WO2022101265A1 - Pesticidally active fused bicyclic heteroaromatic compounds - Google Patents
Pesticidally active fused bicyclic heteroaromatic compounds Download PDFInfo
- Publication number
- WO2022101265A1 WO2022101265A1 PCT/EP2021/081238 EP2021081238W WO2022101265A1 WO 2022101265 A1 WO2022101265 A1 WO 2022101265A1 EP 2021081238 W EP2021081238 W EP 2021081238W WO 2022101265 A1 WO2022101265 A1 WO 2022101265A1
- Authority
- WO
- WIPO (PCT)
- Prior art keywords
- alkyl
- spp
- methyl
- ethyl
- trifluoromethyl
- Prior art date
- Legal status (The legal status is an assumption and is not a legal conclusion. Google has not performed a legal analysis and makes no representation as to the accuracy of the status listed.)
- Ceased
Links
Classifications
-
- C—CHEMISTRY; METALLURGY
- C07—ORGANIC CHEMISTRY
- C07D—HETEROCYCLIC COMPOUNDS
- C07D413/00—Heterocyclic compounds containing two or more hetero rings, at least one ring having nitrogen and oxygen atoms as the only ring hetero atoms
- C07D413/14—Heterocyclic compounds containing two or more hetero rings, at least one ring having nitrogen and oxygen atoms as the only ring hetero atoms containing three or more hetero rings
-
- A—HUMAN NECESSITIES
- A01—AGRICULTURE; FORESTRY; ANIMAL HUSBANDRY; HUNTING; TRAPPING; FISHING
- A01N—PRESERVATION OF BODIES OF HUMANS OR ANIMALS OR PLANTS OR PARTS THEREOF; BIOCIDES, e.g. AS DISINFECTANTS, AS PESTICIDES OR AS HERBICIDES; PEST REPELLANTS OR ATTRACTANTS; PLANT GROWTH REGULATORS
- A01N43/00—Biocides, pest repellants or attractants, or plant growth regulators containing heterocyclic compounds
- A01N43/72—Biocides, pest repellants or attractants, or plant growth regulators containing heterocyclic compounds having rings with nitrogen atoms and oxygen or sulfur atoms as ring hetero atoms
- A01N43/74—Biocides, pest repellants or attractants, or plant growth regulators containing heterocyclic compounds having rings with nitrogen atoms and oxygen or sulfur atoms as ring hetero atoms five-membered rings with one nitrogen atom and either one oxygen atom or one sulfur atom in positions 1,3
- A01N43/76—1,3-Oxazoles; Hydrogenated 1,3-oxazoles
-
- A—HUMAN NECESSITIES
- A01—AGRICULTURE; FORESTRY; ANIMAL HUSBANDRY; HUNTING; TRAPPING; FISHING
- A01P—BIOCIDAL, PEST REPELLANT, PEST ATTRACTANT OR PLANT GROWTH REGULATORY ACTIVITY OF CHEMICAL COMPOUNDS OR PREPARATIONS
- A01P7/00—Arthropodicides
-
- A—HUMAN NECESSITIES
- A61—MEDICAL OR VETERINARY SCIENCE; HYGIENE
- A61P—SPECIFIC THERAPEUTIC ACTIVITY OF CHEMICAL COMPOUNDS OR MEDICINAL PREPARATIONS
- A61P33/00—Antiparasitic agents
Definitions
- the present invention relates to pesticidally active, in particular insecticidally active bicyclic compounds, to processes for their preparation, to compositions comprising those compounds, and to their use for controlling animal pests, including arthropods and in particular insects or representatives of the order Acarina.
- WO2017192385 describes certain heteroaryl-1,2,4-triazole and heteroaryl-tetrazole compounds for use for controlling ectoparasites in animals (such as a mammal and a non-mammal animal).
- WO 2020212235 describes certain heteroaryl-substituted aminoalkyl triazole compounds as pesticides, for use in the control of animal pests.
- WO 2020070049, WO 2020201079, WO 2020201398 and WO 2021037614 describe certain heteroaryl-substituted amide pyrazine compounds. There have now been found further novel pesticidally active compounds.
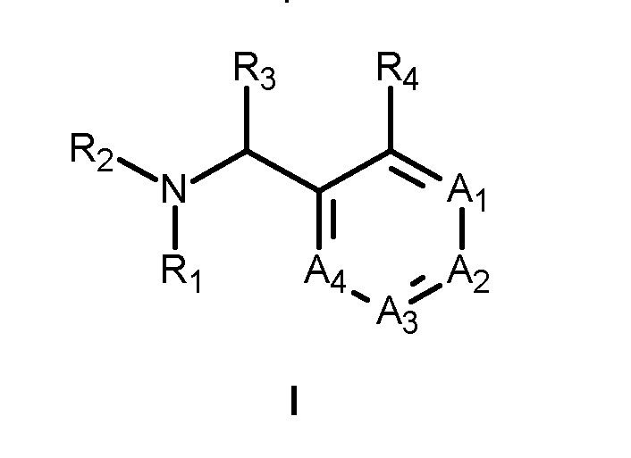
- the present invention accordingly relates, in a first aspect, to a compound of the formula I wherein A 1 , A 2 , A 3 and A 4 are independently CR 5 or N, provided not more than three of A 1 , A 2 , A 3 and A 4 are N;
- R 1 is hydrogen, C 1 -C 6 alkyl, C 1 -C 6 cyanoalkyl, aminocarbonylC 1 -C 6 alkyl, hydroxycarbonylC 1 -C 6 alkyl, C 1 - C 6 nitroalkyl, trimethylsilaneC 1 -C 6 alkyl, C 1 - C 3 alkoxy-C 1 -C 6 alkyl, C 1 –C 6 haloalkyl, C 2 -C 6 alkenyl, C 2 - C 6 haloalkenyl, C 2 -C 6 alkynyl, C 2 -C 6 haloalkynyl, C 3 -C 4 cycloalkylC 1 - C
- X is selected from the group consisting of hydrogen, halogen, hydroxy, -CN, -COOH, -CONH 2 , -NO 2 , -NH 2 , and in each case optionally substituted C 1 -C 6 alkyl, C 3 -C 6 cycloalkyl, C 3 -C 4 cycloalkyl-C 1 -C 2 alkyl, C 1 -C 4 alkoxy, C 3 -C 6 cyloalkoxy, C 1 -C 3 alkylthio, C 1 -C 3 alkylsulfinyl, C 1 -C 3 alkylsulfonyl, C 3 - C 6 cycloalkylthio, phenylsulfanyl, phenylsulfinyl, phenylsulfony
- R’ 4a , R’ 4b , and R’ 4c are selected from hydrogen, halogen, CN, C 1 -C 3 alkyl, C 1 -C 3 haloalkyl, C 3 -C 4 cycloalkyl, C 1 -C 3 alkoxy, and C 1 - C 3 haloalkoxy;
- R 5 is hydrogen, halogen, CN, C 1 -C 3 alkyl, C 1 -C 3 haloalkyl, C 3 -C 4 cycloalkyl, C 1 -C 3 alkoxy, C 1 - C 3 haloalkoxy, C 1 -C 3 alkoxycarbonyl, or di(C 1 -C 3 alkoxy)methane; or an agrochemically acceptable salt, stereoisomer, enantiomer, tautomer and N-oxide of the compound of formula I.
- formula I is represented by the formula I-1 wherein: R 1 is hydrogen, C 1 -C 6 alkyl, C 1 -C 6 cyanoalkyl, aminocarbonylC 1 -C 6 alkyl, hydroxycarbonylC 1 -C 6 alkyl, C 1 - C 6 nitroalkyl, trimethylsilaneC 1 -C 6 alkyl, C 1 -C 3 alkoxy-C 1 -C 6 alkyl, C 1 –C 6 haloalkyl, C 2 -C 6 alkenyl, C 2 - C 6 haloalkenyl, C 2 -C 6 alkynyl, C 2 -C 6 haloalkynyl, C 3 -C 4 cycloalkylC 1 -C 2 alkyl-, C 3 -C 4 cycloalkylC 1 -C 2 alkyl- wherein the C 3 -C 4 cycloalkyl group is substituted with 1 or 2 hal
- R’ 4a , R’ 4b , and R’4c independently of each other and independently of Y1 to Y4, are selected from hydrogen, halogen, CN, C 1 -C 3 alkyl, C 1 -C 3 haloalkyl, C 3 -C 4 cycloalkyl, C 1 -C 3 alkoxy, and C 1 - C 3 haloalkoxy;
- R 5a and R 5b are, independently of each other, selected from hydrogen, halogen, CN, C 1 -C 3 alkyl, C 1 - C 3 haloalkyl, C 3 -C 4 cycloalkyl, C 1 -C 3 alkoxy, and C 1 -C 3 haloalkoxy; or an agrochemically acceptable salt, stereoisomer, enantiomer, tautomer and N-oxide of the compound of formula I-1.
- Compounds of formula I which have at least one basic centre can form, for example, acid addition salts, for example with strong inorganic acids such as mineral acids, for example perchloric acid, sulfuric acid, nitric acid, nitrous acid, a phosphorus acid or a hydrohalic acid, with strong organic carboxylic acids, such as C 1 -C 4 alkanecarboxylic acids which are unsubstituted or substituted, for example by halogen, for example acetic acid, such as saturated or unsaturated dicarboxylic acids, for example oxalic acid, malonic acid, succinic acid, maleic acid, fumaric acid or phthalic acid, such as hydroxycarboxylic acids, for example ascorbic acid, lactic acid, malic acid, tartaric acid or citric acid, or such as benzoic acid, or with organic sulfonic acids, such as C 1 -C 4 alkane- or arylsulfonic acids which are unsubstituted or substituted
- Compounds of formula I which have at least one acidic group can form, for example, salts with bases, for example mineral salts such as alkali metal or alkaline earth metal salts, for example sodium, potassium or magnesium salts, or salts with ammonia or an organic amine, such as morpholine, piperidine, pyrrolidine, a mono-, di- or tri-lower-alkylamine, for example ethyl-, diethyl-, triethyl- or dimethylpropylamine, or a mono-, di- or trihydroxy-lower-alkylamine, for example mono-, di- or triethanolamine.
- bases for example mineral salts such as alkali metal or alkaline earth metal salts, for example sodium, potassium or magnesium salts
- salts with ammonia or an organic amine such as morpholine, piperidine, pyrrolidine, a mono-, di- or tri-lower-alkylamine, for example ethyl-, diethy
- the compounds of formula I according to the invention are in free form, in oxidized form as a N-oxide or in salt form, e.g. an agronomically usable salt form.
- N-oxides are oxidized forms of tertiary amines or oxidized forms of nitrogen containing heteroaromatic compounds. They are described for instance in the book “Heterocyclic N-oxides” by A. Albini and S. Pietra, CRC Press, Boca Raton 1991.
- the compounds of formula I according to the invention also include hydrates which may be formed during the salt formation.
- C 1 -C n alkyl refers to a saturated straight-chain or branched hydrocarbon radical attached via any of the carbon atoms having 1 to n carbon atoms, for example, any one of the radicals methyl, ethyl, n-propyl, 1-methylbutyl, 2-methylbutyl, 3-methylbutyl, 2, 2- dimethylpropyl, 1-ethylpropyl, n-hexyl, n-pentyl, 1,1-dimethylpropyl, 1,2-dimethylpropyl, 1- methylpentyl, 2-methylpentyl, 3-methylpentyl, 4-methylpentyl, 1,1-dimethylbutyl, 1,2-dimethylbutyl, 1,3- dimethylbutyl, 2,2-dimethylbutyl, 2,3-dimethylbutyl, 3,3-dimethylbutyl, 1-ethylbutyl, 2-ethylbutyl, 1,1,2-
- C 1 -C n haloalkyl refers to a straight-chain or branched saturated alkyl radical attached via any of the carbon atoms having 1 to n carbon atoms (as mentioned above), where some or all of the hydrogen atoms in these radicals may be replaced by fluorine, chlorine, bromine and/or iodine, i.e., for example, any one of chloromethyl, dichloromethyl, trichloromethyl, fluoromethyl, difluoromethyl, trifluoromethyl, chlorofluoromethyl, dichlorofluoromethyl, chlorodifluoromethyl, 2- fluoroethyl, 2-chloroethyl, 2-bromoethyl, 2-iodoethyl, 2,2-difluoroethyl, 2,2,2-trifluoroethyl, 2-chloro-2- fluoroethyl, 2-chloro-2,2-difluoroeth
- C 1 -C 2 fluoroalkyl would refer to a C 1 -C 2 alkyl radical which carries 1, 2, 3, 4, or 5 fluorine atoms, for example, any one of difluoromethyl, trifluoromethyl, 1-fluoroethyl, 2-fluoroethyl, 2,2- difluoroethyl, 2,2,2-trifluoroethyl, 1,1,2,2-tetrafluoroethyl or pentafluoroethyl.
- C 1 -C n alkoxy refers to a straight-chain or branched saturated alkyl radical having 1 to n carbon atoms (as mentioned above) which is attached via an oxygen atom, i.e., for example, any one of the radicals methoxy, ethoxy, n-propoxy, 1-methylethoxy, n-butoxy, 1- methylpropoxy, 2-methylpropoxy or 1,1-dimethylethoxy.
- haloC 1 -C n alkoxy refers to a C 1 -C n alkoxy radical where one or more hydrogen atoms on the alkyl radical is replaced by the same or different halo atom(s) - examples include trifluoromethoxy, 2-fiuoroethoxy, 3- fluoropropoxy, 3,3,3-trifluoropropoxy, 4-chlorobutoxy.
- C 1 -C n cyanoalkyl refers to a straight chain or branched saturated C 1 - C n alkyl radical having 1 to n carbon atoms (as mentioned above), where one of the hydrogen atoms in these radicals is be replaced by a cyano group: for example, cyanomethyl, 2-cyanoethyl, 2- cyanopropyl, 3-cyanopropyl, 1-(cyanomethyl)-2-ethyl, 1-(methyl)-2-cyanoethyl, 4-cyanobutyl, and the like.
- C 3 -C n cycloalkyl refers to 3-n membered cycloalkyl groups such as cyclopropane, cyclobutane, cyclopentane and cyclohexane.
- C 3 -C 4 cycloalkyl-C 1 -C 2 alkyl“ as used herein refers to 3 or 4 membered cycloalkyl group with either a methylene or ethylene group, which methylene or ethylene group is connected to the rest of the molecule.
- the substituent(s) can be on the cycloalkyl group and/or on the alkyl group.
- aminocarbonylC 1 -C n alkyl“ as used herein refers to an alkyl radical where one of the hydrogen atoms in the radical is replaced by CONH 2 group.
- hydroxycarbonylC 1 -C n alkyl“ as used herein refers to an alkyl radical where one of the hydrogen atoms in the radical is replaced by COOH group.
- C 1 -C n alkylsulfanyl“ as used herein refers to a C 1 -C n alkyl moiety linked through a sulfur atom.
- C 1 -C n haloalkylthio or “C 1 -C n haloalkylsulfanyl” as used herein refers to a C 1 -C n haloalkyl moiety linked through a sulfur atom.
- C 3 -C n cycloalkylsulfanyl refers to 3-n membered cycloalkyl moiety linked through a sulfur atom.
- trimethylsilaneC 1 -C n alkyl“ as used herein refers to an alkyl radical where one of the hydrogen atoms in the radical is replaced by a -Si(CH 3 ) 3 group.
- C 2 -C n alkenyl refers to a straight or branched alkenyl chain having from two to n carbon atoms and one or two double bonds, for example, ethenyl, prop-1-enyl, but-2- enyl.
- C 2 -C n haloalkenyl refers to a C 2 -C n alkenyl moiety substituted with one or more halo atoms which may be the same or different.
- C 2 -C n alkynyl refers to a straight or branched alkynyl chain having from two to n carbon atoms and one triple bond, for example, ethynyl, prop-2-ynyl, but-3-ynyl.
- C 2 -C n haloalkynyl refers to a C 2 -C n alkynyl moiety substituted with one or more halo atoms which may be the same or different.
- Halogen or “halo” is generally fluorine, chlorine, bromine or iodine. This also applies, correspondingly, to halogen in combination with other meanings, such as haloalkyl
- heteroaryl refers to a 5- or 6-membered aromatic monocyclic ring having 1 to 3 heteroatoms independently selected from N, O and S. Examples are heteroaryls J-1 to J- 35 shown in Scheme A below.
- Preferred heteroaryl preferred is pyridyl, pyrimidyl, and pyrazolyl.
- the term “in each case optionally substituted” means that a group/substituent, such as an alkyl, alkenyl, alkynyl, alkoxy, alkylthio, alkylsulfinyl, alkylsulfonyl, cycloalkyl, cycloalkyl-alkyl, aryl, phenyl, benzyl, heterocyclyl and heteroaryl radical, is unsubstituted, and can also be substituted, meaning, for example, a substituted radical derived from the unsubstituted base structure, where the substituents, for example, one (1) substituent or a plurality of substituents depending on the group/substituent, preferably 1, 2, 3, 4, 5, 6 or 7, are selected from a group consisting of amino, hydroxyl, halogen, nitro, cyano, isocyano
- the pyridine, pyrimidine, pyrazine and pyridazine groups (unsubstituted or substituted) for R 4 are each connected via a carbon atom on the respective ring to the rest of the compound.
- the term “controlling” refers to reducing the number of pests, eliminating pests and/or preventing further pest damage such that damage to a plant or to a plant derived product is reduced.
- the staggered line as used herein, for example, in Q-1, represent the point of connection/ attachment to the rest of the compound.
- pest refers to insects, and molluscs that are found in agriculture, horticulture, forestry, the storage of products of vegetable origin (such as fruit, grain and timber); and those pests associated with the damage of man-made structures.
- the term pest encompasses all stages in the life cycle of the pest.
- effective amount refers to the amount of the compound, or a salt thereof, which, upon single or multiple applications provides the desired effect. An effective amount is readily determined by the skilled person in the art, by the use of known techniques and by observing results obtained under analogous circumstances.
- a number of factors are considered including, but not limited to: the type of plant or derived product to be applied; the pest to be controlled & its lifecycle; the particular compound applied; the type of application; and other relevant circumstances.
- compounds of formula I contain a stereogenic centre which is indicated with an asterisk in the structure below: where R 1 , R 2 , R 3 , R 4 , A 1 , A 2 , A 3 , and A 4 are as defined in the first aspect.
- the present invention contemplates both racemates and individual enantiomers. Compounds having preferred stereochemistry are set out below.
- Particularly preferred compounds of the present invention are compounds of formula I’a: where R 1 , R 2 , R 3 , R 4 , A 1 , A 2 , A 3 , and A 4 are as defined in the first aspect, and stereoisomers, enantiomers, tautomers and N-oxides of the compounds of formula (I’a), and agrochemically acceptable salts thereof.
- C 3 -C 4 cycloalkyl is optionally substituted with 1 or 2 halo atoms means C 3 -C 4 cycloalkyl, C 3 -C 4 cycloalkyl substituted with 1 halo atom and C 3 -C 4 cycloalkyl substituted with 2 halo atoms.
- a 1 , A 2 , A 3 and A 4 are independently A.
- CR 5 or N provided not more than three of A 1 , A 2 , A 3 and A 4 are N;
- R 5 independently of each other, is hydrogen, halogen, CN, C 1 -C 3 alkyl, C 1 -C 3 haloalkyl or C 3 -C 4 -cycloalkyl; or
- B CR 5 or N, provided not more than three of A 1 , A 2 , A 3 and A 4 are N;
- R 5 independently of each other, is hydrogen, fluoro, chloro, CN, methyl, trifluoromethyl or cyclopropyl; or C.
- R 5 independently of each other, is hydrogen, fluoro, chloro, CN, methyl, trifluoromethyl or cyclopropyl, provided not more than three of A 1 , A 2 , A 3 and A 4 are N and not more than one of A 1 , A 2 , A 3 and A 4 is CR 5 where R 5 is fluoro, chloro, CN, methyl, trifluoromethyl or cyclopropyl.
- the six-membered ring containing A 1 , A 2 , A 3 and A 4 and the group R 4 is A. selected from Q-1 to Q-12; or
- Q-7 is A. selected from Q b -1 to Q b -13; or B. Q b -1.
- R 1 is A. hydrogen, C 1 -C 6 alkyl, C 1 -C 6 cyanoalkyl, aminocarbonylC 1 -C 6 alkyl, hydroxycarbonylC 1 -C 6 alkyl, C 1 -C 6 nitroalkyl, trimethylsilaneC 1 -C 6 alkyl, C 1 -C 3 alkoxy-C 1 -C 6 alkyl, C 1 –C 6 haloalkyl, C 2 - C 6 alkenyl, C 2 -C 6 haloalkenyl, C 2 -C 6 alkynyl, C 2 -C 6 haloalkynyl, C 3 -C 4 cycloalkylC 1 -C 2 alkyl-, C 3 - C 4 cycloalkylC 1 -C 2 alkyl- wherein the C 3 -C 4 cycloalkyl group is substituted with 1 or 2 halogen atoms
- R 2 is A. selected from U1 to U12, U14 to U18, U20 to U24, U26 and U27; or B. selected from U1 to U5; or C. U1 or U2; or D. U1. U3 or U4; or E. U1; F.
- X is A. selected from the group consisting of hydrogen, halogen, hydroxy, -CN, -COOH, -CONH 2 , - NO 2 , -NH 2 , and in each case optionally substituted C 1 -C 6 alkyl, C 3 -C 6 cycloalkyl, C 3 - C 4 cycloalkyl-C 1 -C 2 alkyl, C 1 -C 4 alkoxy, C 3 -C 6 cyloalkoxy, C 1 -C 3 alkylthio, C 1 -C 3 alkylsulfinyl, C 1 - C 3 alkylsulfonyl, C 3 -C 6 cycloalkylthio, phenylsulfanyl, phenylsulfinyl, and pheny
- Z is A.
- n is A. 1, 2 or 3; or B. 1 or 2; or C. 1; or D. 2.
- m is A. 0 or 1; or B. 0; or C. 1.
- R 3 is A. C 1 -C 3 alkyl or C 1 -C 3 haloalkyl; or B. methyl or trifluoromethyl; or C. methyl.
- R 4 is A.
- substituent selected from
- substituent selected from C 1 -C 3 alkyl, C 1
- pyridine, pyrimidine, pyrazine or pyridazine wherein the pyridine, pyrimidine, pyrazine or pyridazine is optionally substituted with one substituent selected from C 1 -C 3 alkyl, C 1 - C 3 haloalkyl, C 1 -C 3 alkoxy, C 3 -C 4 cycloalkyl, F, Cl, Br, CN, and C 1 -C 6 haloalkoxy; or F.
- pyridine, pyrimidine, pyrazine or pyridazine wherein the pyridine, pyrimidine, pyrazine or pyridazine is optionally substituted with one substituent selected from C 1 -C 3 alkyl, C 3 - C 4 cycloalkyl, F, Cl, Br, CN, and C 1 -C 6 haloalkoxy; or G.
- pyridine, pyrimidine, pyrazine or pyridazine wherein the pyridine, pyrimidine, pyrazine or pyridazine is optionally substituted with one substituent selected from cyclopropyl, F, Cl, Br, CN, trifluoromethoxy, difluoromethoxy, 2,2-difluoroethoxy and 2,2,2-trifluoroethoxy; H.
- pyridine or pyrimidine, wherein the pyridine or pyrimidine is optionally substituted with one substituent selected from cyclopropyl, F, Cl, Br, CN, trifluoromethoxy, difluoromethoxy, 2,2- difluoroethoxy and 2,2,2-trifluoroethoxy; or I.
- 5-cylopropylpyridine 5-fluoropyridine, 5-chloropyridine, 5-bromopyridine, 5- difluoromethoxypyridine, 5-trifluoromethoxypyridine, 5-cyanopyridine, 5-(2,2-difluoroethoxy)- pyridine, 5-(2,2,2-trifluoroethoxy)-pyridine, pyridine, 5-cylopropylpyrimidine, 5-fluoropyrimidine, 5-chloropyrimidine, 5-bromopyrimidine, 5-difluoromethoxypyrimidine, 5- trifluoromethoxypyrimidine, 5-cyanopyrimidine, 5-(2,2-difluoroethoxy)-pyrimidine, 5-(2,2,2- trifluoroethoxy)-pyrimidine, or pyrimidine; or J.
- R 4 is Y-1
- R’ 4a and R’4c independently of each other, are A.
- R’ 4b and R’4c independently of each other, are selected from hydrogen, halogen, CN, C 1 - C 3 alkyl, C 1 -C 3 haloalkyl, C 3 -C 4 cycloalkyl, C 1 -C 3 alkoxy, and C 1 -C 3 haloalkoxy; or B.
- R’ 4b and R’4c independently of each other, are selected from hydrogen, F, Cl, Br, CN, methyl, CF3, cyclopropyl, methoxy and difluoromethoxy; or A.
- R’ 4b and R’4c are both hydrogen; or B.
- R’ 4b is hydrogen and R’4c is cyclopropyl.
- R’ 4a and R’ 4b independently of each other, are A. hydrogen, halogen, CN, C 1 -C 3 alkyl, C 1 -C 3 haloalkyl, C 3 -C 4 cycloalkyl, C 1 -C 3 alkoxy, and C 1 - C 3 haloalkoxy; or B. hydrogen, F, Cl, Br, CN, methyl, CF3, cyclopropyl, methoxy and difluoromethoxy; or C. both hydrogen.
- R 4 when R 4 is Y-4, A.
- R’ 4a , R’ 4b , and R’4c are, independently of each other, selected from hydrogen, halogen, CN, C 1 - C 3 alkyl, C 1 -C 3 haloalkyl, C 3 -C 4 cycloalkyl, C 1 -C 3 alkoxy, and C 1 -C 3 haloalkoxy; or B.
- R’ 4a , R’ 4b , and R’4c are, independently of each other, selected from hydrogen, F, Cl, Br, CN, methyl, CF3, cyclopropyl, methoxy and difluoromethoxy; or C.
- R’ 4a , R’ 4b , and R’4c are all hydrogen; or D.
- R’ 4a and R’4c are hydrogen and R’ 4b is CN.
- R 5 is A. hydrogen, C 1 -C 3 alkyl, C 1 -C 3 haloalkyl, C 3 -C 4 cycloalkyl, C 1 -C 3 alkoxy, halogen, C 1 -C 3 alkoxy-C 1 - C 3 alkyl, C 1 -C 3 alkoxy-C 1 -C 3 alkoxy-C 1 -C 3 alkyl, (C 1 -C 3 alkyl)C(O), (C 1 -C 3 alkoxy)C(O), HC(O), C 1 - C 3 haloalkoxy or a 5-membered heteroaromatic ring wherein the 5-membered heteroaromatic ring can be optionally substituted with one to three substituents selected from C 1 -C 3 alkyl, C 1 - C 3 haloalkyl, C 1 -C 3 alk
- R 5a is A. hydrogen, halogen, CN, C 1 -C 3 alkyl, C 1 -C 3 haloalkyl, C 3 -C 4 cycloalkyl, C 1 -C 3 alkoxy or C 1 - C 3 haloalkoxy; or B.
- R 5b is A.
- the present invention accordingly, makes available a compound of formula I having the substituents R 1 , R 2 , R 3 , R 4 , A 1 , A 2 , A 3 , and A 4 as defined above in all combinations / each permutation. Accordingly, made available, for example, is a compound of formula I with A 1 , A 2 , A 3 , and A 4 being of the first aspect (i.e.
- a 1 , A 2 , A 3 and A 4 are independently CR 5 or N, provided not more than three of A 1 , A 2 , A 3 and A 4 are N; and where R 5 is of embodiment D (i.e., R 5 is independently selected from hydrogen, C 1 -C 3 alkyl, C 1 -C 3 alkoxy, C 3 -C 4 cycloalkyl, C 1 -C 3 haloalkoxy, halogen, C 1 -C 3 alkoxy-C 1 -C 3 alkyl, C 1 -C 3 alkoxy-C 1 -C 3 alkoxy-C 1 -C 3 alkyl, (C 1 -C 3 alkyl)C(O), HC(O), or (C 1 -C 3 alkoxy)C(O);); R 1 being embodiment B (i.e.
- X being of embodiment A (i.e. selected from the group consisting of hydrogen, halogen, hydroxy, -CN, - COOH, -CONH 2 , -NO 2 , -NH 2 , and in each case optionally substituted C 1 -C 6 alkyl, C 3 -C 6 cycloalkyl, C 3 - C 4 cycloalkyl-C 1 -C 2 alkyl, C 1 -C 4 alkoxy, C 3 -C 6 cyloalkoxy, C 1 -C 3 alkylthio, C 1 -C 3 alkylsulfinyl, C 1 - C 3 alkylsulfonyl, C 3 -C 6 cycloalkylthio, phenylsulfanyl, phenylsulfinyl, and phenylsulfonyl); Z being embodiment B (i.e.
- Z 1 being of the first aspect (i.e. hydrogen, or in each case optionally substituted C 1 -C 6 alkyl, C 3 -C 6 cycloalkyl, C 1 -C 4 alkoxy or C 3 -C 4 cycloalkyl-C 1 -C 2 alkyl);
- m being of embodiment A (i.e.1, 2 o 3)
- n being embodiment B (i.e.0);
- R 3 being embodiment B (i.e. methyl or trifluoromethyl); and
- R 4 being embodiment L (i.e.
- pyrimidin-2-yl pyridin-2-yl, 5-bromopyrimidin-2-yl, 5- bromopyridin-2-yl, 5-cyanopyrimidin-2-yl, or 5-cyanopyridin-2-yl).
- the present invention accordingly, also makes available a compound of formula I-1 having the substituents R 1 , R 2 , R 3 , R 4 , R 5a , and R 5b as defined above in all combinations / each permutation. Accordingly, made available, for example, is a compound of formula I with R 1 being embodiment B (i.e.
- X being of embodiment D (i.e. selected from hydrogen, fluorine, chlorine, bromine, iodine, -CN, -NO 2 , methyl, ethyl, isopropyl, tert- butyl, difluoromethyl, trifluoromethyl, pentafluoroethyl, cyclopropyl, cyclobutyl, cyclopropyl-methyl, cyclopropyl-1,1-difuoro-methyl, methoxy, difluoromethoxy, trifluoromethoxy, cyclopropyloxy, cyclopropylthio, methylthio, ethylthio, methylsulfinyl, methylsulfonyl, difluoromethylthio, difluoromethylsulfinyl, difluoromethylsulfonyl, trifluoromethylthio, trifluoromethylthio, trifluoromethylsulfinyl, tri
- Z 1 being embodiment D (i.e. hydrogen); m being of embodiment A (i.e.1, 2 o 3) n being embodiment B (i.e.0); R 3 being embodiment B (i.e. methyl or trifluoromethyl); R 4 being embodiment L (i.e. pyrimidin-2-yl, pyridin-2-yl, 5-bromopyrimidin-2-yl, 5-bromopyridin-2-yl, 5-cyanopyrimidin-2-yl, or 5-cyanopyridin-2-yl); R 5a being of the first aspect (i.e.
- the compound of formula I-1 is either formula I-1’ (with asterisk indicating a stereogenic centre), wherein R 1 , R 2 , R 3 , R 4 , R 5a , and R 5b are as defined above, each independently of the embodiments.
- compounds having preferred stereochemistry depicted in formula I’a would also be preferred for compounds of formulae I-I’.
- a compound of formula I- I’a with the following stereochemistry is preferred: where R 1 , R 2 , R 3 , R 4 , R 5a , and R 5b are as defined above, each independently of the, and stereoisomers, enantiomers, tautomers and N-oxides of the compounds of formula (I-1’a), and agrochemically acceptable salts thereof.
- the six-membered ring containing A 1 , A 2 , A 3 and A 4 and the group R 4 is represented the group Q1 and therefore formula I can be represented by formula I-2, I-2’ or I-2’-a
- group Q1 is A. selected from Q ba to Q bf ; or B.
- the compound of formula I is represented by formula I-2, or I-2’a, which has as R 1 embodiment H; as R 2 embodiment B; as X embodiment D; as Z embodiment B; as Z 1 embodiment C; as m embodiment B; as n embodiment A; as R 3 methyl; and as Q1 selected from Q ba to Q bf (preferably selected from Q ba , Q bb , Q bc and Q bf ).
- the compound of formula I is represented by formula I-2, or I-2’a, which has as R 1 embodiment H (preferably hydrogen, methyl, propargyl or cyclopropyl-methyl); as R 2 embodiment C (preferably U1); as X embodiment D (preferably selected from the group consisting of hydrogen, chlorine, bromine, trifluoromethyl, cyano, cyclopropyl and methyl); as Z embodiment B (preferably hydrogen); as Z 1 embodiment C (preferably hydrogen); as m embodiment B (preferably 2); as n embodiment A (preferably 0); as R 3 methyl; and as Q1 selected from Q ba to Q bf (preferably selected from Q ba , Q bb , Q bc and Q bf ).
- R 1 embodiment H preferably hydrogen, methyl, propargyl or cyclopropyl-methyl
- R 2 embodiment C preferably U1
- X embodiment D preferably selected from the group consisting of hydrogen, chlorine, bromine, trifluoromethyl, cyano, cyclopropyl and methyl
- the present invention makes available a composition comprising a compound of formula I as defined in the first aspect, one or more auxiliaries and diluent, and optionally one or more other active ingredient.
- the present invention makes available a method of combating and controlling insects, acarines, nematodes or molluscs which comprises applying to a pest, to a locus of a pest, or to a plant susceptible to attack by a pest an insecticidally, acaricidally, nematicidally or molluscicidally effective amount of a compound as defined in the first aspect or a composition as defined in the second aspect.
- the present invention makes available a method for the protection of plant propagation material from the attack by insects, acarines, nematodes or molluscs, which comprises treating the propagation material or the site, where the propagation material is planted, with an effective amount of a compound of formula I as defined in the first aspect or a composition as defined in the second aspect.
- the present invention makes available a plant propagation material, such as a seed, comprising, or treated with or adhered thereto, a compound of formula I as defined in the first aspect or a composition as defined in the second aspect.
- the present invention in a further aspect provides a method of controlling parasites in or on an animal in need thereof comprising administering an effective amount of a compound of the first aspect.
- the present invention further provides a method of controlling ectoparasites on an animal in need thereof comprising administering an effective amount of a compound of formula I as defined in the first aspect.
- the present invention further provides a method for preventing and/or treating diseases transmitted by ectoparasites comprising administering an effective amount of a compound of formula I as defined in the first aspect, to an animal in need thereof.
- Compounds of formula I can be prepared by those skilled in the art following known methods. More specifically compounds of formulae I, and I’a, and intermediates therefor can be prepared as described below in the schemes and examples. Certain stereogenic centers have been left unspecified for the clarity and are not intended to limit the teaching of the schemes in any way.
- the reaction can be conducted neat or in a solvent, preferably in a solvent, such as an organic solvent, for instance acetonitrile, in a temperature range of -100 to +300 °C, preferably between ambient temperature and 200 °C, with or without the presence of a catalyst, for instance a metal catalyst, such as a palladium complex, and with or without the addition of a base, such as an inorganic base, for instance potassium carbonate, or an organic base, such as, for example, triethylamine.
- a solvent such as an organic solvent, for instance acetonitrile
- a catalyst for instance a metal catalyst, such as a palladium complex
- a base such as an inorganic base, for instance potassium carbonate
- organic base such as, for example, triethylamine.
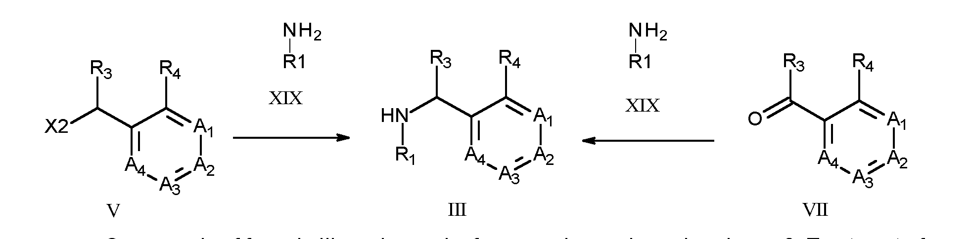
- a compound of the formula V wherein X2 is a leaving group, such as a halogen or sulfonate, for instance bromide
- an amine of the formula XIX gives compounds of the formula III.
- the reaction can be conducted neat or in a solvent, preferably in a solvent, such as an organic solvent, for instance acetonitrile, in a temperature range of -100 to +300 °C, preferably between ambient temperature and 200 °C, with or without the addition of a base, such as an inorganic base, for instance potassium carbonate, or an organic base, such as, for example, triethylamine.
- a base such as an inorganic base, for instance potassium carbonate, or an organic base, such as, for example, triethylamine.
- a compound of the formula VII with an amine of the formula XIX gives compounds of the formula III.
- This reaction is done in the presence of a reducing agent, such as for example hydrogen, or a hydride, such as sodium borohydride, with or without a catalyst, such as a hydrogenation catalyst, for example palladium on carbon, with or without the presence of an acid, such as acetic acid, or a Lewis acid, such as zinc bromide, in a solvent or without a solvent, such as, for instance, methanol.
- a reducing agent such as for example hydrogen
- a hydride such as sodium borohydride
- a catalyst such as a hydrogenation catalyst, for example palladium on carbon
- an acid such as acetic acid
- a Lewis acid such as zinc bromide
- the reaction can be conducted in a temperature range of -100 to +300 °C, preferably between ambient temperature and 200 °C.
- compounds of formula I can be made, for example, as shown in scheme 3.
- Reaction of an amine of the formula IV with a compound of the formula V, wherein X2 is a leaving group, such as a halogen or sulfonate, for instance bromide gives a compound of formula I, wherein R 1 , R 2 , R 3 , R 4 , A 1 , A 2 , A 3 , and A 4 have the same meaning as given above for compounds of the formula I.
- the reaction can be conducted neat or in a solvent, preferably in a solvent, such as an organic solvent, for instance acetonitrile, in a temperature range of -100 to +300 °C, preferably between ambient temperature and 200 °C, with or without the addition of a base, such as an inorganic base, for instance potassium carbonate, or an organic base, such as, for example, triethylamine.
- a solvent such as an organic solvent, for instance acetonitrile
- a base such as an inorganic base, for instance potassium carbonate
- organic base such as, for example, triethylamine.
- reaction of an amine of the formula IVa with a compound of the formula VII gives a compound of the formula I wherein R 1 is H and A 1 , A 2 , A 3 , A 4 , A5, R 2 , R 3 and R 4 have the same meaning as given above for compounds of the formula I.
- This reaction is done in the presence of a reducing agent, such as for example hydrogen, or a hydride, such as sodium borohydride, with or without a catalyst, such as a hydrogenation catalyst, for example palladium on carbon, with or without the presence of an acid, such as acetic acid, or a Lewis acid, such as zinc bromide, in a solvent or without a solvent, such as, for instance, methanol.
- This reaction is done with or without a solvent, preferably in a solvent, with or without an additive, such as a radical starter, such as, for example, benzoyl peroxide or azoisobutyronitrile.
- a radical starter such as, for example, benzoyl peroxide or azoisobutyronitrile.
- the reaction can be done with or without exposure to visible light, or to UV light, and it can be conducted in a temperature range of -100 to +300 °C, preferably between ambient temperature and 200 °C.
- a compound of the formula VII can be treated with a reducing agent, followed by reaction with a sulfonyl chloride, for instance methanesulfonyl chloride, to give a compound of the formula V, wherein the leaving group X2 is a sulfonate, for instance a mesylate.
- This reaction can be done in a solvent, or without a solvent, in the presence of a base, such as an inorganic base, for instance potassium carbonate, or an organic base, such as an amine base, for instance trimethylamine, or without a base, and it can be conducted in a temperature range of -100 to +300 °C, preferably between ambient temperature and 200 °C.
- a base such as an inorganic base, for instance potassium carbonate, or an organic base, such as an amine base, for instance trimethylamine, or without a base, and it can be conducted in a temperature range of -100 to +300 °C, preferably between ambient temperature and 200 °C.
- a suitable reducing agent could be, for example, hydrogen, or a hydride, such as sodium borohydride, with or without a catalyst, such as a hydrogenation catalyst, for example palladium on carbon, with or without the presence of an acid, such as acetic acid, or a Lewis acid, such as zinc bromide, in a solvent or without a solvent, such as, for instance, methanol.
- the reaction can be conducted in a temperature range of -100 to +300 °C, preferably between ambient temperature and 200 °C.
- This reaction can be conducted neat or in a solvent, preferably in a solvent, such as an organic solvent, for instance acetonitrile, in a temperature range of -100 to +300 °C, preferably between ambient temperature and 200 °C, with or without the addition of a base, such as an inorganic base, for instance potassium carbonate, or an organic base, such as, for example, triethylamine.
- a base such as an inorganic base, for instance potassium carbonate
- an organic base such as, for example, triethylamine.
- This reaction is done in the presence of a reducing agent, such as for example hydrogen, or a hydride, such as sodium borohydride, with or without a catalyst, such as a hydrogenation catalyst, for example palladium on carbon, with or without the presence of an acid, such as acetic acid, or a Lewis acid, such as zinc bromide, in a solvent or without a solvent, such as, for instance, methanol.
- a reducing agent such as for example hydrogen
- a hydride such as sodium borohydride
- a catalyst such as a hydrogenation catalyst, for example palladium on carbon
- an acid such as acetic acid, or a Lewis acid, such as zinc bromide
- a solvent or without a solvent such as, for instance, methanol.
- reaction of the intermediate of the formula XVI with a compound of the formula II gives a compound of the formula XIV.
- This reaction can be conducted neat or in a solvent, preferably in a solvent, such as an organic solvent, for instance acetonitrile, in a temperature range of -100 to +300 °C, preferably between ambient temperature and 200 °C, with or without the presence of a catalyst, for instance a metal catalyst, such as a palladium complex, and with or without the addition of a base, such as an inorganic base, for instance potassium carbonate, or an organic base, such as, for example, triethylamine.
- a solvent such as an organic solvent, for instance acetonitrile
- R4-M1 is a metal, such as for instance lithium, or –MgCl, or –ZnBr, or –B(OH) 2 ; or R4-M1 represents a boronate, such as a pinacol ester of a boronic acid, or a stannane such as R 4 -Sn(n-Bu) 3 .
- Such transformations are known to a person skilled in the art as Suzuki-, Kumada-, Negishi- or Stille-coupling reactions, respectively.
- Such reactions are carried out in a temperature range of -100 to +300 °C, preferably between ambient temperature and 200 °C, in the presence of a catalyst, such as a metal catalyst, for instance a palladium catalyst, and a ligand, such as for example a phosphine ligand, or an N-heterocyclic carbene (NHC) ligand, or a phosphite ligand.
- a catalyst such as a metal catalyst, for instance a palladium catalyst
- a ligand such as for example a phosphine ligand, or an N-heterocyclic carbene (NHC) ligand, or a phosphite ligand.
- the reaction can be done in the presence or absence of an additional metal catalyst, such as, for example, a copper salt, for instance Cu
- the reaction is done with or without a base, which can be an inorganic base, such as potassium carbonate, or sodium hydroxide, or cesium carbonate, or an organic base, such as an amine base, for instance triethyl amine.
- a base which can be an inorganic base, such as potassium carbonate, or sodium hydroxide, or cesium carbonate, or an organic base, such as an amine base, for instance triethyl amine.
- a base which can be an inorganic base, such as potassium carbonate, or sodium hydroxide, or cesium carbonate
- an organic base such as an amine base, for instance triethyl amine.
- the intermediate XVIII is reacted with amine IV to give a compound of the formula Ic, wherein R 1 is hydrogen and where R 2 , R 3 and R 4 have the same meaning as given above for compounds of the formula I.
- This reaction is done in the presence of a reducing agent, essentially under the same conditions as described above for the transformation of compound XVII to intermediate XVI.
- the intermediate compound of the formula XVIII can be reacted with an amine of the formula XIX to give the intermediate of the formula IIIa. This reaction is done in the presence of a reducing agent, essentially under the same conditions as described above for the transformation of compound XVII to intermediate XVI.
- the intermediate of the formula IIIa is reacted with a compound of the formula II to give the compound of the formula Ic, wherein A 1 , A 2 , A 3 , A 4 , A5, R 2 a, R 2 b, R 1 , R 3 and R 4 have the same meaning as given above for compounds of the formula I.
- This reaction is done essentially under the same conditions as described above for the transformation of intermediate XVI to intermediate XIV.
- the intermediate compounds of formulas XIV, XVI, XVIII and IIIa can be used as crude products for the respective subsequent step, or they can be purified, for instance by chromatography, and used in purified form for the next transformation.
- Compounds of the formula XVII are known, or they can be prepared by methods known to a person skilled in the art.
- Compounds of the formula Id can be prepared by the reaction of an amine of the formula IIIb wherein R1, R3, R4, R5a and R5b are as described in formula I with a compound of the formula II wherein R2 is as described in formula I and X1 is a leaving group, such as a halogen or a sulfonate, for instance chloride.
- the chemistry is described in more detail in Scheme 7.
- the reaction can be conducted neat or in a solvent, preferably in a solvent, such as an organic solvent, for instance acetonitrile, in a temperature range of -100 to +300 °C, preferably between ambient temperature and 200 °C, with or without the presence of a catalyst, for instance a metal catalyst, such as a palladium complex, and with or without the addition of a base, such as an inorganic base, for instance potassium carbonate, or an organic base, such as, for example, triethylamine.
- a solvent such as an organic solvent, for instance acetonitrile
- Compounds of formula IIIb can be prepared by treatment of compounds of formula IIIc, wherein R 3 , R 4 , R 5a , and R 5b are as described in formula I, with compounds of formula XX wherein R 1 is as defined in formula I, e.g. in the presence of NaBH(OAc) 3 or NaBH 3 CN, in a suitable solvent, preferably in acetic acid at room temperature analog to WO 2 002/088073, page 35.
- a suitable solvent preferably in acetic acid at room temperature analog to WO 2 002/088073, page 35.
- another reagent system for the reductive amination uses a combination of Ti(i-OiPr) 4 and NaBH4 (see Synthesis 2003 (14), 2206).
- Amines of formula IIIc may be obtained by biocatalyzed deracemization of amines of formula IIId.
- a lipase e.g. Candida Antarctica lipase B or Pseudomonas fluorescens lipase, eventually in immobilized form (e.g. Novozym® 435) in presence of an acyl donor, e.g. ethyl methoxyacetate or vinyl acetate, in a suitable solvent such as acetonitrile or methyl tert-butyl ether at temperatures between 20 °C to 100 °C.
- acyl donor e.g. ethyl methoxyacetate or vinyl acetate
- suitable solvent such as acetonitrile or methyl tert-butyl ether
- Scheme 8 In an alternative process, compounds of formula IIIc can be obtained from compounds of the formula XXII wherein R 3 , R 4 , R 5a , and R 5b are as described in formula I, following the synthesis described in Scheme 9:
- Scheme 9 Amines of formula IIIc may be obtained from intermediates of formula XXII, wherein R 3 , R 4 , R 5a , and R 5b are as described in formula I and Z3 is NPhth or NBoc2.
- Such intermediates can be obtained from alcohols of formula XXI by a Mitsunobu reaction, which involves treating alcohols of formula XXI with diisopropyl azodicarboxylate in the presence of a phosphine such as triphenylphosphine or tributylphosphine and of an amine such as phthalimide or bis(tert- butoxycarbonyl)amine.
- Mitsunobu reactions are known by those skilled in the art to proceed with inversion of the stereocenter, as described for instance in Chem. Rev.2009, 109, 2551-2651.
- amines of formula IIIc may be obtained by reduction of azides of formula XXIII, wherein R 3 , R 4 , R 5a , and R 5b are as described in formula I, by treatment with triphenylphosphine and water (Staudinger reaction) or by hydrogenation for example using a palladium catalyst in the presence of hydrogen.
- Azides of formula XXIII may be obtained by treatment of alcohols of formula XXI, wherein R 3 , R 4 , R 5a , and R 5b are as described in formula I, with an azidation reagent such as diphenyl phosphoryl azide in a solvent such as toluene or THF in presence of a base such as DBU.
- an azidation reagent such as diphenyl phosphoryl azide in a solvent such as toluene or THF in presence of a base such as DBU.
- Alcohols of formula XXI may be obtained by enantioselective reduction of ketones of formula XXIV, wherein R 3 , R 4 , R 5a , and R 5b are as described in formula I.
- reductions can be done using a catalyst, for instance a ruthenium or a rhodium catalyst with a chiral ligand such as RuCl[(R,R)- TsDPEN](mesitylene) or RuBF4[(R,R)-TsDPEN](p-cymene) in the presence of a hydrogen donor system such as for example HCOOH/Et3N or HCO 2 NH4.
- a hydrogen donor system such as for example HCOOH/Et3N or HCO 2 NH4.
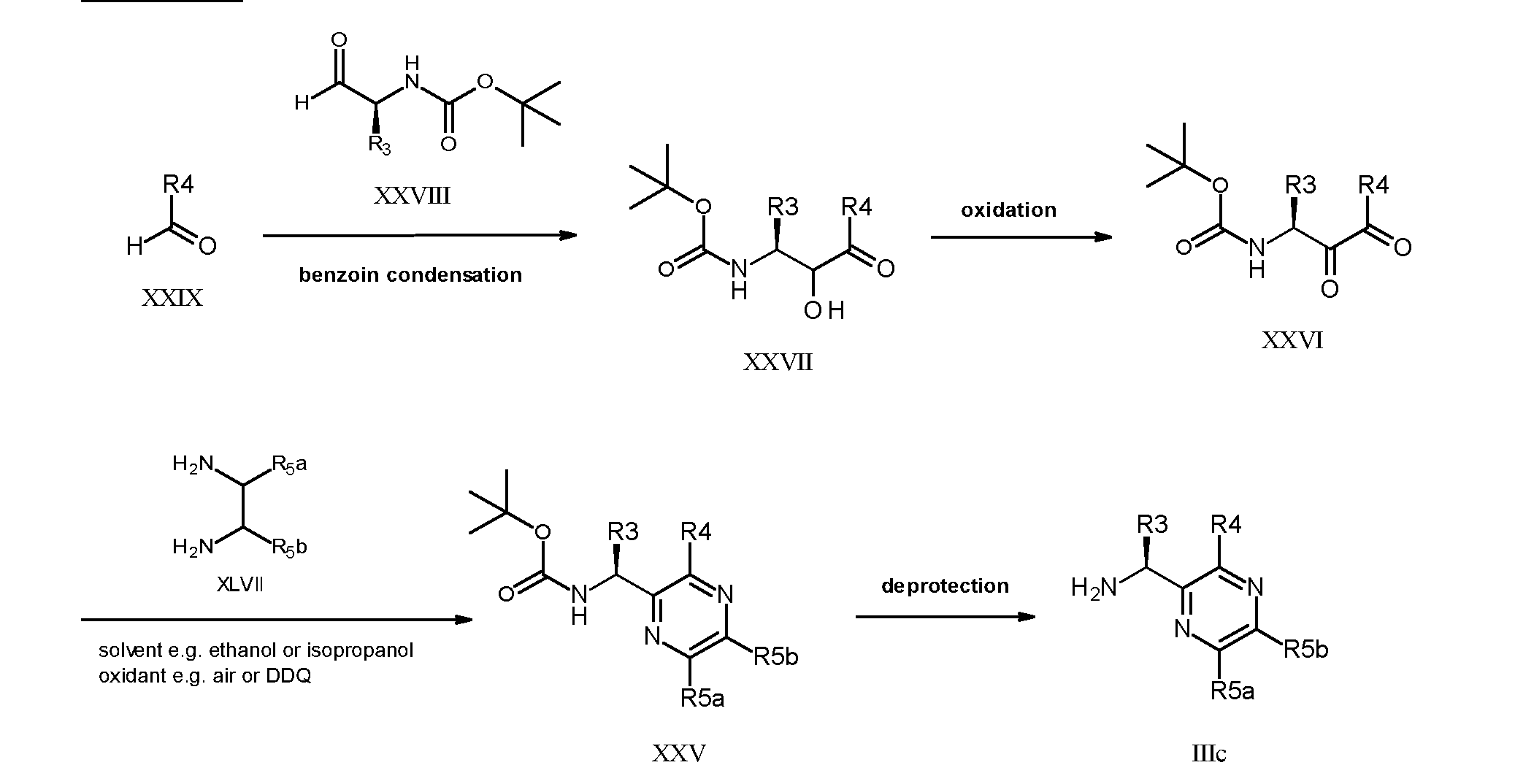
- Amines of formula IIIc can be prepared by deprotection of amines of formula XXV, wherein R 3 , R 4 , R 5a , and R 5b are as described in formula I, for instance using an acid such as trifluoroacetic acid or hydrochloric acid.
- Amines of formula XXV can be obtained by condensation of diamines of formula XXVII, wherein R 5a , and R 5b are as described in formula I, on diketones of formula XXVI, wherein R 3 , and R 4 are as described in formula I.
- Diketones of formula XXVI may be formed by oxidation of hydroxyketones of formula XXVII wherein R 3 , and R 4 are as described in formula I.
- This oxidation can involve for instance SO3-pyridine in presence of DMSO and a base for instance triethylamine or alternatively sodium hypochlorite in presence of a catalyst such as TEMPO/Bu4NHSO4.
- a catalyst such as TEMPO/Bu4NHSO4. Examples of such oxidations can be found in the literature, for instance in Synlett, 2014, 25, 596 or J. Am. Chem. Soc.1990, 112, 5290-5313.
- Hydroxyketones of formula XXVII may be synthesized by cross-benzoin condensation between aldehydes of formula XXIX, wherein R 4 is as described in formula I, and aldehydes of formula XXVIII, wherein R 3 is as described in formula I.
- Aldehydes of formula XXVIII are commercially available in chiral form, like for instance Boc-L- alaninal (CAS 79069-50-4) or tert-butyl N-[(1S)-1-(cyclopropylmethyl)-2-oxo-ethyl]carbamate (CAS 881902-36-9).
- Cross-benzoin condensations are done in the usual way by employing an organocatalyst such as a triazolium salt or a thiazolium salt in the presence of a base such as potassium tert-butoxide or isopropyldiethylamine in a suitable solvent such as DCM or THF at a temperature between -20 °C and the boiling point of the solvent.
- organocatalyst such as a triazolium salt or a thiazolium salt
- a base such as potassium tert-butoxide or isopropyldiethylamine
- a suitable solvent such as DCM or THF
- Scheme 11 As shown in Scheme 11, compounds of formula Id can be alternatively prepared by reaction of compounds of formula XXX (wherein R 1 , R 2 , R 3 , R 5a , and R 5b are as defined in formula I and X07 is a leaving group like, for example, chlorine, bromine, iodine) with compounds of formula XXXI (Stille reaction) or compounds of formula XXXII (Suzuki-Miyaura reaction) in the presence of a palladium catalyst as described in detail in Scheme 6.
- compounds of formula Id can be alternatively prepared by reaction of compounds of formula XXX (wherein R 1 , R 2 , R 3 , R 5a , and R 5b are as defined in formula I and X07 is a leaving group like, for example, chlorine, bromine, iodine) with compounds of formula XXXI (Stille reaction) or compounds of formula XXXII (Suzuki-Miyaura reaction)
- Amines of formula XXXIV may be obtained by biocatalyzed deracemization of amines of formula XXXIVa, wherein R 3 , R 5a , and R 5b are as in formula 1 and X07 is a leaving group such as bromine, chlorine or iodine. This may be done for instance using a lipase, e.g. Candida Antarctica lipase B or Pseudomonas fluorescens lipase, eventually in immobilized form (e.g. Novozym® 435) in presence of an acyl donor, e.g.
- a lipase e.g. Candida Antarctica lipase B or Pseudomonas fluorescens lipase, eventually in immobilized form (e.g. Novozym® 435) in presence of an acyl donor, e.g.
- amines of formula XXXIVa may be achieved using a chiral auxiliary, as described in Scheme 13.
- Scheme 13 Amines of formula XXXIV can be prepared from intermediates of formula XXXVII, wherein R 3 , R 5a , and R 5b are as in compounds of the formula 1, X07 is a leaving group such as bromine, chlorine or iodine, and X12* is a chiral auxiliary, by treatment with acids such as HCl or bases such as NaOH.
- Chiral auxiliaries of formula X12* are for instance mandelic acid or (1R)-menthylchloroformate.
- amines of formula XXXIV may be obtained from intermediates of formula XXIIa, wherein R 3 , R 5a , and R 5b are as described in formula I, X07 is a leaving group such as a halogen or sulfonate, for instance bromide, and Z 3 is NPhth or NBoc 2 .
- Such intermediates can be obtained from alcohols of formula XXIa, wherein R 3 , R 5a , and R 5b are as described in formula I and X07 is a leaving group, by a Mitsunobu reaction, which involves treating alcohols of formula XXIa with diisopropyl azodicarboxylate in the presence of a phosphine such as triphenylphosphine or tributylphosphine and of an amine such as phthalimide or bis(tert-butoxycarbonyl)amine. Mitsunobu reactions are known by those skilled in the art to proceed with inversion of the stereocenter, as described for instance in Chem. Rev.2009, 109, 2551-2651.
- amines of formula XXXIV may be obtained by reduction of azides of formula XXIIIa, wherein R 3 , R 5a , and R 5b are as described in formula I and X07 is a leaving group such as a halogen or sulfonate, for instance bromide, by treatment with triphenylphosphine and water (Staudinger reaction) or by hydrogenation for example using a palladium catalyst in the presence of hydrogen.
