USP5 binder represented by the structure of Formula (8*) and atarget binder represented by the structure of Formula (K).
- a pharmaceutical composition comprising a chimeric molecule comprising a USP5 binder represented by the structure of Formula (8*) and a target binder represented by the structure of Formula (L).
- a pharmaceutical composition comprising a chimeric molecule comprising a USP5 binder represented by the structure of Formula (8*) and a target binder represented by the structure of Formula (M).
- a pharmaceutical composition comprising a chimeric molecule comprising a USP5 binder represented by the structure of Formula (8*) and atarget binder represented by the structure of Formula (N).
- a pharmaceutical composition comprising a chimeric molecule comprising a USP5 binder represented by the structure of Formula (9) and a target binder represented by the structure of Formula (A).
- a pharmaceutical composition comprising a chimeric molecule comprising a USP5 binder represented by the structure of Formula (9) and a target binder represented by the structure of Formula (B).
- a pharmaceutical composition comprising a chimeric molecule comprising a USP5 binder represented by the structure of Formula (9) and a target binder represented by the structure of Formula (C).
- a pharmaceutical composition comprising a chimeric molecule comprising a USP5 binder represented by the structure of Formula (9) and a target binder represented by the structure of Formula (D).
- a pharmaceutical composition comprising a chimeric molecule comprising a USP5 binder represented by the structure of Formula (9) and a target binder represented by the structure of Formula (E).
- a pharmaceutical composition comprising a chimeric molecule comprising a USP5 binder represented by the structure of Formula (9) and atarget binder represented by the structure of Formula (F).
- a pharmaceutical composition comprising a chimeric molecule comprising a USP5 binder represented by the structure of Formula (9) and a target binder represented by the structure of Formula (G).
- a pharmaceutical composition comprising a chimeric molecule comprising a USP5 binder represented by the structure of Formula (9) and a target binder represented by the structure of Formula (H).
- a pharmaceutical composition comprising a chimeric molecule comprising a USP5 binder represented by the structure of Formula (9) and a target binder represented by the structure of Formula (I).
- a pharmaceutical composition comprising a chimeric molecule comprising a USP5 binder represented by the structure of Formula (9) and a target binder represented by the structure of Formula (J).
- a pharmaceutical composition comprising a chimeric molecule comprising a USP5 binder represented by the structure of Formula (9) and a target binder represented by the structure of Formula (K).
- a pharmaceutical composition comprising a chimeric molecule comprising a USP5 binder represented by the structure of Formula (9) and a target binder represented by the structure of Formula (M).
- a pharmaceutical composition comprising a chimeric molecule comprising a USP5 binder represented by the structure of Formula (9) and a target binder represented by the structure of Formula (N).
- a pharmaceutical composition comprising a chimeric molecule comprising a USP5 binder represented by the structure of Formula (9*) and a target binder represented by the structure of Formula (A).
- a pharmaceutical composition comprising a chimeric molecule comprising a USP5 binder represented by the structure of Formula (9*) and a target binder represented by the structure of Formula (B).
- a pharmaceutical composition comprising a chimeric molecule comprising a USP5 binder represented by the structure of Formula (9*) and a target binder represented by the structure of Formula (C).
- a pharmaceutical composition comprising a chimeric molecule comprising a USP5 binder represented by the structure of Formula (9*) and a target binder represented by the structure of Formula (D).
- a pharmaceutical composition comprising a chimeric molecule comprising a USP5 binder represented by the structure of Formula (9*) and a target binder represented by the structure of Formula (E).
- a pharmaceutical composition comprising a chimeric molecule comprising a USP5 binder represented by the structure of Formula (9*) and a target binder represented by the structure of Formula (F).
- a pharmaceutical composition comprising a chimeric molecule comprising a USP5 binder represented by the structure of Formula (9*) and a target binder represented by the structure of Formula (G).
- a pharmaceutical composition comprising a chimeric molecule comprising a USP5 binder represented by the structure of Formula (9*) and a target binder represented by the structure of Formula (H).
- a pharmaceutical composition comprising a chimeric molecule comprising a USP5 binder represented by the structure of Formula (9*) and a target binder represented by the structure of Formula (I).
- a pharmaceutical composition comprising a chimeric molecule comprising a USP5 binder represented by the structure of Formula (9*) and a target binder represented by the structure of Formula (J).
- a pharmaceutical composition comprising a chimeric molecule comprising a USP5 binder represented by the structure of Formula (9*) and atarget binder represented by the structure of Formula (K).
- a pharmaceutical composition comprising a chimeric molecule comprising a USP5 binder represented by the structure of Formula (9*) and a target binder represented by the structure of Formula (L).
- a pharmaceutical composition comprising a chimeric molecule comprising a USP5 binder represented by the structure of Formula (9*) and a target binder represented by the structure of Formula (M).
- a pharmaceutical composition comprising a chimeric molecule comprising a USP5 binder represented by the structure of Formula (9*) and atarget binder represented by the structure of Formula (N).
- a pharmaceutical composition comprising a chimeric molecule represented by the structure of chimeric molecule (I).
- a pharmaceutical composition comprising a chimeric molecule represented by the structure of chimeric molecule (II).
- provided herein is a pharmaceutical composition comprising a chimeric molecule represented by the structure of chimeric molecule (III). In one embodiment, provided herein is a pharmaceutical composition comprising a chimeric molecule represented by the structure of chimeric molecule (IV). In one embodiment, provided herein is a pharmaceutical composition comprising a chimeric molecule represented by the structure of chimeric molecule (V). In one embodiment, provided herein is a pharmaceutical composition comprising a chimeric molecule represented by the structure of chimeric molecule (VI). In one embodiment, provided herein is a pharmaceutical composition comprising a chimeric molecule represented by the structure of chimeric molecule (VII).
- a pharmaceutical composition comprising a chimeric molecule represented by the structure of chimeric molecule (VIII). In one embodiment, provided herein is a pharmaceutical composition comprising a chimeric molecule represented by the structure of chimeric molecule (IX). In one embodiment, provided herein is a pharmaceutical composition comprising a chimeric molecule represented by the structure of chimeric molecule (X). In one embodiment, provided herein is a pharmaceutical composition comprising a chimeric molecule represented by the structure of chimeric molecule (XI). In one embodiment, provided herein is a pharmaceutical composition comprising a chimeric molecule represented by the structure of chimeric molecule (XII).
- provided herein is a pharmaceutical composition comprising a chimeric molecule represented by the structure of chimeric molecule (XIII). In one embodiment, provided herein is a pharmaceutical composition comprising a chimeric molecule represented by the structure of chimeric molecule (XIV). In one embodiment, provided herein is a pharmaceutical composition comprising a chimeric molecule represented by the structure of chimeric molecule (XV). In one embodiment, provided herein is a pharmaceutical composition comprising a chimeric molecule represented by the structure of chimeric molecule (XVI). In one embodiment, provided herein is a pharmaceutical composition comprising a chimeric molecule represented by the structure of chimeric molecule (XVII).
- provided herein is a pharmaceutical composition comprising a chimeric molecule represented by the structure of chimeric molecule (XVIII). In one embodiment, provided herein is a pharmaceutical composition comprising a chimeric molecule represented by the structure of chimeric molecule (XIX). In one embodiment, provided herein is a pharmaceutical composition comprising a chimeric molecule represented by the structure of chimeric molecule (XX). In one embodiment, provided herein is a pharmaceutical composition comprising a chimeric molecule represented by the structure of chimeric molecule (XXI). In one embodiment, provided herein is a pharmaceutical composition comprising a chimeric molecule represented by the structure of chimeric molecule (XXII).
- provided herein is a pharmaceutical composition comprising a chimeric molecule represented by the structure of chimeric molecule (XXIII). In one embodiment, provided herein is a pharmaceutical composition comprising a chimeric molecule represented by the structure of chimeric molecule (XXIV). In one embodiment, provided herein is a pharmaceutical composition comprising a chimeric molecule represented by the structure of chimeric molecule (XXV). In one embodiment, provided herein is a pharmaceutical composition comprising a chimeric molecule represented by the structure of chimeric molecule (XXVI). In one embodiment, provided herein is a pharmaceutical composition comprising a chimeric molecule represented by the structure of chimeric molecule (XXVII).
- provided herein is a pharmaceutical composition comprising a chimeric molecule represented by the structure of chimeric molecule (XXVIII). In one embodiment, provided herein is a pharmaceutical composition comprising a chimeric molecule represented by the structure of chimeric molecule (XXIX). In one embodiment, provided herein is a pharmaceutical composition comprising a chimeric molecule represented by the structure of chimeric molecule (XXX). [00374] In some embodiments, provided herein is a pharmaceutical composition comprising a chimeric molecule represented by the structure of any one of chimeric molecules 1-210 of Table 2.
- compositions comprising one or more chimeric molecules can be provided to the subject with additional active agents to achieve an improved therapeutic effect as compared to treatment with each agent by itself.
- a pharmaceutical composition comprising one or more chimeric molecules further comprises at least on additional therapeutic agent.
- an additional active agent comprises a chemotherapeutic agent or an additional chimeric molecule disclosed herein.
- an additional active agent comprises an immunomodulatory agent or an additional chimeric molecule disclosed herein.
- an additional active agent comprises a PARP1 inhibitor.
- a PARP1 inhibitor comprises a known PARP1 inhibitor for example but not limited to Veliparp (ABT-888), Rucaparib (Rubraca; AG-014699), Olaparib (Lynparza; AZD-2281), Niraparib (Zejula; MK-4827) or Talazoparib (BMN-673).
- an additional active agent comprises a CF therapeutic agent or an additional chimeric molecule disclosed herein.
- an additional active agent comprises a PARP1 inhibitor, an anti-cancer therapeutic agent, or an additional chimeric molecule disclosed herein, or any combination thereof.
- a pharmaceutical composition comprising a chimeric molecule comprising a USP5 binder combination with at least one additional cystic fibrosis therapeutic compound or treatment.
- a pharmaceutical composition comprising a chimeric molecule comprising a USP5 binder represented by the structure of any one of the following Formula (1) - Formula (9) in combination with at least one additional cystic fibrosis therapeutic compound or treatment.
- a pharmaceutical composition comprising a chimeric molecule comprising a USP5 binder represented by the structure of any one of the following Formula (1) - Formula (9) and a target binder represented by the structure of Formula (A)-(K) in combination with at least one additional cystic fibrosis therapeutic compound or treatment.
- a pharmaceutical composition comprising a chimeric molecule comprising a USP5 binder represented by the structure of any one of the following Formula (1*) - Formula (9*) in combination with at least one additional cystic fibrosis therapeutic compound or treatment.
- a pharmaceutical composition comprising a chimeric molecule comprising a USP5 binder represented by the structure of any one of the following Formula (1*) - Formula (9*) and a target binder represented by the structure of Formula (A)-(K) in combination with at least one additional cystic fibrosis therapeutic compound or treatment.
- a pharmaceutical composition comprising a chimeric molecule represented by the structure of chimeric molecules (I)-(XXX) in combination with at least one additional cystic fibrosis therapeutic compound or treatment.
- a pharmaceutical composition comprising a chimeric molecule represented by any of the structures of chimeric molecules 1-210 presented in Table 2 herein, in combination with at least one additional cystic fibrosis therapeutic compound or treatment.
- At least one additional cystic fibrosis (“CF”) therapeutic compound is selected from Ivacaftor, Lumacaftor, Tezacaftor, Elexacaftor, ABBV-2222, Posenacaftor, or Nesolicaftor, or any combination thereof.
- At least one additional cystic fibrosis therapeutic compound is selected from ivacaftor, lumacaftor, tezacaftor, elexacaftor, ABBV-2222, posenacaftor, nesolicaftor, ABBV-191, ABBV-3067, ELX-02, PTI-428, PTI-801, PTI-808, VX-121, VX-561, or MRT5005.
- at least one additional cystic fibrosis therapeutic compound comprises any known cystic fibrosis therapeutic compound known in the art.
- the at least one additional CF therapeutic compound is comprised in the same composition as a chimeric molecule disclosed herein. In some embodiments, the at least one additional CF therapeutic compound is comprised in a different composition from the chimeric molecule disclosed herein.
- a composition described herein comprises more than one chimeric molecule.
- at least one additional chimeric molecule is comprised in the same composition as the first chimeric molecule.
- the at least one additional chimeric molecule is comprised in a different composition from another chimeric molecule.
- a composition comprising one or more chimeric molecules and an at least one additional therapeutic agent comprises two compositions, wherein the one chimeric molecule is comprised in one composition and the at least one additional therapeutic agent or additional chimeric molecule is comprised in a different composition.
- each active agent is in a separate composition.
- active agents are comprised in multiple compositions, wherein a therapeutic agent may be comprised independently in a composition, or may be comprised in a composition with at least one additional therapeutic agent.
- a pharmaceutical composition comprising a chimeric molecule comprising a USP5 binder combination with at least one additional PARP1 inhibitor and or cancer therapeutic compound or treatment.
- a pharmaceutical composition comprising a chimeric molecule comprising a USP5 binder represented by the structure of any one of the following Formula (1) - Formula (9) combination with at least one additional PARP1 inhibitor and or cancer therapeutic compound or treatment.
- a pharmaceutical composition comprising a chimeric molecule comprising a USP5 binder represented by the structure of any one of the following Formula (1) - Formula (9) and a target binder represented by the structure of Formula (K) in combination with at least one additional PARP1 inhibitor and or cancer therapeutic compound or treatment.
- a pharmaceutical composition comprising a chimeric molecule comprising a USP5 binder represented by the structure of any one of the following Formula (1*) _ Formula (9*) combination with at least one additional PARP1 inhibitor and or cancer therapeutic compound or treatment.
- a pharmaceutical composition comprising a chimeric molecule comprising a USP5 binder represented by the structure of any one of the following Formula (1*) - Formula (9*) and a target binder represented by the structure of Formula (K) in combination with at least one additional PARP1 inhibitor and or cancer therapeutic compound or treatment.
- a pharmaceutical composition comprising a chimeric molecule represented by the structure of chimeric molecule (XXVIII-XXX) in combination with at least one additional PARP1 inhibitor and or cancer therapeutic compound or treatment.
- a pharmaceutical composition comprising a chimeric molecule represented by any of the structures of chimeric molecules 136-142 and 197-210 presented in Table 2 herein, in combination with at least one additional PARP1 inhibitor and or cancer therapeutic compound or treatment.
- At least one PARP1 inhibitor is selected from Veliparp (ABT-888), Rucaparib (Rubraca; AG-014699), Olaparib (Lynparza; AZD-2281), Niraparib (Zejula; MK-4827), or Talazoparib (BMN-673), or any combination thereof.
- at least one additional PARP1 inhibitor comprises any known PARP1 inhibitor known in the art.
- the at least one additional PARP1 inhibitor is comprised in the same composition as a chimeric molecule disclosed herein. In some embodiments, the at least one additional PARP1 inhibitor is comprised in a different composition from the chimeric molecule disclosed herein.
- each active agent is in a separate composition.
- active agents are comprised in multiple compositions, wherein a therapeutic agent may be comprised independently in a composition, or may be comprised in a composition with at least one additional therapeutic agent.
- a composition with an appropriate physiologically acceptable carrier may be formulated into preparations in solid, semi-solid, liquid or gaseous forms, such as tablets, capsules, powders, granules, ointments, solutions, suppositories, injections, inhalants, gels, microspheres, and aerosols.
- other pharmaceutically active ingredients and/or suitable excipients such as salts, buffers and stabilizers may, but need not, be present within the composition.
- pharmaceutically acceptable carrier may in some embodiments be used interchangeably with the terms “physiological carrier”, “physiologically acceptable carrier”, “pharmaceutically acceptable diluent” or “pharmaceutically acceptable excipient” having all the same qualities and meanings.
- a pharmaceutical composition may be in the form of a solid or liquid.
- the pharmaceutically acceptable carrier(s) are particulate, so that the compositions are, for example, in tablet or powder form.
- the pharmaceutically acceptable carrier(s) may be liquid, with the compositions being, for example, an oral oil, injectable liquid or an aerosol, which is useful in, for example, inhalatory administration.
- the pharmaceutical composition is preferably in either solid or liquid form, where semi-solid, semi-liquid, suspension and gel forms are included within the forms considered herein as either solid or liquid.
- the pharmaceutical composition may be formulated into a powder, granule, compressed tablet, pill, capsule, chewing gum, wafer or the like.
- a solid composition will typically contain one or more inert diluents or edible pharmaceutically acceptable carriers.
- binders such as carboxymethylcellulose, ethyl cellulose, microcrystalline cellulose, gum tragacanth or gelatin; excipients such as starch, lactose or dextrins, disintegrating agents such as alginic acid, sodium alginate, Primogel, com starch and the like; lubricants such as magnesium stearate or Sterotex; glidants such as colloidal silicon dioxide; sweetening agents such as sucrose or saccharin; a flavoring agent such as peppermint, methyl salicylate or orange flavoring; and a coloring agent.
- a liquid pharmaceutically acceptable carrier such as polyethylene glycol or oil.
- the pharmaceutical composition may be in the form of a liquid, for example, an elixir, syrup, solution, emulsion or suspension.
- the liquid may be for oral administration or for delivery by injection, as two examples.
- preferred composition contain, in addition to the present compounds, one or more of a sweetening agent, preservatives, dye/colorant and flavor enhancer.
- a surfactant, preservative, wetting agent, dispersing agent, suspending agent, buffer, stabilizer and isotonic agent may be included.
- the liquid pharmaceutical compositions may include one or more of the following adjuvants: sterile diluents such as water for injection, saline solution, preferably physiological saline, Ringer's solution, isotonic sodium chloride, fixed oils such as synthetic mono or diglycerides which may serve as the solvent or suspending medium, polyethylene glycols, glycerin, propylene glycol or other solvents; antibacterial agents such as benzyl alcohol or methyl paraben; antioxidants such as ascorbic acid or sodium bisulfite; chelating agents such as ethylenediaminetetraacetic acid; buffers such as acetates, citrates or phosphates and agents for the adjustment of tonicity such as sodium chloride or dextrose.
- the parenteral preparation can be enclosed in ampoules, disposable syringes or multiple dose vials made of glass or plastic.
- Physiological saline is a preferred adjuvants.
- a liquid pharmaceutical composition intended for either parenteral or oral administration should contain an amount of a chimeric molecule as herein disclosed, such that a suitable dosage will be obtained.
- the pharmaceutical composition may be intended for topical administration, in which case the pharmaceutically acceptable carrier may suitably comprise a solution, emulsion, ointment or gel base.
- the base may comprise one or more of the following: petrolatum, lanolin, polyethylene glycols, bee wax, mineral oil, diluents such as water and alcohol, and emulsifiers and stabilizers. Thickening agents may be present in a pharmaceutical composition for topical administration. If intended for transdermal administration, the composition may include a transdermal patch or iontophoresis device.
- the pharmaceutical composition may be intended for rectal administration, in the form, for example, of a suppository, which will melt in the rectum and release the drug.
- the composition for rectal administration may contain an oleaginous base as a suitable nonirritating excipient.
- bases include, without limitation, lanolin, cocoa butter and polyethylene glycol.
- the pharmaceutical composition may include various materials, which modify the physical form of a solid or liquid dosage unit.
- the composition may include materials that form a coating shell around the active ingredients.
- the materials that form the coating shell are typically inert, and may be selected from, for example, sugar, shellac, and other enteric coating agents.
- the active ingredient a chimeric molecule disclosed herein
- the pharmaceutical composition in solid or liquid form may include an agent that binds to the chimeric molecules as disclosed herein, and thereby assists in the delivery of the compound. Suitable agents that may act in this capacity include monoclonal or polyclonal antibodies, one or more proteins or a liposome.
- the pharmaceutical composition may consist essentially of dosage units that can be administered as an aerosol.
- aerosol is used to denote a variety of systems ranging from those of colloidal nature to systems consisting of pressurized packages. Delivery may be by a liquefied or compressed gas or by a suitable pump system that dispenses the active ingredients. Aerosols may be delivered in single phase, bi-phasic, or tri-phasic systems in order to deliver the active ingredient(s). Delivery of the aerosol includes the necessary container, activators, valves, subcontainers, and the like, which together may form a kit. One of ordinary skill in the art, without undue experimentation may determine preferred aerosols. [00393] The pharmaceutical compositions may be prepared by methodology well known in the pharmaceutical art.
- a pharmaceutical composition intended to be administered by injection can be prepared by combining a composition that comprises a chimeric molecule as described herein, and optionally, one or more of salts, buffers and/or stabilizers, with sterile, distilled water so as to form a solution.
- a surfactant may be added to facilitate the formation of a homogeneous solution or suspension.
- Surfactants are compounds that non-covalently interact with the chimeric molecule composition so as to facilitate dissolution or homogeneous suspension of chimeric molecule in the aqueous delivery system.
- compositions may be administered in a therapeutically effective amount, which will vary depending upon a variety of factors including the activity of the chimeric molecule compound employed; the metabolic stability and length of action of the chimeric molecule compound; the age, body weight, general health, sex, and diet of the patient; the mode and time of administration; the rate of excretion; the drug combination; the severity of the particular allergic or respiratory disorder or condition; and the subject undergoing therapy.
- a pharmaceutically acceptable carrier may be liquid, semi- liquid or solid.
- Solutions or suspensions used for parenteral, intradermal, subcutaneous or topical application may include, for example, a sterile diluent (such as water), saline solution, fixed oil, polyethylene glycol, glycerin, propylene glycol or other synthetic solvent; antimicrobial agents (such as benzyl alcohol and methyl parabens, phenols or cresols, mercurials, chlorobutanol, methyl and propyl p-hydroxybenzoic acid esters, thimerosal, benzalkonium chloride and benzethonium chloride); antioxidants (such as ascorbic acid and sodium bisulfite; methionine, sodium thiosulfate, platinum, catalase, citric acid, cysteine, thioglycerol, thiogly colic acid, thiosorbitol, butylated hydroxyanisol,
- suitable pharmaceutically acceptable carriers include physiological saline or phosphate buffered saline (PBS), and solutions containing thickening and solubilizing agents, such as glucose, polyethylene glycol, polypropylene glycol and mixtures thereof.
- PBS physiological saline or phosphate buffered saline
- thickening and solubilizing agents such as glucose, polyethylene glycol, polypropylene glycol and mixtures thereof.
- compositions comprising a chimeric molecule compound, as described herein may be prepared with pharmaceutically acceptable carriers that protect the chimeric molecule compound or prodrug thereof against rapid elimination from the body, such as time release formulations or coatings.
- pharmaceutically acceptable carriers include controlled release formulations, such as, but not limited to, implants and microencapsulated delivery systems, and biodegradable, biocompatible polymers, such as ethylene vinyl acetate, polyanhydrides, polyglycolic acid, polyorthoesters, polylactic acid and others known to those of ordinary skill in the art.
- controlled release formulations such as, but not limited to, implants and microencapsulated delivery systems, and biodegradable, biocompatible polymers, such as ethylene vinyl acetate, polyanhydrides, polyglycolic acid, polyorthoesters, polylactic acid and others known to those of ordinary skill in the art.
- composition may be used interchangeably herein, having all the same meanings and qualities.
- the design and structure of the chimeric molecules provided herein enable their use as active agents in therapeutic treatments. While used alone, as first line therapy, the chimeric molecules provided herein are capable of forming protein complexes between USP5 and target Ub-proteins, which result in a decrease of the number of ubiquitin molecules carried by the Ub-proteins. As generally disclosed herein, due to the elaborate role ubiquitination plays on cellular proteins, the chimeric molecules provided herein may be used to affect cellular proteins and processes.
- disclosed herein is a method for preventing or reducing the degradation of a Ub-protein, comprising contacting the Ub-protein with a chimeric molecule disclosed herein. In some embodiments, disclosed herein is a method for preventing or reducing the degradation of a Ub-protein associated with a disease, comprising contacting the Ub-protein with a chimeric molecule disclosed herein.
- a method for preventing or reducing the degradation of a Ub-protein associated with a disease comprising contacting the Ub-protein with a chimeric molecule disclosed herein, wherein said disease is selected from a cancer, a neurodegenerative disease or disorder, anemia, a metabolic syndrome, autoimmunity, an inflammatory disease or disorder, an infection, cystic fibrosis, and a muscle dystrophy.
- a cancer comprises a cancer resistant to other known therapies, for example but not limited to PARP1 inhibitor therapies.
- a cancer comprises a BRCA-mutation associated cancer or a cancer with any compromised DNA repair pathway such as homologous recombination., non-homologous end joining or single strand break repair or double strand break .
- a cancer comprises a breast cancer, a triple negative breast cancer, an ovarian cancer, a melanoma, a non-small cell lung cancer, a prostate cancer, a fallopian tube cancer, an endometrial cancer, an osteosarcoma, a malignant mesothelioma, a testicular cancer, a head and neck cancer, a lymphoma, a stomach a colon cancer, a pancreatic cancer, or a glioblastoma.
- disclosed herein is a method for preventing or reducing the degradation of a Ub-CFTR, comprising contacting the Ub-CFTR with a chimeric molecule disclosed herein. In some embodiments, disclosed herein is a method for preventing or reducing the degradation of a Ub-PARP1, comprising contacting the Ub- PARP1 with a chimeric molecule disclosed herein.
- a method for preventing or reducing the degradation of a Ub-protein comprises contacting the Ub-protein with a chimeric molecule comprising a USP5 binder represented by the structure of any one of the following Formula (1) - Formula (9), as described in detail above.
- a method for preventing or reducing the degradation of a Ub-protein comprises contacting the Ub-protein with a chimeric molecule comprising a USP5 binder represented by the structure of any one of the following Formula (1) - Formula (9) and a target binder represented by the structure of Formula (A)-(K).
- a method for preventing or reducing the degradation of a Ub-protein comprises contacting the Ub-protein with a chimeric molecule comprising a USP5 binder represented by the structure of any one of the following Formula (1*) - Formula (9*), as described in detail above.
- a method for preventing or reducing the degradation of a Ub-protein comprises contacting the Ub-protein with a chimeric molecule comprising a USP5 binder represented by the structure of any one of the following Formula (1*) - Formula (9*) and a target binder represented by the structure of Formula (A)-(K).
- a method for preventing or reducing the degradation of a Ub-protein comprises contacting the Ub-protein with a chimeric molecule comprising a USP5 binder represented by the structure of Formula (7) and a target binder represented by the structure of Formula (A)-(K). In some embodiments, a method for preventing or reducing the degradation of a Ub-protein comprises contacting the Ub- protein with a chimeric molecule comprising a USP5 binder represented by the structure of Formula (8) and a target binder represented by the structure of Formula (A)-(K).
- a method for preventing or reducing the degradation of a Ub-protein comprises contacting the Ub-protein with a chimeric molecule comprising a USP5 binder represented by the structure of Formula (9) and a target binder represented by the structure of Formula (A)-(K). In some embodiments, a method for preventing or reducing the degradation of a Ub-protein comprises contacting the Ub-protein with a chimeric molecule represented by the structure of any of chimeric molecule (I) - (XXX).
- a method for preventing or reducing the degradation of a Ub-protein comprises contacting the Ub-protein with a chimeric molecule represented by the structure of any one of the chimeric molecules 1-210 presented in Table 2 herein.
- a method for preventing or reducing the degradation of a Ub-CFTR comprises contacting the Ub-CFTR with a chimeric molecule comprising a USP5 binder represented by the structure of any one of the following Formula (1) - Formula (9), as described in detail above.
- a method for preventing or reducing the degradation of a Ub-CFTR comprises contacting the Ub-CFTR with a chimeric molecule comprising a USP5 binder represented by the structure of any one of the following Formula (1) - Formula (9) and a target binder represented by the structure of Formula (A)-(J).
- a method for preventing or reducing the degradation of a Ub-CFTR comprises contacting the Ub-CFTR with a chimeric molecule comprising a USP5 binder represented by the structure of any one of the following Formula (1*) - Formula (9*) and a target binder represented by the structure of Formula (A)-(J).
- a method for preventing or reducing the degradation of a Ub-CFTR comprises contacting the Ub- CFTR with a chimeric molecule comprising a USP5 binder represented by the structure of Formula (7) and a target binder represented by the structure of Formula (A)-(J). In some embodiments, a method for preventing or reducing the degradation of a Ub-CFTR comprises contacting the Ub-CFTR with a chimeric molecule comprising a USP5 binder represented by the structure of Formula (8) and a target binder represented by the structure of Formula (A)-(J).
- a method for preventing or reducing the degradation of a Ub-CFTR comprises contacting the Ub-CFTR with a chimeric molecule comprising a USP5 binder represented by the structure of Formula (9) and a target binder represented by the structure of Formula (A)-(J). In some embodiments, a method for preventing or reducing the degradation of a Ub-CFTR comprises contacting the Ub-CFTR with a chimeric molecule represented by the structure of any of chimeric molecule (I) - (XXVII).
- a method for preventing or reducing the degradation of a Ub-CFTR comprises contacting the Ub-CFTR with a chimeric molecule represented by any one of the structures of the chimeric molecules 1-135 and 143-196-210 presented in Table 2, herein.
- a method for preventing or reducing the degradation of a Ub-PARP1 comprises contacting the Ub-PARP1 with a chimeric molecule comprising a USP5 binder represented by the structure of any one of the following Formula (1) - Formula (9), as described in detail above.
- a method for preventing or reducing the degradation of a Ub-PARP1 comprises contacting the Ub-PARP1 with a chimeric molecule comprising a USP5 binder represented by the structure of any one of the following Formula (1*) - Formula (9*) as described in detail above.
- a method for preventing or reducing the degradation of a Ub-PARP1 comprises contacting the Ub-PARP1 with a chimeric molecule comprising a USP5 binder represented by the structure of any one of the following Formula (1) - Formula (9) and a target binder represented by the structure of Formula (K). In some embodiments, a method for preventing or reducing the degradation of a Ub-PARP1 comprises contacting the Ub- PARP1 with a chimeric molecule comprising a USP5 binder represented by the structure of Formula (7) and a target binder represented by the structure of Formula (K).
- a method for preventing or reducing the degradation of a Ub-PARP1 comprises contacting the Ub-PARP1 with a chimeric molecule comprising a USP5 binder represented by the structure of Formula (8) and a target binder represented by the structure of Formula (K). In some embodiments, a method for preventing or reducing the degradation of a Ub-PARP1 comprises contacting the Ub-PARP1 with a chimeric molecule comprising a USP5 binder represented by the structure of Formula (9) and a target binder represented by the structure of Formula (K).
- a method for preventing or reducing the degradation of a Ub-PARP1 comprises contacting the Ub-PARP1 with a chimeric molecule represented by the structure of any of chimeric molecule (XXVIII) - (XXX). In some embodiments, a method for preventing or reducing the degradation of a Ub-PARP1 comprises contacting the Ub-PARP1 with a chimeric molecule represented by any one of the structures of the chimeric molecules 136-142 and 197-210 presented in Table 2, herein.
- disclosed herein is a method for removing at least one ubiquitin molecule from a Ub-protein, comprising contacting the Ub-protein with a chimeric molecule disclosed herein. In some embodiments, disclosed herein is a method for removing at least one ubiquitin molecule from a Ub-CFTR, comprising contacting the Ub-CFTR with a chimeric molecule disclosed herein. In some embodiments, disclosed herein is a method for removing at least one ubiquitin molecule from a Ub-PARP1, comprising contacting the Ub-PARP1 with a chimeric molecule disclosed herein.
- a method for removing at least one ubiquitin molecule from a Ub-protein comprises contacting the Ub-protein with a chimeric molecule comprising a USP5 binder represented by the structure of any one of the following Formula (1) - Formula (9), as described in detail above.
- a method for removing at least one ubiquitin molecule from a Ub-protein comprises contacting the Ub- protein with a chimeric molecule comprising a USP5 binder represented by the structure of any one of the following Formula (1) - Formula (9) and a target binder represented by the structure of Formula (A)-(K).
- a method for removing at least one ubiquitin molecule from a Ub-protein comprises contacting the Ub-protein with a chimeric molecule comprising a USP5 binder represented by the structure of any one of the following Formula (1*) _ Formula (9*), as described in detail above.
- a method for removing at least one ubiquitin molecule from a Ub-protein comprises contacting the Ub- protein with a chimeric molecule comprising a USP5 binder represented by the structure of any one of the following Formula (1*) - Formula (9*) and a target binder represented by the structure of Formula (A)-(K).
- a method for removing at least one ubiquitin molecule from a Ub-protein comprises contacting the Ub-protein with a chimeric molecule comprising a USP5 binder represented by the structure of Formula (7) and a target binder represented by the structure of Formula (A)-(K). In some embodiments, a method for removing at least one ubiquitin molecule from a Ub-protein comprises contacting the Ub-protein with a chimeric molecule comprising a USP5 binder represented by the structure of Formula (8) and a target binder represented by the structure of Formula (A)-(K).
- a method for removing at least one ubiquitin molecule from a Ub-protein comprises contacting the Ub-protein with a chimeric molecule comprising a USP5 binder represented by the structure of Formula (9) and a target binder represented by the structure of Formula (A)-(K).
- a method for removing at least one ubiquitin molecule from a Ub-protein comprises contacting the Ub-protein with a chimeric molecule comprising a USP5 binder represented by the structure of Formula (l*)-(9*) and a target binder represented by the structure of Formula (A)-(N).
- a method for removing at least one ubiquitin molecule from a Ub-protein comprises contacting the Ub-protein with a chimeric molecule represented by the structure of any of chimeric molecule (I) - (XXX). In some embodiments, a method for removing at least one ubiquitin molecule from a Ub-protein comprises contacting the Ub-protein with a chimeric molecule represented by any one of the structures of chimeric molecules 1-210 as presented in Table 2 herein.
- a method for removing at least one ubiquitin molecule from a Ub-CFTR comprises contacting the Ub-CFTR with a chimeric molecule comprising a USP5 binder represented by the structure of any one of the following Formula (1) - Formula (9), as described in detail above.
- a method for removing at least one ubiquitin molecule from a Ub-CFTR comprises contacting the Ub-CFTR with a chimeric molecule comprising a USP5 binder represented by the structure of any one of the following Formula (1) - Formula (9) and a target binder represented by the structure of Formula (A)-(K).
- a method for removing at least one ubiquitin molecule from a Ub-CFTR comprises contacting the Ub-CFTR with a chimeric molecule comprising a USP5 binder represented by the structure of Formula (7) and a target binder represented by the structure of Formula (A)-(J). In some embodiments, a method for removing at least one ubiquitin molecule from a Ub-CFTR comprises contacting the Ub- CFTR with a chimeric molecule comprising a USP5 binder represented by the structure of Formula (8) and a target binder represented by the structure of Formula (A)-(J).
- a method for removing at least one ubiquitin molecule from a Ub-CFTR comprises contacting the Ub-CFTR with a chimeric molecule comprising a USP5 binder represented by the structure of Formula (9) and a target binder represented by the structure of Formula (A)-(J).
- a method for removing at least one ubiquitin molecule from a Ub-CFTR comprises contacting the Ub-CFTR with a chimeric molecule represented by the structure of any of chimeric molecule (I) - (XXVII). In some embodiments, a method for removing at least one ubiquitin molecule from a Ub-CFTR comprises contacting the Ub-CFTR with a chimeric molecule represented by any the structure of any one of chimeric molecules 1-135 and 143-196.
- the level of ubiquitination affects the half-life of a protein of interest in a cell, for example but not limited to the half-life of CFTR. In some embodiment, the level of ubiquitination affects the degradation of a protein of interest in a cell, for example but not limited to the degradation of CFTR.
- a method for removing at least one ubiquitin molecule from a Ub-PARP1 comprises contacting the Ub-PARP1 with a chimeric molecule comprising a USP5 binder represented by the structure of any one of the following Formula (1) - Formula (9), as described in detail above.
- a method for removing at least one ubiquitin molecule from a Ub-PARP1 comprises contacting the Ub- PARP1 with a chimeric molecule comprising a USP5 binder represented by the structure of any one of the following Formula (1) - Formula (9) and a target binder represented by the structure of Formula (K).
- a method for removing at least one ubiquitin molecule from a Ub-PARP1 comprises contacting the Ub-PARP1 with a chimeric molecule comprising a USP5 binder represented by the structure of Formula (7) and a target binder represented by the structure of Formula (K). In some embodiments, a method for removing at least one ubiquitin molecule from a Ub-PARP1 comprises contacting the Ub-PARP1 with a chimeric molecule comprising a USP5 binder represented by the structure of Formula (8) and a target binder represented by the structure of Formula (K).
- a method for removing at least one ubiquitin molecule from a Ub-PARP1 comprises contacting the Ub-PARP1 with a chimeric molecule comprising a USP5 binder represented by the structure of Formula (9) and a target binder represented by the structure of Formula (K).
- a method for removing at least one ubiquitin molecule from a Ub-PARP1 comprises contacting the Ub-PARP1 with a chimeric molecule represented by the structure of any of chimeric molecule (XXVIII) - (XXX). In some embodiments, a method for removing at least one ubiquitin molecule from a Ub-PARP1 comprises contacting the Ub-PARP1 with a chimeric molecule represented by any the structure of any one of chimeric molecules 136-142 and 197-210.
- the level of ubiquitination affects the half-life of a protein of interest in a cell, for example but not limited to the half-life of PARP1. In some embodiment, the level of ubiquitination affects the degradation of a protein of interest in a cell, for example but not limited to the degradation of PARP1.
- a protein of interest comprises a natural target of USP5. In some embodiments, a protein of interest comprises a non-natural target of USP5. In some embodiments, a protein of interest comprises a receptor protein. In some embodiments, a protein of interest comprises a PM pore protein. In some embodiments, a protein of interest comprises an ion channel protein. In some embodiments, a protein of interest comprises an anion channel protein. In some embodiments, a protein of interest comprises a chloride channel protein. In some embodiments, a protein of interest comprises CFTR. In some embodiments, a protein of interest comprises a mutant form of CFTR. In some embodiments, a protein of interest comprises a misfolded CFTR.
- a protein of interest comprises a mistargeted CFTR. In some embodiments, a protein of interest comprises a CFTR having reduced activity compared with wild-type CFTR. In some embodiments, a protein of interest comprises a nuclear protein. In some embodiments, a protein of interest comprises a protein involved in DNA repair. In some embodiments, a protein of interest comprises an enzyme. In some embodiments, a protein of interest comprises a DNA binding protein. In some embodiments, a protein of interest comprises PARP1. In some embodiments, a protein of interest comprises a WT PARP1.
- a non-limiting example of one application of the chimeric molecules provided herein is the deubiquitination of protein of interest (e.g., removing all or some of ubiquitin molecules from the proteins), which is ubiquitinylated.
- removing all or some of ubiquitin molecules maintains or increases the half-life of a protein of interest.
- removing all or some of ubiquitin molecules reduces the degradation of a protein of interest.
- maintenance or increasing the half-life of a protein of interest provides a benefit to a subject suffering a disease or condition.
- decreasing degradation of a protein of interest increases the protein’s half- life.
- preventing degradation of a protein of interest increases the protein’s half-life. In some embodiments, decreasing degradation of a protein of interest maintains the protein’s half-life. In some embodiments, preventing degradation of a protein of interest maintains the protein’s half-life. In some embodiments, removing all or some of ubiquitin molecules increases the localized concentration of a protein of interest. In some embodiments, decreasing the degradation of a protein of interest, provides a benefit to a subject suffering a disease or condition. In certain embodiments, benefits may include maintenance of a protein channel or functions performed by the protein. In certain embodiments, benefits may include reduced DNA repair and cell death in a cancer or tumor cell, or increased DNA strand breaks in a cancer or tumor cell. In certain embodiments, benefits may include no change to the function of the protein of interest.
- the method occurs in vivo.
- a non-limiting example of an application of a chimeric molecule described herein comprises a method for removing at least one ubiquitin molecule from a Ub-protein, comprising contacting the Ub protein with a survival-targeting chimeric (SURTAC) molecule comprising a first binding domain, a second binding domain, and a linker domain, wherein: the first binding domain is configured to bind to USP5 that may cleave Ub from the Ub-protein bound to the second domain; the second binding domain is configured to bind to an Ub-protein, and the linker domain is configured to link the first binding domain to the second binding domain; thereby removing at least one ubiquitin molecule from a Ub-protein.
- SURTAC survival-targeting chimeric
- a Ub- protein comprises a Ub-CFTR. In some embodiments, in methods disclosed herein, a Ub- protein comprises a Ub-PARP1. In some embodiments, in methods disclosed herein, a Ub- protein comprises a Ub-PKA.
- a method for preventing or reducing the degradation of a Ub-protein, or a method for removing at least one Ub molecule from a Ub-protein further provides a method for improving folding of said Ub-protein, correcting folding of said Ub- protein, enhancing the activity of the Ub-protein, potentiating the activity of the Ub-protein, assisting to correctly target the Ub-protein within a cell, and or enhancing trafficking of the Ub-protein.
- the Ub-protein comprises a Ub-CFTR.
- the Ub-protein comprises a Ub-PARP.
- the Ub-protein comprises a Ub-PKA.
- a non-limiting example of an application of a chimeric molecule described herein comprises a method for removing at least one ubiquitin molecule from a Ub-protein, wherein said method is in vivo.
- a non-limiting example of an application of a chimeric molecule described herein comprises a method for preventing or reducing the degradation of a Ub-protein, the method comprising contacting the Ub-protein with a survival-targeting chimeric (SURTAC) molecule comprising a first binding domain, a second binding domain, and a linker domain, wherein: the first binding domain is configured to bind USP5 that may cleave ubiquitin from the Ub-protein bound to the second binding domain; the second binding domain is configured to bind an Ub-protein, and the linker domain is configured to link the first binding domain to the second binding domain; thereby preventing, reducing, or ameliorating the degradation of the Ub-protein.
- SURTAC survival-targeting chimeric
- a non-limiting example of an application of a chimeric molecule described herein comprises a method for preventing or reducing the degradation of a Ub-protein, wherein said method in in vivo
- Chimeric molecules disclosed herein, including SURTAC molecules, and components thereof have been described in detail above.
- the Ub-protein comprises CFTR.
- the Ub-protein comprises PARP.
- the Ub-protein comprises PKA.
- disclosed herein is a method for preventing or reducing the degradation of a Ub-PKA, comprising contacting the Ub-PKA with a chimeric molecule disclosed herein. In some embodiments, disclosed herein is a method for preventing or reducing the degradation of a Ub-PKA, comprising contacting the Ub-PKA with a chimeric molecule disclosed herein. In some embodiments, disclosed herein is a method for treating osteogenesis imperfecta comprising contacting the Ub-PKA with a chimeric molecule disclosed herein. In some embodiments, disclosed herein is a method for promoting osteogenesis comprising contacting the Ub-PKA with a chimeric molecule disclosed herein. In some embodiments, the method comprises administering a chimeric molecule that comprises a second binding domain, wherein the second binding domain is a PKA binder such as Formula (L) to (N).
- a method of use of a chimeric molecule described herein comprises a method of use of a chimeric molecule for modulating the activity of a ubiquitinylated protein, for example but not limited to a CFTR, the method comprising contacting the ubiquitinylated protein with a chimeric molecule comprising a first binding domain, a second binding domain, and a linker domain, wherein: the first binding domain is configured to bind to USP5; the second binding domain is configured to bind to a target protein, and the linker domain is configured to link the first binding domain to the second binding domain; thereby modulating the activity of the ubiquitinylated protein.
- a method of use of a chimeric molecule described herein comprises a use for modulating the cellular location of a ubiquitinylated protein, for example but not limited to CFTR, the method comprising contacting the ubiquitinylated protein with a chimeric molecule comprising a first binding domain, a second binding domain, and a linker domain, wherein: the first binding domain is configured to bind to USP5; the second binding domain is configured to bind to a target protein, and the linker domain is configured to link the first binding domain to the second binding domain; thereby modulating the cellular location of the ubiquitinylated protein.
- a method of use of a chimeric molecule described herein comprises a method of use of a chimeric molecule for altering the functional activity, of a ubiquitinylated protein, for example but not limited to P ARP 1 wherein said WT DNA repair activity is altered to increase DNA strand breaks in a cancer or tumor cells, the method comprising contacting the ubiquitinylated protein with a chimeric molecule comprising a first binding domain, a second binding domain, and a linker domain, wherein: the first binding domain is configured to bind to USP5; the second binding domain is configured to bind to a target protein, and the linker domain is configured to link the first binding domain to the second binding domain; thereby altering the functional activity of the ubiquitinylated protein.
- a method of use of a chimeric molecule described herein comprises a use for enhancing the concentration of a ubiquitinylated protein within a particular cellular location, for example but not limited to PARP1 in the nucleus and or bound to DNA in the nucleus, the method comprising contacting the ubiquitinylated protein with a chimeric molecule comprising a first binding domain, a second binding domain, and a linker domain, wherein: the first binding domain is configured to bind to USP5; the second binding domain is configured to bind to a target protein, and the linker domain is configured to link the first binding domain to the second binding domain; thereby enhancing the concentration of the ubiquitinylated protein in the nucleus and or associated with DNA.
- a method of use of a chimeric molecule described herein comprises a use for modulating the interaction of a ubiquitinylated protein with another protein, the method comprising contacting the ubiquitinylated protein with a chimeric molecule comprising a first binding domain, a second binding domain, and a linker domain, wherein: the first binding domain is configured to bind to USP5; the second binding domain is configured to bind to a target protein, and the linker domain is configured to link the first binding domain to the second binding domain; thereby modulating the interaction of the ubiquitinylated protein with the other protein.
- a method of use of a chimeric molecule described herein comprises a use for modulating the interaction of a ubiquitinylated protein with DNA for example but not limited to increasing the quantity of a de-ubiquitinated protein bound to DNA in a cell, the method comprising contacting the ubiquitinylated protein with a chimeric molecule comprising a first binding domain, a second binding domain, and a linker domain, wherein: the first binding domain is configured to bind to USP5; the second binding domain is configured to bind to a target protein, and the linker domain is configured to link the first binding domain to the second binding domain; thereby modulating the interaction of a ubiquitinylated protein with DNA.
- the cell comprises a cancer or tumor cell.
- the de-ubiquitinated protein is PARP1 or a like protein, though the quantity of de-ubiquitinated proteins increases in both quiescent /non- cancer/non-tumor cells and tumor/cancer cells, quiescent/non-cancer/non-tumor cells retain the ability to detoxify DNA bound PARP1 proteins and survive, while cancer or tumor cells do not.
- methods of use of SURTAC molecules targeting USP5 and PARP1 leads to cytotoxicity of cancer and tumor cells.
- a method of use of a chimeric molecule described herein comprises removing at least on Ub from a Ub-protein and modulating the activity of the Ub-protein, modulating the cellular location of the Ub-protein, modulating the interaction of the Ub-protein with another protein, enhancing the local concentration of the Ub-protein in a cell, or any combination thereof.
- the Ub-protein comprises CFTR.
- the Ub-protein comprises CFTR or PARP1.
- the Ub-protein comprises CFTR or PARP1.
- the Ub- protein comprises PKA.
- a non-limiting example of one application of the chimeric molecules provided herein is the deubiquitination of proteins which are ubiquitinylated due to misfolding. As cells detect misfolded proteins, the cell often tags these proteins for degradation. As cells do not distinguish between non-functional misfolded proteins and partly-functional misfolded proteins, ubiquitinylating and therefore degradation of partly-functional misfolded proteins is a hallmark of certain diseases, such as CF. Thus, specific salvage of misfolded but still functional proteins, for example but not limited to CFTR, by the chimeric molecules provided herein is beneficial in fighting disease or condition caused by misfolded proteins, for example but not limited to CF.
- a non-limiting example of another application of the chimeric molecules provided herein is the deubiquitination of a WT protein in order to increase the local concentration of the WT protein, whereby the increased quantity of the WT protein leads to cytotoxicity of actively dividing cells, e.g., cancer and tumor cells.
- specific cytotoxic targeting of cancer and tumor cells by increasing the local concentration of WT PARP1 and thereby increasing trapping of PARP1 on DNA with an associated increase in DNA strand breaks may for example occur by targeted de-ubiquitination of UB-WT PARP1 by chimeric molecules provided herein, wherein the effect is beneficial in fighting disease or condition such as cancer.
- a method of treating a disease in a subject in need thereof comprising administering therapeutically effective amount of a pharmaceutical composition comprising at least one chimeric molecule disclosed herein.
- the disease comprises a cancer, a neurodegenerative disease or disorder, anemia, a metabolic syndrome, autoimmunity, an inflammatory disease or disorder, an infection, cystic fibrosis, or a muscle dystrophy.
- the disease treated by a method disclosed herein comprises a cancer.
- the disease treated by a method disclosed herein comprises a neurodegenerative disease or disorder.
- the disease treated by a method disclosed herein comprises anemia.
- the disease treated by a method disclosed herein comprises a metabolic syndrome. In some embodiments, the disease treated by a method disclosed herein comprises autoimmunity. In some embodiments, the disease treated by a method disclosed herein comprises an inflammatory disease or disorder. In some embodiments, the disease treated by a method disclosed herein comprises an infection. In some embodiments, the disease treated by a method disclosed herein comprises a muscle dystrophy. In some embodiments, the disease being treated comprises cystic fibrosis (CF). In some embodiments, when the disease being treated comprises CF, administration of a SURTAC molecule disclosed herein is in combination with at least one additional CF therapeutic compound or treatment.
- CF cystic fibrosis
- cancer when the disease being treated comprises cancer, said cancer is a PARP1 inhibitor resistant cancer. In some embodiments, when the disease being treated comprises cancer, administration of a SURTAC molecule disclosed herein is in combination with at least one additional cancer therapeutic compound or treatment.
- a SURTAC molecule when the disease being treated comprises CF, a SURTAC molecule comprises a target binder that binds CFTR. In some embodiments, when the disease being treated comprises cancer, a SURTAC molecule comprises a target binder that binds PARP1. In some embodiments, when the disease being treated comprises cancer, a SURTAC molecule comprises a target binder that binds other PARP proteins for example PARP1. In some embodiments, when the disease being treated comprises cancer, a SURTAC molecule comprises a target binder that binds other PARP proteins for example PKA.
- a method for treating a disease in a subj ect in need thereof comprises administering a chimeric molecule comprising a USP5 binder represented by the structure of any one of the following Formula (1) - Formula (9, as described in detail above.
- a method for treating a disease in a subject in need thereof comprises administering a chimeric molecule comprising a USP5 binder represented by the structure of any one of the following Formula (1) - Formula (9), wherein the disease comprises a cancer, a neurodegenerative disease or disorder, anemia, a metabolic syndrome, autoimmunity, an inflammatory disease or disorder, an infection, cystic fibrosis, or a muscle dystrophy.
- the disease comprises a cancer.
- a method for treating a disease in a subj ect in need thereof comprises administering a chimeric molecule comprising a USP5 binder represented by the structure of any one of the following Formula (1*) - Formula (9*), as described in detail above.
- amethod for treating a disease in a subject in need thereof comprises administering a chimeric molecule comprising a USP5 binder represented by the structure of any one of the following Formula (1*) - Formula (9*), wherein the disease comprises a cancer, a neurodegenerative disease or disorder, anemia, a metabolic syndrome, autoimmunity, an inflammatory disease or disorder, an infection, cystic fibrosis, or a muscle dystrophy.
- the disease comprises a cancer.
- the cancer comprises a cancer resistant to PARP inhibitor therapies.
- the disease comprises a neurodegenerative disease or disorder.
- the disease comprises anemia.
- the disease comprises a metabolic syndrome.
- the disease comprises autoimmunity. In some embodiments, the disease comprises an inflammatory disease or disorder. In some embodiments, the disease comprises an infection. In some embodiments, the disease comprises a muscle dystrophy. In some embodiments, the disease comprises cystic fibrosis (CF).
- CF cystic fibrosis
- a method for treating a disease in a subj ect in need thereof comprises administering a chimeric molecule represented by the structure of any one of the following Formula (1) - Formula (9) and a target binder represented by the structure of Formula (A)-(J).
- a method for treating a disease in a subject in need thereof comprises administering a chimeric molecule represented by the structure of any one of the following Formula (1*) - Formula (9*) and a target binder represented by the structure of Formula (A)-(J).
- a method for treating a disease in a subject in need thereof comprises administering a chimeric molecule represented by the structure of Formula (7) and a target binder represented by the structure of Formula (A)- (J).
- a method for treating a disease in a subject in need thereof comprises administering a chimeric molecule represented by the structure of Formula (8) and a target binder represented by the structure of Formula (A)-(J).
- a method for treating a disease in a subject in need thereof comprises administering a chimeric molecule represented by the structure of Formula (9) and a target binder represented by the structure of Formula (A)-(J).
- a method for treating a disease in a subject in need thereof comprises administering a chimeric molecule represented by the structure of Formulas (1*)- (9*) and a target binder represented by the structure of Formula (A)-(N).
- the disease comprises cystic fibrosis.
- a method for treating a disease in a subject comprises treating a subject suffering from CF wherein the method comprises administering a chimeric molecule comprising a USP5 binder represented by the structure of any one of the following Formula (1) - Formula (9), as described in detail above.
- a method for treating a disease in a subject comprises treating a subject suffering from CF wherein the method comprises administering a chimeric molecule represented by the structure of any one of the following Formula (1) - Formula (9) and a target binder represented by the structure of Formula (A)-(J).
- a method for treating a disease in a subject comprises treating a subject suffering from CF wherein the method comprises administering a chimeric molecule represented by the structure of Formula (7) and a target binder represented by the structure of Formula (A)-(J).
- a method for treating a disease in a subject comprises treating a subject suffering from CF wherein the method comprises administering a chimeric molecule represented by the structure of Formula (8) and a target binder represented by the structure of Formula (A)-(J).
- a method for treating a disease in a subject comprises treating a subject suffering from CF wherein the method comprises administering a chimeric molecule represented by the structure of Formula (9) and a target binder represented by the structure of Formula (A)-(J).
- a method for treating a disease in a subj ect in need thereof comprises administering a chimeric molecule represented by the structure of any of chimeric molecule (I) - (XXVII).
- a method for treating a disease in a subject in need thereof for example but not limited to treating CF, the method comprises administering a chimeric molecule represented by any one of the structures of chimeric molecules 1-135 and 143-196 of Table 2 presented herein.
- a method for treating a disease in a subj ect in need thereof comprises administering a chimeric molecule represented by the structure of any one of the following Formula (1) - Formula (9) and a target binder represented by the structure of Formula (K).
- a method for treating a disease in a subject in need thereof for example but not limited to treating cancer, the method comprises administering a chimeric molecule represented by the structure of any one of the following Formula (I*)-(9*) and a target binder represented by the structure of Formula (K).
- a method for treating a disease in a subject in need thereof for example but not limited to treating cancer comprises administering a chimeric molecule represented by the structure of Formula (7) and a target binder represented by the structure of Formula (K).
- a method for treating a disease in a subject in need thereof, for example but not limited to treating cancer comprises administering a chimeric molecule represented by the structure of Formula (8) and a target binder represented by the structure of Formula (K).
- a method for treating a disease in a subject in need thereof comprises administering a chimeric molecule represented by the structure of Formula (9) and a target binder represented by the structure of Formula (K).
- the disease comprises cancer.
- a method for treating a disease in a subject in need thereof for example but not limited to treating cancer, the method comprises administering a chimeric molecule represented by the structure of Formulas (1*)- (9*) and a target binder represented by the structure of Formulas (A)-(K).
- said cancer is resistant to PARP1 inhibitor therapeutics.
- a method for treating a disease in a subj ect in need thereof, for example a bone related disease comprises administering a chimeric molecule represented by the structure of Formulas (1*)- (9*) and a target binder represented by the structure of Formulas (L)-(N).
- said disease is osteogenesis imperfecta.
- a method for treating a disease in a subject comprises treating a subject suffering from cancer wherein the method comprises administering a chimeric molecule comprising a USP5 binder represented by the structure of any one of the following Formula (1) - Formula (9), as described in detail above.
- a method for treating a disease in a subj ect comprises treating a subj ect suffering from cancer wherein the method comprises administering a chimeric molecule represented by the structure of any one of the following Formula (1) - Formula (9) and a target binder represented by the structure of Formula (K).
- a method for treating a disease in a subject comprises treating a subject suffering from cancer wherein the method comprises administering a chimeric molecule comprising a USP5 binder represented by the structure of any one of the following Formulas (1*)- (9*), as described in detail above.
- a method for treating a disease in a subject comprises treating a subject suffering from cancer wherein the method comprises administering a chimeric molecule represented by the structure of any one of the following Formulas (1*)- (9*) and a target binder represented by the structure of Formula (K).
- a method for treating a disease in a subject comprises treating a subject suffering from cancer wherein the method comprises administering a chimeric molecule represented by the structure of Formula (7) and a target binder represented by the structure of Formula (K).
- a method for treating a disease in a subject comprises treating a subject suffering from cancer wherein the method comprises administering a chimeric molecule represented by the structure of Formula (8) and a target binder represented by the structure of Formula (K).
- a method for treating a disease in a subject comprises treating a subject suffering from cancer wherein the method comprises administering a chimeric molecule represented by the structure of Formula (9) and a target binder represented by the structure of Formula (K).
- a method for treating a disease in a subj ect in need thereof comprises administering a chimeric molecule represented by the structure of any of chimeric molecule (XXVIII)- (XXX)-.
- a method for treating a disease in a subject in need thereof for example but not limited to treating cancer, the method comprises administering a chimeric molecule represented by any one of the structures of chimeric molecules 136-142 and 197-210 of Table 2 presented herein.
- a method for treating a disease in a subject wherein said disease is selected from a cancer, a neurodegenerative disease or disorder, anemia, a metabolic syndrome, autoimmunity, an inflammatory disease or disorder, infection, cystic fibrosis, and a muscle dystrophy, and the method comprises administering a chimeric molecule represented by the structure of any one of the following Formula (1) - Formula (9), as described in detail above, and an additional therapeutic agent.
- a method for treating a disease in a subject wherein said disease is selected from a cancer, a neurodegenerative disease or disorder, anemia, a metabolic syndrome, autoimmunity, an inflammatory disease or disorder, infection, cystic fibrosis, and a muscle dystrophy, and the method comprises administering a chimeric molecule represented by the structure of any one of the following Formulas (1*)- (9*), as described in detail above, and an additional therapeutic agent.
- the disease being treated comprises cystic fibrosis, said method comprising administering a chimeric molecule represented by the structure of any one of the following Formula (1) - Formula (9) and an additional therapeutic agent.
- the disease being treated comprises cystic fibrosis, said method comprising administering a chimeric molecule represented by the structure of any one of the following Formulas (1*)- (9*) and an additional therapeutic agent.
- a method of use of a chimeric molecule for treating a disease affects the half-life of a protein of interest in a cell.
- a method of use of a chimeric molecule for treating a disease improves folding of said Ub-protein, corrects folding of said Ub-protein, enhances the activity of the Ub-protein, potentiates the activity of the Ub-protein, assists to correctly target the Ub-protein within a cell, and or enhances trafficking of the Ub-protein.
- a method of use of a chimeric molecule for treating a disease affects the half-life of a protein of interest in a cell, and improves folding of said Ub-protein, corrects folding of said Ub-protein, potentiates the activity of the Ub-protein, enhances the activity of the Ub-protein, assists to correctly target the Ub-protein within a cell, and or enhances trafficking of the Ub-protein, or any combination thereof.
- a method of use of a chimeric molecule for treating a disease affects the local concentration of a protein of interest in a cell.
- the Ub-protein is associated with a disease.
- the absence of a Ub-protein is associated with a disease.
- the Ub-protein is associated with a disease selected from a cancer, aneurodegenerative disease or disorder, anemia, a metabolic syndrome, autoimmunity, an inflammatory disease or disorder, infection, cystic fibrosis, and a muscle dystrophy.
- a method of use of a chimeric molecule for treating a disease wherein said disease comprises CF
- the method of use affects the half-life of CFTR in a cell.
- a method of use of a chimeric molecule for treating a disease, wherein said disease comprises CF improves folding of said Ub-CFTR, corrects folding of said Ub-CFTR, enhances the activity of the Ub-CFTR, potentates the ion transport across the PM by the Ub-CFTR, assists to correctly target the Ub-CFTR within a cell, and or enhances trafficking of the Ub-CFTR.
- a method of use of a chimeric molecule for treating a disease affects the half-life of CFTR in a cell, and improves folding of said Ub CFTR, corrects folding of said Ub-CFTR, enhances the activity of the Ub-CFTR, potentiates the ion transport across the PM by the Ub-CFTR target, assists to correctly target the Ub-CFTR within a cell, and or enhances trafficking of the Ub-CFTR, or any combination thereof.
- a method of use of a chimeric molecule for treating a disease, wherein said disease comprises cancer affects the local concentration of PARP1 in the nucleus of a cell.
- a method of use of a chimeric molecule for treating a disease, wherein said disease comprises cancer increases the quantity of PARP1 bound to DNA.
- a method of use of a chimeric molecule for treating a disease, wherein said disease comprises cancer increases the quantity of PARP1 bound to DNA and thereby increases the number of DNA strand breaks, thereby leading to cytotoxicity of the cell.
- the cell comprises a cancer or tumor cell.
- the chimeric molecules provided herein further comprise a third binding domain that binds to an antigen presented on a target cell.
- a third binding domain that specifically targets an antigen presented on a cell, or on a specific population of cells allows delivery of the chimeric molecules provided herein to predefined cells, for example but not limited to lung or gastro-intestinal cells wherein the function of CFTR may be reduced or mutated in CF.
- a third binding domain specifically targets chimeric molecules described herein to cancer or tumor cells.
- the chimeric molecules further comprise a cell-penetrating tag.
- a cell-penetrating tag that increases the entry of the chimeric molecules into cells, allows efficient delivery of the chimeric molecules to cells.
- cell-penetrating tags comprise cell-penetrating peptides (CPPs).
- CPPs in some embodiments comprise short peptides that facilitate cellular intake/uptake of various molecules.
- the chimeric molecules are associated with the CPPs either through chemical linkage via covalent bonds or through non-covalent interactions.
- the method of use restores normal cell function, in cells which have been challenged by an insult, for example but not limited to expression of a mutated CFTR protein.
- the method partially restores normal cell function in cells, which have been challenged by an insult, for example but not limited to expression of a mutated CFTR protein.
- the method of use activates a function of the targeted Ub-protein that is cytotoxic to cells, in cells which comprise cancer or tumor cells, for example but not limited to increasing the local cell concentration of Ub-PARP1 protein by de-ubiquitinating the Ub-PARP1.
- the method maintains normal PARP1 DNA binding function in cells, which when PARP1 is in excess leads to increased PARP1 trapped on DNA and increased single strange breaks in the DNA, and ultimately cell death.
- Administration of a chimeric molecule or a pharmaceutical composition comprising a chimeric molecule, as disclosed herein, may be achieved by a variety of different routes, including oral, parenteral, nasal, intravenous, intradermal, subcutaneous or topical.
- modes of administration depend upon the nature of the condition to be treated or prevented.
- an amount that following administration, reduces, inhibits, prevents or delays the progression of a cancer, a neurodegenerative disease or disorder, anemia, a metabolic syndrome, autoimmunity, an inflammatory disease or disorder, infection, cystic fibrosis, or a muscle dystrophy is considered effective.
- an amount that, following administration, reduces, inhibits, prevents or delays the progression of symptoms of a cancer, a neurodegenerative disease or disorder, anemia, a metabolic syndrome, autoimmunity, an inflammatory disease or disorder, infection, cystic fibrosis, or a muscle dystrophy is considered effective.
- an amount that, following administration, reduces, inhibits, prevents or delays the progression CF is considered effective. In some embodiments, an amount that, following administration, reduces, inhibits, prevents or delays the progression of symptoms of CF is considered effective. [00453] In some embodiments, an amount that, following administration, reduces, inhibits, prevents or delays the progression cancer is considered effective. In some embodiments, an amount that, following administration, increases the cytotoxicity of cancer cells is considered effective.
- methods disclosed herein administer a chimeric molecule, for treating a disease in a subject.
- methods disclosed herein administer a chimeric molecule, for treating a disease in a subject, wherein said disease comprises a cancer, a neurodegenerative disease or disorder, anemia, a metabolic syndrome, autoimmunity, an inflammatory disease or disorder, infection, cystic fibrosis, or a muscle dystrophy.
- methods disclosed herein administer a chimeric molecule, for treating a disease in a subject, wherein said disease is cancer.
- an effective amount of a chimeric molecule or a composition thereof is administered to a subject in need for treating a disease selected from a cancer, a neurodegenerative disease or disorder, anemia, a metabolic syndrome, autoimmunity, an inflammatory disease or disorder, infection, cystic fibrosis, and a muscle dystrophy.
- a disease selected from a cancer, a neurodegenerative disease or disorder, anemia, a metabolic syndrome, autoimmunity, an inflammatory disease or disorder, infection, cystic fibrosis, and a muscle dystrophy.
- an effective amount of a chimeric molecule or a composition thereof is administered to a subject in need for treating CF.
- an effective amount of a chimeric molecule or a composition thereof is administered to a subject in need for treating cancer.
- methods disclosed herein administer a chimeric molecule in combination with an additional therapy, for treating a disease in a subject.
- methods disclosed herein administer a chimeric molecule in combination with an additional therapy for treating a disease in a subject, wherein said disease comprises a cancer, a neurodegenerative disease or disorder, anemia, a metabolic syndrome, autoimmunity, an inflammatory disease or disorder, infection, cystic fibrosis, or a muscle dystrophy.
- an effective amount of a chimeric molecule or a composition thereof and an additional therapeutic agent or a composition thereof are administered to a subject in need for treating CF.
- an effective amount of a chimeric molecule or a composition thereof and an additional therapeutic agent or a composition thereof are administered to a subject in need for treating cancer.
- an additional therapy is one used in the standards of care for the disease.
- an additional therapy is one used in the standards of care for the disease selected from a cancer, a neurodegenerative disease or disorder, anemia, a metabolic syndrome, autoimmunity, an inflammatory disease or disorder, infection, cystic fibrosis, or a muscle dystrophy.
- an additional therapy is one used in the standards of care for treating CF.
- an additional therapeutic agent is one used in the standards of care for the disease.
- an additional therapeutic agent is one used in the standards of care for CF. In some embodiments, an additional therapy is one used in the standards of care for treating cancer. In some embodiments, an additional therapeutic agent is one used in the standards of care for the disease. In some embodiments, an additional therapeutic agent is one used in the standards of care for cancer.
- administration of a chimeric molecule or a composition thereof comprises administering a therapeutically active molecule that improves or enhances or potentiates the activity of a protein associated with a disease selected from a cancer, a neurodegenerative disease or disorder, anemia, a metabolic syndrome, autoimmunity, an inflammatory disease or disorder, infection, cystic fibrosis, and a muscle dystrophy.
- a disease selected from a cancer, a neurodegenerative disease or disorder, anemia, a metabolic syndrome, autoimmunity, an inflammatory disease or disorder, infection, cystic fibrosis, and a muscle dystrophy.
- the disease being treated comprises cystic fibrosis.
- administration of a chimeric molecule or a composition thereof comprises administering a therapeutic agent capable of affecting the half-life of Ub-protein in a cell, and improving folding of said Ub-protein, correcting folding of said Ub-protein, enhancing the activity of the Ub-ubiquitinated, assisting to correctly target the Ub-protein within a cell, and or enhancing trafficking of the Ub-protein, or any combination thereof, wherein said protein is associated with a disease selected from a cancer, a neurodegenerative disease or disorder, anemia, a metabolic syndrome, autoimmunity, an inflammatory disease or disorder, infection, cystic fibrosis, and a muscle dystrophy.
- the disease being treated comprises cystic fibrosis.
- administration of a chimeric molecule or a composition thereof comprises administering a therapeutic agent capable of affecting the half-life of a Ub-protein in a cell, wherein said protein is associated with a disease selected from a cancer, a neurodegenerative disease or disorder, anemia, a metabolic syndrome, autoimmunity, an inflammatory disease or disorder, infection, cystic fibrosis, and a muscle dystrophy.
- a disease selected from a cancer, a neurodegenerative disease or disorder, anemia, a metabolic syndrome, autoimmunity, an inflammatory disease or disorder, infection, cystic fibrosis, and a muscle dystrophy.
- the disease being treated comprises cystic fibrosis.
- administration of a chimeric molecule or a composition thereof comprises administering a therapeutic agent capable of and improving folding of a Ub-protein, wherein said protein is associated with a disease selected from a cancer, a neurodegenerative disease or disorder, anemia, a metabolic syndrome, autoimmunity, an inflammatory disease or disorder, infection, cystic fibrosis, and a muscle dystrophy.
- a disease selected from a cancer, a neurodegenerative disease or disorder, anemia, a metabolic syndrome, autoimmunity, an inflammatory disease or disorder, infection, cystic fibrosis, and a muscle dystrophy.
- administration of a chimeric molecule or a composition thereof comprises administering a therapeutic agent capable of correcting folding of a Ub- protein, wherein said protein is associated with a disease selected from a cancer, a neurodegenerative disease or disorder, anemia, a metabolic syndrome, autoimmunity, an inflammatory disease or disorder, infection, cystic fibrosis, and a muscle dystrophy.
- a disease selected from a cancer, a neurodegenerative disease or disorder, anemia, a metabolic syndrome, autoimmunity, an inflammatory disease or disorder, infection, cystic fibrosis, and a muscle dystrophy.
- administration of a chimeric molecule or a composition thereof comprises administering a therapeutic agent capable of enhancing the activity of a Ub-protein, wherein said protein is associated with a disease selected from a cancer, a neurodegenerative disease or disorder, anemia, a metabolic syndrome, autoimmunity, an inflammatory disease or disorder, infection, cystic fibrosis, and a muscle dystrophy.
- a therapeutic agent capable of enhancing the activity of a Ub-protein, wherein said protein is associated with a disease selected from a cancer, a neurodegenerative disease or disorder, anemia, a metabolic syndrome, autoimmunity, an inflammatory disease or disorder, infection, cystic fibrosis, and a muscle dystrophy.
- administration of a chimeric molecule or a composition thereof comprises administering a therapeutic agent capable of potentiating the activity of a Ub-protein, wherein said protein is associated with a disease selected from a cancer, a neurodegenerative disease or disorder, anemia, a metabolic syndrome, autoimmunity, an inflammatory disease or disorder, infection, cystic fibrosis, and a muscle dystrophy.
- a therapeutic agent capable of potentiating the activity of a Ub-protein, wherein said protein is associated with a disease selected from a cancer, a neurodegenerative disease or disorder, anemia, a metabolic syndrome, autoimmunity, an inflammatory disease or disorder, infection, cystic fibrosis, and a muscle dystrophy.
- administration of a chimeric molecule or a composition thereof comprises administering a therapeutic agent capable of assisting to correctly target a Ub-protein within a cell, wherein said protein is associated with a disease selected from a cancer, a neurodegenerative disease or disorder, anemia, a metabolic syndrome, autoimmunity, an inflammatory disease or disorder, infection, cystic fibrosis, and a muscle dystrophy.
- a therapeutic agent capable of assisting to correctly target a Ub-protein within a cell, wherein said protein is associated with a disease selected from a cancer, a neurodegenerative disease or disorder, anemia, a metabolic syndrome, autoimmunity, an inflammatory disease or disorder, infection, cystic fibrosis, and a muscle dystrophy.
- administration of a chimeric molecule or a composition thereof comprises administering a therapeutic agent capable of enhancing trafficking of a Ub-protein, wherein said protein is associated with a disease selected from a cancer, a neurodegenerative disease or disorder, anemia, a metabolic syndrome, autoimmunity, an inflammatory disease or disorder, infection, cystic fibrosis, and a muscle dystrophy.
- administration of a chimeric molecule or a composition thereof comprises administering a therapeutic agent capable of affecting the local concentration of a WT Ub-protein in a cell, wherein said protein is associated with a disease selected from a cancer, a neurodegenerative disease or disorder, anemia, a metabolic syndrome, autoimmunity, an inflammatory disease or disorder, infection, cystic fibrosis, and a muscle dystrophy.
- a disease selected from a cancer, a neurodegenerative disease or disorder, anemia, a metabolic syndrome, autoimmunity, an inflammatory disease or disorder, infection, cystic fibrosis, and a muscle dystrophy.
- the disease being treated comprises cancer.
- improving or enhancing or potentiating the activity of a Ub-protein in a cell, wherein said protein is associated with a disease selected from a cancer, a neurodegenerative disease or disorder, anemia, a metabolic syndrome, autoimmunity, an inflammatory disease or disorder, infection, cystic fibrosis, and a muscle dystrophy is by at least 1%, by at least 2%, by at least 3%, by at least 4%, by at least 5%, by at least 6%, by at least 7%, by at least 8%, by at least 9%, by at least 10%, by at least 20%, by at least 30%, by at least 40%, by at least 50%, by at least 60%, by at least 70%, by at least 80%, by at least 90%, or by 100%.
- administration of a chimeric molecule or a composition thereof comprises administering a therapeutically active molecule that improves or enhances or potentiates the activity of CFTR.
- administration of a chimeric molecule or a composition thereof comprises administering a therapeutic agent capable of affecting the half-life of Ub-CFTR in a cell, and improving folding of said Ub- CFTR, correcting folding of said Ub-CFTR, enhancing the activity of the Ub-CFTR, assisting to correctly target the Ub-CFTR within a cell, and or enhancing trafficking of the Ub-CFTR, or any combination thereof.
- administration of a chimeric molecule or a composition thereof comprises administering a therapeutic agent capable of affecting the half-life of Ub-CFTR in a cell. In some embodiments, administration of a chimeric molecule or a composition thereof, comprises administering a therapeutic agent capable of and improving folding of said Ub-CFTR. In some embodiments, administration of a chimeric molecule or a composition thereof, comprises administering a therapeutic agent capable of correcting folding of said Ub-CFTR. In some embodiments, administration of a chimeric molecule or a composition thereof, comprises administering a therapeutic agent capable of enhancing the activity of the Ub-CFTR.
- administration of a chimeric molecule or a composition thereof comprises administering a therapeutic agent capable of potentiating the activity of the Ub-CFTR. In some embodiments, administration of a chimeric molecule or a composition thereof, comprises administering a therapeutic agent capable of assisting to correctly target the Ub-CFTR within a cell. In some embodiments, administration of a chimeric molecule or a composition thereof, comprises administering a therapeutic agent capable of enhancing trafficking of the Ub-CFTR.
- improving or enhancing or potentiating the activity of Ub- CFTR in a cell is by by at least 1%, by at least 2%, by at least 3%, by at least 4%, by at least 5%, by at least 6%, by at least 7%, by at least 8%, by at least 9%, by at least 10%, by at least 20%, by at least 30%, by at least 40%, by at least 50%, by at least 60%, by at least 70%, by at least 80%, by at least 90%, or by 100%.
- administration of a chimeric molecule or a composition thereof comprises administering a therapeutically active molecule that enhances the local concentration of PARP1 in the nuclear of a cell, increases the quantity of PARP1 molecules bound to DNA, increases single strand DNA breaks, and increases cytotoxicity of cancer or tumor cells.
- a method for treating a disease comprising administration of a pharmaceutical composition described herein.
- administration of a chimeric molecule or a composition thereof comprises administering a therapeutic agent capable of treating CF.
- administration of a chimeric molecule or a composition thereof comprises administering a therapeutic agent capable of treating cancer.
- the therapeutic agent administered comprises a chimeric molecule represented by the structure of any one of the following Formula (1) - Formula (9), as described in detail above.
- the therapeutic agent administered comprises a chimeric molecule represented by the structure of any one of the following Formula (1*) - Formula (9*), as described in detail above.
- the therapeutic agent administered comprises a chimeric molecule represented by the structure of any one of the following Formula (1) - Formula (8) and a target binder represented by the structure of Formula (A)-(K).
- the therapeutic agent administered comprises a chimeric molecule represented by the structure of Formula (7) and a target binder represented by the structure of Formula (A)-(K).
- the therapeutic agent administered comprises a chimeric molecule represented by the structure of Formula (8) and a target binder represented by the structure of Formula (A)-(K). In some embodiments, the therapeutic agent administered comprises a chimeric molecule represented by the structure of Formula (9) and a target binder represented by the structure of Formula (A)-(K).
- the therapeutic agent administered comprises a chimeric molecule represented by the structure of any one of the following chimeric molecules (I) - (XXX). In some embodiments, the therapeutic agent administered comprises a chimeric molecule represented by the structure of any one of the following chimeric molecules 1- 210 of Table 2
- an at least one additional therapeutic agent is administered in combination with a chimeric compound represented by the structure of any one of the following Formula (1) - Formula (9), as described in detail above.
- an at least one additional therapeutic agent is administered in combination with a chimeric compound represented by the structure of any one of the following Formula (1) - Formula (9) and a target binder represented by the structure of Formula (A)-(K).
- an at least one additional therapeutic agent is administered in combination with a chimeric compound represented by the structure of any one of the following Formula (1*) - Formula (9*), as described in detail above.
- an at least one additional therapeutic agent is administered in combination with a chimeric compound represented by the structure of any one of the following Formula (1*) - Formula (9*) and a target binder represented by the structure of Formula (A)-(K).
- an at least one additional therapeutic agent is administered in combination with a chimeric compound represented by the structure following of Formula (7) and a target binder represented by the structure of Formula (A)-(K).
- an at least one additional therapeutic agent is administered in combination with a chimeric compound represented by the structure of Formula (8) and a target binder represented by the structure of Formula (A)-(K).
- an at least one additional therapeutic agent is administered in combination with a chimeric compound represented by the structure of Formula (9) and a target binder represented by the structure of Formula (A)-(K).
- an at least one additional therapeutic agent is administered in combination with a chimeric compound represented by the structure of any one of the following chimeric molecules (I) - (XXX). In some embodiments, an at least one additional therapeutic agent is administered in combination with a chimeric compound represented by the structure of any one of the following chimeric molecules 1-210 of Table 2.
- an at least one additional therapeutic agent comprises an additional chimeric molecule, as disclosed herein.
- an at least one additional therapeutic agent is selected from ivacaftor, lumacaftor, tezacaftor, elexacaftor, ABBV-2222, posenacaftor, nesolicaftor, ABBV 191, ABBV-3067, ELX-02, PTI-428, PTI- 801, PTI-808, VX-121, VX-561, or MRT5005, or any combination thereof.
- an at least one additional therapeutic agent is selected from Veliparp (ABT- 888), Rucaparib (Rubraca; AG-014699), Olaparib (Lynparza; AZD-2281), Niraparib (Zejula; MK-4827), or Talazoparib (BMN-673).
- said at least one additional therapeutic agent comprises a composition comprising the at least one additional therapeutic agent or a pharmaceutical salt thereof.
- the additional agent is administered concurrent with administration of a chimeric molecule disclosed herein or a pharmaceutical salt thereof.
- the additional agent is administered prior to administration of a chimeric molecule disclosed herein or a pharmaceutical salt thereof.
- the additional agent is administered following administration of a chimeric molecule disclosed herein or a pharmaceutical salt thereof.
- the additional agent is administered independent of administration of a chimeric molecule disclosed herein or a pharmaceutical salt thereof.
- an amount of a chimeric molecule disclosed herein or a composition thereof, that following administration treats a disease in a subject in need is considered an effective amount.
- an amount of a chimeric molecule or a composition thereof, that following administration treats a disease selected from a cancer, a neurodegenerative disease or disorder, anemia, a metabolic syndrome, autoimmunity, an inflammatory disease or disorder, infection, cystic fibrosis, and a muscle dystrophy is considered an effective amount.
- an amount of a chimeric molecule or a composition thereof, that following administration treats CF is considered an effective amount.
- the disease is selected from a cancer, a neurodegenerative disease or disorder, anemia, a metabolic syndrome, autoimmunity, an inflammatory disease or disorder, infection, cystic fibrosis, and a muscle dystrophy.
- an "effective amount” may encompass an amount sufficient to affect a beneficial or desired clinical result upon treatment, for treating a subject suffering from a disease comprising a cancer, a neurodegenerative disease or disorder, anemia, a metabolic syndrome, autoimmunity, an inflammatory disease or disorder, infection, cystic fibrosis, and a muscle dystrophy.
- an "effective amount” may encompass an amount sufficient to affect a beneficial or desired clinical result upon treatment of CF in the subject in need.
- Chimeric molecules comprising a first binding domain comprising a USP5 binder represented by the structure of any one of the following Formula (1) - Formula (9); comprising a first binding domain comprising a USP5 binder represented by the structure Formula (1) - Formula (9) and a second binding domain comprising a target binder represented by the structure of Formula (A)-(K); comprising a first binding domain comprising a USP5 binder represented by the structure of Formula (7) and a second binding domain comprising a target binder represented by the structure of Formula (A)-(K); comprising a first binding domain comprising a USP5 binder represented by the structure of Formula (8) and a second binding domain comprising a target binder represented by the structure of Formula (A)-(K); comprising a first binding domain comprising a USP5 binder represented by the structure of Formula (9) and a second binding domain comprising a target binder represented by the structure of Formula (A)-(K); any of chimeric molecules (I) -
- the therapeutically effective amount or dose can be estimated initially from in vitro assays.
- a dose can be formulated in animal models and such information can be used to more accurately determine useful doses in humans.
- Toxicity and therapeutic efficacy of the chimeric molecule or a composition thereof, as described herein, can be determined by standard pharmaceutical procedures in vitro, in cell cultures or experimental animals.
- the data obtained from these in vitro and cell culture assays and animal studies can be used in Formulating a range of dosage for use in human.
- the dosage may vary depending upon the dosage form employed and the route of administration utilized.
- the exact Formulation, route of administration and dosage can be chosen by the individual physician in view of the patient's condition. [See e.g., Fingl, et al., (1975) "The Pharmacological Basis of Therapeutics", Ch. 1 p.1].
- compositions to be administered will, of course, be dependent on e.g., the subject being treated, the severity of the affliction, the manner of administration, the judgment of the prescribing physician, etc.
- an effective amount can be administered to a subject in one or more doses.
- an effective amount is an amount that is sufficient to treat a disease in a subject, wherein said disease comprises a cancer, a neurodegenerative disease or disorder, anemia, a metabolic syndrome, autoimmunity, an inflammatory disease or disorder, infection, cystic fibrosis, and a muscle dystrophy.
- an effective amount is an amount that is sufficient to enhance or improve the functionality of a protein associated with the disease in a cell.
- the disease is CF.
- an effective amount is an amount that is sufficient to enhance or improve the functionality of CFTR in a cell.
- the effective amount is generally determined by the physician on a case-by-case basis and is within the skill of one in the art. Several factors are typically taken into account when determining an appropriate dosage to achieve an effective amount. These factors include age, sex and weight of the subject, the condition being treated, the severity of the condition and the form and effective concentration of the chimeric molecule or a composition thereof, being administered.
- Chimeric molecules disclosed herein may be administered by a variety of different routes.
- a chimeric molecule or a composition thereof is administered orally, intravenously, intraperitoneally, or subcutaneously.
- a chimeric molecule or a composition thereof may be used alone or in combination with appropriate additives to make tablets, powders, granules or capsules, for example, with conventional additives, such as lactose, mannitol, com starch or potato starch; with binders, such as crystalline cellulose, cellulose derivatives, acacia, com starch or gelatins; with disintegrators, such as com starch, potato starch or sodium carboxynrethylcellulose; with lubricants, such as talc or magnesium stearate; and if desired, with diluents, buffering agents, moistening agents, preservatives and flavoring agents.
- conventional additives such as lactose, mannitol, com starch or potato starch
- binders such as crystalline cellulose, cellulose derivatives, acacia, com starch or gelatins
- disintegrators such as com starch, potato starch or sodium carboxynrethy
- a chimeric molecule or a composition thereof may be formulated into preparations for injection by dissolving, suspending or emulsifying them in an aqueous or nonaqueous solvent, such as vegetable or other similar oils, synthetic aliphatic acid glycerides, esters of higher aliphatic acids or propylene glycol; and if desired, with conventional additives such as solubilizers, isotonic agents, suspending agents, emulsifying agents, stabilizers and preservatives.
- a chimeric molecule or a composition thereof may be utilized in aerosol Formulation to be administered via inhalation.
- a chimeric molecule disclosed herein or a pharmaceutically acceptable salt thereof as disclosed herein in detail, or pharmaceutical compositions thereof, disclosed herein may be formulated into pressurized acceptable propellants such as dichlorodifluoromethane, propane, nitrogen and the like.
- a chimeric molecule or a pharmaceutically acceptable salt thereof, as disclosed herein in detail, or pharmaceutical compositions thereof may be made into suppositories by mixing with a variety of bases such as emulsifying bases or water- soluble bases.
- a chimeric molecule or a pharmaceutically acceptable salt thereof, as disclosed herein in detail, or pharmaceutical compositions thereof, may be administered rectally via a suppository.
- the suppository can include vehicles such as cocoa butter, carbowaxes and polyethylene glycols, which melt at body temperature, yet are solidified at room temperature.
- Unit dosage forms for oral or rectal administration such as syrups, elixirs, and suspensions may be provided wherein each dosage unit, for example, teaspoonful, tablespoonful, tablet or suppository, contains a predetermined amount of the composition containing one or more active agents.
- unit dosage forms for injection or intravenous administration may comprise a chimeric molecule or a composition thereof, in a composition as a solution in sterile water, normal saline or another pharmaceutically acceptable carrier.
- unit dosage form refers to physically discrete units suitable as unitary dosages for human and animal subjects, each unit containing a predetermined quantity of an active agent calculated in an amount sufficient to produce the desired effect in association with a pharmaceutically acceptable diluent, carrier or vehicle.
- the specifications for the active agents depend on the particular compound employed and the effect to be achieved, and the pharmacodynamics associated with each compound in the host.
- Other modes of administration will also find use with treating a disease in a subject in need.
- the disease comprises a cancer, a neurodegenerative disease or disorder, anemia, a metabolic syndrome, autoimmunity, an inflammatory disease or disorder, infection, cystic fibrosis, and a muscle dystrophy.
- the disease being treated comprises cystic fibrosis.
- other modes of administration may be used for treating CF.
- a chimeric molecule or a pharmaceutically acceptable salt thereof, as disclosed herein in detail, or pharmaceutical compositions thereof may be formulated in suppositories and, in some cases, aerosol and intranasal compositions.
- vehicle composition will include traditional binders and carriers such as, polyalkylene glycols, or triglycerides.
- Such suppositories may be formed from mixtures containing the active ingredient in the range of about 0.5% to about 10% (w/w), or about 1% to about 2%.
- Intranasal formulations will usually include vehicles that neither cause irritation to the nasal mucosa nor significantly disturb ciliary function.
- Diluents such as water, aqueous saline or other known substances can be employed with the subject chimeric molecules, compositions thereof, and formulations thereof.
- the nasal formulations may also contain preservatives such as, but not limited to, chlorobutanol and benzalkonium chloride.
- a surfactant may be present to enhance absorption of the chimeric molecule or a composition thereof, by the nasal mucosa.
- a chimeric molecule as disclosed herein or a pharmaceutically acceptable salt thereof, as disclosed herein in detail, or pharmaceutical compositions thereof, may be administered as injectables.
- injectable compositions are prepared as liquid solutions or suspensions; solid forms suitable for solution in, or suspension in, liquid vehicles prior to injection may also be prepared.
- the preparation may also be emulsified, or the chimeric molecule or a pharmaceutically acceptable salt thereof, as disclosed herein in detail, or pharmaceutical compositions thereof, may encapsulated in liposome vehicles.
- Suitable excipient vehicles are, for example, water, saline, dextrose, glycerol, ethanol, or the like, and combinations thereof.
- the vehicle may contain minor amounts of auxiliary substances such as wetting or emulsifying agents or pH buffering agents.
- auxiliary substances such as wetting or emulsifying agents or pH buffering agents.
- Actual methods of preparing such dosage forms are known, or will be apparent, to those skilled in the art. See, e.g., Remington's Pharmaceutical Sciences, Mack Publishing Company, Easton, Pennsylvania, 17th edition, 1985; Remington: The Science and Practice of Pharmacy, A.R. Gennaro, (2000) Lippincott, Williams & Wilkins.
- the composition or Formulation to be administered will, in any event, contain a quantity of the agent adequate to achieve the desired state in the subject being treated.
- compositions such as vehicles, adjuvants, carriers or diluents
- pharmaceutically acceptable auxiliary substances such as pH adjusting and buffering agents, tonicity adjusting agents, stabilizers, wetting agents and the like, are readily available to the public.
- treating comprises therapeutic treatment and “preventing” comprises prophylactic or preventative measures, wherein the object is to prevent or lessen the targeted pathologic condition or disorder as described hereinabove.
- treating may include directly affecting a disease comprising a cancer, a neurodegenerative disease or disorder, anemia, a metabolic syndrome, autoimmunity, an inflammatory disease or disorder, infection, cystic fibrosis, or a muscle dystrophy, or a disorder associated with the disease.
- treating may include directly affecting CF or a symptom associated with CF.
- “preventing” encompasses inter alia, delaying the onset of symptoms, preventing relapse to a disease, decreasing the number or frequency of relapse episodes, increasing latency between symptomatic episodes, or a combination thereof.
- treatment may encompass clinical intervention in an attempt to alter a disease course of the individual being treated, and can be performed either for prophylaxis or during the course of clinical pathology.
- Therapeutic effects of treatment include, without limitation, preventing occurrence or recurrence of disease, alleviation of symptoms, diminishment of any direct or indirect pathological consequences of the disease, preventing metastases, decreasing the rate of disease progression, amelioration or palliation of the disease state, and remission or improved prognosis.
- a treatment can prevent worsening of a disease in an affected or diagnosed subject or a subject suspected of having the disease, for example a subject having a mutant protein associated with a disease, for example but not limited to a mutant CFTR, but not yet demonstrating any symptoms.
- administration for treatment may prevent the onset of a disease or a symptom of the disease in a subject at risk for the disease or suspected of having the disease, for example but not limited to a subject having a mutant protein associated with a disease, for example but not limited to a mutant CFTR but showing no symptoms of disease.
- methods of treatment disclosed herein delay the onset of at least one symptom of a disease comprising a cancer, a neurodegenerative disease or disorder, anemia, a metabolic syndrome, autoimmunity, an inflammatory disease or disorder, infection, cystic fibrosis, and a muscle dystrophy. In some embodiments, methods of treatment disclosed herein delay the onset of at least one symptom of CF. In some embodiments, methods of treatment disclosed herein reverse the course of an existing disease, for example a disease comprising a cancer, a neurodegenerative disease or disorder, anemia, a metabolic syndrome, autoimmunity, an inflammatory disease or disorder, infection, cystic fibrosis, and a muscle dystrophy.
- methods of treatment disclosed herein reverse the course of an existing disease. In some embodiments, methods of treatment disclosed herein reverse the course of existing CF. In some embodiments, methods of treatment disclosed herein treat CF and reverse the course of existing CF. In some embodiments, methods of treatment disclosed herein reverse the course of existing cancer. In some embodiments, methods of treatment disclosed herein treat cancer and reverse the course of existing cancer. In some embodiments, methods of treatment disclosed herein prevent or reduce metastasis of a cancer.
- a subject may encompass a vertebrate, in some embodiments, to a mammal, and in some embodiments, to a human.
- a subj ect is a human child between the ages of newborn and 21.
- a subject is a human adult.
- an "effective amount” may encompass an amount sufficient to have a therapeutic effect.
- an "effective amount” is an amount sufficient to treat a disease or a symptom thereof in a subject in need, reduce or inhibit the progression of a disease, ameliorate or alleviate suffering from the disease, reduce or inhibit the spread of the disease, or any combination thereof.
- binding domain generally refers to a part of a molecule which specifically targets, or is specifically recognized by, a separate molecule.
- the first binding domain may specifically target, or be specifically recognized by, USP5, i.e. a protease that cleaves ubiquitin from proteins and other molecules, i.e. the enzyme which would ultimately remove one or more ubiquitin molecules from the protein of interest.
- the second binding domain may specifically target, or be specifically recognized by, an ubiquitinylated protein, i.e., the protein of interest from which one or more ubiquitin molecules would be ultimately removed.
- linker or “linking domain” generally refers to a part of a molecule which links, connects, associates or otherwise interacts with a plurality of other molecules.
- the linker domain of the chimeric molecules provided herein connects or links the first binding domain to the second binding domain of the chimeric molecules provided herein.
- antibody or “antibodies” is used herein in a broad sense and includes both polyclonal and monoclonal antibodies.
- fragments e.g., CDRs, Fv, Fab and Fc fragments
- polymers e.g., polymers of those immunoglobulin molecules and humanized versions of immunoglobulin molecules.
- the antibodies may also be generated using well-known methods.
- a second binding domain of the chimeric molecules provided herein may be an antibody that binds ubiquitinylated protein or an ubiquitinylated-protein- binding fragment thereof.
- antibody as used herein further includes Fab, the fragment which contains a monovalent antigen-binding fragment of an antibody molecule, which can be produced by digestion of whole antibody with the enzyme papain to yield an intact light chain and a portion of one heavy chain; Fab', the fragment of an antibody molecule that can be obtained by treating whole antibody with pepsin, followed by reduction, to yield an intact light chain and a portion of the heavy chain two Fab' fragments are obtained per antibody molecule; (Fab')2, the fragment of the antibody that can be obtained by treating whole antibody with the enzyme pepsin without subsequent reduction, F(ab')2 is a dimer of two Fab' fragments held together by two disulfide bonds; Fv, a genetically engineered fragment containing the variable region of the light chain and the variable region of the heavy chain expressed as two chains; and single chain antibody (“SCA”), a genetically engineered molecule containing the variable region of the light chain and the variable region of the heavy chain, linked by a suitable poly
- Fv fragments comprise an association of VH and VL chains. This association may be noncovalent, as described in Inbar et al. , Proc. Nat'l Acad. Sci. USA 69:2659-62, 1972. Alternatively, the variable chains can be linked by an intermolecular disulfide bond or cross-linked by chemicals such as glutaraldehyde. Alternatively, the Fv fragments comprise VH and VL chains connected by a peptide linker.
- antibody as used herein further includes a peptide coding for one or more complementarity-determining regions (CDRs).
- CDR peptides (“minimal recognition units") can be obtained by constructing genes encoding the CDR of an antibody of interest.
- peptide includes native peptides (either degradation products, synthetically synthesized peptides or recombinant peptides) and peptidomimetics (typically, synthetically synthesized peptides), such as peptoids and semipeptoids which are peptide analogs, which may have, for example, modifications rendering the peptides more stable while in a body or more capable of penetrating into bacterial cells.
- amino acid or “amino acids” is understood to include the 20 naturally occurring amino acids; those amino acids often modified post-translationally in vivo, including, for example, hydroxyproline, phosphoserine and phosphothreonine; and other unusual amino acids including, but not limited to, 2-aminoadipic acid, hydroxylysine, isodesmosine, nor-valine, nor-leucine and ornithine.
- amino acid includes both D- and L-amino acids.
- the term “ligand” generally refers to a substance, such as a small molecule, that forms a complex with another biomolecule.
- the second binding domain of the chimeric molecules provided herein may comprise a ligand that binds an ubiquitinylated protein
- the first binding domain of the chimeric molecules provided herein may comprise a ligand that binds USP5.
- ubiquitinylated protein generally refers to the protein of interest, from which one or more ubiquitin molecules would be ultimately removed.
- an “ubiquitinylated protein” may carry a single ubiquitin molecule, multiple ubiquitin molecules, a single ubiquitin chain, multiple ubiquitin chains, linear ubiquitin chains, branched ubiquitin chains, or any combination thereof.
- the second binding domain of the chimeric molecules provided herein could bind to an ubiquitinylated protein, i.e., a protein covalently attached to at least one ubiquitin molecule [00507] It should be understood that the term “modulating” as used herein generally refers to any change of an attribute.
- modulating the activity of an ubiquitinylated protein may mean increasing or decreasing the activity of an ubiquitinylated protein
- modulating the cellular location of an ubiquitinylated protein means changing the location of an ubiquitinylated protein within a cell
- modulating the interaction of an ubiquitinylated protein with another protein may mean increasing or decreasing protein- protein interaction between an ubiquitinylated protein to a different protein.
- preventing, reducing, or ameliorating protein degradation refers to complete stop of protein degradation, decrease in the number of proteins degraded per a time unit, or decrease in the rate in which a protein is degraded.
- EDCI N-(3-dimethylaminopropyl)-N'-ethylcarbodiimide hydrochloride
- ESI+ electrospray ionisation mass spectrometry positive ion mode
- HATU 1-[bis(dimethylamino)methylene]-1H-1,2,3-triazolo[4,5-b]pyridinium 3-oxide hexafluorophosphate
- Preparative high performance liquid chromatography was performed on a Shimadzu LC-20AP instrument using columns listed for each compound. Reverse-phase purification was performed on a Biotage Isolera Prime using a Welch Ultimate XB-C1820-40 ⁇ m column. Flash column chromatography used silica gel (particle size 0.15-0.30 mm). Supercritical fluid chromatography (SFC) was performed on a Waters Prep SFC 150 Mgm System. [00539] NMR Spectroscopy
- Petroleum ethers refers to petroleum ether 60-90.
