WO2022060904A1 - Compositions and methods for expression of t-cell receptors with small molecule-regulated cd40l in t cells - Google Patents
Compositions and methods for expression of t-cell receptors with small molecule-regulated cd40l in t cells Download PDFInfo
- Publication number
- WO2022060904A1 WO2022060904A1 PCT/US2021/050549 US2021050549W WO2022060904A1 WO 2022060904 A1 WO2022060904 A1 WO 2022060904A1 US 2021050549 W US2021050549 W US 2021050549W WO 2022060904 A1 WO2022060904 A1 WO 2022060904A1
- Authority
- WO
- WIPO (PCT)
- Prior art keywords
- seq
- chain
- acid sequence
- tcr
- amino acid
- Prior art date
- Legal status (The legal status is an assumption and is not a legal conclusion. Google has not performed a legal analysis and makes no representation as to the accuracy of the status listed.)
- Ceased
Links
Classifications
-
- C—CHEMISTRY; METALLURGY
- C07—ORGANIC CHEMISTRY
- C07K—PEPTIDES
- C07K14/00—Peptides having more than 20 amino acids; Gastrins; Somatostatins; Melanotropins; Derivatives thereof
- C07K14/005—Peptides having more than 20 amino acids; Gastrins; Somatostatins; Melanotropins; Derivatives thereof from viruses
-
- A—HUMAN NECESSITIES
- A61—MEDICAL OR VETERINARY SCIENCE; HYGIENE
- A61K—PREPARATIONS FOR MEDICAL, DENTAL OR TOILETRY PURPOSES
- A61K38/00—Medicinal preparations containing peptides
- A61K38/16—Peptides having more than 20 amino acids; Gastrins; Somatostatins; Melanotropins; Derivatives thereof
- A61K38/17—Peptides having more than 20 amino acids; Gastrins; Somatostatins; Melanotropins; Derivatives thereof from animals; from humans
- A61K38/177—Receptors; Cell surface antigens; Cell surface determinants
-
- A—HUMAN NECESSITIES
- A61—MEDICAL OR VETERINARY SCIENCE; HYGIENE
- A61K—PREPARATIONS FOR MEDICAL, DENTAL OR TOILETRY PURPOSES
- A61K40/00—Cellular immunotherapy
- A61K40/10—Cellular immunotherapy characterised by the cell type used
- A61K40/11—T-cells, e.g. tumour infiltrating lymphocytes [TIL] or regulatory T [Treg] cells; Lymphokine-activated killer [LAK] cells
-
- A—HUMAN NECESSITIES
- A61—MEDICAL OR VETERINARY SCIENCE; HYGIENE
- A61K—PREPARATIONS FOR MEDICAL, DENTAL OR TOILETRY PURPOSES
- A61K40/00—Cellular immunotherapy
- A61K40/30—Cellular immunotherapy characterised by the recombinant expression of specific molecules in the cells of the immune system
- A61K40/32—T-cell receptors [TCR]
-
- A—HUMAN NECESSITIES
- A61—MEDICAL OR VETERINARY SCIENCE; HYGIENE
- A61K—PREPARATIONS FOR MEDICAL, DENTAL OR TOILETRY PURPOSES
- A61K40/00—Cellular immunotherapy
- A61K40/40—Cellular immunotherapy characterised by antigens that are targeted or presented by cells of the immune system
- A61K40/41—Vertebrate antigens
- A61K40/42—Cancer antigens
- A61K40/4202—Receptors, cell surface antigens or cell surface determinants
- A61K40/4214—Receptors for cytokines
- A61K40/4215—Receptors for tumor necrosis factors [TNF], e.g. lymphotoxin receptor [LTR], CD30
-
- A—HUMAN NECESSITIES
- A61—MEDICAL OR VETERINARY SCIENCE; HYGIENE
- A61K—PREPARATIONS FOR MEDICAL, DENTAL OR TOILETRY PURPOSES
- A61K40/00—Cellular immunotherapy
- A61K40/40—Cellular immunotherapy characterised by antigens that are targeted or presented by cells of the immune system
- A61K40/46—Viral antigens
-
- A—HUMAN NECESSITIES
- A61—MEDICAL OR VETERINARY SCIENCE; HYGIENE
- A61P—SPECIFIC THERAPEUTIC ACTIVITY OF CHEMICAL COMPOUNDS OR MEDICINAL PREPARATIONS
- A61P35/00—Antineoplastic agents
-
- C—CHEMISTRY; METALLURGY
- C07—ORGANIC CHEMISTRY
- C07K—PEPTIDES
- C07K14/00—Peptides having more than 20 amino acids; Gastrins; Somatostatins; Melanotropins; Derivatives thereof
- C07K14/435—Peptides having more than 20 amino acids; Gastrins; Somatostatins; Melanotropins; Derivatives thereof from animals; from humans
- C07K14/705—Receptors; Cell surface antigens; Cell surface determinants
- C07K14/70503—Immunoglobulin superfamily
- C07K14/7051—T-cell receptor (TcR)-CD3 complex
-
- C—CHEMISTRY; METALLURGY
- C07—ORGANIC CHEMISTRY
- C07K—PEPTIDES
- C07K14/00—Peptides having more than 20 amino acids; Gastrins; Somatostatins; Melanotropins; Derivatives thereof
- C07K14/435—Peptides having more than 20 amino acids; Gastrins; Somatostatins; Melanotropins; Derivatives thereof from animals; from humans
- C07K14/705—Receptors; Cell surface antigens; Cell surface determinants
- C07K14/70575—NGF/TNF-superfamily, e.g. CD70, CD95L, CD153, CD154
-
- C—CHEMISTRY; METALLURGY
- C12—BIOCHEMISTRY; BEER; SPIRITS; WINE; VINEGAR; MICROBIOLOGY; ENZYMOLOGY; MUTATION OR GENETIC ENGINEERING
- C12N—MICROORGANISMS OR ENZYMES; COMPOSITIONS THEREOF; PROPAGATING, PRESERVING, OR MAINTAINING MICROORGANISMS; MUTATION OR GENETIC ENGINEERING; CULTURE MEDIA
- C12N9/00—Enzymes; Proenzymes; Compositions thereof; Processes for preparing, activating, inhibiting, separating or purifying enzymes
- C12N9/88—Lyases (4.)
-
- C—CHEMISTRY; METALLURGY
- C12—BIOCHEMISTRY; BEER; SPIRITS; WINE; VINEGAR; MICROBIOLOGY; ENZYMOLOGY; MUTATION OR GENETIC ENGINEERING
- C12Y—ENZYMES
- C12Y402/00—Carbon-oxygen lyases (4.2)
- C12Y402/01—Hydro-lyases (4.2.1)
- C12Y402/01001—Carbonate dehydratase (4.2.1.1), i.e. carbonic anhydrase
-
- A—HUMAN NECESSITIES
- A61—MEDICAL OR VETERINARY SCIENCE; HYGIENE
- A61K—PREPARATIONS FOR MEDICAL, DENTAL OR TOILETRY PURPOSES
- A61K2239/00—Indexing codes associated with cellular immunotherapy of group A61K40/00
- A61K2239/31—Indexing codes associated with cellular immunotherapy of group A61K40/00 characterized by the route of administration
-
- A—HUMAN NECESSITIES
- A61—MEDICAL OR VETERINARY SCIENCE; HYGIENE
- A61K—PREPARATIONS FOR MEDICAL, DENTAL OR TOILETRY PURPOSES
- A61K2239/00—Indexing codes associated with cellular immunotherapy of group A61K40/00
- A61K2239/38—Indexing codes associated with cellular immunotherapy of group A61K40/00 characterised by the dose, timing or administration schedule
-
- C—CHEMISTRY; METALLURGY
- C07—ORGANIC CHEMISTRY
- C07K—PEPTIDES
- C07K2319/00—Fusion polypeptide
-
- C—CHEMISTRY; METALLURGY
- C12—BIOCHEMISTRY; BEER; SPIRITS; WINE; VINEGAR; MICROBIOLOGY; ENZYMOLOGY; MUTATION OR GENETIC ENGINEERING
- C12N—MICROORGANISMS OR ENZYMES; COMPOSITIONS THEREOF; PROPAGATING, PRESERVING, OR MAINTAINING MICROORGANISMS; MUTATION OR GENETIC ENGINEERING; CULTURE MEDIA
- C12N2710/00—MICROORGANISMS OR ENZYMES; COMPOSITIONS THEREOF; PROPAGATING, PRESERVING, OR MAINTAINING MICROORGANISMS; MUTATION OR GENETIC ENGINEERING; CULTURE MEDIA dsDNA viruses
- C12N2710/00011—Details
- C12N2710/20011—Papillomaviridae
- C12N2710/20022—New viral proteins or individual genes, new structural or functional aspects of known viral proteins or genes
-
- C—CHEMISTRY; METALLURGY
- C12—BIOCHEMISTRY; BEER; SPIRITS; WINE; VINEGAR; MICROBIOLOGY; ENZYMOLOGY; MUTATION OR GENETIC ENGINEERING
- C12N—MICROORGANISMS OR ENZYMES; COMPOSITIONS THEREOF; PROPAGATING, PRESERVING, OR MAINTAINING MICROORGANISMS; MUTATION OR GENETIC ENGINEERING; CULTURE MEDIA
- C12N2740/00—Reverse transcribing RNA viruses
- C12N2740/00011—Details
- C12N2740/10011—Retroviridae
- C12N2740/16011—Human Immunodeficiency Virus, HIV
- C12N2740/16041—Use of virus, viral particle or viral elements as a vector
- C12N2740/16043—Use of virus, viral particle or viral elements as a vector viral genome or elements thereof as genetic vector
Definitions
- the present disclosure relates to drug responsive domains (DRDs) derived from human carbonic anhydrase 2 (hCA2) which can modulate protein stability for at least one payload comprising human CD40L, and compositions and methods of use thereof.
- DRDs drug responsive domains derived from human carbonic anhydrase 2
- hCA2 human carbonic anhydrase 2
- polypeptides comprising CA2 DRDs, polynucleotides encoding the same, vectors and cells containing the polypeptides and/or polynucleotides for use in cancer immunotherapy.
- DRDs drug responsive domains
- Drug responsive domains are small protein domains that can be appended to a target protein of interest. DRDs render the attached protein of interest unstable in the absence of a DRD-binding ligand and the protein of interest is rapidly degraded by the ubiquitin-proteasome system of the cell. However, when a specific small molecule DRD-binding ligand binds to the DRD, the attached protein of interest is stabilized, and protein function is achieved.
- DRD technology forms the basis of a new class of cell and gene therapies that can deliver tunable and temporal control of gene expression and function, expanding the universe of protein therapeutics that can be safely and effectively incorporated into cell and gene therapy modalities.
- the present disclosure provides, in part, compositions and methods for activation and control of the CD40 pathway using drug responsive domain (DRD) technology.
- DRDs drug responsive domain
- hCA2 human carbonic anhydrase 2
- CD40L CD40 ligand
- Pharmacologic control over the stability of CD40L is achieved using U.S. Food and Drug Administration (FDA) -approved small molecule drugs.
- compositions and methods for coexpression of T cell receptors (TCRs) with DRD-regulated CD40L may have antigenic specificity for a peptide epitope of a human papillomavirus (HPV) antigen.
- HPV human papillomavirus
- recombinant proteins comprising the TCRs and DRD-regulated CD40L, nucleic acid molecules encoding a TCR and a DRD-regulated CD40L, cells containing the TCR and DRD-regulated CD40L, and compositions and methods of treatment involving administering the TCR and DRD-regulated CD40L.
- compositions, and kits for expressing the recombinant proteins, and for producing the genetically engineered cells expressing such recombinant proteins.
- the present disclosure provides a nucleic acid molecule encoding a first and a second protein, wherein: (i) the first protein is a T cell receptor (TCR) or a functional variant thereof, wherein the TCR or the functional variant thereof has antigenic specificity for a peptide epitope of a human papillomavirus (HPV) antigen; and (ii) the second protein comprises a payload operably linked to a drug responsive domain (DRD), wherein said payload comprises human CD40L or a functional variant thereof, and said DRD is derived from human carbonic anhydrase 2 (hCA2), wherein the DRD comprises one or more amino acid insertions, deletions or substitutions compared to wild-type hCA2.
- TCR T cell receptor
- HPV human papillomavirus
- the wild-type hCA2 has the amino acid sequence of SEQ ID NO: 1.
- the DRD comprises an amino acid sequence having at least 90% sequence identity to amino acids 2-260 of SEQ ID NO: 1.
- the DRD comprises an amino acid sequence having at least 95% sequence identity to amino acids 2-260 of SEQ ID NO: 1.
- the DRD comprises an amino acid sequence having at least 99% sequence identity to amino acids 2-260 of SEQ ID NO: 1.
- the DRD comprises amino acids 1-260 of SEQ ID NO: 1 or amino acids 2-260 of SEQ ID NO: 1, with up to five amino acid substitutions, deletions or insertions compared to SEQ ID NO: 1.
- the DRD consists of amino acids 1-260 of SEQ ID NO: 1 or amino acids 2-260 of SEQ ID NO: 1, with up to three amino acid substitutions, deletions or insertions compared to SEQ ID NO: 1.
- the DRD comprises: (i) an S56N amino acid substitution compared to SEQ ID NO: 1; (ii) an L156H amino acid substitution compared to SEQ ID NO: 1; or (iii) amino acid substitutions D71L, T87N and L250R compared to SEQ ID NO: 1.
- the DRD consists of amino acids 1-260 of SEQ ID NO: 1 or amino acids 2-260 of SEQ ID NO: 1 with: (i) an S56N amino acid substitution compared to SEQ ID NO. 1; (ii) an L156H amino acid substitution compared to SEQ ID NO. 1; or (iii) amino acid substitutions D71L, T87N and L250R compared to SEQ ID NO. 1.
- the DRD is hCA2(S56N) comprising the amino acid sequence of SEQ ID NO: 20.
- the DRD is hCA2(S56N) consisting of the amino acid sequence of SEQ ID NO: 20.
- the payload has at least 90% sequence identity to SEQ ID NO: 2. In some of any embodiments, the payload has one or more amino acid insertions, deletions, or substitutions compared to SEQ ID NO: 2. In some of any embodiments, the payload comprises: (i) a polypeptide comprising an amino acid sequence corresponding to human CD40L (SEQ ID NO: 2) comprising a deletion of amino acids 1-13 of SEQ ID NO: 2; (ii) a polypeptide comprising an amino acid sequence corresponding to human CD40L (SEQ ID NO: 2) comprising a deletion of amino acids 110-116 of SEQ ID NO: 2; or (iii) a polypeptide comprising an amino acid sequence corresponding to human CD40L (SEQ ID NO: 2) comprising a deletion of amino acids 1-13 of SEQ ID NO: 2 and a deletion of amino acids 110-116 of SEQ ID NO: 2. In some of any embodiments, the payload comprises the amino acid sequence of SEQ ID NO: 2.
- the second protein comprises a linker between the payload and the DRD.
- the linker is a GS-linker.
- the linker is 6-18 amino acids long.
- the linker is 12 amino acids long.
- the linker comprises the amino acid sequence of SEQ ID NO: 21.
- the linker consists of the amino acid sequence of SEQ ID NO: 21.
- the nucleic acid sequence encoding the DRD is positioned 5’ to the nucleic acid sequence encoding the payload.
- the DRD comprises the amino acid sequence of SEQ ID NO: 20 and the payload comprises the amino acid sequence of SEQ ID NO: 2. In some of any embodiments, the DRD consists of the amino acid sequence of SEQ ID NO: 20 and the payload consists of the amino acid sequence of SEQ ID NO: 2.
- the DRD is operably linked to the payload by a linker that consists of the amino acid sequence of SEQ ID NO: 21, wherein the nucleic acid sequence encoding the linker is 3’ to the nucleic acid sequence encoding the DRD and 5’ to the nucleic acid sequence encoding the payload.
- the second protein comprises the amino acid sequence of SEQ ID NO: 34. In some of any embodiments, the second protein consists of the amino acid sequence of SEQ ID NO: 34.
- the TCR or the functional variant thereof has antigenic specificity for a peptide epitope of human papillomavirus type 16 (HPV16).
- the peptide epitope of HPV16 is a peptide epitope of the E7 protein of HPV16 (HPV16 E7).
- the peptide epitope is or comprises a peptide selected from: (i) E7(7-15) TLHEYMLDL (SEQ ID NO: 10); (ii) E7(l 1-19) YMLDLQPET (SEQ ID NO: 7); (iii) E7(82-90) LLMGTLGIV (SEQ ID NO: 9); (iv) E7(85-93) GTLGIVCPI (SEQ ID NO: 8); and (v) E7(86-93) TLGIVCPI (SEQ ID NO: 6).
- the peptide epitope comprises the amino acid sequence of YMLDLQPET (SEQ ID NO: 7). In some of any embodiments, the peptide epitope consists of the amino acid sequence of YMLDLQPET (SEQ ID NO: 7).
- the peptide epitope of HPV16 is a peptide epitope of the E6 protein of HPV16 (HPV16 E6).
- the peptide epitope is or comprises a peptide selected from: (i) E6(18-26) KLPQLCTEL (SEQ ID NO: 3); (ii) E6(29-38) TIHDIILECV (SEQ ID NO: 4); and (iii) E6(52-60) FAFRDLCIV (SEQ ID NO: 5).
- the first protein is a TCR comprising two polypeptide chains selected from (i) an alpha (a) chain of a TCR and a beta (P) chain of a TCR, and (ii) a gamma (y) chain of a TCR and a delta (6) chain of a TCR.
- the TCR comprises an a chain of a TCR and a P chain of a TCR.
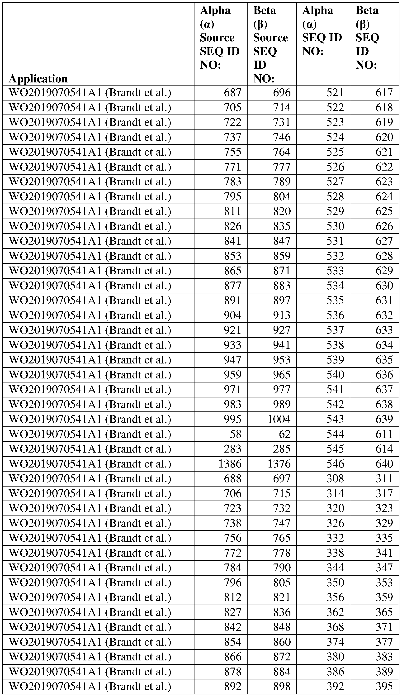
- the a chain and the P chain are selected from: (i) an a chain comprising the amino acid sequence of SEQ ID NO: 36 and a P chain comprising the amino acid sequence of SEQ ID NO: 39; (ii) an a chain comprising the amino acid sequence of SEQ ID NO: 42 and a P chain comprising the amino acid sequence of SEQ ID NO: 45; (iii) an a chain comprising the amino acid sequence of SEQ ID NO: 48 and a P chain comprising the amino acid sequence of SEQ ID NO: 51; (iv) an a chain comprising the amino acid sequence of SEQ ID NO: 202 and a P chain comprising the amino acid sequence of SEQ ID NO: 208; (v) an a chain comprising the amino acid sequence of SEQ ID NO: 214 and a P chain comprising the amino acid sequence of SEQ ID NO: 219; (vi) an a chain comprising the amino acid sequence of SEQ ID NO: 225 and a P chain comprising the amino acid sequence of SEQ ID NO: 39
- the TCR or functional variant thereof has an alpha (a) chain and a beta (P) chain of an E7(l 1-19) TCR. In some of any embodiments, the TCR or functional variant thereof has a variable alpha (a) and a variable beta (P) of an E7( 11-19) TCR as set forth in any of Appendix 1, 2, 3, or 4. In some of any embodiments, the TCR or functional variant thereof has an alpha (a) chain and a beta (P) chain of an E7(l 1-19) TCR as set forth in any of Appendix 1, 2, 3, or 4.
- the TCR or functional variant thereof has an alpha (a) chain and a beta (P) chain of an E6(29-38) TCR. In some of any embodiments, the TCR or functional variant thereof has a variable alpha (a) and a variable beta (P) of an E6(29- 38) TCR as set forth in any of Appendix 1, 2, 3, or 4. In some of any embodiments, the TCR or functional variant thereof has an alpha (a) chain and a beta (P) chain of an E6(29-38) TCR as set forth in any of Appendix 1, 2, 3, or 4.
- the a chain comprises the amino acid sequence of SEQ ID NO: 202
- the P chain comprises the amino acid sequence of SEQ ID NO: 208.
- the P chain is positioned C-terminal to the a chain, or the a chain is positioned C-terminal to the P chain.
- the TCR or the functional variant thereof is encoded by a nucleic acid sequence comprising a modification selected from: (i) codon optimization; (ii) reduction or elimination of cryptic splice sites; (iii) reduction or elimination of predicted polyadenylation sites; and combinations thereof.
- the nucleic acid sequence encoding the a chain and the nucleic acid sequence encoding the P chain are separated by a first co-expression element.
- the first co-expression element promotes production of separate a chain and P chain polypeptides.
- the first co-expression element comprises a nucleic acid sequence encoding a cleavable linker sequence, a peptide that causes ribosome skipping, or an internal ribosome entry site (IRES).
- the peptide that causes ribosome skipping is a 2A peptide selected from foot-and-mouth disease virus (FMDV) 2A (F2A), equine rhinitis A virus (ERAV) 2A (E2A), porcine teschovirus-1 2A (P2A), and Thosea asigna virus 2A (T2A).
- the nucleic acid sequence encoding the 2A peptide is modified in at least one degenerate position of the 2A peptide codons.
- the 2A peptide is P2A comprising the amino acid sequence of SEQ ID NO: 16.
- the P2A consists of the amino acid sequence of SEQ ID NO: 16.
- the nucleic acid sequence encoding the a chain and the nucleic acid sequence encoding the P chain are further separated by a nucleic acid element encoding a peptide cleavage site.
- the nucleic acid element encoding the peptide cleavage site is 5’ to the first co-expression element.
- the peptide cleavage site is a furin cleavage site and has the amino acid sequence of SEQ ID NO: 14.
- the nucleic acid sequence encoding the a chain and the nucleic acid sequence encoding the P chain are further separated by a nucleic acid element encoding a linker.
- the linker is a peptide that is 2-10 amino acids long.
- the peptide is comprised of glycine and serine amino acid residues.
- the peptide is comprised of 1-5 dipeptide Ser-Gly (SG) or Gly-Ser (GS) units.
- the nucleic acid sequence encoding the a chain and the nucleic acid sequence encoding the P chain are further separated by a nucleic acid element encoding a peptide cleavage site and a nucleic acid element encoding a linker, wherein the nucleic acid molecule encodes from N-terminus to C-terminus: the peptide cleavage site, the linker, and the P2A peptide.
- the nucleic acid sequence encoding the first protein and the nucleic acid sequence encoding the second protein are separated by a second co-expression element.
- the second co-expression element promotes production of separate first and second proteins.
- the second co-expression element comprises a nucleic acid sequence encoding a cleavable linker sequence, a peptide that causes ribosome skipping, or an internal ribosome entry site (IRES).
- the peptide that causes ribosome skipping is a 2A peptide selected from foot-and- mouth disease virus (FMDV) 2A (F2A), equine rhinitis A virus (ERAV) 2A (E2A), porcine teschovirus-1 2A (P2A), and Thosea asigna virus 2A (T2A).
- the nucleic acid sequence encoding the 2A peptide is modified in at least one degenerate position of the 2A peptide codons.
- the 2 A peptide is P2A comprising the amino acid sequence of SEQ ID NO: 16.
- the P2A consists of the amino acid sequence of SEQ ID NO: 16.
- the nucleic acid sequence encoding the a chain and the nucleic acid sequence encoding the P chain are separated by a first co-expression element; and (ii) the nucleic acid sequence encoding the first protein and the nucleic acid sequence encoding the second protein are separated by a second co-expression element; wherein the first co-expression element comprises a first nucleic acid sequence encoding for a first P2A peptide and the second co-expression element comprises a second nucleic acid sequence encoding for a second P2A peptide, wherein the first and the second nucleic acid sequences encoding the first and second P2A peptides, respectively, are different from one another.
- the nucleic acid sequence encoding the first P2A peptide, the nucleic acid sequence encoding the second P2A peptide, or both the nucleic acid sequence encoding the first P2A peptide and the nucleic acid sequence encoding the second P2A peptide is modified in at least one degenerate position of the 2A peptide codons.
- the nucleic acid molecule further comprises one or more nucleic acid elements positioned between the nucleic acid sequence encoding the first protein and the nucleic acid sequence encoding the second protein, said one or more nucleic acid elements encoding one or more linkers.
- each of the one or more linkers is independently selected from a peptide that is 2-8 amino acids long. In some of any embodiments, each of the one or more linkers is independently selected from a peptide that is 2-6 amino acids in length and is comprised of glycine and serine amino acid residues. In some of any embodiments, the nucleic acid molecule further comprises two independently selected peptide linkers flanking the second P2A peptide.
- the second co-expression element is positioned 5’ to the nucleic acid sequence encoding the second protein.
- the nucleic acid sequence encoding the first protein is positioned 5’ to the nucleic acid sequence encoding the second protein.
- the first protein is encoded by one or more nucleic acid sequences and the second protein is encoded by one or more nucleic acid sequences; and wherein the one or more nucleic acid sequences encoding the first protein are positioned 5’ to the one or more nucleic acid sequences encoding the second protein.
- the nucleic acid molecule further comprises a promoter operably linked to the nucleic acid sequence encoding the first protein or the nucleic acid sequence encoding the second protein.
- the promoter is operably linked to the nucleic acid sequence encoding the first protein.
- the promoter is selected from a CMV promoter, an EFla promoter, and a PGK promoter. In some of any embodiments, the promoter is an EFla promoter.
- the nucleic acid molecule is codon optimized for expression in a human cell.
- the nucleic acid molecule encodes the amino acid sequence of SEQ ID NO:23.
- the present disclosure provides a nucleic acid molecule comprising: (i) a first nucleic acid sequence encoding a beta (P) chain of a T cell receptor (TCR), or a functional variant thereof; (ii) a second nucleic acid sequence positioned 3’ to the first nucleic acid sequence, wherein said second nucleic acid sequence encodes an alpha (a) chain of a TCR, or a functional variant thereof; (iii) a third nucleic acid sequence positioned 3’ to the second nucleic acid sequence, wherein said third nucleic acid sequence encodes a protein comprising a payload operably linked to a drug responsive domain (DRD), wherein: (a) said payload comprises human CD40L or a functional variant thereof; and (b) said DRD is derived from human carbonic anhydrase 2 (hCA2), wherein the DRD comprises one or more amino acid insertions, deletions or substitutions compared to SEQ ID NO.
- DRD drug responsive domain
- the present disclosure provides a nucleic acid molecule comprising: (i) a first nucleic acid sequence encoding an alpha (a) chain of a T cell receptor (TCR), or a functional variant thereof; (ii) a second nucleic acid sequence positioned 3’ to the first nucleic acid sequence, wherein said second nucleic acid sequence encodes a beta (P) chain of a TCR, or a functional variant thereof; (iii) a third nucleic acid sequence positioned 3’ to the second nucleic acid sequence, wherein said third nucleic acid sequence encodes a protein comprising a payload operably linked to a drug responsive domain (DRD), wherein: (a) said payload comprises human CD40L or a functional variant thereof; and (b) said DRD is derived from human carbonic anhydrase 2 (hCA2), wherein the DRD comprises one or more amino acid insertions, deletions or substitutions compared to SEQ ID NO.
- DRD drug responsive domain
- the DRD comprises or consists of amino acids 1-260 of SEQ ID NO: 1 or amino acids 2-260 of SEQ ID NO: 1, with up to three amino acid substitutions, deletions or insertions compared to SEQ ID NO: l.
- the DRD comprises or consists of amino acids 1-260 of SEQ ID NO: 1 or amino acids 2-260 of SEQ ID NO: 1 with: (i) an S56N amino acid substitution compared to SEQ ID NO. 1; (ii) an L156H amino acid substitution compared to SEQ ID NO. 1; or (iii) amino acid substitutions D71L, T87N and L250R compared to SEQ ID NO: 1.
- the DRD is hCA2(S56N) comprising or consisting of the amino acid sequence of SEQ ID NO: 20.
- the payload comprises human CD40L, wherein the human CD40L comprises or consists of the amino acid sequence of SEQ ID NO: 2.
- the third nucleic acid sequence further encodes a linker between the payload and the DRD, wherein the linker comprises or consists of the amino acid sequence of SEQ ID NO: 21.
- the alpha (a) chain of the TCR and the beta (P) chain of the TCR can form a functional TCR, wherein said functional TCR has antigenic specificity for a peptide epitope of human papillomavirus type 16 (HPV16).
- the peptide epitope of HPV16 is a peptide epitope of the E7 protein of HPV16 (HPV16 E7) or a peptide epitope of the E6 protein of HPV16 (HPV16 E6).
- the TCR or functional variant thereof has an alpha (a) chain and a beta (P) chain of an E7(l 1- 19) TCR, or an alpha (a) chain and a beta (P) chain of an E6(29-38) TCR. In some of any embodiments, the TCR or functional variant thereof has an alpha (a) chain and a beta (P) chain of an E7(l 1- 19) TCR. In some of any embodiments, the TCR or functional variant thereof has a variable alpha (a) and a variable beta (P) of an E7(l 1-19) TCR as set forth in any of Appendix 1, 2, 3, or 4.
- the TCR or functional variant thereof has an alpha (a) chain and a beta (P) chain of an E7(l 1-19) TCR as set forth in any of Appendix 1, 2, 3, or 4. In some of any embodiments, the TCR or functional variant thereof has an alpha (a) chain and a beta (P) chain of an E6(29-38) TCR. In some of any embodiments, the TCR or functional variant thereof has a variable alpha (a) and a variable beta (P) of an E6(29-38) TCR as set forth in any of Appendix 1, 2, 3, or 4. In some of any embodiments, the TCR or functional variant thereof has an alpha (a) chain and a beta (P) chain of an E6(29-38) TCR as set forth in any of Appendix 1, 2, 3, or 4.
- the first co-expression element encodes a 2A peptide. In some of any embodiments, the second co-expression element encodes a 2A peptide.
- the nucleic acid molecule further comprises a promoter operably linked to the first nucleic acid sequence.
- the TCR or functional variant thereof comprises an a chain comprising the amino acid sequence of SEQ ID NO: 202 and a P chain comprising the amino acid sequence of SEQ ID NO: 208.
- the nucleic acid molecule encodes the amino acid sequence of SEQ ID NO:23.
- the present disclosure provides a method of producing a modified cell, said method comprising introducing into a cell a first nucleic acid molecule and a second nucleic acid molecule, wherein: (i) the first nucleic acid molecule encodes a T cell receptor (TCR) or a functional variant thereof, wherein the TCR or the functional variant thereof has antigenic specificity for a peptide epitope of a human papillomavirus (HPV) antigen; and (ii) the second nucleic acid molecule encodes a protein comprising a payload operably linked to a drug responsive domain (DRD), wherein said payload comprises human CD40L or a functional variant thereof, and said DRD is derived from human carbonic anhydrase 2 (hCA2), wherein the DRD comprises one or more amino acid insertions, deletions or substitutions compared to SEQ ID NO. 1.
- TCR T cell receptor
- HPV human papillomavirus
- the first nucleic acid molecule and the second nucleic acid molecule are introduced into the cell by a viral delivery method, by a non-viral delivery method, or by a combination thereof.
- the present disclosure provides a method of producing a modified cell, said method comprising introducing into a cell a nucleic acid molecule, wherein: said nucleic acid molecule encodes a protein comprising a payload operably linked to a drug responsive domain (DRD), wherein said payload comprises human CD40L or a functional variant thereof, and said DRD is derived from human carbonic anhydrase 2 (hCA2), wherein the DRD comprises one or more amino acid insertions, deletions or substitutions compared to SEQ ID NO.
- DRD drug responsive domain
- hCA2 human carbonic anhydrase 2
- TCR T cell receptor
- HPV human papillomavirus
- the present disclosure provides a method of producing a modified cell, said method comprising introducing into a cell a nucleic acid molecule, wherein: said nucleic acid molecule encodes a T cell receptor (TCR) or a functional variant thereof, wherein the TCR or the functional variant thereof has antigenic specificity for a peptide epitope of a human papillomavirus (HPV) antigen; and wherein said cell expresses a protein comprising a payload operably linked to a drug responsive domain (DRD), wherein said payload comprises human CD40L or a functional variant thereof, and said DRD is derived from human carbonic anhydrase 2 (hCA2), wherein the DRD comprises one or more amino acid insertions, deletions or substitutions compared to SEQ ID NO. 1.
- TCR T cell receptor
- HPV human papillomavirus
- the DRD comprises or consists of amino acids 1-260 of SEQ ID NO: 1 or amino acids 2-260 of SEQ ID NO: 1, with up to three amino acid substitutions, deletions or insertions compared to SEQ ID NO: 1.
- the DRD comprises or consists of amino acids 1-260 of SEQ ID NO: 1 or amino acids 2-260 of SEQ ID NO: 1 with: (i) an S56N amino acid substitution compared to SEQ ID NO. 1; (ii) an L156H amino acid substitution compared to SEQ ID NO. 1; or (iii) amino acid substitutions D71L, T87N and L250R compared to SEQ ID NO.
- the DRD is hCA2(S56N) comprising or consisting of the amino acid sequence of SEQ ID NO: 20.
- the payload comprises human CD40L, wherein the human CD40L comprises or consists of the amino acid sequence of SEQ ID NO: 2.
- the protein comprising a payload operably linked to a DRD further comprises a linker between the payload and the DRD, wherein the linker comprises or consists of the amino acid sequence of SEQ ID NO: 21.
- the TCR or the functional variant thereof has antigenic specificity for a peptide epitope of human papillomavirus type 16 (HPV16).
- the peptide epitope of HPV16 is a peptide epitope of the E7 protein of HPV16 (HPV16 E7) or a peptide epitope of the E6 protein of HPV16 (HPV16 E6).
- the TCR or functional variant thereof has an alpha (a) chain and a beta (P) chain of an E7(l 1-19) TCR, or an alpha (a) chain and a beta (P) chain of an E6(29-38) TCR.
- the TCR or functional variant thereof has an alpha (a) chain and a beta (P) chain of an E7(l 1-19) TCR. In some of any embodiments, the TCR or functional variant thereof has a variable alpha (a) and a variable beta (P) of an E7(l 1-19) TCR as set forth in any of Appendix 1, 2, 3, or 4. In some of any embodiments, the TCR or functional variant thereof has an alpha (a) chain and a beta (P) chain of an E7(l 1-19) TCR as set forth in any of Appendix 1, 2, 3, or 4.
- the TCR or functional variant thereof has an alpha (a) chain and a beta (P) chain of an E6(29-38) TCR. In some of any embodiments, the TCR or functional variant thereof has a variable alpha (a) and a variable beta (P) of an E6(29-38) TCR as set forth in any of Appendix 1, 2, 3, or 4. In some of any embodiments, the TCR or functional variant thereof has an alpha (a) chain and a beta (P) chain of an E6(29-38) TCR as set forth in any of Appendix 1, 2, 3, or 4. In some of any embodiments, the TCR or functional variant thereof comprises an a chain comprising the amino acid sequence of SEQ ID NO: 202 and a P chain comprising the amino acid sequence of SEQ ID NO: 208.
- the TCR comprises an a chain of a TCR and a P chain of a TCR and the nucleic acid sequence encoding the a chain and the nucleic acid sequence encoding the P chain are separated by a first co-expression element comprising a nucleic acid sequence encoding a 2A peptide.
- the vector comprising any of the provided nucleic acid molecules.
- the vector is an expression vector.
- the vector is a plasmid or a viral vector.
- the vector is a retroviral vector.
- the vector is a lentiviral vector.
- the viral vector is derived from an adenovirus, adeno-associated virus (AAV), alphavirus, flavivirus, herpes virus, measles virus, rhabdovirus, retrovirus, lentivirus, Newcastle disease virus (NDV), poxvirus, or picornavirus.
- the viral vector is selected from the group consisting of a lentivirus vector, a gamma retrovirus vector, adeno-associated virus (AAV) vector, adenovirus vector, and a herpes virus vector.
- a cell comprising any of the provided nucleic acid molecules.
- a cell transfected or transduced with any of the provided vectors is also provided by the present disclosure.
- a cell which expresses a first and a second protein, wherein: (i) the first protein is a T cell receptor (TCR) or a functional variant thereof, wherein the TCR or the functional variant thereof has antigenic specificity for a peptide epitope of a human papillomavirus (HPV) antigen; and (ii) the second protein comprises a payload operably linked to a drug responsive domain (DRD), wherein said payload comprises human CD40L or a functional variant thereof, and said DRD is derived from human carbonic anhydrase 2 (hCA2), wherein the DRD comprises one or more amino acid insertions, deletions or substitutions compared to SEQ ID NO. 1.
- TCR T cell receptor
- HPV human papillomavirus
- the DRD comprises or consists of amino acids 1-260 of SEQ ID NO: 1 or amino acids 2-260 of SEQ ID NO: 1, with up to three amino acid substitutions, deletions or insertions compared to SEQ ID NO: 1.
- the DRD comprises or consists of amino acids 1-260 of SEQ ID NO: 1 or amino acids 2-260 of SEQ ID NO: 1 with: (i) an S56N amino acid substitution compared to SEQ ID NO. 1; (ii) an L156H amino acid substitution compared to SEQ ID NO. 1; or (iii) amino acid substitutions D71L, T87N and L250R compared to SEQ ID NO. 1.
- the DRD is hCA2(S56N) comprising or consisting of the amino acid sequence of SEQ ID NO: 20.
- the payload comprises human CD40L, wherein the human CD40L comprises or consists of the amino acid sequence of SEQ ID NO: 2.
- the second protein comprises a linker between the payload and the DRD, wherein the linker comprises or consists of the amino acid sequence of SEQ ID NO: 21.
- the TCR or functional variant thereof has antigenic specificity for a peptide epitope of human papillomavirus type 16 (HPV 16).
- the peptide epitope of HPV 16 is a peptide epitope of the E7 protein of HPV 16 (HPV16 E7) or a peptide epitope of the E6 protein of HPV16 (HPV16 E6).
- the TCR or functional variant thereof has an alpha (a) chain and a beta (P) chain of an E7(l 1-19) TCR, or an alpha (a) chain and a beta (P) chain of an E6(29-38) TCR.
- the TCR or functional variant thereof has an alpha (a) chain and a beta (P) chain of an E7(l 1-19) TCR. In some of any embodiments, the TCR or functional variant thereof has a variable alpha (a) and a variable beta (P) of an E7(l 1-19) TCR as set forth in any of Appendix 1, 2, 3, or 4. In some of any embodiments, the TCR or functional variant thereof has an alpha (a) chain and a beta (P) chain of an E7(l 1-19) TCR as set forth in any of Appendix 1, 2, 3, or 4.
- the TCR or functional variant thereof has an alpha (a) chain and a beta (P) chain of an E6(29-38) TCR. In some of any embodiments, the TCR or functional variant thereof has a variable alpha (a) and a variable beta (P) of an E6(29-38) TCR as set forth in any of Appendix 1, 2, 3, or 4. In some of any embodiments, the TCR or functional variant thereof has an alpha (a) chain and a beta (P) chain of an E6(29-38) TCR as set forth in any of Appendix 1, 2, 3, or 4. In some of any embodiments, the TCR or functional variant thereof comprises an a chain comprising the amino acid sequence of SEQ ID NO: 202 and a P chain comprising the amino acid sequence of SEQ ID NO: 208.
- said cell is derived from a cell line. In some of any embodiments, the cell is a mammalian cell. In some of any embodiments, the cell is a human cell.
- said cell is derived from a primary cell.
- said primary cell is obtained from a mammalian subject. In some of any embodiments, the subject is a human.
- said cell is an immune cell. In some of any embodiments, said cell is a T cell. In some of any embodiments, the T cell is a CD4+ T cell, CD8+ T cell, and/or a CD3+ T cell.
- a method of modulating expression, function, and/or level of CD40L in any of the provided cells comprising administering to the cell a stimulus to which the DRD is responsive and wherein the stimulus is administered in an amount sufficient to modulate the expression, function and/or level of CD40L.
- the stimulus is selected from acetazolamide, celecoxib, valdecoxib, rofecoxib, methazolamide, dorzolamide, brinzolamide, diclofenamide, ethoxzolamide, zonisamide, dansylamide, and dichlorphenamide.
- the stimulus is acetazolamide.
- compositions comprising any of the provided nucleic acid molecules, vectors or cells.
- the pharmaceutical composition further comprises a cryoprotectant.
- methods of treating an indication, disease, or disorder associated with HPV in a subject in need thereof using any of the provided nucleic acid molecules, vectors, cells or pharmaceutical compositions are also provided by the present disclosure.
- Also provided by the present disclosure is a method of treating an indication, disease, or disorder associated with HPV in a subject in need thereof, said method comprising: (a) administering to the subject any of the provided nucleic acid molecules, vectors, cells, or pharmaceutical compositions; and (b) administering a therapeutically effective amount of a stimulus to the subject, wherein the DRD is responsive to the stimulus, and wherein expression of the payload is modulated in response to the stimulus.
- Also provided by the present disclosure is a method of treating an indication, disease, or disorder associated with HPV in a subject in need thereof, said method comprising: (a) administering to the subject a T cell comprising any of the provided nucleic acid molecules; and (b) administering a therapeutically effective amount of a stimulus to the subject, wherein the DRD is responsive to the stimulus and wherein expression of the payload is modulated in response to the stimulus.
- Also provided by the present disclosure is a method of treating an indication, disease, or disorder associated with HPV in a subject in need thereof, said method comprising: (a) administering to the subject a pharmaceutical composition comprising any of the provided cells; and (b) administering a therapeutically effective amount of a stimulus to the subject, wherein the DRD is responsive to the stimulus and wherein expression of the payload is modulated in response to the stimulus.
- the cells administered to the subject are allogeneic to the subject. In some of any embodiments, the cells administered to the subject are autologous to the subject.
- the stimulus is selected from acetazolamide, celecoxib, valdecoxib, rofecoxib, methazolamide, dorzolamide, brinzolamide, diclofenamide, ethoxzolamide, zonisamide, dansylamide, and dichlorphenamide.
- the stimulus is acetazolamide.
- the HPV is HPV 16.
- the indication, disease, or disorder is cancer.
- the cancer is cervical cancer or head and neck cancer.
- the subject is a human.
- nucleic acid molecules, vectors, cells, or pharmaceutical compositions for use in treating an indication, disease, or disorder associated with HPV.
- a pharmaceutical composition comprising any of the provided cells for use in treating an indication, disease, or disorder associated with HPV.
- nucleic acid molecules for the manufacture of a medicament for treating an indication, disease, or disorder associated with HPV.
- composition comprising any of the provided cells for the manufacture of a medicament for treating an indication, disease, or disorder associated with HPV.
- FIG. 1A-FIG. 1C show in vitro analyses of CA2 DRD variants operably linked to CD40L.
- FIG. 1A depicts schematics of CA2-CD40L constructs analyzed in vitro according to the disclosure of Example 1 (construct structures are not to scale). All constructs, except for CD40L-001, encode a CD40L payload having the amino acid sequence of SEQ ID NO. 2 operably linked to a CA2 polypeptide or CA2 DRD.
- the CA2 polypeptide in control construct CD40L-086 is a wild-type human CA2 (CA2(WT)) polypeptide having the amino acid sequence of SEQ ID NO. 1.
- the CA2 DRD in construct CD40L-039 has the amino acid substitution L156H compared to SEQ ID NO:1
- the CA2 DRD in construct CD40L-071 has the amino acid substitution S56N compared to SEQ ID NO:1
- the CA2 DRD in construct CD40L-073 has the amino acid substitutions D71L, T87N, L250R compared to SEQ ID NO:1.
- All constructs, except for CD40L-001 also encode a peptide linker positioned between the DRD or CA2(WT) polypeptide and the CD40L payload.
- the control construct CD40L-001 comprises the amino acid sequence of SEQ ID NO: 25.
- IB shows concentration-response curves of T cells from two donors transduced with the indicated constructs, treated with varying ACZ concentrations and analyzed for CD40L expression.
- CD40L expression was quantified by flow cytometry and analyzed as MFI.
- Left panel shows CD40L expression in CD4 + T cells.
- Right panel shows CD40L expression in CD8 + T cells.
- FIG. 1C shows concentration-response curves of DC activation as assessed by IL12 secretion. Error bars in both FIG. IB and FIG. 1C represent standard deviations between both donors.
- FIG. 2 depicts a schematic representation of the HPV16E7-CD40L-038 construct (construct structure is not to scale). Transcription of the engineered TCR and CA2-CD40L sequences is driven by the exemplary promoter human EFla promoter. An intervening P2A ribosomal skip sequence is positioned between the construct components encoding the TCR subunits. A second P2A sequence is positioned 3’ of the TCRa chain coding sequence, followed by the CA2-DRD fused to the 5’ end of the human CD40L coding sequence.
- the HPV16E7- CD40L-038 construct also comprises a CA2 DRD variant comprising an S56N substitution.
- a linker is positioned between the CA2 (S56N) DRD variant and the CD40L payload.
- the HPV16E7-CD40L-038 construct shows the TCR beta chain positioned N-terminal to the TCR alpha chain
- constructs can be designed with the positions of the TCR beta chain and TCR alpha chain reversed with respect to the HPV16E7-CD40L-038 construct (i.e., the TCR alpha chain positioned N-terminal to the TCR beta chain).
- FIG. 3A-FIG. 3B show expression of CD40L on T cells transduced with the HPV16E7-CD40L-038 construct and control constructs.
- FIG. 3A depicts schematics of the tested constructs (construct structures are not to scale).
- FIG. 3B shows CD40L expression within the CD3+, CD4+, or CD8+ T cell populations. GeoMFI of CD40L surface expression was calculated for each donor. Each circle represents data from a single donor. Averages of the geoMFI of CD40L expression for the 3 donors are shown. Error bars indicate standard deviation.
- FIG. 4B show CD40L regulation at the end of in vitro cell expansion and after stimulation with the exemplary T cell activation stimulus PMA/ionomycin.
- Cell surface CD40L expression was measured by flow cytometry and analyzed as geoMFI within the TCRP+ population (TCRP+ CD3+) (FIG. 4A) and percent positive cells among total T cells (CD3+) (FIG. 4B).
- the data represent the average of 3 donors, with each circle representing a single donor. Error bars represent standard deviations.
- FIG. 5A-FIG. 5B show regulated CD40L expression in T cells post-cryopreservation and after stimulation with the exemplary T cell activation stimulus PMA/ionomycin.
- Cell surface CD40L expression was measured by flow cytometry and analyzed as geoMFI within the TCRP+ population (TCRP+ CD3+) (FIG. 5A) and percent positive cells among total T cells (CD3+) (FIG. 5B).
- the data represent the mean of 3 donors, with each circle representing a single donor. Error bars represent standard error of the mean.
- FIG. 6A-FIG. 6B show concentration-response curves of ACZ-regulating CD40L expression in T cells transduced with the HPV16E7-CD40L-038 construct.
- the studies were carried out on thawed T cells that had been cryopreserved, and then stimulated with the exemplary T cell activation stimulus PMA/ionomycin.
- CD40L expression was determined by flow cytometry and is presented as percentage of cells staining positive (FIG. 6A) or as geoMFI of CD40L (FIG. 6B), within the TCRP + population. 3 donors were analyzed; each curve represents the data from a single donor.
- FIG. 7 shows CD40L expression on T cells transduced with the HPV16E7-CD40L- 038 construct that had been exposed to ACZ (48 hrs ON), followed by removal of ACZ from the medium and assessment of CD40L 2, 4, 8, or 24 hours later.
- Cell surface CD40L expression measured by flow cytometry, is represented as the geoMFI of the TCRP + /CD3 + cell population. The data represent the average of 3 donors, with each circle representing a single donor. Error bars indicate standard deviations.
- FIG. 8A-FIG. 8B show IL12p70 induction in a dendritic cell (DC) co-culture assay with HPV16E7-CD40L-038 construct-transduced T cells.
- FIG. 8A shows an assay schematic for measuring DC activation through the CD40 pathway.
- FIG. 7B shows IL12p70 levels measured in the cell culture medium at the end of the 48-hour DC co-culture. Each circle represents one coculture assay; error bars represent the standard deviation between 2 replicate wells.
- FIG. 9 shows analysis of proliferative response of T cells to peptide-loaded dendritic cells.
- Cells from 3 donors were tested in parallel, and the bar chart represents the average results of the 3 donors. Error bars represent standard deviations.
- FIG. 10A-FIG. 10B show in vivo regulation of CD40L within SCC152 tumors.
- FIG. 10B compares the plasma ACZ concentration (black line) with the CD40L expression from the HPV16E7-CD40L-038 construct on T cells extracted from tumors (maroon line) at 2 time points. Error bars for both graphs indicate the standard error of the mean.
- FIG. 11A-FIG. 11B show in vivo stimulation of dendritic cells with T cells transduced with the HPV16E7-CD40L-038 construct and measurement of human IL12p70 at 24 hours (FIG. 11A) and at 48 hours (FIG. 11B). Each circle represents data from 1 animal. Error bars represent the standard error of the mean.
- TCRalpha, TCRa, TCR-alpha, TCR-a, TCR alpha and TCR a all refer to the same polypeptide.
- TCRbeta, TCRp, TCR-beta, TCR-P, TCR beta and TCR P all refer to the same polypeptide.
- CD40L, CD40 L and CD40LG refer to the same protein.
- Adoptive cell therapy refers to a cell therapy involving the transfer of cells into a patient, wherein cells may have originated from the patient, or from another individual, and are modified or engineered (altered) before being transferred back into the patient.
- Antigenic specificity when used with respect to a TCR or a functional variant thereof refers to the property of the TCR or functional variant thereof to recognize and/or bind to a given antigen when said antigen is presented by an MHC molecule. In preferred embodiments, said binding is with high avidity. In various embodiments, the TCR or functional variant thereof has antigenic specificity for a peptide epitope of a given antigen.
- a TCR or functional variant thereof having antigenic specificity for a given antigen selectively recognizes and/or binds to said antigen (e.g., a peptide epitope of said antigen).
- a given antigen e.g., a peptide epitope of the antigen
- selectively recognizes and/or binds to said antigen e.g., a peptide epitope of said antigen.
- the term “selectively” is understood to refer to the property of a TCR or functional variant thereof to selectively recognize and/or bind to preferably only one specific epitope and preferably showing no or substantially no cross-reactivity to another epitope.
- conservative substitution refers to the substitution of an amino acid that is normally present in the sequence with a different amino acid of similar size, charge, or polarity.
- conservative substitutions include the substitution of a non-polar (hydrophobic) residue such as isoleucine, valine and leucine for another non-polar residue.
- examples of conservative substitutions include the substitution of a polar (hydrophilic) residue for another such as between arginine and lysine, between glutamine and asparagine, and between glycine and serine.
- substitution of a basic residue such as lysine, arginine or histidine for another, or the substitution of one acidic residue such as aspartic acid or glutamic acid for another acidic residue are additional examples of conservative substitutions.
- corresponding refers to a molecule (or region or domain thereof) or a sequence (e.g., nucleic acid sequence or amino acid sequence) or a position in a sequence, refers to a molecule (or region or domain thereof), or a sequence, or a position in a sequence identified upon sequence alignment with the stated reference molecule (or region or domain thereof) or reference sequence.
- alignment may be based on structural sequence alignment or using a standard alignment algorithm. By aligning the sequences, one skilled in the art can identify corresponding molecules (or regions or domains thereof) or corresponding sequences or positions in a sequence, for example, using conserved and identical amino acid or nucleotide residues.
- the phrase “derived from” refers to a polypeptide or polynucleotide that originates from the stated parent molecule or region or domain thereof or the stated parent sequence (e.g., nucleic acid sequence or amino acid sequence) and retains similarity to one or more structural and/or functional characteristics of the parent molecule or region or domain thereof or parent sequence.
- a polypeptide or polynucleotide is derived from either (i) a full-length wild-type parent molecule or sequence; or (ii) a region or domain of a full-length wild-type parent molecule or sequence and retains the structural and/or functional characteristics of either (i) the full-length wild-type parent molecule or sequence; or (ii) the region or domain thereof, respectively.
- Structural characteristics include an amino acid sequence, a nucleic acid sequence, or a protein structure (e.g., such as a secondary protein structure, a tertiary protein structure, and/or quaternary protein structure).
- Functional characteristics include biological activity such as catalytic activity, binding ability, and/or subcellular localization.
- a polypeptide or polynucleotide retains similarity to a parent molecule or sequence if it has at least about 70% identity, preferably at least about 75% or 80% identity, more preferably at least about 85%, 86%, 87%, 88%, 89% or 90% identity, and further preferably at least about 91%, 92%, 93%, 94%, 95%, 96%, 97%, 98% or 99% identity to a parent nucleic acid sequence or amino acid sequence, over the entire length of the parent molecule or sequence.
- a polypeptide retains similarity to a parent molecule or sequence if it comprises a region of amino acids that shares 100% identity to a parent amino acid sequence and said region ranges from 10-1,000 amino acids in length (e.g., greater than 20, 30, 40, 45, 50, 55, 60, 70, 80, 90, 100, 120, 140, 160, 180, 200, 250, 300, 350, 400, 450, 500, 600, 700, 800, and 900 amino acids or at least 10, 15, 20, 25, 30, 35, 40, 45, 50, 55, 60, 70, 80, 90, 100, 120, 140, 160, 180, 200, 250, 300, 350, 400, 450, 500, 600, 700, 800, 900, and 1,000 amino acids).
- a polypeptide retains similarity to a parent molecule or amino acid sequence if it comprises one, two, three, four, or five amino acid mutations as compared to the parent amino acid sequence.
- a polypeptide or polynucleotide is considered to retain similarity to a parent molecule or region or domain thereof or a parent sequence if it has substantially the same biological activity as compared to the parent molecule or region or domain thereof or the parent sequence.
- a polypeptide or polynucleotide is considered to retain similarity to a parent molecule or region or domain thereof or a parent sequence if there is overlap of at least one biological activity as compared to the parent molecule or region or domain thereof or parent sequence.
- a polypeptide or polynucleotide is considered to retain similarity to a parent molecule or region or domain thereof or a parent sequence if it has improvement or optimization of one or more biological activities as compared to the parent molecule or region or domain thereof or parent sequence.
- a DRD may be derived from a domain or region of a naturally occurring protein and is modified in any of the ways taught herein to optimize DRD function.
- biological activity may be optimized for a specified purpose, such as by retaining or enhancing certain activity while reducing or eliminating another activity as compared to a parent molecule.
- a DRD that is derived from the stated parent molecule or region or domain thereof or the stated parent sequence is a variant of the stated parent molecule or region or domain thereof or the stated parent sequence.
- a DRD derived from human carbonic anhydrase 2 (hCA2) is a variant of hCA2.
- Fragment refers to a nucleotide sequence of reduced length relative to the reference nucleic acid and comprising, over the common portion, a nucleotide sequence identical to the reference nucleic acid. Such a nucleic acid fragment according to the disclosure may be, where appropriate, included in a larger polynucleotide of which it is a constituent.
- homology As used herein, the term "homology" as it applies to amino acid sequences is defined as the percentage of residues in the candidate amino acid sequence that are identical with the residues in the amino acid sequence of a second sequence after aligning the sequences and introducing gaps, if necessary, to achieve the maximum percent homology. Methods and computer programs for the alignment are well known in the art. It is understood that homology depends on a calculation of percent identity but may differ in value due to gaps and penalties introduced in the calculation.
- Identity refers to a relationship between two or more sequences, as determined by comparing the sequences. In the art, identity also means the degree of sequence relatedness between sequences, as determined by the number of matches between strings of two or more residues (amino acid or nucleic acid). Identity measures the percent of identical matches between two or more sequences with gap alignments (if any) addressed by a particular mathematical model or computer program (i.e., “algorithms”). Identity of related sequences can be readily calculated by known methods. Such methods include, but are not limited to, those described in Computational Molecular Biology, Lesk, A.
- Percent identity may be determined, for example, by comparing sequence information using sequence alignment programs known to those skilled in the art.
- Tools for alignment may include those of the BLAST suite (Stephen F. Altschul, et al. (1997), “Gapped BLAST and PSLBLAST: a new generation of protein database search programs”, Nucleic Acids Res. 25:3389-3402).
- the BLAST program is based on the alignment method discussed in Karlin and Altschul (1990) Proc. Natl. Acad. Sci USA, 87:2264-68.
- Immune cell refers to any cell of the immune system that originates from a hematopoietic stem cell in the bone marrow, which gives rise to two major lineages, a myeloid progenitor cell (which give rise to myeloid cells such as monocytes, macrophages, dendritic cells, megakaryocytes and granulocytes) and a lymphoid progenitor cell (which give rise to lymphoid cells such as T cells, B cells and natural killer (NK) cells).
- myeloid progenitor cell which give rise to myeloid cells such as monocytes, macrophages, dendritic cells, megakaryocytes and granulocytes
- lymphoid progenitor cell which give rise to lymphoid cells such as T cells, B cells and natural killer (NK) cells).
- Macrophages and dendritic cells may be referred to as “antigen presenting cells” or “APCs,” which are specialized cells that can activate T cells when a major histocompatibility complex (MHC) receptor on the surface of the APC complexed with a peptide interacts with a TCR on the surface of a T cell.
- APCs antigen presenting cells
- MHC major histocompatibility complex
- mutations refers to a change and/or alteration.
- mutations may be changes and/or alterations to proteins (including peptides and polypeptides) and/or nucleic acids (including polynucleic acids).
- mutations comprise changes and/or alterations to a protein and/or nucleic acid sequence.
- Such changes and/or alterations may comprise the addition, substitution and/or deletion of one or more amino acids (in the case of proteins and/or peptides) and/or nucleotides (in the case of nucleic acids and or polynucleic acids e.g., polynucleotides).
- mutations such as the addition, substitution and/or deletion of one or more amino acids may be represented by reference to an amino acid position in a reference polypeptide.
- an amino acid substitution may be referred to in the present disclosure by reference to the amino acid at a position in a reference polypeptide followed by the substituted amino acid (e.g., “L156H” refers to a substitution of histidine for leucine at the position 156 of a reference polypeptide).
- mutations comprise the addition and/or substitution of amino acids and/or nucleotides
- such additions and/or substitutions may comprise one or more amino acid and/or nucleotide residues and may include modified amino acids and/or nucleotides.
- the resulting construct, molecule or sequence of a mutation, change or alteration may be referred to herein as a mutant.
- Nucleic acid molecule The terms “nucleic acid molecule,” “nucleic acid,” and “polynucleotide” may be used interchangeably, and refer to a polymer of nucleotides. Such polymers of nucleotides may contain natural and/or non-natural nucleotides.
- Illustrative nucleic acids or polynucleotides include, but are not limited to, ribonucleic acids (RNAs), deoxyribonucleic acids (DNAs), threose nucleic acids (TNAs), glycol nucleic acids (GNAs), peptide nucleic acids (PNAs), locked nucleic acids (LNAs) or hybrids thereof.
- Nucleic acid sequence refers to the linear sequence of nucleotides that comprise the nucleic acid molecule or polynucleotide.
- DNA includes, but is not limited to, cDNA, genomic DNA, plasmid DNA, synthetic DNA, and semi-synthetic DNA.
- operbly linked refers to a functional connection between two or more molecules, constructs, transcripts, entities, moieties or the like.
- “Operably-linked” or “functionally linked” as it refers to nucleic acid sequences and polynucleotides refers to the association of nucleic acid sequences so that the function of one is affected by the other, while the nucleic acid sequences need not necessarily be adjacent or contiguous to each other, but may have intervening sequences between them.
- a regulatory DNA sequence is said to be “operably linked to” or “associated with” a DNA sequence that codes for an RNA or a polypeptide if the two sequences are situated such that the regulatory DNA sequence affects expression of the coding DNA sequence (i.e., that the coding sequence or functional RNA is under the transcriptional control of the promoter).
- Coding sequences can be operably linked to regulatory sequences in sense or antisense orientation.
- a transcriptional regulatory sequence is generally operably linked in cis with a coding sequence but need not be directly adjacent to it.
- an enhancer is a transcriptional regulatory sequence that is operably linked to a coding sequence, even though it is not contiguous with the coding sequence.
- a promoter is operably linked to a gene of interest if the promoter regulates or mediates transcription of the gene of interest in a cell.
- promoter transcriptional regulatory sequences that are operably linked to a transcribed sequence are physically contiguous to the transcribed sequence, i.e., they are cisacting.
- some transcriptional regulatory sequences, such as enhancers need not be physically contiguous or located in close proximity to the coding sequences whose transcription they enhance.
- the term “operably linked” means that the state or function of one polypeptide in the fusion protein is affected by the other polypeptide in the fusion protein.
- the DRD and the payload are operably linked if stabilization of the DRD with a ligand results in stabilization of the payload, while destabilization of the DRD in the absence of a ligand results in destabilization of the payload.
- Payload As used herein a “payload”or “target payload” or “payload of interest (POI)” or “target protein of interest” or “protein of interest” is defined as any polypeptide whose function is to be altered by operably linking the payload to a drug responsive domain (DRD) according to the disclosure.
- DDR drug responsive domain
- Plasmid refers to an extra-chromosomal element often carrying a gene that is not part of the central metabolism of the cell, and usually in the form of circular double-stranded DNA molecules. Such elements may be autonomously replicating sequences, genome integrating sequences, phage or nucleotide sequences, linear, circular, or supercoiled, of a single- or double-stranded DNA or RNA, derived from any source, in which a number of nucleotide sequences have been joined or recombined into a unique construction which is capable of introducing a promoter fragment and DNA sequence for a selected gene product along with appropriate 3' untranslated sequence into a cell.
- plasmids and other cloning and expression vectors that can be used in accordance with the present disclosure are well known and readily available to those of skill in the art. Moreover, those of skill readily may construct any number of other plasmids suitable for use in the invention. The properties, construction and use of such plasmids, as well as other vectors, in the present invention will be readily apparent to those of skill from the present disclosure.
- Polypeptide refers to a polymer of amino acid residues (natural or unnatural).
- the term, as used herein, refers to proteins, polypeptides, and peptides of any size, structure, or function.
- the terms “polypeptide” and “protein” may be used interchangeably herein. In some instances, the polypeptide is smaller than about 50 amino acids and the polypeptide may then be termed a “peptide”.
- Polypeptides include gene products, naturally occurring polypeptides, synthetic polypeptides, homologs, orthologs, paralogs, fragments and other equivalents, variants, and analogs of the foregoing.
- a polypeptide may be a single molecule or may be a multi-molecular complex such as a dimer, trimer or tetramer. They may also comprise single chain or multichain polypeptides and may be associated or linked. The terms also include post-expression modifications of the polypeptide, for example, glycosylation, sialylation, acetylation, phosphorylation, and the like. The term polypeptide may also apply to amino acid polymers in which one or more amino acid residues are an artificial chemical analogue of a corresponding naturally occurring amino acid.
- Promoter ‘Promoter” and “promoter sequence” are used interchangeably and refer to a DNA sequence capable of controlling the expression of a coding sequence or functional RNA.
- a coding sequence is located 3' to a promoter sequence. Promoters may be derived in their entirety from a native gene or be composed of different elements derived from different promoters found in nature, or may comprise synthetic DNA segments. It is understood by those skilled in the art that different promoters may direct the expression of a gene in different tissues or cell types, or at different stages of development, or in response to different environmental or physiological conditions.
- a promoter can include necessary nucleic acid sequences near the start site of transcription, such as, in the case of a polymerase II type promoter, a TATA element.
- a promoter can optionally include distal enhancer or repressor elements, which can be located as much as several thousand base pairs from the start site of transcription.
- Promoters that cause a gene to be expressed in most cell types at most times are commonly referred to as “constitutive promoters.” Promoters that cause a gene to be expressed in a specific cell type are commonly referred to as “cell- specific promoters” or “tissue-specific promoters.” Promoters that cause a gene to be expressed at a specific stage of development or cell differentiation are commonly referred to as “developmentally- specific promoters” or “cell differentiation- specific promoters.” Promoters that are induced and cause a gene to be expressed following exposure or treatment of the cell with an agent, biological molecule, chemical, ligand, light, or the like that induces the promoter are commonly referred to as “inducible promoters” or “regulatable promoters.” It is further recognized that since in most cases the exact boundaries of regulatory sequences have not been completely defined, DNA elements of different lengths may have identical promoter activity.
- the promoter sequence is typically bounded at its 3' terminus by the transcription initiation site and extends upstream (5' direction) to include the minimum number of bases or elements necessary to initiate transcription at levels detectable above background. Within the promoter sequence is found a transcription initiation site, as well as protein binding domains (consensus sequences) responsible for the binding of RNA polymerase.
- the promoter region of a gene includes the transcription regulatory elements that typically lie 5' to a structural gene. If a gene is to be activated, proteins known as transcription factors attach to the promoter region of the gene. This assembly resembles an "on switch" by enabling an enzyme to transcribe a second genetic segment from DNA into RNA. In most cases the resulting RNA molecule serves as a template for synthesis of a specific protein; sometimes RNA itself is the final product.
- the promoter region may be a normal cellular promoter or an oncopromoter.
- compositions refers to any ingredient other than active agents (e.g., as described herein) present in pharmaceutical compositions and having the properties of being substantially nontoxic and non-inflammatory in subjects. It is understood by those of skill in the art that a particular pharmaceutically acceptable excipient may not be suitable for all active agents or modes of administration. For example, some pharmaceutically acceptable excipients may be suitable for a small molecule therapeutic drug but not suitable for a viral vector. Similarly, some pharmaceutically acceptable excipients may be suitable for oral or parenteral administration but not suitable for intravenous administration. In some embodiments, pharmaceutically acceptable excipients are vehicles capable of suspending and/or dissolving active agents.
- Excipients may include, for example: antiadherents, antioxidants, binders, coatings, compression aids, disintegrants, dyes (colors), emollients, emulsifiers, fillers (diluents), film formers or coatings, flavors, fragrances, glidants (flow enhancers), lubricants, preservatives, printing inks, sorbents, suspending or dispersing agents, sweeteners, and waters of hydration.
- antiadherents antioxidants, binders, coatings, compression aids, disintegrants, dyes (colors), emollients, emulsifiers, fillers (diluents), film formers or coatings, flavors, fragrances, glidants (flow enhancers), lubricants, preservatives, printing inks, sorbents, suspending or dispersing agents, sweeteners, and waters of hydration.
- excipients include, but are not limited to: butylated hydroxytoluene (BHT), calcium carbonate, calcium phosphate (dibasic), calcium stearate, croscarmellose, crosslinked polyvinyl pyrrolidone, citric acid, crospovidone, cysteine, ethylcellulose, gelatin, hydroxypropyl cellulose, hydroxypropyl methylcellulose, lactose, magnesium stearate, maltitol, mannitol, methionine, methylcellulose, methyl paraben, microcrystalline cellulose, polyethylene glycol, polyvinyl pyrrolidone, povidone, pregelatinized starch, propyl paraben, retinyl palmitate, shellac, silicon dioxide, sodium carboxymethyl cellulose, sodium citrate, sodium starch glycolate, sorbitol, starch (corn), stearic acid, sucrose, talc, titanium dioxide, vitamin A, vitamin E, vitamin C,
- Site As used herein, the terms “site,” as it pertains to amino acid-based embodiments is used synonymously with “amino acid residue” and “amino acid side chain”. A site represents a position within a peptide or polypeptide that may be modified, manipulated, altered, derivatized or varied within the polypeptide-based molecules of the present disclosure.
- Stabilize As used herein, the term “stabilize”, “stabilized,” “stabilized region” means to make a polypeptide or region thereof become or remain stable. In some embodiments, stability is measured relative to an absolute value. For example, the stability of a polypeptide comprising a DRD bound to its ligand may be compared to the stability of the wild type polypeptide. In some embodiments, stability is measured relative to a different status or state of the same polypeptide. For example, the stability of a polypeptide comprising a DRD bound to its ligand may be compared to the stability of the polypeptide comprising a DRD in the absence of its ligand.
- Subject The terms “subject” and “patient” are used interchangeably and refer to mammals such as human patients and non-human primates, as well as experimental animals such as rabbits, dogs, cats, rats, mice, and other animals. Accordingly, the term “subject” or “patient” as used herein means any patient or subject (e.g. mammalian) to which the nucleic acids, polynucleotides, payloads, compositions, vectors, or cells of the disclosure can be administered.
- Termini As used herein, the terms “termini” or “terminus,” when referring to proteins refers to an extremity of a peptide or polypeptide.
- Such extremity is not limited only to the first or final site of the peptide or polypeptide but may include additional amino acids in the terminal regions.
- the polypeptide-based molecules of the present disclosure may be characterized as having both an N-terminus (terminated by an amino acid with a free amino group (NH2)) and a C-terminus (terminated by an amino acid with a free carboxyl group (COOH)).
- treatment or treating means to relieve, alleviate, prevent, and/or manage at least one symptom of a disease or a disorder in a subject.
- the term “treat” also denotes delaying the onset of a disease (i.e., the period prior to clinical manifestation of a disease), decreasing symptoms resulting from a disease, delaying the progression or prolonging survival for individuals with a disease, and/or reducing the risk of developing or worsening of a disease.
- treatment means the act of “treating” as defined above.
- variants when used in reference to a polypeptide refers to molecules which differ in their amino acid sequence from a native or reference sequence.
- the amino acid sequence variants may possess substitutions, insertions, additions, deletions and/or covalent modifications at certain positions within the amino acid sequence, as compared to a native or reference sequence.
- a “deletion” also includes a truncation at the N- or C- terminus of a polypeptide.
- variants will possess at least about 50% identity (homology) to a native or reference sequence, and preferably, they will be at least about 80%, more preferably at least about 90% identical (homologous) to a native or reference sequence.
- sequences are relative terms referring to an original molecule against which a comparison may be made. Native or starting or reference sequences should not be confused with wild-type sequences. Native sequences or molecules may represent the wild-type (that sequence found in nature) but do not have to be identical to the wild-type sequence.
- Vector refers to any vehicle for the cloning of and/or transfer of a nucleic acid into a cell.
- a vector may be a replicon to which another DNA segment may be attached so as to bring about the replication of the attached segment.
- a “replicon” refers to any genetic element (e.g., plasmid, phage, cosmid, chromosome, virus) that functions as an autonomous unit of DNA replication in vivo, i.e., capable of replication under its own control.
- the term “vector” includes both viral and nonviral vehicles for introducing the nucleic acid into a cell in vitro, ex vivo or in vivo.
- vectors known in the art may be used to manipulate nucleic acids, incorporate nucleic acid elements into genes, etc.
- Possible vectors include, for example, plasmids or modified viruses including, for example bacteriophages such as lambda derivatives, or plasmids such as pBR322 or pUC plasmid derivatives, or the Bluescript vector.
- Vectors used in gene and cell therapy include those derived from, without limitation, adenovirus, adeno- associated virus (AAV), alphavirus, flavivirus, herpes virus, measles virus, rhabdovirus, retrovirus, lentivirus, Newcastle disease virus (NDV), poxvirus and picornavirus.
- insertion of a DNA element corresponding to a promoter into a suitable vector can be accomplished by ligating the appropriate DNA element into a chosen vector that has complementary cohesive termini.
- the ends of the DNA molecules may be enzymatically modified, or any site may be produced by ligating nucleotide sequences (linkers) into the DNA termini.
- Such vectors may be engineered to contain selectable marker genes that provide for the selection of cells. Such markers allow identification and/or selection of host cells that incorporate and express the proteins encoded by the marker.
- Expression vectors are vectors that are designed to enable the expression of an inserted nucleic acid sequence.
- Expression vectors may comprise elements that provide for or facilitate transcription of nucleic acids that are cloned into the vectors. Such elements can include, e.g., promoters and/or enhancers operably coupled to a nucleic acid of interest.
- Wild-type refers to a nucleic acid sequence, nucleic acid molecule, amino acid sequence, polypeptide or organism found in nature without any known mutation. The term may also be used to describe the properties of a wild-type nucleic acid sequence, nucleic acid molecule, amino acid sequence, polypeptide or organism.
- HPV Human papillomavirus
- HPV Human papillomavirus
- HPV types Over 100 HPV types have been isolated and characterized. Depending on their oncogenicity, some HPV types are called “high-risk” types (e.g., HPV16, HPV18, HPV31 and HPV45), whereas others are called “low-risk” types (e.g., HPV6 and HPV11). Persistent infection with “high-risk” types of HPV has been linked to cancer.
- high-risk e.g., HPV16, HPV18, HPV31 and HPV45
- low-risk e.g., HPV6 and HPV11
- the genomes of all HPV types contain approximately eight ORFs that are transcribed from a single DNA strand.
- the HPV genome contains an early region containing six ORFs (El, E2, E4, E5, E6, E7), which encode proteins involved in viral replication and cell transformation; a late region containing two ORFs (L1-L2) , which encode structural proteins of the viral capsid; and a largely non-coding part that is referred to as the long control region (LCR), which contains cis elements that are necessary for the replication and transcription of viral DNA.
- the HPV genes E6 and E7 act as oncogenes, promoting tumor growth and malignant transformation.
- the E6 gene produces the E6 protein, which inactivates the tumor suppressor protein p53 in the host cell.
- the E7 gene produces the E7 protein, which inactivates the tumor suppressor protein pRb in the host cell.
- E6 and E7 oncogenes can affect cell cycle regulation and contribute to the formation of cancers.
- HPV is a causative organism in most cases of cervical cancer and is associated with other cancers, including other anogenital cancers and head and neck cancers. HPV infection is associated with 90% of anal and cervical cancers and 70% of head and neck squamous cell carcinoma (HNSCC) (Arbyn et al. 2012).
- HNSCC head and neck squamous cell carcinoma
- HPV infection plays a central role in the pathogenesis of cervical cancer, with HPV types 16 and 18 being most prominent and associated with a higher rate of progression to advanced carcinoma in situ (Dalstein et al. 2003). Of the approximately 70% of HNSCC associated with HPV, 95% of cases are HPV16-related (Katki et al. 2011).
- HPV-associated cancers are established within an immunosuppressive tumor microenvironment (TME), facilitating evasion of immune surveillance and clearance and resulting in tumor growth and metastasis (Liu and Cao 2016).
- TME immunosuppressive tumor microenvironment
- This immunosuppressive TME represents a complex interplay between suppressive cytokines (transforming growth factor-P, vascular endothelial growth factor), negative regulatory cells (myeloid-derived suppressor cell, Treg cell), and co- stimulatory molecules enhancing T and natural killer cell activity (CD28, CD40).
- Activation of the CD40/CD40L axis results in cytokine activation, primarily IL12, increased expression of co- stimulatory molecules, enhanced antigen presentation, increased effector T cell responses, and downregulated expression of inhibitory factors such as programmed cell death protein 1 (Quezada et al. 2004)).
- An activated CD40/CD40L therapeutic may also exhibit anti-tumor activity via direct tumor cell killing and IL12-mediated activation of effector CD8 + T cells (Zhang et al. 2019).
- TCR T cell receptor
- a TCR is a heterodimeric protein that is a member of the immunoglobulin superfamily and is capable of specifically binding to an antigen peptide bound to a major histocompatibility complex (MHC) molecule.
- TCRs comprise a variable antigen binding domain, a constant domain, a transmembrane region, and a short cytoplasmic tail.
- a TCR can be found on the surface of a cell or in soluble form. Generally, a TCR is found on the surface of T cells (or T lymphocytes) where it is generally responsible for recognizing antigens, such as peptides bound to MHC molecules.
- a TCR generally is comprised of a heterodimer having a and P chains (also known as TCRa and TCRp, respectively), or y and 6 chains (also known as TCRy and TCRS, respectively).
- TCRs that exist in aP and y6 forms are generally structurally similar, but T cells expressing them may have distinct anatomical locations or functions.
- the extracellular portion of TCR chains contains two immunoglobulin domains, a variable domain (e.g., a-chain variable domain or Va, P-chain variable domain or VP) at the N terminus, and a constant domain (e.g., a-chain constant domain or Ca and P-chain constant domain or Cp,) adjacent to the cell membrane.
- the variable domains contain complementary determining regions (CDRs) separated by framework regions (FRs). Each variable region comprises three CDRs embedded in a framework sequence, one being the hypervariable region named CDR3.
- a TCR is usually associated with the CD3 complex to form a TCR complex.
- TCR complex refers to a complex formed by the association of CD3 with TCR.
- a TCR complex can be composed of a CD3y chain, a CD36 chain, two CD3s chains, a homodimer of CD3( ⁇ chains, a TCRa chain, and a TCRP chain.
- a TCR complex can be composed of a CD3y chain, a CD36 chain, two CD3s chains, a homodimer of CD3( ⁇ chains, a TCRy chain, and a TCRS chain.
- a “component of a TCR complex,” as used herein, refers to a TCR chain (i.e., TCRa, TCRp, TCRy or TCRS), a CD3 chain (i.e., CD3y, CD36, CD3s or CD3Q, or a complex formed by two or more TCR chains or CD3 chains (e.g., a complex of TCRa and TCRp, a complex of TCRy and TCRS, a complex of CD3s and CD36, a complex of CD3y and CD3s, or a sub-TCR complex of TCRa, TCRp, CD3y, CD36, and two CD3s chains).
- a functional variant of a TCR is a protein that is capable of specifically binding to an antigen peptide bound to a major histocompatibility complex (MHC) molecule.
- a functional variant of a TCR may be derived from a parent TCR.
- a functional variant of a TCR may comprise an antigen-binding fragment of a parent TCR.
- a functional variant of a TCR may comprise one or more amino acid variations compared to a parent TCR.
- the present disclosure provides a recombinant protein that is a TCR or a functional variant thereof.
- the present disclosure provides a nucleic acid molecule encoding the recombinant protein and/or a nucleic acid molecule comprising one or more nucleic acid sequences encoding a TCR or functional variants thereof.
- the present disclosure provides a vector comprising a nucleic acid molecule encoding a TCR or a functional variant thereof.
- the present disclosure provides a cell comprising a nucleic acid molecule encoding a TCR or a functional variant thereof and/or a cell expression a TCR or a functional variant thereof.
- the present disclosure provides methods of making and using these recombinant proteins, nucleic acid molecules, cells and/or vectors.
- Various embodiments of the present disclosure comprise a TCR or a functional variant thereof that binds and/or recognizes, in the context of an MHC molecule, a peptide antigen or a peptide epitope associated with a cancer antigen.
- the antigen or the peptide epitope is expressed on the surface of a cancer cell and/or a cell infected with human papillomavirus (HPV) or that contains HPV DNA.
- HPV human papillomavirus
- the TCR or a functional variant thereof binds and/or recognizes a peptide antigen or a peptide epitope of an antigen expressed on the surface of a cancer cell or an immortal cell line, such as the exemplary cell line SCC152 (ATCC® CRL-3240TM), which is a cell line derived from a squamous cell carcinoma and that contains HPV DNA sequences.
- SCC152 ATCC® CRL-3240TM
- the TCR or a functional variant thereof has antigenic specificity for a peptide epitope of a HPV antigen.
- the TCR or the functional variant have antigenic specificity for a peptide epitope of human papillomavirus type 16 (HPV 16) in the context of an MHC molecule.
- the peptide epitope of HPV16 is a peptide epitope of HPV 16 E7.
- a peptide antigen or a peptide epitope of the present disclosure is derived from HPV 16 E6 protein or HPV 16 E7 protein.
- the TCR or a functional variant thereof binds and/or recognizes HPV 16 E6 or HPV 16 E7 epitopes in the context of an MHC molecule, such as an MHC class I molecule.
- the MHC class I molecule is a human leukocyte antigen (HLA)-A molecule.
- the MHC class I molecule is an HLA-A2 molecule.
- the MHC class I molecule is an HLA-A*02:01.
- Various embodiments of the present disclosure comprise anti-HPV 16 E6 TCRs, anti- HPV 16 E7 TCRs or functional variants thereof.
- the TCR or functional variant thereof recognizes and/or binds to an epitope or region of HPV 16 E6 or HPV 16 E7, such as a peptide epitope comprising an amino acid sequence set forth in any of SOURCE SEQ ID NOs: 267-274 of US20190321401A1, and as shown below in Table 1.
- a TCR or functional variant thereof that has antigenic specificity for an HPV 16 epitope includes any as described in US20190062398A1;
- TCRs or functional variants thereof include any described in Appendix 1, Appendix 2, Appendix 3, or Appendix 4.
- Non-limiting examples of TCRs or functional variants thereof that have antigenic specificity for an HPV 16 epitope, including an epitope of HPV E7 or HPV E6, are described below.
- a TCR or functional variant thereof comprises an alpha chain containing a Va chain set forth in SEQ ID NO:463 (SOURCE SEQ ID NO:43 of US20190062398), and a beta chain containing a VP chain set forth in SEQ ID NO:547 (SOURCE SEQ ID NO:44 of US20190062398).
- a TCR or functional variant thereof comprises an alpha chain containing a Va chain set forth in SEQ ID NO:464 (SOURCE SEQ ID NO:45 of US20190062398), and a beta chain containing a VP chain set forth in SEQ ID NO:548 (SOURCE SEQ ID NO:46 of US20190062398).
- a TCR or functional variant thereof comprises an alpha chain containing a Va chain set forth in SEQ ID NO:465 (SOURCE SEQ ID NO:47 of US20190062398), and a beta chain containing a VP chain set forth in SEQ ID NO:549 (SOURCE SEQ ID NO:48 of US20190062398).
- a TCR or functional variant thereof comprises an alpha chain set forth in SEQ ID NO:466 (SOURCE SEQ ID NO:58 of US20190225692A1), and a beta chain set forth in SEQ ID NO:550 (SOURCE SEQ ID NO:62 of US20190225692A1).
- a TCR or functional variant thereof comprises an alpha chain set forth in SEQ ID NO:467 (SOURCE SEQ ID NO:98 of US20190225692A1), and a beta chain set forth in SEQ ID NO:551 (SOURCE SEQ ID NO: 102 of US20190225692A1).
- a TCR or functional variant thereof comprises an alpha chain set forth in SEQ ID NO:468 (SOURCE SEQ ID NO:283 of US20190225692A1), and a beta chain set forth in SEQ ID NO:552 (SOURCE SEQ ID NO:52 of US20190225692A1).
- a TCR or functional variant thereof comprises an alpha chain set forth in SEQ ID NO:468 (SOURCE SEQ ID NO:283 of US20190225692A1), and a beta chain set forth in SEQ ID NO:553 (SOURCE SEQ ID NO:285 of US20190225692A1).
- a TCR or functional variant thereof comprises an alpha chain set forth in SEQ ID NO:36 (SOURCE SEQ ID NO:49 of US20190225692A1), and a beta chain set forth in SEQ ID NO:39 (SOURCE SEQ ID NO:53 of US20190225692A1).
- a TCR or functional variant thereof comprises an alpha chain set forth in SEQ ID NO:36 (SOURCE SEQ ID NO:49 of US20190225692A1), and a beta chain set forth in SEQ ID NO:51 (SOURCE SEQ ID NO:286 of US20190225692A1).
- a TCR or functional variant thereof comprises an alpha chain set forth in SEQ ID NO:42 (SOURCE SEQ ID NO:59 of US20190225692A1), and a beta chain set forth in SEQ ID NO:45 (SOURCE SEQ ID NO:63 of US20190225692A1).
- a TCR or functional variant thereof comprises an alpha chain set forth in SEQ ID NO:54 (SOURCE SEQ ID NO:99 of US20190225692A1), and a beta chain set forth in SEQ ID NO:57 (SOURCE SEQ ID NO: 103 of US20190225692A1).
- a TCR or functional variant thereof comprises an alpha chain set forth in SEQ ID NO:48 (SOURCE SEQ ID NO:284 of US20190225692A1), and a beta chain set forth in SEQ ID NO:39 (SOURCE SEQ ID NO:53 of US20190225692A1).
- a TCR or functional variant thereof comprises an alpha chain set forth in SEQ ID NO:48 (SOURCE SEQ ID NO:284 of US20190225692A1), and a beta chain set forth in SEQ ID NO:51 (SOURCE SEQ ID NO:286 of US20190225692A1).
- a TCR or functional variant thereof comprises an alpha chain set forth in SEQ ID NO:469 (SOURCE SEQ ID NO:687 of US20190225692A1), and a beta chain set forth in SEQ ID NO:554 (SOURCE SEQ ID NO:696 of US20190225692A1).
- a TCR or functional variant thereof comprises an alpha chain set forth in SEQ ID NO:470 (SOURCE SEQ ID NO:705 of US20190225692A1), and a beta chain set forth in SEQ ID NO:555 (SOURCE SEQ ID NO:714 of US20190225692A1).
- a TCR or functional variant thereof comprises an alpha chain set forth in SEQ ID NO:471 (SOURCE SEQ ID NO:722 of US20190225692A1), and a beta chain set forth in SEQ ID NO:556 (SOURCE SEQ ID NO:731 of US20190225692A1).
- a TCR or functional variant thereof comprises an alpha chain set forth in SEQ ID NO:472 (SOURCE SEQ ID NO:737 of US20190225692A1), and a beta chain set forth in SEQ ID NO:557 (SOURCE SEQ ID NO:746 of US20190225692A1).
- a TCR or functional variant thereof comprises an alpha chain set forth in SEQ ID NO:473 (SOURCE SEQ ID NO:755 of US20190225692A1), and a beta chain set forth in SEQ ID NO:558 (SOURCE SEQ ID NO:764 of US20190225692A1).
- a TCR or functional variant thereof comprises an alpha chain set forth in SEQ ID NO:474 (SOURCE SEQ ID NO:771 of US20190225692A1), and a beta chain set forth in SEQ ID NO:559 (SOURCE SEQ ID NO:777 of
- a TCR or functional variant thereof comprises an alpha chain set forth in SEQ ID NO:475 (SOURCE SEQ ID NO:783 of US20190225692A1), and a beta chain set forth in SEQ ID NO:560 (SOURCE SEQ ID NO:789 of
- a TCR or functional variant thereof comprises an alpha chain set forth in SEQ ID NO:476 (SOURCE SEQ ID NO:795 of US20190225692A1), and a beta chain set forth in SEQ ID NO:561 (SOURCE SEQ ID NO:804 of
- a TCR or functional variant thereof comprises an alpha chain set forth in SEQ ID NO:477 (SOURCE SEQ ID NO:811 of US20190225692A1), and a beta chain set forth in SEQ ID NO:562 (SOURCE SEQ ID NO:820 of
- a TCR or functional variant thereof comprises an alpha chain set forth in SEQ ID NO:478 (SOURCE SEQ ID NO:826 of US20190225692A1), and a beta chain set forth in SEQ ID NO:563 (SOURCE SEQ ID NO:835 of
- a TCR or functional variant thereof comprises an alpha chain set forth in SEQ ID NO:479 (SOURCE SEQ ID NO:841 of US20190225692A1), and a beta chain set forth in SEQ ID NO:564 (SOURCE SEQ ID NO:847 of
- a TCR or functional variant thereof comprises an alpha chain set forth in SEQ ID NO:480 (SOURCE SEQ ID NO:853 of US20190225692A1), and a beta chain set forth in SEQ ID NO:565 (SOURCE SEQ ID NO:859 of
- a TCR or functional variant thereof comprises an alpha chain set forth in SEQ ID NO:481 (SOURCE SEQ ID NO:865 of US20190225692A1), and a beta chain set forth in SEQ ID NO:566 (SOURCE SEQ ID NO:871 of
- a TCR or functional variant thereof comprises an alpha chain set forth in SEQ ID NO:482 (SOURCE SEQ ID NO:877 of US20190225692A1), and a beta chain set forth in SEQ ID NO:567 (SOURCE SEQ ID NO:883 of
- a TCR or functional variant thereof comprises an alpha chain set forth in SEQ ID NO:483 (SOURCE SEQ ID NO:891 of US20190225692A1), and a beta chain set forth in SEQ ID NO:568 (SOURCE SEQ ID NO:897 of
- a TCR or functional variant thereof comprises an alpha chain set forth in SEQ ID NO:484 (SOURCE SEQ ID NO:904 of US20190225692A1), and a beta chain set forth in SEQ ID NO:569 (SOURCE SEQ ID NO:913 of
- a TCR or functional variant thereof comprises an alpha chain set forth in SEQ ID NO:485 (SOURCE SEQ ID NO:921 of US20190225692A1), and a beta chain set forth in SEQ ID NO:570 (SOURCE SEQ ID NO:927 of US20190225692A1).
- a TCR or functional variant thereof comprises an alpha chain set forth in SEQ ID NO:486 (SOURCE SEQ ID NO:933 of US20190225692A1), and a beta chain set forth in SEQ ID NO:571 (SOURCE SEQ ID NO:941 of US20190225692A1).
- a TCR or functional variant thereof comprises an alpha chain set forth in SEQ ID NO:487 (SOURCE SEQ ID NO:947 of US20190225692A1), and a beta chain set forth in SEQ ID NO:572 (SOURCE SEQ ID NO:953 of US20190225692A1).
- a TCR or functional variant thereof comprises an alpha chain set forth in SEQ ID NO:488 (SOURCE SEQ ID NO:959 of US20190225692A1), and a beta chain set forth in SEQ ID NO:573 (SOURCE SEQ ID NO:965 of US20190225692A1).
- a TCR or functional variant thereof comprises an alpha chain set forth in SEQ ID NO:489 (SOURCE SEQ ID NO:971 of US20190225692A1), and a beta chain set forth in SEQ ID NO:574 (SOURCE SEQ ID NO:977 of US20190225692A1).
- a TCR or functional variant thereof comprises an alpha chain set forth in SEQ ID NO:490 (SOURCE SEQ ID NO:983 of US20190225692A1), and a beta chain set forth in SEQ ID NO:575 (SOURCE SEQ ID NO:989 of US20190225692A1).
- a TCR or functional variant thereof comprises an alpha chain set forth in SEQ ID NO:491 (SOURCE SEQ ID NO:995 of US20190225692A1), and a beta chain set forth in SEQ ID NO:576 (SOURCE SEQ ID NO: 1004 of US20190225692A1).
- a TCR or functional variant thereof comprises an alpha chain set forth in SEQ ID NO:466 (SOURCE SEQ ID NO:58 of US20190225692A1), and a beta chain set forth in SEQ ID NO:550 (SOURCE SEQ ID NO:62 of US20190225692A1).
- a TCR or functional variant thereof comprises an alpha chain set forth in SEQ ID NO:468 (SOURCE SEQ ID NO:283 of US20190225692A1), and a beta chain set forth in SEQ ID NO:553 (SOURCE SEQ ID NO:285 of US20190225692A1).
- a TCR or functional variant thereof comprises an alpha chain set forth in SEQ ID NO:492 (SOURCE SEQ ID NO:688 of US20190225692A1), and a beta chain set forth in SEQ ID NO:577 (SOURCE SEQ ID NO:697 of US20190225692A1).
- a TCR or functional variant thereof comprises an alpha chain set forth in SEQ ID NO:493 (SOURCE SEQ ID NO:706 of US20190225692A1), and a beta chain set forth in SEQ ID NO:578 (SOURCE SEQ ID NO:715 of US20190225692A1).
- a TCR or functional variant thereof comprises an alpha chain set forth in SEQ ID NO:494 (SOURCE SEQ ID NO:723 of US20190225692A1), and a beta chain set forth in SEQ ID NO:579 (SOURCE SEQ ID NO:732 of US20190225692A1).
- a TCR or functional variant thereof comprises an alpha chain set forth in SEQ ID NO:495 (SOURCE SEQ ID NO:738 of US20190225692A1), and a beta chain set forth in SEQ ID NO:580 (SOURCE SEQ ID NO:747 of US20190225692A1).
- a TCR or functional variant thereof comprises an alpha chain set forth in SEQ ID NO:496 (SOURCE SEQ ID NO:756 of US20190225692A1), and a beta chain set forth in SEQ ID NO:581 (SOURCE SEQ ID NO:765 of US20190225692A1).
- a TCR or functional variant thereof comprises an alpha chain set forth in SEQ ID NO:497 (SOURCE SEQ ID NO:772 of US20190225692A1), and a beta chain set forth in SEQ ID NO:582 (SOURCE SEQ ID NO:778 of US20190225692A1).
- a TCR or functional variant thereof comprises an alpha chain set forth in SEQ ID NO:498 (SOURCE SEQ ID NO:784 of US20190225692A1), and a beta chain set forth in SEQ ID NO:583 (SOURCE SEQ ID NO:790 of US20190225692A1).
- a TCR or functional variant thereof comprises an alpha chain set forth in SEQ ID NO:499 (SOURCE SEQ ID NO:796 of US20190225692A1), and a beta chain set forth in SEQ ID NO:584 (SOURCE SEQ ID NO:805 of US20190225692A1).
- a TCR or functional variant thereof comprises an alpha chain set forth in SEQ ID NO:500 (SOURCE SEQ ID NO:812 of US20190225692A1), and a beta chain set forth in SEQ ID NO:585 (SOURCE SEQ ID NO:821 of US20190225692A1).
- a TCR or functional variant thereof comprises an alpha chain set forth in SEQ ID NO:501 (SOURCE SEQ ID NO:827 of US20190225692A1), and a beta chain set forth in SEQ ID NO:586 (SOURCE SEQ ID NO:836 of US20190225692A1).
- a TCR or functional variant thereof comprises an alpha chain set forth in SEQ ID NO:502 (SOURCE SEQ ID NO:842 of US20190225692A1), and a beta chain set forth in SEQ ID NO:587 (SOURCE SEQ ID NO:848 of US20190225692A1).
- a TCR or functional variant thereof comprises an alpha chain set forth in SEQ ID NO:503 (SOURCE SEQ ID NO:854 of US20190225692A1), and a beta chain set forth in SEQ ID NO:588 (SOURCE SEQ ID NO:860 of US20190225692A1).
- a TCR or functional variant thereof comprises an alpha chain set forth in SEQ ID NO:504 (SOURCE SEQ ID NO:866 of US20190225692A1), and a beta chain set forth in SEQ ID NO:589 (SOURCE SEQ ID NO:872 of US20190225692A1).
- a TCR or functional variant thereof comprises an alpha chain set forth in SEQ ID NO:505 (SOURCE SEQ ID NO:878 of US20190225692A1), and a beta chain set forth in SEQ ID NO:590 (SOURCE SEQ ID NO:884 of US20190225692A1).
- a TCR or functional variant thereof comprises an alpha chain set forth in SEQ ID NO:506 (SOURCE SEQ ID NO:892 of US20190225692A1), and a beta chain set forth in SEQ ID NO:591 (SOURCE SEQ ID NO:898 of US20190225692A1).
- a TCR or functional variant thereof comprises an alpha chain set forth in SEQ ID NO:507 (SOURCE SEQ ID NO:905 of US20190225692A1), and a beta chain set forth in SEQ ID NO:592 (SOURCE SEQ ID NO:914 of US20190225692A1).
- a TCR or functional variant thereof comprises an alpha chain set forth in SEQ ID NO:508 (SOURCE SEQ ID NO:922 of US20190225692A1), and a beta chain set forth in SEQ ID NO:593 (SOURCE SEQ ID NO:928 of US20190225692A1).
- a TCR or functional variant thereof comprises an alpha chain set forth in SEQ ID NO:509 (SOURCE SEQ ID NO:934 of US20190225692A1), and a beta chain set forth in SEQ ID NO:594 (SOURCE SEQ ID NO:942 of US20190225692A1).
- a TCR or functional variant thereof comprises an alpha chain set forth in SEQ ID NO:510 (SOURCE SEQ ID NO:948 of US20190225692A1), and a beta chain set forth in SEQ ID NO:595 (SOURCE SEQ ID NO:954 of US20190225692A1).
- a TCR or functional variant thereof comprises an alpha chain set forth in SEQ ID NO:511 (SOURCE SEQ ID NO:960 of US20190225692A1), and a beta chain set forth in SEQ ID NO:596 (SOURCE SEQ ID NO:966 of US20190225692A1).
- a TCR or functional variant thereof comprises an alpha chain set forth in SEQ ID NO:512 (SOURCE SEQ ID NO:972 of US20190225692A1), and a beta chain set forth in SEQ ID NO:597 (SOURCE SEQ ID NO:978 of US20190225692A1).
- a TCR or functional variant thereof comprises an alpha chain set forth in SEQ ID NO:513 (SOURCE SEQ ID NO:984 of US20190225692A1), and a beta chain set forth in SEQ ID NO:598 (SOURCE SEQ ID NO:990 of US20190225692A1).
- a TCR or functional variant thereof comprises an alpha chain set forth in SEQ ID NO:514 (SOURCE SEQ ID NO:996 of US20190225692A1), and a beta chain set forth in SEQ ID NO:599 (SOURCE SEQ ID NO: 1005 of US20190225692A1).
- a TCR or functional variant thereof comprises an alpha chain set forth in SEQ ID NO:42 (SOURCE SEQ ID NO:59 of US20190225692A1), and a beta chain set forth in SEQ ID NO:45 (SOURCE SEQ ID NO:63 of US20190225692A1).
- a TCR or functional variant thereof comprises an alpha chain set forth in SEQ ID NO:48 (SOURCE SEQ ID NO:284 of US20190225692A1), and a beta chain set forth in SEQ ID NO:51 (SOURCE SEQ ID NO:286 of US20190225692A1).
- a TCR or functional variant thereof comprises an alpha chain set forth in SEQ ID NO:295 (SOURCE SEQ ID NO:5 of US20190321401A1), and a beta chain set forth in SEQ ID NO:600 (SOURCE SEQ ID NO:20 of US20190321401A1).
- a TCR or functional variant thereof comprises an alpha chain set forth in SEQ ID NO:202 (SOURCE SEQ ID NO:43 of US20190321401A1), and a beta chain set forth in SEQ ID NO:601 (SOURCE SEQ ID NO:56 of US20190321401A1).
- a TCR or functional variant thereof comprises an alpha chain set forth in SEQ ID NO:214 (SOURCE SEQ ID NO:73 of US20190321401A1), and a beta chain set forth in SEQ ID NO:602 (SOURCE SEQ ID NO:84 of US20190321401A1).
- a TCR or functional variant thereof comprises an alpha chain set forth in SEQ ID NO:225 (SOURCE SEQ ID NO:99 of US20190321401A1), and a beta chain set forth in SEQ ID NO:603 (SOURCE SEQ ID NO: 110 of US20190321401A1).
- a TCR or functional variant thereof comprises an alpha chain set forth in SEQ ID NO:234 (SOURCE SEQ ID NO: 122 of US20190321401A1), and a beta chain set forth in SEQ ID NO:604 (SOURCE SEQ ID NO: 133 of US20190321401A1).
- a TCR or functional variant thereof comprises an alpha chain set forth in SEQ ID NO:243 (SOURCE SEQ ID NO: 145 of US20190321401A1), and a beta chain set forth in SEQ ID NO:605 (SOURCE SEQ ID NO: 153 of US20190321401A1).
- a TCR or functional variant thereof comprises an alpha chain set forth in SEQ ID NO:250 (SOURCE SEQ ID NO: 165 of US20190321401A1), and a beta chain set forth in SEQ ID NO:606 (SOURCE SEQ ID NO: 176 of US20190321401A1).
- a TCR or functional variant thereof comprises an alpha chain set forth in SEQ ID NO:261 (SOURCE SEQ ID NO: 191 of US20190321401A1), and a beta chain set forth in SEQ ID NO:607 (SOURCE SEQ ID NO:202 of US20190321401A1).
- a TCR or functional variant thereof comprises an alpha chain set forth in SEQ ID NO:272 (SOURCE SEQ ID NO:217 of US20190321401A1), and a beta chain set forth in SEQ ID NO:608 (SOURCE SEQ ID NO:228 of US20190321401A1).
- a TCR or functional variant thereof contains an alpha chain encoded by the nucleotide sequence set forth in SEQ ID NO:515 (SOURCE SEQ ID NO:3 of US20190321401A1), and a beta chain encoded by the nucleotide sequence set forth in SEQ ID NO:609 (SOURCE SEQ ID NO:18 of US20190321401A1).
- a TCR or functional variant thereof contains an alpha chain encoded by the nucleotide sequence set forth in SEQ ID NO:294 (SOURCE SEQ ID NO:420 of US20190321401A1), and a beta chain encoded by the nucleotide sequence set forth in SEQ ID NO:609 (SOURCE SEQ ID NO: 18 of US20190321401A1).
- a TCR or functional variant thereof contains an alpha chain encoded by the nucleotide sequence set forth in SEQ ID NO:201 (SOURCE SEQ ID NO:41 of US20190321401A1), and a beta chain encoded by the nucleotide sequence set forth in SEQ ID NO:610 (SOURCE SEQ ID NO:54 of US20190321401A1).
- a TCR or functional variant thereof contains an alpha chain encoded by the nucleotide sequence set forth in SEQ ID NO:515 (SOURCE SEQ ID NO:3 of US20190321401A1), and a beta chain encoded by the nucleotide sequence set forth in SEQ ID NO:300 (SOURCE SEQ ID NO:412 of US20190321401A1).
- a TCR or functional variant thereof contains an alpha chain encoded by the nucleotide sequence set forth in SEQ ID NO:294 (SOURCE SEQ ID NO:420 of US20190321401A1), and a beta chain encoded by the nucleotide sequence set forth in SEQ ID NO:300 (SOURCE SEQ ID NO:412 of US20190321401A1).
- a TCR or functional variant thereof contains an alpha chain encoded by the nucleotide sequence set forth in SEQ ID NO:201 (SOURCE SEQ ID NO:41 of US20190321401A1), and a beta chain encoded by the nucleotide sequence set forth in SEQ ID NO:207 (SOURCE SEQ ID NO:413 of US20190321401A1).
- a TCR or functional variant thereof comprises an alpha chain set forth in SEQ ID NO:516 (SOURCE SEQ ID NO:58 of W02019070541A1), and a beta chain set forth in SEQ ID NO:611 (SOURCE SEQ ID NO:62 of W02019070541A1).
- a TCR or functional variant thereof comprises an alpha chain set forth in SEQ ID NO:517 (SOURCE SEQ ID NO:98 of W02019070541A1), and a beta chain set forth in SEQ ID NO:612 (SOURCE SEQ ID NO: 102 of W02019070541A1).
- a TCR or functional variant thereof comprises an alpha chain set forth in SEQ ID NO:518 (SOURCE SEQ ID NO:283 of W02019070541A1), and a beta chain set forth in SEQ ID NO:613 (SOURCE SEQ ID NO:52 of W02019070541A1).
- a TCR or functional variant thereof comprises an alpha chain set forth in SEQ ID NO:518 (SOURCE SEQ ID NO:283 of W02019070541A1), and a beta chain set forth in SEQ ID NO:614 (SOURCE SEQ ID NO:285 of W02019070541A1).
- a TCR or functional variant thereof comprises an alpha chain set forth in SEQ ID NO:519 (SOURCE SEQ ID NO:49 of W02019070541A1), and a beta chain set forth in SEQ ID NO:615 (SOURCE SEQ ID NO:53 of W02019070541A1).
- a TCR or functional variant thereof comprises an alpha chain set forth in SEQ ID NO:519 (SOURCE SEQ ID NO:49 of W02019070541A1), and a beta chain set forth in SEQ ID NO:455 (SOURCE SEQ ID NO:286 of W02019070541A1).
- a TCR or functional variant thereof comprises an alpha chain set forth in SEQ ID NO:446 (SOURCE SEQ ID NO:59 of W02019070541A1), and a beta chain set forth in SEQ ID NO:449 (SOURCE SEQ ID NO:63 of W02019070541A1).
- a TCR or functional variant thereof comprises an alpha chain set forth in SEQ ID NO:520 (SOURCE SEQ ID NO:99 of W02019070541A1), and a beta chain set forth in SEQ ID NO:616 (SOURCE SEQ ID NO: 103 of W02019070541A1).
- a TCR or functional variant thereof comprises an alpha chain set forth in SEQ ID NO:452 (SOURCE SEQ ID NO:284 of W02019070541A1), and a beta chain set forth in SEQ ID NO:615 (SOURCE SEQ ID NO:53 of W02019070541A1).
- a TCR or functional variant thereof comprises an alpha chain set forth in SEQ ID NO:452 (SOURCE SEQ ID NO:284 of W02019070541A1), and a beta chain set forth in SEQ ID NO:455 (SOURCE SEQ ID NO:286 of W02019070541A1).
- a TCR or functional variant thereof comprises an alpha chain set forth in SEQ ID NO:521 (SOURCE SEQ ID NO:687 of W02019070541A1), and a beta chain set forth in SEQ ID NO:617 (SOURCE SEQ ID NO:696 of W02019070541A1).
