WO2022051629A1 - Immunogenic compositions and uses thereof - Google Patents
Immunogenic compositions and uses thereof Download PDFInfo
- Publication number
- WO2022051629A1 WO2022051629A1 PCT/US2021/049077 US2021049077W WO2022051629A1 WO 2022051629 A1 WO2022051629 A1 WO 2022051629A1 US 2021049077 W US2021049077 W US 2021049077W WO 2022051629 A1 WO2022051629 A1 WO 2022051629A1
- Authority
- WO
- WIPO (PCT)
- Prior art keywords
- circular polyribonucleotide
- circular
- polyribonucleotide
- polypeptide
- immunogen
- Prior art date
- Legal status (The legal status is an assumption and is not a legal conclusion. Google has not performed a legal analysis and makes no representation as to the accuracy of the status listed.)
- Ceased
Links
- 0 CCCCNCCC(CC)CCC*CC*C Chemical compound CCCCNCCC(CC)CCC*CC*C 0.000 description 2
Classifications
-
- A—HUMAN NECESSITIES
- A61—MEDICAL OR VETERINARY SCIENCE; HYGIENE
- A61K—PREPARATIONS FOR MEDICAL, DENTAL OR TOILETRY PURPOSES
- A61K39/00—Medicinal preparations containing antigens or antibodies
- A61K39/12—Viral antigens
-
- A—HUMAN NECESSITIES
- A61—MEDICAL OR VETERINARY SCIENCE; HYGIENE
- A61K—PREPARATIONS FOR MEDICAL, DENTAL OR TOILETRY PURPOSES
- A61K39/00—Medicinal preparations containing antigens or antibodies
- A61K39/12—Viral antigens
- A61K39/145—Orthomyxoviridae, e.g. influenza virus
-
- A—HUMAN NECESSITIES
- A61—MEDICAL OR VETERINARY SCIENCE; HYGIENE
- A61K—PREPARATIONS FOR MEDICAL, DENTAL OR TOILETRY PURPOSES
- A61K39/00—Medicinal preparations containing antigens or antibodies
- A61K39/12—Viral antigens
- A61K39/215—Coronaviridae, e.g. avian infectious bronchitis virus
-
- A—HUMAN NECESSITIES
- A61—MEDICAL OR VETERINARY SCIENCE; HYGIENE
- A61P—SPECIFIC THERAPEUTIC ACTIVITY OF CHEMICAL COMPOUNDS OR MEDICINAL PREPARATIONS
- A61P31/00—Antiinfectives, i.e. antibiotics, antiseptics, chemotherapeutics
- A61P31/12—Antivirals
- A61P31/14—Antivirals for RNA viruses
-
- A—HUMAN NECESSITIES
- A61—MEDICAL OR VETERINARY SCIENCE; HYGIENE
- A61P—SPECIFIC THERAPEUTIC ACTIVITY OF CHEMICAL COMPOUNDS OR MEDICINAL PREPARATIONS
- A61P31/00—Antiinfectives, i.e. antibiotics, antiseptics, chemotherapeutics
- A61P31/12—Antivirals
- A61P31/14—Antivirals for RNA viruses
- A61P31/16—Antivirals for RNA viruses for influenza or rhinoviruses
-
- C—CHEMISTRY; METALLURGY
- C12—BIOCHEMISTRY; BEER; SPIRITS; WINE; VINEGAR; MICROBIOLOGY; ENZYMOLOGY; MUTATION OR GENETIC ENGINEERING
- C12N—MICROORGANISMS OR ENZYMES; COMPOSITIONS THEREOF; PROPAGATING, PRESERVING, OR MAINTAINING MICROORGANISMS; MUTATION OR GENETIC ENGINEERING; CULTURE MEDIA
- C12N15/00—Mutation or genetic engineering; DNA or RNA concerning genetic engineering, vectors, e.g. plasmids, or their isolation, preparation or purification; Use of hosts therefor
- C12N15/09—Recombinant DNA-technology
- C12N15/63—Introduction of foreign genetic material using vectors; Vectors; Use of hosts therefor; Regulation of expression
- C12N15/79—Vectors or expression systems specially adapted for eukaryotic hosts
- C12N15/85—Vectors or expression systems specially adapted for eukaryotic hosts for animal cells
-
- A—HUMAN NECESSITIES
- A61—MEDICAL OR VETERINARY SCIENCE; HYGIENE
- A61K—PREPARATIONS FOR MEDICAL, DENTAL OR TOILETRY PURPOSES
- A61K39/00—Medicinal preparations containing antigens or antibodies
- A61K2039/51—Medicinal preparations containing antigens or antibodies comprising whole cells, viruses or DNA/RNA
- A61K2039/53—DNA (RNA) vaccination
-
- A—HUMAN NECESSITIES
- A61—MEDICAL OR VETERINARY SCIENCE; HYGIENE
- A61K—PREPARATIONS FOR MEDICAL, DENTAL OR TOILETRY PURPOSES
- A61K39/00—Medicinal preparations containing antigens or antibodies
- A61K2039/555—Medicinal preparations containing antigens or antibodies characterised by a specific combination antigen/adjuvant
- A61K2039/55511—Organic adjuvants
- A61K2039/55555—Liposomes; Vesicles, e.g. nanoparticles; Spheres, e.g. nanospheres; Polymers
-
- A—HUMAN NECESSITIES
- A61—MEDICAL OR VETERINARY SCIENCE; HYGIENE
- A61K—PREPARATIONS FOR MEDICAL, DENTAL OR TOILETRY PURPOSES
- A61K39/00—Medicinal preparations containing antigens or antibodies
- A61K2039/70—Multivalent vaccine
-
- C—CHEMISTRY; METALLURGY
- C12—BIOCHEMISTRY; BEER; SPIRITS; WINE; VINEGAR; MICROBIOLOGY; ENZYMOLOGY; MUTATION OR GENETIC ENGINEERING
- C12N—MICROORGANISMS OR ENZYMES; COMPOSITIONS THEREOF; PROPAGATING, PRESERVING, OR MAINTAINING MICROORGANISMS; MUTATION OR GENETIC ENGINEERING; CULTURE MEDIA
- C12N2760/00—MICROORGANISMS OR ENZYMES; COMPOSITIONS THEREOF; PROPAGATING, PRESERVING, OR MAINTAINING MICROORGANISMS; MUTATION OR GENETIC ENGINEERING; CULTURE MEDIA ssRNA viruses negative-sense
- C12N2760/00011—Details
- C12N2760/16011—Orthomyxoviridae
- C12N2760/16111—Influenzavirus A, i.e. influenza A virus
- C12N2760/16134—Use of virus or viral component as vaccine, e.g. live-attenuated or inactivated virus, VLP, viral protein
-
- C—CHEMISTRY; METALLURGY
- C12—BIOCHEMISTRY; BEER; SPIRITS; WINE; VINEGAR; MICROBIOLOGY; ENZYMOLOGY; MUTATION OR GENETIC ENGINEERING
- C12N—MICROORGANISMS OR ENZYMES; COMPOSITIONS THEREOF; PROPAGATING, PRESERVING, OR MAINTAINING MICROORGANISMS; MUTATION OR GENETIC ENGINEERING; CULTURE MEDIA
- C12N2770/00—MICROORGANISMS OR ENZYMES; COMPOSITIONS THEREOF; PROPAGATING, PRESERVING, OR MAINTAINING MICROORGANISMS; MUTATION OR GENETIC ENGINEERING; CULTURE MEDIA ssRNA viruses positive-sense
- C12N2770/00011—Details
- C12N2770/20011—Coronaviridae
- C12N2770/20034—Use of virus or viral component as vaccine, e.g. live-attenuated or inactivated virus, VLP, viral protein
-
- C—CHEMISTRY; METALLURGY
- C12—BIOCHEMISTRY; BEER; SPIRITS; WINE; VINEGAR; MICROBIOLOGY; ENZYMOLOGY; MUTATION OR GENETIC ENGINEERING
- C12N—MICROORGANISMS OR ENZYMES; COMPOSITIONS THEREOF; PROPAGATING, PRESERVING, OR MAINTAINING MICROORGANISMS; MUTATION OR GENETIC ENGINEERING; CULTURE MEDIA
- C12N2840/00—Vectors comprising a special translation-regulating system
- C12N2840/20—Vectors comprising a special translation-regulating system translation of more than one cistron
- C12N2840/203—Vectors comprising a special translation-regulating system translation of more than one cistron having an IRES
-
- C—CHEMISTRY; METALLURGY
- C12—BIOCHEMISTRY; BEER; SPIRITS; WINE; VINEGAR; MICROBIOLOGY; ENZYMOLOGY; MUTATION OR GENETIC ENGINEERING
- C12N—MICROORGANISMS OR ENZYMES; COMPOSITIONS THEREOF; PROPAGATING, PRESERVING, OR MAINTAINING MICROORGANISMS; MUTATION OR GENETIC ENGINEERING; CULTURE MEDIA
- C12N2840/00—Vectors comprising a special translation-regulating system
- C12N2840/20—Vectors comprising a special translation-regulating system translation of more than one cistron
- C12N2840/203—Vectors comprising a special translation-regulating system translation of more than one cistron having an IRES
- C12N2840/206—Vectors comprising a special translation-regulating system translation of more than one cistron having an IRES having multiple IRES
Definitions
- Vaccination has made an enormous contribution to both human and animal health. Since the invention of the first vaccine in 1796, vaccines have come to be considered the most successful method for preventing many infectious diseases by provoking an immune response in a subject. According to the World Health Organization, immunization currently prevents 2-3 million deaths every year across all age groups. Today, vaccines have been developed to prevent and control the spread of more than 20 infectious diseases, including diphtheria, tetanus, pertussis, influenza, and measles, and have led to the complete eradication of smallpox. There remains a need to develop new and improved immunogenic compositions and uses thereof.
- compositions, pharmaceutical preparations, and uses of polyribonucleotides e.g., circular or linear polyribonucleotides
- polyribonucleotides e.g., circular or linear polyribonucleotides
- the disclosure provides circular polyribonucleotides encoding multiple immunogens, circular polyribonucleotides encoding at least one immunogen and further encoding at least one adjuvant, and compositions including multiple circular polyribonucleotides.
- This disclosure further relates to methods of using the circular polyribonucleotides encoding one or more polypeptide immunogens.
- Compositions and pharmaceutical preparations of circular polyribonucleotides described herein may induce an immune response in a subject upon administration.
- Compositions and pharmaceutical preparations of circular polyribonucleotides described herein may be used to treat or prevent a disease, disorder, or condition in a subject.
- a circular polyribonucleotide including a plurality of sequences, each sequence encoding a polypeptide immunogen, wherein at least two (e.g., at least three, at least four, at least five, at least six, at least seven, at least eight, and at least nine) of the polypeptide immunogens have at least 90% (e.g., at least 91%, at least 92%, at least 93%, at least 94%, at least 95%, at least 96%, at least 97%, at least 98%, and at least 99%) amino acid sequence identity.
- the at least two polypeptide immunogens have at least 95% (e.g., 96%, at least 97%, at least 98%, and at least 99%) amino acid sequence identity. In some embodiments, the at least two polypeptide immunogens have less than 100% amino acid sequence identity. In some embodiments, each of the polypeptide immunogens have at least 90% (e.g., at least 91%, at least 92%, at least 93%, at least 94%, at least 95%, at least 96%, at least 97%, at least 98%, and at least 99%) amino acid sequence identity.
- each of the polypeptide immunogens have at least 95% (e.g., 96%, at least 97%, at least 98%, and at least 99%) amino acid sequence identity. In some embodiments, each of the polypeptide immunogens have less than 100% amino acid sequence identity. In some embodiments, each of the polypeptide immunogens includes one or more epitopes that identifies a target. In some embodiments, the target is a pathogen. In some embodiments, the pathogen is a virus, a bacterium, a fungus, or a parasite.
- the pathogen is a virus and each polypeptide immunogen includes one or more epitopes (e.g., two, three, four, five, six, seven, eight, nine, ten or more) corresponding to a viral immunogen.
- the pathogen is a bacterium and each polypeptide immunogen includes one or more (e.g., two, three, four, five, six, seven, eight, nine, ten or more) epitopes corresponding to a bacterial immunogen.
- the target is a cancer cell.
- polypeptide immunogen includes one or more (e.g., two, three, four, five, six, seven, eight, nine, and ten or more) epitopes corresponding to a tumor antigen.
- the target is a toxin or an allergen.
- the target is associated with a disease, disorder, or condition.
- the disease, disorder, or condition is a viral infection.
- the disease, disorder, or condition is a bacterial infection.
- the disease, disorder, or condition is a cancer.
- the disclosure provides a circular polyribonucleotide including a plurality of sequences, each sequence encoding a polypeptide immunogen, wherein at least two (e.g., at least three, at least four, at least five, at least six, at least seven, at least eight, or at least nine) of the polypeptide immunogens identify different proteins, wherein each of the different proteins identifies the same target.
- each of the polypeptide immunogens identifies a different protein.
- the target is a pathogen.
- the pathogen is a virus, a bacterium, a fungus, or a parasite.
- the pathogen is a virus and each of the different proteins is a viral protein associated with the virus.
- the pathogen is a bacterium and each of the different proteins is a bacterial protein associated with the bacteria.
- the target is a cancer cell.
- each of the different proteins is a different tumor antigen associate with the cancer cell.
- the target is an allergen or a toxin.
- the disclosure provides a circular polyribonucleotide including a plurality of sequences, each sequence encoding a polypeptide immunogen, wherein at least two (e.g., at least three, at least four, at least five, at least six, at least seven, at least eight, or at least nine) of the polypeptide immunogens identify different targets.
- each of the polypeptide immunogens identifies a different target.
- each target is a different pathogen.
- each target is, independently, a cancer cell, a virus, a bacterium, a fungus, or a parasite.
- each target is a different virus.
- each target is a different bacterium.
- the targets include a virus and a bacterium.
- the circular polyribonucleotide includes between 500 and 20,000 ribonucleotides (e.g., between 500 and 10,000, 500 and 9,000, 500 and 8,000, 500 and 5,000, 500 and 4,000, 500 and 3,000, 1000 and 10,000, 1 ,000 and 8,000, 1 ,000 and 5,000, 3,000 and 8,000, 4,000 and 9,000, or 10,000 and 20,000)).
- the circular polyribonucleotide includes between 500 and 5,000.
- the circular polyribonucleotide includes between 1 ,000 and 5,000 ribonucleotides.
- the circular polyribonucleotide includes between 5,000 and 10,000 ribonucleotides In some embodiments, the circular polyribonucleotide includes at least 500 ribonucleotides (e.g. at least 600, at least 1000, at least 1500, at least 2000, at least 2500, at least 3000, at least 3500, at least 4000, at least 4500, at least 5000, at least 5500, at least 6000, at least 6500, at least 7000, at least 7500, at least 8000, at least 8500, at least 9000, or at least 9500 ribonucleotides).
- at least 500 ribonucleotides e.g. at least 600, at least 1000, at least 1500, at least 2000, at least 2500, at least 3000, at least 3500, at least 4000, at least 4500, at least 5000, at least 5500, at least 6000, at least 6500, at least 7000, at least 7500, at least 8000, at least 8500
- the circular polyribonucleotide includes at least three, at least four, at least five, at least six, at least seven, at least eight, or at least nine sequences, each sequence encoding a polypeptide immunogen. In some embodiments, the circular polyribonucleotide includes two or three, between two and five (e.g., two, three or four), or between five and ten sequences (e.g., five, six, seven, eight, nine, or sequences), each sequence encoding a polypeptide immunogen.
- At least one sequence encoding a polypeptide immunogen further encodes a signal sequence.
- each sequence encoding a polypeptide immunogen further encodes a signal sequence.
- each of the sequences encoding each of the polypeptide immunogens is operably linked to an internal ribosomal entry site (IRES).
- the circular polyribonucleotide includes a single IRES.
- each of the polypeptide immunogens is encoded by a single open-reading frame operably linked to the single IRES, wherein the expression of the open reading frame produces a polypeptide including the amino acid sequence of each the polypeptide immunogens.
- the polypeptide immunogens are each separated by a polypeptide linker. In some embodiments, the polypeptide immunogens are each separated by a cleavage domain. In some embodiments, each stagger element is a 2A self-cleaving peptide. In some embodiments, the circular polyribonucleotide includes a plurality of IRESs. In some embodiments, each IRES is operably linked to an open reading frame including a sequence encoding a polypeptide immunogen.
- the circular polyribonucleotide further includes at least one sequence (e.g., at least two, at least three, at least four, at least five, at least six, at least seven, at least, eight, at least nine, and at least ten sequences) encoding an adjuvant.
- the at least one e.g., at least two, at least three, at least four, at least five, at least six, at least seven, at least, eight, at least nine, and at least ten sequences
- sequence encoding the adjuvant is operably linked to an IRES
- the disclosure provides a circular polyribonucleotide including a sequence encoding a polypeptide immunogen and a sequence encoding an adjuvant or a sequence that is an innate immune system stimulator.
- the sequence encoding the polypeptide immunogen is operably linked to an IRES.
- the sequence encoding the adjuvant is operably linked to an IRES.
- the polypeptide immunogen and the adjuvant polypeptide are encoded by a single open-reading frame operably linked to the single IRES, wherein the expression of the open reading frame produces a polypeptide including the amino acid sequence of each of the polypeptide immunogen and the adjuvant polypeptide.
- the polypeptide immunogen and the adjuvant polypeptide are each separated by a polypeptide linker. In some embodiments, the polypeptide immunogen and the adjuvant polypeptide are each separated by a cleavage domain. In some embodiments, each stagger element is a 2A self-cleaving peptide.
- the circular polyribonucleotide includes a plurality of IRESs. In some embodiments, a first IRES is operably linked to the sequence encoding the polypeptide immunogen and a second IRES is operably linked to the sequence encoding the adjuvant polypeptide.
- the circular polyribonucleotide encodes at least one polypeptide immunogen and at least one adjuvant (e.g., a polypeptide adjuvant)
- the expression of the sequence encoding the polypeptide immunogen is at least 2-fold, 5-fold, 10-fold, 20-fold, 50-fold, or 100-fold greater than the expression of the sequence encoding the adjuvant.
- the expression of the sequence encoding the polypeptide immunogen is substantially the same as the expression of the sequence encoding the adjuvant.
- the disclosure provides a composition including a plurality of circular polyribonucleotides, wherein the composition includes at least a first circular polyribonucleotide including a sequence encoding a polypeptide immunogen and at least a second circular polyribonucleotide including a sequence encoding an adjuvant or a sequence that is an innate immune system stimulator.
- the polypeptide immunogen and the adjuvant are each operably linked to an IRES.
- the adjuvant is a polypeptide.
- the adjuvant is a cytokine, a chemokine, a costimulatory molecule, an innate immune stimulator, a signaling molecule, a transcriptional activator, a cytokine receptor, a bacterial component, or a component of the innate immune system.
- the cytokine is a pro-inflammatory cytokine.
- the pro-inflammatory cytokine is selected from GM-CSF, IL-1 alpha, IL-1 beta, TGF-beta, TNF-alpha, and TNF-beta.
- cytokine is a Th-1 inducing cytokine.
- the Th-1 inducing cytokine is selected from IFN-gamma, IL-2, IL-12, IL-15, and IL-18. In some embodiments, the cytokine is a Th-2 inducing cytokine. In some embodiments, the Th-2 inducing cytokine is selected from IFN-gamma, IL-4, IL-5, IL-6, IL-10, and IL-13. In some embodiments, the chemokine is selected from MCP-1 , MIP-1 alpha, MIP-1 beta, Rantes, and TCA-3. In some embodiments, the costimulatory molecule is selected from CD80, CD86, CD40-L, CD70, and CD27.
- the innate immune stimulator is selected from STING (e.g., a constitutively active STING, such as STING V155M , STING R284M , STING R284M/V147L/N154S/V155M , or STING V147L/N154S/V155M ), TLR3, TLR4, TLR9, TLR7, TLR8, TLR7, RIG-I/DDX58, and MDA-5/IFIH1.
- STING e.g., a constitutively active STING, such as STING V155M , STING R284M , STING R284M/V147L/N154S/V155M , or STING V147L/N154S/V155M
- the innate immune stimulator is a constitutively active mutant.
- the signaling molecule is selected from STING (e.g., a constitutively active STING, such as STING V155M , STING R284M , STING R284M/V147L/N154S/V155M , or STING V147L/N154S/V155M ), TRIF, TRAM, MyD88, IPS1 , ASC, MAVS, MAPKs, IKK-alpha, IKK complex, TBK1 , B-catenin, and caspase 1 .
- the transcriptional activator is selected from AP1 , NF-kappa B, IRF3, IRF7, IRF1 , and IRF5.
- the cytokine receptor is selected from IL-2betaR, IFN-gammaR, and IL-6R.
- the bacterial component is selected from flagellin and MBL.
- At least one sequence encoding the adjuvant further encodes a signal sequence.
- each sequence encoding an immunogen further encodes a signal sequence.
- at least one sequence encoding an immunogen does not encode a signal sequence.
- none of the sequences encoding an immunogen further encodes a signal sequence.
- the circular polyribonucleotide further includes a sequence that is an innate immune system stimulator.
- the sequence that is an innate immune system stimulator is a GU-rich motif, an AU-rich motif, a structured region including dsRNA, or an aptamer.
- the circular polyribonucleotide includes a first polyribonucleotide with a 5’ end and a 3’ end, wherein 5’ end and 3’ end are each hybridized to a second polynucleotide, there by linking the 5’ end and the 3’ end of the first polyribonucleotide to form a circular polyribonucleotide.
- the circular polyribonucleotide is produced by splint ligation.
- the circular polyribonucleotide is produced by providing a linear polyribonucleotide having a 3’ end and a 5’ end, wherein the 3’ end and the 5’ end each include a portion of an intron, and wherein the intron potion of the 3’ end and the intron portion of the 5’ end catalyze a splicing reaction thereby covalently conjugating the 5’ end and the 3’ end to produce a circular polyribonucleotide.
- the intron is a Group I self-splicing intron.
- composition including a plurality of circular polyribonucleotides, each including a sequence encoding a polypeptide immunogen.
- each of the plurality of circular polyribonucleotides is a circular polyribonucleotide described herein.
- the composition includes at least a first circular polyribonucleotide including a sequence encoding a first polypeptide immunogen and at least a second circular polyribonucleotide including a sequence encoding a second polypeptide immunogen, wherein the first and second polypeptide immunogens have at least 90% (e.g., at least 91%, at least 92%, at least 93%, at last 94%, at least 95%, at least 96%, at least 97%, at least 98%, and at least 99%) amino acid sequence identity. In some embodiments, the first and second polypeptide immunogens have at least 95% (at least 96%, at least 97%, at least 98%, and at least 99%) amino acid sequence identity.
- the first and second polypeptide immunogens have less than 100% amino acid sequence identity.
- each of the polypeptide immunogens includes one or more epitopes that identifies a target.
- the composition includes at least a first circular polyribonucleotide including a sequence encoding a first polypeptide immunogen and at least a second circular polyribonucleotide including a sequence encoding a second polypeptide immunogen, wherein the first and second polypeptide immunogens identify different proteins, wherein each different protein identifies the same target.
- the composition includes at least a first circular polyribonucleotide including a sequence encoding a first polypeptide immunogen and at least a second circular polyribonucleotide including a sequence encoding a second polypeptide immunogen, wherein the first polypeptide immunogens identifies a first target and the second polypeptide immunogen identifies a second target.
- each target is, independently, a cancer cell, a virus, a bacterium, a fungus, a parasite, a toxin, or an allergen.
- the target is a pathogen.
- the pathogen is a virus, a bacterium, a fungus, or a parasite.
- the target is a cancer cell, an allergen, or a toxin.
- each polypeptide immunogen is operably linked to an IRES.
- the disclosure provides a pharmaceutical preparation of a circular polyribonucleotide, wherein the circular polyribonucleotide includes a sequence encoding a polypeptide immunogen, and wherein the circular polyribonucleotide constitutes at least 25% (w/w) (e.g., at least 30%(w/w), 40%(w/w), 50% (w/w), 60% (w/w), 70% (w/w), 75% (w/w), 80% (w/w), 85% (w/w), 90% (w/w), 91% (w/w), 92% (w/w), 93% (w/w), 94% (w/w), 95% (w/w), 96% (w/w), 97% (w/w), 98% (w/w) or 99% (w/w)) of total ribonucleotide molecules in the pharmaceutical preparation.
- w/w e.g., at least 30%(w/w), 40%(w/w), 50% (w/w), 60% (w/w),
- the circular polyribonucleotide constitutes at least 70% (w/w), 75% (w/w), 80% (w/w), 85% (w/w), 90% (w/w), 91% (w/w), 92% (w/w), 93% (w/w), 94% (w/w), 95% (w/w), 96% (w/w), 97% (w/w), 98% (w/w) or 99% (w/w) of total ribonucleotide molecules in the pharmaceutical preparation.
- the pharmaceutical preparation includes no more than 75% (w/w), 60% (w/w), 50% (w/w), 40% (w/w), 30% (w/w), 20% (w/w), 15% (w/w), 10% (w/w), 5% (w/w), or 1% (w/w) linear polyribonucleotide molecules of the total ribonucleotide molecules in the pharmaceutical preparation.
- the pharmaceutical preparation includes no more than 0.5% (w/w) (e.g., 0.4% (w/w), 0.3% (w/w), 0.2% (w/w), 0.1 (w/w), and 0.05% (w/w) linear polyribonucleotide molecules of the total ribonucleotide molecules in the pharmaceutical preparation.
- the pharmaceutical preparation includes at least 1 % (w/w) linear polyribonucleotide. In some embodiments, the pharmaceutical preparation includes between 30%-40% (w/w) circular polyribonucleotide and between 1 %-10% (w/w), 10%-20% (w/w), 20%-30% (w/w), 30%-40% (w/w), 40%-50% (w/w), 50%-60% (w/w), or 60%-70% (w/w) linear polyribonucleotide.
- the pharmaceutical preparation includes between 40%-60% (w/w) circular polyribonucleotide and between 1 %-10% (w/w), 10%-20% (w/w), 20%-30% (w/w), 30%-40% (w/w), 40%-50% (w/w), 50%-60% (w/w) linear polyribonucleotide.
- the pharmaceutical preparation includes between 60%-80% (w/w) circular polyribonucleotide and between 1 %-10% (w/w), 10%-20% (w/w), 20%-30% (w/w), 30%-40% (w/w) linear polyribonucleotide.
- the disclosure provides a pharmaceutical preparation of a circular polyribonucleotide, wherein the circular polyribonucleotide includes a sequence encoding a polypeptide immunogen, and wherein the pharmaceutical preparation includes no more than 75% (w/w), 60% (w/w), 50% (w/w), 40% (w/w), 30% (w/w), 20% (w/w), 15% (w/w), 10% (w/w), 5% (w/w), or 1 % (w/w) linear polyribonucleotide molecules of the total ribonucleotide molecules in the pharmaceutical preparation.
- the pharmaceutical preparation includes no more than 20% (w/w), 15% (w/w), 10% (w/w), 5% (w/w), 1 % (w/w), or 0.5% (w/w) linear polyribonucleotide molecules of the total ribonucleotide molecules in the pharmaceutical preparation.
- the preparation includes no more than 15% (w/w) (e.g., 15% (w/w), 10% (w/w), 9% (w/w), 8% (w/w), 7% (w/w), 6% (w/w), 5% (w/w), 4% (w/w), 3% (w/w), 2% (w/w), 1 % (w/w), and 0.5% (w/w)) nicked polyribonucleotide molecules of the total ribonucleotide molecules in the pharmaceutical preparation.
- 15% (w/w) e.g., 15% (w/w), 10% (w/w), 9% (w/w), 8% (w/w), 7% (w/w), 6% (w/w), 5% (w/w), 4% (w/w), 3% (w/w), 2% (w/w), 1 % (w/w), and 0.5% (w/w)
- the preparation includes no more than 8% (w/w), 7% (w/w), 6% (w/w), 5% (w/w), 4% (w/w), 3% (w/w), 2% (w/w), 1 % (w/w), or 0.5% (w/w) nicked polyribonucleotide molecules of the total ribonucleotide molecules in the pharmaceutical preparation.
- the disclosure provides a pharmaceutical preparation of a circular polyribonucleotide, wherein the circular polyribonucleotide includes a sequence encoding a polypeptide immunogen, and wherein the pharmaceutical preparation includes no more than 15% (w/w) (e.g., 15% (w/w), 10% (w/w), 9% (w/w), 8% (w/w), 7% (w/w), 6% (w/w), 5% (w/w), 4% (w/w), 3% (w/w), 2% (w/w), 1 % (w/w), and 0.5% (w/w)) nicked polyribonucleotide molecules of the total ribonucleotide molecules in the pharmaceutical preparation.
- 15% (w/w) e.g., 15% (w/w), 10% (w/w), 9% (w/w), 8% (w/w), 7% (w/w), 6% (w/w), 5% (w/w), 4% (w/w), 3% (
- the preparation includes no more than 8% (w/w), 7% (w/w), 6% (w/w), 5% (w/w), 4% (w/w), 3% (w/w), 2% (w/w), 1 % (w/w), or 0.5% (w/w) nicked polyribonucleotide molecules of the total ribonucleotide molecules in the pharmaceutical preparation.
- the pharmaceutical preparation includes less than 10 EU/kg (e.g., 9 EU/kg, 8 EU/kg, 7 EU/kg, 6 EU/kg, 5 EU/kg, 4 EU/kg, 3 EU/KG, 2 EU/kg, and 1 EU/kg) or lacks endotoxin as measured by a Limulus amebocyte lysate test.
- the pharmaceutical preparation includes a bioburden of less than 100 CFU/100 ml or less than 10 CFU/100 ml before sterilization.
- the pharmaceutical preparation is a sterile pharmaceutical preparation, e.g., supports growth of fewer than 100 viable microorganisms as tested under aseptic conditions.
- the pharmaceutical preparation meets the standard of USP ⁇ 71 >.
- the pharmaceutical preparation meets the standard of USP ⁇ 85>.
- the pharmaceutical preparation is an intermediate pharmaceutical preparation of a final drug product.
- the pharmaceutical preparation is a final drug product for administration to a subject.
- the pharmaceutical preparation includes a concentration of at least 0.1 ng/mL, 0.5 ng/mL, 1 ng/mL, 5 ng/mL, 10 ng/mL, 50 ng/mL, 0.1 pg/mL, 0.5 pg/mL, 1 pg/mL, 2 pg/mL, 5 pg/mL, 10 pg/mL, 20 pg/mL, 30 pg/mL, 40 pg/mL, 50 pg/mL, 60 pg/mL, 70 pg/mL, 80 pg/mL, 100 pg/mL, 200 pg/mL, 300 pg/mL, 500 pg/mL, 1 mg/mL, 2 mg/mL, 3 mg/mL, 5 mg/mL, 10 mg/mL, 100 mg/mL, 200
- the pharmaceutical preparation includes no more than 1 ng/ml, 5 ng/ml, 10 ng/ml, 15 ng/ml, 20 ng/ml, 25 ng/ml, 30 ng/ml, 35 ng/ml, 40 ng/ml, 50 ng/ml, 60 ng/ml, 70 ng/ml, 80 ng/ml, 90 ng/ml, 100 ng/ml, 200 ng/ml, 300 ng/ml, 400 ng/ml, 500 ng/ml, 1000 pg/mL, 5000 pg/mL, 10,000 pg/mL, or 100,000 pg/mL of deoxyribonucleotide molecules.
- the pharmaceutical preparation includes a protein contamination (e.g. an enzyme) of less than 0.1 ng, 1 ng, 5 ng, 10 ng, 15 ng, 20 ng, 25 ng, 30 ng, 35 ng, 40 ng, 50 ng, 60 ng, 70 ng, 80 ng, 90 ng, 100 ng, 200 ng, 300 ng, 400 ng, or 500 ng of the protein contamination per milligram (mg) of the circular polyribonucleotide molecules.
- a protein contamination e.g. an enzyme
- the pharmaceutical preparation includes an A260/A280 absorbance ratio of from about 1 .6 to 2.3 (e.g., 1 .7, 1 .8, 1 .9, 2.0, 2.1 , and 2.2) as measured by a spectrophotometer.
- the pharmaceutical preparation is substantially free of a process-related impurity selected from a cell protein, a cell deoxyribonucleic acid, an enzyme, a reagent component, a gel component, or a chromatographic material.
- the pharmaceutical preparation has a reduced level of one or more markers of an immune or inflammatory response after purification compared to prior to purification.
- the circular polyribonucleotide is a circular polyribonucleotide described herein.
- the circular polyribonucleotide is produced according to a method including the steps of: providing a plurality of linear polyribonucleotide molecules; circularizing the linear polyribonucleotide molecules to provide a preparation of circular polyribonucleotide molecules; and processing the preparation to remove linear polyribonucleotide molecules from the preparation.
- the method further includes evaluating the amount of linear polyribonucleotide molecules in the preparation remaining after the processing step.
- the method further includes further processing the preparation, wherein further processing includes: processing the preparation to remove nicked polyribonucleotide molecules from the preparation; and/or processing the preparation to remove deoxyribonucleotide molecules from the preparation; and/or processing the preparation to remove protein contaminants from the preparation; and/or processing the preparation to remove endotoxin from the preparation.
- the disclosure provides a pharmaceutical composition including any one of the circular polyribonucleotides, compositions, or pharmaceutical preparations described herein and a pharmaceutically acceptable excipient.
- the pharmaceutical composition includes any one of the circular polyribonucleotides, compositions, or pharmaceutical preparations described herein and protamine or a protamine salt (e.g., protamine sulfate).
- the pharmaceutical composition further includes an adjuvant.
- the adjuvant is an inorganic adjuvant, a small molecule adjuvant, and oil in water emulsion, a lipid or polymer, a peptide or peptidoglycan, a carbohydrate or polysaccharide, a saponin, an RNA-based adjuvant, a DNA-based adjuvant, a viral particle, a bacterial adjuvant, a hybrid molecule, a fungal or oocyte microbe-associated molecular pattern (MAMP), an inorganic nanoparticle, or a multi-component adjuvant.
- the adjuvant is an inorganic adjuvant.
- the inorganic adjuvant is an aluminum salt or a calcium salt.
- the adjuvant is a small molecule.
- the small molecule is imiquimod, resiquimod, or gardiquimod.
- the adjuvant is an oil in water emulsion.
- the oil in water emulsion is Squalene, MF59, AS03, a Montanide formulation, optionally Montanide ISA 51 or Montanide ISA 720, or Incomplete Freunds Adjuvant an oil in water emulsion.
- the adjuvant is a lipid or polymer.
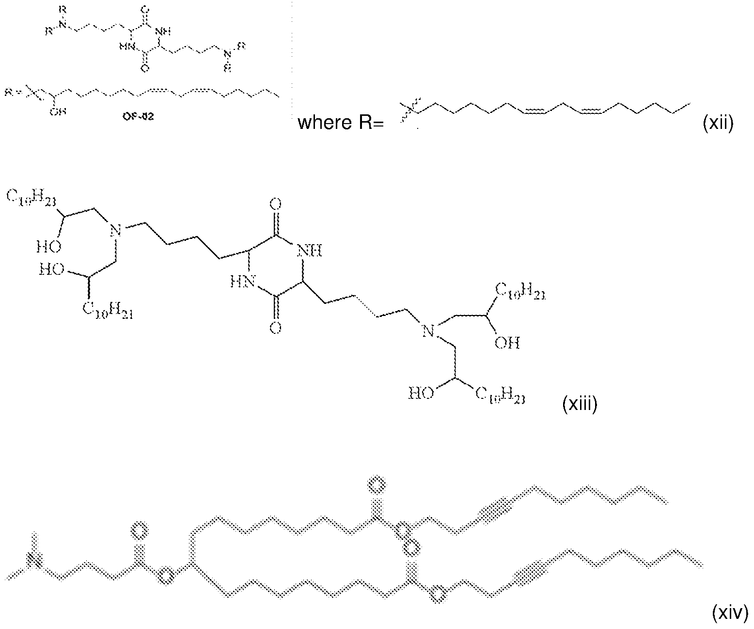
- the lipid or polymer is a polymeric nanoparticle, optionally PLGA, PLG, PLA, PGA, or PHB, a liposome, optionally a Virosomes or CAF01 , a lipid nanoparticle or a component thereof, a lipopolysaccharide (LPS), optionally monophosphoryl lipid A (MPLA) or glucopyranosyl Lipid A (GLA), a lipopeptide, optionally Pam2 (Pam2CSK4) or Pam3 (Pam3CSK4), or a glycolipid, optionally, trehalose dimycolate.
- the adjuvant is a peptide or peptidoglycan.
- the peptide or peptidoglycan corresponds to all or a portion of a synthetic or purified gram negative or gram positive bacteria, optionally N-acetyl-muramyl-L-alanyl-D-isoglutamine (MDP), a flagellin-fusion protein, Mannose-binding Lectin (MBL), a cytokines, or a chemokine.
- MDP N-acetyl-muramyl-L-alanyl-D-isoglutamine
- MDL Mannose-binding Lectin
- cytokines a cytokines
- chemokine chemokine.
- the adjuvant is a carbohydrate or polysaccharide.
- the carbohydrate or polysaccharide is dextran (branched microbial polysaccharide), dextran-sulfate, Lentinan, zymosan, Beta-glucan, Deltin, Mannan, or Chitin.
- the adjuvant is a saponin.
- the saponin is a glycoside or a polycyclic aglycones attached to one or more sugar side chains, optionally ISCOMS, ISCOMS matrix, or QS-21 .
- the adjuvant is an RNA-based adjuvant.
- the RNA-based adjuvant is Poly IC, Poly IC:LC, a hairpin RNAs, optionally with a 5’PPP containing sequence, a viral sequence, a polyU containing sequences, dsRNA, a natural or synthetic immunostimulatory RNA sequence, a nucleic acid analogs, optionally cyclic GMP-AMP or a cyclic dinucleotide such as cyclic di-GMP, or an immunostimulatory base analog, optionally a C8-substitued or an N7,C8-disubstituted guanine ribonucleotide.
- the adjuvant is a DNA-based adjuvant.
- the DNA-based adjuvant is a CpG, dsDNA, or a natural or synthetic immunostimulatory DNA sequence.
- the adjuvant is a viral particle.
- the viral particle is a virosome, optionally, a phospholipid cell membrane bilayer.
- the adjuvant is a bacterial adjuvant.
- the bacterial adjuvant is flagellin, LPS, or a bacterial toxin, optionally an enterotoxin, a heat-labile toxin, or a Cholera toxin.
- the adjuvant is a hybrid molecule.
- the adjuvant is CpG conjugated to Imiquimod.
- the adjuvant is a fungal or oocyte microbe-associated molecular pattern (MAMP).
- the fungal or oocyte MAMP is chitin or beta-glucan.
- the adjuvant is an inorganic nanoparticle.
- the inorganic nanoparticle is a gold nanorod, a silica-based nanoparticle, optionally a mesoporous silica nanoparticle (MSN).
- the adjuvant is a multi-component adjuvant.
- the multi-component adjuvant is AS01 , AS03, AS04, Complete Freunds Adjuvant, or CAF01 .
- the disclosure provides a pharmaceutical composition including a mixture including any one of the circular polyribonucleotides, the compositions, or the pharmaceutical preparations described herein, and an alcohol, wherein the alcohol constitutes about 0.3% v/v to about 75% v/v (e.g., 0.5% v/v, 1 % v/v, 5% v/v, 10% v/v, 15% v/v, 20% v/v, 25% v/v, 30% v/v, 35% v/v, 40% v/v, 45% v/v, 50% v/v, 55% v/v, 60% v/v, 65% v/v, and 70% v/v) of the mixture.
- the alcohol constitutes about 0.3% v/v to about 75% v/v (e.g., 0.5% v/v, 1 % v/v, 5% v/v, 10% v/v, 15% v/v, 20% v/v, 25% v/v, 30%
- the disclosure provides a pharmaceutical composition including a mixture including a linear polyribonucleotide that includes at least one sequence encoding a polypeptide immunogen and an alcohol, wherein the alcohol constitutes about 0.3% v/v to about 75% v/v (e.g., 0.5% v/v, 1 % v/v, 5% v/v, 10% v/v, 15% v/v, 20% v/v, 25% v/v, 30% v/v, 35% v/v, 40% v/v, 45% v/v, 50% v/v, 55% v/v, 60% v/v, 65% v/v, and 70% v/v) of the mixture.
- v/v e.g., 0.5% v/v, 1 % v/v, 5% v/v, 10% v/v, 15% v/v, 20% v/v, 25% v/v, 30% v/v, 35% v/v, 40% v/
- the linear polyribonucleotide includes a plurality of sequences, each sequence encoding a polypeptide immunogen, wherein at least two (e.g., at least three, at least four, at least five, at least six, at least seven, at least eight, and at least nine) of the polypeptide immunogens have at least 90% (e.g., at least 91%, at least 92%, at least 93%, at least 94%, at least 95%, at least 96%, at least 97%, at least 98%, and at least 99%) amino acid sequence identity.
- at least two e.g., at least three, at least four, at least five, at least six, at least seven, at least eight, and at least nine
- at least 90% e.g., at least 91%, at least 92%, at least 93%, at least 94%, at least 95%, at least 96%, at least 97%, at least 98%, and at least 99% amino acid sequence identity.
- the at least two polypeptide immunogens have at least 95% (e.g., 96%, at least 97%, at least 98%, and at least 99%) amino acid sequence identity. In some embodiments, the at least two polypeptide immunogens have less than 100% amino acid sequence identity. In some embodiments, each of the polypeptide immunogens includes one or more epitopes that identifies a target. In some embodiments, the target is a pathogen. In some embodiments, the pathogen is a virus, a bacterium, a fungus, or a parasite.
- the pathogen is a virus and each polypeptide immunogen includes one or more epitopes (e.g., two, three, four, five, six, seven, eight, nine, ten, or more) corresponding to a viral immunogen.
- the pathogen is a bacterium and each polypeptide immunogen includes one or more (e.g., two, three, four, five, six, seven, eight, nine, ten, or more) epitopes corresponding to a bacterial immunogen.
- the target is a cancer cell.
- polypeptide immunogen includes one or more (e.g., two, three, four, five, six, seven, eight, nine, ten, or more) epitopes corresponding to a tumor antigen.
- the target is a toxin or an allergen.
- the target is associated with a disease, disorder, or condition.
- the disease, disorder, or condition is a viral infection.
- the disease, disorder, or condition is a bacterial infection.
- the disease, disorder, or condition is a cancer.
- the linear polyribonucleotide includes a plurality of sequences, each sequence encoding a polypeptide immunogen, wherein at least two (e.g., at least three, at least four, at least five, at least six, at least seven, at least eight, and at least nine) of the polypeptide immunogens identify different proteins, wherein each of the different proteins identifies the same target.
- each of the polypeptide immunogens identifies a different protein.
- the target is a pathogen.
- the pathogen is a virus, a bacterium, a fungus, or a parasite.
- the pathogen is a virus and each of the different proteins is a viral protein associated with the virus. In some embodiments, the pathogen is a bacterium and each of the different proteins is a bacterial protein associated with the bacteria. In some embodiments the target is a cancer cell. In some embodiments, each of the different proteins is a different tumor antigen associate with the cancer cell. In some embodiments, the target is an allergen or a toxin.
- the linear polyribonucleotide includes a plurality of sequences, each sequence encoding a polypeptide immunogen, wherein at least two (e.g., at least three, at least four, at least five, at least six, at least seven, at least eight, ant at least nine) of the polypeptide immunogens identify different targets.
- each of the polypeptide immunogens identifies a different target.
- each target is a different pathogen.
- each target is, independently, a cancer cell, a virus, a bacterium, a fungus, or a parasite.
- each target is a different virus.
- each target is a different bacterium.
- the targets include a virus and a bacterium.
- the linear polyribonucleotide includes at least three, at least four, at least five, at least six, at least seven, at least eight, or at least nine sequences, each sequence encoding a polypeptide immunogen. In some embodiments, the linear polyribonucleotide includes between two and three, between two and five (e.g., three and four), or between five and ten sequences (e.g., six, seven, eight, and nine sequences), each sequence encoding a polypeptide immunogen.
- the linear polyribonucleotide includes further includes at least one sequence (e.g., at least two, at least three, at least four, at least five, at least six, at least seven, at least, eight, at least nine, or at least ten sequences) encoding an adjuvant.
- the at least one e.g., at least two, at least three, at least four, at least five, at least six, at least seven, at least, eight, at least nine, or at least ten sequences
- sequence encoding the adjuvant is operably linked to an IRES.
- the linear polyribonucleotide includes a sequence encoding a polypeptide immunogen and a sequence encoding an adjuvant or a sequence that is an innate immune system stimulator.
- the sequence encoding the polypeptide immunogen is operably linked to an IRES.
- the sequence encoding the adjuvant is operably linked to an IRES.
- the adjuvant is a polypeptide.
- the adjuvant is a cytokine, a chemokine, a costimulatory molecule, an innate immune stimulator, a signaling molecule, a transcriptional activator, a cytokine receptor, a bacterial component, or a component of the innate immune system.
- the cytokine is a pro-inflammatory cytokine.
- the pro- inflammatory cytokine is selected from GM-CSF, IL-1 alpha, IL-1 beta, TGF-beta, TNF-alpha, and TNF- beta.
- cytokine is a Th-1 inducing cytokine.
- the Th-1 inducing cytokine is selected from IFN-gamma, IL-2, IL-12, IL-15, and IL-18. In some embodiments, the cytokine is a Th-2 inducing cytokine. In some embodiments, the Th-2 inducing cytokine is selected from IFN-gamma, IL-4, IL-5, IL-6, IL-10, and IL-13. In some embodiments, the chemokine is selected from MCP-1 , MIP-1 alpha, MIP-1 beta, Rantes, and TCA-3. In some embodiments, the costimulatory molecule is selected from CD80, CD86, CD40-L, CD70, and CD27.
- the innate immune stimulator is selected from STING (e.g., constitutively active STING (caSTING), such as STING V155M , STING R284M , STING R284M/V147L/N154S/V155M , or STING V147L/N154S/V155M ), TLR3, TLR4, TLR9, TLR7, TLR8, TLR7, RIG-I/DDX58, and MDA-5/IFIH1 .
- STING e.g., constitutively active STING (caSTING)
- STING V155M e.g., constitutively active STING (caSTING)
- STING R284M e.g., constitutively active STING (caSTING)
- STING V147L/N154S/V155M e.g., STING V147L/N154S/V155M
- STING V147L/N154S/V155M e.g., STING V147L/N
- the signaling molecule is selected from STING (e.g., caSTING, such as STING V155M , STING R284M , STING R284M/V147L/N154S/V155M , or STING V147L/N154S/V155M ), TRIF, TRAM, MyD88, IPS1 , ASC, MAVS, MAPKs, IKK-alpha, IKK complex, TBK1 , B-catenin, and caspase 1 .
- the transcriptional activator is selected from AP1 , NF-kappa B, IRF3, IRF7, IRF1 , and IRF5.
- the cytokine receptor is selected from IL-2betaR, IFN-gammaR, and IL-6R.
- the bacterial component is selected from flagell in and MBL.
- the linear polyribonucleotide includes a sequence that is an innate immune system stimulator.
- the sequence that is an innate immune system stimulator is a GU-rich motif, an AU-rich motif, a structured region including dsRNA, or an aptamer.