- IUPAC names were used for new compounds and were generated either in ChemDraw Ultra 12.0.2.1076 from PerkinElmer or the Scilligence Electronic Lab Notebook Version 5.1.2.38660. Other compounds, particularly commercial reagents, either use names generated by ChemDraw Ultra or names commonly found in online databases and catalogues.
- Example 2 Preparation of tert-butyl ( 4-((4-(4-((amino-alkyldecyl)oxy)phenyl)piperidin - 1 -yl)sulfonyl)benzoyl)glycinate as represented below
- Example 3 Preparation of tert-butyl ( 4-((4-(4-(2-(2-amino-polyethyleneglycole - phenyl)piperidin-1-yl)sulfonyl)benzoyl)glycinate as represented below
- Example 4 Preparation of tert-butyl 2-(7-((4-(4-(2-(2-amino-polyethyleneglycole- phenyl)piperidin-1-yl)sulfonyl)-4-oxo-1,4-dihydroquinazolin-3(2H)-yl)acetate as represented below
- Example 5 Synthesis oftert-butyl 2-(7-((4-(4-(2-(2-amino-polyethyleneglycole- phenyl)piperidin-1-yl)sulfonyl)-4-oxoquinazolin-3(4H)-yl)acetate as represented below
- the mixture was slowly poured into water (600 mL), and the organic layer retained, while the aqueous layer was extracted with dichloromethane (3 x 350 mL).
- the combined organic layer was washed with 1 M hydrochloric acid (2 x 200 mL) and the organic layer was washed with saturated brine (3 x 350 mL).
- the organic layer was dried over Na 2 SO 4 , filtered, and concentrated in vacuo to give the title compound as a light-yellow oil.
- the mixture was stirred at room temperature for 16h, poured into water (1.0 L), and adjusted to pH 3-4 with 1 M hydrochloric acid (500 mL). The precipitate was collected by filtration and dissolved in ethyl acetate (2.0 L). The solution was dried over Na 2 SO 4 .
- the mixture was concentrated in vacuo and purified by SFC (column: Daicel CHIRALPAK IG 250 mm c 50 mm 10 ⁇ m; mobile phase: [solvent A: 0.1% aqueous ammonia, solvent B: methanol]; the gradient runs with 70% B, gradient: 70%-70% B with 5.4 min, repeating 37 times, 200 min in total, hold at 100% B to 10 min) to provide the title compound as an off-white solid.
- Example 9 Synthesis of 10-(4-(2-fluoro-5-((4-oxo-3,4-dihydrophthalazin-1- yl)methyl)benzoyl)piperazin-1-yl)-10-oxodecanoic acid Synthesis of tert-butyl 10-(4-(2- fluoro-5-((4-oxo-3,4-dihydrophthalazin-1-yl)methyl)benzoyl)piperazin-1-yl)-10- oxodecanoate [00602] To a solution of 10-(tert-butoxy)- 10-oxodecanoic acid (4 g, 15.5 mmol) and
- the mixture was stirred at 25 °C for 16 h, poured into water (50 mL) and adjusted to pH 6-7 with saturated aqueous sodium hydrogen carbonate (30 mL). The mixture was extracted with dichloromethane (2 x 120 mL). The extracts were combined, washed with brine (200 mL) and dried over MgSO 4 . The solvent was removed in vacuo to give the title compound as a yellow solid.
- Example 10 Synthesis of N-(2-chloroethyl)-10-(4-(2-fluoro-5-((4-oxo-3,4- dihydrophthalazin-1-yl)methyl)benzoyl)piperazin-1-yl)-10-oxodecanamide
- Example 11 Synthesis of 12-(4-(2-fluoro-5-((4-oxo-3,4-dihydrophthalazin-l- yl)methyl)benzoyl)piperazin-1-yl)-12-oxododecanoic acid Synthesis of tert-butyl 12-(4- (2-fluoro-5-((4-oxo-3,4-dihydrophthalazin-1-yl)methyl)benzoyl)piperazin-1-yl)-12- oxododecanoate
- Example 12 Synthesis of N-(2-chloroethyl)-12-(4-(2-fluoro-5-((4-oxo-3,4- dihydrophthalazin-1-yl)methyl)benzoyl)piperazin-1-yl)-12-oxododecanamide [00614] To a solution of 12-(4-(2-fluoro-5-((4-oxo-3,4-dihydrophthalazin-1- yl)methyl)benzoyl)piperazin-1-yl)-12-oxododecanoic acid (5.77 g, 9.97 mmol) and HOBt (1.48 g, 11.0 mmol) in DMF (60 mL) at 25°C were added EDCI (2.10 g, 11.0 mmol) and DIEA (3.82 mL, 21.9 mmol).
- Example 13 Synthesis of tert-butyl 2-(4-((4-(4-hydroxyphenyl)piperidin-1- yl)sulfonyl)benzamido)acetate [00616] Synthesis of tert-butyl 4-(4-(benzyloxy)phenyl)-5,6-dihydropyridine-1(2H)- carboxylate [00617] To a solution of tert-butyl 4-(4,4,5,5-tetramethyl-1,3,2-dioxaborolan-2-yl)-3,6- dihydro-2H-pyridine-1-carboxylate (864 g, 2.74 mol) in dioxane (6 L) and water (600 mL), under nitrogen, were added potassium carbonate (630 g, 4.76 mol), 1-benzyloxy-4-bromo- benzene (280 g, 1.06 mol) and Pd(dppf)Cl 2 .CH 2 Cl 2 (93.1 g,
- Example 14 Synthesis of tert-butyl 3-(2-(tert-butoxy)-2-oxoethyl)-7-((4-(4- hydroxyphenyl)piperidin-1-yl)sulfonyl)-4-oxo-3,4-dihydroquinazoline-1(2H) ⁇ carboxylate
Landscapes
- Health & Medical Sciences (AREA)
- Chemical & Material Sciences (AREA)
- Life Sciences & Earth Sciences (AREA)
- Engineering & Computer Science (AREA)
- Bioinformatics & Cheminformatics (AREA)
- General Health & Medical Sciences (AREA)
- Organic Chemistry (AREA)
- Zoology (AREA)
- Medicinal Chemistry (AREA)
- Genetics & Genomics (AREA)
- Wood Science & Technology (AREA)
- General Engineering & Computer Science (AREA)
- Veterinary Medicine (AREA)
- Biochemistry (AREA)
- Public Health (AREA)
- Animal Behavior & Ethology (AREA)
- Epidemiology (AREA)
- Pharmacology & Pharmacy (AREA)
- Microbiology (AREA)
- Biotechnology (AREA)
- Biomedical Technology (AREA)
- Molecular Biology (AREA)
- Medicines That Contain Protein Lipid Enzymes And Other Medicines (AREA)
- Pharmaceuticals Containing Other Organic And Inorganic Compounds (AREA)
- Peptides Or Proteins (AREA)
- Medicinal Preparation (AREA)
Abstract
Chimeric molecules that include a USP5 binding domain and uses thereof for deubiquitinating a ubiquitinylated protein, and or for treating a disease in a subject in need are provided herein. Further, Survival-Targeting Chimeric (SURTAC) molecules that include a USP5 binding domain linked to a target protein binding domain are disclosed herein, as are their uses for deubiquitination and treating disease. In some instances, the target protein is a ubiquitinylated protein, wherein a bound USP5 enzyme may proteolytically remove ubiquitin from the target ubiquitinylated protein.
Description
USP5 BINDING SURVIVAL-TARGETING CHIMERIC (SURTAC) MOLECULES & USES THEREOF CROSS-REFERENCE [001] This application claims the benefit of U.S. Provisional Patent Application No. 63/134,596 filed on January 7, 2021, which is incorporated herein by reference in its entirety. FIELD OF INTEREST [002] Disclosed herein are chimeric molecules that include a binding region to a deubiquitinating enzyme 5, also known as ubiquitin carboxyl-terminal hydrolase 5 or ubiquitin-specific-processing protease 5 (USP5). In some instances, these chimeric molecules are bifunctional and further include a binding region to a ubiquitinylated protein. Bifunctional chimeric molecules disclosed herein comprise survival-targeting chimeric (SURTAC) molecules designed to designed bring into close proximity a USP5 enzyme with target ubiquitinylated proteins and thereby deubiquitinate and decrease cellular degradation of these specific target proteins. Disclosed herein are methods of use of chimeric molecules, including SURTACs, for increasing the stability and or survival of targeted ubiquitinylated proteins, and for treating a disease. BACKGROUND [003] The concentration of any protein within a living cell is determined by the balance of protein synthesis and protein degradation. Regulated protein degradation is key in precisely controlling individual protein level within cells. [004] Ubiquitin (Ub) is a small protein consisting of 76 amino acids that is important in the regulation of protein half-life in the cell. Proteins are post-translationally modified by covalent conjugation with ubiquitin in a process referred to as ubiquitination. [005] Ubiquitin can be covalently attached to lysine residues on polypeptide substrates through the sequential action of three enzymes: an ubiquitin activation enzyme (E1); an ubiquitin-conjugating enzyme (E2); and an ubiquitin ligase (E3), that catalyzes transfer of ubiquitin to substrates. Ubiquitin contains seven lysine residues (K6, K11, K27, K29, K33, K48, K63) that, together with its N-terminus methionine (Met1), can serve as secondary attachment points to make diverse polyubiquitin chains with different structures and functions. Ubiquitination has classically been ascribed to targeting cytosolic proteins for
degradation by the proteasome. In contrast, ubiquitination of membrane proteins can lead to more nuanced outcomes including regulating protein trafficking/sorting, stability, and/or function. [006] The type and number of poly-ubiquitin chains that are conjugated to a target is highly regulated to generate distinct signals that affect different physiological processes. This versatility arises from the fact that not only can targets be mono-ubiquitinylated or poly- ubiquitinylated, but also that different types of poly-ubiquitin chains are formed. Among the regulatory functions of ubiquitin, polyubiquitination can mark a modified protein for proteasome-mediated degradation. Proteins targeted for degradation by the proteasome in a cell are "tagged" with three or more ubiquitin molecules (polyubiquitination). The binding of a single ubiquitin molecule (monoubiquitination) does not generally target the monoubiquitinated protein for degradation. Protein ubiquitination is a dynamic two-way process that can be reversed or regulated by deubiquitinating (deubiquitinase, DUB) enzymes. [007] Proteasomes are protein complexes, which degrade proteins by proteolysis, a chemical reaction that breaks peptide bonds. The proteasomes form a pivotal component for the Ubiquitin-Proteasome System (UPS). Protein ubiquitination and subsequent proteolysis and degradation by the proteasome are important mechanisms in the regulation of the half- life of a protein. The UPS also functions in protein quality control, rapidly identifying and destroying misfolded proteins. [008] The solved structures of all known Ub chains are unique, strongly suggesting that the formation and hydrolysis of each linkage is catalyzed by a specific set of conjugation enzymes and DUBs. More recently, novel Ub chains have been identified and these include non-degradable “forked” chains with heterogeneous linkages. Ubiquitination has been associated with inherited disorders such as cystic fibrosis, cardiac arrhythmias, epilepsy, and neuropathic pain, as well as infectious disease, contributing to the pathogenic lifecycle of diverse viral and bacterial pathogens. [009] Deubiquitinases (DUBs) are specialized isopeptidases that provide salience to ubiquitin signaling through the revision and removal of ubiquitin chains. There are over 100 human DUBs, comprising 6 distinct families: 1) the ubiquitin specific proteases (USP) family, 2) the ovarian tumor proteases (OUT) family, 3) the ubiquitin C-terminal hydrolases (UCH) family, 4) the Josephin domain family (Josephin), 5) the motif interacting with
ubiquitin-containing novel DUB family (MINDY), and 6) the JABl/MPN/Mov34 metalloenzyme domain family (JAMM). Of note, the USP family is relatively promiscuous, hydrolyzing all ubiquitin linkages, in stark contrast to the OTU family, which contains a diverse set of enzymes with distinct linkage preferences. Linkage-specific DUBs have been purified and used in cell-free in vitro assays.
[0010] For the deubiquitinating enzymes (DUBs) to perform their activity on ubiquitinylated protein(s), they comprise at least one catalytic domain. The catalytic domain is the domain that comes in contact with the ubiquitin attached to the target protein and removes it from the target protein. [0011] Deubiquitinating enzyme 5, also known as ubiquitin carboxyl-terminal hydrolase
5 (Uniprot ID = P45974), Isopeptidase T, Ubiquitin thioesterase 5, and Ubiquitin-specific- processing protease 5 (USP5), is a ubiquitin-specific protease (USP). USP5 cleaves linear and branched multiubiquitin polymers with a preference for branched polymers. It is involved in unanchored 'Lys-48'-linked polyubiquitin disassembly and binds linear and 'Lys- 63'-linked polyubiquitin with a lower affinity. It has been shown that knock-down of USP5 causes the accumulation of p53/TP53 and an increase in p53/TP53 transcriptional activity because the unanchored polyubiquitin that accumulates is able to compete with ubiquitinated p53/TP53 but not with MDM2 for proteasomal recognition.
[0012] Cystic fibrosis (CF) is an autosomal recessive genetic disorder caused by mutations of the gene encoding for the cystic fibrosis transmembrane conductance regulator
(CFTR) that lead to loss of function of the CFTR. The incidence of the disease among the Caucasian population is 1/2000-3000 newborns, whereas it is much lower among native Africans and Asians.
[0013] The cystic fibrosis transmembrane conductance regulator (CFTR) gene encodes an epithelial ion channel responsible for aiding in the regulation of salt and water absorption and secretion in various tissues. The CFTR protein is a 1480 amino acid plasma membrane protein that belongs to the superfamily of ATP -binding cassette (ABC) transporters. CFTR structure consists of a cytosolic N-terminus followed by six transmembrane helices, a nucleotide-binding domain (NBD1), a regulatory (R) domain, six additional transmembrane helices, a second nucleotide-binding domain (NBD2), and a cytosolic C -terminus (Riordan, Annu Rev Biochem 77:701-726, 2008). The transmembrane helices form a pore permeable to chloride, bicarbonate, iodide, and other anions. Opening of the pore requires the
phosphorylation of the R domain by the cAMP-dependent protein kinase A as well as binding of two ATP molecules in two pockets formed by the assembly of NBD1 and NBD2. [0014] CFTR is a cAMP/ATP-modulated anion channel that is expressed in a variety of cell types, and particularly in epithelial cells of various organs including lungs, pancreas, liver, and intestine (Mall and Hartl, Eur Respir J 44:1042-1054, 2014). Physiological signals that increase intracellular cAMP levels elicit CFTR activation. In most tissues, opening of CFTR pore leads to chloride and bicarbonate secretion. A notable exception is represented by the sweat gland duct in which CFTR mediates chloride absorption and not secretion. [0015] In epithelial cells, normal functioning of CFTR is critical for the maintenance of electrolyte transport throughout the body, including respiratory and digestive tissues. The important role of CFTR is demonstrated by the severe pathological manifestations occurring in CF. In the lungs, lack of CFTR-dependent anion secretion impairs mucociliary clearance and innate antimicrobial mechanisms (Collawn and Matalon, Am J Physiol 307: L917-L923, 2014). Consequently, the airways become colonized by antibiotic-resistant bacteria that trigger a severe inflammatory response and a progressive loss of respiratory function, including chronic lung disease. [0016] In addition to respiratory disease, CF patients typically suffer from gastrointestinal problems and pancreatic insufficiency. If left untreated, CF results in death. In addition, the majority of males with CF are infertile and fertility is decreased among females with CF. In contrast to the severe effects of two copies of the CF associated gene, individuals with a single copy of the CF associated gene may exhibit increased resistance to dehydration resulting from diarrhea. This heterozygote advantage could explain the relatively high frequency of the CF gene within the population. [0017] Sequence analysis of the CFTR gene of CF patients has revealed a variety of disease-causing mutations (Cutting, G. R. et al. (1990) Nature 346:366-369; Dean, M. et al. (1990) Cell 61:863:870; Kerem, B-S. et al. (1989) Science 245: 1073-1080; Kerem, B-S. et al. (1990) Proc. Natl. Acad. Sci. USA 87:8447-8451). To date, more than 2000 CF-causing mutations in the CF gene have been identified, involving 6 classes of molecular defects of the protein (Class I: premature stop of CFTR protein synthesis; Class II: defective maturation and intracellular localization of the CFTR protein; Class III: impaired opening of CFTR pore; Class IV: reduced ability of CFTR pore to translocate anions; Class V: reduced CFTR protein synthesis due to altered RNA splicing; and Class VI: reduced stability of CFTR at
the plasma membrane leading to accelerated internalization and degradation). [0018] A large majority of mutations have low or very low frequency (Bobadilla et al., Hum Mutat 19:575-606, 2002). However, a single mutation, F508del, is present in 50-90% of CF patients. F508del, i.e., loss of phenylalanine at position 508 within NBD1, causes multiple defects to CFTR protein (Okiyoneda et al., Nat Chem Biol 9:444-454, 2013). First of all, F508del-CFTR folding and stability are severely impaired. Such problems, which arise from the intrinsic instability of NBD1 and the altered interaction between NBD1 and the cytosolic loop 4, strongly reduce the trafficking of F508del-CFTR to the plasma membrane (trafficking defect). Indeed, mutant CFTR remains trapped in the endoplasmic reticulum (ER) where it is rapidly degraded by the ubiquitin-proteasome system (Lukacs and Verkman, Trends Mol Med 18:81-91, 2012). A second defect caused by F508del is the reduction of the open channel probability, i.e., the fraction of time spent by the channel in the open state (gating defect). Furthermore, if moved to the plasma membrane by rescue maneuvers, F508del-CFTR shows also a decreased half-time. Because of such defects, F508del mutation has combined class II, class III, and class VI characteristics. [0019] The trafficking and gating defects can also be caused, often separately, by other CF mutations. For example, G85E, L1077P, A455E, and N1303K, defined as class II mutations, impair CFTR trafficking (Van Goor et al., J Cyst Fibros 13:29-36, 2014). Instead, G551D, G1349D, G178R, and G970R, defined as class III mutations, do not affect trafficking but strongly reduce CFTR open time (Yu et al., J Cyst Fibros 11:237-245, 2012). [0020] Despite progress in the treatment of CF, there is no cure. There remains a need for treating CF in a subject, by directly targeting improving and restoring the function of CFTR in the subject. [0021] Poly(ADP-ribose) polymerase-1 (PARP-1) has been implicated in multiple cellular processes such as DNA damage repair (DDR), apoptosis, and genome stability. PARP-1 binds DNA single strand breakages (nicks) and signals the DDR processes. Inhibitors of PARP-1 (PARPi) bind to PARP-1 on the DNA and induce the accumulation of ‘trapped’ PARP-DNA complexes. This leads to an accumulation of potentially toxic DNA strand breaks that may prove lethal to cells. [0022] Healthy non-tumor cells retain an ability to detoxify these trapped PARP-DNA complexes and survive. PARPi have been utilized to target a synthetic lethality mechanism of action in cancer cells. Unlike quiescent healthy cells, tumor cells are unable to properly
repair these ‘trapped’ PARP-DNA complexes. Consequently, tumor cells are overwhelmed by the DNA strand break defects and die. The quantity of trapped PARP-DNA complexes appears to be linked to clinical efficacy of PARPi oncology drugs. [0023] The present disclosure describes chimeric molecules and uses thereof for targeted protein rescue (TPR), wherein targeting may (1) increase the concentration of a functionally mutant or misfolded form of a protein, for example but not limited to CFTR in order to correct folding, potentiate activity, restore function, and or amplify function of the CFTR protein, and thereby treat CF; or may (2) increase the localized concentration of a wild-type protein, for example but not limited to PARP in order to retain PARP-DNA trapping activity and thereby increase DNA damage, cellular stress and cell death in tumor cells. SUMMARY [0024] Provided herein in one aspect is a chimeric molecule comprising a first binding domain, wherein said first binding domain comprises a ubiquitin-specific-processing protease 5 (USP5) binder that binds a ubiquitin carbonyl-terminal protease 5 enzyme. In a further aspect, a chimeric molecule comprises a first binding domain, wherein the first binding domain comprises a ubiquitin-specific-processing protease 5 (USP5) binder that binds a ubiquitin carbonyl-terminal protease 5 enzyme, wherein said first binding domain
) or wherein: W1-W16 are each independently a hydrogen, halide, alkyl, cycloalkyl, heterocycloalkyl, aryl, amine, CN, -NHCOR3, NH-alkyl, NH-aryl, NH-cycloalkyl, NH-heterocycloalkyl, NH- alkyl-COOH, NH-CH2-COOH, NO2, alkoxy, COOH, OH or SH; X1-X4 and X6-X9 are each independently C or N;
R1 is alkyl, aryl, cycloalkyl, heterocycloalkyl, amine, -NHCH2COOH, -O-alkyl, -NH-alkyl, or -CH2-aryl; or W3 and R1 form together a substituted or unsubstituted 5-6 membered heterocyclic ring; R3 is alkyl, aryl, cycloalkyl or heterocycloalkyl, wherein each of said alkyl, aryl, cycloalkyl or heterocycloalkyl is optionally substituted; , and wherein if X1, X2, X3, X4, X6, X7, X8, X9 is each independently N, then the corresponding substituent W1, W2, W4, W3, W13, W14, W16, or W15 is null. [0025] In a related aspect, the first binding domain comprising sthe USP5 binder is represented by the structure of Formula (2): O O
(5) or a pharmaceutically acceptable salt thereof., wherein W1-W2 and W4-W16 are each independently a hydrogen, halide, alkyl, cycloalkyl, heterocycloalkyl, aryl, amine, CN, -NHCOR3, NH-alkyl, NH-aryl, NH-cycloalkyl, NH- heterocycloalkyl, NH-alkyl-COOH, NH-CH2-COOH, NO2, alkoxy, COOH, OH or SH; X1-X3 and X6-X9 are each independently C or N; X5 is CH or N; R3 is alkyl, aryl, cycloalkyl or heterocycloalkyl; W19 is hydrogen, halide, alkyl, cycloalkyl, heterocycloalkyl or aryl; W17 and W18 are each independently selected from hydrogen halide, alkyl, cycloalkyl, heterocycloalkyl, aryl, CN, -NHCOR3, NH-alkyl, NH-aryl, NH- cycloalkyl, NH-heterocycloalkyl, NH-alkyl-COOH, NH-CH2-COOH, NO2, alkoxy, COOH, OH and SH; or W19 and W17 form together a double bond; wherein if X1, X2, X3, X6, X7, X8, X9 is each independently N, then the corresponding substituent W1, W2, W4, W13, W14, W16, or W15 is null; and wherein each of said alkyl, aryl, cycloalkyl or heterocycloalkyl is optionally substituted. In a related aspect, the first binding domain comprising said USP5 binder is represented by the H (8) :
O N N COOH or a pharmaceutically acceptable salt thereof. [0027] In a further related aspect, disclosed herein is a chimeric molecule comprising a second binding domain, wherein said second binding domain comprises a target binder configured to bind to a ubiquitinylated protein. In yet a further related aspect, the target
binder comprises (a) an antibody or an antigen-binding fragment thereof that binds to the ubiquitinylated protein; or (b) a ligand that binds to the ubiquitinylated protein. In another further related aspect, the target binder directly binds to the ubiquitinylated protein. In another further related aspect, the target binder binds an intermediate molecule that binds to the ubiquitinylated protein. In still another further related aspect, the ubiquitinylated protein comprises a CFTR (cystic fibrosis transmembrane conductance regulator) protein, or a PARP (Poly(ADP-ribose) polymerase) protein. In a related aspect, the ubiquitinylated protein comprises a Protein kinase A (PKA). In another related aspect, the second binding domain comprising the target binder comprises a structure represented by any of Formula A-N: (A) C)
, (D) , (E)
(K). In a related aspect, the second binding domain comprising said target binder comprises a structure represented by Formulas (L) to (N):
[0028] In another related aspect, a chimeric molecule disclosed herein further comprises a linker domain linked to the first binding domain, and configured to link the first binding domain to the second binding domain. In a further related aspect, the linker domain covalently links the first binding domain to the second binding domain. In another further related aspect, the linker domain non-covalently links the first binding domain to the second binding domain. In yet another further related aspect, the linker domain comprises - a structure selected from the group comprises of polyethylene glycol, an aromatic group, an alkyl, an alkenyl, an alkyl phosphate, an alkyl siloxane, an epoxy, an acyl halide, a glycidyl, a carboxylate, alkyl amine, alkyl amide, an anhydride, or any combination thereof; or - a polypeptide of natural or synthetic source having a chain length of between 2 to 18 carbon atoms In another further related aspect the linker is represented by any of
[0029] In another related aspect, a chimeric molecule disclosed herein is represented by the structure of any one of
[0030] In another aspect, a chimeric molecule disclosed herein is represented by the structure of any one of chimeric molecules 1-210 of Table 2. [0031] In another aspect, a pharmaceutical composition comprises a chimeric molecule represented by the structure of any one of chimeric molecules 1-210 of Table 2, and a pharmaceutically acceptable carrier. [0032] In another aspect, disclosed herein is a method for preventing or reducing the degradation of a ubiquitinylated protein, the method comprising contacting the ubiquitinylated protein with a chimeric molecule represented by the structure of any one of chimeric molecules 1-210 of Table 2, thereby preventing or reducing the degradation of said ubiquitinylated protein. In another aspect, disclosed herein is a method for removing at least one ubiquitin molecule from a ubiquitinylated protein, the method comprising contacting the ubiquitinylated protein with a chimeric molecule represented by the structure
of any one of chimeric molecules 1-210 of Table 2, thereby removing at least on ubiquitin molecule from said ubiquitinylated protein. In a related aspect of the methods disclosed herein, the ubiquitinylated protein comprises a non-natural target of the ubiquitin protease. [0033] In another aspect, disclosed herein is a method for treating a disease in a subject in need thereof, comprising administering a therapeutically effective amount of a pharmaceutical composition comprising at least one chimeric molecule represented by the structure of any one of chimeric molecules 1-210 of Table 2, thereby treating said disease in said subject in need. In a related aspect, the disease comprises a cancer, a neurodegenerative disease or disorder, anemia, a metabolic syndrome, autoimmunity, an inflammatory disease or disorder, infection, cystic fibrosis, or a muscle dystrophy. In a further related aspect, the disease comprises cystic fibrosis or cancer. In yet another further related aspect, the administration is in combination with at least one additional cystic fibrosis therapeutic compound or treatment. In another further related aspect, at least one additional cystic fibrosis therapeutic compound is selected from Ivacaftor, Lumacaftor, Tezacaftor, Elexacaftor, ABBV-2222, Posenacaftor, or Nesolicaftor, or any combination thereof. In still a further related aspect, said cancer comprises a PARP1 inhibitor resistant cancer. In yet another further related aspect, administration is in combination with at least one additional cancer therapeutic compound or treatment. BRIEF DESCRIPTION OF THE DRAWINGS [0034] The subject matter regarding the chimeric molecules disclosed herein is particularly pointed out and distinctly claimed in the concluding portion of the specification. The chimeric molecules, however, both as to organization and method of operation, together with objects, features, and advantages thereof, may best be understood by reference to the following detailed description when read with the accompanying drawings in which: [0035] Figures 1A, 1B, 1C, and 1D represent embodiments of chimeric molecules described herein. Figure 1A presents a chimeric molecule comprising a USP5 binder domain. Figure 1B presents a chimeric molecule comprising a USP5 binder domain and a Target Binder domain. Figure 1C presents a chimeric molecule comprising a USP5 binder domain-linker domain. Figure 1D presents a chimeric molecule comprising a USP5 binder domain-linker domain-Target Binder Domain. [0036] Figure 2 presents a schematic drawing showing the principle of SURTAC
activity. [0037] Figures 3A and 3B present the assay design and control results for the PathHunter® del508 CFTR-assay. Figure 3A shows functionally within a cell what is being measure, while Figure 3B shows the results using the known CFTR-binder Lumacaftor (VX-809). [0038] Figure 4 presents Figure 4 presents the increase in del508CFTR at the cell membrane in the presence of SURTAC molecules when compared to ivacaftor and untreated cells. Values are averages of duplicate experiments performed on separate occasions. Error bars are of 1 standard deviation. [0039] Figure 5 presents the amount of nuclear PARP1 enzyme in the cellular nucleus in the presence of SURTAC compounds. Each value for SURTAC compounds is shown as a ratio of the nuclear PARP1 measured in the control Olaparib treated cells. Six replicates were performed for each SURTAC and six replicates for each Olaparib control. Error bars are of 1 standard deviation. Numbers shown above each bar are two tailed t-test p-values indicating the significance of difference of SURTAC treated controls from the matched Olaparib treated controls. [0040] It will be appreciated that for simplicity and clarity of illustration, elements shown in the figures have not necessarily been drawn to scale. For example, the dimensions of some of the elements may be exaggerated relative to other elements for clarity. DETAILED DESCRIPTION [0041] In the following detailed description, numerous specific details are set forth in order to provide a thorough understanding of the chimeric molecules comprising a first binding domain comprising a deubiquitinase binder that binds ubiquitin carbonyl-terminal protease 5 enzyme and uses thereof. In other instances, well-known methods, procedures, and components have not been described in detail so as not to obscure the description of the chimeric molecules and used thereof. Chimeric Molecules [0042] In certain embodiments, disclosed herein are chimeric molecules comprising a first binding domain, wherein said first binding domain comprises a deubiquitinase binder that binds a ubiquitin carbonyl-terminal protease 5 enzyme (ubiquitin-specific-processing
protease 5 (USP5)). As used herein, in some embodiments, the term “USP5 binder” encompasses a domain that binds ubiquitin carbonyl-terminal protease 5 enzyme. Ubiquitin carbonyl-terminal protease 5 enzyme is a deubiquitinating enzyme that provides thiol- dependent hydrolysis of ester, thioester, amide, peptide and isopeptide bonds formed by the C-terminal Gly of ubiquitin (“Ub”), a 76-residue protein attached to proteins (ubiquitinylated proteins). [0043] The term “chimeric molecule” generally means that the referenced molecule is made of two or more different domains or structures that are not found together in nature in a single molecule. In some embodiments, the chimeric molecules provided herein comprises at least two domains: a USP5 binding domain and an additional domain. In some embodiments, chimeric molecules provided herein are comprise at least two different domains or structures that are not found together in nature in a single molecule, i.e. the first and second binding domains. In certain embodiments, a chimeric structure disclosed herein functionally binds a USP5 enzyme and a target ubiquitinylated proteins. In nature, no molecule has been found to specifically and simultaneously bind USP5 enzyme and target ubiquitinylated proteins as described herein. In some embodiments, chimeric molecules provided herein are comprise at least two different domains or structures that are not found together in nature in a single molecule, i.e. the first domain and a linker domain. In nature, no molecule has been found to specifically and simultaneously bind USP5 and comprise a linker domain, as described herein. In some embodiments, chimeric molecules provided herein comprise at least three different domains or structures that are not found together in nature in a single molecule, i.e. the first domain the binds a USP5 enzyme, a second domain that binds a target ubiquitinylated (Ub) proteins, and a linker domain connecting the USP5 binding and target ubiquitinylated protein binding domains. In nature, no molecule has been found to specifically and simultaneously bind USP5 and a target Ub protein, and comprise a linker domain, as described herein. [0044] In one aspect, provided herein is a chimeric molecule having the structure of Formula (AA), BD1-LINKER-BD2, Formula (AA) or a pharmaceutically acceptable salt or solvate thereof, wherein BD1 is a first binding domain, wherein the first binding domain comprises a ubiquitin-
specific-processing protease 5 (USP5) binder that binds a USP5 enzyme; BD2 is a second binding domain, wherein the second binding domain comprises a target binder configured to bind to a ubiquitinylated protein; and LINKER is a linker domain that links the first binding domain to the second binding domain covalently or non-covaently. [0045] In some embodiments, BD1 is a USP5 binder, e.g., a USP5 binder described herein. In some embodiments, BD1 comprises a structure of Formulas (1)-(9) or (1*)-(9*). In some embodiments, BD2 is a target binder. In some embodiments, BD2 binds to a ubiquitinylated protein that comprises a CFTR protein. In some embodiments, BD2 binds to a ubiquitinylated protein that comprises a PARP1 protein. In some embodiments, BD2 binds to a ubiquitinylated protein that comprises a PKA protein. In some embodiments, BD2 comprises a structure represented by Formulas A-N, K*, K**, B* and B**. In some embodiments, the linker domain comprises a structure of Formulas (i)–(xxiv). [0046] In one aspect, provided herein is a complex comprising a USP5 protein, a chimeric molecule of the present disclosure and a target protein. In some embodiments, the target protein is Ub-CFTR. In some embodiments, the target protein is Ub- PARP1. In some embodiments, the target protein is Ub-PKA. [0047] As used herein, the terms “Ubiquitin carbonyl-terminal protease 5”, “Deubiquitinating enzyme 5”, “Isopeptidase T”, “Ubiquitin thioesterase 5”, “Ubiquitin- specific-processing protease 5”, and “USP5” may be used interchangeably having the same meanings and qualities. In some embodiments, USP5 may selectively and non-covalently bind with a specific target ubiquitinylated protein. In other embodiments, USP5 may non- covalently bind a non-natural ubiquitinylated protein target. [0048] A skilled artisan would appreciate that in some embodiments, in the case of a functional interaction between USP5 and a previously unknown target, the previously unknown target may encompass a non-natural target of USP5, e.g., a protein that is not known to be a substrate for the USP5. Thus, the Ub-protein bound by the chimeric molecules provided herein can be a protein that is outside of the list of currently known substrates of USP5. It can be due to the fact that certain embodiments, deubiquitinases including USP5, have been proposed to functionally recognize the ubiquitin-ubiquitin linkage rather than the ubiquitin-target protein linkage so that any protein having one or more ubiquitin-ubiquitin linkage can be a target protein of the chimeric molecules provided
herein. [0049] In one embodiment, the Ub-protein bound by the chimeric molecules provided herein can interact with ubiquitin protease USP5. Examples of such Ub-proteins include, but are not limited to, CACNA1H (Voltage-dependent T-type calcium channel subunit alpha-1H), FOXM1 (Forkhead box protein M1), MAF (Transcription factor Maf), SMURF1 (E3 ubiquitin-protein ligase SMURF1), or TRIML1 (Tripartite motif family-like protein 1). [0050] To achieve their designated activity, the chimeric molecules provided herein are carefully designed. First, their size is kept to a minimum to allow ease of manufacture and superior cell membrane permeability. Secondly, in certain embodiments the chimeric molecules provided herein simultaneously target at least two naturally occurring cellular proteins, one being an ubiquitinylated protein and the other being a USP5 enzyme. To allow simultaneous binding of two different target proteins, in some embodiments, the chimeric molecules provided herein have two different binding domains, each targeting a different target protein. Thirdly, to allow the USP5 enzyme to perform its action on the ubiquitinylated protein, the two binding domains are spatially arranged to bring the USP5 enzyme and Ub- protein to sufficient proximity. [0051] A skilled artisan would appreciate the term “Ub-protein” encompasses a protein that is ubiquitylated, independent of the number of Ub molecules attached. In some embodiments, a Ub-protein comprises a single Ub molecule. In some it represents multiple Ub molecules, and these Ub molecules are attached to both the target protein and multiple other ubiquitin molecules in a mixture of linear and branched ubiquitin chains of complex architecture and theoretically indefinite number” . [0052] In some embodiments, a chimeric molecule comprising a first binding domain comprising a USP5 binder may be used in a method for preventing or reducing the degradation of a ubiquitinylated protein. In some embodiments, the ubiquitinylated protein is a known target of USP5. In some embodiments, the ubiquitinylated protein is not a known target of USP5. [0053] In some embodiments, a chimeric molecule comprising a first binding domain comprising a USP5 binder may be used in a method for removing at least one ubiquitin molecule from a ubiquitinylated protein. In some embodiments, the ubiquitinylated protein is a known target of USP5. In some embodiments, the ubiquitinylated protein is not a known
target of USP5. [0054] In some embodiments, a chimeric molecule comprising a first binding domain comprising a USP5 binder may be used in a method for treating a disease in a subject in need. In some embodiments, a chimeric molecule comprising a first binding domain comprising a USP5 binder may be used in a method for treating a disease in a subject in need, wherein said treating comprises removing at least one ubiquitin from a protein associated with the disease. In some embodiments, a chimeric molecule comprising a first binding domain comprising a USP5 binder may be used in a method for treating a disease in a subject in need, wherein said disease is selected from a cancer, a neurodegenerative disease or disorder, anemia, a metabolic syndrome, autoimmunity, an inflammatory disease or disorder, an infection, cystic fibrosis, and a muscle dystrophy. In some embodiments, the disease being treated comprises cystic fibrosis. First Binding Domain Comprising USP5 Binders [0055] In some embodiments, USP5 binding chimeric molecules provided herein, bind to a cellular USP5 at a first binding domain comprising a deubiquitinase binder (“USP5 binder”) (Figure 1A). [0056] A skilled artisan would appreciate that the technical characteristics of an isolated USP5 binder and the same USP5 binder comprised as a component of a chimeric molecule, may in some embodiments be the same or similar, and in alternative embodiments may differ, dependent on the characteristic being measured. In some embodiments, the chimeric molecules disclosed herein are used in methods for treating a disease. Therefore, differences in technical characteristics of the USP5 binder, for example but not limited to binding affinity for USP5 and or agonistic/antagonistic activity of the USP5 binder on the bound USP5 enzyme, may be beneficial in the action of the chimeric molecule for treating the disease. [0057] In some embodiments, a USP5 binder comprised within a first binding domain of a chimeric molecule has at least one beneficial characteristic not present in the isolated USP5 binder with regard to the interaction between the USP5 binder and the target USP5 enzyme. In some embodiments, a USP5 binder comprised within a first binding domain of a chimeric molecule has at least one enhanced beneficial characteristic compared with the isolated USP5 binder. In some embodiments, a USP5 binder comprised within a first binding domain
of a chimeric molecule has at least one characteristic that is the same or similar compared with the isolated USP5 binder. In some embodiments, a USP5 binder comprised within a first binding domain of a chimeric molecule has at least one characteristic that is different compared with the isolated USP5 binder. [0058] In some embodiments, a USP5 binder comprised within a first binding domain of a chimeric molecule has increased binding affinity for USP5 compared with the isolated USP5 binder. In some embodiments, a USP5 binder comprised within a first binding domain of a chimeric molecule has the same or similar binding affinity for USP5 compared with the isolated USP5 binder. In some embodiments, a USP5 binder comprised within a first binding domain of a chimeric molecule has reduced binding affinity for USP5 compared with the isolated USP5 binder. [0059] In some embodiments, binding of USP5 with a USP5 binder comprised within a first binding domain of a chimeric molecule leads to increased inhibition of the USP5 hydrolase activity compared with the isolated USP5 compound. In some embodiments, binding of USP5 with a USP5 binder comprised within a first binding domain of a chimeric molecule does not affect the USP5 hydrolase activity compared with the isolated USP5 compound activity. In some embodiments, binding of USP5 with a USP5 binder comprised within a first binding domain of a chimeric molecule minimally inhibits the USP5 hydrolase activity compared with the isolated USP5 compound activity. In some embodiments, binding of USP5 with a USP5 binder comprised within a first binding domain of a chimeric molecule increases the USP5 hydrolase activity compared with the isolated USP5 compound activity. [0060] In some embodiments, USP5 binds to the USP5 binder comprised by said first binding domain. In certain embodiments, binding of a USP5 binder comprised by said first binding domain, with USP5 does not inhibit the USP5 enzyme’s deubiquitinating activity (thiol-dependent hydrolysis activity). In some embodiments, binding of the USP5 binder comprised with the first binding domain of a chimeric molecule, with USP5, does not inhibit the USP5 enzyme’s deubiquitinating activity compared with USP5’s deubiquitinating activity when bound to a USP5 binder that is not linked to a chimeric molecule. In certain embodiments, binding of a first binding domain comprising a USP5 binder with USP5 does not reduce the USP5 enzyme’s deubiquitinating activity (thiol-dependent hydrolysis activity), compared with USP5’s hydrolysis activity when bound to a USP5 binder
independent of a chimeric molecule. In certain embodiments, binding of a first binding domain comprising a USP5 binder with USP5 reduces the USP5 enzyme’s deubiquitinating activity (thiol-dependent hydrolysis activity), compared with USP5’s hydrolysis activity when bound to a USP5 binder independent of a chimeric molecule. [0061] In certain embodiments, the binding affinity of a USP5 binder comprised within a first binding domain to USP5, is comparable with the binding affinity of USP5 to an isolated form of the USP5 binder, independent of a chimeric molecule. In certain embodiments, the binding affinity of a USP5 binder comprised within a first binding domain to USP5, is increased compared with the binding affinity of USP5 to an isolated form of the USP5 binder, independent of a chimeric molecule. In certain embodiments, the binding affinity of a USP5 binder comprised within a first binding domain to USP5, is decreased compared with the binding affinity of USP5 to an isolated form of the USP5 binder, independent of a chimeric molecule. [0062] In some embodiments, binding of USP5 with a USP5 binder comprised within a first binding domain, modifies the USP5 enzyme’s deubiquitinating activity (thiol- dependent hydrolysis activity) compared with binding of USP5 with an isolated USP5 binder. In some embodiments, binding of USP5 with a USP5 binder comprised within a first binding domain, increases the USP5 enzyme’s deubiquitinating activity (thiol-dependent hydrolysis activity) compared with binding of USP5 with an isolated USP5 binder. In some embodiments, binding of USP5 with a USP5 binder comprised within a first binding domain, decreases the USP5 enzyme’s deubiquitinating activity (thiol-dependent hydrolysis activity) compared with binding of USP5 with an isolated USP5 binder. [0063] In some embodiments, a “domain” comprises a small molecule or an active portion thereof. In some embodiments, a “domain” comprises a peptide. In some embodiments, a “domain” comprises a polypeptide or a portion thereof. In some embodiments, a “domain” comprises a protein or an active portion thereof. [0064] In certain embodiments, a first binding domain can be a small molecule. In some embodiments, the small molecule is an organic compound. In one embodiment, the small molecule has a size between 0.1 nm to 10 nm across its longest axis. In another embodiment, the small molecule has a size between 0.5 nm to 5 nm across its longest axis. In one embodiment, the small molecule has a weight of 1 Dalton up to 1000 Daltons. In another embodiment, the small molecule has a weight of 1 Dalton up to 500 Daltons. In another
embodiment, the small molecule has a weight of 1 Dalton up to 100 Daltons. [0065] In some embodiments, a “small molecule” may encompass a substantially non- peptidic, non-oligomeric organic compound either prepared in the laboratory or found in nature. Small molecules, as used herein, may in certain embodiments encompass compounds that are “natural product-like,” however, the term “small molecule” is not limited to “natural product-like” compounds. Rather, a small molecule is typically characterized in that it contains several carbon-carbon bonds, and has a molecular weight of less than 1500 g/mol, less than 1250 g/mol, less than 1000 g/mol, less than 750 g/mol, less than 500 g/mol, or less than 250 g/mol, although this characterization is not intended to be limiting for the purposes of the chimeric molecules disclosed herein. [0066] A skilled artisan would recognize that the first binding domain encompass a discrete region of the chimeric molecule described herein, and can be distinctively identified by physical and functional properties as disclosed herein. [0067] In some embodiments, the first binding domain is in charge of recruiting (e.g., identifying and binding in a specific manner) a USP5 deubiquitinase enzyme. In some embodiments, a first binding domain comprises a USP5 deubiquitinase binder (“USP5” binder). In some embodiments, a USP5 binder specifically recognizes USP5. In some embodiments, a USP5 binder comprises an antibody or a fragment thereof. In some embodiments, a USP5 binder comprises a small molecule that specifically recognizes USP5. In some embodiments, a USP5 binder comprises a ligand of USP5. In some embodiments, a USP5 binder comprises a small molecule that specifically recognizes USP5. In some embodiments, a USP5 binder comprises an aptamer. [0068] It will be understood by those skilled in the art that since the first binding domain binds the USP5 inside a cell, it does not covalently link to the USP5 after binding, without additional steps. Without being bound to any theory or mechanism, it is hypothesized that the first binding domain transiently binds to USP5, at least for a minimal time to allow the USP5 to perform an activity (removal of at least one Ub molecule) from the ubiquitinylated protein bound by the second binding domain, as described herein. [0069] The binding between the chimeric molecules provided herein and USP5 may be direct, or indirect. [0070] In some embodiments, the first binding domain comprising the USP5 binder may directly and specifically bind to an intermediary molecule that directly and specifically binds
to USP5. In some embodiments, the first binding domain specifically binds to an intermediary molecule, and the intermediary molecule specifically binds to USP5. In some embodiments, the first binding domain indirectly but specifically binds to USP5. In certain embodiments, more than one intermediary molecule can be employed between the first binding domain and USP5, wherein the first binding domain indirectly but specifically binds to USP5. In certain embodiments, the intermediate molecule that binds to the USP5 comprises an antibody or an antigen-binding fragment thereof that binds to USP5. In certain embodiments, the intermediate molecule that binds to USP5 comprises a ligand of USP5. In certain embodiments, the intermediate molecule that binds to USP5 comprises an aptamer. [0071] In certain embodiments, the first binding domain transiently binds to USP5 and dissociates from USP5 when the ubiquitinylated protein is de-ubiquitinylated. In certain embodiments, the first binding domain transiently binds to USP5 and dissociates from USP5 when one or more ubiquitin molecules are removed from the ubiquitinylated protein. In certain embodiments, the first binding domain irreversibly binds to USP5 and does not dissociate from USP5 when the ubiquitinylated protein is de-ubiquitinylated or when Ub molecules are removed from the ubiquitinylated protein. In certain embodiments, the first binding domain binds to USP5 that cleaves ubiquitin from the ubiquitinylated protein bound by the second binding domain. [0072] In one aspect, provided herein is a chimeric molecule having the structure of Formula (AA), BD1-LINKER-BD2, Formula (AA) or a pharmaceutically acceptable salt or solvate thereof, wherein BD1, BD2 and LINKER are defined above. [0073] In some embodiments, BD1 comprises a USP5 binder, e.g., a structure of Formulas (1)-(9) and (1*)-(9*). [0074] In some embodiments, a first binding domain comprises a USP5 binder represented by the structure of Formula (1)
a pharmaceutically acceptable salt thereof wherein: W1-W16 are each independently a hydrogen, halide, alkyl, cycloalkyl, heterocycloalkyl, aryl, amine, CN, -NHCOR3, NH-alkyl, NH-aryl, NH-cycloalkyl, NH-heterocycloalkyl, NH-alkyl-COOH, NH-CH2-COOH, NO2, alkoxy, COOH, OH or SH; X1-X4 and X6-X9 are each independently C or N; X5 is CH or N; R1 is alkyl, aryl, cycloalkyl, heterocycloalkyl, amine, -NHCH2COOH, -O-alkyl, -NH- alkyl, or -CH2-aryl; or W3 and R1 form together a substituted or unsubstituted 5-6 membered heterocyclic ring, R3 is alkyl, aryl, cycloalkyl or heterocycloalkyl, wherein each of said alkyl, aryl, cycloalkyl or heterocycloalkyl is optionally substituted; and wherein if X1, X2, X3, X4, X6, X7, X8, X9 is each independently N, then the corresponding substituent W1, W2, W4, W3, W13, W14, W16, or W15 is null. [0075] In some embodiments, a first binding domain comprises a USP5 binder represented by t
8 9 3 W12 W W9 11 W10 (1*) wherein: W1-W4, W13-W16, and R5 are each independently a hydrogen, halogen, -CN, -NO2, -OH, -
SH -ORa, -NRcRd, -C(=O)Rb, -C(=O)ORb, -OC(=O)Rb, -NRbC(=O)Ra, -C(=O)NRcRd, C1-C6alkyl, C1-C6haloalkyl, C1-C6hydroxyalkyl, C1-C6aminoalkyl, C1-C6heteroalkyl, C2-C6alkenyl, C2-C6alkynyl, cycloalkyl, heterocycloalkyl, aryl, or heteroaryl; W5 and W6 are each independently a hydrogen, halogen, -CN, -NO2, -OH, -SH -ORa, - NRcRd, -C(=O)Rb, -C(=O)ORb, -OC(=O)Rb, -NRbC(=O)Ra, -C(=O)NRcRd, C1-C6alkyl, C1-C6haloalkyl, C1-C6hydroxyalkyl, C1-C6aminoalkyl, C1-C6heteroalkyl, C2-C6alkenyl, C2-C6alkynyl, cycloalkyl, heterocycloalkyl, aryl, or heteroaryl; or W5 and W6 are taken together to form an oxo; W7 and W8 are each independently a hydrogen, halogen, -CN, -NO2, -OH, -SH -ORa, - NRcRd, -C(=O)Rb, -C(=O)ORb, -OC(=O)Rb, -NRbC(=O)Ra, -C(=O)NRcRd, C1-C6alkyl, C1-C6haloalkyl, C1-C6hydroxyalkyl, C1-C6aminoalkyl, C1-C6heteroalkyl, C2-C6alkenyl, C2-C6alkynyl, cycloalkyl, heterocycloalkyl, aryl, or heteroaryl; or W7 and W8 are taken together to form an oxo; W9 and W10 are each independently a hydrogen, halogen, -CN, -NO2, -OH, -SH -ORa, - NRcRd, -C(=O)Rb, -C(=O)ORb, -OC(=O)Rb, -NRbC(=O)Ra, -C(=O)NRcRd, C1-C6alkyl, C1-C6haloalkyl, C1-C6hydroxyalkyl, C1-C6aminoalkyl, C1-C6heteroalkyl, C2-C6alkenyl, C2-C6alkynyl, cycloalkyl, heterocycloalkyl, aryl, or heteroaryl; or W9 and W10 are taken together to form an oxo; W11 and W12 are each independently a hydrogen, halogen, -CN, -NO2, -OH, -SH -ORa, - NRcRd, -C(=O)Rb, -C(=O)ORb, -OC(=O)Rb, -NRbC(=O)Ra, -C(=O)NRcRd, C1-C6alkyl, C1-C6haloalkyl, C1-C6hydroxyalkyl, C1-C6aminoalkyl, C1-C6heteroalkyl, C2-C6alkenyl, C2-C6alkynyl, cycloalkyl, heterocycloalkyl, aryl, or heteroaryl; or W11 and W12 are taken together to form an oxo; X1 is N or CW1; X2 is N or CW2; X3 is N or CW4; X4 is N or CW3; X5 is N or CR5; X6 is N or CW13; X7 is N or CW14; X8 is N or CW16; X9 is N or CW15;
R1 is C1-C9alkyl, C2-C9alkenyl, C2-C9alkynyl, C1-C9heteroalkyl, aryl, heteroaryl, cycloalkyl, heterocycloalkyl, -NRcRd, -ORa, LR1-aryl, LR1-heteroaryl, LR1- cycloalkyl, or LR1-heterocycloalkyl, wherein each of said alkyl, heteroalkyl, alkenyl, alkynyl, aryl, heteroaryl, cycloalkyl or heterocycloalkyl is optionally substituted; or W3 and R1 are taken together to form a substituted or unsubstituted 5-6 membered cyclic or heterocyclic ring; LR1 is an optionally substituted C1-C3 alkylene or an optionally substituted C1-C3 heteroalkylene; each Ra is independently C1-C6alkyl, C1-C6haloalkyl, C1-C6hydroxyalkyl, C1-C6aminoalkyl, C1-C6heteroalkyl, C2-C6alkenyl, C2-C6alkynyl, cycloalkyl, heterocycloalkyl, aryl, heteroaryl, C1-C6alkyl(cycloalkyl), C1-C6alkyl(heterocycloalkyl), C1-C6alkyl(aryl), or C1-C6alkyl(heteroaryl), wherein the alkyl, alkenyl, alkynyl, cycloalkyl, heterocycloalkyl, aryl, and heteroaryl is independently optionally substituted with one or more Re; each Rb is independently hydrogen, C1-C6alkyl, C1-C6haloalkyl, C1-C6hydroxyalkyl, C1-C6aminoalkyl, C1-C6heteroalkyl, C2-C6alkenyl, C2-C6alkynyl, cycloalkyl, heterocycloalkyl, aryl, heteroaryl, C1-C6alkyl(cycloalkyl), C1-C6alkyl(heterocycloalkyl), C1-C6alkyl(aryl), or C1-C6alkyl(heteroaryl), wherein the alkyl, alkenyl, alkynyl, cycloalkyl, heterocycloalkyl, aryl, and heteroaryl is independently optionally substituted with one or more Re; Rc and Rd are each independently hydrogen, C1-C6alkyl, C1-C6haloalkyl, C1-C6hydroxyalkyl, C1-C6aminoalkyl, C1-C6heteroalkyl, C2-C6alkenyl, C2-C6alkynyl, cycloalkyl, heterocycloalkyl, aryl, heteroaryl, C1-C6alkyl(cycloalkyl), C1-C6alkyl(heterocycloalkyl), C1-C6alkyl(aryl), or C1-C6alkyl(heteroaryl), wherein the alkyl, alkenyl, alkynyl, cycloalkyl, heterocycloalkyl, aryl, and heteroaryl is independently optionally substituted with one or more Re; or Rc and Rd are taken together with the atom to which they are attached to form a heterocycloalkyl optionally substituted with one or more Re; and each Re is independently halogen, -CN, -OH, -OCH3, -S(=O)CH3, -S(=O)2CH3, - S(=O)2NH2, -S(=O)2NHCH3, -S(=O)2N(CH3)2, -NH2, -NHCH3, -N(CH3)2, - C(=O)CH3, -C(=O)OH, -C(=O)OCH3, C1-C6alkyl, C1-C6haloalkyl, C1-C6hydroxyalkyl, C1-C6aminoalkyl, and C1-C6heteroalkyl.
[0076] In some embodiments of Formula (1*), X1 is CW1. In some embodiments of Formula (1*), X1 is N. In some embodiments of Formula (1*), X2 is N. In some embodiments of Formula (1*), X2 is CW2. In some embodiments of Formula (1*), X3 is N. In some embodiments of Formula (1*), X3 is CW4. In some embodiments of Formula (1*), X4 is N. In some embodiments of Formula (1*), X4 is CW3. In some embodiments of Formula (1*), X5 is N. In some embodiments of Formula (1*), X5 is CR5. In some embodiments of Formula (1*), X6 is N. In some embodiments of Formula (1*), X6 is CW13. In some embodiments of Formula (1*), X7 is N. In some embodiments of Formula (1*), X7 is CW14. In some embodiments of Formula (1*), X8 is N. In some embodiments of Formula (1*), X8 is CW16. In some embodiments of Formula (1*), X9 is N. In some embodiments of Formula (1*), X9 is CW15. [0077] In certain embodiments, the first binding domain comprising said USP5 binder is represented by the structure of Formula (2):
O (2), or a pharmaceutically acceptable salt thereof; wherein R1 is alkyl, aryl, cycloalkyl, heterocycloalkyl, amine, -NHCH2COOH, -O-alkyl, -NH-alkyl, or -CH2-aryl; and wherein each of said alkyl, aryl, cycloalkyl or heterocycloalkyl is optionally substituted. [0078] In certain embodiments the first binding domain comprising said USP5 binder is represented by the structure of Formula (2*):
N S R1 O (2*), wherein R1 is C1-C9alkyl, C2-C9alkenyl, C2-C9alkynyl, C1-C9heteroalkyl, aryl, heteroaryl, cycloalkyl, heterocycloalkyl, -NRcRd, -ORa, LR1-aryl, LR1-heteroaryl, LR1-
cycloalkyl, or LR1-heterocycloalkyl, wherein each of said alkyl, heteroalkyl, alkenyl, alkynyl, aryl, heteroaryl, cycloalkyl or heterocycloalkyl is optionally substituted; and LR1 is an optionally substituted C1-C3 alkylene or an optionally substituted C1-C3 heteroalkylene. [0079] In certain embodiments, the first binding domain comprising said USP5 binder is represented by the structure of Formula (3): R2
O (3) or a pharmaceutically acceptable salt thereof, wherein R2 is an alkyl, aryl, cycloalkyl, heterocycloalkyl, alkyl-COOH or -CH2-COOH, wherein each of said alkyl, aryl, cycloalkyl or heterocycloalkyl is optionally substituted. [0080] In certain embodiments, the first binding domain comprising said USP5 binder is represented by the structure of Formula (3*)
N S N H O (3*) wherein R2 is an alkyl, heteroalkyl, aryl, cycloalkyl, heterocycloalkyl, alkyl-COOH or -CH2- COOH, wherein each of said alkyl, heteroalkyl, aryl, cycloalkyl or heterocycloalkyl is optionally substituted. In certain embodiments, the first binding domain comprising said USP5 binder is represented by the structure of Formula (4):
OH
16 W11 W10 (4) or a pharmaceutically acceptable salt thereof wherein: W1-W16 are each independently a hydrogen, halide, alkyl, cycloalkyl, heterocycloalkyl, aryl, amine, CN, -NHCOR3, NH-alkyl, NH-aryl, NH-cycloalkyl, NH-heterocycloalkyl, NH-alkyl-COOH, NH-CH2-COOH, NO2, alkoxy, COOH, OH or SH; X1-X4 and X6-X9 are each independently C or N; X5 is CH or N; R3 is alkyl, aryl, cycloalkyl or heterocycloalkyl, wherein each of said alkyl, aryl, cycloalkyl or heterocycloalkyl is optionally substituted; and wherein if X1, X2, X3, X4, X6, X7, X8, X9 is each independently N, then the corresponding substituent W1,W2,W4,W3, W13, W14, W16, or W15 is null. [0081] In certain embodiments, the first binding domain comprising said USP5 binder is represented by the structure of Formula (4*):
X8 X9 O X 3 X 4 W12 W W W9 11 10 (4*), wherein the substituents have the same meaning as defined in Formula (I*). [0082] In certain embodiments, the USP5 binder is represented by the structure of Formula (5):
H
(5) , or a pharmaceutically acceptable salt thereof,wherein W1-W2 and W4-W16 are each independently a hydrogen, halide, alkyl, cycloalkyl, heterocycloalkyl, aryl, amine, CN, -NHCOR3, NH-alkyl, NH-aryl, NH-cycloalkyl, NH- heterocycloalkyl, NH-alkyl-COOH, NH-CH2-COOH, NO2, alkoxy, COOH, OH or SH; X1-X3 and X6-X9 are each independently C or N; X5 is CH or N; R3 is alkyl, aryl, cycloalkyl or heterocycloalkyl; W19 is hydrogen, halide, alkyl, cycloalkyl, heterocycloalkyl or aryl; W17 and W18 are each independently selected from hydrogen halide, alkyl, cycloalkyl, heterocycloalkyl, aryl, CN, -NHCOR3, NH-alkyl, NH-aryl, NH-cycloalkyl, NH- heterocycloalkyl, NH-alkyl-COOH, NH-CH2-COOH, NO2, alkoxy, COOH, OH and SH; or W19 and W17 form together a double bond; wherein each of said alkyl, aryl, cycloalkyl or heterocycloalkyl is optionally substituted; and wherein if X1, X2, X3, X6, X7, X8, X9 is each independently N, then the corresponding substituent W1, W2, W4, W13, W14, W16, or W15 is null. [0083] In certain embodiments, the USP5 binder is represented by the structure of Formula (5*):
( ), wherein W1, W2, W4, W13-W16, and R5 are each independently a hydrogen, halogen, -CN, -NO2, - OH, -SH -ORa, -NRcRd, -C(=O)Rb, -C(=O)ORb, -OC(=O)Rb, -NRbC(=O)Ra, - C(=O)NRcRd, C1-C6alkyl, C1-C6haloalkyl, C1-C6hydroxyalkyl, C1-C6aminoalkyl, C1-C6heteroalkyl, C2-C6alkenyl, C2-C6alkynyl, cycloalkyl, heterocycloalkyl, aryl, or heteroaryl; W5 and W6 are each independently a hydrogen, halogen, -CN, -NO2, -OH, -SH -ORa, - NRcRd, -C(=O)Rb, -C(=O)ORb, -OC(=O)Rb, -NRbC(=O)Ra, -C(=O)NRcRd, C1-C6alkyl, C1-C6haloalkyl, C1-C6hydroxyalkyl, C1-C6aminoalkyl, C1-C6heteroalkyl, C2-C6alkenyl, C2-C6alkynyl, cycloalkyl, heterocycloalkyl, aryl, or heteroaryl; or W5 and W6 are taken together to form an oxo; W7 and W8 are each independently a hydrogen, halogen, -CN, -NO2, -OH, -SH -ORa, - NRcRd, -C(=O)Rb, -C(=O)ORb, -OC(=O)Rb, -NRbC(=O)Ra, -C(=O)NRcRd, C1-C6alkyl, C1-C6haloalkyl, C1-C6hydroxyalkyl, C1-C6aminoalkyl, C1-C6heteroalkyl, C2-C6alkenyl, C2-C6alkynyl, cycloalkyl, heterocycloalkyl, aryl, or heteroaryl; or W7 and W8 are taken together to form an oxo; W9 and W10 are each independently a hydrogen, halogen, -CN, -NO2, -OH, -SH -ORa, - NRcRd, -C(=O)Rb, -C(=O)ORb, -OC(=O)Rb, -NRbC(=O)Ra, -C(=O)NRcRd, C1-C6alkyl, C1-C6haloalkyl, C1-C6hydroxyalkyl, C1-C6aminoalkyl, C1-C6heteroalkyl, C2-C6alkenyl, C2-C6alkynyl, cycloalkyl, heterocycloalkyl, aryl, or heteroaryl; or W9 and W10 are taken together to form an oxo; W11 and W12 are each independently a hydrogen, halogen, -CN, -NO2, -OH, -SH -ORa, - NRcRd, -C(=O)Rb, -C(=O)ORb, -OC(=O)Rb, -NRbC(=O)Ra, -C(=O)NRcRd, C1-C6alkyl, C1-C6haloalkyl, C1-C6hydroxyalkyl, C1-C6aminoalkyl, C1-C6heteroalkyl, C2-C6alkenyl, C2-C6alkynyl, cycloalkyl, heterocycloalkyl, aryl, or heteroaryl; or W11 and W12 are taken
together to form an oxo; X1 is N or CW1; X2 is N or CW2; X3 is N or CW4; X5 is N or CR5; X6 is N or CW13; X7 is N or CW14; X8 is N or CW16; X9 is N or CW15; W19 is hydrogen, halogen, C1-C6alkyl, cycloalkyl, heterocycloalkyl, aryl, or heteroaryl; W17 and W18 are each independently selected from a hydrogen, halogen, -CN, - NO2, -OH, -SH -ORa, -NRcRd, -C(=O)Rb, -C(=O)ORb, -OC(=O)Rb, - NRbC(=O)Ra, -C(=O)NRcRd, C1-C6alkyl, C1-C6haloalkyl, C1-C6hydroxyalkyl, C1-C6aminoalkyl, C1-C6heteroalkyl, C2-C6alkenyl, C2-C6alkynyl, cycloalkyl, heterocycloalkyl, aryl, and heteroaryl; or W17 and W18 are taken together to form an oxo; or W19 and W17 are taken together to form a double bond; each Ra is independently C1-C6alkyl, C1-C6haloalkyl, C1-C6hydroxyalkyl, C1-C6aminoalkyl, C1-C6heteroalkyl, C2-C6alkenyl, C2-C6alkynyl, cycloalkyl, heterocycloalkyl, aryl, heteroaryl, C1-C6alkyl(cycloalkyl), C1-C6alkyl(heterocycloalkyl), C1-C6alkyl(aryl), or C1-C6alkyl(heteroaryl), wherein the alkyl, alkenyl, alkynyl, cycloalkyl, heterocycloalkyl, aryl, and heteroaryl is independently optionally substituted with one or more Re; each Rb is independently hydrogen, C1-C6alkyl, C1-C6haloalkyl, C1-C6hydroxyalkyl, C1-C6aminoalkyl, C1-C6heteroalkyl, C2-C6alkenyl, C2-C6alkynyl, cycloalkyl, heterocycloalkyl, aryl, heteroaryl, C1-C6alkyl(cycloalkyl), C1-C6alkyl(heterocycloalkyl), C1-C6alkyl(aryl), or C1-C6alkyl(heteroaryl), wherein the alkyl, alkenyl, alkynyl, cycloalkyl, heterocycloalkyl, aryl, and heteroaryl is independently optionally substituted with one or more Re; Rc and Rd are each independently hydrogen, C1-C6alkyl, C1-C6haloalkyl, C1-C6hydroxyalkyl, C1-C6aminoalkyl, C1-C6heteroalkyl, C2-C6alkenyl, C2-C6alkynyl,
cycloalkyl, heterocycloalkyl, aryl, heteroaryl, C1-C6alkyl(cycloalkyl), C1-C6alkyl(heterocycloalkyl), C1-C6alkyl(aryl), or C1-C6alkyl(heteroaryl), wherein the alkyl, alkenyl, alkynyl, cycloalkyl, heterocycloalkyl, aryl, and heteroaryl is independently optionally substituted with one or more Re; or Rc and Rd are taken together with the atom to which they are attached to form a heterocycloalkyl optionally substituted with one or more Re; and each Re is independently halogen, -CN, -OH, -OCH3, -S(=O)CH3, -S(=O)2CH3, - S(=O)2NH2, -S(=O)2NHCH3, -S(=O)2N(CH3)2, -NH2, -NHCH3, -N(CH3)2, - C(=O)CH3, -C(=O)OH, -C(=O)OCH3, C1-C6alkyl, C1-C6haloalkyl, C1-C6hydroxyalkyl, C1-C6aminoalkyl, and C1-C6heteroalkyl. [0084] In certain embodiments, a structure of Formula (5*) has a structure of Formula (6*):
[0085] In certain embodiments, the USP5 binder is represented by the structure of Formula (6):
W1-W2 and W4-W16 are each independently a hydrogen, halide, alkyl, cycloalkyl, heterocycloalkyl, aryl, amine, CN, -NHCOR3, NH-alkyl, NH-aryl, NH-cycloalkyl, NH-heterocycloalkyl, NH-alkyl-COOH, NH-CH2-COOH, NO2, alkoxy, COOH, OH or SH; W20 is null or hydrogen; X1-X3 and X6-X9 are each independently C or N; X5 is CH or N; R3 is alkyl, aryl, cycloalkyl or heterocycloalkyl; wherein each of said alkyl, aryl, cycloalkyl or heterocycloalkyl is optionally substituted; and wherein if X1, X2, X3, X6, X7, X8, X9 is each independently N, then the corresponding substituent W1, W2, W4, W13, W14, W16, or W15 is null. [0086] In certain embodiments, the USP5 binder is represented by the structure of
(8) , or a pharmaceutically acceptable salt thereof. [0089] In certain embodiments, the USP5 binder is represented by the structure of Formula (8*):
( ). [0090] In certain embodiments, the USP5 binder is represented by the structure of Formula (9):
N COOH (9) , or a pharmaceutically acceptable salt thereof. [0091] In certain embodiments, the USP5 binder is represented by the structure of For *
O N COOH (9*). [0092] In certain embodiments, disclosed herein are chimeric molecules comprising a first binding domain, wherein said first binding domain, e.g., Formula (1)-(9) or (1*)- (9*), or a pharmaceutically acceptable salt thereof, comprises a deubiquitinase binder that binds a ubiquitin carbonyl-terminal protease 5 enzyme (ubiquitin-specific-processing protease 5 (USP5)). [0093] As used herein the terms “Formula (1)”, “Formula (2)”, “Formula (3)”, “Formula (4)”, “Formula (5)”, “Formula (6)”, and “Formula (7)”, “Formula (8)”, “Formula (9)”, “Formula (1*)”, “Formula (2*)”, “Formula (3*)”, “Formula (4*)”, “Formula (5*)”, “Formula (6*)”, and “Formula (7*)”, “Formula (8*)”, and “Formula (9*)”, may in some embodiments, comprise a pharmaceutical acceptable salt of “Formula (1)”, “Formula (2)”, “Formula (3)”, “Formula (4)”, “Formula (5)”, “Formula (6)”, and “Formula (7)”,
“Formula (8)”, “Formula (9)”, “Formula (1*)”, “Formula (2*)”, “Formula (3*)”, “Formula (4*)”, “Formula (5*)”, “Formula (6*)”, and “Formula (7*)”, “Formula (8*)”, and “Formula (9*)” respectively. [0094] Pharmaceutical Salt [0095] The term “pharmaceutical salt” as used herein refers to “pharmaceutically acceptable salts” of drug substances according to IUPAC conventions. Pharmaceutical salt is an inactive ingredient in a salt form combined with a drug. The term "pharmaceutically acceptable salt" as used herein, refers to salts of the general formula (1)-(9), (1*)-(9*) or any other salt form encompassed by the generic formula, which are substantially non-toxic to living organisms. Typical pharmaceutically acceptable salts include those salts prepared by reaction of the compounds of the present invention with a pharmaceutically acceptable mineral, base, acid or salt as described herein. Acid salts are also known as acid addition salts. In some embodiments, the pharmaceutically acceptable salts include any pharmaceutically acceptable organic or inorganic acid or base. [0096] Pharmaceutical salts such as are known in the art (Stahl and Wermuth, 2011, Handbook of pharmaceutical salts, Second edition), the contents of which are hereby incorporated by reference in their entirety, are exemplified herein below in some non- limiting embodiments. [0097] In one embodiment, the pharmaceutically acceptable organic or inorganic acid or residue of an acid. In another embodiment, the pharmaceutically acceptable organic or inorganic acid or residue of an acid selected from the group consisting of hydrochloric acid, methanesulfonic acid, phosphoric acid, citric acid, lactic acid, succinic acid, tartaric acid, boric acid, benzoic acid, 2-(4-hydroxybenzoyl)-benzoic, toluenesulfonic acid, benzenesulfonic acid, ascorbic acid, sulfuric acid, maleic acid, formic acid, malonic acid, nicotinic acid, oxalic acid, camphorsulfonic acid, cyclamic acid, 2,2-dichloro-acetic acid, di(t-butyl)-naphthalenesulfonic acid, di(t-butyl)-naphthalenedisulfonic acid, dodecylsulfuric acid, ethane-1,2-disulfonic acid, ethanesulfonic acid, fumaric acid, galactaric (mucic) acid, gentisic acid, glucaric acid, gluconic acid, glycerophosphoric acid, hydrobromic acid, hydroiodic acid, 2-hydroxy-ethanesulfonic (isethionic) acid, 1-hydroxy- 2-naphtoic acid, medronic (bisphosphonic) acid, methaphosphoric acid, methylboronic acid, naphthalene-1,5-disulfonic acid, naphthalene-2-sulfonic acid, nitric acid, orotic acid, 2-oxo-glutaric (ketoglutaric) acid, pamoic (embonic) acid, pyruvic acid, saccharinic acid,
salicylic acid, 4-amino-salicylic acid, and thiocyanic acid. [0098] Other embodiments of pharmaceutical acid salt forms can be created from acids including aceturic, 4-acetamido-benzoic, adipic, aminohippuric, 4-amino-salicylic, alginic, aspartic, boric, butyric, capric (decanoic), caproic (hexanoic), carbonic, camphoric, camphorsulfonic, caprylic (octanoic), cyclamic, cinnamic, 2,2-dichloro-acetic, di(t-butyl)- naphthalenesulfonic, di(t-butyl)-naphthalenedisulfonic, dehydroacetic, diatrizoic, dodecylsulfuric, ethane-1,2-disulfonic, edetic, ethanesulfonic, 2-ethyl-hexanoic, erythorbic, formic, fumaric, galactaric (mucic), gentisic, glucoheptanoic, gluconic, glucuronic, glutamic, glutaric, glycerophosphoric, glycolic, hippuric, hydrochloric, hydrobromic, hydroiodic, 2-(4-hydroxybenzoyl)-benzoic, 2-hydroxy-ethanesulfonic (isethionic), 1-hydroxy-2-naphtoic, isobutyric, lactic, lactobionic, lauric, iodoxamic, isostearic, maleic, malic, malonic, mandelic, medronic, methanesulfonic, methaphosphoric, methylboronic, myristic, naphthalene-1,5-disulfonic, naphthalene-2-sulfonic, nicotinic, oleic, oxalic, palmitic, pentetic, propionic, propanoic, pyroglutamic, pyruvic, phosphoric, sebacic, sorbic, stearic (octadecanoic), suberic, succinic, sulfuric, tartaric, thiazoximic, thiocyanic, toluenesulfonic, trifluoroacetic and undecylenic (undec-10-enoic) acids. Each possibility represents a separate embodiment of the present invention. [0099] In one embodiment, the pharmaceutically acceptable salt are organic or inorganic base or residue of a base, selected from the group consisting of alkali metals, alkaline earth metals, aluminum, zinc and ammonium. [00100] In another embodiment, the pharmaceutically acceptable salt are inorganic cation selected from the group consisting of lithium, sodium, potassium, calcium, magnesium, aluminum, zinc and ammonium. Each possibility represents a separate embodiment of the present invention. [00101] In another embodiment, the pharmaceutically acceptable organic amine salt selected from the group consisting of ammonium, a primary amine, a secondary amine, a tertiary amine, a quaternary ammonium compound, an amino alcohol and an amino sugar. Non-limiting examples of organic amine base are benethamine, benzathine, betaine, t- butylamine (erbumine), deanol, dicyclohexylamine, diethylamine, 2-diethylamino-ethanol, diethanolamine, ethanolamine, ethylenediamine, hydrabamine, morpholine, 4-(2- hydroxyethyl) morpholine, 1-(2-hydroxyethyl)-pyrrolidine (epolamine), imidazole, N- methylglucamine (meglumine), 4-phenylcyclohexylamine, piperazine, and tromethamine.
Each possibility represents a separate embodiment of the present invention. [00102] The compounds of “Formula (1)”, “Formula (2)”, “Formula (3)”, “Formula (4)”, “Formula (5)”, “Formula (6)”, and “Formula (7)”, “Formula (8)”, “Formula (9)”, “Formula (1*)”, “Formula (2*)”, “Formula (3*)”, “Formula (4*)”, “Formula (5*)”, “Formula (6*)”, and “Formula (7*)”, “Formula (8*)”, and “Formula (9*)” for use according to the invention may be provided in any form suitable for the intended administration. Suitable forms include pharmaceutically (i.e. physiologically) acceptable salts, and pre- or prodrug forms of the compounds disclosed herein. [00103] Examples of pharmaceutically acceptable addition salts include, without limitation, the non-toxic inorganic and organic acid addition salts such as the hydrochloride, the hydrobromide, the L-tartrate, the nitrate, the perchlorate, the phosphate, the sulphate, the formate, the acetate, the aconate, the ascorbate, the benzenesulphonate, the benzoate, the cinnamate, the citrate, the embonate, the enantate, the fumarate, the glutamate, the glycolate, the lactate, the maleate, the malonate, the mandelate, the methanesulphonate, the naphthalene-2-sulphonate, the phthalate, the salicylate, the sorbate, the stearate, the succinate, the tartrate, the toluene-p-sulphonate, and the like. Such salts may be formed by procedures well known and described in the art. Second Binding Domain Comprising Target Binders [00104] In some embodiments, a chimeric molecule disclosed herein, further comprises a second binding domain comprising a target binder configured to bind a protein that is ubiquitinylated (Figure 1B). Thus, in some embodiments, a chimeric molecule comprises a first binding domain, wherein said first binding domain comprises a deubiquitinase binder that binds USP5 and a second binding domain comprising a target binder configured to bind a ubiquitinylated protein. In some embodiments, the binding of a target binder with the ubiquitinylated protein is independent of the number of Ub attached to the protein. In some embodiments, the binding of a target binder with the ubiquitinylated protein is independent of having Ub attached to the protein. In some embodiments, the ubiquitinylated protein target of the second binding domain is a known target of USP5. In some embodiments, the ubiquitinylated protein target of the second binding domain comprises a non-natural or not previously known target of USP5. In some embodiments, the target binder directly binds to the ubiquitinylated protein.
[00105] In some embodiments, a target binder specifically binds to a target protein that is ubiquitinylated by one or more ubiquitin (“Ub”) molecules. The binding between the chimeric molecules provided herein, and a ubiquitinylated-protein (“Ub-protein”) target may be direct, or indirect. Indirect binding may be through one intermediate molecule, or by a series or chain of intermediate molecules. [00106] In one embodiment, the second binding domain is in charge of recruiting (e.g., identifying and binding in a specific manner) an Ub-protein. The Ub-proteins targeted by the target binder comprised within the second binding domain may be any Ub-protein, or any defined sub-category of Ub-protein. In one embodiment, the target binder comprised within the second binding domain specifically binds to a Ub-protein. In one embodiment, the target binder comprised within the second binding domain comprises an antibody or an antigen-binding fragment thereof that binds to the Ub-protein. In one embodiment, the target binder comprised within the second binding domain comprises a ligand that binds to the Ub- protein. In some embodiments, the target binder comprised within the second binding domain comprises a ligand that binds to the Ub-protein, wherein said ligand comprises a peptide. In some embodiments, the target binder comprised within the second binding domain comprises a ligand that binds to the Ub-protein, wherein said ligand comprises a small molecule. [00107] For example, in some embodiments the target binder comprises a molecule which specifically recognizes the Ub-protein, such as an antibody or a fragment thereof. In the alternative embodiment, the target binder comprises a molecule which is specifically recognized by the Ub-protein, such as a ligand of the Ub-protein. In some embodiments, the target binder comprises a molecule which is specifically recognized by the Ub-protein, such as an aptamer. [00108] In some embodiments, the target binder comprises a molecular chaperone that assists in the conformational folding or unfolding and the assembly or disassembly of the Ub-protein. In some embodiments, the target binder comprises a molecular chaperone that corrects the conformational folding or unfolding of a mutant form of the target Ub-protein. In some embodiments, the target binder comprises a molecular chaperone that corrects the conformational folding or unfolding of a mutant form of the target protein prior to its being ubiquitylated. In some embodiments, the target binder comprises a molecular chaperone that corrects the conformational folding or unfolding of a mutant form of the target Ub-
protein at the site of protein synthesis. In some embodiments, the target binder comprises a molecular chaperone that corrects the conformational folding or unfolding of a mutant form of the target protein at the site of protein synthesis prior to its being ubiquitylated. In some embodiments, the target binder comprises a molecular chaperone that corrects the conformational folding or unfolding of a mutant form of the target Ub-protein at the destination site of the target Ub-protein. In some embodiments, the target binder comprises a molecular chaperone that corrects the conformational folding or unfolding of a mutant form of the target protein at the destination site of the target protein prior to its being ubiquitylated. In some embodiments, a target destination site of synthesis or destination site is selected from the cytosol, an organellar inner membrane surface, an organellar outer membrane surface, the nuclear inner membrane surface, the nuclear membrane outer membrane surface, the inner membrane of the plasma membrane, or the outer membrane of the plasma membrane. [00109] In some embodiments, the target binder comprises a molecular chaperone that assists in the assembly or disassembly of the Ub-protein. In some embodiments, the target binder comprises a molecular chaperone that corrects the assembly or disassembly of a mutant form of the target Ub-protein. In some embodiments, the target binder comprises a molecular chaperone that corrects the assembly or disassembly of a mutant form of the target protein prior to its being ubiquitylated. In some embodiments, the target binder comprises a molecular chaperone that corrects the assembly or disassembly of a mutant form of the target Ub-protein at the site of protein synthesis. In some embodiments, the target binder comprises a molecular chaperone that corrects the assembly or disassembly of a mutant form of the target protein at the site of protein synthesis prior to its being ubiquitylated. In some embodiments, the target binder comprises a molecular chaperone that corrects the assembly or disassembly of a mutant form of the target Ub-protein at the destination site of the target Ub-protein. In some embodiments, the target binder comprises a molecular chaperone that corrects the assembly or disassembly of a mutant form of the target protein at the destination site of the target protein prior to its being ubiquitylated. In some embodiments, a target destination site of synthesis or destination site is selected from the cytosol, an organellar inner membrane surface, an organellar outer membrane surface, the nuclear inner membrane surface, the nuclear membrane outer membrane surface, the inner membrane of the plasma membrane, or the outer membrane of the plasma membrane.
[00110] In some embodiments, a target binder binds to a mutant form of the target protein. In some embodiments, a target binder binds to a misfolded form of the target protein. In some embodiments, a target binder binds to a wild-type (WT) form of the target protein. In some embodiments, when the target binder binds with a mutant form of the target Ub- protein, deubiquitination by the USP5 bound to the USP5 binder leads to increasing half-life of the mutant protein and thereby rescuing the functionality of the mutant protein. In some embodiments, when the target binder binds with a misfolded form of the target Ub-protein, deubiquitination by the USP5 bound to the USP5 binder leads to increasing half-life of the mutant protein and thereby rescuing the functionality of the mutant protein. In some embodiments, when the target binder binds with a WT form of the target Ub-protein, deubiquitination by the USP5 bound to the USP5 binder leads to increasing the half-life and therefore the localized concentration of the WT protein, thereby enhancing a therapeutic outcome performed by the WT protein. In some embodiments, enhanced concentration of a WT target protein results in increases in clinical efficacy of a disease therapy, for example but not limited to a cancer therapy. [00111] In some embodiments, when the target binder comprises a molecular chaperone or active portion thereof, it binds with a mutant form of the target Ub-protein and assists in conformation folding and assembly of the target protein. In some embodiments, the target binder binds with the target protein prior to its’ being ubiquitylated. In some embodiments, when the target binder comprises a molecular chaperone or active portion thereof, it binds with the target protein prior to its’ being ubiquitylated, and assists in its conformation folding and assembly at the time of protein synthesis. In some embodiments, when the target binder comprises a molecular chaperone or active portion thereof, it binds with a mutant form of the target protein prior to ubiquitylation, and assists in conformation folding and assembly of the target protein. In some embodiments, when the target binder comprises a molecular chaperone or active portion thereof, it binds with the target protein prior to its’ being ubiquitylated, and stabilizes the target protein. In some embodiments, when the target binder comprises a molecular chaperone or active portion thereof, it binds with a mutant form of the target protein prior to ubiquitylation, and assists in stabilizing the target protein. In some embodiments, when the target binder comprises a molecular chaperone or active portion thereof, it binds with the target protein prior to its’ being ubiquitylated, and assists in its proper insertion within a membrane by stabilizing the target protein. In some embodiments,
when the target binder comprises a molecular chaperone or active portion thereof, it binds with a mutant form of the target protein prior to ubiquitylation, and assists in the proper insertion within a membrane by stabilizing the target protein. [00112] In some embodiments, the target binder comprises a potentiator of a target protein’s activity, wherein binding of the target binder with a target Ub-protein enhances or restores the function of the target Ub-protein. In some embodiments, the target binder comprises a potentiator of a target protein’s activity, wherein binding of the target binder with a target protein prior to ubiquitylation enhances or restores the function of the target protein. In some embodiments, the target binder comprises a potentiator of a target protein’s activity, wherein binding of the target binder with a mutant target Ub-protein enhances or restores the function of the target Ub-protein. In some embodiments, the target binder comprises a potentiator of a target protein’s activity, wherein binding of the target binder with a mutant form of the target protein prior to ubiquitylation, enhances or restores the function of the target protein. [00113] In some embodiments, binding of target binder with a target Ub-protein enhances or restores or potentiates ion transport activity across a membrane, wherein the target-protein comprises an ion channel. In some embodiments, binding of target binder with a target protein prior to ubiquitylation enhances or restores or potentiates ion transport activity across a membrane wherein the target protein comprises an ion channel. In some embodiments, binding of target binder with a target Ub-protein enhances ion transport activity across a membrane, wherein the target-protein comprises an ion channel. In some embodiments, binding of target binder with a target protein prior to ubiquitylation enhances ion transport activity across a membrane wherein the target protein comprises an ion channel. In some embodiments, binding of target binder with a target Ub-protein restores ion transport activity across a membrane, wherein the target-protein comprises an ion channel. In some embodiments, binding of target binder with a target protein prior to ubiquitylation restores ion transport activity across a membrane wherein the target protein comprises an ion channel. In some embodiments, binding of target binder with a target Ub-protein potentiates ion transport activity across a membrane, wherein the target-protein comprises an ion channel. In some embodiments, binding of target binder with a target protein prior to ubiquitylation potentiates ion transport activity across a membrane wherein the target protein comprises an ion channel. In some embodiments, potentiation of ion transport activity
comprises increasing chloride transport across the PM. [00114] In some embodiments, restoration of ion transport activity comprises facilitating increased chloride transport. In some embodiments, binding of target binder with a mutant form of a target Ub-protein enhances or restores or potentiates ion transport activity across a membrane, wherein the mutant form of the target-protein comprises an ion channel having decreased function or no function. In some embodiments, binding of target binder with a mutant form of a target protein prior to ubiquitylation enhances or restores or potentiates ion transport activity across a membrane, wherein the target protein comprises an ion channel having decreased function or no function. In some embodiments, binding of target binder with a mutant form of a target Ub-protein enhances ion transport activity across a membrane, wherein the mutant form of the target-protein comprises an ion channel having decreased function or no function. In some embodiments, binding of target binder with a mutant form of a target protein prior to ubiquitylation enhances ion transport activity across a membrane, wherein the target protein comprises an ion channel having decreased function or no function. In some embodiments, binding of target binder with a mutant form of a target Ub- protein restores ion transport activity across a membrane, wherein the mutant form of the target-protein comprises an ion channel having decreased function or no function. In some embodiments, binding of target binder with a mutant form of a target protein prior to ubiquitylation restores ion transport activity across a membrane, wherein the target protein comprises an ion channel having decreased function or no function. In some embodiments, binding of target binder with a mutant form of a target Ub-protein potentiates ion transport activity across a membrane, wherein the mutant form of the target-protein comprises an ion channel having decreased function or no function. In some embodiments, binding of target binder with a mutant form of a target protein prior to ubiquitylation potentiates ion transport activity across a membrane, wherein the target protein comprises an ion channel having decreased function or no function. [00115] In some embodiments, restoration of ion transport activity comprises facilitating increased chloride transport. In some embodiments, restoration of activity reaches normal levels observed in a non-mutant form of the target protein. In some embodiments, restoration of activity reaches normal levels of ion transport observed in a non-mutant form of the target protein. In some embodiments, enhancement of ion transport activity comprises facilitating increased chloride transport, compared with the activity level absent binding with a chimeric
molecule comprising a second binding domain comprising a target protein binder. In some embodiments, binding of Ub-target protein facilitates increased chloride transport by potentiating the channel-open probability (or gating) of the Ub-target protein. In some embodiments, potentiation of ion transport activity comprises increasing chloride transport across the PM. [00116] In some embodiments, the target binder modulates a functional activity of a Ub- target protein. In some embodiments, the target binder modulates a functional activity of a mutant form of the Ub-target protein. In some embodiments, the target binder modulates a functional activity of a Ub-target protein, wherein binding of the target binder with a target Ub-protein enhances the function of the target Ub-protein. In some embodiments, the target binder modulates a functional activity of a Ub-target protein, wherein binding of the target binder with a target Ub-protein restores the function of the target Ub-protein. In some embodiments, the target binder modulates a functional activity of a mutant form of the Ub- target protein, wherein binding of the target binder with a target Ub-protein enhances the function of the mutated target Ub-protein. In some embodiments, the target binder modulates a functional activity of a mutant form of the Ub-target protein, wherein binding of the target binder with a target Ub-protein restores the function of the mutated target Ub-protein to wild- type or near wild-type levels. In some embodiments, the target binder modulates a functional activity of a mutant form of the target protein prior to its ubiquitylation, wherein binding of the target binder with a target protein enhances the function of the mutated target protein. In some embodiments, the target binder modulates a functional activity of a mutant form of the target protein prior to its ubiquitylation, wherein binding of the target binder with a target protein restores the function of the mutated target protein to wild-type or near wild-type levels. [00117] In some embodiments, binding of a Ub-protein with a target binder comprised within the second domain stabilizes the Ub-protein. In some embodiments, binding of a Ub- protein with a target binder comprised within the second domain increases localized the concentration of the Ub-protein in the cell. [00118] As used herein, the terms “Ub-protein”, “target Ub-protein”, and “target protein” may be used interchangeably having all the same meaning and qualities of being a binding target of the target binder comprised within a second binding domain of a chimeric molecule disclosed herein. The skilled artisan would appreciate that the inclusion of “Ub” indicates
the ubiquitylation status of the target protein. In some embodiments, binding of the target protein with the target binder comprised within the second binding domain is independent of ubiquitylation status. Alternatively, in some embodiments, binding of the target protein with the target binder comprised within the second binding domain is dependent upon or requires ubiquitylation of the target protein. [00119] Without being bound to any theory or mechanism, it is hypothesized that the second binding domain transiently binds to a Ub-protein target, at least for a minimal time to allow the USP5 bound by the first binding domain to remove at least one Ub. [00120] In another embodiment, the second binding domain directly and specifically binds to an intermediary molecule that directly and specifically binds to the target Ub- protein. In some embodiments, as the second binding domain specifically binds to an intermediary molecule, and the intermediary molecule specifically binds to the Ub- protein, the first binding domain indirectly but specifically binds to the Ub-protein. In the alternative, more than one intermediary molecule can be employed between the first binding domain and the Ub-protein, thus again the first binding domain indirectly but specifically binds to the Ub-protein. In certain embodiments, the intermediate molecule that binds to the Ub-protein comprises an antibody or an antigen-binding fragment thereof that binds to the Ub-protein. In certain embodiments, the intermediate molecule that binds to the Ub-protein comprises a ligand of the Ub-protein. In certain embodiments, the intermediate molecule that binds to the Ub-protein comprises an aptamer the binds to the Ub-protein. [00121] In certain embodiments, the intermediate molecule comprises an antibody or an antigen-binding fragment thereof that binds to the ubiquitinylated protein. In certain embodiments, the intermediate molecule comprises a ligand that binds to the ubiquitinylated protein. [00122] In some embodiments, an ubiquitinylated target polypeptide is a cytosolic polypeptide. In some embodiments, an ubiquitinylated target polypeptide is a nuclear polypeptide. In some embodiments, an ubiquitinylated target polypeptide is a DNA binding protein. In some embodiments, an ubiquitinylated target polypeptide is localized to sites of DNA damage in the nucleus. In some embodiments, an ubiquitinylated target polypeptide is a membrane bound polypeptide. In some embodiments, an ubiquitinylated target polypeptide is a cell surface polypeptide. In some embodiments, an ubiquitinylated target
polypeptide is associated with a cell surface polypeptide. [00123] A skilled artisan would recognize that the second binding domain encompass a discrete region of the chimeric molecule described herein, and can be distinctively identified by physical and functional properties as disclosed herein. [00124] In certain embodiments, the Ub-target protein can interact with USP5. In certain embodiments, the Ub-target protein comprises a target for deubiquitination by USP5. In certain embodiments, the Ub-target protein comprises a non-natural target for deubiquitination by USP5. In some embodiments, a Ub-target protein comprises a Cystic fibrosis transmembrane conductance regulator (CFTR). In some embodiments, a Ub-target protein comprises a mutant form of CFTR. In some embodiments, a Ub-target protein comprises a mutant form of CFTR with reduced anion channel function. In some embodiments, a Ub-target protein comprises a mutant form of CFTR with minimal to no anion channel function. In some embodiments, a Ub-target protein comprises a mutant form of CFTR that is misfolded. In some embodiments, a Ub-target protein comprises a mutant form of CFTR, wherein said CFTR protein and or gene encoding the protein comprises protein production mutations. In some embodiments, a Ub-target protein comprises a mutant form of CFTR, wherein said CFTR protein and or gene encoding the protein comprises protein processing mutations. In some embodiments, a Ub-target protein comprises a mutant form of CFTR, wherein said CFTR protein and or gene encoding the protein comprises gating mutations. In some embodiments, a Ub-target protein comprises a mutant form of CFTR, wherein said CFTR protein or gene encoding the protein comprises conduction mutations. In some embodiments, a Ub-target protein comprises a Poly-ADP-ribosyl transferase 1 (PARP-1). In some embodiments, a Ub-target protein comprises a WT PARP- 1. [00125] As used herein, the terms “deubiquitination” and “deubiquitylation” may be used interchangeably, having all the same meanings and qualities. [00126] In some embodiments, a Ub-target protein comprises a mutant form of CFTR, wherein said CFTR protein comprises a F508del mutation, wherein a single amino acid is missing from the CFTR protein. In some embodiments, a Ub-target protein comprises a mutant form of CFTR, wherein said CFTR protein comprises a N1303K substitution mutation. In some embodiments, a Ub-target protein comprises a mutant form of CFTR, wherein said CFTR protein comprises a I507del, wherein a single amino acid is missing
from the CFTR protein. In some embodiments, a Ub-target protein comprises a mutant form of CFTR, wherein said CFTR protein comprises a G551D substitution mutation. In some embodiments, a Ub-target protein comprises a mutant form of CFTR, wherein said CFTR protein comprises a S549N substitution mutation. In some embodiments, a Ub-target protein comprises a mutant form of CFTR, wherein said CFTR protein comprises a D1152H substitution mutation. In some embodiments, a Ub-target protein comprises a mutant form of CFTR, wherein said CFTR protein comprises a R347P substitution mutation. In some embodiments, a Ub-target protein comprises a mutant form of CFTR, wherein said CFTR protein comprises a R117H substitution mutation. In some embodiments, a Ub-target protein comprises a mutant form of CFTR, wherein said CFTR protein comprises a 3849+10kbC to T mutation. In some embodiments, a Ub-target protein comprises a mutant form of CFTR, wherein said CFTR protein comprises a 2789+5G to A mutation. In some embodiments, a Ub-target protein comprises a mutant form of CFTR, wherein said CFTR protein comprises a A455E substitution mutation. In some embodiments, a Ub-target protein comprises a mutant form of CFTR, wherein said CFTR protein comprises a G85E substitution mutation. In some embodiments, a Ub-target protein comprises a mutant form of CFTR, wherein said CFTR protein comprises a L1077P substitution mutation. In some embodiments, a Ub-target protein comprises a mutant form of CFTR, wherein said CFTR protein comprises a G1349D substitution mutation. In some embodiments, a Ub-target protein comprises a mutant form of CFTR, wherein said CFTR protein comprises a G178R substitution mutation. In some embodiments, a Ub-target protein comprises a mutant form of CFTR, wherein said CFTR protein comprises a G970R mutation. [00127] In some embodiments, a Ub-target protein comprises a mutant form of CFTR, wherein said CFTR protein comprises a mutation causing misfolding of CFTR protein. In some embodiments, a Ub-target protein comprises a mutant form of CFTR, wherein said CFTR protein comprises a mutation causing misfolding of CFTR channel formation. In some embodiments, a Ub-target protein comprises a mutant form of CFTR, wherein the gene encoding said CFTR protein comprises a frameshift, splicing, or nonsense mutation that introduce premature termination codons into the mRNA. In some embodiments, a Ub-target protein comprises a mutant form of CFTR, wherein said CFTR protein comprises a mutation that leads to misfolding, premature degradation by the endoplasmic reticulum (ER) quality- control system, and impaired protein biogenesis, that severely reducing the number of CFTR
molecules that reach the cell surface. In some embodiments, a Ub-target protein comprises a mutant form of CFTR, wherein said CFTR protein comprises a mutation that impairs the regulation of the CFTR channel, resulting in abnormal gating characterized by a reduced open probability. In some embodiments, a Ub-target protein comprises a mutant form of CFTR, wherein said CFTR protein comprises a mutation that alters the channel conductance by impeding the ion conduction pore, leading to a reduced unitary conductance. In some embodiments, a Ub-target protein comprises a mutant form of CFTR, wherein said CFTR protein comprises a mutation that does not change the conformation of the protein but alter its abundance by introducing promoter or splicing abnormalities. In some embodiments, a Ub-target protein comprises a mutant form of CFTR, wherein said CFTR protein comprises a mutation that destabilizes the channel in post-ER compartments and/or at the plasma membrane (PM), by reducing its conformational stability and/or generating additional internalization signals. In some embodiments, a Ub-target protein comprises a mutant form of CFTR, wherein said CFTR protein comprises a mutation that accelerates plasma membrane turnover of the CFTR and reduced apical membrane expression of CFTR. [00128] In some embodiments, a second binding domain comprising said target binder comprises a structure represented by Formula A-K, provided that the linker portion or the USP5 binder portion is selected so that the resulting chimeric molecule does not include a peroxide moiety:
[00129] In some embodiments, a second binding domain comprising said target binder comprises a structure represented by Formula A-K, K*, K**, B* or B**, wherein the structure represented by Formula A-K, K*, K**, B* or B** is optionally substituted. For example, a structure of Formula A-K, K*, K**, B* or B** can be optionally substituted with one or more substituents selected from oxo, halogen, -CN, -NH2, -NH(alkyl), -N(alkyl)2, - OH, -CO2H, -CO2alkyl, -C(=O)NH2, -C(=O)NH(alkyl), -C(=O)N(alkyl)2, -S(=O)2NH2, - S(=O)2NH(alkyl), -S(=O)2N(alkyl)2, alkyl, cycloalkyl, fluoroalkyl, heteroalkyl, alkoxy, fluoroalkoxy, heterocycloalkyl, aryl, heteroaryl, aryloxy, alkylthio, arylthio, alkylsulfoxide, arylsulfoxide, alkylsulfone, and arylsulfone. In some other embodiments, optional substituents are independently selected from D, halogen, -CN, -NH2, -NH(CH3), -N(CH3)2, -OH, -CO2H, -CO2(C1-C4alkyl), -C(=O)NH2, -C(=O)NH(C1-C4alkyl), -C(=O)N(Ci- C4alkyl)2, -S(=O)2NH2, -S(=O)2NH(C1-C4alkyl), -S(=O)2N(C1-C4alkyl)2, C1-C4alkyl, C - C6cycloalkyl, C1-C4fluoroalkyl, C1-C4heteroalkyl, C1-C4alkoxy, C1-C4fluoroalkoxy, -SC1- C4alkyl, -S(=O)C1-C4alkyl, and -S(=O)2C1-C4alkyl. In some embodiments, an aryl group of Formula A-K, K*, K**, B* or B** is optionally substituted with halogen, methyl, ethyl, - CN, -CF , -OH, -OMe, -NH2, -NO2, -S(O)2NH2, -S(O)2NHCH3, -S(O)2NHCH2CH3, - S(O)2NHCH(CH3)2, -S(O)2N(CH3)2, and/or -S(O)2NHC(CH3)3. In some embodiments, an aryl group of Formula A-K, K*, K**, B* B** is optionally substituted with halogen,
methyl, ethyl, propyl, -CN, -CF3, -OH, -OMe, -NH2, and -NO2. In some embodiments, a heteroaryl group of Formula A-K, K*, K**, B* or B** is optionally substituted with halogen, methyl, ethyl, -CN, -CF , -OH, -OMe, -NH2, -NO2, -S(O)2NH2, -S(O)2NHCH3, - S(O)2NHCH2CH3, -S(O)2NHCH(CH3)2, -S(O)2N(CH3)2, and/or -S(O)2NHC(CH3)3. In some embodiments, a heteroaryl group of Formula A-K, K*, K**, B* or B** is optionally substituted with halogen, methyl, ethyl, propyl, -CN, -CF3, -OH, -OMe, -NH2, and -N02. [00130] In some embodiments, an alkyl group of Formula A-K, K*, K**, B* or B** is optionally substituted with one or more substituents selected from oxo, halogen, amino, nitrile, nitro, hydroxyl, haloalkyl, alkoxy, aryl, cycloalkyl, heterocycloalkyl, heteroaryl, and the like. In some embodiments, an alkyl group of Formula A-K, K*, K**, B* or B** is optionally substituted with one or more substituents selected from oxo, halogen, -CN, - CF3, -OH, -OMe, -NH2, -NO2, or -C≡CH. In some embodiments, an alkyl group of Formulas A-K, K*, K**, B* or B** is optionally substituted one or more halogen.