- Azides of formula XXIIIa may be obtained by treatment of alcohols of formula XXIa with an azidation reagent such as diphenyl phosphoryl azide in a solvent such as toluene or THF in presence of a base such as DBU.
- an azidation reagent such as diphenyl phosphoryl azide in a solvent such as toluene or THF in presence of a base such as DBU.
- Alcohols of formula XXIa may be obtained by enantioselective reduction of ketones of formula XXIVa, wherein R 3 , R 5a , and R 5b are as described in formula I and X07 is a leaving group such as a halogen or sulfonate, for instance bromide.
- Such reductions can be done using catalysts, for instance a ruthenium or a rhodium catalyst with a chiral ligand such as RuCl[(R,R)-TsDPEN](mesitylene) or RuBF4[(R,R)-TsDPEN](p-cymene) in the presence of a hydrogen donor system such as for example HCOOH/Et3N or HCO 2 NH4.
- a hydrogen donor system such as for example HCOOH/Et3N or HCO 2 NH4.
- suitable bases are alkali metal or alkaline earth metal hydroxides, alkali metal or alkaline earth metal hydrides, alkali metal or alkaline earth metal amides, alkali metal or alkaline earth metal alkoxides, alkali metal or alkaline earth metal acetates, alkali metal or alkaline earth metal carbonates, alkali metal or alkaline earth metal dialkylamides or alkali metal or alkaline earth metal alkylsilylamides, alkylamines, alkylenediamines, free or N-alkylated saturated or unsaturated cycloalkylamines, basic heterocycles, ammonium hydroxides and carbocyclic amines.
- Examples which may be mentioned are sodium hydroxide, sodium hydride, sodium amide, sodium methoxide, sodium acetate, sodium carbonate, potassium tert-butoxide, potassium hydroxide, potassium carbonate, potassium hydride, lithium diisopropylamide, potassium bis(trimethylsilyl)amide, calcium hydride, triethylamine, diisopropylethylamine, triethylenediamine, cyclohexylamine, N- cyclohexyl-N,N-dimethylamine, N,N-diethylaniline, pyridine, 4-(N,N-dimethylamino)pyridine, quinuclidine, N-methylmorpholine, benzyltrimethylammonium hydroxide and 1,8- diazabicyclo[5.4.0]undec-7-ene (DBU).
- DBU 1,8- diazabicyclo[5.4.0]undec-7-ene
- the reactants can be reacted with each other as such, i.e. without adding a solvent or diluent. In most cases, however, it is advantageous to add an inert solvent or diluent or a mixture of these. If the reaction is carried out in the presence of a base, bases which are employed in excess, such as triethylamine, pyridine, N-methylmorpholine or N,N-diethylaniline, may also act as solvents or diluents.
- bases which are employed in excess such as triethylamine, pyridine, N-methylmorpholine or N,N-diethylaniline, may also act as solvents or diluents.
- the reactions are advantageously carried out in a temperature range from approximately - 80°C to approximately +140°C, preferably from approximately -30°C to approximately +100°C, in many cases in the range between ambient temperature and approximately +80°C.
- Salts of compounds of formula I can be prepared in a manner known per se.
- acid addition salts of compounds of formula I are obtained by treatment with a suitable acid or a suitable ion exchanger reagent and salts with bases are obtained by treatment with a suitable base or with a suitable ion exchanger reagent.
- Salts of compounds of formula I can be converted in the customary manner into the free compounds I, acid addition salts, for example, by treatment with a suitable basic compound or with a suitable ion exchanger reagent and salts with bases, for example, by treatment with a suitable acid or with a suitable ion exchanger reagent.
- Salts of compounds of formula I can be converted in a manner known per se into other salts of compounds of formula I, acid addition salts, for example, into other acid addition salts, for example by treatment of a salt of inorganic acid such as hydrochloride with a suitable metal salt such as a sodium, barium or silver salt, of an acid, for example with silver acetate, in a suitable solvent in which an inorganic salt which forms, for example silver chloride, is insoluble and thus precipitates from the reaction mixture.
- a salt of inorganic acid such as hydrochloride
- a suitable metal salt such as a sodium, barium or silver salt
- an acid for example with silver acetate
- a suitable solvent in which an inorganic salt which forms, for example silver chloride, is insoluble and thus precipitates from the reaction mixture.
- the compounds of formula I, which have salt-forming properties can be obtained in free form or in the form of salts.
- the compounds of formula I and, where appropriate, the tautomers thereof, in each case in free form or in salt form, can be present in the form of one of the isomers which are possible or as a mixture of these, for example in the form of pure isomers, such as antipodes and/or diastereomers, or as isomer mixtures, such as enantiomer mixtures, for example racemates, diastereomer mixtures or racemate mixtures, depending on the number, absolute and relative configuration of asymmetric carbon atoms which occur in the molecule and/or depending on the configuration of non-aromatic double bonds which occur in the molecule; the invention relates to the pure isomers and also to all isomer mixtures which are possible and is to be understood in each case in this sense hereinabove and hereinbelow, even when stereochemical details are not mentioned specifically in each case.
- Diastereomer mixtures or racemate mixtures of compounds of formula I, in free form or in salt form, which can be obtained depending on which starting materials and procedures have been chosen can be separated in a known manner into the pure diastereomers or racemates on the basis of the physicochemical differences of the components, for example by fractional crystallization, distillation and/or chromatography.
- Enantiomer mixtures such as racemates, which can be obtained in a similar manner can be resolved into the optical antipodes by known methods, for example by recrystallization from an optically active solvent, by chromatography on chiral adsorbents, for example high-performance liquid chromatography (HPLC) on acetyl cellulose, with the aid of suitable microorganisms, by cleavage with specific, immobilized enzymes, via the formation of inclusion compounds, for example using chiral crown ethers, where only one enantiomer is complexed, or by conversion into diastereomeric salts, for example by reacting a basic end-product racemate with an optically active acid, such as a carboxylic acid, for example camphor, tartaric or malic acid, or sulfonic acid, for example camphorsulfonic acid, and separating the diastereomer mixture which can be obtained in this manner, for example by fractional crystallization based on their differing solubilities, to give the di
- N-oxides can be prepared by reacting a compound of the formula I with a suitable oxidizing agent, for example the H 2 O 2 /urea adduct in the presence of an acid anhydride, e.g. trifluoroacetic anhydride.
- a suitable oxidizing agent for example the H 2 O 2 /urea adduct
- an acid anhydride e.g. trifluoroacetic anhydride.
- Such oxidations are known from the literature, for example from J. Med. Chem., 32 (12), 2561-73, 1989 or WO 2000/15615.
- the compounds of formula I and, where appropriate, the tautomers thereof, in each case in free form or in salt form, can, if appropriate, also be obtained in the form of hydrates and/or include other solvents, for example those which may have been used for the crystallization of compounds which are present in solid form.
- the compounds of formula I according to the following Tables D-1 to D-24 can be prepared according to the methods described above.
- Table D-1 provides 27 compounds D-1.001 to D-1.027 of formula I-D wherein R 3 is CH 3 , R 4 is pyrimidine-2-yl, A 1 is N, A 2 is CH, A 3 is CH, A 4 is N and R 1 , R 2 are as defined in table Z.
- D-1.002 is Table D-2 provides 27 compounds D-2.001 to D-2.027 of formula I-D wherein R 3 is CH 3 , R 4 is pyrimidine-2-yl, A 1 is N, A 2 is CH, A 3 is C-CH 3 , A 4 is N and R 1 , R 2 are as defined in table Z.
- Table D-3 provides 27 compounds D-3.001 to D-3.027 of formula I-D wherein R 3 is CH 3 , R 4 is pyrimidine-2-yl, A 1 is N, A 2 is CH, A 3 is C-cyclopropyl, A 4 is N and R 1 , R 2 are as defined in table Z.
- Table D-4 provides 27 compounds D-4.001 to D-4.027 of formula I-D wherein R 3 is CH 3 , R 4 is pyrimidine-2-yl, A 1 is N, A 2 is CH, A 3 is C-CN, A 4 is N and R 1 , R 2 are as defined in table Z.
- Table D-5 provides 27 compounds D-5.001 to D-5.027 of formula I-D wherein R 3 is CH 3 , R 4 is pyrimidine-2-yl, A 1 is N, A 2 is CH, A 3 is C-OCH 3 , A 4 is N and R 1 , R 2 are as defined in table Z.
- Table D-6 provides 27 compounds D-6.001 to D-6.027 of formula I-D wherein R 3 is CH 3 , R 4 is pyrimidine-2-yl, A 1 is N, A 2 is CH, A 3 is C-Cl, A 4 is N and R 1 , R 2 are as defined in table Z.
- Table D-7 provides 27 compounds D-7.001 to D-7.027 of formula I-D wherein R 3 is CH 3 , R 4 is 5- bromopyrid-2-yl, A 1 is N, A 2 is CH, A 3 is CH, A 4 is N and R 1 , R 2 are as defined in table Z.
- Table D-8 provides 27 compounds D-8.001 to D-8.027 of formula I-D wherein R 3 is CH 3 , R 4 is 5- bromopyrid-2-yl, A 1 is N, A 2 is CH, A 3 is C-CH 3 , A 4 is N and R 1 , R 2 are as defined in table Z.
- Table D-9 provides 27 compounds D-9.001 to D-9.027 of formula I-D wherein R 3 is CH 3 , R 4 is 5- bromopyrid-2-yl, A 1 is N, A 2 is CH, A 3 is C-cyclopropyl, A 4 is N and R 1 , R 2 are as defined in table Z.
- Table D-10 provides 27 compounds D-10.001 to D-10.027 of formula I-D wherein R 3 is CH 3 , R 4 is 5- bromopyrid-2-yl, A 1 is N, A 2 is CH, A 3 is C-CN, A 4 is N and R 1 , R 2 are as defined in table Z.
- Table D-11 provides 27 compounds D-11.001 to D-11.027 of formula I-D wherein R 3 is CH 3 , R 4 is 5- bromopyrid-2-yl, A 1 is N, A 2 is CH, A 3 is C-OCH 3 , A 4 is N and R 1 , R 2 are as defined in table Z.
- Table D-12 provides 27 compounds D-12.001 to D-12.027 of formula I-D wherein R 3 is CH 3 , R 4 is 5- bromopyrid-2-yl, A 1 is N, A 2 is CH, A 3 is C-Cl, A 4 is N and R 1 , R 2 are as defined in table Z.
- Table D-13 provides 27 compounds D-13.001 to D-13.027 of formula I-D wherein R 3 is CH 3 , R 4 is 5- cyanopyrid-2-yl, A 1 is N, A 2 is CH, A 3 is CH, A 4 is N and R 1 , R 2 are as defined in table Z.
- Table D-14 provides 27 compounds D-14.001 to D-14.027 of formula I-D wherein R 3 is CH 3 , R 4 is 5- cyanopyrid-2-yl, A 1 is N, A 2 is CH, A 3 is C-CH 3 , A 4 is N and R 1 , R 2 are as defined in table Z.
- Table D-15 provides 27 compounds D-15.001 to D-15.027 of formula I-D wherein R 3 is CH 3 , R 4 is 5- cyanopyrid-2-yl, A 1 is N, A 2 is CH, A 3 is C-cyclopropyl, A 4 is N and R 1 , R 2 are as defined in table Z.
- Table D-16 provides 27 compounds D-16.001 to D-16.027 of formula I-D wherein R 3 is CH 3 , R 4 is 5- cyanopyrid-2-yl, A 1 is N, A 2 is CH, A 3 is C-CN, A 4 is N and R 1 , R 2 are as defined in table Z.
- Table D-17 provides 27 compounds D-17.001 to D-17.027 of formula I-D wherein R 3 is CH 3 , R 4 is 5- cyanopyrid-2-yl, A 1 is N, A 2 is CH, A 3 is C-OCH 3 , A 4 is N and R 1 , R 2 are as defined in table Z.
- Table D-18 provides 27 compounds D-18.001 to D-18.027 of formula I-D wherein R 3 is CH 3 , R 4 is 5- cyanopyrid-2-yl, A 1 is N, A 2 is CH, A 3 is C-Cl, A 4 is N and R 1 , R 2 are as defined in table Z.
- Table D-19 provides 27 compounds D-19.001 to D-19.027 of formula I-D wherein R 3 is CH 3 , R 4 is 1,2,3-triazol-2-yl, A 1 is N, A 2 is CH, A 3 is CH, A 4 is N and R 1 , R 2 are as defined in table Z.
- Table D-20 provides 27 compounds D-20.001 to D-20.027 of formula I-D wherein R 3 is CH 3 , R 4 is 1,2,3-triazol-2-yl, A 1 is N, A 2 is CH, A 3 is C-CH 3 , A 4 is N and R 1 , R 2 are as defined in table Z.
- Table D-21 provides 27 compounds D-21.001 to D-21.027 of formula I-D wherein R 3 is CH 3 , R 4 is 1,2,3-triazol-2-yl, A 1 is N, A 2 is CH, A 3 is C-cyclopropyl, A 4 is N and R 1 , R 2 are as defined in table Z.
- Table D-22 provides 27 compounds D-22.001 to D-22.027 of formula I-D wherein R 3 is CH 3 , R 4 is 1,2,3-triazol-2-yl, A 1 is N, A 2 is CH, A 3 is C-CN, A 4 is N and R 1 , R 2 are as defined in table Z.
- Table D-23 provides 27 compounds D-23.001 to D-23.027 of formula I-D wherein R 3 is CH 3 , R 4 is 1,2,3-triazol-2-yl, A 1 is N, A 2 is CH, A 3 is C-OCH 3 , A 4 is N and R 1 , R 2 are as defined in table Z.
- Table D-24 provides 27 compounds D-24.001 to D-24.027 of formula I-D wherein R3 is CH3, R4 is 1,2,3-triazol-2-yl, A1 is N, A2 is CH, A3 is C-Cl, A4 is N and R1, R2 are as defined in table Z. Table Z: Substituent definitions of R1 and R2:
- the present invention accordingly makes available compounds of formulae II(i), III(i), IV(i), V(i), VII(i), and XIV(i), wherein in each case, as applicable, A 1 , A 2 , A 3 , A 4 , R 1 , R 2 and R 4 are as defined for formula I in the first aspect; and in respect of formula II(i), X1 is a halogen, preferably chloro or bromo.
- the corresponding embodiments illustrated for formula I also apply to the compounds of formulae II(i), III(i), IV(i), V(i), VII(i), and XIV(i).
- the compounds of formula I according to the invention are preventively and/or curatively valuable active ingredients in the field of pest control, even at low rates of application, which have a very favorable biocidal spectrum and are well tolerated by warm-blooded species, fish and plants.
- the active ingredients according to the invention act against all or individual developmental stages of normally sensitive, but also resistant, animal pests, such as insects or representatives of the order Acarina.
- the insecticidal or acaricidal activity of the active ingredients according to the invention can manifest itself directly, i.e. in destruction of the pests, which takes place either immediately or only after some time has elapsed, for example during ecdysis, or indirectly, for example in a reduced oviposition and/or hatching rate.
- Examples of the above-mentioned animal pests are: from the order Acarina, for example, Acalitus spp, Aculus spp, Acaricalus spp, Aceria spp, Acarus siro, Amblyomma spp., Argas spp., Boophilus spp., Brevipalpus spp., Bryobia spp, Calipitrimerus spp., Chorioptes spp., Dermanyssus gallinae, Dermatophagoides spp, Eotetranychus spp, Eriophyes spp., Hemitarsonemus spp, Hyalomma spp., Ixodes spp., Olygonychus spp, Ornithodoros spp., Polyphagotarsone latus, Panonychus spp., Phyllocoptruta oleivora, Phytonemus spp,
- Tetranychus spp. from the order Anoplura, for example, Haematopinus spp., Linognathus spp., Pediculus spp., Pemphigus spp. and Phylloxera spp.; from the order Coleoptera, for example, Agriotes spp., Amphimallon majale, Anomala orientalis, Anthonomus spp., Aphodius spp, Astylus atromaculatus, Ataenius spp, Atomaria linearis, Chaetocnema tibialis, Cerotoma spp, Conoderus spp, Cosmopolites spp., Cotinis nitida, Curculio spp., Cyclocephala spp, Dermestes spp., Diabrotica spp., Diloboderus abderus, Epilachna spp., Eremnus s
- Trogoderma spp. from the order Diptera, for example, Aedes spp., Anopheles spp, Antherigona soccata,Bactrocea oleae, Bibio hortulanus, Bradysia spp, Calliphora erythrocephala, Ceratitis spp., Chrysomyia spp., Culex spp., Cuterebra spp., Dacus spp., Delia spp, Drosophila melanogaster, Fannia spp., Gastrophilus spp., Geomyza tripunctata, Glossina spp., Hypoderma spp., Hyppobosca spp., Liriomyza spp., Lucilia spp., Melanagromyza spp., Musca spp., Oestrus spp., Orseolia spp., Oscinella fri
- Hemiptera for example, Acanthocoris scabrator, Acrosternum spp, Adelphocoris lineolatus, Aleurodes spp., Amblypelta nitida, Bathycoelia thalassina, Blissus spp, Cimex spp., Clavigralla tomentosicollis, Creontiades spp, Distantiella theobroma, Dichelops furcatus, Dysdercus spp., Edessa spp, Euchistus spp., Eurydema pulchrum, Eurygaster spp., Halyomorpha halys, Horcias nobilellus, Leptocorisa spp., Lygus spp, Margarodes spp, Murgantia histrionic, Neomegalotomus spp, Nesidiocoris tenuis, Nezara s
- Thyanta spp Triatoma spp., Vatiga illudens; Acyrthosium pisum, Adalges spp, Agalliana ensigera, Agonoscena targionii, Aleurodicus spp, Aleurocanthus spp, Aleurolobus barodensis, Aleurothrixus floccosus, Aleyrodes brassicae, Amarasca biguttula, Amritodus atkinsoni, Aonidiella spp., Aphididae, Aphis spp., Aspidiotus spp., Aulacorthum solani, Bactericera cockerelli, Bemisia spp, Brachycaudus spp, Brevicoryne brassicae, Cacopsylla spp, Cavariella aegopodii Scop., Ceroplaster spp., Chrysomphalus aoni
- Vespa spp. from the order Isoptera, for example, Coptotermes spp, Corniternes cumulans, Incisitermes spp, Macrotermes spp, Mastotermes spp, Microtermes spp, Reticulitermes spp.; Solenopsis geminate from the order Lepidoptera, for example, Acleris spp., Adoxophyes spp., Aegeria spp., Agrotis spp., Alabama argillaceae, Amylois spp., Anticarsia gemmatalis, Archips spp., Argyresthia spp, Argyrotaenia spp., Autographa spp., Bucculatrix thurberiella, Busseola fusca, Cadra cautella, Carposina nipponensis, Chilo spp., Choristoneura spp., Chrysoteuchia topiaria, Cly
- Trichodectes spp. from the order Orthoptera, for example, Blatta spp., Blattella spp., Gryllotalpa spp., Leucophaea maderae, Locusta spp., Neocurtilla hexadactyla, Periplaneta spp. , Scapteriscus spp, and Schistocerca spp.; from the order Psocoptera, for example, Liposcelis spp.; from the order Siphonaptera, for example, Ceratophyllus spp., Ctenocephalides spp.
- Orthoptera for example, Blatta spp., Blattella spp., Gryllotalpa spp., Leucophaea maderae, Locusta spp., Neocurtilla hexadactyla, Periplaneta spp. , Scapteriscus spp, and Schisto
- Thysanoptera for example, Calliothrips phaseoli, Frankliniella spp., Heliothrips spp, Hercinothrips spp., Parthenothrips spp, Scirtothrips aurantii, Sericothrips variabilis, Taeniothrips spp., Thrips spp; from the order Thysanura, for example, Lepisma saccharina.
- the invention may also relate to a method of controlling damage to plant and parts thereof by plant parasitic nematodes (Endoparasitic-, Semiendoparasitic- and Ectoparasitic nematodes), especially plant parasitic nematodes such as root knot nematodes, Meloidogyne hapla, Meloidogyne incognita, Meloidogyne javanica, Meloidogyne arenaria and other Meloidogyne species; cyst-forming nematodes, Globodera rostochiensis and other Globodera species; Heterodera avenae, Heterodera glycines, Heterodera schachtii, Heterodera trifolii, and other Heterodera species; Seed gall nematodes, Anguina species; Stem and foliar nematodes, Aphelenchoides species; Sting nematodes, Belonolai
- the compounds of the invention may also have activity against the molluscs.
- Examples of which include, for example, Ampullariidae; Arion (A. ater, A. circumscriptus, A. hortensis, A. rufus); Bradybaenidae (Bradybaena fruticum); Cepaea (C. hortensis, C. Nemoralis); ochlodina; Deroceras (D. agrestis, D. empiricorum, D. laeve, D. reticulatum); Discus (D. rotundatus); Euomphalia; Galba (G. trunculata); Helicelia (H. itala, H.
- the active ingredients according to the invention can be used for controlling, i.e.
- pests of the abovementioned type which occur in particular on plants, especially on useful plants and ornamentals in agriculture, in horticulture and in forests, or on organs, such as fruits, flowers, foliage, stalks, tubers or roots, of such plants, and in some cases even plant organs which are formed at a later point in time remain protected against these pests.
- Suitable target crops are, in particular, cereals, such as wheat, barley, rye, oats, rice, maize or sorghum; beet, such as sugar or fodder beet; fruit, for example pomaceous fruit, stone fruit or soft fruit, such as apples, pears, plums, peaches, almonds, cherries or berries, for example strawberries, raspberries or blackberries; leguminous crops, such as beans, lentils, peas or soya; oil crops, such as oilseed rape, mustard, poppies, olives, sunflowers, coconut, castor, cocoa or ground nuts; cucurbits, such as pumpkins, cucumbers or melons; fibre plants, such as cotton, flax, hemp or jute; citrus fruit, such as oranges, lemons, grapefruit or tangerines; vegetables, such as spinach, lettuce, asparagus, cabbages, carrots, onions, tomatoes, potatoes or bell peppers; Lauraceae, such as avocado, Cinnamonium or camphor; and also tobacco, nuts,
- compositions and/or methods of the present invention may be also used on any ornamental and/or vegetable crops, including flowers, shrubs, broad-leaved trees and evergreens.
- the invention may be used on any of the following ornamental species: Ageratum spp., Alonsoa spp., Anemone spp., Anisodontea capsenisis, Anthemis spp., Antirrhinum spp., Aster spp., Begonia spp. (e.g. B. elatior, B. semperflorens, B. tubéreux), Bougainvillea spp., Brachycome spp., Brassica spp.
- Coreopsis spp. Crassula coccinea, Cuphea ignea, Dahlia spp., Delphinium spp., Dicentra spectabilis, Dorotheantus spp., Eustoma grandiflorum, Forsythia spp., Fuchsia spp., Geranium gnaphalium, Gerbera spp., Gomphrena globosa, Heliotropium spp., Helianthus spp., Hibiscus spp., Hortensia spp., Hydrangea spp., Hypoestes phyllostachya, Impatiens spp. (I.
- Iresines spp. Kalanchoe spp., Lantana camara, Lavatera trimestris, Leonotis leonurus, Lilium spp., Mesembryanthemum spp., Mimulus spp., Monarda spp., Nemesia spp., Tagetes spp., Dianthus spp. (carnation), Canna spp., Oxalis spp., Bellis spp., Pelargonium spp. (P. peltatum, P. Zonale), Viola spp.
- the invention may be used on any of the following vegetable species: Allium spp. (A. sativum, A.. cepa, A. oschaninii, A. Porrum, A. ascalonicum, A.
- Daucus carota Foeniculum vulgare, Hypericum spp., Lactuca sativa, Lycopersicon spp. (L. esculentum, L. lycopersicum), Mentha spp., Ocimum basilicum, Petroselinum crispum, Phaseolus spp. (P. vulgaris, P. coccineus), Pisum sativum, Raphanus sativus, Rheum rhaponticum, Rosemarinus spp., Salvia spp., Scorzonera hispanica, Solanum melongena, Spinacea oleracea, Valerianella spp. (V. locusta, V.
- Preferred ornamental species include African violet, Begonia, Dahlia, Gerbera, Hydrangea, Verbena, Rosa, Kalanchoe, Poinsettia, Aster, Centaurea, Coreopsis, Delphinium, Monarda, Phlox, Rudbeckia, Sedum, Petunia, Viola, Impatiens, Geranium, Chrysanthemum, Ranunculus, Fuchsia, Salvia, Hortensia, rosemary, sage, St. Johnswort, mint, sweet pepper, tomato and cucumber.
- the active ingredients according to the invention are especially suitable for controlling Aphis craccivora, Diabrotica balteata, Heliothis virescens, Myzus persicae, Plutella xylostella and Spodoptera littoralis in cotton, vegetable, maize, rice and soya crops.
- the active ingredients according to the invention are further especially suitable for controlling Mamestra (preferably in vegetables), Cydia pomonella (preferably in apples), Empoasca (preferably in vegetables, vineyards), Leptinotarsa (preferably in potatos) and Chilo supressalis (preferably in rice).
- the compounds of formula I are particularly suitable for control of ⁇ a pest of the order Hemiptera, for example, one or more of the species Bemisia tabaci , Aphis craccivora, Myzus persicae, Rhopalosiphum Padi, Nilaparvata lugens, and Euschistus heros (preferably in vegetables, soybeans, and sugarcane); ⁇ a pest of the order Lepidoptera, for example, one or more of the species Spodoptera littoralis, Spodoptera frugiperda, Plutella xylostella, C n aphalocrocis medinalis, Cydia pomonella, Chrysodeixis includes, Chilo suppressalis, Elasmopalpus lignosellus, Pseudoplusia includens, and Tuta absoluta (preferably in vegetables and corn); ⁇ a pest of the order Thysanoptera, such as the family Thripid
- crops is to be understood as including also crop plants which have been so transformed by the use of recombinant DNA techniques that they are capable of synthesising one or more selectively acting toxins, such as are known, for example, from toxin-producing bacteria, especially those of the genus Bacillus.
- Toxins that can be expressed by such transgenic plants include, for example, insecticidal proteins, for example insecticidal proteins from Bacillus cereus or Bacillus popilliae; or insecticidal proteins from Bacillus thuringiensis, such as ⁇ -endotoxins, e.g.
- Vip vegetative insecticidal proteins
- Vip e.g. Vip1, Vip2, Vip3 or Vip3A
- insecticidal proteins of bacteria colonising nematodes for example Photorhabdus spp.
- Xenorhabdus spp. such as Photorhabdus luminescens, Xenorhabdus nematophilus
- toxins produced by animals such as scorpion toxins, arachnid toxins, wasp toxins and other insect-specific neurotoxins
- toxins produced by fungi such as Streptomycetes toxins, plant lectins, such as pea lectins, barley lectins or snowdrop lectins
- agglutinins proteinase inhibitors, such as trypsin inhibitors, serine protease inhibitors, patatin, cystatin, papain inhibitors
- steroid metabolism enzymes such as 3-hydroxysteroidoxidase, ecdysteroid-UDP-glycosyl-transferase, cholesterol oxidases, ecd
- ⁇ -endotoxins for example Cry1Ab, Cry1Ac, Cry1F, Cry1Fa2, Cry2Ab, Cry3A, Cry3Bb1 or Cry9C, or vegetative insecticidal proteins (Vip), for example Vip1, Vip2, Vip3 or Vip3A
- Vip vegetative insecticidal proteins
- Hybrid toxins are produced recombinantly by a new combination of different domains of those proteins (see, for example, WO 02/15701).
- Truncated toxins for example a truncated Cry1Ab, are known.
- modified toxins one or more amino acids of the naturally occurring toxin are replaced.
- preferably non-naturally present protease recognition sequences are inserted into the toxin, such as, for example, in the case of Cry3A055, a cathepsin-G-recognition sequence is inserted into a Cry3A toxin (see WO 03/018810).
- Examples of such toxins or transgenic plants capable of synthesising such toxins are disclosed, for example, in EP-A-0374753, WO 93/07278, WO 95/34656, EP-A-0427529, EP-A-451 878 and WO 03/052073.
- transgenic plants are generally known to the person skilled in the art and are described, for example, in the publications mentioned above.
- CryI-type deoxyribonucleic acids and their preparation are known, for example, from WO 95/34656, EP-A-0367 474, EP-A-0401979 and WO 90/13651.
- the toxin contained in the transgenic plants imparts to the plants tolerance to harmful insects.
- Such insects can occur in any taxonomic group of insects, but are especially commonly found in the beetles (Coleoptera), two-winged insects (Diptera) and moths (Lepidoptera).
- Transgenic plants containing one or more genes that code for an insecticidal resistance and express one or more toxins are known and some of them are commercially available. Examples of such plants are: YieldGard ® (maize variety that expresses a Cry1Ab toxin); YieldGard Rootworm ® (maize variety that expresses a Cry3Bb1 toxin); YieldGard Plus ® (maize variety that expresses a Cry1Ab and a Cry3Bb1 toxin); Starlink ® (maize variety that expresses a Cry9C toxin); Herculex I ® (maize variety that expresses a Cry1Fa2 toxin and the enzyme phosphinothricine N-acetyltransferase (PAT) to achieve tolerance to the herbicide glufosinate ammonium); NuCOTN 33B ® (cotton variety that expresses a Cry1Ac toxin); Bollgard I
- transgenic crops are: 1. Bt11 Maize from Syngenta Seeds SAS, Chemin de l'Hobit 27, F-31790 St. Sauveur, France, registration number C/FR/96/05/10. Genetically modified Zea mays which has been rendered resistant to attack by the European corn borer (Ostrinia nubilalis and Sesamia nonagrioides) by transgenic expression of a truncated Cry1Ab toxin. Bt11 maize also transgenically expresses the enzyme PAT to achieve tolerance to the herbicide glufosinate ammonium. 2. Bt176 Maize from Syngenta Seeds SAS, Chemin de l'Hobit 27, F-31790 St. Sauveur, France, registration number C/FR/96/05/10.
- This toxin is Cry3A055 modified by insertion of a cathepsin-G- protease recognition sequence.
- the preparation of such transgenic maize plants is described in WO 03/018810.
- MON 863 Maize from Monsanto Europe S.A.270-272 Avenue de Tervuren, B-1150 Brussels, Belgium, registration number C/DE/02/9.
- MON 863 expresses a Cry3Bb1 toxin and has resistance to certain Coleoptera insects. 5.
- NK603 ⁇ MON 810 Maize transgenically expresses the protein CP4 EPSPS, obtained from Agrobacterium sp. strain CP4, which imparts tolerance to the herbicide Roundup® (contains glyphosate), and also a Cry1Ab toxin obtained from Bacillus thuringiensis subsp. kurstaki which brings about tolerance to certain Lepidoptera, include the European corn borer. Transgenic crops of insect-resistant plants are also described in BATS (Zentrum für Bioschreib und Nachhalttechnik, Zentrum BATS, Clarastrasse 13, 4058 Basel, Switzerland) Report 2003, (http://bats.ch).
- crops is to be understood as including also crop plants which have been so transformed by the use of recombinant DNA techniques that they are capable of synthesising antipathogenic substances having a selective action, such as, for example, the so-called "pathogenesis-related proteins" (PRPs, see e.g. EP-A-0392225).
- PRPs pathogenesis-related proteins
- Examples of such antipathogenic substances and transgenic plants capable of synthesising such antipathogenic substances are known, for example, from EP-A-0392225, WO 95/33818 and EP-A-0353191.
- the methods of producing such transgenic plants are generally known to the person skilled in the art and are described, for example, in the publications mentioned above.
- Crops may also be modified for enhanced resistance to fungal (for example Fusarium, Anthracnose, or Phytophthora), bacterial (for example Pseudomonas) or viral (for example potato leafroll virus, tomato spotted wilt virus, cucumber mosaic virus) pathogens.
- Crops also include those that have enhanced resistance to nematodes, such as the soybean cyst nematode.
- Crops that are tolerance to abiotic stress include those that have enhanced tolerance to drought, high salt, high temperature, chill, frost, or light radiation, for example through expression of NF-YB or other proteins known in the art.
- Antipathogenic substances which can be expressed by such transgenic plants include, for example, ion channel blockers, such as blockers for sodium and calcium channels, for example the viral KP1, KP4 or KP6 toxins; stilbene synthases; bibenzyl synthases; chitinases; glucanases; the so- called "pathogenesis-related proteins" (PRPs; see e.g. EP-A-0392225); antipathogenic substances produced by microorganisms, for example peptide antibiotics or heterocyclic antibiotics (see e.g. WO 95/33818) or protein or polypeptide factors involved in plant pathogen defence (so-called "plant disease resistance genes", as described in WO 03/000906).
- ion channel blockers such as blockers for sodium and calcium channels, for example the viral KP1, KP4 or KP6 toxins
- stilbene synthases such as the viral KP1, KP4 or KP6 toxins
- bibenzyl synthases such as a
- compositions according to the invention are the protection of stored goods and store rooms and the protection of raw materials, such as wood, textiles, floor coverings or buildings, and also in the hygiene sector, especially the protection of humans, domestic animals and productive livestock against pests of the mentioned type.
- the present invention provides a compound of the first aspect for use in therapy.
- the present invention provides a compound of the first aspect, for use in controlling parasites in or on an animal.
- the present invention further provides a compound of the first aspect, for use in controlling ectoparasites on an animal.
- present invention further provides a compound of the first aspect, for use in preventing and/or treating diseases transmitted by ectoparasites.
- the present invention provides the use of a compound of the first aspect, for the manufacture of a medicament for controlling parasites in or on an animal.
- the present invention further provides the use of a compound of the first aspect, for the manufacture of a medicament for controlling ectoparasites on an animal.
- the present invention further provides the use of a compound of the first aspect, for the manufacture of a medicament for preventing and/or treating diseases transmitted by ectoparasites.
- the present invention provides the use of a compound of the first aspect, in controlling parasites in or on an animal.
- the present invention further provides the use of a compound of the first aspect , in controlling ectoparasites on an animal.
- controlling when used in context of parasites in or on an animal refers to reducing the number of pests or parasites, eliminating pests or parasites and/or preventing further pest or parasite infestation.
- treating when used in context of parasites in or on an animal refers to restraining, slowing, stopping or reversing the progression or severity of an existing symptom or disease.
- preventing when used in context of parasites in or on an animal refers to the avoidance of a symptom or disease developing in the animal.
- animal when used in context of parasites in or on an animal may refer to a mammal and a non-mammal, such as a bird or fish.
- Non-human mammals include, but are not limited to, livestock animals and companion animals.
- Livestock animals include, but are not limited to, cattle, camelids, pigs, sheep, goats and horses.
- Companion animals include, but are not limited to, dogs, cats and rabbits.
- a "parasite” is a pest which lives in or on the host animal and benefits by deriving nutrients at the host animal's expense.
- An "endoparasite” is a parasite which lives in the host animal.
- An “ectoparasite” is a parasite which lives on the host animal.
- Ectoparasites include, but are not limited to, acari, insects and crustaceans (e.g. sea lice).
- the Acari (or Acarina) sub-class comprises ticks and mites.
- Ticks include, but are not limited to, members of the following genera: Rhipicaphalus, for example, Rhipicaphalus (Boophilus) microplus and Rhipicephalus sanguineus; Amblyomrna; Dermacentor; Haemaphysalis; Hyalomma; Ixodes; Rhipicentor; Margaropus; Argas; Otobius; and Ornithodoros.
- Mites include, but are not limited to, members of the following genera: Chorioptes, for example Chorioptes bovis; Psoroptes, for example Psoroptes ovis; Cheyletiella; Dermanyssus; for example Dermanyssus gallinae; Ortnithonyssus; Demodex, for example Demodex canis; Sarcoptes, for example Sarcoptes scabiei; and Psorergates.
- Insects include, but are not limited to, members of the orders: Siphonaptera, Diptera, Phthiraptera, Lepidoptera, Coleoptera and Homoptera.
- Members of the Siphonaptera order include, but are not limited to, Ctenocephalides felis and Ctenocephatides canis.
- Members of the Diptera order include, but are not limited to, Musca spp.; bot fly, for example Gasterophilus intestinalis and Oestrus ovis; biting flies; horse flies, for example Haematopota spp. and Tabunus spp.; haematobia, for example haematobia irritans; Stomoxys; Lucilia; midges; and mosquitoes.
- Members of the Phthiraptera class include, but are not limited to, blood sucking lice and chewing lice, for example Bovicola Ovis and Bovicola Bovis.
- an effective amount when used in context of parasites in or on an animal refers to the amount or dose of the compound of the invention, or a salt thereof, which, upon single or multiple dose administration to the animal, provides the desired effect in or on the animal.
- the effective amount can be readily determined by the attending diagnostician, as one skilled in the art, by the use of known techniques and by observing results obtained under analogous circumstances.
- a number of factors are considered by the attending diagnostician, including, but not limited to: the species of mammal; its size, age, and general health; the parasite to be controlled and the degree of infestation; the specific disease or disorder involved; the degree of involvement or the severity of the disease or disorder; the response of the individual; the particular compound administered; the mode of administration; the bioavailability characteristics of the preparation administered; the dose regimen selected; the use of concomitant medication; and other relevant circumstances.
- the compounds of the invention may be administered to the animal by any route which has the desired effect including, but not limited to topically, orally, parenterally ' and subcutaneously. Topical administration is preferred.
- Formulations suitable for topical administration include, for example, solutions, emulsions and suspensions and may take the form of a pour-on, spot-on, spray- on, spray race or dip.
- the compounds of the invention may be administered by means of an ear tag or collar.
- Salt forms of the compounds of the invention include both pharmaceutically acceptable salts and veterinary acceptable salts, which can be different to agrochemically acceptable salts.
- Pharmaceutically and veterinary acceptable salts and common methodology for preparing them are well known in the art. See, for example, Gould, P.L., "Salt selection for basic drugs", International Journal of Pharmaceutics, 33: 201 -217 (1986); Bastin, R.J., et al.
- the present invention also provides a method for controlling pests (such as mosquitoes and other disease vectors; see also http://www.who.int/malaria/vector_control/irs/en/).
- the method for controlling pests comprises applying the compositions of the invention to the target pests, to their locus or to a surface or substrate by brushing, rolling, spraying, spreading or dipping.
- an IRS indoor residual spraying
- a surface such as a wall, ceiling or floor surface is contemplated by the method of the invention.
- the method for controlling such pests comprises applying a pesticidally effective amount of the compositions of the invention to the target pests, to their locus, or to a surface or substrate so as to provide effective residual pesticidal activity on the surface or substrate.
- a pesticidally effective amount of the compositions of the invention to the target pests, to their locus, or to a surface or substrate so as to provide effective residual pesticidal activity on the surface or substrate.
- Such application may be made by brushing, rolling, spraying, spreading or dipping the pesticidal composition of the invention.
- an IRS application of a surface such as a wall, ceiling or floor surface is contemplated by the method of the invention so as to provide effective residual pesticidal activity on the surface.
- a substrate such as a fabric material in the form of (or which can be used in the manufacture of) netting, clothing, bedding, curtains and tents.
- Substrates including non-woven, fabrics or netting to be treated may be made of natural fibres such as cotton, raffia, jute, flax, sisal, hessian, or wool, or synthetic fibres such as polyamide, polyester, polypropylene, polyacrylonitrile or the like.
- the polyesters are particularly suitable.
- compositions according to the invention are known, e.g. WO 2008/151984, WO 2003/034823, US 5631072, WO 2005/64072, WO 2 006/128870, EP 1724392, WO 2005113886 or WO 2007/090739.
- Further areas of use of the compositions according to the invention are the field of tree injection/trunk treatment for all ornamental trees as well all sort of fruit and nut trees.
- the compounds according to the present invention are especially suitable against wood-boring insects from the order Lepidoptera as mentioned above and from the order Coleoptera, especially against woodborers listed in the following tables A and B: Table A. Examples of exotic woodborers of economic importance. Table B. Examples of native woodborers of economic importance.
- the present invention may be also used to control any insect pests that may be present in turfgrass, including for example beetles, caterpillars, fire ants, ground pearls, millipedes, sow bugs, mites, mole crickets, scales, mealybugs, ticks, spittlebugs, southern chinch bugs and white grubs.
- the present invention may be used to control insect pests at various stages of their life cycle, including eggs, larvae, nymphs and adults.
- the present invention may be used to control insect pests that feed on the roots of turfgrass including white grubs (such as Cyclocephala spp. (e.g. masked chafer, C. lurida), Rhizotrogus spp.
- Cotinus spp. e.g. Green June beetle, C. nitida
- Popillia spp. e.g. Japanese beetle, P. japonica
- Phyllophaga spp. e.g. May/June beetle
- Ataenius spp. e.g. Black turfgrass ataenius, A. spretulus
- Maladera spp. e.g. Asiatic garden beetle, M.
- the present invention may also be used to control insect pests of turfgrass that are thatch dwelling, including armyworms (such as fall armyworm Spodoptera frugiperda, and common armyworm Pseudaletia unipuncta), cutworms, billbugs (Sphenophorus spp., such as S. venatus verstitus and S.
- the present invention may also be used to control insect pests of turfgrass that live above the ground and feed on the turfgrass leaves, including chinch bugs (such as southern chinch bugs, Blissus insularis), Bermudagrass mite (Eriophyes cynodoniensis), rhodesgrass mealybug (Antonina graminis), two-lined spittlebug (Propsapia bicincta), leafhoppers, cutworms (Noctuidae family), and greenbugs.
- chinch bugs such as southern chinch bugs, Blissus insularis
- Bermudagrass mite Eriophyes cynodoniensis
- rhodesgrass mealybug Antonina graminis
- two-lined spittlebug Propsapia bicincta
- leafhoppers cutworms (Noctuidae family), and greenbugs.
- the present invention may also be used to control other pests of turfgrass such as red imported fire ants (Solenopsis invicta) that create ant mounds in turf.
- the compositions according to the invention are active against ectoparasites such as hard ticks, soft ticks, mange mites, harvest mites, flies (biting and licking), parasitic fly larvae, lice, hair lice, bird lice and fleas. Examples of such parasites are: Of the order Anoplurida: Haematopinus spp., Linognathus spp., Pediculus spp. and Phtirus spp., Solenopotes spp..
- Nematocerina and Brachycerina for example Aedes spp., Anopheles spp., Culex spp., Simulium spp., Eusimulium spp., Phlebotomus spp., Lutzomyia spp., Culicoides spp., Chrysops spp., Hybomitra spp., Atylotus spp., Tabanus spp., Haematopota spp., Philipomyia spp., Braula spp., Musca spp., Hydrotaea spp., Stomoxys spp., Haematobia spp., Morellia spp., Fannia spp., Glossina spp., Calliphora spp., Glossina spp., Calliphora spp., Glossina spp., Call
- Siphonapta for example Pulex spp., Ctenocephalides spp., Xenopsylla spp., Ceratophyllus spp..
- Heteropterida for example Cimex spp., Triatoma spp., Rhodnius spp., Panstrongylus spp..
- Blattarida for example Blatta orientalis, Periplaneta americana, Blattelagermanica and Supella spp..
- Actinedida Prostigmata
- Acaridida Acaridida
- Acarapis spp. Cheyletiella spp., Ornitrocheyletia spp., Myobia spp., Psorergatesspp., Demodex spp., Trombicula spp., Listrophorus spp., Acarus spp., Tyrophagus spp., Caloglyphus spp., Hypodectes spp., Pterolichus spp., Psoroptes spp., Chorioptes spp., Otodectes spp., Sarcoptes spp., Notoedres spp., Knemidocoptes spp., Cytodites spp.
- compositions according to the invention are also suitable for protecting against insect infestation in the case of materials such as wood, textiles, plastics, adhesives, glues, paints, paper and card, leather, floor coverings and buildings.
- compositions according to the invention can be used, for example, against the following pests: beetles such as Hylotrupes bajulus, Chlorophorus pilosis, Anobium punctatum, Xestobium rufovillosum, Ptilinuspecticornis, Dendrobium pertinex, Ernobius mollis, Priobium carpini, Lyctus brunneus, Lyctus africanus, Lyctus planicollis, Lyctus linearis, Lyctus pubescens, Trogoxylon aequale, Minthesrugicollis, Xyleborus spec.,Tryptodendron spec., Apate monachus, Bostrychus capucins, Heterobostrychus brunneus, Sinoxylon spec.
- the compounds of formulae I, and I’a, or salts thereof, are especially suitable for controlling one or more pests selected from the family: Noctuidae, Plutellidae, Chrysomelidae, Thripidae, Pentatomidae, Tortricidae, Delphacidae, Aphididae, Noctuidae,
- a compound TX controls one or more of pests selected from the family: Noctuidae, Plutellidae, Chrysomelidae, Thripidae, Pentatomidae, Tortricidae, Delphacidae, Aphididae, Noctuidae, Crambidae, Meloidogynidae, and Heteroderidae.
- the compounds of formulae I, and I’a, or salts thereof, are especially suitable for controlling one or more of pests selected from the genus: Spodoptera spp, Plutella spp, Frankliniella spp, Thrips spp, Euschistus spp, Cydia spp, Nilaparvata spp, Myzus spp, Aphis spp, Diabrotica spp, Rhopalosiphum spp, Pseudoplusia spp and Chilo spp.
- pests selected from the genus: Spodoptera spp, Plutella spp, Frankliniella spp, Thrips spp, Euschistus spp, Cydia spp, Nilaparvata spp, Myzus spp, Aphis spp, Diabrotica spp, Rhopalosiphum spp, Pseudoplusia spp
- a compound TX controls one or more of pests selected from the genus: Spodoptera spp, Plutella spp, Frankliniella spp, Thrips spp, Euschistus spp, Cydia spp, Nilaparvata spp, Myzus spp, Aphis spp, Diabrotica spp, Rhopalosiphum spp, Pseudoplusia spp and Chilo spp.
- pests selected from the genus: Spodoptera spp, Plutella spp, Frankliniella spp, Thrips spp, Euschistus spp, Cydia spp, Nilaparvata spp, Myzus spp, Aphis spp, Diabrotica spp, Rhopalosiphum spp, Pseudoplusia spp and Chilo spp.
- the compounds of formulae I, and I’a, or salts thereof, are especially suitable for controlling one or more of Spodoptera littoralis, Plutella xylostella, Frankliniella occidentalis, Thrips tabaci, Euschistus heros, Cydia pomonella, Nilaparvata lugens, Myzus persicae, Chrysodeixis incIudens, Aphis craccivora, Diabrotica balteata, Rhopalosiphum padi, and Chilo suppressalis.
- a compound TX controls one or more of Spodoptera littoralis, Plutella xylostella, Frankliniella occidentalis, Thrips tabaci, Euschistus heros, Cydia pomonella, Nilaparvata lugens, Myzus persicae, Chrysodeixis incIudens, Aphis craccivora, Diabrotica balteata, Rhopalosiphum Padia, and Chilo Suppressalis, such as Spodoptera littoralis + TX, Plutella xylostella + TX; Frankliniella occidentalis + TX, Thrips tabaci + TX, Euschistus heros + TX, Cydia pomonella + TX, Nilaparvata lugens + TX, Myzus per
- one compound from Tables D-1 to D-24 and Table P is suitable for controlling Spodoptera littoralis, Plutella xylostella, Frankliniella occidentalis, Thrips tabaci, Euschistus heros, Cydia pomonella, Nilaparvata lugens, Myzus persicae, Chrysodeixis incIudens, Aphis craccivora, Diabrotica balteata, Rhopalosiphum padia, and Chilo suppressalis in cotton, vegetable, maize, cereal, rice and soya crops.
- one compound from Tables D-1 to D-24 and Table P is suitable for controlling Mamestra (preferably in vegetables), Cydia pomonella (preferably in apples), Empoasca (preferably in vegetables, vineyards), Leptinotarsa (preferably in potatos) and Chilo supressalis (preferably in rice).
- Compounds according to the invention may possess any number of benefits including, inter alia, advantageous levels of biological activity for protecting plants against insects or superior properties for use as agrochemical active ingredients (for example, greater biological activity, an advantageous spectrum of activity, an increased safety profile (against non-target organisms above and below ground (such as fish, birds and bees), improved physico-chemical properties, or increased biodegradability).
- certain compounds of formula I may show an advantageous safety profile with respect to non-target arthropods, in particular pollinators such as honey bees, solitary bees, and bumble bees. Most particularly, Apis mellifera.
- the compounds according to the invention can be used as pesticidal agents in unmodified form, but they are generally formulated into compositions in various ways using formulation adjuvants, such as carriers, solvents and surface-active substances.
- the formulations can be in various physical forms, e.g.
- Such formulations can either be used directly or diluted prior to use.
- the dilutions can be made, for example, with water, liquid fertilisers, micronutrients, biological organisms, oil or solvents.
- the formulations can be prepared e.g. by mixing the active ingredient with the formulation adjuvants in order to obtain compositions in the form of finely divided solids, granules, solutions, dispersions or emulsions.
- the active ingredients can also be formulated with other adjuvants, such as finely divided solids, mineral oils, oils of vegetable or animal origin, modified oils of vegetable or animal origin, organic solvents, water, surface-active substances or combinations thereof.
- the active ingredients can also be contained in very fine microcapsules.
- Microcapsules contain the active ingredients in a porous carrier. This enables the active ingredients to be released into the environment in controlled amounts (e.g. slow-release).
- Microcapsules usually have a diameter of from 0.1 to 500 microns. They contain active ingredients in an amount of about from 25 to 95 % by weight of the capsule weight.
- the active ingredients can be in the form of a monolithic solid, in the form of fine particles in solid or liquid dispersion or in the form of a suitable solution.
- the encapsulating membranes can comprise, for example, natural or synthetic rubbers, cellulose, styrene/butadiene copolymers, polyacrylonitrile, polyacrylate, polyesters, polyamides, polyureas, polyurethane or chemically modified polymers and starch xanthates or other polymers that are known to the person skilled in the art.
- very fine microcapsules can be formed in which the active ingredient is contained in the form of finely divided particles in a solid matrix of base substance, but the microcapsules are not themselves encapsulated.
- the formulation adjuvants that are suitable for the preparation of the compositions according to the invention are known per se.
- liquid carriers there may be used: water, toluene, xylene, petroleum ether, vegetable oils, acetone, methyl ethyl ketone, cyclohexanone, acid anhydrides, acetonitrile, acetophenone, amyl acetate, 2-butanone, butylene carbonate, chlorobenzene, cyclohexane, cyclohexanol, alkyl esters of acetic acid, diacetone alcohol, 1,2-dichloropropane, diethanolamine, p-diethylbenzene, diethylene glycol, diethylene glycol abietate, diethylene glycol butyl ether, diethylene glycol ethyl ether, diethylene glycol methyl ether, N,N-dimethylformamide, dimethyl sulfoxide, 1,4-dioxane, dipropylene glycol, dipropylene glycol methyl ether, dipropylene glycol dibenzoate, diprox
- Suitable solid carriers are, for example, talc, titanium dioxide, pyrophyllite clay, silica, attapulgite clay, kieselguhr, limestone, calcium carbonate, bentonite, calcium montmorillonite, cottonseed husks, wheat flour, soybean flour, pumice, wood flour, ground walnut shells, lignin and similar substances.
- a large number of surface-active substances can advantageously be used in both solid and liquid formulations, especially in those formulations which can be diluted with a carrier prior to use.
- Surface-active substances may be anionic, cationic, non-ionic or polymeric and they can be used as emulsifiers, wetting agents or suspending agents or for other purposes.
- Typical surface-active substances include, for example, salts of alkyl sulfates, such as diethanolammonium lauryl sulfate; salts of alkylarylsulfonates, such as calcium dodecylbenzenesulfonate; alkylphenol/alkylene oxide addition products, such as nonylphenol ethoxylate; alcohol/alkylene oxide addition products, such as tridecylalcohol ethoxylate; soaps, such as sodium stearate; salts of alkylnaphthalenesulfonates, such as sodium dibutylnaphthalenesulfonate; dialkyl esters of sulfosuccinate salts, such as sodium di(2- ethylhexyl)sulfosuccinate; sorbitol esters, such as sorbitol oleate; quaternary amines, such as lauryltrimethylammonium chloride, polyethylene glycol esters of
- pesticidal formulations include crystallisation inhibitors, viscosity modifiers, suspending agents, dyes, anti-oxidants, foaming agents, light absorbers, mixing auxiliaries, antifoams, complexing agents, neutralising or pH-modifying substances and buffers, corrosion inhibitors, fragrances, wetting agents, take-up enhancers, micronutrients, plasticisers, glidants, lubricants, dispersants, thickeners, antifreezes, microbicides, and liquid and solid fertilisers.
- compositions according to the invention can include an additive comprising an oil of vegetable or animal origin, a mineral oil, alkyl esters of such oils or mixtures of such oils and oil derivatives.
- the amount of oil additive in the composition according to the invention is generally from 0.01 to 10 %, based on the mixture to be applied.
- the oil additive can be added to a spray tank in the desired concentration after a spray mixture has been prepared.
- Preferred oil additives comprise mineral oils or an oil of vegetable origin, for example rapeseed oil, olive oil or sunflower oil, emulsified vegetable oil, alkyl esters of oils of vegetable origin, for example the methyl derivatives, or an oil of animal origin, such as fish oil or beef tallow.
- Preferred oil additives comprise alkyl esters of C 8 -C 22 fatty acids, especially the methyl derivatives of C 12 -C 18 fatty acids, for example the methyl esters of lauric acid, palmitic acid and oleic acid (methyl laurate, methyl palmitate and methyl oleate, respectively).
- Many oil derivatives are known from the Compendium of Herbicide Adjuvants, 10 th Edition, Southern Illinois University, 2010.
- the inventive compositions generally comprise from 0.1 to 99 % by weight, especially from 0.1 to 95 % by weight, of compounds of the present invention and from 1 to 99.9 % by weight of a formula- tion adjuvant which preferably includes from 0 to 25 % by weight of a surface-active substance.
- the end user will normally employ dilute formulations.
- the rates of application vary within wide limits and depend on the nature of the soil, the method of application, the crop plant, the pest to be controlled, the prevailing climatic conditions, and other factors governed by the method of application, the time of application and the target crop.
- a general guideline compounds may be applied at a rate of from 1 to 2000 l/ha, especially from 10 to 1000 l/ha.
- Preferred formulations can have the following compositions (weight %): Emulsifiable concentrates: active ingredient: 1 to 95 %, preferably 60 to 90 % surface-active agent: 1 to 30 %, preferably 5 to 20 % liquid carrier: 1 to 80 %, preferably 1 to 35 % Dusts: active ingredient: 0.1 to 10 %, preferably 0.1 to 5 % solid carrier: 99.9 to 90 %, preferably 99.9 to 99 % Suspension concentrates: active ingredient: 5 to 75 %, preferably 10 to 50 % water: 94 to 24 %, preferably 88 to 30 % surface-active agent: 1 to 40 %, preferably 2 to 30 % Wettable powders: active ingredient: 0.5 to 90 %, preferably 1 to 80 % surface-active agent: 0.5 to 20 %, preferably 1 to 15 % solid carrier: 5 to 95 %, preferably 15 to 90 % Granules: active ingredient: 0.1 to 30 %, preferably 0.1 to 15 % solid
- the combination is thoroughly mixed with the adjuvants and the mixture is thoroughly ground in a suitable mill, affording wettable powders that can be diluted with water to give suspensions of the desired concentration.
- the combination is thoroughly mixed with the adjuvants and the mixture is thoroughly ground in a suitable mill, affording powders that can be used directly for seed treatment.
- Emulsions of any required dilution, which can be used in plant protection, can be obtained from this concentrate by dilution with water.
- Ready-for-use dusts are obtained by mixing the combination with the carrier and grinding the mixture in a suitable mill. Such powders can also be used for dry dressings for seed.
- the combination is mixed and ground with the adjuvants, and the mixture is moistened with water.
- the mixture is extruded and then dried in a stream of air.
- the finely ground combination is uniformly applied, in a mixer, to the kaolin moistened with polyethylene glycol. Non-dusty coated granules are obtained in this manner.
- Suspension concentrate The finely ground combination is intimately mixed with the adjuvants, giving a suspension concentrate from which suspensions of any desired dilution can be obtained by dilution with water. Using such dilutions, living plants as well as plant propagation material can be treated and protected against infestation by microorganisms, by spraying, pouring or immersion.
- Flowable concentrate for seed treatment The finely ground combination is intimately mixed with the adjuvants, giving a suspension concentrate from which suspensions of any desired dilution can be obtained by dilution with water. Using such dilutions, living plants as well as plant propagation material can be treated and protected against infestation by microorganisms, by spraying, pouring or immersion. Slow Release Capsule Suspension 28 parts of the combination are mixed with 2 parts of an aromatic solvent and 7 parts of toluene diisocyanate/polymethylene-polyphenylisocyanate-mixture (8:1).
- This mixture is emulsified in a mixture of 1.2 parts of polyvinylalcohol, 0.05 parts of a defoamer and 51.6 parts of water until the desired particle size is achieved.
- a mixture of 2.8 parts 1,6-diaminohexane in 5.3 parts of water is added.
- the mixture is agitated until the polymerization reaction is completed.
- the obtained capsule suspension is stabilized by adding 0.25 parts of a thickener and 3 parts of a dispersing agent.
