WO2022043556A1 - Stable radiopharmaceutical composition - Google Patents
Stable radiopharmaceutical composition Download PDFInfo
- Publication number
- WO2022043556A1 WO2022043556A1 PCT/EP2021/073897 EP2021073897W WO2022043556A1 WO 2022043556 A1 WO2022043556 A1 WO 2022043556A1 EP 2021073897 W EP2021073897 W EP 2021073897W WO 2022043556 A1 WO2022043556 A1 WO 2022043556A1
- Authority
- WO
- WIPO (PCT)
- Prior art keywords
- pharmaceutical composition
- salts
- acid
- mci
- cas
- Prior art date
- Legal status (The legal status is an assumption and is not a legal conclusion. Google has not performed a legal analysis and makes no representation as to the accuracy of the status listed.)
- Ceased
Links
- 0 CC(*)NC(C)=[U] Chemical compound CC(*)NC(C)=[U] 0.000 description 11
- QARVLSVVCXYDNA-UHFFFAOYSA-N Brc1ccccc1 Chemical compound Brc1ccccc1 QARVLSVVCXYDNA-UHFFFAOYSA-N 0.000 description 1
- MARSJUGQDOTBGR-UHFFFAOYSA-N CCN(CCN(CC(O)=O)CCN(CC(O)=O)CC1)CCN1C(O)=O Chemical compound CCN(CCN(CC(O)=O)CCN(CC(O)=O)CC1)CCN1C(O)=O MARSJUGQDOTBGR-UHFFFAOYSA-N 0.000 description 1
Classifications
-
- A—HUMAN NECESSITIES
- A61—MEDICAL OR VETERINARY SCIENCE; HYGIENE
- A61P—SPECIFIC THERAPEUTIC ACTIVITY OF CHEMICAL COMPOUNDS OR MEDICINAL PREPARATIONS
- A61P35/00—Antineoplastic agents
-
- A—HUMAN NECESSITIES
- A61—MEDICAL OR VETERINARY SCIENCE; HYGIENE
- A61K—PREPARATIONS FOR MEDICAL, DENTAL OR TOILETRY PURPOSES
- A61K51/00—Preparations containing radioactive substances for use in therapy or testing in vivo
- A61K51/02—Preparations containing radioactive substances for use in therapy or testing in vivo characterised by the carrier, i.e. characterised by the agent or material covalently linked or complexing the radioactive nucleus
- A61K51/04—Organic compounds
- A61K51/0402—Organic compounds carboxylic acid carriers, fatty acids
-
- A—HUMAN NECESSITIES
- A61—MEDICAL OR VETERINARY SCIENCE; HYGIENE
- A61K—PREPARATIONS FOR MEDICAL, DENTAL OR TOILETRY PURPOSES
- A61K51/00—Preparations containing radioactive substances for use in therapy or testing in vivo
- A61K51/02—Preparations containing radioactive substances for use in therapy or testing in vivo characterised by the carrier, i.e. characterised by the agent or material covalently linked or complexing the radioactive nucleus
- A61K51/04—Organic compounds
- A61K51/0497—Organic compounds conjugates with a carrier being an organic compounds
Definitions
- the present disclosure relates to pharmaceutical compositions with radiolabeled PSMA ligand of high concentration and of high chemical and radiochemical stability that allow their use as commercial drug products for diagnostic and/or therapeutic purposes.
- Prostate cancer is one of the most widespread cancers in the US and in Europe.
- metastatic prostate cancer mCRPC is associated with poor prognosis and diminished quality of life.
- PSMA Proliferative a new development stream for treating prostate cancer is represented by the endoradiotherapy based on PSMA ligands, as PSMA is considered to be a suitable target for imaging and therapy due to its over-expression in primary cancer lesions and in soft- tissue/bone metastatic disease. Also, PSMA expression seems to be even higher in the most aggressive castration-resistant variants of the disease, which represents a patient population with high unmet medical need.
- the urea-based low molecular weight agents have been the most extensively investigated ones. These agents were shown to be suitable for prostate cancer clinical assessment as well as for PRRT therapy (Kiess et aL, Q J Nucl Med Mol Imaging, 2015;59:241 -68). Some of these agents have glutamate-urea- lysine (GUL) as the targeting scaffold. A class of molecules was created following the strategy to attach a linker between the chelator and GUL moiety. This approach allows the urea to reach the binding site while keeping the metal chelated portion on the exterior of the binding site.
- GUL glutamate-urea- lysine
- the target cell receptor binding moiety is typically linked to a chelating agent which is able to form a strong complex with the metal ions of a radionuclide.
- This radiopharmaceutical drug is then delivered to the target cell and the decay of the radionuclide is then releasing high energy electrons, positrons or alpha particles as well as gamma rays at the target site.
- radiolysis the decay of the radionuclide occurs constantly, e.g. also during the manufacturing and during storage of the drug product, and the released high energy emissions induce the cleavage of the chemical bonds of the molecules which form part of the drug product. This is often referred to as radiolysis or radiolytic degradation.
- the radiolytic degradation of the receptor binding moiety of the drug may lead to a decrease in its efficacy to act as a diagnostic and/or therapeutic.
- the drug product may be stored at low temperatures, or produced in high dilution, or stabilizers may be added.
- the present inventors have now found a way to design and produce a highly concentrated radionuclide complex solution which is chemically and radiochemically very stable, even if stored at ambient or short-term elevated temperatures so that it can be produced on commercial scale and supplied as a ready-to-use radiopharmaceutical product.
- a pharmaceutical composition comprising:
- radionuclide is selected from 111 In, 133m ln, 99m Tc, 94m Tc, 67 Ga, 66 Ga, 68 Ga, 52 Fe, 169 Er, 7 2 As, 97 Ru, 203 Pb, 212 Pb, 62 Cu, 64 Cu, 67 Cu, 186 Re, 188 Re, 86 Y, 90 Y, 51 Cr, 52m Mn, 157 Gd, 1 77 Lu, 161 Tb, 169 Yb, 175 Yb, 105 Rh, 166 Dy, 166 Ho, 153 Sm, 149 Pm, 151 Pm, 172 Tm, 121 Sn, 1 17m Sn, 213 Bi, 212 Bi, 142 Pr, 143 Pr, 198 Au, 199 Au, 89 Zr, 225 Ac, 43 Sc, 44 Sc, 47 Sc, and 55 Co, preferably selected from 177 Lu and 68 Ga, more preferably is 177 Lu.
- said chelating agent is selected from DOTA, DTPA, NTA, EDTA, DO3A, AAZTA, NODAGA, TETA and NOTA, preferably is DOTA.
- Z is tetrazole or COOQ, preferably Z is COOQ;
- Q is independently H or a protecting group, preferably Q is H; m is an integer selected from the group consisting of 1 , 2, 3, 4, and 5, preferably m is 4; q is an integer selected from the group consisting of 1 , 2, 3, 4, 5, and 6, preferably q is 1 ;
- R is selected from the group consisting of C 6 -Ci 0 aryl and heteroaryl containing 5 to 10 ring atoms, said aryl and heteroaryl being substituted one or more times with X;
- X is -Z 1 -Y
- Z 1 is a bond or a Ci-C 6 alkylene, preferably Z 1 is a bond;
- Y is a halogen
- R 2 is H or C1-C4 alkyl, preferably R 2 is H; n is an integer selected from the group consisting of 1 , 2 and 3;
- Ch is a chelating agent, preferably
- said at least two stabilizer are selected from gentisic acid (2,5- dihydroxybenzoic acid) or salts thereof, ascorbic acid (L-ascorbic acid, vitamin C) or salts thereof (e.g. sodium ascorbate), methionine, histidine, melatonin, ethanol, and Se-methionine, preferably selected from gentisic acid or salts thereof and ascorbic acid or salts thereof.
- the pharmaceutical composition according to any of embodiments 8 to 11 wherein said gentisic acid or salts thereof is present at a concentration between 600 pg/mL and 5000 pg/mL, preferably about 2800 pg/mL and ascorbic acid or salts thereof is present at a concentration between 3000 pg/mL and 15000 pg/mL, preferably about 8550 pg/mL.
- said pharmaceutical formulation has a radiochemical purity higher than 95% up to 72 hours.
- a process for manufacturing a pharmaceutical composition comprising: (a) a complex formed by
- a process for manufacturing a pharmaceutical composition comprising:
- cancer refers to cells having the capacity for autonomous growth, i.e., an abnormal state or condition characterized by rapidly proliferating cell growth.
- Hyperproliferative and neoplastic disease states may be categorized as pathologic, i.e., characterizing or constituting a disease state, or may be categorized as non-pathologic, i.e., a deviation from normal but not associated with a disease state.
- pathologic i.e., characterizing or constituting a disease state
- non-pathologic i.e., a deviation from normal but not associated with a disease state.
- the term is meant to include all types of cancerous growths or oncogenic processes, metastatic tissues or malignantly transformed cells, tissues, or organs, irrespective of histopathologic type or stage of invasiveness.
- protecting group in reference to compounds of formula (I) refers to a chemical substituent which can be selectively removed by readily available reagents which do not attack the regenerated functional group or other functional groups in the molecule.
- Suitable protecting groups are known in the art and continue to be developed. Suitable protecting groups may be found, for example in Wutz et al. ("Greene's Protective Groups in Organic Synthesis, Fourth Edition," Wiley- Interscience, 2007). Protecting groups for protection of the carboxyl group, as described by Wutz et al. (pages 533-643), are used in certain embodiments. In some embodiments, the protecting group is removable by treatment with acid.
- protecting groups include, but are not limited to, benzyl, p- methoxybenzyl (PMB), tertiary butyl (t-Bu), methoxymethyl (MOM), methoxyethoxymethyl (MEM), methylthiomethyl (MTM), tetrahydropyranyl (THP), tetrahydrofuranyl (THF), benzyloxymethyl (BOM), trimethylsilyl (TMS), triethylsilyl (TES), t-butyldimethylsilyl (TBDMS), and triphenylmethyl (trityl, Tr).
- PMB p- methoxybenzyl
- t-Bu tertiary butyl
- MEM methoxymethyl
- MTM methoxyethoxymethyl
- THF tetrahydrofuranyl
- BOM benzyloxymethyl
- TMS trimethylsilyl
- TES triethylsilyl
- TDMS t-
- aryl refers to a polyunsaturated, aromatic hydrocarbyl group having a single ring or multiple aromatic rings fused together, containing 6 to 10 ring atoms, wherein at least one ring is aromatic.
- the aromatic ring may optionally include one to two additional rings (cycloalkyl, heterocyclyl or heteroaryl as defined herein) fused thereto.
- Suitable aryl groups include phenyl, naphthyl and phenyl ring fused to a heterocyclyl, like benzopyranyl, benzodioxolyl, benzodioxanyl and the like.
- alkyl refers to a linear or branched alkyl functional group having 1 to 6 carbon atoms. Suitable alkyl groups include methyl, ethyl, n-propyl, /-propyl, n-butyl, /-butyl, s-butyl and t-butyl, pentyl and its isomers (e.g. n-pentyl, /so-pentyl), and hexyl and its isomers (e.g. n-hexyl, /so-hexyl).
- alkylene refers to a divalent saturated, straight-chained or branched hydrocarbon group having 1 20 carbon atoms, preferably 1-12, more preferably 1- 6.
- heteroalkyl refers to a linear or branched alkyl functional group having 1 to 6 carbon atoms and from one to three, heteroatoms selected from the group consisting of O, N, Si and S, and wherein the nitrogen and sulfur atoms may optionally be oxidized and the nitrogen heteroatom may optionally be quaternized.
- the heteroatom(s) O, N and S may be placed at any interior position of the heteroalkyl group or at the position at which the alkyl group is attached to the remainder of the molecule.
- cycloalkyl refers to a saturated or unsaturated cyclic group having 3 to 6 carbon atoms. Suitable cycloalkyl groups include cyclopropyl, cyclobutyl, cyclopentyl and cyclohexyl.
- halogen refers to a fluoro (-F), chloro (-CI), bromo (-Br), or iodo (-I) group.
- alkoxy refers to a -O-alkyl group, wherein the alkyl group is a Ci- C 6 alkyl as defined herein. Suitable alkoxy groups include methoxy, ethoxy, propoxy.
- heteroaryl refers to a polyunsaturated, aromatic ring system having a single ring or multiple aromatic rings fused together or linked covalently, containing 5 to 10 atoms, wherein at least one ring is aromatic and at least one ring atom is a heteroatom selected from N, O and S.
- the nitrogen and sulfur heteroatoms may optionally be oxidized and the nitrogen heteroatoms may optionally be quaternized.
- Such rings may be fused to an aryl, cycloalkyl or heterocyclyl ring.
- Non-limiting examples of such heteroaryl include: furanyl, thiophenyl, pyrrolyl, pyrazolyl, imidazolyl, oxazolyl, isoxazolyl, thiazolyl, isothiazolyl, triazolyl, oxadiazolyl, thiadiazolyl, tetrazolyl, oxatriazolyl, thiatriazolyl, pyridinyl, pyrimidyl, pyrazinyl, pyridazinyl, oxazinyl, dioxinyl, thiazinyl, triazinyl, indolyl, isoindolyl, benzofuranyl, isobenzofuranyl, benzothiophenyl, isobenzothiophenyl, indazolyl, benzimidazolyl, benzoxazolyl, purinyl, benzothiadiazolyl, quinolinyl
- heterocyclyl or “heterocylcoalkyl” refer to a saturated or unsaturated cyclic group having 5 to 10 ring atoms, wherein at least one ring atom is a heteroatom selected from N, O and S.
- the nitrogen and sulfur heteroatoms may optionally be oxidized and the nitrogen heteroatoms may optionally be quaternized.
- heterocycle examples include, but are not limited to, tetrahydropyridyl, piperidinyl, morpholinyl, tetrahydrofuranyl, tetrahydrothienyl, piperazinyl, 1-azepanyl,imidazolinyl, 1 ,4-dioxanyl and the like.
- % has herein the meaning of weight percent (wt%), also referred to as weight by weight percent (w/w%).
- volumetric radioactivity expressed may vary for ⁇ 10%, preferably ⁇ 5%, even more preferably ⁇ 2%, even more preferably ⁇ 1%.
- total concentration sum of one or more individual concentrations.
- aqueous solution a solution of one or more solute in water.
- the radionuclide metal ion is forming a non-covalent bond with the functional groups of the chelating agent, e.g. amines or carboxylic acids.
- the chelating agent has at least two such complexing functional groups to be able to form a chelate complex.
- Buffer for a pH from 4 to 6.0 may be an acetate buffer, citrate buffer (e.g. citrate + HCI or citric acid + Disodium hydrogenphosphate) or phosphate buffer (e.g. Sodium dihydrogenphosphate + Disodium hydrogenphosphate), preferably said buffer is an acetate buffer, preferably said acetate buffer is composed of acetic acid and sodium acetate.
- citrate buffer e.g. citrate + HCI or citric acid + Disodium hydrogenphosphate
- phosphate buffer e.g. Sodium dihydrogenphosphate + Disodium hydrogenphosphate
- Radionuclide metal ions preferably DTPA: Diethylentriaminepentaacetic acid.
- the drug product e.g. a pharmaceutical aqueous solution
- the drug product is able to obtain (preferably has obtained) marketing authorization by health authorities, e.g. US- FDA or EMA, by complying with all drug product quality and stability requirements as demanded by such health authorities, is able to be manufactured (preferably is manufactured) from or at a pharmaceutical production site at commercial scale followed by a quality control testing procedure, and is able to be supplied (preferably is supplied) to remotely located end users, e.g. hospitals or patients.
- therapeutic agents in the combination can be administered concurrently with, prior to, or subsequent to, one or more other additional therapies or therapeutic agents.
- the therapeutic agents or therapies can be administered in any order. In general, each therapeutic agent will be administered at a dose and/or using a regimen determined for that therapeutic agent. It will further be appreciated that the therapeutic agents utilized in this combination may be administered together in a single composition or administered separately in different compositions. In some embodiments, the therapeutic agents utilized in combination can be utilized at levels that do not exceed the levels at which they are typically utilized individually. In some embodiments, the levels of the therapeutic agents utilized in combination can be lower than those utilized individually.
- the chelating agent in the context of the present disclosure may be
- DOTA 1 ,4,7,10-Tetraazacyclododecane-1 ,4,7,10-tetraacetic acid
- NTA Nitrilotriacetic acid
- DO3A 1 ,4,7,10-Tetraazacyclododecane-1 ,4,7-triacetic acid
- NOTA 1 ,4,7-Triazacyclononane-1 ,4,7-triacetic acid
- NODAGA 1 ,4,7-triazacyclononane,1 -glutaric acid-4, 7-acetic acid
- AAZTA 1 ,4-bis(carboxymethyl)-6-[bis(carboxymethyl)] amino- 6-methylperhydro-1 ,4-diazepine) or mixtures thereof, preferably is DOTA.
- linking bond(s) is (are) either covalent or non-covalent bond(s) between the PSMA binding ligand (and the linker) and the chelating agent, preferably the bond(s) is (are) covalent.
- “Stabilizer against radiolytic degradation” stabilizing agent which protects organic molecules against radiolytic degradation, e.g. when a gamma ray emitted from the radionuclide is cleaving a bond between the atoms of an organic molecules and radicals are formed, those radicals are then scavenged by the stabilizer which avoids the radicals undergoing any other chemical reactions which might lead to undesired, potentially ineffective or even toxic molecules. Therefore, those stabilizers are also referred to as “free radical scavengers” or in short “radical scavengers”. Other alternative terms for those stabilizers are “radiation stability enhancers”, “radiolytic stabilizers”, or simply “quenchers”.
- the ratio between gentisic acid or salts thereof (GA) and ascorbic acid or salts thereof (AA)” is free acid concentration ratio (pg/mL:pg/mL), i.e. concentration ratio with respect to GA and AA as free acids wherein the concentration of counter-ions, such as sodium (Na), is not taken into calculation.
- concentration of gentisic acid or salts thereof and ascorbic acid or salts thereof is expressed in pg/mL. When a concentration is given for gentisic acid or salts thereof and ascorbic acid or salts thereof, the concentration is intended to mean the free acid concentration. The person skilled in the art can readily determine the concentration of the corresponding salt.
- Radiochemical purity is that percentage of the stated radionuclide that is present in the stated chemical or biological form. Radiochromatography methods, such as HPLC method or instant Thin Layer Chromatography method (iTLC), are the most commonly accepted methods for determining radiochemical purity in the nuclear pharmacy. “at room temperature”: is intended to mean a temperature between about 20°C and about 25°C.
- the present disclosure concerns a pharmaceutical composition, in particular a radiopharmaceutical composition.
- the pharmaceutical composition is for intravenous (IV) use/application/administration.
- IV intravenous
- the solution is stable, concentrated, and ready-to-use.
- the PSMA binding ligand linked to a chelating agent is a molecule comprising a) a urea of 2 amino-acid residues, typically a glutamate-urea-lysine (GUL) moiety, and b) a chelating agent which can coordinate radioactive isotope.
- GUL glutamate-urea-lysine
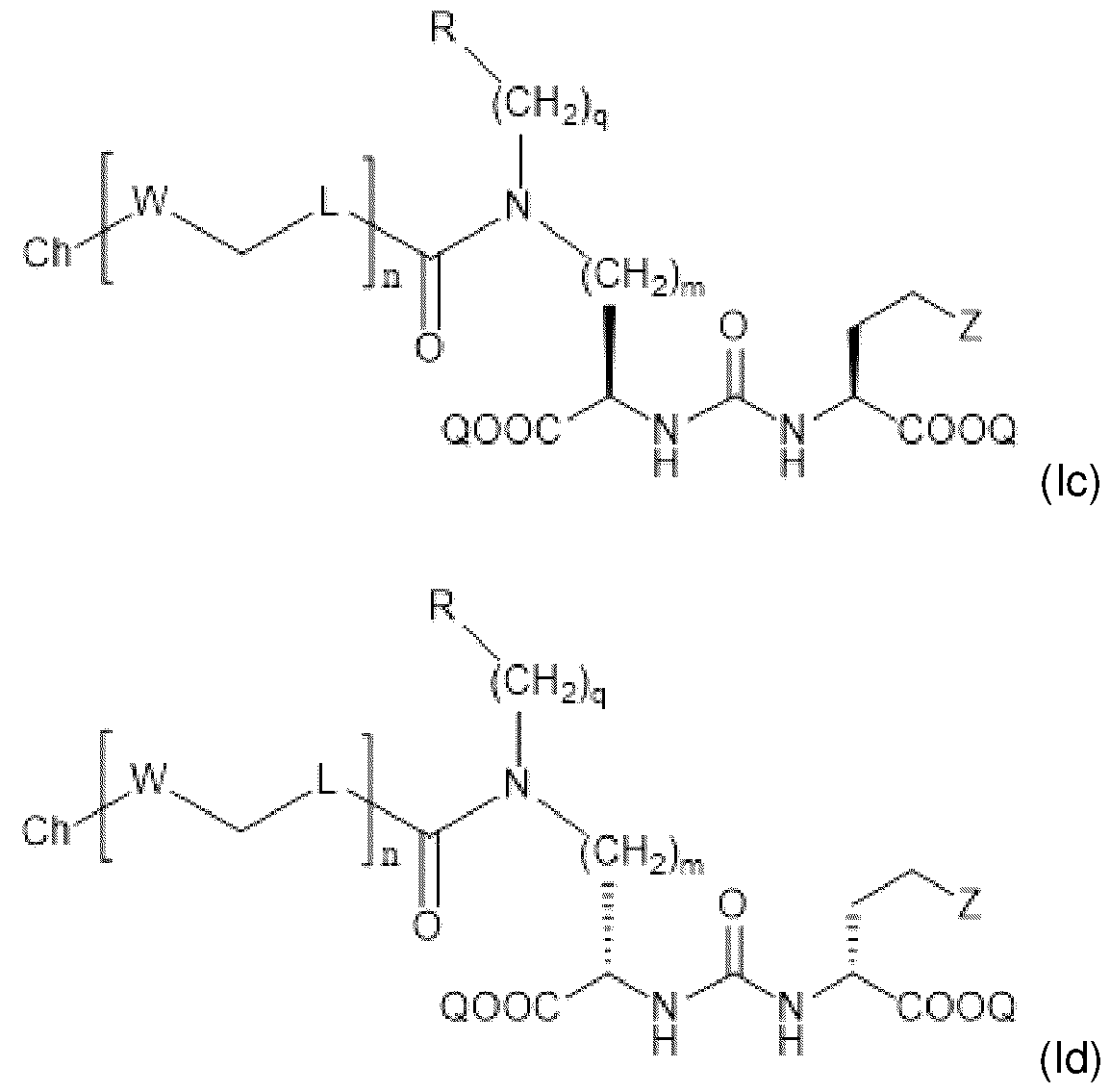
- the PSMA binding ligand is a compound of formula (I):
- Z is tetrazole or COOQ, preferably Z is COOQ;
- R is selected from the group consisting of C 6 -Ci 0 aryl and heteroaryl containing 5 to
- X is - Z 1 -Y
- Z 1 is a bond or a Ci-C 6 alkylene, preferably Z 1 is a bond;
- Y is a halogen
- R 2 is H or C1-C4 alkyl, preferably R 2 is H; n is an integer selected from the group consisting of 1 , 2 and 3;
- Ch is a chelating agent, preferably
- Compounds of formula (I) include the stereoisomers of formulae (la), (lb), (Ic) and (Id):
- R’, R” and R’ each may independently refer to hydrogen, alkyl, heteroalkyl, cycloalkyl, heterocycloalkyl, aryl and heteroaryl.
- X is selected from Br and I.
- Ch can be selected from the group consisting of:
- m is 4, Z is COOQ, and Q is H.
- the PSMA binding ligand is a compound of formula (II):
- the compound of formula (II) can be referred to as PSMA-R2.
- the PSMA binding ligand is a compound of formula (III):
- the compound of formula (III) can be referred to as PSMA-Cpd2.
- an aliphatic linker Boc-6-aminohexanoic acid can be coupled on the same e-Lys amine of 2, for example using a base (like N, IMdiisopropylethylamine) and a coupling agent (like N,N,N',N'-Tetramethyl-O-(N- succinimidyl)uronium tetrafluoroborate or 1 -[Bis(dimethylamino)methylene]-1 H-1 ,2,3- triazolo[4,5-b]pyridinium 3-oxid hexafluorophosphate), to yield compound 3.
- Compound 3 can then be deprotected to yield compound 4, for example using an acid like trifluoroacetic acid.
- conjugation with commercially available DOTA-NHS ester can be performed to yield compound (II).
- radiolabeled PSMA binding ligand linked to a chelating agent also called radiolabeledPSMA-R2
- the radiolabeled PSMA binding ligand linked to a chelating agent can be manufactured both automatically, for example by using the MiniAIO synthesizer or other synthesizers known in the art for automated synthesis, and manually.
- the present disclosure relates to a process for manufacturing a pharmaceutical composition
- a process for manufacturing a pharmaceutical composition comprising:
- the labelling step aims at forming a complex of the radionuclide and the PSMA binding ligand linked to a chelating agent.
- this labelling step can be conducted by firstly providing an aqueous solution comprising an aqueous solution comprising the PSMA binding ligand linked to a chelating agent of formula (II), in the presence of at least one stabilizer against radiolytic degradation, for example gentisic acid.
- the preparation can be done by adding a reaction solution to an aqueous solution containing the PSMA binding ligand linked to a chelating agent of formula (II).
- the reaction solution comprises a stabilizer against radiolytic degradation. The stabilizer against radiolytic degradation protects the PSMA binding ligand linked to a chelating agent from radiolysis during the labelling step.
- the stabilizer against radiolytic degradation is gentisic acid or salts thereof.
- This gentisic acid or salts thereof can be added only during the labelling step, or, a part of this gentisic acid or salts thereof can be added during the labelling step and the other part can be added at the end of the process, during the formulation step.
- the reaction solution comprises gentisic acid or salts thereof at a concentration of at least 600 pg/mL, preferably at least 1000 pg/mL, and more preferably at least 2000 pg/mL, typically between 600 pg/mL and 5000 pg/mL, preferably between 1500 Hg/mL and 3000 pg/mL, more preferably between 2000 and 3000 pg/mL, even more preferably between 2500 and 3000 pg/mL, even more preferably between 2600 and 3000 pg/mL, even more preferably about 2800 pg/mL.
- the reaction solution comprises gentisic acid or salts thereof at a concentration between 50 pg/mL and 2000 pg/mL, preferably between 200 pg/mL and 1600 pg/mL, more preferably between 400 pg/mL and 1200 pg/mL, more preferably between 600 pg/mL and 1000 pg/mL, more preferably between 700 pg/mL and 900 pg/mL, more preferably about 800 pg/mL.
- the reaction solution further comprises a buffer.
- the buffer allows maintaining the labelling pH from 3.5 to 6.5, preferably from 3.5 to 5.0, more preferably from 3.5 to 4.5, even more preferably about 4.0.
- the buffer is selected from acetate buffer, citrate buffer and phosphate buffer. More preferably the buffer is acetate buffer.
- an aqueous solution comprising the radionuclide is provided.
- This aqueous solution comprising the radionuclide is added and mixed to the aqueous solution containing PSMA binding ligand linked to a chelating agent in the presence of at least one stabilizer against radiolytic degradation previously obtained thereby obtaining a complex solution.
- the radionuclide is selected from 111 In, 133m ln, 99m Tc, 94m Tc, 67 Ga, 66 Ga, 68 Ga, 52 Fe, 169 Er, 72 As, 97 Ru, 203 Pb, 212 Pb, 62 Cu, 64 Cu, 67 Cu, 186 Re, 188 Re, 86 Y, 90 Y, 51 Cr, 52m Mn, 157 Gd, 177 Lu, 161 Tb, 169 Yb, 175 Yb, 105 Rh, 166 Dy, 166 Ho, 153 Sm, 149 Pm, 151 Pm, 172 Tm, 121 Sn, 117m Sn, 213 Bi, 212 Bi, 142 Pr, 143 Pr, 198 Au, 199 Au, 89 Zr, 225 Ac, 43 Sc, 44 Sc, 47 Sc, and 55 Co, preferably selected from 177 Lu and 68 Ga, and more preferably is 177 Lu.
- the aqueous solution comprises 177 Lu as the radionuclide and HCL
- the radionuclide 177 Lu is present in complexed form 177 LuCI 3 .
- the radionuclide is present at a concentration so that it provides a volumetric radioactivity of at least 0.1 mCi/mL, preferably from 0.1 mCi/mL to 100 mCi/mL, more preferably from 0.1 mCi/mL to 30 mCi/mL, more preferably from 0.1 mCi/mL to 20 mCi/mL, more preferably from 1 mCi/mL to 20 mCi/mL, more preferably from 2 mCi/mL to 20 mCi/mL, more preferably from 5 mCi/mL to 15 mCi/mL, more preferably from 7 mCi/mL to 13 mCi/mL, more preferably from 8 mCi/mL to 12 mCi/mL, more preferably from 9 mCi/mL to 11 mCi/mL, even more preferably of about 10 mCi/mL.
- the radionuclide is present at a concentration so that it provides a volumetric radioactivity of at least 0.1 mCi/mL, preferably from 0.1 mCi/mL to 400 mCi/mL, more preferably from 0.1 mCi/mL to 120 mCi/mL, more preferably from 0.1 mCi/mL to 80 mCi/mL, more preferably from 20 mCi/mL to 80 mCi/mL, more preferably from 25 mCi/mL to 60 mCi/mL, more preferably from 30 mCi/mL to 50 mCi/mL, more preferably from 35 mCi/mL to 45 mCi/mL, even more preferably of about 40 mCi/mL.
- the molar ratio between the PSMA binding ligand linked to a chelating agent and the radionuclide, preferably 177 Lu is at least 1.25, preferably at least 1.5, preferably from 1 .25 to 6, more preferably from 1 .5 to 5, even more preferably from 1 .5 to 4.
- the labelling step can be conducted at a room temperature or at a temperature of from 65°C to 99 °C, preferably from 70°C to 95 °C, and more preferably about 95°C, for from 1 to 59 min, preferably about 2 to 30 min, more preferably about 2 to 20 min, even more preferably about 2 to 15 min, even more preferably about 5 to 15 min or 5 to 12 min, and even more preferably about 5 min.
- the formulation step aims at diluting the complex solution obtained at the end of the labelling step in order to obtain the desired volumetric radioactivity.
- this formulation step can be conducted by firstly providing an aqueous dilution solution comprising at least one stabilizer against radiolytic degradation selected from the group consisting of ascorbic acid or salts thereof and gentisic acid or salts thereof.
- the salt of ascorbic acid is sodium ascorbate.
- the aqueous dilution solution comprises only one stabilizer against radiolytic degradation which is ascorbic acid or salts thereof.
- the aqueous dilution solution comprises ascorbic acid or salts thereof at a concentration of at least 3000 pg/mL, preferably 6000 pg/mL, more preferably at least 8000 pg/mL, typically between 3000 pg/mL and 15000 pg/mL, preferably between 6000 pg/mL and 12000 pg/mL, more preferably between 7500 pg/mL and 9000 pg/mL, even more preferably between 8000 pg/mL and 9000 pg/mL, even more preferably about 8500 pg/mL and 9000 pg/mL, even more preferably about 8550 pg/mL.
- the aqueous dilution solution comprises ascorbic acid or salts thereof at a concentration of at least 3000 pg/mL, preferably 6000 pg/mL, more preferably at least 8000 pg/mL, typically between 3000 pg/mL and 15000 pg/mL, preferably between 6000 pg/mL and 12000 pg/mL, more preferably between 7500 pg/mL and 9000 pg/mL, even more preferably between 8000 pg/mL and 9000 pg/mL, even more preferably about 8500 pg/mL.
- gentisic acid or salts thereof in a concentration between 500 pg/mL and 4000 pg/mL , preferably between 1000 pg/mL and 3000 pg/mL, more preferably between 1400 pg/mL and 2600 pg/mL, more preferably between 1600 pg/mL and 2400 pg/mL, more preferably between 1800 pg/mL and 2200 pg/mL, more preferably about 2000 pg/mL.
- the aqueous dilution solution further comprises a sequestering agent, preferably diethylentriaminepentaacetic acid (DTPA) or a salt thereof.
- DTPA or a salt thereof is present at a concentration between 50 pg/mL and 300 pg/mL, preferably between 100 pg/mL and 200 pg/mL, more preferably about 150 pg/mL.
- the aqueous dilution solution further comprises a pH adjuster.
- the pH adjuster is NaOH and/or HCI, more preferably NaOH and HCI.
- NaOH is present at a concentration of between 0.5 mg/mL and 2 mg/mL, preferably between 1 mg/mL and 1 ,5mg/mL, more preferably about 1.35 mg/mL; and HCI is present at a concentration of between 1 mg/mL and 3mg/mL, preferably between 1.5 mg/mL and 2.5 mg/mL, more preferably about 1 .95 mg/mL.
- the aqueous dilution solution further comprises a solvent.
- the solvent is water for injection and/or saline solution, more preferably solvent is water for injection and saline solution.
- the saline solution comprises 0.9% of sodium chloride (NaCI).
- Such dilution solution is mixed to the complex solution obtained at the end of the labelling step, thereby obtaining the pharmaceutical composition
- the pharmaceutical composition comprising:
- the pharmaceutical composition can be filtered for sterilization for safe injection to the patient.
- the filtration is done by using a filter with a membrane filter cutoff threshold of 0.2 pm, more preferably by using Pall Supor AEF 0.2 pm.
- This filter has a polyethersulfone membrane with low chemical binding properties, as well as broad chemical and temperature resistance.
- the pharmaceutical composition is produced at commercial scale manufacturing, in particular is produced at a batch size of at least 18.5GBq (0.5 Ci), for example at least 18.5 GBq (0.5 Ci), at least 37 GBq (1 Ci), or at least 55.5 GBq (1.5 Ci) and not more than 148 GBq (4 Ci), 129.5 GBq (3.5 Ci), 111 GBq (3 Ci), 92.5 GBq (2.5 Ci) or 74 GBq (2 Ci).
- it is produced at a batch size between 18.5 GBq (0.5 Ci) and 148 GBq (4 Ci).
- the pharmaceutical composition is for commercial use.
- the radiolabeled PSMA binding ligand linked to a chelating agent has the tendency to degrade over time ending with radiochemical purity below the specifications at the end of the target shelf life (72 hours) which is a problem for formulating the pharmaceutical composition.
- the stability of the solution is ascertained by the use of stabilizers against radiolytic degradation.
- the stabilizers used in accordance with the present disclosure may be selected from gentisic acid (2,5-dihydroxybenzoic acid) or salts thereof, ascorbic acid (L-ascorbic acid, vitamin C) or salts thereof (e.g. sodium ascorbate), methionine, histidine, melatonin, ethanol, and Se-methionine.
- Preferred stabilizers are selected from gentisic acid or salts thereof and ascorbic acid or salts thereof.
- the pharmaceutical composition of the present disclosure is substantially free of alcohol such as methanol, ethanol, propanol, butanol or mixtures thereof, e.g. less than 5%, less than 4%, less than 3%, less than 2%, less than 1%, less than 0.5%, less than 0.1%, less than 0.05%, or less than 10ppm, preferably less than 2%, more preferably less than 1% in the final pharmaceutical composition which is foreseen to be injected or infused to a subject.
- alcohol such as methanol, ethanol, propanol, butanol or mixtures thereof, e.g. less than 5%, less than 4%, less than 3%, less than 2%, less than 1%, less than 0.5%, less than 0.1%, less than 0.05%, or less than 10ppm, preferably less than 2%, more preferably less than 1% in the final pharmaceutical composition which is foreseen to be injected or infused to a subject.
- the present disclosure relates to a pharmaceutical composition
- a pharmaceutical composition comprising a radiolabeled PSMA binding ligand linked to a chelating agent as described herein, and at least two stabilizers against radiolytic degradation.
