WO2022083949A1 - Compositions and their use - Google Patents
Compositions and their use Download PDFInfo
- Publication number
- WO2022083949A1 WO2022083949A1 PCT/EP2021/075443 EP2021075443W WO2022083949A1 WO 2022083949 A1 WO2022083949 A1 WO 2022083949A1 EP 2021075443 W EP2021075443 W EP 2021075443W WO 2022083949 A1 WO2022083949 A1 WO 2022083949A1
- Authority
- WO
- WIPO (PCT)
- Prior art keywords
- methyl
- acid
- range
- preferred
- composition according
- Prior art date
- Legal status (The legal status is an assumption and is not a legal conclusion. Google has not performed a legal analysis and makes no representation as to the accuracy of the status listed.)
- Ceased
Links
Classifications
-
- C—CHEMISTRY; METALLURGY
- C11—ANIMAL OR VEGETABLE OILS, FATS, FATTY SUBSTANCES OR WAXES; FATTY ACIDS THEREFROM; DETERGENTS; CANDLES
- C11D—DETERGENT COMPOSITIONS; USE OF SINGLE SUBSTANCES AS DETERGENTS; SOAP OR SOAP-MAKING; RESIN SOAPS; RECOVERY OF GLYCEROL
- C11D3/00—Other compounding ingredients of detergent compositions covered in group C11D1/00
- C11D3/16—Organic compounds
- C11D3/26—Organic compounds containing nitrogen
- C11D3/30—Amines; Substituted amines ; Quaternized amines
-
- C—CHEMISTRY; METALLURGY
- C11—ANIMAL OR VEGETABLE OILS, FATS, FATTY SUBSTANCES OR WAXES; FATTY ACIDS THEREFROM; DETERGENTS; CANDLES
- C11D—DETERGENT COMPOSITIONS; USE OF SINGLE SUBSTANCES AS DETERGENTS; SOAP OR SOAP-MAKING; RESIN SOAPS; RECOVERY OF GLYCEROL
- C11D3/00—Other compounding ingredients of detergent compositions covered in group C11D1/00
- C11D3/16—Organic compounds
- C11D3/26—Organic compounds containing nitrogen
- C11D3/33—Amino carboxylic acids
-
- C—CHEMISTRY; METALLURGY
- C11—ANIMAL OR VEGETABLE OILS, FATS, FATTY SUBSTANCES OR WAXES; FATTY ACIDS THEREFROM; DETERGENTS; CANDLES
- C11D—DETERGENT COMPOSITIONS; USE OF SINGLE SUBSTANCES AS DETERGENTS; SOAP OR SOAP-MAKING; RESIN SOAPS; RECOVERY OF GLYCEROL
- C11D3/00—Other compounding ingredients of detergent compositions covered in group C11D1/00
- C11D3/16—Organic compounds
- C11D3/37—Polymers
- C11D3/3703—Macromolecular compounds obtained otherwise than by reactions only involving carbon-to-carbon unsaturated bonds
- C11D3/3707—Polyethers, e.g. polyalkyleneoxides
-
- C—CHEMISTRY; METALLURGY
- C11—ANIMAL OR VEGETABLE OILS, FATS, FATTY SUBSTANCES OR WAXES; FATTY ACIDS THEREFROM; DETERGENTS; CANDLES
- C11D—DETERGENT COMPOSITIONS; USE OF SINGLE SUBSTANCES AS DETERGENTS; SOAP OR SOAP-MAKING; RESIN SOAPS; RECOVERY OF GLYCEROL
- C11D3/00—Other compounding ingredients of detergent compositions covered in group C11D1/00
- C11D3/16—Organic compounds
- C11D3/37—Polymers
- C11D3/3703—Macromolecular compounds obtained otherwise than by reactions only involving carbon-to-carbon unsaturated bonds
- C11D3/3723—Polyamines or polyalkyleneimines
-
- C—CHEMISTRY; METALLURGY
- C11—ANIMAL OR VEGETABLE OILS, FATS, FATTY SUBSTANCES OR WAXES; FATTY ACIDS THEREFROM; DETERGENTS; CANDLES
- C11D—DETERGENT COMPOSITIONS; USE OF SINGLE SUBSTANCES AS DETERGENTS; SOAP OR SOAP-MAKING; RESIN SOAPS; RECOVERY OF GLYCEROL
- C11D3/00—Other compounding ingredients of detergent compositions covered in group C11D1/00
- C11D3/16—Organic compounds
- C11D3/38—Products with no well-defined composition, e.g. natural products
- C11D3/386—Preparations containing enzymes, e.g. protease or amylase
-
- C—CHEMISTRY; METALLURGY
- C11—ANIMAL OR VEGETABLE OILS, FATS, FATTY SUBSTANCES OR WAXES; FATTY ACIDS THEREFROM; DETERGENTS; CANDLES
- C11D—DETERGENT COMPOSITIONS; USE OF SINGLE SUBSTANCES AS DETERGENTS; SOAP OR SOAP-MAKING; RESIN SOAPS; RECOVERY OF GLYCEROL
- C11D2111/00—Cleaning compositions characterised by the objects to be cleaned; Cleaning compositions characterised by non-standard cleaning or washing processes
- C11D2111/10—Objects to be cleaned
- C11D2111/12—Soft surfaces, e.g. textile
-
- C—CHEMISTRY; METALLURGY
- C11—ANIMAL OR VEGETABLE OILS, FATS, FATTY SUBSTANCES OR WAXES; FATTY ACIDS THEREFROM; DETERGENTS; CANDLES
- C11D—DETERGENT COMPOSITIONS; USE OF SINGLE SUBSTANCES AS DETERGENTS; SOAP OR SOAP-MAKING; RESIN SOAPS; RECOVERY OF GLYCEROL
- C11D2111/00—Cleaning compositions characterised by the objects to be cleaned; Cleaning compositions characterised by non-standard cleaning or washing processes
- C11D2111/10—Objects to be cleaned
- C11D2111/14—Hard surfaces
Definitions
- compositions and their use
- compositions comprising
- X 1 is selected from hydrogen and methyl and ethyl and combinations of at least two of the foregoing, preferred are methyl and more preferred is hydrogen, n is in the range of from 1 to 4,
- detergent compositions such as, but not limited to laundry detergents have to fulfil several requirements. They need to remove all sorts of soiling, for example all sorts of pigments, clay, fatty soil, and dyestuffs including dyestuff from food and drinks such as red wine, tea, coffee, and fruit including berry juices. Detergents also need to exhibit a certain storage stability.
- greasy stains from numerous types of surfaces is an objective of current interest. While greasy soilings offer a challenge in laundry care it is particularly difficult to remove such greasy stains after their thermal treatment. Examples are greasy stains in ovens that have been treated at temperatures in the range of 200°C or higher. Examples are greasy stains in cooking utensils such as pots and pans, and in ovens.
- compositions defined at the outset have been found, hereinafter also referred to as inventive compositions or compositions according to the present invention.
- inventive compositions will be described in more detail below.
- compositions comprise
- polymer (A) a polymer, hereinafter also briefly referred to as “polymer (A)” or simply (A), wherein said polymer (A) comprises
- core (a) a core, hereinafter also briefly referred to as core (a) or simply as (a), wherein core (a) bears one to 3 moieties of the general formula (I) wherein Z are different is selected from C2-Ci2-alkylene and C3-Ci2-cycloalkylene wherein C2-Ci2-alkylene and C3-Ci2-cycloalkylene may be non-substituted or substituted with one or more O-Ci-C4-alkyl groups and wherein C3-Ci2-cycloalkylene may bear one to three methyl groups,
- X 1 is selected from hydrogen and methyl and ethyl and combinations of at least two of the foregoing, preferred are methyl and more preferred is hydrogen, n is in the range of from 1 to 4, (b) polyalkylene chains,
- hydrolase (C) and, optionally, at least one hydrolase (C), hereinafter also referred to as “hydrolase (C)”.
- C 2 -Ci 2 -alkylene for example -CH 2 CH 2 -, -(CH 2 ) 3 -, -(CH 2 ) 4 -, -(CH 2 ) 5 -, -(CH 2 ) 6 -, -(CH 2 ) 8 -, -(CH 2 )I 0 -, -(CH 2 )I 2 -, wherein C 2 -Ci 2 -alkylene may be straight-chain or branched, non-substituted or substituted with one or more O-Ci-C4-alkyl groups and
- C3-Ci 2 -cycloalkylene wherein C3-Ci 2 -cycloalkylene may be non-substituted or substituted with one or more O-Ci-C4-alkyl groups, and where C3-Ci 2 -cycloalkylene may bear one to three methyl groups, preferably C 5 -Cio-cycloalkylene such as 1 ,3-cyclopentylene, 1 ,2-cyclopentylidene, 1 ,2-cyclohexylene, 1 ,3-cyclohexylene, 1 ,4-cyclohexylene, 1 -methyl-2,4-cyclohexylene, 1 - methyl-2,6-cyclohexylene, 1 ,3-cycloheptylene, 1 ,4-cylooctylene, 1 ,5-cyclooctylene, wherein C 2 -Ci 2 -alkylene and C3-Ci 2 -cycloalky
- X 1 is selected from hydrogen and methyl and ethyl and combinations of at least two of the foregoing, preferred are methyl and more preferred is hydrogen, preferred is hydrogen, n is in the range of from 1 to 4, preferably 1 to 3 and more preferably 1 to 2,
- the free valences on the nitrogen atoms in formula (I) bear polyalkylene chains (b) or -CH2-CH(X 1 )-O-CHX 1 -CH2-N-Z-N units, or hydrogen atoms.
- the free valences on the nitrogen atoms in formula (I) bear polyalkylene chains (b) or -CH2-CH(X 1 )-O-CHX 1 -CH2-N-Z-N units.
- all Z in polymer (A) are selected from cyclohexylene and cyclopentylene, each non-substituted or substituted with one to two methyl or methoxy groups.
- Z are isomers to each other and/or differ in the variable n. Even more preferably, Z are isomers.
- a preferred example of Z is a combination - thus a mixture of isomers - according to the formulae
- polymer (A) has an average molecular weight M w in the range of from 1 ,500 to 80,000 g/mol, preferably 5,000 to 50,000 g/mol.
- the average molecular weight may be determined, e.g., by gel permeation chromatography (GPC) in tetrahydrofuran (THE) as mobile phase, with linear polymethyl methacrylate (“PM MA”) as standard.
- polymer (A) has a molecular weight distribution Mw/M n in the range of from 1 .1 to 2.5.
- polymer (A) has a Hazen colour number in the range of from 20 to 500, determined in a 10 % weight aqueous solution. In one embodiment of the present invention, polymer (A) has an OH value, measured according to DIN 53240 (2013), in the range of from 20 to 650, preferably 30 to 100 mg KOH/g polymer (A).
- polymer (A) has a total amine value in the range of from 10 to 650, preferably 10 to 510 and more preferably 10 to 80 mg KOH/g polymer (A), determined according to ASTM D2074-07.
- Polymer (A) furthermore bears
- polyalkylene oxide chains may be derived from C2-C4- alkylene oxide.
- C2-C4-alkylene oxides are ethylene oxide deficitEO“), propylene oxide (“PO”), butylene oxide (“BuO”), and combinations of at least two of the foregoing, for example ethylene oxide and propylene oxide or ethylene oxide and butylene oxide.
- Preferred are propylene oxide and ethylene oxide, more preferred are combinations from ethylene oxide and propylene oxide.
- the weight ratio of core (a) to polyalkylene oxide chains (b) in polymer (a) is in the range of from 1 to 100 up to 1 to 4, preferred are 1 to 50 up to 1 to 9.
- polymer (A) has an average molecular weight M w in the range of from 1 ,500 to 80,000 g/mol, preferably 5,000 to 50,000 g/mol.
- the average molecular weight may be determined, e.g., by gel permeation chromatography (GPC) in tetrahydrofuran (THF) as mobile phase, with linear polymethyl methacrylate (“PM MA”) as standard.
- polymer (A) has a molecular weight distribution Mw/M n in the range of from 1 .1 to 2.5.
- polymer (A) has a Hazen colour number in the range of from 20 to 500, determined in a 10 % weight aqueous solution.
- polymer (A) has an OH value, measured according to DIN 53240 (2013), in the range of from 20 to 650, preferably 30 to 100 mg KOH/g polymer (A). In one embodiment of the present invention, polymer (A) has a total amine value in the range of from 10 to 650, preferably 10 to 510 and more preferably 10 to 80 mg KOH/g polymer (A), determined according to ASTM D2074-07.
- compositions further contain
- (B) at least one builder component selected from aminopolycarboxylic acids and preferably their alkali metal salts, in the context of the present invention also referred to as complexing agent (B) or sequestrant (B).
- complexing agent (B) or sequestrant (B) in the context of the present invention also referred to as complexing agent (B) or sequestrant (B).
- sequestrants and chelating agents are used interchangeably.
- sequestrants (B) are alkali metal salts of MGDA (methyl glycine diacetic acid), GLDA (glutamic acid diacetic acid), IDS (iminodisuccinate), , EDTA, and polymers with complexing groups like, for example, polyethylen imine in which 20 to 90 mole-% of the N-atoms bear at least one CH 2 COO _ group, and their respective alkali metal salts, especially their sodium salts, for example MGDA-Na 3 , GLDA-Na4, or IDS-Na4.
- Preferred sequestrants are those according to general formula (II a)
- said inventive composition contains a combination of at least two of the foregoing, for example a combination of chelating agent according to general formula (II a) and a chelating agent according to general formula (II b).
- Chelating agents according to the general formulae (II a) and (II b) are preferred. Even more preferred are chelating agents according to the general formula (II a).
- compound according to general formula (II b) is selected from at least one alkali metal salt of a mixture of L- and D- enantiomers according to formula (II b), said mixture containing the racemic mixture or preferably predominantly the respective L-isomer, for example with an enantiomeric excess (ee) in the range of from 5 to 99%, preferably 15 to 95%.
- the enantiomeric excess of compound according to general formula (II a) may be determined by measuring the polarization (polarimetry) or preferably by chromatography, for example by HPLC with a chiral column, for example with one or more cyclodextrins as immobilized phase or with a ligand exchange (Pirkle-brush) concept chiral stationary phase. Preferred is determination of the ee by HPLC with an immobilized optically active amine such as D-penicillamine in the presence of copper(+l I) salt.
- the enantiomeric excess of compound according to general formula (II b) salts may be determined by measuring the polarization (polarimetry).
- compositions are free from phosphate.
- Free from phosphate should be understood in the context of the present invention as meaning that the content of phosphate and polyphosphate is in sum in the range of from detection level to 1% by weight, preferably from 10 ppm to 0.2% by weight, determined by gravimetry.
- inventive compositions contain in the range of from 0.5 to 50% by weight of sequestrant (B), preferably 1 to 35% by weight, referring to the total solids content.
- compositions may further comprise at least one hydrolase (C).
- Hydrolases are identified by polypeptide sequences (also called amino acid sequences herein).
- the polypeptide sequence specifies the three-dimensional structure including the “active site” of an enzyme which in turn determines the catalytic activity of the same.
- Polypeptide sequences may be identified by a SEQ ID NO. According to the World Intellectual Property Office (WIPO) Standard ST.25 (1998) the amino acids herein are represented using three-letter code with the first letter as a capital or the corresponding one letter.
- Any hydrolase (C) relates to the respective parent enzymes and/or variant enzymes, both having enzymatic activity.
- Enzymes having enzymatic activity are enzymatically active or exert enzymatic conversion, meaning that enzymes act on substrates and convert these into products.
- a “parent” sequence (of a parent protein or enzyme, also called “parent enzyme”) is the starting sequence for introduction of changes (e.g. by introducing one or more amino acid substitutions, insertions, deletions, or a combination thereof) to the sequence, resulting in “variants” of the parent sequences.
- the term parent enzyme (or parent sequence) includes wild-type enzymes (sequences) and synthetically generated sequences (enzymes) which are used as starting sequences for introduction of (further) changes.
- enzyme variant or “sequence variant” or “variant enzyme” refers to an enzyme that differs from its parent enzyme in its amino acid sequence to a certain extent. If not indicated otherwise, variant enzyme “having enzymatic activity” means that this variant enzyme has the same type of enzymatic activity as the respective parent enzyme.
- Amino acid substitutions are described by providing the original amino acid of the parent enzyme followed by the number of the position within the amino acid sequence, followed by the substituted amino acid.
- Amino acid deletions are described by providing the original amino acid of the parent enzyme followed by the number of the position within the amino acid sequence, followed by *.
- Amino acid insertions are described by providing the original amino acid of the parent enzyme followed by the number of the position within the amino acid sequence, followed by the original amino acid and the additional amino acid. For example, an insertion at position 180 of lysine next to glycine is designated as “Gly180GlyLys” or “G180GK”.
- Enzyme variants may be defined by their sequence identity when compared to a parent enzyme. Sequence identity usually is provided as “% sequence identity” or “% identity”. For calculation of sequence identities, in a first step a sequence alignment has to be produced. According to this invention, a pairwise global alignment has to be produced, meaning that two sequences have to be aligned over their complete length, which is usually produced by using a mathematical approach, called alignment algorithm. According to the invention, the alignment is generated by using the algorithm of Needleman and Wunsch (J. Mol. Biol. (1979) 48, p. 443-453).
- EM- BOSS European Molecular Biology Open Software Suite
- %-identity (identical residues / length of the alignment region which is showing the respective sequence of this invention over its complete length) *100.
- enzyme variants may be described as an amino acid sequence which is at least n% identical to the amino acid sequence of the respective parent enzyme with “n” being an integer between 10 and 100.
- variant enzymes are at least 70%, at least 75%, at least 80%, at least 81%, at least 82%, at least 83%, at least 84%, at least
- Enzymatic activity means the catalytic effect exerted by an enzyme, which usually is expressed as units per milligram of enzyme (specific activity) which relates to molecules of substrate transformed per minute per molecule of enzyme (molecular activity).
- Variant enzymes may have enzymatic activity according to the present invention when said enzyme variants exhibit at least 20%, at least 25%, at least 30%, at least 35%, at least 40%, at least 45%, at 10 least 50%, at least 55%, at least 60%, at least 65%, at least 70%, at least 75%, at least 80%, at least 85%, at least 90%, at least 95%, or 100% of the enzymatic activity of the respective parent enzyme.
- hydrolase (C) is selected from proteases, amylases, lipases, cellulases, and mannanases.
- inventive compositions may further comprise (C) at least one lipase, hereinafter also referred to as lipase (C).
- Lipases include those of bacterial or fungal origin.
- lipase examples include but are not limited to those sold under the trade names LipolaseTM, LipexTM, LipolexTM and LipocleanTM (Novozymes A/S), PreferenzTM L (DuPont), Lumafast (originally from Genencor) and Lipomax (Gist-Brocades/ now DSM).
- lipase (C) is selected from the following: lipases from Humicola (synonym Thermomyces), e.g. from H. lanuginosa (T. lanuginosus) as described in EP 258068, EP 305216, WO 92/05249 and WO 2009/109500 or from H. insolens as described in WO 96/13580; lipases derived from Rhizomucor miehei as described in WO 92/05249; lipase from strains of Pseudomonas (some of these now renamed to Burkholderia), e.g. from P. alcali- genes or P.
- pseudoalcaligenes EP 218272, WO 94/25578, WO 95/30744, WO 95/35381 , WO 96/00292
- P. cepacia EP 3313766
- P. stutzeri G 1372034
- P. fluorescens Pseudomonas sp. strain SD705 (WO 95/06720 and WO 96/27002)
- P. wisconsinensis WO 96/12012
- Pseudomonas mendocina WO 95/14783
- P. glumae WO 95/35381 , WO 96/00292
- lipase from Streptomyces griseus WO 2011/150157
- Suitable lipases (C) include also those which are variants of the above described lipases which have lipolytic activity. Such suitable lipase variants are e.g. those which are developed by methods as disclosed in WO 95/22615, WO 97/04079, WO 97/07202, WO 00/60063, WO 2007/087508, EP 407225 and EP 260105. Suitable lipase variants are e.g. those which are developed by methods as disclosed in WO 95/22615, WO 97/04079, WO 97/07202, WO 00/60063, WO 2007/087508, EP 407225 and EP 260105.
- Suitable lipases (C) include also those that are variants of the above described lipases which have lipolytic activity.
- Suitable lipase variants include variants with at least 40 to 100% identity when compared to the full length polypeptide sequence of the parent enzyme as disclosed above.
- lipase variants having lipolytic activity may be at least 40%, at least 45%, at least 50%, at least 55%, at least 60%, at least 65%, at least 70%, at least 75%, at least
- Lipases have “lipolytic activity”.
- the methods for determining lipolytic activity are well-known in the literature (see e.g. Gupta et al. (2003), BiotechnoL AppL Biochem. 37, p. 63-71 ).
- the lipase activity may be measured by ester bond hydrolysis in the substrate para-nitrophenyl palmitate (pNP-Palmitate, C:16) and releases pNP which is yellow and can be detected at 405 nm.
- lipase (C) is selected from fungal triacylglycerol lipase (EC class 3.1 .1 .3).
- Fungal triacylglycerol lipase may be selected from lipases of Thermomyces lanuginosa.
- at least one Thermomyces lanuginosa lipase is selected from triacylglycerol lipase according to amino acids 1 -269 of SEQ ID NO: 2 of US5869438 and variants thereof having lipolytic activity.
- Thermomyces lanuginosa lipase may be selected from variants having lipolytic activity which are at least 90%, at least 91 %, at least 92%, at least 93%, at least 94%, at least 95%, at least 96%, at least 97%, at least 98% or at least 99% identical when compared to the full length polypeptide sequence of amino acids 1 -269 of SEQ ID NO: 2 of US 5,869,438.