- the alcohol constitutes about 0.3% v/v to about 60% v/v (e.g., 0.5% v/v, 1 % v/v, 5% v/v, 10% v/v, 15% v/v, 20% v/v, 25% v/v, 30% v/v, 35% v/v, 40% v/v, 45% v/v, 50% v/v, and 55% v/v) , about 0.3% v/v to about 50% v/v (e.g., 0.5% v/v, 1 % v/v, 5% v/v, 10% v/v, 15% v/v, 20% v/v, 25% v/v, 30% v/v, 35% v/v, 40% v/v, and 45% v/v), about 0.3% v/v to about 40% v/v (e.g., 0.5% v/v, 1% v/v, 5% v/v, 10% v/v/v,
- the alcohol constitutes about 0.5% v/v to about 75% v/v, about 1% v/v to about 75% v/v, about 5% v/v to about 75% v/v, about 10% v/v to about 75% v/v, about 15% v/v to about 75% v/v, about 20% v/v to about 75% v/v, about 30% v/v to about 75% v/v, about 40% v/v to about 75% v/v, about 50% v/v to about 75% v/v, about 60% v/v to about 75% v/v, or about 70% v/v to about 75% v/v of the mixture.
- the alcohol is selected from methanol, ethanol, isopropanol, phenoxyethanol, triethanolamine, phenethyl alcohol, butanol, pentanol, cetyl alcohol, ethylene glycol, propylene glycol, denatured alcohol, benzyl alcohol, specially denatured alcohol, glycol, stearyl alcohol, cetearyl alcohol, menthol, polyethylene glycols (PEG)-400, ethoxylated fatty acids, and hydroxyethylcellulose.
- the alcohol is ethanol.
- the pharmaceutical composition is formulated for topical administration.
- the pharmaceutical composition is a liquid, gel, lotion, paste, cream, foam, or stick.
- the pharmaceutical composition has a pH of about 6-8 (e.g., of about 6.5- 7.5, or of about 7).
- the pharmaceutical composition has a viscosity that is about the same as water.
- the pharmaceutical composition is substantially free of hydrophobic or lipophilic groups. In some embodiments, the pharmaceutical composition is substantially free of hydrocarbons. In some embodiments, the pharmaceutical composition is substantially free of cationic liposomes. In some embodiments, the pharmaceutical composition is substantially free of fatty acids, lipids, liposomes, cholesterol, or any combination thereof. In some embodiments, the composition further including an adjuvant.
- the adjuvant is an inorganic adjuvant, a small molecule adjuvant, and oil in water emulsion, a lipid or polymer, a peptide or peptidoglycan, a carbohydrate or polysaccharide, a saponin, an RNA-based adjuvant, a DNA-based adjuvant, a viral particle, a bacterial adjuvant, a hybrid molecule, a fungal or oocyte microbe-associated molecular pattern (MAMP), an inorganic nanoparticle, or a multi-component adjuvant.
- the composition further includes a cell-penetrating agent.
- the disclosure provides, a method of delivering a polyribonucleotide to a subject including topically applying a circular polyribonucleotide described herein, an immunogenic composition described herein, a pharmaceutical preparation descried herein to a surface area of the subject.
- the disclosure provides, a method of delivering a polyribonucleotide to a subject including: (a) applying a sterilizing agent to a surface area of the subject; and (b) applying a composition including a circular polyribonucleotide described herein, a immunogenic composition described herein, a pharmaceutical preparation descried herein, or the pharmaceutical composition described herein and a diluent to the surface area of the subject.
- the composition of (b) does not comprise a carrier.
- the sterilizing agent is an alcohol, UV light, laser light, or heat.
- the disclosure provides a method of delivering a polyribonucleotide to a subject including: (a) applying an alcohol to a surface area of the subject; and (b) applying a composition including a circular polyribonucleotide described herein, a immunogenic composition described herein, a pharmaceutical preparation descried herein, or the pharmaceutical composition described herein and a diluent to the surface area of the subject.
- the alcohol is selected from the group consisting of: methanol, ethanol, isopropanol, phenoxyethanol, triethanolamine, phenethyl alcohol, butanol, pentanol, cetyl alcohol, ethylene glycol, propylene glycol, denatured alcohol, benzyl alcohol, specially denatured alcohol, glycol, stearyl alcohol, cetearyl alcohol, menthol, polyethylene glycols (PEG)- 400, ethoxylated fatty acids, and hydroxyethylcellulose.
- the alcohol is ethanol.
- the surface area of the subject is selected from a surface area of the skin, oral cavity, nasal cavity, gastrointestinal tract, respiratory tract, or any combination thereof.
- the disclosure provides a method of treating or preventing a disease, disorder, or condition in a subject, the method including administering to the subject any one of the circular polyribonucleotides, the compositions, pharmaceutical preparations, or the pharmaceutical compositions described herein.
- the disease, disorder, or condition is a viral infection, a bacterial infection, or a fungal infection.
- the disease, disorder, or condition is a cancer.
- the disease, disorder, or condition is associated with exposure to an allergen.
- disease, disorder, or condition is associated with exposure to a toxin.
- the disclosure provides a method of inducing an immune response in a subject, the method including administering to the subject any one of the circular polyribonucleotides, the compositions, pharmaceutical preparations, or pharmaceutical compositions described herein.
- the subject is a mammal.
- the subject is a human.
- the method is a non-human mammal.
- the non-human mammal is a cow, a sheep, a goat, a pig, a dog, a horse, or a cat.
- the subject is a bird.
- the bird is a hen, a rooster, a turkey, or a parrot.
- the method further includes administering an adjuvant to the subject.
- the adjuvant is a separate molecular entity from the circular polyribonucleotide, linear polyribonucleotide, or preparation or composition thereof.
- the adjuvant is an inorganic adjuvant, a small molecule adjuvant, and oil in water emulsion, a lipid or polymer, a peptide or peptidoglycan, a carbohydrate or polysaccharide, a saponin, an RNA-based adjuvant, a DNA-based adjuvant, a viral particle, a bacterial adjuvant, a hybrid molecule, a fungal or oocyte microbe-associated molecular pattern (MAMP), an inorganic nanoparticle, or a multi-component adjuvant.
- the adjuvant is a polypeptide adjuvant.
- the polypeptide adjuvant is a cytokine, a chemokine, a costimulatory molecule, an innate immune stimulator, a signaling molecule, a transcriptional activator, a cytokine receptor, a bacterial component, or a component of the innate immune system.
- the adjuvant is an innate immune system stimulator.
- the innate immune system stimulator is selected from an RNA including a GU-rich motif, an AU-rich motif, a structured region including dsRNA, or an aptamer.
- any one of the circular polyribonucleotides, compositions, pharmaceutical preparations, or pharmaceutical compositions described herein is administered to the subject as a single dose. In some embodiments, any one of the circular polyribonucleotides, compositions, pharmaceutical preparations, or pharmaceutical compositions described herein is administered to the subject two or more times, three or more times, four or more times, or five or more times.
- administration of any one of the circular polyribonucleotides, compositions, pharmaceutical preparations, or pharmaceutical compositions described herein occurs about weekly, about every two weeks, about every three weeks, about every month, about every two months, about every three months, about every four months, about every five months, about every six months, about every year, about every two years, about every three years, about every four years, about every five years, or about every ten years.
- the method further comprises administering to the subject a polypeptide immunogen (e.g., a protein subunit comprising a polypeptide immunogen).
- a polypeptide immunogen e.g., a protein subunit comprising a polypeptide immunogen.
- the polypeptide immunogen corresponds to (e.g., shares 90%, 95%, 96%, 97%, 98%, or 100% amino acid sequence identity with a polypeptide immunogen encoded by a sequence of the circular polyribonucleotide.
- the polypeptide immunogen is administered to the subject after administering any one of the circular polyribonucleotides, immunogenic compositions, pharmaceutical preparations, or pharmaceutical compositions described herein.
- the polypeptide immunogen maintains or enhances an immune response in the subject against the polypeptide immunogen.
- the disclosure provides a method of maintaining or enhancing an immune response in a subject comprising (i) administering to the subject a circular polyribonucleotide encoding a polypeptide immunogen and (ii) administering to the subject the polypeptide immunogen, wherein step (ii) occurs between 1 week and 6 months (e.g., between 1 month and 5 months, 2 months and 3 months, 2 weeks and 3 months, or 3 months and 6 months) after step (i), and wherein administration of the polypeptide immunogen of step (ii) maintains or enhances the immune response in the subject against the polypeptide immunogen.
- the polypeptide immunogen comprises one or more epitopes that identifies a target.
- the target is a pathogen.
- the target is a cancer cell, an allergen, or a toxin.
- a circular polyribonucleotide comprising a plurality of sequences, each sequence encoding a polypeptide immunogen, wherein at least two of the polypeptide immunogens have at least 90% amino acid sequence identity.
- each of the polypeptide immunogens comprises one or more epitopes that identifies a target.
- each polypeptide immunogen comprises one or more epitopes corresponding to a viral immunogen.
- each polypeptide immunogen comprises one or more epitopes corresponding to a bacterial immunogen.
- each polypeptide immunogen comprises one or more epitopes corresponding to a tumor antigen.
- a circular polyribonucleotide comprising a plurality of sequences, each sequence encoding a polypeptide immunogen, wherein at least two of the polypeptide immunogens identify different proteins, wherein each of the different proteins identifies the same target.
- a circular polyribonucleotide comprising a plurality of sequences, each sequence encoding a polypeptide immunogen, wherein at least two of the polypeptide immunogens identify different targets.
- each target is, independently, a cancer cell, a virus, a bacterium, a fungus, or a parasite.
- each of the polypeptide immunogens is encoded by a single open-reading frame operably linked to the single IRES, wherein the expression of the open reading frame produces a polypeptide comprising the amino acid sequence of each the polypeptide immunogens.
- the polypeptide immunogens are each separated by a polypeptide linker.
- each IRES is operably linked to an open reading frame comprising a sequence encoding a polypeptide immunogen.
- pro-inflammatory cytokine is selected from GM-CSF, IL-1 alpha, IL-1 beta, TGF-beta, TNF-alpha, and TNF-beta.
- Th-1 inducing cytokine is selected from IFN-gamma, IL-2, IL-12, IL-15, and IL-18.
- a circular polyribonucleotide comprising (a) a sequence encoding a polypeptide immunogen and (b) a sequence encoding an adjuvant or a sequence that is an innate immune system stimulator.
- each stagger element is a 2A selfcleaving peptide.
- pro-inflammatory cytokine is selected from GM-CSF, IL-1 alpha, IL-1 beta, TGF-beta, TNF-alpha, and TNF-beta.
- Th-1 inducing cytokine is selected from IFN-gamma, IL-2, IL-12, IL-15, and IL-18.
- An immunogenic composition comprising a plurality of circular polyribonucleotides, each comprising a sequence encoding a polypeptide immunogen.
- each of the plurality of circular polyribonucleotides is a circular polyribonucleotide described by any one of paragraphs [1 ] to [108].
- composition comprises (a) at least a first circular polyribonucleotide comprising a sequence encoding a first polypeptide immunogen and (b) at least a second circular polyribonucleotide comprising a sequence encoding a second polypeptide immunogen, wherein the first and second polypeptide immunogens have at least 90% amino acid sequence identity.
- composition comprises (a) at least a first circular polyribonucleotide comprising a sequence encoding a first polypeptide immunogen and (b) at least a second circular polyribonucleotide comprising a sequence encoding a second polypeptide immunogen, wherein the first and second polypeptide immunogens identify different proteins, wherein each different protein identifies the same target.
- composition comprises (a) at least a first circular polyribonucleotide comprising a sequence encoding a first polypeptide immunogen and (b) at least a second circular polyribonucleotide comprising a sequence encoding a second polypeptide immunogen, wherein the first polypeptide immunogens identifies a first target and the second polypeptide immunogen identifies a second target.
- each target is, independently, a cancer cell, a virus, a bacterium, a fungus, a parasite, a toxin, or an allergen.
- An immunogenic composition comprising a plurality of circular polyribonucleotides, wherein the composition comprises (a) at least a first circular polyribonucleotide comprising a sequence encoding a polypeptide immunogen and (b) at least a second circular polyribonucleotide comprising a sequence encoding an adjuvant or a sequence that is an innate immune system stimulator.
- the adjuvant is a cytokine, a chemokine, a costimulatory molecule, an innate immune stimulator, a signaling molecule, a transcriptional activator, a cytokine receptor, a bacterial component, or a component of the innate immune system.
- Th-1 inducing cytokine is selected from IFN-gamma, IL-2, IL-12, IL-15, and IL-18.
- Th-2 inducing cytokine is selected from IFN-gamma, IL-4, IL-5, IL-6, IL-10, and IL-13.
- STING e.g., caSTING
- the innate immune stimulator is a constitutively active mutant.
- the circular polyribonucleotide comprises a first polyribonucleotide with a 5’ end and a 3’ end, wherein 5’ end and 3’ end are each hybridized to a second ribonucleotide, there by linking the 5’ end and the 3’ end of the first polyribonucleotide to form a circular polyribonucleotide.
- a pharmaceutical preparation of a circular polyribonucleotide wherein the circular polyribonucleotide comprises a sequence encoding a polypeptide immunogen, and wherein the circular polyribonucleotide constitutes at least 25% (w/w) of total ribonucleotide molecules in the pharmaceutical preparation.
- composition of paragraph [154], wherein the pharmaceutical preparation comprises between 30%-40% (w/w) circular polyribonucleotide and between 1 %-10% (w/w), 10%-20% (w/w), 20%-30% (w/w), 30%-40% (w/w), 40%-50% (w/w), 50%-60% (w/w), or 60%-70% (w/w) linear polyribonucleotide.
- composition of paragraph [154], wherein the pharmaceutical preparation comprises between 40%-60% (w/w) circular polyribonucleotide and between 1 %-10% (w/w), 10%-20% (w/w), 20%-30% (w/w), 30%-40% (w/w), 40%-50% (w/w), 50%-60% (w/w) linear polyribonucleotide.
- composition of paragraph [154], wherein the pharmaceutical preparation comprises between 60%-80% (w/w) circular polyribonucleotide and between 1 %-10% (w/w), 10%-20% (w/w), 20%-30% (w/w), 30%-40% (w/w) linear polyribonucleotide.
- a pharmaceutical preparation of a circular polyribonucleotide wherein the circular polyribonucleotide comprises a sequence encoding a polypeptide immunogen, and wherein the pharmaceutical preparation comprises no more than 75% (w/w) linear polyribonucleotide molecules of the total ribonucleotide molecules in the pharmaceutical preparation.
- a pharmaceutical preparation of a circular polyribonucleotide wherein the circular polyribonucleotide comprises a sequence encoding a polypeptide immunogen, and wherein the pharmaceutical preparation comprises no more than 15% (w/w) nicked polyribonucleotide molecules of the total ribonucleotide molecules in the pharmaceutical preparation.
- the pharmaceutical preparation comprises a concentration of at least 0.1 ng/mL, 0.5 ng/mL, 1 ng/mL, 5 ng/mL, 10 ng/mL, 50 ng/mL, 0.1 pg/mL, 0.5 pg/mL, 1 pg/mL, 2 pg/mL, 5 pg/mL, 10 pg/mL, 20 pg/mL, 30 pg/mL, 40 pg/mL, 50 pg/mL, 60 pg/mL, 70 pg/mL, 80 pg/mL, 100 pg/mL, 200 pg/mL, 300 pg/mL, 500 pg/mL, 1 mg/mL, 2 mg/mL, 3 mg/mL, 5 mg/mL, 10 mg/mL, 100 mg/mL, 200 mg/mL, 300 pg/mL, 500 pg/mL, 1 mg/m
- the pharmaceutical preparation comprises a protein contamination (e.g. an enzyme) of less than 0.1 ng, 1 ng, 5 ng, 10 ng, 15 ng, 20 ng, 25 ng, 30 ng, 35 ng, 40 ng, 50 ng, 60 ng, 70 ng, 80 ng, 90 ng, 100 ng, 200 ng, 300 ng, 400 ng, or 500 ng of the protein contamination per milligram (mg) of the circular polyribonucleotide molecules.
- a protein contamination e.g. an enzyme
- a pharmaceutical composition comprising the circular polyribonucleotide of any one of paragraphs [1 ] to [108], the immunogenic composition of any one of paragraphs [109] to [147], or the pharmaceutical preparation of any one of paragraphs [148] to [180], and a pharmaceutically acceptable excipient.
- the adjuvant is an inorganic adjuvant, a small molecule adjuvant, and oil in water emulsion, a lipid or polymer, a peptide or peptidoglycan, a carbohydrate or polysaccharide, a saponin, an RNA-based adjuvant, a DNA-based adjuvant, a viral particle, a bacterial adjuvant, a hybrid molecule, a fungal or oocyte microbe-associated molecular pattern (MAMP), an inorganic nanoparticle, or a multi-component adjuvant.
- the adjuvant is an inorganic adjuvant, a small molecule adjuvant, and oil in water emulsion, a lipid or polymer, a peptide or peptidoglycan, a carbohydrate or polysaccharide, a saponin, an RNA-based adjuvant, a DNA-based adjuvant, a viral particle, a bacterial adjuvant, a hybrid molecule
- the lipid or polymer is a polymeric nanoparticle, optionally PLGA, PLG, PLA, PGA, or PHB, a liposome, optionally a Virosomes or CAF01 , a lipid nanoparticle or a component thereof, a lipopolysaccharide (LPS), optionally monophosphoryl lipid A (MPLA) or glucopyranosyl Lipid A (GLA), a lipopeptide, optionally Pam2 (Pam2CSK4) or Pam3 (Pam3CSK4), or a glycolipid, optionally, trehalose dimycolate.
- LPS lipopolysaccharide
- MPLA monophosphoryl lipid A
- GLA glucopyranosyl Lipid A
- a lipopeptide optionally Pam2 (Pam2CSK4) or Pam3 (Pam3CSK4)
- a glycolipid optionally, trehalose dimycolate.
- peptide of peptidoglycan corresponds to all or a portion of a synthetic or purified gram negative or gram positive bacteria, optionally N-acetyl-muramyl-L-alanyl-D-isoglutamine (MDP), a flagellin-fusion protein, Mannose-binding Lectin (MBL), a cytokines, or a chemokine.
- MDP N-acetyl-muramyl-L-alanyl-D-isoglutamine
- MDL Mannose-binding Lectin
- cytokines a cytokines
- RNA-based adjuvant is Poly IC, Poly IC:LC, a hairpin RNAs, optionally with a 5’PPP containing sequence, a viral sequence, a polyU containing sequences, dsRNA, a natural or synthetic immunostimulatory RNA sequence, a nucleic acids analogs, optionally cyclic GMP-AMP or a cyclic dinucleotide such as cyclic di-GMP, or an immunostimulatory base analog, optionally a C8-substitued or an N7,C8-disubstituted guanine ribonucleotide.
- a pharmaceutical composition comprising a mixture comprising (a) a polyribonucleotide comprising a sequence encoding a polypeptide immunogen and (b) an alcohol, wherein the alcohol constitutes about 0.3% v/v to about 75% v/v of the mixture.
- a pharmaceutical composition comprising a mixture comprising (a) the circular polyribonucleotide of any one of paragraphs [1] to [108], the immunogenic composition of any one of paragraphs [109] to [147], or the pharmaceutical preparation of any one of paragraphs [148] to [180], and (b) an alcohol, wherein the alcohol constitutes about 0.3% v/v to about 75% v/v of the mixture.
- the adjuvant is a cytokine, a chemokine, a costimulatory molecule, an innate immune stimulator, a signaling molecule, a transcriptional activator, a cytokine receptor, a bacterial component, or a component of the innate immune system.
- composition of any one of paragraphs [214] to [239], the composition further comprising an adjuvant.
- the adjuvant is an inorganic adjuvant, a small molecule adjuvant, and oil in water emulsion, a lipid or polymer, a peptide or peptidoglycan, a carbohydrate or polysaccharide, a saponin, an RNA-based adjuvant, a DNA-based adjuvant, a viral particle, a bacterial adjuvant, a hybrid molecule, a fungal or oocyte microbe-associated molecular pattern (MAMP), an inorganic nanoparticle, or a multi-component adjuvant.
- the adjuvant is an inorganic adjuvant, a small molecule adjuvant, and oil in water emulsion, a lipid or polymer, a peptide or peptidoglycan, a carbohydrate or polysaccharide, a saponin, an RNA-based adjuvant, a DNA-based adjuvant, a viral particle, a bacterial adjuvant, a hybrid molecule
- a method of delivering a polyribonucleotide to a subject comprising topically applying the pharmaceutical composition of any one of paragraphs [214] to [241] to a surface area of the subject.
- a method of delivering a polyribonucleotide to a subject comprising: a) applying a sterilizing agent to a surface area of the subject; and b) applying a composition comprising the circular polyribonucleotide of any one of paragraphs [1] to [108], the immunogenic composition of any one of paragraphs [109] to -[147], the pharmaceutical preparation of any one of paragraphs [148] to [180], or the pharmaceutical composition of any one of paragraphs [181] to [242] and a diluent to the surface area of the subject.
- composition of (b) does not comprise a carrier.
- a method of delivering a polyribonucleotide to a subject comprising a) applying an alcohol to a surface area of the subject; and b) applying a composition comprising the circular polyribonucleotide of any one of paragraphs [1] to [108], the immunogenic composition of any one of paragraphs [109] to [147], the pharmaceutical preparation of any one of paragraphs [148] to [180], or the pharmaceutical composition of any one of paragraphs [181 ] to [241 ] and a diluent to the surface area of the subject.
- the alcohol is selected from the group consisting of: methanol, ethanol, isopropanol, phenoxyethanol, triethanolamine, phenethyl alcohol, butanol, pentanol, cetyl alcohol, ethylene glycol, propylene glycol, denatured alcohol, benzyl alcohol, specially denatured alcohol, glycol, stearyl alcohol, cetearyl alcohol, menthol, polyethylene glycols (PEG)-400, ethoxylated fatty acids, and hydroxyethylcellulose.
- the alcohol is selected from the group consisting of: methanol, ethanol, isopropanol, phenoxyethanol, triethanolamine, phenethyl alcohol, butanol, pentanol, cetyl alcohol, ethylene glycol, propylene glycol, denatured alcohol, benzyl alcohol, specially denatured alcohol, glycol, stearyl alcohol, cetearyl alcohol, menthol, polyethylene glycols (PEG)-400
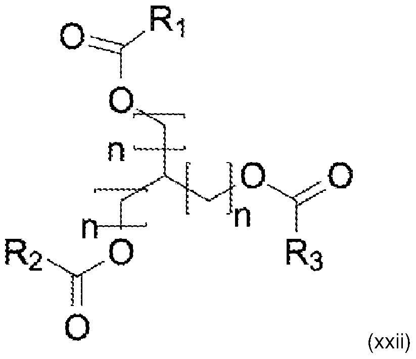
- a lipid nanoparticle comprising the circular polyribonucleotide of any one of paragraphs [1] to [108] or the immunogenic composition of any one of paragraphs [109] to [147],
- neutral lipid e.g., DSPC, DPPC, DMPC, DOPC, POPC, DOPE, SM
- a steroid e.g., cholesterol
- polymer conjugated lipid e.g., a pegylated lipid, e.g., PEG-DAG, PEG-PE, PEG-S-DAG, PEG-cer or a PEG dialkyoxypropy
- a method of treating or preventing a disease, disorder, or condition in a subject comprising administering to the subject the circular polyribonucleotide of any one of paragraphs [1] to [108], the immunogenic composition of any one of paragraphs [109] to [147], the pharmaceutical preparation of any one of paragraphs [148] to [180], the pharmaceutical composition of any one of paragraphs [181 ] to [241 ], or the LNP of any one of paragraphs [250] to [254],
- a method of inducing an immune response in a subject comprising administering to the subject the circular polyribonucleotide of any one of paragraphs [1] to [108], the immunogenic composition of any one of paragraphs [109] to [147], the pharmaceutical preparation of any one of paragraphs [148] to [180], the pharmaceutical composition of any one of paragraphs [181] to [241], or the LNP of any one of paragraphs [250] to [254],
- the adjuvant is an inorganic adjuvant, a small molecule adjuvant, and oil in water emulsion, a lipid or polymer, a peptide or peptidoglycan, a carbohydrate or polysaccharide, a saponin, an RNA-based adjuvant, a DNA-based adjuvant, a viral particle, a bacterial adjuvant, a hybrid molecule, a fungal or oocyte microbe-associated molecular pattern (MAMP), an inorganic nanoparticle, or a multi-component adjuvant.
- the adjuvant is an inorganic adjuvant, a small molecule adjuvant, and oil in water emulsion, a lipid or polymer, a peptide or peptidoglycan, a carbohydrate or polysaccharide, a saponin, an RNA-based adjuvant, a DNA-based adjuvant, a viral particle, a bacterial adjuvant, a hybrid molecule
- polypeptide adjuvant is a cytokine, a chemokine, a costimulatory molecule, an innate immune stimulator, a signaling molecule, a transcriptional activator, a cytokine receptor, a bacterial component, or a component of the innate immune system.
- RNA including a GU-rich motif, an AU-rich motif, a structured region comprising dsRNA, or an aptamer is selected from an RNA including a GU-rich motif, an AU-rich motif, a structured region comprising dsRNA, or an aptamer.
- a method of maintaining or enhancing an immune response in a subject comprising (i) administering to the subject a circular polyribonucleotide encoding a polypeptide immunogen and (ii) administering to the subject the polypeptide immunogen, wherein step (ii) occurs between 1 week and 6 months after step (i), and wherein administration of the polypeptide immunogen of step (ii) maintains or enhances the immune response in the subject against the polypeptide immunogen.
- polypeptide immunogen comprises one or more epitopes that identifies a target.
- adaptive immune response means either a humoral or cell-mediated immune response.
- a “humoral immune response” refers to an immune response mediated by antibody molecules, while a “cellular immune response” is one mediated by T-lymphocytes and/or other white blood cells.
- adjuvant refers to a composition (e.g., a compound, polypeptide, nucleic acid, or lipid) that increases an immune response, for example, increases a specific immune response against an immunogen.
- Increasing an immune response includes intensification or broadening the specificity of either or both antibody and cellular immune responses.
- alcohol means any organic compound in which the hydroxyl functional group (-OH) is bound to a carbon.
- an alcohol includes a hydroxyl bound to a saturated carbon, which is in turn bound to other hydrogen or carbon atoms.
- An alcohol as discussed herein can include, but is not limited to, monohydric alcohols, polyhydric alcohols, unsaturated aliphatic alcohols, and alicyclic alcohols. In some cases, an alcohol can refer to ethanol.
- an alcohol can include, but is not limited to, methanol, ethanol, isopropanol, phenoxyethanol, triethanolamine, phenethyl alcohol, butanol, pentanol, cetyl alcohol, ethylene glycol, propylene glycol, denatured alcohol, benzyl alcohol, specially denatured alcohol, glycol, stearyl alcohol, cetearyl alcohol, menthol, polyethylene glycols (PEG)- 400, ethoxylated fatty acids, and hydroxyethylcellulose.
- PEG polyethylene glycols
- the term “associated with” a disease, disorder, or condition refers to a relationship, either causative or correlative, between an entity and the occurrence or severity of a disease, disorder, or condition in a subject.
- the target may be the causative agent of the disease, disorder, or condition.
- a virus may be the causative agent in a viral infection
- bacteria may be the causative agent in a bacterial infection
- a fungus may be the causative agent in a fungal infection
- a parasite may be the causative agent in a parasitic infection
- a cancer cell may be the causative agent of a cancer
- a toxin may be the causative agent of toxicity
- an allergen may the causative agent of an allergic reaction.
- the target associated with a disease, disorder, or condition may also or alternately be correlated with an increased likelihood of occurrence or an increase severity of a disease disorder, or condition.
- carrier means a compound, composition, reagent, or molecule that facilitates the transport or delivery of a composition (e.g., a linear or a circular polyribonucleotide) into a subject, a tissue, or a cell.
- a composition e.g., a linear or a circular polyribonucleotide
- Non-limiting examples of carriers include carbohydrate carriers (e.g., an anhydride-modified phytoglycogen or glycogen-type material), nanoparticles (e.g., a nanoparticle that encapsulates or is covalently linked binds to the circular or linear polyribonucleotide), liposomes, fusosomes, ex vivo differentiated reticulocytes, exosomes, protein carriers (e.g., a protein covalently linked to the polyribonucleotide), or cationic carriers (e.g., a cationic lipopolymer or transfection reagent).
- carbohydrate carriers e.g., an anhydride-modified phytoglycogen or glycogen-type material
- nanoparticles e.g., a nanoparticle that encapsulates or is covalently linked binds to the circular or linear polyribonucleotide
- liposomes e.g., fusosomes, ex
- cell-penetrating agent means an agent that, when contacted to a cell, facilitates entry into the cell.
- a cell-penetrating agent facilitates direct penetration of the cell membrane, for instance, via direct electrostatic interaction with negatively charged phospholipids of the cell membrane, or transient pore formation by inducing configurational changes in membrane proteins or the phospholipid bilayer.
- a cell-penetrating agent facilitates endocytosis-mediated translocation into the cell. For example, under certain situation, the cell-penetrating agent can stimulate the cell to undergo the endocytosis process, by which the cell membrane can fold inward into the cell.
- a cell-penetrating agent helps form a transitory structure that transports across the cell membrane.
- a cell-penetrating agent as provided herein can increase the permeability of the cell membrane or increase internalization of a molecule into the cell, as a result of which, delivery into the cell can be more efficient when the cell is contacted with the cell-penetrating agent simultaneously as compared to otherwise identical delivery without the cellpenetrating agent.
- RNA or “circular polyribonucleotide” or “circular RNA” or “circular polyribonucleotide molecule” are used interchangeably and mean a polyribonucleotide molecule that has a structure having no free ends (i.e. , no free 3’ and/or 5’ ends), for example a polyribonucleotide molecule that forms a circular or end-less structure through covalent (e.g., covalently-closed) or non-covalent bonds.
- circularization efficiency is a measurement of resultant circular polyribonucleotide versus its non-circular starting material.
- circRNA preparation or “circular polyribonucleotide preparation” or “circular RNA preparation” are used interchangeably and mean a composition including circRNA molecules and a diluent, carrier, first adjuvant, or a combination thereof.
- compound, composition, product, etc. for treating, modulating, etc. is to be understood to refer a compound, composition, product, etc. per se which is suitable for the indicated purposes of treating, modulating, etc.
- the wording “compound, composition, product, etc. for treating, modulating, etc.” additionally discloses that, as a preferred embodiment, such compound, composition, product, etc. is for use in treating, modulating, etc.
- an embodiment or a claim thus refers to “a compound for use in treating a human or animal being suspected to suffer from a disease”, this is considered to be also a disclosure of a “use of a compound in the manufacture of a medicament for treating a human or animal being suspected to suffer from a disease” or a “method of treatment by administering a compound to a human or animal being suspected to suffer from a disease”.
- diluent means a vehicle including an inactive solvent in which a composition described herein (e.g., a composition including a circular or linear polyribonucleotide) may be diluted or dissolved.
- a diluent can be an RNA solubilizing agent, a buffer, an isotonic agent, or a mixture thereof.
- a diluent can be a liquid diluent or a solid diluent.
- Non-limiting examples of liquid diluents include water or other solvents, solubilizing agents and emulsifiers such as ethyl alcohol, isopropyl alcohol, ethyl carbonate, ethyl acetate, benzyl alcohol, benzyl benzoate, propylene glycol, 1 ,3- butylene glycol, dimethylformamide, oils (in particular, cottonseed, groundnut, corn, germ, olive, castor, and sesame oils), glycerol, tetrahydrofurfuryl alcohol, polyethylene glycols and fatty acid esters of sorbitan, and 1 ,3-butanediol.
- solubilizing agents and emulsifiers such as ethyl alcohol, isopropyl alcohol, ethyl carbonate, ethyl acetate, benzyl alcohol, benzyl benzoate, propylene glycol, 1 ,3- butylene glycol,
- Nonlimiting examples of solid diluents include calcium carbonate, sodium carbonate, calcium phosphate, dicalcium phosphate, calcium sulfate, calcium hydrogen phosphate, sodium phosphate lactose, sucrose, cellulose, microcrystalline cellulose, kaolin, mannitol, sorbitol, inositol, sodium chloride, dry starch, cornstarch, or powdered sugar.
- the terms “disease,” “disorder,” and “condition” each refer to a state of sub- optimal health, for example, a state that is or would typically be diagnosed or treated by a medical professional.
- epitope refers to a portion or the whole of an immunogen that is recognized, targeted, or bound by an antibody or T cell receptor.
- An epitope can be a linear epitope, for example, a contiguous sequence of nucleic acids or amino acids.
- An epitope can be a conformational epitope, for example, an epitope that contains amino acids that form an epitope in the folded conformation of the protein.
- a conformational epitope can contain non-contiguous amino acids from a primary amino acid sequence.
- a conformational epitope includes nucleic acids that form an epitope in the folded conformation of an immunogenic sequence based on its secondary structure or tertiary structure.
- encryptogen is a nucleic acid sequence or structure of the circular polyribonucleotide that aids in reducing, evading, and/or avoiding detection by an immune cell and/or reduces induction of an immune response against the circular or linear polyribonucleotide.
- expression sequence is a nucleic acid sequence that encodes a product, e.g., a peptide or polypeptide, or a regulatory nucleic acid.
- An exemplary expression sequence that codes for a peptide or polypeptide can include a plurality of nucleotide triads, each of which can code for an amino acid and is termed as a “codon”.
- an immunogen or an epitope thereof may identify a target, meaning that the target includes the immunogen or epitope thereof, that the immunogen or epitope thereof is derived from the target, and/or the immunogen or epitope thereof shares a high degree of similarity with a portion or the whole of the target.
- Recognition or binding of an antibody or a T cell receptor to an immunogen or an epitope thereof can identify a target. Where an immunogen or an epitope thereof identifies a target, the immunogen or epitope thereof distinguishes the target from one or more other targets.
- a polypeptide immunogen can identify a protein. Otherwise put, the polypeptide immunogen is a component of, a portion of, is derived from, or shares a high degree of similarity to the protein or a portion of the protein, in particular to an epitope of a protein.
- innate immune system stimulator refers to a substance that induces an innate immunological response, in part, by inducing expression of one or more genes involved in innate immunity, including, but not limited to, a type I interferon (e.g., IFNa, I NFp, and/or IFNy), a pro- inflammatory cytokine (e.g., IL-1 , IL-12, IL-18, TNF-a, and/or GM-CSF), retinoic-acid inducible gene-l (RIG-I, also known as DDX58), melanoma-differentiation-associated gene 5 (MDA5, also known as IFIH1 ), 2'-5 ' oligoadenylate synthase 1 (OAS 1 ), OAS-like protein (OASL), and/or protein kinase R (PKR).
- a type I interferon e.g., IFNa, I NFp, and/or IFNy
- An innate immune system stimulator may act as an adjuvant, e.g., when administered in combination with or formulated with, a ribonucleotide that encodes an immunogen.
- An innate immune system stimulator may be a separate molecule entity (e.g., not encoded by or incorporated as a sequence in a polyribonucleotide), for example, STING (e.g., caSTING), TLR3, TLR4, TLR9, TLR7, TLR8, TLR7, RIG-I/DDX58, and MDA-5/IFIH1 or a constitutively active mutant thereof.
- An innate immune system stimulator may be encoded by (e.g., expressed from) a polyribonucleotide.
- a polyribonucleotide may alternately or further include a ribonucleotide sequence that acts as an innate immune system stimulator (e.g., GU-rich motif, an AU-rich motif, a structured region comprising dsRNA, or an aptamer).
- an innate immune system stimulator e.g., GU-rich motif, an AU-rich motif, a structured region comprising dsRNA, or an aptamer.
- an impurity is an undesired substance present in a composition, e.g., a pharmaceutical composition as described herein.
- an impurity is a process-related impurity.
- an impurity is a product-related substance other than the desired product in the final composition, e.g., other than the active drug ingredient, e.g., circular or linear polyribonucleotide, as described herein.
- process-related impurity is a substance used, present, or generated in the manufacturing of a composition, preparation, or product that is undesired in the final composition, preparation, or product other than the linear polyribonucleotides described herein.
- the process-related impurity is an enzyme used in the synthesis or circularization of polyribonucleotides.
- product-related substance is a substance or byproduct produced during the synthesis of a composition, preparation, or product, or any intermediate thereof.
- the product-related substance is deoxyribonucleotide fragments.
- the product-related substance is deoxyribonucleotide monomers.
- the product-related substance is one or more of: derivatives or fragments of polyribonucleotides described herein, e.g., fragments of 10, 9, 8, 7, 6, 5, or 4 ribonucleic acids, monoribonucleic acids, diribonucleic acids, or triribonucleic acids.
- immunogen refers to an any molecule or molecular structure that includes one or more epitopes recognized, targeted, or bound by an antibody or a T cell receptor.
- an immunogen induces an immune response in a subject (e.g., is immunogenic as defined herein).
- An immunogen is capable of inducing an immune response in a subject, wherein the immune response refers to a series of molecular, cellular, and organismal events that are induced when an immunogen is encountered by the immune system.
- the immune response may be humoral and/or cellular immune response. These may include the production of antibodies and the expansion of B- and T-cells. To determine whether an immune response has occurred and to follow its course, the immunized subject can be monitored for the appearance of immune reactants directed at the specific immunogen. Immune responses to most immunogen induce the production of both specific antibodies and specific effector T cells.
- the immunogen is foreign to a host. In some embodiments, the immunogen is not foreign to a host.
- An immunogen may include all or a portion of a polypeptide, a polysaccharide, a polynucleotide, or a lipid.
- An immunogen may also be a mixed polypeptide, polysaccharide, polynucleotide, and/or lipid.
- an immunogen maybe a polypeptide that has been translationally modified.
- a “polypeptide immunogen” refers to an immunogen that includes a polypeptide.
- a polypeptide immunogen may also include one or more post-translational modifications, and/or may form a complex with one or more additional molecules, and/or may adopt a tertiary or quaternary structure, each of which may determine or affect the immunogenicity of the polypeptide.
- the term “immunogenic” is a potential to induce a response to a substance in a particular immune response assay above a pre-determined threshold.
- the assay can be, e.g., expression of certain inflammatory markers, production of antibodies, or an assay for immunogenicity as described herein.
- an immune response may be induced when an immune system of an organism or a certain type of immune cells are exposed to an immunogen.
- An immunogenic response may be assessed may evaluating the antibodies in the plasma or serum of a subject using a total antibody assay, a confirmatory test, titration and isotyping of the antibodies, and neutralizing antibody assessment.
- a total antibody assay measures the all the antibodies generated as part of the immune response in the serum or plasma of a subject that has been administered the immunogen.
- the most commonly used test to detect antibodies is an ELISA (enzyme- linked immunosorbent assay), which detects antibodies in the tested serum that bind to the antibody of interest, including IgM, IgD, IgG, IgA, and IgE.
- An immunogenic response can be further assessed by a confirmatory assay.
- a confirmatory assay may be used to confirm the results of the total antibody assay.
- a competition assay may be used to confirm that antibody is specifically binding to target and that the positive finding in the screening assay is not a result of nonspecific interactions of the test serum or detection reagent with other materials in the assay.
- An immunogenic response can be assessed by isotyping and titration.
- An isotyping assay may be used to assess only the relevant antibody isotypes.
- the expected isotypes may be IgM and IgG which may be specifically detected and quantified by isotyping and titration, and then compared to the total antibodies present.
- An immunogenic response can be assessed by a neutralizing antibody assay (nAb).
- a neutralizing antibody assay (nAb) may be used to determine if the antibodies produced in response to the immunogen neutralized the immunogen thereby inhibiting the immunogen from having an effect on the target and leading to abnormal pharmacokinetic behaviors.
- An nAb assay is often a cell-based assay where the target cells are incubated with the antibody.
- a variety of cell based nAb assays may be used including but not limited to Cell Proliferation, Viability, Antibody-Dependent Cell-Mediated Cytotoxicity (ADCC), Complement-Dependent Cytotoxicity (CDC), Cytopathic Effect Inhibition (CPE), Apoptosis, Ligand Stimulated Cell Signaling, Enzyme Activity, Reporter Gene Assays, Protein Secretion, Metabolic Activity, Stress and Mitochondrial Function.
- Detection readouts include Absorbance, Fluorescence, Luminescence, Chemiluminescence, or Flow Cytometry .
- a ligand-binding assay may also be used to measure the binding affinity of an immunogen and an antibody in vitro to evaluate neutralization efficacy.
- induction of a cellular immune response may be assessed by measuring T cell activation in a subject using cellular markers on T cells obtained from the subject.
- a blood sample, lymph node biopsy, or tissue sample can be collected from a subject and T cells from the sample evaluated for one or more (e.g., 2, 3, 4 or more) activation markers: CD25, CD71 , CD26, CD27, CD28, CD30, CD154, CD40L, CD134, CD69, CD62L or CD44.
- T cell activation can also be assessed using the same methods in an in vivo animal model.
- This assay can also be performed by adding an immunogen to T cells in vitro (e.g., T cells obtained from a subject, animal model, repository, or commercial source) and measuring the aforementioned markers to evaluate T cell activation. Similar approaches can be used to assess the effect of an on activation of other immune cells, such as eosinophils (markers: CD35, CD11 b, CD66, CD69 and CD81 ), dendritic cells (makers: IL-8, MHO class II, CD40, CD80, CD83, and CD86), basophils (CD63, CD13, CD4, and CD203c), and neutrophils (CD11 b, CD35, CD66b and CD63). These markers can be assessed using flow cytometry, immunohistochemistry, in situ hybridization, and other assays that allow for measurement of cellular markers. Comparing results from before and after administration of an immunogen can be used to determine its effect.
- T cells in vitro e.g., T cells obtained from a subject, animal model, repository, or
- inducing an immune response refers to initiating, amplifying, or sustaining an immune response by a subject. Inducing an immune response may refer to an adaptive immune response or an innate immune response. The induction of an immune response may be measured as discussed above.
- linear counterpart is a polyribonucleotide molecule (and its fragments) having the same or similar nucleotide sequence (e.g., 100%, 95%, 90%, 85%, 80%, 75%, or any percentage therebetween sequence identity) as a circular polyribonucleotide and having two free ends (i.e. , the uncircularized version (and its fragments) of the circularized polyribonucleotide).
- the linear counterpart e.g., a pre-circularized version
- the linear counterpart is a polyribonucleotide molecule (and its fragments) having the same or similar nucleotide sequence (e.g., 100%, 95%, 90%, 85%, 80%, 75%, or any percentage therebetween sequence identity) and same or similar nucleic acid modifications as a circular polyribonucleotide and having two free ends (i.e., the uncircularized version (and its fragments) of the circularized polyribonucleotide).
- the linear counterpart is a polyribonucleotide molecule (and its fragments) having the same or similar nucleotide sequence (e.g., 100%, 95%, 90%, 85%, 80%, 75%, or any percentage therebetween sequence identity) and different or no nucleic acid modifications as a circular polyribonucleotide and having two free ends (i.e., the uncircularized version (and its fragments) of the circularized polyribonucleotide).
- a fragment of the polyribonucleotide molecule that is the linear counterpart is any portion of linear counterpart polyribonucleotide molecule that is shorter than the linear counterpart polyribonucleotide molecule.
- the linear counterpart further includes a 5’ cap. In some embodiments, the linear counterpart further includes a poly adenosine tail. In some embodiments, the linear counterpart further includes a 3’ UTR. In some embodiments, the linear counterpart further includes a 5’ UTR.
- Linear RNA or “linear polyribonucleotide” or “linear polyribonucleotide molecule” are used interchangeably and mean polyribonucleotide molecule having a 5’ and 3’ end. One or both of the 5’ and 3’ ends may be free ends or joined to another moiety.
- Linear RNA includes RNA that has not undergone circularization (e.g., is pre-circularized) and can be used as a starting material for circularization through, for example, splint ligation, or chemical, enzymatic, ribozyme- or splicing- catalyzed circularization methods.
- a mixture means a material made of two or more different substances that are mixed.
- a mixture described herein can be a homogenous mixture of the two or more different substances, e.g., the mixture can have the same proportions of its components (e.g., the two or more substances) throughout any given sample of the mixture.
- a mixture as provided herein can be a heterogeneous mixture of the two or more different substances, e.g., the proportions of the components of the mixture (e.g., the two or more substances) can vary throughout the mixture.
- a mixture is a liquid solution, e.g., the mixture is present in liquid phase.
- a liquid solution can be regarded as comprising a liquid solvent and a solute. Mixing a solute in a liquid solvent can be termed as “dissolution” process.
- a liquid solution is a liquid-in-liquid solution (e.g., a liquid solute dissolved in a liquid solvent), a solid-in-liquid solution (e.g., a solid solute dissolved in a liquid solvent), or a gas-in-liquid solution (e.g., a solid solute dissolved in a liquid solvent).
- a mixture is a colloid, liquid suspension, or emulsion.
- a mixture is a solid mixture, e.g., the mixture is present in solid phase.
- modified ribonucleotide means a nucleotide with at least one modification to the sugar, the nucleobase, or the internucleoside linkage.
- naked delivery means a formulation for delivery to a cell without the aid of a carrier and without covalent modification to a moiety that aids in delivery to a cell.
- a naked delivery formulation is free from any transfection reagents, cationic carriers, carbohydrate carriers, nanoparticle carriers, or protein carriers.
- naked delivery formulation of a circular or linear polyribonucleotide is a formulation that includes a circular or linear polyribonucleotide without covalent modification and is free from a carrier.
- RNA or “nicked linear polyribonucleotide” or “nicked linear polyribonucleotide molecule” are used interchangeably and mean a polyribonucleotide molecule having a 5’ and 3’ end that results from nicking or degradation of a circular RNA.
- non-circular RNA means total nicked RNA and linear RNA.
- the terms “obtainable by”, “producible by” or the like are used to indicate that a claim or embodiment refers to compound, composition, product, etc. per se, i.e. that the compound, composition, product, etc. can be obtained or produced by a method which is described for manufacture of the compound, composition, product, etc., but that the compound, composition, product, etc. may be obtained or produced by other methods than the described one as well.
- the terms “obtained by”, “produced by” or the like indicate that the compound, composition, product, is obtained or produced by a recited specific method. It is to be understood that the terms “obtainable by”, “producible by” and the like also disclose the terms “obtained by”, “produced by” and the like as a preferred embodiment of “obtainable by”, “producible by” and the like.
- pathogen refers to an infectious agent, which causes disease or disease symptoms in a subject, for example, by directly infecting the subject, by producing agents that cause disease or disease symptoms in the subject, and/or by eliciting an immune response in the subject.
- pathogens include, but are not limited to bacteria, protozoa, parasites, fungi, nematodes, insects, viroids, and viruses, or any combination thereof, wherein each pathogen is capable, either by itself or in concert with another pathogen, of eliciting disease or symptoms a subject.
- a payload means any molecule delivered by the polyribonucleotide as disclosed herein.
- a payload is a nucleic acid, a protein, a chemical, a ribonucleoprotein, or any combination thereof.
- a payload is a nucleic acid sequence directly contained within the polyribonucleotide as disclosed herein.
- a payload is attached to or associated with the polyribonucleotide as disclosed herein, for instance via complementary hybridization, or via protein-nucleic acid interactions.
- the payload is a protein encoded by a nucleic acid sequence contained within, attached to, or associated with the polyribonucleotide.
- the “attachment” means covalent bond or non-covalent interaction between two molecules.
- the “association” when used in the context of the interaction between a payload and a polyribonucleotide means that the payload is indirectly linked to the polyribonucleotide via one or more other molecules in between.
- the attachment or association can be transient.
- a payload is attached to or associated with the polyribonucleotide under one condition but not under another condition, for instance, depending on the ambient pH condition or the presence or absence of a stimulus or a binding partner.
- composition is intended to also disclose that the circular or linear polyribonucleotide included within a pharmaceutical composition can be used for the treatment of the human or animal body by therapy. It is thus meant to be equivalent to the “a circular or linear polyribonucleotide for use in therapy”.