- the capsule suspension formulation contains 28% of the active ingredients.
- the medium capsule diameter is 8-15 microns.
- the resulting formulation is applied to seeds as an aqueous suspension in an apparatus suitable for that purpose.
- Formulation types include an emulsion concentrate (EC), a suspension concentrate (SC), a suspo-emulsion (SE), a capsule suspension (CS), a water dispersible granule (WG), an emulsifiable granule (EG), an emulsion, water in oil (EO), an emulsion, oil in water (EW), a micro-emulsion (ME), an oil dispersion (OD), an oil miscible flowable (OF), an oil miscible liquid (OL), a soluble concentrate (SL), an ultra-low volume suspension (SU), an ultra-low volume liquid (UL), a technical concentrate (TK), a dispersible concentrate (DC), a wettable powder (WP), a soluble granule (SG) or any technically feasible formulation in combination with agriculturally acceptable adjuvants.
- EC emulsion concentrate
- SC suspension concentrate
- SE suspo-emulsion
- CS capsule suspension
- WG water dispersible granule
- EG
- LC/MS Methods Method 1: Spectra were recorded on a Mass Spectrometer from Waters (SQD, SQDII Single quadrupole mass spectrometer) equipped with an electrospray source(Polarity: positive and negative ions, Capillary: 3.00 kV, Cone range: 41 V, Extractor: 2.00 V, Source Temperature: 150°C, Desolvation Temperature: 500°C, Cone Gas Flow: 50 l/h, Desolvation Gas Flow: 1000 l/h, Mass range: 110 to 800 Da) and an Acquity UPLC from Waters: Binary pump, heated column compartment , diode-array detector and ELSD detector.
- Method 2 Spectra were recorded on a 6410 Triple Quadruple Mass Spectrometer from Agilent Technologies; (Agilent 1200 Series HPLC) equipped with an electrospray source (Polarity: positive and negative ions Polarity Switch, Scan Type: MS2 Scan, Capillary (kV): 4.00, Fragmentor (V): 100.00, Gas Temperature (°C): 350, Gas Flow (L/min): 11, Nebulizer Gas (psi): 45, Mass range: 110 to 1000 Da, DAD Wavelength range: 210 to 400 nm).
- Example 1 Preparation of 6-chloro-N-[1-(3-pyrimidin-2-ylpyrazin-2-yl)ethyl]-5-(trifluoromethyl)- 1,3-benzoxazol-2-amine (P.3): Step 1: Preparation of 5-chloro-2-nitro-4-(trifluoromethyl)phenol (XL(i)-1-1):
- Step 3 Preparation of 6-chloro-5-(trifluoromethyl)-1,3-benzoxazole-2-thiol (XXXIX-1-1): A mixture of 2-amino-5-chloro-4-(trifluoromethyl)phenol (4.00 g, 18.9 mmol), Potassium o-ethyl dithiocarbonate (6.31 g, 37.8 mmol) and pyridine (40 mL) was heated at 120°C for 3 hr. The reaction was cooled to room temperature, added crushed ice and neutralized with 2 N hydrochloric acid.
- Step 4 Preparation of 2,6-dichloro-5-(trifluoromethyl)-1,3-benzoxazole (II-1-1): To a mixture of 6-chloro-5-(trifluoromethyl)-1,3-benzoxazole-2-thiol (1.00 g, 3.94 mmol) and thionyl chloride (10 mL/g, 137 mmol), was added N,N-Dimethylformamide (0.3 mL) and stirred at 110 °C for 3 hr. The reaction mixture was concentrated under vacuum and purified by silica gel column chromatography to give 2,6-dichloro-5-(trifluoromethyl)-1,3-benzoxazole (0.9 g, 89%) as white solid.
- Step 5 Preparation of 6-chloro-N-[1-(3-pyrimidin-2-ylpyrazin-2-yl)ethyl]-5-(trifluoromethyl)-1,3- benzoxazol-2-amine (P.3): To a microwave vial was added 2,6-dichloro-5-(trifluoromethyl)-1,3-benzoxazole (0.5 g, 1.95 mmol) , 1-(3-pyrimidin-2-ylpyrazin-2-yl)ethanamine (0.43 g, 2.14 mmol), and acetonitrile (5 mL), followed by N,N-diethylethanamine (0.82 mL, 3 mmol).
- Example 2 Preparation of 6-chloro-N-methyl-N-[1-(3-pyrimidin-2-ylpyrazin-2-yl)ethyl]-5- (trifluoromethyl)-1,3-benzoxazol-2-amine (P.9): To a stirred solution of 6-chloro-N-[1-(3-pyrimidin-2-ylpyrazin-2-yl)ethyl]-5-(trifluoromethyl)-1,3- benzoxazol-2-amine (P.3; 0.15 g, 0.35mmol) in dimethyl formamide (1.5 mL) at 0°C was added iodomethane (0.155 g, 1.06 mmol) followed by sodium hydride (60 mass% in oil) (0.021 g, 0.53 mmol) in portions.
- iodomethane 0.155 g, 1.06 mmol
- sodium hydride 60 mass% in oil
- compositions according to the invention can be broadened considerably, and adapted to prevailing circumstances, by adding other insecticidally, acaricidally and/or fungicidally active ingredients.
- mixtures of the compounds of formula I with other insecticidally, acaricidally and/or fungicidally active ingredients may also have further surprising advantages which can also be described, in a wider sense, as synergistic activity. For example, better tolerance by plants, reduced phytotoxicity, insects can be controlled in their different development stages or better behaviour during their production, for example during grinding or mixing, during their storage or during their use.
- Suitable additions to active ingredients here are, for example, representatives of the following classes of active ingredients: organophosphorus compounds, nitrophenol derivatives, thioureas, juvenile hormones, formamidines, benzophenone derivatives, ureas, pyrrole derivatives, carbamates, pyrethroids, chlorinated hydrocarbons, acylureas, pyridylmethyleneamino derivatives, macrolides, neonicotinoids and Bacillus thuringiensis preparations.
- TX means “one compound selected from the compounds defined in Tables D-1 to D-24 and Table P”
- an adjuvant selected from the group of substances consisting of petroleum oils (alternative name) (628) + TX
- an insect control active substance selected from abamectin + TX, acequinocyl + TX, acetamiprid + TX, acetoprole + TX, acrinathrin + TX, acynonapyr + TX, afidopyropen + TX, afoxolaner + TX, alanycarb + TX, allethrin + TX, alpha-cypermethrin + TX, alphamethrin + TX, amidoflumet + TX, aminocarb + TX, azocyclotin + TX, bensultap + TX, benzoximate + TX, benzpyrimox
- TX Muscodor roseus A 3 -5 (NRRL Accession No.30548) + TX, Neem tree based products + TX, Paecilomyces fumosoroseus + TX, Paecilomyces lilacinus + TX, Pasteuria nishizawae + TX, Pasteuria penetrans + TX, Pasteuria ramosa + TX, Pasteuria thornei + TX, Pasteuria usgae + TX, P- cymene + TX, Plutella xylostella Granulosis virus + TX, Plutella xylostella Nucleopolyhedrovirus + TX, Polyhedrosis virus + TX, pyrethrum + TX, QRD 420 (a terpenoid blend) + TX, QRD 452 (a terpenoid blend) + TX, QRD 460 (a ter
- TX Paecilomyces fumosoroseus + TX, Phytoseiulus persimilis + TX, Steinernema bibionis + TX, Steinernema carpocapsae + TX, Steinernema feltiae + TX, Steinernema glaseri + TX, Steinernema riobrave + TX, Steinernema riobravis + TX, Steinernema scapterisci + TX, Steinernema spp. + TX, Trichogramma spp.
- the compounds in this paragraph may be prepared from the methods described in WO 2017/055473, WO 2017/055469, WO 2017/093348 and WO 2017/118689; 2-[6-(4-chlorophenoxy)-2- (trifluoromethyl)-3-pyridyl]-1-(1,2,4-triazol-1-yl)propan-2-ol + TX (this compound may be prepared from the methods described in WO 2017/029179); 2-[6-(4-bromophenoxy)-2-(trifluoromethyl)-3-pyridyl]-1- (1,2,4-triazol-1-yl)propan-2-ol + TX (this compound may be prepared from the methods described in WO 2017/029179); 3-[2-(1-chlorocyclopropyl)-3-(2-fluorophenyl)-2-hydroxy-propyl]imidazole-4- carbonitrile + TX (this compound may be prepared from the methods described in WO 2016/156290);
- Bacillus subtilis strain AQ178 + TX Bacillus subtilis strain QST 713 (CEASE® + TX, Serenade® + TX, Rhapsody®) + TX, Bacillus subtilis strain QST 714 (JAZZ®) + TX, Bacillus subtilis strain AQ153 + TX, Bacillus subtilis strain AQ743 + TX, Bacillus subtilis strain QST3002 + TX, Bacillus subtilis strain QST3004 + TX, Bacillus subtilis var.
- amyloliquefaciens strain FZB24 (Taegro® + TX, Rhizopro®) + TX, Bacillus thuringiensis Cry 2Ae + TX, Bacillus thuringiensis Cry1Ab + TX, Bacillus thuringiensis aizawai GC 91 (Agree®) + TX, Bacillus thuringiensis israelensis (BMP123® + TX, Aquabac® + TX, VectoBac®) + TX, Bacillus thuringiensis kurstaki (Javelin® + TX, Deliver® + TX, CryMax® + TX, Bonide® + TX, Scutella WP® + TX, Turilav WP ® + TX, Astuto® + TX, Dipel WP® + TX, Biobit® + TX, Foray®) + TX, Bacillus thuringiensis kurstaki BMP 123 (Baritone
- aizawai (XenTari® + TX, DiPel®) + TX, bacteria spp. (GROWMEND® + TX, GROWSWEET® + TX, Shootup®) + TX, bacteriophage of Clavipacter michiganensis (AgriPhage®) + TX, Bakflor® + TX, Beauveria bassiana (Beaugenic® + TX, Brocaril WP®) + TX, Beauveria bassiana GHA (Mycotrol ES® + TX, Mycotrol O® + TX, BotaniGuard®) + TX, Beauveria brongniartii (Engerlingspilz® + TX, Schweizer Beauveria® + TX, Melocont®) + TX, Beauveria spp.
- TX Botrytis cineria + TX, Bradyrhizobium japonicum (TerraMax®) + TX, Brevibacillus brevis + TX, Bacillus thuringiensis tenebrionis (Novodor®) + TX, BtBooster + TX, Burkholderia cepacia (Deny® + TX, Intercept® + TX, Blue Circle®) + TX, Burkholderia gladii + TX, Burkholderia gladioli + TX, Burkholderia spp.
- TX Canadian thistle fungus (CBH Canadian Bioherbicide®) + TX, Candida butyri + TX, Candida famata + TX, Candida fructus + TX, Candida glabrata + TX, Candida guilliermondii + TX, Candida melibiosica + TX, Candida oleophila strain O + TX, Candida parapsilosis + TX, Candida pelliculosa + TX, Candida pulcherrima + TX, Candida reuêtii + TX, Candida saitoana (Bio-Coat® + TX, Biocure®) + TX, Candida sake + TX, Candida spp.
- TX Cladosporium tenuissimum + TX, Clonostachys rosea (EndoFine®) + TX, Colletotrichum acutatum + TX, Coniothyrium minitans (Cotans WG®) + TX, Coniothyrium spp.
- TX Filobasidium floriforme + TX, Fusarium acuminatum + TX, Fusarium chlamydosporum + TX, Fusarium oxysporum (Fusaclean® / Biofox C®) + TX, Fusarium proliferatum + TX, Fusarium spp. + TX, Galactomyces geotrichum + TX, Gliocladium catenulatum (Primastop® + TX, Prestop®) + TX, Gliocladium roseum + TX, Gliocladium spp.
- Pasteuria spp. Econem® + TX, Pasteuria nishizawae + TX, Penicillium aurantiogriseum + TX, Penicillium billai (Jumpstart® + TX, TagTeam®) + TX, Penicillium brevicompactum + TX, Penicillium frequentans + TX, Penicillium griseofulvum + TX, Penicillium purpurogenum + TX, Penicillium spp.
- TX Penicillium viridicatum + TX, Phlebiopsis gigantean (Rotstop®) + TX, phosphate solubilizing bacteria (Phosphomeal®) + TX, Phytophthora cryptogea + TX, Phytophthora palmivora (Devine®) + TX, Pichia anomala + TX, Pichia guilermondii + TX, Pichia membranaefaciens + TX, Pichia onychis + TX, Pichia stipites + TX, Pseudomonas aeruginosa + TX, Pseudomonas aureofasciens (Spot-Less Biofungicide®) + TX, Pseudomonas cepacia + TX, Pseudomonas chlororaphis (AtEze®) + TX, Pseudomonas corrugate + TX, Ps
- Rhodosporidium diobovatum + TX Rhodosporidium toruloides + TX, Rhodotorula spp.
- Trichoderma asperellum T34 Biocontrol®
- Trichoderma gamsii TX
- Trichoderma atroviride Plantmate®
- Trichoderma harzianum rifai Mycostar®
- Trichoderma harzianum T-22 Trianum-P® + TX, PlantShield HC® + TX, RootShield® + TX, Trianum-G®) + TX, Trichoderma harzianum T-39 (Trichodex®) + TX, Trichoderma inhamatum + TX, Trichoderma koningii + TX, Trichoderma spp.
- LC 52 (Sentinel®) + TX, Trichoderma lignorum + TX, Trichoderma longibrachiatum + TX, Trichoderma polysporum (Binab T®) + TX, Trichoderma taxi + TX, Trichoderma virens + TX, Trichoderma virens (formerly Gliocladium virens GL-21) (SoilGuard®) + TX, Trichoderma viride + TX, Trichoderma viride strain ICC 080 (Remedier®) + TX, Trichosporon pullulans + TX, Trichosporon spp. + TX, Trichothecium spp.
- TX Trichothecium roseum + TX, Typhula phacorrhiza strain 94670 + TX, Typhula phacorrhiza strain 94671 + TX, Ulocladium atrum + TX, Ulocladium oudemansii (Botry-Zen®) + TX, Ustilago maydis + TX, various bacteria and supplementary micronutrients (Natural II®) + TX, various fungi (Millennium Microbes®) + TX, Verticillium chlamydosporium + TX, Verticillium lecanii (Mycotal® + TX, Vertalec®) + TX, Vip3Aa20 (VIPtera®) + TX, Virgibaclillus marismortui + TX, Xanthomonas campestris pv.
- Plant extracts including: pine oil (Retenol®) + TX, azadirachtin (Plasma Neem Oil® + TX, AzaGuard® + TX, MeemAzal® + TX, Molt-X® + TX, Botanical IGR (Neemazad® + TX, Neemix®) + TX, canola oil (Lilly Miller Vegol®) + TX, Chenopodium ambrosioides near ambrosioides (Requiem®) + TX, Chrysanthemum extract (Crisant®) + TX, extract of neem oil (Trilogy®) + TX, essentials oils of Labiatae (Botania®) + TX, extracts of clove rosemary peppermint and thyme oil (Garden insect killer®) + TX, Glycine
- TX Coccidoxenoides perminutus (Planopar®) + TX, Coccophagus cowperi + TX, Coccophagus lycimnia + TX, Cotesia flavipes + TX, Cotesia plutellae + TX, Cryptolaemus montrouzieri (Cryptobug® + TX, Cryptoline®) + TX, Cybocephalus nipponicus + TX, Dacnusa sibirica + TX, Dacnusa sibirica (Minusa®) + TX, Diglyphus isaea (Diminex®) + TX, Delphastus catalinae (Delphastus®) + TX, Delphastus pusillus + TX, Diachasmimorpha krausii + TX, Diachasmimorpha longicaudata + TX, Diaparsis jucunda + TX, Diaphorencyrtus aligarhensis
- TX Steinernematid spp. (Guardian Nematodes®) + TX, Stethorus punctillum (Stethorus®) + TX, Tamarixia radiate + TX, Tetrastichus setifer + TX, Thripobius semiluteus + TX, Torymus sinensis + TX, Trichogramma brassicae (Tricholine b®) + TX, Trichogramma brassicae (Tricho-Strip®) + TX, Trichogramma evanescens + TX, Trichogramma minutum + TX, Trichogramma ostriniae + TX, Trichogramma platneri + TX, Trichogramma pretiosum + TX, Xanthopimpla stemmator; other biologicals including: abscisic acid + TX, bioSea® + TX, Chondrostereum purpureum (Chontrol Paste®) + TX, Colletotrichum gloeosporioides
- the designation is not a "common name”, the nature of the designation used instead is given in round brackets for the particular compound; in that case, the IUPAC name, the IUPAC/Chemical Abstracts name, a "chemical name”, a “traditional name”, a “compound name” or a “development code” is used or, if neither one of those designations nor a "common name” is used, an "alternative name” is employed.
- “CAS Reg. No” means the Chemical Abstracts Registry Number.
- the active ingredient mixture of the compounds of formula I selected from the compounds defined in the Tables D-1 to D-24 and Table P with active ingredients described above comprises a compound selected from one compound defined in the Tables D-1 to D-24 and Table P and an active ingredient as described above preferably in a mixing ratio of from 100:1 to 1:6000, especially from 50:1 to 1:50, more especially in a ratio of from 20:1 to 1:20, even more especially from 10:1 to 1:10, very especially from 5:1 to 1:5, special preference being given to a ratio of from 2:1 to 1:2, and a ratio of from 4:1 to 2:1 being likewise preferred, above all in a ratio of 1:1, or 5:1, or 5:2, or 5:3, or 5:4, or 4:1, or 4:2, or 4:3, or 3:1, or 3:2, or 2:1, or 1:5, or 2:5, or 3:5, or 4:5, or 1:4, or 2:4, or 3:4, or 1:3, or 2:3, or 1:2, or 1:600, or 1:300, or 1:150, or 1:
- the compounds and mixtures as described above can be used in a method for controlling pests, which comprises applying a composition comprising a compound or mixture respectively as described above to the pests or their environment, with the exception of a method for treatment of the human or animal body by surgery or therapy and diagnostic methods practised on the human or animal body.
- the mixtures comprising a compound of formula I selected from the compounds defined in the Tables D-1 to D-24 and Table P and one or more active ingredients as described above can be applied, for example, in a single “ready-mix” form, in a combined spray mixture composed from separate formulations of the single active ingredient components, such as a “tank-mix”, and in a combined use of the single active ingredients when applied in a sequential manner, i.e.
- compositions according to the invention can also comprise further solid or liquid auxiliaries, such as stabilizers, for example unepoxidized or epoxidized vegetable oils (for example epoxidized coconut oil, rapeseed oil or soya oil), antifoams, for example silicone oil, preservatives, viscosity regulators, binders and/or tackifiers, fertilizers or other active ingredients for achieving specific effects, for example bactericides, fungicides, nematocides, plant activators, molluscicides or herbicides.
- auxiliaries such as stabilizers, for example unepoxidized or epoxidized vegetable oils (for example epoxidized coconut oil, rapeseed oil or soya oil), antifoams, for example silicone oil, preservatives, viscosity regulators, binders and/or tackifiers, fertilizers or other active ingredients for achieving specific effects, for example bactericides, fungicides, nematocides
- compositions according to the invention are prepared in a manner known per se, in the absence of auxiliaries for example by grinding, screening and/or compressing a solid active ingredient and in the presence of at least one auxiliary for example by intimately mixing and/or grinding the active ingredient with the auxiliary (auxiliaries).
- auxiliaries for example by grinding, screening and/or compressing a solid active ingredient and in the presence of at least one auxiliary for example by intimately mixing and/or grinding the active ingredient with the auxiliary (auxiliaries).
- compositions that is the methods of controlling pests of the abovementioned type, such as spraying, atomizing, dusting, brushing on, dressing, scattering or pouring - which are to be selected to suit the intended aims of the prevailing circumstances - and the use of the compositions for controlling pests of the abovementioned type are other subjects of the invention.
- Typical rates of concentration are between 0.1 and 1000 ppm, preferably between 0.1 and 500 ppm, of active ingredient.
- the rate of application per hectare is generally 1 to 2000 g of active ingredient per hectare, in particular 10 to 1000 g/ha, preferably 10 to 600 g/ha.
- a preferred method of application in the field of crop protection is application to the foliage of the plants (foliar application), it being possible to select frequency and rate of application to match the danger of infestation with the pest in question.
- the active ingredient can reach the plants via the root system (systemic action), by drenching the locus of the plants with a liquid composition or by incorporating the active ingredient in solid form into the locus of the plants, for example into the soil, for example in the form of granules (soil application). In the case of paddy rice crops, such granules can be metered into the flooded paddy-field.
- the compounds of formula I of the invention and compositions thereof are also be suitable for the protection of plant propagation material, for example seeds, such as fruit, tubers or kernels, or nursery plants, against pests of the abovementioned type.
- the propagation material can be treated with the compound prior to planting, for example seed can be treated prior to sowing.
- the compound can be applied to seed kernels (coating), either by soaking the kernels in a liquid composition or by applying a layer of a solid composition. It is also possible to apply the compositions when the propagation material is planted to the site of application, for example into the seed furrow during drilling.
- Typical treatment rates would depend on the plant and pest/fungi to be controlled and are generally between 1 to 200 grams per 100 kg of seeds, preferably between 5 to 150 grams per 100 kg of seeds, such as between 10 to 100 grams per 100 kg of seeds.
- seed embraces seeds and plant propagules of all kinds including but not limited to true seeds, seed pieces, suckers, corns, bulbs, fruit, tubers, grains, rhizomes, cuttings, cut shoots and the like and means, in a preferred embodiment, true seeds.
- the present invention also comprises seeds coated or treated with or containing a compound of formula I.
- coated or treated with and/or containing generally signifies that the active ingredient is for the most part on the surface of the seed at the time of application, although a greater or lesser part of the ingredient may penetrate into the seed material, depending on the method of application.
- the seed product When the said seed product is (re)planted, it may absorb the active ingredient.
- the present invention makes available a plant propagation material adhered thereto with a compound of formula I. Further, it is hereby made available, a composition comprising a plant propagation material treated with a compound of formula I.
- Seed treatment comprises all suitable seed treatment techniques known in the art, such as seed dressing, seed coating, seed dusting, seed soaking and seed pelleting.
- the seed treatment application of the compound formula I can be carried out by any known methods, such as spraying or by dusting the seeds before sowing or during the sowing/planting of the seeds.
- the compounds of the invention can be distinguished from other similar compounds by virtue of greater efficacy at low application rates and/or different pest control, which can be verified by the person skilled in the art using the experimental procedures, using lower concentrations if necessary, for example 10 ppm, 5 ppm, 2 ppm, 1 ppm or 0.2 ppm; or lower application rates, such as 300, 200 or 100, mg of AI per m 2 .
- Certain compounds of the invention can be distinguished from known compounds by virtue of greater efficacy at low application rates, which can be verified by the person skilled in the art using the experimental procedures outlined in the Examples, using lower application rates if necessary, for example 50 ppm, 24 ppm, 12.5 ppm, 6 ppm, 3 ppm, 1.5 ppm, 0.8 ppm or 0.2 ppm.
- Example B1 Bemisia tabaci (Cotton white fly): Feeding/contact activity Cotton leaf discs were placed on agar in 24-well microtiter plates and sprayed with aqueous test solutions prepared from 10'000 ppm DMSO stock solutions. After drying the leaf discs were infested with adult white flies.
- Example B2 Diabrotica balteata (Corn root worm) Maize sprouts placed onto an agar layer in 24-well microtiter plates were treated with aqueous test solutions prepared from 10'000 ppm DMSO stock solutions by spraying. After drying, the plates were infested with L2 larvae (6 to 10 per well). The samples were assessed for mortality and growth inhibition in comparison to untreated samples 4 days after infestation.
- Example B3 Chilo suppressalis (Striped rice stemborer) 24-well microtiter plates with artificial diet were treated with aqueous test solutions prepared from 10'000 ppm DMSO stock solutions by pipetting. After drying, the plates were infested with L2 larvae (6-8 per well). The samples were assessed for mortality, anti-feeding effect, and growth inhibition in comparison to untreated samples 6 days after infestation.
- Control of Chilo suppressalis by a test sample is given when at least one of the categories mortality, anti-feedant effect, and growth inhibition is higher than the untreated sample.
- the following compounds resulted in at least 80% control in at least one of the three categories (mortality, anti-feedant effect, or growth inhibition) at an application rate of 200 ppm: P.2, P.3, P.4, P.7, P.8, P.9, P.26.
- Example B4 Plutella xylostella (Diamond back moth) 24-well microtiter plates with artificial diet were treated with aqueous test solutions prepared from 10'000 ppm DMSO stock solutions by pipetting.
- Example B5 Myzus persicae (Green peach aphid) Feeding/Contact activity Sunflower leaf discs were placed onto agar in a 24-well microtiter plate and sprayed with aqueous test solutions prepared from 10'000 ppm DMSO stock solutions. After drying, the leaf discs were infested with an aphid population of mixed ages. The samples were assessed for mortality 6 days after infestation. The following compounds resulted in at least 80% mortality at an application rate of 200 ppm: P.1, P.8.
- Example B6 Myzus persicae (Green peach aphid) Intrinsic activity Test compounds prepared from 10'000 ppm DMSO stock solutions were applied by pipette into 24- well microtiter plates and mixed with sucrose solution. The plates were closed with a stretched Parafilm. A plastic stencil with 24 holes was placed onto the plate and infested pea seedlings were placed directly on the Parafilm. The infested plate was closed with a gel blotting paper and another plastic stencil and then turned upside down. The samples were assessed for mortality 5 days after infestation. The following compounds resulted in at least 80% mortality at a test rate of 12 ppm: P.3.
- Example B7 Spodoptera littoralis (Egyptian cotton leaf worm) Cotton leaf discs were placed onto agar in 24-well microtiter plates and sprayed with aqueous test solutions prepared from 10'000 ppm DMSO stock solutions. After drying the leaf discs were infested with five L1 larvae. The samples were assessed for mortality, anti-feeding effect, and growth inhibition in comparison to untreated samples 3 days after infestation. Control of Spodoptera littoralis by a test sample is given when at least one of the categories mortality, anti-feedant effect, and growth inhibition is higher than the untreated sample.
- Example B8 Tetranychus urticae (Two-spotted spider mite):Feeding/contact activity Bean leaf discs on agar in 24-well microtiter plates were sprayed with aqueous test solutions prepared from 10'000 ppm DMSO stock solutions. After drying the leaf discs were infested with a mite population of mixed ages. The samples were assessed for mortality on mixed population (mobile stages) 8 days after infestation. The following compounds resulted in at least 80% mortality at an application rate of 200 ppm: P.30.
Landscapes
- Life Sciences & Earth Sciences (AREA)
- Chemical & Material Sciences (AREA)
- Health & Medical Sciences (AREA)
- Organic Chemistry (AREA)
- Plant Pathology (AREA)
- Engineering & Computer Science (AREA)
- Chemical Kinetics & Catalysis (AREA)
- General Health & Medical Sciences (AREA)
- Wood Science & Technology (AREA)
- Zoology (AREA)
- Environmental Sciences (AREA)
- Pest Control & Pesticides (AREA)
- Veterinary Medicine (AREA)
- General Chemical & Material Sciences (AREA)
- Dentistry (AREA)
- Insects & Arthropods (AREA)
- Tropical Medicine & Parasitology (AREA)
- Agronomy & Crop Science (AREA)
- Medicinal Chemistry (AREA)
- Nuclear Medicine, Radiotherapy & Molecular Imaging (AREA)
- Pharmacology & Pharmacy (AREA)
- Animal Behavior & Ethology (AREA)
- Public Health (AREA)
- Plural Heterocyclic Compounds (AREA)
- Agricultural Chemicals And Associated Chemicals (AREA)
Abstract
Compounds of formula (I) wherein the substituents are as defined in claim 1, and the agrochemically acceptable salts, stereoisomers, enantiomers, tautomers and N-oxides of those compounds, can be used as insecticides.
Description
PESTICIDALLY ACTIVE FUSED BICYCLIC HETEROAROMATIC COMPOUNDS The present invention relates to pesticidally active, in particular insecticidally active bicyclic compounds, to processes for their preparation, to compositions comprising those compounds, and to their use for controlling animal pests, including arthropods and in particular insects or representatives of the order Acarina. WO2017192385 describes certain heteroaryl-1,2,4-triazole and heteroaryl-tetrazole compounds for use for controlling ectoparasites in animals (such as a mammal and a non-mammal animal). WO 2020212235 describes certain heteroaryl-substituted aminoalkyl triazole compounds as pesticides, for use in the control of animal pests. WO 2020070049, WO 2020201079, WO 2020201398 and WO 2021037614 describe certain heteroaryl-substituted amide pyrazine compounds. There have now been found further novel pesticidally active compounds. The present invention accordingly relates, in a first aspect, to a compound of the formula I
wherein A1, A2, A3 and A4 are independently CR5 or N, provided not more than three of A1, A2, A3 and A4 are N; R1 is hydrogen, C1-C6alkyl, C1-C6cyanoalkyl, aminocarbonylC1-C6alkyl, hydroxycarbonylC1-C6alkyl, C1- C6nitroalkyl, trimethylsilaneC1-C6alkyl, C1- C3alkoxy-C1-C6alkyl, C1–C6haloalkyl, C2-C6alkenyl, C2- C6haloalkenyl, C2-C6alkynyl, C2-C6haloalkynyl, C3-C4cycloalkylC1- C2alkyl-, C3-C4cycloalkylC1-C2alkyl- wherein the C3-C4cycloalkyl group is substituted with 1 or 2 halogen atoms, oxetan-3-yl-CH2-, C1- C6alkylcarbonyl, C1-C6alkoxycarbonyl, phenyloxycarbonyl, benzyloxycarbonyl, benzyl or benzyl substituted with 1 to 3 substituents independently selected from halogen, C1-C6alkoxy and C1- C6haloalkyl; R2 is selected from one of the bicyclic heterocycles U1 to U52, in which the bond to the N atom is marked with an asterisk #:
n is an integer from 0 to 4, such as 0, 1, 2, 3 or 4;
m is an integer from 0 to 2, such as 0, 1 or 2; X is selected from the group consisting of hydrogen, halogen, hydroxy, -CN, -COOH, -CONH2, -NO2, -NH2, and in each case optionally substituted C1-C6alkyl, C3-C6cycloalkyl, C3-C4cycloalkyl-C1-C2alkyl, C1-C4alkoxy, C3-C6cyloalkoxy, C1-C3alkylthio, C1-C3alkylsulfinyl, C1-C3alkylsulfonyl, C3- C6cycloalkylthio, phenylsulfanyl, phenylsulfinyl, phenylsulfonyl, -NH(C1-C4alkyl), -N(C1-C4alkyl)2, -NHCO-C1-C4alkyl, -NHCO-C3-C6cycloalkyl, -NHSO2(C1-C4alkyl), -N(C1-C4alkyl)CO-C1-C4alkyl, -N(C1- C4alkyl)CO-C3-C6cycloalkyl, -N(C1-C4alkyl)SO2C1-C4alkyl, -N(SO2C1-C4alkyl)2, -CO2C1-C4alkyl, - CONH(C1-C4alkyl), -CONH(C3-C6cycloalkyl), -CONH-phenyl, -CONHSO2(C1-C4alkyl), -CON(C1- C4alkyl)2, -CON(C1-C4alkyl)(C3-C6cycloalkyl), -CON(C1-C4alkyl)-phenyl, -CON(C1-C4alkyl)SO2C1- C4alkyl, -C(=NOC1-C4alkyl)-C1-C4alkyl; and 4-6 membered heterocyclyl containing 1-2 heteroatoms selected from the group consisting of N and O and optionally substituted with 1-2 substituents selected from the group consisting of methyl and ethyl; Z is selected from the group consisting of hydrogen, halogen, hydroxy, -CN, -COOH, -CONH2, -NO2, -NH2, and in each case optionally substituted C1-C6alkyl, C3-C6cycloalkyl, C3-C4cycloalkyl-C1-C2alkyl, C1-C3haloalkyl, C1-C4alkoxy, C1-C3haloalkoxy, C1-C3alkylthio, C1-C3alkylsulfinyl, C1-C3alkylsulfonyl, C1- C3haloalkylthio, C1-C3haloalkylsulfinyl, C1-C3haloalkylsulfonyl,-NH(C1-C4alkyl), -N(C1-C4alkyl)2, -NHCO-C1-C4alkyl, -NHCO-C3-C6cycloalkyl, -NHSO2(C1-C4alkyl), -N(C1-C4alkyl)CO-C1-C4alkyl, -N(C1- C4alkyl)CO-C3-C6cycloalkyl, -N(C1-C4alkyl)SO2C1-C4alkyl, -N(SO2C1-C4alkyl)2, -CO2C1-C4alkyl, -CONH(C1-C4alkyl), -CONH(C3-C6cycloalkyl), -CONH-phenyl, -CONHSO2(C1-C4alkyl), -CON(C1- C4alkyl)2, -CON(C1-C4alkyl)(C3-C6cycloalkyl), -CON(C1-C4alkyl)-phenyl, -CON(C1-C4alkyl)SO2C1- C4alkyl, -C(=NOC1-C4alkyl)H, -C(=NOC1-C4alkyl)-C1-C4alkyl; Z1 is hydrogen, or in each case optionally substituted C1-C6alkyl, C3-C6cycloalkyl, C1-C4alkoxy or C3- C4cycloalkyl-C1-C2alkyl; R3 is C1-C3alkyl or C1-C3haloalkyl; R4 is pyridine, pyrimidine, pyrazine or pyridazine; or R4 is pyridine, pyrimidine, pyrazine or pyridazine each of which, independently of each other, is substituted with one to two substituents independently selected from C1-C3alkyl, C1-C3haloalkyl, C1-C3alkoxy, C3-C4cycloalkyl, halogen, hydroxyl, CN, C1- C6haloalkoxy, C2-C6haloalkenyloxy, C2-C6haloalkynyloxy, C3-C4halocycloalkoxy, NH2C(O)-, NH2C(S)-, (OH)N=C(NH2)- and a 5-membered heteroaryl ring optionally substituted by 1 to 3 substituents independently selected from halogen, C1-C3alkyl, C1-C3haloalkyl, C1-C3alkoxy and C1-C3haloalkoxy; or R4 is selected from the group consisting of Y1, Y2, Y3, and Y4
wherein, R’4a, R’4b, and R’4c, independently of each other and independently of Y1 to Y4, are selected from hydrogen, halogen, CN, C1-C3alkyl, C1-C3haloalkyl, C3-C4cycloalkyl, C1-C3alkoxy, and C1- C3haloalkoxy; R5 is hydrogen, halogen, CN, C1-C3alkyl, C1-C3haloalkyl, C3-C4cycloalkyl, C1-C3alkoxy, C1- C3haloalkoxy, C1-C3alkoxycarbonyl, or di(C1-C3alkoxy)methane; or an agrochemically acceptable salt, stereoisomer, enantiomer, tautomer and N-oxide of the compound of formula I. In an embodiment, formula I is represented by the formula I-1 wherein:
R1 is hydrogen, C1-C6alkyl, C1-C6cyanoalkyl, aminocarbonylC1-C6alkyl, hydroxycarbonylC1-C6alkyl, C1- C6nitroalkyl, trimethylsilaneC1-C6alkyl, C1-C3alkoxy-C1-C6alkyl, C1–C6haloalkyl, C2-C6alkenyl, C2- C6haloalkenyl, C2-C6alkynyl, C2-C6haloalkynyl, C3-C4cycloalkylC1-C2alkyl-, C3-C4cycloalkylC1-C2alkyl- wherein the C3-C4cycloalkyl group is substituted with 1 or 2 halogen atoms, oxetan-3-yl-CH2-, C1- C6alkylcarbonyl, C1-C6alkoxycarbonyl, phenyloxycarbonyl, benzyloxycarbonyl, benzyl or benzyl substituted with 1 to 3 substituents independently selected from halogen, C1-C6alkoxy and C1- C6haloalkyl; R2 is selected from one of the bicyclic heterocycles U1 – U52 (as defined for formula I), n is an integer from 0 to 4; m is an integer from 0 to 2;
X is selected from the group consisting of hydrogen, halogen, hydroxy, -CN, -COOH, -CONH2, -NO2, -NH2, and in each case optionally substituted C1-C6alkyl, C3-C6cycloalkyl, C3-C4cycloalkyl-C1-C2alkyl, C1-C4alkoxy, C3-C6cyloalkoxy, C1-C3alkylthio, C1-C3alkylsulfinyl, C1-C3alkylsulfonyl, C3- C6cycloalkylthio, phenylsulfanyl, phenylsulfinyl, phenylsulfonyl, -NH(C1-C4alkyl), -N(C1-C4alkyl)2, -NHCO-C1-C4alkyl, -NHCO-C3-C6cycloalkyl, -NHSO2(C1-C4alkyl), -N(C1-C4alkyl)CO-C1-C4alkyl, -N(C1- C4alkyl)CO-C3-C6cycloalkyl, -N(C1-C4alkyl)SO2C1-C4alkyl, -N(SO2C1-C4alkyl)2, -CO2C1-C4alkyl, -CONH(C1-C4alkyl), -CONH(C3-C6cycloalkyl), -CONH-phenyl, -CONHSO2(C1-C4alkyl), -CON(C1- C4alkyl)2, -CON(C1-C4alkyl)(C3-C6cycloalkyl), -CON(C1-C4alkyl)-phenyl, -CON(C1-C4alkyl)SO2C1- C4alkyl, -C(=NOC1-C4alkyl)-C1-C4alkyl; and 4-6 membered heterocyclyl containing 1-2 heteroatoms selected from the group consisting of N and O and optionally substituted with 1-2 substituents selected from the group consisting of methyl and ethyl; Z is selected from the group consisting of hydrogen, halogen, hydroxy, -CN, -COOH, -CONH2, -NO2, -NH2, and in each case optionally substituted C1-C6alkyl, C3-C6cycloalkyl, C3-C4cycloalkyl-C1-C2alkyl, C1-C3haloalkyl, C1-C4alkoxy, C1-C3haloalkoxy, C1-C3alkylthio, C1-C3alkylsulfinyl, C1-C3alkylsulfonyl, C1- C3haloalkylthio, C1-C3haloalkylsulfinyl, C1-C3haloalkylsulfonyl,-NH(C1-C4alkyl), -N(C1-C4alkyl)2, -NHCO-C1-C4alkyl, -NHCO-C3-C6cycloalkyl, -NHSO2(C1-C4alkyl), -N(C1-C4alkyl)CO-C1-C4alkyl, -N(C1- C4alkyl)CO-C3-C6cycloalkyl, -N(C1-C4alkyl)SO2C1-C4alkyl, -N(SO2C1-C4alkyl)2, -CO2C1-C4alkyl, -CONH(C1-C4alkyl), -CONH(C3-C6cycloalkyl), -CONH-phenyl, -CONHSO2(C1-C4alkyl), -CON(C1- C4alkyl)2, -CON(C1-C4alkyl)(C3-C6cycloalkyl), -CON(C1-C4alkyl)-phenyl, -CON(C1-C4alkyl)SO2C1- C4alkyl, -C(=NOC1-C4alkyl)H, -C(=NOC1-C4alkyl)-C1-C4alkyl; Z1 is hydrogen, or in each case optionally substituted C1-C6alkyl, C3-C6cycloalkyl, C1-C4alkoxy or C3- C4cycloalkyl-C1-C2alkyl; R3 is C1-C3alkyl or C1-C3haloalkyl; R4 is pyridine, pyrimidine, pyrazine or pyridazine; or R4 is pyridine, pyrimidine, pyrazine or pyridazine each of which, independently of each other, is substituted with one to two substituents independently selected from C1-C3alkyl, C1-C3haloalkyl, C1-C3alkoxy, C3-C4cycloalkyl, halogen, hydroxyl, CN, C1- C6haloalkoxy, C2-C6haloalkenyloxy, C2-C6haloalkynyloxy, C3-C4halocycloalkoxy, NH2C(O)-, NH2C(S)-, (OH)N=C(NH2)- and a 5-membered heteroaryl ring optionally substituted by 1 to 3 substituents independently selected from halogen, C1-C3alkyl, C1-C3haloalkyl, C1-C3alkoxy and C1-C3haloalkoxy; or R4 is selected from the group consisting of Y1, Y2, Y3, and Y4
wherein, R’4a, R’4b, and R’4c, independently of each other and independently of Y1 to Y4, are selected from hydrogen, halogen, CN, C1-C3alkyl, C1-C3haloalkyl, C3-C4cycloalkyl, C1-C3alkoxy, and C1- C3haloalkoxy; R5a and R5b are, independently of each other, selected from hydrogen, halogen, CN, C1-C3alkyl, C1- C3haloalkyl, C3-C4cycloalkyl, C1-C3alkoxy, and C1-C3haloalkoxy; or an agrochemically acceptable salt, stereoisomer, enantiomer, tautomer and N-oxide of the compound of formula I-1. Compounds of formula I which have at least one basic centre can form, for example, acid addition salts, for example with strong inorganic acids such as mineral acids, for example perchloric acid, sulfuric acid, nitric acid, nitrous acid, a phosphorus acid or a hydrohalic acid, with strong organic carboxylic acids, such as C1-C4alkanecarboxylic acids which are unsubstituted or substituted, for example by halogen, for example acetic acid, such as saturated or unsaturated dicarboxylic acids, for example oxalic acid, malonic acid, succinic acid, maleic acid, fumaric acid or phthalic acid, such as hydroxycarboxylic acids, for example ascorbic acid, lactic acid, malic acid, tartaric acid or citric acid, or such as benzoic acid, or with organic sulfonic acids, such as C1-C4alkane- or arylsulfonic acids which are unsubstituted or substituted, for example by halogen, for example methane- or p-toluenesulfonic acid. Compounds of formula I which have at least one acidic group can form, for example, salts with bases, for example mineral salts such as alkali metal or alkaline earth metal salts, for example sodium, potassium or magnesium salts, or salts with ammonia or an organic amine, such as morpholine, piperidine, pyrrolidine, a mono-, di- or tri-lower-alkylamine, for example ethyl-, diethyl-, triethyl- or dimethylpropylamine, or a mono-, di- or trihydroxy-lower-alkylamine, for example mono-, di- or triethanolamine. In each case, the compounds of formula I according to the invention are in free form, in oxidized form as a N-oxide or in salt form, e.g. an agronomically usable salt form. N-oxides are oxidized forms of tertiary amines or oxidized forms of nitrogen containing heteroaromatic compounds. They are described for instance in the book “Heterocyclic N-oxides” by A. Albini and S. Pietra, CRC Press, Boca Raton 1991. The compounds of formula I according to the invention also include hydrates which may be formed during the salt formation.
The term "C1-Cnalkyl” as used herein refers to a saturated straight-chain or branched hydrocarbon radical attached via any of the carbon atoms having 1 to n carbon atoms, for example, any one of the radicals methyl, ethyl, n-propyl, 1-methylbutyl, 2-methylbutyl, 3-methylbutyl, 2, 2- dimethylpropyl, 1-ethylpropyl, n-hexyl, n-pentyl, 1,1-dimethylpropyl, 1,2-dimethylpropyl, 1- methylpentyl, 2-methylpentyl, 3-methylpentyl, 4-methylpentyl, 1,1-dimethylbutyl, 1,2-dimethylbutyl, 1,3- dimethylbutyl, 2,2-dimethylbutyl, 2,3-dimethylbutyl, 3,3-dimethylbutyl, 1-ethylbutyl, 2-ethylbutyl, 1,1,2- trimethylpropyl, 1,2,2-trimethylpropyl, 1-ethyl-1-methylpropyl, or 1-ethyl-2-methylpropyl. The term "C1-Cnhaloalkyl" as used herein refers to a straight-chain or branched saturated alkyl radical attached via any of the carbon atoms having 1 to n carbon atoms (as mentioned above), where some or all of the hydrogen atoms in these radicals may be replaced by fluorine, chlorine, bromine and/or iodine, i.e., for example, any one of chloromethyl, dichloromethyl, trichloromethyl, fluoromethyl, difluoromethyl, trifluoromethyl, chlorofluoromethyl, dichlorofluoromethyl, chlorodifluoromethyl, 2- fluoroethyl, 2-chloroethyl, 2-bromoethyl, 2-iodoethyl, 2,2-difluoroethyl, 2,2,2-trifluoroethyl, 2-chloro-2- fluoroethyl, 2-chloro-2,2-difluoroethyl, 2,2-dichloro-2-fluoroethyl, 2,2,2-trichloroethyl, pentafluoroethyl, 2-fluoropropyl, 3-fluoropropyl, 2,2-difluoropropyl, 2,3-difluoropropyl, 2-chloropropyl, 3-chloropropyl, 2,3-dichloropropyl, 2-bromopropyl, 3-bromopropyl, 3,3,3-trifluoropropyl, 3,3,3-trichloropropyl, 2,2,3,3,3- pentafluoropropyl, heptafluoropropyl, 1-(fluoromethyl)-2-fluoroethyl, 1-(chloromethyl)-2-chloroethyl, 1- (bromomethyl)-2-bromoethyl, 4-fluorobutyl, 4-chlorobutyl, 4-bromobutyl or nonafluorobutyl. According a term "C1-C2fluoroalkyl" would refer to a C1-C2alkyl radical which carries 1, 2, 3, 4, or 5 fluorine atoms, for example, any one of difluoromethyl, trifluoromethyl, 1-fluoroethyl, 2-fluoroethyl, 2,2- difluoroethyl, 2,2,2-trifluoroethyl, 1,1,2,2-tetrafluoroethyl or pentafluoroethyl. The term "C1-Cnalkoxy" as used herein refers to a straight-chain or branched saturated alkyl radical having 1 to n carbon atoms (as mentioned above) which is attached via an oxygen atom, i.e., for example, any one of the radicals methoxy, ethoxy, n-propoxy, 1-methylethoxy, n-butoxy, 1- methylpropoxy, 2-methylpropoxy or 1,1-dimethylethoxy. The term “haloC1-Cnalkoxy" as used herein refers to a C1-Cnalkoxy radical where one or more hydrogen atoms on the alkyl radical is replaced by the same or different halo atom(s) - examples include trifluoromethoxy, 2-fiuoroethoxy, 3- fluoropropoxy, 3,3,3-trifluoropropoxy, 4-chlorobutoxy. The term “C1-Cncyanoalkyl” as used herein refers to a straight chain or branched saturated C1- Cnalkyl radical having 1 to n carbon atoms (as mentioned above), where one of the hydrogen atoms in these radicals is be replaced by a cyano group: for example, cyanomethyl, 2-cyanoethyl, 2- cyanopropyl, 3-cyanopropyl, 1-(cyanomethyl)-2-ethyl, 1-(methyl)-2-cyanoethyl, 4-cyanobutyl, and the like. The term “C3-Cncycloalkyl” as used herein refers to 3-n membered cycloalkyl groups such as cyclopropane, cyclobutane, cyclopentane and cyclohexane. The term “C3-C4cycloalkyl-C1-C2alkyl“ as used herein refers to 3 or 4 membered cycloalkyl group with either a methylene or ethylene group, which methylene or ethylene group is connected to the rest of the molecule. In the instance, the C3-C4cycloalkyl-C1-C2alkyl- group is substituted, the substituent(s) can be on the cycloalkyl group and/or on the alkyl group.
The term “aminocarbonylC1-Cnalkyl“ as used herein refers to an alkyl radical where one of the hydrogen atoms in the radical is replaced by CONH2 group. The term “hydroxycarbonylC1-Cnalkyl“ as used herein refers to an alkyl radical where one of the hydrogen atoms in the radical is replaced by COOH group. The term “C1-Cnalkylsulfanyl“ as used herein refers to a C1-Cnalkyl moiety linked through a sulfur atom. Similarly, the term “C1-Cnhaloalkylthio” or “C1-Cnhaloalkylsulfanyl” as used herein refers to a C1-Cnhaloalkyl moiety linked through a sulfur atom. Similarly, the term “C3-Cncycloalkylsulfanyl” refers to 3-n membered cycloalkyl moiety linked through a sulfur atom. The term “C1-Cnalkylsulfinyl” as used herein refers to a C1-Cnalkyl moiety linked through the sulfur atom of the S(=O) group. Similarly, the term “C1-Cnhaloalkylsulfinyl” or “C1-Cnhaloalkylsulfinyl” as used herein refers to a C1-Cnhaloalkyl moiety linked through the sulfur atom of the S(=O) group. Similarly, the term “C3-Cncycloalkylsulfinyl” refers to 3-n membered cycloalkyl moiety linked through the sulfur atom of the S(=O) group. The term “C1-Cnalkylsulfonyl“ as used herein refers to a C1-Cnalkyl moiety linked through the sulfur atom of the S(=O)2 group. Similarly, the term “C1-Cnhaloalkylsulfonyl” or “C1-Cnhaloalkylsulfonyl“ as used herein refers to a C1-Cnhaloalkyl moiety linked through the sulfur atom of the S(=O)2 group. Similarly, the term “C3-Cncycloalkylsulfonyl” refers to 3-n membered cycloalkyl moiety linked through the sulfur atom of the S(=O)2 group The term “trimethylsilaneC1-Cnalkyl“ as used herein refers to an alkyl radical where one of the hydrogen atoms in the radical is replaced by a -Si(CH3)3 group. The term “C2-Cnalkenyl” as used herein refers to a straight or branched alkenyl chain having from two to n carbon atoms and one or two double bonds, for example, ethenyl, prop-1-enyl, but-2- enyl. The term “C2-Cnhaloalkenyl” as used herein refers to a C2-Cnalkenyl moiety substituted with one or more halo atoms which may be the same or different. The term “C2-Cnalkynyl” as used herein refers to a straight or branched alkynyl chain having from two to n carbon atoms and one triple bond, for example, ethynyl, prop-2-ynyl, but-3-ynyl. The term “C2-Cnhaloalkynyl” as used herein refers to a C2-Cnalkynyl moiety substituted with one or more halo atoms which may be the same or different. Halogen or “halo” is generally fluorine, chlorine, bromine or iodine. This also applies, correspondingly, to halogen in combination with other meanings, such as haloalkyl The term “heteroaryl” as used herein refers to a 5- or 6-membered aromatic monocyclic ring having 1 to 3 heteroatoms independently selected from N, O and S. Examples are heteroaryls J-1 to J- 35 shown in Scheme A below. Preferred heteroaryl preferred is pyridyl, pyrimidyl, and pyrazolyl. The term “in each case optionally substituted” means that a group/substituent, such as an alkyl, alkenyl, alkynyl, alkoxy, alkylthio, alkylsulfinyl, alkylsulfonyl, cycloalkyl, cycloalkyl-alkyl, aryl, phenyl, benzyl, heterocyclyl and heteroaryl radical, is unsubstituted, and can also be substituted, meaning, for example, a substituted radical derived from the unsubstituted base structure, where the substituents, for example, one (1) substituent or a plurality of substituents depending on the
group/substituent, preferably 1, 2, 3, 4, 5, 6 or 7, are selected from a group consisting of amino, hydroxyl, halogen, nitro, cyano, isocyano, mercapto, isothiocyanato, an oxo group, an imino group and a substituted imino group. In an embodiment, whenever “in each case optionally substituted” is used, it means unsubstituted or substituted by 1 to 3 substituents independently selected from fluorine, chlorine, bromine, iodine, CN, oxo (=O), methyl, and trifluoromethyl. Scheme A: Heteroaryl J-1 to J-35:
The pyridine, pyrimidine, pyrazine and pyridazine groups (unsubstituted or substituted) for R4 are each connected via a carbon atom on the respective ring to the rest of the compound. As used herein, the term “controlling” refers to reducing the number of pests, eliminating pests and/or preventing further pest damage such that damage to a plant or to a plant derived product is reduced. The staggered line as used herein, for example, in Q-1, represent the point of connection/ attachment to the rest of the compound. As used herein, the term “pest” refers to insects, and molluscs that are found in agriculture, horticulture, forestry, the storage of products of vegetable origin (such as fruit, grain and timber); and those pests associated with the damage of man-made structures. The term pest encompasses all stages in the life cycle of the pest. As used herein, the term “effective amount” refers to the amount of the compound, or a salt thereof, which, upon single or multiple applications provides the desired effect. An effective amount is readily determined by the skilled person in the art, by the use of known techniques and by observing results obtained under analogous circumstances. In determining the effective amount, a number of factors are considered including, but not limited to: the type of plant or derived product to be applied; the pest to be controlled & its lifecycle; the particular compound applied; the type of application; and other relevant circumstances. As one of ordinary skill in the art will appreciate, compounds of formula I contain a stereogenic centre which is indicated with an asterisk in the structure below:
where R1, R2, R3, R4, A1, A2, A3, and A4 are as defined in the first aspect. The present invention contemplates both racemates and individual enantiomers. Compounds having preferred stereochemistry are set out below.
Particularly preferred compounds of the present invention are compounds of formula I’a: where R1, R2, R3, R4, A1, A2, A3, and A4 are as defined in the first aspect, and stereoisomers, enantiomers, tautomers and N-oxides of the compounds of formula (I’a), and agrochemically acceptable salts thereof. The term “optionally substituted” as used herein means that the group referenced is either unsubstituted or is substituted by a designated substituent, for example, “C3-C4cycloalkyl is optionally substituted with 1 or 2 halo atoms” means C3-C4cycloalkyl, C3-C4cycloalkyl substituted with 1 halo atom and C3-C4cycloalkyl substituted with 2 halo atoms. Embodiments according to the invention are provided as set out below. In an embodiment of each aspect of the invention, A1, A2, A3 and A4 are independently A. CR5 or N, provided not more than three of A1, A2, A3 and A4 are N; R5, independently of each other, is hydrogen, halogen, CN, C1-C3alkyl, C1-C3haloalkyl or C3-C4-cycloalkyl; or B. CR5 or N, provided not more than three of A1, A2, A3 and A4 are N; R5, independently of each other, is hydrogen, fluoro, chloro, CN, methyl, trifluoromethyl or cyclopropyl; or C. CR5 or N; R5, independently of each other, is hydrogen, fluoro, chloro, CN, methyl, trifluoromethyl or cyclopropyl, provided not more than three of A1, A2, A3 and A4 are N and not more than one of A1, A2, A3 and A4 is CR5 where R5 is fluoro, chloro, CN, methyl, trifluoromethyl or cyclopropyl. In an embodiment of each aspect of the invention, the six-membered ring containing A1, A2, A3 and A4 and the group R4 is A. selected from Q-1 to Q-12; or
B. selected from Q-1, Q-5, Q-6, Q-7, Q-11 and Q-12; or C. selected from Q-1, Q-6, and Q-7; or D. Q-7. In an embodiment of each aspect of the invention Q-7 is A. selected from Qb-1 to Qb-13; or B. Qb-1.
