WO2021260617A1 - An improved process for preparation of dapagliflozin propanediol monohydrate - Google Patents
An improved process for preparation of dapagliflozin propanediol monohydrate Download PDFInfo
- Publication number
- WO2021260617A1 WO2021260617A1 PCT/IB2021/055609 IB2021055609W WO2021260617A1 WO 2021260617 A1 WO2021260617 A1 WO 2021260617A1 IB 2021055609 W IB2021055609 W IB 2021055609W WO 2021260617 A1 WO2021260617 A1 WO 2021260617A1
- Authority
- WO
- WIPO (PCT)
- Prior art keywords
- formula
- compound
- acid
- solvent
- reaction mixture
- Prior art date
- Legal status (The legal status is an assumption and is not a legal conclusion. Google has not performed a legal analysis and makes no representation as to the accuracy of the status listed.)
- Ceased
Links
- 0 *C[C@]([C@](*)[C@](*)[C@]1*)OC1=O Chemical compound *C[C@]([C@](*)[C@](*)[C@]1*)OC1=O 0.000 description 1
- ZUNCHZBITMUSRD-UHFFFAOYSA-N CCOc1ccc(Cc2cc(Br)ccc2Cl)cc1 Chemical compound CCOc1ccc(Cc2cc(Br)ccc2Cl)cc1 ZUNCHZBITMUSRD-UHFFFAOYSA-N 0.000 description 1
- GKTWLVVOULBRDU-BDHVOXNPSA-N CCOc1ccc(Cc2cc([C@]([C@@H]([C@H]3O)O)(OC)O[C@H](CO)[C@H]3O)ccc2Cl)cc1 Chemical compound CCOc1ccc(Cc2cc([C@]([C@@H]([C@H]3O)O)(OC)O[C@H](CO)[C@H]3O)ccc2Cl)cc1 GKTWLVVOULBRDU-BDHVOXNPSA-N 0.000 description 1
Classifications
-
- A—HUMAN NECESSITIES
- A61—MEDICAL OR VETERINARY SCIENCE; HYGIENE
- A61P—SPECIFIC THERAPEUTIC ACTIVITY OF CHEMICAL COMPOUNDS OR MEDICINAL PREPARATIONS
- A61P3/00—Drugs for disorders of the metabolism
- A61P3/08—Drugs for disorders of the metabolism for glucose homeostasis
- A61P3/10—Drugs for disorders of the metabolism for glucose homeostasis for hyperglycaemia, e.g. antidiabetics
-
- C—CHEMISTRY; METALLURGY
- C07—ORGANIC CHEMISTRY
- C07C—ACYCLIC OR CARBOCYCLIC COMPOUNDS
- C07C29/00—Preparation of compounds having hydroxy or O-metal groups bound to a carbon atom not belonging to a six-membered aromatic ring
- C07C29/74—Separation; Purification; Use of additives, e.g. for stabilisation
- C07C29/76—Separation; Purification; Use of additives, e.g. for stabilisation by physical treatment
- C07C29/78—Separation; Purification; Use of additives, e.g. for stabilisation by physical treatment by condensation or crystallisation
-
- C—CHEMISTRY; METALLURGY
- C07—ORGANIC CHEMISTRY
- C07D—HETEROCYCLIC COMPOUNDS
- C07D309/00—Heterocyclic compounds containing six-membered rings having one oxygen atom as the only ring hetero atom, not condensed with other rings
- C07D309/02—Heterocyclic compounds containing six-membered rings having one oxygen atom as the only ring hetero atom, not condensed with other rings having no double bonds between ring members or between ring members and non-ring members
- C07D309/08—Heterocyclic compounds containing six-membered rings having one oxygen atom as the only ring hetero atom, not condensed with other rings having no double bonds between ring members or between ring members and non-ring members with hetero atoms or with carbon atoms having three bonds to hetero atoms with at the most one bond to halogen, e.g. ester or nitrile radicals, directly attached to ring carbon atoms
- C07D309/10—Oxygen atoms
Definitions
- the present invention relates to an improved process for the preparation of Dapagliflozin propanediol monohydrate of formula (I).
- the invention further relates to an improved process for the preparation of substantially pure intermediate of formula (VI) having des-bromo impurity of formula (VIII) less than 0.15%.
- Dapagliflozin (S)-propylene glycol (propanediol) monohydrate is chemically known as (lS)-l,5-anhydro-l-C-[4-chloro-3-[(4-ethoxyphenyl)methyl]phenyl]-D-glucitol compounded with (2S)-1, 2 -propanediol, hydrate (1:1:1). It is a sodium-glucose cotransporter 2 (SGLT2) inhibitor and indicated for the treatment of type -2 diabetes. It is marketed under the brand name FARXIGA ® .
- the U.S. Patent no. 6,515,117B2 discloses Dapagliflozin, or a pharmaceutically acceptable salt, a stereoisomer thereof, or a prodrug ester thereof. It also disclosed the preparation of Dapagliflozin by preparing unprotected O-methyl compound, removing methyl group using triethyl silane, boron trifluoride etherate (BF3.Et20), workup using ethyl acetate and water, followed by preparing tetra acetylated Dapagliflozin using acetic anhydride in presence of pyridine and dimethyl aminopyridine (DMAP) and finally deprotecting tetra acetylated dapagliflozin using lithium hydroxide monohydrate to provide dapagliflozin as an off-white solid with purity 94%.
- DMAP dimethyl aminopyridine
- the U.S. Patent no. 7,919,598B2 discloses the crystalline form (form SC-3) of Dapagliflozin (S) -propylene glycol ((S)-PG) monohydrate and its preparation by treating acetyl substituted dapagliflozin in an organic solvent such as methyl t-butyl ether, an alkyl acetate such as ethyl acetate, methyl acetate, isopropyl acetate, or butyl acetate with base and (S)-propylene glycol, optionally adding seeds of crystalline Dapagliflozin (S)-PG monohydrate.