- Thermomyces lanuginosa lipase may be selected from variants having lipolytic activity comprising conservative mutations only, which do not pertain the functional domain of amino acids 1 - 269 of SEQ ID NO: 2 of US 5,869,438.
- Lipase variants of this embodiment having lipolytic activity may be at least 95%, at least 96%, at least 97%, at least 98% or at least 99% similar when compared to the full length polypeptide sequence of amino acids 1 -269 of SEQ ID NO: 2 of US 5,869,438.
- Thermomyces lanuginosa lipase may be selected from variants having lipolytic activity comprising at least the following amino acid substitutions when compared to amino acids 1 -269 of SEQ ID NO: 2 of US 5,869,438: T231 R and N233R.
- Said lipase variants may further comprise one or more of the following amino acid exchanges when compared to amino acids 1 -269 of SEQ ID NO: 2 of US 5,869,438: Q4V, V60S, A150G, L227G, P256K.
- Thermomyces lanuginosa lipase may be selected from variants having lipolytic activity comprising at least the amino acid substitutions T231 R, N233R, Q4V, V60S, A150G, L227G, P256K within the polypeptide sequence of amino acids 1 -269 of SEQ ID NO: 2 of US 5,869,438and are at least 95%, at least 96%, or at least 97% similar when compared to the full length polypeptide sequence of amino acids 1 -269 of SEQ ID NO: 2 of US 5,869,438.
- Thermomyces lanuginosa lipase may be selected from variants having lipolytic activity comprising the amino acid substitutions T231 R and N233R within amino acids 1 -269 of SEQ ID NO: 2 of US5869438 and are at least 95%, at least 96%, at least 97%, at least 98%, or at least 99% similar when compared to the full length polypeptide sequence of amino acids 1 -269 of SEQ ID NO: 2 of US 5,869,438.
- Thermomyces lanuginosa lipase may be a variant of amino acids 1 -269 of SEQ ID NO: 2 of US5869438 having lipolytic activity, wherein the variant of amino acids 1 -269 of SEQ ID NO: 2 of US 5,869,438is characterized in containing the amino acid substitutions T231 R and N233R. Said lipase may be called Lipex herein.
- a combination of at least two of the foregoing lipases (C) may be used.
- lipases (C) are included in inventive composition in such an amount that a finished inventive composition has a lipolytic enzyme activity in the range of from 100 to 0.005 LU/mg, preferably 25 to 0.05 LU/mg of the composition.
- inventive compositions comprise
- protease (C) at least one protease (C), hereinafter also referred to as protease (C).
- At least one protease (C) is selected from the group of serine endopeptidases (EC 3.4.21 ), most preferably selected from the group of subtilisin type proteases (EC 3.4.21 .62).
- Serine proteases or serine peptidases are characterized by having a serine in the catalytically active site, which forms a covalent adduct with the substrate during the catalytic reaction.
- a serine protease in the context of the present invention may be selected from the group consisting of chymotrypsin (e.g., EC 3.4.21 .1 ), elastase (e.g., EC 3.4.21 .36), elastase (e.g., EC 3.4.21 .37 or EC 3.4.21 .71 ), granzyme (e.g., EC 3.4.21 .78 or EC 3.4.21 .79), kallikrein (e.g., EC 3.4.21.34, EC 3.4.21.35, EC 3.4.21 .118, or EC 3.4.21 .119,) plasmin (e.g., EC 3.4.21 .7), trypsin (e.g., EC 3.4.21 .4), thrombin (e.g., EC 3.4.21 .5), and subtilisin.
- chymotrypsin
- subtilisin is also known as subtilopeptidase, e.g., EC 3.4.21 .62, the latter hereinafter also being referred to as “subtilisin”.
- the subtilisin related class of serine proteases shares a common amino acid sequence defining a catalytic triad which distinguishes them from the chymotrypsin related class of serine proteases.
- Subtilisins and chymotrypsin related serine proteases both have a catalytic triad comprising aspartate, histidine and serine.
- Proteases are active proteins exerting “protease activity” or “proteolytic activity”.
- Proteolytic activity is related to the rate of degradation of protein by a protease or proteolytic enzyme in a defined course of time.
- proteolytic activity may be determined by using Succinyl-Ala-Ala-Pro-Phe-p-nitroanilide (Suc-AAPF-pNA, short AAPF; see e.g. DelMar et al. (1979), Analytical Biochem 99, 316-320) as substrate.
- Ser-AAPF-pNA Succinyl-Ala-Ala-Pro-Phe-p-nitroanilide
- pNA is cleaved from the substrate molecule by proteolytic cleavage, resulting in release of yellow color of free pNA which can be quantified by measuring OD405.
- Proteolytic activity may be provided in units per gram enzyme.
- 1 U protease may correspond to the amount of protease which sets free 1 pmol folin-positive amino acids and peptides (as tyrosine) per minute at pH 8.0 and 37°C (casein as substrate).
- Proteases of the subtilisin type may be bacterial proteases originating from a microorganism selected from Bacillus, Clostridium, Enterococcus, Geobacillus, Lactobacillus, Lactococcus, Oceanobacillus, Staphylococcus, Streptococcus, or Streptomyces protease, or a Gram-negative bacterial polypeptide such as a Campylobacter, E. coli, Flavobacterium, Fuso- bacterium, Helicobacter, llyobacter, Neisseria, Pseudomonas, Salmonella, and Ureaplasma.
- At least one protease (C) is selected from the following: subtilisin from Bacillus amyloliquefaciens BPN' (described by Vasantha et al. (1984) J. Bacteriol. Volume 159, p. 811 -819 and JA Wells et al. (1983) in Nucleic Acids Research, Volume 1 1 , p. 7911 -7925); subtilisin from Bacillus licheniformis (subtilisin Carlsberg; disclosed in EL Smith et al. (1968) in J. Biol Chem, Volume 243, pp. 2184-2191 , and Jacobs et al. (1985) in NucL Acids Res, Vol 13, p.
- subtilisin PB92 original sequence of the alkaline protease PB92 is described in EP 283075 A2; subtilisin 147 and/or 309 (Esperase®, Savinase®, respectively) as disclosed in WO 89/06279; subtilisin from Bacillus lentus as disclosed in WO 91/02792, such as from Bacillus lentus DSM 5483 or the variants of Bacillus lentus DSM 5483 as described in WO 95/23221 ; subtilisin from Bacillus alcalophilus (DSM 11233) disclosed in DE 10064983; subtilisin from Bacillus gibsonii (DSM 14391 ) as disclosed in WO 2003/054184; subtilisin from Bacillus sp.
- Examples of useful proteases (C) in accordance with the present invention comprise the variants described in: WO 92/19729, WO 95/23221 , WO 96/34946, WO 98/201 15, WO 98/201 16, WO 99/11768, WO 01/44452, WO 02/088340, WO 03/006602, WO 2004/03186, WO 2004/041979, WO 2007/006305, WO 2011/036263, WO 201 1/036264, and WO 2011/072099.
- Suitable examples comprise especially variants of subtilisin protease derived from SEQ ID NO:22 as described in EP 1921147 (which is the sequence of mature alkaline protease from Bacillus lentus DSM 5483) with amino acid substitutions in one or more of the following positions: 3, 4, 9, 15, 24, 27, 33, 36, 57, 68, 76, 77, 87, 95, 96, 97, 98, 99, 100, 101 , 102, 103, 104, 106, 1 18, 120, 123, 128, 129, 130, 131 , 154, 160, 167, 170, 194, 195, 199, 205, 206, 217, 218, 222, 224, 232, 235, 236, 245, 248, 252 and 274 (according to the BPN' numbering), which have proteolytic activity.
- such a protease is not mutated at positions Asp32, His64 and Ser221 (according to BPN’ numbering).
- At least one protease (C) has a sequence according to SEQ ID NO:22 as described in EP 1921147, or a protease which is at least 80% identical thereto and has proteolytic activity.
- said protease is characterized by having amino acid glutamic acid (E), or aspartic acid (D), or asparagine (N), or glutamine (Q), or alanine (A), or glycine (G), or serine (S) at position 101 (according to BPN’ numbering) and has proteolytic activity.
- said protease comprises one or more further substitutions: (a) threonine at position 3 (3T), (b) isoleucine at position 4 (4I), (c) alanine, threonine or arginine at position 63 (63A, 63T, or 63R), (d) aspartic acid or glutamic acid at position 156 (156D or 156E), (e) proline at position 194 (194P), (f) methionine at position 199 (199M), (g) isoleucine at position 205 (205I), (h) aspartic acid, glutamic acid or glycine at position 217 (217D, 217E or 217G), (i) combinations of two or more amino acids according to (a) to (h).
- At least one protease (C) may be at least 80% identical to SEQ ID NO:22 as described in EP 1921147 and is characterized by comprising one amino acid (according to (a)-(h)) or combinations according to (i) together with the amino acid 101 E, 101 D, 101 N, 101 Q, 101 A, 101 G, or 101 S (according to BPN’ numbering).
- said protease is characterized by comprising the mutation (according to BPN’ numbering) R101 E, or S3T + V4I + V205I, or R101 E and S3T, V4I, and V205I, or S3T + V4I + V199M + V205I + L217D, and having proteolytic activity.
- protease according to SEQ ID NO:22 as described in EP 1921147 is characterized by comprising the mutation (according to BPN’ numbering) S3T + V4I + S9R + A15T + V68A + D99S + R101 S + A103S + 1104V + N218D, and having proteolytic activity.
- compositions for example 1 to 2% by weight of protease (C) and 0.1 to 0.5% by weight of lipase (C), both referring to the total weight of the composition.
- lipase (C) and/or protease (C) is deemed called stable when its enzymatic activity “available in application” equals at least 60% when compared to the initial enzymatic activity before storage.
- An enzyme may be called stable within this invention if its enzymatic activity available in application is at least 60%, at least 65%, at least 70%, at least 75%, at least 80%, at least 85%, at least 90%, at least 91 %, at least 92%, at least 93%, at least 94%, at least 95%, at least 96%, at least 97%, at least 98%, at least 99%, or at least 99.5% when compared to the initial enzymatic activity before storage.
- an enzyme is stable according to the invention when essentially no loss of enzymatic activity occurs during storage, i.e. loss in enzymatic activity equals 0% when compared to the initial enzymatic activity before storage.
- loss in enzymatic activity equals 0% when compared to the initial enzymatic activity before storage.
- Essentially no loss of enzymatic activity within this invention may mean that the loss of enzymatic activity is less than 30%, less than 25%, less than 20%, less than 15%, less than 10%, less than 9%, less than 8%, less than 7%, less than 6%, less than 5%.
- Advantageous detergent compositions for hard surface cleaners and advantageous laundry detergent compositions may contain one or more surfactant (D), preferably one or more nonionic surfactants (D).
- Preferred non-ionic surfactants are alkoxylated alcohols, di- and multiblock copolymers of ethylene oxide and propylene oxide and reaction products of sorbitan with ethylene oxide or propylene oxide, alkyl polyglycosides (APG), hydroxyalkyl mixed ethers and amine oxides.
- anionic surfactants (D) are alkali metal and ammonium salts of Cs-C -alkyl sulfates, of Cs-C -fatty alcohol polyether sulfates, of sulfuric acid half-esters of ethoxylated C4- Ci2-alkylphenols (ethoxylation: 1 to 50 mol of ethylene oxide/mol), C12-C18 sulfo fatty acid alkyl esters, for example of C12-C18 sulfo fatty acid methyl esters, furthermore of Ci2-Ci8-alkylsulfonic acids and of Cio-C -alkylarylsulfonic acids.
- anionic surfactants (D) are soaps, for example the sodium or potassium salts of stearic acid, oleic acid, palmitic acid, ether carboxylates, and alkylether phosphates.
- anionic surfactant (D) is selected from compounds according to general formula (III)
- R 1 n-Cio-Cis-alkyl, especially with an even number of carbon atoms, for example n-decyl, n- dodecyl, n-tetradecyl, n-hexadecyl, or n-octadecyl, preferably C -Cu-alkyl, and even more preferably n-Ci2-alkyl, x being a number in the range of from 1 to 5, preferably 2 to 4 and even more preferably 3.
- M being selected from alkali metals, preferably potassium and even more preferably sodium.
- anionic surfactant (D) may be an average number and therefore n is not necessarily a whole number, while in individual molecules according to formula (III), x denotes a whole number.
- inventive compositions may contain 0.1 to 60 % by weight of anionic surfactant (D), preferably 5 to 50 % by weight.
- Inventive compositions may comprise ingredients other than the aforementioned. Examples are non-ionic surfactants, fragrances, dyestuffs, biocides, preservatives, enzymes, hydrotropes, viscosity modifiers, polymers, buffers, defoamers, and anti-corrosion additives. Preferred inventive compositions may contain one or more non-ionic surfactants.
- Preferred non-ionic surfactants are alkoxylated alcohols, di- and multiblock copolymers of ethylene oxide and propylene oxide and reaction products of sorbitan with ethylene oxide or propylene oxide, alkyl polyglycosides (APG), hydroxyalkyl mixed ethers and amine oxides.
- APG alkyl polyglycosides
- alkoxylated alcohols and alkoxylated fatty alcohols are, for example, compounds of the general formula (IV a) in which the variables are defined as follows:
- R 2 is identical or different and selected from hydrogen and linear Ci -C -alkyl, preferably in each case identical and ethyl and particularly preferably hydrogen or methyl,
- R 3 is selected from Cs-C 22 -alkyl, branched or linear, for example n-CsHi 7 , n-CioH 2 i, n-Ci2H 2 5, n-CuHpg, n-C Hss or n-CisHs?,
- R 4 is selected from Ci-C -alkyl, methyl, ethyl, n-propyl, isopropyl, n-butyl, isobutyl, sec-butyl, tert-butyl, n-pentyl, isopentyl, sec-pentyl, neopentyl, 1 ,2-dimethylpropyl, isoamyl, n-hexyl, isohexyl, sec-hexyl, n-heptyl, n-octyl, 2-ethylhexyl, n-nonyl, n-decyl or isodecyl,
- e and f are in the range from zero to 300, where the sum of e and f is at least one, preferably in the range of from 3 to 50.
- e is in the range from 1 to 100 and f is in the range from 0 to 30.
- compounds of the general formula (IV a) may be block copolymers or random copolymers, preference being given to block copolymers.
- alkoxylated alcohols are, for example, compounds of the general formula (IV b) ) in which the variables are defined as follows:
- R 2 is identical or different and selected from hydrogen and linear Ci-Co-alkyl, preferably identical in each case and ethyl and particularly preferably hydrogen or methyl,
- R 5 is selected from Ce-C 2 o-alkyl, branched or linear, in particular n-CsHv, n-CioH 2 i, n-Ci2H 2 5, n-Ci3H 27 , n-CisHsi, n-Ci4H 2 g, n-CieHss, n-CisHs?, a is a number in the range from zero to 10, preferably from 1 to 6, b is a number in the range from 1 to 80, preferably from 4 to 20, d is a number in the range from zero to 50, preferably 4 to 25.
- the sum a + b + d is preferably in the range of from 5 to 100, even more preferably in the range of from 9 to 50.
- Compounds of the general formula (IV b) may be block copolymers or random copolymers, preference being given to block copolymers.
- nonionic surfactants are selected from di- and multiblock copolymers, composed of ethylene oxide and propylene oxide. Further suitable nonionic surfactants are selected from ethoxylated or propoxylated sorbitan esters. Amine oxides or alkyl polyglycosides, especially linear C4-Ci8-alkyl polyglucosides and branched Cs-Cu-alkyl polyglycosides such as compounds of general average formula (IV c) are likewise suitable. (IV C) wherein:
- R 6 is Ci-C4-alkyl, in particular ethyl, n-propyl or isopropyl,
- R 7 is -(CH 2 ) 2 -R 6 ,
- G 1 is selected from monosaccharides with 4 to 6 carbon atoms, especially from glucose and xylose, y in the range of from 1.1 to 4, y being an average number,
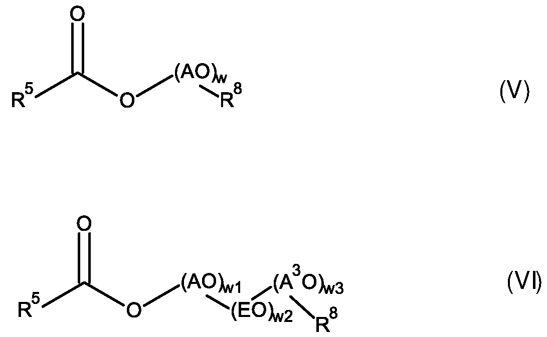
- non-ionic surfactants are compounds of general formula (V) and (VI)
- AO is selected from ethylene oxide, propylene oxide and butylene oxide
- EO is ethylene oxide, CH2CH2-O,
- R 8 selected from Cs-C -alkyl, branched or linear, and R 5 is defined as above.
- a 3 O is selected from propylene oxide and butylene oxide
- w is a number in the range of from 15 to 70, preferably 30 to 50
- w1 and w3 are numbers in the range of from 1 to 5
- w2 is a number in the range of from 13 to 35.
- Mixtures of two or more different nonionic surfactants selected from the foregoing may also be present.
- surfactants that may be present are selected from amphoteric (zwitterionic) surfactants and anionic surfactants and mixtures thereof.
- amphoteric surfactants are those that bear a positive and a negative charge in the same molecule under use conditions.
- Preferred examples of amphoteric surfactants are so- called betaine-surfactants.
- Many examples of betaine-surfactants bear one quaternized nitrogen atom and one carboxylic acid group per molecule.
- a particularly preferred example of amphoteric surfactants is cocamidopropyl betaine (lauramidopropyl betaine).
- amine oxide surfactants are compounds of the general formula (VII)
- R 9 is selected from Cs-Cso- alkyl or C2-C4-alkylene Cio-C2o-alkylamido and R 10 and R 11 are both methyl.
- a particularly preferred example is lauryl dimethyl aminoxide, sometimes also called lauramine oxide.
- a further particularly preferred example is cocamidylpropyl dimethylaminoxide, sometimes also called cocamidopropylamine oxide.
- inventive compositions may contain 0.1 to 60 % by weight of at least one surfactant, selected from non-ionic surfactants, amphoteric surfactants and amine oxide surfactants.
- inventive compositions for cleaners and especially those for automatic dishwashing do not contain any anionic surfactant.
- inventive compositions contain at least one more organic builder, for example citric acid or its alkali metal salts, for example sodium citrate.
- organic builder for example citric acid or its alkali metal salts, for example sodium citrate.
- sodium citrate preferably refers to the trisodium salt of citric acid.
- compositions may contain at least one bleaching agent, also referred to as bleach.
- Bleaching agents may be selected from chlorine bleach and peroxide bleach, and peroxide bleach may be selected from inorganic peroxide bleach and organic peroxide bleach.
- Preferred are inorganic peroxide bleaches, selected from alkali metal percarbonate, alkali metal perborate and alkali metal persulfate, especially sodium percarbonate, NasCOs-l .5 H2O2.
- organic peroxide bleaches are organic percarboxylic acids, especially organic percarboxylic acids.
- alkali metal percarbonates especially sodium percarbonates
- Such coatings may be of organic or inorganic nature. Examples are glycerol, sodium sulfate, silicate, sodium carbonate, and combinations of at least two of the foregoing, for example combinations of sodium carbonate and sodium sulfate.
- Suitable chlorine-containing bleaches are, for example, 1 ,3-dichloro-5,5-dimethylhydantoin, N-chlorosulfamide, chloramine T, chloramine B, sodium hypochlorite, calcium hypochlorite, magnesium hypochlorite, potassium hypochlorite, potassium dichloroisocyanurate and sodium dichloroisocyanurate.
- compositions may comprise, for example, in the range from 3 to 10% by weight of chlorine-containing bleach.
- Inventive compositions may comprise one or more bleach catalysts.
- Bleach catalysts can be selected from bleach-boosting transition metal salts or transition metal complexes such as, for example, manganese-, iron-, cobalt-, ruthenium- or molybdenum-salen complexes or carbonyl complexes.
- Manganese, iron, cobalt, ruthenium, molybdenum, titanium, vanadium and copper complexes with nitrogen-containing tripod ligands (for example 1 ,4,7-triazanone, “TACN”) as well as cobalt-, iron-, copper- and ruthenium-amine complexes can also be used as bleach catalysts.
- compositions may comprise one or more bleach activators, for example N- methylmorpholinium-acetonitrile salts (“MMA salts”), trimethylammonium acetonitrile salts, N- acylimides such as, for example, N-nonanoylsuccinimide, 1 ,5-diacetyl-2,2-dioxohexahydro- 1 ,3,5-triazine (“DADHT”) or nitrile quats (trimethylammonium acetonitrile salts).
- MMA salts N- methylmorpholinium-acetonitrile salts
- DADHT dioxohexahydro- 1 ,3,5-triazine
- nitrile quats trimethylammonium acetonitrile salts
- TAED tetraacetylethylenediamine
- TAED tetraacetylhexylenediamine
- fragrances are benzyl salicylate, 2-(4-tert.-butylphenyl) 2-methylpropional, commercially available as Lilial®, and hexyl cinnamaldehyde.
- dyestuffs are Acid Blue 9, Acid Yellow 3, Acid Yellow 23, Acid Yellow 73, Pigment Yellow 101 , Acid Green 1 , Solvent Green 7, and Acid Green 25.
- Inventive detergent compositions may contain one or more complexing agent other than MGDA.