[00131] In some embodiments, a cycloalkyl or heterocyloalkyl group of Formula A-K, K*, K**, B* or B**is optionally substituted with one or more substituents selected from oxo, halogen, amino, nitrile, nitro, hydroxyl, alkyl, alkenyl, alkynyl, haloalkyl, alkoxy, aryl, cycloalkyl, heterocycloalkyl, heteroaryl, and the like. In some embodiments, a cycloalkyl or heterocyloalkyl group of Formula A-K, K*, K**, B* or B** is optionally substituted with one or more substituents selected from oxo, halogen, methyl, ethyl, -CN, -CF3, -OH, - OMe, NH2, or NO2
Formula (K*)
A and B together represent a fused aromatic ring, optionally substituted with one or more substituent groups selected from halo, nitro, hydroxyl, ether, thiol, thioether,
amino, C1-7 alkyl, C3-20 heterocyclyl and C5-20 aryl;
Rx is selected from H, C1-20 alkyl, C5-20 aryl, C3-20 heterocyclyl, amido, thioamido, ester, acyl, and sulfonyl groups, wherein the acyl, C1-20 alkyl, C5-20 aryl or C3- 20 heterocyclyl group is optionally substituted with one or more substituent groups selected from C1-20 alkyl, C5-20 aryl, C3-20 heterocyclyl, halo, hydroxyl, ether, nitro, cyano, acyl, carboxy, ester, amido, amino, acylamido, ureido, acyloxy, thiol, thioether, sulfoxide, sulfonyl, thioamido and sulfonamido;
RC1 and RC2 are both hydrogen; and R11 is [00133 In some embodiments, a target binder has a structure of Formula (K**),
Formula (K**), wherein,
R11 is selected from H and halo; and
RC3is selected from H, C1-7 alkyl, C5-20 aryl and C3-20 heterocyclyl, wherein the C1-7 alkyl, C5-20 aryl or C3-20 heterocyclyl group is optionally substituted with one or more substituent groups selected from C1-20 alkyl, C5-20 aryl. C3-20 heterocyclyl, halo, hydroxyl, ether, nitro, cyano, acyl, carboxy, ester, amido, amino, acylamido, ureido, acyloxy, thiol, thioether, sulfoxide, sulfonyl, thioamido and sulfonamido.
[00134] In some embodiments, a target binder of Formula (K**) is attached to the linker via RC3 In some embodiments a target binder of Formula (K*) is attached to the linker via Rx.
6
Formula (B*), wherein,
each R21 is an optionally substituted Ci-6 aliphatic, an optionally substituted aryl, an optionally substituted heteroaryl, an optionally substituted C3-10 cycloaliphatic, an optionally substituted 3 to 10 membered heterocycloabphatic, carboxy, amido, amino, halo, or hydroxy, provided that at least one R21 is an optionally substituted cycloaliphatic, an optionally substituted heterocycloabphatic, an optionally substituted aryl, or an optionally substituted heteroaryl attached to the 5- or 6-position of the pyridyl ring; each R22 is hydrogen, an optionally substituted Ci-6 aliphatic, an optionally substituted C3- 6 cycloaliphatic, an optionally substituted phenyl, or an optionally substituted heteroaryl; each R23 and R23 together with the carbon atom to which they are attached form an optionally substituted C3-7 cycloaliphatic or an optionally substituted heterocycloabphatic; each R24 is an optionally substituted aryl or an optionally substituted heteroaryl; and r is 1, 2, 3 or 4.
[00136] In some embodiments, a target binder of Formula (B*) is attached to the linker via R21.
[00137] In some embodiments, one R21 that is attached to 5- or 6-position of the pyridyl ring is aryl or heteroaryl, each optionally substituted with 1, 2, or 3 of R°; wherein RD is — ZDR29; wherein each ZDis independently a bond or an optionally substituted branched or straight C 1-6 aliphatic chain wherein up to two carbon units of ZD are optionally and independently replaced by — CO — , — CS — , — CONRE — , — CONRENRE — , —CO2 — , — OCO— , — NRECO — , — O— , — NRECONRe— , — OCONRe— , — NRENRe— , — NRECO— , — S— , —SO—, — SO2— , — NRE— , — SO2NRe— , — NRE SO2— , or — NRE SO2NRe — ; each R29is independently RE, halo, — OH, — NH2, — NO2, — CN, — CF3, or — OCF3; and each REis independently hydrogen, an optionally substituted Ci-8 aliphatic group, an optionally substituted cycloaliphatic, an optionally substituted heterocycloabphatic, an optionally substituted aryl, or an optionally substituted heteroaryl. [00138] In some embodiments, the one Ri attached to the 5- or 6-position of the pyridyl ring is phenyl optionally substituted with 1, 2, or 3 of R°. In some embodiments, the one Ri attached to the 5- or 6-position of the pyridyl ring is heteroaryl optionally substituted with 1, 2, or 3 of Rd. In some embodiments, one carbon unit of ZD is replaced by — O — , — NHC(O) — , — C(O)NRE— , — SO2— , — NHSO2 — , — NHC(O)— , —SO—, — NRE SO2— , — SO2NH— , — SO2NRe— , — NH— , or C(O)O— .
[00139] In some embodiments, one R21 that is attached to the 5- or 6-position of the pyridyl ring is cycloaliphatic or heterocycloaliphatic, each optionally substituted with 1, 2, or 3 of Rd. In some embodiments, one R21 that is attached to the 5- or 6-position of the pyridyl ring is an optionally substituted C3-C8 cycloalkyl or an optionally substituted C3-C8 cycloalkenyl. [00140] In some embodiments, R29 is independently an optionally substituted aliphatic, an optionally substituted cycloaliphatic, an optionally substituted heterocycloaliphatic, an optionally substituted aryl, or an optionally substituted heteroaryl, H, or halo.
[00141] In some embodiments, R22 is hydrogen.
[00142] In some embodiments, R23 and R23 together with the carbon atom to which they are attached form an unsubstituted cyclopropyl, an unsubstituted cyclopentyl, or an unsubstituted cyclohexyl. In some embodiments, R23 and R23 together with the carbon atom to which they are attached form an unsubstituted cyclopropyl, an unsubstituted cyclopentyl, or an unsubstituted cyclohexyl.
[00143] In some embodiments, R24is an aryl or heteroaryl optionally substituted with 1, 2, or 3 of — ZCR28, wherein each Zcis independently a bond or an optionally substituted branched or straight Ci-6 aliphatic chain wherein up to two carbon units of Zc are optionally and independently replaced by — CO — , — CS — , — CO NRC — , — CONRCNRC — , — CO2— , — OCO— , — NRCCO2— , — O— , — NRCCONRC— , — OCONRC— , — NRCNRC — , — NRCCO— , — S— , —SO—, — SO2— , — NRC— , — SO2NRC— , — NRCSO2 — , or — NRCSO2NRC — ; each R28is independently RC, halo, — OH, — NH2, — NO2, — CN, or — OCF3; and each RC is independently an optionally substituted Ci-8 aliphatic group, an optionally substituted cycloaliphatic, an optionally substituted heterocycloaliphatic, an optionally substituted aryl, or an optionally substituted heteroaryl. [00144] In some embodiments, R24 is an aryl optionally substituted with 1, 2, or 3 of — ZCR28.
[00145] In some embodiments, a target binder has a structure of Formula (B**),
Formula (B**), wherein, RD is —ZDR29, wherein each ZD is independently a bond or an optionally substituted branched or straight C1-6 aliphatic chain wherein up to two carbon units of ZD are optionally and independently replaced by —CO—, —CS—, —CONRE—, — CONRENRE—, —CO2—, —OCO—, —NRECO2—, —O—, —NRECONRE—, — OCONRE—, —NRENRE—, —NRECO—, —S—, —SO—, —SO2—, —NRE—, — SO2NRE—, —NRESO2—, or —NRESO2NRE—; R29 is independently RE, halo, —OH, —NH2, —NO2, —CN, —CF3, or —OCF3; Each RE is independently hydrogen, an optionally substituted C1-8 aliphatic group, an optionally substituted cycloaliphatic, an optionally substituted heterocycloaliphatic, an optionally substituted aryl, or an optionally substituted heteroaryl; R22 is C1-4 aliphatic, C3-6 cycloaliphatic, phenyl, or heteroaryl, each of which is optionally substituted, or R22 is hydrogen; R23 and R23’ together with the carbon atom to which they are attached form a C3- 7 cycloaliphatic or a C3-7 heterocycloaliphatic, each of which is optionally substituted with 1, 2, or 3 of —ZBR27, wherein each ZB is independently a bond, or an optionally substituted branched or straight C1-4 aliphatic chain wherein up to two carbon units of ZB are optionally and independently replaced by —CO—, —CS—, —CONRB—, — CONRBNRB—, —CO2—, —OCO—, —NRBCO2—, —O—, —NRBCONRB, — OCONRB—, —NRBNRB—; —NRBCO—, —S—, —SO—, —SO2—, —NRB—, — SO2NRB—, —NRBSO2—, or —NRBSO2NRB—; Each R27 is independently RB, halo, —OH, —NH2, —NO2, —CN, —CF3, or —OCF3; Each RB is independently hydrogen, an optionally substituted C1-8 aliphatic group, an optionally substituted cycloaliphatic, an optionally substituted heterocycloaliphatic, an optionally substituted aryl, or an optionally substituted heteroaryl;
Each R24 is an aryl or heteroaryl, each of which is optionally substituted with 1, 2, or 3 of — ZCR28, wherein each Zc is independently a bond or an optionally substituted branched or straight Ci -6 aliphatic chain wherein up to two carbon units of ZC are optionally and independently replaced by — CO — , — CS — , — CONRC — , — CONRCNRC — , — CO2 — , — OCO— , — NRCCO2— , — O— , — NRCCONRC— , — OCONRC— , — NRCNRC — , — NRCCO — , — S— , —SO—, — SO2— , — NRC— , — SO2NRC— , — NRCSO2— , or — NRCSO2NRC— ;
Each R28 is independently RC, halo, — OH, — NH2, — NO2, — CN, — CF3, or — OCF3; and
Each RC is independently an optionally substituted C1-8 aliphatic group, an optionally substituted cycloaliphatic, an optionally substituted heterocycloaliphatic, an optionally substituted aryl, or an optionally substituted heteroaryl.
[00146] In some embodiments, a target binder of Formula (B**) is attached to the linker via Rd.
[00147] In some embodiments, a target binder comprised in a second binding domain comprises a small molecule selected from ivacaftor, lumacaftor, tezacaftor, elexacaftor, ABBV-2222, posenacaftor, nesolicaftor, ABBV-191, ABBV-3067, ELX-02, PTI-428, PTI- 801, PTI-808, VX-121, VX-561, olaparib, or MRT5005. In some embodiments, a target binder comprised in a second binding domain comprises a small molecule selected from CW008, 8-Bromo-cAMP, and cAMPS-Sp, or salts thereof. In some embodiments, a target binder comprised in a second binding domain comprises a small molecule comprising ivacaftor. In some embodiments, a target binder comprised in a second binding domain comprises a small molecule comprising lumacaftor. In some embodiments, a target binder comprised in a second binding domain comprises a small molecule comprising tezacaftor. In some embodiments, a target binder comprised in a second binding domain comprises a small molecule comprising elexacaftor. In some embodiments, a target binder comprised in a second binding domain comprises a small molecule comprising ABBV-2222. In some embodiments, a target binder comprised in a second binding domain comprises a small molecule comprising posenacaftor. In some embodiments, a target binder comprised in a second binding domain comprises a small molecule comprising nesolicaftor. In some embodiments, a target binder comprised in a second binding domain comprises a small molecule comprising ABBV-191. In some embodiments, a target binder comprised in a
second binding domain comprises a small molecule comprising ABBV-3067. In some embodiments, a target binder comprised in a second binding domain comprises a small molecule comprising ELX-02. In some embodiments, a target binder comprised in a second binding domain comprises a small molecule comprising PTI-428. In some embodiments, a target binder comprised in a second binding domain comprises a small molecule comprising PTI-801. In some embodiments, a target binder comprised in a second binding domain comprises a small molecule comprising PTI-808. In some embodiments, a target binder comprised in a second binding domain comprises a small molecule comprising VX-121. In some embodiments, a target binder comprised in a second binding domain comprises a small molecule comprising VX-561. In some embodiments, a target binder comprised in a second binding domain comprises a small molecule comprising olaparib. In some embodiments, a target binder comprised in a second binding domain comprises a small molecule comprising MRT5005. Protein kinase A (also known as the cyclic AMP-dependent protein kinase or A kinase) (or PKA) is an enzyme that covalently decorates proteins with phosphate groups. The activity of PKA can be regulated by fluctuating levels of cyclic AMP within cells (hence its alias as the cyclic AMP-dependent protein kinase). This enzyme thus can function as the end effector for a variety of hormones that work through a cyclic AMP signaling pathway. The protein kinase A holoenzyme is a heterotetramer composed of two types of subunits: catalytic subunit and regulatory subunit.
[00148] In certain embodiments, the Ub-target protein can interact with USP5. In certain embodiments, the Ub-target protein comprises a target for deubiquitination by USP5. In certain embodiments, the Ub-target protein comprises a non-natural target for deubiquitination by USP5. In some embodiments, a Ub-target protein comprises a Protein kinase A (PKA). In some embodiments, a Ub-target protein comprises a mutant form of PKA. In some embodiments, a Ub-target protein comprises a mutant form of PKA that is misfolded. In some embodiments, a Ub-target protein comprises a mutant form of PKA, wherein said PKA protein and or gene encoding the protein comprises protein production mutations. In some embodiments, a Ub-target protein comprises a mutant form of PKA, wherein said PKA protein and or gene encoding the protein comprises protein processing mutations. In some embodiments, a Ub-target protein comprises a mutant form of PKA, wherein said CFTR protein and or gene encoding the protein comprises gating mutations. In some embodiments, a Ub-target protein comprises a mutant form of PKA, wherein said PKA
protein or gene encoding the protein comprises conduction mutations. In some embodiments, the second binding domain comprising said target binder comprises a structure represented by Formulas (L) to (N):
Formulas (L) to (N) can also be illustrated as:
In some
embodiments, the second binding domain comprises a salt of a structure of Formula (M),
such as a triethylammonium salt (attachment point not shown).
Linkers
[00149] In some embodiments, a chimeric molecule comprising a first domain comprising a USP5 binder further comprises a linker domain linked to said first binding domain (Figure 1C). In some embodiments, a chimeric molecule comprising a first domain comprising a
USP5 binder and a second binding domain comprising a target binder, further comprises a linker domain linking said first binding domain to said second binding domain.
[00150] In some embodiments, a linker linked to said first binding domain does not affect the binding affinity of said first domain hi some embodiments, a linker linked to said first binding domain affects the binding affinity of said first domain. In some embodiments, a first binding domain comprises an altered binding affinity for USP5 when said first domain is linked to a linker domain. In some embodiments, a first binding domain comprises an increased binding affinity for USP5 when said first domain is linked to a linker domain hi some embodiments, a first binding domain comprises a decreased binding affinity for USP5 when said first domain is linked to a linker domain. In some embodiments, a first binding domain linked to a linker domain has altered capacity to inhibit the hydrolase activity of USP5. In some embodiments, a first binding domain linked to a linker domain has an increased capacity to inhibit the hydrolase activity of USP5. In some embodiments, a first binding domain linked to a linker domain has a decreased capacity to inhibit the hydrolase activity of USP5. In some embodiments, a first binding domain linked to a linker domain does not inhibit the hydrolase activity of USP5.
[00151] The first and/or second binding domains may be linked to the linker domain directly, indirectly, covalently, non-covalently, rigidly and/or flexibly. In some embodiments, a binding domain may be linked to the linker domain directly by a rigid covalent bond. In some embodiments, a binding domain may be linked to the linker domain
directly by a covalent bond. In some embodiments, a binding domain may be linked to the linker domain directly by a flexible, covalent bond. In some embodiments, a binding domain may be linked to the linker domain directly by a rigid non-covalent bond. In some embodiments, a binding domain may be linked to the linker domain directly by a non- covalent bond. In some embodiments, a binding domain may be linked to the linker domain directly by a flexible, non-covalent bond. In some embodiments, a first or second binding domain may be linked to the linker domain by a covalent bond and while the other binding domain may be linked by a non-covalent bond.
[00152] A skilled artisan would appreciate, that the linker domain has to be sufficiently flexible to successfully bring the USP5 and the targeted Ub-protein together efficiently. In some embodiments, the linker domain comprises a linker rigid enough to prevent too much movement and entropy issues. In some embodiments, the length of the linker domain comprises a length that effectively brings the USP5 and the targeted Ub-protein together efficiently. In some embodiments, the combination of flexibility and length of the linker domain provide for bringing the USP5 and the targeted ubiquitinylated protein together efficiently. The skilled artisan would appreciate that the linker domain, therefore, should be efficient in both size and flexibility.
[00153] In one embodiment, the linker domain functions to connect the first binding domain to the second binding domain. It will be understood by those skilled in the art that the connection between the first binding domain and the second binding domain may be achieved in numerous manners. For example, the connection may be covalent or non- covalent. It will be understood by those skilled in the art that the linker domain may be a direct covalent bond between the first binding domain and the second binding domain. In one embodiment, covalent linkage includes simple single, double or triple covalent bonds between atoms in the first binding domain and the second binding domain, either directly, or indirectly through a series of atoms and covalent bonds. In one embodiment, non-covalent linkage includes all forms of non-covalent inter-molecule interactions, including but not limited to, electrostatic interactions, hydrogen-bond interaction, Van der Waals forces, hydrophobic interactions and hydrophilic interactions.
[00154] In certain embodiments, the linker domain is a single amino acid. In certain embodiments, the linker domain comprises a peptide. In certain embodiments, the peptide comprises 2-50 amino acids. In certain embodiments, the peptide comprises 4-10 amino
acids. In some embodiments, the peptide comprises 4, 5, 6, 7, 8, 9, or 10 amino acids. In some embodiments, the peptide comprises 11, 12, 13, 14, 15, 16, 17, 18, 19, 20, 21, 22, 23 24, 25, 26, 27, 28, 29, 30, 31, 32, 33, 34, 35, 36, 37, 38, 39, 40, 41, 42, 43, 44, 45, 46, 47
48, 49, or 50 amino acids.
[00155] In certain embodiments, the linker domain comprises a small molecule. In certain embodiments, the small molecule is an organic compound. In certain embodiments, the small molecule is a synthetic non-naturally occurring compound. In one embodiment, the linker domain may be a small organic molecule of a low molecular weight of up to 1,000 Daltons, with a size of 10 nm or less. In another embodiment, the linker domain may be a short peptide, containing for example, approximately 100 or less amino acids.
[00156] In certain embodiments, the linker domain is configured to position the USP5 enzyme in proximity to the Ub-protein. As would be appreciated by those skilled in the art, the proximity or distance between the ubiquitin protease to the Ub-protein necessary for the ubiquitin protease to de-ubiquitinate the Ub-protein would vary depending on the protease/protein combinations.
[00157] In certain embodiments, the distance of the USP5 to the Ub-protein is 20 A to 1 A. In certain embodiments, the distance of the USP5 to the Ub-protein is 20 A or less. In certain embodiments, the distance of the USP5 to the Ub-protein is 15 A or less. In certain embodiments, the distance of the USP5 to the Ub-protein is 10 A or less. In certain embodiments, the distance of the USP5 to the Ub-protein is 5 A or less. In certain embodiments, the distance between an USP5 to an Ub-protein is such that the USP5, despite not deubiquitinating the Ub-protein when both are not bound by the chimeric molecules provided herein, does deubiquitinate the Ub-protein when both are bound by the chimeric molecules provided herein.
[00158] In some embodiments, the linker is between 5 and 20 carbon atoms long. In some embodiments, the linker is between 2 and 18 carbon atoms long. In some embodiments, the linker is between 2 and 20 carbon atoms long. In some embodiments, the linker is between 5 and 10 atoms long. In some embodiments, the linker is between 10 and 15 atoms long. In some embodiments, the linker is between 15 and 20 atoms long. In some embodiments, the linker is between 10 and 20 atoms long. In some embodiments, the linker is 2 atoms long, 3 atoms long, 4 atoms long, 5 atoms long, 6 atoms long, 7 atoms long, 8 atoms long, 9 atoms long, 10 atoms long, 11 atoms long, 12 atoms long 13 atoms long, 14 atoms long, 15 atoms
long, 16 atoms long, 17 atoms long, 18 atoms long, 19 atoms long, or 20 atoms long. [00159] One of ordinary skill in the art would readily recognize that various kinds of linkers generally known in the art could be incorporated into the chimeric molecules provided herein. Furthermore, one of ordinary skill in the art would also recognize that the various linkers employed in the bifunctional proteolysis targeting chimeric (PROTAC) compounds could be incorporated into the chimeric molecules provided herein, for example, see WO 2016/197114, US Pat. 9,632,089, US Pat. 9,938,264 etc, which are incorporated herein in their entirety.
[00160] In some embodiments, the linker comprises a polyethylene glycol. In some embodiments, linker comprises an aromatic group. In some embodiments, linker comprises an alkyl. In some embodiments, the linker comprises an alkenyl. In some embodiments, the linker comprises alkyl amine. In some embodiments, the linker comprises alkyl amide. In some embodiments, the linker comprises an alkyl phosphate. In some embodiments, the linker comprises an alkyl siloxane. In some embodiments, the linker comprises an epoxy. In some embodiments, the linker comprises an acylhalide. In some embodiments, the linker comprises a glycidyl. In some embodiments, the linker comprises a carboxylate. In some embodiments, the linker comprises an anhydride.
[00161] In some embodiments, the linker comprises a C1 to C18 alkylene substituted with at least one carboxyl moiety. In certain embodiments, the linker may be derived from a Cl to Cl 8 alkylene substituted with at least one carboxyl moiety. In certain embodiments, the linker may be derived from an amino acid of natural or synthetic source having a chain length of between 2 and 18 carbon atoms (polypeptide), or an acyl halide of said amino acid. Non-limiting examples for such amino acids are 18-amino octadecanoic acid and 18-amino stearic acid.
[00162] In some embodiments, a linker comprises an amino acid of natural or synthetic source having a chain length of between 2 and 18 carbon atoms (polypeptide), or an acyl halide of said amino acid. In some embodiments, a linker comprises an amino acid of natural or synthetic source having a chain length of 2, 3, 4, 5, 6, 7, 8, 9, 10, 11, 12, 13, 14, 15, 16, 17, or 18 carbon atoms (polypeptide), or an acyl halide of said amino acid.
[00163] In some embodiments, the linker comprises a C1 to C18 alkylene. This linker may, in some embodiments, be derived from a di-halo alkylene. In some embodiments, a linker comprises a C1 alkylene, a C2 alkylene a C3 alkylene, a C4 alkylene, a C5 alkylene,
a C6 alkyl ene, a C7 alkyl ene, a C8 alkyl ene, a C9 alkylene, a C10 alkylene, a C11 alkyl ene, a 12 alkylene, a C13 alkylene, a C14 alkylene, a 15 alkylene, a C16 alkylene, a C17 alkylene, or a C18 alkylene.
[00164] In some embodiments, the linker is an aromatic group derived from non-limiting examples of 4,4-biphenol, dibenzoic acid, dibenzoic halides, dibenzoic sulphonates, terephthalic acid, tetrphthalic halides, and terephthalic sulphonates.
[00165] In another embodiment, the linker domain may comprise an optionally substituted (poly)ethylene glycol having between 1 and about 100 ethylene glycol units, between about 1 and about 50 ethylene glycol units, between 1 and about 25 ethylene glycol units, between about 1 and 10 ethylene glycol units, between 1 and about 8 ethylene glycol units and 1 and 6 ethylene glycol units, between 2 and 4 ethylene glycol units, or optionally substituted alkyl groups inter-dispersed with optionally substituted, O, N, S, P or Si atoms. In certain embodiments, the linker is substituted with an aryl, phenyl, benzyl, alkyl, alkylene, or heterocycle group.
[00166] In some embodiments, a linker domain comprises a structure such as of polyethylene glycol, an aromatic group, an alkyl, an alkenyl, an alkyl phosphate, an alkyl siloxane, an epoxy, an acyl halide, a glycidyl, a carboxylate, alkyl amine, alkyl amide, ketone, an anhydride, or combination thereof. In some embodiments, a linker domain comprises a structure comprising a polyethylene glycol. In some embodiments, a linker domain comprises a structure comprising an aromatic group. In some embodiments, a linker domain comprises a structure comprising an alkyl. In some embodiments, a linker domain comprises a structure comprising an alkenyl. In some embodiments, a linker domain comprises a structure comprising an alkyl phosphate. In some embodiments, a linker domain comprises a structure comprising an alkyl amide. In some embodiments, a linker domain comprises a structure comprising an alkyl and at least one group of amide group. In some embodiments, a linker domain comprises a structure comprising an alkyl and at least one group of amine and amide groups. In some embodiments, a linker domain comprises a structure comprising an alkyl siloxane. In some embodiments, a linker domain comprises a structure comprising an epoxy. In some embodiments, a linker domain comprises a structure comprising an acyl halide. In some embodiments, a linker domain comprises a structure comprising a glycidyl. In some embodiments, a linker domain comprises a structure comprising a carboxylate. In some embodiments, a linker domain comprises a structure
comprising an anhydride.
[00167] In some embodiments, the linker domain may comprise one of the following linking domains, represented by Formula (i)- (xxiii):
[00168] In some embodiments, a chimeric molecule described herein comprises a linker domain represented by the Formula (xxiv) that connects the first binding domain and the second binding domain,
- LK1-LK2-LK3- LK4-LK5- Formula (xxiv) wherein, each of LK1, LK2, LK3, LK4, and LK5 is independently selected from substituted or unsubstituted C1-C24 alkylene, substituted or unsubstituted C1-C24 heteroalkylene, substituted or unsubstituted C2-C24 alkenylene, substituted or unsubstituted C2-C24 alkynylene, substituted or unsubstituted cycloalkyl, substituted or unsubstituted heterocycloalkyl, substituted or unsubstituted aryl, substituted or unsubstituted heteroaryl, -(CH2CH2O)p-, -(OCH2CH2)p-, -O-, -S-, -S(=O)-, -S(=O)2-, -S(=O)(=NRLK)- , -C(=O)-, -C(=O)O-, -OC(=O)-, -C(=O)C(=O)-, -C(=O)NRLK-, -NRLKC(=O)-, - OC(=O)NRLK-, -NRLKC (=O)O-, -NRLKC(=O)NRLK-, -C(=O)NRLKC(=O)-, -
S(=O)2NRLK-, -NRLKS(=O)2-, -NRLK-, -N(ORlk)-, and a bond; each RLK is independently H or substituted or unsubstituted C1-C6 alkyl; and p is an integer selected from 1 to 20.
[00169] In some embodiments, LK1 is connected to the first binding domain and LK5 is connected to the second binding domain. [00170] In some embodiments, LK1 is -O-. [00171] In some embodiments, LK1 is -(CH2CH2O)p- or -(OCH2CH2)p-. In some embodiments, LK1 is -(CH2CH2O)p-. In some embodiments, LK1 is -(OCH2CH2)p-. [00172] In some embodiments, LK1 is substituted or unsubstituted C1-C24 heteroalkylene. In some embodiments, LK1 is substituted or unsubstituted C1-C12 heteroalkylene. [00173] In some embodiments, LK1 is substituted or unsubstituted C1-C24 alkylene, substituted or unsubstituted C1-C24 heteroalkylene, substituted or unsubstituted C2-C24 alkenylene, or substituted or unsubstituted C2-C24 alkynylene. In some embodiments, LK1 is substituted or unsubstituted C1-C18 alkylene. In some embodiments, LK1 is substituted or unsubstituted C9-C24 alkylene. [00174] In some embodiments, p is 1. In some embodiments, p is 2. In some embodiments, p is 3. In some embodiments, p is 4. In some embodiments, p is 5. In some embodiments, p is 6. In some embodiments, p is 7. In some embodiments, p is 8. In some embodiments, p is 9. In some embodiments, p is 10. [00175] In some embodiments, LK2 is substituted or unsubstituted C1-C24 heteroalkylene. In some embodiments, LK2 is substituted or unsubstituted C1-C12 heteroalkylene. [00176] In some embodiments, LK2 is substituted or unsubstituted C1-C24 alkylene, substituted or unsubstituted C1-C24 heteroalkylene, substituted or unsubstituted C2-C24 alkenylene, or substituted or unsubstituted C2-C24 alkynylene. In some embodiments, LK2 is substituted or unsubstituted C1-C18 alkylene. In some embodiments, LK2 is substituted or unsubstituted C9-C24 alkylene. In some embodiments, LK2 is substituted or unsubstituted 2
C1-C12 alkylene In some embodiments LK is
. In some embodiments, LK2 is
. In some embodiments, LK2 is optionally substituted with one or more oxo. In some embodiments, LK2 is a bond. [00177] In some embodiments, LK2 is substituted or unsubstituted cycloalkyl, substituted
or unsubstituted heterocycloalkyl, substituted or unsubstituted aryl, or substituted or unsubstituted heteroaryl. In some embodiments, LK2 is substituted or unsubstituted cycloalkyl. In some embodiments, LK2 is substituted or unsubstituted heterocycloalkyl. In some embodiments, LK2 is substituted or unsubstituted 5 or 6 membered monocyclic heterocycloalkyl. In some embodiments, LK2is piperazinyl.
[00178] In some embodiments, LK2 is O-, -S-, -S(=O)-, -S(=O)2-, -S(=O)(=NRLK)-, - C(=O)-, -C(=N-ORlk)-, -C(=O)O-, -0C(=O)-, -C(=O)C(=O)-, -C(=O)NRLK-, - NRLKC(=O)-, -OC(=O)NRLK-, -NRLKC (=O)O-, -NRLKC(=O)NRLK-, -C(=O)NRLKC(=O)- , -S(=O)2NRLK-, -NRLKS(=O)2-, or -NRLK-.
[00179] In some embodiments, LK3 is a bond. In some embodiments, LK3 is substituted or unsubstituted cycloalkyl, substituted or unsubstituted heterocycloalkyl, substituted or unsubstituted aryl, or substituted or unsubstituted heteroaryl. In some embodiments, LK3 is substituted or unsubstituted cycloalkyl. In some embodiments, LK3 is substituted or unsubstituted heterocycloalkyl. In some emb s substituted or unsubstituted 5
or 6 membered monocyclic heterocycloalkyl. In some embodiments, LK3 is piperazinyl.
[00180] In some embodiments, LK3 is
[00181] In some embodiments, LK3 is O-, -S-, -S(=O)-, -S(=O)2-, -S(=O)(=NRLK)-, - C(=O)-, -C(=N-ORlk)-, -C(=O)O-, -OC(=O)-, -C(=O)C(=O)-, -C(=O)NRLK-, - NRLKC(=O)-, -0C(=O)NRLK-, -NRLKC (=O)O-, -NRLKC(=O)NRLK-, -C(=O)NRLKC(=O)- , -S(=O)2NRLK-, -NRLKS(=O)2-, or -NRLK-.
[00182] In some embodiments, LK3 is substituted or unsubstituted C1-C24 alkylene, substituted or unsubstituted C1-C24 heteroalkylene, substituted or unsubstituted C2-C24 alkenylene, or substituted or unsubstituted C2-C24 alkynylene. In some embodiments, LK3 is substituted or unsubstituted C1-C18 alkylene. In some embodiments, LK3 is substituted or unsubstituted C9-C24 alkylene. In some embodiments, LK3 is substituted or unsubstituted C1-C12 alkylene. In some embodiments, LK3 is optionally substituted with one or more oxo. [00183] In some embodiments, LK4 is a bond.
[00184] In some embodiments, LK4 is substituted or unsubstituted C1-C24 alkylene, substituted or unsubstituted C1-C24 heteroalkylene, substituted or unsubstituted C2-C24 alkenylene, or substituted or unsubstituted C2-C24 alkynylene, In some embodiments, LK4 is substituted or unsubstituted C1-C18 alkylene. In some embodiments, LK4 is substituted or
unsubstituted C9-C24 alkylene. In some embodiments, LK4 is substituted or unsubstituted 1 C1-C12 alkylene. In some embodiments, LK4 is
,
[00185] In some embodiments, LK4 is O-, -S-, -S(=O)-, -S(=O)2-, -S(=O)(=NRLK)-, - C(=O)-, -C(=N-ORlk)-, -C(=O)O-, -0C(=O)-, -C(=O)C(=O)-, -C(=O)NRLK-, - NRLKC(=O)-, -0C(=O)NRLK-, -NRLKC (=O)O-, -NRLKC(=O)NRLK-, -C(=O)NRLKC(=O)- , -S(=O)2NRLK-, -NRLKS(=O)2-, or -NRLK-. [00186] In some embodiments, LK4 is substituted or unsubstituted C1-C24 alkylene, substituted or unsubstituted C1-C24 heteroalkylene, substituted or unsubstituted C2-C24 alkenylene, or substituted or unsubstituted C2-C24 alkynylene. In some embodiments, LK4 is substituted or unsubstituted C1-C24 heteroalkylene. In some embodiments, LK4 is substituted or unsubstituted Ci-Ci2 heteroalkylene [00187] In some embodiments, LK5 is a bond. In some embodiments, LK5 is O-, -S-, -
S(=O)-, -S(=O)2-, -S(=O)(=NRLK)-, -C(=O)-, -C(=N-ORlk)-, -C(=O)O-, -0C(=O)-, - C(=O)C(=O)-, -C(=O)NRLK-, -NRLKC(=O)-, -0C(=O)NRLK-, -NRLKC (=O)O-, - NRLKC(=O)NRLK-, -C(=O)NRLKC(=O)-, -S(=O)2NRLK-, -NRLKS(=O)2-, or -NRLK-. In some embodiments, LK5 is substituted or unsubstituted C1-C24 alkylene, substituted or unsubstituted C1-C24 heteroalkylene, substituted or unsubstituted C2-C24 alkenylene, or substituted or unsubstituted C2-C24 alkynylene.
[00188] In some embodiments, each of LK1, LK2, LK3, LK4, and LK5 is independently substituted with one or more additional groups individually and independently selected from D, oxo, halogen, -CN, -NH2, -NH(alkyl), -N(alkyl)¾ -OH, -CO2H, -CO2alkyl, -C(=O)NH2, -C(=O)NH(alkyl), -C(=O)N(alkyl)2, -S(=O)2NH2, -S(=O)2NH(alkyl), -S(=O)2N(alkyl)2, alkyl, cycloalkyl, fluoroalkyl, heteroalkyl, alkoxy, fluoroalkoxy, heterocycloalkyl, aryl, heteroaryl, aryloxy, alkylthio, arylthio, alkylsulfoxide, arylsulfoxide, alkylsulfone, and arylsulfone. In some other embodiments, optional substituents are independently selected from D, halogen, -CN, -NH2, -NH(CH ) N(CH3)2, -OH, -CO2H, -CO2(C1-C4alkyl), -
C(=O)NH2, -C(=O)NH(C1-C4alkyl), -C(=O)N(C1-C4alkyl)2, -S(=O)2NH2, -S(=O)2NH(Ci- C4alkyl), -S(=O)2N(C1-C4alkyl)2, C1-C4alkyl, C3-C6cycloalkyl, C1-C4fluoroalkyl, Ci- C4heteroalkyl, C1-C4alkoxy, C1-C4fluoroalkoxy, -SC1-C4alkyl, -S(=O)C1-C4alkyl, and - S(=O)2C1-C4alkyl. In some embodiments, each of LK1, LK2, LK3, LK4, and LK5 is independently substituted with one or more additional groups individually and independently selected from D, oxo, halogen, -CN, -NH2, -NH(alkyl), -N(alkyl)2, -OH, - CO2H, C1-C6 alkyl, C1-C6 fluoroalkyl, C1-C6 heteroalkyl, or C1-C6 alkoxy.
[00189] In some embodiments, LK1 is -(CH2CH2O)p- or -(OCH2CH2)p- and each of LK2, LK3, LK4, and LK5 is a bond. In some embodiments, p is 5. In some embodiments, p is 4. In some embodiments, p is 3. In some embodiments, p is 6. In some embodiments, p is 7. In some embodiments, p is 2-10. J
, LK4 is substituted or unsubstituted C1-C24 aikylene or substituted or unsubstituted C1-C24 heteroalkylene. [00191] In some embodiments, LK1 is -O-, LK2 is substituted or unsubstituted C1-C24 aikylene, and each of LK3, LK4, and LK5 is a bond.
[00192] In some embodiments, each of LK1 and LK2 is substituted or unsubstituted Ci- C24 aikylene or substituted or unsubstituted C1-C24 heteroalkylene., and each of LK3, LK4, and LK5 is a bond. [00193] In some embodiments, RLK is independently H. In some embodiments, RLK is substituted or unsubstituted C1-C6 alkyl, e.g., C1-C3 alkyl including methyl.
[00194] In some embodiments, a linker domain of Formula (xxiv) is selected from:
some embodiments, a linker
domain is or comprises In some embodiments, a linker domain is
or composes In some embodiments, a linker domain is or
comprises In some embodiments, a linker domain is or comprises
In some embodiments, a linker domain is or comprises
A In some embodiments, the -O- is connect to the first binding
is attached to second binding domain. In some embodiments, the -O- is connect to the second binding domaina and the ethylene is attached to first binding domain.
[00195] In some embodiments, a linker domain of Formula (xxiv) is selected from wherein k is 0 to 25,
kl is 0-10, and k2 is 0 to 10. In some embodiments, a linker domain of Formula (xxiv) compnses a structure of or
wherein k is 0 to 25, k1 is 0-10, and k2 is 0 to 10. In some
embodiments, a linker domain of Formula (xxiv) comprises wherein k is 0 to 25, k1 is
0-10, and k2 is 0 to 10. In some embodiments, k is 0. In some embodiments, k is 1. In some embodiments, k is 2. In some embodiments, k is 3. In some embodiments, k is 4. In some embodiments, k is 5. In some embodiments, k is 6. In some embodiments, k is 7. In some embodiments, k is 8. In some embodiments, k is 9. In some embodiments, k is 10. In some embodiments, k is 11. In some embodiments, k is 12. In some embodiments, k is 13. In some embodiments, k is 14. In some embodiments, k is 15. In some embodiments, k is 16. In some embodiments, k is 17. In some embodiments, k is 18. In some embodiments, k is 19. In some embodiments, k is 20. In some embodiments, k is 21. In some embodiments, k is 22. In some embodiments, k is 23. In some embodiments, k is 24. In some embodiments,
k is 25. In some embodiments, k1 is 0. In some embodiments, k1 is 1. In some embodiments, k1 is 2. In some embodiments, k1 is 3. In some embodiments, k1 is 4. In some embodiments, k1 is 5. In some embodiments, k1 is 6. In some embodiments, k1 is 7. In some embodiments, k1 is 8. In some embodiments, k1 is 9. In some embodiments, k1 is 10. In some embodiments, k2 is 0. In some embodiments, k2 is 1. In some embodiments, k2 is 2. In some embodiments, k2 is 3. In some embodiments, k2 is 4. In some embodiments, k2 is 5. In some embodiments, k2 is 6. In some embodiments, k2 is 7. In some embodiments, k2 is 8. In some embodiments, k2 is 9. In some embodiments, k2 is 10. In some embodiments,
X the linker domain comprises a structure of
In some embodiments, the linker domain comprises a structure of
In some embodiments, a chimeric
molecule of Formula (AA) comprises a linker of Formula (i)- (xxiv). In some embodiments, a chimeric molecule of Formula (AA) comprises a linker of Formula (xxiv).
[00196] In certain embodiments, each of the linker units is independently a substituted or unsubstituted linear or branched alkyl chains of 2-50 carbon atoms, alkyl phosphate chains of 2-50 carbon atoms, alkyl ether chains of 2-50 carbon atoms (e.g., PEG, PPG of various lengths), alkyl amide, alkyl amine or any combination thereof. In some embodiments, the linker comprises an optionally substituted (poly)ethylene glycol having 8 ethylene glycol units. In additional embodiments, the linker comprises an optionally substituted (poly)ethylene glycol having 11 ethylene glycol units. In additional embodiments, the linker comprises an optionally substituted (poly)ethylene glycol having 14 ethylene glycol units. In additional embodiments, the linker comprises an optionally substituted (poly)ethylene glycol having 17 ethylene glycol units.
[00197] In certain embodiments, the linker may be asymmetric. In certain embodiments, the linker may be symmetrical.
[00198] The chemistry of attachment of a linker to the binding domains include but is not limited to esters, amides, amines, hydrazide, thiols, sulfones, sulfoxides, ethers, hydroxamides, heterocycles, acetylenes, alkyls and alkenes.
SURTAC Molecules
[00199] In some embodiments, a chimeric molecule comprises a first binding domain comprising a USP5 binder, a second binding domain comprising a target binder configured to bind to a Ub-protein, and a linker domain that links the first binding domain with the second binding domain (Figure 1D). In some embodiments, a chimeric molecule comprising a first binding domain comprising a USP5 binder, a second binding domain comprising a target binder configured to bind to a Ub-protein, and a linker domain that links the first binding domain with the second binding domain, is termed a Survival-Targeting Chimeric (“SURTAC”) molecule.
[00200] In some embodiments, a chimeric molecule comprises a first binding domain comprising a USP5 binder, a second binding domain comprising a target binder configured to bind to a Ub-CFTR protein, and a linker domain that links the first binding domain with the second binding domain. In some embodiments, a chimeric molecule comprises a first binding domain comprising a USP5 binder, a second binding domain comprising a target binder configured to bind to a Ub-CFTR protein, and a linker domain that links the first binding domain with the second binding domain, wherein said Ub-CFTR protein comprises a wild-type CFTR or a mutant CFTR. In some embodiments, a chimeric molecule comprises a first binding domain comprising a USP5 binder, a second binding domain comprising a target binder configured to bind to a Ub-CFTR protein, and a linker domain that links the first binding domain with the second binding domain, wherein said CFTR protein is misfolded. In some embodiments, a chimeric molecule comprises a first binding domain comprising a USP5 binder, a second binding domain comprising a target binder configured to bind to a Ub-CFTR protein, and a linker domain that links the first binding domain with the second binding domain, wherein said CFTR protein is folded correctly. In some embodiments, a chimeric molecule comprises a first binding domain comprising a USP5 binder, a second binding domain comprising a target binder configured to bind to a Ub- CFTR protein, and a linker domain that links the first binding domain with the second binding domain, wherein said CFTR protein less than a full-length CFTR.
[00201] In some embodiments, a chimeric molecule comprises a first binding domain comprising a USP5 binder, a second binding domain comprising a target binder configured to bind to a Ub-PARP-1 protein, and a linker domain that links the first binding domain with
the second binding domain. In some embodiments, a chimeric molecule comprises a first binding domain comprising a USP5 binder, a second binding domain comprising a target binder configured to bind to a Ub-PARP-1 protein, and a linker domain that links the first binding domain with the second binding domain, wherein said Ub-PARP-1 protein comprises a WT PARP-1.
[00202] In some embodiments, a chimeric molecule comprises a first binding domain comprising a USP5 binder, a second binding domain comprising a target binder configured to bind to a Ub-PKA protein, and a linker domain that links the first binding domain with the second binding domain.
[00203] In some embodiments, the first binding domain and the second binding domain are spatially arranged to bring the USP5 and Ub-protein into sufficient proximity to allow the USP5 to deubiquitinate the bound Ub-protein. In some embodiments, deubiquitination of the Ub-protein increases the half-life of said protein. In some embodiments, the first binding domain and the second binding domain are spatially arranged to bring the USP5 and Ub-CFTR into sufficient proximity to allow the USP5 to deubiquitinate the bound Ub- CFTR. In some embodiments, deubiquitination of the Ub-protein increases the half-life of said CFTR. In some embodiments, the first binding domain and the second binding domain are spatially arranged to bring the USP5 and Ub-PARP-1 into sufficient proximity to allow the USP5 to deubiquitinate the bound Ub-PARP-1. In some embodiments, deubiquitination of the Ub-protein increases the half-life of said PARP-1. In some embodiments, deubiquitination of the Ub-protein increases the localized concentration of said PARP-1 in the nucleus. In some embodiments, deubiquitination of the Ub-protein increases the quantity of said PARP-1 bound to DNA.
[00204] As the size and volume of USP5 binders and Ub-protein binders are varied, the relative orientation of the first binding domain, the second binding domain, and the linker domain to each other is addressed when designing a particular embodiment of the chimeric molecules provided herein. In general, the chimeric molecules provided herein, and specifically the relative orientation of these three domains is configured to allow the USP5 bound by the first binding domain to deubiquitinate the Ub-protein bound by the second binding domain.
[00205] In one embodiment, the chimeric molecules provided herein are designed to specifically bind various cellular proteins e g USP5 enzyme and Ub-target proteins. In
some embodiment, a chimeric molecule provided herein, binds to a Ub-target protein that comprises an intracellular protein. In some embodiment, a chimeric molecule provided herein, binds to a Ub-target protein that comprises a nuclear protein. In some embodiment, a chimeric molecule provided herein, binds to a Ub-protein target that is partially intracellular and partially embedded within a membrane, e.g., the plasma membrane (“PM”), wherein access to the Ub-protein is intracellular. A non-limiting example includes a receptor protein or a pore protein that is embedded in the plasma membrane, which in some embodiments, may have protein surfaces exposed just on the cytosolic side of a cell (of the PM) or on the cytosolic side and extracellularly of the PM.
[00206] In certain embodiments, the chimeric molecule provided herein is bound to the Ub-protein. In certain embodiments, the chimeric molecule provided herein is bound to the USP5. In certain embodiments, the chimeric molecule provided herein is bound to both the Ub-protein and the USP5 simultaneously. In certain embodiments, the chimeric molecule provided herein is bound to both the Ub-protein and the USP5 at overlapping times while it is not required that the Ub-protein binding time and the USP5 binding time be identical. In certain embodiments, the chimeric molecule provided herein is bound to the Ub-protein, to the USP5, or to both the Ub-protein and the USP5.
[00207] In some embodiments, a chimeric molecule enters a cell, binds a Ub-protein and a USP5. In some embodiments, a chimeric molecule enters a cell, and first binds an Ub- protein and then USP5. In some embodiments, a chimeric molecule enters a cell, and first binds USP5 and then a Ub-protein.
[00208] In some embodiments, a chimeric molecule enters a cell, binds a Ub-CFTR and a USP5. In some embodiments, a chimeric molecule enters a cell, and first binds a CFTR and then USP5. In some embodiments, a chimeric molecule enters a cell, and first binds USP5 and then a CFTR.
[00209] In some embodiments, a chimeric molecule enters a cell, binds a Ub-PARP-1 and a USP5. In some embodiments, a chimeric molecule enters a cell, and first binds a PARP-1 and then USP5. In some embodiments, a chimeric molecule enters a cell, and first binds USP5 and then a PARP-1.
[00210] In some embodiments, a chimeric molecule binds a Ub-protein at the second binding site and the USP5 bound at the first binding site deubiquitinates the Ub-protein. In some embodiments, the deubiquitination leads to increased stability of the Ub-protein. In
some embodiments, the deubiquitination leads to increased half-life of the Ub-protein. In some embodiments, the deubiquitination leads to increased localized concentration of the Ub-protein.
[00211] In some embodiments, when a Ub-protein comprises a CFTR, a chimeric molecule enhances the functionality of the CFTR, wherein it may enhance trafficking of the CFTR to the PM. In some embodiments, a chimeric molecule enhances trafficking of the CFTR to the membrane and even enhances proper internalization and folding of the CFTR in the PM. In some embodiments, a chimeric molecule corrects trafficking of the CFTR to the PM to ensure more CFTR channel reaches the external cell surface. In some embodiments, a chimeric molecule corrects trafficking of the CFTR to the PM to ensure functional CFTR channel at the PM. In some embodiments, a chimeric molecule corrects trafficking of the CFTR to the PM to increase the number of functional CFTR channels at the PM. In some embodiments, a chimeric molecule increases the quantity of functional CFTR channel at the PM. In some embodiments, a chimeric molecule assists to activate CFTR function at the PM. In some embodiments, a chimeric molecule activates CFTR function at the PM, wherein there is increased CFTR channel function, e.g., anion transport. In some embodiments, a chimeric molecule activates CFTR restores CFTR function at the PM. In some embodiments, a chimeric molecule potentiates CFTR function at the PM. In some embodiments, a chimeric molecule potentiates CFTR function at the PM, wherein there is increased CFTR channel function, e.g., anion transport. In some embodiments, a chimeric molecule potentates CFTR and restores CFTR function at the PM. In some embodiments, a chimeric molecule restores correct CFTR function at the PM.
[00212] In some embodiments, a chimeric molecule binds a Ub-CFTR at the second binding site and the USP5 bound at the first binding site deubiquitinates the Ub-protein. In some embodiments, the deubiquitination leads to increased stability of the Ub-protein. In some embodiments, the deubiquitination leads to increased half-life of the Ub-protein. [00213] In some embodiments, when a Ub-protein comprises a PARP-1, a chimeric molecule enhances the functionality of the PARP-1, wherein PARP-1 retains it trapping activity with DNA. In some embodiments, when a Ub-protein comprises a PARP-1, a chimeric molecule enhances the functionality of the PARP-1, wherein increased quantity of PARP-1 in a nucleus increases DNA damage, cellular stress and cell death in tumor cells. [00214] In some embodiments, chimeric molecule is bifunction and (1) the USP5
deubiquitinates the Ub-protein leading to increased stability, increased half-life, or both, and (2) the target binder affects the functionality of the Ub-protein, for example but not limited to enhancing the quantity of available Ub-protein or the de-ubiquitinated form thereof for a therapeutic treatment, improves folding of said Ub-protein, corrects folding of said Ub- protein, enhances the activity of the Ub-protein, assists to correctly target the Ub-protein within a cell, potentiates the activity of the Ub-protein, and or enhances trafficking of the Ub-protein.
[00215] In some embodiments, chimeric molecule is bifunction and (1) the USP5 deubiquitinates a Ub-CFTR protein leading to increased stability, increased half-life, or both, and (2) the target binder affects the functionality of the Ub-CFTR, for example but not limited to enhancing trafficking of the CFTR to the PM, enhancing trafficking of the CFTR to the membrane and enhancing proper internalization and folding of the CFTR in the PM, correcting trafficking of the CFTR to the PM to ensure more CFTR channel reaches the external cell surface, correcting trafficking of the CFTR to the PM to ensure functional CFTR channel at the PM, correcting trafficking of the CFTR to the PM to ensure more CFTR channel reaches the external cell surface, correcting trafficking of the CFTR to the PM to ensure increased functional CFTR channel at the PM, increasing the number of functional CFTR channels at the PM, increasing the quantity of functional CFTR channel at the PM, assisting to activate CFTR function at the PM, increasing CFTR channel function, e.g.„ anion transport, potentiates ion transport across of the PM by the CFTR, restoring CFTR function at the PM, restoring and increasing CFTR function at the PM. [00216] In some embodiments, a chimeric molecule is bifunctional binding a USP5 enzyme and a Ub-target protein, wherein the bound USP5 deubiquitinates the bound Ub- protein, leading to increased half-life or increased localized concentration, or both of the targeted Ub-protein. In some embodiments, a chimeric molecule is bifunctional binding a USP5 enzyme and a Ub-CFTR target protein, wherein the bound USP5 deubiquitinates the bound Ub-CFTR, leading to increased half-life or increased localized concentration, or both of the Ub-CFTR target. In some embodiments, the increased half-life of CFTR leads to increased functionality of CFTR at the plasma membrane. In some embodiments, a chimeric molecule is bifunctional binding a USP5 enzyme and a Ub-PARP1 target protein, wherein the bound USP5 deubiquitinates the bound Ub-PARP1, leading to increased half-life or increased localized concentration, or both of the Ub-PARP1 target. In some embodiemtns,
the increased quantity of PARP-1 leads to increased PARP-1 trapped on DNA, and increased DNA damage, increased cellular stress, and increased cell death in tumor cells. [00217] In some embodiments, chimeric molecule is bifunction and (1) the USP5 deubiquitinates a Ub-PKA protein leading to increased half-life and increased localized concentration, or both, wherein the increased quantity of PKA functions as an activator of the cAMP/PKA/CREB pathway in osteogenic differentiation. In some embodiments, the chimeric molecule can be used to treat bone-related diseases such as Osteogenesis imperfecta (01). In some embodiments, the chimeric molecule can be used to promote osteogenesis. In some embodiments, the chimeric molecule can be used to treat a disease or condition associated with PKA.
[00218] In certain embodiments, the chimeric molecules provided herein do not inhibit the activity of the Ub-protein and/or the activity of the USP5 during and/or after de- ubiquitination. In certain embodiments, the chimeric molecules provided herein do not inhibit the activity of the Ub-protein during and after de-ubiquitination. In certain embodiments, the chimeric molecules provided herein do not inhibit the activity of the USP5 during and after de-ubiquitination. In certain embodiments, the chimeric molecules provided herein do not inhibit the activity of the Ub-protein and the activity of the USP5 during and after de-ubiquitination.
[00219] In certain embodiments, the chimeric molecules provided herein do not inhibit the activity of the Ub-CFTR and/or the activity of the USP5 during and/or after de- ubiquitination. In certain embodiments, the chimeric molecules provided herein do not inhibit the activity of the Ub-CFTR during and after de-ubiquitination. In certain embodiments, the chimeric molecules provided herein do not inhibit the activity of the Ub- CFTR and the activity of the USP5 during and after de-ubiquitination. [00220] In certain embodiments, the chimeric molecules provided herein do not inhibit the activity of the Ub-P ARP-1 and/or the activity of the USP5 during and/or after de- ubiquitination. In certain embodiments, the chimeric molecules provided herein do not inhibit the activity of the Ub-P ARP- 1 during and after de-ubiquitination. In certain embodiments, the chimeric molecules provided herein do not inhibit the activity of the Ub- PARP-1 and the activity of the USP5 during and after de-ubiquitination.
[00221] In certain embodiments a chimeric molecule may bring a USP5 and an Ub- protein, for example but not limited to Ub CFTR and or Ub-PARP-1, within functional
range, independent of its effect on the USP5 activity or Ub-protein activity, e.g., Ub-CFTR and or Ub-PARP-1 activity. The chimeric molecule in certain embodiments, could be displaced, while at the same time the USP5 would now be in position to cleave Ub molecules from the Ub-protein. Therefore, use of the chimeric molecule would effectively maintain or increase the expected half-life of the Ub-protein, for example but not limited to Ub-CFTR and or Ub-PARP-1.
[00222] A skilled artisan would appreciate that a de-ubiquitinated protein may still in some embodiments comprise one or more Ub molecule wherein the number of Ub molecules is less after contact with a chimeric SURTAC molecule disclosed herein than the number of Ub molecules prior to contact with a SURTC molecule. In other embodiments, a de-ubiquitinated protein may comprise no Ub molecules. Thus, as used herein, in certain embodiments, the term “Ub-targef " encompasses a target with at least one Ub molecule, while in other embodiments, the term encompasses a de-ubiquitinated target that has fewer or no Ub molecules, compared with the number of Ub molecules prior to binding with a chimeric molecule described herein.
[00223] In one embodiment, the chimeric molecules provided herein passively diffusing across cell membranes. In one embodiment, the chimeric molecules provided herein passively diffusing across the PM. In one embodiment, the chimeric molecules provided herein passively diffusing across the nuclear membrane.
[00224] In one embodiment, the chimeric molecules provided herein do not target any particular cell population. However, promiscuous cell entry may be problematic in-vivo, especially during systemic administration. Thus, in another embodiment, the chimeric molecules provided herein may further comprise a third binding domain that specifically targets antigen(s) presented by a defined cell population. The third binding domain may comprise a molecule which specifically recognizes the cell-presented antigen, such as an antibody or a fragment thereof. In the alternative, the third binding domain may comprise a molecule which is specifically recognized by the cell-presented antigen, such as a ligand of the cell-presented antigen. In the alternative, the third binding domain may comprise a molecule which is specifically recognized by the cell-presented antigen, such as an aptamer. It will be understood by those skilled in the art that since the third binding domain binds the cell-presented antigen outside a cell, it does not covalently-link to the cell-presented antigen after binding, without additional steps.
[00225] Without being bound to any theory or mechanism, it is hypothesized that the third binding domain transiently binds to the cell-presented antigen, at least for a minimal time to allow the chimeric molecules provided herein bound to the cell-presented antigen to enter the cell.
[00226] In another embodiment, the intrinsic capability of the chimeric molecules provided herein to penetrate membranes, e.g., the PM, may be fortified by further comprising a cell-penetrating tag. Thus, the chimeric molecules provided herein may further comprise a cell-penetrating tag, which increases the cell or membrane-penetrating propensity of the chimeric molecules provided herein. Without being bound to any theory or mechanism, it is hypothesized that the cell-penetrating tag transiently interacts with the membrane of cells, at least for a minimal time to allow the chimeric molecules provided herein to enter the cell. It will be understood by those skilled in the art that numerous cell- penetrating tag are already known, such as cell-penetrating peptides (CPPs), with more identified each year. Cell-penetrating tags, such as cell-penetrating peptides (CPPs), may be short peptides that facilitate cellular intake/uptake of various molecules. The chimeric molecules provided herein may be associated with the CPPs either through chemical linkage via covalent bonds or through non-covalent interactions.
[00227] In some embodiments, an ubiquitinylated target polypeptide is cytosolic. In some embodiments, an ubiquitinylated target polypeptide is a membrane bound polypeptide. [00228] As the chimeric molecules provided herein are synthetic, i.e., are not found in nature, it will be understood by those skilled in the art that the chimeric molecules provided herein may be produced by any known method, e.g., in the fields of protein synthesis and organic chemistry. As such, the chimeric molecules provided herein may be produced in- vitro. While the chimeric molecules provided herein may be made completely or partly by amino-acids, e.g., may be peptides or proteins, the chimeric molecules provided herein may be produced by nucleic acid sequences, such as mRNA, single-stranded DNA (ssDNA) and double-stranded DNA (dsDNA), encoding the chimeric molecules provided herein.
[00229] As would be appreciated by those skilled in the art, molecules provided herein may bind their targets, perform an action on their targets, and then release their targets. In certain embodiments, the second binding domain transiently binds to the Ub-protein, for example but not limited to Ub-CFTRand or PARP-1, and dissociates from the protein after one or more ubiquitin molecules are removed from the Ub-protein, for example but not
limited to Ub-CFTR and or PARP-1, by the USP5. In certain embodiments, the second binding domain recognizes the Ub-protein, for example but not limited to Ub-CFTR and or PARP-1, only in its ubiquitinylated state and does not recognize the same protein in its de-ubiquitinylated state (e.g., when all or some of the ubiquitin molecules are removed from the Ub-protein, for example but not limited to Ub-CFTR and or PARP-1). In certain embodiments, the second binding domain recognizes the Ub-protein, for example but not limited to Ub-CFTR and or PARP-1, independent of its ubiquitinylated state.
[00230] In certain embodiments, the second binding domain transiently binds to the Ub- protein, for example but not limited to Ub-PKA and dissociates from the protein after one or more ubiquitin molecules are removed from the Ub-protein, for example but not limited to Ub-CFTR, PKA, and or PARP-1, by the USP5. In certain embodiments, the second binding domain recognizes the Ub-protein, for example but not limited to Ub-PKA only in its ubiquitinylated state and does not recognize the same protein in its de-ubiquitinylated state (e.g., when all or some of the ubiquitin molecules are removed from the Ub-protein, for example but not limited to Ub-CFTR, PKA, and or PARP-1). In certain embodiments, the second binding domain recognizes the Ub-protein, for example but not limited to Ub- PKA independent of its ubiquitinylated state.
[00231] In one embodiment, the chimeric molecules provided herein are designed to bring any Ub-protein in close proximity to USP5, so that the deubiquitinases can remove one or more ubiquitin molecules from the Ub-protein. In some embodiments, the Ub-protein comprises Ub-CFTR. In some embodiments, the Ub-protein comprises Ub-P ARP-1. In some embodiments, the Ub-protein comprises Ub-PKA. In certain embodiments, the Ub- protein carries a mono-ubiquitin molecule. In certain embodiments, the Ub-protein carries a mono-ubiquitin molecule upon binding to the chimeric molecule described above. In certain embodiments, the Ub-protein carries apoly-ubiquitin chain. In certain embodiments, the Ub-protein carries a poly-ubiquitin chain upon binding to the chimeric molecule described above. In certain embodiments, the poly-ubiquitin chain comprises at least 2 ubiquitin molecules. In certain embodiments, the poly-ubiquitin chain comprises at least 4 ubiquitin molecules. In certain embodiments, the poly-ubiquitin chain comprises at least 6 ubiquitin molecules. In certain embodiments, the poly-ubiquitin chain comprises at least 8 ubiquitin molecules. In certain embodiments, the poly-ubiquitin chain comprises at least 10 ubiquitin molecules.
[00232] In certain embodiments, the poly-ubiquitin chain comprises 2-50 ubiquitin molecules. In certain embodiments, the poly-ubiquitin chain comprises 4-45 ubiquitin molecules. In certain embodiments, the poly-ubiquitin chain comprises 6-40 ubiquitin molecules. In certain embodiments, the poly-ubiquitin chain comprises 8-35 ubiquitin molecules. In certain embodiments, the poly-ubiquitin chain comprises 10-30 ubiquitin molecules.
[00233] In another embodiment, the Ub-protein bound by the chimeric molecules provided herein can be anon-natural target of USP5, e.g., a protein that is not known to be a substrate for the USP5.
[00234] In one embodiment, the dual binding activity of a chimeric molecule disclosed herein results in the cleaving of one or more ubiquitin molecules from a USP5 protein substrates. In one embodiment, the dual binding activity of a chimeric molecule disclosed herein results in the cleaving of one or more ubiquitin molecules from a Ub-protein not known as a USP5 substrate.
[00235] In some embodiments, cleavage comprises cleavage of a Ub-Ub bond. In some embodiments, cleavage comprises cleavage of a Ub-protein bond. In some embodiments, cleavage comprises enhanced cleavage of a Ub-Ub bond compared with cleavage of a Ub- protein bond.
[00236] In one embodiment, the removal of ubiquitin(s) from the protein substrates may be partial, i.e. the proteins disengage from the chimeric molecules provided herein with a shorter Ub chain than the Ub chain with which they were bound. In another embodiment, the removal of ubiquitin(s) may be complete, i.e. the proteins disengage from the chimeric molecules provided herein are free of any Ub molecule. In either case, the propensity of the resulting partly or completely deubiquitinated proteins to undergo UPS-related protein degradation is considerably decreased, if not nullified.
[00237] In some embodiments, provided herein is a chimeric molecule comprising a USP5 binder represented by the structure of any one of the following Formula (1) - Formula (9) or a pharmaceutically acceptable salt thereof, as described in detail above. In some embodiments, provided herein is a chimeric molecule comprising a USP5 binder represented by the structure of any one of the following Formula (1*) - Formula (9*), as described in detail above. In some embodiments, provided herein is a chimeric molecule comprising a USP5 binder represented by the structure of Formula (1) or a pharmaceutically
acceptable salt thereof. In some embodiments, provided herein is a chimeric molecule comprising a USP5 binder represented by the structure of Formula (2) or a pharmaceutically acceptable salt thereof. In some embodiments, provided herein is a chimeric molecule comprising a USP5 binder represented by the structure of Formula (3) or a pharmaceutically acceptable salt thereof. In some embodiments, provided herein is a chimeric molecule comprising a USP5 binder represented by the structure of Formula (4) or a pharmaceutically acceptable salt thereof. In some embodiments, provided herein is a chimeric molecule comprising a USP5 binder represented by the structure of Formula (5) or a pharmaceutically acceptable salt thereof. In some embodiments, provided herein is a chimeric molecule comprising a USP5 binder represented by the structure of Formula (6) or a pharmaceutically acceptable salt thereof. In some embodiments, provided herein is a chimeric molecule comprising a USP5 binder represented by the structure of Formula (7) or a pharmaceutically acceptable salt thereof. In some embodiments, provided herein is a chimeric molecule comprising a USP5 binder represented by the structure of Formula (8) or a pharmaceutically acceptable salt thereof. In some embodiments, provided herein is a chimeric molecule comprising a USP5 binder represented by the structure of Formula (9) or a pharmaceutically acceptable salt thereof. In some embodiments, provided herein is a chimeric molecule comprising a USP5 binder represented by the structure of Formula (1*). In some embodiments, provided herein is a chimeric molecule comprising a USP5 binder represented by the structure of Formula (2*). In some embodiments, provided herein is a chimeric molecule comprising a USP5 binder represented by the structure of Formula (3*). In some embodiments, provided herein is a chimeric molecule comprising a USP5 binder represented by the structure of Formula (4*). In some embodiments, provided herein is a chimeric molecule comprising a USP5 binder represented by the structure of Formula (5*). In some embodiments, provided herein is a chimeric molecule comprising a USP5 binder represented by the structure of Formula (6*). In some embodiments, provided herein is a chimeric molecule comprising a USP5 binder represented by the structure of Formula (7*). In some embodiments, provided herein is a chimeric molecule comprising a USP5 binder represented by the structure of Formula (8*). In some embodiments, provided herein is a chimeric molecule comprising a USP5 binder represented by the structure of Formula (9*).
[00238] In some embodiments, provided herein is a chimeric molecule comprising a USP5 binder represented by the structure of any one of the following Formula (1) -
Formula (9) and a target binder represented by the structure of Formula (A)-(N). In some embodiments, provided herein is a chimeric molecule comprising a USP5 binder represented by the structure of any one of the following Formula (1*) -(9*) and a target binder represented by the structure of Formula (A)-(N). One skilled in the art would appreciate that a chimeric molecule may comprise for example a USP5 binder represented by any of Formula (1) - Formula (9) and a target binder represented by any of Formula (A)-(N). One skilled in the art would appreciate that a chimeric molecule may comprise for example a USP5 binder represented by any of Formula (l*)-(9*) and a target binder represented by any of Formula (A)-(N). In some embodiments, provided herein is a chimeric molecule comprising a USP5 binder represented by the structure of Formula (1) and a target binder represented by the structure of Formula (A) -(K). In some embodiments, provided herein is a chimeric molecule comprising a USP5 binder represented by the structure of Formula (1) and a target binder represented by the structure of Formula (L) -(N). In some embodiments, provided herein is a chimeric molecule comprising a USP5 binder represented by the structure of Formula (2) and a target binder represented by the structure of Formula (A)-(K). In some embodiments, provided herein is a chimeric molecule comprising a USP5 binder represented by the structure of Formula (2) and a target binder represented by the structure of Formula (L) -(N). In some embodiments, provided herein is a chimeric molecule comprising a USP5 binder represented by the structure of Formula (3) and a target binder represented by the structure of Formula (A)-(K). In some embodiments, provided herein is a chimeric molecule comprising a USP5 binder represented by the structure of Formula (3) and a target binder represented by the structure of Formula (L) -(N). In some embodiments, provided herein is a chimeric molecule comprising a USP5 binder represented by the structure of Formula (4) and a target binder represented by the structure of Formula (A)-(K). In some embodiments, provided herein is a chimeric molecule comprising a USP5 binder represented by the structure of Formula (4) and a target binder represented by the structure of Formula (L) -(N). In some embodiments, provided herein is a chimeric molecule comprising a USP5 binder represented by the structure of Formula (5) and atarget binder represented by the structure of Formula (A)-(K). In some embodiments, provided herein is a chimeric molecule comprising a USP5 binder represented by the structure of Formula (5) and a target binder represented by the structure of Formula (L) -(N). In some embodiments, provided herein is a chimeric molecule comprising a USP5 binder represented
by the structure of Formula (6) and a target binder represented by the structure of Formula (A)-(K). In some embodiments, provided herein is a chimeric molecule comprising a USP5 binder represented by the structure of Formula (6) and a target binder represented by the structure of Formula (L) -(N). In some embodiments, provided herein is a chimeric molecule comprising a USP5 binder represented by the structure of Formula (7) and atarget binder represented by the structure of Formula (A)-(K). In some embodiments, provided herein is a chimeric molecule comprising a USP5 binder represented by the structure of Formula (7) and a target binder represented by the structure of Formula (L) -(N). In some embodiments, provided herein is a chimeric molecule comprising a USP5 binder represented by the structure of Formula (8) and atarget binder represented by the structure of Formula (A)-(K). In some embodiments, provided herein is a chimeric molecule comprising a USP5 binder represented by the structure of Formula (8) and a target binder represented by the structure of Formula (L) -(N). In some embodiments, provided herein is a chimeric molecule comprising a USP5 binder represented by the structure of Formula (9) and atarget binder represented by the structure of Formula (A)-(K). In some embodiments, provided herein is a chimeric molecule comprising a USP5 binder represented by the structure of Formula (9) and a target binder represented by the structure of Formula (L) -(N).
[00239] In some embodiments, provided herein is a chimeric molecule comprising a USP5 binder represented by the structure of Formula (1) and atarget binder represented by the structure of Formula (A). In some embodiments, provided herein is a chimeric molecule comprising a USP5 binder represented by the structure of Formula (1) and atarget binder represented by the structure of Formula (B). In some embodiments, provided herein is a chimeric molecule comprising a USP5 binder represented by the structure of Formula (1) and a target binder represented by the structure of Formula (C). In some embodiments, provided herein is a chimeric molecule comprising a USP5 binder represented by the structure of Formula (1) and a target binder represented by the structure of Formula (D). In some embodiments, provided herein is a chimeric molecule comprising a USP5 binder represented by the structure of Formula (1) and atarget binder represented by the structure of Formula (E). In some embodiments, provided herein is a chimeric molecule comprising a USP5 binder represented by the structure of Formula (1) and a target binder represented by the structure of Formula (F). In some embodiments, provided herein is a chimeric molecule comprising a USP5 binder represented by the structure of Formula (1) and atarget
binder represented by the structure of Formula (G). In some embodiments, provided herein is a chimeric molecule comprising a USP5 binder represented by the structure of Formula (1) and a target binder represented by the structure of Formula (H). In some embodiments, provided herein is a chimeric molecule comprising a USP5 binder represented by the structure of Formula (1) and atarget binder represented by the structure of Formula (I). In some embodiments, provided herein is a chimeric molecule comprising a USP5 binder represented by the structure of Formula (1) and atarget binder represented by the structure of Formula (J). In some embodiments, provided herein is a chimeric molecule comprising a USP5 binder represented by the structure of Formula (1) and a target binder represented by the structure of Formula (K). In some embodiments, provided herein is a chimeric molecule comprising a USP5 binder represented by the structure of Formula (1) and atarget binder represented by the structure of Formula (L). In some embodiments, provided herein is a chimeric molecule comprising a USP5 binder represented by the structure of Formula
(1) and a target binder represented by the structure of Formula (M). In some embodiments, provided herein is a chimeric molecule comprising a USP5 binder represented by the structure of Formula (1) and a target binder represented by the structure of Formula (N). [00240] In some embodiments, provided herein is a chimeric molecule comprising a USP5 binder represented by the structure of Formula (1), (2), (3), (4), (5), (6), (7), (8), or (9) and a target binder represented by the structure of Formula (A). In some embodiments, provided herein is a chimeric molecule comprising a USP5 binder represented by the structure of Formula (1*), (2*), (3*), (4*), (5*), (6*), (7*), (8*), or (9*) and atarget binder represented by the structure of Formula (A). In some embodiments, provided herein is a chimeric molecule comprising a USP5 binder represented by the structure of Formula (1),
(2), (3), (4), (5), (6), (7), (8), or (9) and a target binder represented by the structure of Formula (B). In some embodiments, provided herein is a chimeric molecule comprising a USP5 binder represented by the structure of Formula (1*), (2*), (3*), (4*), (5*), (6*), (7*), (8*), or (9*) and a target binder represented by the structure of Formula (B). In some embodiments, provided herein is a chimeric molecule comprising a USP5 binder represented by the structure of Formula (1), (2), (3), (4), (5), (6), (7), (8), or (9) and a target binder represented by the structure of Formula (C). In some embodiments, provided herein is a chimeric molecule comprising a USP5 binder represented by the structure of Formula (1*), (2*), (3*), (4*), (5*), (6*), (7*), (8*), or (9*) and atarget binder represented by the structure
of Formula (C). In some embodiments, provided herein is a chimeric molecule comprising a USP5 binder represented by the structure of Formula (1), (2), (3), (4), (5), (6), (7), (8), or (9) and a target binder represented by the structure of Formula (D). In some embodiments, provided herein is a chimeric molecule comprising a USP5 binder represented by the structure of Formula (1*), (2*), (3*), (4*), (5*), (6*), (7*), (8*), or (9*) and a target binder represented by the structure of Formula (D). In some embodiments, provided herein is a chimeric molecule comprising a USP5 binder represented by the structure of Formula (1), (2), (3), (4), (5), (6), (7), (8), or (9) and a target binder represented by the structure of Formula (E). In some embodiments, provided herein is a chimeric molecule comprising a USP5 binder represented by the structure of Formula (1*), (2*), (3*), (4*), (5*), (6*), (7*), (8*), or (9*) and a target binder represented by the structure of Formula (E). In some embodiments, provided herein is a chimeric molecule comprising a USP5 binder represented by the structure of Formula (1), (2), (3), (4), (5), (6), (7), (8), or (9) and a target binder represented by the structure of Formula (F). In some embodiments, provided herein is a chimeric molecule comprising a USP5 binder represented by the structure of Formula (1*), (2*), (3*), (4*), (5*), (6*), (7*), (8*), or (9*) and a target binder represented by the structure of F ormula (F). In some embodiments, provided herein is a chimeric molecule comprising a USP5 binder represented by the structure of Formula (1), (2), (3), (4), (5), (6), (7), (8), or (9) and a target binder represented by the structure of Formula (G). ). In some embodiments, provided herein is a chimeric molecule comprising a USP5 binder represented by the structure of Formula (1*), (2*), (3*), (4*), (5*), (6*), (7*), (8*), or (9*) and a target binder represented by the structure of Formula (G). In some embodiments, provided herein is a chimeric molecule comprising a USP5 binder represented by the structure of Formula (1), (2), (3), (4), (5), (6), (7), (8), or (9) and a target binder represented by the structure of Formula (H). In some embodiments, provided herein is a chimeric molecule comprising a USP5 binder represented by the structure of Formula (1*), (2*), (3*), (4*), (5*), (6*), (7*), (8*), or (9*) and a target binder represented by the structure of Formula (H). In some embodiments, provided herein is a chimeric molecule comprising a USP5 binder represented by the structure of Formula (1), (2), (3), (4), (5), (6), (7), (8), or (9) and a target binder represented by the structure of Formula (I). In some embodiments, provided herein is a chimeric molecule comprising a USP5 binder represented by the structure of Formula Formula (1*), (2*), (3*), (4*), (5*), (6*) (7*) (8*), or (9*) and a target binder represented
by the structure of Formula (I). In some embodiments, provided herein is a chimeric molecule comprising a USP5 binder represented by the structure of Formula (1), (2), (3), (4), (5), (6), (7), (8), or (9) and a target binder represented by the structure of Formula (J). In some embodiments, provided herein is a chimeric molecule comprising a USP5 binder represented by the structure of Formula (1*), (2*), (3*), (4*), (5*), (6*), (7*), (8*), or (9*) and a target binder represented by the structure of Formula (J). In some embodiments, provided herein is a chimeric molecule comprising a USP5 binder represented by the structure of Formula (1), (2), (3), (4), (5), (6), (7), (8), or (9) and a target binder represented by the structure of Formula (K). In some embodiments, provided herein is a chimeric molecule comprising a USP5 binder represented by the structure of Formula (1*), (2*), (3*), (4*), (5*), (6*), (7*), (8*), or (9*) and a target binder represented by the structure of Formula (K). In some embodiments, provided herein is a chimeric molecule comprising a USP5 binder represented by the structure of Formula (1), (2), (3), (4), (5), (6), (7), (8), or (9) and a target binder represented by the structure of Formula (L). In some embodiments, provided herein is a chimeric molecule comprising a USP5 binder represented by the structure of Formula (1*), (2*), (3*), (4*), (5*), (6*), (7*), (8*), or (9*) and a target binder represented by the structure of Formula (L). In some embodiments, provided herein is a chimeric molecule comprising a USP5 binder represented by the structure of Formula (1), (2), (3), (4), (5), (6), (7), (8), or (9) and a target binder represented by the structure of Formula (M). In some embodiments, provided herein is a chimeric molecule comprising a USP5 binder represented by the structure of Formula (1*), (2*), (3*), (4*), (5*), (6*), (7*), (8*), or (9*) and a target binder represented by the structure of Formula (M). In some embodiments, provided herein is a chimeric molecule comprising a USP5 binder represented by the structure of Formula (1), (2), (3), (4), (5), (6), (7), (8), or (9) and a target binder represented by the structure of Formula (N). In some embodiments, provided herein is a chimeric molecule comprising a USP5 binder represented by the structure of Formula (1*), (2*), (3*), (4*), (5*), (6*), (7*), (8*), or (9*) and a target binder represented by the structure of Formula (N).
[00241] In some embodiments, provided herein is a chimeric molecule comprising a USP5 binder represented by the structure of Formula (7) and a target binder represented by the structure of Formula (A). In some embodiments, provided herein is a chimeric molecule comprising a USP5 binder represented by the structure of Formula (7) and a target binder
represented by the structure of Formula (B). In some embodiments, provided herein is a chimeric molecule comprising a USP5 binder represented by the structure of Formula (7) and a target binder represented by the structure of Formula (C). In some embodiments, provided herein is a chimeric molecule comprising a USP5 binder represented by the structure of Formula (7) and a target binder represented by the structure of Formula (D). In some embodiments, provided herein is a chimeric molecule comprising a USP5 binder represented by the structure of Formula (7) and a target binder represented by the structure of Formula (E). In some embodiments, provided herein is a chimeric molecule comprising a USP5 binder represented by the structure of Formula (7) and a target binder represented by the structure of Formula (F). In some embodiments, provided herein is a chimeric molecule comprising a USP5 binder represented by the structure of Formula (7) and a target binder represented by the structure of Formula (G). In some embodiments, provided herein is a chimeric molecule comprising a USP5 binder represented by the structure of Formula (7) and a target binder represented by the structure of Formula (H). In some embodiments, provided herein is a chimeric molecule comprising a USP5 binder represented by the structure of Formula (7) and atarget binder represented by the structure of Formula (I). In some embodiments, provided herein is a chimeric molecule comprising a USP5 binder represented by the structure of Formula (7) and atarget binder represented by the structure of Formula (J).
[00242] In some embodiments, provided herein is a chimeric molecule comprising a USP5 binder represented by the structure of Formula (7) and atarget binder represented by the structure of Formula (K). In some embodiments, provided herein is a chimeric molecule comprising a USP5 binder represented by the structure of Formula (7) and atarget binder represented by the structure of Formula (L). In some embodiments, provided herein is a chimeric molecule comprising a USP5 binder represented by the structure of Formula (7) and a target binder represented by the structure of Formula (M). In some embodiments, provided herein is a chimeric molecule comprising a USP5 binder represented by the structure of Formula (7) and a target binder represented by the structure of Formula (N). In some embodiments, provided herein is a chimeric molecule comprising a USP5 binder represented by the structure of Formula (7*) and atarget binder represented by the structure of Formula (A). In some embodiments, provided herein is a chimeric molecule comprising a USP5 binder represented by the structure of Formula (7*) and a target binder represented
by the structure of Formula (B). In some embodiments, provided herein is a chimeric molecule comprising a USP5 binder represented by the structure of Formula (7*) and a target binder represented by the structure of Formula (C). In some embodiments, provided herein is a chimeric molecule comprising a USP5 binder represented by the structure of Formula (7*) and a target binder represented by the structure of Formula (D). In some embodiments, provided herein is a chimeric molecule comprising a USP5 binder represented by the structure of Formula (7*) and atarget binder represented by the structure of Formula (E). In some embodiments, provided herein is a chimeric molecule comprising a USP5 binder represented by the structure of Formula (7*) and a target binder represented by the structure of Formula (F). In some embodiments, provided herein is a chimeric molecule comprising a USP5 binder represented by the structure of Formula (7*) and a target binder represented by the structure of Formula (G). In some embodiments, provided herein is a chimeric molecule comprising a USP5 binder represented by the structure of Formula (7*) and a target binder represented by the structure of Formula (H). In some embodiments, provided herein is a chimeric molecule comprising a USP5 binder represented by the structure of Formula (7*) and a target binder represented by the structure of Formula (I). In some embodiments, provided herein is a chimeric molecule comprising a USP5 binder represented by the structure of Formula (7*) and atarget binder represented by the structure of Formula (J). In some embodiments, provided herein is a chimeric molecule comprising a USP5 binder represented by the structure of Formula (7*) and a target binder represented by the structure of Formula (K). In some embodiments, provided herein is a chimeric molecule comprising a USP5 binder represented by the structure of Formula (7*) and a target binder represented by the structure of Formula (L). In some embodiments, provided herein is a chimeric molecule comprising a USP5 binder represented by the structure of Formula (7*) and a target binder represented by the structure of Formula (M). In some embodiments, provided herein is a chimeric molecule comprising a USP5 binder represented by the structure of Formula (7*) and atarget binder represented by the structure of Formula (N).
[00243] In some embodiments, provided herein is a chimeric molecule comprising a USP5 binder represented by the structure of Formula (8) and atarget binder represented by the structure of Formula (A). In some embodiments, provided herein is a chimeric molecule comprising a USP5 binder represented by the structure of Formula (8) and atarget binder
represented by the structure of Formula (B). In some embodiments, provided herein is a chimeric molecule comprising a USP5 binder represented by the structure of Formula (8) and a target binder represented by the structure of Formula (C). In some embodiments, provided herein is a chimeric molecule comprising a USP5 binder represented by the structure of Formula (8) and a target binder represented by the structure of Formula (D). In some embodiments, provided herein is a chimeric molecule comprising a USP5 binder represented by the structure of Formula (8) and a target binder represented by the structure of Formula (E). In some embodiments, provided herein is a chimeric molecule comprising a USP5 binder represented by the structure of Formula (8) and a target binder represented by the structure of Formula (F). In some embodiments, provided herein is a chimeric molecule comprising a USP5 binder represented by the structure of Formula (8) and a target binder represented by the structure of Formula (G). In some embodiments, provided herein is a chimeric molecule comprising a USP5 binder represented by the structure of Formula (8) and a target binder represented by the structure of Formula (H). In some embodiments, provided herein is a chimeric molecule comprising a USP5 binder represented by the structure of Formula (8) and atarget binder represented by the structure of Formula (I). In some embodiments, provided herein is a chimeric molecule comprising a USP5 binder represented by the structure of Formula (8) and atarget binder represented by the structure of Formula (J). In some embodiments, provided herein is a chimeric molecule comprising a USP5 binder represented by the structure of Formula (8) and a target binder represented by the structure of Formula (K). In some embodiments, provided herein is a chimeric molecule comprising a USP5 binder represented by the structure of Formula (8) and atarget binder represented by the structure of Formula (L). In some embodiments, provided herein is a chimeric molecule comprising a USP5 binder represented by the structure of Formula (8) and a target binder represented by the structure of Formula (M). In some embodiments, provided herein is a chimeric molecule comprising a USP5 binder represented by the structure of Formula (8) and a target binder represented by the structure of Formula (N). [00244] In some embodiments, provided herein is a chimeric molecule comprising a USP5 binder represented by the structure of Formula (8*) and a target binder represented by the structure of Formula (A). In some embodiments, provided herein is a chimeric molecule comprising a USP5 binder represented by the structure of Formula (8*) and a target binder represented by the structure of Formula (B). In some embodiments, provided
herein is a chimeric molecule comprising a USP5 binder represented by the structure of Formula (8*) and a target binder represented by the structure of Formula (C). In some embodiments, provided herein is a chimeric molecule comprising a USP5 binder represented by the structure of Formula (8*) and atarget binder represented by the structure of Formula (D). In some embodiments, provided herein is a chimeric molecule comprising a USP5 binder represented by the structure of Formula (8*) and a target binder represented by the structure of Formula (E). In some embodiments, provided herein is a chimeric molecule comprising a USP5 binder represented by the structure of Formula (8*) and a target binder represented by the structure of Formula (F). In some embodiments, provided herein is a chimeric molecule comprising a USP5 binder represented by the structure of Formula (8*) and a target binder represented by the structure of Formula (G). In some embodiments, provided herein is a chimeric molecule comprising a USP5 binder represented by the structure of Formula (8*) and atarget binder represented by the structure of Formula (H). In some embodiments, provided herein is a chimeric molecule comprising a USP5 binder represented by the structure of Formula (8*) and atarget binder represented by the structure of Formula (I). In some embodiments, provided herein is a chimeric molecule comprising a USP5 binder represented by the structure of Formula (8*) and a target binder represented by the structure of Formula (J). In some embodiments, provided herein is a chimeric molecule comprising a USP5 binder represented by the structure of Formula (8*) and a target binder represented by the structure of Formula (K). In some embodiments, provided herein is a chimeric molecule comprising a USP5 binder represented by the structure of Formula (8*) and a target binder represented by the structure of Formula (L). In some embodiments, provided herein is a chimeric molecule comprising a USP5 binder represented by the structure of Formula (8*) and atarget binder represented by the structure of Formula (M). In some embodiments, provided herein is a chimeric molecule comprising a USP5 binder represented by the structure of Formula (8*) and a target binder represented by the structure of Formula (N).
[00245] In some embodiments, provided herein is a chimeric molecule comprising a USP5 binder represented by the structure of Formula (9) and atarget binder represented by the structure of Formula (A). In some embodiments, provided herein is a chimeric molecule comprising a USP5 binder represented by the structure of Formula (9) and atarget binder represented by the structure of Formula (B) In some embodiments, provided herein is a
chimeric molecule comprising a USP5 binder represented by the structure of Formula (9) and a target binder represented by the structure of Formula (C). In some embodiments, provided herein is a chimeric molecule comprising a USP5 binder represented by the structure of Formula (9) and a target binder represented by the structure of Formula (D). In some embodiments, provided herein is a chimeric molecule comprising a USP5 binder represented by the structure of Formula (9) and a target binder represented by the structure of Formula (E). In some embodiments, provided herein is a chimeric molecule comprising a USP5 binder represented by the structure of Formula (9) and a target binder represented by the structure of Formula (F). In some embodiments, provided herein is a chimeric molecule comprising a USP5 binder represented by the structure of Formula (9) and a target binder represented by the structure of Formula (G). In some embodiments, provided herein is a chimeric molecule comprising a USP5 binder represented by the structure of Formula (9) and a target binder represented by the structure of Formula (H). In some embodiments, provided herein is a chimeric molecule comprising a USP5 binder represented by the structure of Formula (9) and atarget binder represented by the structure of Formula (I). In some embodiments, provided herein is a chimeric molecule comprising a USP5 binder represented by the structure of Formula (9) and atarget binder represented by the structure of Formula (J). In some embodiments, provided herein is a chimeric molecule comprising a USP5 binder represented by the structure of Formula (9) and a target binder represented by the structure of Formula (K). In some embodiments, provided herein is a chimeric molecule comprising a USP5 binder represented by the structure of Formula (9) and atarget binder represented by the structure of Formula (L). In some embodiments, provided herein is a chimeric molecule comprising a USP5 binder represented by the structure of Formula (9) and a target binder represented by the structure of Formula (M). In some embodiments, provided herein is a chimeric molecule comprising a USP5 binder represented by the structure of Formula (9) and a target binder represented by the structure of Formula (N). [00246] In some embodiments, provided herein is a chimeric molecule comprising a USP5 binder represented by the structure of Formula (9*) and a target binder represented by the structure of Formula (A). In some embodiments, provided herein is a chimeric molecule comprising a USP5 binder represented by the structure of Formula (9*) and a target binder represented by the structure of Formula (B). In some embodiments, provided herein is a chimeric molecule comprising a USP5 binder represented by the structure of
Formula (9*) and a target binder represented by the structure of Formula (C). In some embodiments, provided herein is a chimeric molecule comprising a USP5 binder represented by the structure of Formula (9*) and atarget binder represented by the structure of Formula (D). In some embodiments, provided herein is a chimeric molecule comprising a USP5 binder represented by the structure of Formula (9*) and a target binder represented by the structure of Formula (E). In some embodiments, provided herein is a chimeric molecule comprising a USP5 binder represented by the structure of Formula (9*) and a target binder represented by the structure of Formula (F). In some embodiments, provided herein is a chimeric molecule comprising a USP5 binder represented by the structure of Formula (9*) and a target binder represented by the structure of Formula (G). In some embodiments, provided herein is a chimeric molecule comprising a USP5 binder represented by the structure of Formula (9*) and atarget binder represented by the structure of Formula (H). In some embodiments, provided herein is a chimeric molecule comprising a USP5 binder represented by the structure of Formula (9*) and atarget binder represented by the structure of Formula (I). In some embodiments, provided herein is a chimeric molecule comprising a USP5 binder represented by the structure of Formula (9*) and a target binder represented by the structure of Formula (J). In some embodiments, provided herein is a chimeric molecule comprising a USP5 binder represented by the structure of Formula (9*) and a target binder represented by the structure of Formula (K). In some embodiments, provided herein is a chimeric molecule comprising a USP5 binder represented by the structure of Formula (9*) and a target binder represented by the structure of Formula (L). In some embodiments, provided herein is a chimeric molecule comprising a USP5 binder represented by the structure of Formula (9*) and atarget binder represented by the structure of Formula (M). In some embodiments, provided herein is a chimeric molecule comprising a USP5 binder represented by the structure of Formula (9*) and a target binder represented by the structure of Formula (N).
[00247] In some embodiment, a chimeric molecule disclosed herein is represented by the structure of the chimeric molecules I-XXX presented in Table 1. The left-hand column provides the Chimeric Molecule Number (#), the right-hand column presents the chimeric molecule structure grouped based on the Target Binder domain identified.
[0024 9] In some embodiments, the linker domain of the chimeric molecules of Table 1 may comprise any one of the following linking domains, as represented by Formula (i)- (xxiii):
[00250] In some embodiments, a chimeric molecule described herein has a structure of wherein LINKER is
a linker domain described herein, e.g., a linker domain of Formula (xxiv), wherein the second binding domain is optionally substituted.
[00251] In some embodiments, a chimeric molecule described herein has a structure of wherein LINKER is a
linker domain described herein, e.g., a linker domain of Formula (xxiv), wherein the second binding domain is optionally substituted. [00252] In some embodiments, a chimeric molecule described herein has a structure of
wherein LINKER is a linker domain described herein, e.g., a linker domain of Formula (xxiv), wherein the
second binding domain is optionally substituted.
[00253] In some embodiments, a chimeric molecule described herein has a structure of wherein LINKER is a lin
, . ., mula (xxiv), wherein the second binding domain is optionally substituted.
[00254] In some embodiments, a chimeric molecule described herein has a structure of wherein LINKER is a
linker domain described herein, e.g., a linker domain of Formula (xxiv), wherein the second binding domain is optionally substituted. [00255] In some embodiments, a chimeric molecule described herein has a structure of
wherein LINKER is a linker domain described herein, e.g., a linker domain of Formula (xxiv), wherein the second binding domain is optionally substituted.
[00256] In some embodiments, a chimeric molecule described herein has a structure of
LINKER is a linker domain described herein, e.g., a linker domain of Formula (xxiv), wherein the second binding domain is optionally substituted.
[00257] In some embodiments, a chimeric molecule described herein has a structure of
wherein LINKER is a linker domain described herein, e.g., a linker domain of Formula (xxiv), wherein the second
binding domain is optionally substituted.
[00258] In certain embodiments, each of the linker units is independently a substituted or unsubstituted linear or branched alkyl chains of 2-50 carbon atoms, alkyl phosphate chains of 2-50 carbon atoms, alkyl ether chains of 2-50 carbon atoms (e.g., PEG, PPG of various lengths), alkyl amide, alkyl amine or any combination thereof. In some embodiments, the linker comprises an optionally substituted (poly)ethylene glycol having 8 ethylene glycol units. In additional embodiments, the linker comprises an optionally substituted (poly)ethylene glycol having 11 ethylene glycol units. In additional embodiments, the linker comprises an optionally substituted (poly)ethylene glycol having 14 ethylene glycol units. In additional embodiments, the linker comprises an optionally substituted (poly)ethylene glycol having 17 ethylene glycol units.
[00259] In certain embodiments, the linker may be asymmetric. In certain embodiments, the linker may be symmetrical.
[00260] The chemistry of attachment of a linker to the binding domains include but is not limited to esters, amides, amines, hydrazide, thiols, sulfones, sulfoxides, ethers, hydroxamides, heterocycles, acetylenes, alkyls and alkenes.
[00261] In certain embodiment, a chimeric molecule disclosed herein is represented by any one of the structures of chimeric molecule 1-210 in Table 2:
Table 2: Chimeric molecules
#
[00262] The order of the domains of the chimeric molecules represented by the structures disclosed in Table 2 are in some embodiments Target binder domain-linker domain-USP5 binder domain. In other embodiments, the order of the domains of the chimeric molecules represented by the structures disclosed in Table 2 are USP5 binder domain-linker domain- Target binder domain. A skilled artisan would appreciate which domains are the USP5 binder domains, the linker domains, and the Target binder domains based on the disclosure provided herein, independent of the orientation of the complete chimeric structure.
Chemical Definitions [00263] In some embodiments, W1-W16 of Formula (1) are each independently a hydrogen, halide, alkyl, cycloalkyl, heterocycloalkyl, aryl, amine, CN, -NHCOR3, NH- alkyl, NH-aryl, NH-cycloalkyl, NH-heterocycloalyl, NH-alkyl-COOH, NH-CH2-COOH, NO2, alkoxy, COOH, OH or SH, wherein each of said alkyl, aryl, cycloalkyl or heterocycloalkyl is optionally substituted. In another embodiment, W3 and R1 form together a substituted or unsubstituted 5-6 membered heterocyclic ring. In another embodiment, wherein if X1, X2, X3, X4, X6, X7, X8, X9 is each independently N, then the corresponding
substituent W1, W2, W4, W3, W13, W14, W16, or W15 is null.