- said at least two stabilizer can be selected from gentisic acid (2,5- dihydroxybenzoic acid) or salts thereof, ascorbic acid (L-ascorbic acid, vitamin C) or salts thereof (e.g. sodium ascorbate), methionine, histidine, melatonin, ethanol, and Se- methionine, preferably selected from gentisic acid or salts thereof and ascorbic acid or salts thereof.
- Said at least two stabilizers can be gentisic acid or salts thereof and ascorbic acid or salts thereof.
- the inventors unexpectedly found that adding both ascorbic acid and gentisic acid in specific amounts in a pharmaceutical composition of a radiolabeled PSMA binding ligand linked to a chelating agent compound enables a radiochemical purity of said composition over 95% after 72 hours after synthesis.
- the molar ratio between the PSMA binding ligand linked to a chelating agent and the radionuclide, preferably 177 Lu can be at least 1.25, preferably at least 1.5, preferably from 1 .25 to 6, more preferably from 1 .5 to 5, even more preferably from 1 .5 to 4.
- the ratio between gentisic acid or salts thereof and ascorbic acid or salts thereof is between 1 :32 and 1 :1 , preferably between 1 :16 and 1 :2, more preferably between 1 :4 and 2:5.
- said gentisic acid or salts thereof can be present in a concentration of least 600 pg/mL, preferably at least 1000 pg/mL, and more preferably at least 2000 pg/mL, preferably between 600 pg/mL and 5000 pg/mL, more preferably between 1500 pg/mL and 3000 pg/mL, more preferably between 2000 pg/mL and 3000 pg/mL, even more preferably between 2500 pg/mL and 3000 pg/mL, even more preferably between 2600 pg/mL and 3000 pg/mL, even more preferably about 2800 pg/mL.
- said gentisic acid or salts thereof is present in a concentration between 600 pg/mL and 5000 pg/mL, preferably between 1500 pg/mL and 3000 pg/mL, more preferably between 2000 pg/mL and 3000 pg/mL, even more preferably between 2500 pg/mL and 3000 pg/mL, even more preferably between 2600 pg/mL and 3000 pg/mL, even more preferably about 2800 pg/mL and ascorbic acid or salts thereof can be present at a concentration between 3000 pg/mL and 15000 pg/mL, preferably between 6000 pg/mL and 12000 pg/mL, more preferably between 7500 pg/mL and 9000 pg/mL, even more preferably between 8000 pg/mL and 9000 pg/mL, more preferably between 8500 pg/mL and 9000
- the radiopharmaceutical composition comprises, as stabilizers against radiolytic degradation, both gentisic acid and ascorbic acid, at the respective concentrations of about 2800 pg/mL and 8550 pg/mL.
- the pharmaceutical composition has radiochemical purity higher than 95% up to 72 hours at room temperature, preferably equal to or higher than 97% up to 72h.
- the pH of the pharmaceutical composition as described herein can be from 3.5 to 6.5 preferably from 3.5 to 5.0, more preferably from 3.5 to 4.5, even more preferably about 4.0.
- the radiolabeled PSMA binding ligand linked to a chelating agent can be present in a concentration providing a volumetric radioactivity of at least 0.1 mCi/mL (at EOP), preferably from 0.1 mCi/mL to 100 mCi/mL, more preferably from 0.1 mCi/mL to 30 mCi/mL, even more preferably from 0.1 mCi/mL to 20 mCi/mL, even more preferably from 1 mCi/mL to 20 mCi/mL, even more preferably from 2 mCi/mL to 20 mCi/mL, even more preferably from 5 mCi/mL to 15 mCi/mL, even more preferably from 7 mCi/mL to 13 mCi/mL, even more preferably from 8 mCi/mL to 12 mCi/mL, even more preferably from 9 mCi/mL to 11 mCi/
- the radionuclide can be present at a concentration so that it provides a volumetric radioactivity of at least 0.1 mCi/mL (at EOP), preferably from 0.1 mCi/mL to 400 mCi/mL, more preferably from 0.1 mCi/mL to 120 mCi/mL, even more preferably from 0.1 mCi/mL to 80 mCi/mL, even more preferably from 20 mCi/mL to 80 mCi/mL, even more preferably from 25 mCi/mL to 60 mCi/mL, even more preferably from 30 mCi/mL to 50 mCi/mL, even more preferably from 35 mCi/mL to 45 mCi/mL, even more preferably of about 40 mCi/mL.
- the present disclosure relates to a pharmaceutical composition
- a pharmaceutical composition comprising a radiolabeled PSMA binding ligand linked to a chelating agent as described herein, at least two stabilizers against radiolytic degradation and at least one other pharmaceutically acceptable excipient.
- the pharmaceutically acceptable excipient can be any of those conventionally used, and is limited only by physico-chemical considerations, such as solubility and lack of reactivity with the active compound(s).
- the at least other pharmaceutically acceptable excipient can be selected from buffer, solvent, sequestering agent, pH adjuster and mixtures thereof.
- Buffer includes acetate buffer, citrate buffer and phosphate buffer.
- said buffer is acetate buffer.
- said solvent is water for injection and/or saline solution.
- said sequestering agent is diethylentriaminepentaacetic acid (DTPA) or a salt thereof.
- said DTPA is present at a concentration between 50 pg/mL and 300 pg/mL, preferably between 100 pg/mL and 200 pg/mL, more preferably about 150 pg/mL.
- the present disclosure relates to a pharmaceutical composition
- a pharmaceutical composition comprising:
- gentisic acid or salts thereof and ascorbic acid or salts thereof gentisic acid or salts thereof and ascorbic acid or salts thereof; a buffer, typically acetate buffer; a sequestering agent, typically DTPA; water for injection and saline solution; HCI and NaOH.
- said gentisic acid or salts thereof is present at a concentration between 600 pg/mL and 5000 pg/mL, preferably between 1500 pg/mL and 3000 pg/mL, more preferably between 2000 pg/mL and 3000 pg/mL, even more preferably between 2500 pg/mL and 3000 pg/mL, even more preferably between 2600 pg/mL and 3000 pg/mL, even more preferably about 2800 pg/mL and said ascorbic acid or salts thereof is present at a concentration between 3000 pg/mL and 15000 pg/mL, preferably between 6000 pg/mL and 12000 pg/mL, more preferably between 7500 pg/mL and 9000 pg/mL, more preferably between 8000 pg/mL and 9000 pg/mL, more preferably about 8500 pg/mL and 9000 pg/m
- the disclosure also relates to the pharmaceutical composition as described above for use in treating or preventing cancer, typically prostate cancer.
- the pharmaceutical composition is produced at commercial scale manufacturing, in particular is produced at a batch size of at least 18.5 GBq (0.5 Ci), at least 37 GBq (1 Ci), or at least 55.5 GBq (1.5 Ci) and not more than 148 GBq (4 Ci), 129.5 GBq (3.5 Ci), 11 1 GBs (3 Ci), 92.5 GBq (2.5 Ci) or 74 GBq (2 Ci). Typically, it is produced at a batch size between 18.5 GBq (0.5 Ci) and 148 GBq (4 Ci).
- the pharmaceutical composition is for commercial use.
- the disclosure also relates a pharmaceutical composition
- a pharmaceutical composition comprising a radiolabeled PSMA binding ligand linked to a chelating agent, typically 177 Lu-PSMA binding ligand linked to a chelating agent, also called 177 Lu-PSMA-R2, for use in treating or preventing cancer in a subject in need thereof, wherein said pharmaceutical composition is formulated with stabilizers as described in any of the previous embodiments, and is administered to said subject at a therapeutically efficient amount comprised between 0.5 mCi and 1000mCi, preferably between 50 mCi and 400mCi, typically with a radiochemical purity (RCP) superior to 95% at the time of administration.
- RCP radiochemical purity
- a therapeutically efficient amount of the composition is administered to said subject 1 to 8 times per treatment, preferably 3 times per treatment.
- a human patient may be treated with said pharmaceutical composition comprising a radiolabeled PSMA binding ligand linked to a chelating agent, specifically 177 Lu- PSMA binding ligand linked to a chelating agent, also called 177 Lu-PSMA-R2, administered intravenously in 2 to 8 cycles of a 0.5 mCi to 1000 mCi each, typically with radiochemical purity (RCP) superior to 95% at the time of administration.
- a radiolabeled PSMA binding ligand linked to a chelating agent specifically 177 Lu- PSMA binding ligand linked to a chelating agent, also called 177 Lu-PSMA-R2
- RCP radiochemical purity
- the pharmaceutical composition of the present invention are used in combination with other therapeutic agents, such as other anti-cancer agents, anti-allergic agents, anti-nausea agents, anti-emetic agents, pain relievers, cytoprotective agents, and mixtures thereof.
- other therapeutic agents such as other anti-cancer agents, anti-allergic agents, anti-nausea agents, anti-emetic agents, pain relievers, cytoprotective agents, and mixtures thereof.
- anastrozole (Arimidex®) bicalutamide (Casodex®), bleomycin sulfate (Blenoxane®), busulfan (Myleran®), busulfan injection (Busulfex®), capecitabine (Xeloda®), N4-pentoxycarbonyl-5-deoxy-5-fluorocytidine, carboplatin (Paraplatin®), carmustine (BiCNU®), chlorambucil (Leukeran®), cisplatin (Platinol®), cladribine (Leustatin®), cyclophosphamide (Cytoxan® or Neosar®), cytarabine, cytosine arabinoside (Cytosar-U®), cytarabine liposome injection (DepoCyt®), dacarbazine (DTIC- Dome®), dacarbazine (DTIC- Dome®), dacarbazin
- Tyrosine kinase inhibitors Erlotinib hydrochloride (Tarceva®); Linifanib (N-[4-(3-amino-1 H- indazol-4-yl)phenyl]-N'-(2-fluoro-5-methylphenyl)urea, also known as ABT 869, available from Genentech); Sunitinib malate (Sutent®); Bosutinib (4-[(2,4-dichloro-5- methoxyphenyl)amino]-6-methoxy-7-[3-(4-methylpiperazin-1 -yl)propoxy]quinoline-3- carbonitrile, also known as SKI-606, and described in US Patent No.
- VEGF receptor inhibitors Bevacizumab (Avastin®), axitinib (Inlyta®); Brivanib alaninate (BMS-582664, (S)-((F?)-1 -(4-(4-Fluoro-2-methyl-1 H-indol- 5-yloxy)-5-methylpyrrolo[2,1 -f
- Sorafenib (Nexavar®); Pazopanib (Votrient®); Sunitinib malate (Sutent®); Cediranib (AZD2171 , CAS 288383-20-1 ); Vargatef (BIBF1120, CAS 928326-83-4); Foretinib (GSK1363089); Telatinib (BAY57-9352, CAS 332012-40-5); Apatinib (YN968D1 , CAS 811803-05-1); Imatinib (Gleevec®); Ponatinib (AP24534, CAS 943319-70-8); Tivozanib (AV951 , CAS 475108-18-0); Regorafenib (BAY73-4506, CAS 755037-03-7); Vatalanib dihydrochloride (PTK787, CAS 212141 -51-0); Brivanib (BMS-540215, CAS 649735-46-6); Vand
- PDGF receptor inhibitors Imatinib (Gleevec®); Linifanib (N- [4-(3-amino-1 H-indazol-4-yl)phenyl]-N'-(2-fluoro-5-methylphenyl)urea, also known as ABT 869, available from Genentech); Sunitinib malate (Sutent®); Quizartinib (AC220, CAS 950769-58-1); Pazopanib (Votrient®); Axitinib (Inlyta®); Sorafenib (Nexavar®); Vargatef (BIBF1120, CAS 928326-83-4); Telatinib (BAY57-9352, CAS 332012-40-5); Vatalanib dihydrochloride (PTK787, CAS 212141-51-0); and Motesanib diphosphate (AMG706, CAS 857876-30-3, N-(2,3-di
- FGFR Fibroblast Growth Factor Receptor
- BMS-582664 Brivanib alaninate
- S (S)- ((F?)-1 -(4-(4-Fluoro-2-methyl-1 H-indol-5-yloxy)-5-methylpyrrolo[2, 1 -f
- Vargatef BIBF1120, CAS 928326-83-4
- Dovitinib dilactic acid TKI258, CAS 852433-84-2
- BGJ398, CAS 872511 -34- 7 Danusertib
- Aurora kinase inhibitors Danusertib (PHA-739358); /V-[4-[[6-Methoxy-7-[3-(4- morpholinyl)propoxy]-4-quinazolinyl]amino]phenyl]benzamide (ZM447439, CAS 331771 -20- 1); 4-(2-Amino-4 -methyl-5-thiazolyl)-N-[4-(4-morpholinyl)phenyl]-2-pyrimidinamine (CYC116, CAS 693228-63-6); Tozasertib (VX680 or MK-0457, CAS 639089-54-6); Alisertib (MLN8237); (N- ⁇ 2-[6-(4-Cyclobutylamino-5-trifluoromethyl-pyrimidine-2-ylamino)-(1 S,4R)- 1 ,2,3,4-tetrahydro-1 ,4-epiazano-na
- Cyclin-Dependent Kinase (CDK) inhibitors Aloisine A; Alvocidib (also known as flavopiridol or HMR-1275, 2-(2-chlorophenyl)-5,7-dihydroxy-8-[(3S,4R)-3-hydroxy-1 -methyl-4-piperidinyl]- 4-chromenone, and described in US Patent No.
- CHK inhibitors 7-Hydroxystaurosporine (UCN-01 ); 6-Bromo-3-(1 - methyl-1 /-/-pyrazol-4-yl)-5-(3F?)-3-piperidinyl-pyrazolo[1 ,5-a]pyrimidin-7-amine (SCH900776, CAS 891494-63-6); 5-(3-Fluorophenyl)-3-ureidothiophene-2-carboxylic acid N-[(S)-piperidin- 3-yl]amide (AZD7762, CAS 860352-01 -8); 4-[((3S)-1 -Azabicyclo[2.2.2]oct-3-yl)amino]-3-(1 H- benzimidazol-2-yl)-6-chloroquinolin-2(1 H)-one (CHIR 124, CAS 405168-58-3); 7- Aminodactinomycin (7-A
- 3-Phosphoinositide-dependent kinase-1 (PDK1 or PDPK1) inhibitors 7-2-Amino-/V-[4-[5-(2- phenanthrenyl)-3-(trifluoromethyl)-1 H-pyrazol-1 -yl]phenyl]-acetamide (OSU-03012, CAS 742112-33-0); Pyrrolidine-1 -carboxylic acid (3- ⁇ 5-bromo-4-[2-(1 H-imidazol-4-yl)-ethylamino]- pyrimidin-2-ylamino ⁇ -phenyl)-amide (BX912, CAS 702674-56-4); and 4- Dodecyl- /V-1 ,3,4- thiadiazol-2-yl-benzenesulfonamide (PHT-427, CAS 1 191951 -57-1 ).
- PDK Pyruvate Dehydrogenase Kinase inhibitors: (+)-Dehydroabietylamine; Dichloroacetic acid (DCA); and Leelamine.
- PKT Protein Kinase B
- AKT inhibitors 8-[4-(1 -Aminocyclobutyl)phenyl]-9-phenyl-1 ,2,4- triazolo[3,4-/][1 ,6]naphthyridin-3(2/-/)-one (MK-2206, CAS 1032349-93-1 ); Perifosine (KRX0401 ); 4- Dodecyl- /V-1 ,3,4-thiadiazol-2-yl-benzenesulfonamide (PHT-427, CAS 1191951 -57-1 ); 4-[2-(4-Amino-1 ,2,5-oxadiazol-3-yl)-1 -ethyl-7-[(3S)-3-piperidinylmethoxy]-1 H- imidazo[4,5-c]pyridin-4-yl]-2-methyl-3-butyn-2-ol (GSK690693, CAS 937174-76-0
- PKC Protein Kinase C activators: Bryostatin I (bryo-1 ) and Sotrastaurin (AEB071 ).
- B-RAF inhibitors Regorafenib (BAY73-4506, CAS 755037-03-7); Tuvizanib (AV951 , CAS 475108-18-0); Vemurafenib (Zelboraf®, PLX-4032, CAS 918504-65-1 ); 5-[l-(2- Hydroxyethyl)-3-(pyridin-4-yl)-lH-pyrazol-4-yl]-2,3-dihydroinden-l-one oxime (GDC-0879, CAS 905281 -76-7); 5-[2-[4-[2-(Dimethylamino)ethoxy]phenyl]-5-(4-pyridinyl)-1 H-imidazol-4- yl]-2,3-dihydro-1 H-lnden-1 -one oxime (GSK2118436 or SB590885); (+/-)-Methyl (5-(2-(5- chloro-2-methylphenyl)
- C-RAF Inhibitors Sorafenib (Nexavar®); 3-(Dimethylamino)-/V-[3-[(4-hydroxybenzoyl)amino]- 4-methylphenyl]-benzamide (ZM336372, CAS 208260-29-1); and 3-(1-cyano-1 -methylethyl)- /V-[3-[(3,4-dihydro-3-methyl-4-oxo-6-quinazolinyl)amino]-4-methylphenyl]-benzamide (AZ628, CAS 1007871 -84-2).
- G-CSF modulators Human Granulocyte colony-stimulating factor (G-CSF) modulators: Filgrastim (Neupogen®); Sunitinib malate (Sutent®); Pegilgrastim (Neulasta®) and Quizartinib (AC220, CAS 950769- 58-1).
- c-KIT Inhibitors Pazopanib (Votrient®); Dovitinib dilactic acid (TKI258, CAS 852433-84-2); Motesanib diphosphate (AMG706, CAS 857876-30-3, N-(2,3-dihydro-3,3-dimethyl-1 H-indol- 6-yl)-2-[(4-pyridinylmethyl)amino]-3-pyridinecarboxamide, described in PCT Publication No.
- WO 02/066470 Masitinib (Masivet®); Regorafenib (BAY73-4506, CAS 755037-03-7); Tivozanib (AV951 , CAS 475108-18-0); Vatalanib dihydrochloride (PTK787, CAS 212141-51 - 0); Telatinib (BAY57-9352, CAS 332012-40-5); Foretinib (GSK1363089, formerly XL880, CAS 849217-64-7); Sunitinib malate (Sutent®); Quizartinib (AC220, CAS 950769-58-1); Axitinib (Inlyta®); Dasatinib (BMS-345825); and Sorafenib (Nexavar®).
- Masitinib Mosivet®
- Regorafenib BAY73-4506, CAS 755037-03-7
- Bcr/Abl kinase inhibitors Imatinib (Gleevec®); Inilotinib hydrochloride; Nilotinib (Tasigna®); Dasatinib (BMS-345825); Bosutinib (SKI-606); Ponatinib (AP24534); Bafetinib (INNQ406); Danusertib (PHA-739358), AT9283 (CAS 1133385-83-7); Saracatinib (AZD0530); and N-[2- [(1 S,4F?)-6-[[4-(Cyclobutylamino)-5-(trifluoromethyl)-2-pyrimidinyl]amino]-1 ,2,3,4- tetrahydronaphthalen-1 ,4-imin-9-yl]-2-oxoethyl]-acetamide (PF-03814735, CAS 942487-16- 3).
- IGF-1R inhibitors Linsitnib (OSI-906); [7-[frans-3-[(Azetidin-1 -yl)methyl]cyclobutyl]-5-(3- benzyloxyphenyl)-7H-pyrrolo[2,3-d]pyrimidin-4-yl]amine (AEW541 , CAS 475488-34-7); [5-(3- Benzyloxyphenyl)-7-[frans-3-[(pyrrolidin-1 -yl)methyl]cyclobutyl]-7H-pyrrolo[2,3-d]pyrimidin-4- yl]amine (ADW742 or GSK552602A, CAS 475488-23-4); (2-[[3-Bromo-5-(1 ,1 -dimethylethyl)-
- IGF-1R antibodies Figitumumab (CP751871 ); Cixutumumab (IMC-A12); Ganitumab (AMG- 479); Robatumumab (SCH-717454); Dalotuzumab (MK0646) R1507 (available from Roche); BIIB022 (available from Biogen); and MEDI-573 (available from Medlmmune).
- PIM Kinase inhibitors 1 ,10-Dihydropyrrolo[2,3-a]carbazole-3-carbaldehyde (DHPCC-9); /V- [(1 -Methyl-4-piperidinyl)methyl]-3-[3-(trifluoromethoxy)phenyl]- lmidazo[1 ,2-b]pyridazin-6- amine sulfate (SGI-1776, CAS 1 173928-26-1 ); and CX-6258 (described in ACS Med. Chem. Lett., 2012, 3 (2), pp 135-139).
- RESULTS 1000873-98-2 RESULTS 1000873-98-2
- AMG 458 Cryzotinib (Xalkori®, PF-02341066); (3Z)-
- HER2 receptor Human Epidermal Growth Factor Receptor 2 (HER2 receptor) (also known as Neu, ErbB-2, CD340, or p 185) inhibitors: Trastuzumab (Herceptin®); Pertuzumab (Omnitarg®); Neratinib (HKI-272, (2E)-N-[4-[[3-chloro-4-[(pyridin-2-yl)methoxy]phenyl]amino]-3-cyano-7- ethoxyquinolin-6-yl]-4-(dimethylamino)but-2-enamide, and described PCT Publication No.
- WO 05/028443 Lapatinib or Lapatinib ditosylate (Tykerb®); (3R,4R)-4-amino-1-((4-((3- methoxyphenyl)amino)pyrrolo[2,1 -f][1 ,2,4]triazin-5-yl)methyl)piperidin-3-ol (BMS690514); (2E)-/V-[4-[(3-Chloro-4-fluorophenyl)amino]-7-[[(3S)-tetrahydro-3-furanyl]oxy]-6-quinazolinyl]-
- mTOR inhibitors Temsirolimus (Torisel®); Ridaforolimus (formally known as deferolimus, (1 F?,2F?,4S)-4-[(2F?)-2 [(1 R,9S,12S,15R,16E,18R,19R,21 R, 23S,24E,26E,28Z,30S,32S,35R)-
- Phosphoinositide 3-kinase (PI3K) inhibitors 4-[2-(1 H-lndazol-4-yl)-6-[[4-
- BCL-2 inhibitors 4-[4-[[2-(4-Chlorophenyl)-5,5-dimethyl-1 -cyclohexen-1 -yl]methyl]-1 - piperazinyl]-N-[[4-[[(1 R)-3-(4-morpholinyl)-1 -[(phenylthio)methyl]propyl]amino]-3- [(trifluoromethyl)sulfonyl]phenyl]sulfonyl]benzamide (also known as ABT-263 and described in PCT Publication No.
- Mitogen -activated protein kinase (MEK) inhibitors include GDC-0973, Cas No. 1029872-29-4, available from ACC Corp.); Selumetinib (5-[(4-bromo-2- chlorophenyl)amino]-4-fluoro-N-(2-hydroxyethoxy)-1 -methyl-1 H-benzimidazole-6- carboxamide, also known as AZD6244 or ARRY 142886, described in PCT Publication No.
- P38 MAPK inhibitors Orantinib (TSU-68, CAS 252916-29-3); Dilmapimod (SB681323, CAS 444606-18-2); 6-[(Aminocarbonyl)(2,6-difluorophenyl)amino]-2-(2,4-difluorophenyl)- 3- pyridinecarboxamide (VX702); 8-Phenyl-2-(morpholin-4-yl)-chromen-4-one (LY294002, CAS 154447-36-6); 4-[4-(4-fluorophenyl)-2-[4-(methylsulfinyl)phenyl]-1 /-/-imidazol-5-yl]-pyridine (SB203580, CAS 152121 -47-6); 4-[4-(4-Fluorophenyl)-2-[4-(methylsulfinyl)phenyl]-1 H- imidazol-5-yl]-pyridine (
- JAK inhibitors Ruxolitinib (Jakafi®); Tofacitinib (CP690550); Axitinib (AG013736, CAS 319460-85-0); 5-Chloro- A ⁇ -[(1 S)-1 -(5-fluoro-2-pyrimidinyl)ethyl]-/V 4 -(5-methyl-1 H-pyrazol-3- y)-l2,4-pyrimidinediamine (AZD1480, CAS 935666-88-9); and (9£ -15-[2-(1 - Pyrrolidinyl)ethoxy]- 7,12,26-Trioxa-19,21 ,24-triazatetracyclo[18.3.1 .1 25 .1 14 ’ 18 ]-hexacosa- 1 (24),2,4,9,14,16,18(25),20,22-nonaene (SB-1578, CAS 937273-04-6); Momelotinib (CY
- Alkylating agents Oxaliplatin (Eloxatin®); Temozolomide (Temodar® and Temodal®); Dactinomycin (also known as actinomycin-D, Cosmegen®); Melphalan (also known as L- PAM, L-sarcolysin, and phenylalanine mustard, Alkeran®);Altretamine (also known as hexamethylmelamine (HMM), Hexalen®); Carmustine (BiCNU®); Bendamustine (Treanda®); Busulfan (Busulfex® and Myleran®); Carboplatin (Paraplatin®); Lomustine (also known as CCNU, CeeNU®); Cisplatin (also known as CDDP, Platinol® and Platinol®-AQ); Chlorambucil (Leukeran®); Cyclophosphamide (Cytoxan® and Neosar®); dacarbazine (also known as DTIC, DIC and
- Topoisomerase I inhibitors Irinotecan (Camptosar®); Topotecan hydrochloride (Hycamtin®); and 7-Ethyl-10-hydroxycampothecin (SN38).
- Topoisomerase II inhibitors Etoposide (VP-16 and Etoposide phosphate, Toposar®, VePesid® and Etopophos®); Teniposide (VM-26, Vumon®); and Tafluposide .
- DNA Synthesis inhibitors Capecitabine (Xeloda®); Gemcitabine hydrochloride (Gemzar®); Nelarabine ((2F?,3S,4F?,5F?)-2-(2-amino-6-methoxy-purin-9-yl)-5-(hydroxymethyl)oxolane-3,4- diol, Arranon® and Atriance®); and Sapacitabine (1 -(2-cyano-2-deoxy-p-D- arabinofuranosyl)-4-(palmitoylamino)pyrimidin-2(1 H)-one).
- Folate Antagonists or Antifolates Trimetrexate glucuronate (Neutrexin®); Piritrexim isethionate (BW201 U); Pemetrexed (LY231514); Raltitrexed (Tomudex®); and Methotrexate (Rheumatrex®, Trexal®).
- Immunomodulators Afutuzumab (available from Roche®); Pegfilgrastim (Neulasta®); Lenalidomide (CC-5013, Revlimid®); Thalidomide (Thalomid®), Actimid (CC4047); and IRX- 2 (mixture of human cytokines including interleukin 1 , interleukin 2, and interferon y, CAS 951209-71 -5, available from IRX Therapeutics).
- Proapoptotic receptor agonists including DR4 (TRAILR1) and DR5 (TRAILR2): Dulanermin (AMG-951 , RhApo2L/TRAIL); Mapatumumab (HRS-ETR1 , CAS 658052-09-6); Lexatumumab (HGS-ETR2, CAS 845816-02-6); Apomab (Apomab®); Conatumumab (AMG655, CAS 896731-82-1); and Tigatuzumab (CS1008, CAS 946415-34-5, available from Daiichi Sankyo).
- PARAs Proapoptotic receptor agonists
- DR4 DR4
- TRAILR2 DR5
- Dulanermin AMG-951 , RhApo2L/TRAIL
- Mapatumumab HRS-ETR1 , CAS 658052-09-6
- Lexatumumab HS-ETR2, CAS 845816
- Phospholipase A2 (PLA 2 ) inhibitors Manoalide; E-(3-Acetamide-1 -benzyl-2-ethylindolyl-5- oxy)propane sulfonic acid (LY311727); Anagrelide (Agrylin®); Methyl arachidonyl fluorophosphonate (MAFP); Arachidonyl trifluoromethyl ketone (AACOCF 3 ); (E)-6-(1- bromoethyle)tetrahydro-3-(1-naphthalenyl)-2/-/-pyran-2-one (Bromoenol lactone or BEL); R- Bromoenol lactone (R-BEL); S-Bromoenol lactone (S-BEL); Diisopropylfluorophosphate (DFP); Phenylmethylsulfonylfluoride (PMSF); and Pefabloc (CAS 34284-75-8, 4-[2- aminoeth
- SRC inhibitors Dasatinib (Sprycel®); Saracatinib (AZD0530, CAS 379231 -04-6); Bosutinib (SKI-606, CAS 380843-75-4); 5-[4-[2-(4-Morpholinyl)ethoxy]phenyl]-/V-(phenylmethyl)- 2- pyridineacetamide (KX2-391 , CAS 897016-82-9); and 4-(2-Chloro-5-methoxyanilino)-6- methoxy-7-(1 -methylpiperidin-4-ylmethoxy)quinazoline (AZM475271 , CAS 476159-98-5).
- Osteoclastic bone resorption inhibitors Zoledronate (Zometa®); Ibandronate (Boniva®); Alendronate (Fosamax®); Risedronate (Actonel®, Atelvia®, and Benet®); and Mineral trioxide aggregate (MTA).
- G-Protein-coupled Somatostain receptors Inhibitors Octreotide (also known as octreotide acetate, Sandostatin® and Sandostatin LAR®); Lanreotide acetate (CAS 127984-74-1); Seglitide (MK678); Vapreotide acetate (Sanvar®); and Cyclo(D-Trp-Lys-Abu-Phe-MeAla- Tyr)( BIM23027).
- Interleukin-11 and Synthetic lnterleukin-11 (IL-11): Oprelvekin (Neumega®).
- Erythropoietin and Synthetic erythropoietin Erythropoietin (Epogen® and Procrit®); Darbepoetin alfa (Aranesp®); Peginesatide (Hematide®); and EPO covalently linked to polyethylene glycol (Micera®).
- Receptor Activator for Nuclear Factor K B (RANK) inhibitors Denosumab (Prolia® and Xgeva®).
- Thrombopoietin mimetic peptibodies Romiplostim (Nplate®).
- Cell growth stimulators Palifermin (Kepivance®); Erythropoietin (Epogen® and Procrit®); Darbepoetin alfa (Aranesp®); Peginesatide (Hematide®); and EPO covalently linked to polyethylene glycol (Micera®).
- Chlamydocin (S)-Cyclic(2-methylalanyl-L-phenylalanyl-D-prolyl-r
- Biologic response modifiers include therapeutics such as interferons, interleukins, colonystimulating factors, monoclonal antibodies, vaccines (therapeutic and prophylactic), gene therapy, and nonspecific immunomodulating agents.
- Interferon alpha Intron®, Roferson®- A
- Interferon beta Interferon gamma
- lnterleukin-2 IL-2 or aldesleukin, Proleukin®
- Filgrastim Neuropogen®
- Sargramostim Leukine®
- Erythropoietin epoetin
- Interleukin-11 oprelvekin
- Imiquimod Aldara®
- Lenalidomide Revlimid®
- Rituximab Rituximab
- Trastuzumab Herceptin®
- Bacillus calmette-guerin theraCys® and TICE® BCG
- Levamisole Ergamisol®
- Anti-tumor antibiotics Doxorubicin (Adriamycin® and Rubex®); Bleomycin (lenoxane®); Daunorubicin (dauorubicin hydrochloride, daunomycin, and rubidomycin hydrochloride, Cerubidine®); Daunorubicin liposomal (daunorubicin citrate liposome, DaunoXome®); Mitoxantrone (DHAD, Novantrone®); Epirubicin (EllenceTM); Idarubicin (Idamycin®, Idamycin PFS®); Mitomycin C (Mutamycin®); Geldanamycin; Herbimycin; Ravidomycin; and Desacetylravidomycin.
- Anti-microtubule or Anit-mitotic agents Vinca Alkaloids (such as Vinorelbine tartrate (Navelbine®), Vincristine (Oncovin®), and Vindesine (Eldisine®)); Taxanes (such as paclitaxel and docetaxel); and Estramustine (Emcyl® or Estracyt®);
- Vinca Alkaloids such as Vinorelbine tartrate (Navelbine®), Vincristine (Oncovin®), and Vindesine (Eldisine®)
- Taxanes such as paclitaxel and docetaxel
- Estramustine Emcyl® or Estracyt®
- Plant Alkaloids Paclitaxel (Taxol and OnxalTM); Paclitaxel protein-bound (Abraxane®); Vinblastine (also known as vinblastine sulfate, vincaleukoblastine and VLB, Alkaban-AQ® and Velban®); Vincristine (also known as vincristine sulfate, LCR, and VCR, Oncovin® and Vincasar Pfs®); and Vinorelbine (Navelbine®).
- Paclitaxel Texol and OnxalTM
- Paclitaxel protein-bound Abraxane®
- Vinblastine also known as vinblastine sulfate, vincaleukoblastine and VLB, Alkaban-AQ® and Velban®
- Vincristine also known as vincristine sulfate, LCR, and VCR, Oncovin® and Vincasar Pfs®
- Vinorelbine® Vinorelbine®
- Cathepsin K inhibitors Odanacatib (MK-0822, /V-(1 -cyanocyclopropyl)-4-fluoro-/ ⁇ - ⁇ (1 S)- 2,2,2-trifluoro-1-[4'-(methylsulfonyl)biphenyl-4-yl]ethyl ⁇ -L-leucinamide and described in PCT Publication no.
- Epothilone B analogs Ixabepilone (Lxempra®); Patupilone (EP0906); Sagopilone (CAS 305841-29-6); and 21-Aminoepothilone B (BMS-310705, CAS 280578-49-6).
- HSP Heat Shock Protein
- Thrombopoietin (TpoR) agonists Eltrombopag (SB497115, Promacta® and Revolade®); and Romiplostim (Nplate®).
- Kinesis Spindle Protein (KSP) inhibitors also known as Eg5 inhibitors: Monastrol (Ethyl 4- (3-hydroxyphenyl)-6-methyl-2-sulfanylidene-3,4-dihydro-1 H-pyrimidine-5-carboxylate);
- Polo-like kinase (Plk) inhibitors (R)-4-[(8-Cyclopentyl-7-ethyl-5,6,7,8-tetrahydro-5-methyl-6- oxo-2-pteridinyl)amino]-3-methoxy-N-(1 -methyl-4-piperidinyl)benzamide (BI2536, CAS 755038-02-9); Wortmannin; Morin; Quercetin; Volasertib (BI6727); 8-Phenyl-2-(morpholin- 4-yl)-chromen-4-one (LY294002); 5-[6-[(4-Methylpiperazin-1-yl)methyl]-1 H-benzimidazol-1- yl]-3-[[(1 R)-1 -[2-(trifluoromethyl)phenyl]ethyl]oxy]-thiophene-2-carboxamide (GSK461364); (E)-4-[2-[2-[
- Adrenal steroid inhibitors Aminoglutethimide (Cytadren®); Trilostane (Modrenal® or Vetoryl®); and Mitotane (Lysodren®).
- Anti-androgens Nilutamide (Nilandron® and Anandron®); Bicalutamide (Casodex®); Megestrol (Megace®); Cyproterone acetate (Cyprostat®, Androcur®, or Cyproterone®), and Flutamide (FulexinTM or Eulexin®); Leuprolide (Lupron®, Viadur® or Eligard®); Foserelin (Zoladex®); Triptorelin (Trelstar Depot®); Abarelix (Plenaxis®) and Finasteride (Andozac® or MK-906).
- Anabolic Steroids Fluoxymesterone (Halotestin®); OxymethoIone (Anadrol 50®); Oxandrolone (Oxandrin)®; and Stanozolol (Winstrol®).
- Marizomib (NPI-0052); Ixazomib citrate (M LN-9708); Delanzomib (CEP-18770); and O- Methyl-/V-[(2-methyl-5-thiazolyl)carbonyl]-L-seryl-0-methyl-/V-[(1 S)-2-[(2F?)-2-methyl-2- oxiranyl]-2-oxo-1 -(phenylmethyl)ethyl]- L-serinamide (ONX-0912).
- Gonadotropin-releasing hormone (GnRH) receptor agonists Leuprolide or leuprolide acetate (Viadure®, Eligard® and Lupron®); Buserelin (Suprefact® or Suprecor®); Nafarelin (Synarel®); Histrelin (Supprelin LA® or Vantas®); Goserelin (Zoladex®); Deslorelin (Suprelorin® or Ovuplant®); Degarelix (Firmagon®); and Triptorelin (Decapeptyl®, Diphereline®, Goapeptyl®, Trelstart® or Variopeptyl® 0.1 ).