- a TCR or functional variant thereof comprises an alpha chain set forth in SEQ ID NO:522 (SOURCE SEQ ID NO:705 of W02019070541A1), and a beta chain set forth in SEQ ID NO:618 (SOURCE SEQ ID NO:714 of W02019070541A1).
- a TCR or functional variant thereof comprises an alpha chain set forth in SEQ ID NO:523 (SOURCE SEQ ID NO:722 of W02019070541A1), and a beta chain set forth in SEQ ID NO:619 (SOURCE SEQ ID NO:731 of W02019070541A1).
- a TCR or functional variant thereof comprises an alpha chain set forth in SEQ ID NO:524 (SOURCE SEQ ID NO:737 of W02019070541A1), and a beta chain set forth in SEQ ID NO:620 (SOURCE SEQ ID NO:746 of W02019070541A1).
- a TCR or functional variant thereof comprises an alpha chain set forth in SEQ ID NO:525 (SOURCE SEQ ID NO:755 of W02019070541A1), and a beta chain set forth in SEQ ID NO:621 (SOURCE SEQ ID NO:764 of W02019070541A1).
- a TCR or functional variant thereof comprises an alpha chain set forth in SEQ ID NO:526 (SOURCE SEQ ID NO:771 of W02019070541A1), and a beta chain set forth in SEQ ID NO:622 (SOURCE SEQ ID NO:777 of W02019070541A1).
- a TCR or functional variant thereof comprises an alpha chain set forth in SEQ ID NO:527 (SOURCE SEQ ID NO:783 of W02019070541A1), and a beta chain set forth in SEQ ID NO:623 (SOURCE SEQ ID NO:789 of W02019070541A1).
- a TCR or functional variant thereof comprises an alpha chain set forth in SEQ ID NO:528 (SOURCE SEQ ID NO:795 of W02019070541A1), and a beta chain set forth in SEQ ID NO:624 (SOURCE SEQ ID NO:804 of W02019070541A1).
- a TCR or functional variant thereof comprises an alpha chain set forth in SEQ ID NO:529 (SOURCE SEQ ID NO:811 of W02019070541A1), and a beta chain set forth in SEQ ID NO:625 (SOURCE SEQ ID NO:820 of W02019070541A1).
- a TCR or functional variant thereof comprises an alpha chain set forth in SEQ ID NO:530 (SOURCE SEQ ID NO:826 of W02019070541A1), and a beta chain set forth in SEQ ID NO:626 (SOURCE SEQ ID NO:835 of W02019070541A1).
- a TCR or functional variant thereof comprises an alpha chain set forth in SEQ ID NO:531 (SOURCE SEQ ID NO:841 of W02019070541A1), and a beta chain set forth in SEQ ID NO:627 (SOURCE SEQ ID NO:847 of W02019070541A1).
- a TCR or functional variant thereof comprises an alpha chain set forth in SEQ ID NO:532 (SOURCE SEQ ID NO:853 of W02019070541A1), and a beta chain set forth in SEQ ID NO:628 (SOURCE SEQ ID NO:859 of W02019070541A1).
- a TCR or functional variant thereof comprises an alpha chain set forth in SEQ ID NO:533 (SOURCE SEQ ID NO:865 of W02019070541A1), and a beta chain set forth in SEQ ID NO:629 (SOURCE SEQ ID NO:871 of W02019070541A1).
- a TCR or functional variant thereof comprises an alpha chain set forth in SEQ ID NO:534 (SOURCE SEQ ID NO:877 of W02019070541A1), and a beta chain set forth in SEQ ID NO:630 (SOURCE SEQ ID NO:883 of W02019070541A1).
- a TCR or functional variant thereof comprises an alpha chain set forth in SEQ ID NO:535 (SOURCE SEQ ID NO:891 of W02019070541A1), and a beta chain set forth in SEQ ID NO:631 (SOURCE SEQ ID NO:897 of W02019070541A1).
- a TCR or functional variant thereof comprises an alpha chain set forth in SEQ ID NO:536 (SOURCE SEQ ID NO:904 of W02019070541A1), and a beta chain set forth in SEQ ID NO:632 (SOURCE SEQ ID NO:913 of W02019070541A1).
- a TCR or functional variant thereof comprises an alpha chain set forth in SEQ ID NO:537 (SOURCE SEQ ID NO:921 of W02019070541A1), and a beta chain set forth in SEQ ID NO:633 (SOURCE SEQ ID NO:927 of W02019070541A1).
- a TCR or functional variant thereof comprises an alpha chain set forth in SEQ ID NO:538 (SOURCE SEQ ID NO:933 of W02019070541A1), and a beta chain set forth in SEQ ID NO:634 (SOURCE SEQ ID NO:941 of W02019070541A1).
- a TCR or functional variant thereof comprises an alpha chain set forth in SEQ ID NO:539 (SOURCE SEQ ID NO:947 of W02019070541A1), and a beta chain set forth in SEQ ID NO:635 (SOURCE SEQ ID NO:953 of W02019070541A1).
- a TCR or functional variant thereof comprises an alpha chain set forth in SEQ ID NO:540 (SOURCE SEQ ID NO:959 of W02019070541A1), and a beta chain set forth in SEQ ID NO:636 (SOURCE SEQ ID NO:965 of W02019070541A1).
- a TCR or functional variant thereof comprises an alpha chain set forth in SEQ ID NO:541 (SOURCE SEQ ID NO:971 of W02019070541A1), and a beta chain set forth in SEQ ID NO:637 (SOURCE SEQ ID NO:977 of W02019070541A1).
- a TCR or functional variant thereof comprises an alpha chain set forth in SEQ ID NO:542 (SOURCE SEQ ID NO:983 of W02019070541A1), and a beta chain set forth in SEQ ID NO:638 (SOURCE SEQ ID NO:989 of W02019070541A1).
- a TCR or functional variant thereof comprises an alpha chain set forth in SEQ ID NO:543 (SOURCE SEQ ID NO:995 of W02019070541A1), and a beta chain set forth in SEQ ID NO:639 (SOURCE SEQ ID NO: 1004 of W02019070541A1).
- a TCR or functional variant thereof comprises an alpha chain set forth in SEQ ID NO:544 (SOURCE SEQ ID NO:58 of W02019070541A1), and a beta chain set forth in SEQ ID NO:611 (SOURCE SEQ ID NO:62 of W02019070541A1).
- a TCR or functional variant thereof comprises an alpha chain set forth in SEQ ID NO:545 (SOURCE SEQ ID NO:283 of W02019070541A1), and a beta chain set forth in SEQ ID NO:614 (SOURCE SEQ ID NO:285 of W02019070541A1).
- a TCR or functional variant thereof comprises an alpha chain set forth in SEQ ID NO:546 (SOURCE SEQ ID NO: 1386 of W02019070541A1), and a beta chain set forth in SEQ ID NO:640 (SOURCE SEQ ID NO: 1376 of W02019070541A1).
- a TCR or functional variant thereof comprises an alpha chain set forth in SEQ ID NO:308 (SOURCE SEQ ID NO:688 of W02019070541A1), and a beta chain set forth in SEQ ID NO:311 (SOURCE SEQ ID NO:697 of W02019070541A1).
- a TCR or functional variant thereof comprises an alpha chain set forth in SEQ ID NO:314 (SOURCE SEQ ID NO:706 of W02019070541A1), and a beta chain set forth in SEQ ID NO:317 (SOURCE SEQ ID NO:715 of W02019070541A1).
- a TCR or functional variant thereof comprises an alpha chain set forth in SEQ ID NO:320 (SOURCE SEQ ID NO:723 of W02019070541A1), and a beta chain set forth in SEQ ID NO:323 (SOURCE SEQ ID NO:732 of W02019070541A1).
- a TCR or functional variant thereof comprises an alpha chain set forth in SEQ ID NO:326 (SOURCE SEQ ID NO:738 of W02019070541A1), and a beta chain set forth in SEQ ID NO:329 (SOURCE SEQ ID NO:747 of W02019070541A1).
- a TCR or functional variant thereof comprises an alpha chain set forth in SEQ ID NO:332 (SOURCE SEQ ID NO:756 of W02019070541A1), and a beta chain set forth in SEQ ID NO:335 (SOURCE SEQ ID NO:765 of W02019070541A1).
- a TCR or functional variant thereof comprises an alpha chain set forth in SEQ ID NO:338 (SOURCE SEQ ID NO:772 of W02019070541A1), and a beta chain set forth in SEQ ID NO:341 (SOURCE SEQ ID NO:778 of W02019070541A1).
- a TCR or functional variant thereof comprises an alpha chain set forth in SEQ ID NO:344 (SOURCE SEQ ID NO:784 of W02019070541A1), and a beta chain set forth in SEQ ID NO:347 (SOURCE SEQ ID NO:790 of W02019070541A1).
- a TCR or functional variant thereof comprises an alpha chain set forth in SEQ ID NO:350 (SOURCE SEQ ID NO:796 of W02019070541A1), and a beta chain set forth in SEQ ID NO:353 (SOURCE SEQ ID NO:805 of W02019070541A1).
- a TCR or functional variant thereof comprises an alpha chain set forth in SEQ ID NO:356 (SOURCE SEQ ID NO:812 of W02019070541A1), and a beta chain set forth in SEQ ID NO:359 (SOURCE SEQ ID NO:821 of W02019070541A1).
- a TCR or functional variant thereof comprises an alpha chain set forth in SEQ ID NO:362 (SOURCE SEQ ID NO:827 of W02019070541A1), and a beta chain set forth in SEQ ID NO:365 (SOURCE SEQ ID NO:836 of W02019070541A1).
- a TCR or functional variant thereof comprises an alpha chain set forth in SEQ ID NO:368 (SOURCE SEQ ID NO:842 of W02019070541A1), and a beta chain set forth in SEQ ID NO:371 (SOURCE SEQ ID NO:848 of W02019070541A1).
- a TCR or functional variant thereof comprises an alpha chain set forth in SEQ ID NO:374 (SOURCE SEQ ID NO:854 of W02019070541A1), and a beta chain set forth in SEQ ID NO:377 (SOURCE SEQ ID NO:860 of W02019070541A1).
- a TCR or functional variant thereof comprises an alpha chain set forth in SEQ ID NO:380 (SOURCE SEQ ID NO:866 of W02019070541A1), and a beta chain set forth in SEQ ID NO:383 (SOURCE SEQ ID NO:872 of W02019070541A1).
- a TCR or functional variant thereof comprises an alpha chain set forth in SEQ ID NO:386 (SOURCE SEQ ID NO:878 of W02019070541A1), and a beta chain set forth in SEQ ID NO:389 (SOURCE SEQ ID NO:884 of W02019070541A1).
- a TCR or functional variant thereof comprises an alpha chain set forth in SEQ ID NO:392 (SOURCE SEQ ID NO:892 of W02019070541A1), and a beta chain set forth in SEQ ID NO:395 (SOURCE SEQ ID NO:898 of W02019070541A1).
- a TCR or functional variant thereof comprises an alpha chain set forth in SEQ ID NO:398 (SOURCE SEQ ID NO:905 of W02019070541A1), and a beta chain set forth in SEQ ID NO:401 (SOURCE SEQ ID NO:914 of W02019070541A1).
- a TCR or functional variant thereof comprises an alpha chain set forth in SEQ ID NO:404 (SOURCE SEQ ID NO:922 of W02019070541A1), and a beta chain set forth in SEQ ID NO:407 (SOURCE SEQ ID NO:928 of W02019070541A1).
- a TCR or functional variant thereof comprises an alpha chain set forth in SEQ ID NO:410 (SOURCE SEQ ID NO:934 of W02019070541A1), and a beta chain set forth in SEQ ID NO:413 (SOURCE SEQ ID NO:942 of W02019070541A1).
- a TCR or functional variant thereof comprises an alpha chain set forth in SEQ ID NO:416 (SOURCE SEQ ID NO:948 of W02019070541A1), and a beta chain set forth in SEQ ID NO:419 (SOURCE SEQ ID NO:954 of W02019070541A1).
- a TCR or functional variant thereof comprises an alpha chain set forth in SEQ ID NO:422 (SOURCE SEQ ID NO:960 of W02019070541A1), and a beta chain set forth in SEQ ID NO:425 (SOURCE SEQ ID NO:966 of W02019070541A1).
- a TCR or functional variant thereof comprises an alpha chain set forth in SEQ ID NO:428 (SOURCE SEQ ID NO:972 of W02019070541A1), and a beta chain set forth in SEQ ID NO:431 (SOURCE SEQ ID NO:978 of W02019070541A1).
- a TCR or functional variant thereof comprises an alpha chain set forth in SEQ ID NO:434 (SOURCE SEQ ID NO:984 of W02019070541A1), and a beta chain set forth in SEQ ID NO:437 (SOURCE SEQ ID NO:990 of W02019070541A1).
- a TCR or functional variant thereof comprises an alpha chain set forth in SEQ ID NO:440 (SOURCE SEQ ID NO:996 of W02019070541A1), and a beta chain set forth in SEQ ID NO:443 (SOURCE SEQ ID NO: 1005 of W02019070541A1).
- a TCR or functional variant thereof comprises an alpha chain set forth in SEQ ID NO:446 (SOURCE SEQ ID NO:59 of W02019070541A1), and a beta chain set forth in SEQ ID NO:449 (SOURCE SEQ ID NO:63 of W02019070541A1).
- a TCR or functional variant thereof comprises an alpha chain set forth in SEQ ID NO:452 (SOURCE SEQ ID NO:284 of W02019070541A1), and a beta chain set forth in SEQ ID NO:455 (SOURCE SEQ ID NO:286 of W02019070541A1).
- a TCR or functional variant thereof comprises an alpha chain set forth in SEQ ID NO:458 (SOURCE SEQ ID NO: 1387 of W02019070541A1), and a beta chain set forth in SEQ ID NO:461 (SOURCE SEQ ID NO: 1377 of W02019070541A1).
- the TCR or functional variant thereof has antigenic specificity for HPV 16 E7 protein or a portion of HPV 16 E7 protein. In some embodiments, the TCR or functional variant thereof has antigenic specificity for HPV 16 E7 protein comprising SEQ ID NO: 11. In some embodiments, the TCR or functional variant thereof has antigenic specificity for a peptide epitope derived from HPV 16 E7 that is or comprises E7(l 1-19) YMLDLQPET (SEQ ID NO: 7). Such a TCR may also be referred to as an anti-HPV 16 E7 (11-19) TCR.
- the TCR recognizes or binds HPV 16 E7(l 1-19) in the context of an MHC, such as an MHC class I, e.g., HLA-A2.
- MHC such as an MHC class I, e.g., HLA-A2.
- the provided TCRs or functional variants thereof are capable of or bind to a HPV 16 E7 (1 l-19)-peptide-MHC tetramer complex.
- the TCR or functional variant thereof has antigenic specificity for HPV 16 E7 protein or a portion of HPV 16 E7 protein and comprises HPV16E7 TCR sequences (e.g., the combination of alpha and beta chains or gamma and delta chains) found in US20190062398A1; US20190225692A1; US20190321401A1; and W02019070541A1.
- HPV16E7 TCR sequences e.g., the combination of alpha and beta chains or gamma and delta chains
- a TCR or functional variant thereof comprises an alpha chain and a beta chain, wherein the alpha chain comprises an amino acid sequence set forth by a SEQ ID NO. listed in column 4 of Appendix 1 (SOURCE SEQ ID NO. listed in column 2 of Appendix 1), and the beta chain comprises an amino acid sequence set forth by a corresponding SEQ ID NO. listed in column 5 of Appendix 1 (SOURCE SEQ ID NO. listed in column 3 of Appendix 1).
- the phrase “corresponding SEQ ID NO.” is defined as the number appearing on the same row.
- a TCR or functional variant thereof comprises an alpha chain and a beta chain, wherein the alpha chain comprises the amino acid sequence encoded by the nucleotide sequence set forth by a SEQ ID NO. listed in column 4 of Appendix 1 (SOURCE SEQ ID NO. listed in column 2 of Appendix 1), and the beta chain comprises the amino acid sequence encoded by the nucleotide sequence set forth by a corresponding SEQ ID NO. listed in column 5 of Appendix 1 (SOURCE SEQ ID NO. listed in column 3 of Appendix 1).
- a TCR or functional variant thereof comprises an alpha chain and a beta chain of a TCR as described in US20190225692A1, including any sequences disclosed therein by its SEQ ID NO (SOURCE SEQ ID NO).
- a TCR or functional variant thereof comprises an alpha chain containing a variable alpha (Va) chain with a CDR1, CDR2 and CDR3 as contained in the Va chain set forth in SEQ ID NO:37 (SOURCE SEQ ID NO: 117), and a beta chain containing a variable beta (VP) chain with a CDR1, CDR2 and CDR3 as contained in the VP chain set forth in SEQ ID NO:40 (SOURCE SEQ ID NO: 118).
- a TCR or functional variant thereof comprises an alpha chain containing a Va chain set forth in SEQ ID NO:37 (SOURCE SEQ ID NO: 117), and a beta chain containing a VP chain set forth in SEQ ID NO:40 (SOURCE SEQ ID NO: 118).
- a TCR or functional variant thereof comprises an alpha chain set forth in SEQ ID NO:36 (SOURCE SEQ ID NO:49), and a beta chain set forth in SEQ ID NO:39 (SOURCE SEQ ID NO:53).
- a TCR or functional variant thereof contains an alpha chain encoded by the nucleotide sequence set forth in SEQ ID NO:35 (SOURCE SEQ ID NO:51), and a beta chain encoded by the nucleotide sequence set forth in SEQ ID NO:38 (SOURCE SEQ ID NO:54).
- a TCR or functional variant thereof is a TCR containing sequences of the TCR designated TCR 6 - E7 (11-19) as set forth in Appendix 2.
- the TCR or functional variant thereof is TCR 6 - E7 (11-19) as set forth in Appendix 2.
- a TCR or functional variant thereof comprises an alpha chain and a beta chain of a TCR as described in US20190225692A1, including any sequences disclosed therein by its SEQ ID NO (SOURCE SEQ ID NO).
- a TCR or functional variant thereof comprises an alpha chain containing a variable alpha (Va) chain with a CDR1, CDR2 and CDR3 as contained in the Va chain set forth in SEQ ID NO:43 (SOURCE SEQ ID NO: 119), and a beta chain containing a variable beta (VP) chain with a CDR1, CDR2 and CDR3 as contained in the VP chain set forth in SEQ ID NO:46 (SOURCE SEQ ID NO: 120).
- a TCR or functional variant thereof comprises an alpha chain containing a Va chain set forth in SEQ ID NO:43 (SOURCE SEQ ID NO: 119), and a beta chain containing a VP chain set forth in SEQ ID NO:46 (SOURCE SEQ ID NO: 120).
- a TCR or functional variant thereof comprises an alpha chain set forth in SEQ ID NO:42 (SOURCE SEQ ID NO:59), and a beta chain set forth in SEQ ID NO:45 (SOURCE SEQ ID NO:63).
- a TCR or functional variant thereof contains an alpha chain encoded by the nucleotide sequence set forth in SEQ ID NO:41 (SOURCE SEQ ID NO:61), and a beta chain encoded by the nucleotide sequence set forth in SEQ ID NO:44 (SOURCE SEQ ID NO:65).
- a TCR or functional variant thereof is a TCR containing sequences of the TCR designated TCR 7 - E7 (11-19) as set forth in Appendix 2.
- the TCR or functional variant thereof is TCR 7 - E7 (11-19) as set forth in Appendix 2.
- a TCR or functional variant thereof comprises an alpha chain and a beta chain of a TCR as described in US20190225692A1, including any sequences disclosed therein by its SEQ ID NO (SOURCE SEQ ID NO).
- a TCR or functional variant thereof comprises an alpha chain containing a variable alpha (Va) chain with a CDR1, CDR2 and CDR3 as contained in the Va chain set forth in SEQ ID NO:49 (SOURCE SEQ ID NO:295), and a beta chain containing a variable beta (VP) chain with a CDR1, CDR2 and CDR3 as contained in the VP chain set forth in SEQ ID NO:52 (SOURCE SEQ ID NO:296).
- Va variable alpha
- VP variable beta
- a TCR or functional variant thereof comprises an alpha chain containing a Va chain set forth in SEQ ID NO:49 (SOURCE SEQ ID NO:295), and a beta chain containing a VP chain set forth in SEQ ID NO:52 (SOURCE SEQ ID NO:296).
- a TCR or functional variant thereof comprises an alpha chain set forth in SEQ ID NO:48 (SOURCE SEQ ID NO:284), and a beta chain set forth in SEQ ID NO:51 (SOURCE SEQ ID NO:286).
- a TCR or functional variant thereof contains an alpha chain encoded by the nucleotide sequence set forth in SEQ ID NO:47 (SOURCE SEQ ID NO: 12), and a beta chain encoded by the nucleotide sequence set forth in SEQ ID NO:50 (SOURCE SEQ ID NO:9).
- a TCR or functional variant thereof is a TCR containing sequences of the TCR designated TCR 12 - E7 (11-19) as set forth in Appendix 2.
- the TCR or functional variant thereof is TCR 12 - E7 (11-19) as set forth in Appendix 2.
- a TCR or functional variant thereof comprises an alpha chain and a beta chain of a TCR as described in US20190321401A1, including any sequences disclosed therein by its SEQ ID NO (SOURCE SEQ ID NO).
- a TCR or functional variant thereof comprises an alpha chain containing a variable alpha (Va) chain with a CDR1, CDR2 and CDR3 as contained in the Va chain set forth in SEQ ID NO:203 (SOURCE SEQ ID NO:47), and a beta chain containing a variable beta (VP) chain with a CDR1, CDR2 and CDR3 as contained in the VP chain set forth in SEQ ID NO:209 (SOURCE SEQ ID NO:60).
- a TCR or functional variant thereof comprises an alpha chain containing a Va chain with a CDR1, a CDR2 and a CDR3 set forth in SEQ ID NOS:204, 205, and 206, respectively (SOURCE SEQ ID NOS: 48, 49 and 50, respectively), and a VP chain with a CDR1, CDR2 and CDR3 set forth in SEQ ID NOS:210, 211, and 212, respectively (SOURCE SEQ ID NOS: 61, 62 and 63, respectively).
- a TCR or functional variant thereof comprises an alpha chain containing a Va chain set forth in SEQ ID NO:203 (SOURCE SEQ ID NO:47), and a beta chain containing a VP chain set forth in SEQ ID NO:209 (SOURCE SEQ ID NO:60).
- a TCR or functional variant thereof comprises an alpha chain set forth in SEQ ID NO:202 (SOURCE SEQ ID NO:43), and a beta chain set forth in SEQ ID NO:208 (SOURCE SEQ ID NO:359).
- a TCR or functional variant thereof contains an alpha chain encoded by the nucleotide sequence set forth in SEQ ID NO:201 (SOURCE SEQ ID NO:41), and a beta chain encoded by the nucleotide sequence set forth in SEQ ID NO:207 (SOURCE SEQ ID NO:413).
- the TCR or functional variant thereof is encoded by the nucleotide sequence set forth in SEQ ID NO:213 (SOURCE SEQ ID NO:363).
- a TCR or functional variant thereof is a TCR containing sequences of the TCR designated TCR 57 - E7 (11-19) as set forth in Appendix 3.
- the TCR or functional variant thereof is TCR 57 - E7 (11-19) as set forth in Appendix 3.
- a TCR or functional variant thereof comprises an alpha chain and a beta chain of a TCR as described in US20190321401A1, including any sequences disclosed therein by its SEQ ID NO (SOURCE SEQ ID NO).
- a TCR or functional variant thereof comprises an alpha chain containing a variable alpha (Va) chain with a CDR1, CDR2 and CDR3 as contained in the Va chain set forth in SEQ ID NO:215 (SOURCE SEQ ID NO:77), and a beta chain containing a variable beta (VP) chain with a CDR1, CDR2 and CDR3 as contained in the VP chain set forth in SEQ ID NO:220 (SOURCE SEQ ID NO:88).
- Va variable alpha
- VP variable beta
- a TCR or functional variant thereof comprises an alpha chain containing a Va chain with a CDR1, a CDR2 and a CDR3 set forth in SEQ ID NOS:216, 217, and 218, respectively (SOURCE SEQ ID NOS: 78, 79 and 80, respectively), and a VP chain with a CDR1, CDR2 and CDR3 set forth in SEQ ID NOS:221, 222, and 223, respectively (SOURCE SEQ ID NOS: 89, 90 and 91, respectively).
- a TCR or functional variant thereof comprises an alpha chain containing a Va chain set forth in SEQ ID NO:215 (SOURCE SEQ ID NO:77), and a beta chain containing a VP chain set forth in SEQ ID NO:220 (SOURCE SEQ ID NO:88).
- a TCR or functional variant thereof comprises an alpha chain set forth in SEQ ID NO:214 (SOURCE SEQ ID NO:73), and a beta chain set forth in SEQ ID NO:219 (SOURCE SEQ ID NO:370).
- the TCR or functional variant thereof is encoded by the nucleotide sequence set forth in SEQ ID NO:224 (SOURCE SEQ ID NO:403).
- a TCR or functional variant thereof is a TCR containing sequences of the TCR designated TCR 58 - E7 (11-19) as set forth in Appendix 3. In some embodiments, the TCR or functional variant thereof is TCR 58 - E7 (11-19) as set forth in Appendix 3.
- a TCR or functional variant thereof comprises an alpha chain and a beta chain of a TCR as described in US20190321401A1, including any sequences disclosed therein by its SEQ ID NO (SOURCE SEQ ID NO).
- a TCR or functional variant thereof comprises an alpha chain containing a variable alpha (Va) chain with a CDR1, CDR2 and CDR3 as contained in the Va chain set forth in SEQ ID NO:226 (SOURCE SEQ ID NO: 103), and a beta chain containing a variable beta (VP) chain with a CDR1, CDR2 and CDR3 as contained in the VP chain set forth in SEQ ID NO:231 (SOURCE SEQ ID NO: 114).
- a TCR or functional variant thereof comprises an alpha chain containing a Va chain with a CDR1, a CDR2 and a CDR3 set forth in SEQ ID NOS:227, 228, and 229, respectively (SOURCE SEQ ID NOS: 104, 105 and 106, respectively), and a VP chain with a CDR1, CDR2 and CDR3 set forth in SEQ ID NOS:221, 222, and 232, respectively (SOURCE SEQ ID NOS: 89, 90 and 115, respectively).
- a TCR or functional variant thereof comprises an alpha chain containing a Va chain set forth in SEQ ID NO:226 (SOURCE SEQ ID NO: 103), and a beta chain containing a VP chain set forth in SEQ ID NO:231 (SOURCE SEQ ID NO: 114).
- a TCR or functional variant thereof comprises an alpha chain set forth in SEQ ID NO:225 (SOURCE SEQ ID NO:99), and a beta chain set forth in SEQ ID NO:230 (SOURCE SEQ ID NO:371).
- the TCR or functional variant thereof is encoded by the nucleotide sequence set forth in SEQ ID NO:233 (SOURCE SEQ ID NO:404).
- a TCR or functional variant thereof is a TCR containing sequences of the TCR designated TCR 59 - E7 (11-19) as set forth in Appendix 3. In some embodiments, the TCR or functional variant thereof is TCR 59 - E7 (11- 19) as set forth in Appendix 3.
- a TCR or functional variant thereof comprises an alpha chain and a beta chain of a TCR as described in US20190321401A1, including any sequences disclosed therein by its SEQ ID NO (SOURCE SEQ ID NO).
- a TCR or functional variant thereof comprises an alpha chain containing a variable alpha (Va) chain with a CDR1, CDR2 and CDR3 as contained in the Va chain set forth in SEQ ID NO:235 (SOURCE SEQ ID NO: 126), and a beta chain containing a variable beta (VP) chain with a CDR1, CDR2 and CDR3 as contained in the VP chain set forth in SEQ ID NO:240 (SOURCE SEQ ID NO: 137).
- a TCR or functional variant thereof comprises an alpha chain containing a Va chain with a CDR1, a CDR2 and a CDR3 set forth in SEQ ID NOS:236, 237, and 238, respectively, (SOURCE SEQ ID NOS: 127, 128 and 129, respectively), and a VP chain with a CDR1, CDR2 and CDR3 set forth in SEQ ID NOS:221, 222, and 241, respectively (SOURCE SEQ ID NOS: 89, 90 and 138, respectively).
- a TCR or functional variant thereof comprises an alpha chain containing a Va chain set forth in SEQ ID NO:235 (SOURCE SEQ ID NO: 126), and a beta chain containing a VP chain set forth in SEQ ID NO:240 (SOURCE SEQ ID NO: 137).
- a TCR or functional variant thereof comprises an alpha chain set forth in SEQ ID NO:234 (SOURCE SEQ ID NO: 122), and a beta chain set forth in SEQ ID NO:239 (SOURCE SEQ ID NO:372).
- the TCR or functional variant thereof is encoded by the nucleotide sequence set forth in SEQ ID NO:242 (SOURCE SEQ ID NO:405).
- a TCR or functional variant thereof is a TCR containing sequences of the TCR designated TCR 60 - E7 (11-19) as set forth in Appendix 3. In some embodiments, the TCR or functional variant thereof is TCR 60 - E7 (11- 19) as set forth in Appendix 3.
- a TCR or functional variant thereof comprises an alpha chain and a beta chain of a TCR as described in US20190321401A1, including any sequences disclosed therein by its SEQ ID NO (SOURCE SEQ ID NO).
- a TCR or functional variant thereof comprises an alpha chain containing a variable alpha (Va) chain with a CDR1, CDR2 and CDR3 as contained in the Va chain set forth in SEQ ID NO:244 (SOURCE SEQ ID NO: 149), and a beta chain containing a variable beta (VP) chain with a CDR1, CDR2 and CDR3 as contained in the VP chain set forth in SEQ ID NO:247 (SOURCE SEQ ID NO: 157).
- a TCR or functional variant thereof comprises an alpha chain containing a Va chain with a CDR1, a CDR2 and a CDR3 set forth in SEQ ID NOS:236, 237, and 245, respectively (SOURCE SEQ ID NOS: 127, 128 and 150, respectively), and a VP chain with a CDR1, CDR2 and CDR3 set forth in SEQ ID NOS:221, 222, and 248, respectively (SOURCE SEQ ID NOS: 89, 90 and 158, respectively).
- a TCR or functional variant thereof comprises an alpha chain containing a Va chain set forth in SEQ ID NO:244 (SOURCE SEQ ID NO: 149), and a beta chain containing a VP chain set forth in SEQ ID NO:247 (SOURCE SEQ ID NO: 157).
- a TCR or functional variant thereof comprises an alpha chain set forth in SEQ ID NO:243 (SOURCE SEQ ID NO: 145), and a beta chain set forth in SEQ ID NO:246 (SOURCE SEQ ID NO:373).
- the TCR or functional variant thereof is encoded by the nucleotide sequence set forth in SEQ ID NO:249 (SOURCE SEQ ID NO:406).
- a TCR or functional variant thereof is a TCR containing sequences of the TCR designated TCR 61 - E7 (11-19) as set forth in Appendix 3. In some embodiments, the TCR or functional variant thereof is TCR 61 - E7 (11- 19) as set forth in Appendix 3.
- a TCR or functional variant thereof comprises an alpha chain and a beta chain of a TCR as described in US20190321401A1, including any sequences disclosed therein by its SEQ ID NO (SOURCE SEQ ID NO).
- a TCR or functional variant thereof comprises an alpha chain containing a variable alpha (Va) chain with a CDR1, CDR2 and CDR3 as contained in the Va chain set forth in SEQ ID NO:251 (SOURCE SEQ ID NO: 169), and a beta chain containing a variable beta (VP) chain with a CDR1, CDR2 and CDR3 as contained in the VP chain set forth in SEQ ID NO:256 (SOURCE SEQ ID NO: 180).
- Va variable alpha
- VP variable beta
- a TCR or functional variant thereof comprises an alpha chain containing a Va chain with a CDR1, a CDR2 and a CDR3 set forth in SEQ ID NOS:252, 253, and 254, respectively (SOURCE SEQ ID NOS: 170, 171 and 172, respectively), and a VP chain with a CDR1, CDR2 and CDR3 set forth in SEQ ID NOS:257, 258, and 259, respectively (SOURCE SEQ ID NOS: 181, 182 and 183, respectively).
- a TCR or functional variant thereof comprises an alpha chain containing a Va chain set forth in SEQ ID NO:251 (SOURCE SEQ ID NO: 169), and a beta chain containing a VP chain set forth in SEQ ID NO:256 (SOURCE SEQ ID NO: 180).
- a TCR or functional variant thereof comprises an alpha chain set forth in SEQ ID NO:250 (SOURCE SEQ ID NO: 165), and a beta chain set forth in SEQ ID NO:255 (SOURCE SEQ ID NO:374).
- the TCR or functional variant thereof is encoded by the nucleotide sequence set forth in SEQ ID NO:260 (SOURCE SEQ ID NO:407).
- a TCR or functional variant thereof is a TCR containing sequences of the TCR designated TCR 62 - E7 (11-19) as set forth in Appendix 3. In some embodiments, the TCR or functional variant thereof is TCR 62 - E7 (11- 19) as set forth in Appendix 3.
- a TCR or functional variant thereof comprises an alpha chain and a beta chain of a TCR as described in US20190321401A1, including any sequences disclosed therein by its SEQ ID NO (SOURCE SEQ ID NO).
- a TCR or functional variant thereof comprises an alpha chain containing a variable alpha (Va) chain with a CDR1, CDR2 and CDR3 as contained in the Va chain set forth in SEQ ID NO:262 (SOURCE SEQ ID NO: 195), and a beta chain containing a variable beta (VP) chain with a CDR1, CDR2 and CDR3 as contained in the VP chain set forth in SEQ ID NO:267 (SOURCE SEQ ID NO:206).
- Va variable alpha
- VP variable beta
- a TCR or functional variant thereof comprises an alpha chain containing a Va chain with a CDR1, a CDR2 and a CDR3 set forth in SEQ ID NOS:263, 264, and 265, respectively (SOURCE SEQ ID NOS: 196, 197 and 198, respectively), and a VP chain with a CDR1, CDR2 and CDR3 set forth in SEQ ID NOS:268, 269, and 270, respectively (SOURCE SEQ ID NOS: 207, 208 and 209, respectively).
- a TCR or functional variant thereof comprises an alpha chain containing a Va chain set forth in SEQ ID NO:262 (SOURCE SEQ ID NO: 195), and a beta chain containing a VP chain set forth in SEQ ID NO:267 (SOURCE SEQ ID NO:206).
- a TCR or functional variant thereof comprises an alpha chain set forth in SEQ ID NO:261 (SOURCE SEQ ID NO: 191), and a beta chain set forth in SEQ ID NO:266 (SOURCE SEQ ID NO:375).
- the TCR or functional variant thereof is encoded by the nucleotide sequence set forth in SEQ ID NO:271 (SOURCE SEQ ID NO:408).
- a TCR or functional variant thereof is a TCR containing sequences of the TCR designated TCR 63 - E7 (11-19) as set forth in Appendix 3. In some embodiments, the TCR or functional variant thereof is TCR 63 - E7 (11- 19) as set forth in Appendix 3.
- a TCR or functional variant thereof comprises an alpha chain and a beta chain of a TCR as described in US20190321401A1, including any sequences disclosed therein by its SEQ ID NO (SOURCE SEQ ID NO).
- a TCR or functional variant thereof comprises an alpha chain containing a variable alpha (Va) chain with a CDR1, CDR2 and CDR3 as contained in the Va chain set forth in SEQ ID NO:273 (SOURCE SEQ ID NO:221), and a beta chain containing a variable beta (VP) chain with a CDR1, CDR2 and CDR3 as contained in the VP chain set forth in SEQ ID NO:278 (SOURCE SEQ ID NO:232).
- Va variable alpha
- VP variable beta
- a TCR or functional variant thereof comprises an alpha chain containing a Va chain with a CDR1, a CDR2 and a CDR3 set forth in SEQ ID NOS:274, 275, and 276, respectively (SOURCE SEQ ID NOS: 222, 223 and 224, respectively), and a VP chain with a CDR1, CDR2 and CDR3 set forth in SEQ ID NOS:279, 280, and 281, respectively (SOURCE SEQ ID NOS: 233, 234 and 235, respectively).
- a TCR or functional variant thereof comprises an alpha chain containing a Va chain set forth in SEQ ID NO:273 (SOURCE SEQ ID NO:221), and a beta chain containing a VP chain set forth in SEQ ID NO:278 (SOURCE SEQ ID NO:232).
- a TCR or functional variant thereof comprises an alpha chain set forth in SEQ ID NO:272 (SOURCE SEQ ID NO:217), and a beta chain set forth in SEQ ID NO:277 (SOURCE SEQ ID NO:376).
- the TCR or functional variant thereof is encoded by the nucleotide sequence set forth in SEQ ID NO:282 (SOURCE SEQ ID NO:409).
- a TCR or functional variant thereof is a TCR containing sequences of the TCR designated TCR 64 - E7 (11-19) as set forth in Appendix 3. In some embodiments, the TCR or functional variant thereof is TCR 64 - E7 (11- 19) as set forth in Appendix 3.
- a TCR or functional variant thereof comprises an alpha chain and a beta chain of a TCR as described in W02019070541A1, including any sequences disclosed therein by its SEQ ID NO (SOURCE SEQ ID NO).
- a TCR or functional variant thereof comprises an alpha chain containing a variable alpha (Va) chain with a CDR1, CDR2 and CDR3 as contained the Va chain set forth in SEQ ID NO:309 (SOURCE SEQ ID NO:691), and a beta chain containing variable beta (VP) chain with a CDR1, CDR2 and CDR3 as contained the VP chain set forth in SEQ ID NO:312 (SOURCE SEQ ID NO:700).
- a TCR or functional variant thereof comprises an alpha chain containing a Va chain set forth in SEQ ID NO:309 (SOURCE SEQ ID NO:691), and a beta chain containing a VP chain set forth in SEQ ID NO:312 (SOURCE SEQ ID NO:700).
- a TCR or functional variant thereof comprises an alpha chain set forth in SEQ ID NO:308 (SOURCE SEQ ID NO:688), and a beta chain set forth in SEQ ID NO:311 (SOURCE SEQ ID NO:697).
- a TCR or functional variant thereof contains an alpha chain encoded by the nucleotide sequence set forth in SEQ ID NO:307 (SOURCE SEQ ID NO: 1129), and a beta chain encoded by the nucleotide sequence set forth in SEQ ID NO:310 (SOURCE SEQ ID NO: 1130).
- a TCR or functional variant thereof is a TCR containing sequences of the TCR designated TCR 31 - E7 (11-19) as set forth in Appendix 4.
- the TCR or functional variant thereof is TCR 31 - E7 (11-19) as set forth in Appendix 4.
- a TCR or functional variant thereof comprises an alpha chain and a beta chain of a TCR as described in W02019070541A1, including any sequences disclosed therein by its SEQ ID NO (SOURCE SEQ ID NO).
- a TCR or functional variant thereof comprises an alpha chain containing a variable alpha (Va) chain with a CDR1, CDR2 and CDR3 as contained the Va chain set forth in SEQ ID NO:315 (SOURCE SEQ ID NO:709), and a beta chain containing variable beta (VP) chain with a CDR1, CDR2 and CDR3 as contained the VP chain set forth in SEQ ID NO:318 (SOURCE SEQ ID NO:718).
- a TCR or functional variant thereof comprises an alpha chain containing a Va chain set forth in SEQ ID NO:315 (SOURCE SEQ ID NO:709), and a beta chain containing a VP chain set forth in SEQ ID NO:318 (SOURCE SEQ ID NO:718).
- a TCR or functional variant thereof comprises an alpha chain set forth in SEQ ID NO:314 (SOURCE SEQ ID NO:706), and a beta chain set forth in SEQ ID NO:317 (SOURCE SEQ ID NO:715).
- a TCR or functional variant thereof contains an alpha chain encoded by the nucleotide sequence set forth in SEQ ID NO:313 (SOURCE SEQ ID NO: 1131), and a beta chain encoded by the nucleotide sequence set forth in SEQ ID NO:316 (SOURCE SEQ ID NO: 1132).
- a TCR or functional variant thereof is a TCR containing sequences of the TCR designated TCR 32 - E7 (11-19) as set forth in Appendix 4.
- the TCR or functional variant thereof is TCR 32 - E7 (11-19) as set forth in Appendix 4.
- a TCR or functional variant thereof comprises an alpha chain and a beta chain of a TCR as described in W02019070541A1, including any sequences disclosed therein by its SEQ ID NO (SOURCE SEQ ID NO).
- a TCR or functional variant thereof comprises an alpha chain containing a variable alpha (Va) chain with a CDR1, CDR2 and CDR3 as contained the Va chain set forth in SEQ ID NO:321 (SOURCE SEQ ID NO:726), and a beta chain containing variable beta (VP) chain with a CDR1, CDR2 and CDR3 as contained the VP chain set forth in SEQ ID NO:324 (SOURCE SEQ ID NO:735).
- a TCR or functional variant thereof comprises an alpha chain containing a Va chain set forth in SEQ ID NO:321 (SOURCE SEQ ID NO:726), and a beta chain containing a VP chain set forth in SEQ ID NO:324 (SOURCE SEQ ID NO:735).
- a TCR or functional variant thereof comprises an alpha chain set forth in SEQ ID NO:320 (SOURCE SEQ ID NO:723), and a beta chain set forth in SEQ ID NO:323 (SOURCE SEQ ID NO:732).
- a TCR or functional variant thereof contains an alpha chain encoded by the nucleotide sequence set forth in SEQ ID NO:319 (SOURCE SEQ ID NO: 1133), and a beta chain encoded by the nucleotide sequence set forth in SEQ ID NO:322 (SOURCE SEQ ID NO: 1134).
- a TCR or functional variant thereof is a TCR containing sequences of the TCR designated TCR 33 - E7 (11-19) as set forth in Appendix 4.
- the TCR or functional variant thereof is TCR 33 - E7 (11-19) as set forth in Appendix 4.
- a TCR or functional variant thereof comprises an alpha chain and a beta chain of a TCR as described in W02019070541A1, including any sequences disclosed therein by its SEQ ID NO (SOURCE SEQ ID NO).
- a TCR or functional variant thereof comprises an alpha chain containing a variable alpha (Va) chain with a CDR1, CDR2 and CDR3 as contained the Va chain set forth in SEQ ID NO:327 (SOURCE SEQ ID NO:741), and a beta chain containing variable beta (VP) chain with a CDR1, CDR2 and CDR3 as contained the VP chain set forth in SEQ ID NO:330 (SOURCE SEQ ID NO:750).
- a TCR or functional variant thereof comprises an alpha chain containing a Va chain set forth in SEQ ID NO:327 (SOURCE SEQ ID NO:741), and a beta chain containing a VP chain set forth in SEQ ID NO:330 (SOURCE SEQ ID NO:750).
- a TCR or functional variant thereof comprises an alpha chain set forth in SEQ ID NO:326 (SOURCE SEQ ID NO:738), and a beta chain set forth in SEQ ID NO:329 (SOURCE SEQ ID NO:747).
- a TCR or functional variant thereof contains an alpha chain encoded by the nucleotide sequence set forth in SEQ ID NO:325 (SOURCE SEQ ID NO: 1135), and a beta chain encoded by the nucleotide sequence set forth in SEQ ID NO:328 (SOURCE SEQ ID NO: 1136).
- a TCR or functional variant thereof is a TCR containing sequences of the TCR designated TCR 34 - E7 (11-19) as set forth in Appendix 4.
- the TCR or functional variant thereof is TCR 34 - E7 (11-19) as set forth in Appendix 4.
- a TCR or functional variant thereof comprises an alpha chain and a beta chain of a TCR as described in W02019070541A1, including any sequences disclosed therein by its SEQ ID NO (SOURCE SEQ ID NO).
- a TCR or functional variant thereof comprises an alpha chain containing a variable alpha (Va) chain with a CDR1, CDR2 and CDR3 as contained the Va chain set forth in SEQ ID NO:333 (SOURCE SEQ ID NO:759), and a beta chain containing variable beta (VP) chain with a CDR1, CDR2 and CDR3 as contained the VP chain set forth in SEQ ID NO:336 (SOURCE SEQ ID NO:768).
- a TCR or functional variant thereof comprises an alpha chain containing a Va chain set forth in SEQ ID NO:333 (SOURCE SEQ ID NO:759), and a beta chain containing a VP chain set forth in SEQ ID NO:336 (SOURCE SEQ ID NO:768).
- a TCR or functional variant thereof comprises an alpha chain set forth in SEQ ID NO:332 (SOURCE SEQ ID NO:756), and a beta chain set forth in SEQ ID NO:335 (SOURCE SEQ ID NO:765).
- a TCR or functional variant thereof contains an alpha chain encoded by the nucleotide sequence set forth in SEQ ID NO:331 (SOURCE SEQ ID NO: 1137), and a beta chain encoded by the nucleotide sequence set forth in SEQ ID NO:334 (SOURCE SEQ ID NO: 1138).
- a TCR or functional variant thereof is a TCR containing sequences of the TCR designated TCR 35 - E7 (11-19) as set forth in Appendix 4.
- the TCR or functional variant thereof is TCR 35 - E7 (11-19) as set forth in Appendix 4.
- a TCR or functional variant thereof comprises an alpha chain and a beta chain of a TCR as described in W02019070541A1, including any sequences disclosed therein by its SEQ ID NO (SOURCE SEQ ID NO).
- a TCR or functional variant thereof comprises an alpha chain containing a variable alpha (Va) chain with a CDR1, CDR2 and CDR3 as contained the Va chain set forth in SEQ ID NO:339 (SOURCE SEQ ID NO:775), and a beta chain containing variable beta (VP) chain with a CDR1, CDR2 and CDR3 as contained the VP chain set forth in SEQ ID NO:342 (SOURCE SEQ ID NO:781).
- a TCR or functional variant thereof comprises an alpha chain containing a Va chain set forth in SEQ ID NO:339 (SOURCE SEQ ID NO:775), and a beta chain containing a VP chain set forth in SEQ ID NO:342 (SOURCE SEQ ID NO:781).
- a TCR or functional variant thereof comprises an alpha chain set forth in SEQ ID NO:338 (SOURCE SEQ ID NO:772), and a beta chain set forth in SEQ ID NO:341 (SOURCE SEQ ID NO:778).
- a TCR or functional variant thereof contains an alpha chain encoded by the nucleotide sequence set forth in SEQ ID NO:337 (SOURCE SEQ ID NO: 1139), and a beta chain encoded by the nucleotide sequence set forth in SEQ ID NO:340 (SOURCE SEQ ID NO: 1140).
- a TCR or functional variant thereof is a TCR containing sequences of the TCR designated TCR 36 - E7 (11-19) as set forth in Appendix 4.
- the TCR or functional variant thereof is TCR 36 - E7 (11-19) as set forth in Appendix 4.
- a TCR or functional variant thereof comprises an alpha chain and a beta chain of a TCR as described in W02019070541A1, including any sequences disclosed therein by its SEQ ID NO (SOURCE SEQ ID NO).
- a TCR or functional variant thereof comprises an alpha chain containing a variable alpha (Va) chain with a CDR1, CDR2 and CDR3 as contained the Va chain set forth in SEQ ID NO:345 (SOURCE SEQ ID NO:787), and a beta chain containing variable beta (VP) chain with a CDR1, CDR2 and CDR3 as contained the VP chain set forth in SEQ ID NO:348 (SOURCE SEQ ID NO:793).
- a TCR or functional variant thereof comprises an alpha chain containing a Va chain set forth in SEQ ID NO:345 (SOURCE SEQ ID NO:787), and a beta chain containing a VP chain set forth in SEQ ID NO:348 (SOURCE SEQ ID NO:793).
- a TCR or functional variant thereof comprises an alpha chain set forth in SEQ ID NO:344 (SOURCE SEQ ID NO:784), and a beta chain set forth in SEQ ID NO:347 (SOURCE SEQ ID NO:790).
- a TCR or functional variant thereof contains an alpha chain encoded by the nucleotide sequence set forth in SEQ ID NO:343 (SOURCE SEQ ID NO: 1141), and a beta chain encoded by the nucleotide sequence set forth in SEQ ID NO:346 (SOURCE SEQ ID NO: 1142).
- a TCR or functional variant thereof is a TCR containing sequences of the TCR designated TCR 37 - E7 (11-19) as set forth in Appendix 4.
- the TCR or functional variant thereof is TCR 37 - E7 (11-19) as set forth in Appendix 4.
- a TCR or functional variant thereof comprises an alpha chain and a beta chain of a TCR as described in W02019070541A1, including any sequences disclosed therein by its SEQ ID NO (SOURCE SEQ ID NO).
- a TCR or functional variant thereof comprises an alpha chain containing a variable alpha (Va) chain with a CDR1, CDR2 and CDR3 as contained the Va chain set forth in SEQ ID NO:351 (SOURCE SEQ ID NO:799), and a beta chain containing variable beta (VP) chain with a CDR1, CDR2 and CDR3 as contained the VP chain set forth in SEQ ID NO:354 (SOURCE SEQ ID NO:808).
- a TCR or functional variant thereof comprises an alpha chain containing a Va chain set forth in SEQ ID NO:351 (SOURCE SEQ ID NO:799), and a beta chain containing a VP chain set forth in SEQ ID NO:354 (SOURCE SEQ ID NO:808).
- a TCR or functional variant thereof comprises an alpha chain set forth in SEQ ID NO:350 (SOURCE SEQ ID NO:796), and a beta chain set forth in SEQ ID NO:353 (SOURCE SEQ ID NO:805).
- a TCR or functional variant thereof contains an alpha chain encoded by the nucleotide sequence set forth in SEQ ID NO:349 (SOURCE SEQ ID NO: 1143), and a beta chain encoded by the nucleotide sequence set forth in SEQ ID NO:352 (SOURCE SEQ ID NO: 1144).
- a TCR or functional variant thereof is a TCR containing sequences of the TCR designated TCR 38 - E7 (11-19) as set forth in Appendix 4.
- the TCR or functional variant thereof is TCR 38 - E7 (11-19) as set forth in Appendix 4.
- a TCR or functional variant thereof comprises an alpha chain and a beta chain of a TCR as described in W02019070541A1, including any sequences disclosed therein by its SEQ ID NO (SOURCE SEQ ID NO).
- a TCR or functional variant thereof comprises an alpha chain containing a variable alpha (Va) chain with a CDR1, CDR2 and CDR3 as contained the Va chain set forth in SEQ ID NO:357 (SOURCE SEQ ID NO:815), and a beta chain containing variable beta (VP) chain with a CDR1, CDR2 and CDR3 as contained the VP chain set forth in SEQ ID NO:360 (SOURCE SEQ ID NO:824).
- a TCR or functional variant thereof comprises an alpha chain containing a Va chain set forth in SEQ ID NO:357 (SOURCE SEQ ID NO:815), and a beta chain containing a VP chain set forth in SEQ ID NO:360 (SOURCE SEQ ID NO:824).
- a TCR or functional variant thereof comprises an alpha chain set forth in SEQ ID NO:356 (SOURCE SEQ ID NO:812), and a beta chain set forth in SEQ ID NO:359 (SOURCE SEQ ID NO:821).
- a TCR or functional variant thereof contains an alpha chain encoded by the nucleotide sequence set forth in SEQ ID NO:355 (SOURCE SEQ ID NO: 1145), and a beta chain encoded by the nucleotide sequence set forth in SEQ ID NO:358 (SOURCE SEQ ID NO: 1146).
- a TCR or functional variant thereof is a TCR containing sequences of the TCR designated TCR 39 - E7 (11-19) as set forth in Appendix 4.
- the TCR or functional variant thereof is TCR 39 - E7 (11-19) as set forth in Appendix 4.
- a TCR or functional variant thereof comprises an alpha chain and a beta chain of a TCR as described in W02019070541A1, including any sequences disclosed therein by its SEQ ID NO (SOURCE SEQ ID NO).
- a TCR or functional variant thereof comprises an alpha chain containing a variable alpha (Va) chain with a CDR1, CDR2 and CDR3 as contained the Va chain set forth in SEQ ID NO:363 (SOURCE SEQ ID NO:830), and a beta chain containing variable beta (VP) chain with a CDR1, CDR2 and CDR3 as contained the VP chain set forth in SEQ ID NO:366 (SOURCE SEQ ID NO:839).
- a TCR or functional variant thereof comprises an alpha chain containing a Va chain set forth in SEQ ID NO:363 (SOURCE SEQ ID NO:830), and a beta chain containing a VP chain set forth in SEQ ID NO:366 (SOURCE SEQ ID NO:839).
- a TCR or functional variant thereof comprises an alpha chain set forth in SEQ ID NO:362 (SOURCE SEQ ID NO:827), and a beta chain set forth in SEQ ID NO:365 (SOURCE SEQ ID NO:836).
- a TCR or functional variant thereof contains an alpha chain encoded by the nucleotide sequence set forth in SEQ ID NO:361 (SOURCE SEQ ID NO: 1147), and a beta chain encoded by the nucleotide sequence set forth in SEQ ID NO:364 (SOURCE SEQ ID NO: 1148).
- a TCR or functional variant thereof is a TCR containing sequences of the TCR designated TCR 40 - E7 (11-19) as set forth in Appendix 4.
- the TCR or functional variant thereof is TCR 40 - E7 (11-19) as set forth in Appendix 4.
- a TCR or functional variant thereof comprises an alpha chain and a beta chain of a TCR as described in W02019070541A1, including any sequences disclosed therein by its SEQ ID NO (SOURCE SEQ ID NO).
- a TCR or functional variant thereof comprises an alpha chain containing a variable alpha (Va) chain with a CDR1, CDR2 and CDR3 as contained the Va chain set forth in SEQ ID NO:369 (SOURCE SEQ ID NO:845), and a beta chain containing variable beta (VP) chain with a CDR1, CDR2 and CDR3 as contained the VP chain set forth in SEQ ID NO:372 (SOURCE SEQ ID NO:851).
- a TCR or functional variant thereof comprises an alpha chain containing a Va chain set forth in SEQ ID NO:369 (SOURCE SEQ ID NO:845), and a beta chain containing a VP chain set forth in SEQ ID NO:372 (SOURCE SEQ ID NO:851).
- a TCR or functional variant thereof comprises an alpha chain set forth in SEQ ID NO:368 (SOURCE SEQ ID NO:842), and a beta chain set forth in SEQ ID NO:371 (SOURCE SEQ ID NO:848).
- a TCR or functional variant thereof contains an alpha chain encoded by the nucleotide sequence set forth in SEQ ID NO:367 (SOURCE SEQ ID NO: 1149), and a beta chain encoded by the nucleotide sequence set forth in SEQ ID NO:370 (SOURCE SEQ ID NO: 1150).
- a TCR or functional variant thereof is a TCR containing sequences of the TCR designated TCR 41 - E7 (11-19) as set forth in Appendix 4.
- the TCR or functional variant thereof is TCR 41 - E7 (11-19) as set forth in Appendix 4.
- a TCR or functional variant thereof comprises an alpha chain and a beta chain of a TCR as described in W02019070541A1, including any sequences disclosed therein by its SEQ ID NO (SOURCE SEQ ID NO).
- a TCR or functional variant thereof comprises an alpha chain containing a variable alpha (Va) chain with a CDR1, CDR2 and CDR3 as contained the Va chain set forth in SEQ ID NO:375 (SOURCE SEQ ID NO:857), and a beta chain containing variable beta (VP) chain with a CDR1, CDR2 and CDR3 as contained the VP chain set forth in SEQ ID NO:378 (SOURCE SEQ ID NO:863).
- a TCR or functional variant thereof comprises an alpha chain containing a Va chain set forth in SEQ ID NO:375 (SOURCE SEQ ID NO:857), and a beta chain containing a VP chain set forth in SEQ ID NO:378 (SOURCE SEQ ID NO:863).
- a TCR or functional variant thereof comprises an alpha chain set forth in SEQ ID NO:374 (SOURCE SEQ ID NO:854), and a beta chain set forth in SEQ ID NO:377 (SOURCE SEQ ID NO:860).
- a TCR or functional variant thereof contains an alpha chain encoded by the nucleotide sequence set forth in SEQ ID NO:373 (SOURCE SEQ ID NO: 1151), and a beta chain encoded by the nucleotide sequence set forth in SEQ ID NO:376 (SOURCE SEQ ID NO: 1152).
- a TCR or functional variant thereof is a TCR containing sequences of the TCR designated TCR 42 - E7 (11-19) as set forth in Appendix 4.
- the TCR or functional variant thereof is TCR 42 - E7 (11-19) as set forth in Appendix 4.
- a TCR or functional variant thereof comprises an alpha chain and a beta chain of a TCR as described in W02019070541A1, including any sequences disclosed therein by its SEQ ID NO (SOURCE SEQ ID NO).
- a TCR or functional variant thereof comprises an alpha chain containing a variable alpha (Va) chain with a CDR1, CDR2 and CDR3 as contained the Va chain set forth in SEQ ID NO:381 (SOURCE SEQ ID NO:869), and a beta chain containing variable beta (VP) chain with a CDR1, CDR2 and CDR3 as contained the VP chain set forth in SEQ ID NO:384 (SOURCE SEQ ID NO:875).
- a TCR or functional variant thereof comprises an alpha chain containing a Va chain set forth in SEQ ID NO:381 (SOURCE SEQ ID NO:869), and a beta chain containing a VP chain set forth in SEQ ID NO:384 (SOURCE SEQ ID NO:875).
- a TCR or functional variant thereof comprises an alpha chain set forth in SEQ ID NO:380 (SOURCE SEQ ID NO:866), and a beta chain set forth in SEQ ID NO:383 (SOURCE SEQ ID NO:872).
- a TCR or functional variant thereof contains an alpha chain encoded by the nucleotide sequence set forth in SEQ ID NO:379 (SOURCE SEQ ID NO: 1153), and a beta chain encoded by the nucleotide sequence set forth in SEQ ID NO:382 (SOURCE SEQ ID NO: 1154).
- a TCR or functional variant thereof is a TCR containing sequences of the TCR designated TCR 43 - E7 (11-19) as set forth in Appendix 4.
- the TCR or functional variant thereof is TCR 43 - E7 (11-19) as set forth in Appendix 4.
- a TCR or functional variant thereof comprises an alpha chain and a beta chain of a TCR as described in W02019070541A1, including any sequences disclosed therein by its SEQ ID NO (SOURCE SEQ ID NO).
- a TCR or functional variant thereof comprises an alpha chain containing a variable alpha (Va) chain with a CDR1, CDR2 and CDR3 as contained the Va chain set forth in SEQ ID NO:387 (SOURCE SEQ ID NO:881), and a beta chain containing variable beta (VP) chain with a CDR1, CDR2 and CDR3 as contained the VP chain set forth in SEQ ID NO:390 (SOURCE SEQ ID NO:887).
- a TCR or functional variant thereof comprises an alpha chain containing a Va chain set forth in SEQ ID NO:387 (SOURCE SEQ ID NO:881), and a beta chain containing a VP chain set forth in SEQ ID NO:390 (SOURCE SEQ ID NO:887).
- a TCR or functional variant thereof comprises an alpha chain set forth in SEQ ID NO:386 (SOURCE SEQ ID NO:878), and a beta chain set forth in SEQ ID NO:389 (SOURCE SEQ ID NO:884).
- a TCR or functional variant thereof contains an alpha chain encoded by the nucleotide sequence set forth in SEQ ID NO:385 (SOURCE SEQ ID NO: 1155), and a beta chain encoded by the nucleotide sequence set forth in SEQ ID NO:388 (SOURCE SEQ ID NO: 1156).
- a TCR or functional variant thereof is a TCR containing sequences of the TCR designated TCR 44 - E7 (11-19) as set forth in Appendix 4.
- the TCR or functional variant thereof is TCR 44 - E7 (11-19) as set forth in Appendix 4.
- a TCR or functional variant thereof comprises an alpha chain and a beta chain of a TCR as described in W02019070541A1, including any sequences disclosed therein by its SEQ ID NO (SOURCE SEQ ID NO).
- a TCR or functional variant thereof comprises an alpha chain containing a variable alpha (Va) chain with a CDR1, CDR2 and CDR3 as contained the Va chain set forth in SEQ ID NO:393 (SOURCE SEQ ID NO:895), and a beta chain containing variable beta (VP) chain with a CDR1, CDR2 and CDR3 as contained the VP chain set forth in SEQ ID NO:396 (SOURCE SEQ ID NO:901).
- a TCR or functional variant thereof comprises an alpha chain containing a Va chain set forth in SEQ ID NO:393 (SOURCE SEQ ID NO:895), and a beta chain containing a VP chain set forth in SEQ ID NO:396 (SOURCE SEQ ID NO:901).
- a TCR or functional variant thereof comprises an alpha chain set forth in SEQ ID NO:392 (SOURCE SEQ ID NO:892), and a beta chain set forth in SEQ ID NO:395 (SOURCE SEQ ID NO:898).
- a TCR or functional variant thereof contains an alpha chain encoded by the nucleotide sequence set forth in SEQ ID NO:391 (SOURCE SEQ ID NO: 1157), and a beta chain encoded by the nucleotide sequence set forth in SEQ ID NO:394 (SOURCE SEQ ID NO: 1158).
- a TCR or functional variant thereof is a TCR containing sequences of the TCR designated TCR 45 - E7 (11-19) as set forth in Appendix 4.
- the TCR or functional variant thereof is TCR 45 - E7 (11-19) as set forth in Appendix 4.
- a TCR or functional variant thereof comprises an alpha chain and a beta chain of a TCR as described in W02019070541A1, including any sequences disclosed therein by its SEQ ID NO (SOURCE SEQ ID NO).
- a TCR or functional variant thereof comprises an alpha chain containing a variable alpha (Va) chain with a CDR1, CDR2 and CDR3 as contained the Va chain set forth in SEQ ID NO:399 (SOURCE SEQ ID NO:908), and a beta chain containing variable beta (VP) chain with a CDR1, CDR2 and CDR3 as contained the VP chain set forth in SEQ ID NO:402 (SOURCE SEQ ID NO:917).
- a TCR or functional variant thereof comprises an alpha chain containing a Va chain set forth in SEQ ID NO:399 (SOURCE SEQ ID NO:908), and a beta chain containing a VP chain set forth in SEQ ID NO:402 (SOURCE SEQ ID NO:917).
- a TCR or functional variant thereof comprises an alpha chain set forth in SEQ ID NO:398 (SOURCE SEQ ID NO:905), and a beta chain set forth in SEQ ID NO:401 (SOURCE SEQ ID NO:914).
- a TCR or functional variant thereof contains an alpha chain encoded by the nucleotide sequence set forth in SEQ ID NO:397 (SOURCE SEQ ID NO: 1159), and a beta chain encoded by the nucleotide sequence set forth in SEQ ID NO:400 (SOURCE SEQ ID NO: 1160).
- a TCR or functional variant thereof is a TCR containing sequences of the TCR designated TCR 46 - E7 (11-19) as set forth in Appendix 4.
- the TCR or functional variant thereof is TCR 46 - E7 (11-19) as set forth in Appendix 4.
- a TCR or functional variant thereof comprises an alpha chain and a beta chain of a TCR as described in W02019070541A1, including any sequences disclosed therein by its SEQ ID NO (SOURCE SEQ ID NO).
- a TCR or functional variant thereof comprises an alpha chain containing a variable alpha (Va) chain with a CDR1, CDR2 and CDR3 as contained the Va chain set forth in SEQ ID NO:405 (SOURCE SEQ ID NO:925), and a beta chain containing variable beta (VP) chain with a CDR1, CDR2 and CDR3 as contained the VP chain set forth in SEQ ID NO:408 (SOURCE SEQ ID NO:931).
- a TCR or functional variant thereof comprises an alpha chain containing a Va chain set forth in SEQ ID NO:405 (SOURCE SEQ ID NO:925), and a beta chain containing a VP chain set forth in SEQ ID NO:408 (SOURCE SEQ ID NO:931).
- a TCR or functional variant thereof comprises an alpha chain set forth in SEQ ID NO:404 (SOURCE SEQ ID NO:922), and a beta chain set forth in SEQ ID NO:407 (SOURCE SEQ ID NO:928).
- a TCR or functional variant thereof contains an alpha chain encoded by the nucleotide sequence set forth in SEQ ID NO:403 (SOURCE SEQ ID NO: 1161), and a beta chain encoded by the nucleotide sequence set forth in SEQ ID NO:406 (SOURCE SEQ ID NO: 1162).
- a TCR or functional variant thereof is a TCR containing sequences of the TCR designated TCR 47 - E7 (11-19) as set forth in Appendix 4.
- the TCR or functional variant thereof is TCR 47 - E7 (11-19) as set forth in Appendix 4.
- a TCR or functional variant thereof comprises an alpha chain and a beta chain of a TCR as described in W02019070541A1, including any sequences disclosed therein by its SEQ ID NO (SOURCE SEQ ID NO).
- a TCR or functional variant thereof comprises an alpha chain containing a variable alpha (Va) chain with a CDR1, CDR2 and CDR3 as contained the Va chain set forth in SEQ ID NO:411 (SOURCE SEQ ID NO:937), and a beta chain containing variable beta (VP) chain with a CDR1, CDR2 and CDR3 as contained the VP chain set forth in SEQ ID NO:414 (SOURCE SEQ ID NO:945).
- a TCR or functional variant thereof comprises an alpha chain containing a Va chain set forth in SEQ ID NO:411 (SOURCE SEQ ID NO:937), and a beta chain containing a VP chain set forth in SEQ ID NO:414 (SOURCE SEQ ID NO:945).
- a TCR or functional variant thereof comprises an alpha chain set forth in SEQ ID NO:410 (SOURCE SEQ ID NO:934), and a beta chain set forth in SEQ ID NO:413 (SOURCE SEQ ID NO:942).
- a TCR or functional variant thereof contains an alpha chain encoded by the nucleotide sequence set forth in SEQ ID NO:409 (SOURCE SEQ ID NO: 1163), and a beta chain encoded by the nucleotide sequence set forth in SEQ ID NO:412 (SOURCE SEQ ID NO: 1164).
- a TCR or functional variant thereof is a TCR containing sequences of the TCR designated TCR 48 - E7 (11-19) as set forth in Appendix 4.
- the TCR or functional variant thereof is TCR 48 - E7 (11-19) as set forth in Appendix 4.
- a TCR or functional variant thereof comprises an alpha chain and a beta chain of a TCR as described in W02019070541A1, including any sequences disclosed therein by its SEQ ID NO (SOURCE SEQ ID NO).
- a TCR or functional variant thereof comprises an alpha chain containing a variable alpha (Va) chain with a CDR1, CDR2 and CDR3 as contained the Va chain set forth in SEQ ID NO:417 (SOURCE SEQ ID NO:951), and a beta chain containing variable beta (VP) chain with a CDR1, CDR2 and CDR3 as contained the VP chain set forth in SEQ ID NO:420 (SOURCE SEQ ID NO:957).
- a TCR or functional variant thereof comprises an alpha chain containing a Va chain set forth in SEQ ID NO:417 (SOURCE SEQ ID NO:951), and a beta chain containing a VP chain set forth in SEQ ID NO:420 (SOURCE SEQ ID NO:957).
- a TCR or functional variant thereof comprises an alpha chain set forth in SEQ ID NO:416 (SOURCE SEQ ID NO:948), and a beta chain set forth in SEQ ID NO:419 (SOURCE SEQ ID NO:954).
- a TCR or functional variant thereof contains an alpha chain encoded by the nucleotide sequence set forth in SEQ ID NO:415 (SOURCE SEQ ID NO: 1165), and a beta chain encoded by the nucleotide sequence set forth in SEQ ID NO:418 (SOURCE SEQ ID NO: 1166).
- a TCR or functional variant thereof is a TCR containing sequences of the TCR designated TCR 49 - E7 (11-19) as set forth in Appendix 4.
- the TCR or functional variant thereof is TCR 49 - E7 (11-19) as set forth in Appendix 4.
- a TCR or functional variant thereof comprises an alpha chain and a beta chain of a TCR as described in W02019070541A1, including any sequences disclosed therein by its SEQ ID NO (SOURCE SEQ ID NO).
- a TCR or functional variant thereof comprises an alpha chain containing a variable alpha (Va) chain with a CDR1, CDR2 and CDR3 as contained the Va chain set forth in SEQ ID NO:423 (SOURCE SEQ ID NO:963), and a beta chain containing variable beta (VP) chain with a CDR1, CDR2 and CDR3 as contained the VP chain set forth in SEQ ID NO:426 (SOURCE SEQ ID NO:969).
- a TCR or functional variant thereof comprises an alpha chain containing a Va chain set forth in SEQ ID NO:423 (SOURCE SEQ ID NO:963), and a beta chain containing a VP chain set forth in SEQ ID NO:426 (SOURCE SEQ ID NO:969).
- a TCR or functional variant thereof comprises an alpha chain set forth in SEQ ID NO:422 (SOURCE SEQ ID NO:960), and a beta chain set forth in SEQ ID NO:425 (SOURCE SEQ ID NO:966).
- a TCR or functional variant thereof contains an alpha chain encoded by the nucleotide sequence set forth in SEQ ID NO:421 (SOURCE SEQ ID NO: 1167), and a beta chain encoded by the nucleotide sequence set forth in SEQ ID NO:424 (SOURCE SEQ ID NO: 1168).
- a TCR or functional variant thereof is a TCR containing sequences of the TCR designated TCR 50 - E7 (11-19) as set forth in Appendix 4.
- the TCR or functional variant thereof is TCR 50 - E7 (11-19) as set forth in Appendix 4.
- a TCR or functional variant thereof comprises an alpha chain and a beta chain of a TCR as described in W02019070541A1, including any sequences disclosed therein by its SEQ ID NO (SOURCE SEQ ID NO).
- a TCR or functional variant thereof comprises an alpha chain containing a variable alpha (Va) chain with a CDR1, CDR2 and CDR3 as contained the Va chain set forth in SEQ ID NO:429 (SOURCE SEQ ID NO:975), and a beta chain containing variable beta (VP) chain with a CDR1, CDR2 and CDR3 as contained the VP chain set forth in SEQ ID NO:432 (SOURCE SEQ ID NO:981).
- a TCR or functional variant thereof comprises an alpha chain containing a Va chain set forth in SEQ ID NO:429 (SOURCE SEQ ID NO:975), and a beta chain containing a VP chain set forth in SEQ ID NO:432 (SOURCE SEQ ID NO:981).
- a TCR or functional variant thereof comprises an alpha chain set forth in SEQ ID NO:428 (SOURCE SEQ ID NO:972), and a beta chain set forth in SEQ ID NO:431 (SOURCE SEQ ID NO:978).
- a TCR or functional variant thereof contains an alpha chain encoded by the nucleotide sequence set forth in SEQ ID NO:427 (SOURCE SEQ ID NO: 1169), and a beta chain encoded by the nucleotide sequence set forth in SEQ ID NO:430 (SOURCE SEQ ID NO: 1170).
- a TCR or functional variant thereof is a TCR containing sequences of the TCR designated TCR 51 - E7 (11-19) as set forth in Appendix 4.
- the TCR or functional variant thereof is TCR 51 - E7 (11-19) as set forth in Appendix 4.
- a TCR or functional variant thereof comprises an alpha chain and a beta chain of a TCR as described in W02019070541A1, including any sequences disclosed therein by its SEQ ID NO (SOURCE SEQ ID NO).
- a TCR or functional variant thereof comprises an alpha chain containing a variable alpha (Va) chain with a CDR1, CDR2 and CDR3 as contained the Va chain set forth in SEQ ID NO:435 (SOURCE SEQ ID NO:987), and a beta chain containing variable beta (VP) chain with a CDR1, CDR2 and CDR3 as contained the VP chain set forth in SEQ ID NO:438 (SOURCE SEQ ID NO:993).
- a TCR or functional variant thereof comprises an alpha chain containing a Va chain set forth in SEQ ID NO:435 (SOURCE SEQ ID NO:987), and a beta chain containing a VP chain set forth in SEQ ID NO:438 (SOURCE SEQ ID NO:993).
- a TCR or functional variant thereof comprises an alpha chain set forth in SEQ ID NO:434 (SOURCE SEQ ID NO:984), and a beta chain set forth in SEQ ID NO:437 (SOURCE SEQ ID NO:990).
- a TCR or functional variant thereof contains an alpha chain encoded by the nucleotide sequence set forth in SEQ ID NO:433 (SOURCE SEQ ID NO: 1171), and a beta chain encoded by the nucleotide sequence set forth in SEQ ID NO:436 (SOURCE SEQ ID NO: 1172).
- a TCR or functional variant thereof is a TCR containing sequences of the TCR designated TCR 52 - E7 (11-19) as set forth in Appendix 4.
- the TCR or functional variant thereof is TCR 52 - E7 (11-19) as set forth in Appendix 4.
- a TCR or functional variant thereof comprises an alpha chain and a beta chain of a TCR as described in W02019070541A1, including any sequences disclosed therein by its SEQ ID NO (SOURCE SEQ ID NO).
- a TCR or functional variant thereof comprises an alpha chain containing a variable alpha (Va) chain with a CDR1, CDR2 and CDR3 as contained the Va chain set forth in SEQ ID NO:441 (SOURCE SEQ ID NO:999), and a beta chain containing variable beta (VP) chain with a CDR1, CDR2 and CDR3 as contained the VP chain set forth in SEQ ID NO:444 (SOURCE SEQ ID NO: 1008).
- a TCR or functional variant thereof comprises an alpha chain containing a Va chain set forth in SEQ ID NO:441 (SOURCE SEQ ID NO:999), and a beta chain containing a VP chain set forth in SEQ ID NO:444 (SOURCE SEQ ID NO: 1008).
- a TCR or functional variant thereof comprises an alpha chain set forth in SEQ ID NO:440 (SOURCE SEQ ID NO:996), and a beta chain set forth in SEQ ID NO:443 (SOURCE SEQ ID NO: 1005).
- a TCR or functional variant thereof contains an alpha chain encoded by the nucleotide sequence set forth in SEQ ID NO:439 (SOURCE SEQ ID NO: 1173), and a beta chain encoded by the nucleotide sequence set forth in SEQ ID NO:442 (SOURCE SEQ ID NO: 1174).
- a TCR or functional variant thereof is a TCR containing sequences of the TCR designated TCR 53 - E7 (11-19) as set forth in Appendix 4.
- the TCR or functional variant thereof is TCR 53 - E7 (11-19) as set forth in Appendix 4.
- a TCR or functional variant thereof comprises an alpha chain and a beta chain of a TCR as described in W02019070541A1, including any sequences disclosed therein by its SEQ ID NO (SOURCE SEQ ID NO).
- a TCR or functional variant thereof comprises an alpha chain containing a variable alpha (Va) chain with a CDR1, CDR2 and CDR3 as contained the Va chain set forth in SEQ ID NO:447 (SOURCE SEQ ID NO: 119), and a beta chain containing variable beta (VP) chain with a CDR1, CDR2 and CDR3 as contained the VP chain set forth in SEQ ID NO:450 (SOURCE SEQ ID NO: 120).
- a TCR or functional variant thereof comprises an alpha chain containing a Va chain set forth in SEQ ID NO:447 (SOURCE SEQ ID NO: 119), and a beta chain containing a VP chain set forth in SEQ ID NO:450 (SOURCE SEQ ID NO: 120).
- a TCR or functional variant thereof comprises an alpha chain set forth in SEQ ID NO:446 (SOURCE SEQ ID NO:59), and a beta chain set forth in SEQ ID NO:449 (SOURCE SEQ ID NO:63).
- a TCR or functional variant thereof contains an alpha chain encoded by the nucleotide sequence set forth in SEQ ID NO:445 (SOURCE SEQ ID NO: 1175), and a beta chain encoded by the nucleotide sequence set forth in SEQ ID NO:448 (SOURCE SEQ ID NO: 1176).
- a TCR or functional variant thereof is a TCR containing sequences of the TCR designated TCR 54 - E7 (11-19) as set forth in Appendix 4.
- the TCR or functional variant thereof is TCR 54 - E7 (11-19) as set forth in Appendix 4.
- a TCR or functional variant thereof comprises an alpha chain and a beta chain of a TCR as described in W02019070541A1, including any sequences disclosed therein by its SEQ ID NO (SOURCE SEQ ID NO).
- a TCR or functional variant thereof comprises an alpha chain containing a variable alpha (Va) chain with a CDR1, CDR2 and CDR3 as contained the Va chain set forth in SEQ ID NO:453 (SOURCE SEQ ID NO:295), and a beta chain containing variable beta (VP) chain with a CDR1, CDR2 and CDR3 as contained the VP chain set forth in SEQ ID NO:456 (SOURCE SEQ ID NO:296).
- a TCR or functional variant thereof comprises an alpha chain containing a Va chain set forth in SEQ ID NO:453 (SOURCE SEQ ID NO:295), and a beta chain containing a VP chain set forth in SEQ ID NO:456 (SOURCE SEQ ID NO:296).
- a TCR or functional variant thereof comprises an alpha chain set forth in SEQ ID NO:452 (SOURCE SEQ ID NO:284), and a beta chain set forth in SEQ ID NO:455 (SOURCE SEQ ID NO:286).
- a TCR or functional variant thereof contains an alpha chain encoded by the nucleotide sequence set forth in SEQ ID NO:451 (SOURCE SEQ ID NO: 1177), and a beta chain encoded by the nucleotide sequence set forth in SEQ ID NO:454 (SOURCE SEQ ID NO: 1178).
- a TCR or functional variant thereof is a TCR containing sequences of the TCR designated TCR 55 - E7 (11-19) as set forth in Appendix 4.
- the TCR or functional variant thereof is TCR 55 - E7 (11-19) as set forth in Appendix 4.
- a TCR or functional variant thereof comprises an alpha chain and a beta chain of a TCR as described in W02019070541A1, including any sequences disclosed therein by its SEQ ID NO (SOURCE SEQ ID NO).
- a TCR or functional variant thereof comprises an alpha chain containing a variable alpha (Va) chain with a CDR1, CDR2 and CDR3 as contained the Va chain set forth in SEQ ID NO:459 (SOURCE SEQ ID NO: 1390), and a beta chain containing variable beta (VP) chain with a CDR1, CDR2 and CDR3 as contained the VP chain set forth in SEQ ID NO:462 (SOURCE SEQ ID NO: 1380).
- a TCR or functional variant thereof comprises an alpha chain containing a Va chain set forth in SEQ ID NO:459 (SOURCE SEQ ID NO: 1390), and a beta chain containing a VP chain set forth in SEQ ID NO:462 (SOURCE SEQ ID NO: 1380).
- a TCR or functional variant thereof comprises an alpha chain set forth in SEQ ID NO:458 (SOURCE SEQ ID NO: 1387), and a beta chain set forth in SEQ ID NO:461 (SOURCE SEQ ID NO: 1377).
- a TCR or functional variant thereof contains an alpha chain encoded by the nucleotide sequence set forth in SEQ ID NO:457 (SOURCE SEQ ID NO: 1385), and a beta chain encoded by the nucleotide sequence set forth in SEQ ID NO:460 (SOURCE SEQ ID NO: 1375).
- a TCR or functional variant thereof is a TCR containing sequences of the TCR designated TCR 66 - E7 (11-19) as set forth in Appendix 4.
- the TCR or functional variant thereof is TCR 66 - E7 (11-19) as set forth in Appendix 4.
- the TCR or functional variant thereof has antigenic specificity for a peptide epitope derived from HPV 16 E7 that is or comprises TLGIVCPI E7(86-93) (SOURCE SEQ ID NO: 6). Such a TCR may also be referred to as an anti-HPV 16 E7 (86-93) TCR.
- the TCR recognizes or binds HPV 16 E7(86-93) in the context of an MHC, such as an MHC class I, e.g., HLA-A2.
- the provided TCRs or functional variants thereof are capable of or bind to a HPV 16 E7 (86-93)-peptide-MHC tetramer complex.
- a TCR or functional variant thereof comprises an alpha chain and a beta chain of a TCR as described in US20190225692A1, including any sequences disclosed therein by its SEQ ID NO (SOURCE SEQ ID NO).
- a TCR or functional variant thereof comprises an alpha chain containing a variable alpha (Va) chain with a CDR1, CDR2 and CDR3 as contained in the Va chain set forth in SEQ ID NO:55 (SOURCE SEQ ID NO: 127), and a beta chain containing a variable beta (VP) chain with a CDR1, CDR2 and CDR3 as contained in the VP chain set forth in SEQ ID NO:58 (SOURCE SEQ ID NO: 128).
- Va variable alpha
- VP variable beta
- a TCR or functional variant thereof comprises an alpha chain containing a Va chain set forth in SEQ ID NO:55 (SOURCE SEQ ID NO: 127), and a beta chain containing a VP chain set forth in SEQ ID NO:58 (SOURCE SEQ ID NO: 128).
- a TCR or functional variant thereof comprises an alpha chain set forth in SEQ ID NO:54 (SOURCE SEQ ID NO:99), and a beta chain set forth in SEQ ID NO:57 (SOURCE SEQ ID NO: 103).
- a TCR or functional variant thereof contains an alpha chain encoded by the nucleotide sequence set forth in SEQ ID NO:53 (SOURCE SEQ ID NO: 101), and a beta chain encoded by the nucleotide sequence set forth in SEQ ID NO:56 (SOURCE SEQ ID NO: 105).
- a TCR or functional variant thereof is a TCR containing sequences of the TCR designated TCR 11 - E7 (86-93) as set forth in Appendix 2.
- the TCR or functional variant thereof is TCR 11 - E7 (86-93) as set forth in Appendix 2.
- TCRs are those having sequences at least at or about 90, 91, 92, 93, 94, 95, 96, 97, 98, or 99% identical to such sequences.
- the TCR or functional variant thereof has antigenic specificity for HPV 16 E6 protein or a portion of HPV 16 E6 protein. In some embodiments, the TCR or functional variant thereof has antigenic specificity for HPV 16 E6 protein comprising SOURCE SEQ ID NO: 24. In some embodiments, the TCR or functional variant thereof has antigenic specificity for a peptide epitope derived from HPV 16 E6 that is or comprises TIHDIILECV E6(29-38) (SOURCE SEQ ID NO: 4). Such a TCR may also be referred to as an anti-HPV 16 E6 (29-38) TCR.
- the TCR recognizes or binds HPV 16 E6(29-38) in the context of an MHC, such as an MHC class I, e.g., HLA-A2.
- MHC such as an MHC class I, e.g., HLA-A2.
- the provided TCRs or functional variants thereof are capable of or bind to a HPV 16 E6 (29-38)-peptide-MHC tetramer complex.
- a TCR or functional variant thereof comprises an alpha chain and a beta chain of a TCR as described in US20190225692A1, including any sequences disclosed therein by its SEQ ID NO (SOURCE SEQ ID NO).
- a TCR or functional variant thereof comprises an alpha chain containing a variable alpha (Va) chain with a CDR1, CDR2 and CDR3 as contained in the Va chain set forth in SEQ ID NO:61 (SOURCE SEQ ID NO: 111), and a beta chain containing a variable beta (VP) chain with a CDR1, CDR2 and CDR3 as contained in the VP chain set forth in SEQ ID NO:64 (SOURCE SEQ ID NO: 112).
- a TCR or functional variant thereof comprises an alpha chain containing a Va chain set forth in SEQ ID NO:61 (SOURCE SEQ ID NO: 111), and a beta chain containing a VP chain set forth in SEQ ID NO:64 (SOURCE SEQ ID NO: 112).
- a TCR or functional variant thereof comprises an alpha chain set forth in SEQ ID NO:60 (SOURCE SEQ ID NO: 19), and a beta chain set forth in SEQ ID NO:63 (SOURCE SEQ ID NO:23).
- a TCR or functional variant thereof contains an alpha chain encoded by the nucleotide sequence set forth in SEQ ID NO:59 (SOURCE SEQ ID NO:21), and a beta chain encoded by the nucleotide sequence set forth in SEQ ID NO:62 (SOURCE SEQ ID NO:25).
- a TCR or functional variant thereof is a TCR containing sequences of the TCR designated TCR 3 - E6 (29-38) as set forth in Appendix 2.
- the TCR or functional variant thereof is TCR 3 - E6 (29-38) as set forth in Appendix 2.
- a TCR or functional variant thereof comprises an alpha chain and a beta chain of a TCR as described in US20190225692A1, including any sequences disclosed therein by its SEQ ID NO (SOURCE SEQ ID NO).
- a TCR or functional variant thereof comprises an alpha chain containing a variable alpha (Va) chain with a CDR1, CDR2 and CDR3 as contained in the Va chain set forth in SEQ ID NO:67 (SOURCE SEQ ID NO: 113), and a beta chain containing a variable beta (VP) chain with a CDR1, CDR2 and CDR3 as contained in the VP chain set forth in SEQ ID NO:70 (SOURCE SEQ ID NO: 114).
- Va variable alpha
- VP variable beta
- a TCR or functional variant thereof comprises an alpha chain containing a Va chain set forth in SEQ ID NO:67 (SOURCE SEQ ID NO: 113), and a beta chain containing a VP chain set forth in SEQ ID NO:70 (SOURCE SEQ ID NO: 114).
- a TCR or functional variant thereof comprises an alpha chain set forth in SEQ ID NO:66 (SOURCE SEQ ID NO:29), and a beta chain set forth in SEQ ID NO:69 (SOURCE SEQ ID NO:33).
- a TCR or functional variant thereof contains an alpha chain encoded by the nucleotide sequence set forth in SEQ ID NO:65 (SOURCE SEQ ID NO:31), and a beta chain encoded by the nucleotide sequence set forth in SEQ ID NO:68 (SOURCE SEQ ID NO:35).
- a TCR or functional variant thereof is a TCR containing sequences of the TCR designated TCR 4 - E6 (29-38) as set forth in Appendix 2.
- the TCR or functional variant thereof is TCR 4 - E6 (29-38) as set forth in Appendix 2.
- a TCR or functional variant thereof comprises an alpha chain and a beta chain of a TCR as described in US20190225692A1, including any sequences disclosed therein by its SEQ ID NO (SOURCE SEQ ID NO).
- a TCR or functional variant thereof comprises an alpha chain containing a variable alpha (Va) chain with a CDR1, CDR2 and CDR3 as contained in the Va chain set forth in SEQ ID NO:73 (SOURCE SEQ ID NO: 115), and a beta chain containing a variable beta (VP) chain with a CDR1, CDR2 and CDR3 as contained in the VP chain set forth in SEQ ID NO:76 (SOURCE SEQ ID NO: 116).
- a TCR or functional variant thereof comprises an alpha chain containing a Va chain set forth in SEQ ID NO:73 (SOURCE SEQ ID NO: 115), and a beta chain containing a VP chain set forth in SEQ ID NO:76 (SOURCE SEQ ID NO: 116).
- a TCR or functional variant thereof comprises an alpha chain set forth in SEQ ID NO:72 (SOURCE SEQ ID NO:39), and a beta chain set forth in SEQ ID NO:75 (SOURCE SEQ ID NO:43).
- a TCR or functional variant thereof contains an alpha chain encoded by the nucleotide sequence set forth in SEQ ID NO:71 (SOURCE SEQ ID NO:41), and a beta chain encoded by the nucleotide sequence set forth in SEQ ID NO:74 (SOURCE SEQ ID NO:45).
- a TCR or functional variant thereof is a TCR containing sequences of the TCR designated TCR 5 - E6 (29-38) as set forth in Appendix 2.
- the TCR or functional variant thereof is TCR 5 - E6 (29-38) as set forth in Appendix 2.
- a TCR or functional variant thereof comprises an alpha chain and a beta chain of a TCR as described in US20190225692A1, including any sequences disclosed therein by its SEQ ID NO (SOURCE SEQ ID NO).
- a TCR or functional variant thereof comprises an alpha chain containing a variable alpha (Va) chain with a CDR1, CDR2 and CDR3 as contained in the Va chain set forth in SEQ ID NO:79 (SOURCE SEQ ID NO: 121), and a beta chain containing a variable beta (VP) chain with a CDR1, CDR2 and CDR3 as contained in the VP chain set forth in SEQ ID NO:82 (SOURCE SEQ ID NO: 122).
- a TCR or functional variant thereof comprises an alpha chain containing a Va chain set forth in SEQ ID NO:79 (SOURCE SEQ ID NO: 121), and a beta chain containing a VP chain set forth in SEQ ID NO:82 (SOURCE SEQ ID NO: 122).
- a TCR or functional variant thereof comprises an alpha chain set forth in SEQ ID NO:78 (SOURCE SEQ ID NO:69), and a beta chain set forth in SEQ ID NO:81 (SOURCE SEQ ID NO:73).
- a TCR or functional variant thereof contains an alpha chain encoded by the nucleotide sequence set forth in SEQ ID NO:77 (SOURCE SEQ ID NO:71), and a beta chain encoded by the nucleotide sequence set forth in SEQ ID NO:80 (SOURCE SEQ ID NO:75).
- a TCR or functional variant thereof is a TCR containing sequences of the TCR designated TCR 8 - E6 (29-38) as set forth in Appendix 2.
- the TCR or functional variant thereof is TCR 8 - E6 (29-38) as set forth in Appendix 2.
- a TCR or functional variant thereof comprises an alpha chain and a beta chain of a TCR as described in US20190225692A1, including any sequences disclosed therein by its SEQ ID NO (SOURCE SEQ ID NO).
- a TCR or functional variant thereof comprises an alpha chain containing a variable alpha (Va) chain with a CDR1, CDR2 and CDR3 as contained in the Va chain set forth in SEQ ID NO:85 (SOURCE SEQ ID NO: 123), and a beta chain containing a variable beta (VP) chain with a CDR1, CDR2 and CDR3 as contained in the VP chain set forth in SEQ ID NO:88 (SOURCE SEQ ID NO: 124).
- a TCR or functional variant thereof comprises an alpha chain containing a Va chain set forth in SEQ ID NO:85 (SOURCE SEQ ID NO: 123), and a beta chain containing a VP chain set forth in SEQ ID NO:88 (SOURCE SEQ ID NO: 124).
- a TCR or functional variant thereof comprises an alpha chain set forth in SEQ ID NO:84 (SOURCE SEQ ID NO:79), and a beta chain set forth in SEQ ID NO:87 (SOURCE SEQ ID NO:83).
- a TCR or functional variant thereof contains an alpha chain encoded by the nucleotide sequence set forth in SEQ ID NO:83 (SOURCE SEQ ID NO:81), and a beta chain encoded by the nucleotide sequence set forth in SEQ ID NO:86 (SOURCE SEQ ID NO:85).
- a TCR or functional variant thereof is a TCR containing sequences of the TCR designated TCR 9 - E6 (29-38) as set forth in Appendix 2.
- the TCR or functional variant thereof is TCR 9 - E6 (29-38) as set forth in Appendix 2.
- a TCR or functional variant thereof comprises an alpha chain and a beta chain of a TCR as described in US20190225692A1, including any sequences disclosed therein by its SEQ ID NO (SOURCE SEQ ID NO).
- a TCR or functional variant thereof comprises an alpha chain containing a variable alpha (Va) chain with a CDR1, CDR2 and CDR3 as contained in the Va chain set forth in SEQ ID NO:91 (SOURCE SEQ ID NO: 125), and a beta chain containing a variable beta (VP) chain with a CDR1, CDR2 and CDR3 as contained in the VP chain set forth in SEQ ID NO:94 (SOURCE SEQ ID NO: 126).
- a TCR or functional variant thereof comprises an alpha chain containing a Va chain set forth in SEQ ID NO:91 (SOURCE SEQ ID NO: 125), and a beta chain containing a VP chain set forth in SEQ ID NO:94 (SOURCE SEQ ID NO: 126).
- a TCR or functional variant thereof comprises an alpha chain set forth in SEQ ID NO:90 (SOURCE SEQ ID NO:89), and a beta chain set forth in SEQ ID NO:93 (SOURCE SEQ ID NO:93).
- a TCR or functional variant thereof contains an alpha chain encoded by the nucleotide sequence set forth in SEQ ID NO:89 (SOURCE SEQ ID NO:91), and a beta chain encoded by the nucleotide sequence set forth in SEQ ID NO:92 (SOURCE SEQ ID NO:95).
- a TCR or functional variant thereof is a TCR containing sequences of the TCR designated TCR 10 - E6 (29-38) as set forth in Appendix 2.
- the TCR or functional variant thereof is TCR 10 - E6 (29-38) as set forth in Appendix 2.
- a TCR or functional variant thereof comprises an alpha chain and a beta chain of a TCR as described in US20190225692A1, including any sequences disclosed therein by its SEQ ID NO (SOURCE SEQ ID NO).
- a TCR or functional variant thereof comprises an alpha chain containing a variable alpha (V a) chain with a CDR1, CDR2 and CDR3 as contained in the Va chain set forth in SEQ ID NO:97 (SOURCE SEQ ID NO:297), and a beta chain containing a variable beta (VP) chain with a CDR1, CDR2 and CDR3 as contained in the VP chain set forth in SEQ ID NO: 100 (SOURCE SEQ ID NO:298).
- a TCR or functional variant thereof comprises an alpha chain containing a Va chain set forth in SEQ ID NO:97 (SOURCE SEQ ID NO:297), and a beta chain containing a VP chain set forth in SEQ ID NO: 100 (SOURCE SEQ ID NO:298).
- a TCR or functional variant thereof comprises an alpha chain set forth in SEQ ID NO:96 (SOURCE SEQ ID NO:288), and a beta chain set forth in SEQ ID NO:99 (SOURCE SEQ ID NO:290).
- a TCR or functional variant thereof contains an alpha chain encoded by the nucleotide sequence set forth in SEQ ID NO:95 (SOURCE SEQ ID NO: 11), and a beta chain encoded by the nucleotide sequence set forth in SEQ ID NO:98 (SOURCE SEQ ID NO:8).
- a TCR or functional variant thereof is a TCR containing sequences of the TCR designated TCR 13 - E6 (29-38) as set forth in Appendix 2.
- the TCR or functional variant thereof is TCR 13 - E6 (29-38) as set forth in Appendix 2.
- a TCR or functional variant thereof comprises an alpha chain and a beta chain of a TCR as described in US20190225692A1, including any sequences disclosed therein by its SEQ ID NO (SOURCE SEQ ID NO).
- a TCR or functional variant thereof comprises an alpha chain containing a variable alpha (Va) chain with a CDR1, CDR2 and CDR3 as contained in the Va chain set forth in SEQ ID NO: 103 (SOURCE SEQ ID NO:299), and a beta chain containing a variable beta (VP) chain with a CDR1, CDR2 and CDR3 as contained in the VP chain set forth in SEQ ID NO: 106 (SOURCE SEQ ID NO:300).
- a TCR or functional variant thereof comprises an alpha chain containing a Va chain set forth in SEQ ID NO: 103 (SOURCE SEQ ID NO:299), and a beta chain containing a VP chain set forth in SEQ ID NO: 106 (SOURCE SEQ ID NO:300).
- a TCR or functional variant thereof comprises an alpha chain set forth in SEQ ID NO: 102 (SOURCE SEQ ID NO:292), and a beta chain set forth in SEQ ID NO: 105 (SOURCE SEQ ID NO:294).
- a TCR or functional variant thereof contains an alpha chain encoded by the nucleotide sequence set forth in SEQ ID NO: 101 (SOURCE SEQ ID NO: 10), and a beta chain encoded by the nucleotide sequence set forth in SEQ ID NO: 104 (SOURCE SEQ ID NO:7).
- a TCR or functional variant thereof is a TCR containing sequences of the TCR designated TCR 14 - E6 (29-38) as set forth in Appendix 2.
- the TCR or functional variant thereof is TCR 14 - E6 (29-38) as set forth in Appendix 2.
- a TCR or functional variant thereof comprises an alpha chain and a beta chain of a TCR as described in US20190225692A1, including any sequences disclosed therein by its SEQ ID NO (SOURCE SEQ ID NO).
- a TCR or functional variant thereof comprises an alpha chain containing a variable alpha (Va) chain with a CDR1, CDR2 and CDR3 as contained in the Va chain set forth in SEQ ID NO: 109 (SOURCE SEQ ID NO:477), and a beta chain containing a variable beta (VP) chain with a CDR1, CDR2 and CDR3 as contained in the VP chain set forth in SEQ ID NO: 112 (SOURCE SEQ ID NO:483).
- Va variable alpha
- VP variable beta
- a TCR or functional variant thereof comprises an alpha chain containing a Va chain set forth in SEQ ID NO: 109 (SOURCE SEQ ID NO:477), and a beta chain containing a VP chain set forth in SEQ ID NO: 112 (SOURCE SEQ ID NO:483).
- a TCR or functional variant thereof comprises an alpha chain set forth in SEQ ID NO: 108 (SOURCE SEQ ID NO:474), and a beta chain set forth in SEQ ID NO:111 (SOURCE SEQ ID NO:480).
- a TCR or functional variant thereof contains an alpha chain encoded by the nucleotide sequence set forth in SEQ ID NO: 107 (SOURCE SEQ ID NO: 1097), and a beta chain encoded by the nucleotide sequence set forth in SEQ ID NO: 110 (SOURCE SEQ ID NO: 1098).
- a TCR or functional variant thereof is a TCR containing sequences of the TCR designated TCR 15 - E6 (29-38) as set forth in Appendix 2.
- the TCR or functional variant thereof is TCR 15 - E6 (29-38) as set forth in Appendix 2.
- a TCR or functional variant thereof comprises an alpha chain and a beta chain of a TCR as described in US20190225692A1, including any sequences disclosed therein by its SEQ ID NO (SOURCE SEQ ID NO).
- a TCR or functional variant thereof comprises an alpha chain containing a variable alpha (Va) chain with a CDR1, CDR2 and CDR3 as contained in the Va chain set forth in SEQ ID NO: 115 (SOURCE SEQ ID NO:492), and a beta chain containing a variable beta (VP) chain with a CDR1, CDR2 and CDR3 as contained in the VP chain set forth in SEQ ID NO: 118 (SOURCE SEQ ID NO:498).
- Va variable alpha
- VP variable beta
- a TCR or functional variant thereof comprises an alpha chain containing a Va chain set forth in SEQ ID NO: 115 (SOURCE SEQ ID NO:492), and a beta chain containing a VP chain set forth in SEQ ID NO: 118 (SOURCE SEQ ID NO:498).
- a TCR or functional variant thereof comprises an alpha chain set forth in SEQ ID NO: 114 (SOURCE SEQ ID NO:489), and a beta chain set forth in SEQ ID NO: 117 (SOURCE SEQ ID NO:495).
- a TCR or functional variant thereof contains an alpha chain encoded by the nucleotide sequence set forth in SEQ ID NO: 113 (SOURCE SEQ ID NO: 1099), and a beta chain encoded by the nucleotide sequence set forth in SEQ ID NO: 116 (SOURCE SEQ ID NO: 1100).
- a TCR or functional variant thereof is a TCR containing sequences of the TCR designated TCR 16 - E6 (29-38) as set forth in Appendix 2.
- the TCR or functional variant thereof is TCR 16 - E6 (29-38) as set forth in Appendix 2.
- a TCR or functional variant thereof comprises an alpha chain and a beta chain of a TCR as described in US20190225692A1, including any sequences disclosed therein by its SEQ ID NO (SOURCE SEQ ID NO).
- a TCR or functional variant thereof comprises an alpha chain containing a variable alpha (Va) chain with a CDR1, CDR2 and CDR3 as contained in the Va chain set forth in SEQ ID NO: 121 (SOURCE SEQ ID NO:504), and a beta chain containing a variable beta (VP) chain with a CDR1, CDR2 and CDR3 as contained in the VP chain set forth in SEQ ID NO: 118 (SOURCE SEQ ID NO:498).
- Va variable alpha
- VP variable beta
- a TCR or functional variant thereof comprises an alpha chain containing a Va chain set forth in SEQ ID NO: 121 (SOURCE SEQ ID NO:504), and a beta chain containing a VP chain set forth in SEQ ID NO: 118 (SOURCE SEQ ID NO:498).
- a TCR or functional variant thereof comprises an alpha chain set forth in SEQ ID NO: 120 (SOURCE SEQ ID NO:501), and a beta chain set forth in SEQ ID NO: 117 (SOURCE SEQ ID NO:495).
- a TCR or functional variant thereof contains an alpha chain encoded by the nucleotide sequence set forth in SEQ ID NO: 119 (SOURCE SEQ ID NO: 1101), and a beta chain encoded by the nucleotide sequence set forth in SEQ ID NO: 122 (SOURCE SEQ ID NO: 1102).
- a TCR or functional variant thereof is a TCR containing sequences of the TCR designated TCR 17 - E6 (29-38) as set forth in Appendix 2.
- the TCR or functional variant thereof is TCR 17 - E6 (29-38) as set forth in Appendix 2.
- a TCR or functional variant thereof comprises an alpha chain and a beta chain of a TCR as described in US20190225692A1, including any sequences disclosed therein by its SEQ ID NO (SOURCE SEQ ID NO).
- a TCR or functional variant thereof comprises an alpha chain containing a variable alpha (Va) chain with a CDR1, CDR2 and CDR3 as contained in the Va chain set forth in SEQ ID NO: 125 (SOURCE SEQ ID NO:510), and a beta chain containing a variable beta (VP) chain with a CDR1, CDR2 and CDR3 as contained in the VP chain set forth in SEQ ID NO: 128 (SOURCE SEQ ID NO:516).
- a TCR or functional variant thereof comprises an alpha chain containing a Va chain set forth in SEQ ID NO: 125 (SOURCE SEQ ID NO:510), and a beta chain containing a VP chain set forth in SEQ ID NO: 128 (SOURCE SEQ ID NO:516).
- a TCR or functional variant thereof comprises an alpha chain set forth in SEQ ID NO: 124 (SOURCE SEQ ID NO:507), and a beta chain set forth in SEQ ID NO: 127 (SOURCE SEQ ID NO:513).
- a TCR or functional variant thereof contains an alpha chain encoded by the nucleotide sequence set forth in SEQ ID NO: 123 (SOURCE SEQ ID NO: 1103), and a beta chain encoded by the nucleotide sequence set forth in SEQ ID NO: 126 (SOURCE SEQ ID NO: 1104).
- a TCR or functional variant thereof is a TCR containing sequences of the TCR designated TCR 18 - E6 (29-38) as set forth in Appendix 2.
- the TCR or functional variant thereof is TCR 18 - E6 (29-38) as set forth in Appendix 2.
- a TCR or functional variant thereof comprises an alpha chain and a beta chain of a TCR as described in US20190225692A1, including any sequences disclosed therein by its SEQ ID NO (SOURCE SEQ ID NO).
- a TCR or functional variant thereof comprises an alpha chain containing a variable alpha (Va) chain with a CDR1, CDR2 and CDR3 as contained in the Va chain set forth in SEQ ID NO: 131 (SOURCE SEQ ID NO:522), and a beta chain containing a variable beta (VP) chain with a CDR1, CDR2 and CDR3 as contained in the VP chain set forth in SEQ ID NO: 134 (SOURCE SEQ ID NO:530).
- a TCR or functional variant thereof comprises an alpha chain containing a Va chain set forth in SEQ ID NO: 131 (SOURCE SEQ ID NO:522), and a beta chain containing a VP chain set forth in SEQ ID NO: 134 (SOURCE SEQ ID NO:530).
- a TCR or functional variant thereof comprises an alpha chain set forth in SEQ ID NO: 130 (SOURCE SEQ ID NO:519), and a beta chain set forth in SEQ ID NO: 133 (SOURCE SEQ ID NO:527).
- a TCR or functional variant thereof contains an alpha chain encoded by the nucleotide sequence set forth in SEQ ID NO: 129 (SOURCE SEQ ID NO: 1105), and a beta chain encoded by the nucleotide sequence set forth in SEQ ID NO: 132 (SOURCE SEQ ID NO: 1106).
- a TCR or functional variant thereof is a TCR containing sequences of the TCR designated TCR 19 - E6 (29-38) as set forth in Appendix 2.
- the TCR or functional variant thereof is TCR 19 - E6 (29-38) as set forth in Appendix 2.
- a TCR or functional variant thereof comprises an alpha chain and a beta chain of a TCR as described in US20190225692A1, including any sequences disclosed therein by its SEQ ID NO (SOURCE SEQ ID NO).
- a TCR or functional variant thereof comprises an alpha chain containing a variable alpha (Va) chain with a CDR1, CDR2 and CDR3 as contained in the Va chain set forth in SEQ ID NO: 137 (SOURCE SEQ ID NO:536), and a beta chain containing a variable beta (VP) chain with a CDR1, CDR2 and CDR3 as contained in the VP chain set forth in SEQ ID NO: 140 (SOURCE SEQ ID NO:545).
- Va variable alpha
- VP variable beta
- a TCR or functional variant thereof comprises an alpha chain containing a Va chain set forth in SEQ ID NO: 137 (SOURCE SEQ ID NO:536), and a beta chain containing a VP chain set forth in SEQ ID NO: 140 (SOURCE SEQ ID NO:545).