- an organic solvent such as methyl t-butyl ether
- an alkyl acetate such as ethyl acetate, methyl acetate, isopropyl acetate, or butyl acetate with base
- (S)-propylene glycol optionally adding seeds of crystalline Dapagliflozin (S)
- the U.S. Patent no. 7,375,213B2 discloses preparation of Dapagliflozin by isolating unprotected O -methyl compound, acylation of hydroxy groups of O -methyl compound using acetic anhydride in presence of N,N'-diisopropylethylamine and DMAP to get tetra acetylated O-methyl Dapagliflozin, followed by reducing tetra acetylated O-methyl dapagliflozin using triethyl silane, boron trifluoride etherateand finally deprotecting using lithium hydroxide monohydrate to provide Dapagliflozin.
- the U.S. Patent publication no. 2016/0237054A1 discloses preparation and purification of Dapagliflozin by acetylating dapagliflozin in the absence of pyridine to obtain tetra acetylated dapagliflozin (HPLC purity 95 to 98%), then deacetylating using base such as sodium hydroxide and lithium hydroxide to obtain Dapagliflozin.
- base such as sodium hydroxide and lithium hydroxide
- the known processes have one or more disadvantages, for example, those as mentioned as follows: (i) the intermediate for manufacturing Dapagliflozin is either having higher impurities or involve further purification (ii) more number of reaction steps (iii)more unit operations, long cycle time (iv)involve harmful reaction/reagents for instance use of pyridine.
- the intermediate for manufacturing Dapagliflozin is either having higher impurities or involve further purification
- more number of reaction steps iii)more unit operations, long cycle time
- iv involve harmful reaction/reagents for instance use of pyridine.
- the inventors of the present invention have developed a process for preparing Dapagliflozin propanediol monohydrate having minimum number of solid isolations, controlling the impurity formation during the reaction transformations thereby the desired product is obtained with high yield and purity.
- One aspect of the present invention is to provide an improved process for the preparation of Dapagliflozin propanediol monohydrate of formula (I).
- the present invention relates to an improved process for the preparation of Dapagliflozin propanediol monohydrate of formula (I) using suitable catalyst and Lewis acid.
- the present invention relates to an improved process for the preparation of substantially pure compound of formula (VI) having des-bromo impurity less than 0.15%.
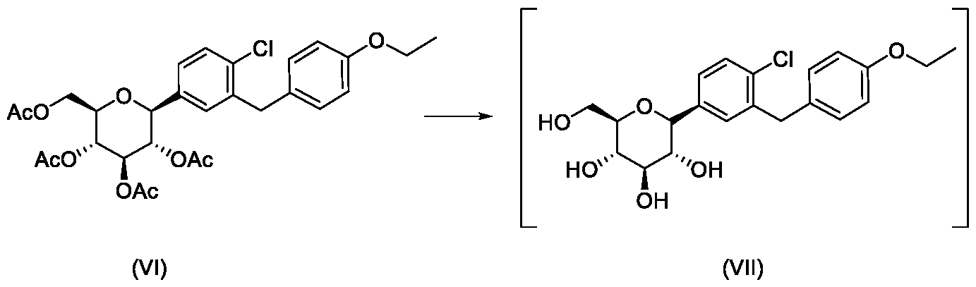
- the present invention relates to an improved process for the preparation of Dapagliflozin propanediol monohydrate of formula (I) comprising steps: a) coupling compound of formula (II) with glycoside compound of formula (III) where TMS is trimethyl silyl, in presence of organolithium compound in solvent, followed by methylation using methanol in presence of acid in solvent to obtain compound of formula (IV), b) demethoxylating of the compound of formula (IV) using a reducing agent in presence of Lewis acid in solvent to obtain compound of formula (V); c) reacting compound of formula (V) with acylating agent in presence of base and catalyst in solvent, followed by treating with cyclohexane and methanol to obtain substantially pure compound of formula (VI) where Ac is acetyl group; wherein compound of formula (VI) having des-bromo impurity of formula (VIII) less than 0.15%; d) hydrolysing compound of formula (VI) in presence of base in solvent to obtain compound
- the present invention relates to an improved process for the preparation of substantially pure compound of formula (VI) having des-bromo impurity of formula (VIII) less than 0.15%, by treating compound of formula (VI) with cyclohexane and methanol.
- des-bromo impurity of formula (VIII) used herein refers to l-chloro-2- [(4- ethoxy phenyl) methyl] -benzene as shown below.
- substantially pure used herein refers to the purity of compound greater than 98%, preferably greater than 99%.
- solvent used herein refers to single solvent or mixture of solvents.
- the instant invention is an improved process for the preparation of Dapagliflozin propanediol monohydrate of formula (I), illustrated in the following synthetic scheme:
- the instant invention provides the preparation of Dapagliflozin propanediol monohydrate of formula (I), wherein the compounds of formula (IV), (V), (VII) are not isolated, which makes present process economic.
- the organolithium compound is selected from the group consisting of n-, sec- or ieri-butyllithium (BuLi), n- hexyllithium and the like.
- solvent used for coupling reaction is selected from the group consisting of tetrahydrofuran (THF), hexane, heptane, dioxane, dimethyl sulfoxide (DMSO), toluene, diethyl ether, chlorinated solvents such as dichloromethane (DCM), and the like.
- THF tetrahydrofuran
- DMSO dimethyl sulfoxide
- DCM dichloromethane
- coupling reaction is carried at temperature -90°C to -70°C, as this reaction temperature plays critical role, which gives better reaction profile in terms of significantly reduced impurities thus to provide good yield and purity.
- step (a) wherein the acid used in step (a) is selected from methanesulfonic acid, toluene sulfonic acid, sulfuric acid, acetic acid, trifluoroacetic acid, or hydrochloric acid.
- the solvent used in methylation reaction is selected from the group consisting of chlorinated solvents such as dichloromethane (DCM), tetrahydrofuran (THF), hexane, heptane, toluene, diethyl ether, and the like.
- DCM dichloromethane
- THF tetrahydrofuran
- hexane hexane
- heptane hexane
- toluene diethyl ether
- the reducing agents used in step (b) is selected from triethyl silane, trimethyl silyl hydride, tripropyl silane, triisopropylsilane, diphenylsilane, sodium borohydride, sodium cyanoborohydride, zinc borohydride, borane complexes, diisobutylaluminum hydride and the like.