- HPV vaccines Human papilloma virus (HPV) vaccine (Cervarix® (ATC code J07BM02), and Gardasil® (ATC code J07BM01).
- Iron Chelating agents Silybin; Curcumin; Ethylene diamine tetraacetic acid (EDTA); Triapine (3-aminopyridine-2-carboxaldehyde thiosemicarbazone); Di-2-pyridylketone thiosemicarbazon ; Di-2-pyridylketone-4,4,-dimethyl-3-thiosemicarbazone; Desferrioxamine; and Deferasinox (Exjade®).
- Demethylating agents 5-Azacitidine (Vidaza®); and Decitabine (Dacogen®).
- Cytokines lnterleukin-2 (also known as aldesleukin and IL-2, Proleukin®); Interleukin-11 (also known as oprevelkin, Neumega®); and Alpha interferon alfa (also known as IFN-alpha, Intron® A, and Roferon-A®).
- Retinoids Alitretinoin (9-c/s-retinoic acid, Panretin®); Tretinoin (a ⁇ -trans retinoic acid, also known as ATRA, Vesanoid®); Isotretinoin (13-c/s-retinoic acid, Accutane®, Amnesteem®, Claravis®, Clarus®, Decutan®, Isotane®, Izotech®, Oratane®, Isotret®, and Sotret®); Bexarotene (Targretin®), Liposomal retinoic acid; Tazarotene (Tazorac®, Avage® or Zorac®); a ⁇ -trans retinol; a ⁇ -trans retinaldehyde (also known as a ⁇ -trans retinal); a ⁇ -trans 4- oxo retinoic acid; retinyl palmitate; and retinyl acetate.
- Estrogen receptor downregulators Fulvestrant (Faslodex®).
- Anti-estrogens Tamoxifen (Novaldex®); Toremifene (Fareston®); and Fulvestrant (Faslodex®).
- SERMs selective estrogen receptor modulators: Raloxifene (Evista®); Bazedoxifene; Tamoxifen (Nolvadex®); and Toremifene (Fareston®).
- LHRH Leutinizing hormone releasing hormone agonists: Goserelin (Zoladex®); and Leuprolide acetate (Eligard® or Lupron®).
- Megestrol also known as megestrol acetate, Megace®.
- CYP17A1 17 a-hydroxylase/C17,20 lyase (CYP17A1) inhibitors: Abiraterone acetate (Zyitga®).
- Miscellaneous cytotoxic agents Arsenic trioxide (Trisenox®); Asparaginase (also known as L-asparaginase, Erwinia L-asparaginase, Elspar® and Kidrolase®); and Asparaginase Erwinia Chrysanthemi (Erwinaze®).
- Asparaginase also known as L-asparaginase, Erwinia L-asparaginase, Elspar® and Kidrolase®
- Asparaginase Erwinia Chrysanthemi Erwinaze®
- C-C Chemokine receptor 4 (CCR4) Antibody Mogamulizumab (Potelligent®) CD20 antibodies: Rituximab (Riuxan® and MabThera®); and Tositumomab (Bexxar®); and Ofatumumab (Arzerra®).
- CD20 Antibody Drug Conjugates Ibritumomab tiuxetan (Zevalin®); and Tositumomab,
- CD22 Antibody Drug Conjugates Inotuzumab ozogamicin (also referred to as CMC-544 and WAY-207294, available from Hangzhou Sage Chemical Co., Ltd.)
- CD30 mAb-cytotoxin Conjugates Brentuximab vedotin (Adcetrix®);
- CD33 Antibody Drug Conjugates Gemtuzumab ozogamicin (Mylotarg®),
- CD40 antibodies Dacetuzumab (also known as SGN-40 or huS2C6, available from Seattle Genetics, Inc),
- CD52 antibodies Alemtuzumab (Campath®)
- Anti-CS1 antibodies Elotuzumab (HuLuc63, CAS No. 915296-00-3)
- CTLA-4 inhibitor antibodies Tremelimumab (lgG2 monoclonal antibody available from Pfizer, formerly known as ticilimumab, CP-675,206); and Ipilimumab (CTLA-4 antibody, also known as MDX-010, CAS No. 477202-00-9).
- TPH inhibitors telotristat
- PARP poly ADP ribose polymerase inhibitors: olaparib (Lynparza), rucaparib (Rubraca), Niraparib (Ze fonda), Talazoparib, Veliparib.
- PD-1 Inhibitors Spartalizumab (PDR001 , Novartis), Nivolumab (Bristol-Myers Squibb), Pembrolizumab (Merck & Co), Pidilizumab (CureTech), MEDI0680 (Medimmune), REGN2810 (Regeneron), TSR-042 (Tesaro), PF-06801591 (Pfizer), BGB-A317 (Beigene), BGB-108 (Beigene), INCSHR1210 (Incyte), or AMP-224 (Amplimmune).
- PD-L1 inhibitors Durvalumab, Atezolizumab, Avelumab Radio-sensitizers: Idronoxil (Veyonda, also known as NOX-66), Sodium glycididazole, Nimorazole, NBTXR3 (also known as PEP503), [89Zr]AGulX, Lucanthone, Telomelysin (OBP-301 ), lonidamine, nimorazole, panobinostat, celecoxib, cilengitide, entinostat, etanidazole, ganetespib (STA-9090).
- a pharmaceutical composition comprising:
- radionuclide is present at a concentration so that it provides a volumetric radioactivity of at least 0.1 mCi/mL, preferably from 0.1 mCi/mL to 100 mCi/mL, more preferably from 0.1 mCi/mL to 30 mCi/mL, more preferably from 0.1 mCi/mL to 20 mCi/mL, more preferably from 1 mCi/mL to 20 mCi/mL, more preferably from 2 mCi/mL to 20 mCi/mL, more preferably from 5 mCi/mL to 15 mCi/mL, more preferably from 7 mCi/mL to 13 mCi/mL, more preferably from 8 mCi/mL to 12 mCi/mL, more preferably from 9 mCi/mL to 11 mCi/mL, even more preferably of about 10
- Z 1 is a bond or a Ci-C 6 alkylene, preferably Z 1 is a bond;
- Y is a halogen
- compositions wherein said at least two stabilizers are gentisic acid or salts thereof and ascorbic acid or salts thereof.
- composition according to embodiment 9 to 1 1 wherein said ascorbic acid or salts thereof is present at a concentration of at least 3000 pg/mL, preferably at least 6000 pg/mL, more preferably at least 8000 pg/mL, preferably between 3000 pg/mL and 15000 pg/mL, preferably between 6000 pg/mL and 12000 pg/mL, more preferably between 7500 pg/mL and 9000 pg/mL, more preferably between 8000 pg/mL and 9000 pg/mL, more preferably between 8500 pg/mL and 9000 pg/mL, even more preferably about 8550 pg/mL.
- the pharmaceutical composition according to any of the preceding embodiments wherein said pharmaceutical formulation has a radiochemical purity higher than 95% up to 72 hours.
- the pharmaceutical composition according to any of the preceding embodiments wherein the molar ratio between the (ii) PSMA binding ligand linked to a chelating agent and the (i) radionuclide, preferably 177 Lu, is at least 1 .25, preferably at least 1 .5, preferably from 1 .25 to 6, more preferably from 1 .5 to 5, even more preferably from 1.5 to 4.
- composition (b) gentisic acid or salts thereof and ascorbic acid or salts thereof.
- the buffer is selected from acetate buffer, citrate buffer and phosphate buffer, preferably acetate buffer.
- a sequestering agent typically DTPA
- 2800 pg/mL and ascorbic acid or salts thereof is present at a concentration between 3000 ng/mL and 15000 pg/mL, preferably between 6000 pg/mL and 12000 pg/mL, more preferably between 7500 pg/mL and 9000 pg/mL, more preferably between 8000 pg/mL and 9000 pg/mL, more preferably about 8500 pg/mL and 9000 pg/mL, even more preferably about 8550 pg/mL.
- composition according to any of the preceding embodiments wherein the pharmaceutical composition consists of less than 10% ethanol, preferably less than 5% ethanol, more preferably less than 2% ethanol, even more preferably less than 1% ethanol, even more preferably the composition is free of ethanol.
- composition according to any of the preceding embodiments for use in treating or preventing cancer, typically prostate cancer.
- a process for manufacturing a pharmaceutical composition comprising:
- step (2.2) mixing the complex solution obtained by step (1) with the aqueous dilution solution obtained in step (2.1) to obtain the pharmaceutical composition of embodiment 1 , and optionally filtering the pharmaceutical composition obtained in step (2.2) to produce the pharmaceutical composition of any of embodiments 1 to 28.
- the aqueous solution prepared in step (1 .2) comprises only one stabilizer which is gentisic acid or salts thereof at a concentration of at least 600 pg/mL, preferably at least 1000 pg/mL, and more preferably at least 2000 pg/mL, typically between 600 pg/mL and 5000 pg/mL, preferably between 1500 pg/mL and 3000 pg/mL, more preferably between 2000 and 3000 pg/mL, more preferably between 2500 and 3000 pg/mL, more preferably between 2600 and 3000 pg/mL, even more preferably about 2800 pg/mL or at a concentration between 50 pg/mL and 2000 pg/mL, preferably between 200 pg/mL and 1600 pg/mL, more preferably between 400 pg/mL and 1200 pg/mL, more preferably between 600 pg/
- PSMA binding ligand linked to a chelating agent is of formula (I): wherein:
- Z is tetrazole or COOQ, preferably Z is COOQ;
- Q is independently H or a protecting group, preferably Q is H; m is an integer selected from the group consisting of 1 , 2, 3, 4, and 5, preferably m is 4; q is an integer selected from the group consisting of 1 , 2, 3, 4, 5, and 6, preferably q is 1 ;
- Z 1 is a bond or a Ci-C 6 alkylene, preferably Z 1 is a bond;
- Y is a halogen
- R 2 is H or C1-C4 alkyl, preferably R 2 is H; n is an integer selected from the group consisting of 1 , 2 and 3; Ch is a chelating agent, preferably
- aqueous dilution solution prepared in step (2.1) comprises at least one stabilizer selected from the group consisting of ascorbic acid or salts thereof at a concentration of at least 3000 pg/mL, preferably 6000 pg/mL, more preferably at least 8000 pg/mL, typically between 3000 pg/mL and 15000 pg/mL, preferably between 6000 pg/mL and 12000 pg/mL, more preferably between 7500 pg/mL and 9000 pg/mL, more preferably between 8000 pg/mL and 9000 pg/mL, more preferably about 85 pg/mL and 9000 pg/mL, even more preferably about 8550 pg/mL and gentisic acid or salts thereof in a concentration between 500 pg/mL and 4000 pg/mL , preferably between 1000 pg/
- step (1 .3) the resulting mixture is heated to a temperature of from 65 to 99 °C, preferably from 70 to 95 °C, more preferably about 70 °C, for from 1 to 59 min, preferably from 2 to 15 min, more preferably about 5 min. 40.
- the aqueous dilution solution of step (2.1) further comprises a sequestering agent, preferably diethylentriaminepentaacetic acid (DTPA) or a salt thereof.
- DTPA diethylentriaminepentaacetic acid
- aqueous dilution solution of step (2.1) further comprises a pH adjuster, preferably NaOH and/or HCI.
- aqueous dilution solution of step (2.1) further comprises a solvent, preferably water for injection and/or saline solution.
- composition of embodiments 1 to 29 for its use in combination with another therapeutic agent selected in the group consisting of anti-cancer agents, anti-allergic agents, anti-nausea agents, anti-emetic agents, pain relievers, cytoprotective agents, and mixtures thereof.
- compositions of embodiments 1 to 29 for its use in combination with another therapeutic agent selected in the group consisting of general chemotherapeutic agents, Tyrosine kinase inhibitors, Vascular Endothelial Growth Factor (VEGF) receptor inhibitors, Platelet-derived Growth Factor (PDGF) receptor inhibitors, Fibroblast Growth Factor Receptor (FGFR) Inhibitors, Aurora kinase inhibitors, Cyclin-Dependent Kinase (CDK) inhibitors, Checkpoint Kinase (CHK) inhibitors, 3-Phosphoinositide-dependent kinase-1 (PDK1 or PDPK1) inhibitors, Pyruvate Dehydrogenase Kinase (PDK) inhibitors, Protein Kinase B (PKB) or AKT inhibitors, Protein Kinase C (PKC) activators, B-RAF inhibitors, C-RAF Inhibitors, Human Granulocyte colony-stimulating factor (G-CSF) modulators, RET Inhibitors, F
- the 177 LuCls may be obtained from commercial sources, e.g. LD.B. Holland BV. All other components of the drug product are commercially available from various sources.
- the target characteristics which have been set for the development of 177 Lu-PSMA-R2 formulation are the following:
- Lu-PSMA-R2 manufacturing is performed both automatically, by using the MiniAIO synthesizer, and manually.
- the synthesis procedure has been developed as follows:
- reaction buffer is composed of sodium acetate buffer and gentisic acid.
- the acetate buffer allows to maintain the labelling pH between 4-5, while gentisic acid protects the PSMA-R2 from radiolysis during the labelling step;
- the dilution solution is composed of ascorbic acid and/or gentisic acid (stabilizers against radiolytic degradation), DTPA (sequestering agent), NaOH (pH adjuster) and saline solution (tonicity agent).
- Example 1 Effect of the molar ratio between PSMA-R2 and 177 Lu on the radiochemical purity
- PSMA-R2 has a molecular weight of 987.89 g/mol and the following formula (II):
- SA The specific activity
- 177 LuCI 3 solution used as precursor for the radiolabelling contains also 176 Lu and 175 Lu isotopes. So, in this case, SA corresponds to the ratio between the radioactivity and the sum of all the Lu isotopes present in solution. Since all these isotopes compete together for complexation with the DOTA-moiety, it is important to define the maximum amount of ( 177+17 5+ 17 6)
- Ascorbic acid and gentisic acid were tested in order to protect the labelled molecules from radiolytic degradation.
- Reaction buffer Acetic acid/acetate buffer.
- the radiolabelling tests have been carried out both manually and automatically by using the MiniAIO synthesizer.
- the synthesis procedure has been developed as follows:
- reaction buffer is composed of sodium acetate buffer and gentisic acid.
- the acetate buffer allows to maintain the labelling pH between 4-5, while gentisic acid protects the PSMA-R2 from radiolysis during the labelling step;
- Reaction buffer Acetic acid/acetate buffer.
- the amount of ascorbic acid was fixed at 8000 pg/mL.
- the synthesis was performed under the following conditions:
- Reaction buffer Acetic acid/acetate buffer.
- the radiolabelling has been carried out automatically by using the MiniAIO synthesizer.
- the synthesis procedure has been performed as follows:
- reaction buffer is composed of sodium acetate buffer and gentisic acid.
- the acetate buffer allows to maintain the labelling pH between 4-5, while the gentisic acid protects the PSMA-R2 from radiolysis during the labelling step;
- the dilution solution is composed of ascorbic acid (stabilizer against radiolytic degradation), DTPA (sequestering agent), NaOH (pH adjuster) and saline solution.
- Scales up batches are manufactured during the process-development and optimization stage of the drugs.
- the batch size is generally similar to the routine manufacturing and marketing of the product.
- Production-scale batches are also useful to assist in the evaluation and definition of critical quality attributes (CQAs).
- CQAs critical quality attributes
- the 177 LuPSMA-R2 scale-up study has been designed with the aim of moving from the activities tested at R&D lab-scale (up to 200 mCi) to different batch sizes applicable at industrial level:
- Reaction buffer Acetic acid/acetate buffer
- the radiolysis can be reduced protecting the molecule with a suitable amount of radical scavengers.
- gentisic acid or ascorbic acid were selected.
- the oxidative degradation can be prevented by decreasing the amount of atmospheric O 2 into the vial, either by filling the 30 mL vial with the liquid formulation as much as possible (e.g. with 25 mL of solution), or by storing the finished product under nitrogen atmosphere.
- the thermal degradation can be reduced by lowering the storage temperature of the finished product.
- the synthesis module is used to prepare the Drug Substance (Mother Solution) containing the 177 Lu-labelled molecule.
- the automatic synthesis process was developed to produce the radioactive Drug Substance as a sterile, aqueous concentrate mother solution.
- Drug Substance synthesis steps were set up in the MiniAIO (TRASIS) synthesizer module, a self-contained closed-system synthesis module which is automated and remotely controlled by GMP compliant software with monitoring and recording of the process parameters.
- MiniAIO TRASIS
- Mini AIO radiosynthesizer module is widely used in the radiopharmaceutical industry for manufacture of PET radiopharmaceuticals. This module incorporates a disposable fluid path which is preferred over fixed fluid path devices since it ensures a sterile and pyrogen free fluid path and eliminates the possibility of a cross-contamination between batches.
- the synthesis module is placed in a lead-shielded hot cell providing supply of Grade C HEPA filtered air.
- the isolator is inside a clean Grade C laboratory room.
- PSMA-R2 net amount 1 mg
- Table 12 summarizes the radiochemical purity results obtained for the 177 LuPSMA-R2 1 Ci scale-up batch. As it can be noted, the radiochemical purity of the product at to meets the target specification being > 97%.
- samples with final volume of 25 mL and 5 mL filled with air were placed both at 5°C and at room temperatures (samples 1-4).
- Table 16 are described the characteristics and storage conditions for the dispensed samples.
- Table 16 Samples characteristics and storage conditions Table 17 summarizes the stability results obtained for the 2 Ci batch. As shown, the radiochemical purity of the product at the end of the synthesis meets the specification (RCP% > 97%). No free 177Lu3+ was observed in HPLC radiochromatogram profile.
- Table 20 are described the target formulation characteristics selected for the manufacturing of the 4 Ci batch size. Table 20 - Target formulation characteristics
- Table 21 summarizes relevant parameters for the in process controls carried out on during the manufacturing of 4 Ci 177 LuPSMA scale up batch.
- Ci batch allowed to dispense 22 samples that were subjected to different physicochemical conditions during the stability assessment of finished drug product.
- samples with volume of 25 mL and 5 mL filled with air were placed at both 5°C and room temperature.
- no supplemental gentisic acid was added at the formulation step (gentisic acid concentration 700 pg/mL).
- the final gentisic acid concentration was doubled (about 1400 pg/mL), and they were stored at room temperature and at 40°C.
- Samples 19-20 were dispensed with volume of 25 mL and 5 mL and stored at room temperature.
- the gentisic acid concentration was also in this case around 700 pg/mL and the final pH was moved above 7 with 1 mL of NaOH 0.1 N.
- samples 21 and 22 were both dispensed in a volume of 10 mL and then respectively diluted 1 :2 (final volumetric radioactivity 5 mCi/mL) and 2:3 (final volumetric radioactivity 6.66 mCi/mL) with saline solution. These samples were stored at room temperature. The gentisic acid concentration was about 700 pg/mL. The aim of these tests was to understand if there is correlation between the volumetric radioactivity and the stability of the drug substance.
- Table 22 are described the characteristics and storage conditions of the samples dispensed during the 4 Ci production.
- Sample 5 and 6 shows both a RCP% at the end of shelf life over 95%.
- the pH of these samples is, respectively 5.33 and 5.36.
- the improvement observed in these conditions should be due to the presence of the extraamount of stabilizer against radiolytic degradation compared to the previous samples.
- the samples 13 and 14 (formulation with 2800 pg/mL of gentisic acid) stored at room temperature show both a RCP% at the end of shelf life over 95%.
- the pH of these samples is, respectively 5.23 and 5.38.
- the sample 18 was formulated with 700 p g/mL of gentisic acid and the final pH was adjusted around 4 with 1 mL of HCI 0.1 N.
- the radiochemical purity after 3 days is 96.0 % and the pH measured is 3.80.
- Example 7 Final formulation with 177 LuSR-VI-71 and detailed composition
- a final formulation comprising 177 LuSR-VI-71 is prepared for an amount of 1 Ci according to Table 27.
Landscapes
- Health & Medical Sciences (AREA)
- Life Sciences & Earth Sciences (AREA)
- Veterinary Medicine (AREA)
- Animal Behavior & Ethology (AREA)
- Chemical & Material Sciences (AREA)
- Medicinal Chemistry (AREA)
- Public Health (AREA)
- Pharmacology & Pharmacy (AREA)
- General Health & Medical Sciences (AREA)
- Optics & Photonics (AREA)
- Epidemiology (AREA)
- Physics & Mathematics (AREA)
- Proteomics, Peptides & Aminoacids (AREA)
- Chemical Kinetics & Catalysis (AREA)
- General Chemical & Material Sciences (AREA)
- Nuclear Medicine, Radiotherapy & Molecular Imaging (AREA)
- Organic Chemistry (AREA)
- Pharmaceuticals Containing Other Organic And Inorganic Compounds (AREA)
Abstract
The present disclosure relates to a pharmaceutical composition of high concentration and of high chemical stability, that allows their use as drug product for diagnostic and/or therapeutic purposes. The stability of the drug product is achieved by at least two stabilizers against radiolytic degradation. The use of two stabilizers introduced during the manufacturing process was found to be of particular advantage. In particular the present invention relates to pharmaceutical composition comprising: (a) a complex formed by (i) a radionuclide, and (ii) a PSMA binding ligand linked to a chelating agent; and; (b) at least two stabilizers against radiolytic degradation.
Description
STABLE RADIOPHARMACEUTICAL COMPOSITION
TECHNICAL FIELD
The present disclosure relates to pharmaceutical compositions with radiolabeled PSMA ligand of high concentration and of high chemical and radiochemical stability that allow their use as commercial drug products for diagnostic and/or therapeutic purposes.
BACKGROUND
Prostate cancer is one of the most widespread cancers in the US and in Europe. In particular, metastatic prostate cancer (mCRPC) is associated with poor prognosis and diminished quality of life.
Recently, a new development stream for treating prostate cancer is represented by the endoradiotherapy based on PSMA ligands, as PSMA is considered to be a suitable target for imaging and therapy due to its over-expression in primary cancer lesions and in soft- tissue/bone metastatic disease. Also, PSMA expression seems to be even higher in the most aggressive castration-resistant variants of the disease, which represents a patient population with high unmet medical need. (Marchal et aL, Histol Histopathol, 2004, Jul; 19(3):715-8; Mease et aL, Curr Top Med Chem, 2013, 13(8):951 -62).
Among many small-molecule ligands targeting PSMA, the urea-based low molecular weight agents have been the most extensively investigated ones. These agents were shown to be suitable for prostate cancer clinical assessment as well as for PRRT therapy (Kiess et aL, Q J Nucl Med Mol Imaging, 2015;59:241 -68). Some of these agents have glutamate-urea- lysine (GUL) as the targeting scaffold. A class of molecules was created following the strategy to attach a linker between the chelator and GUL moiety. This approach allows the urea to reach the binding site while keeping the metal chelated portion on the exterior of the binding site. This strategy was successful in xenograft PSMA positive tumors due to its demonstrated high uptake and retention as well as fast renal clearance (Banerjee et aL, J Med Chem, 2013; 56:6108-21 ). It has also been shown that this class of molecule can be labeled with 68Ga, and used it in the detection of prostate cancer lesions by PET imaging (Eder et aL Pharmaceuticals 2014, 7, 779-796).
For these radiomedicinal applications, the target cell receptor binding moiety is typically linked to a chelating agent which is able to form a strong complex with the metal ions of a radionuclide. This radiopharmaceutical drug is then delivered to the target cell and the decay
of the radionuclide is then releasing high energy electrons, positrons or alpha particles as well as gamma rays at the target site.
One technical problem with those radiopharmaceutical drug products is that the decay of the radionuclide occurs constantly, e.g. also during the manufacturing and during storage of the drug product, and the released high energy emissions induce the cleavage of the chemical bonds of the molecules which form part of the drug product. This is often referred to as radiolysis or radiolytic degradation. The radiolytic degradation of the receptor binding moiety of the drug may lead to a decrease in its efficacy to act as a diagnostic and/or therapeutic.
The poor stability of those radiopharmaceutical drug products and their lack of any significant shelf-life required that those drugs have so far to be manufactured as an individual patient’s dose unit in the laboratories at the hospital and administered immediately to the patient who had to be present at that hospital already awaiting the radiological treatment.
To reduce radiolysis of radiopharmaceutical drug products and thus improve stability, various strategies have been explored with more or less success: The drug product may be stored at low temperatures, or produced in high dilution, or stabilizers may be added.
Adding stabilizers however may be problematic as those chemicals may have a negative impact on the complexation of the radionuclide into the chelating agent or may have a limited solubility and precipitate from the solution. Ethanol has been reported as stabilizer against radiolysis {WO 2008/009444). While ethanol might not have a negative impact on the complexation or a solubility issue, higher amounts of ethanol in an infusion solution may be physiologically problematic and may have a negative impact on the tolerability of the drug product.
Producing the drug product in high dilution has the disadvantage that large volumes of infusion solutions need to be administered to patients. For the convenience of patients and for drug tolerability reasons it would be highly desirable to provide the radiopharmaceutical drug product in a high concentration. Those highly concentrated solutions however are in particular prone to radiolysis. Therefore, there are contradictory positions between, on the one hand, avoiding radiolysis by dilution of the drug product but, on the other hand, avoiding patient discomfort during treatment by providing a concentrated drug solution. In Mathur et al. Cancer Biotherapy and Radiopharmaceuticals, 2017, 32(7), 266-273 a product of high concentration has been reported and claimed being ready-to-use. However, that composition may be problematic with respect to tolerability as it contains high amounts of ethanol.
It remains therefore a challenge to design a ready-to-use radiopharmaceutical composition which can be produced at commercial scale and delivered as a sufficiently stable and sterile solution in a high concentration which leads to a for patient convenient small infusion volume and which has a composition of high physiological tolerability (e.g. a composition which does not contain ethanol). This is particularly true for radiopharmaceuticals for the therapy of prostate cancer as here higher amounts of radioactive doses may have to be applied in comparison to many other radiopharmaceutical therapies for other tumors.
SUMMARY
The present inventors have now found a way to design and produce a highly concentrated radionuclide complex solution which is chemically and radiochemically very stable, even if stored at ambient or short-term elevated temperatures so that it can be produced on commercial scale and supplied as a ready-to-use radiopharmaceutical product.
The present disclosure is provided in various aspects as outlined in the following enumerated embodiments:
1 . A pharmaceutical composition comprising:
(a) a complex formed by
(i) a radionuclide, and
(ii) a PSMA binding ligand linked to a chelating agent; and;
(b) at least two stabilizers against radiolytic degradation.
2. The pharmaceutical composition according to embodiment 1 , wherein said radionuclide is selected from 111 In, 133mln, 99mTc, 94mTc, 67Ga, 66Ga, 68Ga, 52Fe, 169Er, 72As, 97Ru, 203Pb, 212Pb, 62Cu, 64Cu, 67Cu, 186Re, 188Re, 86Y, 90Y, 51Cr, 52mMn, 157Gd, 177Lu, 161Tb, 169Yb, 175Yb, 105Rh, 166Dy, 166Ho, 153Sm, 149Pm, 151 Pm, 172Tm, 121Sn, 117mSn, 213Bi, 212Bi, 142Pr, 143Pr, 198Au, 199Au, 89Zr, 225Ac, 43Sc, 44Sc, 47Sc, and 55Co, preferably selected from 177Lu and 68Ga, more preferably is 177Lu.
3. The pharmaceutical composition according to embodiment 1 or 2, wherein said radionuclide is present at a concentration so that it provides a volumetric radioactivity of at least 0.1 mCi/mL, preferably from 0.1 mCi/mL to 100 mCi/mL, preferably from 10 mCi/mL to 40 mCi/mL even more preferably of about 10 mCi/mL.
4. The pharmaceutical composition according to any of the preceding embodiments, wherein said chelating agent is selected from DOTA, DTPA, NTA, EDTA, DO3A, AAZTA, NODAGA, TETA and NOTA, preferably is DOTA.
5. The pharmaceutical composition according to any of the preceding embodiments, wherein said (ii) PSMA binding ligand linked to a chelating agent is of formula (I):
Z is tetrazole or COOQ, preferably Z is COOQ;
Q is independently H or a protecting group, preferably Q is H; m is an integer selected from the group consisting of 1 , 2, 3, 4, and 5, preferably m is 4; q is an integer selected from the group consisting of 1 , 2, 3, 4, 5, and 6, preferably q is 1 ;
R is selected from the group consisting of C6-Ci0 aryl and heteroaryl containing 5 to 10 ring atoms, said aryl and heteroaryl being substituted one or more times with X;
X is -Z1-Y;
Z1 is a bond or a Ci-C6 alkylene, preferably Z1 is a bond;
Y is a halogen;
L is a linker selected from the group consisting of Ci-C6 alkylene, C3-C6 cycloalkylene and C6-Cio arylene, said alkylene, cycloalkylene and arylene being optionally substituted with one or more substituents selected from: -OR’, =0, =NR’, =N-OR’, - NR’R”, -SR’, -halogen, -SiR’R”R’”, -OC(O)R’, -C(O)R’, -CO2R’, -C(O)NR’R”, - OC(O)NR’R”, - NR”C(O)R’, -NR’-C(O)NR”R’”, -NR”C(O)OR’, -NR’-C(NR”R’”)=NR””, - S(O)R’, - S(O)2R’, -S(O)2NR’R”, -NRSO2R’, -CN and -NO2, R’, R”, R’” and R”” each may independently refer to hydrogen, alkyl, heteroalkyl, cycloalkyl, heterocycloalkyl, aryl or heteroaryl;
W is selected from the group consisting of -NR2-(C=O), -NR2-(C=S), -(C=O)-NR2-, and -(C=S)-NR2-, preferably, W is -(C=O)-NR2-; each occurrence of L and W can be the same or different;
R2 is H or C1-C4 alkyl, preferably R2 is H;
n is an integer selected from the group consisting of 1 , 2 and 3;
6. The pharmaceutical composition according to any of the preceding embodiments wherein said (ii) PSMA binding ligand linked to a chelating agent is of formula (II):
7. The pharmaceutical composition according to any of the preceding embodiments, wherein said at least two stabilizer are selected from gentisic acid (2,5- dihydroxybenzoic acid) or salts thereof, ascorbic acid (L-ascorbic acid, vitamin C) or salts thereof (e.g. sodium ascorbate), methionine, histidine, melatonin, ethanol, and Se-methionine, preferably selected from gentisic acid or salts thereof and ascorbic acid or salts thereof.
8. The pharmaceutical composition according to any of the preceding embodiments, wherein said at least two stabilizers are gentisic acid or salts thereof and ascorbic acid or salts thereof.
9. The pharmaceutical composition according to embodiment 8, wherein the ratio between gentisic acid or salts thereof and ascorbic acid or salts thereof is between 1 :32 and 1 :1 , preferably between 1 :16 and 1 :2, more preferably between 1 :4 and
The pharmaceutical composition according to embodiment 8, wherein said gentisic acid or salts thereof is present at a concentration of least 600 pg/mL, preferably between 600 pg/mL and 5000 pg/mL, even more preferably about 2800 pg/mL. The pharmaceutical composition according to embodiments 8 to 10, wherein said ascorbic acid or salts thereof is present at a concentration of at least 3000 pg/mL, preferably between 3000 pg/mL and 15000 pg/mL, even more preferably about 8550 pg/mL. The pharmaceutical composition according to any of embodiments 8 to 11 , wherein said gentisic acid or salts thereof is present at a concentration between 600 pg/mL and 5000 pg/mL, preferably about 2800 pg/mL and ascorbic acid or salts thereof is present at a concentration between 3000 pg/mL and 15000 pg/mL, preferably about 8550 pg/mL. The pharmaceutical composition according to any of the preceding embodiments, wherein said pharmaceutical formulation has a radiochemical purity higher than 95% up to 72 hours. The pharmaceutical composition according to any of the preceding embodiments, wherein it comprises:
(a) a complex formed by
(i) radionuclide 177Lutetium (Lu-177), and
(b) gentisic acid or salts thereof and ascorbic acid or salts thereof. A process for manufacturing a pharmaceutical composition comprising:
(a) a complex formed by
(i) a radionuclide, and
(ii) a PSMA binding ligand linked to a chelating agent; and;
(b) at least two stabilizers against radiolytic degradation, said process comprising the following steps:
(1) a labelling step to form a complex of the radionuclide and the PSMA binding ligand linked to a chelating agent by
(1.1) providing an aqueous solution comprising the radionuclide;
(1.2) providing an aqueous solution comprising the PSMA binding ligand linked to a chelating agent, and only one stabilizer against radiolytic degradation, preferably gentisic acid or salts thereof; and
(1.3) mixing the solutions obtained in steps (1.1) and (1.2), heating the resulting mixture thereby obtaining a complex solution;
(2) a formulation step to dilute the complex solution obtained by step (1) by
(2.1) providing an aqueous dilution solution comprising at least one stabilizer against radiolytic degradation selected from the group consisting of ascorbic acid or salts thereof and gentisic acid or salts thereof; and
(2.2) mixing the complex solution obtained by step (1) with the aqueous dilution solution obtained in step (2.1) to obtain a pharmaceutical composition, and optionally filtering the pharmaceutical composition obtained in step (2.2) to produce the pharmaceutical composition of any of embodiments 1-14. . A process for manufacturing a pharmaceutical composition comprising:
(a) a complex formed by
(i) a radionuclide, and
(ii) a PSMA binding ligand linked to a chelating agent; and;
(b) at least two stabilizers against radiolytic degradation, said process comprising: providing a first solution comprising a complex formed by a radionuclide and a
PSMA binding ligand linked to a chelating agent and a first stabilizer against radiolytic degradation, preferably gentisic acid or salts thereof and more preferably the first stabilizer is the only stabilizer in the first solution; and diluting the first solution comprising the complex with an aqueous dilution solution that comprises a second stabilizer against radiolytic degradation selected from the group consisting of ascorbic acid or salts thereof and gentisic acid or salts thereof to obtain a second solution, wherein the first and the second stabilizer are the same or different stabilizers; and
optionally filtering the second solution to produce the pharmaceutical composition of any one of embodiments 1 -14, wherein each of the first solution and the aqueous dilution solution is preferably, substantially free of alcohol, more preferably substantially free of methanol, ethanol, propanol, butanol or mixtures thereof.
DETAILED DESCRIPTION
DEFINITIONS
In the following, terms as used herein are defined in their meaning.
The use of the articles “a”, “an”, and “the” in both the description and claims are to be construed to cover both the singular and the plural, unless otherwise indicated herein or clearly contradicted by context. The terms “comprising”, “having”, “being of” as in e.g., a complex “of a radionuclide and a cell receptor binding organic moiety linked to a chelating agent”, “including”, and “containing” are to be construed as open terms (i.e., meaning “including but not limited to”) unless otherwise noted. Additionally, whenever “comprising” or another open-ended term is used in an embodiment, it is to be understood that the same embodiment can be more narrowly claimed using the intermediate term “consisting essentially of” or the closed term “consisting of”.
As used herein, the terms "cancer" refer to cells having the capacity for autonomous growth, i.e., an abnormal state or condition characterized by rapidly proliferating cell growth. Hyperproliferative and neoplastic disease states may be categorized as pathologic, i.e., characterizing or constituting a disease state, or may be categorized as non-pathologic, i.e., a deviation from normal but not associated with a disease state. The term is meant to include all types of cancerous growths or oncogenic processes, metastatic tissues or malignantly transformed cells, tissues, or organs, irrespective of histopathologic type or stage of invasiveness.
As used herein, the term “protecting group” in reference to compounds of formula (I) refers to a chemical substituent which can be selectively removed by readily available reagents which do not attack the regenerated functional group or other functional groups in the molecule. Suitable protecting groups are known in the art and continue to be developed. Suitable protecting groups may be found, for example in Wutz et al. ("Greene's Protective Groups in Organic Synthesis, Fourth Edition," Wiley- Interscience, 2007). Protecting groups for protection of the carboxyl group, as described by Wutz et al. (pages 533-643), are used in
certain embodiments. In some embodiments, the protecting group is removable by treatment with acid.