- a TCR or functional variant thereof comprises an alpha chain set forth in SEQ ID NO: 136 (SOURCE SEQ ID NO:533), and a beta chain set forth in SEQ ID NO: 139 (SOURCE SEQ ID NO:542).
- a TCR or functional variant thereof contains an alpha chain encoded by the nucleotide sequence set forth in SEQ ID NO: 135 (SOURCE SEQ ID NO: 1107), and a beta chain encoded by the nucleotide sequence set forth in SEQ ID NO: 138 (SOURCE SEQ ID NO: 1108).
- a TCR or functional variant thereof is a TCR containing sequences of the TCR designated TCR 20 - E6 (29-38) as set forth in Appendix 2.
- the TCR or functional variant thereof is TCR 20 - E6 (29-38) as set forth in Appendix 2.
- a TCR or functional variant thereof comprises an alpha chain and a beta chain of a TCR as described in US20190225692A1, including any sequences disclosed therein by its SEQ ID NO (SOURCE SEQ ID NO).
- a TCR or functional variant thereof comprises an alpha chain containing a variable alpha (Va) chain with a CDR1, CDR2 and CDR3 as contained in the Va chain set forth in SEQ ID NO: 143 (SOURCE SEQ ID NO:554), and a beta chain containing a variable beta (VP) chain with a CDR1, CDR2 and CDR3 as contained in the VP chain set forth in SEQ ID NO: 146 (SOURCE SEQ ID NO:560).
- a TCR or functional variant thereof comprises an alpha chain containing a Va chain set forth in SEQ ID NO: 143 (SOURCE SEQ ID NO:554), and a beta chain containing a VP chain set forth in SEQ ID NO: 146 (SOURCE SEQ ID NO:560).
- a TCR or functional variant thereof comprises an alpha chain set forth in SEQ ID NO: 142 (SOURCE SEQ ID NO:551), and a beta chain set forth in SEQ ID NO: 145 (SOURCE SEQ ID NO:557).
- a TCR or functional variant thereof contains an alpha chain encoded by the nucleotide sequence set forth in SEQ ID NO: 141 (SOURCE SEQ ID NO: 1109), and a beta chain encoded by the nucleotide sequence set forth in SEQ ID NO: 144 (SOURCE SEQ ID NO: 1110).
- a TCR or functional variant thereof is a TCR containing sequences of the TCR designated TCR 21 - E6 (29-38) as set forth in Appendix 2.
- the TCR or functional variant thereof is TCR 21 - E6 (29-38) as set forth in Appendix 2.
- a TCR or functional variant thereof comprises an alpha chain and a beta chain of a TCR as described in US20190225692A1, including any sequences disclosed therein by its SEQ ID NO (SOURCE SEQ ID NO).
- a TCR or functional variant thereof comprises an alpha chain containing a variable alpha (Va) chain with a CDR1, CDR2 and CDR3 as contained in the Va chain set forth in SEQ ID NO: 149 (SOURCE SEQ ID NO:569), and a beta chain containing a variable beta (VP) chain with a CDR1, CDR2 and CDR3 as contained in the VP chain set forth in SEQ ID NO: 152 (SOURCE SEQ ID NO:578).
- Va variable alpha
- VP variable beta
- a TCR or functional variant thereof comprises an alpha chain containing a Va chain set forth in SEQ ID NO: 149 (SOURCE SEQ ID NO:569), and a beta chain containing a VP chain set forth in SEQ ID NO: 152 (SOURCE SEQ ID NO:578).
- a TCR or functional variant thereof comprises an alpha chain set forth in SEQ ID NO: 148 (SOURCE SEQ ID NO:566), and a beta chain set forth in SEQ ID NO: 151 (SOURCE SEQ ID NO:575).
- a TCR or functional variant thereof contains an alpha chain encoded by the nucleotide sequence set forth in SEQ ID NO: 147 (SOURCE SEQ ID NO: 1111), and a beta chain encoded by the nucleotide sequence set forth in SEQ ID NO: 150 (SOURCE SEQ ID NO: 1112).
- a TCR or functional variant thereof is a TCR containing sequences of the TCR designated TCR 22 - E6 (29-38) as set forth in Appendix 2.
- the TCR or functional variant thereof is TCR 22 - E6 (29-38) as set forth in Appendix 2.
- a TCR or functional variant thereof comprises an alpha chain and a beta chain of a TCR as described in US20190225692A1, including any sequences disclosed therein by its SEQ ID NO (SOURCE SEQ ID NO).
- a TCR or functional variant thereof comprises an alpha chain containing a variable alpha (Va) chain with a CDR1, CDR2 and CDR3 as contained in the Va chain set forth in SEQ ID NO: 155 (SOURCE SEQ ID NO:587), and a beta chain containing a variable beta (VP) chain with a CDR1, CDR2 and CDR3 as contained in the VP chain set forth in SEQ ID NO: 158 (SOURCE SEQ ID NO:593).
- Va variable alpha
- VP variable beta
- a TCR or functional variant thereof comprises an alpha chain containing a Va chain set forth in SEQ ID NO: 155 (SOURCE SEQ ID NO:587), and a beta chain containing a VP chain set forth in SEQ ID NO: 158 (SOURCE SEQ ID NO:593).
- a TCR or functional variant thereof comprises an alpha chain set forth in SEQ ID NO: 154 (SOURCE SEQ ID NO:584), and a beta chain set forth in SEQ ID NO: 157 (SOURCE SEQ ID NO:590).
- a TCR or functional variant thereof contains an alpha chain encoded by the nucleotide sequence set forth in SEQ ID NO: 153 (SOURCE SEQ ID NO: 1113), and a beta chain encoded by the nucleotide sequence set forth in SEQ ID NO: 156 (SOURCE SEQ ID NO: 1114).
- a TCR or functional variant thereof is a TCR containing sequences of the TCR designated TCR 23 - E6 (29-38) as set forth in Appendix 2.
- the TCR or functional variant thereof is TCR 23 - E6 (29-38) as set forth in Appendix 2.
- a TCR or functional variant thereof comprises an alpha chain and a beta chain of a TCR as described in US20190225692A1, including any sequences disclosed therein by its SEQ ID NO (SOURCE SEQ ID NO).
- a TCR or functional variant thereof comprises an alpha chain containing a variable alpha (Va) chain with a CDR1, CDR2 and CDR3 as contained in the Va chain set forth in SEQ ID NO: 161 (SOURCE SEQ ID NO:599), and a beta chain containing a variable beta (VP) chain with a CDR1, CDR2 and CDR3 as contained in the VP chain set forth in SEQ ID NO: 164 (SOURCE SEQ ID NO:605).
- Va variable alpha
- VP variable beta
- a TCR or functional variant thereof comprises an alpha chain containing a Va chain set forth in SEQ ID NO: 161 (SOURCE SEQ ID NO:599), and a beta chain containing a VP chain set forth in SEQ ID NO: 164 (SOURCE SEQ ID NO:605).
- a TCR or functional variant thereof comprises an alpha chain set forth in SEQ ID NO: 160 (SOURCE SEQ ID NO:596), and a beta chain set forth in SEQ ID NO: 163 (SOURCE SEQ ID NO:602).
- a TCR or functional variant thereof contains an alpha chain encoded by the nucleotide sequence set forth in SEQ ID NO: 159 (SOURCE SEQ ID NO: 1115), and a beta chain encoded by the nucleotide sequence set forth in SEQ ID NO: 162 (SOURCE SEQ ID NO: 1116).
- a TCR or functional variant thereof is a TCR containing sequences of the TCR designated TCR 24 - E6 (29-38) as set forth in Appendix 2.
- the TCR or functional variant thereof is TCR 24 - E6 (29-38) as set forth in Appendix 2.
- a TCR or functional variant thereof comprises an alpha chain and a beta chain of a TCR as described in US20190225692A1, including any sequences disclosed therein by its SEQ ID NO (SOURCE SEQ ID NO).
- a TCR or functional variant thereof comprises an alpha chain containing a variable alpha (Va) chain with a CDR1, CDR2 and CDR3 as contained in the Va chain set forth in SEQ ID NO: 167 (SOURCE SEQ ID NO:611), and a beta chain containing a variable beta (VP) chain with a CDR1, CDR2 and CDR3 as contained in the VP chain set forth in SEQ ID NO: 170 (SOURCE SEQ ID NO:617).
- Va variable alpha
- VP variable beta
- a TCR or functional variant thereof comprises an alpha chain containing a Va chain set forth in SEQ ID NO: 167 (SOURCE SEQ ID NO:611), and a beta chain containing a VP chain set forth in SEQ ID NO: 170 (SOURCE SEQ ID NO:617).
- a TCR or functional variant thereof comprises an alpha chain set forth in SEQ ID NO: 166 (SOURCE SEQ ID NO:608), and a beta chain set forth in SEQ ID NO: 169 (SOURCE SEQ ID NO:614).
- a TCR or functional variant thereof contains an alpha chain encoded by the nucleotide sequence set forth in SEQ ID NO: 165 (SOURCE SEQ ID NO: 1117), and a beta chain encoded by the nucleotide sequence set forth in SEQ ID NO: 168 (SOURCE SEQ ID NO: 1118).
- a TCR or functional variant thereof is a TCR containing sequences of the TCR designated TCR 25 - E6 (29-38) as set forth in Appendix 2.
- the TCR or functional variant thereof is TCR 25 - E6 (29-38) as set forth in Appendix 2.
- a TCR or functional variant thereof comprises an alpha chain and a beta chain of a TCR as described in US20190225692A1, including any sequences disclosed therein by its SEQ ID NO (SOURCE SEQ ID NO).
- a TCR or functional variant thereof comprises an alpha chain containing a variable alpha (Va) chain with a CDR1, CDR2 and CDR3 as contained in the Va chain set forth in SEQ ID NO: 173 (SOURCE SEQ ID NO:623), and a beta chain containing a variable beta (VP) chain with a CDR1, CDR2 and CDR3 as contained in the VP chain set forth in SEQ ID NO: 176 (SOURCE SEQ ID NO:629).
- Va variable alpha
- VP variable beta
- a TCR or functional variant thereof comprises an alpha chain containing a Va chain set forth in SEQ ID NO: 173 (SOURCE SEQ ID NO:623), and a beta chain containing a VP chain set forth in SEQ ID NO: 176 (SOURCE SEQ ID NO:629).
- a TCR or functional variant thereof comprises an alpha chain set forth in SEQ ID NO: 172 (SOURCE SEQ ID NO:620), and a beta chain set forth in SEQ ID NO: 175 (SOURCE SEQ ID NO:626).
- a TCR or functional variant thereof contains an alpha chain encoded by the nucleotide sequence set forth in SEQ ID NO: 171 (SOURCE SEQ ID NO: 1119), and a beta chain encoded by the nucleotide sequence set forth in SEQ ID NO: 174 (SOURCE SEQ ID NO: 1120).
- a TCR or functional variant thereof is a TCR containing sequences of the TCR designated TCR 26 - E6 (29-38) as set forth in Appendix 2.
- the TCR or functional variant thereof is TCR 26 - E6 (29-38) as set forth in Appendix 2.
- a TCR or functional variant thereof comprises an alpha chain and a beta chain of a TCR as described in US20190225692A1, including any sequences disclosed therein by its SEQ ID NO (SOURCE SEQ ID NO).
- a TCR or functional variant thereof comprises an alpha chain containing a variable alpha (Va) chain with a CDR1, CDR2 and CDR3 as contained in the Va chain set forth in SEQ ID NO: 179 (SOURCE SEQ ID NO:637), and a beta chain containing a variable beta (VP) chain with a CDR1, CDR2 and CDR3 as contained in the VP chain set forth in SEQ ID NO: 182 (SOURCE SEQ ID NO:643).
- Va variable alpha
- VP variable beta
- a TCR or functional variant thereof comprises an alpha chain containing a Va chain set forth in SEQ ID NO: 179 (SOURCE SEQ ID NO:637), and a beta chain containing a VP chain set forth in SEQ ID NO: 182 (SOURCE SEQ ID NO:643).
- a TCR or functional variant thereof comprises an alpha chain set forth in SEQ ID NO: 178 (SOURCE SEQ ID NO:634), and a beta chain set forth in SEQ ID NO: 181 (SOURCE SEQ ID NO:640).
- a TCR or functional variant thereof contains an alpha chain encoded by the nucleotide sequence set forth in SEQ ID NO: 177 (SOURCE SEQ ID NO: 1121), and a beta chain encoded by the nucleotide sequence set forth in SEQ ID NO: 180 (SOURCE SEQ ID NO: 1122).
- a TCR or functional variant thereof is a TCR containing sequences of the TCR designated TCR 27 - E6 (29-38) as set forth in Appendix 2.
- the TCR or functional variant thereof is TCR 27 - E6 (29-38) as set forth in Appendix 2.
- a TCR or functional variant thereof comprises an alpha chain and a beta chain of a TCR as described in US20190225692A1, including any sequences disclosed therein by its SEQ ID NO (SOURCE SEQ ID NO).
- a TCR or functional variant thereof comprises an alpha chain containing a variable alpha (Va) chain with a CDR1, CDR2 and CDR3 as contained in the Va chain set forth in SEQ ID NO: 185 (SOURCE SEQ ID NO:649), and a beta chain containing a variable beta (VP) chain with a CDR1, CDR2 and CDR3 as contained in the VP chain set forth in SEQ ID NO: 188 (SOURCE SEQ ID NO:655).
- Va variable alpha
- VP variable beta
- a TCR or functional variant thereof comprises an alpha chain containing a Va chain set forth in SEQ ID NO: 185 (SOURCE SEQ ID NO:649), and a beta chain containing a VP chain set forth in SEQ ID NO: 188 (SOURCE SEQ ID NO:655).
- a TCR or functional variant thereof comprises an alpha chain set forth in SEQ ID NO: 184 (SOURCE SEQ ID NO:646), and a beta chain set forth in SEQ ID NO: 187 (SOURCE SEQ ID NO:652).
- a TCR or functional variant thereof contains an alpha chain encoded by the nucleotide sequence set forth in SEQ ID NO: 183 (SOURCE SEQ ID NO: 1123), and a beta chain encoded by the nucleotide sequence set forth in SEQ ID NO: 186 (SOURCE SEQ ID NO: 1124).
- a TCR or functional variant thereof is a TCR containing sequences of the TCR designated TCR 28 - E6 (29-38) as set forth in Appendix 2.
- the TCR or functional variant thereof is TCR 28 - E6 (29-38) as set forth in Appendix 2.
- a TCR or functional variant thereof comprises an alpha chain and a beta chain of a TCR as described in US20190225692A1, including any sequences disclosed therein by its SEQ ID NO (SOURCE SEQ ID NO).
- a TCR or functional variant thereof comprises an alpha chain containing a variable alpha (V a) chain with a CDR1, CDR2 and CDR3 as contained in the Va chain set forth in SEQ ID NO: 191 (SOURCE SEQ ID NO:661), and a beta chain containing a variable beta (VP) chain with a CDR1, CDR2 and CDR3 as contained in the VP chain set forth in SEQ ID NO: 194 (SOURCE SEQ ID NO:667).
- V a variable alpha
- VP variable beta
- a TCR or functional variant thereof comprises an alpha chain containing a Va chain set forth in SEQ ID NO: 191 (SOURCE SEQ ID NO:661), and a beta chain containing a VP chain set forth in SEQ ID NO: 194 (SOURCE SEQ ID NO:667).
- a TCR or functional variant thereof comprises an alpha chain set forth in SEQ ID NO: 190 (SOURCE SEQ ID NO:658), and a beta chain set forth in SEQ ID NO: 193 (SOURCE SEQ ID NO:664).
- a TCR or functional variant thereof contains an alpha chain encoded by the nucleotide sequence set forth in SEQ ID NO: 189 (SOURCE SEQ ID NO: 1125), and a beta chain encoded by the nucleotide sequence set forth in SEQ ID NO: 192 (SOURCE SEQ ID NO: 1126).
- a TCR or functional variant thereof is a TCR containing sequences of the TCR designated TCR 29 - E6 (29-38) as set forth in Appendix 2.
- the TCR or functional variant thereof is TCR 29 - E6 (29-38) as set forth in Appendix 2.
- a TCR or functional variant thereof comprises an alpha chain and a beta chain of a TCR as described in US20190225692A1, including any sequences disclosed therein by its SEQ ID NO (SOURCE SEQ ID NO).
- a TCR or functional variant thereof comprises an alpha chain containing a variable alpha (Va) chain with a CDR1, CDR2 and CDR3 as contained in the Va chain set forth in SEQ ID NO: 197 (SOURCE SEQ ID NO:676), and a beta chain containing a variable beta (VP) chain with a CDR1, CDR2 and CDR3 as contained in the VP chain set forth in SEQ ID NO:200 (SOURCE SEQ ID NO:685).
- Va variable alpha
- VP variable beta
- a TCR or functional variant thereof comprises an alpha chain containing a Va chain set forth in SEQ ID NO: 197 (SOURCE SEQ ID NO:676), and a beta chain containing a VP chain set forth in SEQ ID NO:200 (SOURCE SEQ ID NO:685).
- a TCR or functional variant thereof comprises an alpha chain set forth in SEQ ID NO: 196 (SOURCE SEQ ID NO:673), and a beta chain set forth in SEQ ID NO: 199 (SOURCE SEQ ID NO:682).
- a TCR or functional variant thereof contains an alpha chain encoded by the nucleotide sequence set forth in SEQ ID NO: 195 (SOURCE SEQ ID NO: 1127), and a beta chain encoded by the nucleotide sequence set forth in SEQ ID NO: 198 (SOURCE SEQ ID NO: 1128).
- a TCR or functional variant thereof is a TCR containing sequences of the TCR designated TCR 30 - E6 (29-38) as set forth in Appendix 2.
- the TCR or functional variant thereof is TCR 30 - E6 (29-38) as set forth in Appendix 2.
- a TCR or functional variant thereof comprises an alpha chain and a beta chain of a TCR as described in US20190321401A1, including any sequences disclosed therein by its SEQ ID NO (SOURCE SEQ ID NO).
- a TCR or functional variant thereof comprises an alpha chain containing a variable alpha (Va) chain with a CDR1, CDR2 and CDR3 as contained in the Va chain set forth in SEQ ID NO:284 (SOURCE SEQ ID NO:247), and a beta chain containing a variable beta (VP) chain with a CDR1, CDR2 and CDR3 as contained in the VP chain set forth in SEQ ID NO:289 (SOURCE SEQ ID NO:258).
- Va variable alpha
- VP variable beta
- a TCR or functional variant thereof comprises an alpha chain containing a Va chain with a CDR1, a CDR2 and a CDR3 set forth in SEQ ID NOS:285, 286, and 287, respectively (SOURCE SEQ ID NOS: 248, 249 and 250, respectively), and a VP chain with a CDR1, CDR2 and CDR3 set forth in SEQ ID NOS:290, 291, and 292, respectively (SOURCE SEQ ID NOS: 259, 260 and 261, respectively).
- a TCR or functional variant thereof comprises an alpha chain containing a Va chain set forth in SEQ ID NO:284 (SOURCE SEQ ID NO:247), and a beta chain containing a VP chain set forth in SEQ ID NO:289 (SOURCE SEQ ID NO:258).
- a TCR or functional variant thereof comprises an alpha chain set forth in SEQ ID NO:283 (SOURCE SEQ ID NO:243), and a beta chain set forth in SEQ ID NO:288 (SOURCE SEQ ID NO:377).
- the TCR or functional variant thereof is encoded by the nucleotide sequence set forth in SEQ ID NO:293 (SOURCE SEQ ID NO:410).
- a TCR or functional variant thereof is a TCR containing sequences of the TCR designated TCR 65 - E6 (29-38) as set forth in Appendix 3. In some embodiments, the TCR or functional variant thereof is TCR 65 - E6 (29- 38) as set forth in Appendix 3.
- TCRs are those having sequences at least at or about 90, 91, 92, 93, 94, 95, 96, 97, 98, or 99% identical to such sequences.
- a TCR of the present disclosure including any of the TCRs as described in Section II. A, is a full-length TCR, such as a TCR containing the a chain and P chain.
- a functional variant of a TCR of the present disclosure including any of the TCRs as described in Section ILA, is an antigen-binding portion that is less than a full-length TCR but that binds to a specific peptide bound in an MHC molecule, such as an MHC-peptide complex.
- an antigen-binding portion or fragment of a TCR contains only a portion of the structural domains of a full-length or intact TCR, but is able to bind the peptide epitope, such as in an MHC-peptide complex, to which the full TCR binds.
- an antigenbinding portion contains the variable domains of a TCR, such as variable a (Va) chain and variable P (VP) chain of a TCR, or antigen-binding fragments thereof sufficient to form a binding site for binding to a specific MHC-peptide complex.
- a TCR or functional variant thereof comprises a constant domain, a transmembrane domain and/or a short cytoplasmic tail.
- each chain (e.g. alpha or beta) of the TCR can possess one N-terminal immunoglobulin variable domain, one immunoglobulin constant domain, a transmembrane region, and a short cytoplasmic tail at the C-terminal end.
- a TCR for example via the cytoplasmic tail, is associated with invariant proteins of the CD3 complex involved in mediating signal transduction.
- a TCR containing constant domains with a transmembrane region may anchor the protein in the cell membrane and associate with invariant subunits of the CD3 signaling apparatus or complex.
- the intracellular tails of CD3 signaling subunits e.g. CD3y, CD36, CD3s and CD3( ⁇ chains) contain one or more immunoreceptor tyrosine-based activation motif or IT AM and generally are involved in the signaling capacity of the TCR complex.
- IMGT International Immunogenetics Information System
- a functional variant of a TCR comprises a functional portion of one or both of the polypeptide chains of the TCR (e.g., the alpha and beta chains or the gamma and delta chains).
- the functional portion can comprise additional amino acids at the amino or carboxy terminus of the portion, or at both termini, which additional amino acids are not found in the amino acid sequence of the parent TCR or functional variant thereof.
- the additional amino acids do not interfere with the biological function of the functional portion, e.g., specifically binding to HPV 16 E7; and/or having the ability to detect cancer, treat or prevent cancer.
- a functional variant of a TCR comprises a functional portion of either or both the alpha and beta chains of the TCR, such as a functional portion comprising one or more of CDR1, CDR2, and CDR3 of the variable region(s) of the alpha chain and/or beta chain of a TCR.
- a TCR or functional variant thereof of the present disclosure comprises a single polypeptide. In other embodiments, a TCR or functional variant thereof of the present disclosure comprises two polypeptides.
- a TCR or functional variant thereof of the present disclosure comprises two polypeptides (i.e., polypeptide chains), such as an alpha (a) chain of a TCR, a beta (P) chain of a TCR, a gamma (y) chain of a TCR, a delta (6) chain of a TCR, or a combination thereof.
- a TCR or functional variant thereof comprises an alpha (a) chain of a TCR and a beta (P) chain of a TCR.
- a TCR or functional variant thereof of the present disclosure is a protein that contains variable alpha (a) and beta (P) chains or variable gamma (y) and delta (6) chains, or antigen-binding portions thereof, and which is capable of specifically binding to an antigen, e.g., a peptide antigen or peptide epitope bound to an MHC molecule.
- an antigen e.g., a peptide antigen or peptide epitope bound to an MHC molecule.
- variable domains of a TCR contain complementarity determining regions (CDRs), which generally are the primary contributors to antigen recognition and binding capabilities and specificity to the peptide, MHC and/or MHC-peptide complex.
- CDRs complementarity determining regions
- a CDR of a TCR or combination of CDRs of a TCR forms all or substantially all of the antigen-binding site of a given TCR molecule.
- the various CDRs within a variable region of a TCR chain generally are separated by framework regions (FRs), which generally display less variability among TCR molecules as compared to the CDRs.
- a TCR or functional variant thereof comprises a Va region sequence or sufficient antigen-binding portion thereof that comprises a CDR-1, CDR-2 and/or CDR-3.
- a TCR or antigen-binding fragment thereof comprises a VP region sequence or sufficient antigen-binding portion that comprises a CDR-1, CDR-2 and/or CDR-3.
- a TCR or antigen-binding fragment thereof comprises a Va region sequence that comprises a CDR-1, CDR-2 and/or CDR-3 and comprises a VP region sequence that comprises a CDR-1, CDR-2 and/or CDR-3.
- variable region of the P-chain cancomprise a further hypervariable region (CDR4 or HVR4), which generally is involved in superantigen binding and not antigen recognition.
- CDR4 or HVR4 hypervariable region
- residues of a TCR are known or can be identified according to the International Immunogenetics Information System (IMGT) numbering system (see e.g. www.imgt.org; see also, Lefranc et al. (2003) Developmental and Comparative Immunology, 27(l);55-77; and The T Cell Factsbook 2nd Edition, Lefranc and LeFranc Academic Press 2001).
- IMGT International Immunogenetics Information System
- the CDR1 sequences within a TCR Va chain and/or VP chain correspond to the amino acids present between residue numbers 27-38, inclusive
- the CDR2 sequences within a TCR Va chain and/or VP chain correspond to the amino acids present between residue numbers 56-65, inclusive
- the CDR3 sequences within a TCR Va chain and/or VP chain correspond to the amino acids present between residue numbers 105-117, inclusive.
- the alpha chain of the TCR or functional variant thereof comprises an alpha constant (Ca) region or portion thereof.
- the beta chain of the TCR or antigen-binding fragment thereof comprises a beta constant (CP) region or portion thereof.
- the TCR or functional variant thereof contains an alpha chain comprising a variable alpha (Va) region and an alpha constant (Ca) region or portion thereof and/or a beta chain comprising a variable beta (VP) region and a beta constant region (CP) or portion thereof.
- the constant domain is adjacent to the cell membrane.
- the extracellular portion of the TCR formed by the two chains contains two membrane-proximal constant domains, and two membrane-distal variable domains, which variable domains each contain CDRs.
- a TCR or functional variant thereof comprises a constant region derived from any suitable species such as, e.g., human or mouse.
- the a chain constant domain (Ca) and P chain constant domain (CP) individually are mammalian, such as a human or murine constant domain.
- the Ca and CP regions are mouse constant regions, such as a native or variant mouse constant region.
- the Ca and CP regions are human constant regions, such as a native or variant human constant region.
- a TCR or functional variant thereof according to the present disclosure comprises a human constant region, such as an alpha chain comprising a human Ca region and a beta chain comprising a human Cp.
- the term “murine” or “human,” when referring to a TCR or any component of a TCR described herein, means a TCR (or component thereof) which is derived from a mouse or a human, respectively, i.e., a TCR (or component thereof) that originated from or was, at one time, expressed by a mouse T cell or a human T cell, respectively.
- a human TCR is understood as being generated from a human TCR locus and therefore comprises human TCR sequences.
- each of the Ca and CP domains of a TCR or functional variant thereof is human.
- the Ca is encoded by the TRAC gene (IMGT nomenclature) or is a variant thereof.
- the variant of a Ca contains replacement of at least one non-native cysteine.
- the CP is encoded by TRBC1 or TRBC2 genes (IM GT nomenclature) or is a variant thereof.
- the variant of a CP contains replacement of at least one non-native cysteine.
- a TCR or functional variant thereof is a human/mouse chimeric TCR.
- a TCR or functional variant thereof comprises an alpha chain and/or a beta chain comprising a mouse constant region.
- a TCR or functional variant thereof comprises a human variable region and a murine constant region.
- a TCR or the present disclosure is fully human.
- TCRs containing a human constant region such as fully human TCRs, whose expression and/or activity, such as when expressed in human cells, e.g. human T cells, such as primary human T cells, are not impacted by or are not substantially impacted by the presence of an endogenous human TCR.
- TCRs containing a human constant region are not out-competed by the endogenous human TCR, such as for components of the CD3 complex.
- a TCR or functional variant thereof is or has been modified relative to a parent TCR, such as a parent TCR comprising TCR sequences disclosed herein.
- the TCR or functional variant thereof include one or more amino acid variations, e.g., substitutions, deletions, insertions, and/or mutations, compared to the sequence of a TCR described herein.
- Exemplary variants include those designed to improve the binding affinity and/or other biological properties of the TCR or functional variant thereof.
- Amino acid sequence variants of a TCR may be prepared by introducing appropriate modifications into the nucleotide sequence encoding the TCR, or by peptide synthesis.
- Such modifications include, for example, deletions from, and/or insertions into and/or substitutions of residues within the amino acid sequences of the TCR. Any combination of deletion, insertion, and substitution can be made to arrive at the final binding TCR or functional variant thereof, provided that the final TCR or functional variant thereof possesses the desired characteristics, e.g., antigen-binding.
- a TCR or functional variant thereof include one or more amino acid substitutions, e.g., as compared to a sequence of a TCR or functional variant thereof described herein and/or compared to a sequence of a natural repertoire, e.g., human repertoire.
- Sites of interest for amino acid substitution include the CDRs, FRs and/or constant regions.
- Amino acid substitutions may be introduced into a TCR of interest and the products screened for a desired activity, e.g., retained/improved antigen affinity or avidity, decreased immunogenicity, improved half-life, CD8-independent binding or activity, surface expression, promotion of TCR chain pairing and/or other improved properties or functions.
- one or more residues within a CDR of a parent TCR or functional variant thereof is/are substituted.
- the substitution is made to revert a sequence or position in the sequence to a germline sequence, such as a TCR sequence found in the germline (e.g., human germline), for example, to reduce the likelihood of immunogenicity, e.g., upon administration to a human subject.
- substitutions, insertions, or deletions may occur within one or more CDRs so long as such alterations do not substantially reduce the ability of the TCR or functional variant thereof, to bind antigen.
- conservative alterations e.g., conservative substitutions
- Such alterations may, for example, be outside of antigen contacting residues in the CDRs.
- each CDR either is unaltered, or contains no more than one, two or three amino acid substitutions.
- a TCR or functional variant thereof include one or more amino acid sequence insertions.
- Amino acid sequence insertions include amino and/or carboxyl- terminal fusions ranging in length from one residue to polypeptides containing a hundred or more residues, as well as intrasequence insertions of single or multiple amino acid residues.
- a TCR or functional variant thereof comprises a variant of an alpha chain and/or a beta chain.
- the variant comprises the amino acid sequence of any of the TCRs described herein with one, two, three, or four or more amino acid substitution(s) in the constant region of the alpha or beta chain.
- a TCR or functional variant thereof comprising one or more modifications in the alpha chain and/or beta chain provide one or more of decreased mis-pairing between the TCR alpha chain and beta chain and an endogenous TCR alpha chain and beta chain, increased expression of the TCR alpha chain and beta chain by a host cell, increased stability of the TCR alpha chain and beta chai, increased recognition of HPV 16 targets, and increased anti-tumor activity as compared to the parent TCR comprising an unmodified amino acid sequence.
- a TCR or functional variant thereof may be a heterodimer of two chains (e.g., a and P) that are linked, such as by a disulfide bond or disulfide bonds.
- the constant domain of the TCR or functional variant thereof comprises short connecting sequences in which a cysteine residue forms a disulfide bond, thereby linking the two chains of the TCR or functional variant thereof.
- a TCR or functional variant thereof may have an additional cysteine residue in each of the a and P chains, such that the TCR or functional variant thereof contains two disulfide bonds in the constant domains.
- each of the constant and variable domains comprises disulfide bonds formed by cysteine residues.
- the TCR or functional variant thereof comprises an introduced disulfide bond or bonds.
- the TCRs or functional variant thereof are modified such that the native interchain disulfide bonds in TCRs are not present.
- the one or more of the native cysteines (e.g. in the constant domain of the a chain and P chain) that form a native interchain disulfide bond are substituted to another residue, such as to a serine or alanine.
- an introduced disulfide bond can be formed by mutating non-cysteine residues on the alpha and beta chains, such as in the constant domain of the a chain and P chain, to cysteine.
- Opposing cysteines in the TCR a and P chains provide a disulfide bond that links the constant regions of TCR a and P chains of the substituted TCR to one another and which is not present in a TCR comprising the unsubstituted constant region in which the native disulfide bonds are present, such as unsubstituted native human constant region or the unsubstituted native mouse constant region.
- the Ca and/or CP regions are modified, for example, by incorporation of one or more non-native cysteine residues.
- a TCR or functional variant thereof comprises one or more non-native cysteine residues to introduce a covalent disulfide bond linking a residue of the immunoglobulin region of the constant domain of the a chain to a residue of the immunoglobulin region of the constant domain of the P chain.
- the presence of non-native cysteine residues (e.g. resulting in one or more non-native disulfide bonds) in a TCR or functional variant thereof can favor production of the desired TCR in a cell in which it is introduced versus expression of a mismatched TCR pair containing a native TCR chain.
- Exemplary non-native disulfide bonds of a TCR are described in published International PCT No. W02006/000830 and W02006/037960. In some cases, both a native and a nonnative disulfide bond may be desirable.
- the transmembrane domain of the constant region of a TCR or functional variant thereof can be modified to contain a greater number of hydrophobic residues (see e.g. Haga-Friedman et al. (2012) Journal of Immunology, 188:5538-5546).
- the TCR or functional variant thereof comprises substitutions of one, two, or three amino acids in the transmembrane (TM) domain of the constant region of one or both of the a and P chains with a hydrophobic amino acid.
- the hydrophobic amino acid substitution(s) in the TM domain may increase the hydrophobicity of the TM domain of the TCR or functional variant thereof as compared to a TCR or functional variant thereof that lacks the hydrophobic amino acid substitution(s) in the TM domain.
- a TCR or functional variant thereof comprises cysteine substitutions in the constant region of one or both of the a and P chains in combination with substitution(s) of one, two, or three amino acids in the transmembrane (TM) domain of the constant region of one or both of the a and P chains with a hydrophobic amino acid.
- a TCR or functional variant thereof contains a first polypeptide wherein a sequence corresponding to a provided TCR a chain variable region sequence is fused to the N terminus of a sequence corresponding to a TCR a chain constant region extracellular sequence, and a second polypeptide wherein a sequence corresponding to a provided TCR P chain variable region sequence is fused to the N terminus of a sequence corresponding to a TCR P chain constant region extracellular sequence, the first and second polypeptides being linked by a disulfide bond.
- the bond can correspond to the native interchain disulfide bond present in native dimeric aP TCRs. In some embodiments, the interchain disulfide bonds are not present in a native TCR.
- a TCR or functional variant thereof contains a provided TCR a chain containing a variable a domain, a constant a domain and a first dimerization motif attached to the C-terminus of the constant a domain, and a provided TCR P chain comprising a variable P domain, a constant P domain and a first dimerization motif attached to the C-terminus of the constant P domain, wherein the first and second dimerization motifs interact to form a covalent bond between an amino acid in the first dimerization motif and an amino acid in the second dimerization motif linking the TCR a chain and TCR P chain together.
- a TCR or functional variant thereof is a single chain TCR (scTCR).
- a scTCR can comprise a polypeptide of a variable region of a first TCR chain (e.g., an alpha chain) and a polypeptide of an entire (full-length) second TCR chain (e.g., a beta chain), or vice versa.
- the scTCR can optionally comprise one or more linkers which join the two or more polypeptides together.
- the linker can be, for instance, a peptide which joins together two single chains.
- the TCR is a scTCR, which is a single amino acid strand containing an a chain and a P chain that is able to bind to MHC-peptide complexes.
- a scTCR can be generated using methods known to those of skill in the art, See e.g., International published PCT Nos. WO 96/13593, WO 96/18105, W099/18129, WO 04/033685, W02006/037960, W02011/044186; U.S. Pat. No. 7,569,664; and Schlueter, C. J. et al. J. Mol. Biol. 256, 859 (1996).
- the a and P chains must be paired so that the variable region sequences thereof are orientated for such binding.
- Various methods of promoting pairing of an a and P in a scTCR are well known in the art.
- a linker sequence is included that links the a and P chains to form the single polypeptide strand.
- the linker should have sufficient length to span the distance between the C terminus of the a chain and the N terminus of the P chain, or vice versa, while also ensuring that the linker length is not so long so that it blocks or reduces bonding of the scTCR to the target peptide-MHCcomplex.
- the linker peptide upon expression of the single polypeptide strand comprising the a and P chains, the linker peptide may be so cleaved, resulting in separated a and P chains.
- a TCR or functional variant thereof can be linked to signaling domains that yield an active TCR on the surface of a T cell.
- the TCR or functional variant thereof contains a sequence corresponding to a transmembrane sequence.
- the transmembrane domain is positively charged.
- the transmembrane domain can be a Ca or CP transmembrane domain.
- the transmembrane domain can be from a non-TCR origin, for example, a transmembrane region from CD3z, CD28 or B7.1.
- the TCR contains a sequence corresponding to cytoplasmic sequences.
- the TCR contains a CD3z signaling domain.
- the TCR is capable of forming a TCR complex with CD3.
- the TCR is a soluble TCR.
- the soluble TCR has a structure as described in WO 99/60120 or WO 03/020763.
- the TCR does not contain a sequence corresponding to the transmembrane sequence, for example, to permit membrane anchoring into the cell in which it is expressed.
- the TCR does not contain a sequence corresponding to cytoplasmic sequences.
- the TCRs can be glycosylated, amidated, carboxylated, phosphorylated, esterified, N-acylated, cyclized via, e.g., a disulfide bridge, or converted into an acid addition salt and/or optionally dimerized or polymerized, or conjugated.
- nucleic acid molecules comprising nucleic acid sequences encoding a TCR or functional variant thereof.
- the nucleic acid encoding the alpha chain and the nucleic acid encoding the beta chain can be connected via a linker, such as any described elsewhere herein.
- the alpha chain and/or beta chain of the TCR or functional variant thereof is encoded by a sequence of nucleotides comprising a signal peptide (also called a leader sequence).
- the TCR or antigen-binding fragment thereof is encoded by one or more nucleic acid sequences that is or has been codon-optimized and/or modified to eliminate cryptic splice sites.
- a TCR or functional variant thereof may be cell-bound or in soluble form. In some embodiments, the TCR or functional variant thereof is in cell-bound form. In some embodiments, a TCR or functional variant thereof is expressed on the surface of a cell.
- the present disclosure provides T cells expressing engineered TCRs or functional variants thereof that are described herein.
- T cells are engineered to express the provided TCRs or functional variants thereof for tumor antigen recognition.
- the provided TCRs or antigen-binding fragments thereof specifically recognize a peptide of the human papilloma virus 16 (HPV16) E6 or E7 protein (termed HPV16E6 TCR and HPV16E7 TCR, respectively).
- engineered T cells containing or expressing a provided TCR or functional variant thereof exhibit cytotoxic activity against target cells expressing the peptide epitope.
- engineered T cells containing or expressing a provided TCR or antigen -binding fragment thereof exhibit cytotoxic activity upon contact with a target cell (e.g., a cancer target cell and/or a target cell infected with HPV or that contains HPV DNA).
- cytotoxic activity of T cells containing or expressing the provided TCR or functional variant thereof is stimulated upon contact of such cells with target cells.
- target cells include cells cancer cells and/or cells that are infected with HPV and/or cells that contain HPV DNA sequences, and/or cells that express HPV 16, such as HPV 16 E6 or HPV 16 E7.
- TCRs and functional variants thereof of the present disclosure have one or more specified functional features, such as binding properties, including binding to particular epitopes, lack of off-target binding or activity and/or particular binding affinities.
- any one or more of the features of a TCR or functional variant thereof can be assessed by expressing the TCR, e.g., by introducing one or more nucleic acid molecules encoding the TCR or functional variants thereof, into a T cell, such a primary T cell or a T cell line.
- the TCRs or functional variants thereof are capable of binding to and/or recognizing, such as specifically binding to and/or recognizing, an antigen that is associated with, specific to, and/or expressed on a cell or tissue of a disease, disorder or condition, such as a cancer or a tumor.
- the antigen is in a form of a peptide, e.g., is a peptide antigen or a peptide epitope.
- the provided TCRs bind to, such as specifically bind to, an antigen that is a peptide, in the context of a major histocompatibility (MHC) molecule.
- MHC major histocompatibility
- binding of a TCR to a peptide epitope is governed by the presence of an antigen-binding site containing one or more complementarity determining regions (CDRs).
- CDRs complementarity determining regions
- specifically binds does not mean that the particular peptide epitope, e.g. in complex with an MHC, is the only thing to which the MHC-peptide molecule may bind, since non-specific binding interactions with other molecules may also occur.
- binding of TCR or functional variant thereof to a peptide in the context of an MHC molecule is with a higher affinity than binding to such other molecules, e.g.
- Another peptide in the context of an MHC molecule or an irrelevant (control) peptide in the context of an MHC molecule such as at least about 2-fold, at least about 10-fold, at least about 20-fold, at least about 50-fold, or at least about 100-fold higher than binding affinity to such other molecules.
- a variety of assays are known for assessing binding affinity and/or determining whether a TCR or functional variant thereof specifically binds to a particular ligand (e.g. peptide in the context of an MHC molecule). It is within the level of a skilled artisan to determine the binding affinity of a TCR or functional variant for a T cell epitope of a target polypeptide, such as by using any of a number of binding assays that are well known in the art.
- Suitable assays for measuring the binding of one protein to another include, for example, immunoassays such as enzyme linked immunosorbent assays (ELISA) and radioimmunoassays (RIA), or determination of binding by monitoring the change in the spectroscopic or optical properties of the proteins through fluorescence, UV absorption, circular dichroism, or nuclear magnetic resonance (NMR).
- immunoassays such as enzyme linked immunosorbent assays (ELISA) and radioimmunoassays (RIA), or determination of binding by monitoring the change in the spectroscopic or optical properties of the proteins through fluorescence, UV absorption, circular dichroism, or nuclear magnetic resonance (NMR).
- Other exemplary assays include, but are not limited to, Western blot, ELISA, analytical ultracentrifugation, spectroscopy and surface plasmon resonance analysis flow cytometry, sequencing and other methods for detection of expressed nucleic acids.
- apparent affinity for a TCR is measured by assessing binding to various concentrations of te
- a TCR or functional variant thereof does not exhibit cross- reactive or off-target binding, such as undesirable off-target binding, e.g. off-target binding to antigens present in healthy or normal tissues or cells.
- the TCRs or functional variants thereof display a binding preference for antigen recognition of HPV 16 E6- or E7-expressing cells as compared to HPV 16 E6- or E7-negative cells.
- the TCR or functional variant thereof recognizes, such as specifically binds, only one peptide epitope or antigen complex, such as recognizes only a particular HPV 16 E6 epitope or HPV 16 E7 epitope or an antigen complex thereof.
- the provided TCRs or functional variants thereof have a reduced risk of causing unwanted side effects due to, for example, recognition of a non-target peptide epitope.
- the TCRs or functional variants thereof e.g., in the context of engineered cells comprising the TCRs or functional variants, elicit an immune response to HPV 16.
- cytotoxic T lymphocytes may be activated when cells containing the TCRs or functional variants are contacted with target cells, such as cancer cells, those that are infected with HPV or contain HPV DNA sequences and/or those that express HPV 16, such as HPV 16 E6 or HPV 16 E7.
- target cells such as cancer cells, those that are infected with HPV or contain HPV DNA sequences and/or those that express HPV 16, such as HPV 16 E6 or HPV 16 E7.
- target cells such as cancer cells or cells known to express HPV or contain HPV DNA sequences, including HPV 16-expressing cells, e.g., HPV 16 E6- or E7- expressing cells.
- the binding specificity and/or function (e.g., ability to elicit an immune response to HPV 16) of the TCR or functional variant thereof is at least partially CD8- independent.
- TCR recognition of a peptide in the context of an MHC molecule and subsequent T cell activation is facilitated in the presence of a CD8 co-receptor.
- CD8 co-receptor engagement can facilitate low- to moderate-TCR affinity interactions and/or T cell activation (See, for example, Kerry et al. J. Immunology (2003) 171(9): 4493-4503 and Robbins et al. J Immunology (2008) 180(9): 6116-6131).
- the provided TCRs or functional variants thereof are those that exhibit CD8-independent binding for an HPV E6 or E7 peptide epitope.
- the provided CD 8 -independent TCRs or functional variants thereof can be expressed or engineered in cells, e.g. T cells, that do not express CD8, such as can be expressed or engineered in CD4+ cells.
- Drug responsive domains derived from human carbonic anhydrase 2 (hCA2)
- Drug responsive domains are small protein domains (in the form of polypeptides) that can be appended to a target protein of interest.
- the term drug responsive domain (DRD) is interchangeable with the term destabilizing domain (DD).
- DRDs render the attached protein of interest unstable in the absence of a DRD-binding ligand (also referred to herein as a “stimulus”) such that the protein is rapidly degraded by the ubiquitin-proteasome system of the cell (Stankunas, K., et al., Mol.
- Regions or portions or domains of wild-type proteins may be utilized as DRDs in whole or in part.
- a DRD may be derived from a wild-type protein.
- a DRD is derived from a region of a wild-type protein.
- the response to a DRD-binding ligand may ultimately lead to a regulated signal or output.
- Such output signal may be of a relative nature to the stimulus, e.g., producing a modulatory effect of between 1% and 100% or a factored increase or decrease such as 2-fold, 3-fold, 4-fold, 5-fold, 10-fold or more.
- the presence, absence or an amount of a ligand that binds to or interacts with a DRD can, upon such binding or interaction, modulate the stability of the payload(s) and consequently the function of the payload(s).
- the altered function of the payload may vary, hence providing a “tuning” of the payload function.
- DRDs of the present disclosure modulate payload expression, function or level.
- Modulation of payload expression, function or level can be determined by various methods. For example, modulation can be determined by measuring the stabilization ratio and destabilization ratio.
- the stabilization ratio may be defined as the ratio of expression, function or level of a protein of interest in the presence of a stimulus specific to the DRD to the expression, function or level of the protein of interest in the absence of the stimulus.
- the stabilization ratio is at least 1, such as at least 1-10, 1-20, 1-30, 1-40, 1-50, 1-60, 1-70, 1-80, 1-90, 1-100, 20-30, 20-40, 20-50, 20-60, 20-70, 20-80, 20-90, 20-95, 20- 100, 30-40, 30-50, 30-60, 30-70, 30-80, 30-90, 30-95, 30-100, 40-50, 40-60, 40-70, 40-80, 40-90, 40-95, 40-100, 50-60, 50-70, 50-80, 50-90, 50-95, 50-100, 60-70, 60-80, 60-90, 60-95, 60-100, 70-80, 70-90, 70-95, 70-100, 80-90, 80-95, 80-100, 90-95, 90-100 or 95-100.
- the destabilization ratio may be defined as the ratio of expression, function or level of a protein of interest in the absence of the stimulus specific to the DRD to the expression, function or level of the protein of interest that is expressed constitutively and in the absence of the stimulus specific to the DRD.
- constitutively refers to the expression, function or level of a protein of interest that is not linked to a DRD and is therefore expressed both in the presence and absence of the stimulus.
- the destabilization ratio is at least 0, such as at least 0.1, 0.2, 0.3, 0.4, 0.5, 0.6, 0.7, 0.8, 0.9, or at least, 0-0.1, 0-0.2, 0-0.3, 0-0.4, 0-0.5, 0-0.6, 0- 0.7, 0-0.8, 0-0.9, 0.1-0.2, 0.1-0.3, 0.1-0.4, 0.1-0.5, 0.1-0.6, 0.1-0.7, 0.1-0.8, 0.1-0.9, 0.2-0.3, 0.2- 0.4, 0.2-0.5, 0.2-0.6, 0.2-0.7, 0.2-0.8, 0.2-0.9, 0.3-0.4, 0.3-0.5, 0.3-0.6, 0.3-0.7, O.3-O.8, 0.3-0.9, 0.4-0.5, 0.4-0.6, 0.4-0.7, 0.4-0.8, 0.4-0.9, 0.5-0.6, 0.5-0.7, 0.5-0.8, 0.5-0.9, 0.6-0.7, 0.6-0.8, 0.6- 0.9, or at least,
- a DRD may be derived from a human protein that binds to approved small molecule drugs.
- the human protein is mutated to exhibit 2 properties: (a) in the absence of the drug, the mutant protein or a portion thereof is unstable and degraded by the quality control machinery of the cell (i.e., the proteasome); and (b) in the presence of the drug, the protein or portion thereof is stabilized and therefore expressed.
- the quality control machinery of the cell i.e., the proteasome
- the protein or portion thereof is stabilized and therefore expressed.
- a DRD confers reversible and drug-dependent stabilization to the therapeutic protein.
- transgene cassettes/constructs of the present disclosure may comprise at least one DRD.
- a DRD may be derived from a carbonic anhydrase protein.
- Carbonic anhydrases are enzymes that catalyze the hydration of carbon dioxide and the dehydration of bicarbonate.
- a DRD may be derived from human carbonic anhydrase 2 (hCA2), a 260 amino acid enzyme that is 1 of 16 forms of carbonic anhydrases and is the only soluble form of the enzyme. It regulates acid-base homeostasis in renal tubules, erythrocytes, and aqueous chambers of the eye (Parkkila 2000).
- DRDs of the present disclosure are derived from human carbonic anhydrase 2 (hCA2; SEQ ID NO: 1) and are referred to herein as “CA2 DRDs”.
- CA2 WT human wild-type CA2
- SEQ ID NO: 1 SEQ ID NO: 1
- Uniprot ID: P00918 NCBI Reference Sequence: NP_000058.1
- Human CA2 having the amino acid sequence of SEQ ID NO: 1 is encoded by the polynucleotide having a nucleic acid sequence of SEQ ID NO: 12: atgtcccatcactgggggtacggcaaacacaacggacctgagcactggcataaggacttccccattgccaagggagagcgccagtcccct gttgacatcgacactcatacagccaagtatgacccttccctgaagcccctgtctgtttcctatgatcaagcaacttccctgaggatcctcaacaa tggtcatgctttcaacgtggagtttgatgactctcaggacaaagtggacccctggatggcacttacagattccagtttcactggggggggggggggcacttacaggttttcactggggaca
- a DRD of the present disclosure is derived from a region of hCA2.
- the DRD may include a region of hCA2 which is 40%, 45%, 50%, 55%, 60%, 65%, 70%, 75%, 80%, 85%, 90%, 95%, 99%, or 100%, 50-55%, 55-60%, 60-65%, 65-70%, 70-75%, 75-80%, 80-85%, 85-90%, 90-95%, 95-100%, 50-60%, 60-70%, 70-80%, 80-90%, 90-100%, 50- 70%, 60-80%, 70-90%, 80-100%, 50-80%, 60-90%, 70-100%, 50-90%, 60-100%, 50-100%, 50- 75%, or 75-100% of the parent hCA2 protein.
- a DRD of the present disclosure is derived from a region of hCA2 and the region may be 75-125, 100-150, 125-175, 150-200, 175-225, or 200-250 amino acids in length.
- the region of the parent protein may be 225-250 amino acids in length.
- the region of the parent protein may be 225- 260 amino acids in length.
- a DRD of the present disclosure is derived from a region of hCA2, said region corresponding to amino acids 2-260 of the hCA2 sequence (SEQ ID NO: 1). This is referred to herein as an Mldel mutation.
- the Mldel mutation may also be referred to herein as an amino acid deletion.
- DRD constructs disclosed herein may not comprise an N-terminal methionine corresponding to the N-terminal methionine of SEQ ID NO: 1.
- the present disclosure identifies positions of the CA2 DRD by comparing the CA2 DRD amino acid sequence to the wild-type human CA2 (Uniprot ID: P00918) of SEQ ID NO: 1, wherein reference position 1 is the N-terminal methionine of SEQ ID NO: 1.
- a hypothetical CA2 DRD comprising an S56N amino acid substitution refers herein to a CA2 DRD construct wherein serine (S) is mutated to asparagine (N) at a position in the CA2 DRD construct that corresponds to the 56 th amino acid of SEQ ID NO: 1, regardless of whether the CA2 DRD construct itself comprises an N-terminal methionine corresponding to the N-terminal methionine of SEQ ID NO: 1.
- a DRD of the present disclosure is derived from a region of hCA2 corresponding to amino acids 2-260 of SEQ ID NO: 1.
- a DRD of the present disclosure is derived from a region of hCA2 corresponding to amino acids 2-237 of SEQ ID NO: 1.
- the CA2 DRDs may exclude the lysine at position 260 of SEQ ID NO. 1.
- a DRD of the present disclosure may have 50%, 55%, 60%, 65%, 70%, 75%, 80%, 85%, 90%, 95%, 99%, or 100%, 50-55%, 55-60%, 60-65%, 65-70%, 70- 75%, 75-80%, 80-85%, 85-90%, 90-95%, 95-100%, 50-60%, 60-70%, 70-80%, 80-90%, 90- 100%, 50-70%, 60-80%, 70-90%, 80-100%, 50-80%, 60-90%, 70-100%, 50-90%, 60-100%, 50- 100%, 50-75%, or 75-100% sequence identity to a reference polynucleotide or polypeptide.
- a DRD of the present disclosure may have at least 50%, 55%, 60%, 65%, 70%, 75%, 80%, 85%, 90%, 91%, 92%, 93%, 94%, 95%, 96%, 97%, 98%, 99% but less than 100% sequence identity to a particular reference polynucleotide or polypeptide.
- the reference polypeptide may be SEQ ID NO. 1.
- the amino acid sequence of a DRD encompassed in the present disclosure has at least about 40%, 50 or 60% identity, further at least about 70% identity, preferably at least about 75% or 80% identity, more preferably at least about 85%, 86%, 87%, 88%, 89% or 90% identity, and further preferably at least about 91%, 92%, 93%, 94%, 95%, 96%, 97%, 98% or 99% identity to the amino acid sequence of hCA2 (SEQ ID NO. 1).
- a DRD of the present disclosure comprises one or more amino acid variations compared to SEQ ID NO. 1.
- a DRD of the present disclosure comprises at least one amino acid variation compared to the amino acid sequence of wild-type hCA2, which amino acid variation, in the absence of a stimulus, destabilizes the DRD and at least one payload that is operably linked to the DRD. In the presence of the stimulus, the DRD and the at least one payload are stabilized.
- a DRD derived from hCA2 includes one, two, three, four or more amino acid variations that, in the absence of the stimulus, destabilize the DRD and the at least one operably linked payload.
- the destabilization ratio of a DRD derived from hCA2 comprising the at least one amino acid variation is lower than the destabilization ratio of wild-type hCA2. In some embodiments, the stabilization ratio of a DRD derived from hCA2 comprising the at least one amino acid variation is higher than the stabilization ratio of wild-type hCA2. In some embodiments, a DRD may comprise one or more additional amino acid variation that do not significantly affect the destabilization and stabilization ratios.
- a DRD of the present disclosure may comprise an amino acid substitution that is conserved (with similar physicochemical properties as the amino acid at the substitution site), semi conserved (e.g., negatively to positively charged amino acid substitution) or non-conserved (amino acid with different physicochemical properties than the amino acid at the substitution site).
- the amino acid lysine may be substituted to glutamic acid or arginine; the amino acid phenylalanine may be substituted to leucine; the amino acid leucine may be substituted to phenylalanine; or the amino acid asparagine may be substituted to serine.
- the DRDs of the present disclosure may also comprise amino acid and nucleotide substitutions that do not affect stability, including conservative substitutions, non-conservative substitutions and/or polymorphisms.
- CA2 DRDs described herein may also be fragments of the above DRDs, including fragments containing variant amino acid sequences. Preferred fragments are unstable in the absence of the stimulus and stabilized upon addition of the stimulus. Preferred fragments retain the ability to interact with the stimulus with similar efficiency as the DRDs described herein.
- the present disclosure provides a DRD derived from a region of or the whole human carbonic anhydrase 2 (hCA2; SEQ ID NO. 1), wherein the DRD comprises one or more amino acid variations compared to SEQ ID NO. 1.
- the present disclosure provides a DRD derived from human carbonic anhydrase 2 (hCA2; SEQ ID NO: 1) or a region of hCA2 corresponding to amino acids 2-260 of SEQ ID NO: 1, wherein the DRD comprises one or more amino acid variations compared to SEQ ID NO. 1.
- the DRD comprises an S56N amino acid substitution compared to SEQ ID NO. 1.
- the DRD comprises an L156H amino acid substitution compared to SEQ ID NO. 1.
- the DRD comprises three amino acid substitutions compared to SEQ ID NO. 1, wherein said three substitutions are D71L, T87N and L250R.
- a DRD derived from a region of or the whole human carbonic anhydrase 2 (hCA2) and comprising an S56N amino acid substitution compared to SEQ ID NO: 1 is referred to in the present disclosure as an “hCA2(S56N)” DRD.
- a CA2 DRD of the present disclosure is responsive to a stimulus.
- the CA2 DRD is responsive to one or more stimuli.
- the stimuli of the present disclosure may be FDA approved ligands capable of binding to the specific DRDs or target regions within the DRDs.
- the stimulus is a ligand.
- Ligands may be nucleic acid-based, protein-based, lipid-based, organic, inorganic or any combination of the foregoing.
- the ligand may be, but is not limited to, a protein, peptide, nucleic acid, lipid, lipid derivative, sterol, steroid, metabolite, metabolite derivative, and small molecule.
- the stimulus is a small molecule.
- the small molecule is cell permeable.
- the small molecule is FDA-approved, safe and orally administered.
- the small molecule is clinically approved to be safe and have appropriate pharmaceutical kinetics and distribution.
- the stimulus is a ligand and the ligand binds to carbonic anhydrases.
- the ligand binds to and inhibits carbonic anhydrase function and is herein referred to as a carbonic anhydrase inhibitor.
- the ligand is a small molecule that binds to carbonic anhydrase 2.
- the small molecule is a CA2 inhibitor.
- the ligand is a small molecule selected from acetazolamide, brinzolamide, dorzolamide hydrochloride, dichlorphenamide, chlorthalidone, methazolamide, topiramate, indapamide, ambroxol hydrochloride, glimepiride, tetracaine hydrochloride and celecoxib.
- the ligand is a small molecule selected from acetazolamide, brinzolamide, dorzolamide hydrochloride, dichlorphenamide, chlorthalidone, methazolamide, topiramate valdecoxib, rofecoxib, diclofenamide, ethoxzolamide, zonisamide, or dansylamide.
- the ligand is a CA2 inhibitor selected from acetazolamide, brinzolamide, dorzolamide hydrochloride, dichlorphenamide or methazolamide.
- the ligand is acetazolamide (ACZ).
- the ligands may comprise portions of small molecules known to mediate binding to CA2. Ligands may also be modified to reduce off-target binding to carbonic anhydrases other than CA2 and increase specific binding to CA2. [00317] Ligands may also be selected from the analysis of the dependence of a known CA2 ligand’s activity on its molecular/chemical structure, through Structure Activity Relationships (SAR) study. Any of the methods related to SAR, known in art, may be utilized to identify stabilizing ligands of the disclosure. SAR may be utilized to improve properties of the ligand such as specificity, potency, pharmacokinetics, bioavailability, and safety. SAR analysis of known CA2 inhibitors may also be combined with high resolution X-ray structures of CA2 complexed with ligands.
- SAR Structure Activity Relationships
- two or more ligands may be utilized to stabilize the same DRD.
- the ligand may be complexed or bound to another molecule such as, but not limited to, another ligand, a protein, peptide, nucleic acid, lipid, lipid derivative, sterol, steroid, metabolite, metabolite derivative or small molecule.
- the ligand stimulus is complexed to or bound to one or more other molecules.
- the ligand stimulus is complexed or bound to one or more different kinds and/or numbers of other molecules.
- the ligand stimulus is a multimer of the same kind of ligand. In some embodiments, the ligand stimulus multimer comprises 2, 3, 4, 5, 6, or more monomers.
- a ligand for the CA2 DRDs of the present disclosure is the small molecule drug acetazolamide (ACZ).
- ACZ has a molecular weight of 222 Daltons and is a reversible inhibitor of CA2, with a median inhibitory concentration of 12 nM (Supuran 2008).
- ACZ was initially approved in 1953 as a diuretic.
- CA2 is important for proximal bicarbonate, sodium, and chloride reabsorption in the kidney, and therefore ACZ leads to an increase in renal excretion of NaCl, NaHCCL, and water (Leaf et al. 1954; Preisig et al. 1987).
- ACZ is a relatively weak diuretic and thus has limited use because most of the excess fluid from the proximal tubule is reabsorbed in the more distal segments, and the diuretic action is progressively attenuated by the metabolic acidosis that results from the loss of bicarbonate in the urine.
- ACZ has also been clinically used for the treatment of glaucoma, altitude sickness, and seizures, with extensive published information on its pharmacokinetics, efficacy, and safety (Becker and Middleton 1955; Katayama et al. 2002, Leaf and Goldfarb 2007; Kassamali and Sica 2011).
- ACZ has a long and excellent record of safety across a spectrum of patient populations, with a variety of approved doses and dose schedules (up to 1000 mg per day) (Table 2).
- Table 2 the pharmacokinetic properties of ACZ, such as moderate plasma half-life ( ⁇ 4 to 6 hour) (Ritschel et al. 1998), high maximal concentrations (100-130 pM) after 500 mg oral dosing (Lehmann et al. 1969), and minimal tissue accumulation upon repeated dosing, make it suitable for regulating protein levels over a wide dynamic range with rapid ON and OFF kinetics.
- a number of generic versions of ACZ are available, making it easily accessible to healthcare providers and patients.
- ACZ acetazolamide
- IV intravenous.
- Sources USPI extended-release capsule; USPI tablet; USPI injectable form.
- Cluster of differentiation 40 ligand (CD40L) as a payload that is operably linked to a CA2 DRD
- Cluster of differentiation 40 ligand (CD40L, also referred to as CD 154 and TNFSF5) is a type II transmembrane protein and member of the tumor necrosis factor (TNF) superfamily and is primarily expressed on T cells.
- CD40L binds to CD40 expressed on a multitude of immune cells and initiates a cascade of cellular responses depending on the cell type. CD40L may also bind to a5pi integrin and allbp3 integrins.
- CD40L may bind to CD40 expressed in but not limited to antigen presenting cells (APCs), B cells, monocytes, macrophages, platelets, neutrophils, dendritic cells, endothelial cells, and aSMC (smooth muscle cells).
- APCs antigen presenting cells
- B cells monocytes, macrophages, platelets, neutrophils, dendritic cells, endothelial cells, and aSMC (smooth muscle cells).
- APCs antigen presenting cells
- B cells monocytes, macrophages, platelets, neutrophils, dendritic cells, endothelial cells, and aSMC (smooth muscle cells).
- APCs antigen presenting cells
- B cells monocytes
- macrophages macrophages
- platelets neutrophils
- dendritic cells dendritic cells
- endothelial cells endothelial cells
- aSMC smooth muscle cells
- DCs dendritic cells
- MHC peptide-major histocompatibility complex
- T cells may be converted to a functional state by an antigenspecific T helper cell in order to activate cytotoxic CD8+ T cells.
- the activation of CD40 also induces the expression of co- stimulatory molecules on the surface of DCs, which play an important role in the activation of T cells.
- CD40 engagement on DCs results in DC stimulation as evidenced by the surface expression of costimulatory and MHC molecules; proinflammatory cytokine production (e.g. IL12 and TNF) as well as epitope spreading.
- proinflammatory cytokine production e.g. IL12 and TNF
- CD40 activation skews macrophages toward a pro- inflammatory Ml phenotype while licensed DCs secrete interleukin (IL) 12, thereby inducing the polarization of T helper 1 cells and enhancing the activity of CD8 + cytotoxic T cells.
- IL interleukin
- the potency of CD40L in eliciting cytotoxic T cell function and inducing an antigen spread effect through its licensing of DCs makes it an attractive immunomodulatory factor to combine with adoptive cell therapy (ACT) for solid tumors.
- ACT adoptive cell therapy
- Activation of the CD40 pathway can overcome barriers to adoptive cell therapy (ACT)-driven anti-tumor response by stimulating the endogenous immune system through enhancing antigen presentation, promoting the induction of epitope spreading, and stimulating the production of pro-inflammatory cytokines (Kornbluth and Bot, 2012).
- ACT adoptive cell therapy
- clinical attempts at activation of the CD40 pathway with agonist antibodies have resulted in dose-limiting toxicities, underscoring the need for tight control over activation of this pathway (Vonderheide and Glennie, 2013).
- Exogenously expressed constitutive CD40L expression may result in liver toxicity and excessive B cell proliferation resulting in lymphomas (Schmitz et al (2006) Hepatology 44(2):430-9, Vonderheide et al. (2007) J Clin Oncol. 1 ;25(7):876-83, Sacco et al (2000) Cancer Gene Ther.;7(10): 1299-306).
- Constitutive (unregulated) expression may lead to cytokine release syndrome (CRS), thromboembolic syndromes, autoimmune reactions, AICD due to hyperimmune stimulation and tumor angiogenesis.
- CD40L:CD40 signaling axis Various strategies to elicit activation of the CD40L:CD40 signaling axis have been pursued as therapeutics to treat solid tumors, including using purified recombinant CD40L and CD40L-expressing DCs as vaccines.
- the most clinically advanced approach comes from a number of agonist CD40 monoclonal antibodies that are being evaluated in clinical trials against solid tumor malignancies (Richards et al. 2020). Improved CD40 agonist antibodies have more potent activity compared with those initially tested, but the poor safety profile of these antibodies would limit their use.
- Dose-limiting thromboembolic and liver toxicities of these antibodies and the potential for immune-mediated reactions and cytokine release syndrome have resulted in challenges in achieving a viable therapeutic index.
- Intratumoral injection of CD40 antibodies has shown promise, in both nonclinical and clinical studies, in reducing treatment-related toxicities; broad utility, however, would be limited by tumor and injection location- specific effects (Knorr et al. 2018; Irenaeus et al. 2019).
- CD40 agonist approaches could be achieved through ACT by engineering CD40L expression into cells that are targeted to the tumor microenvironment via chimeric antigen receptors or recombinant T cell receptors.
- CAR-T cells engineered to constitutively express CD40L display enhanced efficacy in both human xenograft and mouse syngeneic models (Kuhn et al. 2019; Curran et al. 2015); this approach, however, could be limited by the same toxicities encountered with monoclonal antibody treatment.
- controlled regulation of the timing and extent of CD40L expression in ACT holds great promise by combining the potent cytotoxicity of targeted T cells with an adaptive immune response elicited by activation of the CD40 pathway.
- the present disclosure addresses this need by providing, in part, compositions and methods enabling reversible and titratable control over levels of CD40L using small molecule drugs.
- the present disclosure provides for regulated CD40L expression using an FDA- approved small molecule drug with an established safety profile in humans acting as a regulatable controller, which dose-dependently increases expression of a stable, functional, transgene-derived protein in engineered cell therapies.
- the present disclosure provides for minimal levels of the functional transgene-derived protein in the absence of the drug (“basal state”).
- the present disclosure provides for reversible drug-controlled protein expression: withdrawal of the drug reduces the transgene-derived protein expression to the basal state.
- agonistic CD40 antibodies may be useful in the present disclosure.
- A. CA2 DRD operably linked to CD40L payload [00333]
- the present disclosure provides compositions and methods for regulation of CD40L payloads using DRD technology.
- the present disclosure provides methods for modulating expression, function or level of a CD40L payload.
- the modulation of expression, function or level refers to modulation of expression, function or level by at least about 20%, such as by at least about 30%, 40%, 50%, 60%, 70%, 80%, 85%, 90%, 95% and 100%, or at least 20-30%, 20-40%, 20-50%, 20-60%, 20-70%, 20-80%, 20-90%, 20- 95%, 20-100%, 30-40%, 30-50%, 30-60%, 30-70%, 30-80%, 30-90%, 30-95%, 30-100%, 40- 50%, 40-60%, 40-70%, 40-80%, 40-90%, 40-95%, 40-100%, 50-60%, 50-70%, 50-80%, 50- 90%, 50-95%, 50-100%, 60-70%, 60-80%, 60-90%, 60-95%, 60-100%, 70-80%, 70-90%, 70- 95%, 70-100%, 80-90%, 80-95%, 80-100%, 90-95%, 90-100% or 95-100%.
- a DRD according to the present disclosure is operably linked to a payload comprising CD40L or a functional variant thereof.
- the DRD is a CA2 DRD described herein or known in the art.
- the pay load is selected from any of the CD40L payloads taught herein.
- CD40L payload refers collectively to any payload comprising human CD40L (SEQ ID NO: 2) or a functional variant thereof. Constructs of the present disclosure encoding a CA2 DRD operably linked to a CD40L payload may be referred to herein as “CA2-CD40L constructs”.
- the present disclosure provides a recombinant protein comprising a CD40L payload operably linked to a CA2 DRD (also referred to as a “CA2-CD40L fusion protein” or simply a “CA2-CD40L protein”).
- the present disclosure provides a nucleic acid molecule encoding the recombinant CA2-CD40L protein.
- the present disclosure provides a vector comprising a nucleic acid molecule encoding a CA2-CD40L protein.
- the present disclosure provides a cell comprising a nucleic acid molecule encoding a CA2-CD40L protein and/or a cell expression a CA2-CD40L protein.
- the present disclosure provides methods of making and using these recombinant proteins, nucleic acid molecules, cells and/or vectors.
- a CA2 DRD is appended to the N-terminus of CD40L, providing a CA2-CD40L fusion protein that is degraded in the absence of a ligand for the CA2 DRD.
- CA2-CD40L is stably expressed.
- presence of the ligand results in stable expression of CA2-CD40L at levels that have a functional effect on DC activation.
- the ligand is acetazolamide (ACZ).
- CD40L and functional variants thereof as payloads [00337]
- Various embodiments of the present disclosure comprise a payload operably linked to a CA2 DRD, wherein said payload comprises human CD40L (SEQ ID NO: 2) or a functional variant thereof.
- human CD40L or simply “CD40L” is interchangeable with the term “human CD40L WT,” and refers to the human wild-type CD40L polypeptide, with Uniprot ID: P29965 (NCBI Reference Sequence: NP_000065.1), having the amino acid sequence:
- a functional variant of human CD40L is a polypeptide that is derived from a parent human CD40L (SEQ ID NO: 2) polypeptide or a region thereof and retains similarity to at least one functional characteristic of the parent polypeptide or region thereof.
- a functional variant of human CD40L may retain any of the CD40L biological activities described above.
- a functional variant of human CD40L may retain biological activity selected from binding to CD40, promoting co- stimulatory signaling on antigen presenting cells and dendritic cells (DC) stimulation.
- a CD40L payload of the present disclosure may be engineered to bind to only one of its binding partners e.g. CD40.
- a CD40L payload may be capable of binding to all of its cognate binding partners.
- the payload is derived from a region of CD40L.
- the region of CD40L may be 50%, 55%, 60%, 65%, 70%, 75%, 80%, 85%, 90%, 95%, 99%, or 100%, 50- 55%, 55-60%, 60-65%, 65-70%, 70-75%, 75-80%, 80-85%, 85-90%, 90-95%, 95-100%, 50- 60%, 60-70%, 70-80%, 80-90%, 90-100%, 50-70%, 60-80%, 70-90%, 80-100%, 50-80%, 60- 90%, 70-100%, 50-90%, 60-100%, 50-100%, 50-75%, or 75-100% of the parent human CD40L (SEQ ID NO: 2) polypeptide.
- the payload comprises a region of CD40L.
- the region of CD40L may be 50%, 55%, 60%, 65%, 70%, 75%, 80%, 85%, 90%, 95%, 99%, or 100%, 50- 55%, 55-60%, 60-65%, 65-70%, 70-75%, 75-80%, 80-85%, 85-90%, 90-95%, 95-100%, 50- 60%, 60-70%, 70-80%, 80-90%, 90-100%, 50-70%, 60-80%, 70-90%, 80-100%, 50-80%, 60- 90%, 70-100%, 50-90%, 60-100%, 50-100%, 50-75%, or 75-100% of the parent human CD40L (SEQ ID NO: 2) polypeptide.
- the payload may be a region of CD40L.
- regions of CD40L include but are not limited to amino acids 113-261 of UniProt ID: P29965, wherein the cytoplasmic domain, the transmembrane domain and a portion of the extracellular domain have been removed from UniProt ID: P29965 leaving a portion of the extracellular domain and the receptor binding domain intact.
- the payload may be amino acids 14-261 of UniProt ID: P29965, which excludes the cytoplasmic tail of CD40L, thereby may potentially reduce internalization.
- the payload may be amino acids 14-261 of UniProt ID: P29965 with a deletion in amino acids S110-G116, which renders the CD40L resistant to cleavage by proteolytic enzymes.
- the payload has 50%, 55%, 60%, 65%, 70%, 75%, 80%, 85%, 90%, 95%, 99%, or 100%, 50-55%, 55-60%, 60-65%, 65-70%, 70-75%, 75-80%, 80-85%, 85- 90%, 90-95%, 95-100%, 50-60%, 60-70%, 70-80%, 80-90%, 90-100%, 50-70%, 60-80%, 70- 90%, 80-100%, 50-80%, 60-90%, 70-100%, 50-90%, 60-100%, 50-100%, 50-75%, or 75-100% identity to human CD40L (SEQ ID NO: 2).
- the payload may be a multimer of CD40L molecules such as but not limited to a dimer, a trimer, a tetramer, a pentamer, a hexamer, a septamer, or a heptamer.
- the CD40L may form a trimer. Multimerization of CD40L may enhance the signaling via the CD40L/CD40 axis. Binding of trimeric CD40L to CD40 may also initiate CD40 clustering and TRAF activation ultimately leading to NF-KB activation.
- a CD40U payload may be resistant to proteinases and sheddases such as those found in the tumor microenvironment e.g. ADAM10, or ADAM17.
- ADAM10 proteinases and sheddases
- the heightened activity of ADAM 17 in the tumor microenvironment has been associated with diminished signaling via the CD40/CD40U axis (see Uowe and Corvaia (2016), Int J Cancer Clin Res, 3:058; the contents of which are incorporated by reference in their entirety).
- Sheddases e.g. ADAM 10/17 present in the tumor microenvironment can cleave CD40U thereby preventing the successful activation of CD40 by CD40U.
- Analysis of the sequence of CD40U reveals an ADAM10/17 proteolytic cleavage site.
- a deletion of amino acids 1-13 of CD40U may be engineered to reduce internalization.
- a deletion of amino acids 110-116 of CD40U may also be designed to remove the ADAM 10/ 17 sites. Deletion or mutation of the methionine residue at amino acid position 113 of CD40U may also be utilized to reduce cleavage by ADAM10/17 enzymes.
- a region or portion of the human CD40U protein may be replaced by the murine CD40U protein sequence to generate a CD40U protein that is resistant to cleavage by ADAM10/17.
- Any of the CD40U sequences aimed at reducing its shedding as described in US Patent Publication US20180085451A1 and/or US Patent US 7,495,090B2 may be used as payloads (the contents of each of which are incorporated by reference in their entirety).
- a CD40L payload may be tethered to a cell membrane using a transmembrane domain.
- CD40L may be tethered to the membrane using a CD8-derived domains such as but not limited to CD8 transmembrane domain, CD8 hinge domain and/or CD8 cytoplasmic tail.
- amino acid variations may be engineered within a CD40L payload such that it does not bind to or binds with reduced affinity to CD40L endogenously expressed by cells described herein.
- CD40L is a type II transmembrane protein that forms a trimer on the cell surface.
- trimerization occurs through the interaction of amino acid residues 47 - 261 of SEQ ID NO. 2.
- residues within 47 - 261 of SEQ ID NO. 2 may be mutated in the CD40L payload to prevent trimerization (herein referred to as “trimerization mutants.”
- trimerization mutants herein referred to as “trimerization mutants.”
- the residues within 116-261 of SEQ ID NO. 2 may be mutated.
- mutations may allow selective trimerization such that a CD40L trimerization mutant may be able to bind to another CD40L trimerization mutant protein but not to a CD40L protein lacking the mutations.
- Trimerization mutations sites may be sites within the CD40L protein that are involved in the trimerization as determined by the crystal structure of the CD40L trimer. Positions within CD40L that may be mutated include but are not limited to amino acids at position 125, 170, 172, 224, 226 and/or 227 of SEQ ID NO. 2.
- the mutations to CD40L payload to prevent its trimerization with the endogenous CD40L may include but are not limited to Y170G, Y172G, H224G, G226F, G226H, G226W, and/or G227F.
- tandem TCR-CA2 DRD-CD40L constructs encodes a T cell receptor (TCR) or functional variant thereof and a CD40L payload operably linked to a CA2 DRD.
- TCR T cell receptor
- the TCR or functional variant thereof encoded by a TCR-CA2 DRD-CD40L construct of the present disclosure may be any of the TCR or functional variants thereof described above.
- a TCR-CA2 DRD-CD40L construct encodes a TCR or functional variant thereof having antigenic specificity for a peptide antigen or a peptide epitope of HPV16 E7.
- a TCR-CA2 DRD-CD40L construct encodes a TCR comprising an alpha (a) chain of a TCR and a beta (P) chain of a TCR.
- the nucleic acid sequence encoding the alpha chain and the nucleic acid sequence encoding the beta chain are present in any order, and are separated by a co-expression element that promotes production of separate alpha chain and beta chain polypeptides.
- the coexpression element is a nucleic acid element encoding for a cleavable linker sequence, a peptide sequence that causes ribosome skipping, or an internal ribosome entry site (IRES).
- the TCR-CA2 DRD-CD40L construct comprises a nucleic acid sequence encoding a beta chain, a nucleic acid sequence encoding an IRES or peptide sequence that causes ribosome skipping, e.g., a P2A or T2A sequence as described herein, and a nucleic acid sequence that encodes an alpha chain, in that order.
- the construct comprises a nucleic acid sequence that encodes an alpha chain, a nucleic acid sequence that encodes an IRES or peptide sequence that causes ribosome skipping, and a nucleic acid sequence that encodes a beta chain, in that order.
- the CD40L payload encoded by a TCR-CA2 DRD-CD40L construct of the present disclosure may be any of the CD40L payloads described above.
- the CD40L payload comprises human CD40L (SEQ ID NO. 2).
- the CA2 DRD encoded by a TCR-CA2 DRD-CD40L construct of the present disclosure may be any of the CA2 DRDs described above.
- the CA2 DRD is derived from human carbonic anhydrase 2 (hCA2; SEQ ID NO: 1) and comprises an S56N amino acid substitution compared to SEQ ID NO. 1.
- the CA2 DRD may be positioned at the N terminus of the construct, or the C terminus of the construct, or in the internal location.
- the present disclosure provides a DNA construct encoding (1) a constitutively expressed HPV16E7- specific TCR and (2) a CA2 DRD-regulated CD40L.
- the construct When the construct is transduced into cells, the HPV16E7 TCR is expressed constitutively, whereas functional CD40L is produced when transduced cells are exposed to a ligand for the CA2 DRD, for example, the stabilizing drug, acetazolamide (ACZ).
- CD40L expression levels on the cell surface of transduced cells are regulated by administration of ACZ. In the absence of ACZ, the CA2 DRD is unstable and the CA2-CD40L fusion protein is degraded.
- CD40L payload Upon dosing of ACZ, the CA2 DRD is stabilized, resulting in functional and dose-proportional CD40L payload expression.
- the pharmacologically controlled expression of CD40L payload is designed to activate antigen-presenting cells within the tumor microenvironment (TME) to stimulate an adaptive immune response that, coupled with HPV-targeted T cell cytolysis, may provide a more complete and durable therapeutic response.
- TAE tumor microenvironment
- Tandem TCR-CA2 DRD-CD40L constructs of the present disclosure may be designed to comprise additional features, such as one or more nucleic acid elements encoding one or more signal sequences, one or more cleavage and/or processing sites, one or more targeting and/or penetrating peptides, one or more tags, and/or one or more linkers. Such additional features may facilitate the expression and/or regulation of polypeptides encoded by the constructs.
- TCR-CA2 DRD-CD40L constructs of the present disclosure may further comprise other regulatory moieties such as inducible promoters, enhancer sequences, microRNA sites, and/or microRNA targeting sites. Additionally, TCR-CA2 DRD-CD40L constructs of the present disclosure may comprise one or more co-expression elements.
- a signal sequence is a short (5-30 amino acids long) peptide present at the N-terminus of the majority of newly synthesized proteins that are destined towards a particular location.
- Signal sequences (also sometimes referred to as signal peptides, targeting signals, target peptides, localization sequences, transit peptides, leader sequences or leader peptides) direct proteins (e.g., recombinant proteins encoded by constructs of the disclosure) to their designated cellular and/or extracellular locations. Protein signal sequences play a central role in the targeting and translocation of nearly all secreted proteins and many integral membrane proteins. Signal sequences can be recognized by signal recognition particles (SRPs) and cleaved using type I and type II signal peptide peptidases. Signal sequences derived from human proteins can be incorporated into constructs of the present disclosure to direct the encoded recombinant proteins to a particular cellular and/or extracellular location. In addition to signal sequences naturally occurring such as from a secreted protein, a signal sequence may be a variant modified from a known signal sequence of a protein.
- SRPs signal recognition particles
- a signal sequence may be the endogenous signal sequence of the N terminal component of a protein from which a recombinant protein is derived.
- Signal sequences may be selected based on their compatibility with the secretory pathway of the cell type of interest so that the recombinant protein is presented on the surface of the cell type of interest, for example a T cell.
- the signal sequence may be an IgE signal sequence, CD8a signal sequence (also referred to as CD8a leader), or Mldel CD8a signal sequence (also referred to as Mldel CD8 leader sequence).
- a signal sequence may be, although not necessarily, located at the N-terminus or C-terminus of a recombinant protein encoded by a provided TCR-CA2 DRD- CD40L construct, and may be, although not necessarily, cleaved off the recombinant protein.
- a signal sequence used herein may exclude the methionine at the position 1 of amino acid sequence of the signal sequence. This may be referred to as an Mldel mutation.
- signal sequences directing a recombinant protein to the surface membrane of a target cell may be used.
- Expression of the recombinant protein on the surface of the target cell may be useful to limit the diffusion of the recombinant protein to non-target in vivo environments, thereby potentially improving the safety profile of the recombinant protein. Additionally, the membrane presentation of the recombinant protein may allow for physiological and qualitative signaling as well as stabilization and recycling of the payload for a longer halflife.
- TCR-CA2 DRD-CD40L constructs of the present disclosure may comprise a nucleic acid element encoding a cleavage and/or processing feature. In some embodiments, the constructs of the present disclosure may comprise at least one nucleic acid element encoding a protein cleavage signal/site. In some embodiments, TCR-CA2 DRD-CD40L constructs of the present disclosure comprise a furin cleavage site.
- TCR-CA2 DRD-CD40L constructs of the present disclosure may comprise a nucleic acid element encoding a linker.
- a “linker” or “linker domain” or “linker region” or “linker module” or “peptide linker” or “spacer” as used herein refers to a polypeptide of from about 1 to 100 amino acids in length, which links together any of the domains/regions of polypeptides encoded by constructs of the disclosure (also called “peptide linker”).
- a linker sequence may be a natural linker derived from a multi-domain protein.
- a natural linker is a short peptide sequence that separates two different domains or motifs within a protein.
- the linker may be a BamHI site.
- the BamHI site has the amino acid sequence GS and/or the DNA sequence GGATCC
- an artificially designed peptide linker may be composed of a polymer of flexible residues such as glycine (G) and serine (S) so that the adjacent protein domains are free to move relative to one another. Longer linkers may be used when it is desirable to ensure that two adjacent domains do not interfere with one another.
- a linker may be a GS-linker.
- a GS-linker is a linker comprising glycine (G) and serine (S) residues.
- a GS- linker may comprise (GS)n, (GGS)n, (GGGS)n, (GGSG)n, (GGSGG)n, or (GGGGS)n, wherein n is 1, 2, 3, 4, 5, 6, 7, 8, 9, or 10.
- TCR-CA2 DRD-CD40L constructs of the present disclosure may comprise a co-expression element.
- a “co-expression element” is a nucleic acid element that promotes production of separate polypeptides from the nucleic acid sequences flanking the co-expression element.
- the co- expression element may be a nucleic acid element encoding for a cleavable linker sequence, a peptide that causes ribosome skipping, or an internal ribosome entry site (IRES).
- IRS internal ribosome entry site
- Illustrative examples peptides that cause ribosome skipping include 2A peptides.
- a 2A peptide of the present disclosure may be selected from foot-and-mouth disease virus (FMDV) 2A (F2A), equine rhinitis A virus (ERAV) 2A (E2A); porcine teschovirus-1 2A (P2A) and Thosea asigna virus 2A (T2A).
- FMDV foot-and-mouth disease virus
- F2A foot-and-mouth disease virus
- E2A equine rhinitis A virus
- E2A porcine teschovirus-1 2A
- T2A Thosea asigna virus 2A
- the present disclosure also provides cells, such as T cells, that are engineered to express a CD40E payload under DRD control along with an engineered T cell receptor (TCR) for tumor antigen recognition.
- TCR T cell receptor
- such a cell may be engineered by introducing a TCR-CA2 DRD-CD40E construct of the present disclosure into the cell according to methods described below.
- the present disclosure provides a TCR-CA2 DRD-CD40E construct referred to throughout the present disclosure as the “HPV16E7-CD40E-038 construct,” and may also be referred to as the “TCR-CA2(S56N)-CD40E construct.”
- the HPV16E7-CD40E- 038 construct comprises a nucleic acid sequence encoding two recombinant proteins: (i) an engineered TCR recognizing an epitope from the HPV16 E7 protein when presented by human leukocyte antigen (HEA)-A*02:01 (major histocompatibility complex class I). (Jin, et al.
- HPV16E7 TCR encoded by the HPV16E7-CD40L-038 construct specifically recognizes a peptide of the human papilloma virus 16 (HPV16) E7 protein, a viral oncogene present in HPV16 + tumors such as head and neck squamous cell carcinoma and cervical cancer (Draper et al. 2015).
- FIG. 2 depicts a schematic representation of the HPV16E7-CD40L-038 construct. Transcription of the engineered TCR and CA2-CD40L sequences is driven by the human elongation factor 1 alpha (EFla) promoter (GenBank sequence: E02627.1), with an intervening P2A ribosomal skip sequence between the TCR polynucleotides (encoding the TCR alpha (a) chain and TCR beta (P) chain) to achieve non-covalent and stoichiometric expression of both chains.
- the P2A sequence is derived from the porcine teschovirus-1 (Funston et al. 2008).
- the TCR polynucleotide sequence encodes 2 polypeptide chains, TCRa and TCRp.
- the coding sequence in the HPV16E7-CD40L-038 construct was engineered with a 5’ to 3’ orientation consisting of the HPV16E7 TCRP chain, followed by a P2A ribosomal skipping sequence, followed by the HPV16E7 TCRa chain.
- the TCR sequence was optimized by removing a potential polyadenylation site and predicted splice sites.
- a second P2A sequence is positioned 3’ of the TCRa chain coding sequence, followed by the CA2-DRD fused to the 5’ end of the human CD40L coding sequence.
- the 2 P2A sequences are modified in the degenerate positions of their codons in order to reduce the likelihood of recombination events between the 2 P2A sequences.
- the P2A ribosomal skipping sequences are 19 amino acids long (ATNFSLLKQAGDVEENPGP)(SEQ ID NO. 16). Translational skipping occurs between the penultimate residue glycine and proline at the C-terminal end of the sequence. Following the skipping event, the upstream polypeptide retains the majority of the P2A peptide sequence (18 amino acids) while the downstream polypeptide has 1 additional amino acid (proline) appended to its N-terminus.
- the additional 18 amino acids of the P2A sequence are fused to the C-terminal intracellular sequence of the TCRP chain.
- the second P2A sequence between TCRa chain and CD40L leads to fusion of the 18 amino acid P2A peptide to the C-terminus of the TCRa chain.
- Both P2A tails are retained intracellularly to reduce the risk of immunogenicity of a human protein-P2A fusion.
- the P2A peptide fused to the TCRa chain does not appear to interfere with TCR signaling or antigen binding, as the TCR retains function as described in Example 5.
- a furin cleavage sequence may be appended to a P2A peptide or in close proximity to a P2A peptide. Without wishing to be bound by theory, the furin cleavage sequence may assist in increasing cleavage of the proteins from each other.
- the N-terminus of CD40L a type II transmembrane protein
- a CA2-DRD comprising an S56N amino acid substitution.
- Type II transmembrane protein biology dictates that the N-terminus of the mature protein is on the cytoplasmic side of the cell membrane; thus, the CA2-DRD fused to the C- terminus remains intracellular.
- a 12 amino acid flexible linker sequence (3xGGSG) was inserted between the CA2-DRD and the 22 amino acid intracellular region of CD40L.
- the CA2-CD40L sequence was codon-optimized to maximize expression.
- the HPV16E7-CD40L-038 construct exhibits precise pharmacologically controlled CD40L expression and function both in vitro and in vivo in engineered T cells.
- These examples confirm control of expression and function of the CD40L payload operably linked to the CA2 DRD in HPV-TCR engineered T cells through the administration of acetazolamide (ACZ).
- the present disclosure provides various nucleic-acid based embodiments, including constructs, construct components, nucleic acid elements, and nucleic acid molecules. These are collectively referred to herein as “polynucleotides”. [00377] The various polynucleotides of the present disclosure may or may not be chemically modified. Polynucleotides may include those encompassing natural and/or non-naturally occurring nucleotides and bases, e.g., including those with backbone modifications.
- Non-limiting examples of constructs of the present disclosure are CA2-CD40L constructs and tandem TCR-CA2 DRD-CD40L constructs.
- Another illustrative construct of the present disclosure is the HPV16E7-CD40L-038 construct.
- construct and “nucleic acid construct” are used interchangeably and refer to a polynucleotide or a portion of a polynucleotide, typically comprising one or more nucleic acid sequences encoding one or more transcriptional products and/or proteins.
- a construct may be a recombinant nucleic acid molecule or a part thereof.
- construct may also be referred to herein as a “transgene cassette”.
- a construct may comprise one or more construct components.
- a construct component is a portion or a region of a construct. Illustrative examples of construct components of the present disclosure are listed in Table 3. In some embodiments, a construct component is a nucleic acid element.
- nucleic acid element refers to a polynucleotide or oligonucleotide comprising a regulatory nucleic acid sequence (e.g., a promoter, a co-expression element such as an IRES, etc.) or a polynucleotide or oligonucleotide that encodes a peptide, polypeptide or protein.
- a nucleic acid element encodes a functional, structural and/or regulatory peptide, polypeptide or protein (e.g., protein-coding element, protease cleavage site, peptide linker, etc.).
- Nucleic acid elements may be, but are not limited to, DNA-based or RNA- based elements, referred to as DNA element and RNA element, respectively.
- nucleic acid molecules comprising or encoding various embodiments of the present disclosure.
- a nucleic acid molecule of the disclosure may be selected from a plasmid, cosmid, virus, autonomously replicating nucleic acid molecule, phage, or linear or a circular singlestranded or double-stranded DNA or RNA nucleic acid molecule, derived from any source, capable of genomic integration or autonomous replication.
- the nucleic acid molecule is a DNA molecule or an RNA molecule. In some embodiments, the nucleic acid molecule is a complementary DNA (cDNA) molecule.
- cDNA complementary DNA
- the nucleic acid molecule is a messenger RNA (mRNA).
- mRNA messenger RNA
- the term “messenger RNA” (mRNA) refers to any polynucleotide which encodes a polypeptide of interest and which is capable of being translated to produce the encoded polypeptide of interest in vitro, in vivo, in situ or ex vivo.
- the present disclosure provides nucleic acid molecules encoding recombinant proteins described above, such as recombinant proteins that are or comprise a TCR or functional variant thereof and/or recombinant proteins that comprise a payload which is operably linked to a DRD.
- a nucleic acid molecule may comprise one or more constructs.
- the present disclosure provides nucleic acid molecules comprising any of the constructs of the present disclosure, such as tandem TCR-CA2 DRD- CD40L constructs, for example, the HPV16E7-CD40L-038 construct.
- the constructs and nucleic acid molecules of the present disclosure may comprise upstream and downstream regulatory nucleic acid elements such as a 5’ untranslated regions (5’ UTR) and/or a 3 '-untranslated region (3' UTR).
- regulatory nucleic acid elements may be derived from a source that is native or heterologous with respect to the other elements present on the construct or nucleic acid molecule.
- constructs and nucleic acid molecules of the present disclosure may harbor 5’ untranslated regions (5’ UTR) of an mRNA nucleic acid molecule, which can play a role in translation initiation and can also be a genetic component in an expression construct.
- 5’ UTR untranslated regions
- 5 ’UTR sequences may include features such as Kozak sequences which are commonly known to be involved in the process by which the ribosome initiates translation of genes, Kozak sequences have the consensus XCCR(A/G) CCAUG, where R is a purine (adenine or guanine) three bases upstream of the start codon (AUG) and X is any nucleotide.
- the Kozak sequence is ACCGCC.
- constructs and nucleic acid molecules which may comprise an internal ribosome entry site (IRES), which is a nucleic acid element that plays an important role in initiating protein synthesis in the absence of 5’ cap structure in the polynucleotide.
- IRES may act as the sole ribosome binding site or may serve as one of multiple binding sites.
- Constructs and nucleic acid molecules of the disclosure containing more than one functional ribosome binding site may encode several peptides or polypeptides that are translated independently by the ribosomes giving rise to bicistronic and/or multicistronic constructs and nucleic acid molecules.
- nucleic acid molecules which may comprise one or more nucleic acid elements encoding for a peptide that causes ribosome skipping.
- Illustrative examples of peptides that cause ribosome skipping are 2A peptides.
- a 2A peptide may be selected from foot-and-mouth disease virus (FMDV) 2A (F2A), equine rhinitis A virus (ERAV) 2A (E2A); porcine teschovirus-1 2A (P2A) and Thosea asigna virus 2A (T2A).
- FMDV foot-and-mouth disease virus
- E2A equine rhinitis A virus
- P2A porcine teschovirus-1 2A
- T2A Thosea asigna virus 2A
- a polynucleotide sequence or portion thereof is codon optimized.
- the nucleic acid sequence of any of the polynucleotides of the present disclosure and/or the nucleic acid sequence encoding a recombinant protein, a payload, and/or a TCR (e.g., an alpha chain of a TCR and/or a beta chain of a TCR) or a functional variant thereof is codon-optimized.
- Codon optimization refers to a process of modifying a nucleic acid sequence for enhanced expression in the host cell by replacing one or more codons of the native sequence with codons that are most frequently used in the genes of that host cell while maintaining the native amino acid sequence. Codon optimization methods and algorithms are known in the art. Codon options for each amino acid are also well known in the art as are various species tables for optimizing for expression in that particular species.
- codon optimization of the nucleotide sequence increases the translation efficiency of the mRNA transcripts.
- Codon optimization of the nucleotide sequence may involve substituting a native codon for another codon that encodes the same amino acid, but can be translated by tRNA that is more readily available within a cell, thus increasing translation efficiency. Optimization of the nucleotide sequence may also reduce secondary mRNA structures that would interfere with translation, thus increasing translation efficiency.
- codon optimization involves balancing the percentages of codons selected with the published abundance of human transfer RNAs so that none is overloaded or limiting.
- codon usage may be necessary in some cases because most amino acids are encoded by more than one codon, and codon usage varies from organism to organism. Differences in codon usage between transfected genes and host cells can have effects on protein expression and immunogenicity of a nucleic acid construct. In general, for codon optimization, codons are chosen to select for those codons that are in balance with human usage frequency. Typically, the redundancy of the codons for amino acids is such that different codons code for one amino acid.
- Codon optimization may be useful for various purposes, such as matching codon frequencies in target and host organisms to ensure proper folding; biasing nucleotide content to alter stability or reduce secondary structures; minimizing tandem repeat codons or base runs that may impair gene construction or expression; customizing transcriptional and translational control regions; inserting or removing protein signaling sequences; removing/adding post translation modification sites in encoded protein (e.g. glycosylation sites); adding, removing or shuffling protein domains; inserting or deleting restriction sites; modifying ribosome binding sites and degradation sites; adjusting translational rates to allow the various domains of the protein to fold properly; and reducing or eliminating problem secondary structures within the polynucleotide.
- the stop codon of the polynucleotides of the present disclosure may be modified to include sequences and motifs to alter the expression levels of the polypeptides of the present disclosure. Such sequences may be incorporated to induce stop codon readthrough, wherein the stop codon may specify amino acids e.g. selenocysteine or pyrrolysine. In other instances, stop codons may be skipped altogether to resume translation through an alternate open reading frame. Examples of preferred stop codon motifs include UGAN, UAAN, and UAGN, where N is either C or U. Stop codon readthrough may be combined with P2A to obtain low level expression of a downstream polynucleotide.
- nucleic acid sequence of any of the polynucleotides of the present disclosure and/or the nucleic acid sequence encoding a recombinant protein, a payload, and/or a TCR or a functional variant thereof is modified such that cryptic splice sites are removed.
- nucleic acid molecules and constructs of the present disclosure are those containing sequences at least at or about 90%, 91%, 92%, 93%, 94%, 95%, 96%, 97%, 98%, or 99% identical to the sequences provided herein.
- vectors such as those comprising any of the polynucleotides described herein.
- a vector comprises the nucleic acid molecules, constructs or nucleic acid elements disclosed herein.
- polynucleotides of the disclosure are cloned into a suitable expression vector or vectors.
- the expression vector can be any suitable recombinant expression vector, and can be used to transform or transfect any suitable host.
- Suitable vectors include those designed for propagation and expansion or for expression or both, such as plasmids and viruses.
- the vector is an expression vector.
- recombinant expression vectors can be prepared using standard recombinant DNA techniques.
- vectors can comprise regulatory sequences, such as transcription and translation initiation and termination codons, which are specific to the type of host (e.g., bacterium, fungus, plant, or animal) into which the vector is to be introduced, as appropriate and taking into consideration whether the vector is DNA- or RNA- based.
- Vectors include, but are not limited to, plasmids, viruses, cosmids, and artificial chromosomes.
- the vectors comprise one or more promoters operably linked to one or more of the polynucleotides of the disclosure, such as one or more of the nucleic acid molecules, constructs, or nucleic acid elements.
- the vector can comprise a promoter operably linked to a construct or nucleic acid element.
- the selection of promoters e.g., strong, weak, inducible, tissue-specific and developmental- specific, is within the ordinary skill of the artisan.
- the combining of a nucleic acid sequence with a promoter is also within the skill of the artisan.
- the promoter can be a non- viral promoter or a viral promoter, such as a cytomegalovirus (CMV) promoter, an SV40 promoter, an RSV promoter, and a promoter found in the long-terminal repeat of the murine stem cell virus.
- CMV cytomegalovirus
- SV40 promoter SV40 promoter
- RSV promoter a promoter found in the long-terminal repeat of the murine stem cell virus.
- Other promoters known to a skilled artisan are also contemplated.
- a vector can comprise a promoter operably linked to a tandem TCR-CA2 DRD-CD40L construct, such as the HPV16E7-CD40L-038 construct.
- the nucleic acid molecules, constructs, or vectors comprise a single promoter that drives expression of one or more nucleic acid elements.
- promoters can be multicistronic (e.g., bicistronic or tricistronic).
- transcription units can be engineered as a bicistronic unit containing an IRES (internal ribosome entry site), which allows co-expression of gene products (e.g. encoding an alpha chain and/or beta chain of a TCR) by a message from a single promoter.
- IRES internal ribosome entry site
- a single promoter may direct expression of an RNA that contains, in a single open reading frame (ORF), two or three genes (e.g. encoding an alpha chain and/or beta chain of a TCR) separated from one another by sequences encoding a self-cleavage peptide (e.g., T2A) or a protease recognition site (e.g., furin).
- ORF open reading frame
- the ORF thus encodes a single polyprotein, which, either during (in the case of 2A e.g., T2A) or after translation, is cleaved into the individual proteins.
- the peptide such as T2A
- 2A cleavage peptides including those that can induce ribosome skipping, are Thosea asigna virus (T2A), porcine teschovirus-1 (P2A), equine rhinitis A virus (E2A) and 2A sequences from the foot-and-mouth disease virus (F2A).
- polypeptides comprising sequences encoded by any of the provided polynucleotides.
- the polypeptides of the disclosure are recombinant proteins.
- the present disclosure provides a recombinant protein that is or comprises a TCR or a functional variant thereof.
- the TCR or functional variant thereof may be any of the TCRs or functional variants thereof described above.
- a TCR or functional variant thereof has antigenic specificity for a peptide antigen or a peptide epitope of HPV16 E7.
- the present disclosure provides a recombinant protein comprising a CD40L payload operably linked to a CA2 DRD (also referred to as a “CA2-CD40L fusion protein” or simply a “CA2-CD40L protein”).
- the CD40L payload may be any of the CD40L payloads described above.
- the CD40L payload comprises human CD40L (SEQ ID NO. 2).
- the provided recombinant proteins are encoded by the nucleic acid molecules of the present disclosure.
- provided herein are recombinant proteins encoded by TCR-CA2 DRD-CD40L constructs.
- recombinant proteins are provided that are encoded by the HPV16E7-CD40L-038 construct.
- polypeptides comprising substitutions, insertions, additions, deletions and/or covalent modifications.
- sequence tags or amino acids such as one or more lysines
- Sequence tags can be used for peptide purification or localization.
- Lysines can be used to increase peptide solubility or to allow for biotinylation.
- amino acid residues located at the carboxy and amino terminal regions of the amino acid sequence of a peptide or protein may optionally be deleted providing for truncated sequences.
- Certain amino acids e.g., C-terminal or N-terminal residues
- any of the provided polypeptides may comprise one or more post-translational modifications (PTM).
- PTMs post-translational modifications
- Such PTMs may occur upon or after translation of a polypeptide component administered as a nucleic acid encoding said polypeptide component.
- Post translational modifications (PTMs) of the present disclosure include, but are not limited to acetylation, phosphorylation, ubiquitination, carboxylation, deamidation, deamination, deacetylation, dihydroxylation, dephosphorylation, formylation, gamma-carboxyglutamation, glutathionylation, glycation, hydroxylation, methylation, nitration, sumoylation, N-or O- transglutamination, glycosylation and famesylation.
- Polypeptides of the disclosure may have 1, 2, 3, 4, 5, 6, 7, 8, 9, 10 or more PTMs which are the same or different.
- cells comprising one or more of the polynucleotides of the disclosure and cells expressing one or more of the polypeptides and/or recombinant proteins of the disclosure.
- Some embodiments of the present disclosure provide a host cell comprising any of the recombinant expression vectors described herein.
- the host cell may be any type of cell that can contain the inventive recombinant expression vector.
- the host cell preferably is a peripheral blood lymphocyte (PBL) or a peripheral blood mononuclear cell (PBMC). More preferably, the host cell is a T cell.
- PBL peripheral blood lymphocyte
- PBMC peripheral blood mononuclear cell
- polypeptides or recombinant proteins of the disclosure are expressed in T cells, such as a primary T cell or a T cell line.
- the T cell line is a Jurkat cell or a Jurkat-derived cell line.
- one or more nucleic acid molecule(s) encoding the polypeptide/ s) or recombinant protein(s) are introduced into a cell, such as a T cell.
- the T cell can be any T cell, such as a cultured T cell, e.g., a primary T cell, or a T cell from a cultured T cell line, e.g., Jurkat, SupTl, etc., or a T cell obtained from a mammal. If obtained from a mammal, the T cell can be obtained from numerous sources, including but not limited to blood, bone marrow, lymph node, the thymus, or other tissues or fluids. T cells can also be enriched for or purified.
- the T cell is a human T cell. More preferably, the T cell is a T cell isolated from a human.
- the T cell can be any type of T cell and can be of any developmental stage, including but not limited to, CD4+/ CD8+ double positive T cells, CD4+ helper T cells, e.g., Thl and Th2 cells, CD4+ T cells, CD8+ T cells (e.g., cytotoxic T cells), tumor infiltrating lymphocytes (TILs), memory T cells (e.g., central memory T cells and effector memory T cells), naive T cells, and the like.
- CD4+/ CD8+ double positive T cells CD4+ helper T cells, e.g., Thl and Th2 cells
- CD4+ T cells e.g., cytotoxic T cells
- TILs tumor infiltrating lymphocytes
- memory T cells e.g., central memory T cells and effector memory T cells
- naive T cells e.g., naive T cells, and the like.
- Cells provided by the present disclosure may be isolated from a sample, such as a biological sample, e.g., one obtained from or derived from a subject.
- a sample such as a biological sample, e.g., one obtained from or derived from a subject.
- the subject from which the cell is isolated is one having the disease or condition or in need of a cell therapy or to which cell therapy will be administered.
- the subject in some embodiments is a human in need of a particular therapeutic intervention, such as the adoptive cell therapy for which cells are being isolated, processed, and/or engineered.
- the cells in some embodiments are primary cells, e.g., primary human cells, such as primary human T cells.
- the samples include tissue, fluid, and other samples taken directly from the subject, as well as samples resulting from one or more processing steps, such as separation, centrifugation, genetic engineering (e.g. transduction with viral vector), washing, and/or incubation.
- the biological sample can be a sample obtained directly from a biological source or a sample that is processed.
- the sample from which the cells are derived or isolated is blood or a blood-derived sample, or is or is derived from an apheresis or leukapheresis product.