- the Lewis acidused in step (b) is selected from aluminium chloride, boron trifluoride etherate, boron trifluoride acetic acid complex (BF 3 .2CH 3 COOH), trimethylsilyl triflate, titanium tetrachloride, tin tetrachloride, scandium triflate, copper(II) triflate, zinc iodide, hydrochloric acid, toluene sulfonic acid, trifluoroacetic acid, or acetic acid and the like.
- the Lewis acidused in step (b) is selected from aluminium chloride, boron trifluoride etherate, boron trifluoride acetic acid complex (BF 3 .2CH 3 COOH), trimethylsilyl triflate, titanium tetrachloride, tin tetrachloride, scandium triflate, copper(II) triflate, zinc iodide, hydrochloric acid, toluene s
- step (b) wherein the solvent used in step (b) is selected from acetonitrile, dichloromethane, chloroform, toluene, hexane, diethyl ether, tetrahydrofuran, dioxane, ethanol, water and the like.
- the demethoxylation reaction is performed at temperature belowl5°C.
- acylating agent used in step (c) is selected from the group consisting of acetic anhydride or acetyl chloride.
- step (c) wherein the base used in step (c) is selected from group consisting of triethylamine (TEA), diisopropylethylamine, dibutyl amine, tributyl amine, diisopropyl amine, N-methylmorpholine and the like.
- TAA triethylamine
- diisopropylethylamine dibutyl amine
- tributyl amine diisopropyl amine
- N-methylmorpholine N-methylmorpholine
- step (c) wherein the catalyst used in step (c) is selected from the group consisting of dimethylaminopyridine (DMAP), boron trifluoride etherate, trimethyl silyl chloride or triflate and the like.
- DMAP dimethylaminopyridine
- boron trifluoride etherate trimethyl silyl chloride or triflate and the like.
- step (c) wherein the solvent used in step (c) is selected from dichloromethane, toluene, acetonitrile, chloroform, toluene, hexane, diethylether, tetrahydrofuran, and the like.
- the base used in step (d) is selected from the group consisting of alkali metal hydroxide such as lithium hydroxide (LiOH), sodium hydroxide (NaOH), potassium hydroxide (KOH) and the like.
- alkali metal hydroxide such as lithium hydroxide (LiOH), sodium hydroxide (NaOH), potassium hydroxide (KOH) and the like.
- step (d) wherein the solvent used in step (d) is selected from the group consisting of water, tetrahydrofuran, methanol, ethanol, isopropyl alcohol (IPA), isopropyl acetate and the like.
- the solvent used in step (d) is selected from the group consisting of water, tetrahydrofuran, methanol, ethanol, isopropyl alcohol (IPA), isopropyl acetate and the like.
- step (e) wherein the solvent used in step (e) is selected from group consisting of water, cyclohexane, and isopropyl acetate.
- the preparation of the starting materials and reagents used in the present invention are well known in prior art.
- the reaction mixture was cooled to 0°C to 15°C, the pH was adjusted between pH 6.0 to 7.5 using 5% aq. sodium bicarbonate (NaHCCF) solution.
- the reaction mixture was concentrated till to arrive a minimum volume and allowed it to 20°C to 40°C.
- 500 ml (5V) of dichloromethane (DCM) was charged in reaction mixture at room temperature and stirred for 20 to 30 min.
- the aqueous and organic layers were separated.
- the aqueous layer was extracted with DCM and layers were separated.
- the combined organic layer was washed with brine and organic layer was separated and concentrated till to a minimum volume and cooled to room temperature.
- 500 ml DCM (5.0 V) was charged to the reaction mixture and stirred to get clear solution.
- the reaction mixture was concentrated till to a minimum volume and cooled to room temperature.
- reaction mixture in second RBF, the reaction mixture from first RBF was added at temperature below 15°C and maintained at 15°C to 25°C for 3 to 5 hrs.
- the reaction mixture was cooled to 10°C to 15°C and 500 ml (5V) of water was added to the reaction mixture.
- the reaction mixture was warmed to20°C to 35°C and stirred for 20 to 30min.
- the aqueous and organic layer were separated.
- the aqueous layer was extracted with 200 ml (2 V) of DCM.
- the lower organic layer was separated.
- the organic layers were combined and further washed with 2.0 % NaHCOs solution and 10 % brine solution.
- the DCM was distilled out till minimum volume of reaction mixture remained.
- 500 ml DCM (5.0 V) was charged to the reaction mixture and stirred to get clear solution.
- the reaction mixture was concentrated till to
- the solid was filtered and washed with 200 ml cyclohexane (2.0V) and suck dried.
- the content of des-bromo impurity was checked by HPLC and it was not more than 0.5%. (If content of des bromo impurity is more than 0.5%, then the wet solid was washed with cyclohexane and suck dried).
- the wet solid and 800 ml (8.0 V) methanol was charged into flask and further 200 ml methanol (2.0 V) was added and stirred at 55°C to 65°C for 30 to 40 min. The reaction mixture was cooled to 20°C to 30°C and stirred for 1 to 2 hrs.
- the organic solvents were distilled under reduced pressure, till minimum volume of reaction mixture remained.
- the reaction mixture was cooled to 20 °C to 35°C.150 ml (3.0 V) purified water and 200 ml (4.0 V) isopropyl acetate were charged to the reaction mixture and stirred for 20 to 30 min at same temperature.
- the aqueous and organic layer were separated.
- the aqueous layer was extracted with 100 ml (1 V) of isopropyl acetate.
- the organic layer was separated.
- the organic layers were combined and further washed with water.
- To the organic layer 2.5 g Norite charcoal (5.0 % w/w) was added at 20°C to 35°C and reaction mixture was heated to 50°C to 55°C and stirred for 30 to 40 min.
- the hot reaction mixture was filtered and washed with hot isopropyl acetate.
- the solvent was distilled out till minimum volume of reaction mixture remained in the flask.