[00264] In some embodiments, W1-W16 of Formula (4) are each independently a hydrogen, halide, alkyl, cycloalkyl, heterocycloalkyl, aryl, amine, CN, -NHCOR3, NH- alkyl, NH-aryl, NH-cycloalkyl, NH-heterocycloalyl, NH-alkyl-COOH, NH-CH2-COOH, NO2, alkoxy, COOH, OH or SH, wherein each of said alkyl, aryl, cycloalkyl or heterocycloalkyl is optionally substituted. In another embodiment, wherein if X1, X2, X3, X4, X6, X7, X8, X9 is each independently N, then the corresponding substituent W1, W2, W4, W , W13, W14, W16, or W15 is null.
[00265] In some embodiments, W1-W2 and W4-W16 of Formula (5) or (6) are each independently a hydrogen, halide, alkyl, cycloalkyl, heterocycloalkyl, aryl, amine, CN, - NHCOR3, NH-alkyl, NH-aryl, NH-cycloalkyl, NH-heterocycloalkyl, NH-alkyl-COOH, NH-CH2-COOH, NO2, alkoxy, COOH, OH or SH; wherein each of said alkyl, aryl, cycloalkyl or heterocycloalkyl is optionally substituted. In another embodiment, if X1, X2, X3, X5, X7, X8, X9 is each independently N, then the corresponding substituent W1, W2, W4, W13, W14, W16, or W15 is null.
[00266] In one embodiment, W1-W16 are each independently hydrogen. In one embodiment, W1-W16 are each independently hydrogen. In one embodiment, W1-W16 are each independently halide. In one embodiment, W1-W16 are each independently an alkyl. In one embodiment, W1-W16 are each independently cycloalkyl. In one embodiment, W1-W16 are each independently heterocycloalkyl. In one embodiment, W1-W16 are each independently aryl. In one embodiment, W1-W16 are each independently amine. In one embodiment, W1-W16 are each independently CN. In one embodiment, W1-W16 are each independently -NHCOR3. In one embodiment, W1-W16 are each independently NH-alkyl. In one embodiment, W1-W16 are each independently NH-aryl. In one embodiment, W1-W16 are each independently NH-cycloalkyl. In one embodiment, W1-W16 are each independently NH-heterocycloalyl. In one embodiment, W1-W16 are each independently NH-alkyl-COOH. In one embodiment, W1-W16 are each independently NH-CH2-COOH. In one embodiment, W1-W16 are each independently NO2. In one embodiment, W1-W16 are each independently alkoxy. In one embodiment, W1-W16 are each independently COOH. In one embodiment, W1-W16 are each independently OH. In one embodiment, W1-W16 are each independently SH.
[00267] In some embodiment, R3 is alkyl aryl cycloalkyl or heterocycloalkyl, wherein
each of said alkyl, aryl, cycloalkyl or heterocycloalkyl is optionally substituted.
[00268] In some embodiments, W17 and W18 of Formula (5) are each independently selected from hydrogen halide, alkyl, cycloalkyl, heterocycloalkyl, aryl, CN, -NHCOR3, NH-alkyl, NH-aryl, NH-cycloalkyl, NH-heterocycloalyl, NH-alkyl-COOH, NH-CH2- COOH, NO2, alkoxy, COOH, OH and SH. In another embodiment, W17 and W18 of Formula (5) are each independently hydrogen. In another embodiment, W17 and W18 of Formula (5) are each independently halide. In another embodiment, W17 and W18 of Formula (5) are each independently alkyl. In another embodiment, W17 and W18 of Formula (5) are each independently cycloalkyl. In another embodiment, W17 and W18 of Formula (5) are each independently heterocycloalkyl. In another embodiment, W17 and W18 of Formula (5) are each independently aryl. In another embodiment, W17 and W18 of Formula (5) are each independently CN. In another embodiment, W17 and W18 of Formula (5) are each independently -NHCOR3. In another embodiment, W17 and W18 of Formula (5) are each independently NH-alkyl. In another embodiment, W17 and W18 of Formula (5) are each independently NH-aryl. In another embodiment, W17 and W18 of Formula (5) are each independently NH-cycloalkyl. In another embodiment, W17 and W18 of Formula (5) are each independently NH-heterocycloalyl. In another embodiment, W17 and W18 of Formula (5) are each independently NH-alkyl-COOH. In another embodiment, W17 and W18 of Formula (5) are each independently NH-CH2-COOH. In another embodiment, W17 and W18 of Formula (5) are each independently NO2. In another embodiment, W17 and W18 of Formula (5) are each independently alkoxy, In another embodiment, W17 and W18 of Formula (5) are each independently COOH. In another embodiment, W17 and W18 of Formula (5) are each independently OH. In another embodiment, W17 and W18 of Formula (5) are each independently SH.
[00269] In some embodiments, W19 of formula (5) is hydrogen, halide, alkyl, cycloalkyl, heterocycloalkyl or aryl.
In another embodiment, W19 and W17 of Formula (5) form together a double bond; [00270] In some embodiments, W20 of Formula (6) is null or hydrogen.
[00271] In some embodiments, X1-X4 and X6-X9 of Formula (1) or (4), are each independently C or N.
[00272] In some embodiments, X1-X3 and X5-X9 of Formula (5) or (6), are each independently C or N.
[00273] In some embodiments, X5 of Formula (1), (4), (5) or (6) is CH or N.
[00274] In some embodiments, R1 of Formula (1) or (2) is alkyl, aryl, cycloalkyl, heterocycloalkyl, amine, -NHCH2COOH, -O-alkyl, -NH-alkyl, or -CH2-aryl, and wherein each of said alkyl, aryl, cycloalkyl or heterocycloalkyl is optionally substituted. Each represent a separate embodiment of this invention
[00275] In some embodiments, R2 is alkyl, aryl, cycloalkyl, heterocycloalyl, alkyl-COOH or -CH2-COOH, and wherein each of said alkyl, aryl, cycloalkyl or heterocycloalkyl is optionally substitute.
[00276] In some embodiments of Formula (1*), (4*), (5*), (6*), (1), (4), (5), or (6), W1 is hydrogen, halogen, -CN, -NO2, -OH, -SH -ORa, -NRcRd, -C(=O)Rb, -C(=O)ORb, - OC(=O)Rb, -NRbC(=O)Ra, -C(=O)NRcRd, C1-C6alkyl, C1-C6haloalkyl, C1-C6hydroxyalkyl, C1-C6aminoalkyl, C1-C6heteroalkyl, C2-C6alkenyl, C2-C6alkynyl, cycloalkyl, heterocycloalkyl, aryl, or heteroaryl. In some embodiments, W1 is -OH. In some embodiments, W1 is SH. In some embodiments, W1 is H. In some embodiments, W1 is halogen. In some embodiments, W1 is CN. In some embodiments, W1 is NO2. In some embodiments, W1 is -ORa. In some embodiments, W1 is -NRcRd (e.g., amino, NH-alkyl or N(alkyl)2). In some embodiments, W1is -C(=O)Rb, -C(=O)ORb, -OC(=O)Rb, -NRbC(=O)Ra, or -C(=O)NRcRd. In some embodiments, W1 is COOH. In some embodiments, W1 is C1-C6alkyl. In some embodiments, W1 is C1-C6haloalkyl. In some embodiments, W1 is C1-C6hydroxyalkyl. In some embodiments, W1 is C1-C6aminoalkyl. In some embodiments, W1 is C1-C6heteroalkyl. In some embodiments, W1 is C2-C6alkenyl. In some embodiments, W1 is C2-C6alkynyl. In some embodiments, W1 is cycloalkyl (e.g., C3-C6 cycloalkyl). In some embodiments, W1 is heterocycloalkyl (e.g., 5 or 6 membered heterocycloalkyl). In some embodiments, W1 is aryl. In some embodiments, W1 is heteroaryl.
[00277] In some embodiments of Formula (1*), (4*), (5*), (6*), (1), (4), (5), or (6), W2 is hydrogen, halogen, -CN, -NO2, -OH, -SH -ORa, -NRcRd, -C(=O)Rb, -C(=O)ORb, - OC(=O)Rb, -NRbC(=O)Ra, -C(=O)NRcRd, C1-C6alkyl, C1-C6haloalkyl, C1-C6hydroxy alkyl, C1-C6aminoalkyl, C1-C6heteroalkyl, C2-C6alkenyl, C2-C6alkynyl, cycloalkyl, heterocycloalkyl, aryl, or heteroaryl. In some embodiments, W2 is -OH. In some embodiments, W2 is SH. In some embodiments, W2 is H. In some embodiments, W2 is halogen. In some embodiments, W2 is CN. In some embodiments, W2 is NO2. In some embodiments, W2 is -ORa. In some embodiments W2 is -NRcRd (e.g., amino, NH-alkyl or
N(alkyl)2). In some embodiments, W2 is -C(=O)Rb, -C(=O)ORb, -0C(=O)Rb, -NRbC(=O)Ra, or -C(=O)NRcRd. In some embodiments, W2 is COOH. In some embodiments, W2 is C1-C6alkyl. In some embodiments, W2 is C1-C6haloalkyl. In some embodiments, W2 is C1-C6hydroxyalkyl. In some embodiments, W2 is C1-C6aminoalkyl. In some embodiments, W2 is C1-C6heteroalkyl. In some embodiments, W2 is C2-C6alkenyl. In some embodiments, W2 is C2-C6alkynyl. In some embodiments, W2 is cycloalkyl (e.g., C3-C6 cycloalkyl). In some embodiments, W2 is heterocycloalkyl (e.g., 5 or 6 membered heterocycloalkyl). In some embodiments, W2 is aryl. In some embodiments, W2 is heteroaryl.
[00278] In some embodiments of Formula (1*), (4*), (5*), (6*), (1), (4), (5), or (6), W4 is hydrogen, halogen, -CN, - NO2, -OH, -SH -ORa, -NRcRd, -C(=O)Rb, -C(=O)ORb, - OC(=O)Rb, -NRbC(=O)Ra, -C(=O)NRcRd, C1-C6alkyl, C1-C6haloalkyl, C1-C6hydroxy alkyl, C1-C6aminoalkyl, C1-C6heteroalkyl, C2-C6alkenyl, C2-C6alkynyl, cycloalkyl, heterocycloalkyl, aryl, or heteroaryl. In some embodiments, W4 is -OH. In some embodiments, W4 is -SH. In some embodiments, W4 is H. In some embodiments, W4 is halogen. In some embodiments, W4 is CN. In some embodiments, W4 is NO2. In some embodiments, W4 is -ORa. In some embodiments, W4 is -NRcRd (e.g., amino, NH-alkyl or N(alkyl)2). In some embodiments, W4 is -C(=O)Rb, -C(=O)ORb, -OC(=O)Rb, - NRbC(=O)Ra, or -C(=O)NRcRd. In some embodiments, W4 is COOH. In some embodiments, W4 is C1-C6alkyl. In some embodiments, W4 is C1-C6haloalkyl. In some embodiments, W4 is C1-C6hydroxyalkyl. In some embodiments, W4 is C1-C6aminoalkyl. In some embodiments, W4 is C1-C6heteroalkyl. In some embodiments, W4 is C2-C6alkenyl. In some embodiments, W4 is C2-C6alkynyl. In some embodiments, W4 is cycloalkyl (e.g., C3- C6 cycloalkyl). In some embodiments, W4 is heterocycloalkyl (e.g., 5 or 6 membered heterocycloalkyl). In some embodiments, W4 is aryl. In some embodiments, W4 is heteroaryl.
[00279] In some embodiments of Formula (1*), (4*), (1), or (4), W3 is hydrogen, halogen, -CN, -NO2, -OH, -SH -ORa, -NRcRd, -C(=O)Rb, -C(=O)ORb, -OC(=O)Rb, -NRbC(=O)Ra, - C(=O)NRcRd, C1-C6 alkyl, C1-C6haloalkyl, C1-C6hydroxyalkyl, C1-C6aminoalkyl, C1-C6heteroalkyl, C2-C6alkenyl, C2-C6alkynyl, cycloalkyl, heterocycloalkyl, aryl, or heteroaryl. In some embodiments, W3 is -OH. In some embodiments, W3 is SH. In some embodiments, W3 is H. In some embodiments, W3 is halogen. In some embodiments, W3 is CN. In some embodiments, W3 is NO2 In some embodiments, W3 is -ORa. In some
embodiments, W3 is -NRcRd (e.g., amino, NH-alkyl or N(alkyl)2). In some embodiments, W is -C(=O)Rb, -C(=O)ORb, -0C(=O)Rb, -NRbC(=O)Ra, or -C(=O)NRcRd. In some embodiments, W3 is COOH. In some embodiments, W3 is C1-C6alkyl. In some embodiments, W3 is C1-C6haloalkyl. In some embodiments, W3 is C1-C6hydroxyalkyl. In some embodiments, W3 is C1-C6aminoalkyl. In some embodiments, W3 is C1-C6heteroalkyl. In some embodiments, W3 is C2-C6alkenyl. In some embodiments, W3 is C2-C6alkynyl. In some embodiments, W3 is cycloalkyl (e.g., C3-C6 cycloalkyl). In some embodiments, W3 is heterocycloalkyl (e.g., 5 or 6 membered heterocycloalkyl). In some embodiments, W3 is aryl. In some embodiments, W3 is heteroaryl.
[00280] In some embodiments of Formula (1*), (4*), (5*), (6*), (1), (4), (5), or (6), W3 and R1 are taken together to form a substituted or unsubstituted 5-6 membered cyclic or heterocyclic ring. In some embodiments, W3 and R1 are taken together to form a substituted or unsubstituted 5-6 membered heterocyclic ring. In some embodiments, the heterocyclic ring is a heterocycloalkyl. In some embodiments, the heterocyclic ring contains 1-3 nitrogen and 0-1 oxygen. In some embodiments, the heterocyclic ring contains 2 nitrogen. In some embodiments, the heterocyclic ring is substituted. In some embodiments, the heterocyclic ring is 6 a membered ring. In some embodiments, the heterocyclic ring is 5 a membered ring. In some embodiments, the heterocyclic ring is fully saturated. In some embodiments, the heterocyclic ring is partially saturated. In some embodiments, the 5-6 membered cyclic or heterocyclic ring are substituted with 1-5 substituents selected from halogen, oxo, -CN, - NO2, -OH, -ORa, -OC(=O)Ra, -OC(=O)ORb, -OC(=O)NRcRd, -SH, -SRa, -S(=O)Ra, - S(=O)2Ra, -S(=O)2NRcRd, -NRcRd, -NRbC(=O)NRcRd, -NRbC(=O)Ra, -NRbC(=O)ORb, - NRbS(=O)2Ra, -C(=O)Ra, -C(=O)ORb, -C(=O)NRcRd, C1-C6alkyl, C1-C6haloalkyl, C1 -C6hydroxy alkyl, C1-C6aminoalkyl, C1-C6heteroalkyl, C2-C6 alkenyl, C2-C6alkynyl, cycloalkyl, heterocycloalkyl, aryl, and heteroaryl, wherein each alkyl, alkenyl, alkynyl, cycloalkyl, heterocycloalkyl, aryl, and heteroaryl is independently optionally substituted with one or more Re, and wherein Re, Ra, Rb, Rc and Rb have the same meaning as defined in Formula (I*). In some embodiments, the 5-6 membered cyclic or heterocyclic ring are substituted with 1-5 substituents selected from halogen, oxo, -CN, -NO2, -OH, -ORa, C1-C6alkyl, C1-C6haloalkyl, C1-C6hydroxyalkyl, and C1-C6aminoalkyl, wherein each alkyl is independently optionally substituted with one or more Re, and Re is selected from halogen, -OH, and COOH. In some embodiments the 5 6 membered cyclic or heterocyclic ring are
substituted with oxo and -CH2-COOH.
[00281] In some embodiments of Formula (1*), (4*), (5*), (6*), (1), (4), (5), or (6), W13 is hydrogen, halogen, -CN, -NO2, -OH, -SH -ORa, -NRcRd, -C(=O)Rb, -C(=O)ORb, - OC(=O)Rb, -NRbC(=O)Ra, -C(=O)NRcRd, C1-C6alkyl, C1-C6haloalkyl, C1-C6hydroxy alkyl, C1-C6aminoalkyl, C1-C6heteroalkyl, C2-C6alkenyl, C2-C6alkynyl, cycloalkyl, heterocycloalkyl, aryl, or heteroaryl. In some embodiments, W13 is -OH. In some embodiments, W13 is -SH. In some embodiments, W13 is H. In some embodiments, W13 is halogen. In some embodiments, W13 is CN. In some embodiments, W13 is NO2. In some embodiments, W13 is -ORa. In some embodiments, W13 is -NRcRd (e.g., amino, NH-alkyl or N(alkyl)2). In some embodiments, W13 is -C(=O)Rb, -C(=O)ORb, -OC(=O)Rb, - NRbC(=O)Ra, or -C(=O)NRcRd. In some embodiments, W13 is COOH. In some embodiments, W13 is C1-C6alkyl. In some embodiments, W13 is C1-C6haloalkyl. In some embodiments, W13 is C1-C6hydroxyalkyl. In some embodiments, W13 is C1-C6aminoalkyl. In some embodiments, W13 is C1-C6heteroalkyl. In some embodiments, W13 is C2-C6alkenyl. In some embodiments, W13 is C2-C6alkynyl. In some embodiments, W13 is cycloalkyl (e.g., C3-C6 cycloalkyl). In some embodiments, W13 is heterocycloalkyl (e.g., 5 or 6 membered heterocycloalkyl). In some embodiments, W13 is aryl. In some embodiments, W13 is heteroaryl.
[00282] In some embodiments of Formula (1*), (4*), (5*), (6*), (1), (4), (5), or (6), W14 is hydrogen, halogen, -CN, -NO2, -OH, -SH -ORa, -NRcRd, -C(=O)Rb, -C(=O)ORb, - OC(=O)Rb, -NRbC(=O)Ra, -C(=O)NRcRd, C1-C6alkyl, C1-C6haloalkyl, C1-C6hydroxyalkyl, C1-C6aminoalkyl, C1-C6heteroalkyl, C2-C6alkenyl, C2-C6alkynyl, cycloalkyl, heterocycloalkyl, aryl, or heteroaryl. In some embodiments, W14 is -OH. In some embodiments, W14 is -SH. In some embodiments, W14 is H. In some embodiments, W14 is halogen. In some embodiments, W14 is CN. In some embodiments, W14 is NO2. In some embodiments, Ww is -ORa. In some embodiments, Ww is -NRcRd (e.g., amino, NH-alkyl or N(alkyl)2). In some embodiments, W14 is -C(=O)Rb, -C(=O)ORb, -OC(=O)Rb, - NRbC(=O)Ra, or -C(=O)NRcRd. In some embodiments, W14 is COOH. In some embodiments, W14 is C1-C6alkyl. In some embodiments, W14 is C1-C6haloalkyl. In some embodiments, W14 is C1-C6hydroxyalkyl. In some embodiments, W14 is C1-C6aminoalkyl. In some embodiments, Ww is CVCr, heteroalkyl. In some embodiments. W 14 is C2-C6alkenyl. In some embodiments, W14 is C2-C6alkynyl In some embodiments, W14 is cycloalkyl (e.g.,
C3-C6 cycloalkyl). In some embodiments, W 14 is heterocycloalkyl (e.g., 5 or 6 membered heterocycloalkyl). In some embodiments, W14 is aryl. In some embodiments, W 14 is heteroaryl.
[00283] In some embodiments of Formula (1*), (4*), (5*), (6*), (1), (4), (5), or (6), W15 is hydrogen, halogen, -CN, -NO2, -OH, -SH -ORa, -NRcRd, -C(=O)Rb, -C(=O)ORb, - OC(=O)Rb, -NRbC(=O)Ra, -C(=O)NRcRd, C1-C6alkyl, C1-C6haloalkyl, C1-C6hydroxyalkyl, C1-C6aminoalkyl, C1-C6heteroalkyl. C2-C6alkenyl, C2-C6alkynyl, cycloalkyl, heterocycloalkyl, aryl, or heteroaryl. In some embodiments, W15 is -OH. In some embodiments, W15 is -SH. In some embodiments, W15 is H. In some embodiments, W15 is halogen. In some embodiments, W15 is CN. In some embodiments, W15 is NO2. In some embodiments, W15 is -ORa. In some embodiments, W15 is -NRcRd (e.g., amino, NH-alkyl or N(alkyl)2). In some embodiments, W15 is -C(=O)Rb, -C(=O)ORb, -OC(=O)Rb, - NRbC(=O)Ra, or -C(=O)NRcRd. In some embodiments, W15 is COOH. In some embodiments, W15 is C1-C6alkyl. In some embodiments, W15 is C1-C6haloalkyl. In some embodiments, W15 is C1-C6hydroxyalkyl. In some embodiments, W15 is G-G,aminoalkyl. In some embodiments, W15 is C1-C6heteroaikyl. In some embodiments, W15 is C2-C6alkenyl. In some embodiments, W15 is C2-C6alkynyl. In some embodiments, W15 is cycloalkyl (e.g., C3-C6 cycloalkyl). In some embodiments, W15 is heterocycloalkyl (e.g., 5 or 6 membered heterocycloalkyl). In some embodiments, W15 is aryl. In some embodiments, W15 is heteroaryl.
[00284] In some embodiments of Formula (1*), (4*), (5*), (6*), (1), (4), (5), or (6), W16 is hydrogen, halogen, -CN, -NO2, -OH, -SH -ORa, -NRcRd, -C(=O)Rb, -C(=O)ORb, - OC(=O)Rb, -NRbC(=O)Ra, -C(=O)NRcRd, C1-C6alkyl, C1-C6haloalkyl, C1-C6hydroxy alkyl, C1-C6aminoalkyl, C1-C6heteroalkyl, C2-C6alkenyl, C2-C6alkynyl, cycloalkyl, heterocycloalkyl, aryl, or heteroaryl. In some embodiments, W16 is -OH. In some embodiments, W16 is -SH. In some embodiments, W16 is H. In some embodiments, W16 is halogen. In some embodiments, W16 is CN. In some embodiments, W16 is NO2. In some embodiments, W16 is -ORa. In some embodiments, W16 is -NRcRd (e.g., amino, NH-alkyl or N(alkyl)2). In some embodiments, W16 is -C(=O)Rb, -C(=O)ORb, -OC(=O)Rb, - NRbC(=O)Ra, or -C(=O)NRcRd. In some embodiments, W16 is COOH. In some embodiments, W16 is C1-C6alkyl. In some embodiments, W16 is C1-C6haloalkyl. In some embodiments, W16 is C1-C6hydroxyalkyl In some embodiments, W16 is C1-C6aminoalkyl.
In some embodiments, W16 is C1-C6heteroalkyl. In some embodiments, W16 is C2-C6alkenyl. In some embodiments, W16 is C2-C6alkynyl. In some embodiments, W16 is cycloalkyl (e.g., C3-C6 cycloalkyl). In some embodiments, W16 is heterocycloalkyl (e.g., 5 or 6 membered heterocycloalkyl). In some embodiments, W16 is aryl. In some embodiments, W16 is heteroaryl.
[00285] In some embodiments of Formula (1*), (4*), (5*), (6*), R5 is H or C1-C6alkyl. In some embodiments, R5 is H. In some embodiments, R5 is methyl.
[00286] In some embodiments of Formula (1*), (4*), (5*), (6*), (1), (4), (5), or (6), W5 is hydrogen, halogen, -CN, -NO2, -OH, -SH -ORa, -NRcRd, -C(=O)Rb, -C(=O)ORb, - OC(=O)Rb, -NRbC(=O)Ra, -C(=O)NRcRd, C1-C6alkyl, C1-C6haloalkyl, C1-C6hydroxy alkyl, C1-C6aminoalkyl, C1-C6heteroalkyl, C2-C6alkenyl, C2-C6alkynyl, cycloalkyl, heterocycloalkyl, aryl, or heteroaryl. In some embodiments, W5 is -OH. In some embodiments, W5 is -SH. In some embodiments, W5 is H. In some embodiments, W5 is halogen. In some embodiments, W5 is CN. In some embodiments, W5 is NO2. In some embodiments, W5 is -ORa. In some embodiments, W5 is -NRcRd (e.g., amino, NH-alkyl or N(alkyl)2). In some embodiments, W5 is -C(=O)Rb, -C(=O)ORb, -OC(=O)Rb, - NRbC(=O)Ra, or -C(=O)NRcRd. In some embodiments, W5 is COOH. In some embodiments, W5 is C1-C6alkyl. In some embodiments, W5 is Ci-G,haloalk\i. In some embodiments, W5 is C1-C6hydroxyalkyl. In some embodiments, W5 is C1-C6aminoalkyl. In some embodiments, W5 is C1-C6heteroalkyl. In some embodiments, W5 is C2-C6alkenyl. In some embodiments, W5 is C2-C6alkynyl. In some embodiments, W5 is cycloalkyl (e.g., C3- Ce cycloalkyl). In some embodiments, W5 is heterocycloalkyl (e.g., 5 or 6 membered heterocycloalkyl). In some embodiments, W5 is aryl. In some embodiments, W5 is heteroaryl.
[00287] In some embodiments of Formula (1*), (4*), (5*), (6*), (1), (4), (5), or (6), W6 is hydrogen, halogen, -CN, -NO2, -OH, -SH -ORa, -NRcRd, -C(=O)Rb, -C(=O)ORb, - OC(=O)Rb, -NRbC(=O)Ra, -C(=O)NRcRd, C1-C6alkyl, C1-C6haloalkyl, C1-C6hydroxy alkyl, C1-C6aminoalkyl, C1-C6heteroalkyl, C2-C6alkenyl, C2-C6alkynyl, cycloalkyl, heterocycloalkyl, aryl, or heteroaryl. In some embodiments, W6 is -OH. In some embodiments, W6 is -SH. In some embodiments, W6 is H. In some embodiments, W6 is halogen. In some embodiments, W6 is CN. In some embodiments, W6 is NO2. In some embodiments, W6 is -ORa. In some embodiments W6 is -NRcRd (e.g., amino, NH-alkyl or
N(alkyl)2). In some embodiments, W6 is NH2. In some embodiments, W6 is -C(=O)Rb, - C(=O)ORb, -OC(=O)Rb, -NRbC(=O)Ra, or -C(=O)NRcRd. In some embodiments, W6 is COOH. In some embodiments, W6 is C1-C6alkyl. In some embodiments, W6 is C1-C6haloalkyl. In some embodiments, W6 is C1-C6hydroxyalkyl. In some embodiments, W6 is C1-C6aminoalkyl. In some embodiments, W6 is C1-C6heteroalkyl. In some embodiments, W6 is C2-C6alkenyl. In some embodiments, W6 is C2-C6alkynyl. In some embodiments, W6 is cycloalkyl (e.g., C3-C6 cycloalkyl). In some embodiments, W6 is heterocycloalkyl (e.g., 5 or 6 membered heterocycloalkyl). In some embodiments, W6 is aryl. In some embodiments, W6 is heteroaryl.
[00288] In some embodiments of Formula (1*), (4*), (5*), (6*), (1), (4), (5), or (6), W7 is hydrogen, halogen, -CN, -NO2, -OH, -SH -ORa, -NRcRd, -C(=O)Rb, -C(=O)ORb, - OC(=O)Rb, -NRbC(=O)Ra, -C(=O)NRcRd, C1-C7alkyl, C1-C6haloalkyl, C1-C6hydroxy alkyl, C1-C6aminoalkyl, C1-C6heteroalkyl, C2-C6alkenyl, C2-C6alkynyl, cycloalkyl, heterocycloalkyl, aryl, or heteroaryl. In some embodiments, W7 is -OH. In some embodiments, W7 is -SH. In some embodiments, W7 is H. In some embodiments, W7 is halogen. In some embodiments, W7 is CN. In some embodiments, W7 is NO2. In some embodiments, W7 is -ORa. In some embodiments, W7 is -NRcRd (e.g., amino, NH-alkyl or N(alkyl)2). In some embodiments, W7 is -C(=O)Rb, -C(=O)ORb, -OC(=O)Rb, - NRbC(=O)Ra, or -C(=O)NRcRd. In some embodiments, W7 is COOH. In some embodiments, W7 is C1-C6alkyl. In some embodiments, W7 is C1-C6haloalkyl. In some embodiments, W7 is C1-C6hydroxyalkyl. In some embodiments, W7 is C1-C6aminoalkyl. In some embodiments, W7 is C1-C6heteroalkyl. In some embodiments, W7 is C2-C6alkenyl. In some embodiments, W7 is C2-C6alkynyl. In some embodiments, W7 is cycloalkyl (e.g., C3- C6 cycloalkyl). In some embodiments, W7 is heterocycloalkyl (e.g., 5 or 6 membered heterocycloalkyl). In some embodiments, W7 is aryl. In some embodiments, W7 is heteroaryl.
[00289] In some embodiments of Formula (1*), (4*), (5*), (6*), (1), (4), (5), or (6), W8 is hydrogen, halogen, -CN, -NO2, -OH, -SH -ORa, -NRcRd, -C(=O)Rb, -C(=O)ORb, - OC(=O)Rb, -NRbC(=O)Ra, -C(=O)NRcRd, C1-C7alkyl, C1-C6haloalkyl, C1-C6hydroxy alkyl, C1-C6aminoalkyl, C1-C6heteroalkyl, C2-C6alkenyl, C2-C6alkynyl, cycloalkyl, heterocycloalkyl, aryl, or heteroaryl. In some embodiments, W8 is -OH. In some embodiments, W8 is -SH. In some embodiments, W8 is H. In some embodiments, W8 is
halogen. In some embodiments, W8 is CN. In some embodiments, W8 is NO2. In some embodiments, W8 is -ORa. In some embodiments, W8 is -NRcRd (e.g., amino, NH-alkyl or N(alk l)2). In some embodiments, W8 is -C(=O)Rb, -C(=O)ORb, -0C(=O)Rb, - NRbC(=O)Ra, or -C(=O)NRcRd. In some embodiments, W8 is COOH. In some embodiments, W8 is C1-C6alkyl. In some embodiments, W8 is C1-C6haloalkyl. In some embodiments, W8 is C1-C6hydroxyalkyl. In some embodiments, W8 is C1-C6aminoalkyl. In some embodiments, W8 is C1-C6heteroalkyl. In some embodiments, W8 is C2-C6alkenyl. In some embodiments, W8 is C2-C6alkynyl. In some embodiments, W8 is cycloalkyl (e.g., C3-C6 cycloalkyl). In some embodiments, W8 is heterocycloalkyl (e.g., 5 or 6 membered heterocycloalkyl). In some embodiments, W8 is aryl. In some embodiments, W8 is heteroaryl.
[00290] In some embodiments of Formula (1*), (4*), (5*), (6*), (1), (4), (5), or (6), W9 is hydrogen, halogen, -CN, -NO2, -OH, -SH -ORa, -NRcRd, -C(=O)Rb, -C(=O)ORb, - OC(=O)Rb, -NRbC(=O)Ra, -C(=O)NRcRd, C1-C7alkyl, C1-C6haloalkyl, C1-C6hydroxyalkyl, C1-C6aminoalkyl, C1-C6heteroalkyl, C2-C6alkenyl, C2-C6alkynyl, cycloalkyl, heterocycloalkyl, aryl, or heteroaryl. In some embodiments, W9 is -OH. In some embodiments, W9 is -SH. In some embodiments, W9 is H. In some embodiments, W9 is halogen. In some embodiments, W9 is CN. In some embodiments, W9 is NO2. In some embodiments, W9 is -ORa. In some embodiments, W9 is -NRcRd (e.g., amino, NH-alkyl or N(alkyl)2). In some embodiments, W9 is -C(=O)Rb, -C(=O)ORb, -OC(=O)Rb, - NRbC(=O)Ra, or -C(=O)NRcRd. In some embodiments, W9 is COOH. In some embodiments, W9 is C1-C6alkyl. In some embodiments, W9 is C1-C3alkyl. In some embodiments, W9 is methyl. In some embodiments, W9 is ethyl. In some embodiments, W9 is propyl. In some embodiments, W9 is C1-C6haloalkyl. In some embodiments, W9 is C1-C3haloalkyl. In some embodiments, W9 is C1-C6hydroxyalkyl. In some embodiments, W9 is C1-C3hydroxyalkyl. In some embodiments, W9 is C1-C6aminoalkyl. In some embodiments, W9 is C1-C6heteroalkyl. In some embodiments, W9 is C2-C6alkenyl. In some embodiments, W9 is C2-C6alkynyl. In some embodiments, W9 is cycloalkyl (e.g., C3-C6 cycloalkyl). In some embodiments, W9 is heterocycloalkyl (e.g., 5 or 6 membered heterocycloalkyl). In some embodiments, W9 is aryl. In some embodiments, W9 is heteroaryl.
[00291] In some embodiments of Formula (1*) (4*), (5*), (6*), (1), (4), (5), or (6), W10
is hydrogen, halogen, -CN, -NO2, -OH, -SH -ORa, -NRcRd, -C(=O)Rb, -C(=O)ORb, - OC(=O)Rb, -NRbC(=O)Ra, -C(=O)NRcRd, C1-C7alkyl, C1-C6haloalkyl, C1-C6hydroxyalkyl, C1-C6aminoalkyl, C1-C6heteroalkyl, C2-C6alkenyl. C2-C6alkynyl. cycloalkyl, heterocycloalkyl, aryl, or heteroaryl. In some embodiments, W10 is -OH. In some embodiments, W10 is -SH. In some embodiments, W10 is H. In some embodiments, W10 is halogen. In some embodiments, W10 is CN. In some embodiments, W10 is NO2. In some embodiments, W10 is -ORa. In some embodiments, W10 is -NRcRd (e.g., amino, NH-alkyl or N(alkyl)2). In some embodiments, W10 is -C(=O)Rb, -C(=O)ORb, -0C(=O)Rb, - NRbC(=O)Ra, or -C(=O)NRcRd. In some embodiments, W10 is COOH. In some embodiments, W10 is C1-C6alkyl. In some embodiments, W10 is C1-C6haloalkyl. In some embodiments, W10 is C1-C6hydroxyalkyl. In some embodiments, W10 is C1-C6aminoalkyl. In some embodiments, W10 is C1-C6heteroalkyl. In some embodiments, W10 is C2-C6alkenyl. In some embodiments, W10 is C2-C6aikynyl. In some embodiments, W10 is cycloalkyl (e.g., C3-C6 cycloalkyl). In some embodiments, W10 is heterocycloalkyl (e.g., 5 or 6 membered heterocycloalkyl). In some embodiments, W10 is aryl. In some embodiments, W10 is heteroaryl.
[00292] In some embodiments of Formula ((1*), (4*), (5*), (6*), (1), (4), (5), or (6), W11 is hydrogen, halogen, -CN, -NO2, -OH, -SH -ORa, -NRcRd, -C(=O)Rb, -C(=O)ORb, - OC(=O)Rb, -NRbC(=O)Ra, -C(=O)NRcRd, C1-C7alkyl, C1-C6haloalkyl, C1-C6hydroxyalkyl, C1-C6aminoalkyl, C1-C6heteroalkyl, C2-C6alkenyl, C2-C6alkynyl, cycloalkyl, heterocycloalkyl, aryl, or heteroaryl. In some embodiments, W11 is -OH. In some embodiments, W11 is -SH. In some embodiments, W11 is H. In some embodiments, W11 is halogen. In some embodiments, W11 is CN. In some embodiments, W11 is NO2. In some embodiments, W11 is -ORa. In some embodiments, W11 is -NRcRd (e.g., amino, NH-alkyl or N(alkyl)2). In some embodiments, W11 is -C(=O)Rb, -C(=O)ORb, -OC(=O)Rb, - NRbC(=O)Ra, or -C(=O)NRcRd. In some embodiments, W11 is COOH. In some embodiments, W11 is C1-C6alkyl. In some embodiments, W11 is C1-C6haloalkyl. In some embodiments, W11 is C1-C6hydroxyalkyl. In some embodiments, W11 is C1-C6aminoalkyl. In some embodiments, W11 is C1-C6heteroalkyl. In some embodiments, W11 is C2-C6alkenyl. In some embodiments, W11 is C2-C6alkynyl. In some embodiments, W11 is cycloalkyl (e.g., C3-C6 cycloalkyl). In some embodiments, W11 is heterocycloalkyl (e.g., 5 or 6 membered heterocycloalkyl). In some embodiments W11 is aryl. In some embodiments, W11 is
heteroaryl.
[00293] In some embodiments of Formula (1*), (4*), (5*), (6*), (1), (4), (5), or (6), W12 is hydrogen, halogen, -CN, -NO2, -OH, -SH -ORa, -NRcRd, -C(=O)Rb, -C(=O)ORb, - OC(=O)Rb, -NRbC(=O)Ra, -C(=O)NRcRd, C1-C7alkyl, C1-C6haloalkyl, C1-C6hydroxyalkyl, C1-C6aminoalkyl, C1-C6heteroalkyl, C2-C6alkenyl, C2-C6alkynyl, cycloalkyl, heterocycloalkyl, aryl, or heteroaryl. In some embodiments, W12 is -OH. In some embodiments, W12 is -SH. In some embodiments, W12 is H. In some embodiments, W12 is halogen. In some embodiments, W12 is CN. In some embodiments, W12 is NO2. In some embodiments, W12 is -ORa. In some embodiments, W12 is -NRcRd (e.g., amino, NH-alkyl or N(alkyl)2). In some embodiments, W12 is -C(=O)Rb, -C(=O)ORb, -OC(=O)Rb, - NRbC(=O)Ra, or -C(=O)NRcRd. In some embodiments, W12 is COOH. In some embodiments, W12 is C1-C6alkyl. In some embodiments, W12 is C1-C6haloalkyl. In some embodiments, W12 is C1-C6hydroxyalkyl. In some embodiments, W12 is C1-C6aminoalkyl. In some embodiments, W12 is C1-C6heteroalkyl. In some embodiments, W12 is C2-C6alkenyl. In some embodiments, W12 is C2-C6alkynyl. In some embodiments, W12 is cycloalkyl (e.g., C3-C6 cycloalkyl). In some embodiments, W12 is heterocycloalkyl (e.g., 5 or 6 membered heterocycloalkyl). In some embodiments, W12 is aryl. In some embodiments, W12 is heteroaryl.
[00294] In some embodiments of Formula (1*), (4*), (5*), (6*), (1), (4), (5), or (6), W5 and W6 are taken together to form an oxo. In some embodiments of Formula (1 *), (4*), (5*), (6*), (1), (4), (5), or (6), W7 and Wx are taken together to form an oxo. In some embodiments of Formula (1*), (4*), (5*), (6*), (1), (4), (5), or (6), W9 and W10 are taken together to form an oxo. In some embodiments of Formula (1*), (4*), (5*), (6*), (1), (4), (5), or (6), W11 and W12 are taken together to form an oxo.
[00295] In some embodiments of Formula (5) or (5*), W19 is hydrogen, halogen, C1-C6alkyl, cycloalkyl, heterocycloalkyl, aryl, or heteroaryl. In some embodiments W19 is hydrogen. In some embodiments W19 is C1-C6alkyl.
[00296] In some embodiments of Formula (5), (6*) or (5*), W18 is hydrogen, halogen, - CN, -NO2, -OH, -SH -ORa, -NRcRd, -C(=O)Rb, -C(=O)ORb, -OC(=O)Rb, -NRbC(=O)Ra, - C(=O)NRcRd, C1-C6alkyl, C1-C6haioalkyl, C1-C6hydroxyalkyl, C1-C6aminoalkyl, C1-C6heteroalkyl, C2-C6alkenyl, C2-C6aikynyl, cycloalkyl, heterocycloalkyl, aryl, or heteroaryl. In some embodiments, W18 is OH In some embodiments, W18 is -SH. In some
embodiments, W18 is H. In some embodiments, W18 is halogen. In some embodiments, W18 is CN. In some embodiments, W18 is NO2. In some embodiments, W18 is -ORa. In some embodiments, W18 is -NRcRd (e.g., amino, NH-alkyl orN(alkyl)2). In some embodiments, W18 is -C(=O)Rb, -C(=O)ORb, -0C(=O)Rb, -NRbC(=O)Ra, or -C(=O)NRcRd. In some embodiments, W18 is COOH. In some embodiments, W18 is C1-C6alkyl. In some embodiments, W18 is Ci-G,haloalkyl. In some embodiments, W18 is C1-C6hydroxyalkyl. In some embodiments, W18 is C1-C6aminoalkyl. In some embodiments, W18 is C1-C6heteroalkyl. In some embodiments, W18 is C2-C6alkenyl. In some embodiments, W18 is C2-C6alkynyl. In some embodiments, W18 is cycloalkyl (e.g., C3-C6 cycloalkyl). In some embodiments, W18 is heterocycloalkyl (e.g., 5 or 6 membered heterocycloalkyl). In some embodiments, W18 is aryl. In some embodiments, W18 is heteroaryl.
[00297] In some embodiments of Formula (5), (6*) or (5*), W17 is selected from a hydrogen, halogen, -CN, -NO2, -OH, -SH -ORa, -NRcRd, -C(=O)Rb, -C(=O)ORb, - OC(=O)Rb, -NRbC(=O)Ra, -C(=O)NRcRd, C1-C6alkyl, C1-C6haloalkyl, C1-C6hydroxy alkyl, C1-C6aminoalkyl, C1-C6heteroalkyl, C2-C6alkenyl, C2-C6alkynyl, cycloalkyl, heterocycloalkyl, aryl, and heteroaryl. In some embodiments, W17 is H. In some embodiments, W17 is C1-C6alkyl.
[00298] In some embodiments of Formula (5) or (5*), W17 and W18 are taken together to form an oxo.
[00299] In some embodiments of Formula (5) or (5*), W19 and W17 are taken together to form a double bond.
[00300] In some embodiments of Formula (1), (1*), (2) or (2*), R1 is C1- C9alkyl, C2- C9alkenyl, C2-C9alkynyl, C1-C9heteroalkyl, aryl, heteroaryl, cycloalkyl, heterocycloalkyl, - NRcRd, -ORa, LR1-aryl, LR1 -heteroaryl, LR1- cycloalkyl, or LR1 -heterocycloalkyl, wherein each of said alkyl, heteroalkyl, alkenyl, alkynyl, aryl, heteroaryl, cycloalkyl or heterocycloalkyl is optionally substituted. In some embodiments, R1 is NRcRd. In some embodiments, R1 is -ORa. In some embodiments, R1 is LR1-aryl, LR1-heteroaryl, LR1- cycloalkyl, or LR1-heterocycloalkyl. In some embodiments, R1 is OH. In some embodiments, R1 is -NHCH2COOH.
[00301] In some embodiments of Formula (1), (1*), (2) or (2*), W3 and R1 are taken together to form a substituted or unsubstituted 5-6 membered cyclic or heterocyclic ring. [00302] In some embodiments of Formula (1*) or (2*), LR1 is an optionally substituted C1-
C3 alkylene or an optionally substituted C1-C3 heteroalkylene. In some embodiments, LR1 is C1-C3 alkylene. In some embodiments, LR1 is C1-C2 heteroalkylene.
In some embodiments of Formula (3*), R2 is an alkyl, aryl, cycloalkyl, heterocycloalkyl, alkyl-COOH or -CH2-COOH, wherein each of said alkyl, aryl, cycloalkyl or heterocycloalkyl is optionally substituted. In some embodiments, R2 is optionally substituted C1-C6 alkyl. In some embodiments, R2 is optionally substituted C1-C6 heteroalkyl. In some embodiments, R2 is substituted with 1-5 substituents selected from halogen, oxo, -CN, -NO2, -OH, -ORa, -0C(=O)Ra, -OC(=O)ORb, -0C(=O)NRcRd, -SH, - SRa, -S(=O)Ra, -S(=O)2Ra, -S(=O)2NRcRd, -NRcRd, -NRbC(=O)NRcRd, -NRbC(=O)Ra, - NRbC(=O)ORb, -NRbS(=O)2Ra, -C(=O)Ra, -C(=O)ORb, -C(=O)NRcRd, C1-C6alkyl, C1-C6haloalkyl, C1-C6hydroxyalkyl, C1-C6aminoalkyl, C1-C6heteroalkyl, C2-C6alkenyl, C2- C6alkynyl, cycloalkyl, heterocycloalkyl, aryl, and heteroaryl, wherein each alkyl, alkenyl, alkynyl, cycloalkyl, heterocycloalkyl, aryl, and heteroaryl is independently optionally substituted with one or more Re, and wherein Re, Ra, Rb, Rc and Rb have the same meaning as defined in Formula (I*). In some embodiments, R2 is C1-C6alkyl-COOH.
[00303] As used herein, the term “alkyl” can be any straight- or branched-chain alkyl group containing up to about 30 carbons unless otherwise specified. In various embodiments, an alkyl includes C1-C5 carbons. In some embodiments, an alkyl includes C1- C6 carbons. In some embodiments, an alkyl includes C1-C8 carbons. In some embodiments, an alkyl includes C1-C10 carbons. In some embodiments, an alkyl is a C1-C12 carbons. In some embodiments, an alkyl is a C1-C20 carbons. In some embodiments, branched alkyl is an alkyl substituted by alkyl side chains of 1 to 5 carbons. In various embodiments, the alkyl group may be unsubstituted. In some embodiments, the alkyl group may be substituted. [00304] The alkyl group can be a sole substituent, or it can be a component of a larger substituent, such as in an alkoxy, alkoxyalkyl, haloalkyl, arylalkyl, alkylamino, dialkylamino, alkylamido, alkylurea, etc. Preferred alkyl groups are methyl, ethyl, and propyl, and thus halomethyl, dihalomethyl, trihalomethyl, haloethyl, dihaloethyl, trihaloethyl, halopropyl, dihalopropyl, trihalopropyl, methoxy, ethoxy, propoxy, arylmethyl, arylethyl, arylpropyl, methylamino, ethylamino, propylamino, dimethylamino, diethylamino, methylamido, acetamido, propylamido, halomethylamido, haloethylamido, halopropylamido, methyl-urea, ethyl-urea propyl-urea. In some embodiments, the alkyl is a C1-C10 alkyl, a C1-C9 alkyl, a C1-C8 alkyl a C1-C7 alkyl, a C1-C6 alkyl, a C1-C5 alkyl, a C1-
C4 alkyl, a C1-C3 alkyl, a C1-C2 alkyl, or a Ci alkyl. Further examples of an alkyl include, but are not limited to, methyl, ethyl, n-propyl, isopropyl, 2-methyl-1-propyl, 2-methyl -2- propyl, 2-methyl-1-butyl, 3-methyl-1-butyl, 2-methyl-3-butyl, 2,2-dimethyl-1-propyl, 2- methyl-1-pentyl, 3-methyl-1-pentyl, 4-methyl-1-pentyl, 2-methyl-2-pentyl, 3-methyl-2- pentyl, 4-methyl-2-pentyl, 2,2-dimethyl-1-butyl, 3,3-dimethyl-1-butyl, 2-ethyl-1-butyl, n- butyl, isobutyl, sec-butyl, t-butyl, n-pentyl, isopentyl, neopentyl, tert-amyl, and hexyl, and longer alkyl groups, such as heptyl, octyl, and the like. As used herein, an “alkylene” is a divalent alkyl.
[00305] As used herein, the term “aryl” refers to any aromatic ring that is directly bonded to another group and can be either substituted or unsubstituted. The aryl group can be a sole substituent, or the aryl group can be a component of a larger substituent, such as in an arylalkyl, arylamino, arylamido, etc. In some embodiments, the term aryl , includes also heteroaryl. Exemplary aryl groups include, without limitation, phenyl, tolyl, xylyl, furanyl, naphthyl, pyridinyl, pyrimidinyl, pyridazinyl, pyrazinyl, triazinyl, thiazolyl, oxazolyl, isooxazolyl, pyrazolyl, imidazolyl, thiophene-yl, pyrrolyl, indolyl, phenylmethyl, phenylethyl, phenylamino, phenylamido, 3-methyl-4H-1,2,4-triazolyl, oxadiazolyl, 5- methyl-1,2,4-oxadiazolyl, isothiazolyl, thiadiazolyl, triazolyl, etc.
[00306] A “cycloalkyl” or "carbocyclic" group refers, in various embodiments, to a ring structure comprising carbon atoms as ring atoms, which may be either saturated or unsaturated, substituted or unsubstituted, single or fused. In some embodiments the cycloalkyl is a 3-10 membered ring. In some embodiments the cycloalkyl is a 3-12 membered ring. In some embodiments the cycloalkyl is a 6 membered ring. In some embodiments the cycloalkyl is a 5-7 membered ring. In some embodiments the cycloalkyl is a 3-8 membered ring. In some embodiments, the cycloalkyl ring may be fused to another saturated or unsaturated cycloalkyl or heterocyclic 3-8 membered ring. In some embodiments, the cycloalkyl ring is a saturated ring. In some embodiments, the cycloalkyl ring is an unsaturated ring. Non limiting examples of a cycloalkyl group comprise cyclohexyl, cyclohexenyl, cyclopropyl, cyclopropenyl, cyclopentyl, cyclopentenyl, cyclopentadienyl, cyclobutyl, cyclobutenyl, cycloctyl, cycloctadienyl (COD), cycloctaene (COE) etc.
[00307] As used herein, the term "alkoxy" refers to an ether group substituted by an alkyl group as defined above. Alkoxy refers both to linear and to branched alkoxy groups.
Nonlimiting examples of alkoxy groups are methoxy, ethoxy, propoxy, /.sopropoxy. tert- butoxy.
[00308] A “heterocycle”, “heterocycloalkyl” or "heterocyclic" group or ring refers, in various embodiments, to a ring structure comprising in addition to carbon atoms, sulfur, oxygen, nitrogen or any combination thereof, as part of the ring. A “heteroaromatic ring” refers in various embodiments, to an aromatic ring structure comprising in addition to carbon atoms, sulfur, oxygen, nitrogen or any combination thereof, as part of the ring. In some embodiments the heterocycle or heteroaromatic ring is a 3-10 membered ring. In some embodiments the heterocycle or heteroaromatic ring is a 3-12 membered ring. In some embodiments the heterocycle or heteroaromatic ring is a 6 membered ring. In some embodiments the heterocycle or heteroaromatic ring is a 5-7 membered ring. In some embodiments the heterocycle or heteroaromatic ring is a 3-8 membered ring. In some embodiments, the heterocycle ring or heteroaromatic ring may be fused to another saturated or unsaturated cycloalkyl or heterocyclic 3-8 membered ring. In some embodiments, the heterocyclic ring is a saturated ring. In some embodiments, the heterocyclic ring is an unsaturated ring. Non limiting examples of a heterocyclic ring or heteroaromatic ring systems comprise pyridine, piperidine, morpholine, piperazine, thiophene, pyrrole, benzodioxole, benzofuran-2(3H)-one, benzo[d][l,3]dioxole, indole, oxazole, isoxazole, imidazole and 1-methylimidazole, furane, triazole, pyrimidine, pyrazine, oxacyclobutane (1 or 2-oxacyclobutane), naphthalene, tetrahydrothiophene 1,1 -dioxide, thiazole, benzimidazole, piperidine, 1-methylpiperidine, isoquinoline, 1,3-dihydroisobenzofuran, benzofuran, 3-methyl-4H-1,2, 4-triazole, oxadiazolyl, 5-methyl-1,2,4-oxadiazole, pyrazole, isothiazole, thiadiazole, tetrahydrofurane, oxazolone, oxazolidone, thiazolone, isothiazolinone, isoxazolidinone, imidazolidinone, pyrazolone, 2H-pyrrol-2-one, furanone, thiophenone, thiane 1,1 -dioxide, triazolopyrimidine, 6,7-dihydro-5H-pyrazolo[5,l- b][l,3]oxazine or indole. Further examples of heterocycloalkyl groups include, but are not limited to, aziridinyl, azetidinyl, dioxolanyl, thienyl[l,3]dithianyl, decahydroisoquinolyl, imidazolinyl, imidazolidinyl, isothiazolidinyl, isoxazolidinyl, morpholinyl, octahydroindolyl, octahydroisoindolyl, 2-oxopiperazinyl, 2-oxopiperidinyl, 2-oxopyrrolidinyl, oxazolidinyl, piperidinyl, piperazinyl, 4-piperidonyl, pyrrolidinyl, pyrazolidinyl, quinuclidinyl, thiazolidinyl, tetrahydrofuryl, trithianyl, tetrahydropyranyl, thiomorpholinyl, thiamorpholinyl, 1-oxo thiomorpholinyl, 1,1-dioxo-thiomorpholinyl, 1,3-
dihydroisobenzofuran-1-yl, 3-oxo-1,3-dihydroisobenzofuran-1-yl, methyl -2-oxo-1,3- dioxol-4-yl, and 2-oxo-1,3-dioxol-4-yl.
[00309] The term “heteroaryl” refers to an aromatic ring system containing from 5-14 member ring having at least one heteroatom in the ring. Non-limiting examples of suitable heteroatoms which can be included in the aromatic ring include oxygen, sulfur, phospate and nitrogen. Non-limiting examples of heteroaryl rings include pyridinyl, pyrrolyl, oxazolyl, indolyl, isoindolyl, purinyl, furanyl, thienyl, benzofuranyl, benzothiophenyl, carbazolyl, imidazolyl, thiazolyl, isoxazolyl, pyrazolyl, isothiazolyl, quinolyl, isoquinolyl, pyridazyl, pyrimidyl, pyrazyl, etc. Further examples include, but are not limited to, azepinyl, acridinyl, benzimidazolyl, benzothiazolyl, benzindolyl, benzodioxolyl, benzofuranyl, benzooxazolyl, benzothiazolyl, benzothiadiazolyl, benzo[b][l,4]dioxepinyl, 1,4-benzodioxanyl, benzonaphthofuranyl, benzoxazolyl, benzodioxolyl, benzodioxinyl, benzopyranyl, benzopyranonyl, benzofuranyl, benzofuranonyl, benzothienyl (benzothiophenyl), benzotriazolyl, benzo[4,6]imidazo[l,2-a]pyridinyl, carbazolyl, cinnolinyl, dibenzofuranyl, dibenzothiophenyl, furanyl, furanonyl, isothiazolyl, imidazolyl, indazolyl, indolyl, indazolyl, isoindolyl, indolinyl, isoindolinyl, isoquinolyl, indolizinyl, isoxazolyl, naphthyridinyl, oxadiazolyl, 2-oxoazepinyl, oxazolyl, oxiranyl, 1- oxidopyridinyl, 1 -oxidopyrimidinyl, 1-oxidopyrazinyl, 1 -oxidopyridazinyl,
1 -phenyl- lH-pyrrolyl, phenazinyl, phenothiazinyl, phenoxazinyl, phthalazinyl, pteridinyl, purinyl, pyrrolyl, pyrazolyl, pyridinyl, pyrazinyl, pyrimidinyl, pyridazinyl, quinazolinyl, quinoxalinyl, quinolinyl, quinuclidinyl, isoquinolinyl, tetrahydroquinolinyl, thiazolyl, thiadiazolyl, triazolyl, tetrazolyl, triazinyl, and thiophenyl (i.e., thienyl). The heteroaryl group can be unsubtituted or substituted through available carbon atoms with one or more groups such as. halogen, alkyl, aryl, hydroxy, alkoxy, aryloxy, alkylaryloxy, heteroaryloxy, oxo, cycloalkyl, phenyl, heteroaryls, heterocyclyl, naphthyl, amino, amido, alkylamino, arylamino, heteroarylamino, dialkylamino, diarylamino, alkylarylamino, alkylheteroarylamino, arylheteroarylamino, acyl, acyloxy, nitro, carboxy, carbamoyl, carboxamide, cyano, sulfonyl, sulfonylamino, sulfmyl, sulfinylamino, thiol, alkylthio, arylthio, alkylsulfonyl, -OCN, -SCN, -N=C=O, -NCS, -NO, -N3, -OP(=O)(OR*)2, - P(=O)(OR*)¾ -P(=O)(O- )2, -P(=O)(OH)2, -P(O)(OR*)(0 ), -C(=O)R*, -C(=O)X, -C(S)R*, -C(S)OR*, -C(O)SR*, — C(S)SR*, -C(S)NR* 2 or -C(=NR*)NR* 2 groups, where each R*is independently H, alkyl, aryl, arylalkyl, a heterocycle, or a protecting group or prodrug
moiety. Any substituents can be unsubstituted or further substituted with any one of these aforementioned substituents.
[00310] The term "halogen" or “halo” or "halide" as used herein refers to -Cl, -Br, -F, or -I groups.
[00311] “Alkenyl” refers to an optionally substituted straight-chain, or optionally substituted branched-chain hydrocarbon monoradical having one or more carbon-carbon double-bonds. In some embodiments, an alkenyl group has from two to about ten carbon atoms, or two to about six carbon atoms. The group may be in either the cis or trans configuration about the double bond(s), and should be understood to include both isomers. Examples include, but are not limited to, ethenyl (-CH=CH2), 1-propenyl (-CH2CH=CH2), isopropenyl [-C(CH3)=CH2], butenyl, 1,3-butadienyl, and the like. Whenever it appears herein, a numerical range such as “C2-C6 alkenyl” means that the alkenyl group may consist of 2 carbon atoms, 3 carbon atoms, 4 carbon atoms, 5 carbon atoms, or 6 carbon atoms, although the present definition also covers the occurrence of the term “alkenyl” where no numerical range is designated. In some embodiments, the alkenyl is a C2-C10 alkenyl, a C2- C9 alkenyl, a C2-C8 alkenyl, a C2-C7 alkenyl, a C2-C6 alkenyl, a C2-C5 alkenyl, a C2-C4 alkenyl, a C2-C3 alkenyl, or a C2 alkenyl. Unless stated otherwise specifically in the specification, an alkenyl group is optionally substituted, for example, with oxo, halogen, amino, nitrile, nitro, hydroxyl, haloalkyl, alkoxy, aryl, cycloalkyl, heterocycloalkyl, heteroaryl, and the like. In some embodiments, an alkenyl is optionally substituted with oxo, halogen, -CN, -CF3, -OH, -OMe, -NH2, or -NO2. In some embodiments, an alkenyl is optionally substituted with oxo, halogen, -CN, -CF3, -OH, or -OMe. In some embodiments, the alkenyl is optionally substituted with halogen.
[00312] “Alkynyl” refers to an optionally substituted straight-chain or optionally substituted branched-chain hydrocarbon monoradical having one or more carbon-carbon triple-bonds. In some embodiments, an alkynyl group has from two to about ten carbon atoms, more preferably from two to about six carbon atoms. Examples include, but are not limited to, ethynyl, 2-propynyl, 2-butynyl, 1,3-butadiynyl, and the like. Whenever it appears herein, a numerical range such as “C2-C6 alkynyl” means that the alkynyl group may consist of 2 carbon atoms, 3 carbon atoms, 4 carbon atoms, 5 carbon atoms, or 6 carbon atoms, although the present definition also covers the occurrence of the term “alkynyl” where no numerical range is designated. In some embodiments, the alkynyl is a C2-C10 alkynyl, a C2-
C9 alkynyl, a C2-C8 alkynyl, a C2-C7 alkynyl, a C2-C6 alkynyl, a C2-C5 alkynyl, a C2-C4 alkynyl, a C2-C3 alkynyl, or a C2 alkynyl. Unless stated otherwise specifically in the specification, an alkynyl group is optionally substituted, for example, with oxo, halogen, amino, nitrile, nitro, hydroxyl, haloalkyl, alkoxy, aryl, cycloalkyl, heterocycloalkyl, heteroaryl, and the like. In some embodiments, an alkynyl is optionally substituted with oxo, halogen, -CN, -CF3, -OH, -OMe, -NH2, or -NO2. In some embodiments, an alkynyl is optionally substituted with oxo, halogen, -CN, -CF3, -OH, or -OMe. In some embodiments, the alkynyl is optionally substituted with halogen.
[00313] “Aminoalkyl” refers to an alkyl radical, as defined above, that is substituted by one or more amines. In some embodiments, the alkyl is substituted with one amine. In some embodiments, the alkyl is substituted with one, two, or three amines. Hydroxyalkyl include, for example, aminomethyl, aminoethyl, aminopropyl, aminobutyl, or aminopentyl. In some embodiments, the hydroxyalkyl is aminomethyl.
[00314] “Haloalkyl” refers to an alkyl radical, as defined above, that is substituted by one or more halogens. In some embodiments, the alkyl is substituted with one, two, or three halogens. In some embodiments, the alkyl is substituted with one, two, three, four, five, or six halogens. Haloalkyl can include, for example, iodoalkyl, bromoalkyl, chloroalkyl, and fluoroalkyl. For example, "fluoroalkyl" refers to an alkyl radical, as defined above, that is substituted by one or more fluoro radicals, as defined above, for example, trifluoromethyl, difluoromethyl, fluoromethyl, 2,2,2-trifluoroethyl, 1 -fluoromethyl-2-fluoroethyl, and the like. In some embodiments, the alkyl part of the fluoroalkyl radical is optionally substituted. [00315] “Heteroalkyl” refers to an alkyl group in which one or more skeletal atoms of the alkyl are selected from an atom other than carbon, e.g., oxygen, nitrogen (e.g., -NH-, - N(alkyl)-), sulfur, or combinations thereof. A heteroalkyl is attached to the rest of the molecule at a carbon atom of the heteroalkyl. In one aspect, a heteroalkyl is a C1-C6 heteroalkyl wherein the heteroalkyl is comprised of 1 to 6 carbon atoms and one or more atoms other than carbon, e.g., oxygen, nitrogen (e.g. -NH-, -N(alkyl)-), sulfur, or combinations thereof wherein the heteroalkyl is attached to the rest of the molecule at a carbon atom of the heteroalkyl. Examples of such heteroalkyl are, for example, -CH2OCH3, -CH2CH2OCH3, -CH2CH2OCH2CH2OCH3, or -CH(CH )OCH . Unless stated otherwise specifically in the specification, a heteroalkyl is optionally substituted for example, with oxo, halogen, amino, nitrile, nitro, hydroxyl alkyl alkenyl, alkynyl, haloalkyl, alkoxy, aryl,
cycloalkyl, heterocycloalkyl, heteroaryl, and the like. In some embodiments, a heteroalkyl is optionally substituted with oxo, halogen, methyl, ethyl, -CN, -CF3, -OH, -OMe, -NH2, or -NO2. In some embodiments, a heteroalkyl is optionally substituted with oxo, halogen, methyl, ethyl, -CN, -CF3, -OH, or -OMe. In some embodiments, the heteroalkyl is optionally substituted with halogen. As used herein, a “heteroalkylene” refers to a divalent heteroalkyl.
[00316] “Hydroxyalkyl” refers to an alkyl radical, as defined above, that is substituted by one or more hydroxyls. In some embodiments, the alkyl is substituted with one hydroxyl. In some embodiments, the alkyl is substituted with one, two, or three hydroxyls. Hydroxyalkyl include, for example, hydroxymethyl, hydroxyethyl, hydroxypropyl, hydroxybutyl, or hydroxypentyl. In some embodiments, the hydroxyalkyl is hydroxymethyl.
[00317] In some embodiments, when a chemical term/group (e.g., alkyl, aryl, heteroaryl, cycloalkyl, amino, alkoxy, etc.) is said to be substituted, non-limiting examples of substituents include the following: F, Cl, Br, I, OH, SH, C1-C5 linear or branched alkyl, aryl (e.g. phenyl), heteroaryl (e.g.„ pyridine (2, 3, and 4-pyridine), cycloalkyl (e.g. cyclopropyl), heterocyclic ring, alkoxy, CF3, phenyl, halophenyl, (benzyloxy)phenyl, CN, NO2, haloalkyl, carbonyl, amido, alkylamido, dialkylamido, CO2H, carboxyl, thio, thioalkyl, C1-C5 linear or branched haloalkoxy, CF3, phenyl, , (benzyloxy)phenyl, -CH2CN, NH2, NH-alkyl, N(alkyl)2, -OC(O)CF , -OCH2Ph, -NHCO-alkyl, -C(O)Ph, C(O)O-alkyl, C(O)H, oxo (i.e., =0), -C(O)NH2 or any combination thereof.
[00318] In some embodiments, disclosed herein are isomers of the chimeric molecules as described hereinabove. In certain embodiments, the term “isomer” includes, but is not limited to, stereoisomers including optical isomers and analogs, structural isomers and analogs, conformational isomers and analogs, and the like. In one embodiment, the isomer is a stereoisomer. In another embodiment, the isomer is an optical isomer.
[00319] Certain chimeric molecules may exist in particular geometric or stereoisomeric forms. Embodiments described herein contemplate all such chimeric molecules, including cis- and trans-isomers, R- and L-enantiomers. diastereomers, the racemic mixtures thereof, and other mixtures thereof. Additional asymmetric carbon atoms may be present in a substituent such as an alkyl group. All such isomers, as well as mixtures thereof, are comprised in embodiments disclosed herein.
[00320] In certain embodiments, the chimeric molecules may contain at least one chiral
center. Accordingly, the chimeric molecules used in the methods described herein may exist in, and be isolated in, optically-active or racemic forms. The chimeric molecules may further exist as stereoisomers which may be also optically-active isomers (e.g.„ enantiomers such as (R) or (S)). as enantiomerically enriched mixtures, racemic mixtures, or as single diastereomers, diastereomeric mixtures, or any other stereoisomers, including but not limited to: (R)(R), (R)(S), (S)(S), (S)(R), (R)(R)(R), (R)(R)(S), (R)(S)(R), (S)(R)(R), (R)(S)(S), (S)(R)(S), (S)(S)(R) or (S)(S)(S) stereoisomers. Some chimeric molecules may also exhibit polymorphism. It is to be understood that chimeric molecules described herein may encompass any racemic, optically-active, polymorphic, or stereoisomeric form, or mixtures thereof, which form possesses properties useful in the treatment of the various diseases described herein. It is also to be understood that chirality and/or optical activity can affect biological activity of the chimeric molecules.
[00321] It is well known in the art how to prepare optically active forms (for example, by resolution of the racemic form by recrystallization techniques, by synthesis from optically- active starting materials, by chiral synthesis, or by chromatographic separation using a chiral stationary phase).
[00322] In certain embodiments, the chimeric molecules can also be present in the form of a racemic mixture, containing substantially equivalent amounts of stereoisomers. In some embodiments, the chimeric molecules of can be prepared or otherwise isolated, using known procedures, to obtain a stereoisomer substantially free of its corresponding stereoisomer (i.e., substantially pure). By substantially pure, it is intended that a stereoisomer is at least about 95% pure, more preferably at least about 98% pure, most preferably at least about 99% pure.
[00323] chimeric molecules can also be in the form of a hydrate, which means that the compound further includes a stoichiometric or non-stoichiometric amount of water bound by non-covalent intermolecular forces.
[00324] As used herein, when some chemical functional group (e.g., alkyl or aryl) is said to be “substituted”, it is herein defined that one or more substitutions are possible.
[00325] chimeric molecules may exist in the form of one or more of the possible tautomers and depending on the conditions it may be possible to separate some or all the tautomers into individual and distinct entities. It is to be understood that all the possible tautomers, including all additional enol and keto tautomers and/or isomers are hereby covered.
[00326] As used herein, the term “Formula (l)-(9) derivatives”, or “Formula (A)-(K) derivatives”, refer to additional or removal of any functional group to or from the corresponding Formula. Non-limiting examples are ketone, amine, amide, alcohol, ester, ather, alkane, alkene, alkyne, alkyl halide, thiol, aldehyde, or any combination thereof. Similar meanings can be applied to Formulas (I*)-(9*), (K*), (K**), (B*) or (B**).
[00327] In some embodiments, the compounds described herein exist in their isotopically-labeled forms. In some embodiments, the methods disclosed herein include methods of treating diseases by administering such isotopically-labeled compounds. In some embodiments, the methods disclosed herein include methods of treating diseases by administering such isotopically-labeled compounds as pharmaceutical compositions. Thus, in some embodiments, the compounds disclosed herein include isotopically-labeled compounds, which are identical to those recited herein, but for the fact that one or more atoms are replaced by an atom having an atomic mass or mass number different from the atomic mass or mass number usually found in nature. Examples of isotopes that can be incorporated into compounds described herein, or a solvate, or stereoisomer thereof, include isotopes of hydrogen, carbon, nitrogen, oxygen, phosphorous, sulfur, fluorine, and chloride, such as 2H, 3H, 13C, 14C, 15N, 18O, 17O, 31P, 32P, 35S, 18F, and 36Cl, respectively. Compounds described herein, and the pharmaceutically acceptable salts, solvates, or stereoisomers thereof which contain the aforementioned isotopes and/or other isotopes of other atoms are within the scope of this disclosure. Certain isotopically- labeled compounds, for example those into which radioactive isotopes such as 3H and 14C are incorporated, are useful in drug and/or substrate tissue distribution assays. Tritiated, i.e., 3H and carbon- 14, i.e., 14C, isotopes are notable for their ease of preparation and detectability. Further, substitution with heavy isotopes such as deuterium, i.e., 2H, produces certain therapeutic advantages resulting from greater metabolic stability, for example increased in vivo half-life or reduced dosage requirements. In some embodiments, the isotopically labeled compound or a pharmaceutically acceptable salt, solvate, or stereoisomer thereof is prepared by any suitable method.
[00328] In some embodiments, the compounds described herein are labeled by other means, including, but not limited to, the use of chromophores or fluorescent moieties, bioluminescent labels, or chemiluminescent labels.
[00329] In certain embodiments, the abundance of 2H atoms in the compounds
disclosed herein is enriched for some or all of the 1H atoms. The methods of synthesis for deuterium-containing compounds are known in the art and include, by way of non- limiting example only, the following synthetic methods.
[00330] Deuterium substituted compounds are synthesized using various methods such as described in: Dean, Dennis C.; Editor. Recent Advances in the Synthesis and Applications of Radiolabeled Compounds for Drug Discovery and Development. [In: Curr., Pharm. Des., 2000; 6(10)] 2000, 110 pp; George W.; Varma, Rajender S. The Synthesis of Radiolabeled Compounds via Organometallic Intermediates, Tetrahedron, 1989, 45(21), 6601-21; and Evans, E. Anthony. Synthesis of radiolabeled compounds, J. Radioanal. Chem., 1981, 64(1-2), 9-32.
[00331] Deuterated starting materials are readily available and are subjected to the synthetic methods described herein to provide for the synthesis of deuterium-containing compounds. Large numbers of deuterium-containing reagents and building blocks are available commercially from chemical vendors, such as Aldrich Chemical Co.
[00332] Deuterium-transfer reagents suitable for use in nucleophilic substitution reactions, such as iodomethane-d3 (CD3I), are readily available and may be employed to transfer a deuterium-substituted carbon atom under nucleophilic substitution reaction conditions to the reaction substrate. Deuterium-transfer reagents, such as lithium aluminum deuteride (LiA1D4), can be employed to transfer deuterium under reducing conditions to the reaction substrate. Deuterium gas and palladium catalyst can be employed to reduce unsaturated carbon-carbon linkages and to perform a reductive substitution of aryl carbon-halogen bonds.
In some embodiments, the compounds disclosed herein contain one deuterium atom. In another embodiment, the compounds disclosed herein contain two deuterium atoms. In another embodiment, the compounds disclosed herein contain three deuterium atoms. In another embodiment, the compounds disclosed herein contain four deuterium atoms. In another embodiment, the compounds disclosed herein contain five deuterium atoms. In another embodiment, the compounds disclosed herein contain six deuterium atoms. In another embodiment, the compounds disclosed herein contain more than six deuterium atoms. In another embodiment, the compound disclosed herein is fully substituted with deuterium atoms and contains no non-exchangeable 1H hydrogen atoms. In some embodiments, the level of deuterium incorporation is determined by synthetic methods in
which a deuterated synthetic building block is used as a starting material.
[00333] The chimeric molecules disclosed herein, may exist in the form of one or more of the possible tautomers and depending on the conditions it may be possible to separate some or all of the tautomers into individual and distinct entities. It is to be understood that all of the possible tautomers, including all additional enol and keto tautomers and/or isomers are hereby covered.
Synthesis
[00334] In some embodiments, provided herein is a process (Process 1) for the preparation of the chimeric molecules, comprising the following steps: (i) linker molecule activation;
(ii) first binding domain coupling with one functional group of the activated linker molecule; and
(iii) second binding domain coupling with second functional group of the activated linker molecule. [00335] In one embodiment, both of steps of Process 1 (ii)-(iii) are performed following step (i). In another embodiment, step (ii) is performed prior to step (iii). In another embodiment, step (ii) is performed following step (iii).
[00336] In another embodiment, step (ii) of Process 1 comprises a coupling reaction between USP5 binder selected from Formulas (l)-(9) or derivatives thereof with one functional group of an activated linker (of step (i) or step (iii)). In another embodiment, step (iii) comprises a coupling reaction between target binder selected from (A)-(K) or derivative thereof with second functional group of an activated linker (of step (i) or of step (ii)). [00337] In certain embodiments, step (i) can be represented by Scheme 1 :
LG is a leaving group, selected from halide, OTs, OMs, and OTf; and
n is an integer between 1 and 10.
[00339] In another embodiment, the linker molecule activation of step (i) is prepared by reacting linker (9) with Ts-Hal, Ms-Hal, or Tf-Hal, wherein Hal is halide.
[00340] In one embodiment, the linker of step (i) is activated only on one end. In another embodiment, after step (ii) the linker connected to the first binding domain is activated before step (iii). In another embodiment, after step (iii) the linker connected to the second binding domain is optionally activated before step (ii).
[00341] In certain embodiments, step (ii) of Process 1 can be represented by Schemes 2A- 2B: [00342] Schemes 2A-2B: Coupling of activated linker molecule with the first binding domain (1 la-1 lb):
LG is a leaving group, selected from halide, OTs, OMs and OTf; n is an integer between 1 and 10;
Aik is an alkyl; and
X1-X9 and W1-W19 are as described hereinabove.
[00343] In certain embodiments, step (ii) or (iii) comprises a further sub-step done following the reaction between (10) and the first or second binding domain, namely modification of the linker’s moiety leaving group (LG) (at the end where it did not react with the binding domain) in order to afford better coupling with the second or first binding domain, respectively. In one embodiment, an example of the sub-step of step (ii) is represented by Schemes 3A-3B:
[00344] Schemes 3A-3B: LG modification following a reaction of activated linker molecule and the first binding domain:
wherein
X10 is -CH2- or -O-;
n is an integer between 1 and 10;
Alk is an alkyl; and
X1-X9 and W1-W19 are as described hereinabove.
[00345] In certain embodiments, the conversion of (12a-1) to (13a) or (12b-1) to (13b) is performed via any known method in the art for converting an -OTs group with an -NH2 group. In one embodiment, the conversion is performed by a “Staudinger reaction”, i.e., by reacting (12a-l) or (12b-l) with NaN3 and then with PPh3.
[00347] In certain embodiments, Formula (1 la) is represented by the following:
[00
351] n certan em o ments, ormua (12b-1) s represented by the following:
[00352] In certain embodiments, Formula (13b) is represented by the following:
[
00353] In some embodiment, provided herein is a process (Process 2) for the preparation of the chimeric molecules disclosed herein, comprising the following steps:
(i) coupling the first binding domain with one end of a linker molecule; and (ii) coupling the second binding domain with a second end of the linker molecule.
[00354] In another embodiment, step (i) of Process 2 is performed prior to step (ii). In another embodiment, step (i) is performed following step (ii). In another embodiment, step (i) comprises a coupling reaction between USP5 binder selected from Formulas (l)-(9) or derivatives thereof with one functional group or one end of the linker provided herein. In another embodiment, step (ii) comprises a coupling reaction between target binder selected from (A)-(K) or derivative thereof with second functional group or second end of the linker provided herein. In another embodiment, the linker molecule is optionally activated prior to the coupling reaction (i). In another embodiment, the linker molecule is optionally activated prior to the coupling reaction (ii). In another embodiment, the linker molecule is optionally activated prior to the coupling reaction (iii).
[00355] In some embodiments, the coupling reaction of steps (ii) and (iii) of Process 1, and steps (i) and (ii) of Process 2 are performed via any method known in the art for coupling alcohol and carbon substituted with a leaving group. In some embodiments, the coupling reaction of steps (ii) and (iii) of Process 1, and steps (i) and (ii) of Process 2 are performed via any method known in the art for coupling acid and amine group.
[00356] In some embodiment, after the first coupling reaction of step (ii) or (iii) of Process 1, or steps (i) or (ii) of Process 2, the other end of the linker is substituted with amine. [00357] In another embodiment, the other end of the linker having a leaving group is replaced with an amine. In another embodiment, the other end of the linker having a leaving group is capable of replacing (converting) OTs (leaving group) group replaced with amine by any method known in the art.
[00358] In one embodiment, the compositions provided herein, are prepared according to
Examples 2-65.
Compositions
[00359] In some embodiments, provided herein is a pharmaceutical composition comprising any one of the chimeric molecules disclosed herein. In one embodiment, provided herein is a pharmaceutical composition comprising a pharmaceutically acceptable salt of any one of the chimeric molecules disclosed herein. In one embodiment, provided herein is a pharmaceutical composition comprising any one of the chimeric molecules disclosed herein and a pharmaceutically acceptable carrier. In one embodiment, a pharmaceutical composition comprises a preparation of one or more of the chimeric molecules, described herein with other chemical components, such as physiologically (pharmaceutically) suitable carriers and excipients.
[00360] Pharmaceutically acceptable excipients and carriers are known to those skilled in the art, and have been amply described in a variety of publications, including, for example, A. Gennaro (1995) "Remington: The Science and Practice of Pharmacy", 19th edition, Lippincott, Williams, & Wilkins formulations. The purpose of a pharmaceutical composition is to facilitate administration of a compound to an organism. In certain embodiments, a pharmaceutical composition provides the pharmaceutical dosage form of a chimeric molecule disclosed herein.
[00361] In one embodiment, provided herein is a pharmaceutical composition comprising a chimeric molecule comprising a USP5 binder. In one embodiment, provided herein is a pharmaceutical composition comprising a chimeric molecule comprising a USP5 binder represented by the structure of any one of the following Formula (1) - Formula (9) or a pharmaceutically acceptable salt thereof. In one embodiment, provided herein is a pharmaceutical composition comprising a chimeric molecule comprising a USP5 binder represented by the structure of any one of the following Formula (1) - Formula (9) and a target binder represented by the structure of Formula (A)-(K). In one embodiment, provided herein is a pharmaceutical composition comprising a chimeric molecule comprising a USP5 binder represented by the structure of any one of the following Formula (1) - Formula (9) and a target binder represented by the structure of Formula (L)-(N). [00362] In one embodiment, provided herein is a pharmaceutical composition comprising a chimeric molecule comprising a USP5 bi d epresented by the structure of any one of
the following Formula (1*) - Formula (9*). In one embodiment, provided herein is a pharmaceutical composition comprising a chimeric molecule comprising a USP5 binder represented by the structure of any one of the following Formula (1*) - Formula (9*) and a target binder represented by the structure of Formula (A)-(N).
[00363] In one embodiment, provided herein is a pharmaceutical composition comprising a chimeric molecule represented by the structure of chimeric molecule (I)-(XXX). In one embodiment, provided herein is a pharmaceutical composition comprising a chimeric molecule represented by the structure of chimeric molecule (1)-(210) of Table 2.
[00364] In some embodiments, provided herein is a pharmaceutical composition comprising a chimeric molecule comprising a USP5 binder represented by the structure of Formula (1). In some embodiments, provided herein is a pharmaceutical composition comprising a chimeric molecule comprising a USP5 binder represented by the structure of Formula (2). In some embodiments, provided herein is a pharmaceutical composition comprising a chimeric molecule comprising a USP5 binder represented by the structure of Formula (3). In some embodiments, provided herein is a pharmaceutical composition comprising a chimeric molecule comprising a USP5 binder represented by the structure of Formula (4). In some embodiments, provided herein is a pharmaceutical composition comprising a chimeric molecule comprising a USP5 binder represented by the structure of Formula (5). In some embodiments, provided herein is a pharmaceutical composition comprising a chimeric molecule comprising a USP5 binder represented by the structure of Formula (6). In some embodiments, provided herein is a pharmaceutical composition comprising a chimeric molecule comprising a USP5 binder represented by the structure of Formula (7). In some embodiments, provided herein is a pharmaceutical composition comprising a chimeric molecule comprising a USP5 binder represented by the structure of Formula (8). In some embodiments, provided herein is a pharmaceutical composition comprising a chimeric molecule comprising a USP5 binder represented by the structure of Formula (9). In some embodiments, provided herein is a pharmaceutical composition comprising a chimeric molecule comprising a USP5 binder represented by the structure of Formulas (l*)-(9*).
[00365] In some embodiments, provided herein is a pharmaceutical composition comprising a chimeric molecule comprising a USP5 binder represented by the structure of any one of the following Formula (1) - Formula (9) and a target binder represented by the
structure of Formula (A)-(K). In some embodiments, provided herein is a pharmaceutical composition comprising a chimeric molecule comprising a USP5 binder represented by the structure of any one of the following Formula (1*) - Formula (9*) and a target binder represented by the structure of Formula (A)-(K). In some embodiments, provided herein is a pharmaceutical composition comprising a chimeric molecule comprising a USP5 binder represented by the structure of Formula (1) and a target binder represented by the structure of Formula (A)-(K). In some embodiments, provided herein is a pharmaceutical composition comprising a chimeric molecule comprising a USP5 binder represented by the structure of Formula (2) and a target binder represented by the structure of Formula (A)- (K). In some embodiments, provided herein is a pharmaceutical composition comprising a chimeric molecule comprising a USP5 binder represented by the structure of Formula (3) and a target binder represented by the structure of Formula (A)-(K). In some embodiments, provided herein is a pharmaceutical composition comprising a chimeric molecule comprising a USP5 binder represented by the structure of Formula (4) and a target binder represented by the structure of Formula (A)-(K). In some embodiments, provided herein is a pharmaceutical composition comprising a chimeric molecule comprising a USP5 binder represented by the structure of Formula (5) and a target binder represented by the structure of Formula (A)-(K). In some embodiments, provided herein is a pharmaceutical composition comprising a chimeric molecule comprising a USP5 binder represented by the structure of Formula (6) and a target binder represented by the structure of Formula (A)-
(K). In some embodiments, provided herein is a pharmaceutical composition comprising a chimeric molecule comprising a USP5 binder represented by the structure of Formula (7) and a target binder represented by the structure of Formula (A)-(K). In some embodiments, provided herein is a pharmaceutical composition comprising a chimeric molecule comprising a USP5 binder represented by the structure of Formula (8) and a target binder represented by the structure of Formula (A)-(K). In some embodiments, provided herein is a pharmaceutical composition comprising a chimeric molecule comprising a USP5 binder represented by the structure of Formula (9) and a target binder represented by the structure of Formula (A)-(K). In some embodiments, provided herein is a pharmaceutical composition comprising a chimeric molecule comprising a USP5 binder represented by the structure of Formulas (1)- (9) and a target binder represented by the structure of Formula
(L)-(N). In some embodiments, provided herein is a pharmaceutical composition comprising
a chimeric molecule comprising a USP5 binder represented by the structure of Formulas (1*)- (9*) and a target binder represented by the structure of Formula (A)-(N).
[00366] In some embodiments, provided herein is a pharmaceutical composition comprising a chimeric molecule comprising a USP5 binder represented by the structure of any of Formula (1), (2), (3), (4), (5), (6), (7), (8), or (9) and a target binder represented by the structure of Formula (A). In some embodiments, provided herein is a pharmaceutical composition comprising a chimeric molecule comprising a USP5 binder represented by the structure of any of Formula (1), (2), (3), (4), (5), (6), (7), (8), or (9) and a target binder represented by the structure of Formula (B). In some embodiments, provided herein is a pharmaceutical composition comprising a chimeric molecule comprising a USP5 binder represented by the structure of any of Formula (1), (2), (3), (4), (5), (6), (7), (8), or (9) and a target binder represented by the structure of Formula (C). In some embodiments, provided herein is a pharmaceutical composition comprising a chimeric molecule comprising a USP5 binder represented by the structure of any of Formula (1), (2), (3), (4), (5), (6), (7), (8), or (9) and a target binder represented by the structure of Formula (D). In some embodiments, provided herein is a pharmaceutical composition comprising a chimeric molecule comprising a USP5 binder represented by the structure of any of Formula (1), (2), (3), (4), (5), (6), (7), (8), or (9) and a target binder represented by the structure of Formula (E). In some embodiments, provided herein is a pharmaceutical composition comprising a chimeric molecule comprising a USP5 binder represented by the structure of any of Formula (1), (2), (3), (4), (5), (6), (7), (8), or (9) and a target binder represented by the structure of Formula (F). In some embodiments, provided herein is a pharmaceutical composition comprising a chimeric molecule comprising a USP5 binder represented by the structure of any of Formula (1), (2), (3), (4), (5), (6), (7), (8), or (9) and a target binder represented by the structure of Formula (G). In some embodiments, provided herein is a pharmaceutical composition comprising a chimeric molecule comprising a USP5 binder represented by the structure of any of Formula (1), (2), (3), (4), (5), (6), (7), (8), or (9) and a target binder represented by the structure of Formula (H). In some embodiments, provided herein is a pharmaceutical composition comprising a chimeric molecule comprising a USP5 binder represented by the structure of any of Formula (1), (2), (3), (4), (5), (6), (7), (8), or (9) and a target binder represented by the structure of Formula (I). In some embodiments, provided herein is a pharmaceutical composition comprising a chimeric molecule comprising a USP5
binder represented by the structure of any of Formula (1), (2), (3), (4), (5), (6), (7), (8), or (9) and a target binder represented by the structure of Formula (J). In some embodiments, provided herein is a pharmaceutical composition comprising a chimeric molecule comprising a USP5 binder represented by the structure of any of Formula (1), (2), (3), (4), (5), (6), (7), (8), or (9) and a target binder represented by the structure of Formula (K). [00367] In some embodiments, provided herein is a pharmaceutical composition comprising a chimeric molecule comprising a USP5 binder represented by the structure of any of Formula (1*), (2*), (3*), (4*), (5*), (6*), (7*), (8*), or (9*) and a target binder represented by the structure of Formula (A). In some embodiments, provided herein is a pharmaceutical composition comprising a chimeric molecule comprising a USP5 binder represented by the structure of any of Formula (1*), (2*), (3*), (4*), (5*), (6*), (7*), (8*), or (9*) and a target binder represented by the structure of Formula (B). In some embodiments, provided herein is a pharmaceutical composition comprising a chimeric molecule comprising a USP5 binder represented by the structure of any of Formula (1*), (2*), (3*), (4*), (5*), (6*), (7*), (8*), or (9*) and a target binder represented by the structure of Formula (C). In some embodiments, provided herein is a pharmaceutical composition comprising a chimeric molecule comprising a USP5 binder represented by the structure of any of Formula (1*), (2*), (3*), (4*), (5*), (6*), (7*), (8*), or (9*) and a target binder represented by the structure of Formula (D). In some embodiments, provided herein is a pharmaceutical composition comprising a chimeric molecule comprising a USP5 binder represented by the structure of any of Formula (1*), (2*), (3*), (4*), (5*), (6*), (7*), (8*), or (9*) and a target binder represented by the structure of Formula (E). In some embodiments, provided herein is a pharmaceutical composition comprising a chimeric molecule comprising a USP5 binder represented by the structure of any of Formula (1*), (2*), (3*), (4*), (5*), (6*), (7*), (8*), or (9*) and a target binder represented by the structure of Formula (F). In some embodiments, provided herein is a pharmaceutical composition comprising a chimeric molecule comprising a USP5 binder represented by the structure of any of Formula (1*), (2*), (3*), (4*), (5*), (6*), (7*), (8*), or (9*) and a target binder represented by the structure of Formula (G). In some embodiments, provided herein is a pharmaceutical composition comprising a chimeric molecule comprising a USP5 binder represented by the structure of any of Formula (1*), (2*), (3*), (4*), (5*), (6*), (7*), (8*), or (9*) and a target binder represented by the structure of Formula (H). In some
embodiments, provided herein is a pharmaceutical composition comprising a chimeric molecule comprising a USP5 binder represented by the structure of any of Formula (1*), (2*), (3*), (4*), (5*), (6*), (7*), (8*), or (9*) and a target binder represented by the structure of Formula (I). In some embodiments, provided herein is a pharmaceutical composition comprising a chimeric molecule comprising a USP5 binder represented by the structure of any of Formula (1*), (2*), (3*), (4*), (5*), (6*), (7*), (8*), or (9*) and a target binder represented by the structure of Formula (J). In some embodiments, provided herein is a pharmaceutical composition comprising a chimeric molecule comprising a USP5 binder represented by the structure of any of Formula (1*), (2*), (3*), (4*), (5*), (6*), (7*), (8*), or (9*) and a target binder represented by the structure of Formula (K). In some embodiments, provided herein is a pharmaceutical composition comprising a chimeric molecule comprising a USP5 binder represented by the structure of any of Formula (1*), (2*), (3*), (4*), (5*), (6*), (7*), (8*), or (9*) and a target binder represented by the structure of Formula (L). In some embodiments, provided herein is a pharmaceutical composition comprising a chimeric molecule comprising a USP5 binder represented by the structure of any of Formula (1*), (2*), (3*), (4*), (5*), (6*), (7*), (8*), or (9*) and a target binder represented by the structure of Formula (M). In some embodiments, provided herein is a pharmaceutical composition comprising a chimeric molecule comprising a USP5 binder represented by the structure of any of Formula (1*), (2*), (3*), (4*), (5*), (6*), (7*), (8*), or (9*) and a target binder represented by the structure of Formula (N).
[00368] In some embodiments, provided herein is a pharmaceutical composition comprising a chimeric molecule comprising a USP5 binder represented by the structure of Formula (7) and a target binder represented by the structure of Formula (A). In some embodiments, provided herein is a pharmaceutical composition comprising a chimeric molecule comprising a USP5 binder represented by the structure of Formula (7) and a target binder represented by the structure of Formula (B). In some embodiments, provided herein is a pharmaceutical composition comprising a chimeric molecule comprising a USP5 binder represented by the structure of Formula (7) and a target binder represented by the structure of Formula (C). In some embodiments, provided herein is a pharmaceutical composition comprising a chimeric molecule comprising a USP5 binder represented by the structure of Formula (7) and a target binder represented by the structure of Formula (D). In some embodiments, provided herein is a pharmaceutical composition comprising a
chimeric molecule comprising a USP5 binder represented by the structure of Formula (7) and a target binder represented by the structure of Formula (E). In some embodiments, provided herein is a pharmaceutical composition comprising a chimeric molecule comprising a USP5 binder represented by the structure of Formula (7) and a target binder represented by the structure of Formula (F). In some embodiments, provided herein is a pharmaceutical composition comprising a chimeric molecule comprising a USP5 binder represented by the structure of Formula (7) and a target binder represented by the structure of Formula (G). In some embodiments, provided herein is a pharmaceutical composition comprising a chimeric molecule comprising a USP5 binder represented by the structure of Formula (7) and a target binder represented by the structure of Formula (H). In some embodiments, provided herein is a pharmaceutical composition comprising a chimeric molecule comprising a USP5 binder represented by the structure of Formula (7) and a target binder represented by the structure of Formula (I). In some embodiments, provided herein is a pharmaceutical composition comprising a chimeric molecule comprising a USP5 binder represented by the structure of Formula (7) and a target binder represented by the structure of Formula (J). In some embodiments, provided herein is a pharmaceutical composition comprising a chimeric molecule comprising a USP5 binder represented by the structure of Formula (7) and a target binder represented by the structure of Formula (K). In some embodiments, provided herein is a pharmaceutical composition comprising a chimeric molecule comprising a USP5 binder represented by the structure of Formula (7) and a target binder represented by the structure of Formula (L). In some embodiments, provided herein is a pharmaceutical composition comprising a chimeric molecule comprising a USP5 binder represented by the structure of Formula (7) and a target binder represented by the structure of Formula (M). In some embodiments, provided herein is a pharmaceutical composition comprising a chimeric molecule comprising a USP5 binder represented by the structure of Formula (7) and a target binder represented by the structure of Formula (N).
[00369] In some embodiments, provided herein is a pharmaceutical composition comprising a chimeric molecule comprising a USP5 binder represented by the structure of Formula (7*) and a target binder represented by the structure of Formula (A). In some embodiments, provided herein is a pharmaceutical composition comprising a chimeric molecule comprising a USP5 binder represented by the structure of Formula (7*) and a
target binder represented by the structure of Formula (B). In some embodiments, provided herein is a pharmaceutical composition comprising a chimeric molecule comprising a USP5 binder represented by the structure of Formula (7*) and a target binder represented by the structure of Formula (C). In some embodiments, provided herein is a pharmaceutical composition comprising a chimeric molecule comprising a USP5 binder represented by the structure of Formula (7*) and a target binder represented by the structure of Formula (D). In some embodiments, provided herein is a pharmaceutical composition comprising a chimeric molecule comprising a USP5 binder represented by the structure of Formula (7*) and a target binder represented by the structure of Formula (E). In some embodiments, provided herein is a pharmaceutical composition comprising a chimeric molecule comprising a USP5 binder represented by the structure of Formula (7*) and a target binder represented by the structure of Formula (F). In some embodiments, provided herein is a pharmaceutical composition comprising a chimeric molecule comprising a USP5 binder represented by the structure of Formula (7*) and a target binder represented by the structure of Formula (G). In some embodiments, provided herein is a pharmaceutical composition comprising a chimeric molecule comprising a USP5 binder represented by the structure of Formula (7*) and a target binder represented by the structure of Formula (H). In some embodiments, provided herein is a pharmaceutical composition comprising a chimeric molecule comprising a USP5 binder represented by the structure of Formula (7*) and a target binder represented by the structure of Formula (I). In some embodiments, provided herein is a pharmaceutical composition comprising a chimeric molecule comprising a USP5 binder represented by the structure of Formula (7*) and a target binder represented by the structure of Formula (J). In some embodiments, provided herein is a pharmaceutical composition comprising a chimeric molecule comprising a USP5 binder represented by the structure of Formula (7*) and atarget binder represented by the structure of Formula (K). In some embodiments, provided herein is a pharmaceutical composition comprising a chimeric molecule comprising a USP5 binder represented by the structure of Formula (7*) and a target binder represented by the structure of Formula (L). In some embodiments, provided herein is a pharmaceutical composition comprising a chimeric molecule comprising a USP5 binder represented by the structure of Formula (7*) and a target binder represented by the structure of Formula (M). In some embodiments, provided herein is a pharmaceutical composition comprising a chimeric molecule comprising a USP5 binder
represented by the structure of Formula (7*) and a target binder represented by the structure of Formula (N).
[00370] In some embodiments, provided herein is a pharmaceutical composition comprising a chimeric molecule comprising a USP5 binder represented by the structure of Formula (8) and a target binder represented by the structure of Formula (A). In some embodiments, provided herein is a pharmaceutical composition comprising a chimeric molecule comprising a USP5 binder represented by the structure of Formula (8) and a target binder represented by the structure of Formula (B). In some embodiments, provided herein is a pharmaceutical composition comprising a chimeric molecule comprising a USP5 binder represented by the structure of Formula (8) and a target binder represented by the structure of Formula (C). In some embodiments, provided herein is a pharmaceutical composition comprising a chimeric molecule comprising a USP5 binder represented by the structure of Formula (8) and a target binder represented by the structure of Formula (D). In some embodiments, provided herein is a pharmaceutical composition comprising a chimeric molecule comprising a USP5 binder represented by the structure of Formula (8) and a target binder represented by the structure of Formula (E). In some embodiments, provided herein is a pharmaceutical composition comprising a chimeric molecule comprising a USP5 binder represented by the structure of Formula (8) and a target binder represented by the structure of Formula (F). In some embodiments, provided herein is a pharmaceutical composition comprising a chimeric molecule comprising a USP5 binder represented by the structure of Formula (8) and a target binder represented by the structure of Formula (G). In some embodiments, provided herein is a pharmaceutical composition comprising a chimeric molecule comprising a USP5 binder represented by the structure of Formula (8) and a target binder represented by the structure of Formula (H). In some embodiments, provided herein is a pharmaceutical composition comprising a chimeric molecule comprising a USP5 binder represented by the structure of Formula (8) and a target binder represented by the structure of Formula (I). In some embodiments, provided herein is a pharmaceutical composition comprising a chimeric molecule comprising a USP5 binder represented by the structure of Formula (8) and a target binder represented by the structure of Formula (J). In some embodiments, provided herein is a pharmaceutical composition comprising a chimeric molecule comprising a USP5 binder represented by the structure of Formula (8) and a target binder represented by the structure of Formula (K).
In some embodiments, provided herein is a pharmaceutical composition comprising a chimeric molecule comprising a USP5 binder represented by the structure of Formula (8) and a target binder represented by the structure of Formula (L). In some embodiments, provided herein is a pharmaceutical composition comprising a chimeric molecule comprising a USP5 binder represented by the structure of Formula (8) and a target binder represented by the structure of Formula (M). In some embodiments, provided herein is a pharmaceutical composition comprising a chimeric molecule comprising a USP5 binder represented by the structure of Formula (8) and a target binder represented by the structure of Formula (N).
