WO2021249563A1 - Aryl or heteroaryl pyridone or pyrimidone derivative, preparation method therefor and application thereof - Google Patents
Aryl or heteroaryl pyridone or pyrimidone derivative, preparation method therefor and application thereof Download PDFInfo
- Publication number
- WO2021249563A1 WO2021249563A1 PCT/CN2021/099875 CN2021099875W WO2021249563A1 WO 2021249563 A1 WO2021249563 A1 WO 2021249563A1 CN 2021099875 W CN2021099875 W CN 2021099875W WO 2021249563 A1 WO2021249563 A1 WO 2021249563A1
- Authority
- WO
- WIPO (PCT)
- Prior art keywords
- group
- alkyl
- cycloalkyl
- compound
- deuterium
- Prior art date
- Legal status (The legal status is an assumption and is not a legal conclusion. Google has not performed a legal analysis and makes no representation as to the accuracy of the status listed.)
- Ceased
Links
- 0 C*(C1)C1C(C1)C11C(C2)C2CC2C1C2 Chemical compound C*(C1)C1C(C1)C11C(C2)C2CC2C1C2 0.000 description 16
- MLOIDSFFXQHDLN-LJAQVGFWSA-N C[C@@]1(CN(CC2)C(C=C)=O)[SiH2][N]12C(c1cc(F)c(-c(c(Cl)ccc2)c2F)nc1N1c2c(C)cccc2S(C)(=O)=O)=NC1=O Chemical compound C[C@@]1(CN(CC2)C(C=C)=O)[SiH2][N]12C(c1cc(F)c(-c(c(Cl)ccc2)c2F)nc1N1c2c(C)cccc2S(C)(=O)=O)=NC1=O MLOIDSFFXQHDLN-LJAQVGFWSA-N 0.000 description 2
- KYVSHWJJQJVSHH-IBGZPJMESA-N CC(C)c(cccc1S(C)(=O)=O)c1N(c(c(C(N(CC1)[C@@H](C)CN1C(C=C)=O)=N1)c2)nc(-c(c(C#N)ccc3)c3Cl)c2F)C1=O Chemical compound CC(C)c(cccc1S(C)(=O)=O)c1N(c(c(C(N(CC1)[C@@H](C)CN1C(C=C)=O)=N1)c2)nc(-c(c(C#N)ccc3)c3Cl)c2F)C1=O KYVSHWJJQJVSHH-IBGZPJMESA-N 0.000 description 1
- DVYNJKUHECHEDC-MOPGFXCFSA-N CC(C)c(cccc1S(C)(=O)=O)c1N(c(c(C(N(C[C@H]1C)[C@@H](C)CN1C(C=C)=O)=N1)c2)nc(-c(c(O)ccc3)c3F)c2F)C1=O Chemical compound CC(C)c(cccc1S(C)(=O)=O)c1N(c(c(C(N(C[C@H]1C)[C@@H](C)CN1C(C=C)=O)=N1)c2)nc(-c(c(O)ccc3)c3F)c2F)C1=O DVYNJKUHECHEDC-MOPGFXCFSA-N 0.000 description 1
- UFLFSLBVFXQOHL-PMERELPUSA-N CC(C)c(cccc1S(C)(=O)=O)c1N(c(c(C([N]1(CC2)[SiH2][C@@]1(C)CN2C(C=C)=O)=N1)c2)nc(-c3cnccc3N)c2F)C1=O Chemical compound CC(C)c(cccc1S(C)(=O)=O)c1N(c(c(C([N]1(CC2)[SiH2][C@@]1(C)CN2C(C=C)=O)=N1)c2)nc(-c3cnccc3N)c2F)C1=O UFLFSLBVFXQOHL-PMERELPUSA-N 0.000 description 1
- DBWATHCWIHGTMD-KRWDZBQOSA-N CC(C)c(nccc1S(C)(=O)=O)c1N(c(c(C([N](CC1)([C@@H](C)CN1C(C=C)=O)[SiH3])=N1)c2)nc(-c3cccc(F)c3Cl)c2F)C1=O Chemical compound CC(C)c(nccc1S(C)(=O)=O)c1N(c(c(C([N](CC1)([C@@H](C)CN1C(C=C)=O)[SiH3])=N1)c2)nc(-c3cccc(F)c3Cl)c2F)C1=O DBWATHCWIHGTMD-KRWDZBQOSA-N 0.000 description 1
- QTKBTOXDFDECBK-SFHVURJKSA-N CC(C)c1cccc(S(C)(=O)=O)c1N(c(c(C(N(CC1)[C@@H](C)CN1C(C=C)=O)=N1)c2)nc(-c3c(C)nc[n]3C)c2F)C1=O Chemical compound CC(C)c1cccc(S(C)(=O)=O)c1N(c(c(C(N(CC1)[C@@H](C)CN1C(C=C)=O)=N1)c2)nc(-c3c(C)nc[n]3C)c2F)C1=O QTKBTOXDFDECBK-SFHVURJKSA-N 0.000 description 1
- DUQKZXJBRNPIGM-KRWDZBQOSA-N CC(C)c1cncc2c1N(c(c(C([N](CC1)([C@@H](C)CN1C(C=C)=O)[SiH3])=N1)c3)nc(-c(c(O)ccc4)c4F)c3F)C1=[O]=S2(C)=O Chemical compound CC(C)c1cncc2c1N(c(c(C([N](CC1)([C@@H](C)CN1C(C=C)=O)[SiH3])=N1)c3)nc(-c(c(O)ccc4)c4F)c3F)C1=[O]=S2(C)=O DUQKZXJBRNPIGM-KRWDZBQOSA-N 0.000 description 1
- ZZVPOMOVGMYQFA-LUZMQSDZSA-N CC(CC=C1)C(N(c(c(C(N(CC2)[Si@@H](C)CN2C(C=C)=O)=N2)c3)nc(-c(c(O)ccc4)c4F)c3F)C2=O)=C1S(C)(=O)=O Chemical compound CC(CC=C1)C(N(c(c(C(N(CC2)[Si@@H](C)CN2C(C=C)=O)=N2)c3)nc(-c(c(O)ccc4)c4F)c3F)C2=O)=C1S(C)(=O)=O ZZVPOMOVGMYQFA-LUZMQSDZSA-N 0.000 description 1
- YXKQCMFMQITONP-FQEVSTJZSA-N CCC(Oc1cccc(F)c1-c(nc(c(C(N(CC1)[C@@H](C)CN1C(C=C)=O)=N1)c2)N(c3c(C(C)C)cccc3S(C)(=O)=O)C1=O)c2F)=O Chemical compound CCC(Oc1cccc(F)c1-c(nc(c(C(N(CC1)[C@@H](C)CN1C(C=C)=O)=N1)c2)N(c3c(C(C)C)cccc3S(C)(=O)=O)C1=O)c2F)=O YXKQCMFMQITONP-FQEVSTJZSA-N 0.000 description 1
- FKRFOJQGDOHJIO-BHWOMJMDSA-N C[C@@H](CN(CC1)C(C=C)=O)N1C(c1c2)=NC3=[O]C(C)c(cccc4S(C)(=O)=O)c4N3c1nc(C(N1)=CC=CC1=O)c2F Chemical compound C[C@@H](CN(CC1)C(C=C)=O)N1C(c1c2)=NC3=[O]C(C)c(cccc4S(C)(=O)=O)c4N3c1nc(C(N1)=CC=CC1=O)c2F FKRFOJQGDOHJIO-BHWOMJMDSA-N 0.000 description 1
- PZOSLFWEPTXRMX-ZENAZSQFSA-N C[C@@H](CN(CC1)C(C=C)=O)N1C(c1c2)=NC3=[O]C(C)c(cccc4S(C)(=O)=O)c4N3c1nc(C1=CC=CN(C)C1=O)c2F Chemical compound C[C@@H](CN(CC1)C(C=C)=O)N1C(c1c2)=NC3=[O]C(C)c(cccc4S(C)(=O)=O)c4N3c1nc(C1=CC=CN(C)C1=O)c2F PZOSLFWEPTXRMX-ZENAZSQFSA-N 0.000 description 1
- PEGBUZJVDQVTMN-BHWOMJMDSA-N C[C@@H](CN(CC1)C(C=C)=O)N1C(c1c2)=NC3=[O]C(C)c4cccc(S(C)(=O)=O)c4N3c1nc(-c1cccnc1O)c2F Chemical compound C[C@@H](CN(CC1)C(C=C)=O)N1C(c1c2)=NC3=[O]C(C)c4cccc(S(C)(=O)=O)c4N3c1nc(-c1cccnc1O)c2F PEGBUZJVDQVTMN-BHWOMJMDSA-N 0.000 description 1
- PNDHSKFBJRFMHI-BHWOMJMDSA-N C[C@@H](CN(CC1)C(C=C)=O)N1C(c1c2)=NC3=[O]C(C)c4cccc(S(C)(=O)=O)c4N3c1nc(-c1cnc[n]1C)c2F Chemical compound C[C@@H](CN(CC1)C(C=C)=O)N1C(c1c2)=NC3=[O]C(C)c4cccc(S(C)(=O)=O)c4N3c1nc(-c1cnc[n]1C)c2F PNDHSKFBJRFMHI-BHWOMJMDSA-N 0.000 description 1
- YJVNASIVAJJZEL-KRWDZBQOSA-N C[C@@H](CN(CC1)C(C=C)=O)N1C(c1cc(F)c(-c(c(O)ccc2)c2F)nc1N1c(c(C2CC2)ccc2)c2S(C)(=O)=O)=NC1=O Chemical compound C[C@@H](CN(CC1)C(C=C)=O)N1C(c1cc(F)c(-c(c(O)ccc2)c2F)nc1N1c(c(C2CC2)ccc2)c2S(C)(=O)=O)=NC1=O YJVNASIVAJJZEL-KRWDZBQOSA-N 0.000 description 1
- WQYSBEHDVCCKOK-HKBQPEDESA-N C[C@@]1(CN(CC2)C(C=C)=O)[SiH2][N]12C(c1cc(F)c(-c(c(O)ccc2)c2F)nc1N1c2c(C3CC3)cccc2S(C)(=O)=O)=NC1=O Chemical compound C[C@@]1(CN(CC2)C(C=C)=O)[SiH2][N]12C(c1cc(F)c(-c(c(O)ccc2)c2F)nc1N1c2c(C3CC3)cccc2S(C)(=O)=O)=NC1=O WQYSBEHDVCCKOK-HKBQPEDESA-N 0.000 description 1