- the reaction mixture was
Landscapes
- Chemical & Material Sciences (AREA)
- Organic Chemistry (AREA)
- Health & Medical Sciences (AREA)
- Diabetes (AREA)
- General Chemical & Material Sciences (AREA)
- Emergency Medicine (AREA)
- Hematology (AREA)
- Obesity (AREA)
- Engineering & Computer Science (AREA)
- Chemical Kinetics & Catalysis (AREA)
- Endocrinology (AREA)
- Medicinal Chemistry (AREA)
- Nuclear Medicine, Radiotherapy & Molecular Imaging (AREA)
- Bioinformatics & Cheminformatics (AREA)
- Pharmacology & Pharmacy (AREA)
- Life Sciences & Earth Sciences (AREA)
- Animal Behavior & Ethology (AREA)
- General Health & Medical Sciences (AREA)
- Public Health (AREA)
- Veterinary Medicine (AREA)
- Crystallography & Structural Chemistry (AREA)
- Organic Low-Molecular-Weight Compounds And Preparation Thereof (AREA)
Abstract
The present invention relates to an improved process for preparation of Dapagliflozin propanediol monohydrate of formula (I). The invention further relates to an improved process for the preparation of substantially pure intermediate of formula (VI) having des-bromo impurity of formula (VIII) less than 0.15%.
Description
“AN IMPROVED PROCESS FOR PREPARATION OF DAPAGLIFLOZIN
PROPANEDIOL MONOHYDRATE”
The following specification describes the invention and the manner in which it is to be performed.
FIELD OF THE INVENTION
The present invention relates to an improved process for the preparation of Dapagliflozin propanediol monohydrate of formula (I). The invention further relates to an improved process for the preparation of substantially pure intermediate of formula (VI) having des-bromo impurity of formula (VIII) less than 0.15%.
BACKGROUND OF THE INVENTION
Dapagliflozin (S)-propylene glycol (propanediol) monohydrate is chemically known as (lS)-l,5-anhydro-l-C-[4-chloro-3-[(4-ethoxyphenyl)methyl]phenyl]-D-glucitol compounded with (2S)-1, 2 -propanediol, hydrate (1:1:1). It is a sodium-glucose cotransporter 2 (SGLT2) inhibitor and indicated for the treatment of type -2 diabetes. It is marketed under the brand name FARXIGA®.
The U.S. Patent no. 6,515,117B2, discloses Dapagliflozin, or a pharmaceutically acceptable salt, a stereoisomer thereof, or a prodrug ester thereof. It also disclosed the preparation of Dapagliflozin by preparing unprotected O-methyl compound, removing methyl group using triethyl silane, boron trifluoride etherate (BF3.Et20), workup using ethyl acetate and water, followed by preparing tetra acetylated Dapagliflozin using
acetic anhydride in presence of pyridine and dimethyl aminopyridine (DMAP) and finally deprotecting tetra acetylated dapagliflozin using lithium hydroxide monohydrate to provide dapagliflozin as an off-white solid with purity 94%.
The U.S. Patent no. 7,919,598B2 discloses the crystalline form (form SC-3) of Dapagliflozin (S) -propylene glycol ((S)-PG) monohydrate and its preparation by treating acetyl substituted dapagliflozin in an organic solvent such as methyl t-butyl ether, an alkyl acetate such as ethyl acetate, methyl acetate, isopropyl acetate, or butyl acetate with base and (S)-propylene glycol, optionally adding seeds of crystalline Dapagliflozin (S)-PG monohydrate.
The U.S. Patent no. 7,375,213B2 discloses preparation of Dapagliflozin by isolating unprotected O -methyl compound, acylation of hydroxy groups of O -methyl compound using acetic anhydride in presence of N,N'-diisopropylethylamine and DMAP to get tetra acetylated O-methyl Dapagliflozin, followed by reducing tetra acetylated O-methyl dapagliflozin using triethyl silane, boron trifluoride etherateand finally deprotecting using lithium hydroxide monohydrate to provide Dapagliflozin.
The U.S. Patent publication no. 2016/0237054A1 discloses preparation and purification of Dapagliflozin by acetylating dapagliflozin in the absence of pyridine to obtain tetra acetylated dapagliflozin (HPLC purity 95 to 98%), then deacetylating using base such as sodium hydroxide and lithium hydroxide to obtain Dapagliflozin. However, purity of dapagliflozin is not mentioned in the document.
The known processes, however, have one or more disadvantages, for example, those as mentioned as follows: (i) the intermediate for manufacturing Dapagliflozin is either having higher impurities or involve further purification (ii) more number of reaction steps (iii)more unit operations, long cycle time (iv)involve harmful reaction/reagents for instance use of pyridine. To overcome the above disadvantages, there is a need to develop an improved process for the preparation of dapagliflozin propanediol monohydrate, which is cost effective and industrially viable.
Thus, the inventors of the present invention have developed a process for preparing Dapagliflozin propanediol monohydrate having minimum number of solid isolations,
controlling the impurity formation during the reaction transformations thereby the desired product is obtained with high yield and purity.
SUMMARY OF THE INVENTION
One aspect of the present invention is to provide an improved process for the preparation of Dapagliflozin propanediol monohydrate of formula (I).
In another aspect, the present invention relates to an improved process for the preparation of Dapagliflozin propanediol monohydrate of formula (I) using suitable catalyst and Lewis acid.
In another aspect, the present invention relates to an improved process for the preparation of substantially pure compound of formula (VI) having des-bromo impurity less than 0.15%.
In another aspect, the present invention relates to an improved process for the preparation of Dapagliflozin propanediol monohydrate of formula (I) comprising steps:
a) coupling compound of formula (II) with glycoside compound of formula (III) where TMS is trimethyl silyl, in presence of organolithium compound in solvent, followed by methylation using methanol in presence of acid in solvent to obtain compound of formula (IV),
b) demethoxylating of the compound of formula (IV) using a reducing agent in presence of Lewis acid in solvent to obtain compound of formula (V);
c) reacting compound of formula (V) with acylating agent in presence of base and catalyst in solvent, followed by treating with cyclohexane and methanol to obtain substantially pure compound of formula (VI) where Ac is acetyl group;
wherein compound of formula (VI) having des-bromo impurity of formula (VIII) less than 0.15%;
d) hydrolysing compound of formula (VI) in presence of base in solvent to obtain compound of formula (VII);
e) treating compound of formula (VII) with S (+) -propanediol in solvent to obtain Dapagliflozin propanediol monohydrate of formula (I) .