[00371] In some embodiments, provided herein is a pharmaceutical composition comprising a chimeric molecule comprising a USP5 binder represented by the structure of Formula (8*) and a target binder represented by the structure of Formula (A). In some embodiments, provided herein is a pharmaceutical composition comprising a chimeric molecule comprising a USP5 binder represented by the structure of Formula (8*) and a target binder represented by the structure of Formula (B). In some embodiments, provided herein is a pharmaceutical composition comprising a chimeric molecule comprising a USP5 binder represented by the structure of Formula (8*) and a target binder represented by the structure of Formula (C). In some embodiments, provided herein is a pharmaceutical composition comprising a chimeric molecule comprising a USP5 binder represented by the structure of Formula (8*) and a target binder represented by the structure of Formula (D). In some embodiments, provided herein is a pharmaceutical composition comprising a chimeric molecule comprising a USP5 binder represented by the structure of Formula (8*) and a target binder represented by the structure of Formula (E). In some embodiments, provided herein is a pharmaceutical composition comprising a chimeric molecule comprising a USP5 binder represented by the structure of Formula (8*) and a target binder represented by the structure of Formula (F). In some embodiments, provided herein is a pharmaceutical composition comprising a chimeric molecule comprising a USP5 binder represented by the structure of Formula (8*) and a target binder represented by the structure of Formula (G). In some embodiments, provided herein is a pharmaceutical composition comprising a chimeric molecule comprising a USP5 binder represented by the structure of Formula (8*) and a target binder represented by the structure of Formula (H). In some embodiments, provided herein is a pharmaceutical composition comprising a chimeric
molecule comprising a USP5 binder represented by the structure of Formula (8*) and a target binder represented by the structure of Formula (I). In some embodiments, provided herein is a pharmaceutical composition comprising a chimeric molecule comprising a USP5 binder represented by the structure of Formula (8*) and a target binder represented by the structure of Formula (J). In some embodiments, provided herein is a pharmaceutical composition comprising a chimeric molecule comprising a USP5 binder represented by the structure of Formula (8*) and atarget binder represented by the structure of Formula (K). In some embodiments, provided herein is a pharmaceutical composition comprising a chimeric molecule comprising a USP5 binder represented by the structure of Formula (8*) and a target binder represented by the structure of Formula (L). In some embodiments, provided herein is a pharmaceutical composition comprising a chimeric molecule comprising a USP5 binder represented by the structure of Formula (8*) and a target binder represented by the structure of Formula (M). In some embodiments, provided herein is a pharmaceutical composition comprising a chimeric molecule comprising a USP5 binder represented by the structure of Formula (8*) and atarget binder represented by the structure of Formula (N).
[00372] In some embodiments, provided herein is a pharmaceutical composition comprising a chimeric molecule comprising a USP5 binder represented by the structure of Formula (9) and a target binder represented by the structure of Formula (A). In some embodiments, provided herein is a pharmaceutical composition comprising a chimeric molecule comprising a USP5 binder represented by the structure of Formula (9) and a target binder represented by the structure of Formula (B). In some embodiments, provided herein is a pharmaceutical composition comprising a chimeric molecule comprising a USP5 binder represented by the structure of Formula (9) and a target binder represented by the structure of Formula (C). In some embodiments, provided herein is a pharmaceutical composition comprising a chimeric molecule comprising a USP5 binder represented by the structure of Formula (9) and a target binder represented by the structure of Formula (D). In some embodiments, provided herein is a pharmaceutical composition comprising a chimeric molecule comprising a USP5 binder represented by the structure of Formula (9) and a target binder represented by the structure of Formula (E). In some embodiments, provided herein is a pharmaceutical composition comprising a chimeric molecule comprising a USP5 binder represented by the structure of Formula (9) and atarget binder
represented by the structure of Formula (F). In some embodiments, provided herein is a pharmaceutical composition comprising a chimeric molecule comprising a USP5 binder represented by the structure of Formula (9) and a target binder represented by the structure of Formula (G). In some embodiments, provided herein is a pharmaceutical composition comprising a chimeric molecule comprising a USP5 binder represented by the structure of Formula (9) and a target binder represented by the structure of Formula (H). In some embodiments, provided herein is a pharmaceutical composition comprising a chimeric molecule comprising a USP5 binder represented by the structure of Formula (9) and a target binder represented by the structure of Formula (I). In some embodiments, provided herein is a pharmaceutical composition comprising a chimeric molecule comprising a USP5 binder represented by the structure of Formula (9) and a target binder represented by the structure of Formula (J). In some embodiments, provided herein is a pharmaceutical composition comprising a chimeric molecule comprising a USP5 binder represented by the structure of Formula (9) and a target binder represented by the structure of Formula (K). In some embodiments, provided herein is a pharmaceutical composition comprising a chimeric molecule comprising a USP5 binder represented by the structure of Formula (9) and a target binder represented by the structure of Formula (M). In some embodiments, provided herein is a pharmaceutical composition comprising a chimeric molecule comprising a USP5 binder represented by the structure of Formula (9) and a target binder represented by the structure of Formula (N).
[00373] In some embodiments, provided herein is a pharmaceutical composition comprising a chimeric molecule comprising a USP5 binder represented by the structure of Formula (9*) and a target binder represented by the structure of Formula (A). In some embodiments, provided herein is a pharmaceutical composition comprising a chimeric molecule comprising a USP5 binder represented by the structure of Formula (9*) and a target binder represented by the structure of Formula (B). In some embodiments, provided herein is a pharmaceutical composition comprising a chimeric molecule comprising a USP5 binder represented by the structure of Formula (9*) and a target binder represented by the structure of Formula (C). In some embodiments, provided herein is a pharmaceutical composition comprising a chimeric molecule comprising a USP5 binder represented by the structure of Formula (9*) and a target binder represented by the structure of Formula (D). In some embodiments, provided herein is a pharmaceutical composition comprising a
chimeric molecule comprising a USP5 binder represented by the structure of Formula (9*) and a target binder represented by the structure of Formula (E). In some embodiments, provided herein is a pharmaceutical composition comprising a chimeric molecule comprising a USP5 binder represented by the structure of Formula (9*) and a target binder represented by the structure of Formula (F). In some embodiments, provided herein is a pharmaceutical composition comprising a chimeric molecule comprising a USP5 binder represented by the structure of Formula (9*) and a target binder represented by the structure of Formula (G). In some embodiments, provided herein is a pharmaceutical composition comprising a chimeric molecule comprising a USP5 binder represented by the structure of Formula (9*) and a target binder represented by the structure of Formula (H). In some embodiments, provided herein is a pharmaceutical composition comprising a chimeric molecule comprising a USP5 binder represented by the structure of Formula (9*) and a target binder represented by the structure of Formula (I). In some embodiments, provided herein is a pharmaceutical composition comprising a chimeric molecule comprising a USP5 binder represented by the structure of Formula (9*) and a target binder represented by the structure of Formula (J). In some embodiments, provided herein is a pharmaceutical composition comprising a chimeric molecule comprising a USP5 binder represented by the structure of Formula (9*) and atarget binder represented by the structure of Formula (K). In some embodiments, provided herein is a pharmaceutical composition comprising a chimeric molecule comprising a USP5 binder represented by the structure of Formula (9*) and a target binder represented by the structure of Formula (L). In some embodiments, provided herein is a pharmaceutical composition comprising a chimeric molecule comprising a USP5 binder represented by the structure of Formula (9*) and a target binder represented by the structure of Formula (M). In some embodiments, provided herein is a pharmaceutical composition comprising a chimeric molecule comprising a USP5 binder represented by the structure of Formula (9*) and atarget binder represented by the structure of Formula (N).In one embodiment, provided herein is a pharmaceutical composition comprising a chimeric molecule represented by the structure of chimeric molecule (I). In one embodiment, provided herein is a pharmaceutical composition comprising a chimeric molecule represented by the structure of chimeric molecule (II). In one embodiment, provided herein is a pharmaceutical composition comprising a chimeric molecule represented by the structure of chimeric molecule (III). In one embodiment, provided
herein is a pharmaceutical composition comprising a chimeric molecule represented by the structure of chimeric molecule (IV). In one embodiment, provided herein is a pharmaceutical composition comprising a chimeric molecule represented by the structure of chimeric molecule (V). In one embodiment, provided herein is a pharmaceutical composition comprising a chimeric molecule represented by the structure of chimeric molecule (VI). In one embodiment, provided herein is a pharmaceutical composition comprising a chimeric molecule represented by the structure of chimeric molecule (VII). In one embodiment, provided herein is a pharmaceutical composition comprising a chimeric molecule represented by the structure of chimeric molecule (VIII). In one embodiment, provided herein is a pharmaceutical composition comprising a chimeric molecule represented by the structure of chimeric molecule (IX). In one embodiment, provided herein is a pharmaceutical composition comprising a chimeric molecule represented by the structure of chimeric molecule (X). In one embodiment, provided herein is a pharmaceutical composition comprising a chimeric molecule represented by the structure of chimeric molecule (XI). In one embodiment, provided herein is a pharmaceutical composition comprising a chimeric molecule represented by the structure of chimeric molecule (XII). In one embodiment, provided herein is a pharmaceutical composition comprising a chimeric molecule represented by the structure of chimeric molecule (XIII). In one embodiment, provided herein is a pharmaceutical composition comprising a chimeric molecule represented by the structure of chimeric molecule (XIV). In one embodiment, provided herein is a pharmaceutical composition comprising a chimeric molecule represented by the structure of chimeric molecule (XV). In one embodiment, provided herein is a pharmaceutical composition comprising a chimeric molecule represented by the structure of chimeric molecule (XVI). In one embodiment, provided herein is a pharmaceutical composition comprising a chimeric molecule represented by the structure of chimeric molecule (XVII). In one embodiment, provided herein is a pharmaceutical composition comprising a chimeric molecule represented by the structure of chimeric molecule (XVIII). In one embodiment, provided herein is a pharmaceutical composition comprising a chimeric molecule represented by the structure of chimeric molecule (XIX). In one embodiment, provided herein is a pharmaceutical composition comprising a chimeric molecule represented by the structure of chimeric molecule (XX). In one embodiment, provided herein is a pharmaceutical composition comprising a chimeric molecule represented by the
structure of chimeric molecule (XXI). In one embodiment, provided herein is a pharmaceutical composition comprising a chimeric molecule represented by the structure of chimeric molecule (XXII). In one embodiment, provided herein is a pharmaceutical composition comprising a chimeric molecule represented by the structure of chimeric molecule (XXIII). In one embodiment, provided herein is a pharmaceutical composition comprising a chimeric molecule represented by the structure of chimeric molecule (XXIV). In one embodiment, provided herein is a pharmaceutical composition comprising a chimeric molecule represented by the structure of chimeric molecule (XXV). In one embodiment, provided herein is a pharmaceutical composition comprising a chimeric molecule represented by the structure of chimeric molecule (XXVI). In one embodiment, provided herein is a pharmaceutical composition comprising a chimeric molecule represented by the structure of chimeric molecule (XXVII). In one embodiment, provided herein is a pharmaceutical composition comprising a chimeric molecule represented by the structure of chimeric molecule (XXVIII). In one embodiment, provided herein is a pharmaceutical composition comprising a chimeric molecule represented by the structure of chimeric molecule (XXIX). In one embodiment, provided herein is a pharmaceutical composition comprising a chimeric molecule represented by the structure of chimeric molecule (XXX). [00374] In some embodiments, provided herein is a pharmaceutical composition comprising a chimeric molecule represented by the structure of any one of chimeric molecules 1-210 of Table 2.
In one embodiment, the above compositions comprising one or more chimeric molecules can be provided to the subject with additional active agents to achieve an improved therapeutic effect as compared to treatment with each agent by itself. In some embodiments, a pharmaceutical composition comprising one or more chimeric molecules, further comprises at least on additional therapeutic agent. In another embodiment, an additional active agent comprises a chemotherapeutic agent or an additional chimeric molecule disclosed herein. In another embodiment, an additional active agent comprises an immunomodulatory agent or an additional chimeric molecule disclosed herein. In certain embodiments, an additional active agent comprises a PARP1 inhibitor. In some embodiments, a PARP1 inhibitor comprises a known PARP1 inhibitor for example but not limited to Veliparp (ABT-888), Rucaparib (Rubraca; AG-014699), Olaparib (Lynparza; AZD-2281), Niraparib (Zejula; MK-4827) or Talazoparib (BMN-673).
[00375] In another embodiment, an additional active agent comprises a CF therapeutic agent or an additional chimeric molecule disclosed herein. In another embodiment, an additional active agent comprises a PARP1 inhibitor, an anti-cancer therapeutic agent, or an additional chimeric molecule disclosed herein, or any combination thereof.
[00376] In one embodiment, provided herein is a pharmaceutical composition comprising a chimeric molecule comprising a USP5 binder combination with at least one additional cystic fibrosis therapeutic compound or treatment. In one embodiment, provided herein is a pharmaceutical composition comprising a chimeric molecule comprising a USP5 binder represented by the structure of any one of the following Formula (1) - Formula (9) in combination with at least one additional cystic fibrosis therapeutic compound or treatment. In one embodiment, provided herein is a pharmaceutical composition comprising a chimeric molecule comprising a USP5 binder represented by the structure of any one of the following Formula (1) - Formula (9) and a target binder represented by the structure of Formula (A)-(K) in combination with at least one additional cystic fibrosis therapeutic compound or treatment. In one embodiment, provided herein is a pharmaceutical composition comprising a chimeric molecule comprising a USP5 binder represented by the structure of any one of the following Formula (1*) - Formula (9*) in combination with at least one additional cystic fibrosis therapeutic compound or treatment. In one embodiment, provided herein is a pharmaceutical composition comprising a chimeric molecule comprising a USP5 binder represented by the structure of any one of the following Formula (1*) - Formula (9*) and a target binder represented by the structure of Formula (A)-(K) in combination with at least one additional cystic fibrosis therapeutic compound or treatment. In one embodiment, provided herein is a pharmaceutical composition comprising a chimeric molecule represented by the structure of chimeric molecules (I)-(XXX) in combination with at least one additional cystic fibrosis therapeutic compound or treatment. In one embodiment, provided herein is a pharmaceutical composition comprising a chimeric molecule represented by any of the structures of chimeric molecules 1-210 presented in Table 2 herein, in combination with at least one additional cystic fibrosis therapeutic compound or treatment.
[00377] In some embodiments, at least one additional cystic fibrosis (“CF”) therapeutic compound is selected from Ivacaftor, Lumacaftor, Tezacaftor, Elexacaftor, ABBV-2222, Posenacaftor, or Nesolicaftor, or any combination thereof. In some embodiments, at least
one additional cystic fibrosis therapeutic compound is selected from ivacaftor, lumacaftor, tezacaftor, elexacaftor, ABBV-2222, posenacaftor, nesolicaftor, ABBV-191, ABBV-3067, ELX-02, PTI-428, PTI-801, PTI-808, VX-121, VX-561, or MRT5005. In some embodiments, at least one additional cystic fibrosis therapeutic compound comprises any known cystic fibrosis therapeutic compound known in the art.
[00378] In some embodiments, the at least one additional CF therapeutic compound is comprised in the same composition as a chimeric molecule disclosed herein. In some embodiments, the at least one additional CF therapeutic compound is comprised in a different composition from the chimeric molecule disclosed herein.
[00379] In some embodiments, a composition described herein comprises more than one chimeric molecule. In some embodiments, at least one additional chimeric molecule is comprised in the same composition as the first chimeric molecule. In some embodiments, the at least one additional chimeric molecule is comprised in a different composition from another chimeric molecule.
[00380] In some embodiments, a composition comprising one or more chimeric molecules and an at least one additional therapeutic agent comprises two compositions, wherein the one chimeric molecule is comprised in one composition and the at least one additional therapeutic agent or additional chimeric molecule is comprised in a different composition. In some embodiments, for compositions comprising multiple active agents including one or more chimeric molecules and or additional CF therapeutic agents, each active agent is in a separate composition. In some embodiments, for compositions comprising multiple active agents including one or more chimeric molecules and or additional CF therapeutic agents, active agents are comprised in multiple compositions, wherein a therapeutic agent may be comprised independently in a composition, or may be comprised in a composition with at least one additional therapeutic agent.
[00381] In one embodiment, provided herein is a pharmaceutical composition comprising a chimeric molecule comprising a USP5 binder combination with at least one additional PARP1 inhibitor and or cancer therapeutic compound or treatment. In one embodiment, provided herein is a pharmaceutical composition comprising a chimeric molecule comprising a USP5 binder represented by the structure of any one of the following Formula (1) - Formula (9) combination with at least one additional PARP1 inhibitor and or cancer therapeutic compound or treatment. In one embodiment, provided herein is a pharmaceutical
composition comprising a chimeric molecule comprising a USP5 binder represented by the structure of any one of the following Formula (1) - Formula (9) and a target binder represented by the structure of Formula (K) in combination with at least one additional PARP1 inhibitor and or cancer therapeutic compound or treatment. In one embodiment, provided herein is a pharmaceutical composition comprising a chimeric molecule comprising a USP5 binder represented by the structure of any one of the following Formula (1*) _ Formula (9*) combination with at least one additional PARP1 inhibitor and or cancer therapeutic compound or treatment. In one embodiment, provided herein is a pharmaceutical composition comprising a chimeric molecule comprising a USP5 binder represented by the structure of any one of the following Formula (1*) - Formula (9*) and a target binder represented by the structure of Formula (K) in combination with at least one additional PARP1 inhibitor and or cancer therapeutic compound or treatment. In one embodiment, provided herein is a pharmaceutical composition comprising a chimeric molecule represented by the structure of chimeric molecule (XXVIII-XXX) in combination with at least one additional PARP1 inhibitor and or cancer therapeutic compound or treatment. In one embodiment, provided herein is a pharmaceutical composition comprising a chimeric molecule represented by any of the structures of chimeric molecules 136-142 and 197-210 presented in Table 2 herein, in combination with at least one additional PARP1 inhibitor and or cancer therapeutic compound or treatment.
[00382] In some embodiments, at least one PARP1 inhibitor is selected from Veliparp (ABT-888), Rucaparib (Rubraca; AG-014699), Olaparib (Lynparza; AZD-2281), Niraparib (Zejula; MK-4827), or Talazoparib (BMN-673), or any combination thereof. In some embodiments, at least one additional PARP1 inhibitor comprises any known PARP1 inhibitor known in the art.
[00383] In some embodiments, the at least one additional PARP1 inhibitor is comprised in the same composition as a chimeric molecule disclosed herein. In some embodiments, the at least one additional PARP1 inhibitor is comprised in a different composition from the chimeric molecule disclosed herein.
[00384] In some embodiments, for compositions comprising multiple active agents including one or more chimeric molecules and or additional PARP1 inhibitors or cancer therapeutic agents or a combination thereof, each active agent is in a separate composition. In some embodiments, for compositions comprising multiple active agents including one or
more chimeric molecules and or additional PARP1 inhibitors or anti-cancer agents or a combination thereof, active agents are comprised in multiple compositions, wherein a therapeutic agent may be comprised independently in a composition, or may be comprised in a composition with at least one additional therapeutic agent.
[00385] In some embodiments, a composition with an appropriate physiologically acceptable carrier may be formulated into preparations in solid, semi-solid, liquid or gaseous forms, such as tablets, capsules, powders, granules, ointments, solutions, suppositories, injections, inhalants, gels, microspheres, and aerosols. In addition, other pharmaceutically active ingredients and/or suitable excipients such as salts, buffers and stabilizers may, but need not, be present within the composition. As used herein, the term “pharmaceutically acceptable carrier” may in some embodiments be used interchangeably with the terms “physiological carrier”, “physiologically acceptable carrier”, “pharmaceutically acceptable diluent” or “pharmaceutically acceptable excipient” having all the same qualities and meanings.
[00386] A pharmaceutical composition may be in the form of a solid or liquid. In some embodiments, the pharmaceutically acceptable carrier(s) are particulate, so that the compositions are, for example, in tablet or powder form. The pharmaceutically acceptable carrier(s) may be liquid, with the compositions being, for example, an oral oil, injectable liquid or an aerosol, which is useful in, for example, inhalatory administration. When intended for oral administration, the pharmaceutical composition is preferably in either solid or liquid form, where semi-solid, semi-liquid, suspension and gel forms are included within the forms considered herein as either solid or liquid.
[00387] As a solid composition for oral administration, the pharmaceutical composition may be formulated into a powder, granule, compressed tablet, pill, capsule, chewing gum, wafer or the like. Such a solid composition will typically contain one or more inert diluents or edible pharmaceutically acceptable carriers. In addition, one or more of the following may be present: binders such as carboxymethylcellulose, ethyl cellulose, microcrystalline cellulose, gum tragacanth or gelatin; excipients such as starch, lactose or dextrins, disintegrating agents such as alginic acid, sodium alginate, Primogel, com starch and the like; lubricants such as magnesium stearate or Sterotex; glidants such as colloidal silicon dioxide; sweetening agents such as sucrose or saccharin; a flavoring agent such as peppermint, methyl salicylate or orange flavoring; and a coloring agent. When the
pharmaceutical composition is in the form of a capsule, for example, a gelatin capsule, it may contain, in addition to materials of the above type, a liquid pharmaceutically acceptable carrier such as polyethylene glycol or oil.
[00388] The pharmaceutical composition may be in the form of a liquid, for example, an elixir, syrup, solution, emulsion or suspension. The liquid may be for oral administration or for delivery by injection, as two examples. When intended for oral administration, preferred composition contain, in addition to the present compounds, one or more of a sweetening agent, preservatives, dye/colorant and flavor enhancer. In a composition intended to be administered by injection, one or more of a surfactant, preservative, wetting agent, dispersing agent, suspending agent, buffer, stabilizer and isotonic agent may be included. [00389] The liquid pharmaceutical compositions, whether they be solutions, suspensions or other like form, may include one or more of the following adjuvants: sterile diluents such as water for injection, saline solution, preferably physiological saline, Ringer's solution, isotonic sodium chloride, fixed oils such as synthetic mono or diglycerides which may serve as the solvent or suspending medium, polyethylene glycols, glycerin, propylene glycol or other solvents; antibacterial agents such as benzyl alcohol or methyl paraben; antioxidants such as ascorbic acid or sodium bisulfite; chelating agents such as ethylenediaminetetraacetic acid; buffers such as acetates, citrates or phosphates and agents for the adjustment of tonicity such as sodium chloride or dextrose. The parenteral preparation can be enclosed in ampoules, disposable syringes or multiple dose vials made of glass or plastic. Physiological saline is a preferred adjuvant. An injectable pharmaceutical composition is preferably sterile.
[00390] A liquid pharmaceutical composition intended for either parenteral or oral administration should contain an amount of a chimeric molecule as herein disclosed, such that a suitable dosage will be obtained.
[00391] The pharmaceutical composition may be intended for topical administration, in which case the pharmaceutically acceptable carrier may suitably comprise a solution, emulsion, ointment or gel base. The base, for example, may comprise one or more of the following: petrolatum, lanolin, polyethylene glycols, bee wax, mineral oil, diluents such as water and alcohol, and emulsifiers and stabilizers. Thickening agents may be present in a pharmaceutical composition for topical administration. If intended for transdermal administration, the composition may include a transdermal patch or iontophoresis device.
The pharmaceutical composition may be intended for rectal administration, in the form, for example, of a suppository, which will melt in the rectum and release the drug. The composition for rectal administration may contain an oleaginous base as a suitable nonirritating excipient. Such bases include, without limitation, lanolin, cocoa butter and polyethylene glycol.
[00392] The pharmaceutical composition may include various materials, which modify the physical form of a solid or liquid dosage unit. For example, the composition may include materials that form a coating shell around the active ingredients. The materials that form the coating shell are typically inert, and may be selected from, for example, sugar, shellac, and other enteric coating agents. Alternatively, the active ingredient (a chimeric molecule disclosed herein) may be encased in a gelatin capsule. The pharmaceutical composition in solid or liquid form may include an agent that binds to the chimeric molecules as disclosed herein, and thereby assists in the delivery of the compound. Suitable agents that may act in this capacity include monoclonal or polyclonal antibodies, one or more proteins or a liposome. The pharmaceutical composition may consist essentially of dosage units that can be administered as an aerosol. The term aerosol is used to denote a variety of systems ranging from those of colloidal nature to systems consisting of pressurized packages. Delivery may be by a liquefied or compressed gas or by a suitable pump system that dispenses the active ingredients. Aerosols may be delivered in single phase, bi-phasic, or tri-phasic systems in order to deliver the active ingredient(s). Delivery of the aerosol includes the necessary container, activators, valves, subcontainers, and the like, which together may form a kit. One of ordinary skill in the art, without undue experimentation may determine preferred aerosols. [00393] The pharmaceutical compositions may be prepared by methodology well known in the pharmaceutical art. For example, a pharmaceutical composition intended to be administered by injection can be prepared by combining a composition that comprises a chimeric molecule as described herein, and optionally, one or more of salts, buffers and/or stabilizers, with sterile, distilled water so as to form a solution. A surfactant may be added to facilitate the formation of a homogeneous solution or suspension. Surfactants are compounds that non-covalently interact with the chimeric molecule composition so as to facilitate dissolution or homogeneous suspension of chimeric molecule in the aqueous delivery system.
[00394] The compositions may be administered in a therapeutically effective amount,
which will vary depending upon a variety of factors including the activity of the chimeric molecule compound employed; the metabolic stability and length of action of the chimeric molecule compound; the age, body weight, general health, sex, and diet of the patient; the mode and time of administration; the rate of excretion; the drug combination; the severity of the particular allergic or respiratory disorder or condition; and the subject undergoing therapy.
[00395] In some embodiments, a pharmaceutically acceptable carrier may be liquid, semi- liquid or solid. Solutions or suspensions used for parenteral, intradermal, subcutaneous or topical application may include, for example, a sterile diluent (such as water), saline solution, fixed oil, polyethylene glycol, glycerin, propylene glycol or other synthetic solvent; antimicrobial agents (such as benzyl alcohol and methyl parabens, phenols or cresols, mercurials, chlorobutanol, methyl and propyl p-hydroxybenzoic acid esters, thimerosal, benzalkonium chloride and benzethonium chloride); antioxidants (such as ascorbic acid and sodium bisulfite; methionine, sodium thiosulfate, platinum, catalase, citric acid, cysteine, thioglycerol, thiogly colic acid, thiosorbitol, butylated hydroxyanisol, butylated hydroxytoluene, and/or propyl gallate) and chelating agents (such as ethylenediaminetetraacetic acid (EDTA)); buffers (such as acetates, citrates and phosphates). If administered intravenously, suitable pharmaceutically acceptable carriers include physiological saline or phosphate buffered saline (PBS), and solutions containing thickening and solubilizing agents, such as glucose, polyethylene glycol, polypropylene glycol and mixtures thereof.
[00396] The compositions comprising a chimeric molecule compound, as described herein, may be prepared with pharmaceutically acceptable carriers that protect the chimeric molecule compound or prodrug thereof against rapid elimination from the body, such as time release formulations or coatings. Such pharmaceutically acceptable carriers include controlled release formulations, such as, but not limited to, implants and microencapsulated delivery systems, and biodegradable, biocompatible polymers, such as ethylene vinyl acetate, polyanhydrides, polyglycolic acid, polyorthoesters, polylactic acid and others known to those of ordinary skill in the art. [00397] In some embodiments, the terms “pharmaceutical composition” and
“composition” may be used interchangeably herein, having all the same meanings and qualities.
Methods of Use
[00398] The design and structure of the chimeric molecules provided herein enable their use as active agents in therapeutic treatments. While used alone, as first line therapy, the chimeric molecules provided herein are capable of forming protein complexes between USP5 and target Ub-proteins, which result in a decrease of the number of ubiquitin molecules carried by the Ub-proteins. As generally disclosed herein, due to the elaborate role ubiquitination plays on cellular proteins, the chimeric molecules provided herein may be used to affect cellular proteins and processes.
[00399] In some embodiments, disclosed herein is a method for preventing or reducing the degradation of a Ub-protein, comprising contacting the Ub-protein with a chimeric molecule disclosed herein. In some embodiments, disclosed herein is a method for preventing or reducing the degradation of a Ub-protein associated with a disease, comprising contacting the Ub-protein with a chimeric molecule disclosed herein. In some embodiments, disclosed herein is a method for preventing or reducing the degradation of a Ub-protein associated with a disease, comprising contacting the Ub-protein with a chimeric molecule disclosed herein, wherein said disease is selected from a cancer, a neurodegenerative disease or disorder, anemia, a metabolic syndrome, autoimmunity, an inflammatory disease or disorder, an infection, cystic fibrosis, and a muscle dystrophy. In some embodiments, a cancer comprises a cancer resistant to other known therapies, for example but not limited to PARP1 inhibitor therapies. In some embodiments, a cancer comprises a BRCA-mutation associated cancer or a cancer with any compromised DNA repair pathway such as homologous recombination., non-homologous end joining or single strand break repair or double strand break . In some embodiments, a cancer comprises a breast cancer, a triple negative breast cancer, an ovarian cancer, a melanoma, a non-small cell lung cancer, a prostate cancer, a fallopian tube cancer, an endometrial cancer, an osteosarcoma, a malignant mesothelioma, a testicular cancer, a head and neck cancer, a lymphoma, a stomach a colon cancer, a pancreatic cancer, or a glioblastoma.
[00400] In some embodiments, disclosed herein is a method for preventing or reducing the degradation of a Ub-CFTR, comprising contacting the Ub-CFTR with a chimeric molecule disclosed herein. In some embodiments, disclosed herein is a method for preventing or reducing the degradation of a Ub-PARP1, comprising contacting the Ub-
PARP1 with a chimeric molecule disclosed herein.
[00401] In some embodiments, a method for preventing or reducing the degradation of a Ub-protein comprises contacting the Ub-protein with a chimeric molecule comprising a USP5 binder represented by the structure of any one of the following Formula (1) - Formula (9), as described in detail above. In some embodiments, a method for preventing or reducing the degradation of a Ub-protein comprises contacting the Ub-protein with a chimeric molecule comprising a USP5 binder represented by the structure of any one of the following Formula (1) - Formula (9) and a target binder represented by the structure of Formula (A)-(K). In some embodiments, a method for preventing or reducing the degradation of a Ub-protein comprises contacting the Ub-protein with a chimeric molecule comprising a USP5 binder represented by the structure of any one of the following Formula (1*) - Formula (9*), as described in detail above. In some embodiments, a method for preventing or reducing the degradation of a Ub-protein comprises contacting the Ub-protein with a chimeric molecule comprising a USP5 binder represented by the structure of any one of the following Formula (1*) - Formula (9*) and a target binder represented by the structure of Formula (A)-(K). In some embodiments, a method for preventing or reducing the degradation of a Ub-protein comprises contacting the Ub-protein with a chimeric molecule comprising a USP5 binder represented by the structure of Formula (7) and a target binder represented by the structure of Formula (A)-(K). In some embodiments, a method for preventing or reducing the degradation of a Ub-protein comprises contacting the Ub- protein with a chimeric molecule comprising a USP5 binder represented by the structure of Formula (8) and a target binder represented by the structure of Formula (A)-(K). In some embodiments, a method for preventing or reducing the degradation of a Ub-protein comprises contacting the Ub-protein with a chimeric molecule comprising a USP5 binder represented by the structure of Formula (9) and a target binder represented by the structure of Formula (A)-(K). In some embodiments, a method for preventing or reducing the degradation of a Ub-protein comprises contacting the Ub-protein with a chimeric molecule represented by the structure of any of chimeric molecule (I) - (XXX). In some embodiments, a method for preventing or reducing the degradation of a Ub-protein comprises contacting the Ub-protein with a chimeric molecule represented by the structure of any one of the chimeric molecules 1-210 presented in Table 2 herein. In some embodiments, a method for preventing or reducing the degradation of a Ub-CFTR comprises
contacting the Ub-CFTR with a chimeric molecule comprising a USP5 binder represented by the structure of any one of the following Formula (1) - Formula (9), as described in detail above. In some embodiments, a method for preventing or reducing the degradation of a Ub-CFTR comprises contacting the Ub-CFTR with a chimeric molecule comprising a USP5 binder represented by the structure of any one of the following Formula (1) - Formula (9) and a target binder represented by the structure of Formula (A)-(J). In some embodiments, a method for preventing or reducing the degradation of a Ub-CFTR comprises contacting the Ub-CFTR with a chimeric molecule comprising a USP5 binder represented by the structure of any one of the following Formula (1*) - Formula (9*) and a target binder represented by the structure of Formula (A)-(J). In some embodiments, a method for preventing or reducing the degradation of a Ub-CFTR comprises contacting the Ub- CFTR with a chimeric molecule comprising a USP5 binder represented by the structure of Formula (7) and a target binder represented by the structure of Formula (A)-(J). In some embodiments, a method for preventing or reducing the degradation of a Ub-CFTR comprises contacting the Ub-CFTR with a chimeric molecule comprising a USP5 binder represented by the structure of Formula (8) and a target binder represented by the structure of Formula (A)-(J). In some embodiments, a method for preventing or reducing the degradation of a Ub-CFTR comprises contacting the Ub-CFTR with a chimeric molecule comprising a USP5 binder represented by the structure of Formula (9) and a target binder represented by the structure of Formula (A)-(J). In some embodiments, a method for preventing or reducing the degradation of a Ub-CFTR comprises contacting the Ub-CFTR with a chimeric molecule represented by the structure of any of chimeric molecule (I) - (XXVII). In some embodiments, a method for preventing or reducing the degradation of a Ub-CFTR comprises contacting the Ub-CFTR with a chimeric molecule represented by any one of the structures of the chimeric molecules 1-135 and 143-196-210 presented in Table 2, herein.
[00402] In some embodiments, a method for preventing or reducing the degradation of a Ub-PARP1 comprises contacting the Ub-PARP1 with a chimeric molecule comprising a USP5 binder represented by the structure of any one of the following Formula (1) - Formula (9), as described in detail above. In some embodiments, a method for preventing or reducing the degradation of a Ub-PARP1 comprises contacting the Ub-PARP1 with a chimeric molecule comprising a USP5 binder represented by the structure of any one of the following Formula (1*) - Formula (9*) as described in detail above. In some
embodiments, a method for preventing or reducing the degradation of a Ub-PARP1 comprises contacting the Ub-PARP1 with a chimeric molecule comprising a USP5 binder represented by the structure of any one of the following Formula (1) - Formula (9) and a target binder represented by the structure of Formula (K). In some embodiments, a method for preventing or reducing the degradation of a Ub-PARP1 comprises contacting the Ub- PARP1 with a chimeric molecule comprising a USP5 binder represented by the structure of Formula (7) and a target binder represented by the structure of Formula (K). In some embodiments, a method for preventing or reducing the degradation of a Ub-PARP1 comprises contacting the Ub-PARP1 with a chimeric molecule comprising a USP5 binder represented by the structure of Formula (8) and a target binder represented by the structure of Formula (K). In some embodiments, a method for preventing or reducing the degradation of a Ub-PARP1 comprises contacting the Ub-PARP1 with a chimeric molecule comprising a USP5 binder represented by the structure of Formula (9) and a target binder represented by the structure of Formula (K). In some embodiments, a method for preventing or reducing the degradation of a Ub-PARP1 comprises contacting the Ub-PARP1 with a chimeric molecule represented by the structure of any of chimeric molecule (XXVIII) - (XXX). In some embodiments, a method for preventing or reducing the degradation of a Ub-PARP1 comprises contacting the Ub-PARP1 with a chimeric molecule represented by any one of the structures of the chimeric molecules 136-142 and 197-210 presented in Table 2, herein.
[00403] In some embodiments, disclosed herein is a method for removing at least one ubiquitin molecule from a Ub-protein, comprising contacting the Ub-protein with a chimeric molecule disclosed herein. In some embodiments, disclosed herein is a method for removing at least one ubiquitin molecule from a Ub-CFTR, comprising contacting the Ub-CFTR with a chimeric molecule disclosed herein. In some embodiments, disclosed herein is a method for removing at least one ubiquitin molecule from a Ub-PARP1, comprising contacting the Ub-PARP1 with a chimeric molecule disclosed herein.
[00404] In some embodiments, a method for removing at least one ubiquitin molecule from a Ub-protein comprises contacting the Ub-protein with a chimeric molecule comprising a USP5 binder represented by the structure of any one of the following Formula (1) - Formula (9), as described in detail above. In some embodiments, a method for removing at least one ubiquitin molecule from a Ub-protein comprises contacting the Ub-
protein with a chimeric molecule comprising a USP5 binder represented by the structure of any one of the following Formula (1) - Formula (9) and a target binder represented by the structure of Formula (A)-(K).
[00405] In some embodiments, a method for removing at least one ubiquitin molecule from a Ub-protein comprises contacting the Ub-protein with a chimeric molecule comprising a USP5 binder represented by the structure of any one of the following Formula (1*) _ Formula (9*), as described in detail above. In some embodiments, a method for removing at least one ubiquitin molecule from a Ub-protein comprises contacting the Ub- protein with a chimeric molecule comprising a USP5 binder represented by the structure of any one of the following Formula (1*) - Formula (9*) and a target binder represented by the structure of Formula (A)-(K). In some embodiments, a method for removing at least one ubiquitin molecule from a Ub-protein comprises contacting the Ub-protein with a chimeric molecule comprising a USP5 binder represented by the structure of Formula (7) and a target binder represented by the structure of Formula (A)-(K). In some embodiments, a method for removing at least one ubiquitin molecule from a Ub-protein comprises contacting the Ub-protein with a chimeric molecule comprising a USP5 binder represented by the structure of Formula (8) and a target binder represented by the structure of Formula (A)-(K). In some embodiments, a method for removing at least one ubiquitin molecule from a Ub-protein comprises contacting the Ub-protein with a chimeric molecule comprising a USP5 binder represented by the structure of Formula (9) and a target binder represented by the structure of Formula (A)-(K).
[00406] In some embodiments, a method for removing at least one ubiquitin molecule from a Ub-protein comprises contacting the Ub-protein with a chimeric molecule comprising a USP5 binder represented by the structure of Formula (l*)-(9*) and a target binder represented by the structure of Formula (A)-(N).
[00407] In some embodiments, a method for removing at least one ubiquitin molecule from a Ub-protein comprises contacting the Ub-protein with a chimeric molecule represented by the structure of any of chimeric molecule (I) - (XXX). In some embodiments, a method for removing at least one ubiquitin molecule from a Ub-protein comprises contacting the Ub-protein with a chimeric molecule represented by any one of the structures of chimeric molecules 1-210 as presented in Table 2 herein.
[00408] In some embodiments, a method for removing at least one ubiquitin molecule
from a Ub-CFTR comprises contacting the Ub-CFTR with a chimeric molecule comprising a USP5 binder represented by the structure of any one of the following Formula (1) - Formula (9), as described in detail above. In some embodiments, a method for removing at least one ubiquitin molecule from a Ub-CFTR comprises contacting the Ub-CFTR with a chimeric molecule comprising a USP5 binder represented by the structure of any one of the following Formula (1) - Formula (9) and a target binder represented by the structure of Formula (A)-(K). In some embodiments, a method for removing at least one ubiquitin molecule from a Ub-CFTR comprises contacting the Ub-CFTR with a chimeric molecule comprising a USP5 binder represented by the structure of Formula (7) and a target binder represented by the structure of Formula (A)-(J). In some embodiments, a method for removing at least one ubiquitin molecule from a Ub-CFTR comprises contacting the Ub- CFTR with a chimeric molecule comprising a USP5 binder represented by the structure of Formula (8) and a target binder represented by the structure of Formula (A)-(J). In some embodiments, a method for removing at least one ubiquitin molecule from a Ub-CFTR comprises contacting the Ub-CFTR with a chimeric molecule comprising a USP5 binder represented by the structure of Formula (9) and a target binder represented by the structure of Formula (A)-(J).
[00409] In some embodiments, a method for removing at least one ubiquitin molecule from a Ub-CFTR comprises contacting the Ub-CFTR with a chimeric molecule represented by the structure of any of chimeric molecule (I) - (XXVII). In some embodiments, a method for removing at least one ubiquitin molecule from a Ub-CFTR comprises contacting the Ub-CFTR with a chimeric molecule represented by any the structure of any one of chimeric molecules 1-135 and 143-196.
[00410] In some embodiment, the level of ubiquitination affects the half-life of a protein of interest in a cell, for example but not limited to the half-life of CFTR. In some embodiment, the level of ubiquitination affects the degradation of a protein of interest in a cell, for example but not limited to the degradation of CFTR.
[00411] In some embodiments, a method for removing at least one ubiquitin molecule from a Ub-PARP1 comprises contacting the Ub-PARP1 with a chimeric molecule comprising a USP5 binder represented by the structure of any one of the following Formula (1) - Formula (9), as described in detail above. In some embodiments, a method for removing at least one ubiquitin molecule from a Ub-PARP1 comprises contacting the Ub-
PARP1 with a chimeric molecule comprising a USP5 binder represented by the structure of any one of the following Formula (1) - Formula (9) and a target binder represented by the structure of Formula (K). In some embodiments, a method for removing at least one ubiquitin molecule from a Ub-PARP1 comprises contacting the Ub-PARP1 with a chimeric molecule comprising a USP5 binder represented by the structure of Formula (7) and a target binder represented by the structure of Formula (K). In some embodiments, a method for removing at least one ubiquitin molecule from a Ub-PARP1 comprises contacting the Ub-PARP1 with a chimeric molecule comprising a USP5 binder represented by the structure of Formula (8) and a target binder represented by the structure of Formula (K). In some embodiments, a method for removing at least one ubiquitin molecule from a Ub-PARP1 comprises contacting the Ub-PARP1 with a chimeric molecule comprising a USP5 binder represented by the structure of Formula (9) and a target binder represented by the structure of Formula (K).
[00412] In some embodiments, a method for removing at least one ubiquitin molecule from a Ub-PARP1 comprises contacting the Ub-PARP1 with a chimeric molecule represented by the structure of any of chimeric molecule (XXVIII) - (XXX). In some embodiments, a method for removing at least one ubiquitin molecule from a Ub-PARP1 comprises contacting the Ub-PARP1 with a chimeric molecule represented by any the structure of any one of chimeric molecules 136-142 and 197-210.
[00413] In some embodiment, the level of ubiquitination affects the half-life of a protein of interest in a cell, for example but not limited to the half-life of PARP1. In some embodiment, the level of ubiquitination affects the degradation of a protein of interest in a cell, for example but not limited to the degradation of PARP1.
[00414] In some embodiments, a protein of interest comprises a natural target of USP5. In some embodiments, a protein of interest comprises a non-natural target of USP5. In some embodiments, a protein of interest comprises a receptor protein. In some embodiments, a protein of interest comprises a PM pore protein. In some embodiments, a protein of interest comprises an ion channel protein. In some embodiments, a protein of interest comprises an anion channel protein. In some embodiments, a protein of interest comprises a chloride channel protein. In some embodiments, a protein of interest comprises CFTR. In some embodiments, a protein of interest comprises a mutant form of CFTR. In some embodiments, a protein of interest comprises a misfolded CFTR. In some embodiments, a
protein of interest comprises a mistargeted CFTR. In some embodiments, a protein of interest comprises a CFTR having reduced activity compared with wild-type CFTR. In some embodiments, a protein of interest comprises a nuclear protein. In some embodiments, a protein of interest comprises a protein involved in DNA repair. In some embodiments, a protein of interest comprises an enzyme. In some embodiments, a protein of interest comprises a DNA binding protein. In some embodiments, a protein of interest comprises PARP1. In some embodiments, a protein of interest comprises a WT PARP1.
[00415] A non-limiting example of one application of the chimeric molecules provided herein is the deubiquitination of protein of interest (e.g., removing all or some of ubiquitin molecules from the proteins), which is ubiquitinylated. In some embodiments, removing all or some of ubiquitin molecules maintains or increases the half-life of a protein of interest. In some embodiments, removing all or some of ubiquitin molecules reduces the degradation of a protein of interest. In some embodiments, maintenance or increasing the half-life of a protein of interest, provides a benefit to a subject suffering a disease or condition. In some embodiments, decreasing degradation of a protein of interest increases the protein’s half- life. In some embodiments, preventing degradation of a protein of interest increases the protein’s half-life. In some embodiments, decreasing degradation of a protein of interest maintains the protein’s half-life. In some embodiments, preventing degradation of a protein of interest maintains the protein’s half-life. In some embodiments, removing all or some of ubiquitin molecules increases the localized concentration of a protein of interest. In some embodiments, decreasing the degradation of a protein of interest, provides a benefit to a subject suffering a disease or condition. In certain embodiments, benefits may include maintenance of a protein channel or functions performed by the protein. In certain embodiments, benefits may include reduced DNA repair and cell death in a cancer or tumor cell, or increased DNA strand breaks in a cancer or tumor cell. In certain embodiments, benefits may include no change to the function of the protein of interest.
[00416] In some embodiments of a method of use of the chimeric molecules provided herein for deubiquitination of a protein of interest (e.g., removing all or some of ubiquitin molecules from the protein), which is ubiquitinylated, the method occurs in vivo.
[00417] In some embodiments, a non-limiting example of an application of a chimeric molecule described herein comprises a method for removing at least one ubiquitin molecule from a Ub-protein, comprising contacting the Ub protein with a survival-targeting chimeric
(SURTAC) molecule comprising a first binding domain, a second binding domain, and a linker domain, wherein: the first binding domain is configured to bind to USP5 that may cleave Ub from the Ub-protein bound to the second domain; the second binding domain is configured to bind to an Ub-protein, and the linker domain is configured to link the first binding domain to the second binding domain; thereby removing at least one ubiquitin molecule from a Ub-protein. In some embodiments, in methods disclosed herein, a Ub- protein comprises a Ub-CFTR. In some embodiments, in methods disclosed herein, a Ub- protein comprises a Ub-PARP1. In some embodiments, in methods disclosed herein, a Ub- protein comprises a Ub-PKA.
[00418] In some embodiments, a method for preventing or reducing the degradation of a Ub-protein, or a method for removing at least one Ub molecule from a Ub-protein, further provides a method for improving folding of said Ub-protein, correcting folding of said Ub- protein, enhancing the activity of the Ub-protein, potentiating the activity of the Ub-protein, assisting to correctly target the Ub-protein within a cell, and or enhancing trafficking of the Ub-protein. In some embodiments, the Ub-protein comprises a Ub-CFTR. In some embodiments, the Ub-protein comprises a Ub-PARP. In some embodiments, the Ub-protein comprises a Ub-PKA.
[00419] In some embodiments, a non-limiting example of an application of a chimeric molecule described herein comprises a method for removing at least one ubiquitin molecule from a Ub-protein, wherein said method is in vivo.
[00420] In some embodiments, a non-limiting example of an application of a chimeric molecule described herein comprises a method for preventing or reducing the degradation of a Ub-protein, the method comprising contacting the Ub-protein with a survival-targeting chimeric (SURTAC) molecule comprising a first binding domain, a second binding domain, and a linker domain, wherein: the first binding domain is configured to bind USP5 that may cleave ubiquitin from the Ub-protein bound to the second binding domain; the second binding domain is configured to bind an Ub-protein, and the linker domain is configured to link the first binding domain to the second binding domain; thereby preventing, reducing, or ameliorating the degradation of the Ub-protein.
[00421] In some embodiments, a non-limiting example of an application of a chimeric molecule described herein comprises a method for preventing or reducing the degradation of a Ub-protein, wherein said method in in vivo
[00422] Chimeric molecules disclosed herein, including SURTAC molecules, and components thereof have been described in detail above. In some embodiments of the methods of use of the chimeric molecules disclosed herein, the Ub-protein comprises CFTR. In some embodiments of the methods of use of the chimeric molecules disclosed herein, the Ub-protein comprises PARP. In some embodiments of the methods of use of the chimeric molecules disclosed herein, the Ub-protein comprises PKA.
[00423] In some embodiments, disclosed herein is a method for preventing or reducing the degradation of a Ub-PKA, comprising contacting the Ub-PKA with a chimeric molecule disclosed herein. In some embodiments, disclosed herein is a method for preventing or reducing the degradation of a Ub-PKA, comprising contacting the Ub-PKA with a chimeric molecule disclosed herein. In some embodiments, disclosed herein is a method for treating osteogenesis imperfecta comprising contacting the Ub-PKA with a chimeric molecule disclosed herein. In some embodiments, disclosed herein is a method for promoting osteogenesis comprising contacting the Ub-PKA with a chimeric molecule disclosed herein. In some embodiments, the method comprises administering a chimeric molecule that comprises a second binding domain, wherein the second binding domain is a PKA binder such as Formula (L) to (N).
[00424] In some embodiments, a method of use of a chimeric molecule described herein comprises a method of use of a chimeric molecule for modulating the activity of a ubiquitinylated protein, for example but not limited to a CFTR, the method comprising contacting the ubiquitinylated protein with a chimeric molecule comprising a first binding domain, a second binding domain, and a linker domain, wherein: the first binding domain is configured to bind to USP5; the second binding domain is configured to bind to a target protein, and the linker domain is configured to link the first binding domain to the second binding domain; thereby modulating the activity of the ubiquitinylated protein.
[00425] In some embodiments, a method of use of a chimeric molecule described herein comprises a use for modulating the cellular location of a ubiquitinylated protein, for example but not limited to CFTR, the method comprising contacting the ubiquitinylated protein with a chimeric molecule comprising a first binding domain, a second binding domain, and a linker domain, wherein:
the first binding domain is configured to bind to USP5; the second binding domain is configured to bind to a target protein, and the linker domain is configured to link the first binding domain to the second binding domain; thereby modulating the cellular location of the ubiquitinylated protein. [00426] In some embodiments, a method of use of a chimeric molecule described herein comprises a method of use of a chimeric molecule for altering the functional activity, of a ubiquitinylated protein, for example but not limited to P ARP 1 wherein said WT DNA repair activity is altered to increase DNA strand breaks in a cancer or tumor cells, the method comprising contacting the ubiquitinylated protein with a chimeric molecule comprising a first binding domain, a second binding domain, and a linker domain, wherein: the first binding domain is configured to bind to USP5; the second binding domain is configured to bind to a target protein, and the linker domain is configured to link the first binding domain to the second binding domain; thereby altering the functional activity of the ubiquitinylated protein.
[00427] In some embodiments, a method of use of a chimeric molecule described herein comprises a use for enhancing the concentration of a ubiquitinylated protein within a particular cellular location, for example but not limited to PARP1 in the nucleus and or bound to DNA in the nucleus, the method comprising contacting the ubiquitinylated protein with a chimeric molecule comprising a first binding domain, a second binding domain, and a linker domain, wherein: the first binding domain is configured to bind to USP5; the second binding domain is configured to bind to a target protein, and the linker domain is configured to link the first binding domain to the second binding domain; thereby enhancing the concentration of the ubiquitinylated protein in the nucleus and or associated with DNA.
[00428] In some embodiments, a method of use of a chimeric molecule described herein comprises a use for modulating the interaction of a ubiquitinylated protein with another protein, the method comprising contacting the ubiquitinylated protein with a chimeric molecule comprising a first binding domain, a second binding domain, and a linker domain, wherein: the first binding domain is configured to bind to USP5;
the second binding domain is configured to bind to a target protein, and the linker domain is configured to link the first binding domain to the second binding domain; thereby modulating the interaction of the ubiquitinylated protein with the other protein.
[00429] In some embodiments, a method of use of a chimeric molecule described herein comprises a use for modulating the interaction of a ubiquitinylated protein with DNA for example but not limited to increasing the quantity of a de-ubiquitinated protein bound to DNA in a cell, the method comprising contacting the ubiquitinylated protein with a chimeric molecule comprising a first binding domain, a second binding domain, and a linker domain, wherein: the first binding domain is configured to bind to USP5; the second binding domain is configured to bind to a target protein, and the linker domain is configured to link the first binding domain to the second binding domain; thereby modulating the interaction of a ubiquitinylated protein with DNA. In some embodiments the cell comprises a cancer or tumor cell. A skilled artisan would appreciate that in some embodiments, when the de-ubiquitinated protein is PARP1 or a like protein, though the quantity of de-ubiquitinated proteins increases in both quiescent /non- cancer/non-tumor cells and tumor/cancer cells, quiescent/non-cancer/non-tumor cells retain the ability to detoxify DNA bound PARP1 proteins and survive, while cancer or tumor cells do not. In some embodiments, methods of use of SURTAC molecules targeting USP5 and PARP1 leads to cytotoxicity of cancer and tumor cells.
[00430] In some embodiments, a method of use of a chimeric molecule described herein comprises removing at least on Ub from a Ub-protein and modulating the activity of the Ub-protein, modulating the cellular location of the Ub-protein, modulating the interaction of the Ub-protein with another protein, enhancing the local concentration of the Ub-protein in a cell, or any combination thereof. In some embodiments, the Ub-protein comprises CFTR. In some embodiments, the Ub-protein comprises CFTR or PARP1. In some embodiments, the Ub-protein comprises CFTR or PARP1. In some embodiments, the Ub- protein comprises PKA.
[00431] A non-limiting example of one application of the chimeric molecules provided herein is the deubiquitination of proteins which are ubiquitinylated due to misfolding. As cells detect misfolded proteins, the cell often tags these proteins for degradation. As cells do
not distinguish between non-functional misfolded proteins and partly-functional misfolded proteins, ubiquitinylating and therefore degradation of partly-functional misfolded proteins is a hallmark of certain diseases, such as CF. Thus, specific salvage of misfolded but still functional proteins, for example but not limited to CFTR, by the chimeric molecules provided herein is beneficial in fighting disease or condition caused by misfolded proteins, for example but not limited to CF.
[00432] A non-limiting example of another application of the chimeric molecules provided herein is the deubiquitination of a WT protein in order to increase the local concentration of the WT protein, whereby the increased quantity of the WT protein leads to cytotoxicity of actively dividing cells, e.g., cancer and tumor cells. Thus, specific cytotoxic targeting of cancer and tumor cells by increasing the local concentration of WT PARP1 and thereby increasing trapping of PARP1 on DNA with an associated increase in DNA strand breaks, may for example occur by targeted de-ubiquitination of UB-WT PARP1 by chimeric molecules provided herein, wherein the effect is beneficial in fighting disease or condition such as cancer.
[00433] In some embodiments, disclosed herein is a method of treating a disease in a subject in need thereof, comprising administering therapeutically effective amount of a pharmaceutical composition comprising at least one chimeric molecule disclosed herein. In some embodiments, in a method of treating a disease, the disease comprises a cancer, a neurodegenerative disease or disorder, anemia, a metabolic syndrome, autoimmunity, an inflammatory disease or disorder, an infection, cystic fibrosis, or a muscle dystrophy. In some embodiments, the disease treated by a method disclosed herein comprises a cancer. In some embodiments, the disease treated by a method disclosed herein comprises a neurodegenerative disease or disorder. In some embodiments, the disease treated by a method disclosed herein comprises anemia. In some embodiments, the disease treated by a method disclosed herein comprises a metabolic syndrome. In some embodiments, the disease treated by a method disclosed herein comprises autoimmunity. In some embodiments, the disease treated by a method disclosed herein comprises an inflammatory disease or disorder. In some embodiments, the disease treated by a method disclosed herein comprises an infection. In some embodiments, the disease treated by a method disclosed herein comprises a muscle dystrophy. In some embodiments, the disease being treated comprises cystic fibrosis (CF). In some embodiments, when the disease being treated
comprises CF, administration of a SURTAC molecule disclosed herein is in combination with at least one additional CF therapeutic compound or treatment. In some embodiments, when the disease being treated comprises cancer, said cancer is a PARP1 inhibitor resistant cancer. In some embodiments, when the disease being treated comprises cancer, administration of a SURTAC molecule disclosed herein is in combination with at least one additional cancer therapeutic compound or treatment.
[00434] In some embodiments, when the disease being treated comprises CF, a SURTAC molecule comprises a target binder that binds CFTR. In some embodiments, when the disease being treated comprises cancer, a SURTAC molecule comprises a target binder that binds PARP1. In some embodiments, when the disease being treated comprises cancer, a SURTAC molecule comprises a target binder that binds other PARP proteins for example PARP1. In some embodiments, when the disease being treated comprises cancer, a SURTAC molecule comprises a target binder that binds other PARP proteins for example PKA.
[00435] In some embodiments, a method for treating a disease in a subj ect in need thereof, comprises administering a chimeric molecule comprising a USP5 binder represented by the structure of any one of the following Formula (1) - Formula (9, as described in detail above. In some embodiments, a method for treating a disease in a subject in need thereof, comprises administering a chimeric molecule comprising a USP5 binder represented by the structure of any one of the following Formula (1) - Formula (9), wherein the disease comprises a cancer, a neurodegenerative disease or disorder, anemia, a metabolic syndrome, autoimmunity, an inflammatory disease or disorder, an infection, cystic fibrosis, or a muscle dystrophy. In some embodiments, the disease comprises a cancer. In some embodiments, a method for treating a disease in a subj ect in need thereof, comprises administering a chimeric molecule comprising a USP5 binder represented by the structure of any one of the following Formula (1*) - Formula (9*), as described in detail above. In some embodiments, amethod for treating a disease in a subject in need thereof, comprises administering a chimeric molecule comprising a USP5 binder represented by the structure of any one of the following Formula (1*) - Formula (9*), wherein the disease comprises a cancer, a neurodegenerative disease or disorder, anemia, a metabolic syndrome, autoimmunity, an inflammatory disease or disorder, an infection, cystic fibrosis, or a muscle dystrophy. In some embodiments, the disease comprises a cancer. In some embodiments, the cancer comprises a cancer resistant
to PARP inhibitor therapies. In some embodiments, the disease comprises a neurodegenerative disease or disorder. In some embodiments, the disease comprises anemia. In some embodiments, the disease comprises a metabolic syndrome. In some embodiments, the disease comprises autoimmunity. In some embodiments, the disease comprises an inflammatory disease or disorder. In some embodiments, the disease comprises an infection. In some embodiments, the disease comprises a muscle dystrophy. In some embodiments, the disease comprises cystic fibrosis (CF).
[00436] In some embodiments, a method for treating a disease in a subj ect in need thereof, for example but not limited to treating CF, the method comprises administering a chimeric molecule represented by the structure of any one of the following Formula (1) - Formula (9) and a target binder represented by the structure of Formula (A)-(J). In some embodiments, a method for treating a disease in a subject in need thereof, for example but not limited to treating CF, the method comprises administering a chimeric molecule represented by the structure of any one of the following Formula (1*) - Formula (9*) and a target binder represented by the structure of Formula (A)-(J). In some embodiments, a method for treating a disease in a subject in need thereof, for example but not limited to treating CF, the method comprises administering a chimeric molecule represented by the structure of Formula (7) and a target binder represented by the structure of Formula (A)- (J). In some embodiments, a method for treating a disease in a subject in need thereof, for example but not limited to treating CF, the method comprises administering a chimeric molecule represented by the structure of Formula (8) and a target binder represented by the structure of Formula (A)-(J). In some embodiments, a method for treating a disease in a subject in need thereof, for example but not limited to treating CF, the method comprises administering a chimeric molecule represented by the structure of Formula (9) and a target binder represented by the structure of Formula (A)-(J). In some embodiments, a method for treating a disease in a subject in need thereof, for example but not limited to treating CF, the method comprises administering a chimeric molecule represented by the structure of Formulas (1*)- (9*) and a target binder represented by the structure of Formula (A)-(N). In certain embodiments of a method for treating a disease in a subject in need, the disease comprises cystic fibrosis.
[00437] In some embodiments, a method for treating a disease in a subject comprises treating a subject suffering from CF wherein the method comprises administering a chimeric
molecule comprising a USP5 binder represented by the structure of any one of the following Formula (1) - Formula (9), as described in detail above. In some embodiments, a method for treating a disease in a subject comprises treating a subject suffering from CF wherein the method comprises administering a chimeric molecule represented by the structure of any one of the following Formula (1) - Formula (9) and a target binder represented by the structure of Formula (A)-(J). In some embodiments, a method for treating a disease in a subject comprises treating a subject suffering from CF wherein the method comprises administering a chimeric molecule represented by the structure of Formula (7) and a target binder represented by the structure of Formula (A)-(J). In some embodiments, a method for treating a disease in a subject comprises treating a subject suffering from CF wherein the method comprises administering a chimeric molecule represented by the structure of Formula (8) and a target binder represented by the structure of Formula (A)-(J). In some embodiments, a method for treating a disease in a subject comprises treating a subject suffering from CF wherein the method comprises administering a chimeric molecule represented by the structure of Formula (9) and a target binder represented by the structure of Formula (A)-(J).
[00438] In some embodiments, a method for treating a disease in a subj ect in need thereof, for example but not limited to treating C, the method comprises administering a chimeric molecule represented by the structure of any of chimeric molecule (I) - (XXVII). In some embodiments, a method for treating a disease in a subject in need thereof, for example but not limited to treating CF, the method comprises administering a chimeric molecule represented by any one of the structures of chimeric molecules 1-135 and 143-196 of Table 2 presented herein.
[00439] In some embodiments, a method for treating a disease in a subj ect in need thereof, for example but not limited to treating cancer, the method comprises administering a chimeric molecule represented by the structure of any one of the following Formula (1) - Formula (9) and a target binder represented by the structure of Formula (K). In some embodiments, a method for treating a disease in a subject in need thereof, for example but not limited to treating cancer, the method comprises administering a chimeric molecule represented by the structure of any one of the following Formula (I*)-(9*) and a target binder represented by the structure of Formula (K). In some embodiments, a method for treating a disease in a subject in need thereof for example but not limited to treating cancer,
the method comprises administering a chimeric molecule represented by the structure of Formula (7) and a target binder represented by the structure of Formula (K). In some embodiments, a method for treating a disease in a subject in need thereof, for example but not limited to treating cancer, the method comprises administering a chimeric molecule represented by the structure of Formula (8) and a target binder represented by the structure of Formula (K). In some embodiments, a method for treating a disease in a subject in need thereof, for example but not limited to treating cancer, the method comprises administering a chimeric molecule represented by the structure of Formula (9) and a target binder represented by the structure of Formula (K). In certain embodiments of a method for treating a disease in a subject in need, the disease comprises cancer. In some embodiments, a method for treating a disease in a subject in need thereof, for example but not limited to treating cancer, the method comprises administering a chimeric molecule represented by the structure of Formulas (1*)- (9*) and a target binder represented by the structure of Formulas (A)-(K). In certain embodiments, said cancer is resistant to PARP1 inhibitor therapeutics.
[00440] In some embodiments, a method for treating a disease in a subj ect in need thereof, for example a bone related disease, the method comprises administering a chimeric molecule represented by the structure of Formulas (1*)- (9*) and a target binder represented by the structure of Formulas (L)-(N). In certain embodiments, said disease is osteogenesis imperfecta.
[00441] In some embodiments, a method for treating a disease in a subject comprises treating a subject suffering from cancer wherein the method comprises administering a chimeric molecule comprising a USP5 binder represented by the structure of any one of the following Formula (1) - Formula (9), as described in detail above. In some embodiments, a method for treating a disease in a subj ect comprises treating a subj ect suffering from cancer wherein the method comprises administering a chimeric molecule represented by the structure of any one of the following Formula (1) - Formula (9) and a target binder represented by the structure of Formula (K). In some embodiments, a method for treating a disease in a subject comprises treating a subject suffering from cancer wherein the method comprises administering a chimeric molecule comprising a USP5 binder represented by the structure of any one of the following Formulas (1*)- (9*), as described in detail above. In some embodiments, a method for treating a disease in a subject comprises treating a subject
suffering from cancer wherein the method comprises administering a chimeric molecule represented by the structure of any one of the following Formulas (1*)- (9*) and a target binder represented by the structure of Formula (K). In some embodiments, a method for treating a disease in a subject comprises treating a subject suffering from cancer wherein the method comprises administering a chimeric molecule represented by the structure of Formula (7) and a target binder represented by the structure of Formula (K). In some embodiments, a method for treating a disease in a subject comprises treating a subject suffering from cancer wherein the method comprises administering a chimeric molecule represented by the structure of Formula (8) and a target binder represented by the structure of Formula (K). In some embodiments, a method for treating a disease in a subject comprises treating a subject suffering from cancer wherein the method comprises administering a chimeric molecule represented by the structure of Formula (9) and a target binder represented by the structure of Formula (K).
[00442] In some embodiments, a method for treating a disease in a subj ect in need thereof, for example but not limited to treating cancer, the method comprises administering a chimeric molecule represented by the structure of any of chimeric molecule (XXVIII)- (XXX)-. In some embodiments, a method for treating a disease in a subject in need thereof, for example but not limited to treating cancer, the method comprises administering a chimeric molecule represented by any one of the structures of chimeric molecules 136-142 and 197-210 of Table 2 presented herein.
[00443] In some embodiments disclosed herein is a method for treating a disease in a subject, wherein said disease is selected from a cancer, a neurodegenerative disease or disorder, anemia, a metabolic syndrome, autoimmunity, an inflammatory disease or disorder, infection, cystic fibrosis, and a muscle dystrophy, and the method comprises administering a chimeric molecule represented by the structure of any one of the following Formula (1) - Formula (9), as described in detail above, and an additional therapeutic agent. In some embodiments disclosed herein is a method for treating a disease in a subject, wherein said disease is selected from a cancer, a neurodegenerative disease or disorder, anemia, a metabolic syndrome, autoimmunity, an inflammatory disease or disorder, infection, cystic fibrosis, and a muscle dystrophy, and the method comprises administering a chimeric molecule represented by the structure of any one of the following Formulas (1*)- (9*), as described in detail above, and an additional therapeutic agent. In some
embodiments, the disease being treated comprises cystic fibrosis, said method comprising administering a chimeric molecule represented by the structure of any one of the following Formula (1) - Formula (9) and an additional therapeutic agent. In some embodiments, the disease being treated comprises cystic fibrosis, said method comprising administering a chimeric molecule represented by the structure of any one of the following Formulas (1*)- (9*) and an additional therapeutic agent.
[00444] In some embodiment, a method of use of a chimeric molecule for treating a disease, affects the half-life of a protein of interest in a cell. In some embodiment, a method of use of a chimeric molecule for treating a disease, improves folding of said Ub-protein, corrects folding of said Ub-protein, enhances the activity of the Ub-protein, potentiates the activity of the Ub-protein, assists to correctly target the Ub-protein within a cell, and or enhances trafficking of the Ub-protein. In some embodiment, a method of use of a chimeric molecule for treating a disease, affects the half-life of a protein of interest in a cell, and improves folding of said Ub-protein, corrects folding of said Ub-protein, potentiates the activity of the Ub-protein, enhances the activity of the Ub-protein, assists to correctly target the Ub-protein within a cell, and or enhances trafficking of the Ub-protein, or any combination thereof. In some embodiment, a method of use of a chimeric molecule for treating a disease, affects the local concentration of a protein of interest in a cell. In some embodiments, the Ub-protein is associated with a disease. In some embodiments, the absence of a Ub-protein is associated with a disease. In some embodiments, the Ub-protein is associated with a disease selected from a cancer, aneurodegenerative disease or disorder, anemia, a metabolic syndrome, autoimmunity, an inflammatory disease or disorder, infection, cystic fibrosis, and a muscle dystrophy.
[00445] In some embodiment, a method of use of a chimeric molecule for treating a disease, wherein said disease comprises CF, the method of use affects the half-life of CFTR in a cell. In some embodiment, a method of use of a chimeric molecule for treating a disease, wherein said disease comprises CF, improves folding of said Ub-CFTR, corrects folding of said Ub-CFTR, enhances the activity of the Ub-CFTR, potentates the ion transport across the PM by the Ub-CFTR, assists to correctly target the Ub-CFTR within a cell, and or enhances trafficking of the Ub-CFTR. In some embodiment, a method of use of a chimeric molecule for treating a disease, wherein said disease comprises CF, affects the half-life of CFTR in a cell, and improves folding of said Ub CFTR, corrects folding of said Ub-CFTR,
enhances the activity of the Ub-CFTR, potentiates the ion transport across the PM by the Ub-CFTR target, assists to correctly target the Ub-CFTR within a cell, and or enhances trafficking of the Ub-CFTR, or any combination thereof.
[00446] In some embodiment, a method of use of a chimeric molecule for treating a disease, wherein said disease comprises cancer, the method of use affects the local concentration of PARP1 in the nucleus of a cell. In some embodiment, a method of use of a chimeric molecule for treating a disease, wherein said disease comprises cancer, increases the quantity of PARP1 bound to DNA. In some embodiment, a method of use of a chimeric molecule for treating a disease, wherein said disease comprises cancer, increases the quantity of PARP1 bound to DNA and thereby increases the number of DNA strand breaks, thereby leading to cytotoxicity of the cell. In some embodiments, the cell comprises a cancer or tumor cell.
[00447] In certain embodiments of methods of use described herein, the chimeric molecules provided herein, further comprise a third binding domain that binds to an antigen presented on a target cell. As would be appreciated by those skilled in the art, a third binding domain that specifically targets an antigen presented on a cell, or on a specific population of cells, allows delivery of the chimeric molecules provided herein to predefined cells, for example but not limited to lung or gastro-intestinal cells wherein the function of CFTR may be reduced or mutated in CF. In another embodiment, a third binding domain specifically targets chimeric molecules described herein to cancer or tumor cells.
[00448] In certain embodiments of methods of use of a chimeric molecule described herein, the chimeric molecules further comprise a cell-penetrating tag. As would be appreciated by those skilled in the art, a cell-penetrating tag that increases the entry of the chimeric molecules into cells, allows efficient delivery of the chimeric molecules to cells. In some embodiments, cell-penetrating tags comprise cell-penetrating peptides (CPPs). CPPs in some embodiments comprise short peptides that facilitate cellular intake/uptake of various molecules. In some embodiments of methods of use of chimeric molecules described herein, the chimeric molecules are associated with the CPPs either through chemical linkage via covalent bonds or through non-covalent interactions.
[00449] In certain embodiments of methods of use of chimeric molecules provided herein, the method of use restores normal cell function, in cells which have been challenged by an insult, for example but not limited to expression of a mutated CFTR protein. In some
embodiments of methods of use of a chimeric molecule, the method partially restores normal cell function in cells, which have been challenged by an insult, for example but not limited to expression of a mutated CFTR protein.
[00450] In certain embodiments of methods of use of chimeric molecules provided herein, the method of use activates a function of the targeted Ub-protein that is cytotoxic to cells, in cells which comprise cancer or tumor cells, for example but not limited to increasing the local cell concentration of Ub-PARP1 protein by de-ubiquitinating the Ub-PARP1. In some embodiments of methods of use of a chimeric molecule, the method maintains normal PARP1 DNA binding function in cells, which when PARP1 is in excess leads to increased PARP1 trapped on DNA and increased single strange breaks in the DNA, and ultimately cell death.
Administration
[00451] Administration of a chimeric molecule or a pharmaceutical composition comprising a chimeric molecule, as disclosed herein, may be achieved by a variety of different routes, including oral, parenteral, nasal, intravenous, intradermal, subcutaneous or topical. In some embodiments, modes of administration depend upon the nature of the condition to be treated or prevented. In some embodiments, an amount that following administration, reduces, inhibits, prevents or delays the progression of a cancer, a neurodegenerative disease or disorder, anemia, a metabolic syndrome, autoimmunity, an inflammatory disease or disorder, infection, cystic fibrosis, or a muscle dystrophy is considered effective. In some embodiments, an amount that, following administration, reduces, inhibits, prevents or delays the progression of symptoms of a cancer, a neurodegenerative disease or disorder, anemia, a metabolic syndrome, autoimmunity, an inflammatory disease or disorder, infection, cystic fibrosis, or a muscle dystrophy is considered effective.
[00452] In some embodiments, an amount that, following administration, reduces, inhibits, prevents or delays the progression CF is considered effective. In some embodiments, an amount that, following administration, reduces, inhibits, prevents or delays the progression of symptoms of CF is considered effective. [00453] In some embodiments, an amount that, following administration, reduces, inhibits, prevents or delays the progression cancer is considered effective. In some
embodiments, an amount that, following administration, increases the cytotoxicity of cancer cells is considered effective.
[00454] In certain embodiments, methods disclosed herein administer a chimeric molecule, for treating a disease in a subject. In certain embodiments, methods disclosed herein administer a chimeric molecule, for treating a disease in a subject, wherein said disease comprises a cancer, a neurodegenerative disease or disorder, anemia, a metabolic syndrome, autoimmunity, an inflammatory disease or disorder, infection, cystic fibrosis, or a muscle dystrophy. In certain embodiments, methods disclosed herein administer a chimeric molecule, for treating a disease in a subject, wherein said disease is cystic fibrosis. In certain embodiments, methods disclosed herein administer a chimeric molecule, for treating a disease in a subject, wherein said disease is cancer.
[00455] In some embodiments, an effective amount of a chimeric molecule or a composition thereof, is administered to a subject in need for treating a disease selected from a cancer, a neurodegenerative disease or disorder, anemia, a metabolic syndrome, autoimmunity, an inflammatory disease or disorder, infection, cystic fibrosis, and a muscle dystrophy. In some embodiments, an effective amount of a chimeric molecule or a composition thereof, is administered to a subject in need for treating CF. In some embodiments, an effective amount of a chimeric molecule or a composition thereof, is administered to a subject in need for treating cancer.
[00456] In certain embodiments, methods disclosed herein administer a chimeric molecule in combination with an additional therapy, for treating a disease in a subject. In certain embodiments, methods disclosed herein administer a chimeric molecule in combination with an additional therapy, for treating a disease in a subject, wherein said disease comprises a cancer, a neurodegenerative disease or disorder, anemia, a metabolic syndrome, autoimmunity, an inflammatory disease or disorder, infection, cystic fibrosis, or a muscle dystrophy. In some embodiments, an effective amount of a chimeric molecule or a composition thereof and an additional therapeutic agent or a composition thereof, are administered to a subject in need for treating CF. In some embodiments, an effective amount of a chimeric molecule or a composition thereof and an additional therapeutic agent or a composition thereof, are administered to a subject in need for treating cancer. In some embodiments, an additional therapy is one used in the standards of care for the disease. In some embodiments, an additional therapy is one used in the standards of care for the disease
selected from a cancer, a neurodegenerative disease or disorder, anemia, a metabolic syndrome, autoimmunity, an inflammatory disease or disorder, infection, cystic fibrosis, or a muscle dystrophy. In some embodiments, an additional therapy is one used in the standards of care for treating CF. In some embodiments, an additional therapeutic agent is one used in the standards of care for the disease. In some embodiments, an additional therapeutic agent is one used in the standards of care for CF. In some embodiments, an additional therapy is one used in the standards of care for treating cancer. In some embodiments, an additional therapeutic agent is one used in the standards of care for the disease. In some embodiments, an additional therapeutic agent is one used in the standards of care for cancer.
[00457] In some embodiments, administration of a chimeric molecule or a composition thereof, comprises administering a therapeutically active molecule that improves or enhances or potentiates the activity of a protein associated with a disease selected from a cancer, a neurodegenerative disease or disorder, anemia, a metabolic syndrome, autoimmunity, an inflammatory disease or disorder, infection, cystic fibrosis, and a muscle dystrophy. In some embodiments, the disease being treated comprises cystic fibrosis. In some embodiments, administration of a chimeric molecule or a composition thereof, comprises administering a therapeutic agent capable of affecting the half-life of Ub-protein in a cell, and improving folding of said Ub-protein, correcting folding of said Ub-protein, enhancing the activity of the Ub-ubiquitinated, assisting to correctly target the Ub-protein within a cell, and or enhancing trafficking of the Ub-protein, or any combination thereof, wherein said protein is associated with a disease selected from a cancer, a neurodegenerative disease or disorder, anemia, a metabolic syndrome, autoimmunity, an inflammatory disease or disorder, infection, cystic fibrosis, and a muscle dystrophy. In some embodiments, the disease being treated comprises cystic fibrosis. In some embodiments, administration of a chimeric molecule or a composition thereof, comprises administering a therapeutic agent capable of affecting the half-life of a Ub-protein in a cell, wherein said protein is associated with a disease selected from a cancer, a neurodegenerative disease or disorder, anemia, a metabolic syndrome, autoimmunity, an inflammatory disease or disorder, infection, cystic fibrosis, and a muscle dystrophy. In some embodiments, the disease being treated comprises cystic fibrosis. In some embodiments, administration of a chimeric molecule or a composition thereof, comprises administering a therapeutic agent capable of and improving folding of a Ub-protein, wherein said protein is associated with a disease selected from a
cancer, a neurodegenerative disease or disorder, anemia, a metabolic syndrome, autoimmunity, an inflammatory disease or disorder, infection, cystic fibrosis, and a muscle dystrophy. In some embodiments, administration of a chimeric molecule or a composition thereof, comprises administering a therapeutic agent capable of correcting folding of a Ub- protein, wherein said protein is associated with a disease selected from a cancer, a neurodegenerative disease or disorder, anemia, a metabolic syndrome, autoimmunity, an inflammatory disease or disorder, infection, cystic fibrosis, and a muscle dystrophy. In some embodiments, administration of a chimeric molecule or a composition thereof, comprises administering a therapeutic agent capable of enhancing the activity of a Ub-protein, wherein said protein is associated with a disease selected from a cancer, a neurodegenerative disease or disorder, anemia, a metabolic syndrome, autoimmunity, an inflammatory disease or disorder, infection, cystic fibrosis, and a muscle dystrophy. In some embodiments, administration of a chimeric molecule or a composition thereof, comprises administering a therapeutic agent capable of potentiating the activity of a Ub-protein, wherein said protein is associated with a disease selected from a cancer, a neurodegenerative disease or disorder, anemia, a metabolic syndrome, autoimmunity, an inflammatory disease or disorder, infection, cystic fibrosis, and a muscle dystrophy. In some embodiments, administration of a chimeric molecule or a composition thereof, comprises administering a therapeutic agent capable of assisting to correctly target a Ub-protein within a cell, wherein said protein is associated with a disease selected from a cancer, a neurodegenerative disease or disorder, anemia, a metabolic syndrome, autoimmunity, an inflammatory disease or disorder, infection, cystic fibrosis, and a muscle dystrophy. In some embodiments, administration of a chimeric molecule or a composition thereof, comprises administering a therapeutic agent capable of enhancing trafficking of a Ub-protein, wherein said protein is associated with a disease selected from a cancer, a neurodegenerative disease or disorder, anemia, a metabolic syndrome, autoimmunity, an inflammatory disease or disorder, infection, cystic fibrosis, and a muscle dystrophy. In some embodiments, administration of a chimeric molecule or a composition thereof, comprises administering a therapeutic agent capable of affecting the local concentration of a WT Ub-protein in a cell, wherein said protein is associated with a disease selected from a cancer, a neurodegenerative disease or disorder, anemia, a metabolic syndrome, autoimmunity, an inflammatory disease or disorder, infection, cystic fibrosis, and a muscle dystrophy. In some embodiments the disease being treated comprises cancer.
[00458] In some embodiments, improving or enhancing or potentiating the activity of a Ub-protein in a cell, wherein said protein is associated with a disease selected from a cancer, a neurodegenerative disease or disorder, anemia, a metabolic syndrome, autoimmunity, an inflammatory disease or disorder, infection, cystic fibrosis, and a muscle dystrophy, is by at least 1%, by at least 2%, by at least 3%, by at least 4%, by at least 5%, by at least 6%, by at least 7%, by at least 8%, by at least 9%, by at least 10%, by at least 20%, by at least 30%, by at least 40%, by at least 50%, by at least 60%, by at least 70%, by at least 80%, by at least 90%, or by 100%.
[00459] In some embodiments, administration of a chimeric molecule or a composition thereof, comprises administering a therapeutically active molecule that improves or enhances or potentiates the activity of CFTR. In some embodiments, administration of a chimeric molecule or a composition thereof, comprises administering a therapeutic agent capable of affecting the half-life of Ub-CFTR in a cell, and improving folding of said Ub- CFTR, correcting folding of said Ub-CFTR, enhancing the activity of the Ub-CFTR, assisting to correctly target the Ub-CFTR within a cell, and or enhancing trafficking of the Ub-CFTR, or any combination thereof. In some embodiments, administration of a chimeric molecule or a composition thereof, comprises administering a therapeutic agent capable of affecting the half-life of Ub-CFTR in a cell. In some embodiments, administration of a chimeric molecule or a composition thereof, comprises administering a therapeutic agent capable of and improving folding of said Ub-CFTR. In some embodiments, administration of a chimeric molecule or a composition thereof, comprises administering a therapeutic agent capable of correcting folding of said Ub-CFTR. In some embodiments, administration of a chimeric molecule or a composition thereof, comprises administering a therapeutic agent capable of enhancing the activity of the Ub-CFTR. In some embodiments, administration of a chimeric molecule or a composition thereof, comprises administering a therapeutic agent capable of potentiating the activity of the Ub-CFTR. In some embodiments, administration of a chimeric molecule or a composition thereof, comprises administering a therapeutic agent capable of assisting to correctly target the Ub-CFTR within a cell. In some embodiments, administration of a chimeric molecule or a composition thereof, comprises administering a therapeutic agent capable of enhancing trafficking of the Ub-CFTR.
[00460] In some embodiments, improving or enhancing or potentiating the activity of Ub-
CFTR in a cell is by by at least 1%, by at least 2%, by at least 3%, by at least 4%, by at least 5%, by at least 6%, by at least 7%, by at least 8%, by at least 9%, by at least 10%, by at least 20%, by at least 30%, by at least 40%, by at least 50%, by at least 60%, by at least 70%, by at least 80%, by at least 90%, or by 100%.
[00461] In some embodiments, administration of a chimeric molecule or a composition thereof, comprises administering a therapeutically active molecule that enhances the local concentration of PARP1 in the nuclear of a cell, increases the quantity of PARP1 molecules bound to DNA, increases single strand DNA breaks, and increases cytotoxicity of cancer or tumor cells.
[00462] In some embodiments, provided herein is a method for treating a disease wherein the method comprises administration of a pharmaceutical composition described herein. [00463] In some embodiments, administration of a chimeric molecule or a composition thereof, comprises administering a therapeutic agent capable of treating CF. In some embodiments, administration of a chimeric molecule or a composition thereof, comprises administering a therapeutic agent capable of treating cancer.
[00464] In some embodiments, the therapeutic agent administered comprises a chimeric molecule represented by the structure of any one of the following Formula (1) - Formula (9), as described in detail above. In some embodiments, the therapeutic agent administered comprises a chimeric molecule represented by the structure of any one of the following Formula (1*) - Formula (9*), as described in detail above. In some embodiments, the therapeutic agent administered comprises a chimeric molecule represented by the structure of any one of the following Formula (1) - Formula (8) and a target binder represented by the structure of Formula (A)-(K). In some embodiments, the therapeutic agent administered comprises a chimeric molecule represented by the structure of Formula (7) and a target binder represented by the structure of Formula (A)-(K). In some embodiments, the therapeutic agent administered comprises a chimeric molecule represented by the structure of Formula (8) and a target binder represented by the structure of Formula (A)-(K). In some embodiments, the therapeutic agent administered comprises a chimeric molecule represented by the structure of Formula (9) and a target binder represented by the structure of Formula (A)-(K).
[00465] In some embodiments, the therapeutic agent administered comprises a chimeric molecule represented by the structure of any one of the following chimeric molecules (I) -
(XXX). In some embodiments, the therapeutic agent administered comprises a chimeric molecule represented by the structure of any one of the following chimeric molecules 1- 210 of Table 2
[00466] In some embodiments, an at least one additional therapeutic agent is administered in combination with a chimeric compound represented by the structure of any one of the following Formula (1) - Formula (9), as described in detail above. In some embodiments, an at least one additional therapeutic agent is administered in combination with a chimeric compound represented by the structure of any one of the following Formula (1) - Formula (9) and a target binder represented by the structure of Formula (A)-(K). In some embodiments, an at least one additional therapeutic agent is administered in combination with a chimeric compound represented by the structure of any one of the following Formula (1*) - Formula (9*), as described in detail above. In some embodiments, an at least one additional therapeutic agent is administered in combination with a chimeric compound represented by the structure of any one of the following Formula (1*) - Formula (9*) and a target binder represented by the structure of Formula (A)-(K). In some embodiments, an at least one additional therapeutic agent is administered in combination with a chimeric compound represented by the structure following of Formula (7) and a target binder represented by the structure of Formula (A)-(K). In some embodiments, an at least one additional therapeutic agent is administered in combination with a chimeric compound represented by the structure of Formula (8) and a target binder represented by the structure of Formula (A)-(K). In some embodiments, an at least one additional therapeutic agent is administered in combination with a chimeric compound represented by the structure of Formula (9) and a target binder represented by the structure of Formula (A)-(K).
[00467] In some embodiments, an at least one additional therapeutic agent is administered in combination with a chimeric compound represented by the structure of any one of the following chimeric molecules (I) - (XXX). In some embodiments, an at least one additional therapeutic agent is administered in combination with a chimeric compound represented by the structure of any one of the following chimeric molecules 1-210 of Table 2.
[00468] In some embodiments, an at least one additional therapeutic agent comprises an additional chimeric molecule, as disclosed herein. In some embodiments, an at least one additional therapeutic agent is selected from ivacaftor, lumacaftor, tezacaftor, elexacaftor, ABBV-2222, posenacaftor, nesolicaftor, ABBV 191, ABBV-3067, ELX-02, PTI-428, PTI-
801, PTI-808, VX-121, VX-561, or MRT5005, or any combination thereof. In some embodiments, an at least one additional therapeutic agent is selected from Veliparp (ABT- 888), Rucaparib (Rubraca; AG-014699), Olaparib (Lynparza; AZD-2281), Niraparib (Zejula; MK-4827), or Talazoparib (BMN-673).
[00469] In some embodiments, said at least one additional therapeutic agent comprises a composition comprising the at least one additional therapeutic agent or a pharmaceutical salt thereof. In some embodiments, the additional agent is administered concurrent with administration of a chimeric molecule disclosed herein or a pharmaceutical salt thereof. In some embodiments, the additional agent is administered prior to administration of a chimeric molecule disclosed herein or a pharmaceutical salt thereof. In some embodiments, the additional agent is administered following administration of a chimeric molecule disclosed herein or a pharmaceutical salt thereof. In some embodiments, the additional agent is administered independent of administration of a chimeric molecule disclosed herein or a pharmaceutical salt thereof.
[00470] In some embodiments, an amount of a chimeric molecule disclosed herein or a composition thereof, that following administration treats a disease in a subject in need, is considered an effective amount. In some embodiments, an amount of a chimeric molecule or a composition thereof, that following administration treats a disease selected from a cancer, a neurodegenerative disease or disorder, anemia, a metabolic syndrome, autoimmunity, an inflammatory disease or disorder, infection, cystic fibrosis, and a muscle dystrophy, is considered an effective amount. In some embodiments, an amount of a chimeric molecule or a composition thereof, that following administration treats CF, is considered an effective amount.
[00471] In some embodiments, an amount of a chimeric molecule of comprising a first binding domain comprising a USP5 binder represented by the structure of any one of the following Formula (1) - Formula (9); comprising a first binding domain comprising a USP5 binder represented by the structure Formula (1) - Formula (9) and a second binding domain comprising a target binder represented by the structure of Formula (A)-(K); comprising a first binding domain comprising a USP5 binder represented by the structure of Formula (7) and a second binding domain comprising a target binder represented by the structure of Formula (A)-(K); comprising a first binding domain comprising a USP5 binder represented by the structure of Formula (8) and a second binding domain comprising a
target binder represented by the structure of Formula (A)-(K); comprising a first binding domain comprising a USP5 binder represented by the structure of Formula (9) and a second binding domain comprising a target binder represented by the structure of Formula (A)- (K); any one of chimeric molecules (I) - (XXX); or any one of chimeric molecules 1-210 of Table 2, or a pharmaceutically acceptable salt thereof, that following administration treats a disease in a subject in need is considered an effective amount. In some embodiments, the disease is selected from a cancer, a neurodegenerative disease or disorder, anemia, a metabolic syndrome, autoimmunity, an inflammatory disease or disorder, infection, cystic fibrosis, and a muscle dystrophy. In some embodiments, an amount of a chimeric molecule of comprising a first binding domain comprising a USP5 binder represented by the structure of any one of the following Formula (1) - Formula (9); comprising a first binding domain comprising a USP5 binder represented by the structure Formula (1) - Formula (9) and a second binding domain comprising a target binder represented by the structure of Formula (A)-(K); comprising a first binding domain comprising a USP5 binder represented by the structure of Formula (7) and a second binding domain comprising a target binder represented by the structure of Formula (A)-(K); comprising a first binding domain comprising a USP5 binder represented by the structure of Formula (8) and a second binding domain comprising a target binder represented by the structure of Formula (A)-(K); comprising a first binding domain comprising a USP5 binder represented by the structure of Formula (9) and a second binding domain comprising a target binder represented by the structure of Formula (A)-(K); any of chimeric molecules (I) - (XXX); or any of chimeric molecules (I) - (XXX), or any of chimeric molecules l-210of Table 2, or a pharmaceutically acceptable salt thereof, that following administration treats CF in a subject in need, is considered an effective amount.
[00472] A skilled artisan would recognize that an "effective amount" (or, a "therapeutically effective amount") may encompass an amount sufficient to affect a beneficial or desired clinical result upon treatment, for treating a subject suffering from a disease comprising a cancer, a neurodegenerative disease or disorder, anemia, a metabolic syndrome, autoimmunity, an inflammatory disease or disorder, infection, cystic fibrosis, and a muscle dystrophy. In some embodiments, an "effective amount" (or, a "therapeutically effective amount") may encompass an amount sufficient to affect a beneficial or desired clinical result upon treatment of CF in the subject in need.
[00473] Chimeric molecules comprising a first binding domain comprising a USP5 binder represented by the structure of any one of the following Formula (1) - Formula (9); comprising a first binding domain comprising a USP5 binder represented by the structure Formula (1) - Formula (9) and a second binding domain comprising a target binder represented by the structure of Formula (A)-(K); comprising a first binding domain comprising a USP5 binder represented by the structure of Formula (7) and a second binding domain comprising a target binder represented by the structure of Formula (A)-(K); comprising a first binding domain comprising a USP5 binder represented by the structure of Formula (8) and a second binding domain comprising a target binder represented by the structure of Formula (A)-(K); comprising a first binding domain comprising a USP5 binder represented by the structure of Formula (9) and a second binding domain comprising a target binder represented by the structure of Formula (A)-(K); any of chimeric molecules (I) - (XXX); or any of chimeric molecules 1-210 of Table 2, or a pharmaceutically acceptable salt thereof, as disclosed herein in detail, or pharmaceutical compositions thereof, may be administered in a therapeutically effective amount (dose).
[00474] Determination of a therapeutically effective amount is well within the capability of those skilled in the art. For any preparation used in the methods disclosed herein, the therapeutically effective amount or dose can be estimated initially from in vitro assays. For example, a dose can be formulated in animal models and such information can be used to more accurately determine useful doses in humans.
[00475] Toxicity and therapeutic efficacy of the chimeric molecule or a composition thereof, as described herein, can be determined by standard pharmaceutical procedures in vitro, in cell cultures or experimental animals. The data obtained from these in vitro and cell culture assays and animal studies can be used in Formulating a range of dosage for use in human. The dosage may vary depending upon the dosage form employed and the route of administration utilized. The exact Formulation, route of administration and dosage can be chosen by the individual physician in view of the patient's condition. [See e.g., Fingl, et al., (1975) "The Pharmacological Basis of Therapeutics", Ch. 1 p.1].
[00476] The amount of a composition to be administered will, of course, be dependent on e.g., the subject being treated, the severity of the affliction, the manner of administration, the judgment of the prescribing physician, etc.
[00477] An effective amount can be administered to a subject in one or more doses. In
terms of treatment, an effective amount is an amount that is sufficient to treat a disease in a subject, wherein said disease comprises a cancer, a neurodegenerative disease or disorder, anemia, a metabolic syndrome, autoimmunity, an inflammatory disease or disorder, infection, cystic fibrosis, and a muscle dystrophy. In some embodiments, an effective amount is an amount that is sufficient to enhance or improve the functionality of a protein associated with the disease in a cell. In some embodiments, the disease is CF. In some embodiments, an effective amount is an amount that is sufficient to enhance or improve the functionality of CFTR in a cell. The effective amount is generally determined by the physician on a case-by-case basis and is within the skill of one in the art. Several factors are typically taken into account when determining an appropriate dosage to achieve an effective amount. These factors include age, sex and weight of the subject, the condition being treated, the severity of the condition and the form and effective concentration of the chimeric molecule or a composition thereof, being administered.
[00478] Chimeric molecules disclosed herein may be administered by a variety of different routes. In some embodiments, a chimeric molecule or a composition thereof, is administered orally, intravenously, intraperitoneally, or subcutaneously.
[00479] For oral preparations, a chimeric molecule or a composition thereof, may be used alone or in combination with appropriate additives to make tablets, powders, granules or capsules, for example, with conventional additives, such as lactose, mannitol, com starch or potato starch; with binders, such as crystalline cellulose, cellulose derivatives, acacia, com starch or gelatins; with disintegrators, such as com starch, potato starch or sodium carboxynrethylcellulose; with lubricants, such as talc or magnesium stearate; and if desired, with diluents, buffering agents, moistening agents, preservatives and flavoring agents. [00480] A chimeric molecule or a composition thereof, may be formulated into preparations for injection by dissolving, suspending or emulsifying them in an aqueous or nonaqueous solvent, such as vegetable or other similar oils, synthetic aliphatic acid glycerides, esters of higher aliphatic acids or propylene glycol; and if desired, with conventional additives such as solubilizers, isotonic agents, suspending agents, emulsifying agents, stabilizers and preservatives.
[00481] A chimeric molecule or a composition thereof, may be utilized in aerosol Formulation to be administered via inhalation. A chimeric molecule disclosed herein or a pharmaceutically acceptable salt thereof as disclosed herein in detail, or pharmaceutical
compositions thereof, disclosed herein may be formulated into pressurized acceptable propellants such as dichlorodifluoromethane, propane, nitrogen and the like.
[00482] Furthermore, a chimeric molecule or a pharmaceutically acceptable salt thereof, as disclosed herein in detail, or pharmaceutical compositions thereof, may be made into suppositories by mixing with a variety of bases such as emulsifying bases or water- soluble bases. A chimeric molecule or a pharmaceutically acceptable salt thereof, as disclosed herein in detail, or pharmaceutical compositions thereof, may be administered rectally via a suppository. The suppository can include vehicles such as cocoa butter, carbowaxes and polyethylene glycols, which melt at body temperature, yet are solidified at room temperature.
[00483] Unit dosage forms for oral or rectal administration such as syrups, elixirs, and suspensions may be provided wherein each dosage unit, for example, teaspoonful, tablespoonful, tablet or suppository, contains a predetermined amount of the composition containing one or more active agents. Similarly, unit dosage forms for injection or intravenous administration may comprise a chimeric molecule or a composition thereof, in a composition as a solution in sterile water, normal saline or another pharmaceutically acceptable carrier.
[00484] The term “unit dosage form,” as used herein, refers to physically discrete units suitable as unitary dosages for human and animal subjects, each unit containing a predetermined quantity of an active agent calculated in an amount sufficient to produce the desired effect in association with a pharmaceutically acceptable diluent, carrier or vehicle. The specifications for the active agents depend on the particular compound employed and the effect to be achieved, and the pharmacodynamics associated with each compound in the host. [00485] Other modes of administration will also find use with treating a disease in a subject in need. In some embodiments, the disease comprises a cancer, a neurodegenerative disease or disorder, anemia, a metabolic syndrome, autoimmunity, an inflammatory disease or disorder, infection, cystic fibrosis, and a muscle dystrophy. In some embodiments, the disease being treated comprises cystic fibrosis. In some embodiments, other modes of administration may be used for treating CF. For instance, a chimeric molecule or a pharmaceutically acceptable salt thereof, as disclosed herein in detail, or pharmaceutical compositions thereof, may be formulated in suppositories and, in some cases, aerosol and
intranasal compositions. For suppositories, vehicle composition will include traditional binders and carriers such as, polyalkylene glycols, or triglycerides. Such suppositories may be formed from mixtures containing the active ingredient in the range of about 0.5% to about 10% (w/w), or about 1% to about 2%.
[00486] Intranasal formulations will usually include vehicles that neither cause irritation to the nasal mucosa nor significantly disturb ciliary function. Diluents such as water, aqueous saline or other known substances can be employed with the subject chimeric molecules, compositions thereof, and formulations thereof. The nasal formulations may also contain preservatives such as, but not limited to, chlorobutanol and benzalkonium chloride. A surfactant may be present to enhance absorption of the chimeric molecule or a composition thereof, by the nasal mucosa.
[00487] A chimeric molecule as disclosed herein or a pharmaceutically acceptable salt thereof, as disclosed herein in detail, or pharmaceutical compositions thereof, may be administered as injectables. Typically, injectable compositions are prepared as liquid solutions or suspensions; solid forms suitable for solution in, or suspension in, liquid vehicles prior to injection may also be prepared. The preparation may also be emulsified, or the chimeric molecule or a pharmaceutically acceptable salt thereof, as disclosed herein in detail, or pharmaceutical compositions thereof, may encapsulated in liposome vehicles.