- ABNVFMFBYMJTFM-LJAQVGFWSA-N C[C@](CN(CC1)C(C=C)=O)(N1C(c1cc(Cl)c(-c(c(O)ccc2)c2F)nc1N1c2c(C)cccc2S(C)(=O)=O)=NC1=O)[SiH3] Chemical compound C[C@](CN(CC1)C(C=C)=O)(N1C(c1cc(Cl)c(-c(c(O)ccc2)c2F)nc1N1c2c(C)cccc2S(C)(=O)=O)=NC1=O)[SiH3] ABNVFMFBYMJTFM-LJAQVGFWSA-N 0.000 description 1
- XWYRACUHEDCOEL-LJAQVGFWSA-N C[C@](CN(CC1)C(C=C)=O)(N1C(c1cc(F)c(-c(cccc2)c2F)nc1N1c2c(C)cccc2S(C)(=O)=O)=NC1=O)[SiH3] Chemical compound C[C@](CN(CC1)C(C=C)=O)(N1C(c1cc(F)c(-c(cccc2)c2F)nc1N1c2c(C)cccc2S(C)(=O)=O)=NC1=O)[SiH3] XWYRACUHEDCOEL-LJAQVGFWSA-N 0.000 description 1
Classifications
-
- A—HUMAN NECESSITIES
- A61—MEDICAL OR VETERINARY SCIENCE; HYGIENE
- A61K—PREPARATIONS FOR MEDICAL, DENTAL OR TOILETRY PURPOSES
- A61K31/00—Medicinal preparations containing organic active ingredients
- A61K31/33—Heterocyclic compounds
- A61K31/395—Heterocyclic compounds having nitrogen as a ring hetero atom, e.g. guanethidine or rifamycins
- A61K31/495—Heterocyclic compounds having nitrogen as a ring hetero atom, e.g. guanethidine or rifamycins having six-membered rings with two or more nitrogen atoms as the only ring heteroatoms, e.g. piperazine or tetrazines
- A61K31/505—Pyrimidines; Hydrogenated pyrimidines, e.g. trimethoprim
- A61K31/519—Pyrimidines; Hydrogenated pyrimidines, e.g. trimethoprim ortho- or peri-condensed with heterocyclic rings
-
- A—HUMAN NECESSITIES
- A61—MEDICAL OR VETERINARY SCIENCE; HYGIENE
- A61K—PREPARATIONS FOR MEDICAL, DENTAL OR TOILETRY PURPOSES
- A61K31/00—Medicinal preparations containing organic active ingredients
- A61K31/33—Heterocyclic compounds
- A61K31/395—Heterocyclic compounds having nitrogen as a ring hetero atom, e.g. guanethidine or rifamycins
- A61K31/535—Heterocyclic compounds having nitrogen as a ring hetero atom, e.g. guanethidine or rifamycins having six-membered rings with at least one nitrogen and one oxygen as the ring hetero atoms, e.g. 1,2-oxazines
- A61K31/5375—1,4-Oxazines, e.g. morpholine
- A61K31/5377—1,4-Oxazines, e.g. morpholine not condensed and containing further heterocyclic rings, e.g. timolol
-
- A—HUMAN NECESSITIES
- A61—MEDICAL OR VETERINARY SCIENCE; HYGIENE
- A61K—PREPARATIONS FOR MEDICAL, DENTAL OR TOILETRY PURPOSES
- A61K31/00—Medicinal preparations containing organic active ingredients
- A61K31/66—Phosphorus compounds
- A61K31/675—Phosphorus compounds having nitrogen as a ring hetero atom, e.g. pyridoxal phosphate
-
- A—HUMAN NECESSITIES
- A61—MEDICAL OR VETERINARY SCIENCE; HYGIENE
- A61P—SPECIFIC THERAPEUTIC ACTIVITY OF CHEMICAL COMPOUNDS OR MEDICINAL PREPARATIONS
- A61P35/00—Antineoplastic agents
-
- A—HUMAN NECESSITIES
- A61—MEDICAL OR VETERINARY SCIENCE; HYGIENE
- A61P—SPECIFIC THERAPEUTIC ACTIVITY OF CHEMICAL COMPOUNDS OR MEDICINAL PREPARATIONS
- A61P35/00—Antineoplastic agents
- A61P35/02—Antineoplastic agents specific for leukemia
-
- C—CHEMISTRY; METALLURGY
- C07—ORGANIC CHEMISTRY
- C07D—HETEROCYCLIC COMPOUNDS
- C07D471/00—Heterocyclic compounds containing nitrogen atoms as the only ring hetero atoms in the condensed system, at least one ring being a six-membered ring with one nitrogen atom, not provided for by groups C07D451/00 - C07D463/00
- C07D471/02—Heterocyclic compounds containing nitrogen atoms as the only ring hetero atoms in the condensed system, at least one ring being a six-membered ring with one nitrogen atom, not provided for by groups C07D451/00 - C07D463/00 in which the condensed system contains two hetero rings
- C07D471/04—Ortho-condensed systems
-
- C—CHEMISTRY; METALLURGY
- C07—ORGANIC CHEMISTRY
- C07F—ACYCLIC, CARBOCYCLIC OR HETEROCYCLIC COMPOUNDS CONTAINING ELEMENTS OTHER THAN CARBON, HYDROGEN, HALOGEN, OXYGEN, NITROGEN, SULFUR, SELENIUM OR TELLURIUM
- C07F9/00—Compounds containing elements of Groups 5 or 15 of the Periodic Table
- C07F9/02—Phosphorus compounds
- C07F9/547—Heterocyclic compounds, e.g. containing phosphorus as a ring hetero atom
- C07F9/6561—Heterocyclic compounds, e.g. containing phosphorus as a ring hetero atom containing systems of two or more relevant hetero rings condensed among themselves or condensed with a common carbocyclic ring or ring system, with or without other non-condensed hetero rings
-
- Y—GENERAL TAGGING OF NEW TECHNOLOGICAL DEVELOPMENTS; GENERAL TAGGING OF CROSS-SECTIONAL TECHNOLOGIES SPANNING OVER SEVERAL SECTIONS OF THE IPC; TECHNICAL SUBJECTS COVERED BY FORMER USPC CROSS-REFERENCE ART COLLECTIONS [XRACs] AND DIGESTS
- Y02—TECHNOLOGIES OR APPLICATIONS FOR MITIGATION OR ADAPTATION AGAINST CLIMATE CHANGE
- Y02P—CLIMATE CHANGE MITIGATION TECHNOLOGIES IN THE PRODUCTION OR PROCESSING OF GOODS
- Y02P20/00—Technologies relating to chemical industry
- Y02P20/50—Improvements relating to the production of bulk chemicals
- Y02P20/55—Design of synthesis routes, e.g. reducing the use of auxiliary or protecting groups
Definitions
- the invention belongs to the field of medicine, and specifically relates to an aryl or heteroaryl pyridone or pyrimidinone derivative, and a preparation method and application thereof.