In another aspect, the present invention relates to an improved process for the preparation of substantially pure compound of formula (VI) having des-bromo impurity of formula (VIII) less than 0.15%,
by treating compound of formula (VI) with cyclohexane and methanol.
DETAILED DESCRIPTION OF THE INVENTION
The present invention now will be described more detail hereinafter. The invention may be embodied in many different forms and should not be construed as limited to the embodiments set forth herein; rather, these embodiments are provided so that this disclosure will satisfy applicable legal requirements. As used in the specification, and in the appended claims, the singular forms “a”, “an”, “the”, include plural referents unless the context clearly indicates otherwise.
The term des-bromo impurity of formula (VIII) used herein, refers to l-chloro-2- [(4- ethoxy phenyl) methyl] -benzene as shown below.
The term substantially pure used herein, refers to the purity of compound greater than 98%, preferably greater than 99%.
The term solvent used herein, refers to single solvent or mixture of solvents.
In an embodiment, the instant invention is an improved process for the preparation of Dapagliflozin propanediol monohydrate of formula (I), illustrated in the following synthetic scheme:
In an embodiment, the instant invention provides the preparation of Dapagliflozin propanediol monohydrate of formula (I), wherein the compounds of formula (IV), (V), (VII) are not isolated, which makes present process economic.
In another embodiment of the present invention, wherein the organolithium compound is selected from the group consisting of n-, sec- or ieri-butyllithium (BuLi), n- hexyllithium and the like.
In another embodiment of the present invention, wherein solvent used for coupling reaction is selected from the group consisting of tetrahydrofuran (THF), hexane, heptane, dioxane, dimethyl sulfoxide (DMSO), toluene, diethyl ether, chlorinated solvents such as dichloromethane (DCM), and the like.
In another embodiment of the present invention, wherein coupling reaction is carried at temperature -90°C to -70°C, as this reaction temperature plays critical role, which gives better reaction profile in terms of significantly reduced impurities thus to provide good yield and purity.
In another embodiment of the present invention, wherein the acid used in step (a)is selected from methanesulfonic acid, toluene sulfonic acid, sulfuric acid, acetic acid, trifluoroacetic acid, or hydrochloric acid.
In another embodiment of the present invention, wherein the solvent used in methylation reaction is selected from the group consisting of chlorinated solvents such as dichloromethane (DCM), tetrahydrofuran (THF), hexane, heptane, toluene, diethyl ether, and the like.
In another embodiment of the present invention, wherein the portion of acid is added in methylation reaction at -90 °C to -70 °C till the pH of reaction mixture reached between pH 5.0 to 7.5 and remaining portion of acid is added subsequently at 10°C to 20°C.
In another embodiment of the present invention, wherein the reducing agents used in step (b) is selected from triethyl silane, trimethyl silyl hydride, tripropyl silane, triisopropylsilane, diphenylsilane, sodium borohydride, sodium cyanoborohydride, zinc borohydride, borane complexes, diisobutylaluminum hydride and the like.
In another embodiment of the present invention, wherein the Lewis acidused in step (b) is selected from aluminium chloride, boron trifluoride etherate, boron trifluoride acetic acid complex (BF3.2CH3COOH), trimethylsilyl triflate, titanium tetrachloride, tin tetrachloride, scandium triflate, copper(II) triflate, zinc iodide, hydrochloric acid, toluene sulfonic acid, trifluoroacetic acid, or acetic acid and the like.
In another embodiment of the present invention, wherein the solvent used in step (b) is selected from acetonitrile, dichloromethane, chloroform, toluene, hexane, diethyl ether, tetrahydrofuran, dioxane, ethanol, water and the like.
In another embodiment of the present invention, wherein the demethoxylation reaction is performed at temperature belowl5°C.
In another embodiment of the present invention, wherein the acylating agent used in step (c) is selected from the group consisting of acetic anhydride or acetyl chloride.
In another embodiment of the present invention, wherein the base used in step (c) is selected from group consisting of triethylamine (TEA), diisopropylethylamine, dibutyl amine, tributyl amine, diisopropyl amine, N-methylmorpholine and the like.
In another embodiment of the present invention, wherein the catalyst used in step (c) is selected from the group consisting of dimethylaminopyridine (DMAP), boron trifluoride etherate, trimethyl silyl chloride or triflate and the like.
In another embodiment of the present invention, wherein the solvent used in step (c) is selected from dichloromethane, toluene, acetonitrile, chloroform, toluene, hexane, diethylether, tetrahydrofuran, and the like.
In another embodiment of the present invention, wherein the acylation reaction step (c) is performed at temperature below 20 °C.
In another embodiment of the present invention, wherein the base used in step (d)is selected from the group consisting of alkali metal hydroxide such as lithium hydroxide (LiOH), sodium hydroxide (NaOH), potassium hydroxide (KOH) and the like.
In another embodiment of the present invention, wherein the solvent used in step (d)is selected from the group consisting of water, tetrahydrofuran, methanol, ethanol, isopropyl alcohol (IPA), isopropyl acetate and the like.
In another embodiment of the present invention, wherein thehydrolysis step (c) is performed at temperature below 35°C.
In another embodiment of the present invention, wherein the solvent used in step (e) is selected from group consisting of water, cyclohexane, and isopropyl acetate.
The preparation of the starting materials and reagents used in the present invention are well known in prior art.
The invention is further illustrated by the following examples, which should not be construed to limit the scope of the invention in anyway.
EXPERIMENTAL
Example 1: Preparation of (2R,3R,4R,5S,6S)-2-(Acetoxymethyl)-6-(4-chloro-3-(4- ethoxy benzyl)phenyl) tetrahydro-2H-pyran-3,4,5-triyl triacetate (compound VI)
In a dry RBF (Round bottom flask) under inert atmosphere, 400 ml tetrahydrofuran (THF) (4.0 V), 100 g bromo compound (II) were charged at 20°C to 30°C and stirred at same temperature for 5 to 15 min and the reaction mixture was cooled to -90°C to - 70°C. 156.4 g (230 ml) 1.6M n-BuLi in hexane (1.2 eq.) and 144 g 2,3,4,6-tetrakis-O- trimethylsilyl-D-glucono-1, 5-lactone (compound III) [TMS-glucolactone] in 100 ml dry THF (1.0 V) were simultaneously added into the reaction mixture at -90°C to -70°C. After complete addition of TMS-glucolactone and n-BuLi solution, reaction mixture was stirred below -70°C for 10 to 20 min.