In an embodiment of each aspect of the invention, R1 is A. hydrogen, C1-C6alkyl, C1-C6cyanoalkyl, aminocarbonylC1-C6alkyl, hydroxycarbonylC1-C6alkyl, C1-C6nitroalkyl, trimethylsilaneC1-C6alkyl, C1-C3alkoxy-C1-C6alkyl, C1–C6haloalkyl, C2- C6alkenyl, C2-C6haloalkenyl, C2-C6alkynyl, C2-C6haloalkynyl, C3-C4cycloalkylC1-C2alkyl-, C3- C4cycloalkylC1-C2alkyl- wherein the C3-C4cycloalkyl group is substituted with 1 or 2 halogen atoms, oxetan-3-yl-CH2-, C1-C3alkylcarbonyl, C1-C3alkoxycarbonyl, phenyloxycarbonyl, benzyloxycarbonyl, or benzyl; or B. hydrogen, C1-C6alkyl, C1-C6cyanoalkyl, aminocarbonylC1-C6alkyl, hydroxycarbonylC1-C6alkyl, C1-C6nitroalkyl, trimethylsilaneC1-C6alkyl, C1-C3alkoxy-C1-C6alkyl, C1–C6haloalkyl, C2- C6alkenyl, C2-C6haloalkenyl, C2-C6alkynyl, C2-C6haloalkynyl, C3-C4cycloalkylC1-C2alkyl-, benzyloxycarbonyl, or benzyl; or C. hydrogen, C1-C6alkyl, C1-C6cyanoalkyl, aminocarbonylC1-C6alkyl, hydroxycarbonylC1-C6alkyl, C1-C3alkoxy-C1-C6alkyl, C1–C6haloalkyl, C2-C6alkenyl, C2-C6haloalkenyl, C2-C6alkynyl, C2- C6haloalkynyl, C3-C4cycloalkylC1-C2alkyl-, benzyloxycarbonyl, or benzyl; or
D. hydrogen, C1-C6alkyl, C1-C6cyanoalkyl, C1-C3alkoxy-C1-C6alkyl, C1–C6haloalkyl, C2-C6alkenyl, C2-C6haloalkenyl, C2-C6alkynyl, C2-C6haloalkynyl, C3-C4cycloalkylC1-C2alkyl-, benzyloxycarbonyl, or benzyl; or E. hydrogen, C1-C3alkyl, C1-C3cyanoalkyl, C1-C3alkoxy-C1-C3alkyl, C1–C3haloalkyl, C2-C4alkenyl, C2-C4haloalkenyl, C2-C4alkynyl, C2-C4haloalkynyl, C3-C4cycloalkylC1-C2alkyl-, benzyloxycarbonyl, or benzyl; or F. hydrogen, C1-C3alkyl, C1-C3cyanoalkyl, C1-C3alkoxy-C1-C3alkyl, C1–C3haloalkyl, C2-C4alkenyl, C2-C4haloalkenyl, C2-C4alkynyl, C2-C4haloalkynyl, C3-C4cycloalkylC1-C2alkyl-, benzyloxycarbonyl, or benzyl; or G. hydrogen, methyl, ethyl, cyanomethyl, methoxymethyl, cyclopropyl-methyl, allyl, propargyl, benzyloxycarbonyl, or benzyl; or H. hydrogen, methyl, ethyl, allyl, propargyl or cyclopropyl-methyl; or I. hydrogen, methyl, propargyl or cyclopropyl-methyl; In an embodiment of each aspect of the invention, R2 is A. selected from U1 to U12, U14 to U18, U20 to U24, U26 and U27; or B. selected from U1 to U5; or C. U1 or U2; or D. U1. U3 or U4; or E. U1; F. the R2 groups listed in one of rows 1 to 9 in Table Z; or G. the R2 group in row 1 or row 2 in Table Z- In an embodiment of each aspect of the invention, X is A. selected from the group consisting of hydrogen, halogen, hydroxy, -CN, -COOH, -CONH2, - NO2, -NH2, and in each case optionally substituted C1-C6alkyl, C3-C6cycloalkyl, C3- C4cycloalkyl-C1-C2alkyl, C1-C4alkoxy, C3-C6cyloalkoxy, C1-C3alkylthio, C1-C3alkylsulfinyl, C1- C3alkylsulfonyl, C3-C6cycloalkylthio, phenylsulfanyl, phenylsulfinyl, and phenylsulfonyl; or B. selected from hydrogen, halogen, hydroxy, -CN, -COOH, -CONH2, -NO2, -NH2, and C1- C6alkyl, C1-C6haloalkyl, C3-C6cycloalkyl, C3-C4cycloalkyl-C1-C2alkyl, C3-C4cycloalkyl-C1-C2alkyl substituted by 1 to 3 substituents independently selected from chlorine, fluorine, bromine, iodine, CN, oxo (=O), methyl, and trifluoromethyl, C1-C4alkoxy, C1-C4haloalkoxy, C3- C6cyloalkoxy, C1-C3alkylthio, C1-C3alkylsulfinyl, C1- C3alkylsulfonyl, C1-C3haloalkylthio, C1- C3haloalkylsulfinyl, C1- C3haloalkylsulfonyl, C3-C6cycloalkylthio, phenylsulfanyl, phenylsulfinyl, and phenylsulfonyl; or C. selected from hydrogen, chlorine, bromine, fluorine, iodine, hydroxy, -CN, -COOH, -CONH2, - NO2, -NH2, and C1-C4alkyl, C1-C4haloalkyl, C3-C4cycloalkyl, C3-C4cycloalkyl-C1-C2alkyl, C3- C4cycloalkyl-C1-C2alkyl substituted by 1 to 3 substituents independently selected from chlorine, fluorine, bromine, iodine, CN, oxo (=O), methyl, and trifluoromethyl, C1-C4alkoxy, C1-
C4haloalkoxy, C3-C4cyloalkoxy, C1-C3alkylthio, C1-C3alkylsulfinyl, C1- C3alkylsulfonyl, C1- C3haloalkylthio, C1-C3haloalkylsulfinyl, C1- C3haloalkylsulfonyl, C3-C6cycloalkylthio, phenylsulfanyl, phenylsulfinyl, and phenylsulfonyl; or D. selected from hydrogen, fluorine, chlorine, bromine, iodine, -CN, -NO2, methyl, ethyl, isopropyl, tert-butyl, difluoromethyl, trifluoromethyl, pentafluoroethyl, cyclopropyl, cyclobutyl, cyclopropyl-methyl, cyclopropyl-1,1-difuoro-methyl, methoxy, difluoromethoxy, trifluoromethoxy, cyclopropyloxy, cyclopropylthio, methylthio, ethylthio, methylsulfinyl, methylsulfonyl, difluoromethylthio, difluoromethylsulfinyl, difluoromethylsulfonyl, trifluoromethylthio, trifluoromethylsulfinyl, trifluoromethylsulfonyl, and phenylsulfonyl; or E. selected from the group consisting of hydrogen, chlorine, bromine, trifluoromethyl, cyano, cyclopropyl and methyl; or F. selected from the group consisting of hydrogen, chlorine, trifluoromethyl, and methyl. In an embodiment of each aspect of the invention, Z is A. selected from the group consisting of hydrogen, halogen, C1-C3-alkyl, C1-C3-haloalkyl, C3- C4cycloalkyl, C3-C4cycloalkyl-C1-C2alkyl and C3-C4cycloalkyl-C1-C2alkyl substituted by 1 to 3 substituents independently selected from chlorine, fluorine, bromine, iodine, CN, oxo (=O), methyl, and trifluoromethyl; or B. selected from the group consisting of hydrogen, fluorine, chlorine, bromine, methyl, ethyl, cyclopropyl and cyclopropyl-methyl; or C. hydrogen. In an embodiment of each aspect of the invention, Z1 is A. selected from hydrogen, C1-C3-alkyl, C1-C3-haloalkyl, C1-C4alkoxy, C1-C4haloalkoxy, C3- C4cycloalkyl-C1-C2alkyl, and C3-C4cycloalkyl-C1-C2alkyl substituted by 1 to 3 substituents independently selected from chlorine, fluorine, bromine, iodine, CN, oxo (=O), methyl, and trifluoromethyl; or B. selected from hydrogen, methyl, ethyl trifluoromethyl and difluoromethyl; or C. selected from hydrogen and methyl; or D. hydrogen. In an embodiment of each aspect of the invention, n is A. 1, 2 or 3; or B. 1 or 2; or C. 1; or D. 2. In an embodiment of each aspect of the invention, m is A. 0 or 1; or
B. 0; or C. 1. In an embodiment of each aspect of the invention, R3 is A. C1-C3alkyl or C1-C3haloalkyl; or B. methyl or trifluoromethyl; or C. methyl. In an embodiment of each aspect of the invention, R4 is A. pyridine, or pyrimidine; wherein the pyridine or pyrimidine, independently of each other, is optionally substituted with one substituent selected from C1-C3alkyl, C1-C3haloalkyl, C1- C3alkoxy, C3-C4cycloalkyl, halo, hydroxyl, CN, C1-C6haloalkoxy, C2-C6haloalkenyloxy, C2- C6haloalkynyloxy, C3-C4halocycloalkoxy, C3-C6cycloalkylC1-C4haloalkoxy, NH2C(O)-, NH2C(S)-, (OH)N=C(NH2)-, J-13 optionally substituted by 1 to 3 substituents independently selected from halogen, C1-C3alkyl, C1-C3haloalkyl, C1-C3alkoxy and C1-C3haloalkoxy, J-20 optionally substituted by 1 to 3 substituents independently selected from halogen, C1-C3alkyl, C1-C3haloalkyl, C1-C3alkoxy and C1-C3haloalkoxy and 1H-tetrazol-5-yl; or B. pyridine or pyrimidine, wherein the pyridine or pyrimidine, independently of each other, is optionally substituted with one substituent selected from C1-C3alkyl, C1-C3haloalkyl, C1- C3alkoxy, C3-C4cycloalkyl, halo, hydroxyl, CN, C1-C6haloalkoxy, C2-C6haloalkenyloxy, C2- C6haloalkynyloxy, C3-C4halocycloalkoxy, C3-C6cycloalkylC1-C4haloalkoxy, NH2C(O)-, NH2C(S)-, (OH)N=C(NH2)-, J-13 optionally substituted by C1-C3haloalkyl, J-20 optionally substituted by C1-C3haloalkyl and 1H-tetrazol-5-yl; or C. pyridine, wherein the pyridine is optionally substituted with one substituent selected from C1- C3alkyl, C1-C3haloalkyl, C1-C3alkoxy, C3-C4cycloalkyl, halo, hydroxyl, CN, C1-C6haloalkoxy, C2- C6haloalkenyloxy, C2-C6haloalkynyloxy, C3-C4halocycloalkoxy, C3-C6cycloalkylC1- C4haloalkoxy, NH2C(O)-, NH2C(S)-, (OH)N=C(NH2)-, J-13 optionally substituted by C1- C3haloalkyl, J-20 optionally substituted by C1-C3haloalkyl and 1H-tetrazol-5-yl; or D. pyrimidine; wherein the pyrimidine is optionally substituted with one substituent selected from C1-C3alkyl, C1-C3haloalkyl, C1-C3alkoxy, C3-C4cycloalkyl, halo, hydroxyl, CN, C1-C6haloalkoxy, C2-C6haloalkenyloxy, C2-C6haloalkynyloxy, C3-C4halocycloalkoxy, C3-C6cycloalkylC1- C4haloalkoxy, NH2C(O)-, NH2C(S)-, (OH)N=C(NH2)-, J-13 optionally substituted by trifluoromethyl, J-20 optionally substituted by trifluoromethyl and 1H-tetrazol-5-yl; or E. pyridine, pyrimidine, pyrazine or pyridazine, wherein the pyridine, pyrimidine, pyrazine or pyridazine is optionally substituted with one substituent selected from C1-C3alkyl, C1- C3haloalkyl, C1-C3alkoxy, C3-C4cycloalkyl, F, Cl, Br, CN, and C1-C6haloalkoxy; or F. pyridine, pyrimidine, pyrazine or pyridazine, wherein the pyridine, pyrimidine, pyrazine or pyridazine is optionally substituted with one substituent selected from C1-C3alkyl, C3- C4cycloalkyl, F, Cl, Br, CN, and C1-C6haloalkoxy; or
G. pyridine, pyrimidine, pyrazine or pyridazine, wherein the pyridine, pyrimidine, pyrazine or pyridazine is optionally substituted with one substituent selected from cyclopropyl, F, Cl, Br, CN, trifluoromethoxy, difluoromethoxy, 2,2-difluoroethoxy and 2,2,2-trifluoroethoxy; H. pyridine, or pyrimidine, wherein the pyridine or pyrimidine is optionally substituted with one substituent selected from cyclopropyl, F, Cl, Br, CN, trifluoromethoxy, difluoromethoxy, 2,2- difluoroethoxy and 2,2,2-trifluoroethoxy; or I. 5-cylopropylpyridine, 5-fluoropyridine, 5-chloropyridine, 5-bromopyridine, 5- difluoromethoxypyridine, 5-trifluoromethoxypyridine, 5-cyanopyridine, 5-(2,2-difluoroethoxy)- pyridine, 5-(2,2,2-trifluoroethoxy)-pyridine, pyridine, 5-cylopropylpyrimidine, 5-fluoropyrimidine, 5-chloropyrimidine, 5-bromopyrimidine, 5-difluoromethoxypyrimidine, 5- trifluoromethoxypyrimidine, 5-cyanopyrimidine, 5-(2,2-difluoroethoxy)-pyrimidine, 5-(2,2,2- trifluoroethoxy)-pyrimidine, or pyrimidine; or J. 5-cylopropylpyridin-2-yl, 5-fluoropyridin-2-yl, 5-chloropyridin-2-yl, 5-bromopyridin-2-yl, 5- difluoromethoxypyridin-2-yl, 5-trifluoromethoxypyridin-2-yl, 5-cyanopyridin-2-yl, 5-(2,2- difluoroethoxy-pyridin-2-yl, 5-(2,2,2-trifluoroethoxy)-pyridin-2-yl, pyridin-2-yl, 5- cylopropylpyrimidin-2-yl, 5-fluoropyrimidin-2-yl, 5-chloropyrimidin-2-yl, 5-bromopyrimidin-2-yl, 5-difluoromethoxypyrimidin-2-yl, 5-trifluoromethoxypyrimidin-2-yl, 5-cyanopyrimidin-2-yl, 5- (2,2-difluoroethoxy)-pyrimidin-2-yl, 5-(2,2,2-trifluoroethoxy)-pyrimidin-2-yl, or pyrimidin-2-yl; or K. pyrimidin-2-yl, pyridin-2-yl, 5-bromopyrimidin-2-yl, 5-bromopyridin-2-yl, 5-cyanopyrimidin-2-yl, or 5-cyanopyridin-2-yl; or L. pyrimidin-2-yl, 5-bromopyrimidin-2-yl, 5-bromopyridin-2-yl, or 5-cyanopyridin-2-yl. In an embodiment of each aspect of the invention, when R4 is Y-1, R’4a and R’4c, independently of each other, are A. hydrogen, halogen, CN, C1-C3alkyl, C1-C3haloalkyl, C3-C4cycloalkyl, C1-C3alkoxy, and C1- C3haloalkoxy; or B. from hydrogen, F, Cl, Br, CN, methyl, CF3, cyclopropyl, methoxy and difluoromethoxy; or C. both hydrogen. In an embodiment of each aspect of the invention, when R4 is Y-2, A. R’4b and R’4c, independently of each other, are selected from hydrogen, halogen, CN, C1- C3alkyl, C1-C3haloalkyl, C3-C4cycloalkyl, C1-C3alkoxy, and C1-C3haloalkoxy; or B. R’4b and R’4c, independently of each other, are selected from hydrogen, F, Cl, Br, CN, methyl, CF3, cyclopropyl, methoxy and difluoromethoxy; or A. R’4b and R’4c are both hydrogen; or B. R’4b is hydrogen and R’4c is cyclopropyl. In an embodiment of each aspect of the invention, when R4 is Y-3, R’4a and R’4b, independently of each other, are
A. hydrogen, halogen, CN, C1-C3alkyl, C1-C3haloalkyl, C3-C4cycloalkyl, C1-C3alkoxy, and C1- C3haloalkoxy; or B. hydrogen, F, Cl, Br, CN, methyl, CF3, cyclopropyl, methoxy and difluoromethoxy; or C. both hydrogen. In an embodiment of each aspect of the invention, when R4 is Y-4, A. R’4a, R’4b, and R’4c are, independently of each other, selected from hydrogen, halogen, CN, C1- C3alkyl, C1-C3haloalkyl, C3-C4cycloalkyl, C1-C3alkoxy, and C1-C3haloalkoxy; or B. R’4a, R’4b, and R’4c are, independently of each other, selected from hydrogen, F, Cl, Br, CN, methyl, CF3, cyclopropyl, methoxy and difluoromethoxy; or C. R’4a, R’4b, and R’4c are all hydrogen; or D. R’4a and R’4c are hydrogen and R’4b is CN. In an embodiment of each aspect of the invention, R5 is A. hydrogen, C1-C3alkyl, C1-C3haloalkyl, C3-C4cycloalkyl, C1-C3alkoxy, halogen, C1-C3alkoxy-C1- C3alkyl, C1-C3alkoxy-C1-C3alkoxy-C1-C3alkyl, (C1-C3alkyl)C(O), (C1-C3alkoxy)C(O), HC(O), C1- C3haloalkoxy or a 5-membered heteroaromatic ring wherein the 5-membered heteroaromatic ring can be optionally substituted with one to three substituents selected from C1-C3alkyl, C1- C3haloalkyl, C1-C3alkoxy, C3-C4cycloalkyl, halogen, CN or hydroxy; or B. hydrogen, C1-C3alkyl, C1-C3haloalkyl, C3-C4cycloalkyl, C1-C3alkoxy, halogen, C1-C3alkoxy-C1- C3alkyl, C1-C3alkoxy-C1-C3alkoxy-C1-C3alkyl, (C1-C3alkyl)C(O), (C1-C3alkoxy)C(O), HC(O) or C1-C3haloalkoxy; or C. hydrogen, C1-C3alkyl, C1-C3haloalkyl, C3-C4cycloalkyl, C1-C3alkoxy, halogen, Cl, Br, C1- C3alkoxy-C1-C3alkyl, C1-C3alkoxy-C1-C3alkoxy-C1-C3alkyl, (C1-C3alkyl)C(O), (C1- C3alkoxy)C(O), or C1-C2haloalkoxy; or D. hydrogen, C1-C3alkyl, C1-C3alkoxy, C3-C4cycloalkyl, C1-C3haloalkoxy, halogen, C1-C3alkoxy- C1-C3alkyl, C1-C3alkoxy-C1-C3alkoxy-C1-C3alkyl, (C1-C3alkyl)C(O), HC(O), or (C1- C3alkoxy)C(O); or E. hydrogen, C1-C2alkyl, C1-C2alkoxy, C3-C4cycloalkyl, C1-C2haloalkoxy, halogen, C1-C2alkoxy- C1-C2alkyl, C1-C2alkoxy-C1-C2alkoxy-C1-C2alkyl, (C1-C2alkyl)C(O), HC(O), or (C1- C2alkoxy)C(O); or F. hydrogen, methyl, trifluoromethoxy, methoxy, cyclopropyl, 2,2-difluroroethoxy, 2,2,2- trifluroroethoxy, difluoromethoxy, 2,2,2-trifluroroethyl, chloro, bromo, methoxyethoxy, methylcarbonyl, or methoxycarbonyl; or G. hydrogen. In an embodiment of each aspect of the invention, R5a is A. hydrogen, halogen, CN, C1-C3alkyl, C1-C3haloalkyl, C3-C4cycloalkyl, C1-C3alkoxy or C1- C3haloalkoxy; or
B. hydrogen, halogen, CN, C1-C3alkyl, C1-C3haloalkyl, C3-C4cycloalkyl or C1-C3alkoxy; or C. hydrogen, halogen, CN, C1-C3alkyl, C1-C3haloalkyl or C1-C3alkoxy; or D. hydrogen, halogen, CN, C1-C3alkyl or C1-C3alkoxy; or E. hydrogen or halogen; or F. hydrogen. In an embodiment of each aspect of the invention, R5b is A. hydrogen, halogen, CN, C1-C3haloalkyl, C3-C4cycloalkyl, C1-C3alkoxy, or C1-C3haloalkoxy; or B. hydrogen, halogen or C1-C3alkoxy; or C. hydrogen. The present invention, accordingly, makes available a compound of formula I having the substituents R1, R2, R3, R4, A1, A2, A3, and A4 as defined above in all combinations / each permutation. Accordingly, made available, for example, is a compound of formula I with A1, A2, A3, and A4 being of the first aspect (i.e. A1, A2, A3 and A4 are independently CR5 or N, provided not more than three of A1, A2, A3 and A4 are N; and where R5 is of embodiment D (i.e., R5 is independently selected from hydrogen, C1-C3alkyl, C1-C3alkoxy, C3-C4cycloalkyl, C1-C3haloalkoxy, halogen, C1-C3alkoxy-C1-C3alkyl, C1-C3alkoxy-C1-C3alkoxy-C1-C3alkyl, (C1-C3alkyl)C(O), HC(O), or (C1-C3alkoxy)C(O);); R1 being embodiment B (i.e. hydrogen, C1-C6alkyl, C1-C6cyanoalkyl, aminocarbonylC1-C6alkyl, hydroxycarbonylC1-C6alkyl, C1-C6nitroalkyl, trimethylsilaneC1-C6alkyl, C1-C3alkoxy-C1-C6alkyl, C1– C6haloalkyl, C2-C6alkenyl, C2-C6haloalkenyl, C2-C6alkynyl, C2-C6haloalkynyl, C3-C4cycloalkylC1- C2alkyl-, benzyloxycarbonyl, or benzyl); R2 being an embodiment B (i.e. selected from U1 to U5); X being of embodiment A (i.e. selected from the group consisting of hydrogen, halogen, hydroxy, -CN, - COOH, -CONH2, -NO2, -NH2, and in each case optionally substituted C1-C6alkyl, C3-C6cycloalkyl, C3- C4cycloalkyl-C1-C2alkyl, C1-C4alkoxy, C3-C6cyloalkoxy, C1-C3alkylthio, C1-C3alkylsulfinyl, C1- C3alkylsulfonyl, C3-C6cycloalkylthio, phenylsulfanyl, phenylsulfinyl, and phenylsulfonyl); Z being embodiment B (i.e. selected from the group consisting of hydrogen, fluorine, chlorine, bromine, methyl, ethyl, cyclopropyl and cyclopropyl-methyl); Z1 being of the first aspect (i.e. hydrogen, or in each case optionally substituted C1-C6alkyl, C3-C6cycloalkyl, C1-C4alkoxy or C3-C4cycloalkyl-C1-C2alkyl); m being of embodiment A (i.e.1, 2 o 3) n being embodiment B (i.e.0); R3 being embodiment B (i.e. methyl or trifluoromethyl); and R4 being embodiment L (i.e. pyrimidin-2-yl, pyridin-2-yl, 5-bromopyrimidin-2-yl, 5- bromopyridin-2-yl, 5-cyanopyrimidin-2-yl, or 5-cyanopyridin-2-yl). The present invention, accordingly, also makes available a compound of formula I-1 having the substituents R1, R2, R3, R4, R5a, and R5b as defined above in all combinations / each permutation. Accordingly, made available, for example, is a compound of formula I with R1 being embodiment B (i.e. hydrogen, C1-C6alkyl, C1-C6cyanoalkyl, aminocarbonylC1-C6alkyl, hydroxycarbonylC1-C6alkyl, C1- C6nitroalkyl, trimethylsilaneC1-C6alkyl, C1-C3alkoxy-C1-C6alkyl, C1–C6haloalkyl, C2-C6alkenyl, C2- C6haloalkenyl, C2-C6alkynyl, C2-C6haloalkynyl, C3-C4cycloalkylC1-C2alkyl-, benzyloxycarbonyl, or benzyl); R2 being an embodiment B (i.e. selected from U1 to U5); ); X being of embodiment D (i.e.
selected from hydrogen, fluorine, chlorine, bromine, iodine, -CN, -NO2, methyl, ethyl, isopropyl, tert- butyl, difluoromethyl, trifluoromethyl, pentafluoroethyl, cyclopropyl, cyclobutyl, cyclopropyl-methyl, cyclopropyl-1,1-difuoro-methyl, methoxy, difluoromethoxy, trifluoromethoxy, cyclopropyloxy, cyclopropylthio, methylthio, ethylthio, methylsulfinyl, methylsulfonyl, difluoromethylthio, difluoromethylsulfinyl, difluoromethylsulfonyl, trifluoromethylthio, trifluoromethylsulfinyl, trifluoromethylsulfonyl, and phenylsulfonyl); Z being embodiment C (i.e. hydrogen); Z1 being embodiment D (i.e. hydrogen); m being of embodiment A (i.e.1, 2 o 3) n being embodiment B (i.e.0); R3 being embodiment B (i.e. methyl or trifluoromethyl); R4 being embodiment L (i.e. pyrimidin-2-yl, pyridin-2-yl, 5-bromopyrimidin-2-yl, 5-bromopyridin-2-yl, 5-cyanopyrimidin-2-yl, or 5-cyanopyridin-2-yl); R5a being of the first aspect (i.e. hydrogen, halogen, CN, C1-C3alkyl, C1-C3haloalkyl, C3-C4cycloalkyl, C1-C3alkoxy, or C1-C3haloalkoxy ); and R5b being embodiment C (i.e. hydrogen). In an embodiment, the compound of formula I-1 is either formula I-1’ (with asterisk indicating a stereogenic centre), wherein R1, R2, R3, R4, R5a, and R5b are as defined above, each independently of the embodiments.
In an embodiment, compounds having preferred stereochemistry depicted in formula I’a would also be preferred for compounds of formulae I-I’. In a preferred embodiment, a compound of formula I- I’a with the following stereochemistry is preferred:
where R1, R2, R3, R4, R5a, and R5b are as defined above, each independently of the, and stereoisomers, enantiomers, tautomers and N-oxides of the compounds of formula (I-1’a), and agrochemically acceptable salts thereof. In an embodiment, the six-membered ring containing A1, A2, A3 and A4 and the group R4 is represented the group Q1 and therefore formula I can be represented by formula I-2, I-2’ or I-2’-a
In an embodiment, group Q1 is A. selected from Qba to Qbf; or B. selected from Qba, Qbb, Qbc, Qbd, Qbe and Qbf; or C. selected from Qba, Qbb , Qbc and Qbf.
In an embodiment of each aspect of the invention, the compound of formula I is represented by formula I-2, or I-2’a, which has as R1 embodiment H; as R2 embodiment B; as X embodiment D; as Z embodiment B; as Z1 embodiment C; as m embodiment B; as n embodiment A; as R3 methyl; and as Q1 selected from Qba to Qbf (preferably selected from Qba, Qbb, Qbc and Qbf). In an embodiment of each aspect of the invention, the compound of formula I is represented by formula I-2, or I-2’a, which has as R1 embodiment H (preferably hydrogen, methyl, propargyl or cyclopropyl-methyl); as R2 embodiment C (preferably U1); as X embodiment D (preferably selected from the group consisting of hydrogen, chlorine, bromine, trifluoromethyl, cyano, cyclopropyl and methyl); as Z embodiment B (preferably hydrogen); as Z1 embodiment C (preferably hydrogen); as m
embodiment B (preferably 2); as n embodiment A (preferably 0); as R3 methyl; and as Q1 selected from Qba to Qbf (preferably selected from Qba, Qbb, Qbc and Qbf). In a second aspect, the present invention makes available a composition comprising a compound of formula I as defined in the first aspect, one or more auxiliaries and diluent, and optionally one or more other active ingredient. In a third aspect, the present invention makes available a method of combating and controlling insects, acarines, nematodes or molluscs which comprises applying to a pest, to a locus of a pest, or to a plant susceptible to attack by a pest an insecticidally, acaricidally, nematicidally or molluscicidally effective amount of a compound as defined in the first aspect or a composition as defined in the second aspect. In a fourth aspect, the present invention makes available a method for the protection of plant propagation material from the attack by insects, acarines, nematodes or molluscs, which comprises treating the propagation material or the site, where the propagation material is planted, with an effective amount of a compound of formula I as defined in the first aspect or a composition as defined in the second aspect. In a fifth aspect, the present invention makes available a plant propagation material, such as a seed, comprising, or treated with or adhered thereto, a compound of formula I as defined in the first aspect or a composition as defined in the second aspect. The present invention in a further aspect provides a method of controlling parasites in or on an animal in need thereof comprising administering an effective amount of a compound of the first aspect. The present invention further provides a method of controlling ectoparasites on an animal in need thereof comprising administering an effective amount of a compound of formula I as defined in the first aspect. The present invention further provides a method for preventing and/or treating diseases transmitted by ectoparasites comprising administering an effective amount of a compound of formula I as defined in the first aspect, to an animal in need thereof. Compounds of formula I can be prepared by those skilled in the art following known methods. More specifically compounds of formulae I, and I’a, and intermediates therefor can be prepared as described below in the schemes and examples. Certain stereogenic centers have been left unspecified for the clarity and are not intended to limit the teaching of the schemes in any way. The process according to the invention for preparing compounds of formula I is carried out by methods known to those skilled in the art. Compounds of formula I can be made, for example, as shown in scheme 1. Scheme 1:
Reaction of a compound of the formula II, wherein X1 is a leaving group, such as a halogen or sulfonate, for instance chloride, with a compound of formula III gives a compound of the formula I, wherein R1, R2, R3, R4, A1, A2, A3, and A4 have the same meaning as given above for compounds of the formula I. The reaction can be conducted neat or in a solvent, preferably in a solvent, such as an organic solvent, for instance acetonitrile, in a temperature range of -100 to +300 °C, preferably between ambient temperature and 200 °C, with or without the presence of a catalyst, for instance a metal catalyst, such as a palladium complex, and with or without the addition of a base, such as an inorganic base, for instance potassium carbonate, or an organic base, such as, for example, triethylamine. Compounds of the formula II are commercially available or can be synthesized as outlined in scheme 15. Scheme 2:
Compounds of formula III can be made, for example, as shown in scheme 2. Treatment of a compound of the formula V, wherein X2 is a leaving group, such as a halogen or sulfonate, for instance bromide, with an amine of the formula XIX gives compounds of the formula III. The reaction can be conducted neat or in a solvent, preferably in a solvent, such as an organic solvent, for instance acetonitrile, in a temperature range of -100 to +300 °C, preferably between ambient temperature and 200 °C, with or without the addition of a base, such as an inorganic base, for instance potassium carbonate, or an organic base, such as, for example, triethylamine. Alternatively, treatment of a compound of the formula VII with an amine of the formula XIX gives compounds of the formula III. This reaction is done in the presence of a reducing agent, such as for example hydrogen, or a hydride, such as sodium borohydride, with or without a catalyst, such as a hydrogenation catalyst, for example palladium on carbon, with or without the presence of an acid, such as acetic acid, or a Lewis acid, such as zinc bromide, in a solvent or without a solvent, such as, for instance, methanol. The reaction can be conducted in a temperature range of -100 to +300 °C, preferably between ambient temperature and 200 °C. Such methods, and the range of conditions to perform them, for the alkylation of amines and for the reductive alkylation of amines are well known to a person skilled in the art. The amines of formula XIX are either known, or they can be prepared by methods known to a person skilled in the art. Scheme 3:
Alternatively, compounds of formula I can be made, for example, as shown in scheme 3. Reaction of an amine of the formula IV with a compound of the formula V, wherein X2 is a leaving group, such as a halogen or sulfonate, for instance bromide, gives a compound of formula I, wherein R1, R2, R3, R4, A1, A2, A3, and A4 have the same meaning as given above for compounds of the formula I. The reaction can be conducted neat or in a solvent, preferably in a solvent, such as an organic solvent, for instance acetonitrile, in a temperature range of -100 to +300 °C, preferably between ambient temperature and 200 °C, with or without the addition of a base, such as an inorganic base, for instance potassium carbonate, or an organic base, such as, for example, triethylamine. Such methods for the alkylation of amines, and the range of conditions to perform them, are well known to a person skilled in the art. Alternatively, reaction of an amine of the formula IVa with a compound of the formula VII gives a compound of the formula I wherein R1 is H and A1, A2, A3, A4, A5, R2, R3 and R4 have the same meaning as given above for compounds of the formula I. This reaction is done in the presence of a reducing agent, such as for example hydrogen, or a hydride, such as sodium borohydride, with or without a catalyst, such as a hydrogenation catalyst, for example palladium on carbon, with or without the presence of an acid, such as acetic acid, or a Lewis acid, such as zinc bromide, in a solvent or without a solvent, such as, for instance, methanol. The reaction can be conducted in a temperature range of -100 to +300 °C, preferably between ambient temperature and 200 °C. Such methods for the reductive alkylation of amines, and the range of conditions to perform them, are well known to a person skilled in the art. Scheme 4:
Compounds of formula V can be made, for example, as shown in scheme 4. Treatment of a compound of the formula VIII with a halogenating agent, such as chlorine or bromine or N-
bromosuccinimide, for example, gives compound of the formula V, wherein the leaving group X2 is a halogen, for instance chloride or bromide. This reaction is done with or without a solvent, preferably in a solvent, with or without an additive, such as a radical starter, such as, for example, benzoyl peroxide or azoisobutyronitrile. The reaction can be done with or without exposure to visible light, or to UV light, and it can be conducted in a temperature range of -100 to +300 °C, preferably between ambient temperature and 200 °C. Alternatively, a compound of the formula VII can be treated with a reducing agent, followed by reaction with a sulfonyl chloride, for instance methanesulfonyl chloride, to give a compound of the formula V, wherein the leaving group X2 is a sulfonate, for instance a mesylate. This reaction can be done in a solvent, or without a solvent, in the presence of a base, such as an inorganic base, for instance potassium carbonate, or an organic base, such as an amine base, for instance trimethylamine, or without a base, and it can be conducted in a temperature range of -100 to +300 °C, preferably between ambient temperature and 200 °C. A suitable reducing agent could be, for example, hydrogen, or a hydride, such as sodium borohydride, with or without a catalyst, such as a hydrogenation catalyst, for example palladium on carbon, with or without the presence of an acid, such as acetic acid, or a Lewis acid, such as zinc bromide, in a solvent or without a solvent, such as, for instance, methanol. The reaction can be conducted in a temperature range of -100 to +300 °C, preferably between ambient temperature and 200 °C. Such methods for the halogenation, the reduction of carbonyl compounds and the sulfonylation of alcohols, and the range of conditions to perform them, are well known to a person skilled in the art. The amines of formula VII and the compounds of formula VIII are either known, or they can be prepared by methods known to a person skilled in the art. Scheme 5:
Alternatively, compounds of formula I wherein R1 is different from H can be made, for example, as shown in scheme 5. A compound of the formula Ia can be reacted with a compound of the formula VI wherein X3 is a leaving group, such as a halogen or sulfonate, for instance a chloride, bromide, iodide or mesylate, to give a compound of formula I, wherein R1, R2, R3, R4, A1, A2, A3, and A4 have the same meaning as given above for compounds of the formula I. This reaction can be conducted neat or in a solvent, preferably in a solvent, such as an organic solvent, for instance acetonitrile, in a temperature range of -100 to +300 °C, preferably between ambient temperature and 200 °C, with or without the addition of a base, such as an inorganic base, for instance potassium
carbonate, or an organic base, such as, for example, triethylamine. Such methods for the alkylation of amines, and the range of conditions to perform them, are well known to a person skilled in the art. Scheme 6:
Compounds of formula Ic can be made, for example, as shown in scheme 6. Reaction of a compound of the formula XVII with an amine of the formula XIX gives compounds of the formula XVI. This reaction is done in the presence of a reducing agent, such as for example hydrogen, or a hydride, such as sodium borohydride, with or without a catalyst, such as a hydrogenation catalyst, for example palladium on carbon, with or without the presence of an acid, such as acetic acid, or a Lewis acid, such as zinc bromide, in a solvent or without a solvent, such as, for instance, methanol. The reaction can be conducted in a temperature range of -100 to +300 °C, preferably between ambient temperature and 200 °C. Such methods, and the range of conditions to perform them, for the reductive alkylation of amines are well known to a person skilled in the art. Subsequent reaction of the intermediate of the formula XVI with a compound of the formula II gives a compound of the formula XIV. This reaction can be conducted neat or in a solvent, preferably in a solvent, such as an organic solvent, for instance acetonitrile, in a temperature range of -100 to +300 °C, preferably between ambient temperature and 200 °C, with or without the presence of a catalyst, for instance a metal catalyst, such as a palladium complex, and with or without the addition of a base, such as an inorganic base, for instance potassium carbonate, or an organic base, such as, for example, triethylamine. Subsequently, the intermediate of the formula XIV is reacted with a compound of the formula XV to give the compound of formula Ic, wherein A1, A2, A3, A4, A5, R2a, R2b, R1, R3 and R4 have the same meaning as given above for compounds of the formula I, and M1 in R4-M1 is a metal, such
as for instance lithium, or –MgCl, or –ZnBr, or –B(OH)2; or R4-M1 represents a boronate, such as a pinacol ester of a boronic acid, or a stannane such as R4-Sn(n-Bu)3. Such transformations are known to a person skilled in the art as Suzuki-, Kumada-, Negishi- or Stille-coupling reactions, respectively. Such reactions are carried out in a temperature range of -100 to +300 °C, preferably between ambient temperature and 200 °C, in the presence of a catalyst, such as a metal catalyst, for instance a palladium catalyst, and a ligand, such as for example a phosphine ligand, or an N-heterocyclic carbene (NHC) ligand, or a phosphite ligand. The reaction can be done in the presence or absence of an additional metal catalyst, such as, for example, a copper salt, for instance CuI. The reaction is done with or without a base, which can be an inorganic base, such as potassium carbonate, or sodium hydroxide, or cesium carbonate, or an organic base, such as an amine base, for instance triethyl amine. This reaction is done with or without a solvent, preferentially in a solvent. Where the reaction mixture is heated, the reaction can be conducted under microwave irradiation or with conventional heating, such as heating the reaction vessel in an oil bath. By an alternative route, compound XVII can be reacted with a compound of the formula XV to give intermediate XVIII. This reaction is done essentially under in the same range of conditions as described for the transformation of intermediate XIV to the compound of formula Ic. Subsequently, the intermediate XVIII is reacted with amine IV to give a compound of the formula Ic, wherein R1 is hydrogen and where R2, R3 and R4 have the same meaning as given above for compounds of the formula I. This reaction is done in the presence of a reducing agent, essentially under the same conditions as described above for the transformation of compound XVII to intermediate XVI. By yet another alternative route, the intermediate compound of the formula XVIII can be reacted with an amine of the formula XIX to give the intermediate of the formula IIIa. This reaction is done in the presence of a reducing agent, essentially under the same conditions as described above for the transformation of compound XVII to intermediate XVI. Subsequently, the intermediate of the formula IIIa is reacted with a compound of the formula II to give the compound of the formula Ic, wherein A1, A2, A3, A4, A5, R2a, R2b, R1, R3 and R4 have the same meaning as given above for compounds of the formula I. This reaction is done essentially under the same conditions as described above for the transformation of intermediate XVI to intermediate XIV. Within these different multistep sequences, the intermediate compounds of formulas XIV, XVI, XVIII and IIIa can be used as crude products for the respective subsequent step, or they can be purified, for instance by chromatography, and used in purified form for the next transformation. Compounds of the formula XVII are known, or they can be prepared by methods known to a person skilled in the art. Compounds of the formula Id
can be prepared by the reaction of an amine of the formula IIIb
wherein R1, R3, R4, R5a and R5b are as described in formula I with a compound of the formula II
wherein R2 is as described in formula I and X1 is a leaving group, such as a halogen or a sulfonate, for instance chloride. The chemistry is described in more detail in Scheme 7. Scheme 7:
Reaction of a compound of the formula II, wherein X1 is a leaving group, such as a halogen or sulfonate, for instance chloride, with a compound of formula IIIb gives a compound of the formula Id, wherein R1, R2, R3, R4, R5a and R5b have the same meaning as given above for compounds of the formula I. The reaction can be conducted neat or in a solvent, preferably in a solvent, such as an organic solvent, for instance acetonitrile, in a temperature range of -100 to +300 °C, preferably between ambient temperature and 200 °C, with or without the presence of a catalyst, for instance a metal catalyst, such as a palladium complex, and with or without the addition of a base, such as an inorganic base, for instance potassium carbonate, or an organic base, such as, for example, triethylamine. The formation of compounds of formula IIIb is outlined in Scheme 8. Compounds of formula IIIb can be prepared by treatment of compounds of formula IIIc, wherein R3, R4, R5a, and R5b are as described in formula I, with compounds of formula XX wherein R1 is as defined in formula I, e.g. in the presence of NaBH(OAc)3 or NaBH3CN, in a suitable solvent, preferably in acetic acid at room
temperature analog to WO2002/088073, page 35. Alternatively, another reagent system for the reductive amination uses a combination of Ti(i-OiPr)4 and NaBH4 (see Synthesis 2003 (14), 2206). Amines of formula IIIc may be obtained by biocatalyzed deracemization of amines of formula IIId. This may be done for instance using a lipase, e.g. Candida Antarctica lipase B or Pseudomonas fluorescens lipase, eventually in immobilized form (e.g. Novozym® 435) in presence of an acyl donor, e.g. ethyl methoxyacetate or vinyl acetate, in a suitable solvent such as acetonitrile or methyl tert-butyl ether at temperatures between 20 °C to 100 °C. Such processes are described for instance in J. Org. Chem.2007, 72, 6918-6923 or Adv. Synth. Catal.2007, 349, 1481-1488. The expected stereochemical outcome of such enzymatic deracemization are known of those skilled in the art and are documented in the literature, for instance in J. Org. Chem.1991, 56, 2656-2665 or J. Am. Chem. Soc.2015, 137, 3996−4009. Scheme 8:
In an alternative process, compounds of formula IIIc can be obtained from compounds of the formula XXII wherein R3, R4, R5a, and R5b are as described in formula I, following the synthesis described in Scheme 9: Scheme 9:
Amines of formula IIIc may be obtained from intermediates of formula XXII, wherein R3, R4, R5a, and R5b are as described in formula I and Z3 is NPhth or NBoc2. Such intermediates can be obtained from alcohols of formula XXI by a Mitsunobu reaction, which involves treating alcohols of formula XXI with diisopropyl azodicarboxylate in the presence of a phosphine such as triphenylphosphine or tributylphosphine and of an amine such as phthalimide or bis(tert-
butoxycarbonyl)amine. Mitsunobu reactions are known by those skilled in the art to proceed with inversion of the stereocenter, as described for instance in Chem. Rev.2009, 109, 2551-2651. Amines of formula XXII can then be transformed into amines of formula IIIc by treatment with hydrazine if Z3 = NPhth or with acid, for example trifluoroacetic acid, if Z3 = NBoc2. Alternatively, amines of formula IIIc may be obtained by reduction of azides of formula XXIII, wherein R3, R4, R5a, and R5b are as described in formula I, by treatment with triphenylphosphine and water (Staudinger reaction) or by hydrogenation for example using a palladium catalyst in the presence of hydrogen. Azides of formula XXIII may be obtained by treatment of alcohols of formula XXI, wherein R3, R4, R5a, and R5b are as described in formula I, with an azidation reagent such as diphenyl phosphoryl azide in a solvent such as toluene or THF in presence of a base such as DBU. Such processes are known by those skilled in the art to proceed with inversion of the stereocenter and are described in the literature for instance in Adv. Synth. Catal.2018, 360, 2157–2165. Alcohols of formula XXI may be obtained by enantioselective reduction of ketones of formula XXIV, wherein R3, R4, R5a, and R5b are as described in formula I. Such reductions can be done using a catalyst, for instance a ruthenium or a rhodium catalyst with a chiral ligand such as RuCl[(R,R)- TsDPEN](mesitylene) or RuBF4[(R,R)-TsDPEN](p-cymene) in the presence of a hydrogen donor system such as for example HCOOH/Et3N or HCO2NH4. Such processes are described in the literature for instance in J. Org. Chem.2017, 82, 5607. Alternatively, compounds of formula IIIc may also be prepared as outlined in Scheme 10. Scheme 10:
Amines of formula IIIc can be prepared by deprotection of amines of formula XXV, wherein R3, R4, R5a, and R5b are as described in formula I, for instance using an acid such as trifluoroacetic acid or hydrochloric acid.
Amines of formula XXV can be obtained by condensation of diamines of formula XXVII, wherein R5a, and R5b are as described in formula I, on diketones of formula XXVI, wherein R3, and R4 are as described in formula I. This condensation can take place in the presence of a suitable solvent such as ethanol or isopropanol in presence of an oxidant such as air or DDQ. Diketones of formula XXVI may be formed by oxidation of hydroxyketones of formula XXVII wherein R3, and R4 are as described in formula I. This oxidation can involve for instance SO3-pyridine in presence of DMSO and a base for instance triethylamine or alternatively sodium hypochlorite in presence of a catalyst such as TEMPO/Bu4NHSO4. Examples of such oxidations can be found in the literature, for instance in Synlett, 2014, 25, 596 or J. Am. Chem. Soc.1990, 112, 5290-5313. Hydroxyketones of formula XXVII may be synthesized by cross-benzoin condensation between aldehydes of formula XXIX, wherein R4 is as described in formula I, and aldehydes of formula XXVIII, wherein R3 is as described in formula I. Aldehydes of formula XXVIII are commercially available in chiral form, like for instance Boc-L- alaninal (CAS 79069-50-4) or tert-butyl N-[(1S)-1-(cyclopropylmethyl)-2-oxo-ethyl]carbamate (CAS 881902-36-9). Cross-benzoin condensations are done in the usual way by employing an organocatalyst such as a triazolium salt or a thiazolium salt in the presence of a base such as potassium tert-butoxide or isopropyldiethylamine in a suitable solvent such as DCM or THF at a temperature between -20 °C and the boiling point of the solvent. Examples of catalysts for such transformations have been described in the literature for instance in J. Am. Chem. Soc.2014, 136, 7539-7542 or in Org. Lett.2016, 18, 4518-4521. Scheme 11:
As shown in Scheme 11, compounds of formula Id can be alternatively prepared by reaction of compounds of formula XXX (wherein R1, R2, R3, R5a, and R5b are as defined in formula I and X07 is a leaving group like, for example, chlorine, bromine, iodine) with compounds of formula XXXI (Stille reaction) or compounds of formula XXXII (Suzuki-Miyaura reaction) in the presence of a palladium catalyst as described in detail in Scheme 6. Compounds of formula XXX can be prepared by coupling of amines of formula XXXIII and compounds of formula II, wherein R1, R2, R3, R5a, and R5b and X1 are described above, under the conditions described in detail in Scheme 1. Under the same conditions, if R1 = H, compounds of formula XXX may be obtained directly from compounds of formula XXXIV. Compounds of formula XXXIII can be prepared by treatment of compounds of formula XXXIV, with compounds of formula XXXV (wherein R1 is as defined in formula I), e.g. in the presence of NaBH(OAc)3 or NaBH3CN, in a suitable solvent, preferably in acetic acid at room temperature analog to WO2002/088073, page 35. Alternatively, another reagent system for the reductive amination uses a combination of Ti(i-OiPr)4 and NaBH4 (see Synthesis 2003 (14), 2206). Amines of formula XXXIV can be prepared by deracemization procedure method, which involves for example, a selective acylation of one enantiomer. Such an example is described more in details in Scheme 12. Scheme 12:
Amines of formula XXXIV may be obtained by biocatalyzed deracemization of amines of formula XXXIVa, wherein R3, R5a, and R5b are as in formula 1 and X07 is a leaving group such as bromine, chlorine or iodine. This may be done for instance using a lipase, e.g. Candida Antarctica lipase B or Pseudomonas fluorescens lipase, eventually in immobilized form (e.g. Novozym® 435) in presence of an acyl donor, e.g. ethyl methoxyacetate or vinyl acetate, in a suitable solvent such as acetonitrile or methyl tert-butyl ether at temperatures between 20 °C to 100 °C. Such processes are described for instance in J. Org. Chem.2007, 72, 6918-6923 or Adv. Synth. Catal.2007, 349, 1481- 1488. The expected stereochemical outcome of such enzymatic deracemization are known of those skilled in the art and are documented in the literature, for instance in J. Org. Chem.1991, 56, 2656- 2665 or J. Am. Chem. Soc.2015, 137, 3996−4009. Alternatively, resolution of amines of formula XXXIVa to give amines of formula XXXIV may be achieved using a chiral auxiliary, as described in Scheme 13.
Scheme 13:
Amines of formula XXXIV can be prepared from intermediates of formula XXXVII, wherein R3, R5a, and R5b are as in compounds of the formula 1, X07 is a leaving group such as bromine, chlorine or iodine, and X12* is a chiral auxiliary, by treatment with acids such as HCl or bases such as NaOH. Chiral auxiliaries of formula X12* are for instance mandelic acid or (1R)-menthylchloroformate. Intermediates of formula XXXVII can be formed by coupling of a chiral auxiliary of formula XXXVI, wherein X0 is a leaving group, such as chlorine, with amines of the formula XXXIVa following the conditions detailed in Scheme 1. Examples of such deracemization processes are reported in the literature, for instance in J. Org. Chem.2007, 72, 485-493. Alternatively, amines of formula XXXIV can be formed as described in Scheme 14. Scheme 14:
Alternatively, amines of formula XXXIV may be obtained from intermediates of formula XXIIa, wherein R3, R5a, and R5b are as described in formula I, X07 is a leaving group such as a halogen or sulfonate, for instance bromide, and Z3 is NPhth or NBoc2. Such intermediates can be obtained from alcohols of formula XXIa, wherein R3, R5a, and R5b are as described in formula I and X07 is a leaving group, by a Mitsunobu reaction, which involves treating alcohols of formula XXIa with diisopropyl azodicarboxylate in the presence of a phosphine such as triphenylphosphine or tributylphosphine and
of an amine such as phthalimide or bis(tert-butoxycarbonyl)amine. Mitsunobu reactions are known by those skilled in the art to proceed with inversion of the stereocenter, as described for instance in Chem. Rev.2009, 109, 2551-2651. Amines of formula XXIIa can then be transformed into amines of formula XXXIV by treatment with hydrazine if Z3 = NPhth or with TFA if Z3 = NBoc2. Alternatively, amines of formula XXXIV may be obtained by reduction of azides of formula XXIIIa, wherein R3, R5a, and R5b are as described in formula I and X07 is a leaving group such as a halogen or sulfonate, for instance bromide, by treatment with triphenylphosphine and water (Staudinger reaction) or by hydrogenation for example using a palladium catalyst in the presence of hydrogen. Azides of formula XXIIIa may be obtained by treatment of alcohols of formula XXIa with an azidation reagent such as diphenyl phosphoryl azide in a solvent such as toluene or THF in presence of a base such as DBU. Such processes are known by those skilled in the art to proceed with inversion of the stereocenter and are described in the literature for instance in Adv. Synth. Catal.2018, 360, 2157–2165. Alcohols of formula XXIa may be obtained by enantioselective reduction of ketones of formula XXIVa, wherein R3, R5a, and R5b are as described in formula I and X07 is a leaving group such as a halogen or sulfonate, for instance bromide. Such reductions can be done using catalysts, for instance a ruthenium or a rhodium catalyst with a chiral ligand such as RuCl[(R,R)-TsDPEN](mesitylene) or RuBF4[(R,R)-TsDPEN](p-cymene) in the presence of a hydrogen donor system such as for example HCOOH/Et3N or HCO2NH4. Such processes are described in the literature for instance in J. Org. Chem.2017, 82, 5607. Compounds of formula II
wherein X1 is a leaving group, such as a halogen or sulfonate, for instance chloride, and wherein R2 is U1, with X1 having the same meaning as given above for compounds of the formula I can be made, for example, as shown in Scheme 15. Scheme 15:
A 2-amino phenol of formula XXXVIII-1 is reacted with a xanthogenate e.g. potassium O-ethyl dithiocarbonate in a suitable solvent such as pyridine at a temperature in the range of 50 to 180 °C giving rise to 1,3-benzoxazole-2(3H)-thione of formula XXXIX-1. This is then converted into a heterocyclyl halide of formula II-1 by the action of a halogenating agent such as thionyl chloride, phosphorus trichloride, phosphorus pentachloride, etc. in a suitable solvent such as DMF at a temperature in the range of 50 – 110 °C giving rise to compound of formula II-1.
Abbreviations used in schemes 1 to 15: ACN Acetonitrile Boc t-butoxycarbonyl DBU 1,8-diazabicyclo[5.4.0]undec-7-ene DCM Dichloromethane DDQ 2,3-dichloro-5,6-dicyano-1,4-benzoquinone DMF Dimethylformamide DMSO dimethyl sulfoxide DPEN diphenylethylenediamine Et3N Triethylamine Ms methanesulfonyl (mesyl) NaBH(OAc)3 sodium triacetoxyborohydride n-Bu n-butyl NPhth phthalimide-1-yl OMs mesylate group OTf triflate group OTs tosylate group TBME tert-butyl methyl ether TEMPO (2,2,6,6-tetramethylpiperidin-1-yl)oxidanyl Tf trifluoromethanesulfonyl (triflyl) TFA trifluoroacetic acid THF tetrahydrofuran Ti(i-OiPr)4 titanium isopropoxide Ts p-toluenesulfonyl (tosyl) Depending on the procedure or the reaction conditions, the reactants can be reacted in the presence of a base. Examples of suitable bases are alkali metal or alkaline earth metal hydroxides, alkali metal or alkaline earth metal hydrides, alkali metal or alkaline earth metal amides, alkali metal or alkaline earth metal alkoxides, alkali metal or alkaline earth metal acetates, alkali metal or alkaline earth metal carbonates, alkali metal or alkaline earth metal dialkylamides or alkali metal or alkaline earth metal alkylsilylamides, alkylamines, alkylenediamines, free or N-alkylated saturated or unsaturated cycloalkylamines, basic heterocycles, ammonium hydroxides and carbocyclic amines. Examples which may be mentioned are sodium hydroxide, sodium hydride, sodium amide, sodium methoxide, sodium acetate, sodium carbonate, potassium tert-butoxide, potassium hydroxide, potassium carbonate, potassium hydride, lithium diisopropylamide, potassium bis(trimethylsilyl)amide, calcium hydride, triethylamine, diisopropylethylamine, triethylenediamine, cyclohexylamine, N- cyclohexyl-N,N-dimethylamine, N,N-diethylaniline, pyridine, 4-(N,N-dimethylamino)pyridine, quinuclidine, N-methylmorpholine, benzyltrimethylammonium hydroxide and 1,8- diazabicyclo[5.4.0]undec-7-ene (DBU).
The reactants can be reacted with each other as such, i.e. without adding a solvent or diluent. In most cases, however, it is advantageous to add an inert solvent or diluent or a mixture of these. If the reaction is carried out in the presence of a base, bases which are employed in excess, such as triethylamine, pyridine, N-methylmorpholine or N,N-diethylaniline, may also act as solvents or diluents. The reactions are advantageously carried out in a temperature range from approximately - 80°C to approximately +140°C, preferably from approximately -30°C to approximately +100°C, in many cases in the range between ambient temperature and approximately +80°C. Depending on the choice of the reaction conditions and starting materials which are suitable in each case, it is possible, for example, in one reaction step only to replace one substituent by another substituent according to the invention, or a plurality of substituents can be replaced by other substituents according to the invention in the same reaction step. Salts of compounds of formula I can be prepared in a manner known per se. Thus, for example, acid addition salts of compounds of formula I are obtained by treatment with a suitable acid or a suitable ion exchanger reagent and salts with bases are obtained by treatment with a suitable base or with a suitable ion exchanger reagent. Salts of compounds of formula I can be converted in the customary manner into the free compounds I, acid addition salts, for example, by treatment with a suitable basic compound or with a suitable ion exchanger reagent and salts with bases, for example, by treatment with a suitable acid or with a suitable ion exchanger reagent. Salts of compounds of formula I can be converted in a manner known per se into other salts of compounds of formula I, acid addition salts, for example, into other acid addition salts, for example by treatment of a salt of inorganic acid such as hydrochloride with a suitable metal salt such as a sodium, barium or silver salt, of an acid, for example with silver acetate, in a suitable solvent in which an inorganic salt which forms, for example silver chloride, is insoluble and thus precipitates from the reaction mixture. Depending on the procedure or the reaction conditions, the compounds of formula I, which have salt-forming properties can be obtained in free form or in the form of salts. The compounds of formula I and, where appropriate, the tautomers thereof, in each case in free form or in salt form, can be present in the form of one of the isomers which are possible or as a mixture of these, for example in the form of pure isomers, such as antipodes and/or diastereomers, or as isomer mixtures, such as enantiomer mixtures, for example racemates, diastereomer mixtures or racemate mixtures, depending on the number, absolute and relative configuration of asymmetric carbon atoms which occur in the molecule and/or depending on the configuration of non-aromatic double bonds which occur in the molecule; the invention relates to the pure isomers and also to all isomer mixtures which are possible and is to be understood in each case in this sense hereinabove and hereinbelow, even when stereochemical details are not mentioned specifically in each case. Diastereomer mixtures or racemate mixtures of compounds of formula I, in free form or in salt form, which can be obtained depending on which starting materials and procedures have been chosen can be separated in a known manner into the pure diastereomers or racemates on the basis of the
physicochemical differences of the components, for example by fractional crystallization, distillation and/or chromatography. Enantiomer mixtures, such as racemates, which can be obtained in a similar manner can be resolved into the optical antipodes by known methods, for example by recrystallization from an optically active solvent, by chromatography on chiral adsorbents, for example high-performance liquid chromatography (HPLC) on acetyl cellulose, with the aid of suitable microorganisms, by cleavage with specific, immobilized enzymes, via the formation of inclusion compounds, for example using chiral crown ethers, where only one enantiomer is complexed, or by conversion into diastereomeric salts, for example by reacting a basic end-product racemate with an optically active acid, such as a carboxylic acid, for example camphor, tartaric or malic acid, or sulfonic acid, for example camphorsulfonic acid, and separating the diastereomer mixture which can be obtained in this manner, for example by fractional crystallization based on their differing solubilities, to give the diastereomers, from which the desired enantiomer can be set free by the action of suitable agents, for example basic agents. Pure diastereomers or enantiomers can be obtained according to the invention not only by separating suitable isomer mixtures, but also by generally known methods of diastereoselective or enantioselective synthesis, for example by carrying out the process according to the invention with starting materials of a suitable stereochemistry. N-oxides can be prepared by reacting a compound of the formula I with a suitable oxidizing agent, for example the H2O2/urea adduct in the presence of an acid anhydride, e.g. trifluoroacetic anhydride. Such oxidations are known from the literature, for example from J. Med. Chem., 32 (12), 2561-73, 1989 or WO 2000/15615. It is advantageous to isolate or synthesize in each case the biologically more effective isomer, for example enantiomer or diastereomer, or isomer mixture, for example enantiomer mixture or diastereomer mixture, if the individual components have a different biological activity. The compounds of formula I and, where appropriate, the tautomers thereof, in each case in free form or in salt form, can, if appropriate, also be obtained in the form of hydrates and/or include other solvents, for example those which may have been used for the crystallization of compounds which are present in solid form. The compounds of formula I according to the following Tables D-1 to D-24 can be prepared according to the methods described above. The examples which follow are intended to illustrate the invention and show preferred compounds of formula I, in the form of a compound of formula I-D.