- exemplary samples include whole blood, peripheral blood mononuclear cells (PBMCs), leukocytes, bone marrow, thymus, tissue biopsy, tumor, leukemia, lymphoma, lymph node, gut associated lymphoid tissue, mucosa associated lymphoid tissue, spleen, other lymphoid tissues, liver, lung, stomach, intestine, colon, kidney, pancreas, breast, bone, prostate, cervix, testes, ovaries, tonsil, or other organ, and/or cells derived therefrom.
- Samples include, in the context of cell therapy, e.g., adoptive cell therapy, samples from autologous and allogeneic sources.
- isolation of the cells includes one or more preparation and/or non-affinity based cell separation steps.
- cells are washed, centrifuged, and/or incubated in the presence of one or more reagents, for example, to remove unwanted components, enrich for desired components, lyse or remove cells sensitive to particular reagents.
- cells are separated based on one or more property, such as density, adherent properties, size, sensitivity and/or resistance to particular components.
- the preparation methods include steps for freezing, e.g., cryopreserving, the cells, either before or after isolation, incubation, and/or engineering.
- the freeze and subsequent thaw step removes granulocytes and, to some extent, monocytes in the cell population.
- the cells are suspended in a freezing solution, e.g., following a washing step to remove plasma and platelets. Any of a variety of known freezing solutions and parameters in may be used.
- the cells are incubated and/or cultured prior to or in connection with genetic engineering.
- the incubation steps can include culture, cultivation, stimulation, activation, and/or propagation.
- the compositions or cells are incubated in the presence of stimulating conditions or a stimulatory agent. Such conditions include those designed to induce proliferation, expansion, activation, and/or survival of cells in the population, to mimic antigen exposure, and/or to prime the cells for genetic engineering.
- the provided cells have been engineered to comprise one or more of the polynucleotides of the disclosure and/or engineered to express one or more of the polypeptides and/or recombinant proteins of the disclosure.
- a cell may be engineered by introducing one or more nucleic acid molecules of the disclosure into the cell.
- engineering may involve introduction of one or more nucleic acid molecule encoding the provided recombinant proteins, e.g. TCR and CA2 DRD-CD40L, into the cell, such as by retroviral transduction, transfection, or transformation.
- the engineered cells are engineered T cells.
- populations of any of the cells described herein including compositions containing such cells and/or enriched for such cells, such as in which cells expressing the recombinant proteins make up at least 15%, 20%, 25%, 30%, 35%, 40%, 50%, 60%, 70%, 80%, 90%, 91%, 92%, 93%, 94%, 95%, 96%, 97%, 98%, 99%, or more percent of the total cells in the composition or cells of a certain type such as T cells or CD8+ or CD4+ cells.
- a population of cells comprising at least one engineered cell described herein.
- the population of cells can be a heterogeneous population comprising the engineered cell comprising any of the recombinant expression vectors described, in addition to at least one other cell, e.g., a host cell (e.g., a T cell), which does not comprise any of the recombinant expression vectors, or a cell other than a T cell, e.g., a B cell, a macrophage, a neutrophil, an erythrocyte, a hepatocyte, an endothelial cell, an epithelial cells, a muscle cell, a brain cell, etc.
- a host cell e.g., a T cell
- a cell other than a T cell e.g., a B cell, a macrophage, a neutrophil, an erythrocyte, a hepatocyte, an endothelial cell, an epithelial cells, a muscle cell, a brain cell, etc.
- the population of cells can be a substantially homogeneous population, in which the population comprises mainly of engineered cells (e.g., consisting essentially of) comprising the recombinant expression vector.
- the population also can be a clonal population of cells, in which all cells of the population are clones of a single engineered cell comprising a recombinant expression vector, such that all cells of the population comprise the recombinant expression vector.
- the population of cells is a clonal population comprising engineered cells comprising a recombinant expression vector as described herein.
- nucleic acid molecule(s) encoding the polypeptide/ s) or recombinant protein(s) may be inserted into one or more vectors for cloning and/or expression in a host cell.
- Eukaryotic cells may be used as cloning or expression hosts for vectors encoding the polypeptides and recombinant proteins.
- Exemplary eukaryotic cells that may be used to express polypeptides of the disclosure include, but are not limited to, COS cells, 293 cells, and CHO cells.
- a particular eukaryotic host cell is selected based on its ability to make desired post-translational modifications to the polypeptides or recombinant protein(s).
- a method of making the polypeptides or recombinant protein(s) comprises culturing a host cell comprising a nucleic acid molecule or nucleic acid molecules encoding the polypeptide(s) or recombinant protein(s), under conditions suitable for expression of the polypeptide(s) or recombinant protein(s), and optionally recovering the polypeptide(s) or recombinant protein(s) from the host cell (or host cell culture medium).
- compositions comprising any of the polynucleotides, vectors, recombinant proteins, or cells of the present disclosure.
- Provided compositions include recombinant proteins, recombinant vectors and engineered cells.
- compositions are administered to humans, human patients or subjects.
- compositions of the disclosure are pharmaceutical compositions and formulations.
- a pharmaceutical composition comprises one or more of a polynucleotide (e.g., a nucleic acid molecule), a vector, a recombinant protein, or a cell of the disclosure, and further comprises a pharmaceutically acceptable excipient.
- excipient refers to an inert or inactive substance added to a pharmaceutical composition to further facilitate administration of a compound.
- provided polypeptides, nucleic acids, recombinant expression vectors, and host cells can be formulated into a composition, such as a pharmaceutical composition.
- a pharmaceutical composition comprising any of the polypeptides, nucleic acids, expression vectors, and host cells (including populations thereof), described herein, and a pharmaceutically acceptable carrier.
- the inventive pharmaceutical compositions can comprise more than one material, e.g., a polypeptide and a nucleic acid, or two or more different materials.
- the pharmaceutical composition can comprise an inventive material in combination with another pharmaceutically active agent(s) or drug(s), such as chemotherapeutic agent(s).
- the pharmaceutical composition further comprises a cryoprotectant.
- Pharmaceutical compositions and formulations may be used for administration, such as for adoptive cell therapy.
- compositions of the disclosure are methods of using and uses of the compositions of the disclosure, such as in the treatment of diseases, conditions, and disorders associated with HPV16. Also provided are therapeutic methods for administering the cells and compositions to subjects, e.g., patients.
- compositions of the present disclosure may be formulated in any manner suitable for delivery.
- the formulation may be, but is not limited to, nanoparticles, poly (lactic-co-glycolic acid) (PLGA) microspheres, lipidoids, lipoplex, liposome, polymers, carbohydrates (including simple sugars), cationic lipids and combinations thereof.
- the formulation is a nanoparticle which may comprise at least one lipid.
- pharmaceutical or other formulations may comprise at least one excipient which is an inactive ingredient.
- inactive ingredient refers to one or more inactive agents included in formulations.
- all, none or some of the inactive ingredients which may be used in the formulations of the present disclosure may be approved by the US Food and Drug Administration (FDA).
- FDA US Food and Drug Administration
- a pharmaceutical composition in accordance with the present disclosure may be prepared, packaged, and/or sold in bulk, as a single unit dose, and/or as a plurality of single unit doses.
- a “unit dose” is discrete amount of the pharmaceutical composition comprising a predetermined amount of the active ingredient.
- the amount of the active ingredient is generally equal to the dosage of the active ingredient which would be administered to a subject and/or a convenient fraction of such a dosage such as, for example, one-half or one-third of such a dosage.
- kits for conveniently and/or effectively carrying out methods of the present disclosure.
- kits will comprise sufficient amounts and/or numbers of components to allow a user to perform one or multiple treatments of a subject(s) and/or to perform one or multiple experiments.
- the kit may further comprise packaging and instructions and/or a delivery agent to form a formulation composition.
- the delivery agent may comprise, for example, saline, a buffered solution.
- compositions of the present disclosure may be delivered to a cell or a subject through one or more routes and modalities.
- Viral vectors may be used for delivery of polynucleotides to a cell and/or a subject.
- Other delivery modalities may also be used such as mRNAs, plasmids, and delivery as recombinant proteins.
- compositions of the present disclosure may be delivered to cells, tissues, organs and/or organisms in naked form.
- naked refers to compositions delivered free from agents or modifications which promote transfection or permeability. Naked compositions may be delivered to the cells, tissues, organs and/or organisms using routes of administration known in the art and described herein. In some embodiments, naked delivery may include formulation in a simple buffer such as saline or PBS.
- compositions of the present disclosure may be formulated.
- Formulations may further include, but are not limited to, cell penetration agents, pharmaceutically acceptable carriers, delivery agents, bioerodible or biocompatible polymers, solvents, and/or sustained-release delivery depots.
- Formulations of the present disclosure may be delivered to cells using routes of administration known in the art and described herein.
- compositions and vectors may be introduced into cells.
- polypeptides may be delivered to the cell directly.
- nucleic acid-based compositions of the disclosure may be packaged into viral vectors or integrated into viral genomes allowing transient or stable expression of the polynucleotides.
- Preferable viral vectors are retroviral vectors including lentiviral vectors.
- a polynucleotide is inserted into the viral genome in the place of certain viral sequences to produce a virus that is replicationdefective.
- the recombinant viral vector is then introduced into a packaging cell line containing the gag, pol, and env genes, but without the LTR and packaging components.
- the recombinant retroviral particles are secreted into the culture media, then collected, optionally concentrated, and used for gene transfer.
- Lentiviral vectors are especially preferred as they are capable of infecting both dividing and non-dividing cells.
- Vectors may also be transferred to cells by non-viral methods by physical methods such as needles, electroporation, sonoporation, hyrdoporation; chemical carriers such as inorganic particles (e.g. calcium phosphate, silica, gold) and/or chemical methods.
- chemical carriers such as inorganic particles (e.g. calcium phosphate, silica, gold) and/or chemical methods.
- synthetic or natural biodegradable agents may be used for delivery such as cationic lipids, lipid nano emulsions, nanoparticles, peptide -based vectors, or polymer-based vectors.
- Vectors of the present disclosure may also be used to deliver packaged polynucleotides to a cell, a local tissue site or a subject.
- vectors may be of any kind, including DNA vectors, RNA vectors, plasmids, viral vectors and particles.
- Viral vector technology is well known and described in Sambrook et al. (2001, Molecular Cloning: A Laboratory Manual, Cold Spring Harbor Laboratory, New York).
- Viruses, which are useful as vectors include, but are not limited to lentiviral vectors, adenoviral vectors, adeno-associated viral (AAV) vectors, herpes simplex viral vectors, retroviral vectors, oncolytic viruses, and the like.
- vectors contain an origin of replication functional in at least one organism, a promoter sequence and convenient restriction endonuclease site, and one or more selectable markers e.g. a drug resistance gene.
- the recombinant expression vector may comprise regulatory sequences, such as transcription and translation initiation and termination codons, which are specific to the type of host cell into which the vector is to be introduced.
- lentiviral vehicles/particles may be used as delivery modalities.
- Lentiviruses are a subgroup of the Retroviridae family of viruses, named because reverse transcription of viral RNA genomes to DNA is required before integration into the host genome.
- the most important features of lentiviral vehicles/particles are the integration of their genetic material into the genome of a target/host cell.
- lentivirus examples include the Human Immunodeficiency Viruses: HIV-1 and HIV-2, the Simian Immunodeficiency Virus (SIV), feline immunodeficiency virus (FIV), bovine immunodeficiency virus (BIV), Jembrana Disease Virus (JDV), equine infectious anemia virus (EIAV), equine infectious anemia virus, visna-maedi and caprine arthritis encephalitis virus (CAEV).
- SIV Simian Immunodeficiency Virus
- FV feline immunodeficiency virus
- BIV bovine immunodeficiency virus
- JDV Jembrana Disease Virus
- EIAV equine infectious anemia virus
- CAEV visna-maedi and caprine arthritis encephalitis virus
- lentiviral particles making up the gene delivery vehicle are replication defective on their own (also referred to as “self-inactivating”). Lentiviruses are able to infect both dividing and non-dividing cells. Recombinant lentiviral vehicles/particles have been generated by multiply attenuating the HIV virulence genes, for example, the genes Env, Vif, Vpr, Vpu, Nef and Tat are deleted making the vector biologically safe.
- lentiviral vehicles for example, derived from HIV-l/HIV-2 can mediate the efficient delivery, integration and longterm expression of transgenes into non-dividing cells.
- Lentiviral particles may be generated by co-expressing the virus packaging elements and the vector genome itself in a producer cell such as human HEK293T cells. These elements are usually provided in three or four separate plasmids.
- the producer cells are co-transfected with plasmids that encode lentiviral components including the core (i.e. structural proteins) and enzymatic components of the virus, and the envelope protein(s) (referred to as the packaging systems), and a plasmid that encodes the genome including a foreign transgene, to be transferred to the target cell, the vehicle itself (also referred to as the transfer vector).
- the plasmids or vectors are included in a producer cell line.
- the plasmids/vectors are introduced via transfection, transduction or infection into the producer cell line.
- Methods for transfection, transduction or infection are well known by those of skill in the art.
- the packaging and transfer constructs can be introduced into producer cell lines by calcium phosphate transfection, lipofection or electroporation, generally together with a dominant selectable marker, such as neo, DHFR, Gin synthetase or ADA, followed by selection in the presence of the appropriate drug and isolation of clones.
- the producer cell produces recombinant viral particles.
- the recombinant viral particles are recovered from the culture media and titrated by standard methods used by those of skill in the art.
- the recombinant lentiviral vehicles can be used to infect target cells.
- Cells that can be used to produce high-titer lentiviral particles may include, but are not limited to, HEK293T cells, 293G cells, STAR cells (Relander et al., Mol. Then, 2005, 11: 452- 459), FreeStyleTM 293 Expression System (ThermoFisher, Waltham, MA), and other HEK293T- based producer cell lines (e.g., Stewart et al., Hum Gene Then 'll) ⁇ ⁇ , 22(3):357-369; Lee et al., Biotechnol Bioeng, 2012, 10996): 1551-1560; Throm et al., Blood. 2009, 113(21): 5104-5110; the contents of each of which are incorporated herein by reference in their entirety).
- the envelope proteins may be heterologous envelope proteins from other viruses, such as the G protein of vesicular stomatitis virus (VSV G) or baculoviral gp64 envelop proteins.
- VSV G vesicular stomatitis virus
- baculoviral gp64 envelop proteins Other elements provided in lentiviral particles may comprise retroviral LTR (long-terminal repeat) at either 5’ or 3’ terminus, a retroviral export element, optionally a lentiviral reverse response element (RRE), a promoter or active portion thereof, and a locus control region (LCR) or active portion thereof.
- the CA2 effector module is linked to the vector.
- Lentiviral vectors can be used for introducing transgenes into T cells (e.g., primary human T cells or Jurkat cells) for preclinical research and clinical applications.
- T cell engineering usually involves T cell activation by CD3/CD28 antibodies, followed by lentivirus transduction, and then cell expansion which can last from 5 to 30 days (e.g., 9 to 14 days or 9 to 15 days).
- lentivirus transgene integration may take over 7 days to fully stabilize in T cells (e.g., primary human T cells or Jurkat cells). While longer cultures can increase the cell numbers, the longer cultures can also change the T cell phenotype to a more differentiated state. Therefore, the duration of ex vivo culture can impact the persistence and efficacy of transduced T cells. For example, cells cultured for shorter duration may display a less differentiated phenotype and can be highly efficacious in preclinical models.
- the CD3/CD28 activated primary human T cells can be reactivated.
- the cells may be analyzed by methods described herein and/or known in the art for viability, viral genomic integration (e.g., by using quantitative PCR), transcript levels (e.g., by using quantitative RT-PCR), cell surface expression of a transgene, copy number, and/or mRNA levels.
- compositions of the present disclosure may be achieved using recombinant adeno-associated viral (rAAV) vectors.
- rAAV adeno-associated viral
- Such vectors or viral particles may be designed to utilize any of the known serotype capsids or combinations of serotype capsids.
- AAV vectors include not only single stranded vectors but self-complementary AAV vectors (scAAVs).
- scAAV vectors contain DNA which anneals together to form double stranded vector genome. By skipping second strand synthesis, scAAVs allow for rapid expression in the cell.
- the rAAV vectors may be manufactured by standard methods in the art such as by triple transfection, in sf9 insect cells or in suspension cell cultures of human cells such as HEK293 cells.
- polypeptides of the disclosure may be encoded in one or more viral genomes to be packaged in the AAV capsids taught herein.
- Such vector or viral genomes may also include, in addition to at least one or two ITRs (inverted terminal repeats), certain regulatory elements necessary for expression from the vector or viral genome.
- ITRs inverted terminal repeats
- regulatory elements are well known in the art and include for example promoters, introns, spacers, stuffer sequences, and the like.
- polypeptides of the disclosure may be administered in one or more AAV particles.
- retroviral vehicles/particles may be used to deliver the polypeptides of the present disclosure.
- Retroviral vectors allow the permanent integration of a transgene in target cells.
- retroviral vectors based on simple gamma-retroviruses have been widely used to deliver therapeutic genes and demonstrated clinically as one of the most efficient and powerful gene delivery systems capable of transducing a broad range of cell types.
- Example species of Gamma retroviruses include the murine leukemia viruses (MLVs) and the feline leukemia viruses (FeLV).
- gamma-retroviral vectors derived from a mammalian gammaretrovirus such as murine leukemia viruses (MLVs) are recombinant.
- Gamma-retroviral vectors may be produced in packaging cells by co-transfecting the cells with several plasmids including one encoding the retroviral structural and enzymatic (gag- pol) polyprotein, one encoding the envelope (env) protein, and one encoding the vector mRNA comprising polynucleotide encoding the compositions of the present disclosure that is to be packaged in newly formed viral particles.
- several plasmids including one encoding the retroviral structural and enzymatic (gag- pol) polyprotein, one encoding the envelope (env) protein, and one encoding the vector mRNA comprising polynucleotide encoding the compositions of the present disclosure that is to be packaged in newly formed viral particles.
- the recombinant gamma-retroviral vectors are pseudotyped with envelope proteins from other viruses.
- Envelope glycoproteins are incorporated in the outer lipid layer of the viral particles which can increase/alter the cell tropism.
- the recombinant gamma-retroviral vectors are self-inactivating (SIN) gammaretroviral vectors.
- the vectors are replication incompetent.
- SIN vectors may harbor a deletion within the 3’ U3 region initially comprising enhancer/promoter activity.
- the 5’ U3 region may be replaced with strong promoters (needed in the packaging cell line) derived from Cytomegalovirus or RSV, or an internal promotor of choice, and/or an enhancer element.
- the choice of the internal promotors may be made according to specific requirements of gene expression needed for a particular purpose of the present disclosure.
- polynucleotides of present disclosure may be packaged into oncolytic viruses.
- oncolytic virus refers to a virus that preferentially infects and kills cancer cells such as vaccine viruses.
- An oncolytic virus can occur naturally or can be a genetically modified virus such as oncolytic adenovirus, and oncolytic herpes virus.
- compositions of the disclosure e.g., polypeptides such as recombinant proteins
- a subject in need thereof may be administered to a subject using any amount and any route of administration effective for preventing or treating or managing a disease, disorder, and/or condition (e.g., a disease, disorder, and/or condition relating to cancer or an autoimmune disease).
- a disease, disorder, and/or condition e.g., a disease, disorder, and/or condition relating to cancer or an autoimmune disease.
- the exact amount required will vary from subject to subject, depending on the species, age, and general condition of the subject, the severity of the disease, the particular composition, its mode of administration, its mode of activity, and the like.
- compositions in accordance with the present disclosure are typically formulated in dosage unit form for ease of administration and uniformity of dosage. It will be understood, however, that the total daily usage of the compositions of the present disclosure may be decided by the attending physician within the scope of sound medical judgment.
- the specific therapeutically effective, prophylactically effective, or appropriate imaging dose level for any particular patient will depend upon a variety of factors including the disorder being treated and the severity of the disorder; the activity of the specific compound employed; the specific composition employed; the age, body weight, general health, sex and diet of the patient; the time of administration, route of administration, and rate of excretion of the specific compound employed; the duration of the treatment; drugs used in combination or coincidental with the specific compound employed; and like factors well known in the medical arts.
- compositions in accordance with the invention are typically formulated in unit dosage form for ease of administration and uniformity of dosage. It will be understood, however, that the total daily usage of the compositions of the present invention may be decided by the attending physician within the scope of sound medical judgment.
- the present disclosure also provides methods for delivering to a cell or tissue any of the ligands described herein, comprising contacting the cell or tissue with said ligand and can be accomplished in vitro, ex vivo, or in vivo.
- the desired dosage of the ligands of the present invention may be delivered only once, three times a day, two times a day, once a day, every other day, every third day, every week, every two weeks, every three weeks, or every four weeks.
- the desired dosage may be delivered using multiple administrations (e.g., two, three, four, five, six, seven, eight, nine, ten, eleven, twelve, thirteen, fourteen, or more administrations).
- the ligand to be administered is acetazolamide (ACZ).
- ACZ acetazolamide
- the ligand dose for a subject is within the range of approved ACZ doses in humans.
- the dose for a subject corresponds to the ACZ dose approved for the treatment of glaucoma, epilepsy, and abnormal retention of fluids.
- the ACZ dose for a subject is approximately 250 to 1000 mg total per day. In some embodiments, the dose for a subject is approximately 500 mg/day.
- ACZ is provided as an oral dose.
- continued ACZ dosing is administered.
- compositions for immunotherapy may be administered to cells ex vivo and subsequently administered to the subject.
- Immune cells can be isolated and expanded ex vivo using a variety of methods known in the art.
- the cells may be introduced into a host organism e.g. a mammal, in a wide variety of ways including by injection, transfusion, infusion, local instillation or implantation.
- the cells described herein may be introduced at the site of the tumor.
- the number of cells that are employed will depend upon a number of circumstances, the purpose for the introduction, the lifetime of the cells, the protocol to be used, for example, the number of administrations, the ability of the cells to multiply, or the like.
- the cells may be in a physiologically-acceptable medium.
- the cells described herein may be administrated in multiple doses to subjects having a disease or condition.
- the administrations generally effect an improvement in one or more symptoms of cancer or a clinical condition and/or treat or prevent cancer or clinical condition or symptom thereof.
- compositions for immunotherapy may be administered in vivo.
- compositions of the present disclosure may be administered parenterally.
- Liquid dosage forms for oral and parenteral administration include, but are not limited to, pharmaceutically acceptable emulsions, microemulsions, solutions, suspensions, syrups, and/or elixirs.
- liquid dosage forms may comprise inert diluents commonly used in the art such as, for example, water or other solvents, solubilizing agents and emulsifiers such as ethyl alcohol, isopropyl alcohol, ethyl carbonate, ethyl acetate, benzyl alcohol, benzyl benzoate, propylene glycol, 1,3- butylene glycol, dimethylformamide, oils (in particular, cottonseed, groundnut, corn, germ, olive, castor, and sesame oils), glycerol, tetrahydrofurfuryl alcohol, polyethylene glycols and fatty acid esters of sorbitan, and mixtures thereof.
- inert diluents commonly used in the art such as, for example, water or other solvents, solubilizing agents and emulsifiers such as ethyl alcohol, isopropyl alcohol, ethyl carbonate, ethyl acetate, benzyl
- oral compositions can include adjuvants such as wetting agents, emulsifying and suspending agents, sweetening, flavoring, and/or perfuming agents.
- adjuvants such as wetting agents, emulsifying and suspending agents, sweetening, flavoring, and/or perfuming agents.
- compositions are mixed with solubilizing agents such as CREMOPHOR®, alcohols, oils, modified oils, glycols, polysorbates, cyclodextrins, polymers, and/or combinations thereof.
- surfactants are included such as hydroxypropylcellulose.
- Injectable preparations for example, sterile injectable aqueous or oleaginous suspensions may be formulated according to the known art using suitable dispersing agents, wetting agents, and/or suspending agents.
- Sterile injectable preparations may be sterile injectable solutions, suspensions, and/or emulsions in nontoxic parenterally acceptable diluents and/or solvents, for example, as a solution in 1,3-butanediol.
- the acceptable vehicles and solvents that may be employed are water, Ringer's solution, U.S.P., and isotonic sodium chloride solution.
- Sterile, fixed oils are conventionally employed as a solvent or suspending medium.
- any bland fixed oil can be employed including synthetic mono-or diglycerides.
- Fatty acids such as oleic acid can be used in the preparation of injectables.
- Injectable formulations may be sterilized, for example, by filtration through a bacterial -retaining filter, and/or by incorporating sterilizing agents in the form of sterile solid compositions which can be dissolved or dispersed in sterile water or other sterile injectable medium prior to use.
- compositions of the disclosure may be utilized in a large variety of applications including, but not limited to, therapeutics, such as adoptive cell therapy and cancer immunotherapy.
- Cancer immunotherapy aims at the induction or restoration of the reactivity of the immune system towards cancer.
- the present disclosure provides compositions and methods for cancer immunotherapy. These compositions provide tunable regulation of gene expression and function in immunotherapy. The tunable nature of the systems and compositions described herein has the potential to improve the potency and duration of the efficacy of immunotherapies.
- cells which are genetically modified to express recombinant proteins of the disclosure may be used for adoptive cell therapy (ACT).
- adoptive cell therapy refers to the administration of immune cells (from autologous, allogenic or genetically modified hosts) with direct anticancer activity.
- immune cells for ACT may be T cells such as CD8 + T cells and CD4 + T cells.
- cells used for ACT may be T cells engineered to express recombinant proteins of the present disclosure (e.g., TCRs or functional variants thereof and CA2-CD40L proteins).
- recombinant proteins expressed by the engineered T cells induce an anti-cancer immune response in a cell or in a subject.
- adoptive cell therapy is carried out by autologous transfer, wherein the cells are derived from a subject in need of a treatment and the cells, following isolation and processing are administered to the same subject.
- ACT may involve allogenic transfer wherein the cells are isolated and/or prepared from a donor subject other than the recipient subject who ultimately receives cell therapy.
- the donor and recipient subject may be genetically identical, or similar or may express the same HLA class or subtype.
- cells are administered to the subject in need thereof. Methods for administration of cells for adoptive cell therapy are known and may be used in connection with the provided methods and compositions.
- the present disclosure addresses the need for improved approaches to ACT for the treatment of tumors by providing, in part, compositions and methods for controlled activation of the CD40 pathway using engineered human T cells expressing CD40 ligand (CD40L, CD 154), a native pathway agonist. Additionally, the present disclosure provides tumor-targeted T cells that enable tunable control of CD40 pathway activation.
- CD40L CD40 ligand
- tandem TCR-CA2 DRD-CD40L constructs such as the HPV16E7-CD40L-038 construct
- the HPV16E7-CD40L-038 construct can be applied to the development of improved adoptive cell therapeutics with enhanced efficacy and favorable safety profiles.
- the HPV16E7-CD40L-038 construct may be implemented for therapeutic applications, including the treatment of HPV-associated cancers.
- Adoptive cell therapy with chimeric antigen receptor modified T cells (CAR-T) has demonstrated remarkable clinical efficacy in the treatment of certain B cell malignancies and, more recently, in multiple myeloma.
- CAR-T chimeric antigen receptor modified T cells
- other engineered T cell therapies using CAR or engineered T cell receptor (TCR) have been less successful in treating solid tumors due to several barriers including the lack of robust T cell expansion, immune suppression from the tumor microenvironment, and tumor escape due to the loss of targeted antigen.
- T regulatory cells myeloid derived suppressor cells
- MDSCs myeloid derived suppressor cells
- TEE tumor microenvironment
- CD40 agonist and PD-1 antagonist antibody reprogram the microenvironment of non-immuno genic tumors to allow T cell-mediated anticancer activity.
- CIR-18-0061 the contents of which are herein incorporated by reference in their entireties.
- Current CAR T therapies are not effective as the therapeutics have immunosuppression, tumor antigen escape, insufficient CAR T expansion and healthy tissue toxicity.
- Activation of the cluster of differentiation 40 (CD40) pathway may overcome barriers to ACT-driven anti-tumor response by stimulating the endogenous immune system through enhanced antigen presentation, promoting the induction of epitope spreading, and stimulating the production of pro- inflammatory cytokines.
- Activation of the CD40L/CD40 signaling axis in dendritic cells results in DC licensing, which accelerates the presentation of peptide epitopes bound to major histocompatibility complex Class I (MHC-I) and the induction of an adaptive immune response to tumor- specific antigens.
- MHC-I major histocompatibility complex Class I
- activation of the CD40L/CD40 pathway induces the secretion of cytokines by DCs, including interleukin (IL) 12; induces the expression of costimulatory molecules on the surface of DCs, which further activates antigen- specific T cells; and facilitates cross-presentation of antigens (Richards et al. 2020).
- HPV16E7 TCR-expressing T cells can be armed with pharmacologically controlled CD40L. This engineering of T cells may enhance their ability to augment an anti-tumor immune response against HPV + carcinomas.
- compositions and methods that may be applied in adoptive cell therapy (ACT) for the treatment of HPV-associated cancers.
- ACT adoptive cell therapy
- These compositions include engineered cells that express HPV16E7 TCRs and CA2 DRD-regulated CD40L.
- the engineered cells have been transduced with a tandem TCR-CA2 DRD-CD40L construct, such as the HPV16E7-CD40L-038 construct.
- ON-state expression of CD40L in response to ligand exposure is enhanced by T cell activation.
- ligand exposure such as acetazolamid (ACZ)
- T cell activation via the HPV16E7 TCR would be achieved biologically when T cells encounter tumor cells.
- the absence of high CD40L expression in the presence of ACZ but absence of TCR stimulation provides an additional safety feature of the provided therapeutic applications to avoid unrestrained immune activation outside of the tumor.
- a CD40L payload regulated according to the present disclosure may be utilized for the therapy of solid, immunogenic tumors.
- CD40L may improve the efficacy of solid tumor targeted T cells in immunogenic tumors by activating adaptive and innate immune responses in situ.
- Regulatable CD40L pay loads described herein may be desirable since the expression of the endogenous CD40L in T cells is transient.
- the present disclosure provides ACT that is carried out by autologous transfer, wherein cells for ACT are transduced with a tandem TCR-CA2 DRD- CD40L construct.
- peripheral blood T cells need to be isolated from patients (e.g., by leukapheresis), virally transduced, and expanded in vitro until sufficient numbers of cells are collected.
- cells are cryopreserved before they are infused back into patients.
- ON-state regulation of the tandem TCR-CA2 DRD-CD40L construct e.g., the HPV16E7-CD40L-038 construct
- Maintained function and regulation of engineered T cells after cry opreservation suggests a viable manufacturing path for the HPV16E7-CD40L- 038 construct in therapeutic applications, such as ACT.
- Table 4 provides a partial sequence listing.
- Example 1 Identification of CA2 DRD variants for regulating CD40L expression and function in T cells
- the present example demonstrates selection of CA2 DRD variants for liganddependent regulation of CD40L expression and function in T cells.
- the example demonstrates a correlation between ACZ concentration and CD40L expression and function in T cells transduced with CA2 DRD variants operably linked to a CD40L payload.
- CA2 DRD variants were identified with favorable dynamic range in response to ACZ when expressed in T cells.
- FIG. 1A provides schematic representations of constructs examined in Example 1. Amino acid sequences of these constructs are provided in Table 5. in Table 5 indicates the translation of a stop codon. These constructs were packaged into lentiviral vectors using standard molecular biology techniques. Additional details on lentiviral vector production are provided below. Nucleic acid sequences of the corresponding viral vectors are provided in Table 10.
- ACZ (Selleckchem, Cat #54506) was suspended in dimethylsulfoxide (DMSO) to a stock concentration of 100 mM and stored in aliquots at -80°C.
- DMSO dimethylsulfoxide
- Leukopaks from healthy donors were obtained from StemCell Technologies. After washing, centrifugation and platelet removal, EasySep Human T Cell Isolation Kits (StemCell Technologies) were then used to isolate T cells from the pelleted leukopak cells according to the manufacturer’s protocol. Purified T cells were resuspended in either Bambanker Freezing Medium (Wako Chemicals) or 10% dimethylsulfoxide (DMSO) in fetal bovine serum (FBS), aliquoted and stored in liquid nitrogen.
- HEK293T cells were seeded on collagen-coated tissue culture plates until 70% confluent.
- Cells were transfected with pEENS transfer vector carrying the CA2 DRD-CD40L constructs of interest, as well as packaging plasmids (pRSV.REV, pMDLg/p.RRE and pMD2.G) using Lipofectamine 3000 transfection reagent in Opti-MEM media.
- Media was replaced 6-8 hrs post-transfection with serum-free media.
- Supernatants containing virus were harvested 24 hr post-transfection, fresh media was added, and supernatants were harvested again at 48 hr posttransfection.
- Viral supernatants were filtered to remove debris and concentrated by ultracentrifugation in 20% sucrose gradient. Virus were resuspended, aliquoted and stored at - 80°C.
- T cells were thawed at 37°C and washed with pre-warmed T cell medium (RPMI 1640, 10% FBS, MEM non-essential amino acids, 2 mM L- glutamine, 2 mM HEPES buffer, sodium pyruvate, 100 U/mL penicillin, 100 pg/mL streptomycin and 2- mercaptoethanol).
- T cells were resuspended at a concentration of 1 x 10 6 cell/mL, plated at 0.5 mL/well in a 24-well tissue culture plate, then stimulated overnight with CD3/CD28 Dynabeads (Thermo Fisher, Cat #1114 ID) at a 3:1 bead:cell ratio.
- lentivirus was thawed and added to the T cell cultures at multiplicity of infection (MOI) values within the range of 3 to 50.
- MOI multiplicity of infection
- Cells were expanded over the next 4 to 5 days in T cell medium with addition of 10 ng/mL interleukin 2 (R&D systems).
- T cells were stained with antibodies in Cell Staining Buffer (Bio Legend, Cat #420201) and fixed with CytoFix Buffer (BD Biosciences, Cat #554655). T cell surface marker expression (CD4, CD8, CD40L) was then assessed on viable CD3 + cells by flow cytometry.
- PBMCs Peripheral blood mononuclear cells
- PBMCs peripheral blood mononuclear cells
- Monocytes were isolated from healthy donor leukopaks (StemCell Technologies) at room temperature. After washing and centrifugation on a Ficoll-Paque+ cushion, PBMCs were collected. Monocytes were isolated using Easy Sep Human CD14 Positive Selection Kit II (StemCell Technologies, Cat #17858). Monocytes were expanded for 6 days in T cell media supplemented with 100 ng/mL of granulocyte-macrophage colonystimulating factor (BioLegend, Cat #572903) and 50 ng/mL IL4 (BioLegend, Cat #574004).
- Cells were dissociated, centrifuged and resuspended in 10% DMSO in FBS for storage in liquid nitrogen.
- T cells transduced with CA2-CD40L constructs were analyzed for CD40L expression and dendritic cell (DC) activation in concentration-response experiments.
- DC dendritic cell
- CA2 DRD variant CA2(S56N) from this example was selected for further analyses based on its favorable dynamic range in response to ACZ.
- a tandem construct was designed comprising nucleic acid sequences encoding an HPV16E7 TCR and a CA2(S56N)-CD40L, referred to in the present disclosure as the “HPV16E7-CD40L-038 construct”.
- a schematic of the tandem construct is depicted in FIG. 2.
- the present example demonstrates in vitro ACZ-dependent regulation of CD40L expression in human T cells transduced with the tandem HPV16E7-CD40L-038 construct.
- HLA human leukocyte antigen
- T cells Lentiviral vector transduction and ACZ treatment Cryopreserved human T cells were thawed at 37°C and washed with pre-warmed T cell medium. T cells were resuspended, plated in tissue culture plates, then stimulated overnight at 37°C and 5% CO2 with Human T Cell Expander CD3/CD28 Dynabeads (Thermo Fisher, Cat #1114 ID) at a 3: 1 bead:cell ratio. The next day, concentrated lentiviral vector was thawed on ice and added to the T cell cultures at multiplicity of infection (MOI) values within the range of 3 to 50. T cells were expanded for 5 days after transduction. On day 5 after transduction, T cells were incubated with 50 pM ACZ or vehicle control for 24 hours before CD40L surface expression was analyzed by flow cytometry.
- MOI multiplicity of infection
- T cells were stained with antibodies in Cell Staining Buffer (Bio Legend, Cat #420201) and fixed with CytoFix Buffer (BD Biosciences, Cat #554655).
- T cell surface marker expression (TCRp, CD4, CD8, CD40L) was assessed on viable CD3 + cells by flow cytometry as described in Example 1.
- the TCRP antibody used did not bind to endogenous (human) TCRP; it only bound to the HPV16E7 TCR (because the antibody bound to a mouse sequence of the HPV16E7 TCR).
- Activated human peripheral blood T cells were transduced with the HPV16E7- CD40L-038 construct or control constructs. Transduced T cells were then exposed to ACZ or DMSO and CD40L expression levels were determined.
- FIG. 3B summarizes average CD40L expression on T cells from 3 donors.
- CD40L expression in these transduced cells was induced when the cells were exposed to ACZ to a level comparable to constitutive CD40L- expressing control constructs (HPV16E7-CD40L-039 and HPV16E7-CD40L-040).
- ACZ- regulated CD40L expression with the HPV16E7-CD40L-038 construct was observed in T cells from all 3 donors assayed. In contrast, none of the controls demonstrated any change in expression of CD40L by ACZ alone.
- Example 3 Durability of regulated CD40L expression at the end of the ex vivo cell process and after cell freezing/thawing
- patient-derived T cells are engineered and, in some cases, expanded to achieve sufficient cell numbers.
- CD40L expression was assessed both at the end of the in vitro expansion phase and after cryopreservation.
- the present example demonstrates ACZ-regulated CD40L expression in T cells after in vitro cell expansion and cell freezing and thawing.
- T cells were further expanded in T cell media with the addition of 10 ng/mL interleukin 2 (IL2) (R&D Systems).
- IL2 interleukin 2
- T cells after 10 to 14 days of expansion were pelleted and resuspended in either Bambanker Freezing Medium (Wako Chemicals), CryoStorlO (StemCell Technologies), or 10% DMSO in FBS, at a concentration of 10 to 50 x 10 6 cell/mE, slowly frozen in Coming CoolCells at -80°C, and stored in the vapor phase of a liquid nitrogen cryofreezer.
- T cells were thawed and activated by 30 min pulse with PMA/ionomycin. Following the activation, cells were incubated with 50 pM ACZ or vehicle for 24 or 48 hours. Cell surface CD40E expression was measured by flow cytometry.
- T cells were plated and activated with a cell stimulation cocktail (Invitrogen, Cat #00-4970-03) containing PMA/ionomycin, for 30 minutes at 37°C. T cells were then washed twice and resuspended in T cell medium. ACZ or a DMSO control was added to achieve a final concentration of 50 pM ACZ and 0.05% DMSO. Cells were then incubated for 24 hours at 37°C. Results for Example 3:
- T cells were pulsed for 30 minutes with PMA/ionomycin at the end of the expansion phase (day 15) before CD40L regulation was assessed.
- CD40L expression increased after T cell activation in ACZ- treated cells transduced with the HPV16E7-CD40L-038 construct (HPV16E7-CD40L-038), as well as in T cells transduced with the constitutively expressing CD40L construct (HPV16E7- CD40L-039) (data not shown).
- FIG. 4A-FIG. 4B summarize results from 3 donors assessed for regulation of CD40L expression at the end of the in vitro expansion phase and after stimulation with PMA/ionomycin as described above.
- Levels of ACZ-regulated CD40L in cells transduced with the HPV16E7- CD40L-038 construct were comparable to constitutively expressed CD40L levels.
- T cells from 3 donors were transduced, expanded, formulated with a cryoprotectant (Bambanker Freezing Medium (Wako Chemicals), CryoStorlO (StemCell Technologies), or 10% DMSO in FBS, as described above) and cryopreserved in the vapor phase of liquid nitrogen. T cells were then thawed, pulsed with PMA/ionomycin, and incubated with ACZ or DMSO.
- FIG. 5A-FIG. 5B demonstrate that ACZ-induced CD40L expression following a freeze-thaw cycle was similar to expression of the constitutive control construct.
- EC50 50% of effective concentration
- EC90 90% of effective concentration
- the present example used a brief PMA/ionomycin pulse to activate transduced T cells after T cell expansion and post cryopreservation.
- This antigen-independent stimulation was chosen to avoid HPV16E7 TCR internalization, a known consequence of TCR engagement.
- stimulation with E7 peptide-loaded antigen presenting cells as well as stimulation with SCC152 tumor cells was tested. Both conditions resulted in enhanced regulation of CD40L expression with the HPV16E7-CD40L-038 construct as compared to T cells without activation (data not shown).
- an assay to evaluate CD40L function was developed that measures dendritic cell (DC) activation through the CD40 pathway (FIG. 8A).
- the assay involves co-culturing HPV16E7 TCR engineered T cells with donor-matched, monocyte-derived DCs, and measuring secreted IL12p70 levels as a readout of DC activation.
- the DCs are loaded with an HPV16 E7 peptide antigen.
- HPV16E7 TCR engineered T cells Prior to initiation of the DC co-culture, HPV16E7 TCR engineered T cells are preactivated for 48 hours with SCC152 tumor cells.
- the present example demonstrates in vitro ACZ-regulated CD40L function in T cells transduced with a tandem TCR-CA2 DRD-CD40L construct.
- SCC 152 cells (ATCC CRL-3240TM), derived from an HPV16E7 + squamous cell carcinoma of the hypopharynx, were thawed and expanded in complete growth medium essentially as described in ATCC protocols. After 5 days in culture, cells were collected, counted and 20 x 10 6 cells were resuspended into a 5-layer flask containing 150 mL of complete growth medium.
- DMSO vehicle control
- Donor-matched and frozen monocyte-derived DCs were thawed at 37°C and washed with pre-warmed medium. 30,000 DCs per well were added to pre-activated T cells and loaded with either no peptide, the antigen-specific HPV16 E7i 1-19 peptide (YMLDLQPET), or the nonspecific control human gpl0025-33 peptide (KVPRNQDWL) at a concentration of 1 pM. Supernatants were collected at 24 and 48 hours and stored at -80°C until IL12p70 levels were quantified using V-plex assay kits (Meso Scale Discovery) according to the manufacturer’s protocol.
- V-plex assay kits Meso Scale Discovery
- TCR antigen- specific recognition and CD40L expression were required to stimulate IL12p70 secretion.
- ACZ-regulated CD40L produced by the HPV16E7-CD40L- 038 construct is capable of activating CD40-expressing antigen-presenting cells.
- dendritic cell activation is a readout of antigen-presenting cell activation.
- Dendritic cells express CD40, the receptor of CD40L, and secrete IL12p70 in response to engagement with CD40L.
- donor-matched, monocyte-derived DCs were stimulated to secrete IL12p70 in vitro.
- CD40L, in T cells transduced with the HPV16E7-CD40L-038 construct activated DCs in an ACZ-dependent manner.
- HPV16E7-CD40L-038 construct- transduced T cells infiltrating the tumor will be activated by the E7 tumor antigen providing an initial activation signal leading to ACZ-regulated CD40L expression.
- HPV16E7-CD40L-038 construct-transduced T cells would interact with E7-presenting DCs resulting in further activation, CD40L expression, and induction of IL12.
- This dependence on antigen stimulation for robust ACZ-induced CD40L expression provides an added safety benefit for therapeutic applications using engineered T cells of the disclosure, by restricting maximal CD40L activity to the site of the tumor.
- Example 5 In vitro TCR expression and function in T cells transduced with tandem TCR- CA2 DRD-CD40L constructs
- the present example demonstrates that in vitro expression and functional activity of the HPV16E7 TCR is not affected by the addition of DRD-CD40L in engineered T cells or by the presence of the regulating ligand ACZ.
- HPV16 E7 peptide E7n-i9 tetramer was generated using Flex-TTM HLA-A*02:01 Monomer UVX (BioLegend, Cat #280003) per manufacturer’s protocol. Steptavidin-PE or Strepatvidin-APC (BioLegend) were added to each of two samples of the tetramer, which was then stored at 4°C until ready for use.
- HPV16E7 TCR-expressing T cells and dendritic cells were thawed at 37°C and washed with pre-warmed T cell media.
- HPV16E7 TCR-expressing T cells were normalized for transduction efficiency and for total cell number with empty vector (EV) cells and resuspended to a concentraton of 5 x 10 6 cells/mL.
- DCs were resuspended to a concentration of 5 x 10 5 cells/mL.
- T cells were labeled with CellTraceTM Violet (CTV; Invitrogen, Cat #C34571).
- T cells and DCs at a final T celkDC ratio of 10:1 were incubated in T cell media in flat-bottom, 96-well tissue culture plates with 50 pM ACZ or vehicle and 1 pM HPV16 E7n-i9 peptide (YMLDLQPET) or human gpl0025-33 (KVPRNQDWL) peptide. Cells were cultured for a total of 3 days and assessed for T cell proliferation by flow cytometry.
- TCR efficacy of cells transduced with the HPV16E7-CD40L-038 construct was compared to cells transduced with TCR control constructs, including one that encoded the HPV16E7 TCR alone (HPV16E7-005) and one that encoded the TCR as a tandem construct with GFP expressed downstream of a P2A ribosomal skip sequence (HPV16E7-006) to control for construct size relative to the HPV16E7-CD40L-038 construct (see Example 2 and FIG. 3A).
- HPV16E7-006 control construct was included to account for possible differences in viral packaging due to increased construct size.
- TCR expression levels were also measured using a staining reagent composed of a biotinylated tetramer of the E7 peptide antigen.
- the percent of cells staining positive with the E7 tetramer was comparable to the TCRP staining, indicating that the majority of TCRs expressed on the cell surface are capable of binding MHC-presented E7 peptide (data not shown).
- TCR expression was maintained at comparable levels in the presence of ACZ as compared to control cells treated with DMSO (data not shown).
- T cells were labeled with CTV, a cell-tracing reagent that can diffuse into cells and bind covalently to intracellular amines, allowing for bright fluorescent staining to be detected.
- CTV a cell-tracing reagent that can diffuse into cells and bind covalently to intracellular amines, allowing for bright fluorescent staining to be detected.
- CTV-labelled cells proliferate, the dye becomes equally distributed within daughter cells.
- the detected fluorescent intensity per cell decreases with every subsequent cell division.
- the HPV16E7 TCR in transduced cells was activated by coculture with donor-matched DCs preloaded with the E7 peptide and exposed to ACZ or DMSO vehicle control. Three (3) days later, cell proliferation was assessed by measuring the percentage of cells displaying low intensity CTV signal.
- Example 6 In vivo regulation of CD40L expression in tumor infiltrated T cells with tandem TCR-CA2 DRD-CD40L constructs
- the present example demonstrates that oral dosing of ACZ regulates CD40L expression in vivo with the HPV16E7-CD40L-038 construct. Additionally, the present example shows that CD40L expression levels in vivo change over time in correlation to changes in in vivo ACZ concentration.
- Acetazolamide (X-Gen, NDC 39822-0190-01, Lot #AK4605C) was formulated in Lactated Ringer’s solution and administered as required to deliver a dose of 200 mg/kg.
- SCC 152 cell line [00556] SCC 152 cells were cultured as described above in Example 4. Cells continued to be sub-cultured and expanded until 9 multilayered flasks were harvested on the day of implant into mice.
- mice All experiments involving mice were conducted with the approval of the Obsidian Therapeutics Institutional Animal Care and Use Committee. Seven-week-old female NSG mice were obtained from The Jackson Laboratory (Bar Harbor, Maine) and acclimated to the animal care facility for at least 72 hours after arrival.
- SCC 152 cells in sterile PBS were combined with an equal volume of Matrigel (Coming, Ref #354234) to achieve a 1:1 ratio and a 20 x 10 6 cell/mL final concentration.
- Mice received 200 pL (containing 4 x 10 6 cells) injected subcutaneously (SC) on the flank.
- mice were sorted into groups to ensure an even distribution of tumor sizes for each dose group and time point (Table 8). On the same day, mice were infused IV with transduced T cells as described in Table 8.
- mice On day 41, ACZ-treated mice were single-dosed orally at 10 mL/kg, delivering a dose at 200 mg/kg. Mice were then administered a PO dose according to the study group assignment.
- mice were administered a PO dose according to the study group assignment.
- mice were administered a PO dose according to the study group assignation. At 8 and 24 hours after the last PO dose, approximately 150 pL of whole blood was collected. 100 pL was analyzed by flow cytometry. Plasma was collected from the remaining blood and processed to determine ACZ concentrations.
- SCC 152 tumors were resected, weighed, manually disaggregated, and analyzed by flow cytometry. Samples were analyzed for CD40L expression and gated on human CD45 + , mouse CD45 , CD3 + , TCRp + cells.
- Plasma samples were protein-precipitated and resuspended in water.
- the processed sample was analyzed by Liquid chromatography-tandem mass spectrometry (LC-MS/MS) with a lower level of quantitation at 1 ng/mL and upper limit of quantitation at 3000 ng/mL of ACZ.
- LC-MS/MS Liquid chromatography-tandem mass spectrometry
- FIG. 10A-FIG. 10B summarize the data derived with T cells from one peripheral blood T cell donor. The data demonstrated that levels of ACZ- regulated CD40L expression from the HPV16E7-CD40L-038 construct reached levels comparable to that of the constitutive control construct (HPV16E7-CD40L-039). At 28 hours, CD40L expression on T cells transduced with the HPV16E7-CD40L-038 construct decreased (FIG. 10A), correlating with a decrease in ACZ concentration in plasma (FIG. 10B).
- Example 7 In vivo function of CD40L with tandem TCR-CA2 DRD-CD40L constructs [00569] The present example demonstrates that oral dosing of ACZ can regulate CD40L to functional levels in vivo with the HPV16E7-CD40L-038 construct.
- DCs were resuspended at 1 x 10 6 cells/mL with 1 pM of HPV16 E7 peptide E7n-i9 (YMLDLQPET), incubated for 2 hours, washed and resuspended in sterile PBS such that 100 pL contained 1 x 10 6 peptide-pulsed DCs.
- Engineered T cells were counted and normalized to the lowest percent TCR-positive construct by adding empty vector (EV) T cells, ensuring each construct had an equal number of TCR + and TCR’ cells. Normalized T cells were then washed twice in PBS and resuspended in sterile PBS so that 100 pL contained 5 x 10 6 TCR + cells.
- NSG-SGM3 mice On day -1, naive, female, 9-week-old NSG-SGM3 mice were administered an oral loading dose of vehicle (Groups 1 to 3) or ACZ 200 mg/kg (Group 4). On day 0, animals were dosed with vehicle or ACZ approximately 2 hours prior to simultaneous IP co-infusion into NSG-SGM3 mice of T cells (5 x 10 6 in 100 pL) containing either HPV16E7-006 (Group 1), HPV16E7-CD40L-039 (Group 2), or HPV16E7-CD40L-038 (Groups 3 and 4), along with E7 peptide-pulsed DCs (1 x 10 6 in 100 pL).
- vehicle Groups 1 to 3
- ACZ 200 mg/kg On day 0, animals were dosed with vehicle or ACZ approximately 2 hours prior to simultaneous IP co-infusion into NSG-SGM3 mice of T cells (5 x 10 6 in 100 pL) containing either HPV16E7-006 (Group 1), HPV
- FIG. 11A demonstrates that ACZ dosing of animals infused with HPV16E7-CD40L-038 construct-transduced T cells induced IL12p70 secretion from DCs at levels comparable to those induced by constitutive CD40L expression in animals infused with control construct HPV16E7- CD40L-039.
- the levels of secreted IL12p70 were below that of the TCR control construct, indicating that in the OFF-state, no functional CD40E was expressed.
- Example 8 Nucleic acid sequences of viral vectors used in the examples
- the present example provides the nucleic acid sequences of viral vectors used in the above examples.
- the sequences can be found in Table 10 (Appendix 5).
Landscapes
- Health & Medical Sciences (AREA)
- Life Sciences & Earth Sciences (AREA)
- Chemical & Material Sciences (AREA)
- General Health & Medical Sciences (AREA)
- Organic Chemistry (AREA)
- Animal Behavior & Ethology (AREA)
- Public Health (AREA)
- Veterinary Medicine (AREA)
- Epidemiology (AREA)
- Genetics & Genomics (AREA)
- Zoology (AREA)
- Medicinal Chemistry (AREA)
- Biochemistry (AREA)
- Immunology (AREA)
- Bioinformatics & Cheminformatics (AREA)
- Proteomics, Peptides & Aminoacids (AREA)
- Gastroenterology & Hepatology (AREA)
- Molecular Biology (AREA)
- Engineering & Computer Science (AREA)
- Cell Biology (AREA)
- Biophysics (AREA)
- Wood Science & Technology (AREA)
- Toxicology (AREA)
- General Engineering & Computer Science (AREA)
- Pharmacology & Pharmacy (AREA)
- General Chemical & Material Sciences (AREA)
- Chemical Kinetics & Catalysis (AREA)
- Nuclear Medicine, Radiotherapy & Molecular Imaging (AREA)
- Virology (AREA)
- Biomedical Technology (AREA)
- Biotechnology (AREA)
- Microbiology (AREA)
- Peptides Or Proteins (AREA)
- Micro-Organisms Or Cultivation Processes Thereof (AREA)
Abstract
The present disclosure provides compositions and methods related to co-expression, in T cells, of T cell receptors with small molecule-regulated CD40L.
Description
COMPOSITIONS AND METHODS FOR EXPRESSION OF T-CELL RECEPTORS WITH
SMALL MOLECULE-REGULATED CD40L IN T CELLS
CROSS-REFERENCE TO RELATED APPLICATIONS
[0001] This application claims priority from U.S. provisional application No. 63/079,474, filed September 16, 2020, entitled “COMPOSITIONS AND METHODS FOR EXPRESSION OF T-CELL RECEPTORS WITH SMALL MOLECULE-REGULATED CD40L IN T CELLS,” the contents of which are incorporated by reference herein in their entirety.
INCORPORATION BY REFERENCE OF SEQUENCE LISTING
[0002] The present application is being filed with a Sequence Listing in electronic format. The Sequence Listing is provided as a file entitled 735042024340SeqList.txt, created on September 14, 2021, which is 1,174,219 bytes in size. The information in electronic format of the Sequence Listing is incorporated by reference in its entirety.
FIELD
[0003] The present disclosure relates to drug responsive domains (DRDs) derived from human carbonic anhydrase 2 (hCA2) which can modulate protein stability for at least one payload comprising human CD40L, and compositions and methods of use thereof. Provided in the present disclosure are polypeptides comprising CA2 DRDs, polynucleotides encoding the same, vectors and cells containing the polypeptides and/or polynucleotides for use in cancer immunotherapy.
BACKGROUND
[0004] Gene and cell therapies are revolutionizing medicine and offering new promise for the treatment of previously intractable conditions. However, most current technologies do not allow titration of the timing or levels of target protein induction. This has rendered many potential gene and cell therapy applications difficult or impossible to safely and effectively deploy.
[0005] Inadequate exogenous and/or endogenous gene control is a critical issue in many gene and cell therapy settings. This lack of tunability also makes it difficult to safely express proteins with narrow or uncertain therapeutic windows or those requiring more titrated or transient expression.
[0006] One approach to regulated protein expression or function is the use of drug responsive domains (DRDs). Drug responsive domains are small protein domains that can be appended to a target protein of interest. DRDs render the attached protein of interest unstable in the absence of a DRD-binding ligand and the protein of interest is rapidly degraded by the ubiquitin-proteasome
system of the cell. However, when a specific small molecule DRD-binding ligand binds to the DRD, the attached protein of interest is stabilized, and protein function is achieved.
[0007] DRD technology forms the basis of a new class of cell and gene therapies that can deliver tunable and temporal control of gene expression and function, expanding the universe of protein therapeutics that can be safely and effectively incorporated into cell and gene therapy modalities.
SUMMARY
[0008] The present disclosure provides, in part, compositions and methods for activation and control of the CD40 pathway using drug responsive domain (DRD) technology. Provided herein are DRDs derived from human carbonic anhydrase 2 (hCA2) that are operably linked to CD40 ligand (CD40L) payloads. Pharmacologic control over the stability of CD40L is achieved using U.S. Food and Drug Administration (FDA) -approved small molecule drugs.
[0009] Also provided by the present disclosure are compositions and methods for coexpression of T cell receptors (TCRs) with DRD-regulated CD40L. The provided TCRs may have antigenic specificity for a peptide epitope of a human papillomavirus (HPV) antigen.
[0010] Also provided are recombinant proteins comprising the TCRs and DRD-regulated CD40L, nucleic acid molecules encoding a TCR and a DRD-regulated CD40L, cells containing the TCR and DRD-regulated CD40L, and compositions and methods of treatment involving administering the TCR and DRD-regulated CD40L.
[0011] Also provided are methods, compositions, and kits, for expressing the recombinant proteins, and for producing the genetically engineered cells expressing such recombinant proteins.
[0012] In one aspect, the present disclosure provides a nucleic acid molecule encoding a first and a second protein, wherein: (i) the first protein is a T cell receptor (TCR) or a functional variant thereof, wherein the TCR or the functional variant thereof has antigenic specificity for a peptide epitope of a human papillomavirus (HPV) antigen; and (ii) the second protein comprises a payload operably linked to a drug responsive domain (DRD), wherein said payload comprises human CD40L or a functional variant thereof, and said DRD is derived from human carbonic anhydrase 2 (hCA2), wherein the DRD comprises one or more amino acid insertions, deletions or substitutions compared to wild-type hCA2.
[0013] In some of any embodiments, the wild-type hCA2 has the amino acid sequence of SEQ ID NO: 1. In some of any embodiments, the DRD comprises an amino acid sequence having at least 90% sequence identity to amino acids 2-260 of SEQ ID NO: 1. In some of any embodiments, the DRD comprises an amino acid sequence having at least 95% sequence identity
to amino acids 2-260 of SEQ ID NO: 1. In some of any embodiments, the DRD comprises an amino acid sequence having at least 99% sequence identity to amino acids 2-260 of SEQ ID NO: 1. In some of any embodiments, the DRD comprises amino acids 1-260 of SEQ ID NO: 1 or amino acids 2-260 of SEQ ID NO: 1, with up to five amino acid substitutions, deletions or insertions compared to SEQ ID NO: 1. In some of any embodiments, the DRD consists of amino acids 1-260 of SEQ ID NO: 1 or amino acids 2-260 of SEQ ID NO: 1, with up to three amino acid substitutions, deletions or insertions compared to SEQ ID NO: 1. In some of any embodiments, the DRD comprises: (i) an S56N amino acid substitution compared to SEQ ID NO: 1; (ii) an L156H amino acid substitution compared to SEQ ID NO: 1; or (iii) amino acid substitutions D71L, T87N and L250R compared to SEQ ID NO: 1. In some of any embodiments, the DRD consists of amino acids 1-260 of SEQ ID NO: 1 or amino acids 2-260 of SEQ ID NO: 1 with: (i) an S56N amino acid substitution compared to SEQ ID NO. 1; (ii) an L156H amino acid substitution compared to SEQ ID NO. 1; or (iii) amino acid substitutions D71L, T87N and L250R compared to SEQ ID NO. 1. In some of any embodiments, the DRD is hCA2(S56N) comprising the amino acid sequence of SEQ ID NO: 20. In some of any embodiments, the DRD is hCA2(S56N) consisting of the amino acid sequence of SEQ ID NO: 20.
[0014] In some of any embodiments, the payload has at least 90% sequence identity to SEQ ID NO: 2. In some of any embodiments, the payload has one or more amino acid insertions, deletions, or substitutions compared to SEQ ID NO: 2. In some of any embodiments, the payload comprises: (i) a polypeptide comprising an amino acid sequence corresponding to human CD40L (SEQ ID NO: 2) comprising a deletion of amino acids 1-13 of SEQ ID NO: 2; (ii) a polypeptide comprising an amino acid sequence corresponding to human CD40L (SEQ ID NO: 2) comprising a deletion of amino acids 110-116 of SEQ ID NO: 2; or (iii) a polypeptide comprising an amino acid sequence corresponding to human CD40L (SEQ ID NO: 2) comprising a deletion of amino acids 1-13 of SEQ ID NO: 2 and a deletion of amino acids 110-116 of SEQ ID NO: 2. In some of any embodiments, the payload comprises the amino acid sequence of SEQ ID NO: 2. In some of any embodiments, the payload consists of the amino acid sequence of SEQ ID NO: 2.
[0015] In some of any embodiments, the second protein comprises a linker between the payload and the DRD. In some of any embodiments, the linker is a GS-linker. In some of any embodiments, the linker is 6-18 amino acids long. In some of any embodiments, the linker is 12 amino acids long. In some of any embodiments, the linker comprises the amino acid sequence of SEQ ID NO: 21. In some of any embodiments, the linker consists of the amino acid sequence of SEQ ID NO: 21.
[0016] In some of any embodiments, the nucleic acid sequence encoding the DRD is positioned 5’ to the nucleic acid sequence encoding the payload.
[0017] In some of any embodiments, the DRD comprises the amino acid sequence of SEQ ID NO: 20 and the payload comprises the amino acid sequence of SEQ ID NO: 2. In some of any embodiments, the DRD consists of the amino acid sequence of SEQ ID NO: 20 and the payload consists of the amino acid sequence of SEQ ID NO: 2.
[0018] In some of any embodiments, the DRD is operably linked to the payload by a linker that consists of the amino acid sequence of SEQ ID NO: 21, wherein the nucleic acid sequence encoding the linker is 3’ to the nucleic acid sequence encoding the DRD and 5’ to the nucleic acid sequence encoding the payload.
[0019] In some of any embodiments, the second protein comprises the amino acid sequence of SEQ ID NO: 34. In some of any embodiments, the second protein consists of the amino acid sequence of SEQ ID NO: 34.
[0020] In some of any embodiments, the TCR or the functional variant thereof has antigenic specificity for a peptide epitope of human papillomavirus type 16 (HPV16).
[0021] In some of any embodiments, the peptide epitope of HPV16 is a peptide epitope of the E7 protein of HPV16 (HPV16 E7). In some of any embodiments, the peptide epitope is or comprises a peptide selected from: (i) E7(7-15) TLHEYMLDL (SEQ ID NO: 10); (ii) E7(l 1-19) YMLDLQPET (SEQ ID NO: 7); (iii) E7(82-90) LLMGTLGIV (SEQ ID NO: 9); (iv) E7(85-93) GTLGIVCPI (SEQ ID NO: 8); and (v) E7(86-93) TLGIVCPI (SEQ ID NO: 6). In some of any embodiments, the peptide epitope comprises the amino acid sequence of YMLDLQPET (SEQ ID NO: 7). In some of any embodiments, the peptide epitope consists of the amino acid sequence of YMLDLQPET (SEQ ID NO: 7).
[0022] In some of any embodiments, the peptide epitope of HPV16 is a peptide epitope of the E6 protein of HPV16 (HPV16 E6). In some of any embodiments, the peptide epitope is or comprises a peptide selected from: (i) E6(18-26) KLPQLCTEL (SEQ ID NO: 3); (ii) E6(29-38) TIHDIILECV (SEQ ID NO: 4); and (iii) E6(52-60) FAFRDLCIV (SEQ ID NO: 5).
[0023] In some of any embodiments, the first protein is a TCR comprising two polypeptide chains selected from (i) an alpha (a) chain of a TCR and a beta (P) chain of a TCR, and (ii) a gamma (y) chain of a TCR and a delta (6) chain of a TCR. In some of any embodiments, the TCR comprises an a chain of a TCR and a P chain of a TCR.
[0024] In some of any embodiments, the a chain and the P chain are selected from: (i) an a chain comprising the amino acid sequence of SEQ ID NO: 36 and a P chain comprising the amino acid sequence of SEQ ID NO: 39; (ii) an a chain comprising the amino acid sequence of
SEQ ID NO: 42 and a P chain comprising the amino acid sequence of SEQ ID NO: 45; (iii) an a chain comprising the amino acid sequence of SEQ ID NO: 48 and a P chain comprising the amino acid sequence of SEQ ID NO: 51; (iv) an a chain comprising the amino acid sequence of SEQ ID NO: 202 and a P chain comprising the amino acid sequence of SEQ ID NO: 208; (v) an a chain comprising the amino acid sequence of SEQ ID NO: 214 and a P chain comprising the amino acid sequence of SEQ ID NO: 219; (vi) an a chain comprising the amino acid sequence of SEQ ID NO: 225 and a P chain comprising the amino acid sequence of SEQ ID NO: 230; (vii) an a chain comprising the amino acid sequence of SEQ ID NO: 234 and a P chain comprising the amino acid sequence of SEQ ID NO: 239; (viii) an a chain comprising the amino acid sequence of SEQ ID NO: 243 and a P chain comprising the amino acid sequence of SEQ ID NO: 246; (ix) an a chain comprising the amino acid sequence of SEQ ID NO: 250 and a P chain comprising the amino acid sequence of SEQ ID NO: 255; (x) an a chain comprising the amino acid sequence of SEQ ID NO: 261 and a P chain comprising the amino acid sequence of SEQ ID NO: 266; (xi) an a chain comprising the amino acid sequence of SEQ ID NO: 272 and a P chain comprising the amino acid sequence of SEQ ID NO: 277; (xii) an a chain comprising the amino acid sequence of SEQ ID NO: 308 and a P chain comprising the amino acid sequence of SEQ ID NO: 311; (xiii) an a chain comprising the amino acid sequence of SEQ ID NO: 314 and a P chain comprising the amino acid sequence of SEQ ID NO: 317; (xiv) an a chain comprising the amino acid sequence of SEQ ID NO: 320 and a P chain comprising the amino acid sequence of SEQ ID NO: 323; (xv) an a chain comprising the amino acid sequence of SEQ ID NO: 326 and a P chain comprising the amino acid sequence of SEQ ID NO: 329; (xvi) an a chain comprising the amino acid sequence of SEQ ID NO: 332 and a P chain comprising the amino acid sequence of SEQ ID NO: 335; (xvii) an a chain comprising the amino acid sequence of SEQ ID NO: 338 and a P chain comprising the amino acid sequence of SEQ ID NO: 341; (xviii) an a chain comprising the amino acid sequence of SEQ ID NO: 344 and a P chain comprising the amino acid sequence of SEQ ID NO: 347; (xix) an a chain comprising the amino acid sequence of SEQ ID NO: 350 and a P chain comprising the amino acid sequence of SEQ ID NO: 353; (xx) an a chain comprising the amino acid sequence of SEQ ID NO: 356 and a P chain comprising the amino acid sequence of SEQ ID NO: 359; (xxi) an a chain comprising the amino acid sequence of SEQ ID NO: 362 and a P chain comprising the amino acid sequence of SEQ ID NO: 365; (xxii) an a chain comprising the amino acid sequence of SEQ ID NO: 368 and a P chain comprising the amino acid sequence of SEQ ID NO: 371; (xxiii) an a chain comprising the amino acid sequence of SEQ ID NO: 374 and a P chain comprising the amino acid sequence of SEQ ID NO: 377 ; (xxiv) an a chain comprising the amino acid sequence of SEQ ID NO: 380 and a P chain comprising the
amino acid sequence of SEQ ID NO: 383; (xxv) an a chain comprising the amino acid sequence of SEQ ID NO: 386 and a P chain comprising the amino acid sequence of SEQ ID NO: 389; (xxvi) an a chain comprising the amino acid sequence of SEQ ID NO: 392 and a P chain comprising the amino acid sequence of SEQ ID NO: 395; (xxvii) an a chain comprising the amino acid sequence of SEQ ID NO: 398 and a P chain comprising the amino acid sequence of SEQ ID NO: 401; (xxviii) an a chain comprising the amino acid sequence of SEQ ID NO: 404 and a P chain comprising the amino acid sequence of SEQ ID NO: 407; (xxix) an a chain comprising the amino acid sequence of SEQ ID NO: 410 and a P chain comprising the amino acid sequence of SEQ ID NO: 413; (xxx) an a chain comprising the amino acid sequence of SEQ ID NO: 416 and a P chain comprising the amino acid sequence of SEQ ID NO: 419; (xxxi) an a chain comprising the amino acid sequence of SEQ ID NO: 422 and a P chain comprising the amino acid sequence of SEQ ID NO: 425; (xxxii) an a chain comprising the amino acid sequence of SEQ ID NO: 428 and a P chain comprising the amino acid sequence of SEQ ID NO: 431; (xxxiii) an a chain comprising the amino acid sequence of SEQ ID NO: 434 and a P chain comprising the amino acid sequence of SEQ ID NO: 437; (xxxiv) an a chain comprising the amino acid sequence of SEQ ID NO: 440 and a P chain comprising the amino acid sequence of SEQ ID NO: 443; (xxxv) an a chain comprising the amino acid sequence of SEQ ID NO: 446 and a P chain comprising the amino acid sequence of SEQ ID NO: 449; (xxxvi) an a chain comprising the amino acid sequence of SEQ ID NO: 452 and a P chain comprising the amino acid sequence of SEQ ID NO: 455; (xxxvii) an a chain comprising the amino acid sequence of SEQ ID NO: 458 and a P chain comprising the amino acid sequence of SEQ ID NO: 461; (xxxviii) an a chain comprising the amino acid sequence of SEQ ID NO: 54 and a P chain comprising the amino acid sequence of SEQ ID NO: 57; (xxxix) an a chain comprising the amino acid sequence of SEQ ID NO: 60 and a P chain comprising the amino acid sequence of SEQ ID NO: 63; (xl) an a chain comprising the amino acid sequence of SEQ ID NO: 66 and a P chain comprising the amino acid sequence of SEQ ID NO: 69; (xli) an a chain comprising the amino acid sequence of SEQ ID NO: 72 and a P chain comprising the amino acid sequence of SEQ ID NO: 75; (xlii) an a chain comprising the amino acid sequence of SEQ ID NO: 78 and a P chain comprising the amino acid sequence of SEQ ID NO: 81; (xliii) an a chain comprising the amino acid sequence of SEQ ID NO: 84 and a P chain comprising the amino acid sequence of SEQ ID NO: 87; (xliv) an a chain comprising the amino acid sequence of SEQ ID NO: 90 and a P chain comprising the amino acid sequence of SEQ ID NO: 93; (xlv) an a chain comprising the amino acid sequence of SEQ ID NO: 96 and a P chain comprising the amino acid sequence of SEQ ID NO: 99; (xlvi) an a chain comprising the amino acid sequence of SEQ ID NO: 102 and a
P chain comprising the amino acid sequence of SEQ ID NO: 105; (xlvii) an a chain comprising the amino acid sequence of SEQ ID NO: 108 and a P chain comprising the amino acid sequence of SEQ ID NO: 111; (xlviii) an a chain comprising the amino acid sequence of SEQ ID NO: 114 and a P chain comprising the amino acid sequence of SEQ ID NO: 117; (xlix) an a chain comprising the amino acid sequence of SEQ ID NO: 120 and a P chain comprising the amino acid sequence of SEQ ID NO: 117; (1) an a chain comprising the amino acid sequence of SEQ ID NO: 124 and a P chain comprising the amino acid sequence of SEQ ID NO: 127; (li) an a chain comprising the amino acid sequence of SEQ ID NO: 130 and a P chain comprising the amino acid sequence of SEQ ID NO: 133; (lii) an a chain comprising the amino acid sequence of SEQ ID NO: 136 and a P chain comprising the amino acid sequence of SEQ ID NO: 139; (liii) an a chain comprising the amino acid sequence of SEQ ID NO: 142 and a P chain comprising the amino acid sequence of SEQ ID NO: 145; (liv) an a chain comprising the amino acid sequence of SEQ ID NO: 148 and a P chain comprising the amino acid sequence of SEQ ID NO: 151; (Iv) an a chain comprising the amino acid sequence of SEQ ID NO: 154 and a P chain comprising the amino acid sequence of SEQ ID NO: 157; (Ivi) an a chain comprising the amino acid sequence of SEQ ID NO: 160 and a P chain comprising the amino acid sequence of SEQ ID NO: 163; (Ivii) an a chain comprising the amino acid sequence of SEQ ID NO: 166 and a P chain comprising the amino acid sequence of SEQ ID NO: 169; (Iviii) an a chain comprising the amino acid sequence of SEQ ID NO: 172 and a P chain comprising the amino acid sequence of SEQ ID NO: 175; (lix) an a chain comprising the amino acid sequence of SEQ ID NO: 178 and a P chain comprising the amino acid sequence of SEQ ID NO: 181; (lx) an a chain comprising the amino acid sequence of SEQ ID NO: 184 and a P chain comprising the amino acid sequence of SEQ ID NO: 187; (Ixi) an a chain comprising the amino acid sequence of SEQ ID NO: 190 and a P chain comprising the amino acid sequence of SEQ ID NO: 193; (Ixii) an a chain comprising the amino acid sequence of SEQ ID NO: 196 and a P chain comprising the amino acid sequence of SEQ ID NO: 199; and (Ixiii) an a chain comprising the amino acid sequence of SEQ ID NO: 283 and a P chain comprising the amino acid sequence of SEQ ID NO: 288.
[0025] In some of any embodiments, the TCR or functional variant thereof has an alpha (a) chain and a beta (P) chain of an E7(l 1-19) TCR. In some of any embodiments, the TCR or functional variant thereof has a variable alpha (a) and a variable beta (P) of an E7( 11-19) TCR as set forth in any of Appendix 1, 2, 3, or 4. In some of any embodiments, the TCR or functional variant thereof has an alpha (a) chain and a beta (P) chain of an E7(l 1-19) TCR as set forth in any of Appendix 1, 2, 3, or 4. In some of any embodiments, the TCR or functional variant thereof has an alpha (a) chain and a beta (P) chain of an E6(29-38) TCR. In some of any embodiments,
the TCR or functional variant thereof has a variable alpha (a) and a variable beta (P) of an E6(29- 38) TCR as set forth in any of Appendix 1, 2, 3, or 4. In some of any embodiments, the TCR or functional variant thereof has an alpha (a) chain and a beta (P) chain of an E6(29-38) TCR as set forth in any of Appendix 1, 2, 3, or 4.
[0026] In some of any embodiments, the a chain comprises the amino acid sequence of SEQ ID NO: 202, and the P chain comprises the amino acid sequence of SEQ ID NO: 208.
[0027] In some of any embodiments, the P chain is positioned C-terminal to the a chain, or the a chain is positioned C-terminal to the P chain.
[0028] In some of any embodiments, the TCR or the functional variant thereof is encoded by a nucleic acid sequence comprising a modification selected from: (i) codon optimization; (ii) reduction or elimination of cryptic splice sites; (iii) reduction or elimination of predicted polyadenylation sites; and combinations thereof.
[0029] In some of any embodiments, the nucleic acid sequence encoding the a chain and the nucleic acid sequence encoding the P chain are separated by a first co-expression element. In some of any embodiments, the first co-expression element promotes production of separate a chain and P chain polypeptides. In some of any embodiments, the first co-expression element comprises a nucleic acid sequence encoding a cleavable linker sequence, a peptide that causes ribosome skipping, or an internal ribosome entry site (IRES). In some of any embodiments, the peptide that causes ribosome skipping is a 2A peptide selected from foot-and-mouth disease virus (FMDV) 2A (F2A), equine rhinitis A virus (ERAV) 2A (E2A), porcine teschovirus-1 2A (P2A), and Thosea asigna virus 2A (T2A). In some of any embodiments, the nucleic acid sequence encoding the 2A peptide is modified in at least one degenerate position of the 2A peptide codons. In some of any embodiments, the 2A peptide is P2A comprising the amino acid sequence of SEQ ID NO: 16. In some of any embodiments, the P2A consists of the amino acid sequence of SEQ ID NO: 16.
[0030] In some of any embodiments, the nucleic acid sequence encoding the a chain and the nucleic acid sequence encoding the P chain are further separated by a nucleic acid element encoding a peptide cleavage site. In some of any embodiments, the nucleic acid element encoding the peptide cleavage site is 5’ to the first co-expression element. In some of any embodiments, the peptide cleavage site is a furin cleavage site and has the amino acid sequence of SEQ ID NO: 14.
[0031] In some of any embodiments, the nucleic acid sequence encoding the a chain and the nucleic acid sequence encoding the P chain are further separated by a nucleic acid element encoding a linker. In some of any embodiments, the linker is a peptide that is 2-10 amino acids
long. In some of any embodiments, the peptide is comprised of glycine and serine amino acid residues. In some of any embodiments, the peptide is comprised of 1-5 dipeptide Ser-Gly (SG) or Gly-Ser (GS) units.
[0032] In some of any embodiments, the nucleic acid sequence encoding the a chain and the nucleic acid sequence encoding the P chain are further separated by a nucleic acid element encoding a peptide cleavage site and a nucleic acid element encoding a linker, wherein the nucleic acid molecule encodes from N-terminus to C-terminus: the peptide cleavage site, the linker, and the P2A peptide.
[0033] In some of any embodiments, the nucleic acid sequence encoding the first protein and the nucleic acid sequence encoding the second protein are separated by a second co-expression element. In some of any embodiments, the second co-expression element promotes production of separate first and second proteins. In some of any embodiments, the second co-expression element comprises a nucleic acid sequence encoding a cleavable linker sequence, a peptide that causes ribosome skipping, or an internal ribosome entry site (IRES). In some of any embodiments, the peptide that causes ribosome skipping is a 2A peptide selected from foot-and- mouth disease virus (FMDV) 2A (F2A), equine rhinitis A virus (ERAV) 2A (E2A), porcine teschovirus-1 2A (P2A), and Thosea asigna virus 2A (T2A). In some of any embodiments, the nucleic acid sequence encoding the 2A peptide is modified in at least one degenerate position of the 2A peptide codons. In some of any embodiments, the 2 A peptide is P2A comprising the amino acid sequence of SEQ ID NO: 16. In some of any embodiments, the P2A consists of the amino acid sequence of SEQ ID NO: 16.
[0034] In some of any embodiments, (i) the nucleic acid sequence encoding the a chain and the nucleic acid sequence encoding the P chain are separated by a first co-expression element; and (ii) the nucleic acid sequence encoding the first protein and the nucleic acid sequence encoding the second protein are separated by a second co-expression element; wherein the first co-expression element comprises a first nucleic acid sequence encoding for a first P2A peptide and the second co-expression element comprises a second nucleic acid sequence encoding for a second P2A peptide, wherein the first and the second nucleic acid sequences encoding the first and second P2A peptides, respectively, are different from one another.
[0035] In some of any embodiments, the nucleic acid sequence encoding the first P2A peptide, the nucleic acid sequence encoding the second P2A peptide, or both the nucleic acid sequence encoding the first P2A peptide and the nucleic acid sequence encoding the second P2A peptide, is modified in at least one degenerate position of the 2A peptide codons.
[0036] In some of any embodiments, the nucleic acid molecule further comprises one or more nucleic acid elements positioned between the nucleic acid sequence encoding the first protein and the nucleic acid sequence encoding the second protein, said one or more nucleic acid elements encoding one or more linkers. In some of any embodiments, each of the one or more linkers is independently selected from a peptide that is 2-8 amino acids long. In some of any embodiments, each of the one or more linkers is independently selected from a peptide that is 2-6 amino acids in length and is comprised of glycine and serine amino acid residues. In some of any embodiments, the nucleic acid molecule further comprises two independently selected peptide linkers flanking the second P2A peptide.
[0037] In some of any embodiments, the second co-expression element is positioned 5’ to the nucleic acid sequence encoding the second protein.
[0038] In some of any embodiments, the nucleic acid sequence encoding the first protein is positioned 5’ to the nucleic acid sequence encoding the second protein.
[0039] In some of any embodiments, the first protein is encoded by one or more nucleic acid sequences and the second protein is encoded by one or more nucleic acid sequences; and wherein the one or more nucleic acid sequences encoding the first protein are positioned 5’ to the one or more nucleic acid sequences encoding the second protein.
[0040] In some of any embodiments, the nucleic acid molecule further comprises a promoter operably linked to the nucleic acid sequence encoding the first protein or the nucleic acid sequence encoding the second protein. In some of any embodiments, the promoter is operably linked to the nucleic acid sequence encoding the first protein. In some of any embodiments, the promoter is selected from a CMV promoter, an EFla promoter, and a PGK promoter. In some of any embodiments, the promoter is an EFla promoter.
[0041] In some of any embodiments, the nucleic acid molecule is codon optimized for expression in a human cell.
[0042] In some of any embodiments, the nucleic acid molecule encodes the amino acid sequence of SEQ ID NO:23.
[0043] In another aspect, the present disclosure provides a nucleic acid molecule comprising: (i) a first nucleic acid sequence encoding a beta (P) chain of a T cell receptor (TCR), or a functional variant thereof; (ii) a second nucleic acid sequence positioned 3’ to the first nucleic acid sequence, wherein said second nucleic acid sequence encodes an alpha (a) chain of a TCR, or a functional variant thereof; (iii) a third nucleic acid sequence positioned 3’ to the second nucleic acid sequence, wherein said third nucleic acid sequence encodes a protein comprising a payload operably linked to a drug responsive domain (DRD), wherein: (a) said payload
comprises human CD40L or a functional variant thereof; and (b) said DRD is derived from human carbonic anhydrase 2 (hCA2), wherein the DRD comprises one or more amino acid insertions, deletions or substitutions compared to SEQ ID NO. 1, and wherein said DRD is 5’ to said payload; (iv) a fourth nucleic acid sequence positioned between the first and second nucleic acid sequences, wherein said fourth nucleic acid sequence comprises the sequence of a first coexpression element; and (v) a fifth nucleic acid sequence positioned between the second and third nucleic acid sequences, wherein said fifth nucleic acid sequence comprises the sequence of a second co-expression element.
[0044] In another aspect, the present disclosure provides a nucleic acid molecule comprising: (i) a first nucleic acid sequence encoding an alpha (a) chain of a T cell receptor (TCR), or a functional variant thereof; (ii) a second nucleic acid sequence positioned 3’ to the first nucleic acid sequence, wherein said second nucleic acid sequence encodes a beta (P) chain of a TCR, or a functional variant thereof; (iii) a third nucleic acid sequence positioned 3’ to the second nucleic acid sequence, wherein said third nucleic acid sequence encodes a protein comprising a payload operably linked to a drug responsive domain (DRD), wherein: (a) said payload comprises human CD40L or a functional variant thereof; and (b) said DRD is derived from human carbonic anhydrase 2 (hCA2), wherein the DRD comprises one or more amino acid insertions, deletions or substitutions compared to SEQ ID NO. 1, and wherein said DRD is 5’ to said payload; (iv) a fourth nucleic acid sequence positioned between the first and second nucleic acid sequences, wherein said fourth nucleic acid sequence comprises the sequence of a first co-expression element; and (v) a fifth nucleic acid sequence positioned between the second and third nucleic acid sequences, wherein said fifth nucleic acid sequence comprises the sequence of a second coexpression element.
[0045] In some of any embodiments, the DRD comprises or consists of amino acids 1-260 of SEQ ID NO: 1 or amino acids 2-260 of SEQ ID NO: 1, with up to three amino acid substitutions, deletions or insertions compared to SEQ ID NO: l.In some of any embodiments, the DRD comprises or consists of amino acids 1-260 of SEQ ID NO: 1 or amino acids 2-260 of SEQ ID NO: 1 with: (i) an S56N amino acid substitution compared to SEQ ID NO. 1; (ii) an L156H amino acid substitution compared to SEQ ID NO. 1; or (iii) amino acid substitutions D71L, T87N and L250R compared to SEQ ID NO: 1. In some of any embodiments, the DRD is hCA2(S56N) comprising or consisting of the amino acid sequence of SEQ ID NO: 20.
[0046] In some of any embodiments, the payload comprises human CD40L, wherein the human CD40L comprises or consists of the amino acid sequence of SEQ ID NO: 2.
[0047] In some of any embodiments, the third nucleic acid sequence further encodes a linker between the payload and the DRD, wherein the linker comprises or consists of the amino acid sequence of SEQ ID NO: 21.
[0048] In some of any embodiments, the alpha (a) chain of the TCR and the beta (P) chain of the TCR can form a functional TCR, wherein said functional TCR has antigenic specificity for a peptide epitope of human papillomavirus type 16 (HPV16). In some of any embodiments, the peptide epitope of HPV16 is a peptide epitope of the E7 protein of HPV16 (HPV16 E7) or a peptide epitope of the E6 protein of HPV16 (HPV16 E6). In some of any embodiments, the TCR or functional variant thereof has an alpha (a) chain and a beta (P) chain of an E7(l 1- 19) TCR, or an alpha (a) chain and a beta (P) chain of an E6(29-38) TCR. In some of any embodiments, the TCR or functional variant thereof has an alpha (a) chain and a beta (P) chain of an E7(l 1- 19) TCR. In some of any embodiments, the TCR or functional variant thereof has a variable alpha (a) and a variable beta (P) of an E7(l 1-19) TCR as set forth in any of Appendix 1, 2, 3, or 4. In some of any embodiments, the TCR or functional variant thereof has an alpha (a) chain and a beta (P) chain of an E7(l 1-19) TCR as set forth in any of Appendix 1, 2, 3, or 4. In some of any embodiments, the TCR or functional variant thereof has an alpha (a) chain and a beta (P) chain of an E6(29-38) TCR. In some of any embodiments, the TCR or functional variant thereof has a variable alpha (a) and a variable beta (P) of an E6(29-38) TCR as set forth in any of Appendix 1, 2, 3, or 4. In some of any embodiments, the TCR or functional variant thereof has an alpha (a) chain and a beta (P) chain of an E6(29-38) TCR as set forth in any of Appendix 1, 2, 3, or 4.
[0049] In some of any embodiments, the first co-expression element encodes a 2A peptide. In some of any embodiments, the second co-expression element encodes a 2A peptide.
[0050] In some of any embodiments, the nucleic acid molecule further comprises a promoter operably linked to the first nucleic acid sequence.
[0051] In some of any embodiments, the TCR or functional variant thereof comprises an a chain comprising the amino acid sequence of SEQ ID NO: 202 and a P chain comprising the amino acid sequence of SEQ ID NO: 208.
[0052] In some of any embodiments, the nucleic acid molecule encodes the amino acid sequence of SEQ ID NO:23.
[0053] In another aspect, the present disclosure provides a method of producing a modified cell, said method comprising introducing into a cell a first nucleic acid molecule and a second nucleic acid molecule, wherein: (i) the first nucleic acid molecule encodes a T cell receptor (TCR) or a functional variant thereof, wherein the TCR or the functional variant thereof has antigenic specificity for a peptide epitope of a human papillomavirus (HPV) antigen; and (ii) the
second nucleic acid molecule encodes a protein comprising a payload operably linked to a drug responsive domain (DRD), wherein said payload comprises human CD40L or a functional variant thereof, and said DRD is derived from human carbonic anhydrase 2 (hCA2), wherein the DRD comprises one or more amino acid insertions, deletions or substitutions compared to SEQ ID NO. 1.
[0054] In some of any embodiments, the first nucleic acid molecule and the second nucleic acid molecule are introduced into the cell by a viral delivery method, by a non-viral delivery method, or by a combination thereof.
[0055] In another aspect, the present disclosure provides a method of producing a modified cell, said method comprising introducing into a cell a nucleic acid molecule, wherein: said nucleic acid molecule encodes a protein comprising a payload operably linked to a drug responsive domain (DRD), wherein said payload comprises human CD40L or a functional variant thereof, and said DRD is derived from human carbonic anhydrase 2 (hCA2), wherein the DRD comprises one or more amino acid insertions, deletions or substitutions compared to SEQ ID NO. 1; and wherein said cell expresses a T cell receptor (TCR) or a functional variant thereof, wherein the TCR or the functional variant thereof has antigenic specificity for a peptide epitope of a human papillomavirus (HPV) antigen.
[0056] In another aspect, the present disclosure provides a method of producing a modified cell, said method comprising introducing into a cell a nucleic acid molecule, wherein: said nucleic acid molecule encodes a T cell receptor (TCR) or a functional variant thereof, wherein the TCR or the functional variant thereof has antigenic specificity for a peptide epitope of a human papillomavirus (HPV) antigen; and wherein said cell expresses a protein comprising a payload operably linked to a drug responsive domain (DRD), wherein said payload comprises human CD40L or a functional variant thereof, and said DRD is derived from human carbonic anhydrase 2 (hCA2), wherein the DRD comprises one or more amino acid insertions, deletions or substitutions compared to SEQ ID NO. 1.
[0057] In some of any embodiments, the DRD comprises or consists of amino acids 1-260 of SEQ ID NO: 1 or amino acids 2-260 of SEQ ID NO: 1, with up to three amino acid substitutions, deletions or insertions compared to SEQ ID NO: 1. In some of any embodiments, the DRD comprises or consists of amino acids 1-260 of SEQ ID NO: 1 or amino acids 2-260 of SEQ ID NO: 1 with: (i) an S56N amino acid substitution compared to SEQ ID NO. 1; (ii) an L156H amino acid substitution compared to SEQ ID NO. 1; or (iii) amino acid substitutions D71L, T87N and L250R compared to SEQ ID NO. In some of any embodiments, the DRD is hCA2(S56N) comprising or consisting of the amino acid sequence of SEQ ID NO: 20.
[0058] In some of any embodiments, the payload comprises human CD40L, wherein the human CD40L comprises or consists of the amino acid sequence of SEQ ID NO: 2.
[0059] In some of any embodiments, the protein comprising a payload operably linked to a DRD further comprises a linker between the payload and the DRD, wherein the linker comprises or consists of the amino acid sequence of SEQ ID NO: 21.
[0060] In some of any embodiments, the TCR or the functional variant thereof has antigenic specificity for a peptide epitope of human papillomavirus type 16 (HPV16). In some of any embodiments, the peptide epitope of HPV16 is a peptide epitope of the E7 protein of HPV16 (HPV16 E7) or a peptide epitope of the E6 protein of HPV16 (HPV16 E6). In some of any embodiments, the TCR or functional variant thereof has an alpha (a) chain and a beta (P) chain of an E7(l 1-19) TCR, or an alpha (a) chain and a beta (P) chain of an E6(29-38) TCR. In some of any embodiments, the TCR or functional variant thereof has an alpha (a) chain and a beta (P) chain of an E7(l 1-19) TCR. In some of any embodiments, the TCR or functional variant thereof has a variable alpha (a) and a variable beta (P) of an E7(l 1-19) TCR as set forth in any of Appendix 1, 2, 3, or 4. In some of any embodiments, the TCR or functional variant thereof has an alpha (a) chain and a beta (P) chain of an E7(l 1-19) TCR as set forth in any of Appendix 1, 2, 3, or 4. In some of any embodiments, the TCR or functional variant thereof has an alpha (a) chain and a beta (P) chain of an E6(29-38) TCR. In some of any embodiments, the TCR or functional variant thereof has a variable alpha (a) and a variable beta (P) of an E6(29-38) TCR as set forth in any of Appendix 1, 2, 3, or 4. In some of any embodiments, the TCR or functional variant thereof has an alpha (a) chain and a beta (P) chain of an E6(29-38) TCR as set forth in any of Appendix 1, 2, 3, or 4. In some of any embodiments, the TCR or functional variant thereof comprises an a chain comprising the amino acid sequence of SEQ ID NO: 202 and a P chain comprising the amino acid sequence of SEQ ID NO: 208.
[0061] In some of any embodiments, the TCR comprises an a chain of a TCR and a P chain of a TCR and the nucleic acid sequence encoding the a chain and the nucleic acid sequence encoding the P chain are separated by a first co-expression element comprising a nucleic acid sequence encoding a 2A peptide.
[0062] Also provided by the present disclosure are a vector comprising any of the provided nucleic acid molecules. In some of any embodiments, the vector is an expression vector. In some of any embodiments, the vector is a plasmid or a viral vector. In some of any embodiments, the vector is a retroviral vector. In some of any embodiments, the vector is a lentiviral vector. In some of any embodiments, the viral vector is derived from an adenovirus, adeno-associated virus (AAV), alphavirus, flavivirus, herpes virus, measles virus, rhabdovirus, retrovirus, lentivirus,
Newcastle disease virus (NDV), poxvirus, or picornavirus. In some of any embodiments, the viral vector is selected from the group consisting of a lentivirus vector, a gamma retrovirus vector, adeno-associated virus (AAV) vector, adenovirus vector, and a herpes virus vector. [0063] Also provided by the present disclosure is a cell comprising any of the provided nucleic acid molecules. Also provided by the present disclosure is a cell transfected or transduced with any of the provided vectors.
[0064] Also provided by the present disclosure is a cell which expresses a first and a second protein, wherein: (i) the first protein is a T cell receptor (TCR) or a functional variant thereof, wherein the TCR or the functional variant thereof has antigenic specificity for a peptide epitope of a human papillomavirus (HPV) antigen; and (ii) the second protein comprises a payload operably linked to a drug responsive domain (DRD), wherein said payload comprises human CD40L or a functional variant thereof, and said DRD is derived from human carbonic anhydrase 2 (hCA2), wherein the DRD comprises one or more amino acid insertions, deletions or substitutions compared to SEQ ID NO. 1.
[0065] In some of any embodiments, the DRD comprises or consists of amino acids 1-260 of SEQ ID NO: 1 or amino acids 2-260 of SEQ ID NO: 1, with up to three amino acid substitutions, deletions or insertions compared to SEQ ID NO: 1. In some of any embodiments, the DRD comprises or consists of amino acids 1-260 of SEQ ID NO: 1 or amino acids 2-260 of SEQ ID NO: 1 with: (i) an S56N amino acid substitution compared to SEQ ID NO. 1; (ii) an L156H amino acid substitution compared to SEQ ID NO. 1; or (iii) amino acid substitutions D71L, T87N and L250R compared to SEQ ID NO. 1. In some of any embodiments, the DRD is hCA2(S56N) comprising or consisting of the amino acid sequence of SEQ ID NO: 20.
[0066] In some of any embodiments, the payload comprises human CD40L, wherein the human CD40L comprises or consists of the amino acid sequence of SEQ ID NO: 2.
[0067] In some of any embodiments, the second protein comprises a linker between the payload and the DRD, wherein the linker comprises or consists of the amino acid sequence of SEQ ID NO: 21.
[0068] In some of any embodiments, the TCR or functional variant thereof has antigenic specificity for a peptide epitope of human papillomavirus type 16 (HPV 16). In some of any embodiments, the peptide epitope of HPV 16 is a peptide epitope of the E7 protein of HPV 16 (HPV16 E7) or a peptide epitope of the E6 protein of HPV16 (HPV16 E6). In some of any embodiments, the TCR or functional variant thereof has an alpha (a) chain and a beta (P) chain of an E7(l 1-19) TCR, or an alpha (a) chain and a beta (P) chain of an E6(29-38) TCR. In some of any embodiments, the TCR or functional variant thereof has an alpha (a) chain and a beta (P)
chain of an E7(l 1-19) TCR. In some of any embodiments, the TCR or functional variant thereof has a variable alpha (a) and a variable beta (P) of an E7(l 1-19) TCR as set forth in any of Appendix 1, 2, 3, or 4. In some of any embodiments, the TCR or functional variant thereof has an alpha (a) chain and a beta (P) chain of an E7(l 1-19) TCR as set forth in any of Appendix 1, 2, 3, or 4. In some of any embodiments, the TCR or functional variant thereof has an alpha (a) chain and a beta (P) chain of an E6(29-38) TCR. In some of any embodiments, the TCR or functional variant thereof has a variable alpha (a) and a variable beta (P) of an E6(29-38) TCR as set forth in any of Appendix 1, 2, 3, or 4. In some of any embodiments, the TCR or functional variant thereof has an alpha (a) chain and a beta (P) chain of an E6(29-38) TCR as set forth in any of Appendix 1, 2, 3, or 4. In some of any embodiments, the TCR or functional variant thereof comprises an a chain comprising the amino acid sequence of SEQ ID NO: 202 and a P chain comprising the amino acid sequence of SEQ ID NO: 208.
[0069] In some of any embodiments, said cell is derived from a cell line. In some of any embodiments, the cell is a mammalian cell. In some of any embodiments, the cell is a human cell.
[0070] In some of any embodiments, said cell is derived from a primary cell. In some of any embodiments, said primary cell is obtained from a mammalian subject. In some of any embodiments, the subject is a human.
[0071] In some of any embodiments, said cell is an immune cell. In some of any embodiments, said cell is a T cell. In some of any embodiments, the T cell is a CD4+ T cell, CD8+ T cell, and/or a CD3+ T cell.
[0072] Also provided by the present disclosure is a method of modulating expression, function, and/or level of CD40L in any of the provided cells, said method comprising administering to the cell a stimulus to which the DRD is responsive and wherein the stimulus is administered in an amount sufficient to modulate the expression, function and/or level of CD40L. In some of any embodiments, the stimulus is selected from acetazolamide, celecoxib, valdecoxib, rofecoxib, methazolamide, dorzolamide, brinzolamide, diclofenamide, ethoxzolamide, zonisamide, dansylamide, and dichlorphenamide. In some of any embodiments, the stimulus is acetazolamide.
[0073] Also provided by the present disclosure are pharmaceutical compositions comprising any of the provided nucleic acid molecules, vectors or cells. In some of any embodiments, the pharmaceutical composition further comprises a cryoprotectant.
[0074] Also provided by the present disclosure are methods of treating an indication, disease, or disorder associated with HPV in a subject in need thereof using any of the provided nucleic acid molecules, vectors, cells or pharmaceutical compositions.
[0075] Also provided by the present disclosure is a method of treating an indication, disease, or disorder associated with HPV in a subject in need thereof, said method comprising: (a) administering to the subject any of the provided nucleic acid molecules, vectors, cells, or pharmaceutical compositions; and (b) administering a therapeutically effective amount of a stimulus to the subject, wherein the DRD is responsive to the stimulus, and wherein expression of the payload is modulated in response to the stimulus.
[0076] Also provided by the present disclosure is a method of treating an indication, disease, or disorder associated with HPV in a subject in need thereof, said method comprising: (a) administering to the subject a T cell comprising any of the provided nucleic acid molecules; and (b) administering a therapeutically effective amount of a stimulus to the subject, wherein the DRD is responsive to the stimulus and wherein expression of the payload is modulated in response to the stimulus.
[0077] Also provided by the present disclosure is a method of treating an indication, disease, or disorder associated with HPV in a subject in need thereof, said method comprising: (a) administering to the subject a pharmaceutical composition comprising any of the provided cells; and (b) administering a therapeutically effective amount of a stimulus to the subject, wherein the DRD is responsive to the stimulus and wherein expression of the payload is modulated in response to the stimulus.
[0078] In some of any embodiments, the cells administered to the subject are allogeneic to the subject. In some of any embodiments, the cells administered to the subject are autologous to the subject.
[0079] In some of any embodiments, the stimulus is selected from acetazolamide, celecoxib, valdecoxib, rofecoxib, methazolamide, dorzolamide, brinzolamide, diclofenamide, ethoxzolamide, zonisamide, dansylamide, and dichlorphenamide. In some of any embodiments, the stimulus is acetazolamide.
[0080] In some of any embodiments, the HPV is HPV 16. In some of any embodiments, the indication, disease, or disorder is cancer. In some of any embodiments, the cancer is cervical cancer or head and neck cancer. In some of any embodiments, the subject is a human.
[0081] Also provided by the present disclosure is any of the provided nucleic acid molecules, vectors, cells, or pharmaceutical compositions for use in treating an indication, disease, or disorder associated with HPV.
[0082] Also provided by the present disclosure is a pharmaceutical composition comprising any of the provided cells for use in treating an indication, disease, or disorder associated with HPV.
[0083] Also provided by the present disclosure is use of any of the provided nucleic acid molecules, vectors, cells, or pharmaceutical compositions for the manufacture of a medicament for treating an indication, disease, or disorder associated with HPV.
[0084] Also provided by the present disclosure is a pharmaceutical composition comprising any of the provided cells for the manufacture of a medicament for treating an indication, disease, or disorder associated with HPV.
BRIEF DESCRIPTION OF THE DRAWINGS
[0085] FIG. 1A-FIG. 1C show in vitro analyses of CA2 DRD variants operably linked to CD40L. FIG. 1A depicts schematics of CA2-CD40L constructs analyzed in vitro according to the disclosure of Example 1 (construct structures are not to scale). All constructs, except for CD40L-001, encode a CD40L payload having the amino acid sequence of SEQ ID NO. 2 operably linked to a CA2 polypeptide or CA2 DRD. The CA2 polypeptide in control construct CD40L-086 is a wild-type human CA2 (CA2(WT)) polypeptide having the amino acid sequence of SEQ ID NO. 1. The CA2 DRD in construct CD40L-039 has the amino acid substitution L156H compared to SEQ ID NO:1, the CA2 DRD in construct CD40L-071 has the amino acid substitution S56N compared to SEQ ID NO:1, and the CA2 DRD in construct CD40L-073 has the amino acid substitutions D71L, T87N, L250R compared to SEQ ID NO:1. All constructs, except for CD40L-001, also encode a peptide linker positioned between the DRD or CA2(WT) polypeptide and the CD40L payload. The control construct CD40L-001 comprises the amino acid sequence of SEQ ID NO: 25. FIG. IB shows concentration-response curves of T cells from two donors transduced with the indicated constructs, treated with varying ACZ concentrations and analyzed for CD40L expression. CD40L expression was quantified by flow cytometry and analyzed as MFI. Left panel shows CD40L expression in CD4+ T cells. Right panel shows CD40L expression in CD8+ T cells. FIG. 1C shows concentration-response curves of DC activation as assessed by IL12 secretion. Error bars in both FIG. IB and FIG. 1C represent standard deviations between both donors.
[0086] FIG. 2 depicts a schematic representation of the HPV16E7-CD40L-038 construct (construct structure is not to scale). Transcription of the engineered TCR and CA2-CD40L sequences is driven by the exemplary promoter human EFla promoter. An intervening P2A ribosomal skip sequence is positioned between the construct components encoding the TCR subunits. A second P2A sequence is positioned 3’ of the TCRa chain coding sequence, followed
by the CA2-DRD fused to the 5’ end of the human CD40L coding sequence. The HPV16E7- CD40L-038 construct also comprises a CA2 DRD variant comprising an S56N substitution. A linker is positioned between the CA2 (S56N) DRD variant and the CD40L payload. Although the HPV16E7-CD40L-038 construct shows the TCR beta chain positioned N-terminal to the TCR alpha chain, constructs can be designed with the positions of the TCR beta chain and TCR alpha chain reversed with respect to the HPV16E7-CD40L-038 construct (i.e., the TCR alpha chain positioned N-terminal to the TCR beta chain).
[0087] FIG. 3A-FIG. 3B show expression of CD40L on T cells transduced with the HPV16E7-CD40L-038 construct and control constructs. FIG. 3A depicts schematics of the tested constructs (construct structures are not to scale). FIG. 3B shows CD40L expression within the CD3+, CD4+, or CD8+ T cell populations. GeoMFI of CD40L surface expression was calculated for each donor. Each circle represents data from a single donor. Averages of the geoMFI of CD40L expression for the 3 donors are shown. Error bars indicate standard deviation. [0088] FIG. 4A-FIG. 4B show CD40L regulation at the end of in vitro cell expansion and after stimulation with the exemplary T cell activation stimulus PMA/ionomycin. Cell surface CD40L expression was measured by flow cytometry and analyzed as geoMFI within the TCRP+ population (TCRP+ CD3+) (FIG. 4A) and percent positive cells among total T cells (CD3+) (FIG. 4B). The data represent the average of 3 donors, with each circle representing a single donor. Error bars represent standard deviations.
[0089] FIG. 5A-FIG. 5B show regulated CD40L expression in T cells post-cryopreservation and after stimulation with the exemplary T cell activation stimulus PMA/ionomycin. Cell surface CD40L expression was measured by flow cytometry and analyzed as geoMFI within the TCRP+ population (TCRP+ CD3+) (FIG. 5A) and percent positive cells among total T cells (CD3+) (FIG. 5B). The data represent the mean of 3 donors, with each circle representing a single donor. Error bars represent standard error of the mean.
[0090] FIG. 6A-FIG. 6B show concentration-response curves of ACZ-regulating CD40L expression in T cells transduced with the HPV16E7-CD40L-038 construct. The studies were carried out on thawed T cells that had been cryopreserved, and then stimulated with the exemplary T cell activation stimulus PMA/ionomycin. CD40L expression was determined by flow cytometry and is presented as percentage of cells staining positive (FIG. 6A) or as geoMFI of CD40L (FIG. 6B), within the TCRP+ population. 3 donors were analyzed; each curve represents the data from a single donor.
[0091] FIG. 7 shows CD40L expression on T cells transduced with the HPV16E7-CD40L- 038 construct that had been exposed to ACZ (48 hrs ON), followed by removal of ACZ from the
medium and assessment of CD40L 2, 4, 8, or 24 hours later. Cell surface CD40L expression, measured by flow cytometry, is represented as the geoMFI of the TCRP+/CD3+ cell population. The data represent the average of 3 donors, with each circle representing a single donor. Error bars indicate standard deviations.