To the above reaction mixture, methanesulfonic acid (MTSA) in methanol (36 ml methanesulfonic acid (1.8 eq.) in 300 ml methanol(3 V)) was charged at -90°C to - 70°Ctill the pH of reaction mixture reached between pH 5.0 to 7.5. The temperature of reaction mixture was raised to 10°C to 20°C and remaining methanesulfonic acid in methanol (MeOH) was slowly added to the reaction mixture at same temperature. The reaction mixture was warmed to 30°C to 40°C, maintained for about 3 to 5 hrs. The reaction completion for the absence of compound of formula (II) and formation of compound of formula (IV) was ensured by HPLC. The reaction mixture was cooled to 0°C to 15°C, the pH was adjusted between pH 6.0 to 7.5 using 5% aq. sodium bicarbonate (NaHCCF) solution. The reaction mixture was concentrated till to arrive a minimum volume and allowed it to 20°C to 40°C. 500 ml (5V) of dichloromethane (DCM) was charged in reaction mixture at room temperature and stirred for 20 to 30 min. The aqueous and organic layers were separated. The aqueous layer was extracted with DCM and layers were separated. The combined organic layer was washed with
brine and organic layer was separated and concentrated till to a minimum volume and cooled to room temperature. 500 ml DCM (5.0 V) was charged to the reaction mixture and stirred to get clear solution. The reaction mixture was concentrated till to a minimum volume and cooled to room temperature.
To the above reaction mixture, 150 ml of acetonitrile (1.5 V) was added and stirred at 20°C to 30°C to get clear solution. In second RBF, 300 ml (3.0 V) of DCM was charged at room temperature and further 81.9 g (2.0 eq.) of aluminium chloride in one lot was charged at -5°C to 10°C. To the reaction mixture, 300 ml acetonitrile (3.0 V) was drop wise added at temperature below 5°C.100 g triethyl silane (2.8 eq.) was added to the reaction mixture at temperature below 5°C. To this reaction mixture (in second RBF), the reaction mixture from first RBF was added at temperature below 15°C and maintained at 15°C to 25°C for 3 to 5 hrs. The reaction completion for the absence of compound of formula (IV) and formation of compound of formula (V) were ensured by HPLC. The reaction mixture was cooled to 10°C to 15°C and 500 ml (5V) of water was added to the reaction mixture. The reaction mixture was warmed to20°C to 35°C and stirred for 20 to 30min. The aqueous and organic layer were separated. The aqueous layer was extracted with 200 ml (2 V) of DCM. The lower organic layer was separated. The organic layers were combined and further washed with 2.0 % NaHCOs solution and 10 % brine solution. The DCM was distilled out till minimum volume of reaction mixture remained. 500 ml DCM (5.0 V) was charged to the reaction mixture and stirred to get clear solution. The reaction mixture was concentrated till to a minimum volume and cooled to room temperature.
To this reaction mixture, 300 ml DCM (3.0 V) was charged and stirred at 20°C to 30°C. Further, 107 ml TEA (2.5 V) was charged at same temperature. To this reaction mixture, 7.5 g DMAP (0.2 eq.) was charged and reaction mass was cooled to 10°C to 20°C. To the reaction mixture, 114 ml acetic anhydride (4.0 eq.)was drop-wise added at temperature below 20°C and reaction mixture was stirred at 20°C to 30°C for 2 to 3 hrs. The reaction completion for the absence of compound of formula (V) and formation of compound of formula (VI) was ensured by HPLC.
The reaction mixture was cooled to 10°C to 20°C. 500 ml (5V) of water was added to the reaction mixture and stirred for 20 to 30 min. The aqueous and organic layer were separated. The aqueous layer was extracted with 200 ml (2 V) of DCM. The organic layer was separated. The organic layers were combined and further washed with water, followed by 10 % brine solution. The DCM was distilled out till minimum volume of reaction mixture.1200 ml (12.0 V) cyclohexane was charged to the reaction mixture and distilled out solvent at temperature below 45°C till minimum volume of reaction mixture remained. The reaction mixture was heated to 70°C to 80°C and stirred for 20 to 30 min. The reaction mixture was cooled to 20°C to 30°C and stirred for 30 to 40 min. The solid was filtered and washed with 200 ml cyclohexane (2.0V) and suck dried. The content of des-bromo impurity was checked by HPLC and it was not more than 0.5%. (If content of des bromo impurity is more than 0.5%, then the wet solid was washed with cyclohexane and suck dried). The wet solid and 800 ml (8.0 V) methanol was charged into flask and further 200 ml methanol (2.0 V) was added and stirred at 55°C to 65°C for 30 to 40 min. The reaction mixture was cooled to 20°C to 30°C and stirred for 1 to 2 hrs. The solid was filtered and washed the wet cake with 150 ml methanol (1.5V) and suck dried for 30 min. The content of des-bromo impurity was checked by HPLC and it was not more than 0.15%. The wet solid was dried to obtain pure compound of formula (VI) (Yield - 97g, 55 %, Purity by HPLC -99.89%).
Example 2: Preparation of Dapagliflozin propanediol monohydrate of formula (I)
In a dry RBF, 125 ml (2.5 V) THF and 175 ml (3.5 V) MeOH were charged at 20°C to 35°C. To this solution, 50 g compound of formula (VI) and 50 ml (1.0 V) MeOH were charged same temperature. To this mixture, lithium hydroxide solution [(4.36g, 1.2 eq.) lithium hydroxide monohydrate in 50 ml (1.0 V) purified water] was added at temperature below 35°C. The reaction mixture was stirred at 20°C to 30°C for 1.5 to 2 hrs. The reaction completion for the absence of compound of formula (VI) and formation of compound of formula (VII) was ensured by HPLC. 50 ml purified water (1.0 V) was charged to reaction mixture at temperature below 35°C.