- complexing agent other than MGDA are citrate, phosphonic acid derivatives, for example the disodium salt of hydroxyethane-1 ,1 -diphosphonic acid (“HEDP”), for example trisodium citrate, and phosphates such as STPP (sodium tripolyphosphate). Due to the fact that phosphates raise environmental concerns, it is preferred that detergent compositions comprised in inventive containers are free from phosphate.
- Inventive compositions may contain one or more preservatives or biocides.
- Biocides and preservatives prevent alterations of inventive liquid detergent compositions due to attacks from microorganisms.
- examples of biocides and preservatives are BTA (1 ,2,3-benzotriazole), benzalkonium chlorides, 1 ,2-benzisothiazolin-3-one (“BIT”), 2-methyl-2H-isothiazol-3-one conscious“) and 5-chloro-2-methyl-2H-isothiazol-3-one facedCIT“), benzoic acid, sorbic acid, iodopropynyl butylcarbamate (“IPBC”), dichlorodimethylhydantoine (“DCDMH”), bromochlorodimethylhydantoine (“BCDMH”), and dibromodimethylhydantoine (“DBDMH”).
- BTA 1,2,3-benzotriazole
- BIT ,2-benzisothiazolin-3-one
- viscosity modifiers examples include agar-agar, carragene, tragacanth, gum arabic, alginates, pectins, hydroxyethyl cellulose, hydroxypropyl cellulose, starch, gelatin, locust bean gum, crosslinked poly(meth)acrlyates, for example polyacrlyic acid cross-linked with bis-(meth)acrylamide, furthermore silicic acid, clay such as - but not limited to - montmorrilionite, zeolite, dextrin, and casein.
- crosslinked poly(meth)acrlyates for example polyacrlyic acid cross-linked with bis-(meth)acrylamide, furthermore silicic acid, clay such as - but not limited to - montmorrilionite, zeolite, dextrin, and casein.
- Hydrotropes in the context with the present invention are compounds that facilitate the dissolution of compounds that exhibit limited solubility in water.
- examples of hydrotropes are organic solvents such as ethanol, isopropanol, ethylene glycol, 1 ,2-propylene glycol, and further organic solvents that are water-miscible under normal conditions without limitation.
- suitable hydrotropes are the sodium salts of toluene sulfonic acid, of xylene sulfonic acid, and of cumene sulfonic acid.
- polymers other than polymer (A) are especially polyacrylic acid and its respective alkali metal salts, especially its sodium salt.
- a suitable polymer is in particular polyacrylic acid, preferably with an average molecular weight M w in the range from 2,000 to 40,000 g/mol. preferably 2,000 to 10,000 g/mol, in particular 3,000 to 8,000 g/mol, each partially or fully neutralized with alkali, especially with sodium.
- Suitable as well are copolymeric polycarboxylates, in particular those of acrylic acid with methacrylic acid and of acrylic acid or methacrylic acid with maleic acid and/or fumaric acid.
- Polyacrylic acid and its respective alkali metal salts may serve as soil anti-redeposition agents.
- polymers are polyvinylpyrrolidones (PVP).
- PVP polyvinylpyrrolidones
- Polyvinylpyrrolidones may serve as dye transfer inhibitors or - in tablets - as disintegrants.
- polymers are polyethylene terephthalates, polyoxyethylene terephthalates, and polyethylene terephthalates that are end-capped with one or two hydrophilic groups per molecule, hydrophilic groups being selected from CH 2 CH 2 CH 2 -SO3Na, CH 2 CH(CH 2 -SO3Na) 2 , and CH 2 CH(CH 2 SO 2 Na)CH 2 -SO 3 Na.
- buffers are monoethanolamine and N,N,N-triethanolamine.
- defoamers are silicones.
- Inventive compositions are not only good in cleaning soiled hard surfaces with respect to organic fatty soil such as oil.
- Inventive liquid detergent compositions are very useful for removing heat-treated fatty soilings. They still do not leave residues on the cleaned surface.
- inventive compositions may be in bulk form or as unit doses, for example in the form of sachets or pouches.
- Suitable materials for pouches are water-soluble polymers such as polyvinyl alcohol.
- inventive compositions are liquid or geltype.
- inventive compositions are liquid or gel-type and have a pH value in the range of from 7 to 12, preferably 7.5 to 10. In one embodiment of the present invention, inventive compositions are liquid or gel-type and have a total solids content in the range of from 8 to 80%, preferably 10 to 50%, determined by drying under vacuum at 80°C.
- a further aspect of the present invention is directed to the use of inventive compositions for laundry care or hard surface cleaning.
- detergent composition for hard surface cleaners includes cleaners for home care and for industrial or institutional applications.
- the term “detergent composition for cleaners” includes compositions for dishwashing, especially hand dishwash and automatic dishwashing and ware-washing, and compositions for hard surface cleaning such as, but not limited to compositions for bathroom cleaning, kitchen cleaning, floor cleaning, descaling of pipes, window cleaning, car cleaning including truck cleaning, furthermore, open plant cleaning, cleaning-in-place, metal cleaning, disinfectant cleaning, farm cleaning, high pressure cleaning, but not laundry detergent compositions.
- percentages in the context of ingredients of laundry detergent compositions are percentages by weight and refer to the total solids content of the respective laundry detergent composition.
- percentages in the context of ingredients of detergent composition for hard surface cleaners are percentages by weight and refer to the total solids content of the detergent composition for hard surface cleaning.
- a further aspect of the present invention relates to a process for making polymers (A), hereinafter also referred to as inventive process.
- inventive process comprises steps (a), (P) and (y): (a) reacting a diamine according to general formula H2-N-Z-NH2 with alkylene oxide in a molar ratio alkylene oxide : diamine of from 4:1 to 1 :1 , preferably 2.5:1 to 1 :0.7 with alkylene oxide being selected from ethylene oxide and propylene oxide, thereby forming an intermediate,
- step (P) subjecting the intermediate from step (a) to polycondensation under catalysis of at least one acidic catalyst, thereby obtaining a polycondensate
- Steps (y) reacting the polycondensate from step (P) with at least one C2-C4-alkylene oxide in one or more steps. Steps (a), (P) and (y) are described in more detail below.
- step (a) a diamine according to general formula H 2 -N-Z-NH 2 is reacted with an alkylene oxide.
- the variable Z has been defined above.
- mixtures of isomeric diamines are considered “a diamine”.
- diamino-methylcyclohexane is usually generated as a mixture of various isomers
- Alkylene oxides reacted in step (a) are selected from ethylene oxide noticeEO“), propylene oxide (“PO”), and mixtures of the foregoing. Preferred are propylene oxide and ethylene oxide, more preferred is ethylene oxide.
- step (a) the molar ratio alkylene oxide : diamine is in the range of from 4:1 to 1 :1 , preferably 2.5:1 to 1 :0.7.
- Step (a) may be performed with or without a solvent.
- diamine according to general formula H 2 -N-Z-NH 2 is liquid at reaction temperature it is preferred to use said diamine in bulk.
- diamine according to general formula H2-N-Z-NH2 is solid at reaction temperature it is preferred to use a solvent.
- Suitable solvents are aprotic solvents, for example hydrocarbons such as toluene and ethers, e.g. di-n-butyl ether.
- step (a) may include dilution of diamine according to general formula H2-N-Z-NH2 with water before alkoxylation, for example in a ratio diamine : water of 100 : 1 to 1 :1 , especially from 20 : 1 to 5 :1 by weight.
- step (a) is carried out in the absence of a catalyst.
- step (a) is performed at a reaction temperature from 90 to 150°C, preferably from 100 to 135°C.
- step (a) may be carried out at a pressure of up to 15 bar, preferably up to 10 bar, for example 1 to 8 bar.
- Preferred vessels for carrying out step (a) are autoclaves and tubular reactors.
- step (a) has a duration in the range of from 30 minutes to 10 hours, preferably 1 hour to 7 hours.
- Step (a) may be carried out under an inert gas atmosphere, for example nitrogen or a noble gas.
- step (a) is carried out under an atmosphere of alkylene oxide.
- Inert gas atmosphere is preferred.
- an intermediate is formed. It is possible to work up the intermediate, for example by removal of unreacted alkylene oxide and of water, if present, or to use the intermediate from step (a) without further work-up. Said removal of unreacted alkylene oxide and of water, if present, may be performed by evaporation at a pressure in the range of from 500 mbar to 0 mbar, preferred: 100 mbar to 20 mbar and at a temperature in the range of from 20 to 120 °C, preferred are 60 to 100 °C.
- the intermediate from step (a) is usually a mixture of compounds, a main component being H-AO-NH-Z-NH-AO-H, with AO being CH2CH2-O or CH 2 CH(CH 3 )-O, and the degree of alkoxylation is usually an average number.
- step (P) the intermediate from step (a) is subjected to polycondensation under catalysis of at least one acidic catalyst.
- Suitable acidic catalysts for step (P) are selected from organic sulfonic acids such as paratoluene sulfonic acid, sulfuric acid and phosphorus-bearing acids, preferred are H3PO3, H3PO4, and hypophosphoric acid (H3PO2), even more preferred are H3PO4 and H3PO2.
- organic sulfonic acids such as paratoluene sulfonic acid, sulfuric acid and phosphorus-bearing acids
- H3PO3, H3PO4 and hypophosphoric acid (H3PO2)
- Lewis acids such as, but not limited to AlCh, FeCh, diethyl tin dilaurate, and Ti(0-tert.butyl)4 may serve as catalyst as well.
- the acidic catalyst can be applied in bulk or as aqueous solution.
- the catalyst is added generally in an amount of 0.001 to 10 mole-%, preferably of 0.005 to 7, more preferably 0.01 to 5 mol-%, based on the amount of intermediate from step (a).
- Step (P) may be carried out by using a solvent.
- solvents that can be used to perform the inventive process are aromatic and/or (cyclo)aliphatic hydrocarbons and their mixtures, and halogenated hydrocarbons. Preference is given monoalkylated or polyalkylated benzenes and naphthalenes and mixtures thereof.
- Preferred aromatic hydrocarbon mixtures are those predominantly comprising aromatic C 7 to C14 hydrocarbons and possibly encompassing a boiling range from 1 10 to 300 °C, particular preference being given to toluene, o-, m- or p-xylene, trimethylbenzene isomers, tetramethylbenzene isomers, ethylbenzene, cumene, tetrahydronaphthalene, and mixtures comprising them.
- Examples thereof are the Solvesso® grades from ExxonMobil Chemical, especially Solvesso® 100 (CAS No.
- Examples of (cyclo)aliphatic hydrocarbons are decalin, alkylated decalin, and isomer mixtures of linear or branched alkanes and/or cycloalkanes.
- Preferred solvents are those that form low-boiling azeotropic mixtures with water and thus facilitate removal of water. Preference is given, though, to not using a solvent for carrying out step (P).
- step (P) is carried out in a way that the temperature during polycondensation does not exceed 250 °C.
- the polycondensation is carried out at temperatures in the range of from 100 to 240 °C, preferably 150 to 230 °C. Even more preferably, the temperature during polycondensation does not exceed 230.
- step (P) is carried out in a way that the duration of the polycondensation is one to 25 hours, preferably 1 to 15 hours, more preferably 2 to 10 hours.
- step (P) can be carried out at a pressure in the range of from 0.5 bar to 20 bar, while normal pressure being preferred. In a preferred embodiment, the inventive process is being performed at normal pressure. In an alternative embodiment, step (P) is carried out in vacuo or at a pressure in the range of from 1 mbar to 0.5 bar.
- Step (P) is preferably followed by removal or blow-off of residual monomers, for example, by distilling them off at normal pressure or at reduced pressure, e. g., in the range of from 0.1 to 0.75 bar.
- water or other volatile products released during the polycondensation can be removed from the reaction mixture in order to accelerate the reaction, such removal being accomplished by distillation, for example, and optionally under reduced pressure.
- the removal of water or of other low molecular mass reaction by-products can also be assisted by passing through the reaction mixture a stream of gas which is substantially inert under the reaction conditions (stripping), such as nitrogen, for example, or a noble gas such as helium, neon or argon, for example.
- step (P) 0.4 to 1 .0 and preferably 0.4 to 0.7 mol H2O moles of water per mole of intermediate from step (a) are removed in step (P).
- a polycondensate is obtained.
- Said polycondensate is usually a mixture of compounds, e.g., with a different value of the variable n, or with branching or cross-linking.
- H2N-Z-NH2 is selected from 2,4-diamino- methylcyclohexane and alkylene oxide is ethylene oxide and 0.5 mole of water are removed from the intermediate, a mixture containing the below compounds is made.
- An - optional - step of work-up may include the deactivation of catalyst used in step (P).
- step (y) polycondensate from step (P) is reacted with at least one C2-C4-alkylene oxide.
- C2-C4-alkylene oxides are ethylene oxide difficultyEO“), propylene oxide (“PO”), butylene oxide (“BuO”), and mixtures of at least two of the foregoing. Preferred are propylene oxide and ethylene oxide, more preferred is ethylene oxide.
- Step (y) is preferably carried out in the presence of a catalyst, for example a base or a doublemetal cyanide.
- a catalyst for example a base or a doublemetal cyanide.
- step (y) is carried out in the presence of a base.
- bases such as potassium hydroxide, sodium hydroxide, sodium or potassium alkoxides such as potassium methylate (KOCH 3 ), potassium tert-butoxide, sodium ethoxide and sodium methylate (NaOCH 3 ), preferably from potassium hydroxide and sodium hydroxide.
- catalysts are alkali metal hydrides and alkaline earth metal hydrides such as sodium hydride and calcium hydride, and alkali metal carbonates such as sodium carbonate and potassium carbonate.
- alkali metal hydroxides preference being given to potassium hydroxide and sodium hydroxide
- alkali metal alkoxides particular preference being given to potassium t-butoxide in t-butanol, sodium n-hexanolate in n-hexanol, and to sodium methanolate in n-nonanol.
- Typical use amounts for the base are from 0.05 to 10% by weight, in particular from 0.5 to 2% by weight, based on the total amount of polycondensate from step (P) and C2-C4-alkylene oxide.
- step (y) is carried out in the presence of a doublemetal cyanide.
- Double-metal cyanides hereinafter also referred to as double metal cyanide compounds or DMC compounds, usually comprise at least two different metals, at least one of them being selected from transition metals and the other one being selected from transition metals and alkali earth metals, and furthermore cyanide counterions.
- Particularly suitable catalysts for the alkoxylation are double-metal cyanide compounds which contain zinc, cobalt or iron or two thereof. Berlin blue, for example, is particularly suitable.
- crystalline DMC compounds Preference is given to using crystalline DMC compounds.
- a crystalline DMC compound of the Zn-Co type which comprises zinc acetate as further metal salt component is used as catalyst. Such compounds crystallize in monoclinic structure and have a platelet-like habit.
- the inventive synthesis is carried out in the presence of at least one double-metal cyanide selected from hexacyano cobaltates.
- the inventive synthesis is carried out in the presence of at least one double-metal cyanide selected from compounds according to general formula (VIII)
- M 1 is at least one metal ion chosen from the group consisting of Zn 2+ , Fe 2+ , Fe 3+ , Co 3+ , Ni 2+ ,
- M 2 is at least one metal ion chosen from the group consisting of Fe 2+ , Fe 3+ , Co 2+ , Co 3+ , Mn 2+ , Mn 3+ , V 4+ , V 5+ , Cr 2+ , Cr 3+ , Rh 3+ , Ru 2+ , lr 3+ , and in a way that M 1 and M 2 are not identical,
- a and X 2 are anions selected from the group consisting of halide, hydroxide, sulfate, carbonate, cyanide, thiocyanate, isocyanate, cyanate, carboxylate, oxalate, nitrate, nitrosyl, hydrogensulfate, phosphate, dihydrogenphosphate, hydrogenphosphate or hydrogencarbonate,
- L is a ligand chosen from the group consisting of alcohols, aldehydes, ketones, ethers, polyethers, esters, polyesters, polycarbonate, ureas, amides, primary, secondary and tertiary amines, ligands with pyridine nitrogen, nitriles, sulfides, phosphides, phosphites, phosphanes, phospho- nates and phosphates, k is greater than or equal to zero, and up to 6.
- the variable k can be a whole number or a fraction.
- P is an organic additive, selected for example from polyethers, polyesters, polycarbonates, polyalkylene glycol sorbitan esters, polyalkylene glycol glycidyl ethers, polyacrylamides, poly(acrylamide-co-acrylic acid), polyacrylic acids, poly(acrylamide-co-maleic acid), polyacrylonitriles, polyalkyl acrylates, polyalkyl methacrylates, polyvinyl methyl ethers, polyvinyl ethyl ethers, polyvinyl acetates, polyvinyl alcohol, poly-N-vinylpyrrolidone, poly(N-vinylpyrrolidone-co- acrylic acid), polyvinyl methyl ketone, poly(4-vinylphenol), poly(acrylic acid-co-styrene), oxazo- line polymer, maleic acid and maleic anhydride copolymers, hydroxyethylcellulose, polyacetates, ionic surface-active and interface-active
- r1 , r2, r3, r4, r 7 and ml are chosen such that the electroneutrality of the compound (I) is ensured, where each f and r 3 may be 0, r 5 is the number of ligand molecules, for example a fraction or an integer greater than zero, or zero, r6 and r6, independently of one another, are fractions or integers greater than zero, or zero.
- the upper limits of r 5 , r 6 , and r 8 are each 6.
- Double-metal cyanide compounds can be used as powder, paste or suspension or be moulded to give a moulding, be introduced into mouldings, foams or the like or be applied to mouldings, foams or the like.
- the DMC catalyst used for step (y), based on polycondensate obtained in step (P), is from 5 to 2000 ppm (i.e. mg of catalyst per kg of product), preferably less than 1000 ppm, in particular less than 500 ppm, particularly preferably less than 100 ppm, for example less than 50 ppm or 35 ppm, particularly preferably less than 25 ppm; ppm referring to mass-ppm (parts per million) of polycondensate obtained in step (P).
- Step (Y) may be carried out in bulk, embodiment (i), or in an organic solvent, embodiment (ii).
- water can be removed from the polycondensate obtained in step (P). Such water removal can be done by heating to a temperature in the range of from 80 to 150°C under a reduced pressure in the range of from 0.01 to 0.5 bar and distilling off the water.
- step (y) is carried out at a reaction temperature in the range of from 70 to 200°C and preferably from 100 to 180°C.
- step (y) is carried out once per synthesis of polymer (A).
- step (y) is carried out several time, for example up to four times per synthesis of an polymer (A), for example with the same or preferably with different C2-C4-alkylene oxides. It is, for example, possible to subject a polycondensate obtained in step (P) to a first alkoxylation (y1 ) with ethylene oxide and to subject the product from step (y1 ) to a second alkoxylation (y2), for example with propylene oxide.
- step (y) is carried out at a pressure of up to 10 bar and in particular up to 8 bar, for example 1 to 8 bar.
- reaction time of step (y) is generally in the range of from 0.5 to 12 hours.
- suitable organic solvents for embodiment (ii) of step (y) are nonpolar and polar aprotic organic solvents.
- suitable nonpolar aprotic solvents include aliphatic and aromatic hydrocarbons such as hexane, cyclohexane, toluene and xylene.
- particularly suitable polar aprotic solvents are ethers, in particular cyclic ethers such as tetrahydrofuran and 1 ,4-dioxane, furthermore N,N-dialkylamides such as dimethylformamide and dimethylacetamide, and N -alkyl lactams such as N-methylpyrrolidone. It is as well possible to use mixtures of at least two of the above organic solvents.
- Preferred organic solvents are xylene and toluene.
- the solution obtained in the first step, before or after addition of catalyst and solvent is dewatered before being subjected to alkylene oxide, said water removal advantageously being done by removing the water at a temperature in the range of from 120 to 180°C, preferably supported by a stream of nitrogen.
- the subsequent reaction with the alkylene oxide may be effected as in embodiment (i).
- alkoxylated polyalkylenimines according to the invention is obtained directly in bulk and may be dissolved in water, if desired.
- organic solvent is typically replaced by water.
- Alkoxylated polyalkylen- imines (B) according to the invention may alternatively be isolated in bulk.
- An - optional - step of work-up may include the deactivation of catalyst used in step (y), in the case of basic catalysts by neutralization.
- the inventive process does not require bleaching steps or reductive removal of impurities.
- a 3.5 liter steel autoclave was charged with 1603 g methylcyclohexyldiamine (MCDA) as 4:1 mixture of 2,4-diamines and 2,6-diamines: and 160 g water and then heated to 100 °C. Then, 50 g of ethylene oxide were dosed into the autoclave. The start of an exothermic reaction was observed. Subsequently, 831 g of ethylene oxide were dosed into the autoclave within 12 hours. The system was kept at 100 °C for further 6 hours. After hat, the mixture is removed from the autoclave and residual EO and water were stripped under reduced pressure (20 mbar) at 80 °C for two hours. 2423 g of intermediate ITM.1 were obtained as a yellow viscous liquid. Analytics:
- a 3.5-liter steel autoclave was charged with 203 g of core (a.1 ) and 8,4 g of aqueous KOH (48%) and heated to 100 °C. Then, the water was removed at 100 °C under reduced pressure. The resulting residue was then heated to 130 °C and 50 g of ethylene oxide were added within 10 minutes. After start of the exothermic reaction, 1844 g of ethylene oxide were added within 24 hours. The resultant reaction mixture was maintained at 130 °C for 6 hours and then cooled to 80 °C. The autoclave was vented and discharged. Residual EO was stripped from the residue under reduced pressure at 80 °C. An amount of 2083 g of polymer (A.1 ) was obtained.