[00488] Suitable excipient vehicles are, for example, water, saline, dextrose, glycerol, ethanol, or the like, and combinations thereof. In addition, if desired, the vehicle may contain minor amounts of auxiliary substances such as wetting or emulsifying agents or pH buffering agents. Actual methods of preparing such dosage forms are known, or will be apparent, to those skilled in the art. See, e.g., Remington's Pharmaceutical Sciences, Mack Publishing Company, Easton, Pennsylvania, 17th edition, 1985; Remington: The Science and Practice of Pharmacy, A.R. Gennaro, (2000) Lippincott, Williams & Wilkins. The composition or Formulation to be administered will, in any event, contain a quantity of the agent adequate to achieve the desired state in the subject being treated.
[00489] The pharmaceutically acceptable excipients, such as vehicles, adjuvants, carriers or diluents, are readily available to the public. Moreover, pharmaceutically acceptable auxiliary substances, such as pH adjusting and buffering agents, tonicity adjusting agents, stabilizers, wetting agents and the like, are readily available to the public.
[00490] A skilled artisan would appreciate that the singular form "a", "an" and "the"
include plural references unless the context clearly dictates otherwise. For example, the term "an agent" or "at least an agent" may include a plurality of agents, including mixtures thereof. [00491] In some embodiment, “treating” comprises therapeutic treatment and “preventing” comprises prophylactic or preventative measures, wherein the object is to prevent or lessen the targeted pathologic condition or disorder as described hereinabove. Thus, in some embodiments, treating may include directly affecting a disease comprising a cancer, a neurodegenerative disease or disorder, anemia, a metabolic syndrome, autoimmunity, an inflammatory disease or disorder, infection, cystic fibrosis, or a muscle dystrophy, or a disorder associated with the disease. In certain embodiments, treating may include directly affecting CF or a symptom associated with CF. In some embodiments, “preventing” encompasses inter alia, delaying the onset of symptoms, preventing relapse to a disease, decreasing the number or frequency of relapse episodes, increasing latency between symptomatic episodes, or a combination thereof.
[00492] A skilled artisan would appreciate that the term "treatment" may encompass clinical intervention in an attempt to alter a disease course of the individual being treated, and can be performed either for prophylaxis or during the course of clinical pathology. Therapeutic effects of treatment include, without limitation, preventing occurrence or recurrence of disease, alleviation of symptoms, diminishment of any direct or indirect pathological consequences of the disease, preventing metastases, decreasing the rate of disease progression, amelioration or palliation of the disease state, and remission or improved prognosis. By preventing progression of a disease, a treatment can prevent worsening of a disease in an affected or diagnosed subject or a subject suspected of having the disease, for example a subject having a mutant protein associated with a disease, for example but not limited to a mutant CFTR, but not yet demonstrating any symptoms. In some embodiments, administration for treatment may prevent the onset of a disease or a symptom of the disease in a subject at risk for the disease or suspected of having the disease, for example but not limited to a subject having a mutant protein associated with a disease, for example but not limited to a mutant CFTR but showing no symptoms of disease. In some embodiments, methods of treatment disclosed herein delay the onset of at least one symptom of a disease comprising a cancer, a neurodegenerative disease or disorder, anemia, a metabolic syndrome, autoimmunity, an inflammatory disease or disorder, infection, cystic fibrosis, and a muscle dystrophy. In some embodiments, methods of treatment disclosed
herein delay the onset of at least one symptom of CF. In some embodiments, methods of treatment disclosed herein reverse the course of an existing disease, for example a disease comprising a cancer, a neurodegenerative disease or disorder, anemia, a metabolic syndrome, autoimmunity, an inflammatory disease or disorder, infection, cystic fibrosis, and a muscle dystrophy. In some embodiments, methods of treatment disclosed herein reverse the course of an existing disease. In some embodiments, methods of treatment disclosed herein reverse the course of existing CF. In some embodiments, methods of treatment disclosed herein treat CF and reverse the course of existing CF. In some embodiments, methods of treatment disclosed herein reverse the course of existing cancer. In some embodiments, methods of treatment disclosed herein treat cancer and reverse the course of existing cancer. In some embodiments, methods of treatment disclosed herein prevent or reduce metastasis of a cancer.
[00493] A skilled artisan would appreciate that the term "subject" may encompass a vertebrate, in some embodiments, to a mammal, and in some embodiments, to a human. In some embodiments, a subj ect is a human child between the ages of newborn and 21. In some embodiments, a subject is a human adult.
[00494] A skilled artisan would appreciate that the term "effective amount" may encompass an amount sufficient to have a therapeutic effect. In some embodiments, an "effective amount" is an amount sufficient to treat a disease or a symptom thereof in a subject in need, reduce or inhibit the progression of a disease, ameliorate or alleviate suffering from the disease, reduce or inhibit the spread of the disease, or any combination thereof.
[00495] Throughout this application, various embodiments disclosed herein may be presented in a range format. It should be understood that the description in range format is merely for convenience and brevity and should not be construed as an inflexible limitation on the scope of the disclosure. Accordingly, the description of a range should be considered to have specifically disclosed all the possible sub ranges as well as individual numerical values within that range. For example, description of a range such as from 1 to 6 should be considered to have specifically disclosed sub ranges such as from 1 to 3, from 1 to 4, from 1 to 5, from 2 to 4, from 2 to 6, from 3 to 6 etc., as well as individual numbers within that range, for example, 1, 2, 3, 4, 5, and 6. This applies regardless of the breadth of the range. [00496] Whenever a numerical range is indicated herein, it is meant to include any cited numeral (fractional or integral) within the indicated range. The phrases “ranging/ranges
between” a first indicated number and a second indicated number and “ranging/ranges from” a first indicated number “to” a second indicated number are used herein interchangeably and are meant to include the first and second indicated numbers and all the fractional and integral numerals there between.
[00497] It will be understood by those skilled in the art that the term “binding domain”, as in “first binding domain” and “second binding domain”, generally refers to a part of a molecule which specifically targets, or is specifically recognized by, a separate molecule. The first binding domain may specifically target, or be specifically recognized by, USP5, i.e. a protease that cleaves ubiquitin from proteins and other molecules, i.e. the enzyme which would ultimately remove one or more ubiquitin molecules from the protein of interest. The second binding domain may specifically target, or be specifically recognized by, an ubiquitinylated protein, i.e., the protein of interest from which one or more ubiquitin molecules would be ultimately removed.
[00498] It will be understood by those skilled in the art that the term “linker” or “linking domain” generally refers to a part of a molecule which links, connects, associates or otherwise interacts with a plurality of other molecules. In one embodiment, the linker domain of the chimeric molecules provided herein connects or links the first binding domain to the second binding domain of the chimeric molecules provided herein.
[00499] The term “antibody” or “antibodies” is used herein in a broad sense and includes both polyclonal and monoclonal antibodies. In addition to intact or “full” immunoglobulin molecules, also included in the term “antibodies” are fragments (e.g., CDRs, Fv, Fab and Fc fragments) or polymers of those immunoglobulin molecules and humanized versions of immunoglobulin molecules. The antibodies may also be generated using well-known methods. In one embodiment, a second binding domain of the chimeric molecules provided herein may be an antibody that binds ubiquitinylated protein or an ubiquitinylated-protein- binding fragment thereof.
[00500] The term “antibody” as used herein further includes Fab, the fragment which contains a monovalent antigen-binding fragment of an antibody molecule, which can be produced by digestion of whole antibody with the enzyme papain to yield an intact light chain and a portion of one heavy chain; Fab', the fragment of an antibody molecule that can be obtained by treating whole antibody with pepsin, followed by reduction, to yield an intact light chain and a portion of the heavy chain two Fab' fragments are obtained per antibody
molecule; (Fab')2, the fragment of the antibody that can be obtained by treating whole antibody with the enzyme pepsin without subsequent reduction, F(ab')2 is a dimer of two Fab' fragments held together by two disulfide bonds; Fv, a genetically engineered fragment containing the variable region of the light chain and the variable region of the heavy chain expressed as two chains; and single chain antibody ("SCA"), a genetically engineered molecule containing the variable region of the light chain and the variable region of the heavy chain, linked by a suitable polypeptide linker as a genetically fused single chain molecule.
[00501] In one embodiment, Fv fragments comprise an association of VH and VL chains. This association may be noncovalent, as described in Inbar et al. , Proc. Nat'l Acad. Sci. USA 69:2659-62, 1972. Alternatively, the variable chains can be linked by an intermolecular disulfide bond or cross-linked by chemicals such as glutaraldehyde. Alternatively, the Fv fragments comprise VH and VL chains connected by a peptide linker.
[00502] The term “antibody” as used herein further includes a peptide coding for one or more complementarity-determining regions (CDRs). In one embodiment, CDR peptides ("minimal recognition units") can be obtained by constructing genes encoding the CDR of an antibody of interest.
[00503] As used herein the term "peptide" includes native peptides (either degradation products, synthetically synthesized peptides or recombinant peptides) and peptidomimetics (typically, synthetically synthesized peptides), such as peptoids and semipeptoids which are peptide analogs, which may have, for example, modifications rendering the peptides more stable while in a body or more capable of penetrating into bacterial cells. Such modifications include, but are not limited to N terminus modihcation, C terminus modification, peptide bond modification, including, but not limited to, CH2-NH, CH2-S, CH2-S=O, O=C-NH, CH2-O, CH2-CH2, S=C-NH, CH=CH -C(O)-O, -CO-(O)-, -C(O)-CH2-, -C(O)-CH2- - CH(OH)-CH2-), or CF=CH, retro amide bond, or CF=CH, backbone modifications, and residue modification.
[00504] As used herein the term "amino acid" or "amino acids" is understood to include the 20 naturally occurring amino acids; those amino acids often modified post-translationally in vivo, including, for example, hydroxyproline, phosphoserine and phosphothreonine; and other unusual amino acids including, but not limited to, 2-aminoadipic acid, hydroxylysine,
isodesmosine, nor-valine, nor-leucine and ornithine. Furthermore, the term "amino acid" includes both D- and L-amino acids.
[00505] It will be understood by those skilled in the art that the term “ligand” generally refers to a substance, such as a small molecule, that forms a complex with another biomolecule. In one embodiment, the second binding domain of the chimeric molecules provided herein may comprise a ligand that binds an ubiquitinylated protein, and the first binding domain of the chimeric molecules provided herein may comprise a ligand that binds USP5.
[00506] It will be understood by those skilled in the art that the term “ubiquitinylated protein” generally refers to the protein of interest, from which one or more ubiquitin molecules would be ultimately removed. As would be appreciated by those skilled in the art, an “ubiquitinylated protein” may carry a single ubiquitin molecule, multiple ubiquitin molecules, a single ubiquitin chain, multiple ubiquitin chains, linear ubiquitin chains, branched ubiquitin chains, or any combination thereof. In one embodiment, the second binding domain of the chimeric molecules provided herein could bind to an ubiquitinylated protein, i.e., a protein covalently attached to at least one ubiquitin molecule [00507] It should be understood that the term “modulating” as used herein generally refers to any change of an attribute. For example, “modulating the activity of an ubiquitinylated protein” may mean increasing or decreasing the activity of an ubiquitinylated protein, “modulating the cellular location of an ubiquitinylated protein” means changing the location of an ubiquitinylated protein within a cell, and “modulating the interaction of an ubiquitinylated protein with another protein” may mean increasing or decreasing protein- protein interaction between an ubiquitinylated protein to a different protein.
[00508] It will be understood by those skilled in the art that the phrase “preventing, reducing, or ameliorating protein degradation” refers to complete stop of protein degradation, decrease in the number of proteins degraded per a time unit, or decrease in the rate in which a protein is degraded.
Examples
Example 1: General Materials and Methods
[00509] Abbreviations
[00510] aq. - aqueous
[00511] Bn - benzyl
[00512] Boc - tert-butyloxy carbonyl
[00513] Cbz - benzyl oxy carbonyl
[00514] DDQ - 2,3-dichloro-5,6-dicyano-l,4-benzoquinone [00515] DIEA - N,N-diisopropylethylamine [00516] DMAP - 4-(dimethylamino)pyridine [00517] DMF - N,N-dimethylformamide
[00518] EDCI - N-(3-dimethylaminopropyl)-N'-ethylcarbodiimide hydrochloride [00519] ESI+ - electrospray ionisation mass spectrometry positive ion mode [00520] HATU - 1-[bis(dimethylamino)methylene]-1H-1,2,3-triazolo[4,5-b]pyridinium 3-oxide hexafluorophosphate
[00521] HPLC - high-performance liquid chromatography
[00522] HOBt- 1-hydroxybenzotriazole
[00523] MTBE - methyl tert-butyl ether
[00524] NMR - nuclear magnetic resonance
[00525] Pd2(dba)3 - tris(dibenzylideneacetone)dipalladium(0)
[00526] Pd(dppf)Cl2.CH2Cl2 - [1,1'- bis(diphenylphosphino)ferrocene]dichloropalladium(II), complex with dichloromethane [00527] prep - preparative [00528] Rf- retention factor
[00529] SiO2 -silica gel used for column chromatography
[00530] TBS - tert-butyldimethylsilyl
[00531] Ts -tosyl
[00532] TFA - trifluoroacetic acid
[00533] THF - tetrahydrofuran
[00534] TLC - thin layer chromatography
[00535] Xantphos -4,5-bis(diphenylphosphino)-9,9-dimethylxanthene [00536] w/w - weight for weight [00537] Chromatography
[00538] Preparative high performance liquid chromatography (prep-HPLC) was performed on a Shimadzu LC-20AP instrument using columns listed for each compound.
Reverse-phase purification was performed on a Biotage Isolera Prime using a Welch Ultimate XB-C1820-40 μm column. Flash column chromatography used silica gel (particle size 0.15-0.30 mm). Supercritical fluid chromatography (SFC) was performed on a Waters Prep SFC 150 Mgm System. [00539] NMR Spectroscopy
[00540] NMR spectra for the characterization of compounds were recorded at room temperature on a Bruker AVANCE NEO instrument 400 MHz (1H) and 376 MHz (19F). Chemical shifts (δ) are reported in pμm, using the residual solvent peak in CDCl3 (δH = 7.26), methanol -d4 (δH = 3.31) and D SO-d6 (δH = 2.50). Coupling constants (J) are given in hertz (Hz). Data are reported as follows: chemical shift, multiplicity (s: singlet, d: doublet, t: triplet, q: quartet, br: broad, m: multiplet), coupling constants and integration. Exchangeable protons may be missing from 1H spectra.
[00541] Reagents and Conditions
[00542] Unless syntheses are given, reagents and starting materials were obtained from commercial sources. Petroleum ethers refers to petroleum ether 60-90.
[00543] Compound Names
[00544] IUPAC names were used for new compounds and were generated either in ChemDraw Ultra 12.0.2.1076 from PerkinElmer or the Scilligence Electronic Lab Notebook Version 5.1.2.38660. Other compounds, particularly commercial reagents, either use names generated by ChemDraw Ultra or names commonly found in online databases and catalogues.
Example 2: Preparation of tert-butyl ( 4-((4-(4-((amino-alkyldecyl)oxy)phenyl)piperidin - 1 -yl)sulfonyl)benzoyl)glycinate as represented below
Example 3: Preparation of tert-butyl ( 4-((4-(4-(2-(2-amino-polyethyleneglycole - phenyl)piperidin-1-yl)sulfonyl)benzoyl)glycinate as represented below
Example 4: Preparation of tert-butyl 2-(7-((4-(4-(2-(2-amino-polyethyleneglycole- phenyl)piperidin-1-yl)sulfonyl)-4-oxo-1,4-dihydroquinazolin-3(2H)-yl)acetate as represented below
Example 5: Synthesis oftert-butyl 2-(7-((4-(4-(2-(2-amino-polyethyleneglycole- phenyl)piperidin-1-yl)sulfonyl)-4-oxoquinazolin-3(4H)-yl)acetate as represented below
Example 6: 1-benzyl-N-(5-benzyloxy-2-tert-butyl-4-hydroxy-phenyl)-4-oxo-quinoline- 3-carboxamide
[00546] To a cooled solution of 2-bromo-4-tert-butyl -phenol (70 g, 305 mmol) and DMAP (1.87 g, 15.28 mmol) in dichloromethane (350 mL) at 20 °C was added triethylamine (85.1 mL, 611 mmol) dropwise at 0-5 °C followed by the dropwise addition of methyl chloroformate (31.3 mL, 404 mmol) at 0-5 °C. The reaction was allowed to warm and stirred at 20 °C for 1 h. The mixture was slowly poured into water (600 mL), and the organic layer retained, while the aqueous layer was extracted with dichloromethane (3 x 350 mL). The combined organic layer was washed with 1 M hydrochloric acid (2 x 200 mL) and the organic layer was washed with saturated brine (3 x 350 mL). The organic layer was dried over Na2SO4, filtered, and concentrated in vacuo to give the title compound as a light-yellow oil.
[00547] Yield 70 g (78%). 1H NMR (400 MHz, DMSO-d6): δ 7.60 (d, J = 2.4 Hz, 1H), 7.34 (dd, J= 2.0 Hz; J= 8.4 Hz 1H), 7.15 (d, J= 8.4 Hz, 1H), 3.94 (s, 3H), 1.32 (s, 9H).
m/z: [ESI+] 289 (M+2H)+, (C12H15BrO3).
[00549] To concentrated sulfuric acid (185 mL) 2-bromo-4-(tert-butyl)phenyl methyl carbonate (80 g, 279 mmol) was added in portions at 20-25 °C. The resulting mixture was cooled to 0 °C, and potassium nitrate (42.9 g, 424 mmol) was added in portions at 0-5 °C. The reaction was stirred at 25 °C for 2 h, slowly poured into ice-water (300 mL) and extracted with dichloromethane (2 x 200 mL). The combined organic layers were dried over Na2SO4, filtered, and concentrated in vacuo. The residue was purified by column chromatography (SiO2, petroleum ether/ethyl acetate 50:1 to 40:1, Rf 0.45, petroleum ether/ethyl acetate 8: 1) to give the title compound as a pale-yellow oil.
[00550] Yield 70 g (74%). 1H NMR (400 MHz, DMSO-d6): δ 7.78 (s, 1H), 7.28 (s, 1H), 3.90 (s, 3H), 1.41 (s, 9H). m/z: [ESI+] 332 (M+H)+, (C12H14BrNO5).
[00552] To a cooled solution of (2-bromo-4-tert-butyl-5-nitro-phenyl) methyl carbonate (70 g, 207 mmol) in dichloromethane (400 mL) was added 5.4 M sodium methoxide/methanol (65.2 mL) at 0-5 °C. The mixture was stirred at 20 °C for 2 h, slowly poured into 1 M hydrochloric acid (440 mL) at 0 °C and extracted with dichloromethane (2 x 400 mL). The organic layer was dried over Na2SO4. filtered, and concentrated in vacuo. The residue was purified by column chromatography (SiO2, petroleum ether/ethyl acetate 80:1 to 60:1, Rf 0.3, petroleum ether/ethyl acetate 5: 1) to give the title compound as a pale- yellow oil.
[00553] Yield 55 g (97%). 1H NMR (400 MHz, CDCl3): δ 7.62 (s, 1H), 7.00 (s, 1H), 5.74 (s, 1H), 1.37 (s, 9H).
[00554] Synthesis of l-benzyloxy-2-bromo 4 tert-butyl-5 -nitrobenzene
[00555] T
o a solution of 2-bromo-4-tert-butyl-5-nitrophenol (55 g, 200 mmol) in DMF (500 mL) were added potassium carbonate (55.4 g, 401 mmol) and benzyl bromide (26.2 mL, 220 mmol) at 20 °C. The reaction was stirred at 20 °C for 1.5 h, poured into water (1.5 L) and extracted with ethyl acetate (2 x 500 mL). The combined organic layers were washed with brine (3 x 1 L), dried over Na2SO4 , filtered, and concentrated in vacuo. The residue was purified by column chromatography (SiO2, petroleum ether/ethyl acetate 80: 1 to 50: 1, TLC: petroleum ether/ethyl acetate 5: 1 Rf 0.55) to give the title compound as a white solid. [00556] Yield 63 g (86%). 1H NMR (400 MHz, DMSO-d6): δ 7.80 (s, 1H) 7.51 (s, 1H), 7.47-7.33 (m, 5H), 5.24 (s, 2H), 1.30 (s, 9H).
[00558] To a solution of l-benzyloxy-2-bromo-4-tert-butyl-5-nitrobenzene (63 g, 173 mmol) and ammonium chloride (74 g, 1.38 mol) in THF (200 mL), water (70 mL) and ethanol (200 mL) was added iron powder (29 g, 519 mmol) in portions at 50 °C-70 °C. The mixture was stirred at 80 °C for 2 h, cooled, and filtered through Celite®, washing the filter cake with ethyl acetate (3 x 30 mL). The filtrate was poured into water (500 mL) and the extracted with ethyl acetate (3 x 100 mL). The combined organic layers were concentrated in vacuo to give the title compound as a green solid. [00559] Yield 48 g (82%). 1H NMR (400 MHz, DMSO-d6): δ 7.46-7.38 (m, 4H), 7.34
(dd, J= 5.2, 7.2 Hz 1H), 7.09 (s, 1H), 6.53 (s, 5H), 5.04 (s, 2H), 4.98 (s, 2H), 1.28 (s, 9H). m/z: [ESI+] 334 (M+H)+, (C17H20BrNO).
[00560] Synthesis of N-(5-benzyloxy-4-bromo-2-tert-butyl-phenyl)-4-oxo-1H-quinoline- 3-carboxamide (L1-6)
[00561] T
o a solution of 4-oxo-1H-quinoline-3-carboxylic acid (25.9 g, 137 mmol) and ammonium chloride (74 g, 1.38 mol) in DMF (440 mL) were added HATU (64.5 g, 170 mmol) and DIEA (36.4 mL, 209 mmol). The mixture was stirred at 25 °C for 30 min, 5- benzyloxy-4-bromo-2-tert-butyl-aniline (44 g, 131 mmol) was added and stirring continued at 70 °C for 4 h. The mixture was cooled to 25 °C, poured into water (1 L) and filtered, washing the filter cake with water (3 x 10 mL). The filtrate was concentrated in vacuo and the residue purified by column chromatography (SiO2, petroleum ether/ethyl acetate 4:1 to 1:1.5, TLC: ethyl acetate Rf 0.6) to give the title compound as an off-white solid.
[00562] Yield 63.4 g (95%). 1H NMR (400 MHz, DMSO-d6): δ 12.9 (s, 1H), 12.1 (S, 1H), 8.91 (s, 1H), 8.33 (d, J=5.2 Hz, 1H), 7.84-7.75 (m, 2H), 7.68 (s, 1H), 7.55-7.49 (m, 4H), 7.43-7.40 (m, 2H), 7.36-7.32 (m, 1H), 5.13 (s, 2H), 1.42 (s, 9H). m/z: [ESI+] 507 (M+2H)+, (C27H25BrN2O3).
[00563] Synthesis of l-benzyl-N-(5-benzyloxy-4-bromo-2-tert-butyl-phenyl)-4-oxo- quinoline-3-carboxamide
[00564] To a solution of N-(5-benzyloxy-4-bromo-2-tert-butyl-phenyl)-4-oxo-lH- quinoline-3-carboxamide (43 g, 84.0 mmol) in DMF (430 mL) were added potassium carbonate (23.2 g, 168 mmol) and benzyl bromide (14.4 g, 84.0 mmol). The mixture was stirred at 25 °C for 4 h, poured into water (1.5 L), and filtered. The filter cake was washed with water (3 x 10 mL), filtrate concentrated in vacuo, and the residue triturated with ethyl acetate (150 mL) to give the title compound as a white solid.
[00565] Yield 34 g (68%). 1H NMR (400 MHz, DMSO-d6): δ 12.00 (s, 1H), 9.27 (s, 1H), 8.43 (d, J= 8.0 Hz, 1H), 7.83-7.77 (m, 2H), 7.71 (s, 1H), 7.57-7.49 (m, 4H), 7.43-7.27 (m, 8H), 5.85 (s, 2H), 5.14 (s, 2H), 1.43 (s, 9H) m/z: [ESI+] 595 (M+H)+, (C34H31BrN2O3).
[00566] Synthesis of 1-benzyl-N-(5-benzyloxy-2-tert-butyl-4-hydroxy-phenyl)-4-oxo- quinoline-3-carboxamide
[00567] T
o a solution of 1-benzyl N (5 benzyloxy-4-bromo-2-tert-butyl-phenyl)-4-oxo- quinoline-3 -carboxamide (4 g, 6.68 mmol) in dioxane (20 mL) and water (26 mL) under an atmosphere of nitrogen were added di-tert-butyl-[2-(2,4,6- triisopropylphenyl)phenyl]phosphane (255 mg, 0.6 mmol) and potassium hydroxide (7.49 g, 134 mmol). Pd2(dba)3 (183 mg, 0.2 mmol) was added, and the mixture was stirred at 145 °C for 16 h. The reaction was repeated another three times and the four batches were combined for work-up. The mixture was cooled to 25 °C, poured into water (200 mL), adjusted to pH 5-6 with 1 M hydrochloric acid (30 mL), and extracted with ethyl acetate (3 x 100 mL). The combined organic layers were dried over Na2SO4, filtered, and concentrated in vacuo. The residue was purified by column chromatography (SiO2, dichloromethane/ethyl acetate 8:1, TLC: petroleum ether/ethyl acetate 2:1 Rf 0.45) to give the title compound as an off- white solid.
[00568] Yield 7.7 g (53%).m/z: [ESI+] 533 (M+H)+, (C34H32BrN2O4).
Example 7: tert-butyl 3-[(2,4-di-tert-butyl-5-hydroxy-phenyl)carbamoyl]-4-oxo- quinoline-1-carboxylate
[00570] To a solution of 2,4-di-tert-butyl-5-nitrophenyl methyl carbonate (45 g, 145 mmol) in THF (200 mL), water (80 mL) and ethanol (200 mL) at 25°C was added ammonium chloride (62.3 g, 1.16 mol). The reaction was warmed to 50 °C and iron powder (24.4 g, 436 mmol) slowly added. The reaction was stirred at 80 °C for 5 h, allowed to cool
to 25 °C, and filtered. The filter-cake was washed with ethyl acetate (3 x 30 mL). Water (100 mL) was added to the filtrate, and the mixture extracted with ethyl acetate (3 x 300 mL). The combined organic phases were dried over anhydrous MgSO4, filtered, and concentrated in vacuum at 45 °C to give the title compound as a green solid. [00571] Yield 38 g (79%). 1H NMR (400 MHz, DMSO-d6): δ 7.04 (s, 1H), 6.37 (s, 1H),
4.80 (s, 2H), 3.82 (s, 3H), 1.32 (s, 9H), 1.22 (s, 9H). m/z: [ESI+] 280.1 (M+H)+, (C16H25NO3).
[00572] Synthesis of 2,4-di-tert-butyl-5-(4-oxo-1,4-dihydroquinoline-3- carboxamido)phenyl methyl carbonate
[00573] To a solution of 4-oxo-1,4-dihydroquinoline-3-carboxylic acid (23.5 g, 121mmol) in DMF (400 mL) at 25°C were added HATU (57.2 g, 150 mmol) and DIEA (23.91 g, 185 mmol). The reaction was stirred for 20 min and 5 -amino-2, 4-di-tert- butylphenyl methyl carbonate (38 g, 116 mmol) was added. The reaction was stirred at 70 °C for 2 h, allowed to cool to 25 °C and poured into water (100 mL). The mixture was filtered, and the filtrate concentrated in vacuo. The residue was triturated with petroleum ether/ethyl acetate 3:1 (80 mL) to give the title compound as an off-white solid.
[00574] Yield 40 g (67%). 1H NMR (400 MHz, DMSO-d6): δ 12.00 (s, 1H), 8.88-8.85 (m, 1H), 8.35-8.33 (m, 1H), 7.82-7.79 (m, 1H), 7.76-7.74 (m, 1H), 7.59 (s, 1H), 7.54-7.52 (m, 1H), 7.39 (s, 1H), 4.80 (s, 1H), 3.85-3.79 (m, 3H), 1.46 (s, 9H), 1.32 (s, 9H). m/z: [ESI+]
785.2 (M+H)+, (C20H30N2O5).
[00575] Synthesis of N-(2,4-di-tert-butyl-5-hydroxyphenyl)-4-oxo-1,4-dihydroquinoline- 3-carboxamide
[00576] To
a cooled solution of 2,4 di-tert-butyl-5-(4-oxo-l,4-dihydroquinoline-3- carboxamido)phenyl methyl carbonate (40 g, 77.8 mmol) in dichloromethane (460 mL) was added 5.4 M sodium methoxide/methanol (24.5 mL) at 0-5 °C. The reaction was stirred at 25 °C for 1 h and cooled to 0 °C. 1 M Hydrochloric acid (168 mL) was added and stirring continued at 0 °C for 20 min. The mixture was extracted with dichloromethane (3 x 200 mL). The organic phases were washed with brine (3 x 200 mL), dried over anhydrous MgSO4, filtered, and concentrated in vacuum. The residue was triturated with dichloromethane (50 mL) to give the title compound as a white solid. [00577] Yield 25 g (75%). 1H NMR (400 MHz, DMSO-d6): δ 12.90 (d, J =6.4 Hz, 1H),
11.8 (s, 1H), 9.19 (s, 1H), 8.86 (d, J=6.8 Hz, 1H), 8.33 (d, J=7.6 Hz, 1H), 7.83-7.79 (m, 2H), 7.77-7.75(m, 1H), 7.17 (s, 1H), 7.11 (s, 1H), 1.38-1.36 (m, 18H). m/z: [ESI+] 393.0 (M-57)+ (C24H28N2O3).
[00578] Synthesis of tert-butyl 3-[(2,4-di-tert-butyl-5-hydroxy-phenyl)carbamoyl]-4-oxo- quinoline-1-carboxylate
[00579] To a solution of N-(2,4-di-tert-butyl-5-hydroxyphenyl)-4-oxo-1,4- dihydroquinoline-3-carboxamide (25 g, 63.7 mmol) in dichloromethane (250 mL) at 25 °C were added triethylamine (12.9 g, 127 mmol) and di-tert-butyl dicarbonate (15.3 g, 70.1 mmol). The reaction mixture was stirred at 25 °C for 2 h, poured into water (500 mL) and was extracted with dichloromethane (2 x 500 mL). The organic phase was washed with brine (1 L), dried over MgSO4, filtered, and concentrated in vacuo. The residue was triturated with petroleum ether/ethyl acetate 10: 1 (64 mL) to give the title compound as a white solid.
[00580] Yield 26 g (78%). 1H NMR (400 MHz, DMSO-d6): δ 11.50 (s, 1H), 9.55 (s, 1H),
8.59-8.53 (m, 2H), 7.77-7.73 (m, 1H), 7.55-7.51 (m, 1H), 7.27-7.25 (m, 1H), 7.09 (s, 1H), 6.90 (s, 1H), 1.70 (s, 9H), 1.46 (s, 9H), 1.32 (s, 9H). m/z: [ESI+] 493.4 (M+H)+ (C29H36N2O5).
Example 8: (S)-N-((1,3-dimethyl-1H-pyrazol-4-yl)sulfonyl)-6-(3-hydroxy-1H-pyrazol- 1-yl)-2-(2,2,4-trimethylpyrrolidin-1-yl)nicotinamide
[00581] Synthesis of methyl 2,4-dimethyl-4-nitro-pentanoate
[00582] To
a solution 2-nitropropane (240 g, 2.69 mol) in THF (720 mL) at 20 °C under nitrogen was added DBU (205 g, 1.35 mol). The mixture was heated to 50 °C, methyl 2- methylprop-2-enoate (297 g, 2.96 mol) was added dropwise and stirring was continued for 24 h. The reaction mixture was allowed to cool to 25 °C and dissolved in MTBE (1.50 L) and water (500 mL). It was adjusted to pH 2 with 1 M hydrochloric acid (2 L) and extracted with MTBE (2 x 1 L). The organic extracts were dried over anhydrous MgSO4, filtered, and the filtrate concentrated in vacuo. The residue was purified by column chromatography (S1O2, petroleum ether/ethyl acetate 0:1 to 10:1, TLC: petroleum ether/ethyl acetate 5:1, Rf
0.5) to give title compound as a yellow oil.
[00583] Yield 496 g (96%). 1H NMR (400 MHz, CDCl3): δ 3.67 (s, 3H), 2.50-2.42 (m, 2H), 2.05-2.02 (m, 1H), 1.58 (s, 3H), 1.53 (s, 3H), 1.18 (d, J= 6.8 Hz, 3H). m/z: [ESI+] 143.0 (M-NO2)+, (C8H15O4N). [00584] Synthesis of 3,5, 5-trimethylpyrrolidin-2-one
[00585] To a solution of Raney-Ni (21 g) in ethanol (200 mL) at 25 °C, under nitrogen, was added methyl 2,4-dimethyl-4-nitro-pentanoate (75 g, 390 mmol). The suspension was degassed and purged with hydrogen three times and stirred at 60 °C for 24 h under an atmosphere of hydrogen (36 psi). The reaction was repeated, and the two batches combined for work up. The combined reaction mixtures were filtered through Celite® and the filtrate was concentrated in vacuo. The residue was poured into water (500 mL) and extracted with
ethyl acetate (6 x 500 mL). The combined organic extracts were dried over anhydrous MgSO4, filtered and the filtrate concentrated under reduced pressure. The residue was triturated with n-heptane (100 mL) give the title compound as a white solid.
[00586] Yield 72.6 g (73%). 1H NMR (400 MHz, CDCl3): δ 6.53 (s, 1H), 2.63-2.55 (m, 1H), 2.17-2.12 (m, 1H), 1.56-1.51 (m, 1H), 1.29 (s, 3H), 1.24 (s, 3H), 1.19 (d, J= 12 Hz,
3H).
[00587] Synthesis of 2, 2, 4-trimethylpyrrolidine hydrochloride
[00588] L
ithium aluminum hydride (17.9 g, 472 mmol) was added to THF (300 mL) at 20-30 °C under nitrogen. A solution of 3,5,5-trimethylpyrrolidin-2-one (30 g, 236 mmol) in
THF (300 mL) was added dropwise to the mixture at 25-30 °C. The mixture was stirred at 60 °C for 16 h. The mixture was cooled, and water (18 mL) was added dropwise at 0 to 10 °C. Ethyl acetate (180 mL) was added dropwise at 0 to 10 °C. Anhydrous MgSO4 (300 g) was added at 10 °C. The mixture was stirred at 20 °C for 30 min and the solid removed by filtration. Hydrochloric acid (25 mL, 259 mmol, 37% w./w) was added to the filtrate at 15- 30 °C. The mixture was stirred for 30 min and concentrated in vacuo. The residue was co evaporated with toluene (2 x 300 mL) and triturated with ethyl acetate (70 mL) to give the title compound as a white solid.
[00589] Yield 30 g (85%). 1H NMR (400 MHz, DMSO-d6): δ 9.39 (br s, 1H), 9.25 (br s, 1H), 3.33-3.30 (m, 1H), 2.75-2.72 (m, 1H), 2.47-2.44 (m, 1H), 1.98-1.93 (m, 1H), 1.40 (s,
3H), 1.40-1.34 (m, 1H), 1.30 (s, 3H), 1.04 (t, J= 6.8 Hz, 3H). m/z: [ESI+] 114.2 (M+H)+, (C7H15N·HCl).
[00590] Synthesis of 6-(3-benzyloxypyrazol-1-yl)-2-chloro-pyridine-3-carboxylic acid
[00591] To a solution of ethyl 6-(3-benzyloxypyrazol-1-yl)-2-chloro-pyridine-3-
carboxylate (90 g, 251 mmol) and sodium hydroxide (12.1 g, 301 mmol) in ethanol (450 mL) THF (180 mL) and water (180 mL) was added sodium hydroxide (12. lg, 300 mmol). The reaction was stirred at 25 °C for 16 h, the solvent removed under reduced pressure and the mixture was poured water (1.5 L). The aqueous solution was adjusted to pH 3-4 with 1 M hydrochloric acid (500 mL). The precipitate was collected by filtration, dissolved in ethyl acetate (2 L), and dried over MgSO4. Concentration under reduced pressure gave the title compound as a white solid.
[00592] Yield 56 g (61%).1H NMR (400 MHz, DMSO-d6): δ 8.44 (d, J = 4.0 Hz, 1H), 8.42 (d, J= 12 Hz, 1H), 7.78 (d, J= 8.0 Hz, 1H), 7.51 (d, J= 8.0 Hz, 2H), 7.43-7.34 (m, 3H), 6.25 (d, J= 4.0 Hz, 1H), 5.32 (s, 2H). m/z: [ESI+] 329.9 (M+H)+, (C16H12CIN3O3). [00593] Synthesis of 6-(3-benzyloxypyrazol-1-yl)-2-chloro-N-(1,3-dimethylpyrazol-4- yl)sulfonyl-pyridine-3-carboxamide
[00594] To a solution of 6-(3-benzyloxypyrazol-1-yl)-2-chloro-pyridine-3-carboxylic acid (56 g, 154 mmol) in THF (600 mL) was added CDI (32.5 g, 201 mmol). The reaction was stirred at 25 °C for 0.5 h, 1, 3-dimethylpyrazole-4-sulfonamide (29.7 g, 170 mmol) and DBU (34.9 mL, 231 mmol) were added, and stirring was continued for 0.5 h. The reaction mixture was poured into water (1.5 L) and adjusted to pH 3-4 with citric acid (600 mL). The mixture was extracted with ethyl acetate (3 x 300 mL), washed with brine (300 mL), and dried over MgSO4. The filtrate was concentrated under reduced pressure to afford the title compound as white solid
[00595] Yield 70 g (78%). 1H NMR (400 MHz, DMSO-d6): δ 8.43 (d, J = 4.0 Hz, 1H), 8.40 (s, 1H), 8.11 (d, J= 8.0 Hz, 1H), 7.74 (d, J= 8.0 Hz, 1H), 7.51 (d, J= 4.0 Hz, 1H), 7.43-7.36 (m, 4H), 6.25 - 6.23 (m, 1H), 5.32 (s, 2H) 3.84 (s, 3H), 2.36 (s, 3H). m/z: [ESI+] 486.9 (M+H)+, (C21H19CIN6O4S).
[00596] Synthesis of (S)-6-(3-(benzyloxy)-1H-pyrazol-1-yl)-N-((1,3-dimethyl-1H- pyrazol-4-yl)sulfonyl)-2-(2,2,4-trimethylpyrrolidin-1-yl)nicotinamide
[00597] T
o a solution of 6-(3-benzyloxypyrazol-1-yl)-2-chloro-N-(1,3-dimethylpyrazol- 4-yl)sulfonyl-pyridine-3-carboxamide (20.6 g, 41.8 mmol) in DMSO (200 mL) and diethoxyethane (50 mL) were added 2,2,4-trimethylpyrrolidine hydrochloride (25 g, 0.17 mol) and potassium carbonate (28.9 g, 0.21 mol). The mixture was stirred at room temperature for 16h, poured into water (1.0 L), and adjusted to pH 3-4 with 1 M hydrochloric acid (500 mL). The precipitate was collected by filtration and dissolved in ethyl acetate (2.0 L). The solution was dried over Na2SO4. The mixture was concentrated in vacuo and purified by SFC (column: Daicel CHIRALPAK IG 250 mm c 50 mm 10 μm; mobile phase: [solvent A: 0.1% aqueous ammonia, solvent B: methanol]; the gradient runs with 70% B, gradient: 70%-70% B with 5.4 min, repeating 37 times, 200 min in total, hold at 100% B to 10 min) to provide the title compound as an off-white solid.
[00598] Yield 20 g (76%). 1H NMR (400 MHz, DMSO-d6): δ 12.34 (s, 1H), 8.35 (s, 1H), 8.21 (d, J= 4.0 Hz, 1H), 7.74 (d, J= 8.0 Hz, 1H), 7.49 (d, J= 8.0 Hz, 2H), 7.42-7.34 (m, 3H), 6.94 (d ,J= 8.0 Hz, 1H), 6.15 (d,J=4.0 Hz, 1H), 5.29 (s, 2H), 3.80 (s, 3H), 2.60-2.55
(m, 1H), 2.47-2.42 (m, 1H), 2.33 (s, 3H), 2.22-2.14 (m, 1H), 1.89-1.85 (m, 1H), 1.54 (d, J = 12.0 Hz, 6H), 1.45-1.38 (m, 1H), 0.81(d, J= 4.0 Hz, 3H). m/z: [ESI+] 564.1 (M+H)+, (C28H33N7O4S).
[00599] Synthesis of (S)-N-((l,3-dimethyl-1H-pyrazol-4-yl)sulfonyl)-6-(3-hydroxy-1H- pyrazol-1-yl)-2-(2, 2, 4-trimethylpyrrolidin-1-yl)nicotinamide
[00600] To a solution of (S)-6-(3-(benzyloxy)-1H-pyrazol-1-yl)-N-((1,3-dimethyl-lH- pyrazol-4-yl)sulfonyl)-2-(2,2,4-trimethylpyrrolidin-1-yl)nicotinamide (6 g, 10.3 mmol) in methanol (60 mL) was added palladium on carbon (1g, 10% w/w). The mixture was
degassed under vacuum, purged three times with hydrogen (15 psi) and stirred at 25 °C for 16 h under an atmosphere of hydrogen (15 psi). Filtration through Celite®, and concentration of the filtrate in vacuo afforded the title compound as a white solid.
[00601] Yield 5.6 g (crude). 1H NMR (400 MHz, DMSO-d6): δ 12.30 (br s, 1H), 10.50 (s, 1H), 8.32 (s, 1H), 8.11 (d,J=2.8 Hz, 1H), 7.68 (d,J= 8.0 Hz, 1H), 6.82 (d, J= 8.0 Hz, 1H),
5.90 (d, J= 2.8 Hz, 1H), 3.80 (s, 3H), 2.60-2.57 (m, 1H), 2.32 (s, 3H), 2.22-2.20 (m, 1H), 1.89-1.85 (m, 1H), 1.55 (d, J= 11.2 Hz, 6H), 1.42 (t, J= 12.0 Hz, 1H), 0.82 (d,J= 6.0 Hz, 3H). m/z: [ESI+] 474.0 (M+H)+, (C21H27N7O4S). Example 9: Synthesis of 10-(4-(2-fluoro-5-((4-oxo-3,4-dihydrophthalazin-1- yl)methyl)benzoyl)piperazin-1-yl)-10-oxodecanoic acid Synthesis of tert-butyl 10-(4-(2- fluoro-5-((4-oxo-3,4-dihydrophthalazin-1-yl)methyl)benzoyl)piperazin-1-yl)-10- oxodecanoate
[00602] To a solution of 10-(tert-butoxy)- 10-oxodecanoic acid (4 g, 15.5 mmol) and
HATU (6.73 g, 17.7 mmol) in DMF (54 mL) was added DIEA (3.85 mL, 22.1 mmol). The reaction was stirred at 25 °C for 15 min, 4-(2-fluoro-5-((4-oxo-3,4-dihydrophthalazin-1- yl)methyl)benzoyl)piperazine (5.4 g, 14.8 mmol) was added, and stirring continued for 1 h. The reaction mixture was poured into water (50 mL) and extracted with ethyl acetate (3 x 70 mL). The resulting organic extracts were washed with brine (200 mL), dried over MgSO4, and the solvent was removed in vacuo to give the title compound as a yellow solid.
[00603] Yield 8.95 g. m/z: [ESI+] 607.0 (M+H)+, (C33H41FN4O5).
[00604] Synthesis of 10-(4-(2-fluoro-5-((4-oxo-3,4-dihydrophthalazin-l- yl)methyl)benzoyl)piperazin-1-yl)-10-oxodecanoic acid
[00605] To a solution of tert-butyl 10-(4-(2-fluoro-5-((4-oxo-3,4-dihydrophthalazin-1- yl)methyl)benzoyl)piperazin-1-yl)-10-oxodecanoate (8.95 g, 14.7 mmol) in dichloromethane (90 mL) was added TFA (8.74 mL). The mixture was stirred at 25 °C for 16 h, poured into water (50 mL) and adjusted to pH 6-7 with saturated aqueous sodium hydrogen carbonate (30 mL). The mixture was extracted with dichloromethane (2 x 120 mL). The extracts were combined, washed with brine (200 mL) and dried over MgSO4. The solvent was removed in vacuo to give the title compound as a yellow solid.
[00606] Yield 9.6 g. m/z: [ESI+] 551.0 (M+H)+, (C29H33FN4O5).
Example 10: : Synthesis of N-(2-chloroethyl)-10-(4-(2-fluoro-5-((4-oxo-3,4- dihydrophthalazin-1-yl)methyl)benzoyl)piperazin-1-yl)-10-oxodecanamide
[00607] To a solution of 10-(4-(2-fluoro-5-((4-oxo-3,4-dihydrophthalazin-1- yl)methyl)benzoyl)piperazin-1-yl)-10-oxodecanoic acid (5.95 g, 10.8 mmol) in DMF (60 mL) were added HOBt (1.61 g, 11.9 mmol), EDCI (2.28 g, 11.9 mmol) and DIEA (4.14 mL, 23.7 mmol). The reaction was stirred at 25 °C for 15 min and 2-chloroethanamine hydrochloride (1.50 g, 12.9 mmol) was added. The mixture was stirred at 25 °C for 2 h, poured into water (180 mL), and extracted with ethyl acetate (4 x 180 mL). The resulting organic extracts were dried over MgSO4, the solvent was removed in vacuo and the residue purified by prep-HPLC (column: I.D.57mm x H235mm, Welch Ultimate XB-C18 20-40 μm; 120 A; mobile phase: [solvent A: 0.05% aq. HCl, solvent B: acetonitrile]; the gradient runs with 5% B, gradient: 5%-42% B with 10 min, hold at 95% B to 5 min)to give the title compound as yellow solid.
[00608] Yield 9.6 g (40%). m/z: [ESI+] 612.1 (M+H)+, (C31H37CIFN5O4).
Example 11: Synthesis of 12-(4-(2-fluoro-5-((4-oxo-3,4-dihydrophthalazin-l- yl)methyl)benzoyl)piperazin-1-yl)-12-oxododecanoic acid Synthesis of tert-butyl 12-(4- (2-fluoro-5-((4-oxo-3,4-dihydrophthalazin-1-yl)methyl)benzoyl)piperazin-1-yl)-12- oxododecanoate
[00609] To a solution of 12-tert-butoxy-12-oxo-dodecanoic acid (3 g, 10.5 mmol) in DMF (36 mL) were added DIEA (2.61 mL, 14.9 mmol) and HATU (4.55 g, 12.0 mmol). The mixture was stirred at 25 °C for 30 min, 4- [[4-fluoro-3 -(piperazine- 1- carbonyl)phenyl]methyl]-2H-phthalazin-1-one (3.66 g, 9.98 mmol) was added, and stirring was continued for 1 h. The mixture was diluted with water (60 mL) and extracted with ethyl acetate (3 x 80 mL). The combined organic extracts were washed with brine (250 mL), dried over MgSO4, filtered and the solvent was removed in vacuum to give the title compound as a yellow oil.
[00610] Yield 6.33 g (crude) m/z: [ESI+] 635.2 (M+H)+, (C36H47FN4O5).
[00611] Synthesis of 12-(4-(2-fluoro-5-((4-oxo-3,4-dihydrophthalazin-l- yl)methyl)benzoyl)piperazin-1-yl)-12-oxododecanoic acid
[00612] A solution of tert-butyl 12-(4-(2-fluoro-5 -((4-oxo-3 ,4-dihydrophthalazin-1- yl)methyl)benzoyl)piperazin-1-yl)-12-oxododecanoate (6.33 g, 9.97 mmol) and TFA (5.91 mL) in dichloromethane (65 mL) was stirred at 25 °C for 16 h. The mixture was poured into water (80 mL) and adjusted to pH 6-7 with saturated aqueous sodium hydrogen carbonate (15 mL). The mixture was extracted with dichloromethane (2 x 100 mL). The combined organic layers were washed with bine (200 mL), dried over MgSO4, filtered, and the solvent was removed in vacuo to give the title compound as a yellow solid.
[00613] Yield 5.77 g (crude) m/z: [ESI+] 579.1 (M+H)+, (C32H39FN4O5).
Example 12: Synthesis of N-(2-chloroethyl)-12-(4-(2-fluoro-5-((4-oxo-3,4- dihydrophthalazin-1-yl)methyl)benzoyl)piperazin-1-yl)-12-oxododecanamide
[00614] To a solution of 12-(4-(2-fluoro-5-((4-oxo-3,4-dihydrophthalazin-1- yl)methyl)benzoyl)piperazin-1-yl)-12-oxododecanoic acid (5.77 g, 9.97 mmol) and HOBt (1.48 g, 11.0 mmol) in DMF (60 mL) at 25°C were added EDCI (2.10 g, 11.0 mmol) and DIEA (3.82 mL, 21.9 mmol). The mixture was stirred for 15 min, 2-chloroethanamine hydrochloride (1.39 g, 12.0 mmol) was added, and stirring was continued for 2 h. The mixture was poured into water (300 mL) and extracted with ethyl acetate (4 x 150 mL). The combined organic extracts were washed with brine (3 x 500 mL), dried over MgSO4, filtered and the solvent was removed in vacuo to give the title compound as a yellow solid. [00615] Yield 5 g (79%). m/z: [ESI+] 640.1 (M+H)+, (C32H39FN4O5). Example 13: Synthesis of tert-butyl 2-(4-((4-(4-hydroxyphenyl)piperidin-1- yl)sulfonyl)benzamido)acetate [00616] Synthesis of tert-butyl 4-(4-(benzyloxy)phenyl)-5,6-dihydropyridine-1(2H)- carboxylate
[00617] To a solution of tert-butyl 4-(4,4,5,5-tetramethyl-1,3,2-dioxaborolan-2-yl)-3,6- dihydro-2H-pyridine-1-carboxylate (864 g, 2.74 mol) in dioxane (6 L) and water (600 mL), under nitrogen, were added potassium carbonate (630 g, 4.76 mol), 1-benzyloxy-4-bromo- benzene (280 g, 1.06 mol) and Pd(dppf)Cl2.CH2Cl2 (93.1 g, 114 mmol) at 20 °C. The mixture was stirred at 80 °C for 4 h, allowed to cool, poured into water (500 mL) and extracted with ethyl acetate (2 x 1 L). The combined extracts were dried over anhydrous MgSO4, filtered and concentrated under reduced pressure. The residue was purified by column chromatography (SiO2, petroleum ether/ethyl acetate 50:1) to give a title compound as a white solid. [00618] Yield 528 g (58%).1H NMR (400 MHz, CDCl3): δ 7.31–7.45 (m, 7H), 6.94–6.97 (m, 2H), 5.95 (s, 1H), 5.08 (s, 2H), 4.06–4.07 (m, 2H), 3.62–3.65 (m, 2H), 2.51 (s, 2H), 1.51
(s, 9H). m/z: [ESI+] 310.3 (M-55)+, (C23H27NO3). [00619] Synthesis of 4 (4 (benzyloxy)phenyl)-1,2,3,6-tetrahydropyridine hydrochloride
[00620] To a solution of tert-butyl 4-(4-(benzyloxy)phenyl)-5,6-dihydropyridine-1(2H)- carboxylate (528 g, 1.44 mol) in ethyl acetate (2.64 L) was added 4 M HCl/ethyl acetate (1.50 L). The mixture was stirred at 20 °C for 10 h and concentrated under reduced pressure. The residue was triturated with ethyl acetate (250 mL) min to give a title compound as a white solid. [00621] Yield 430 g (99%). 1H NMR (400 MHz, DMSO-d6): δ 9.42 (s, 2H), 7.32–7.45 (m, 7H), 7.00–7.02 (m, 2H), 6.08 (s, 1H), 5.12 (s, 2H), 3.69 (s, 2H), 2.65 (s, 2H). m/z: [ESI+] 266.0 (M+H)+, (C18H19NO). [00622] Synthesis of methyl 4-((4-(4-(benzyloxy)phenyl)-5,6-dihydropyridin-1(2H)- yl)sulfonyl)benzoate [00623]
To a sout on o met y 4-(c orosu onyl)benzoate (187.8 g, 800 mmol) in dichloromethane (2.1 L). was added 4-(4-(benzyloxy)phenyl)-1,2,3,6-tetrahydropyridine hydrochloride (210 g, 696 mmol) followed by triethylamine (176 g, 1.74 mol). The reaction was stirred at 20 °C for 1 h. The mixture was poured into water (4 L) and extracted with dichloromethane (3 x 1 L). The combined organic phases were washed with brine (3 L), dried, filtered, and concentrated. The crude product was triturated with ethyl acetate (1 L) to give a title compound as a white solid. [00624] Yield 300 g (81%).1H NMR (400 MHz, DMSO-d6): δ 8.18–8.16 (m, 2H), 7.97– 7.96 (m, 2H), 7.41–7.30 (m, 7H), 7.28–6.94 (m, 2H), 5.98 (s, 1H), 5.09 (s, 2H), 3.89 (s, 3H), 3.71–3.70 (m, 2H), 3.25 (d, J = 4.0 Hz, 2H), 2.52 (s, 2H).
[00625] Synthesis of 4-((4-(4-(benzyloxy)phenyl)-5,6-dihydropyridin-l(2H)- yl)sulfonyl)benzoic acid
[00626] To
a so u on o me y - - - enzy oxy)phenyl)-5,6-dihydropyridin-1(2H)- yl)sulfonyl)benzoate (300 g, 647 mmol) in water (1.5 L) and THF(1.5 L) was added lithium hydroxide monohydrate (54.3 g, 1.29 mol). The mixture was stirred at 70 °C for 1 h and concentrated under reduced pressure. The aqueous mixture was poured into water (1 L), adjusted to pH 2 with 1M hydrochloric acid (250 mL) and filtered. The filtrate was concentrated under reduced pressure. The residue was triturated with ethyl acetate (300 mL) to afford the title compound as a white solid.
[00627] Yield 220 g. 1H NMR (400 MHz, DMSO-d6): δ 13.90-13.00 (m, 1H), 8.18-8.14 (m, 2H), 7.94-7.92 (m, 2H), 7.45-7.28 (m, 7H), 6.96-6.94 (m, 2H), 5.98-5.97 (m, 1H), 5.09-5.08 (m, 2H), 3.70-3.69 (m, 2H), 3.27-3.24 (m, 2H), 2.52 (s, 2H).
[00628] Synthesis of tert-butyl 2-(4-((4-(4-(benzyloxy)phenyl)-5,6-dihydropyridin-1(2H)- yl)sulfonyl)benzamido)acetate
[00629] To a solution of 4-((4-(4-(benzyloxy)phenyl)-5,6-dihydropyridin-l(2H)- yl)sulfonyl)benzoic acid (160 g, 356 mmol) in DMF (1.6 L) were added EDCI (75.1 g, 392 mmol), HOBt (52.9 g, 392 mmol), and DIEA (68.2 mL, 392 mmol), followed by tert-butyl
2-aminoacetate (56 g, 427 mmol). The mixture was stirred at 20 °C for 2 h, poured into water (6 L), and extracted with ethyl acetate (3 x 3 L). The crude product was triturated with ethyl acetate (200 mL) to give a title compound as a white solid.
[00630] Yield 120 g (60%). Ή NMR (400 MHz, DMSO-d6): δ 9.14-9.09 (m, 1H), 8.10- 8.06 (m, 2H), 7.93-7.91 (m, 2H), 7.43-7.27 (m, 7H), 6.96-6.94 (m, 2H), 5.98 (m, 1H), 5.08-
5.07 (m, 2H), 3.94-3.91 (m, 2H), 3.70-3.69 (m, 2H), 2.50 (m, 2H), 1.42 (s, 9H).
[00631] Synthesis of tert-butyl 2-(4-((4-(4-hydroxyphenyl)piperidin-1- yl)sulfonyl)benzamido)acetate
[00632] To a mixture of tert-butyl 2-(4-((4-(4-(benzyloxy)phenyl)-5,6-dihydropyridin-
1(2H)-yl)sulfonyl)benzamido)acetate (120 g, 213 mmol) in DMF (200 mL) and methanol (800 mL). was added palladium on carbon (30 g, 10% w/w). The mixture was degassed under vacuum, purged three times with hydrogen (15 psi) and stirred at 50 °C for 30 h under an atmosphere of hydrogen (15 psi). Filtration through Celite®, and concentration of the filtrate afforded the crude product, which was triturated with ethyl acetate (150 mL) to give a title compound as a white solid.
[00633] Yield 83 g (76%). 1H NMR (400 MHz, DMSO-d6): δ 9.16-9.11 (m, 2H), 8.11- 8.09 (m, 2H), 7.89-7.87 (m, 2H), 6.97-6.94 (m, 2H), 6.66-6.64 (m, 2H), 3.95-3.93 (m, 2H), 3.79-3.76 (m, 2H), 2.36-2.28 (m, 3H) 1.77-1.74 (m, 3H), 1.63-1.57 (m, 2H),1.43 (s, 9H). m/z: [ESI+] 419.4 (M-55)+ (C31H34N2O6S).
Example 14: Synthesis of tert-butyl 3-(2-(tert-butoxy)-2-oxoethyl)-7-((4-(4- hydroxyphenyl)piperidin-1-yl)sulfonyl)-4-oxo-3,4-dihydroquinazoline-1(2H)~ carboxylate
[00634] Synthesis of tert-butyl 2-(7-bromo-4-oxoquinazolin-3(4H)-yl)acetate
[00635] To
a solution of tert-butyl 2-(7-bromo-4-oxo-quinazolin-3-yl)acetate (346 g, 1.01 mol) in DMF (2.40 L) were added tert-butyl 2-bromoacetate (189 mL, 1.28 mol,) and potassium carbonate (147 g, 1.07 mol). The mixture was stirred at 25 °C for 2 h and poured into water (7 L). The solid was collected by filtration and dried in vacuo to give a title compound as a white solid.
[00636] Yield 346 g (95%). 1H NMR: (400 MHz, DMSO-d6): δ 8.40 (s, 1H), 8.08 (d, J= 8.0 Hz, 1H), 7.93 (s, 1H), 7.75-7.73 (m, 1H), 4.71(s, 2H), 1.42 (s, 9H). m/z: [ESI+] 340.2 (M+H)+ (C11H9BrNO2). [00637] Synthesis of tert-butyl 2-(7-(benzylthio)-4-oxoquinazolin-3(4H)-yl)acetate
[00638] To a solution of tert-butyl 2-(7-bromo-4-oxoquinazolin-3(4H)-yl)acetate (346 g, 1.01 mol) in dioxane (3.40 L) were added Pd2(dba)3 (46.43 g, 50.7 mmol), benzyl mercaptan (136 mL, 1.16 mol), Xantphos (58.67 g, 101 mmol) and DIEA (265 mL, 1.52 mol). The mixture was stirred at 100 °C for 2 h under nitrogen. The reaction mixture was poured into water (6 L) and extracted with ethyl acetate (3 x 4 L). The crude product was triturated with ethyl acetate (100 mL) to give a title compound as a white solid.
[00639] Yield 430 g (78%). 1H NMR: (400 MHz, DMSO-d6): δ 8.33 (s, 1H), 8.00 (d, J= 8.0 Hz, 1H), 7.55-7.46 (m, 1H), 7.45-7.44 (m, 3H), 7.35-7.34 (m, 2H), 7.31-7.25 (m, 1H), 4.68 (s, 2H), 4.44 (s, 2H), 1.41 (s, 9H). m/z: [ESI+] 383.0 (M+H)+ (C18H16N2O3S).
[00641] To a solution of tert-butyl 2-(7-(benzylthio)-4-oxoquinazolin-3(4H)-yl)acetate (380 g, 695 mmol) in acetic acid (260 mL) and acetonitrile (3.4 L) at 25 °C, was added 1,3- dichloro-5,5-dimethyl-imidazolidine-2,4 dione (411 g, 2.09 mol). The mixture was cooled,
water (189 mL) was added at 0 °C and stirring continued at 0 °C for 1 h. It was poured into water (4 L) and extracted with dichloromethane (3 x2 L). The combined organic layers were washed with brine (1 L), dried and filtered. The filtrate was concentrated in vacuo, and the residue was triturated with ethyl acetate/petroleum ether 10:1 (1 L) to give the title compound as white solid.
[00642] Yield 234 g (83%). 1H NMR: (400 MHz, DMSO-d6): δ 8.63 (s, 1H), 8.15 (d, J= 8.0 Hz, 1H), 7.88(s, 1H), 7.80-7.77 (m, 1H), 4.74 (s, 2H), 1.42 (s, 9H). m/z: [ESI+] 359.0 (M+H)+ (C14H15ClN2O5S).
[00643] Synthesis of tert-butyl 2-(7-((4-(4-(benzyloxy)phenyl)-5,6-dihydropyridin-1(2H)- yl)sulfonyl)-4-oxoquinazolin-3(4H)-yl)acetate
[00644] To a solution of tert-butyl 2-(7-(chlorosulfonyl)-4-oxoquinazolin-3(4H)- yl)acetate (193.6 g, 540 mmol) in dichloromethane (2.2 L) were added 4-(4- (benzyloxy)phenyl)-1,2,3,6-tetrahydropyridine hydrochloride (141.61 g, 469 mmol) and triethylamine (163 mL, 1.17 mol). The mixture was stirred at 20 °C for 1 h. The reaction mixture was poured into water (500 mL) and extracted with dichloromethane (3 x 2 L). The combined organic phases were washed with brine (300 mL), dried, filtered, and concentrated. The residue was purified by column chromatography (SiO2, petroleum ether/ethyl acetate 50:1 to 30:1) and triturated with ethyl acetate (1 L) to give the title compound as white solid.
[00645] Yield 180 g (64%). 1H NMR: (400 MHz, DMSO-d6): δ 8.50 (s, 1H), 8.37 (m, 1H), 8.04 (m, 1H), 7.92 (m, 1H), 7.43-7.26 (m, 6H), 6.94 (m, 2H), 5.98(s, 1H), 5.08(s, 2H), 4.75(s, 2H), 3.77 (m, 2H), 3.33 (s, 2H), 2.50 (s, 2H), 1.43 (s, 9H). m/z: [ESI+] 588.1 (M+H)+ (C32H33N3O6S). [00646] Synthesis of tert-butyl 2-(7-((4-(4-hydroxyphenyl)piperidin-1-yl)sulfonyl)-4-oxo-
1 , 2-dihydroquinazolin-3(4H)-yl)acetate
[00647] A mixture
of tert-butyl 2-(7-((4-(4-(benzyloxy)phenyl)-5,6-dihydropyridin- l(2H)-yl)sulfonyl)-4-oxoquinazolin-3(4H)-yl)acetate (180 g, 301 mmol) in DMF (900 mL) and methanol (1.8 L). The mixture was added palladium on carbon (90 g, 10% w/w), palladium hydroxide on carbon (90 g, 20% w/w). The mixture was degassed under vacuum, purged three times with hydrogen (15 psi) and stirred at 50 °C for 25 h under an atmosphere of hydrogen (15 psi). Filtration through Celite®, and concentration of the filtrate in vacuo afforded a residue which was triturated with ethyl acetate (100 mL) to give the title compound as a white solid. [00648] Yield 98.2 g (63%). 1H NMR: (400 MHz, DMSO-d6): δ 9.16 (s, 1H), 7.86 (m,
1H), 7.28-7.14 (m, 1H), 7.14-7.03 (m, 1H), 7.01-6.98 (m, 1H), 6.95-6.68 (m, 2H), 4.75 (s, 2H), 4.14 (s, 2H), 3.71 (m, 2H), 2.41-2.35 (m, 2H), 1.77 (m, 2H), 1.62 (m, 2H), 1.40 (s, 9H). m/z: [ESI+] 588.1 (M+H)+ (C25H31N3O6S).
[00649] Synthesis of tert-butyl 2-(7-((4-( 4-( ( d>enzyloxy)carbonyl)oxy)phenyl)piperidin-1- yl)sulfonyl)-4-oxo-12-dihydroquinazolin-3(4H)-yl)acetate
[00650] To a mixture of tert-butyl 2-(7-((4-(4-hydroxyphenyl)piperidin-1-yl)sulfonyl)-4- oxo-1,2-dihydroquinazolin-3(4H)-yl)acetate (86.2 g, 166 mmol) and potassium carbonate (34.4 g, 249 mmol) in THF (425 mL) and water (425 mL) was added benzyl chloroformate (30.7 mL, 216 mmol). The reaction mixture was stirred at 25 °C for 4 h, poured into water
(1.5 L) and extracted with dichloromethane (3 x 1 L). The combined organic phases were washed with brine (300 mL), dried, filtered, and concentrated. The crude product was
triturated with petroleum ether/ethyl acetate 5:1 (100 mL) to give the title compound as a white solid.
[00651] Yield 108 g (99%). 1H NMR: (400 MHz, DMSOd6 ): δ 7.87 (m, 1H), 7.44 (m, 5H), 7.40 (m, 3H), 7.28-7.16 (m, 3H), 7.13-7.03 (m, 1H), 5.25 (s, 2H), 4.76 (s, 2H), 4.15 (s, 2H), 3.74 (m, 2H), 2.57-2.44 (m, 1H), 2.40 (m, 2H), 1.77 (m, 2H), 1.62 (m, 2H), 1.40 (s, 9H). m/z: [ESI+] 580.0 (M-55)+ (C33H37N3O8S).
[00652] Synthesis of tert-butyl 7-((4-(4-(((benzyloxy)carbonyl)oxy)phenyl)piperidin-l- yl)sulfonyl)-3-(2-(tert-butoxy)-2-oxoethyl)-4-oxo-3,4-dihydroquinazoline-l(2H)- carboxylate
[00653] To a solution of tert-butyl 2-(7-((4-(4-
(((benzyloxy)carbonyl)oxy)phenyl)piperidin-1-yl)sulfonyl)-4-oxo-1,2-dihydroquinazolin- 3(4H)-yl)acetate (108 g, 164 mmol) in THF (1.1 L) were added triethylamine (34.3 mL, 246 mmol), di -tert-butyl di carbonate (75.5 mL, 329 mmol) and DMAP (2.01 g, 16.4 mmol). The mixture was stirred at 50 °C for 2 h, poured into water (2.5 L) and extracted with dichloromethane (3 x 1 L). The combined organic phases were washed with brine (300 mL), dried over Na2SO4 , filtered and concentrated. The crude product was triturated with petroleum ether/ethyl acetate 5:1 (100 mL) to give the title compound as a white solid. [00654] Yield 116 g (93%). 1H NMR: (400 MHz, CDCl3): δ 8.21 (m, 1H), 8.07 (s, 1H), 7.62 (m, 1H), 7.43-7.38 (m, 5H), 7.18-7.10 (m, 4H), 5.27 (s, 2H), 5.21 (s, 2H), 4.29 (s, 2H), 3.97 (m, 2H), 2.45 (m, 2H), 1.88 (m, 4H), 1.51 (s, 9H), 1.49 (s, 9H). m/z: [ESI+] 680.1 (M+H)+ (C38H45N3O10S).
[00655] Synthesis of tert-butyl 3-(2-(tert-butoxy)-2-oxoethyl)-7-((4-(4- hydroxyphenyl)piperidin-1-yl)sulfonyl)-4-oxo-3,4-dihydroquinazoline-l(2H)-carboxylate
[00656] To a mixture
of tert-butyl 7-((4-(4-(((benzyloxy)carbonyl)oxy)phenyl)piperidin- l-yl)sulfonyl)-3-(2-(tert-butoxy)-2-oxoethyl)-4-oxo-3,4-dihydroquinazoline-l(2H)- carboxylate (116 g, 152 mmol) in methanol (1.2 L) was added palladium on carbon (12 g, 10% w/w). The mixture was degassed under vacuum, purged three times with hydrogen (15 psi) and stirred at 25 °C for 2 h under an atmosphere of hydrogen (15 psi). Filtration through Celite®, and concentration of the filtrate in vacuo afforded the crude product, which was triturated with ethyl acetate (100 mL) to give the title compound as a white solid.
[00657] Yield 85 g (90%). 1H NMR: (400 MHz, DMSO-d6): δ 9.19 (s, 1H), 8.09 (m, 1H), 7.99 (s, 1H), 7.62 (m, 1H), 6.96 (m, 2H), 6.66 (m, 2H), 5.21 (s, 2H), 4.30(s, 2H), 3.77 (m,
2H), 2.50-2.36 (m, 3H), 1.77-1.64 (m, 2H), 1.62-1.55 (m, 2H), 1.50 (s, 9H), 1.42 (s, 9H). m/z: [ESI+] 490.2 (M-110)+ (C30H39N3O8S).
Example 15: tert-butyl 2-(4-((4-(4-(2-aminoethoxy)phenyl)piperidin-l- yl)sulfonyl)benzamido)acetate [00658] Synthesis of tert-butyl 2-(4-((4-(4-(2-
[00659] To a solution of tert-butyl 2-(4-((4-(4-hydroxyphenyl)piperidin-1- yl)sulfonyl)benzamido)acetate (1.5 g, 2.87 mmol) in DMF (60 mL) were added benzyl (2- bromoethyl)carbamate (1.48 g, 5.74 mmol and potassium carbonate (793 mg, 5.74 mmol). The reaction was stirred at 50 °C for 23 h, poured into water (50 mL) and extracted with
ethyl acetate (3 x 40 mL). The resulting organic extracts were dried over MgSO4, and the solvent was removed in vacuo. The residue was purified by prep HPLC (column: I.D.57mm x H235mm, Welch Ultimate XB-C18 20-40 μm; 120 A; mobile phase: [solvent A: 0.05% aq. HCl, solvent B: acetonitrile]; the gradient runs with 22% B, gradient: 22%-62% B with 10 min, hold at 95% B to 5 min) to give title compound as a white solid.
[00660] Yield 1.3 g (68%). 1H NMR (400 MHz, CDCl3): δ 7.98 (d, J= 8.4 Hz, 2H), 7.87 (d, J= 8.4 Hz, 2H), 7.37-7.36 (m, 4H), 7.06 (d, J= 8.4 Hz, 2H), 6.82 (d, J= 8.8 Hz, 2H), 6.71-6.69 (m, 1H), 5.20 (s, 1H), 5.11 (s, 2H), 4.17 (d, J= 5.2Hz, 2H), 4.03-4.01 (m, 2H), 3.97-3.94 (m, 2H), 3.62-3.58 (m, 2H), 2.38-2.33 (m, 3H), 1.82-1.77 (m, 4H), 1.53 (s, 9H). m/z: [ESI+] 652.4 (M+H)+, (C34H41N3O8S).
[00661] Synthesis of tert-butyl 2-(4-((4-(4-(2-aminoethoxy)phenyl)piperidin-l- yl)sulfonyl)benzamido)acetate
[00662] To a solution of tert-butyl 2-(4-((4-(4-(2- (((benzyloxy)carbonyl)amino)ethoxy)phenyl)piperidin-1-yl)sulfonyl)benzamido)acetate (1.30 g, 1.94 mmol) in methanol (30 mL) was added palladium on carbon (200 mg, 10% w/w). The mixture was degassed under vacuum, purged three times with hydrogen (15 psi) and stirred at 25 °C for 23 h under an atmosphere of hydrogen (15 psi). Filtration through Celite®, and concentration of the filtrate in vacuo afforded the title compound as a yellow oil.
[00663] Yield 510 mg (88%). m/z: [ESI+] 540.4 (M+Na)+, (C26H35N3O6S).
Example 16: tert-butyl 2-(4-((4-(4-(2-(2-(tosyloxy)ethoxy)ethoxy)phenyl)piperidin-l- yl)sulfonyl)benzamido)acetate
[
00664] To a solution of 2 [2 (p tolylsulfonyloxy)ethoxy]ethyl 4 methylbenzenesulfonate (4.05 g, 9.77 mmol) and tert-butyl 2-(4-((4-(4-hydroxyphenyl)piperidin-1- yl)sulfonyl)benzamido)acetate (2.5 g, 4.88 mmol) in DMF (25 mL) was added potassium carbonate (1.35 g, 9.77 mmol). The mixture was stirred at 70 °C for 5 h and filtered, and the filtrate was purified by prep-HPLC (column: I.D.57mm x H235mm, Welch Ultimate XB- C1820-40 μm; 120 A; mobile phase: [solvent A: water, solvent B: acetonitrile]; the gradient runs with 15% B, gradient: 15%— 55% B with 10 min, hold at 95% B to 5 min) to give the title compound as a white solid. [00665] Yield 1.45 g (41%). m/z: [ESI+] 717.1 (M+H)+. (C35H44N2O10S2).
Example 17: tert-butyl 2-(4-((4-(4-(2-(2-(2-
[00666] To a solution of 2-[2-[2-(p-tolylsulfonyloxy)ethoxy] ethoxy] ethyl 4- methylbenzenesulfonate (4.48 g, 9.77 mmol) in DMF (25 mL) were added tert-butyl 2-(4- ((4-(4-hydroxyphenyl)piperidin-1-yl)sulfonyl)benzamido)acetate (2.5 g, 4.88 mmol) and potassium carbonate (1.35 g, 9.77 mmol). The mixture was stirred at 70 °C for 10 h, poured into water (100 mL) and extracted with ethyl acetate (3 x 100 mL). The organic extracts were combined, dried over MgSO4 and filtered. The filtrate was evaporated in vacuo and the residue purified by prep-HPLC (column: I.D.57mm x H235mm, Welch Ultimate XB-C18 20-40 μm; 120 A; mobile phase: [solvent A: water solvent B: acetonitrile] ; the gradient runs
with 16% B, gradient: 16%-56% B with 10 min, hold at 95% B to 5 min) to afford the title compound as a brown solid.
[00667] Yield 1.34g (36%). m/z: [ESI+] 762.3 (M+H)+. (C37H48O11N2S2).
Example 18: 2-(4-((4-(4-(2-(2-(2-(2-
[00668] To a solution of 2-[2-[2-[2-(p-tolylsulfonyloxy)ethoxy]ethoxy]ethoxy]ethyl 4- methylbenzenesulfonate (4.91 g, 9.77 mmol) in DMF (25 mL) were added tert-butyl 2-(4- ((4-(4-hydroxyphenyl)piperidin-1-yl)sulfonyl)benzamido)acetate (2.5 g, 4.88 mmol) and potassium carbonate (1.35 g, 9.77 mmol). The mixture was stirred at 70 °C for 5 h, poured into water (150 mL) and extracted with ethyl acetate (3 x 50 mL). The combined organic extracts were washed with brine (4 x 80 mL), dried over MgSO4 and filtered. The filtrate was concentrated in vacuo and the residue purified by prep-HPLC (column: I.D.57mm x H235mm, Welch Ultimate XB-C18 20-40 μm; 120 A; mobile phase: [solvent A: water, solvent B: acetonitrile]; the gradient runs with 15% B, gradient: 15%— 55% B with 10 min, hold at 95% B to 5 min) to get the title compound as a brown solid.
[00669] Yield 1.37 g (34%). m/z: [ESI+] 805.2 (M+H)+. (C39H52O12N2S2).
Example 19: 2-(4-((4-(4-((14-(tosyloxy)-3,6,9,12- tetraoxatetradecyl)oxy)phenyl)piperidin-1-yl)sulfonyl)benzamido)acetate o
[00670] To a solution of 2-[2-[2-[2-[2-(p-
tolylsulfonyloxy)ethoxy] ethoxy] ethoxy] ethoxy] ethyl 4-methylbenzenesulfonate (8.54 g, 15.6 mmol) in DMF (40 mL) were added tert-butyl 2-(4-((4-(4-hydroxyphenyl)piperidin-1- yl)sulfonyl)benzamido)acetate (4 g, 7.81 mmol) and potassium carbonate (2.16 g, 15.6 mmol). The mixture was stirred at 70 °C for 10 h, poured into water (150 mL) and extracted with ethyl acetate (3 x 50 mL). The combined organic extracts were washed with brine (4 x 80 mL), dried over MgSO4, and filtered. The filtrate was concentrated in vacuo and the residue purified by prep-HPLC (column: I.D.57mm x H235mm, Welch Ultimate XB-C18 20-40 μm; 120 A; mobile phase: [solvent A: water, solvent B: acetonitrile] ; the gradient runs with 23% B, gradient: 23%-63% B with 10 min, hold at 95% B to 5 min) to get the title compound as a brown solid.
[00671] Yield 1.60 g (24%). m/z: [ESI+] 849.1 (M+H)+. (C41H56N4O13S2).
Example 20: (S)-tert-butyl 2-(4-((4-(4-((17-((l-(5-(((1,3-dimethyl-1H-pyrazol-4- yl)sulfonyl)carbamoyl)-6-(2,2,4-trimethylpyrrolidin-1-yl) pyridin-2-yl)-1H-pyrazol-3- yl)oxy)-3,6,9,12,15-pentaoxaheptadecyl)oxy)phenyl)piperidin-l- yl)sulfonyl)benzamido)acetate o
[00672] To a solution of 2-[2-[2-[2-[2-[2-(p- tolylsulfonyloxy)ethoxy] ethoxy] ethoxy] ethoxy] ethoxy] ethyl 4-methylbenzenesulfonate
(9.23 g, 15.6 mmol) in DMF (40 mL) were added tert-butyl 2-(4-((4-(4- hy droxyphenyl)piperi din-1 -yl)sulfonyl)benzamido)acetate (4 g, 7.81 mmol) and potassium carbonate (2.16 g, 15.6 mmol). The mixture was stirred at 70 °C for 10 h, poured into water (100 mL) and extracted with ethyl acetate (3 x 50 mL). The combined organic extracts were washed with brine (4 x 80 mL), dried over MgSO4 and filtered. The filtrate was evaporated in vacuo and the residue purified by prep-HPLC (column: I.D.57mm x H235mm, Welch Ultimate XB-C18 20-40 μm; 120 A; mobile phase: [solvent A: water, solvent B: acetonitrile]; the gradient runs with 22% B, gradient: 22%-62% B with 10 min, hold at 95% B to 5 min) to give the title compound as a brown oil.
[00673] Yield 1.60 g (21%). m/z: [ESI+] 893 1 (M+H)+. (C43H60N2O14S2).
Example 21: tert-butyl 2-(4-((4-(4-((20-(tosyloxy)-3,6,9,12,15,18- hexaoxaicosyl)oxy)phenyl)piperidin-1-yl)sulfonyl)benzamido)acetate o
[00674] To a solution of 2- [2- [2- [2- [2- [2- [2-(p- tolylsulfonyloxy)ethoxy] ethoxy] ethoxy] ethoxy] ethoxy] ethoxy] ethyl 4- methylbenzenesulfonate (7.48 g, 11.7 mmol) in DMF (30 mL) were added tert-butyl 2-(4- ((4-(4-hydroxyphenyl)piperidin-1-yl)sulfonyl)benzamido)acetate (3 g, 5.86 mmol) and potassium carbonate (1.62 g, 11.7 mmol). The mixture was stirred at 70 °C for 10 h, poured into water (200 mL) and extracted with ethyl acetate (3 x 50 mL). The combined organic extracts were washed with brine (4 x 100 mL), dried over MgSO4, and filtered. The filtrate was evaporated in vacuo and the residue purified by prep-HPLC (column: I.D.57mm x H235mm, Welch Ultimate XB-C18 20-40 μm; 120 A; mobile phase: [solvent A: water, solvent B: acetonitrile]; the gradient runs with 10% B, gradient: 10%-50% B with 10 min, hold at 95% B to 5 min) to get the title compound as a yellow oil. [00675] Yield 1.56 g (28%). m/z: [ESI+] 937.1 (M+H)+, (C45H64N2O15S2).
Example 22: tert-butyl 3-(2-(tert-butoxy)-2-oxoethyl)-4-oxo-7-((4-(4-(2-(2-
(tosyloxy)ethoxy)ethoxy)phenyl)piperidin-1-yl)sulfonyl)-3,4-dihydroquinazoline- 1 (2H)-carboxylate
[00676] To the solution of tert-butyl 3-(2-(tert-butoxy)-2-oxoethyl)-7-((4-(4- hydroxyphenyl)piperidin-1-yl)sulfonyl)-4-oxo-3,4-dihydroquinazoline-l(2H)-carboxylate (5 g, 8.09 mmol) in acetonitrile (50 mL) was added 2-[2-(p-tolylsulfonyloxy)ethoxy]ethyl 4-methylbenzenesulfonate (6.71 g, 16.1 mmol). The reaction was stirred at 70 °C for 18 h.
The reaction was cooled 25 °C, poured into water (100 mL), and extracted with ethyl acetate (2 x 100 mL). The resulting organic layers were combined and dried over MgSO4, and the solvent was removed in vacuo at 45 °C. The mixture was purified by prep-HPLC (column: I.D.57 mm x H235 mm, Welch Ultimate XB-C1820-40 μm; 120 A; mobile phase: [solvent A: water, solvent B: acetonitrile]; gradient runs with 20% B, gradient: 20%-60% B with 10 min, hold at 95% B to 5 min) to give the title compound as a brown solid.
[00677] Yield 4 g (57%). m/z: [ESI+] 844.4 (M+H)+, (C41H53N3S2O12).
Example 23: 3-(2-(tert-butoxy)-2-oxoethyl)-4-oxo- 7-((4-(4-(2-(2-(2-
(tosyloxy)ethoxy)ethoxy)ethoxy)phenyl)piperidin-1-yl)sulfonyl)-3,4- dihydroquinazoline-l(2H)-carboxylate
[00678] To a solution of 2-[2-[2-(p-tolylsulfonyloxy)ethoxy] ethoxy] ethyl 4- methylbenzenesulfonate (7.42 g, 16.2 mmol) in acetonitrile (50 mL) were added potassium carbonate (4.47 g, 32.4 mmol) and tert-butyl 3-(2-(tert-butoxy)-2-oxoethyl)-7-((4-(4- hydroxyphenyl)piperidin-1-yl)sulfonyl)-4-oxo-3,4-dihydroquinazoline-l(2H)-carboxylate (5 g, 8.09 mmol). The mixture was stirred at 70 °C for 16 h, filtered, and the filtrate purified by prep-HPLC (column: I.D.57 mm x H235 mm, Welch Ultimate XB-C1820-40 μm; 120 A; mobile phase: [solvent A: water, slovent B: acetonitrile]; gradient runs with 19% B, gradient: 19%-69% B with 10 min, hold at 95% B to 5 min) to give the title compound as a brown solid.
[00679] Yield 4.3 mg (59%) m/z: [ESI+] 888.5 (M+H)+, (C43H57N3S2O13).
Example 24: tert-butyl 3-(2-(tert-butoxy)-2-oxoethyl)-4-oxo-7-((4-(4-(2-(2-(2-(2-
(tosyloxy)ethoxy)ethoxy)ethoxy)ethoxy)phenyl)piperidin-1-yl)sulfonyl)-3,4- dihydroquinazoline-l(2H)-carboxylate
[00
680] To a solution of 2-[2-[2-[2-(p-tolylsulfonyloxy)ethoxy]ethoxy]ethoxy]ethyl 4- methylbenzenesulfonate (8.14 g, 16.2 mmol) in acetonitrile (50 mL) were added potassium carbonate (4.47 g, 32.4 mmol) and tert-butyl 3-(2-(tert-butoxy)-2-oxoethyl)-7-((4-(4- hydroxyphenyl)piperidin-1-yl)sulfonyl)-4-oxo-3,4-dihydroquinazoline-l(2H)-carboxylate (5 g, 8.09 mmol). The mixture was stirred at 70 °C for 16 h, filtered and the filtrate was purified by prep-HPLC (column: I.D.57 mm x H235 mm, Welch Ultimate XB-C18 20-40 μm; 120 A; mobile phase: [solvent A: water, solvent B: acetonitrile] ; gradient runs with 24% B, gradient: 24%-64% B with 10 min, hold at 95% B to 5 min) to give the title compound as a brown solid.
[00681] Yield 4.3 g (56%) m/z: [ESI+] 932.4 (M+H)+, (C45H61N3S2O14).
Example 25: tert-butyl 3-(2-(tert-butoxy)-2-oxoethyl)-4-oxo-7-((4-(4-((14-(tosyloxy)~ 3, 6, 9, 12-tetraoxatetradecyl)oxy)phenyl)piperidin-l -yl)sulfonyl)-3, 4- dihydroquinazoline-l(2H)-carboxylate
[00682] To a solution of 2-[2-[2-[2-[2-(p- tolylsulfonyloxy)ethoxy] ethoxy] ethoxy] ethoxy] ethyl 4-methylbenzenesulfonate (7.27 g, 13.3 mmol) in acetonitrile (40 mL) were added potassium carbonate (3.68 g, 26.6 mmol) and tert-butyl 3-(2-(tert-butoxy)-2-oxoethyl)-7-((4-(4-hydroxyphenyl)piperidin-1- yl)sulfonyl)-4-oxo-3,4-dihydroquinazoline-l(2H)-carboxylate (4 g, 6.65 mmol). The mixture was stirred at 70 °C for 16 h, filtered and the filtrate was purified by prep-HPLC (column: I.D.57 mm x H235 mm, Welch Ultimate XB-C 1820-40 μm; 120 A; mobile phase: [solvent A: 0.1% aq. HCl, solvent B: acetonitrile]; gradient runs with 28% B, gradient: 28%-
68% B with 10 min, hold at 95% B to 5 min) to give the title compound as a white solid. [00683] Yield 3.2 g (48%). m/z: [ESI+] 864.1 (M-l 10)+, (C47H65N3S2O15).
Example 26: tert-butyl 3-(2-(tert-butoxy)-2-oxoethyl)-4-oxo-7-((4-(4-((17-(tosyloxy)- 3, 6, 9,12,15-pentaoxaheptadecyl)oxy)phenyl)piperidin-l -yl)sulfonyl)-3, 4- dihydroquinazoline-l(2H)-carboxylate
[00684] To a solution of 2-[2-[2-[2-[2-[2-(p- tolylsulfonyloxy)ethoxy] ethoxy] ethoxy] ethoxy] ethoxy] ethyl 4-methylbenzenesulfonate
(7.85 g, 13.3 mmol) in acetonitrile (40 mL) were added tert-butyl 3-(2-(tert-butoxy)-2- oxoethyl)-7-((4-(4-hydroxyphenyl)piperidin-1-yl)sulfonyl)-4-oxo-3,4-dihydroquinazoline- l(2H)-carboxylate (4.11 g, 6.65 mmol) and potassium carbonate (3.68 g, 26.6 mmol). The mixture was stirred at 70 °C for 16 h, filtered, and the filtrate was purified by prep-HPLC (column: I.D.57 mm x H235 mm, Welch Ultimate XB-C 1820-40 μm; 120 A; mobile phase: [solvent A: water, solvent B: acetonitrile]; gradient runs with 18% B, gradient: 18%-68% B with 10 min, hold at 95% B to 5 min) to give the title compound as a colourless gum. [00685] Yield 3.7 g (53%). m/z: [ESI+] 908.1 (M-110)+, (C49H69N3O16S2).
Example 27: tert-butyl 3-(2-(tert-butoxy)-2-oxoethyl)-4-oxo-7-((4-(4-((20-(tosyloxy)~ 3,6,9,12,15,18-hexaoxaicosyl)oxy)phenyl)piperidin-1-yl)sulfonyl)-3, 4- dihydroquinazoline-l(2H)-carboxylate
[00686] To a solution of 2- [2- [2- [2- [2- [2- [2-(p- tolylsulfonyloxy)ethoxy] ethoxy] ethoxy] ethoxy] ethoxy] ethoxy] ethyl 4- methylbenzenesulfonate (8.22 g, 13.0 mmol) in acetonitrile (40 mL) were added potassium
carbonate (3.58 g, 25.9 mmol) and tert-butyl 3-(2-(tert-butoxy)-2-oxoethyl)-7-((4-(4- hydroxyphenyl)piperidin-1-yl)sulfonyl)-4-oxo-3,4-dihydroquinazoline-l(2H)-carboxylate (4 g, 6.47 mmol). The mixture was stirred at 70 °C for 16 h, filtered, and the filtrate was purified by prep-HPLC (column: I.D.57 mm x H235 mm, Welch Ultimate XB-C18 20-40 μm; 120 A; mobile phase: : [solvent A: water, solvent B: acetonitrile]; gradient runs with 19% B, gradient: 19%-69% B with 10 min, hold at 95% B to 5 min) to give the title compound as a brown solid.
[00687] Yield 4 g (58%). m/z: [ESI+] 908.2 (M-155)+, (C51H73N3O17S2).
Example 28: l-(4-(l-((4-((2-(tert-butoxy)-2- oxoethyl)carbamoyl)phenyl)sulfonyl)piperidin-4-yl)phenoxy)-3,6,9,12- tetraoxapentadecan-15-oic acid
[00689] To a solution of methyl 3-[2-[2-[2-(2- hy droxy ethoxy)ethoxy] ethoxy] ethoxy] propanoate (0.95 g, 3.39 mmol) in THF (5 mL) at 25 °C was added triethylamine (943 pL. 6.78 mmol). A solution of 4-methylbenzenesulfonyl chloride (711 mg, 3.73 mmol) in THF (5 mL) was added at 0-10 °C, and the mixture was stirred at 25 °C for 10 h. The mixture was concentrated in vacuo and the residue purified by column chromatography (SiO2, dichloromethane/methanol 50: 1 to 10:1) to give the title compound as a colourless oil.
[00690] Yield 1.1 g (75%). m/z: [ESI+] 435.5 (M+H)+, (C19H30O9S ).Synthesis of methyl l-(4-(l-((4-((2-(tert-butoxy)-2-oxoethyl)carbamoyl)phenyl)sulfonyl)piperidin-4- yl)phenoxy)-3,6,9,12-tetraoxapentadecan-15-oate
[00691] To a solution of tert-butyl 2-(4-((4-(4-hydroxyphenyl)piperidin-1- yl)sulfonyl)benzamido)acetate (539 mg, 1.05 mmol) in DMF (5 mL) were added methyl 1- (tosyloxy)-3,6,9,12-tetraoxapentadecan-15-oate (595 mg, 1.37 mmol) and potassium carbonate (291 mg, 2.11 mmol). The mixture was stirred at 50 °C for 16 h. The mixture was
cooled to 25 °C, poured into water (30 mL) and extracted with ethyl acetate (2 x 100 mL). The organic extracts were dried over MgSO4, filtered and the solvent of the mixture was removed in vacuo to give the title compound as a yellow oil.
[00692] Yield 930 mg. m/z: [ESI+] 737.2 (M+H)+, (C36H52N2O12S).
[00693] Synthesis of l-(4-(l-((4-((2-(tert-butoxy)-2- oxoethyl)carbamoyl)phenyl)sulfonyl)piperidin-4-yl)phenoxy)-3, 6, 9, 12- tetraoxapentadecan-15-oic acid
[0
0694] To a solution of methyl l-(4-(l-((4-((2-(tert-butoxy)-2- oxoethyl)carbamoyl)phenyl)sulfonyl)piperidin-4-yl)phenoxy)-3,6,9,12- tetraoxapentadecan-15-oate (930 mg, 1.26 mmol) in THF (9 mL) and water (9 mL) was added 1 M aqueous lithium hydroxide monohydrate (2.52 mL). The reaction was stirred at 25 °C for 0.5 h, adjusted to pH 5 with 1 M hydrochloric acid (5 mL), and extracted with ethyl acetate (3 x 20 mL). The resulting organic extracts were washed with brine (10 mL) and dried over MgSO4. The mixture was concentrated under reduced pressure to give crude product as colourless oil.
[00695] Yield 680 mg. m/z: [ESI+] 723.5 (M+H)+, (C35H50N2O12S).
Example 29: l-(4-(l-((4-((2-(tert-butoxy)-2- oxoethyl)carbamoyl)phenyl)sulfonyl)piperidin-4-yl)phenoxy)-3, 6, 9,12,15- pentaoxaoctadecan-18-oic acid
[00697] To a solution of methyl 3-[2-[2-[2-[2-(2- hydroxy ethoxy)ethoxy] ethoxy] ethoxy] ethoxy] propanoate (550 mg, 1.70 mmol,) in THF (2.5 mL) was added triethylamine (343 mg, 3.39 mmol) at 25 °C. A solution of 4-
methylbenzenesulfonyl chloride (356 mg, 1.87 mmol) in THF (2.5 mL) was added and the mixture stirred at 25 °C for 10 h. The solvent was removed in vacuo, and the residue was purified by column chromatography (SiO2, dichloromethane/methanol 50:1 to 5:1) to give the title compound as a colourless oil. [00698] Yield 360 mg (43%). m/z: [ESI+] 479.0 (M+H)+, (C21H34O10S).
[00699] Synthesis of methyl l-(4-(l-((4-((2-(tert-butoxy)-2- oxoethyl)carbamoyl)phenyl)sulfonyl)piperidin-4-yl)phenoxy)-3, 6,9, 12, 15- pentaoxaoctadecan-18-oate
[00700] To a solution of tert-butyl 2-(4-((4-(4-hydroxyphenyl)piperidin-1- yl)sulfonyl)benzamido)acetate (432 mg, 0.84 mmol) and methyl l-(tosyloxy)-3,6,9,12,15- pentaoxaoctadecan-18-oate (582 mg, 1.22 mmol) in DMF (4 mL) was added potassium carbonate (233 mg, 1.69 mmol). The mixture was stirred at 50 °C for 16 h. The mixture was poured into water (20 mL) and extracted with ethyl acetate (2 x 50 mL). The organic layers were combined, washed with brine (2 x 30 mL), and dried over MgSO4. Filtration and evaporation of the solvent in vacuo afforded the title compound.
[00701] Yield 696 mg (crude) m/z: [ESI+] 781.1 (M+H)+, (C38H56N2O13S).
[00702] Synthesis of l-(4-(l-((4-((2-(tert-butoxy)-2- oxoethyl)carbamoyl)phenyl)sulfonyl)piperidin-4-yl)phenoxy)-3, 6,9, 12, 15- pentaoxaoctadecan-18-oic acid
[00703] To a solution of methyl l-(4-(l-((4-((2-(tert-butoxy)-2- oxoethyl)carbamoyl)phenyl)sulfonyl)piperidin-4-yl)phenoxy)-3,6,9, 12, 15- pentaoxaoctadecan-18-oate (696 mg, 0.89 mmol) in THF (7 mL) and water (7 mL) was added 1 M aqueous solution of lithium hydroxide monohydrate (1.78 mL). The mixture was stirred at 25 °C for 1 h, poured into water (10 mL) and adjusted to pH 5-6 with 1 M aqueous hydrochloric acid (0.30 mL). The mixture was extracted with ethyl acetate (2 x 20 mL). The organic extracts were combined and dried over MgSO4. Filtration and evaporation of the filtrate afforded the title compound as a yellow oil.
[00704] Yield 700 mg (42%). m/z: [ESI+] 756.1 (M+H)+, (C37H54N2O13S). Example 30: l-(4-(l-((4-((2-(tert-butoxy)-2- oxoethyl)carbamoyl)phenyl)sulfonyl)piperidin-4-yl)phenoxy)-3,6,9,12,15,18- hexaoxahenicosan-21-oic acid
[00706] To a solution of methyl 3-[2-[2-[2-[2-[2-(2- hydroxy ethoxy)ethoxy] ethoxy] ethoxy] ethoxy] ethoxy] propanoate (1.64 g, 4.45 mmol) in THF (8 mL) at 25 °C was added triethylamine (1.24 mL, 8.90 mmol). The mixture was cooled and a solution of 4-methylbenzenesulfonyl chloride (934 mg, 4.90 mmol) in THF (8 mL) was added, with stirring, at 0-10 °C. The mixture was stirred at 25 °C for 36 h. The mixture was concentrated and purified by column chromatography (S1O2, dichloromethane/methanol 50: 1 to 5: 1) to give the title compound as a colourless oil. [00707] Yield 360 mg (43%). m/z: [ESI+] 479.0 (M+H)+, (C21H34O10S).
[00708] Synthesis of methyl l-(4-(l-((4-((2-(tert-butoxy)-2- oxoethyl)carbamoyl)phenyl)sulfonyl)piperidin-4-yl)phenoxy)-3, 6, 9, 12, 15, 18- hexaoxahenicosan-21-oate
o
[00709] To a solution of tert-butyl 2-(4-((4-(4-hydroxyphenyl)piperidin-1- yl)sulfonyl)benzamido)acetate (0.20 g, 0.39 mmol) and methyl l-(tosyloxy)-3,6,9,12,15- pentaoxaoctadecan-18-oate (616 mg, 1.17 mmol) in DMF (2 mL) was added potassium carbonate (108 mg, 0.78 mmol). The mixture was stirred at 70 °C for 16 h and filtered. The filtrate was purified by prep-HPLC (column: YMC -Triart C18 250 x 50 mm x 7 μm; mobile phase: [solvent A: 0.05% aq. ammonia, solvent B: acetonitrile]; the gradient runs with 49% B, gradient: 49%-79% B with 10 min, hold at 95% B to 5 min) to give the title compound as a colourless oil
[00710] Yield 250 mg (76%). m/z: [ESI+] 825.7 (M+H)+, (C40H60N2O14S).