The organic solvents were distilled under reduced pressure, till minimum volume of reaction mixture remained. The reaction mixture was cooled to 20 °C to 35°C.150 ml (3.0 V) purified water and 200 ml (4.0 V) isopropyl acetate were charged to the reaction
mixture and stirred for 20 to 30 min at same temperature. The aqueous and organic layer were separated. The aqueous layer was extracted with 100 ml (1 V) of isopropyl acetate. The organic layer was separated. The organic layers were combined and further washed with water. To the organic layer, 2.5 g Norite charcoal (5.0 % w/w) was added at 20°C to 35°C and reaction mixture was heated to 50°C to 55°C and stirred for 30 to 40 min. The hot reaction mixture was filtered and washed with hot isopropyl acetate. The solvent was distilled out till minimum volume of reaction mixture remained in the flask. The reaction mixture was cooled to 20°C to 35 °C
To this reaction mixture, 225 ml (4.5 V) isopropyl acetate, 525 ml cyclohexane (10.5 V) were charged at 20°C to 35°C. To this, 1.63 ml purified water (1.05 eq) was charged and stirred at same temperature. To reaction mixture, S (+) -propanediol solution [6.9 g S (+) -propanediol (1.05 eq.) in 25 ml isopropyl acetate (0.5 V)] was added. The reaction mixture was heated at 60°C to 65 °C and stirred for 20 to 40 min. The reaction mixture was cooled to 20°C to 30°C. The 0.5 g Dapagliflozin propanediol monohydrate was seeded to the reaction mixture at same temperature and stirred for 10 to 20 min. The reaction mixture was heated to 40°C to 45°C and maintained for 20 to 30 min. The reaction mixture was cooled to 20°C to 30°C and stirred for 1.5 to 2 hrs. The solid was filtered and washed the wet cake with 1:1 mixture of cyclohexane and isopropyl acetate and dried the solid to obtain crystalline Dapagliflozin propanediol monohydrate of formula (I). (Yield - 38.01g 95 % (w/w), Purity by HPLC - 99.9%).
Claims
CLAIM:
1) An improved process for the preparation of Dapagliflozin propanediol monohydrate of formula (I) comprising steps:
a) coupling compound of formula (II) with glycoside compound of formula (III) where TMS is trimethylsilyl, in presence of an organolithium compound in solvent, followed by methylation using methanol in presence of an acid in solvent to obtain compound of formula (IV),
b) demethoxylating compound of formula (IV) using a reducing agent in presence of Lewis acid in solvent to obtain compound of formula (V);
c) reacting compound of formula (V) with an acylating agent in the presence of a base and catalyst in solvent, followed by treating with cyclohexane and methanol to obtain substantially pure compound of formula (VI) where Ac is acetyl group;
wherein compound of formula (VI) having des-bromo impurity of formula (VIII) less than 0.15%;
d) hydrolysing compound of formula (VI) in the presence of base in solvent to obtain compound of formula (VII);
e) treating compound of formula (VII) with S (+) -propanediol in solvent to obtain Dapagliflozin propanediol monohydrate of formula (I).
2) The process as claimed in claim 1, wherein the substantially pure compound of formula (VI) is obtained by treating compound (VI) with cyclohexane and methanol, where obtained compound (VI) having purity greater than 99%, and des-bromo impurity (VIII) less than 0.15%
3) The process as claimed in claim 1, wherein the organo lithium compound used in step (a) is selected from group consisting of n-, sec- or ieri-butyllithium (BuLi), and n- hexyllithium.
4) The process as claimed in claim 1, wherein the acid used in step (a) is selected from methanesulfonic acid, toluene sulfonic acid, sulfuric acid, acetic acid, trifluoro acetic acid, and hydrochloric acid.
5) The process as claimed in claim 1, wherein reducing agent is selected from triethylsilane, triethylsilyl hydride, tripropyls ilane, triisopropylsilane, diphenyl silane, sodium borohydride, sodium cyanoborohydride, zinc borohydride, borane complexes, diisobutylaluminum hydride.
6) The process as claimed in claim 1, wherein the Lewis acid is selected from aluminium chloride, boron trifluoride etherate, boron trifluoride acetic acid complex (BF3.2CH3COOH), trimethylsilyl triflate, titanium tetrachloride, tin tetrachloride, scandium triflate, copper(II) triflate, zinc iodide, hydrochloric acid, toluene sulfonic acid, trifluoro acetic acid, and acetic acid.
7) The process as claimed in claim 1, wherein the acylating agent is selected from acetic anhydride, acetyl chloride; and catalyst is selected from dimethyl aminopyridine (DMAP), boron trifluoride etherate, trimethylsilyl chloride, triflate.
8) The process as claimed in claim 1, wherein the base used in step (c) is selected from triethylamine (TEA), diisopropylethylamine, dibutyl amine, tributyl amine, diisopropyl amine, and N-methylmorpholine; and step (d) is selected from lithium hydroxide (LiOH), sodium hydroxide (NaOH), and potassium hydroxide (KOH).
9) The process as claimed in claim 1, wherein solvent used in step (a) is selected from tetrahydrofuran (THF), hexane, heptane, dioxane, dimethyl sulfoxide (DMSO), toluene, diethyl ether, dichloromethane (DCM);
step (b) is selected from acetonitrile, dichloromethane, chloroform, toluene, hexane, diethyl ether, tetrahydrofuran, dioxane, ethanol, water; step (c) is selected from dichloromethane, toluene, acetonitrile, chloroform, toluene, hexane, diethyl ether, and tetrahydrofuran; step(d) is selected from water, tetrahydrofuran, methanol, ethanol, isopropyl alcohol (IP A), isopropyl acetate; and step (e) is selected from water, cyclohexane, and isopropyl acetate.
10) The process as claimed in claim 1, wherein the temperature used in step (a) is -90°C to -70°C; step (b), step (c) is below 20°C; and step (d) is below 35°C.