- a 3.5-liter steel autoclave was charged with 1150 g of polymer (A.1 ) and 9 g of aqueous KOH (48%) and heated to 100 °C. Then, the water was removed at 100 °C under reduced pressure. The resultant residue was then heated to 130 °C and 50 g of propylene oxide were added within 10 minutes. After start of the exothermic reaction, 1047 g of propylene oxide were added within 20 hours. The resultant reaction mixture was maintained at 130 °C for 6 hours and then cooled to 100 °C. The autoclave was vented and discharged. Residual PO was stripped under reduced pressure at 80 °C. An amount of 2220 g of polymer (A.2) as a brown solid material were obtained.
- a 4 L four-neck flask equipped with stirrer, distillation bridge, N2 inlet, and internal thermometer was charged with 1876 g of the intermediate from step (a.1 ) and 14.5 g of a 50% aqueous solution of phosphoric acid.
- the resulting reaction mixture was heated to 219 °C and then stirred at 219 °C under nitrogen or under vacuum (650 mbar) for 32.3 hours while the distillate was collected.* Then the temperature was reduced to 80 °C and the resulting polycondensate was collected as a viscous liquid, core (a.2).
- a 3.5-liter steel autoclave was charged with 203 g of core (a.2) and 8.4 g of aqueous KOH (48%) and heated to 100 °C. Then, the water was removed at 100 °C under reduced pressure. Then the residue was heated to 130 °C and 50 g of ethylene oxide were added within 10 minutes. After start of the exothermic reaction, 1844 g of ethylene oxide were added within 24 hours. The resultant reaction mixture was maintained at 130 °C for 6 hours and then cooled to 80 °C. The autoclave was vented and discharged. Residual EO was stripped from the residue under reduced pressure at 80 °C. An amount of 2081 g of polymer (A.3) was obtained. Analytics:
- a 3 ,5-liter steel autoclave was charged with 1150 g of polymer (A.3) and 9 g of aqueous KOH (48%) and heated to 100 °C. Then, the water was removed at 100 °C under reduced pressure. Then the residue was heated to 130 °C and 50 g of propylene oxide were added within 10 minutes. After start of the exothermic reaction, 1047 g of propylene oxide were added within 20 hours. The resultant reaction mixture was maintained at 130 °C for 6 hours and then cooled to 100 °C. The autoclave was vented and discharged. Residual PO was stripped under reduced pressure at 80 °C. An amount of 2224 g of polymer (A.4) as a brown solid material were obtained.
- a 3.5-liter steel autoclave was charged with 1 .28 kg methylcyclohexyldiamine (MCDA) as 4:1 mixture of 2,4-diamines and 2,6-diamines, and 128 g water and then heated to 100 °C. Then, 50 g of propylene oxide were dosed into the autoclave within 10 minutes. The start of an exothermic reaction was observed. Subsequently, 879 g of propylene oxide were dosed into the autoclave within 15 hours. The system was kept at 100 °C for further 6 hours. After hat, the mixture is removed from the autoclave and residual EO and water were stripped under reduced pressure (20 mbar) at 80 °C for two hours. 2.2 kg of intermediate ITM.2 were obtained as a yellow viscous liquid. II. Manufacture of inventive formulations
- Non-ionic surfactant (IV.1 ): n-Cie-alkyl/n-C -alkyl-polyglucoside with y about 1.3
- a 250 ml vessel was charged with 80 g water. Then, 6 g aqueous solution of NaOH (50%) and 8 g butylenediglycol (BDG) were added, followed by 2 g of a 50% aqueous solution of (IV.1 ) and
- a 250 ml vessel was charged with 80 g water. Then, 6 g aqueous solution of NaOH (50%) and 8 g butylenediglycol (BDG) were added, followed by 2 g of a 50% aqueous solution of (IV.1 ), 2 g of polymer (A.2) and 2 g of a 40% by weight aqueous solution of MGDA-Nas. Homogenisation was achieved with moderate stirring (magnetic) at ambient temperature over a period of time of
- detergent compositions for automatic dishwashing may be made by mixing components according to Table 2. All quantities in g. The resultant detergent mixtures can be converted into tablets of 20 g. Table 2: Example detergent compositions for automatic dishwashing
- HEDP hydroxyethyl phosphonic acid disodium salt.
Landscapes
- Chemical & Material Sciences (AREA)
- Life Sciences & Earth Sciences (AREA)
- Engineering & Computer Science (AREA)
- Chemical Kinetics & Catalysis (AREA)
- Oil, Petroleum & Natural Gas (AREA)
- Wood Science & Technology (AREA)
- Organic Chemistry (AREA)
- Detergent Compositions (AREA)
- Enzymes And Modification Thereof (AREA)
Abstract
Compositions comprising (A) at least one polymer comprising (a) a core that bears one to 3 moieties of the general formula (I), (I) wherein Z are different or the same and selected from C2-C12-alkylene and C3-C12-cycloalkylene wherein C2-C12-alkylene and C3-C12-cycloalkylene may be non-substituted or substituted with one or more O-C1-C4-alkyl groups and wherein C3-C12-cycloalkylene may bear one to three methyl groups, X1 is selected from hydrogen and methyl and ethyl and combinations of at least two of the foregoing, preferred are methyl and more preferred is hydrogen, n is in the range of from 1 to 4, (b) polyalkylene oxide chains, (B) at least one builder component selected from aminopolycarboxylic acids and their alkali metal salts, (C) and, optionally, at least one hydrolase.
Description
Compositions and their use
The present invention is directed to compositions comprising
(A) at least one polymer comprising
(a) a core that bears one to 3 moieties of the general formula (I)
wherein Z are different or the same and selected from C2-Ci2-alkylene and C3-C12- cycloalkylene wherein C2-Ci2-alkylene and C3-Ci2-cycloalkylene may be non-substituted or substituted with one or more O-Ci-C4-alkyl groups and wherein C3-Ci2-cycloalkylene may bear one to three methyl groups,
X1 is selected from hydrogen and methyl and ethyl and combinations of at least two of the foregoing, preferred are methyl and more preferred is hydrogen, n is in the range of from 1 to 4,
(b) polyalkylene oxide chains,
(B) at least one builder component selected from aminopolycarboxylic acids and their alkali metal salts,
(C) and, optionally, at least one hydrolase.
Various detergent compositions such as, but not limited to laundry detergents have to fulfil several requirements. They need to remove all sorts of soiling, for example all sorts of pigments, clay, fatty soil, and dyestuffs including dyestuff from food and drinks such as red wine, tea, coffee, and fruit including berry juices. Detergents also need to exhibit a certain storage stability.
The removal of greasy stains from numerous types of surfaces is an objective of current interest. While greasy soilings offer a challenge in laundry care it is particularly difficult to remove such greasy stains after their thermal treatment. Examples are greasy stains in ovens that have
been treated at temperatures in the range of 200°C or higher. Examples are greasy stains in cooking utensils such as pots and pans, and in ovens.
It was therefore an objective to provide a detergent composition that fulfils the requirements discussed above. It was further an objective to provide ingredients that fulfil the above requirements, and it was an objective to provide a process to make such ingredients and detergent compositions.
Accordingly, the compositions defined at the outset have been found, hereinafter also referred to as inventive compositions or compositions according to the present invention. The inventive compositions will be described in more detail below.
Inventive compositions comprise
(A) a polymer, hereinafter also briefly referred to as “polymer (A)” or simply (A), wherein said polymer (A) comprises
(a) a core, hereinafter also briefly referred to as core (a) or simply as (a), wherein core (a) bears one to 3 moieties of the general formula (I)
wherein Z are different is selected from C2-Ci2-alkylene and C3-Ci2-cycloalkylene wherein C2-Ci2-alkylene and C3-Ci2-cycloalkylene may be non-substituted or substituted with one or more O-Ci-C4-alkyl groups and wherein C3-Ci2-cycloalkylene may bear one to three methyl groups,
X1 is selected from hydrogen and methyl and ethyl and combinations of at least two of the foregoing, preferred are methyl and more preferred is hydrogen, n is in the range of from 1 to 4,
(b) polyalkylene chains,
(B) at least one builder component selected from aminopolycarboxylic acids and their alkali metal salts,
(C) and, optionally, at least one hydrolase (C), hereinafter also referred to as “hydrolase (C)”.
C2-Ci2-alkylene, for example -CH2CH2-, -(CH2)3-, -(CH2)4-, -(CH2)5-, -(CH2)6-, -(CH2)8-, -(CH2)I0-, -(CH2)I2-, wherein C2-Ci2-alkylene may be straight-chain or branched, non-substituted or substituted with one or more O-Ci-C4-alkyl groups and
C3-Ci2-cycloalkylene, wherein C3-Ci2-cycloalkylene may be non-substituted or substituted with one or more O-Ci-C4-alkyl groups, and where C3-Ci2-cycloalkylene may bear one to three methyl groups, preferably C5-Cio-cycloalkylene such as 1 ,3-cyclopentylene, 1 ,2-cyclopentylidene, 1 ,2-cyclohexylene, 1 ,3-cyclohexylene, 1 ,4-cyclohexylene, 1 -methyl-2,4-cyclohexylene, 1 - methyl-2,6-cyclohexylene, 1 ,3-cycloheptylene, 1 ,4-cylooctylene, 1 ,5-cyclooctylene, wherein C2-Ci2-alkylene and C3-Ci2-cycloalkylene may be non-substituted or substituted with one or more O-Ci-C4-alkyl groups and wherein C3-Ci2-cycloalkylene may be non-substituted or bear one to three methyl groups,
X1 is selected from hydrogen and methyl and ethyl and combinations of at least two of the foregoing, preferred are methyl and more preferred is hydrogen, preferred is hydrogen, n is in the range of from 1 to 4, preferably 1 to 3 and more preferably 1 to 2,
The free valences on the nitrogen atoms in formula (I) bear polyalkylene chains (b) or -CH2-CH(X1)-O-CHX1-CH2-N-Z-N units, or hydrogen atoms. In embodiments with molecular weights Mw of 10,000 g/mol or more, the free valences on the nitrogen atoms in formula (I) bear polyalkylene chains (b) or -CH2-CH(X1)-O-CHX1-CH2-N-Z-N units.
In one embodiment of the present invention, all Z in polymer (A) are selected from cyclohexylene and cyclopentylene, each non-substituted or substituted with one to two methyl or methoxy groups.
Preferably, Z are isomers to each other and/or differ in the variable n. Even more preferably, Z are isomers.
Asterisks * refer to sites in Z that are connected to N atoms.
In one embodiment of the present invention, polymer (A) has an average molecular weight Mw in the range of from 1 ,500 to 80,000 g/mol, preferably 5,000 to 50,000 g/mol. The average molecular weight may be determined, e.g., by gel permeation chromatography (GPC) in tetrahydrofuran (THE) as mobile phase, with linear polymethyl methacrylate (“PM MA”) as standard.
In one embodiment of the present invention, polymer (A) has a molecular weight distribution Mw/Mn in the range of from 1 .1 to 2.5.
In one embodiment of the present invention, polymer (A) has a Hazen colour number in the range of from 20 to 500, determined in a 10 % weight aqueous solution.
In one embodiment of the present invention, polymer (A) has an OH value, measured according to DIN 53240 (2013), in the range of from 20 to 650, preferably 30 to 100 mg KOH/g polymer (A).
In one embodiment of the present invention, polymer (A) has a total amine value in the range of from 10 to 650, preferably 10 to 510 and more preferably 10 to 80 mg KOH/g polymer (A), determined according to ASTM D2074-07.
Polymer (A) furthermore bears
(b) polyalkylene oxide chains. Said polyalkylene oxide chains may be derived from C2-C4- alkylene oxide. Examples of C2-C4-alkylene oxides are ethylene oxide („EO“), propylene oxide (“PO”), butylene oxide (“BuO”), and combinations of at least two of the foregoing, for example ethylene oxide and propylene oxide or ethylene oxide and butylene oxide. Preferred are propylene oxide and ethylene oxide, more preferred are combinations from ethylene oxide and propylene oxide.
In one embodiment of the present invention, the weight ratio of core (a) to polyalkylene oxide chains (b) in polymer (a) is in the range of from 1 to 100 up to 1 to 4, preferred are 1 to 50 up to 1 to 9.
In one embodiment of the present invention, polymer (A) has an average molecular weight Mw in the range of from 1 ,500 to 80,000 g/mol, preferably 5,000 to 50,000 g/mol. The average molecular weight may be determined, e.g., by gel permeation chromatography (GPC) in tetrahydrofuran (THF) as mobile phase, with linear polymethyl methacrylate (“PM MA”) as standard.
In one embodiment of the present invention, polymer (A) has a molecular weight distribution Mw/Mn in the range of from 1 .1 to 2.5.
In one embodiment of the present invention, polymer (A) has a Hazen colour number in the range of from 20 to 500, determined in a 10 % weight aqueous solution.
In one embodiment of the present invention, polymer (A) has an OH value, measured according to DIN 53240 (2013), in the range of from 20 to 650, preferably 30 to 100 mg KOH/g polymer (A).
In one embodiment of the present invention, polymer (A) has a total amine value in the range of from 10 to 650, preferably 10 to 510 and more preferably 10 to 80 mg KOH/g polymer (A), determined according to ASTM D2074-07.
In one embodiment of the present invention, detergent compositions according to the present invention may contain in the range of from 0.1 to 20 % by weight of polymer (A). Percentages refer to the total solids content of the respective detergent composition.
In one embodiment of the present invention, detergent compositions for hard surface cleaners according to the present invention may contain in the range of from 0.1 to 20 % by weight of polymer (A), preferably 0.5 to 15 % by weight and even more preferably 1 .0 to 5 % by weight. Percentages refer to the total solids content of the respective detergent composition.
The total solids content is in each case determined by removing the volatiles at 80°C in vacuum.
Inventive compositions further contain
(B) at least one builder component selected from aminopolycarboxylic acids and preferably their alkali metal salts, in the context of the present invention also referred to as complexing agent (B) or sequestrant (B). In the context of the present invention, the terms sequestrants and chelating agents are used interchangeably.
Examples of sequestrants (B) are alkali metal salts of MGDA (methyl glycine diacetic acid), GLDA (glutamic acid diacetic acid), IDS (iminodisuccinate), , EDTA, and polymers with complexing groups like, for example, polyethylen imine in which 20 to 90 mole-% of the N-atoms bear at least one CH2COO_ group, and their respective alkali metal salts, especially their sodium salts, for example MGDA-Na3, GLDA-Na4, or IDS-Na4.
Preferred sequestrants are those according to general formula (II a)
[CH3-CH(COO)-N(CH2-COO)2]M3-XHX (II a) wherein M is selected from ammonium and alkali metal cations, same or different, for example cations of sodium, potassium, and combinations of at least two of the foregoing. Ammonium may be substituted with alkyl but non-substituted ammonium NH4+ is preferred. Preferred examples of alkali metal cations are sodium and potassium and combinations of sodium and potassium, and even more preferred in compound according to general formula (II a) all M are the same and they are all Na;
and x in formula (II a) is in the range of from zero to 1 .0, or (II b)
[OOC-CH2CH2-CH(COO)-N(CH2-COO)2]M4-XHX (II b) wherein M is as defined above, and x in formula (II b) is in the range of from zero to 2.0, preferably to 1 .0, or (II c)
[OOC-CH2-CH(COO)]-N-CH(COO)-CH2-COO]M4-XHX (II c) wherein M is as defined above, and x in formula (II c) is in the range of from zero to 2.0, preferably to 1 .0.
In one embodiment of the present invention, said inventive composition contains a combination of at least two of the foregoing, for example a combination of chelating agent according to general formula (II a) and a chelating agent according to general formula (II b).
Chelating agents according to the general formulae (II a) and (II b) are preferred. Even more preferred are chelating agents according to the general formula (II a).
In one embodiment of the present invention, compound according to general formula (II a) is selected from ammonium or alkali metal salt of racemic MGDA and from ammonium and alkali metal salts of mixtures of L- and D-enantiomers according to formula (II a), said mixture containing predominantly the respective L-isomer with an enantiomeric excess (ee) in the range of from 5 to 99%, preferably 5 to 95%, more preferably from 10 to 75% and even more preferably from 10 to 66%.
In one embodiment of the present invention, compound according to general formula (II b) is selected from at least one alkali metal salt of a mixture of L- and D- enantiomers according to formula (II b), said mixture containing the racemic mixture or preferably predominantly the respective L-isomer, for example with an enantiomeric excess (ee) in the range of from 5 to 99%, preferably 15 to 95%.
The enantiomeric excess of compound according to general formula (II a) may be determined by measuring the polarization (polarimetry) or preferably by chromatography, for example by HPLC with a chiral column, for example with one or more cyclodextrins as immobilized phase or with a ligand exchange (Pirkle-brush) concept chiral stationary phase. Preferred is determination of the ee by HPLC with an immobilized optically active amine such as D-penicillamine in the presence of copper(+l I) salt. The enantiomeric excess of compound according to general formula (II b) salts may be determined by measuring the polarization (polarimetry).
Due to the environmental concerns raised in the context with the use of phosphates, it is preferred that advantageous compositions are free from phosphate. "Free from phosphate" should be understood in the context of the present invention as meaning that the content of phosphate and polyphosphate is in sum in the range of from detection level to 1% by weight, preferably from 10 ppm to 0.2% by weight, determined by gravimetry.
In one embodiment of the present invention, inventive compositions contain in the range of from 0.5 to 50% by weight of sequestrant (B), preferably 1 to 35% by weight, referring to the total solids content.
Inventive compositions may further comprise at least one hydrolase (C).
Hydrolases (C) are identified by polypeptide sequences (also called amino acid sequences herein). The polypeptide sequence specifies the three-dimensional structure including the “active site” of an enzyme which in turn determines the catalytic activity of the same. Polypeptide sequences may be identified by a SEQ ID NO. According to the World Intellectual Property Office (WIPO) Standard ST.25 (1998) the amino acids herein are represented using three-letter code with the first letter as a capital or the corresponding one letter.
Any hydrolase (C) according to the invention relates to the respective parent enzymes and/or variant enzymes, both having enzymatic activity. Enzymes having enzymatic activity are enzymatically active or exert enzymatic conversion, meaning that enzymes act on substrates and convert these into products. The term “enzyme” herein excludes inactive variants of an enzyme.
A “parent” sequence (of a parent protein or enzyme, also called “parent enzyme”) is the starting sequence for introduction of changes (e.g. by introducing one or more amino acid substitutions, insertions, deletions, or a combination thereof) to the sequence, resulting in “variants” of the parent sequences. The term parent enzyme (or parent sequence) includes wild-type enzymes
(sequences) and synthetically generated sequences (enzymes) which are used as starting sequences for introduction of (further) changes.
The term “enzyme variant” or “sequence variant” or “variant enzyme” refers to an enzyme that differs from its parent enzyme in its amino acid sequence to a certain extent. If not indicated otherwise, variant enzyme “having enzymatic activity” means that this variant enzyme has the same type of enzymatic activity as the respective parent enzyme.
In describing the variants of the present invention, the nomenclature described as follows is used:
Amino acid substitutions are described by providing the original amino acid of the parent enzyme followed by the number of the position within the amino acid sequence, followed by the substituted amino acid. Amino acid deletions are described by providing the original amino acid of the parent enzyme followed by the number of the position within the amino acid sequence, followed by *. Amino acid insertions are described by providing the original amino acid of the parent enzyme followed by the number of the position within the amino acid sequence, followed by the original amino acid and the additional amino acid. For example, an insertion at position 180 of lysine next to glycine is designated as “Gly180GlyLys” or “G180GK”. In cases where a substitution and an insertion occur at the same position, this may be indicated as S99SD+S99A or in short S99AD. In cases where an amino acid residue identical to the existing amino acid residue is inserted, degeneracy in the nomenclature arises. If for example a glycine is inserted after the glycine in the above example this would be indicated by G180GG. Where different alterations can be introduced at a position, the different alterations are separated by a comma, e.g. “Arg170Tyr, Glu” represents a substitution of arginine at position 170 with tyrosine or glutamic acid. Alternatively, different alterations or optional substitutions may be indicated in brackets e.g. Arg170[Tyr, Gly] or Arg170{Tyr, Gly}; or in short R170 [Y,G] or R170 {Y, G}; or in long R170Y, R170G.
Enzyme variants may be defined by their sequence identity when compared to a parent enzyme. Sequence identity usually is provided as “% sequence identity” or “% identity”. For calculation of sequence identities, in a first step a sequence alignment has to be produced. According to this invention, a pairwise global alignment has to be produced, meaning that two sequences have to be aligned over their complete length, which is usually produced by using a mathematical approach, called alignment algorithm. According to the invention, the alignment is generated by using the algorithm of Needleman and Wunsch (J. Mol. Biol. (1979) 48, p. 443-453). Preferably, the program “NEEDLE” (The European Molecular Biology Open Software Suite (EM-
BOSS)) is used for the purposes of the current invention, with using the programs default parameter (gap open=10.0, gap extend=0.5 and matrix=EBLOSUM62).
According to this invention, the following calculation of %-identity applies: %-identity = (identical residues / length of the alignment region which is showing the respective sequence of this invention over its complete length) *100.
According to this invention, enzyme variants may be described as an amino acid sequence which is at least n% identical to the amino acid sequence of the respective parent enzyme with “n” being an integer between 10 and 100. In one embodiment, variant enzymes are at least 70%, at least 75%, at least 80%, at least 81%, at least 82%, at least 83%, at least 84%, at least
85%, at least 86%, at least 87%, at least 88%, at least 89%, at least 90%, at least 91%, at least
92%, at least 93%, at least 94%, at least 95%, at least 96%, at least 97%, at least 98%, or at least 99% identical when compared to the full-length amino acid sequence of the parent enzyme, wherein the enzyme variant has enzymatic activity.