- Lung cancer is one of the important causes of human cancer deaths.
- lung cancer can be divided into small cell lung cancer (SCLC) and non-small cell lung cancer (NSCLC).
- SCLC small cell lung cancer
- NSCLC non-small cell lung cancer
- the global NSCLC market in 2016 was approximately US$20.9 billion, of which the US market accounted for half, followed by Japan, Germany and China.
- the non-small cell lung cancer market has maintained continuous growth, and the global market is expected to reach 54 billion U.S. dollars in 2023 (Nature, 2018; 553(7689):446-454).
- chemotherapeutics mainly include gemcitabine, paclitaxel and platinum drugs, but these drugs generally have poor selectivity and high toxicity, which leads to relatively strong side effects.
- molecular targeted drugs have gradually become research hotspots due to their high selectivity, relatively small side effects, and their obvious advantages such as precise treatment.
- NSCLC molecular targeted drugs include EGFR inhibitors (such as afatinib, gefitinib, erlotinib, lapatinib, dacomitinib, icotinib, pirotinib, and nos) (Rociletinib, osimertinib, etc.), ALK inhibitors (such as ceritinib, alectinib, brigatinib, loratinib, okatinib, etc.), and VEGFR inhibitors ( Sorafenib, Regorafenib, Cabozantinib, Sunitinib, Donafenib, etc.).
- EGFR inhibitors such as afatinib, gefitinib, erlotinib, lapatinib, dacomitinib, icotinib, pirotinib, and nos
- EGFR inhibitors such as afatinib, gefitin
- KRAS mutations are frequently detected, accounting for about 32% of all oncogene mutations.
- KRAS G12C mutation accounts for 44% of all oncogene mutations in NSCLC. So far, no drugs targeting the KRAS G12C mutation have been approved on the market.
- KRAS G12C target protein is pathologically related to a variety of diseases
- KRAS G12C inhibitors for clinical treatment.
- Highly selective and active KRAS G12C inhibitors can treat cancers and other diseases caused by KRAS G12C mutations more effectively, and reduce the potential for off-target effects, so they have more urgent clinical needs.
- the purpose of the present invention is to provide a new type of compound with selective inhibitory effect on KRAS G12C and/or better pharmacodynamic performance and its use.
- the first aspect of the present invention provides a compound of formula (I), its stereoisomer, tautomer, crystal form, pharmaceutically acceptable salt, hydrate, solvate or prodrug:
- a and B are the same or different, and are independently selected from the following group: CH, CR 5 or N;
- X is selected from the following group: 4-14 membered saturated or unsaturated heterocyclic group, C 4 -C 14 cycloalkyl group, C 6 -C 14 aryl group or 5-14 membered heteroaryl group, wherein the heterocyclic group
- the radical, cycloalkyl, aryl or heteroaryl group may be optionally substituted by one or more (such as 2, 3 or 4) R 8 ;
- U, V, W and Q are the same or different, and are each independently selected from the following group: CH, CR 3 or N;
- R 1 is selected from the following group: in, Represents double bond " ⁇ " or triple bond " ⁇ ";
- R A is absent, or independently selected from the following group: hydrogen, deuterium, fluorine, cyano or C 1 -C 3 alkyl; each R B is independently selected from the following group: hydrogen, deuterium, cyano or C 1 -C 3 alkyl; wherein, the alkyl can be substituted by one or more (such as 2, 3 or 4) substituents selected from the following group: deuterium, halogen, cyano, amine, C 3 -C 7 Cycloalkyl, 4-7 membered heterocyclyl, NHR 9 or NR 9 R 10 ; R 9 and R 10 are each independently a C 1 -C 3 alkyl group; or R 9 , R 10 and the N atom to which they are connected are formed together A substituted or unsubstituted 4-8 membered heterocyclic group;
- p is an integer of 1 or 2;
- R 3 is selected from the following group of substituted or unsubstituted groups: hydrogen, deuterium, C 1 -C 18 alkyl, deuterated C 1 -C 18 alkyl, halogenated C 1 -C 18 alkyl, C 3 -C 20 cycloalkyl, C 1 -C 18 alkoxy, deuterated C 1 -C 18 alkoxy, halogenated C 1 -C 18 alkoxy, halogen, nitro, hydroxyl, cyano, ester, amine Group, amide group, sulfonamide group, ureido group, 4-20 membered heterocyclic group, C 6 -C 14 aryl group, 5-14 membered heteroaryl group;
- L is selected from the following group: bond, -C(O)-, C 1 -C 3 alkylene;
- R 4 is selected from the following group of substituted or unsubstituted groups: hydrogen, deuterium, C 1 -C 18 alkyl, deuterated C 1 -C 18 alkyl, halogenated C 1 -C 18 alkyl, C 3 -C 20 cycloalkyl, C 1 -C 18 alkoxy, deuterated C 1 -C 18 alkoxy, halogenated C 1 -C 18 alkoxy, amino, hydroxyl, 4-20 membered heterocyclic group, C 6 -C 14 aryl, 5-14 membered heteroaryl;
- R 5 is selected from the following group of substituted or unsubstituted groups: hydrogen, deuterium, C 1 -C 18 alkyl, deuterated C 1 -C 18 alkyl, halogenated C 1 -C 18 alkyl, C 3 -C 20 cycloalkyl, C 1 -C 18 alkoxy, deuterated C 1 -C 18 alkoxy, halogenated C 1 -C 18 alkoxy, halogen, nitro, hydroxyl, cyano, ester, amine Group, amide group, sulfonamide group, ureido group, 4-20 membered heterocyclic group, C 6 -C 14 aryl group, 5-14 membered heteroaryl group;
- R 6 is selected from the following group of substituted or unsubstituted groups: hydrogen, deuterium, C 1 -C 18 alkyl, deuterated C 1 -C 18 alkyl, halogenated C 1 -C 18 alkyl, C 3 -C 20 cycloalkyl, C 1 -C 18 alkoxy, deuterated C 1 -C 18 alkoxy, halogenated C 1 -C 18 alkoxy, 4-20 membered heterocyclic group, C 6 -C 14 aryl Group, 5-14 membered heteroaryl group;
- R 8 is independently selected from the following group of substituted or unsubstituted groups: hydrogen, deuterium, C 1 -C 18 alkyl, deuterated C 1 -C 18 alkyl, halo C 1 -C 18 alkyl, C 3 -C 20 cycloalkyl, C 1 -C 18 alkoxy, deuterated C 1 -C 18 alkoxy, halogenated C 1 -C 18 alkoxy, amino, hydroxyl, 4-20 membered heterocyclic group, C 6 -C 14 aryl, 5-14 membered heteroaryl;
- substitution refers to the substitution by one or more groups selected from the following group: hydrogen, deuterium, C 1 -C 18 alkyl, and deuterated C 1 -C 18 unless otherwise specified.