Table D-1 provides 27 compounds D-1.001 to D-1.027 of formula I-D wherein R3 is CH3, R4 is pyrimidine-2-yl, A1 is N, A2 is CH, A3 is CH, A4 is N and R1, R2 are as defined in table Z. For example, D-1.002 is
Table D-2 provides 27 compounds D-2.001 to D-2.027 of formula I-D wherein R3 is CH3, R4 is pyrimidine-2-yl, A1 is N, A2 is CH, A3 is C-CH3, A4 is N and R1, R2 are as defined in table Z. Table D-3 provides 27 compounds D-3.001 to D-3.027 of formula I-D wherein R3 is CH3, R4 is pyrimidine-2-yl, A1 is N, A2 is CH, A3 is C-cyclopropyl, A4 is N and R1, R2 are as defined in table Z. Table D-4 provides 27 compounds D-4.001 to D-4.027 of formula I-D wherein R3 is CH3, R4 is pyrimidine-2-yl, A1 is N, A2 is CH, A3 is C-CN, A4 is N and R1, R2 are as defined in table Z. Table D-5 provides 27 compounds D-5.001 to D-5.027 of formula I-D wherein R3 is CH3, R4 is pyrimidine-2-yl, A1 is N, A2 is CH, A3 is C-OCH3, A4 is N and R1, R2 are as defined in table Z. Table D-6 provides 27 compounds D-6.001 to D-6.027 of formula I-D wherein R3 is CH3, R4 is pyrimidine-2-yl, A1 is N, A2 is CH, A3 is C-Cl, A4 is N and R1, R2 are as defined in table Z. Table D-7 provides 27 compounds D-7.001 to D-7.027 of formula I-D wherein R3 is CH3, R4 is 5- bromopyrid-2-yl, A1 is N, A2 is CH, A3 is CH, A4 is N and R1, R2 are as defined in table Z. Table D-8 provides 27 compounds D-8.001 to D-8.027 of formula I-D wherein R3 is CH3, R4 is 5- bromopyrid-2-yl, A1 is N, A2 is CH, A3 is C-CH3, A4 is N and R1, R2 are as defined in table Z. Table D-9 provides 27 compounds D-9.001 to D-9.027 of formula I-D wherein R3 is CH3, R4 is 5- bromopyrid-2-yl, A1 is N, A2 is CH, A3 is C-cyclopropyl, A4 is N and R1, R2 are as defined in table Z. Table D-10 provides 27 compounds D-10.001 to D-10.027 of formula I-D wherein R3 is CH3, R4 is 5- bromopyrid-2-yl, A1 is N, A2 is CH, A3 is C-CN, A4 is N and R1, R2 are as defined in table Z.
Table D-11 provides 27 compounds D-11.001 to D-11.027 of formula I-D wherein R3 is CH3, R4 is 5- bromopyrid-2-yl, A1 is N, A2 is CH, A3 is C-OCH3, A4 is N and R1, R2 are as defined in table Z. Table D-12 provides 27 compounds D-12.001 to D-12.027 of formula I-D wherein R3 is CH3, R4 is 5- bromopyrid-2-yl, A1 is N, A2 is CH, A3 is C-Cl, A4 is N and R1, R2 are as defined in table Z. Table D-13 provides 27 compounds D-13.001 to D-13.027 of formula I-D wherein R3 is CH3, R4 is 5- cyanopyrid-2-yl, A1 is N, A2 is CH, A3 is CH, A4 is N and R1, R2 are as defined in table Z. Table D-14 provides 27 compounds D-14.001 to D-14.027 of formula I-D wherein R3 is CH3, R4 is 5- cyanopyrid-2-yl, A1 is N, A2 is CH, A3 is C-CH3, A4 is N and R1, R2 are as defined in table Z. Table D-15 provides 27 compounds D-15.001 to D-15.027 of formula I-D wherein R3 is CH3, R4 is 5- cyanopyrid-2-yl, A1 is N, A2 is CH, A3 is C-cyclopropyl, A4 is N and R1, R2 are as defined in table Z. Table D-16 provides 27 compounds D-16.001 to D-16.027 of formula I-D wherein R3 is CH3, R4 is 5- cyanopyrid-2-yl, A1 is N, A2 is CH, A3 is C-CN, A4 is N and R1, R2 are as defined in table Z. Table D-17 provides 27 compounds D-17.001 to D-17.027 of formula I-D wherein R3 is CH3, R4 is 5- cyanopyrid-2-yl, A1 is N, A2 is CH, A3 is C-OCH3, A4 is N and R1, R2 are as defined in table Z. Table D-18 provides 27 compounds D-18.001 to D-18.027 of formula I-D wherein R3 is CH3, R4 is 5- cyanopyrid-2-yl, A1 is N, A2 is CH, A3 is C-Cl, A4 is N and R1, R2 are as defined in table Z. Table D-19 provides 27 compounds D-19.001 to D-19.027 of formula I-D wherein R3 is CH3, R4 is 1,2,3-triazol-2-yl, A1 is N, A2 is CH, A3 is CH, A4 is N and R1, R2 are as defined in table Z. Table D-20 provides 27 compounds D-20.001 to D-20.027 of formula I-D wherein R3 is CH3, R4 is 1,2,3-triazol-2-yl, A1 is N, A2 is CH, A3 is C-CH3, A4 is N and R1, R2 are as defined in table Z. Table D-21 provides 27 compounds D-21.001 to D-21.027 of formula I-D wherein R3 is CH3, R4 is 1,2,3-triazol-2-yl, A1 is N, A2 is CH, A3 is C-cyclopropyl, A4 is N and R1, R2 are as defined in table Z. Table D-22 provides 27 compounds D-22.001 to D-22.027 of formula I-D wherein R3 is CH3, R4 is 1,2,3-triazol-2-yl, A1 is N, A2 is CH, A3 is C-CN, A4 is N and R1, R2 are as defined in table Z. Table D-23 provides 27 compounds D-23.001 to D-23.027 of formula I-D wherein R3 is CH3, R4 is 1,2,3-triazol-2-yl, A1 is N, A2 is CH, A3 is C-OCH3, A4 is N and R1, R2 are as defined in table Z.
Table D-24 provides 27 compounds D-24.001 to D-24.027 of formula I-D wherein R3 is CH3, R4 is 1,2,3-triazol-2-yl, A1 is N, A2 is CH, A3 is C-Cl, A4 is N and R1, R2 are as defined in table Z. Table Z: Substituent definitions of R1 and R2:
Also made available are certain intermediate compounds of formulae II(i), III(i), IV(i), V(i), VII(i), and XIV(i), some of which are novel. For example,
A compound of formula II(i), wherein (i) X1 is Cl and R2 is one of the nine groups defined in Table Z (rows 1 to 9); (ii) wherein (i) X1 is Br and R2 is one of nine groups defined in Table Z (rows 1 to 9).
A compound of formula III(i), wherein (i) R1 is H and R4, A1, A2, A3 and A4 are as defined in any one Tables D-1 to D-24; (ii) wherein (i) R1 is CH3 and R4, A1, A2, A3 and A4 are as defined in any one Tables D-1 to D-24; and (iii) wherein (i) R1 is CH2-cyclopropyl and R4, A1, A2, A3 and A4 are as defined in any one Tables D-1 to D-24.
A compound of formula IV(i), wherein R2 is one of the nine groups defined in Table Z (rows 1 to 9).
A compound of formula V(i), wherein (i) X2 is Cl and R4, A1, A2, A3 and A4 are as defined in any one Tables D-1 to D-24; (ii) wherein (i) X2 is Br and R4, A1, A2, A3 and A4 are as defined in any one Tables D-1 to D-24; and (iii) wherein (i) X2 is I and R4, A1, A2, A3 and A4 are as defined in any one Tables D-1 to D-24.
A compound of formula VII(i), wherein R4, A1, A2, A3 and A4 are as defined in any one Tables D-1 to D- 24.
A compound of formula XIV(i), wherein R1 and R2 are as defined in Table Z (rows 1 to 27).
In further aspect, the present invention accordingly makes available compounds of formulae II(i), III(i), IV(i), V(i), VII(i), and XIV(i), wherein in each case, as applicable, A1, A2, A3, A4, R1, R2 and R4 are as defined for formula I in the first aspect; and in respect of formula II(i), X1 is a halogen, preferably chloro or bromo. Furthermore, the corresponding embodiments illustrated for formula I also apply to the compounds of formulae II(i), III(i), IV(i), V(i), VII(i), and XIV(i). The compounds of formula I according to the invention are preventively and/or curatively valuable active ingredients in the field of pest control, even at low rates of application, which have a very favorable biocidal spectrum and are well tolerated by warm-blooded species, fish and plants. The active ingredients according to the invention act against all or individual developmental stages of normally sensitive, but also resistant, animal pests, such as insects or representatives of the order Acarina. The insecticidal or acaricidal activity of the active ingredients according to the invention can manifest itself directly, i.e. in destruction of the pests, which takes place either immediately or only after some time has elapsed, for example during ecdysis, or indirectly, for example in a reduced oviposition and/or hatching rate. Examples of the above-mentioned animal pests are: from the order Acarina, for example, Acalitus spp, Aculus spp, Acaricalus spp, Aceria spp, Acarus siro, Amblyomma spp., Argas spp., Boophilus spp., Brevipalpus spp., Bryobia spp, Calipitrimerus spp., Chorioptes spp., Dermanyssus gallinae, Dermatophagoides spp, Eotetranychus spp, Eriophyes spp., Hemitarsonemus spp, Hyalomma spp., Ixodes spp., Olygonychus spp, Ornithodoros spp., Polyphagotarsone latus, Panonychus spp., Phyllocoptruta oleivora, Phytonemus spp, Polyphagotarsonemus spp, Psoroptes spp., Rhipicephalus spp., Rhizoglyphus spp., Sarcoptes spp., Steneotarsonemus spp, Tarsonemus spp. and Tetranychus spp.; from the order Anoplura, for example,
Haematopinus spp., Linognathus spp., Pediculus spp., Pemphigus spp. and Phylloxera spp.; from the order Coleoptera, for example, Agriotes spp., Amphimallon majale, Anomala orientalis, Anthonomus spp., Aphodius spp, Astylus atromaculatus, Ataenius spp, Atomaria linearis, Chaetocnema tibialis, Cerotoma spp, Conoderus spp, Cosmopolites spp., Cotinis nitida, Curculio spp., Cyclocephala spp, Dermestes spp., Diabrotica spp., Diloboderus abderus, Epilachna spp., Eremnus spp., Heteronychus arator, Hypothenemus hampei, Lagria vilosa, Leptinotarsa decemlineata, Lissorhoptrus spp., Liogenys spp, Maecolaspis spp, Maladera castanea, Megascelis spp, Melighetes aeneus, Melolontha spp., Myochrous armatus, Orycaephilus spp., Otiorhynchus spp., Phyllophaga spp, Phlyctinus spp., Popillia spp., Psylliodes spp., Rhyssomatus aubtilis, Rhizopertha spp., Scarabeidae, Sitophilus spp., Sitotroga spp., Somaticus spp, Sphenophorus spp, Sternechus subsignatus, Tenebrio spp., Tribolium spp. and Trogoderma spp.; from the order Diptera, for example, Aedes spp., Anopheles spp, Antherigona soccata,Bactrocea oleae, Bibio hortulanus, Bradysia spp, Calliphora erythrocephala, Ceratitis spp., Chrysomyia spp., Culex spp., Cuterebra spp., Dacus spp., Delia spp, Drosophila melanogaster, Fannia spp., Gastrophilus spp., Geomyza tripunctata, Glossina spp., Hypoderma spp., Hyppobosca spp., Liriomyza spp., Lucilia spp., Melanagromyza spp., Musca spp., Oestrus spp., Orseolia spp., Oscinella frit, Pegomyia hyoscyami, Phorbia spp., Rhagoletis spp, Rivelia quadrifasciata, Scatella spp, Sciara spp., Stomoxys spp., Tabanus spp., Tannia spp. and Tipula spp.; from the order Hemiptera, for example, Acanthocoris scabrator, Acrosternum spp, Adelphocoris lineolatus, Aleurodes spp., Amblypelta nitida, Bathycoelia thalassina, Blissus spp, Cimex spp., Clavigralla tomentosicollis, Creontiades spp, Distantiella theobroma, Dichelops furcatus, Dysdercus spp., Edessa spp, Euchistus spp., Eurydema pulchrum, Eurygaster spp., Halyomorpha halys, Horcias nobilellus, Leptocorisa spp., Lygus spp, Margarodes spp, Murgantia histrionic, Neomegalotomus spp, Nesidiocoris tenuis, Nezara spp., Nysius simulans, Oebalus insularis, Piesma spp., Piezodorus spp, Rhodnius spp., Sahlbergella singularis, Scaptocoris castanea, Scotinophara spp. , Thyanta spp , Triatoma spp., Vatiga illudens; Acyrthosium pisum, Adalges spp, Agalliana ensigera, Agonoscena targionii, Aleurodicus spp, Aleurocanthus spp, Aleurolobus barodensis, Aleurothrixus floccosus, Aleyrodes brassicae, Amarasca biguttula, Amritodus atkinsoni, Aonidiella spp., Aphididae, Aphis spp., Aspidiotus spp., Aulacorthum solani, Bactericera cockerelli, Bemisia spp, Brachycaudus spp, Brevicoryne brassicae, Cacopsylla spp, Cavariella aegopodii Scop., Ceroplaster spp., Chrysomphalus aonidium, Chrysomphalus dictyospermi, Cicadella spp, Cofana spectra, Cryptomyzus spp, Cicadulina spp, Coccus hesperidum, Dalbulus maidis, Dialeurodes spp, Diaphorina citri, Diuraphis noxia, Dysaphis spp, Empoasca spp., Eriosoma larigerum, Erythroneura spp., Gascardia spp., Glycaspis brimblecombei, Hyadaphis pseudobrassicae, Hyalopterus spp, Hyperomyzus pallidus, Idioscopus clypealis, Jacobiasca lybica, Laodelphax spp., Lecanium corni, Lepidosaphes spp., Lopaphis erysimi, Lyogenys maidis, Macrosiphum spp., Mahanarva spp, Metcalfa pruinosa, Metopolophium dirhodum, Myndus crudus, Myzus spp., Neotoxoptera sp, Nephotettix spp., Nilaparvata spp., Nippolachnus piri Mats, Odonaspis
ruthae, Oregma lanigera Zehnter, Parabemisia myricae, Paratrioza cockerelli, Parlatoria spp., Pemphigus spp., Peregrinus maidis, Perkinsiella spp, Phorodon humuli, Phylloxera spp, Planococcus spp., Pseudaulacaspis spp., Pseudococcus spp., Pseudatomoscelis seriatus, Psylla spp., Pulvinaria aethiopica, Quadraspidiotus spp., Quesada gigas, Recilia dorsalis, Rhopalosiphum spp., Saissetia spp., Scaphoideus spp., Schizaphis spp., Sitobion spp., Sogatella furcifera, Spissistilus festinus, Tarophagus Proserpina, Toxoptera spp, Trialeurodes spp, Tridiscus sporoboli, Trionymus spp, Trioza erytreae , Unaspis citri, Zygina flammigera, Zyginidia scutellaris, ; from the order Hymenoptera, for example, Acromyrmex, Arge spp, Atta spp., Cephus spp., Diprion spp., Diprionidae, Gilpinia polytoma, Hoplo- campa spp., Lasius spp., Monomorium pharaonis, Neodiprion spp., Pogonomyrmex spp, Slenopsis invicta, Solenopsis spp. and Vespa spp.; from the order Isoptera, for example, Coptotermes spp, Corniternes cumulans, Incisitermes spp, Macrotermes spp, Mastotermes spp, Microtermes spp, Reticulitermes spp.; Solenopsis geminate from the order Lepidoptera, for example, Acleris spp., Adoxophyes spp., Aegeria spp., Agrotis spp., Alabama argillaceae, Amylois spp., Anticarsia gemmatalis, Archips spp., Argyresthia spp, Argyrotaenia spp., Autographa spp., Bucculatrix thurberiella, Busseola fusca, Cadra cautella, Carposina nipponensis, Chilo spp., Choristoneura spp., Chrysoteuchia topiaria, Clysia ambiguella, Cnaphalocrocis spp., Cnephasia spp., Cochylis spp., Coleophora spp., Colias lesbia, Cosmophila flava, Crambus spp, Crocidolomia binotalis, Cryptophlebia leucotreta, Cydalima perspectalis, Cydia spp., Diaphania perspectalis, Diatraea spp., Diparopsis castanea, Earias spp., Elasmopalpus lignosellus, Eldana saccharina, Ephestia spp., Epinotia spp, Estigmene acrea, Etiella zinckinella, Eucosma spp., Eupoecilia ambiguella, Euproctis spp., Euxoa spp., Feltia jaculiferia, Grapholita spp., Hedya nubiferana, Heliothis spp., Hellula undalis, Herpetogramma spp, Hyphantria cunea, Keiferia lycopersicella, Lasmopalpus lignosellus, Leucoptera scitella, Lithocollethis spp., Lobesia botrana, Loxostege bifidalis, Lymantria spp., Lyonetia spp., Malacosoma spp., Mamestra brassicae, Manduca sexta, Mythimna spp, Noctua spp, Operophtera spp., Orniodes indica, Ostrinia nubilalis, Pammene spp., Pandemis spp., Panolis flammea, Papaipema nebris, Pectinophora gossypiela, Perileucoptera coffeella, Pseudaletia unipuncta, Phthorimaea operculella, Pieris rapae, Pieris spp., Plutella xylostella, Prays spp., Pseudoplusia spp, Rachiplusia nu, Richia albicosta, Scirpophaga spp., Sesamia spp., Sparganothis spp., Spodoptera spp., Sylepta derogate, Synanthedon spp., Thaumetopoea spp., Tortrix spp., Trichoplusia ni, Tuta absoluta, and Yponomeuta spp.; from the order Mallophaga, for example, Damalinea spp. and Trichodectes spp.; from the order Orthoptera, for example, Blatta spp., Blattella spp., Gryllotalpa spp., Leucophaea maderae, Locusta spp., Neocurtilla hexadactyla, Periplaneta spp. , Scapteriscus spp, and Schistocerca spp.; from the order Psocoptera, for example,
Liposcelis spp.; from the order Siphonaptera, for example, Ceratophyllus spp., Ctenocephalides spp. and Xenopsylla cheopis; from the order Thysanoptera, for example, Calliothrips phaseoli, Frankliniella spp., Heliothrips spp, Hercinothrips spp., Parthenothrips spp, Scirtothrips aurantii, Sericothrips variabilis, Taeniothrips spp., Thrips spp; from the order Thysanura, for example, Lepisma saccharina. In a further aspect, the invention may also relate to a method of controlling damage to plant and parts thereof by plant parasitic nematodes (Endoparasitic-, Semiendoparasitic- and Ectoparasitic nematodes), especially plant parasitic nematodes such as root knot nematodes, Meloidogyne hapla, Meloidogyne incognita, Meloidogyne javanica, Meloidogyne arenaria and other Meloidogyne species; cyst-forming nematodes, Globodera rostochiensis and other Globodera species; Heterodera avenae, Heterodera glycines, Heterodera schachtii, Heterodera trifolii, and other Heterodera species; Seed gall nematodes, Anguina species; Stem and foliar nematodes, Aphelenchoides species; Sting nematodes, Belonolaimus longicaudatus and other Belonolaimus species; Pine nematodes, Bursaphelenchus xylophilus and other Bursaphelenchus species; Ring nematodes, Criconema species, Criconemella species, Criconemoides species, Mesocriconema species; Stem and bulb nematodes, Ditylenchus destructor, Ditylenchus dipsaci and other Ditylenchus species; Awl nematodes, Dolichodorus species; Spiral nematodes, Heliocotylenchus multicinctus and other Helicotylenchus species; Sheath and sheathoid nematodes, Hemicycliophora species and Hemicriconemoides species; Hirshmanniella species; Lance nematodes, Hoploaimus species; false rootknot nematodes, Nacobbus species; Needle nematodes, Longidorus elongatus and other Longidorus species; Pin nematodes, Pratylenchus species; Lesion nematodes, Pratylenchus neglectus, Pratylenchus penetrans, Pratylenchus curvitatus, Pratylenchus goodeyi and other Pratylenchus species; Burrowing nematodes, Radopholus similis and other Radopholus species; Reniform nematodes, Rotylenchus robustus, Rotylenchus reniformis and other Rotylenchus species; Scutellonema species; Stubby root nematodes, Trichodorus primitivus and other Trichodorus species, Paratrichodorus species; Stunt nematodes, Tylenchorhynchus claytoni, Tylenchorhynchus dubius and other Tylenchorhynchus species; Citrus nematodes, Tylenchulus species; Dagger nematodes, Xiphinema species; and other plant parasitic nematode species, such as Subanguina spp., Hypsoperine spp., Macroposthonia spp., Melinius spp., Punctodera spp., and Quinisulcius spp.. The compounds of the invention may also have activity against the molluscs. Examples of which include, for example, Ampullariidae; Arion (A. ater, A. circumscriptus, A. hortensis, A. rufus); Bradybaenidae (Bradybaena fruticum); Cepaea (C. hortensis, C. Nemoralis); ochlodina; Deroceras (D. agrestis, D. empiricorum, D. laeve, D. reticulatum); Discus (D. rotundatus); Euomphalia; Galba (G. trunculata); Helicelia (H. itala, H. obvia); Helicidae Helicigona arbustorum); Helicodiscus; Helix (H.
aperta); Limax (L. cinereoniger, L. flavus, L. marginatus, L. maximus, L. tenellus); Lymnaea; Milax (M. gagates, M. marginatus, M. sowerbyi); Opeas; Pomacea (P. canaticulata); Vallonia and Zanitoides. The active ingredients according to the invention can be used for controlling, i.e. containing or destroying, pests of the abovementioned type which occur in particular on plants, especially on useful plants and ornamentals in agriculture, in horticulture and in forests, or on organs, such as fruits, flowers, foliage, stalks, tubers or roots, of such plants, and in some cases even plant organs which are formed at a later point in time remain protected against these pests. Suitable target crops are, in particular, cereals, such as wheat, barley, rye, oats, rice, maize or sorghum; beet, such as sugar or fodder beet; fruit, for example pomaceous fruit, stone fruit or soft fruit, such as apples, pears, plums, peaches, almonds, cherries or berries, for example strawberries, raspberries or blackberries; leguminous crops, such as beans, lentils, peas or soya; oil crops, such as oilseed rape, mustard, poppies, olives, sunflowers, coconut, castor, cocoa or ground nuts; cucurbits, such as pumpkins, cucumbers or melons; fibre plants, such as cotton, flax, hemp or jute; citrus fruit, such as oranges, lemons, grapefruit or tangerines; vegetables, such as spinach, lettuce, asparagus, cabbages, carrots, onions, tomatoes, potatoes or bell peppers; Lauraceae, such as avocado, Cinnamonium or camphor; and also tobacco, nuts, coffee, eggplants, sugarcane, tea, pepper, grapevines, hops, the plantain family and latex plants. The compositions and/or methods of the present invention may be also used on any ornamental and/or vegetable crops, including flowers, shrubs, broad-leaved trees and evergreens. For example the invention may be used on any of the following ornamental species: Ageratum spp., Alonsoa spp., Anemone spp., Anisodontea capsenisis, Anthemis spp., Antirrhinum spp., Aster spp., Begonia spp. (e.g. B. elatior, B. semperflorens, B. tubéreux), Bougainvillea spp., Brachycome spp., Brassica spp. (ornamental), Calceolaria spp., Capsicum annuum, Catharanthus roseus, Canna spp., Centaurea spp., Chrysanthemum spp., Cineraria spp. (C. maritime), Coreopsis spp., Crassula coccinea, Cuphea ignea, Dahlia spp., Delphinium spp., Dicentra spectabilis, Dorotheantus spp., Eustoma grandiflorum, Forsythia spp., Fuchsia spp., Geranium gnaphalium, Gerbera spp., Gomphrena globosa, Heliotropium spp., Helianthus spp., Hibiscus spp., Hortensia spp., Hydrangea spp., Hypoestes phyllostachya, Impatiens spp. (I. Walleriana), Iresines spp., Kalanchoe spp., Lantana camara, Lavatera trimestris, Leonotis leonurus, Lilium spp., Mesembryanthemum spp., Mimulus spp., Monarda spp., Nemesia spp., Tagetes spp., Dianthus spp. (carnation), Canna spp., Oxalis spp., Bellis spp., Pelargonium spp. (P. peltatum, P. Zonale), Viola spp. (pansy), Petunia spp., Phlox spp., Plecthranthus spp., Poinsettia spp., Parthenocissus spp. (P. quinquefolia, P. tricuspidata), Primula spp., Ranunculus spp., Rhododendron spp., Rosa spp. (rose), Rudbeckia spp., Saintpaulia spp., Salvia spp., Scaevola aemola, Schizanthus wisetonensis, Sedum spp., Solanum spp., Surfinia spp., Tagetes spp., Nicotinia spp., Verbena spp., Zinnia spp. and other bedding plants. For example the invention may be used on any of the following vegetable species: Allium spp. (A. sativum, A.. cepa, A. oschaninii, A. Porrum, A. ascalonicum, A. fistulosum), Anthriscus cerefolium, Apium graveolus, Asparagus officinalis, Beta vulgarus, Brassica spp. (B. Oleracea, B. Pekinensis, B. rapa), Capsicum annuum, Cicer arietinum, Cichorium endivia, Cichorum spp. (C. intybus, C. endivia),
Citrillus lanatus, Cucumis spp. (C. sativus, C. melo), Cucurbita spp. (C. pepo, C. maxima), Cyanara spp. (C. scolymus, C. cardunculus), Daucus carota, Foeniculum vulgare, Hypericum spp., Lactuca sativa, Lycopersicon spp. (L. esculentum, L. lycopersicum), Mentha spp., Ocimum basilicum, Petroselinum crispum, Phaseolus spp. (P. vulgaris, P. coccineus), Pisum sativum, Raphanus sativus, Rheum rhaponticum, Rosemarinus spp., Salvia spp., Scorzonera hispanica, Solanum melongena, Spinacea oleracea, Valerianella spp. (V. locusta, V. eriocarpa) and Vicia faba. Preferred ornamental species include African violet, Begonia, Dahlia, Gerbera, Hydrangea, Verbena, Rosa, Kalanchoe, Poinsettia, Aster, Centaurea, Coreopsis, Delphinium, Monarda, Phlox, Rudbeckia, Sedum, Petunia, Viola, Impatiens, Geranium, Chrysanthemum, Ranunculus, Fuchsia, Salvia, Hortensia, rosemary, sage, St. Johnswort, mint, sweet pepper, tomato and cucumber. The active ingredients according to the invention are especially suitable for controlling Aphis craccivora, Diabrotica balteata, Heliothis virescens, Myzus persicae, Plutella xylostella and Spodoptera littoralis in cotton, vegetable, maize, rice and soya crops. The active ingredients according to the invention are further especially suitable for controlling Mamestra (preferably in vegetables), Cydia pomonella (preferably in apples), Empoasca (preferably in vegetables, vineyards), Leptinotarsa (preferably in potatos) and Chilo supressalis (preferably in rice). The compounds of formula I are particularly suitable for control of ^ a pest of the order Hemiptera, for example, one or more of the species Bemisia tabaci , Aphis craccivora, Myzus persicae, Rhopalosiphum Padi, Nilaparvata lugens, and Euschistus heros (preferably in vegetables, soybeans, and sugarcane); ^ a pest of the order Lepidoptera, for example, one or more of the species Spodoptera littoralis, Spodoptera frugiperda, Plutella xylostella, Cnaphalocrocis medinalis, Cydia pomonella, Chrysodeixis includes, Chilo suppressalis, Elasmopalpus lignosellus, Pseudoplusia includens, and Tuta absoluta (preferably in vegetables and corn); ^ a pest of the order Thysanoptera, such as the family Thripidae, for example, one or more of Thrips tabaci and Frankliniella occidentalis (preferably in vegetables); and ^ soil pests (such as of the order Coleoptera), for example, the species Diabrotica balteata, Agriotes spp. and Leptinotarsa decemlineata (preferably in vegetables and corn). The term "crops" is to be understood as including also crop plants which have been so transformed by the use of recombinant DNA techniques that they are capable of synthesising one or more selectively acting toxins, such as are known, for example, from toxin-producing bacteria, especially those of the genus Bacillus. Toxins that can be expressed by such transgenic plants include, for example, insecticidal proteins, for example insecticidal proteins from Bacillus cereus or Bacillus popilliae; or insecticidal proteins from Bacillus thuringiensis, such as ^-endotoxins, e.g. Cry1Ab, Cry1Ac, Cry1F, Cry1Fa2, Cry2Ab, Cry3A, Cry3Bb1 or Cry9C, or vegetative insecticidal proteins (Vip), e.g. Vip1, Vip2, Vip3 or Vip3A; or insecticidal proteins of bacteria colonising nematodes, for example Photorhabdus spp. or Xenorhabdus spp., such as Photorhabdus luminescens, Xenorhabdus nematophilus; toxins produced by animals, such as scorpion toxins, arachnid toxins, wasp toxins and other insect-specific
neurotoxins; toxins produced by fungi, such as Streptomycetes toxins, plant lectins, such as pea lectins, barley lectins or snowdrop lectins; agglutinins; proteinase inhibitors, such as trypsin inhibitors, serine protease inhibitors, patatin, cystatin, papain inhibitors; ribosome-inactivating proteins (RIP), such as ricin, maize-RIP, abrin, luffin, saporin or bryodin; steroid metabolism enzymes, such as 3-hydroxysteroidoxidase, ecdysteroid-UDP-glycosyl-transferase, cholesterol oxidases, ecdysone inhibitors, HMG-COA-reductase, ion channel blockers, such as blockers of sodium or calcium channels, juvenile hormone esterase, diuretic hormone receptors, stilbene synthase, bibenzyl synthase, chitinases and glucanases. In the context of the present invention there are to be understood by ^-endotoxins, for example Cry1Ab, Cry1Ac, Cry1F, Cry1Fa2, Cry2Ab, Cry3A, Cry3Bb1 or Cry9C, or vegetative insecticidal proteins (Vip), for example Vip1, Vip2, Vip3 or Vip3A, expressly also hybrid toxins, truncated toxins and modified toxins. Hybrid toxins are produced recombinantly by a new combination of different domains of those proteins (see, for example, WO 02/15701). Truncated toxins, for example a truncated Cry1Ab, are known. In the case of modified toxins, one or more amino acids of the naturally occurring toxin are replaced. In such amino acid replacements, preferably non-naturally present protease recognition sequences are inserted into the toxin, such as, for example, in the case of Cry3A055, a cathepsin-G-recognition sequence is inserted into a Cry3A toxin (see WO 03/018810). Examples of such toxins or transgenic plants capable of synthesising such toxins are disclosed, for example, in EP-A-0374753, WO 93/07278, WO 95/34656, EP-A-0427529, EP-A-451 878 and WO 03/052073. The processes for the preparation of such transgenic plants are generally known to the person skilled in the art and are described, for example, in the publications mentioned above. CryI-type deoxyribonucleic acids and their preparation are known, for example, from WO 95/34656, EP-A-0367 474, EP-A-0401979 and WO 90/13651. The toxin contained in the transgenic plants imparts to the plants tolerance to harmful insects. Such insects can occur in any taxonomic group of insects, but are especially commonly found in the beetles (Coleoptera), two-winged insects (Diptera) and moths (Lepidoptera). Transgenic plants containing one or more genes that code for an insecticidal resistance and express one or more toxins are known and some of them are commercially available. Examples of such plants are: YieldGard ® (maize variety that expresses a Cry1Ab toxin); YieldGard Rootworm ® (maize variety that expresses a Cry3Bb1 toxin); YieldGard Plus ® (maize variety that expresses a Cry1Ab and a Cry3Bb1 toxin); Starlink ® (maize variety that expresses a Cry9C toxin); Herculex I ® (maize variety that expresses a Cry1Fa2 toxin and the enzyme phosphinothricine N-acetyltransferase (PAT) to achieve tolerance to the herbicide glufosinate ammonium); NuCOTN 33B ® (cotton variety that expresses a Cry1Ac toxin); Bollgard I ® (cotton variety that expresses a Cry1Ac toxin); Bollgard II® (cotton variety that expresses a Cry1Ac and a Cry2Ab toxin); VipCot ® (cotton variety that expresses a Vip3A and a Cry1Ab toxin); NewLeaf ® (potato variety that expresses a Cry3A toxin);
NatureGard ®, Agrisure® GT Advantage (GA21 glyphosate-tolerant trait), Agrisure® CB Advantage (Bt11 corn borer (CB) trait) and Protecta ®. Further examples of such transgenic crops are: 1. Bt11 Maize from Syngenta Seeds SAS, Chemin de l'Hobit 27, F-31790 St. Sauveur, France, registration number C/FR/96/05/10. Genetically modified Zea mays which has been rendered resistant to attack by the European corn borer (Ostrinia nubilalis and Sesamia nonagrioides) by transgenic expression of a truncated Cry1Ab toxin. Bt11 maize also transgenically expresses the enzyme PAT to achieve tolerance to the herbicide glufosinate ammonium. 2. Bt176 Maize from Syngenta Seeds SAS, Chemin de l'Hobit 27, F-31790 St. Sauveur, France, registration number C/FR/96/05/10. Genetically modified Zea mays which has been rendered resistant to attack by the European corn borer (Ostrinia nubilalis and Sesamia nonagrioides) by transgenic expression of a Cry1Ab toxin. Bt176 maize also transgenically expresses the enzyme PAT to achieve tolerance to the herbicide glufosinate ammonium. 3. MIR604 Maize from Syngenta Seeds SAS, Chemin de l'Hobit 27, F-31790 St. Sauveur, France, registration number C/FR/96/05/10. Maize which has been rendered insect-resistant by transgenic expression of a modified Cry3A toxin. This toxin is Cry3A055 modified by insertion of a cathepsin-G- protease recognition sequence. The preparation of such transgenic maize plants is described in WO 03/018810. 4. MON 863 Maize from Monsanto Europe S.A.270-272 Avenue de Tervuren, B-1150 Brussels, Belgium, registration number C/DE/02/9. MON 863 expresses a Cry3Bb1 toxin and has resistance to certain Coleoptera insects. 5. IPC 531 Cotton from Monsanto Europe S.A.270-272 Avenue de Tervuren, B-1150 Brussels, Belgium, registration number C/ES/96/02. 6.1507 Maize from Pioneer Overseas Corporation, Avenue Tedesco, 7 B-1160 Brussels, Belgium, registration number C/NL/00/10. Genetically modified maize for the expression of the protein Cry1F for achieving resistance to certain Lepidoptera insects and of the PAT protein for achieving tolerance to the herbicide glufosinate ammonium. 7. NK603 × MON 810 Maize from Monsanto Europe S.A.270-272 Avenue de Tervuren, B-1150 Brussels, Belgium, registration number C/GB/02/M3/03. Consists of conventionally bred hybrid maize varieties by crossing the genetically modified varieties NK603 and MON 810. NK603 × MON 810 Maize transgenically expresses the protein CP4 EPSPS, obtained from Agrobacterium sp. strain CP4, which imparts tolerance to the herbicide Roundup® (contains glyphosate), and also a Cry1Ab toxin obtained from Bacillus thuringiensis subsp. kurstaki which brings about tolerance to certain Lepidoptera, include the European corn borer. Transgenic crops of insect-resistant plants are also described in BATS (Zentrum für Biosicherheit und Nachhaltigkeit, Zentrum BATS, Clarastrasse 13, 4058 Basel, Switzerland) Report 2003, (http://bats.ch). The term "crops" is to be understood as including also crop plants which have been so transformed by the use of recombinant DNA techniques that they are capable of synthesising
antipathogenic substances having a selective action, such as, for example, the so-called "pathogenesis-related proteins" (PRPs, see e.g. EP-A-0392225). Examples of such antipathogenic substances and transgenic plants capable of synthesising such antipathogenic substances are known, for example, from EP-A-0392225, WO 95/33818 and EP-A-0353191. The methods of producing such transgenic plants are generally known to the person skilled in the art and are described, for example, in the publications mentioned above. Crops may also be modified for enhanced resistance to fungal (for example Fusarium, Anthracnose, or Phytophthora), bacterial (for example Pseudomonas) or viral (for example potato leafroll virus, tomato spotted wilt virus, cucumber mosaic virus) pathogens. Crops also include those that have enhanced resistance to nematodes, such as the soybean cyst nematode. Crops that are tolerance to abiotic stress include those that have enhanced tolerance to drought, high salt, high temperature, chill, frost, or light radiation, for example through expression of NF-YB or other proteins known in the art. Antipathogenic substances which can be expressed by such transgenic plants include, for example, ion channel blockers, such as blockers for sodium and calcium channels, for example the viral KP1, KP4 or KP6 toxins; stilbene synthases; bibenzyl synthases; chitinases; glucanases; the so- called "pathogenesis-related proteins" (PRPs; see e.g. EP-A-0392225); antipathogenic substances produced by microorganisms, for example peptide antibiotics or heterocyclic antibiotics (see e.g. WO 95/33818) or protein or polypeptide factors involved in plant pathogen defence (so-called "plant disease resistance genes", as described in WO 03/000906). Further areas of use of the compositions according to the invention are the protection of stored goods and store rooms and the protection of raw materials, such as wood, textiles, floor coverings or buildings, and also in the hygiene sector, especially the protection of humans, domestic animals and productive livestock against pests of the mentioned type. The present invention provides a compound of the first aspect for use in therapy. The present invention provides a compound of the first aspect, for use in controlling parasites in or on an animal. The present invention further provides a compound of the first aspect, for use in controlling ectoparasites on an animal. The present invention further provides a compound of the first aspect, for use in preventing and/or treating diseases transmitted by ectoparasites. The present invention provides the use of a compound of the first aspect, for the manufacture of a medicament for controlling parasites in or on an animal. The present invention further provides the use of a compound of the first aspect, for the manufacture of a medicament for controlling ectoparasites on an animal. The present invention further provides the use of a compound of the first aspect, for the manufacture of a medicament for preventing and/or treating diseases transmitted by ectoparasites. The present invention provides the use of a compound of the first aspect, in controlling parasites in or on an animal. The present invention further provides the use of a compound of the first aspect , in controlling ectoparasites on an animal.
The term "controlling" when used in context of parasites in or on an animal refers to reducing the number of pests or parasites, eliminating pests or parasites and/or preventing further pest or parasite infestation. The term "treating" when used in context of parasites in or on an animal refers to restraining, slowing, stopping or reversing the progression or severity of an existing symptom or disease. The term "preventing" when used in context of parasites in or on an animal refers to the avoidance of a symptom or disease developing in the animal. The term "animal" when used in context of parasites in or on an animal may refer to a mammal and a non-mammal, such as a bird or fish. In the case of a mammal, it may be a human or non-human mammal. Non-human mammals include, but are not limited to, livestock animals and companion animals. Livestock animals include, but are not limited to, cattle, camelids, pigs, sheep, goats and horses. Companion animals include, but are not limited to, dogs, cats and rabbits. A "parasite" is a pest which lives in or on the host animal and benefits by deriving nutrients at the host animal's expense. An "endoparasite" is a parasite which lives in the host animal. An "ectoparasite" is a parasite which lives on the host animal. Ectoparasites include, but are not limited to, acari, insects and crustaceans (e.g. sea lice). The Acari (or Acarina) sub-class comprises ticks and mites. Ticks include, but are not limited to, members of the following genera: Rhipicaphalus, for example, Rhipicaphalus (Boophilus) microplus and Rhipicephalus sanguineus; Amblyomrna; Dermacentor; Haemaphysalis; Hyalomma; Ixodes; Rhipicentor; Margaropus; Argas; Otobius; and Ornithodoros. Mites include, but are not limited to, members of the following genera: Chorioptes, for example Chorioptes bovis; Psoroptes, for example Psoroptes ovis; Cheyletiella; Dermanyssus; for example Dermanyssus gallinae; Ortnithonyssus; Demodex, for example Demodex canis; Sarcoptes, for example Sarcoptes scabiei; and Psorergates. Insects include, but are not limited to, members of the orders: Siphonaptera, Diptera, Phthiraptera, Lepidoptera, Coleoptera and Homoptera. Members of the Siphonaptera order include, but are not limited to, Ctenocephalides felis and Ctenocephatides canis. Members of the Diptera order include, but are not limited to, Musca spp.; bot fly, for example Gasterophilus intestinalis and Oestrus ovis; biting flies; horse flies, for example Haematopota spp. and Tabunus spp.; haematobia, for example haematobia irritans; Stomoxys; Lucilia; midges; and mosquitoes. Members of the Phthiraptera class include, but are not limited to, blood sucking lice and chewing lice, for example Bovicola Ovis and Bovicola Bovis. The term "effective amount" when used in context of parasites in or on an animal refers to the amount or dose of the compound of the invention, or a salt thereof, which, upon single or multiple dose administration to the animal, provides the desired effect in or on the animal. The effective amount can be readily determined by the attending diagnostician, as one skilled in the art, by the use of known techniques and by observing results obtained under analogous circumstances. In determining the effective amount a number of factors are considered by the attending diagnostician, including, but not limited to: the species of mammal; its size, age, and general health; the parasite to be controlled and the degree of infestation; the specific disease or disorder involved; the degree of involvement or the severity of the disease or disorder; the response of the individual; the particular compound
administered; the mode of administration; the bioavailability characteristics of the preparation administered; the dose regimen selected; the use of concomitant medication; and other relevant circumstances. The compounds of the invention may be administered to the animal by any route which has the desired effect including, but not limited to topically, orally, parenterally' and subcutaneously. Topical administration is preferred. Formulations suitable for topical administration include, for example, solutions, emulsions and suspensions and may take the form of a pour-on, spot-on, spray- on, spray race or dip. In the alternative, the compounds of the invention may be administered by means of an ear tag or collar. Salt forms of the compounds of the invention include both pharmaceutically acceptable salts and veterinary acceptable salts, which can be different to agrochemically acceptable salts. Pharmaceutically and veterinary acceptable salts and common methodology for preparing them are well known in the art. See, for example, Gould, P.L., "Salt selection for basic drugs", International Journal of Pharmaceutics, 33: 201 -217 (1986); Bastin, R.J., et al. "Salt Selection and Optimization Procedures for Pharmaceutical New Chemical Entities", Organic Process Research and Development, 4: 427-435 (2000); and Berge, S.M., et al., "Pharmaceutical Salts", Journal of Pharmaceutical Sciences, 66: 1-19, (1977). One skilled in the art of synthesis will appreciate that the compounds of the invention are readily converted to and may be isolated as a salt, such as a hydrochloride salt, using techniques and conditions well known to one of ordinary skill in the art. In addition, one skilled in the art of synthesis will appreciate that the compounds of the invention are readily converted to and may be isolated as the corresponding free base from the corresponding salt. The present invention also provides a method for controlling pests (such as mosquitoes and other disease vectors; see also http://www.who.int/malaria/vector_control/irs/en/). In one embodiment, the method for controlling pests comprises applying the compositions of the invention to the target pests, to their locus or to a surface or substrate by brushing, rolling, spraying, spreading or dipping. By way of example, an IRS (indoor residual spraying) application of a surface such as a wall, ceiling or floor surface is contemplated by the method of the invention. In another embodiment, it is contemplated to apply such compositions to a substrate such as non-woven or a fabric material in the form of (or which can be used in the manufacture of) netting, clothing, bedding, curtains and tents. In one embodiment, the method for controlling such pests comprises applying a pesticidally effective amount of the compositions of the invention to the target pests, to their locus, or to a surface or substrate so as to provide effective residual pesticidal activity on the surface or substrate. Such application may be made by brushing, rolling, spraying, spreading or dipping the pesticidal composition of the invention. By way of example, an IRS application of a surface such as a wall, ceiling or floor surface is contemplated by the method of the invention so as to provide effective residual pesticidal activity on the surface. In another embodiment, it is contemplated to apply such compositions for residual control of pests on a substrate such as a fabric material in the form of (or which can be used in the manufacture of) netting, clothing, bedding, curtains and tents.
Substrates including non-woven, fabrics or netting to be treated may be made of natural fibres such as cotton, raffia, jute, flax, sisal, hessian, or wool, or synthetic fibres such as polyamide, polyester, polypropylene, polyacrylonitrile or the like. The polyesters are particularly suitable. The methods of textile treatment are known, e.g. WO 2008/151984, WO 2003/034823, US 5631072, WO 2005/64072, WO2006/128870, EP 1724392, WO 2005113886 or WO 2007/090739. Further areas of use of the compositions according to the invention are the field of tree injection/trunk treatment for all ornamental trees as well all sort of fruit and nut trees. In the field of tree injection/trunk treatment, the compounds according to the present invention are especially suitable against wood-boring insects from the order Lepidoptera as mentioned above and from the order Coleoptera, especially against woodborers listed in the following tables A and B: Table A. Examples of exotic woodborers of economic importance.
Table B. Examples of native woodborers of economic importance.
The present invention may be also used to control any insect pests that may be present in turfgrass, including for example beetles, caterpillars, fire ants, ground pearls, millipedes, sow bugs,
mites, mole crickets, scales, mealybugs, ticks, spittlebugs, southern chinch bugs and white grubs. The present invention may be used to control insect pests at various stages of their life cycle, including eggs, larvae, nymphs and adults. In particular, the present invention may be used to control insect pests that feed on the roots of turfgrass including white grubs (such as Cyclocephala spp. (e.g. masked chafer, C. lurida), Rhizotrogus spp. (e.g. European chafer, R. majalis), Cotinus spp. (e.g. Green June beetle, C. nitida), Popillia spp. (e.g. Japanese beetle, P. japonica), Phyllophaga spp. (e.g. May/June beetle), Ataenius spp. (e.g. Black turfgrass ataenius, A. spretulus), Maladera spp. (e.g. Asiatic garden beetle, M. castanea) and Tomarus spp.), ground pearls (Margarodes spp.), mole crickets (tawny, southern, and short-winged; Scapteriscus spp., Gryllotalpa africana) and leatherjackets (European crane fly, Tipula spp.). The present invention may also be used to control insect pests of turfgrass that are thatch dwelling, including armyworms (such as fall armyworm Spodoptera frugiperda, and common armyworm Pseudaletia unipuncta), cutworms, billbugs (Sphenophorus spp., such as S. venatus verstitus and S. parvulus), and sod webworms (such as Crambus spp. and the tropical sod webworm, Herpetogramma phaeopteralis). The present invention may also be used to control insect pests of turfgrass that live above the ground and feed on the turfgrass leaves, including chinch bugs (such as southern chinch bugs, Blissus insularis), Bermudagrass mite (Eriophyes cynodoniensis), rhodesgrass mealybug (Antonina graminis), two-lined spittlebug (Propsapia bicincta), leafhoppers, cutworms (Noctuidae family), and greenbugs. The present invention may also be used to control other pests of turfgrass such as red imported fire ants (Solenopsis invicta) that create ant mounds in turf. In the hygiene sector, the compositions according to the invention are active against ectoparasites such as hard ticks, soft ticks, mange mites, harvest mites, flies (biting and licking), parasitic fly larvae, lice, hair lice, bird lice and fleas. Examples of such parasites are: Of the order Anoplurida: Haematopinus spp., Linognathus spp., Pediculus spp. and Phtirus spp., Solenopotes spp.. Of the order Mallophagida: Trimenopon spp., Menopon spp., Trinoton spp., Bovicola spp., Werneckiella spp., Lepikentron spp., Damalina spp., Trichodectes spp. and Felicola spp.. Of the order Diptera and the suborders Nematocerina and Brachycerina, for example Aedes spp., Anopheles spp., Culex spp., Simulium spp., Eusimulium spp., Phlebotomus spp., Lutzomyia spp., Culicoides spp., Chrysops spp., Hybomitra spp., Atylotus spp., Tabanus spp., Haematopota spp., Philipomyia spp., Braula spp., Musca spp., Hydrotaea spp., Stomoxys spp., Haematobia spp., Morellia spp., Fannia spp., Glossina spp., Calliphora spp., Lucilia spp., Chrysomyia spp., Wohlfahrtia spp., Sarcophaga spp., Oestrus spp., Hypoderma spp., Gasterophilus spp., Hippobosca spp., Lipoptena spp. and Melophagus spp..
Of the order Siphonapterida, for example Pulex spp., Ctenocephalides spp., Xenopsylla spp., Ceratophyllus spp.. Of the order Heteropterida, for example Cimex spp., Triatoma spp., Rhodnius spp., Panstrongylus spp.. Of the order Blattarida, for example Blatta orientalis, Periplaneta americana, Blattelagermanica and Supella spp.. Of the subclass Acaria (Acarida) and the orders Meta- and Meso-stigmata, for example Argas spp., Ornithodorus spp., Otobius spp., Ixodes spp., Amblyomma spp., Boophilus spp., Dermacentor spp., Haemophysalis spp., Hyalomma spp., Rhipicephalus spp., Dermanyssus spp., Raillietia spp., Pneumonyssus spp., Sternostoma spp. and Varroa spp.. Of the orders Actinedida (Prostigmata) and Acaridida (Astigmata), for example Acarapis spp., Cheyletiella spp., Ornithocheyletia spp., Myobia spp., Psorergatesspp., Demodex spp., Trombicula spp., Listrophorus spp., Acarus spp., Tyrophagus spp., Caloglyphus spp., Hypodectes spp., Pterolichus spp., Psoroptes spp., Chorioptes spp., Otodectes spp., Sarcoptes spp., Notoedres spp., Knemidocoptes spp., Cytodites spp. and Laminosioptes spp.. The compositions according to the invention are also suitable for protecting against insect infestation in the case of materials such as wood, textiles, plastics, adhesives, glues, paints, paper and card, leather, floor coverings and buildings. The compositions according to the invention can be used, for example, against the following pests: beetles such as Hylotrupes bajulus, Chlorophorus pilosis, Anobium punctatum, Xestobium rufovillosum, Ptilinuspecticornis, Dendrobium pertinex, Ernobius mollis, Priobium carpini, Lyctus brunneus, Lyctus africanus, Lyctus planicollis, Lyctus linearis, Lyctus pubescens, Trogoxylon aequale, Minthesrugicollis, Xyleborus spec.,Tryptodendron spec., Apate monachus, Bostrychus capucins, Heterobostrychus brunneus, Sinoxylon spec. and Dinoderus minutus, and also hymenopterans such as Sirex juvencus, Urocerus gigas, Urocerus gigas taignus and Urocerus augur, and termites such as Kalotermes flavicollis, Cryptotermes brevis, Heterotermes indicola, Reticulitermes flavipes, Reticulitermes santonensis, Reticulitermes lucifugus, Mastotermes darwiniensis, Zootermopsis nevadensis and Coptotermes formosanus, and bristletails such as Lepisma saccharina.The compounds of formulae I, and I’a, or salts thereof, are especially suitable for controlling one or more pests selected from the family: Noctuidae, Plutellidae, Chrysomelidae, Thripidae, Pentatomidae, Tortricidae, Delphacidae, Aphididae, Noctuidae, Crambidae, Meloidogynidae, and Heteroderidae. In a preferred embodiment of each aspect, a compound TX (where the abbreviation “TX” means “one compound selected from the compounds defined in Tables D-1 to D-24 and Table P”) controls one or more of pests selected from the family: Noctuidae, Plutellidae, Chrysomelidae, Thripidae, Pentatomidae, Tortricidae, Delphacidae, Aphididae, Noctuidae, Crambidae, Meloidogynidae, and Heteroderidae. The compounds of formulae I, and I’a, or salts thereof, are especially suitable for controlling one or more of pests selected from the genus: Spodoptera spp, Plutella spp, Frankliniella spp, Thrips
spp, Euschistus spp, Cydia spp, Nilaparvata spp, Myzus spp, Aphis spp, Diabrotica spp, Rhopalosiphum spp, Pseudoplusia spp and Chilo spp. In a preferred embodiment of each aspect, a compound TX (where the abbreviation “TX” means “one compound selected from the compounds defined in Tables D-1 to D-24 and Table P”) controls one or more of pests selected from the genus: Spodoptera spp, Plutella spp, Frankliniella spp, Thrips spp, Euschistus spp, Cydia spp, Nilaparvata spp, Myzus spp, Aphis spp, Diabrotica spp, Rhopalosiphum spp, Pseudoplusia spp and Chilo spp. The compounds of formulae I, and I’a, or salts thereof, are especially suitable for controlling one or more of Spodoptera littoralis, Plutella xylostella, Frankliniella occidentalis, Thrips tabaci, Euschistus heros, Cydia pomonella, Nilaparvata lugens, Myzus persicae, Chrysodeixis incIudens, Aphis craccivora, Diabrotica balteata, Rhopalosiphum padi, and Chilo suppressalis. In a preferred embodiment of each aspect, a compound TX (where the abbreviation “TX” means “one compound selected from the compounds defined in Tables D-1 to D-24 and Table P”) controls one or more of Spodoptera littoralis, Plutella xylostella, Frankliniella occidentalis, Thrips tabaci, Euschistus heros, Cydia pomonella, Nilaparvata lugens, Myzus persicae, Chrysodeixis incIudens, Aphis craccivora, Diabrotica balteata, Rhopalosiphum Padia, and Chilo Suppressalis, such as Spodoptera littoralis + TX, Plutella xylostella + TX; Frankliniella occidentalis + TX, Thrips tabaci + TX, Euschistus heros + TX, Cydia pomonella + TX, Nilaparvata lugens + TX, Myzus persicae + TX, Chrysodeixis incIudens + TX, Aphis craccivora + TX, Diabrotica balteata + TX, Rhopalosiphum Padi + TX, and Chilo suppressalis + TX. In an embodiment, of each aspect, one compound from Tables D-1 to D-24 and Table P is suitable for controlling Spodoptera littoralis, Plutella xylostella, Frankliniella occidentalis, Thrips tabaci, Euschistus heros, Cydia pomonella, Nilaparvata lugens, Myzus persicae, Chrysodeixis incIudens, Aphis craccivora, Diabrotica balteata, Rhopalosiphum padia, and Chilo suppressalis in cotton, vegetable, maize, cereal, rice and soya crops. In an embodiment, one compound from Tables D-1 to D-24 and Table P is suitable for controlling Mamestra (preferably in vegetables), Cydia pomonella (preferably in apples), Empoasca (preferably in vegetables, vineyards), Leptinotarsa (preferably in potatos) and Chilo supressalis (preferably in rice). Compounds according to the invention may possess any number of benefits including, inter alia, advantageous levels of biological activity for protecting plants against insects or superior properties for use as agrochemical active ingredients (for example, greater biological activity, an advantageous spectrum of activity, an increased safety profile (against non-target organisms above and below ground (such as fish, birds and bees), improved physico-chemical properties, or increased biodegradability). In particular, it has been surprisingly found that certain compounds of formula I may show an advantageous safety profile with respect to non-target arthropods, in particular pollinators such as honey bees, solitary bees, and bumble bees. Most particularly, Apis mellifera. The compounds according to the invention can be used as pesticidal agents in unmodified form, but they are generally formulated into compositions in various ways using formulation adjuvants, such as carriers, solvents and surface-active substances. The formulations can be in various physical
forms, e.g. in the form of dusting powders, gels, wettable powders, water-dispersible granules, water- dispersible tablets, effervescent pellets, emulsifiable concentrates, microemulsifiable concentrates, oil- in-water emulsions, oil-flowables, aqueous dispersions, oily dispersions, suspo-emulsions, capsule suspensions, emulsifiable granules, soluble liquids, water-soluble concentrates (with water or a water- miscible organic solvent as carrier), impregnated polymer films or in other forms known e.g. from the Manual on Development and Use of FAO and WHO Specifications for Pesticides, United Nations, First Edition, Second Revision (2010). Such formulations can either be used directly or diluted prior to use. The dilutions can be made, for example, with water, liquid fertilisers, micronutrients, biological organisms, oil or solvents. The formulations can be prepared e.g. by mixing the active ingredient with the formulation adjuvants in order to obtain compositions in the form of finely divided solids, granules, solutions, dispersions or emulsions. The active ingredients can also be formulated with other adjuvants, such as finely divided solids, mineral oils, oils of vegetable or animal origin, modified oils of vegetable or animal origin, organic solvents, water, surface-active substances or combinations thereof. The active ingredients can also be contained in very fine microcapsules. Microcapsules contain the active ingredients in a porous carrier. This enables the active ingredients to be released into the environment in controlled amounts (e.g. slow-release). Microcapsules usually have a diameter of from 0.1 to 500 microns. They contain active ingredients in an amount of about from 25 to 95 % by weight of the capsule weight. The active ingredients can be in the form of a monolithic solid, in the form of fine particles in solid or liquid dispersion or in the form of a suitable solution. The encapsulating membranes can comprise, for example, natural or synthetic rubbers, cellulose, styrene/butadiene copolymers, polyacrylonitrile, polyacrylate, polyesters, polyamides, polyureas, polyurethane or chemically modified polymers and starch xanthates or other polymers that are known to the person skilled in the art. Alternatively, very fine microcapsules can be formed in which the active ingredient is contained in the form of finely divided particles in a solid matrix of base substance, but the microcapsules are not themselves encapsulated. The formulation adjuvants that are suitable for the preparation of the compositions according to the invention are known per se. As liquid carriers there may be used: water, toluene, xylene, petroleum ether, vegetable oils, acetone, methyl ethyl ketone, cyclohexanone, acid anhydrides, acetonitrile, acetophenone, amyl acetate, 2-butanone, butylene carbonate, chlorobenzene, cyclohexane, cyclohexanol, alkyl esters of acetic acid, diacetone alcohol, 1,2-dichloropropane, diethanolamine, p-diethylbenzene, diethylene glycol, diethylene glycol abietate, diethylene glycol butyl ether, diethylene glycol ethyl ether, diethylene glycol methyl ether, N,N-dimethylformamide, dimethyl sulfoxide, 1,4-dioxane, dipropylene glycol, dipropylene glycol methyl ether, dipropylene glycol dibenzoate, diproxitol, alkylpyrrolidone, ethyl acetate, 2-ethylhexanol, ethylene carbonate, 1,1,1- trichloroethane, 2-heptanone, alpha-pinene, d-limonene, ethyl lactate, ethylene glycol, ethylene glycol butyl ether, ethylene glycol methyl ether, gamma-butyrolactone, glycerol, glycerol acetate, glycerol diacetate, glycerol triacetate, hexadecane, hexylene glycol, isoamyl acetate, isobornyl acetate, isooctane, isophorone, isopropylbenzene, isopropyl myristate, lactic acid, laurylamine, mesityl oxide,
methoxypropanol, methyl isoamyl ketone, methyl isobutyl ketone, methyl laurate, methyl octanoate, methyl oleate, methylene chloride, m-xylene, n-hexane, n-octylamine, octadecanoic acid, octylamine acetate, oleic acid, oleylamine, o-xylene, phenol, polyethylene glycol, propionic acid, propyl lactate, propylene carbonate, propylene glycol, propylene glycol methyl ether, p-xylene, toluene, triethyl phosphate, triethylene glycol, xylenesulfonic acid, paraffin, mineral oil, trichloroethylene, perchloroethylene, ethyl acetate, amyl acetate, butyl acetate, propylene glycol methyl ether, diethylene glycol methyl ether, methanol, ethanol, isopropanol, and alcohols of higher molecular weight, such as amyl alcohol, tetrahydrofurfuryl alcohol, hexanol, octanol, ethylene glycol, propylene glycol, glycerol, N-methyl-2-pyrrolidone and the like. Suitable solid carriers are, for example, talc, titanium dioxide, pyrophyllite clay, silica, attapulgite clay, kieselguhr, limestone, calcium carbonate, bentonite, calcium montmorillonite, cottonseed husks, wheat flour, soybean flour, pumice, wood flour, ground walnut shells, lignin and similar substances. A large number of surface-active substances can advantageously be used in both solid and liquid formulations, especially in those formulations which can be diluted with a carrier prior to use. Surface-active substances may be anionic, cationic, non-ionic or polymeric and they can be used as emulsifiers, wetting agents or suspending agents or for other purposes. Typical surface-active substances include, for example, salts of alkyl sulfates, such as diethanolammonium lauryl sulfate; salts of alkylarylsulfonates, such as calcium dodecylbenzenesulfonate; alkylphenol/alkylene oxide addition products, such as nonylphenol ethoxylate; alcohol/alkylene oxide addition products, such as tridecylalcohol ethoxylate; soaps, such as sodium stearate; salts of alkylnaphthalenesulfonates, such as sodium dibutylnaphthalenesulfonate; dialkyl esters of sulfosuccinate salts, such as sodium di(2- ethylhexyl)sulfosuccinate; sorbitol esters, such as sorbitol oleate; quaternary amines, such as lauryltrimethylammonium chloride, polyethylene glycol esters of fatty acids, such as polyethylene glycol stearate; block copolymers of ethylene oxide and propylene oxide; and salts of mono- and di- alkylphosphate esters; and also further substances described e.g. in McCutcheon's Detergents and Emulsifiers Annual, MC Publishing Corp., Ridgewood New Jersey (1981). Further adjuvants that can be used in pesticidal formulations include crystallisation inhibitors, viscosity modifiers, suspending agents, dyes, anti-oxidants, foaming agents, light absorbers, mixing auxiliaries, antifoams, complexing agents, neutralising or pH-modifying substances and buffers, corrosion inhibitors, fragrances, wetting agents, take-up enhancers, micronutrients, plasticisers, glidants, lubricants, dispersants, thickeners, antifreezes, microbicides, and liquid and solid fertilisers. The compositions according to the invention can include an additive comprising an oil of vegetable or animal origin, a mineral oil, alkyl esters of such oils or mixtures of such oils and oil derivatives. The amount of oil additive in the composition according to the invention is generally from 0.01 to 10 %, based on the mixture to be applied. For example, the oil additive can be added to a spray tank in the desired concentration after a spray mixture has been prepared. Preferred oil additives comprise mineral oils or an oil of vegetable origin, for example rapeseed oil, olive oil or sunflower oil, emulsified vegetable oil, alkyl esters of oils of vegetable origin, for example the methyl
derivatives, or an oil of animal origin, such as fish oil or beef tallow. Preferred oil additives comprise alkyl esters of C8-C22 fatty acids, especially the methyl derivatives of C12-C18 fatty acids, for example the methyl esters of lauric acid, palmitic acid and oleic acid (methyl laurate, methyl palmitate and methyl oleate, respectively). Many oil derivatives are known from the Compendium of Herbicide Adjuvants, 10th Edition, Southern Illinois University, 2010. The inventive compositions generally comprise from 0.1 to 99 % by weight, especially from 0.1 to 95 % by weight, of compounds of the present invention and from 1 to 99.9 % by weight of a formula- tion adjuvant which preferably includes from 0 to 25 % by weight of a surface-active substance. Whereas commercial products may preferably be formulated as concentrates, the end user will normally employ dilute formulations. The rates of application vary within wide limits and depend on the nature of the soil, the method of application, the crop plant, the pest to be controlled, the prevailing climatic conditions, and other factors governed by the method of application, the time of application and the target crop. As a general guideline compounds may be applied at a rate of from 1 to 2000 l/ha, especially from 10 to 1000 l/ha. Preferred formulations can have the following compositions (weight %): Emulsifiable concentrates: active ingredient: 1 to 95 %, preferably 60 to 90 % surface-active agent: 1 to 30 %, preferably 5 to 20 % liquid carrier: 1 to 80 %, preferably 1 to 35 % Dusts: active ingredient: 0.1 to 10 %, preferably 0.1 to 5 % solid carrier: 99.9 to 90 %, preferably 99.9 to 99 % Suspension concentrates: active ingredient: 5 to 75 %, preferably 10 to 50 % water: 94 to 24 %, preferably 88 to 30 % surface-active agent: 1 to 40 %, preferably 2 to 30 % Wettable powders: active ingredient: 0.5 to 90 %, preferably 1 to 80 % surface-active agent: 0.5 to 20 %, preferably 1 to 15 % solid carrier: 5 to 95 %, preferably 15 to 90 % Granules: active ingredient: 0.1 to 30 %, preferably 0.1 to 15 % solid carrier: 99.5 to 70 %, preferably 97 to 85 %
The following Examples further illustrate, but do not limit, the invention.