“Enzymatic activity” means the catalytic effect exerted by an enzyme, which usually is expressed as units per milligram of enzyme (specific activity) which relates to molecules of substrate transformed per minute per molecule of enzyme (molecular activity). Variant enzymes may have enzymatic activity according to the present invention when said enzyme variants exhibit at least 20%, at least 25%, at least 30%, at least 35%, at least 40%, at least 45%, at 10 least 50%, at least 55%, at least 60%, at least 65%, at least 70%, at least 75%, at least 80%, at least 85%, at least 90%, at least 95%, or 100% of the enzymatic activity of the respective parent enzyme.
In one embodiment, hydrolase (C) is selected from proteases, amylases, lipases, cellulases, and mannanases.
In one embodiment of the present invention, inventive compositions may further comprise (C) at least one lipase, hereinafter also referred to as lipase (C).
“Lipases”, “lipolytic enzyme”, “lipid esterase”, all refer to enzymes of EC class 3.1 .1 (“carboxylic ester hydrolase”). Such a lipase (C) may have lipase activity (or lipolytic activity; triacylglycerol lipase, EC 3.1 .1.3), cutinase activity (EC 3.1 .1 .74; enzymes having cutinase activity may be called cutinase herein), sterol esterase activity (EC 3.1.1.13) and/or wax-ester hydrolase activity (EC 3.1 .1.50). Lipases (C) include those of bacterial or fungal origin.
Commercially available lipase (C) include but are not limited to those sold under the trade names Lipolase™, Lipex™, Lipolex™ and Lipoclean™ (Novozymes A/S), Preferenz™ L (DuPont), Lumafast (originally from Genencor) and Lipomax (Gist-Brocades/ now DSM).
In one aspect of the present invention, lipase (C) is selected from the following: lipases from Humicola (synonym Thermomyces), e.g. from H. lanuginosa (T. lanuginosus) as described in EP 258068, EP 305216, WO 92/05249 and WO 2009/109500 or from H. insolens as described in WO 96/13580; lipases derived from Rhizomucor miehei as described in WO 92/05249; lipase from strains of Pseudomonas (some of these now renamed to Burkholderia), e.g. from P. alcali- genes or P. pseudoalcaligenes (EP 218272, WO 94/25578, WO 95/30744, WO 95/35381 , WO 96/00292), P. cepacia (EP 331376), P. stutzeri (GB 1372034), P. fluorescens, Pseudomonas sp. strain SD705 (WO 95/06720 and WO 96/27002), P. wisconsinensis (WO 96/12012), Pseudomonas mendocina (WO 95/14783), P. glumae (WO 95/35381 , WO 96/00292); lipase from Streptomyces griseus (WO 2011/150157) and S. pristinaespiralis (WO 2012/137147), GDSL-type Streptomyces lipases (WO 2010/065455); lipase from Thermobifida fusca as disclosed in WO 2011/084412; lipase from Geobacillus stearothermophilus as disclosed in WO 2011/084417; Bacillus lipases, e.g. as disclosed in WO 00/60063, lipases from B. subtilis as disclosed in Dartois et al. (1992), Biochemica et Biophysica Acta, 1131 , 253-360 or
WO 2011/084599, B. stearothermophilus (JP S64-074992) or B. pumilus (WO 91/16422); lipase from Candida antarctica as disclosed in WO 94/01541 . Suitable lipases (C) include also those which are variants of the above described lipases which have lipolytic activity. Such suitable lipase variants are e.g. those which are developed by methods as disclosed in WO 95/22615, WO 97/04079, WO 97/07202, WO 00/60063, WO 2007/087508, EP 407225 and EP 260105. Suitable lipase variants are e.g. those which are developed by methods as disclosed in WO 95/22615, WO 97/04079, WO 97/07202, WO 00/60063, WO 2007/087508, EP 407225 and EP 260105.
Suitable lipases (C) include also those that are variants of the above described lipases which have lipolytic activity. Suitable lipase variants include variants with at least 40 to 100% identity when compared to the full length polypeptide sequence of the parent enzyme as disclosed above. In one embodiment lipase variants having lipolytic activity may be at least 40%, at least 45%, at least 50%, at least 55%, at least 60%, at least 65%, at least 70%, at least 75%, at least
80%, at least 85%, at least 90%, at least 91%, at least 92%, at least 93%, at least 94%, at least
95%, at least 96%, at least 97%, at least 98% or at least 99% identical when compared to the full length polypeptide sequence of the parent enzyme as disclosed above.
Lipases (C) have “lipolytic activity”. The methods for determining lipolytic activity are well-known in the literature (see e.g. Gupta et al. (2003), BiotechnoL AppL Biochem. 37, p. 63-71 ). E.g. the lipase activity may be measured by ester bond hydrolysis in the substrate para-nitrophenyl palmitate (pNP-Palmitate, C:16) and releases pNP which is yellow and can be detected at 405 nm.
In one embodiment, lipase (C) is selected from fungal triacylglycerol lipase (EC class 3.1 .1 .3). Fungal triacylglycerol lipase may be selected from lipases of Thermomyces lanuginosa. In one embodiment, at least one Thermomyces lanuginosa lipase is selected from triacylglycerol lipase according to amino acids 1 -269 of SEQ ID NO: 2 of US5869438 and variants thereof having lipolytic activity.
Thermomyces lanuginosa lipase may be selected from variants having lipolytic activity which are at least 90%, at least 91 %, at least 92%, at least 93%, at least 94%, at least 95%, at least 96%, at least 97%, at least 98% or at least 99% identical when compared to the full length polypeptide sequence of amino acids 1 -269 of SEQ ID NO: 2 of US 5,869,438.
Thermomyces lanuginosa lipase may be selected from variants having lipolytic activity comprising conservative mutations only, which do not pertain the functional domain of amino acids 1 - 269 of SEQ ID NO: 2 of US 5,869,438. Lipase variants of this embodiment having lipolytic activity may be at least 95%, at least 96%, at least 97%, at least 98% or at least 99% similar when compared to the full length polypeptide sequence of amino acids 1 -269 of SEQ ID NO: 2 of US 5,869,438.
Thermomyces lanuginosa lipase may be selected from variants having lipolytic activity comprising at least the following amino acid substitutions when compared to amino acids 1 -269 of SEQ ID NO: 2 of US 5,869,438: T231 R and N233R. Said lipase variants may further comprise one or more of the following amino acid exchanges when compared to amino acids 1 -269 of SEQ ID NO: 2 of US 5,869,438: Q4V, V60S, A150G, L227G, P256K.
Thermomyces lanuginosa lipase may be selected from variants having lipolytic activity comprising at least the amino acid substitutions T231 R, N233R, Q4V, V60S, A150G, L227G, P256K within the polypeptide sequence of amino acids 1 -269 of SEQ ID NO: 2 of US 5,869,438and are at least 95%, at least 96%, or at least 97% similar when compared to the full length polypeptide sequence of amino acids 1 -269 of SEQ ID NO: 2 of US 5,869,438.
Thermomyces lanuginosa lipase may be selected from variants having lipolytic activity comprising the amino acid substitutions T231 R and N233R within amino acids 1 -269 of SEQ ID NO: 2
of US5869438 and are at least 95%, at least 96%, at least 97%, at least 98%, or at least 99% similar when compared to the full length polypeptide sequence of amino acids 1 -269 of SEQ ID NO: 2 of US 5,869,438.
Thermomyces lanuginosa lipase may be a variant of amino acids 1 -269 of SEQ ID NO: 2 of US5869438 having lipolytic activity, wherein the variant of amino acids 1 -269 of SEQ ID NO: 2 of US 5,869,438is characterized in containing the amino acid substitutions T231 R and N233R. Said lipase may be called Lipex herein.
In one embodiment of the present invention, a combination of at least two of the foregoing lipases (C) may be used.
In one embodiment of the present invention, lipases (C) are included in inventive composition in such an amount that a finished inventive composition has a lipolytic enzyme activity in the range of from 100 to 0.005 LU/mg, preferably 25 to 0.05 LU/mg of the composition. A Lipase Unit (LU) is that amount of lipase which produces 1 pmol of titratable fatty acid per minute in a pH stat, under the following conditions: temperature 30° C.; pH=9.0; substrate is an emulsion of 3.3 wt. % of olive oil and 3.3% gum arabic, in the presence of 13 mmol/l Ca2+ and 20 mmol/l NaCI in 5 mmol/l Tris-buffer.
In one embodiment of the present invention, inventive compositions comprise
(C) at least one protease (C), hereinafter also referred to as protease (C).
In one embodiment, at least one protease (C) is selected from the group of serine endopeptidases (EC 3.4.21 ), most preferably selected from the group of subtilisin type proteases (EC 3.4.21 .62). Serine proteases or serine peptidases are characterized by having a serine in the catalytically active site, which forms a covalent adduct with the substrate during the catalytic reaction. A serine protease in the context of the present invention may be selected from the group consisting of chymotrypsin (e.g., EC 3.4.21 .1 ), elastase (e.g., EC 3.4.21 .36), elastase (e.g., EC 3.4.21 .37 or EC 3.4.21 .71 ), granzyme (e.g., EC 3.4.21 .78 or EC 3.4.21 .79), kallikrein (e.g., EC 3.4.21.34, EC 3.4.21.35, EC 3.4.21 .118, or EC 3.4.21 .119,) plasmin (e.g., EC 3.4.21 .7), trypsin (e.g., EC 3.4.21 .4), thrombin (e.g., EC 3.4.21 .5), and subtilisin. Subtilisin is also known as subtilopeptidase, e.g., EC 3.4.21 .62, the latter hereinafter also being referred to as “subtilisin”. The subtilisin related class of serine proteases shares a common amino acid sequence defining a catalytic triad which distinguishes them from the chymotrypsin related class of serine proteases. Subtilisins and chymotrypsin related serine proteases both have a catalytic triad comprising aspartate, histidine and serine.
Proteases are active proteins exerting “protease activity” or “proteolytic activity”. Proteolytic activity is related to the rate of degradation of protein by a protease or proteolytic enzyme in a defined course of time.
The methods for analyzing proteolytic activity are well-known in the literature (see e.g. Gupta et al. (2002), AppL Microbiol. BiotechnoL 60: 381 -395). Proteolytic activity may be determined by using Succinyl-Ala-Ala-Pro-Phe-p-nitroanilide (Suc-AAPF-pNA, short AAPF; see e.g. DelMar et al. (1979), Analytical Biochem 99, 316-320) as substrate. pNA is cleaved from the substrate molecule by proteolytic cleavage, resulting in release of yellow color of free pNA which can be quantified by measuring OD405.
Proteolytic activity may be provided in units per gram enzyme. For example, 1 U protease may correspond to the amount of protease which sets free 1 pmol folin-positive amino acids and peptides (as tyrosine) per minute at pH 8.0 and 37°C (casein as substrate).
Proteases of the subtilisin type (EC 3.4.21 .62) may be bacterial proteases originating from a microorganism selected from Bacillus, Clostridium, Enterococcus, Geobacillus, Lactobacillus, Lactococcus, Oceanobacillus, Staphylococcus, Streptococcus, or Streptomyces protease, or a Gram-negative bacterial polypeptide such as a Campylobacter, E. coli, Flavobacterium, Fuso- bacterium, Helicobacter, llyobacter, Neisseria, Pseudomonas, Salmonella, and Ureaplasma.
In one aspect of the invention, at least one protease (C) is selected from Bacillus alcalophilus, Bacillus amyloliquefaciens, Bacillus brevis, Bacillus circulans, Bacillus clausii, Bacillus coagu- lans, Bacillus firmus, Bacillus gibsonii, Bacillus lautus, Bacillus lentus, Bacillus licheniformis, Bacillus megaterium, Bacillus pumilus, Bacillus sphaericus, Bacillus stearothermophilus, Bacillus subtilis, or Bacillus thuringiensis protease.
In one embodiment of the present invention, at least one protease (C) is selected from the following: subtilisin from Bacillus amyloliquefaciens BPN' (described by Vasantha et al. (1984) J. Bacteriol. Volume 159, p. 811 -819 and JA Wells et al. (1983) in Nucleic Acids Research, Volume 1 1 , p. 7911 -7925); subtilisin from Bacillus licheniformis (subtilisin Carlsberg; disclosed in EL Smith et al. (1968) in J. Biol Chem, Volume 243, pp. 2184-2191 , and Jacobs et al. (1985) in NucL Acids Res, Vol 13, p. 8913-8926); subtilisin PB92 (original sequence of the alkaline protease PB92 is described in EP 283075 A2); subtilisin 147 and/or 309 (Esperase®, Savinase®, respectively) as disclosed in WO 89/06279; subtilisin from Bacillus lentus as disclosed in WO 91/02792, such as from Bacillus lentus DSM 5483 or the variants of Bacillus lentus DSM 5483
as described in WO 95/23221 ; subtilisin from Bacillus alcalophilus (DSM 11233) disclosed in DE 10064983; subtilisin from Bacillus gibsonii (DSM 14391 ) as disclosed in WO 2003/054184; subtilisin from Bacillus sp. (DSM 14390) disclosed in WO 2003/056017; subtilisin from Bacillus sp. (DSM 14392) disclosed in WO 2003/055974; subtilisin from Bacillus gibsonii (DSM 14393) disclosed in WO 2003/054184; subtilisin having SEQ ID NO: 4 as described in WO 2005/063974; subtilisin having SEQ ID NO: 4 as described in WO 2005/103244; subtilisin having SEQ ID NO: 7 as described in WO 2005/103244; and subtilisin having SEQ ID NO: 2 as described in application DE 102005028295.4.
Examples of useful proteases (C) in accordance with the present invention comprise the variants described in: WO 92/19729, WO 95/23221 , WO 96/34946, WO 98/201 15, WO 98/201 16, WO 99/11768, WO 01/44452, WO 02/088340, WO 03/006602, WO 2004/03186, WO 2004/041979, WO 2007/006305, WO 2011/036263, WO 201 1/036264, and WO 2011/072099. Suitable examples comprise especially variants of subtilisin protease derived from SEQ ID NO:22 as described in EP 1921147 (which is the sequence of mature alkaline protease from Bacillus lentus DSM 5483) with amino acid substitutions in one or more of the following positions: 3, 4, 9, 15, 24, 27, 33, 36, 57, 68, 76, 77, 87, 95, 96, 97, 98, 99, 100, 101 , 102, 103, 104, 106, 1 18, 120, 123, 128, 129, 130, 131 , 154, 160, 167, 170, 194, 195, 199, 205, 206, 217, 218, 222, 224, 232, 235, 236, 245, 248, 252 and 274 (according to the BPN' numbering), which have proteolytic activity. In one embodiment, such a protease is not mutated at positions Asp32, His64 and Ser221 (according to BPN’ numbering).
In one embodiment, at least one protease (C) has a sequence according to SEQ ID NO:22 as described in EP 1921147, or a protease which is at least 80% identical thereto and has proteolytic activity. In one embodiment, said protease is characterized by having amino acid glutamic acid (E), or aspartic acid (D), or asparagine (N), or glutamine (Q), or alanine (A), or glycine (G), or serine (S) at position 101 (according to BPN’ numbering) and has proteolytic activity. In one embodiment, said protease comprises one or more further substitutions: (a) threonine at position 3 (3T), (b) isoleucine at position 4 (4I), (c) alanine, threonine or arginine at position 63 (63A, 63T, or 63R), (d) aspartic acid or glutamic acid at position 156 (156D or 156E), (e) proline at position 194 (194P), (f) methionine at position 199 (199M), (g) isoleucine at position 205 (205I), (h) aspartic acid, glutamic acid or glycine at position 217 (217D, 217E or 217G), (i) combinations of two or more amino acids according to (a) to (h).
At least one protease (C) may be at least 80% identical to SEQ ID NO:22 as described in EP 1921147 and is characterized by comprising one amino acid (according to (a)-(h)) or combinations according to (i) together with the amino acid 101 E, 101 D, 101 N, 101 Q, 101 A, 101 G, or
101 S (according to BPN’ numbering). In one embodiment, said protease is characterized by comprising the mutation (according to BPN’ numbering) R101 E, or S3T + V4I + V205I, or R101 E and S3T, V4I, and V205I, or S3T + V4I + V199M + V205I + L217D, and having proteolytic activity.
In one embodiment, protease according to SEQ ID NO:22 as described in EP 1921147 is characterized by comprising the mutation (according to BPN’ numbering) S3T + V4I + S9R + A15T + V68A + D99S + R101 S + A103S + 1104V + N218D, and having proteolytic activity.
The inventive composition may comprise a combination of at least two proteases, preferably selected from the group of serine endopeptidases (EC 3.4.21 ), more preferably selected from the group of subtilisin type proteases (EC 3.4.21 .62) - all as disclosed above.
It is preferred to use a combination of lipase (C) and protease (C) in compositions, for example 1 to 2% by weight of protease (C) and 0.1 to 0.5% by weight of lipase (C), both referring to the total weight of the composition.
In the context of the present invention, lipase (C) and/or protease (C) is deemed called stable when its enzymatic activity “available in application” equals at least 60% when compared to the initial enzymatic activity before storage. An enzyme may be called stable within this invention if its enzymatic activity available in application is at least 60%, at least 65%, at least 70%, at least 75%, at least 80%, at least 85%, at least 90%, at least 91 %, at least 92%, at least 93%, at least 94%, at least 95%, at least 96%, at least 97%, at least 98%, at least 99%, or at least 99.5% when compared to the initial enzymatic activity before storage.
Subtracting a% from 100% gives the “loss of enzymatic activity during storage” when compared to the initial enzymatic activity before storage. In one embodiment, an enzyme is stable according to the invention when essentially no loss of enzymatic activity occurs during storage, i.e. loss in enzymatic activity equals 0% when compared to the initial enzymatic activity before storage. Essentially no loss of enzymatic activity within this invention may mean that the loss of enzymatic activity is less than 30%, less than 25%, less than 20%, less than 15%, less than 10%, less than 9%, less than 8%, less than 7%, less than 6%, less than 5%.
Advantageous detergent compositions for hard surface cleaners and advantageous laundry detergent compositions may contain one or more surfactant (D), preferably one or more nonionic surfactants (D).
Preferred non-ionic surfactants are alkoxylated alcohols, di- and multiblock copolymers of ethylene oxide and propylene oxide and reaction products of sorbitan with ethylene oxide or propylene oxide, alkyl polyglycosides (APG), hydroxyalkyl mixed ethers and amine oxides.
Examples of anionic surfactants (D) are alkali metal and ammonium salts of Cs-C -alkyl sulfates, of Cs-C -fatty alcohol polyether sulfates, of sulfuric acid half-esters of ethoxylated C4- Ci2-alkylphenols (ethoxylation: 1 to 50 mol of ethylene oxide/mol), C12-C18 sulfo fatty acid alkyl esters, for example of C12-C18 sulfo fatty acid methyl esters, furthermore of Ci2-Ci8-alkylsulfonic acids and of Cio-C -alkylarylsulfonic acids. Preference is given to the alkali metal salts of the aforementioned compounds, particularly preferably the sodium salts.
Further examples of anionic surfactants (D) are soaps, for example the sodium or potassium salts of stearic acid, oleic acid, palmitic acid, ether carboxylates, and alkylether phosphates.
In a preferred embodiment of the present invention, anionic surfactant (D) is selected from compounds according to general formula (III)
R1-O(CH2CH2O)X-SO3M (III) wherein
R1 n-Cio-Cis-alkyl, especially with an even number of carbon atoms, for example n-decyl, n- dodecyl, n-tetradecyl, n-hexadecyl, or n-octadecyl, preferably C -Cu-alkyl, and even more preferably n-Ci2-alkyl, x being a number in the range of from 1 to 5, preferably 2 to 4 and even more preferably 3.
M being selected from alkali metals, preferably potassium and even more preferably sodium.
In anionic surfactant (D), x may be an average number and therefore n is not necessarily a whole number, while in individual molecules according to formula (III), x denotes a whole number.
In one embodiment of the present invention, inventive compositions may contain 0.1 to 60 % by weight of anionic surfactant (D), preferably 5 to 50 % by weight.
Inventive compositions may comprise ingredients other than the aforementioned. Examples are non-ionic surfactants, fragrances, dyestuffs, biocides, preservatives, enzymes, hydrotropes, viscosity modifiers, polymers, buffers, defoamers, and anti-corrosion additives.
Preferred inventive compositions may contain one or more non-ionic surfactants.
Preferred non-ionic surfactants are alkoxylated alcohols, di- and multiblock copolymers of ethylene oxide and propylene oxide and reaction products of sorbitan with ethylene oxide or propylene oxide, alkyl polyglycosides (APG), hydroxyalkyl mixed ethers and amine oxides.
Preferred examples of alkoxylated alcohols and alkoxylated fatty alcohols are, for example, compounds of the general formula (IV a)
in which the variables are defined as follows:
R2 is identical or different and selected from hydrogen and linear Ci -C -alkyl, preferably in each case identical and ethyl and particularly preferably hydrogen or methyl,
R3 is selected from Cs-C22-alkyl, branched or linear, for example n-CsHi7, n-CioH2i, n-Ci2H25, n-CuHpg, n-C Hss or n-CisHs?,
R4 is selected from Ci-C -alkyl, methyl, ethyl, n-propyl, isopropyl, n-butyl, isobutyl, sec-butyl, tert-butyl, n-pentyl, isopentyl, sec-pentyl, neopentyl, 1 ,2-dimethylpropyl, isoamyl, n-hexyl, isohexyl, sec-hexyl, n-heptyl, n-octyl, 2-ethylhexyl, n-nonyl, n-decyl or isodecyl,
The variables e and f are in the range from zero to 300, where the sum of e and f is at least one, preferably in the range of from 3 to 50. Preferably, e is in the range from 1 to 100 and f is in the range from 0 to 30.