Applications Claiming Priority (2)
| Application Number | Priority Date | Filing Date | Title |
|---|---|---|---|
| IN202021027042 | 2020-06-25 | ||
| IN202021027042 | 2020-06-25 |
Publications (1)
| Publication Number | Publication Date |
|---|---|
| WO2021260617A1 true WO2021260617A1 (en) | 2021-12-30 |
Family
ID=79282650
Family Applications (1)
| Application Number | Title | Priority Date | Filing Date |
|---|---|---|---|
| PCT/IB2021/055609 Ceased WO2021260617A1 (en) | 2020-06-25 | 2021-06-24 | An improved process for preparation of dapagliflozin propanediol monohydrate |
Country Status (1)
| Country | Link |
|---|---|
| WO (1) | WO2021260617A1 (en) |
Cited By (1)
| Publication number | Priority date | Publication date | Assignee | Title |
|---|---|---|---|---|
| CN117624100A (en) * | 2023-10-30 | 2024-03-01 | 宣城美诺华药业有限公司 | An efficient production process for dapagliflozin |
Citations (4)
| Publication number | Priority date | Publication date | Assignee | Title |
|---|---|---|---|---|
| US20020137903A1 (en) * | 1999-10-12 | 2002-09-26 | Bruce Ellsworth | C-aryl glucoside SGLT2 inhibitors and method |
| US20040138439A1 (en) * | 2003-01-03 | 2004-07-15 | Deshpande Prashant P. | Methods of producing C-aryl glucoside SGLT2 inhibitors |
| WO2015040571A1 (en) * | 2013-09-23 | 2015-03-26 | Ranbaxy Laboratories Limited | Process for the preparation of dapagliflozin |
| US20160237054A1 (en) * | 2013-09-27 | 2016-08-18 | Sun Pharmaceutical Industries Limited | Process for the purification of dapagliflozin |
-
2021
- 2021-06-24 WO PCT/IB2021/055609 patent/WO2021260617A1/en not_active Ceased
Patent Citations (4)
| Publication number | Priority date | Publication date | Assignee | Title |
|---|---|---|---|---|
| US20020137903A1 (en) * | 1999-10-12 | 2002-09-26 | Bruce Ellsworth | C-aryl glucoside SGLT2 inhibitors and method |
| US20040138439A1 (en) * | 2003-01-03 | 2004-07-15 | Deshpande Prashant P. | Methods of producing C-aryl glucoside SGLT2 inhibitors |
| WO2015040571A1 (en) * | 2013-09-23 | 2015-03-26 | Ranbaxy Laboratories Limited | Process for the preparation of dapagliflozin |
| US20160237054A1 (en) * | 2013-09-27 | 2016-08-18 | Sun Pharmaceutical Industries Limited | Process for the purification of dapagliflozin |
Cited By (1)
| Publication number | Priority date | Publication date | Assignee | Title |
|---|---|---|---|---|
| CN117624100A (en) * | 2023-10-30 | 2024-03-01 | 宣城美诺华药业有限公司 | An efficient production process for dapagliflozin |
Similar Documents
| Publication | Publication Date | Title |
|---|---|---|
| TWI465458B (en) | Method for preparing benzyl benzene derivative substituted by grape glucopyranosyl | |
| CN100391963C (en) | Process for preparing C-aryl glucoside SGLT2 inhibitors | |
| JP7387683B2 (en) | Synthesis of 1:1:1 cocrystal consisting of 1-cyano-2-(4-cyclopropyl-benzyl)-4-(β-D-glucopyranos-1-yl)-benzene, L-proline and water | |
| CN1984898A (en) | Process for production of azulene derivatives and intermediates for the synthesis of the same | |
| CN104496979A (en) | A kind of preparation method of oxazolidinone compound and its intermediate | |
| WO2018142422A1 (en) | Process for the preparation of dapagliflozin | |
| CN86101400A (en) | Preparation of cytidine nucleosides | |
| WO2021260617A1 (en) | An improved process for preparation of dapagliflozin propanediol monohydrate | |
| WO2016147197A1 (en) | A novel process for preparing (2s,3r,4r,5s,6r)-2-[4-chloro-3-(4-ethoxybenzyl)pheny 1] -6-(hy droxy methyl)tetrahydro-2h-py ran-3,4,5-triol and its amorphous form | |
| US20210309682A1 (en) | Process for preparing mannose derivatives | |
| CN1354753A (en) | Novel intermediate, method for preparing macrolide antibiotic reagent therefrom | |
| US10703772B2 (en) | Processes for the preparation of SGLT-2 inhibitors, intermediates thereof | |
| CN112585124A (en) | Preparation method of intermediate for synthesizing SGLT inhibitor | |
| WO2017071813A1 (en) | Process for the preparation of a pharmaceutical agent | |
| US20200331946A1 (en) | Processes for the preparation of sglt-2 inhibitors, intermediates thereof | |
| WO2007049295A2 (en) | An improved one pot process for making key intermediate for gemcitabine hcl | |
| JP3138834B2 (en) | Method for producing fucopyranose analog and intermediate compound thereof | |
| EP3521293B1 (en) | Process for the preparation of an inhibitor of phosphodiesterase 4 | |
| WO2022233923A1 (en) | A process for synthesis of nicotinamide riboside chloride (nrcl) | |
| US10640526B2 (en) | Method of preparation of 6-azido-2,4-diacetamido-2,4,6-trideoxy-D-mannose | |
| CN1030141C (en) | Process for proaartion of 4'-demethylepipodophyllotixin glucoside 4'-phosphates | |
| CN114456217A (en) | Synthetic method of glycal compound | |
| RU2394835C2 (en) | Method of producing thiophene glycosidic derivatives | |
| WO2017060925A1 (en) | Novel pipecolic acid co-crystals of dapagliflozin and process for the preparation thereof | |
| CN1024554C (en) | Antibacterial 2-carbapenem derivatives |
Legal Events
| Date | Code | Title | Description |
|---|---|---|---|
| 121 | Ep: the epo has been informed by wipo that ep was designated in this application |
Ref document number: 21828552 Country of ref document: EP Kind code of ref document: A1 |
|
| NENP | Non-entry into the national phase |
Ref country code: DE |
|
| 122 | Ep: pct application non-entry in european phase |
Ref document number: 21828552 Country of ref document: EP Kind code of ref document: A1 |


