- R 1 is selected from the following group: Among them, p is 2;
- R 1 is selected from the following group: Among them, p is 2;
- R 2 is not selected from:
- L is not selected from bonds; and R 4 is not selected from:
- the compound of the present invention does not include the following compounds:
- the compound does not include the following compounds:
- R 8 is each independently selected from the following group of substituted or unsubstituted groups: hydrogen, deuterium, C 1 -C 6 alkyl, deuterated C 1 -C 6 alkyl, halo C 1 -C 6 alkyl, C 3 -C 8 cycloalkyl, C 1 -C 6 alkoxy, deuterated C 1 -C 6 alkoxy, halogenated C 1 -C 6 alkoxy, amino, hydroxyl, 4-8 membered heterocyclic group; the substitution refers to the substitution by one or more groups selected from the following group: hydrogen, deuterium, halogen, nitro, hydroxyl, cyano, ester, amine, amide, Sulfonamide group or urea group.
- R 8 is each independently selected from the following group of substituted or unsubstituted groups: hydrogen, deuterium, C 1 -C 18 alkyl, deuterated C 1 -C 18 alkyl, and halogenated C 1- C 18 alkyl; wherein, the substitution refers to substitution by a cyano group.
- R A is independently selected from the following group: hydrogen, deuterium, fluorine, cyano or C 1 -C 3 alkyl
- each R B is the same or different, and is independently selected from the following group: hydrogen, deuterium, cyano or C 1 -C 3 alkyl; wherein the alkyl can be substituted by one or more substituents selected from the group consisting of deuterium, halogen, cyano, amine, C 3 -C 7 cycloalkyl, 4- 7-membered heterocyclic group, NHR 9 or NR 9 R 10 ;
- R 9 and R 10 are each independently a C 1 -C 3 alkyl group; or R 9 , R 10 and the N atom to which they are attached together form a substituted or unsubstituted 4 -8 membered heterocyclic group;
- R 6 is selected from the following group of substituted or unsubstituted groups: hydrogen, deuterium, C 1 -C 6 alkyl, deuterated C 1 -C 6 alkyl, halo C 1 -C 6 alkyl, C 3 -C 8 cycloalkyl, C 1 -C 6 alkoxy, deuterated C 1 -C 6 alkoxy, halogenated C 1 -C 6 alkoxy, 4-8 membered heterocyclic group, C 6 -C 14 aromatic Group, 5-14 membered heteroaryl group;
- substitution refers to the substitution by one or more groups selected from the following group: hydrogen, deuterium, C 1 -C 6 alkyl, and deuterated C 1 -C 6 unless otherwise specified.
- R 3 is halogen
- a and B are the same or different, and each independently is CH or N.
- Q is N.
- U is N.
- V and W are each independently CR 3 , and R 3 is H or halogen.
- the compound of formula (I), its stereoisomers, tautomers, crystal forms, pharmaceutically acceptable salts, hydrates, solvates or prodrugs have The structure shown in formula (II-A) or (II-B):
- R 1 , R 2 , R 4 , A, B, L, X, U, V, W, and Q are as described above.
- the compound of formula (I), its stereoisomers, tautomers, crystal forms, pharmaceutically acceptable salts, hydrates, solvates or prodrugs have The structure shown in formula (III):
- R 1 , R 2 , R 4 , X, L, U, V, W, and Q are as described above.
- the compound of formula (I), its stereoisomers, tautomers, crystal forms, pharmaceutically acceptable salts, hydrates, solvates or prodrugs have The structure shown in formula (IV):
- R 1 , R 2 , R 4 , R 8 , L, U, V, W, and Q are as described above.
- the compound of formula (I), its stereoisomers, tautomers, crystal forms, pharmaceutically acceptable salts, hydrates, solvates or prodrugs have The structure shown in formula (V):
- R 1 , R 2 , R 4 , R 8 , U, V, W, and Q are as described above.
- the compound of formula (I), its stereoisomers, tautomers, crystal forms, pharmaceutically acceptable salts, hydrates, solvates or prodrugs have The structure shown in formula (VI):
- R 1 , R 2 , R 4 , R 8 , U, V, and Q are as described above.
- the compound of formula (I), its stereoisomers, tautomers, crystal forms, pharmaceutically acceptable salts, hydrates, solvates or prodrugs are characterized by Is that it has the structure represented by formula (VII):
- R 1 , R 2 , R 4 , R 8 , V, and Q are as described above.
- the compound of formula (I), its stereoisomers, tautomers, crystal forms, pharmaceutically acceptable salts, hydrates, solvates or prodrugs have The structure shown in formula (VIII):
- R"' is selected from the following group of substituted or unsubstituted groups: hydrogen, deuterium, halogen, nitro, hydroxyl, cyano, ester, amine, amide, C 1 -C 6 alkyl, C 3 -C 8 -cycloalkyl, C 4 -C 10 cycloalkenyl, 4-8 membered heterocyclic group, C 6 -C 14 aryl, 5-14 membered heteroaryl, wherein the substitution refers to being selected from the following group Substitution of one or more groups: deuterium, halogen, nitro, hydroxyl, cyano, ester, amine, amide, C 1 -C 6 alkyl, C 3 -C 8 cycloalkyl, C 4- C 10 cycloalkenyl, 4-8 membered heterocyclic group, C 6 -C 14 aryl, 5-14 membered heteroaryl;
- q is selected from: 1, 2, 3 or 4;
- R 1 , R 4 , R 8 , R', V, and Q are as described above.
- R 8 can be 1, 2, 3, or 4, or two adjacent R 8 can form a C 3 -C 6 cycloalkyl group together with the C atom to which they are connected.
- R 1 is selected from:
- the compound has a structure represented by formula (VIII-A):
- R"' are each independently selected from the following group of substituted or unsubstituted groups: deuterium, halogen, nitro, hydroxyl, cyano, ester, amine, amide, C 1 -C 6 alkyl, C 3- C 8 cycloalkyl, C 4 -C 10 cycloalkenyl, 4-8 membered heterocyclic group, C 6 -C 14 aryl, 5-14 membered heteroaryl, wherein the substitution means being selected from One or more group substitutions of the group: deuterium, halogen, nitro, hydroxyl, cyano, ester, amine, amide, C 1 -C 6 alkyl, C 3 -C 8 cycloalkyl, C 4 -C 10 cycloalkenyl, 4-8 membered heterocyclic group, C 6 -C 14 aryl, 5-14 membered heteroaryl;
- q is selected from: 1, 2, 3 or 4;
- R 1 , R 4 , R 8 , R', V, and Q are as described above.
- R 8 is each independently selected from the following group of substituted or unsubstituted groups: hydrogen, deuterium, C 1 -C 6 alkyl, deuterated C 1 -C 6 alkyl, halo C 1 -C 6 alkyl, wherein the substitution refers to substitution by a cyano group.
- each R 8 is independently a substituted or unsubstituted C 1 -C 3 alkyl group, wherein the substitution refers to substitution by a cyano group.
- each R 8 is a methyl group.
- the compound of formula (I), its stereoisomers, tautomers, crystal forms, pharmaceutically acceptable salts, hydrates, solvates or prodrugs have The structure shown in formula (IX):
- R 1 is selected from: Wherein, R A is selected from: H, D, halogen or cyano; R B and R B'are the same or different, each independently selected from: H, D, halogen, cyano, substituted or unsubstituted C 1 -C 3 Alkyl; wherein, the substitution refers to substitution by one or more groups selected from the following group: D, halogen, cyano, C 1 -C 3 alkyl, C 3 -C 6 cycloalkyl, 4 -6 membered heterocyclic group or NR IV R V ; R IV and R V are the same or different, each independently selected from: H, C 1 -C 3 alkyl, C 3 -C 6 cycloalkyl or 4-6 membered Heterocyclic group; or R IV , R V and adjacent N are cyclized together to form a 4-6 membered heterocyclic group;
- R 4 , R', V, Q, R"' and q are as described above.