- polynucleotide as used herein means a molecule comprising one or more nucleic acid subunits, or nucleotides, and can be used interchangeably with “nucleic acid” or “oligonucleotide”.
- a polynucleotide can include one or more nucleotides selected from adenosine (A), cytosine (C), guanine (G), thymine (T) and uracil (U), or variants thereof.
- a nucleotide can include a nucleoside and at least 1 , 2, 3, 4, 5, 6, 7, 8, 9, 10, or more phosphate (PO3) groups.
- a nucleotide can include a nucleobase, a five- carbon sugar (either ribose or deoxyribose), and one or more phosphate groups.
- Ribonucleotides are nucleotides in which the sugar is ribose.
- Polyribonucleotides or ribonucleic acids, or RNA can refer to macromolecules that include multiple ribonucleotides that are polymerized via phosphodiester bonds.
- Deoxyribonucleotides are nucleotides in which the sugar is deoxyribose.
- Polydeoxyribonucleotides or deoxyribonucleic acids, or DNA means macromolecules that include multiple deoxyribonucleotides that are polymerized via phosphodiester bonds.
- a nucleotide can be a nucleoside monophosphate or a nucleoside polyphosphate.
- a nucleotide means a deoxyribonucleoside polyphosphate, such as, e.g., a deoxyribonucleoside triphosphate (dNTP), which can be selected from deoxyadenosine triphosphate (dATP), deoxycytidine triphosphate (dCTP), deoxyguanosine triphosphate (dGTP), uridine triphosphate (dUTP) and deoxythymidine triphosphate (dTTP) dNTPs, that include detectable tags, such as luminescent tags or markers (e.g., fluorophores).
- dNTP deoxyribonucleoside polyphosphate
- dNTP deoxyribonucleoside triphosphate
- dNTP deoxyribonucleoside triphosphate
- dNTP deoxyribonucleoside triphosphate
- dNTP deoxyribonucleoside triphosphate
- dNTP deoxyribonucleoside triphosphat
- Such subunit can be an A, C, G, T, or U, or any other subunit that is specific to one or more complementary A, C, G, T or U, or complementary to a purine (i.e. , A or G, or variant thereof) or a pyrimidine (i.e., C, T or U, or variant thereof).
- a polynucleotide is deoxyribonucleic acid (DNA), ribonucleic acid (RNA), or derivatives or variants thereof.
- a polynucleotide is a short interfering RNA (siRNA), a microRNA (miRNA), a plasmid DNA (pDNA), a short hairpin RNA (shRNA), small nuclear RNA (snRNA), messenger RNA (mRNA), precursor mRNA (pre-mRNA), antisense RNA (asRNA), to name a few, and encompasses both the nucleotide sequence and any structural embodiments thereof, such as single-stranded, double-stranded, triple-stranded, helical, hairpin, etc.
- a polynucleotide molecule is circular.
- a polynucleotide can have various lengths.
- a nucleic acid molecule can have a length of at least about 10 bases, 20 bases, 30 bases, 40 bases, 50 bases, 100 bases, 200 bases, 300 bases, 400 bases, 500 bases, 1 kilobase (kb), 2 kb, 3, kb, 4 kb, 5 kb, 10 kb, 50 kb, or more.
- a polynucleotide can be isolated from a cell or a tissue. As embodied herein, the polynucleotide sequences may include isolated and purified DNA/RNA molecules, synthetic DNA/RNA molecules, and synthetic DNA/RNA analogs.
- Polynucleotides e.g., polyribonucleotides or polydeoxyribonucleotides, may include one or more nucleotide variants, including nonstandard nucleotide(s), non-natural nucleotide(s), nucleotide analog(s) and/or modified nucleotides.
- modified nucleotides include, but are not limited to diaminopurine, 5-fluorouracil, 5-bromouracil, 5-chlorouracil, 5-iodouracil, hypoxanthine, xanthine, 4- acetylcytosine, 5-(carboxyhydroxylmethyl)uracil, 5-carboxymethylaminomethyl-2-thiouridine, 5- carboxymethylaminomethyluracil, dihydrouracil, beta-D-galactosylqueosine, inosine, N6- isopentenyladenine, 1 -methylguanine, 1 -methylinosine, 2,2-dimethylguanine, 2-methyladenine, 2- methylguanine, 3-methylcytosine, 5-methylcytosine, N6-adenine, 7-methylguanine, 5- methylaminomethyluracil, 5-methoxyaminomethyl-2-thiouracil, beta-D- mannosylqueosine, 5'-
- nucleotides may include modifications in their phosphate moieties, including modifications to a triphosphate moiety.
- modifications include phosphate chains of greater length (e.g., a phosphate chain having, 4, 5, 6, 7, 8, 9, 10 or more phosphate moieties) and modifications with thiol moieties (e.g., alpha-thiotriphosphate and beta-thiotriphosphates).
- Nucleic acid molecules may also be modified at the base moiety (e.g., at one or more atoms that typically are available to form a hydrogen bond with a complementary nucleotide and/or at one or more atoms that are not typically capable of forming a hydrogen bond with a complementary nucleotide), sugar moiety or phosphate backbone.
- Nucleic acid molecules may also contain amine -modified groups, such as amino ally 1 -dUTP (aa-dUTP) and aminohexhylacrylamide-dCTP (aha-dCTP) to allow covalent attachment of amine reactive moieties, such as N-hydroxysuccinimide esters (NHS).
- Alternatives to standard DNA base pairs or RNA base pairs in the oligonucleotides of the present disclosure can provide higher density in bits per cubic mm, higher safety (resistant to accidental or purposeful synthesis of natural toxins), easier discrimination in photo-programmed polymerases, or lower secondary structure.
- Such alternative base pairs compatible with natural and mutant polymerases for de novo and/or amplification synthesis are described in Betz K, Malyshev DA, Lavergne T, Welte W, Diederichs K, Dwyer TJ, Ordoukhanian P, Romesberg FE, Marx A. Nat. Chem. Biol. 2012 Jul;8(7):612-4, which is herein incorporated by reference for all purposes.
- polypeptide means a polymer of amino acid residues (natural or unnatural) linked together most often by peptide bonds.
- a polypeptide can be a single molecule or may be a multi- molecular complex such as a dimer, trimer, or tetramer. They can also comprise single chain or multichain polypeptides such as antibodies or insulin and can be associated or linked. Most commonly disulfide linkages are found in multichain polypeptides.
- polypeptide can also apply to amino acid polymers in which one or more amino acid residues are an artificial chemical analogue of a corresponding naturally occurring amino acid.
- the term “prevent,” means to reduce the likelihood of developing a disease, disorder, or condition, or alternatively, to reduce the severity of a subsequently developed disease or disorder.
- a therapeutic agent can be administered to a subject who is at increased risk of developing a disease or disorder relative to a member of the general population in order to prevent the development of, or lessen the severity of, the disease or condition.
- a therapeutic agent can be administered as a prophylactic, e.g., before development of any symptom or manifestation of a disease or disorder.
- quadsi-helical structure is a higher order structure of the circular polyribonucleotide, wherein at least a portion of the circular polyribonucleotide folds into a helical structure.
- quadsi-double-stranded secondary structure is a higher order structure of the circular polyribonucleotide, wherein at least a portion of the circular polyribonucleotide creates an internal double strand.
- regulatory element is a moiety, such as a nucleic acid sequence, that modifies expression of an expression sequence within the circular or linear polyribonucleotide.
- repetitive nucleotide sequence is a repetitive nucleic acid sequence within a stretch of DNA or RNA or throughout a genome.
- the repetitive nucleotide sequence includes poly CA or poly TG (UG) sequences.
- the repetitive nucleotide sequence includes repeated sequences in the Alu family of introns.
- replication element is a sequence and/or motif useful for replication or that initiate transcription of the circular polyribonucleotide.
- a surface area of a subject body means any area of a subject that is or has a potential to be exposed to an exterior environment subject body.
- a surface area of a subject body e.g., a mammal body, e.g., a human body, can include skin, surface areas of oral cavity, nasal cavity, ear cavity, gastrointestinal tract, respiratory tract, vaginal, cervical, inter uterine, urinary tract, and eye.
- a surface area of a subject body can often refer to the outer area under which epithelial cells are lined up.
- Skin for example, can be one type of surface area as discussed herein and can be composed of epidermis and dermis, the former of which forms the outermost layers of kin and can include organized assembly of epithelial cells among many other types of cells.
- the term “stagger element” is a moiety, such as a nucleotide sequence, that induces ribosomal pausing during translation.
- the stagger element may include a chemical moiety, such as glycerol, a non-nucleic acid linking moiety, a chemical modification, a modified nucleic acid, or any combination thereof.
- a composition, preparation, or product is substantially free of a component if the level of the component is detectable only in trace amounts or the level is less than the level detectable by a relevant detection technique (e.g., chromatography (using a column, using a paper, using a gel, using HPLC, using UHPLC, etc., or by IC, by SEC, by reverse phase, by anion exchange, by mixed mode, etc.) or electrophoresis (UREA PAGE, chip-based, polyacrylamide gel, RNA, capillary, c-IEF, etc.) with or without pre or post separation derivatization methodologies using detection techniques based on mass spectrometry, UV-visible, fluorescence, light scattering, refractive index, or that use silver or
- compositions, preparation, or product are substantially free of a component may be determined without the use of separation technologies by mass spectrometry, by microscopy, by circular dichroism (CD) spectroscopy, by UV or UV-vis spectrophotometry, by fluorometry (e.g., Qubit), by RNase H analysis, by surface plasmon resonance (SPR), or by methods that utilize silver or dye stains or radioactive decay for detection).
- mass spectrometry by microscopy, by circular dichroism (CD) spectroscopy, by UV or UV-vis spectrophotometry, by fluorometry (e.g., Qubit), by RNase H analysis, by surface plasmon resonance (SPR), or by methods that utilize silver or dye stains or radioactive decay for detection).
- CD circular dichroism
- UV or UV-vis spectrophotometry by fluorometry (e.g., Qubit)
- RNase H analysis e.g., RNase H analysis
- SPR surface plasmon resonance
- substantially resistant is one that has at least 50%, 55%, 60%, 65%, 70%, 75%, 80%, 85%, 90%, 95%, 96%, 97%, 98% or 99% resistance to an effector as compared to a reference.
- the term “sterilizing agent” means any agent that is bacteriostatic, bactericidal, and/or actively kills microorganisms, inactivates microorganisms, or prevents microorganisms from growing.
- a sterilizing agent that kills microorganisms can be antimicrobial and/or antiseptic.
- the sterilizing agent is a liquid, such as an alcohol, iodine, or hydrogen peroxide.
- the sterilizing agent is UV light or a laser light.
- the sterilizing agent is heat delivered electrically or through other means (e.g., vapor, contact).
- stoichiometric translation is a substantially equivalent production of expression products translated from the circular or linear polyribonucleotide.
- stoichiometric translation of the circular or linear polyribonucleotide means that the expression products of the two expression sequences have substantially equivalent amounts, e.g., amount difference between the two expression sequences (e.g., molar difference) can be about 0, or less than 1%, 2%, 3%, 4%, 5%, 6%, 7%, 8%, 9%, 10%, 15%, or 20%, or any percentage therebetween.
- systemic delivery or “systemic administration” means a route of administration of pharmaceutical compositions or other substances into the circulatory system (e.g., blood or lymphoid system).
- the systemic administration can include oral administration, parenteral administration, intranasal administration, sublingual administration, rectal administration, transdermal administration, or any combinations thereof.
- non-systemic delivery or “non- systemic administration” can refer to any other routes of administration than systemic delivery of pharmaceutical compositions or other substances, e.g., the delivered substances do not enter the circulation systems (e.g., blood and lymphoid system) of the subject body.
- sequence identity is determined by alignment of two peptide or two nucleotide sequences using a global or local alignment algorithm. Sequences may then be referred to as “substantially identical” or “essentially similar” when they (when optimally aligned by for example the programs GAP or BESTFIT using default parameters) share at least a certain minimal percentage of sequence identity.
- sequence identity For nucleotides the default scoring matrix used is nwsgapdna and for proteins the default scoring matrix is Blosum62 (Henikoff & Henikoff, 1992, PNAS 89, 915-919). Sequence alignments and scores for percentage sequence identity may be determined using computer programs, such as the GCG Wisconsin Package, Version 10.3, available from Accelrys Inc., 9685 Scranton Road, San Diego, CA 92121 -3752 USA, or EmbossWin version 2.10.0 (using the program “needle”). Alternatively or additionally, percent identity may be determined by searching against databases, using algorithms such as FASTA, BLAST, etc. Sequence identity refers to the sequence identity over the entire length of the sequence.
- a “signal sequence” refers to a polypeptide sequence, e.g., between 10 and 30 amino acids in length, that is present at the N-terminus of a polypeptide sequence of a nascent protein which targets the polypeptide sequence to the secretory pathway.
- a target refers to any entity that includes one or more epitopes.
- a target may be a chemical moiety, a portion of a molecule, a molecule (e.g., an allergen or a toxin), a macromolecule (e.g., a polypeptide, a nucleic acid, or carbohydrate), a post-translational modification state of a macromolecule (e.g., a macromolecule that is phosphorylated, glycosylated, acylated, alkylated, and the like), a higher-order macromolecular structure (e.g., a complex of two or more polypeptides), a cell (e.g., a cancer cell), a portion of a cell (e.g., a tumor antigen), a receptor on the surface of a cell, a pathogen (e.g., a virus or a portion or a virus; a bacterium or a portion of a bacter
- the term “treat,” or “treating,” refers to a therapeutic treatment of a disease or disorder (e.g., an infectious disease, a cancer, a toxicity, or an allergic reaction) in a subject.
- the effect of treatment can include reversing, alleviating, reducing severity of, curing, inhibiting the progression of, reducing the likelihood of recurrence of the disease or one or more symptoms or manifestations of the disease or disorder, stabilizing (i.e. , not worsening) the state of the disease or disorder, and/or preventing the spread of the disease or disorder as compared to the state and/or the condition of the disease or disorder in the absence of the therapeutic treatment.
- termination element is a moiety, such as a nucleic acid sequence, that terminates translation of the expression sequence in the circular or linear polyribonucleotide.
- topical delivery means delivery of a substance to skin or an epithelial layer accessible though non-invasive means, e.g., the intestinal and other gastrointestinal (Gl) epithelia or the vaginal epithelium.
- Topical delivery of a pharmaceutical composition can have a local pharmacodynamic effect on the subject, e.g., the topically delivered pharmaceutical composition has a pharmacodynamic effect at or proximate to the particular part of the body (e.g. skin) where the pharmaceutical composition is delivered.
- topical delivery of a pharmaceutical composition as discussed herein is used only to refer to the delivery mode (locally to, e.g., a specific surface area), whereas the pharmaceutical composition can have either a local or systemic pharmacodynamic effect.
- the pharmaceutical composition can either stay local at or proximate to the administration site, or can enter a circulation system (e.g., blood or lymphoid system) of the subject body, through which the pharmaceutical composition can be transported to remote parts of the body that are typically not reachable by the pharmaceutical composition via routes other than the circulation systems.
- a circulation system e.g., blood or lymphoid system
- total ribonucleotide molecules means the total amount of any ribonucleotide molecules, including linear polyribonucleotide molecules, circular polyribonucleotide molecules, monomeric ribonucleotides, other polyribonucleotide molecules, fragments thereof, and modified variations thereof, as measured by total mass of the ribonucleotide molecules
- translation efficiency is a rate or amount of protein or peptide production from a ribonucleotide transcript.
- translation efficiency can be expressed as amount of protein or peptide produced per given amount of transcript that codes for the protein or peptide, e.g., in a given period of time, e.g., in a given translation system, e.g., an in vitro translation system like rabbit reticulocyte lysate, or an in vivo translation system like a eukaryotic cell or a prokaryotic cell.
- translation initiation sequence is a nucleic acid sequence that initiates translation of an expression sequence in the circular or linear polyribonucleotide.
- FIGs. 1A-1B are schematics of exemplary circular RNAs that include two expression sequences, where each expression sequence encodes either an immunogen or an adjuvant.
- FIG. 1 A depicts a circular polyribonucleotide that includes two open reading frames (ORFs), each ORF encoding an expression sequence, where each ORF is operably linked to an IRES.
- FIG. 1B depicts a circular polyribonucleotide that includes two expression sequences separated by a 2A sequence, all operably linked to an IRES.
- FIG. 2 shows a schematic of a circular RNA that includes an ORF that encodes an immunogen and a polynucleotide adjuvant sequence (e.g., a nucleotide sequence that stimulates the innate immune system).
- a polynucleotide adjuvant sequence e.g., a nucleotide sequence that stimulates the innate immune system.
- FIG. 3 shows a schematic of a plurality of polyribonucleotides, where each polynucleotide includes an ORF that encodes either an immunogen or an adjuvant.
- FIG. 4 shows an RBD immunogen encoded by a circular RNA was detected in BJ Fibroblasts and HeLa cells and was not detected in BJ Fibroblasts and HeLa cells with the vehicle control.
- FIG. 5 shows that sustainable anti-RBD antibody response was attained following administration of a circular RNA encoding a SARS-CoV-2 RBD immunogen, formulated with a cationic polymer (e.g., protamine), in a mouse model.
- a cationic polymer e.g., protamine
- FIG. 6 shows that an anti-Spike response was attained following administration of a circular RNA encoding a SARS-CoV-2 RBD antigen, formulated with a cationic polymer (e.g., protamine), in a mouse model.
- FIG. 7 shows anti-RBD lgG2a and IgG 1 isotype levels that were obtained after administration of a circular RNA encoding a SARS-CoV-2 RBD immunogen, formulated with a cationic polymer (e.g. protamine), in a mouse model.
- a cationic polymer e.g. protamine
- FIG. 8 shows protein expression from circular RNA in vivo for prolonged periods of time after intramuscular injection of circular RNA preparations (Trans-IT formulated, protamine formulated, unformulated), protamine vehicle only, and uninjected control mice.
- FIG. 9 shows protein expression from circular RNA in vivo for prolonged periods of time after simultaneous intramuscular delivery of AddavaxTM adjuvant with (i) unformulated circular RNA preparations (left graph), (ii) circular RNA formulated with TransIT (middle graph), and (iii) circular RNA formulated with protamine (right graph).
- AddavaxTM adjuvant was delivered as an individual injection at 0 and 24 h.
- FIG. 10 shows protein expression from circular RNA in v/vo for prolonged periods of time after intradermal delivery of (i) circular RNA formulated with protamine, (ii) circular RNA formulated with protamine, with an injection of AddavaxTM adjuvant at 24 hours, (iii) protamine vehicle only, and (iv) an uninjected control mice.
- FIG. 11 shows the binding of probes to circular and linear RNA and subsequent degradation of the RNA by RNase H.
- Circular RNA is detected as a single cleaved linear band compared to linear and concatemeric RNA, which is detected as multiple bands.
- Degradation was detected by running samples on a denaturing polyacrylamide gel and comparing degradation bands with or without addition of RNase H.
- FIG. 12 shows linear RNA content quantified on a denaturing polyacrylamide gel by comparing linear RNA band intensity to a linear RNA standard.
- FIG. 13 shows the quantification of RNA extracted from different bands of a denaturing polyacrylamide gel.
- FIG. 14 shows Gaussia Luciferase activity in cells at 6, 24, 48, 72, 96, and 120 hours posttransfection in experiments using circular RNA of 84% purity, circular RNA of 71% purity, and vehicle only.
- FIG. 15 shows cells transfected with the gel purified circular RNA preparation only showed minimal expression of innate immune genes such as RIG-I, MDA-5, OAS, and IFN- B compared to cells transfected with both the combined circular RNA and linear counterpart RNA, which exhibited upregulation of these innate immune genes in a dose dependent manner.
- innate immune genes such as RIG-I, MDA-5, OAS, and IFN- B compared to cells transfected with both the combined circular RNA and linear counterpart RNA, which exhibited upregulation of these innate immune genes in a dose dependent manner.
- FIG. 16 is an image showing a protein blot of expression products from circular RNA or linear RNA with a stagger element.
- FIG. 17 shows generation of exemplary circular RNA by self-splicing.
- FIG. 18 illustrates an example in which both exemplary linear and circular RNA were delivered topically to the ear skin of mice and their RNA levels in the ear tissue were examined over the 6 hours to 3 days after delivery period.
- FIGs. 19A and 19B are plots summarizing qPCR results from ear punches of mice 6 hours, 1 day, 3 days, or 12 days after topical delivery of linear or circular RNAs with the aid of Boost (ethanol).
- FIG. 19A shows results from qPCR assays using primers that for detection of both the linear and circular RNAs.
- FIG. 19B shows results from qPCR assays using primers for detection of the circular RNA, but not the linear RNA.
- FIG. 20 shows fluorescent images (B/W) from topical administration of circRNA-Cy5 results in RNA delivery to tissue.
- FIG. 21 shows quantification of fluorescent images from topical administration of circRNA-Cy5 results in RNA delivery to tissue.
- FIG. 22 shows topical administration of circular RNA results in RNA delivery to tissue at day 1 and day 4 after administration when tissue is wiped with an ethanol wipe prior to application.
- FIG. 23 shows topical administration of circular RNA results in RNA delivery to tissue at day 1 and day 4 after administration when the tissue is wiped with an isopropyl alcohol wipe prior to application.
- FIG. 24 shows topical administration of circRNA results in RNA delivery to tissue when circRNA is administered with 10% ethanol.
- FIG. 25 is an image showing a protein blot of expression products from circular RNA or linear RNA.
- FIG. 26 shows experimental data demonstrating increased persistence of Gaussia luciferase expression in mice following redosing with a circular polyribonucleotide (“Endless”) as compared to a linear polyribonucleotide counterpart (“Linear”).
- FIG. 27 shows experimental data demonstrating increased persistence of Gaussia luciferase expression in mice following staggered dosing with a circular polyribonucleotide (“Endless 3 doses”) as compared to staggered dosing a linear polyribonucleotide counterpart (“Linear 3 doses”), or a single dose with the circular polyribonucleotide (“Endless”), or a single dose with a linear polyribonucleotide counterpart (“Linear”).
- FIG. 28 shows experimental data demonstrating increased persistence of Gaussia luciferase expression in mice following a single dose of a circular polyribonucleotide (“Endless RNA”) as compared to a single dose of a linear polyribonucleotide counterpart (“Linear RNA”), staggered dosing with a linear polyribonucleotide counterpart (“3 doses Linear RNA”) as compared to a single dose (“Linear RNA”), or staggered dosing with a circular polyribonucleotide (“3 doses Endless RNA”) as compared a single dose (“Endless RNA”).
- Endless RNA a circular polyribonucleotide
- FIG. 29 shows circular polyribonucleotide administered intramuscularly, without a carrier, expressed protein in vivo for prolonged periods of time, with levels of protein activity in the plasma at multiple days post injection.
- FIG. 30 shows circular polyribonucleotide administered intravenously, expressed protein in vivo for prolonged periods of time, with levels of protein activity in the plasma at multiple days post injection and could be re-dosed at least 5 times.
- FIG. 31A shows multi-immunogen expression from a circular polyribonucleotide.
- RBD immunogen expression was detected from circular RNAs encoding a SARSs-CoV-2 RBD immunogen and a GLuc polypeptide.
- FIG. 31 B shows multi-immunogen expression from a circular polyribonucleotide.
- GLuc activity was detected from circular RNAs encoding a SARSs-CoV-2 RBD immunogen and a GLuc polypeptide.
- FIG. 32A shows immunogenicity of multiple immunogens from circular RNAs in mouse model. Mice were vaccinated with a first circular RNA encoding a SARS-CoV-2 RBD immunogen and a second circular RNA encoding a GLuc polypeptide. Anti-RBD antibodies were obtained at 17 days after injection.
- FIG. 32B shows immunogenicity of multiple immunogens from circular RNAs in mouse model. Mice were vaccinated with a first circular RNA encoding a SARS-CoV-2 RBD immunogen and a second circular RNA encoding a GLuc polypeptide. GLuc activity was detected at 2 days after injection.
- FIG. 33A shows immunogenicity of multiple immunogens from circular RNAs in mouse model. Mice were vaccinated with a first circular RNA encoding a SARS-CoV-2 RBD immunogen and a second circular RNA encoding Influenza hemagglutinin (HA) immunogen. Anti-RBD antibodies were obtained at 17 days after injection.
- HA hemagglutinin
- FIG. 33B shows immunogenicity of multiple immunogens from circular RNAs in mouse model. Mice were vaccinated with a first circular RNA encoding a SARS-CoV-2 RBD immunogen and a second circular RNA encoding Influenza hemagglutinin (HA) immunogen. Anti-HA antibodies were obtained at 17 days after injection.
- FIG. 34A shows immunogenicity of multiple immunogens from circular RNAs in mouse model. Mice were vaccinated with a first circular RNA encoding a SARS-CoV-2 Spike immunogen and a second circular RNA encoding Influenza hemagglutinin (HA) immunogen. Anti-RBD (domain of Spike) antibodies were obtained at 17 days after injection.
- HA hemagglutinin
- FIG. 34B shows immunogenicity of multiple immunogens from circular RNAs in mouse model. Mice were vaccinated with a first circular RNA encoding a SARS-CoV-2 Spike immunogen and a second circular RNA encoding Influenza hemagglutinin (HA) immunogen. Anti-HA antibodies were obtained at 17 days after injection.
- FIG. 35 shows an anti-HA antibody response in mice administered circular RNA encoding multiple immunogens.
- Mice were administered a circular RNA encoding: a SARS-CoV-2 RBD immunogen, a SARS-CoV-2 Spike immunogen, an Influenza HA immunogen, a SARS-CoV-2 RBD immunogen and an Influenza HA immunogen, a SARS-CoV-2 RBD immunogen and a GLuc polypeptide, or a SARS-CoV-2 RBD immunogen and a SARS-CoV-2 Spike immunogen.
- a hemagglutination inhibition assay (HAI) was used to measure anti-influenza HA antibodies.
- FIG. 24 shows HAI titer in samples that were administered circular RNA preparations encoding the Influenza HA immunogen when it was administered alone or when administered in combination with SARS-CoV-2 immunogens, e.g., RBD or Spike.
- FIG. 36 shows Gaussia luciferase (Glue) activity in mice at 2 days post-prime with: (i) a circular RNA encoding a Glue polypeptide, or (ii) a combination of a first circular RNA encoding a Glue polypeptide and a second circular RNA encoding a SARS-CoV-2 RBD immunogen, or (iii) a circular RNA encoding both a Glue polypeptide and a SARS-CoV-2 RBD immunogen.
- Glue Gaussia luciferase
- FIG. 37A shows anti-RBD antibody response in mice at 14 days post-prime with: (i) a circular RNA encoding a SARS-CoV-2 RBD immunogen, or (ii) a combination of a first circular RNA encoding a GLuc polypeptide and a second circular RNA encoding a SARS-CoV-2 RBD immunogen, or (iii) a circular RNA encoding both a Glue polypeptide and a SARS-CoV-2 RBD immunogen.
- FIG. 37B shows anti-RBD neutralizing antibodies, as evaluated by a Plaque Reduction Neutralization Test (PRNT), in mice administered: (i) a circular RNA encoding a SARS-CoV-2 RBD immunogen, or (ii) a combination of a first circular RNA encoding a GLuc polypeptide and a second circular RNA encoding a SARS-CoV-2 RBD immunogen, or (iii) a circular RNA encoding both a Glue polypeptide and a SARS-CoV-2 RBD immunogen.
- FIG. 38 shows a circular RNA encoding a Glue polypeptide and a SARS-CoV-2 RBD immunogen primes RBD-specific T cell responses as determined by ELISpot assay.
- FIG. 39 shows IL-12, measured using an IL-12 specific ELISA, was expressed from circular RNA in mammalian cells.
- a circular RNA encoding a SARS-CoV-2 RBD immunogen was included as a negative control.
- FIG. 40A shows IL-12 expression was detected in serum at 2 days after injection with a circular RNA preparation including a first circular RNA encoding IL-12 and a second circular RNA encoding a SARS-CoV-2 RBD immunogen, in a mouse model. Injection with PBS or with a preparation including only the circular RNA encoding a SARS-CoV-2 RBD immunogen were included as controls.
- FIG. 40B shows an increase in serum IFN- ⁇ (directly downstream of IL12 signaling) was detected in serum at 2 days after injection with a circular RNA preparation including a first circular RNA encoding IL-12 and a second circular RNA encoding a SARS-CoV-2 RBD immunogen, in a mouse model. Injection with PBS or with a preparation including only the circular RNA encoding a SARS-CoV-2 RBD immunogen were included as controls.
- FIG. 41 A shows that administration of a circular RNA preparation including a first circular RNA encoding IL-12 and a second circular RNA encoding a SARS-CoV-2 RBD immunogen increased the number of SARS-CoV-2 RBD specific CD4 T cells.
- Administration of PBS or a preparation including only the circular RNA encoding a SARS-CoV-2 RBD immunogen were included as controls.
- Asterisks denotes statistical significance as determined by a two-way RM ANOVA protected Tukey’s post hoc test.
- FIG. 41 B shows that administration of a circular RNA preparation including a first circular RNA encoding IL-12 and a second circular RNA encoding a SARS-CoV-2 RBD immunogen produced no change in the number of RBD specific CD8 T cells.
- Administration of PBS or a preparation including only the circular RNA encoding a SARS-CoV-2 RBD immunogen were included as controls.
- FIG. 41 C shows that administration of a circular RNA preparation including a first circular RNA encoding IL-12 and a second circular RNA encoding SARS-CoV-2 RBD immunogen increased the amount of IFN- ⁇ production by CD4 T cells.
- Administration of PBS or a preparation including only the circular RNA encoding a SARS-CoV-2 RBD immunogen were included as controls.
- Asterisks denotes statistical significance as determined by unpaired t-test.
- FIG. 41 D shows that administration of a circular RNA preparation including a first circular RNA encoding IL-12 and a second circular RNA encoding a SARS-CoV-2 RBD immunogen increased the amount of IFN- ⁇ production by CD8 T cells.
- Administration of PBS or a preparation including only the circular RNA encoding a SARS-CoV-2 RBD immunogen were included as controls.
- Asterisks denotes statistical significance as determined by unpaired t-test.
- FIG. 42 shows that a circular RNA expressing Ovalbumin (OVA) combined with circular RNA expressing IL12 induces a stronger CD8 T cell response when compared to the control (circular RNA expressing OVA only). This demonstrates that circular RNA expressing IL12 acts as an adjuvant.
- OVA Ovalbumin
- the disclosure provides circular or linear polyribonucleotides encoding multiple immunogens, circular or linear polyribonucleotides encoding at least one immunogen and further encoding at least one adjuvant, and immunogenic compositions including multiple circular or linear polyribonucleotides.
- This disclosure further features pharmaceutical compositions and preparations including one or more circular or linear polyribonucleotides encoding one or more immunogens.
- Compositions and pharmaceutical preparations of circular or linear polyribonucleotides described herein may induce an immune response in a subject upon administration.
- Compositions and pharmaceutical preparations of circular or linear polyribonucleotides described herein may be used to treat or prevent a disease, disorder, or condition in a subject.
- the polyribonucleotide includes the elements as described below as well as the in addition to one or more immunogens as described herein.
- the polyribonucleotide is a circular polyribonucleotide.
- the polyribonucleotide (e.g., the circular polyribonucleotide) is at least about 20 nucleotides, at least about 30 nucleotides, at least about 40 nucleotides, at least about 50 nucleotides, at least about 75 nucleotides, at least about 100 nucleotides, at least about 200 nucleotides, at least about 300 nucleotides, at least about 400 nucleotides, at least about 500 nucleotides, at least about 1 ,000 nucleotides, at least about 2,000 nucleotides, at least about 5,000 nucleotides, at least about 6,000 nucleotides, at least about 7,000 nucleotides, at least about 8,000 nucleotides, at least about 9,000 nucleotides, at least about 10,000 nucleotides, at least about 12,000 nucleotides, at least about 14,000 nucleotides, at least about 15,000 nucleotides, at least
- the polyribonucleotide (e.g. the circular polyribonucleotide) may be of a sufficient size to accommodate a binding site for a ribosome.
- the maximum size of a circular polyribonucleotide can be as large as is within the technical constraints of producing a circular polyribonucleotide, and/or using the circular polyribonucleotide. Without wishing to be bound by any particular theory, it is possible that multiple segments of RNA may be produced from DNA and their 5' and 3' free ends annealed to produce a "string" of RNA, which ultimately may be circularized when only one 5' and one 3' free end remains.
- the maximum size of a circular polyribonucleotide may be limited by the ability of packaging and delivering the RNA to a target.
- the size of a circular polyribonucleotide is a length sufficient to encode useful polypeptides, such as immunogens or an epitopes thereof of the disclosure, and thus, lengths of at least 20,000 nucleotides, at least 15,000 nucleotides, at least 10,000 nucleotides, at least 7,500 nucleotides, or at least 5,000 nucleotides, at least 4,000 nucleotides, at least 3,000 nucleotides, at least 2,000 nucleotides, at least 1 ,000 nucleotides, at least 500 nucleotides, at least 400 nucleotides, at least 300 nucleotides, at least 200 nucleotides, at least 100 nucleotides, or at least 70 nucleotides, may be useful.
- the maximum size of the circular polyribonucleotide is a length sufficient to encode one or more immunogens (e.g., two or more, three or more, four or more, and five or more). In some embodiments, the maximum size of the circular polyribonucleotide is a length sufficient to encode between two and five (e.g., three, four, and five) immunogens. In some embodiments, the maximum size of the circular polyribonucleotide is a length sufficient to encode an immunogen and an adjuvant.
- the maximum size of the circular polyribonucleotide is a length sufficient to encode one or more immunogens (e.g., two or more, three or more, and four or more) and one or more adjuvants (e.g., two or more, three or more, and four or more).
- the circular polyribonucleotide includes one or more of the elements as described herein in addition to including a sequence encoding an immunogen. In some embodiments, the circular polyribonucleotide lacks a poly-A sequence, lacks a free 3’ end, lacks an RNA polymerase recognition motif, or any combination thereof. In some embodiments, the circular polyribonucleotide includes any feature or any combination of features as disclosed in International Patent Publication No. WO2019/118919, which is hereby incorporated by reference in its entirety.
- the circular or linear polyribonucleotides described herein includes at least one sequence encoding an immunogen and optionally further includes at least one sequence encoding an adjuvant.
- An immunogen includes one or more epitopes that is recognized, targeted, or bound by a given antibody or T cell receptor.
- An epitope can be a linear epitope, for example, a contiguous sequence of nucleic acids or amino acids.
- An epitope can be a conformational epitope, for example, an epitope that contains amino acids that form an epitope in the folded conformation of the protein.
- a conformational epitope can contain non-contiguous amino acids from a primary amino acid sequence.
- a conformational epitope includes nucleic acids that form an epitope in the folded conformation of an immunogenic sequence based on its secondary structure or tertiary structure.
- an immunogen includes all or a part of a protein, a peptide, a glycoprotein, a lipoprotein, a phosphoprotein, a ribonucleoprotein, a carbohydrate (e.g., a polysaccharide), a lipid (e.g., a phospholipid or triglyceride), or a nucleic acid (e.g., DNA, RNA).
- a protein e.g., a polysaccharide
- a lipid e.g., a phospholipid or triglyceride
- nucleic acid e.g., DNA, RNA
- an immunogen includes a protein immunogen or epitope (e.g., a peptide immunogen or peptide epitope from a protein, glycoprotein, lipoprotein, phosphoprotein, or ribonucleoprotein).
- An immunogen can include an amino acid, a sugar, a lipid, a phosphoryl, or a sulfonyl group, or a combination thereof.
- the immunogen is a polypeptide immunogen.
- a polypeptide immunogen may include a post-translational modification, for example, glycosylation, ubiquitination, phosphorylation, nitrosylation, methylation, acetylation, amidation, hydroxylation, sulfation, or lipidation.
- a post-translational modification for example, glycosylation, ubiquitination, phosphorylation, nitrosylation, methylation, acetylation, amidation, hydroxylation, sulfation, or lipidation.
- an immunogen includes an epitope including at least 4, at least 5, at least 6, at least 7, at least 8, at least 9, at least 10, at least 11 , at least 12, at least 13, at least 14, at least 15, at least 16, at least 17, at least 18, at least. 19, at least 20, at least 21 , at least 22, at least 23, at least 24, at least 25, at least 26, at least 27, at least 28, at least 29, or at least 30 amino acids, or more.
- an epitope includes or contains at most 4, at most 5, at most 6, at most 7, at most 8, at most 9, at most 10, at most 11 , at most 12, at most 13, at most 14, at most 15, at most 16, at most 17, at most 18, at most.
- an epitope includes or contains 1 , 2, 3, 4, 5, 6, 7, 8, 9, 10, 11 , 12, 13, 14, 15, 16, 17, 18, 19, 20, 21 , 22, 23, 24, 25, 26, 27, 28, 29, or 30 amino acids.
- an epitope contains 5 amino acids.
- an epitope contains 6 amino acids.
- an epitope contains 7 amino acids.
- an epitope contains 8 amino acids.
- an epitope can be about 8 to about 11 amino acids.
- an epitope can be about 9 to about 22 amino acids.
- the immunogens may include immunogens recognized by B cells, immunogens recognized by T cells, or a combination thereof.
- the immunogens include immunogens recognized by B cells.
- the immunogens are immunogens recognized by B cells.
- the immunogens include immunogens recognized by T cells.
- the immunogens are immunogens recognized by T cells.
- the epitopes may include epitopes recognized by B cells, epitopes recognized by T cells, or a combination thereof. In some embodiments, the epitopes include epitopes recognized by B cells. In some embodiments, the epitopes are epitopes recognized by B cells. In some embodiments, the epitopes include epitopes recognized by T cells. In some embodiments, the epitopes are epitopes recognized by T cells.
- an immunogen includes a polynucleotide. In some embodiments, an immunogen is a polynucleotide. In some embodiments, an immunogen includes an RNA. In some embodiments, an immunogen is an RNA. In some embodiments, an immunogen includes a DNA. In some embodiments, an immunogen is a DNA. In some embodiments, the polynucleotide is encoded in the circular or linear polyribonucleotide.
- a circular or linear polyribonucleotide of the disclosure includes or encodes any number of immunogens.
- a circular or linear polyribonucleotide includes or encodes at least 1 , at least 2, at least 3, at least 4, at least 5, at least 6, at least 7, at least 8, at least 9, at least 10, at least 15, at least 20, at least 25, at least 30, at least 40, at least 50, at least 60, at least 70, at least 80, at least 90, at least 100, at least 120, at least 140, at least 160, at least 180, at least 200, at least 250, at least 300, at least 350, at least 400, at least 450, at least 500, or more of immunogens.
- a circular or linear polyribonucleotide includes or encodes, for example, at most 1 , at most 2, at most 3, at most 4, at most 5, at most 6, at most 7, at most 8, at most 9, at most 10, at most 15, at most 20, at most 25, at most 30, at most 40, at most 50, at most 60, at most 70, at most 80, at most 90, at most 100, at most 120, at most 140, at most 160, at most 180, at most 200, at most 250, at most 300, at most 350, at most 400, at most 450, at most 500, or less immunogens.
- a circular or linear polyribonucleotide includes or encodes about 1 , 2, 3, 4, 5, 6, 7, 8, 9, 10, 15, 20, 25, 30, 40, 50, 60, 70, 80, 90, 100, 120, 140, 160, 180, 200, 250, 300, 350, 400, 450, or 500 of immunogens.
- the circular or linear polyribonucleotide encodes a plurality of immunogens.
- a circular or linear polyribonucleotide includes or encodes between 1 and 100 immunogens.
- a circular or linear polyribonucleotide includes or encodes between 1 and 50 immunogens.
- a circular or linear polyribonucleotide includes or encodes between 1 and 10 immunogens; for example, a circular or linear polyribonucleotide encodes 1 , 2, 3, 4, 5, 6, 7, 8, 9, or 10 immunogens.
- a circular or linear polyribonucleotide includes or encodes 2 immunogens.
- a circular or linear polyribonucleotide includes or encodes 3 immunogens.
- a circular or linear polyribonucleotide includes or encodes 4 immunogens.
- a circular or linear polyribonucleotide includes or encodes 5 immunogens.
- the plurality of immunogens each identify the same target. Otherwise put, a single target may include each of the plurality of immunogens, each of the plurality of immunogens may be derived from the same target, and/or each of the plurality of immunogens may share a high degree of similarity with a portion or the whole of the target.
- a target may be a cell and each of the immunogens may correspond to a protein of that cell.
- the target may a particular cancer cell and each of the immunogens may correspond to a tumor antigen associate with that cancer.
- each of the plurality of immunogens are derived from different proteins from the same target.
- the plurality of immunogens are derived from different targets.
- the plurality of immunogens may be derived various capsid proteins of a given virus.
- the one immunogen may be derived from Orthopoxvirus
- another immunogen may be derived Hepadnavirus
- a third immunogen may be derived Flavivirus.
- a polyribonucleotide may encode multiple immunogens, where each immunogen is derived from yellow fever virus, Chikungunya virus, Zika, Hepatitis A, or Hepatitis B.
- a polyribonucleotide may encode an immunogen from each of yellow fever virus, Chikungunya virus, Zika, Hepatitis A, and Hepatitis B.
- a polyribonucleotide may encode multiple immunogens, where each immunogen is derived from Japanese encephalitis, Chikungunya virus, Zika, Hepatitis A, or Hepatitis B.
- a polyribonucleotide may encode an immunogen from each of Japanese encephalitis, Chikungunya virus, Zika, Hepatitis A, and Hepatitis B.
- a polyribonucleotide may encode multiple immunogens, where each immunogen is derived from SARS- CoV2, a poxvirus, respiratory syncytial virus, or human papilloma virus.
- a polyribonucleotide may encode an immunogen from each of SARS-CoV2, a poxvirus, respiratory syncytial virus, and human papilloma virus.
- a polyribonucleotide may encode multiple immunogens, where each immunogen is derived from a herpes virus (CMV, EBV, or VZV).
- CMV herpes virus
- EBV herpes virus
- VZV herpes virus
- a polyribonucleotide may encode an immunogen from each of the following herpes viruses: CMV, EBV, or VZV.
- a polyribonucleotide may encode multiple immunogens, where each immunogen is derived Singles or West Nile Virus.
- a polyribonucleotide may encode an immunogen from each of Shingles and West Nile Virus.
- the plurality of immunogens have at least 90%, 91%, 92%, 93%, 94%, 95%, 96%, 97%, 98%, or 99% sequence identity. In some embodiments, the plurality of immunogens also have less than 100% sequence identity. This may be indicative of immunogens related to one another by genetic drift, as such, a single circular or linear polyribonucleotide composition or immunogenic composition may be able to induce an immune response against a target that exists in various mutational states in a population or may induce an immune response against multiple targets having the same immunogen where the immunogen is related by genetic drift. For example, the immunogens may be related to one another by genetic drift of a target virus. In some embodiments, the plurality of immunogens may be derived from receptor-binding domains (RBD) from unique but related viruses.
- RBD receptor-binding domains
- a circular or linear polyribonucleotide encodes variants of an immunogen.
- Variants can be naturally-occurring variants (for example, variants identified in sequence data from different viral genera, species, isolates, or quasispecies), or can be derivative sequences as disclosed herein that have been generated in silica (for example, immunogens or epitopes with one or more amino acid insertions, deletions, substitutions, or a combination thereof compared to a wild-type immunogen or epitope).
- An immunogen is from, for example, a virus, such as a viral surface protein, a viral membrane protein, a viral envelope protein, a viral capsid protein, a viral nucleocapsid protein, a viral spike protein, a viral entry protein, a viral membrane fusion protein, a viral structural protein, a viral non-structural protein, a viral regulatory protein, a viral accessory protein, a secreted viral protein, a viral polymerase protein, a viral DNA polymerase, a viral RNA polymerase, a viral protease, a viral glycoprotein, a viral fusogen, a viral helical capsid protein, a viral icosahedral capsid protein, a viral matrix protein, a viral replicase, a viral transcription factor, or a viral enzyme.
- a virus such as a viral surface protein, a viral membrane protein, a viral envelope protein, a viral capsid protein, a viral nucleocapsid protein, a viral spike
- the immunogen is from one of these viruses:
- Useful immunogens can be from an influenza A, B or C virus, such as the hemagglutinin, neuraminidase, or matrix M2 proteins. Where the immunogen is an influenza A virus hemagglutinin it may be from any subtype e.g. HI, H2, H3, H4, H5, H6, H7, H8, H9, H10, HI I, H12, H13, H14, H15, or H16.
- Viral immunogens include, but are not limited to, those derived from Pneumoviruses (e.g. respiratory syncytial virus (RSV)), Rubulaviruses (e.g. mumps virus), Paramyxoviruses (e.g. parainfluenza virus), Metapneumoviruses and Morbilliviruses (e.g. measles virus), Henipaviruses (e.g. Nipah virus).
- Pneumoviruses e.g. respiratory syncytial virus (RSV)
- Rubulaviruses e.g. mumps virus
- Paramyxoviruses e.g. parainfluenza virus
- Metapneumoviruses e.g. measles virus
- Henipaviruses e.g. Nipah virus
- Viral immunogens include, but are not limited to, those derived from Orthopoxvirus such as Variola vera, including but not limited to, Variola major and Variola minor.
- Viral immunogens include, but are not limited to, those derived from Picornaviruses, such as Enteroviruses, Rhinoviruses, Heparnavirus, Cardioviruses and Aphthoviruses.
- the enterovirus is a poliovirus e.g. a type 1 , type 2 and/or type 3 poliovirus.
- the enterovirus is an EV71 enterovirus.
- the enterovirus is a coxsackie A or B virus.
- Bunyavirus Viral immunogens include, but are not limited to, those derived from an Orthobunyavirus, such as California encephalitis virus, a Phlebovirus, such as Rift Valley Fever virus, or a Nairovirus, such as Crimean-Congo hemorrhagic fever virus.
- an Orthobunyavirus such as California encephalitis virus, a Phlebovirus, such as Rift Valley Fever virus, or a Nairovirus, such as Crimean-Congo hemorrhagic fever virus.
- Viral immunogens include, but are not limited to, those derived from a Heparnavirus, such as hepatitis A virus (HAV).
- HAV hepatitis A virus
- Viral immunogens include, but are not limited to, those derived from a filovirus, such as an Ebola virus (including a Zaire, Ivory Coast, Reston, or Sudan ebolavirus) or a Marburg virus.
- a filovirus such as an Ebola virus (including a Zaire, Ivory Coast, Reston, or Sudan ebolavirus) or a Marburg virus.
- Viral immunogens include, but are not limited to, those derived from a Togavirus, such as a Rubivirus, an Alphavirus, or an Arterivirus. This includes rubella virus.
- Flavivirus Viral immunogens include, but are not limited to, those derived from a Flavivirus, such as Tick-borne encephalitis (TBE) virus, Dengue (types 1 , 2, 3 or 4) virus, Yellow Fever virus, Japanese encephalitis virus, Kyasanur Forest Virus, West Nile encephalitis virus, St. Louis encephalitis virus, Russian spring-summer encephalitis virus, Powassan encephalitis virus, Zika virus.
- TBE Tick-borne encephalitis
- Dengue types 1 , 2, 3 or 4
- Yellow Fever virus Japanese encephalitis virus
- Kyasanur Forest Virus West Nile encephalitis virus
- St. Louis encephalitis virus Russian spring-summer encephalitis virus
- Viral immunogens include, but are not limited to, those derived from a Pestivirus, such as Bovine viral diarrhea (BVDV), Classical swine fever (CSFV) or Border disease (BDV).