Representative examples of protecting groups include, but are not limited to, benzyl, p- methoxybenzyl (PMB), tertiary butyl (t-Bu), methoxymethyl (MOM), methoxyethoxymethyl (MEM), methylthiomethyl (MTM), tetrahydropyranyl (THP), tetrahydrofuranyl (THF), benzyloxymethyl (BOM), trimethylsilyl (TMS), triethylsilyl (TES), t-butyldimethylsilyl (TBDMS), and triphenylmethyl (trityl, Tr). Persons skilled in the art will recognize appropriate situations in which protecting groups are required and will be able to select an appropriate protecting group for use in a particular circumstance.
As used herein, the term “aryl" refers to a polyunsaturated, aromatic hydrocarbyl group having a single ring or multiple aromatic rings fused together, containing 6 to 10 ring atoms, wherein at least one ring is aromatic. The aromatic ring may optionally include one to two additional rings (cycloalkyl, heterocyclyl or heteroaryl as defined herein) fused thereto. Suitable aryl groups include phenyl, naphthyl and phenyl ring fused to a heterocyclyl, like benzopyranyl, benzodioxolyl, benzodioxanyl and the like.
As used herein, the terms “substituted aryl” and “substituted pyridine” refer to an aryl as defined above or a pyridine which is substituted by one or more substituents selected from: halogen, -OR’, -NR’R”, -SR’, -SiR’R”R’”, -OC(O)R’, -C(O)R’, -CO2R’, -C(O)NR’R”, - OC(O)NR’R”, -NR”C(O)R’, -NR’-C(O)NR”R’”, -NR”C(O)OR’, -NR-C(NR’R”R’”)=NR””, -NR- C(NR’R”)=NR’”, -S(O)R’, -S(O)2R’, -S(O)2NR’R”, -NRSO2R’, -CN, -NO2, -R’, -N3, -CH(Ph)2, fluoro(Ci-C4)alkoxo, and fluoro(Ci-C4)alkyl, in a number ranging from zero to the total number of open valences on aromatic ring system; and where R’, R”, R’” and R”” may be independently selected from hydrogen, alkyl, heteroalkyl, cycloalkyl, heterocycloalkyl, aryl and heteroaryl. When a compound of the disclosure includes more than one R group, for example, each of the R groups is independently selected as are each R’, R”, R’” and R”” groups when more than one of these groups is present.
As used herein, the term “alkyl”, by itself or as part of another substituent, refers to a linear or branched alkyl functional group having 1 to 6 carbon atoms. Suitable alkyl groups include methyl, ethyl, n-propyl, /-propyl, n-butyl, /-butyl, s-butyl and t-butyl, pentyl and its isomers (e.g. n-pentyl, /so-pentyl), and hexyl and its isomers (e.g. n-hexyl, /so-hexyl).
As used herein, the term “alkylene” refers to a divalent saturated, straight-chained or branched hydrocarbon group having 1 20 carbon atoms, preferably 1-12, more preferably 1- 6.
As used herein, the term “heteroalkyl” refers to a linear or branched alkyl functional group having 1 to 6 carbon atoms and from one to three, heteroatoms selected from the group consisting of O, N, Si and S, and wherein the nitrogen and sulfur atoms may optionally be oxidized and the nitrogen heteroatom may optionally be quaternized. The heteroatom(s) O, N and S may be placed at any interior position of the heteroalkyl group or at the position at which the alkyl group is attached to the remainder of the molecule.
As used herein, the term “cycloalkyl” refers to a saturated or unsaturated cyclic group having 3 to 6 carbon atoms. Suitable cycloalkyl groups include cyclopropyl, cyclobutyl, cyclopentyl and cyclohexyl.
As used herein, the term "halogen" refers to a fluoro (-F), chloro (-CI), bromo (-Br), or iodo (-I) group.
As used herein, the term “alkoxy” refers to a -O-alkyl group, wherein the alkyl group is a Ci- C6 alkyl as defined herein. Suitable alkoxy groups include methoxy, ethoxy, propoxy.
As used herein, the term "heteroaryl" refers to a polyunsaturated, aromatic ring system having a single ring or multiple aromatic rings fused together or linked covalently, containing 5 to 10 atoms, wherein at least one ring is aromatic and at least one ring atom is a heteroatom selected from N, O and S. The nitrogen and sulfur heteroatoms may optionally be oxidized and the nitrogen heteroatoms may optionally be quaternized. Such rings may be fused to an aryl, cycloalkyl or heterocyclyl ring. Non-limiting examples of such heteroaryl, include: furanyl, thiophenyl, pyrrolyl, pyrazolyl, imidazolyl, oxazolyl, isoxazolyl, thiazolyl, isothiazolyl, triazolyl, oxadiazolyl, thiadiazolyl, tetrazolyl, oxatriazolyl, thiatriazolyl, pyridinyl, pyrimidyl, pyrazinyl, pyridazinyl, oxazinyl, dioxinyl, thiazinyl, triazinyl, indolyl, isoindolyl, benzofuranyl, isobenzofuranyl, benzothiophenyl, isobenzothiophenyl, indazolyl, benzimidazolyl, benzoxazolyl, purinyl, benzothiadiazolyl, quinolinyl, isoquinolinyl, cinnolinyl, quinazolinyl and quinoxalinyl.
As used herein, the terms “heterocyclyl” or “heterocylcoalkyl” refer to a saturated or unsaturated cyclic group having 5 to 10 ring atoms, wherein at least one ring atom is a heteroatom selected from N, O and S. The nitrogen and sulfur heteroatoms may optionally
be oxidized and the nitrogen heteroatoms may optionally be quaternized. Examples of heterocycle include, but are not limited to, tetrahydropyridyl, piperidinyl, morpholinyl, tetrahydrofuranyl, tetrahydrothienyl, piperazinyl, 1-azepanyl,imidazolinyl, 1 ,4-dioxanyl and the like.
The term “about” or “ca.” has herein the meaning that the following value may vary for ± 20%, preferably ± 10%, more preferably ± 5%, even more preferably ± 2%, even more preferably ± 1%.
Unless otherwise defined, “%” has herein the meaning of weight percent (wt%), also referred to as weight by weight percent (w/w%).
Unless otherwise defined, the volumetric radioactivity expressed may vary for ± 10%, preferably ± 5%, even more preferably ± 2%, even more preferably ± 1%.
“total concentration”: sum of one or more individual concentrations.
“aqueous solution”: a solution of one or more solute in water.
“complex formed by
(i) a radionuclide, and
(ii) a PSMA binding ligand linked to a chelating agent”:
The radionuclide metal ion is forming a non-covalent bond with the functional groups of the chelating agent, e.g. amines or carboxylic acids. The chelating agent has at least two such complexing functional groups to be able to form a chelate complex.
“Buffer for a pH from 4 to 6.0”: may be an acetate buffer, citrate buffer (e.g. citrate + HCI or citric acid + Disodium hydrogenphosphate) or phosphate buffer (e.g. Sodium dihydrogenphosphate + Disodium hydrogenphosphate), preferably said buffer is an acetate buffer, preferably said acetate buffer is composed of acetic acid and sodium acetate.
“Sequestering agent”, a chelating agent suitable to complex the radionuclide metal ions, preferably DTPA: Diethylentriaminepentaacetic acid.
“pH adjuster”, is chemical that is added to a solution to adjust a pH value of the solution and to thereby achieve a desired performance. Controlling the pH can be performed by
adding a pH adjuster to the formulation. Examples of pH adjusters include commonly used acids and bases, buffers and mixtures of acids and bases. For example, bases that can be used include NaOH, KOH, Ca(OH)2), sodium bicarbonate, potassium carbonate, and sodium carbonate. Examples of acids that can be used include hydrochloric acid, acetic acid, citric acid, formic acid, fumaric acid, and sulfamic acid. Preferably the pH adjuster is a base, more preferably NaOH. The range of pH of the fluid can be any suitable range, such as about 2 to about 14.
“for commercial use”: the drug product, e.g. a pharmaceutical aqueous solution, is able to obtain (preferably has obtained) marketing authorization by health authorities, e.g. US- FDA or EMA, by complying with all drug product quality and stability requirements as demanded by such health authorities, is able to be manufactured (preferably is manufactured) from or at a pharmaceutical production site at commercial scale followed by a quality control testing procedure, and is able to be supplied (preferably is supplied) to remotely located end users, e.g. hospitals or patients.
By “combination” or “in combination with,” it is not intended to imply that the therapy or the therapeutic agents must be administered at the same time and/or formulated for delivery together, although these methods of delivery are within the scope described herein. The therapeutic agents in the combination can be administered concurrently with, prior to, or subsequent to, one or more other additional therapies or therapeutic agents. The therapeutic agents or therapies can be administered in any order. In general, each therapeutic agent will be administered at a dose and/or using a regimen determined for that therapeutic agent. It will further be appreciated that the therapeutic agents utilized in this combination may be administered together in a single composition or administered separately in different compositions. In some embodiments, the therapeutic agents utilized in combination can be utilized at levels that do not exceed the levels at which they are typically utilized individually. In some embodiments, the levels of the therapeutic agents utilized in combination can be lower than those utilized individually.
The chelating agent in the context of the present disclosure may be
DOTA: 1 ,4,7,10-Tetraazacyclododecane-1 ,4,7,10-tetraacetic acid,
DTPA: Diethylentriaminepentaacetic acid,
NTA: Nitrilotriacetic acid,
EDTA: Ethylenediaminetetraacetic acid,
DO3A: 1 ,4,7,10-Tetraazacyclododecane-1 ,4,7-triacetic acid,
NOTA: 1 ,4,7-Triazacyclononane-1 ,4,7-triacetic acid,
NODAGA: 1 ,4,7-triazacyclononane,1 -glutaric acid-4, 7-acetic acid
TETA: 1 ,4,8,11-tetraazacyclotetradecane-N,N',N",N"'-tetraacetic acid
AAZTA: 1 ,4-bis(carboxymethyl)-6-[bis(carboxymethyl)] amino- 6-methylperhydro-1 ,4-diazepine) or mixtures thereof, preferably is DOTA.
“linked”: the PSMA binding ligand is either directly linked to the chelating agent or connected via a linker molecule, preferably it is directly linked. The linking bond(s) is (are) either covalent or non-covalent bond(s) between the PSMA binding ligand (and the linker) and the chelating agent, preferably the bond(s) is (are) covalent.
“Stabilizer against radiolytic degradation”: stabilizing agent which protects organic molecules against radiolytic degradation, e.g. when a gamma ray emitted from the radionuclide is cleaving a bond between the atoms of an organic molecules and radicals are formed, those radicals are then scavenged by the stabilizer which avoids the radicals undergoing any other chemical reactions which might lead to undesired, potentially ineffective or even toxic molecules. Therefore, those stabilizers are also referred to as “free radical scavengers” or in short “radical scavengers”. Other alternative terms for those stabilizers are “radiation stability enhancers”, “radiolytic stabilizers”, or simply “quenchers".
“The ratio between gentisic acid or salts thereof (GA) and ascorbic acid or salts thereof (AA)” is free acid concentration ratio (pg/mL:pg/mL), i.e. concentration ratio with respect to GA and AA as free acids wherein the concentration of counter-ions, such as sodium (Na), is not taken into calculation.
“concentration of gentisic acid or salts thereof and ascorbic acid or salts thereof ”: is expressed in pg/mL. When a concentration is given for gentisic acid or salts thereof and ascorbic acid or salts thereof, the concentration is intended to mean the free acid concentration. The person skilled in the art can readily determine the concentration of the corresponding salt.
“Radiochemical purity”: is that percentage of the stated radionuclide that is present in the stated chemical or biological form. Radiochromatography methods, such as HPLC method or instant Thin Layer Chromatography method (iTLC), are the most commonly accepted methods for determining radiochemical purity in the nuclear pharmacy.
“at room temperature”: is intended to mean a temperature between about 20°C and about 25°C.
Herein after, the present disclosure is described in further detail and is exemplified.
In general, the present disclosure concerns a pharmaceutical composition, in particular a radiopharmaceutical composition. The pharmaceutical composition is for intravenous (IV) use/application/administration. The solution is stable, concentrated, and ready-to-use.
The PSMA binding ligand linked to a chelating agent
Advantageously, the PSMA binding ligand linked to a chelating agent is a molecule comprising a) a urea of 2 amino-acid residues, typically a glutamate-urea-lysine (GUL) moiety, and b) a chelating agent which can coordinate radioactive isotope.
According to an embodiment, the PSMA binding ligand is a compound of formula (I):
Z is tetrazole or COOQ, preferably Z is COOQ;
Q is independently H or a protecting group, preferably Q is H; m is an integer selected from the group consisting of 1 , 2, 3, 4, and 5, preferably m is 4; q is an integer selected from the group consisting of 1 , 2, 3, 4, 5, and 6, preferably q is 1 ;
R is selected from the group consisting of C6-Ci0 aryl and heteroaryl containing 5 to
10 ring atoms, said aryl and heteroaryl being substituted 1 or more times with X;
X is - Z1-Y;
Z1 is a bond or a Ci-C6 alkylene, preferably Z1 is a bond;
Y is a halogen;
L is a linker selected from the group consisting of Ci-C6 alkylene, C3-C6 cycloalkylene and C6-Cio arylene, said alkylene, cycloalkylene and arylene being optionally
substituted with one or more substituents selected from: -OR’, =0, =NR’, =N-OR’, - NR’R”, -SR’, -halogen, -SiR’R”R’”, -OC(O)R’, -C(O)R’, -CO2R’, -C(O)NR’R”, - OC(O)NR’R”, -NR”C(O)R’, -NR’-C(O)NR”R’”, -NR”C(O)OR’, -NR’-C(NR”R’”)=NR””, - S(O)R’, - S(O)2R’, -S(O)2NR’R”, -NRSO2R’, -CN and -NO2. R’, R”, R’” and R”” each may independently refer to hydrogen, alkyl, heteroalkyl, cycloalkyl, heterocycloalkyl, aryl and heteroaryl;
W is selected from the group consisting of -NR2-(C=O), -NR2-(C=S), -(C=O)-NR2-, and -(C=S)-NR2-, preferably, W is -(C=O)-NR2-; each occurrence of L and W can be the same or different;
R2 is H or C1-C4 alkyl, preferably R2 is H; n is an integer selected from the group consisting of 1 , 2 and 3;
The phrase “wherein each occurrence of L and W can be the same or different” means that when the variable “n” is 2 or 3, one “L” group can be Ci-C6 alkylene, whereas the other “L” group or groups can be C3-C6 cycloalkylene or arylene, or, in other embodiments, each “L” group can be, for example, Ci-Ce alkylene. Likewise, for example, when “n” is 2 or 3, one “W” group can be -(C=O)-NR2- and the other “W” group or groups can be -(C=S)-NR2-, or, in other embodiments, each “W” can be, for example, -(C=O)-NR2-.
According to an embodiment, L is a linker selected from the group consisting of Ci-C6 alkylene, C3-C6 cycloalkylene and C6-Ci0 arylene, said alkylene, cycloalkylene and arylene being optionally substituted with one or more substituents selected from: -OR’, =0, =NR’, - NR’R”, -halogen, -OC(O)R’, -C(O)R’, -CO2R’, -C(O)NR’R”, -OC(O)NR’R”, -NR”C(O)R’, -NR’- C(O)NR”R”’, -NR”C(O)OR’. R’, R” and R’” each may independently refer to hydrogen, alkyl, heteroalkyl, cycloalkyl, heterocycloalkyl, aryl and heteroaryl.
According to an embodiment, L is a linker selected from the group consisting of C3-C6 alkylene optionally substituted with one or more substituents selected from: -OR’, =0, =NR’, - NR’R”, -halogen, -OC(O)R’, -C(O)R’, -CO2R’, -C(O)NR’R”, -OC(O)NR’R”, -NR”C(O)R’, -NR’- C(O)NR”R’”, -NR”C(O)OR’. R’, R” and R’” each may independently refer to hydrogen, alkyl, heteroalkyl, cycloalkyl, heterocycloalkyl, aryl and heteroaryl.
According to an embodiment, R is selected from the group consisting of C6-Ci0 aryl substituted with one or more halogen and pyridine substituted with one or more halogen.
According to an embodiment, R is selected from the group consisting of:
wherein p is an integer selected from the group consisting of 1 , 2, 3, 4, and 5, preferably p is 1. According to a specific embodiment, R is selected from
According to a specific embodiment, X is selected from Br and I.
The compound of formula (II) can be referred to as PSMA-R2.
According to another embodiment, the PSMA binding ligand is a compound of formula (III):
The compound of formula (III) can be referred to as PSMA-Cpd2.
Synthesis of the compounds of formula (I), (II) and (III)
The compounds of formula (I), (II) and (III) can be synthesized using the methods disclosed in WO2017/165473.
In particular, the compound of formula (II) can be synthesized as disclosed in scheme 1. The p-bromobenzyl group modified of Glu-Lys urea 2 can be prepared by reductive alkylation of
Glu-Lys urea 1 with p-bromobenzaldehyde in presence of sodium cyanoborohydride in methanol. This procedure has been described in the literature (Tykvart et al. (2015) Journal of medicinal chemistry 58, 4357-63). Then, an aliphatic linker, Boc-6-aminohexanoic acid can be coupled on the same e-Lys amine of 2, for example using a base (like N, IMdiisopropylethylamine) and a coupling agent (like N,N,N',N'-Tetramethyl-O-(N- succinimidyl)uronium tetrafluoroborate or 1 -[Bis(dimethylamino)methylene]-1 H-1 ,2,3- triazolo[4,5-b]pyridinium 3-oxid hexafluorophosphate), to yield compound 3. Compound 3
can then be deprotected to yield compound 4, for example using an acid like trifluoroacetic acid. Finally, conjugation with commercially available DOTA-NHS ester can be performed to yield compound (II).
Scheme 1 : synthesis of the compound of formula (II)
Methods for radiolabeled PSMA binding ligand linked to a chelating agent
The radiolabeled PSMA binding ligand linked to a chelating agent, also called radiolabeledPSMA-R2, can be manufactured both automatically, for example by using the MiniAIO synthesizer or other synthesizers known in the art for automated synthesis, and manually.
In a first aspect, the present disclosure relates to a process for manufacturing a pharmaceutical composition comprising:
(a) a complex formed by
(i) a radionuclide, and
(ii) a PSMA binding ligand linked to a chelating agent; and;
(b) at least two stabilizers against radiolytic degradation.
Labelling step
The labelling step aims at forming a complex of the radionuclide and the PSMA binding ligand linked to a chelating agent.
In an embodiment this labelling step can be conducted by firstly providing an aqueous solution comprising an aqueous solution comprising the PSMA binding ligand linked to a chelating agent of formula (II), in the presence of at least one stabilizer against radiolytic degradation, for example gentisic acid. When said aqueous solution is prepared, the preparation can be done by adding a reaction solution to an aqueous solution containing the PSMA binding ligand linked to a chelating agent of formula (II). The reaction solution comprises a stabilizer against radiolytic degradation. The stabilizer against radiolytic degradation protects the PSMA binding ligand linked to a chelating agent from radiolysis during the labelling step.
In an embodiment the stabilizer against radiolytic degradation is gentisic acid or salts thereof. This gentisic acid or salts thereof can be added only during the labelling step, or, a part of this gentisic acid or salts thereof can be added during the labelling step and the other part can be added at the end of the process, during the formulation step.
In an embodiment, the reaction solution comprises gentisic acid or salts thereof at a concentration of at least 600 pg/mL, preferably at least 1000 pg/mL, and more preferably at least 2000 pg/mL, typically between 600 pg/mL and 5000 pg/mL, preferably between 1500
Hg/mL and 3000 pg/mL, more preferably between 2000 and 3000 pg/mL, even more preferably between 2500 and 3000 pg/mL, even more preferably between 2600 and 3000 pg/mL, even more preferably about 2800 pg/mL.
In another embodiment, the reaction solution comprises gentisic acid or salts thereof at a concentration between 50 pg/mL and 2000 pg/mL, preferably between 200 pg/mL and 1600 pg/mL, more preferably between 400 pg/mL and 1200 pg/mL, more preferably between 600 pg/mL and 1000 pg/mL, more preferably between 700 pg/mL and 900 pg/mL, more preferably about 800 pg/mL.
In an embodiment the reaction solution further comprises a buffer. The buffer allows maintaining the labelling pH from 3.5 to 6.5, preferably from 3.5 to 5.0, more preferably from 3.5 to 4.5, even more preferably about 4.0. Preferably the buffer is selected from acetate buffer, citrate buffer and phosphate buffer. More preferably the buffer is acetate buffer.
Then an aqueous solution comprising the radionuclide is provided. This aqueous solution comprising the radionuclide is added and mixed to the aqueous solution containing PSMA binding ligand linked to a chelating agent in the presence of at least one stabilizer against radiolytic degradation previously obtained thereby obtaining a complex solution.
In an embodiment the radionuclide is selected from 111 In, 133mln, 99mTc, 94mTc, 67Ga, 66Ga, 68Ga, 52Fe, 169Er, 72As, 97Ru, 203Pb, 212Pb, 62Cu, 64Cu, 67Cu, 186Re, 188Re, 86Y, 90Y, 51Cr, 52mMn, 157Gd, 177Lu, 161Tb, 169Yb, 175Yb, 105Rh, 166Dy, 166Ho, 153Sm, 149Pm, 151 Pm, 172Tm, 121Sn, 117mSn, 213Bi, 212Bi, 142Pr, 143Pr, 198Au, 199Au, 89Zr, 225Ac, 43Sc, 44Sc, 47Sc, and 55Co, preferably selected from 177Lu and 68Ga, and more preferably is 177Lu.
In an embodiment the aqueous solution comprises 177Lu as the radionuclide and HCL In this aqueous solution, the radionuclide 177Lu is present in complexed form 177LuCI3.
In an embodiment the radionuclide is present at a concentration so that it provides a volumetric radioactivity of at least 0.1 mCi/mL, preferably from 0.1 mCi/mL to 100 mCi/mL, more preferably from 0.1 mCi/mL to 30 mCi/mL, more preferably from 0.1 mCi/mL to 20 mCi/mL, more preferably from 1 mCi/mL to 20 mCi/mL, more preferably from 2 mCi/mL to 20 mCi/mL, more preferably from 5 mCi/mL to 15 mCi/mL, more preferably from 7 mCi/mL to 13 mCi/mL, more preferably from 8 mCi/mL to 12 mCi/mL, more preferably from 9 mCi/mL to 11 mCi/mL, even more preferably of about 10 mCi/mL.
In another embodiment the radionuclide is present at a concentration so that it provides a volumetric radioactivity of at least 0.1 mCi/mL, preferably from 0.1 mCi/mL to 400 mCi/mL, more preferably from 0.1 mCi/mL to 120 mCi/mL, more preferably from 0.1 mCi/mL to 80 mCi/mL, more preferably from 20 mCi/mL to 80 mCi/mL, more preferably from 25 mCi/mL to 60 mCi/mL, more preferably from 30 mCi/mL to 50 mCi/mL, more preferably from 35 mCi/mL to 45 mCi/mL, even more preferably of about 40 mCi/mL.
In an embodiment the molar ratio between the PSMA binding ligand linked to a chelating agent and the radionuclide, preferably 177Lu, is at least 1.25, preferably at least 1.5, preferably from 1 .25 to 6, more preferably from 1 .5 to 5, even more preferably from 1 .5 to 4.
The labelling step can be conducted at a room temperature or at a temperature of from 65°C to 99 °C, preferably from 70°C to 95 °C, and more preferably about 95°C, for from 1 to 59 min, preferably about 2 to 30 min, more preferably about 2 to 20 min, even more preferably about 2 to 15 min, even more preferably about 5 to 15 min or 5 to 12 min, and even more preferably about 5 min.
Formulation step
The formulation step aims at diluting the complex solution obtained at the end of the labelling step in order to obtain the desired volumetric radioactivity.
In an embodiment this formulation step can be conducted by firstly providing an aqueous dilution solution comprising at least one stabilizer against radiolytic degradation selected from the group consisting of ascorbic acid or salts thereof and gentisic acid or salts thereof. Preferably the salt of ascorbic acid is sodium ascorbate.
In an embodiment, when the gentisic acid or salts thereof is added only during the labelling step, the aqueous dilution solution comprises only one stabilizer against radiolytic degradation which is ascorbic acid or salts thereof. Preferably, the aqueous dilution solution comprises ascorbic acid or salts thereof at a concentration of at least 3000 pg/mL, preferably 6000 pg/mL, more preferably at least 8000 pg/mL, typically between 3000 pg/mL and 15000 pg/mL, preferably between 6000 pg/mL and 12000 pg/mL, more preferably between 7500 pg/mL and 9000 pg/mL, even more preferably between 8000 pg/mL and 9000 pg/mL, even more preferably about 8500 pg/mL and 9000 pg/mL, even more preferably about 8550 pg/mL.
In another embodiment, when a part of gentisic acid or salts thereof is added during the labelling step, the aqueous dilution solution comprises two stabilizers against radiolytic degradation which are ascorbic acid or salts thereof and gentisic acid or salts thereof. Preferably, the aqueous dilution solution comprises ascorbic acid or salts thereof at a concentration of at least 3000 pg/mL, preferably 6000 pg/mL, more preferably at least 8000 pg/mL, typically between 3000 pg/mL and 15000 pg/mL, preferably between 6000 pg/mL and 12000 pg/mL, more preferably between 7500 pg/mL and 9000 pg/mL, even more preferably between 8000 pg/mL and 9000 pg/mL, even more preferably about 8500 pg/mL. and 9000 pg/mL, even more preferably about 8550 pg/mL; and gentisic acid or salts thereof in a concentration between 500 pg/mL and 4000 pg/mL , preferably between 1000 pg/mL and 3000 pg/mL, more preferably between 1400 pg/mL and 2600 pg/mL, more preferably between 1600 pg/mL and 2400 pg/mL, more preferably between 1800 pg/mL and 2200 pg/mL, more preferably about 2000 pg/mL.
In an embodiment, the aqueous dilution solution further comprises a sequestering agent, preferably diethylentriaminepentaacetic acid (DTPA) or a salt thereof. Preferably, DTPA or a salt thereof is present at a concentration between 50 pg/mL and 300 pg/mL, preferably between 100 pg/mL and 200 pg/mL, more preferably about 150 pg/mL.
In an embodiment, the aqueous dilution solution further comprises a pH adjuster. Preferably the pH adjuster is NaOH and/or HCI, more preferably NaOH and HCI. Preferably NaOH is present at a concentration of between 0.5 mg/mL and 2 mg/mL, preferably between 1 mg/mL and 1 ,5mg/mL, more preferably about 1.35 mg/mL; and HCI is present at a concentration of between 1 mg/mL and 3mg/mL, preferably between 1.5 mg/mL and 2.5 mg/mL, more preferably about 1 .95 mg/mL.
In an embodiment, the aqueous dilution solution further comprises a solvent. Preferably the solvent is water for injection and/or saline solution, more preferably solvent is water for injection and saline solution. Preferably the saline solution comprises 0.9% of sodium chloride (NaCI).
Such dilution solution is mixed to the complex solution obtained at the end of the labelling step, thereby obtaining the pharmaceutical composition comprising:
(a) a complex formed by
(i) a radionuclide, and
(ii) a PSMA binding ligand linked to a chelating agent; and;
(b) at least two stabilizers against radiolytic degradation.
In an embodiment, the pharmaceutical composition can be filtered for sterilization for safe injection to the patient. Preferably the filtration is done by using a filter with a membrane filter cutoff threshold of 0.2 pm, more preferably by using Pall Supor AEF 0.2 pm. This filter has a polyethersulfone membrane with low chemical binding properties, as well as broad chemical and temperature resistance.
In another aspect of the disclosure, the pharmaceutical composition is produced at commercial scale manufacturing, in particular is produced at a batch size of at least 18.5GBq (0.5 Ci), for example at least 18.5 GBq (0.5 Ci), at least 37 GBq (1 Ci), or at least 55.5 GBq (1.5 Ci) and not more than 148 GBq (4 Ci), 129.5 GBq (3.5 Ci), 111 GBq (3 Ci), 92.5 GBq (2.5 Ci) or 74 GBq (2 Ci). Typically, it is produced at a batch size between 18.5 GBq (0.5 Ci) and 148 GBq (4 Ci).
In another aspect of the disclosure, the pharmaceutical composition is for commercial use.
Pharmaceutical composition
The radiolabeled PSMA binding ligand linked to a chelating agent has the tendency to degrade over time ending with radiochemical purity below the specifications at the end of the target shelf life (72 hours) which is a problem for formulating the pharmaceutical composition. The stability of the solution is ascertained by the use of stabilizers against radiolytic degradation.
In general, the stabilizers used in accordance with the present disclosure may be selected from gentisic acid (2,5-dihydroxybenzoic acid) or salts thereof, ascorbic acid (L-ascorbic acid, vitamin C) or salts thereof (e.g. sodium ascorbate), methionine, histidine, melatonin, ethanol, and Se-methionine. Preferred stabilizers are selected from gentisic acid or salts thereof and ascorbic acid or salts thereof.
Ethanol is considered as less preferred stabilizer due to tolerability issues associated with it if present in higher concentrations. Ethanol should be ideally avoided in the solutions of the present disclosure (in other words: substantially free of ethanol), at least the amount of ethanol in the solutions of the present disclosure should be limited, e.g. less than 5%, less than 4%, less than 3%, less than 2%, less than 1%, less than 0.5%, less than 0.1%, less than 0.05%, less than 100ppm, or less than 10 ppm, preferably less than 2%, more preferably less than 1 % in the final solution which is foreseen to be injected/infused. Even more preferably, the solution is free of ethanol. In certain embodiments, the pharmaceutical
composition of the present disclosure is substantially free of alcohol such as methanol, ethanol, propanol, butanol or mixtures thereof, e.g. less than 5%, less than 4%, less than 3%, less than 2%, less than 1%, less than 0.5%, less than 0.1%, less than 0.05%, or less than 10ppm, preferably less than 2%, more preferably less than 1% in the final pharmaceutical composition which is foreseen to be injected or infused to a subject.
In a first aspect, the present disclosure relates to a pharmaceutical composition comprising a radiolabeled PSMA binding ligand linked to a chelating agent as described herein, and at least two stabilizers against radiolytic degradation.
In an embodiment, said at least two stabilizer can be selected from gentisic acid (2,5- dihydroxybenzoic acid) or salts thereof, ascorbic acid (L-ascorbic acid, vitamin C) or salts thereof (e.g. sodium ascorbate), methionine, histidine, melatonin, ethanol, and Se- methionine, preferably selected from gentisic acid or salts thereof and ascorbic acid or salts thereof. Said at least two stabilizers can be gentisic acid or salts thereof and ascorbic acid or salts thereof.
In particular, the inventors unexpectedly found that adding both ascorbic acid and gentisic acid in specific amounts in a pharmaceutical composition of a radiolabeled PSMA binding ligand linked to a chelating agent compound enables a radiochemical purity of said composition over 95% after 72 hours after synthesis.
In an embodiment, the molar ratio between the PSMA binding ligand linked to a chelating agent and the radionuclide, preferably 177Lu, can be at least 1.25, preferably at least 1.5, preferably from 1 .25 to 6, more preferably from 1 .5 to 5, even more preferably from 1 .5 to 4.
In an embodiment, the ratio between gentisic acid or salts thereof and ascorbic acid or salts thereof is between 1 :32 and 1 :1 , preferably between 1 :16 and 1 :2, more preferably between 1 :4 and 2:5.
In an embodiment, said gentisic acid or salts thereof can be present in a concentration of least 600 pg/mL, preferably at least 1000 pg/mL, and more preferably at least 2000 pg/mL, preferably between 600 pg/mL and 5000 pg/mL, more preferably between 1500 pg/mL and 3000 pg/mL, more preferably between 2000 pg/mL and 3000 pg/mL, even more preferably between 2500 pg/mL and 3000 pg/mL, even more preferably between 2600 pg/mL and 3000 pg/mL, even more preferably about 2800 pg/mL..
In an embodiment, said ascorbic acid or salts thereof can be present in a concentration of at least 3000 pg/mL, preferably 6000 pg/mL, more preferably at least 8000 pg/mL, typically between 3000 pg/mL and 15000 pg/mL, preferably between 6000 pg/mL and 12000 pg/mL, more preferably between 7500 pg/mL and 9000 pg/mL, more preferably between 8000 pg/mL and 9000 pg/mL, more preferably about 8500 pg/mL and 9000 pg/mL, even more preferably about 8550 pg/mL.
In an embodiment, said gentisic acid or salts thereof is present in a concentration between 600 pg/mL and 5000 pg/mL, preferably between 1500 pg/mL and 3000 pg/mL, more preferably between 2000 pg/mL and 3000 pg/mL, even more preferably between 2500 pg/mL and 3000 pg/mL, even more preferably between 2600 pg/mL and 3000 pg/mL, even more preferably about 2800 pg/mL and ascorbic acid or salts thereof can be present at a concentration between 3000 pg/mL and 15000 pg/mL, preferably between 6000 pg/mL and 12000 pg/mL, more preferably between 7500 pg/mL and 9000 pg/mL, even more preferably between 8000 pg/mL and 9000 pg/mL, more preferably between 8500 pg/mL and 9000 pg/mL, even more preferably about 8550 pg/mL.
In an embodiment, the radiopharmaceutical composition comprises, as stabilizers against radiolytic degradation, both gentisic acid and ascorbic acid, at the respective concentrations of about 2800 pg/mL and 8550 pg/mL.
In an embodiment, the pharmaceutical composition has radiochemical purity higher than 95% up to 72 hours at room temperature, preferably equal to or higher than 97% up to 72h.
In an embodiment the pH of the pharmaceutical composition as described herein can be from 3.5 to 6.5 preferably from 3.5 to 5.0, more preferably from 3.5 to 4.5, even more preferably about 4.0.
The radiolabeled PSMA binding ligand linked to a chelating agent can be present in a concentration providing a volumetric radioactivity of at least 0.1 mCi/mL (at EOP), preferably from 0.1 mCi/mL to 100 mCi/mL, more preferably from 0.1 mCi/mL to 30 mCi/mL, even more preferably from 0.1 mCi/mL to 20 mCi/mL, even more preferably from 1 mCi/mL to 20 mCi/mL, even more preferably from 2 mCi/mL to 20 mCi/mL, even more preferably from 5 mCi/mL to 15 mCi/mL, even more preferably from 7 mCi/mL to 13 mCi/mL, even more preferably from 8 mCi/mL to 12 mCi/mL, even more preferably from 9 mCi/mL to 11 mCi/mL, even more preferably of about 10 mCi/mL.
In another embodiment the radionuclide can be present at a concentration so that it provides a volumetric radioactivity of at least 0.1 mCi/mL (at EOP), preferably from 0.1 mCi/mL to 400 mCi/mL, more preferably from 0.1 mCi/mL to 120 mCi/mL, even more preferably from 0.1 mCi/mL to 80 mCi/mL, even more preferably from 20 mCi/mL to 80 mCi/mL, even more preferably from 25 mCi/mL to 60 mCi/mL, even more preferably from 30 mCi/mL to 50 mCi/mL, even more preferably from 35 mCi/mL to 45 mCi/mL, even more preferably of about 40 mCi/mL.
In a third aspect, the present disclosure relates to a pharmaceutical composition comprising a radiolabeled PSMA binding ligand linked to a chelating agent as described herein, at least two stabilizers against radiolytic degradation and at least one other pharmaceutically acceptable excipient.
The pharmaceutically acceptable excipient can be any of those conventionally used, and is limited only by physico-chemical considerations, such as solubility and lack of reactivity with the active compound(s).
In particular, the at least other pharmaceutically acceptable excipient can be selected from buffer, solvent, sequestering agent, pH adjuster and mixtures thereof.
Buffer includes acetate buffer, citrate buffer and phosphate buffer. In an embodiment said buffer is acetate buffer.
In an embodiment said solvent is water for injection and/or saline solution.