In one embodiment, compounds of the general formula (IV a) may be block copolymers or random copolymers, preference being given to block copolymers.
Other preferred examples of alkoxylated alcohols are, for example, compounds of the general formula (IV b) )
in which the variables are defined as follows:
R2 is identical or different and selected from hydrogen and linear Ci-Co-alkyl, preferably identical in each case and ethyl and particularly preferably hydrogen or methyl,
R5 is selected from Ce-C2o-alkyl, branched or linear, in particular n-CsHv, n-CioH2i, n-Ci2H25, n-Ci3H27, n-CisHsi, n-Ci4H2g, n-CieHss, n-CisHs?, a is a number in the range from zero to 10, preferably from 1 to 6, b is a number in the range from 1 to 80, preferably from 4 to 20, d is a number in the range from zero to 50, preferably 4 to 25.
The sum a + b + d is preferably in the range of from 5 to 100, even more preferably in the range of from 9 to 50.
Compounds of the general formula (IV b) may be block copolymers or random copolymers, preference being given to block copolymers.
Further suitable nonionic surfactants are selected from di- and multiblock copolymers, composed of ethylene oxide and propylene oxide. Further suitable nonionic surfactants are selected from ethoxylated or propoxylated sorbitan esters. Amine oxides or alkyl polyglycosides, especially linear C4-Ci8-alkyl polyglucosides and branched Cs-Cu-alkyl polyglycosides such as compounds of general average formula (IV c) are likewise suitable.
(IV C)
wherein:
R6 is Ci-C4-alkyl, in particular ethyl, n-propyl or isopropyl,
R7 is -(CH2)2-R6,
G1 is selected from monosaccharides with 4 to 6 carbon atoms, especially from glucose and xylose, y in the range of from 1.1 to 4, y being an average number,
AO is selected from ethylene oxide, propylene oxide and butylene oxide, EO is ethylene oxide, CH2CH2-O,
R8 selected from Cs-C -alkyl, branched or linear, and R5 is defined as above.
A3O is selected from propylene oxide and butylene oxide, w is a number in the range of from 15 to 70, preferably 30 to 50, w1 and w3 are numbers in the range of from 1 to 5, and w2 is a number in the range of from 13 to 35.
An overview of suitable further nonionic surfactants can be found in EP-A 0 851 023 and in DE- A 198 19 187.
Mixtures of two or more different nonionic surfactants selected from the foregoing may also be present.
Other surfactants that may be present are selected from amphoteric (zwitterionic) surfactants and anionic surfactants and mixtures thereof.
Examples of amphoteric surfactants are those that bear a positive and a negative charge in the same molecule under use conditions. Preferred examples of amphoteric surfactants are so- called betaine-surfactants. Many examples of betaine-surfactants bear one quaternized nitrogen atom and one carboxylic acid group per molecule. A particularly preferred example of amphoteric surfactants is cocamidopropyl betaine (lauramidopropyl betaine).
Examples of amine oxide surfactants are compounds of the general formula (VII)
R9R10R11N^O (VII) wherein R9, R10, and R11 are selected independently from each other from aliphatic, cycloaliphatic or C2-C4-alkylene C -Cso-alkylamido moieties. Preferably, R9 is selected from Cs-Cso- alkyl or C2-C4-alkylene Cio-C2o-alkylamido and R10 and R11 are both methyl.
A particularly preferred example is lauryl dimethyl aminoxide, sometimes also called lauramine oxide. A further particularly preferred example is cocamidylpropyl dimethylaminoxide, sometimes also called cocamidopropylamine oxide.
In one embodiment of the present invention, inventive compositions may contain 0.1 to 60 % by weight of at least one surfactant, selected from non-ionic surfactants, amphoteric surfactants and amine oxide surfactants.
In a preferred embodiment, inventive compositions for cleaners and especially those for automatic dishwashing do not contain any anionic surfactant.
In one embodiment of the present invention, inventive compositions contain at least one more organic builder, for example citric acid or its alkali metal salts, for example sodium citrate. The term sodium citrate preferably refers to the trisodium salt of citric acid.
Inventive compositions may contain at least one bleaching agent, also referred to as bleach. Bleaching agents may be selected from chlorine bleach and peroxide bleach, and peroxide bleach may be selected from inorganic peroxide bleach and organic peroxide bleach. Preferred are inorganic peroxide bleaches, selected from alkali metal percarbonate, alkali metal perborate and alkali metal persulfate, especially sodium percarbonate, NasCOs-l .5 H2O2.
Examples of organic peroxide bleaches are organic percarboxylic acids, especially organic percarboxylic acids.
In inventive compositions, alkali metal percarbonates, especially sodium percarbonates, are preferably used in coated form. Such coatings may be of organic or inorganic nature. Examples are glycerol, sodium sulfate, silicate, sodium carbonate, and combinations of at least two of the foregoing, for example combinations of sodium carbonate and sodium sulfate.
Suitable chlorine-containing bleaches are, for example, 1 ,3-dichloro-5,5-dimethylhydantoin, N-chlorosulfamide, chloramine T, chloramine B, sodium hypochlorite, calcium hypochlorite, magnesium hypochlorite, potassium hypochlorite, potassium dichloroisocyanurate and sodium dichloroisocyanurate.
Inventive compositions may comprise, for example, in the range from 3 to 10% by weight of chlorine-containing bleach.
Inventive compositions may comprise one or more bleach catalysts. Bleach catalysts can be selected from bleach-boosting transition metal salts or transition metal complexes such as, for example, manganese-, iron-, cobalt-, ruthenium- or molybdenum-salen complexes or carbonyl complexes. Manganese, iron, cobalt, ruthenium, molybdenum, titanium, vanadium and copper complexes with nitrogen-containing tripod ligands (for example 1 ,4,7-triazanone, “TACN”) as well as cobalt-, iron-, copper- and ruthenium-amine complexes can also be used as bleach catalysts.
Inventive compositions may comprise one or more bleach activators, for example N- methylmorpholinium-acetonitrile salts (“MMA salts”), trimethylammonium acetonitrile salts, N-
acylimides such as, for example, N-nonanoylsuccinimide, 1 ,5-diacetyl-2,2-dioxohexahydro- 1 ,3,5-triazine (“DADHT”) or nitrile quats (trimethylammonium acetonitrile salts).
Further examples of suitable bleach activators are tetraacetylethylenediamine (TAED) and tetraacetylhexylenediamine.
Examples of fragrances are benzyl salicylate, 2-(4-tert.-butylphenyl) 2-methylpropional, commercially available as Lilial®, and hexyl cinnamaldehyde.
Examples of dyestuffs are Acid Blue 9, Acid Yellow 3, Acid Yellow 23, Acid Yellow 73, Pigment Yellow 101 , Acid Green 1 , Solvent Green 7, and Acid Green 25.
Inventive detergent compositions may contain one or more complexing agent other than MGDA. Examples for complexing agent other than MGDA are citrate, phosphonic acid derivatives, for example the disodium salt of hydroxyethane-1 ,1 -diphosphonic acid (“HEDP”), for example trisodium citrate, and phosphates such as STPP (sodium tripolyphosphate). Due to the fact that phosphates raise environmental concerns, it is preferred that detergent compositions comprised in inventive containers are free from phosphate.
Inventive compositions may contain one or more preservatives or biocides. Biocides and preservatives prevent alterations of inventive liquid detergent compositions due to attacks from microorganisms. Examples of biocides and preservatives are BTA (1 ,2,3-benzotriazole), benzalkonium chlorides, 1 ,2-benzisothiazolin-3-one (“BIT”), 2-methyl-2H-isothiazol-3-one („MIT“) and 5-chloro-2-methyl-2H-isothiazol-3-one („CIT“), benzoic acid, sorbic acid, iodopropynyl butylcarbamate (“IPBC”), dichlorodimethylhydantoine (“DCDMH”), bromochlorodimethylhydantoine (“BCDMH”), and dibromodimethylhydantoine (“DBDMH”).
Examples of viscosity modifiers are agar-agar, carragene, tragacanth, gum arabic, alginates, pectins, hydroxyethyl cellulose, hydroxypropyl cellulose, starch, gelatin, locust bean gum, crosslinked poly(meth)acrlyates, for example polyacrlyic acid cross-linked with bis-(meth)acrylamide, furthermore silicic acid, clay such as - but not limited to - montmorrilionite, zeolite, dextrin, and casein.
Hydrotropes in the context with the present invention are compounds that facilitate the dissolution of compounds that exhibit limited solubility in water. Examples of hydrotropes are organic solvents such as ethanol, isopropanol, ethylene glycol, 1 ,2-propylene glycol, and further organic solvents that are water-miscible under normal conditions without limitation. Further examples of
suitable hydrotropes are the sodium salts of toluene sulfonic acid, of xylene sulfonic acid, and of cumene sulfonic acid.
Examples of polymers other than polymer (A) are especially polyacrylic acid and its respective alkali metal salts, especially its sodium salt. A suitable polymer is in particular polyacrylic acid, preferably with an average molecular weight Mw in the range from 2,000 to 40,000 g/mol. preferably 2,000 to 10,000 g/mol, in particular 3,000 to 8,000 g/mol, each partially or fully neutralized with alkali, especially with sodium. Suitable as well are copolymeric polycarboxylates, in particular those of acrylic acid with methacrylic acid and of acrylic acid or methacrylic acid with maleic acid and/or fumaric acid. Polyacrylic acid and its respective alkali metal salts may serve as soil anti-redeposition agents.
Further examples of polymers are polyvinylpyrrolidones (PVP). Polyvinylpyrrolidones may serve as dye transfer inhibitors or - in tablets - as disintegrants.
Further examples of polymers are polyethylene terephthalates, polyoxyethylene terephthalates, and polyethylene terephthalates that are end-capped with one or two hydrophilic groups per molecule, hydrophilic groups being selected from CH2CH2CH2-SO3Na, CH2CH(CH2-SO3Na)2, and CH2CH(CH2SO2Na)CH2-SO3Na.
Examples of buffers are monoethanolamine and N,N,N-triethanolamine.
Examples of defoamers are silicones.
Inventive compositions are not only good in cleaning soiled hard surfaces with respect to organic fatty soil such as oil. Inventive liquid detergent compositions are very useful for removing heat-treated fatty soilings. They still do not leave residues on the cleaned surface.
In order to be suitable as liquid hard surface cleaners, especially in automatic dishwashing, inventive compositions may be in bulk form or as unit doses, for example in the form of sachets or pouches. Suitable materials for pouches are water-soluble polymers such as polyvinyl alcohol.
In a preferred embodiment of the present invention, inventive compositions are liquid or geltype.
In one embodiment of the present invention, inventive compositions are liquid or gel-type and have a pH value in the range of from 7 to 12, preferably 7.5 to 10.
In one embodiment of the present invention, inventive compositions are liquid or gel-type and have a total solids content in the range of from 8 to 80%, preferably 10 to 50%, determined by drying under vacuum at 80°C.
A further aspect of the present invention is directed to the use of inventive compositions for laundry care or hard surface cleaning.
In the context of the present invention, the term “detergent composition for hard surface cleaners” includes cleaners for home care and for industrial or institutional applications. The term “detergent composition for cleaners” includes compositions for dishwashing, especially hand dishwash and automatic dishwashing and ware-washing, and compositions for hard surface cleaning such as, but not limited to compositions for bathroom cleaning, kitchen cleaning, floor cleaning, descaling of pipes, window cleaning, car cleaning including truck cleaning, furthermore, open plant cleaning, cleaning-in-place, metal cleaning, disinfectant cleaning, farm cleaning, high pressure cleaning, but not laundry detergent compositions.
In the context of the present invention and unless expressly stated otherwise, percentages in the context of ingredients of laundry detergent compositions are percentages by weight and refer to the total solids content of the respective laundry detergent composition. In the context of the present invention and unless expressly stated otherwise, percentages in the context of ingredients of detergent composition for hard surface cleaners are percentages by weight and refer to the total solids content of the detergent composition for hard surface cleaning.
Further disclosed is a process for manufacturing polymers (A).
A further aspect of the present invention relates to a process for making polymers (A), hereinafter also referred to as inventive process. The inventive process comprises steps (a), (P) and (y): (a) reacting a diamine according to general formula H2-N-Z-NH2 with alkylene oxide in a molar ratio alkylene oxide : diamine of from 4:1 to 1 :1 , preferably 2.5:1 to 1 :0.7 with alkylene oxide being selected from ethylene oxide and propylene oxide, thereby forming an intermediate,
(P) subjecting the intermediate from step (a) to polycondensation under catalysis of at least one acidic catalyst, thereby obtaining a polycondensate,
(y) reacting the polycondensate from step (P) with at least one C2-C4-alkylene oxide in one or more steps.
Steps (a), (P) and (y) are described in more detail below.
In step (a), a diamine according to general formula H2-N-Z-NH2 is reacted with an alkylene oxide. The variable Z has been defined above. For the purpose of the present invention, mixtures of isomeric diamines are considered “a diamine”. For example, diamino-methylcyclohexane is usually generated as a mixture of various isomers
Alkylene oxides reacted in step (a) are selected from ethylene oxide („EO“), propylene oxide (“PO”), and mixtures of the foregoing. Preferred are propylene oxide and ethylene oxide, more preferred is ethylene oxide.
In step (a), the molar ratio alkylene oxide : diamine is in the range of from 4:1 to 1 :1 , preferably 2.5:1 to 1 :0.7.
Step (a) may be performed with or without a solvent. In embodiments wherein diamine according to general formula H2-N-Z-NH2 is liquid at reaction temperature it is preferred to use said
diamine in bulk. In embodiments wherein diamine according to general formula H2-N-Z-NH2 is solid at reaction temperature it is preferred to use a solvent. Suitable solvents are aprotic solvents, for example hydrocarbons such as toluene and ethers, e.g. di-n-butyl ether.
In one embodiment of the present invention, step (a) may include dilution of diamine according to general formula H2-N-Z-NH2 with water before alkoxylation, for example in a ratio diamine : water of 100 : 1 to 1 :1 , especially from 20 : 1 to 5 :1 by weight.
Preferably, step (a) is carried out in the absence of a catalyst.
In one embodiment of the present invention, step (a) is performed at a reaction temperature from 90 to 150°C, preferably from 100 to 135°C.
In one embodiment of the present invention, step (a) may be carried out at a pressure of up to 15 bar, preferably up to 10 bar, for example 1 to 8 bar. Preferred vessels for carrying out step (a) are autoclaves and tubular reactors.
In one embodiment of the present invention, step (a) has a duration in the range of from 30 minutes to 10 hours, preferably 1 hour to 7 hours.
Step (a) may be carried out under an inert gas atmosphere, for example nitrogen or a noble gas. In another embodiment, step (a) is carried out under an atmosphere of alkylene oxide. Inert gas atmosphere is preferred. From step (a), an intermediate is formed. It is possible to work up the intermediate, for example by removal of unreacted alkylene oxide and of water, if present, or to use the intermediate from step (a) without further work-up. Said removal of unreacted alkylene oxide and of water, if present, may be performed by evaporation at a pressure in the range of from 500 mbar to 0 mbar, preferred: 100 mbar to 20 mbar and at a temperature in the range of from 20 to 120 °C, preferred are 60 to 100 °C. The intermediate from step (a) is usually a mixture of compounds, a main component being H-AO-NH-Z-NH-AO-H, with AO being CH2CH2-O or CH2CH(CH3)-O, and the degree of alkoxylation is usually an average number.
In step (P), the intermediate from step (a) is subjected to polycondensation under catalysis of at least one acidic catalyst.
Suitable acidic catalysts for step (P) are selected from organic sulfonic acids such as paratoluene sulfonic acid, sulfuric acid and phosphorus-bearing acids, preferred are H3PO3, H3PO4, and hypophosphoric acid (H3PO2), even more preferred are H3PO4 and H3PO2. Lewis acids
such as, but not limited to AlCh, FeCh, diethyl tin dilaurate, and Ti(0-tert.butyl)4 may serve as catalyst as well.
The acidic catalyst can be applied in bulk or as aqueous solution.
In one embodiment of the present invention, the catalyst is added generally in an amount of 0.001 to 10 mole-%, preferably of 0.005 to 7, more preferably 0.01 to 5 mol-%, based on the amount of intermediate from step (a).
Step (P) may be carried out by using a solvent. Examples of solvents that can be used to perform the inventive process are aromatic and/or (cyclo)aliphatic hydrocarbons and their mixtures, and halogenated hydrocarbons. Preference is given monoalkylated or polyalkylated benzenes and naphthalenes and mixtures thereof.
Preferred aromatic hydrocarbon mixtures are those predominantly comprising aromatic C7 to C14 hydrocarbons and possibly encompassing a boiling range from 1 10 to 300 °C, particular preference being given to toluene, o-, m- or p-xylene, trimethylbenzene isomers, tetramethylbenzene isomers, ethylbenzene, cumene, tetrahydronaphthalene, and mixtures comprising them. Examples thereof are the Solvesso® grades from ExxonMobil Chemical, especially Solvesso® 100 (CAS No. 64742-95-6, predominantly C9 and C10 aromatics, boiling range about 154 to 178 °C), 150 (boiling range about 182 - 207°C), and 200 (CAS No. 64742-94-5), and also the Shellsol® grades from Shell. Hydrocarbon mixtures comprising paraffins, cycloparaffins, and aromatics are also available commercially under the names Kristalloel (e.g., Kristalloel 30, boiling range about 158 to 198°C or Kristalloel 60: CAS No. 64742-82-1 ), white spirit (likewise, for example, CAS No. 64742-82-1 ) or solvent naphtha (light: boiling range about 155 to 180 °C, heavy: boiling range about 225 to 300 °C).
Halogenated hydrocarbons are, for example, chlorobenzene and dichlorobenzene or its isomer mixtures. Examples of esters are n-butyl acetate, ethyl acetate, 1 -methoxyprop-2-yl acetate, and 2-methoxyethyl acetate. Examples of ethers are THF, dioxane, and the dimethyl, diethyl or di-n-butyl ethers of ethylene glycol.
Examples of (cyclo)aliphatic hydrocarbons are decalin, alkylated decalin, and isomer mixtures of linear or branched alkanes and/or cycloalkanes.
Preferred solvents are those that form low-boiling azeotropic mixtures with water and thus facilitate removal of water.
Preference is given, though, to not using a solvent for carrying out step (P).
In a preferred embodiment, step (P) is carried out in a way that the temperature during polycondensation does not exceed 250 °C. For example, the polycondensation is carried out at temperatures in the range of from 100 to 240 °C, preferably 150 to 230 °C. Even more preferably, the temperature during polycondensation does not exceed 230.
In one embodiment of the present invention, step (P) is carried out in a way that the duration of the polycondensation is one to 25 hours, preferably 1 to 15 hours, more preferably 2 to 10 hours.
In one embodiment of the present invention, step (P) can be carried out at a pressure in the range of from 0.5 bar to 20 bar, while normal pressure being preferred. In a preferred embodiment, the inventive process is being performed at normal pressure. In an alternative embodiment, step (P) is carried out in vacuo or at a pressure in the range of from 1 mbar to 0.5 bar.
Step (P) is preferably followed by removal or blow-off of residual monomers, for example, by distilling them off at normal pressure or at reduced pressure, e. g., in the range of from 0.1 to 0.75 bar.
In one embodiment of step (P), water or other volatile products released during the polycondensation can be removed from the reaction mixture in order to accelerate the reaction, such removal being accomplished by distillation, for example, and optionally under reduced pressure. The removal of water or of other low molecular mass reaction by-products can also be assisted by passing through the reaction mixture a stream of gas which is substantially inert under the reaction conditions (stripping), such as nitrogen, for example, or a noble gas such as helium, neon or argon, for example.
In one embodiment of the present invention, 0.4 to 1 .0 and preferably 0.4 to 0.7 mol H2O moles of water per mole of intermediate from step (a) are removed in step (P).
By performing step (P), a polycondensate is obtained. Said polycondensate is usually a mixture of compounds, e.g., with a different value of the variable n, or with branching or cross-linking.
For example, in embodiments wherein H2N-Z-NH2 is selected from 2,4-diamino- methylcyclohexane and alkylene oxide is ethylene oxide and 0.5 mole of water are removed from the intermediate, a mixture containing the below compounds is made.
An - optional - step of work-up may include the deactivation of catalyst used in step (P).
In step (y), polycondensate from step (P) is reacted with at least one C2-C4-alkylene oxide. Examples of C2-C4-alkylene oxides are ethylene oxide („EO“), propylene oxide (“PO”), butylene oxide (“BuO”), and mixtures of at least two of the foregoing. Preferred are propylene oxide and ethylene oxide, more preferred is ethylene oxide.
Step (y) is preferably carried out in the presence of a catalyst, for example a base or a doublemetal cyanide.
In one embodiment of the present invention, step (y) is carried out in the presence of a base. Suitable bases such as potassium hydroxide, sodium hydroxide, sodium or potassium alkoxides such as potassium methylate (KOCH3), potassium tert-butoxide, sodium ethoxide and sodium methylate (NaOCH3), preferably from potassium hydroxide and sodium hydroxide. Further examples of catalysts are alkali metal hydrides and alkaline earth metal hydrides such as sodium hydride and calcium hydride, and alkali metal carbonates such as sodium carbonate and potassium carbonate. Preference is given to the alkali metal hydroxides, preference being given to potassium hydroxide and sodium hydroxide, and to alkali metal alkoxides, particular preference being given to potassium t-butoxide in t-butanol, sodium n-hexanolate in n-hexanol, and to sodium methanolate in n-nonanol. Typical use amounts for the base are from 0.05 to 10% by weight, in particular from 0.5 to 2% by weight, based on the total amount of polycondensate from step (P) and C2-C4-alkylene oxide.