- R"' is selected from substituted or unsubstituted groups: C 1 -C 6 alkyl, C 3 -C 8 cycloalkyl, C 4 -C 10 cycloalkenyl, 4- 8-membered heterocyclic group, C 6 -C 10 aryl group, 5-10 membered heteroaryl group, wherein the substitution refers to substitution by one or more groups selected from the following group: deuterium, halogen, nitro, Hydroxyl group, cyano group, ester group, amino group, amide group, C 1 -C 6 alkyl group, C 3 -C 8 cycloalkyl group, 4-8 membered heterocyclic group.
- R"' is selected from the following group of substituted or unsubstituted groups: C 1 -C 6 alkyl, C 3 -C 6 cycloalkyl, C 4 -C 6 cycloalkenyl, 4- 6-membered heterocyclic group, wherein the substitution refers to substitution by one or more groups selected from the following group: deuterium, halogen, nitro, hydroxyl, cyano, ester, amine, amide, C 1 -C 3 alkyl.
- R"' is selected from the following group of substituted or unsubstituted groups: C 3 -C 8 cycloalkyl, 4-8 membered heterocyclic group, wherein the substitution refers to being selected from One or more group substitutions of the group: deuterium, halogen, nitro, hydroxyl, cyano, ester, amine, amide, C 1 -C 3 alkyl.
- R"' is selected from the following substituted or unsubstituted groups: ethyl, n-propyl, isopropyl, cyclopropyl, cyclobutyl, cyclopentyl, cyclohexyl, cyclopropyl Amino, azetidinyl, azetidinyl, azetidinyl, oxiranyl, oxetanyl, oxetanyl, oxetanyl, oxetanyl, wherein, the substitution refers to substitution by one or more (such as 2, 3, 4) groups selected from the following group: deuterium, halogen, nitro, hydroxyl, cyano, ester, amine, amide, C 1 -C 3 alkyl.
- q is 1.
- R 2 is selected from:
- R 2 is selected from the following group:
- K is independently O, S, CH 2 or NH; e and f are each independently 0, 1 or 2, preferably H in the above groups can be optionally deuterated, halogen, nitro, hydroxyl, cyano , Ester group, amine group, amide group, C 1 -C 3 alkyl substitution.
- Part of it is selected from the following group:
- K is independently O, S, CH 2 or NH; e and f are each independently 0, 1 or 2, preferably H in the above groups can be optionally deuterated, halogen, nitro, hydroxyl, cyano , Ester group, amine group, amide group, C 1 -C 3 alkyl substitution.
- the compound has a structure represented by formula (VIII-1) or (VIII-2):
- Rx is selected from: F or Cl
- Rm is selected from the following group of substituted or unsubstituted groups: amino group, C 1 -C 6 alkyl group, C 3 -C 6 cycloalkyl group, 4-6 membered heterocyclic group, wherein the substitution refers to the selected Substituting one or more groups from the following group: deuterium, halogen, nitro, hydroxyl, cyano, ester, amine, amide, C 1 -C 3 alkyl, C 3 -C 6 cycloalkyl, 4-6 membered heterocyclic group;
- Rn is selected from the following group of substituted or unsubstituted groups: amino, C 1 -C 6 alkyl, C 1 -C 6 alkoxy, C 3 -C 6 cycloalkyl, -OC 3 -C 6 cycloalkane Group, C 1 -C 6 alkyl C 3 -C 6 cycloalkyl, -OC 1 -C 6 alkyl C 3 -C 6 cycloalkyl, 4-6 membered heterocyclic group, wherein the substitution refers to Substituted by one or more groups selected from the following group: deuterium, halogen, nitro, hydroxyl, cyano, ester, amine, amide, C 1 -C 3 alkyl, C 1 -C 3 haloalkyl , C 3 -C 6 cycloalkyl, 4-6 membered heterocyclic group;
- R 1 The definition of R 1 is as described above.
- the compound of formula (I), its stereoisomers, tautomers, crystal forms, pharmaceutically acceptable salts, hydrates, solvates or prodrugs have The structure shown in formula (X) or (XI):
- Rm is selected from the following group of substituted or unsubstituted groups: amino group, C 1 -C 6 alkyl group, C 3 -C 6 cycloalkyl group, 4-6 membered heterocyclic group, wherein the substitution refers to the selected Substitution from one or more (such as 2, 3, 4) groups from the following group: deuterium, halogen, nitro, hydroxyl, cyano, ester, amine, amide, C 1 -C 3 alkyl, C3 -C6 cycloalkyl, 4-6 membered heterocyclic group;
- Rn is selected from the following group of substituted or unsubstituted groups: amino, C 1 -C 6 alkyl, C 1 -C 6 alkoxy, C 3 -C 6 cycloalkyl, -OC 3 -C 6 cycloalkane Group, C 1 -C 6 alkyl C 3 -C 6 cycloalkyl, -OC 1 -C 6 alkyl C 3 -C 6 cycloalkyl, 4-6 membered heterocyclic group, wherein the substitution refers to Substitution by one or more (such as 2, 3, 4) groups selected from the following group: deuterium, halogen, nitro, hydroxyl, cyano, ester, amine, amide, C 1 -C 3 alkyl , C 1 -C 3 haloalkyl, C 3 -C 6 cycloalkyl, 4-6 membered heterocyclic group;
- Rx is selected from: F or Cl
- R A is selected from: H, D, halo, preferably, R A is selected from: H or F.
- R"' is as described above;
- q' is selected from 0, 1, 2, or 3.
- the compound has a structure represented by formula (XII) or (XIII):
- R b , R c can independently represent hydrogen, deuterium, C 1 -C 6 alkyl, C 3 -C 8 cycloalkyl, 4-8 membered heterocyclic group, 5-14 membered heteroaryl or C 6 -C 14 aromatic ring, or R b and R c and N atom Together they can form a 4-8 membered heterocyclic group;
- R e can independently represent hydrogen, C1-C 6 alkyl, C 3 -C 8 cycloal
- the compound has a structure represented by formula (XIV) or (XV):
- Rn is selected from the following group of substituted or unsubstituted groups: ethyl, n-propyl, isopropyl, cyclopropyl, cyclobutyl, cyclopentyl, cyclohexyl, cyclopropylamino, Azetidinyl, azetidinyl, azetidinyl, oxiranyl, oxetanyl, oxolanyl, oxetanyl, of which,
- the substitution refers to substitution by one or more (such as 2, 3, 4) groups selected from the following group: deuterium, halogen, nitro, hydroxyl, cyano, ester, amine, amide, C 1 -C 3 alkyl.
- Rm is selected from the following group of substituted or unsubstituted groups: methyl, ethyl, n-propyl, isopropyl, cyclopropyl, cyclobutyl, cyclopentyl, cyclohexyl, cyclo Propylamino, azetidinyl, azetidinyl, azetidinyl, oxiranyl, oxetanyl, oxetanyl, oxetanyl , oxetanyl , wherein, the substitution refers to substitution by one or more (such as 2, 3, 4) groups selected from the following group: deuterium, halogen, nitro, hydroxyl, cyano, ester, amine, amide , C 1 -C 3 alkyl.
- Rn is selected from the following group of substituted or unsubstituted groups: ethyl, n-propyl, isopropyl, cyclopropyl, cyclobutyl, cyclopentyl, cyclohexyl, cyclopropylamino, Azetidinyl, azetidinyl, azetidinyl, oxiranyl, oxetanyl, oxolanyl, oxetanyl, of which,
- the substitution refers to substitution by one or more groups selected from the following group: deuterium, halogen, nitro, hydroxyl, cyano, ester, amine, amide, C 1 -C 3 alkyl;
- Rm is selected from the following group of substituted or unsubstituted groups: methyl, ethyl, n-propyl, isopropyl, cyclopropyl, cyclobutyl, cyclopentyl, cyclohexyl, cyclopropylamino, azetidine Alkyl, azepanyl, azetidine, oxiranyl, oxetanyl, oxolane, oxetanyl, wherein the substitution is Refers to substitution by one or more groups selected from the following group: deuterium, halogen, nitro, hydroxyl, cyano, ester, amine, amide, C 1 -C 3 alkyl.