[0092] FIG. 8A-FIG. 8B show IL12p70 induction in a dendritic cell (DC) co-culture assay with HPV16E7-CD40L-038 construct-transduced T cells. FIG. 8A shows an assay schematic for measuring DC activation through the CD40 pathway. FIG. 7B shows IL12p70 levels measured in the cell culture medium at the end of the 48-hour DC co-culture. Each circle represents one coculture assay; error bars represent the standard deviation between 2 replicate wells.
[0093] FIG. 9 shows analysis of proliferative response of T cells to peptide-loaded dendritic cells. Cells from 3 donors were tested in parallel, and the bar chart represents the average results of the 3 donors. Error bars represent standard deviations.
[0094] FIG. 10A-FIG. 10B show in vivo regulation of CD40L within SCC152 tumors. FIG. 10A shows CD40L expression plotted as the geoMFI within the human TCRP+CD3+ population. Each circle represents 1 animal, n=5. FIG. 10B compares the plasma ACZ concentration (black line) with the CD40L expression from the HPV16E7-CD40L-038 construct on T cells extracted from tumors (maroon line) at 2 time points. Error bars for both graphs indicate the standard error of the mean.
[0095] FIG. 11A-FIG. 11B show in vivo stimulation of dendritic cells with T cells transduced with the HPV16E7-CD40L-038 construct and measurement of human IL12p70 at 24 hours (FIG. 11A) and at 48 hours (FIG. 11B). Each circle represents data from 1 animal. Error bars represent the standard error of the mean.
DETAILED DESCRIPTION
[0096] The details of one or more embodiments of the present disclosure are set forth in the accompanying description below. Although any materials and methods similar or equivalent to those described herein can be used in the practice or testing of the present disclosure, the preferred materials and methods are now described. Other features, objects and advantages of the present disclosure will be apparent from the description. In the description, the singular forms also include the plural unless the context clearly dictates otherwise. Unless defined otherwise, all technical and scientific terms used herein have the same meaning as commonly understood by one of ordinary skill in the art to which this present disclosure belongs. In the case of conflict, the present description will control.
[0097] It is understood in the art that certain gene and/or protein nomenclature for the same gene or protein may be inclusive or exclusive of punctuation such as a dash or symbolic such
as Greek letters or a space. Whether these are included or excluded herein, the meaning is not meant to be changed as would be understood by one of skill in the art. For example, TCRalpha, TCRa, TCR-alpha, TCR-a, TCR alpha and TCR a all refer to the same polypeptide. Likewise, TCRbeta, TCRp, TCR-beta, TCR-P, TCR beta and TCR P all refer to the same polypeptide. Likewise, CD40L, CD40 L and CD40LG refer to the same protein.
Definitions
[0098] Unless otherwise defined, all terms of art, notations and other scientific terms or terminology used herein are intended to have the meanings commonly understood by those of skill in the art to which this invention pertains. In some cases, terms with commonly understood meanings are defined herein for clarity and/or for ready reference and understanding, and the inclusion of such definitions herein should not necessarily be construed to mean a substantial difference over what is generally understood in the art. Commonly understood definitions of molecular biology terms and/or methods and/or protocols can be found in Rieger et al., Glossary of Genetics: Classical and Molecular, 5th edition, Springer-Verlag: New York, 1991; Lewin, Genes V, Oxford University Press: New York, 1994; Sambrook et al., Molecular Cloning, A Laboratory Manual (3d ed. 2001) and Ausubel et al., Current Protocols in Molecular Biology (1994), Sambrook and Russel (2006) Condensed Protocols from Molecular Cloning: A Laboratory Manual, Cold Spring Harbor Laboratory Press, ISBN- 10: 0879697717; Ausubel et al. (2002) Short Protocols in Molecular Biology, 5th ed., Current Protocols, ISBN- 10: 0471250929. Articles such as “a,” “an,” and “the” may mean one or more than one unless indicated to the contrary or otherwise evident from the context. As appropriate, procedures involving the use of commercially available kits and/or reagents are generally carried out in accordance with manufacturer's guidance and/or protocols and/or parameters unless otherwise noted.
[0099] Adoptive cell therapy (ACT): The terms “adoptive cell therapy” or “adoptive cell transfer”, as used herein, refer to a cell therapy involving the transfer of cells into a patient, wherein cells may have originated from the patient, or from another individual, and are modified or engineered (altered) before being transferred back into the patient.
[00100] Antigenic specificity: As used herein, the term “antigenic specificity” when used with respect to a TCR or a functional variant thereof refers to the property of the TCR or functional variant thereof to recognize and/or bind to a given antigen when said antigen is presented by an MHC molecule. In preferred embodiments, said binding is with high avidity. In various embodiments, the TCR or functional variant thereof has antigenic specificity for a peptide epitope of a given antigen. In some embodiments, a TCR or functional variant thereof having antigenic specificity for a given antigen (e.g., a peptide epitope of the antigen) selectively
recognizes and/or binds to said antigen (e.g., a peptide epitope of said antigen). The term “selectively” is understood to refer to the property of a TCR or functional variant thereof to selectively recognize and/or bind to preferably only one specific epitope and preferably showing no or substantially no cross-reactivity to another epitope.
[00101] Conservative substitution: As used herein, the term “conservative substitution” refers to the substitution of an amino acid that is normally present in the sequence with a different amino acid of similar size, charge, or polarity. Examples of conservative substitutions include the substitution of a non-polar (hydrophobic) residue such as isoleucine, valine and leucine for another non-polar residue. Likewise, examples of conservative substitutions include the substitution of a polar (hydrophilic) residue for another such as between arginine and lysine, between glutamine and asparagine, and between glycine and serine. Additionally, the substitution of a basic residue such as lysine, arginine or histidine for another, or the substitution of one acidic residue such as aspartic acid or glutamic acid for another acidic residue are additional examples of conservative substitutions.
[00102] Corresponding: The term “corresponding” as it applies to a molecule (or region or domain thereof) or a sequence (e.g., nucleic acid sequence or amino acid sequence) or a position in a sequence, refers to a molecule (or region or domain thereof), or a sequence, or a position in a sequence identified upon sequence alignment with the stated reference molecule (or region or domain thereof) or reference sequence. For example, alignment may be based on structural sequence alignment or using a standard alignment algorithm. By aligning the sequences, one skilled in the art can identify corresponding molecules (or regions or domains thereof) or corresponding sequences or positions in a sequence, for example, using conserved and identical amino acid or nucleotide residues.
[00103] Derived from: As used herein, the phrase “derived from” refers to a polypeptide or polynucleotide that originates from the stated parent molecule or region or domain thereof or the stated parent sequence (e.g., nucleic acid sequence or amino acid sequence) and retains similarity to one or more structural and/or functional characteristics of the parent molecule or region or domain thereof or parent sequence. In some embodiments, a polypeptide or polynucleotide is derived from either (i) a full-length wild-type parent molecule or sequence; or (ii) a region or domain of a full-length wild-type parent molecule or sequence and retains the structural and/or functional characteristics of either (i) the full-length wild-type parent molecule or sequence; or (ii) the region or domain thereof, respectively. Structural characteristics include an amino acid sequence, a nucleic acid sequence, or a protein structure (e.g., such as a secondary protein structure, a tertiary protein structure, and/or quaternary protein structure). Functional
characteristics include biological activity such as catalytic activity, binding ability, and/or subcellular localization. As a non-limiting example, a polypeptide or polynucleotide retains similarity to a parent molecule or sequence if it has at least about 70% identity, preferably at least about 75% or 80% identity, more preferably at least about 85%, 86%, 87%, 88%, 89% or 90% identity, and further preferably at least about 91%, 92%, 93%, 94%, 95%, 96%, 97%, 98% or 99% identity to a parent nucleic acid sequence or amino acid sequence, over the entire length of the parent molecule or sequence. As another non-limiting example, a polypeptide retains similarity to a parent molecule or sequence if it comprises a region of amino acids that shares 100% identity to a parent amino acid sequence and said region ranges from 10-1,000 amino acids in length (e.g., greater than 20, 30, 40, 45, 50, 55, 60, 70, 80, 90, 100, 120, 140, 160, 180, 200, 250, 300, 350, 400, 450, 500, 600, 700, 800, and 900 amino acids or at least 10, 15, 20, 25, 30, 35, 40, 45, 50, 55, 60, 70, 80, 90, 100, 120, 140, 160, 180, 200, 250, 300, 350, 400, 450, 500, 600, 700, 800, 900, and 1,000 amino acids). As another non-limiting example, a polypeptide retains similarity to a parent molecule or amino acid sequence if it comprises one, two, three, four, or five amino acid mutations as compared to the parent amino acid sequence. In some embodiments, a polypeptide or polynucleotide is considered to retain similarity to a parent molecule or region or domain thereof or a parent sequence if it has substantially the same biological activity as compared to the parent molecule or region or domain thereof or the parent sequence. In some embodiments, a polypeptide or polynucleotide is considered to retain similarity to a parent molecule or region or domain thereof or a parent sequence if there is overlap of at least one biological activity as compared to the parent molecule or region or domain thereof or parent sequence. In some embodiments, a polypeptide or polynucleotide is considered to retain similarity to a parent molecule or region or domain thereof or a parent sequence if it has improvement or optimization of one or more biological activities as compared to the parent molecule or region or domain thereof or parent sequence. For example, a DRD may be derived from a domain or region of a naturally occurring protein and is modified in any of the ways taught herein to optimize DRD function. In some embodiments, biological activity may be optimized for a specified purpose, such as by retaining or enhancing certain activity while reducing or eliminating another activity as compared to a parent molecule. In some embodiments, a DRD that is derived from the stated parent molecule or region or domain thereof or the stated parent sequence is a variant of the stated parent molecule or region or domain thereof or the stated parent sequence. For example, in some embodiments, a DRD derived from human carbonic anhydrase 2 (hCA2) is a variant of hCA2.
[00104] Fragment: The term “fragment,” as applied to polynucleotide sequences, refers to a nucleotide sequence of reduced length relative to the reference nucleic acid and comprising, over the common portion, a nucleotide sequence identical to the reference nucleic acid. Such a nucleic acid fragment according to the disclosure may be, where appropriate, included in a larger polynucleotide of which it is a constituent.
[00105] Homology: As used herein, the term "homology" as it applies to amino acid sequences is defined as the percentage of residues in the candidate amino acid sequence that are identical with the residues in the amino acid sequence of a second sequence after aligning the sequences and introducing gaps, if necessary, to achieve the maximum percent homology. Methods and computer programs for the alignment are well known in the art. It is understood that homology depends on a calculation of percent identity but may differ in value due to gaps and penalties introduced in the calculation.
[00106] Identity: The term “identity” as known in the art, refers to a relationship between two or more sequences, as determined by comparing the sequences. In the art, identity also means the degree of sequence relatedness between sequences, as determined by the number of matches between strings of two or more residues (amino acid or nucleic acid). Identity measures the percent of identical matches between two or more sequences with gap alignments (if any) addressed by a particular mathematical model or computer program (i.e., “algorithms”). Identity of related sequences can be readily calculated by known methods. Such methods include, but are not limited to, those described in Computational Molecular Biology, Lesk, A. M., ed., Oxford University Press, New York, 1988; Biocomputing: Informatics and Genome Projects, Smith, D. W., ed., Academic Press, New York, 1993; Computer Analysis of Sequence Data, Part 1, Griffin, A. M., and Griffin, H. G., eds., Humana Press, New Jersey, 1994; Sequence Analysis in Molecular Biology, von Heinje, G., Academic Press, 1987; Sequence Analysis Primer, Gribskov, M. and Devereux, J., eds., M. Stockton Press, New York, 1991; and Carillo et al., SIAM J.
Applied Math. 48, 1073 (1988). Percent identity may be determined, for example, by comparing sequence information using sequence alignment programs known to those skilled in the art. Tools for alignment may include those of the BLAST suite (Stephen F. Altschul, et al. (1997), “Gapped BLAST and PSLBLAST: a new generation of protein database search programs”, Nucleic Acids Res. 25:3389-3402). The BLAST program is based on the alignment method discussed in Karlin and Altschul (1990) Proc. Natl. Acad. Sci USA, 87:2264-68.
[00107] Immune cell: The term “immune cell”, as used herein, refers to any cell of the immune system that originates from a hematopoietic stem cell in the bone marrow, which gives rise to two major lineages, a myeloid progenitor cell (which give rise to myeloid cells such as
monocytes, macrophages, dendritic cells, megakaryocytes and granulocytes) and a lymphoid progenitor cell (which give rise to lymphoid cells such as T cells, B cells and natural killer (NK) cells). Macrophages and dendritic cells may be referred to as “antigen presenting cells” or “APCs,” which are specialized cells that can activate T cells when a major histocompatibility complex (MHC) receptor on the surface of the APC complexed with a peptide interacts with a TCR on the surface of a T cell.
[00108] Mutation: As used herein, the term “mutation” refers to a change and/or alteration. In some embodiments, mutations may be changes and/or alterations to proteins (including peptides and polypeptides) and/or nucleic acids (including polynucleic acids). In some embodiments, mutations comprise changes and/or alterations to a protein and/or nucleic acid sequence. Such changes and/or alterations may comprise the addition, substitution and/or deletion of one or more amino acids (in the case of proteins and/or peptides) and/or nucleotides (in the case of nucleic acids and or polynucleic acids e.g., polynucleotides). According to the present disclosure, mutations such as the addition, substitution and/or deletion of one or more amino acids may be represented by reference to an amino acid position in a reference polypeptide. For example, an amino acid substitution may be referred to in the present disclosure by reference to the amino acid at a position in a reference polypeptide followed by the substituted amino acid (e.g., “L156H” refers to a substitution of histidine for leucine at the position 156 of a reference polypeptide). In some embodiments, wherein mutations comprise the addition and/or substitution of amino acids and/or nucleotides, such additions and/or substitutions may comprise one or more amino acid and/or nucleotide residues and may include modified amino acids and/or nucleotides. The resulting construct, molecule or sequence of a mutation, change or alteration may be referred to herein as a mutant.
[00109] Nucleic acid molecule: The terms “nucleic acid molecule,” “nucleic acid,” and “polynucleotide” may be used interchangeably, and refer to a polymer of nucleotides. Such polymers of nucleotides may contain natural and/or non-natural nucleotides. Illustrative nucleic acids or polynucleotides include, but are not limited to, ribonucleic acids (RNAs), deoxyribonucleic acids (DNAs), threose nucleic acids (TNAs), glycol nucleic acids (GNAs), peptide nucleic acids (PNAs), locked nucleic acids (LNAs) or hybrids thereof. “Nucleic acid sequence” refers to the linear sequence of nucleotides that comprise the nucleic acid molecule or polynucleotide. The term nucleic acid molecule, and in particular DNA or RNA molecule, refers only to the primary and secondary structure of the molecule, and does not limit it to any particular tertiary forms. Thus, this term includes double- stranded DNA found, inter alia, in linear or circular DNA molecules (e.g., restriction fragments), plasmids, supercoiled DNA and
chromosomes. In discussing the structure of particular double-stranded DNA molecules, sequences may be described herein according to the normal convention of giving only the sequence in the 5' to 3' direction along the non-transcribed strand of DNA (i.e., the strand having a sequence homologous to the mRNA). DNA includes, but is not limited to, cDNA, genomic DNA, plasmid DNA, synthetic DNA, and semi-synthetic DNA.
[00110] Operably linked: As used herein, the phrase “operably linked” refers to a functional connection between two or more molecules, constructs, transcripts, entities, moieties or the like. “Operably-linked” or “functionally linked” as it refers to nucleic acid sequences and polynucleotides refers to the association of nucleic acid sequences so that the function of one is affected by the other, while the nucleic acid sequences need not necessarily be adjacent or contiguous to each other, but may have intervening sequences between them. For example, a regulatory DNA sequence is said to be “operably linked to” or “associated with” a DNA sequence that codes for an RNA or a polypeptide if the two sequences are situated such that the regulatory DNA sequence affects expression of the coding DNA sequence (i.e., that the coding sequence or functional RNA is under the transcriptional control of the promoter). Coding sequences can be operably linked to regulatory sequences in sense or antisense orientation. A transcriptional regulatory sequence is generally operably linked in cis with a coding sequence but need not be directly adjacent to it. For example, an enhancer is a transcriptional regulatory sequence that is operably linked to a coding sequence, even though it is not contiguous with the coding sequence. A promoter is operably linked to a gene of interest if the promoter regulates or mediates transcription of the gene of interest in a cell.
[00111] Generally, promoter transcriptional regulatory sequences that are operably linked to a transcribed sequence are physically contiguous to the transcribed sequence, i.e., they are cisacting. However, some transcriptional regulatory sequences, such as enhancers, need not be physically contiguous or located in close proximity to the coding sequences whose transcription they enhance.
[00112] In an association between two or more polypeptides or domains thereof to create a fusion polypeptide, the term “operably linked” means that the state or function of one polypeptide in the fusion protein is affected by the other polypeptide in the fusion protein. For example, with respect to a fusion protein comprising a DRD and a payload, the DRD and the payload are operably linked if stabilization of the DRD with a ligand results in stabilization of the payload, while destabilization of the DRD in the absence of a ligand results in destabilization of the payload.
[00113] Payload: As used herein a “payload”or “target payload” or “payload of interest (POI)” or “target protein of interest” or “protein of interest” is defined as any polypeptide whose function is to be altered by operably linking the payload to a drug responsive domain (DRD) according to the disclosure.
[00114] Plasmid: The term “plasmid” refers to an extra-chromosomal element often carrying a gene that is not part of the central metabolism of the cell, and usually in the form of circular double-stranded DNA molecules. Such elements may be autonomously replicating sequences, genome integrating sequences, phage or nucleotide sequences, linear, circular, or supercoiled, of a single- or double-stranded DNA or RNA, derived from any source, in which a number of nucleotide sequences have been joined or recombined into a unique construction which is capable of introducing a promoter fragment and DNA sequence for a selected gene product along with appropriate 3' untranslated sequence into a cell. Many plasmids and other cloning and expression vectors that can be used in accordance with the present disclosure are well known and readily available to those of skill in the art. Moreover, those of skill readily may construct any number of other plasmids suitable for use in the invention. The properties, construction and use of such plasmids, as well as other vectors, in the present invention will be readily apparent to those of skill from the present disclosure.
[00115] Polypeptide: As used herein, the term “polypeptide” refers to a polymer of amino acid residues (natural or unnatural). The term, as used herein, refers to proteins, polypeptides, and peptides of any size, structure, or function. The terms “polypeptide” and “protein” may be used interchangeably herein. In some instances, the polypeptide is smaller than about 50 amino acids and the polypeptide may then be termed a “peptide”. Polypeptides include gene products, naturally occurring polypeptides, synthetic polypeptides, homologs, orthologs, paralogs, fragments and other equivalents, variants, and analogs of the foregoing. A polypeptide may be a single molecule or may be a multi-molecular complex such as a dimer, trimer or tetramer. They may also comprise single chain or multichain polypeptides and may be associated or linked. The terms also include post-expression modifications of the polypeptide, for example, glycosylation, sialylation, acetylation, phosphorylation, and the like. The term polypeptide may also apply to amino acid polymers in which one or more amino acid residues are an artificial chemical analogue of a corresponding naturally occurring amino acid.
[00116] Promoter: ‘ ‘Promoter” and “promoter sequence” are used interchangeably and refer to a DNA sequence capable of controlling the expression of a coding sequence or functional RNA. In general, a coding sequence is located 3' to a promoter sequence. Promoters may be derived in their entirety from a native gene or be composed of different elements derived from different
promoters found in nature, or may comprise synthetic DNA segments. It is understood by those skilled in the art that different promoters may direct the expression of a gene in different tissues or cell types, or at different stages of development, or in response to different environmental or physiological conditions. A promoter can include necessary nucleic acid sequences near the start site of transcription, such as, in the case of a polymerase II type promoter, a TATA element. A promoter can optionally include distal enhancer or repressor elements, which can be located as much as several thousand base pairs from the start site of transcription.
[00117] Promoters that cause a gene to be expressed in most cell types at most times are commonly referred to as "constitutive promoters." Promoters that cause a gene to be expressed in a specific cell type are commonly referred to as "cell- specific promoters" or "tissue-specific promoters." Promoters that cause a gene to be expressed at a specific stage of development or cell differentiation are commonly referred to as "developmentally- specific promoters" or "cell differentiation- specific promoters." Promoters that are induced and cause a gene to be expressed following exposure or treatment of the cell with an agent, biological molecule, chemical, ligand, light, or the like that induces the promoter are commonly referred to as "inducible promoters" or "regulatable promoters." It is further recognized that since in most cases the exact boundaries of regulatory sequences have not been completely defined, DNA elements of different lengths may have identical promoter activity. The promoter sequence is typically bounded at its 3' terminus by the transcription initiation site and extends upstream (5' direction) to include the minimum number of bases or elements necessary to initiate transcription at levels detectable above background. Within the promoter sequence is found a transcription initiation site, as well as protein binding domains (consensus sequences) responsible for the binding of RNA polymerase.
[00118] The promoter region of a gene includes the transcription regulatory elements that typically lie 5' to a structural gene. If a gene is to be activated, proteins known as transcription factors attach to the promoter region of the gene. This assembly resembles an "on switch" by enabling an enzyme to transcribe a second genetic segment from DNA into RNA. In most cases the resulting RNA molecule serves as a template for synthesis of a specific protein; sometimes RNA itself is the final product. The promoter region may be a normal cellular promoter or an oncopromoter.
[00119] Pharmaceutically acceptable excipients: the term “pharmaceutically acceptable excipient,” as used herein, refers to any ingredient other than active agents (e.g., as described herein) present in pharmaceutical compositions and having the properties of being substantially nontoxic and non-inflammatory in subjects. It is understood by those of skill in the art that a particular pharmaceutically acceptable excipient may not be suitable for all active agents or
modes of administration. For example, some pharmaceutically acceptable excipients may be suitable for a small molecule therapeutic drug but not suitable for a viral vector. Similarly, some pharmaceutically acceptable excipients may be suitable for oral or parenteral administration but not suitable for intravenous administration. In some embodiments, pharmaceutically acceptable excipients are vehicles capable of suspending and/or dissolving active agents. Excipients may include, for example: antiadherents, antioxidants, binders, coatings, compression aids, disintegrants, dyes (colors), emollients, emulsifiers, fillers (diluents), film formers or coatings, flavors, fragrances, glidants (flow enhancers), lubricants, preservatives, printing inks, sorbents, suspending or dispersing agents, sweeteners, and waters of hydration. Exemplary excipients include, but are not limited to: butylated hydroxytoluene (BHT), calcium carbonate, calcium phosphate (dibasic), calcium stearate, croscarmellose, crosslinked polyvinyl pyrrolidone, citric acid, crospovidone, cysteine, ethylcellulose, gelatin, hydroxypropyl cellulose, hydroxypropyl methylcellulose, lactose, magnesium stearate, maltitol, mannitol, methionine, methylcellulose, methyl paraben, microcrystalline cellulose, polyethylene glycol, polyvinyl pyrrolidone, povidone, pregelatinized starch, propyl paraben, retinyl palmitate, shellac, silicon dioxide, sodium carboxymethyl cellulose, sodium citrate, sodium starch glycolate, sorbitol, starch (corn), stearic acid, sucrose, talc, titanium dioxide, vitamin A, vitamin E, vitamin C, and xylitol.
[00120] Site: As used herein, the terms “site,” as it pertains to amino acid-based embodiments is used synonymously with “amino acid residue” and “amino acid side chain”. A site represents a position within a peptide or polypeptide that may be modified, manipulated, altered, derivatized or varied within the polypeptide-based molecules of the present disclosure.
[00121] Stabilize: As used herein, the term “stabilize”, “stabilized,” “stabilized region” means to make a polypeptide or region thereof become or remain stable. In some embodiments, stability is measured relative to an absolute value. For example, the stability of a polypeptide comprising a DRD bound to its ligand may be compared to the stability of the wild type polypeptide. In some embodiments, stability is measured relative to a different status or state of the same polypeptide. For example, the stability of a polypeptide comprising a DRD bound to its ligand may be compared to the stability of the polypeptide comprising a DRD in the absence of its ligand. [00122] Subject: The terms "subject" and "patient" are used interchangeably and refer to mammals such as human patients and non-human primates, as well as experimental animals such as rabbits, dogs, cats, rats, mice, and other animals. Accordingly, the term "subject" or "patient" as used herein means any patient or subject (e.g. mammalian) to which the nucleic acids, polynucleotides, payloads, compositions, vectors, or cells of the disclosure can be administered.
[00123] Termini: As used herein, the terms “termini” or “terminus,” when referring to proteins refers to an extremity of a peptide or polypeptide. Such extremity is not limited only to the first or final site of the peptide or polypeptide but may include additional amino acids in the terminal regions. The polypeptide-based molecules of the present disclosure may be characterized as having both an N-terminus (terminated by an amino acid with a free amino group (NH2)) and a C-terminus (terminated by an amino acid with a free carboxyl group (COOH)).
[00124] Treatment or treating: As used herein, the terms “treat” in all its verb forms, means to relieve, alleviate, prevent, and/or manage at least one symptom of a disease or a disorder in a subject. The term “treat” also denotes delaying the onset of a disease (i.e., the period prior to clinical manifestation of a disease), decreasing symptoms resulting from a disease, delaying the progression or prolonging survival for individuals with a disease, and/or reducing the risk of developing or worsening of a disease. The term “treatment” means the act of “treating” as defined above.
[00125] Variant: As used herein, the term “variant” when used in reference to a polypeptide refers to molecules which differ in their amino acid sequence from a native or reference sequence. The amino acid sequence variants may possess substitutions, insertions, additions, deletions and/or covalent modifications at certain positions within the amino acid sequence, as compared to a native or reference sequence. As used herein, a “deletion” also includes a truncation at the N- or C- terminus of a polypeptide. Ordinarily, variants will possess at least about 50% identity (homology) to a native or reference sequence, and preferably, they will be at least about 80%, more preferably at least about 90% identical (homologous) to a native or reference sequence. As used herein, the terms “native” or “starting” or “reference” when referring to sequences are relative terms referring to an original molecule against which a comparison may be made. Native or starting or reference sequences should not be confused with wild-type sequences. Native sequences or molecules may represent the wild-type (that sequence found in nature) but do not have to be identical to the wild-type sequence.
[00126] Vector: A “vector” refers to any vehicle for the cloning of and/or transfer of a nucleic acid into a cell. A vector may be a replicon to which another DNA segment may be attached so as to bring about the replication of the attached segment. A “replicon” refers to any genetic element (e.g., plasmid, phage, cosmid, chromosome, virus) that functions as an autonomous unit of DNA replication in vivo, i.e., capable of replication under its own control. The term “vector” includes both viral and nonviral vehicles for introducing the nucleic acid into a cell in vitro, ex vivo or in vivo. A large number of vectors known in the art may be used to manipulate nucleic acids, incorporate nucleic acid elements into genes, etc. Possible vectors include, for example,
plasmids or modified viruses including, for example bacteriophages such as lambda derivatives, or plasmids such as pBR322 or pUC plasmid derivatives, or the Bluescript vector. Vectors used in gene and cell therapy include those derived from, without limitation, adenovirus, adeno- associated virus (AAV), alphavirus, flavivirus, herpes virus, measles virus, rhabdovirus, retrovirus, lentivirus, Newcastle disease virus (NDV), poxvirus and picornavirus. For example, the insertion of a DNA element corresponding to a promoter into a suitable vector can be accomplished by ligating the appropriate DNA element into a chosen vector that has complementary cohesive termini. Alternatively, the ends of the DNA molecules may be enzymatically modified, or any site may be produced by ligating nucleotide sequences (linkers) into the DNA termini. Such vectors may be engineered to contain selectable marker genes that provide for the selection of cells. Such markers allow identification and/or selection of host cells that incorporate and express the proteins encoded by the marker. Common vectors include plasmids, viral genomes, and (primarily in yeast and bacteria) “artificial chromosomes.” “Expression vectors” are vectors that are designed to enable the expression of an inserted nucleic acid sequence. Expression vectors may comprise elements that provide for or facilitate transcription of nucleic acids that are cloned into the vectors. Such elements can include, e.g., promoters and/or enhancers operably coupled to a nucleic acid of interest.
[00127] Wild-type: “Wild-type” refers to a nucleic acid sequence, nucleic acid molecule, amino acid sequence, polypeptide or organism found in nature without any known mutation. The term may also be used to describe the properties of a wild-type nucleic acid sequence, nucleic acid molecule, amino acid sequence, polypeptide or organism.
I. Human papillomavirus (HPV)
[00128] Human papillomavirus (HPV) is a small, nonenveloped, double- stranded DNA virus that infects cutaneous and/or mucosal epithelium. These viruses can establish infections within the stratified epithelia of the skin, the anogenital tract and the oral cavity. In some cases, an HPV infection persists and results in warts or precancerous lesions. Such lesions increase the risk of certain cancers.
[00129] Over 100 HPV types have been isolated and characterized. Depending on their oncogenicity, some HPV types are called “high-risk” types (e.g., HPV16, HPV18, HPV31 and HPV45), whereas others are called “low-risk” types (e.g., HPV6 and HPV11). Persistent infection with “high-risk” types of HPV has been linked to cancer.
[00130] The genomes of all HPV types contain approximately eight ORFs that are transcribed from a single DNA strand. Generally, the HPV genome contains an early region containing six ORFs (El, E2, E4, E5, E6, E7), which encode proteins involved in viral replication and cell
transformation; a late region containing two ORFs (L1-L2) , which encode structural proteins of the viral capsid; and a largely non-coding part that is referred to as the long control region (LCR), which contains cis elements that are necessary for the replication and transcription of viral DNA. [00131] The HPV genes E6 and E7 act as oncogenes, promoting tumor growth and malignant transformation. The E6 gene produces the E6 protein, which inactivates the tumor suppressor protein p53 in the host cell. The E7 gene produces the E7 protein, which inactivates the tumor suppressor protein pRb in the host cell. In general, E6 and E7 oncogenes can affect cell cycle regulation and contribute to the formation of cancers.
[00132] HPV is a causative organism in most cases of cervical cancer and is associated with other cancers, including other anogenital cancers and head and neck cancers. HPV infection is associated with 90% of anal and cervical cancers and 70% of head and neck squamous cell carcinoma (HNSCC) (Arbyn et al. 2012).
[00133] HPV infection plays a central role in the pathogenesis of cervical cancer, with HPV types 16 and 18 being most prominent and associated with a higher rate of progression to advanced carcinoma in situ (Dalstein et al. 2003). Of the approximately 70% of HNSCC associated with HPV, 95% of cases are HPV16-related (Katki et al. 2011).
[00134] Like many malignancies, HPV-associated cancers are established within an immunosuppressive tumor microenvironment (TME), facilitating evasion of immune surveillance and clearance and resulting in tumor growth and metastasis (Liu and Cao 2016). This immunosuppressive TME represents a complex interplay between suppressive cytokines (transforming growth factor-P, vascular endothelial growth factor), negative regulatory cells (myeloid-derived suppressor cell, Treg cell), and co- stimulatory molecules enhancing T and natural killer cell activity (CD28, CD40). Activation of the CD40/CD40L axis results in cytokine activation, primarily IL12, increased expression of co- stimulatory molecules, enhanced antigen presentation, increased effector T cell responses, and downregulated expression of inhibitory factors such as programmed cell death protein 1 (Quezada et al. 2004)). An activated CD40/CD40L therapeutic may also exhibit anti-tumor activity via direct tumor cell killing and IL12-mediated activation of effector CD8+ T cells (Zhang et al. 2019).
II. T cell receptors and functional variants thereof
[00135] Various embodiments of the present disclosure comprise a T cell receptor (TCR) or a functional variant thereof.
[00136] A TCR is a heterodimeric protein that is a member of the immunoglobulin superfamily and is capable of specifically binding to an antigen peptide bound to a major histocompatibility complex (MHC) molecule. TCRs comprise a variable antigen binding domain, a constant
domain, a transmembrane region, and a short cytoplasmic tail. A TCR can be found on the surface of a cell or in soluble form. Generally, a TCR is found on the surface of T cells (or T lymphocytes) where it is generally responsible for recognizing antigens, such as peptides bound to MHC molecules. A TCR generally is comprised of a heterodimer having a and P chains (also known as TCRa and TCRp, respectively), or y and 6 chains (also known as TCRy and TCRS, respectively). Typically, TCRs that exist in aP and y6 forms are generally structurally similar, but T cells expressing them may have distinct anatomical locations or functions. The extracellular portion of TCR chains (e.g., a-chain, P-chain) contains two immunoglobulin domains, a variable domain (e.g., a-chain variable domain or Va, P-chain variable domain or VP) at the N terminus, and a constant domain (e.g., a-chain constant domain or Ca and P-chain constant domain or Cp,) adjacent to the cell membrane. The variable domains contain complementary determining regions (CDRs) separated by framework regions (FRs). Each variable region comprises three CDRs embedded in a framework sequence, one being the hypervariable region named CDR3. A TCR is usually associated with the CD3 complex to form a TCR complex. As used herein, the term “TCR complex” refers to a complex formed by the association of CD3 with TCR. For example, a TCR complex can be composed of a CD3y chain, a CD36 chain, two CD3s chains, a homodimer of CD3(^ chains, a TCRa chain, and a TCRP chain. Alternatively, a TCR complex can be composed of a CD3y chain, a CD36 chain, two CD3s chains, a homodimer of CD3(^ chains, a TCRy chain, and a TCRS chain. A “component of a TCR complex,” as used herein, refers to a TCR chain (i.e., TCRa, TCRp, TCRy or TCRS), a CD3 chain (i.e., CD3y, CD36, CD3s or CD3Q, or a complex formed by two or more TCR chains or CD3 chains (e.g., a complex of TCRa and TCRp, a complex of TCRy and TCRS, a complex of CD3s and CD36, a complex of CD3y and CD3s, or a sub-TCR complex of TCRa, TCRp, CD3y, CD36, and two CD3s chains).
[00137] According to the present disclosure, a functional variant of a TCR is a protein that is capable of specifically binding to an antigen peptide bound to a major histocompatibility complex (MHC) molecule. A functional variant of a TCR may be derived from a parent TCR. For example, a functional variant of a TCR may comprise an antigen-binding fragment of a parent TCR. Additionally or alternatively, a functional variant of a TCR may comprise one or more amino acid variations compared to a parent TCR.
[00138] In some embodiments, the present disclosure provides a recombinant protein that is a TCR or a functional variant thereof. In some embodiments, the present disclosure provides a nucleic acid molecule encoding the recombinant protein and/or a nucleic acid molecule comprising one or more nucleic acid sequences encoding a TCR or functional variants thereof. In some embodiments, the present disclosure provides a vector comprising a nucleic acid molecule
encoding a TCR or a functional variant thereof. In some embodiments, the present disclosure provides a cell comprising a nucleic acid molecule encoding a TCR or a functional variant thereof and/or a cell expression a TCR or a functional variant thereof. In various other embodiments, the present disclosure provides methods of making and using these recombinant proteins, nucleic acid molecules, cells and/or vectors.
A. TCRs and functional variants thereof having antigenic specificity for human papillomavirus (HPV} antigen
[00139] Various embodiments of the present disclosure comprise a TCR or a functional variant thereof that binds and/or recognizes, in the context of an MHC molecule, a peptide antigen or a peptide epitope associated with a cancer antigen. In various embodiments, the antigen or the peptide epitope is expressed on the surface of a cancer cell and/or a cell infected with human papillomavirus (HPV) or that contains HPV DNA. In some embodiments, the TCR or a functional variant thereof binds and/or recognizes a peptide antigen or a peptide epitope of an antigen expressed on the surface of a cancer cell or an immortal cell line, such as the exemplary cell line SCC152 (ATCC® CRL-3240™), which is a cell line derived from a squamous cell carcinoma and that contains HPV DNA sequences.
[00140] In some embodiments, the TCR or a functional variant thereof has antigenic specificity for a peptide epitope of a HPV antigen. In some embodiments, the TCR or the functional variant have antigenic specificity for a peptide epitope of human papillomavirus type 16 (HPV 16) in the context of an MHC molecule. In some embodiments, the peptide epitope of HPV16 is a peptide epitope of HPV 16 E7.
[00141] In some embodiments, a peptide antigen or a peptide epitope of the present disclosure is derived from HPV 16 E6 protein or HPV 16 E7 protein. In some embodiments, the TCR or a functional variant thereof binds and/or recognizes HPV 16 E6 or HPV 16 E7 epitopes in the context of an MHC molecule, such as an MHC class I molecule. In some embodiments, the MHC class I molecule is a human leukocyte antigen (HLA)-A molecule. In some embodiments, the MHC class I molecule is an HLA-A2 molecule. In some embodiments, the MHC class I molecule is an HLA-A*02:01.
[00142] Various embodiments of the present disclosure comprise anti-HPV 16 E6 TCRs, anti- HPV 16 E7 TCRs or functional variants thereof. In some embodiments, the TCR or functional variant thereof recognizes and/or binds to an epitope or region of HPV 16 E6 or HPV 16 E7, such as a peptide epitope comprising an amino acid sequence set forth in any of SOURCE SEQ ID NOs: 267-274 of US20190321401A1, and as shown below in Table 1.
[00143] In some embodiments, a TCR or functional variant thereof that has antigenic specificity for an HPV 16 epitope includes any as described in US20190062398A1;
US20190225692A1; US20190321401A1; and W02019070541A1. For instance, TCRs or functional variants thereof include any described in Appendix 1, Appendix 2, Appendix 3, or Appendix 4. Non-limiting examples of TCRs or functional variants thereof that have antigenic specificity for an HPV 16 epitope, including an epitope of HPV E7 or HPV E6, are described below.
[00144] In some embodiments, a TCR or functional variant thereof comprises an alpha chain containing a Va chain set forth in SEQ ID NO:463 (SOURCE SEQ ID NO:43 of US20190062398), and a beta chain containing a VP chain set forth in SEQ ID NO:547 (SOURCE SEQ ID NO:44 of US20190062398). In some embodiments, a TCR or functional variant thereof comprises an alpha chain containing a Va chain set forth in SEQ ID NO:464 (SOURCE SEQ ID NO:45 of US20190062398), and a beta chain containing a VP chain set forth in SEQ ID NO:548 (SOURCE SEQ ID NO:46 of US20190062398). In some embodiments, a TCR or functional variant thereof comprises an alpha chain containing a Va chain set forth in SEQ ID NO:465 (SOURCE SEQ ID NO:47 of US20190062398), and a beta chain containing a VP chain set forth in SEQ ID NO:549 (SOURCE SEQ ID NO:48 of US20190062398).
[00145] In some embodiments, a TCR or functional variant thereof comprises an alpha chain set forth in SEQ ID NO:466 (SOURCE SEQ ID NO:58 of US20190225692A1), and a beta chain set forth in SEQ ID NO:550 (SOURCE SEQ ID NO:62 of US20190225692A1). In some embodiments, a TCR or functional variant thereof comprises an alpha chain set forth in SEQ ID NO:467 (SOURCE SEQ ID NO:98 of US20190225692A1), and a beta chain set forth in SEQ ID NO:551 (SOURCE SEQ ID NO: 102 of US20190225692A1). In some embodiments, a TCR or functional variant thereof comprises an alpha chain set forth in SEQ ID NO:468 (SOURCE SEQ ID NO:283 of US20190225692A1), and a beta chain set forth in SEQ ID NO:552 (SOURCE SEQ ID NO:52 of US20190225692A1). In some embodiments, a TCR or functional variant
thereof comprises an alpha chain set forth in SEQ ID NO:468 (SOURCE SEQ ID NO:283 of US20190225692A1), and a beta chain set forth in SEQ ID NO:553 (SOURCE SEQ ID NO:285 of US20190225692A1). In some embodiments, a TCR or functional variant thereof comprises an alpha chain set forth in SEQ ID NO:36 (SOURCE SEQ ID NO:49 of US20190225692A1), and a beta chain set forth in SEQ ID NO:39 (SOURCE SEQ ID NO:53 of US20190225692A1). In some embodiments, a TCR or functional variant thereof comprises an alpha chain set forth in SEQ ID NO:36 (SOURCE SEQ ID NO:49 of US20190225692A1), and a beta chain set forth in SEQ ID NO:51 (SOURCE SEQ ID NO:286 of US20190225692A1). In some embodiments, a TCR or functional variant thereof comprises an alpha chain set forth in SEQ ID NO:42 (SOURCE SEQ ID NO:59 of US20190225692A1), and a beta chain set forth in SEQ ID NO:45 (SOURCE SEQ ID NO:63 of US20190225692A1). In some embodiments, a TCR or functional variant thereof comprises an alpha chain set forth in SEQ ID NO:54 (SOURCE SEQ ID NO:99 of US20190225692A1), and a beta chain set forth in SEQ ID NO:57 (SOURCE SEQ ID NO: 103 of US20190225692A1). In some embodiments, a TCR or functional variant thereof comprises an alpha chain set forth in SEQ ID NO:48 (SOURCE SEQ ID NO:284 of US20190225692A1), and a beta chain set forth in SEQ ID NO:39 (SOURCE SEQ ID NO:53 of US20190225692A1). In some embodiments, a TCR or functional variant thereof comprises an alpha chain set forth in SEQ ID NO:48 (SOURCE SEQ ID NO:284 of US20190225692A1), and a beta chain set forth in SEQ ID NO:51 (SOURCE SEQ ID NO:286 of US20190225692A1). In some embodiments, a TCR or functional variant thereof comprises an alpha chain set forth in SEQ ID NO:469 (SOURCE SEQ ID NO:687 of US20190225692A1), and a beta chain set forth in SEQ ID NO:554 (SOURCE SEQ ID NO:696 of US20190225692A1). In some embodiments, a TCR or functional variant thereof comprises an alpha chain set forth in SEQ ID NO:470 (SOURCE SEQ ID NO:705 of US20190225692A1), and a beta chain set forth in SEQ ID NO:555 (SOURCE SEQ ID NO:714 of US20190225692A1). In some embodiments, a TCR or functional variant thereof comprises an alpha chain set forth in SEQ ID NO:471 (SOURCE SEQ ID NO:722 of US20190225692A1), and a beta chain set forth in SEQ ID NO:556 (SOURCE SEQ ID NO:731 of US20190225692A1). In some embodiments, a TCR or functional variant thereof comprises an alpha chain set forth in SEQ ID NO:472 (SOURCE SEQ ID NO:737 of US20190225692A1), and a beta chain set forth in SEQ ID NO:557 (SOURCE SEQ ID NO:746 of US20190225692A1). In some embodiments, a TCR or functional variant thereof comprises an alpha chain set forth in SEQ ID NO:473 (SOURCE SEQ ID NO:755 of US20190225692A1), and a beta chain set forth in SEQ ID NO:558 (SOURCE SEQ ID NO:764 of US20190225692A1). In some embodiments, a TCR or functional variant thereof comprises an
alpha chain set forth in SEQ ID NO:474 (SOURCE SEQ ID NO:771 of US20190225692A1), and a beta chain set forth in SEQ ID NO:559 (SOURCE SEQ ID NO:777 of
US20190225692A1). In some embodiments, a TCR or functional variant thereof comprises an alpha chain set forth in SEQ ID NO:475 (SOURCE SEQ ID NO:783 of US20190225692A1), and a beta chain set forth in SEQ ID NO:560 (SOURCE SEQ ID NO:789 of
US20190225692A1). In some embodiments, a TCR or functional variant thereof comprises an alpha chain set forth in SEQ ID NO:476 (SOURCE SEQ ID NO:795 of US20190225692A1), and a beta chain set forth in SEQ ID NO:561 (SOURCE SEQ ID NO:804 of
US20190225692A1). In some embodiments, a TCR or functional variant thereof comprises an alpha chain set forth in SEQ ID NO:477 (SOURCE SEQ ID NO:811 of US20190225692A1), and a beta chain set forth in SEQ ID NO:562 (SOURCE SEQ ID NO:820 of
US20190225692A1). In some embodiments, a TCR or functional variant thereof comprises an alpha chain set forth in SEQ ID NO:478 (SOURCE SEQ ID NO:826 of US20190225692A1), and a beta chain set forth in SEQ ID NO:563 (SOURCE SEQ ID NO:835 of
US20190225692A1). In some embodiments, a TCR or functional variant thereof comprises an alpha chain set forth in SEQ ID NO:479 (SOURCE SEQ ID NO:841 of US20190225692A1), and a beta chain set forth in SEQ ID NO:564 (SOURCE SEQ ID NO:847 of
US20190225692A1). In some embodiments, a TCR or functional variant thereof comprises an alpha chain set forth in SEQ ID NO:480 (SOURCE SEQ ID NO:853 of US20190225692A1), and a beta chain set forth in SEQ ID NO:565 (SOURCE SEQ ID NO:859 of
US20190225692A1). In some embodiments, a TCR or functional variant thereof comprises an alpha chain set forth in SEQ ID NO:481 (SOURCE SEQ ID NO:865 of US20190225692A1), and a beta chain set forth in SEQ ID NO:566 (SOURCE SEQ ID NO:871 of
US20190225692A1). In some embodiments, a TCR or functional variant thereof comprises an alpha chain set forth in SEQ ID NO:482 (SOURCE SEQ ID NO:877 of US20190225692A1), and a beta chain set forth in SEQ ID NO:567 (SOURCE SEQ ID NO:883 of
US20190225692A1). In some embodiments, a TCR or functional variant thereof comprises an alpha chain set forth in SEQ ID NO:483 (SOURCE SEQ ID NO:891 of US20190225692A1), and a beta chain set forth in SEQ ID NO:568 (SOURCE SEQ ID NO:897 of
US20190225692A1). In some embodiments, a TCR or functional variant thereof comprises an alpha chain set forth in SEQ ID NO:484 (SOURCE SEQ ID NO:904 of US20190225692A1), and a beta chain set forth in SEQ ID NO:569 (SOURCE SEQ ID NO:913 of
US20190225692A1). In some embodiments, a TCR or functional variant thereof comprises an alpha chain set forth in SEQ ID NO:485 (SOURCE SEQ ID NO:921 of US20190225692A1),
and a beta chain set forth in SEQ ID NO:570 (SOURCE SEQ ID NO:927 of US20190225692A1). In some embodiments, a TCR or functional variant thereof comprises an alpha chain set forth in SEQ ID NO:486 (SOURCE SEQ ID NO:933 of US20190225692A1), and a beta chain set forth in SEQ ID NO:571 (SOURCE SEQ ID NO:941 of US20190225692A1). In some embodiments, a TCR or functional variant thereof comprises an alpha chain set forth in SEQ ID NO:487 (SOURCE SEQ ID NO:947 of US20190225692A1), and a beta chain set forth in SEQ ID NO:572 (SOURCE SEQ ID NO:953 of US20190225692A1). In some embodiments, a TCR or functional variant thereof comprises an alpha chain set forth in SEQ ID NO:488 (SOURCE SEQ ID NO:959 of US20190225692A1), and a beta chain set forth in SEQ ID NO:573 (SOURCE SEQ ID NO:965 of US20190225692A1). In some embodiments, a TCR or functional variant thereof comprises an alpha chain set forth in SEQ ID NO:489 (SOURCE SEQ ID NO:971 of US20190225692A1), and a beta chain set forth in SEQ ID NO:574 (SOURCE SEQ ID NO:977 of US20190225692A1). In some embodiments, a TCR or functional variant thereof comprises an alpha chain set forth in SEQ ID NO:490 (SOURCE SEQ ID NO:983 of US20190225692A1), and a beta chain set forth in SEQ ID NO:575 (SOURCE SEQ ID NO:989 of US20190225692A1). In some embodiments, a TCR or functional variant thereof comprises an alpha chain set forth in SEQ ID NO:491 (SOURCE SEQ ID NO:995 of US20190225692A1), and a beta chain set forth in SEQ ID NO:576 (SOURCE SEQ ID NO: 1004 of US20190225692A1). In some embodiments, a TCR or functional variant thereof comprises an alpha chain set forth in SEQ ID NO:466 (SOURCE SEQ ID NO:58 of US20190225692A1), and a beta chain set forth in SEQ ID NO:550 (SOURCE SEQ ID NO:62 of US20190225692A1). In some embodiments, a TCR or functional variant thereof comprises an alpha chain set forth in SEQ ID NO:468 (SOURCE SEQ ID NO:283 of US20190225692A1), and a beta chain set forth in SEQ ID NO:553 (SOURCE SEQ ID NO:285 of US20190225692A1). In some embodiments, a TCR or functional variant thereof comprises an alpha chain set forth in SEQ ID NO:492 (SOURCE SEQ ID NO:688 of US20190225692A1), and a beta chain set forth in SEQ ID NO:577 (SOURCE SEQ ID NO:697 of US20190225692A1). In some embodiments, a TCR or functional variant thereof comprises an alpha chain set forth in SEQ ID NO:493 (SOURCE SEQ ID NO:706 of US20190225692A1), and a beta chain set forth in SEQ ID NO:578 (SOURCE SEQ ID NO:715 of US20190225692A1). In some embodiments, a TCR or functional variant thereof comprises an alpha chain set forth in SEQ ID NO:494 (SOURCE SEQ ID NO:723 of US20190225692A1), and a beta chain set forth in SEQ ID NO:579 (SOURCE SEQ ID NO:732 of US20190225692A1). In some embodiments, a TCR or functional variant thereof comprises
an alpha chain set forth in SEQ ID NO:495 (SOURCE SEQ ID NO:738 of US20190225692A1), and a beta chain set forth in SEQ ID NO:580 (SOURCE SEQ ID NO:747 of US20190225692A1). In some embodiments, a TCR or functional variant thereof comprises an alpha chain set forth in SEQ ID NO:496 (SOURCE SEQ ID NO:756 of US20190225692A1), and a beta chain set forth in SEQ ID NO:581 (SOURCE SEQ ID NO:765 of US20190225692A1). In some embodiments, a TCR or functional variant thereof comprises an alpha chain set forth in SEQ ID NO:497 (SOURCE SEQ ID NO:772 of US20190225692A1), and a beta chain set forth in SEQ ID NO:582 (SOURCE SEQ ID NO:778 of US20190225692A1). In some embodiments, a TCR or functional variant thereof comprises an alpha chain set forth in SEQ ID NO:498 (SOURCE SEQ ID NO:784 of US20190225692A1), and a beta chain set forth in SEQ ID NO:583 (SOURCE SEQ ID NO:790 of US20190225692A1). In some embodiments, a TCR or functional variant thereof comprises an alpha chain set forth in SEQ ID NO:499 (SOURCE SEQ ID NO:796 of US20190225692A1), and a beta chain set forth in SEQ ID NO:584 (SOURCE SEQ ID NO:805 of US20190225692A1). In some embodiments, a TCR or functional variant thereof comprises an alpha chain set forth in SEQ ID NO:500 (SOURCE SEQ ID NO:812 of US20190225692A1), and a beta chain set forth in SEQ ID NO:585 (SOURCE SEQ ID NO:821 of US20190225692A1). In some embodiments, a TCR or functional variant thereof comprises an alpha chain set forth in SEQ ID NO:501 (SOURCE SEQ ID NO:827 of US20190225692A1), and a beta chain set forth in SEQ ID NO:586 (SOURCE SEQ ID NO:836 of US20190225692A1). In some embodiments, a TCR or functional variant thereof comprises an alpha chain set forth in SEQ ID NO:502 (SOURCE SEQ ID NO:842 of US20190225692A1), and a beta chain set forth in SEQ ID NO:587 (SOURCE SEQ ID NO:848 of US20190225692A1). In some embodiments, a TCR or functional variant thereof comprises an alpha chain set forth in SEQ ID NO:503 (SOURCE SEQ ID NO:854 of US20190225692A1), and a beta chain set forth in SEQ ID NO:588 (SOURCE SEQ ID NO:860 of US20190225692A1). In some embodiments, a TCR or functional variant thereof comprises an alpha chain set forth in SEQ ID NO:504 (SOURCE SEQ ID NO:866 of US20190225692A1), and a beta chain set forth in SEQ ID NO:589 (SOURCE SEQ ID NO:872 of US20190225692A1). In some embodiments, a TCR or functional variant thereof comprises an alpha chain set forth in SEQ ID NO:505 (SOURCE SEQ ID NO:878 of US20190225692A1), and a beta chain set forth in SEQ ID NO:590 (SOURCE SEQ ID NO:884 of US20190225692A1). In some embodiments, a TCR or functional variant thereof comprises an alpha chain set forth in SEQ ID NO:506 (SOURCE SEQ ID NO:892 of US20190225692A1),
and a beta chain set forth in SEQ ID NO:591 (SOURCE SEQ ID NO:898 of US20190225692A1). In some embodiments, a TCR or functional variant thereof comprises an alpha chain set forth in SEQ ID NO:507 (SOURCE SEQ ID NO:905 of US20190225692A1), and a beta chain set forth in SEQ ID NO:592 (SOURCE SEQ ID NO:914 of US20190225692A1). In some embodiments, a TCR or functional variant thereof comprises an alpha chain set forth in SEQ ID NO:508 (SOURCE SEQ ID NO:922 of US20190225692A1), and a beta chain set forth in SEQ ID NO:593 (SOURCE SEQ ID NO:928 of US20190225692A1). In some embodiments, a TCR or functional variant thereof comprises an alpha chain set forth in SEQ ID NO:509 (SOURCE SEQ ID NO:934 of US20190225692A1), and a beta chain set forth in SEQ ID NO:594 (SOURCE SEQ ID NO:942 of US20190225692A1). In some embodiments, a TCR or functional variant thereof comprises an alpha chain set forth in SEQ ID NO:510 (SOURCE SEQ ID NO:948 of US20190225692A1), and a beta chain set forth in SEQ ID NO:595 (SOURCE SEQ ID NO:954 of US20190225692A1). In some embodiments, a TCR or functional variant thereof comprises an alpha chain set forth in SEQ ID NO:511 (SOURCE SEQ ID NO:960 of US20190225692A1), and a beta chain set forth in SEQ ID NO:596 (SOURCE SEQ ID NO:966 of US20190225692A1). In some embodiments, a TCR or functional variant thereof comprises an alpha chain set forth in SEQ ID NO:512 (SOURCE SEQ ID NO:972 of US20190225692A1), and a beta chain set forth in SEQ ID NO:597 (SOURCE SEQ ID NO:978 of US20190225692A1). In some embodiments, a TCR or functional variant thereof comprises an alpha chain set forth in SEQ ID NO:513 (SOURCE SEQ ID NO:984 of US20190225692A1), and a beta chain set forth in SEQ ID NO:598 (SOURCE SEQ ID NO:990 of US20190225692A1). In some embodiments, a TCR or functional variant thereof comprises an alpha chain set forth in SEQ ID NO:514 (SOURCE SEQ ID NO:996 of US20190225692A1), and a beta chain set forth in SEQ ID NO:599 (SOURCE SEQ ID NO: 1005 of US20190225692A1). In some embodiments, a TCR or functional variant thereof comprises an alpha chain set forth in SEQ ID NO:42 (SOURCE SEQ ID NO:59 of US20190225692A1), and a beta chain set forth in SEQ ID NO:45 (SOURCE SEQ ID NO:63 of US20190225692A1). In some embodiments, a TCR or functional variant thereof comprises an alpha chain set forth in SEQ ID NO:48 (SOURCE SEQ ID NO:284 of US20190225692A1), and a beta chain set forth in SEQ ID NO:51 (SOURCE SEQ ID NO:286 of US20190225692A1).
[00146] In some embodiments, a TCR or functional variant thereof comprises an alpha chain set forth in SEQ ID NO:295 (SOURCE SEQ ID NO:5 of US20190321401A1), and a beta chain set forth in SEQ ID NO:600 (SOURCE SEQ ID NO:20 of US20190321401A1). In some
embodiments, a TCR or functional variant thereof comprises an alpha chain set forth in SEQ ID NO:202 (SOURCE SEQ ID NO:43 of US20190321401A1), and a beta chain set forth in SEQ ID NO:601 (SOURCE SEQ ID NO:56 of US20190321401A1). In some embodiments, a TCR or functional variant thereof comprises an alpha chain set forth in SEQ ID NO:214 (SOURCE SEQ ID NO:73 of US20190321401A1), and a beta chain set forth in SEQ ID NO:602 (SOURCE SEQ ID NO:84 of US20190321401A1). In some embodiments, a TCR or functional variant thereof comprises an alpha chain set forth in SEQ ID NO:225 (SOURCE SEQ ID NO:99 of US20190321401A1), and a beta chain set forth in SEQ ID NO:603 (SOURCE SEQ ID NO: 110 of US20190321401A1). In some embodiments, a TCR or functional variant thereof comprises an alpha chain set forth in SEQ ID NO:234 (SOURCE SEQ ID NO: 122 of US20190321401A1), and a beta chain set forth in SEQ ID NO:604 (SOURCE SEQ ID NO: 133 of US20190321401A1). In some embodiments, a TCR or functional variant thereof comprises an alpha chain set forth in SEQ ID NO:243 (SOURCE SEQ ID NO: 145 of US20190321401A1), and a beta chain set forth in SEQ ID NO:605 (SOURCE SEQ ID NO: 153 of US20190321401A1). In some embodiments, a TCR or functional variant thereof comprises an alpha chain set forth in SEQ ID NO:250 (SOURCE SEQ ID NO: 165 of US20190321401A1), and a beta chain set forth in SEQ ID NO:606 (SOURCE SEQ ID NO: 176 of US20190321401A1). In some embodiments, a TCR or functional variant thereof comprises an alpha chain set forth in SEQ ID NO:261 (SOURCE SEQ ID NO: 191 of US20190321401A1), and a beta chain set forth in SEQ ID NO:607 (SOURCE SEQ ID NO:202 of US20190321401A1). In some embodiments, a TCR or functional variant thereof comprises an alpha chain set forth in SEQ ID NO:272 (SOURCE SEQ ID NO:217 of US20190321401A1), and a beta chain set forth in SEQ ID NO:608 (SOURCE SEQ ID NO:228 of US20190321401A1).
[00147] In some embodiments, a TCR or functional variant thereof contains an alpha chain encoded by the nucleotide sequence set forth in SEQ ID NO:515 (SOURCE SEQ ID NO:3 of US20190321401A1), and a beta chain encoded by the nucleotide sequence set forth in SEQ ID NO:609 (SOURCE SEQ ID NO:18 of US20190321401A1). In some embodiments, a TCR or functional variant thereof contains an alpha chain encoded by the nucleotide sequence set forth in SEQ ID NO:294 (SOURCE SEQ ID NO:420 of US20190321401A1), and a beta chain encoded by the nucleotide sequence set forth in SEQ ID NO:609 (SOURCE SEQ ID NO: 18 of US20190321401A1). In some embodiments, a TCR or functional variant thereof contains an alpha chain encoded by the nucleotide sequence set forth in SEQ ID NO:201 (SOURCE SEQ ID NO:41 of US20190321401A1), and a beta chain encoded by the nucleotide sequence set forth in
SEQ ID NO:610 (SOURCE SEQ ID NO:54 of US20190321401A1). In some embodiments, a TCR or functional variant thereof contains an alpha chain encoded by the nucleotide sequence set forth in SEQ ID NO:515 (SOURCE SEQ ID NO:3 of US20190321401A1), and a beta chain encoded by the nucleotide sequence set forth in SEQ ID NO:300 (SOURCE SEQ ID NO:412 of US20190321401A1). In some embodiments, a TCR or functional variant thereof contains an alpha chain encoded by the nucleotide sequence set forth in SEQ ID NO:294 (SOURCE SEQ ID NO:420 of US20190321401A1), and a beta chain encoded by the nucleotide sequence set forth in SEQ ID NO:300 (SOURCE SEQ ID NO:412 of US20190321401A1). In some embodiments, a TCR or functional variant thereof contains an alpha chain encoded by the nucleotide sequence set forth in SEQ ID NO:201 (SOURCE SEQ ID NO:41 of US20190321401A1), and a beta chain encoded by the nucleotide sequence set forth in SEQ ID NO:207 (SOURCE SEQ ID NO:413 of US20190321401A1).
[00148] In some embodiments, a TCR or functional variant thereof comprises an alpha chain set forth in SEQ ID NO:516 (SOURCE SEQ ID NO:58 of W02019070541A1), and a beta chain set forth in SEQ ID NO:611 (SOURCE SEQ ID NO:62 of W02019070541A1). In some embodiments, a TCR or functional variant thereof comprises an alpha chain set forth in SEQ ID NO:517 (SOURCE SEQ ID NO:98 of W02019070541A1), and a beta chain set forth in SEQ ID NO:612 (SOURCE SEQ ID NO: 102 of W02019070541A1). In some embodiments, a TCR or functional variant thereof comprises an alpha chain set forth in SEQ ID NO:518 (SOURCE SEQ ID NO:283 of W02019070541A1), and a beta chain set forth in SEQ ID NO:613 (SOURCE SEQ ID NO:52 of W02019070541A1). In some embodiments, a TCR or functional variant thereof comprises an alpha chain set forth in SEQ ID NO:518 (SOURCE SEQ ID NO:283 of W02019070541A1), and a beta chain set forth in SEQ ID NO:614 (SOURCE SEQ ID NO:285 of W02019070541A1). In some embodiments, a TCR or functional variant thereof comprises an alpha chain set forth in SEQ ID NO:519 (SOURCE SEQ ID NO:49 of W02019070541A1), and a beta chain set forth in SEQ ID NO:615 (SOURCE SEQ ID NO:53 of W02019070541A1). In some embodiments, a TCR or functional variant thereof comprises an alpha chain set forth in SEQ ID NO:519 (SOURCE SEQ ID NO:49 of W02019070541A1), and a beta chain set forth in SEQ ID NO:455 (SOURCE SEQ ID NO:286 of W02019070541A1). In some embodiments, a TCR or functional variant thereof comprises an alpha chain set forth in SEQ ID NO:446 (SOURCE SEQ ID NO:59 of W02019070541A1), and a beta chain set forth in SEQ ID NO:449 (SOURCE SEQ ID NO:63 of W02019070541A1). In some embodiments, a TCR or functional variant thereof comprises an alpha chain set forth in SEQ ID NO:520 (SOURCE SEQ ID NO:99 of W02019070541A1), and a beta chain set forth in SEQ ID NO:616 (SOURCE SEQ ID
NO: 103 of W02019070541A1). In some embodiments, a TCR or functional variant thereof comprises an alpha chain set forth in SEQ ID NO:452 (SOURCE SEQ ID NO:284 of W02019070541A1), and a beta chain set forth in SEQ ID NO:615 (SOURCE SEQ ID NO:53 of W02019070541A1). In some embodiments, a TCR or functional variant thereof comprises an alpha chain set forth in SEQ ID NO:452 (SOURCE SEQ ID NO:284 of W02019070541A1), and a beta chain set forth in SEQ ID NO:455 (SOURCE SEQ ID NO:286 of W02019070541A1). In some embodiments, a TCR or functional variant thereof comprises an alpha chain set forth in SEQ ID NO:521 (SOURCE SEQ ID NO:687 of W02019070541A1), and a beta chain set forth in SEQ ID NO:617 (SOURCE SEQ ID NO:696 of W02019070541A1). In some embodiments, a TCR or functional variant thereof comprises an alpha chain set forth in SEQ ID NO:522 (SOURCE SEQ ID NO:705 of W02019070541A1), and a beta chain set forth in SEQ ID NO:618 (SOURCE SEQ ID NO:714 of W02019070541A1). In some embodiments, a TCR or functional variant thereof comprises an alpha chain set forth in SEQ ID NO:523 (SOURCE SEQ ID NO:722 of W02019070541A1), and a beta chain set forth in SEQ ID NO:619 (SOURCE SEQ ID NO:731 of W02019070541A1). In some embodiments, a TCR or functional variant thereof comprises an alpha chain set forth in SEQ ID NO:524 (SOURCE SEQ ID NO:737 of W02019070541A1), and a beta chain set forth in SEQ ID NO:620 (SOURCE SEQ ID NO:746 of W02019070541A1). In some embodiments, a TCR or functional variant thereof comprises an alpha chain set forth in SEQ ID NO:525 (SOURCE SEQ ID NO:755 of W02019070541A1), and a beta chain set forth in SEQ ID NO:621 (SOURCE SEQ ID NO:764 of W02019070541A1). In some embodiments, a TCR or functional variant thereof comprises an alpha chain set forth in SEQ ID NO:526 (SOURCE SEQ ID NO:771 of W02019070541A1), and a beta chain set forth in SEQ ID NO:622 (SOURCE SEQ ID NO:777 of W02019070541A1). In some embodiments, a TCR or functional variant thereof comprises an alpha chain set forth in SEQ ID NO:527 (SOURCE SEQ ID NO:783 of W02019070541A1), and a beta chain set forth in SEQ ID NO:623 (SOURCE SEQ ID NO:789 of W02019070541A1). In some embodiments, a TCR or functional variant thereof comprises an alpha chain set forth in SEQ ID NO:528 (SOURCE SEQ ID NO:795 of W02019070541A1), and a beta chain set forth in SEQ ID NO:624 (SOURCE SEQ ID NO:804 of W02019070541A1). In some embodiments, a TCR or functional variant thereof comprises an alpha chain set forth in SEQ ID NO:529 (SOURCE SEQ ID NO:811 of W02019070541A1), and a beta chain set forth in SEQ ID NO:625 (SOURCE SEQ ID NO:820 of W02019070541A1). In some embodiments, a TCR or functional variant thereof comprises an alpha chain set forth in SEQ ID NO:530 (SOURCE SEQ ID NO:826 of W02019070541A1), and a beta chain set forth in SEQ ID NO:626 (SOURCE SEQ ID NO:835 of W02019070541A1). In
some embodiments, a TCR or functional variant thereof comprises an alpha chain set forth in SEQ ID NO:531 (SOURCE SEQ ID NO:841 of W02019070541A1), and a beta chain set forth in SEQ ID NO:627 (SOURCE SEQ ID NO:847 of W02019070541A1). In some embodiments, a TCR or functional variant thereof comprises an alpha chain set forth in SEQ ID NO:532 (SOURCE SEQ ID NO:853 of W02019070541A1), and a beta chain set forth in SEQ ID NO:628 (SOURCE SEQ ID NO:859 of W02019070541A1). In some embodiments, a TCR or functional variant thereof comprises an alpha chain set forth in SEQ ID NO:533 (SOURCE SEQ ID NO:865 of W02019070541A1), and a beta chain set forth in SEQ ID NO:629 (SOURCE SEQ ID NO:871 of W02019070541A1). In some embodiments, a TCR or functional variant thereof comprises an alpha chain set forth in SEQ ID NO:534 (SOURCE SEQ ID NO:877 of W02019070541A1), and a beta chain set forth in SEQ ID NO:630 (SOURCE SEQ ID NO:883 of W02019070541A1). In some embodiments, a TCR or functional variant thereof comprises an alpha chain set forth in SEQ ID NO:535 (SOURCE SEQ ID NO:891 of W02019070541A1), and a beta chain set forth in SEQ ID NO:631 (SOURCE SEQ ID NO:897 of W02019070541A1). In some embodiments, a TCR or functional variant thereof comprises an alpha chain set forth in SEQ ID NO:536 (SOURCE SEQ ID NO:904 of W02019070541A1), and a beta chain set forth in SEQ ID NO:632 (SOURCE SEQ ID NO:913 of W02019070541A1). In some embodiments, a TCR or functional variant thereof comprises an alpha chain set forth in SEQ ID NO:537 (SOURCE SEQ ID NO:921 of W02019070541A1), and a beta chain set forth in SEQ ID NO:633 (SOURCE SEQ ID NO:927 of W02019070541A1). In some embodiments, a TCR or functional variant thereof comprises an alpha chain set forth in SEQ ID NO:538 (SOURCE SEQ ID NO:933 of W02019070541A1), and a beta chain set forth in SEQ ID NO:634 (SOURCE SEQ ID NO:941 of W02019070541A1). In some embodiments, a TCR or functional variant thereof comprises an alpha chain set forth in SEQ ID NO:539 (SOURCE SEQ ID NO:947 of W02019070541A1), and a beta chain set forth in SEQ ID NO:635 (SOURCE SEQ ID NO:953 of W02019070541A1). In some embodiments, a TCR or functional variant thereof comprises an alpha chain set forth in SEQ ID NO:540 (SOURCE SEQ ID NO:959 of W02019070541A1), and a beta chain set forth in SEQ ID NO:636 (SOURCE SEQ ID NO:965 of W02019070541A1). In some embodiments, a TCR or functional variant thereof comprises an alpha chain set forth in SEQ ID NO:541 (SOURCE SEQ ID NO:971 of W02019070541A1), and a beta chain set forth in SEQ ID NO:637 (SOURCE SEQ ID NO:977 of W02019070541A1). In some embodiments, a TCR or functional variant thereof comprises an alpha chain set forth in SEQ ID NO:542 (SOURCE SEQ ID NO:983 of W02019070541A1), and a beta chain set forth in SEQ ID NO:638 (SOURCE SEQ ID NO:989 of W02019070541A1). In some embodiments, a TCR or
functional variant thereof comprises an alpha chain set forth in SEQ ID NO:543 (SOURCE SEQ ID NO:995 of W02019070541A1), and a beta chain set forth in SEQ ID NO:639 (SOURCE SEQ ID NO: 1004 of W02019070541A1). In some embodiments, a TCR or functional variant thereof comprises an alpha chain set forth in SEQ ID NO:544 (SOURCE SEQ ID NO:58 of W02019070541A1), and a beta chain set forth in SEQ ID NO:611 (SOURCE SEQ ID NO:62 of W02019070541A1). In some embodiments, a TCR or functional variant thereof comprises an alpha chain set forth in SEQ ID NO:545 (SOURCE SEQ ID NO:283 of W02019070541A1), and a beta chain set forth in SEQ ID NO:614 (SOURCE SEQ ID NO:285 of W02019070541A1). In some embodiments, a TCR or functional variant thereof comprises an alpha chain set forth in SEQ ID NO:546 (SOURCE SEQ ID NO: 1386 of W02019070541A1), and a beta chain set forth in SEQ ID NO:640 (SOURCE SEQ ID NO: 1376 of W02019070541A1). In some embodiments, a TCR or functional variant thereof comprises an alpha chain set forth in SEQ ID NO:308 (SOURCE SEQ ID NO:688 of W02019070541A1), and a beta chain set forth in SEQ ID NO:311 (SOURCE SEQ ID NO:697 of W02019070541A1). In some embodiments, a TCR or functional variant thereof comprises an alpha chain set forth in SEQ ID NO:314 (SOURCE SEQ ID NO:706 of W02019070541A1), and a beta chain set forth in SEQ ID NO:317 (SOURCE SEQ ID NO:715 of W02019070541A1). In some embodiments, a TCR or functional variant thereof comprises an alpha chain set forth in SEQ ID NO:320 (SOURCE SEQ ID NO:723 of W02019070541A1), and a beta chain set forth in SEQ ID NO:323 (SOURCE SEQ ID NO:732 of W02019070541A1). In some embodiments, a TCR or functional variant thereof comprises an alpha chain set forth in SEQ ID NO:326 (SOURCE SEQ ID NO:738 of W02019070541A1), and a beta chain set forth in SEQ ID NO:329 (SOURCE SEQ ID NO:747 of W02019070541A1). In some embodiments, a TCR or functional variant thereof comprises an alpha chain set forth in SEQ ID NO:332 (SOURCE SEQ ID NO:756 of W02019070541A1), and a beta chain set forth in SEQ ID NO:335 (SOURCE SEQ ID NO:765 of W02019070541A1). In some embodiments, a TCR or functional variant thereof comprises an alpha chain set forth in SEQ ID NO:338 (SOURCE SEQ ID NO:772 of W02019070541A1), and a beta chain set forth in SEQ ID NO:341 (SOURCE SEQ ID NO:778 of W02019070541A1). In some embodiments, a TCR or functional variant thereof comprises an alpha chain set forth in SEQ ID NO:344 (SOURCE SEQ ID NO:784 of W02019070541A1), and a beta chain set forth in SEQ ID NO:347 (SOURCE SEQ ID NO:790 of W02019070541A1). In some embodiments, a TCR or functional variant thereof comprises an alpha chain set forth in SEQ ID NO:350 (SOURCE SEQ ID NO:796 of W02019070541A1), and a beta chain set forth in SEQ ID NO:353 (SOURCE SEQ ID NO:805 of W02019070541A1). In some embodiments, a TCR or functional variant thereof comprises an
alpha chain set forth in SEQ ID NO:356 (SOURCE SEQ ID NO:812 of W02019070541A1), and a beta chain set forth in SEQ ID NO:359 (SOURCE SEQ ID NO:821 of W02019070541A1). In some embodiments, a TCR or functional variant thereof comprises an alpha chain set forth in SEQ ID NO:362 (SOURCE SEQ ID NO:827 of W02019070541A1), and a beta chain set forth in SEQ ID NO:365 (SOURCE SEQ ID NO:836 of W02019070541A1). In some embodiments, a TCR or functional variant thereof comprises an alpha chain set forth in SEQ ID NO:368 (SOURCE SEQ ID NO:842 of W02019070541A1), and a beta chain set forth in SEQ ID NO:371 (SOURCE SEQ ID NO:848 of W02019070541A1). In some embodiments, a TCR or functional variant thereof comprises an alpha chain set forth in SEQ ID NO:374 (SOURCE SEQ ID NO:854 of W02019070541A1), and a beta chain set forth in SEQ ID NO:377 (SOURCE SEQ ID NO:860 of W02019070541A1). In some embodiments, a TCR or functional variant thereof comprises an alpha chain set forth in SEQ ID NO:380 (SOURCE SEQ ID NO:866 of W02019070541A1), and a beta chain set forth in SEQ ID NO:383 (SOURCE SEQ ID NO:872 of W02019070541A1). In some embodiments, a TCR or functional variant thereof comprises an alpha chain set forth in SEQ ID NO:386 (SOURCE SEQ ID NO:878 of W02019070541A1), and a beta chain set forth in SEQ ID NO:389 (SOURCE SEQ ID NO:884 of W02019070541A1). In some embodiments, a TCR or functional variant thereof comprises an alpha chain set forth in SEQ ID NO:392 (SOURCE SEQ ID NO:892 of W02019070541A1), and a beta chain set forth in SEQ ID NO:395 (SOURCE SEQ ID NO:898 of W02019070541A1). In some embodiments, a TCR or functional variant thereof comprises an alpha chain set forth in SEQ ID NO:398 (SOURCE SEQ ID NO:905 of W02019070541A1), and a beta chain set forth in SEQ ID NO:401 (SOURCE SEQ ID NO:914 of W02019070541A1). In some embodiments, a TCR or functional variant thereof comprises an alpha chain set forth in SEQ ID NO:404 (SOURCE SEQ ID NO:922 of W02019070541A1), and a beta chain set forth in SEQ ID NO:407 (SOURCE SEQ ID NO:928 of W02019070541A1). In some embodiments, a TCR or functional variant thereof comprises an alpha chain set forth in SEQ ID NO:410 (SOURCE SEQ ID NO:934 of W02019070541A1), and a beta chain set forth in SEQ ID NO:413 (SOURCE SEQ ID NO:942 of W02019070541A1). In some embodiments, a TCR or functional variant thereof comprises an alpha chain set forth in SEQ ID NO:416 (SOURCE SEQ ID NO:948 of W02019070541A1), and a beta chain set forth in SEQ ID NO:419 (SOURCE SEQ ID NO:954 of W02019070541A1). In some embodiments, a TCR or functional variant thereof comprises an alpha chain set forth in SEQ ID NO:422 (SOURCE SEQ ID NO:960 of W02019070541A1), and a beta chain set forth in SEQ ID NO:425 (SOURCE SEQ ID NO:966 of W02019070541A1). In some embodiments, a TCR or functional variant thereof comprises an alpha chain set forth in SEQ ID NO:428
(SOURCE SEQ ID NO:972 of W02019070541A1), and a beta chain set forth in SEQ ID NO:431 (SOURCE SEQ ID NO:978 of W02019070541A1). In some embodiments, a TCR or functional variant thereof comprises an alpha chain set forth in SEQ ID NO:434 (SOURCE SEQ ID NO:984 of W02019070541A1), and a beta chain set forth in SEQ ID NO:437 (SOURCE SEQ ID NO:990 of W02019070541A1). In some embodiments, a TCR or functional variant thereof comprises an alpha chain set forth in SEQ ID NO:440 (SOURCE SEQ ID NO:996 of W02019070541A1), and a beta chain set forth in SEQ ID NO:443 (SOURCE SEQ ID NO: 1005 of W02019070541A1). In some embodiments, a TCR or functional variant thereof comprises an alpha chain set forth in SEQ ID NO:446 (SOURCE SEQ ID NO:59 of W02019070541A1), and a beta chain set forth in SEQ ID NO:449 (SOURCE SEQ ID NO:63 of W02019070541A1). In some embodiments, a TCR or functional variant thereof comprises an alpha chain set forth in SEQ ID NO:452 (SOURCE SEQ ID NO:284 of W02019070541A1), and a beta chain set forth in SEQ ID NO:455 (SOURCE SEQ ID NO:286 of W02019070541A1). In some embodiments, a TCR or functional variant thereof comprises an alpha chain set forth in SEQ ID NO:458 (SOURCE SEQ ID NO: 1387 of W02019070541A1), and a beta chain set forth in SEQ ID NO:461 (SOURCE SEQ ID NO: 1377 of W02019070541A1).
HPV 16 E7- targeted TCRs
[00149] In some embodiments, the TCR or functional variant thereof has antigenic specificity for HPV 16 E7 protein or a portion of HPV 16 E7 protein. In some embodiments, the TCR or functional variant thereof has antigenic specificity for HPV 16 E7 protein comprising SEQ ID NO: 11. In some embodiments, the TCR or functional variant thereof has antigenic specificity for a peptide epitope derived from HPV 16 E7 that is or comprises E7(l 1-19) YMLDLQPET (SEQ ID NO: 7). Such a TCR may also be referred to as an anti-HPV 16 E7 (11-19) TCR. In some embodiments, the TCR recognizes or binds HPV 16 E7(l 1-19) in the context of an MHC, such as an MHC class I, e.g., HLA-A2. In some embodiments, the provided TCRs or functional variants thereof are capable of or bind to a HPV 16 E7 (1 l-19)-peptide-MHC tetramer complex.
[00150] In some embodiments, the TCR or functional variant thereof has antigenic specificity for HPV 16 E7 protein or a portion of HPV 16 E7 protein and comprises HPV16E7 TCR sequences (e.g., the combination of alpha and beta chains or gamma and delta chains) found in US20190062398A1; US20190225692A1; US20190321401A1; and W02019070541A1.
[00151] In some embodiments, a TCR or functional variant thereof comprises an alpha chain and a beta chain, wherein the alpha chain comprises an amino acid sequence set forth by a SEQ ID NO. listed in column 4 of Appendix 1 (SOURCE SEQ ID NO. listed in column 2 of Appendix 1), and the beta chain comprises an amino acid sequence set forth by a corresponding SEQ ID
NO. listed in column 5 of Appendix 1 (SOURCE SEQ ID NO. listed in column 3 of Appendix 1). As used herein with reference to Appendix 1, the phrase “corresponding SEQ ID NO.” is defined as the number appearing on the same row. In some embodiments, a TCR or functional variant thereof comprises an alpha chain and a beta chain, wherein the alpha chain comprises the amino acid sequence encoded by the nucleotide sequence set forth by a SEQ ID NO. listed in column 4 of Appendix 1 (SOURCE SEQ ID NO. listed in column 2 of Appendix 1), and the beta chain comprises the amino acid sequence encoded by the nucleotide sequence set forth by a corresponding SEQ ID NO. listed in column 5 of Appendix 1 (SOURCE SEQ ID NO. listed in column 3 of Appendix 1). Column 1 of Appendix 1 sets forth the application (US20190062398A1, US20190225692A1, US20190321401A1, or W02019070541A1) that provides the sequence to each SOURCE SEQ ID NO. listed in the same row as the indicated application.
[00152] The SOURCE SEQ ID NOs. listed in paragraphs [00155] to [00157] and paragraph [00193] are from Appendix 2 (US20190225692A1).
[00153] The SOURCE SEQ ID NOs. listed in paragraphs [00158] to [00165] are from Appendix 3 (US20190321401A1).
[00154] The SOURCE SEQ ID NOs. listed in paragraphs [00166] to [00191] are from Appendix 4 (W02019070541A1).
[00155] In some embodiments, a TCR or functional variant thereof comprises an alpha chain and a beta chain of a TCR as described in US20190225692A1, including any sequences disclosed therein by its SEQ ID NO (SOURCE SEQ ID NO). In some embodiments, a TCR or functional variant thereof comprises an alpha chain containing a variable alpha (Va) chain with a CDR1, CDR2 and CDR3 as contained in the Va chain set forth in SEQ ID NO:37 (SOURCE SEQ ID NO: 117), and a beta chain containing a variable beta (VP) chain with a CDR1, CDR2 and CDR3 as contained in the VP chain set forth in SEQ ID NO:40 (SOURCE SEQ ID NO: 118). In some embodiments, a TCR or functional variant thereof comprises an alpha chain containing a Va chain set forth in SEQ ID NO:37 (SOURCE SEQ ID NO: 117), and a beta chain containing a VP chain set forth in SEQ ID NO:40 (SOURCE SEQ ID NO: 118). In some embodiments, a TCR or functional variant thereof comprises an alpha chain set forth in SEQ ID NO:36 (SOURCE SEQ ID NO:49), and a beta chain set forth in SEQ ID NO:39 (SOURCE SEQ ID NO:53). In some embodiments, a TCR or functional variant thereof contains an alpha chain encoded by the nucleotide sequence set forth in SEQ ID NO:35 (SOURCE SEQ ID NO:51), and a beta chain encoded by the nucleotide sequence set forth in SEQ ID NO:38 (SOURCE SEQ ID NO:54). In some embodiments, a TCR or functional variant thereof is a TCR containing
sequences of the TCR designated TCR 6 - E7 (11-19) as set forth in Appendix 2. In some embodiments, the TCR or functional variant thereof is TCR 6 - E7 (11-19) as set forth in Appendix 2.
[00156] In some embodiments, a TCR or functional variant thereof comprises an alpha chain and a beta chain of a TCR as described in US20190225692A1, including any sequences disclosed therein by its SEQ ID NO (SOURCE SEQ ID NO). In some embodiments, a TCR or functional variant thereof comprises an alpha chain containing a variable alpha (Va) chain with a CDR1, CDR2 and CDR3 as contained in the Va chain set forth in SEQ ID NO:43 (SOURCE SEQ ID NO: 119), and a beta chain containing a variable beta (VP) chain with a CDR1, CDR2 and CDR3 as contained in the VP chain set forth in SEQ ID NO:46 (SOURCE SEQ ID NO: 120). In some embodiments, a TCR or functional variant thereof comprises an alpha chain containing a Va chain set forth in SEQ ID NO:43 (SOURCE SEQ ID NO: 119), and a beta chain containing a VP chain set forth in SEQ ID NO:46 (SOURCE SEQ ID NO: 120). In some embodiments, a TCR or functional variant thereof comprises an alpha chain set forth in SEQ ID NO:42 (SOURCE SEQ ID NO:59), and a beta chain set forth in SEQ ID NO:45 (SOURCE SEQ ID NO:63). In some embodiments, a TCR or functional variant thereof contains an alpha chain encoded by the nucleotide sequence set forth in SEQ ID NO:41 (SOURCE SEQ ID NO:61), and a beta chain encoded by the nucleotide sequence set forth in SEQ ID NO:44 (SOURCE SEQ ID NO:65). In some embodiments, a TCR or functional variant thereof is a TCR containing sequences of the TCR designated TCR 7 - E7 (11-19) as set forth in Appendix 2. In some embodiments, the TCR or functional variant thereof is TCR 7 - E7 (11-19) as set forth in Appendix 2.
[00157] In some embodiments, a TCR or functional variant thereof comprises an alpha chain and a beta chain of a TCR as described in US20190225692A1, including any sequences disclosed therein by its SEQ ID NO (SOURCE SEQ ID NO). In some embodiments, a TCR or functional variant thereof comprises an alpha chain containing a variable alpha (Va) chain with a CDR1, CDR2 and CDR3 as contained in the Va chain set forth in SEQ ID NO:49 (SOURCE SEQ ID NO:295), and a beta chain containing a variable beta (VP) chain with a CDR1, CDR2 and CDR3 as contained in the VP chain set forth in SEQ ID NO:52 (SOURCE SEQ ID NO:296). In some embodiments, a TCR or functional variant thereof comprises an alpha chain containing a Va chain set forth in SEQ ID NO:49 (SOURCE SEQ ID NO:295), and a beta chain containing a VP chain set forth in SEQ ID NO:52 (SOURCE SEQ ID NO:296). In some embodiments, a TCR or functional variant thereof comprises an alpha chain set forth in SEQ ID NO:48 (SOURCE SEQ ID NO:284), and a beta chain set forth in SEQ ID NO:51 (SOURCE SEQ ID
NO:286). In some embodiments, a TCR or functional variant thereof contains an alpha chain encoded by the nucleotide sequence set forth in SEQ ID NO:47 (SOURCE SEQ ID NO: 12), and a beta chain encoded by the nucleotide sequence set forth in SEQ ID NO:50 (SOURCE SEQ ID NO:9). In some embodiments, a TCR or functional variant thereof is a TCR containing sequences of the TCR designated TCR 12 - E7 (11-19) as set forth in Appendix 2. In some embodiments, the TCR or functional variant thereof is TCR 12 - E7 (11-19) as set forth in Appendix 2.
[00158] In some embodiments, a TCR or functional variant thereof comprises an alpha chain and a beta chain of a TCR as described in US20190321401A1, including any sequences disclosed therein by its SEQ ID NO (SOURCE SEQ ID NO). In some embodiments, a TCR or functional variant thereof comprises an alpha chain containing a variable alpha (Va) chain with a CDR1, CDR2 and CDR3 as contained in the Va chain set forth in SEQ ID NO:203 (SOURCE SEQ ID NO:47), and a beta chain containing a variable beta (VP) chain with a CDR1, CDR2 and CDR3 as contained in the VP chain set forth in SEQ ID NO:209 (SOURCE SEQ ID NO:60). In some embodiments, a TCR or functional variant thereof comprises an alpha chain containing a Va chain with a CDR1, a CDR2 and a CDR3 set forth in SEQ ID NOS:204, 205, and 206, respectively (SOURCE SEQ ID NOS: 48, 49 and 50, respectively), and a VP chain with a CDR1, CDR2 and CDR3 set forth in SEQ ID NOS:210, 211, and 212, respectively (SOURCE SEQ ID NOS: 61, 62 and 63, respectively). In some embodiments, a TCR or functional variant thereof comprises an alpha chain containing a Va chain set forth in SEQ ID NO:203 (SOURCE SEQ ID NO:47), and a beta chain containing a VP chain set forth in SEQ ID NO:209 (SOURCE SEQ ID NO:60). In some embodiments, a TCR or functional variant thereof comprises an alpha chain set forth in SEQ ID NO:202 (SOURCE SEQ ID NO:43), and a beta chain set forth in SEQ ID NO:208 (SOURCE SEQ ID NO:359). In some embodiments, a TCR or functional variant thereof contains an alpha chain encoded by the nucleotide sequence set forth in SEQ ID NO:201 (SOURCE SEQ ID NO:41), and a beta chain encoded by the nucleotide sequence set forth in SEQ ID NO:207 (SOURCE SEQ ID NO:413). In some embodiments, the TCR or functional variant thereof is encoded by the nucleotide sequence set forth in SEQ ID NO:213 (SOURCE SEQ ID NO:363). In some embodiments, a TCR or functional variant thereof is a TCR containing sequences of the TCR designated TCR 57 - E7 (11-19) as set forth in Appendix 3. In some embodiments, the TCR or functional variant thereof is TCR 57 - E7 (11-19) as set forth in Appendix 3.
[00159] In some embodiments, a TCR or functional variant thereof comprises an alpha chain and a beta chain of a TCR as described in US20190321401A1, including any sequences
disclosed therein by its SEQ ID NO (SOURCE SEQ ID NO). In some embodiments, a TCR or functional variant thereof comprises an alpha chain containing a variable alpha (Va) chain with a CDR1, CDR2 and CDR3 as contained in the Va chain set forth in SEQ ID NO:215 (SOURCE SEQ ID NO:77), and a beta chain containing a variable beta (VP) chain with a CDR1, CDR2 and CDR3 as contained in the VP chain set forth in SEQ ID NO:220 (SOURCE SEQ ID NO:88). In some embodiments, a TCR or functional variant thereof comprises an alpha chain containing a Va chain with a CDR1, a CDR2 and a CDR3 set forth in SEQ ID NOS:216, 217, and 218, respectively (SOURCE SEQ ID NOS: 78, 79 and 80, respectively), and a VP chain with a CDR1, CDR2 and CDR3 set forth in SEQ ID NOS:221, 222, and 223, respectively (SOURCE SEQ ID NOS: 89, 90 and 91, respectively). In some embodiments, a TCR or functional variant thereof comprises an alpha chain containing a Va chain set forth in SEQ ID NO:215 (SOURCE SEQ ID NO:77), and a beta chain containing a VP chain set forth in SEQ ID NO:220 (SOURCE SEQ ID NO:88). In some embodiments, a TCR or functional variant thereof comprises an alpha chain set forth in SEQ ID NO:214 (SOURCE SEQ ID NO:73), and a beta chain set forth in SEQ ID NO:219 (SOURCE SEQ ID NO:370). In some embodiments, the TCR or functional variant thereof is encoded by the nucleotide sequence set forth in SEQ ID NO:224 (SOURCE SEQ ID NO:403). In some embodiments, a TCR or functional variant thereof is a TCR containing sequences of the TCR designated TCR 58 - E7 (11-19) as set forth in Appendix 3. In some embodiments, the TCR or functional variant thereof is TCR 58 - E7 (11-19) as set forth in Appendix 3.
[00160] In some embodiments, a TCR or functional variant thereof comprises an alpha chain and a beta chain of a TCR as described in US20190321401A1, including any sequences disclosed therein by its SEQ ID NO (SOURCE SEQ ID NO). In some embodiments, a TCR or functional variant thereof comprises an alpha chain containing a variable alpha (Va) chain with a CDR1, CDR2 and CDR3 as contained in the Va chain set forth in SEQ ID NO:226 (SOURCE SEQ ID NO: 103), and a beta chain containing a variable beta (VP) chain with a CDR1, CDR2 and CDR3 as contained in the VP chain set forth in SEQ ID NO:231 (SOURCE SEQ ID NO: 114). In some embodiments, a TCR or functional variant thereof comprises an alpha chain containing a Va chain with a CDR1, a CDR2 and a CDR3 set forth in SEQ ID NOS:227, 228, and 229, respectively (SOURCE SEQ ID NOS: 104, 105 and 106, respectively), and a VP chain with a CDR1, CDR2 and CDR3 set forth in SEQ ID NOS:221, 222, and 232, respectively (SOURCE SEQ ID NOS: 89, 90 and 115, respectively). In some embodiments, a TCR or functional variant thereof comprises an alpha chain containing a Va chain set forth in SEQ ID NO:226 (SOURCE SEQ ID NO: 103), and a beta chain containing a VP chain set forth in SEQ ID
NO:231 (SOURCE SEQ ID NO: 114). In some embodiments, a TCR or functional variant thereof comprises an alpha chain set forth in SEQ ID NO:225 (SOURCE SEQ ID NO:99), and a beta chain set forth in SEQ ID NO:230 (SOURCE SEQ ID NO:371). In some embodiments, the TCR or functional variant thereof is encoded by the nucleotide sequence set forth in SEQ ID NO:233 (SOURCE SEQ ID NO:404). In some embodiments, a TCR or functional variant thereof is a TCR containing sequences of the TCR designated TCR 59 - E7 (11-19) as set forth in Appendix 3. In some embodiments, the TCR or functional variant thereof is TCR 59 - E7 (11- 19) as set forth in Appendix 3.
[00161] In some embodiments, a TCR or functional variant thereof comprises an alpha chain and a beta chain of a TCR as described in US20190321401A1, including any sequences disclosed therein by its SEQ ID NO (SOURCE SEQ ID NO). In some embodiments, a TCR or functional variant thereof comprises an alpha chain containing a variable alpha (Va) chain with a CDR1, CDR2 and CDR3 as contained in the Va chain set forth in SEQ ID NO:235 (SOURCE SEQ ID NO: 126), and a beta chain containing a variable beta (VP) chain with a CDR1, CDR2 and CDR3 as contained in the VP chain set forth in SEQ ID NO:240 (SOURCE SEQ ID NO: 137). In some embodiments, a TCR or functional variant thereof comprises an alpha chain containing a Va chain with a CDR1, a CDR2 and a CDR3 set forth in SEQ ID NOS:236, 237, and 238, respectively, (SOURCE SEQ ID NOS: 127, 128 and 129, respectively), and a VP chain with a CDR1, CDR2 and CDR3 set forth in SEQ ID NOS:221, 222, and 241, respectively (SOURCE SEQ ID NOS: 89, 90 and 138, respectively). In some embodiments, a TCR or functional variant thereof comprises an alpha chain containing a Va chain set forth in SEQ ID NO:235 (SOURCE SEQ ID NO: 126), and a beta chain containing a VP chain set forth in SEQ ID NO:240 (SOURCE SEQ ID NO: 137). In some embodiments, a TCR or functional variant thereof comprises an alpha chain set forth in SEQ ID NO:234 (SOURCE SEQ ID NO: 122), and a beta chain set forth in SEQ ID NO:239 (SOURCE SEQ ID NO:372). In some embodiments, the TCR or functional variant thereof is encoded by the nucleotide sequence set forth in SEQ ID NO:242 (SOURCE SEQ ID NO:405). In some embodiments, a TCR or functional variant thereof is a TCR containing sequences of the TCR designated TCR 60 - E7 (11-19) as set forth in Appendix 3. In some embodiments, the TCR or functional variant thereof is TCR 60 - E7 (11- 19) as set forth in Appendix 3.
[00162] In some embodiments, a TCR or functional variant thereof comprises an alpha chain and a beta chain of a TCR as described in US20190321401A1, including any sequences disclosed therein by its SEQ ID NO (SOURCE SEQ ID NO). In some embodiments, a TCR or functional variant thereof comprises an alpha chain containing a variable alpha (Va) chain with a
CDR1, CDR2 and CDR3 as contained in the Va chain set forth in SEQ ID NO:244 (SOURCE SEQ ID NO: 149), and a beta chain containing a variable beta (VP) chain with a CDR1, CDR2 and CDR3 as contained in the VP chain set forth in SEQ ID NO:247 (SOURCE SEQ ID NO: 157). In some embodiments, a TCR or functional variant thereof comprises an alpha chain containing a Va chain with a CDR1, a CDR2 and a CDR3 set forth in SEQ ID NOS:236, 237, and 245, respectively (SOURCE SEQ ID NOS: 127, 128 and 150, respectively), and a VP chain with a CDR1, CDR2 and CDR3 set forth in SEQ ID NOS:221, 222, and 248, respectively (SOURCE SEQ ID NOS: 89, 90 and 158, respectively). In some embodiments, a TCR or functional variant thereof comprises an alpha chain containing a Va chain set forth in SEQ ID NO:244 (SOURCE SEQ ID NO: 149), and a beta chain containing a VP chain set forth in SEQ ID NO:247 (SOURCE SEQ ID NO: 157). In some embodiments, a TCR or functional variant thereof comprises an alpha chain set forth in SEQ ID NO:243 (SOURCE SEQ ID NO: 145), and a beta chain set forth in SEQ ID NO:246 (SOURCE SEQ ID NO:373). In some embodiments, the TCR or functional variant thereof is encoded by the nucleotide sequence set forth in SEQ ID NO:249 (SOURCE SEQ ID NO:406). In some embodiments, a TCR or functional variant thereof is a TCR containing sequences of the TCR designated TCR 61 - E7 (11-19) as set forth in Appendix 3. In some embodiments, the TCR or functional variant thereof is TCR 61 - E7 (11- 19) as set forth in Appendix 3.
[00163] In some embodiments, a TCR or functional variant thereof comprises an alpha chain and a beta chain of a TCR as described in US20190321401A1, including any sequences disclosed therein by its SEQ ID NO (SOURCE SEQ ID NO). In some embodiments, a TCR or functional variant thereof comprises an alpha chain containing a variable alpha (Va) chain with a CDR1, CDR2 and CDR3 as contained in the Va chain set forth in SEQ ID NO:251 (SOURCE SEQ ID NO: 169), and a beta chain containing a variable beta (VP) chain with a CDR1, CDR2 and CDR3 as contained in the VP chain set forth in SEQ ID NO:256 (SOURCE SEQ ID NO: 180). In some embodiments, a TCR or functional variant thereof comprises an alpha chain containing a Va chain with a CDR1, a CDR2 and a CDR3 set forth in SEQ ID NOS:252, 253, and 254, respectively (SOURCE SEQ ID NOS: 170, 171 and 172, respectively), and a VP chain with a CDR1, CDR2 and CDR3 set forth in SEQ ID NOS:257, 258, and 259, respectively (SOURCE SEQ ID NOS: 181, 182 and 183, respectively). In some embodiments, a TCR or functional variant thereof comprises an alpha chain containing a Va chain set forth in SEQ ID NO:251 (SOURCE SEQ ID NO: 169), and a beta chain containing a VP chain set forth in SEQ ID NO:256 (SOURCE SEQ ID NO: 180). In some embodiments, a TCR or functional variant thereof comprises an alpha chain set forth in SEQ ID NO:250 (SOURCE SEQ ID NO: 165), and a
beta chain set forth in SEQ ID NO:255 (SOURCE SEQ ID NO:374). In some embodiments, the TCR or functional variant thereof is encoded by the nucleotide sequence set forth in SEQ ID NO:260 (SOURCE SEQ ID NO:407). In some embodiments, a TCR or functional variant thereof is a TCR containing sequences of the TCR designated TCR 62 - E7 (11-19) as set forth in Appendix 3. In some embodiments, the TCR or functional variant thereof is TCR 62 - E7 (11- 19) as set forth in Appendix 3.
[00164] In some embodiments, a TCR or functional variant thereof comprises an alpha chain and a beta chain of a TCR as described in US20190321401A1, including any sequences disclosed therein by its SEQ ID NO (SOURCE SEQ ID NO). In some embodiments, a TCR or functional variant thereof comprises an alpha chain containing a variable alpha (Va) chain with a CDR1, CDR2 and CDR3 as contained in the Va chain set forth in SEQ ID NO:262 (SOURCE SEQ ID NO: 195), and a beta chain containing a variable beta (VP) chain with a CDR1, CDR2 and CDR3 as contained in the VP chain set forth in SEQ ID NO:267 (SOURCE SEQ ID NO:206). In some embodiments, a TCR or functional variant thereof comprises an alpha chain containing a Va chain with a CDR1, a CDR2 and a CDR3 set forth in SEQ ID NOS:263, 264, and 265, respectively (SOURCE SEQ ID NOS: 196, 197 and 198, respectively), and a VP chain with a CDR1, CDR2 and CDR3 set forth in SEQ ID NOS:268, 269, and 270, respectively (SOURCE SEQ ID NOS: 207, 208 and 209, respectively). In some embodiments, a TCR or functional variant thereof comprises an alpha chain containing a Va chain set forth in SEQ ID NO:262 (SOURCE SEQ ID NO: 195), and a beta chain containing a VP chain set forth in SEQ ID NO:267 (SOURCE SEQ ID NO:206). In some embodiments, a TCR or functional variant thereof comprises an alpha chain set forth in SEQ ID NO:261 (SOURCE SEQ ID NO: 191), and a beta chain set forth in SEQ ID NO:266 (SOURCE SEQ ID NO:375). In some embodiments, the TCR or functional variant thereof is encoded by the nucleotide sequence set forth in SEQ ID NO:271 (SOURCE SEQ ID NO:408). In some embodiments, a TCR or functional variant thereof is a TCR containing sequences of the TCR designated TCR 63 - E7 (11-19) as set forth in Appendix 3. In some embodiments, the TCR or functional variant thereof is TCR 63 - E7 (11- 19) as set forth in Appendix 3.
[00165] In some embodiments, a TCR or functional variant thereof comprises an alpha chain and a beta chain of a TCR as described in US20190321401A1, including any sequences disclosed therein by its SEQ ID NO (SOURCE SEQ ID NO). In some embodiments, a TCR or functional variant thereof comprises an alpha chain containing a variable alpha (Va) chain with a CDR1, CDR2 and CDR3 as contained in the Va chain set forth in SEQ ID NO:273 (SOURCE SEQ ID NO:221), and a beta chain containing a variable beta (VP) chain with a CDR1, CDR2
and CDR3 as contained in the VP chain set forth in SEQ ID NO:278 (SOURCE SEQ ID NO:232). In some embodiments, a TCR or functional variant thereof comprises an alpha chain containing a Va chain with a CDR1, a CDR2 and a CDR3 set forth in SEQ ID NOS:274, 275, and 276, respectively (SOURCE SEQ ID NOS: 222, 223 and 224, respectively), and a VP chain with a CDR1, CDR2 and CDR3 set forth in SEQ ID NOS:279, 280, and 281, respectively (SOURCE SEQ ID NOS: 233, 234 and 235, respectively). In some embodiments, a TCR or functional variant thereof comprises an alpha chain containing a Va chain set forth in SEQ ID NO:273 (SOURCE SEQ ID NO:221), and a beta chain containing a VP chain set forth in SEQ ID NO:278 (SOURCE SEQ ID NO:232). In some embodiments, a TCR or functional variant thereof comprises an alpha chain set forth in SEQ ID NO:272 (SOURCE SEQ ID NO:217), and a beta chain set forth in SEQ ID NO:277 (SOURCE SEQ ID NO:376). In some embodiments, the TCR or functional variant thereof is encoded by the nucleotide sequence set forth in SEQ ID NO:282 (SOURCE SEQ ID NO:409). In some embodiments, a TCR or functional variant thereof is a TCR containing sequences of the TCR designated TCR 64 - E7 (11-19) as set forth in Appendix 3. In some embodiments, the TCR or functional variant thereof is TCR 64 - E7 (11- 19) as set forth in Appendix 3.
[00166] In some embodiments, a TCR or functional variant thereof comprises an alpha chain and a beta chain of a TCR as described in W02019070541A1, including any sequences disclosed therein by its SEQ ID NO (SOURCE SEQ ID NO). In some embodiments, a TCR or functional variant thereof comprises an alpha chain containing a variable alpha (Va) chain with a CDR1, CDR2 and CDR3 as contained the Va chain set forth in SEQ ID NO:309 (SOURCE SEQ ID NO:691), and a beta chain containing variable beta (VP) chain with a CDR1, CDR2 and CDR3 as contained the VP chain set forth in SEQ ID NO:312 (SOURCE SEQ ID NO:700). In some embodiments, a TCR or functional variant thereof comprises an alpha chain containing a Va chain set forth in SEQ ID NO:309 (SOURCE SEQ ID NO:691), and a beta chain containing a VP chain set forth in SEQ ID NO:312 (SOURCE SEQ ID NO:700). In some embodiments, a TCR or functional variant thereof comprises an alpha chain set forth in SEQ ID NO:308 (SOURCE SEQ ID NO:688), and a beta chain set forth in SEQ ID NO:311 (SOURCE SEQ ID NO:697). In some embodiments, a TCR or functional variant thereof contains an alpha chain encoded by the nucleotide sequence set forth in SEQ ID NO:307 (SOURCE SEQ ID NO: 1129), and a beta chain encoded by the nucleotide sequence set forth in SEQ ID NO:310 (SOURCE SEQ ID NO: 1130). In some embodiments, a TCR or functional variant thereof is a TCR containing sequences of the TCR designated TCR 31 - E7 (11-19) as set forth in Appendix 4. In some embodiments, the TCR or functional variant thereof is TCR 31 - E7 (11-19) as set forth in Appendix 4.
[00167] In some embodiments, a TCR or functional variant thereof comprises an alpha chain and a beta chain of a TCR as described in W02019070541A1, including any sequences disclosed therein by its SEQ ID NO (SOURCE SEQ ID NO). In some embodiments, a TCR or functional variant thereof comprises an alpha chain containing a variable alpha (Va) chain with a CDR1, CDR2 and CDR3 as contained the Va chain set forth in SEQ ID NO:315 (SOURCE SEQ ID NO:709), and a beta chain containing variable beta (VP) chain with a CDR1, CDR2 and CDR3 as contained the VP chain set forth in SEQ ID NO:318 (SOURCE SEQ ID NO:718). In some embodiments, a TCR or functional variant thereof comprises an alpha chain containing a Va chain set forth in SEQ ID NO:315 (SOURCE SEQ ID NO:709), and a beta chain containing a VP chain set forth in SEQ ID NO:318 (SOURCE SEQ ID NO:718). In some embodiments, a TCR or functional variant thereof comprises an alpha chain set forth in SEQ ID NO:314 (SOURCE SEQ ID NO:706), and a beta chain set forth in SEQ ID NO:317 (SOURCE SEQ ID NO:715). In some embodiments, a TCR or functional variant thereof contains an alpha chain encoded by the nucleotide sequence set forth in SEQ ID NO:313 (SOURCE SEQ ID NO: 1131), and a beta chain encoded by the nucleotide sequence set forth in SEQ ID NO:316 (SOURCE SEQ ID NO: 1132). In some embodiments, a TCR or functional variant thereof is a TCR containing sequences of the TCR designated TCR 32 - E7 (11-19) as set forth in Appendix 4. In some embodiments, the TCR or functional variant thereof is TCR 32 - E7 (11-19) as set forth in Appendix 4.