In one embodiment of the present invention, step (y) is carried out in the presence of a doublemetal cyanide. Double-metal cyanides, hereinafter also referred to as double metal cyanide compounds or DMC compounds, usually comprise at least two different metals, at least one of them being selected from transition metals and the other one being selected from transition
metals and alkali earth metals, and furthermore cyanide counterions. Particularly suitable catalysts for the alkoxylation are double-metal cyanide compounds which contain zinc, cobalt or iron or two thereof. Berlin blue, for example, is particularly suitable.
Preference is given to using crystalline DMC compounds. In a preferred embodiment, a crystalline DMC compound of the Zn-Co type which comprises zinc acetate as further metal salt component is used as catalyst. Such compounds crystallize in monoclinic structure and have a platelet-like habit.
In one embodiment of the present invention, the inventive synthesis is carried out in the presence of at least one double-metal cyanide selected from hexacyano cobaltates.
In one embodiment of the present invention, the inventive synthesis is carried out in the presence of at least one double-metal cyanide selected from compounds according to general formula (VIII)
M1 ri[M2(CN)r2(A)r3]r4-r6 M\7X2 m1 -r8(H2O)-r5L-kP (VIII), wherein
M2 is at least one metal ion chosen from the group consisting of Fe2+, Fe3+, Co2+, Co3+, Mn2+, Mn3+, V4+, V5+, Cr2+, Cr3+, Rh3+, Ru2+, lr3+, and in a way that M1 and M2 are not identical,
A and X2, independently of one another, are anions selected from the group consisting of halide, hydroxide, sulfate, carbonate, cyanide, thiocyanate, isocyanate, cyanate, carboxylate, oxalate, nitrate, nitrosyl, hydrogensulfate, phosphate, dihydrogenphosphate, hydrogenphosphate or hydrogencarbonate,
L is a ligand chosen from the group consisting of alcohols, aldehydes, ketones, ethers, polyethers, esters, polyesters, polycarbonate, ureas, amides, primary, secondary and tertiary amines,
ligands with pyridine nitrogen, nitriles, sulfides, phosphides, phosphites, phosphanes, phospho- nates and phosphates, k is greater than or equal to zero, and up to 6. The variable k can be a whole number or a fraction.
P is an organic additive, selected for example from polyethers, polyesters, polycarbonates, polyalkylene glycol sorbitan esters, polyalkylene glycol glycidyl ethers, polyacrylamides, poly(acrylamide-co-acrylic acid), polyacrylic acids, poly(acrylamide-co-maleic acid), polyacrylonitriles, polyalkyl acrylates, polyalkyl methacrylates, polyvinyl methyl ethers, polyvinyl ethyl ethers, polyvinyl acetates, polyvinyl alcohol, poly-N-vinylpyrrolidone, poly(N-vinylpyrrolidone-co- acrylic acid), polyvinyl methyl ketone, poly(4-vinylphenol), poly(acrylic acid-co-styrene), oxazo- line polymer, maleic acid and maleic anhydride copolymers, hydroxyethylcellulose, polyacetates, ionic surface-active and interface-active compounds, bile acid or salts thereof, esters or amides, carboxylic esters of polyhydric alcohols and glycosides. r1 , r2, r3, r4, r7 and ml are chosen such that the electroneutrality of the compound (I) is ensured, where each f and r3 may be 0, r5 is the number of ligand molecules, for example a fraction or an integer greater than zero, or zero, r6 and r6, independently of one another, are fractions or integers greater than zero, or zero.
In one embodiment, the upper limits of r5, r6, and r8 are each 6.
Double-metal cyanide compounds can be used as powder, paste or suspension or be moulded to give a moulding, be introduced into mouldings, foams or the like or be applied to mouldings, foams or the like.
Preferably, the DMC catalyst used for step (y), based on polycondensate obtained in step (P), is from 5 to 2000 ppm (i.e. mg of catalyst per kg of product), preferably less than 1000 ppm, in particular less than 500 ppm, particularly preferably less than 100 ppm, for example less than 50 ppm or 35 ppm, particularly preferably less than 25 ppm; ppm referring to mass-ppm (parts per million) of polycondensate obtained in step (P).
Step (Y) may be carried out in bulk, embodiment (i), or in an organic solvent, embodiment (ii). In embodiment (i), water can be removed from the polycondensate obtained in step (P). Such water removal can be done by heating to a temperature in the range of from 80 to 150°C under a reduced pressure in the range of from 0.01 to 0.5 bar and distilling off the water.
In one embodiment of the present invention, step (y) is carried out at a reaction temperature in the range of from 70 to 200°C and preferably from 100 to 180°C.
In one embodiment of the present invention, step (y) is carried out once per synthesis of polymer (A). In an alternative embodiment, step (y) is carried out several time, for example up to four times per synthesis of an polymer (A), for example with the same or preferably with different C2-C4-alkylene oxides. It is, for example, possible to subject a polycondensate obtained in step (P) to a first alkoxylation (y1 ) with ethylene oxide and to subject the product from step (y1 ) to a second alkoxylation (y2), for example with propylene oxide.
In one embodiment of the present invention, step (y) is carried out at a pressure of up to 10 bar and in particular up to 8 bar, for example 1 to 8 bar.
In one embodiment of the present invention, the reaction time of step (y) is generally in the range of from 0.5 to 12 hours.
Examples of suitable organic solvents for embodiment (ii) of step (y) are nonpolar and polar aprotic organic solvents. Examples of particularly suitable nonpolar aprotic solvents include aliphatic and aromatic hydrocarbons such as hexane, cyclohexane, toluene and xylene. Examples of particularly suitable polar aprotic solvents are ethers, in particular cyclic ethers such as tetrahydrofuran and 1 ,4-dioxane, furthermore N,N-dialkylamides such as dimethylformamide and dimethylacetamide, and N -alkyl lactams such as N-methylpyrrolidone. It is as well possible to use mixtures of at least two of the above organic solvents. Preferred organic solvents are xylene and toluene.
In embodiment (ii), the solution obtained in the first step, before or after addition of catalyst and solvent, is dewatered before being subjected to alkylene oxide, said water removal advantageously being done by removing the water at a temperature in the range of from 120 to 180°C, preferably supported by a stream of nitrogen. The subsequent reaction with the alkylene oxide may be effected as in embodiment (i). In embodiment (i), alkoxylated polyalkylenimines according to the invention is obtained directly in bulk and may be dissolved in water, if desired. In em-
bodiment (ii), for work-up organic solvent is typically replaced by water. Alkoxylated polyalkylen- imines (B) according to the invention may alternatively be isolated in bulk.
An - optional - step of work-up may include the deactivation of catalyst used in step (y), in the case of basic catalysts by neutralization.
The inventive process does not require bleaching steps or reductive removal of impurities.
The invention is further illustrated by the following working examples.
I. Synthesis of polymers (A)
1.1 Synthesis of polymer (A.1 )
1.1.1 Synthesis of core (a.l )
Step (a.1 ): First alkoxylation
A 3.5 liter steel autoclave was charged with 1603 g methylcyclohexyldiamine (MCDA) as 4:1 mixture of 2,4-diamines and 2,6-diamines:
and 160 g water and then heated to 100 °C. Then, 50 g of ethylene oxide were dosed into the autoclave. The start of an exothermic reaction was observed. Subsequently, 831 g of ethylene oxide were dosed into the autoclave within 12 hours. The system was kept at 100 °C for further 6 hours. After hat, the mixture is removed from the autoclave and residual EO and water were stripped under reduced pressure (20 mbar) at 80 °C for two hours. 2423 g of intermediate ITM.1 were obtained as a yellow viscous liquid.
Analytics:
OH value: 910 mg KOH/g
Amine value: total amines: 575 mg KOH/g
Step (p.1 ): polycondensation:
A 4 L four-neck flask equipped with stirrer, distillation bridge, N2 inlet, and internal thermometer was charged with 2005 g of the intermediate ITM.1 and 15.47 g of a 50% aqueous solution of phosphoric acid. The resulting reaction mixture was heated to 219 °C and then stirred at 219 °C under nitrogen for 27 hours while the distillate was collected. Finally, the temperature was reduced to 80 °C and the resulting polycondensate was collected as a viscous liquid, core (a.1 ).
OH value: 594 mg KOH/g
Acid number: 5.45 mg KOH/g
GPC in HFIP: Mn: 3014 g/mol, Mw: 16238 (g/mol)
Step (y1 .1 ): ethoxylation
A 3.5-liter steel autoclave was charged with 203 g of core (a.1 ) and 8,4 g of aqueous KOH (48%) and heated to 100 °C. Then, the water was removed at 100 °C under reduced pressure. The resulting residue was then heated to 130 °C and 50 g of ethylene oxide were added within 10 minutes. After start of the exothermic reaction, 1844 g of ethylene oxide were added within 24 hours. The resultant reaction mixture was maintained at 130 °C for 6 hours and then cooled to 80 °C. The autoclave was vented and discharged. Residual EO was stripped from the residue under reduced pressure at 80 °C. An amount of 2083 g of polymer (A.1 ) was obtained.
Analytics:
OH value: 82 mg KOH/g
Amine value: 69 mg KOH/g
1.2 Synthesis of polymer (A.2)
Step (y2.1 ): propoxylation
A 3.5-liter steel autoclave was charged with 1150 g of polymer (A.1 ) and 9 g of aqueous KOH (48%) and heated to 100 °C. Then, the water was removed at 100 °C under reduced pressure.
The resultant residue was then heated to 130 °C and 50 g of propylene oxide were added within 10 minutes. After start of the exothermic reaction, 1047 g of propylene oxide were added within 20 hours. The resultant reaction mixture was maintained at 130 °C for 6 hours and then cooled to 100 °C. The autoclave was vented and discharged. Residual PO was stripped under reduced pressure at 80 °C. An amount of 2220 g of polymer (A.2) as a brown solid material were obtained.
Analytics:
OH value: 52 mg KOH/g
Amine value: 38 mg KOH/g
I.3 Synthesis of polymer (A.3)
1.3.1 Synthesis of core (a.2) - polycondensation (p.2)
A 4 L four-neck flask equipped with stirrer, distillation bridge, N2 inlet, and internal thermometer was charged with 1876 g of the intermediate from step (a.1 ) and 14.5 g of a 50% aqueous solution of phosphoric acid. The resulting reaction mixture was heated to 219 °C and then stirred at 219 °C under nitrogen or under vacuum (650 mbar) for 32.3 hours while the distillate was collected.* Then the temperature was reduced to 80 °C and the resulting polycondensate was collected as a viscous liquid, core (a.2).
OH value: 586 mg KOH/g
Acid number: 4.51 mg KOH/g
GPC in HFIP: Mn: 1822 g/mol, Mw: 14061 (g/mol)
1 .3.2 Step (y1 .2): ethoxylation
A 3.5-liter steel autoclave was charged with 203 g of core (a.2) and 8.4 g of aqueous KOH (48%) and heated to 100 °C. Then, the water was removed at 100 °C under reduced pressure. Then the residue was heated to 130 °C and 50 g of ethylene oxide were added within 10 minutes. After start of the exothermic reaction, 1844 g of ethylene oxide were added within 24 hours. The resultant reaction mixture was maintained at 130 °C for 6 hours and then cooled to 80 °C. The autoclave was vented and discharged. Residual EO was stripped from the residue under reduced pressure at 80 °C. An amount of 2081 g of polymer (A.3) was obtained.
Analytics:
OH value: 76 mg KOH/g
Amine value: 63 mg KOH/g
1.4 Synthesis of polymer (A.4)
Step (y2.2): propoxylation
A 3 ,5-liter steel autoclave was charged with 1150 g of polymer (A.3) and 9 g of aqueous KOH (48%) and heated to 100 °C. Then, the water was removed at 100 °C under reduced pressure. Then the residue was heated to 130 °C and 50 g of propylene oxide were added within 10 minutes. After start of the exothermic reaction, 1047 g of propylene oxide were added within 20 hours. The resultant reaction mixture was maintained at 130 °C for 6 hours and then cooled to 100 °C. The autoclave was vented and discharged. Residual PO was stripped under reduced pressure at 80 °C. An amount of 2224 g of polymer (A.4) as a brown solid material were obtained.
Analytics:
OH value: 51 mg KOH/g
Amine value: 35 mg KOH/g
1.5 Synthesis of polymer (A.5)
1.5.1 Synthesis of core (a.l )
Step (a.5): First alkoxylation
A 3.5-liter steel autoclave was charged with 1 .28 kg methylcyclohexyldiamine (MCDA) as 4:1 mixture of 2,4-diamines and 2,6-diamines, and 128 g water and then heated to 100 °C. Then, 50 g of propylene oxide were dosed into the autoclave within 10 minutes. The start of an exothermic reaction was observed. Subsequently, 879 g of propylene oxide were dosed into the autoclave within 15 hours. The system was kept at 100 °C for further 6 hours. After hat, the mixture is removed from the autoclave and residual EO and water were stripped under reduced pressure (20 mbar) at 80 °C for two hours. 2.2 kg of intermediate ITM.2 were obtained as a yellow viscous liquid.
II. Manufacture of inventive formulations
Non-ionic surfactant : (IV.1 ): n-Cie-alkyl/n-C -alkyl-polyglucoside with y about 1.3
11.1 Manufacture of comparative formulation C-HSC.1
A 250 ml vessel was charged with 80 g water. Then, 6 g aqueous solution of NaOH (50%) and 8 g butylenediglycol (BDG) were added, followed by 2 g of a 50% aqueous solution of (IV.1 ). Homogenisation was achieved with moderate stirring (magnetic) at ambient temperature over a period of time of 5 minutes. Comparative formulation C-HSC.1 was obtained.
11.2 Manufacture of comparative formulation C-HSC.2
A 250 ml vessel was charged with 80 g water. Then, 6 g aqueous solution of NaOH (50%) and 8 g butylenediglycol (BDG) were added, followed by 2 g of a 50% aqueous solution of (IV.1 ) and
4 g of polymer (A.2) (100%). Homogenisation was achieved with moderate stirring (magnetic) at ambient temperature over a period of time of 5 minutes. Inventive formulation C-HSC.2 was obtained.
11.3 Manufacture of inventive formulation HSC.3
A 250 ml vessel was charged with 80 g water. Then, 6 g aqueous solution of NaOH (50%) and 8 g butylenediglycol (BDG) were added, followed by 2 g of a 50% aqueous solution of (IV.1 ), 2 g of polymer (A.2) and 2 g of a 40% by weight aqueous solution of MGDA-Nas. Homogenisation was achieved with moderate stirring (magnetic) at ambient temperature over a period of time of
5 minutes. Inventive formulation HSC.3 was obtained.
III. Test as hard surface cleaners
Performance was evaluated with respect to the cleaning performance at ambient temperature on stainless-steel surfaces.
Test soil: a greasy soil was prepared by mixing 25.0% butter, 25.0% lard, 25.0% margarine, 20.0% ketchup, 2.5% mustard and 2.5% potato starch at 40 to 45°C under continuous stirring. A greasy soil was obtained.
Stainless steel plates (15x10 cm) were pre-cleaned with ethanol, and then their weight was determined. About 1 .5 g of greasy soil was applied evenly to each plate with a roller. Then, the plates were heated in an oven to 200°C for two hours. Then, the plates were allowed to cool down to ambient temperature and stored for two hours. Finally, the cleaning tests were performed.
2 g of inventive formulation /or comparative formulations, respectively, were evenly sprayed onto the soiled stainless-steel plates through a trigger sprayer and allow to act for 2 minutes. In addition, the soiled surface of the plate was wiped with a cellulose-type wet sponge (without applying any force).
The evaluation of the dirt removal was performed visually and refers to an average value of three experiments:
1 No removal
2 Weak removal (10-30% surface cleaned)
3 Average removal (40-70% surface cleaned)
4 Good removal (70-90% surface cleaned)
5 Excellent removal (> 90% surface cleaned) Percentages refer to the surface.
The results are summarized in Table 1 .
IV. Automatic Dishwashing Detergents:
The following detergent compositions for automatic dishwashing may be made by mixing components according to Table 2. All quantities in g. The resultant detergent mixtures can be converted into tablets of 20 g.
Table 2: Example detergent compositions for automatic dishwashing
HEDP: hydroxyethyl phosphonic acid disodium salt.
Claims
1 . Composition comprising
(A) at least one polymer comprising
(a) a core that bears one to 3 moieties of the general formula (I)
wherein Z are different or the same and selected from C2-Ci2-alkylene and C3-C12- cycloalkylene wherein C2-Ci2-alkylene and C3-Ci2-cycloalkylene may be non-substituted or substituted with one or more O-Ci-C4-alkyl groups and wherein C3-Ci2-cycloalkylene may bear one to three methyl groups,
X1 is selected from hydrogen and methyl and ethyl and combinations of at least two of the foregoing, preferred are methyl and more preferred is hydrogen, n is in the range of from 1 to 4,
(b) polyalkylene oxide chains,
(B) at least one builder component selected from aminopolycarboxylic acids and their alkali metal salts,
(C) and, optionally, at least one hydrolase.
2. Composition according to claim 1 wherein Z is selected from cyclohexylene and cyclopentylene, each non-substituted or substituted with one to 2 methyl or methoxy groups.
3. Composition according to claim 1 or 2 wherein said hydrolase (C) is selected from proteases (C).
4. Composition according to claim 3 wherein said protease (C) is selected from subtilisin- type lipases (EC 3.4.21 .62).
43
5. Composition according to any of the preceding claims wherein said polymer (A) has an average molecular weight Mw in the range of from 1 ,500 to 80,000 g/mol.
6. Composition according to any of the preceding claims wherein all variables X1 are selected from hydrogen and methyl and combinations thereof.
8. Composition according to any of the preceding claims, additionally comprising at least one builder component selected from alkali metal salts of aminopolycarboxylic acids and from alkali metal salts of (co)polymers of acrylic acid.
9. Compositions according to any of the preceding claims wherein said builder component is selected from alkali metal salts of methylglycine diacetic acid (MGDA) and of glutamic acid diacetic acid (GLDA).
10. Compositions according to any of the preceding claims wherein such compositions comprise at least one copolymer of (meth)acrylic acid and a sulfonated comonomer.
11 . Use of a composition according to any of the preceding claims for laundry cleaning compositions or for hard surface cleaning.