- BVDV Bovine viral diarrhea
- CSFV Classical swine fever
- BDV Border disease
- Viral immunogens include, but are not limited to, those derived from a Hepadnavirus, such as Hepatitis B virus.
- the hepatitis B virus immunogen may be a hepatitis B virus surface immunogen (HBsAg).
- Viral immunogens include, but are not limited to, those derived from a hepatitis C virus, delta hepatitis virus, hepatitis E virus, or hepatitis G virus.
- Viral immunogens include, but are not limited to, those derived from a Rhabdovirus, such as a Lyssavirus ⁇ e.g. a Rabies virus) and Vesiculovirus (VSV).
- a Rhabdovirus such as a Lyssavirus ⁇ e.g. a Rabies virus
- VSV Vesiculovirus
- Viral immunogens include, but are not limited to, those derived from Calciviridae, such as Norwalk virus (Norovirus), and Norwalk-like Viruses, such as Hawaii Virus and Snow Mountain Virus.
- Retrovirus include, but are not limited to, those derived from an Oncovirus, a Lentivirus (e.g. HIV-1 or HIV-2) or a Spumavirus.
- Viral immunogens include, but are not limited to, those derived from an Orthoreovirus, a Rotavirus, an Orbivirus, or a Coltivirus.
- Viral immunogens include, but are not limited to, those derived from Parvovirus B19.
- Bocavirus Viral immunogens include, but are not limited to, those derived from bocavirus.
- Herpesvirus Viral immunogens include, but are not limited to, those derived from a human herpesvirus, such as, by way of example only, Herpes Simplex Viruses (HSV) (e.g. HSV types 1 and 2), Varicella-zoster virus (VZV), Epstein-Barr virus (EBV), Cytomegalovirus (CMV), Human Herpesvirus 6 (HHV6), Human Herpesvirus 7 (HHV7), and Human Herpesvirus 8 (HHV8).
- HSV Herpes Simplex Viruses
- VZV Varicella-zoster virus
- EBV Epstein-Barr virus
- CMV Cytomegalovirus
- HHV6 Human Herpesvirus 6
- HHV7 Human Herpesvirus 7
- Viral immunogens include, but are not limited to, those derived from Papillomaviruses and Polyomaviruses.
- the (human) papillomavirus may be of serotype 1 , 2, 4, 5, 6, 8, 11 , 13, 16, 18, 31 , 33, 35, 39, 41 , 42, 47, 51 , 57, 58, 63 or 65 e.g. from one or more of serotypes 6, 11 , 16 and/or 18.
- Viral immunogens include, but are not limited to, those derived from hantaviruses.
- Viral immunogens include, but are not limited to, those derived from Guanarito virus, Junin virus, Lassa virus, Lujo virus, Machupo virus, Sabia virus, or Whitewater Arroyo virus.
- Viral immunogens include those derived from adenovirus serotype 36 (Ad-36).
- Viral immunogens include those derived from community acquired respiratory viruses.
- Viral immunogens include, but are not limited to, those derived from a SARS coronavirus (e.g., SARS-CoV-1 and SARS-CoV-2), MERS coronavirus, avian infectious bronchitis (IBV), Mouse hepatitis virus (MHV), and Porcine transmissible gastroenteritis virus (TGEV).
- the coronavirus immunogen may be a spike polypeptide or a receptor binding domain (RBD) of a spike protein.
- RBD receptor binding domain
- the coronavirus immunogen may also be an envelope polypeptide, a membrane polypeptide or a nucleocapsid polypeptide.
- the immunogen is from a virus which infects fish.
- the immunogen elicits an immune response against a virus which infects fish.
- the virus which infects fish is selected from infectious salmon anemia virus (ISAV), salmon pancreatic disease virus (SPDV), infectious pancreatic necrosis virus (IPNV), channel catfish virus (CCV), fish lymphocystis disease virus (FLDV), infectious hematopoietic necrosis virus (IHNV), koi herpesvirus, salmon picorna- like virus (also known as picorna-like virus of atlantic salmon), landlocked salmon virus (LSV), atlantic salmon rotavirus (ASR), trout strawberry disease virus (TSD), coho salmon tumor virus (CSTV), or viral hemorrhagic septicemia virus (VHSV).
- infectious salmon anemia virus ISAV
- SPDV salmon pancreatic disease virus
- IPNV infectious pancreatic necrosis virus
- CCV channel catfish virus
- FLDV fish lymphocysti
- an immunogen is from a host subject cell.
- antibodies that block viral entry can be generated by using an immunogen or epitope from a component of a host cell that a virus uses as an entry factor.
- An immunogen is from, for example, a bacteria, such as a bacterial surface protein, a bacterial membrane protein, a bacterial envelope protein, a bacterial inner membrane protein, a bacterial outer membrane protein, a bacterial periplasmic protein, a bacterial entry protein, a bacterial membrane fusion protein, a bacterial structural protein, a bacterial non-structural protein, a secreted bacterial protein, a bacterial polymerase protein, a bacterial DNA polymerase, a bacterial RNA polymerase, a bacterial protease, a bacterial glycoprotein, bacterial transcription factor, a bacterial enzyme, or a bacterial toxin.
- a bacteria such as a bacterial surface protein, a bacterial membrane protein, a bacterial envelope protein, a bacterial inner membrane protein, a bacterial outer membrane protein, a bacterial periplasmic protein, a bacterial entry protein, a bacterial membrane fusion protein, a bacterial structural protein, a bacterial non-structural protein
- the immunogen elicits an immune response from one of these bacteria: Streptococcus agalactiae (also known as group B streptococcus or GBS)); Streptococcus pyogenes (also known as group A Streptococcus (GAS)); Staphylococcus aureus; Methicillin-resistant Staphylococcus aureus (MRSA); Staphylococcus epidermis; Treponema pallidum; Francisella tularensis; Rickettsia species; Yersinia pestis; Neisseria meningitidis: Immunogens include, but are not limited to, membrane proteins such as adhesins, autotransporters, toxins, iron acquisition proteins, and factor H binding protein; Streptococcus pneumoniae; Moraxella catarrhalis; Bordetella pertussis: Immunogens include, but are not limited to, pertussis toxin or toxoid
- ETEC enteroaggregative E. coli
- EAggEC enteroaggregative E. coli
- DAEC diffusely adhering E. coli
- EHEC enterohemorrhagic E. coli
- ExPEC strains include uropathogenic E. coli (UPEC) and meningitis/sepsis-associated E. coli (MNEC). Also included are Bacillus anthracis; Clostridium perfringens or Clostridium botulinums; Legionella pneumophila; Coxiella burnetiid; Brucella species, such as B. abortus, B.
- canis B. melitensis, B. neotomae, B. ovis, B. suis, and B. pinnipediae. Francisella species, such as F. novicida, F. philomiragia, and F.
- Neisseria gonorrhoeae Haemophilus ducreyi; Enterococcus faecalis or Enterococcus faecium; Staphylococcus saprophyticus; Yersinia enterocolitica; Mycobacterium tuberculosis; Listeria monocytogenes; Vibrio cholerae; Salmonella typhi; Borrelia burgdorferi; Porphyromonas gingivalis; and Klebsiella species.
- An immunogen is from, for example, fungus, such as a fungal surface protein, a fungal membrane protein, a fungal envelope protein, a fungal inner membrane protein, a fungal outer membrane protein, a fungal periplasmic protein, a fungal entry protein, a fungal membrane fusion protein, a fungal structural protein, a fungal non-structural protein, a secreted fungal protein, a fungal polymerase protein, a fungal DNA polymerase, a fungal RNA polymerase, a fungal protease, a fungal glycoprotein, fungal transcription factor, a fungal enzyme, or a fungal toxin.
- fungus such as a fungal surface protein, a fungal membrane protein, a fungal envelope protein, a fungal inner membrane protein, a fungal outer membrane protein, a fungal periplasmic protein, a fungal entry protein, a fungal membrane fusion protein, a fungal structural protein, a fungal non-structural protein
- the fungal immunogen is derived from Dermatophytes, including: Epidermophyton floccusum, Microsporum audouini, Microsporum canis, Microsporum distortum, Microsporum equinum, Microsporum gypsum, Microsporum nanum, Trichophyton concentricum, Trichophyton equinum, Trichophyton gallinae, Trichophyton gypseum, Trichophyton megnini, Trichophyton mentagrophytes, Trichophyton quinckeanum, Trichophyton rubrum, Trichophyton schoenleini, Trichophyton tonsurans, Trichophyton verrucosum, T. verrucosum var.
- An immunogen is from, for example, a eukaryotic parasite surface protein, eukaryotic parasite membrane protein, a eukaryotic parasite envelope protein, a eukaryotic parasite entry protein, a eukaryotic parasite membrane fusion protein, a eukaryotic parasite structural protein, a eukaryotic parasite non-structural protein, a secreted eukaryotic parasite protein, a eukaryotic parasite polymerase protein, a eukaryotic parasite DNA polymerase, a eukaryotic parasite RNA polymerase, a eukaryotic parasite protease, a eukaryotic parasite glycoprotein, eukaryotic parasite transcription factor, a eukaryotic parasite enzyme, or a eukaryotic parasite toxin.
- the immunogen elicits an immune response against a parasite from the Plasmodium genus, such as P. falciparum, P. vivax, P. malariae, or P. ovale.
- the immunogen elicits an immune response against a parasite from the Caligidae family, particularly those from the Lepeophtheirus and Caligus genera, e.g., sea lice such as Lepeophtheirus salmonis or Caligus rogercresseyi.
- the immunogen elicits an immune response against the parasite Toxoplasma gondii.
- the immunogens are cancer immunogens (e.g., neoepitopes).
- an immunogen is a neoantigen and/or neoepitope that is associated with acute leukemia, astrocytomas, biliary cancer (cholangiocarcinoma), bone cancer, breast cancer, brain stem glioma, bronchioloalveolar cell lung cancer, cancer of the adrenal gland, cancer of the anal region, cancer of the bladder, cancer of the endocrine system, cancer of the esophagus, cancer of the head or neck, cancer of the kidney, cancer of the parathyroid gland, cancer of the penis, cancer of the pleural/peritoneal membranes, cancer of the salivary gland, cancer of the small intestine, cancer of the thyroid gland, cancer of the ureter, cancer of the urethra, carcinoma of the cervix, carcinoma of the endometrium, carcinoma of the fallopian tubes, carcinoma of the renal pelvis, carcinoma of
- the immunogen is a tumor antigen selected from: (a) cancer-testis antigens such as NY-ESO-1 , SSX2, SCP1 as well as RAGE, BAGE, GAGE and MAGE family polypeptides, for example, GAGE-1 , GAGE-2, MAGE-1 , MAGE-2, MAGE-3, MAGE-4, MAGE-5, MAGE-6, and MAGE- 12 (which can be used, for example, to address melanoma, lung, head and neck, NSCLC, breast, gastrointestinal, and bladder tumors; (b) mutated antigens, for example, p53 (associated with various solid tumors, e.g., colorectal, lung, head and neck cancer), p21/Ras (associated with, e.g., melanoma, pancreatic cancer and colorectal cancer), CDK4 (associated with, e.g., melanoma), MUMI (associated with, e.g., melanoma),
- melanoma-melanocyte differentiation antigens such as MART-I/Melan A, gplOO, MC1 R, melanocyte-stimulating hormone receptor, tyrosinase, tyrosinase related protein- 1/TRPI and tyrosinase related protein-2/TRP2 (associated with, e.g., melanoma);
- prostate associated antigens such as PAP, PSA, PSMA, PSH-P1 , PSM-P1 , PSM-P2, associated with e.g., prostate cancer;
- immunoglobulin idiotypes associated with myeloma and B cell lymphomas, for example
- neoantigens associated with, e.g., breast cancer, lung cancer, and cancers of the gastrointestinal tract such as colorectal cancer
- shared antigens for example, melanoma-melanocyte differentiation antigens such as MART-I/Melan A, gpl
- tumor immunogens include, but are not limited to, pi 5, Hom/Mel- 40, H-Ras, E2A-PRL, H4-RET, IGH-IGK, MYL-RAR, Epstein Barr virus antigens, EBNA, human papillomavirus (HPV) antigens, including E6 and E7, hepatitis B and C virus antigens, human T-cell lymphotropic virus antigens, TSP-180, pl85erbB2, pl80erbB-3, c-met, mn-23HI, TAG-72-4, CA 19-9, CA 72-4, CAM 17.1 , NuMa, K-ras, pl6, TAGE, PSCA, CT7, 43-9F, 5T4, 791 Tgp72, beta-HCG, BCA225, BTAA, CA 125, CA 15-3 (CA 27.29YBCAA), CA 195, CA 242, CA-50, CAM43, CD68 ⁇ KP1 , CO
- the immunogen elicits an immune response against: pollen allergens (tree-, herb, weed-, and grass pollen allergens); insect or arachnid allergens (inhalant, saliva and venom allergens, e.g. mite allergens, cockroach and midges allergens, hymenopthera venom allergens); animal hair and dandruff allergens (from e.g. dog, cat, horse, rat, mouse, etc.); and food allergens (e.g. a gliadin).
- pollen allergens tree-, herb, weed-, and grass pollen allergens
- insect or arachnid allergens inhalant, saliva and venom allergens, e.g. mite allergens, cockroach and midges allergens, hymenopthera venom allergens
- animal hair and dandruff allergens from e.g. dog, cat, horse
- Important pollen allergens from trees, grasses and herbs are such originating from the taxonomic orders of Fagales, Oleales, Pinales and platanaceae including, but not limited to, birch (Betula), alder (Alnus), hazel (Corylus), hornbeam (Carpinus) and olive (Olea), cedar (Cryptomeria and Juniperus), plane tree (Platanus), the order of Poales including grasses of the genera Lolium, Phleum, Poa, Cynodon, Dactylis, Holcus, Phalaris, Secale, and Sorghum, the orders of Asterales and Urticales including herbs of the genera Ambrosia, Artemisia, and Parietaria.
- venom allergens including such originating from stinging or biting insects such as those from the taxonomic order of Hymenoptera including bees (Apidae), wasps (Vespidea), and ants (Formicoidae).
- the immunogen is derived from, for example, toxin in a venom, such as a venom from a snake (e.g., most species of rattlesnakes (e.g., eastern diamondback rattlesnake), species of brown snakes (e.g., king brown snake and eastern brown snake), russel’s viper, cobras (e.g., Indian cobra, king cobra), certain species of kraits (e.g., common krait), mambas (e.g., black mamba), saw- scaled viper, boomslang, dubois sea snake, species of taipans (e.g., coastal taipan and inland taipan snake), species of lanceheads (e.g., fer-de-lance and terciopelo), bushmasters, copperhead, cottonmouth, coral snakes, death adders, Belcher’s sea snake, tiger snakes, Australian black snakes
- the toxin is from a plant or fungi (e.g., a mushroom).
- the toxin immunogen is derived from a toxin such as a cyanotoxins, dinotoxins, myotoxins, cytotoxins (e.g., ricin, apitoxin, mycotoxins (e.g., aflatoxin), ochratoxin, citrinin, ergot alkaloid, patulin, fusarium, fumonisins, trichothecenes, cardiotoxin), tetrodotoxin, batrachotoxin, botulinum toxin A, tetanus toxin A, diptheria toxin, dioxin, muscarine, bufortoxin, sarin, hemotoxins, phototoxins, necrotoxins, nephrotoxins, and neurotoxins (e.g., calciseptine, cobrotoxin, calcicludine, fasciculin-l, calliotoxin).
- a toxin such as a cyanotoxins, dinotoxins, myotoxins,
- Immunogens from any number of microorganisms or cancers can be utilized in the circular or linear polyribonucleotides.
- the immunogens are associated with or expressed by one microorganism disclosed above.
- the immunogens are associated with or expressed by two or more microorganisms disclosed above.
- the immunogens are associated with or expressed by one cancer disclosed above.
- immunogens are associated with or expressed by two or more cancers disclosed above.
- the immunogens are derived from toxins as disclosed above.
- the immunogens are from two or more toxins disclosed above.
- the two or more microorganisms are related or unrelated.
- two or more microorganisms are phylogenetically related.
- the circular or linear polyribonucleotides of the disclosure include or encode immunogens from two or more viruses, two or more members of a viral family, two or more members of a viral class, two or more members of a viral order, two or more members of a viral genus, two or more members of a viral species, two or more bacterial pathogens.
- the two or more microorganisms are not phylogenetically related.
- the circular or linear polyribonucleotides of the disclosure include or encode immunogens from two or more respiratory pathogens, two or more select agents, two or more microorganisms associated with severe disease, two or more microorganisms associated with adverse outcomes in immunocompromised subjects, two or more microorganisms associated with adverse outcomes related to pregnancy, two or more microorganisms associated with hemorrhagic fever.
- An immunogen of the disclosure may include a wild-type sequence.
- wild-type refers to a sequence (e.g., a nucleic acid sequence or an amino acid sequence) that is naturally occurring and encoded by a genome (e.g., a viral genome).
- a species e.g., microorganism species
- derivative and “derived from” refers to a sequence (e.g., nucleic acid sequence or amino acid sequence) that differs from a wild-type sequence by one or more nucleic acids or amino acids, for example, containing one or more nucleic acid or amino acid insertions, deletions, and/or substitutions relative to a wild-type sequence.
- An immunogen derivative sequence is a sequence that has at least 60%, 70%, 75%, 80%, 85%, 90%, 91%, 92%, 93%, 94%, 95%, 96%, 97%, 98%, 99%, or more sequence identity to a wild-type sequence, for example, a wild-type nucleic acid, protein, immunogen, or epitope sequence.
- an immunogen contains one or more amino acid insertions, deletions, substitutions, or a combination thereof that affect the structure of an encoded protein. In some embodiments, an immunogen contains one or more amino acid insertions, deletions, substitutions, or a combination thereof that affect the function of an encoded protein. In some embodiments, an immunogen contains one or more amino acid insertions, deletions, substitutions, or a combination thereof that affect the expression or processing of an encoded protein by a cell.
- an immunogen contains one or more nucleic acid insertions, deletions, substitutions, or a combination thereof that affect the structure of an encoded immunogenic nucleic acid.
- Amino acid insertions, deletions, substitutions, or a combination thereof can introduce a site for a post-translational modification (for example, introduce a glycosylation, ubiquitination, phosphorylation, nitrosylation, methylation, acetylation, amidation, hydroxylation, sulfation, or lipidation site, or a sequence that is targeted for cleavage).
- a post-translational modification for example, introduce a glycosylation, ubiquitination, phosphorylation, nitrosylation, methylation, acetylation, amidation, hydroxylation, sulfation, or lipidation site, or a sequence that is targeted for cleavage).
- amino acid insertions, deletions, substitutions, or a combination thereof remove a site for a post-translational modification (for example, remove a glycosylation, ubiquitination, phosphorylation, nitrosylation, methylation, acetylation, amidation, hydroxylation, sulfation, or lipidation site, or a sequence that is targeted for cleavage).
- a post-translational modification for example, remove a glycosylation, ubiquitination, phosphorylation, nitrosylation, methylation, acetylation, amidation, hydroxylation, sulfation, or lipidation site, or a sequence that is targeted for cleavage.
- amino acid insertions, deletions, substitutions, or a combination thereof modify a site for a post-translational modification (for example, modify a site to alter the efficiency or characteristics of glycosylation, ubiquitination, phosphorylation, nitrosylation, methylation, acetylation, amidation, hydroxylation, sulfation, or lipidation site, or cleavage).
- a post-translational modification for example, modify a site to alter the efficiency or characteristics of glycosylation, ubiquitination, phosphorylation, nitrosylation, methylation, acetylation, amidation, hydroxylation, sulfation, or lipidation site, or cleavage.
- An amino acid substitution can be a conservative or a non-conservative substitution.
- a conservative amino acid substitution can be a substitution of one amino acid for another amino acid of similar biochemical properties (e.g., charge, size, and/or hydrophobicity).
- a non-conservative amino acid substitution can be a substitution of one amino acid for another amino acid with different biochemical properties (e.g., charge, size, and/or hydrophobicity).
- a conservative amino acid change can be, for example, a substitution that has minimal effect on the secondary or tertiary structure of a polypeptide.
- a conservative amino acid change can be an amino acid change from one hydrophilic amino acid to another hydrophilic amino acid.
- Hydrophilic amino acids can include Thr (T), Ser (S), His (H), Glu (E), Asn (N), Gin (Q), Asp (D), Lys (K) and Arg (R).
- a conservative amino acid change can be an amino acid change from one hydrophobic amino acid to another hydrophilic amino acid.
- Hydrophobic amino acids can include lie (I), Phe (F), Vai (V), Leu (L), Trp (W), Met (M), Ala (A), Gly (G), Tyr (Y), and Pro (P).
- a conservative amino acid change can be an amino acid change from one acidic amino acid to another acidic amino acid.
- Acidic amino acids can include Glu (E) and Asp (D).
- a conservative amino acid change can be an amino acid change from one basic amino acid to another basic amino acid.
- Basic amino acids can include His (H), Arg (R) and Lys (K).
- a conservative amino acid change can be an amino acid change from one polar amino acid to another polar amino acid.
- Polar amino acids can include Asn (N), Gin (Q), Ser (S) and Thr (T).
- a conservative amino acid change can be an amino acid change from one nonpolar amino acid to another nonpolar amino acid.
- Nonpolar amino acids can include Leu (L), Val(V), lie (I), Met (M), Gly (G) and Ala (A).
- a conservative amino acid change can be an amino acid change from one aromatic amino acid to another aromatic amino acid.
- Aromatic amino acids can include Phe (F), Tyr (Y) and Trp (W).
- a conservative amino acid change can be an amino acid change from one aliphatic amino acid to another aliphatic amino acid.
- Aliphatic amino acids can include Ala (A), Vai (V), Leu (L) and lie (I).
- a conservative amino acid substitution is an amino acid change from one amino acid to another amino acid within one of the following groups: Group I: ala, pro, gly, gin, asn, ser, thr; Group II: cys, ser, tyr, thr; Group III: val, ile, leu, met, ala, phe; Group IV: lys, arg, his; Group V: phe, tyr, trp, his; and Group VI: asp, glu.
- an immunogen derivative or epitope derivative of the disclosure includes at least 1 , at least 2, at least 3, at least 4, at least 5, at least 6, at least 7, at least 8, at least 9, at least 10, at least 1 1 , at least 12, at least 13, at least 14, at least 15, at least 16, at least 17, at least 18, at least 19, at least 20, at least 25, at least 30, at least 35, at least 40, at least 45, at least 50, at least 60, at least 70, at least 80, at least 90, or at least 100 amino acid deletions relative to a sequence disclosed herein (e.g., a wild-type sequence).
- an immunogen derivative or epitope derivative of the disclosure includes at least 1 , at least 2, at least 3, at least 4, at least 5, at least 6, at least 7, at least 8, at least 9, at least 10, at least 1 1 , at least 12, at least 13, at least 14, at least 15, at least 16, at least 17, at least 18, at least 19, at least 20, at least 25, at least 30, at least 35, at least 40, at least 45, or at least 50 amino acid substitutions relative to a sequence disclosed herein (e.g., a wild-type sequence).
- an immunogen derivative or epitope derivative of the disclosure includes at most 1 , at most 2, at most 3, at most 4, at most 5, at most 6, at most 7, at most 8, at most 9, at most 10, at most 1 1 , at most 12, at most 13, at most 14, at most 15, at most 16, at most 17, at most 18, at most 19, at most 20, at most 25, at most 30, at most 35, at most 40, at most 45, or at most 50 amino acid substitutions relative to a sequence disclosed herein (e.g., a wild-type sequence).
- an immunogen derivative or epitope derivative of the disclosure includes 1 -2, 1 -3, 1 -4, 1 -5, 1 -6, 1 -7, 1 -8, 1 -9, 1 -10, 1 -15, 1 -20, 1 -30, 1 -40, 2-3, 2-4, 2-5, 2-6, 2-7, 2-8, 2-9, 2-10, 2- 15, 2-20, 2-30, 2-40, 3-3, 3-4, 3-5, 3-6, 3-7, 3-8, 3-9, 3-10, 3-15, 3-20, 3-30, 3-40, 5-6, 5-7, 5-8, 5-9, 5-10, 5-15, 5-20, 5-30, 5-40,10-15, 15-20, or 20-25 amino acid substitutions relative to a sequence disclosed herein (e.g., a wild-type sequence).
- an immunogen derivative or epitope derivative of the disclosure includes 1 , 2, 3, 4, 5, 6, 7, 8, 9, 10, 1 1 , 12, 13, 14, 15, 16, 17, 18, 19, or 20 amino acid substitutions relative to a sequence disclosed herein (e.g., a wild-type sequence).
- the one or more amino acid substitutions can be at the N-terminus, the C-terminus, within the amino acid sequence, or a combination thereof.
- the amino acid substitutions can be contiguous, noncontiguous, or a combination thereof.
- an immunogen derivative or epitope derivative of the disclosure includes at most 1 , at most 2, at most 3, at most 4, at most 5, at most 6, at most 7, at most 8, at most 9, at most
- an immunogen derivative or epitope derivative of the disclosure includes 1 -2, 1 -3, 1 -4, 1 -5, 1 -6, 1 -7, 1 -8, 1 -9, 1 -10, 1 -15, 1 -20, 1 -30, 1 -40, 2-3, 2-4, 2-5, 2-6, 2-7, 2-8, 2-9, 2-10, 2- 15, 2-20, 2-30, 2-40, 3-3, 3-4, 3-5, 3-6, 3-7, 3-8, 3-9, 3-10, 3-15, 3-20, 3-30, 3-40, 5-6, 5-7, 5-8, 5-9, 5-10, 5-15, 5-20, 5-30, 5-40, 10-15, 15-20, 20-25, 20-30, 30-50, 50-100, or 100-200 amino acid deletions relative to a wild-type sequence.
- an immunogen derivative or epitope derivative of the disclosure includes 1 , 2, 3, 4, 5, 6, 7, 8, 9, 10, 11 , 12, 13, 14, 15, 16, 17, 18, 19, or 20 amino acid deletions relative to a wildtype sequence.
- the one or more amino acid deletions can be at the N-terminus, the C-terminus, within the amino acid sequence, or a combination thereof.
- the amino acid deletions can be contiguous, non-contiguous, or a combination thereof.
- an immunogen derivative or epitope derivative of the disclosure includes at least 1 , at least 2, at least 3, at least 4, at least 5, at least 6, at least 7, at least 8, at least 9, at least 10, at least 11 , at least 12, at least 13, at least 14, at least 15, at least 16, at least 17, at least 18, at least 19, at least 20, at least 25, at least 30, at least 35, at least 40, at least 45, or at least 50 amino acid insertions relative to a wild-type sequence.
- an immunogen derivative or epitope derivative of the disclosure includes at most 1 , at most 2, at most 3, at most 4, at most 5, at most 6, at most 7, at most 8, at most 9, at most 10, at most 11 , at most 12, at most 13, at most 14, at most 15, at most 16, at most 17, at most 18, at most 19, at most 20, at most 25, at most 30, at most 35, at most 40, at most 45, or at most 50 amino acid insertions relative to a wild-type sequence).
- an immunogen derivative or epitope derivative of the disclosure includes 1 -2, 1 -3, 1 -4, 1 -5, 1 -6, 1 -7, 1 -8, 1 -9, 1 -10, 1 -15, 1 -20, 1 -30, 1 -40, 2-3, 2-4, 2-5, 2-6, 2-7, 2-8, 2-9, 2-10, 2- 15, 2-20, 2-30, 2-40, 3-3, 3-4, 3-5, 3-6, 3-7, 3-8, 3-9, 3-10, 3-15, 3-20, 3-30, 3-40, 5-6, 5-7, 5-8, 5-9, 5-10, 5-15, 5-20, 5-30, 5-40,10-15, 15-20, or 20-25 amino acid insertions relative to a wild-type sequence.
- an immunogen derivative or epitope derivative of the disclosure includes 1 , 2, 3, 4, 5, 6, 7, 8, 9, 10, 11 , 12, 13, 14, 15, 16, 17, 18, 19, or 20 amino acid insertions relative to a wildtype sequence.
- the one or more amino acid insertions can be at the N-terminus, the C-terminus, within the amino acid sequence, or a combination thereof.
- the amino acid insertions can be contiguous, noncontiguous, or a combination thereof.
- the immunogen is expressed by the circular or linear polyribonucleotide. In some embodiments, the immunogen is a product of rolling circle amplification of the circular or linear polyribonucleotide.
- the immunogen may be produced in substantial amounts.
- the immunogen may be any proteinaceous molecule that can be produced.
- An immunogen can be a polypeptide that can be secreted from a cell, or localized to the cytoplasm, nucleus, or membrane compartment of a cell.
- a polypeptide encoded by a circular or linear polyribonucleotide of the disclosure includes a fusion protein including two or more immunogens disclosed herein.
- a polypeptide encoded by a circular or linear polyribonucleotide of the disclosure includes an epitope.
- a polypeptide encoded by a circular or linear polyribonucleotide of the disclosure includes a fusion protein including two or more epitopes disclosed herein, for example, an artificial peptide sequence including a plurality of predicted epitopes from one or more microorganisms of the disclosure.
- an immunogen that can be expressed from the circular or linear polyribonucleotide is a membrane protein, for example, including a polypeptide sequence that is generally found as a membrane protein, or a polypeptide sequence that is modified to be a membrane protein.
- exemplary immunogens that can be expressed from the circular or linear polyribonucleotide disclosed herein include an intracellular immunogen or cytosolic immunogen.
- the immunogen has a length of less than about 40,000 amino acids, less than about 35,000 amino acids, less than about 30,000 amino acids, less than about 25,000 amino acids, less than about 20,000 amino acids, less than about 15,000 amino acids, less than about 10,000 amino acids, less than about 9,000 amino acids, less than about 8,000 amino acids, less than about 7,000 amino acids, less than about 6,000 amino acids, less than about 5,000 amino acids, less than about 4,000 amino acids, less than about 3,000 amino acids, less than about 2,500 amino acids, less than about 2,000 amino acids, less than about 1 ,500 amino acids, less than about 1 ,000 amino acids, less than about 900 amino acids, less than about 800 amino acids, less than about 700 amino acids, less than about 600 amino acids, less than about 500 amino acids, less than about 400 amino acids, less than about 300 amino acids, less than about 250 amino acids, less than about 200 amino acids, less than about 150 amino acids, less than about 140 amino acids, less than about 130 amino acids, less than about 120 amino acids, less than about
- the circular or linear polyribonucleotide includes one or more immunogen sequences and is configured for persistent expression in a cell of a subject in vivo.
- the circular or linear polyribonucleotide is configured such that expression of the one or more expression sequences in the cell at a later time point is equal to or higher than an earlier time point.
- the expression of the one or more immunogen sequences can be either maintained at a relatively stable level or can increase over time.
- the expression of the immunogen sequences can be relatively stable for an extended period of time.
- the expression of the immunogen sequences can be relatively stable transiently or for only a limited amount of time, for example, at most 1 , 2, 3, 4, 5, 6, 7, 8, 9, or 10 days.
- the circular or linear polyribonucleotide expresses one or more immunogens in a subject, e.g., transiently or long term.
- expression of the immunogens persists for at least about 1 hr to about 30 days, or at least about 2 hrs, 6 hrs, 12 hrs, 18 hrs, 24 hrs, 2 days, 3, days, 4 days, 5 days, 6 days, 7 days, 8 days, 9 days, 10 days, 11 days, 12 days, 13 days, 14 days, 15 days, 16 days, 17 days, 18 days, 19 days, 20 days, 21 days, 22 days, 23 days, 24 days, 25 days, 26 days, 27 days, 28 days, 29 days, 30 days, 60 days, or longer or any time therebetween.
- expression of the immunogens persists for no more than about 30 mins to about 7 days, or no more than about 1 hr, 2 hrs, 3 hrs, 4 hrs, 5 hrs, 6 hrs, 7 hrs, 8 hrs, 9 hrs, 10 hrs, 11 hrs, 12 hrs, 13 hrs, 14 hrs, 15 hrs, 16 hrs, 17 hrs, 18 hrs, 19 hrs, 20 hrs, 21 hrs, 22 hrs, 24 hrs, 36 hrs, 48 hrs, 60 hrs, 72 hrs, 4 days, 5 days, 6 days, 7 days, 8 days, 9 days, 10 days, 11 days, 12 days, 13 days, 14 days, 15 days, 16 days, 17 days, 18 days, 19 days, 20 days, 21 days, 22 days, 23 days, 24 days, 25 days, 26 days, 27 days, 28 days, 29 days, 30 days, 60 days, or any time therebetween.
- the immunogen expression includes translating at least a region of the circular or linear polyribonucleotide provided herein.
- a circular or linear polyribonucleotide can be translated in a subject to generate polypeptides that include one or more immunogens of the disclosure, thereby stimulating production of an adaptive immune response (e.g., antibody response and/or T cell response) in the subject.
- an adaptive immune response e.g., antibody response and/or T cell response
- a circular or linear polyribonucleotide of the disclosure is translated to produce one or more immunogens in a human or animal subject, thereby stimulating production of an adaptive immune response (e.g., antibody response and/or T cell response) in a human or animal subject.
- the methods for immunogen expression includes translation of at least 10%, at least 20%, at least 30%, at least 40%, at least 50%, at least 60%, at least 70%, at least 80%, at least 90%, or at least 95% of the total length of the circular or linear polyribonucleotide into polypeptides.
- the methods for immunogen expression includes translation of the circular or linear polyribonucleotide into polypeptides of at least 5 amino acids, at least 10 amino acids, at least 15 amino acids, at least 20 amino acids, at least 50 amino acids, at least 100 amino acids, at least 150 amino acids, at least 200 amino acids, at least 250 amino acids, at least 300 amino acids, at least 400 amino acids, at least 500 amino acids, at least 600 amino acids, at least 700 amino acids, at least 800 amino acids, at least 900 amino acids, or at least 1000 amino acids.
- the methods for protein expression includes translation of the circular or linear polyribonucleotide into polypeptides of about 5 amino acids, about 10 amino acids, about 15 amino acids, about 20 amino acids, about 50 amino acids, about 100 amino acids, about 150 amino acids, about 200 amino acids, about 250 amino acids, about 300 amino acids, about 400 amino acids, about 500 amino acids, about 600 amino acids, about 700 amino acids, about 800 amino acids, about 900 amino acids, or about 1000 amino acids.
- the methods include translation of the circular or linear polyribonucleotide into continuous polypeptides as provided herein, discrete polypeptides as provided herein, or both.
- the methods for immunogen expression include modification, folding, or other post-translation modification of the translation product. In some embodiments, the methods for immunogen expression include post-translation modification in vivo, e.g., via cellular machinery.
- exemplary immunogens that can be expressed from a circular or linear polyribonucleotide disclosed herein include a secreted protein, for example, a protein (e.g., immunogen) that naturally includes a signal sequence, or one that does not usually encode a signal sequence, but is modified to contain one.
- the immunogen(s) encoded for by the circular or linear polyribonucleotide includes a secretion signal.
- the secretion signal may be the naturally encoded secretion signal for a secreted protein.
- the secretion signal may be a modified secretion signal for a secreted protein.
- the immunogen(s) encoded for by the circular or linear polyribonucleotide do not include a secretion signal.
- a circular or linear polyribonucleotide encodes multiple copies of the same immunogen (e.g., one, two, three, four, five, six, seven, eight, nine, ten, or more) copies of the same immunogen.
- at least one copy of the immunogen includes a signal sequence and at least one copy of the immunogen does not include a signal sequence.
- a circular or linear polyribonucleotide encodes plurality of immunogens (e.g., a plurality of different immunogens or a plurality of immunogens having less than 100% sequence identity), where at least one of the plurality of immunogens includes a signal sequence and at least one copy of the plurality of immunogens does not include a signal sequence.
- plurality of immunogens e.g., a plurality of different immunogens or a plurality of immunogens having less than 100% sequence identity
- the signal sequence is a wild-type signal sequence that is present on the N-terminus of the corresponding wild-type immunogen, e.g., when expressed endogenously.
- the signal sequence is heterologous to the immunogen, e.g., is not present when the wildtype immunogen is expressed endogenously.
- a polyribonucleotide sequence encoding an immunogen may be modified to remove the nucleotide sequence encoding a wild-type signal sequence and/or add a sequence encoding a heterologous signal sequence.
- the circular or linear polyribonucleotide may further include one or more adjuvants, each with or without a signal sequence.
- the circular or linear polyribonucleotide encodes at least one adjuvant and at least one immunogen.
- the at least one encoded adjuvant includes a signal sequence and the at least one encoded immunogen does not include a signal sequence.
- the at least one encoded adjuvant includes a signal sequence and the at least one encoded immunogen includes a signal sequence.
- the at least one encoded adjuvant does not include a signal sequence and the at least one encoded immunogen includes a signal sequence.
- neither the encoded adjuvant nor the encoded immunogen includes a signal sequence.
- the signal sequence is a wild-type signal sequence that is present on the N-terminus of the corresponding wild-type adjuvant, e.g., when expressed endogenously.
- the signal sequence is heterologous to the adjuvant, e.g., is not present when the wild-type adjuvant is expressed endogenously.
- a polyribonucleotide sequence encoding an adjuvant may be modified to remove the nucleotide sequence encoding a wild-type signal sequence and/or add a sequence encoding a heterologous signal sequence.
- a polypeptide encoded by a polyribonucleotide may include a signal sequence that directs the immunogen or adjuvant to the secretory pathway.
- the signal sequence may direct the immunogen or adjuvant to reside in certain organelles (e.g., the endoplasmic reticulum, Golgi apparatus, or endosomes).
- the signal sequence directs the immunogen or adjuvant to be secreted from the cell. For secreted proteins, the signal sequence may be cleaved after secretion, resulting in a mature protein.
- the signal sequence may become embedded in the membrane of the cell or certain organelles, creating a transmembrane segment that anchors the protein to the membrane of the cell, endoplasmic reticulum, or Golgi apparatus.
- the signal sequence of a transmembrane protein is a short sequence at the N-terminal of the polypeptide.
- the first transmembrane domain acts as the first signal sequence, which targets the protein to the membrane.
- an adjuvant encoded by a polyribonucleotide includes a secretion signal sequence.
- an immunogen encoded by a polyribonucleotide includes either a secretion signal sequence, a transmembrane insertion signal sequence, or does not include a signal sequence.
- a circular or linear polyribonucleotide includes a regulatory element, e.g., a sequence that modifies expression of an expression sequence within the circular or linear polyribonucleotide.
- a regulatory element may include a sequence that is located adjacent to an expression sequence that encodes an expression product.
- a regulatory element may be operably linked to the adjacent sequence.
- a regulatory element may increase an amount of product expressed as compared to an amount of the expressed product when no regulatory element is present.
- a regulatory element may be used to increase the expression of one or more immunogen(s) and/or adjuvant(s) encoded by a circular or linear polyribonucleotide.
- a regulatory element may be used to decrease the expression of one or more immunogen(s) and/or adjuvant(s) encoded by a circular or linear polyribonucleotide.
- a regulatory element may be used to increase expression of an immunogen and/or adjuvant and another regulatory element may be used to decrease expression of another immunogen and/or adjuvant on the same circular or linear polyribonucleotide.
- one regulatory element can increase an amount of products (e.g., an immunogen or adjuvants) expressed for multiple expression sequences attached in tandem.
- one regulatory element can enhance the expression of one or more expression sequences (e.g., immunogens or adjuvants).
- a regulatory element as provided herein can include a selective translation sequence.
- selective translation sequence refers to a nucleic acid sequence that selectively initiates or activates translation of an expression sequence in the circular or linear polyribonucleotide, for instance, certain riboswitch aptazymes.
- a regulatory element can also include a selective degradation sequence.
- selective degradation sequence refers to a nucleic acid sequence that initiates degradation of the circular or linear polyribonucleotide, or an expression product of the circular or linear polyribonucleotide.
- the regulatory element is a translation modulator.
- a translation modulator can modulate translation of the expression sequence in the circular or linear polyribonucleotide.
- a translation modulator can be a translation enhancer or suppressor.
- a translation initiation sequence can function as a regulatory element. Further examples of regulatory elements are described in paragraphs [0154] - [0161 ] of International Patent Publication No. WO2019/118919, which is hereby incorporated by reference in its entirety.
- Nucleotides flanking a codon that initiates translation are known to affect the translation efficiency, the length, and/or the structure of the circular or linear polyribonucleotide. (See e.g., Matsuda and Mauro PLoS ONE, 2010 5: 11 ; the contents of which are herein incorporated by reference in its entirety). Masking any of the nucleotides flanking a codon that initiates translation may be used to alter the position of translation initiation, translation efficiency, length and/or structure of the circular or linear polyribonucleotide.
- a masking agent may be used near the start codon or alternative start codon in order to mask or hide the codon to reduce the probability of translation initiation at the masked start codon or alternative start codon.
- a masking agent may be used to mask a start codon of the circular or linear polyribonucleotide in order to increase the likelihood that translation will initiate at an alternative start codon.
- a circular or linear polyribonucleotide encodes an immunogen and includes a translation initiation sequence, e.g., a start codon.
- the translation initiation sequence includes a Kozak or Shine-Dalgarno sequence.
- the translation initiation sequence includes a Kozak sequence.
- the circular or linear polyribonucleotide includes the translation initiation sequence, e.g., Kozak sequence, adjacent to an expression sequence.
- the translation initiation sequence is a non-coding start codon.
- the translation initiation sequence, e.g., Kozak sequence is present on one or both sides of each expression sequence, leading to separation of the expression products.
- the circular or linear polyribonucleotide includes at least one translation initiation sequence adjacent to an expression sequence.
- the translation initiation sequence provides conformational flexibility to the circular or linear polyribonucleotide.
- the translation initiation sequence is within a substantially single stranded region of the circular or linear polyribonucleotide. Further examples of translation initiation sequences are described in paragraphs [0163] - [0165] of International Patent Publication No. WO2019/118919, which is hereby incorporated by reference in its entirety.
- the circular or linear polyribonucleotide may include more than 1 start codon such as, but not limited to, at least 2, at least 3, at least 4, at least 5, at least 6, at least 7, at least 8, at least 9, at least 10, at least 11 , at least 12, at least 13, at least 14, at least 15, at least 16, at least 17, at least 18, at least 19, at least 20, at least 25, at least 30, at least 35, at least 40, at least 50, at least 60 or more than 60 start codons. Translation may initiate on the first start codon or may initiate downstream of the first start codon.
- a circular or linear polyribonucleotide may initiate at a codon which is not the first start codon, e.g., AUG.
- Translation of the circular or linear polyribonucleotide may initiate at an alternative translation initiation sequence, such as those described in [0164] of International Patent Publication No. WO2019/118919A1 , which is incorporated herein by reference in its entirety.
- translation is initiated by eukaryotic initiation factor 4A (elF4A) treatment with Rocaglates (translation is repressed by blocking 43S scanning, leading to premature, upstream translation initiation and reduced protein expression from transcripts bearing the RocA-elF4A target sequence, see for example, www.nature.com/articles/nature17978).
- elF4A eukaryotic initiation factor 4A
- Rocaglates translation is repressed by blocking 43S scanning, leading to premature, upstream translation initiation and reduced protein expression from transcripts bearing the RocA-elF4A target sequence, see for example, www.nature.com/articles/nature17978).
- a circular or linear polyribonucleotide described herein includes an internal ribosome entry site (IRES) element. In some embodiments, a circular or linear polyribonucleotide described herein includes more than one (e.g., 2, 3, 4, and 5) internal ribosome entry site (IRES) element. In some embodiments, the circular or linear polyribonucleotide includes one or more IRES sequences on one or both sides of each expression sequence, leading to separation of the resulting peptide(s) and or polypeptide(s). In some embodiments, the IRES flanks both sides of at least one (e.g., 2, 3, 4, 5 or more) expression sequence.
- a suitable IRES element to include in a circular or linear polyribonucleotide can be an RNA sequence capable of engaging a eukaryotic ribosome.
- the IRES is an encephalomyocarditis virus (EMCV) IRES.
- the IRES is a Coxsackievirus (CVB3) IRES. Further examples of an IRES are described in paragraphs [0166] - [0168] of International Patent Publication No. WO2019/1 18919, which is hereby incorporated by reference in its entirety.
- a circular or linear polyribonucleotide of the disclosure can include a cleavage domain (e.g., a stagger element or a cleavage sequence).
- a cleavage domain e.g., a stagger element or a cleavage sequence
- stagger element refers to a moiety, such as a nucleotide sequence, that induces ribosomal pausing during translation.
- the stagger element may include a chemical moiety, such as glycerol, a non-nucleic acid linking moiety, a chemical modification, a modified nucleic acid, or any combination thereof.
- a circular or linear polyribonucleotide includes at least one stagger element adjacent to an expression sequence. In some embodiments, the circular or linear polyribonucleotide includes a stagger element adjacent to each expression sequence. In some embodiments, the stagger element is present on one or both sides of each expression sequence, leading to separation of the expression products, e.g., immunogen(s) and/or adjuvant(s). In some embodiments, the stagger element is a portion of the one or more expression sequences.
- the circular or linear polyribonucleotide includes one or more expression sequences (e.g., immunogen(s) and/or adjuvant(s)), and each of the one or more expression sequences is separated from a succeeding expression sequence (e.g., immunogen(s) and/or adjuvant(s) by a stagger element on the circular or linear polyribonucleotide.
- the stagger element prevents generation of a single polypeptide (a) from two rounds of translation of a single expression sequence or (b) from one or more rounds of translation of two or more expression sequences.
- the stagger element is a sequence separate from the one or more expression sequences.
- the stagger element includes a portion of an expression sequence of the one or more expression sequences.
- the plurality of immunogens encoded by a circular or linear ribonucleotide may be separated by an IRES between each immunogen.
- the IRES may be the same IRES between all immunogens.
- the IRES may be different between different immunogens.
- the plurality of immunogens and/or adjuvants may be separated by a 2A self-cleaving peptide.
- the plurality of immunogens and/or adjuvants encoded by the circular or linear ribonucleotide may be separated by both IRES and 2A sequences.
- an IRES may be between one immunogens and/or adjuvant and a second immunogen and/or adjuvant while a 2A peptide may be between the second immunogen and/or adjuvant and the third immunogen and/or adjuvant.
- the selection of a particular IRES or 2A self-cleaving peptide may be used to control the expression level of immunogen and/or adjuvant under control of the IRES or 2A sequence. For example, depending on the IRES and or 2A peptide selected, expression on the polypeptide may be higher or lower.
- a stagger element may be included to induce ribosomal pausing during translation.
- the stagger element is at 3’ end of at least one of the one or more expression sequences.
- the stagger element can be configured to stall a ribosome during rolling circle translation of the circular or linear polyribonucleotide.
- the stagger element may include, but is not limited to a 2A-I ike, or CHYSEL (SEQ ID NO: 8) (cis-acting hydrolase element) sequence.
- the stagger element encodes a sequence with a C-terminal consensus sequence that is X1X2X3EX5NPGP, where Xi is absent or G or H, X2 is absent or D or G, X3 is D or V or I or S or M, and Xs is any amino acid (SEQ ID NO: 9).
- stagger elements includes GDVESNPGP (SEQ ID NO: 10), GDIEENPGP (SEQ ID NO: 1 1 ), VEPNPGP (SEQ ID NO: 12), IETNPGP (SEQ ID NO: 13), GDIESNPGP (SEQ ID NO: 14), GDVELNPGP (SEQ ID NO: 15), GDIETNPGP (SEQ ID NO: 16), GDVENPGP (SEQ ID NO: 17), GDVEENPGP (SEQ ID NO: 18), GDVEQNPGP (SEQ ID NO: 19), IESNPGP (SEQ ID NO: 20), GDIELNPGP (SEQ ID NO: 21 ), HDIETNPGP (SEQ ID NO: 22), HDVETNPGP (SEQ ID NO: 23), HDVEMNPGP (SEQ ID NO: 24), GDMESNPGP (SEQ ID NO: 25), GDVETNPGP (SEQ ID NO: 26), GDIEQNPGP (SEQ ID NO: 27), and DSEFNPGP (SEQ ID NO:
- a stagger element described herein cleaves an expression product, such as between G and P of the consensus sequence described herein.