[00711] Synthesis of l-(4-(l-((4-((2-(tert-butoxy)-2- oxoethyl)carbamoyl)phenyl)sulfonyl)piperidin-4-yl)phenoxy)-3, 6, 9, 12, 15, 18- hexaoxahenicosan-21-oic acid o
[00712] To a solution of methyl l-(4-(l-((4-((2-(tert-butoxy)-2- oxoethyl)carbamoyl)phenyl)sulfonyl)piperidin-4-yl)phenoxy)-3,6,9, 12, 15,18- hexaoxahenicosan-21-oate (250 mg, 0.30 mmol) and THF (6 mL) and water (6 mL) was added 1 M aqueous lithium hydroxide monohydrate (593 pL). The mixture was stirred at 15 °C for lh and the solvent removed in vacuo. The residue was purified by prep-HPLC (column: Welch Xtimate C18 150 x 25 mm x 5 μm; mobile phase: [solvent A: 0.05% aq. HCl, solvent B: acetonitrile]; the gradient runs with 36% B, gradient: 36%-66% B with 10 min, hold at 95% B to 5 min) to give the title compound as a white solid.
[00713] Yield 100 mg (38%). m/z: [ESI+] 811.1 (M+H)+, (C39H58N2O14S).
[00714] Example 31:tert-butyl tert-butyl 2 (7 ((4-(4-hydroxyphenyl)piperidin-
1-yl)sulfonyl)-4-oxoquinazolin-3(4H)-yl)acetate
[
00715 To a solution of tert butyl 2 y yp y p p yl)sulfonyl)-4- oxo-1,2-dihydroquinazolin-3(4H)-yl)acetate (41 g, 81.7 mmol) in ethyl acetate (410 mL) was added DDQ (27.8 g, 123 mmol). The mixture was stirred at 25 °C for 1 h. The solid was collected by filtration, washed with THF (100 mL) and dried in vacuo to give the title compound as a white solid.
[00716] Yield 26 g (61%). 1H NMR(400 MHz, DMSO-d6) : δ 9.16 (s, 1H), 8.51 (s, 1H), 8.40 (d, J= 8.4 Hz, 1H), 7.99 (s, 1H), 7.87 (d, J= 8.4 Hz, 1H), 6.95 (d, J= 7.6 Hz, 2H), 6.64 (d , J= 8.0 Hz, 2H), 4.76 (s, 2H), 3.82 (d, J= 11.2 Hz, 2H) 2.37 (t, J= 12.0 Hz, 3H), 1.78-
1.75 (m, 2H), 1.64-1.55 (m, 2H), 1.40 (s, 9H). m/z: (ESI+) 500.0 (M+H)+, (C25H29N3O6S).
Example 32: tert-butyl 2-(4-oxo-7-((4-(4-(2-(2-(tosyloxy)ethoxy)ethoxy)phenyl)piperidin- 1-yl)sulfonyl)quinazolin-3(4H)-yl)acetate
[00717] To a solution of tert-butyl 2-(7-((4-(4-hydroxyphenyl)piperidin-1-yl)sulfonyl)-4- oxoquinazolin-3(4H)-yl)acetate (1.5 g, 3 mmol) and oxybis(ethane-2,l-diyl) bis(4- methylbenzenesulfonate) (3.73 g, 9 mmol) in DMF (15 mL) was added potassium carbonate (1.24 g, 9 mmol). The mixture was stirred at 70 °C for 40 h and filtered. The filtrate was purified by prep-HPLC (column: Phenomenex Luna Cl 8 250 x 50 mm x 15 μm; mobile phase: [solvent A: water (10 mM ammonium hydrogen carbonate), solvent B: acetonitrile];
the gradient runs with 40% B, gradient: 40%-90% B with 25 min, hold at 95% B to 5 min) to give the title compound as a white solid.
Yield 525 mg (22%). m/z: (ESI+) 742.2 (M+H)+, (C36H43N3O10S2).
[00718] Example 33: tert-butyl 2-(4-oxo- 7-((4-(4-(2-(2-(2-
[00719] To a solution of tert-butyl 2-(7-((4-(4-hydroxyphenyl)piperidin-1-yl)sulfonyl)-4- oxoquinazolin-3(4H)-yl)acetate (1.5 g, 3 mmol) and (ethane- l,2-diylbis(oxy))bis(ethane- 2,1-diyl) bis(4-methylbenzenesulfonate) (4.13 g, 9 mmol) in DMF (15 mL) was added potassium carbonate (1.24 g, 9 mmol). The mixture was stirred at 70 °C for 40 h and filtered. The filtrate was purified by prep-HPLC (column: Phenomenex Luna C18 250 x 50 mm x 15 μm; mobile phase: [solvent A: water (10 mM ammonium hydrogen carbonate), solvent B: acetonitrile]; the gradient runs with 40% B, gradient: 40%-80% B with 23 min, hold at 95% B to 5 min) to give the title compound as a white solid.
[00720] Yield 560 mg (23%). m/z: (ESI+) 786.3 (M+H)+, (C38H47N3O11S2).
Example 34: tert-butyl 2-(4-oxo-7-((4-(4-(2-(2-(2-(2- (tosyloxy)ethoxy)ethoxy)ethoxy)ethoxy)phenyl)piperidin-1-yl)sulfonyl)quinazolin- 3( 4H)-yl)acetate
[00721] Synthesis of tert-butyl 2-(7-((4-(4-(2-(2-(2-(2- hydroxyethoxy)ethoxy)ethoxy)ethoxy)phenyl)piperidin-1-yl)sulfonyl)-4-oxoquinazolin-
3(4H)-yl)acetate
o
[00722] To
yl)-4- oxoquinazolin-3(4H)-yl)acetate (1.5 g, 3 mmol) in DMF (15 mL) were added potassium carbonate (830 mg, 6 mmol) and 2-(2-(2-(2-hydroxyethoxy)ethoxy)ethoxy)ethyl 4- methylbenzenesulfonate (2.09 g, 6 mmol). The reaction was stirred at 70 °C for 12 h and cooled to room temperature. The mixture was poured into water (80 mL) and extracted with ethyl acetate (2 x 100 mL). The combined organic layers were washed with brine (3 x 80 mL), dried over anhydrous MgSO4 and the solvent was removed in vacuo to give the title compound as a pale-yellow oil.
Yield 3 g (91%). m/z: [ESI+] 676.3 (M+H)+, (C33H45N3SO10).
[00723] Synthesis of tert-butyl 2-(4-oxo-7-((4-(4-(2-(2-(2-(2-
(tosyloxy)ethoxy)ethoxy)ethoxy)ethoxy)phenyl)piperidin-1-yl)sulfonyl)quinazolm-3(4H)- yl)acetate
[00724] To a solution of tert-butyl 2-(7-((4-(4-(2-(2-(2-(2- hydroxyethoxy)ethoxy)ethoxy)ethoxy)phenyl)piperidin-1-yl)sulfonyl)-4-oxoquinazolin- 3(4H)-yl)acetate (3 g, 2.73 mmol) in THF (30 mL) were added 4-methylbenzenesulfonyl chloride (1.3 g, 6.83 mmol) and TEA (1.52 mL, 10.9 mmol). The reaction mixture was stirred at 50 °C for 12 h. The solvent was removed in vacuo, and the residue purified by prep-HPLC (column: Phenomenex Luna Cl 8 250 x 50 mm x 15 μm; mobile phase: [solvent A: water (10 mM ammonium hydrogen carbonate), solvent B: acetonitrile]; the gradient runs with 45% B, gradient: 45%-75% B with 20 min, hold at 95% B to 5 min) to give the title compound as a yellow solid.
[00725] Yield 1.1 g (48%). m/z: [ESI+] 830.3 (M+H)+, (C40H51N3S2O12).
Example 35: Synthesis of 2-(7-((4-(4-(2-(2-(5-(tert-butyl)-2-hydroxy-4-(4-oxo-1,4- dihydroquinoline-3-carboxamido)phenoxy)ethoxy)ethoxy)phenyl)piperidin-l- yl)sulfonyl)-4-oxo-l,2-dihydroquinazolin-3(4H)-yl)acetic acid ( Chimeric Molecule 34)
[00726] Synthesis of tert-butyl 7-((4-(4-(2-(2-(4-(l-benzyl-4-oxo-1,4-dihydroquinoline-3- carboxamido)-2-(benzyloxy)-5-(tert-butyl)phenoxy)ethoxy)ethoxy)phenyl)piperidin-l- yl)sulfonyl)-3-(2-(tert-butoxy)-2-oxoethyl)-4-oxo-3,4-dihydroquinazoline-l(2H)- carboxylate
[00727] To a solution of tert-butyl 3-(2-(tert-butoxy)-2-oxoethyl)-4-oxo-7-((4-(4-(2-(2- (tosyloxy)ethoxy)ethoxy)phenyl)piperidin-1-yl)sulfonyl)-3,4-dihydroquinazoline-l(2H)- carboxylate (211 mg, 0.24 mmol) in DMF (2 mL) were added l-benzyl-N-(5-benzyloxy-2- tert-butyl-4-hydroxy-phenyl)-4-oxo-quinoline-3-carboxamide (120 mg, 0.22 mmol) and potassium carbonate (61 mg, 0.44 mmol) and the mixture was stirred at 50 °C for 32 h. Acetonitrile (1 mL) was added and the mixture was purified by prep-HPLC (column: Welch Xtimate C18 150 c 25 mm *5 μm; mobile phase: [solvent A: 0.05% aq. HCl, solvent B: acetonitrile]; gradient runs with 70% B, gradient: 70%-100% B with 10 min, hold at 95% B to 5 min) to give the title compound as a yellow solid. [00728] Yield 177 mg (66%) m/z: [ESI+] 1204.2 (M+H)+, (C68H77N5O13S).
[00729] Synthesis of tert-butyl 3-(2-(tert-butoxy)-2-oxoethyl)-7-((4-(4-(2-(2-(5-(tert- butyl)-2-hydroxy-4-(4-oxo-1,4-dihydroquinoline-3- carboxamido)phenoxy)ethoxy)ethoxy)phenyl)piperidin-1-yl)sulfonyl)-4-oxo-3,4- dihydroquinazoline-1 (2H) -carboxylate
[0
0730 To a mixture of palladium on carbon (20 mg, 10% w/w), palladium hydroxide on carbon (20 mg, 20% w/w) in methanol (10 mL) was added tert-butyl 7-((4-(4-(2-(2-(4-(l- benzyl-4-oxo-l,4-dihydroquinoline-3-carboxamido)-2-(benzyloxy)-5-(tert- butyl)phenoxy)ethoxy)ethoxy)phenyl)piperidin-1-yl)sulfonyl)-3-(2-(tert-butoxy)-2- oxoethyl)-4-oxo-3,4-dihydroquinazoline-l(2H)-carboxylate (177 mg, 0.15 mmol). The mixture was degassed under vacuum, purged three times with hydrogen (15 psi) and stirred at 50 °C for 16 h under an atmosphere of hydrogen (15 psi). Filtration through Celite®, and concentration of the filtrate in vacuo afforded the title compound as a yellow solid. [00731] Yield 124 mg (82%), (C54H65N5O13S).
[00732] Synthesis of 2-(7-((4-(4-(2-(2-(5-(tert-butyl)-2-hydroxy-4-(4-oxo-1,4- dihydroquinoline-3-carboxamido)phenoxy)ethoxy)ethoxy)phenyl)piperidin-1-yl)sulfonyl)- 4-oxo- 1, 2-dihydroquinazolin-3(4H)-yl)acetic acid (Chimeric Molecule 34)
[00733] To tert-butyl 3-(2-(tert-butoxy)-2-oxoethyl)-7-((4-(4-(2-(2-(5-(tert-butyl)-2- hydroxy-4-(4-oxo-l,4-dihydroquinoline-3- carboxamido)phenoxy)ethoxy)ethoxy)phenyl)piperidin-1-yl)sulfonyl)-4-oxo-3,4- dihydroquinazoline-l(2H)-carboxylate (124 mg, 0.12 mmol) was added TFA (0.6 mL). The mixture was stirred at 20°C for 0.5 h, acetonitrile (1 mL) added, and adjusted to pH 7-8 with 25% aqueous ammonia (1 mL). The mixture was purified by prep-HPLC (column: Welch
Xtimate C18 150 x 25 mm x5 μm; mobile phase: [solvent A: 0.05% aq. HCl, solvent B:
acetonitrile]; gradient runs with 42% B, gradient: 42%-72% B with 10 min, hold at 95% B to 5 min) to get the title compound as a yellow solid.
[00734] Yield 77 mg (70%) 1H NMR (400 MHz, methano-d4): δ 8.87 (s, 1H), 8.42 (d, J = 8.0 Hz, 1H), 7.93 (d, J= 8.4 Hz, 1H), 7.83-7.79 (m, 1H), 7.67 (d, J= 8.0 Hz, 1H), 7.57- 7.52 (m, 1H), 7.17 (d, J= 1.6 Hz, 1H), 7.12-7.09 (m, 1H), 7.05-7.04 (m, 3H), 6.93 (s, 1H),
6.84 (d,J= 8.8 Hz, 2H), 4.82 (s, 2H), 4.29 (s, 2H), 4.21-4.15 (m, 2H), 4.11-4.05 (m, 2H), 3.93-3.91 (m, 4H), 3.90-3.82 (m, 2H), 2.48-2.42 (m, 3H), 1.79 (d, J= 10.8 Hz, 2H), 1.74- 1.64 (m, 2H), 1.41 (s, 9H). m/z: [ESI+] 868.2 (M+H)+, (C45H49N5O11S).
Example 36: 2-(7-((4-(4-(2-(2-(2-(5-(tert-butyl)-2-hydroxy-4-(4-oxo-1,4- dihydroquinoline-3-carboxamido)phenoxy)ethoxy)ethoxy)ethoxy)phenyl)piperidin-l- yl)sulfonyl)-4-oxo-l,2-dihydroquinazolin-3(4H)-yl)acetic acid (Chimeric Molecule 35) [00735] Synthesis of tert-butyl 7-((4-(4-(2-(2-(2-(4-(l-benzyl-4-oxo-1,4- dihydroquinoline-3-carboxamido)-2-(benzyloxy)-5-(tert- butyl)phenoxy)ethoxy)ethoxy)ethoxy)phenyl)piperidin-1-yl)sulfonyl)-3-(2-(tert-butoxy)-2- oxoethyl)-4-oxo-3, 4-dihydroquinazoline-l(2H)-carboxylate
[00736] To a solution of 3-(2-(tert-butoxy)-2-oxoethyl)-4-oxo-7-((4-(4-(2-(2-(2- (tosyloxy)ethoxy)ethoxy)ethoxy)phenyl)piperidin-1-yl)sulfonyl)-3,4-dihydroquinazoline- 1 (2H)-carboxylate (201 mg, 0.22 mmol) in DMF (2 mL) were added l-benzyl-N-(5- benzyloxy-2-tert-butyl-4-hydroxy-phenyl)-4-oxo-quinoline-3-carboxamide (110 mg, 0.2 mmol) and potassium carbonate (56.2 mg, 0.4 mmol). The reaction mixture was stirred at 50 °C for 16 h, filtered and the filtrate was purified by prep-HPLC (column: Welch Xtimate C18 150 x 25 mm x 5 μm; mobile phase: [solvent A: 0.05% aq. HCl, solventB: acetonitrile]; gradient runs with 70% B, gradient: 70%-100% B with 10 min, hold at 95% B to 5 min) to
give the title compound as a yellow solid.
[00737] Yield 194 mg (76%) m/z: [ESI+] 1249.4 (M+H)+, (C70H81N5O14S).
[00738] Synthesis of tert-butyl 3-(2-(tert-butoxy)-2-oxoethyl)-7-((4-(4-(2-(2-(2-(5-(tert- butyl)-2-hydroxy-4-(4-oxo-1,4-dihydroquinoline-3- carboxamido)phenoxy)ethoxy)ethoxy)ethoxy)phenyl)piperidin-1-yl)sulfonyl)-4-oxo-3,4- dihydroquinazoline-l(2H)-carboxylate
[00739]
[00740] T
o a solution of tert-butyl 7-((4-(4-(2-(2-(2-(4-(l-benzyl-4-oxo-l,4- dihydroquinoline-3-carboxamido)-2-(benzyloxy)-5-(tert- butyl)phenoxy)ethoxy)ethoxy)ethoxy)phenyl)piperidin-1-yl)sulfonyl)-3-(2-(tert-butoxy)-2- oxoethyl)-4-oxo-3,4-dihydroquinazobne-l(2H)-carboxylate (199 mg, 0.16 mmol) in methanol (10 mL) was added palladium on carbon (25 mg, 10% w/w) and palladium hydroxide on carbon (25 mg, 20% w/w) under nitrogen. The mixture was degassed under vacuum, purged three times with hydrogen (15 psi) and stirred at 50 °C for 16 h under an atmosphere of hydrogen (15 psi). Filtration through Celite®, and concentration of the filtrate in vacuo afforded the title compound as a yellow solid.
[00741] Yield 143 mg (83%).
[00742] Synthesis of 2-(7-((4-(4-(2-(2-(2-(5-(tert-butyl)-2-hydroxy-4-(4-oxo-1,4- dihydroquinoline-3-carboxamido)phenoxy)ethoxy)ethoxy)ethoxy)phenyl)piperidin-l- yl)sulfonyl)-4-oxo-l,2-dihydroquinazolin-3(4H)-yl)acetic acid (Chimeric Molecule 35)
[00743] TFA (0.7 mL, 9.45 mmol) was added to tert-butyl 3-(2-(tert-butoxy)-2-oxoethyl)- 7-((4-(4-(2-(2-(2-(5-(tert-butyl)-2-hydroxy-4-(4-oxo-l,4-dihydroquinoline-3- carboxamido)phenoxy)ethoxy)ethoxy)ethoxy)phenyl)piperidin-l-yl)sulfonyl)-4-oxo-3,4- dihydroquinazoline-l(2H)-carboxylate (143 mg, 0.13 mmol). The mixture was stirred at 20 °C for 0.5 h, diluted with acetonitrile (1 mL), adjusted to pH 7-8 with aqueous ammonia (1 mL) and purified by prep-HPLC (column: Welch Xtimate C 18 150 x 25 mm x 5 μm; mobile phase: [solvent A: 0.05% aq. HC1, solvent B: acetonitrile]; gradient runs with 45% B, gradient: 45%-75% B with 10 min, hold at 95% B to 5 min) to give the title compound as a yellow solid.
[00744] Yield 39 mg (30%). 1H NMR (400 MHz, methanol-d4): δ 8.87 (s, 1H), 8.42 (d, J = 8.0 Hz, 1H), 7.92 (d, J= 8.0 Hz, 1H), 7.83-7.79 (m, 1H), 7.67 (d, J= 8.0 Hz, 1H), 7.57- 7.52 (m, 1H), 7.17 (d, J= 1.6 Hz, 1H), 7.12-7.09 (m, 1H), 7.05-7.03 (m, 3H), 6.97 (s, 1H), 6.81 (d, J= 8.8 Hz, 2H), 4.82 (s, 2H), 4.28 (s, 2H), 4.17-4.15 (m, 2H), 4.06-4.05 (m, 2H), 3.86-3.81 (m, 6H), 3.74 (s, 4H), 2.46-2.39 (m, 3H), 1.79 (d, J = 10.8 Hz, 2H), 1.71-1.65 (m, 2H), 1.41 (s, 9H). m/z: [ESI+] 912.2 (M+H)+, (C47H53N5O12S).
Example 37: 2-(7-((4-(4-(2-(2-(2-(2-(5-(tert-butyl)-2-hydroxy-4-(4-oxo-1,4- dihydroquinoline-3- carboxamido)phenoxy)ethoxy)ethoxy)ethoxy)ethoxy)phenyl)piperidin-l-yl)sulfonyl)- 4-oxo-l,2-dihydroquinazolin-3(4H)-yl)acetic acid (Chimeric Molecule 36)
[00745] Synthesis of tert-butyl 7-((4-(4-(2-(2-(2-(2-(4-(l-benzyl-4-oxo-1,4- dihydroquinoline-3-carboxamido)-2-(benzyloxy)-5-(tert- butyl)phenoxy)ethoxy)ethoxy)ethoxy)ethoxy)phenyl)piperidin-l-yl)sulfonyl)-3-(2-(tert-
butoxy)-2-oxoethyl)-4-oxo-3,4-dihydroquinazoline-l(2H)-carboxylate
[00746] To a solution of tert-butyl 3-(2-(tert-butoxy)-2-oxoethyl)-4-oxo-7-((4-(4-(2-(2- (2-(2-(tosyloxy)ethoxy)ethoxy)ethoxy)ethoxy)phenyl)piperidin-1-yl)sulfonyl)-3 ,4- dihydroquinazoline-l(2H)-carboxylate (211 mg, 0.22 mmol) in DMF (2 mL) were added 1- benzyl-N-(5-benzyloxy-2-tert-butyl-4-hydroxy-phenyl)-4-oxo-quinoline-3-carboxamide (110 mg, 0.2 mmol) and potassium carbonate (56 mg, 0.41 mmol). The reaction mixture was stirred at 50 °C for 16 h, filtered and the filtrate was purified by prep-HPLC (column: Welch Xtimate C18 150 x 25 mm x 5 μm; mobile phase [solvent A: 0.05% aq. HCl, solvent B: acetonitrile]; gradient runs with 70% B, gradient: 70%-100% B with 10 min, hold at 95% B to 5 min) to give the title compound as a yellow solid.
[00747] Yield 186 mg (70%) m/z: [ESI+] 1293.4 (M+H)+, (C72H85N5O15S).
[00748] Synthesis of tert-butyl 3-(2-(tert-butoxy)-2-oxoethyl)-7-((4-(4-(2-(2-(2-(2-(5- (tert-butyl)-2-hydroxy-4-(4-oxo-1,4-dihydroquinoline-3- carboxamido)phenoxy)ethoxy)ethoxy)ethoxy)ethoxy)phenyl)piperidin-l-yl)sulfonyl)-4-oxo- 3,4-dihydroquinazoline-l(2H)-carboxylate
[00749] To a solution of tert-butyl 7-((4-(4-(2-(2-(2-(2-(4-(l-benzyl-4-oxo-l,4- dihydroquinoline-3-carboxamido)-2-(benzyloxy)-5-(tert- butyl)phenoxy)ethoxy)ethoxy)ethoxy)ethoxy)phenyl)piperidin-l-yl)sulfonyl)-3-(2-(tert- butoxy)-2-oxoethyl)-4-oxo-3,4-dihydroquinazoline-l(2H)-carboxylate (186 mg, 0.14 mmol) in methanol (10 mL) were added palladium on carbon (20 mg, 10% w/w) and palladium hydroxide on carbon (20 mg, 20% w/w) under nitrogen. The mixture was
degassed under vacuum, purged three times with hydrogen (15 psi) and stirred at 50 °C for 16 h under an atmosphere of hydrogen (15 psi). Filtration through Celite®, and concentration of the filtrate in vacuo afforded the title compound as a yellow solid.
[00750] Yield 153 mg (95%), (C58H73N5O15S).
[00751] Synthesis of 2-(7-((4-(4-(2-(2-(2-(2-(5-(tert-butyl)-2-hydroxy-4-(4-oxo-1,4- dihydroquinoline-3-carboxamido)phenoxy)ethoxy)ethoxy)ethoxy)ethoxy)phenyl)piperidin- 1-yl)sulfonyl)-4-oxo-l,2-dihydroquinazolin-3(4H)-yl)acetic acid (Chimeric Molecule 36)
[0
0752] TFA (0.1 mL, 0.14 mmol) was added to tert-butyl 3-(2-(tert-butoxy)-2-oxoethyl)- 7-((4-(4-(2-(2-(2-(2-(5-(tert-butyl)-2-hydroxy-4-(4-oxo-l,4-dihydroquinoline-3- carboxamido)phenoxy)ethoxy)ethoxy)ethoxy)ethoxy)phenyl)piperidin-1-yl)sulfonyl)-4- oxo-3, 4-dihydroquinazoline-l(2H)-carboxylate (153 mg, 0.14 mmol). The mixture was stirred at 20 °C for 0.5 h, diluted with acetonitrile (1 mL), and adjusted to pH 7-8 with aqueous ammonia (1 mL). The mixture was purified by prep-HPLC (column: Welch Xtimate C18 150 x 25 mm x 5 μm; mobile phase: [solvent A: 0.05% aq. HCl, solvent B: acetonitrile]; gradient runs with 35% B, gradient: 35%-65% B with 10 min, hold at 95% B to 5 min) to give the title compound as a white solid.
[00753] Yield 20 mg (14%) 1H NMR (400 MHz, methanol-d4): δ 8.88 (s, 1H), 8.42 (dd, J = 7.6 Hz, 1H), 7.92 (d, J= 8.0 Hz, 1H), 7.83-7.79 (m, 1H), 7.67 (d, J= 8.0 Hz, 1H), 7.57- 7.52 (m, 1H), 7.17 (d, J= 1.6 Hz, 1H), 7.12-7.09 (m, 1H), 7.05-7.03 (m, 3H), 6.97 (s, 1H), 6.80 (d,J= 8.8 Hz, 2H), 4.82 (s, 2H), 4.28 (s, 2H), 4.18-4.16 (m, 2H), 4.06-4.04 (m, 2H), 3.85-3.81 (m, 6H), 3.71-3.67 (m, 8H), 2.45-2.38 (m, 3H), 1.78 (d, J= 11.2 Hz, 2H), 1.70- 1.63 (m, 2H), 1.41 (s, 9H). m/z: [ESI+] 956.2 (M+H)+, (C49H57N5O13S).
Example 38: 2-(7-((4-(4-((14-(5-(tert-butyl)-2-hydroxy-4-(4-oxo-1,4-dihydroquinoline- 3-carboxamido)phenoxy)-3,6,9,12-tetraoxatetradecyl)oxy)phenyl)piperidin-l- yl)sulfonyl)-4-oxo-l,2-dihydroquinazolin-3(4H)-yl)acetic acid (Chimeric Molecule 37) [00754] Synthesis of tert-butyl 7-((4-(4-((14-(4-(l-benzyl-4-oxo-1,4-dihydroquinoline-3-
carboxamido)-2-(benzyloxy)-5-(tert-butyl)phenoxy)-3,6,9,12- tetraoxatetradecyl)oxy)phenyl)piperidin-1-yl)sulfonyl)-3-(2-(tert-butoxy)-2-oxoethyl)-4- oxo-3, 4-dihydroquinazoline-l(2H)-carboxylate
[00755] To a solution of tert butyl 3 (2 (tert butoxy) 2 oxoethyl) 4 oxo 7 ((4 (4 ((14
(tosyloxy)-3,6,9,12-tetraoxatetradecyl)oxy)phenyl)piperidin-1-yl)sulfonyl)-3,4- dihydroquinazoline-l(2H)-carboxylate (221 mg, 0.22 mmol) in DMF (2 mL) were added l-benzyl-N-(5-benzyloxy-2-tert-butyl-4-hydroxy-phenyl)-4-oxo-quinoline-3-carboxamide (110 mg, 0.2 mmol) and potassium carbonate (56.2 mg, 0.41 mmol). Then the reaction mixture was stirred at 50 °C for 16 h, filtered and the filtrate was purified by prep-HPLC (column: Welch Xtimate C18 150 x 25 mm x 5 μm; mobile phase: [solvent A: 0.05% aq. HCl, solvent B: acetonitrile]; gradient runs with 70% B, gradient: 70%-100% B with 10 min, hold at 95% B to 5 min) to give the title compound as a white solid.
[00756] Yield 179 mg (65%) m/z: [ESI+] 1337.4 (M+H)+, (C74H89N5O16S). [00757] Synthesis of tert-butyl 3-(2-(tert-butoxy)-2-oxoethyl)-7-((4-(4-((14-(5-(tert- butyl)-2-hydroxy-4-(4-oxo-1,4-dihydroquinoline-3-carboxamido)phenoxy)-3, 6, 9, 12- tetraoxatetradecyl)oxy)phenyl)piperidin-1-yl)sulfonyl)-4-oxo-3,4-dihydroquinazoline- 1(2H)-carboxylate
[00758] To a solution of tert-butyl 7-((4-(4-((14-(4-(l-benzyl-4-oxo-l,4- dihydroquinoline-3-carboxamido)-2-(benzyloxy)-5-(tert-butyl)phenoxy)-3,6,9,12- tetraoxatetradecyl)oxy)phenyl)piperidin-1-yl)sulfonyl)-3 -(2-(tert-butoxy)-2-oxoethyl)-4- oxo-3, 4-dihydroquinazoline-l(2H)-carboxylate (179 mg, 0.13 mmol) in methanol (10 mL) was added palladium on carbon (20 mg, 10% w/w) and palladium hydroxide on carbon (20 mg, 20% w/w) under nitrogen. The mixture was degassed under vacuum, purged three times with hydrogen (15 psi) and stirred at 50 °C for 16 h under an atmosphere of hydrogen (15 psi). Filtration through Celite®, and concentration of the filtrate in vacuo afforded the title compound as a yellow solid.
[00759] Yield 140 mg (90%), (C60H77N5O16S).
[00760] Synthesis of 2-(7-((4-(4-((14-(5-(tert-butyl)-2-hydroxy-4-(4-oxo-1,4- dihydroquinoline-3-carboxamido)phenoxy)-3, 6,9, 12- tetraoxatetradecyl)oxy)phenyl)piperidin-1-yl)sulfonyl)-4-oxo-l,2-dihydroquinazolin- 3(4H)-yl)acetic acid (Chimeric Molecule 37)
[00761] A mixture of TFA (0.5 mL) and tert-butyl 3-(2-(tert-butoxy)-2-oxoethyl)-7-((4- (4-(( 14-(5 -(tert-butyl)-2-hy droxy-4-(4-oxo- 1 ,4-dihy droquinoline-3 - carboxamido)phenoxy)-3,6,9,12-tetraoxatetradecyl)oxy)phenyl)piperidin-1-yl)sulfonyl)-4- oxo-3, 4-dihydroquinazoline-l(2H)-carboxylate (140 mg, 0.12 mmol) was stirred at 20 °C for 0.5 h. The mixture was diluted with acetonitrile (1 mL), adjusted to pH 7-8 with aqueous ammonia (1 mL), and purified by prep-HPLC (column: Welch Xtimate C18 150 x 25 mm x 5 μm; mobile phase: [solvent A: 0.05% aq. HCl, solvent B: acetonitrile]; gradient runs with 35% B, gradient: 35%-65% B with 10 min, hold at 95% B to 5 min) to give the title compound as a white solid.
[00762] Yield 32 mg (25%) 1H NMR (400 MHz, methanol-L): δ 8.87 (s, 1H), 8.42 (d, J
= 7.6 Hz, 1H), 7.92 (d, J= 8.4 Hz, 1H), 7.83-7.79 (m, 1H), 7.67 (d, J= 8.0 Hz, 1H), 7.57- 7.52 (m, 1H), 7.17 (d, = 1.6 Hz, 1H), 7.12-7.09 (m, 1H), 7.05-7.03 (m, 3H), 6.97 (s, 1H), 6.80 (d, J= 8.8 Hz, 2H), 4.82 (s, 2H), 4.28 (s, 2H), 4.18-4.16 (m, 2H), 4.06-4.04 (m, 2H), 3.86-3.78 (m, 6H), 3.73-3.65 (m, 8H), 3.63-3.60 (m, 4H), 2.47-2.38 (m, 3H), 1.79 (d, J = 11.2 Hz, 2H), 1.70-1.63 (m, 2H), 1.41 (s, 9H). m/z: [ESI+] 1000.2 (M+H)+, (C51H61N5O14S).
Example 39: 2-(7-((4-(4-((17-(5-(tert-butyl)-2-hydroxy-4-(4-oxo-1,4-dihydroquinoline- 3-carboxamido)phenoxy)-3,6,9,12,15-pentaoxaheptadecyl)oxy)phenyl)piperidin-l- yl)sulfonyl)-4-oxo-1,2-dihydroquinazolin-3(4H)-yl)acetic acid (Chimeric Molecule 38)
[00763] Synthesis of tert-butyl 7-((4-(4-((17-(4-(l-benzyl-4-oxo-1,4-dihydroquinoline-3- carboxamido)-2-(benzyloxy)-5-(tert-butyl)phenoxy)-3,6,9,12,15- pentaoxaheptadecyl)oxy)phenyl)piperidin-1-yl)sulfonyl)-3-(2-(tert-butoxy)-2-oxoethyl)-4- oxo-3, 4-dihydroquinazoline-l(2H)-carboxylate
[00764] To a solution of tert-butyl 3-(2-(tert-butoxy)-2-oxoethyl)-4-oxo-7-((4-(4-((17- (tosyloxy)-3,6,9,12,15-pentaoxaheptadecyl)oxy)phenyl)piperidin-1-yl)sulfonyl)-3,4- dihydroquinazoline-1(2H)-carboxylate (211 mg, 0.2 mmol) in DMF (2 mL) were added 1- benzyl-N-(5-benzyloxy-2-tert-butyl-4-hydroxy-phenyl)-4-oxo-quinoline-3-carboxamide (100 mg, 0.19 mmol) and potassium carbonate (51 mg, 0.37 mmol). The reaction mixture was stirred at 50 °C for 16 h, filtered, and the filtrate purified by prep-HPLC (column: W elch Xtimate C 18 150 x 25 mm x 5 μm; mobilephase: [solvent A: 0.05% aq. HCl, solvent B: acetonitrile]; gradient runs with 70% B, gradient: 70%-100% B with 10 min, hold at 95% B to 5 min) to give the title compound as a white solid.
[00765] Yield 211 mg (82%) m/z: [ESI+] 1380.5 (M+H)+, (C76H93N5O17S).
[00766] Synthesis of tert-butyl 3-(2-(tert-butoxy)-2-oxoethyl)-7-((4-(4-((17-(5-(tert- butyl)-2-hydroxy-4-(4-oxo-1,4-dihydroquinoline-3-carboxamido)phenoxy)-3, 6, 9, 12, 15- pentaoxaheptadecyl)oxy)phenyl)piperidin-1-yl)sulfonyl)-4-oxo-3,4-dihydroquinazoline- 1 (2H)-carboxylate
[00767] To a solution
of tert-butyl 7-((4-(4-((17-(4-(1-benzyl-4-oxo-1,4- dihydroquinoline-3-carboxamido)-2-(benzyloxy)-5-(tert-butyl)phenoxy)-3,6,9,12,15- pentaoxaheptadecyl)oxy)phenyl)piperidin-1-yl)sulfonyl)-3-(2-(tert-butoxy)-2-oxoethyl)-4- oxo-3,4-dihydroquinazoline-1(2H)-carboxylate (211 mg, 0.15 mmol) in methanol (10 mL) was added palladium on carbon (25 mg, 10% w/w) and palladium hydroxide on carbon (25 mg, 10% w/w) under nitrogen. The mixture was degassed under vacuum, purged three times with hydrogen (15 psi) and stirred at 50 °C for 16 h under an atmosphere of hydrogen (15 psi). Filtration through Celite®, and concentration of the filtrate in vacuo afforded the title compound as a white solid. [00768] Yield 127 mg (69%) [00769] Synthesis of 2-(7-((4-(4-((17-(5-(tert-butyl)-2-hydroxy-4-(4-oxo-1,4- dihydroquinoline-3-carboxamido)phenoxy)-3,6,9,12,15- pentaoxaheptadecyl)oxy)phenyl)piperidin-1-yl)sulfonyl)-4-oxo-1,2-dihydroquinazolin- 3(4H)-yl)acetic acid (Chimeric Molecule 38)
[00770] TFA (0.6 mL, 8.10 mmol) was added to tert butyl 3 (2 (tert butoxy) 2 oxoethyl)-7-((4-(4-((17-(5-(tert-butyl)-2-hydroxy-4-(4-oxo-1,4-dihydroquinoline-3- carboxamido)phenoxy)-3,6,9,12,15-pentaoxaheptadecyl)oxy)phenyl)piperidin-1- yl)sulfonyl)-4-oxo-3,4-dihydroquinazoline-1(2H)-carboxylate (127 mg, 0.11 mmol). The mixture was stirred at 20 °C for 0.5 h, diluted with acetonitrile (1 mL) and adjusted to pH 7-8 with aqueous ammonia (1 mL). The mixture was purified by prep-HPLC (column: Welch Xtimate C18150 × 25 mm × 10 µm; mobile phase: [solvent A: 0.05% aq. HCl, solvent B: acetonitrile]; gradient runs with 44% B, gradient: 44%-74% B with 10 min, hold
at 95% B to 5 min) to give the title compound as a yellow solid. [00771] Yield 17 mg (14%) 1H NMR (400 MHz, methanol-d4): δ 8.87 (s, 1H), 8.42 (d, J = 7.6 Hz, 1H), 7.93 (d, J = 8.0 Hz, 1H), 7.83–7.79 (m, 1H), 7.68 (d, J = 8.0 Hz, 1H), 7.57– 7.52 (m, 1H), 7.17 (d, J = 1.6 Hz, 1H), 7.12–7.09 (m, 1H), 7.05–7.03 (m, 3H), 6.97 (s, 1H), 6.81 (d, J = 8.4 Hz, 2H), 4.82 (s, 2H), 4.28 (s, 2H), 4.18–4.16 (m, 2H), 4.06–4.04 (m, 2H), 3.86–3.78 (m, 6H), 3.73–3.70 (m, 2H), 3.68–3.66 (m, 4H), 3.64–3.60 (m, 10H), 2.48–2.40 (m, 3H), 1.80 (d, J = 11.2 Hz, 2H), 1.72–1.65 (m, 2H), 1.42 (s, 9H). m/z: [ESI+] 1044.3 (M+H)+, (C53H65N5O15S). Example 40: 2-(7-((4-(4-((20-(5-(tert-butyl)-2-hydroxy-4-(4-oxo-1,4-dihydroquinoline- 3-carboxamido)phenoxy)-3,6,9,12,15,18-hexaoxaicosyl)oxy)phenyl)piperidin-1- yl)sulfonyl)-4-oxo-1,2-dihydroquinazolin-3(4H)-yl)acetic acid (Chimeric Molecule 39) [00772] Synthesis of tert-butyl 7-((4-(4-((20-(4-(1-benzyl-4-oxo-1,4-dihydroquinoline-3- carboxamido)-2-(benzyloxy)-5-(tert-butyl)phenoxy)-3,6,9,12,15,18- hexaoxaicosyl)oxy)phenyl)piperidin-1-yl)sulfonyl)-3-(2-(tert-butoxy)-2-oxoethyl)-4-oxo- 3,4-dihydroquinazoline-1(2H)-carboxylate
[00773] To a solution of tert-butyl 3-(2-(tert-butoxy)-2-oxoethyl)-4-oxo-7-((4-(4-((20- (tosyloxy)-3,6,9,12,15,18-hexaoxaicosyl)oxy)phenyl)piperidin-1-yl)sulfonyl)-3,4- dihydroquinazoline-1(2H)-carboxylate (219 mg, 0.21 mmol) in DMF (2 mL) were added 1-benzyl-N-(5-benzyloxy-2-tert-butyl-4-hydroxy-phenyl)-4-oxo-quinoline-3-carboxamide (100 mg, 0.19 mmol) and potassium carbonate (51 mg, 0.37 mmol). The reaction mixture was stirred at 50 °C for 16 h, filtered, and the filtrate was purified by prep-HPLC (column: Welch Xtimate C18 250 × 25 mm × 5 µm; mobile phase: [solvent A: 0.05% aq. HCl, solvent B: acetonitrile]; gradient runs with 70% B, gradient: 70%-100% B with 10 min, hold at 95% B to 5 min) to give the title compound as a yellow solid. [00774] Yield 185 mg (70%) m/z: [ESI+] 1424.5(M+H)+, (C78H97N5O18S).
[00775] Synthesis of tert-butyl 3-(2-(tert-butoxy)-2-oxoethyl)-7-((4-(4-((20-(5-(tert- butyl)-2-hydroxy-4-(4-oxo-1,4-dihydroquinoline-3-carboxamido)phenoxy)-3,6,9,12,15,18- hexaoxaicosyl)oxy)phenyl)piperidin-1-yl)sulfonyl)-4-oxo-3,4-dihydroquinazoline-1(2H)- carboxylate
[00776] To a solution of tert-butyl 7-((4-(4-((20-(4-(1-benzyl-4-oxo-1,4- dihydroquinoline-3-carboxamido)-2-(benzyloxy)-5-(tert-butyl)phenoxy)-3,6,9,12,15,18- hexaoxaicosyl)oxy)phenyl)piperidin-1-yl)sulfonyl)-3-(2-(tert-butoxy)-2-oxoethyl)-4-oxo- 3,4-dihydroquinazoline-1(2H)-carboxylate (185 mg, 0.13 mmol) in methanol (10 mL) were added palladium on carbon (20 mg, 10% w/w) and palladium hydroxide on carbon (20 mg, 20% w/w) under nitrogen. The mixture was degassed under vacuum, purged three times with hydrogen (15 psi) and stirred at 50 °C for 16 h under an atmosphere of hydrogen (15 psi). Filtration through Celite®, and concentration of the filtrate in vacuo afforded the title compound as a white solid. [00777] Yield 142 mg (87%). [00778] Synthesis of 2-(7-((4-(4-((20-(5-(tert-butyl)-2-hydroxy-4-(4-oxo-1,4- dihydroquinoline-3-carboxamido)phenoxy)-3,6,9,12,15,18- hexaoxaicosyl)oxy)phenyl)piperidin-1-yl)sulfonyl)-4-oxo-1,2-dihydroquinazolin-3(4H)- yl)acetic acid (Chimeric Molecule 39)
[00779] TFA (0.69 mL, 9.28 mmol) was added to tert-butyl 3-(2-(tert-butoxy)-2- oxoethyl)-7-((4-(4-((20-(5-(tert-butyl)-2-hydroxy-4-(4-oxo-1,4-dihydroquinoline-3- carboxamido)phenoxy)-3,6,9,12,15,18-hexaoxaicosyl)oxy)phenyl)piperidin-1- yl)sulfonyl)-4-oxo-3,4-dihydroquinazoline-1(2H)-carboxylate (142 mg, 0.11 mmol). The mixture was stirred at 20 °C for 0.5 h, diluted with acetonitrile (1 mL) and adjusted to pH 7-8 with aqueous ammonia (1 mL). The mixture was purified by prep-HPLC (column: Phenomenex Luna C18 250 × 25 mm × 10 µm; mobile phase: [solvent A: 0.05% aq. HCl, solvent B: acetonitrile]; gradient runs with 40% B, gradient: 40%-70% B with 10 min, hold at 95% B to 5 min) to give the title compound as a white solid. [00780] Yield 65 mg (52%) 1H NMR (400 MHz, methanol-d4): δ 8.87 (s, 1H), 8.42 (d, J = 7.6 Hz, 1H), 7.93 (d, J = 8.0 Hz, 1H), 7.83–7.79 (m, 1H), 7.68 (d, J = 8.0 Hz, 1H), 7.57– 7.52 (m, 1H), 7.17 (d, J = 1.6 Hz, 1H), 7.12–7.09 (m, 1H), 7.05–7.03 (m, 3H), 6.97 (s, 1H), 6.81 (d, J = 8.4 Hz, 2H), 4.82 (s, 2H), 4.28 (s, 2H), 4.18–4.16 (m, 2H), 4.06–4.04 (m, 2H), 3.86–3.78 (m, 6H), 3.73–3.70 (m, 2H), 3.68–3.66 (m, 4H), 3.64–3.60 (m, 14H), 2.48–2.37 (m, 3H), 1.80 (d, J = 11.2 Hz, 2H), 1.72–1.65 (m, 2H), 1.42 (s, 9H). m/z: [ESI+] 1088.3 (M+H)+, (C55H69N5O16S). Example 41: 2-(4-((4-(4-((14-(5-(tert-butyl)-2-hydroxy-4-(4-oxo-1,4-dihydroquinoline- 3-carboxamido)phenoxy)-3,6,9,12-tetraoxatetradecyl)oxy)phenyl)piperidin-1- yl)sulfonyl)benzamido)acetic acid (Chimeric Molecule 1) [00781] Synthesis of tert-butyl 2-(4-((4-(4-((14-(4-(1-benzyl-4-oxo-1,4-dihydroquinoline- 3-carboxamido)-2-(benzyloxy)-5-(tert-butyl)phenoxy)-3,6,9,12- tetraoxatetradecyl)oxy)phenyl)piperidin-1-yl)sulfonyl)benzamido)acetate
[00782] To a solution of 2-(4-((4-(4-((14-(tosyloxy)-3,6,9,12- tetraoxatetradecyl)oxy)phenyl)piperidin-1-yl)sulfonyl)benzamido)acetate (402 mg, 0.45
mmol) in DMF (2 mL) was added 1-benzyl-N-(5-benzyloxy-2-tert-butyl-4-hydroxy- phenyl)-4-oxo-quinoline-3-carboxamide (200 mg, 0.38 mmol) and potassium carbonate (103 mg, 0.75 mmol). The mixture was stirred at 50 °C for 16 h and filtered. The filtrate was concentrated in vacuo and the residue purified by prep-HPLC (column: YMC-Triart C18 250 x 50 mm x 7 μm; mobile phase: [solvant A: water (10 mM aq. ammonium hydrogen carbonate), solvent B: acetonitrile]; gradient runs with 70% B, gradient: 70%– 100% B with 10 min, hold at 95% B to 5 min) to give the title compound as a yellow solid. [00783] Yield 300 mg (65%) m/z: [ESI+] 1209.4 (M+H)+, (C68H80N4O14S). [00784] Synthesis of tert-butyl 2-(4-((4-(4-((14-(5-(tert-butyl)-2-hydroxy-4-(4-oxo-1,4- dihydroquinoline-3-carboxamido)phenoxy)-3,6,9,12- tetraoxatetradecyl)oxy)phenyl)piperidin-1-yl)sulfonyl)benzamido)acetate
[00785] To a solution of tert-butyl 2-(4-((4-(4-((14-(4-(1-benzyl-4-oxo-1,4- dihydroquinoline-3-carboxamido)-2-(benzyloxy)-5-(tert-butyl)phenoxy)-3,6,9,12- tetraoxatetradecyl)oxy)phenyl)piperidin-1-yl)sulfonyl)benzamido)acetate (300 mg, 0.25 mmol) in methanol (10 mL) was added palladium on carbon (30 mg, 10% w/w) and palladium hydroxide on carbon (15 mg, 20% w/w). The mixture was degassed under vacuum, purged three times with hydrogen (15 psi) and stirred at 75 °C for 2 h under an atmosphere of hydrogen (15 psi). Filtration through Celite®, and concentration of the filtrate in vacuo afforded the title compound as a pale yellow solid. [00786] Yield 243 mg (92%) m/z: [ESI+] 1029.3 (M+H)+, (C54H68N4O14S). [00787] Synthesis of 2-(4-((4-(4-((14-(5-(tert-butyl)-2-hydroxy-4-(4-oxo-1,4- dihydroquinoline-3-carboxamido)phenoxy)-3,6,9,12- tetraoxatetradecyl)oxy)phenyl)piperidin-1-yl)sulfonyl)benzamido)acetic acid (Chimeric Molecule 1)
[00788] A solution of tert-butyl 2-(4-((4-(4-((14-(5-(tert-butyl)-2-hydroxy-4-(4-oxo-1,4- dihydroquinoline-3-carboxamido)phenoxy)-3,6,9,12- tetraoxatetradecyl)oxy)phenyl)piperidin-1-yl)sulfonyl)benzamido)acetate (243 mg, 0.23 mmol) in TFA (1.2 mL) was stirred at 20 °C for 1 h. Methanol (2 mL) was added and the mixture was purified by prep-HPLC (column: Welch Xtimate C18 250 × 25 mm × 5 µm; mobile phase: [solvent A: 0.05% aq. HCl, solvent B: acetonitrile]; gradient runs with 35% B, gradient: 35%–65% B with 10 min, hold at 95% B to 5 min) to give the title compound as a white solid. [00789] Yield 21 mg (9%) 1H NMR (400 MHz, methanol-d4): δ 8.86 (s, 1H), 8.42(d, J = 8.0 Hz, 1H), 8.05 (d, J = 8.0 Hz, 2H), 7.88–7.86 (m, 2H), 7.81–7.79 (m, 1H), 7.67 (d, J = 8.4 Hz, 1H), 7.54 (t, J = 8.0 Hz, 1H), 7.02–6.96 (m, 3H), 6.81 (s, 1H), 6.80 (d, J = 8.4 Hz, 2H), 4.17–4.14 (m, 2H), 4.12 (s, 2H), 4.05–4.02 (m, 2H), 3.88 (s, 1H), 3.85–3.83 (m, 3H), 3.80 -3.77 (m, 2H), 3.70–3.69 (m, 2H), 3.68–3.63 (m, 10H), 2.40–2.35 (m, 3H), 1.81–1.78 (m, 2H), 1.71–1.61 (m, 2H), 1.41 (s, 9H). m/z: [ESI+] 973.2 (M+H)+, (C50H60N4O14S). Example 42: 2-(4-((4-(4-(2-(2-(5-(tert-butyl)-2-hydroxy-4-(4-oxo-1,4- dihydroquinoline-3-carboxamido)phenoxy)ethoxy)ethoxy)phenyl)piperidin-1- yl)sulfonyl)benzamido)acetic acid (Chimeric Molecule 28) [00790] Synthesis of tert-butyl 2-(4-((4-(4-(2-(2-(4-(1-benzyl-4-oxo-1,4- dihydroquinoline-3-carboxamido)-2-(benzyloxy)-5-(tert- butyl)phenoxy)ethoxy)ethoxy)phenyl)piperidin-1-yl)sulfonyl)benzamido)acetate
[00791] To a solution of tert-butyl 2-(4-((4-(4-(2-(2- (tosyloxy)ethoxy)ethoxy)phenyl)piperidin-1-yl)sulfonyl)benzamido)acetate (211 mg, 0.29 mmol) in DMF (2 mL) was added 1-benzyl-N-(5-benzyloxy-2-tert-butyl-4-hydroxy- phenyl)-4-oxo-quinoline-3-carboxamide (130 mg, 0.24 mmol) and potassium carbonate (67 mg, 0.49 mmol). The reaction mixture was stirred at 50 °C for 32 h and filtered, and the filtrate concentrated in vacuo. The residue was purified by prep-HPLC (column: YMC- Triart C18 250 × 50 mm × 7 µm; mobile phase: [solvent A: 0.05% aq. HCl, solvent B: acetonitrile]; the gradient runs with 66% B, gradient: 66%–96% B with 10 min, hold at 95% B to 5 min) to give the title compound as a yellow solid. [00792] Yield 186 mg (63%). m/z: [ESI+] 1077.6 (M+H)+, (C62H68N4O11S). [00793] Synthesis of tert-butyl 2-(4-((4-(4-(2-(2-(5-(tert-butyl)-2-hydroxy-4-(4-oxo-1,4- dihydroquinoline-3-carboxamido)phenoxy)ethoxy)ethoxy)phenyl)piperidin-1- yl)sulfonyl)benzamido)acetate
[00794] To a solution of tert-butyl 2-(4-((4-(4-(2-(2-(4-(1-benzyl-4-oxo-1,4- dihydroquinoline-3-carboxamido)-2-(benzyloxy)-5-(tert- butyl)phenoxy)ethoxy)ethoxy)phenyl)piperidin-1-yl)sulfonyl)benzamido)acetate (186 mg, 0.15 mmol) in methanol (6 mL) was added palladium on carbon (37 mg, 10% w/w) and palladium hydroxide on carbon (18 mg, 20% w/w). The mixture was degassed under vacuum, purged three times with hydrogen (15 psi), stirred at 65 °C for 10 h under an atmosphere of hydrogen (15 psi) and filtered through Celite® . The filtrate was concentrated in vacuo to give the title compound as a yellow solid.
[00795] Yield 137 mg (92%). m/z: [ESI+] 897.5 (M+H)+, (C48H56N4O11S). [00796] Synthesis of 2-(4-((4-(4-(2-(2-(5-(tert-butyl)-2-hydroxy-4-(4-oxo-1,4- dihydroquinoline-3-carboxamido)phenoxy)ethoxy)ethoxy)phenyl)piperidin-1- yl)sulfonyl)benzamido)acetic acid (Chimeric Molecule 28)
[00797] A solution of tert-butyl 2-(4-((4-(4-(2-(2-(5-(tert-butyl)-2-hydroxy-4-(4-oxo-1,4- dihydroquinoline-3-carboxamido)phenoxy)ethoxy)ethoxy)phenyl)piperidin-1- yl)sulfonyl)benzamido)acetate (137 mg, 0.14 mmol) in TFA (0.65 mL) was stirred at 20 °C for 1 h. Acetonitrile (2 mL) was added and the mixture purified by prep-HPLC (column: Welch Xtimate C18 250 × 25 mm × 5 µm; mobile phase: [solvent A: 0.05% aq. HCl, solvent B: acetonitrile]; the gradient runs with 40% B, gradient: 40%–70% B with 10 min, hold at 95% B to 5 min) to give the title compound as a white solid. [00798] Yield 83 mg (69%) 1H NMR (400 MHz, methanol-d4): δ 8.87 (s, 1H), 8.42(d, J = 7.2 Hz, 1H), 8.06 (d, J = 8.4 Hz, 2H), 7.89–7.87 (m, 2H), 7.81–7.79 (m, 1H), 7.67 (d, J = 8.0 Hz, 1H), 7.56 (t, J = 7.2 Hz, 1H), 7.07–7.04 (m, 3H), 6.92 (s, 1H), 6.83 (d, J = 8.4 Hz, 2H), 4.22–4.20 (m, 2H), 4.19–4.10 (m, 4H), 3.92–3.89 (m, 6H), 2.43–2.37 (m, 3H), 1.84– 1.81 (m, 2H), 1.75–1.68 (m, 2H), 1.40 (s, 9H). m/z: [ESI+] 841.1 (M+H)+, (C44H48N4O11S). Example 43: 2-(4-((4-(4-((17-(5-(tert-butyl)-2-hydroxy-4-(4-oxo-1,4-dihydroquinoline- 3-carboxamido)phenoxy)-3,6,9,12,15-pentaoxaheptadecyl)oxy)phenyl)piperidin-1- yl)sulfonyl)benzamido)acetic acid (Chimeric Molecule 2) [00799] Synthesis of tert-butyl 2-(4-((4-(4-((17-(4-(1-benzyl-4-oxo-1,4-dihydroquinoline- 3-carboxamido)-2-(benzyloxy)-5-(tert-butyl)phenoxy)-3,6,9,12,15- pentaoxaheptadecyl)oxy)phenyl)piperidin-1-yl)sulfonyl)benzamido)acetate
[00800] To a solution of (S)-tert-butyl 2-(4-((4-(4-((17-((1-(5-(((1,3-dimethyl-1H- pyrazol-4-yl)sulfonyl)carbamoyl)-6-(2,2,4-trimethylpyrrolidin-1-yl)pyridin-2-yl)-1H- pyrazol-3-yl)oxy)-3,6,9,12,15-pentaoxaheptadecyl)oxy)phenyl)piperidin-1- yl)sulfonyl)benzamido)acetate (477 mg, 0.52 mmol) in DMF (2 mL) were added 1-benzyl- N-(5-benzyloxy-2-tert-butyl-4-hydroxy-phenyl)-4-oxo-quinoline-3-carboxamide (230 mg, 0.43 mmol) and potassium carbonate (119 mg, 0.86 mmol). The reaction mixture was stirred at 50°C for 16 h. The mixture was filtered, and the filtrate was purified by prep-HPLC (column: YMC-Triart C18250 × 50 mm × 7 µm; mobile phase: [solvent A: 10 mM aq. ammonium hydrogen carbonate, solvent B: acetonitrile]; gradient runs with 70% B, gradient: 70%–100% B with 20 min, hold at 95% B to 5 min) to give the title compound as a yellow solid. Yield 331 mg (60%) m/z: [ESI+] 1253.4 (M+H)+, (C70H84N4O15S). [00801] Synthesis of tert-butyl 2-(4-((4-(4-((17-(5-(tert-butyl)-2-hydroxy-4-(4-oxo-1,4- dihydroquinoline-3-carboxamido)phenoxy)-3,6,9,12,15- pentaoxaheptadecyl)oxy)phenyl)piperidin-1-yl)sulfonyl)benzamido)acetate
[00802] To a solution of tert-butyl 2-(4-((4-(4-((17-(4-(1-benzyl-4-oxo-1,4- dihydroquinoline-3-carboxamido)-2-(benzyloxy)-5-(tert-butyl)phenoxy)-3,6,9,12,15- pentaoxaheptadecyl)oxy)phenyl)piperidin-1-yl)sulfonyl)benzamido)acetate (331 mg, 0.26 mmol) in methanol (10 mL) were added palladium on carbon (40 mg, 10% w/w) and palladium hydroxide on carbon (32 mg, 20% w/w). The mixture was degassed under vacuum, purged three times with hydrogen (15 psi) and stirred at 75 °C for 2 h under an atmosphere of hydrogen (15 psi). Filtration through Celite®, and concentration of the filtrate in vacuo afforded the title compound as a pale-yellow solid.
[00803] Yield 250 mg (85%) m/z: [ESI+] 1073.3 (M+H)+, (C56H72N4O15S). [00804] Synthesis of 2-(4-((4-(4-((17-(5-(tert-butyl)-2-hydroxy-4-(4-oxo-1,4- dihydroquinoline-3-carboxamido)phenoxy)-3,6,9,12,15- pentaoxaheptadecyl)oxy)phenyl)piperidin-1-yl)sulfonyl)benzamido)acetic acid (Chimeric M 2
[00805] TFA (1.1 mL) was added to tert-butyl 2-(4-((4-(4-((17-(5-(tert-butyl)-2-hydroxy- 4-(4-oxo-1,4-dihydroquinoline-3-carboxamido)phenoxy)-3,6,9,12,15- pentaoxaheptadecyl)oxy)phenyl)piperidin-1-yl)sulfonyl)benzamido)acetate (250 mg, 0.22 mmol). The mixture was stirred at 20°C for 1 h, diluted with DMF (3 mL) and purified by prep-HPLC (column: Welch Xtimate C18150 × 25 mm × 5 µm; mobile phase: [solvent A: 0.05% aq. HCl, solvent B: acetonitrile]; gradient runs with 35% B, gradient: 35%–65% B with 10 min, hold at 95% B to 5 min) to give the title compound as an off-white solid. [00806] Yield 105 mg (46%) 1H NMR (400 MHz, methanol-d4): δ 8.86 (s, 1H), 8.42 (d, J = 8.0 Hz, 1H), 8.06 (d, J = 8.4 Hz, 2H), 7.88–7.86 (m, 2H), 7.81–7.79 (m, 1H), 7.67 (d, J = 8.0 Hz, 1H), 7.56 (t, J = 7.2 Hz, 1H), 7.04–7.02 (m, 3H), 6.96 (s, 1H), 6.81 (d, J = 8.8 Hz, 2H), 4.17–4.15 (m, 2H), 4.13 (s, 2H), 4.05–4.03 (m, 2H), 3.89 (s, 1H), 3.85–3.83 (m, 3H), 3.80 –3.77 (m, 2H), 3.72–3.70 (m, 2H), 3.68–3.65 (m, 4H), 3.64 –3.61 (m, 10H), 2.42–2.36 (m, 3H), 1.82–1.79 (m, 2H), 1.69–1.65 (m, 2H), 1.41 (s, 9H). m/z: [ESI+] 1017.3 (M+H)+, (C52H64N4O15S). Example 44: 2-(4-((4-(4-(2-(2-(2-(5-(tert-butyl)-2-hydroxy-4-(4-oxo-1,4- dihydroquinoline-3-carboxamido)phenoxy)ethoxy)ethoxy)ethoxy)phenyl)piperidin-1- yl)sulfonyl)benzamido)acetic acid (Chimeric Molecule 29) [00807] Synthesis of tert-butyl 2-(4-((4-(4-(2-(2-(2-(4-(1-benzyl-4-oxo-1,4- dihydroquinoline-3-carboxamido)-2-(benzyloxy)-5-(tert- butyl)phenoxy)ethoxy)ethoxy)ethoxy)phenyl)piperidin-1-yl)sulfonyl)benzamido)acetate
[00808] To a solution of tert-butyl 2-(4-((4-(4-(2-(2-(2- (tosyloxy)ethoxy)ethoxy)ethoxy)phenyl)piperidin-1-yl)sulfonyl)benzamido)acetate (223 mg, 0.29 mmol) in DMF (2 mL) was added 1-benzyl-N-(5-benzyloxy-2-tert-butyl-4- hydroxy-phenyl)-4-oxo-quinoline-3-carboxamide (130 mg, 0.24 mmol) and potassium carbonate (68 mg, 0.49 mmol). The reaction mixture was stirred at 50 °C for 32 h. The mixture was purified directly by prep-HPLC (column: Welch Xtimate C18 250 × 25 mm × 5 µm; mobile phase: [solvent A: 0.05% aq. HCl, solvent B: acetonitrile]; the gradient runs with 66% B, gradient: 66%–96% B with 10 min, hold at 95% B to 5 min) to give the title compound as a yellow solid. [00809] Yield 190 mg (64%). m/z: [ESI+] 1121.7 (M+H)+, (C64H72N4O12S). [00810] Synthesis of tert-butyl 2-(4-((4-(4-(2-(2-(2-(5-(tert-butyl)-2-hydroxy-4-(4-oxo- 1,4-dihydroquinoline-3-carboxamido)phenoxy)ethoxy)ethoxy)ethoxy)phenyl)piperidin-1- yl)sulfonyl)benzamido)acetate
[00811] To a solution of tert-butyl 2-(4-((4-(4-(2-(2-(2-(4-(1-benzyl-4-oxo-1,4- dihydroquinoline-3-carboxamido)-2-(benzyloxy)-5-(tert- butyl)phenoxy)ethoxy)ethoxy)ethoxy)phenyl)piperidin-1-yl)sulfonyl)benzamido)acetate
(190 mg, 0.16 mmol) in methanol (6 mL) was added palladium on carbon (38 mg, 10% w/w) and palladium hydroxide on carbon (19 mg, 20% w/w). The mixture was degassed under vacuum, purged with hydrogen (15 psi) three times, and stirred at 65°C for 10 h under an atmosphere of hydrogen (15 psi). Filtration through Celite® and concentrate of the filtrate in vacuo afforded the title compound as a yellow solid. [00812] Yield 159 mg (crude). m/z: [ESI+] 941.5 (M+H)+, (C50H60N4O12S). [00813] Synthesis of 2-(4-((4-(4-(2-(2-(2-(5-(tert-butyl)-2-hydroxy-4-(4-oxo-1,4- dihydroquinoline-3-carboxamido)phenoxy)ethoxy)ethoxy)ethoxy)phenyl)piperidin-1- yl)sulfonyl)benzamido)acetic acid (Chimeric Molecule 29)
[00814] A solution of tert-butyl 2-(4-((4-(4-(2-(2-(2-(5-(tert-butyl)-2-hydroxy-4-(4-oxo- 1,4-dihydroquinoline-3-carboxamido)phenoxy)ethoxy)ethoxy)ethoxy)phenyl)piperidin-1- yl)sulfonyl)benzamido)acetate (159 mg, 0.17 mmol) in TFA (0.8 mL) was stirred at 20°C for 1 h. The mixture was purified directly by prep-HPLC (column: Welch Xtimate C18 250 × 25 mm × 5 µm; mobile phase: [solvent A: 0.05% aq. HCl, solvent B: acetonitrile]; the gradient runs with 40% B, gradient: 40%–70% B with 10 min, hold at 95% B to 5 min) to give the title compound as an off-white solid. [00815] Yield 47 mg (30%).1H NMR (400 MHz, methanol-d4): δ 8.87 (s, 1H), 8.42 (d, J = 8.4 Hz, 1H), 8.06 (d, J = 8.4 Hz, 2H), 7.87–7.85 (m, 2H), 7.81–7.80 (m, 1H), 7.67 (d, J = 8.4 Hz, 1H), 7.56 (t, J = 7.2 Hz, 1H), 7.05–7.02 (m, 3H), 6.94 (s, 1H), 6.83–6.79 (m, 2H), 4.17–4.15 (m, 2H), 4.12 (s, 2H), 4.07–4.04 (m, 2H), 3.87–3.85 (m, 4H), 3.83–3.81 (m, 2H), 3.75–3.74 (m, 4H), 2.43–2.37 (m, 3H), 1.84–1.81 (m, 2H), 1.75–1.68 (m, 2H), 1.40 (s, 9H). m/z: [ESI+] 885.1 (M+H)+, (C46H52N4O12S). Example 45: 2-(4-((4-(4-((20-(5-(tert-butyl)-2-hydroxy-4-(4-oxo-1,4-dihydroquinoline- 3-carboxamido)phenoxy)-3,6,9,12,15,18-hexaoxaicosyl)oxy)phenyl)piperidin-1-
yl)sulfonyl)benzamido)acetic acid (Chimeric Molecule 3) [00816] Synthesis of tert-butyl 2-(4-((4-(4-((20-(4-(1-benzyl-4-oxo-1,4-dihydroquinoline- 3-carboxamido)-2-(benzyloxy)-5-(tert-butyl)phenoxy)-3,6,9,12,15,18- hexaoxaicosyl)oxy)phenyl)piperidin 1 yl)sulfonyl)benzamido)acetate
[00817] To a solution of tert-butyl 2-(4-((4-(4-((20-(tosyloxy)-3,6,9,12,15,18- hexaoxaicosyl)oxy)phenyl)piperidin-1-yl)sulfonyl)benzamido)acetate (361 mg, 0.37 mmol) in DMF (1.5 mL) were added 1-benzyl-N-(5-benzyloxy-2-tert-butyl-4-hydroxy- phenyl)-4-oxo-quinoline-3-carboxamide (165 mg, 0.31 mmol) and potassium carbonate (86 mg, 0.62 mmol). The reaction mixture was stirred at 50°C for 16 h. The mixture was filtered, and the filtrate was purified by prep-HPLC (column: YMC-Triart C18250 × 50 mm × 7 µm; mobile phase: [solvent A: 10 mM aq. ammonium hydrogen carbonate, solvent B: acetonitrile]; gradient runs with 70% B, gradient: 70%–100% B with 10 min, hold at 95% B to 5 min) to give the title compound as a yellow solid. [00818] Yield 286 mg (71%) m/z: [ESI+] 1297.5 (M+H)+, (C72H88N4O16S). [00819] Synthesis of tert-butyl 2-(4-((4-(4-((20-(5-(tert-butyl)-2-hydroxy-4-(4-oxo-1,4- dihydroquinoline-3-carboxamido)phenoxy)-3,6,9,12,15,18- hexaoxaicosyl)oxy)phenyl)piperidin-1-yl)sulfonyl)benzamido)acetate
[00820] To a solution of tert-butyl 2-(4-((4-(4-((20-(4-(1-benzyl-4-oxo-1,4- dihydroquinoline-3-carboxamido)-2-(benzyloxy)-5-(tert-butyl)phenoxy)-3,6,9,12,15,18-
hexaoxaicosyl)oxy)phenyl)piperidin-1-yl)sulfonyl)benzamido)acetate (286 mg, 0.22 mmol) in methanol (10 mL) were added palladium on carbon (30 mg, 10% w/w) and palladium hydroxide on carbon (15 mg, 20% w/w). The mixture was degassed under vacuum, purged three times with hydrogen (15 psi) and stirred at 75 °C for 2 h under an atmosphere of hydrogen (15 psi). Filtration through Celite®, and concentration of the filtrate in vacuo afforded the title compound as a pale-yellow solid. [00821] Yield 242 mg (93%) m/z: [ESI+] 1117.4 (M+H)+, (C58H76N4O16S). [00822] Synthesis of 2-(4-((4-(4-((20-(5-(tert-butyl)-2-hydroxy-4-(4-oxo-1,4- dihydroquinoline-3-carboxamido)phenoxy)-3,6,9,12,15,18- hexaoxaicosyl)oxy)phenyl)piperidin-1-yl)sulfonyl)benzamido)acetic acid (Chimeric
[00823] TFA (1.1 mL) was added to tert-butyl 2-(4-((4-(4-((20-(5-(tert-butyl)-2-hydroxy- 4-(4-oxo-1,4-dihydroquinoline-3-carboxamido)phenoxy)-3,6,9,12,15,18- hexaoxaicosyl)oxy)phenyl)piperidin-1-yl)sulfonyl)benzamido)acetate (250 mg, 0.22 mmol). The mixture was stirred at 20°C for 1 h. The mixture was diluted with DMF (3 mL) and the mixture was purified by prep-HPLC (column: Welch Xtimate C18 250 × 25 mm × 5 µm; mobile phase: [solvent A: 0.05% aq. HCl, solvent B: acetonitrile]; gradient runs with 35% B, gradient: 35%–65% B with 10 min, hold at 95% B to 5 min) to give the title compound as an off-white solid. [00824] Yield 105 mg (46%) 1H NMR (400 MHz, methanol-d4): δ 8.87 (s, 1H), 8.42 (d, J = 8.0 Hz, 1H), 8.06 (d, J = 8.4 Hz, 2H), 7.89–7.87 (m, 2H), 7.81–7.79 (m, 1H), 7.67 (d, J = 8.0 Hz, 1H), 7.54 (t, J = 8.0 Hz, 1H), 7.05–7.02 (m, 3H), 6.96 (s, 1H), 6.81 (d, J = 8.4 Hz, 2H), 4.18–4.15 (m, 2H), 4.13 (s, 2H), 4.06–4.03 (m, 2H), 3.90 (s, 1H), 3.86–3.84 (m, 3H), 3.80 –3.77 (m, 2H), 3.73–3.70 (m, 2H), 3.67–3.65 (m, 4H), 3.63–3.60 (m, 14H), 2.43–2.34 (m, 3H), 1.83–1.79 (m, 2H), 1.73–1.63 (m, 2H), 1.42 (s, 9H). m/z: [ESI+] 1061.3 (M+H)+, (C54H68N4O16S).
Example 46: 2-(4-((4-(4-(2-(2-(2-(2-(5-(tert-butyl)-2-hydroxy-4-(4-oxo-1,4- dihydroquinoline-3- carboxamido)phenoxy)ethoxy)ethoxy)ethoxy)ethoxy)phenyl)piperidin-1- yl)sulfonyl)benzamido)acetic acid (Chimeric Molecule 30) [00825] Synthesis of tert-butyl 2-(4-((4-(4-(2-(2-(2-(2-(4-(1-benzyl-4-oxo-1,4- dihydroquinoline-3-carboxamido)-2-(benzyloxy)-5-(tert- butyl)phenoxy)ethoxy)ethoxy)ethoxy)ethoxy)phenyl)piperidin-1- yl)sulfonyl)benzamido)acetate
[00826] To a solution of 2-(4-((4-(4-(2-(2-(2-(2- (tosyloxy)ethoxy)ethoxy)ethoxy)ethoxy)phenyl)piperidin-1- yl)sulfonyl)benzamido)acetate (218 mg, 0.27 mmol) in DMF (2 mL) were added 1-benzyl- N-(5-benzyloxy-2-tert-butyl-4-hydroxy-phenyl)-4-oxo-quinoline-3-carboxamide (120 mg, 0.23 mmol) and potassium carbonate (62 mg, 0.45 mmol). The reaction mixture was stirred at 50°C for 32 h. The mixture was allowed to cool and filtered, and the filtrate was purified by prep-HPLC (column: Welch Xtimate C18 250 × 25 mm × 5 µm; mobile phase: [solvent A: 0.05% aq. HCl, solvent B: acetonitrile]; the gradient runs with 66% B, gradient: 66%– 96% B with 10 min, hold at 95% B to 5 min) to give the title compound as a yellow solid. [00827] Yield 217 mg (78%). m/z: [ESI+] 1165.7 (M+H)+, (C66H76N4O13S). [00828] Synthesis of tert-butyl 2-(4-((4-(4-(2-(2-(2-(2-(5-(tert-butyl)-2-hydroxy-4-(4- oxo-1,4-dihydroquinoline-3- carboxamido)phenoxy)ethoxy)ethoxy)ethoxy)ethoxy)phenyl)piperidin-1- yl)sulfonyl)benzamido)acetate 320
[00829] To a solution tert-butyl 2-(4-((4-(4-(2-(2-(2-(2-(4-(1-benzyl-4-oxo-1,4- dihydroquinoline-3-carboxamido)-2-(benzyloxy)-5-(tert- butyl)phenoxy)ethoxy)ethoxy)ethoxy)ethoxy)phenyl)piperidin-1- yl)sulfonyl)benzamido)acetate (217 mg, 0.18 mmol) in methanol (7 mL) was added palladium on carbon (43 mg, 10% w/w) and palladium hydroxide on carbon (21 mg, 20% purity). The mixture was degassed under vacuum, purged with hydrogen three times, and stirred under an atmosphere of hydrogen (15 psi) at 65°C for 3 h. Filtration through Celite® and concentration of the filtrate in vacuo afforded the title compound as a white solid. [00830] Yield 139 mg (76%). m/z: [ESI+] 985.5 (M+H)+, (C52H64N4O13S). [00831] Synthesis of 2-(4-((4-(4-(2-(2-(2-(2-(5-(tert-butyl)-2-hydroxy-4-(4-oxo-1,4- dihydroquinoline-3-carboxamido)phenoxy)ethoxy)ethoxy)ethoxy)ethoxy)phenyl)piperidin- 1-yl)sulfonyl)benzamido)acetic acid (Chimeric Molecule 30)
[00832] A solution of tert-butyl 2-(4-((4-(4-(2-(2-(2-(2-(5-(tert-butyl)-2-hydroxy-4-(4- oxo-1,4-dihydroquinoline-3- carboxamido)phenoxy)ethoxy)ethoxy)ethoxy)ethoxy)phenyl)piperidin-1- yl)sulfonyl)benzamido)acetate (139 mg, 0.13 mmol) in TFA (0.65 mL) was stirred at 20 °C for 1 h and purified directly by prep-HPLC (column: Welch Xtimate C18 250 × 25 mm × 5 µm; mobile phase: [solvent A: 0.05% aq. HCl, solvent B: acetonitrile]; the gradient runs with 40% B, gradient: 40%–70% B with 10 min, hold at 95% B to 5 min) to give the title compound as a white solid.
[00833] Yield 58 mg (46%).1H NMR (400 MHz, methanol-d4: δ 8.87 (s,1H), 8.43 (d, J = 8.0 Hz, 1H), 8.06 (d, J = 8.4 Hz, 2H), 7.87–7.85 (m, 2H), 7.82–7.80 (m, 1H), 7.67 (d, J = 8.4 Hz, 1H), 7.57–7.53 (m, 1H), 7.03–7.01 (m, 3H), 6.95 (s, 1H), 6.80–6.78 (m, 2H), 4.15– 4.12 (m, 4H), 4.04–4.01 (m, 2H), 3.87–3.81 (m, 4H), 3.82–3.80 (m, 2H), 3.71–3.67 (m, 8H), 2.38–2.32 (m, 3H), 1.80–1.77 (m, 2H), 1.70–1.64 (m, 2H), 1.40 (s, 9H). m/z: [ESI+] 929.2 (M+H)+, (C48H56N4O13S). Example 47: 2-(7-((4-(4-(2-(2-(2,4-di-tert-butyl-5-(4-oxo-1,4-dihydroquinoline-3- carboxamido)phenoxy)ethoxy)ethoxy)phenyl)piperidin-1-yl)sulfonyl)-4-oxo-1,2- dihydroquinazolin-3(4H)-yl)acetic acid (Chimeric Molecule 46) [00834] Synthesis of tert-butyl 3-(2-(tert-butoxy)-2-oxoethyl)-7-((4-(4-(2-(2-(5-(1-(tert- butoxycarbonyl)-4-oxo-1,4-dihydroquinoline-3-carboxamido)-2,4-di-tert- butylphenoxy)ethoxy)ethoxy)phenyl)piperidin-1-yl)sulfonyl)-4-oxo-3,4- dihydroquinazoline-1(2H)-carboxylate
[00835] To a solution of tert-butyl 3-(2-(tert-butoxy)-2-oxoethyl)-4-oxo-7-((4-(4-(2-(2- (tosyloxy)ethoxy)ethoxy)phenyl)piperidin-1-yl)sulfonyl)-3,4-dihydroquinazoline-1(2H)- carboxylate (159 mg, 0.19 mmol) in DMF (1.5 mL) was added tert-butyl 3-[(2,4-di-tert- butyl-5-hydroxy-phenyl)carbamoyl]-4-oxo-quinoline-1-carboxylate (90 mg, 0.19 mmol) and potassium carbonate (52 mg, 0.38 mmol). The reaction mixture was stirred at 50 °C for 16 h. DMF (1 mL) was added, and the mixture was purified using prep-HPLC (column: Welch Xtimate C18 250 × 25 mm × 5µm; mobile phase: [solvent A: 0.05% aq. HCl, solvent B: acetonitrile]; the gradient runs with 70% B, gradient: 70%–100% B with 10 min, hold at 95% B to 5 min) to give the title compound as a white solid. [00836] Yield 113 mg (51%). m/z: [ESI+] 1164.8 (M+H)+, (C63H81N5O14S). [00837] Synthesis of 2-(7-((4-(4-(2-(2-(2,4-di-tert-butyl-5-(4-oxo-1,4-dihydroquinoline-
3-carboxamido)phenoxy)ethoxy)ethoxy)phenyl)piperidin-1-yl)sulfonyl)-4-oxo-1,2- dihydroquinazolin 3(4H) yl)acetic acid (Chimeric Molecule 46)
[00838] A solution of tert-butyl 3-(2-(tert-butoxy)-2-oxoethyl)-7-((4-(4-(2-(2-(5-(1-(tert- butoxycarbonyl)-4-oxo-1,4-dihydroquinoline-3-carboxamido)-2,4-di-tert- butylphenoxy)ethoxy)ethoxy)phenyl)piperidin-1-yl)sulfonyl)-4-oxo-3,4- dihydroquinazoline-1(2H)-carboxylate (113 mg, 0.096 mmol) in TFA (0.3 mL) was stirred at 20 °C for 30 min. Acetonitrile (1 mL) was added. The mixture was adjusted to pH 7–8 with triethylamine (0.6 mL). Purification using prep-HPLC (column: Welch Xtimate C18 150 × 25 mm ×5 µm; mobile phase: [solvent A: 0.05% aq. HCl, solvent B: acetonitrile]; gradient runs with 53% B, gradient: 53%–83% B with 10 min, hold at 95% B to 5 min) afforded the title compound as a white solid. [00839] Yield 61 mg (68%).1H NMR (400 MHz, methanol-d4): δ 8.93 (s,1H), 8.45 (d, J = 7.2 Hz, 1H), 7.96–7.90 (m, 2H), 7.86–7.84 (m, 1H), 7.58–7.54 (m, 1H), 7.28 (s, 1H), 7.16 (s, 1H), 7.10 (d, J = 9.6 Hz, 1H), 6.94 (d, J = 8.4 Hz, 2H), 6.71 (d, J = 8.4 Hz, 1H), 6.54 (s, 1H), 6.47–6.44 (m, 2H), 4.83 (s, 2H), 4.66–4.65 (m, 2H), 4.29 (m, 2H), 4.01–3.98 (m, 2H), 3.98–3.92 (m, 2H), 3.75–3.73 (m, 2H), 3.72–3.71 (m, 2H), 2.43–2.34 (m, 3H), 1.77–1.74 (m, 2H), 1.66 -1.60 (m, 2H), 1.40 (s, 18H). m/z: [ESI+] 908.6 (M+H)+, (C49H57N5O10S). Example 48: 2-(7-((4-(4-(2-(2-(2-(2,4-di-tert-butyl-5-(4-oxo-1,4-dihydroquinoline-3- carboxamido)phenoxy)ethoxy)ethoxy)ethoxy)phenyl)piperidin-1-yl)sulfonyl)-4-oxo- 1,2-dihydroquinazolin-3(4H)-yl)acetic acid (Chimeric Molecule 47) [00840] Synthesis of tert-butyl 3-(2-(tert-butoxy)-2-oxoethyl)-7-((4-(4-(2-(2-(2-(5-(1- (tert-butoxycarbonyl)-4-oxo-1,4-dihydroquinoline-3-carboxamido)-2,4-di-tert- butylphenoxy)ethoxy)ethoxy)ethoxy)phenyl)piperidin-1-yl)sulfonyl)-4-oxo-3,4- dihydroquinazoline-1(2H)-carboxylate
[00841] To a solution of 3-(2-(tert-butoxy)-2-oxoethyl)-4-oxo-7-((4-(4-(2-(2-(2- (tosyloxy)ethoxy)ethoxy)ethoxy)phenyl)piperidin-1-yl)sulfonyl)-3,4-dihydroquinazoline- 1(2H)-carboxylate (158 mg, 0.18 mmol) in DMF (1.5 mL) were added tert-butyl 3-[(2,4-di- tert-butyl-5-hydroxy-phenyl)carbamoyl]-4-oxo-quinoline-1-carboxylate (85 mg, 0.18 mmol) and potassium carbonate (49 mg, 0.36 mmol). The reaction mixture was stirred at 50°C for 16 h, allowed to cool, and filtered. The filtrate was purified by prep-HPLC (column: Welch Xtimate C18 250 × 25 mm × 5 µm; mobile phase: [solvent A: 0.05% aq. HCl, solvent B: acetonitrile]; the gradient runs with 70% B, gradient: 70%–100% B with 10 min, hold at 95% B to 5 min) to give the title compound as a white solid. [00842] Yield 98 mg (45%). m/z: [ESI+] 1208.8 (M+H)+, (C65H85N5O15S). [00843] Synthesis 2-(7-((4-(4-(2-(2-(2-(2,4-di-tert-butyl-5-(4-oxo-1,4-dihydroquinoline- 3-carboxamido)phenoxy)ethoxy)ethoxy)ethoxy)phenyl)piperidin-1-yl)sulfonyl)-4-oxo-1,2- dihydroquinazolin-3(4H)-yl)acetic acid (Chimeric Molecule 47)
[00844] A solution of tert-butyl 3-(2-(tert-butoxy)-2-oxoethyl)-7-((4-(4-(2-(2-(2-(5-(1- (tert-butoxycarbonyl)-4-oxo-1,4-dihydroquinoline-3-carboxamido)-2,4-di-tert- butylphenoxy)ethoxy)ethoxy)ethoxy)phenyl)piperidin-1-yl)sulfonyl)-4-oxo-3,4- dihydroquinazoline-1(2H)-carboxylate (98 mg, 0.081 mmol) in TFA (0.3 mL) was stirred at 20°C for 30 mins. The mixture was adjusted to pH 7–8 with triethylamine (0.6 mL) and purified by prep-HPLC (column: Welch Xtimate C18 250 × 25 mm × 5 µm; mobile phase: [solvent A: 0.05% aq. HCl, solvent B: acetonitrile]; the gradient runs with 53% B, gradient: 53%–83% B with 10 min, hold at 95% B to 5 min) to give the title compound as an off- white solid. [00845] Yield 59 mg (75%).1H NMR (400 MHz, methanol-d4): δ 8.96 (s, 1H), 8.49 (d, J = 7.2 Hz, 1H), 7.96–7.90 (m, 2H), 7.86–7.82 (m, 1H), 7.58–7.56 (m, 1H), 7.30 (s, 1H), 7.17 (s, 1H), 7.11 (d, J = 9.6 Hz, 1H), 6.98 (d, J = 8.4 Hz, 2H), 6.90 (s, 1H), 6.71 (d, J = 8.4 Hz, 2H), 4.83 (s, 2H), 4.82 (s, 2H), 4.66–4.64 (m, 2H), 4.29 (m, 2H), 3.93–3.89 (m, 2H), 3.88– 3.87 (m, 4H), 3.63–3.58 (m, 6H), 2.47–2.37 (m, 3H), 1.79–1.76 (m, 2H), 1.67–1.63 (m, 2H), 1.40 (s, 18H). m/z: [ESI+] 952.6 (M+H)+, (C51H61N5O11S). Example 49: 2-(7-((4-(4-(2-(2-(2-(2-(2,4-di-tert-butyl-5-(4-oxo-1,4-dihydroquinoline-3- carboxamido)phenoxy)ethoxy)ethoxy)ethoxy)ethoxy)phenyl)piperidin-1-yl)sulfonyl)- 4-oxo-1,2-dihydroquinazolin-3(4H)-yl)acetic acid (Chimeric Molecule 48) [00846] Synthesis of tert-butyl 3-(2-(tert-butoxy)-2-oxoethyl)-7-((4-(4-(2-(2-(2-(2-(5-(1- (tert-butoxycarbonyl)-4-oxo-1,4-dihydroquinoline-3-carboxamido)-2,4-di-tert- butylphenoxy)ethoxy)ethoxy)ethoxy)ethoxy)phenyl)piperidin-1-yl)sulfonyl)-4-oxo-3,4-
dihydroquinazoline 1(2H) carboxylate
[00847] To a solution of tert-butyl 3-(2-(tert-butoxy)-2-oxoethyl)-4-oxo-7-((4-(4-(2-(2- (2-(2-(tosyloxy)ethoxy)ethoxy)ethoxy)ethoxy)phenyl)piperidin-1-yl)sulfonyl)-3,4- dihydroquinazoline-1(2H)-carboxylate (166 mg, .018 mmol) in DMF (1.5 mL) were added tert-butyl 3-[(2,4-di-tert-butyl-5-hydroxy-phenyl)carbamoyl]-4-oxo-quinoline-1- carboxylate (85 mg, 0.18 mmol) and potassium carbonate (49 mg, 0.36 mmol). The reaction mixture was stirred at 50°C for 16 h. The mixture was allowed to cool, filtered, and the filtrate purified by prep-HPLC (column: Welch Xtimate C18 250 × 25 mm × 5 µm; mobile phase: [solvent A: 0.05% aq. HCl, solvent B: acetonitrile]; the gradient runs with 70% B, gradient: 70%–100% B with 10 min, hold at 95% B to 5 min) to give the title compound as a white solid. [00848] Yield 100 mg (44%). m/z: [ESI+] 1252.9 (M+H)+, (C67H89N5O16S). [00849] Synthesis of 2-(7-((4-(4-(2-(2-(2-(2-(2,4-di-tert-butyl-5-(4-oxo-1,4- dihydroquinoline-3-carboxamido)phenoxy)ethoxy)ethoxy)ethoxy)ethoxy)phenyl)piperidin- 1-yl)sulfonyl)-4-oxo-1,2-dihydroquinazolin-3(4H)-yl)acetic acid (Chimeric Molecule 48) O H
[00850] A solution of tert-butyl 3-(2-(tert-butoxy)-2-oxoethyl)-7-((4-(4-(2-(2-(2-(2-(5- (1-(tert-butoxycarbonyl)-4-oxo-1,4-dihydroquinoline-3-carboxamido)-2,4-di-tert- butylphenoxy)ethoxy)ethoxy)ethoxy)ethoxy)phenyl)piperidin-1-yl)sulfonyl)-4-oxo-3,4- dihydroquinazoline-1(2H)-carboxylate (100 mg, 0.08 mmol) in TFA (0.3 mL) was stirred
at 20 °C for 30 mins. The mixture was adjusted to pH 7–8 with triethylamine (0.6 mL) and purified by prep-HPLC (column: Welch Xtimate C18 250 × 25 mm × 5 µm; mobile phase: [solvent A: 0.05% aq. HCl, solvent B: acetonitrile]; the gradient runs with 53% B, gradient: 53%–83% B with 10 min, hold at 95% B to 5 min) to give the title compound as an off- white solid. [00851] Yield 52 mg (64%).1H NMR (400 MHz, methanol-d4 ): δ 8.96 (s, 1H), 8.47 (d,J = 7.2 Hz, 1H), 7.95–7.89 (m, 1H), 7.87–7.84 (m, 2H), 7.57–7.55 (m, 1H), 7.30 (s, 1H), 7.17 (s, 1H), 7.12 (d, J = 9.6 Hz, 1H), 6.98 (d, J = 8.4 Hz, 2H), 6.91 (s, 1H), 6.71 (d, J = 8.4 Hz, 2H), 4.83 (s, 2H), 4.65–4.64 (m, 2H), 4.27 (s, 2H), 3.96–3.95 (m, 2H), 3.89–3.87 (m, 2H), 3.70–3.68 (m, 2H), 3.66–3.64 (m, 2H) 3.58–3.53 (m, 8H), 2.47–2.37 (m, 3H), 1.79–1.76 (m, 2H), 1.67-1.63 (m, 2H), 1.40 (s, 18H). m/z: [ESI+] 996.32 (M+H)+, (C53H65N5O12S). Example 50: 2-(7-((4-(4-((14-(2,4-di-tert-butyl-5-(4-oxo-1,4-dihydroquinoline-3- carboxamido)phenoxy)-3,6,9,12-tetraoxatetradecyl)oxy)phenyl)piperidin-1- yl)sulfonyl)-4-oxo-1,2-dihydroquinazolin-3(4H)-yl)acetic acid (Chimeric Molecule 49) [00852] Synthesis of tert-butyl 3-(2-(tert-butoxy)-2-oxoethyl)-7-((4-(4-((14-(5-(1-(tert- butoxycarbonyl)-4-oxo-1,4-dihydroquinoline-3-carboxamido)-2,4-di-tert-butylphenoxy)- 3,6,9,12-tetraoxatetradecyl)oxy)phenyl)piperidin-1-yl)sulfonyl)-4-oxo-3,4- dihydroquinazoline-1(2H)-carboxylate
[00853] To a solution of tert-butyl 3-(2-(tert-butoxy)-2-oxoethyl)-4-oxo-7-((4-(4-((14- (tosyloxy)-3,6,9,12-tetraoxatetradecyl)oxy)phenyl)piperidin-1-yl)sulfonyl)-3,4- dihydroquinazoline-1(2H)-carboxylate (164 mg, 0.17 mmol) in DMF (1.5 mL) was added
tert-butyl 3-[(2,4-di-tert-butyl-5-hydroxy-phenyl)carbamoyl]-4-oxo-quinoline-1- carboxylate (80 mg, 0.17 mmol) and potassium carbonate (46 mg, 0.34mmol). The reaction mixture was stirred at 50°C for 16 h. The mixture was allowed to cool, filtered, and the filtrate was purified by prep-HPLC (column: Welch Xtimate C18 250 × 25 mm × 5 µm; mobile phase: [solvent A: 0.05% aq. HCl, solvent B: acetonitrile]; the gradient runs with 70% B, gradient: 70%–100% B with 10 min, hold at 95% B to 5 min) to give the title compound as a white solid. [00854] Yield 100 mg (46%). m/z: [ESI+] 1297.0 (M+H)+, (C69H93N5O17S). [00855] Synthesis of 2-(7-((4-(4-((14-(2,4-di-tert-butyl-5-(4-oxo-1,4-dihydroquinoline-3- carboxamido)phenoxy)-3,6,9,12-tetraoxatetradecyl)oxy)phenyl)piperidin-1-yl)sulfonyl)-4- oxo-1,2-dihydroquinazolin-3(4H)-yl)acetic acid (Chimeric Molecule 49)
[00856] A solution of tert-butyl 3-(2-(tert-butoxy)-2-oxoethyl)-7-((4-(4-((14-(5-(1-(tert- butoxycarbonyl)-4-oxo-1,4-dihydroquinoline-3-carboxamido)-2,4-di-tert-butylphenoxy)- 3,6,9,12-tetraoxatetradecyl)oxy)phenyl)piperidin-1-yl)sulfonyl)-4-oxo-3,4- dihydroquinazoline-1(2H)-carboxylate (100 mg, 0.77 mmol) in TFA (0.3 mL) was stirred at 20°C for 30 min, adjusted to pH 7–8 with triethylamine (0.6 mL) and purified by prep- HPLC (column: Welch Xtimate C18 250 × 25 mm × 5 µm; mobile phase: [solvent A: 0.05% aq. HCl, solvent B: acetonitrile]; the gradient runs with 57% B, gradient: 57%–87% B with 10 min, hold at 95% B to 5 min) to give the title compound as an off-white solid. [00857] Yield 52 mg (63%).1H NMR (400 MHz, methanol-d4): δ 8.95 (s, 1H), 8.50–8.48 (m, 1H), 7.96–7.90 (m, 3H), 7.87–7.85 (m, 1H), 7.57 (s, 1H), 7.30 (s, 1H), 7.18 (d, J = 8.0 Hz, 1H), 7.13–7.01 (m, 2H), 6.93 (s, 1H), 6.77–6.75 (m, 2H), 4.82 (s, 2H), 4.66–4.63 (m,
2H), 4.29 (s, 2H), 3.99 – 3.90 (m, 2H), 3.90–3.73 (m, 2H), 3.59–3.55 (m, 2H), 3.54–3.52 (m, 2H), 3.52–3.51 (m, 2H), 3.48 (s, 4H), 3.31 (s, 6H), 2.48–2.37 (m, 3H), 1.79–1.70 (m, 2H), 1.69–1.63 (m, 2H), 1.41 (d, J = 8.0 Hz, 18H). m/z: [ESI+] 1040.3 (M+H)+, (C55H69N5O13S). Example 51: 2-(7-((4-(4-((17-(2,4-di-tert-butyl-5-(4-oxo-1,4-dihydroquinoline-3- carboxamido)phenoxy)-3,6,9,12,15-pentaoxaheptadecyl)oxy)phenyl)piperidin-1- yl)sulfonyl)-4-oxo-1,2-dihydroquinazolin-3(4H)-yl)acetic acid (Chimeric Molecule 50) [00858] Synthesis of tert-butyl 3-(2-(tert-butoxy)-2-oxoethyl)-7-((4-(4-((17-(5-(1-(tert- butoxycarbonyl)-4-oxo-1,4-dihydroquinoline-3-carboxamido)-2,4-di-tert-butylphenoxy)- 3,6,9,12,15-pentaoxaheptadecyl)oxy)phenyl)piperidin-1-yl)sulfonyl)-4-oxo-3,4- dihydroquinazoline-1(2H)-carboxylate
[00859] To a solution of tert-butyl 3-(2-(tert-butoxy)-2-oxoethyl)-4-oxo-7-((4-(4-((17- (tosyloxy)-3,6,9,12,15-pentaoxaheptadecyl)oxy)phenyl)piperidin-1-yl)sulfonyl)-3,4- dihydroquinazoline-1(2H)-carboxylate (171 mg, 0.17 mmol) in DMF (1.5 mL) were added tert-butyl 3-[(2,4-di-tert-butyl-5-hydroxy-phenyl)carbamoyl]-4-oxo-quinoline-1- carboxylate (80 mg, 0.17 mmol) and potassium carbonate (46 mg, 0.34 mmol). The reaction mixture was stirred at 50°C for 16 h and filtered, and the filtrate purified by prep-HPLC (column: Welch Xtimate C18 250 × 25 mm × 5 µm; mobile phase: [solvent A: 0.05% aq. HCl, solvent B: acetonitrile]; the gradient runs with 70% B, gradient: 70%–100% B with 10 min, hold at 95% B to 5 min) to give the title compound as a white solid. [00860] Yield 102 mg (45%). m/z: [ESI+] 1341.0 (M+H)+, (C71H97N5O18S). [00861] Synthesis of 2-(7-((4-(4-((17-(2,4-di-tert-butyl-5-(4-oxo-1,4-dihydroquinoline-3- carboxamido)phenoxy)-3,6,9,12,15-pentaoxaheptadecyl)oxy)phenyl)piperidin-1- yl)sulfonyl)-4-oxo-1,2-dihydroquinazolin-3(4H)-yl)acetic acid (Chimeric Molecule 50)
[00862] A solution of tert-butyl 3-(2-(tert-butoxy)-2-oxoethyl)-7-((4-(4-((17-(5-(1-(tert- butoxycarbonyl)-4-oxo-1,4-dihydroquinoline-3-carboxamido)-2,4-di-tert-butylphenoxy)- 3,6,9,12,15-pentaoxaheptadecyl)oxy)phenyl)piperidin-1-yl)sulfonyl)-4-oxo-3,4- dihydroquinazoline-1(2H)-carboxylate (102 mg, 0.076 mmol) in TFA (0.3 mL) was stirred at 20°C for 30 min, diluted with acetonitrile (1 mL) and purified by prep-HPLC (column: Welch Xtimate C18 250 × 25 mm × 5 µm; mobile phase: [solvent A: 0.05% aq. HCl, solvent B: acetonitrile]; the gradient runs with 53% B, gradient: 53%–83% B with 10 min, hold at 95% B to 5 min) to give the title compound as a white solid. [00863] Yield 64 mg (76%). 1H NMR (400 MHz, methanol-d4): δ 8.96 (s, 1H), 8.51– 8.49(m, 1H), 7.96–7.94 (m, 2H), 7.87–7.85 (m, 1H), 7.60–7.56 (m, 1H), 7.30 (s, 1H), 7.18 (s, 1H), 7.12 (d, J = 8.4 Hz, 1H), 7.02 (d, J = 8.4 Hz, 2H), 6.93 (s, 1H), 6.79–6.77 (m, 2H), 4.82 (s, 2H), 4.66–4.63 (m, 2H), 4.29 (s, 2H), 3.99–3.73 (m, 2H), 3.59–3.57 (m, 2H), 3.56– 3.55 (m, 2H), 3.54–3.52 (m, 2H), 3.52–3.50 (m, 2H), 3.49–3.47 (m, 10H), 3.46 (s, 4H), 2.48–2.40 (m, 3H), 1.81–1.78 (m, 2H), 1.70–1.64 (m, 2H), 1.42 (s, 9H), 1.40 (s, 9H). m/z: [ESI+] 1084.3 (M+H)+, (C57H73N5O14S). Example 52: 2-(7-((4-(4-((20-(2,4-di-tert-butyl-5-(4-oxo-1,4-dihydroquinoline-3- carboxamido)phenoxy)-3,6,9,12,15,18-hexaoxaicosyl)oxy)phenyl)piperidin-1- yl)sulfonyl)-4-oxo-1,2-dihydroquinazolin-3(4H)-yl)acetic acid (Chimeric Molecule 51) [00864] Synthesis of tert-butyl 3-(2-(tert-butoxy)-2-oxoethyl)-7-((4-(4-((20-(5-(1-(tert- butoxycarbonyl)-4-oxo-1,4-dihydroquinoline-3-carboxamido)-2,4-di-tert-butylphenoxy)- 3,6,9,12,15,18-hexaoxaicosyl)oxy)phenyl)piperidin-1-yl)sulfonyl)-4-oxo-3,4- dihydroquinazoline-1(2H)-carboxylate
[00865] To a solution of tert-butyl 3-(2-(tert-butoxy)-2-oxoethyl)-4-oxo-7-((4-(4-((20- (tosyloxy)-3,6,9,12,15,18-hexaoxaicosyl)oxy)phenyl)piperidin-1-yl)sulfonyl)-3,4- dihydroquinazoline-1(2H)-carboxylate (167 mg, 0.16 mmol) in DMF (1.5 mL) were added tert-butyl 3-[(2,4-di-tert-butyl-5-hydroxy-phenyl)carbamoyl]-4-oxo-quinoline-1- carboxylate (75 mg, 016 mmol) and potassium carbonate (44 mg, 0.32 mmol). The reaction mixture was stirred at 50°C for 16 h and filtered, and the filtrate purified by prep-HPLC (column: Welch Xtimate C18 250 × 25 mm × 5 µm; mobile phase: [solvent A: 0.05% aq. HCl, solvent B: acetonitrile]; the gradient runs with 70% B, gradient: 70%–100% B with 10 min, hold at 95% B to 5 min) to give the title compound as a white solid. [00866] Yield 95 mg (44%). m/z: [ESI+] 1386.0 (M+H)+, (C73H101N5O19S). [00867] Synthesis of 2-(7-((4-(4-((20-(2,4-di-tert-butyl-5-(4-oxo-1,4-dihydroquinoline-3- carboxamido)phenoxy)-3,6,9,12,15,18-hexaoxaicosyl)oxy)phenyl)piperidin-1-yl)sulfonyl)- 4-oxo-1,2-dihydroquinazolin-3(4H)-yl)acetic acid (Chimeric Molecule 51)
[00868] A solution of tert-butyl 3-(2-(tert-butoxy)-2-oxoethyl)-7-((4-(4-((20-(5-(1-(tert- butoxycarbonyl)-4-oxo-1,4-dihydroquinoline-3-carboxamido)-2,4-di-tert-butylphenoxy)- 3,6,9,12,15,18-hexaoxaicosyl)oxy)phenyl)piperidin-1-yl)sulfonyl)-4-oxo-3,4- dihydroquinazoline-1(2H)-carboxylate (95 mg, 0.069 mmol) in TFA (0.3 mL) was stirred at 20°C for 30 min, diluted with acetonitrile (1 mL) and purified by prep-HPLC (column:
Welch Xtimate C18 250 × 25 mm × 5 µm; mobile phase: [solvent A: 0.05% aq. HCl, solvent B: acetonitrile]; the gradient runs with 53% B, gradient: 53%–83% B with 10 min, hold at 95% B to 5 min) to give the title compound as an off-white solid. [00869] Yield 49 mg (62%). 1H NMR (400 MHz, methanol- d4): δ8.97 (s, 1H), 8.51– 8.49(m, 1H), 7.96- 7.94 (m, 2H), 7.93–7.92 (m, 1H), 7.58 (d, J = 8.0 Hz, 1H), 7.30 (s, 1H), 7.19 (s, 1H), 7.18 (d, J = 8.0 Hz, 1H), 7.13–7.01 (m, 2H), 6.93 (s, 1H), 6.78 (m, 2H), 4.81 (s, 2H), 4.68 (m, 2H), 4.28 (s, 2H), 4.03 (m, 2H), 3.92–3.63 (m, 2H), 3.58 (m, 2H), 3.56– 3.55 (m, 2H), 3.53 (m, 2H), 3.51 (m, 14H), 3.45–3.31 (s, 4H), 2.48–2.40 (m, 3H), 1.81– 1.78 (m, 2H), 1.71–1.64 (m, 2H), 1.42 (s, 9H), 1.40 (s, 9H). m/z: [ESI+] 1128.4 (M+H)+, (C59H77N5O15S). Example 53: (S)-2-(4-((4-(4-(2-(2-((1-(5-(((1,3-dimethyl-1H-pyrazol-4- yl)sulfonyl)carbamoyl)-6-(2,2,4-trimethylpyrrolidin-1-yl)pyridin-2-yl)-1H-pyrazol-3- yl)oxy)ethoxy)ethoxy)phenyl)piperidin-1-yl)sulfonyl)benzamido)acetic acid (Chimeric Intermediate 88) [00870] Synthesis of (S)-tert-butyl 2-(4-((4-(4-(2-(2-((1-(5-(((1,3-dimethyl-1H- pyrazol-4-yl)sulfonyl)carbamoyl)-6-(2,2,4-trimethylpyrrolidin-1-yl)pyridin-2-yl)- 1H-pyrazol-3-yl)oxy)ethoxy)ethoxy)phenyl)piperidin-1- yl)sulfonyl)benzamido)acetate
[00871] To a solution of tert-butyl 2-(4-((4-(4-(2-(2- (tosyloxy)ethoxy)ethoxy)phenyl)piperidin-1-yl)sulfonyl)benzamido)acetate (94 mg, 0.13 mmol) in DMF (1 mL) was (S)-N-((1,3-dimethyl-1H-pyrazol-4-yl)sulfonyl)-6-(3-hydroxy- 1H-pyrazol-1-yl)-2-(2,2,4-trimethylpyrrolidin-1-yl)nicotinamide (80 mg, 0.13 mmol). The mixture was stirred at 50 °C for 12 h and purified directly by prep-HPLC (column: Welch Xtimate C18 250 × 25mm × 5 µm; mobile phase: [solvent A: 0.05% aq. HCl, solvent B: acetonitrile]; the gradient runs with 56% B, gradient: 56%–86% B with 10 min, hold at 95% B to 5 min) and followed by lyophilization to give the title compound as a white solid.