Applications Claiming Priority (2)
| Application Number | Priority Date | Filing Date | Title |
|---|---|---|---|
| EP20202920.3 | 2020-10-20 | ||
| EP20202920 | 2020-10-20 |
Publications (1)
| Publication Number | Publication Date |
|---|---|
| WO2022083949A1 true WO2022083949A1 (en) | 2022-04-28 |
Family
ID=73005328
Family Applications (1)
| Application Number | Title | Priority Date | Filing Date |
|---|---|---|---|
| PCT/EP2021/075443 Ceased WO2022083949A1 (en) | 2020-10-20 | 2021-09-16 | Compositions and their use |
Country Status (1)
| Country | Link |
|---|---|
| WO (1) | WO2022083949A1 (en) |
Citations (62)
| Publication number | Priority date | Publication date | Assignee | Title |
|---|---|---|---|---|
| GB1372034A (en) | 1970-12-31 | 1974-10-30 | Unilever Ltd | Detergent compositions |
| EP0218272A1 (en) | 1985-08-09 | 1987-04-15 | Gist-Brocades N.V. | Novel lipolytic enzymes and their use in detergent compositions |
| EP0258068A2 (en) | 1986-08-29 | 1988-03-02 | Novo Nordisk A/S | Enzymatic detergent additive |
| EP0260105A2 (en) | 1986-09-09 | 1988-03-16 | Genencor, Inc. | Preparation of enzymes having altered activity |
| EP0283075A2 (en) | 1987-02-27 | 1988-09-21 | Gist-Brocades N.V. | Molecular cloning and expression of genes encoding proteolytic enzymes |
| EP0305216A1 (en) | 1987-08-28 | 1989-03-01 | Novo Nordisk A/S | Recombinant Humicola lipase and process for the production of recombinant humicola lipases |
| JPS6474992A (en) | 1987-09-16 | 1989-03-20 | Fuji Oil Co Ltd | Dna sequence, plasmid and production of lipase |
| WO1989006279A1 (en) | 1988-01-07 | 1989-07-13 | Novo-Nordisk A/S | Mutated subtilisin genes |
| EP0331376A2 (en) | 1988-02-28 | 1989-09-06 | Amano Pharmaceutical Co., Ltd. | Recombinant DNA, bacterium of the genus pseudomonas containing it, and process for preparing lipase by using it |
| EP0407225A1 (en) | 1989-07-07 | 1991-01-09 | Unilever Plc | Enzymes and enzymatic detergent compositions |
| WO1991002792A1 (en) | 1989-08-25 | 1991-03-07 | Henkel Research Corporation | Alkaline proteolytic enzyme and method of production |
| WO1991016422A1 (en) | 1990-04-14 | 1991-10-31 | Kali-Chemie Aktiengesellschaft | Alkaline bacillus lipases, coding dna sequences therefor and bacilli which produce these lipases |
| WO1992005249A1 (en) | 1990-09-13 | 1992-04-02 | Novo Nordisk A/S | Lipase variants |
| WO1992019729A1 (en) | 1991-05-01 | 1992-11-12 | Novo Nordisk A/S | Stabilized enzymes and detergent compositions |
| WO1994001541A1 (en) | 1992-07-06 | 1994-01-20 | Novo Nordisk A/S | C. antarctica lipase and lipase variants |
| WO1994025578A1 (en) | 1993-04-27 | 1994-11-10 | Gist-Brocades N.V. | New lipase variants for use in detergent applications |
| WO1995006720A1 (en) | 1993-08-30 | 1995-03-09 | Showa Denko K.K. | Novel lipase, microorganism producing the lipase, process for producing the lipase, and use of the lipase |
| WO1995014783A1 (en) | 1993-11-24 | 1995-06-01 | Showa Denko K.K. | Lipase gene and variant lipase |
| WO1995022615A1 (en) | 1994-02-22 | 1995-08-24 | Novo Nordisk A/S | A method of preparing a variant of a lipolytic enzyme |
| WO1995023221A1 (en) | 1994-02-24 | 1995-08-31 | Cognis, Inc. | Improved enzymes and detergents containing them |
| WO1995030744A2 (en) | 1994-05-04 | 1995-11-16 | Genencor International Inc. | Lipases with improved surfactant resistance |
| WO1995035381A1 (en) | 1994-06-20 | 1995-12-28 | Unilever N.V. | Modified pseudomonas lipases and their use |
| WO1996000292A1 (en) | 1994-06-23 | 1996-01-04 | Unilever N.V. | Modified pseudomonas lipases and their use |
| WO1996012012A1 (en) | 1994-10-14 | 1996-04-25 | Solvay S.A. | Lipase, microorganism producing same, method for preparing said lipase and uses thereof |
| WO1996013580A1 (en) | 1994-10-26 | 1996-05-09 | Novo Nordisk A/S | An enzyme with lipolytic activity |
| WO1996027002A1 (en) | 1995-02-27 | 1996-09-06 | Novo Nordisk A/S | Novel lipase gene and process for the production of lipase with the use of the same |
| WO1996034946A1 (en) | 1995-05-05 | 1996-11-07 | Novo Nordisk A/S | Protease variants and compositions |
| WO1997004079A1 (en) | 1995-07-14 | 1997-02-06 | Novo Nordisk A/S | A modified enzyme with lipolytic activity |
| WO1997007202A1 (en) | 1995-08-11 | 1997-02-27 | Novo Nordisk A/S | Novel lipolytic enzymes |
| WO1998020116A1 (en) | 1996-11-04 | 1998-05-14 | Novo Nordisk A/S | Subtilase variants and compositions |
| WO1998020115A1 (en) | 1996-11-04 | 1998-05-14 | Novo Nordisk A/S | Subtilase variants and compositions |
| EP0851023A2 (en) | 1996-12-23 | 1998-07-01 | Unilever N.V. | Machine dishwashing tablets containing a peracid |
| US5869438A (en) | 1990-09-13 | 1999-02-09 | Novo Nordisk A/S | Lipase variants |
| WO1999011768A1 (en) | 1997-08-29 | 1999-03-11 | Novo Nordisk A/S | Protease variants and compositions |
| DE19819187A1 (en) | 1998-04-30 | 1999-11-11 | Henkel Kgaa | Solid dishwasher detergent with phosphate and crystalline layered silicates |
| WO2000060063A1 (en) | 1999-03-31 | 2000-10-12 | Novozymes A/S | Lipase variant |
| WO2001044452A1 (en) | 1999-12-15 | 2001-06-21 | Novozymes A/S | Subtilase variants having an improved wash performance on egg stains |
| DE10064983A1 (en) | 2000-12-23 | 2002-07-18 | Henkel Kgaa | New subtilisin protease from Bacillus alcalophilus, useful e.g. in washing and cleaning compositions, comprises at positions 230, 256 and 259 amino acids Val, Gly and Asn |
| WO2002088340A2 (en) | 2001-05-02 | 2002-11-07 | Henkel Kommanditgesellschaft Auf Aktien | Alkaline protease variants and detergents and cleaning agents containing said alkaline protease variants |
| WO2003006602A2 (en) | 2001-07-12 | 2003-01-23 | Novozymes A/S | Subtilase variants |
| WO2003054184A1 (en) | 2001-12-20 | 2003-07-03 | Henkel Kommanditgesellschaft Auf Aktien | Novel alkali protease formed by bacillus gibsonii (dsm 14393) and washing and cleaning agents containing said novel alkali protease |
| WO2003056017A2 (en) | 2001-12-22 | 2003-07-10 | Henkel Kommanditgesellschaft Auf Aktien | Alkaline protease from bacillus sp. (dsm 14390) and washing and cleaning products comprising said alkaline protease |
| WO2003055974A2 (en) | 2001-12-22 | 2003-07-10 | Henkel Kommanditgesellschaft Auf Aktien | Novel alkaline protease from bacillus sp. (dsm 14392) and washing and cleaning products comprising said novel alkaline protease |
| WO2004003186A2 (en) | 2002-06-26 | 2004-01-08 | Novozymes A/S | Subtilases and subtilase variants having altered immunogenicity |
| WO2004041979A2 (en) | 2002-11-06 | 2004-05-21 | Novozymes A/S | Subtilase variants |
| WO2005063974A1 (en) | 2003-12-23 | 2005-07-14 | Henkel Kommanditgesellschaft Auf Aktien | Novel alkaline protease and washing and cleaning products containing said novel alkaline protease |
| WO2005103244A1 (en) | 2004-04-23 | 2005-11-03 | Henkel Kommanditgesellschaft Auf Aktien | Novel alkaline proteases, and detergents and cleaners containing the same |
| WO2007006305A1 (en) | 2005-07-08 | 2007-01-18 | Novozymes A/S | Subtilase variants |
| WO2007087508A2 (en) | 2006-01-23 | 2007-08-02 | Novozymes A/S | Lipase variants |
| US20090124531A1 (en) * | 2007-11-09 | 2009-05-14 | James Lee Danziger | Cleaning compositions with amphiphilic water-soluble polyalkylenimines having an inner polyethylene oxide block and an outer polypropylene oxide block |
| WO2009109500A1 (en) | 2008-02-29 | 2009-09-11 | Novozymes A/S | Polypeptides having lipase activity and polynucleotides encoding same |
| WO2010065455A2 (en) | 2008-12-01 | 2010-06-10 | Danisco Us Inc. | Enzymes with lipase activity |
| WO2011036263A1 (en) | 2009-09-25 | 2011-03-31 | Novozymes A/S | Subtilase variants |
| WO2011036264A1 (en) | 2009-09-25 | 2011-03-31 | Novozymes A/S | Use of protease variants |
| WO2011072099A2 (en) | 2009-12-09 | 2011-06-16 | Danisco Us Inc. | Compositions and methods comprising protease variants |
| WO2011084599A1 (en) | 2009-12-21 | 2011-07-14 | Danisco Us Inc. | Detergent compositions containing bacillus subtilis lipase and methods of use thereof |
| WO2011084417A1 (en) | 2009-12-21 | 2011-07-14 | Danisco Us Inc. | Detergent compositions containing geobacillus stearothermophilus lipase and methods of use thereof |
| WO2011084412A1 (en) | 2009-12-21 | 2011-07-14 | Danisco Us Inc. | Detergent compositions containing thermobifida fusca lipase and methods of use thereof |
| WO2011150157A2 (en) | 2010-05-28 | 2011-12-01 | Danisco Us Inc. | Detergent compositions containing streptomyces griseus lipase and methods of use thereof |
| WO2012137147A1 (en) | 2011-04-08 | 2012-10-11 | Danisco Us, Inc. | Compositions |
| US20160090554A1 (en) * | 2014-09-25 | 2016-03-31 | The Procter & Gamble Company | Cleaning compositions comprising alkoxylated polyalkyleneimines and sulfonate group-containing copolymers |
| US9719050B2 (en) * | 2014-02-26 | 2017-08-01 | The Procter & Gamble Company | Anti-foam compositions comprising an organomodified silicone comprising one or more 2-phenylpropylmethyl moieties |
-
2021
- 2021-09-16 WO PCT/EP2021/075443 patent/WO2022083949A1/en not_active Ceased
Patent Citations (63)
| Publication number | Priority date | Publication date | Assignee | Title |
|---|---|---|---|---|
| GB1372034A (en) | 1970-12-31 | 1974-10-30 | Unilever Ltd | Detergent compositions |
| EP0218272A1 (en) | 1985-08-09 | 1987-04-15 | Gist-Brocades N.V. | Novel lipolytic enzymes and their use in detergent compositions |
| EP0258068A2 (en) | 1986-08-29 | 1988-03-02 | Novo Nordisk A/S | Enzymatic detergent additive |
| EP0260105A2 (en) | 1986-09-09 | 1988-03-16 | Genencor, Inc. | Preparation of enzymes having altered activity |
| EP0283075A2 (en) | 1987-02-27 | 1988-09-21 | Gist-Brocades N.V. | Molecular cloning and expression of genes encoding proteolytic enzymes |
| EP0305216A1 (en) | 1987-08-28 | 1989-03-01 | Novo Nordisk A/S | Recombinant Humicola lipase and process for the production of recombinant humicola lipases |
| JPS6474992A (en) | 1987-09-16 | 1989-03-20 | Fuji Oil Co Ltd | Dna sequence, plasmid and production of lipase |
| WO1989006279A1 (en) | 1988-01-07 | 1989-07-13 | Novo-Nordisk A/S | Mutated subtilisin genes |
| EP0331376A2 (en) | 1988-02-28 | 1989-09-06 | Amano Pharmaceutical Co., Ltd. | Recombinant DNA, bacterium of the genus pseudomonas containing it, and process for preparing lipase by using it |
| EP0407225A1 (en) | 1989-07-07 | 1991-01-09 | Unilever Plc | Enzymes and enzymatic detergent compositions |
| WO1991002792A1 (en) | 1989-08-25 | 1991-03-07 | Henkel Research Corporation | Alkaline proteolytic enzyme and method of production |
| WO1991016422A1 (en) | 1990-04-14 | 1991-10-31 | Kali-Chemie Aktiengesellschaft | Alkaline bacillus lipases, coding dna sequences therefor and bacilli which produce these lipases |
| WO1992005249A1 (en) | 1990-09-13 | 1992-04-02 | Novo Nordisk A/S | Lipase variants |
| US5869438A (en) | 1990-09-13 | 1999-02-09 | Novo Nordisk A/S | Lipase variants |
| WO1992019729A1 (en) | 1991-05-01 | 1992-11-12 | Novo Nordisk A/S | Stabilized enzymes and detergent compositions |
| WO1994001541A1 (en) | 1992-07-06 | 1994-01-20 | Novo Nordisk A/S | C. antarctica lipase and lipase variants |
| WO1994025578A1 (en) | 1993-04-27 | 1994-11-10 | Gist-Brocades N.V. | New lipase variants for use in detergent applications |
| WO1995006720A1 (en) | 1993-08-30 | 1995-03-09 | Showa Denko K.K. | Novel lipase, microorganism producing the lipase, process for producing the lipase, and use of the lipase |
| WO1995014783A1 (en) | 1993-11-24 | 1995-06-01 | Showa Denko K.K. | Lipase gene and variant lipase |
| WO1995022615A1 (en) | 1994-02-22 | 1995-08-24 | Novo Nordisk A/S | A method of preparing a variant of a lipolytic enzyme |
| WO1995023221A1 (en) | 1994-02-24 | 1995-08-31 | Cognis, Inc. | Improved enzymes and detergents containing them |
| EP1921147A2 (en) | 1994-02-24 | 2008-05-14 | Henkel Kommanditgesellschaft auf Aktien | Improved enzymes and detergents containing them |
| WO1995030744A2 (en) | 1994-05-04 | 1995-11-16 | Genencor International Inc. | Lipases with improved surfactant resistance |
| WO1995035381A1 (en) | 1994-06-20 | 1995-12-28 | Unilever N.V. | Modified pseudomonas lipases and their use |
| WO1996000292A1 (en) | 1994-06-23 | 1996-01-04 | Unilever N.V. | Modified pseudomonas lipases and their use |
| WO1996012012A1 (en) | 1994-10-14 | 1996-04-25 | Solvay S.A. | Lipase, microorganism producing same, method for preparing said lipase and uses thereof |
| WO1996013580A1 (en) | 1994-10-26 | 1996-05-09 | Novo Nordisk A/S | An enzyme with lipolytic activity |
| WO1996027002A1 (en) | 1995-02-27 | 1996-09-06 | Novo Nordisk A/S | Novel lipase gene and process for the production of lipase with the use of the same |
| WO1996034946A1 (en) | 1995-05-05 | 1996-11-07 | Novo Nordisk A/S | Protease variants and compositions |
| WO1997004079A1 (en) | 1995-07-14 | 1997-02-06 | Novo Nordisk A/S | A modified enzyme with lipolytic activity |
| WO1997007202A1 (en) | 1995-08-11 | 1997-02-27 | Novo Nordisk A/S | Novel lipolytic enzymes |
| WO1998020116A1 (en) | 1996-11-04 | 1998-05-14 | Novo Nordisk A/S | Subtilase variants and compositions |
| WO1998020115A1 (en) | 1996-11-04 | 1998-05-14 | Novo Nordisk A/S | Subtilase variants and compositions |
| EP0851023A2 (en) | 1996-12-23 | 1998-07-01 | Unilever N.V. | Machine dishwashing tablets containing a peracid |
| WO1999011768A1 (en) | 1997-08-29 | 1999-03-11 | Novo Nordisk A/S | Protease variants and compositions |
| DE19819187A1 (en) | 1998-04-30 | 1999-11-11 | Henkel Kgaa | Solid dishwasher detergent with phosphate and crystalline layered silicates |
| WO2000060063A1 (en) | 1999-03-31 | 2000-10-12 | Novozymes A/S | Lipase variant |
| WO2001044452A1 (en) | 1999-12-15 | 2001-06-21 | Novozymes A/S | Subtilase variants having an improved wash performance on egg stains |
| DE10064983A1 (en) | 2000-12-23 | 2002-07-18 | Henkel Kgaa | New subtilisin protease from Bacillus alcalophilus, useful e.g. in washing and cleaning compositions, comprises at positions 230, 256 and 259 amino acids Val, Gly and Asn |
| WO2002088340A2 (en) | 2001-05-02 | 2002-11-07 | Henkel Kommanditgesellschaft Auf Aktien | Alkaline protease variants and detergents and cleaning agents containing said alkaline protease variants |
| WO2003006602A2 (en) | 2001-07-12 | 2003-01-23 | Novozymes A/S | Subtilase variants |
| WO2003054184A1 (en) | 2001-12-20 | 2003-07-03 | Henkel Kommanditgesellschaft Auf Aktien | Novel alkali protease formed by bacillus gibsonii (dsm 14393) and washing and cleaning agents containing said novel alkali protease |
| WO2003056017A2 (en) | 2001-12-22 | 2003-07-10 | Henkel Kommanditgesellschaft Auf Aktien | Alkaline protease from bacillus sp. (dsm 14390) and washing and cleaning products comprising said alkaline protease |
| WO2003055974A2 (en) | 2001-12-22 | 2003-07-10 | Henkel Kommanditgesellschaft Auf Aktien | Novel alkaline protease from bacillus sp. (dsm 14392) and washing and cleaning products comprising said novel alkaline protease |
| WO2004003186A2 (en) | 2002-06-26 | 2004-01-08 | Novozymes A/S | Subtilases and subtilase variants having altered immunogenicity |
| WO2004041979A2 (en) | 2002-11-06 | 2004-05-21 | Novozymes A/S | Subtilase variants |
| WO2005063974A1 (en) | 2003-12-23 | 2005-07-14 | Henkel Kommanditgesellschaft Auf Aktien | Novel alkaline protease and washing and cleaning products containing said novel alkaline protease |
| WO2005103244A1 (en) | 2004-04-23 | 2005-11-03 | Henkel Kommanditgesellschaft Auf Aktien | Novel alkaline proteases, and detergents and cleaners containing the same |
| WO2007006305A1 (en) | 2005-07-08 | 2007-01-18 | Novozymes A/S | Subtilase variants |
| WO2007087508A2 (en) | 2006-01-23 | 2007-08-02 | Novozymes A/S | Lipase variants |
| US20090124531A1 (en) * | 2007-11-09 | 2009-05-14 | James Lee Danziger | Cleaning compositions with amphiphilic water-soluble polyalkylenimines having an inner polyethylene oxide block and an outer polypropylene oxide block |
| WO2009109500A1 (en) | 2008-02-29 | 2009-09-11 | Novozymes A/S | Polypeptides having lipase activity and polynucleotides encoding same |
| WO2010065455A2 (en) | 2008-12-01 | 2010-06-10 | Danisco Us Inc. | Enzymes with lipase activity |
| WO2011036263A1 (en) | 2009-09-25 | 2011-03-31 | Novozymes A/S | Subtilase variants |
| WO2011036264A1 (en) | 2009-09-25 | 2011-03-31 | Novozymes A/S | Use of protease variants |
| WO2011072099A2 (en) | 2009-12-09 | 2011-06-16 | Danisco Us Inc. | Compositions and methods comprising protease variants |
| WO2011084599A1 (en) | 2009-12-21 | 2011-07-14 | Danisco Us Inc. | Detergent compositions containing bacillus subtilis lipase and methods of use thereof |
| WO2011084417A1 (en) | 2009-12-21 | 2011-07-14 | Danisco Us Inc. | Detergent compositions containing geobacillus stearothermophilus lipase and methods of use thereof |
| WO2011084412A1 (en) | 2009-12-21 | 2011-07-14 | Danisco Us Inc. | Detergent compositions containing thermobifida fusca lipase and methods of use thereof |
| WO2011150157A2 (en) | 2010-05-28 | 2011-12-01 | Danisco Us Inc. | Detergent compositions containing streptomyces griseus lipase and methods of use thereof |
| WO2012137147A1 (en) | 2011-04-08 | 2012-10-11 | Danisco Us, Inc. | Compositions |
| US9719050B2 (en) * | 2014-02-26 | 2017-08-01 | The Procter & Gamble Company | Anti-foam compositions comprising an organomodified silicone comprising one or more 2-phenylpropylmethyl moieties |
| US20160090554A1 (en) * | 2014-09-25 | 2016-03-31 | The Procter & Gamble Company | Cleaning compositions comprising alkoxylated polyalkyleneimines and sulfonate group-containing copolymers |
Non-Patent Citations (10)
| Title |
|---|
| CAS, no. 64742-82-1 |
| DARTOIS ET AL., BIOCHEMICA ET BIOPHYSICA ACTA, vol. 1131, 1992, pages 253 - 360 |
| DELMAR ET AL., ANALYTICAL BIOCHEM, vol. 99, 1979, pages 316 - 320 |
| EL SMITH ET AL., J. BIOL CHEM, vol. 243, 1968, pages 2184 - 2191 |
| GUPTA ET AL., APPL. MICROBIOL. BIOTECHNOL., vol. 60, 2002, pages 381 - 395 |
| GUPTA ET AL., BIOTECHNOL. APPL. BIOCHEM., vol. 37, 2003, pages 63 - 71 |
| JA WELLS ET AL., NUCLEIC ACIDS RESEARCH, vol. 11, 1983, pages 7911 - 7925 |
| JACOBS ET AL., NUCL. ACIDS RES, vol. 13, 1985, pages 8913 - 8926 |
| NEEDLEMANWUNSCH, J. MOL. BIOL., vol. 48, 1979, pages 443 - 453 |
| VASANTHA ET AL., J. BACTERIOL., vol. 159, 1984, pages 811 - 819 |
Similar Documents
| Publication | Publication Date | Title |
|---|---|---|
| EP4103625B1 (en) | Biodegradable graft polymers | |
| WO2021105330A1 (en) | Compositions and polymers useful for such compositions | |
| EP4179053B1 (en) | Compositions and their applications | |
| EP4134420B1 (en) | Detergent composition comprising detersive surfactant and biodegradable graft polymers | |
| CN117716011A (en) | Detergent composition comprising detersive surfactant and grafted polymer | |
| EP4416256A1 (en) | Compositions comprising polymers, polymers, and their use | |
| EP4437074B1 (en) | Compositions comprising polymers, polymers, and their use | |
| EP4448705B1 (en) | Compositions and their applications | |
| EP4168523B1 (en) | Compositions and their use | |
| WO2022083949A1 (en) | Compositions and their use | |
| WO2023088777A1 (en) | Compositions comprising polymers, polymers, and their use | |
| EP4473038A1 (en) | Compositions comprising polymers, polymers, and their use | |
| EP4437075B1 (en) | Compositions comprising polymers and their use | |
| WO2023066741A1 (en) | Phosphate-free composition and methods for their manufacture and use | |
| BR112022025593B1 (en) | DETERGENT COMPOSITION AND USE OF A COMPOSITION | |
| EP4605508A1 (en) | Detergent compositions, polymers and methods of manufacturing the same | |
| WO2024115754A1 (en) | Aqueous compositions containing polyalkoxylates, polyalkoxylates, and use |
Legal Events
| Date | Code | Title | Description |
|---|---|---|---|
| 121 | Ep: the epo has been informed by wipo that ep was designated in this application |
Ref document number: 21777329 Country of ref document: EP Kind code of ref document: A1 |
|
| NENP | Non-entry into the national phase |
Ref country code: DE |
|
| 122 | Ep: pct application non-entry in european phase |
Ref document number: 21777329 Country of ref document: EP Kind code of ref document: A1 |
