[00168] In some embodiments, a TCR or functional variant thereof comprises an alpha chain and a beta chain of a TCR as described in W02019070541A1, including any sequences disclosed therein by its SEQ ID NO (SOURCE SEQ ID NO). In some embodiments, a TCR or functional variant thereof comprises an alpha chain containing a variable alpha (Va) chain with a CDR1, CDR2 and CDR3 as contained the Va chain set forth in SEQ ID NO:321 (SOURCE SEQ ID NO:726), and a beta chain containing variable beta (VP) chain with a CDR1, CDR2 and CDR3 as contained the VP chain set forth in SEQ ID NO:324 (SOURCE SEQ ID NO:735). In some embodiments, a TCR or functional variant thereof comprises an alpha chain containing a Va chain set forth in SEQ ID NO:321 (SOURCE SEQ ID NO:726), and a beta chain containing a VP chain set forth in SEQ ID NO:324 (SOURCE SEQ ID NO:735). In some embodiments, a TCR or functional variant thereof comprises an alpha chain set forth in SEQ ID NO:320 (SOURCE SEQ ID NO:723), and a beta chain set forth in SEQ ID NO:323 (SOURCE SEQ ID NO:732). In some embodiments, a TCR or functional variant thereof contains an alpha chain encoded by the nucleotide sequence set forth in SEQ ID NO:319 (SOURCE SEQ ID NO: 1133), and a beta chain encoded by the nucleotide sequence set forth in SEQ ID NO:322 (SOURCE SEQ ID NO: 1134). In some embodiments, a TCR or functional variant thereof is a TCR containing sequences of the
TCR designated TCR 33 - E7 (11-19) as set forth in Appendix 4. In some embodiments, the TCR or functional variant thereof is TCR 33 - E7 (11-19) as set forth in Appendix 4.
[00169] In some embodiments, a TCR or functional variant thereof comprises an alpha chain and a beta chain of a TCR as described in W02019070541A1, including any sequences disclosed therein by its SEQ ID NO (SOURCE SEQ ID NO). In some embodiments, a TCR or functional variant thereof comprises an alpha chain containing a variable alpha (Va) chain with a CDR1, CDR2 and CDR3 as contained the Va chain set forth in SEQ ID NO:327 (SOURCE SEQ ID NO:741), and a beta chain containing variable beta (VP) chain with a CDR1, CDR2 and CDR3 as contained the VP chain set forth in SEQ ID NO:330 (SOURCE SEQ ID NO:750). In some embodiments, a TCR or functional variant thereof comprises an alpha chain containing a Va chain set forth in SEQ ID NO:327 (SOURCE SEQ ID NO:741), and a beta chain containing a VP chain set forth in SEQ ID NO:330 (SOURCE SEQ ID NO:750). In some embodiments, a TCR or functional variant thereof comprises an alpha chain set forth in SEQ ID NO:326 (SOURCE SEQ ID NO:738), and a beta chain set forth in SEQ ID NO:329 (SOURCE SEQ ID NO:747). In some embodiments, a TCR or functional variant thereof contains an alpha chain encoded by the nucleotide sequence set forth in SEQ ID NO:325 (SOURCE SEQ ID NO: 1135), and a beta chain encoded by the nucleotide sequence set forth in SEQ ID NO:328 (SOURCE SEQ ID NO: 1136). In some embodiments, a TCR or functional variant thereof is a TCR containing sequences of the TCR designated TCR 34 - E7 (11-19) as set forth in Appendix 4. In some embodiments, the TCR or functional variant thereof is TCR 34 - E7 (11-19) as set forth in Appendix 4.
[00170] In some embodiments, a TCR or functional variant thereof comprises an alpha chain and a beta chain of a TCR as described in W02019070541A1, including any sequences disclosed therein by its SEQ ID NO (SOURCE SEQ ID NO). In some embodiments, a TCR or functional variant thereof comprises an alpha chain containing a variable alpha (Va) chain with a CDR1, CDR2 and CDR3 as contained the Va chain set forth in SEQ ID NO:333 (SOURCE SEQ ID NO:759), and a beta chain containing variable beta (VP) chain with a CDR1, CDR2 and CDR3 as contained the VP chain set forth in SEQ ID NO:336 (SOURCE SEQ ID NO:768). In some embodiments, a TCR or functional variant thereof comprises an alpha chain containing a Va chain set forth in SEQ ID NO:333 (SOURCE SEQ ID NO:759), and a beta chain containing a VP chain set forth in SEQ ID NO:336 (SOURCE SEQ ID NO:768). In some embodiments, a TCR or functional variant thereof comprises an alpha chain set forth in SEQ ID NO:332 (SOURCE SEQ ID NO:756), and a beta chain set forth in SEQ ID NO:335 (SOURCE SEQ ID NO:765). In some embodiments, a TCR or functional variant thereof contains an alpha chain encoded by the nucleotide sequence set forth in SEQ ID NO:331 (SOURCE SEQ ID NO: 1137), and a beta chain
encoded by the nucleotide sequence set forth in SEQ ID NO:334 (SOURCE SEQ ID NO: 1138). In some embodiments, a TCR or functional variant thereof is a TCR containing sequences of the TCR designated TCR 35 - E7 (11-19) as set forth in Appendix 4. In some embodiments, the TCR or functional variant thereof is TCR 35 - E7 (11-19) as set forth in Appendix 4.
[00171] In some embodiments, a TCR or functional variant thereof comprises an alpha chain and a beta chain of a TCR as described in W02019070541A1, including any sequences disclosed therein by its SEQ ID NO (SOURCE SEQ ID NO). In some embodiments, a TCR or functional variant thereof comprises an alpha chain containing a variable alpha (Va) chain with a CDR1, CDR2 and CDR3 as contained the Va chain set forth in SEQ ID NO:339 (SOURCE SEQ ID NO:775), and a beta chain containing variable beta (VP) chain with a CDR1, CDR2 and CDR3 as contained the VP chain set forth in SEQ ID NO:342 (SOURCE SEQ ID NO:781). In some embodiments, a TCR or functional variant thereof comprises an alpha chain containing a Va chain set forth in SEQ ID NO:339 (SOURCE SEQ ID NO:775), and a beta chain containing a VP chain set forth in SEQ ID NO:342 (SOURCE SEQ ID NO:781). In some embodiments, a TCR or functional variant thereof comprises an alpha chain set forth in SEQ ID NO:338 (SOURCE SEQ ID NO:772), and a beta chain set forth in SEQ ID NO:341 (SOURCE SEQ ID NO:778). In some embodiments, a TCR or functional variant thereof contains an alpha chain encoded by the nucleotide sequence set forth in SEQ ID NO:337 (SOURCE SEQ ID NO: 1139), and a beta chain encoded by the nucleotide sequence set forth in SEQ ID NO:340 (SOURCE SEQ ID NO: 1140). In some embodiments, a TCR or functional variant thereof is a TCR containing sequences of the TCR designated TCR 36 - E7 (11-19) as set forth in Appendix 4. In some embodiments, the TCR or functional variant thereof is TCR 36 - E7 (11-19) as set forth in Appendix 4.
[00172] In some embodiments, a TCR or functional variant thereof comprises an alpha chain and a beta chain of a TCR as described in W02019070541A1, including any sequences disclosed therein by its SEQ ID NO (SOURCE SEQ ID NO). In some embodiments, a TCR or functional variant thereof comprises an alpha chain containing a variable alpha (Va) chain with a CDR1, CDR2 and CDR3 as contained the Va chain set forth in SEQ ID NO:345 (SOURCE SEQ ID NO:787), and a beta chain containing variable beta (VP) chain with a CDR1, CDR2 and CDR3 as contained the VP chain set forth in SEQ ID NO:348 (SOURCE SEQ ID NO:793). In some embodiments, a TCR or functional variant thereof comprises an alpha chain containing a Va chain set forth in SEQ ID NO:345 (SOURCE SEQ ID NO:787), and a beta chain containing a VP chain set forth in SEQ ID NO:348 (SOURCE SEQ ID NO:793). In some embodiments, a TCR or functional variant thereof comprises an alpha chain set forth in SEQ ID NO:344 (SOURCE SEQ ID NO:784), and a beta chain set forth in SEQ ID NO:347 (SOURCE SEQ ID NO:790). In
some embodiments, a TCR or functional variant thereof contains an alpha chain encoded by the nucleotide sequence set forth in SEQ ID NO:343 (SOURCE SEQ ID NO: 1141), and a beta chain encoded by the nucleotide sequence set forth in SEQ ID NO:346 (SOURCE SEQ ID NO: 1142). In some embodiments, a TCR or functional variant thereof is a TCR containing sequences of the TCR designated TCR 37 - E7 (11-19) as set forth in Appendix 4. In some embodiments, the TCR or functional variant thereof is TCR 37 - E7 (11-19) as set forth in Appendix 4.
[00173] In some embodiments, a TCR or functional variant thereof comprises an alpha chain and a beta chain of a TCR as described in W02019070541A1, including any sequences disclosed therein by its SEQ ID NO (SOURCE SEQ ID NO). In some embodiments, a TCR or functional variant thereof comprises an alpha chain containing a variable alpha (Va) chain with a CDR1, CDR2 and CDR3 as contained the Va chain set forth in SEQ ID NO:351 (SOURCE SEQ ID NO:799), and a beta chain containing variable beta (VP) chain with a CDR1, CDR2 and CDR3 as contained the VP chain set forth in SEQ ID NO:354 (SOURCE SEQ ID NO:808). In some embodiments, a TCR or functional variant thereof comprises an alpha chain containing a Va chain set forth in SEQ ID NO:351 (SOURCE SEQ ID NO:799), and a beta chain containing a VP chain set forth in SEQ ID NO:354 (SOURCE SEQ ID NO:808). In some embodiments, a TCR or functional variant thereof comprises an alpha chain set forth in SEQ ID NO:350 (SOURCE SEQ ID NO:796), and a beta chain set forth in SEQ ID NO:353 (SOURCE SEQ ID NO:805). In some embodiments, a TCR or functional variant thereof contains an alpha chain encoded by the nucleotide sequence set forth in SEQ ID NO:349 (SOURCE SEQ ID NO: 1143), and a beta chain encoded by the nucleotide sequence set forth in SEQ ID NO:352 (SOURCE SEQ ID NO: 1144). In some embodiments, a TCR or functional variant thereof is a TCR containing sequences of the TCR designated TCR 38 - E7 (11-19) as set forth in Appendix 4. In some embodiments, the TCR or functional variant thereof is TCR 38 - E7 (11-19) as set forth in Appendix 4.
[00174] In some embodiments, a TCR or functional variant thereof comprises an alpha chain and a beta chain of a TCR as described in W02019070541A1, including any sequences disclosed therein by its SEQ ID NO (SOURCE SEQ ID NO). In some embodiments, a TCR or functional variant thereof comprises an alpha chain containing a variable alpha (Va) chain with a CDR1, CDR2 and CDR3 as contained the Va chain set forth in SEQ ID NO:357 (SOURCE SEQ ID NO:815), and a beta chain containing variable beta (VP) chain with a CDR1, CDR2 and CDR3 as contained the VP chain set forth in SEQ ID NO:360 (SOURCE SEQ ID NO:824). In some embodiments, a TCR or functional variant thereof comprises an alpha chain containing a Va chain set forth in SEQ ID NO:357 (SOURCE SEQ ID NO:815), and a beta chain containing a VP chain set forth in SEQ ID NO:360 (SOURCE SEQ ID NO:824). In some embodiments, a TCR
or functional variant thereof comprises an alpha chain set forth in SEQ ID NO:356 (SOURCE SEQ ID NO:812), and a beta chain set forth in SEQ ID NO:359 (SOURCE SEQ ID NO:821). In some embodiments, a TCR or functional variant thereof contains an alpha chain encoded by the nucleotide sequence set forth in SEQ ID NO:355 (SOURCE SEQ ID NO: 1145), and a beta chain encoded by the nucleotide sequence set forth in SEQ ID NO:358 (SOURCE SEQ ID NO: 1146). In some embodiments, a TCR or functional variant thereof is a TCR containing sequences of the TCR designated TCR 39 - E7 (11-19) as set forth in Appendix 4. In some embodiments, the TCR or functional variant thereof is TCR 39 - E7 (11-19) as set forth in Appendix 4.
[00175] In some embodiments, a TCR or functional variant thereof comprises an alpha chain and a beta chain of a TCR as described in W02019070541A1, including any sequences disclosed therein by its SEQ ID NO (SOURCE SEQ ID NO). In some embodiments, a TCR or functional variant thereof comprises an alpha chain containing a variable alpha (Va) chain with a CDR1, CDR2 and CDR3 as contained the Va chain set forth in SEQ ID NO:363 (SOURCE SEQ ID NO:830), and a beta chain containing variable beta (VP) chain with a CDR1, CDR2 and CDR3 as contained the VP chain set forth in SEQ ID NO:366 (SOURCE SEQ ID NO:839). In some embodiments, a TCR or functional variant thereof comprises an alpha chain containing a Va chain set forth in SEQ ID NO:363 (SOURCE SEQ ID NO:830), and a beta chain containing a VP chain set forth in SEQ ID NO:366 (SOURCE SEQ ID NO:839). In some embodiments, a TCR or functional variant thereof comprises an alpha chain set forth in SEQ ID NO:362 (SOURCE SEQ ID NO:827), and a beta chain set forth in SEQ ID NO:365 (SOURCE SEQ ID NO:836). In some embodiments, a TCR or functional variant thereof contains an alpha chain encoded by the nucleotide sequence set forth in SEQ ID NO:361 (SOURCE SEQ ID NO: 1147), and a beta chain encoded by the nucleotide sequence set forth in SEQ ID NO:364 (SOURCE SEQ ID NO: 1148). In some embodiments, a TCR or functional variant thereof is a TCR containing sequences of the TCR designated TCR 40 - E7 (11-19) as set forth in Appendix 4. In some embodiments, the TCR or functional variant thereof is TCR 40 - E7 (11-19) as set forth in Appendix 4.
[00176] In some embodiments, a TCR or functional variant thereof comprises an alpha chain and a beta chain of a TCR as described in W02019070541A1, including any sequences disclosed therein by its SEQ ID NO (SOURCE SEQ ID NO). In some embodiments, a TCR or functional variant thereof comprises an alpha chain containing a variable alpha (Va) chain with a CDR1, CDR2 and CDR3 as contained the Va chain set forth in SEQ ID NO:369 (SOURCE SEQ ID NO:845), and a beta chain containing variable beta (VP) chain with a CDR1, CDR2 and CDR3 as contained the VP chain set forth in SEQ ID NO:372 (SOURCE SEQ ID NO:851). In some embodiments, a TCR or functional variant thereof comprises an alpha chain containing a Va
chain set forth in SEQ ID NO:369 (SOURCE SEQ ID NO:845), and a beta chain containing a VP chain set forth in SEQ ID NO:372 (SOURCE SEQ ID NO:851). In some embodiments, a TCR or functional variant thereof comprises an alpha chain set forth in SEQ ID NO:368 (SOURCE SEQ ID NO:842), and a beta chain set forth in SEQ ID NO:371 (SOURCE SEQ ID NO:848). In some embodiments, a TCR or functional variant thereof contains an alpha chain encoded by the nucleotide sequence set forth in SEQ ID NO:367 (SOURCE SEQ ID NO: 1149), and a beta chain encoded by the nucleotide sequence set forth in SEQ ID NO:370 (SOURCE SEQ ID NO: 1150). In some embodiments, a TCR or functional variant thereof is a TCR containing sequences of the TCR designated TCR 41 - E7 (11-19) as set forth in Appendix 4. In some embodiments, the TCR or functional variant thereof is TCR 41 - E7 (11-19) as set forth in Appendix 4.
[00177] In some embodiments, a TCR or functional variant thereof comprises an alpha chain and a beta chain of a TCR as described in W02019070541A1, including any sequences disclosed therein by its SEQ ID NO (SOURCE SEQ ID NO). In some embodiments, a TCR or functional variant thereof comprises an alpha chain containing a variable alpha (Va) chain with a CDR1, CDR2 and CDR3 as contained the Va chain set forth in SEQ ID NO:375 (SOURCE SEQ ID NO:857), and a beta chain containing variable beta (VP) chain with a CDR1, CDR2 and CDR3 as contained the VP chain set forth in SEQ ID NO:378 (SOURCE SEQ ID NO:863). In some embodiments, a TCR or functional variant thereof comprises an alpha chain containing a Va chain set forth in SEQ ID NO:375 (SOURCE SEQ ID NO:857), and a beta chain containing a VP chain set forth in SEQ ID NO:378 (SOURCE SEQ ID NO:863). In some embodiments, a TCR or functional variant thereof comprises an alpha chain set forth in SEQ ID NO:374 (SOURCE SEQ ID NO:854), and a beta chain set forth in SEQ ID NO:377 (SOURCE SEQ ID NO:860). In some embodiments, a TCR or functional variant thereof contains an alpha chain encoded by the nucleotide sequence set forth in SEQ ID NO:373 (SOURCE SEQ ID NO: 1151), and a beta chain encoded by the nucleotide sequence set forth in SEQ ID NO:376 (SOURCE SEQ ID NO: 1152). In some embodiments, a TCR or functional variant thereof is a TCR containing sequences of the TCR designated TCR 42 - E7 (11-19) as set forth in Appendix 4. In some embodiments, the TCR or functional variant thereof is TCR 42 - E7 (11-19) as set forth in Appendix 4.
[00178] In some embodiments, a TCR or functional variant thereof comprises an alpha chain and a beta chain of a TCR as described in W02019070541A1, including any sequences disclosed therein by its SEQ ID NO (SOURCE SEQ ID NO). In some embodiments, a TCR or functional variant thereof comprises an alpha chain containing a variable alpha (Va) chain with a CDR1, CDR2 and CDR3 as contained the Va chain set forth in SEQ ID NO:381 (SOURCE SEQ ID NO:869), and a beta chain containing variable beta (VP) chain with a CDR1, CDR2 and CDR3
as contained the VP chain set forth in SEQ ID NO:384 (SOURCE SEQ ID NO:875). In some embodiments, a TCR or functional variant thereof comprises an alpha chain containing a Va chain set forth in SEQ ID NO:381 (SOURCE SEQ ID NO:869), and a beta chain containing a VP chain set forth in SEQ ID NO:384 (SOURCE SEQ ID NO:875). In some embodiments, a TCR or functional variant thereof comprises an alpha chain set forth in SEQ ID NO:380 (SOURCE SEQ ID NO:866), and a beta chain set forth in SEQ ID NO:383 (SOURCE SEQ ID NO:872). In some embodiments, a TCR or functional variant thereof contains an alpha chain encoded by the nucleotide sequence set forth in SEQ ID NO:379 (SOURCE SEQ ID NO: 1153), and a beta chain encoded by the nucleotide sequence set forth in SEQ ID NO:382 (SOURCE SEQ ID NO: 1154). In some embodiments, a TCR or functional variant thereof is a TCR containing sequences of the TCR designated TCR 43 - E7 (11-19) as set forth in Appendix 4. In some embodiments, the TCR or functional variant thereof is TCR 43 - E7 (11-19) as set forth in Appendix 4.
[00179] In some embodiments, a TCR or functional variant thereof comprises an alpha chain and a beta chain of a TCR as described in W02019070541A1, including any sequences disclosed therein by its SEQ ID NO (SOURCE SEQ ID NO). In some embodiments, a TCR or functional variant thereof comprises an alpha chain containing a variable alpha (Va) chain with a CDR1, CDR2 and CDR3 as contained the Va chain set forth in SEQ ID NO:387 (SOURCE SEQ ID NO:881), and a beta chain containing variable beta (VP) chain with a CDR1, CDR2 and CDR3 as contained the VP chain set forth in SEQ ID NO:390 (SOURCE SEQ ID NO:887). In some embodiments, a TCR or functional variant thereof comprises an alpha chain containing a Va chain set forth in SEQ ID NO:387 (SOURCE SEQ ID NO:881), and a beta chain containing a VP chain set forth in SEQ ID NO:390 (SOURCE SEQ ID NO:887). In some embodiments, a TCR or functional variant thereof comprises an alpha chain set forth in SEQ ID NO:386 (SOURCE SEQ ID NO:878), and a beta chain set forth in SEQ ID NO:389 (SOURCE SEQ ID NO:884). In some embodiments, a TCR or functional variant thereof contains an alpha chain encoded by the nucleotide sequence set forth in SEQ ID NO:385 (SOURCE SEQ ID NO: 1155), and a beta chain encoded by the nucleotide sequence set forth in SEQ ID NO:388 (SOURCE SEQ ID NO: 1156). In some embodiments, a TCR or functional variant thereof is a TCR containing sequences of the TCR designated TCR 44 - E7 (11-19) as set forth in Appendix 4. In some embodiments, the TCR or functional variant thereof is TCR 44 - E7 (11-19) as set forth in Appendix 4.
[00180] In some embodiments, a TCR or functional variant thereof comprises an alpha chain and a beta chain of a TCR as described in W02019070541A1, including any sequences disclosed therein by its SEQ ID NO (SOURCE SEQ ID NO). In some embodiments, a TCR or functional variant thereof comprises an alpha chain containing a variable alpha (Va) chain with a CDR1,
CDR2 and CDR3 as contained the Va chain set forth in SEQ ID NO:393 (SOURCE SEQ ID NO:895), and a beta chain containing variable beta (VP) chain with a CDR1, CDR2 and CDR3 as contained the VP chain set forth in SEQ ID NO:396 (SOURCE SEQ ID NO:901). In some embodiments, a TCR or functional variant thereof comprises an alpha chain containing a Va chain set forth in SEQ ID NO:393 (SOURCE SEQ ID NO:895), and a beta chain containing a VP chain set forth in SEQ ID NO:396 (SOURCE SEQ ID NO:901). In some embodiments, a TCR or functional variant thereof comprises an alpha chain set forth in SEQ ID NO:392 (SOURCE SEQ ID NO:892), and a beta chain set forth in SEQ ID NO:395 (SOURCE SEQ ID NO:898). In some embodiments, a TCR or functional variant thereof contains an alpha chain encoded by the nucleotide sequence set forth in SEQ ID NO:391 (SOURCE SEQ ID NO: 1157), and a beta chain encoded by the nucleotide sequence set forth in SEQ ID NO:394 (SOURCE SEQ ID NO: 1158). In some embodiments, a TCR or functional variant thereof is a TCR containing sequences of the TCR designated TCR 45 - E7 (11-19) as set forth in Appendix 4. In some embodiments, the TCR or functional variant thereof is TCR 45 - E7 (11-19) as set forth in Appendix 4.
[00181] In some embodiments, a TCR or functional variant thereof comprises an alpha chain and a beta chain of a TCR as described in W02019070541A1, including any sequences disclosed therein by its SEQ ID NO (SOURCE SEQ ID NO). In some embodiments, a TCR or functional variant thereof comprises an alpha chain containing a variable alpha (Va) chain with a CDR1, CDR2 and CDR3 as contained the Va chain set forth in SEQ ID NO:399 (SOURCE SEQ ID NO:908), and a beta chain containing variable beta (VP) chain with a CDR1, CDR2 and CDR3 as contained the VP chain set forth in SEQ ID NO:402 (SOURCE SEQ ID NO:917). In some embodiments, a TCR or functional variant thereof comprises an alpha chain containing a Va chain set forth in SEQ ID NO:399 (SOURCE SEQ ID NO:908), and a beta chain containing a VP chain set forth in SEQ ID NO:402 (SOURCE SEQ ID NO:917). In some embodiments, a TCR or functional variant thereof comprises an alpha chain set forth in SEQ ID NO:398 (SOURCE SEQ ID NO:905), and a beta chain set forth in SEQ ID NO:401 (SOURCE SEQ ID NO:914). In some embodiments, a TCR or functional variant thereof contains an alpha chain encoded by the nucleotide sequence set forth in SEQ ID NO:397 (SOURCE SEQ ID NO: 1159), and a beta chain encoded by the nucleotide sequence set forth in SEQ ID NO:400 (SOURCE SEQ ID NO: 1160). In some embodiments, a TCR or functional variant thereof is a TCR containing sequences of the TCR designated TCR 46 - E7 (11-19) as set forth in Appendix 4. In some embodiments, the TCR or functional variant thereof is TCR 46 - E7 (11-19) as set forth in Appendix 4.
[00182] In some embodiments, a TCR or functional variant thereof comprises an alpha chain and a beta chain of a TCR as described in W02019070541A1, including any sequences disclosed
therein by its SEQ ID NO (SOURCE SEQ ID NO). In some embodiments, a TCR or functional variant thereof comprises an alpha chain containing a variable alpha (Va) chain with a CDR1, CDR2 and CDR3 as contained the Va chain set forth in SEQ ID NO:405 (SOURCE SEQ ID NO:925), and a beta chain containing variable beta (VP) chain with a CDR1, CDR2 and CDR3 as contained the VP chain set forth in SEQ ID NO:408 (SOURCE SEQ ID NO:931). In some embodiments, a TCR or functional variant thereof comprises an alpha chain containing a Va chain set forth in SEQ ID NO:405 (SOURCE SEQ ID NO:925), and a beta chain containing a VP chain set forth in SEQ ID NO:408 (SOURCE SEQ ID NO:931). In some embodiments, a TCR or functional variant thereof comprises an alpha chain set forth in SEQ ID NO:404 (SOURCE SEQ ID NO:922), and a beta chain set forth in SEQ ID NO:407 (SOURCE SEQ ID NO:928). In some embodiments, a TCR or functional variant thereof contains an alpha chain encoded by the nucleotide sequence set forth in SEQ ID NO:403 (SOURCE SEQ ID NO: 1161), and a beta chain encoded by the nucleotide sequence set forth in SEQ ID NO:406 (SOURCE SEQ ID NO: 1162). In some embodiments, a TCR or functional variant thereof is a TCR containing sequences of the TCR designated TCR 47 - E7 (11-19) as set forth in Appendix 4. In some embodiments, the TCR or functional variant thereof is TCR 47 - E7 (11-19) as set forth in Appendix 4.
[00183] In some embodiments, a TCR or functional variant thereof comprises an alpha chain and a beta chain of a TCR as described in W02019070541A1, including any sequences disclosed therein by its SEQ ID NO (SOURCE SEQ ID NO). In some embodiments, a TCR or functional variant thereof comprises an alpha chain containing a variable alpha (Va) chain with a CDR1, CDR2 and CDR3 as contained the Va chain set forth in SEQ ID NO:411 (SOURCE SEQ ID NO:937), and a beta chain containing variable beta (VP) chain with a CDR1, CDR2 and CDR3 as contained the VP chain set forth in SEQ ID NO:414 (SOURCE SEQ ID NO:945). In some embodiments, a TCR or functional variant thereof comprises an alpha chain containing a Va chain set forth in SEQ ID NO:411 (SOURCE SEQ ID NO:937), and a beta chain containing a VP chain set forth in SEQ ID NO:414 (SOURCE SEQ ID NO:945). In some embodiments, a TCR or functional variant thereof comprises an alpha chain set forth in SEQ ID NO:410 (SOURCE SEQ ID NO:934), and a beta chain set forth in SEQ ID NO:413 (SOURCE SEQ ID NO:942). In some embodiments, a TCR or functional variant thereof contains an alpha chain encoded by the nucleotide sequence set forth in SEQ ID NO:409 (SOURCE SEQ ID NO: 1163), and a beta chain encoded by the nucleotide sequence set forth in SEQ ID NO:412 (SOURCE SEQ ID NO: 1164). In some embodiments, a TCR or functional variant thereof is a TCR containing sequences of the TCR designated TCR 48 - E7 (11-19) as set forth in Appendix 4. In some embodiments, the TCR or functional variant thereof is TCR 48 - E7 (11-19) as set forth in Appendix 4.
[00184] In some embodiments, a TCR or functional variant thereof comprises an alpha chain and a beta chain of a TCR as described in W02019070541A1, including any sequences disclosed therein by its SEQ ID NO (SOURCE SEQ ID NO). In some embodiments, a TCR or functional variant thereof comprises an alpha chain containing a variable alpha (Va) chain with a CDR1, CDR2 and CDR3 as contained the Va chain set forth in SEQ ID NO:417 (SOURCE SEQ ID NO:951), and a beta chain containing variable beta (VP) chain with a CDR1, CDR2 and CDR3 as contained the VP chain set forth in SEQ ID NO:420 (SOURCE SEQ ID NO:957). In some embodiments, a TCR or functional variant thereof comprises an alpha chain containing a Va chain set forth in SEQ ID NO:417 (SOURCE SEQ ID NO:951), and a beta chain containing a VP chain set forth in SEQ ID NO:420 (SOURCE SEQ ID NO:957). In some embodiments, a TCR or functional variant thereof comprises an alpha chain set forth in SEQ ID NO:416 (SOURCE SEQ ID NO:948), and a beta chain set forth in SEQ ID NO:419 (SOURCE SEQ ID NO:954). In some embodiments, a TCR or functional variant thereof contains an alpha chain encoded by the nucleotide sequence set forth in SEQ ID NO:415 (SOURCE SEQ ID NO: 1165), and a beta chain encoded by the nucleotide sequence set forth in SEQ ID NO:418 (SOURCE SEQ ID NO: 1166). In some embodiments, a TCR or functional variant thereof is a TCR containing sequences of the TCR designated TCR 49 - E7 (11-19) as set forth in Appendix 4. In some embodiments, the TCR or functional variant thereof is TCR 49 - E7 (11-19) as set forth in Appendix 4.
[00185] In some embodiments, a TCR or functional variant thereof comprises an alpha chain and a beta chain of a TCR as described in W02019070541A1, including any sequences disclosed therein by its SEQ ID NO (SOURCE SEQ ID NO). In some embodiments, a TCR or functional variant thereof comprises an alpha chain containing a variable alpha (Va) chain with a CDR1, CDR2 and CDR3 as contained the Va chain set forth in SEQ ID NO:423 (SOURCE SEQ ID NO:963), and a beta chain containing variable beta (VP) chain with a CDR1, CDR2 and CDR3 as contained the VP chain set forth in SEQ ID NO:426 (SOURCE SEQ ID NO:969). In some embodiments, a TCR or functional variant thereof comprises an alpha chain containing a Va chain set forth in SEQ ID NO:423 (SOURCE SEQ ID NO:963), and a beta chain containing a VP chain set forth in SEQ ID NO:426 (SOURCE SEQ ID NO:969). In some embodiments, a TCR or functional variant thereof comprises an alpha chain set forth in SEQ ID NO:422 (SOURCE SEQ ID NO:960), and a beta chain set forth in SEQ ID NO:425 (SOURCE SEQ ID NO:966). In some embodiments, a TCR or functional variant thereof contains an alpha chain encoded by the nucleotide sequence set forth in SEQ ID NO:421 (SOURCE SEQ ID NO: 1167), and a beta chain encoded by the nucleotide sequence set forth in SEQ ID NO:424 (SOURCE SEQ ID NO: 1168). In some embodiments, a TCR or functional variant thereof is a TCR containing sequences of the
TCR designated TCR 50 - E7 (11-19) as set forth in Appendix 4. In some embodiments, the TCR or functional variant thereof is TCR 50 - E7 (11-19) as set forth in Appendix 4.
[00186] In some embodiments, a TCR or functional variant thereof comprises an alpha chain and a beta chain of a TCR as described in W02019070541A1, including any sequences disclosed therein by its SEQ ID NO (SOURCE SEQ ID NO). In some embodiments, a TCR or functional variant thereof comprises an alpha chain containing a variable alpha (Va) chain with a CDR1, CDR2 and CDR3 as contained the Va chain set forth in SEQ ID NO:429 (SOURCE SEQ ID NO:975), and a beta chain containing variable beta (VP) chain with a CDR1, CDR2 and CDR3 as contained the VP chain set forth in SEQ ID NO:432 (SOURCE SEQ ID NO:981). In some embodiments, a TCR or functional variant thereof comprises an alpha chain containing a Va chain set forth in SEQ ID NO:429 (SOURCE SEQ ID NO:975), and a beta chain containing a VP chain set forth in SEQ ID NO:432 (SOURCE SEQ ID NO:981). In some embodiments, a TCR or functional variant thereof comprises an alpha chain set forth in SEQ ID NO:428 (SOURCE SEQ ID NO:972), and a beta chain set forth in SEQ ID NO:431 (SOURCE SEQ ID NO:978). In some embodiments, a TCR or functional variant thereof contains an alpha chain encoded by the nucleotide sequence set forth in SEQ ID NO:427 (SOURCE SEQ ID NO: 1169), and a beta chain encoded by the nucleotide sequence set forth in SEQ ID NO:430 (SOURCE SEQ ID NO: 1170). In some embodiments, a TCR or functional variant thereof is a TCR containing sequences of the TCR designated TCR 51 - E7 (11-19) as set forth in Appendix 4. In some embodiments, the TCR or functional variant thereof is TCR 51 - E7 (11-19) as set forth in Appendix 4.
[00187] In some embodiments, a TCR or functional variant thereof comprises an alpha chain and a beta chain of a TCR as described in W02019070541A1, including any sequences disclosed therein by its SEQ ID NO (SOURCE SEQ ID NO). In some embodiments, a TCR or functional variant thereof comprises an alpha chain containing a variable alpha (Va) chain with a CDR1, CDR2 and CDR3 as contained the Va chain set forth in SEQ ID NO:435 (SOURCE SEQ ID NO:987), and a beta chain containing variable beta (VP) chain with a CDR1, CDR2 and CDR3 as contained the VP chain set forth in SEQ ID NO:438 (SOURCE SEQ ID NO:993). In some embodiments, a TCR or functional variant thereof comprises an alpha chain containing a Va chain set forth in SEQ ID NO:435 (SOURCE SEQ ID NO:987), and a beta chain containing a VP chain set forth in SEQ ID NO:438 (SOURCE SEQ ID NO:993). In some embodiments, a TCR or functional variant thereof comprises an alpha chain set forth in SEQ ID NO:434 (SOURCE SEQ ID NO:984), and a beta chain set forth in SEQ ID NO:437 (SOURCE SEQ ID NO:990). In some embodiments, a TCR or functional variant thereof contains an alpha chain encoded by the nucleotide sequence set forth in SEQ ID NO:433 (SOURCE SEQ ID NO: 1171), and a beta chain
encoded by the nucleotide sequence set forth in SEQ ID NO:436 (SOURCE SEQ ID NO: 1172). In some embodiments, a TCR or functional variant thereof is a TCR containing sequences of the TCR designated TCR 52 - E7 (11-19) as set forth in Appendix 4. In some embodiments, the TCR or functional variant thereof is TCR 52 - E7 (11-19) as set forth in Appendix 4.
[00188] In some embodiments, a TCR or functional variant thereof comprises an alpha chain and a beta chain of a TCR as described in W02019070541A1, including any sequences disclosed therein by its SEQ ID NO (SOURCE SEQ ID NO). In some embodiments, a TCR or functional variant thereof comprises an alpha chain containing a variable alpha (Va) chain with a CDR1, CDR2 and CDR3 as contained the Va chain set forth in SEQ ID NO:441 (SOURCE SEQ ID NO:999), and a beta chain containing variable beta (VP) chain with a CDR1, CDR2 and CDR3 as contained the VP chain set forth in SEQ ID NO:444 (SOURCE SEQ ID NO: 1008). In some embodiments, a TCR or functional variant thereof comprises an alpha chain containing a Va chain set forth in SEQ ID NO:441 (SOURCE SEQ ID NO:999), and a beta chain containing a VP chain set forth in SEQ ID NO:444 (SOURCE SEQ ID NO: 1008). In some embodiments, a TCR or functional variant thereof comprises an alpha chain set forth in SEQ ID NO:440 (SOURCE SEQ ID NO:996), and a beta chain set forth in SEQ ID NO:443 (SOURCE SEQ ID NO: 1005). In some embodiments, a TCR or functional variant thereof contains an alpha chain encoded by the nucleotide sequence set forth in SEQ ID NO:439 (SOURCE SEQ ID NO: 1173), and a beta chain encoded by the nucleotide sequence set forth in SEQ ID NO:442 (SOURCE SEQ ID NO: 1174). In some embodiments, a TCR or functional variant thereof is a TCR containing sequences of the TCR designated TCR 53 - E7 (11-19) as set forth in Appendix 4. In some embodiments, the TCR or functional variant thereof is TCR 53 - E7 (11-19) as set forth in Appendix 4.
[00189] In some embodiments, a TCR or functional variant thereof comprises an alpha chain and a beta chain of a TCR as described in W02019070541A1, including any sequences disclosed therein by its SEQ ID NO (SOURCE SEQ ID NO). In some embodiments, a TCR or functional variant thereof comprises an alpha chain containing a variable alpha (Va) chain with a CDR1, CDR2 and CDR3 as contained the Va chain set forth in SEQ ID NO:447 (SOURCE SEQ ID NO: 119), and a beta chain containing variable beta (VP) chain with a CDR1, CDR2 and CDR3 as contained the VP chain set forth in SEQ ID NO:450 (SOURCE SEQ ID NO: 120). In some embodiments, a TCR or functional variant thereof comprises an alpha chain containing a Va chain set forth in SEQ ID NO:447 (SOURCE SEQ ID NO: 119), and a beta chain containing a VP chain set forth in SEQ ID NO:450 (SOURCE SEQ ID NO: 120). In some embodiments, a TCR or functional variant thereof comprises an alpha chain set forth in SEQ ID NO:446 (SOURCE SEQ ID NO:59), and a beta chain set forth in SEQ ID NO:449 (SOURCE SEQ ID NO:63). In
some embodiments, a TCR or functional variant thereof contains an alpha chain encoded by the nucleotide sequence set forth in SEQ ID NO:445 (SOURCE SEQ ID NO: 1175), and a beta chain encoded by the nucleotide sequence set forth in SEQ ID NO:448 (SOURCE SEQ ID NO: 1176). In some embodiments, a TCR or functional variant thereof is a TCR containing sequences of the TCR designated TCR 54 - E7 (11-19) as set forth in Appendix 4. In some embodiments, the TCR or functional variant thereof is TCR 54 - E7 (11-19) as set forth in Appendix 4.
[00190] In some embodiments, a TCR or functional variant thereof comprises an alpha chain and a beta chain of a TCR as described in W02019070541A1, including any sequences disclosed therein by its SEQ ID NO (SOURCE SEQ ID NO). In some embodiments, a TCR or functional variant thereof comprises an alpha chain containing a variable alpha (Va) chain with a CDR1, CDR2 and CDR3 as contained the Va chain set forth in SEQ ID NO:453 (SOURCE SEQ ID NO:295), and a beta chain containing variable beta (VP) chain with a CDR1, CDR2 and CDR3 as contained the VP chain set forth in SEQ ID NO:456 (SOURCE SEQ ID NO:296). In some embodiments, a TCR or functional variant thereof comprises an alpha chain containing a Va chain set forth in SEQ ID NO:453 (SOURCE SEQ ID NO:295), and a beta chain containing a VP chain set forth in SEQ ID NO:456 (SOURCE SEQ ID NO:296). In some embodiments, a TCR or functional variant thereof comprises an alpha chain set forth in SEQ ID NO:452 (SOURCE SEQ ID NO:284), and a beta chain set forth in SEQ ID NO:455 (SOURCE SEQ ID NO:286). In some embodiments, a TCR or functional variant thereof contains an alpha chain encoded by the nucleotide sequence set forth in SEQ ID NO:451 (SOURCE SEQ ID NO: 1177), and a beta chain encoded by the nucleotide sequence set forth in SEQ ID NO:454 (SOURCE SEQ ID NO: 1178). In some embodiments, a TCR or functional variant thereof is a TCR containing sequences of the TCR designated TCR 55 - E7 (11-19) as set forth in Appendix 4. In some embodiments, the TCR or functional variant thereof is TCR 55 - E7 (11-19) as set forth in Appendix 4.
[00191] In some embodiments, a TCR or functional variant thereof comprises an alpha chain and a beta chain of a TCR as described in W02019070541A1, including any sequences disclosed therein by its SEQ ID NO (SOURCE SEQ ID NO). In some embodiments, a TCR or functional variant thereof comprises an alpha chain containing a variable alpha (Va) chain with a CDR1, CDR2 and CDR3 as contained the Va chain set forth in SEQ ID NO:459 (SOURCE SEQ ID NO: 1390), and a beta chain containing variable beta (VP) chain with a CDR1, CDR2 and CDR3 as contained the VP chain set forth in SEQ ID NO:462 (SOURCE SEQ ID NO: 1380). In some embodiments, a TCR or functional variant thereof comprises an alpha chain containing a Va chain set forth in SEQ ID NO:459 (SOURCE SEQ ID NO: 1390), and a beta chain containing a VP chain set forth in SEQ ID NO:462 (SOURCE SEQ ID NO: 1380). In some embodiments, a
TCR or functional variant thereof comprises an alpha chain set forth in SEQ ID NO:458 (SOURCE SEQ ID NO: 1387), and a beta chain set forth in SEQ ID NO:461 (SOURCE SEQ ID NO: 1377). In some embodiments, a TCR or functional variant thereof contains an alpha chain encoded by the nucleotide sequence set forth in SEQ ID NO:457 (SOURCE SEQ ID NO: 1385), and a beta chain encoded by the nucleotide sequence set forth in SEQ ID NO:460 (SOURCE SEQ ID NO: 1375). In some embodiments, a TCR or functional variant thereof is a TCR containing sequences of the TCR designated TCR 66 - E7 (11-19) as set forth in Appendix 4. In some embodiments, the TCR or functional variant thereof is TCR 66 - E7 (11-19) as set forth in Appendix 4.
[00192] In some embodiments, the TCR or functional variant thereof has antigenic specificity for a peptide epitope derived from HPV 16 E7 that is or comprises TLGIVCPI E7(86-93) (SOURCE SEQ ID NO: 6). Such a TCR may also be referred to as an anti-HPV 16 E7 (86-93) TCR. In some embodiments, the TCR recognizes or binds HPV 16 E7(86-93) in the context of an MHC, such as an MHC class I, e.g., HLA-A2. In some embodiments, the provided TCRs or functional variants thereof are capable of or bind to a HPV 16 E7 (86-93)-peptide-MHC tetramer complex.
[00193] In some embodiments, a TCR or functional variant thereof comprises an alpha chain and a beta chain of a TCR as described in US20190225692A1, including any sequences disclosed therein by its SEQ ID NO (SOURCE SEQ ID NO). In some embodiments, a TCR or functional variant thereof comprises an alpha chain containing a variable alpha (Va) chain with a CDR1, CDR2 and CDR3 as contained in the Va chain set forth in SEQ ID NO:55 (SOURCE SEQ ID NO: 127), and a beta chain containing a variable beta (VP) chain with a CDR1, CDR2 and CDR3 as contained in the VP chain set forth in SEQ ID NO:58 (SOURCE SEQ ID NO: 128). In some embodiments, a TCR or functional variant thereof comprises an alpha chain containing a Va chain set forth in SEQ ID NO:55 (SOURCE SEQ ID NO: 127), and a beta chain containing a VP chain set forth in SEQ ID NO:58 (SOURCE SEQ ID NO: 128). In some embodiments, a TCR or functional variant thereof comprises an alpha chain set forth in SEQ ID NO:54 (SOURCE SEQ ID NO:99), and a beta chain set forth in SEQ ID NO:57 (SOURCE SEQ ID NO: 103). In some embodiments, a TCR or functional variant thereof contains an alpha chain encoded by the nucleotide sequence set forth in SEQ ID NO:53 (SOURCE SEQ ID NO: 101), and a beta chain encoded by the nucleotide sequence set forth in SEQ ID NO:56 (SOURCE SEQ ID NO: 105). In some embodiments, a TCR or functional variant thereof is a TCR containing sequences of the TCR designated TCR 11 - E7 (86-93) as set forth in Appendix 2. In some
embodiments, the TCR or functional variant thereof is TCR 11 - E7 (86-93) as set forth in Appendix 2.
[00194] Also among the provided TCRs are those having sequences at least at or about 90, 91, 92, 93, 94, 95, 96, 97, 98, or 99% identical to such sequences.
HPV 16 E6- targeted TCRs
[00195] In some embodiments, the TCR or functional variant thereof has antigenic specificity for HPV 16 E6 protein or a portion of HPV 16 E6 protein. In some embodiments, the TCR or functional variant thereof has antigenic specificity for HPV 16 E6 protein comprising SOURCE SEQ ID NO: 24. In some embodiments, the TCR or functional variant thereof has antigenic specificity for a peptide epitope derived from HPV 16 E6 that is or comprises TIHDIILECV E6(29-38) (SOURCE SEQ ID NO: 4). Such a TCR may also be referred to as an anti-HPV 16 E6 (29-38) TCR. In some embodiments, the TCR recognizes or binds HPV 16 E6(29-38) in the context of an MHC, such as an MHC class I, e.g., HLA-A2. In some embodiments, the provided TCRs or functional variants thereof are capable of or bind to a HPV 16 E6 (29-38)-peptide-MHC tetramer complex.
[00196] The SOURCE SEQ ID NOs. listed in paragraphs [00198] to [00221] are from Appendix 2 (US20190225692A1).
[00197] The SOURCE SEQ ID NOs. listed in paragraph [00222] are from Appendix 3 (US20190321401A1).
[00198] In some embodiments, a TCR or functional variant thereof comprises an alpha chain and a beta chain of a TCR as described in US20190225692A1, including any sequences disclosed therein by its SEQ ID NO (SOURCE SEQ ID NO). In some embodiments, a TCR or functional variant thereof comprises an alpha chain containing a variable alpha (Va) chain with a CDR1, CDR2 and CDR3 as contained in the Va chain set forth in SEQ ID NO:61 (SOURCE SEQ ID NO: 111), and a beta chain containing a variable beta (VP) chain with a CDR1, CDR2 and CDR3 as contained in the VP chain set forth in SEQ ID NO:64 (SOURCE SEQ ID NO: 112). In some embodiments, a TCR or functional variant thereof comprises an alpha chain containing a Va chain set forth in SEQ ID NO:61 (SOURCE SEQ ID NO: 111), and a beta chain containing a VP chain set forth in SEQ ID NO:64 (SOURCE SEQ ID NO: 112). In some embodiments, a TCR or functional variant thereof comprises an alpha chain set forth in SEQ ID NO:60 (SOURCE SEQ ID NO: 19), and a beta chain set forth in SEQ ID NO:63 (SOURCE SEQ ID NO:23). In some embodiments, a TCR or functional variant thereof contains an alpha chain encoded by the nucleotide sequence set forth in SEQ ID NO:59 (SOURCE SEQ ID NO:21), and a beta chain encoded by the nucleotide sequence set forth in SEQ ID NO:62 (SOURCE SEQ ID
NO:25). In some embodiments, a TCR or functional variant thereof is a TCR containing sequences of the TCR designated TCR 3 - E6 (29-38) as set forth in Appendix 2. In some embodiments, the TCR or functional variant thereof is TCR 3 - E6 (29-38) as set forth in Appendix 2.
[00199] In some embodiments, a TCR or functional variant thereof comprises an alpha chain and a beta chain of a TCR as described in US20190225692A1, including any sequences disclosed therein by its SEQ ID NO (SOURCE SEQ ID NO). In some embodiments, a TCR or functional variant thereof comprises an alpha chain containing a variable alpha (Va) chain with a CDR1, CDR2 and CDR3 as contained in the Va chain set forth in SEQ ID NO:67 (SOURCE SEQ ID NO: 113), and a beta chain containing a variable beta (VP) chain with a CDR1, CDR2 and CDR3 as contained in the VP chain set forth in SEQ ID NO:70 (SOURCE SEQ ID NO: 114). In some embodiments, a TCR or functional variant thereof comprises an alpha chain containing a Va chain set forth in SEQ ID NO:67 (SOURCE SEQ ID NO: 113), and a beta chain containing a VP chain set forth in SEQ ID NO:70 (SOURCE SEQ ID NO: 114). In some embodiments, a TCR or functional variant thereof comprises an alpha chain set forth in SEQ ID NO:66 (SOURCE SEQ ID NO:29), and a beta chain set forth in SEQ ID NO:69 (SOURCE SEQ ID NO:33). In some embodiments, a TCR or functional variant thereof contains an alpha chain encoded by the nucleotide sequence set forth in SEQ ID NO:65 (SOURCE SEQ ID NO:31), and a beta chain encoded by the nucleotide sequence set forth in SEQ ID NO:68 (SOURCE SEQ ID NO:35). In some embodiments, a TCR or functional variant thereof is a TCR containing sequences of the TCR designated TCR 4 - E6 (29-38) as set forth in Appendix 2. In some embodiments, the TCR or functional variant thereof is TCR 4 - E6 (29-38) as set forth in Appendix 2.
[00200] In some embodiments, a TCR or functional variant thereof comprises an alpha chain and a beta chain of a TCR as described in US20190225692A1, including any sequences disclosed therein by its SEQ ID NO (SOURCE SEQ ID NO). In some embodiments, a TCR or functional variant thereof comprises an alpha chain containing a variable alpha (Va) chain with a CDR1, CDR2 and CDR3 as contained in the Va chain set forth in SEQ ID NO:73 (SOURCE SEQ ID NO: 115), and a beta chain containing a variable beta (VP) chain with a CDR1, CDR2 and CDR3 as contained in the VP chain set forth in SEQ ID NO:76 (SOURCE SEQ ID NO: 116). In some embodiments, a TCR or functional variant thereof comprises an alpha chain containing a Va chain set forth in SEQ ID NO:73 (SOURCE SEQ ID NO: 115), and a beta chain containing a VP chain set forth in SEQ ID NO:76 (SOURCE SEQ ID NO: 116). In some embodiments, a TCR or functional variant thereof comprises an alpha chain set forth in SEQ ID NO:72
(SOURCE SEQ ID NO:39), and a beta chain set forth in SEQ ID NO:75 (SOURCE SEQ ID NO:43). In some embodiments, a TCR or functional variant thereof contains an alpha chain encoded by the nucleotide sequence set forth in SEQ ID NO:71 (SOURCE SEQ ID NO:41), and a beta chain encoded by the nucleotide sequence set forth in SEQ ID NO:74 (SOURCE SEQ ID NO:45). In some embodiments, a TCR or functional variant thereof is a TCR containing sequences of the TCR designated TCR 5 - E6 (29-38) as set forth in Appendix 2. In some embodiments, the TCR or functional variant thereof is TCR 5 - E6 (29-38) as set forth in Appendix 2.
[00201] In some embodiments, a TCR or functional variant thereof comprises an alpha chain and a beta chain of a TCR as described in US20190225692A1, including any sequences disclosed therein by its SEQ ID NO (SOURCE SEQ ID NO). In some embodiments, a TCR or functional variant thereof comprises an alpha chain containing a variable alpha (Va) chain with a CDR1, CDR2 and CDR3 as contained in the Va chain set forth in SEQ ID NO:79 (SOURCE SEQ ID NO: 121), and a beta chain containing a variable beta (VP) chain with a CDR1, CDR2 and CDR3 as contained in the VP chain set forth in SEQ ID NO:82 (SOURCE SEQ ID NO: 122). In some embodiments, a TCR or functional variant thereof comprises an alpha chain containing a Va chain set forth in SEQ ID NO:79 (SOURCE SEQ ID NO: 121), and a beta chain containing a VP chain set forth in SEQ ID NO:82 (SOURCE SEQ ID NO: 122). In some embodiments, a TCR or functional variant thereof comprises an alpha chain set forth in SEQ ID NO:78 (SOURCE SEQ ID NO:69), and a beta chain set forth in SEQ ID NO:81 (SOURCE SEQ ID NO:73). In some embodiments, a TCR or functional variant thereof contains an alpha chain encoded by the nucleotide sequence set forth in SEQ ID NO:77 (SOURCE SEQ ID NO:71), and a beta chain encoded by the nucleotide sequence set forth in SEQ ID NO:80 (SOURCE SEQ ID NO:75). In some embodiments, a TCR or functional variant thereof is a TCR containing sequences of the TCR designated TCR 8 - E6 (29-38) as set forth in Appendix 2. In some embodiments, the TCR or functional variant thereof is TCR 8 - E6 (29-38) as set forth in Appendix 2.
[00202] In some embodiments, a TCR or functional variant thereof comprises an alpha chain and a beta chain of a TCR as described in US20190225692A1, including any sequences disclosed therein by its SEQ ID NO (SOURCE SEQ ID NO). In some embodiments, a TCR or functional variant thereof comprises an alpha chain containing a variable alpha (Va) chain with a CDR1, CDR2 and CDR3 as contained in the Va chain set forth in SEQ ID NO:85 (SOURCE SEQ ID NO: 123), and a beta chain containing a variable beta (VP) chain with a CDR1, CDR2 and CDR3 as contained in the VP chain set forth in SEQ ID NO:88 (SOURCE SEQ ID NO: 124).
In some embodiments, a TCR or functional variant thereof comprises an alpha chain containing a Va chain set forth in SEQ ID NO:85 (SOURCE SEQ ID NO: 123), and a beta chain containing a VP chain set forth in SEQ ID NO:88 (SOURCE SEQ ID NO: 124). In some embodiments, a TCR or functional variant thereof comprises an alpha chain set forth in SEQ ID NO:84 (SOURCE SEQ ID NO:79), and a beta chain set forth in SEQ ID NO:87 (SOURCE SEQ ID NO:83). In some embodiments, a TCR or functional variant thereof contains an alpha chain encoded by the nucleotide sequence set forth in SEQ ID NO:83 (SOURCE SEQ ID NO:81), and a beta chain encoded by the nucleotide sequence set forth in SEQ ID NO:86 (SOURCE SEQ ID NO:85). In some embodiments, a TCR or functional variant thereof is a TCR containing sequences of the TCR designated TCR 9 - E6 (29-38) as set forth in Appendix 2. In some embodiments, the TCR or functional variant thereof is TCR 9 - E6 (29-38) as set forth in Appendix 2.
[00203] In some embodiments, a TCR or functional variant thereof comprises an alpha chain and a beta chain of a TCR as described in US20190225692A1, including any sequences disclosed therein by its SEQ ID NO (SOURCE SEQ ID NO). In some embodiments, a TCR or functional variant thereof comprises an alpha chain containing a variable alpha (Va) chain with a CDR1, CDR2 and CDR3 as contained in the Va chain set forth in SEQ ID NO:91 (SOURCE SEQ ID NO: 125), and a beta chain containing a variable beta (VP) chain with a CDR1, CDR2 and CDR3 as contained in the VP chain set forth in SEQ ID NO:94 (SOURCE SEQ ID NO: 126). In some embodiments, a TCR or functional variant thereof comprises an alpha chain containing a Va chain set forth in SEQ ID NO:91 (SOURCE SEQ ID NO: 125), and a beta chain containing a VP chain set forth in SEQ ID NO:94 (SOURCE SEQ ID NO: 126). In some embodiments, a TCR or functional variant thereof comprises an alpha chain set forth in SEQ ID NO:90 (SOURCE SEQ ID NO:89), and a beta chain set forth in SEQ ID NO:93 (SOURCE SEQ ID NO:93). In some embodiments, a TCR or functional variant thereof contains an alpha chain encoded by the nucleotide sequence set forth in SEQ ID NO:89 (SOURCE SEQ ID NO:91), and a beta chain encoded by the nucleotide sequence set forth in SEQ ID NO:92 (SOURCE SEQ ID NO:95). In some embodiments, a TCR or functional variant thereof is a TCR containing sequences of the TCR designated TCR 10 - E6 (29-38) as set forth in Appendix 2. In some embodiments, the TCR or functional variant thereof is TCR 10 - E6 (29-38) as set forth in Appendix 2.
[00204] In some embodiments, a TCR or functional variant thereof comprises an alpha chain and a beta chain of a TCR as described in US20190225692A1, including any sequences disclosed therein by its SEQ ID NO (SOURCE SEQ ID NO). In some embodiments, a TCR or
functional variant thereof comprises an alpha chain containing a variable alpha (V a) chain with a CDR1, CDR2 and CDR3 as contained in the Va chain set forth in SEQ ID NO:97 (SOURCE SEQ ID NO:297), and a beta chain containing a variable beta (VP) chain with a CDR1, CDR2 and CDR3 as contained in the VP chain set forth in SEQ ID NO: 100 (SOURCE SEQ ID NO:298). In some embodiments, a TCR or functional variant thereof comprises an alpha chain containing a Va chain set forth in SEQ ID NO:97 (SOURCE SEQ ID NO:297), and a beta chain containing a VP chain set forth in SEQ ID NO: 100 (SOURCE SEQ ID NO:298). In some embodiments, a TCR or functional variant thereof comprises an alpha chain set forth in SEQ ID NO:96 (SOURCE SEQ ID NO:288), and a beta chain set forth in SEQ ID NO:99 (SOURCE SEQ ID NO:290). In some embodiments, a TCR or functional variant thereof contains an alpha chain encoded by the nucleotide sequence set forth in SEQ ID NO:95 (SOURCE SEQ ID NO: 11), and a beta chain encoded by the nucleotide sequence set forth in SEQ ID NO:98 (SOURCE SEQ ID NO:8). In some embodiments, a TCR or functional variant thereof is a TCR containing sequences of the TCR designated TCR 13 - E6 (29-38) as set forth in Appendix 2. In some embodiments, the TCR or functional variant thereof is TCR 13 - E6 (29-38) as set forth in Appendix 2.
[00205] In some embodiments, a TCR or functional variant thereof comprises an alpha chain and a beta chain of a TCR as described in US20190225692A1, including any sequences disclosed therein by its SEQ ID NO (SOURCE SEQ ID NO). In some embodiments, a TCR or functional variant thereof comprises an alpha chain containing a variable alpha (Va) chain with a CDR1, CDR2 and CDR3 as contained in the Va chain set forth in SEQ ID NO: 103 (SOURCE SEQ ID NO:299), and a beta chain containing a variable beta (VP) chain with a CDR1, CDR2 and CDR3 as contained in the VP chain set forth in SEQ ID NO: 106 (SOURCE SEQ ID NO:300). In some embodiments, a TCR or functional variant thereof comprises an alpha chain containing a Va chain set forth in SEQ ID NO: 103 (SOURCE SEQ ID NO:299), and a beta chain containing a VP chain set forth in SEQ ID NO: 106 (SOURCE SEQ ID NO:300). In some embodiments, a TCR or functional variant thereof comprises an alpha chain set forth in SEQ ID NO: 102 (SOURCE SEQ ID NO:292), and a beta chain set forth in SEQ ID NO: 105 (SOURCE SEQ ID NO:294). In some embodiments, a TCR or functional variant thereof contains an alpha chain encoded by the nucleotide sequence set forth in SEQ ID NO: 101 (SOURCE SEQ ID NO: 10), and a beta chain encoded by the nucleotide sequence set forth in SEQ ID NO: 104 (SOURCE SEQ ID NO:7). In some embodiments, a TCR or functional variant thereof is a TCR containing sequences of the TCR designated TCR 14 - E6 (29-38) as set forth in Appendix 2. In
some embodiments, the TCR or functional variant thereof is TCR 14 - E6 (29-38) as set forth in Appendix 2.
[00206] In some embodiments, a TCR or functional variant thereof comprises an alpha chain and a beta chain of a TCR as described in US20190225692A1, including any sequences disclosed therein by its SEQ ID NO (SOURCE SEQ ID NO). In some embodiments, a TCR or functional variant thereof comprises an alpha chain containing a variable alpha (Va) chain with a CDR1, CDR2 and CDR3 as contained in the Va chain set forth in SEQ ID NO: 109 (SOURCE SEQ ID NO:477), and a beta chain containing a variable beta (VP) chain with a CDR1, CDR2 and CDR3 as contained in the VP chain set forth in SEQ ID NO: 112 (SOURCE SEQ ID NO:483). In some embodiments, a TCR or functional variant thereof comprises an alpha chain containing a Va chain set forth in SEQ ID NO: 109 (SOURCE SEQ ID NO:477), and a beta chain containing a VP chain set forth in SEQ ID NO: 112 (SOURCE SEQ ID NO:483). In some embodiments, a TCR or functional variant thereof comprises an alpha chain set forth in SEQ ID NO: 108 (SOURCE SEQ ID NO:474), and a beta chain set forth in SEQ ID NO:111 (SOURCE SEQ ID NO:480). In some embodiments, a TCR or functional variant thereof contains an alpha chain encoded by the nucleotide sequence set forth in SEQ ID NO: 107 (SOURCE SEQ ID NO: 1097), and a beta chain encoded by the nucleotide sequence set forth in SEQ ID NO: 110 (SOURCE SEQ ID NO: 1098). In some embodiments, a TCR or functional variant thereof is a TCR containing sequences of the TCR designated TCR 15 - E6 (29-38) as set forth in Appendix 2. In some embodiments, the TCR or functional variant thereof is TCR 15 - E6 (29-38) as set forth in Appendix 2.
[00207] In some embodiments, a TCR or functional variant thereof comprises an alpha chain and a beta chain of a TCR as described in US20190225692A1, including any sequences disclosed therein by its SEQ ID NO (SOURCE SEQ ID NO). In some embodiments, a TCR or functional variant thereof comprises an alpha chain containing a variable alpha (Va) chain with a CDR1, CDR2 and CDR3 as contained in the Va chain set forth in SEQ ID NO: 115 (SOURCE SEQ ID NO:492), and a beta chain containing a variable beta (VP) chain with a CDR1, CDR2 and CDR3 as contained in the VP chain set forth in SEQ ID NO: 118 (SOURCE SEQ ID NO:498). In some embodiments, a TCR or functional variant thereof comprises an alpha chain containing a Va chain set forth in SEQ ID NO: 115 (SOURCE SEQ ID NO:492), and a beta chain containing a VP chain set forth in SEQ ID NO: 118 (SOURCE SEQ ID NO:498). In some embodiments, a TCR or functional variant thereof comprises an alpha chain set forth in SEQ ID NO: 114 (SOURCE SEQ ID NO:489), and a beta chain set forth in SEQ ID NO: 117 (SOURCE SEQ ID NO:495). In some embodiments, a TCR or functional variant thereof contains an alpha
chain encoded by the nucleotide sequence set forth in SEQ ID NO: 113 (SOURCE SEQ ID NO: 1099), and a beta chain encoded by the nucleotide sequence set forth in SEQ ID NO: 116 (SOURCE SEQ ID NO: 1100). In some embodiments, a TCR or functional variant thereof is a TCR containing sequences of the TCR designated TCR 16 - E6 (29-38) as set forth in Appendix 2. In some embodiments, the TCR or functional variant thereof is TCR 16 - E6 (29-38) as set forth in Appendix 2.
[00208] In some embodiments, a TCR or functional variant thereof comprises an alpha chain and a beta chain of a TCR as described in US20190225692A1, including any sequences disclosed therein by its SEQ ID NO (SOURCE SEQ ID NO). In some embodiments, a TCR or functional variant thereof comprises an alpha chain containing a variable alpha (Va) chain with a CDR1, CDR2 and CDR3 as contained in the Va chain set forth in SEQ ID NO: 121 (SOURCE SEQ ID NO:504), and a beta chain containing a variable beta (VP) chain with a CDR1, CDR2 and CDR3 as contained in the VP chain set forth in SEQ ID NO: 118 (SOURCE SEQ ID NO:498). In some embodiments, a TCR or functional variant thereof comprises an alpha chain containing a Va chain set forth in SEQ ID NO: 121 (SOURCE SEQ ID NO:504), and a beta chain containing a VP chain set forth in SEQ ID NO: 118 (SOURCE SEQ ID NO:498). In some embodiments, a TCR or functional variant thereof comprises an alpha chain set forth in SEQ ID NO: 120 (SOURCE SEQ ID NO:501), and a beta chain set forth in SEQ ID NO: 117 (SOURCE SEQ ID NO:495). In some embodiments, a TCR or functional variant thereof contains an alpha chain encoded by the nucleotide sequence set forth in SEQ ID NO: 119 (SOURCE SEQ ID NO: 1101), and a beta chain encoded by the nucleotide sequence set forth in SEQ ID NO: 122 (SOURCE SEQ ID NO: 1102). In some embodiments, a TCR or functional variant thereof is a TCR containing sequences of the TCR designated TCR 17 - E6 (29-38) as set forth in Appendix 2. In some embodiments, the TCR or functional variant thereof is TCR 17 - E6 (29-38) as set forth in Appendix 2.
[00209] In some embodiments, a TCR or functional variant thereof comprises an alpha chain and a beta chain of a TCR as described in US20190225692A1, including any sequences disclosed therein by its SEQ ID NO (SOURCE SEQ ID NO). In some embodiments, a TCR or functional variant thereof comprises an alpha chain containing a variable alpha (Va) chain with a CDR1, CDR2 and CDR3 as contained in the Va chain set forth in SEQ ID NO: 125 (SOURCE SEQ ID NO:510), and a beta chain containing a variable beta (VP) chain with a CDR1, CDR2 and CDR3 as contained in the VP chain set forth in SEQ ID NO: 128 (SOURCE SEQ ID NO:516). In some embodiments, a TCR or functional variant thereof comprises an alpha chain containing a Va chain set forth in SEQ ID NO: 125 (SOURCE SEQ ID NO:510), and a beta chain
containing a VP chain set forth in SEQ ID NO: 128 (SOURCE SEQ ID NO:516). In some embodiments, a TCR or functional variant thereof comprises an alpha chain set forth in SEQ ID NO: 124 (SOURCE SEQ ID NO:507), and a beta chain set forth in SEQ ID NO: 127 (SOURCE SEQ ID NO:513). In some embodiments, a TCR or functional variant thereof contains an alpha chain encoded by the nucleotide sequence set forth in SEQ ID NO: 123 (SOURCE SEQ ID NO: 1103), and a beta chain encoded by the nucleotide sequence set forth in SEQ ID NO: 126 (SOURCE SEQ ID NO: 1104). In some embodiments, a TCR or functional variant thereof is a TCR containing sequences of the TCR designated TCR 18 - E6 (29-38) as set forth in Appendix 2. In some embodiments, the TCR or functional variant thereof is TCR 18 - E6 (29-38) as set forth in Appendix 2.
[00210] In some embodiments, a TCR or functional variant thereof comprises an alpha chain and a beta chain of a TCR as described in US20190225692A1, including any sequences disclosed therein by its SEQ ID NO (SOURCE SEQ ID NO). In some embodiments, a TCR or functional variant thereof comprises an alpha chain containing a variable alpha (Va) chain with a CDR1, CDR2 and CDR3 as contained in the Va chain set forth in SEQ ID NO: 131 (SOURCE SEQ ID NO:522), and a beta chain containing a variable beta (VP) chain with a CDR1, CDR2 and CDR3 as contained in the VP chain set forth in SEQ ID NO: 134 (SOURCE SEQ ID NO:530). In some embodiments, a TCR or functional variant thereof comprises an alpha chain containing a Va chain set forth in SEQ ID NO: 131 (SOURCE SEQ ID NO:522), and a beta chain containing a VP chain set forth in SEQ ID NO: 134 (SOURCE SEQ ID NO:530). In some embodiments, a TCR or functional variant thereof comprises an alpha chain set forth in SEQ ID NO: 130 (SOURCE SEQ ID NO:519), and a beta chain set forth in SEQ ID NO: 133 (SOURCE SEQ ID NO:527). In some embodiments, a TCR or functional variant thereof contains an alpha chain encoded by the nucleotide sequence set forth in SEQ ID NO: 129 (SOURCE SEQ ID NO: 1105), and a beta chain encoded by the nucleotide sequence set forth in SEQ ID NO: 132 (SOURCE SEQ ID NO: 1106). In some embodiments, a TCR or functional variant thereof is a TCR containing sequences of the TCR designated TCR 19 - E6 (29-38) as set forth in Appendix 2. In some embodiments, the TCR or functional variant thereof is TCR 19 - E6 (29-38) as set forth in Appendix 2.
[00211] In some embodiments, a TCR or functional variant thereof comprises an alpha chain and a beta chain of a TCR as described in US20190225692A1, including any sequences disclosed therein by its SEQ ID NO (SOURCE SEQ ID NO). In some embodiments, a TCR or functional variant thereof comprises an alpha chain containing a variable alpha (Va) chain with a CDR1, CDR2 and CDR3 as contained in the Va chain set forth in SEQ ID NO: 137 (SOURCE
SEQ ID NO:536), and a beta chain containing a variable beta (VP) chain with a CDR1, CDR2 and CDR3 as contained in the VP chain set forth in SEQ ID NO: 140 (SOURCE SEQ ID NO:545). In some embodiments, a TCR or functional variant thereof comprises an alpha chain containing a Va chain set forth in SEQ ID NO: 137 (SOURCE SEQ ID NO:536), and a beta chain containing a VP chain set forth in SEQ ID NO: 140 (SOURCE SEQ ID NO:545). In some embodiments, a TCR or functional variant thereof comprises an alpha chain set forth in SEQ ID NO: 136 (SOURCE SEQ ID NO:533), and a beta chain set forth in SEQ ID NO: 139 (SOURCE SEQ ID NO:542). In some embodiments, a TCR or functional variant thereof contains an alpha chain encoded by the nucleotide sequence set forth in SEQ ID NO: 135 (SOURCE SEQ ID NO: 1107), and a beta chain encoded by the nucleotide sequence set forth in SEQ ID NO: 138 (SOURCE SEQ ID NO: 1108). In some embodiments, a TCR or functional variant thereof is a TCR containing sequences of the TCR designated TCR 20 - E6 (29-38) as set forth in Appendix 2. In some embodiments, the TCR or functional variant thereof is TCR 20 - E6 (29-38) as set forth in Appendix 2.
[00212] In some embodiments, a TCR or functional variant thereof comprises an alpha chain and a beta chain of a TCR as described in US20190225692A1, including any sequences disclosed therein by its SEQ ID NO (SOURCE SEQ ID NO). In some embodiments, a TCR or functional variant thereof comprises an alpha chain containing a variable alpha (Va) chain with a CDR1, CDR2 and CDR3 as contained in the Va chain set forth in SEQ ID NO: 143 (SOURCE SEQ ID NO:554), and a beta chain containing a variable beta (VP) chain with a CDR1, CDR2 and CDR3 as contained in the VP chain set forth in SEQ ID NO: 146 (SOURCE SEQ ID NO:560). In some embodiments, a TCR or functional variant thereof comprises an alpha chain containing a Va chain set forth in SEQ ID NO: 143 (SOURCE SEQ ID NO:554), and a beta chain containing a VP chain set forth in SEQ ID NO: 146 (SOURCE SEQ ID NO:560). In some embodiments, a TCR or functional variant thereof comprises an alpha chain set forth in SEQ ID NO: 142 (SOURCE SEQ ID NO:551), and a beta chain set forth in SEQ ID NO: 145 (SOURCE SEQ ID NO:557). In some embodiments, a TCR or functional variant thereof contains an alpha chain encoded by the nucleotide sequence set forth in SEQ ID NO: 141 (SOURCE SEQ ID NO: 1109), and a beta chain encoded by the nucleotide sequence set forth in SEQ ID NO: 144 (SOURCE SEQ ID NO: 1110). In some embodiments, a TCR or functional variant thereof is a TCR containing sequences of the TCR designated TCR 21 - E6 (29-38) as set forth in Appendix 2. In some embodiments, the TCR or functional variant thereof is TCR 21 - E6 (29-38) as set forth in Appendix 2.
[00213] In some embodiments, a TCR or functional variant thereof comprises an alpha chain and a beta chain of a TCR as described in US20190225692A1, including any sequences disclosed therein by its SEQ ID NO (SOURCE SEQ ID NO). In some embodiments, a TCR or functional variant thereof comprises an alpha chain containing a variable alpha (Va) chain with a CDR1, CDR2 and CDR3 as contained in the Va chain set forth in SEQ ID NO: 149 (SOURCE SEQ ID NO:569), and a beta chain containing a variable beta (VP) chain with a CDR1, CDR2 and CDR3 as contained in the VP chain set forth in SEQ ID NO: 152 (SOURCE SEQ ID NO:578). In some embodiments, a TCR or functional variant thereof comprises an alpha chain containing a Va chain set forth in SEQ ID NO: 149 (SOURCE SEQ ID NO:569), and a beta chain containing a VP chain set forth in SEQ ID NO: 152 (SOURCE SEQ ID NO:578). In some embodiments, a TCR or functional variant thereof comprises an alpha chain set forth in SEQ ID NO: 148 (SOURCE SEQ ID NO:566), and a beta chain set forth in SEQ ID NO: 151 (SOURCE SEQ ID NO:575). In some embodiments, a TCR or functional variant thereof contains an alpha chain encoded by the nucleotide sequence set forth in SEQ ID NO: 147 (SOURCE SEQ ID NO: 1111), and a beta chain encoded by the nucleotide sequence set forth in SEQ ID NO: 150 (SOURCE SEQ ID NO: 1112). In some embodiments, a TCR or functional variant thereof is a TCR containing sequences of the TCR designated TCR 22 - E6 (29-38) as set forth in Appendix 2. In some embodiments, the TCR or functional variant thereof is TCR 22 - E6 (29-38) as set forth in Appendix 2.
[00214] In some embodiments, a TCR or functional variant thereof comprises an alpha chain and a beta chain of a TCR as described in US20190225692A1, including any sequences disclosed therein by its SEQ ID NO (SOURCE SEQ ID NO). In some embodiments, a TCR or functional variant thereof comprises an alpha chain containing a variable alpha (Va) chain with a CDR1, CDR2 and CDR3 as contained in the Va chain set forth in SEQ ID NO: 155 (SOURCE SEQ ID NO:587), and a beta chain containing a variable beta (VP) chain with a CDR1, CDR2 and CDR3 as contained in the VP chain set forth in SEQ ID NO: 158 (SOURCE SEQ ID NO:593). In some embodiments, a TCR or functional variant thereof comprises an alpha chain containing a Va chain set forth in SEQ ID NO: 155 (SOURCE SEQ ID NO:587), and a beta chain containing a VP chain set forth in SEQ ID NO: 158 (SOURCE SEQ ID NO:593). In some embodiments, a TCR or functional variant thereof comprises an alpha chain set forth in SEQ ID NO: 154 (SOURCE SEQ ID NO:584), and a beta chain set forth in SEQ ID NO: 157 (SOURCE SEQ ID NO:590). In some embodiments, a TCR or functional variant thereof contains an alpha chain encoded by the nucleotide sequence set forth in SEQ ID NO: 153 (SOURCE SEQ ID NO: 1113), and a beta chain encoded by the nucleotide sequence set forth in SEQ ID NO: 156
(SOURCE SEQ ID NO: 1114). In some embodiments, a TCR or functional variant thereof is a TCR containing sequences of the TCR designated TCR 23 - E6 (29-38) as set forth in Appendix 2. In some embodiments, the TCR or functional variant thereof is TCR 23 - E6 (29-38) as set forth in Appendix 2.
[00215] In some embodiments, a TCR or functional variant thereof comprises an alpha chain and a beta chain of a TCR as described in US20190225692A1, including any sequences disclosed therein by its SEQ ID NO (SOURCE SEQ ID NO). In some embodiments, a TCR or functional variant thereof comprises an alpha chain containing a variable alpha (Va) chain with a CDR1, CDR2 and CDR3 as contained in the Va chain set forth in SEQ ID NO: 161 (SOURCE SEQ ID NO:599), and a beta chain containing a variable beta (VP) chain with a CDR1, CDR2 and CDR3 as contained in the VP chain set forth in SEQ ID NO: 164 (SOURCE SEQ ID NO:605). In some embodiments, a TCR or functional variant thereof comprises an alpha chain containing a Va chain set forth in SEQ ID NO: 161 (SOURCE SEQ ID NO:599), and a beta chain containing a VP chain set forth in SEQ ID NO: 164 (SOURCE SEQ ID NO:605). In some embodiments, a TCR or functional variant thereof comprises an alpha chain set forth in SEQ ID NO: 160 (SOURCE SEQ ID NO:596), and a beta chain set forth in SEQ ID NO: 163 (SOURCE SEQ ID NO:602). In some embodiments, a TCR or functional variant thereof contains an alpha chain encoded by the nucleotide sequence set forth in SEQ ID NO: 159 (SOURCE SEQ ID NO: 1115), and a beta chain encoded by the nucleotide sequence set forth in SEQ ID NO: 162 (SOURCE SEQ ID NO: 1116). In some embodiments, a TCR or functional variant thereof is a TCR containing sequences of the TCR designated TCR 24 - E6 (29-38) as set forth in Appendix 2. In some embodiments, the TCR or functional variant thereof is TCR 24 - E6 (29-38) as set forth in Appendix 2.
[00216] In some embodiments, a TCR or functional variant thereof comprises an alpha chain and a beta chain of a TCR as described in US20190225692A1, including any sequences disclosed therein by its SEQ ID NO (SOURCE SEQ ID NO). In some embodiments, a TCR or functional variant thereof comprises an alpha chain containing a variable alpha (Va) chain with a CDR1, CDR2 and CDR3 as contained in the Va chain set forth in SEQ ID NO: 167 (SOURCE SEQ ID NO:611), and a beta chain containing a variable beta (VP) chain with a CDR1, CDR2 and CDR3 as contained in the VP chain set forth in SEQ ID NO: 170 (SOURCE SEQ ID NO:617). In some embodiments, a TCR or functional variant thereof comprises an alpha chain containing a Va chain set forth in SEQ ID NO: 167 (SOURCE SEQ ID NO:611), and a beta chain containing a VP chain set forth in SEQ ID NO: 170 (SOURCE SEQ ID NO:617). In some embodiments, a TCR or functional variant thereof comprises an alpha chain set forth in SEQ ID
NO: 166 (SOURCE SEQ ID NO:608), and a beta chain set forth in SEQ ID NO: 169 (SOURCE SEQ ID NO:614). In some embodiments, a TCR or functional variant thereof contains an alpha chain encoded by the nucleotide sequence set forth in SEQ ID NO: 165 (SOURCE SEQ ID NO: 1117), and a beta chain encoded by the nucleotide sequence set forth in SEQ ID NO: 168 (SOURCE SEQ ID NO: 1118). In some embodiments, a TCR or functional variant thereof is a TCR containing sequences of the TCR designated TCR 25 - E6 (29-38) as set forth in Appendix 2. In some embodiments, the TCR or functional variant thereof is TCR 25 - E6 (29-38) as set forth in Appendix 2.
[00217] In some embodiments, a TCR or functional variant thereof comprises an alpha chain and a beta chain of a TCR as described in US20190225692A1, including any sequences disclosed therein by its SEQ ID NO (SOURCE SEQ ID NO). In some embodiments, a TCR or functional variant thereof comprises an alpha chain containing a variable alpha (Va) chain with a CDR1, CDR2 and CDR3 as contained in the Va chain set forth in SEQ ID NO: 173 (SOURCE SEQ ID NO:623), and a beta chain containing a variable beta (VP) chain with a CDR1, CDR2 and CDR3 as contained in the VP chain set forth in SEQ ID NO: 176 (SOURCE SEQ ID NO:629). In some embodiments, a TCR or functional variant thereof comprises an alpha chain containing a Va chain set forth in SEQ ID NO: 173 (SOURCE SEQ ID NO:623), and a beta chain containing a VP chain set forth in SEQ ID NO: 176 (SOURCE SEQ ID NO:629). In some embodiments, a TCR or functional variant thereof comprises an alpha chain set forth in SEQ ID NO: 172 (SOURCE SEQ ID NO:620), and a beta chain set forth in SEQ ID NO: 175 (SOURCE SEQ ID NO:626). In some embodiments, a TCR or functional variant thereof contains an alpha chain encoded by the nucleotide sequence set forth in SEQ ID NO: 171 (SOURCE SEQ ID NO: 1119), and a beta chain encoded by the nucleotide sequence set forth in SEQ ID NO: 174 (SOURCE SEQ ID NO: 1120). In some embodiments, a TCR or functional variant thereof is a TCR containing sequences of the TCR designated TCR 26 - E6 (29-38) as set forth in Appendix 2. In some embodiments, the TCR or functional variant thereof is TCR 26 - E6 (29-38) as set forth in Appendix 2.
[00218] In some embodiments, a TCR or functional variant thereof comprises an alpha chain and a beta chain of a TCR as described in US20190225692A1, including any sequences disclosed therein by its SEQ ID NO (SOURCE SEQ ID NO). In some embodiments, a TCR or functional variant thereof comprises an alpha chain containing a variable alpha (Va) chain with a CDR1, CDR2 and CDR3 as contained in the Va chain set forth in SEQ ID NO: 179 (SOURCE SEQ ID NO:637), and a beta chain containing a variable beta (VP) chain with a CDR1, CDR2 and CDR3 as contained in the VP chain set forth in SEQ ID NO: 182 (SOURCE SEQ ID
NO:643). In some embodiments, a TCR or functional variant thereof comprises an alpha chain containing a Va chain set forth in SEQ ID NO: 179 (SOURCE SEQ ID NO:637), and a beta chain containing a VP chain set forth in SEQ ID NO: 182 (SOURCE SEQ ID NO:643). In some embodiments, a TCR or functional variant thereof comprises an alpha chain set forth in SEQ ID NO: 178 (SOURCE SEQ ID NO:634), and a beta chain set forth in SEQ ID NO: 181 (SOURCE SEQ ID NO:640). In some embodiments, a TCR or functional variant thereof contains an alpha chain encoded by the nucleotide sequence set forth in SEQ ID NO: 177 (SOURCE SEQ ID NO: 1121), and a beta chain encoded by the nucleotide sequence set forth in SEQ ID NO: 180 (SOURCE SEQ ID NO: 1122). In some embodiments, a TCR or functional variant thereof is a TCR containing sequences of the TCR designated TCR 27 - E6 (29-38) as set forth in Appendix 2. In some embodiments, the TCR or functional variant thereof is TCR 27 - E6 (29-38) as set forth in Appendix 2.
[00219] In some embodiments, a TCR or functional variant thereof comprises an alpha chain and a beta chain of a TCR as described in US20190225692A1, including any sequences disclosed therein by its SEQ ID NO (SOURCE SEQ ID NO). In some embodiments, a TCR or functional variant thereof comprises an alpha chain containing a variable alpha (Va) chain with a CDR1, CDR2 and CDR3 as contained in the Va chain set forth in SEQ ID NO: 185 (SOURCE SEQ ID NO:649), and a beta chain containing a variable beta (VP) chain with a CDR1, CDR2 and CDR3 as contained in the VP chain set forth in SEQ ID NO: 188 (SOURCE SEQ ID NO:655). In some embodiments, a TCR or functional variant thereof comprises an alpha chain containing a Va chain set forth in SEQ ID NO: 185 (SOURCE SEQ ID NO:649), and a beta chain containing a VP chain set forth in SEQ ID NO: 188 (SOURCE SEQ ID NO:655). In some embodiments, a TCR or functional variant thereof comprises an alpha chain set forth in SEQ ID NO: 184 (SOURCE SEQ ID NO:646), and a beta chain set forth in SEQ ID NO: 187 (SOURCE SEQ ID NO:652). In some embodiments, a TCR or functional variant thereof contains an alpha chain encoded by the nucleotide sequence set forth in SEQ ID NO: 183 (SOURCE SEQ ID NO: 1123), and a beta chain encoded by the nucleotide sequence set forth in SEQ ID NO: 186 (SOURCE SEQ ID NO: 1124). In some embodiments, a TCR or functional variant thereof is a TCR containing sequences of the TCR designated TCR 28 - E6 (29-38) as set forth in Appendix 2. In some embodiments, the TCR or functional variant thereof is TCR 28 - E6 (29-38) as set forth in Appendix 2.
[00220] In some embodiments, a TCR or functional variant thereof comprises an alpha chain and a beta chain of a TCR as described in US20190225692A1, including any sequences disclosed therein by its SEQ ID NO (SOURCE SEQ ID NO). In some embodiments, a TCR or
functional variant thereof comprises an alpha chain containing a variable alpha (V a) chain with a CDR1, CDR2 and CDR3 as contained in the Va chain set forth in SEQ ID NO: 191 (SOURCE SEQ ID NO:661), and a beta chain containing a variable beta (VP) chain with a CDR1, CDR2 and CDR3 as contained in the VP chain set forth in SEQ ID NO: 194 (SOURCE SEQ ID NO:667). In some embodiments, a TCR or functional variant thereof comprises an alpha chain containing a Va chain set forth in SEQ ID NO: 191 (SOURCE SEQ ID NO:661), and a beta chain containing a VP chain set forth in SEQ ID NO: 194 (SOURCE SEQ ID NO:667). In some embodiments, a TCR or functional variant thereof comprises an alpha chain set forth in SEQ ID NO: 190 (SOURCE SEQ ID NO:658), and a beta chain set forth in SEQ ID NO: 193 (SOURCE SEQ ID NO:664). In some embodiments, a TCR or functional variant thereof contains an alpha chain encoded by the nucleotide sequence set forth in SEQ ID NO: 189 (SOURCE SEQ ID NO: 1125), and a beta chain encoded by the nucleotide sequence set forth in SEQ ID NO: 192 (SOURCE SEQ ID NO: 1126). In some embodiments, a TCR or functional variant thereof is a TCR containing sequences of the TCR designated TCR 29 - E6 (29-38) as set forth in Appendix 2. In some embodiments, the TCR or functional variant thereof is TCR 29 - E6 (29-38) as set forth in Appendix 2.
[00221] In some embodiments, a TCR or functional variant thereof comprises an alpha chain and a beta chain of a TCR as described in US20190225692A1, including any sequences disclosed therein by its SEQ ID NO (SOURCE SEQ ID NO). In some embodiments, a TCR or functional variant thereof comprises an alpha chain containing a variable alpha (Va) chain with a CDR1, CDR2 and CDR3 as contained in the Va chain set forth in SEQ ID NO: 197 (SOURCE SEQ ID NO:676), and a beta chain containing a variable beta (VP) chain with a CDR1, CDR2 and CDR3 as contained in the VP chain set forth in SEQ ID NO:200 (SOURCE SEQ ID NO:685). In some embodiments, a TCR or functional variant thereof comprises an alpha chain containing a Va chain set forth in SEQ ID NO: 197 (SOURCE SEQ ID NO:676), and a beta chain containing a VP chain set forth in SEQ ID NO:200 (SOURCE SEQ ID NO:685). In some embodiments, a TCR or functional variant thereof comprises an alpha chain set forth in SEQ ID NO: 196 (SOURCE SEQ ID NO:673), and a beta chain set forth in SEQ ID NO: 199 (SOURCE SEQ ID NO:682). In some embodiments, a TCR or functional variant thereof contains an alpha chain encoded by the nucleotide sequence set forth in SEQ ID NO: 195 (SOURCE SEQ ID NO: 1127), and a beta chain encoded by the nucleotide sequence set forth in SEQ ID NO: 198 (SOURCE SEQ ID NO: 1128). In some embodiments, a TCR or functional variant thereof is a TCR containing sequences of the TCR designated TCR 30 - E6 (29-38) as set forth in Appendix
2. In some embodiments, the TCR or functional variant thereof is TCR 30 - E6 (29-38) as set forth in Appendix 2.
[00222] In some embodiments, a TCR or functional variant thereof comprises an alpha chain and a beta chain of a TCR as described in US20190321401A1, including any sequences disclosed therein by its SEQ ID NO (SOURCE SEQ ID NO). In some embodiments, a TCR or functional variant thereof comprises an alpha chain containing a variable alpha (Va) chain with a CDR1, CDR2 and CDR3 as contained in the Va chain set forth in SEQ ID NO:284 (SOURCE SEQ ID NO:247), and a beta chain containing a variable beta (VP) chain with a CDR1, CDR2 and CDR3 as contained in the VP chain set forth in SEQ ID NO:289 (SOURCE SEQ ID NO:258). In some embodiments, a TCR or functional variant thereof comprises an alpha chain containing a Va chain with a CDR1, a CDR2 and a CDR3 set forth in SEQ ID NOS:285, 286, and 287, respectively (SOURCE SEQ ID NOS: 248, 249 and 250, respectively), and a VP chain with a CDR1, CDR2 and CDR3 set forth in SEQ ID NOS:290, 291, and 292, respectively (SOURCE SEQ ID NOS: 259, 260 and 261, respectively). In some embodiments, a TCR or functional variant thereof comprises an alpha chain containing a Va chain set forth in SEQ ID NO:284 (SOURCE SEQ ID NO:247), and a beta chain containing a VP chain set forth in SEQ ID NO:289 (SOURCE SEQ ID NO:258). In some embodiments, a TCR or functional variant thereof comprises an alpha chain set forth in SEQ ID NO:283 (SOURCE SEQ ID NO:243), and a beta chain set forth in SEQ ID NO:288 (SOURCE SEQ ID NO:377). In some embodiments, the TCR or functional variant thereof is encoded by the nucleotide sequence set forth in SEQ ID NO:293 (SOURCE SEQ ID NO:410). In some embodiments, a TCR or functional variant thereof is a TCR containing sequences of the TCR designated TCR 65 - E6 (29-38) as set forth in Appendix 3. In some embodiments, the TCR or functional variant thereof is TCR 65 - E6 (29- 38) as set forth in Appendix 3.
[00223] Also among the provided TCRs are those having sequences at least at or about 90, 91, 92, 93, 94, 95, 96, 97, 98, or 99% identical to such sequences.
B. Features of TCRs and functional variants thereof
[00224] In some embodiments, a TCR of the present disclosure, including any of the TCRs as described in Section II. A, is a full-length TCR, such as a TCR containing the a chain and P chain. In some embodiments, a functional variant of a TCR of the present disclosure, including any of the TCRs as described in Section ILA, is an antigen-binding portion that is less than a full-length TCR but that binds to a specific peptide bound in an MHC molecule, such as an MHC-peptide complex. In some cases, an antigen-binding portion or fragment of a TCR contains only a portion of the structural domains of a full-length or intact TCR, but is able to bind the peptide epitope,
such as in an MHC-peptide complex, to which the full TCR binds. In some cases, an antigenbinding portion contains the variable domains of a TCR, such as variable a (Va) chain and variable P (VP) chain of a TCR, or antigen-binding fragments thereof sufficient to form a binding site for binding to a specific MHC-peptide complex.
[00225] In some embodiments, a TCR or functional variant thereof comprises a constant domain, a transmembrane domain and/or a short cytoplasmic tail. In some embodiments, each chain (e.g. alpha or beta) of the TCR can possess one N-terminal immunoglobulin variable domain, one immunoglobulin constant domain, a transmembrane region, and a short cytoplasmic tail at the C-terminal end. In some embodiments, a TCR, for example via the cytoplasmic tail, is associated with invariant proteins of the CD3 complex involved in mediating signal transduction. For example, a TCR containing constant domains with a transmembrane region may anchor the protein in the cell membrane and associate with invariant subunits of the CD3 signaling apparatus or complex. The intracellular tails of CD3 signaling subunits (e.g. CD3y, CD36, CD3s and CD3(^ chains) contain one or more immunoreceptor tyrosine-based activation motif or IT AM and generally are involved in the signaling capacity of the TCR complex.
[00226] It is within the level of a skilled artisan to determine or identify the various domains or regions of a TCR. In some cases, the exact locus of a domain or region can vary depending on the particular structural or homology modeling or other features used to describe a particular domain. In some embodiments, residues of a TCR are known or can be identified according to the International Immunogenetics Information System (IMGT) numbering system (see e.g. www.imgt.org; see also, Lefranc et al. (2003) Developmental and Comparative Immunology, 27(1); 55-77; and The T Cell Factsbook 2nd Edition, Lefranc and LeFranc Academic Press 2001).
[00227] In some embodiments, a functional variant of a TCR comprises a functional portion of one or both of the polypeptide chains of the TCR (e.g., the alpha and beta chains or the gamma and delta chains).
[00228] The functional portion can comprise additional amino acids at the amino or carboxy terminus of the portion, or at both termini, which additional amino acids are not found in the amino acid sequence of the parent TCR or functional variant thereof. Desirably, the additional amino acids do not interfere with the biological function of the functional portion, e.g., specifically binding to HPV 16 E7; and/or having the ability to detect cancer, treat or prevent cancer.
[00229] In some embodiments, a functional variant of a TCR comprises a functional portion of either or both the alpha and beta chains of the TCR, such as a functional portion comprising one
or more of CDR1, CDR2, and CDR3 of the variable region(s) of the alpha chain and/or beta chain of a TCR.
[00230] In some embodiments, a TCR or functional variant thereof of the present disclosure comprises a single polypeptide. In other embodiments, a TCR or functional variant thereof of the present disclosure comprises two polypeptides.
[00231] In some embodiments, a TCR or functional variant thereof of the present disclosure comprises two polypeptides (i.e., polypeptide chains), such as an alpha (a) chain of a TCR, a beta (P) chain of a TCR, a gamma (y) chain of a TCR, a delta (6) chain of a TCR, or a combination thereof. In some embodiments, a TCR or functional variant thereof comprises an alpha (a) chain of a TCR and a beta (P) chain of a TCR.
[00232] In some embodiments, a TCR or functional variant thereof of the present disclosure is a protein that contains variable alpha (a) and beta (P) chains or variable gamma (y) and delta (6) chains, or antigen-binding portions thereof, and which is capable of specifically binding to an antigen, e.g., a peptide antigen or peptide epitope bound to an MHC molecule.
[00233] In some embodiments, the variable domains of a TCR contain complementarity determining regions (CDRs), which generally are the primary contributors to antigen recognition and binding capabilities and specificity to the peptide, MHC and/or MHC-peptide complex. In some embodiments, a CDR of a TCR or combination of CDRs of a TCR forms all or substantially all of the antigen-binding site of a given TCR molecule. The various CDRs within a variable region of a TCR chain generally are separated by framework regions (FRs), which generally display less variability among TCR molecules as compared to the CDRs.
[00234] In some embodiments, a TCR or functional variant thereof comprises a Va region sequence or sufficient antigen-binding portion thereof that comprises a CDR-1, CDR-2 and/or CDR-3. In some embodiments, a TCR or antigen-binding fragment thereof comprises a VP region sequence or sufficient antigen-binding portion that comprises a CDR-1, CDR-2 and/or CDR-3. In some embodiments, a TCR or antigen-binding fragment thereof comprises a Va region sequence that comprises a CDR-1, CDR-2 and/or CDR-3 and comprises a VP region sequence that comprises a CDR-1, CDR-2 and/or CDR-3. In some embodiments, the variable region of the P-chain cancomprise a further hypervariable region (CDR4 or HVR4), which generally is involved in superantigen binding and not antigen recognition. In some aspects, residues of a TCR are known or can be identified according to the International Immunogenetics Information System (IMGT) numbering system (see e.g. www.imgt.org; see also, Lefranc et al. (2003) Developmental and Comparative Immunology, 27(l);55-77; and The T Cell Factsbook 2nd Edition, Lefranc and LeFranc Academic Press 2001). Using this system, the CDR1
sequences within a TCR Va chain and/or VP chain correspond to the amino acids present between residue numbers 27-38, inclusive, the CDR2 sequences within a TCR Va chain and/or VP chain correspond to the amino acids present between residue numbers 56-65, inclusive, and the CDR3 sequences within a TCR Va chain and/or VP chain correspond to the amino acids present between residue numbers 105-117, inclusive.
[00235] In some embodiments, the alpha chain of the TCR or functional variant thereof comprises an alpha constant (Ca) region or portion thereof. In some embodiments, the beta chain of the TCR or antigen-binding fragment thereof comprises a beta constant (CP) region or portion thereof. Thus, in some embodiments, the TCR or functional variant thereof, contains an alpha chain comprising a variable alpha (Va) region and an alpha constant (Ca) region or portion thereof and/or a beta chain comprising a variable beta (VP) region and a beta constant region (CP) or portion thereof.
[00236] In some embodiments, the constant domain is adjacent to the cell membrane. For example, in some cases, the extracellular portion of the TCR formed by the two chains contains two membrane-proximal constant domains, and two membrane-distal variable domains, which variable domains each contain CDRs.
[00237] In some embodiments, a TCR or functional variant thereof comprises a constant region derived from any suitable species such as, e.g., human or mouse. In some embodiments, the a chain constant domain (Ca) and P chain constant domain (CP) individually are mammalian, such as a human or murine constant domain. In some embodiments, the Ca and CP regions are mouse constant regions, such as a native or variant mouse constant region. In some embodiments, the Ca and CP regions are human constant regions, such as a native or variant human constant region. In some embodiments, a TCR or functional variant thereof according to the present disclosure comprises a human constant region, such as an alpha chain comprising a human Ca region and a beta chain comprising a human Cp.
[00238] As used herein, the term “murine” or “human,” when referring to a TCR or any component of a TCR described herein, means a TCR (or component thereof) which is derived from a mouse or a human, respectively, i.e., a TCR (or component thereof) that originated from or was, at one time, expressed by a mouse T cell or a human T cell, respectively. For example, a human TCR is understood as being generated from a human TCR locus and therefore comprises human TCR sequences.
[00239] In some embodiments, each of the Ca and CP domains of a TCR or functional variant thereof is human. In some embodiments, the Ca is encoded by the TRAC gene (IMGT nomenclature) or is a variant thereof. In some embodiments, the variant of a Ca contains
replacement of at least one non-native cysteine. In some embodiments, the CP is encoded by TRBC1 or TRBC2 genes (IM GT nomenclature) or is a variant thereof. In some embodiments, the variant of a CP contains replacement of at least one non-native cysteine.
[00240] In some embodiments, a TCR or functional variant thereof is a human/mouse chimeric TCR. In some cases, a TCR or functional variant thereof comprises an alpha chain and/or a beta chain comprising a mouse constant region. In some embodiments, a TCR or functional variant thereof comprises a human variable region and a murine constant region.
[00241] In some embodiments, a TCR or the present disclosure is fully human. Among the provided TCRs are TCRs containing a human constant region, such as fully human TCRs, whose expression and/or activity, such as when expressed in human cells, e.g. human T cells, such as primary human T cells, are not impacted by or are not substantially impacted by the presence of an endogenous human TCR. In some embodiments, such TCRs containing a human constant region are not out-competed by the endogenous human TCR, such as for components of the CD3 complex.
[00242] In some embodiments, a TCR or functional variant thereof is or has been modified relative to a parent TCR, such as a parent TCR comprising TCR sequences disclosed herein. [00243] In certain embodiments, the TCR or functional variant thereof include one or more amino acid variations, e.g., substitutions, deletions, insertions, and/or mutations, compared to the sequence of a TCR described herein. Exemplary variants include those designed to improve the binding affinity and/or other biological properties of the TCR or functional variant thereof. Amino acid sequence variants of a TCR may be prepared by introducing appropriate modifications into the nucleotide sequence encoding the TCR, or by peptide synthesis. Such modifications include, for example, deletions from, and/or insertions into and/or substitutions of residues within the amino acid sequences of the TCR. Any combination of deletion, insertion, and substitution can be made to arrive at the final binding TCR or functional variant thereof, provided that the final TCR or functional variant thereof possesses the desired characteristics, e.g., antigen-binding.
[00244] In certain embodiments, a TCR or functional variant thereof include one or more amino acid substitutions, e.g., as compared to a sequence of a TCR or functional variant thereof described herein and/or compared to a sequence of a natural repertoire, e.g., human repertoire. Sites of interest for amino acid substitution include the CDRs, FRs and/or constant regions. Amino acid substitutions may be introduced into a TCR of interest and the products screened for a desired activity, e.g., retained/improved antigen affinity or avidity, decreased immunogenicity,
improved half-life, CD8-independent binding or activity, surface expression, promotion of TCR chain pairing and/or other improved properties or functions.
[00245] In some embodiments, one or more residues within a CDR of a parent TCR or functional variant thereof is/are substituted. In some embodiments, the substitution is made to revert a sequence or position in the sequence to a germline sequence, such as a TCR sequence found in the germline (e.g., human germline), for example, to reduce the likelihood of immunogenicity, e.g., upon administration to a human subject.
[00246] In certain embodiments, substitutions, insertions, or deletions may occur within one or more CDRs so long as such alterations do not substantially reduce the ability of the TCR or functional variant thereof, to bind antigen. For example, conservative alterations (e.g., conservative substitutions) that do not substantially reduce binding affinity may be made in CDRs. Such alterations may, for example, be outside of antigen contacting residues in the CDRs. In certain embodiments of the variable sequences provided herein, each CDR either is unaltered, or contains no more than one, two or three amino acid substitutions.
[00247] In certain embodiments, a TCR or functional variant thereof, include one or more amino acid sequence insertions. Amino acid sequence insertions include amino and/or carboxyl- terminal fusions ranging in length from one residue to polypeptides containing a hundred or more residues, as well as intrasequence insertions of single or multiple amino acid residues.
[00248] In some embodiments, a TCR or functional variant thereof comprises a variant of an alpha chain and/or a beta chain. In some embodiments, the variant comprises the amino acid sequence of any of the TCRs described herein with one, two, three, or four or more amino acid substitution(s) in the constant region of the alpha or beta chain. In some embodiments, a TCR or functional variant thereof comprising one or more modifications in the alpha chain and/or beta chain provide one or more of decreased mis-pairing between the TCR alpha chain and beta chain and an endogenous TCR alpha chain and beta chain, increased expression of the TCR alpha chain and beta chain by a host cell, increased stability of the TCR alpha chain and beta chai, increased recognition of HPV 16 targets, and increased anti-tumor activity as compared to the parent TCR comprising an unmodified amino acid sequence.
[00249] In some embodiments, a TCR or functional variant thereof may be a heterodimer of two chains (e.g., a and P) that are linked, such as by a disulfide bond or disulfide bonds. In some embodiments, the constant domain of the TCR or functional variant thereof comprises short connecting sequences in which a cysteine residue forms a disulfide bond, thereby linking the two chains of the TCR or functional variant thereof. In some embodiments, a TCR or functional variant thereof may have an additional cysteine residue in each of the a and P chains, such that
the TCR or functional variant thereof contains two disulfide bonds in the constant domains. In some embodiments, each of the constant and variable domains comprises disulfide bonds formed by cysteine residues.
[00250] In some embodiments, the TCR or functional variant thereof comprises an introduced disulfide bond or bonds. In some embodiments, the TCRs or functional variant thereof are modified such that the native interchain disulfide bonds in TCRs are not present. In some embodiments, the one or more of the native cysteines (e.g. in the constant domain of the a chain and P chain) that form a native interchain disulfide bond are substituted to another residue, such as to a serine or alanine. In some embodiments, an introduced disulfide bond can be formed by mutating non-cysteine residues on the alpha and beta chains, such as in the constant domain of the a chain and P chain, to cysteine. Opposing cysteines in the TCR a and P chains provide a disulfide bond that links the constant regions of TCR a and P chains of the substituted TCR to one another and which is not present in a TCR comprising the unsubstituted constant region in which the native disulfide bonds are present, such as unsubstituted native human constant region or the unsubstituted native mouse constant region.
[00251] In some embodiments, the Ca and/or CP regions are modified, for example, by incorporation of one or more non-native cysteine residues.
[00252] In some embodiments, a TCR or functional variant thereof comprises one or more non-native cysteine residues to introduce a covalent disulfide bond linking a residue of the immunoglobulin region of the constant domain of the a chain to a residue of the immunoglobulin region of the constant domain of the P chain. In some embodiments, the presence of non-native cysteine residues (e.g. resulting in one or more non-native disulfide bonds) in a TCR or functional variant thereof can favor production of the desired TCR in a cell in which it is introduced versus expression of a mismatched TCR pair containing a native TCR chain. Exemplary non-native disulfide bonds of a TCR are described in published International PCT No. W02006/000830 and W02006/037960. In some cases, both a native and a nonnative disulfide bond may be desirable.
[00253] In some embodiments, the transmembrane domain of the constant region of a TCR or functional variant thereof can be modified to contain a greater number of hydrophobic residues (see e.g. Haga-Friedman et al. (2012) Journal of Immunology, 188:5538-5546). In some embodiments, the TCR or functional variant thereof comprises substitutions of one, two, or three amino acids in the transmembrane (TM) domain of the constant region of one or both of the a and P chains with a hydrophobic amino acid. The hydrophobic amino acid substitution(s) in the TM domain may increase the hydrophobicity of the TM domain of the TCR or functional variant
thereof as compared to a TCR or functional variant thereof that lacks the hydrophobic amino acid substitution(s) in the TM domain.