[00872] Yield 100 mg (63%). m/z: [ESI+] 1018.2 (M+H)+, (C49H63N9S2O11). [00873] Synthesis of (S)-2-(4-((4-(4-(2-(2-((1-(5-(((1,3-dimethyl-1H-pyrazol-4- yl)sulfonyl)carbamoyl)-6-(2,2,4-trimethylpyrrolidin-1-yl)pyridin-2-yl)-1H-pyrazol-3- yl)oxy)ethoxy)ethoxy)phenyl)piperidin-1-yl)sulfonyl)benzamido)acetic acid (Chimeric Molecule 88)
[00874] A solution of (S)-tert-butyl 2-(4-((4-(4-(2-(2-((1-(5-(((1,3-dimethyl-1H-pyrazol- 4-yl)sulfonyl)carbamoyl)-6-(2,2,4-trimethylpyrrolidin-1-yl)pyridin-2-yl)-1H-pyrazol-3- yl)oxy)ethoxy)ethoxy)phenyl)piperidin-1-yl)sulfonyl)benzamido)acetate (100 mg, 0.092 mmol) in TFA (2 mL) was stirred at 25 °C for 1 h. The mixture was diluted with acetonitrile (1 mL) and purified by prep-HPLC (column: Welch Xtimate C18 250 × 25mm × 5 µm; mobile phase: [solvent A: 0.05% aq. HCl, solvent B: acetonitrile]; the gradient runs with 44% B, gradient: 44%–74% B with 10 min, hold at 95% B to 5 min) to give the title compound as a white solid. [00875] Yield 45 mg (57%). 1H NMR (400 MHz, DMSO-d6): δ 12.71–12.63 (m, 1H), 12.33 (s, 1H), 9.14–9.11 (m, 1H), 8.37 (s, 1H), 8.19 (d, J = 2.8 Hz, 1H), 8.11 (d, J = 8.8 Hz, 2H), 7.88 (d, J = 8.4 Hz, 2H), 7.73 (d, J = 8.4 Hz, 1H), 7.06 (d, J = 8.8 Hz, 2H), 6.91–6.82 (m, 3H), 6.11 (d, J = 2.8 Hz, 1H), 4.34–4.32 (m, 2H), 4.07–4.04 (m, 2H), 3.96 (d, J = 6.0 Hz, 2H), 3.82–3.76 (m, 9H), 2.43–2.39 (m, 3H), 2.32–2.29 (m, 5H), 2.23–2.12 (m, 1H), 1.89– 1.85 (m, 1H), 1.78–1.75 (m, 2H), 1.65–1.59 (m, 2H), 1.56–1.53 (m, 6H), 1.45–1.38 (m, 1H), 0.81 (d, J = 6.0 Hz, 3H). m/z: [ESI+] 962.4 (M+H)+, (C45H55N9S2O11). Example 54: (S)-2-(4-((4-(4-((20-((1-(5-(((1,3-dimethyl-1H-pyrazol-4- yl)sulfonyl)carbamoyl)-6-(2,2,4-trimethylpyrrolidin-1-yl)pyridin-2-yl)-1H-pyrazol-3- yl)oxy)-3,6,9,12,15,18-hexaoxaicosyl)oxy)phenyl)piperidin-1- yl)sulfonyl)benzamido)acetic acid (Chimeric Molecule 18) [00876] Synthesis of (S)-tert-butyl 2-(4-((4-(4-((20-((1-(5-(((1,3-dimethyl-1H-pyrazol-4- yl)sulfonyl)carbamoyl)-6-(2,2,4-trimethylpyrrolidin-1-yl)pyridin-2-yl)-1H-pyrazol-3-
yl)oxy)-3,6,9,12,15,18-hexaoxaicosyl)oxy)phenyl)piperidin-1- yl)sulfonyl)benzamido)acetate
[00877] To a solution of (S)-N-((1,3-dimethyl-1H-pyrazol-4-yl)sulfonyl)-6-(3-hydroxy- 1H-pyrazol-1-yl)-2-(2,2,4-trimethylpyrrolidin-1-yl)nicotinamide (100 mg, 0.21 mmol) and tert-butyl 2-(4-((4-(4-((20-(tosyloxy)-3,6,9,12,15,18-hexaoxaicosyl)oxy)phenyl)piperidin- 1-yl)sulfonyl)benzamido)acetate (198 mg, 0.21 mmol) in DMF (2 mL) was added potassium carbonate (58 mg, 0.42 mmol). The mixture was stirred at 50 °C for 16 h, filtered and the filtrate concentrated. The residue was purified by prep-HPLC (column: Phenomenex Luna C18 150 × 25 mm × 10 µm; mobile phase: [solvent A: 0.05% aq. HCl, solvent B: acetonitrile]; the gradient runs with 57% B, gradient: 57%–87% B with 10 min, hold at 95% B to 5 min); to give the title compound as a white solid. [00878] Yield 150 mg (56%). m/z: [ESI+] 1238.5 (M+H)+, (C59H83O16N9S2). [00879] Synthesis of (S)-2-(4-((4-(4-((20-((1-(5-(((1,3-dimethyl-1H-pyrazol-4- yl)sulfonyl)carbamoyl)-6-(2,2,4-trimethylpyrrolidin-1-yl)pyridin-2-yl)-1H-pyrazol-3- yl)oxy)-3,6,9,12,15,18-hexaoxaicosyl)oxy)phenyl)piperidin-1-yl)sulfonyl)benzamido)acetic acid (Chimeric Molecule 18)
[00880] TFA (0.5 mL, 6.25 mmol) was added to (S)-tert-butyl 2-(4-((4-(4-((20-((1-(5- (((1,3-dimethyl-1H-pyrazol-4-yl)sulfonyl)carbamoyl)-6-(2,2,4-trimethylpyrrolidin-1- yl)pyridin-2-yl)-1H-pyrazol-3-yl)oxy)-3,6,9,12,15,18-hexaoxaicosyl)oxy)phenyl)piperidin- 1-yl)sulfonyl)benzamido)acetate (0.15 g, 0.12 mmol). The mixture was stirred at 25 °C for 10 min, diluted with DMF (2 mL) and purified by prep-HPLC (column: Phenomenex Luna C18 150 × 25 mm × 10 µm; mobile phase: [solvent A: 0.05% aq. HCl, solvent B: acetonitrile]; the gradient runs with 45% B, gradient: 45%–75% B with 10 min, hold at 95%
B to 5 min) to give the title compound as a white solid. [00881] Yield 94 mg (66%).1H NMR (400 MHz, DMSO-d6): δ 12.33 (s, 1H), 9.12 (t, J = 6.0 Hz, 1H), 8.36 (s, 1H), 8.18 (d, J = 2.8 Hz, 1H), 8.11 (d, J = 8.8 Hz, 2H), 7.88 (d, J = 8.4 Hz, 2H), 7.69 (d, J = 8.0 Hz, 1H), 7.06 (d, J = 8.8 Hz, 2H), 6.87 (d, J = 8.0 Hz, 1H), 6.82 (d, J = 8.4 Hz, 2H), 6.11 (d, J = 6.8 Hz, 1H), 4.31–4.29 (m, 2H), 4.02–4.00 (m, 2H), 3.97 (d, J = 6.0 Hz, 2H), 3.79 (s, 3H), 3.76–3.71 (m, 4H), 3.70–3.68 (m, 2H), 3.65–3.63 (m, 2H), 3.62– 3.58 (m, 6H), 3.57–3.51 (m, 12H), 2.55–2.52 (m, 2H), 2.45–2.41 (m, 2H), 2.33–2.28 (m, 3H), 2.20–2.13 (m, 3H), 1.88–1.84 (m, 1H), 1.78–1.75 (m, 2H), 1.63–1.61 (m, 3H), 1.59– 1.53 (m, 3H), 1.40 (t, J = 8.0 Hz, 1H), 0.81 (d, J = 6.4 Hz, 3H). m/z: [ESI+] 1182.4 (M+H)+, (C55H75N9S2O16). Example 55 (S)-2-(4-((4-(4-(2-(2-(2-(2-((1-(5-(((1,3-dimethyl-1H-pyrazol-4- yl)sulfonyl)carbamoyl)-6-(2,2,4-trimethylpyrrolidin-1-yl)pyridin-2-yl)-1H-pyrazol-3- yl)oxy)ethoxy)ethoxy)ethoxy)ethoxy)phenyl)piperidin-1-yl)sulfonyl)benzamido)acetic acid (Chimeric Molecule 90) [00882] Synthesis of (S)-tert-butyl 2-(4-((4-(4-(2-(2-(2-(2-((1-(5-(((1,3-dimethyl-1H- pyrazol-4-yl)sulfonyl)carbamoyl)-6-(2,2,4-trimethylpyrrolidin-1-yl)pyridin-2-yl)-1H- pyrazol-3-yl)oxy)ethoxy)ethoxy)ethoxy)ethoxy)phenyl)piperidin-1- yl)sulfonyl)benzamido)acetate
[00883] To a solution of (S)-N-((1,3-dimethyl-1H-pyrazol-4-yl)sulfonyl)-6-(3-hydroxy- 1H-pyrazol-1-yl)-2-(2,2,4-trimethylpyrrolidin-1-yl)nicotinamide (80 mg, 0.13 mmol) and 2- (4-((4-(4-(2-(2-(2-(2-(tosyloxy)ethoxy)ethoxy)ethoxy)ethoxy)phenyl)piperidin-1- yl)sulfonyl)benzamido)acetate (106 mg, 0.13 mmol) in DMF (1 mL) was added potassium carbonate (36 mg, 0.26 mmol). The mixture was stirred at 50 °C for 12 h, allowed to cool and filtered. The filtrate was purified by prep-HPLC (column: Welch Xtimate C18 250 × 25 mm × 5µm; mobile phase: [solvent A: 0.05% aq. HCl, solvent B: acetonitrile]; the gradient runs with 53% B, gradient: 53%–83% B with 10 min, hold at 95% B to 5 min) to give the title compound as a white solid.
[00884] Yield 100 mg (62%). m/z: [ESI+] 1106.3 (M+H)+, (C53H71N9S2O13). [00885] Synthesis of (S)-2-(4-((4-(4-(2-(2-(2-(2-((1-(5-(((1,3-dimethyl-1H-pyrazol-4- yl)sulfonyl)carbamoyl)-6-(2,2,4-trimethylpyrrolidin-1-yl)pyridin-2-yl)-1H-pyrazol-3- yl)oxy)ethoxy)ethoxy)ethoxy)ethoxy)phenyl)piperidin-1-yl)sulfonyl)benzamido)acetic acid (Chimeric Molecule 90)
[00886] A solution of (S)-tert-butyl 2-(4-((4-(4-(2-(2-(2-(2-((1-(5-(((1,3-dimethyl-1H- pyrazol-4-yl)sulfonyl)carbamoyl)-6-(2,2,4-trimethylpyrrolidin-1-yl)pyridin-2-yl)-1H- pyrazol-3-yl)oxy)ethoxy)ethoxy)ethoxy)ethoxy)phenyl)piperidin-1- yl)sulfonyl)benzamido)acetate (100 mg, 0.082 mmol) in TFA (2 mL) was stirred at 25 °C for 1 h. The mixture was diluted with acetonitrile (1 mL) and purified by prep-HPLC (column: Welch Xtimate C18 250 × 25 mm × 5 µm; mobile phase: [solvent A: 0.05% aq. HCl, solvent B: acetonitrile]; the gradient runs with 43% B, gradient: 43%–73% B with 10 min, hold at 95% B to 5 min) to give the title compound as a white solid. [00887] Yield 51 mg (59%). 1H NMR (400 MHz, DMSO-d6): δ 12.71–12.65 (m, 1H), 12.33 (s, 1H), 9.14–9.11 (m, 1H), 8.37 (s, 1H), 8.19 (d, J = 2.8 Hz, 1H), 8.11 (d, J = 8.8 Hz, 2H), 7.88 (d, J = 8.4 Hz, 2H), 7.72 (d, J = 8.4 Hz, 1H), 7.05 (d, J = 8.8 Hz, 2H), 6.90 (d, J = 8.0 Hz, 1H), 6.81 (d, J = 8.8 Hz, 2H), 6.11 (d, J = 2.4 Hz, 1H), 4.31–4.29 (m, 2H), 4.02–3.96 (m, 4H), 3.80–3.68 (m, 9H), 3.57–3.50 (m, 8H), 2.43–2.39 (m, 2H), 2.34–2.28 (m, 6H), 2.22– 2.14 (m, 1H), 1.89–1.85 (m, 1H), 1.78–1.75 (m, 2H), 1.64–1.58 (m, 2H), 1.55–1.52 (m, 6H), 1.44–1.38 (m, 1H), 0.81 (d, J = 6.4 Hz, 3H). m/z: [ESI+] 1050.2 (M+H)+, (C49H63N9S2O13). Example 56: 2-(4-((4-(4-(2-(10-(4-(2-fluoro-5-((4-oxo-3,4-dihydrophthalazin-1- yl)methyl)benzoyl)piperazin-1-yl)-10-oxodecanamido)ethoxy)phenyl)piperidin-1- yl)sulfonyl)benzamido)acetic acid (Chimeric Molecule 136) [00888] Synthesis of tert-butyl 2-(4-((4-(4-(2-(10-(4-(2-fluoro-5-((4-oxo-3,4- dihydrophthalazin-1-yl)methyl)benzoyl)piperazin-1-yl)-10- oxodecanamido)ethoxy)phenyl)piperidin-1-yl)sulfonyl)benzamido)acetate
[00889] To a mixture of 10-[4-[2-fluoro-5-[(4-oxo-3H-phthalazin-1- yl)methyl]benzoyl]piperazin-1-yl]-10-oxo-decanoic acid (100 mg, 0.17 mmol) in DMF (1 mL) was added HATU (79 mg, 0.21 mmol) and DIEA (34 mg, 0.26 mmol) at 20 °C. The mixture was stirred at 20 °C for 10 min, tert-butyl 2-(4-((4-(4-(2- aminoethoxy)phenyl)piperidin-1-yl)sulfonyl)benzamido)acetate (102 mg, 0.17 mmol) was added, and stirring continued for 1 h. The mixture was purified by prep-HPLC (column: Phenomenex Luna C18 250 × 25mm × 10 µm; mobile phase: [solvent A: 0.225% aq. formic acid, solvent B: acetonitrile], the gradient runs with 44% B, gradient: 44%–74% B with 10 min, hold at 95% B to 5 min) to give the title compound as a white solid. [00890] Yield 50 mg (26.7%). m/z: [ESI+] 1050.8 (M+H)+, (C56H68FN7O10S). [00891] Synthesis of 2-(4-((4-(4-(2-(10-(4-(2-fluoro-5-((4-oxo-3,4-dihydrophthalazin-1- yl)methyl)benzoyl)piperazin-1-yl)-10-oxodecanamido)ethoxy)phenyl)piperidin-1- yl)sulfonyl)benzamido)acetic acid (Chimeric Molecule 136)
[00892] TFA (1 mL) was added to tert-butyl 2-(4-((4-(4-(2-(10-(4-(2-fluoro-5-((4-oxo- 3,4-dihydrophthalazin-1-yl)methyl)benzoyl)piperazin-1-yl)-10- oxodecanamido)ethoxy)phenyl)piperidin-1-yl)sulfonyl)benzamido)acetate (50 mg, 0.05 mmol). The mixture was stirred at 20 °C for 0.5 h, diluted with acetonitrile (2 mL), and purified by prep HPLC (column: Welch Xtimate C18 250 × 25 mm × 5 µm; mobile phase: [solvent A: 0.05% aq. HCl, solvent B: acetonitrile], the gradient runs with 31% B, gradient:
31%–61% B with 10 min, hold at 95% B to 5 min) to afford the title compound as a white solid. [00893] Yield 25 mg (54%).1H NMR(400 MHz, DMSO-d6): δ 12.7(s, 2H), 9.15–9.13 (m, 1H), 8.28–8.27 (m, 1H), 8.27–8.26 (m, 2H), 8.26–8.13 (m, 2H), 8.13–8.11 (m, 4H), 7.27– 7.26 (m, 1H), 7.26–7.24 (m, 1H), 7.26–7.23 (m, 1H), 7.09–7.07 (m, 2H), 6.84–6.82 (m, 2H), 4.33 (s, 2H), 3.98–3.96 (m, 2H), 3.96–3.93 (m, 2H), 3.92–3.90 (m, 2H), 3.80–3.77 (m, 8H), 3.17–3.14 (m, 2H), 2.43–2.29 (m, 2H), 2.29–2.08 (m, 2H), 2.08–2.04 (m, 2H), 1.79–1.76 (m, 2H), 1.76–1.64 (m, 2H), 1.64–1.48 (m, 4H), 1.22–1.15 (m, 9H). 19F NMR (376 MHz, DMSO-d6) δ 119.75(s). m/z: [ESI+] 994.2 (M+H)+, (C52H60FN7O10S). Example 57: 2-(4-((4-(4-(2-(12-(4-(2-fluoro-5-((4-oxo-3,4-dihydrophthalazin-1- yl)methyl)benzoyl)piperazin-1-yl)-12-oxododecanamido)ethoxy)phenyl)piperidin-1- yl)sulfonyl)benzamido)acetic acid (Chimeric Molecule 137) [00894] Synthesis of tert-butyl 2-(4-((4-(4-(2-(12-(4-(2-fluoro-5-((4-oxo-3,4- dihydrophthalazin-1-yl)methyl)benzoyl)piperazin-1-yl)-12- oxododecanamido)ethoxy)phenyl)piperidin-1-yl)sulfonyl)benzamido)acetate
[00895] To a mixture of 12-(4-(2-fluoro-5-((4-oxo-3,4-dihydrophthalazin-1- yl)methyl)benzoyl)piperazin-1-yl)-12-oxododecanoic acid (100 mg, 0.17 mmol) in DMF (1 mL) at 20 °C were added HATU (79 mg, 0.21 mmol) and DIEA (33.5 mg, 0.26 mmol). The mixture was stirred for 10 min, tert-butyl 2-(4-((4-(4-(2-aminoethoxy)phenyl)piperidin-1- yl)sulfonyl)benzamido)acetate (0.10 g, 0.17 mmol) was added and stirring continued for 2 h. The solvent was removed in vacuo and the residue was purified by prep-HPLC (column: Welch Xtimate C18 250 × 25 mm × 5 µm; mobile phase: [solvent A: 0.05% aq. HCl, solvent B: acetonitrile]; the gradient runs with 44% B, gradient: 44%–74% B with 10 min, hold at 95% B to 5 min) to give the title compound as a white solid. [00896] Yield 206 mg (87%). m/z: [ESI+] 1078.5 (M+H)+, (C58H72FN7O10S) [00897] Synthesis of 2-(4-((4-(4-(2-(12-(4-(2-fluoro-5-((4-oxo-3,4-dihydrophthalazin-1-
yl)methyl)benzoyl)piperazin-1-yl)-12-oxododecanamido)ethoxy)phenyl)piperidin-1- yl)sulfonyl)benzamido)acetic acid (Chimeric Molecule 137)
[00898] A solution of tert-butyl 2-(4-((4-(4-(2-(12-(4-(2-fluoro-5-((4-oxo-3,4- dihydrophthalazin-1-yl)methyl)benzoyl)piperazin-1-yl)-12- oxododecanamido)ethoxy)phenyl)piperidin-1-yl)sulfonyl)benzamido)acetate (80 mg, 0.06 mmol) in TFA (1 mL) was stirred at 20 °C for 0.5 h. The mixture was diluted with acetonitrile];(1 mL) and purified by prep-HPLC (column: Welch Xtimate C18 250 × 25 mm × 5 µm; mobile phase: [solvent A: 0.05% aq. HCl, solvent B: acetonitrile]; the gradient runs with 36% B, gradient: 36%–66% B with 10 min, hold at 95% B to 5 min) to give the title compound as a white solid. [00899] Yield 11 mg (17%). 1H NMR(400 MHz, DMSO-d6): δ 12.70–12.60 (m, 1H), 9.14–9.13 (m, 1H), 8.26–8.25 (m, 1H), 8.13–8.11 (m, 2H), 7.99–7.98 (m, 2H), 7.90–7.83 (m, 4H), 7.24–7.09 (m, 2H), 7.09–7.07 (m, 1H), 7.07–6.84 (m, 21H), 6.84–6.82 (m, 2H), 4.33 (s, 2H), 3.98–3.96 (m, 2H), 3.96–3.93 (m, 2H), 3.92–3.90 (m, 2H), 3.79–3.77 (m, 8H), 3.17– 3.14 (m, 2H), 2.43–2.29 (m, 2H), 2.29–2.08 (m, 2H), 2.08–2.04 (m, 2H), 1.79–1.76 (m, 2H), 1.76–1.64 (m, 2H), 1.63–1.47 (m, 4H), 1.46–1.21 (m, 13H).19F NMR (376 MHz, DMSO- d6): δ 119.74(s). m/z [ESI+] 1022.3 (M+H)+, (C54H64FN7O10S). Example 58: 2-(4-((4-(4-(2-((2-(10-(4-(2-fluoro-5-((4-oxo-3,4-dihydrophthalazin-1- yl)methyl)benzoyl)piperazin-1-yl)-10- oxodecanamido)ethyl)amino)ethoxy)phenyl)piperidin-1-yl)sulfonyl)benzamido)acetic acid ( Chimeric Molecule 138) [00900] Synthesis of tert-butyl 2-(4-((4-(4-(2-((2-(10-(4-(2-fluoro-5-((4-oxo-3,4- dihydrophthalazin-1-yl)methyl)benzoyl)piperazin-1-yl)-10- oxodecanamido)ethyl)amino)ethoxy)phenyl)piperidin-1-yl)sulfonyl)benzamido)acetate
[00901] To a solution of N-(2-chloroethyl)-10-(4-(2-fluoro-5-((4-oxo-3,4- dihydrophthalazin-1-yl)methyl)benzoyl)piperazin-1-yl)-10-oxodecanamide (284 mg, 0.46 mmol) and tert-butyl 2-(4-((4-(4-(2-aminoethoxy)phenyl)piperidin-1- yl)sulfonyl)benzamido)acetate (200 mg, 0.39 mmol) in acetonitrile (60 mL) under an atmosphere of nitrogen was added potassium iodide (128 mg, 0.77 mmol). The reaction was stirred at 70 °C for 3 h. The reaction mixture was concentrated under reduced pressure and the residue purified by prep-HPLC (column: YMC-Triart C18250 x 50 mm x 7 µm; mobile phase: [solvent A: 0.05% aq. HCl, solvent B: acetonitrile]; the gradient runs with 34% B, gradient: 34%–64% B with 10 min, hold at 95% B to 5 min). [00902] Yield 230 mg (50%). m/z: [ESI+] 1093.4 (M+H)+, (C58H73FN8O10S). [00903] Synthesis of 2-(4-((4-(4-(2-((2-(10-(4-(2-fluoro-5-((4-oxo-3,4-dihydrophthalazin- 1-yl)methyl)benzoyl)piperazin-1-yl)-10- oxodecanamido)ethyl)amino)ethoxy)phenyl)piperidin-1-yl)sulfonyl)benzamido)acetic acid (Chimeric Molecule 138)
[00904] A solution of tert-butyl 2-(4-((4-(4-(2-((2-(10-(4-(2-fluoro-5-((4-oxo-3,4- dihydrophthalazin-1-yl)methyl)benzoyl)piperazin-1-yl)-10- oxodecanamido)ethyl)amino)ethoxy)phenyl)piperidin-1-yl)sulfonyl)benzamido)acetate (400 mg, 0.32 mmol) in TFA (1 mL) was stirred at 25 °C for 0.5 h. The reaction mixture was diluted with acetonitrile (1 mL) and purified by prep-HPLC (column: Welch Xtimate C18 150 × 25 mm × 5 µm; mobile phase: [solvent A: 0.05% aq. HCl, solvent B: acetonitrile]; the gradient runs with 20% B, gradient: 20%–50% B with 10 min, hold at 95% B to 5 min) to give title compound as white solid.
[00905] Yield 79 mg (24%).1H NMR(400 MHz, methanol-d4): δ 8.38 (d, J =7.6 Hz, 1H), 8.09 (d, J =8.4 Hz, 2H), 8.08–7.95 (m, 1H), 7.92–7.84 (m, 4H), 7.51–7.38 (m, 1H), 7.38– 7.18 (m, 1H), 7.18–7.11 (m, 3H), 6.90–6.87 (m, 2H), 4.40 (s, 2H), 4.18–4.14 (m, 2H), 3.90 (s, 2H), 3.76–3.75 (m, 2H), 3.75–3.73 (m, 9H), 3.73–3.57 (m, 4H), 3.42–3.41 (m, 1H), 2.66– 2.63 (m, 2H), 2.44–2.43 (m, 4H), 2.43–2.42 (m, 1H), 1.86–1.83 (m, 2H), 1.73–1.69 (m, 4H), 1.69–1.59 (m, 2H), 1.57–1.31 (m, 8H). 19F NMR (376 MHz, methanol-d4): δ -120.71 (s). m/z: [ESI+] 1037.3 (M+H)+, (C54H65FN8O10S). Example 59: 2-(4-((4-(4-(2-((2-(12-(4-(2-fluoro-5-((4-oxo-3,4-dihydrophthalazin-1- yl)methyl)benzoyl)piperazin-1-yl)-12- oxododecanamido)ethyl)amino)ethoxy)phenyl)piperidin-1- yl)sulfonyl)benzamido)acetic acid (Chimeric Molecule 139 ) [00906] Synthesis of tert-butyl 2-(4-((4-(4-(2-((2-(12-(4-(2-fluoro-5-((4-oxo-3,4- dihydrophthalazin-1-yl)methyl)benzoyl)piperazin-1-yl)-12- oxododecanamido)ethyl)amino)ethoxy)phenyl)piperidin-1-yl)sulfonyl)benzamido)acetate
[00907] To a solution of N-(2-chloroethyl)-12-(4-(2-fluoro-5-((4-oxo-3,4- dihydrophthalazin-1-yl)methyl)benzoyl)piperazin-1-yl)-12-oxododecanamide (297 mg, 0.46 mmol), and tert-butyl 2-(4-((4-(4-(2-aminoethoxy)phenyl)piperidin-1- yl)sulfonyl)benzamido)acetate (200 mg, 0.39 mmol) in acetonitrile (2 mL) was added potassium iodide (128 mg, 0.77 mmol). The mixture was stirred at 70 °C for 3 h, filtered and the solvent removed in vacuo. The residue was purified by prep-HPLC (column: YMC-Triart C18 250 × 50 mm × 7 µm; mobile phase: [solvent A: 0.05% aq. HCl, solvent B: acetonitrile]; the gradient runs with 37% B, gradient: 37%–67% B with 10 min, hold at 95% B to 5 min) to give the title compound as a pale-yellow solid. [00908] Yield 206 mg (87%). m/z: [ESI+] 819.3 (M+H)+, (C45H67N5O7Si) [00909] Synthesis of 2-(4-((4-(4-(2-((2-(12-(4-(2-fluoro-5-((4-oxo-3,4-dihydrophthalazin- 1-yl)methyl)benzoyl)piperazin-1-yl)-12- oxododecanamido)ethyl)amino)ethoxy)phenyl)piperidin-1-yl)sulfonyl)benzamido)acetic
acid (Chimeric Molecule 139)
[00910] A solution of tert-butyl 2-(4-((4-(4-(2-((2-(12-(4-(2-fluoro-5-((4-oxo-3,4- dihydrophthalazin-1-yl)methyl)benzoyl)piperazin-1-yl)-12- oxododecanamido)ethyl)amino)ethoxy)phenyl)piperidin-1-yl)sulfonyl)benzamido)acetate (245 mg, 0.17 mmol) in TFA (12.7 µL) was stirred at 15 °C for 10 min. The mixture was diluted with acetonitrile (1 mL) and purified by prep-HPLC (column: Welch Xtimate C18 150 × 25 mm × 5 µm; mobile phase: [solvent A: 0.05% aq. HCl, solvent B: acetonitrile]; the gradient runs with 17% B, gradient: 17%–47% B with 10 min, hold at 95% B to 5 min) to give the title compound as a white solid. [00911] Yield 53 mg (30%).1H NMR (400 MHz, methanol-d4): δ 8.36 (d, J =7.6 Hz, 1H), 8.07 (d, J =8.0 Hz, 2H), 7.94–7.91 (m, 1H), 7.91–7.88 (m, 4H), 7.51–7.49 (m, 1H), 7.18– 7.16 (m, 1H), 7.16–7.10 (m, 3H), 6.90–6.85 (m, 2H), 4.38 (s, 2H), 4.17–4.14 (m, 4H), 4.13– 3.90 (m, 2H), 3.90–3.73 (m, 9H), 3.73–3.71 (m, 4H), 3.55–3.33 (m, 1H), 2.63–2.61 (m, 2H), 2.45–2.39 (m, 5H), 1.85–1.82 (m, 2H), 1.72–1.66 (m, 7H), 1.33–1.26 (m, 11H).19F NMR (376 MHz, methanol-d4):δ-120.76 (s). m/z: [ESI+] 1065.6 (M+H)+, (C56H69FN8O10S). Example 60: 2-(4-((4-(4-((15-(4-(2-fluoro-5-((4-oxo-3,4-dihydrophthalazin-1- yl)methyl)benzoyl)piperazin-1-yl)-15-oxo-3,6,9,12- tetraoxapentadecyl)oxy)phenyl)piperidin-1-yl)sulfonyl)benzamido)acetic acid (Chimeric Molecule 140) [00912] Synthesis of tert-butyl 2-(4-((4-(4-((15-(4-(2-fluoro-5-((4-oxo-3,4- dihydrophthalazin-1-yl)methyl)benzoyl)piperazin-1-yl)-15-oxo-3,6,9,12- tetraoxapentadecyl)oxy)phenyl)piperidin-1-yl)sulfonyl)benzamido)acetate
[00913] To a solution of 1-(4-(1-((4-((2-(tert-butoxy)-2- oxoethyl)carbamoyl)phenyl)sulfonyl)piperidin-4-yl)phenoxy)-3,6,9,12-tetraoxapentadecan- 15-oic acid (680 mg, 0.94 mmol) in DMF (4 mL) were added HATU (429 mg, 1.13 mmol) and DIEA (182 mg, 1.41 mmol). The mixture was stirred at 20 °C for 30 min, 4-[[4-fluoro- 3-(piperazine-1-carbonyl)phenyl]methyl]-2H-phthalazin-1-one (379 mg, 1.03 mmol) was added, and stirring continued for 2 h. The reaction was purified by prep-HPLC (column: YMC-Triart C18250 × 50 mm × 7 µm; mobile phase: [solvent A: 0.05% aq. HCl, solvent B: acetonitrile]; the gradient runs with 47% B, gradient: 47%–76% B with 10 min, hold at 95% B to 5 min) to give the title compound as a white solid. [00914] Yield 360 mg. m/z: [ESI+] 1071.3 (M+H)+, (C55H67FN6O13S). [00915] Synthesis of 2-(4-((4-(4-((15-(4-(2-fluoro-5-((4-oxo-3,4-dihydrophthalazin-1- yl)methyl)benzoyl)piperazin-1-yl)-15-oxo-3,6,9,12- tetraoxapentadecyl)oxy)phenyl)piperidin-1-yl)sulfonyl)benzamido)acetic acid (Chimeric Molecule 140) O
[00916] To tert-butyl 2-(4-((4-(4-((15-(4-(2-fluoro-5-((4-oxo-3,4-dihydrophthalazin-1- yl)methyl)benzoyl)piperazin-1-yl)-15-oxo-3,6,9,12- tetraoxapentadecyl)oxy)phenyl)piperidin-1-yl)sulfonyl)benzamido)acetate (360 mg, 0.33 mmol) was added TFA (0.5 mL). The mixture was stirred at 20 °C for 0.5 h and acetonitrile (1 mL) added. Purification by prep-HPLC (column: Phenomenex Luna C18 250 × 25 mm × 10 µm; mobile phase: [solvent A: 0.05% aq. HCl, solvent B: acetonitrile]; the gradient runs
with 27% B, gradient: 27%–57% B with 10 min, hold at 95% B to 5 min) afforded the title compound as a white solid. [00917] Yield 169 mg (50%). 1H NMR(400 MHz, methanol-d4): δ 8.36 (d, J = 8.0 Hz, 1H), 8.08 (d, J = 8.0 Hz, 2H), 7.96–7.80 (m, 5H), 7.50–7.47 (m, 1H), 7.36 (d, J = 1.6 Hz, 1H), 7.15 (t, J = 8.0 Hz, 1H), 7.04 (d, J = 8.0 Hz, 2H), 6.81 (d, J = 8.0 Hz, 2H), 4.37 (s, 2H), 4.13 (s, 2H), 4.08–4.01 (m, 2H), 3.90 (d, J = 12.0 Hz, 2H), 3.81–3.75 (m, 3H), 3.73–3.65 (m, 5H), 3.65–3.56 (m, 8H), 3.54 (s, 2H), 3.53–3.47 (m, 4H), 3.27–3.18 (m, 2H), 2.71–2.59 (m, 2H), 2.47–2.35 (m, 3H), 1.85–1.78 (m, 2H), 1.74–1.63 (m, 2H). 19F NMR (376 MHz, methanol-d4): δ -120.68 (s) m/z: [ESI+] 1015.2 (M+H)+, (C51H59FN6O13S). Example 61: 2-(4-((4-(4-((18-(4-(2-fluoro-5-((4-oxo-3,4-dihydrophthalazin-1- yl)methyl)benzoyl)piperazin-1-yl)-18-oxo-3,6,9,12,15- pentaoxaoctadecyl)oxy)phenyl)piperidin-1-yl)sulfonyl)benzamido)acetic acid (Chimeric Molecule 141) [00918] Synthesis of tert-butyl 2-(4-((4-(4-((18-(4-(2-fluoro-5-((4-oxo-3,4- dihydrophthalazin-1-yl)methyl)benzoyl)piperazin-1-yl)-18-oxo-3,6,9,12,15- pentaoxaoctadecyl)oxy)phenyl)piperidin-1-yl)sulfonyl)benzamido)acetate
[00919] To a solution of 1-(4-(1-((4-((2-(tert-butoxy)-2- oxoethyl)carbamoyl)phenyl)sulfonyl)piperidin-4-yl)phenoxy)-3,6,9,12,15- pentaoxaoctadecan-18-oic acid (700 mg, 0.37 mmol) in DMF (4 mL) were added HATU (170 mg, 0.45 mmol) and DIPEA (72 mg, 0.56 mmol). The mixture was stirred at 20 °C for 10 min, 4-[[4-fluoro-3-(piperazine-1-carbonyl)phenyl]methyl]-2H-phthalazin-1-one (150 mg, 0.41 mmol) was added and stirring continued for 1 h. The mixture was purified by prep- HPLC (column: YMC-Triart C18250 × 50 mm × 7 µm; mobile phase: [solvent A: 0.05% aq. HCl, solvent B: acetonitrile]; the gradient runs with 45% B, gradient: 45%–75% B with 10 min, hold at 95% B to 5 min) to give the title compound as a white solid. [00920] Yield 150 mg (37%). m/z: [ESI+] 530.3 (M/2+H)+, (C57H71FN6O14S). [00921] Synthesis of 2-(4-((4-(4-((18-(4-(2-fluoro-5-((4-oxo-3,4-dihydrophthalazin-1-
yl)methyl)benzoyl)piperazin-1-yl)-18-oxo-3,6,9,12,15- pentaoxaoctadecyl)oxy)phenyl)piperidin-1-yl)sulfonyl)benzamido)acetic acid (Chimeric Molecule 141)
[00922] A solution of tert-butyl 2-(4-((4-(4-((18-(4-(2-fluoro-5-((4-oxo-3,4- dihydrophthalazin-1-yl)methyl)benzoyl)piperazin-1-yl)-18-oxo-3,6,9,12,15- pentaoxaoctadecyl)oxy)phenyl)piperidin-1-yl)sulfonyl)benzamido)acetate (280 mg, 0.25 mmol) in TFA (1 mL) was stirred at 20 °C for 0.5 h. Acetonitrile (1 mL) was added and the mixture purified by prep-HPLC (column: Phenomenex Luna C18 250 × 25 mm × 10 µm; mobile phase: [solvent A: 0.05% aq. HCl, solvent B: acetonitrile]; the gradient runs with 27% B, gradient: 27%–57% B with 10 min, hold at 95% B to 5 min) afforded the title compound as a white solid. [00923] Yield 100 mg (37%). 1H NMR(400 MHz, methanol-d4): δ 8.36 (d, J = 7.6 Hz, 1H), 8.07 (d, J =8.4 Hz, 2H), 7.95–7.82 (m, 5H), 7.51–7.49 (m, 1H), 7.45–7.36 (m, 1H), 7.17–7.13 (m, 1H), 7.04 (d, J =7.6 Hz, 2H), 6.81 (d, J = 6.8 Hz, 2H), 4.37 (s, 2H), 4.13 (s, 2H), 4.01–4.06 (m, 2H), 3.80 (m, 2H), 3.78–3.70 (m, 3H), 3.65–3.31 (m, 25H), 2.68–2.62 (m, 2H), 2.44–2.39 (m, 3H), 1.84–1.80 (m, 2H), 1.71–1.67 (m, 2H).19F NMR (376 MHz, methanol-d4): δ -120.87 (s) m/z: [ESI+] 1059.2 (M+H)+, (C53H53FN6O14S). Example 62: 2-(4-((4-(4-((21-(4-(2-fluoro-5-((4-oxo-3,4-dihydrophthalazin-1- yl)methyl)benzoyl)piperazin-1-yl)-21-oxo-3,6,9,12,15,18- hexaoxahenicosyl)oxy)phenyl)piperidin-1-yl)sulfonyl)benzamido)acetic acid (Chimeric Molecule 142) [00924] Synthesis of tert-butyl 2-(4-((4-(4-((21-(4-(2-fluoro-5-((4-oxo-3,4- dihydrophthalazin-1-yl)methyl)benzoyl)piperazin-1-yl)-21-oxo-3,6,9,12,15,18- hexaoxahenicosyl)oxy)phenyl)piperidin-1-yl)sulfonyl)benzamido)acetate
[00925] To a solution of 1-(4-(1-((4-((2-(tert-butoxy)-2- oxoethyl)carbamoyl)phenyl)sulfonyl)piperidin-4-yl)phenoxy)-3,6,9,12,15,18- hexaoxahenicosan-21-oic acid (100 mg, 0.11 mmol) in DMF (1 mL) were added HATU (51 mg, 0.14 mmol) and DIEA (22 mg, 0.17 mmol,). The mixture was stirred at 25 °C for 15 min, 4-[[4-fluoro-3-(piperazine-1-carbonyl)phenyl]methyl]-2H-phthalazin-1-one (43 mg, 0.12 mmol) was added and stirring continued for 2 h. The mixture was purified by prep- HPLC (column: Welch Xtimate C18 250 × 25 mm × 5 µm; mobile phase: [solvent A: 0.05% aq. HCl, solvent B: acetonitrile]; the gradient runs with 39% B, gradient: 39%–69% B with 10 min, hold at 95% B to 5 min) to give the title compound as a white solid. [00926] Yield 100 mg (66%). m/z: [ESI+] 1158.6 (M+H)+, (C59H75FN6O15S) [00927] Synthesis of 2-(4-((4-(4-((21-(4-(2-fluoro-5-((4-oxo-3,4-dihydrophthalazin-1- yl)methyl)benzoyl)piperazin-1-yl)-21-oxo-3,6,9,12,15,18- hexaoxahenicosyl)oxy)phenyl)piperidin-1-yl)sulfonyl)benzamido)acetic acid (Chimeric Molecule 142) O
[00928] A mixture of tert-butyl 2-(4-((4-(4-((21-(4-(2-fluoro-5-((4-oxo-3,4- dihydrophthalazin-1-yl)methyl)benzoyl)piperazin-1-yl)-21-oxo-3,6,9,12,15,18- hexaoxahenicosyl)oxy)phenyl)piperidin-1-yl)sulfonyl)benzamido)acetate (100 mg, 0.74 mmol) and TFA (0.2 mL). was stirred at 25 °C for 1h. Acetonitrile (1 mL) was added, and the mixture purified directly by prep-HPLC (column: Welch Xtimate C18 250 × 25 mm × 5 µm; mobile phase: [solvent A: 0.05% aq. HCl, solvent B: acetonitrile]; the gradient runs with 29% B, gradient: 29%–59% B with 10 min, hold at 95% B to 5 min) afforded the title compound as a white solid.
[00929] Yield 24 mg (30%).1H NMR(400 MHz, methanol-d4): δ 8.36 (d, J = 7.6 Hz, 1H), 7.93–7.81 (m, 2H), 7.65 (s, 5H), 7.52 (s, 2H), 7.49 (s, 1H), 7.28 (d, J = 8.4 Hz, 2H), 7.17– 7.14 (m, 2H), 7.05 – 6.99 (m, 2H), 4.38 (s, 2H), 4.17–4.15 (m, 2H), 3.85 (s, 2H), 3.70–3.31 (m, 32H), 2.70–2.63 (m, 2H), 2.46–2.42 (m, 2H), 1.84–1.68 (m, 4H).19F NMR (376 MHz, methanol-d4): δ -120.9 (s). m/z: [ESI+] 1103.3 (M+H)+, (C55H67FN6O15S). EXAMPLE 63: (S)-2-(7-((4-(4-(2-(2-((1-(5-(((1,3-dimethyl-1H-pyrazol-4- yl)sulfonyl)carbamoyl)-6-(2,2,4-trimethylpyrrolidin-1-yl)pyridin-2-yl)-1H-pyrazol-3- yl)oxy)ethoxy)ethoxy)phenyl)piperidin-1-yl)sulfonyl)-4-oxoquinazolin-3(4H)-yl)acetic acid (Chimeric Molecule 161) [00930] Synthesis of (S)-tert-butyl 2-(7-((4-(4-(2-(2-((1-(5-(((1,3-dimethyl-1H-pyrazol-4- yl)sulfonyl)carbamoyl)-6-(2,2,4-trimethylpyrrolidin-1-yl)pyridin-2-yl)-1H-pyrazol-3- yl)oxy)ethoxy)ethoxy)phenyl)piperidin-1-yl)sulfonyl)-4-oxoquinazolin-3(4H)-yl)acetate
[00931] To a solution of tert-butyl 2-(4-oxo-7-((4-(4-(2-(2- (tosyloxy)ethoxy)ethoxy)phenyl)piperidin-1-yl)sulfonyl)quinazolin-3(4H)-yl)acetate (200 mg, 0.27 mmol) in DMF (3 mL) were added (S)-N-((1,3-dimethyl-1H-pyrazol-4- yl)sulfonyl)-6-(3-hydroxy-1H-pyrazol-1-yl)-2-(2,2,4-trimethylpyrrolidin-1-yl)nicotinamide (128 mg, 0.27 mmol) and potassium carbonate (74 mg, 0.54 mmol). The mixture was stirred at 50 °C for 18 h and the solid removed by filtration. The filtrate was purified by prep-HPLC (column: Phenomenex Luna C18 250 x 25 mm x 10 µm; mobile phase: [solvent A: 0.05% aq. HCl, solvent B: acetonitrile]; the gradient runs with 60% B, gradient: 60%–90% B with 10 min, hold at 95% B to 5 min) to give the title compound as a pale-yellow solid. Yield 45 mg (16%). m/z: (ESI+) 1043.4 (M+H)+, (C50H62N10O11S2). [00932] Synthesis of (S)-2-(7-((4-(4-(2-(2-((1-(5-(((1,3-dimethyl-1H-pyrazol-4- yl)sulfonyl)carbamoyl)-6-(2,2,4-trimethylpyrrolidin-1-yl)pyridin-2-yl)-1H-pyrazol-3- yl)oxy)ethoxy)ethoxy)phenyl)piperidin-1-yl)sulfonyl)-4-oxoquinazolin-3(4H)-yl)acetic acid
Chimeric Molecule 161)
[00933] TFA (0.8 mL) was added to (S)-tert-butyl 2-(7-((4-(4-(2-(2-((1-(5-(((1,3- dimethyl-1H-pyrazol-4-yl)sulfonyl)carbamoyl)-6-(2,2,4-trimethylpyrrolidin-1-yl)pyridin-2- yl)-1H-pyrazol-3-yl)oxy)ethoxy)ethoxy)phenyl)piperidin-1-yl)sulfonyl)-4-oxoquinazolin- 3(4H)-yl)acetate (45 mg, 0.04 mmol). The mixture was stirred at 25 °C 30 min. TFA was removed in vacuum followed by purification by prep-HPLC (column: Phenomenex Luna C18 250 x 25 mm x 10 µm; mobile phase: [solvent A: 0.05% aq. HCl, solvent B: acetonitrile]; the gradient runs with 48% B, gradient: 48%–78% B with 10 min, hold at 95% B to 5 min) to give the title compound as a white solid. [00934] Yield 42 mg (99%). 1H NMR(400 MHz, DMSO-d6): δ 13.40 (s, 1H), 12.30 (s, 1H), 8.52 (s, 1H), 8.41–8.36 (m, 2H), 8.19–8.17 (m, 1H), 7.99 (d, J = 1.6 Hz, 1H), 7.91–7.90 (m, 1H), 7.72 (d, J = 8.0 Hz, 1H), 7.05 (d, J = 8.4 Hz, 2H), 6.90–6.89 (m, 1H), 6.87 (d, J = 6.8 Hz, 2H), 6.11 (d, J = 6.8 Hz, 1H), 4.82 (s, 2H), 4.33 (t, J = 4.4 Hz, 2H), 4.03 (t, J = 4.8 Hz, 2H), 3.83–3.78 (m, 7H), 3.77–3.76 (m, 2H), 2.56–2.55 (m, 1H), 2.50–2.49 (m, 3H), 2.48–2.41 (m, 1H), 2.42 (s, 3H), 2.32–2.31 (m, 1H), 1.78–1.77 (m, 1H), 1.76–1.75 (m, 2H), 1.62–1.55 (m, 2H), 1.54–1.52 (m, 6H), 1.49–1.41 (m, 1H), 0.82 (t, J =10.8 Hz, 3H). m/z: (ESI+) 987.4 (M+H)+, (C46H54N10O11S2). Example 64: (S)-2-(7-((4-(4-(2-(2-(2-((1-(5-(((1,3-dimethyl-1H-pyrazol-4- yl)sulfonyl)carbamoyl)-6-(2,2,4-trimethylpyrrolidin-1-yl)pyridin-2-yl)-1H-pyrazol-3- yl)oxy)ethoxy)ethoxy)ethoxy)phenyl)piperidin-1-yl)sulfonyl)-4-oxoquinazolin-3(4H)- yl)acetic acid (Chimeric Molecule 162) [00935] Synthesis of (S)-tert-butyl 2-(7-((4-(4-(2-(2-(2-((1-(5-(((1,3-dimethyl-1H-pyrazol- 4-yl)sulfonyl)carbamoyl)-6-(2,2,4-trimethylpyrrolidin-1-yl)pyridin-2-yl)-1H-pyrazol-3- yl)oxy)ethoxy)ethoxy)ethoxy)phenyl)piperidin-1-yl)sulfonyl)-4-oxoquinazolin-3(4H)- yl)acetate
[00936] To a solution of tert-butyl 2-(4-oxo-7-((4-(4-(2-(2-(2- (tosyloxy)ethoxy)ethoxy)ethoxy)phenyl)piperidin-1-yl)sulfonyl)quinazolin-3(4H)- yl)acetate (200 mg, 0.25 mmol) in DMF (3 mL) were added (S)-N-((1,3-dimethyl-1H- pyrazol-4-yl)sulfonyl)-6-(3-hydroxy-1H-pyrazol-1-yl)-2-(2,2,4-trimethylpyrrolidin-1- yl)nicotinamide (121 mg, 0.025 mmol) and potassium carbonate (70 mg, 0.051 mmol). The mixture was stirred at 50 °C for 18 h and filtered. The filtrate was purified by prep-HPLC (column: Phenomenex Luna C18 250 x 25 mm x 10 µm; mobile phase: [solvent A: 0.05% aq. HCl, solvent B: acetonitrile]; the gradient runs with 59% B, gradient: 59%–89% B with 10 min, hold at 95% B to 5 min) to give the title compound as a pale-yellow solid. Yield 65 mg (23%). m/z: (ESI+) 1087.5 (M+H)+, (C52H66N10O12S2). [00937] Synthesis of (S)-2-(7-((4-(4-(2-(2-(2-((1-(5-(((1,3-dimethyl-1H-pyrazol-4- yl)sulfonyl)carbamoyl)-6-(2,2,4-trimethylpyrrolidin-1-yl)pyridin-2-yl)-1H-pyrazol-3- yl)oxy)ethoxy)ethoxy)ethoxy)phenyl)piperidin-1-yl)sulfonyl)-4-oxoquinazolin-3(4H)- yl)acetic acid (Chimeric Molecule 162)
[00938] TFA (0.96 mL) was added to (S)-tert-butyl 2-(7-((4-(4-(2-(2-(2-((1-(5-(((1,3- dimethyl-1H-pyrazol-4-yl)sulfonyl)carbamoyl)-6-(2,2,4-trimethylpyrrolidin-1-yl)pyridin-2- yl)-1H-pyrazol-3-yl)oxy)ethoxy)ethoxy)ethoxy)phenyl)piperidin-1-yl)sulfonyl)-4- oxoquinazolin-3(4H)-yl)acetate (65 mg, 0.057 mmol). The mixture was stirred at 25 °C for 30 min and concentrated in vacuo. The residue was purified by prep-HPLC (column: Phenomenex Luna C18 250 x 25 mm x 10 µm; mobile phase: [solvent A: 0.05% aq. HCl, solvent B: acetonitrile]; the gradient runs with 52% B, gradient: 52%–82% B with 10 min,
[00939] Yield 42 mg (70%). H NMR(400 MHz, DMSO-d6): δ 13.40 (s, 1H), 12.30 (s, 1H), 8.53 (s, 1H), 8.42–8.37 (m, 2H), 8.20–8.19 (m, 1H), 8.00 (d, J = 1.6 Hz, 1H), 7.91–7.90 (m, 1H), 7.73 (d, J = 8.0 Hz, 1H), 7.05 (d, J = 8.8 Hz, 2H), 6.91–6.89 (m, 1H), 6.82 (d, J = 6.8 Hz, 2H), 6.11 (d, J = 2.8 Hz, 1H), 4.79 (s, 2H), 4.31 (t, J = 4.4 Hz, 2H), 4.00 (t, J = 4.8 Hz, 2H), 3.81–3.76 (m, 5H), 3.75–3.72 (m, 4H), 3.71–3.60 (m, 4H), 2.57–2.55 (m, 1H), 2.50–2.49 (m, 3H), 2.43–2.41 (m, 1H), 2.41 (s, 3H), 2.35–2.32 (m, 1H), 1.79–1.76 (m, 1H), 1.76–1.75 (m, 2H), 1.62–1.55 (m, 2H), 1.54–1.53 (m, 6H), 1.49–1.42 (m, 1H), 0.81 (t, J = 9.0 Hz, 3H). m/z: (ESI+) 1031.3 (M+H)+, (C48H58N10O12S2). Example 65: (S)-2-(7-((4-(4-(2-(2-(2-(2-((1-(5-(((1,3-dimethyl-1H-pyrazol-4- yl)sulfonyl)carbamoyl)-6-(2,2,4-trimethylpyrrolidin-1-yl)pyridin-2-yl)-1H-pyrazol-3- yl)oxy)ethoxy)ethoxy)ethoxy)ethoxy)phenyl)piperidin-1-yl)sulfonyl)-4-oxoquinazolin- 3(4H)-yl)acetic acid (Chimeric Molecule 163) [00940] Synthesis of (S)-tert-butyl 2-(7-((4-(4-(2-(2-(2-(2-((1-(5-(((1,3-dimethyl-1H- pyrazol-4-yl)sulfonyl)carbamoyl)-6-(2,2,4-trimethylpyrrolidin-1-yl)pyridin-2-yl)-1H- pyrazol-3-yl)oxy)ethoxy)ethoxy)ethoxy)ethoxy)phenyl)piperidin-1-yl)sulfonyl)-4- oxoquinazolin-3(4H)-yl)acetate
1H-pyrazol-1-yl)-2-(2,2,4-trimethylpyrrolidin-1-yl)nicotinamide (120 mg, 0.25 mmol) in DMF (1 mL) were added tert-butyl 2-(4-oxo-7-((4-(4-(2-(2-(2-(2- (tosyloxy)ethoxy)ethoxy)ethoxy)ethoxy)phenyl)piperidin-1-yl)sulfonyl)quinazolin-3(4H)- yl)acetate (210 mg, 0.25 mmol) and potassium carbonate (70 mg, 0.51 mmol). The reaction was stirred at 50 °C for 12 h. The crude product was purified by prep-HPLC (column: Welch Xtimate 150 × 25 mm 10 µm; mobile phase: [solvent A: water (10 mM ammonium hydrogen carbonate), solvent B: acetonitrile]; the gradient runs with 33% B, gradient: 33%–63% B
[00942] Yield 165 mg (56%). m/z: [ESI+] 1132.3 (M+H) , (C54H70N10S2O13). [00943] Synthesis of (S)-2-(7-((4-(4-(2-(2-(2-(2-((1-(5-(((1,3-dimethyl-1H-pyrazol-4- yl)sulfonyl)carbamoyl)-6-(2,2,4-trimethylpyrrolidin-1-yl)pyridin-2-yl)-1H-pyrazol-3- yl)oxy)ethoxy)ethoxy)ethoxy)ethoxy)phenyl)piperidin-1-yl)sulfonyl)-4-oxoquinazolin- 3(4H)-yl)acetic acid (Chimeric Molecule 163)
dimethyl-1H-pyrazol-4-yl)sulfonyl)carbamoyl)-6-(2,2,4-trimethylpyrrolidin-1-yl)pyridin-2- yl)-1H-pyrazol-3-yl)oxy)ethoxy)ethoxy)ethoxy)ethoxy)phenyl)piperidin-1-yl)sulfonyl)-4- oxoquinazolin-3(4H)-yl)acetate (165 mg, 0.14 mmol). The mixture was stirred at 25 °C for 30 min and concentrated in vacuo. The residue was purified by prep-HPLC (column: Welch Xtimate C18 250 × 25 mm × 10 µm; mobile phase: [solvent A: 0.05% aq. HCl, solvent B: acetonitrile]; the gradient runs with 45% B, gradient: 45%–75% B with 10 min, hold at 95% B to 5 min) to give the title compound as a white solid. [00945] Yield 121 mg (77%). 1H NMR: (400 MHz, DMSO-d6) δ 13.40–13.30 (m, 1H), 12.30 (s, 1H), 8.53 (s, 1H), 8.41–8.37 (m, 2H), 8.19 (d, J = 2.8 Hz, 1H), 7.99 (s, 1H), 7.89– 7.87 (m, 1H), 7.73–7.71 (m, 1H), 7.04 (d, J = 4.4 Hz, 2H), 6.91–6.89 (m, 1H), 6.82–6.80 (m, 2H), 6.11 (d, J = 2.8 Hz, 1H), 4.79 (s, 2H), 4.31–4.29 (m, 2H), 4.02–3.99 (m, 2H), 3.80–3.70 (m, 8H), 3.69–3.55 (m, 9H), 2.54–2.53 (m, 1H), 2.41–2.33 (m, 4H), 2.32 (s, 3H), 2.18–2.09 (m, 1H), 1.75–1.62 (m, 1H), 1.61–1.60 (m, 2H), 1.58–1.48 (m, 8H), 2.43–2.38 (m, 1H), 0.81 (d, J = 6.0 Hz, 3H). m/z: [ESI+] 1075.1 (M+H)+, (C50H62N10S2O13). Example 66: SURTAC Rescues CFTR Mutant Proteins [00946] Objective: The SURTAC effects described herein are dependent upon the coincident binding of a SURTAC molecule, i.e., a USP5 binding chimeric molecule described herein, to a target protein, for example but not limited to CFTR or PARP1, and the DUB, i.e., a USP5 enzyme, thus bringing them into close proximity and effectively
ubiquitinated, the SURTAC-bound DUB will be more able to more readily locate, bind, and remove the ubiquitin molecules from the target (Figure 2). SURTAC binding to both target and DUB proteins induces an enhanced deubiquitination reaction via a proximity-driven increase ubiquitin substrate recognition and subsequent ubiquitin chain cleavage. [00947] The physical location of the binding site for the SURTAC on the DUB and target proteins will affect the magnitude and nature SURTAC activity, but coincident reversible binding occurring in any region of the target or DUB proteins will facilitate co-localisation and increase the probability of deubiquitination events. [00948] Removal of these ubiquitin molecules will render the target protein less likely to cellular processes, which inactivate or destroy the target protein. The deubiquitinated target protein will effectively have an increased half-life. In the Examples presented herein, the SURTAC effect has been measured either directly as an increase in protein amount in a cell or indirectly as an increase in a cellular phenomenon directly attributed to target protein function. [00949] Methods: [00950] SURTAC chimeric molecules were produced as described above. A total of 358 USP5-binding SURTAC chimeric molecules were tested in at least one biological cell-based assay (not all data shown). Synthesized and tested USP5-binding SURTACs comprise variable target binding ends and USP5-DUB binding ends, joined by a selection of linkers. Differential activity in assay between USP5-binding SURTACs with the same target and DUB binding ends but different linkers, is interpreted as structure activity relationships (SAR) within a specific active SURTAC series. Where USP5-binding SURTACs are deemed to be active they are classified as such by comparing the activity of the target binding ‘end’ of the SURTAC in isolation versus the activity of the full USP5-binding SURTAC molecule. [00951] Data reported on below is based on the activity results from 18 SURTAC molecules (See Table 3 below) that have been shown to positively affect the amount of target protein or target protein activity in a cellular context. Any and all effects observed were ascribed to a SURTSC effect. Also included herein, is a selection of assay data generated for structurally related compounds which provides direct SAR information to support the observations with the active SURTAC molecules.
[00952] CFTR directed SURTAC assays
[00953] The assays employed to test the effects of SURTAC molecule on expression and membrane localisation of the mutant del508CFTR ion channel is the PathHunter® del508 CFTR- membrane trafficking assay (Eurofms DiscoverX Corporation, (Fremont, CA, USA)). This assay measures the amount of del508CFTR, which is trafficked to the cell membrane and the effects of test compounds (chimeric molecules as disclosed herein). Values in this assay are reported as the percentage of trafficking observed compared to the standard CFTR binding compound contained within the SURTAC if interest.
[00954] The PathHunter® del508 CFTR-assay is based on Enzyme Fragment Complementation (EFC) technology, and was performed at Eurofms DiscoverX Corporation, (Fremont, CA, USA). The assay system consists of a β-galactosidase (β-gal) enzyme split into two inactive components, the enzyme donor peptide (ED or ProLink™ (PK)) and enzyme acceptor (EA). When brought together, ED complements with EA forming an active β-gal complex. With the addition of substrate, the active β-gal catalyzes the formation of chemiluminescent products (measured as RLU or relative luminescence units). For the PathHunter® CFTR-ΔF508 assay, EA is localized to the plasma membrane through a PM tag, and the N-terminus portion of CFTR ion channel is tagged with ED Prolink (PK). Figure 3A presents a schematic of the assay for a CFTR targeted ligand. Figure 3B shows increased concentrations of the standard CFTR targeting drug Lumacaftor, increases the detectable cell surface levels of del 508CFTR as measured by relative light units (RLU). [00955] Assay Design: Pharmacochaperone Trafficking (EA-Membrane) method [00956] Cell handling and compound addition: PathHunter® cell lines were expanded from freezer stocks according to standard procedures. Cells were seeded in a total volume of 20 μL into white walled, 384-well microplates, and incubated at 37°C overnight prior to testing. 5 μL of 5X sample was added to cells and incubated at 37°C for 16 hours, followed by incubation at room temperature for 3 hours.
[00957] Signal Detection and Data Analysis: Assay signal was generated through a single addition of 30 μL of PathHunter® Flash Detection reagent cocktail, followed by a one-hour incubation at room temperature. Microplates were read following signal generation with a PerkinElmer Envision™ instrument for chemiluminescent signal detection. Compound activity was analyzed using CBIS data analysis suite (Chemlnnovation, CA).
[00958] The compound below was used as a DUB binding control.
. [
00959] Results: [00960] USP5-binding SURTAC compounds were incubated for 24 hours at 10 µM in the PathHunter® del508 CFTR-membrane trafficking assay. The membrane trafficking of del508CFTR is shown as the percentage detected compared to untreated cells. The CFTR ligand in the reported SURTACs is Ivacaftor. This compound is known to potentiate and destabilise the del508CFTR protein at the membrane. A ~40% decrease in protein at the membrane is seen upon treatment with this compound alone. The selected SURTAC compounds chimeric molecule 34, chimeric molecule 35, chimeric molecule 36, and chimeric molecule 38 rescue this defect in membrane trafficking and also significantly increase the amount of del508CFTR at the membrane over and above the level seen in untreated controls (Figure 4). [00961] Table 3 below shows a summary of Ivacftor-USP5-binding SURTACs, which show some efficacy in the PathHunter® del508 CFTR- membrane trafficking assay. [00962] Table 3: Ivacftor-USP5-binding SURTAC Efficacy
[00963] The key for Table 3 relative measurements is presented below:
[00964] The effects of these chimeric SURTAC molecules providing an increase in the amount of del508CFTR at the cell plasma membrane, are considered as SURTAC effects via the engagement of a USP5 DUB enzyme rescuing and stabilizing the mutant target CFTR protein in such a manner as to reverse the expected decrease in protein induced by Ivacaftor, and to increase the amount of del508CFTR at the cell membrane. [00965] Summary: The results presented here demonstrate the effectiveness of USP5- binding SURTAC molecules to rescue mutant CFTR proteins, wherein the rescued proteins show increased presence at the cell surface.
Example 67: SURTAC Functionality Increasing PARP1 in the Nucleus [00966] Objective: PARP1 inhibitors such as Olaparib bind to PARP1 on DNA and induce the accumulation of ‘trapped’ PARP-DNA complexes. This leads to an accumulation of potentially toxic DNA strand breaks. In some tumour cell types, a range of core tumour- driver mutations leave cells genetically susceptible to trapped PARP-DNA complexes. These tumours are unable to properly repair these trapped PARP-DNA complexes and the tumour cells are overwhelmed by DNA defects (i.e., single and double strand breaks) and die. The amount of trapped PARP-DNA complexes is linked to clinical efficacy of PARP inhibitor drugs. [00967] The objective of this study to determine the efficacy of USP5-binding SURTACs for increasing the quantity of PARP1 in the nucleus, and thereby increasing the quantity of trapped PARP-DNA complexes. The working hypothesis that SURTAC drugs comprising PARP target binders, for example but not limited to Olaparib, will increase the amount of PARP1 in the nuclei of cells by deubiquitinating PARP1 and thereby reducing its removal from the cell via proteolytic mechanisms, i.e., use of a USP5-binding SURTAC will increase the half-life of PARP1 molecules. An excess of trapped PARP1 on DNA will provide an increased cytotoxic effect. The USP5-binding SURTACs described herein would therefore be of clinical utility in treating cancer. This may be especially so wherein a USP5-binding SURTAC amplifies the effects of PARP1 inhibition in a setting where cells may usually be PARP inhibitor insensitive due to a lack of PARP enzyme in the tumour. SURTAC drugs based on PARP trapping agents such as Olaparib to do the following [00968] This example examines SURTAC drugs based on PARP trapping agents, such as Olaparib, to do the following: [00969] (1) Engage PARP1 in manner similar to Olaparib, i.e. both inhibit the catalytic activity and in doing so also act to increase the duration of PARP1 residency on DNA in a trapped complex of drug-PARP and DNA. [00970] (2) Increase the amount of PARP1 in the nuclei of cells by deubiquitinating PARP1 and reducing its removal via proteolytic mechanisms. [00971] (3) Continue to induce the deubiquitination of PARP whist it is trapped on DNA and hence reduce the resolution of these complexes by inhibiting ubiquitin dependent DNA repair processes. This will increase the number and longevity of poisoned PARP complexes, which are then converted to DNA damage such as DNA double strand breaks.
[00972] (4) Cause cells to grow more slowly or die more rapidly than Olaparib alone due to this excess DNA stress on the nucleus. [00973] The cell line chosen for the SURTAC assay is the osteosarcoma cell line U2OS. This cell line is not genetically sensitive to Olaparib, but will show the biomarker hallmarks of Olparib induced DNA damage. This insensitivity to a PARP1 inhibitor was deliberately chosen to show the mechanistic biomarker effects of compounds on PARP1 of Olaparib induced DNA damage with no interference from any induced cell death mechanisms. Also, any additional cytotoxic effects induced by on-target effects of SURTACs is more easily distinguished in a cell line insensitive to Olaparib. [00974] The data presented herein is based on the experimental results using seven (7) different USP5-binding SURTAC molecules comprising the clinically used PARP inhibitor Olaparib. The results show USP5-SURTACs positively affect the amount of target PARP1 protein and target protein activity in a cellular context. All compounds bind to and inhibit PARP1 analogous to Olaparib and a selection of which have been shown to positively affect the amount of target PARP1 protein in the nuclei. Any and all of these effects are attributed to a SURTAC effect. [00975] The results below also include a selection of assay data generated for structurally related compounds, which provides direct SAR information to support the observations with the active SURTAC molecules. The 7 SURTAC molecules are all based on the clinically used PARP inhibitor Olaparib. These compounds can theoretically engage and induce a SURTAC effect on any PARP enzyme, which is targeted by Olaparib, but based on existing literature this will principally be PARP1 or PARP2 (See, Figure 1 in Carney et al. Nat Commun 9, 176 (2018)). The principle of a therapeutic SURTAC activity may also be employed via any of the other clinically used or preclinical PARP inhibitors in development. [00976] Methods: [00977] PARP Assay Material and Methods: [00978] PARP1 Chemiluminescent Assay Kit (384-well) (Catalog # 80569) was purchased from BPS Bioscience (San Diego, CA, USA); Olaparib (CAS No # 763113-22- 0) was purchased from MedChemExpress (Monmouth Junction, NJ, USA); 10 × PBS (Catalog # 11666789001) was purchased from Roche (Basel, Switzerland); Tween-20 (Catalog # P1379) was purchased from Sigma (St. Louis, MO, USA). The reader was Envision 2105 from PerkinElmer (Waltham, MA, USA).
[00979] PARP1 inhibitor IC50 determination
[00980] The commercial kit from BPS (Catalog # 80569) was used for PARP1 biochemical assay, following the manufacturer’s instruction. Briefly, the assay was based on three steps, including coating, ribosylation reaction and detection. First, the assay plates were coated with 1 x histone at 4 °C overnight, followed by being washed three times with 100 μL of PBST buffer (1 x PBS containing 0.05 % Tween-20) and blocked using 100 μL of Blocking Buffer 3. Secondly, master reaction mixture was added to each well with compound dilutions in 9 doses at 3-fold dilutions. The reaction was initiated by adding 10 μL of diluted PARP1 enzyme to each well, or 10 μL of 1 x buffer for the blank control. The plates were incubated at room temperature for 1 hour and washed three times as described above. Thirdly, 1 x Streptavidin-HRP was added to each well and the plates were incubated at room temperature for 30 minutes. The plates were washed three times as described above before reading on Envision 2105 using ELISA ECL detection kit.
[00981] The formulae of data analysis are described as below: [00982] Percent inhibition = (AVG0% inhibition - Signal) / (AVG0% inhibition - AVG100% inhibition)
* 100%
[00983] ICso determination (IDBS, XLfit): Mode 205: fit = (A + ((B-A) / (1 + ((C/x)˄D)))) [00984] A: Bottom; B: Top; C: ICso; D: Hillslope [00985] Z-factor 1 - 3 * (SD0% inhibition + SD100% inhibition) / AVG0% inhibition - AVG100% inhibition)
[00986] Immunofluorescence staining and image analysis.
[00987] For nuclear PARPl quantification, U2OS cells were seeded into 96-well plates at 8000/well overnight. After 24 hours post compound treatment, cells were fixed with 4% Paraformaldehyde Fix Solution (Beyotime, P0099- 100ml) for 15 min at room temperature (RT), washed three times with DPBS and then permeabilized with 0.25% (v/v) Triton X-100
(T8787-50ML, Sigma) in DPBS for 15min. After three additional washes, cells were blocked with 3% (w/v) BSA (Beyotime, ST023-200g) in DPBS containing 0.5% Tween-20 (PI 379, Sigma) (blocking buffer) for 1 hour at RT. The cells were then incubated with primary antibodies against PARP (HP A045168-100UL, Sigma) in blocking buffer at 4°C overnight. The cells were then washed three times with DPBS for 3 min each, followed by incubation with Alexa Fluor 568-conjugated mouse (A21124, Thermo Fisher Scientific) or Alexa Fluor 488-conjugated rabbit secondary antibodies (A11008, Thermo Fisher Scientific) and 2.5
ug/ml DAPI (62248, Thermo Fisher Scientific) in blocking buffer for lh at RT. Cells were finally washed three times with DPBS, and 100 μl PBS were finally added to each well prior to imaging. Plates were imaged using a Confocal Quantitative Image Cytometer CQ1 (Yokogawa) and analyzed using the software provided by the manufacturer for nuclear signals.
[00988] This assay directly measures the amount of P ARP in the nuclei of cells [00989] Results'.
[00990] SURTAC compounds have been tested for their effects on PARPl enzyme activity and also for the amount of nuclear PARPl enzyme in a cellular setting in U20S cells. SURTAC molecules would be expected to interact with PARP 1 in a manner analogous to the parent ligand Olaparib. If a SURTAC effect is present, it would be expected to manifest as PARPl protein rescue as shown by an increase in the amounts of PARPl enzyme detected in the nuclei of treated cells due to a decrease the amount of PARP degraded due to ubiquitination. [00991] PARP in vitro enzyme inhibition assay:
[00992] All compounds were tested for potency in an in vitro assay for PARPl enzyme activity as per methods described above. Each SURTAC returned an in vitro enzyme IC50 value in the 1-10 nM range for PARPl, comparable to the values returned for Olaparib (2-4 nM), which was run as a standard in the assay alongside the SURTAC molecules. [00993] Figure 5 shows SURTAC effects of compounds 136-142 when tested at 3 μΜ in the PARP IF assay, as described above. To analyse the SURTAC effects, compound effects were always normalised and displayed as a ratio of the effects of Olaparib alone. Hence, Olaparib values are shown as a ‘1 fold’ response. Each compound was tested n=6 vs an Olaparib control n=12. Error bars are of 1 s.d., values above the error bars and p values of 1 tailed t-tests comparing the test sample set vs the appropriate plate Olparib control.
[00994] PARP Nuclear immunofluorescence (IF) assay:
[00995] This assay directly measures the amount of PARP in the nuclei of cells via Confocal Quantitative Image Cytometry, as described in the methods section. Measures of the amount of PARPl detected in the presence of Olaparib or SURTACs were taken after 24 hours incubation with U20S osteosarcoma cells in a 96-well plate format. For data analysis, six replicate wells per experiment were compared to 12 replicate- well controls containing identical concentrations of Olaparib. Significant increases in the amount of PARPl enzyme
in the nuclei pre- and post-treatment with SURTAC molecules indicates a SURTAC effect with these compounds.
[00996] Table 4 summarises the data obtained in these assays at 3 μΜ across a range of 7 SURTACs. Cut off values for activity, where possible, were based on the standard deviation of the Olaparib controls, and indicate values that would lie outside the expected control values to at least 95% probability
[00998] Summary. USP5-binding SURTAC chimeric molecules show SURTAC activity, inducing a significant increase in PARP1 protein in the nucleus of the U20S cells.
[00999] While certain features of the USP5 binding chimeric molecules have been illustrated and described herein, many modifications, substitutions, changes, and equivalents will now occur to those of ordinary skill in the art. It is, therefore, to be understood that the appended claims are intended to cover all such modifications and changes as fall within the true spirit of the USP5 binding chimeric molecules and uses thereof disclosed herein.
Claims
CLAIMS What is claimed is: 1. A chimeric molecule comprising a first binding domain, wherein said first binding domain comprises a ubiquitin-specific-processing protease 5 (USP5) binder that binds a ubiquitin carbonyl-terminal protease 5 enzyme, wherein said first binding domain comprising the USP5 binder is represented by the structure of Formula (1), or a pharmaceutically acceptable salt thereof W14 W13 W W 7 W6 8 W2 W1 O W R1
Wherein: W1-W16 are each independently a hydrogen, halide, alkyl, cycloalkyl, heterocycloalkyl, aryl, amine, CN, -NHCOR3, NH-alkyl, NH-aryl, NH-cycloalkyl, NH-heterocycloalkyl, NH-alkyl-COOH, NH-CH2-COOH, NO2, alkoxy, COOH, OH or SH; X1-X4, and X6-X9 are each independently C or N; X5 is CH or N R1 is alkyl, aryl, cycloalkyl, heterocycloalkyl, amine, -NHCH2COOH, -O-alkyl, - NH-alkyl, or -CH2-aryl; or W3 and R1 form together a substituted or unsubstituted 5-6 membered heterocyclic ring, R3 is alkyl, aryl, cycloalkyl or heterocycloalkyl, wherein each of said alkyl, aryl, cycloalkyl or heterocycloalkyl is optionally substituted; and wherein if X1, X2, X3, X4, X6, X7, X8, X9 is each independently N, then the corresponding substituent W1, W2, W4, W3, W13, W14, W16, or W15 is null. 2. The chimeric molecule of claim 1, wherein said first binding domain comprising said
USP5 binder is represented by the structure of Formula (2):
wherein R1 is alkyl, aryl, cycloalkyl, heterocycloalkyl, amine, -NHCH2COOH, -O-alkyl, -NH-alkyl, or -CH2-aryl; and wherein each of said alkyl, aryl, cycloalkyl or heterocycloalkyl is optionally substituted.
3. The chimeric molecule of claims 1 or 2, wherein said first binding domain comprising said USP5 binder is represented by the structure of Formula (7):
(7).
4. The chimeric molecule of claim 1, wherein said first binding domain comprising said USP5 binder is represented by the structure of Formula (5):
wherein
W1-W2 and W4-W16 are each independently a hydrogen, halide, alkyl, cycloalkyl, heterocycloalkyl, aryl, amine, CN, -NHCOR3, NH-alkyl, NH-aryl, NH-cycloalkyl, NH-heterocycloalkyl, NH-alkyl-COOH, NH-CH2-COOH, NO2, alkoxy, COOH,
OH or SH; X1-X3 and X6-X9 are each independently C or N; X5 is CH or N R3 is alkyl, aryl, cycloalkyl or heterocycloalkyl; W19 is hydrogen, halide, alkyl, cycloalkyl, heterocycloalkyl or aryl; W17 and W18 are each independently selected from hydrogen halide, alkyl, cycloalkyl, heterocycloalkyl, aryl, CN, -NHCOR3, NH-alkyl, NH-aryl, NH- cycloalkyl, NH-heterocycloalkyl, NH-alkyl-COOH, NH-CH2-COOH, NO2, alkoxy, COOH, OH and SH; or W19 and W17 form together a double bond; wherein if X1, X2, X3, X6, X7, X8, X9 is each independently N, then the corresponding substituent W1, W2, W4, W13, W14, W16, or W15 is null; and wherein each of said alkyl, aryl, cycloalkyl or heterocycloalkyl is optionally substituted. 5. The chimeric molecule of any of claims 1 or 4, wherein said first binding domain comprising said USP5 binder is represented by the structure of Formula (8):
6. The chimeric molecule of any of claims 1-5, further comprising a second binding domain, wherein said second binding domain comprises a target binder configured to bind to a ubiquitinylated protein. 7. The chimeric molecule of claim 6, wherein the target binder comprises (a) an antibody or an antigen-binding fragment thereof that binds to the
ubiquitinylated protein; or (b) a ligand that binds to the ubiquitinylated protein. 8. The chimeric molecule of any of claims 6 or 7, wherein the target binder directly binds to the ubiquitinylated protein. 9. The chimeric molecule of any of claims 6 or 7, wherein the target binder binds an intermediate molecule that binds to the ubiquitinylated protein. 10. The chimeric molecule of any of claims 6-9, wherein the ubiquitinylated protein comprises a CFTR (cystic fibrosis transmembrane conductance regulator) protein, or a PARP (Poly(ADP-ribose) polymerase) protein. 11. The chimeric molecule of any of claims 6-10, wherein said second binding domain comprising said target binder comprises a structure represented by any of Formula A-N: ,
12. The chimeric molecule of any of claims 1-11, further comprising a linker domain linked to said first binding domain, and configured to link the first binding domain to the second binding domain.
13. The chimeric molecule of claim 12, wherein the linker domain covalently links the first binding domain to the second binding domain.
14. The chimeric molecule of claim 12, wherein the linker domain non-covalently links the first binding domain to the second binding domain.
15. The chimeric molecule of any of claims 12-14, wherein the linker domain comprises
(a) a structure selected from the group comprises of polyethylene glycol, an aromatic group, an alkyl, an alkenyl, an alkyl phosphate, an alkyl siloxane, an epoxy, an acyl halide, a glycidyl, a carboxylate, alkyl amine, alkyl amide, an anhydride, or any combination thereof; or
(b) a polypeptide of natural or synthetic source having a chain length of between 2 to 18 carbon atoms.
16. The chimeric molecule of any of claims 12-15, wherein said linker is represented by any of the structures of Formula (i)-(xxiii):
17. The chimeric molecule of any of claims 1-16, represented by the structure of any one of Chimeric Molecule I:
18. The chimeric molecule of any of claims 1-17, represented by the structure of any one of chimeric molecules 1-210 of Table 2.
19. A pharmaceutical composition comprising a chimeric molecule according to any of claims 1-18, and a pharmaceutically acceptable carrier.
20. A method for preventing or reducing the degradation of a ubiquitinylated protein, the method comprising contacting the ubiquitinylated protein with a chimeric molecule according to any of claims 1-18, thereby preventing or reducing the degradation of said ubiquitinylated protein.
21. A method for removing at least one ubiquitin molecule from a ubiquitinylated protein, the method comprising contacting the ubiquitinylated protein with a chimeric molecule according to any of claims 1-18 thereby removing at least on ubiquitin
molecule from said ubiquitinylated protein.
22. The method of claim 20 or claim 21, wherein the ubiquitinylated protein comprises a non-natural target of the ubiquitin protease.
23. A pharmaceutical composition comprising at least one chimeric molecule according to any of claims 1-18 for use in treating a disease.
24. The pharmaceutical composition for use of claim 23, wherein said disease comprises a cancer, a neurodegenerative disease or disorder, anemia, a metabolic syndrome, autoimmunity, an inflammatory disease or disorder, infection, cystic fibrosis, osteogenesis imperfecta, or a muscle dystrophy.
25. The pharmaceutical composition for use of claim 24, wherein said disease comprises cystic fibrosis or cancer.
26. The pharmaceutical composition for use of any of claims 23-25, wherein said use is in combination with at least one additional cystic fibrosis therapeutic compound or treatment.
27. The pharmaceutical composition for use of claim 26, wherein said at least one additional cystic fibrosis therapeutic compound is selected from Ivacaftor, Lumacaftor, Tezacaftor, Elexacaftor, ABBV-2222, Posenacaftor, or Nesolicaftor, or any combination thereof.
28. The pharmaceutical composition for use of any of claims 23-25, wherein said cancer comprises a PARP1 inhibitor resistant cancer.
29. The pharmaceutical composition for use of any of claims 23-25 or 28, wherein said use is in combination with at least one additional cancer therapeutic compound or treatment.
Applications Claiming Priority (2)
| Application Number | Priority Date | Filing Date | Title |
|---|---|---|---|
| US202163134596P | 2021-01-07 | 2021-01-07 | |
| US63/134,596 | 2021-01-07 |
Publications (1)
| Publication Number | Publication Date |
|---|---|
| WO2022148822A1 true WO2022148822A1 (en) | 2022-07-14 |
Family
ID=80001348
Family Applications (1)
| Application Number | Title | Priority Date | Filing Date |
|---|---|---|---|
| PCT/EP2022/050219 Ceased WO2022148822A1 (en) | 2021-01-07 | 2022-01-06 | Usp5 binding survival-targeting chimeric (surtac) molecules & uses thereof |
Country Status (3)
| Country | Link |
|---|---|
| AR (1) | AR124585A1 (en) |
| TW (1) | TW202241517A (en) |
| WO (1) | WO2022148822A1 (en) |
Cited By (1)
| Publication number | Priority date | Publication date | Assignee | Title |
|---|---|---|---|---|
| WO2024264072A3 (en) * | 2023-06-23 | 2025-04-24 | Stablix, Inc. | Parp inhibitors |
Citations (4)
| Publication number | Priority date | Publication date | Assignee | Title |
|---|---|---|---|---|
| WO2016197114A1 (en) | 2015-06-05 | 2016-12-08 | Arvinas, Inc. | Tank-binding kinase-1 protacs and associated methods of use |
| US9632089B2 (en) | 2010-12-07 | 2017-04-25 | Yale University | Small-molecule hydrophobic tagging of fusion proteins and induced degradation of same |
| US9938264B2 (en) | 2015-11-02 | 2018-04-10 | Yale University | Proteolysis targeting chimera compounds and methods of preparing and using same |
| WO2020169650A1 (en) * | 2019-02-21 | 2020-08-27 | Locki Therapeutics Limited | Survival-targeting chimeric (surtac) molecules |
-
2022
- 2022-01-06 WO PCT/EP2022/050219 patent/WO2022148822A1/en not_active Ceased
- 2022-01-07 TW TW111100818A patent/TW202241517A/en unknown
- 2022-01-07 AR ARP220100027A patent/AR124585A1/en unknown
Patent Citations (4)
| Publication number | Priority date | Publication date | Assignee | Title |
|---|---|---|---|---|
| US9632089B2 (en) | 2010-12-07 | 2017-04-25 | Yale University | Small-molecule hydrophobic tagging of fusion proteins and induced degradation of same |
| WO2016197114A1 (en) | 2015-06-05 | 2016-12-08 | Arvinas, Inc. | Tank-binding kinase-1 protacs and associated methods of use |
| US9938264B2 (en) | 2015-11-02 | 2018-04-10 | Yale University | Proteolysis targeting chimera compounds and methods of preparing and using same |
| WO2020169650A1 (en) * | 2019-02-21 | 2020-08-27 | Locki Therapeutics Limited | Survival-targeting chimeric (surtac) molecules |
Non-Patent Citations (19)
| Title |
|---|
| "Remington's Pharmaceutical Sciences", 1985, MACK PUBLISHING COMPANY |
| A.R. GENNARO: "Remington: The Science and Practice of Pharmacy", 2000, LIPPINCOTT, WILLIAMS, & WILKINS FORMULATIONS |
| BOBADILLA ET AL., HUM MUTAT, vol. 19, 2002, pages 575 - 606 |
| CUTTING, G. R. ET AL., NATURE, vol. 346, 1990, pages 366 - 369 |
| INBAR ET AL., PROC. NAT'L ACAD. SCI. USA, vol. 69, 1972, pages 2659 - 62 |
| JIANG JIE ET AL: "A 2B Adenosine Receptor Antagonists with Picomolar Potency", JOURNAL OF MEDICINAL CHEMISTRY, vol. 62, no. 8, 25 April 2019 (2019-04-25), US, pages 4032 - 4055, XP055910339, ISSN: 0022-2623, DOI: 10.1021/acs.jmedchem.9b00071 * |
| KEREM, B-S. ET AL., PROC. NATL. ACAD. SCI. USA, vol. 87, 1990, pages 8447 - 8451 |
| KEREM, B-S. ET AL., SCIENCE, vol. 245, 1989, pages 1073 - 1080 |
| LOPES-PACHECO MIQUÉIAS: "CFTR Modulators: The Changing Face of Cystic Fibrosis in the Era of Precision Medicine", FRONTIERS IN PHARMACOLOGY, vol. 10, 21 February 2020 (2020-02-21), CH, XP055910442, ISSN: 1663-9812, DOI: 10.3389/fphar.2019.01662 * |
| LUIGI MAIURI ET AL: "Strategies for the etiological therapy of cystic fibrosis", CELL DEATH & DIFFERENTIATION, vol. 24, no. 11, 22 September 2017 (2017-09-22), GB, pages 1825 - 1844, XP055513093, ISSN: 1350-9047, DOI: 10.1038/cdd.2017.126 * |
| LUKACSVERKMAN, TRENDS MOL MED, vol. 18, 2012, pages 81 - 91 |
| MALLHARTL, EUR RESPIR J, vol. 44, 2014, pages 1042 - 1054 |
| MANN MANDEEP K. ET AL: "Discovery of Small Molecule Antagonists of the USP5 Zinc Finger Ubiquitin-Binding Domain", JOURNAL OF MEDICINAL CHEMISTRY, vol. 62, no. 22, 30 October 2019 (2019-10-30), US, pages 10144 - 10155, XP055910114, ISSN: 0022-2623, DOI: 10.1021/acs.jmedchem.9b00988 * |
| MANN MANDEEP K. ET AL: "Structure-Activity Relationship of USP5 Inhibitors", JOURNAL OF MEDICINAL CHEMISTRY, vol. 64, no. 20, 14 October 2021 (2021-10-14), US, pages 15017 - 15036, XP055910112, ISSN: 0022-2623, DOI: 10.1021/acs.jmedchem.1c00889 * |
| OKIYONEDA ET AL., NAT CHEM BIOL, vol. 9, 2013, pages 444 - 454 |
| RIORDAN, ANNU REV BIOCHEM, vol. 77, 2008, pages 701 - 726 |
| TURNBULL EMMA L ET AL: "The role of the UPS in cystic fibrosis", BMC BIOCHEMISTRY, BIOMED CENTRAL, LONDON, GB, vol. 8, no. Suppl 1, 22 November 2007 (2007-11-22), pages S11, XP021031441, ISSN: 1471-2091 * |
| VAN GOOR ET AL., J CYST FIBROS, vol. 13, 2014, pages 29 - 36 |
| YU ET AL., J CYST FIBROS, vol. 11, 2012, pages 237 - 245 |
Cited By (1)
| Publication number | Priority date | Publication date | Assignee | Title |
|---|---|---|---|---|
| WO2024264072A3 (en) * | 2023-06-23 | 2025-04-24 | Stablix, Inc. | Parp inhibitors |
Also Published As
| Publication number | Publication date |
|---|---|
| AR124585A1 (en) | 2023-04-12 |
| TW202241517A (en) | 2022-11-01 |
Similar Documents
| Publication | Publication Date | Title |
|---|---|---|
| KR102275338B1 (en) | N-[4-fluoro-5-[[(2S,4S)-2-methyl-4-[(5-methyl-1,2,4-oxadiazol-3-yl)methoxy] as OGA inhibitor -1-piperidyl]methyl]thiazol-2-yl]acetamide | |
| JP6059228B2 (en) | Selective and reversible inhibitor of ubiquitin specific protease 7 | |
| EP3630755B1 (en) | 5-methyl-1,3,4-oxadiazol-2-yl compounds | |
| KR101896599B1 (en) | Tetrahydroquinoline derivatives useful as bromodomain inhibitors | |
| JP6005524B2 (en) | Amidoacridine derivatives useful as selective inhibitors of ubiquitin-specific protease 7 | |
| CN108727363B (en) | Novel cyclin dependent kinase CDK9 inhibitor | |
| CN114716436A (en) | KRAS G12C mutation inhibitor and application thereof | |
| KR20210002126A (en) | Bcl-2bcl-xl inhibitors and therapeutic methods using the same | |
| TW201625620A (en) | Heterocyclic hydroxamic acids as protein deacetylase inhibitors and dual protein deacetylase-protein kinase inhibitors and methods of use thereof | |
| AU2020234859A1 (en) | Fused piperidinyl bicyclic and related compounds as modulators of C5a receptor | |
| AU2020255702B2 (en) | Quinolyl-containing compound and pharmaceutical composition, and use thereof | |
| JP2021526156A (en) | Dimethylphosphine oxide compound | |
| CN117580831A (en) | GRK2 inhibitors and uses thereof | |
| WO2022148822A1 (en) | Usp5 binding survival-targeting chimeric (surtac) molecules & uses thereof | |
| WO2022148821A1 (en) | Usp7 binding survival-targeting chimeric (surtac) molecules & uses thereof | |
| EP4522158A2 (en) | Pak1 degraders and methods of use thereof | |
| CN117384124A (en) | HDAC inhibitors, compositions and uses thereof | |
| CN114805375B (en) | A kind of N-phenylalkoxydibenzazepine compound, its preparation method and medical application | |
| WO2025042769A1 (en) | Compounds and methods for inhibiting poly(adp-ribose) polymerases | |
| WO2025240834A1 (en) | Nsd2-targeted chemical degraders and compositions and methods of use thereof | |
| NZ621827B2 (en) | Selective and reversible inhibitors of ubiquitin specific protease 7 |
Legal Events
| Date | Code | Title | Description |
|---|---|---|---|
| 121 | Ep: the epo has been informed by wipo that ep was designated in this application |
Ref document number: 22700583 Country of ref document: EP Kind code of ref document: A1 |
|
| NENP | Non-entry into the national phase |
Ref country code: DE |
|
| 122 | Ep: pct application non-entry in european phase |
Ref document number: 22700583 Country of ref document: EP Kind code of ref document: A1 |
























































































































































































































































































