The combination is thoroughly mixed with the adjuvants and the mixture is thoroughly ground in a suitable mill, affording wettable powders that can be diluted with water to give suspensions of the desired concentration.
The combination is thoroughly mixed with the adjuvants and the mixture is thoroughly ground in a suitable mill, affording powders that can be used directly for seed treatment.
Emulsions of any required dilution, which can be used in plant protection, can be obtained from this concentrate by dilution with water.
Ready-for-use dusts are obtained by mixing the combination with the carrier and grinding the mixture in a suitable mill. Such powders can also be used for dry dressings for seed.
The combination is mixed and ground with the adjuvants, and the mixture is moistened with water. The mixture is extruded and then dried in a stream of air.
The finely ground combination is uniformly applied, in a mixer, to the kaolin moistened with polyethylene glycol. Non-dusty coated granules are obtained in this manner. Suspension concentrate
The finely ground combination is intimately mixed with the adjuvants, giving a suspension concentrate from which suspensions of any desired dilution can be obtained by dilution with water. Using such dilutions, living plants as well as plant propagation material can be treated and protected against infestation by microorganisms, by spraying, pouring or immersion. Flowable concentrate for seed treatment
The finely ground combination is intimately mixed with the adjuvants, giving a suspension concentrate from which suspensions of any desired dilution can be obtained by dilution with water. Using such dilutions, living plants as well as plant propagation material can be treated and protected against infestation by microorganisms, by spraying, pouring or immersion. Slow Release Capsule Suspension 28 parts of the combination are mixed with 2 parts of an aromatic solvent and 7 parts of toluene diisocyanate/polymethylene-polyphenylisocyanate-mixture (8:1). This mixture is emulsified in a mixture of 1.2 parts of polyvinylalcohol, 0.05 parts of a defoamer and 51.6 parts of water until the desired particle size is achieved. To this emulsion a mixture of 2.8 parts 1,6-diaminohexane in 5.3 parts of water is added. The mixture is agitated until the polymerization reaction is completed. The obtained capsule suspension is stabilized by adding 0.25 parts of a thickener and 3 parts of a dispersing agent. The capsule suspension formulation contains 28% of the active ingredients. The medium capsule diameter is 8-15 microns. The resulting formulation is applied to seeds as an aqueous suspension in an apparatus suitable for that purpose. Formulation types include an emulsion concentrate (EC), a suspension concentrate (SC), a suspo-emulsion (SE), a capsule suspension (CS), a water dispersible granule (WG), an emulsifiable granule (EG), an emulsion, water in oil (EO), an emulsion, oil in water (EW), a micro-emulsion (ME), an oil dispersion (OD), an oil miscible flowable (OF), an oil miscible liquid (OL), a soluble concentrate (SL), an ultra-low volume suspension (SU), an ultra-low volume liquid (UL), a technical concentrate (TK), a dispersible concentrate (DC), a wettable powder (WP), a soluble granule (SG) or any technically feasible formulation in combination with agriculturally acceptable adjuvants. Preparatory Examples: LC/MS Methods: Method 1: Spectra were recorded on a Mass Spectrometer from Waters (SQD, SQDII Single quadrupole mass spectrometer) equipped with an electrospray source(Polarity: positive and negative ions, Capillary: 3.00 kV, Cone range: 41 V, Extractor: 2.00 V, Source Temperature: 150°C, Desolvation Temperature: 500°C, Cone Gas Flow: 50 l/h, Desolvation Gas Flow: 1000 l/h, Mass range: 110 to 800 Da) and an Acquity UPLC from Waters: Binary pump, heated column compartment , diode-array detector and ELSD detector. Column: Waters UPLC HSS T3, 1.8 µm, 30 x 2.1 mm, Temp: 40 °C, PDA Wavelength range (nm): 200 to 400, Solvent Gradient: A = water + 5% Acetonitrile + 0.1 % HCOOH, Solvent B = Acetonitrile + 0.05 % HCOOH, gradient: 10-100% B in 1.3 min; Flow (ml/min) 0.6.
Method 2: Spectra were recorded on a 6410 Triple Quadruple Mass Spectrometer from Agilent Technologies; (Agilent 1200 Series HPLC) equipped with an electrospray source (Polarity: positive and negative ions Polarity Switch, Scan Type: MS2 Scan, Capillary (kV): 4.00, Fragmentor (V): 100.00, Gas Temperature (°C): 350, Gas Flow (L/min): 11, Nebulizer Gas (psi): 45, Mass range: 110 to 1000 Da, DAD Wavelength range: 210 to 400 nm). Column: KINETEX EVO C18 , Column length: 50 mm, Internal diameter of column: 4.6 mm, Particle Size: 2.6 μ, Column oven temperature: 40°C, Optimized Chromatographic Parameter: Gradient conditions: Solvent A: Water with 0.1% formic acid: Acetonitrile: 95 : 5 v/v, Solvent B: Acetonitrile with 0.1% formic acid; gradient: 10-100% B in 2.5 min; Flow (ml/min) 1.8. The following abbreviations are used: s = singlet; br s = broad singlet; d = doublet; dd = double doublet; dt = double triplet; t = triplet, tt = triple triplet, q = quartet, quin = quintuplet, sept = septet; m = multiplet. aq. aqueous °C degrees Celsius DMSO-d6 deuterated dimethyl sulfoxide h hour(s) M molar min minutes MP melting point ppm parts per million RT room temperature Rt retention time LC/MS Liquid Chromatography Mass Spectrometry (description of the apparatus and the methods used for LC/MS analysis are given below) Example 1: Preparation of 6-chloro-N-[1-(3-pyrimidin-2-ylpyrazin-2-yl)ethyl]-5-(trifluoromethyl)- 1,3-benzoxazol-2-amine (P.3):
Step 1: Preparation of 5-chloro-2-nitro-4-(trifluoromethyl)phenol (XL(i)-1-1):
To a solution of 1,5-dichloro-2-nitro-4-(trifluoromethyl)benzene (CAS:400-70-4) (0.5 g, 1.92 mmol) in dimethyl formamide (5 mL), was added potassium acetate (0.21 g, 2.11 mmol) at room temperature and the reaction mixture was stirred at 80° C for 3 h. The reaction mass was quenched with cold water, acidified with 1N hydrochloric acid and the solid precipitated was filtered to get crude solid. This was purified by using silica gel column chromatography to give pure desired compound 5-chloro-2- nitro-4-(trifluoromethyl)phenol (0.15 g, 32%) as white solid. LC-MS (method 1): retention time 1.11 min, m/z 240.0 [M-H+]. 1H NMR (400 MHz, CHLOROFORM-d) δ = 10.96 - 10.71 (br, 1H), 8.51 (s, 1H), 7.39 (s, 1H) 19F NMR (377 MHz, CHLOROFORM-d) δ = -62.17 (s, 1F) Step 2: Preparation of 2-amino-5-chloro-4-(trifluoromethyl)phenol (XXXVIII-1-1):
To a stirred solution of 5-chloro-2-nitro-4-(trifluoromethyl)phenol (0.2 g, 0.82 mmol) in ethyl acetate (1 mL) and acetic acid (2 mL) was added water (1 mL) followed by iron (0.23 g, 4.1 mmol). The reaction mass was heated to 80°C for 3 hrs. The reaction mass was cooled to room temperature, filtered through celite bed and washed with ethyl acetate. The filtrate was partitioned with water and brine solution, separated the organic layer, dried over sodium sulphate and concentrated under reduced pressure to give desired compound 2-amino-5-chloro-4-(trifluoromethyl)phenol (0.15 g, 68% Yield). LC-MS (method 1): retention time 1.00 min, m/z 212.1 [M+H+]. Step 3: Preparation of 6-chloro-5-(trifluoromethyl)-1,3-benzoxazole-2-thiol (XXXIX-1-1):
A mixture of 2-amino-5-chloro-4-(trifluoromethyl)phenol (4.00 g, 18.9 mmol), Potassium o-ethyl dithiocarbonate (6.31 g, 37.8 mmol) and pyridine (40 mL) was heated at 120°C for 3 hr. The reaction was cooled to room temperature, added crushed ice and neutralized with 2 N hydrochloric acid. The solid precipitated was filtered and washed with cold water and dried under vacuum to give 6-chloro-5- (trifluoromethyl)-1,3-benzoxazole-2-thiol (3.5 g, 73% Yield) as brown solid. LC-MS (method 1): retention time 1.09 min, m/z 252.0 [M-H+]. Step 4: Preparation of 2,6-dichloro-5-(trifluoromethyl)-1,3-benzoxazole (II-1-1):
To a mixture of 6-chloro-5-(trifluoromethyl)-1,3-benzoxazole-2-thiol (1.00 g, 3.94 mmol) and thionyl chloride (10 mL/g, 137 mmol), was added N,N-Dimethylformamide (0.3 mL) and stirred at 110 °C for 3 hr. The reaction mixture was concentrated under vacuum and purified by silica gel column chromatography to give 2,6-dichloro-5-(trifluoromethyl)-1,3-benzoxazole (0.9 g, 89%) as white solid. 1H NMR (400 MHz, CHLOROFORM-d) δ = 8.05 (s, 1H), 7.71 (s, 1H) Step 5: Preparation of 6-chloro-N-[1-(3-pyrimidin-2-ylpyrazin-2-yl)ethyl]-5-(trifluoromethyl)-1,3- benzoxazol-2-amine (P.3):
To a microwave vial was added 2,6-dichloro-5-(trifluoromethyl)-1,3-benzoxazole (0.5 g, 1.95 mmol) , 1-(3-pyrimidin-2-ylpyrazin-2-yl)ethanamine (0.43 g, 2.14 mmol), and acetonitrile (5 mL), followed by N,N-diethylethanamine (0.82 mL, 3 mmol). This was then subjected to microwave heating at 85 °C for 1 hr. The reaction mixture was cooled to room temperature and concentrated under vacuum to give crude mass which was dissolved in ethanol (2 mL), added crushed ice and stirred for 15 minutes. The solid product precipitated was filtered, washed with water, dried and then washed with pentane, dried under vacuum to give desired 6-chloro-N-[1-(3-pyrimidin-2-ylpyrazin-2-yl)ethyl]-5-(trifluoromethyl)-1,3- benzoxazol-2-amine (0.5 g, 60% Yield) as off white solid. LC-MS (method 2): retention time 1.39 min, m/z 421.2 [M+H+].
1H NMR (400 MHz, DMSO-d6) δ = 9.05 - 8.95 (m, 3H), 8.79 (d, 1H), 8.72 (d, 1H), 7.75 (s, 1H), 7.62 (t, 1H), 7.46 (s, 1H), 5.56 (q, 1H), 1.61 (d, 3H). Example 2: Preparation of 6-chloro-N-methyl-N-[1-(3-pyrimidin-2-ylpyrazin-2-yl)ethyl]-5- (trifluoromethyl)-1,3-benzoxazol-2-amine (P.9):
To a stirred solution of 6-chloro-N-[1-(3-pyrimidin-2-ylpyrazin-2-yl)ethyl]-5-(trifluoromethyl)-1,3- benzoxazol-2-amine (P.3; 0.15 g, 0.35mmol) in dimethyl formamide (1.5 mL) at 0°C was added iodomethane (0.155 g, 1.06 mmol) followed by sodium hydride (60 mass% in oil) (0.021 g, 0.53 mmol) in portions. The reaction mixture was stirred for 1 h at room temperature. The reaction mixture was diluted with cold water and extracted with ethyl acetate. The organic layer was washed with water, brine, dried over sodium sulphate and concentrated to give the crude which was then purified by silica gel column chromatography to give desired 6-chloro-N-methyl-N-[1-(3-pyrimidin-2-ylpyrazin-2-yl) ethyl]-5-(trifluoromethyl)-1,3-benzoxazol-2-amine (0.09 g, 58% Yield) as brown solid. LC-MS (method 2): retention time 1.43 min, m/z 435.2 [M+H+]. 1H NMR (400 MHz, CHLOROFORM-d) δ ppm 8.83 (d, 2 H) 8.68 - 8.73 (m, 2 H) 7.46 (s, 1 H) 7.30 (m, 1 H) 7.21 (s, 1 H) 6.38 (d, 1 H) 3.02 (s, 3 H) 1.78 (d, 3 H) Table P: Examples of compounds of formula I RT = retention time (minutes); MP = melting point (°C)
The activity of the compositions according to the invention can be broadened considerably, and adapted to prevailing circumstances, by adding other insecticidally, acaricidally and/or fungicidally active ingredients. The mixtures of the compounds of formula I with other insecticidally, acaricidally and/or fungicidally active ingredients may also have further surprising advantages which can also be described, in a wider sense, as synergistic activity. For example, better tolerance by plants, reduced phytotoxicity, insects can be controlled in their different development stages or better behaviour during their production, for example during grinding or mixing, during their storage or during their use. Suitable additions to active ingredients here are, for example, representatives of the following classes of active ingredients: organophosphorus compounds, nitrophenol derivatives, thioureas, juvenile hormones, formamidines, benzophenone derivatives, ureas, pyrrole derivatives, carbamates,
pyrethroids, chlorinated hydrocarbons, acylureas, pyridylmethyleneamino derivatives, macrolides, neonicotinoids and Bacillus thuringiensis preparations. The following mixtures of a compound of formula I with an active substance are preferred (the abbreviation “TX” means “one compound selected from the compounds defined in Tables D-1 to D-24 and Table P”): an adjuvant selected from the group of substances consisting of petroleum oils (alternative name) (628) + TX; an insect control active substance selected from abamectin + TX, acequinocyl + TX, acetamiprid + TX, acetoprole + TX, acrinathrin + TX, acynonapyr + TX, afidopyropen + TX, afoxolaner + TX, alanycarb + TX, allethrin + TX, alpha-cypermethrin + TX, alphamethrin + TX, amidoflumet + TX, aminocarb + TX, azocyclotin + TX, bensultap + TX, benzoximate + TX, benzpyrimoxan + TX, betacyfluthrin + TX, beta-cypermethrin + TX, bifenazate + TX, bifenthrin + TX, binapacryl + TX, bioallethrin + TX, S-bioallethrin + TX, bioresmethrin + TX, bistrifluron + TX, broflanilide + TX, brofluthrinate + TX, bromophos-ethyl + TX, buprofezine + TX, butocarboxim + TX, cadusafos + TX, carbaryl + TX, carbosulfan + TX, cartap + TX, CAS number: 1632218-00-8 + TX, CAS number: 1808115-49-2 + TX, CAS number: 2032403-97-5 + TX, CAS number: 2044701-44-0 + TX, CAS number: 2128706-05-6 + TX, CAS number: 2095470-94-1 + TX, CAS number: 2377084-09-6 + TX, CAS number: 1445683-71-5 + TX, CAS number: 2408220-94-8 + TX, CAS number: 2408220-91-5 + TX, CAS number: 1365070-72-9 + TX, CAS number: 2171099-09-3 + TX, CAS number: 2396747- 83-2 + TX, CAS number: 2133042-31-4 + TX, CAS number: 2133042-44-9 + TX, CAS number: 1445684-82-1 + TX, CAS number: 1445684-82-1 + TX, CAS number: 1922957-45-6 + TX, CAS number: 1922957-46-7 + TX, CAS number: 1922957-47-8 + TX, CAS number: 1922957-48-9 + TX, CAS number: 2415706-16-8 + TX, CAS number: 1594624-87-9 + TX, CAS number: 1594637-65-6 + TX, CAS number: 1594626-19-3 + TX, CAS number: 1990457-52-7 + TX, CAS number: 1990457- 55-0 + TX, CAS number: 1990457-57-2 + TX, CAS number: 1990457-77-6 + TX, CAS number: 1990457-66-3 + TX, CAS number: 1990457-85-6 + TX, CAS number: 2220132-55-6 + TX, CAS number: 1255091-74-7 + TX, chlorantraniliprole + TX, chlordane + TX, chlorfenapyr + TX, chloroprallethrin + TX, chromafenozide + TX, clenpirin + TX, cloethocarb + TX, clothianidin + TX, 2- chlorophenyl N-methylcarbamate (CPMC) + TX, cyanofenphos + TX, cyantraniliprole + TX, cyclaniliprole + TX, cyclobutrifluram + TX, cycloprothrin + TX, cycloxaprid + TX, cyenopyrafen + TX, cyetpyrafen + TX, cyflumetofen + TX, cyfluthrin + TX, cyhalodiamide + TX, cyhalothrin + TX, cypermethrin + TX, cyphenothrin + TX, cyproflanilide + TX, cyromazine + TX, deltamethrin + TX, diafenthiuron + TX, dialifos + TX, dibrom + TX, dicloromezotiaz + TX, diflovidazine + TX, diflubenzuron + TX, dimpropyridaz + TX, dinactin + TX, dinocap + TX, dinotefuran + TX, dioxabenzofos + TX, emamectin (or emamectin benzoate) + TX, empenthrin + TX, epsilon - momfluorothrin + TX, epsilon- metofluthrin + TX, esfenvalerate + TX, ethion + TX, ethiprole + TX, etofenprox + TX, etoxazole + TX, famphur + TX, fenazaquin + TX, fenfluthrin + TX, fenmezoditiaz + TX, fenitrothion + TX, fenobucarb + TX, fenothiocarb + TX, fenoxycarb + TX, fenpropathrin + TX, fenpyroximate + TX, fensulfothion
+ TX, fenthion + TX, fentinacetate + TX, fenvalerate + TX, fipronil + TX, flometoquin + TX, flonicamid + TX, fluacrypyrim + TX, fluazaindolizine + TX, fluazuron + TX, flubendiamide + TX, flubenzimine + TX, fluchlordiniliprole + TX, flucitrinate + TX, flucycloxuron + TX, flucythrinate + TX, fluensulfone + TX, flufenerim + TX, flufenprox + TX, flufiprole + TX, fluhexafon + TX, flumethrin + TX, fluopyram + TX, flupentiofenox + TX, flupyradifurone + TX, flupyrimin + TX, fluralaner + TX, fluvalinate + TX, fluxametamide + TX, fosthiazate + TX, gamma-cyhalothrin + TX, Gossyplure™ + TX, guadipyr + TX, halofenozide + TX, halfenprox + TX, heptafluthrin + TX, hexythiazox + TX, hydramethylnon + TX, imicyafos + TX, imidacloprid + TX, imiprothrin + TX, indazapyroxamet + TX, indoxacarb + TX, iodomethane + TX, iprodione + TX, isocycloseram + TX, isothioate + TX, ivermectin + TX, kappa- bifenthrin + TX, kappa-tefluthrin + TX, lambda-cyhalothrin + TX, lepimectin + TX, lotilaner + TX, lufenuron + TX, metaflumizone + TX, metaldehyde + TX, metam + TX, methomyl + TX, methoxyfenozide + TX, metofluthrin + TX, metolcarb + TX, mexacarbate + TX, milbemectin + TX, momfluorothrin + TX, niclosamide + TX, nicofluprole + TX; nitenpyram + TX, nithiazine + TX, omethoate + TX, oxamyl + TX, oxazosulfyl + TX, parathion-ethyl + TX, permethrin + TX, phenothrin + TX, phosphocarb + TX, piperonylbutoxide + TX, pirimicarb + TX, pirimiphos-ethyl + TX, pirimiphos- methyl + TX, Polyhedrosis virus + TX, prallethrin + TX, profenofos + TX, profluthrin + TX, propargite + TX, propetamphos + TX, propoxur + TX, prothiophos + TX, protrifenbute + TX, pyflubumide + TX, pymetrozine + TX, pyraclofos + TX, pyrafluprole + TX, pyridaben + TX, pyridalyl + TX, pyrifluquinazon + TX, pyrimidifen + TX, pyriminostrobin + TX, pyriprole + TX, pyriproxyfen + TX, resmethrin + TX, sarolaner + TX, selamectin + TX, silafluofen + TX, spinetoram + TX, spinosad + TX, spirodiclofen + TX, spiromesifen + TX, spiropidion + TX, spirotetramat + TX, spidoxamat + TX, sulfoxaflor + TX, tebufenozide + TX, tebufenpyrad + TX, tebupirimiphos + TX, tefluthrin + TX, temephos + TX, tetrachlorantraniliprole + TX, tetradiphon + TX, tetramethrin + TX, tetramethylfluthrin + TX, tetranactin + TX, tetraniliprole + TX, theta-cypermethrin + TX, thiacloprid + TX, thiamethoxam + TX, thiocyclam + TX, thiodicarb + TX, thiofanox + TX, thiometon + TX, thiosultap + TX, tigolaner + TX, tioxazafen + TX, tolfenpyrad + TX, toxaphene + TX, tralomethrin + TX, transfluthrin + TX, triazamate + TX, triazophos + TX, trichlorfon + TX, trichloronate + TX, trichlorphon + TX, triflumezopyrim + TX, tyclopyrazoflor + TX, zeta-cypermethrin + TX, Extract of seaweed and fermentation product derived from melasse + TX, Extract of seaweed and fermentation product derived from melasse comprising urea + TX, amino acids + TX, potassium and molybdenum and EDTA-chelated manganese + TX, Extract of seaweed and fermented plant products + TX, Extract of seaweed and fermented plant products comprising phytohormones + TX, vitamins + TX, EDTA-chelated copper + TX, zinc + TX, and iron + TX, azadirachtin + TX, Bacillus aizawai + TX, Bacillus chitinosporus AQ746 (NRRL Accession No B-21618) + TX, Bacillus firmus + TX, Bacillus kurstaki + TX, Bacillus mycoides AQ726 (NRRL Accession No. B-21664) + TX, Bacillus pumilus (NRRL Accession No B-30087) + TX, Bacillus pumilus AQ717 (NRRL Accession No. B-21662) + TX, Bacillus sp. AQ178 (ATCC Accession No.53522) + TX, Bacillus sp. AQ175 (ATCC Accession No.55608) + TX, Bacillus sp. AQ177 (ATCC Accession No. 55609) + TX, Bacillus subtilis unspecified + TX, Bacillus subtilis AQ153 (ATCC Accession No.55614) + TX, Bacillus subtilis AQ30002 (NRRL Accession No. B-50421) + TX, Bacillus subtilis AQ30004
(NRRL Accession No. B- 50455) + TX, Bacillus subtilis AQ713 (NRRL Accession No. B-21661) + TX, Bacillus subtilis AQ743 (NRRL Accession No. B-21665) + TX, Bacillus thuringiensis AQ52 (NRRL Accession No. B-21619) + TX, Bacillus thuringiensis BD#32 (NRRL Accession No B-21530) + TX, Bacillus thuringiensis subspec. kurstaki BMP 123 + TX, Beauveria bassiana + TX, D-limonene + TX, Granulovirus + TX, Harpin + TX, Helicoverpa armigera Nucleopolyhedrovirus + TX, Helicoverpa zea Nucleopolyhedrovirus + TX, Heliothis virescens Nucleopolyhedrovirus + TX, Heliothis punctigera Nucleopolyhedrovirus + TX, Metarhizium spp. + TX, Muscodor albus 620 (NRRL Accession No. 30547) + TX, Muscodor roseus A3-5 (NRRL Accession No.30548) + TX, Neem tree based products + TX, Paecilomyces fumosoroseus + TX, Paecilomyces lilacinus + TX, Pasteuria nishizawae + TX, Pasteuria penetrans + TX, Pasteuria ramosa + TX, Pasteuria thornei + TX, Pasteuria usgae + TX, P- cymene + TX, Plutella xylostella Granulosis virus + TX, Plutella xylostella Nucleopolyhedrovirus + TX, Polyhedrosis virus + TX, pyrethrum + TX, QRD 420 (a terpenoid blend) + TX, QRD 452 (a terpenoid blend) + TX, QRD 460 (a terpenoid blend) + TX, Quillaja saponaria + TX, Rhodococcus globerulus AQ719 (NRRL Accession No B-21663) + TX, Spodoptera frugiperda Nucleopolyhedrovirus + TX, Streptomyces galbus (NRRL Accession No.30232) + TX, Streptomyces sp. (NRRL Accession No. B- 30145) + TX, Terpenoid blend + TX, and Verticillium spp.; an algicide selected from the group of substances consisting of bethoxazin [CCN] + TX, copper dioctanoate (IUPAC name) (170) + TX, copper sulfate (172) + TX, cybutryne [CCN] + TX, dichlone (1052) + TX, dichlorophen (232) + TX, endothal (295) + TX, fentin (347) + TX, hydrated lime [CCN] + TX, nabam (566) + TX, quinoclamine (714) + TX, quinonamid (1379) + TX, simazine (730) + TX, triphenyltin acetate (IUPAC name) (347) and triphenyltin hydroxide (IUPAC name) (347) + TX; an anthelmintic selected from the group of substances consisting of abamectin (1) + TX, crufomate (1011) + TX, cyclobutrifluram + TX, doramectin (alternative name) [CCN] + TX, emamectin (291) + TX, emamectin benzoate (291) + TX, eprinomectin (alternative name) [CCN] + TX, ivermectin (alternative name) [CCN] + TX, milbemycin oxime (alternative name) [CCN] + TX, moxidectin (alternative name) [CCN] + TX, piperazine [CCN] + TX, selamectin (alternative name) [CCN] + TX, spinosad (737) and thiophanate (1435) + TX; an avicide selected from the group of substances consisting of chloralose (127) + TX, endrin (1122) + TX, fenthion (346) + TX, pyridin-4-amine (IUPAC name) (23) and strychnine (745) + TX; a bactericide selected from the group of substances consisting of 1-hydroxy-1H-pyridine-2- thione (IUPAC name) (1222) + TX, 4-(quinoxalin-2-ylamino)benzenesulfonamide (IUPAC name) (748) + TX, 8-hydroxyquinoline sulfate (446) + TX, bronopol (97) + TX, copper dioctanoate (IUPAC name) (170) + TX, copper hydroxide (IUPAC name) (169) + TX, cresol [CCN] + TX, dichlorophen (232) + TX, dipyrithione (1105) + TX, dodicin (1112) + TX, fenaminosulf (1144) + TX, formaldehyde (404) + TX, hydrargaphen (alternative name) [CCN] + TX, kasugamycin (483) + TX, kasugamycin hydrochloride hydrate (483) + TX, nickel bis(dimethyldithiocarbamate) (IUPAC name) (1308) + TX, nitrapyrin (580) + TX, octhilinone (590) + TX, oxolinic acid (606) + TX, oxytetracycline (611) + TX, potassium hydroxyquinoline sulfate (446) + TX, probenazole (658) + TX, streptomycin (744) + TX,
streptomycin sesquisulfate (744) + TX, tecloftalam (766) + TX, and thiomersal (alternative name) [CCN] + TX; a biological agent selected from the group of substances consisting of Adoxophyes orana GV (alternative name) (12) + TX, Agrobacterium radiobacter (alternative name) (13) + TX, Amblyseius spp. (alternative name) (19) + TX, Anagrapha falcifera NPV (alternative name) (28) + TX, Anagrus atomus (alternative name) (29) + TX, Aphelinus abdominalis (alternative name) (33) + TX, Aphidius colemani (alternative name) (34) + TX, Aphidoletes aphidimyza (alternative name) (35) + TX, Autographa californica NPV (alternative name) (38) + TX, Bacillus firmus (alternative name) (48) + TX, Bacillus sphaericus Neide (scientific name) (49) + TX, Bacillus thuringiensis Berliner (scientific name) (51) + TX, Bacillus thuringiensis subsp. aizawai (scientific name) (51) + TX, Bacillus thuringiensis subsp. israelensis (scientific name) (51) + TX, Bacillus thuringiensis subsp. japonensis (scientific name) (51) + TX, Bacillus thuringiensis subsp. kurstaki (scientific name) (51) + TX, Bacillus thuringiensis subsp. tenebrionis (scientific name) (51) + TX, Beauveria bassiana (alternative name) (53) + TX, Beauveria brongniartii (alternative name) (54) + TX, Chrysoperla carnea (alternative name) (151) + TX, Cryptolaemus montrouzieri (alternative name) (178) + TX, Cydia pomonella GV (alternative name) (191) + TX, Dacnusa sibirica (alternative name) (212) + TX, Diglyphus isaea (alternative name) (254) + TX, Encarsia formosa (scientific name) (293) + TX, Eretmocerus eremicus (alternative name) (300) + TX, Helicoverpa zea NPV (alternative name) (431) + TX, Heterorhabditis bacteriophora and H. megidis (alternative name) (433) + TX, Hippodamia convergens (alternative name) (442) + TX, Leptomastix dactylopii (alternative name) (488) + TX, Macrolophus caliginosus (alternative name) (491) + TX, Mamestra brassicae NPV (alternative name) (494) + TX, Metaphycus helvolus (alternative name) (522) + TX, Metarhizium anisopliae var. acridum (scientific name) (523) + TX, Metarhizium anisopliae var. anisopliae (scientific name) (523) + TX, Neodiprion sertifer NPV and N. lecontei NPV (alternative name) (575) + TX, Orius spp. (alternative name) (596) + TX, Paecilomyces fumosoroseus (alternative name) (613) + TX, Phytoseiulus persimilis (alternative name) (644) + TX, Spodoptera exigua multicapsid nuclear polyhedrosis virus (scientific name) (741) + TX, Steinernema bibionis (alternative name) (742) + TX, Steinernema carpocapsae (alternative name) (742) + TX, Steinernema feltiae (alternative name) (742) + TX, Steinernema glaseri (alternative name) (742) + TX, Steinernema riobrave (alternative name) (742) + TX, Steinernema riobravis (alternative name) (742) + TX, Steinernema scapterisci (alternative name) (742) + TX, Steinernema spp. (alternative name) (742) + TX, Trichogramma spp. (alternative name) (826) + TX, Typhlodromus occidentalis (alternative name) (844) and Verticillium lecanii (alternative name) (848) + TX; a soil sterilant selected from the group of substances consisting of iodomethane (IUPAC name) (542) and methyl bromide (537) + TX; a chemosterilant selected from the group of substances consisting of apholate [CCN] + TX, bisazir (alternative name) [CCN] + TX, busulfan (alternative name) [CCN] + TX, diflubenzuron (250) + TX, dimatif (alternative name) [CCN] + TX, hemel [CCN] + TX, hempa [CCN] + TX, metepa [CCN] + TX, methiotepa [CCN] + TX, methyl apholate [CCN] + TX, morzid [CCN] + TX, penfluron
(alternative name) [CCN] + TX, tepa [CCN] + TX, thiohempa (alternative name) [CCN] + TX, thiotepa (alternative name) [CCN] + TX, tretamine (alternative name) [CCN] and uredepa (alternative name) [CCN] + TX; an insect pheromone selected from the group of substances consisting of (E)-dec-5-en-1-yl acetate with (E)-dec-5-en-1-ol (IUPAC name) (222) + TX, (E)-tridec-4-en-1-yl acetate (IUPAC name) (829) + TX, (E)-6-methylhept-2-en-4-ol (IUPAC name) (541) + TX, (E,Z)-tetradeca-4,10-dien-1-yl acetate (IUPAC name) (779) + TX, (Z)-dodec-7-en-1-yl acetate (IUPAC name) (285) + TX, (Z)- hexadec-11-enal (IUPAC name) (436) + TX, (Z)-hexadec-11-en-1-yl acetate (IUPAC name) (437) + TX, (Z)-hexadec-13-en-11-yn-1-yl acetate (IUPAC name) (438) + TX, (Z)-icos-13-en-10-one (IUPAC name) (448) + TX, (Z)-tetradec-7-en-1-al (IUPAC name) (782) + TX, (Z)-tetradec-9-en-1-ol (IUPAC name) (783) + TX, (Z)-tetradec-9-en-1-yl acetate (IUPAC name) (784) + TX, (7E,9Z)-dodeca- 7,9-dien-1-yl acetate (IUPAC name) (283) + TX, (9Z,11E)-tetradeca-9,11-dien-1-yl acetate (IUPAC name) (780) + TX, (9Z,12E)-tetradeca-9,12-dien-1-yl acetate (IUPAC name) (781) + TX, 14- methyloctadec-1-ene (IUPAC name) (545) + TX, 4-methylnonan-5-ol with 4-methylnonan-5-one (IUPAC name) (544) + TX, alpha-multistriatin (alternative name) [CCN] + TX, brevicomin (alternative name) [CCN] + TX, codlelure (alternative name) [CCN] + TX, codlemone (alternative name) (167) + TX, cuelure (alternative name) (179) + TX, disparlure (277) + TX, dodec-8-en-1-yl acetate (IUPAC name) (286) + TX, dodec-9-en-1-yl acetate (IUPAC name) (287) + TX, dodeca-8 + TX, 10-dien-1-yl acetate (IUPAC name) (284) + TX, dominicalure (alternative name) [CCN] + TX, ethyl 4- methyloctanoate (IUPAC name) (317) + TX, eugenol (alternative name) [CCN] + TX, frontalin (alternative name) [CCN] + TX, gossyplure (alternative name) (420) + TX, grandlure (421) + TX, grandlure I (alternative name) (421) + TX, grandlure II (alternative name) (421) + TX, grandlure III (alternative name) (421) + TX, grandlure IV (alternative name) (421) + TX, hexalure [CCN] + TX, ipsdienol (alternative name) [CCN] + TX, ipsenol (alternative name) [CCN] + TX, japonilure (alternative name) (481) + TX, lineatin (alternative name) [CCN] + TX, litlure (alternative name) [CCN] + TX, looplure (alternative name) [CCN] + TX, medlure [CCN] + TX, megatomoic acid (alternative name) [CCN] + TX, methyl eugenol (alternative name) (540) + TX, muscalure (563) + TX, octadeca-2,13-dien-1-yl acetate (IUPAC name) (588) + TX, octadeca-3,13-dien-1-yl acetate (IUPAC name) (589) + TX, orfralure (alternative name) [CCN] + TX, oryctalure (alternative name) (317) + TX, ostramone (alternative name) [CCN] + TX, siglure [CCN] + TX, sordidin (alternative name) (736) + TX, sulcatol (alternative name) [CCN] + TX, tetradec-11-en-1-yl acetate (IUPAC name) (785) + TX, trimedlure (839) + TX, trimedlure A (alternative name) (839) + TX, trimedlure B1 (alternative name) (839) + TX, trimedlure B2 (alternative name) (839) + TX, trimedlure C (alternative name) (839) and trunc-call (alternative name) [CCN] + TX; an insect repellent selected from the group of substances consisting of 2-(octylthio)ethanol (IUPAC name) (591) + TX, butopyronoxyl (933) + TX, butoxy(polypropylene glycol) (936) + TX, dibutyl adipate (IUPAC name) (1046) + TX, dibutyl phthalate (1047) + TX, dibutyl succinate (IUPAC name) (1048) + TX, diethyltoluamide [CCN] + TX, dimethyl carbate [CCN] + TX, dimethyl phthalate
[CCN] + TX, ethyl hexanediol (1137) + TX, hexamide [CCN] + TX, methoquin-butyl (1276) + TX, methylneodecanamide [CCN] + TX, oxamate [CCN] and picaridin [CCN] + TX; a molluscicide selected from the group of substances consisting of bis(tributyltin) oxide (IUPAC name) (913) + TX, bromoacetamide [CCN] + TX, calcium arsenate [CCN] + TX, cloethocarb (999) + TX, copper acetoarsenite [CCN] + TX, copper sulfate (172) + TX, fentin (347) + TX, ferric phosphate (IUPAC name) (352) + TX, metaldehyde (518) + TX, methiocarb (530) + TX, niclosamide (576) + TX, niclosamide-olamine (576) + TX, pentachlorophenol (623) + TX, sodium pentachlorophenoxide (623) + TX, tazimcarb (1412) + TX, thiodicarb (799) + TX, tributyltin oxide (913) + TX, trifenmorph (1454) + TX, trimethacarb (840) + TX, triphenyltin acetate (IUPAC name) (347) and triphenyltin hydroxide (IUPAC name) (347) + TX, pyriprole [394730-71-3] + TX; a nematicide selected from the group of substances consisting of AKD-3088 (compound code) + TX, 1,2-dibromo-3-chloropropane (IUPAC/Chemical Abstracts name) (1045) + TX, 1,2- dichloropropane (IUPAC/ Chemical Abstracts name) (1062) + TX, 1,2-dichloropropane with 1,3- dichloropropene (IUPAC name) (1063) + TX, 1,3-dichloropropene (233) + TX, 3,4- dichlorotetrahydrothiophene 1,1-dioxide (IUPAC/Chemical Abstracts name) (1065) + TX, 3-(4- chlorophenyl)-5-methylrhodanine (IUPAC name) (980) + TX, 5-methyl-6-thioxo-1,3,5-thiadiazinan-3- ylacetic acid (IUPAC name) (1286) + TX, 6-isopentenylaminopurine (alternative name) (210) + TX, abamectin (1) + TX, acetoprole [CCN] + TX, alanycarb (15) + TX, aldicarb (16) + TX, aldoxycarb (863) + TX, AZ 60541 (compound code) + TX, benclothiaz [CCN] + TX, benomyl (62) + TX, butylpyridaben (alternative name) + TX, cadusafos (109) + TX, carbofuran (118) + TX, carbon disulfide (945) + TX, carbosulfan (119) + TX, chloropicrin (141) + TX, chlorpyrifos (145) + TX, cloethocarb (999) + TX, cyclobutrifluram + TX, cytokinins (alternative name) (210) + TX, dazomet (216) + TX, DBCP (1045) + TX, DCIP (218) + TX, diamidafos (1044) + TX, dichlofenthion (1051) + TX, dicliphos (alternative name) + TX, dimethoate (262) + TX, doramectin (alternative name) [CCN] + TX, emamectin (291) + TX, emamectin benzoate (291) + TX, eprinomectin (alternative name) [CCN] + TX, ethoprophos (312) + TX, ethylene dibromide (316) + TX, fenamiphos (326) + TX, fenpyrad (alternative name) + TX, fensulfothion (1158) + TX, fosthiazate (408) + TX, fosthietan (1196) + TX, furfural (alternative name) [CCN] + TX, GY-81 (development code) (423) + TX, heterophos [CCN] + TX, iodomethane (IUPAC name) (542) + TX, isamidofos (1230) + TX, isazofos (1231) + TX, ivermectin (alternative name) [CCN] + TX, kinetin (alternative name) (210) + TX, mecarphon (1258) + TX, metam (519) + TX, metam-potassium (alternative name) (519) + TX, metam-sodium (519) + TX, methyl bromide (537) + TX, methyl isothiocyanate (543) + TX, milbemycin oxime (alternative name) [CCN] + TX, moxidectin (alternative name) [CCN] + TX, Myrothecium verrucaria composition (alternative name) (565) + TX, NC-184 (compound code) + TX, oxamyl (602) + TX, phorate (636) + TX, phosphamidon (639) + TX, phosphocarb [CCN] + TX, sebufos (alternative name) + TX, selamectin (alternative name) [CCN] + TX, spinosad (737) + TX, terbam (alternative name) + TX, terbufos (773) + TX, tetrachlorothiophene (IUPAC/ Chemical Abstracts name) (1422) + TX, thiafenox (alternative name) + TX, thionazin (1434) + TX, triazophos
(820) + TX, triazuron (alternative name) + TX, xylenols [CCN] + TX, YI-5302 (compound code) and zeatin (alternative name) (210) + TX, fluensulfone [318290-98-1] + TX, fluopyram + TX; a nitrification inhibitor selected from the group of substances consisting of potassium ethylxanthate [CCN] and nitrapyrin (580) + TX; a plant activator selected from the group of substances consisting of acibenzolar (6) + TX, acibenzolar-S-methyl (6) + TX, probenazole (658) and Reynoutria sachalinensis extract (alternative name) (720) + TX; a rodenticide selected from the group of substances consisting of 2-isovalerylindan-1,3-dione (IUPAC name) (1246) + TX, 4-(quinoxalin-2-ylamino)benzenesulfonamide (IUPAC name) (748) + TX, alpha-chlorohydrin [CCN] + TX, aluminium phosphide (640) + TX, antu (880) + TX, arsenous oxide (882) + TX, barium carbonate (891) + TX, bisthiosemi (912) + TX, brodifacoum (89) + TX, bromadiolone (including alpha-bromadiolone) + TX, bromethalin (92) + TX, calcium cyanide (444) + TX, chloralose (127) + TX, chlorophacinone (140) + TX, cholecalciferol (alternative name) (850) + TX, coumachlor (1004) + TX, coumafuryl (1005) + TX, coumatetralyl (175) + TX, crimidine (1009) + TX, difenacoum (246) + TX, difethialone (249) + TX, diphacinone (273) + TX, ergocalciferol (301) + TX, flocoumafen (357) + TX, fluoroacetamide (379) + TX, flupropadine (1183) + TX, flupropadine hydrochloride (1183) + TX, gamma-HCH (430) + TX, HCH (430) + TX, hydrogen cyanide (444) + TX, iodomethane (IUPAC name) (542) + TX, lindane (430) + TX, magnesium phosphide (IUPAC name) (640) + TX, methyl bromide (537) + TX, norbormide (1318) + TX, phosacetim (1336) + TX, phosphine (IUPAC name) (640) + TX, phosphorus [CCN] + TX, pindone (1341) + TX, potassium arsenite [CCN] + TX, pyrinuron (1371) + TX, scilliroside (1390) + TX, sodium arsenite [CCN] + TX, sodium cyanide (444) + TX, sodium fluoroacetate (735) + TX, strychnine (745) + TX, thallium sulfate [CCN] + TX, warfarin (851) and zinc phosphide (640) + TX; a synergist selected from the group of substances consisting of 2-(2-butoxyethoxy)ethyl piperonylate (IUPAC name) (934) + TX, 5-(1,3-benzodioxol-5-yl)-3-hexylcyclohex-2-enone (IUPAC name) (903) + TX, farnesol with nerolidol (alternative name) (324) + TX, MB-599 (development code) (498) + TX, MGK 264 (development code) (296) + TX, piperonyl butoxide (649) + TX, piprotal (1343) + TX, propyl isomer (1358) + TX, S421 (development code) (724) + TX, sesamex (1393) + TX, sesasmolin (1394) and sulfoxide (1406) + TX; an animal repellent selected from the group of substances consisting of anthraquinone (32) + TX, chloralose (127) + TX, copper naphthenate [CCN] + TX, copper oxychloride (171) + TX, diazinon (227) + TX, dicyclopentadiene (chemical name) (1069) + TX, guazatine (422) + TX, guazatine acetates (422) + TX, methiocarb (530) + TX, pyridin-4-amine (IUPAC name) (23) + TX, thiram (804) + TX, trimethacarb (840) + TX, zinc naphthenate [CCN] and ziram (856) + TX; a virucide selected from the group of substances consisting of imanin (alternative name) [CCN] and ribavirin (alternative name) [CCN] + TX; a wound protectant selected from the group of substances consisting of mercuric oxide (512) + TX, octhilinone (590) and thiophanate-methyl (802) + TX;
a biologically active substance selected from 1,1-bis(4-chlorophenyl)-2-ethoxyethanol + TX, 2,4-dichlorophenyl benzenesulfonate + TX, 2-fluoro-N-methyl-N-1-naphthylacetamide + TX, 4- chlorophenyl phenyl sulfone + TX, acetoprole + TX, aldoxycarb + TX, amidithion + TX, amidothioate + TX, amiton + TX, amiton hydrogen oxalate + TX, amitraz + TX, aramite + TX, arsenous oxide + TX, azobenzene + TX, azothoate + TX, benomyl + TX, benoxafos + TX, benzyl benzoate + TX, bixafen + TX, brofenvalerate + TX, bromocyclen + TX, bromophos + TX, bromopropylate + TX, buprofezin + TX, butocarboxim + TX, butoxycarboxim + TX, butylpyridaben + TX, calcium polysulfide + TX, camphechlor + TX, carbanolate + TX, carbophenothion + TX, cymiazole + TX, chinomethionat + TX, chlorbenside + TX, chlordimeform + TX, chlordimeform hydrochloride + TX, chlorfenethol + TX, chlorfenson + TX, chlorfensulfide + TX, chlorobenzilate + TX, chloromebuform + TX, chloromethiuron + TX, chloropropylate + TX, chlorthiophos + TX, cinerin I + TX, cinerin II + TX, cinerins + TX, closantel + TX, coumaphos + TX, crotamiton + TX, crotoxyphos + TX, cufraneb + TX, cyanthoate + TX, DCPM + TX, DDT + TX, demephion + TX, demephion-O + TX, demephion-S + TX, demeton-methyl + TX, demeton-O + TX, demeton-O-methyl + TX, demeton-S + TX, demeton-S-methyl + TX, demeton-S- methylsulfon + TX, dichlofluanid + TX, dichlorvos + TX, dicliphos + TX, dienochlor + TX, dimefox + TX, dinex + TX, dinex-diclexine + TX, dinocap-4 + TX, dinocap-6 + TX, dinocton + TX, dinopenton + TX, dinosulfon + TX, dinoterbon + TX, dioxathion + TX, diphenyl sulfone + TX, disulfiram + TX, DNOC + TX, dofenapyn + TX, doramectin + TX, endothion + TX, eprinomectin + TX, ethoate-methyl + TX, etrimfos + TX, fenazaflor + TX, fenbutatin oxide + TX, fenothiocarb + TX, fenpyrad + TX, fen- pyroximate + TX, fenpyrazamine + TX, fenson + TX, fentrifanil + TX, flubenzimine + TX, flucycloxuron + TX, fluenetil + TX, fluorbenside + TX, FMC 1137 + TX, formetanate + TX, formetanate hydrochloride + TX, formparanate + TX, gamma-HCH + TX, glyodin + TX, halfenprox + TX, hexadecyl cyclopropanecarboxylate + TX, isocarbophos + TX, jasmolin I + TX, jasmolin II + TX, jodfenphos + TX, lindane + TX, malonoben + TX, mecarbam + TX, mephosfolan + TX, mesulfen + TX, methacrifos + TX, methyl bromide + TX, metolcarb + TX, mexacarbate + TX, milbemycin oxime + TX, mipafox + TX, monocrotophos + TX, morphothion + TX, moxidectin + TX, naled + TX, 4-chloro-2-(2-chloro-2- methyl-propyl)-5-[(6-iodo-3-pyridyl)methoxy]pyridazin-3-one + TX, nifluridide + TX, nikkomycins + TX, nitrilacarb + TX, nitrilacarb 1:1 zinc chloride complex + TX, omethoate + TX, oxydeprofos + TX, oxydisulfoton + TX, pp'-DDT + TX, parathion + TX, permethrin + TX, phenkapton + TX, phosalone + TX, phosfolan + TX, phosphamidon + TX, polychloroterpenes + TX, polynactins + TX, proclonol + TX, promacyl + TX, propoxur + TX, prothidathion + TX, prothoate + TX, pyrethrin I + TX, pyrethrin II + TX, pyrethrins + TX, pyridaphenthion + TX, pyrimitate + TX, quinalphos + TX, quintiofos + TX, R- 1492 + TX, phosglycin + TX, rotenone + TX, schradan + TX, sebufos + TX, selamectin + TX, sophamide + TX, SSI-121 + TX, sulfiram + TX, sulfluramid + TX, sulfotep + TX, sulfur + TX, diflovidazin + TX, tau-fluvalinate + TX, TEPP + TX, terbam + TX, tetradifon + TX, tetrasul + TX, thiafenox + TX, thiocarboxime + TX, thiofanox + TX, thiometon + TX, thioquinox + TX, thuringiensin + TX, triamiphos + TX, triarathene + TX, triazophos + TX, triazuron + TX, trifenofos + TX, trinactin + TX, vamidothion + TX, vaniliprole + TX, bethoxazin + TX, copper dioctanoate + TX, copper sulfate + TX, cybutryne + TX, dichlone + TX, dichlorophen + TX, endothal + TX, fentin + TX, hydrated lime
+ TX, nabam + TX, quinoclamine + TX, quinonamid + TX, simazine + TX, triphenyltin acetate + TX, triphenyltin hydroxide + TX, crufomate + TX, piperazine + TX, thiophanate + TX, chloralose + TX, fenthion + TX, pyridin-4-amine + TX, strychnine + TX, 1-hydroxy-1H-pyridine-2-thione + TX, 4- (quinoxalin-2-ylamino)benzenesulfonamide + TX, 8-hydroxyquinoline sulfate + TX, bronopol + TX, copper hydroxide + TX, cresol + TX, dipyrithione + TX, dodicin + TX, fenaminosulf + TX, formaldehyde + TX, hydrargaphen + TX, kasugamycin + TX, kasugamycin hydrochloride hydrate + TX, nickel bis(dimethyldithiocarbamate) + TX, nitrapyrin + TX, octhilinone + TX, oxolinic acid + TX, oxytetracycline + TX, potassium hydroxyquinoline sulfate + TX, probenazole + TX, streptomycin + TX, streptomycin sesquisulfate + TX, tecloftalam + TX, thiomersal + TX, Adoxophyes orana GV + TX, Agrobacterium radiobacter + TX, Amblyseius spp. + TX, Anagrapha falcifera NPV + TX, Anagrus atomus + TX, Aphelinus abdominalis + TX, Aphidius colemani + TX, Aphidoletes aphidimyza + TX, Autographa californica NPV + TX, Bacillus sphaericus Neide + TX, Beauveria brongniartii + TX, Chrysoperla carnea + TX, Cryptolaemus montrouzieri + TX, Cydia pomonella GV + TX, Dacnusa sibirica + TX, Diglyphus isaea + TX, Encarsia formosa + TX, Eretmocerus eremicus + TX, Heterorhabditis bacteriophora and H. megidis + TX, Hippodamia convergens + TX, Leptomastix dactylopii + TX, Macrolophus caliginosus + TX, Mamestra brassicae NPV + TX, Metaphycus helvolus + TX, Metarhizium anisopliae var. acridum + TX, Metarhizium anisopliae var. anisopliae + TX, Neodiprion sertifer NPV and N. lecontei NPV + TX, Orius spp. + TX, Paecilomyces fumosoroseus + TX, Phytoseiulus persimilis + TX, Steinernema bibionis + TX, Steinernema carpocapsae + TX, Steinernema feltiae + TX, Steinernema glaseri + TX, Steinernema riobrave + TX, Steinernema riobravis + TX, Steinernema scapterisci + TX, Steinernema spp. + TX, Trichogramma spp. + TX, Typhlodromus occidentalis + TX , Verticillium lecanii + TX, apholate + TX, bisazir + TX, busulfan + TX, dimatif + TX, hemel + TX, hempa + TX, metepa + TX, methiotepa + TX, methyl apholate + TX, morzid + TX, penfluron + TX, tepa + TX, thiohempa + TX, thiotepa + TX, tretamine + TX, uredepa + TX, (E)- dec-5-en-1-yl acetate with (E)-dec-5-en-1-ol + TX, (E)-tridec-4-en-1-yl acetate + TX, (E)-6-methylhept- 2-en-4-ol + TX, (E,Z)-tetradeca-4,10-dien-1-yl acetate + TX, (Z)-dodec-7-en-1-yl acetate + TX, (Z)- hexadec-11-enal + TX, (Z)-hexadec-11-en-1-yl acetate + TX, (Z)-hexadec-13-en-11-yn-1-yl acetate + TX, (Z)-icos-13-en-10-one + TX, (Z)-tetradec-7-en-1-al + TX, (Z)-tetradec-9-en-1-ol + TX, (Z)- tetradec-9-en-1-yl acetate + TX, (7E,9Z)-dodeca-7,9-dien-1-yl acetate + TX, (9Z,11E)-tetradeca-9,11- dien-1-yl acetate + TX, (9Z,12E)-tetradeca-9,12-dien-1-yl acetate + TX, 14-methyloctadec-1-ene + TX, 4-methylnonan-5-ol with 4-methylnonan-5-one + TX, alpha-multistriatin + TX, brevicomin + TX, codlelure + TX, codlemone + TX, cuelure + TX, disparlure + TX, dodec-8-en-1-yl acetate + TX, dodec- 9-en-1-yl acetate + TX, dodeca-8 + TX, 10-dien-1-yl acetate + TX, dominicalure + TX, ethyl 4- methyloctanoate + TX, eugenol + TX, frontalin + TX, grandlure + TX, grandlure I + TX, grandlure II + TX, grandlure III + TX, grandlure IV + TX, hexalure + TX, ipsdienol + TX, ipsenol + TX, japonilure + TX, lineatin + TX, litlure + TX, looplure + TX, medlure + TX, megatomoic acid + TX, methyl eugenol + TX, muscalure + TX, octadeca-2,13-dien-1-yl acetate + TX, octadeca-3,13-dien-1-yl acetate + TX, orfralure + TX, oryctalure + TX, ostramone + TX, siglure + TX, sordidin + TX, sulcatol + TX, tetradec- 11-en-1-yl acetate + TX, trimedlure + TX, trimedlure A + TX, trimedlure B1 + TX, trimedlure B2 + TX,
trimedlure C + TX, trunc-call + TX, 2-(octylthio)ethanol + TX, butopyronoxyl + TX, butoxy(polypropylene glycol) + TX, dibutyl adipate + TX, dibutyl phthalate + TX, dibutyl succinate + TX, diethyltoluamide + TX, dimethyl carbate + TX, dimethyl phthalate + TX, ethyl hexanediol + TX, hexamide + TX, methoquin-butyl + TX, methylneodecanamide + TX, oxamate + TX, picaridin + TX, 1- dichloro-1-nitroethane + TX, 1,1-dichloro-2,2-bis(4-ethylphenyl)ethane + TX, 1,2-dichloropropane with 1,3-dichloropropene + TX, 1-bromo-2-chloroethane + TX, 2,2,2-trichloro-1-(3,4-dichlorophenyl)ethyl acetate + TX, 2,2-dichlorovinyl 2-ethylsulfinylethyl methyl phosphate + TX, 2-(1,3-dithiolan-2-yl)phenyl dimethylcarbamate + TX, 2-(2-butoxyethoxy)ethyl thiocyanate + TX, 2-(4,5-dimethyl-1,3-dioxolan-2- yl)phenyl methylcarbamate + TX, 2-(4-chloro-3,5-xylyloxy)ethanol + TX, 2-chlorovinyl diethyl phosphate + TX, 2-imidazolidone + TX, 2-isovalerylindan-1,3-dione + TX, 2-methyl(prop-2- ynyl)aminophenyl methylcarbamate + TX, 2-thiocyanatoethyl laurate + TX, 3-bromo-1-chloroprop-1- ene + TX, 3-methyl-1-phenylpyrazol-5-yl dimethylcarbamate + TX, 4-methyl(prop-2-ynyl)amino-3,5- xylyl methylcarbamate + TX, 5,5-dimethyl-3-oxocyclohex-1-enyl dimethylcarbamate + TX, acethion + TX, acrylonitrile + TX, aldrin + TX, allosamidin + TX, allyxycarb + TX, alpha-ecdysone + TX, aluminium phosphide + TX, aminocarb + TX, anabasine + TX, athidathion + TX, azamethiphos + TX, Bacillus thuringiensis delta endotoxins + TX, barium hexafluorosilicate + TX, barium polysulfide + TX, barthrin + TX, Bayer 22/190 + TX, Bayer 22408 + TX, beta-cyfluthrin + TX, beta-cypermethrin + TX, bioethanomethrin + TX, biopermethrin + TX, bis(2-chloroethyl) ether + TX, borax + TX, bromfenvinfos + TX, bromo-DDT + TX, bufencarb + TX, butacarb + TX, butathiofos + TX, butonate + TX, calcium arsenate + TX, calcium cyanide + TX, carbon disulfide + TX, carbon tetrachloride + TX, cartap hydrochloride + TX, cevadine + TX, chlorbicyclen + TX, chlordane + TX, chlordecone + TX, chloroform + TX, chloropicrin + TX, chlorphoxim + TX, chlorprazophos + TX, cis-resmethrin + TX, cismethrin + TX, clocythrin + TX, copper acetoarsenite + TX, copper arsenate + TX, copper oleate + TX, coumithoate + TX, cryolite + TX, CS 708 + TX, cyanofenphos + TX, cyanophos + TX, cyclethrin + TX, cythioate + TX, d-tetramethrin + TX, DAEP + TX, dazomet + TX, decarbofuran + TX, diamidafos + TX, dicapthon + TX, dichlofenthion + TX, dicresyl + TX, dicyclanil + TX, dieldrin + TX, diethyl 5- methylpyrazol-3-yl phosphate + TX, dilor + TX, dimefluthrin + TX, dimetan + TX, dimethrin + TX, dimethylvinphos + TX, dimetilan + TX, dinoprop + TX, dinosam + TX, dinoseb + TX, diofenolan + TX, dioxabenzofos + TX, dithicrofos + TX, DSP + TX, ecdysterone + TX, EI 1642 + TX, EMPC + TX, EPBP + TX, etaphos + TX, ethiofencarb + TX, ethyl formate + TX, ethylene dibromide + TX, ethylene dichloride + TX, ethylene oxide + TX, EXD + TX, fenchlorphos + TX, fenethacarb + TX, fenitrothion + TX, fenoxacrim + TX, fenpirithrin + TX, fensulfothion + TX, fenthion-ethyl + TX, flucofuron + TX, fosmethilan + TX, fospirate + TX, fosthietan + TX, furathiocarb + TX, furethrin + TX, guazatine + TX, guazatine acetates + TX, sodium tetrathiocarbonate + TX, halfenprox + TX, HCH + TX, HEOD + TX, heptachlor + TX, heterophos + TX, HHDN + TX, hydrogen cyanide + TX, hyquincarb + TX, IPSP + TX, isazofos + TX, isobenzan + TX, isodrin + TX, isofenphos + TX, isolane + TX, isoprothiolane + TX, isoxathion + TX, juvenile hormone I + TX, juvenile hormone II + TX, juvenile hormone III + TX, kelevan + TX, kinoprene + TX, lead arsenate + TX, leptophos + TX, lirimfos + TX, lythidathion + TX, m- cumenyl methylcarbamate + TX, magnesium phosphide + TX, mazidox + TX, mecarphon + TX,