- the circular or linear polyribonucleotide includes at least one stagger element to cleave the expression product.
- the circular or linear polyribonucleotide includes a stagger element adjacent to at least one expression sequence.
- the circular or linear polyribonucleotide includes a stagger element after each expression sequence.
- the circular or linear polyribonucleotide includes a stagger element is present on one or both sides of each expression sequence, leading to translation of individual peptide(s) and or polypeptide(s) from each expression sequence.
- a stagger element includes one or more modified nucleotides or unnatural nucleotides that induce ribosomal pausing during translation.
- Unnatural nucleotides may include peptide nucleic acid (PNA), Morpholino and locked nucleic acid (LNA), as well as glycol nucleic acid (GNA) and threose nucleic acid (TNA). Examples such as these are distinguished from naturally occurring DNA or RNA by changes to the backbone of the molecule.
- Exemplary modifications can include any modification to the sugar, the nucleobase, the internucleoside linkage (e.g. to a linking phosphate / to a phosphodiester linkage I to the phosphodiester backbone), and any combination thereof that can induce ribosomal pausing during translation.
- a stagger element is present in a circular or linear polyribonucleotide in other forms.
- a stagger element includes a termination element of a first expression sequence in the circular or linear polyribonucleotide, and a nucleotide spacer sequence that separates the termination element from a first translation initiation sequence of an expression succeeding the first expression sequence.
- the first stagger element of the first expression sequence is upstream of (5’ to) a first translation initiation sequence of the expression succeeding the first expression sequence in the circular or linear polyribonucleotide.
- the first expression sequence and the expression sequence succeeding the first expression sequence are two separate expression sequences in the circular or linear polyribonucleotide.
- the distance between the first stagger element and the first translation initiation sequence can enable continuous translation of the first expression sequence and its succeeding expression sequence.
- the first stagger element includes a termination element and separates an expression product of the first expression sequence from an expression product of its succeeding expression sequences, thereby creating discrete expression products.
- the circular or linear polyribonucleotide including the first stagger element upstream of the first translation initiation sequence of the succeeding sequence in the circular or linear polyribonucleotide is continuously translated, while a corresponding circular or linear polyribonucleotide including a stagger element of a second expression sequence that is upstream of a second translation initiation sequence of an expression sequence succeeding the second expression sequence is not continuously translated.
- a stagger element includes a first termination element of a first expression sequence in the circular or linear polyribonucleotide, and a nucleotide spacer sequence that separates the termination element from a downstream translation initiation sequence.
- the first stagger element is upstream of (5’ to) a first translation initiation sequence of the first expression sequence in the circular or linear polyribonucleotide.
- the distance between the first stagger element and the first translation initiation sequence enables continuous translation of the first expression sequence and any succeeding expression sequences.
- the first stagger element separates one round expression product of the first expression sequence from the next round expression product of the first expression sequences, thereby creating discrete expression products.
- the circular or linear polyribonucleotide including the first stagger element upstream of the first translation initiation sequence of the first expression sequence in the circular or linear polyribonucleotide is continuously translated, while a corresponding circular or linear polyribonucleotide including a stagger element upstream of a second translation initiation sequence of a second expression sequence in the corresponding circular or linear polyribonucleotide is not continuously translated.
- the distance between the second stagger element and the second translation initiation sequence is at least 2x, 3x, 4x, 5x, 6x, 7x, 8x, 9x, or 10x greater in the corresponding circular or linear polyribonucleotide than a distance between the first stagger element and the first translation initiation in the circular or linear polyribonucleotide.
- the distance between the first stagger element and the first translation initiation is at least 2 nt, 3 nt, 4 nt, 5 nt, 6 nt, 7 nt, 8 nt, 9 nt, 10 nt, 11 nt,
- the distance between the second stagger element and the second translation initiation is at least 2 nt, 3 nt, 4 nt, 5 nt, 6 nt, 7 nt, 8 nt, 9 nt, 10 nt, 11 nt, 12 nt, 13 nt, 14 nt, 15 nt, 16 nt, 17 nt, 18 nt, 19 nt, 20 nt, 25 nt, 30 nt, 35 nt, 40 nt, 45 nt, 50 nt, 55 nt,
- the circular or linear polyribonucleotide includes more than one expression sequence.
- a circular or linear polyribonucleotide includes at least one cleavage sequence. In some embodiments, the cleavage sequence is adjacent to an expression sequence. In some embodiments, the cleavage sequence is between two expression sequences. In some embodiments, cleavage sequence is included in an expression sequence. In some embodiments, the circular or linear polyribonucleotide includes between 2 and 10 cleavage sequences. In some embodiments, the circular or linear polyribonucleotide includes between 2 and 5 cleavage sequences.
- the multiple cleavage sequences are between multiple expression sequences; for example, a circular or linear polyribonucleotide may include three expression sequences two cleavage sequences such that there is a cleavage sequence in between each expression sequence.
- the circular or linear polyribonucleotide includes a cleavage sequence, such as in an immolating circRNA or cleavable circRNA or self-cleaving circRNA.
- the circular or linear polyribonucleotide includes two or more cleavage sequences, leading to separation of the circular or linear polyribonucleotide into multiple products, e.g., miRNAs, linear RNAs, smaller circular or linear polyribonucleotide, etc.
- a cleavage sequence includes a ribozyme RNA sequence.
- a ribozyme (from ribonucleic acid enzyme, also called RNA enzyme or catalytic RNA) is an RNA molecule that catalyzes a chemical reaction. Many natural ribozymes catalyze either the hydrolysis of one of their own phosphodiester bonds, or the hydrolysis of bonds in other RNA, but they have also been found to catalyze the aminotransferase activity of the ribosome. Catalytic RNA can be “evolved” by in vitro methods. Similar to riboswitch activity discussed above, ribozymes and their reaction products can regulate gene expression.
- a catalytic RNA or ribozyme can be placed within a larger non-coding RNA such that the ribozyme is present at many copies within the cell for the purposes of chemical transformation of a molecule from a bulk volume.
- aptamers and ribozymes can both be encoded in the same non-coding RNA.
- the cleavage sequence encodes a cleavable polypeptide linker.
- a polyribonucleotide may encode two or more immunogens, e.g., where the two or more immunogens are encoded by a single open-reading frame (ORF).
- ORF open-reading frame
- two or more immunogens may be encoded by a single open-reading frame, the expression of which is controlled by an IRES.
- the ORF further encodes a polypeptide linker, e.g., such that the expression product of the ORF encodes two or more immunogens each separated by a sequence encoding a polypeptide linker (e.g., a linker of 5-200, 5 to 100, 5 to 50, 5 to 20, 50 to 100, or 50 to 200 amino acids).
- the polypeptide linker may include a cleavage site, for example, a cleavage site recognized and cleaved by a protease (e.g., an endogenous protease in a subject following administration of the polyribonucleotide to that subject).
- a single expression product including the amino acid sequence of two or more immunogens is cleaved upon expression, such that the two or more immunogens are separated following expression.
- exemplary protease cleavage sites are known to those of skill in the art, for example, amino acid sequences that act as protease cleavage sites recognized by a metalloproteinase (e.g., a matrix metalloproteinase (MMP), such as any one or more of MMPs 1 -28), a disintegrin and metalloproteinase (ADAM, such as any one or more of ADAMs 2, 7-12, 15, 17-23, 28-30 and 33), a serine protease, urokinase-type plasminogen activator, matriptase, a cysteine protease, an aspartic protease, or a cathepsin protease.
- the protease is MMP9 or MMP2.
- a circular or linear polyribonucleotide described herein is an immolating circular or linear polyribonucleotide, a cleavable circular or linear polyribonucleotide, or a self-cleaving circular or linear polyribonucleotide.
- a circular or linear polyribonucleotide can deliver cellular components including, for example, RNA, IncRNA, lincRNA, miRNA, tRNA, rRNA, snoRNA, ncRNA, siRNA, or shRNA.
- a circular or linear polyribonucleotide includes miRNA separated by (i) self-cleavable elements; (ii) cleavage recruitment sites; (iii) degradable linkers; (iv) chemical linkers; and/or (v) spacer sequences.
- circRNA includes siRNA separated by (i) self-cleavable elements; (ii) cleavage recruitment sites (e.g., ADAR); (iii) degradable linkers (e.g., glycerol); (iv) chemical linkers; and/or (v) spacer sequences.
- self-cleavable elements include hammerhead, splicing element, hairpin, hepatitis delta virus (HDV), Varkud Satellite (VS), and glmS ribozymes.
- a circular or linear polyribonucleotide includes one or more regulatory nucleic acid sequences or includes one or more expression sequences that encode regulatory nucleic acid, e.g., a nucleic acid that modifies expression of an endogenous gene and/or an exogenous gene.
- the expression sequence of a circular or linear polyribonucleotide as provided herein can include a sequence that is antisense to a regulatory nucleic acid like a non-coding RNA, such as, but not limited to, tRNA, IncRNA, miRNA, rRNA, snRNA, microRNA, siRNA, piRNA, snoRNA, snRNA, exRNA, scaRNA, Y RNA, and hnRNA.
- a non-coding RNA such as, but not limited to, tRNA, IncRNA, miRNA, rRNA, snRNA, microRNA, siRNA, piRNA, snoRNA, snRNA, exRNA, scaRNA, Y RNA, and hnRNA.
- the translation efficiency of a circular polyribonucleotide as provided herein is greater than a reference, e.g., a linear counterpart, a linear expression sequence, or a linear polyribonucleotide for circularization.
- a circular polyribonucleotide as provided herein has the translation efficiency that is at least about 5%, 10%, 15%, 20%, 25%, 30%, 35%, 40%, 45%, 50%, 55%, 60%, 65%, 70%, 75%, 80%, 85%, 90%, 95%, 100%, 125%, 150%, 175%, 200%, 250%, 300%, 350%, 400%, 450%, 500%, 600%, 70%, 800%, 900%, 1000%, 2000%, 5000%, 10000%, 100000%, or more greater than that of a reference.
- a circular polyribonucleotide has a translation efficiency 10% greater than that of a linear counterpart.
- a circular polyribonucleotide has a translation efficiency 300% greater than that of a linear counterpart.
- a circular or linear polyribonucleotide produces stoichiometric ratios of expression products. Rolling circle translation continuously produces expression products at substantially equivalent ratios. In some embodiments, the circular or linear polyribonucleotide has a stoichiometric translation efficiency, such that expression products are produced at substantially equivalent ratios. In some embodiments, the circular or linear polyribonucleotide has a stoichiometric translation efficiency of multiple expression products, e.g., products from 2, 3, 4, 5, 6, 7, 8, 9, 10, 11 , 12, or more expression sequences. In some embodiments, the circular or linear polyribonucleotide produces substantially different ratios of expression products.
- the translation efficiency of multiple expression products may have a ratio of 1 :10,000; 1 :7000, 1 :5000, 1 :1000, 1 :700, 1 :500, 1 :100, 1 :50, 1 :10, 1 :5, 1 :4, 1 :3 or 1 :2.
- the ratio of multiple expression products may be modified using a regulatory element.
- the ribosome bound to the circular polyribonucleotide does not disengage from the circular polyribonucleotide before finishing at least one round of translation of the circular polyribonucleotide.
- the circular polyribonucleotide as described herein is competent for rolling circle translation.
- the ribosome bound to the circular polyribonucleotide does not disengage from the circular polyribonucleotide before finishing at least 2 rounds, at least 3 rounds, at least 4 rounds, at least 5 rounds, at least 6 rounds, at least 7 rounds, at least 8 rounds, at least 9 rounds, at least 10 rounds, at least 11 rounds, at least 12 rounds, at least 13 rounds, at least 14 rounds, at least 15 rounds, at least 20 rounds, at least 30 rounds, at least 40 rounds, at least 50 rounds, at least 60 rounds, at least 70 rounds, at least 80 rounds, at least 90 rounds, at least 100 rounds, at least 150 rounds, at least 200 rounds, at least 250 rounds, at least 500 rounds, at least 1000 rounds, at least 1500 rounds, at least 2000 rounds, at least 5000 rounds, at least 10000 rounds, at least 105 rounds, or at least 106 rounds of translation of the circular polyribonucleotide.
- the rolling circle translation of a circular polyribonucleotide leads to generation of polypeptide product that is translated from more than one round of translation of the circular polyribonucleotide (“continuous” expression product).
- the circular polyribonucleotide includes a stagger element, and rolling circle translation of the circular polyribonucleotide leads to generation of polypeptide product that is generated from a single round of translation or less than a single round of translation of the circular polyribonucleotide (“discrete” expression product).
- the circular polyribonucleotide is configured such that at least 10%, 20%, 30%, 40%, 50%, at least 60%, at least 70%, at least 80%, at least 90%, at least 95%, at least 96%, at least 97%, at least 98%, at least 99%, or 100% of total polypeptides (molar/molar) generated during the rolling circle translation of the circular polyribonucleotide are discrete polypeptides.
- the circular polyribonucleotide is configured such that at least 99% of the total polypeptides are discrete polypeptides.
- the amount ratio of the discrete products over the total polypeptides is tested in an in vitro translation system.
- the in vitro translation system used for the test of amount ratio includes rabbit reticulocyte lysate.
- the amount ratio is tested in an in vivo translation system, such as a eukaryotic cell or a prokaryotic cell, a cultured cell, or a cell in an organism.
- a circular polyribonucleotide includes untranslated regions (UTRs).
- UTRs of a genomic region including a gene may be transcribed but not translated.
- a UTR may be included upstream of the translation initiation sequence of an expression sequence described herein.
- a UTR may be included downstream of an expression sequence described herein.
- one UTR for first expression sequence is the same as or continuous with or overlapping with another UTR for a second expression sequence.
- the intron is a human intron.
- the intron is a full-length human intron, e.g., ZKSCAN1 .
- a circular polyribonucleotide includes a poly-A sequence.
- Exemplary poly-A sequences are described in paragraphs [0202] - [0205] of International Patent Publication No. WO2019/118919, which is hereby incorporated by reference in its entirety.
- a circular polyribonucleotide lacks a poly-A sequence.
- a circular polyribonucleotide includes a UTR with one or more stretches of Adenosines and Uridines embedded within. These AU rich signatures may increase turnover rates of the expression product.
- UTR AU rich elements may be useful to modulate the stability, or immunogenicity (e.g., the level of one or more marker of an immune or inflammatory response) of the circular polyribonucleotide.
- immunogenicity e.g., the level of one or more marker of an immune or inflammatory response
- one or more copies of an ARE may be introduced to the circular polyribonucleotide and the copies of an ARE may modulate translation and/or production of an expression product.
- AREs may be identified and removed or engineered into the circular polyribonucleotide to modulate the intracellular stability and thus affect translation and production of the resultant protein.
- any UTR from any gene may be incorporated into the respective flanking regions of the circular polyribonucleotide.
- a circular polyribonucleotide lacks a 5’-UTR and is competent for protein expression from its one or more expression sequences. In some embodiments, the circular polyribonucleotide lacks a 3’-UTR and is competent for protein expression from its one or more expression sequences. In some embodiments, the circular polyribonucleotide lacks a poly-A sequence and is competent for protein expression from its one or more expression sequences. In some embodiments, the circular polyribonucleotide lacks a termination element and is competent for protein expression from its one or more expression sequences.
- the circular polyribonucleotide lacks an internal ribosomal entry site and is competent for protein expression from its one or more expression sequences. In some embodiments, the circular polyribonucleotide lacks a cap and is competent for protein expression from its one or more expression sequences. In some embodiments, the circular polyribonucleotide lacks a 5’-UTR, a 3’-UTR, and an IRES, and is competent for protein expression from its one or more expression sequences.
- the circular polyribonucleotide includes one or more of the following sequences: a sequence that encodes one or more miRNAs, a sequence that encodes one or more replication proteins, a sequence that encodes an exogenous gene, a sequence that encodes a therapeutic, a regulatory element (e.g., translation modulator, e.g., translation enhancer or suppressor), a translation initiation sequence, one or more regulatory nucleic acids that targets endogenous genes (e.g., siRNA, IncRNAs, shRNA), and a sequence that encodes a therapeutic mRNA or protein.
- a regulatory element e.g., translation modulator, e.g., translation enhancer or suppressor
- a translation initiation sequence e.g., one or more regulatory nucleic acids that targets endogenous genes (e.g., siRNA, IncRNAs, shRNA), and a sequence that encodes a therapeutic mRNA or protein.
- a circular polyribonucleotide lacks a 5’-UTR. In some embodiments, the circular polyribonucleotide lacks a 3’-UTR. In some embodiments, the circular polyribonucleotide lacks a poly-A sequence. In some embodiments, the circular polyribonucleotide lacks a termination element. In some embodiments, the circular polyribonucleotide lacks an internal ribosomal entry site. In some embodiments, the circular polyribonucleotide lacks degradation susceptibility by exonucleases.
- the fact that the circular polyribonucleotide lacks degradation susceptibility can mean that the circular polyribonucleotide is not degraded by an exonuclease, or only degraded in the presence of an exonuclease to a limited extent, e.g., that is comparable to or similar to in the absence of exonuclease.
- the circular polyribonucleotide is not degraded by exonucleases.
- the circular polyribonucleotide has reduced degradation when exposed to exonuclease.
- the circular polyribonucleotide lacks binding to a cap-binding protein. In some embodiments, the circular polyribonucleotide lacks a 5’ cap.
- a circular polyribonucleotide can include one or more expression sequences (e.g., encoding an immunogen and/or encoding an adjuvant), and each expression sequence may or may not have a termination element. Further examples of termination elements are described in paragraphs [0169] - [0170] of International Patent Publication No. WO2019/118919, which is hereby incorporated by reference in its entirety.
- the circular polyribonucleotide includes a poly-A sequence.
- the length of a poly-A sequence is greater than 10 nucleotides in length.
- the poly-A sequence is greater than 15 nucleotides in length (e.g., at least or greater than about 10, 15, 20, 25, 30, 35, 40, 45, 50, 55, 60, 70, 80, 90, 100, 120, 140, 160, 180, 200, 250, 300, 350, 400, 450, 500, 600, 700, 800, 900, 1 ,000, 1 ,100, 1 ,200, 1 ,300, 1 ,400, 1 ,500, 1 ,600, 1 ,700, 1 ,800, 1 ,900, 2,000, 2,500, and 3,000 nucleotides).
- the poly-A sequence is designed according to the descriptions of the poly-A sequence in [0202]-[0204] of International Patent Publication No. WO2019/118919A1 , which is
- a circular polyribonucleotide includes a polyA, lacks a polyA, or has a modified polyA to modulate one or more characteristics of the circular polyribonucleotide.
- the circular polyribonucleotide lacking a polyA or having modified polyA improves one or more functional characteristics, e.g., immunogenicity (e.g., the level of one or more marker of an immune or inflammatory response), half-life, expression efficiency, etc.
- a circular polyribonucleotide includes one or more expression sequences that encode regulatory nucleic acid, e.g., that modifies expression of an endogenous gene and/or an exogenous gene.
- the expression sequence of a circular polyribonucleotide as provided herein can include a sequence that is antisense to a regulatory nucleic acid like a non-coding RNA, such as, but not limited to, tRNA, IncRNA, miRNA, rRNA, snRNA, microRNA, siRNA, piRNA, snoRNA, snRNA, exRNA, scaRNA, Y RNA, and hnRNA.
- the regulatory nucleic acid targets a gene such as a host gene.
- the regulatory nucleic acids may include any of the regulatory nucleic acids described in [0177] and [0181 ]- [0189] of International Patent Publication No. WO2019/118919A1 , which is incorporated herein by reference in its entirety.
- an expression sequence includes one or more of the features described herein, e.g., a sequence encoding one or more peptides or proteins, one or more regulatory element, one or more regulatory nucleic acids, e.g., one or more non-coding RNAs, other expression sequences, and any combination thereof.
- a circular polyribonucleotide includes one or more RNA binding sites.
- microRNAs or miRNA are short noncoding RNAs that bind to the 3'UTR of nucleic acid molecules and down-regulate gene expression either by reducing nucleic acid molecule stability or by inhibiting translation.
- the circular polyribonucleotide may include one or more microRNA target sequences, microRNA sequences, or microRNA seeds. Such sequences may correspond to any known microRNA, such as those taught in US Publication US2005/0261218 and US Publication US2005/0059005, the contents of which are incorporated herein by reference in their entirety.
- a microRNA sequence includes a "seed" region, i.e., a sequence in the region of positions 2-8 of the mature microRNA, which sequence has perfect Watson- Crick complementarity to the miRNA target sequence.
- a microRNA seed may include positions 2-8 or 2-7 of the mature microRNA.
- a microRNA seed may include 7 nucleotides (e.g., nucleotides 2-8 of the mature microRNA), wherein the seed-complementary site in the corresponding miRNA target is flanked by an adenine (A) opposed to microRNA position 1 .
- a microRNA seed may include 6 nucleotides (e.g., nucleotides 2-7 of the mature microRNA), wherein the seed-complementary site in the corresponding miRNA target is flanked by an adenine (A) opposed to microRNA position 1 .
- A adenine
- a circular polyribonucleotide includes one or more protein binding sites that enable a protein, e.g., a ribosome, to bind to an internal site in the RNA sequence.
- a protein e.g., a ribosome
- the circular polyribonucleotide may evade or have reduced detection by the host’s immune system, have modulated degradation, or modulated translation, by masking the circular polyribonucleotide from components of the host’s immune system.
- a circular polyribonucleotide includes at least one immunoprotein binding site, for example to evade immune responses, e.g., CTL (cytotoxic T lymphocyte) responses.
- the immunoprotein binding site is a nucleotide sequence that binds to an immunoprotein and aids in masking the circular polyribonucleotide as exogenous.
- the immunoprotein binding site is a nucleotide sequence that binds to an immunoprotein and aids in hiding the circular polyribonucleotide as exogenous or foreign.
- RNA binding to the capped 5' end of an RNA. From the 5' end, the ribosome migrates to an initiation codon, whereupon the first peptide bond is formed.
- internal initiation i.e., cap-independent
- a ribosome binds to a non-capped internal site, whereby the ribosome begins polypeptide elongation at an initiation codon.
- the circular polyribonucleotide includes one or more RNA sequences including a ribosome binding site, e.g., an initiation codon.
- Natural 5'UTRs bear features which play roles in for translation initiation. They harbor signatures like Kozak sequences which are commonly known to be involved in the process by which the ribosome initiates translation of many genes. Kozak sequences have the consensus CCR(A/G)CCAUGG (SEQ ID NO: 29), where R is a purine (adenine or guanine) three bases upstream of the start codon (AUG), which is followed by another 'G'. 5 'UTR also have been known to form secondary structures which are involved in elongation factor binding.
- a circular polyribonucleotide encodes a protein binding sequence that binds to a protein.
- the protein binding sequence targets or localizes the circular polyribonucleotide to a specific target.
- the protein binding sequence specifically binds an arginine-rich region of a protein.
- the protein binding site includes, but is not limited to, a binding site to the protein such as ACIN1 , AGO, APOBEC3F, APOBEC3G, ATXN2, AUH, BCCIP, CAPRIN1 , CELF2, CPSF1 , CPSF2, CPSF6, CPSF7, CSTF2, CSTF2T, CTCF, DDX21 , DDX3, DDX3X, DDX42, DGCR8, EIF3A, EIF4A3, EIF4G2, ELAVL1 , ELAVL3, FAM120A, FBL, FIP1 L1 , FKBP4, FMR1 , FUS, FXR1 , FXR2, GNL3, GTF2F1 , HNRNPA1 , HNRNPA2B1 , HNRNPC, HNRNPK, HNRNPL, HNRNPM, HNRNPU, HNRNPUL1 , IGF2BP1 ,
- the circular polyribonucleotide includes an encryptogen to reduce, evade or avoid the innate immune response of a cell.
- an encryptogen to reduce, evade or avoid the innate immune response of a cell.
- circular polyribonucleotide which when delivered to cells, results in a reduced immune response from the host as compared to the response triggered by a reference compound, e.g. a linear polynucleotide corresponding to the described circular polyribonucleotide or a circular polyribonucleotide lacking an encryptogen.
- the circular polyribonucleotide has less immunogenicity (e.g., a lower level of one or more marker of an immune or inflammatory response) than a counterpart lacking an encryptogen.
- an encryptogen enhances stability.
- the regulatory features of a UTR may be included in the encryptogen to enhance the stability of the circular polyribonucleotide.
- 5’- or 3’-UTRs can constitute encryptogens in a circular polyribonucleotide.
- removal or modification of UTR AU rich elements (AREs) may be useful to modulate the stability or immunogenicity (e.g., the modulate the level of one or more marker of an immune or inflammatory response) of the circular polyribonucleotide.
- removal of modification of AU rich elements (AREs) in expression sequence can be useful to modulate the stability or immunogenicity (e.g., modulate the level of one or more marker of an immune or inflammatory response) of the circular polyribonucleotide.
- AREs AU rich elements
- an encryptogen includes miRNA binding site or binding site to any other non-coding RNAs.
- incorporation of miR-142 sites into the circular polyribonucleotide described herein may not only modulate expression in hematopoietic cells, but also reduce or abolish immune responses to a protein encoded in the circular polyribonucleotide.
- an encryptogen includes one or more protein binding sites that enable a protein, e.g., an immunoprotein, to bind to the RNA sequence.
- a protein e.g., an immunoprotein
- the circular polyribonucleotide may evade or have reduced detection by the host’s immune system, have modulated degradation, or modulated translation, by masking the circular polyribonucleotide from components of the host’s immune system.
- the circular polyribonucleotide includes at least one immunoprotein binding site, for example to evade immune responses, e.g., CTL responses.
- the immunoprotein binding site is a nucleotide sequence that binds to an immunoprotein and aids in masking the circular polyribonucleotide as exogenous.
- an encryptogen includes one or more modified nucleotides.
- exemplary modifications can include any modification to the sugar, the nucleobase, the internucleoside linkage (e.g. to a linking phosphate / to a phosphodiester linkage I to the phosphodiester backbone), and any combination thereof that can prevent or reduce immune response against the circular polyribonucleotide.
- a circular polyribonucleotide includes one or more modifications as described elsewhere herein to reduce an immune response from the host as compared to the response triggered by a reference compound, e.g. a circular polyribonucleotide lacking the modifications.
- a reference compound e.g. a circular polyribonucleotide lacking the modifications.
- the addition of one or more inosine has been shown to discriminate RNA as endogenous versus viral. See for example, Yu, Z. et al. (2015) RNA editing by ADAR1 marks dsRNA as “self”. Cell Res. 25, 1283-1284, which is incorporated by reference in its entirety.
- a circular polyribonucleotide includes one or more expression sequences for shRNA or an RNA sequence that can be processed into siRNA, and the shRNA or siRNA targets RIG- I and reduces expression of RIG-I.
- RIG-I can sense foreign circular RNA and leads to degradation of foreign circular RNA. Therefore, a circular polynucleotide harboring sequences for RIG-1 -targeting shRNA, siRNA or any other regulatory nucleic acids can reduce immunity, e.g., host cell immunity, against the circular polyribonucleotide.
- a circular polyribonucleotide lacks a sequence, element, or structure, that aids the circular polyribonucleotide in reducing, evading, or avoiding an innate immune response of a cell.
- the circular polyribonucleotide may lack a polyA sequence, a 5’ end, a 3’ end, phosphate group, hydroxyl group, or any combination thereof.
- a circular polyribonucleotide includes a spacer sequence. In some embodiments, the circular polyribonucleotide includes at least one spacer sequence. In some embodiments, the circular polyribonucleotide includes 1 , 2, 3, 4, 5, 6, 7, or more spacer sequences.
- a circular polyribonucleotide includes a spacer sequence.
- elements of a polyribonucleotide may be separated from one another by a spacer sequence or linker. Exemplary spacer sequences are described in paragraphs [0293] - [0302] of International Patent Publication No.WO2019/118919, which is hereby incorporated by reference in its entirety.
- a circular polyribonucleotide described herein may include a non-nucleic acid linker.
- the circular polyribonucleotide has a non-nucleic acid linker between one or more of the sequences or elements described herein.
- one or more sequences or elements described herein are linked with the linker.
- the non-nucleic acid linker may be a chemical bond, e.g., one or more covalent bonds or non-covalent bonds.
- the non-nucleic acid linker is a peptide or protein linker. Such a linker may be between 2-30 amino acids, or longer.
- the circular polyribonucleotide described herein may also include a non-nucleic acid linker. Exemplary non-nucleic acid linkers are described in paragraphs [0303] - [0307] of International Patent Publication No.
- a circular polyribonucleotide further includes another nucleic acid sequence.
- the circular polyribonucleotide may include other sequences that include DNA, RNA, or artificial nucleic acids. The other sequences may include, but are not limited to, genomic DNA, cDNA, or sequences that encode tRNA, mRNA, rRNA, miRNA, gRNA, siRNA, or other RNAi molecules.
- the circular polyribonucleotide includes an siRNA to target a different locus of the same gene expression product as the circular polyribonucleotide.
- the circular polyribonucleotide includes an siRNA to target a different gene expression product than a gene expression product that is present in the circular polyribonucleotide.
- a circular polyribonucleotide includes particular sequence characteristics.
- the circular polyribonucleotide may include a particular nucleotide composition.
- the circular polyribonucleotide may include one or more purine (adenine and/or guanosine) rich regions.
- the circular polyribonucleotide may include one or more purine poor regions.
- the circular polyribonucleotide may include one or more AU rich regions or elements (AREs).
- the circular polyribonucleotide may include one or more adenine rich regions.
- a circular polyribonucleotide may include one or more repetitive elements described elsewhere herein. In some embodiments, the circular polyribonucleotide includes one or more modifications described elsewhere herein.
- a circular polyribonucleotide may include one or more substitutions, insertions and/or additions, deletions, and covalent modifications with respect to reference sequences.
- circular polyribonucleotides with one or more insertions, additions, deletions, and/or covalent modifications relative to a parent polyribonucleotide are included within the scope of this disclosure. Exemplary modifications are described in paragraphs [0310] - [0325] of International Patent Publication No. WO2019/118919, which is hereby incorporated by reference in its entirety.
- a circular polyribonucleotide includes a higher order structure, e.g., a secondary or tertiary structure.
- complementary segments of the circular polyribonucleotide fold itself into a double stranded segment, held together with hydrogen bonds between pairs, e.g., A-U and C-G.
- helices also known as stems, are formed intramolecularly, having a double-stranded segment connected to an end loop.
- the circular polyribonucleotide has at least one segment with a quasi-double-stranded secondary structure.
- one or more sequences of a circular polyribonucleotide include substantially single stranded vs double stranded regions. In some embodiments, the ratio of single stranded to double stranded may influence the functionality of the circular polyribonucleotide. In some embodiments, one or more sequences of the circular polyribonucleotide that are substantially single stranded. In some embodiments, one or more sequences of the circular polyribonucleotide that are substantially single stranded may include a protein- or RNA-binding site. In some embodiments, the circular polyribonucleotide sequences that are substantially single stranded may be conformationally flexible to allow for increased interactions. In some embodiments, the sequence of the circular polyribonucleotide is purposefully engineered to include such secondary structures to bind or increase protein or nucleic acid binding.
- a circular polyribonucleotide is substantially double stranded.
- one or more sequences of the circular polyribonucleotide that are substantially double stranded may include a conformational recognition site, e.g., a riboswitch or aptazyme.
- the circular polyribonucleotide sequences that are substantially double stranded may be conformationally rigid. In some such instances, the conformationally rigid sequence may sterically hinder the circular polyribonucleotide from binding a protein or a nucleic acid.
- the sequence of the circular polyribonucleotide is purposefully engineered to include such secondary structures to avoid or reduce protein or nucleic acid binding.
- base-pairings There are 16 possible base-pairings, however of these, six (AU, GU, GC, UA, UG, CG) may form actual base-pairs. The rest are called mismatches and occur at very low frequencies in helices.
- the structure of the circular polyribonucleotide cannot easily be disrupted without impact on its function and lethal consequences, which provide a selection to maintain the secondary structure.
- the primary structure of the stems i.e. , their nucleotide sequence
- the nature of the bases is secondary to the higher structure, and substitutions are possible as long as they preserve the secondary structure.
- the circular polyribonucleotide has a quasi-helical structure. In some embodiments, the circular polyribonucleotide has at least one segment with a quasi-helical structure. In some embodiments, the circular polyribonucleotide includes at least one of a U-rich or A-rich sequence or a combination thereof. In some embodiments, the U-rich and/or A-rich sequences are arranged in a manner that would produce a triple quasi-helix structure. In some embodiments, the circular polyribonucleotide has a double quasi- helical structure.
- the circular polyribonucleotide has one or more segments (e.g., 2, 3, 4, 5, 6, or more) having a double quasi-helical structure.
- the circular polyribonucleotide includes at least one of a C-rich and/or G-rich sequence.
- the C-rich and/or G-rich sequences are arranged in a manner that would produce triple quasi-helix structure.
- the circular polyribonucleotide has an intramolecular triple quasi-helix structure that aids in stabilization.
- a circular polyribonucleotide has two quasi-helical structure (e.g., separated by a phosphodiester linkage), such that their terminal base pairs stack, and the quasi-helical structures become colinear, resulting in a “coaxially stacked” substructure.
- a circular polyribonucleotide includes a tertiary structure with one or more motifs, e.g., a pseudoknot, a g-quadruplex, a helix, and coaxial stacking.
- a circular polyribonucleotide may include certain characteristics that distinguish it from linear RNA.
- the circular polyribonucleotide is less susceptible to degradation by exonuclease as compared to linear RNA.
- a circular polyribonucleotide can be more stable than a linear RNA, especially when incubated in the presence of an exonuclease.
- the increased stability of the circular polyribonucleotide compared with linear RNA can make the circular polyribonucleotide more useful as a cell transforming reagent to produce polypeptides (e.g., immunogens and/or adjuvants).
- the increased stability of the circular polyribonucleotide compared with linear RNA can make the circular polyribonucleotide easier to store for longer than linear RNA.
- the stability of the circular polyribonucleotide treated with exonuclease can be tested using methods standard in art which determine whether RNA degradation has occurred (e.g., by gel electrophoresis).
- a circular polyribonucleotide can be less susceptible to dephosphorylation when the circular polyribonucleotide is incubated with phosphatase, such as calf intestine phosphatase.
- a circular polyribonucleotide preparation provided herein has an increased half-life over a reference, e.g., a linear polyribonucleotide having the same nucleotide sequence but is not circularized (e.g., linear counterpart).
- the circular polyribonucleotide is resistant to degradation, e.g., exonuclease.
- the circular polyribonucleotide is resistant to self-degradation.
- the circular polyribonucleotide lacks an enzymatic cleavage site, e.g., a dicer cleavage site.
- the circular polyribonucleotide has a half-life at least about 5%, at least about 10%, at least about 20%, at least about 30%, at least about 40%, at least about 50%, at least about 60%, at least about 70%, at least about 80%, at least about 90%, at least about 100%, at least about 120%, at least about 140%, at least about 150%, at least about 160%, at least about 180%, at least about 200%, at least about 300%, at least about 400%, at least about 500%, at least about 600%, at least about 700% at least about 800%, at least about 900%,, at least about 1000% or at least about 10000%, longer than a reference, e.g., a linear counterpart.
- the circular polyribonucleotide persists in a cell during cell division. In some embodiments, the circular polyribonucleotide persists in daughter cells after mitosis. In some embodiments, the circular polyribonucleotide is replicated within a cell and is passed to daughter cells. In some embodiments, the circular polyribonucleotide includes a replication element that mediates selfreplication of the circular polyribonucleotide. In some embodiments, the replication element mediates transcription of the circular polyribonucleotide into a linear polyribonucleotide that is complementary to the circular polyribonucleotide (linear complementary).
- the linear complementary polyribonucleotide can be circularized in vivo in cells into a complementary circular polyribonucleotide.
- the complementary polyribonucleotide can further self-replicate into another circular polyribonucleotide, which has the same or similar nucleotide sequence as the starting circular polyribonucleotide.
- One exemplary self-replication element includes HDV replication domain (as described by Beeharry et al, Virol, 2014, 450-451 :165-173).
- a cell passes at least one circular polyribonucleotide to daughter cells with an efficiency of at least 25%, 50%, 60%, 70%, 80%, 85%, 90%, 95%, or 99%.
- cell undergoing meiosis passes the circular polyribonucleotide to daughter cells with an efficiency of at least 25%, 50%, 60%, 70%, 80%, 85%, 90%, 95%, or 99%.
- a cell undergoing mitosis passes the circular polyribonucleotide to daughter cells with an efficiency of at least 25%, 50%, 60%, 70%, 80%, 85%, 90%, 95%, or 99%.
- a circular polyribonucleotide may include one or more substitutions, insertions and/or additions, deletions, and covalent modifications with respect to reference sequences, in particular, the parent polyribonucleotide, are included within the scope of this disclosure.
- a circular polyribonucleotide includes one or more post-transcriptional modifications (e.g., capping, cleavage, polyadenylation, splicing, poly-A sequence, methylation, acylation, phosphorylation, methylation of lysine and arginine residues, acetylation, and nitrosylation of thiol groups and tyrosine residues, etc.).
- the one or more post-transcriptional modifications can be any post- transcriptional modification, such as any of the more than one hundred different nucleoside modifications that have been identified in RNA (Rozenski, J, Crain, P, and McCloskey, J. (1999).
- the RNA Modification Database 1999 update.
- the first isolated nucleic acid includes messenger RNA (mRNA).
- mRNA messenger RNA
- the mRNA includes at least one nucleoside selected from the group such as those described in [0311] of International Patent Publication No. WO2019/118919A1 , which is incorporated herein by reference in its entirety.
- a circular polyribonucleotide may include any useful modification, such as to the sugar, the nucleobase, or the internucleoside linkage (e.g., to a linking phosphate / to a phosphodiester linkage I to the phosphodiester backbone).
- One or more atoms of a pyrimidine nucleobase may be replaced or substituted with optionally substituted amino, optionally substituted thiol, optionally substituted alkyl (e.g., methyl or ethyl), or halo (e.g., chloro or fluoro).
- modifications e.g., one or more modifications
- RNAs ribonucleic acids
- DNAs deoxyribonucleic acids
- TAAs threose nucleic acids
- GNAs glycol nucleic acids
- PNAs peptide nucleic acids
- LNAs locked nucleic acids
- a circular polyribonucleotide includes at least one N(6)methyladenosine (m6A) modification to increase translation efficiency.
- the N(6)methyladenosine (m6A) modification can reduce immunogenicity (e.g., reduce the level of one or more marker of an immune or inflammatory response) of the circular polyribonucleotide.
- a modification may include a chemical or cellular induced modification.
- RNA modifications are described by Lewis and Pan in “RNA modifications and structures cooperate to guide RNA-protein interactions” from Nat Reviews Mol Cell Biol, 2017, 18:202-210.
- chemical modifications to the ribonucleotides of a circular polyribonucleotide may enhance immune evasion.
- the circular polyribonucleotide may be synthesized and/or modified by methods well established in the art, such as those described in "Current protocols in nucleic acid chemistry,” Beaucage, S.L. et al. (Eds.), John Wiley & Sons, Inc., New York, NY, USA, which is hereby incorporated herein by reference.
- Modifications include, for example, end modifications, e.g., 5' end modifications (phosphorylation (mono-, di- and tri-), conjugation, inverted linkages, etc.), 3' end modifications (conjugation, DNA nucleotides, inverted linkages, etc.), base modifications (e.g., replacement with stabilizing bases, destabilizing bases, or bases that base pair with an expanded repertoire of partners), removal of bases (abasic nucleotides), or conjugated bases.
- the modified ribonucleotide bases may also include 5-methylcytidine and pseudouridine.
- base modifications may modulate expression, immune response, stability, subcellular localization, to name a few functional effects, of the circular polyribonucleotide.
- the modification includes a bi-orthogonal nucleotide, e.g., an unnatural base.
- a bi-orthogonal nucleotide e.g., an unnatural base.
- sugar modifications e.g., at the 2' position or 4' position
- replacement of the sugar one or more ribonucleotides of the circular polyribonucleotide may, as well as backbone modifications, include modification or replacement of the phosphodiester linkages.
- Specific examples of circular polyribonucleotide include, but are not limited to, circular polyribonucleotide including modified backbones or no natural internucleoside linkages such as internucleoside modifications, including modification or replacement of the phosphodiester linkages.
- Circular polyribonucleotides having modified backbones include, among others, those that do not have a phosphorus atom in the backbone.
- modified RNAs that do not have a phosphorus atom in their internucleoside backbone can also be considered to be oligonucleosides.
- the circular polyribonucleotide will include ribonucleotides with a phosphorus atom in its internucleoside backbone.
- Modified circular polyribonucleotide backbones may include, for example, phosphorothioates, chiral phosphorothioates, phosphorodithioates, phosphotriesters, aminoalkylphosphotriesters, methyl and other alkyl phosphonates such as 3'-alkylene phosphonates and chiral phosphonates, phosphinates, phosphoramidates such as 3'-amino phosphoramidate and aminoalkylphosphoramidates, thionophosphoramidates, thionoalkylphosphonates, thionoalkylphosphotriesters, and boranophosphates having normal 3'-5' linkages, 2'-5' linked analogs of these, and those having inverted polarity wherein the adjacent pairs of nucleoside units are linked 3'-5' to 5'-3' or 2'-5' to 5'-2'.
- Various salts, mixed salts and free acid forms are also included.
- the modified nucleotides which may be incorporated into the circular polyribonucleotide, can be modified on the internucleoside linkage (e.g., phosphate backbone).
- internucleoside linkage e.g., phosphate backbone
- the phrases "phosphate” and "phosphodiester” are used interchangeably.
- Backbone phosphate groups can be modified by replacing one or more of the oxygen atoms with a different substituent.
- the modified nucleosides and nucleotides can include the wholesale replacement of an unmodified phosphate moiety with another internucleoside linkage as described herein.
- modified phosphate groups include, but are not limited to, phosphorothioate, phosphoroselenates, boranophosphates, boranophosphate esters, hydrogen phosphonates, phosphoramidates, phosphorodiamidates, alkyl or aryl phosphonates, and phosphotriesters.
- Phosphorodithioates have both non-linking oxygens replaced by sulfur.
- the phosphate linker can also be modified by the replacement of a linking oxygen with nitrogen (bridged phosphoramidates), sulfur (bridged phosphorothioates), and carbon (bridged methylenephosphonates).
- the a-thio substituted phosphate moiety is provided to confer stability to RNA and DNA polymers through the unnatural phosphorothioate backbone linkages.
- Phosphorothioate DNA and RNA have increased nuclease resistance and subsequently a longer half-life in a cellular environment.
- Phosphorothioate linked to the circular polyribonucleotide is expected to reduce the innate immune response through weaker binding/activation of cellular innate immune molecules.
- a modified nucleoside includes an alpha-thio- nucleoside (e.g., 5'-0-(l- thiophosphate)-adenosine, 5'-0-(l-thiophosphate)-cytidine (a- thio-cytidine), 5'-0-(l-thiophosphate)- guanosine, 5'-0-(l-thiophosphate)-uridine, or 5'-0- (1 -thiophosphate)-pseudouridine).
- alpha-thio- nucleoside e.g., 5'-0-(l- thiophosphate)-adenosine, 5'-0-(l-thiophosphate)-cytidine (a- thio-cytidine), 5'-0-(l-thiophosphate)- guanosine, 5'-0-(l-thiophosphate)-uridine, or 5'-0- (1 -thiophosphate)-pseudouridine
- internucleoside linkages that may be employed according to the present disclosure, including internucleoside linkages which do not contain a phosphorous atom, are described herein.
- a circular polyribonucleotide may include one or more cytotoxic nucleosides.
- cytotoxic nucleosides may be incorporated into circular polyribonucleotide, such as bifunctional modification.
- Cytotoxic nucleoside may include, but are not limited to, adenosine arabinoside, 5-azacytidine, 4'-thio- aracytidine, cyclopentenylcytosine, cladribine, clofarabine, cytarabine, cytosine arabinoside, l-(2-C-cyano-2-deoxy-beta-D-arabino- pentofuranosyl)-cytosine, decitabine, 5- fluorouracil, fludarabine, floxuridine, gemcitabine, a combination of tegafur and uracil, tegafur ((RS)-5- fluoro-l-(tetrahydrofuran-2- yl)pyrimidine-2
- Additional examples include fludarabine phosphate, N4-behenoyl-l-beta-D- arabinofuranosylcytosine, N4-octadecyl- 1 -beta-D-arabinofuranosylcytosine, N4- palmitoyl-l-(2-C-cyano-2-deoxy-beta-D-arabino-pentofuranosyl) cytosine, and P-4055 (cytarabine 5'- elaidic acid ester).
- a circular polyribonucleotide may or may not be uniformly modified along the entire length of the molecule.
- one or more or all types of nucleotide e.g., naturally-occurring nucleotides, purine or pyrimidine, or any one or more or all of A, G, U, C, I, pU
- the circular polyribonucleotide includes a pseudouridine.
- the circular polyribonucleotide includes an inosine, which may aid in the immune system characterizing the circular polyribonucleotide as endogenous versus viral RNAs.
- inosine may also mediate improved RNA stability/reduced degradation. See for example, Yu, Z. et al. (2015) RNA editing by ADAR1 marks dsRNA as “self”. Cell Res. 25, 1283-1284, which is incorporated by reference in its entirety.
- nucleotides in a circular polyribonucleotide are modified.
- the modification may include an m6A, which may augment expression; an inosine, which may attenuate an immune response; pseudouridine, which may increase RNA stability, or translational readthrough (stagger element), an m5C, which may increase stability; and a 2,2,7-trimethylguanosine, which aids subcellular translocation (e.g., nuclear localization).
- nucleotide modifications may exist at various positions in a circular polyribonucleotide.
- nucleotide analogs or other modification(s) may be located at any position(s) of the circular polyribonucleotide, such that the function of the circular polyribonucleotide is not substantially decreased.
- a modification may also be a non-coding region modification.
- the circular polyribonucleotide may include from about 1 % to about 100% modified nucleotides (either in relation to overall nucleotide content, or in relation to one or more types of nucleotide, i.e.
- any one or more of A, G, U or C) or any intervening percentage e.g., from 1 % to 20%>, from 1 % to 25%, from 1 % to 50%, from 1 % to 60%, from 1 % to 70%, from 1 % to 80%, from 1 % to 90%, from 1 % to 95%, from 10% to 20%, from 10% to 25%, from 10% to 50%, from 10% to 60%, from 10% to 70%, from 10% to 80%, from 10% to 90%, from 10% to 95%, from 10% to 100%, from 20% to 25%, from 20% to 50%, from 20% to 60%, from 20% to 70%, from 20% to 80%, from 20% to 90%, from 20% to 95%, from 20% to 100%, from 50% to 60%, from 50% to 70%, from 50% to 80%, from 50% to 90%, from 50% to 95%, from 50% to 100%, from 70% to 80%, from 70% to 90%, from 70% to 95%, from 70% to 100%, from 80% to 90%, from 80% to 95%, from 90% to 100%, from 90% to 95%, from 90% to 100%
- a circular polyribonucleotide includes a higher order structure, e.g., a secondary or tertiary structure.
- complementary segments of the circular polyribonucleotide fold itself into a double stranded segment, held together with hydrogen bonds between pairs, e.g., A-U and C-G.