In an embodiment said sequestering agent is diethylentriaminepentaacetic acid (DTPA) or a salt thereof. In an embodiment said DTPA is present at a concentration between 50 pg/mL and 300 pg/mL, preferably between 100 pg/mL and 200 pg/mL, more preferably about 150 pg/mL.
In an embodiment said pH adjuster is NaOH and/or HCL
In a fourth aspect, the present disclosure relates to a pharmaceutical composition comprising:
(a) a complex formed by
(i) radionuclide 177Lutetium (Lu-177), and
And, gentisic acid or salts thereof and ascorbic acid or salts thereof; a buffer, typically acetate buffer; a sequestering agent, typically DTPA; water for injection and saline solution; HCI and NaOH.
In an embodiment said gentisic acid or salts thereof is present at a concentration between 600 pg/mL and 5000 pg/mL, preferably between 1500 pg/mL and 3000 pg/mL, more preferably between 2000 pg/mL and 3000 pg/mL, even more preferably between 2500 pg/mL and 3000 pg/mL, even more preferably between 2600 pg/mL and 3000 pg/mL, even more preferably about 2800 pg/mL and said ascorbic acid or salts thereof is present at a concentration between 3000 pg/mL and 15000 pg/mL, preferably between 6000 pg/mL and 12000 pg/mL, more preferably between 7500 pg/mL and 9000 pg/mL, more preferably between 8000 pg/mL and 9000 pg/mL, more preferably about 8500 pg/mL and 9000 pg/mL, even more preferably about 8550 pg/mL .
According to an embodiment the pharmaceutical composition is an aqueous solution, for example an injectable formulation. According to a particular embodiment, the pharmaceutical composition is a solution for infusion.
The requirements for effective pharmaceutical carriers for injectable compositions are well- known to those of ordinary skill in the art (see, e.g., Pharmaceutics and Pharmacy Practice, J.B. Lippincott Company, Philadelphia, PA, Banker and Chalmers, eds., pages 238-250 (1982), and SHP Handbook on Injectable Drugs, Trissei, 15th ed., pages 622-630 (2009)).
The disclosure also relates to the pharmaceutical composition as described above for use in treating or preventing cancer, typically prostate cancer.
In another aspect of the disclosure, the pharmaceutical composition is produced at commercial scale manufacturing, in particular is produced at a batch size of at least 18.5 GBq (0.5 Ci), at least 37 GBq (1 Ci), or at least 55.5 GBq (1.5 Ci) and not more than 148 GBq (4 Ci), 129.5 GBq (3.5 Ci), 11 1 GBs (3 Ci), 92.5 GBq (2.5 Ci) or 74 GBq (2 Ci). Typically, it is produced at a batch size between 18.5 GBq (0.5 Ci) and 148 GBq (4 Ci).
In another aspect of the disclosure, the pharmaceutical composition is for commercial use.
In a further aspect, the disclosure also relates a pharmaceutical composition comprising a radiolabeled PSMA binding ligand linked to a chelating agent, typically 177Lu-PSMA binding ligand linked to a chelating agent, also called 177Lu-PSMA-R2, for use in treating or preventing cancer in a subject in need thereof, wherein said pharmaceutical composition is formulated with stabilizers as described in any of the previous embodiments, and is administered to said subject at a therapeutically efficient amount comprised between 0.5 mCi and 1000mCi, preferably between 50 mCi and 400mCi, typically with a radiochemical purity (RCP) superior to 95% at the time of administration.
In certain aspects the subject is a mammal, for example but not limited to a rodent, canine, feline, or primate. In preferred aspects, the subject is a human.
In specific embodiments, a therapeutically efficient amount of the composition is administered to said subject 1 to 8 times per treatment, preferably 3 times per treatment.
For example, a human patient may be treated with said pharmaceutical composition comprising a radiolabeled PSMA binding ligand linked to a chelating agent, specifically 177Lu- PSMA binding ligand linked to a chelating agent, also called 177Lu-PSMA-R2, administered intravenously in 2 to 8 cycles of a 0.5 mCi to 1000 mCi each, typically with radiochemical purity (RCP) superior to 95% at the time of administration.
In certain instances, the pharmaceutical composition of the present invention are used in combination with other therapeutic agents, such as other anti-cancer agents, anti-allergic agents, anti-nausea agents, anti-emetic agents, pain relievers, cytoprotective agents, and mixtures thereof.
A non-exhaustive list of other therapeutic agents considered for use in combination therapies is given below.
anastrozole (Arimidex®) bicalutamide (Casodex®), bleomycin sulfate (Blenoxane®), busulfan (Myleran®), busulfan injection (Busulfex®), capecitabine (Xeloda®), N4-pentoxycarbonyl-5-deoxy-5-fluorocytidine, carboplatin (Paraplatin®), carmustine (BiCNU®), chlorambucil (Leukeran®), cisplatin (Platinol®), cladribine (Leustatin®), cyclophosphamide (Cytoxan® or Neosar®), cytarabine, cytosine arabinoside (Cytosar-U®), cytarabine liposome injection (DepoCyt®), dacarbazine (DTIC- Dome®), dactinomycin (Actinomycin D, Cosmegan), daunorubicin hydrochloride (Cerubidine®), daunorubicin citrate liposome injection (DaunoXome®), dexamethasone, docetaxel (Taxotere®), doxorubicin hydrochloride (Adriamycin®, Rubex®), etoposide (Vepesid®), fludarabine phosphate (Fludara®), 5-fluorouracil (Adrucil®, Efudex®), flutamide (Eulexin®), tezacitibine, Gemcitabine (difluorodeoxycitidine), hydroxyurea (Hydrea®), Idarubicin (Idamycin®), ifosfamide (IFEX®), irinotecan (Camptosar®), L-asparaginase (ELSPAR®), leucovorin calcium, melphalan (Alkeran®), 6-mercaptopurine (Purinethol®), methotrexate (Folex®), mitoxantrone (Novantrone®), mylotarg, paclitaxel (Taxol®), nab- paclitaxel (Abraxane®), phoenix (Yttrium90/MX-DTPA), pentostatin, polifeprosan 20 with carmustine implant (Gliadel®), tamoxifen citrate (Nolvadex®), teniposide (Vumon®), 6- thioguanine, thiotepa, tirapazamine (Tirazone®), topotecan hydrochloride for injection (Hycamptin®), vinblastine (Velban®), vincristine (Oncovin®), and vinorelbine (Navelbine®).
Tyrosine kinase inhibitors: Erlotinib hydrochloride (Tarceva®); Linifanib (N-[4-(3-amino-1 H- indazol-4-yl)phenyl]-N'-(2-fluoro-5-methylphenyl)urea, also known as ABT 869, available from Genentech); Sunitinib malate (Sutent®); Bosutinib (4-[(2,4-dichloro-5- methoxyphenyl)amino]-6-methoxy-7-[3-(4-methylpiperazin-1 -yl)propoxy]quinoline-3- carbonitrile, also known as SKI-606, and described in US Patent No. 6,780,996); Dasatinib (Sprycel®); Pazopanib (Votrient®); Sorafenib (Nexavar®); Zactima (ZD6474); and Imatinib or Imatinib mesylate (Gilvec® and Gleevec®).
Vascular Endothelial Growth Factor (VEGF) receptor inhibitors: Bevacizumab (Avastin®), axitinib (Inlyta®); Brivanib alaninate (BMS-582664, (S)-((F?)-1 -(4-(4-Fluoro-2-methyl-1 H-indol- 5-yloxy)-5-methylpyrrolo[2,1 -f|[1 ,2,4]triazin-6-yloxy)propan-2-yl)2-aminopropanoate);
Sorafenib (Nexavar®); Pazopanib (Votrient®); Sunitinib malate (Sutent®); Cediranib (AZD2171 , CAS 288383-20-1 ); Vargatef (BIBF1120, CAS 928326-83-4); Foretinib (GSK1363089); Telatinib (BAY57-9352, CAS 332012-40-5); Apatinib (YN968D1 , CAS
811803-05-1); Imatinib (Gleevec®); Ponatinib (AP24534, CAS 943319-70-8); Tivozanib (AV951 , CAS 475108-18-0); Regorafenib (BAY73-4506, CAS 755037-03-7); Vatalanib dihydrochloride (PTK787, CAS 212141 -51-0); Brivanib (BMS-540215, CAS 649735-46-6); Vandetanib (Caprelsa® or AZD6474); Motesanib diphosphate (AMG706, CAS 857876-30-3, N-(2,3-dihydro-3,3-dimethyl-1 H-indol-6-yl)-2-[(4-pyridinylmethyl)amino]-3- pyridinecarboxamide, described in PCT Publication No. WO 02/066470); Dovitinib dilactic acid (TKI258, CAS 852433-84-2); Linfanib (ABT869, CAS 796967-16-3); Cabozantinib (XL184, CAS 849217-68-1); Lestaurtinib (CAS 111358-88-4); N-[5-[[[5-(1 ,1 -Dimethylethyl)-2- oxazolyl]methyl]thio]-2-thiazolyl]-4-piperidinecarboxamide (BMS38703, CAS 345627-80-7); (3R,4R)-4-Amino-1 -((4-((3-methoxyphenyl)amino)pyrrolo[2,1 -f][1 ,2,4]triazin-5- yl)methyl)piperidin-3-ol (BMS690514); /V-(3,4-Dichloro-2-fluorophenyl)-6-methoxy-7- [[(3aa,5p,6aa)-octahydro-2-methylcyclopenta[c]pyrrol-5-yl]methoxy]- 4-quinazolinamine (XL647, CAS 781613-23-8); 4-Methyl-3-[[1-methyl-6-(3-pyridinyl)-1 H-pyrazolo[3,4- c/|pyrimidin-4-yl]amino]-/V-[3-(trifluoromethyl)phenyl]-benzamide (BHG712, CAS 940310-85- 0); . and Aflibercept (Eylea®).
Platelet-derived Growth Factor (PDGF) receptor inhibitors: Imatinib (Gleevec®); Linifanib (N- [4-(3-amino-1 H-indazol-4-yl)phenyl]-N'-(2-fluoro-5-methylphenyl)urea, also known as ABT 869, available from Genentech); Sunitinib malate (Sutent®); Quizartinib (AC220, CAS 950769-58-1); Pazopanib (Votrient®); Axitinib (Inlyta®); Sorafenib (Nexavar®); Vargatef (BIBF1120, CAS 928326-83-4); Telatinib (BAY57-9352, CAS 332012-40-5); Vatalanib dihydrochloride (PTK787, CAS 212141-51-0); and Motesanib diphosphate (AMG706, CAS 857876-30-3, N-(2,3-dihydro-3,3-dimethyl-1 H-indol-6-yl)-2-[(4-pyridinylmethyl)amino]-3- pyridinecarboxamide, described in PCT Publication No. WO 02/066470).
Fibroblast Growth Factor Receptor (FGFR) Inhibitors: Brivanib alaninate (BMS-582664, (S)- ((F?)-1 -(4-(4-Fluoro-2-methyl-1 H-indol-5-yloxy)-5-methylpyrrolo[2, 1 -f|[1 ,2,4]triazin-6- yloxy)propan-2-yl)2-aminopropanoate); Vargatef (BIBF1120, CAS 928326-83-4); Dovitinib dilactic acid (TKI258, CAS 852433-84-2); 3-(2,6-Dichloro-3,5-dimethoxy-phenyl)-1-{6-[4-(4- ethyl-piperazin-1-yl)-phenylamino]-pyrimidin-4-yl}-1-methyl-urea (BGJ398, CAS 872511 -34- 7); Danusertib (PHA-739358); and N-[2-[[4-(Diethylamino)butyl]amino]-6-(3,5- dimethoxyphenyl)pyrido[2,3-d]pyrimidin-7-yl]-N'-(1 ,1 -dimethylethyl)-urea (PD173074, CAS 219580-11 -7). sulfatinib, surufatinib
Aurora kinase inhibitors: Danusertib (PHA-739358); /V-[4-[[6-Methoxy-7-[3-(4- morpholinyl)propoxy]-4-quinazolinyl]amino]phenyl]benzamide (ZM447439, CAS 331771 -20- 1); 4-(2-Amino-4 -methyl-5-thiazolyl)-N-[4-(4-morpholinyl)phenyl]-2-pyrimidinamine (CYC116,
CAS 693228-63-6); Tozasertib (VX680 or MK-0457, CAS 639089-54-6); Alisertib (MLN8237); (N-{2-[6-(4-Cyclobutylamino-5-trifluoromethyl-pyrimidine-2-ylamino)-(1 S,4R)- 1 ,2,3,4-tetrahydro-1 ,4-epiazano-naphthalen-9-yl]-2-oxo-ethyl}-acetamide) (PF-03814735); 4-[[9-Chloro-7-(2,6-difluorophenyl)-5/-/-pyrimido[5,4-c/|[2]benzazepin-2-yl]amino]-benzoic acid (MLN8054, CAS 869363-13-3); Cenisertib (R-763); Barasertib (AZD1152); and N- cyclopropyl-N'-[3-[6-(4-morpholinylmethyl)-1 H-benzimidazol-2-yl]-1 H-pyrazol-4-yl]-urea (AT9283).
Cyclin-Dependent Kinase (CDK) inhibitors: Aloisine A; Alvocidib (also known as flavopiridol or HMR-1275, 2-(2-chlorophenyl)-5,7-dihydroxy-8-[(3S,4R)-3-hydroxy-1 -methyl-4-piperidinyl]- 4-chromenone, and described in US Patent No. 5,621 ,002); Crizotinib (PF-02341066, CAS 877399-52-5); 2-(2-Chlorophenyl)-5,7-dihydroxy-8-[(2F?,3S)-2-(hydroxymethyl)-1 -methyl-3- pyrrolidinyl]- 4H-1 -benzopyran-4-one, hydrochloride (P276-00, CAS 920113-03-7); Indisulam (E7070); Roscovitine (CYC202); 6-Acetyl-8-cyclopentyl-5-methyl-2-(5-piperazin-1 -yl-pyridin- 2-ylamino)-8/-/-pyrido[2,3-c/]pyrimidin-7-one, hydrochloride (PD0332991 ); Dinaciclib (SCH727965); N-[5-[[(5-tert-Butyloxazol-2-yl)methyl]thio]thiazol-2-yl]piperidine-4- carboxamide (BMS 387032, CAS 345627-80-7); 4-[[9-Chloro-7-(2,6-difluorophenyl)-5H- pyrimido[5,4-c/|[2]benzazepin-2-yl]amino]-benzoic acid (MLN8054, CAS 869363-13-3); 5-[3- (4,6-Difluoro-1 H-benzimidazol-2-yl)-1 H-indazol-5-yl]-N-ethyl-4-methyl-3- pyridinemethanamine (AG-024322, CAS 837364-57-5); 4-(2,6-Dichlorobenzoylamino)-1 H- pyrazole-3-carboxylic acid N-(piperidin-4-yl)amide (AT7519, CAS 844442-38-2); 4-[2-Methyl- 1 -(1 -methylethyl)-1 H-imidazol-5-yl]-/V-[4-(methylsulfonyl)phenyl]- 2-pyrimidinamine
(AZD5438,CAS 602306-29-6); Palbociclib (PD-0332991 ); and (2R,3R)-3-[[2-[[3-[[S(R)]-S- cyclopropylsulfonimidoyl]-phenyl]amino]-5-(trifluoromethyl)-4-pyrimidinyl]oxy]-2-butanol (BAY 10000394).
Checkpoint Kinase (CHK) inhibitors: 7-Hydroxystaurosporine (UCN-01 ); 6-Bromo-3-(1 - methyl-1 /-/-pyrazol-4-yl)-5-(3F?)-3-piperidinyl-pyrazolo[1 ,5-a]pyrimidin-7-amine (SCH900776, CAS 891494-63-6); 5-(3-Fluorophenyl)-3-ureidothiophene-2-carboxylic acid N-[(S)-piperidin- 3-yl]amide (AZD7762, CAS 860352-01 -8); 4-[((3S)-1 -Azabicyclo[2.2.2]oct-3-yl)amino]-3-(1 H- benzimidazol-2-yl)-6-chloroquinolin-2(1 H)-one (CHIR 124, CAS 405168-58-3); 7- Aminodactinomycin (7-AAD), Isogranulatimide, debromohymenialdisine; N-[5-Bromo-4- methyl-2-[(2S)-2-morpholinylmethoxy]-phenyl]-N'-(5-methyl-2-pyrazinyl)urea (LY2603618, CAS 91 1222-45-2); Sulforaphane (CAS 4478-93-7, 4-Methylsulfinylbutyl isothiocyanate); 9,10,11 ,12-Tetrahydro- 9,12-epoxy-1 H-diindolo[1 ,2,3-fg:3',2',1'-k/|pyrrolo[3,4-
/][1 ,6]benzodiazocine-1 ,3(2H)-dione (SB-218078, CAS 135897-06-2); and TAT-S216A (YGRKKRRQRRRLYRSPAMPENL), and CBP501 ((d-Bpa)sws(d-Phe-F5)(d-Cha)rrrqrr); and
(aR)-a-amino-N-[5,6-dihydro-2-(1 -methyl-1 H-pyrazol-4-yl)-6-oxo-1 H-pyrrolo[4,3,2- ef][2,3]benzodiazepin-8-yl]-Cyclohexaneacetamide (PF-0477736).
3-Phosphoinositide-dependent kinase-1 (PDK1 or PDPK1) inhibitors: 7-2-Amino-/V-[4-[5-(2- phenanthrenyl)-3-(trifluoromethyl)-1 H-pyrazol-1 -yl]phenyl]-acetamide (OSU-03012, CAS 742112-33-0); Pyrrolidine-1 -carboxylic acid (3-{5-bromo-4-[2-(1 H-imidazol-4-yl)-ethylamino]- pyrimidin-2-ylamino}-phenyl)-amide (BX912, CAS 702674-56-4); and 4- Dodecyl- /V-1 ,3,4- thiadiazol-2-yl-benzenesulfonamide (PHT-427, CAS 1 191951 -57-1 ).
Pyruvate Dehydrogenase Kinase (PDK) inhibitors: (+)-Dehydroabietylamine; Dichloroacetic acid (DCA); and Leelamine.
Protein Kinase B (PKB) or AKT inhibitors: 8-[4-(1 -Aminocyclobutyl)phenyl]-9-phenyl-1 ,2,4- triazolo[3,4-/][1 ,6]naphthyridin-3(2/-/)-one (MK-2206, CAS 1032349-93-1 ); Perifosine (KRX0401 ); 4- Dodecyl- /V-1 ,3,4-thiadiazol-2-yl-benzenesulfonamide (PHT-427, CAS 1191951 -57-1 ); 4-[2-(4-Amino-1 ,2,5-oxadiazol-3-yl)-1 -ethyl-7-[(3S)-3-piperidinylmethoxy]-1 H- imidazo[4,5-c]pyridin-4-yl]-2-methyl-3-butyn-2-ol (GSK690693, CAS 937174-76-0); 8-(1 - Hydroxyethyl)-2-methoxy-3-[(4-methoxyphenyl)methoxy]- 6H-dibenzo[b,c/|pyran-6-one (palomid 529, P529, or SG-00529); Tricirbine (6-Amino-4-methyl-8-(P-D-ribofuranosyl)- 4H,8H-pyrrolo[4,3,2-de]pyrimido[4,5-c]pyridazine); (aS>)-a-[[[5-(3-Methyl-1 H-indazol-5-yl)-3- pyridinyl]oxy]methyl]-benzeneethanamine (A674563, CAS 552325-73-2); 4-[(4-
Chlorophenyl)methyl]-1 -(7/-/-pyrrolo[2,3-cf]pyrimidin-4-yl)- 4-piperidinamine (CCT 128930, CAS 885499-61 -6); 4-(4-Chlorophenyl)-4-[4-(1 H pyrazol-4-yl)phenyl]-piperidine (AT7867, CAS 857531 -00-1 ); and Archexin (RX-0201 , CAS 663232-27-7).
Protein Kinase C (PKC) activators: Bryostatin I (bryo-1 ) and Sotrastaurin (AEB071 ).
B-RAF inhibitors: Regorafenib (BAY73-4506, CAS 755037-03-7); Tuvizanib (AV951 , CAS 475108-18-0); Vemurafenib (Zelboraf®, PLX-4032, CAS 918504-65-1 ); 5-[l-(2- Hydroxyethyl)-3-(pyridin-4-yl)-lH-pyrazol-4-yl]-2,3-dihydroinden-l-one oxime (GDC-0879, CAS 905281 -76-7); 5-[2-[4-[2-(Dimethylamino)ethoxy]phenyl]-5-(4-pyridinyl)-1 H-imidazol-4- yl]-2,3-dihydro-1 H-lnden-1 -one oxime (GSK2118436 or SB590885); (+/-)-Methyl (5-(2-(5- chloro-2-methylphenyl)-1 -hydroxy-3-oxo-2,3-dihydro-1 H-isoindol- 1 -yl)-1 H-benzimidazol-2- yl)carbamate (also known as XL-281 and BMS908662) and N-(3-(5-chloro-1 H-pyrrolo[2,3- b]pyridine-3-carbonyl)-2,4-difluorophenyl)propane-1 -sulfonamide (also known as PLX4720).
C-RAF Inhibitors: Sorafenib (Nexavar®); 3-(Dimethylamino)-/V-[3-[(4-hydroxybenzoyl)amino]- 4-methylphenyl]-benzamide (ZM336372, CAS 208260-29-1); and 3-(1-cyano-1 -methylethyl)- /V-[3-[(3,4-dihydro-3-methyl-4-oxo-6-quinazolinyl)amino]-4-methylphenyl]-benzamide (AZ628, CAS 1007871 -84-2).
Human Granulocyte colony-stimulating factor (G-CSF) modulators: Filgrastim (Neupogen®); Sunitinib malate (Sutent®); Pegilgrastim (Neulasta®) and Quizartinib (AC220, CAS 950769- 58-1).
RET Inhibitors: Sunitinib malate (Sutent®); Vandetanib (Caprelsa®); Motesanib diphosphate (AMG706, CAS 857876-30-3, N-(2,3-dihydro-3,3-dimethyl-1 H-indol-6-yl)-2-[(4- pyridinylmethyl)amino]-3-pyridinecarboxamide, described in PCT Publication No. WO 02/066470); Sorafenib (BAY 43-9006); Regorafenib (BAY73-4506, CAS 755037-03-7); and Danusertib (PHA-739358).
FMS-like Tyrosine kinase 3 (FLT3) Inhibitors or CD135: Sunitinib malate (Sutent®); Quizartinib (AC220, CAS 950769-58-1 ); /V-[(1-Methyl-4-piperidinyl)methyl]-3-[3- (trifluoromethoxy)phenyl]- lmidazo[1 ,2-b]pyridazin-6-amine sulfate (SGI-1776, CAS 1173928- 26-1); and Vargatef (BIBF1120, CAS 928326-83-4). c-KIT Inhibitors: Pazopanib (Votrient®); Dovitinib dilactic acid (TKI258, CAS 852433-84-2); Motesanib diphosphate (AMG706, CAS 857876-30-3, N-(2,3-dihydro-3,3-dimethyl-1 H-indol- 6-yl)-2-[(4-pyridinylmethyl)amino]-3-pyridinecarboxamide, described in PCT Publication No. WO 02/066470); Masitinib (Masivet®); Regorafenib (BAY73-4506, CAS 755037-03-7); Tivozanib (AV951 , CAS 475108-18-0); Vatalanib dihydrochloride (PTK787, CAS 212141-51 - 0); Telatinib (BAY57-9352, CAS 332012-40-5); Foretinib (GSK1363089, formerly XL880, CAS 849217-64-7); Sunitinib malate (Sutent®); Quizartinib (AC220, CAS 950769-58-1); Axitinib (Inlyta®); Dasatinib (BMS-345825); and Sorafenib (Nexavar®).
Bcr/Abl kinase inhibitors: Imatinib (Gleevec®); Inilotinib hydrochloride; Nilotinib (Tasigna®); Dasatinib (BMS-345825); Bosutinib (SKI-606); Ponatinib (AP24534); Bafetinib (INNQ406); Danusertib (PHA-739358), AT9283 (CAS 1133385-83-7); Saracatinib (AZD0530); and N-[2- [(1 S,4F?)-6-[[4-(Cyclobutylamino)-5-(trifluoromethyl)-2-pyrimidinyl]amino]-1 ,2,3,4- tetrahydronaphthalen-1 ,4-imin-9-yl]-2-oxoethyl]-acetamide (PF-03814735, CAS 942487-16- 3).
IGF-1R inhibitors: Linsitnib (OSI-906); [7-[frans-3-[(Azetidin-1 -yl)methyl]cyclobutyl]-5-(3- benzyloxyphenyl)-7H-pyrrolo[2,3-d]pyrimidin-4-yl]amine (AEW541 , CAS 475488-34-7); [5-(3- Benzyloxyphenyl)-7-[frans-3-[(pyrrolidin-1 -yl)methyl]cyclobutyl]-7H-pyrrolo[2,3-d]pyrimidin-4- yl]amine (ADW742 or GSK552602A, CAS 475488-23-4); (2-[[3-Bromo-5-(1 ,1 -dimethylethyl)-
4-hydroxyphenyl]methylene]-propanedinitrile (Tyrphostin AG1024, CAS 65678-07-1 ); 4- [[(2S)-2-(3-Chlorophenyl)-2-hydroxyethyl]amino]-3-[7-methyl-5-(4-morpholinyl)-1 H- benzimidazol-2-yl]- 2(1 H)-pyridinone (BMS536924, CAS 468740-43-4); 4-[2-[4-[[(2S)-2-(3- Chlorophenyl)-2-hydroxyethyl]amino]-1 ,2-dihydro-2-oxo-3-pyridinyl]-7-methyl-1 H- benzimidazol-5-yl]- 1 -piperazinepropanenitrile (BMS554417, CAS 468741 -42-6); (2S 1 -[4- [(5-Cyclopropyl-1 /-/-pyrazol-3-yl)amino]pyrrolo[2,1 -f|[1 ,2,4]triazin-2-yl]-/V-(6-fluoro-3-pyridinyl)-
2-methyl-2-pyrrolidinecarboxamide (BMS754807, CAS 1001350-96-4); Picropodophyllotoxin (AXL1717); and Nordihydroguareacetic acid.
IGF-1R antibodies: Figitumumab (CP751871 ); Cixutumumab (IMC-A12); Ganitumab (AMG- 479); Robatumumab (SCH-717454); Dalotuzumab (MK0646) R1507 (available from Roche); BIIB022 (available from Biogen); and MEDI-573 (available from Medlmmune).
PIM Kinase inhibitors: 1 ,10-Dihydropyrrolo[2,3-a]carbazole-3-carbaldehyde (DHPCC-9); /V- [(1 -Methyl-4-piperidinyl)methyl]-3-[3-(trifluoromethoxy)phenyl]- lmidazo[1 ,2-b]pyridazin-6- amine sulfate (SGI-1776, CAS 1 173928-26-1 ); and CX-6258 (described in ACS Med. Chem. Lett., 2012, 3 (2), pp 135-139).
MET inhibitors: Cabozantinib (XL184, CAS 849217-68-1 ); Foretinib (GSK1363089, formerly XL880, CAS 849217-64-7); Tivantinib (ARQ197, CAS 1000873-98-2); 1 -(2-Hydroxy-2- methylpropyl)-/V-(5-(7-methoxyquinolin-4-yloxy)pyridin-2-yl)-5-methyl-3-oxo-2-phenyl-2,3- dihydro-1 H-pyrazole-4-carboxamide (AMG 458); Cryzotinib (Xalkori®, PF-02341066); (3Z)-
5-(2,3-Dihydro-1 H-indol-1 -ylsulfonyl)-3-({3,5-dimethyl-4-[(4-methylpiperazin-1 -yl)carbonyl]-
1 H-pyrrol-2-yl}methylene)-1 ,3-dihydro-2H-indol-2-one (SU1 1271 ); (3Z)-N-(3-Chlorophenyl)-
3-({3,5-dimethyl-4-[(4-methylpiperazin-1 -yl)carbonyl]-1 H-pyrrol-2-yl}methylene)-N-methyl-2- oxoindoline-5-sulfonamide (SU1 1274); (3Z)-N-(3-Chlorophenyl)-3-{[3,5-dimethyl-4-(3- morpholin-4-ylpropyl)-1 H-pyrrol-2-yl]methylene}-N-methyl-2-oxoindoline-5-sulfonamide (SU1 1606); 6-[Dif luoro[6-( 1 -methyl- 1 H-pyrazol-4-yl)-1 ,2,4-triazolo[4,3-b]pyridazin-3- yl]methyl]-quinoline (JNJ38877605, CAS 943540-75-8); 2-[4-[1-(Quinolin-6-ylmethyl)-1 H- [1 ,2,3]triazolo[4,5-b]pyrazin-6-yl]-1 H-pyrazol-1 -yl]ethanol (PF04217903, CAS 956905-27-4); N-((2R)-1 ,4-Dioxan-2-ylmethyl)-N-methyl-N'-[3-(1 -methyl-1 H-pyrazol-4-yl)-5-oxo-5H- benzo[4,5]cyclohepta[1 ,2-b]pyridin-7-yl]sulfamide
(MK2461 , CAS 917879-39-1 ); 6-[[6-(1 -Methyl- 1 H-pyrazol-4-yl)-1 ,2,4-triazolo[4,3-b]pyridazin-
3-yl]thio]-quinoline (SGX523, CAS 1022150-57-7); and (3Z)-5-[[(2,6-
Dichlorophenyl)methyl]sulfonyl]-3-[[3,5-dimethyl-4-[[(2F?)-2-(1-pyrrolidinylmethyl)-1 - pyrrolidinyl]carbonyl]-1 H-pyrrol-2-yl]methylene]-1 ,3-dihydro-2H-indol-2-one (PHA665752, CAS 477575-56-7).
Human Epidermal Growth Factor Receptor 2 (HER2 receptor) (also known as Neu, ErbB-2, CD340, or p 185) inhibitors: Trastuzumab (Herceptin®); Pertuzumab (Omnitarg®); Neratinib (HKI-272, (2E)-N-[4-[[3-chloro-4-[(pyridin-2-yl)methoxy]phenyl]amino]-3-cyano-7- ethoxyquinolin-6-yl]-4-(dimethylamino)but-2-enamide, and described PCT Publication No. WO 05/028443); Lapatinib or Lapatinib ditosylate (Tykerb®); (3R,4R)-4-amino-1-((4-((3- methoxyphenyl)amino)pyrrolo[2,1 -f][1 ,2,4]triazin-5-yl)methyl)piperidin-3-ol (BMS690514); (2E)-/V-[4-[(3-Chloro-4-fluorophenyl)amino]-7-[[(3S)-tetrahydro-3-furanyl]oxy]-6-quinazolinyl]-
4-(dimethylamino)-2-butenamide (BIBW-2992, CAS 850140-72-6); /V-[4-[[1-[(3-
Fluorophenyl)methyl]-1 H-indazol-5-yl]amino]-5-methylpyrrolo[2,1-f|[1 ,2,4]triazin-6-yl]- carbamic acid, (3S)-3-morpholinylmethyl ester (BMS 599626, CAS 714971 -09-2); Canertinib dihydrochloride (PD183805 or CI-1033); and /V-(3,4-Dichloro-2-fluorophenyl)-6-methoxy-7- [[(3aa,5p,6aa)-octahydro-2-methylcyclopenta[c]pyrrol-5-yl]methoxy]- 4-quinazolinamine (XL647, CAS 781613-23-8).
Epidermal growth factor receptor (EGER) inhibitors: Erlotinib hydrochloride (Tarceva®), Gefitnib (Iressa®); N-[4-[(3-Chloro-4-fluorophenyl)amino]-7-[[(3"S")-tetrahydro-3-furanyl]oxy]- 6-quinazolinyl]-4(dimethylamino)-2-butenamide, Tovok®); Vandetanib (Caprelsa®); Lapatinib (Tykerb®); (3R,4R)-4-Amino-1 -((4-((3-methoxyphenyl)amino)pyrrolo[2,1- f][1 ,2,4]triazin-5-yl)methyl)piperidin-3-ol (BMS690514); Canertinib dihydrochloride (CI-1033); 6-[4-[(4- Ethyl- 1 -piperazinyl)methyl]phenyl]-/V-[(1 F?)-1 -phenylethyl]- 7H-Pyrrolo[2,3- cflpyrimidin-4-amine (AEE788, CAS 497839-62-0); Mubritinib (TAK165); Pelitinib (EKB569); Afatinib (BIBW2992); Neratinib (HKI-272); /V-[4-[[1 -[(3-Fluorophenyl)methyl]-1 H-indazol-5- yl]amino]-5-methylpyrrolo[2,1-f|[1 ,2,4]triazin-6-yl]-carbamic acid, (3S)-3-morpholinylmethyl ester (BMS599626); /V-(3,4-Dichloro-2-fluorophenyl)-6-methoxy-7-[[(3aa,5p,6aa)-octahydro- 2-methylcyclopenta[c]pyrrol-5-yl]methoxy]- 4-quinazolinamine (XL647, CAS 781613-23-8); and 4-[4-[[(1 R)-1-Phenylethyl]amino]-7/-/-pyrrolo[2,3-c/|pyrimidin-6-yl]-phenol (PKI166, CAS 187724-61 -4).
EGER antibodies: Cetuximab (Erbitux®); Panitumumab (Vectibix®); Matuzumab (EMD- 72000); Trastuzumab (Herceptin®); Nimotuzumab (hR3); Zalutumumab; TheraCIM h-R3; MDX0447 (CAS 339151-96-1); and ch806 (mAb-806, CAS 946414-09-1).
Hedgehog antagonists: Vismodegib (2-chloro-N-[4-chloro-3-(2-pyridinyl)phenyl]-4- (methylsulfonyl)- benzamide, GDC-0449, and described in PCT Publication No. WO 06/028958); 1 -(4-Chloro-3-(trifluoromethyl)phenyl)-3-((3-(4-fluorophenyl)-3,4-dihydro-4-oxo- 2-quinazolinyl)methyl)-urea (CAS 330796-24-2); N-
[(2S,3R,3'R,3aS,4'aR,6S,6'aR,6'bS,7aR, 12'aS, 12'bS)- 2',3',3a,4,4',4'a,5,5',6,6',6'a,6'b,7,7',7a,8',10',12',12'a,12'b-Eicosahydro-3,6,11 ',12'b- tetramethylspiro[furo[3,2-b]pyridine-2(3H),9'(1 '/-/)-naphth[2,1 -a]azulen]-3'-yl]- methanesulfonamide (IPI926, CAS 1037210-93-7); and 4-Fluoro-/V-methyl-/V-[1 -[4-(1 -methyl- 1 H-pyrazol-5-yl)-1 -phthalazinyl]-4-piperidinyl]-2-(trifluoromethyl)-benzamide (LY2940680, CAS 1258861 -20-9). mTOR inhibitors: Temsirolimus (Torisel®); Ridaforolimus (formally known as deferolimus, (1 F?,2F?,4S)-4-[(2F?)-2 [(1 R,9S,12S,15R,16E,18R,19R,21 R, 23S,24E,26E,28Z,30S,32S,35R)-
I ,18-dihydroxy-19,30-dimethoxy-15,17,21 ,23, 29,35-hexamethyl-2,3,10,14,20-pentaoxo-
I I ,36-dioxa-4-azatricyclo[30.3.1 .049] hexatriaconta-16,24,26,28-tetraen-12-yl]propyl]-2- methoxycyclohexyl dimethylphosphinate, also known as AP23573 and MK8669, and described in PCT Publication No. WO 03/064383); Everolimus (Afinitor® or RAD001 ); Rapamycin (AY22989, Sirolimus®); Simapimod (CAS 164301 -51 -3); (5-{2,4-Bis[(3S)-3- methylmorpholin-4-yl]pyrido[2,3-c|pyrimidin-7-yl}-2-methoxyphenyl)methanol (AZD8055); 2- Amino-8-[tra/7s-4-(2-hydroxyethoxy)cyclohexyl]-6-(6-methoxy-3-pyridinyl)-4-methyl- pyrido[2,3-c|pyrimidin-7(8H)-one (PF04691502, CAS 1013101 -36-4); Af-[1 ,4-dioxo-4-[[4-(4- oxo-8-phenyl-4/-/-1 -benzopyran-2-yl)morpholinium-4-yl]methoxy]butyl]-L-arginylglycyl-L-a- aspartylL-serine-, inner salt (SF1 126, CAS 936487-67-1 ); and N-[4-[[[3-[(3,5- dimethoxyphenyl)amino]-2-quinoxalinyl]amino]sulfonyl]phenyl]-3-methoxy-4-methyl- benzamide (XL765, also known as SAR245409); and (1 r,4r)-4-(4-amino-5-(7-methoxy-1 H- indol-2-yl)imidazo[1 ,5-f][1 ,2,4]triazin-7-yl)cyclohexanecarboxylic acid (OSI-027).