[00254] In some embodiments, a TCR or functional variant thereof comprises cysteine substitutions in the constant region of one or both of the a and P chains in combination with substitution(s) of one, two, or three amino acids in the transmembrane (TM) domain of the constant region of one or both of the a and P chains with a hydrophobic amino acid.
[00255] In some embodiments, a TCR or functional variant thereof contains a first polypeptide wherein a sequence corresponding to a provided TCR a chain variable region sequence is fused to the N terminus of a sequence corresponding to a TCR a chain constant region extracellular sequence, and a second polypeptide wherein a sequence corresponding to a provided TCR P chain variable region sequence is fused to the N terminus of a sequence corresponding to a TCR P chain constant region extracellular sequence, the first and second polypeptides being linked by a disulfide bond. In some embodiments, the bond can correspond to the native interchain disulfide bond present in native dimeric aP TCRs. In some embodiments, the interchain disulfide bonds are not present in a native TCR.
[00256] In some embodiments, a TCR or functional variant thereof contains a provided TCR a chain containing a variable a domain, a constant a domain and a first dimerization motif attached to the C-terminus of the constant a domain, and a provided TCR P chain comprising a variable P domain, a constant P domain and a first dimerization motif attached to the C-terminus of the constant P domain, wherein the first and second dimerization motifs interact to form a covalent bond between an amino acid in the first dimerization motif and an amino acid in the second dimerization motif linking the TCR a chain and TCR P chain together.
[00257] In some embodiments, a TCR or functional variant thereof is a single chain TCR (scTCR). A scTCR can comprise a polypeptide of a variable region of a first TCR chain (e.g., an alpha chain) and a polypeptide of an entire (full-length) second TCR chain (e.g., a beta chain), or vice versa. Furthermore, the scTCR can optionally comprise one or more linkers which join the two or more polypeptides together. The linker can be, for instance, a peptide which joins together two single chains.
[00258] In some embodiments, the TCR is a scTCR, which is a single amino acid strand containing an a chain and a P chain that is able to bind to MHC-peptide complexes. Typically, a scTCR can be generated using methods known to those of skill in the art, See e.g., International published PCT Nos. WO 96/13593, WO 96/18105, W099/18129, WO 04/033685, W02006/037960, W02011/044186; U.S. Pat. No. 7,569,664; and Schlueter, C. J. et al. J. Mol. Biol. 256, 859 (1996).
[00259] In some embodiments, for the scTCR to bind an MHC-peptide complex, the a and P chains must be paired so that the variable region sequences thereof are orientated for such binding. Various methods of promoting pairing of an a and P in a scTCR are well known in the art. In some embodiments, a linker sequence is included that links the a and P chains to form the single polypeptide strand. In some embodiments, the linker should have sufficient length to span the distance between the C terminus of the a chain and the N terminus of the P chain, or vice versa, while also ensuring that the linker length is not so long so that it blocks or reduces bonding of the scTCR to the target peptide-MHCcomplex. In some embodiments, upon expression of the single polypeptide strand comprising the a and P chains, the linker peptide may be so cleaved, resulting in separated a and P chains.
[00260] In some embodiments, a TCR or functional variant thereof, can be linked to signaling domains that yield an active TCR on the surface of a T cell. In some embodiments, the TCR or functional variant thereof contains a sequence corresponding to a transmembrane sequence. In some embodiments, the transmembrane domain is positively charged. In some embodiments, the transmembrane domain can be a Ca or CP transmembrane domain. In some embodiments, the transmembrane domain can be from a non-TCR origin, for example, a transmembrane region from CD3z, CD28 or B7.1. In some embodiments, the TCR contains a sequence corresponding to cytoplasmic sequences. In some embodiments, the TCR contains a CD3z signaling domain. In some embodiments, the TCR is capable of forming a TCR complex with CD3.
[00261] In some embodiments, the TCR is a soluble TCR. In some embodiments, the soluble TCR has a structure as described in WO 99/60120 or WO 03/020763. In some embodiments, the TCR does not contain a sequence corresponding to the transmembrane sequence, for example, to permit membrane anchoring into the cell in which it is expressed. In some embodiments, the TCR does not contain a sequence corresponding to cytoplasmic sequences.
[00262] The TCRs (including functional variants thereof) can be glycosylated, amidated, carboxylated, phosphorylated, esterified, N-acylated, cyclized via, e.g., a disulfide bridge, or converted into an acid addition salt and/or optionally dimerized or polymerized, or conjugated. [00263] Also provided by the present disclosure are nucleic acid molecules comprising nucleic acid sequences encoding a TCR or functional variant thereof.
[00264] In some embodiments, the nucleic acid encoding the alpha chain and the nucleic acid encoding the beta chain can be connected via a linker, such as any described elsewhere herein. [00265] In some embodiments, the alpha chain and/or beta chain of the TCR or functional variant thereof is encoded by a sequence of nucleotides comprising a signal peptide (also called a leader sequence).
[00266] In some embodiments, the TCR or antigen-binding fragment thereof is encoded by one or more nucleic acid sequences that is or has been codon-optimized and/or modified to eliminate cryptic splice sites.
C. Cell expressing engineered TCRs
[00267] A TCR or functional variant thereof may be cell-bound or in soluble form. In some embodiments, the TCR or functional variant thereof is in cell-bound form. In some embodiments, a TCR or functional variant thereof is expressed on the surface of a cell.
[00268] In some embodiments, the present disclosure provides T cells expressing engineered TCRs or functional variants thereof that are described herein. In some embodiments, T cells are engineered to express the provided TCRs or functional variants thereof for tumor antigen recognition. In some embodiments, the provided TCRs or antigen-binding fragments thereof specifically recognize a peptide of the human papilloma virus 16 (HPV16) E6 or E7 protein (termed HPV16E6 TCR and HPV16E7 TCR, respectively).
[00269] In some embodiments, engineered T cells containing or expressing a provided TCR or functional variant thereof exhibit cytotoxic activity against target cells expressing the peptide epitope. In some embodiments, engineered T cells containing or expressing a provided TCR or antigen -binding fragment thereof exhibit cytotoxic activity upon contact with a target cell (e.g., a cancer target cell and/or a target cell infected with HPV or that contains HPV DNA). In some embodiments, cytotoxic activity of T cells containing or expressing the provided TCR or functional variant thereof is stimulated upon contact of such cells with target cells. In these embodiments, examples of target cells include cells cancer cells and/or cells that are infected with HPV and/or cells that contain HPV DNA sequences, and/or cells that express HPV 16, such as HPV 16 E6 or HPV 16 E7.
D. Exemplary features of TCRs, functional variants thereof and engineered cells [00270] In some embodiments, the TCRs and functional variants thereof of the present disclosure have one or more specified functional features, such as binding properties, including binding to particular epitopes, lack of off-target binding or activity and/or particular binding affinities. In some embodiments, any one or more of the features of a TCR or functional variant thereof can be assessed by expressing the TCR, e.g., by introducing one or more nucleic acid molecules encoding the TCR or functional variants thereof, into a T cell, such a primary T cell or a T cell line.
[00271] In some embodiments, the TCRs or functional variants thereof are capable of binding to and/or recognizing, such as specifically binding to and/or recognizing, an antigen that is associated with, specific to, and/or expressed on a cell or tissue of a disease, disorder or
condition, such as a cancer or a tumor. In some embodiments, the antigen is in a form of a peptide, e.g., is a peptide antigen or a peptide epitope. In some embodiments, the provided TCRs bind to, such as specifically bind to, an antigen that is a peptide, in the context of a major histocompatibility (MHC) molecule.
[00272] Typically, specific binding of a TCR to a peptide epitope, e.g. in complex with an MHC, is governed by the presence of an antigen-binding site containing one or more complementarity determining regions (CDRs). In general, it is understood that specifically binds does not mean that the particular peptide epitope, e.g. in complex with an MHC, is the only thing to which the MHC-peptide molecule may bind, since non-specific binding interactions with other molecules may also occur. In some embodiments, binding of TCR or functional variant thereof to a peptide in the context of an MHC molecule is with a higher affinity than binding to such other molecules, e.g. another peptide in the context of an MHC molecule or an irrelevant (control) peptide in the context of an MHC molecule, such as at least about 2-fold, at least about 10-fold, at least about 20-fold, at least about 50-fold, or at least about 100-fold higher than binding affinity to such other molecules.
[00273] A variety of assays are known for assessing binding affinity and/or determining whether a TCR or functional variant thereof specifically binds to a particular ligand (e.g. peptide in the context of an MHC molecule). It is within the level of a skilled artisan to determine the binding affinity of a TCR or functional variant for a T cell epitope of a target polypeptide, such as by using any of a number of binding assays that are well known in the art. Suitable assays for measuring the binding of one protein to another include, for example, immunoassays such as enzyme linked immunosorbent assays (ELISA) and radioimmunoassays (RIA), or determination of binding by monitoring the change in the spectroscopic or optical properties of the proteins through fluorescence, UV absorption, circular dichroism, or nuclear magnetic resonance (NMR). Other exemplary assays include, but are not limited to, Western blot, ELISA, analytical ultracentrifugation, spectroscopy and surface plasmon resonance analysis flow cytometry, sequencing and other methods for detection of expressed nucleic acids. In one example, apparent affinity for a TCR is measured by assessing binding to various concentrations of tetramers, for example, by flow cytometry using labeled tetramers.
[00274] In some embodiments, a TCR or functional variant thereof does not exhibit cross- reactive or off-target binding, such as undesirable off-target binding, e.g. off-target binding to antigens present in healthy or normal tissues or cells.
[00275] In some embodiments, the TCRs or functional variants thereof display a binding preference for antigen recognition of HPV 16 E6- or E7-expressing cells as compared to HPV 16 E6- or E7-negative cells.
[00276] In some embodiments, the TCR or functional variant thereof recognizes, such as specifically binds, only one peptide epitope or antigen complex, such as recognizes only a particular HPV 16 E6 epitope or HPV 16 E7 epitope or an antigen complex thereof. Thus, in some embodiments, the provided TCRs or functional variants thereof have a reduced risk of causing unwanted side effects due to, for example, recognition of a non-target peptide epitope. [00277] In some embodiments, the TCRs or functional variants thereof, e.g., in the context of engineered cells comprising the TCRs or functional variants, elicit an immune response to HPV 16. In some embodiments, cytotoxic T lymphocytes (CTL) may be activated when cells containing the TCRs or functional variants are contacted with target cells, such as cancer cells, those that are infected with HPV or contain HPV DNA sequences and/or those that express HPV 16, such as HPV 16 E6 or HPV 16 E7. For example, cells containing the TCRs exhibit cytotoxic activity if they induce lysis of target cells, such as cancer cells or cells known to express HPV or contain HPV DNA sequences, including HPV 16-expressing cells, e.g., HPV 16 E6- or E7- expressing cells.
[00278] In some embodiments, the binding specificity and/or function (e.g., ability to elicit an immune response to HPV 16) of the TCR or functional variant thereof is at least partially CD8- independent. In some cases, TCR recognition of a peptide in the context of an MHC molecule and subsequent T cell activation is facilitated in the presence of a CD8 co-receptor. For example, CD8 co-receptor engagement can facilitate low- to moderate-TCR affinity interactions and/or T cell activation (See, for example, Kerry et al. J. Immunology (2003) 171(9): 4493-4503 and Robbins et al. J Immunology (2008) 180(9): 6116-6131). Among the provided TCRs or functional variants thereof are those that exhibit CD8-independent binding for an HPV E6 or E7 peptide epitope. In some aspects, the provided CD 8 -independent TCRs or functional variants thereof can be expressed or engineered in cells, e.g. T cells, that do not express CD8, such as can be expressed or engineered in CD4+ cells.
III. Drug responsive domains (DRDs) derived from human carbonic anhydrase 2 (hCA2) [00279] Drug responsive domains (DRDs) are small protein domains (in the form of polypeptides) that can be appended to a target protein of interest. The term drug responsive domain (DRD) is interchangeable with the term destabilizing domain (DD). DRDs render the attached protein of interest unstable in the absence of a DRD-binding ligand (also referred to herein as a “stimulus”) such that the protein is rapidly degraded by the ubiquitin-proteasome
system of the cell (Stankunas, K., et al., Mol. Cell, 2003, 12: 1615-1624; Banaszynski, et al., Cell; 2006, 126(5): 995-1004; reviewed in Banaszynski, L.A., and Wandless, T.J. Chem. Biol:, 2006, 13:11-21 and Rakhit R et al., Chem Biol. 2014; 21(9): 1238-1252). However, when a specific ligand binds its intended DRD as a ligand binding partner, the instability is reversed, and protein function is restored. The conditional nature of DRD stability allows a rapid and nonperturbing switch from stable protein to unstable substrate for degradation. Moreover, its dependency on the concentration of its ligand further provides tunable control of degradation rates.
[00280] Regions or portions or domains of wild-type proteins may be utilized as DRDs in whole or in part.
[00281] A DRD may be derived from a wild-type protein. In some embodiments, a DRD is derived from a region of a wild-type protein.
[00282] The response to a DRD-binding ligand (also referred to as a “stimulus”) may ultimately lead to a regulated signal or output. Such output signal may be of a relative nature to the stimulus, e.g., producing a modulatory effect of between 1% and 100% or a factored increase or decrease such as 2-fold, 3-fold, 4-fold, 5-fold, 10-fold or more.
[00283] The presence, absence or an amount of a ligand that binds to or interacts with a DRD, can, upon such binding or interaction, modulate the stability of the payload(s) and consequently the function of the payload(s). Depending on the degree of binding and/or interaction, the altered function of the payload may vary, hence providing a “tuning” of the payload function.
[00284] In some embodiments, DRDs of the present disclosure modulate payload expression, function or level.
[00285] Modulation of payload expression, function or level can be determined by various methods. For example, modulation can be determined by measuring the stabilization ratio and destabilization ratio. As used herein, the stabilization ratio may be defined as the ratio of expression, function or level of a protein of interest in the presence of a stimulus specific to the DRD to the expression, function or level of the protein of interest in the absence of the stimulus. In some embodiments, the stabilization ratio is at least 1, such as at least 1-10, 1-20, 1-30, 1-40, 1-50, 1-60, 1-70, 1-80, 1-90, 1-100, 20-30, 20-40, 20-50, 20-60, 20-70, 20-80, 20-90, 20-95, 20- 100, 30-40, 30-50, 30-60, 30-70, 30-80, 30-90, 30-95, 30-100, 40-50, 40-60, 40-70, 40-80, 40-90, 40-95, 40-100, 50-60, 50-70, 50-80, 50-90, 50-95, 50-100, 60-70, 60-80, 60-90, 60-95, 60-100, 70-80, 70-90, 70-95, 70-100, 80-90, 80-95, 80-100, 90-95, 90-100 or 95-100. As used herein, the destabilization ratio may be defined as the ratio of expression, function or level of a protein of interest in the absence of the stimulus specific to the DRD to the expression, function or level of
the protein of interest that is expressed constitutively and in the absence of the stimulus specific to the DRD. As used herein “constitutively” refers to the expression, function or level of a protein of interest that is not linked to a DRD and is therefore expressed both in the presence and absence of the stimulus. In some embodiments, the destabilization ratio is at least 0, such as at least 0.1, 0.2, 0.3, 0.4, 0.5, 0.6, 0.7, 0.8, 0.9, or at least, 0-0.1, 0-0.2, 0-0.3, 0-0.4, 0-0.5, 0-0.6, 0- 0.7, 0-0.8, 0-0.9, 0.1-0.2, 0.1-0.3, 0.1-0.4, 0.1-0.5, 0.1-0.6, 0.1-0.7, 0.1-0.8, 0.1-0.9, 0.2-0.3, 0.2- 0.4, 0.2-0.5, 0.2-0.6, 0.2-0.7, 0.2-0.8, 0.2-0.9, 0.3-0.4, 0.3-0.5, 0.3-0.6, 0.3-0.7, O.3-O.8, 0.3-0.9, 0.4-0.5, 0.4-0.6, 0.4-0.7, 0.4-0.8, 0.4-0.9, 0.5-0.6, 0.5-0.7, 0.5-0.8, 0.5-0.9, 0.6-0.7, 0.6-0.8, 0.6- 0.9, 0.7-0.8, 0.7-0.9 or 0.8-0.9. In some embodiments, the DRD may destabilize the protein of interest by a destabilization ratio between 0 and 0.09.
[00286] A DRD may be derived from a human protein that binds to approved small molecule drugs. To create a DRD, the human protein is mutated to exhibit 2 properties: (a) in the absence of the drug, the mutant protein or a portion thereof is unstable and degraded by the quality control machinery of the cell (i.e., the proteasome); and (b) in the presence of the drug, the protein or portion thereof is stabilized and therefore expressed. When fused to a therapeutic protein of interest, a DRD confers reversible and drug-dependent stabilization to the therapeutic protein.
[00287] In some embodiments, transgene cassettes/constructs of the present disclosure may comprise at least one DRD.
A. CA2 DRDs
[00288] A DRD may be derived from a carbonic anhydrase protein. Carbonic anhydrases are enzymes that catalyze the hydration of carbon dioxide and the dehydration of bicarbonate. In some embodiments, a DRD may be derived from human carbonic anhydrase 2 (hCA2), a 260 amino acid enzyme that is 1 of 16 forms of carbonic anhydrases and is the only soluble form of the enzyme. It regulates acid-base homeostasis in renal tubules, erythrocytes, and aqueous chambers of the eye (Parkkila 2000).
[00289] In various embodiments, DRDs of the present disclosure are derived from human carbonic anhydrase 2 (hCA2; SEQ ID NO: 1) and are referred to herein as “CA2 DRDs”.
[00290] As used herein, the human wild-type CA2 (“CA2 WT”) protein sequence is defined as SEQ ID NO: 1, with Uniprot ID: P00918 (NCBI Reference Sequence: NP_000058.1), having the amino acid sequence:
MSHHWGYGKHNGPEHWHKDFPIAKGERQSPVDIDTHTAKYDPSLKPLSVSYDQATSLRI LNNGHAFNVEFDDSQDKAVLKGGPLDGTYRLIQFHFHWGSLDGQGSEHTVDKKKYAA EEHEVHWNTKYGDFGKAVQQPDGEAVEGIFEKVGSAKPGEQKVVDVEDSIKTKGKSAD
FTNFDPRGLLPESLDYWTYPGSLTTPPLLECVTWIVLKEPISVSSEQVLKFRKLNFNGEGE PEELMVDNWRPAQPLKNRQIKASFK.
[00291] Human CA2 having the amino acid sequence of SEQ ID NO: 1 is encoded by the polynucleotide having a nucleic acid sequence of SEQ ID NO: 12: atgtcccatcactgggggtacggcaaacacaacggacctgagcactggcataaggacttccccattgccaagggagagcgccagtcccct gttgacatcgacactcatacagccaagtatgacccttccctgaagcccctgtctgtttcctatgatcaagcaacttccctgaggatcctcaacaa tggtcatgctttcaacgtggagtttgatgactctcaggacaaagcagtgctcaagggaggacccctggatggcacttacagattgattcagttt cactttcactggggttcacttgatggacaaggttcagagcatactgtggataaaaagaaatatgctgcagaacttcacttggttcactggaaca ccaaatatggggattttgggaaagctgtgcagcaacctgatggactggccgttctaggtatttttttgaaggttggcagcgctaaaccgggcct tcagaaagttgttgatgtgctggattccattaaaacaaagggcaagagtgctgacttcactaacttcgatcctcgtggcctccttcctgaatccct ggattactggacctacccaggctcactgaccacccctcctcttctggaatgtgtgacctggattgtgctcaaggaacccatcagcgtcagcag cgagcaggtgttgaaattccgtaaacttaacttcaatggggagggtgaacccgaagaactgatggtggacaactggcgcccagctcagcca ctgaagaacaggcaaatcaaagcttccttcaaa.
[00292] In some embodiments, a DRD of the present disclosure is derived from a region of hCA2. The DRD may include a region of hCA2 which is 40%, 45%, 50%, 55%, 60%, 65%, 70%, 75%, 80%, 85%, 90%, 95%, 99%, or 100%, 50-55%, 55-60%, 60-65%, 65-70%, 70-75%, 75-80%, 80-85%, 85-90%, 90-95%, 95-100%, 50-60%, 60-70%, 70-80%, 80-90%, 90-100%, 50- 70%, 60-80%, 70-90%, 80-100%, 50-80%, 60-90%, 70-100%, 50-90%, 60-100%, 50-100%, 50- 75%, or 75-100% of the parent hCA2 protein.
[00293] In some embodiments, a DRD of the present disclosure is derived from a region of hCA2 and the region may be 75-125, 100-150, 125-175, 150-200, 175-225, or 200-250 amino acids in length. As a non-limiting example, the region of the parent protein may be 225-250 amino acids in length. As a non-limiting example, the region of the parent protein may be 225- 260 amino acids in length.
[00294] In some embodiments, a DRD of the present disclosure is derived from a region of hCA2, said region corresponding to amino acids 2-260 of the hCA2 sequence (SEQ ID NO: 1). This is referred to herein as an Mldel mutation. The Mldel mutation may also be referred to herein as an amino acid deletion. In some embodiments, DRD constructs disclosed herein may not comprise an N-terminal methionine corresponding to the N-terminal methionine of SEQ ID NO: 1. Regardless of the presence or absence of the N-terminal methionine in a disclosed CA2 DRD, the present disclosure identifies positions of the CA2 DRD by comparing the CA2 DRD amino acid sequence to the wild-type human CA2 (Uniprot ID: P00918) of SEQ ID NO: 1, wherein reference position 1 is the N-terminal methionine of SEQ ID NO: 1. For example, a hypothetical CA2 DRD comprising an S56N amino acid substitution, refers herein to a CA2
DRD construct wherein serine (S) is mutated to asparagine (N) at a position in the CA2 DRD construct that corresponds to the 56th amino acid of SEQ ID NO: 1, regardless of whether the CA2 DRD construct itself comprises an N-terminal methionine corresponding to the N-terminal methionine of SEQ ID NO: 1.
[00295] In some embodiments, a DRD of the present disclosure is derived from a region of hCA2 corresponding to amino acids 2-260 of SEQ ID NO: 1.
[00296] In some embodiments, a DRD of the present disclosure is derived from a region of hCA2 corresponding to amino acids 2-237 of SEQ ID NO: 1.
[00297] In some embodiments, the CA2 DRDs may exclude the lysine at position 260 of SEQ ID NO. 1.
[00298] In some embodiments, a DRD of the present disclosure may have 50%, 55%, 60%, 65%, 70%, 75%, 80%, 85%, 90%, 95%, 99%, or 100%, 50-55%, 55-60%, 60-65%, 65-70%, 70- 75%, 75-80%, 80-85%, 85-90%, 90-95%, 95-100%, 50-60%, 60-70%, 70-80%, 80-90%, 90- 100%, 50-70%, 60-80%, 70-90%, 80-100%, 50-80%, 60-90%, 70-100%, 50-90%, 60-100%, 50- 100%, 50-75%, or 75-100% sequence identity to a reference polynucleotide or polypeptide. In some embodiments, a DRD of the present disclosure may have at least 50%, 55%, 60%, 65%, 70%, 75%, 80%, 85%, 90%, 91%, 92%, 93%, 94%, 95%, 96%, 97%, 98%, 99% but less than 100% sequence identity to a particular reference polynucleotide or polypeptide. In some embodiments, the reference polypeptide may be SEQ ID NO. 1.
[00299] In some embodiments, the amino acid sequence of a DRD encompassed in the present disclosure has at least about 40%, 50 or 60% identity, further at least about 70% identity, preferably at least about 75% or 80% identity, more preferably at least about 85%, 86%, 87%, 88%, 89% or 90% identity, and further preferably at least about 91%, 92%, 93%, 94%, 95%, 96%, 97%, 98% or 99% identity to the amino acid sequence of hCA2 (SEQ ID NO. 1).
[00300] In some embodiments, a DRD of the present disclosure comprises one or more amino acid variations compared to SEQ ID NO. 1.
[00301] In some embodiments, a DRD of the present disclosure comprises at least one amino acid variation compared to the amino acid sequence of wild-type hCA2, which amino acid variation, in the absence of a stimulus, destabilizes the DRD and at least one payload that is operably linked to the DRD. In the presence of the stimulus, the DRD and the at least one payload are stabilized. In some embodiments, a DRD derived from hCA2 includes one, two, three, four or more amino acid variations that, in the absence of the stimulus, destabilize the DRD and the at least one operably linked payload. In some embodiments, the destabilization ratio of a DRD derived from hCA2 comprising the at least one amino acid variation is lower than
the destabilization ratio of wild-type hCA2. In some embodiments, the stabilization ratio of a DRD derived from hCA2 comprising the at least one amino acid variation is higher than the stabilization ratio of wild-type hCA2. In some embodiments, a DRD may comprise one or more additional amino acid variation that do not significantly affect the destabilization and stabilization ratios.
[00302] In some embodiments, a DRD of the present disclosure may comprise an amino acid substitution that is conserved (with similar physicochemical properties as the amino acid at the substitution site), semi conserved (e.g., negatively to positively charged amino acid substitution) or non-conserved (amino acid with different physicochemical properties than the amino acid at the substitution site). In some embodiments, the amino acid lysine may be substituted to glutamic acid or arginine; the amino acid phenylalanine may be substituted to leucine; the amino acid leucine may be substituted to phenylalanine; or the amino acid asparagine may be substituted to serine.
[00303] The DRDs of the present disclosure may also comprise amino acid and nucleotide substitutions that do not affect stability, including conservative substitutions, non-conservative substitutions and/or polymorphisms.
[00304] In some embodiments, CA2 DRDs described herein may also be fragments of the above DRDs, including fragments containing variant amino acid sequences. Preferred fragments are unstable in the absence of the stimulus and stabilized upon addition of the stimulus. Preferred fragments retain the ability to interact with the stimulus with similar efficiency as the DRDs described herein.
[00305] In some embodiments, the present disclosure provides a DRD derived from a region of or the whole human carbonic anhydrase 2 (hCA2; SEQ ID NO. 1), wherein the DRD comprises one or more amino acid variations compared to SEQ ID NO. 1.
[00306] In some embodiments, the present disclosure provides a DRD derived from human carbonic anhydrase 2 (hCA2; SEQ ID NO: 1) or a region of hCA2 corresponding to amino acids 2-260 of SEQ ID NO: 1, wherein the DRD comprises one or more amino acid variations compared to SEQ ID NO. 1.
[00307] In some embodiments, the DRD comprises an S56N amino acid substitution compared to SEQ ID NO. 1.
[00308] In some embodiments, the DRD comprises an L156H amino acid substitution compared to SEQ ID NO. 1.
[00309] In some embodiments, the DRD comprises three amino acid substitutions compared to SEQ ID NO. 1, wherein said three substitutions are D71L, T87N and L250R.
[00310] A DRD derived from a region of or the whole human carbonic anhydrase 2 (hCA2) and comprising an S56N amino acid substitution compared to SEQ ID NO: 1 is referred to in the present disclosure as an “hCA2(S56N)” DRD.
B. CA2 DRD ligands
[00311] In various embodiments, a CA2 DRD of the present disclosure is responsive to a stimulus. In some embodiments, the CA2 DRD is responsive to one or more stimuli. In some embodiments, the stimuli of the present disclosure may be FDA approved ligands capable of binding to the specific DRDs or target regions within the DRDs.
[00312] In some embodiments, the stimulus is a ligand. Ligands may be nucleic acid-based, protein-based, lipid-based, organic, inorganic or any combination of the foregoing. In some embodiments, the ligand may be, but is not limited to, a protein, peptide, nucleic acid, lipid, lipid derivative, sterol, steroid, metabolite, metabolite derivative, and small molecule.
[00313] In some embodiments, the stimulus is a small molecule. In some embodiments, the small molecule is cell permeable. In some embodiments, the small molecule is FDA-approved, safe and orally administered. In some embodiments, the small molecule is clinically approved to be safe and have appropriate pharmaceutical kinetics and distribution.
[00314] In some embodiments, the stimulus is a ligand and the ligand binds to carbonic anhydrases. In some embodiments, the ligand binds to and inhibits carbonic anhydrase function and is herein referred to as a carbonic anhydrase inhibitor.
[00315] In some embodiments, the ligand is a small molecule that binds to carbonic anhydrase 2. In some embodiments, the small molecule is a CA2 inhibitor. In some embodiments, the ligand is a small molecule selected from acetazolamide, brinzolamide, dorzolamide hydrochloride, dichlorphenamide, chlorthalidone, methazolamide, topiramate, indapamide, ambroxol hydrochloride, glimepiride, tetracaine hydrochloride and celecoxib. In some embodiments, the ligand is a small molecule selected from acetazolamide, brinzolamide, dorzolamide hydrochloride, dichlorphenamide, chlorthalidone, methazolamide, topiramate valdecoxib, rofecoxib, diclofenamide, ethoxzolamide, zonisamide, or dansylamide. In some embodiments, the ligand is a CA2 inhibitor selected from acetazolamide, brinzolamide, dorzolamide hydrochloride, dichlorphenamide or methazolamide. In some embodiments, the ligand is acetazolamide (ACZ).
[00316] In some embodiments, the ligands may comprise portions of small molecules known to mediate binding to CA2. Ligands may also be modified to reduce off-target binding to carbonic anhydrases other than CA2 and increase specific binding to CA2.
[00317] Ligands may also be selected from the analysis of the dependence of a known CA2 ligand’s activity on its molecular/chemical structure, through Structure Activity Relationships (SAR) study. Any of the methods related to SAR, known in art, may be utilized to identify stabilizing ligands of the disclosure. SAR may be utilized to improve properties of the ligand such as specificity, potency, pharmacokinetics, bioavailability, and safety. SAR analysis of known CA2 inhibitors may also be combined with high resolution X-ray structures of CA2 complexed with ligands.
[00318] In some embodiments, two or more ligands may be utilized to stabilize the same DRD. [00319] In some embodiments, the ligand may be complexed or bound to another molecule such as, but not limited to, another ligand, a protein, peptide, nucleic acid, lipid, lipid derivative, sterol, steroid, metabolite, metabolite derivative or small molecule. In some embodiments, the ligand stimulus is complexed to or bound to one or more other molecules. In some embodiments, the ligand stimulus is complexed or bound to one or more different kinds and/or numbers of other molecules. In some embodiments, the ligand stimulus is a multimer of the same kind of ligand. In some embodiments, the ligand stimulus multimer comprises 2, 3, 4, 5, 6, or more monomers.
C. Acetazolamide (ACZ) as a ligand for CA2 DRDs
[00320] In various embodiments, a ligand for the CA2 DRDs of the present disclosure is the small molecule drug acetazolamide (ACZ). ACZ has a molecular weight of 222 Daltons and is a reversible inhibitor of CA2, with a median inhibitory concentration of 12 nM (Supuran 2008). ACZ was initially approved in 1953 as a diuretic. CA2 is important for proximal bicarbonate, sodium, and chloride reabsorption in the kidney, and therefore ACZ leads to an increase in renal excretion of NaCl, NaHCCL, and water (Leaf et al. 1954; Preisig et al. 1987). ACZ is a relatively weak diuretic and thus has limited use because most of the excess fluid from the proximal tubule is reabsorbed in the more distal segments, and the diuretic action is progressively attenuated by the metabolic acidosis that results from the loss of bicarbonate in the urine. ACZ has also been clinically used for the treatment of glaucoma, altitude sickness, and seizures, with extensive published information on its pharmacokinetics, efficacy, and safety (Becker and Middleton 1955; Katayama et al. 2002, Leaf and Goldfarb 2007; Kassamali and Sica 2011).
[00321] Several features of ACZ make it an attractive drug for pairing with a CA2 DRD. Although not widely used clinically, ACZ has a long and excellent record of safety across a spectrum of patient populations, with a variety of approved doses and dose schedules (up to 1000 mg per day) (Table 2). In addition, the pharmacokinetic properties of ACZ, such as moderate plasma half-life (~4 to 6 hour) (Ritschel et al. 1998), high maximal concentrations (100-130 pM) after 500 mg oral dosing (Lehmann et al. 1969), and minimal tissue accumulation upon repeated
dosing, make it suitable for regulating protein levels over a wide dynamic range with rapid ON and OFF kinetics. A number of generic versions of ACZ are available, making it easily accessible to healthcare providers and patients.
Table 2. Recommended dosing regimens for acetazolamide per the United States Prescribing Information
Abbreviations: ACZ: acetazolamide, IV: intravenous.
Sources: USPI extended-release capsule; USPI tablet; USPI injectable form.
IV. Cluster of differentiation 40 ligand (CD40L) as a payload that is operably linked to a CA2 DRD
[00322] Cluster of differentiation 40 ligand (CD40L, also referred to as CD 154 and TNFSF5) is a type II transmembrane protein and member of the tumor necrosis factor (TNF) superfamily and is primarily expressed on T cells. CD40L binds to CD40 expressed on a multitude of immune cells and initiates a cascade of cellular responses depending on the cell type. CD40L may also bind to a5pi integrin and allbp3 integrins.
[00323] CD40L may bind to CD40 expressed in but not limited to antigen presenting cells (APCs), B cells, monocytes, macrophages, platelets, neutrophils, dendritic cells, endothelial cells, and aSMC (smooth muscle cells). The binding of CD40L to CD40 expressed on antigen- presenting cells serves as a critical secondary co- stimulatory signal required for fine tuning of the immune response. CD40L is involved in dendritic cell antigen presentation; production of IL12, and the generation of CD8+ T-cell immunity.
[00324] Binding of CD40L to CD40 expressed on dendritic cells (DCs) stimulates the CD40L:CD40 signaling axis, promoting the licensing of DCs, an activation step that accelerates the presentation of peptide-major histocompatibility complex (MHC) complexes, the trafficking to distal lymph nodes, and the presentation of new antigens to T cells resulting in an adaptive immune response. For example, DCs may be converted to a functional state by an antigenspecific T helper cell in order to activate cytotoxic CD8+ T cells. The activation of CD40 also induces the expression of co- stimulatory molecules on the surface of DCs, which play an important role in the activation of T cells.
[00325] CD40 engagement on DCs results in DC stimulation as evidenced by the surface expression of costimulatory and MHC molecules; proinflammatory cytokine production (e.g. IL12 and TNF) as well as epitope spreading.
[00326] In the tumor microenvironment, CD40 activation skews macrophages toward a pro- inflammatory Ml phenotype while licensed DCs secrete interleukin (IL) 12, thereby inducing the polarization of T helper 1 cells and enhancing the activity of CD8+ cytotoxic T cells. The potency of CD40L in eliciting cytotoxic T cell function and inducing an antigen spread effect through its licensing of DCs makes it an attractive immunomodulatory factor to combine with adoptive cell therapy (ACT) for solid tumors.
[00327] Activation of the CD40 pathway can overcome barriers to adoptive cell therapy (ACT)-driven anti-tumor response by stimulating the endogenous immune system through enhancing antigen presentation, promoting the induction of epitope spreading, and stimulating the production of pro-inflammatory cytokines (Kornbluth and Bot, 2012). However, clinical attempts at activation of the CD40 pathway with agonist antibodies have resulted in dose-limiting toxicities, underscoring the need for tight control over activation of this pathway (Vonderheide and Glennie, 2013).
[00328] Exogenously expressed constitutive CD40L expression may result in liver toxicity and excessive B cell proliferation resulting in lymphomas (Schmitz et al (2006) Hepatology 44(2):430-9, Vonderheide et al. (2007) J Clin Oncol. 1 ;25(7):876-83, Sacco et al (2000) Cancer Gene Ther.;7(10): 1299-306). Constitutive (unregulated) expression may lead to cytokine release syndrome (CRS), thromboembolic syndromes, autoimmune reactions, AICD due to hyperimmune stimulation and tumor angiogenesis.
[00329] Various strategies to elicit activation of the CD40L:CD40 signaling axis have been pursued as therapeutics to treat solid tumors, including using purified recombinant CD40L and CD40L-expressing DCs as vaccines. The most clinically advanced approach comes from a number of agonist CD40 monoclonal antibodies that are being evaluated in clinical trials against
solid tumor malignancies (Richards et al. 2020). Improved CD40 agonist antibodies have more potent activity compared with those initially tested, but the poor safety profile of these antibodies would limit their use. Dose-limiting thromboembolic and liver toxicities of these antibodies and the potential for immune-mediated reactions and cytokine release syndrome have resulted in challenges in achieving a viable therapeutic index. Intratumoral injection of CD40 antibodies has shown promise, in both nonclinical and clinical studies, in reducing treatment-related toxicities; broad utility, however, would be limited by tumor and injection location- specific effects (Knorr et al. 2018; Irenaeus et al. 2019).
[00330] Localized administration of CD40 agonist approaches could be achieved through ACT by engineering CD40L expression into cells that are targeted to the tumor microenvironment via chimeric antigen receptors or recombinant T cell receptors. CAR-T cells engineered to constitutively express CD40L display enhanced efficacy in both human xenograft and mouse syngeneic models (Kuhn et al. 2019; Curran et al. 2015); this approach, however, could be limited by the same toxicities encountered with monoclonal antibody treatment. In contrast, controlled regulation of the timing and extent of CD40L expression in ACT holds great promise by combining the potent cytotoxicity of targeted T cells with an adaptive immune response elicited by activation of the CD40 pathway.
[00331] For reasons including the above-described challenges with CD40L therapies, there is a need to enhance the safety and efficacy of delivering CD40L as a therapeutic. The present disclosure addresses this need by providing, in part, compositions and methods enabling reversible and titratable control over levels of CD40L using small molecule drugs. In some embodiments, the present disclosure provides for regulated CD40L expression using an FDA- approved small molecule drug with an established safety profile in humans acting as a regulatable controller, which dose-dependently increases expression of a stable, functional, transgene-derived protein in engineered cell therapies. In some embodiments, the present disclosure provides for minimal levels of the functional transgene-derived protein in the absence of the drug (“basal state”). In some embodiments, the present disclosure provides for reversible drug-controlled protein expression: withdrawal of the drug reduces the transgene-derived protein expression to the basal state.
[00332] Any of the methods described by Curren et al. to enhance antitumor efficacy of CARs using CD40L may be useful in the present disclosure (Curren et al. Mol Ther. 2015 Apr; 23(4): 769-778; the contents of which are incorporated by reference in their entirety). In some embodiments, agonistic CD40 antibodies may be useful in the present disclosure.
A. CA2 DRD operably linked to CD40L payload
[00333] The present disclosure provides compositions and methods for regulation of CD40L payloads using DRD technology. In some embodiments, the present disclosure provides methods for modulating expression, function or level of a CD40L payload. In some embodiments, the modulation of expression, function or level refers to modulation of expression, function or level by at least about 20%, such as by at least about 30%, 40%, 50%, 60%, 70%, 80%, 85%, 90%, 95% and 100%, or at least 20-30%, 20-40%, 20-50%, 20-60%, 20-70%, 20-80%, 20-90%, 20- 95%, 20-100%, 30-40%, 30-50%, 30-60%, 30-70%, 30-80%, 30-90%, 30-95%, 30-100%, 40- 50%, 40-60%, 40-70%, 40-80%, 40-90%, 40-95%, 40-100%, 50-60%, 50-70%, 50-80%, 50- 90%, 50-95%, 50-100%, 60-70%, 60-80%, 60-90%, 60-95%, 60-100%, 70-80%, 70-90%, 70- 95%, 70-100%, 80-90%, 80-95%, 80-100%, 90-95%, 90-100% or 95-100%.
[00334] In various embodiments, a DRD according to the present disclosure is operably linked to a payload comprising CD40L or a functional variant thereof. In some embodiments, the DRD is a CA2 DRD described herein or known in the art. In some embodiments, the pay load is selected from any of the CD40L payloads taught herein. The term “CD40L payload,” as used herein, refers collectively to any payload comprising human CD40L (SEQ ID NO: 2) or a functional variant thereof. Constructs of the present disclosure encoding a CA2 DRD operably linked to a CD40L payload may be referred to herein as “CA2-CD40L constructs”.
[00335] In some embodiments, the present disclosure provides a recombinant protein comprising a CD40L payload operably linked to a CA2 DRD (also referred to as a “CA2-CD40L fusion protein” or simply a “CA2-CD40L protein”). In some embodiments, the present disclosure provides a nucleic acid molecule encoding the recombinant CA2-CD40L protein. In some embodiments, the present disclosure provides a vector comprising a nucleic acid molecule encoding a CA2-CD40L protein. In some embodiments, the present disclosure provides a cell comprising a nucleic acid molecule encoding a CA2-CD40L protein and/or a cell expression a CA2-CD40L protein. In various other embodiments, the present disclosure provides methods of making and using these recombinant proteins, nucleic acid molecules, cells and/or vectors.
[00336] In some embodiments, a CA2 DRD is appended to the N-terminus of CD40L, providing a CA2-CD40L fusion protein that is degraded in the absence of a ligand for the CA2 DRD. In the presence of the ligand, CA2-CD40L is stably expressed. In some embodiments, presence of the ligand results in stable expression of CA2-CD40L at levels that have a functional effect on DC activation. In some embodiments, the ligand is acetazolamide (ACZ).
B. CD40L and functional variants thereof as payloads
[00337] Various embodiments of the present disclosure comprise a payload operably linked to a CA2 DRD, wherein said payload comprises human CD40L (SEQ ID NO: 2) or a functional variant thereof.
[00338] As used herein, the term “human CD40L” or simply “CD40L” is interchangeable with the term “human CD40L WT,” and refers to the human wild-type CD40L polypeptide, with Uniprot ID: P29965 (NCBI Reference Sequence: NP_000065.1), having the amino acid sequence:
MIETYNQTSPRSAATGLPISMKIFMYLLTVFLITQMIGSALFAVYLHRRLDKIEDERNLH EDFVFMKTIQRCNTGERSESEENCEEIKSQFEGFVKDIMENKEETKKENSFEMQKGDQNP QIAAHVISEASSKTTSVLQWAEKGYYTMSNNLVTLENGKQLTVKRQGLYYIYAQVTFCS NREASSQAPFIASLCLKSPGRFERILLRAANTHSSAKPCGQQSIHLGGVFELQPGASVFVN VTDPSQVSHGTGFTSFGLLKL (SEQ ID NO: 2).
[00339] According to the present disclosure, a functional variant of human CD40L is a polypeptide that is derived from a parent human CD40L (SEQ ID NO: 2) polypeptide or a region thereof and retains similarity to at least one functional characteristic of the parent polypeptide or region thereof. For example, a functional variant of human CD40L may retain any of the CD40L biological activities described above. For example, a functional variant of human CD40L may retain biological activity selected from binding to CD40, promoting co- stimulatory signaling on antigen presenting cells and dendritic cells (DC) stimulation. In some embodiments, a CD40L payload of the present disclosure may be engineered to bind to only one of its binding partners e.g. CD40. In some embodiments, a CD40L payload may be capable of binding to all of its cognate binding partners.
[00340] In some embodiments, the payload is derived from a region of CD40L. The region of CD40L may be 50%, 55%, 60%, 65%, 70%, 75%, 80%, 85%, 90%, 95%, 99%, or 100%, 50- 55%, 55-60%, 60-65%, 65-70%, 70-75%, 75-80%, 80-85%, 85-90%, 90-95%, 95-100%, 50- 60%, 60-70%, 70-80%, 80-90%, 90-100%, 50-70%, 60-80%, 70-90%, 80-100%, 50-80%, 60- 90%, 70-100%, 50-90%, 60-100%, 50-100%, 50-75%, or 75-100% of the parent human CD40L (SEQ ID NO: 2) polypeptide.
[00341] In some embodiments, the payload comprises a region of CD40L. The region of CD40L may be 50%, 55%, 60%, 65%, 70%, 75%, 80%, 85%, 90%, 95%, 99%, or 100%, 50- 55%, 55-60%, 60-65%, 65-70%, 70-75%, 75-80%, 80-85%, 85-90%, 90-95%, 95-100%, 50- 60%, 60-70%, 70-80%, 80-90%, 90-100%, 50-70%, 60-80%, 70-90%, 80-100%, 50-80%, 60- 90%, 70-100%, 50-90%, 60-100%, 50-100%, 50-75%, or 75-100% of the parent human CD40L (SEQ ID NO: 2) polypeptide.
[00342] In some embodiments, the payload may be a region of CD40L. Non-limiting examples of regions of CD40L include but are not limited to amino acids 113-261 of UniProt ID: P29965, wherein the cytoplasmic domain, the transmembrane domain and a portion of the extracellular domain have been removed from UniProt ID: P29965 leaving a portion of the extracellular domain and the receptor binding domain intact. In one embodiment, the payload may be amino acids 14-261 of UniProt ID: P29965, which excludes the cytoplasmic tail of CD40L, thereby may potentially reduce internalization. In one aspect, the payload may be amino acids 14-261 of UniProt ID: P29965 with a deletion in amino acids S110-G116, which renders the CD40L resistant to cleavage by proteolytic enzymes.
[00343] In some embodiments, the payload has 50%, 55%, 60%, 65%, 70%, 75%, 80%, 85%, 90%, 95%, 99%, or 100%, 50-55%, 55-60%, 60-65%, 65-70%, 70-75%, 75-80%, 80-85%, 85- 90%, 90-95%, 95-100%, 50-60%, 60-70%, 70-80%, 80-90%, 90-100%, 50-70%, 60-80%, 70- 90%, 80-100%, 50-80%, 60-90%, 70-100%, 50-90%, 60-100%, 50-100%, 50-75%, or 75-100% identity to human CD40L (SEQ ID NO: 2).
[00344] In some embodiments, the payload may be a multimer of CD40L molecules such as but not limited to a dimer, a trimer, a tetramer, a pentamer, a hexamer, a septamer, or a heptamer. In one embodiment, the CD40L may form a trimer. Multimerization of CD40L may enhance the signaling via the CD40L/CD40 axis. Binding of trimeric CD40L to CD40 may also initiate CD40 clustering and TRAF activation ultimately leading to NF-KB activation.
[00345] In some embodiments, a CD40U payload may be resistant to proteinases and sheddases such as those found in the tumor microenvironment e.g. ADAM10, or ADAM17. The heightened activity of ADAM 17 in the tumor microenvironment has been associated with diminished signaling via the CD40/CD40U axis (see Uowe and Corvaia (2016), Int J Cancer Clin Res, 3:058; the contents of which are incorporated by reference in their entirety).
[00346] Sheddases e.g. ADAM 10/17 present in the tumor microenvironment can cleave CD40U thereby preventing the successful activation of CD40 by CD40U. Analysis of the sequence of CD40U reveals an ADAM10/17 proteolytic cleavage site. In some embodiments, a deletion of amino acids 1-13 of CD40U may be engineered to reduce internalization. A deletion of amino acids 110-116 of CD40U may also be designed to remove the ADAM 10/ 17 sites. Deletion or mutation of the methionine residue at amino acid position 113 of CD40U may also be utilized to reduce cleavage by ADAM10/17 enzymes. In one embodiment, a region or portion of the human CD40U protein may be replaced by the murine CD40U protein sequence to generate a CD40U protein that is resistant to cleavage by ADAM10/17. Any of the CD40U sequences aimed at reducing its shedding as described in US Patent Publication US20180085451A1 and/or US
Patent US 7,495,090B2 may be used as payloads (the contents of each of which are incorporated by reference in their entirety).
[00347] In some embodiments, a CD40L payload may be tethered to a cell membrane using a transmembrane domain. In one embodiment, CD40L may be tethered to the membrane using a CD8-derived domains such as but not limited to CD8 transmembrane domain, CD8 hinge domain and/or CD8 cytoplasmic tail.
[00348] In some embodiments, amino acid variations may be engineered within a CD40L payload such that it does not bind to or binds with reduced affinity to CD40L endogenously expressed by cells described herein. CD40L is a type II transmembrane protein that forms a trimer on the cell surface. In some embodiments, trimerization occurs through the interaction of amino acid residues 47 - 261 of SEQ ID NO. 2. In some embodiments, residues within 47 - 261 of SEQ ID NO. 2 may be mutated in the CD40L payload to prevent trimerization (herein referred to as “trimerization mutants.” In some embodiments the residues within 116-261 of SEQ ID NO. 2 may be mutated. In some embodiments, mutations may allow selective trimerization such that a CD40L trimerization mutant may be able to bind to another CD40L trimerization mutant protein but not to a CD40L protein lacking the mutations. Trimerization mutations sites may be sites within the CD40L protein that are involved in the trimerization as determined by the crystal structure of the CD40L trimer. Positions within CD40L that may be mutated include but are not limited to amino acids at position 125, 170, 172, 224, 226 and/or 227 of SEQ ID NO. 2. In some embodiments, the mutations to CD40L payload to prevent its trimerization with the endogenous CD40L may include but are not limited to Y170G, Y172G, H224G, G226F, G226H, G226W, and/or G227F.
V. Tandem TCR-CA2 DRD-CD40L constructs
[00349] Provided herein are tandem TCR-CA2 DRD-CD40L constructs. A tandem TCR-CA2 DRD-CD40L construct (or simply referred to herein as a “TCR-CA2 DRD-CD40L construct”) encodes a T cell receptor (TCR) or functional variant thereof and a CD40L payload operably linked to a CA2 DRD.
[00350] The TCR or functional variant thereof encoded by a TCR-CA2 DRD-CD40L construct of the present disclosure may be any of the TCR or functional variants thereof described above. In some embodiments, a TCR-CA2 DRD-CD40L construct encodes a TCR or functional variant thereof having antigenic specificity for a peptide antigen or a peptide epitope of HPV16 E7. [00351] In some embodiments, a TCR-CA2 DRD-CD40L construct encodes a TCR comprising an alpha (a) chain of a TCR and a beta (P) chain of a TCR. In some embodiments, the nucleic acid sequence encoding the alpha chain and the nucleic acid sequence encoding the beta
chain are present in any order, and are separated by a co-expression element that promotes production of separate alpha chain and beta chain polypeptides. In some embodiments, the coexpression element is a nucleic acid element encoding for a cleavable linker sequence, a peptide sequence that causes ribosome skipping, or an internal ribosome entry site (IRES). For example, in some embodiments, the TCR-CA2 DRD-CD40L construct comprises a nucleic acid sequence encoding a beta chain, a nucleic acid sequence encoding an IRES or peptide sequence that causes ribosome skipping, e.g., a P2A or T2A sequence as described herein, and a nucleic acid sequence that encodes an alpha chain, in that order. In other embodiments, the construct comprises a nucleic acid sequence that encodes an alpha chain, a nucleic acid sequence that encodes an IRES or peptide sequence that causes ribosome skipping, and a nucleic acid sequence that encodes a beta chain, in that order.
[00352] The CD40L payload encoded by a TCR-CA2 DRD-CD40L construct of the present disclosure may be any of the CD40L payloads described above. In some embodiments, the CD40L payload comprises human CD40L (SEQ ID NO. 2).
[00353] The CA2 DRD encoded by a TCR-CA2 DRD-CD40L construct of the present disclosure may be any of the CA2 DRDs described above. In some embodiments, the CA2 DRD is derived from human carbonic anhydrase 2 (hCA2; SEQ ID NO: 1) and comprises an S56N amino acid substitution compared to SEQ ID NO. 1. The CA2 DRD may be positioned at the N terminus of the construct, or the C terminus of the construct, or in the internal location.
[00354] As a non-limiting example, the present disclosure provides a DNA construct encoding (1) a constitutively expressed HPV16E7- specific TCR and (2) a CA2 DRD-regulated CD40L. When the construct is transduced into cells, the HPV16E7 TCR is expressed constitutively, whereas functional CD40L is produced when transduced cells are exposed to a ligand for the CA2 DRD, for example, the stabilizing drug, acetazolamide (ACZ). CD40L expression levels on the cell surface of transduced cells are regulated by administration of ACZ. In the absence of ACZ, the CA2 DRD is unstable and the CA2-CD40L fusion protein is degraded. Upon dosing of ACZ, the CA2 DRD is stabilized, resulting in functional and dose-proportional CD40L payload expression. The pharmacologically controlled expression of CD40L payload is designed to activate antigen-presenting cells within the tumor microenvironment (TME) to stimulate an adaptive immune response that, coupled with HPV-targeted T cell cytolysis, may provide a more complete and durable therapeutic response.
[00355] Tandem TCR-CA2 DRD-CD40L constructs of the present disclosure may be designed to comprise additional features, such as one or more nucleic acid elements encoding one or more signal sequences, one or more cleavage and/or processing sites, one or more targeting and/or
penetrating peptides, one or more tags, and/or one or more linkers. Such additional features may facilitate the expression and/or regulation of polypeptides encoded by the constructs.
Additionally, TCR-CA2 DRD-CD40L constructs of the present disclosure may further comprise other regulatory moieties such as inducible promoters, enhancer sequences, microRNA sites, and/or microRNA targeting sites. Additionally, TCR-CA2 DRD-CD40L constructs of the present disclosure may comprise one or more co-expression elements.
[00356] A signal sequence is a short (5-30 amino acids long) peptide present at the N-terminus of the majority of newly synthesized proteins that are destined towards a particular location.
Signal sequences (also sometimes referred to as signal peptides, targeting signals, target peptides, localization sequences, transit peptides, leader sequences or leader peptides) direct proteins (e.g., recombinant proteins encoded by constructs of the disclosure) to their designated cellular and/or extracellular locations. Protein signal sequences play a central role in the targeting and translocation of nearly all secreted proteins and many integral membrane proteins. Signal sequences can be recognized by signal recognition particles (SRPs) and cleaved using type I and type II signal peptide peptidases. Signal sequences derived from human proteins can be incorporated into constructs of the present disclosure to direct the encoded recombinant proteins to a particular cellular and/or extracellular location. In addition to signal sequences naturally occurring such as from a secreted protein, a signal sequence may be a variant modified from a known signal sequence of a protein.
[00357] A signal sequence may be the endogenous signal sequence of the N terminal component of a protein from which a recombinant protein is derived. Optionally, it may be desirable to exchange this sequence for a different signal sequence. Signal sequences may be selected based on their compatibility with the secretory pathway of the cell type of interest so that the recombinant protein is presented on the surface of the cell type of interest, for example a T cell. In some embodiments, the signal sequence may be an IgE signal sequence, CD8a signal sequence (also referred to as CD8a leader), or Mldel CD8a signal sequence (also referred to as Mldel CD8 leader sequence).
[00358] In some embodiments, a signal sequence may be, although not necessarily, located at the N-terminus or C-terminus of a recombinant protein encoded by a provided TCR-CA2 DRD- CD40L construct, and may be, although not necessarily, cleaved off the recombinant protein. [00359] In some embodiments, a signal sequence used herein may exclude the methionine at the position 1 of amino acid sequence of the signal sequence. This may be referred to as an Mldel mutation.
[00360] In some instances, signal sequences directing a recombinant protein to the surface membrane of a target cell may be used. Expression of the recombinant protein on the surface of the target cell may be useful to limit the diffusion of the recombinant protein to non-target in vivo environments, thereby potentially improving the safety profile of the recombinant protein. Additionally, the membrane presentation of the recombinant protein may allow for physiological and qualitative signaling as well as stabilization and recycling of the payload for a longer halflife.
[00361] In some embodiments, TCR-CA2 DRD-CD40L constructs of the present disclosure may comprise a nucleic acid element encoding a cleavage and/or processing feature. In some embodiments, the constructs of the present disclosure may comprise at least one nucleic acid element encoding a protein cleavage signal/site. In some embodiments, TCR-CA2 DRD-CD40L constructs of the present disclosure comprise a furin cleavage site.
[00362] In some embodiments, TCR-CA2 DRD-CD40L constructs of the present disclosure may comprise a nucleic acid element encoding a linker. A “linker” or “linker domain” or “linker region” or “linker module” or “peptide linker” or “spacer” as used herein refers to a polypeptide of from about 1 to 100 amino acids in length, which links together any of the domains/regions of polypeptides encoded by constructs of the disclosure (also called “peptide linker”).
[00363] A linker sequence may be a natural linker derived from a multi-domain protein. A natural linker is a short peptide sequence that separates two different domains or motifs within a protein.
[00364] In one embodiment, the linker may be a BamHI site. As a non-limiting example, the BamHI site has the amino acid sequence GS and/or the DNA sequence GGATCC
[00365] In some embodiments, an artificially designed peptide linker may be composed of a polymer of flexible residues such as glycine (G) and serine (S) so that the adjacent protein domains are free to move relative to one another. Longer linkers may be used when it is desirable to ensure that two adjacent domains do not interfere with one another.
[00366] In some embodiments, a linker may be a GS-linker. A GS-linker, according to the present disclosure, is a linker comprising glycine (G) and serine (S) residues. For example, a GS- linker may comprise (GS)n, (GGS)n, (GGGS)n, (GGSG)n, (GGSGG)n, or (GGGGS)n, wherein n is 1, 2, 3, 4, 5, 6, 7, 8, 9, or 10.
[00367] In some embodiments, TCR-CA2 DRD-CD40L constructs of the present disclosure may comprise a co-expression element. According to the present disclosure, a “co-expression element” is a nucleic acid element that promotes production of separate polypeptides from the nucleic acid sequences flanking the co-expression element. In some embodiments, the co-
expression element may be a nucleic acid element encoding for a cleavable linker sequence, a peptide that causes ribosome skipping, or an internal ribosome entry site (IRES). Illustrative examples peptides that cause ribosome skipping include 2A peptides. For example, a 2A peptide of the present disclosure may be selected from foot-and-mouth disease virus (FMDV) 2A (F2A), equine rhinitis A virus (ERAV) 2A (E2A); porcine teschovirus-1 2A (P2A) and Thosea asigna virus 2A (T2A).
[00368] The present disclosure also provides cells, such as T cells, that are engineered to express a CD40E payload under DRD control along with an engineered T cell receptor (TCR) for tumor antigen recognition. In some embodiments, such a cell may be engineered by introducing a TCR-CA2 DRD-CD40E construct of the present disclosure into the cell according to methods described below.
HPV16E7-CD40L-038 construct
[00369] In some embodiments, the present disclosure provides a TCR-CA2 DRD-CD40E construct referred to throughout the present disclosure as the “HPV16E7-CD40E-038 construct,” and may also be referred to as the “TCR-CA2(S56N)-CD40E construct.” The HPV16E7-CD40E- 038 construct comprises a nucleic acid sequence encoding two recombinant proteins: (i) an engineered TCR recognizing an epitope from the HPV16 E7 protein when presented by human leukocyte antigen (HEA)-A*02:01 (major histocompatibility complex class I). (Jin, et al. 2018) and (ii) human CD40E (SEQ ID NO: 2) fused, on the amino terminus, to a DRD derived from human CA2 (hCA2; SEQ ID NO: 1). The HPV16E7 TCR encoded by the HPV16E7-CD40L-038 construct specifically recognizes a peptide of the human papilloma virus 16 (HPV16) E7 protein, a viral oncogene present in HPV16+ tumors such as head and neck squamous cell carcinoma and cervical cancer (Draper et al. 2015).
[00370] The amino acid sequences of the HPV16E7-CD40L-038 construct and the construct components are provided in Table 3.
in Table 3 indicates the translation of a stop codon. Table 3: Amino acid sequences of the HPV16E7-CD40L-038 construct and its components
[00371] FIG. 2 depicts a schematic representation of the HPV16E7-CD40L-038 construct. Transcription of the engineered TCR and CA2-CD40L sequences is driven by the human elongation factor 1 alpha (EFla) promoter (GenBank sequence: E02627.1), with an intervening P2A ribosomal skip sequence between the TCR polynucleotides (encoding the TCR alpha (a) chain and TCR beta (P) chain) to achieve non-covalent and stoichiometric expression of both chains. The P2A sequence is derived from the porcine teschovirus-1 (Funston et al. 2008). The TCR polynucleotide sequence encodes 2 polypeptide chains, TCRa and TCRp. The coding sequence in the HPV16E7-CD40L-038 construct was engineered with a 5’ to 3’ orientation consisting of the HPV16E7 TCRP chain, followed by a P2A ribosomal skipping sequence, followed by the HPV16E7 TCRa chain. The TCR sequence was optimized by removing a potential polyadenylation site and predicted splice sites. A second P2A sequence is positioned 3’ of the TCRa chain coding sequence, followed by the CA2-DRD fused to the 5’ end of the human CD40L coding sequence. The 2 P2A sequences are modified in the degenerate positions of their codons in order to reduce the likelihood of recombination events between the 2 P2A sequences. [00372] The P2A ribosomal skipping sequences are 19 amino acids long (ATNFSLLKQAGDVEENPGP)(SEQ ID NO. 16). Translational skipping occurs between the penultimate residue glycine and proline at the C-terminal end of the sequence. Following the skipping event, the upstream polypeptide retains the majority of the P2A peptide sequence (18 amino acids) while the downstream polypeptide has 1 additional amino acid (proline) appended to its N-terminus. With respect to the P2A element between the TCRP and TCRa chains, the additional 18 amino acids of the P2A sequence are fused to the C-terminal intracellular sequence of the TCRP chain. The second P2A sequence between TCRa chain and CD40L leads to fusion of the 18 amino acid P2A peptide to the C-terminus of the TCRa chain. Both P2A tails are retained intracellularly to reduce the risk of immunogenicity of a human protein-P2A fusion. The
P2A peptide fused to the TCRa chain does not appear to interfere with TCR signaling or antigen binding, as the TCR retains function as described in Example 5. In some embodiments, a furin cleavage sequence may be appended to a P2A peptide or in close proximity to a P2A peptide. Without wishing to be bound by theory, the furin cleavage sequence may assist in increasing cleavage of the proteins from each other.
[00373] To enable DRD regulation, the N-terminus of CD40L, a type II transmembrane protein, was fused to the C-terminus of a CA2-DRD comprising an S56N amino acid substitution. Type II transmembrane protein biology dictates that the N-terminus of the mature protein is on the cytoplasmic side of the cell membrane; thus, the CA2-DRD fused to the C- terminus remains intracellular. To avoid possible steric hindrance of CD40L homo-trimerization by the CA2-DRD, a 12 amino acid flexible linker sequence (3xGGSG) was inserted between the CA2-DRD and the 22 amino acid intracellular region of CD40L. The CA2-CD40L sequence was codon-optimized to maximize expression.
[00374] Placing the CA2-CD40L sequence downstream of the P2A sequence was important to minimize potential immunogenicity of the viral sequence. If placed before a P2A element, the viral 18 amino acid sequence would have been exposed on the extracellular domain of CD40L. In the arrangement of the HPV16E7-CD40L-038 construct, however, all P2A sequences remain intracellular, which reduces the risk of an immunogenic response. As shown in the accompanying examples of the present disclosure, the intracellular location of the residual P2A sequences on the C-terminal end of CD40L did not interfere with functional activation of dendritic cells.
[00375] As demonstrated by the examples of the present disclosure, the HPV16E7-CD40L-038 construct exhibits precise pharmacologically controlled CD40L expression and function both in vitro and in vivo in engineered T cells. These examples confirm control of expression and function of the CD40L payload operably linked to the CA2 DRD in HPV-TCR engineered T cells through the administration of acetazolamide (ACZ).
HPV16E7-CD40L-038
VI. Nucleic acids, vectors, recombinant proteins, engineered cells, methods of expression, pharmaceutical compositions, and kits
A. Nucleic acids
[00376] The present disclosure provides various nucleic-acid based embodiments, including constructs, construct components, nucleic acid elements, and nucleic acid molecules. These are collectively referred to herein as “polynucleotides”.
[00377] The various polynucleotides of the present disclosure may or may not be chemically modified. Polynucleotides may include those encompassing natural and/or non-naturally occurring nucleotides and bases, e.g., including those with backbone modifications.
[00378] Non-limiting examples of constructs of the present disclosure are CA2-CD40L constructs and tandem TCR-CA2 DRD-CD40L constructs. Another illustrative construct of the present disclosure is the HPV16E7-CD40L-038 construct.
[00379] The terms “construct” and “nucleic acid construct” are used interchangeably and refer to a polynucleotide or a portion of a polynucleotide, typically comprising one or more nucleic acid sequences encoding one or more transcriptional products and/or proteins. A construct may be a recombinant nucleic acid molecule or a part thereof. The term “construct” may also be referred to herein as a “transgene cassette”.
[00380] A construct may comprise one or more construct components. A construct component is a portion or a region of a construct. Illustrative examples of construct components of the present disclosure are listed in Table 3. In some embodiments, a construct component is a nucleic acid element.
[00381] The term “nucleic acid element” refers to a polynucleotide or oligonucleotide comprising a regulatory nucleic acid sequence (e.g., a promoter, a co-expression element such as an IRES, etc.) or a polynucleotide or oligonucleotide that encodes a peptide, polypeptide or protein. In some embodiments, a nucleic acid element encodes a functional, structural and/or regulatory peptide, polypeptide or protein (e.g., protein-coding element, protease cleavage site, peptide linker, etc.). Nucleic acid elements may be, but are not limited to, DNA-based or RNA- based elements, referred to as DNA element and RNA element, respectively.
[00382] Also provided herein are nucleic acid molecules comprising or encoding various embodiments of the present disclosure.
[00383] A nucleic acid molecule of the disclosure may be selected from a plasmid, cosmid, virus, autonomously replicating nucleic acid molecule, phage, or linear or a circular singlestranded or double-stranded DNA or RNA nucleic acid molecule, derived from any source, capable of genomic integration or autonomous replication.
[00384] In some embodiments, the nucleic acid molecule is a DNA molecule or an RNA molecule. In some embodiments, the nucleic acid molecule is a complementary DNA (cDNA) molecule.
[00385] In some embodiments, the nucleic acid molecule is a messenger RNA (mRNA). As used herein, the term “messenger RNA” (mRNA) refers to any polynucleotide which encodes a
polypeptide of interest and which is capable of being translated to produce the encoded polypeptide of interest in vitro, in vivo, in situ or ex vivo.
[00386] In some embodiments, the present disclosure provides nucleic acid molecules encoding recombinant proteins described above, such as recombinant proteins that are or comprise a TCR or functional variant thereof and/or recombinant proteins that comprise a payload which is operably linked to a DRD.
[00387] A nucleic acid molecule may comprise one or more constructs.
[00388] In some embodiments, the present disclosure provides nucleic acid molecules comprising any of the constructs of the present disclosure, such as tandem TCR-CA2 DRD- CD40L constructs, for example, the HPV16E7-CD40L-038 construct.
[00389] In some embodiments, the constructs and nucleic acid molecules of the present disclosure may comprise upstream and downstream regulatory nucleic acid elements such as a 5’ untranslated regions (5’ UTR) and/or a 3 '-untranslated region (3' UTR). These regulatory nucleic acid elements may be derived from a source that is native or heterologous with respect to the other elements present on the construct or nucleic acid molecule.
[00390] In some embodiments, constructs and nucleic acid molecules of the present disclosure may harbor 5’ untranslated regions (5’ UTR) of an mRNA nucleic acid molecule, which can play a role in translation initiation and can also be a genetic component in an expression construct.
5 ’UTR sequences may include features such as Kozak sequences which are commonly known to be involved in the process by which the ribosome initiates translation of genes, Kozak sequences have the consensus XCCR(A/G) CCAUG, where R is a purine (adenine or guanine) three bases upstream of the start codon (AUG) and X is any nucleotide. In some embodiments, the Kozak sequence is ACCGCC. By engineering the features that are typically found in abundantly expressed genes of target cells or tissues, the stability and protein production of the nucleic acid molecules of the disclosure can be enhanced.
[00391] Also provided are constructs and nucleic acid molecules which may comprise an internal ribosome entry site (IRES), which is a nucleic acid element that plays an important role in initiating protein synthesis in the absence of 5’ cap structure in the polynucleotide. An IRES may act as the sole ribosome binding site or may serve as one of multiple binding sites. Constructs and nucleic acid molecules of the disclosure containing more than one functional ribosome binding site may encode several peptides or polypeptides that are translated independently by the ribosomes giving rise to bicistronic and/or multicistronic constructs and nucleic acid molecules.
[00392] Also provided are constructs and nucleic acid molecules which may comprise one or more nucleic acid elements encoding for a peptide that causes ribosome skipping. Illustrative examples of peptides that cause ribosome skipping are 2A peptides. For example, a 2A peptide may be selected from foot-and-mouth disease virus (FMDV) 2A (F2A), equine rhinitis A virus (ERAV) 2A (E2A); porcine teschovirus-1 2A (P2A) and Thosea asigna virus 2A (T2A). [00393] In some embodiments, a polynucleotide sequence or portion thereof is codon optimized. In some embodiments, the nucleic acid sequence of any of the polynucleotides of the present disclosure and/or the nucleic acid sequence encoding a recombinant protein, a payload, and/or a TCR (e.g., an alpha chain of a TCR and/or a beta chain of a TCR) or a functional variant thereof, is codon-optimized. Codon optimization refers to a process of modifying a nucleic acid sequence for enhanced expression in the host cell by replacing one or more codons of the native sequence with codons that are most frequently used in the genes of that host cell while maintaining the native amino acid sequence. Codon optimization methods and algorithms are known in the art. Codon options for each amino acid are also well known in the art as are various species tables for optimizing for expression in that particular species.
[00394] Without being bound to a particular theory or mechanism, it is believed that codon optimization of the nucleotide sequence increases the translation efficiency of the mRNA transcripts. Codon optimization of the nucleotide sequence may involve substituting a native codon for another codon that encodes the same amino acid, but can be translated by tRNA that is more readily available within a cell, thus increasing translation efficiency. Optimization of the nucleotide sequence may also reduce secondary mRNA structures that would interfere with translation, thus increasing translation efficiency. Typically, codon optimization involves balancing the percentages of codons selected with the published abundance of human transfer RNAs so that none is overloaded or limiting. This may be necessary in some cases because most amino acids are encoded by more than one codon, and codon usage varies from organism to organism. Differences in codon usage between transfected genes and host cells can have effects on protein expression and immunogenicity of a nucleic acid construct. In general, for codon optimization, codons are chosen to select for those codons that are in balance with human usage frequency. Typically, the redundancy of the codons for amino acids is such that different codons code for one amino acid.
[00395] Codon optimization may be useful for various purposes, such as matching codon frequencies in target and host organisms to ensure proper folding; biasing nucleotide content to alter stability or reduce secondary structures; minimizing tandem repeat codons or base runs that may impair gene construction or expression; customizing transcriptional and translational control
regions; inserting or removing protein signaling sequences; removing/adding post translation modification sites in encoded protein (e.g. glycosylation sites); adding, removing or shuffling protein domains; inserting or deleting restriction sites; modifying ribosome binding sites and degradation sites; adjusting translational rates to allow the various domains of the protein to fold properly; and reducing or eliminating problem secondary structures within the polynucleotide. In some embodiments, in selecting a codon for replacement, it may be desired that the resulting mutation is a silent mutation such that the codon change does not affect the amino acid sequence. [00396] In some embodiments, the stop codon of the polynucleotides of the present disclosure may be modified to include sequences and motifs to alter the expression levels of the polypeptides of the present disclosure. Such sequences may be incorporated to induce stop codon readthrough, wherein the stop codon may specify amino acids e.g. selenocysteine or pyrrolysine. In other instances, stop codons may be skipped altogether to resume translation through an alternate open reading frame. Examples of preferred stop codon motifs include UGAN, UAAN, and UAGN, where N is either C or U. Stop codon readthrough may be combined with P2A to obtain low level expression of a downstream polynucleotide.
[00397] In some embodiments, the nucleic acid sequence of any of the polynucleotides of the present disclosure and/or the nucleic acid sequence encoding a recombinant protein, a payload, and/or a TCR or a functional variant thereof, is modified such that cryptic splice sites are removed.
[00398] Among the provided nucleic acid molecules and constructs of the present disclosure are those containing sequences at least at or about 90%, 91%, 92%, 93%, 94%, 95%, 96%, 97%, 98%, or 99% identical to the sequences provided herein.
B. Vectors
[00399] Also provided are vectors, such as those comprising any of the polynucleotides described herein. In various embodiments, a vector comprises the nucleic acid molecules, constructs or nucleic acid elements disclosed herein.
[00400] In some embodiments, polynucleotides of the disclosure, such as nucleic acid molecules, constructs or nucleic acid elements, are cloned into a suitable expression vector or vectors. The expression vector can be any suitable recombinant expression vector, and can be used to transform or transfect any suitable host. Suitable vectors include those designed for propagation and expansion or for expression or both, such as plasmids and viruses. In some embodiments, the vector is an expression vector.
[00401] In some embodiments, recombinant expression vectors can be prepared using standard recombinant DNA techniques. In some embodiments, vectors can comprise regulatory
sequences, such as transcription and translation initiation and termination codons, which are specific to the type of host (e.g., bacterium, fungus, plant, or animal) into which the vector is to be introduced, as appropriate and taking into consideration whether the vector is DNA- or RNA- based.
[00402] Vectors include, but are not limited to, plasmids, viruses, cosmids, and artificial chromosomes.
[00403] In some embodiments, the vectors comprise one or more promoters operably linked to one or more of the polynucleotides of the disclosure, such as one or more of the nucleic acid molecules, constructs, or nucleic acid elements.
[00404] In some embodiments, the vector can comprise a promoter operably linked to a construct or nucleic acid element. The selection of promoters, e.g., strong, weak, inducible, tissue-specific and developmental- specific, is within the ordinary skill of the artisan. Similarly, the combining of a nucleic acid sequence with a promoter is also within the skill of the artisan. In some embodiments, the promoter can be a non- viral promoter or a viral promoter, such as a cytomegalovirus (CMV) promoter, an SV40 promoter, an RSV promoter, and a promoter found in the long-terminal repeat of the murine stem cell virus. Other promoters known to a skilled artisan are also contemplated.
[00405] In some embodiments, a vector can comprise a promoter operably linked to a tandem TCR-CA2 DRD-CD40L construct, such as the HPV16E7-CD40L-038 construct.
[00406] In some embodiments, the nucleic acid molecules, constructs, or vectors comprise a single promoter that drives expression of one or more nucleic acid elements. In some embodiments, such promoters can be multicistronic (e.g., bicistronic or tricistronic). For example, in some embodiments, transcription units can be engineered as a bicistronic unit containing an IRES (internal ribosome entry site), which allows co-expression of gene products (e.g. encoding an alpha chain and/or beta chain of a TCR) by a message from a single promoter. Alternatively, in some cases, a single promoter may direct expression of an RNA that contains, in a single open reading frame (ORF), two or three genes (e.g. encoding an alpha chain and/or beta chain of a TCR) separated from one another by sequences encoding a self-cleavage peptide (e.g., T2A) or a protease recognition site (e.g., furin). The ORF thus encodes a single polyprotein, which, either during (in the case of 2A e.g., T2A) or after translation, is cleaved into the individual proteins. In some cases, the peptide, such as T2A, can cause the ribosome to skip (ribosome skipping) synthesis of a peptide bond at the C-terminus of a 2A element, leading to separation between the end of the 2A sequence and the next peptide downstream. Examples of 2A cleavage peptides, including those that can induce ribosome skipping, are Thosea asigna
virus (T2A), porcine teschovirus-1 (P2A), equine rhinitis A virus (E2A) and 2A sequences from the foot-and-mouth disease virus (F2A).
C. Recombinant proteins
[00407] Also provided herein are polypeptides comprising sequences encoded by any of the provided polynucleotides. In some embodiments, the polypeptides of the disclosure are recombinant proteins.
[00408] In some embodiments, the present disclosure provides a recombinant protein that is or comprises a TCR or a functional variant thereof. The TCR or functional variant thereof may be any of the TCRs or functional variants thereof described above. In some embodiments, a TCR or functional variant thereof has antigenic specificity for a peptide antigen or a peptide epitope of HPV16 E7.
[00409] In some embodiments, the present disclosure provides a recombinant protein comprising a CD40L payload operably linked to a CA2 DRD (also referred to as a “CA2-CD40L fusion protein” or simply a “CA2-CD40L protein”). The CD40L payload may be any of the CD40L payloads described above. In some embodiments, the CD40L payload comprises human CD40L (SEQ ID NO. 2).
[00410] In some embodiments, the provided recombinant proteins are encoded by the nucleic acid molecules of the present disclosure. In some embodiments, provided herein are recombinant proteins encoded by TCR-CA2 DRD-CD40L constructs. For example, recombinant proteins are provided that are encoded by the HPV16E7-CD40L-038 construct.
[00411] The present disclosure also contemplates variants and derivatives of the provided polypeptides. These include substitutional, insertional, deletional and covalent variants and derivatives. As such, included within the scope of this disclosure are polypeptides comprising substitutions, insertions, additions, deletions and/or covalent modifications. For example, sequence tags or amino acids, such as one or more lysines, can be added to peptide sequences of the disclosure (e.g., at the N-terminal or C-terminal ends). Sequence tags can be used for peptide purification or localization. Lysines can be used to increase peptide solubility or to allow for biotinylation. Alternatively, amino acid residues located at the carboxy and amino terminal regions of the amino acid sequence of a peptide or protein may optionally be deleted providing for truncated sequences. Certain amino acids (e.g., C-terminal or N-terminal residues) may alternatively be deleted depending on the use of the sequence, as for example, expression of the sequence as part of a larger sequence.
[00412] Any of the provided polypeptides may comprise one or more post-translational modifications (PTM). Such PTMs may occur upon or after translation of a polypeptide
component administered as a nucleic acid encoding said polypeptide component. Post translational modifications (PTMs) of the present disclosure include, but are not limited to acetylation, phosphorylation, ubiquitination, carboxylation, deamidation, deamination, deacetylation, dihydroxylation, dephosphorylation, formylation, gamma-carboxyglutamation, glutathionylation, glycation, hydroxylation, methylation, nitration, sumoylation, N-or O- transglutamination, glycosylation and famesylation. Polypeptides of the disclosure may have 1, 2, 3, 4, 5, 6, 7, 8, 9, 10 or more PTMs which are the same or different.
D. Engineered cells
[00413] Also provided are cells comprising one or more of the polynucleotides of the disclosure and cells expressing one or more of the polypeptides and/or recombinant proteins of the disclosure.
[00414] Some embodiments of the present disclosure provide a host cell comprising any of the recombinant expression vectors described herein. The host cell may be any type of cell that can contain the inventive recombinant expression vector. The host cell preferably is a peripheral blood lymphocyte (PBL) or a peripheral blood mononuclear cell (PBMC). More preferably, the host cell is a T cell.
[00415] In some embodiments, polypeptides or recombinant proteins of the disclosure are expressed in T cells, such as a primary T cell or a T cell line. In some embodiments, the T cell line is a Jurkat cell or a Jurkat-derived cell line. In some embodiments, one or more nucleic acid molecule(s) encoding the polypeptide/ s) or recombinant protein(s) are introduced into a cell, such as a T cell.
[00416] For purposes herein, the T cell can be any T cell, such as a cultured T cell, e.g., a primary T cell, or a T cell from a cultured T cell line, e.g., Jurkat, SupTl, etc., or a T cell obtained from a mammal. If obtained from a mammal, the T cell can be obtained from numerous sources, including but not limited to blood, bone marrow, lymph node, the thymus, or other tissues or fluids. T cells can also be enriched for or purified. Preferably, the T cell is a human T cell. More preferably, the T cell is a T cell isolated from a human. The T cell can be any type of T cell and can be of any developmental stage, including but not limited to, CD4+/ CD8+ double positive T cells, CD4+ helper T cells, e.g., Thl and Th2 cells, CD4+ T cells, CD8+ T cells (e.g., cytotoxic T cells), tumor infiltrating lymphocytes (TILs), memory T cells (e.g., central memory T cells and effector memory T cells), naive T cells, and the like.
[00417] Cells provided by the present disclosure may be isolated from a sample, such as a biological sample, e.g., one obtained from or derived from a subject. In some embodiments, the subject from which the cell is isolated is one having the disease or condition or in need of a cell
therapy or to which cell therapy will be administered. The subject in some embodiments is a human in need of a particular therapeutic intervention, such as the adoptive cell therapy for which cells are being isolated, processed, and/or engineered.
[00418] Accordingly, the cells in some embodiments are primary cells, e.g., primary human cells, such as primary human T cells. The samples include tissue, fluid, and other samples taken directly from the subject, as well as samples resulting from one or more processing steps, such as separation, centrifugation, genetic engineering (e.g. transduction with viral vector), washing, and/or incubation. The biological sample can be a sample obtained directly from a biological source or a sample that is processed.
[00419] In some embodiments, the sample from which the cells are derived or isolated is blood or a blood-derived sample, or is or is derived from an apheresis or leukapheresis product. Exemplary samples include whole blood, peripheral blood mononuclear cells (PBMCs), leukocytes, bone marrow, thymus, tissue biopsy, tumor, leukemia, lymphoma, lymph node, gut associated lymphoid tissue, mucosa associated lymphoid tissue, spleen, other lymphoid tissues, liver, lung, stomach, intestine, colon, kidney, pancreas, breast, bone, prostate, cervix, testes, ovaries, tonsil, or other organ, and/or cells derived therefrom. Samples include, in the context of cell therapy, e.g., adoptive cell therapy, samples from autologous and allogeneic sources.
[00420] In some embodiments, isolation of the cells includes one or more preparation and/or non-affinity based cell separation steps. In some examples, cells are washed, centrifuged, and/or incubated in the presence of one or more reagents, for example, to remove unwanted components, enrich for desired components, lyse or remove cells sensitive to particular reagents. In some examples, cells are separated based on one or more property, such as density, adherent properties, size, sensitivity and/or resistance to particular components.
[00421] In some embodiments, the preparation methods include steps for freezing, e.g., cryopreserving, the cells, either before or after isolation, incubation, and/or engineering. In some embodiments, the freeze and subsequent thaw step removes granulocytes and, to some extent, monocytes in the cell population. In some embodiments, the cells are suspended in a freezing solution, e.g., following a washing step to remove plasma and platelets. Any of a variety of known freezing solutions and parameters in may be used.
[00422] In some embodiments, the cells are incubated and/or cultured prior to or in connection with genetic engineering. The incubation steps can include culture, cultivation, stimulation, activation, and/or propagation. In some embodiments, the compositions or cells are incubated in the presence of stimulating conditions or a stimulatory agent. Such conditions include those
designed to induce proliferation, expansion, activation, and/or survival of cells in the population, to mimic antigen exposure, and/or to prime the cells for genetic engineering.
[00423] In some embodiments, the provided cells have been engineered to comprise one or more of the polynucleotides of the disclosure and/or engineered to express one or more of the polypeptides and/or recombinant proteins of the disclosure. A cell may be engineered by introducing one or more nucleic acid molecules of the disclosure into the cell. For example, engineering may involve introduction of one or more nucleic acid molecule encoding the provided recombinant proteins, e.g. TCR and CA2 DRD-CD40L, into the cell, such as by retroviral transduction, transfection, or transformation. In some embodiments, the engineered cells are engineered T cells.
[00424] Also provided are populations of any of the cells described herein, including compositions containing such cells and/or enriched for such cells, such as in which cells expressing the recombinant proteins make up at least 15%, 20%, 25%, 30%, 35%, 40%, 50%, 60%, 70%, 80%, 90%, 91%, 92%, 93%, 94%, 95%, 96%, 97%, 98%, 99%, or more percent of the total cells in the composition or cells of a certain type such as T cells or CD8+ or CD4+ cells. [00425] Also provided is a population of cells comprising at least one engineered cell described herein. The population of cells can be a heterogeneous population comprising the engineered cell comprising any of the recombinant expression vectors described, in addition to at least one other cell, e.g., a host cell (e.g., a T cell), which does not comprise any of the recombinant expression vectors, or a cell other than a T cell, e.g., a B cell, a macrophage, a neutrophil, an erythrocyte, a hepatocyte, an endothelial cell, an epithelial cells, a muscle cell, a brain cell, etc. Alternatively, the population of cells can be a substantially homogeneous population, in which the population comprises mainly of engineered cells (e.g., consisting essentially of) comprising the recombinant expression vector. The population also can be a clonal population of cells, in which all cells of the population are clones of a single engineered cell comprising a recombinant expression vector, such that all cells of the population comprise the recombinant expression vector. In one embodiment of the invention, the population of cells is a clonal population comprising engineered cells comprising a recombinant expression vector as described herein.
E. Methods of expression
[00426] Also provided are methods of expressing and/or making the polypeptides of the disclosure, such as the recombinant proteins encoded by the provided nucleic acid molecules. [00427] In some embodiments, one or more nucleic acid molecule(s) encoding the polypeptide/ s) or recombinant protein(s), may be inserted into one or more vectors for cloning and/or expression in a host cell. Eukaryotic cells may be used as cloning or expression hosts for
vectors encoding the polypeptides and recombinant proteins. Exemplary eukaryotic cells that may be used to express polypeptides of the disclosure include, but are not limited to, COS cells, 293 cells, and CHO cells. In some embodiments, a particular eukaryotic host cell is selected based on its ability to make desired post-translational modifications to the polypeptides or recombinant protein(s).
[00428] In some embodiments, a method of making the polypeptides or recombinant protein(s) is provided, wherein the method comprises culturing a host cell comprising a nucleic acid molecule or nucleic acid molecules encoding the polypeptide(s) or recombinant protein(s), under conditions suitable for expression of the polypeptide(s) or recombinant protein(s), and optionally recovering the polypeptide(s) or recombinant protein(s) from the host cell (or host cell culture medium).
F. Pharmaceutical compositions
[00429] Also provided are compositions comprising any of the polynucleotides, vectors, recombinant proteins, or cells of the present disclosure. Provided compositions include recombinant proteins, recombinant vectors and engineered cells. In some embodiments, compositions are administered to humans, human patients or subjects.
[00430] In some embodiments, compositions of the disclosure are pharmaceutical compositions and formulations.
[00431] In some embodiments, a pharmaceutical composition comprises one or more of a polynucleotide (e.g., a nucleic acid molecule), a vector, a recombinant protein, or a cell of the disclosure, and further comprises a pharmaceutically acceptable excipient. The term “excipient” refers to an inert or inactive substance added to a pharmaceutical composition to further facilitate administration of a compound.
[00432] In some embodiments, provided polypeptides, nucleic acids, recombinant expression vectors, and host cells (including populations thereof), can be formulated into a composition, such as a pharmaceutical composition. In this regard, the disclosure provides a pharmaceutical composition comprising any of the polypeptides, nucleic acids, expression vectors, and host cells (including populations thereof), described herein, and a pharmaceutically acceptable carrier. The inventive pharmaceutical compositions can comprise more than one material, e.g., a polypeptide and a nucleic acid, or two or more different materials. Alternatively, the pharmaceutical composition can comprise an inventive material in combination with another pharmaceutically active agent(s) or drug(s), such as chemotherapeutic agent(s).
[00433] In some embodiments, the pharmaceutical composition further comprises a cryoprotectant.
[00434] Pharmaceutical compositions and formulations may be used for administration, such as for adoptive cell therapy.
[00435] Also provided are methods of using and uses of the compositions of the disclosure, such as in the treatment of diseases, conditions, and disorders associated with HPV16. Also provided are therapeutic methods for administering the cells and compositions to subjects, e.g., patients.
[00436] The compositions of the present disclosure may be formulated in any manner suitable for delivery. The formulation may be, but is not limited to, nanoparticles, poly (lactic-co-glycolic acid) (PLGA) microspheres, lipidoids, lipoplex, liposome, polymers, carbohydrates (including simple sugars), cationic lipids and combinations thereof. In one embodiment, the formulation is a nanoparticle which may comprise at least one lipid.
[00437] In some embodiments, pharmaceutical or other formulations may comprise at least one excipient which is an inactive ingredient. As used herein, the term “inactive ingredient” refers to one or more inactive agents included in formulations. In some embodiments, all, none or some of the inactive ingredients which may be used in the formulations of the present disclosure may be approved by the US Food and Drug Administration (FDA).
[00438] A pharmaceutical composition in accordance with the present disclosure may be prepared, packaged, and/or sold in bulk, as a single unit dose, and/or as a plurality of single unit doses. As used herein, a “unit dose” is discrete amount of the pharmaceutical composition comprising a predetermined amount of the active ingredient. The amount of the active ingredient is generally equal to the dosage of the active ingredient which would be administered to a subject and/or a convenient fraction of such a dosage such as, for example, one-half or one-third of such a dosage.
G. Kits
[00439] The present disclosure includes a variety of kits for conveniently and/or effectively carrying out methods of the present disclosure. Typically, kits will comprise sufficient amounts and/or numbers of components to allow a user to perform one or multiple treatments of a subject(s) and/or to perform one or multiple experiments.
[00440] The kit may further comprise packaging and instructions and/or a delivery agent to form a formulation composition. The delivery agent may comprise, for example, saline, a buffered solution.
VII. Dosing, delivery and administration
A. Delivery
[00441] Compositions of the present disclosure (such as pharmaceutical compositions, polynucleotides and polypeptides) may be delivered to a cell or a subject through one or more routes and modalities. Viral vectors may be used for delivery of polynucleotides to a cell and/or a subject. Other delivery modalities may also be used such as mRNAs, plasmids, and delivery as recombinant proteins.
[00442] Compositions of the present disclosure may be delivered to cells, tissues, organs and/or organisms in naked form. As used herein, the term “naked” refers to compositions delivered free from agents or modifications which promote transfection or permeability. Naked compositions may be delivered to the cells, tissues, organs and/or organisms using routes of administration known in the art and described herein. In some embodiments, naked delivery may include formulation in a simple buffer such as saline or PBS.
[00443] In some embodiments, compositions of the present disclosure may be formulated. Formulations may further include, but are not limited to, cell penetration agents, pharmaceutically acceptable carriers, delivery agents, bioerodible or biocompatible polymers, solvents, and/or sustained-release delivery depots. Formulations of the present disclosure may be delivered to cells using routes of administration known in the art and described herein.
[00444] In some embodiments, compositions and vectors may be introduced into cells. [00445] In some embodiments, polypeptides may be delivered to the cell directly.
[00446] In some embodiments, nucleic acid-based compositions of the disclosure may be packaged into viral vectors or integrated into viral genomes allowing transient or stable expression of the polynucleotides. Preferable viral vectors are retroviral vectors including lentiviral vectors. In order to construct a retroviral vector, a polynucleotide is inserted into the viral genome in the place of certain viral sequences to produce a virus that is replicationdefective. The recombinant viral vector is then introduced into a packaging cell line containing the gag, pol, and env genes, but without the LTR and packaging components. The recombinant retroviral particles are secreted into the culture media, then collected, optionally concentrated, and used for gene transfer. Lentiviral vectors are especially preferred as they are capable of infecting both dividing and non-dividing cells.
[00447] Vectors may also be transferred to cells by non-viral methods by physical methods such as needles, electroporation, sonoporation, hyrdoporation; chemical carriers such as inorganic particles (e.g. calcium phosphate, silica, gold) and/or chemical methods. In some embodiments, synthetic or natural biodegradable agents may be used for delivery such as cationic lipids, lipid nano emulsions, nanoparticles, peptide -based vectors, or polymer-based vectors.
[00448] Vectors of the present disclosure may also be used to deliver packaged polynucleotides to a cell, a local tissue site or a subject. These vectors may be of any kind, including DNA vectors, RNA vectors, plasmids, viral vectors and particles. Viral vector technology is well known and described in Sambrook et al. (2001, Molecular Cloning: A Laboratory Manual, Cold Spring Harbor Laboratory, New York). Viruses, which are useful as vectors include, but are not limited to lentiviral vectors, adenoviral vectors, adeno-associated viral (AAV) vectors, herpes simplex viral vectors, retroviral vectors, oncolytic viruses, and the like.
[00449] In general, vectors contain an origin of replication functional in at least one organism, a promoter sequence and convenient restriction endonuclease site, and one or more selectable markers e.g. a drug resistance gene.
[00450] In some embodiments, the recombinant expression vector may comprise regulatory sequences, such as transcription and translation initiation and termination codons, which are specific to the type of host cell into which the vector is to be introduced.
[00451] In some embodiments, lentiviral vehicles/particles may be used as delivery modalities. Lentiviruses are a subgroup of the Retroviridae family of viruses, named because reverse transcription of viral RNA genomes to DNA is required before integration into the host genome. As such, the most important features of lentiviral vehicles/particles are the integration of their genetic material into the genome of a target/host cell. Some examples of lentivirus include the Human Immunodeficiency Viruses: HIV-1 and HIV-2, the Simian Immunodeficiency Virus (SIV), feline immunodeficiency virus (FIV), bovine immunodeficiency virus (BIV), Jembrana Disease Virus (JDV), equine infectious anemia virus (EIAV), equine infectious anemia virus, visna-maedi and caprine arthritis encephalitis virus (CAEV).
[00452] Typically, lentiviral particles making up the gene delivery vehicle are replication defective on their own (also referred to as “self-inactivating”). Lentiviruses are able to infect both dividing and non-dividing cells. Recombinant lentiviral vehicles/particles have been generated by multiply attenuating the HIV virulence genes, for example, the genes Env, Vif, Vpr, Vpu, Nef and Tat are deleted making the vector biologically safe. Correspondingly, lentiviral vehicles, for example, derived from HIV-l/HIV-2 can mediate the efficient delivery, integration and longterm expression of transgenes into non-dividing cells.
[00453] Lentiviral particles may be generated by co-expressing the virus packaging elements and the vector genome itself in a producer cell such as human HEK293T cells. These elements are usually provided in three or four separate plasmids. The producer cells are co-transfected with plasmids that encode lentiviral components including the core (i.e. structural proteins) and enzymatic components of the virus, and the envelope protein(s) (referred to as the packaging
systems), and a plasmid that encodes the genome including a foreign transgene, to be transferred to the target cell, the vehicle itself (also referred to as the transfer vector). In general, the plasmids or vectors are included in a producer cell line. The plasmids/vectors are introduced via transfection, transduction or infection into the producer cell line. Methods for transfection, transduction or infection are well known by those of skill in the art. As non-limiting example, the packaging and transfer constructs can be introduced into producer cell lines by calcium phosphate transfection, lipofection or electroporation, generally together with a dominant selectable marker, such as neo, DHFR, Gin synthetase or ADA, followed by selection in the presence of the appropriate drug and isolation of clones. The producer cell produces recombinant viral particles. The recombinant viral particles are recovered from the culture media and titrated by standard methods used by those of skill in the art. The recombinant lentiviral vehicles can be used to infect target cells.
[00454] Cells that can be used to produce high-titer lentiviral particles may include, but are not limited to, HEK293T cells, 293G cells, STAR cells (Relander et al., Mol. Then, 2005, 11: 452- 459), FreeStyle™ 293 Expression System (ThermoFisher, Waltham, MA), and other HEK293T- based producer cell lines (e.g., Stewart et al., Hum Gene Then 'll)} } , 22(3):357-369; Lee et al., Biotechnol Bioeng, 2012, 10996): 1551-1560; Throm et al., Blood. 2009, 113(21): 5104-5110; the contents of each of which are incorporated herein by reference in their entirety).
[00455] In some aspects, the envelope proteins may be heterologous envelope proteins from other viruses, such as the G protein of vesicular stomatitis virus (VSV G) or baculoviral gp64 envelop proteins. Other elements provided in lentiviral particles may comprise retroviral LTR (long-terminal repeat) at either 5’ or 3’ terminus, a retroviral export element, optionally a lentiviral reverse response element (RRE), a promoter or active portion thereof, and a locus control region (LCR) or active portion thereof. The CA2 effector module is linked to the vector. [00456] Lentiviral vectors can be used for introducing transgenes into T cells (e.g., primary human T cells or Jurkat cells) for preclinical research and clinical applications. While not wishing to be bound by theory, T cell engineering usually involves T cell activation by CD3/CD28 antibodies, followed by lentivirus transduction, and then cell expansion which can last from 5 to 30 days (e.g., 9 to 14 days or 9 to 15 days). In general, lentivirus transgene integration may take over 7 days to fully stabilize in T cells (e.g., primary human T cells or Jurkat cells). While longer cultures can increase the cell numbers, the longer cultures can also change the T cell phenotype to a more differentiated state. Therefore, the duration of ex vivo culture can impact the persistence and efficacy of transduced T cells. For example, cells cultured
for shorter duration may display a less differentiated phenotype and can be highly efficacious in preclinical models.
[00457] In some embodiments, the CD3/CD28 activated primary human T cells can be reactivated. The cells may be analyzed by methods described herein and/or known in the art for viability, viral genomic integration (e.g., by using quantitative PCR), transcript levels (e.g., by using quantitative RT-PCR), cell surface expression of a transgene, copy number, and/or mRNA levels.
[00458] In some embodiments, delivery of compositions of the present disclosure may be achieved using recombinant adeno-associated viral (rAAV) vectors. Such vectors or viral particles may be designed to utilize any of the known serotype capsids or combinations of serotype capsids.
[00459] AAV vectors include not only single stranded vectors but self-complementary AAV vectors (scAAVs). scAAV vectors contain DNA which anneals together to form double stranded vector genome. By skipping second strand synthesis, scAAVs allow for rapid expression in the cell.
[00460] The rAAV vectors may be manufactured by standard methods in the art such as by triple transfection, in sf9 insect cells or in suspension cell cultures of human cells such as HEK293 cells.
[00461] The polypeptides of the disclosure may be encoded in one or more viral genomes to be packaged in the AAV capsids taught herein. Such vector or viral genomes may also include, in addition to at least one or two ITRs (inverted terminal repeats), certain regulatory elements necessary for expression from the vector or viral genome. Such regulatory elements are well known in the art and include for example promoters, introns, spacers, stuffer sequences, and the like.
[00462] In some embodiments, the polypeptides of the disclosure may be administered in one or more AAV particles.
[00463] In some embodiments, retroviral vehicles/particles may be used to deliver the polypeptides of the present disclosure. Retroviral vectors (RVs) allow the permanent integration of a transgene in target cells. In addition to lentiviral vectors based on complex HIV-1/2, retroviral vectors based on simple gamma-retroviruses have been widely used to deliver therapeutic genes and demonstrated clinically as one of the most efficient and powerful gene delivery systems capable of transducing a broad range of cell types. Example species of Gamma retroviruses include the murine leukemia viruses (MLVs) and the feline leukemia viruses
(FeLV). In some embodiments, gamma-retroviral vectors derived from a mammalian gammaretrovirus such as murine leukemia viruses (MLVs), are recombinant.
[00464] Gamma-retroviral vectors may be produced in packaging cells by co-transfecting the cells with several plasmids including one encoding the retroviral structural and enzymatic (gag- pol) polyprotein, one encoding the envelope (env) protein, and one encoding the vector mRNA comprising polynucleotide encoding the compositions of the present disclosure that is to be packaged in newly formed viral particles.
[00465] In some aspects, the recombinant gamma-retroviral vectors are pseudotyped with envelope proteins from other viruses. Envelope glycoproteins are incorporated in the outer lipid layer of the viral particles which can increase/alter the cell tropism.
[00466] In some embodiments, the recombinant gamma-retroviral vectors are self-inactivating (SIN) gammaretroviral vectors. The vectors are replication incompetent. SIN vectors may harbor a deletion within the 3’ U3 region initially comprising enhancer/promoter activity. Furthermore, the 5’ U3 region may be replaced with strong promoters (needed in the packaging cell line) derived from Cytomegalovirus or RSV, or an internal promotor of choice, and/or an enhancer element. The choice of the internal promotors may be made according to specific requirements of gene expression needed for a particular purpose of the present disclosure.
[00467] In some embodiments, polynucleotides of present disclosure may be packaged into oncolytic viruses. As used herein, the term “oncolytic virus” refers to a virus that preferentially infects and kills cancer cells such as vaccine viruses. An oncolytic virus can occur naturally or can be a genetically modified virus such as oncolytic adenovirus, and oncolytic herpes virus.
B. Dosing
[00468] The present disclosure provides methods comprising administering any one or more compositions of the disclosure (e.g., polypeptides such as recombinant proteins) to a subject in need thereof. These may be administered to a subject using any amount and any route of administration effective for preventing or treating or managing a disease, disorder, and/or condition (e.g., a disease, disorder, and/or condition relating to cancer or an autoimmune disease). The exact amount required will vary from subject to subject, depending on the species, age, and general condition of the subject, the severity of the disease, the particular composition, its mode of administration, its mode of activity, and the like.
[00469] Compositions in accordance with the present disclosure are typically formulated in dosage unit form for ease of administration and uniformity of dosage. It will be understood, however, that the total daily usage of the compositions of the present disclosure may be decided by the attending physician within the scope of sound medical judgment. The specific
therapeutically effective, prophylactically effective, or appropriate imaging dose level for any particular patient will depend upon a variety of factors including the disorder being treated and the severity of the disorder; the activity of the specific compound employed; the specific composition employed; the age, body weight, general health, sex and diet of the patient; the time of administration, route of administration, and rate of excretion of the specific compound employed; the duration of the treatment; drugs used in combination or coincidental with the specific compound employed; and like factors well known in the medical arts.
[00470] Also provided herein are methods of administering ligands in accordance with the disclosure to a subject in need thereof. The ligand may be administered to a subject or to cells, using any amount and any route of administration effective for modulating CA2-CD40L proteins of the disclosure. The exact amount required will vary from subject to subject, depending on the species, age, and general condition of the subject, the severity of the disease, the particular composition, its mode of administration, its mode of activity, and the like. The subject may be a human, a mammal, or an animal. Compositions in accordance with the invention are typically formulated in unit dosage form for ease of administration and uniformity of dosage. It will be understood, however, that the total daily usage of the compositions of the present invention may be decided by the attending physician within the scope of sound medical judgment.
[00471] The present disclosure also provides methods for delivering to a cell or tissue any of the ligands described herein, comprising contacting the cell or tissue with said ligand and can be accomplished in vitro, ex vivo, or in vivo.
[00472] The desired dosage of the ligands of the present invention may be delivered only once, three times a day, two times a day, once a day, every other day, every third day, every week, every two weeks, every three weeks, or every four weeks. In certain embodiments, the desired dosage may be delivered using multiple administrations (e.g., two, three, four, five, six, seven, eight, nine, ten, eleven, twelve, thirteen, fourteen, or more administrations).
[00473] In some embodiments, the ligand to be administered is acetazolamide (ACZ). In some embodiments, the ligand dose for a subject is within the range of approved ACZ doses in humans. In some embodiments, the dose for a subject corresponds to the ACZ dose approved for the treatment of glaucoma, epilepsy, and abnormal retention of fluids. In some embodiments, the ACZ dose for a subject is approximately 250 to 1000 mg total per day. In some embodiments, the dose for a subject is approximately 500 mg/day.
[00474] In some embodiments, ACZ is provided as an oral dose.
[00475] In some embodiments, continued ACZ dosing is administered.
C. Administration
[00476] In some embodiments, the compositions for immunotherapy may be administered to cells ex vivo and subsequently administered to the subject. Immune cells can be isolated and expanded ex vivo using a variety of methods known in the art.
[00477] In some embodiments, depending upon the nature of the cells, the cells may be introduced into a host organism e.g. a mammal, in a wide variety of ways including by injection, transfusion, infusion, local instillation or implantation. In some aspects, the cells described herein may be introduced at the site of the tumor. The number of cells that are employed will depend upon a number of circumstances, the purpose for the introduction, the lifetime of the cells, the protocol to be used, for example, the number of administrations, the ability of the cells to multiply, or the like. The cells may be in a physiologically-acceptable medium.
[00478] In some embodiments, the cells described herein may be administrated in multiple doses to subjects having a disease or condition. The administrations generally effect an improvement in one or more symptoms of cancer or a clinical condition and/or treat or prevent cancer or clinical condition or symptom thereof.
[00479] In some embodiments, the compositions for immunotherapy may be administered in vivo.
[00480] In some embodiments, compositions of the present disclosure (such as pharmaceutical compositions) may be administered parenterally. Liquid dosage forms for oral and parenteral administration include, but are not limited to, pharmaceutically acceptable emulsions, microemulsions, solutions, suspensions, syrups, and/or elixirs. In addition to active ingredients, liquid dosage forms may comprise inert diluents commonly used in the art such as, for example, water or other solvents, solubilizing agents and emulsifiers such as ethyl alcohol, isopropyl alcohol, ethyl carbonate, ethyl acetate, benzyl alcohol, benzyl benzoate, propylene glycol, 1,3- butylene glycol, dimethylformamide, oils (in particular, cottonseed, groundnut, corn, germ, olive, castor, and sesame oils), glycerol, tetrahydrofurfuryl alcohol, polyethylene glycols and fatty acid esters of sorbitan, and mixtures thereof. Besides inert diluents, oral compositions can include adjuvants such as wetting agents, emulsifying and suspending agents, sweetening, flavoring, and/or perfuming agents. In certain embodiments for parenteral administration, compositions are mixed with solubilizing agents such as CREMOPHOR®, alcohols, oils, modified oils, glycols, polysorbates, cyclodextrins, polymers, and/or combinations thereof. In other embodiments, surfactants are included such as hydroxypropylcellulose.