- helices also known as stems, are formed intramolecularly, having a double-stranded segment connected to an end loop.
- the circular polyribonucleotide has at least one segment with a quasi-double-stranded secondary structure.
- a segment having a quasi-double-stranded secondary structure has at least 3, 4, 5, 6, 7, 8, 9, 10, 11 , 12, 13, 14, 15, 16, 17, 18, 19, 20, 21 , 22, 23, 24, 25, 26, 27, 28, 29, 30, 35, 40, 45, 50, 55, 60, 65, 70, 75, 80, 85, 90, 95, 100, or more paired nucleotides.
- the circular polyribonucleotide has one or more segments (e.g., 2, 3, 4, 5, 6, or more) having a quasi-double-stranded secondary structure.
- the segments are separated by 3, 4, 5, 6, 7, 8, 9, 10, 11 , 12, 13, 14, 15, 16, 17, 18, 19, 20, 21 , 22, 23, 24, 25, 26, 27, 28, 29, 30, 35, 40, 45, 50, 55, 60, 65, 70, 75, 80, 85, 90, 95, 100, or more nucleotides.
- one or more sequences of a circular polyribonucleotide include substantially single stranded vs double stranded regions. In some embodiments, the ratio of single stranded to double stranded may influence the functionality of the circular polyribonucleotide.
- one or more sequences of a circular polyribonucleotide are substantially single stranded.
- one or more sequences of the circular polyribonucleotide that are substantially single stranded may include a protein- or RNA-binding site.
- the circular polyribonucleotide sequences that are substantially single stranded may be conformationally flexible to allow for increased interactions.
- the sequence of the circular polyribonucleotide is purposefully engineered to include such secondary structures to bind or increase protein or nucleic acid binding.
- a circular polyribonucleotide has at least one binding site, e.g., at least one protein binding site, at least one miRNA binding site, at least one IncRNA binding site, at least one tRNA binding site, at least one rRNA binding site, at least one snRNA binding site, at least one siRNA binding site, at least one piRNA binding site, at least one snoRNA binding site, at least one snRNA binding site, at least one exRNA binding site, at least one scaRNA binding site, at least one Y RNA binding site, at least one hnRNA binding site, and/or at least one tRNA motif.
- binding site e.g., at least one protein binding site, at least one miRNA binding site, at least one IncRNA binding site, at least one tRNA binding site, at least one rRNA binding site, at least one snRNA binding site, at least one siRNA binding site, at least one piRNA binding site, at least one snoRNA binding site, at least one s
- a circular polyribonucleotide is configured to include a higher order structure, such as those described in International Patent Publication No. WO2019/118919A1 , which is incorporated herein by reference in its entirety. Production Methods
- a circular polyribonucleotide includes a deoxyribonucleic acid sequence that is non-naturally occurring and can be produced using recombinant technology (e.g., derived in vitro using a DNA plasmid), chemical synthesis, or a combination thereof.
- a DNA molecule used to produce an RNA circle can include a DNA sequence of a naturally-occurring original nucleic acid sequence, a modified version thereof, or a DNA sequence encoding a synthetic polypeptide not normally found in nature (e.g., chimeric molecules or fusion proteins, such as fusion proteins including multiple immunogens).
- DNA and RNA molecules can be modified using a variety of techniques including, but not limited to, classic mutagenesis techniques and recombinant techniques, such as site-directed mutagenesis, chemical treatment of a nucleic acid molecule to induce mutations, restriction enzyme cleavage of a nucleic acid fragment, ligation of nucleic acid fragments, polymerase chain reaction (PCR) amplification and/or mutagenesis of selected regions of a nucleic acid sequence, synthesis of oligonucleotide mixtures and ligation of mixture groups to "build" a mixture of nucleic acid molecules and combinations thereof.
- classic mutagenesis techniques and recombinant techniques such as site-directed mutagenesis
- chemical treatment of a nucleic acid molecule to induce mutations
- restriction enzyme cleavage of a nucleic acid fragment ligation of nucleic acid fragments
- PCR polymerase chain reaction
- a circular polyribonucleotide may be prepared according to any available technique including, but not limited to chemical synthesis and enzymatic synthesis.
- a linear primary construct or linear mRNA may be cyclized, or concatemerized to create a circular polyribonucleotide described herein.
- the mechanism of cyclization or concatemerization may occur through methods such as, but not limited to, chemical, enzymatic, splint ligation), or ribozyme catalyzed methods.
- the newly formed 5 '73 '-linkage may be an intramolecular linkage or an intermolecular linkage.
- a linear polyribonucleotide for circularization may be cyclized, or concatemerized. In some embodiments, the linear polyribonucleotide for circularization may be cyclized in vitro prior to formulation and/or delivery. In some embodiments, the linear polyribonucleotide for circularization may be cyclized within a cell.
- a linear polyribonucleotide for circularization is cyclized, or concatemerized using a chemical method to form a circular polyribonucleotide.
- the 5'-end and the 3'-end of the nucleic acid includes chemically reactive groups that, when close together, may form a new covalent linkage between the 5'-end and the 3'-end of the molecule.
- the 5'-end may contain an NHS-ester reactive group and the 3'-end may contain a 3'-amino-terminated nucleotide such that in an organic solvent the 3'-amino- terminated nucleotide on the 3'-end of a linear RNA molecule will undergo a nucleophilic attack on the 5'- NHS-ester moiety forming a new 5'73'-amide bond.
- a DNA or RNA ligase is used to enzymatically link a 5'-phosphorylated nucleic acid molecule (e.g., a linear polyribonucleotide for circularization) to the 3'-hydroxyl group of a nucleic acid (e.g., a linear nucleic acid) forming a new phosphorodiester linkage.
- a linear polyribonucleotide for circularization is incubated at 37°C for 1 hour with 1 -10 units of T4 RNA ligase (New England Biolabs, Ipswich, MA) according to the manufacturer's protocol.
- the ligation reaction may occur in the presence of a linear nucleic acid capable of base-pairing with both the 5'- and 3'- region in juxtaposition to assist the enzymatic ligation reaction.
- the ligation is splint ligation.
- a splint ligase like SplintR® ligase, can be used for splint ligation.
- a single stranded polynucleotide like a single stranded RNA, can be designed to hybridize with both termini of a linear polyribonucleotide, so that the two termini can be juxtaposed upon hybridization with the single-stranded splint.
- Splint ligase can thus catalyze the ligation of the juxtaposed two termini of the linear polyribonucleotide, generating a circular polyribonucleotide.
- a DNA or RNA ligase is used in the synthesis of the circular polynucleotides.
- either the 5'-or 3'-end of the linear polyribonucleotide for circularization can encode a ligase ribozyme sequence such that during in vitro transcription, the resultant linear polyribonucleotide for circularization includes an active ribozyme sequence capable of ligating the 5'-end of the linear polyribonucleotide for circularization to the 3'-end of the linear polyribonucleotide for circularization.
- the ligase ribozyme may be derived from the Group I Intron, Hepatitis Delta Virus, Hairpin ribozyme or may be selected by SELEX (systematic evolution of ligands by exponential enrichment).
- the ribozyme ligase reaction may take 1 to 24 hours at temperatures between 0 and 37°C.
- a linear polyribonucleotide for circularization is cyclized or concatermerized by using at least one non-nucleic acid moiety.
- the at least one non- nucleic acid moiety may react with regions or features near the 5' terminus and/or near the 3' terminus of the linear polyribonucleotide for circularization in order to cyclize or concatermerize the linear polyribonucleotide for circularization.
- the at least one non-nucleic acid moiety may be located in or linked to or near the 5' terminus and/or the 3' terminus of the linear polyribonucleotide for circularization.
- the non-nucleic acid moieties contemplated may be homologous or heterologous.
- the non-nucleic acid moiety may be a linkage such as a hydrophobic linkage, ionic linkage, a biodegradable linkage, and/or a cleavable linkage.
- the non- nucleic acid moiety is a ligation moiety.
- the non-nucleic acid moiety may be an oligonucleotide or a peptide moiety, such as an aptamer or a non-nucleic acid linker as described herein.
- a linear polyribonucleotide for circularization is cyclized or concatermerized due to a non-nucleic acid moiety that causes an attraction between atoms, molecular surfaces at, near or linked to the 5' and 3' ends of the linear polyribonucleotide for circularization.
- one or more linear polyribonucleotides for circularization may be cyclized or concatemerized by intermolecular forces or intramolecular forces.
- intermolecular forces include dipole-dipole forces, dipole-induced dipole forces, induced dipole-induced dipole forces, Van der Waals forces, and London dispersion forces.
- Non-limiting examples of intramolecular forces include covalent bonds, metallic bonds, ionic bonds, resonant bonds, agnostic bonds, dipolar bonds, conjugation, hyperconjugation and antibonding.
- a linear polyribonucleotide for circularization may include a ribozyme RNA sequence near the 5' terminus and near the 3' terminus.
- the ribozyme RNA sequence may covalently link to a peptide when the sequence is exposed to the remainder of the ribozyme.
- the peptides covalently linked to the ribozyme RNA sequence near the 5' terminus and the 3 'terminus may associate with each other causing a linear polyribonucleotide for circularization to cyclize or concatemerize.
- the peptides covalently linked to the ribozyme RNA near the 5' terminus and the 3' terminus may cause the linear primary construct or linear mRNA to cyclize or concatemerize after being subjected to ligated using various methods known in the art such as, but not limited to, protein ligation.
- ribozymes for use in the linear primary constructs or linear RNA of the present disclosure or a non-exhaustive listing of methods to incorporate and/or covalently link peptides are described in US patent application No. US20030082768, the contents of which is here in incorporated by reference in its entirety.
- a linear polyribonucleotide for circularization may include a 5' triphosphate of the nucleic acid converted into a 5' monophosphate, e.g., by contacting the 5' triphosphate with RNA 5' pyrophosphohydrolase (RppH) or an ATP diphosphohydrolase (apyrase).
- RppH RNA 5' pyrophosphohydrolase
- apyrase an ATP diphosphohydrolase
- converting the 5' triphosphate of the linear polyribonucleotide for circularization into a 5' monophosphate may occur by a two-step reaction including: (a) contacting the 5' nucleotide of the linear polyribonucleotide for circularization with a phosphatase (e.g., Antarctic Phosphatase, Shrimp Alkaline Phosphatase, or Calf Intestinal Phosphatase) to remove all three phosphates; and (b) contacting the 5' nucleotide after step (a) with a kinase (e.g., Polynucleotide Kinase) that adds a single phosphate.
- a phosphatase e.g., Antarctic Phosphatase, Shrimp Alkaline Phosphatase, or Calf Intestinal Phosphatase
- a kinase e.g., Polynucleotide
- circularization efficiency of the circularization methods provided herein is at least about 10%, at least about 15%, at least about 20%, at least about 25%, at least about 30%, at least about 35%, at least about 40%, at least about 45%, at least about 50%, at least about 60%, at least about 70%, at least about 80%, at least about 90%, at least about 95%, or 100%. In some embodiments, the circularization efficiency of the circularization methods provided herein is at least about 40%.
- the circularization method provided has a circularization efficiency of between about 10% and about 100%; for example, the circularization efficiency may be about 15%, about 20%, about 25%, about 30%, about 35%, about 40%, about 45%, about 50%, about 55%, about 60%, about 65%, about 70%, about 75%, about 80%, about 85%, about 90%, about 95%, and about 99%.
- the circularization efficiency is between about 20% and about 80%.
- the circularization efficiency is between about 30% and about 60%.
- the circularization efficiency is about 40%.
- a circular polyribonucleotide includes at least one splicing element.
- Exemplary splicing elements are described in paragraphs [0270] - [0275] of International Patent Publication No. WO2019/118919, which is hereby incorporated by reference in its entirety.
- a circular polyribonucleotide includes at least one splicing element.
- a splicing element can be a complete splicing element that can mediate splicing of the circular polyribonucleotide.
- the splicing element can also be a residual splicing element from a completed splicing event.
- a splicing element of a linear polyribonucleotide can mediate a splicing event that results in circularization of the linear polyribonucleotide, thereby the resultant circular polyribonucleotide includes a residual splicing element from such splicing-mediated circularization event.
- the residual splicing element is not able to mediate any splicing. In other cases, the residual splicing element can still mediate splicing under certain circumstances.
- the splicing element is adjacent to at least one expression sequence.
- the circular polyribonucleotide includes a splicing element adjacent each expression sequence. In some embodiments, the splicing element is on one or both sides of each expression sequence, leading to separation of the expression products, e.g., peptide(s) and or polypeptide(s).
- a circular polyribonucleotide includes an internal splicing element that when replicated the spliced ends are joined together.
- Some examples may include miniature introns ( ⁇ 100 nt) with splice site sequences and short inverted repeats (30-40 nt) such as AluSq2, AluJr, and AluSz, inverted sequences in flanking introns, Alu elements in flanking introns, and motifs found in (suptable4 enriched motifs) c/s-sequence elements proximal to backsplice events such as sequences in the 200 bp preceding (upstream of) or following (downstream from) a backsplice site with flanking exons.
- the circular polyribonucleotide includes at least one repetitive nucleotide sequence described elsewhere herein as an internal splicing element.
- the repetitive nucleotide sequence may include repeated sequences from the Alu family of introns.
- a splicing-related ribosome binding protein can regulate circular polyribonucleotide biogenesis (e.g. the Muscleblind and Quaking (QKI) splicing factors).
- a circular polyribonucleotide may include canonical splice sites that flank head-to-tail junctions of the circular polyribonucleotide.
- a circular polyribonucleotide may include a bulge-helix-bulge motif, including a 4-base pair stem flanked by two 3-nucleotide bulges. Cleavage occurs at a site in the bulge region, generating characteristic fragments with terminal 5'-hydroxyl group and 2', 3'-cyclic phosphate. Circularization proceeds by nucleophilic attack of the 5'-OH group onto the 2', 3'-cyclic phosphate of the same molecule forming a 3', 5'-phosphodiester bridge.
- a circular polyribonucleotide may include a multimeric repeating RNA sequence that harbors a HPR element.
- the HPR includes a 2',3'-cyclic phosphate and a 5'-OH terminus.
- the HPR element self-processes the 5'- and 3'-ends of the linear polyribonucleotide for circularization, thereby ligating the ends together.
- a circular polyribonucleotide may include a self-splicing element.
- the circular polyribonucleotide may include an intron from the cyanobacteria Anabaena.
- a circular polyribonucleotide may include a sequence that mediates selfligation.
- the circular polyribonucleotide may include a HDV sequence (e.g., HDV replication domain conserved sequence, include loop E sequence (e.g., in PSTVd) to self-ligate.
- the circular polyribonucleotide may include a self-circularizing intron, e.g., a 5' and 3’ slice junction, or a selfcircularizing catalytic intron such as a Group I, Group II or Group III Introns.
- Non-limiting examples of group I intron self-splicing sequences may include self-splicing permuted intron-exon sequences derived from T4 bacteriophage gene td, and the intervening sequence (IVS) rRNA of Tetrahymena.
- linear polyribonucleotides for circularization may include complementary sequences, including either repetitive or nonrepetitive nucleic acid sequences within individual introns or across flanking introns. Repetitive nucleic acid sequence are sequences that occur within a segment of the circular polyribonucleotide.
- the circular polyribonucleotide includes a repetitive nucleic acid sequence.
- the repetitive nucleotide sequence includes poly CA or poly UG sequences.
- the circular polyribonucleotide includes at least one repetitive nucleic acid sequence that hybridizes to a complementary repetitive nucleic acid sequence in another segment of the circular polyribonucleotide, with the hybridized segment forming an internal double strand.
- the circular polyribonucleotide includes between 1 and 10 (e.g., 2, 3, 4, 5, 6, 7, 8, 9, and 10) repetitive nucleic acid sequences that hybridize to a complementary repetitive nucleic acid sequence in another segment of the circular polyribonucleotide, with the hybridized segment forming an internal double strand.
- the circular polyribonucleotide includes 2 repetitive nucleic acid sequences that hybridize to a complementary repetitive nucleic acid sequence in another segment of the circular polyribonucleotide, with the hybridized segment forming an internal double strand.
- repetitive nucleic acid sequences and complementary repetitive nucleic acid sequences from two separate circular polyribonucleotides hybridize to generate a single circularized polyribonucleotide, with the hybridized segments forming internal double strands.
- the complementary sequences are found at the 5’ and 3’ ends of the linear polyribonucleotides for circularization.
- the complementary sequences include about 3, 4, 5, 6, 7, 8, 9, 10, 11 , 12, 13, 14, 15, 16, 17, 18, 19, 20, 21 , 22, 23, 24, 25, 26, 27, 28, 29, 30, 35, 40, 45, 50, 55, 60, 65, 70, 75, 80, 85, 90, 95, 100, or more paired nucleotides.
- chemical methods of circularization may be used to generate the circular polyribonucleotide.
- Such methods may include, but are not limited to click chemistry (e.g., alkyne and azide-based methods, or clickable bases), olefin metathesis, phosphoramidate ligation, hemiaminal-imine crosslinking, base modification, and any combination thereof.
- enzymatic methods of circularization may be used to generate the circular polyribonucleotide.
- a ligation enzyme e.g., DNA or RNA ligase, may be used to generate a template of the circular polyribonuclease or complement, a complementary strand of the circular polyribonuclease, or the circular polyribonuclease.
- Circularization of the circular polyribonucleotide may be accomplished by methods known in the art, for example, those described in “RNA circularization strategies in vivo and in vitro” by Petkovic and Muller from Nucleic Acids Res, 2015, 43(4): 2454-2465, and “In vitro circularization of RNA” by Muller and Appel, from RNA Biol, 2017, 14(8):1018-1027.
- the circular polyribonucleotide may encode a sequence and/or motif useful for replication.
- Exemplary replication elements are described in paragraphs [0280] - [0286] of International Patent Publication No. WO2019/118919, which is hereby incorporated by reference in its entirety. Purification of Circular Polyribonucleotides
- the circular polyribonucleotide is purified, e.g., free ribonucleic acids, linear or nicked RNA, DNA, proteins, etc. are removed.
- the circular polyribonucleotides may be purified by any known method commonly used in the art. Examples of nonlimiting purification methods include, column chromatography, gel excision, size exclusion, etc.
- circular RNAs may be enriched, separated, and/or purified relative to linear RNA; methods (e.g., methods of manufacturing circular RNA preparations) whereby linear RNAs can be monitored, evaluated and/or controlled; and methods of using such pharmaceutical compositions and preparations, e.g., to deliver an effector, such as a therapeutic effector or scaffold (e.g., an aptamer sequence), to a cell, tissue or subject.
- a circular RNA preparation has no more than a threshold level of linear RNA, e.g., a circular RNA preparation is enriched over linear RNA or purified to reduce linear RNA.
- detection and quantitation of an element in a pharmaceutical preparation includes the use of a reference standard that is either the component of interest (e.g., circular RNA, linear RNA, fragment, impurity, etc.) or is a similar material (e.g., using a linear RNA structure of the same sequence as a circular RNA structure as a standard for circular RNA), or includes the use of an internal standard or signal from a test sample.
- the standard is used to establish the response from a detector for a known or relative amount of material (response factor).
- the response factor is determined from a standard at one or multiple concentrations (e.g., using linear regression analysis).
- the response factor is then used to determine the amount of the material of interest from the signal due to that component.
- the response factor is a value of one or is assumed to have a value of one.
- detection and quantification of linear versus circular RNA in the pharmaceutical composition is determined using a comparison to a linear version of the circular polyribonucleotides.
- the mass of total ribonucleotide in the pharmaceutical composition is determined using a standard curve generated using a linear version of the circular polyribonucleotide and assuming a response factor of one.
- a w/w percentage of circular polyribonucleotide in the pharmaceutical preparation is determined by a comparison of a standard curve generated by band intensities of multiple known amounts of a linear version of the circular polyribonucleotide to a band intensity of the circular polyribonucleotide in the pharmaceutical preparation.
- a circular polyribonucleotide preparation includes less than a threshold amount (e.g., where the threshold amount is a reference criterion, e.g., a pharmaceutical release specification for the circular polyribonucleotide preparation) of linear polyribonucleotide molecules when evaluated as described herein.
- a threshold amount e.g., where the threshold amount is a reference criterion, e.g., a pharmaceutical release specification for the circular polyribonucleotide preparation
- a circular polyribonucleotide preparation includes less than a threshold amount (e.g., where the threshold amount is a reference criterion, e.g., a pharmaceutical release specification for the circular polyribonucleotide preparation) of nicked RNA, linear RNA, or combined linear and nicked RNA when evaluated as described herein.
- a threshold amount e.g., where the threshold amount is a reference criterion, e.g., a pharmaceutical release specification for the circular polyribonucleotide preparation
- the reference criterion for the amount of linear polyribonucleotide molecules present in the preparation is no more than 30%, 20%, 15%, 10%, 1%, 0.5%, or 0.1% linear polyribonucleotide molecules, or any percentage therebetween, relative to total ribonucleotide molecules in the preparation.
- the reference criterion for the amount of nicked polyribonucleotide molecules present in the preparation is no more than 30%, 20%, 15%, 10%, 1%, 0.5%, or 0.1%, or any percentage therebetween, nicked polyribonucleotide molecules relative to total ribonucleotide molecules in the preparation.
- the reference criterion for the amount of linear and nicked polyribonucleotide molecules present in the preparation is no more than 40%, 30%, 20%, 15%, 10%, 1%, 0.5%, or 0.1%, or any percentage therebetween, combined linear polyribonucleotide and nicked polyribonucleotide molecules relative to total ribonucleotide molecules in the preparation.
- the standard is run under the same conditions as the sample.
- the standard is run with the same type of gel, same buffer, and same exposure as the sample.
- the standard is run in parallel with the sample.
- a quantification of an element is repeated (e.g., twice or in triplicate) in a plurality of samples from the subject preparation to obtain a mean result.
- quantitation of a linear RNA is measured using parallel capillary electrophoresis (e.g., using a Fragment Analyzer or analytical HPLC with UV detection).
- Circular polyribonucleotides may be separated, enriched, or purified from unwanted substances (such as unwanted (e.g., linear) RNA, enzymes, DNA). In some embodiments, the unwanted substances are present in, or originating from, a process of making and/or manufacturing the circular polyribonucleotides.
- Circular polyribonucleotides described herein may be enriched and/or purified prior to formulation in a pharmaceutical preparation, pharmaceutical composition, pharmaceutical drug substance, or pharmaceutical drug product.
- Circular polyribonucleotides described herein may be enriched and/or purified during or after formulation in a pharmaceutical preparation, pharmaceutical composition, pharmaceutical drug substance, or pharmaceutical drug product.
- a circular polyribonucleotide may be purified during or after production to remove undesirable elements, e.g., linear RNA, or nicked RNA, as well as recognized impurities, e.g., free ribonucleic acids (e.g., monoribonucleic acids, diribonucleic acids, or triribonucleic acids), DNA (e.g., cell DNA, such as host cell DNA), cell or process-related protein impurities (e.g., cell or process-related impurities), etc.
- an impurity is a process-related impurity.
- the process-related impurity is a protein (e.g., a cell protein), a nucleic acid (e.g., a cell nucleic acid), a buffer or buffer reagent, an enzyme, a media/reagent component (e.g., media, media additive, transition metal, or vitamin), a preparatory or analytical gel component (e.g., acrylamide debris), DNA, or a chromatographic material.
- a buffer reagent can be MgCl2, DTT, ATP, SDS, Na, glycogen, Tris-HCL, or EtOH.
- a buffer reagent can include, but is not limited to, acetate, Tris, bicarbonate, phosphate, citric acid, lactate, or TEA.
- An enzyme can be a ligase.
- a ligase can be T4 RNA ligase 2.
- an impurity is a buffer reagent, a media/reagent component, a salt, a ligase, a nuclease, an RNase inhibitor, RNase R, linear polyribonucleotide molecules, deoxyribonucleotide molecules, acrylamide debris, or mononucleotide molecules.
- circular polyribonucleotides may be enriched or purified by any known method commonly used in the art. Examples of non-limiting purification methods include column chromatography, gel excision, size exclusion, etc.
- a circular polyribonucleotide is purified by gel.
- a circular RNA may be resolved on a denaturing PAGE and bands corresponding to the circular RNAs may be excised and the circular RNA may be eluted from the band using known methods. The eluted circular RNA may then be analyzed.
- a circular polyribonucleotide is purified by chromatography, e.g., hydrophobic interaction chromatography (HIC), mixed-mode chromatography, liquid chromatography, e.g., reverse-phase ion-pair chromatography (IP-RP), ion-exchange chromatography (IE), affinity chromatography (AC), and size-exclusion chromatography (SEC), and any combinations thereof.
- chromatography e.g., hydrophobic interaction chromatography (HIC), mixed-mode chromatography, liquid chromatography, e.g., reverse-phase ion-pair chromatography (IP-RP), ion-exchange chromatography (IE), affinity chromatography (AC), and size-exclusion chromatography (SEC), and any combinations thereof.
- chromatography e.g., hydrophobic interaction chromatography (HIC), mixed-mode chromatography, liquid chromatography, e.g., reverse-phase ion-pair chromatography (IP
- a circular polyribonucleotide is purified by utilizing a structural feature of the circular polyribonucleotide to separate it from a linear RNA or an impurity.
- the circular polyribonucleotide is purified by utilizing a structural feature (e.g., a lack of free ends).
- circular RNA is enriched from a preparation including a mixed pool of circular RNA and linear RNA counterpart containing the same nucleotide sequences using polyadenylation of the linear RNA counterpart or fragments thereof.
- the 3’ end of the linear RNA counterpart or fragments thereof can be polyadenylated using poly(A) polymerase, resulting in the addition of a 3’ polyadenine tail.
- the 3’ polyadenine tail enables a pulldown of the linear RNA and fragments thereof using a column, such as an affinity column, to enrich for the circular RNA.
- Poly(A) polymerase can also incorporate modified adenines such as the biotinylated N6-ATP analog. This addition biotinylated N6- ATP analog into the 3’ polyadenine tail of enables a pulldown of the linear RNA and fragments thereof in a system such as a biotin-streptavidin binding system.
- circularized RNA does not have a 3’ end, and therefore is not polyadenylated by the poly(A) polymerase, does not have a polyadenylated tail for conjugation, and is not captured in the pulldown. Therefore, the circular RNA is enriched in the preparation after the pulldown.
- a circular polyribonucleotide is purified by utilizing a structural feature of the linear RNA (e.g., presence of free ends).
- circular RNA is enriched from a preparation including a mixed pool of circular RNA and linear RNA counterpart containing the same nucleotide sequences using polyadenylation of the linear RNA counterpart.
- Exonucleases can be added to the mixed pool to hydrolyze the linear RNA.
- an exonuclease can be 3’ exonuclease or a 5’ exonuclease. In some embodiments, a 3’ exonuclease and a 5’ exonuclease can be used.
- a circular polyribonucleotide preparation (e.g., a circular polyribonucleotide pharmaceutical preparation or composition or an intermediate in the production of the circular polyribonucleotide preparation) is at least 25% (w/w), 30% (w/w), 40% (w/w), 50% (w/w), 60% (w/w), 70% (w/w), 80% (w/w), 85% (w/w), 90% (w/w), 91% (w/w), 92% (w/w), 93% (w/w), 94% (w/w), 95% (w/w), 96% (w/w), 97% (w/w), 98% (w/w), 99% (w/w), or 100% (w/w) pure on a mass basis.
- Purity may be measured by any one of a number of analytical techniques known to one skilled in the art, such as, but not limited to, the use of separation technologies such as chromatography (using a column, using a paper, using a gel, using HPLC, using UHPLC, etc., or by IC, by SEC, by reverse phase, by anion exchange, by mixed mode, etc.) or electrophoresis (UREA PAGE, chip-based, polyacrylamide gel, RNA, capillary, c-IEF, etc.) with or without pre- or post-separation derivatization methodologies using detection techniques based on mass spectrometry, UV-visible, fluorescence, light scattering, refractive index, or that use silver or dye stains or radioactive decay for detection.
- separation technologies such as chromatography (using a column, using a paper, using a gel, using HPLC, using UHPLC, etc., or by IC, by SEC, by reverse phase, by anion exchange, by mixed mode, etc.)
- purity may be determined without the use of a separation technology by mass spectrometry, by microscopy, by circular dichroism (CD) spectroscopy, by UV or UV-vis spectrophotometry, by fluorometry (e.g., Qubit), by RNase H analysis, by surface plasmon resonance (SPR), or by methods that utilize silver or dye stains or radioactive decay for detection.
- mass spectrometry by microscopy, by circular dichroism (CD) spectroscopy, by UV or UV-vis spectrophotometry, by fluorometry (e.g., Qubit), by RNase H analysis, by surface plasmon resonance (SPR), or by methods that utilize silver or dye stains or radioactive decay for detection.
- CD circular dichroism
- UV or UV-vis spectrophotometry by fluorometry (e.g., Qubit)
- fluorometry e.g., Qubit
- RNase H analysis by RNase H analysis
- SPR surface plasmon resonance
- purity can be measured by biological test methodologies (e.g., cell-based or receptor-based tests).
- biological test methodologies e.g., cell-based or receptor-based tests.
- the percent may be measured by any one of a number of analytical techniques known to one skilled in the art such as, but not limited to, the use of a separation technology such as chromatography (using a column, using a paper, using a gel, using HPLC, using UHPLC, etc., or by IC, by SEC, by reverse phase, by anion exchange, by mixed mode, etc.) or electrophoresis (UREA PAGE, chip-based, polyacrylamide gel, RNA, capillary, c-IEF, etc.) with or without pre- or post-separation derivatization methodologies using detection techniques based on mass spectrometry, UV-visible, fluorescence, light scattering, refractive index, or that use silver or dye stains or radioactive decay for detection.
- a separation technology such as chromatography (using a column, using a paper, using a gel, using HPLC, using UHPLC, etc., or by IC, by SEC, by reverse phase, by anion exchange, by mixed mode,
- purity may be determined without the use of separation technologies by mass spectrometry, by microscopy, by circular dichroism (CD) spectroscopy, by UV or UV-vis spectrophotometry, by fluorometry (e.g., Qubit), by RNase H analysis, by surface plasmon resonance (SPR), or by methods that utilize silver or dye stains or radioactive decay for detection.
- mass spectrometry by microscopy, by circular dichroism (CD) spectroscopy, by UV or UV-vis spectrophotometry, by fluorometry (e.g., Qubit), by RNase H analysis, by surface plasmon resonance (SPR), or by methods that utilize silver or dye stains or radioactive decay for detection.
- CD circular dichroism
- UV or UV-vis spectrophotometry by fluorometry (e.g., Qubit)
- fluorometry e.g., Qubit
- RNase H analysis by RNase H analysis
- SPR surface plasmon resonance
- a circular polyribonucleotide preparation (e.g., a circular polyribonucleotide pharmaceutical preparation or composition or an intermediate in the production of the circular polyribonucleotide preparation) has a circular polyribonucleotide concentration of at least 0.1 ng/mL, 0.5 ng/mL, 1 ng/mL, 5 ng/mL, 10 ng/mL, 50 ng/mL, 0.1 pg/mL, 0.5 pg/mL,1 pg/mL, 2 pg/mL, 5 pg/mL, 10 pg/mL, 20 pg/mL, 30 pg/mL, 40 pg/mL, 50 pg/mL, 60 pg/mL, 70 pg/mL, 80 pg/mL, 100 pg/mL, 200 pg/mL, 300 pg/mL, 500 pg/mL, 1000
- a circular polyribonucleotide preparation (e.g., a circular polyribonucleotide pharmaceutical preparation or composition or an intermediate in the production of the circular polyribonucleotide preparation) is substantially free of mononucleotide or has a mononucleotide content of no more than 1 pg/ml, 10 pg/ml, 0.1 ng/ml, 1 ng/ml, 5 ng/ml, 10 ng/ml, 15 ng/ml, 20 ng/ml, 25 ng/ml, 30 ng/ml, 35 ng/ml, 40 ng/ml, 50 ng/ml, 60 ng/ml, 70 ng/ml, 80 ng/ml, 90 ng/ml, 100 ng/ml, 200 ng/ml, 300 ng/ml, 400 ng/ml, 500 ng/ml, 1000 pg/mL, 5000 pg/m
- a circular polyribonucleotide preparation (e.g., a circular polyribonucleotide pharmaceutical preparation or composition or an intermediate in the production of the circular polyribonucleotide preparation) has a mononucleotide content from the limit of detection up to 1 pg/ml, 10 pg/ml, 0.1 ng/ml, 1 ng/ml, 5 ng/ml, 10 ng/ml, 15 ng/ml, 20 ng/ml, 25 ng/ml, 30 ng/ml, 35 ng/ml, 40 ng/ml, 50 ng/ml, 60 ng/ml, 70 ng/ml, 80 ng/ml, 90 ng/ml, 100 ng/ml, 200 ng/ml, 300 ng/ml, 400 ng/ml, 500 ng/ml, 1000 pg/mL, 5000 pg/mL, 10,000 pg/mL
- a circular polyribonucleotide preparation (e.g., a circular polyribonucleotide pharmaceutical preparation or composition or an intermediate in the production of the circular polyribonucleotide preparation) has mononucleotide content no more than 0.1 % (w/w), 0.2% (w/w), 0.3% (w/w), 0.4% (w/w), 0.5% (w/w), 0.6% (w/w), 0.7% (w/w), 0.8% (w/w), 0.9% (w/w), 1 % (w/w), 2% (w/w), 3% (w/w), 4% (w/w), 5% (w/w), 6% (w/w), 7% (w/w), 8% (w/w), 9% (w/w), 10% (w/w), 15% (w/w), 20% (w/w), 25% (w/w), 30% (w/w), or any percentage therebetween of total nucleotides on a mass basis, wherein total nucleotide content is
- a circular polyribonucleotide preparation (e.g., a circular polyribonucleotide pharmaceutical preparation or composition or an intermediate in the production of the circular polyribonucleotide preparation) has a linear RNA content, e.g., linear RNA counterpart or RNA fragments, of no more than 1 ng/ml, 5 ng/ml, 10 ng/ml, 15 ng/ml, 20 ng/ml, 25 ng/ml, 30 ng/ml, 35 ng/ml, 40 ng/ml, 50 ng/ml, 6 Ong/ml, 70 ng/ml, 80 ng/ml, 90 ng/ml, 100 ng/ml, 200 ng/ml, 300 ng/ml, 400 ng/ml, 500ng/ml, 600 ng/ml, 1 pg/ ml, 10 pg/ml, 50 pg/ml, 100 pg/ml
- a circular polyribonucleotide preparation (e.g., a circular polyribonucleotide pharmaceutical preparation or composition or an intermediate in the production of the circular polyribonucleotide preparation) has a linear RNA content, e.g., linear RNA counterpart or RNA fragments, from the limit of detection of up to 1 ng/ml, 5 ng/ml, 10 ng/ml, 15 ng/ml, 20 ng/ml, 25 ng/ml, 30 ng/ml, 35 ng/ml, 40 ng/ml, 50 ng/ml, 6 Ong/ml, 70 ng/ml, 80 ng/ml, 90 ng/ml, 100 ng/ml, 200 ng/ml, 300 ng/ml, 400 ng/ml, 500ng/ml, 600 ng/ml, 1 pg/ ml, 10 pg/ml, 50 pg/ml, 100 p
- a circular polyribonucleotide preparation (e.g., a circular polyribonucleotide pharmaceutical preparation or composition or an intermediate in the production of the circular polyribonucleotide preparation) has a nicked RNA content of no more than 10% (w/w), 9.9% (w/w), 9.8% (w/w), 9.7% (w/w), 9.6% (w/w), 9.5% (w/w), 9.4% (w/w), 9.3% (w/w), 9.2% (w/w), 9.1 % (w/w), 9% (w/w), 8% (w/w), 7% (w/w), 6% (w/w), 5% (w/w), 4% (w/w), 3% (w/w), 2% (w/w), 1 % (w/w), 0.5% (w/w), or 0.1 % (w/w), or percentage therebetween.
- a nicked RNA content of no more than 10% (w/w), 9.9% (w/w), 9.8% (w/
- a circular polyribonucleotide preparation (e.g., a circular polyribonucleotide pharmaceutical preparation or composition or an intermediate in the production of the circular polyribonucleotide preparation) has a nicked RNA content that as low as zero or is substantially free of nicked RNA.
- a circular polyribonucleotide preparation (e.g., a circular polyribonucleotide pharmaceutical preparation or composition or an intermediate in the production of the circular polyribonucleotide preparation) has a combined linear RNA and nicked RNA content of no more than 70% (w/w), 60% (w/w), 50% (w/w), 40% (w/w), 30% (w/w), 25% (w/w), 20% (w/w), 15% (w/w), 10% (w/w), 9% (w/w), 8% (w/w), 7% (w/w), 6% (w/w), 5% (w/w), 4% (w/w), 3% (w/w), 2% (w/w), 1 % (w/w), 0.5% (w/w), or 0.1 % (w/w), or percentage therebetween.
- a circular polyribonucleotide preparation (e.g., a circular polyribonucleotide pharmaceutical preparation or composition or an intermediate in the production of the circular polyribonucleotide preparation) has a combined nicked RNA and linear RNA content that is as low as zero or is substantially free of nicked and linear RNA.
- a circular polyribonucleotide preparation (e.g., a circular polyribonucleotide pharmaceutical preparation or composition or an intermediate in the production of the circular polyribonucleotide preparation) has a linear RNA content, e.g., linear RNA counterpart or RNA fragments, of no more than the detection limit of analytical methodologies, such as methods utilizing mass spectrometry, UV spectroscopic or fluorescence detectors, light scattering techniques, surface plasmon resonance (SPR) with or without the use of methods of separation including HPLC, by HPLC, chip or gel based electrophoresis with or without using either pre or post separation derivatization methodologies, methods of detection that use silver or dye stains or radioactive decay, or microscopy, visual methods or a spectrophotometer.
- analytical methodologies such as methods utilizing mass spectrometry, UV spectroscopic or fluorescence detectors, light scattering techniques, surface plasmon resonance (SPR) with or without the use of methods of separation including HPLC, by HPLC
- a circular polyribonucleotide preparation (e.g., a circular polyribonucleotide pharmaceutical preparation or composition or an intermediate in the production of the circular polyribonucleotide preparation) has no more than 0.1% (w/w), 1% (w/w), 2% (w/w), 3% (w/w), 4% (w/w), 5% (w/w), 6% (w/w), 7% (w/w), 8% (w/w), 9% (w/w), 10% (w/w), 15% (w/w), 20% (w/w), 25% (w/w), 30% (w/w), 35% (w/w), 40% (w/w), 45% (w/w), 50% (w/w) of linear RNA, e.g., as measured by the methods in Example 2.
- the linear polyribonucleotide molecules of a circular polyribonucleotide preparation include the linear counterpart or a fragment thereof of the circular polyribonucleotide molecule. In some embodiments, the linear polyribonucleotide molecules of the circular polyribonucleotide preparation include the linear counterpart (e.g., a pre-circularized version). In some embodiments, the linear polyribonucleotide molecules of the circular polyribonucleotide preparation include a non-counterpart or fragment thereof to the circular polyribonucleotide.
- the linear polyribonucleotide molecules of the circular polyribonucleotide preparation include a noncounterpart to the circular polyribonucleotide.
- the linear polyribonucleotide molecules include a combination of the counterpart of the circular polyribonucleotide and a noncounterpart or fragment thereof of the circular polyribonucleotide.
- the linear polyribonucleotide molecules include a combination of the counterpart of the circular polyribonucleotide and a non-counterpart of the circular polyribonucleotide.
- a linear polyribonucleotide molecule fragment is a fragment that is at least 1 , 2, 3, 4, 5, 6, 7, 8, 9, 10, 20, 30, 40, 50, 60, 70, 80, 90, 100, 200, 300, 400, 500, 1000, 2000, 3000, 4000, 5000, 6000, 7000, 8000, 9000, 10000, 11000, 12000, or more nucleotides in length, or any nucleotide number therebetween.
- a circular polyribonucleotide preparation (e.g., a circular polyribonucleotide pharmaceutical preparation or composition or an intermediate in the production of the circular polyribonucleotide preparation) has an A260/A280 absorbance ratio from about 1 .6 to about 2.3, e.g., as measured by spectrophotometer. In some embodiments, the A260/A280 absorbance ratio is about 1 .4, 1 .5, 1 .6, 1 .7, 1 .8, 1 .9, 2.0, 2.1 , 2.2, 2.3, 2.4, 2.5, or any number therebetween.
- a circular polyribonucleotide (e.g., a circular polyribonucleotide pharmaceutical preparation or composition or an intermediate in the production of the circular polyribonucleotide) has an A260/A280 absorbance ratio greater than about 1 .8, e.g., as measured by spectrophotometer. In some embodiments, the A260/A280 absorbance ratio is about 1 .6, 1 .7, 1 .8, 1 .9, 2.0, 2.1 , 2.2, 2.3, 2.4, 2.5, 2.6, 2.7, 2.8, 2.9, or greater.
- a circular polyribonucleotide preparation (e.g., a circular polyribonucleotide pharmaceutical preparation or composition or an intermediate in the production of the circular polyribonucleotide preparation) is substantially free of an impurity.
- the level of at least one impurity in a composition including the circular polyribonucleotide is reduced by at least 30% (w/w), at least 40% (w/w), at least 50% (w/w), at least 60% (w/w), at least 70% (w/w), at least 80% (w/w), at least 90% (w/w), or at least 95% (w/w) as compared to that of the composition prior to purification or treatment to remove the impurity.
- the level of at least one process- related impurity is reduced by at least 30% (w/w), at least 40% (w/w), at least 50% (w/w), at least 60% (w/w), at least 70% (w/w), at least 80% (w/w), at least 90% (w/w), or at least 95% (w/w) as compared to that of the composition prior to purification or treatment to remove the impurity.
- the level of at least one product-related substance is reduced by at least 30% (w/w), at least 40% (w/w), at least 50% (w/w), at least 60% (w/w), at least 70% (w/w), at least 80% (w/w), at least 90% (w/w), or at least 95% (w/w) as compared to that of the a composition prior to purification or treatment to remove the impurity.
- a circular polyribonucleotide preparation e.g., a circular polyribonucleotide pharmaceutical preparation or composition or an intermediate in the production of the circular polyribonucleotide preparation
- the process-related impurity includes a protein (e.g., a cell protein, such as a host cell protein), a deoxyribonucleic acid (e.g., a cell deoxyribonucleic acid, such as a host cell deoxyribonucleic acid), monodeoxyribonucleotide or dideoxyribonucleotide molecules, an enzyme (e.g., a nuclease, such as an endonuclease or exonuclease, or ligase), a reagent component, a gel component, or a chromatographic material.
- a protein e.g., a cell protein, such as a host cell protein
- a deoxyribonucleic acid e.g., a cell deoxyribonucleic acid, such as a host cell deoxyribonucleic acid
- monodeoxyribonucleotide or dideoxyribonucleotide molecules e.g.,
- the impurity is selected from: a buffer reagent, a ligase, a nuclease, RNase inhibitor, RNase R, deoxyribonucleotide molecules, acrylamide gel debris, and monodeoxyribonucleotide molecules.
- the pharmaceutical preparation includes protein (e.g., cell protein, such as a host cell protein) contamination of less than 0.1 ng, 1 ng, 5 ng, 10 ng, 15 ng, 20 ng, 25 ng, 30 ng, 35 ng, 40 ng, 50 ng, 60 ng, 70 ng, 80 ng, 90 ng, 100 ng, 200 ng, 300 ng, 400 ng, or 500 ng of protein contamination per milligram (mg) of the circular polyribonucleotide molecules.
- protein e.g., cell protein, such as a host cell protein
- a circular polyribonucleotide preparation (e.g., a circular polyribonucleotide pharmaceutical preparation or composition or an intermediate in the production of the circular polyribonucleotide preparation) is substantially free of DNA content e.g., template DNA or cell DNA (e.g., host cell DNA),, has a DNA content, as low as zero, or has a DNA content of no more than 1 pg/ml, 10 pg/ml, 0.1 ng/ml, 1 ng/ml, 5 ng/ml, 10 ng/ml, 15 ng/ml, 20 ng/ml, 25 ng/ml, 30 ng/ml, 35 ng/ml, 40 ng/ml, 50 ng/ml, 60 ng/ml, 70 ng/ml, 80 ng/ml, 90 ng/ml, 100 ng/ml, 200 ng/ml, 300 ng/ml, 400 ng/ml,
- a circular polyribonucleotide preparation (e.g., a circular polyribonucleotide pharmaceutical preparation or composition or an intermediate in the production of the circular polyribonucleotide preparation) is substantially free of DNA content, has a DNA content as low as zero, or has DNA content no more than 0.001% (w/w), 0.01% (w/w), 0.1% (w/w), 1% (w/w), 2% (w/w), 3% (w/w), 4% (w/w), 5% (w/w), 6% (w/w), 7% (w/w), 8% (w/w), 9% (w/w), 10% (w/w), 15% (w/w), 20% (w/w), 25% (w/w), 30% (w/w), 35% (w/w), 40% (w/w), 45% (w/w), 50% (w/w) of total nucleotides on a mass basis, wherein total nucleotide molecules is the total mass of deoxyribonucle
- a circular polyribonucleotide preparation (e.g., a circular polyribonucleotide pharmaceutical preparation or composition or an intermediate in the production of the circular polyribonucleotide preparation) is substantially free of DNA content, has DNA content as low as zero, or has DNA content no more than 0.001% (w/w), 0.01% (w/w), 0.1% (w/w), 1% (w/w), 2% (w/w), 3% (w/w), 4% (w/w), 5% (w/w), 6% (w/w), 7% (w/w), 8% (w/w), 9% (w/w), 10% (w/w), 15% (w/w), 20% (w/w), 25% (w/w), 30% (w/w), 35% (w/w), 40% (w/w), 45% (w/w), 50% (w/w) of total nucleotides on a mass basis as measured after a total DNA digestion by enzymes that digest nucleosides by quantitative liquid chromat
- a circular polyribonucleotide preparation (e.g., a circular polyribonucleotide pharmaceutical preparation or composition or an intermediate in the production of the circular polyribonucleotide preparation) has a protein (e.g., cell protein (CP), e.g., enzyme, a production-related protein, e.g., carrier protein) contamination of no more than 0.1 ng/ml, 1 ng/ml, 5 ng/ml, 10 ng/ml, 15 ng/ml, 20 ng/ml, 25 ng/ml, 30 ng/ml, 35 ng/ml, 40 ng/ml, 50 ng/ml, 60 ng/ml, 70 ng/ml, 80 ng/ml, 90 ng/ml, 100 ng/ml, 200 ng/ml, 300 ng/ml, 400 ng/ml, or 500 ng/ml.
- CP cell protein
- a production-related protein e
- a circular polyribonucleotide (e.g., a circular polyribonucleotide pharmaceutical preparation or composition or an intermediate in the production of the circular polyribonucleotide) has a protein (e.g., production-related protein such as a cell protein (CP), e.g., enzyme) contamination from the limit of detection of up to 0.1 ng/ml, 1 ng/ml, 5 ng/ml, 10 ng/ml, 15 ng/ml, 20 ng/ml, 25 ng/ml, 30 ng/ml, 35 ng/ml, 40 ng/ml, 50 ng/ml, 60 ng/ml, 70 ng/ml, 80 ng/ml, 90 ng/ml, 100 ng/ml, 200 ng/ml, 300 ng/ml, 400 ng/ml, or 500 ng/ml.