- R 4b , R 4c and R 4d are H.
- Rx is selected from: F or Cl.
- R A is selected from: H, D, halo, preferably, R A is selected from: H or F.
- the compound of formula (I), its stereoisomers, tautomers, crystal forms, pharmaceutically acceptable salts, hydrates, solvates or prodrugs do not contain
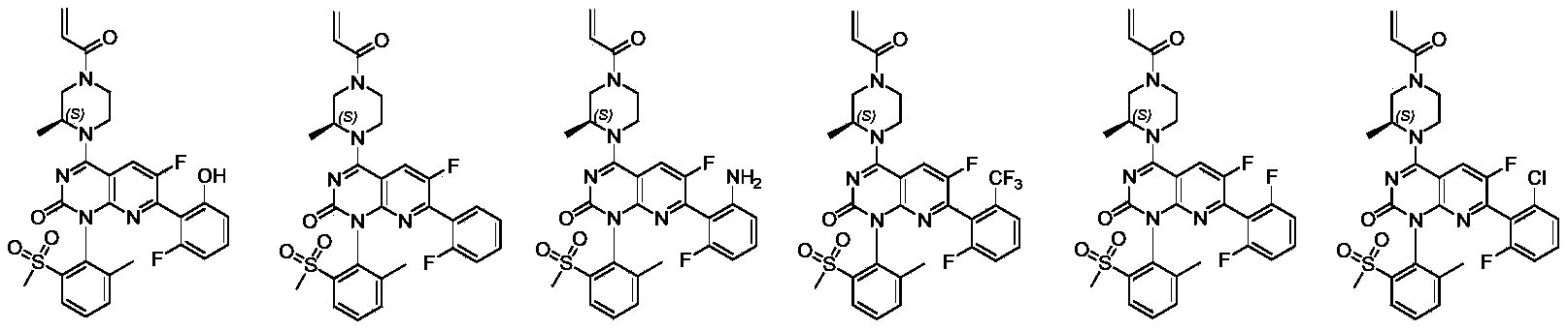
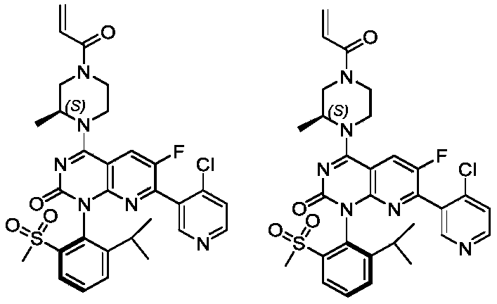
- the compound of formula (I), its stereoisomers, tautomers, crystal forms, pharmaceutically acceptable salts, hydrates, solvates or prodrugs are selected from the examples The compound shown in.
- the second aspect of the present invention provides a method for preparing a compound of formula (I), its stereoisomers, tautomers, crystal forms, pharmaceutically acceptable salts, hydrates, solvates or prodrugs, Including steps:
- E is halogen, OH, OCOR 1 , OCO ( i Bu), etc.
- E 1 is -BH 2 , -B(OH) 2 , -Sn(Bu) 3 , -ZnBr, etc.;
- PG is an amino protecting group, and the protecting group is selected from the group consisting of Boc, Bn, Cbz or Fmoc;
- Y and Z are leaving groups, and the leaving groups are selected from the group consisting of halogen or OTf;
- the first base is selected from the group consisting of KHMDS, NaHMDS, LiHMDS, NaH, NaOMe, NaOEt or t BuONa;
- the second base is selected from the group consisting of TEA, DIPEA, DMAP or N,N-dimethylaniline;
- R 1 , R 2 , R 4 , L, A, B, X, U, V, W, and Q are as described in the first aspect.
- the third aspect of the present invention provides a pharmaceutical composition
- a pharmaceutical composition comprising one or more of the compounds of formula (I) described in the first aspect, its stereoisomers, tautomers, and crystal forms , Pharmaceutically acceptable salts, hydrates, solvates or prodrugs; and pharmaceutically acceptable carriers.
- the pharmaceutical composition further comprises a drug selected from the group consisting of PD-1 inhibitors (such as nivolumab, pembrolizumab, pidilizumab, cemipilimab, JS-001, SHR-120, BGB-A317, IBI-308, GLS-010, GB-226, STW204, HX008, HLX10, BAT1306, AK105, LZM 009 or biosimilars of the above drugs, etc.), PD-L1 inhibitors (such as duvacizumab, Atezolizumab, avelumab, CS1001, KN035, HLX20, SHR-1316, BGB-A333, JS003, CS1003, KL-A167, F520, GR1405, MSB2311 or biological analogues of the above drugs Etc.), CD20 antibodies (such as rituximab, obin utuzumab, ofatumumab,
- MEK inhibitors e.g. Smeltinib (AZD6244), Trametinib (GSK11 20212), PD0325901, U0126, Pimasertib (AS-703026), PD184352 (CI-1040), etc.
- mTOR inhibitors such as Vistusertib, etc.
- SHP2 inhibitors such as RMC-4630, JAB-30
- a method for preparing a pharmaceutical composition which includes the steps of combining a pharmaceutically acceptable carrier with the compound of formula (I), stereoisomers, and tautomers described in the first aspect of the present invention.
- a pharmaceutically acceptable carrier with the compound of formula (I), stereoisomers, and tautomers described in the first aspect of the present invention.
- Forms, crystal forms, pharmaceutically acceptable salts, hydrates, solvates or prodrugs are mixed to form a pharmaceutical composition.
- the fourth aspect of the present invention provides the compound of formula (I) described in the first aspect, its stereoisomer, tautomer, crystal form, pharmaceutically acceptable salt, hydrate, solvate or prodrug , Or the use of the pharmaceutical composition of the third aspect to prepare a pharmaceutical composition for preventing and/or treating diseases related to the activity or expression of KRAS G12C.
- the fifth aspect of the present invention provides a method for preventing and/or treating diseases related to the activity or expression level of KRAS G12C , which comprises the step of: administering an effective amount of the compound of formula (I) described in the first aspect to the patient in need , Its stereoisomers, tautomers, crystal forms, pharmaceutically acceptable salts, hydrates, solvates or prodrugs, or administration of the pharmaceutical composition described in the third aspect.
- the disease is a tumor or a disordered disease.
- the disease is selected from the following group: lung cancer, breast cancer, prostate cancer, esophageal cancer, colorectal cancer, bone cancer, kidney cancer, gastric cancer, liver cancer, colorectal cancer, melanoma, lymphoma, blood cancer , Brain tumor, myeloma, soft tissue sarcoma, pancreatic cancer, skin cancer.
- the sixth aspect of the present invention provides a non-diagnostic and non-therapeutic method for inhibiting KRAS G12C , which comprises the steps of: administering to a patient in need an effective amount of the compound of formula (I) described in the first aspect, and its stereospecificity Constructs, tautomers, crystal forms, pharmaceutically acceptable salts, hydrates, solvates or prodrugs, or administration of the pharmaceutical composition described in the third aspect.
- the seventh aspect of the present invention provides a method for inhibiting the inhibition of KRAS G12C in vitro, which comprises the steps of: combining the compound described in the first aspect, its stereoisomers, tautomers, crystal forms, and pharmaceutically acceptable salts , Hydrate, solvate or prodrug, or the composition of the third aspect, in contact with somatic cells.
- the somatic cells are derived from primates (such as humans).
- the inventors unexpectedly prepared a new type of KRAS G12C compound with selective inhibition and/or better pharmacodynamic properties. On this basis, the inventor completed the present invention.
- substituent When a substituent is described by a conventional chemical formula written from left to right, the substituent also includes the chemically equivalent substituent obtained when the structural formula is written from right to left.
- substituent -CH 2 O- is equivalent to -OCH 2 -.