menazon + TX, mercurous chloride + TX, mesulfenfos + TX, metam + TX, metam-potassium + TX, metam-sodium + TX, methanesulfonyl fluoride + TX, methocrotophos + TX, methoprene + TX, methothrin + TX, methoxychlor + TX, methyl isothiocyanate + TX, methylchloroform + TX, methylene chloride + TX, metoxadiazone + TX, mirex + TX, naftalofos + TX, naphthalene + TX, NC-170 + TX, nicotine + TX, nicotine sulfate + TX, nithiazine + TX, nornicotine + TX, O-5-dichloro-4-iodophenyl O- ethyl ethylphosphonothioate + TX, O,O-diethyl O-4-methyl-2-oxo-2H-chromen-7-yl phosphorothioate + TX, O,O-diethyl O-6-methyl-2-propylpyrimidin-4-yl phosphorothioate + TX, O,O,O',O'-tetrapropyl dithiopyrophosphate + TX, oleic acid + TX, para-dichlorobenzene + TX, parathion-methyl + TX, pentachlorophenol + TX, pentachlorophenyl laurate + TX, PH 60-38 + TX, phenkapton + TX, phosnichlor + TX, phosphine + TX, phoxim-methyl + TX, pirimetaphos + TX, polychlorodicyclopentadiene isomers + TX, potassium arsenite + TX, potassium thiocyanate + TX, precocene I + TX, precocene II + TX, precocene III + TX, primidophos + TX, profluthrin + TX, promecarb + TX, prothiofos + TX, pyrazophos + TX, pyresmethrin + TX, quassia + TX, quinalphos- methyl + TX, quinothion + TX, rafoxanide + TX, resmethrin + TX, rotenone + TX, kadethrin + TX, ryania + TX, ryanodine + TX, sabadilla + TX, schradan + TX, sebufos + TX, SI-0009 + TX, thiapronil + TX, sodium arsenite + TX, sodium cyanide + TX, sodium fluoride + TX, sodium hexafluorosilicate + TX, sodium pentachlorophenoxide + TX, sodium selenate + TX, sodium thiocyanate + TX, sulcofuron + TX, sulcofuron-sodium + TX, sulfuryl fluoride + TX, sulprofos + TX, tar oils + TX, tazimcarb + TX, TDE + TX, tebupirimfos + TX, temephos + TX, terallethrin + TX, tetrachloroethane + TX, thicrofos + TX, thiocyclam + TX, thiocyclam hydrogen oxalate + TX, thionazin + TX, thiosultap + TX, thiosultap-sodium + TX, tralomethrin + TX, transpermethrin + TX, triazamate + TX, trichlormetaphos-3 + TX, trichloronat + TX, trimethacarb + TX, tolprocarb + TX, triclopyricarb + TX, triprene + TX, veratridine + TX, veratrine + TX, XMC + TX, zetamethrin + TX, zinc phosphide + TX, zolaprofos + TX, meperfluthrin + TX, tetramethylfluthrin + TX, bis(tributyltin) oxide + TX, bromoacetamide + TX, ferric phosphate + TX, niclosamide-olamine + TX, tributyltin oxide + TX, pyrimorph + TX, trifenmorph + TX, 1,2-dibromo-3-chloropropane + TX, 1,3-dichloropropene + TX, 3,4- dichlorotetrahydrothiophene 1,1-dioxide + TX, 3-(4-chlorophenyl)-5-methylrhodanine + TX, 5-methyl-6- thioxo-1,3,5-thiadiazinan-3-ylacetic acid + TX, 6-isopentenylaminopurine + TX, anisiflupurin + TX, benclothiaz + TX, cytokinins + TX, DCIP + TX, furfural + TX, isamidofos + TX, kinetin + TX, Myrothecium verrucaria composition + TX, tetrachlorothiophene + TX, xylenols + TX, zeatin + TX, potassium ethylxanthate + TX ,acibenzolar + TX, acibenzolar-S-methyl + TX, Reynoutria sachalinensis extract + TX, alpha-chlorohydrin + TX, antu + TX, barium carbonate + TX, bisthiosemi + TX, brodifacoum + TX, bromadiolone + TX, bromethalin + TX, chlorophacinone + TX, cholecalciferol + TX, coumachlor + TX, coumafuryl + TX, coumatetralyl + TX, crimidine + TX, difenacoum + TX, difethialone + TX, diphacinone + TX, ergocalciferol + TX, flocoumafen + TX, fluoroacetamide + TX, flupropadine + TX, flupropadine hydrochloride + TX, norbormide + TX, phosacetim + TX, phosphorus + TX, pindone + TX, pyrinuron + TX, scilliroside + TX, sodium fluoroacetate + TX, thallium sulfate + TX, warfarin + TX, 2-(2-butoxyethoxy)ethyl piperonylate + TX, 5-(1,3-benzodioxol-5-yl)-3-hexylcyclohex-2-enone + TX, farnesol with nerolidol + TX, verbutin + TX, MGK 264 + TX, piperonyl butoxide + TX, piprotal
+ TX, propyl isomer + TX, S421 + TX, sesamex + TX, sesasmolin + TX, sulfoxide + TX, anthraquinone + TX, copper naphthenate + TX, copper oxychloride + TX, dicyclopentadiene + TX, thiram + TX, zinc naphthenate + TX, ziram + TX, imanin + TX, ribavirin + TX, chloroinconazide + TX, mercuric oxide + TX, thiophanate-methyl + TX, azaconazole + TX, bitertanol + TX, bromuconazole + TX, cyproconazole + TX, difenoconazole + TX, diniconazole + TX, epoxiconazole + TX, fenbuconazole + TX, fluquinconazole + TX, flusilazole + TX, flutriafol + TX, furametpyr + TX, hexaconazole + TX, imazalil + TX, imibenconazole + TX, ipconazole + TX, metconazole + TX, myclobutanil + TX, paclobutrazole + TX, pefurazoate + TX, penconazole + TX, prothioconazole + TX, pyrifenox + TX, prochloraz + TX, propiconazole + TX, pyrisoxazole + TX, simeconazole + TX, tebuconazole + TX, tetraconazole + TX, triadimefon + TX, triadimenol + TX, triflumizole + TX, triticonazole + TX, ancymidol + TX, fenarimol + TX, nuarimol + TX, bupirimate + TX, dimethirimol + TX, ethirimol + TX, dodemorph + TX, fenpropidin + TX, fenpropimorph + TX, spiroxamine + TX, tridemorph + TX, cyprodinil + TX, mepanipyrim + TX, pyrimethanil + TX, fenpiclonil + TX, fludioxonil + TX, benalaxyl + TX, furalaxyl + TX, metalaxyl -+ TX, R-metalaxyl + TX, ofurace + TX, oxadixyl + TX, carbendazim + TX, debacarb + TX, fuberidazole + TX, thiabendazole + TX, chlozolinate + TX, dichlozoline + TX, myclozoline + TX, procymidone + TX, vinclozoline + TX, boscalid + TX, carboxin + TX, fenfuram + TX, flutolanil + TX, mepronil + TX, oxycarboxin + TX, penthiopyrad + TX, thifluzamide + TX, dodine + TX, iminoctadine + TX, azoxystrobin + TX, dimoxystrobin + TX, enestroburin + TX, fenaminstrobin + TX, flufenoxystrobin + TX, fluoxastrobin + TX, kresoxim-methyl + TX, metominostrobin + TX, trifloxystrobin + TX, orysastrobin + TX, picoxystrobin + TX, pyraclostrobin + TX, pyrametostrobin + TX, pyraoxystrobin + TX, ferbam + TX, mancozeb + TX, maneb + TX, metiram + TX, propineb + TX, zineb + TX, captafol + TX, captan + TX, fluoroimide + TX, folpet + TX, tolylfluanid + TX, bordeaux mixture + TX, copper oxide + TX, mancopper + TX, oxine-copper + TX, nitrothal-isopropyl + TX, edifenphos + TX, iprobenphos + TX, phosdiphen + TX, tolclofos-methyl + TX, anilazine + TX, benthiavalicarb + TX, blasticidin-S + TX, chloroneb + TX, chlorothalonil + TX, cyflufenamid + TX, cymoxanil + TX, cyclobutrifluram + TX, diclocymet + TX, diclomezine + TX, dicloran + TX, diethofencarb + TX, dimethomorph + TX, flumorph + TX, dithianon + TX, ethaboxam + TX, etridiazole + TX, famoxadone + TX, fenamidone + TX, fenoxanil + TX, ferimzone + TX, fluazinam + TX, flumetylsulforim + TX, fluopicolide + TX, fluoxytioconazole + TX, flusulfamide + TX, fluxapyroxad + TX, fenhexamid + TX, fosetyl-aluminium + TX, hymexazol + TX, iprovalicarb + TX, cyazofamid + TX, methasulfocarb + TX, metrafenone + TX, pencycuron + TX, phthalide + TX, polyoxins + TX, propamocarb + TX, pyribencarb + TX, proquinazid + TX, pyroquilon + TX, pyriofenone + TX, quinoxyfen + TX, quintozene + TX, tiadinil + TX, triazoxide + TX, tricyclazole + TX, triforine + TX, validamycin + TX, valifenalate + TX, zoxamide + TX, mandipropamid + TX, flubeneteram + TX, isopyrazam + TX, sedaxane + TX, benzovindiflupyr + TX, pydiflumetofen + TX, 3-difluoromethyl-1-methyl-1H-pyrazole-4-carboxylic acid (3',4',5'-trifluoro- biphenyl-2-yl)-amide + TX, isoflucypram + TX, isotianil + TX, dipymetitrone + TX, 6-ethyl-5,7-dioxo- pyrrolo[4,5][1,4]dithiino[1,2-c]isothiazole-3-carbonitrile + TX, 2-(difluoromethyl)-N-[3-ethyl-1,1-dimethyl- indan-4-yl]pyridine-3-carboxamide + TX, 4-(2,6-difluorophenyl)-6-methyl-5-phenyl-pyridazine-3- carbonitrile + TX, (R)-3-(difluoromethyl)-1-methyl-N-[1,1,3-trimethylindan-4-yl]pyrazole-4-carboxamide
+ TX, 4-(2-bromo-4-fluoro-phenyl)-N-(2-chloro-6-fluoro-phenyl)-2,5-dimethyl-pyrazol-3-amine + TX, 4- (2- bromo- 4- fluorophenyl) - N- (2- chloro- 6- fluorophenyl) - 1, 3- dimethyl- 1H- pyrazol- 5- amine + TX, fluindapyr + TX, coumethoxystrobin (jiaxiangjunzhi) + TX, lvbenmixianan + TX, dichlobentiazox + TX, mandestrobin + TX, 3-(4,4-difluoro-3,4-dihydro-3,3-dimethylisoquinolin-1-yl)quinolone + TX, 2- [2-fluoro-6-[(8-fluoro-2-methyl-3-quinolyl)oxy]phenyl]propan-2-ol + TX, oxathiapiprolin + TX, tert-butyl N-[6-[[[(1-methyltetrazol-5-yl)-phenyl-methylene]amino]oxymethyl]-2-pyridyl]carbamate + TX, pyraziflumid + TX, inpyrfluxam + TX, trolprocarb + TX, mefentrifluconazole + TX, ipfentrifluconazole+ TX, 2-(difluoromethyl)-N-[(3R)-3-ethyl-1,1-dimethyl-indan-4-yl]pyridine-3- carboxamide + TX, N'-(2,5-dimethyl-4-phenoxy-phenyl)-N-ethyl-N-methyl-formamidine + TX, N'-[4- (4,5-dichlorothiazol-2-yl)oxy-2,5-dimethyl-phenyl]-N-ethyl-N-methyl-formamidine + TX, [2-[3-[2-[1-[2- [3,5-bis(difluoromethyl)pyrazol-1-yl]acetyl]-4-piperidyl]thiazol-4-yl]-4,5-dihydroisoxazol-5-yl]-3-chloro- phenyl] methanesulfonate + TX, but-3-ynyl N-[6-[[(Z)-[(1-methyltetrazol-5-yl)-phenyl- methylene]amino]oxymethyl]-2-pyridyl]carbamate + TX, methyl N-[[5-[4-(2,4-dimethylphenyl)triazol-2- yl]-2-methyl-phenyl]methyl]carbamate + TX, 3-chloro-6-methyl-5-phenyl-4-(2,4,6- trifluorophenyl)pyridazine + TX, pyridachlometyl + TX, 3-(difluoromethyl)-1-methyl-N-[1,1,3- trimethylindan-4-yl]pyrazole-4-carboxamide + TX, 1-[2-[[1-(4-chlorophenyl)pyrazol-3-yl]oxymethyl]-3- methyl-phenyl]-4-methyl-tetrazol-5-one + TX, 1-methyl-4-[3-methyl-2-[[2-methyl-4-(3,4,5- trimethylpyrazol-1-yl)phenoxy]methyl]phenyl]tetrazol-5-one + TX, aminopyrifen + TX, ametoctradin + TX, amisulbrom + TX, penflufen + TX, (Z,2E)-5-[1-(4-chlorophenyl)pyrazol-3-yl]oxy-2-methoxyimino- N,3-dimethyl-pent-3-enamide + TX, florylpicoxamid + TX, fenpicoxamid + TX, metarylpicoxamid + TX, tebufloquin + TX, ipflufenoquin + TX, quinofumelin + TX, isofetamid + TX, N-[2-[2,4-dichloro- phenoxy]phenyl]-3-(difluoromethyl)-1-methyl-pyrazole-4-carboxamide + TX, N-[2-[2-chloro-4- (trifluoromethyl)phenoxy]phenyl]-3-(difluoromethyl)-1-methyl-pyrazole-4-carboxamide + TX, benzothiostrobin + TX, phenamacril + TX, 5-amino-1,3,4-thiadiazole-2-thiol zinc salt (2:1) + TX, fluopyram + TX, flufenoxadiazam + TX, flutianil + TX, fluopimomide + TX, pyrapropoyne + TX, picarbutrazox + TX, 2-(difluoromethyl)-N-(3-ethyl-1,1-dimethyl-indan-4-yl)pyridine-3-carboxamide + TX, 2- (difluoromethyl) - N- ((3R) - 1, 1, 3- trimethylindan- 4- yl) pyridine- 3- carboxamide + TX, 4-[[6- [2-(2,4-difluorophenyl)-1,1-difluoro-2-hydroxy-3-(1,2,4-triazol-1-yl)propyl]-3-pyridyl]oxy]benzonitrile + TX, metyltetraprole + TX, 2- (difluoromethyl) - N- ((3R) - 1, 1, 3- trimethylindan- 4- yl) pyridine- 3- carboxamide + TX, α- (1, 1- dimethylethyl) - α- [4'- (trifluoromethoxy) [1, 1'- biphenyl] - 4- yl] -5- pyrimidinemethanol + TX, fluoxapiprolin + TX, enoxastrobin + TX, 4-[[6-[2-(2,4-difluorophenyl)-1,1- difluoro-2-hydroxy-3-(1,2,4-triazol-1-yl)propyl]-3-pyridyl]oxy] benzonitrile + TX, 4-[[6-[2-(2,4- difluorophenyl)-1,1-difluoro-2-hydroxy-3-(5-sulfanyl-1,2,4-triazol-1-yl)propyl]-3-pyridyl]oxy] benzonitrile + TX, 4-[[6-[2-(2,4-difluorophenyl)-1,1-difluoro-2-hydroxy-3-(5-thioxo-4H-1,2,4-triazol-1-yl)propyl]-3- pyridyl]oxy]benzonitrile + TX, trinexapac + TX, coumoxystrobin + TX, zhongshengmycin + TX, thiodiazole copper + TX, zinc thiazole + TX, amectotractin + TX, iprodione + TX, seboctylamine + TX; N'-[5-bromo-2-methyl-6-[(1S)-1-methyl-2-propoxy-ethoxy]-3-pyridyl]-N-ethyl-N-methyl-formamidine + TX, N'-[5-bromo-2-methyl-6-[(1R)-1-methyl-2-propoxy-ethoxy]-3-pyridyl]-N-ethyl-N-methyl- formamidine + TX, N'-[5-bromo-2-methyl-6-(1-methyl-2-propoxy-ethoxy)-3-pyridyl]-N-ethyl-N-methyl-
formamidine + TX, N'-[5-chloro-2-methyl-6-(1-methyl-2-propoxy-ethoxy)-3-pyridyl]-N-ethyl-N-methyl- formamidine + TX, N'-[5-bromo-2-methyl-6-(1-methyl-2-propoxy-ethoxy)-3-pyridyl]-N-isopropyl-N- methyl-formamidine + TX (these compounds may be prepared from the methods described in WO2015/155075); N'-[5-bromo-2-methyl-6-(2-propoxypropoxy)-3-pyridyl]-N-ethyl-N-methyl- formamidine + TX (this compound may be prepared from the methods described in IPCOM000249876D); N-isopropyl-N’-[5-methoxy-2-methyl-4-(2,2,2-trifluoro-1-hydroxy-1-phenyl- ethyl)phenyl]-N-methyl-formamidine+ TX, N’-[4-(1-cyclopropyl-2,2,2-trifluoro-1-hydroxy-ethyl)-5- methoxy-2-methyl-phenyl]-N-isopropyl-N-methyl-formamidine + TX (these compounds may be prepared from the methods described in WO2018/228896); N-ethyl-N’-[5-methoxy-2-methyl-4-[(2- trifluoromethyl)oxetan-2-yl]phenyl]-N-methyl-formamidine + TX, N-ethyl-N’-[5-methoxy-2-methyl-4-[(2- trifuoromethyl)tetrahydrofuran-2-yl]phenyl]-N-methyl-formamidine + TX (these compounds may be prepared from the methods described in WO2019/110427); N-[(1R)-1-benzyl-3-chloro-1-methyl-but-3- enyl]-8-fluoro-quinoline-3-carboxamide + TX, N-[(1S)-1-benzyl-3-chloro-1-methyl-but-3-enyl]-8-fluoro- quinoline-3-carboxamide + TX, N-[(1R)-1-benzyl-3,3,3-trifluoro-1-methyl-propyl]-8-fluoro-quinoline-3- carboxamide + TX, N-[(1S)-1-benzyl-3,3,3-trifluoro-1-methyl-propyl]-8-fluoro-quinoline-3-carboxamide + TX, N-[(1R)-1-benzyl-1,3-dimethyl-butyl]-7,8-difluoro-quinoline-3-carboxamide + TX, N-[(1S)-1- benzyl-1,3-dimethyl-butyl]-7,8-difluoro-quinoline-3-carboxamide + TX, 8-fluoro-N-[(1R)-1-[(3- fluorophenyl)methyl]-1,3-dimethyl-butyl]quinoline-3-carboxamide + TX, 8-fluoro-N-[(1S)-1-[(3- fluorophenyl)methyl]-1,3-dimethyl-butyl]quinoline-3-carboxamide + TX, N-[(1R)-1-benzyl-1,3-dimethyl- butyl]-8-fluoro-quinoline-3-carboxamide + TX, N-[(1S)-1-benzyl-1,3-dimethyl-butyl]-8-fluoro-quinoline- 3-carboxamide + TX, N-((1R)-1-benzyl-3-chloro-1-methyl-but-3-enyl)-8-fluoro-quinoline-3-carboxamide + TX, N-((1S)-1-benzyl-3-chloro-1-methyl-but-3-enyl)-8-fluoro-quinoline-3-carboxamide + TX (these compounds may be prepared from the methods described in WO2017/153380); 1-(6,7- dimethylpyrazolo[1,5-a]pyridin-3-yl)-4,4,5-trifluoro-3,3-dimethyl-isoquinoline + TX, 1-(6,7- dimethylpyrazolo[1,5-a]pyridin-3-yl)-4,4,6-trifluoro-3,3-dimethyl-isoquinoline + TX, 4,4-difluoro-3,3- dimethyl-1-(6-methylpyrazolo[1,5-a]pyridin-3-yl)isoquinoline + TX, 4,4-difluoro-3,3-dimethyl-1-(7- methylpyrazolo[1,5-a]pyridin-3-yl)isoquinoline + TX, 1-(6-chloro-7-methyl-pyrazolo[1,5-a]pyridin-3-yl)- 4,4-difluoro-3,3-dimethyl-isoquinoline + TX (these compounds may be prepared from the methods described in WO2017/025510); 1-(4,5-dimethylbenzimidazol-1-yl)-4,4,5-trifluoro-3,3-dimethyl- isoquinoline + TX, 1-(4,5-dimethylbenzimidazol-1-yl)-4,4-difluoro-3,3-dimethyl-isoquinoline + TX, 6- chloro-4,4-difluoro-3,3-dimethyl-1-(4-methylbenzimidazol-1-yl)isoquinoline + TX, 4,4-difluoro-1-(5- fluoro-4-methyl-benzimidazol-1-yl)-3,3-dimethyl-isoquinoline + TX, 3-(4,4-difluoro-3,3-dimethyl-1- isoquinolyl)-7,8-dihydro-6H-cyclopenta[e]benzimidazole + TX (these compounds may be prepared from the methods described in WO2016/156085); N-methoxy-N-[[4-[5-(trifluoromethyl)-1,2,4- oxadiazol-3-yl]phenyl]methyl]cyclopropanecarboxamide + TX, N,2-dimethoxy-N-[[4-[5-(trifluoromethyl)- 1,2,4-oxadiazol-3-yl]phenyl]methyl]propanamide + TX, N-ethyl-2-methyl-N-[[4-[5-(trifluoromethyl)- 1,2,4-oxadiazol-3-yl]phenyl]methyl]propanamide + TX, 1-methoxy-3-methyl-1-[[4-[5-(trifluoromethyl)- 1,2,4-oxadiazol-3-yl]phenyl]methyl]urea + TX, 1,3-dimethoxy-1-[[4-[5-(trifluoromethyl)-1,2,4-oxadiazol- 3-yl]phenyl]methyl]urea + TX, 3-ethyl-1-methoxy-1-[[4-[5-(trifluoromethyl)-1,2,4-oxadiazol-3-
yl]phenyl]methyl]urea + TX, N-[[4-[5-(trifluoromethyl)-1,2,4-oxadiazol-3-yl]phenyl]methyl]propanamide + TX, 4,4-dimethyl-2-[[4-[5-(trifluoromethyl)-1,2,4-oxadiazol-3-yl]phenyl]methyl]isoxazolidin-3-one + TX, 5,5-dimethyl-2-[[4-[5-(trifluoromethyl)-1,2,4-oxadiazol-3-yl]phenyl]methyl]isoxazolidin-3-one + TX, ethyl 1-[[4-[5-(trifluoromethyl)-1,2,4-oxadiazol-3-yl]phenyl]methyl]pyrazole-4-carboxylate + TX, N,N-dimethyl-1-[[4-[5-(trifluoromethyl)-1,2,4-oxadiazol-3-yl]phenyl]methyl]-1,2,4-triazol-3-amine + TX. The compounds in this paragraph may be prepared from the methods described in WO 2017/055473, WO 2017/055469, WO 2017/093348 and WO 2017/118689; 2-[6-(4-chlorophenoxy)-2- (trifluoromethyl)-3-pyridyl]-1-(1,2,4-triazol-1-yl)propan-2-ol + TX (this compound may be prepared from the methods described in WO 2017/029179); 2-[6-(4-bromophenoxy)-2-(trifluoromethyl)-3-pyridyl]-1- (1,2,4-triazol-1-yl)propan-2-ol + TX (this compound may be prepared from the methods described in WO 2017/029179); 3-[2-(1-chlorocyclopropyl)-3-(2-fluorophenyl)-2-hydroxy-propyl]imidazole-4- carbonitrile + TX (this compound may be prepared from the methods described in WO 2016/156290); 3-[2-(1-chlorocyclopropyl)-3-(3-chloro-2-fluoro-phenyl)-2-hydroxy-propyl]imidazole-4-carbonitrile + TX (this compound may be prepared from the methods described in WO 2016/156290); (4- phenoxyphenyl)methyl 2-amino-6-methyl-pyridine-3-carboxylate + TX (this compound may be prepared from the methods described in WO 2014/006945); 2,6-Dimethyl-1H,5H-[1,4]dithiino[2,3- c:5,6-c']dipyrrole-1,3,5,7(2H,6H)-tetrone + TX (this compound may be prepared from the methods described in WO 2011/138281); N-methyl-4-[5-(trifluoromethyl)-1,2,4-oxadiazol-3- yl]benzenecarbothioamide + TX; N-methyl-4-[5-(trifluoromethyl)-1,2,4-oxadiazol-3-yl]benzamide + TX; (Z,2E)-5-[1-(2,4-dichlorophenyl)pyrazol-3-yl]oxy-2-methoxyimino-N,3-dimethyl-pent-3-enamide + TX (this compound may be prepared from the methods described in WO 2018/153707); N'-(2-chloro-5- methyl-4-phenoxy-phenyl)-N-ethyl-N-methyl-formamidine + TX; N'-[2-chloro-4-(2-fluorophenoxy)-5- methyl-phenyl]-N-ethyl-N-methyl-formamidine + TX (this compound may be prepared from the methods described in WO 2016/202742); 2-(difluoromethyl)-N-[(3S)-3-ethyl-1,1-dimethyl-indan-4- yl]pyridine-3-carboxamide + TX (this compound may be prepared from the methods described in WO 2014/095675); (5-methyl-2-pyridyl)-[4-[5-(trifluoromethyl)-1,2,4-oxadiazol-3-yl]phenyl]methanone + TX, (3-methylisoxazol-5-yl)-[4-[5-(trifluoromethyl)-1,2,4-oxadiazol-3-yl]phenyl]methanone + TX (these compounds may be prepared from the methods described in WO 2017/220485); 2-oxo-N-propyl-2-[4- [5-(trifluoromethyl)-1,2,4-oxadiazol-3-yl]phenyl]acetamide + TX (this compound may be prepared from the methods described in WO 2018/065414); ethyl 1-[[5-[5-(trifluoromethyl)-1,2,4-oxadiazol-3-yl]-2- thienyl]methyl]pyrazole-4-carboxylate + TX (this compound may be prepared from the methods described in WO 2018/158365); 2,2-difluoro-N-methyl-2-[4-[5-(trifluoromethyl)-1,2,4-oxadiazol-3- yl]phenyl]acetamide + TX, N-[(E)-methoxyiminomethyl]-4-[5-(trifluoromethyl)-1,2,4-oxadiazol-3- yl]benzamide + TX, N-[(Z)-methoxyiminomethyl]-4-[5-(trifluoromethyl)-1,2,4-oxadiazol-3-yl]benzamide + TX, N-[N-methoxy-C-methyl-carbonimidoyl]-4-[5-(trifluoromethyl)-1,2,4-oxadiazol-3-yl]benzamide + TX (these compounds may be prepared from the methods described in WO 2018/202428); microbials including: Acinetobacter lwoffii + TX, Acremonium alternatum + TX + TX, Acremonium cephalosporium + TX + TX, Acremonium diospyri + TX, Acremonium obclavatum + TX, Adoxophyes orana granulovirus (AdoxGV) (Capex®) + TX, Agrobacterium radiobacter strain K84
(Galltrol-A®) + TX, Alternaria alternate + TX, Alternaria cassia + TX, Alternaria destruens (Smolder®) + TX, Ampelomyces quisqualis (AQ10®) + TX, Aspergillus flavus AF36 (AF36®) + TX, Aspergillus flavus NRRL 21882 (Aflaguard®) + TX, Aspergillus spp. + TX, Aureobasidium pullulans + TX, Azospirillum + TX, (MicroAZ® + TX, TAZO B®) + TX, Azotobacter + TX, Azotobacter chroocuccum (Azotomeal®) + TX, Azotobacter cysts (Bionatural Blooming Blossoms®) + TX, Bacillus amyloliquefaciens + TX, Bacillus cereus + TX, Bacillus chitinosporus strain CM-1 + TX, Bacillus chitinosporus strain AQ746 + TX, Bacillus licheniformis strain HB-2 (Biostart™ Rhizoboost®) + TX, Bacillus licheniformis strain 3086 (EcoGuard® + TX, Green Releaf®) + TX, Bacillus circulans + TX, Bacillus firmus (BioSafe® + TX, BioNem-WP® + TX, VOTiVO®) + TX, Bacillus firmus strain I-1582 + TX, Bacillus macerans + TX, Bacillus marismortui + TX, Bacillus megaterium + TX, Bacillus mycoides strain AQ726 + TX, Bacillus papillae (Milky Spore Powder®) + TX, Bacillus pumilus spp. + TX, Bacillus pumilus strain GB34 (Yield Shield®) + TX, Bacillus pumilus strain AQ717 + TX, Bacillus pumilus strain QST 2808 (Sonata® + TX, Ballad Plus®) + TX, Bacillus spahericus (VectoLex®) + TX, Bacillus spp. + TX, Bacillus spp. strain AQ175 + TX, Bacillus spp. strain AQ177 + TX, Bacillus spp. strain AQ178 + TX, Bacillus subtilis strain QST 713 (CEASE® + TX, Serenade® + TX, Rhapsody®) + TX, Bacillus subtilis strain QST 714 (JAZZ®) + TX, Bacillus subtilis strain AQ153 + TX, Bacillus subtilis strain AQ743 + TX, Bacillus subtilis strain QST3002 + TX, Bacillus subtilis strain QST3004 + TX, Bacillus subtilis var. amyloliquefaciens strain FZB24 (Taegro® + TX, Rhizopro®) + TX, Bacillus thuringiensis Cry 2Ae + TX, Bacillus thuringiensis Cry1Ab + TX, Bacillus thuringiensis aizawai GC 91 (Agree®) + TX, Bacillus thuringiensis israelensis (BMP123® + TX, Aquabac® + TX, VectoBac®) + TX, Bacillus thuringiensis kurstaki (Javelin® + TX, Deliver® + TX, CryMax® + TX, Bonide® + TX, Scutella WP® + TX, Turilav WP ® + TX, Astuto® + TX, Dipel WP® + TX, Biobit® + TX, Foray®) + TX, Bacillus thuringiensis kurstaki BMP 123 (Baritone®) + TX, Bacillus thuringiensis kurstaki HD-1 (Bioprotec-CAF / 3P®) + TX, Bacillus thuringiensis strain BD#32 + TX, Bacillus thuringiensis strain AQ52 + TX, Bacillus thuringiensis var. aizawai (XenTari® + TX, DiPel®) + TX, bacteria spp. (GROWMEND® + TX, GROWSWEET® + TX, Shootup®) + TX, bacteriophage of Clavipacter michiganensis (AgriPhage®) + TX, Bakflor® + TX, Beauveria bassiana (Beaugenic® + TX, Brocaril WP®) + TX, Beauveria bassiana GHA (Mycotrol ES® + TX, Mycotrol O® + TX, BotaniGuard®) + TX, Beauveria brongniartii (Engerlingspilz® + TX, Schweizer Beauveria® + TX, Melocont®) + TX, Beauveria spp. + TX, Botrytis cineria + TX, Bradyrhizobium japonicum (TerraMax®) + TX, Brevibacillus brevis + TX, Bacillus thuringiensis tenebrionis (Novodor®) + TX, BtBooster + TX, Burkholderia cepacia (Deny® + TX, Intercept® + TX, Blue Circle®) + TX, Burkholderia gladii + TX, Burkholderia gladioli + TX, Burkholderia spp. + TX, Canadian thistle fungus (CBH Canadian Bioherbicide®) + TX, Candida butyri + TX, Candida famata + TX, Candida fructus + TX, Candida glabrata + TX, Candida guilliermondii + TX, Candida melibiosica + TX, Candida oleophila strain O + TX, Candida parapsilosis + TX, Candida pelliculosa + TX, Candida pulcherrima + TX, Candida reukaufii + TX, Candida saitoana (Bio-Coat® + TX, Biocure®) + TX, Candida sake + TX, Candida spp. + TX, Candida tenius + TX, Cedecea dravisae + TX, Cellulomonas flavigena + TX, Chaetomium cochliodes (Nova-Cide®) + TX, Chaetomium globosum (Nova-Cide®) + TX, Chromobacterium subtsugae strain PRAA4-1T
(Grandevo®) + TX, Cladosporium cladosporioides + TX, Cladosporium oxysporum + TX, Cladosporium chlorocephalum + TX, Cladosporium spp. + TX, Cladosporium tenuissimum + TX, Clonostachys rosea (EndoFine®) + TX, Colletotrichum acutatum + TX, Coniothyrium minitans (Cotans WG®) + TX, Coniothyrium spp. + TX, Cryptococcus albidus (YIELDPLUS®) + TX, Cryptococcus humicola + TX, Cryptococcus infirmo-miniatus + TX, Cryptococcus laurentii + TX, Cryptophlebia leucotreta granulovirus (Cryptex®) + TX, Cupriavidus campinensis + TX, Cydia pomonella granulovirus (CYD-X®) + TX, Cydia pomonella granulovirus (Madex® + TX, Madex Plus® + TX, Madex Max/ Carpovirusine®) + TX, Cylindrobasidium laeve (Stumpout®) + TX, Cylindrocladium + TX, Debaryomyces hansenii + TX, Drechslera hawaiinensis + TX, Enterobacter cloacae + TX, Enterobacteriaceae + TX, Entomophtora virulenta (Vektor®) + TX, Epicoccum nigrum + TX, Epicoccum purpurascens + TX, Epicoccum spp. + TX, Filobasidium floriforme + TX, Fusarium acuminatum + TX, Fusarium chlamydosporum + TX, Fusarium oxysporum (Fusaclean® / Biofox C®) + TX, Fusarium proliferatum + TX, Fusarium spp. + TX, Galactomyces geotrichum + TX, Gliocladium catenulatum (Primastop® + TX, Prestop®) + TX, Gliocladium roseum + TX, Gliocladium spp. (SoilGard®) + TX, Gliocladium virens (Soilgard®) + TX, Granulovirus (Granupom®) + TX, Halobacillus halophilus + TX, Halobacillus litoralis + TX, Halobacillus trueperi + TX, Halomonas spp. + TX, Halomonas subglaciescola + TX, Halovibrio variabilis + TX, Hanseniaspora uvarum + TX, Helicoverpa armigera nucleopolyhedrovirus (Helicovex®) + TX, Helicoverpa zea nuclear polyhedrosis virus (Gemstar®) + TX, Isoflavone – formononetin (Myconate®) + TX, Kloeckera apiculata + TX, Kloeckera spp. + TX, Lagenidium giganteum (Laginex®) + TX, Lecanicillium longisporum (Vertiblast®) + TX, Lecanicillium muscarium (Vertikil®) + TX, Lymantria Dispar nucleopolyhedrosis virus (Disparvirus®) + TX, Marinococcus halophilus + TX, Meira geulakonigii + TX, Metarhizium anisopliae (Met52®) + TX, Metarhizium anisopliae (Destruxin WP®) + TX, Metschnikowia fruticola (Shemer®) + TX, Metschnikowia pulcherrima + TX, Microdochium dimerum (Antibot®) + TX, Micromonospora coerulea + TX, Microsphaeropsis ochracea + TX, Muscodor albus 620 (Muscudor®) + TX, Muscodor roseus strain A3-5 + TX, Mycorrhizae spp. (AMykor® + TX, Root Maximizer®) + TX, Myrothecium verrucaria strain AARC-0255 (DiTera®) + TX, BROS PLUS® + TX, Ophiostoma piliferum strain D97 (Sylvanex®) + TX, Paecilomyces farinosus + TX, Paecilomyces fumosoroseus (PFR-97® + TX, PreFeRal®) + TX, Paecilomyces linacinus (Biostat WP®) + TX, Paecilomyces lilacinus strain 251 (MeloCon WG®) + TX, Paenibacillus polymyxa + TX, Pantoea agglomerans (BlightBan C9-1®) + TX, Pantoea spp. + TX, Pasteuria spp. (Econem®) + TX, Pasteuria nishizawae + TX, Penicillium aurantiogriseum + TX, Penicillium billai (Jumpstart® + TX, TagTeam®) + TX, Penicillium brevicompactum + TX, Penicillium frequentans + TX, Penicillium griseofulvum + TX, Penicillium purpurogenum + TX, Penicillium spp. + TX, Penicillium viridicatum + TX, Phlebiopsis gigantean (Rotstop®) + TX, phosphate solubilizing bacteria (Phosphomeal®) + TX, Phytophthora cryptogea + TX, Phytophthora palmivora (Devine®) + TX, Pichia anomala + TX, Pichia guilermondii + TX, Pichia membranaefaciens + TX, Pichia onychis + TX, Pichia stipites + TX, Pseudomonas aeruginosa + TX, Pseudomonas aureofasciens (Spot-Less Biofungicide®) + TX, Pseudomonas cepacia + TX, Pseudomonas chlororaphis (AtEze®) + TX, Pseudomonas corrugate + TX, Pseudomonas fluorescens strain A506 (BlightBan A506®) + TX,
Pseudomonas putida + TX, Pseudomonas reactans + TX, Pseudomonas spp. + TX, Pseudomonas syringae (Bio-Save®) + TX, Pseudomonas viridiflava + TX, Pseudomons fluorescens (Zequanox®) + TX, Pseudozyma flocculosa strain PF-A22 UL (Sporodex L®) + TX, Puccinia canaliculata + TX, Puccinia thlaspeos (Wood Warrior®) + TX, Pythium paroecandrum + TX, Pythium oligandrum (Polygandron® + TX, Polyversum®) + TX, Pythium periplocum + TX, Rhanella aquatilis + TX, Rhanella spp. + TX, Rhizobia (Dormal® + TX, Vault®) + TX, Rhizoctonia + TX, Rhodococcus globerulus strain AQ719 + TX, Rhodosporidium diobovatum + TX, Rhodosporidium toruloides + TX, Rhodotorula spp. + TX, Rhodotorula glutinis + TX, Rhodotorula graminis + TX, Rhodotorula mucilagnosa + TX, Rhodotorula rubra + TX, Saccharomyces cerevisiae + TX, Salinococcus roseus + TX, Sclerotinia minor + TX, Sclerotinia minor (SARRITOR®) + TX, Scytalidium spp. + TX, Scytalidium uredinicola + TX, Spodoptera exigua nuclear polyhedrosis virus (Spod-X® + TX, Spexit®) + TX, Serratia marcescens + TX, Serratia plymuthica + TX, Serratia spp. + TX, Sordaria fimicola + TX, Spodoptera littoralis nucleopolyhedrovirus (Littovir®) + TX, Sporobolomyces roseus + TX, Stenotrophomonas maltophilia + TX, Streptomyces ahygroscopicus + TX, Streptomyces albaduncus + TX, Streptomyces exfoliates + TX, Streptomyces galbus + TX, Streptomyces griseoplanus + TX, Streptomyces griseoviridis (Mycostop®) + TX, Streptomyces lydicus (Actinovate®) + TX, Streptomyces lydicus WYEC-108 (ActinoGrow®) + TX, Streptomyces violaceus + TX, Tilletiopsis minor + TX, Tilletiopsis spp. + TX, Trichoderma asperellum (T34 Biocontrol®) + TX, Trichoderma gamsii (Tenet®) + TX, Trichoderma atroviride (Plantmate®) + TX, Trichoderma hamatum TH 382 + TX, Trichoderma harzianum rifai (Mycostar®) + TX, Trichoderma harzianum T-22 (Trianum-P® + TX, PlantShield HC® + TX, RootShield® + TX, Trianum-G®) + TX, Trichoderma harzianum T-39 (Trichodex®) + TX, Trichoderma inhamatum + TX, Trichoderma koningii + TX, Trichoderma spp. LC 52 (Sentinel®) + TX, Trichoderma lignorum + TX, Trichoderma longibrachiatum + TX, Trichoderma polysporum (Binab T®) + TX, Trichoderma taxi + TX, Trichoderma virens + TX, Trichoderma virens (formerly Gliocladium virens GL-21) (SoilGuard®) + TX, Trichoderma viride + TX, Trichoderma viride strain ICC 080 (Remedier®) + TX, Trichosporon pullulans + TX, Trichosporon spp. + TX, Trichothecium spp. + TX, Trichothecium roseum + TX, Typhula phacorrhiza strain 94670 + TX, Typhula phacorrhiza strain 94671 + TX, Ulocladium atrum + TX, Ulocladium oudemansii (Botry-Zen®) + TX, Ustilago maydis + TX, various bacteria and supplementary micronutrients (Natural II®) + TX, various fungi (Millennium Microbes®) + TX, Verticillium chlamydosporium + TX, Verticillium lecanii (Mycotal® + TX, Vertalec®) + TX, Vip3Aa20 (VIPtera®) + TX, Virgibaclillus marismortui + TX, Xanthomonas campestris pv. Poae (Camperico®) + TX, Xenorhabdus bovienii + TX, Xenorhabdus nematophilus; Plant extracts including: pine oil (Retenol®) + TX, azadirachtin (Plasma Neem Oil® + TX, AzaGuard® + TX, MeemAzal® + TX, Molt-X® + TX, Botanical IGR (Neemazad® + TX, Neemix®) + TX, canola oil (Lilly Miller Vegol®) + TX, Chenopodium ambrosioides near ambrosioides (Requiem®) + TX, Chrysanthemum extract (Crisant®) + TX, extract of neem oil (Trilogy®) + TX, essentials oils of Labiatae (Botania®) + TX, extracts of clove rosemary peppermint and thyme oil (Garden insect killer®) + TX, Glycinebetaine (Greenstim®) + TX, garlic + TX, lemongrass oil
(GreenMatch®) + TX, neem oil + TX, Nepeta cataria (Catnip oil) + TX, Nepeta catarina + TX, nicotine + TX, oregano oil (MossBuster®) + TX, Pedaliaceae oil (Nematon®) + TX, pyrethrum + TX, Quillaja saponaria (NemaQ®) + TX, Reynoutria sachalinensis (Regalia® + TX, Sakalia®) + TX, rotenone (Eco Roten®) + TX, Rutaceae plant extract (Soleo®) + TX, soybean oil (Ortho ecosense®) + TX, tea tree oil (Timorex Gold®) + TX, thymus oil + TX, AGNIQUE® MMF + TX, BugOil® + TX, mixture of rosemary sesame pepermint thyme and cinnamon extracts (EF 300®) + TX, mixture of clove rosemary and peppermint extract (EF 400®) + TX, mixture of clove pepermint garlic oil and mint (Soil Shot®) + TX, kaolin (Screen®) + TX, storage glucam of brown algae (Laminarin®); pheromones including: blackheaded fireworm pheromone (3M Sprayable Blackheaded Fireworm Pheromone®) + TX, Codling Moth Pheromone (Paramount dispenser-(CM)/ Isomate C- Plus®) + TX, Grape Berry Moth Pheromone (3M MEC-GBM Sprayable Pheromone®) + TX, Leafroller pheromone (3M MEC – LR Sprayable Pheromone®) + TX, Muscamone (Snip7 Fly Bait® + TX, Starbar Premium Fly Bait®) + TX, Oriental Fruit Moth Pheromone (3M oriental fruit moth sprayable pheromone®) + TX, Peachtree Borer Pheromone (Isomate-P®) + TX, Tomato Pinworm Pheromone (3M Sprayable pheromone®) + TX, Entostat powder (extract from palm tree) (Exosex CM®) + TX, (E + TX,Z + TX,Z)-3 + TX,8 + TX,11 Tetradecatrienyl acetate + TX, (Z + TX,Z + TX,E)-7 + TX,11 + TX,13-Hexadecatrienal + TX, (E + TX,Z)-7 + TX,9-Dodecadien-1-yl acetate + TX, 2-Methyl-1-butanol + TX, Calcium acetate + TX, Scenturion® + TX, Biolure® + TX, Check-Mate® + TX, Lavandulyl senecioate; Macrobials including: Aphelinus abdominalis + TX, Aphidius ervi (Aphelinus-System®) + TX, Acerophagus papaya + TX, Adalia bipunctata (Adalia-System®) + TX, Adalia bipunctata (Adaline®) + TX, Adalia bipunctata (Aphidalia®) + TX, Ageniaspis citricola + TX, Ageniaspis fuscicollis + TX, Amblyseius andersoni (Anderline® + TX, Andersoni-System®) + TX, Amblyseius californicus (Amblyline® + TX, Spical®) + TX, Amblyseius cucumeris (Thripex® + TX, Bugline cucumeris®) + TX, Amblyseius fallacis (Fallacis®) + TX, Amblyseius swirskii (Bugline swirskii® + TX, Swirskii-Mite®) + TX, Amblyseius womersleyi (WomerMite®) + TX, Amitus hesperidum + TX, Anagrus atomus + TX, Anagyrus fusciventris + TX, Anagyrus kamali + TX, Anagyrus loecki + TX, Anagyrus pseudococci (Citripar®) + TX, Anicetus benefices + TX, Anisopteromalus calandrae + TX, Anthocoris nemoralis (Anthocoris-System®) + TX, Aphelinus abdominalis (Apheline® + TX, Aphiline®) + TX, Aphelinus asychis + TX, Aphidius colemani (Aphipar®) + TX, Aphidius ervi (Ervipar®) + TX, Aphidius gifuensis + TX, Aphidius matricariae (Aphipar-M®) + TX, Aphidoletes aphidimyza (Aphidend®) + TX, Aphidoletes aphidimyza (Aphidoline®) + TX, Aphytis lingnanensis + TX, Aphytis melinus + TX, Aprostocetus hagenowii + TX, Atheta coriaria (Staphyline®) + TX, Bombus spp. + TX, Bombus terrestris (Natupol Beehive®) + TX, Bombus terrestris (Beeline® + TX, Tripol®) + TX, Cephalonomia stephanoderis + TX, Chilocorus nigritus + TX, Chrysoperla carnea (Chrysoline®) + TX, Chrysoperla carnea (Chrysopa®) + TX, Chrysoperla rufilabris + TX, Cirrospilus ingenuus + TX, Cirrospilus quadristriatus + TX, Citrostichus phyllocnistoides + TX, Closterocerus chamaeleon + TX, Closterocerus spp. + TX, Coccidoxenoides perminutus (Planopar®) + TX, Coccophagus cowperi + TX, Coccophagus lycimnia + TX, Cotesia flavipes + TX, Cotesia plutellae + TX, Cryptolaemus montrouzieri
(Cryptobug® + TX, Cryptoline®) + TX, Cybocephalus nipponicus + TX, Dacnusa sibirica + TX, Dacnusa sibirica (Minusa®) + TX, Diglyphus isaea (Diminex®) + TX, Delphastus catalinae (Delphastus®) + TX, Delphastus pusillus + TX, Diachasmimorpha krausii + TX, Diachasmimorpha longicaudata + TX, Diaparsis jucunda + TX, Diaphorencyrtus aligarhensis + TX, Diglyphus isaea + TX, Diglyphus isaea (Miglyphus® + TX, Digline®) + TX, Dacnusa sibirica (DacDigline® + TX, Minex®) + TX, Diversinervus spp. + TX, Encarsia citrina + TX, Encarsia formosa (Encarsia max® + TX, Encarline® + TX, En-Strip®) + TX, Eretmocerus eremicus (Enermix®) + TX, Encarsia guadeloupae + TX, Encarsia haitiensis + TX, Episyrphus balteatus (Syrphidend®) + TX, Eretmoceris siphonini + TX, Eretmocerus californicus + TX, Eretmocerus eremicus (Ercal® + TX, Eretline e®) + TX, Eretmocerus eremicus (Bemimix®) + TX, Eretmocerus hayati + TX, Eretmocerus mundus (Bemipar® + TX, Eretline m®) + TX, Eretmocerus siphonini + TX, Exochomus quadripustulatus + TX, Feltiella acarisuga (Spidend®) + TX, Feltiella acarisuga (Feltiline®) + TX, Fopius arisanus + TX, Fopius ceratitivorus + TX, Formononetin (Wirless Beehome®) + TX, Franklinothrips vespiformis (Vespop®) + TX, Galendromus occidentalis + TX, Goniozus legneri + TX, Habrobracon hebetor + TX, Harmonia axyridis (HarmoBeetle®) + TX, Heterorhabditis spp. (Lawn Patrol®) + TX, Heterorhabditis bacteriophora (NemaShield HB® + TX, Nemaseek® + TX, Terranem-Nam® + TX, Terranem® + TX, Larvanem® + TX, B-Green® + TX, NemAttack ® + TX, Nematop®) + TX, Heterorhabditis megidis (Nemasys H® + TX, BioNem H® + TX, Exhibitline hm® + TX, Larvanem-M®) + TX, Hippodamia convergens + TX, Hypoaspis aculeifer (Aculeifer-System® + TX, Entomite-A®) + TX, Hypoaspis miles (Hypoline m® + TX, Entomite-M®) + TX, Lbalia leucospoides + TX, Lecanoideus floccissimus + TX, Lemophagus errabundus + TX, Leptomastidea abnormis + TX, Leptomastix dactylopii (Leptopar®) + TX, Leptomastix epona + TX, Lindorus lophanthae + TX, Lipolexis oregmae + TX, Lucilia caesar (Natufly®) + TX, Lysiphlebus testaceipes + TX, Macrolophus caliginosus (Mirical-N® + TX, Macroline c® + TX, Mirical®) + TX, Mesoseiulus longipes + TX, Metaphycus flavus + TX, Metaphycus lounsburyi + TX, Micromus angulatus (Milacewing®) + TX, Microterys flavus + TX, Muscidifurax raptorellus and Spalangia cameroni (Biopar®) + TX, Neodryinus typhlocybae + TX, Neoseiulus californicus + TX, Neoseiulus cucumeris (THRYPEX®) + TX, Neoseiulus fallacis + TX, Nesideocoris tenuis (NesidioBug® + TX, Nesibug®) + TX, Ophyra aenescens (Biofly®) + TX, Orius insidiosus (Thripor-I® + TX, Oriline i®) + TX, Orius laevigatus (Thripor-L® + TX, Oriline l®) + TX, Orius majusculus (Oriline m®) + TX, Orius strigicollis (Thripor-S®) + TX, Pauesia juniperorum + TX, Pediobius foveolatus + TX, Phasmarhabditis hermaphrodita (Nemaslug®) + TX, Phymastichus coffea + TX, Phytoseiulus macropilus + TX, Phytoseiulus persimilis (Spidex® + TX, Phytoline p®) + TX, Podisus maculiventris (Podisus®) + TX, Pseudacteon curvatus + TX, Pseudacteon obtusus + TX, Pseudacteon tricuspis + TX, Pseudaphycus maculipennis + TX, Pseudleptomastix mexicana + TX, Psyllaephagus pilosus + TX, Psyttalia concolor (complex) + TX, Quadrastichus spp. + TX, Rhyzobius lophanthae + TX, Rodolia cardinalis + TX, Rumina decollate + TX, Semielacher petiolatus + TX, Sitobion avenae (Ervibank®) + TX, Steinernema carpocapsae (Nematac C® + TX, Millenium® + TX, BioNem C® + TX, NemAttack® + TX, Nemastar® + TX, Capsanem®) + TX, Steinernema feltiae (NemaShield® + TX, Nemasys F® + TX, BioNem F® + TX, Steinernema-System® + TX, NemAttack® + TX, Nemaplus®
+ TX, Exhibitline sf® + TX, Scia-rid® + TX, Entonem®) + TX, Steinernema kraussei (Nemasys L® + TX, BioNem L® + TX, Exhibitline srb®) + TX, Steinernema riobrave (BioVector® + TX, BioVektor®) + TX, Steinernema scapterisci (Nematac S®) + TX, Steinernema spp. + TX, Steinernematid spp. (Guardian Nematodes®) + TX, Stethorus punctillum (Stethorus®) + TX, Tamarixia radiate + TX, Tetrastichus setifer + TX, Thripobius semiluteus + TX, Torymus sinensis + TX, Trichogramma brassicae (Tricholine b®) + TX, Trichogramma brassicae (Tricho-Strip®) + TX, Trichogramma evanescens + TX, Trichogramma minutum + TX, Trichogramma ostriniae + TX, Trichogramma platneri + TX, Trichogramma pretiosum + TX, Xanthopimpla stemmator; other biologicals including: abscisic acid + TX, bioSea® + TX, Chondrostereum purpureum (Chontrol Paste®) + TX, Colletotrichum gloeosporioides (Collego®) + TX, Copper Octanoate (Cueva®) + TX, Delta traps (Trapline d®) + TX, Erwinia amylovora (Harpin) (ProAct® + TX, Ni-HIBIT Gold CST®) + TX, Ferri-phosphate (Ferramol®) + TX, Funnel traps (Trapline y®) + TX, Gallex® + TX, Grower's Secret® + TX, Homo-brassonolide + TX, Iron Phosphate (Lilly Miller Worry Free Ferramol Slug & Snail Bait®) + TX, MCP hail trap (Trapline f®) + TX, Microctonus hyperodae + TX, Mycoleptodiscus terrestris (Des-X®) + TX, BioGain® + TX, Aminomite® + TX, Zenox® + TX, Pheromone trap (Thripline ams®) + TX, potassium bicarbonate (MilStop®) + TX, potassium salts of fatty acids (Sanova®) + TX, potassium silicate solution (Sil-Matrix®) + TX, potassium iodide + potassiumthiocyanate (Enzicur®) + TX, SuffOil-X® + TX, Spider venom + TX, Nosema locustae (Semaspore Organic Grasshopper Control®) + TX, Sticky traps (Trapline YF® + TX, Rebell Amarillo®) + TX and Traps (Takitrapline y + b®) + TX; and a safener, such as benoxacor + TX, cloquintocet (including cloquintocet-mexyl) + TX, cyprosulfamide + TX, dichlormid + TX, fenchlorazole (including fenchlorazole-ethyl) + TX, fenclorim + TX, fluxofenim + TX, furilazole + TX, isoxadifen (including isoxadifen-ethyl) + TX, mefenpyr (including mefenpyr-diethyl) + TX, metcamifen + TX and oxabetrinil + TX. The references in brackets behind the active ingredients, e.g. [3878-19-1] refer to the Chemical Abstracts Registry number. The above described mixing partners are known. Where the active ingredients are included in "The Pesticide Manual" [The Pesticide Manual - A World Compendium; Thirteenth Edition; Editor: C. D. S. TomLin; The British Crop Protection Council], they are described therein under the entry number given in round brackets hereinabove for the particular compound; for example, the compound "abamectin" is described under entry number (1). Where "[CCN]" is added hereinabove to the particular compound, the compound in question is included in the "Compendium of Pesticide Common Names", which is accessible on the internet [A. Wood; Compendium of Pesticide Common Names, Copyright © 1995-2004]; for example, the compound "acetoprole" is described under the internet address http://www.alanwood.net/pesticides/acetoprole.html. Most of the active ingredients described above are referred to hereinabove by a so-called "common name", the relevant "ISO common name" or another "common name" being used in individual cases. If the designation is not a "common name", the nature of the designation used instead is given in round brackets for the particular compound; in that case, the IUPAC name, the
IUPAC/Chemical Abstracts name, a "chemical name", a "traditional name", a "compound name" or a "development code" is used or, if neither one of those designations nor a "common name" is used, an "alternative name" is employed. “CAS Reg. No” means the Chemical Abstracts Registry Number. The active ingredient mixture of the compounds of formula I selected from the compounds defined in the Tables D-1 to D-24 and Table P with active ingredients described above comprises a compound selected from one compound defined in the Tables D-1 to D-24 and Table P and an active ingredient as described above preferably in a mixing ratio of from 100:1 to 1:6000, especially from 50:1 to 1:50, more especially in a ratio of from 20:1 to 1:20, even more especially from 10:1 to 1:10, very especially from 5:1 to 1:5, special preference being given to a ratio of from 2:1 to 1:2, and a ratio of from 4:1 to 2:1 being likewise preferred, above all in a ratio of 1:1, or 5:1, or 5:2, or 5:3, or 5:4, or 4:1, or 4:2, or 4:3, or 3:1, or 3:2, or 2:1, or 1:5, or 2:5, or 3:5, or 4:5, or 1:4, or 2:4, or 3:4, or 1:3, or 2:3, or 1:2, or 1:600, or 1:300, or 1:150, or 1:35, or 2:35, or 4:35, or 1:75, or 2:75, or 4:75, or 1:6000, or 1:3000, or 1:1500, or 1:350, or 2:350, or 4:350, or 1:750, or 2:750, or 4:750. Those mixing ratios are by weight. The compounds and mixtures as described above can be used in a method for controlling pests, which comprises applying a composition comprising a compound or mixture respectively as described above to the pests or their environment, with the exception of a method for treatment of the human or animal body by surgery or therapy and diagnostic methods practised on the human or animal body. The mixtures comprising a compound of formula I selected from the compounds defined in the Tables D-1 to D-24 and Table P and one or more active ingredients as described above can be applied, for example, in a single “ready-mix” form, in a combined spray mixture composed from separate formulations of the single active ingredient components, such as a “tank-mix”, and in a combined use of the single active ingredients when applied in a sequential manner, i.e. one after the other with a reasonably short period, such as a few hours or days. The order of applying the compounds of formula I and the active ingredients as described above is not essential for working the present invention. The compositions according to the invention can also comprise further solid or liquid auxiliaries, such as stabilizers, for example unepoxidized or epoxidized vegetable oils (for example epoxidized coconut oil, rapeseed oil or soya oil), antifoams, for example silicone oil, preservatives, viscosity regulators, binders and/or tackifiers, fertilizers or other active ingredients for achieving specific effects, for example bactericides, fungicides, nematocides, plant activators, molluscicides or herbicides. The compositions according to the invention are prepared in a manner known per se, in the absence of auxiliaries for example by grinding, screening and/or compressing a solid active ingredient and in the presence of at least one auxiliary for example by intimately mixing and/or grinding the active ingredient with the auxiliary (auxiliaries). These processes for the preparation of the compositions and the use of the compounds I for the preparation of these compositions are also a subject of the invention.