- CP cell protein
- a circular polyribonucleotide preparation (e.g., a circular polyribonucleotide pharmaceutical preparation or composition or an intermediate in the production of the circular polyribonucleotide preparation) has a protein (e.g., production-related protein such as a cell protein (CP), e.g., enzyme) contamination of less than 0.1 ng, 1 ng, 5 ng, 10 ng, 15 ng, 20 ng, 25 ng, 30 ng, 35 ng, 40 ng, 50 ng, 60 ng, 70 ng, 80 ng, 90 ng, 100 ng, 200 ng, 300 ng, 400 ng, or 500 ng per milligram (mg) of the circular polyribonucleotide.
- CP cell protein
- a circular polyribonucleotide e.g., a circular polyribonucleotide pharmaceutical preparation or composition or an intermediate in the production of the circular polyribonucleotide
- a protein e.g., production-related protein such as a cell protein (CP), e.g., enzyme
- CP cell protein
- a circular polyribonucleotide preparation (e.g., a circular polyribonucleotide pharmaceutical preparation or composition or an intermediate in the production of the circular polyribonucleotide preparation) has low levels or is substantially absent of endotoxins, e.g., as measured by the Limulus amebocyte lysate (LAL) test.
- the pharmaceutical preparation or compositions or an intermediate in the production of the circular polyribonucleotides includes less than 20 EU/kg (weight), 10 EU/kg, 5 EU/kg, 1 EU/kg, or lacks endotoxin as measured by the Limulus amebocyte lysate test.
- a circular polyribonucleotide composition has low levels or absence of a nuclease or a ligase.
- a circular polyribonucleotide preparation (e.g., a circular polyribonucleotide pharmaceutical preparation or composition or an intermediate in the production of the circular polyribonucleotide preparation) includes no greater than about 50% (w/w), 45% (w/w), 40% (w/w), 35% (w/w), 30% (w/w), 25% (w/w), 20% (w/w), 19% (w/w), 18% (w/w), 17% (w/w), 16% (w/w), 15% (w/w), 14% (w/w), 13% (w/w), 12% (w/w), 11% (w/w), 10% (w/w), 9% (w/w), 8% (w/w), 7% (w/w), 6% (w/w), 5% (w/w), 4% (w/w), 3% (w/w), 2% (w/w), 1% (w/w) of at least one enzyme, e.g., polymerase, e
- a circular polyribonucleotide preparation (e.g., a circular polyribonucleotide pharmaceutical preparation or composition or an intermediate in the production of the circular polyribonucleotide preparation) is sterile or substantially free of microorganisms, e.g., the composition or preparation supports the growth of fewer than 100 viable microorganisms as tested under aseptic conditions, the composition or preparation meets the standard of USP ⁇ 71 >, and/or the composition or preparation meets the standard of USP ⁇ 85>.
- the pharmaceutical preparation includes a bioburden of less than 100 CFU/100 ml, 50 CFU/100 ml, 40 CFU/100 ml, 30 CFU/100 ml, 200 CFU/100 ml, 10 CFU/100 ml, or 10 CFU/100 ml before sterilization.
- a circular polyribonucleotide preparation can be further purified using known techniques in the art for removing impurities, such as column chromatography or pH/vial inactivation.
- a circular polyribonucleotide preparation produces a reduced level of one more markers of an immune or inflammatory response after administration to a subject when the circular polyribonucleotide preparation has undergone a purification step (or a plurality of purification steps) compared to prior to the purification step(s).
- the one or more markers of an immune or inflammatory response is a cytokine or immune response related gene.
- the one or more markers of an immune or inflammatory response is expression of a gene, such as RIG-I, MDA5, PKR, IFN-beta, OAS, and OASL.
- a circular polyribonucleotide preparation expresses an expression product, e.g., protein, e.g., in-vitro translation activity.
- a circular or linear polyribonucleotide described herein may be included in pharmaceutical compositions with a carrier or without a carrier.
- compositions described herein may be formulated for example including a carrier, such as a pharmaceutical carrier and/or a polymeric carrier, e.g., a liposome, and delivered by known methods to a subject in need thereof (e.g., a human or non-human agricultural or domestic animal, e.g., cattle, dog, cat, horse, poultry).
- a carrier such as a pharmaceutical carrier and/or a polymeric carrier, e.g., a liposome
- transfection e.g., lipid- mediated, cationic polymers, calcium phosphate, dendrimers
- electroporation or other methods of membrane disruption e.g., nucleofection
- viral delivery e.g., lentivirus, retrovirus, adenovirus, AAV
- microinjection microprojectile bombardment (“gene gun”)
- fugene direct sonic loading, cell squeezing, optical transfection, protoplast fusion, impalefection, magnetofection, exosome-mediated transfer, lipid nanoparticle-mediated transfer, and any combination thereof.
- a naked delivery formulation delivers a circular polyribonucleotide to a cell without the aid of a carrier and without covalent modification of the circular or linear polyribonucleotide or partial or complete encapsulation of the circular or linear polyribonucleotide.
- a naked delivery formulation is a formulation that is free from a carrier and wherein the circular or linear polyribonucleotide is without a covalent modification that binds a moiety that aids in delivery to a cell and the circular or linear polyribonucleotide is not partially or completely encapsulated.
- an circular or linear polyribonucleotide without covalent modification that binds to a moiety that aids in delivery to a cell may be a polyribonucleotide that is not covalently bound to a moiety, such as a protein, small molecule, a particle, a polymer, or a biopolymer that aids in delivery to a cell.
- circular or linear polyribonucleotides may be delivered in a delivery formulation with protamine or a protamine salt (e.g., protamine sulfate).
- a polyribonucleotide without covalent modification that binds to a moiety that aids in delivery to a cell may not contain a modified phosphate group.
- a polyribonucleotide without covalent modification that binds to a moiety that aids in delivery to a cell may not contain phosphorothioate, phosphoroselenates, boranophosphates, boranophosphate esters, hydrogen phosphonates, phosphoramidates, phosphorodiamidates, alkyl or aryl phosphonates, or phosphotriesters.
- a naked delivery formulation may be free of any or all of: transfection reagents, cationic carriers, carbohydrate carriers, nanoparticle carriers, or protein carriers.
- a naked delivery formulation may be free from phtoglycogen octenyl succinate, phytoglycogen betadextrin, anhydride-modified phytoglycogen beta-dextrin, lipofectamine, polyethylenimine, poly(trimethylenimine), poly(tetramethylenimine), polypropylenimine, aminoglycoside-polyamine, dideoxy- diamino-b-cyclodextrin, spermine, spermidine, poly(2-dimethylamino)ethyl methacrylate, poly(lysine), poly(histidine), poly(arginine), cationized gelatin, dendrimers, chitosan, l,2-Dioleoyl-3- Trimethylammonium-Propane(DOT)
- a naked delivery formulation may include a non-carrier excipient.
- a noncarrier excipient may include an inactive ingredient that does not exhibit an active cell-penetrating effect.
- a non-carrier excipient may include a buffer, for example PBS.
- a non-carrier excipient may be a solvent, a non-aqueous solvent, a diluent, a suspension aid, a surface-active agent, an isotonic agent, a thickening agent, an emulsifying agent, a preservative, a polymer, a peptide, a protein, a cell, a hyaluronidase, a dispersing agent, a granulating agent, a disintegrating agent, a binding agent, a buffering agent, a lubricating agent, or an oil.
- a naked delivery formulation may include a diluent, such as a parenterally acceptable diluent.
- a diluent e.g., a parenterally acceptable diluent
- a diluent may be an RNA solubilizing agent, a buffer, or an isotonic agent.
- an RNA solubilizing agent include water, ethanol, methanol, acetone, formamide, and 2-propanol.
- Examples of a buffer include 2-(N- morpholino)ethanesulfonic acid (MES), Bis-Tris, 2-[(2-amino-2-oxoethyl)-(carboxymethyl)amino]acetic acid (ADA), N-(2-Acetamido)-2-aminoethanesulfonic acid (ACES), piperazine-N,N'-bis(2-ethanesulfonic acid) (PIPES), 2-[[1 ,3-dihydroxy-2-(hydroxymethyl)propan-2-yl]amino]ethanesulfonic acid (TES), 3-(N- morpholino)propanesulfonic acid (MOPS), 4-(2-hydroxyethyl)-1 -piperazineethanesulfonic acid (HEPES), Tris, Tricine, Gly-Gly, Bicine, or phosphate.
- Examples of an isotonic agent include glycerin, mannitol, polyethylene glycol, prop
- the pharmaceutical preparation as disclosed herein, the pharmaceutical composition as disclosed herein, the pharmaceutical drug substance of as disclosed, or the pharmaceutical drug product as disclosed herein is in parenteral nucleic acid delivery system.
- the parental nucleic acid delivery system may include the pharmaceutical preparation as disclosed herein, the pharmaceutical composition as disclosed herein, the pharmaceutical drug substance of as disclosed, or the pharmaceutical drug product as disclosed herein, and a parenterally acceptable diluent.
- the pharmaceutical preparation as disclosed herein, the pharmaceutical composition as disclosed herein, the pharmaceutical drug substance of as disclosed, or the pharmaceutical drug product as disclosed herein in the parenteral nucleic acid delivery system is free of any carrier.
- the disclosure is further directed to a host or host cell including the circular or linear polyribonucleotide described herein.
- the host or host cell is a vertebrate, mammal (e.g., human), or other organism or cell.
- the circular polyribonucleotide has a decreased, or fails to produce a, undesired response by the host’s immune system as compared to the response triggered by a reference compound, e.g., a linear polynucleotide corresponding to the described circular polyribonucleotide or a circular polyribonucleotide lacking an encryptogen.
- a reference compound e.g., a linear polynucleotide corresponding to the described circular polyribonucleotide or a circular polyribonucleotide lacking an encryptogen.
- the circular polyribonucleotide is non-immunogenic in the host.
- Some immune responses include, but are not limited to, humoral immune responses (e.g. production of immunogen-specific antibodies) and cell-mediated immune responses (e.g., lymphocyte proliferation).
- a host or a host cell is contacted with (e.g., delivered to or administered to) the circular polyribonucleotide or linear.
- the host is a mammal, such as a human.
- the amount of the circular polyribonucleotide or linear, expression product, or both in the host can be measured at any time after administration. In certain embodiments, a time course of host growth in a culture is determined. If the growth is increased or reduced in the presence of the circular polyribonucleotide or linear, the circular polyribonucleotide or expression product or both is identified as being effective in increasing or reducing the growth of the host.
- a method of delivering a circular or linear polyribonucleotide molecule as described herein to a cell, tissue, or subject includes administering the pharmaceutical composition, pharmaceutical drug substance or pharmaceutical drug product as described herein to the cell, tissue, or subject.
- the cell is a eukaryotic cell. In some embodiments, the cell is a mammalian cell. In some embodiments, the cell is an ungulate cell. In some embodiments, the cell is an animal cell. In some embodiments, the cell is an immune cell. In some embodiments, the tissue is a connective tissue, a muscle tissue, a nervous tissue, or an epithelial tissue. In some embodiments, the tissue is an organ (e.g., liver, lung, spleen, kidney, etc.). In some embodiments, the method of delivering is an in vivo method.
- a method of delivery of a circular polyribonucleotide as described herein includes parenterally administering to a subject in need thereof, the pharmaceutical composition, pharmaceutical drug substance or pharmaceutical drug product as described herein to the subject in need thereof.
- a method of delivering a circular polyribonucleotide to a cell or tissue of a subject includes administering parenterally to the cell or tissue the pharmaceutical composition, pharmaceutical drug substance or pharmaceutical drug product as described herein.
- the circular polyribonucleotide is in an amount effective to elicit a biological response in the subject.
- the circular polyribonucleotide is an amount effective to have a biological effect on the cell or tissue in the subject.
- the pharmaceutical composition, pharmaceutical drug substance or pharmaceutical drug product as described herein includes a carrier.
- the pharmaceutical composition, pharmaceutical drug substance or pharmaceutical drug product as described herein includes a diluent and is free of any carrier.
- the pharmaceutical composition, the pharmaceutical drug substance, or the pharmaceutical drug product is administered parenterally.
- the pharmaceutical composition, the pharmaceutical drug substance, or the pharmaceutical drug product is administered intravenously, intraarterially, intraperitoneally, intradermally, intracranially, intrathecally, intralymphaticly, subcutaneously, or intramuscularly.
- parenteral administration is intravenously, intramuscularly, ophthalmically, subcutaneously, intradermally or topically.
- the pharmaceutical composition, pharmaceutical drug substance or pharmaceutical drug product as described herein is administered intramuscularly. In some embodiments, the pharmaceutical composition, pharmaceutical drug substance or pharmaceutical drug product as described herein is administered subcutaneously. In some embodiments, the pharmaceutical composition, pharmaceutical drug substance or pharmaceutical drug product as described herein is administered topically. In some embodiments, the pharmaceutical composition, the pharmaceutical drug substance, or the pharmaceutical drug product is administered intratracheally.
- the pharmaceutical composition, pharmaceutical drug substance or pharmaceutical drug product is administered by injection.
- the administration can be systemic administration or local administration.
- any of the methods of delivery as described herein are performed with a carrier. In some embodiments, any methods of delivery as described herein are performed without the aid of a carrier or cell penetrating agent.
- the circular polyribonucleotide or a product translated from the circular polyribonucleotide is detected in the cell, tissue, or subject at least 1 day, at least 2 days, at least 3 days, at least 4 days, or at least 5 days after the administering step.
- the presence of the circular polyribonucleotide or a product translated from the circular polyribonucleotide is evaluated in the cell, tissue, or subject before the administering step.
- the presence of the circular polyribonucleotide or a product translated from the circular polyribonucleotide is evaluated in the cell, tissue, or subject after the administering step.
- a pharmaceutical formulation disclosed herein can include: (i) a compound (e.g., circular polyribonucleotide) disclosed herein; (ii) a buffer; (iii) a non-ionic detergent; (iv) a tonicity agent; and/or (v) a stabilizer.
- a pharmaceutical formulation disclosed herein can include: (i) a compound (e.g., linear polyribonucleotide) disclosed herein; (ii) a buffer; (iii) a non-ionic detergent; (iv) a tonicity agent; and/or (v) a stabilizer.
- the pharmaceutical formulation disclosed herein is a stable liquid pharmaceutical formulation.
- the pharmaceutical formulation disclosed herein includes protamine or a protamine salt (e.g., protamine sulfate).
- the disclosure provides immunogenic compositions including a circular polyribonucleotide described herein.
- the disclosure provides immunogenic compositions including a linear polyribonucleotide described herein.
- Immunogenic compositions of the disclosure may include a diluent or a carrier, adjuvant, or any combination thereof. Immunogenic compositions of the disclosure may also include one or more immunoregulatory agents, e.g., one or more adjuvants.
- the adjuvants may include a TH1 adjuvant and/or a TH2 adjuvant, further discussed below.
- the immunogenic composition includes a diluent free of any carrier and is used for naked delivery of the circular polyribonucleotide to a subject.
- the immunogenic composition includes a diluent free of any carrier and is used for naked delivery of the linear polyribonucleotide to a subject.
- Immunogenic compositions of the disclosure are used to raise an immune response in a subject.
- the immune response is preferably protective and preferably involves an antibody response (usually including IgG) and/or a cell-mediated immune response.
- a subject is immunized with an immunogenic composition including a circular polyribonucleotide of the disclosure to induce an immune response.
- a subject is immunized with an immunogenic composition including a linear polyribonucleotide including an immunogen to stimulate production of antibodies that bind to the immunogen.
- the immunogenic compositions are vaccine compositions.
- Vaccines according to the disclosure may either be prophylactic (i.e. to prevent infection) or therapeutic (i.e. to treat infection) but will typically be prophylactic.
- the subject is a mammal.
- the subject is an animal, preferably a mammal, e.g., a human.
- the subject is a human.
- the subject is a non-human mammal, e.g., selected from a cow (e.g., dairy and beef cattle), a sheep, a goat, a pig, a horse, a dog, or a cat.
- the subject is a bird, e.g., a hen or rooster, turkey, parrot.
- the animal is not a mouse or a rabbit or a cow.
- the immunogenic composition is for prophylactic use, the human is a child (e.g. a toddler or infant) or a teenager.
- the immunogenic composition is for therapeutic use, the human is a teenager or an adult.
- An immunogenic composition intended for children may also be administered to adults e.g. to assess safety, dosage, immunogenicity, etc.
- Immunogenic composition prepared according to the disclosure may be used to treat both children and adults.
- a human subject may be less than 1 year old, less than 5 years old, 1 -5 years old, 5- 15 years old, 15-55 years old, or at least 55 years old.
- a human subject for receiving the immunogenic compositions are the elderly (e.g., >50 years old, >60 years old, and >65 years), the young (e.g., ⁇ 5 years old), hospitalized patients, healthcare workers, armed service and military personnel, pregnant women, the chronically ill, or immunodeficient patients.
- the immunogenic compositions are not suitable solely for these groups, however, and may be used more generally in a population.
- the subject is further immunized with an adjuvant. In some embodiments the subject is further immunized with a vaccine.
- methods of the disclosure include immunizing a subject with an immunogenic composition including a circular polyribonucleotide as disclosed herein.
- an immunogen is expressed from the circular polyribonucleotide.
- immunization induces an immune response in a subject against the immunogen expressed from the circular polyribonucleotide.
- immunization induces an immune response in a subject (e.g., induces the production of antibodies that bind to the immunogen expressed from the circular polyribonucleotide).
- an immunogenic composition includes the circular polyribonucleotide and a diluent, carrier, first adjuvant or a combination thereof in a single composition.
- the subject is further immunized with a second adjuvant.
- the subject is further immunized with a vaccine.
- methods of the disclosure include immunizing a subject with an immunogenic composition including a linear polyribonucleotide as disclosed herein.
- an immunogen is expressed from the linear polyribonucleotide.
- immunization induces an immune response in a subject against the immunogen expressed from the linear polyribonucleotide.
- immunization induces the production of antibodies that bind to the immunogen expressed from the linear polyribonucleotide.
- immunization induces a cell-mediated immune response.
- an immunogenic composition includes the linear polyribonucleotide and a diluent, carrier, first adjuvant or a combination thereof in a single composition.
- the subject is further immunized with a second adjuvant.
- the subject is further immunized with a vaccine.
- the subject is immunized with one or more immunogenic composition(s) including any number of circular polyribonucleotides.
- the subject is immunized with, for example, one or more immunogenic composition(s) including at least 1 circular polyribonucleotide.
- a non-human animal having a nonhumanized immune system is immunized with, for example, one or more immunogenic composition(s) including at least 2, at least 3, at least 4, at least 5, at least 6, at least 7, at least 8, at least 9, at least 10, at least 11 , at least 12, at least 13, at least 14, at least 15, at least 20 different circular polyribonucleotides, or more different circular polyribonucleotides.
- a subject is immunized with one or more immunogenic composition(s) including at most 1 circular polyribonucleotide.
- a non-human animal having a humanized immune system is immunized with one or more immunogenic composition(s) including at most 2, at most 3, at most 4, at most 5, at most 6, at most 7, at most 8, at most 9, at most 10, at most 11 , at most 12, at most 13, at most 14, at most 15, at most 20 different circular polyribonucleotides, or less than 21 different circular polyribonucleotides.
- a subject is immunized with one or more immunogenic composition(s) including about 1 circular polyribonucleotide.
- a non-human animal having a humanized immune system is immunized with one or more immunogenic composition(s) including about 2, about 3, about 4, about 5, about 6, about 7, about 8, about 9, about 10, about 11 , about 12, about 13, about 14, about 15, or about 20 different circular polyribonucleotides.
- a subject is immunized with one or more immunogenic composition(s) including about 1 -20, 1 -15, 1 -10, 1 -9, 1 -8, 1 -7,
- they can include or encode different immunogens, overlapping immunogens, similar immunogens, or the same immunogens (for example, with the same or different regulatory elements, initiation sequences, promoters, termination elements, or other elements of the disclosure).
- the two or more different circular polyribonucleotides can be in the same or different immunogenic compositions and immunized at the same time or at different times.
- the immunogenic compositions including two or more different circular polyribonucleotides can be administered to the same anatomical location or different anatomical locations.
- the subject can be immunized with one or more immunogenic composition(s) including any number of linear polyribonucleotides.
- the subject is immunized with, for example, one or more immunogenic composition(s) including at least 1 linear polyribonucleotide.
- a non-human animal having a non-humanized immune system is immunized with, for example, one or more immunogenic composition(s) including at least 2, at least 3, at least 4, at least 5, at least 6, at least 7, at least 8, at least 9, at least 10, at least 1 1 , at least 12, at least 13, at least 14, at least 15, at least 20 different linear polyribonucleotides, or more different linear polyribonucleotides.
- a subject is immunized with one or more immunogenic composition(s) including at most 1 linear polyribonucleotide.
- a non-human animal having a humanized immune system is immunized with one or more immunogenic composition(s) including at most 2, at most 3, at most 4, at most 5, at most 6, at most 7, at most 8, at most 9, at most 10, at most 1 1 , at most 12, at most 13, at most 14, at most 15, at most 20 different linear polyribonucleotides, or less than 21 different linear polyribonucleotides.
- a subject is immunized with one or more immunogenic composition(s) including about 1 linear polyribonucleotide.
- a non-human animal having a humanized immune system is immunized with one or more immunogenic composition(s) including about 2, about 3, about 4, about 5, about 6, about 7, about 8, about 9, about 10, about 1 1 , about 12, about 13, about 14, about 15, or about 20 different linear polyribonucleotides.
- a subject is immunized with one or more immunogenic composition(s) including about 1 -20, 1 -15, 1 -10, 1 -9, 1 -8, 1 -7, 1 -6, 1 -5, 1 -4, 1 -3, 1 -2,
- they can include or encode different immunogens, overlapping immunogens, similar immunogens, or the same immunogens (for example, with the same or different regulatory elements, initiation sequences, promoters, termination elements, or other elements of the disclosure).
- the two or more different linear polyribonucleotides can be in the same or different immunogenic compositions and immunized at the same time or at different times.
- the immunogenic compositions including two or more different linear polyribonucleotides can be administered to the same anatomical location or different anatomical locations.
- the two or more different linear polyribonucleotides can include or encode immunogens from the same source, different source, or different combinations of sources disclosed herein.
- the two or more different linear polyribonucleotides can include or encode immunogens from the same virus or from different viruses, for example, different isolates.
- the subject is immunized with one or more immunogenic composition(s) including any number of circular polyribonucleotides and one or more immunogenic composition(s) including any number of linear polyribonucleotides as disclosed herein.
- an immunogenic composition disclosed herein includes one or more circular polyribonucleotides and one or more linear polyribonucleotides as disclosed herein.
- an immunogenic composition includes a circular polyribonucleotide and a diluent, a carrier, a first adjuvant, or a combination thereof.
- an immunogenic composition includes a circular polyribonucleotide described herein and a carrier or a diluent free of any carrier.
- an immunogenic composition including a circular polyribonucleotide with a diluent free of any carrier is used for naked delivery of the circular polyribonucleotide to a subject.
- an immunogenic composition includes a circular polyribonucleotide described herein and a first adjuvant.
- a subject is further administered a second adjuvant.
- An adjuvant enhances the innate immune response, which in turn, enhances the adaptive immune response in a subject.
- An adjuvant can be any adjuvant as discussed below.
- an adjuvant is formulated with the circular polyribonucleotide as a part of an immunogenic composition.
- an adjuvant is not part of an immunogenic composition including the circular polyribonucleotide.
- an adjuvant is administered separately from an immunogenic composition including the circular polyribonucleotide.
- the adjuvant is coadministered (e.g., administered simultaneously) or administered at a different time than an immunogenic composition including the circular polyribonucleotide to the subject.
- the adjuvant is administered 1 minute, 5 minutes, 10 minutes, 15 minutes, 30 minutes, 45 minutes, 60 minutes, 90 minutes, 2 hours, 3 hours, 4 hours, 5 hours, 6 hours, 7 hours, 8 hours, 9 hours, 10 hours, 12 hours, 14 hours, 16 hours, 18 hours, 20 hours, 22 hours, or 24 hours, or any minute or hour therebetween, after an immunogenic composition including the circular polyribonucleotide.
- the adjuvant is administered 1 minute, 5 minutes, 10 minutes, 15 minutes, 30 minutes, 45 minutes, 60 minutes, 90 minutes, 2 hours, 3 hours, 4 hours, 5 hours, 6 hours, 7 hours, 8 hours, 9 hours, 10 hours, 12 hours, 14 hours, 16 hours, 18 hours, 20 hours, 22 hours, or 24 hours, or any minute or hour therebetween, before an immunogenic composition including the circular polyribonucleotide.
- the adjuvant is administered 1 , 2, 3, 4, 5, 6, 7, 14, 21 , 28, 35, 42, 49, 56, 63, 70, 77, or 84 days, or any day therebetween, after an immunogenic composition including the circular polyribonucleotide.
- the adjuvant is administered 1 , 2, 3, 4, 5, 6, 7, 14, 21 , 28, 35, 42, 49, 56, 63, 70, 77, or 84 days, or any day therebetween, before an immunogenic composition including the circular polyribonucleotide.
- the adjuvant is administered to the same anatomical location or different anatomical location as the immunogenic composition including the circular polyribonucleotide.
- an immunogenic composition includes a linear polyribonucleotide and a diluent, a carrier, a first adjuvant, or a combination thereof.
- an immunogenic composition includes a linear polyribonucleotide described herein and a carrier or a diluent free of any carrier.
- an immunogenic composition including a linear polyribonucleotide with a diluent free of any carrier is used for naked delivery of the linear polyribonucleotide to a subject.
- an immunogenic composition includes a linear polyribonucleotide described herein and a first adjuvant.
- a subject is further administered a second adjuvant.
- An adjuvant enhances the innate immune response, which in turn, enhances the adaptive immune response in a subject.
- An adjuvant can be any adjuvant as discussed below.
- an adjuvant is formulated with the linear polyribonucleotide as a part of an immunogenic composition.
- an adjuvant is not part of an immunogenic composition including the linear polyribonucleotide.
- an adjuvant is administered separately from an immunogenic composition including the linear polyribonucleotide.
- the adjuvant is coadministered (e.g., administered simultaneously) or administered at a different time than an immunogenic composition including the linear polyribonucleotide to the subject.
- the adjuvant is administered 1 minute, 5 minutes, 10 minutes, 15 minutes, 30 minutes, 45 minutes, 60 minutes, 90 minutes, 2 hours, 3 hours, 4 hours, 5 hours, 6 hours, 7 hours, 8 hours, 9 hours, 10 hours, 12 hours, 14 hours, 16 hours, 18 hours, 20 hours, 22 hours, or 24 hours, or any minute or hour therebetween, after an immunogenic composition including the linear polyribonucleotide.
- the adjuvant is administered 1 minute, 5 minutes, 10 minutes, 15 minutes, 30 minutes, 45 minutes, 60 minutes, 90 minutes, 2 hours, 3 hours, 4 hours, 5 hours, 6 hours, 7 hours, 8 hours, 9 hours, 10 hours, 12 hours, 14 hours, 16 hours, 18 hours, 20 hours, 22 hours, or 24 hours, or any minute or hour therebetween, before an immunogenic composition including the linear polyribonucleotide.
- the adjuvant is administered 1 , 2, 3, 4, 5, 6, 7, 14, 21 , 28, 35, 42, 49, 56, 63, 70, 77, or 84 days, or any day therebetween, after an immunogenic composition including the linear polyribonucleotide.
- the adjuvant is administered 1 , 2, 3, 4, 5, 6, 7, 14, 21 , 28, 35, 42, 49, 56, 63, 70, 77, or 84 days, or any day therebetween, before an immunogenic composition including the linear polyribonucleotide.
- the adjuvant is administered to the same anatomical location or different anatomical location as the immunogenic composition including the linear polyribonucleotide.
- a subject is further immunized with a second agent, e.g., a vaccine (as described below) that is not a circular polyribonucleotide.
- a second agent e.g., a vaccine (as described below) that is not a circular polyribonucleotide.
- the vaccine is co-administered (e.g., administered simultaneously) or administered at a different time than an immunogenic composition including the circular polyribonucleotide to the subject.
- the vaccine is administered 1 minute, 5 minutes, 10 minutes, 15 minutes, 30 minutes, 45 minutes, 60 minutes, 90 minutes, 2 hours, 3 hours, 4 hours, 5 hours, 6 hours, 7 hours, 8 hours, 9 hours, 10 hours, 12 hours, 14 hours, 16 hours, 18 hours, 20 hours, 22 hours, or 24 hours, or any minute or hour therebetween, after an immunogenic composition including the circular polyribonucleotide.
- the vaccine is administered 1 minute, 5 minutes, 10 minutes, 15 minutes, 30 minutes, 45 minutes, 60 minutes, 90 minutes, 2 hours, 3 hours, 4 hours, 5 hours, 6 hours, 7 hours, 8 hours, 9 hours, 10 hours, 12 hours, 14 hours, 16 hours, 18 hours, 20 hours, 22 hours, or 24 hours, or any minute or hour therebetween, before an immunogenic composition including the circular polyribonucleotide.
- the vaccine is administered 1 , 2, 3, 4, 5, 6, 7, 14, 21 , 28, 35, 42, 49, 56, 63, 70, 77, or 84 days, or any day therebetween, after an immunogenic composition including the circular polyribonucleotide.
- the vaccine is administered 1 , 2, 3, 4, 5, 6, 7, 14, 21 , 28, 35, 42, 49, 56, 63, 70, 77, or 84 days, or any day therebetween, before an immunogenic composition including the circular polyribonucleotide.
- a subject is further immunized with a second agent, e.g., a vaccine (as described below) that is not a linear polyribonucleotide.
- a second agent e.g., a vaccine (as described below) that is not a linear polyribonucleotide.
- the vaccine is co-administered (e.g., administered simultaneously) or administered at a different time than an immunogenic composition including the linear polyribonucleotide to the subject.
- the vaccine is administered 1 minute, 5 minutes, 10 minutes, 15 minutes, 30 minutes, 45 minutes, 60 minutes, 90 minutes, 2 hours, 3 hours, 4 hours, 5 hours, 6 hours, 7 hours, 8 hours, 9 hours, 10 hours, 12 hours, 14 hours, 16 hours, 18 hours, 20 hours, 22 hours, or 24 hours, or any minute or hour therebetween, after an immunogenic composition including the linear polyribonucleotide.
- the vaccine is administered 1 minute, 5 minutes, 10 minutes, 15 minutes, 30 minutes, 45 minutes, 60 minutes, 90 minutes, 2 hours, 3 hours, 4 hours, 5 hours, 6 hours, 7 hours, 8 hours, 9 hours, 10 hours, 12 hours, 14 hours, 16 hours, 18 hours, 20 hours, 22 hours, or 24 hours, or any minute or hour therebetween, before an immunogenic composition including the linear polyribonucleotide.
- the vaccine is administered 1 , 2, 3, 4, 5, 6, 7, 14, 21 , 28, 35, 42, 49, 56, 63, 70, 77, or 84 days, or any day therebetween, after an immunogenic composition including the linear polyribonucleotide.
- the vaccine is administered 1 , 2, 3, 4, 5, 6,
- a subject can be immunized with an immunogenic composition, adjuvant, vaccine (e.g., protein subunit vaccine), or a combination thereof any suitable number of times to achieve a desired response.
- a prime-boost immunization strategy can be utilized to elicit systemic and/or mucosal immunity.
- a subject can be immunized with an immunogenic composition, adjuvant, vaccine (e.g., protein subunit vaccine), or a combination thereof, of the disclosure, for example, at least 1 , at least 2, at least 3, at least 4, at least 5, at least 6, at least 7, at least 8, at least 9, at least 10, or at least 15 times, or more.
- a subject can be immunized with an immunogenic composition, adjuvant, vaccine (e.g., protein subunit vaccine), or a combination thereof, of the disclosure at most 2, at most 3, at most 4, at most 5, at most 6, at most 7, at most 8, at most 9, at most 10, at most 15, or at most 20 times, or less.
- an immunogenic composition e.g., adjuvant, vaccine (e.g., protein subunit vaccine), or a combination thereof, of the disclosure at most 2, at most 3, at most 4, at most 5, at most 6, at most 7, at most 8, at most 9, at most 10, at most 15, or at most 20 times, or less.
- vaccine e.g., protein subunit vaccine
- a subject can be immunized with an immunogenic composition, adjuvant, vaccine (e.g., protein subunit vaccine), or a combination thereof, of the disclosure about 1 , 2, 3, 4, 5, 6, 7,
- a subject can be immunized with an immunogenic composition, adjuvant, vaccine (e.g., protein subunit vaccine), or a combination thereof, of the disclosure once. In some embodiments, a subject can be immunized with an immunogenic composition, adjuvant, vaccine (e.g., protein subunit vaccine), or a combination thereof, of the disclosure twice. In some embodiments, a subject can be immunized with an immunogenic composition, adjuvant, vaccine (e.g., protein subunit vaccine), or a combination thereof, of the disclosure three times. In some embodiments, a subject can be immunized with an immunogenic composition, adjuvant, vaccine (e.g., protein subunit vaccine), or a combination thereof, of the disclosure four times.
- an immunogenic composition, adjuvant, vaccine e.g., protein subunit vaccine
- a subject can be immunized with an immunogenic composition, adjuvant, vaccine (e.g., protein subunit vaccine), or a combination thereof, of the disclosure five times. In some embodiments, a subject can be immunized with an immunogenic composition, adjuvant, vaccine (e.g., protein subunit vaccine), or a combination thereof, of the disclosure seven times.
- an immunogenic composition, adjuvant, vaccine e.g., protein subunit vaccine
- Suitable time intervals can be selected for spacing two or more immunizations.
- the time intervals can apply to multiple immunizations with the same immunogenic composition, adjuvant, or vaccine (e.g., protein subunit vaccine), or combination thereof, for example, the same immunogenic composition, adjuvant, or vaccine (e.g., protein subunit vaccine), or combination thereof, can be administered in the same amount or a different amount, via the same immunization route or a different immunization route.
- the time intervals can apply to multiple immunizations with a different immunogenic composition, adjuvant, or vaccine (e.g., protein subunit vaccine), or combination thereof, for example, a different immunogenic composition, adjuvant, or vaccine (e.g., protein subunit vaccine), or combination thereof, can be administered in the same amount or a different amount, via the same immunization route or a different immunization route.
- the time intervals can apply to immunizations with different agents, for example, a first immunogenic composition including a first circular polyribonucleotide and a second immunogenic composition including a second circular polyribonucleotide.
- the time intervals can apply to immunizations with different agents, for example, a first immunogenic composition including a first circular polyribonucleotide and a second immunogenic composition including a protein immunogen (e.g., a protein subunit).
- the time intervals can apply to a first immunogenic composition including a first linear polyribonucleotide and a second immunogenic composition including a second linear polyribonucleotide.
- the time intervals between immunizations can be the same or different.
- the method includes pre-administering to the subject an agent to improve immunogenic responses to a circular polyribonucleotide including a sequence encoding an immunogen.
- the agent is the immunogen as disclosed herein (e.g., a protein immunogen).
- the method includes administering the protein immunogen from 1 to 7 days prior to administration of the circular polyribonucleotide including the sequence encoding the protein immunogen.
- the protein immunogen is administered 1 , 2, 3, 4, 5, 6, or 7 days prior to administration of the circular polyribonucleotide including the sequence encoding the protein immunogen.
- the method includes administering the protein immunogen from 1 to 7 days prior to administration of the linear polyribonucleotide including the sequence encoding the protein immunogen.
- the protein immunogen is administered 1 , 2, 3, 4, 5, 6, or 7 days prior to administration of the linear polyribonucleotide including the sequence encoding the protein immunogen.
- the protein immunogen may be administered as a protein preparation, encoded in a plasmid (pDNA), presented in a virus-like particle (VLP), formulated in a lipid nanoparticle, or the like.
- the method includes administering to the subject an agent to improve immunogenic responses to a circular polyribonucleotide including a sequence encoding an immunogen after the subject has been administered the circular polyribonucleotide including a sequence encoding an immunogen.
- the agent is the immunogen as disclosed herein (e.g., a protein immunogen).
- the circular polyribonucleotide includes a sequence encoding a protein immunogen.
- the method includes administering the protein immunogen within 1 year (e.g., within 11 months, 10 months, 9 months, 8 months, 7 months, 6 months, 5 months, 4 months, 3 months, 2 months, and 1 month) of administering the circular polyribonucleotide including a sequence encoding the immunogen to the subject.
- the method includes administering any one of the circular polyribonucleotides described herein or any one of the immunogenic compositions described herein and a protein subunit to the subject.
- the protein immunogen has the same amino acid sequence as the immunogen encoded by circular polyribonucleotide.
- the polypeptide immunogen may correspond to (e.g., shares 90%, 95%, 96%, 97%, 98%, or 100%) amino acid sequence identity with a polypeptide immunogen encoded by a sequence of the circular polyribonucleotide.
- the protein immunogen has a different amino acid sequence from the amino acid sequence of the immunogen encoded by the circular polyribonucleotide.
- the polypeptide immunogen may share less than 90% (e.g., 80%, 70%, 30%, 20%, or 10%) amino acid sequence identity with the polypeptide immunogen encoded by a sequence of the circular polyribonucleotide.
- a subject can be immunized with an immunogenic composition, an adjuvant, or a vaccine (e.g., protein subunit vaccine), or a combination thereof, at any suitable number anatomical sites.
- the same immunogenic composition, an adjuvant, a vaccine (e.g., protein subunit vaccine), or a combination thereof can be administered to multiple anatomical sites, different immunogenic compositions including the same or different circular polyribonucleotides, adjuvants, vaccines (e.g., protein subunit vaccine) or a combination thereof can be administered to different anatomical sites, different immunogenic compositions including the same or different circular polyribonucleotides, adjuvants, vaccines (e.g., protein subunit vaccines) or a combination thereof can be administered to the same anatomical site, or any combination thereof.
- an immunogenic composition including a circular polyribonucleotide can be administered in to two different anatomical sites, and/or an immunogenic composition including a circular polyribonucleotide can be administered to one anatomical site, and an adjuvant can be administered to a different anatomical site.
- the same immunogenic composition, an adjuvant, a vaccine (e.g., protein subunit vaccine), or a combination thereof can be administered to multiple anatomical sites, different immunogenic compositions including the same or different linear polyribonucleotides, adjuvants, vaccines (e.g., protein subunit vaccine) or a combination thereof can be administered to different anatomical sites, different immunogenic compositions including the same or different linear polyribonucleotides, adjuvants, vaccines (e.g., protein subunit vaccines) or a combination thereof can be administered to the same anatomical site, or any combination thereof.
- an immunogenic composition including a linear polyribonucleotide can be administered in to two different anatomical sites, and/or an immunogenic composition including a linear polyribonucleotide can be administered to one anatomical site, and an adjuvant can be administered to a different anatomical site.
- Immunization at any two or more anatomical routes can be via the same route of immunization (e.g., intramuscular) or by two or more routes of immunization.
- an immunogenic composition including a circular polyribonucleotide, an adjuvant, or a vaccine (e.g., protein subunit vaccine), or a combination thereof, of the disclosure is immunized to at least 1 , at least 2, at least 3, at least 4, at least 5, or at least 6 anatomical sites of a subject.
- an immunogenic composition including a circular polyribonucleotide, an adjuvant, or a vaccine (e.g., protein subunit vaccine), or a combination thereof, of the disclosure is immunized to at most 2, at most 3, at most 4, at most 5, at most 6, at most 7, at most 8, at most 9, or at most 10 anatomical sites of the subject, or less.
- an immunogenic composition including a circular polyribonucleotide or an adjuvant of the disclosure is immunized to 1 , 2, 3, 4, 5, 6, 7, 8, 9, 10 anatomical sites of a subject.
- an immunogenic composition including a linear polyribonucleotide, an adjuvant, or a vaccine (e.g., protein subunit vaccine), or a combination thereof, of the disclosure is immunized to at least
- an immunogenic composition including a linear polyribonucleotide, an adjuvant, or a vaccine (e.g., protein subunit vaccine), or a combination thereof, of the disclosure is immunized to at most
- an immunogenic composition including a linear polyribonucleotide or an adjuvant of the disclosure is immunized to 1 , 2, 3, 4, 5, 6, 7, 8, 9, 10 anatomical sites of a subject.
- Immunization can be by any suitable route.
- immunization routes include intravenous, intramuscular, intraarterial, intrathecal, intracapsular, intraorbital, intracardiac, intradermal, intraperitoneal, transtracheal, subcutaneous, subcuticular, intraarticular, subcapsular, subarachnoid, intraspinal, epidural, intrasternal, intracerebral, intraocular, intralesional, intracerebroventricular, intracisternal, or intraparenchymal, e.g., injection and infusion.
- immunization can be via inhalation. Two or more immunizations can be done by the same route or by different routes.
- a subject can be immunized with at least about 1 ng, at least about 10 ng, at least about 100 ng, at least about 1 pg, at least about 10 pg, at least about, at least about 100 pg, at least about 1 mg, at least about 10 mg, at least about 100 mg, or at least about 1 g of a circular polyribonucleotide.
- a subject can be immunized with at most about 1 ng, at most about 10 ng, at most about 100 ng, at most about 1 pg, at most about 10 pg, at most about, at most about 100 pg, at most about 1 mg, at most about 10 mg, at most about 100 mg, or at most about 1 g of a circular polyribonucleotide.
- a subject can be immunized with about 1 ng, about 10 ng, about 100 ng, about 1 pg, about 10 pg, about, about 100 pg, about 1 mg, about 10 mg, about 100 mg, or about 1 g of a circular polyribonucleotide.
- the method further includes evaluating the subject for antibody response to the immunogen.
- the evaluating is before and/or after administration of the circular polyribonucleotide including a sequence encoding an immunogen.
- the evaluating is before and/or after administration of the linear polyribonucleotide including a sequence encoding an immunogen.
- the circular polyribonucleotide, immunogenic composition, pharmaceutical preparation, or pharmaceutical composition described herein is administered to a subject between birth and 15 months according to the dosing schedule provided in Table 1 or is administered to a subject between 18 months and 18 years according to the dosing schedule of Table 2.
- Dosing may be performed according to dosing scheduled known in the art, for example, as described by the Centers of Disease Control and Prevention (CDC) or the National Institutes of Health (NIH).
- Tables 1 and 2 provide an abbreviated summary of the dosing schedules for vaccination for certain disorders indicated on the CDC website as of August 29, 2020.