- alkyl refers to a straight or branched chain alkane group, which can include any number of carbon atoms, where "C 1 -C 18 alkyl” refers to including 1, 2, 3, 4, 5, 6, 7, 8, 9, 10, 11, 12, 13, 14, 15, 16, 17 or 18 carbon atoms, preferably, for example, C 1 -C 2 , C 1 -C 3 , C 1 -C 4 , C 1- C 5 , C 1 -C 6 , C 1 -C 7 , C 1 -C 8 , C 1 -C 9 , C 1 -C 10 , C 2 -C 3 , C 2 -C 4 , C 2 -C 5 , C 2 -C 6 , C 3 -C 4 , C 3 -C 5 , C 3 -C 6 , C 4 -C 5 , C 4 -C 6 or C 5-6 .
- alkyl includes but is not limited to methyl, ethyl, propyl, isopropyl, n-butyl, tert-butyl, isobutyl, Pentyl, isopentyl, heptyl, 4,4-dimethylpentyl, octyl, 2,2,4-trimethylpentyl, nonyl, decyl, undecyl, dodecyl etc.
- the alkyl group also includes a substituted alkyl group. "Substituted alkyl” means that one or more positions in the alkyl group are substituted, especially 1-4 substituents, which can be substituted at any position.
- cycloalkyl refers to a fully saturated cyclic hydrocarbon compound group, where "C 3 -C 20 cycloalkyl” refers to containing 3, 4, 5, 6, 7, 8, 9, 10, 11, 12, 13, 14, 15, 16, 17, 18, 19 or 20 carbon atoms fully saturated cyclic hydrocarbon compound group, including 1-4 rings, each ring contains 3-8 carbon atom. Preferably, it is C 3 -C 4 , C 3 -C 5 , C 3 -C 6 , C 3 -C 7 , C 3 -C 8 , C 3 -C 9 , C 3 -C 10 .
- Substituted cycloalkyl means that one or more positions in the cycloalkyl group are substituted, especially 1-4 substituents, which can be substituted at any position.
- cycloalkyl is intended to include “substituted cycloalkyl”.
- heterocyclic group refers to a fully saturated or partially unsaturated cyclic group
- heterocyclic group refers to a group containing 3, 4, 5, 6, 7, 8, 9, 10 , 11, 12, 13, 14, 15, 16, 17, 18, 19 or 20 ring atoms fully saturated or partially unsaturated cyclic groups (including but not limited to such as 3-7 membered monocyclic ring, 6 -11-membered bicyclic ring, or 8-16-membered tricyclic ring system), in which at least one heteroatom is present in a ring with at least one carbon atom.
- Each heterocyclic ring containing heteroatoms can have 1, 2, 3, or 4 heteroatoms, and these heteroatoms are selected from nitrogen, oxygen or sulfur, wherein nitrogen or sulfur can be oxidized, and nitrogen can also be quaternized.
- the heterocyclic group can be attached to any heteroatom or carbon atom residue of the ring or ring system molecule.
- Typical monocyclic heterocyclic groups include, but are not limited to, azetidinyl, pyrrolidinyl, oxetanyl, pyrazolinyl, imidazolinyl, imidazolidinyl, oxazolidinyl, isoxazole Alkyl, thiazolidinyl, isothiazolidinyl, tetrahydrofuranyl, piperidinyl, piperazinyl, 2-oxopiperazinyl, 2-oxopiperidinyl, 2-oxopyrrolidinyl, hexahydroacridine Heptinyl, 4-piperidinone, tetrahydropyranyl, morpholinyl, thiomorpholinyl, thiomorpholinyl sulfoxide, thiomorpholinylsulfone, 1,3-dioxanyl And tetrahydro-1,1-dioxythiophene and so on
- Polycyclic heterocyclic groups include spiro, condensed and bridged heterocyclic groups; the spiro, condensed and bridged heterocyclic groups involved are optionally connected to other groups through a single bond, or through a ring Any two or more of the above atoms are further connected to other cycloalkyl groups, heterocyclic groups, aryl groups and heteroaryl groups; the heterocyclic group may be substituted or unsubstituted.
- aryl refers to an aromatic cyclic hydrocarbon compound group, where "C6-C14 aryl” refers to a group containing 6, 7, 8, 9, 10, 11, 12, 13 or 14 ring carbon atoms
- Aromatic cyclic hydrocarbon compound groups have 1-5 rings, especially monocyclic and bicyclic groups, such as phenyl, biphenyl or naphthyl. Where there are two or more aromatic rings (bicyclic, etc.), the aromatic ring of the aryl group can be connected by a single bond (such as biphenyl) or condensed (such as naphthalene, anthracene, etc.).
- “Substituted aryl” means that one or more positions in the aryl group are substituted, especially 1-3 substituents, which can be substituted at any position.
- heteroaryl refers to an aromatic cyclic hydrocarbon compound group containing 1 to 4 heteroatoms, wherein the heteroatoms are selected from oxygen, nitrogen and sulfur.
- heteroatoms are selected from oxygen, nitrogen and sulfur.
- heteroaryl refers to an aromatic cyclic hydrocarbon compound group containing 5, 6, 7, 8, 9, 10, 11, 12, 13, or 14 ring atoms, wherein the ring atoms Contain 1-4 heteroatoms selected from N, O, S.
- Heteroaryl groups are preferably 5- to 10-membered rings, more preferably 5-membered or 6-membered.
- Heteroaryl groups include but are not limited to pyrrolyl, pyrazolyl, imidazolyl, oxazolyl, isoxazolyl, thiazolyl, thiadi Azolyl, isothiazolyl, furanyl, pyridyl, pyrazinyl, pyrimidinyl, pyridazinyl, triazinyl, triazolyl and tetrazolyl, etc.
- alkoxy refers to a straight or branched chain or cyclic alkoxy group
- C1-C18 alkoxy refers to a straight or branched chain or cyclic alkyl group having 1 to 18 carbon atoms
- the oxy group includes C1-C18 alkyl-O-, -C1-C6 alkyl-O-C1-C6 alkyl, preferably C1-C8 alkoxy, more preferably C1-C6 alkoxy, alkoxy includes But it is not limited to methoxy, ethoxy, propoxy, isopropoxy and butoxy.
- Cycloalkenyl refers to a cyclic hydrocarbon group with one or more double bonds, where "C 4 -C 10 cycloalkenyl” refers to one or more double bonds, including 4, 5, 6, 7, Cyclic hydrocarbon groups with 8, 9 or 10 carbon atoms, preferably C 4 -C 6 cycloalkenyl groups, including but not limited to: cyclobutenyl, cyclopentenyl, cyclopentadienyl, cycloalkenyl Hexenyl, cyclohexadienyl, etc.
- ester group refers to a group with the structure -COOR, where R represents hydrogen, alkyl or substituted alkyl, cycloalkyl or substituted cycloalkyl, cycloalkenyl or substituted cycloalkenyl, aryl Group or substituted aryl group, heteroaryl group or substituted heteroaryl group, heterocyclic group or substituted heterocyclic group.
- R represents hydrogen, alkyl or substituted alkyl, cycloalkyl or substituted cycloalkyl, cycloalkenyl or substituted cycloalkenyl, aryl Group or substituted aryl group, heteroaryl group or substituted heteroaryl group, heterocyclic group or substituted heterocyclic group.
- amino refers to a group with the structure -NRR', where R and R'can independently represent hydrogen, alkyl or substituted alkyl, cycloalkyl or substituted cycloalkyl, cycloalkenyl or A substituted cycloalkenyl, aryl or substituted aryl, heteroaryl or substituted heteroaryl, heterocyclic or substituted heterocyclic group.
- R and R' can be the same or different.
- the amine group is -NH 2 .
- amine groups include, but are not limited to, methylamino, dimethylamino, ethylamino, diethylamino, propylamino, isopropylamino, butylamino, and the like.
- amide group refers to a group with the structure -CONRR', where R and R'can independently represent hydrogen, alkyl or substituted alkyl, cycloalkyl or substituted cycloalkyl, cycloalkenyl or A substituted cycloalkenyl, aryl or substituted aryl, heteroaryl or substituted heteroaryl, heterocyclic or substituted heterocyclic group.
- R and R' can be the same or different.