Phosphoinositide 3-kinase (PI3K) inhibitors: 4-[2-(1 H-lndazol-4-yl)-6-[[4-
(methylsulfonyl)piperazin-1 -yl]methyl]thieno[3,2-d]pyrimidin-4-yl]morpholine (also known as GDC 0941 and described in PCT Publication Nos. WO 09/036082 and WO 09/055730 2- Methyl-2-[4-[3-methyl-2-oxo-8-(quinolin-3-yl)-2,3-dihydroimidazo[4,5-c]quinolin-1 - yl]phenyl]propionitrile (also known as BEZ235 or NVP-BEZ 235, and described in PCT Publication No. WO 06/122806); 4-(trifluoromethyl)-5-(2,6-dimorpholinopyrimidin-4-yl)pyridin- 2-amine (also known as BKM120 or NVP-BKM120, and described in PCT Publication No. W02007/084786); Tozasertib (VX680 or MK-0457, CAS 639089-54-6); (5Z)-5-[[4-(4- Pyridinyl)-6-quinolinyl]methylene]-2,4-thiazolidinedione (GSK1059615, CAS 958852-01 -2);
(1 E,4S,4aR,5R,6aS,9aR)-5-(Acetyloxy)-1 -[(di-2-propenylamino)methylene]- 4,4a,5,6,6a,8,9,9a-octahydro-1 1 -hydroxy-4-(methoxymethyl)-4a,6a-dimethyl- cyclopenta[5,6]naphtho[1 ,2-c]pyran-2,7,10(1 H)-trione (PX866, CAS 502632-66-8); 8-Phenyl- 2-(morpholin-4-yl)-chromen-4-one (LY294002, CAS 154447-36-6); 2-Amino-8-ethyl-4-methyl- 6-(1 H-pyrazol-5-yl)pyrido[23-d]pyrimidin-7(8H)-one (SAR 245409 or XL 765); 5-Fluoro-3- phenyl-2-[(1 S)-1 -(9H-purin-6-ylamino)ethyl]-4(3H)-quinazolinone (CAL101 ); 2-Amino-N-[3-[N- [3-[(2-chloro-5-methoxyphenyl)amino]quinoxalin-2-yl]sulfamoyl]phenyl]-2-methylpropanamide (SAR 245408 or XL 147); and (S)-Pyrrolidine-1 ,2-dicarboxylic acid 2-amide 1 -({4-methyl-5-[2- (2,2,2-trifluoro-1 , 1 -dimethyl-ethyl)-pyridin-4-yl]-thiazol-2-yl}-amide) (BYL719).
BCL-2 inhibitors: 4-[4-[[2-(4-Chlorophenyl)-5,5-dimethyl-1 -cyclohexen-1 -yl]methyl]-1 - piperazinyl]-N-[[4-[[(1 R)-3-(4-morpholinyl)-1 -[(phenylthio)methyl]propyl]amino]-3- [(trifluoromethyl)sulfonyl]phenyl]sulfonyl]benzamide (also known as ABT-263 and described in PCT Publication No. WO 09/155386); Tetrocarcin A; Antimycin; Gossypol ((-)BL-193); Obatoclax; Ethyl-2-amino-6-cyclopentyl-4-(1 -cyano-2-ethoxy-2-oxoethyl)-4Hchromone-3- carboxylate (HAM - 1 ); Oblimersen (G3139, Genasense®); Bak BH3 peptide; (-)-Gossypol acetic acid (AT-101 ); 4-[4-[(4'-Chloro[1 ,1 '-biphenyl]-2-yl)methyl]-1 -piperazinyl]-/V-[[4-[[(1 R)-3- (dimethylamino)-1 -[(phenylthio)methyl]propyl]amino]-3-nitrophenyl]sulfonyl]-benzamide (ABT-737, CAS 852808-04-9); and Navitoclax (ABT-263, CAS 923564-51 -6).
Mitogen -activated protein kinase (MEK) inhibitors: XL-518 (also known as GDC-0973, Cas No. 1029872-29-4, available from ACC Corp.); Selumetinib (5-[(4-bromo-2- chlorophenyl)amino]-4-fluoro-N-(2-hydroxyethoxy)-1 -methyl-1 H-benzimidazole-6- carboxamide, also known as AZD6244 or ARRY 142886, described in PCT Publication No. W02003077914); 2-[(2-Chloro-4-iodophenyl)amino]-N-(cyclopropylmethoxy)-3,4-difluoro- benzamide (also known as CI-1040 or PD184352 and described in PCT Publication No. W02000035436); N-[(2R)-2,3-Dihydroxypropoxy]-3,4-difluoro-2-[(2-fluoro-4- iodophenyl)amino]- benzamide (also known as PD0325901 and described in PCT Publication No. W02002006213); 2,3-Bis[amino[(2-aminophenyl)thio]methylene]- butanedinitrile (also known as U0126 and described in US Patent No. 2,779,780); N-[3,4- Difluoro-2-[(2-fluoro-4-iodophenyl)amino]-6-methoxyphenyl]-1 -[(2R)-2,3-dihydroxypropyl]- cyclopropanesulfonamide (also known as RDEA119 or BAY869766 and described in PCT Publication No. WG200701401 1 ); (3S,4R,5Z,8S,9S,1 1 E)-14-(Ethylamino)-8,9,16-trihydroxy- 3,4-dimethyl-3,4,9, 19-tetrahydro-1 H-2-benzoxacyclotetradecine-1 ,7(8H)-dione] (also known as E6201 and described in PCT Publication No. W02003076424); 2’-Amino-3’- methoxyflavone (also known as PD98059 available from Biaffin GmbH & Co., KG, Germany); Vemurafenib (PLX-4032, CAS 918504-65-1 ); (R)-3-(2,3-Dihydroxypropyl)-6-fluoro-5-(2-
fluoro-4-iodophenylamino)-8-methylpyrido[2,3-d]pyrimidine-4,7(3H,8H)-dione (TAK-733, CAS 1035555-63-5); Pimasertib (AS-703026, CAS 1204531 -26-9); Trametinib dimethyl sulfoxide (GSK-1 120212, CAS 1204531 -25-80); 2-(2-Fluoro-4-iodophenylamino)-N-(2-hydroxyethoxy)- 1 ,5-dimethyl-6-oxo-1 ,6-dihydropyridine-3-carboxamide (AZD 8330); and 3,4-Difluoro-2-[(2- fluoro-4-iodophenyl)amino]-N-(2-hydroxyethoxy)-5-[(3-oxo-[1 ,2]oxazinan-2- yl)methyl]benzamide (CH 4987655 or Ro 4987655).
P38 MAPK inhibitors: Orantinib (TSU-68, CAS 252916-29-3); Dilmapimod (SB681323, CAS 444606-18-2); 6-[(Aminocarbonyl)(2,6-difluorophenyl)amino]-2-(2,4-difluorophenyl)- 3- pyridinecarboxamide (VX702); 8-Phenyl-2-(morpholin-4-yl)-chromen-4-one (LY294002, CAS 154447-36-6); 4-[4-(4-fluorophenyl)-2-[4-(methylsulfinyl)phenyl]-1 /-/-imidazol-5-yl]-pyridine (SB203580, CAS 152121 -47-6); 4-[4-(4-Fluorophenyl)-2-[4-(methylsulfinyl)phenyl]-1 H- imidazol-5-yl]-pyridine (SB203580, CAS 152121 -47-6); trans-4-[4-(4-Fluorophenyl)-5-(2- methoxy-4-pyrimidinyl)-1 /-/-imidazol-1 -yl]-cyclohexanol (SB 239063, CAS 193551 -21 -2); 6- (4-Fluorophenyl)-2,3-dihydro-5-(4-pyridinyl)-imidazo[2,1 -b]thiazole (SKF 86002, CAS 72873- 74-6); 5-(2,6-dichlorophenyl)-2-[(2,4-difluorophenyl)thio]-6/-/-pyrimido[1 ,6-b]pyridazin-6-one (VX745, CAS 209410-46-8); Talmapimod (SCIO469, CAS 309913-83-5); 1 -[4-[3-(4- chlorophenyl)-4-(4-pyrimidinyl)-1 H-pyrazol-5-yl]-1 -piperidinyl]-2-hydroxy-ethanone (SD0006, CAS 1184301 -42-5); Dilmapimod (SB681323, CAS 444606-18-2); 3-Bromo-4-[(2,4- difluorobenzyl)oxy]-1 -[5-[(methylamino)carbonyl]-2-methylphenyl]-6-methylpyridin-2(1 H)-one (PH797804, CAS 586379-66-0); 4-[[5-[(Cyclopropylamino)carbonyl]-2-methylphenyl]amino]- 5-methyl-/V-propyl-pyrrolo[2,1 -f|[1 ,2,4]triazine-6-carboxamide (BMS-582949, CAS 623152- 17-0); Pamapimod (R1503, CAS 44981 1 -01 -2); 2-[(Hexahydrocyclopenta[c]pyrrol-2(1 /-/)- yl)amino]-8-methyl-6-(2-methylphenyl)-pyrido[2,3-G(]pyrimidin-7(8/-/)-one (AW814141 , CAS 905285-51 -0); 4-[5-(4-Fluorophenyl)-2-(methylthio)-1 H-imidazol-4-yl]-N-(1 -phenylethyl)- 2- pyridinamine, (9CI) (ML 3403); and re/-6-Chloro-5-[[(2R,5S)-4-[(4-fluorophenyl)methyl]-2,5- dimethyl-1 -piperazinyl]carbonyl]-N,N,1 -trimethyl-a-oxo-1 H-lndole-3-acetamide (SCIO 282 and SD 282).
JAK inhibitors: Ruxolitinib (Jakafi®); Tofacitinib (CP690550); Axitinib (AG013736, CAS 319460-85-0); 5-Chloro- A^-[(1 S)-1 -(5-fluoro-2-pyrimidinyl)ethyl]-/V4-(5-methyl-1 H-pyrazol-3- y)-l2,4-pyrimidinediamine (AZD1480, CAS 935666-88-9); and (9£ -15-[2-(1 - Pyrrolidinyl)ethoxy]- 7,12,26-Trioxa-19,21 ,24-triazatetracyclo[18.3.1 .125.114’18]-hexacosa- 1 (24),2,4,9,14,16,18(25),20,22-nonaene (SB-1578, CAS 937273-04-6); Momelotinib (CYT 387); Baricitinib (INCB-028050 or LY-3009104); Pacritinib (SB1518); (16E)-14-Methyl-20- Oxa-5,7, 14,27-tetraazatetracyclo[19.3.1.12,6.18,12]heptacosa- 1 (25),2,4,6(27),8,10,12(26),16,21 ,23-decaene (SB 1317); Gandotinib (LY 2784544); N,N-
Cicyclopropyl-4-[(1 ,5-dimethyl-1 H-pyrazol-3-yl)amino]-6-ethyl-1 ,6-dihydro- 1 -methyl- imidazo[4,5-d]pyrrolo[2,3-b]pyridine-7-carboxamide (BMS 91 1543);
Alkylating agents: Oxaliplatin (Eloxatin®); Temozolomide (Temodar® and Temodal®); Dactinomycin (also known as actinomycin-D, Cosmegen®); Melphalan (also known as L- PAM, L-sarcolysin, and phenylalanine mustard, Alkeran®);Altretamine (also known as hexamethylmelamine (HMM), Hexalen®); Carmustine (BiCNU®); Bendamustine (Treanda®); Busulfan (Busulfex® and Myleran®); Carboplatin (Paraplatin®); Lomustine (also known as CCNU, CeeNU®); Cisplatin (also known as CDDP, Platinol® and Platinol®-AQ); Chlorambucil (Leukeran®); Cyclophosphamide (Cytoxan® and Neosar®); Dacarbazine (also known as DTIC, DIC and imidazole carboxamide, DTIC-Dome®); Altretamine (also known as hexamethylmelamine (HMM), Hexalen®); Ifosfamide (Ifex®); Prednumustine; Procarbazine (Matulane®); Mechlorethamine (also known as nitrogen mustard, mustine and mechloroethamine hydrochloride, Mustargen®); Streptozocin (Zanosar®); Thiotepa (also known as thiophosphoamide, TESPA and TSPA, Thioplex®); Cyclophosphamide (Endoxan®, Cytoxan®, Neosar®, Procytox®, Revimmune®); and Bendamustine HCI (Treanda®).
Aromatase inhibitors: Exemestane (Aromasin®); Letrozole (Femara®); and Anastrozole (Arimidex®).
Topoisomerase I inhibitors: Irinotecan (Camptosar®); Topotecan hydrochloride (Hycamtin®); and 7-Ethyl-10-hydroxycampothecin (SN38).
Topoisomerase II inhibitors: Etoposide (VP-16 and Etoposide phosphate, Toposar®, VePesid® and Etopophos®); Teniposide (VM-26, Vumon®); and Tafluposide .
DNA Synthesis inhibitors: Capecitabine (Xeloda®); Gemcitabine hydrochloride (Gemzar®); Nelarabine ((2F?,3S,4F?,5F?)-2-(2-amino-6-methoxy-purin-9-yl)-5-(hydroxymethyl)oxolane-3,4- diol, Arranon® and Atriance®); and Sapacitabine (1 -(2-cyano-2-deoxy-p-D- arabinofuranosyl)-4-(palmitoylamino)pyrimidin-2(1 H)-one).
Folate Antagonists or Antifolates: Trimetrexate glucuronate (Neutrexin®); Piritrexim isethionate (BW201 U); Pemetrexed (LY231514); Raltitrexed (Tomudex®); and Methotrexate (Rheumatrex®, Trexal®).
Immunomodulators: Afutuzumab (available from Roche®); Pegfilgrastim (Neulasta®); Lenalidomide (CC-5013, Revlimid®); Thalidomide (Thalomid®), Actimid (CC4047); and IRX-
2 (mixture of human cytokines including interleukin 1 , interleukin 2, and interferon y, CAS 951209-71 -5, available from IRX Therapeutics).
Proapoptotic receptor agonists (PARAs) including DR4 (TRAILR1) and DR5 (TRAILR2): Dulanermin (AMG-951 , RhApo2L/TRAIL); Mapatumumab (HRS-ETR1 , CAS 658052-09-6); Lexatumumab (HGS-ETR2, CAS 845816-02-6); Apomab (Apomab®); Conatumumab (AMG655, CAS 896731-82-1); and Tigatuzumab (CS1008, CAS 946415-34-5, available from Daiichi Sankyo).
Phospholipase A2 (PLA2) inhibitors: Manoalide; E-(3-Acetamide-1 -benzyl-2-ethylindolyl-5- oxy)propane sulfonic acid (LY311727); Anagrelide (Agrylin®); Methyl arachidonyl fluorophosphonate (MAFP); Arachidonyl trifluoromethyl ketone (AACOCF3); (E)-6-(1- bromoethyle)tetrahydro-3-(1-naphthalenyl)-2/-/-pyran-2-one (Bromoenol lactone or BEL); R- Bromoenol lactone (R-BEL); S-Bromoenol lactone (S-BEL); Diisopropylfluorophosphate (DFP); Phenylmethylsulfonylfluoride (PMSF); and Pefabloc (CAS 34284-75-8, 4-[2- aminoethyl]benzenesulfonyl fluoride).
SRC inhibitors: Dasatinib (Sprycel®); Saracatinib (AZD0530, CAS 379231 -04-6); Bosutinib (SKI-606, CAS 380843-75-4); 5-[4-[2-(4-Morpholinyl)ethoxy]phenyl]-/V-(phenylmethyl)- 2- pyridineacetamide (KX2-391 , CAS 897016-82-9); and 4-(2-Chloro-5-methoxyanilino)-6- methoxy-7-(1 -methylpiperidin-4-ylmethoxy)quinazoline (AZM475271 , CAS 476159-98-5).
Osteoclastic bone resorption inhibitors: Zoledronate (Zometa®); Ibandronate (Boniva®); Alendronate (Fosamax®); Risedronate (Actonel®, Atelvia®, and Benet®); and Mineral trioxide aggregate (MTA).
G-Protein-coupled Somatostain receptors Inhibitors: Octreotide (also known as octreotide acetate, Sandostatin® and Sandostatin LAR®); Lanreotide acetate (CAS 127984-74-1); Seglitide (MK678); Vapreotide acetate (Sanvar®); and Cyclo(D-Trp-Lys-Abu-Phe-MeAla- Tyr)( BIM23027).
Interleukin-11 and Synthetic lnterleukin-11 (IL-11): Oprelvekin (Neumega®).
Erythropoietin and Synthetic erythropoietin: Erythropoietin (Epogen® and Procrit®); Darbepoetin alfa (Aranesp®); Peginesatide (Hematide®); and EPO covalently linked to polyethylene glycol (Micera®).
Receptor Activator for Nuclear Factor K B (RANK) inhibitors: Denosumab (Prolia® and Xgeva®).
Thrombopoietin mimetic peptibodies: Romiplostim (Nplate®).
Cell growth stimulators: Palifermin (Kepivance®); Erythropoietin (Epogen® and Procrit®); Darbepoetin alfa (Aranesp®); Peginesatide (Hematide®); and EPO covalently linked to polyethylene glycol (Micera®).
Histone deacetylase (HDAC) inhibitors: Voninostat (Zolinza®); Romidepsin (Istodax®); Treichostatin A (TSA); Oxamflatin; Vorinostat (Zolinza®, Suberoylanilide hydroxamic acid); Pyroxamide (syberoyl-3-aminopyridineamide hydroxamic acid); Trapoxin A (RF-1023A); Trapoxin B (RF-10238); Cyclo[(aS,2S)-a-amino-r|-oxo-2-oxiraneoctanoyl-0-methyl-D-tyrosyl- L-isoleucyl-L-prolyl] (Cyl-1); Cyclo[(aS,2S)-a-amino-r|-oxo-2-oxiraneoctanoyl-0-methyl-D- tyrosyl-L-isoleucyl-(2S)-2-piperidinecarbonyl] (Cyl-2); Cyclic[L-alanyl-D-alanyl-(2S)-r|-oxo-L- a-aminooxiraneoctanoyl-D-prolyl] (HC-toxin); Cyclo[(aS,2S)-a-amino-r|-oxo-2- oxiraneoctanoyl-D-phenylalanyl-L-leucyl-(2S)-2-piperidinecarbonyl] (WF-3161 );
Chlamydocin ((S)-Cyclic(2-methylalanyl-L-phenylalanyl-D-prolyl-r|-oxo-L-a- aminooxiraneoctanoyl); Apicidin (Cyclo(8-oxo-L-2-aminodecanoyl-1-methoxy-L-tryptophyl-L- isoleucyl-D-2-piperidinecarbonyl); Romidepsin (Istodax®, FR-901228); 4-Phenylbutyrate; Spiruchostatin A; Mylproin (Valproic acid); Entinostat (MS-275, N-(2-Aminophenyl)-4-[N- (pyridine-3-yl-methoxycarbonyl)-amino-methyl]-benzamide); and Depudecin (4, 5:8,9- dianhydro-1 ,2,6,7, 11 -pentadeoxy- D-t/?reo-D-/cto-Undeca-1 ,6-dienitol).
Biologic response modifiers: Include therapeutics such as interferons, interleukins, colonystimulating factors, monoclonal antibodies, vaccines (therapeutic and prophylactic), gene therapy, and nonspecific immunomodulating agents. Interferon alpha (Intron®, Roferson®- A); Interferon beta; Interferon gamma; lnterleukin-2 (IL-2 or aldesleukin, Proleukin®); Filgrastim (Neupogen®); Sargramostim (Leukine®); Erythropoietin (epoetin); Interleukin-11 (oprelvekin); Imiquimod (Aldara®); Lenalidomide (Revlimid®); Rituximab (Rituxan®); Trastuzumab (Herceptin®); Bacillus calmette-guerin (theraCys® and TICE® BCG); Levamisole (Ergamisol®); and Denileukin diftitox (Ontak®).
Anti-tumor antibiotics: Doxorubicin (Adriamycin® and Rubex®); Bleomycin (lenoxane®); Daunorubicin (dauorubicin hydrochloride, daunomycin, and rubidomycin hydrochloride, Cerubidine®); Daunorubicin liposomal (daunorubicin citrate liposome, DaunoXome®); Mitoxantrone (DHAD, Novantrone®); Epirubicin (Ellence™); Idarubicin (Idamycin®, Idamycin
PFS®); Mitomycin C (Mutamycin®); Geldanamycin; Herbimycin; Ravidomycin; and Desacetylravidomycin.
Anti-microtubule or Anit-mitotic agents: Vinca Alkaloids (such as Vinorelbine tartrate (Navelbine®), Vincristine (Oncovin®), and Vindesine (Eldisine®)); Taxanes (such as paclitaxel and docetaxel); and Estramustine (Emcyl® or Estracyt®);
Plant Alkaloids: Paclitaxel (Taxol and Onxal™); Paclitaxel protein-bound (Abraxane®); Vinblastine (also known as vinblastine sulfate, vincaleukoblastine and VLB, Alkaban-AQ® and Velban®); Vincristine (also known as vincristine sulfate, LCR, and VCR, Oncovin® and Vincasar Pfs®); and Vinorelbine (Navelbine®).
Taxane anti-neoplastic agents: Paclitaxel (Taxol®); Docetaxel (Taxotere®); Cabazitaxel (Jevtana®, 1-hydroxy-7p,10p-dimethoxy-9-oxo-5p,20-epoxytax-11-ene-2a,4,13a-triyl-4- acetate-2-benzoate-13-[(2R,3S)-3-{[(tert-butoxy)carbonyl]amino}-2-hydroxy-3- phenylpropanoate); and Larotaxel ((2a,3^,4a,5p,7a,10p,13a)-4,10-bis(acetyloxy)-13- ({(2F?,3S)-3- [(tert-butoxycarbonyl) amino]-2-hydroxy-3-phenylpropanoyl}oxy)-1- hydroxy-9- oxo-5, 20-epoxy-7,19-cyclotax-11-en-2-yl benzoate).
Cathepsin K inhibitors: Odanacatib (MK-0822, /V-(1 -cyanocyclopropyl)-4-fluoro-/\^-{(1 S)- 2,2,2-trifluoro-1-[4'-(methylsulfonyl)biphenyl-4-yl]ethyl}-L-leucinamide and described in PCT Publication no. WO 03/075836); Balicatib (N-(1-((Cyanomethyl)carbamoyl)cyclohexyl)-4-(4- propylpiperazin-1-yl)benzamide, AAE581 , CAS 354813-19-7); and Relacatib (SB-462795, CAS 362505-84-8).
Epothilone B analogs: Ixabepilone (Lxempra®); Patupilone (EP0906); Sagopilone (CAS 305841-29-6); and 21-Aminoepothilone B (BMS-310705, CAS 280578-49-6).
Heat Shock Protein (HSP) inhibitors: Tanespimycin (17-allylamino-17- demethoxygeldanamycin, also known as KOS-953 and 17-AAG, available from SIGMA, and described in US Patent No. 4,261 ,989); Retaspimycin (IPI504), Ganetespib (STA-9090); [6- Chloro-9-(4-methoxy-3,5-dimethylpyridin-2-ylmethyl)-9H-purin-2-yl]amine (BIIB021 or CNF2024, CAS 848695-25-0); trans-4-[[2-(Aminocarbonyl)-5-[4,5,6,7-tetrahydro-6,6- dimethyl-4-oxo-3-(trifluoromethyl)-1 t-/-indazol-1-yl]phenyl]amino]cyclohexyl glycine ester (SNX5422 or PF04929113, CAS 908115-27-5); and 17-Dimethylaminoethylamino-17- demethoxygeldanamycin (17-DMAG).
Famesyl Transferase Inhibitors (FTI): Tipifarnib (R115777, Zarnestra®); Lonafarnib (SCH66336); [2S-[1 [R*(R*)],2R*(S*),3R*]]-2-[[2-[[2-[(2-Amino-3-mercaptopropyl)amino]-3- methylpentyl]oxy]-1 -oxo-3-phenylpropyl]amino]-4-(methylsulfonyl)-butanoic acid, 1 - methylethyl ester (L-744832, CAS 160141-09-3); and (R)-2,3,4,5-Tetrahydro-1 -(1 H-imidazol- 4-ylmethyl)-3-(phenylmethyl)-4-(2-thienylsulfonyl)-1 H-1 ,4-benzodiazepine-7-carbonitrile (BMS-214662, CAS 195987-41 -8).
Thrombopoietin (TpoR) agonists: Eltrombopag (SB497115, Promacta® and Revolade®); and Romiplostim (Nplate®).
Proteosome inhibitors: Bortezomib (Velcade®); Ixazomib citrate (MLN9708, CAS 1201902- 80-8); Danoprevir (RG7227, CAS 850876-88-9); Ixazomib (MLN2238, CAS 1072833-77-2); and (S)-N-[(phenylmethoxy)carbonyl]-L-leucyl-N-(1 -formyl-3-methylbutyl)- L-Leucinamide (MG-132, CAS 133407-82-6).
Kinesis Spindle Protein (KSP) inhibitors (also known as Eg5 inhibitors): Monastrol (Ethyl 4- (3-hydroxyphenyl)-6-methyl-2-sulfanylidene-3,4-dihydro-1 H-pyrimidine-5-carboxylate);
Ispinesib (SB715992); (2S)-4-(2,5-Difluorophenyl)-N-[(3R,4S)-3-fluoro-1 -methyl-4- piperidinyl]-2,5-dihydro-2-(hydroxymethyl)-/V-methyl-2-phenyl-1 H-pyrrole-1 -carboxamide (MK-0731 , CAS 845256-65-7); Litronesib (LY2523355, CAS 910634-41-2); and (2S)-2-(3- Aminopropyl)-5-(2,5-difluorophenyl)-/V-methoxy-/V-methyl-2-phenyl-1 ,3,4-thiadiazole-3(2H)- carboxamide (ARRY520); and 9-Cyclopentyl-7,9-dihydro-2-[[2-methoxy-4-[(1-methyl-4- piperidinyl)oxy]phenyl]amino]-7-methyl-8H-purin-8-one (AZ 3146).
Polo-like kinase (Plk) inhibitors: (R)-4-[(8-Cyclopentyl-7-ethyl-5,6,7,8-tetrahydro-5-methyl-6- oxo-2-pteridinyl)amino]-3-methoxy-N-(1 -methyl-4-piperidinyl)benzamide (BI2536, CAS 755038-02-9); Wortmannin; Morin; Quercetin; Volasertib (BI6727); 8-Phenyl-2-(morpholin- 4-yl)-chromen-4-one (LY294002); 5-[6-[(4-Methylpiperazin-1-yl)methyl]-1 H-benzimidazol-1- yl]-3-[[(1 R)-1 -[2-(trifluoromethyl)phenyl]ethyl]oxy]-thiophene-2-carboxamide (GSK461364); (E)-4-[2-[2-[N-Acetyl-N-[(p-methoxyphenyl)sulfonyl]amino]phenyl]ethenyl]pyridine 1 -oxide (HMN214); and Rigosertib (ON 01910).
Adrenal steroid inhibitors: Aminoglutethimide (Cytadren®); Trilostane (Modrenal® or Vetoryl®); and Mitotane (Lysodren®).
Anti-androgens: Nilutamide (Nilandron® and Anandron®); Bicalutamide (Casodex®); Megestrol (Megace®); Cyproterone acetate (Cyprostat®, Androcur®, or Cyproterone®), and
Flutamide (Fulexin™ or Eulexin®); Leuprolide (Lupron®, Viadur® or Eligard®); Foserelin (Zoladex®); Triptorelin (Trelstar Depot®); Abarelix (Plenaxis®) and Finasteride (Andozac® or MK-906).
Anabolic Steroids: Fluoxymesterone (Halotestin®); OxymethoIone (Anadrol 50®); Oxandrolone (Oxandrin)®; and Stanozolol (Winstrol®).
Proteasome inhibitors: Bortezomib (Velcade®); Carfilzomib (PX-171-007, (S)-4-Methyl-/V- ((S)-1 -(((S)-4-methyl-1 -((F?)-2-methyloxiran-2-yl)-1 -oxopentan-2-yl)amino)-1 -oxo-3- phenylpropan-2-yl)-2-((S)-2-(2-morpholinoacetamido)-4-phenylbutanamido)-pentanamide);
Marizomib (NPI-0052); Ixazomib citrate (M LN-9708); Delanzomib (CEP-18770); and O- Methyl-/V-[(2-methyl-5-thiazolyl)carbonyl]-L-seryl-0-methyl-/V-[(1 S)-2-[(2F?)-2-methyl-2- oxiranyl]-2-oxo-1 -(phenylmethyl)ethyl]- L-serinamide (ONX-0912).
Gonadotropin-releasing hormone (GnRH) receptor agonists: Leuprolide or leuprolide acetate (Viadure®, Eligard® and Lupron®); Buserelin (Suprefact® or Suprecor®); Nafarelin (Synarel®); Histrelin (Supprelin LA® or Vantas®); Goserelin (Zoladex®); Deslorelin (Suprelorin® or Ovuplant®); Degarelix (Firmagon®); and Triptorelin (Decapeptyl®, Diphereline®, Goapeptyl®, Trelstart® or Variopeptyl® 0.1 ).
HPV vaccines: Human papilloma virus (HPV) vaccine (Cervarix® (ATC code J07BM02), and Gardasil® (ATC code J07BM01).
Iron Chelating agents: Silybin; Curcumin; Ethylene diamine tetraacetic acid (EDTA); Triapine (3-aminopyridine-2-carboxaldehyde thiosemicarbazone); Di-2-pyridylketone thiosemicarbazon ; Di-2-pyridylketone-4,4,-dimethyl-3-thiosemicarbazone; Desferrioxamine; and Deferasinox (Exjade®).
Anti-metabolites: Claribine (2-chlorodeoxyadenosine, Leustatin®); 5-Fluorouracil (Adrucil®); 6-Thioguanine (Purinethol®); Pemetrexed (Alimta®); ytarabine (also known as arabinosylcytosine (Ara-C), Cytosar-U®); Cytarabine liposomal (also known as Liposomal Ara-C, DepoCyt™); Decitabine (Dacogen®); Hydroxyurea (Hydrea®, Droxia™ and Mylocel™); Fludarabine (Fludara®); Floxuridine (FUDR®); Methotrexate (also known as amethopterin, methotrexate sodim (MTX); Rheumatrex® and Trexall™); Pentostatin (Nipent®); Raltitrexed (Tomudex®); and Pralatrexate (Folotyn™).
Bisphosphonates: Pamidronate (Aredia®); Zoledronic acid or Zoledronate (Zometa®, Zomera®, Aclasta®, or Reclast®); Alendronate (Fosamax®); Risedronate (Actonel®); and Ibandronate (Boniva®).
Demethylating agents: 5-Azacitidine (Vidaza®); and Decitabine (Dacogen®).
Cytokines: lnterleukin-2 (also known as aldesleukin and IL-2, Proleukin®); Interleukin-11 (also known as oprevelkin, Neumega®); and Alpha interferon alfa (also known as IFN-alpha, Intron® A, and Roferon-A®).
Retinoids: Alitretinoin (9-c/s-retinoic acid, Panretin®); Tretinoin (a\\-trans retinoic acid, also known as ATRA, Vesanoid®); Isotretinoin (13-c/s-retinoic acid, Accutane®, Amnesteem®, Claravis®, Clarus®, Decutan®, Isotane®, Izotech®, Oratane®, Isotret®, and Sotret®); Bexarotene (Targretin®), Liposomal retinoic acid; Tazarotene (Tazorac®, Avage® or Zorac®); a\\-trans retinol; a\\-trans retinaldehyde (also known as a\\-trans retinal); a\\-trans 4- oxo retinoic acid; retinyl palmitate; and retinyl acetate.
Estrogen receptor downregulators: Fulvestrant (Faslodex®).
Anti-estrogens: Tamoxifen (Novaldex®); Toremifene (Fareston®); and Fulvestrant (Faslodex®).
Selective estrogen receptor modulators (SERMs): Raloxifene (Evista®); Bazedoxifene; Tamoxifen (Nolvadex®); and Toremifene (Fareston®).
Leutinizing hormone releasing hormone (LHRH) agonists: Goserelin (Zoladex®); and Leuprolide acetate (Eligard® or Lupron®).
Progesterones: Megestrol (also known as megestrol acetate, Megace®).
17 a-hydroxylase/C17,20 lyase (CYP17A1) inhibitors: Abiraterone acetate (Zyitga®).
Miscellaneous cytotoxic agents: Arsenic trioxide (Trisenox®); Asparaginase (also known as L-asparaginase, Erwinia L-asparaginase, Elspar® and Kidrolase®); and Asparaginase Erwinia Chrysanthemi (Erwinaze®).
C-C Chemokine receptor 4 (CCR4) Antibody: Mogamulizumab (Potelligent®)
CD20 antibodies: Rituximab (Riuxan® and MabThera®); and Tositumomab (Bexxar®); and Ofatumumab (Arzerra®).
CD20 Antibody Drug Conjugates: Ibritumomab tiuxetan (Zevalin®); and Tositumomab,
CD22 Antibody Drug Conjugates: Inotuzumab ozogamicin (also referred to as CMC-544 and WAY-207294, available from Hangzhou Sage Chemical Co., Ltd.)
CD30 mAb-cytotoxin Conjugates: Brentuximab vedotin (Adcetrix®);
CD33 Antibody Drug Conjugates: Gemtuzumab ozogamicin (Mylotarg®),
CD40 antibodies: Dacetuzumab (also known as SGN-40 or huS2C6, available from Seattle Genetics, Inc),
CD52 antibodies: Alemtuzumab (Campath®)
Anti-CS1 antibodies: Elotuzumab (HuLuc63, CAS No. 915296-00-3)
CTLA-4 inhibitor antibodies: Tremelimumab (lgG2 monoclonal antibody available from Pfizer, formerly known as ticilimumab, CP-675,206); and Ipilimumab (CTLA-4 antibody, also known as MDX-010, CAS No. 477202-00-9).
TPH inhibitors: telotristat
PARP (poly ADP ribose polymerase) inhibitors: olaparib (Lynparza), rucaparib (Rubraca), Niraparib (Zeluja), Talazoparib, Veliparib.
PD-1 Inhibitors: Spartalizumab (PDR001 , Novartis), Nivolumab (Bristol-Myers Squibb), Pembrolizumab (Merck & Co), Pidilizumab (CureTech), MEDI0680 (Medimmune), REGN2810 (Regeneron), TSR-042 (Tesaro), PF-06801591 (Pfizer), BGB-A317 (Beigene), BGB-108 (Beigene), INCSHR1210 (Incyte), or AMP-224 (Amplimmune).
PD-L1 inhibitors: Durvalumab, Atezolizumab, Avelumab
Radio-sensitizers: Idronoxil (Veyonda, also known as NOX-66), Sodium glycididazole, Nimorazole, NBTXR3 (also known as PEP503), [89Zr]AGulX, Lucanthone, Telomelysin (OBP-301 ), lonidamine, nimorazole, panobinostat, celecoxib, cilengitide, entinostat, etanidazole, ganetespib (STA-9090).
Embodiments:
The following specific embodiments are disclosed:
1 . A pharmaceutical composition comprising:
(a) a complex formed by
(i) a radionuclide, and
(ii) a PSMA binding ligand linked to a chelating agent; and;
(b) at least two stabilizers against radiolytic degradation.