Landscapes
- Health & Medical Sciences (AREA)
- Life Sciences & Earth Sciences (AREA)
- Virology (AREA)
- Chemical & Material Sciences (AREA)
- General Health & Medical Sciences (AREA)
- Medicinal Chemistry (AREA)
- Public Health (AREA)
- Veterinary Medicine (AREA)
- Pharmacology & Pharmacy (AREA)
- Animal Behavior & Ethology (AREA)
- Microbiology (AREA)
- Organic Chemistry (AREA)
- Genetics & Genomics (AREA)
- Epidemiology (AREA)
- Mycology (AREA)
- Molecular Biology (AREA)
- Communicable Diseases (AREA)
- Engineering & Computer Science (AREA)
- Immunology (AREA)
- Pulmonology (AREA)
- Chemical Kinetics & Catalysis (AREA)
- Bioinformatics & Cheminformatics (AREA)
- General Chemical & Material Sciences (AREA)
- Zoology (AREA)
- Oncology (AREA)
- Biomedical Technology (AREA)
- Wood Science & Technology (AREA)
- Biotechnology (AREA)
- General Engineering & Computer Science (AREA)
- Nuclear Medicine, Radiotherapy & Molecular Imaging (AREA)
- Plant Pathology (AREA)
- Biophysics (AREA)
- Physics & Mathematics (AREA)
- Biochemistry (AREA)
- Medicines Containing Antibodies Or Antigens For Use As Internal Diagnostic Agents (AREA)
- Medicines That Contain Protein Lipid Enzymes And Other Medicines (AREA)
- Pharmaceuticals Containing Other Organic And Inorganic Compounds (AREA)
- Peptides Or Proteins (AREA)
- Medicinal Preparation (AREA)
Abstract
Description
Claims
Priority Applications (8)
| Application Number | Priority Date | Filing Date | Title |
|---|---|---|---|
| CA3193746A CA3193746A1 (en) | 2020-09-03 | 2021-09-03 | Immunogenic compositions and uses thereof |
| IL300947A IL300947A (en) | 2020-09-03 | 2021-09-03 | Immunogenic compositions and uses thereof |
| JP2023514721A JP2023542492A (en) | 2020-09-03 | 2021-09-03 | Immunogenic compositions and uses thereof |
| CN202180065297.8A CN116157148A (en) | 2020-09-03 | 2021-09-03 | Immunogenic compositions and uses thereof |
| US18/024,542 US20240009298A1 (en) | 2020-09-03 | 2021-09-03 | Immunogenic compositions and uses thereof |
| MX2023002439A MX2023002439A (en) | 2020-09-03 | 2021-09-03 | Immunogenic compositions and uses thereof. |
| EP21778670.6A EP4208196A1 (en) | 2020-09-03 | 2021-09-03 | Immunogenic compositions and uses thereof |
| AU2021336976A AU2021336976A1 (en) | 2020-09-03 | 2021-09-03 | Immunogenic compositions and uses thereof |
Applications Claiming Priority (6)
| Application Number | Priority Date | Filing Date | Title |
|---|---|---|---|
| US202063074428P | 2020-09-03 | 2020-09-03 | |
| US63/074,428 | 2020-09-03 | ||
| US202063125769P | 2020-12-15 | 2020-12-15 | |
| US63/125,769 | 2020-12-15 | ||
| US202163191020P | 2021-05-20 | 2021-05-20 | |
| US63/191,020 | 2021-05-20 |
Publications (2)
| Publication Number | Publication Date |
|---|---|
| WO2022051629A1 true WO2022051629A1 (en) | 2022-03-10 |
| WO2022051629A9 WO2022051629A9 (en) | 2022-05-12 |
Family
ID=77951867
Family Applications (1)
| Application Number | Title | Priority Date | Filing Date |
|---|---|---|---|
| PCT/US2021/049077 Ceased WO2022051629A1 (en) | 2020-09-03 | 2021-09-03 | Immunogenic compositions and uses thereof |
Country Status (9)
| Country | Link |
|---|---|
| EP (1) | EP4208196A1 (en) |
| JP (1) | JP2023542492A (en) |
| CN (1) | CN116157148A (en) |
| AU (1) | AU2021336976A1 (en) |
| CA (1) | CA3193746A1 (en) |
| IL (1) | IL300947A (en) |
| MX (1) | MX2023002439A (en) |
| TW (1) | TW202218669A (en) |
| WO (1) | WO2022051629A1 (en) |
Cited By (3)
| Publication number | Priority date | Publication date | Assignee | Title |
|---|---|---|---|---|
| WO2023182948A1 (en) * | 2022-03-21 | 2023-09-28 | Bio Adventure Co., Ltd. | Internal ribosome entry site (ires), plasmid vector and circular mrna for enhancing protein expression |
| WO2023235749A3 (en) * | 2022-06-01 | 2024-01-25 | Flag Bio, Inc. | Rna adjuvants, methods and uses thereof |
| US12338474B2 (en) | 2021-09-17 | 2025-06-24 | Flagship Pioneering Innovations Vi, Llc | Compositions and methods for producing circular polyribonucleotides |
Families Citing this family (1)
| Publication number | Priority date | Publication date | Assignee | Title |
|---|---|---|---|---|
| US20250161406A1 (en) * | 2022-06-07 | 2025-05-22 | University Of South Florida | Preventing alu sines-mediated pathologies |
Citations (105)
| Publication number | Priority date | Publication date | Assignee | Title |
|---|---|---|---|---|
| US99823A (en) | 1870-02-15 | Improved indigo soap | ||
| WO1992001813A1 (en) | 1990-07-25 | 1992-02-06 | Syngene, Inc. | Circular extension for generating multiple nucleic acid complements |
| US5426180A (en) | 1991-03-27 | 1995-06-20 | Research Corporation Technologies, Inc. | Methods of making single-stranded circular oligonucleotides |
| US5712128A (en) | 1992-01-13 | 1998-01-27 | Duke University | Enzymatic RNA molecules |
| US5766903A (en) | 1995-08-23 | 1998-06-16 | University Technology Corporation | Circular RNA and uses thereof |
| US5773244A (en) | 1993-05-19 | 1998-06-30 | Regents Of The University Of California | Methods of making circular RNA |
| US5885613A (en) | 1994-09-30 | 1999-03-23 | The University Of British Columbia | Bilayer stabilizing components and their use in forming programmable fusogenic liposomes |
| US6210931B1 (en) | 1998-11-30 | 2001-04-03 | The United States Of America As Represented By The Secretary Of Agriculture | Ribozyme-mediated synthesis of circular RNA |
| US6287591B1 (en) | 1997-05-14 | 2001-09-11 | Inex Pharmaceuticals Corp. | Charged therapeutic agents encapsulated in lipid particles containing four lipid components |
| US20030077829A1 (en) | 2001-04-30 | 2003-04-24 | Protiva Biotherapeutics Inc.. | Lipid-based formulations |
| US20030082768A1 (en) | 1998-04-17 | 2003-05-01 | Whitehead Institute For Biomedical Research | Use of a ribozyme to join nucleic acids and peptides |
| US6693086B1 (en) | 1998-06-25 | 2004-02-17 | National Jewish Medical And Research Center | Systemic immune activation method using nucleic acid-lipid complexes |
| US20050059005A1 (en) | 2001-09-28 | 2005-03-17 | Thomas Tuschl | Microrna molecules |
| US20050175682A1 (en) | 2003-09-15 | 2005-08-11 | Protiva Biotherapeutics, Inc. | Polyethyleneglycol-modified lipid compounds and uses thereof |
| US20050261218A1 (en) | 2003-07-31 | 2005-11-24 | Christine Esau | Oligomeric compounds and compositions for use in modulation small non-coding RNAs |
| US20060008378A1 (en) | 2004-04-30 | 2006-01-12 | Kunihiro Imai | Sterilization method |
| US7115583B2 (en) | 1996-06-28 | 2006-10-03 | Avi Biopharma, Inc. | Microbubble compositions and methods for oligonucleotide delivery |
| US20080020058A1 (en) | 2005-02-14 | 2008-01-24 | Sirna Therapeutics, Inc. | Lipid nanoparticle based compositions and methods for the delivery of biologically active molecules |
| US20080042973A1 (en) | 2006-07-10 | 2008-02-21 | Memsic, Inc. | System for sensing yaw rate using a magnetic field sensor and portable electronic devices using the same |
| WO2009127060A1 (en) | 2008-04-15 | 2009-10-22 | Protiva Biotherapeutics, Inc. | Novel lipid formulations for nucleic acid delivery |
| WO2009132131A1 (en) | 2008-04-22 | 2009-10-29 | Alnylam Pharmaceuticals, Inc. | Amino lipid based improved lipid formulation |
| US20100062967A1 (en) | 2004-12-27 | 2010-03-11 | Silence Therapeutics Ag | Coated lipid complexes and their use |
| WO2010053572A2 (en) | 2008-11-07 | 2010-05-14 | Massachusetts Institute Of Technology | Aminoalcohol lipidoids and uses thereof |
| US20100137407A1 (en) | 2007-05-09 | 2010-06-03 | Riken | Single-chain circular rna and method of producing the same |
| WO2010084371A1 (en) | 2009-01-26 | 2010-07-29 | Mitoprod | Novel circular interfering rna molecules |
| US20110076335A1 (en) | 2009-07-01 | 2011-03-31 | Protiva Biotherapeutics, Inc. | Novel lipid formulations for delivery of therapeutic agents to solid tumors |
| US20110117125A1 (en) | 2008-01-02 | 2011-05-19 | Tekmira Pharmaceuticals Corporation | Compositions and methods for the delivery of nucleic acids |
| WO2011097480A1 (en) | 2010-02-05 | 2011-08-11 | University Of Louisville Research Foundation, Inc. | Exosomal compositions and methods for the treatment of disease |
| US20110256175A1 (en) | 2008-10-09 | 2011-10-20 | The University Of British Columbia | Amino lipids and methods for the delivery of nucleic acids |
| US20120027803A1 (en) | 2010-06-03 | 2012-02-02 | Alnylam Pharmaceuticals, Inc. | Biodegradable lipids for the delivery of active agents |
| US20120027796A1 (en) | 2008-11-10 | 2012-02-02 | Alnylam Pharmaceuticals, Inc. | Novel lipids and compositions for the delivery of therapeutics |
| WO2012031043A1 (en) | 2010-08-31 | 2012-03-08 | Novartis Ag | Pegylated liposomes for delivery of immunogen-encoding rna |
| US20120058144A1 (en) | 2008-11-10 | 2012-03-08 | Alnylam Pharmaceuticals, Inc. | Lipids and compositions for the delivery of therapeutics |
| US8158601B2 (en) | 2009-06-10 | 2012-04-17 | Alnylam Pharmaceuticals, Inc. | Lipid formulation |
| US8168775B2 (en) | 2008-10-20 | 2012-05-01 | Alnylam Pharmaceuticals, Inc. | Compositions and methods for inhibiting expression of transthyretin |
| US20120149894A1 (en) | 2009-08-20 | 2012-06-14 | Mark Cameron | Novel cationic lipids with various head groups for oligonucleotide delivery |
| US20120202871A1 (en) | 2009-07-01 | 2012-08-09 | Protiva Biotherapeutics, Inc. | Cationic lipids and methods for the delivery of therapeutic agents |
| WO2013006825A1 (en) | 2011-07-06 | 2013-01-10 | Novartis Ag | Liposomes having useful n:p ratio for delivery of rna molecules |
| US20130022649A1 (en) | 2009-12-01 | 2013-01-24 | Protiva Biotherapeutics, Inc. | Snalp formulations containing antioxidants |
| WO2013016058A1 (en) | 2011-07-22 | 2013-01-31 | Merck Sharp & Dohme Corp. | Novel bis-nitrogen containing cationic lipids for oligonucleotide delivery |
| US20130053572A1 (en) | 2010-01-22 | 2013-02-28 | Steven L. Colletti | Novel Cationic Lipids for Oligonucleotide Delivery |
| US20130090372A1 (en) | 2010-06-04 | 2013-04-11 | Brian W. Budzik | Novel Low Molecular Weight Cationic Lipids for Oligonucleotide Delivery |
| US20130116307A1 (en) | 2010-05-12 | 2013-05-09 | Protiva Biotherapeutics Inc. | Novel cyclic cationic lipids and methods of use |
| US20130123338A1 (en) | 2010-05-12 | 2013-05-16 | Protiva Biotherapeutics, Inc. | Novel cationic lipids and methods of use thereof |
| WO2013070324A1 (en) | 2011-11-07 | 2013-05-16 | University Of Louisville Research Foundation, Inc. | Edible plant-derived microvesicle compositions for diagnosis and treatment of disease |
| US20130129726A1 (en) | 2006-02-20 | 2013-05-23 | Kyunglim Lee | Peptide having cell membrane penetrating activity |
| US20130137644A1 (en) | 2005-12-16 | 2013-05-30 | Cellectis | Cell penetrating peptide conjugates for delivering of nucleic acids into a cell |
| US20130164219A1 (en) | 2010-06-14 | 2013-06-27 | Hoffmann-La Roche Inc. | Cell-penetrating peptides and uses thereof |
| US20130178541A1 (en) | 2010-09-20 | 2013-07-11 | Matthew G. Stanton | Novel low molecular weight cationic lipids for oligonucleotide delivery |
| US20130189351A1 (en) | 2010-08-31 | 2013-07-25 | Novartis Ag | Lipids suitable for liposomal delivery of protein coding rna |
| US20130195920A1 (en) | 2011-12-07 | 2013-08-01 | Alnylam Pharmaceuticals, Inc. | Biodegradable lipids for the delivery of active agents |
| WO2013116126A1 (en) | 2012-02-01 | 2013-08-08 | Merck Sharp & Dohme Corp. | Novel low molecular weight, biodegradable cationic lipids for oligonucleotide delivery |
| US20130274523A1 (en) | 2010-09-30 | 2013-10-17 | John A. Bawiec, III | Low molecular weight cationic lipids for oligonucleotide delivery |
| US20130274504A1 (en) | 2010-10-21 | 2013-10-17 | Steven L. Colletti | Novel Low Molecular Weight Cationic Lipids For Oligonucleotide Delivery |
| US20130303587A1 (en) | 2010-06-30 | 2013-11-14 | Protiva Biotherapeutics, Inc. | Non-liposomal systems for nucleic acid delivery |
| US20130323269A1 (en) | 2010-07-30 | 2013-12-05 | Muthiah Manoharan | Methods and compositions for delivery of active agents |
| US20140039032A1 (en) | 2011-12-12 | 2014-02-06 | Kyowa Hakko Kirin Co., Ltd. | Lipid nano particles comprising cationic lipid for drug delivery system |
| US20140200257A1 (en) | 2011-01-11 | 2014-07-17 | Alnylam Pharmaceuticals, Inc. | Pegylated lipids and their use for drug delivery |
| WO2014136086A1 (en) | 2013-03-08 | 2014-09-12 | Novartis Ag | Lipids and lipid compositions for the delivery of active agents |
| US20140308304A1 (en) | 2011-12-07 | 2014-10-16 | Alnylam Pharmaceuticals, Inc. | Lipids for the delivery of active agents |
| US20150005363A1 (en) | 2011-12-07 | 2015-01-01 | Alnylam Pharmaceuticals, Inc. | Branched Alkyl And Cycloalkyl Terminated Biodegradable Lipids For The Delivery Of Active Agents |
| US20150057373A1 (en) | 2012-03-27 | 2015-02-26 | Sirna Therapeutics, Inc | DIETHER BASED BIODEGRADABLE CATIONIC LIPIDS FOR siRNA DELIVERY |
| US20150064242A1 (en) | 2012-02-24 | 2015-03-05 | Protiva Biotherapeutics, Inc. | Trialkyl cationic lipids and methods of use thereof |
| WO2015073587A2 (en) | 2013-11-18 | 2015-05-21 | Rubius Therapeutics, Inc. | Synthetic membrane-receiver complexes |
| US20150141678A1 (en) | 2013-11-18 | 2015-05-21 | Arcturus Therapeutics, Inc. | Ionizable cationic lipid for rna delivery |
| US20150140070A1 (en) | 2013-10-22 | 2015-05-21 | Shire Human Genetic Therapies, Inc. | Lipid formulations for delivery of messenger rna |
| WO2015095340A1 (en) | 2013-12-19 | 2015-06-25 | Novartis Ag | Lipids and lipid compositions for the delivery of active agents |
| US20150203446A1 (en) | 2011-09-27 | 2015-07-23 | Takeda Pharmaceutical Company Limited | Di-aliphatic substituted pegylated lipids |
| US20150239926A1 (en) | 2013-11-18 | 2015-08-27 | Arcturus Therapeutics, Inc. | Asymmetric ionizable cationic lipid for rna delivery |
| WO2015153102A1 (en) | 2014-04-01 | 2015-10-08 | Rubius Therapeutics, Inc. | Methods and compositions for immunomodulation |
| US20150376115A1 (en) | 2014-06-25 | 2015-12-31 | Acuitas Therapeutics Inc. | Novel lipids and lipid nanoparticle formulations for delivery of nucleic acids |
| WO2016036735A1 (en) | 2014-09-05 | 2016-03-10 | The Johns Hopkins University | Liposome-based mucus-penetrating particles for mucosal delivery |
| US20160151284A1 (en) | 2013-07-23 | 2016-06-02 | Protiva Biotherapeutics, Inc. | Compositions and methods for delivering messenger rna |
| US20160317458A1 (en) | 2013-12-19 | 2016-11-03 | Luis Brito | Lipids and Lipid Compositions for the Delivery of Active Agents |
| WO2016183482A1 (en) | 2015-05-13 | 2016-11-17 | Rubius Therapeutics, Inc. | Membrane-receiver complex therapeutics |
| US20160376224A1 (en) | 2015-06-29 | 2016-12-29 | Acuitas Therapeutics, Inc. | Lipids and lipid nanoparticle formulations for delivery of nucleic acids |
| WO2017004526A1 (en) | 2015-07-02 | 2017-01-05 | University Of Louisville Research Foundation, Inc. | EDIBLE PLANT-DERIVED MICROVESICLE COMPOSITIONS FOR DELIVERY OF miRNA AND METHODS FOR TREATMENT OF CANCER |
| US20170119904A1 (en) | 2015-10-28 | 2017-05-04 | Acuitas Therapeutics, Inc. | Novel lipids and lipid nanoparticle formulations for delivery of nucleic acids |
| WO2017099823A1 (en) | 2015-12-10 | 2017-06-15 | Modernatx, Inc. | Compositions and methods for delivery of therapeutic agents |
| WO2017117528A1 (en) | 2015-12-30 | 2017-07-06 | Acuitas Therapeutics, Inc. | Lipids and lipid nanoparticle formulations for delivery of nucleic acids |
| US9708628B2 (en) | 2011-11-18 | 2017-07-18 | Nof Corporation | Cationic lipid having improved intracellular kinetics |
| WO2017123644A1 (en) | 2016-01-11 | 2017-07-20 | Rubius Therapeutics, Inc. | Compositions and methods related to multimodal therapeutic cell systems for immune indications |
| US20170210967A1 (en) | 2010-12-06 | 2017-07-27 | Schlumberger Technology Corporation | Compositions and methods for well completions |
| WO2017173054A1 (en) | 2016-03-30 | 2017-10-05 | Intellia Therapeutics, Inc. | Lipid nanoparticle formulations for crispr/cas components |
| WO2018009838A1 (en) | 2016-07-07 | 2018-01-11 | Rubius Therapeutics, Inc. | Compositions and methods related to therapeutic cell systems expressing exogenous rna |
| US9867888B2 (en) | 2015-09-17 | 2018-01-16 | Modernatx, Inc. | Compounds and compositions for intracellular delivery of therapeutic agents |
| WO2018081480A1 (en) | 2016-10-26 | 2018-05-03 | Acuitas Therapeutics, Inc. | Lipid nanoparticle formulations |
| WO2018102740A1 (en) | 2016-12-02 | 2018-06-07 | Rubius Therapeutics, Inc. | Compositions and methods related to cell systems for penetrating solid tumors |
| WO2018112282A1 (en) | 2016-12-14 | 2018-06-21 | Ligandal, Inc. | Compositions and methods for nucleic acid and/or protein payload delivery |
| WO2018151829A1 (en) | 2017-02-17 | 2018-08-23 | Rubius Therapeutics, Inc. | Functionalized erythroid cells |
| US10086013B2 (en) | 2011-10-27 | 2018-10-02 | Massachusetts Institute Of Technology | Amino acid-, peptide- and polypeptide-lipids, isomers, compositions, and uses thereof |
| WO2018208728A1 (en) | 2017-05-08 | 2018-11-15 | Flagship Pioneering, Inc. | Compositions for facilitating membrane fusion and uses thereof |
| WO2019051289A1 (en) | 2017-09-08 | 2019-03-14 | Generation Bio Co. | Lipid nanoparticle formulations of non-viral, capsid-free dna vectors |
| WO2019067992A1 (en) | 2017-09-29 | 2019-04-04 | Intellia Therapeutics, Inc. | Formulations |
| WO2019067910A1 (en) | 2017-09-29 | 2019-04-04 | Intellia Therapeutics, Inc. | Polynucleotides, compositions, and methods for genome editing |
| WO2019118919A1 (en) | 2017-12-15 | 2019-06-20 | Flagship Pioneering, Inc. | Compositions comprising circular polyribonucleotides and uses thereof |
| US20190184006A1 (en) * | 2017-12-19 | 2019-06-20 | President And Fellows Of Harvard College | ENHANCED IMMUNOGENICITY OF mRNA WITH CO-ENCODED ADJUVANT SEQUENCES |
| US20190240349A1 (en) | 2015-06-19 | 2019-08-08 | Massachusetts Institute Of Technology | Alkenyl substituted 2,5-piperazinediones, compositions, and uses thereof |
| WO2019217941A1 (en) | 2018-05-11 | 2019-11-14 | Beam Therapeutics Inc. | Methods of suppressing pathogenic mutations using programmable base editor systems |
| WO2020041784A1 (en) | 2018-08-24 | 2020-02-27 | Flagship Pioneering Innovations Vi, Llc. | Methods for manufacturing plant messenger packs |
| WO2020061457A1 (en) | 2018-09-20 | 2020-03-26 | Modernatx, Inc. | Preparation of lipid nanoparticles and methods of administration thereof |
| WO2020081938A1 (en) | 2018-10-18 | 2020-04-23 | Acuitas Therapeutics, Inc. | Lipids for lipid nanoparticle delivery of active agents |
| WO2020106946A1 (en) | 2018-11-21 | 2020-05-28 | Translate Bio, Inc. | TREATMENT OF CYSTIC FIBROSIS BY DELIVERY OF NEBULIZED mRNA ENCODING CFTR |
| WO2020219876A1 (en) | 2019-04-25 | 2020-10-29 | Intellia Therapeutics, Inc. | Ionizable amine lipids and lipid nanoparticles |
| WO2021113777A2 (en) | 2019-12-04 | 2021-06-10 | Orna Therapeutics, Inc. | Circular rna compositions and methods |
Family Cites Families (1)
| Publication number | Priority date | Publication date | Assignee | Title |
|---|---|---|---|---|
| WO2010037408A1 (en) * | 2008-09-30 | 2010-04-08 | Curevac Gmbh | Composition comprising a complexed (m)rna and a naked mrna for providing or enhancing an immunostimulatory response in a mammal and uses thereof |
-
2021
- 2021-09-03 TW TW110132913A patent/TW202218669A/en unknown
- 2021-09-03 AU AU2021336976A patent/AU2021336976A1/en active Pending
- 2021-09-03 WO PCT/US2021/049077 patent/WO2022051629A1/en not_active Ceased
- 2021-09-03 MX MX2023002439A patent/MX2023002439A/en unknown
- 2021-09-03 CA CA3193746A patent/CA3193746A1/en active Pending
- 2021-09-03 IL IL300947A patent/IL300947A/en unknown
- 2021-09-03 CN CN202180065297.8A patent/CN116157148A/en active Pending
- 2021-09-03 JP JP2023514721A patent/JP2023542492A/en active Pending
- 2021-09-03 EP EP21778670.6A patent/EP4208196A1/en active Pending
Patent Citations (113)
| Publication number | Priority date | Publication date | Assignee | Title |
|---|---|---|---|---|
| US99823A (en) | 1870-02-15 | Improved indigo soap | ||
| WO1992001813A1 (en) | 1990-07-25 | 1992-02-06 | Syngene, Inc. | Circular extension for generating multiple nucleic acid complements |
| US5426180A (en) | 1991-03-27 | 1995-06-20 | Research Corporation Technologies, Inc. | Methods of making single-stranded circular oligonucleotides |
| US5712128A (en) | 1992-01-13 | 1998-01-27 | Duke University | Enzymatic RNA molecules |
| US5773244A (en) | 1993-05-19 | 1998-06-30 | Regents Of The University Of California | Methods of making circular RNA |
| US5885613A (en) | 1994-09-30 | 1999-03-23 | The University Of British Columbia | Bilayer stabilizing components and their use in forming programmable fusogenic liposomes |
| US5766903A (en) | 1995-08-23 | 1998-06-16 | University Technology Corporation | Circular RNA and uses thereof |
| US7115583B2 (en) | 1996-06-28 | 2006-10-03 | Avi Biopharma, Inc. | Microbubble compositions and methods for oligonucleotide delivery |
| US6287591B1 (en) | 1997-05-14 | 2001-09-11 | Inex Pharmaceuticals Corp. | Charged therapeutic agents encapsulated in lipid particles containing four lipid components |
| US20030082768A1 (en) | 1998-04-17 | 2003-05-01 | Whitehead Institute For Biomedical Research | Use of a ribozyme to join nucleic acids and peptides |
| US6693086B1 (en) | 1998-06-25 | 2004-02-17 | National Jewish Medical And Research Center | Systemic immune activation method using nucleic acid-lipid complexes |
| US6210931B1 (en) | 1998-11-30 | 2001-04-03 | The United States Of America As Represented By The Secretary Of Agriculture | Ribozyme-mediated synthesis of circular RNA |
| US20030077829A1 (en) | 2001-04-30 | 2003-04-24 | Protiva Biotherapeutics Inc.. | Lipid-based formulations |
| US20050059005A1 (en) | 2001-09-28 | 2005-03-17 | Thomas Tuschl | Microrna molecules |
| US20050261218A1 (en) | 2003-07-31 | 2005-11-24 | Christine Esau | Oligomeric compounds and compositions for use in modulation small non-coding RNAs |
| US20050175682A1 (en) | 2003-09-15 | 2005-08-11 | Protiva Biotherapeutics, Inc. | Polyethyleneglycol-modified lipid compounds and uses thereof |
| US20060008378A1 (en) | 2004-04-30 | 2006-01-12 | Kunihiro Imai | Sterilization method |
| US20100062967A1 (en) | 2004-12-27 | 2010-03-11 | Silence Therapeutics Ag | Coated lipid complexes and their use |
| US20080020058A1 (en) | 2005-02-14 | 2008-01-24 | Sirna Therapeutics, Inc. | Lipid nanoparticle based compositions and methods for the delivery of biologically active molecules |
| US20130137644A1 (en) | 2005-12-16 | 2013-05-30 | Cellectis | Cell penetrating peptide conjugates for delivering of nucleic acids into a cell |
| US20130129726A1 (en) | 2006-02-20 | 2013-05-23 | Kyunglim Lee | Peptide having cell membrane penetrating activity |
| US20080042973A1 (en) | 2006-07-10 | 2008-02-21 | Memsic, Inc. | System for sensing yaw rate using a magnetic field sensor and portable electronic devices using the same |
| US20100137407A1 (en) | 2007-05-09 | 2010-06-03 | Riken | Single-chain circular rna and method of producing the same |
| US20110117125A1 (en) | 2008-01-02 | 2011-05-19 | Tekmira Pharmaceuticals Corporation | Compositions and methods for the delivery of nucleic acids |
| US20100130588A1 (en) | 2008-04-15 | 2010-05-27 | Protiva Biotherapeutics, Inc. | Novel lipid formulations for nucleic acid delivery |
| WO2009127060A1 (en) | 2008-04-15 | 2009-10-22 | Protiva Biotherapeutics, Inc. | Novel lipid formulations for nucleic acid delivery |
| WO2009132131A1 (en) | 2008-04-22 | 2009-10-29 | Alnylam Pharmaceuticals, Inc. | Amino lipid based improved lipid formulation |
| US20110256175A1 (en) | 2008-10-09 | 2011-10-20 | The University Of British Columbia | Amino lipids and methods for the delivery of nucleic acids |
| US8168775B2 (en) | 2008-10-20 | 2012-05-01 | Alnylam Pharmaceuticals, Inc. | Compositions and methods for inhibiting expression of transthyretin |
| WO2010053572A2 (en) | 2008-11-07 | 2010-05-14 | Massachusetts Institute Of Technology | Aminoalcohol lipidoids and uses thereof |
| US20120027796A1 (en) | 2008-11-10 | 2012-02-02 | Alnylam Pharmaceuticals, Inc. | Novel lipids and compositions for the delivery of therapeutics |
| US20120058144A1 (en) | 2008-11-10 | 2012-03-08 | Alnylam Pharmaceuticals, Inc. | Lipids and compositions for the delivery of therapeutics |
| WO2010084371A1 (en) | 2009-01-26 | 2010-07-29 | Mitoprod | Novel circular interfering rna molecules |
| US8158601B2 (en) | 2009-06-10 | 2012-04-17 | Alnylam Pharmaceuticals, Inc. | Lipid formulation |
| US20120202871A1 (en) | 2009-07-01 | 2012-08-09 | Protiva Biotherapeutics, Inc. | Cationic lipids and methods for the delivery of therapeutic agents |
| US20110076335A1 (en) | 2009-07-01 | 2011-03-31 | Protiva Biotherapeutics, Inc. | Novel lipid formulations for delivery of therapeutic agents to solid tumors |
| US20120149894A1 (en) | 2009-08-20 | 2012-06-14 | Mark Cameron | Novel cationic lipids with various head groups for oligonucleotide delivery |
| US20130022649A1 (en) | 2009-12-01 | 2013-01-24 | Protiva Biotherapeutics, Inc. | Snalp formulations containing antioxidants |
| US20130053572A1 (en) | 2010-01-22 | 2013-02-28 | Steven L. Colletti | Novel Cationic Lipids for Oligonucleotide Delivery |
| WO2011097480A1 (en) | 2010-02-05 | 2011-08-11 | University Of Louisville Research Foundation, Inc. | Exosomal compositions and methods for the treatment of disease |
| US20130116307A1 (en) | 2010-05-12 | 2013-05-09 | Protiva Biotherapeutics Inc. | Novel cyclic cationic lipids and methods of use |
| US20130123338A1 (en) | 2010-05-12 | 2013-05-16 | Protiva Biotherapeutics, Inc. | Novel cationic lipids and methods of use thereof |
| US20120027803A1 (en) | 2010-06-03 | 2012-02-02 | Alnylam Pharmaceuticals, Inc. | Biodegradable lipids for the delivery of active agents |
| US20130090372A1 (en) | 2010-06-04 | 2013-04-11 | Brian W. Budzik | Novel Low Molecular Weight Cationic Lipids for Oligonucleotide Delivery |
| US20130164219A1 (en) | 2010-06-14 | 2013-06-27 | Hoffmann-La Roche Inc. | Cell-penetrating peptides and uses thereof |
| US20130303587A1 (en) | 2010-06-30 | 2013-11-14 | Protiva Biotherapeutics, Inc. | Non-liposomal systems for nucleic acid delivery |
| US20130323269A1 (en) | 2010-07-30 | 2013-12-05 | Muthiah Manoharan | Methods and compositions for delivery of active agents |
| WO2012031043A1 (en) | 2010-08-31 | 2012-03-08 | Novartis Ag | Pegylated liposomes for delivery of immunogen-encoding rna |
| US20130189351A1 (en) | 2010-08-31 | 2013-07-25 | Novartis Ag | Lipids suitable for liposomal delivery of protein coding rna |
| US20130178541A1 (en) | 2010-09-20 | 2013-07-11 | Matthew G. Stanton | Novel low molecular weight cationic lipids for oligonucleotide delivery |
| US20130274523A1 (en) | 2010-09-30 | 2013-10-17 | John A. Bawiec, III | Low molecular weight cationic lipids for oligonucleotide delivery |
| US20130274504A1 (en) | 2010-10-21 | 2013-10-17 | Steven L. Colletti | Novel Low Molecular Weight Cationic Lipids For Oligonucleotide Delivery |
| US20170210967A1 (en) | 2010-12-06 | 2017-07-27 | Schlumberger Technology Corporation | Compositions and methods for well completions |
| US20140200257A1 (en) | 2011-01-11 | 2014-07-17 | Alnylam Pharmaceuticals, Inc. | Pegylated lipids and their use for drug delivery |
| WO2013006825A1 (en) | 2011-07-06 | 2013-01-10 | Novartis Ag | Liposomes having useful n:p ratio for delivery of rna molecules |
| WO2013016058A1 (en) | 2011-07-22 | 2013-01-31 | Merck Sharp & Dohme Corp. | Novel bis-nitrogen containing cationic lipids for oligonucleotide delivery |
| US20150203446A1 (en) | 2011-09-27 | 2015-07-23 | Takeda Pharmaceutical Company Limited | Di-aliphatic substituted pegylated lipids |
| US10086013B2 (en) | 2011-10-27 | 2018-10-02 | Massachusetts Institute Of Technology | Amino acid-, peptide- and polypeptide-lipids, isomers, compositions, and uses thereof |
| WO2013070324A1 (en) | 2011-11-07 | 2013-05-16 | University Of Louisville Research Foundation, Inc. | Edible plant-derived microvesicle compositions for diagnosis and treatment of disease |
| US9708628B2 (en) | 2011-11-18 | 2017-07-18 | Nof Corporation | Cationic lipid having improved intracellular kinetics |
| US20140308304A1 (en) | 2011-12-07 | 2014-10-16 | Alnylam Pharmaceuticals, Inc. | Lipids for the delivery of active agents |
| US20150005363A1 (en) | 2011-12-07 | 2015-01-01 | Alnylam Pharmaceuticals, Inc. | Branched Alkyl And Cycloalkyl Terminated Biodegradable Lipids For The Delivery Of Active Agents |
| US20130195920A1 (en) | 2011-12-07 | 2013-08-01 | Alnylam Pharmaceuticals, Inc. | Biodegradable lipids for the delivery of active agents |
| US20140039032A1 (en) | 2011-12-12 | 2014-02-06 | Kyowa Hakko Kirin Co., Ltd. | Lipid nano particles comprising cationic lipid for drug delivery system |
| WO2013116126A1 (en) | 2012-02-01 | 2013-08-08 | Merck Sharp & Dohme Corp. | Novel low molecular weight, biodegradable cationic lipids for oligonucleotide delivery |
| US20150064242A1 (en) | 2012-02-24 | 2015-03-05 | Protiva Biotherapeutics, Inc. | Trialkyl cationic lipids and methods of use thereof |
| US20150057373A1 (en) | 2012-03-27 | 2015-02-26 | Sirna Therapeutics, Inc | DIETHER BASED BIODEGRADABLE CATIONIC LIPIDS FOR siRNA DELIVERY |
| WO2014136086A1 (en) | 2013-03-08 | 2014-09-12 | Novartis Ag | Lipids and lipid compositions for the delivery of active agents |
| US20160151284A1 (en) | 2013-07-23 | 2016-06-02 | Protiva Biotherapeutics, Inc. | Compositions and methods for delivering messenger rna |
| US20150140070A1 (en) | 2013-10-22 | 2015-05-21 | Shire Human Genetic Therapies, Inc. | Lipid formulations for delivery of messenger rna |
| US20150141678A1 (en) | 2013-11-18 | 2015-05-21 | Arcturus Therapeutics, Inc. | Ionizable cationic lipid for rna delivery |
| US20150239926A1 (en) | 2013-11-18 | 2015-08-27 | Arcturus Therapeutics, Inc. | Asymmetric ionizable cationic lipid for rna delivery |
| WO2015073587A2 (en) | 2013-11-18 | 2015-05-21 | Rubius Therapeutics, Inc. | Synthetic membrane-receiver complexes |
| US9644180B2 (en) | 2013-11-18 | 2017-05-09 | Rubius Therapeutics, Inc. | Synthetic membrane-receiver complexes |
| US20160311759A1 (en) | 2013-12-19 | 2016-10-27 | Luis Brito | Lipids and Lipid Compositions for the Delivery of Active Agents |
| US20160317458A1 (en) | 2013-12-19 | 2016-11-03 | Luis Brito | Lipids and Lipid Compositions for the Delivery of Active Agents |
| WO2015095340A1 (en) | 2013-12-19 | 2015-06-25 | Novartis Ag | Lipids and lipid compositions for the delivery of active agents |
| WO2015153102A1 (en) | 2014-04-01 | 2015-10-08 | Rubius Therapeutics, Inc. | Methods and compositions for immunomodulation |
| US20150376115A1 (en) | 2014-06-25 | 2015-12-31 | Acuitas Therapeutics Inc. | Novel lipids and lipid nanoparticle formulations for delivery of nucleic acids |
| WO2016036735A1 (en) | 2014-09-05 | 2016-03-10 | The Johns Hopkins University | Liposome-based mucus-penetrating particles for mucosal delivery |
| WO2016183482A1 (en) | 2015-05-13 | 2016-11-17 | Rubius Therapeutics, Inc. | Membrane-receiver complex therapeutics |
| US20190240349A1 (en) | 2015-06-19 | 2019-08-08 | Massachusetts Institute Of Technology | Alkenyl substituted 2,5-piperazinediones, compositions, and uses thereof |
| US20160376224A1 (en) | 2015-06-29 | 2016-12-29 | Acuitas Therapeutics, Inc. | Lipids and lipid nanoparticle formulations for delivery of nucleic acids |
| US10221127B2 (en) | 2015-06-29 | 2019-03-05 | Acuitas Therapeutics, Inc. | Lipids and lipid nanoparticle formulations for delivery of nucleic acids |
| WO2017004526A1 (en) | 2015-07-02 | 2017-01-05 | University Of Louisville Research Foundation, Inc. | EDIBLE PLANT-DERIVED MICROVESICLE COMPOSITIONS FOR DELIVERY OF miRNA AND METHODS FOR TREATMENT OF CANCER |
| US9867888B2 (en) | 2015-09-17 | 2018-01-16 | Modernatx, Inc. | Compounds and compositions for intracellular delivery of therapeutic agents |
| US20170119904A1 (en) | 2015-10-28 | 2017-05-04 | Acuitas Therapeutics, Inc. | Novel lipids and lipid nanoparticle formulations for delivery of nucleic acids |
| WO2017099823A1 (en) | 2015-12-10 | 2017-06-15 | Modernatx, Inc. | Compositions and methods for delivery of therapeutic agents |
| US20180028664A1 (en) | 2015-12-10 | 2018-02-01 | Modernatx, Inc. | Compositions and methods for delivery of agents |
| WO2017117528A1 (en) | 2015-12-30 | 2017-07-06 | Acuitas Therapeutics, Inc. | Lipids and lipid nanoparticle formulations for delivery of nucleic acids |
| WO2017123646A1 (en) | 2016-01-11 | 2017-07-20 | Rubius Therapeutics, Inc. | Compositions and methods related to multimodal therapeutic cell systems for cancer indications |
| WO2017123644A1 (en) | 2016-01-11 | 2017-07-20 | Rubius Therapeutics, Inc. | Compositions and methods related to multimodal therapeutic cell systems for immune indications |
| WO2017173054A1 (en) | 2016-03-30 | 2017-10-05 | Intellia Therapeutics, Inc. | Lipid nanoparticle formulations for crispr/cas components |
| US20190136231A1 (en) | 2016-03-30 | 2019-05-09 | Intellia Therapeutics, Inc. | Lipid nanoparticle formulations for crispr/cas components |
| WO2018009838A1 (en) | 2016-07-07 | 2018-01-11 | Rubius Therapeutics, Inc. | Compositions and methods related to therapeutic cell systems expressing exogenous rna |
| WO2018081480A1 (en) | 2016-10-26 | 2018-05-03 | Acuitas Therapeutics, Inc. | Lipid nanoparticle formulations |
| WO2018102740A1 (en) | 2016-12-02 | 2018-06-07 | Rubius Therapeutics, Inc. | Compositions and methods related to cell systems for penetrating solid tumors |
| WO2018112282A1 (en) | 2016-12-14 | 2018-06-21 | Ligandal, Inc. | Compositions and methods for nucleic acid and/or protein payload delivery |
| WO2018151829A1 (en) | 2017-02-17 | 2018-08-23 | Rubius Therapeutics, Inc. | Functionalized erythroid cells |
| WO2018208728A1 (en) | 2017-05-08 | 2018-11-15 | Flagship Pioneering, Inc. | Compositions for facilitating membrane fusion and uses thereof |
| WO2019051289A1 (en) | 2017-09-08 | 2019-03-14 | Generation Bio Co. | Lipid nanoparticle formulations of non-viral, capsid-free dna vectors |
| WO2019051289A9 (en) | 2017-09-08 | 2019-05-23 | Generation Bio Co. | Lipid nanoparticle formulations of non-viral, capsid-free dna vectors |
| WO2019067992A1 (en) | 2017-09-29 | 2019-04-04 | Intellia Therapeutics, Inc. | Formulations |
| WO2019067910A1 (en) | 2017-09-29 | 2019-04-04 | Intellia Therapeutics, Inc. | Polynucleotides, compositions, and methods for genome editing |
| WO2019118919A1 (en) | 2017-12-15 | 2019-06-20 | Flagship Pioneering, Inc. | Compositions comprising circular polyribonucleotides and uses thereof |
| US20190184006A1 (en) * | 2017-12-19 | 2019-06-20 | President And Fellows Of Harvard College | ENHANCED IMMUNOGENICITY OF mRNA WITH CO-ENCODED ADJUVANT SEQUENCES |
| WO2019217941A1 (en) | 2018-05-11 | 2019-11-14 | Beam Therapeutics Inc. | Methods of suppressing pathogenic mutations using programmable base editor systems |
| WO2020041784A1 (en) | 2018-08-24 | 2020-02-27 | Flagship Pioneering Innovations Vi, Llc. | Methods for manufacturing plant messenger packs |
| WO2020061457A1 (en) | 2018-09-20 | 2020-03-26 | Modernatx, Inc. | Preparation of lipid nanoparticles and methods of administration thereof |
| WO2020081938A1 (en) | 2018-10-18 | 2020-04-23 | Acuitas Therapeutics, Inc. | Lipids for lipid nanoparticle delivery of active agents |
| WO2020106946A1 (en) | 2018-11-21 | 2020-05-28 | Translate Bio, Inc. | TREATMENT OF CYSTIC FIBROSIS BY DELIVERY OF NEBULIZED mRNA ENCODING CFTR |
| WO2020219876A1 (en) | 2019-04-25 | 2020-10-29 | Intellia Therapeutics, Inc. | Ionizable amine lipids and lipid nanoparticles |
| WO2021113777A2 (en) | 2019-12-04 | 2021-06-10 | Orna Therapeutics, Inc. | Circular rna compositions and methods |
Non-Patent Citations (37)
| Title |
|---|
| BARUAH V ET AL.: "Immunoinformatics-aided identification of T cell and B cell epitopes in the surface glycoprotein of 2019-nCoV", J. MED. VIROL., vol. 92, no. 5, 2020 |
| BECHARA ET AL.: "Cell-penetrating peptides: 20 years later, where do we stand?", FEBS LETTERS, vol. 587, no. 12, 2013, pages 1693 - 1702, XP028562950, DOI: 10.1016/j.febslet.2013.04.031 |
| BEEHARRY ET AL., VIROL, vol. 450-451, 2014, pages 165 - 173 |
| BEERI, R. ET AL., CIRCULATION, vol. 106, no. 14, 1 October 2002 (2002-10-01), pages 1756 - 1759 |
| BETZ KMALYSHEV DALAVERGNE TWELTE WDIEDERICHS KDWYER TJORDOUKHANIAN PROMESBERG FEMARX A, NAT. CHEM. BIOL., vol. 8, no. 7, July 2012 (2012-07-01), pages 612 - 4 |
| BEZ, M ET AL., NAT PROTOC, vol. 14, no. 4, April 2019 (2019-04-01), pages 1015 - 1026 |
| BRAZZOLI MICHELA ET AL: "ABSTRACT", vol. 90, no. 1, 1 January 2016 (2016-01-01), US, pages 332 - 344, XP055831335, ISSN: 0022-538X, Retrieved from the Internet <URL:https://journals.asm.org/doi/pdf/10.1128/JVI.01786-15> DOI: 10.1128/JVI.01786-15 * |
| CHEN X ET AL., MEDRXIV, 2020 |
| CHEN Y GRACE ET AL: "N6-Methyladenosine Modification Controls Circular RNA Immunity", MOLECULAR CELL, ELSEVIER, AMSTERDAM , NL, vol. 76, no. 1, 29 August 2019 (2019-08-29), pages 96, XP085849374, ISSN: 1097-2765, [retrieved on 20190829], DOI: 10.1016/J.MOLCEL.2019.07.016 * |
| DESHAYES ET AL., CELL. MOL. LIFE SCI., vol. 62, no. 16, 2005, pages 1839 - 49 |
| DILETTA MAGINI ET AL: "Self-Amplifying mRNA Vaccines Expressing Multiple Conserved Influenza Antigens Confer Protection against Homologous and Heterosubtypic Viral Challenge", PLOS ONE, vol. 11, no. 8, 1 January 2016 (2016-01-01), pages e0161193, XP055397457, DOI: 10.1371/journal.pone.0161193 * |
| EL-ANDALOUSSI ET AL., CURR. PHARM. DES, vol. 11, no. 28, 2003, pages 3597 - 611 |
| GORI ET AL.: "Delivery and Specificity of CRISPR/Cas9 Genome Editing Technologies for Human Gene Therapy", HUMAN GENE THERAPY, vol. 26, no. 7, July 2015 (2015-07-01), pages 443 - 451, XP055501239, DOI: 10.1089/hum.2015.074 |
| GRIFONI, A ET AL.: "A Sequence Homology and Bioinformatic Approach Can Predict Candidate Targets for Immune Responses to SARS-CoV-2", CELL HOST MICROBE, vol. 27, no. 4, 2020, pages 671 - 680, XP086125935, DOI: 10.1016/j.chom.2020.03.002 |
| GRIMSON ET AL., MOL CELL, 2007 |
| HA ET AL., ACTA PHARMACEUTICA SINICA B, vol. 6, July 2016 (2016-07-01), pages 287 - 296, Retrieved from the Internet <URL:https://doi.org/10.1016/j.apsb.2016.02.001> |
| HENIKOFFHENIKOFF, PNAS, vol. 89, 1992, pages 915 - 919 |
| HERNOT, S ET AL., ADV DRUG DELIV REV, vol. 60, no. 10, 30 June 2008 (2008-06-30), pages 1153 - 1166 |
| HOU ET AL.: "Lipid nanoparticles for mRNA delivery", NAT REV MATER, 2021 |
| HUANG ET AL., NATURE COMMUNICATIONS, vol. 8, 2017, pages 423 |
| JAYARAMAN ET AL., ANGEW CHEM INT ED ENGL, vol. 51, no. 34, 2012, pages 8529 - 8533 |
| KHUDYAKOVFIELDS: "Cell-Penetrating Peptides: Processes and Applications", 2002, CRC PRESS |
| KIMOTO ET AL., CHEM COMMUN (CAMB, vol. 53, 2017, pages 12309 |
| LEWISPAN: "RNA modifications and structures cooperate to guide RNA-protein interactions", NAT REVIEWS MOL CELL BIOL, vol. 18, 2017, pages 202 - 210, XP055451248 |
| LI ET AL., NANOMATERIALS, vol. 7, 2017, pages 122 |
| MULLERAPPEL, RNA BIOL, vol. 14, no. 8, 2017, pages 1018 - 1027 |
| PETKOVICMULLER, NUCLEIC ACIDS RES, vol. 43, no. 4, 2015, pages 2454 - 2465 |
| ROZENSKI, JCRAIN, PMCCLOSKEY, J: "The RNA Modification Database: 1999 update", NUCL ACIDS RES, vol. 27, 1999, pages 196 - 197 |
| RUSSI RC ET AL.: "In silico prediction of epitopes recognized by T cells and B cells in PmpD: First step towards to the design of a Chlamydia trachomatis vaccine", BIOMEDICAL J., vol. 41, no. 2, 2018, pages 109 - 117 |
| RYCHAK, J.J. ET AL., ADV DRUG DELIV REV, vol. 72, June 2014 (2014-06-01), pages 82 - 93 |
| SANCHEZ-TRINCADO JL ET AL.: "Fundamentals and methods for T-and B-cell epitope prediction", J. IMMUNOL. RES., 2017, pages 2680160 |
| SHI ET AL., PROC NATL ACAD SCI USA., vol. 111, no. 28, 2014, pages 10131 - 10136 |
| SPUCHNAVARRO, JOURNAL OF DRUG DELIVERY, vol. 2011, 2011, pages 12 |
| TEMPLETON ET AL., NATURE BIOTECH, vol. 15, 1997, pages 647 - 652 |
| WONG ET AL., J. MED. VIROL., vol. 83, 2011, pages 510 - 516 |
| YU, Z ET AL.: "RNA editing by ADAR1 marks dsRNA as ''self", CELL RES, vol. 25, 2015, pages 1283 - 1284 |
| ZURIS ET AL.: "Cationic lipid-mediated delivery of proteins enables efficient protein-based genome editing in vitro and in vivo", NAT BIOTECHNOL., vol. 33, no. 1, 30 October 2014 (2014-10-30), pages 73 - 80, XP055246826, DOI: 10.1038/nbt.3081 |
Cited By (3)
| Publication number | Priority date | Publication date | Assignee | Title |
|---|---|---|---|---|
| US12338474B2 (en) | 2021-09-17 | 2025-06-24 | Flagship Pioneering Innovations Vi, Llc | Compositions and methods for producing circular polyribonucleotides |
| WO2023182948A1 (en) * | 2022-03-21 | 2023-09-28 | Bio Adventure Co., Ltd. | Internal ribosome entry site (ires), plasmid vector and circular mrna for enhancing protein expression |
| WO2023235749A3 (en) * | 2022-06-01 | 2024-01-25 | Flag Bio, Inc. | Rna adjuvants, methods and uses thereof |
Also Published As
| Publication number | Publication date |
|---|---|
| AU2021336976A1 (en) | 2023-03-23 |
| EP4208196A1 (en) | 2023-07-12 |
| WO2022051629A9 (en) | 2022-05-12 |
| JP2023542492A (en) | 2023-10-10 |
| CA3193746A1 (en) | 2022-03-10 |
| IL300947A (en) | 2023-04-01 |
| TW202218669A (en) | 2022-05-16 |
| CN116157148A (en) | 2023-05-23 |
| MX2023002439A (en) | 2023-05-09 |
Similar Documents
| Publication | Publication Date | Title |
|---|---|---|
| US20230193311A1 (en) | Immunogenic compositions and uses thereof | |
| WO2022051629A1 (en) | Immunogenic compositions and uses thereof | |
| US20250368688A1 (en) | Varicella-zoster virus immunogen compositions and their uses | |
| US20250032604A1 (en) | Immunogenic compositions and their uses | |
| US20240009298A1 (en) | Immunogenic compositions and uses thereof | |
| CN116710074A (en) | Methods of making lipid nanoparticles and compositions derived therefrom | |
| US20250352638A1 (en) | Coronavirus immunogen compositions and their uses | |
| WO2026035727A1 (en) | Immunogenic compositions and uses thereof | |
| EP4680276A1 (en) | Immunogenic compositions and uses thereof |
Legal Events
| Date | Code | Title | Description |
|---|---|---|---|
| 121 | Ep: the epo has been informed by wipo that ep was designated in this application |
Ref document number: 21778670 Country of ref document: EP Kind code of ref document: A1 |
|
| WWE | Wipo information: entry into national phase |
Ref document number: 300947 Country of ref document: IL |
|
| ENP | Entry into the national phase |
Ref document number: 2023514721 Country of ref document: JP Kind code of ref document: A Ref document number: 3193746 Country of ref document: CA |
|
| WWE | Wipo information: entry into national phase |
Ref document number: 202317016711 Country of ref document: IN |
|
| REG | Reference to national code |
Ref country code: BR Ref legal event code: B01A Ref document number: 112023003958 Country of ref document: BR |
|
| ENP | Entry into the national phase |
Ref document number: 2021336976 Country of ref document: AU Date of ref document: 20210903 Kind code of ref document: A |
|
| NENP | Non-entry into the national phase |
Ref country code: DE |
|
| ENP | Entry into the national phase |
Ref document number: 2021778670 Country of ref document: EP Effective date: 20230403 |
|
| ENP | Entry into the national phase |
Ref document number: 112023003958 Country of ref document: BR Kind code of ref document: A2 Effective date: 20230302 |
|
| WWW | Wipo information: withdrawn in national office |
Ref document number: 202390558 Country of ref document: EA |





