[00481] Injectable preparations, for example, sterile injectable aqueous or oleaginous suspensions may be formulated according to the known art using suitable dispersing agents, wetting agents, and/or suspending agents. Sterile injectable preparations may be sterile injectable
solutions, suspensions, and/or emulsions in nontoxic parenterally acceptable diluents and/or solvents, for example, as a solution in 1,3-butanediol. Among the acceptable vehicles and solvents that may be employed are water, Ringer's solution, U.S.P., and isotonic sodium chloride solution. Sterile, fixed oils are conventionally employed as a solvent or suspending medium. For this purpose, any bland fixed oil can be employed including synthetic mono-or diglycerides. Fatty acids such as oleic acid can be used in the preparation of injectables.
[00482] Injectable formulations may be sterilized, for example, by filtration through a bacterial -retaining filter, and/or by incorporating sterilizing agents in the form of sterile solid compositions which can be dissolved or dispersed in sterile water or other sterile injectable medium prior to use.
VIII. Applications
[00483] Compositions of the disclosure may be utilized in a large variety of applications including, but not limited to, therapeutics, such as adoptive cell therapy and cancer immunotherapy.
[00484] Cancer immunotherapy aims at the induction or restoration of the reactivity of the immune system towards cancer. The present disclosure provides compositions and methods for cancer immunotherapy. These compositions provide tunable regulation of gene expression and function in immunotherapy. The tunable nature of the systems and compositions described herein has the potential to improve the potency and duration of the efficacy of immunotherapies.
[00485] In some embodiments, cells which are genetically modified to express recombinant proteins of the disclosure (e.g., TCRs or functional variants thereof and CA2-CD40L proteins) may be used for adoptive cell therapy (ACT). As used herein, “adoptive cell therapy” refers to the administration of immune cells (from autologous, allogenic or genetically modified hosts) with direct anticancer activity.
[00486] In some embodiments, immune cells for ACT may be T cells such as CD8+ T cells and CD4+ T cells. In some embodiments, cells used for ACT may be T cells engineered to express recombinant proteins of the present disclosure (e.g., TCRs or functional variants thereof and CA2-CD40L proteins). In some embodiments, recombinant proteins expressed by the engineered T cells induce an anti-cancer immune response in a cell or in a subject.
[00487] In some embodiments, adoptive cell therapy is carried out by autologous transfer, wherein the cells are derived from a subject in need of a treatment and the cells, following isolation and processing are administered to the same subject. In other instances, ACT may involve allogenic transfer wherein the cells are isolated and/or prepared from a donor subject
other than the recipient subject who ultimately receives cell therapy. The donor and recipient subject may be genetically identical, or similar or may express the same HLA class or subtype. [00488] Following genetic modulation using nucleic acid-based compositions of the disclosure, cells are administered to the subject in need thereof. Methods for administration of cells for adoptive cell therapy are known and may be used in connection with the provided methods and compositions. For example, adoptive T cell therapy methods are described, e.g., in US Patent Application Publication No. 2003/0170238 to Gruenberg et al; US Patent No. 4,690,915 to Rosenberg; Rosenberg (2011) Nat Rev Clin Oncol. 8(10):577-85). See, e.g., Themeli et al. (2013) Nat Biotechnol. 31(10): 928-933; Tsukahara et al. (2013) Biochem Biophys Res Commun 438(1): 84-9; Davila et al. (2013) PLoS ONE 8(4): e61338; the contents of each of which are incorporated herein by reference in their entirety.
Implementation of tandem TCR-CA2 DRD-CD40L constructs
[00489] The present disclosure addresses the need for improved approaches to ACT for the treatment of tumors by providing, in part, compositions and methods for controlled activation of the CD40 pathway using engineered human T cells expressing CD40 ligand (CD40L, CD 154), a native pathway agonist. Additionally, the present disclosure provides tumor-targeted T cells that enable tunable control of CD40 pathway activation.
[00490] In accordance with the present disclosure, tandem TCR-CA2 DRD-CD40L constructs, such as the HPV16E7-CD40L-038 construct, can be applied to the development of improved adoptive cell therapeutics with enhanced efficacy and favorable safety profiles. In some embodiments, the HPV16E7-CD40L-038 construct may be implemented for therapeutic applications, including the treatment of HPV-associated cancers.
[00491] Adoptive cell therapy (ACT) with chimeric antigen receptor modified T cells (CAR-T) has demonstrated remarkable clinical efficacy in the treatment of certain B cell malignancies and, more recently, in multiple myeloma. However, other engineered T cell therapies, using CAR or engineered T cell receptor (TCR), have been less successful in treating solid tumors due to several barriers including the lack of robust T cell expansion, immune suppression from the tumor microenvironment, and tumor escape due to the loss of targeted antigen.
[00492] The combination of the T regulatory cells, myeloid derived suppressor cells (MDSCs) and the extensive stromal networks within the tumor microenvironment (TME) can dampen the antitumor immune response by preventing T-cell infiltration and/or activation by current immunotherapies (see Ma et al. A CD40 agonist and PD-1 antagonist antibody reprogram the microenvironment of non-immuno genic tumors to allow T cell-mediated anticancer activity. Cancer Immunol Res Jan. 14, 2019; doi: 10.1158/2326-606. CIR-18-0061; the contents of which
are herein incorporated by reference in their entireties). Current CAR T therapies are not effective as the therapeutics have immunosuppression, tumor antigen escape, insufficient CAR T expansion and healthy tissue toxicity.
[00493] The present disclosure addresses current challenges with ACT. Activation of the cluster of differentiation 40 (CD40) pathway may overcome barriers to ACT-driven anti-tumor response by stimulating the endogenous immune system through enhanced antigen presentation, promoting the induction of epitope spreading, and stimulating the production of pro- inflammatory cytokines.
[00494] Activation of the CD40L/CD40 signaling axis in dendritic cells (DCs) results in DC licensing, which accelerates the presentation of peptide epitopes bound to major histocompatibility complex Class I (MHC-I) and the induction of an adaptive immune response to tumor- specific antigens. In addition, activation of the CD40L/CD40 pathway induces the secretion of cytokines by DCs, including interleukin (IL) 12; induces the expression of costimulatory molecules on the surface of DCs, which further activates antigen- specific T cells; and facilitates cross-presentation of antigens (Richards et al. 2020). These effects of pathway activation may potentially increase anti-tumor immune responses.
[00495] As shown by the present disclosure, HPV16E7 TCR-expressing T cells can be armed with pharmacologically controlled CD40L. This engineering of T cells may enhance their ability to augment an anti-tumor immune response against HPV+ carcinomas.
[00496] Provided herein are compositions and methods that may be applied in adoptive cell therapy (ACT) for the treatment of HPV-associated cancers. These compositions include engineered cells that express HPV16E7 TCRs and CA2 DRD-regulated CD40L. In some embodiments, the engineered cells have been transduced with a tandem TCR-CA2 DRD-CD40L construct, such as the HPV16E7-CD40L-038 construct.
[00497] In some embodiments, ON-state expression of CD40L in response to ligand exposure, such as acetazolamid (ACZ), is enhanced by T cell activation. In HPV16+ tumors, T cell activation via the HPV16E7 TCR would be achieved biologically when T cells encounter tumor cells. The absence of high CD40L expression in the presence of ACZ but absence of TCR stimulation provides an additional safety feature of the provided therapeutic applications to avoid unrestrained immune activation outside of the tumor.
[00498] In some embodiments, a CD40L payload regulated according to the present disclosure may be utilized for the therapy of solid, immunogenic tumors. CD40L may improve the efficacy of solid tumor targeted T cells in immunogenic tumors by activating adaptive and innate immune
responses in situ. Regulatable CD40L pay loads described herein may be desirable since the expression of the endogenous CD40L in T cells is transient.
[00499] In some embodiments, the present disclosure provides ACT that is carried out by autologous transfer, wherein cells for ACT are transduced with a tandem TCR-CA2 DRD- CD40L construct. To generate an autologous TCR-T cell product, peripheral blood T cells need to be isolated from patients (e.g., by leukapheresis), virally transduced, and expanded in vitro until sufficient numbers of cells are collected. At the end of the manufacturing process, cells are cryopreserved before they are infused back into patients. In some embodiments, ON-state regulation of the tandem TCR-CA2 DRD-CD40L construct (e.g., the HPV16E7-CD40L-038 construct) is maintained after cryopreservation. Maintained function and regulation of engineered T cells after cry opreservation suggests a viable manufacturing path for the HPV16E7-CD40L- 038 construct in therapeutic applications, such as ACT.
IX. Partial Sequence Listing
Table 4 provides a partial sequence listing.
EXAMPLES
Example 1: Identification of CA2 DRD variants for regulating CD40L expression and function in T cells
[00500] The present example demonstrates selection of CA2 DRD variants for liganddependent regulation of CD40L expression and function in T cells. The example demonstrates a correlation between ACZ concentration and CD40L expression and function in T cells transduced with CA2 DRD variants operably linked to a CD40L payload. As shown herein, CA2 DRD variants were identified with favorable dynamic range in response to ACZ when expressed in T cells.
[00501] FIG. 1A provides schematic representations of constructs examined in Example 1. Amino acid sequences of these constructs are provided in Table 5.
in Table 5 indicates the translation of a stop codon. These constructs were packaged into lentiviral vectors using standard molecular biology techniques. Additional details on lentiviral vector production are provided below. Nucleic acid sequences of the corresponding viral vectors are provided in Table 10.
Acetazolamide formulation for in vitro experiments
[00502] ACZ (Selleckchem, Cat #54506) was suspended in dimethylsulfoxide (DMSO) to a stock concentration of 100 mM and stored in aliquots at -80°C.
Human T cell purification
[00503] Leukopaks from healthy donors were obtained from StemCell Technologies. After washing, centrifugation and platelet removal, EasySep Human T Cell Isolation Kits (StemCell Technologies) were then used to isolate T cells from the pelleted leukopak cells according to the manufacturer’s protocol. Purified T cells were resuspended in either Bambanker Freezing Medium (Wako Chemicals) or 10% dimethylsulfoxide (DMSO) in fetal bovine serum (FBS), aliquoted and stored in liquid nitrogen.
Lentiviral vector production
[00504] HEK293T cells were seeded on collagen-coated tissue culture plates until 70% confluent. Cells were transfected with pEENS transfer vector carrying the CA2 DRD-CD40L constructs of interest, as well as packaging plasmids (pRSV.REV, pMDLg/p.RRE and pMD2.G) using Lipofectamine 3000 transfection reagent in Opti-MEM media. Media was replaced 6-8 hrs post-transfection with serum-free media. Supernatants containing virus were harvested 24 hr post-transfection, fresh media was added, and supernatants were harvested again at 48 hr posttransfection. Viral supernatants were filtered to remove debris and concentrated by
ultracentrifugation in 20% sucrose gradient. Virus were resuspended, aliquoted and stored at - 80°C.
Lentiviral vector transduction, T cell expansion and ACZ treatment
[00505] Cryopreserved human T cells were thawed at 37°C and washed with pre-warmed T cell medium (RPMI 1640, 10% FBS, MEM non-essential amino acids, 2 mM L- glutamine, 2 mM HEPES buffer, sodium pyruvate, 100 U/mL penicillin, 100 pg/mL streptomycin and 2- mercaptoethanol). T cells were resuspended at a concentration of 1 x 106 cell/mL, plated at 0.5 mL/well in a 24-well tissue culture plate, then stimulated overnight with CD3/CD28 Dynabeads (Thermo Fisher, Cat #1114 ID) at a 3:1 bead:cell ratio. The next day, lentivirus was thawed and added to the T cell cultures at multiplicity of infection (MOI) values within the range of 3 to 50. Cells were expanded over the next 4 to 5 days in T cell medium with addition of 10 ng/mL interleukin 2 (R&D systems).
[00506] For analyses of CD40L expression, cells at day 8 of expansion culture were incubated with ACZ for 24 hours before CD40L expression was quantified by flow cytometry.
[00507] For analyses of DC activation, previously cryopreserved transduced T cells were thawed and co-cultured with autologous monocyte-derived DCs at a ratio of 10:1 T cells:DC for 48 hours in the presence of ACZ. Anti-CD3 antibody (0.1 pg/ml) was used to stimulate the T cells. At the end of the co-culture, IL12p70 was measured from the culture medium.
Flow cytometry
[00508] T cells were stained with antibodies in Cell Staining Buffer (Bio Legend, Cat #420201) and fixed with CytoFix Buffer (BD Biosciences, Cat #554655). T cell surface marker expression (CD4, CD8, CD40L) was then assessed on viable CD3+ cells by flow cytometry.
Monocyte-derived dendritic cell differentiation
[00509] Peripheral blood mononuclear cells (PBMCs) were isolated from healthy donor leukopaks (StemCell Technologies) at room temperature. After washing and centrifugation on a Ficoll-Paque+ cushion, PBMCs were collected. Monocytes were isolated using Easy Sep Human CD14 Positive Selection Kit II (StemCell Technologies, Cat #17858). Monocytes were expanded for 6 days in T cell media supplemented with 100 ng/mL of granulocyte-macrophage colonystimulating factor (BioLegend, Cat #572903) and 50 ng/mL IL4 (BioLegend, Cat #574004).
Cells were dissociated, centrifuged and resuspended in 10% DMSO in FBS for storage in liquid nitrogen.
[00510] Flow cytometry was performed on the monocyte-derived DC to ascertain their phenotype and activation status. The optimal phenotypic profile of CD14 CDl lc+ monocyte-
derived DCs at the end of differentiation consisted of an intermediate maturation profile (CD831ow, CD861ow, HLA-DRlow, CD40+, HLA-ABC+, interferon gamma [fFNy]R+). Results for Example 1 :
[00511] T cells transduced with CA2-CD40L constructs were analyzed for CD40L expression and dendritic cell (DC) activation in concentration-response experiments. As shown in FIG. IB, the expression of CD40L in both CD4+ and CD8+ T cells transduced with the indicated CA2 DRD-CD40L constructs was responsive to varying concentrations of ACZ in a concentrationdependent manner while the control wild-type CA2 (CA2(WT)) construct (CD40L-086) was unresponsive to changes in ACZ concentration. Similarly, there was also an ACZ concentrationdependent secretion of IL12p70, a readout of DC activation, when the T cells were co-cultured with DC, as shown in FIG. 1C.
[00512] The CA2 DRD variant CA2(S56N) from this example was selected for further analyses based on its favorable dynamic range in response to ACZ.
Example 2: In vitro CD40L expression in T cells transduced with tandem TCR-CA2 DRD- CD40L constructs
[00513] A tandem construct was designed comprising nucleic acid sequences encoding an HPV16E7 TCR and a CA2(S56N)-CD40L, referred to in the present disclosure as the “HPV16E7-CD40L-038 construct”. A schematic of the tandem construct is depicted in FIG. 2. [00514] The present example demonstrates in vitro ACZ-dependent regulation of CD40L expression in human T cells transduced with the tandem HPV16E7-CD40L-038 construct.
[00515] Additional constructs including control constructs were also designed. The HPV16E7- CD40L-038 construct and control constructs are shown schematically in FIG. 3A. Table 6 provides the list of constructs used in the present example.
in Table 6 indicates the translation of a stop codon. These constructs were packaged into lentiviral vectors using standard molecular biology techniques and according to methods described above in Example 1. An empty vector control was also tested. Nucleic acid sequences of the corresponding viral vectors are provided in Table 10.
[00516] The acetazolamide formulation and lentiviral vector production were the same as provided in Example 1.
Human T cell purification
[00517] Leukopaks from human leukocyte antigen (HLA)-A*02:01 healthy donors were obtained from StemCell Technologies. Procedures for human T cell purification and cryopreservation were subsequently followed as described above in Example 1.
Lentiviral vector transduction and ACZ treatment
Cryopreserved human T cells were thawed at 37°C and washed with pre-warmed T cell medium. T cells were resuspended, plated in tissue culture plates, then stimulated overnight at 37°C and 5% CO2 with Human T Cell Expander CD3/CD28 Dynabeads (Thermo Fisher, Cat #1114 ID) at a 3: 1 bead:cell ratio. The next day, concentrated lentiviral vector was thawed on ice and added to the T cell cultures at multiplicity of infection (MOI) values within the range of 3 to 50. T cells were expanded for 5 days after transduction. On day 5 after transduction, T cells were incubated with 50 pM ACZ or vehicle control for 24 hours before CD40L surface expression was analyzed by flow cytometry.
Flow cytometry
[00518] T cells were stained with antibodies in Cell Staining Buffer (Bio Legend, Cat #420201) and fixed with CytoFix Buffer (BD Biosciences, Cat #554655). T cell surface marker expression (TCRp, CD4, CD8, CD40L) was assessed on viable CD3+ cells by flow cytometry as described in Example 1. The TCRP antibody used did not bind to endogenous (human) TCRP; it only bound to the HPV16E7 TCR (because the antibody bound to a mouse sequence of the HPV16E7 TCR).
Results for Example 2:
[00519] Activated human peripheral blood T cells were transduced with the HPV16E7- CD40L-038 construct or control constructs. Transduced T cells were then exposed to ACZ or DMSO and CD40L expression levels were determined.
[00520] FIG. 3B summarizes average CD40L expression on T cells from 3 donors. Cells transduced with the HPV16E7-CD40L-038 construct and incubated with DMSO vehicle expressed low levels of CD40L. In contrast, CD40L expression in these transduced cells was induced when the cells were exposed to ACZ to a level comparable to constitutive CD40L- expressing control constructs (HPV16E7-CD40L-039 and HPV16E7-CD40L-040). ACZ- regulated CD40L expression with the HPV16E7-CD40L-038 construct was observed in T cells from all 3 donors assayed. In contrast, none of the controls demonstrated any change in expression of CD40L by ACZ alone.
[00521] These results demonstrate that in transduced T cells the HPV16E7-CD40L-038 construct encodes a CD40L payload that is regulated by the presence of ACZ. In the absence of ACZ, CD40L expression did not exceed endogenous CD40L expression compared to that of HPV16E7 TCR-only transduced controls. This regulation was observed among T cells from 3 donors and within CD3+, CD4+, and CD8+ T cell populations.
Example 3: Durability of regulated CD40L expression at the end of the ex vivo cell process and after cell freezing/thawing
[00522] In adoptive cell therapy, patient-derived T cells are engineered and, in some cases, expanded to achieve sufficient cell numbers. To ensure that regulation of CD40L encoded by a tandem TCR-CA2 DRD-CD40L construct is not affected by this cell product manufacturing process, CD40L expression was assessed both at the end of the in vitro expansion phase and after cryopreservation. The present example demonstrates ACZ-regulated CD40L expression in T cells after in vitro cell expansion and cell freezing and thawing.
[00523] The acetazolamide formulation, lentiviral vector production, human T cell purification, and flow cytometry analyses were substantially the same as provided above in Examples 1 and 2. Lentiviral vector transduction, T cell expansion and T cell cryopreservation
[00524] The materials and methods for lentiviral vector transduction were the same as provided above in Example 2, except that treatment with acetazolamide or vehicle control was added after cell expansion or after cell expansion and post-cryopreservation as described herein.
[00525] On day 4 or 5 after transduction, T cells were further expanded in T cell media with the addition of 10 ng/mL interleukin 2 (IL2) (R&D Systems).
[00526] For analyses of CD40L regulation after in vitro cell expansion (FIG. 4A-FIG. 4B), T cells were pulsed for 30 minutes with phorbol 12-myristate 13-acetate (PMA)/ionomycin at the end of the expansion phase (day 15). Following activation, cells were incubated with 50 pM ACZ or vehicle for 24 hours. Cell surface CD40L expression was measured by flow cytometry. [00527] For analyses of CD40E regulation after expansion and cryopreservation (FIG. 5A- FIG. 5B), T cells after 10 to 14 days of expansion, were pelleted and resuspended in either Bambanker Freezing Medium (Wako Chemicals), CryoStorlO (StemCell Technologies), or 10% DMSO in FBS, at a concentration of 10 to 50 x 106 cell/mE, slowly frozen in Coming CoolCells at -80°C, and stored in the vapor phase of a liquid nitrogen cryofreezer. T cells were thawed and activated by 30 min pulse with PMA/ionomycin. Following the activation, cells were incubated with 50 pM ACZ or vehicle for 24 or 48 hours. Cell surface CD40E expression was measured by flow cytometry.
T cell re- stimulation and CD40L regulation
[00528] T cells were plated and activated with a cell stimulation cocktail (Invitrogen, Cat #00-4970-03) containing PMA/ionomycin, for 30 minutes at 37°C. T cells were then washed twice and resuspended in T cell medium. ACZ or a DMSO control was added to achieve a final concentration of 50 pM ACZ and 0.05% DMSO. Cells were then incubated for 24 hours at 37°C. Results for Example 3:
[00529] Previous analyses indicated that the activation state of T cells decreased over time in culture and that consequently CD40E expression of constitutive constructs as well as ACZ
regulation of the HPV16E7-CD40L-038 construct concomitantly decreased (data not shown). It was therefore determined that the activation state of T cells impacts CD40L expression. Without wishing to be bound by theory, it is expected that T cells will be activated when encountering tumor antigen within tumor tissue and therefore regulated expression of CD40L is expected to increase when the T cells are thus activated. For purposes of the present in vitro experiments, mechanisms to activate T cells were employed that are considered to mimic the activation of T cells in physiological conditions.
[00530] In order to simulate T cell activation in the context of an in vitro assay, T cells were pulsed for 30 minutes with PMA/ionomycin at the end of the expansion phase (day 15) before CD40L regulation was assessed. CD40L expression increased after T cell activation in ACZ- treated cells transduced with the HPV16E7-CD40L-038 construct (HPV16E7-CD40L-038), as well as in T cells transduced with the constitutively expressing CD40L construct (HPV16E7- CD40L-039) (data not shown). In contrast, PMA/ionomycin had little effect on cells transduced with the HPV16E7-CD40L-038 construct in the absence of ACZ but enhanced the dynamic range of ACZ-mediated regulation (data not shown). Similar increased CD40L regulation was observed with alternate means of T cell activation, including anti-CD3/CD28 antibody treatment, co-culture with E7 peptide-loaded dendritic cells, or co-culture with HPV16E7+ SCC152 tumor cells (data not shown).
[00531] FIG. 4A-FIG. 4B summarize results from 3 donors assessed for regulation of CD40L expression at the end of the in vitro expansion phase and after stimulation with PMA/ionomycin as described above. Levels of ACZ-regulated CD40L in cells transduced with the HPV16E7- CD40L-038 construct were comparable to constitutively expressed CD40L levels. These results demonstrate that regulation of CD40L expression in T cells transduced with the HPV16E7- CD40L-038 construct is maintained at the end of the in vitro expansion phase and in the presence of a T cell activation stimulus.
[00532] To ensure that regulation was maintained following a freeze-thaw cycle, T cells from 3 donors were transduced, expanded, formulated with a cryoprotectant (Bambanker Freezing Medium (Wako Chemicals), CryoStorlO (StemCell Technologies), or 10% DMSO in FBS, as described above) and cryopreserved in the vapor phase of liquid nitrogen. T cells were then thawed, pulsed with PMA/ionomycin, and incubated with ACZ or DMSO. FIG. 5A-FIG. 5B demonstrate that ACZ-induced CD40L expression following a freeze-thaw cycle was similar to expression of the constitutive control construct. These results demonstrate that regulation of CD40L expression in T cells transduced with the HPV16E7-CD40L-038 construct is maintained
at the end of the in vitro expansion phase and post-cryopreservation in the presence of a T cell activation stimulus.
[00533] To better understand the ACZ concentration dependency of CA2-CD40L, a concentration-response experiment was conducted. Cryopreserved T cells previously transduced with the HPV16E7-CD40L-038 construct were thawed and activated by a 30 min PMA/ionomycin pulse, followed by 24-hour exposure to a range of ACZ concentrations. CD40L expression was measured by flow cytometry. FIG. 6A-FIG. 6B show concentration-response curves, with the calculated EC50 and EC90 values listed in Table 7. These results show that ACZ regulates CA2-CD40L expression in T cells transduced with the HPV16E7-CD40L-038 construct in a concentration-dependent manner. Further, the calculated EC50 and EC90 demonstrate that regulation of CD40L expression is achievable in patients because in vivo ACZ concentrations of 100 to 130 pM have been reported after administration of an approved dose of 500 mg ACZ. Table 7. EC50 and EC90 values calculated from concentration-response curves of percent positive CD40L cells
Abbreviations: EC50: 50% of effective concentration, EC90: 90% of effective concentration.
[00534] To measure CD40L expression after ACZ was removed from the medium, washout studies were performed in vitro. Cryopreserved T cells transduced with the HPV16E7-CD40L- 038 construct were thawed and activated by a 30 min pulse with PMA/ionomycin. Following the activation, cells were incubated with 50 pM ACZ or vehicle for 48 hours, after which ACZ was washed out and cells were analyzed 2, 4, 8, or 24 hours later. Cell surface CD40L expression was measured by flow cytometry (FIG. 7). Within 2 hours following removal of ACZ, CD40L surface expression had returned to baseline levels. These results demonstrate that regulated CD40L expression in cells transduced with the HPV16E7-CD40L-038 construct requires the presence of ACZ, and also predict a tight in vivo correlation between ACZ concentration and CD40L regulation.
[00535] The present example used a brief PMA/ionomycin pulse to activate transduced T cells after T cell expansion and post cryopreservation. This antigen-independent stimulation was chosen to avoid HPV16E7 TCR internalization, a known consequence of TCR engagement. To assure that activation via physiological stimuli is also sufficient to support regulation with the HPV16E7-CD40L-038 construct, stimulation with E7 peptide-loaded antigen presenting cells as well as stimulation with SCC152 tumor cells was tested. Both conditions resulted in enhanced
regulation of CD40L expression with the HPV16E7-CD40L-038 construct as compared to T cells without activation (data not shown). Stimulation with both SCC152 tumor cells and E7 peptide- loaded antigen presenting cells resulted in further enhancement of regulated CD40L expression. Collectively, these data demonstrate that physiologically relevant means of T cell stimulation are sufficient to support ACZ-regulated CD40L expression in T cells transduced with the HPV16E7- CD40L-038 construct.
Example 4: In vitro CD40L function in T cells transduced with tandem TCR-CA2 DRD- CD40L constructs
[00536] To determine whether the level of CD40L expression achieved through regulation by ACZ (as seen in Examples 2 and 3 above) is sufficient to activate antigen-presenting cells, an assay to evaluate CD40L function was developed that measures dendritic cell (DC) activation through the CD40 pathway (FIG. 8A). The assay involves co-culturing HPV16E7 TCR engineered T cells with donor-matched, monocyte-derived DCs, and measuring secreted IL12p70 levels as a readout of DC activation. The DCs are loaded with an HPV16 E7 peptide antigen. An unrelated peptide, derived from the melanoma antigen gplOO, serves as a negative control. These peptides are presented by the major histocompatibility complex Class I (e.g., HLA-A02:01) expressed on DCs. Prior to initiation of the DC co-culture, HPV16E7 TCR engineered T cells are preactivated for 48 hours with SCC152 tumor cells.
[00537] The present example demonstrates in vitro ACZ-regulated CD40L function in T cells transduced with a tandem TCR-CA2 DRD-CD40L construct.
[00538] Constructs, lentiviral vector production, monocyte-derived dendritic cell differentiation, and T cell purification and expansion are as described in the previous examples. [00539] SCC 152 cells (ATCC CRL-3240™), derived from an HPV16E7+ squamous cell carcinoma of the hypopharynx, were thawed and expanded in complete growth medium essentially as described in ATCC protocols. After 5 days in culture, cells were collected, counted and 20 x 106 cells were resuspended into a 5-layer flask containing 150 mL of complete growth medium.
Dendritic cell T cell co-culture assay
[00540] Transduced and cryopreserved T cells were thawed at 37°C and washed with prewarmed T cell media. Transduced T cells were counted and normalized to the lowest percent of TCR-positive cells using empty vector (EV)-transduced T cells to obtain a total of 300,000 cells per well in a 96-well flat-bottom plate. T cells were cultured for 2 days with 30,000 SCC 152 tumor cells per well (total T cell:SCC152 tumor cell ratio, also referred to as effector: tumor cell ratio or “E:T” = 10:1) in the presence of 50 pM ACZ or vehicle control (DMSO).
[00541] Donor-matched and frozen monocyte-derived DCs were thawed at 37°C and washed with pre-warmed medium. 30,000 DCs per well were added to pre-activated T cells and loaded with either no peptide, the antigen- specific HPV16 E7i 1-19 peptide (YMLDLQPET), or the nonspecific control human gpl0025-33 peptide (KVPRNQDWL) at a concentration of 1 pM. Supernatants were collected at 24 and 48 hours and stored at -80°C until IL12p70 levels were quantified using V-plex assay kits (Meso Scale Discovery) according to the manufacturer’s protocol.
Results for Example 4:
[00542] T cells transduced with a lentiviral vector expressing HPV16E7 TCR and the control constitutive CD40L (HPV16E7-CD40L-039) and co-cultured in the presence of E7-loaded DCs demonstrated induction of IL12p70 secretion, whereas no induction of IL12p70 secretion was observed in co-cultures containing T cells transduced with the HPV16E7-CD40L-038 construct (HPV16E7-CD40L-038) in the absence of ACZ (FIG. 8B). TCR antigen- specific recognition and CD40L expression were required to stimulate IL12p70 secretion. Neither gplOO-loaded DCs nor T cells transduced with control constructs lacking CD40L and incubated with E7-loaded DCs induced significant levels of IL12p70. When T cells transduced with the HPV16E7-CD40L-038 construct (HPV16E7-CD40L-038) were tested, the addition of ACZ to the cultures resulted in substantially increased IL12p70 secretion, indicating regulated IL12p70 secretion (FIG. 8B). When cultures were treated with DMSO (OFF-state), IL12p70 levels were comparable to or lower than the HPV16E7 TCR control constructs (HPV16E7-005 and HPV16E7-006).
[00543] These results confirm that ACZ-regulated CD40L produced by the HPV16E7-CD40L- 038 construct is capable of activating CD40-expressing antigen-presenting cells. In the present example, dendritic cell activation is a readout of antigen-presenting cell activation. Dendritic cells express CD40, the receptor of CD40L, and secrete IL12p70 in response to engagement with CD40L. In the present example, donor-matched, monocyte-derived DCs were stimulated to secrete IL12p70 in vitro. CD40L, in T cells transduced with the HPV16E7-CD40L-038 construct, activated DCs in an ACZ-dependent manner. This ACZ-dependent regulation was consistent in transduced T cells derived from 3 donors (data not shown for additional two donors). Without wishing to be bound by theory, it is understood that ACZ treatment of the engineered T cells induced expression of CD40L, which in turn led to activation of CD40+ DCs in the co-culture as indicated by increased levels of secreted IL12p70. Additionally, it was shown that in the OFF-state, regulated function did not exceed activity of T cells transduced with control constructs encoding the HPV16E7 TCR without CD40L.
[00544] The in vitro DC activation assay described in the present example was designed to replicate physiological conditions: SCC tumor cells were added as a source of T cell stimulation and DCs were the recipients of the CD40L signal. Without wishing to be bound by theory, it is considered that in a physiological setting, HPV16E7-CD40L-038 construct- transduced T cells infiltrating the tumor will be activated by the E7 tumor antigen providing an initial activation signal leading to ACZ-regulated CD40L expression. Following HPV16E7+ tumor activation, HPV16E7-CD40L-038 construct-transduced T cells would interact with E7-presenting DCs resulting in further activation, CD40L expression, and induction of IL12. This dependence on antigen stimulation for robust ACZ-induced CD40L expression provides an added safety benefit for therapeutic applications using engineered T cells of the disclosure, by restricting maximal CD40L activity to the site of the tumor.
Example 5: In vitro TCR expression and function in T cells transduced with tandem TCR- CA2 DRD-CD40L constructs
[00545] The present example demonstrates that in vitro expression and functional activity of the HPV16E7 TCR is not affected by the addition of DRD-CD40L in engineered T cells or by the presence of the regulating ligand ACZ.
[00546] Constructs, lentiviral vector production, monocyte-derived dendritic cell differentiation, and T cell purification and expansion are as described in the previous examples. Tetramer generation
[00547] HPV16 E7 peptide E7n-i9 tetramer was generated using Flex-T™ HLA-A*02:01 Monomer UVX (BioLegend, Cat #280003) per manufacturer’s protocol. Steptavidin-PE or Strepatvidin-APC (BioLegend) were added to each of two samples of the tetramer, which was then stored at 4°C until ready for use.
Proliferation assay
[00548] HPV16E7 TCR-expressing T cells and dendritic cells (DCs) were thawed at 37°C and washed with pre-warmed T cell media. HPV16E7 TCR-expressing T cells were normalized for transduction efficiency and for total cell number with empty vector (EV) cells and resuspended to a concentraton of 5 x 106 cells/mL. DCs were resuspended to a concentration of 5 x 105 cells/mL. T cells were labeled with CellTrace™ Violet (CTV; Invitrogen, Cat #C34571).
Labeled T cells and DCs at a final T celkDC ratio of 10:1 were incubated in T cell media in flat-bottom, 96-well tissue culture plates with 50 pM ACZ or vehicle and 1 pM HPV16 E7n-i9 peptide (YMLDLQPET) or human gpl0025-33 (KVPRNQDWL) peptide. Cells were cultured for a total of 3 days and assessed for T cell proliferation by flow cytometry.
Results for Example 5:
[00549] TCR efficacy of cells transduced with the HPV16E7-CD40L-038 construct was compared to cells transduced with TCR control constructs, including one that encoded the HPV16E7 TCR alone (HPV16E7-005) and one that encoded the TCR as a tandem construct with GFP expressed downstream of a P2A ribosomal skip sequence (HPV16E7-006) to control for construct size relative to the HPV16E7-CD40L-038 construct (see Example 2 and FIG. 3A). The HPV16E7-006 control construct was included to account for possible differences in viral packaging due to increased construct size.
[00550] To determine if TCR expression was maintained in T cells transduced with the HPV16E7-CD40L-038 construct, two different staining approaches were applied: one involving a TCR-specific antibody and the other involving a multimerized version of the E7 peptide antigen, which measures antigen recognition-competent assembly of the TCR complex. There was no statistically significant difference between TCR expression levels in cells transduced with the HPV16E7-CD40L-038 construct compared with cells transduced with other TCR-containing constructs, including construct HPV16E7-005, as determined by cell surface staining with a TCRP antibody (data not shown). To ensure that the HPV16E7 TCR was properly assembled and capable of binding major histocompatibility complex (MHC)-presented peptides, TCR expression levels were also measured using a staining reagent composed of a biotinylated tetramer of the E7 peptide antigen. The percent of cells staining positive with the E7 tetramer was comparable to the TCRP staining, indicating that the majority of TCRs expressed on the cell surface are capable of binding MHC-presented E7 peptide (data not shown). As revealed with both staining approaches, TCR expression was maintained at comparable levels in the presence of ACZ as compared to control cells treated with DMSO (data not shown). Taken together, these data demonstrate that HPV16E7 TCR expression is maintained in T cells transduced with the HPV16E7-CD40L-038 construct and that the TCR is capable of binding to MHC-presented E7 peptide antigen in vitro.
[00551] To evaluate maintenance of antigen-induced T cell proliferation in T cells transduced with the HPV16E7-CD40L-038 construct, T cells were labeled with CTV, a cell-tracing reagent that can diffuse into cells and bind covalently to intracellular amines, allowing for bright fluorescent staining to be detected. When CTV-labelled cells proliferate, the dye becomes equally distributed within daughter cells. The detected fluorescent intensity per cell decreases with every subsequent cell division. The HPV16E7 TCR in transduced cells was activated by coculture with donor-matched DCs preloaded with the E7 peptide and exposed to ACZ or DMSO vehicle control. Three (3) days later, cell proliferation was assessed by measuring the percentage of cells displaying low intensity CTV signal. FIG. 9 shows that only co-cultures with E7 peptide-
loaded DCs resulted in T cell proliferation as measured by reduced CTV intensity. No significant differences were observed among the four tested constructs or in the presence of ACZ, confirming that neither transduction of cells with the HPV16E7-CD40L-038 construct nor CD40L stabilization with ACZ interferes with HPV16E7-induced T cell proliferation.
Assessment of antigen specific proliferative responses to E7 peptide-treated autologous DCs at a 6-day proliferation timepoint (data not shown) was consistent with the results observed at the 3- day timepoint, These results confirm that neither transduction of cells with the HPV16E7- CD40L-038 construct nor treatment of cells with ACZ interferes with HPV16E7-induced T cell proliferation at 3 days and at 6 days of co-culture.
[00552] Together, the data demonstrated that HPV16E7 TCR expression levels were unimpaired when expressed from the HPV16E7-CD40L-038 construct or in the presence of ACZ and were efficiently bound by MHC-loaded E7 peptide. Additionally, these data demonstrate that T cells transduced with the HPV16E7-CD40L-038 construct and all HPV16E7 TCR control constructs displayed comparable antigen-induced proliferation. These data confirm maintenance of TCR expression and antigen-dependent T cell proliferation in T cells transduced with the HPV16E7-CD40L-038 construct compared to TCR control constructs. Thus, the function of T cells expressing HPV16E7 TCR was unchanged by the addition of CA2-CD40L and remained within the range of the tested controls.
[00553] The above-described results support the conclusion that presence of CA2-CD40L does not negatively impact the functional activity of HPV16E7 TCR engineered T cells.
Example 6: In vivo regulation of CD40L expression in tumor infiltrated T cells with tandem TCR-CA2 DRD-CD40L constructs
[00554] The present example demonstrates that oral dosing of ACZ regulates CD40L expression in vivo with the HPV16E7-CD40L-038 construct. Additionally, the present example shows that CD40L expression levels in vivo change over time in correlation to changes in in vivo ACZ concentration.
Constructs, lentiviral vector production, monocyte-derived dendritic cell differentiation, T cell purification and expansion, and other materials and methods are the same as described in the previous examples.
Acetazolamide preparation for in vivo dosing
[00555] Acetazolamide (X-Gen, NDC 39822-0190-01, Lot #AK4605C) was formulated in Lactated Ringer’s solution and administered as required to deliver a dose of 200 mg/kg.
Culture of SCC 152 cell line
[00556] SCC 152 cells were cultured as described above in Example 4. Cells continued to be sub-cultured and expanded until 9 multilayered flasks were harvested on the day of implant into mice.
Animal procedures
[00557] All experiments involving mice were conducted with the approval of the Obsidian Therapeutics Institutional Animal Care and Use Committee. Seven-week-old female NSG mice were obtained from The Jackson Laboratory (Bar Harbor, Maine) and acclimated to the animal care facility for at least 72 hours after arrival.
Tumor implant and T cell adoptive cell therapy
[00558] SCC 152 cells in sterile PBS were combined with an equal volume of Matrigel (Coming, Ref #354234) to achieve a 1:1 ratio and a 20 x 106 cell/mL final concentration. Mice received 200 pL (containing 4 x 106 cells) injected subcutaneously (SC) on the flank.
[00559] On day 36, mice were sorted into groups to ensure an even distribution of tumor sizes for each dose group and time point (Table 8). On the same day, mice were infused IV with transduced T cells as described in Table 8.
[00560] On day 41, ACZ-treated mice were single-dosed orally at 10 mL/kg, delivering a dose at 200 mg/kg. Mice were then administered a PO dose according to the study group assignment.
[00561] On day 42, 24 hours following the previous dose, mice were administered a PO dose according to the study group assignment.
[00562] On day 43, 24 hours following the previous dose, mice were administered a PO dose according to the study group assignation. At 8 and 24 hours after the last PO dose, approximately 150 pL of whole blood was collected. 100 pL was analyzed by flow cytometry. Plasma was collected from the remaining blood and processed to determine ACZ concentrations.
Ex vivo analysis ofT cells extracted from tumors
[00563] SCC 152 tumors were resected, weighed, manually disaggregated, and analyzed by flow cytometry. Samples were analyzed for CD40L expression and gated on human CD45+, mouse CD45 , CD3+, TCRp+ cells.
ACZ analysis of plasma samples
[00564] Plasma samples were protein-precipitated and resuspended in water. The processed sample was analyzed by Liquid chromatography-tandem mass spectrometry (LC-MS/MS) with a lower level of quantitation at 1 ng/mL and upper limit of quantitation at 3000 ng/mL of ACZ.
Results for Example 6:
[00565] Based on prior experiments combined with data from in vitro cellular half-maximal effective concentration (EC50) analysis (for example, as shown in Example 3), a 200 mg/kg ACZ dose exposure was used to analyze regulation of CD40L expression and function in vivo.
[00566] Regulation of CD40L expression in T cells transduced with the HPV16E7-CD40L-038 construct was measured within SCC152 tumors. FIG. 10A-FIG. 10B summarize the data derived with T cells from one peripheral blood T cell donor. The data demonstrated that levels of ACZ- regulated CD40L expression from the HPV16E7-CD40L-038 construct reached levels comparable to that of the constitutive control construct (HPV16E7-CD40L-039). At 28 hours, CD40L expression on T cells transduced with the HPV16E7-CD40L-038 construct decreased (FIG. 10A), correlating with a decrease in ACZ concentration in plasma (FIG. 10B).
[00567] In addition, CD40L expression of peripheral blood T cells was measured from the same tumor bearing animals. In contrast to regulation within the SCC 152 tumors, HPV16E7- CD40L-038 construct-transduced T cells isolated from peripheral blood showed little or no CD40L expression (data not shown). The lack of antigen stimulation appears to limit CD40L expression in HPV16E7-CD40L-038 construct-transduced T cells outside the tumor.
[00568] Together, these results confirm that ACZ is able to induce CD40L expression in vivo with the HPV16E7-CD40L-038 construct at levels comparable to the constitutive control construct and also confirm the close correlation between ACZ exposure and regulated expression of CD40L. As shown herein, CD40L expression in vivo declines by 28 hours after the last ACZ dose, correlating with discontinuation of ACZ dosing and reduced ACZ availability (as measured by plasma ACZ). Based on the data presented herein, regulated CD40L expression is predicted to closely follow the PK of ACZ.
Example 7: In vivo function of CD40L with tandem TCR-CA2 DRD-CD40L constructs [00569] The present example demonstrates that oral dosing of ACZ can regulate CD40L to functional levels in vivo with the HPV16E7-CD40L-038 construct.
[00570] Constructs, lentiviral vector production, monocyte-derived dendritic cell differentiation, T cell purification and expansion, and other materials and methods are the same as described in the previous examples.
In vivo dendritic cell stimulation assay
[00571] Previous studies with T cells expressing constitutive CD40L showed that sequential infusion of T cells and DCs into the peritoneal cavity enables interaction of both cell types, stimulating DCs to secrete IL12p70, which can be detected in plasma. To avoid rejection of human cells by the mouse immune system, immune-compromised NSG mice were utilized. Animals were further engineered to express 3 human cytokines that support myeloid lineage engraftment and persistence (human IL3, granulocyte-macrophage colony- stimulating factor [GM-CSF, CSF2], and stem cell factors [SCF, KITLG]).
[00572] On the day of injection, donor-matched cryopreserved DCs and engineered T cells were thawed at 37°C and washed with pre-warmed T cell media. DCs were resuspended at 1 x 106 cells/mL with 1 pM of HPV16 E7 peptide E7n-i9 (YMLDLQPET), incubated for 2 hours, washed and resuspended in sterile PBS such that 100 pL contained 1 x 106 peptide-pulsed DCs. Engineered T cells were counted and normalized to the lowest percent TCR-positive construct by adding empty vector (EV) T cells, ensuring each construct had an equal number of TCR+ and TCR’ cells. Normalized T cells were then washed twice in PBS and resuspended in sterile PBS so that 100 pL contained 5 x 106 TCR+ cells.
[00573] On day -1, naive, female, 9-week-old NSG-SGM3 mice were administered an oral loading dose of vehicle (Groups 1 to 3) or ACZ 200 mg/kg (Group 4). On day 0, animals were dosed with vehicle or ACZ approximately 2 hours prior to simultaneous IP co-infusion into NSG-SGM3 mice of T cells (5 x 106 in 100 pL) containing either HPV16E7-006 (Group 1), HPV16E7-CD40L-039 (Group 2), or HPV16E7-CD40L-038 (Groups 3 and 4), along with E7 peptide-pulsed DCs (1 x 106 in 100 pL).
[00574] At 24 or 48 hours post-cell injection on day 1, approximately 100 pL of whole blood was collected Approximately 50 pL of plasma per sample was isolated and stored at -80°C until analysis for IL12 levels. Another dose of vehicle or ACZ at 200 mg/kg was administered approximately 1 hour following blood collection.
[00575] The test groups and study design are summarized in Table 9.
Cytokine analysis
[00576] Plasma was thawed and IL12p70 levels were quantified using V-plex assay kits according to the manufacturer’s protocol (Meso Scale Diagnostics, Cat #K15049D).
Results for Example 7 :
FIG. 11A demonstrates that ACZ dosing of animals infused with HPV16E7-CD40L-038 construct-transduced T cells induced IL12p70 secretion from DCs at levels comparable to those induced by constitutive CD40L expression in animals infused with control construct HPV16E7- CD40L-039. In the absence of ACZ dosing (vehicle group), the levels of secreted IL12p70 were below that of the TCR control construct, indicating that in the OFF-state, no functional CD40E was expressed.
Example 8: Nucleic acid sequences of viral vectors used in the examples
[00577] The present example provides the nucleic acid sequences of viral vectors used in the above examples. The sequences can be found in Table 10 (Appendix 5).
APPENDICES
Claims
1. A nucleic acid molecule encoding a first and a second protein, wherein:
(i) the first protein is a T cell receptor (TCR) or a functional variant thereof, wherein the TCR or the functional variant thereof has antigenic specificity for a peptide epitope of a human papillomavirus (HPV) antigen; and
(ii) the second protein comprises a payload operably linked to a drug responsive domain (DRD), wherein said payload comprises human CD40L or a functional variant thereof, and said DRD is derived from human carbonic anhydrase 2 (hCA2), wherein the DRD comprises one or more amino acid insertions, deletions or substitutions compared to wild-type hCA2.
2. The nucleic acid molecule of claim 1, wherein the wild-type hCA2 has the amino acid sequence of SEQ ID NO: 1.
3. The nucleic acid molecule of claim 1 or 2, wherein the DRD comprises an amino acid sequence having at least 90% sequence identity to amino acids 2-260 of SEQ ID NO: 1.
4. The nucleic acid molecule of claim 1 or 2, wherein the DRD comprises an amino acid sequence having at least 95% sequence identity to amino acids 2-260 of SEQ ID NO: 1.
5. The nucleic acid molecule of claim 1 or 2, wherein the DRD comprises an amino acid sequence having at least 99% sequence identity to amino acids 2-260 of SEQ ID NO: 1.
6. The nucleic acid molecule of any one of claims 1-5, wherein the DRD comprises amino acids 1-260 of SEQ ID NO: 1 or amino acids 2-260 of SEQ ID NO: 1, with up to five amino acid substitutions, deletions or insertions compared to SEQ ID NO: 1.
7. The nucleic acid molecule of any one of claims 1-6, wherein the DRD consists of amino acids 1-260 of SEQ ID NO: 1 or amino acids 2-260 of SEQ ID NO: 1, with up to three amino acid substitutions, deletions or insertions compared to SEQ ID NO: 1.
8. The nucleic acid molecule of any one of claims 1-7, wherein the DRD comprises:
(i) an S56N amino acid substitution compared to SEQ ID NO: 1;
(ii) an L156H amino acid substitution compared to SEQ ID NO: 1; or
(iii) amino acid substitutions D71L, T87N and L250R compared to SEQ ID NO: 1.
9. The nucleic acid molecule of any one of claims 1-8, wherein the DRD consists of amino acids 1-260 of SEQ ID NO: 1 or amino acids 2-260 of SEQ ID NO: 1 with:
(i) an S56N amino acid substitution compared to SEQ ID NO. 1;
(ii) an L156H amino acid substitution compared to SEQ ID NO. 1; or
(iii) amino acid substitutions D71L, T87N and L250R compared to SEQ ID NO. 1.
10. The nucleic acid molecule of any one of claims 1-9, wherein the DRD is hCA2(S56N) comprising the amino acid sequence of SEQ ID NO: 20.
11. The nucleic acid molecule of any one of claims 1-9, wherein the DRD is hCA2(S56N) consisting of the amino acid sequence of SEQ ID NO: 20.
12. The nucleic acid molecule of any one of claims 1-11, wherein the payload has at least 90% sequence identity to SEQ ID NO: 2.
13. The nucleic acid molecule of any one of claims 1-12, wherein the payload has one or more amino acid insertions, deletions, or substitutions compared to SEQ ID NO: 2.
14. The nucleic acid molecule of any one of claims 1-13, wherein the payload comprises:
(i) a polypeptide comprising an amino acid sequence corresponding to human CD40L (SEQ ID NO: 2) comprising a deletion of amino acids 1-13 of SEQ ID NO: 2;
(ii) a polypeptide comprising an amino acid sequence corresponding to human CD40L (SEQ ID NO: 2) comprising a deletion of amino acids 110-116 of SEQ ID NO: 2; or
(iii) a polypeptide comprising an amino acid sequence corresponding to human CD40L (SEQ ID NO: 2) comprising a deletion of amino acids 1-13 of SEQ ID NO: 2 and a deletion of amino acids 110-116 of SEQ ID NO: 2.
15. The nucleic acid molecule of any one of claims 1-12, wherein the payload comprises the amino acid sequence of SEQ ID NO: 2.
16. The nucleic acid molecule of any one of claims 1-12, wherein the payload consists of the amino acid sequence of SEQ ID NO: 2.
17. The nucleic acid molecule of any one of claims 1-16, wherein the second protein comprises a linker between the pay load and the DRD.
18. The nucleic acid molecule of claim 17, wherein the linker is a GS -linker.
19. The nucleic acid molecule of claim 17 or 18, wherein the linker is 6-18 amino acids long.
20. The nucleic acid molecule of claim 19, wherein the linker is 12 amino acids long.
21. The nucleic acid molecule of any one of claims 17-20, wherein the linker comprises the amino acid sequence of SEQ ID NO: 21.
22. The nucleic acid molecule of any one of claims 17-21, wherein the linker consists of the amino acid sequence of SEQ ID NO: 21.
23. The nucleic acid molecule of any one of claims 1-22, wherein the nucleic acid sequence encoding the DRD is positioned 5’ to the nucleic acid sequence encoding the payload.
24. The nucleic acid molecule of any one of claims 1-23, wherein the DRD comprises the amino acid sequence of SEQ ID NO: 20 and the payload comprises the amino acid sequence of SEQ ID NO: 2.
25. The nucleic acid molecule of any one of claims 1-24, wherein the DRD consists of the amino acid sequence of SEQ ID NO: 20 and the payload consists of the amino acid sequence of SEQ ID NO: 2.
26. The nucleic acid molecule of claim 24 or 25, wherein the DRD is operably linked to the payload by a linker that consists of the amino acid sequence of SEQ ID NO: 21, wherein the nucleic acid sequence encoding the linker is 3’ to the nucleic acid sequence encoding the DRD and 5’ to the nucleic acid sequence encoding the payload.
27. The nucleic acid molecule of any one of claims 1-26, wherein the second protein comprises the amino acid sequence of SEQ ID NO: 34.
28. The nucleic acid molecule of any one of claims 1-27, wherein the second protein consists of the amino acid sequence of SEQ ID NO: 34.
29. The nucleic acid molecule of any one of claims 1-28, wherein the TCR or the functional variant thereof has antigenic specificity for a peptide epitope of human papillomavirus type 16 (HPV16).
30. The nucleic acid molecule of claim 29, wherein the peptide epitope of HPV16 is a peptide epitope of the E7 protein of HPV16 (HPV16 E7).
31. The nucleic acid molecule of claim 30, wherein the peptide epitope is or comprises a peptide selected from:
(i) E7(7-15) TLHEYMLDL (SEQ ID NO: 10);
(ii) E7(l 1-19) YMLDLQPET (SEQ ID NO: 7);
(iii) E7(82-90) LLMGTLGIV (SEQ ID NO: 9);
(iv) E7(85-93) GTLGIVCPI (SEQ ID NO: 8); and
(v) E7(86-93) TLGIVCPI (SEQ ID NO: 6).
32. The nucleic acid molecule of claim 30 or 31, wherein the peptide epitope comprises the amino acid sequence of YMLDLQPET (SEQ ID NO: 7).
33. The nucleic acid molecule of claim 30 or 31, wherein the peptide epitope consists of the amino acid sequence of YMLDLQPET (SEQ ID NO: 7).
34. The nucleic acid molecule of claim 29, wherein the peptide epitope of HPV16 is a peptide epitope of the E6 protein of HPV16 (HPV16 E6).
35. The nucleic acid molecule of claim 34, wherein the peptide epitope is or comprises a peptide selected from:
(i) E6Q8-26) KLPQLCTEL (SEQ ID NO: 3);
(ii) E6(29-38) TIHDIILECV (SEQ ID NO: 4); and
(iii) E6(52-60) FAFRDLCIV (SEQ ID NO: 5).
36. The nucleic acid molecule of any one of claims 1-35, wherein the first protein is a TCR comprising two polypeptide chains selected from (i) an alpha (a) chain of a TCR and a beta (P) chain of a TCR, and (ii) a gamma (y) chain of a TCR and a delta (6) chain of a TCR.
37. The nucleic acid molecule of claim 36, wherein the TCR comprises an a chain of a TCR and a P chain of a TCR.
38. The nucleic acid molecule of claim 37, wherein the a chain and the P chain are selected from:
(i) an a chain comprising the amino acid sequence of SEQ ID NO: 36 and a P chain comprising the amino acid sequence of SEQ ID NO: 39;
(ii) an a chain comprising the amino acid sequence of SEQ ID NO: 42 and a P chain comprising the amino acid sequence of SEQ ID NO: 45;
(iii) an a chain comprising the amino acid sequence of SEQ ID NO: 48 and a P chain comprising the amino acid sequence of SEQ ID NO: 51;
(iv) an a chain comprising the amino acid sequence of SEQ ID NO: 202 and a P chain comprising the amino acid sequence of SEQ ID NO: 208;
(v) an a chain comprising the amino acid sequence of SEQ ID NO: 214 and a P chain comprising the amino acid sequence of SEQ ID NO: 219;
(vi) an a chain comprising the amino acid sequence of SEQ ID NO: 225 and a P chain comprising the amino acid sequence of SEQ ID NO: 230;
(vii) an a chain comprising the amino acid sequence of SEQ ID NO: 234 and a P chain comprising the amino acid sequence of SEQ ID NO: 239;
(viii) an a chain comprising the amino acid sequence of SEQ ID NO: 243 and a P chain comprising the amino acid sequence of SEQ ID NO: 246;
(ix) an a chain comprising the amino acid sequence of SEQ ID NO: 250 and a P chain comprising the amino acid sequence of SEQ ID NO: 255;
(x) an a chain comprising the amino acid sequence of SEQ ID NO: 261 and a P chain comprising the amino acid sequence of SEQ ID NO: 266;
(xi) an a chain comprising the amino acid sequence of SEQ ID NO: 272 and a P chain comprising the amino acid sequence of SEQ ID NO: 277;
(xii) an a chain comprising the amino acid sequence of SEQ ID NO: 308 and a P chain comprising the amino acid sequence of SEQ ID NO: 311;
(xiii) an a chain comprising the amino acid sequence of SEQ ID NO: 314 and a P chain comprising the amino acid sequence of SEQ ID NO: 317;
(xiv) an a chain comprising the amino acid sequence of SEQ ID NO: 320 and a P chain comprising the amino acid sequence of SEQ ID NO: 323;
(xv) an a chain comprising the amino acid sequence of SEQ ID NO: 326 and a P chain comprising the amino acid sequence of SEQ ID NO: 329;
(xvi) an a chain comprising the amino acid sequence of SEQ ID NO: 332 and a P chain comprising the amino acid sequence of SEQ ID NO: 335;
(xvii) an a chain comprising the amino acid sequence of SEQ ID NO: 338 and a P chain comprising the amino acid sequence of SEQ ID NO: 341;
(xviii) an a chain comprising the amino acid sequence of SEQ ID NO: 344 and a P chain comprising the amino acid sequence of SEQ ID NO: 347;
(xix) an a chain comprising the amino acid sequence of SEQ ID NO: 350 and a P chain comprising the amino acid sequence of SEQ ID NO: 353;
(xx) an a chain comprising the amino acid sequence of SEQ ID NO: 356 and a P chain comprising the amino acid sequence of SEQ ID NO: 359;
(xxi) an a chain comprising the amino acid sequence of SEQ ID NO: 362 and a P chain comprising the amino acid sequence of SEQ ID NO: 365;
(xxii) an a chain comprising the amino acid sequence of SEQ ID NO: 368 and a P chain comprising the amino acid sequence of SEQ ID NO: 371;
(xxiii) an a chain comprising the amino acid sequence of SEQ ID NO: 374 and a P chain comprising the amino acid sequence of SEQ ID NO: 377 ;
(xxiv) an a chain comprising the amino acid sequence of SEQ ID NO: 380 and a P chain comprising the amino acid sequence of SEQ ID NO: 383;
(xxv) an a chain comprising the amino acid sequence of SEQ ID NO: 386 and a P chain comprising the amino acid sequence of SEQ ID NO: 389;
(xxvi) an a chain comprising the amino acid sequence of SEQ ID NO: 392 and a P chain comprising the amino acid sequence of SEQ ID NO: 395;
(xxvii) an a chain comprising the amino acid sequence of SEQ ID NO: 398 and a P chain comprising the amino acid sequence of SEQ ID NO: 401;
(xxviii)an a chain comprising the amino acid sequence of SEQ ID NO: 404 and a P chain comprising the amino acid sequence of SEQ ID NO: 407;
(xxix) an a chain comprising the amino acid sequence of SEQ ID NO: 410 and a P chain comprising the amino acid sequence of SEQ ID NO: 413;
(xxx) an a chain comprising the amino acid sequence of SEQ ID NO: 416 and a P chain comprising the amino acid sequence of SEQ ID NO: 419;
(xxxi) an a chain comprising the amino acid sequence of SEQ ID NO: 422 and a P chain comprising the amino acid sequence of SEQ ID NO: 425;
(xxxii) an a chain comprising the amino acid sequence of SEQ ID NO: 428 and a P chain comprising the amino acid sequence of SEQ ID NO: 431;
(xxxiii)an a chain comprising the amino acid sequence of SEQ ID NO: 434 and a P chain comprising the amino acid sequence of SEQ ID NO: 437;
(xxxiv)an a chain comprising the amino acid sequence of SEQ ID NO: 440 and a P chain comprising the amino acid sequence of SEQ ID NO: 443;
(xxxv) an a chain comprising the amino acid sequence of SEQ ID NO: 446 and a P chain comprising the amino acid sequence of SEQ ID NO: 449;
(xxxvi)an a chain comprising the amino acid sequence of SEQ ID NO: 452 and a P chain comprising the amino acid sequence of SEQ ID NO: 455;
(xxxvii) an a chain comprising the amino acid sequence of SEQ ID NO: 458 and a P chain comprising the amino acid sequence of SEQ ID NO: 461;
(xxxviii) an a chain comprising the amino acid sequence of SEQ ID NO: 54 and a P chain comprising the amino acid sequence of SEQ ID NO: 57;
(xxxix)an a chain comprising the amino acid sequence of SEQ ID NO: 60 and a P chain comprising the amino acid sequence of SEQ ID NO: 63;
(xl) an a chain comprising the amino acid sequence of SEQ ID NO: 66 and a P chain comprising the amino acid sequence of SEQ ID NO: 69;
(xli) an a chain comprising the amino acid sequence of SEQ ID NO: 72 and a P chain comprising the amino acid sequence of SEQ ID NO: 75;
(xlii) an a chain comprising the amino acid sequence of SEQ ID NO: 78 and a P chain comprising the amino acid sequence of SEQ ID NO: 81;
(xliii) an a chain comprising the amino acid sequence of SEQ ID NO: 84 and a P chain comprising the amino acid sequence of SEQ ID NO: 87;
(xliv) an a chain comprising the amino acid sequence of SEQ ID NO: 90 and a P chain comprising the amino acid sequence of SEQ ID NO: 93;
(xlv) an a chain comprising the amino acid sequence of SEQ ID NO: 96 and a P chain comprising the amino acid sequence of SEQ ID NO: 99;
(xlvi) an a chain comprising the amino acid sequence of SEQ ID NO: 102 and a P chain comprising the amino acid sequence of SEQ ID NO: 105;
(xlvii) an a chain comprising the amino acid sequence of SEQ ID NO: 108 and a P chain comprising the amino acid sequence of SEQ ID NO: 111;
(xlviii) an a chain comprising the amino acid sequence of SEQ ID NO: 114 and a P chain comprising the amino acid sequence of SEQ ID NO: 117;
(xlix) an a chain comprising the amino acid sequence of SEQ ID NO: 120 and a P chain comprising the amino acid sequence of SEQ ID NO: 117;
(1) an a chain comprising the amino acid sequence of SEQ ID NO: 124 and a P chain comprising the amino acid sequence of SEQ ID NO: 127;
(li) an a chain comprising the amino acid sequence of SEQ ID NO: 130 and a P chain comprising the amino acid sequence of SEQ ID NO: 133;
(lii) an a chain comprising the amino acid sequence of SEQ ID NO: 136 and a P chain comprising the amino acid sequence of SEQ ID NO: 139;
(liii) an a chain comprising the amino acid sequence of SEQ ID NO: 142 and a P chain comprising the amino acid sequence of SEQ ID NO: 145;
(liv) an a chain comprising the amino acid sequence of SEQ ID NO: 148 and a P chain comprising the amino acid sequence of SEQ ID NO: 151;
(Iv) an a chain comprising the amino acid sequence of SEQ ID NO: 154 and a P chain comprising the amino acid sequence of SEQ ID NO: 157;
(Ivi) an a chain comprising the amino acid sequence of SEQ ID NO: 160 and a P chain comprising the amino acid sequence of SEQ ID NO: 163;
(Ivii) an a chain comprising the amino acid sequence of SEQ ID NO: 166 and a P chain comprising the amino acid sequence of SEQ ID NO: 169;
(Iviii) an a chain comprising the amino acid sequence of SEQ ID NO: 172 and a P chain comprising the amino acid sequence of SEQ ID NO: 175;
(lix) an a chain comprising the amino acid sequence of SEQ ID NO: 178 and a P chain comprising the amino acid sequence of SEQ ID NO: 181;
(lx) an a chain comprising the amino acid sequence of SEQ ID NO: 184 and a P chain comprising the amino acid sequence of SEQ ID NO: 187;
(Ixi) an a chain comprising the amino acid sequence of SEQ ID NO: 190 and a P chain comprising the amino acid sequence of SEQ ID NO: 193;
(Ixii) an a chain comprising the amino acid sequence of SEQ ID NO: 196 and a P chain comprising the amino acid sequence of SEQ ID NO: 199; and
(Ixiii) an a chain comprising the amino acid sequence of SEQ ID NO: 283 and a P chain comprising the amino acid sequence of SEQ ID NO: 288.
39. The nucleic acid molecule of any one of claims 1-33 and 36-38, wherein the TCR or functional variant thereof has an alpha (a) chain and a beta (P) chain of an E7(l 1- 19) TCR as set forth in any of Appendix 1, 2, 3, or 4.
40. The nucleic acid molecule of any one of claims 1-29 and 34-38, wherein the TCR or functional variant thereof has an alpha (a) chain and a beta (P) chain of an E6(29-38) TCR as set forth in any of Appendix 1, 2, 3, or 4.
41. The nucleic acid molecule of any one of claims 1-33 and 36-39, wherein the a chain comprises the amino acid sequence of SEQ ID NO: 202, and the P chain comprises the amino acid sequence of SEQ ID NO: 208.
42. The nucleic acid molecule of any one of claims 37-41, wherein the P chain is positioned C-terminal to the a chain, or the a chain is positioned C-terminal to the P chain.
43. The nucleic acid molecule of any one of claims 1-42, wherein the TCR or the functional variant thereof is encoded by a nucleic acid sequence comprising a modification selected from: (i) codon optimization; (ii) reduction or elimination of cryptic splice sites; (iii) reduction or elimination of predicted polyadenylation sites; and combinations thereof.
44. The nucleic acid molecule of any one of claims 37-43, wherein the nucleic acid sequence encoding the a chain and the nucleic acid sequence encoding the P chain are separated by a first co-expression element.
45. The nucleic acid molecule of claim 44, wherein the first co-expression element promotes production of separate a chain and P chain polypeptides.
46. The nucleic acid molecule of claim 44 or 45, wherein the first co-expression element comprises a nucleic acid sequence encoding a cleavable linker sequence, a peptide that causes ribosome skipping, or an internal ribosome entry site (IRES).
47. The nucleic acid molecule of claim 46, wherein the peptide that causes ribosome skipping is a 2A peptide selected from foot-and-mouth disease virus (FMDV) 2A (F2A), equine rhinitis A virus (ERAV) 2A (E2A), porcine teschovirus-1 2A (P2A), and Thosea asigna virus 2A (T2A).
48. The nucleic acid molecule of claim 47, wherein the nucleic acid sequence encoding the 2A peptide is modified in at least one degenerate position of the 2A peptide codons.
49. The nucleic acid molecule of claim 47 or 48, wherein the 2A peptide is P2A comprising the amino acid sequence of SEQ ID NO: 16.
50. The nucleic acid molecule of claim 49, wherein the P2A consists of the amino acid sequence of SEQ ID NO: 16.
51. The nucleic acid molecule of any one of claims 44-50, wherein the nucleic acid sequence encoding the a chain and the nucleic acid sequence encoding the P chain are further separated by a nucleic acid element encoding a peptide cleavage site.
52. The nucleic acid molecule of claim 51, wherein the nucleic acid element encoding the peptide cleavage site is 5’ to the first co-expression element.
53. The nucleic acid molecule of claim 52, wherein the peptide cleavage site is a furin cleavage site and has the amino acid sequence of SEQ ID NO: 14.
54. The nucleic acid molecule of any one of claims 44-53, wherein the nucleic acid sequence encoding the a chain and the nucleic acid sequence encoding the P chain are further separated by a nucleic acid element encoding a linker.
55. The nucleic acid molecule of claim 54, wherein the linker is a peptide that is 2-10 amino acids long.
56. The nucleic acid molecule of claim 55, wherein the peptide is comprised of glycine and serine amino acid residues.
57. The nucleic acid molecule of claim 56, wherein the peptide is comprised of 1-5 dipeptide Ser-Gly (SG) or Gly-Ser (GS) units.
58. The nucleic acid molecule of any one of claims 49-57, wherein the nucleic acid sequence encoding the a chain and the nucleic acid sequence encoding the P chain are further separated by a nucleic acid element encoding a peptide cleavage site and a nucleic acid element encoding a linker, wherein the nucleic acid molecule encodes from N-terminus to C-terminus: the peptide cleavage site, the linker, and the P2A peptide.
59. The nucleic acid molecule of any one of claims 1-58, wherein the nucleic acid sequence encoding the first protein and the nucleic acid sequence encoding the second protein are separated by a second co-expression element.
60. The nucleic acid molecule of claim 59, wherein the second co-expression element promotes production of separate first and second proteins.
61. The nucleic acid molecule of claim 59 or 60, wherein the second co-expression element comprises a nucleic acid sequence encoding a cleavable linker sequence, a peptide that causes ribosome skipping, or an internal ribosome entry site (IRES).
62. The nucleic acid molecule of claim 61, wherein the peptide that causes ribosome skipping is a 2A peptide selected from foot-and-mouth disease virus (FMDV) 2A (F2A), equine rhinitis A virus (ERAV) 2A (E2A), porcine teschovirus-1 2A (P2A), and Thosea asigna virus 2A (T2A).
63. The nucleic acid molecule of claim 62, wherein the nucleic acid sequence encoding the 2A peptide is modified in at least one degenerate position of the 2A peptide codons.
64. The nucleic acid molecule of claim 62 or 63, wherein the 2 A peptide is P2A comprising the amino acid sequence of SEQ ID NO: 16.
65. The nucleic acid molecule of claim 64, wherein the P2A consists of the amino acid sequence of SEQ ID NO: 16.
300
66. The nucleic acid molecule of any one of claims 48-65, wherein:
(i) the nucleic acid sequence encoding the a chain and the nucleic acid sequence encoding the P chain are separated by a first co-expression element; and
(ii) the nucleic acid sequence encoding the first protein and the nucleic acid sequence encoding the second protein are separated by a second co-expression element; wherein the first co-expression element comprises a first nucleic acid sequence encoding for a first P2A peptide and the second co-expression element comprises a second nucleic acid sequence encoding for a second P2A peptide, wherein the first and the second nucleic acid sequences encoding the first and second P2A peptides, respectively, are different from one another.
67. The nucleic acid molecule of claim 66, wherein the nucleic acid sequence encoding the first P2A peptide, the nucleic acid sequence encoding the second P2A peptide, or both the nucleic acid sequence encoding the first P2A peptide and the nucleic acid sequence encoding the second P2A peptide, is modified in at least one degenerate position of the 2A peptide codons.
68. The nucleic acid molecule of any one of claims 59-67, further comprising one or more nucleic acid elements positioned between the nucleic acid sequence encoding the first protein and the nucleic acid sequence encoding the second protein, said one or more nucleic acid elements encoding one or more linkers.
69. The nucleic acid molecule of claim 68, wherein each of the one or more linkers is independently selected from a peptide that is 2-8 amino acids long.
70. The nucleic acid molecule of claim 69, wherein each of the one or more linkers is independently selected from a peptide that is 2-6 amino acids in length and is comprised of glycine and serine amino acid residues.
71. The nucleic acid molecule of any one of claims 66-70, further comprising two independently selected peptide linkers flanking the second P2A peptide.
72. The nucleic acid molecule of any one of claims 59-71, wherein the second coexpression element is positioned 5’ to the nucleic acid sequence encoding the second protein.
301
73. The nucleic acid molecule of any one of claims 1-72, wherein the nucleic acid sequence encoding the first protein is positioned 5’ to the nucleic acid sequence encoding the second protein.
74. The nucleic acid molecule of any one of claims 1-72, wherein the first protein is encoded by one or more nucleic acid sequences and the second protein is encoded by one or more nucleic acid sequences; and wherein the one or more nucleic acid sequences encoding the first protein are positioned 5’ to the one or more nucleic acid sequences encoding the second protein.
75. The nucleic acid molecule of any one of claims 1-74, further comprising a promoter operably linked to the nucleic acid sequence encoding the first protein or the nucleic acid sequence encoding the second protein.
76. The nucleic acid molecule of claim 75, wherein the promoter is operably linked to the nucleic acid sequence encoding the first protein.
77. The nucleic acid molecule of claim 75 or 76, wherein the promoter is selected from a CMV promoter, an EFla promoter, and a PGK promoter.
78. The nucleic acid molecule of any one of claims 75-77, wherein the promoter is an EFla promoter.
79. The nucleic acid molecule of any one of claims 1-78, wherein the nucleic acid molecule is codon optimized for expression in a human cell.
80. A nucleic acid molecule comprising:
(i) a first nucleic acid sequence encoding a beta (P) chain of a T cell receptor (TCR), or a functional variant thereof;
(ii) a second nucleic acid sequence positioned 3’ to the first nucleic acid sequence, wherein said second nucleic acid sequence encodes an alpha (a) chain of a TCR, or a functional variant thereof;
302
(iii) a third nucleic acid sequence positioned 3’ to the second nucleic acid sequence, wherein said third nucleic acid sequence encodes a protein comprising a payload operably linked to a drug responsive domain (DRD), wherein:
(a) said payload comprises human CD40L or a functional variant thereof; and
(b) said DRD is derived from human carbonic anhydrase 2 (hCA2), wherein the DRD comprises one or more amino acid insertions, deletions or substitutions compared to SEQ ID NO. 1, and wherein the nucleic acid sequence encoding the DRD is 5’ to the nucleic acid sequence encoding the payload;
(iv) a fourth nucleic acid sequence positioned between the first and second nucleic acid sequences, wherein said fourth nucleic acid sequence comprises the sequence of a first coexpression element; and
(v) a fifth nucleic acid sequence positioned between the second and third nucleic acid sequences, wherein said fifth nucleic acid sequence comprises the sequence of a second coexpression element.
81. A nucleic acid molecule comprising:
(i) a first nucleic acid sequence encoding an alpha (a) chain of a T cell receptor (TCR), or a functional variant thereof;
(ii) a second nucleic acid sequence positioned 3’ to the first nucleic acid sequence, wherein said second nucleic acid sequence encodes a beta (P) chain of a TCR, or a functional variant thereof;
(iii) a third nucleic acid sequence positioned 3’ to the second nucleic acid sequence, wherein said third nucleic acid sequence encodes a protein comprising a payload operably linked to a drug responsive domain (DRD), wherein:
(a) said payload comprises human CD40L or a functional variant thereof; and
(b) said DRD is derived from human carbonic anhydrase 2 (hCA2), wherein the DRD comprises one or more amino acid insertions, deletions or substitutions compared to SEQ ID NO. 1, and wherein the nucleic acid sequence encoding the DRD is 5’ to the nucleic acid sequence encoding the payload;
(iv) a fourth nucleic acid sequence positioned between the first and second nucleic acid sequences, wherein said fourth nucleic acid sequence comprises the sequence of a first coexpression element; and
303
(v) a fifth nucleic acid sequence positioned between the second and third nucleic acid sequences, wherein said fifth nucleic acid sequence comprises the sequence of a second coexpression element.
82. The nucleic acid molecule of claim 80 or 81, wherein the DRD comprises or consists of amino acids 1-260 of SEQ ID NO: 1 or amino acids 2-260 of SEQ ID NO: 1, with up to three amino acid substitutions, deletions or insertions compared to SEQ ID NO: 1.
83. The nucleic acid molecule of any one of claims 80-82, wherein the DRD comprises or consists of amino acids 1-260 of SEQ ID NO: 1 or amino acids 2-260 of SEQ ID NO: 1 with:
(i) an S56N amino acid substitution compared to SEQ ID NO. 1;
(ii) an L156H amino acid substitution compared to SEQ ID NO. 1; or
(iii) amino acid substitutions D71L, T87N and L250R compared to SEQ ID NO: 1.
84. The nucleic acid molecule of any one of claims 80-83, wherein the DRD is hCA2(S56N) comprising or consisting of the amino acid sequence of SEQ ID NO: 20.
85. The nucleic acid molecule of any one of claims 80-84, wherein the payload comprises human CD40L, wherein the human CD40L comprises or consists of the amino acid sequence of SEQ ID NO: 2.
86. The nucleic acid molecule of any one of claims 80-85, wherein the third nucleic acid sequence further encodes a linker between the payload and the DRD, wherein the linker comprises or consists of the amino acid sequence of SEQ ID NO: 21.
87. The nucleic acid molecule of any one of claims 80-86, wherein the alpha (a) chain of the TCR and the beta (P) chain of the TCR can form a functional TCR, wherein said functional TCR has antigenic specificity for a peptide epitope of human papillomavirus type 16 (HPV16).
88. The nucleic acid molecule of claim 87, wherein the peptide epitope of HPV16 is a peptide epitope of the E7 protein of HPV16 (HPV16 E7) or a peptide epitope of the E6 protein of HPV16 (HPV16 E6).
304
89. The nucleic acid molecule of any one of claims 80-88, wherein the TCR or functional variant thereof has an alpha (a) chain and a beta (P) chain of an E7(l l-19) TCR as set forth in any of Appendix 1, 2, 3, or 4, or an alpha (a) chain and a beta (P) chain of an E6(29-38) TCR as set forth in any of Appendix 1, 2, 3, or 4.
90. The nucleic acid molecule of any one of claims 80-89, wherein the first coexpression element encodes a 2A peptide.
91. The nucleic acid molecule of any one of claims 80-90, wherein the second coexpression element encodes a 2A peptide.
92. The nucleic acid molecule of any one of claims 80-91, further comprising a promoter operably linked to the first nucleic acid sequence.
93. The nucleic acid molecule of any one of claims 80-92, wherein the TCR or functional variant thereof comprises an a chain comprising the amino acid sequence of SEQ ID NO: 202 and a P chain comprising the amino acid sequence of SEQ ID NO: 208.
94. A vector comprising the nucleic acid molecule of any one of claims 1-93.
95. The vector of claim 94, wherein the vector is an expression vector.
96. The vector of claim 94 or 95, wherein the vector is a plasmid or a viral vector.
97. The vector of claim 96, wherein the vector is a retroviral vector.
98. The vector of claim 96 or 97, wherein the vector is a lentiviral vector.
99. The vector of claim 96, wherein the viral vector is derived from an adenovirus, adeno-associated virus (AAV), alphavirus, flavivirus, herpes virus, measles virus, rhabdovirus, retrovirus, lentivirus, Newcastle disease virus (NDV), poxvirus, or picomavirus.
305
100. The vector of claim 96, wherein the viral vector is selected from the group consisting of a lentivirus vector, a gamma retrovirus vector, adeno-associated virus (AAV) vector, adenovirus vector, and a herpes virus vector.
101. A cell comprising the nucleic acid molecule of any one of claims 1-93.
102. A cell transfected or transduced with the vector of any one of claims 94-100.
103. A cell which expresses a first and a second protein, wherein:
(i) the first protein is a T cell receptor (TCR) or a functional variant thereof, wherein the TCR or the functional variant thereof has antigenic specificity for a peptide epitope of a human papillomavirus (HPV) antigen; and
(ii) the second protein comprises a payload operably linked to a drug responsive domain (DRD), wherein said payload comprises human CD40L or a functional variant thereof, and said DRD is derived from human carbonic anhydrase 2 (hCA2), wherein the DRD comprises one or more amino acid insertions, deletions or substitutions compared to SEQ ID NO. 1.
104. The cell of claim 103, wherein the DRD comprises or consists of amino acids 1- 260 of SEQ ID NO: 1 or amino acids 2-260 of SEQ ID NO: 1, with up to three amino acid substitutions, deletions or insertions compared to SEQ ID NO: 1.
105. The cell of claim 103 or 104, wherein the DRD comprises or consists of amino acids 1-260 of SEQ ID NO: 1 or amino acids 2-260 of SEQ ID NO: 1 with:
(i) an S56N amino acid substitution compared to SEQ ID NO. 1;
(ii) an L156H amino acid substitution compared to SEQ ID NO. 1; or
(iii) amino acid substitutions D71L, T87N and L250R compared to SEQ ID NO. 1.
106. The cell of any one of claims 103-105, wherein the DRD is hCA2(S56N) comprising or consisting of the amino acid sequence of SEQ ID NO: 20.
107. The cell of any one of claims 103-106, wherein the payload comprises human
CD40L, wherein the human CD40L comprises or consists of the amino acid sequence of SEQ ID NO: 2.
306
108. The cell of any one of claims 103-107, wherein the second protein comprises a linker between the payload and the DRD, wherein the linker comprises or consists of the amino acid sequence of SEQ ID NO: 21.
109. The cell of any one of claims 103-108, wherein the TCR or functional variant thereof has antigenic specificity for a peptide epitope of human papillomavirus type 16 (HPV16).
110. The cell of claim 109, wherein the peptide epitope of HPV16 is a peptide epitope of the E7 protein of HPV 16 (HPV16 E7) or a peptide epitope of the E6 protein of HPV16 (HPV16 E6).
111. The cell of any one of claim 103-110, wherein the TCR or functional variant thereof has an alpha (a) chain and a beta (P) chain of an E7(l 1- 19) TCR as set forth in any of Appendix 1, 2, 3, or 4, or an alpha (a) chain and a beta (P) chain of an E6(29-38) TCR as set forth in any of Appendix 1, 2, 3, or 4.
112. The cell of any one of claims 103-111, wherein the TCR or functional variant thereof comprises an a chain comprising the amino acid sequence of SEQ ID NO: 202 and a P chain comprising the amino acid sequence of SEQ ID NO: 208.
113. The cell of any one of claims 101-112, wherein said cell is derived from a cell line.
114. The cell of claim 113, wherein the cell is a mammalian cell.
115. The cell of claim 114, wherein the cell is a human cell.
116. The cell of any one of claims 101-112, wherein said cell is derived from a primary cell.
117. The cell of claim 116, wherein said primary cell is obtained from a mammalian subject.
118. The cell of claim 117, wherein the subject is a human.
307
119. The cell of any one of claims 101-118, wherein said cell is an immune cell.
120. The cell of any one of claims 101-118, wherein said cell is a T cell.
121. The cell of claim 120, wherein the T cell is a CD4+ T cell, CD8+ T cell, and/or a CD3+ T cell.
122. A pharmaceutical composition comprising the nucleic acid molecule of any one of claims 1-93; the vector of any one of claims 94-100; or the cell of any one of claims 101-121; and a pharmaceutically acceptable excipient.
123. A pharmaceutical composition comprising any of the cells of claims 101-121.
124. The pharmaceutical composition of claim 122 or 123, further comprising a cryoprotectant.
125. A method of modulating expression, function, and/or level of CD40L in the cell of any one of claims 101-121, said method comprising administering to the cell a stimulus to which the DRD is responsive and wherein the stimulus is administered in an amount sufficient to modulate the expression, function and/or level of CD40L.
126. The method of claim 125, wherein the stimulus is selected from acetazolamide, celecoxib, valdecoxib, rofecoxib, methazolamide, dorzolamide, brinzolamide, diclofenamide, ethoxzolamide, zonisamide, dansylamide, and dichlorphenamide.
127. The method of claim 126, wherein the stimulus is acetazolamide.
128. A method of producing a modified cell, said method comprising introducing into a cell the nucleic acid molecule of any one of claims 1-93, or the vector of any one of claims 94- 100.
129. A method of producing a modified cell, said method comprising introducing into a cell a first nucleic acid molecule and a second nucleic acid molecule, wherein:
308
(i) the first nucleic acid molecule encodes a T cell receptor (TCR) or a functional variant thereof, wherein the TCR or the functional variant thereof has antigenic specificity for a peptide epitope of a human papillomavirus (HPV) antigen; and
(ii) the second nucleic acid molecule encodes a protein comprising a payload operably linked to a drug responsive domain (DRD), wherein said payload comprises human CD40L or a functional variant thereof, and said DRD is derived from human carbonic anhydrase 2 (hCA2), wherein the DRD comprises one or more amino acid insertions, deletions or substitutions compared to SEQ ID NO. 1.
130. The method of claim 129, wherein the first nucleic acid molecule and the second nucleic acid molecule are introduced into the cell by a viral delivery method, by a non- viral delivery method, or by a combination thereof.
131. A method of producing a modified cell, said method comprising introducing into a cell a nucleic acid molecule, wherein: said nucleic acid molecule encodes a protein comprising a payload operably linked to a drug responsive domain (DRD), wherein said payload comprises human CD40L or a functional variant thereof, and said DRD is derived from human carbonic anhydrase 2 (hCA2), wherein the DRD comprises one or more amino acid insertions, deletions or substitutions compared to SEQ ID NO. l; and wherein said cell expresses a T cell receptor (TCR) or a functional variant thereof, wherein the TCR or the functional variant thereof has antigenic specificity for a peptide epitope of a human papillomavirus (HPV) antigen.
132. A method of producing a modified cell, said method comprising introducing into a cell a nucleic acid molecule, wherein: said nucleic acid molecule encodes a T cell receptor (TCR) or a functional variant thereof, wherein the TCR or the functional variant thereof has antigenic specificity for a peptide epitope of a human papillomavirus (HPV) antigen; and wherein said cell expresses a protein comprising a payload operably linked to a drug responsive domain (DRD), wherein said payload comprises human CD40L or a functional variant thereof, and said DRD is derived from human carbonic anhydrase 2 (hCA2), wherein the DRD comprises one or more amino acid insertions, deletions or substitutions compared to SEQ ID NO. 1.
309
133. The method of any one of claims 129-132, wherein the DRD comprises or consists of amino acids 1-260 of SEQ ID NO: 1 or amino acids 2-260 of SEQ ID NO: 1, with up to three amino acid substitutions, deletions or insertions compared to SEQ ID NO: 1.
134. The method of any one of claims 129-133, wherein the DRD comprises or consists of amino acids 1-260 of SEQ ID NO: 1 or amino acids 2-260 of SEQ ID NO: 1 with:
(i) an S56N amino acid substitution compared to SEQ ID NO. 1;
(ii) an L156H amino acid substitution compared to SEQ ID NO. 1; or
(iii) amino acid substitutions D71L, T87N and L250R compared to SEQ ID NO.
135. The method of any one of claims 129-134, wherein the DRD is hCA2(S56N) comprising or consisting of the amino acid sequence of SEQ ID NO: 20.
136. The method of any one of claims 129-135, wherein the payload comprises human CD40L, wherein the human CD40L comprises or consists of the amino acid sequence of SEQ ID NO: 2.
137. The method of any one of claims 129-136, wherein the protein comprising a payload operably linked to a DRD further comprises a linker between the payload and the DRD, wherein the linker comprises or consists of the amino acid sequence of SEQ ID NO: 21.
138. The method of any one of claims 129-137, wherein the TCR or the functional variant thereof has antigenic specificity for a peptide epitope of human papillomavirus type 16 (HPV16).
139. The method of claim 138, wherein the peptide epitope of HPV16 is a peptide epitope of the E7 protein of HPV16 (HPV16 E7) or a peptide epitope of the E6 protein of HPV16 (HPV16 E6).
140. The method of any one of claims 129-139, wherein the TCR or functional variant thereof has an alpha (a) chain and a beta (P) chain of an E7(l 1- 19) TCR as set forth in any of Appendix 1, 2, 3, or 4, or an alpha (a) chain and a beta (P) chain of an E6(29-38) TCR as set forth in any of Appendix 1, 2, 3, or 4.
310
141. The method of any one of claims 129-140, wherein the TCR or functional variant thereof comprises an a chain comprising the amino acid sequence of SEQ ID NO: 202 and a P chain comprising the amino acid sequence of SEQ ID NO: 208.
142. The method of any one of claims 129, 130, and 132-141, wherein the TCR comprises an a chain of a TCR and a P chain of a TCR and the nucleic acid sequence encoding the a chain and the nucleic acid sequence encoding the P chain are separated by a first coexpression element comprising a nucleic acid sequence encoding a 2A peptide.
143. A method of treating an indication, disease, or disorder associated with HPV in a subject in need thereof, said method comprising:
(a) administering to the subject the nucleic acid molecule of any one of claims 1-93, the vector of any one of claims 94-100, the cell of any one of claims 101-121 or the pharmaceutical composition of any one of claims 122-124; and
(b) administering a therapeutically effective amount of a stimulus to the subject, wherein the DRD is responsive to the stimulus, and wherein expression of the payload is modulated in response to the stimulus.
144. A method of treating an indication, disease, or disorder associated with HPV in a subject in need thereof, said method comprising:
(a) administering to the subject a T cell comprising the nucleic acid molecule of any one of claims 1-93; and
(b) administering a therapeutically effective amount of a stimulus to the subject, wherein the DRD is responsive to the stimulus and wherein expression of the payload is modulated in response to the stimulus.
145. A method of treating an indication, disease, or disorder associated with HPV in a subject in need thereof, said method comprising:
(a) administering to the subject a pharmaceutical composition comprising any of the cells of claims 101-121; and
(b) administering a therapeutically effective amount of a stimulus to the subject, wherein the DRD is responsive to the stimulus and wherein expression of the payload is modulated in response to the stimulus.
311
146. The method of any one of claims 143-145, wherein the cells administered to the subject are allogeneic to the subject.
147. The method of any one of claims 143-145, wherein the cells administered to the subject are autologous to the subject.
148. The method of any one of claims 143-147, wherein the stimulus is selected from acetazolamide, celecoxib, valdecoxib, rofecoxib, methazolamide, dorzolamide, brinzolamide, diclofenamide, ethoxzolamide, zonisamide, dansylamide, and dichlorphenamide.
149. The method of claim 148, wherein the stimulus is acetazolamide.
150. The method of any of claims 143-149, wherein the HPV is HPV 16.
151. The method of any one of claims 143-150, wherein the indication, disease, or disorder is cancer.
152. The method of claim 151, wherein the cancer is cervical cancer or head and neck cancer.
153. The method of any one of claims 143-152, wherein the subject is a human.
154. The nucleic acid molecule of any one of claims 1-93, the vector of any one of claims 94-100, the cell of any one of claims 101-121, or the pharmaceutical composition of any one of claims 122-124, for use in treating an indication, disease, or disorder associated with HPV.
155. A pharmaceutical composition comprising any of the cells of claims 101-121, for use in treating an indication, disease, or disorder associated with HPV.
156. Use of the nucleic acid molecule of any one of claims 1-93, the vector of any one of claims 94-100, the cell of any one of claims 101-121or the pharmaceutical composition of any
312
one of claims 122-124 for the manufacture of a medicament for treating an indication, disease, or disorder associated with HPV.
157. Use of a pharmaceutical composition comprising any of the cells of claims 101- 121 for the manufacture of a medicament for treating an indication, disease, or disorder associated with HPV.
313
Applications Claiming Priority (2)
| Application Number | Priority Date | Filing Date | Title |
|---|---|---|---|
| US202063079474P | 2020-09-16 | 2020-09-16 | |
| US63/079,474 | 2020-09-16 |
Publications (1)
| Publication Number | Publication Date |
|---|---|
| WO2022060904A1 true WO2022060904A1 (en) | 2022-03-24 |
Family
ID=78333252
Family Applications (1)
| Application Number | Title | Priority Date | Filing Date |
|---|---|---|---|
| PCT/US2021/050549 Ceased WO2022060904A1 (en) | 2020-09-16 | 2021-09-15 | Compositions and methods for expression of t-cell receptors with small molecule-regulated cd40l in t cells |
Country Status (1)
| Country | Link |
|---|---|
| WO (1) | WO2022060904A1 (en) |
Cited By (1)
| Publication number | Priority date | Publication date | Assignee | Title |
|---|---|---|---|---|
| WO2025056659A1 (en) * | 2023-09-15 | 2025-03-20 | Medigene Immunotherapies Gmbh | T-CELL RECEPTOR VARIANT AGAINST mKRAS7-16 G12V AND G12C |
Citations (19)
| Publication number | Priority date | Publication date | Assignee | Title |
|---|---|---|---|---|
| US4690915A (en) | 1985-08-08 | 1987-09-01 | The United States Of America As Represented By The Department Of Health And Human Services | Adoptive immunotherapy as a treatment modality in humans |
| WO1996013593A2 (en) | 1994-10-26 | 1996-05-09 | Procept, Inc. | Soluble single chain t cell receptors |
| WO1996018105A1 (en) | 1994-12-06 | 1996-06-13 | The President And Fellows Of Harvard College | Single chain t-cell receptor |
| WO1999018129A1 (en) | 1997-10-02 | 1999-04-15 | Sunol Molecular Corporation | Soluble single-chain t-cell receptor proteins |
| WO1999060120A2 (en) | 1998-05-19 | 1999-11-25 | Avidex Limited | Soluble t cell receptor |
| WO2003020763A2 (en) | 2001-08-31 | 2003-03-13 | Avidex Limited | Soluble t cell receptor |
| US20030170238A1 (en) | 2002-03-07 | 2003-09-11 | Gruenberg Micheal L. | Re-activated T-cells for adoptive immunotherapy |
| WO2004033685A1 (en) | 2002-10-09 | 2004-04-22 | Avidex Ltd | Single chain recombinant t cell receptors |
| WO2006000830A2 (en) | 2004-06-29 | 2006-01-05 | Avidex Ltd | Cells expressing a modified t cell receptor |
| WO2006037960A2 (en) | 2004-10-01 | 2006-04-13 | Avidex Ltd. | T-cell receptors containing a non-native disulfide interchain bond linked to therapeutic agents |
| US7495090B2 (en) | 2002-05-23 | 2009-02-24 | The Regents Of The University Of California | Nucleic acids encoding chimeric CD154 polypeptides |
| WO2011044186A1 (en) | 2009-10-06 | 2011-04-14 | The Board Of Trustees Of The University Of Illinois | Human single-chain t cell receptors |
| WO2015184228A1 (en) * | 2014-05-29 | 2015-12-03 | The United States Of America, As Represented By The Secretary, Department Of Health And Human Services | Anti-human papillomavirus 16 e7 t cell receptors |
| US20180085451A1 (en) | 2015-03-20 | 2018-03-29 | The Trustees Of The University Of Pennsylvania | Vaccines with CD40 Ligand as an adjuvant |
| WO2018161026A1 (en) * | 2017-03-03 | 2018-09-07 | Obsidian Therapeutics, Inc. | Il15 compositions and methods for immunotherapy |
| US20190062398A1 (en) | 2015-10-16 | 2019-02-28 | Max-Delbrueck-Centrum Fuer Molekulare Medizin In Der Helmholtz-Gemeinschaft | High avidity hpv t-cell receptors |
| WO2019070541A1 (en) | 2017-10-03 | 2019-04-11 | Juno Therapeutics, Inc. | Hpv-specific binding molecules |
| US20190225692A1 (en) | 2016-10-03 | 2019-07-25 | Juno Therapeutics, Inc. | Hpv-specific binding molecules |
| US20190321401A1 (en) | 2018-04-05 | 2019-10-24 | Juno Therapeutics, Inc. | T cell receptors and engineered cells expressing same |
-
2021
- 2021-09-15 WO PCT/US2021/050549 patent/WO2022060904A1/en not_active Ceased
Patent Citations (20)
| Publication number | Priority date | Publication date | Assignee | Title |
|---|---|---|---|---|
| US4690915A (en) | 1985-08-08 | 1987-09-01 | The United States Of America As Represented By The Department Of Health And Human Services | Adoptive immunotherapy as a treatment modality in humans |
| WO1996013593A2 (en) | 1994-10-26 | 1996-05-09 | Procept, Inc. | Soluble single chain t cell receptors |
| WO1996018105A1 (en) | 1994-12-06 | 1996-06-13 | The President And Fellows Of Harvard College | Single chain t-cell receptor |
| WO1999018129A1 (en) | 1997-10-02 | 1999-04-15 | Sunol Molecular Corporation | Soluble single-chain t-cell receptor proteins |
| WO1999060120A2 (en) | 1998-05-19 | 1999-11-25 | Avidex Limited | Soluble t cell receptor |
| WO2003020763A2 (en) | 2001-08-31 | 2003-03-13 | Avidex Limited | Soluble t cell receptor |
| US20030170238A1 (en) | 2002-03-07 | 2003-09-11 | Gruenberg Micheal L. | Re-activated T-cells for adoptive immunotherapy |
| US7495090B2 (en) | 2002-05-23 | 2009-02-24 | The Regents Of The University Of California | Nucleic acids encoding chimeric CD154 polypeptides |
| WO2004033685A1 (en) | 2002-10-09 | 2004-04-22 | Avidex Ltd | Single chain recombinant t cell receptors |
| US7569664B2 (en) | 2002-10-09 | 2009-08-04 | Immunocore Limited | Single chain recombinant T cell receptors |
| WO2006000830A2 (en) | 2004-06-29 | 2006-01-05 | Avidex Ltd | Cells expressing a modified t cell receptor |
| WO2006037960A2 (en) | 2004-10-01 | 2006-04-13 | Avidex Ltd. | T-cell receptors containing a non-native disulfide interchain bond linked to therapeutic agents |
| WO2011044186A1 (en) | 2009-10-06 | 2011-04-14 | The Board Of Trustees Of The University Of Illinois | Human single-chain t cell receptors |
| WO2015184228A1 (en) * | 2014-05-29 | 2015-12-03 | The United States Of America, As Represented By The Secretary, Department Of Health And Human Services | Anti-human papillomavirus 16 e7 t cell receptors |
| US20180085451A1 (en) | 2015-03-20 | 2018-03-29 | The Trustees Of The University Of Pennsylvania | Vaccines with CD40 Ligand as an adjuvant |
| US20190062398A1 (en) | 2015-10-16 | 2019-02-28 | Max-Delbrueck-Centrum Fuer Molekulare Medizin In Der Helmholtz-Gemeinschaft | High avidity hpv t-cell receptors |
| US20190225692A1 (en) | 2016-10-03 | 2019-07-25 | Juno Therapeutics, Inc. | Hpv-specific binding molecules |
| WO2018161026A1 (en) * | 2017-03-03 | 2018-09-07 | Obsidian Therapeutics, Inc. | Il15 compositions and methods for immunotherapy |
| WO2019070541A1 (en) | 2017-10-03 | 2019-04-11 | Juno Therapeutics, Inc. | Hpv-specific binding molecules |
| US20190321401A1 (en) | 2018-04-05 | 2019-10-24 | Juno Therapeutics, Inc. | T cell receptors and engineered cells expressing same |
Non-Patent Citations (35)
| Title |
|---|
| "Biocomputing: Informatics and Genome Projects", 1993, ACADEMIC PRESS |
| "NCBI", Database accession no. NP_000065.1 |
| "UniProt", Database accession no. P29965 |
| AUSUBEL ET AL.: "Current Protocols in Molecular Biology", 1994, HUMANA PRESS |
| AUSUBEL ET AL.: "Current Protocols", 2002, article "Short Protocols in Molecular Biology" |
| BANASZYNSKI ET AL., CELL, vol. 126, no. 5, 2006, pages 995 - 1004 |
| BANASZYNSKI, L.A.WANDLESS, T.J., CHEM. BIOL., vol. 13, 2006, pages 11 - 21 |
| CARILLO, APPLIED MATH., vol. 48, 1988, pages 1073 |
| CURREN ET AL., MOL THER., vol. 23, no. 4, April 2015 (2015-04-01), pages 769 - 778 |
| DAVILA ET AL., PLOS ONE, vol. 8, no. 4, 2013, pages e61338 |
| HAGA-FRIEDMAN ET AL., JOURNAL OF IMMUNOLOGY, vol. 188, 2012, pages 5538 - 5546 |
| HEINJE, G.: "Sequence Analysis in Molecular Biology", 1987, ACADEMIC PRESS |
| KARLINALTSCHUL, PROC. NATL. ACAD. SCI USA, vol. 87, 1990, pages 2264 - 68 |
| KERRY ET AL., J. IMMUNOLOGY, vol. 171, no. 9, 2003, pages 4493 - 4503 |
| LEE ET AL., BIOTECHNOL BIOENG, vol. 10996, 2012, pages 1551 - 1560 |
| LEFRANC ET AL., DEVELOPMENTAL AND COMPARATIVE IMMUNOLOGY, vol. 27, no. 1, 2003, pages 55 - 77 |
| LOWECORVAIA, INT J CANCER CLIN RES, vol. 3, 2016, pages 058 |
| MA ET AL.: "A CD40 agonist and PD-1 antagonist antibody reprogram the microenvironment of non-immunogenic tumors to allow T cell-mediated anticancer activity", CANCER IMMUNOL RES, 14 January 2019 (2019-01-14) |
| MICHELLE OLS ET AL: "Abstract LB-013: CAR-Ts armored with small molecule-regulated IL12 or CD40L cassettes for enhanced activity against solid tumors", PROCEEDINGS: AACR ANNUAL MEETING 2019; MARCH 29-APRIL 3, 2019; ATLANTA, GA, 1 July 2019 (2019-07-01), XP055702953, Retrieved from the Internet <URL:https://obsidiantx.com/wp-content/uploads/2019/07/POSTER-Obsidian_AACR_March_2019_FINAL.pdf> [retrieved on 20200609], DOI: 10.1158/1538-7445.AM2019-LB-013 * |
| RAKHIT R ET AL., CHEM BIOL., vol. 21, no. 9, 2014, pages 1238 - 1252 |
| RELANDER ET AL., MOL. THER., vol. 11, 2005, pages 452 - 459 |
| RIEGER ET AL.: "Glossary of Genetics: Classical and Molecular", 1991, M. STOCKTON PRESS |
| ROBBINS ET AL., J IMMUNOLOGY, vol. 180, no. 9, 2008, pages 6116 - 6131 |
| ROSENBERG, NAT REV CLIN ONCOL., vol. 8, no. 10, 2011, pages 577 - 85 |
| SACCO ET AL., CANCER GENE THER., vol. 7, no. 10, 2000, pages 1299 - 306 |
| SAMBROOK ET AL.: "Molecular Cloning: A Laboratory Manual", 2001, COLD SPRING HARBOR LABORATORY |
| SCHLUETER, C. J. ET AL., J. MOL. BIOL., vol. 256, 1996, pages 859 |
| SCHMITZ ET AL., HEPATOLOGY, vol. 44, no. 2, 2006, pages 430 - 9 |
| STANKUNAS, K. ET AL., MOL. CELL, vol. 12, 2003, pages 1615 - 1624 |
| STEPHEN F. ALTSCHUL ET AL.: "Gapped BLAST and PSI-BLAST: a new generation of protein database search programs", NUCLEIC ACIDS RES., vol. 25, 1997, pages 3389 - 3402, XP002905950, DOI: 10.1093/nar/25.17.3389 |
| STEWART ET AL., HUM GENE THER., vol. 22, no. 3, 2011, pages 357 - 369 |
| THEMELI ET AL., NAT BIOTECHNOL., vol. 31, no. 10, 2013, pages 928 - 933 |
| THROM ET AL., BLOOD, vol. 113, no. 21, 2009, pages 5104 - 5110 |
| TSUKAHARA ET AL., BIOCHEM BIOPHYS RES COMMUN, vol. 438, no. 1, 2013, pages 84 - 9 |
| VONDERHEIDE ET AL., J CLIN ONCOL., vol. 25, no. 7, 2007, pages 876 - 83 |
Cited By (1)
| Publication number | Priority date | Publication date | Assignee | Title |
|---|---|---|---|---|
| WO2025056659A1 (en) * | 2023-09-15 | 2025-03-20 | Medigene Immunotherapies Gmbh | T-CELL RECEPTOR VARIANT AGAINST mKRAS7-16 G12V AND G12C |
Similar Documents
| Publication | Publication Date | Title |
|---|---|---|
| US20250084147A1 (en) | Method of Redirecting T Cells to Treat HIV Infection | |
| US20250333469A1 (en) | Use of cd8-targeted viral vectors | |
| JP6069755B2 (en) | High affinity T cell receptor and use thereof | |
| JP2024073449A (en) | ROR-1-specific chimeric antigen receptor and uses thereof | |
| TW202005658A (en) | T cell receptors and engineered cells expressing same | |
| US20220332780A1 (en) | Ca2-il15 fusion proteins for tunable regulation | |
| EP3735460A1 (en) | Methods and compositions for genetically modifying and expanding lymphocytes and regulating the activity thereof | |
| JP2018184471A (en) | Methods and compositions for generating immune response by inducing cd40 and pattern recognition receptor adapters | |
| JP6580579B2 (en) | Methods and compositions for producing cells expressing a T cell receptor | |
| KR20210021493A (en) | MUC16 specific chimeric antigen receptor and uses thereof | |
| WO2022060806A1 (en) | Compositions and methods for expression of anti-bcma chimeric antigen receptors with small molecule-regulated il15 in t cells | |
| JP2022553409A (en) | Chimeric polypeptides for immune cell regulation | |
| US20230210902A1 (en) | Sars-cov-2-specific t cells | |
| JP6777841B2 (en) | Method for producing cytotoxic T cells | |
| JP2024514355A (en) | Chimeric antigen receptor (CAR)-T cells | |
| US20250222027A1 (en) | Cytokine receptor agonist and viral vector combination therapies | |
| JP6425301B2 (en) | NK cell line for evaluating the cytotoxic activity-inducing ability of TCR, and method for producing the same | |
| WO2022060904A1 (en) | Compositions and methods for expression of t-cell receptors with small molecule-regulated cd40l in t cells | |
| CN115975056B (en) | Construction of TSHR-targeted CAR-T cells using the native protein TSH as an antigen binding site | |
| CN117625545A (en) | Modified targeted HBV immune cells and medical application thereof | |
| IL317429A (en) | Hbv surface antigen specific t cell receptors and uses thereof | |
| CN117098849A (en) | Use of viral vectors targeting CD8 | |
| AU2020345943B2 (en) | CA2-IL15 fusion proteins for tunable regulation | |
| JP6970417B2 (en) | Method for producing cytotoxic T cells | |
| HK40024931B (en) | Therapeutic agent comprising nucleic acid and tcr modified immune cell and use thereof |
Legal Events
| Date | Code | Title | Description |
|---|---|---|---|
| 121 | Ep: the epo has been informed by wipo that ep was designated in this application |
Ref document number: 21798173 Country of ref document: EP Kind code of ref document: A1 |
|
| NENP | Non-entry into the national phase |
Ref country code: DE |
|
| 122 | Ep: pct application non-entry in european phase |
Ref document number: 21798173 Country of ref document: EP Kind code of ref document: A1 |
























































































































