2. The pharmaceutical composition according to embodiment 1 , wherein said radionuclide is selected from 111 In, 133mln, 99mTc, 94mTc, 67Ga, 66Ga, 68Ga, 52Fe, 169Er, 72As, 97Ru, 203Pb, 212Pb, 62Cu, 64Cu, 67Cu, 186Re, 188Re, 86Y, 90Y, 51Cr, 52mMn, 157Gd, 177Lu, 161Tb, 169Yb, 175Yb, 105Rh, 166Dy, 166Ho, 153Sm, 149Pm, 151 Pm, 172Tm, 121Sn, 117mSn, 213Bi, 212Bi, 142Pr, 143Pr, 198Au, 199Au, 89Zr, 225Ac, 43Sc, 44Sc, 47Sc, and 55Co, preferably selected from 177Lu and 68Ga, and more preferably is 177Lu.
3. The pharmaceutical composition according to embodiment 1 or 2, wherein said radionuclide is present at a concentration so that it provides a volumetric radioactivity of at least 0.1 mCi/mL, preferably from 0.1 mCi/mL to 100 mCi/mL, more preferably from 0.1 mCi/mL to 30 mCi/mL, more preferably from 0.1 mCi/mL to 20 mCi/mL, more preferably from 1 mCi/mL to 20 mCi/mL, more preferably from 2 mCi/mL to 20 mCi/mL, more preferably from 5 mCi/mL to 15 mCi/mL, more preferably from 7 mCi/mL to 13 mCi/mL, more preferably from 8 mCi/mL to 12 mCi/mL, more preferably from 9 mCi/mL to 11 mCi/mL, even more preferably of about 10 mCi/mL.
4. The pharmaceutical composition according to embodiment 1 or 2, wherein said radionuclide is present at a concentration so that it provides a volumetric radioactivity of at least 0.1 mCi/mL, preferably from 0.1 mCi/mL to 400 mCi/mL, more preferably from 0.1 mCi/mL to 120 mCi/mL, more preferably from 0.1 mCi/mL to 80 mCi/mL, more preferably from 20 mCi/mL to 80 mCi/mL, more preferably from 25 mCi/mL to 60 mCi/mL, more preferably from 30 mCi/mL to 50 mCi/mL, more preferably from 35 mCi/mL to 45 mCi/mL, even more preferably of about 40 mCi/mL.
The pharmaceutical composition according to any of the preceding embodiments, wherein said chelating agent is selected from DOTA, DTPA, NTA, EDTA, DO3A, AAZTA, NODAGA, TETA and NOTA, preferably is DOTA. The pharmaceutical composition according to any of the preceding embodiments, wherein said (ii) PSMA binding ligand linked to a chelating agent is of formula (I):
Z is tetrazole or COOQ, preferably Z is COOQ;
Q is independently H or a protecting group, preferably Q is H; m is an integer selected from the group consisting of 1 , 2, 3, 4, and 5, preferably m is 4; q is an integer selected from the group consisting of 1 , 2, 3, 4, 5, and 6, preferably q is 1 ;
R is selected from the group consisting of C6-Ci0 aryl and heteroaryl containing 5 to 10 ring atoms, said aryl and heteroaryl being substituted one or more times with X;
X is - Z1-Y;
Z1 is a bond or a Ci-C6 alkylene, preferably Z1 is a bond;
Y is a halogen;
L is a linker selected from the group consisting of Ci-C6 alkylene, C3-C6 cycloalkylene and C6-Cio arylene, said alkylene, cycloalkylene and arylene being optionally substituted with one or more substituents selected from: -OR’, =0, =NR’, =N-OR’, - NR’R”, -SR’, -halogen, -SiR’R”R’”, -OC(O)R’, -C(O)R’, -CO2R’, -C(O)NR’R”, - OC(O)NR’R”, - NR”C(O)R’, -NR’-C(O)NR”R’”, -NR”C(O)OR’, -NR’-C(NR”R’”)=NR””, - S(O)R’, - S(O)2R’, -S(O)2NR’R”, -NRSO2R’, -CN and -NO2. R’, R”, R’” and R”” each may independently refer to hydrogen, alkyl, heteroalkyl, cycloalkyl, heterocycloalkyl, aryl or heteroaryl;
W is selected from the group consisting of -NR2-(C=O), -NR2-(C=S), -(C=O)-NR2-, and -(C=S)-NR2-, preferably, W is -(C=O)-NR2-; each occurrence of L and W can be the same or different;
R2 is H or C1-C4 alkyl, preferably R2 is H; n is an integer selected from the group consisting of 1 , 2 and 3;
Ch is a chelating agent, preferably
The pharmaceutical composition according to any of the preceding embodiments wherein said (ii) PSMA binding ligand linked to a chelating agent is of formula (II):
The pharmaceutical composition according to any of the preceding embodiments, wherein said at least two stabilizer are selected from gentisic acid (2,5- dihydroxybenzoic acid) or salts thereof, ascorbic acid (L-ascorbic acid, vitamin C) or salts thereof (e.g. sodium ascorbate), methionine, histidine, melatonin, ethanol, and Se-methionine, preferably selected from gentisic acid or salts thereof and ascorbic acid or salts thereof. The pharmaceutical composition according to any of the preceding embodiments, wherein said at least two stabilizers are gentisic acid or salts thereof and ascorbic acid or salts thereof. The pharmaceutical composition according to embodiment 9, wherein the ratio between gentisic acid or salts thereof and ascorbic acid or salts thereof is between 1 :32 and 1 :1 , preferably between 1 :16 and 1 :2, more preferably between 1 :4 and 2:5.
The pharmaceutical composition according to embodiment 9 or 10, wherein said gentisic acid or salts thereof is present at a concentration of least 600 pg/mL, preferably at least 1000 pg/mL, and more preferably at least 2000 pg/mL, preferably between 600 pg/mL and 5000 pg/mL, more preferably between 1500 pg/mL and 3000 pg/mL, more preferably between 2000 pg/mL and 3000 pg/mL, more preferably between 2500 pg/mL and 3000 pg/mL, more preferably between 2600 pg/mL and 3000 pg/mL, even more preferably about 2800 pg/mL. The pharmaceutical composition according to embodiment 9 to 1 1 , wherein said ascorbic acid or salts thereof is present at a concentration of at least 3000 pg/mL, preferably at least 6000 pg/mL, more preferably at least 8000 pg/mL, preferably between 3000 pg/mL and 15000 pg/mL, preferably between 6000 pg/mL and 12000 pg/mL, more preferably between 7500 pg/mL and 9000 pg/mL, more preferably between 8000 pg/mL and 9000 pg/mL, more preferably between 8500 pg/mL and 9000 pg/mL, even more preferably about 8550 pg/mL. The pharmaceutical composition according to any of embodiment 9 to 12, wherein said gentisic acid or salts thereof is present at a concentration between 600 pg/mL and 5000 pg/mL, preferably between 1500 pg/mL and 3000 pg/mL, more preferably between 2000 pg/mL and 3000 pg/mL, more preferably between 2500 pg/mL and 3000 pg/mL, more preferably between 2600 pg/mL and 3000 pg/mL, even more preferably about 2800 pg/mL and ascorbic acid or salts thereof is present at a concentration between 3000 pg/mL and 15000 pg/mL, preferably between 6000 pg/mL and 12000 pg/mL, more preferably between 7500 pg/mL and 9000 pg/mL, more preferably between 8000 pg/mL and 9000 pg/mL, more preferably between 8500 pg/mL and 9000 pg/mL, even more preferably about 8550 pg/mL . The pharmaceutical composition according to any of the preceding embodiments, wherein said pharmaceutical formulation has a radiochemical purity higher than 95% up to 72 hours. The pharmaceutical composition according to any of the preceding embodiments, wherein the molar ratio between the (ii) PSMA binding ligand linked to a chelating agent and the (i) radionuclide, preferably 177Lu, is at least 1 .25, preferably at least 1 .5, preferably from 1 .25 to 6, more preferably from 1 .5 to 5, even more preferably from 1.5 to 4.
The pharmaceutical composition according to any of the preceding embodiments, wherein the pH is from 3.5 to 6.5, preferably from 3.5 to 5.0, more preferably from 3.5 to 4.5, even more preferably about 4.0. The pharmaceutical composition according to any of the preceding embodiments, wherein it comprises:
(a) a complex formed by
(i) radionuclide 177Lutetium (Lu-177), and
(b) gentisic acid or salts thereof and ascorbic acid or salts thereof. The pharmaceutical composition according to any of the preceding embodiments, wherein it comprises at least one other pharmaceutically acceptable excipient, preferably selected from buffer, solvent, sequestering agent, pH adjuster and mixtures thereof. The pharmaceutical composition according to embodiment 18, wherein the buffer is selected from acetate buffer, citrate buffer and phosphate buffer, preferably acetate buffer. The pharmaceutical composition according to embodiment 18 or 19, wherein the solvent is water for injection and/or saline solution. The pharmaceutical composition according to any of embodiments 18 to 20, wherein the pH adjuster is NaOH and/or HCL
The pharmaceutical composition according to any of embodiments 18 to 21 , wherein the sequestering agent is diethylentriaminepentaacetic acid (DTPA) or a salt thereof. The pharmaceutical composition according to embodiment 22, wherein DTPA is present at a concentration between 50 pg/mL and 300 pg/mL, preferably between 100 pg/mL and 200 pg/mL, more preferably about 150 pg/mL. The pharmaceutical composition according to any of the preceding embodiments, wherein it comprises:
(a) a complex formed by
(i) radionuclide 177Lutetium (Lu-177), and
(b) gentisic acid or salts thereof and ascorbic acid or salts thereof;
(c) a buffer; typically acetate buffer;
(d) a sequestering agent, typically DTPA;
(e) water for injection;
(f) saline solution; and optionally
(g) HCI; and
(h) NaOH. The pharmaceutical composition according to embodiment 24, wherein the gentisic acid or salts thereof is present at a concentration between 600 pg/mL and 5000 pg/mL, preferably between 1500 pg/mL and 3000 pg/mL, more preferably between 2000 pg/mL and 3000 pg/mL, more preferably between 2500 pg/mL and 3000 pg/mL, more preferably between 2600 pg/mL and 3000 pg/mL, even more preferably about
2800 pg/mL and ascorbic acid or salts thereof is present at a concentration between
3000 ng/mL and 15000 pg/mL, preferably between 6000 pg/mL and 12000 pg/mL, more preferably between 7500 pg/mL and 9000 pg/mL, more preferably between 8000 pg/mL and 9000 pg/mL, more preferably about 8500 pg/mL and 9000 pg/mL, even more preferably about 8550 pg/mL.
26. The pharmaceutical composition according to any of the preceding embodiments wherein the pharmaceutical composition consists of less than 10% ethanol, preferably less than 5% ethanol, more preferably less than 2% ethanol, even more preferably less than 1% ethanol, even more preferably the composition is free of ethanol.
27. The pharmaceutical composition according to any of the preceding embodiments wherein the pharmaceutical composition is an aqueous solution.
28. The pharmaceutical composition according to any of the preceding embodiments wherein the pharmaceutical composition is a solution for infusion.
29. The pharmaceutical composition according to any of the preceding embodiments, for use in treating or preventing cancer, typically prostate cancer.
30. The pharmaceutical aqueous solution according to any one of the preceding embodiments, wherein said solution is produced at commercial scale manufacturing, in particular is produced at a batch size of at least 18.5 GBq (0.5 Ci), at least 37 GBq (1 Ci), or at least 55.5 GBq (1.5 Ci) and not more than 148 GBq (4 Ci), 129.5 GBq (3.5 Ci), 111 GBq (3 Ci), 92.5 GBq (2.5 Ci) or 74 GBq (2 Ci), preferably between 18.5 GBq (0.5 Ci) and 148 GBq (4 Ci).
31. The pharmaceutical aqueous solution according to any one of the preceding embodiments, which is for commercial use.
32. A process for manufacturing a pharmaceutical composition comprising:
(a) a complex formed by
(i) a radionuclide, and
(ii) a PSMA binding ligand linked to a chelating agent; and;
(b) at least two stabilizers against radiolytic degradation, said process comprising the following steps:
(1) A labelling step to form a complex of the radionuclide and the PSMA binding ligand linked to a chelating agent by
(1 .1) providing an aqueous solution comprising the radionuclide;
(1.2) providing an aqueous solution comprising the PSMA binding ligand linked to a chelating agent, and only one stabilizer against radiolytic degradation, preferably gentisic acid or salts thereof; and
(1.3) mixing the solutions obtained in steps (1.1) and (1.2), heating the resulting mixture thereby obtaining a complex solution;
(2) A formulation step to dilute the complex solution obtained by step (1) by
(2.1) providing an aqueous dilution solution comprising at least one stabilizer against radiolytic degradation selected from the group consisting of ascorbic acid or salts thereof and gentisic acid or salts thereof; and
(2.2) mixing the complex solution obtained by step (1) with the aqueous dilution solution obtained in step (2.1) to obtain the pharmaceutical composition of embodiment 1 , and optionally filtering the pharmaceutical composition obtained in step (2.2) to produce the pharmaceutical composition of any of embodiments 1 to 28. The process according to embodiment 32, wherein the aqueous solution of step (1.1) comprises 177Lu as radionuclide, and HCI. The process according to any one of embodiments 32 to 33, wherein the aqueous solution prepared in step (1 .2) comprises only one stabilizer which is gentisic acid or salts thereof at a concentration of at least 600 pg/mL, preferably at least 1000 pg/mL, and more preferably at least 2000 pg/mL, typically between 600 pg/mL and 5000 pg/mL, preferably between 1500 pg/mL and 3000 pg/mL, more preferably between 2000 and 3000 pg/mL, more preferably between 2500 and 3000 pg/mL, more preferably between 2600 and 3000 pg/mL, even more preferably about 2800 pg/mL or at a concentration between 50 pg/mL and 2000 pg/mL, preferably between 200 pg/mL and 1600 pg/mL, more preferably between 400 pg/mL and 1200 pg/mL, more preferably between 600 pg/mL and 1000 pg/mL, more preferably between 700 pg/mL and 900 pg/mL, even more preferably about 800 pg/mL. The process according any one of embodiments 32 to 34, wherein the aqueous solution of step (1 .2) further comprises a buffer, preferably an acetate buffer.
The process according to any one of embodiments 32 to 35, wherein wherein said
Z is tetrazole or COOQ, preferably Z is COOQ;
Q is independently H or a protecting group, preferably Q is H; m is an integer selected from the group consisting of 1 , 2, 3, 4, and 5, preferably m is 4; q is an integer selected from the group consisting of 1 , 2, 3, 4, 5, and 6, preferably q is 1 ;
R is selected from the group consisting of C6-Ci0 aryl and heteroaryl containing 5 to 10 ring atoms, said aryl and heteroaryl being substituted one or more times with X;
X is - Z1-Y;
Z1 is a bond or a Ci-C6 alkylene, preferably Z1 is a bond;
Y is a halogen;
L is a linker selected from the group consisting of Ci-C6 alkylene, C3-C6 cycloalkylene and C6-Cio arylene, said alkylene, cycloalkylene and arylene being optionally substituted with one or more substituents selected from: -OR’, =0, =NR’, =N-OR’, - NR’R”, -SR’, -halogen, -SiR’R”R’”, -OC(O)R’, -C(O)R’, -CO2R’, -C(O)NR’R”, - OC(O)NR’R”, - NR”C(O)R’, -NR’-C(O)NR”R’”, -NR”C(O)OR’, -NR’-C(NR”R’”)=NR””, - S(O)R’, - S(O)2R’, -S(O)2NR’R”, -NRSO2R’, -CN and -NO2. R’, R”, R’” and R”” each may independently refer to hydrogen, alkyl, heteroalkyl, cycloalkyl, heterocycloalkyl, aryl or heteroaryl;
W is selected from the group consisting of -NR2-(C=O), -NR2-(C=S), -(C=O)-NR2-, and -(C=S)-NR2-, preferably, W is -(C=O)-NR2-; each occurrence of L and W can be the same or different;
R2 is H or C1-C4 alkyl, preferably R2 is H; n is an integer selected from the group consisting of 1 , 2 and 3;
Ch is a chelating agent, preferably
37. The process according to any one of embodiments 32 to 36, wherein said PSMA binding ligand linked to a chelating agent is of formula (II):
38. The process according to any one of embodiments 32 to 37, wherein the aqueous dilution solution prepared in step (2.1) comprises at least one stabilizer selected from the group consisting of ascorbic acid or salts thereof at a concentration of at least 3000 pg/mL, preferably 6000 pg/mL, more preferably at least 8000 pg/mL, typically between 3000 pg/mL and 15000 pg/mL, preferably between 6000 pg/mL and 12000 pg/mL, more preferably between 7500 pg/mL and 9000 pg/mL, more preferably between 8000 pg/mL and 9000 pg/mL, more preferably about 85 pg/mL and 9000 pg/mL, even more preferably about 8550 pg/mL and gentisic acid or salts thereof in a concentration between 500 pg/mL and 4000 pg/mL , preferably between 1000 pg/mL and 3000 pg/mL, more preferably between 1400 pg/mL and 2600 pg/mL, more preferably between 1600 pg/mL and 2400 pg/mL, more preferably between 1800 pg/mL and 2200 pg/mL, even more preferably about 2000 pg/mL.
39. The process according to any one of embodiments 32 to 38, wherein in step (1 .3) the resulting mixture is heated to a temperature of from 65 to 99 °C, preferably from 70 to 95 °C, more preferably about 70 °C, for from 1 to 59 min, preferably from 2 to 15 min, more preferably about 5 min.
40. The process according to any one of embodiments 32 to 39, wherein the aqueous dilution solution of step (2.1) further comprises a sequestering agent, preferably diethylentriaminepentaacetic acid (DTPA) or a salt thereof.
41. The process according to any one of embodiments 32 to 40, wherein the aqueous dilution solution of step (2.1) further comprises a pH adjuster, preferably NaOH and/or HCI.
42. The process according to any one of embodiments 32 to 41 , wherein the aqueous dilution solution of step (2.1) further comprises a solvent, preferably water for injection and/or saline solution.
43. The pharmaceutical aqueous solution obtained by the process as defined by any one of embodiments 32 to 42.
44. The pharmaceutical composition of embodiments 1 to 29 for its use in combination with another therapeutic agent selected in the group consisting of anti-cancer agents, anti-allergic agents, anti-nausea agents, anti-emetic agents, pain relievers, cytoprotective agents, and mixtures thereof.
45. The pharmaceutical composition of embodiments 1 to 29 for its use in combination with another therapeutic agent selected in the group consisting of general chemotherapeutic agents, Tyrosine kinase inhibitors, Vascular Endothelial Growth Factor (VEGF) receptor inhibitors, Platelet-derived Growth Factor (PDGF) receptor inhibitors, Fibroblast Growth Factor Receptor (FGFR) Inhibitors, Aurora kinase inhibitors, Cyclin-Dependent Kinase (CDK) inhibitors, Checkpoint Kinase (CHK) inhibitors, 3-Phosphoinositide-dependent kinase-1 (PDK1 or PDPK1) inhibitors, Pyruvate Dehydrogenase Kinase (PDK) inhibitors, Protein Kinase B (PKB) or AKT inhibitors, Protein Kinase C (PKC) activators, B-RAF inhibitors, C-RAF Inhibitors, Human Granulocyte colony-stimulating factor (G-CSF) modulators, RET Inhibitors, FMS-like Tyrosine kinase 3 (FLT3) Inhibitors or CD135, c-KIT Inhibitors, Bcr/Abl kinase inhibitors, IGF-1 R inhibitors, IGF-1 R antibodies, PIM Kinase inhibitors, MET inhibitors, Human Epidermal Growth Factor Receptor 2 inhibitors, Epidermal growth factor receptor (EGFR) inhibitors, EGFR antibodies, Hedgehog antagonists, mTOR inhibitors, Phosphoinositide 3-kinase (PI3K) inhibitors, BCL-2 inhibitors, Mitogen- activated protein kinase (MEK) inhibitors, P38 MAPK inhibitors, JAK inhibitors, Alkylating agents, Aromatase inhibitors, Topoisomerase I inhibitors, Topoisomerase II
inhibitors, DNA Synthesis inhibitors, Folate Antagonists or Antifolates, Immunomodulators, Proapoptotic receptor agonists (PARAs) including DR4 (TRAILR1) and DR5 (TRAILR2), Phospholipase A2 (PLA2) inhibitors, SRC inhibitors, Osteoclastic bone resorption inhibitors, G-Protein-coupled Somatostain receptors Inhibitors, Interleukin-11 and Synthetic Interleukin-11 (IL-11), Erythropoietin and Synthetic erythropoietin, Receptor Activator for Nuclear Factor K B (RANK) inhibitors, Thrombopoietin mimetic peptibodies, Cell growth stimulators, Histone deacetylase (HDAC) inhibitors, Biologic response modifiers, Anti-tumor antibiotics, Antimicrotubule or Anit-mitotic agents, Plant Alkaloids, Taxane anti-neoplastic agents, Cathepsin K inhibitors, Epothilone B analogs, Heat Shock Protein (HSP) inhibitors, Farnesyl Transferase Inhibitors (FTI), Thrombopoietin (TpoR) agonists, Proteosome inhibitors, Kinesis Spindle Protein (KSP) inhibitors (also known as Eg5 inhibitors), Polo-like kinase (Plk) inhibitors, Adrenal steroid inhibitors, Anti-androgens, Anabolic Steroids, Proteasome inhibitors, Gonadotropin-releasing hormone (GnRH) receptor agonists, HPV vaccines, Iron Chelating agents, Anti-metabolites, Bisphosphonates, Demethylating agents, Cytokines, Retinoids, Estrogen receptor downregulators, Antiestrogens, Selective estrogen receptor modulators (SERMs), Leutinizing hormone releasing hormone (LHRH) agonists, Progesterones, 17 a-hydroxylase/C17,20 lyase (CYP17A1 ) inhibitors, Miscellaneous cytotoxic agents, C-C Chemokine receptor 4 (CCR4) Antibody, CD20 antibodies, CD20 Antibody Drug Conjugates, CD22 Antibody Drug Conjugates, CD30 mAb-cytotoxin Conjugates, CD33 Antibody Drug Conjugates, CD40 antibodies, CD52 antibodies, Anti-CS1 antibodies, CTLA-4 inhibitor antibodies, TPH inhibitors, PARP (poly ADP ribose polymerase) inhibitors, PD-1 Inhibitors, PD- L1 inhibitors, Radio-sensitizers and combinations thereof, preferably PARP (poly ADP ribose polymerase) inhibitors, PD-1 Inhibitors, PD-L1 inhibitors, Radio-sensitizers and combinations thereof. The pharmaceutical composition of embodiment 45 wherein the other therapeutic agent is a PARP inhibitor, preferably olaparib. The pharmaceutical composition of embodiment 45 wherein the other therapeutic agent is a PD-1 inhibitor, preferably nivolumab. The pharmaceutical composition of embodiment 45 wherein the other therapeutic agent is a PD-L1 inhibitor. The pharmaceutical composition of embodiment 45 wherein the other therapeutic agent is a radio-sensitizers, preferably idronoxil.
EXAMPLES
Hereinafter, the present disclosure is described in more details and specifically with reference to the examples, which however are not intended to limit the present disclosure.
Materials:
The 177LuCls may be obtained from commercial sources, e.g. LD.B. Holland BV. All other components of the drug product are commercially available from various sources.
The target characteristics which have been set for the development of 177Lu-PSMA-R2 formulation are the following:
• 177LuPSMA-R2 (HPLC) RCP% > 97% (at tOh);
• 177LuPSMA-R2 (HPLC) RCP% > 95% (up to 72 hours);
. 177Lu 3+ (HPLC) < 3%;
177Lu not complexed species (iTLC) < 3%
Methods for preparing the pharmaceutical composition
177Lu-PSMA-R2 manufacturing is performed both automatically, by using the MiniAIO synthesizer, and manually. The synthesis procedure has been developed as follows:
1 . Addition of the reaction buffer to the aqueous solution containing the PSMA- R2. The reaction buffer is composed of sodium acetate buffer and gentisic acid. The acetate buffer allows to maintain the labelling pH between 4-5, while gentisic acid protects the PSMA-R2 from radiolysis during the labelling step;
2. Addition of 177LuCls to the PSMA-R2 buffered solution;
3. Heating at 95°C for at least 5 minutes;
4. Addition, at the end of labelling, of the dilution solution in order to obtain a volumetric radioactivity of 10 mCi/ml or 40 mCi/mL. The dilution solution is composed of ascorbic acid and/or gentisic acid (stabilizers against radiolytic degradation), DTPA (sequestering agent), NaOH (pH adjuster) and saline solution (tonicity agent).
Example 1 : Effect of the molar ratio between PSMA-R2 and 177Lu on the radiochemical purity
The effect of the molar ratio between PSMA-R2 and 177Lu on the radiochemical purity was investigated in order to identify the suitable range of values which allows meeting all the target characteristics of the radiolabelled product.
PSMA-R2 has a molecular weight of 987.89 g/mol and the following formula (II):
The 177LUCI3 precursor has a specific activity, at the activity reference date, above 500 GBq/mg.
The specific activity (SA) is defined as the radioactivity per total amount, expressed in mg, of a particular element. 177LuCI3 solution used as precursor for the radiolabelling contains also 176Lu and 175Lu isotopes. So, in this case, SA corresponds to the ratio between the radioactivity and the sum of all the Lu isotopes present in solution. Since all these isotopes compete together for complexation with the DOTA-moiety, it is important to define the maximum amount of (177+175+176)|_u’ or the minimum SA value, which permit to guarantee the total coordination of the 177Lu3+ ions.
In Table 1 are summarized the radiolabelling results obtained with different molar ratio of PSMA-R2/177Lu. The results demonstrate that the minimum molar ratio value for keeping the free 177Lu below 3% is 1.25. Total complexation of 177Lu3+ is achieved when the molar ratio is about 1.5, without further improvement for increasing amounts of precursor. Based on this, a molar ratio value of 1 .5 has been deemed able to assure with a good safety margin 177Lu incorporation above specification and it has been selected for following development steps.
*Specific activity values are at time of synthesis
Once defined this value, it has been calculated the minimum amount of precursor which allows to consistently guarantee incorporation of 177Lu3+ above 97% (Table 2) considering a specific activity of 177LuCI3 which typically range from 666-740 GBq/mg (18-20 Ci/mg) at calibration date to 315-350 GBq/mg (8.7-9.5 Ci/mg) one week after. This wide range of usable SA has been selected also looking forward to the industrial manufacturing which will be possible in every working day independently from the production day of 177Lu securing the availability of the 177Lu radiopharmaceutical all over the week.
*Specific activity values are at time of synthesis
The calculations show that, in order to keep the selected molar ratio value of 1 .5, considering a minimum SA value of 315 GBq/mg, for potential batch size of 2 Ci and 4 Ci the amount of peptide to be used is respectively 2 mg and 4 mg.
Example 2: Effect of the formulation on Drug product radiochemical purity
Ascorbic acid and gentisic acid were tested in order to protect the labelled molecules from radiolytic degradation.
The following conditions were produced:
’ Gentisic acid 630 pg/mL put added during reaction
’ Ascorbic acid 2795 pg/mL added at the end of reaction during final formulation step;
’ Final volumetric Radioactivity 10 mCi/mL;
’ Final pH 4-6;
’ Reaction buffer: Acetic acid/acetate buffer.
The radiolabelling tests have been carried out both manually and automatically by using the MiniAIO synthesizer. The synthesis procedure has been developed as follows:
1 . Addition of the reaction buffer to the aqueous solution containing the PSMA-R2. The reaction buffer is composed of sodium acetate buffer and gentisic acid. The acetate buffer allows to maintain the labelling pH between 4-5, while gentisic acid protects the PSMA-R2 from radiolysis during the labelling step;
2. Addition of 177LuCI3 to the PSMA-R2 buffered solution;
3. Heating at 95°C for at least 5 minutes;
4. Addition, at the end of labelling, of the dilution solution in order to obtain a volumetric radioactivity of 10 mCi/mL. The dilution solution is composed of ascorbic acid (stabilizer against radiolytic degradation), DTPA (sequestering agent), NaOH (pH adjuster) and saline solution.
As demonstrated by the results shown in Table 3, the product formulated in the same condition as Lutathera progressively degraded over time ending with a radiochemical purity below the specifications at the end of the target shelf life (72 hours).
Consequently, the development of 177LuPSMA-R2 has focused on the identification of the required amount of gentisic acid and ascorbic acid able to exert the desired protective function, without interfering in the labelling step.
Example 3: Identification of the suitable formulation to improve radiochemical purity of the drug product
In order to identify the suitable formulation to improve radiochemical purity, different formulations are tested by increasing the gentisic acid or ascorbic acid amount and keeping constants all the others conditions, including the amount of the other stabilizer against radiolytic degradation.
• Gentisic acid amount
Initially, different formulations have been tested by increasing the gentisic acid amount and keeping constants all the others conditions, including the amount of ascorbic acid.
As described in the table below, different concentrations of gentisic acid have been tested, adding up to 1000 pg/mL in the following conditions: o Gentisic acid added before the labelling step; o Ascorbic acid 2700 pg/mL added at the end of labelling during the formulation step; o Final volumetric Radioactivity 10 mCi/mL; o Peptide:Lu ratio > 1.5; o Final pH 4-6; o Reaction buffer: Acetic acid/acetate buffer;
* the result is out of specifications
The results as presented in table 4 demonstrate that, the minimum amount of gentisic acid suitable for obtaining a radiochemical purity slightly above the specification (at the end of shelf life) is 850 pg/mL when the concentration of ascorbic acid is set at 2700 pg/mL.
Further tests have been performed in order to verify the stabilisation against radiolytic degradation properties of the gentisic acid, by removing the ascorbic acid from the liquid formulation. Indeed, it is essential to verify if the desired shelf life may be achieved with only one stabilizer against radiolytic degradation.
In the table 5 below are summarized the labelling conditions and the results obtained.
Table 5- Effect of gentisic acid on the RCP% of 177LuPSMA-R2 without ascorbic acid
*the result is out of specifications
The results as presented in table 5 demonstrate that without adding ascorbic acid at the end of radiolabelling in the final formulation step, the radiochemical purity of 177LuPSMA-R2 is always below 95% up to 72 hours of stability even for increasing amounts of gentisic acid put during radiolabelling reaction.
Therefore, based on these experimental results, the presence of ascorbic acid is needed in the drug product composition to achieve the target product shelf life.
• Ascorbic acid amount
Afterwards we have investigated the influence of different amounts of ascorbic acid. As described in the table below, different concentrations of ascorbic acid have been tested, adding up to 12 000 pg/mL in the following conditions:
’ Gentisic acid 1000 pg/mL
’ Final volumetric Radioactivity 10 mCi/mL
’ Final pH 4-6
’ Reaction buffer: Acetic acid/acetate buffer.
Table 6- Effect of ascorbic acid on Drug Product radiochemical purity at the end of synthesis and at the end of shelf life
*the result is out of specifications
The results as presented in table 6 demonstrate that the radiochemical purity of 177LuPSMA- R2 is higher than 95% up to 72 hours of stability for the formulation containing 1000 pg/mL of gentisic acid and 8000 pg/mL of ascorbic acid. Furthermore, in these conditions 177Lu free is always under 3%. Table 6 also demonstrate that increasing the ascorbic acid concentration up to 12 000 pg/mL does not seem to show an improvement in the stability of the product.
Further tests have been performed in order to evaluate the stabilization against radiolytic degradation properties of ascorbic acid, by removing the gentisic acid from the liquid formulation.
Indeed, it is essential to verify if the desired shelf life may be achieved with only one stabilizer against radiolytic degradation.
Based on the results shown in Table 6, the minimum amount of ascorbic acid for these tests was set as 8000 pg/mL. In Table 7 are summarized the labelling conditions and the results obtained with 8000 pg/mL and 12000 pg/mL of ascorbic acid added partially during the labelling step and during the formulation step.
*The result is out of specification
The results as presented in table 7 demonstrate that the absence of gentisic acid, makes the radiochemical purity of 177LuPSMA-R2 to be always below 95% after 72 hours.
Therefore, based on these experimental results it was concluded that the gentisic acid and the ascorbic acid play a complementary positive effect for the stability of the drug product.
Example 4: Final formulation tests at 200 mCi
The study described below has been designed with the aim of identifying the possibility to decrease the concentration of gentisic acid under 1000 pg/mL while keeping always the stability results within the specifications.
The amount of ascorbic acid was fixed at 8000 pg/mL. The synthesis was performed under the following conditions:
’ Gentisic acid 500 - 630 pg/mL
’ Ascorbic acid 8000 pg/mL
’ Volumetric Radioactivity 10 mCi/mL
’ Final pH 4-6
’ Reaction buffer: Acetic acid/acetate buffer.
The radiolabelling has been carried out automatically by using the MiniAIO synthesizer. The synthesis procedure has been performed as follows:
1 . Addition of the reaction buffer to the aqueous solution containing the PSMA-R2. The reaction buffer is composed of sodium acetate buffer and gentisic acid. The acetate buffer allows to maintain the labelling pH between 4-5, while the gentisic acid protects the PSMA-R2 from radiolysis during the labelling step;
2. Addition of the 177LuCI3 to the PSMA-R2 buffered solution;
3. Heating at 95°C for at least 5 minutes;
4. Addition, at the end of labelling, of the dilution solution in order to obtain a volumetric radioactivity of 10 mCi/mL. The dilution solution is composed of ascorbic acid (stabilizer against radiolytic degradation), DTPA (sequestering agent), NaOH (pH adjuster) and saline solution.
Table 8-Effect of the final formulation on Drug Product radiochemical purity at the end of synthesis and at the end of shelf life
The results as presented in Table 8 demonstrate that with an amount of gentisic acid between 500 pg/mL and 630 pg/mL and with 8000 pg/mL of ascorbic acid the radiochemical purity of 177LuPSMA-R2 is always highly over 95% up to 72 hours.
Example 5: 177LuPSMA-R2 scale up tests at 1 Ci, 2 Ci and 4 Ci
Scales up batches are manufactured during the process-development and optimization stage of the drugs. The batch size is generally similar to the routine manufacturing and marketing of the product.
Production-scale batches are also useful to assist in the evaluation and definition of critical quality attributes (CQAs).
The 177LuPSMA-R2 scale-up study has been designed with the aim of moving from the activities tested at R&D lab-scale (up to 200 mCi) to different batch sizes applicable at industrial level:
’ 1 Ci as Lu-177 starting activity;
’ 2 Ci as Lu-177 starting activity;
’ 4 Ci as Lu-177 starting activity;
Based on the results obtained during the development of the product in R&D lab-scale, the following composition has been selected for the first scale-up batch production:
’ Gentisic acid 600 - 800 p g/mL;
’ Ascorbic acid 6000- 9000 pg/mL;
’ Volumetric Radioactivity 10 mCi/mL;
• Final pH 4.9-5.5;
’ Reaction buffer: Acetic acid/acetate buffer;
During the study design, three different degradation factors which could influence the stability of the finished product have been identified:
’ Radiolysis;
’ Oxidative degradation;
’ Thermal degradation;
The radiolysis can be reduced protecting the molecule with a suitable amount of radical scavengers. In this case, gentisic acid or ascorbic acid were selected.
The oxidative degradation can be prevented by decreasing the amount of atmospheric O2 into the vial, either by filling the 30 mL vial with the liquid formulation as much as possible (e.g. with 25 mL of solution), or by storing the finished product under nitrogen atmosphere.
Finally, the thermal degradation can be reduced by lowering the storage temperature of the finished product.
In order to industrialize the manufacture of the Drug Substance, the scale up tests were aimed also to optimize the manufacturing process performed with the auxilium of an automatic synthesis module.
The synthesis module is used to prepare the Drug Substance (Mother Solution) containing the 177Lu-labelled molecule.
The automatic synthesis process was developed to produce the radioactive Drug Substance as a sterile, aqueous concentrate mother solution. Drug Substance synthesis steps were set up in the MiniAIO (TRASIS) synthesizer module, a self-contained closed-system synthesis module which is automated and remotely controlled by GMP compliant software with monitoring and recording of the process parameters.