The application methods for the compositions, that is the methods of controlling pests of the abovementioned type, such as spraying, atomizing, dusting, brushing on, dressing, scattering or pouring - which are to be selected to suit the intended aims of the prevailing circumstances - and the use of the compositions for controlling pests of the abovementioned type are other subjects of the invention. Typical rates of concentration are between 0.1 and 1000 ppm, preferably between 0.1 and 500 ppm, of active ingredient. The rate of application per hectare is generally 1 to 2000 g of active ingredient per hectare, in particular 10 to 1000 g/ha, preferably 10 to 600 g/ha. A preferred method of application in the field of crop protection is application to the foliage of the plants (foliar application), it being possible to select frequency and rate of application to match the danger of infestation with the pest in question. Alternatively, the active ingredient can reach the plants via the root system (systemic action), by drenching the locus of the plants with a liquid composition or by incorporating the active ingredient in solid form into the locus of the plants, for example into the soil, for example in the form of granules (soil application). In the case of paddy rice crops, such granules can be metered into the flooded paddy-field. The compounds of formula I of the invention and compositions thereof are also be suitable for the protection of plant propagation material, for example seeds, such as fruit, tubers or kernels, or nursery plants, against pests of the abovementioned type. The propagation material can be treated with the compound prior to planting, for example seed can be treated prior to sowing. Alternatively, the compound can be applied to seed kernels (coating), either by soaking the kernels in a liquid composition or by applying a layer of a solid composition. It is also possible to apply the compositions when the propagation material is planted to the site of application, for example into the seed furrow during drilling. These treatment methods for plant propagation material and the plant propagation material thus treated are further subjects of the invention. Typical treatment rates would depend on the plant and pest/fungi to be controlled and are generally between 1 to 200 grams per 100 kg of seeds, preferably between 5 to 150 grams per 100 kg of seeds, such as between 10 to 100 grams per 100 kg of seeds. The term seed embraces seeds and plant propagules of all kinds including but not limited to true seeds, seed pieces, suckers, corns, bulbs, fruit, tubers, grains, rhizomes, cuttings, cut shoots and the like and means, in a preferred embodiment, true seeds. The present invention also comprises seeds coated or treated with or containing a compound of formula I. The term "coated or treated with and/or containing" generally signifies that the active ingredient is for the most part on the surface of the seed at the time of application, although a greater or lesser part of the ingredient may penetrate into the seed material, depending on the method of application. When the said seed product is (re)planted, it may absorb the active ingredient. In an embodiment, the present invention makes available a plant propagation material adhered thereto with a compound of formula I. Further, it is hereby made available, a composition comprising a plant propagation material treated with a compound of formula I. Seed treatment comprises all suitable seed treatment techniques known in the art, such as seed dressing, seed coating, seed dusting, seed soaking and seed pelleting. The seed treatment
application of the compound formula I can be carried out by any known methods, such as spraying or by dusting the seeds before sowing or during the sowing/planting of the seeds. The compounds of the invention can be distinguished from other similar compounds by virtue of greater efficacy at low application rates and/or different pest control, which can be verified by the person skilled in the art using the experimental procedures, using lower concentrations if necessary, for example 10 ppm, 5 ppm, 2 ppm, 1 ppm or 0.2 ppm; or lower application rates, such as 300, 200 or 100, mg of AI per m2. The greater efficacy can be observed by an increased safety profile (against non-target organisms above and below ground (such as fish, birds and bees), improved physico- chemical properties, or increased biodegradability). In each aspect and embodiment of the invention, "consisting essentially" and inflections thereof are a preferred embodiment of "comprising" and its inflections, and "consisting of" and inflections thereof are a preferred embodiment of "consisting essentially of” and its inflections. The disclosure in the present application makes available each and every combination of embodiments disclosed herein. It should be noted that the disclosure herein in respect of a compound of formula I applies equally in respect of a compound of each of formulae I-1, I*, I’a, I-1, I-2, I-1’; I-2’, I-1’a, I-2’a, Ia, Ic, Id, I-D and Tables D-1 to D-24. Biological Examples: The Examples which follow serve to illustrate the invention. Certain compounds of the invention can be distinguished from known compounds by virtue of greater efficacy at low application rates, which can be verified by the person skilled in the art using the experimental procedures outlined in the Examples, using lower application rates if necessary, for example 50 ppm, 24 ppm, 12.5 ppm, 6 ppm, 3 ppm, 1.5 ppm, 0.8 ppm or 0.2 ppm. Example B1: Bemisia tabaci (Cotton white fly): Feeding/contact activity Cotton leaf discs were placed on agar in 24-well microtiter plates and sprayed with aqueous test solutions prepared from 10'000 ppm DMSO stock solutions. After drying the leaf discs were infested with adult white flies. The samples were checked for mortality 6 days after incubation. The following compounds resulted in at least 80% mortality at an application rate of 200 ppm: P.2, P.8. Example B2: Diabrotica balteata (Corn root worm) Maize sprouts placed onto an agar layer in 24-well microtiter plates were treated with aqueous test solutions prepared from 10'000 ppm DMSO stock solutions by spraying. After drying, the plates were infested with L2 larvae (6 to 10 per well). The samples were assessed for mortality and growth inhibition in comparison to untreated samples 4 days after infestation.
The following compounds gave an effect of at least 80% control in at least one of the two categories (mortality or growth inhibition) at an application rate of 200 ppm: P.1, P.3, P.4, P.7, P.8, P.9, P.27, P.28. Example B3: Chilo suppressalis (Striped rice stemborer) 24-well microtiter plates with artificial diet were treated with aqueous test solutions prepared from 10'000 ppm DMSO stock solutions by pipetting. After drying, the plates were infested with L2 larvae (6-8 per well). The samples were assessed for mortality, anti-feeding effect, and growth inhibition in comparison to untreated samples 6 days after infestation. Control of Chilo suppressalis by a test sample is given when at least one of the categories mortality, anti-feedant effect, and growth inhibition is higher than the untreated sample. The following compounds resulted in at least 80% control in at least one of the three categories (mortality, anti-feedant effect, or growth inhibition) at an application rate of 200 ppm: P.2, P.3, P.4, P.7, P.8, P.9, P.26. Example B4: Plutella xylostella (Diamond back moth) 24-well microtiter plates with artificial diet were treated with aqueous test solutions prepared from 10'000 ppm DMSO stock solutions by pipetting. After drying, Plutella eggs were pipetted through a plastic stencil onto a gel blotting paper and the plate was closed with it. The samples were assessed for mortality and growth inhibition in comparison to untreated samples 8 days after infestation. The following compounds gave an effect of at least 80% control in at least one of the two categories (mortality or growth inhibition) at an application rate of 200 ppm: P.1, P.2, P.3, P.4, P.7, P.8, P.9, P.10, P.26, P.27, P.28. Example B5: Myzus persicae (Green peach aphid) Feeding/Contact activity Sunflower leaf discs were placed onto agar in a 24-well microtiter plate and sprayed with aqueous test solutions prepared from 10'000 ppm DMSO stock solutions. After drying, the leaf discs were infested with an aphid population of mixed ages. The samples were assessed for mortality 6 days after infestation. The following compounds resulted in at least 80% mortality at an application rate of 200 ppm: P.1, P.8. Example B6: Myzus persicae (Green peach aphid) Intrinsic activity Test compounds prepared from 10'000 ppm DMSO stock solutions were applied by pipette into 24- well microtiter plates and mixed with sucrose solution. The plates were closed with a stretched Parafilm. A plastic stencil with 24 holes was placed onto the plate and infested pea seedlings were
placed directly on the Parafilm. The infested plate was closed with a gel blotting paper and another plastic stencil and then turned upside down. The samples were assessed for mortality 5 days after infestation. The following compounds resulted in at least 80% mortality at a test rate of 12 ppm: P.3. Example B7: Spodoptera littoralis (Egyptian cotton leaf worm) Cotton leaf discs were placed onto agar in 24-well microtiter plates and sprayed with aqueous test solutions prepared from 10'000 ppm DMSO stock solutions. After drying the leaf discs were infested with five L1 larvae. The samples were assessed for mortality, anti-feeding effect, and growth inhibition in comparison to untreated samples 3 days after infestation. Control of Spodoptera littoralis by a test sample is given when at least one of the categories mortality, anti-feedant effect, and growth inhibition is higher than the untreated sample. The following compounds resulted in at least 80% control in at least one of the three categories (mortality, anti-feedant effect, or growth inhibition) at an application rate of 200 ppm: P.1, P.3, P.4, P.9, P.26. Example B8: Tetranychus urticae (Two-spotted spider mite):Feeding/contact activity Bean leaf discs on agar in 24-well microtiter plates were sprayed with aqueous test solutions prepared from 10'000 ppm DMSO stock solutions. After drying the leaf discs were infested with a mite population of mixed ages. The samples were assessed for mortality on mixed population (mobile stages) 8 days after infestation. The following compounds resulted in at least 80% mortality at an application rate of 200 ppm: P.30.
Claims
CLAIMS 1. A compound of the formula I
wherein A1, A2, A3 and A4 are independently CR5 or N, provided not more than three of A1, A2, A3 and A4 are N; R1 is hydrogen, C1-C6alkyl, C1-C6cyanoalkyl, aminocarbonylC1-C6alkyl, hydroxycarbonylC1-C6alkyl, C1- C6nitroalkyl, trimethylsilaneC1-C6alkyl, C1-C3alkoxy-C1-C6alkyl, C1–C6haloalkyl, C2-C6alkenyl, C2- C6haloalkenyl, C2-C6alkynyl, C2-C6haloalkynyl, C3-C4cycloalkylC1-C2alkyl-, C3-C4cycloalkylC1-C2alkyl- wherein the C3-C4cycloalkyl group is substituted with 1 or 2 halogen atoms, oxetan-3-yl-CH2-, C1- C6alkylcarbonyl, C1-C6alkoxycarbonyl, phenyloxycarbonyl, benzyloxycarbonyl, benzyl or benzyl substituted with 1 to 3 substituents independently selected from halogen, C1-C6alkoxy and C1- C6haloalkyl; R2 is selected from one of the bicyclic heterocycles U1 to U52, in which the bond to the N atom is marked with an asterisk #:
n is an integer from 0 to 4; m is an integer from 0 to 2; X is selected from the group consisting of hydrogen, halogen, hydroxy, -CN, -COOH, -CONH2, -NO2, -NH2, and in each case optionally substituted C1-C6alkyl, C3-C6cycloalkyl, C3-C4cycloalkyl-C1-C2alkyl, C1-C4alkoxy, C3-C6cyloalkoxy, C1-C3alkylthio, C1-C3alkylsulfinyl, C1-C3alkylsulfonyl, C3- C6cycloalkylthio, phenylsulfanyl, phenylsulfinyl, phenylsulfonyl, -NH(C1-C4alkyl), -N(C1-C4alkyl)2, -NHCO-C1-C4alkyl, -NHCO-C3-C6cycloalkyl, -NHSO2(C1-C4alkyl), -N(C1-C4alkyl)CO-C1-C4alkyl, -N(C1- C4alkyl)CO-C3-C6cycloalkyl, -N(C1-C4alkyl)SO2C1-C4alkyl, -N(SO2C1-C4alkyl)2, -CO2C1-C4alkyl, -CONH(C1-C4alkyl), -CONH(C3-C6cycloalkyl), -CONH-phenyl, -CONHSO2(C1-C4alkyl), -CON(C1- C4alkyl)2, -CON(C1-C4alkyl)(C3-C6cycloalkyl), -CON(C1-C4alkyl)-phenyl, -CON(C1-C4alkyl)SO2C1- C4alkyl, -C(=NOC1-C4alkyl)-C1-C4alkyl; and 4-6 membered heterocyclyl containing 1-2 heteroatoms selected from the group consisting of N and O and optionally substituted with 1-2 substituents selected from the group consisting of methyl and ethyl; Z is selected from the group consisting of hydrogen, halogen, hydroxy, -CN, -COOH, -CONH2, -NO2, -NH2, and in each case optionally substituted C1-C6alkyl, C3-C6cycloalkyl, C3-C4cycloalkyl-C1-C2alkyl, C1-C3haloalkyl, C1-C4alkoxy, C1-C3haloalkoxy, C1-C3alkylthio, C1-C3alkylsulfinyl, C1-C3alkylsulfonyl, C1-
C3haloalkylthio, C1-C3haloalkylsulfinyl, C1-C3haloalkylsulfonyl,-NH(C1-C4alkyl), -N(C1-C4alkyl)2, -NHCO-C1-C4alkyl, -NHCO-C3-C6cycloalkyl, -NHSO2(C1-C4alkyl), -N(C1-C4alkyl)CO-C1-C4alkyl, -N(C1- C4alkyl)CO-C3-C6cycloalkyl, -N(C1-C4alkyl)SO2C1-C4alkyl, -N(SO2C1-C4alkyl)2, -CO2C1-C4alkyl, -CONH(C1-C4alkyl), -CONH(C3-C6cycloalkyl), -CONH-phenyl, -CONHSO2(C1-C4alkyl), -CON(C1- C4alkyl)2, -CON(C1-C4alkyl)(C3-C6cycloalkyl), -CON(C1-C4alkyl)-phenyl, -CON(C1-C4alkyl)SO2C1- C4alkyl, -C(=NOC1-C4alkyl)H, -C(=NOC1-C4alkyl)-C1-C4alkyl; Z1 is hydrogen, or in each case optionally substituted C1-C6alkyl, C3-C6cycloalkyl, C1-C4alkoxy or C3- C4cycloalkyl-C1-C2alkyl; R3 is C1-C3alkyl or C1-C3haloalkyl; R4 is pyridine, pyrimidine, pyrazine or pyridazine; or R4 is pyridine, pyrimidine, pyrazine or pyridazine each of which, independently of each other, is substituted with one to two substituents independently selected from C1-C3alkyl, C1-C3haloalkyl, C1-C3alkoxy, C3-C4cycloalkyl, halogen, hydroxyl, CN, C1- C6haloalkoxy, C2-C6haloalkenyloxy, C2-C6haloalkynyloxy, C3-C4halocycloalkoxy, NH2C(O)-, NH2C(S)-, (OH)N=C(NH2)- and a 5-membered heteroaryl ring optionally substituted by 1 to 3 substituents independently selected from halogen, C1-C3alkyl, C1-C3haloalkyl, C1-C3alkoxy and C1-C3haloalkoxy; or R4 is selected from the group consisting of Y1, Y2, Y3, and Y4
wherein, R’4a, R’4b, and R’4c, independently of each other and independently of Y1 to Y4, are selected from hydrogen, halogen, CN, C1-C3alkyl, C1-C3haloalkyl, C3-C4cycloalkyl, C1-C3alkoxy, and C1- C3haloalkoxy; R5 is hydrogen, halogen, CN, C1-C3alkyl, C1-C3haloalkyl, C3-C4cycloalkyl, C1-C3alkoxy, C1- C3haloalkoxy, C1-C3alkoxycarbonyl, or di(C1-C3alkoxy)methane; or an agrochemically acceptable salt, stereoisomer, enantiomer, tautomer and N-oxide of the compound of formula I. 2. The compound according to claim 1 wherein formula I is represented by the formula I-1
wherein R1, R2, including n, m, X, Z and Z1, R3 and R4 are each defined as in claim 1, and R5a and R5b are, independently of each other, selected from hydrogen, halogen, CN, C1-C3alkyl, C1-C3haloalkyl, C3-C4cycloalkyl, C1-C3alkoxy, and C1-C3haloalkoxy; or an agrochemically acceptable salt, stereoisomer, enantiomer, tautomer and N-oxide of the compound of formula I-1. 3. The compound according to either claim 1 or claim 2 wherein R1 is hydrogen, methyl, ethyl, allyl, propargyl or cyclopropyl-methyl. 4. The compound according to any one of claims 1 to 3 wherein R2 is selected from U1 to U5 with n is 1, 2 or 3, m is 0 or 1; X is selected from hydrogen, fluorine, chlorine, bromine, iodine, -CN, - NO2, methyl, ethyl, isopropyl, tert-butyl, difluoromethyl, trifluoromethyl, pentafluoroethyl, cyclopropyl, cyclobutyl, cyclopropyl-methyl, cyclopropyl-1,1-difuoro-methyl, methoxy, difluoromethoxy, trifluoromethoxy, cyclopropyloxy, cyclopropylthio, methylthio, ethylthio, methylsulfinyl, methylsulfonyl, difluoromethylthio, difluoromethylsulfinyl, difluoromethylsulfonyl, trifluoromethylthio, trifluoromethylsulfinyl, trifluoromethylsulfonyl, and phenylsulfonyl; Z is selected from the group consisting of hydrogen, fluorine, chlorine, bromine, methyl, ethyl, cyclopropyl and cyclopropyl-methyl; Z1 is hydrogen or methyl; R3 is methyl; R4 is 5-cylopropylpyridine, 5-fluoropyridine, 5-chloropyridine, 5- bromopyridine, 5-difluoromethoxypyridine, 5-trifluoromethoxypyridine, 5-cyanopyridine, 5-(2,2- difluoroethoxy)-pyridine, 5-(2,2,2-trifluoroethoxy)-pyridine, pyridine, 5-cylopropylpyrimidine, 5- fluoropyrimidine, 5-chloropyrimidine, 5-bromopyrimidine, 5-difluoromethoxypyrimidine, 5- trifluoromethoxypyrimidine, 5-cyanopyrimidine, 5-(2,2-difluoroethoxy)-pyrimidine, 5-(2,2,2- trifluoroethoxy)-pyrimidine, or pyrimidine; or R4 is Y-2 with R’4b and R’4c are both hydrogen; and R5a and R5b are both hydrogen. 5. The compound according to any one of claims 1 to 4, wherein formula I is represented by formula I-2
wherein R1, R2 (including n, m, X, Z and Z1), and R3 are as defined in any one of claims 1 to 4, and Q1 is selected from Qba to Qbf;
or an agrochemically acceptable salt, stereoisomer, enantiomer, tautomer and N-oxide of the compound of formula I-2. 6. A compound according to claim 1, selected from the group consisting of. 6-[3-[1-[[6-chloro-5-(trifluoromethyl)-1,3-benzoxazol-2-yl]amino]ethyl]pyrazin-2-yl]pyridine-3- carbonitrile; 6-[3-[1-[[7-chloro-5-(trifluoromethyl)-1,3-benzoxazol-2-yl]amino]ethyl]pyrazin-2-yl]pyridine-3- carbonitrile; 6-chloro-N-[1-(3-pyrimidin-2-ylpyrazin-2-yl)ethyl]-5-(trifluoromethyl)-1,3-benzoxazol-2-amine; 7-chloro-N-[1-(3-pyrimidin-2-ylpyrazin-2-yl)ethyl]-5-(trifluoromethyl)-1,3-benzoxazol-2-amine; 6-[3-[1-[[6-chloro-5-(trifluoromethyl)-1,3-benzoxazol-2-yl]-(cyclopropylmethyl)amino]ethyl]pyrazin-2- yl]pyridine-3-carbonitrile; 6-[3-[1-[[7-chloro-5-(trifluoromethyl)-1,3-benzoxazol-2-yl]-(cyclopropylmethyl)amino]ethyl]pyrazin-2- yl]pyridine-3-carbonitrile; 6-chloro-N-(cyclopropylmethyl)-N-[1-(3-pyrimidin-2-ylpyrazin-2-yl)ethyl]-5-(trifluoromethyl)-1,3- benzoxazol-2-amine;
7-chloro-N-(cyclopropylmethyl)-N-[1-(3-pyrimidin-2-ylpyrazin-2-yl)ethyl]-5-(trifluoromethyl)-1,3- benzoxazol-2-amine; 6-chloro-N-methyl-N-[1-(3-pyrimidin-2-ylpyrazin-2-yl)ethyl]-5-(trifluoromethyl)-1,3-benzoxazol-2-amine; 6-[3-[1-[[6-chloro-5-(trifluoromethyl)-1,3-benzoxazol-2-yl]-methyl-amino]ethyl]pyrazin-2-yl]pyridine-3- carbonitrile; 6-[(1S)-1-[[6-chloro-5-(trifluoromethyl)-1,3-benzoxazol-2-yl]amino]ethyl]-5-(5-cyano-2-pyridyl)pyrazine- 2-carbonitrile; 6-[3-[(1S)-1-[[6-chloro-5-(trifluoromethyl)-1,3-benzoxazol-2-yl]amino]ethyl]-5-methyl-pyrazin-2- yl]pyridine-3-carbonitrile; 6-chloro-N-[1-(6-methoxy-3-pyrimidin-2-yl-pyrazin-2-yl)ethyl]-5-(trifluoromethyl)-1,3-benzoxazol-2- amine; 6-[3-[(1S)-1-[[6-chloro-5-(trifluoromethyl)-1,3-benzoxazol-2-yl]amino]ethyl]-5-cyclopropyl-pyrazin-2- yl]pyridine-3-carbonitrile; 6-[5-chloro-3-[(1S)-1-[[6-chloro-5-(trifluoromethyl)-1,3-benzoxazol-2-yl]amino]ethyl]pyrazin-2- yl]pyridine-3-carbonitrile; N-[(1S)-1-[3-(5-bromo-2-pyridyl)-6-methyl-pyrazin-2-yl]ethyl]-6-chloro-5-(trifluoromethyl)-1,3- benzoxazol-2-amine; 6-chloro-N-[1-(6-methyl-3-pyrimidin-2-yl-pyrazin-2-yl)ethyl]-5-(trifluoromethyl)-1,3-benzoxazol-2-amine; 7-chloro-N-[1-(6-methyl-3-pyrimidin-2-yl-pyrazin-2-yl)ethyl]-5-(trifluoromethyl)-1,3-benzoxazol-2-amine; N-[(1S)-1-[3-(5-bromo-2-pyridyl)-6-methyl-pyrazin-2-yl]ethyl]-7-chloro-5-(trifluoromethyl)-1,3- benzoxazol-2-amine; 6-[5-chloro-3-[(1S)-1-[[7-chloro-5-(trifluoromethyl)-1,3-benzoxazol-2-yl]amino]ethyl]pyrazin-2- yl]pyridine-3-carbonitrile; 6-[3-[(1S)-1-[[7-chloro-5-(trifluoromethyl)-1,3-benzoxazol-2-yl]amino]ethyl]-5-cyclopropyl-pyrazin-2- yl]pyridine-3-carbonitrile; 7-chloro-N-[1-(6-methoxy-3-pyrimidin-2-yl-pyrazin-2-yl)ethyl]-5-(trifluoromethyl)-1,3-benzoxazol-2- amine; 6-[3-[(1S)-1-[[7-chloro-5-(trifluoromethyl)-1,3-benzoxazol-2-yl]amino]ethyl]-5-methyl-pyrazin-2- yl]pyridine-3-carbonitrile; 6-[(1S)-1-[[7-chloro-5-(trifluoromethyl)-1,3-benzoxazol-2-yl]amino]ethyl]-5-(5-cyano-2-pyridyl)pyrazine- 2-carbonitrile; 6-[3-[1-[[7-chloro-5-(trifluoromethyl)-1,3-benzoxazol-2-yl]-methyl-amino]ethyl]pyrazin-2-yl]pyridine-3- carbonitrile; 7-chloro-N-methyl-N-[1-(3-pyrimidin-2-ylpyrazin-2-yl)ethyl]-5-(trifluoromethyl)-1,3-benzoxazol-2-amine 6-[3-[1-[[4,7-dichloro-6-(trifluoromethyl)-1,3-benzoxazol-2-yl]-methyl-amino]ethyl]pyrazin-2-yl]pyridine- 3-carbonitrile; 6-[3-[1-[[4,7-dichloro-6-(trifluoromethyl)-1,3-benzoxazol-2-yl]amino]ethyl]pyrazin-2-yl]pyridine-3- carbonitrile;
6-[3-[1-[[4-chloro-6-(trifluoromethyl)-1,3-benzoxazol-2-yl]amino]ethyl]pyrazin-2-yl]pyridine-3- carbonitrile; and 6-[3-[1-[[4-chloro-6-(trifluoromethyl)-1,3-benzoxazol-2-yl]-methyl-amino]ethyl]pyrazin-2-yl]pyridine-3- carbonitrile. 7. A composition comprising a compound as defined in any one of claims 1 to 6, one or more auxiliaries and diluent, and optionally one or more other active ingredient. 8. A method of combating and controlling insects, acarines, nematodes or molluscs which comprises applying to a pest, to a locus of a pest, or to a plant susceptible to attack by a pest an insecticidally, acaricidally, nematicidally or molluscicidally effective amount of a compound as defined in any one of claims 1 to 6 or a composition as defined in claim 7. 9. A method for the protection of plant propagation material from the attack by insects, acarines, nematodes or molluscs, which comprises treating the propagation material or the site, where the propagation material is planted, with an effective amount of a compound as defined in any one of claims 1 to 6 or a composition as defined in claim 7. 10. A method of controlling parasites in or on an animal in need thereof comprising administering an effective amount of a compound as defined in any one of claims 1 to 6 or a composition as defined in claim 7. 11. A plant propagation material, such as a seed, comprising, or treated with or adhered thereto, a compound as defined in any one of claims 1 to 6 or a composition as defined in claim 7. 12. A compound of formula II(i)
wherein R2 is one of U1 to U52 as defined in claim 1 or claim 4, and X1 is chlorine, fluorine, bromine or iodine. 13. A compound of formula IV(i)
wherein R2 is one of U1 to U52 as defined in claim 1 or claim 4.
Applications Claiming Priority (2)
| Application Number | Priority Date | Filing Date | Title |
|---|---|---|---|
| IN202011049731 | 2020-11-13 | ||
| IN202011049731 | 2020-11-13 |
Publications (1)
| Publication Number | Publication Date |
|---|---|
| WO2022101265A1 true WO2022101265A1 (en) | 2022-05-19 |
Family
ID=78599028
Family Applications (1)
| Application Number | Title | Priority Date | Filing Date |
|---|---|---|---|
| PCT/EP2021/081238 Ceased WO2022101265A1 (en) | 2020-11-13 | 2021-11-10 | Pesticidally active fused bicyclic heteroaromatic compounds |
Country Status (1)
| Country | Link |
|---|---|
| WO (1) | WO2022101265A1 (en) |
Citations (54)
| Publication number | Priority date | Publication date | Assignee | Title |
|---|---|---|---|---|
| EP0353191A2 (en) | 1988-07-29 | 1990-01-31 | Ciba-Geigy Ag | DNA sequences encoding polypeptides having beta-1,3-glucanase activity |
| EP0367474A1 (en) | 1988-11-01 | 1990-05-09 | Mycogen Corporation | Novel bacillus thuringiensis isolate denoted b.t. ps81gg, active against lepidopteran pests, and a gene encoding a lepidopteran-active toxin |
| EP0374753A2 (en) | 1988-12-19 | 1990-06-27 | American Cyanamid Company | Insecticidal toxines, genes coding therefor, antibodies binding them, transgenic plant cells and plants expressing these toxines |
| EP0392225A2 (en) | 1989-03-24 | 1990-10-17 | Ciba-Geigy Ag | Disease-resistant transgenic plants |
| WO1990013651A1 (en) | 1989-05-09 | 1990-11-15 | Imperial Chemical Industries Plc | Bacterial genes |
| EP0401979A2 (en) | 1989-05-18 | 1990-12-12 | Mycogen Corporation | Novel bacillus thuringiensis isolates active against lepidopteran pests, and genes encoding novel lepidopteran-active toxins |
| EP0427529A1 (en) | 1989-11-07 | 1991-05-15 | Pioneer Hi-Bred International, Inc. | Larvicidal lectins and plant insect resistance based thereon |
| EP0451878A1 (en) | 1985-01-18 | 1991-10-16 | Plant Genetic Systems, N.V. | Modifying plants by genetic engineering to combat or control insects |
| WO1993007278A1 (en) | 1991-10-04 | 1993-04-15 | Ciba-Geigy Ag | Synthetic dna sequence having enhanced insecticidal activity in maize |
| WO1995033818A2 (en) | 1994-06-08 | 1995-12-14 | Ciba-Geigy Ag | Genes for the synthesis of antipathogenic substances |
| WO1995034656A1 (en) | 1994-06-10 | 1995-12-21 | Ciba-Geigy Ag | Novel bacillus thuringiensis genes coding toxins active against lepidopteran pests |
| US5631072A (en) | 1995-03-10 | 1997-05-20 | Avondale Incorporated | Method and means for increasing efficacy and wash durability of insecticide treated fabric |
| WO2000015615A1 (en) | 1998-09-15 | 2000-03-23 | Syngenta Participations Ag | Pyridine ketones useful as herbicides |
| WO2002015701A2 (en) | 2000-08-25 | 2002-02-28 | Syngenta Participations Ag | Bacillus thuringiensis crystal protein hybrids |
| WO2002088073A1 (en) | 2001-04-28 | 2002-11-07 | Aventis Pharma Deutschland Gmbh | Anthranilic acid amides, method for the production thereof, their use as antiarrhythmia agents, and pharmaceutical preparations thereof |
| WO2003000906A2 (en) | 2001-06-22 | 2003-01-03 | Syngenta Participations Ag | Plant disease resistance genes |
| WO2003018810A2 (en) | 2001-08-31 | 2003-03-06 | Syngenta Participations Ag | Modified cry3a toxins and nucleic acid sequences coding therefor |
| WO2003034823A1 (en) | 2001-10-25 | 2003-05-01 | Siamdutch Mosquito Netting Company Limited | Treatment of fabric materials with an insecticide |
| WO2003052073A2 (en) | 2001-12-17 | 2003-06-26 | Syngenta Participations Ag | Novel corn event |
| WO2005064072A2 (en) | 2003-12-22 | 2005-07-14 | Basf Aktiengesellschaft | Composition for the impregnation of fibers, fabrics and nettings imparting a protective activity against pests |
| WO2005113886A1 (en) | 2004-05-12 | 2005-12-01 | Basf Aktiengesellschaft | Method for the treatment of flexible substrates |
| EP1724392A2 (en) | 2005-05-04 | 2006-11-22 | Fritz Blanke Gmbh & Co. Kg | Process for the microbicidal finishing of textile surfaces |
| WO2006128870A2 (en) | 2005-06-03 | 2006-12-07 | Basf Aktiengesellschaft | Composition for the impregnation of fibers, fabrics and nettings imparting a protective activity against pests |
| WO2007090739A1 (en) | 2006-02-03 | 2007-08-16 | Basf Se | Process for treating substrates |
| WO2008151984A1 (en) | 2007-06-12 | 2008-12-18 | Basf Se | Aqueous formulation and process for the impregnation of non-living-materials imparting a protective activity against pests |
| WO2011138281A2 (en) | 2010-05-06 | 2011-11-10 | Bayer Cropscience Ag | Process for the preparation of dithiine tetracarboxydiimides |
| WO2014006945A1 (en) | 2012-07-04 | 2014-01-09 | アグロカネショウ株式会社 | 2-aminonicotinic acid ester derivative and bactericide containing same as active ingredient |
| WO2014095675A1 (en) | 2012-12-19 | 2014-06-26 | Bayer Cropscience Ag | Difluoromethyl-nicotinic-indanyl carboxamides as fungicides |
| WO2015155075A1 (en) | 2014-04-11 | 2015-10-15 | Syngenta Participations Ag | Fungicidal n'-[2-methyl-6-[2-alkoxy-ethoxy]-3-pyridyl]-n-alkyl-formamidine derivatives for use in agriculture |
| WO2016156085A1 (en) | 2015-03-27 | 2016-10-06 | Syngenta Participations Ag | Microbiocidal heterobicyclic derivatives |
| WO2016156290A1 (en) | 2015-04-02 | 2016-10-06 | Bayer Cropscience Aktiengesellschaft | Novel 5-substituted imidazole derivatives |
| WO2016202742A1 (en) | 2015-06-15 | 2016-12-22 | Bayer Cropscience Aktiengesellschaft | Halogen-substituted phenoxyphenylamidines and the use thereof as fungicides |
| WO2017025510A1 (en) | 2015-08-12 | 2017-02-16 | Syngenta Participations Ag | Microbiocidal heterobicyclic derivatives |
| WO2017029179A1 (en) | 2015-08-14 | 2017-02-23 | Bayer Cropscience Aktiengesellschaft | Triazole derivatives, intermediates thereof and their use as fungicides |
| WO2017055469A1 (en) | 2015-10-02 | 2017-04-06 | Syngenta Participations Ag | Microbiocidal oxadiazole derivatives |
| WO2017055473A1 (en) | 2015-10-02 | 2017-04-06 | Syngenta Participations Ag | Microbiocidal oxadiazole derivatives |
| WO2017093348A1 (en) | 2015-12-02 | 2017-06-08 | Syngenta Participations Ag | Microbiocidal oxadiazole derivatives |
| WO2017118689A1 (en) | 2016-01-08 | 2017-07-13 | Syngenta Participations Ag | Microbiocidal oxadiazole derivatives |
| WO2017153380A1 (en) | 2016-03-10 | 2017-09-14 | Syngenta Participations Ag | Microbiocidal quinoline (thio)carboxamide derivatives |
| WO2017192385A1 (en) | 2016-05-05 | 2017-11-09 | Elanco Tiergesundheit Ag | Heteroaryl-1,2,4-triazole and heteroaryl-tetrazole compounds for controlling ectoparasites |
| WO2017220485A1 (en) | 2016-06-21 | 2017-12-28 | Syngenta Participations Ag | Microbiocidal oxadiazole derivatives |
| WO2018065414A1 (en) | 2016-10-06 | 2018-04-12 | Syngenta Participations Ag | Microbiocidal oxadiazole derivatives |
| WO2018153707A1 (en) | 2017-02-22 | 2018-08-30 | Basf Se | Crystalline forms of a strobilurin type compound for combating phytopathogenic fungi |
| WO2018158365A1 (en) | 2017-03-03 | 2018-09-07 | Syngenta Participations Ag | Microbiocidal oxadiazole derivatives |
| WO2018202428A1 (en) | 2017-05-02 | 2018-11-08 | Basf Se | Fungicidal mixture comprising substituted 3-phenyl-5-(trifluoromethyl)-1,2,4-oxadiazoles |
| WO2018228896A1 (en) | 2017-06-14 | 2018-12-20 | Syngenta Participations Ag | Fungicidal compositions |
| WO2019110427A1 (en) | 2017-12-04 | 2019-06-13 | Syngenta Participations Ag | Microbiocidal phenylamidine derivatives |
| WO2020070049A1 (en) | 2018-10-02 | 2020-04-09 | Syngenta Participations Ag | Pesticidally active benzene- and azine-amide compounds |
| WO2020201398A1 (en) | 2019-04-05 | 2020-10-08 | Syngenta Crop Protection Ag | Pesticidally active diazine-amide compounds |
| WO2020201079A1 (en) | 2019-03-29 | 2020-10-08 | Syngenta Crop Protection Ag | Pesticidally active diazine-amide compounds |
| WO2020212235A1 (en) | 2019-04-15 | 2020-10-22 | Bayer Animal Health Gmbh | Novel heteroaryl-substituted aminoalkyl azole compounds as pesticides |
| WO2021037614A1 (en) | 2019-08-23 | 2021-03-04 | Syngenta Crop Protection Ag | Pesticidally active pyrazine-amide compounds |
| WO2021083936A1 (en) * | 2019-11-01 | 2021-05-06 | Syngenta Crop Protection Ag | Pesticidally active fused bicyclic heteroaromatic compounds |
| WO2021110891A1 (en) * | 2019-12-04 | 2021-06-10 | Syngenta Crop Protection Ag | Pesticidally active fused bicyclic heteroaromatic amino compounds |
-
2021
- 2021-11-10 WO PCT/EP2021/081238 patent/WO2022101265A1/en not_active Ceased
Patent Citations (54)
| Publication number | Priority date | Publication date | Assignee | Title |
|---|---|---|---|---|
| EP0451878A1 (en) | 1985-01-18 | 1991-10-16 | Plant Genetic Systems, N.V. | Modifying plants by genetic engineering to combat or control insects |
| EP0353191A2 (en) | 1988-07-29 | 1990-01-31 | Ciba-Geigy Ag | DNA sequences encoding polypeptides having beta-1,3-glucanase activity |
| EP0367474A1 (en) | 1988-11-01 | 1990-05-09 | Mycogen Corporation | Novel bacillus thuringiensis isolate denoted b.t. ps81gg, active against lepidopteran pests, and a gene encoding a lepidopteran-active toxin |
| EP0374753A2 (en) | 1988-12-19 | 1990-06-27 | American Cyanamid Company | Insecticidal toxines, genes coding therefor, antibodies binding them, transgenic plant cells and plants expressing these toxines |
| EP0392225A2 (en) | 1989-03-24 | 1990-10-17 | Ciba-Geigy Ag | Disease-resistant transgenic plants |
| WO1990013651A1 (en) | 1989-05-09 | 1990-11-15 | Imperial Chemical Industries Plc | Bacterial genes |
| EP0401979A2 (en) | 1989-05-18 | 1990-12-12 | Mycogen Corporation | Novel bacillus thuringiensis isolates active against lepidopteran pests, and genes encoding novel lepidopteran-active toxins |
| EP0427529A1 (en) | 1989-11-07 | 1991-05-15 | Pioneer Hi-Bred International, Inc. | Larvicidal lectins and plant insect resistance based thereon |
| WO1993007278A1 (en) | 1991-10-04 | 1993-04-15 | Ciba-Geigy Ag | Synthetic dna sequence having enhanced insecticidal activity in maize |
| WO1995033818A2 (en) | 1994-06-08 | 1995-12-14 | Ciba-Geigy Ag | Genes for the synthesis of antipathogenic substances |
| WO1995034656A1 (en) | 1994-06-10 | 1995-12-21 | Ciba-Geigy Ag | Novel bacillus thuringiensis genes coding toxins active against lepidopteran pests |
| US5631072A (en) | 1995-03-10 | 1997-05-20 | Avondale Incorporated | Method and means for increasing efficacy and wash durability of insecticide treated fabric |
| WO2000015615A1 (en) | 1998-09-15 | 2000-03-23 | Syngenta Participations Ag | Pyridine ketones useful as herbicides |
| WO2002015701A2 (en) | 2000-08-25 | 2002-02-28 | Syngenta Participations Ag | Bacillus thuringiensis crystal protein hybrids |
| WO2002088073A1 (en) | 2001-04-28 | 2002-11-07 | Aventis Pharma Deutschland Gmbh | Anthranilic acid amides, method for the production thereof, their use as antiarrhythmia agents, and pharmaceutical preparations thereof |
| WO2003000906A2 (en) | 2001-06-22 | 2003-01-03 | Syngenta Participations Ag | Plant disease resistance genes |
| WO2003018810A2 (en) | 2001-08-31 | 2003-03-06 | Syngenta Participations Ag | Modified cry3a toxins and nucleic acid sequences coding therefor |
| WO2003034823A1 (en) | 2001-10-25 | 2003-05-01 | Siamdutch Mosquito Netting Company Limited | Treatment of fabric materials with an insecticide |
| WO2003052073A2 (en) | 2001-12-17 | 2003-06-26 | Syngenta Participations Ag | Novel corn event |
| WO2005064072A2 (en) | 2003-12-22 | 2005-07-14 | Basf Aktiengesellschaft | Composition for the impregnation of fibers, fabrics and nettings imparting a protective activity against pests |
| WO2005113886A1 (en) | 2004-05-12 | 2005-12-01 | Basf Aktiengesellschaft | Method for the treatment of flexible substrates |
| EP1724392A2 (en) | 2005-05-04 | 2006-11-22 | Fritz Blanke Gmbh & Co. Kg | Process for the microbicidal finishing of textile surfaces |
| WO2006128870A2 (en) | 2005-06-03 | 2006-12-07 | Basf Aktiengesellschaft | Composition for the impregnation of fibers, fabrics and nettings imparting a protective activity against pests |
| WO2007090739A1 (en) | 2006-02-03 | 2007-08-16 | Basf Se | Process for treating substrates |
| WO2008151984A1 (en) | 2007-06-12 | 2008-12-18 | Basf Se | Aqueous formulation and process for the impregnation of non-living-materials imparting a protective activity against pests |
| WO2011138281A2 (en) | 2010-05-06 | 2011-11-10 | Bayer Cropscience Ag | Process for the preparation of dithiine tetracarboxydiimides |
| WO2014006945A1 (en) | 2012-07-04 | 2014-01-09 | アグロカネショウ株式会社 | 2-aminonicotinic acid ester derivative and bactericide containing same as active ingredient |
| WO2014095675A1 (en) | 2012-12-19 | 2014-06-26 | Bayer Cropscience Ag | Difluoromethyl-nicotinic-indanyl carboxamides as fungicides |
| WO2015155075A1 (en) | 2014-04-11 | 2015-10-15 | Syngenta Participations Ag | Fungicidal n'-[2-methyl-6-[2-alkoxy-ethoxy]-3-pyridyl]-n-alkyl-formamidine derivatives for use in agriculture |
| WO2016156085A1 (en) | 2015-03-27 | 2016-10-06 | Syngenta Participations Ag | Microbiocidal heterobicyclic derivatives |
| WO2016156290A1 (en) | 2015-04-02 | 2016-10-06 | Bayer Cropscience Aktiengesellschaft | Novel 5-substituted imidazole derivatives |
| WO2016202742A1 (en) | 2015-06-15 | 2016-12-22 | Bayer Cropscience Aktiengesellschaft | Halogen-substituted phenoxyphenylamidines and the use thereof as fungicides |
| WO2017025510A1 (en) | 2015-08-12 | 2017-02-16 | Syngenta Participations Ag | Microbiocidal heterobicyclic derivatives |
| WO2017029179A1 (en) | 2015-08-14 | 2017-02-23 | Bayer Cropscience Aktiengesellschaft | Triazole derivatives, intermediates thereof and their use as fungicides |
| WO2017055469A1 (en) | 2015-10-02 | 2017-04-06 | Syngenta Participations Ag | Microbiocidal oxadiazole derivatives |
| WO2017055473A1 (en) | 2015-10-02 | 2017-04-06 | Syngenta Participations Ag | Microbiocidal oxadiazole derivatives |
| WO2017093348A1 (en) | 2015-12-02 | 2017-06-08 | Syngenta Participations Ag | Microbiocidal oxadiazole derivatives |
| WO2017118689A1 (en) | 2016-01-08 | 2017-07-13 | Syngenta Participations Ag | Microbiocidal oxadiazole derivatives |
| WO2017153380A1 (en) | 2016-03-10 | 2017-09-14 | Syngenta Participations Ag | Microbiocidal quinoline (thio)carboxamide derivatives |
| WO2017192385A1 (en) | 2016-05-05 | 2017-11-09 | Elanco Tiergesundheit Ag | Heteroaryl-1,2,4-triazole and heteroaryl-tetrazole compounds for controlling ectoparasites |
| WO2017220485A1 (en) | 2016-06-21 | 2017-12-28 | Syngenta Participations Ag | Microbiocidal oxadiazole derivatives |
| WO2018065414A1 (en) | 2016-10-06 | 2018-04-12 | Syngenta Participations Ag | Microbiocidal oxadiazole derivatives |
| WO2018153707A1 (en) | 2017-02-22 | 2018-08-30 | Basf Se | Crystalline forms of a strobilurin type compound for combating phytopathogenic fungi |
| WO2018158365A1 (en) | 2017-03-03 | 2018-09-07 | Syngenta Participations Ag | Microbiocidal oxadiazole derivatives |
| WO2018202428A1 (en) | 2017-05-02 | 2018-11-08 | Basf Se | Fungicidal mixture comprising substituted 3-phenyl-5-(trifluoromethyl)-1,2,4-oxadiazoles |
| WO2018228896A1 (en) | 2017-06-14 | 2018-12-20 | Syngenta Participations Ag | Fungicidal compositions |
| WO2019110427A1 (en) | 2017-12-04 | 2019-06-13 | Syngenta Participations Ag | Microbiocidal phenylamidine derivatives |
| WO2020070049A1 (en) | 2018-10-02 | 2020-04-09 | Syngenta Participations Ag | Pesticidally active benzene- and azine-amide compounds |
| WO2020201079A1 (en) | 2019-03-29 | 2020-10-08 | Syngenta Crop Protection Ag | Pesticidally active diazine-amide compounds |
| WO2020201398A1 (en) | 2019-04-05 | 2020-10-08 | Syngenta Crop Protection Ag | Pesticidally active diazine-amide compounds |
| WO2020212235A1 (en) | 2019-04-15 | 2020-10-22 | Bayer Animal Health Gmbh | Novel heteroaryl-substituted aminoalkyl azole compounds as pesticides |
| WO2021037614A1 (en) | 2019-08-23 | 2021-03-04 | Syngenta Crop Protection Ag | Pesticidally active pyrazine-amide compounds |
| WO2021083936A1 (en) * | 2019-11-01 | 2021-05-06 | Syngenta Crop Protection Ag | Pesticidally active fused bicyclic heteroaromatic compounds |
| WO2021110891A1 (en) * | 2019-12-04 | 2021-06-10 | Syngenta Crop Protection Ag | Pesticidally active fused bicyclic heteroaromatic amino compounds |
Non-Patent Citations (19)
| Title |
|---|
| "Manual on Development and Use of FAO and WHO Specifications for Pesticides", 2010, SOUTHERN ILLINOIS UNIVERSITY |
| "McCutcheon's Detergents and Emulsifiers Annual", 1981, MC PUBLISHING CORP |
| "The Pesticide Manual - A World Compendium", THE BRITISH CROP PROTECTION COUNCIL, article "The Pesticide Manual" |
| ADV. SYNTH. CATAL., vol. 349, 2007, pages 1481 - 1488 |
| ADV. SYNTH. CATAL., vol. 360, 2018, pages 2157 - 2165 |
| BASTIN, R.J. ET AL.: "Salt Selection and Optimization Procedures for Pharmaceutical New Chemical Entities", ORGANIC PROCESS RESEARCH AND DEVELOPMENT, vol. 4, 2000, pages 427 - 435 |
| BERGE, S.M. ET AL.: "Pharmaceutical Salts", JOURNAL OF PHARMACEUTICAL SCIENCES, vol. 66, 1977, pages 1 - 19, XP002675560, DOI: 10.1002/jps.2600660104 |
| CAS , no. 1255091-74-7 |
| CHEM. REV., vol. 109, 2009, pages 2551 - 2651 |
| GOULD, P.L.: "Salt selection for basic drugs", INTERNATIONAL JOURNAL OF PHARMACEUTICS, vol. 33, 1986, pages 201 - 217, XP025813036, DOI: 10.1016/0378-5173(86)90055-4 |
| J. AM. CHEM. SOC., vol. 112, 1990, pages 5290 - 5313 |
| J. AM. CHEM. SOC., vol. 136, 2014, pages 7539 - 7542 |
| J. AM. CHEM. SOC., vol. 137, 2015, pages 3996 - 4009 |
| J. MED. CHEM., vol. 32, no. 12, 1989, pages 2561 - 73 |
| J. ORG. CHEM., vol. 56, 1991, pages 2656 - 2665 |
| J. ORG. CHEM., vol. 72, 2007, pages 6918 - 6923 |
| J. ORG. CHEM., vol. 82, 2017, pages 5607 |
| ORG. LETT., vol. 18, 2016, pages 4518 - 4521 |
| SYNLETT, vol. 25, 2014, pages 596 |
Similar Documents
| Publication | Publication Date | Title |
|---|---|---|
| EP3867237B1 (en) | Pesticidally active azole-amide compounds | |
| US12152020B2 (en) | Pesticidally active azole-amide compounds | |
| EP4051673A1 (en) | Pesticidally active fused bicyclic heteroaromatic compounds | |
| EP4017851A1 (en) | Pesticidally active pyrazine-amide compounds | |
| WO2020208036A1 (en) | Pesticidally active diazine-amide compounds | |
| US20210298306A1 (en) | Pesticidally active azole-amide compounds | |
| AU2020255265A1 (en) | Pesticidally active diazine-amide compounds | |
| EP3947358A1 (en) | Pesticidally active diazine-amide compounds | |
| WO2021122645A1 (en) | Pesticidally active azole-amide compounds | |
| EP3927694A1 (en) | Pesticidally active azole-amide compounds | |
| EP4069688B1 (en) | Pesticidally active fused bicyclic heteroaromatic amino compounds | |
| WO2020188027A1 (en) | Pesticidally active azole amide compounds | |
| AU2020347859A1 (en) | Pesticidally active cyclic amine compounds | |
| WO2022053567A1 (en) | Pesticidally active heterocyclic derivatives with sulfur containing substituents | |
| WO2025045837A1 (en) | Pesticidally active indazole compounds | |
| EP4103549A1 (en) | Pesticidally active cyclic amine compounds | |
| WO2024110215A1 (en) | Pesticidally active cyclic amine compounds | |
| WO2021213929A1 (en) | Pesticidally active substituted 1,3-dihydro-2h-imidazo[4,5-c]pyridin-2-one derivatives with sulfur containing substituents | |
| WO2022101265A1 (en) | Pesticidally active fused bicyclic heteroaromatic compounds | |
| AU2022318251A1 (en) | Pesticidally active fused bicyclic heteroaromatic compounds | |
| WO2021175822A1 (en) | Pesticidally amidine-substituted benzoic acid amide compounds | |
| WO2021144354A1 (en) | Pesticidally-active bicyclic heteroaromatic compounds |
Legal Events
| Date | Code | Title | Description |
|---|---|---|---|
| 121 | Ep: the epo has been informed by wipo that ep was designated in this application |
Ref document number: 21806272 Country of ref document: EP Kind code of ref document: A1 |
|
| NENP | Non-entry into the national phase |
Ref country code: DE |
|
| 122 | Ep: pct application non-entry in european phase |
Ref document number: 21806272 Country of ref document: EP Kind code of ref document: A1 |


































































