Mini AIO radiosynthesizer module is widely used in the radiopharmaceutical industry for manufacture of PET radiopharmaceuticals. This module incorporates a disposable fluid path which is preferred over fixed fluid path devices since it ensures a sterile and pyrogen free fluid path and eliminates the possibility of a cross-contamination between batches.
The synthesis module is placed in a lead-shielded hot cell providing supply of Grade C HEPA filtered air. The isolator is inside a clean Grade C laboratory room.
1. 177LuPSMA-R2 : 1 Ci Batch
First scale-up test at 1 Ci has been performed.
In the Table 9 below are described the target formulation characteristics selected for the manufacturing of the 1 Ci batch size.
Other batch details are listed below:
• Theoretical activity of 177LuCI3 = 1 .0 Ci;
’ 177LUCI3 specific activity at start synthesis = 12.70 Ci/mg;
’ PSMA-R2 net amount = 1 mg;
• Molar ratio (PSMA-R2: 177Lu) = 2.264;
’ Synthesis with MiniAIO module (Trasis);
’ Labelling time: 5 min;
’ Labelling temperature: 70 °C;
In Table 10 are listed some relevant parameters for the 177LuPSMA-R2 1 Ci batch size.
Table 10 - Relevant parameters for 1 Ci scale up batch
In order to evaluate the effects of oxidative degradation the following samples were dispensed at the end of production:
’ Two samples with minimum and maximum solution volume respectively of 5 mL and 25 mL in order to have different amount of oxygen into the vial headspace;
’ Two samples filled with nitrogen atmosphere
The contribution of thermal degradation to the product shelf life has been investigated by storing the samples at 5°C, room temperature and 40 °C. The different samples dispensed are listed in Table 11.
Table 12 summarizes the radiochemical purity results obtained for the 177LuPSMA-R2 1 Ci scale-up batch. As it can be noted, the radiochemical purity of the product at to meets the target specification being > 97%.
The stability study performed on the 25 mL sample stored at RT with air shows results very close to the limit after 72 hours, while the 5 mL sample stored in the same conditions shows a radiochemical purity below 95% at the end of the target shelf life. This preliminary result demonstrates the negative impact of O2on the stability of the finished product.
The following two 5 mL samples stored at 5°C with and without N2 atmosphere shows both results which are within the specification after 72 hours.
The sample with a volume of 5 mL, stored at 40°C under N2 atmosphere shows a RCP result below 95% at 3 days of shelf life, which highlights the negative effect of high temperature on the product stability.
Table 12 - Quality control results
The pH and the amount of gentisic acid and ascorbic acid in the finished product have also been checked in Table 13.
2. 177LuPSMA-R2 : 2 Ci Batch
First scale up test at 2 Ci has been carried out. Based on the results observed for the 1 Ci scale up batch, it was decided to increase the amount of gentisic acid into the final solution by adding a supplemental amount at the formulation step. In Table 14 are described the target formulation characteristics selected for the manufacturing of the 2 Ci batch size.
Other batch details are listed below:
’ Theoretical activity of 177LuCI3 = 2.0 Ci;
’ Specific activity of 177LuCI3 at start of synthesis= 15.81 Ci/mg;
’ PSMA-R2 net amount = 2 mg;
• Molar ratio (PSMA-R2:Lu) = 2.817;
’ Synthesis with MiniAIO module (Trasis);
’ Labelling time: 5 min;
’ Labelling temperature: 70 °C;
In Table 15 are summarized relevant parameters for the 177LuPSMA-R2 2 Ci batch size.
Having almost 2 Ci of bulk solution available at the end of production, it was possible to dispense more samples that were subjected to different physicochemical conditions during the stability assessment on the finished product.
In particular, samples with final volume of 25 mL and 5 mL filled with air were placed both at 5°C and at room temperatures (samples 1-4).
In the samples 5-7 an extra amount of 2 mg/mL of gentisic acid was added during the formulation step in order to further decrease the radiolysis degradation effect observed during the stability analysis of the 1 Ci scale up batch samples.
In Table 16 are described the characteristics and storage conditions for the dispensed samples.
Table 16 - Samples characteristics and storage conditions
Table 17 summarizes the stability results obtained for the 2 Ci batch. As shown, the radiochemical purity of the product at the end of the synthesis meets the specification (RCP% > 97%). No free 177Lu3+ was observed in HPLC radiochromatogram profile.
The stability results obtained for the 25 mL sample stored at RT with air (sample 1) shows that the radiochemical purity is below 95% after 72 hours. Similar results were obtained for the 5 mL sample stored in the same conditions (sample 2).
Conversely, 5 mL and 25 mL samples stored at 5°C shows results within the specification after 72 hours, confirming the positive effect of the refrigerated storage of the product.
Sample 5 and 6 (formulation with an extra gentisic acid amount of 2 mg/mL) show the best results with a radiochemical purity at the end of shelf life around 97%. Beside the higher amount of gentisic acid, these samples resulted to have a more acidic pH compared to the other samples (pH 4.42 instead of 5.43, see Table 22). This suggested that the improvement observed for these samples may be due either to the presence of the extra-amount of stabilizer against radiolytic degradation or to the lower pH of the final solution.
For this reason, it was planned to investigate also the influence of the final pH on the radiochemical purity of the 177LuPSMA-R2 in the following scale up batch.
The sample with a volume of 25 mL stored at 5°C under N2 atmosphere with the addition of gentisic acid took benefit from the combination of inert atmosphere, refrigerated storage and increased radiolytic stability enhancer showing a radiochemical purity above 97% after 72 hours.
The 25 mL sample stored in the same conditions as the previous one without the extraaddition of gentisic acid shows a radiochemical purity after 3 days below 95% (RCP% 94.89%). The comparison with the results obtained for the previous sample suggests that gentisic acid exerts the highest contributes to the stability of the product.
In conclusion, the results summarized in Table 22, with particular reference to the last two samples, demonstrate that supplemental amount of 2 mg/mL of gentisic acid added during the formulation step clearly improves the stability of the finished product. This improvement may be due not only to the stabilization against radiolytic degradation properties of gentisic acid but also to the stabilizing effect of the lower pH. The higher amount of of gentisic acid, in fact, decreases the pH of the finished product from 5.4 to 4.4.
The stabilizing effect of the pH has been assessed during the manufacturing of the 4 Ci batch (see point 3.).
Another parameter that has a significant impact on the stability is the storage temperature, since the radiochemical purity of the 177LuPSMA-R2 is clearly improved when the product is stored at 5°C.
Table 17 - Quality control results
*the result is out of specifications
177LuPSMA-R2 molecule, 177LuDTPA and 177Lu not complexed species have been also assessed by iTLC analysis.
The quantification of gentisic acid and ascorbic acid on the finished product has been evaluated by HPLC analysis as well as the final pH. Table 19 - Quantification of gentisic acid and ascorbic acid
3. 177LuPSMA-R2: 4 Ci Batch
First scale-up test at 4 Ci has been produced.
In Table 20 are described the target formulation characteristics selected for the manufacturing of the 4 Ci batch size.
Table 20 - Target formulation characteristics
Other batch details are listed below:
’ Theoretical activity of 177LuCI3 = 4.0 Ci
’ Specific activity of 177LuCI3 at start of synthesis= 20.5 Ci/mg
’ PSMA-R2 net amount = 4 mg
’ Molar ratio (PSMA-R2:Lu) = 3.65;
’ Synthesis with MiniAIO module (Trasis);
’ Labelling time: 5 min;
’ Labelling temperature: 70 °C.
Table 21 summarizes relevant parameters for the in process controls carried out on during the manufacturing of 4 Ci 177LuPSMA scale up batch.
The production of 4 Ci batch allowed to dispense 22 samples that were subjected to different physicochemical conditions during the stability assessment of finished drug product.
In particular, samples with volume of 25 mL and 5 mL filled with air were placed at both 5°C and room temperature. In these first four samples no supplemental gentisic acid was added at the formulation step (gentisic acid concentration 700 pg/mL).
In the samples 5-7, the final gentisic acid concentration was doubled (about 1400 pg/mL), and they were stored at room temperature and at 40°C.
Same storage conditions were set for the following samples with gentisic acid concentration of about 2100 pg/mL and 2800 pg/mL respectively for samples 9-12 and for the samples 13- 16.
Samples 17-18 were dispensed with volume of 25 mL and 5 mL and stored at room temperature. The gentisic acid concentration was kept around 700 pg/mL and the final pH was adjusted around 4 with 1 mL of HCI 0.1 N.
Samples 19-20 were dispensed with volume of 25 mL and 5 mL and stored at room temperature. The gentisic acid concentration was also in this case around 700 pg/mL and the final pH was moved above 7 with 1 mL of NaOH 0.1 N.
Finally, samples 21 and 22 were both dispensed in a volume of 10 mL and then respectively diluted 1 :2 (final volumetric radioactivity 5 mCi/mL) and 2:3 (final volumetric radioactivity 6.66 mCi/mL) with saline solution. These samples were stored at room temperature. The gentisic acid concentration was about 700 pg/mL. The aim of these tests was to understand if there is correlation between the volumetric radioactivity and the stability of the drug substance.
In Table 22 are described the characteristics and storage conditions of the samples dispensed during the 4 Ci production.
Table 22 - Samples characteristics and storage conditions
volumetric radioactivity 5 mCi/mL (dilution 1 :2 with saline solution) volumetric radioactivity 6.66 mCi/mL (dilution 2:3 with saline solution) The stability results are summarized in Table 23. The radiochemical purity of the product at the end of the synthesis was above the specification (RCP% > 97%) even in this higher radioactivity batch. No free 177Lu3+ was observed in HPLC radiochromatogram.
The extended number of samples allowed to better evaluating the impact exerted by the different factors on the radiochemical purity of the final product.
Formulation with GA 700 ug/mL
The stability study performed on 25 mL sample stored at RT with air (sample 1) shows results out of specifications after 72 hours as well as the 5 mL sample stored in the same conditions (sample 2).
The following samples stored at 5°C (sample 3 and 4) shows results out of specification at the end of shelf life. These results do not confirm the positive effect of the lower temperature storage shown during the previous batches.
Formulation with GA 1400 ug/mL
Sample 5 and 6 (formulation with 1400 pg/mL of gentisic acid) shows both a RCP% at the end of shelf life over 95%. The pH of these samples is, respectively 5.33 and 5.36. The improvement observed in these conditions should be due to the presence of the extraamount of stabilizer against radiolytic degradation compared to the previous samples.
The same formulation (samples 7 and 8) stored at 40°C shows a RCP% result above 96% after 36 hours of stability but the result is out of specification after 60 hours.
Formulation with GA 2100 ug/mL
The samples 9 and 10 (formulation with 2100 pg/mL of gentisic acid) stored at room temperature show both a RCP% at the end of shelf life over 95%. The pH of these samples is, respectively 5.15 and 5.25.
The same formulation (samples 11 and 12) stored at 40°C shows a RCP% result above 96% after 36 hours of stability but the result is out of specification after 60 hours.
Formulation with GA 2800 ug/mL
The samples 13 and 14 (formulation with 2800 pg/mL of gentisic acid) stored at room temperature show both a RCP% at the end of shelf life over 95%. The pH of these samples is, respectively 5.23 and 5.38.
The same formulation (samples 15 and 16) stored at 40°C shows a RCP% result above 96% after 36 hours of stability but the result is out of specification after 60 hours.
Formulation at pH < 4
The sample 18 was formulated with 700 p g/mL of gentisic acid and the final pH was adjusted around 4 with 1 mL of HCI 0.1 N. The radiochemical purity after 3 days is 96.0 % and the pH measured is 3.80.
Comparing this sample with the samples 1 and 2 (same formulation, different final pH), the stabilizing effect of the pH seems to be play a key role for the achievement of the target shelf life characteristics.
Formulation at pH > 7
The sample 20 was formulated with 700 pg/mL of gentisic acid and the final pH was adjusted around 7 with 1 mL of NaOH 0.1 N. The radiochemical purity of 177LuPSMA-R2 is out of specification already after 2 days and the pH measured is 7.15. The neutral pH seems to affect negatively the stability of the product, for this reason the pH of the final formulation will be fixed at lower pH, around pH 4.
Formulation with lower volumetric radioactivity
The analysis performed on the samples 21 and 22, respectively with a volumetric radioactivity of 5 mCi/mL and 6.66 mCi/mL shows results at the limit of specifications after 48 hours (RCP% 95%). The analysis at 72 hours was not performed, but it can be assumed the result out of specification. The contribution of lower volumetric radioactivities on the stability of the 177LuPSMA-R2 is negligible.
In Table 23 are summarized all the data collected during the 4 Ci batch study.
*the result is out of specifications
177LuPSMA-R2 molecule, 177LuDTPA and 177Lu not complexed species have been also assessed by iTLC analysis.
Table 24 - iTLC results
The quantification of gentisic acid and ascorbic acid on different samples has been evaluated by HPLC analysis and the final pH was measured for relevant samples.
Example 6: Final formulation with 177LuPSMA-R2 and detailed composition
The final amount of ascorbic acid and gentisic acid has been defined on the basis of the data collected during the Scale-up activities. In particular, the gentisic acid (2800ppm) has shown excellent stablization against radiolytic degradation properties together with the ascorbic acid (8000 ppm), by allowing the achievement of the target shelf life for both 5 and 25 mL vial. The pH of 177LuPSMA-R2 solution plays an important role on the stability of the product especially when the pH was kept around 4.0.
Based on all development performed on the formulation, the 177LuPSMA-R2 formulation selected for the validation activities of 1 Ci process is the following:
**Values calculated assuming 177Lu specific radioactivity of 740 GBq/mg at labelling time and a theoretical synthesis yield of 100% and radiochemical purity of 97 %.
Example 7:Final formulation with 177LuSR-VI-71 and detailed composition
SR-VI-71 compound is synthesized as described in the WO 2015/171792
A final formulation comprising 177LuSR-VI-71 is prepared for an amount of 1 Ci according to Table 27.
**Values calculated assuming 177Lu specific radioactivity of 740 GBq/mg at labelling time and a theoretical synthesis yield of 100% and radiochemical purity of 97 %.
Claims
CLAIMS A pharmaceutical composition comprising:
(a) a complex formed by
(i) a radionuclide, and
(ii) a PSMA binding ligand linked to a chelating agent; and;
(b) at least two stabilizers against radiolytic degradation. The pharmaceutical composition according to claim 1 , wherein said radionuclide is selected from 111 In, 133mln, 99mTc, 94mTc, 67Ga, 66Ga, 68Ga, 52Fe, 169Er, 72As, 97Ru, 203Pb, 212Pb, 62Cu, 64Cu, 67Cu, 186Re, 188Re, 86Y, 90Y, 51Cr, 52mMn, 157Gd, 177Lu, 161Tb, 169Yb, 175Yb, 105Rh, 166Dy, 166Ho, 153Sm, 149Pm, 151Pm, 172Tm, 121Sn, 117mSn, 213Bi, 212Bi, 142Pr, 143Pr, 198Au, 199Au, 89Zr, 225Ac, 43Sc, 44Sc, 47Sc, and 55Co, preferably selected from 177Lu and 68Ga, more preferably is 177Lu. The pharmaceutical composition according to claim 1 or 2, wherein said radionuclide is present at a concentration so that it provides a volumetric radioactivity of at least 0.1 mCi/mL, preferably from 0.1 mCi/mL to 100 mCi/mL, even more preferably of about 10 mCi/mL. The pharmaceutical composition according to any of the preceding claims, wherein said chelating agent is selected from DOTA, DTPA, NTA, EDTA, DO3A, AAZTA, NODAGA, TETA and NOTA, preferably is DOTA. The pharmaceutical composition according to any of the preceding claims, wherein said (ii) PSMA binding ligand linked to a chelating agent is of formula (I):
Z is tetrazole or COOQ, preferably Z is COOQ;
Q is independently H or a protecting group, preferably Q is H;
m is an integer selected from the group consisting of 1 , 2, 3, 4, and 5, preferably m is 4; q is an integer selected from the group consisting of 1 , 2, 3, 4, 5, and 6, preferably q is 1 ;
R is selected from the group consisting of C6-Ci0 aryl and heteroaryl containing 5 to 10 ring atoms, said aryl and heteroaryl being substituted one or more times with X;
X is - Z1-Y;
Z1 is a bond or a Ci-C6 alkylene, preferably Z1 is a bond;
Y is a halogen;
L is a linker selected from the group consisting of Ci-C6 alkylene, C3-C6 cycloalkylene and C6-Cio arylene, said alkylene, cycloalkylene and arylene being optionally substituted with one or more substituents selected from: -OR’, =0, =NR’, =N-OR’, - NR’R”, -SR’, -halogen, -SiR’R”R’”, -OC(O)R’, -C(O)R’, -CO2R’, -C(O)NR’R”, - OC(O)NR’R”, - NR”C(O)R’, -NR’-C(O)NR”R’”, -NR”C(O)OR’, -NR’-C(NR”R’”)=NR””, - S(O)R’, - S(O)2R’, -S(O)2NR’R”, -NRSO2R’, -CN and -N02; R’, R”, R’” and R”” each may independently refer to hydrogen, alkyl, heteroalkyl, cycloalkyl, heterocycloalkyl, aryl or heteroaryl;
W is selected from the group consisting of -NR2-(C=O), -NR2-(C=S), -(C=O)-NR2-, and -(C=S)-NR2-, preferably, W is -(C=O)-NR2-; each occurrence of L and W can be the same or different;
R2 is H or C1-C4 alkyl, preferably R2 is H; n is an integer selected from the group consisting of 1 , 2 and 3;
Ch is a chelating agent, preferably
The pharmaceutical composition according to any of the preceding claims wherein said (ii) PSMA binding ligand linked to a chelating agent is of formula (II):
7. The pharmaceutical composition according to any of the preceding claims, wherein said at least two stabilizer are selected from gentisic acid (2,5-dihydroxybenzoic acid) or salts thereof, ascorbic acid (L-ascorbic acid, vitamin C) or salts thereof (e.g. sodium ascorbate), methionine, histidine, melatonin, ethanol, and Se-methionine, preferably selected from gentisic acid or salts thereof and ascorbic acid or salts thereof.
8. The pharmaceutical composition according to any of the preceding claims, wherein said at least two stabilizers are gentisic acid or salts thereof and ascorbic acid or salts thereof.
9. The pharmaceutical composition according to claim 8, wherein the ratio between gentisic acid or salts thereof and ascorbic acid or salts thereof is between 1 :32 and 1 :1 , preferably between 1 :16 and 1 :2 , more preferably between 1 :4 and 2:5.
10. The pharmaceutical composition according to claim 8, wherein said gentisic acid or salts thereof is present at a concentration of least 600 pg/mL, preferably between 600 pg/mL and 5000 pg/mL, even more preferably about 2800 pg/mL.
11. The pharmaceutical composition according to claims 8 to 10, wherein said ascorbic acid or salts thereof is present at a concentration of at least 3000 pg/mL, preferably between 3000 pg/mL and 15000 pg/mL, even more preferably about 8550 pg/mL.
12. The pharmaceutical composition according to any of claims 8 to 11 , wherein said gentisic acid or salts thereof is present at a concentration between 600 pg/mL and 5000 pg/mL, preferably about 2800 pg/mL and ascorbic acid or salts thereof is present at a concentration between 3000 pg/mL and 15000 pg/mL, preferably about 8550 pg/mL.
13. The pharmaceutical composition according to any of the preceding claims, wherein said pharmaceutical formulation has a radiochemical purity higher than 95% up to 72 hours.
14. The pharmaceutical composition according to any of the preceding claims, wherein it comprises:
(a) a complex formed by
(i) radionuclide 177Lutetium (Lu-177), and
(b) gentisic acid or salts thereof and ascorbic acid or salts thereof. A process for manufacturing a pharmaceutical composition comprising:
(a) a complex formed by
(i) a radionuclide, and
(ii) a PSMA binding ligand linked to a chelating agent; and;
(b) at least two stabilizers against radiolytic degradation, said process comprising the following steps:
(1 ) A labelling step to form a complex of the radionuclide and the PSMA binding ligand linked to a chelating agent by
(1 .1) providing an aqueous solution comprising the radionuclide;
(1.2) providing an aqueous solution comprising the PSMA binding ligand linked to a chelating agent, and only one stabilizer against radiolytic degradation, preferably gentisic acid or salts thereof; and
(1.3) mixing the solutions obtained in steps (1.1) and (1.2), heating the resulting mixture thereby obtaining a complex solution;
(2) A formulation step to dilute the complex solution obtained by step (1) by
(2.1) providing an aqueous dilution solution comprising at least one stabilizer against radiolytic degradation selected from the group consisting of ascorbic acid or salts thereof and gentisic acid or salts thereof; and
(2.2) mixing the complex solution obtained by step (1) with the aqueous dilution solution obtained in step (2.1) to obtain a pharmaceutical composition, and optionally filtering the pharmaceutical composition obtained in step (2.2) to produce the pharmaceutical composition of any of the claims 1 to 14.
Applications Claiming Priority (2)
| Application Number | Priority Date | Filing Date | Title |
|---|---|---|---|
| EP20193736 | 2020-08-31 | ||
| EP20193736.4 | 2020-08-31 |
Publications (1)
| Publication Number | Publication Date |
|---|---|
| WO2022043556A1 true WO2022043556A1 (en) | 2022-03-03 |
Family
ID=72292454
Family Applications (1)
| Application Number | Title | Priority Date | Filing Date |
|---|---|---|---|
| PCT/EP2021/073897 Ceased WO2022043556A1 (en) | 2020-08-31 | 2021-08-30 | Stable radiopharmaceutical composition |
Country Status (1)
| Country | Link |
|---|---|
| WO (1) | WO2022043556A1 (en) |
Cited By (3)
| Publication number | Priority date | Publication date | Assignee | Title |
|---|---|---|---|---|
| WO2023219582A1 (en) * | 2022-05-13 | 2023-11-16 | Eczacibaşi Monrol Nükleer Ürünler Sanayi̇ Ve Ti̇caret Anoni̇m Şi̇rketi̇ | Radiopharmaceuticals with high stability and radiolabeling efficiency and theranostic kit comprising said radiopharmaceuticals |
| WO2025125469A1 (en) * | 2023-12-13 | 2025-06-19 | Swiss Rockets Ag | Combination therapy using psma-targeted radiopharmaceuticals and an inhibitor of pi3k, akt, and/or mtor |
| US20250262336A1 (en) * | 2023-07-31 | 2025-08-21 | Curium Us Llc | [177lu] lutetium-psma i&t composition and dosimetry, kit, method of making, and method of using thereof |
Citations (23)
| Publication number | Priority date | Publication date | Assignee | Title |
|---|---|---|---|---|
| US2779780A (en) | 1955-03-01 | 1957-01-29 | Du Pont | 1, 4-diamino-2, 3-dicyano-1, 4-bis (substituted mercapto) butadienes and their preparation |
| US4261989A (en) | 1979-02-19 | 1981-04-14 | Kaken Chemical Co. Ltd. | Geldanamycin derivatives and antitumor drug |
| US5621002A (en) | 1993-09-09 | 1997-04-15 | Behringwerke Aktiengesellschaft | Prodrugs for enzyme mediated activation |
| WO2000035436A2 (en) | 1998-12-16 | 2000-06-22 | Warner-Lambert Company | Treatment of arthritis with mek inhibitors |
| WO2002006213A2 (en) | 2000-07-19 | 2002-01-24 | Warner-Lambert Company | Oxygenated esters of 4-iodo phenylamino benzhydroxamic acids |
| WO2002066470A1 (en) | 2001-01-12 | 2002-08-29 | Amgen Inc. | Substituted alkylamine derivatives and methods of use |
| WO2003064383A2 (en) | 2002-02-01 | 2003-08-07 | Ariad Gene Therapeutics, Inc. | Phosphorus-containing compounds & uses thereof |
| WO2003076424A1 (en) | 2002-03-08 | 2003-09-18 | Eisai Co. Ltd. | Macrocyclic compounds useful as pharmaceuticals |
| WO2003075836A2 (en) | 2002-03-05 | 2003-09-18 | Merck Frosst Canada & Co. | Cathepsin cysteine protease inhibitors |
| WO2003077914A1 (en) | 2002-03-13 | 2003-09-25 | Array Biopharma, Inc | N3 alkylated benzimidazole derivatives as mek inhibitors |
| US6780996B2 (en) | 2002-04-30 | 2004-08-24 | Wyeth Holdings Corporation | Process for the preparation of 7-substituted-3 quinolinecarbonitriles |
| WO2005028443A2 (en) | 2003-09-15 | 2005-03-31 | Wyeth A Corporation Of The State Of Delaware, Usa | Protein tyrosine kinase enzyme inhibitors |
| WO2006028958A2 (en) | 2004-09-02 | 2006-03-16 | Genentech, Inc. | Pyridyl inhibitors of hedgehog signalling |
| WO2006122806A2 (en) | 2005-05-20 | 2006-11-23 | Novartis Ag | 1,3-dihydro-imidazo [4,5-c] quinolin-2-ones as lipid kinase inhibitors |
| WO2007014011A2 (en) | 2005-07-21 | 2007-02-01 | Ardea Biosciences, Inc. | N-(arylamino)-sulfonamide inhibitors of mek |
| WO2007084786A1 (en) | 2006-01-20 | 2007-07-26 | Novartis Ag | Pyrimidine derivatives used as pi-3 kinase inhibitors |
| WO2008009444A1 (en) | 2006-07-19 | 2008-01-24 | Van Dulmen, Adrianus, A. | Use of ethanol for stabilizing a single-vial liquid formulation of a radiolabeled peptide |
| WO2009036082A2 (en) | 2007-09-12 | 2009-03-19 | Genentech, Inc. | Combinations of phosphoinositide 3-kinase inhibitor compounds and chemotherapeutic agents, and methods of use |
| WO2009055730A1 (en) | 2007-10-25 | 2009-04-30 | Genentech, Inc. | Process for making thienopyrimidine compounds |
| WO2009155386A1 (en) | 2008-06-20 | 2009-12-23 | Abbott Laboratories | A process for the preparation of the apoptosis promoter abt-263 |
| WO2015171792A1 (en) | 2014-05-06 | 2015-11-12 | The Johns Hopkins University | Metal/radiometal-labeled psma inhibitors for psma-targeted imaging and radiotherapy |
| WO2017165473A1 (en) | 2016-03-22 | 2017-09-28 | The Johns Hopkins University | Prostate-specific membrane antigen targeted high-affinity agents for endoradiotherapy of prostate cancer |
| WO2018222778A1 (en) * | 2017-05-30 | 2018-12-06 | The Johns Hopkins University | Prostate-specific membrane antigen targeted high-affinity agents for endoradiotherapy of prostate cancer |
-
2021
- 2021-08-30 WO PCT/EP2021/073897 patent/WO2022043556A1/en not_active Ceased
Patent Citations (23)
| Publication number | Priority date | Publication date | Assignee | Title |
|---|---|---|---|---|
| US2779780A (en) | 1955-03-01 | 1957-01-29 | Du Pont | 1, 4-diamino-2, 3-dicyano-1, 4-bis (substituted mercapto) butadienes and their preparation |
| US4261989A (en) | 1979-02-19 | 1981-04-14 | Kaken Chemical Co. Ltd. | Geldanamycin derivatives and antitumor drug |
| US5621002A (en) | 1993-09-09 | 1997-04-15 | Behringwerke Aktiengesellschaft | Prodrugs for enzyme mediated activation |
| WO2000035436A2 (en) | 1998-12-16 | 2000-06-22 | Warner-Lambert Company | Treatment of arthritis with mek inhibitors |
| WO2002006213A2 (en) | 2000-07-19 | 2002-01-24 | Warner-Lambert Company | Oxygenated esters of 4-iodo phenylamino benzhydroxamic acids |
| WO2002066470A1 (en) | 2001-01-12 | 2002-08-29 | Amgen Inc. | Substituted alkylamine derivatives and methods of use |
| WO2003064383A2 (en) | 2002-02-01 | 2003-08-07 | Ariad Gene Therapeutics, Inc. | Phosphorus-containing compounds & uses thereof |
| WO2003075836A2 (en) | 2002-03-05 | 2003-09-18 | Merck Frosst Canada & Co. | Cathepsin cysteine protease inhibitors |
| WO2003076424A1 (en) | 2002-03-08 | 2003-09-18 | Eisai Co. Ltd. | Macrocyclic compounds useful as pharmaceuticals |
| WO2003077914A1 (en) | 2002-03-13 | 2003-09-25 | Array Biopharma, Inc | N3 alkylated benzimidazole derivatives as mek inhibitors |
| US6780996B2 (en) | 2002-04-30 | 2004-08-24 | Wyeth Holdings Corporation | Process for the preparation of 7-substituted-3 quinolinecarbonitriles |
| WO2005028443A2 (en) | 2003-09-15 | 2005-03-31 | Wyeth A Corporation Of The State Of Delaware, Usa | Protein tyrosine kinase enzyme inhibitors |
| WO2006028958A2 (en) | 2004-09-02 | 2006-03-16 | Genentech, Inc. | Pyridyl inhibitors of hedgehog signalling |
| WO2006122806A2 (en) | 2005-05-20 | 2006-11-23 | Novartis Ag | 1,3-dihydro-imidazo [4,5-c] quinolin-2-ones as lipid kinase inhibitors |
| WO2007014011A2 (en) | 2005-07-21 | 2007-02-01 | Ardea Biosciences, Inc. | N-(arylamino)-sulfonamide inhibitors of mek |
| WO2007084786A1 (en) | 2006-01-20 | 2007-07-26 | Novartis Ag | Pyrimidine derivatives used as pi-3 kinase inhibitors |
| WO2008009444A1 (en) | 2006-07-19 | 2008-01-24 | Van Dulmen, Adrianus, A. | Use of ethanol for stabilizing a single-vial liquid formulation of a radiolabeled peptide |
| WO2009036082A2 (en) | 2007-09-12 | 2009-03-19 | Genentech, Inc. | Combinations of phosphoinositide 3-kinase inhibitor compounds and chemotherapeutic agents, and methods of use |
| WO2009055730A1 (en) | 2007-10-25 | 2009-04-30 | Genentech, Inc. | Process for making thienopyrimidine compounds |
| WO2009155386A1 (en) | 2008-06-20 | 2009-12-23 | Abbott Laboratories | A process for the preparation of the apoptosis promoter abt-263 |
| WO2015171792A1 (en) | 2014-05-06 | 2015-11-12 | The Johns Hopkins University | Metal/radiometal-labeled psma inhibitors for psma-targeted imaging and radiotherapy |
| WO2017165473A1 (en) | 2016-03-22 | 2017-09-28 | The Johns Hopkins University | Prostate-specific membrane antigen targeted high-affinity agents for endoradiotherapy of prostate cancer |
| WO2018222778A1 (en) * | 2017-05-30 | 2018-12-06 | The Johns Hopkins University | Prostate-specific membrane antigen targeted high-affinity agents for endoradiotherapy of prostate cancer |
Non-Patent Citations (16)
| Title |
|---|
| "Pharmaceutics and Pharmacy Practice", 1982, J.B. LIPPINCOTT COMPANY, pages: 238 - 250 |
| ACS MED. CHEM. LETT., vol. 3, no. 2, 2012, pages 135 - 139 |
| ASAD ALI ET AL: "Production and radiochemical purity of 177Lu-PSMA-617 for clinical trial", 24 May 2019 (2019-05-24), pages S527, XP055775591, Retrieved from the Internet <URL:https://onlinelibrary.wiley.com/toc/10991344/2019/62/S1> * |
| BANERJEE ET AL., J MED CHEM, vol. 56, 2013, pages 6108 - 21 |
| CAS , no. 1032349-93-1 |
| CAS, no. 1029872-29-4 |
| CAS, no. 1204531-25-80 |
| EDER ET AL., PHARMACEUTICALS, vol. 7, 2014, pages 779 - 796 |
| KIESS ET AL., Q J NUCL MED MOL IMAGING, vol. 59, 2015, pages 241 - 68 |
| MARCHAL ET AL., HISTOL HISTOPATHOL, vol. 19, no. 3, July 2004 (2004-07-01), pages 715 - 8 |
| MATHUR ET AL., CANCER BIOTHERAPY AND RADIOPHARMACEUTICALS, vol. 32, no. 7, 2017, pages 266 - 273 |
| MEASE ET AL., CURR TOP MED CHEM, vol. 13, no. 8, 2013, pages 951 - 62 |
| TRISSEL: "SHP Handbook on Injectable Drugs", 2009, pages: 622 - 630 |
| TYKVART ET AL., JOURNAL OF MEDICINAL CHEMISTRY, vol. 58, 2015, pages 4357 - 63 |
| WUTZ ET AL.: "Greene's Protective Groups in Organic Synthesis", 2007, WILEY- INTERSCIENCE |
| ZANGER RORY M DE ET AL: "Maintaining radiochemical purity of [177Lu]Lu-DOTA-PSMA-617 for PRRT by reducing radiolysis", JOURNAL OF RADIOANALYTICAL AND NUCLEAR CHEMISTRY, AKADEMIAI KIADO RT, HU, vol. 321, no. 1, 6 June 2019 (2019-06-06), pages 285 - 291, XP036812873, ISSN: 0236-5731, [retrieved on 20190606], DOI: 10.1007/S10967-019-06573-Y * |
Cited By (4)
| Publication number | Priority date | Publication date | Assignee | Title |
|---|---|---|---|---|
| WO2023219582A1 (en) * | 2022-05-13 | 2023-11-16 | Eczacibaşi Monrol Nükleer Ürünler Sanayi̇ Ve Ti̇caret Anoni̇m Şi̇rketi̇ | Radiopharmaceuticals with high stability and radiolabeling efficiency and theranostic kit comprising said radiopharmaceuticals |
| US20250262336A1 (en) * | 2023-07-31 | 2025-08-21 | Curium Us Llc | [177lu] lutetium-psma i&t composition and dosimetry, kit, method of making, and method of using thereof |
| US20250269074A1 (en) * | 2023-07-31 | 2025-08-28 | Curium Us Llc | [177lu] lutetium-psma i&t composition and dosimetry, kit, method of making, and method of using thereof |
| WO2025125469A1 (en) * | 2023-12-13 | 2025-06-19 | Swiss Rockets Ag | Combination therapy using psma-targeted radiopharmaceuticals and an inhibitor of pi3k, akt, and/or mtor |
Similar Documents
| Publication | Publication Date | Title |
|---|---|---|
| US11904027B2 (en) | Stable, concentrated radionuclide complex solutions | |
| US10596278B2 (en) | Stable, concentrated radionuclide complex solutions | |
| AU2024201217B2 (en) | Stable, concentrated radionuclide complex solutions | |
| WO2022043556A1 (en) | Stable radiopharmaceutical composition | |
| US20200030466A1 (en) | Stable, concentrated radionuclide complex solutions | |
| US12491272B2 (en) | Stable, concentrated radionuclide complex solutions | |
| HK40119658A (en) | Stable, concentrated radionuclide complex solutions | |
| HK40119655A (en) | Stable, concentrated radionuclide complex solutions | |
| HK40119654A (en) | Stable, concentrated radionuclide complex solutions | |
| HK40119656A (en) | Stable, concentrated radionuclide complex solutions | |
| HK40119657A (en) | Stable, concentrated radionuclide complex solutions | |
| HK40049463A (en) | Stable, concentrated radionuclide complex solutions | |
| HK40049463B (en) | Stable, concentrated radionuclide complex solutions |
Legal Events
| Date | Code | Title | Description |
|---|---|---|---|
| 121 | Ep: the epo has been informed by wipo that ep was designated in this application |
Ref document number: 21769715 Country of ref document: EP Kind code of ref document: A1 |
|
| NENP | Non-entry into the national phase |
Ref country code: DE |
|
| 122 | Ep: pct application non-entry in european phase |
Ref document number: 21769715 Country of ref document: EP Kind code of ref document: A1 |






























