- sulfonamido refers to a group with the structure -SO 2 NRR', where R and R'can independently represent hydrogen, alkyl or substituted alkyl, cycloalkyl or substituted cycloalkyl, ring Alkenyl or substituted cycloalkenyl, aryl or substituted aryl, heteroaryl or substituted heteroaryl, heterocyclic or substituted heterocyclic.
- R and R' can be the same or different.
- aminosulfonyl refers to a group with the structure -NRSO 2 R', where R and R'can independently represent hydrogen, alkyl or substituted alkyl, cycloalkyl or substituted cycloalkyl, Cycloalkenyl or substituted cycloalkenyl, aryl or substituted aryl, heteroaryl or substituted heteroaryl, heterocyclic or substituted heterocyclic.
- R and R' can be the same or different.
- ureido refers to a group with the structure -NRCONR'R", where R, R'and R" can independently represent hydrogen, alkyl or substituted alkyl, cycloalkyl or substituted cycloalkyl , Cycloalkenyl or substituted cycloalkenyl, aryl or substituted aryl, heteroaryl or substituted heteroaryl, heterocyclic group or substituted heterocyclic group.
- the alkyl group, cycloalkyl group, cycloalkenyl group, aryl group, heteroaryl group, and heterocyclic group have the definitions as described above.
- R, R'and R" may be the same or different.
- a substituent is a non-terminal substituent or a related group has one H atom removed, it is a subunit of the corresponding group, usually a divalent group, for example, an alkyl group has an alkylene group after one H atom removed (e.g. :Methylene, ethylene, propylene, isopropylidene (such as ), butylene (e.g. ), pentylene (e.g. ), hexyl (e.g. ), Heptyl (e.g.
- the cycloalkyl group corresponds to the cycloalkylene group (such as: Etc.)
- the heterocyclic group corresponds to the heterocyclylene group (such as: )
- cycloalkyl corresponds to heterocyclylene (such as: Etc.)
- alkoxy corresponds to alkyleneoxy (-CH 2 O-, -CH 2 CH 2 -O-CH 2 -, -CH 2 OCH 2 CH 2 CH 2 -) and so on.
- halogen refers to chlorine, bromine, fluorine, and iodine.
- halo means that the H in the group is replaced by halogen.
- deuterated means that the H in the group is replaced by deuterium.
- hydroxyl refers to a group with the structure OH.
- nitro refers to a group bearing the structure NO 2.
- cyano refers to a group bearing the structure CN.
- substituted or unsubstituted groups means that the H atom of the selected group is substituted or unsubstituted, and the selected group does not contain a H atom and will not be substituted.
- the compounds of the present invention can be combined with any number of substituents or functional groups to expand their scope of inclusion.
- substituents or functional groups to expand their scope of inclusion.
- the general formula including substituents in the formula of the present invention refers to the replacement of hydrogen radicals with designated structural substituents.
- each position of the substituents may be the same or different.
- substitution as used herein includes all permissible substitution of organic compounds. Broadly speaking, the permissible substituents include acyclic, cyclic, branched unbranched, carbocyclic and heterocyclic, aromatic and non-aromatic organic compounds.
- the heteroatom nitrogen may have hydrogen substituents or any permitted organic compounds described above to supplement its valence.
- the present invention is not intended to limit the permitted substitution of organic compounds in any way.
- the present invention believes that the combination of substituents and variable groups is good in the treatment of diseases in the form of stable compounds, such as infectious diseases or proliferative diseases.
- stable here refers to a compound that is stable and can be tested for a long enough time to maintain the structural integrity of the compound, preferably for a long enough time to be effective, and is used herein for the above purpose.
- substituted means that one or more hydrogen atoms on a specific group are replaced by a specific substituent.
- the specific substituents are the substituents correspondingly described in the foregoing, or the substituents appearing in each embodiment.
- a substituted group may have a substituent selected from a specific group at any substitutable position of the group, and the substituent may be the same or different in each position.
- the groups include corresponding substituent groups and subgroups, for example, alkyl groups include substituted alkyl groups, cycloalkyl groups include substituted cycloalkyl groups, and aryl groups include substituted aryl groups.
- Heteroaryl groups include substituted heteroaryl groups
- heterocyclic groups include substituted heterocyclic groups and the like.
- substituents contemplated by the present invention are those that are stable or chemically achievable.
- alkyl, cycloalkyl, alkenyl, cycloalkenyl, alkynyl, heterocyclyl, heteroaryl or aryl and their corresponding substituents and subunits can be optionally substituted, wherein ,
- the alkyl group, cycloalkyl group, cycloalkenyl group, heterocyclic group, heteroaryl group or aryl group has the above-mentioned definition.
- the terms "compounds of the present invention” or “active ingredients of the present invention” are used interchangeably and refer to compounds of formula (I), or pharmaceutically acceptable salts, hydrates, solvates, isotopic compounds (such as Deuterated compounds) or prodrugs.
- the term also includes racemates and optical isomers.
- the compound of formula (I) has the following structure:
- R 1 , R 2 , R 4 , L, U, V, W, Q, A, B, and X are as described above.
- the compound of formula (I) has a structure represented by formula (II-A) or (II-B):
- R 1 , R 2 , R 4 , A, B, L, X, U, V, W, and Q are as described above.
- the compound of formula (I) has a structure represented by formula (III):
- R 1 , R 2 , R 4 , X, L, U, V, W, and Q are as described above.
- the compound of formula (I) has a structure represented by formula (IV):
- R 1 , R 2 , R 4 , R 8 , L, U, V, W, and Q are as described above.
- the compound of formula (I) has a structure represented by formula (V):
- R 1 , R 2 , R 4 , R 8 , U, V, W, and Q are as described above.
- the compound of formula (I) has a structure represented by formula (VI):
- R 1 , R 2 , R 4 , R 8 , U, V, and Q are as described above.
- the compound of formula (I) has a structure represented by formula (VII):
- R 1 , R 2 , R 4 , R 8 , V, and Q are as described above.
- R A is independently selected from the following group: hydrogen, deuterium, fluorine, cyano or C 1 -C 3 alkyl
- each R B is the same or different, and is independently selected from the following group: hydrogen, deuterium, cyano or C 1 -C 3 alkyl; wherein, the alkyl can be substituted by one or more (such as 2, 3, 4 or 5) substituents selected from the following group: deuterium, halogen, cyano, amine, C 3 -C 7 cycloalkyl, 4-7 membered heterocyclic group, NHR 9 or NR 9 R 10 ; R 9 and R 10 are each independently a C 1 -C 3 alkyl group; or R 9 , R 10 are connected to it The N atoms of together form a substituted or unsubstituted 4-8 membered heterocyclic group;
- R 6 is selected from the following group of substituted or unsubstituted groups: hydrogen, deuterium, C 1 -C 6 alkyl, deuterated C 1 -C 6 alkyl, halo C 1 -C 6 alkyl, C 3 -C 8 cycloalkyl, C 1 -C 6 alkoxy, deuterated C 1 -C 6 alkoxy, halogenated C 1 -C 6 alkoxy, 4-8 membered heterocyclic group, C 6 -C 14 aromatic Group, 5-14 membered heteroaryl group;
- substitution refers to the substitution by one or more groups selected from the following group: hydrogen, deuterium, C 1 -C 6 alkyl, and deuterated C 1 -C 6 unless otherwise specified.
- Q is N.
- V and W are each independently CR 3 , and R 3 is H or halogen; preferably, R 3 is halogen.
- R 8 is independently selected from the following group of substituted or unsubstituted groups: hydrogen, deuterium, C 1 -C 6 alkyl, deuterated C 1 -C 6 alkyl, halo C 1 -C 6 alkyl , C 3 -C 8 cycloalkyl, C 1 -C 6 alkoxy, deuterated C 1 -C 6 alkoxy, halogenated C 1 -C 6 alkoxy, amino, hydroxyl, 4-8 membered hetero Cyclic; the substitution refers to the substitution by one or more (such as 2, 3, 4 or 5) groups selected from the following group: hydrogen, deuterium, halogen, nitro, hydroxyl, cyano, ester, Amine group, amide group, sulfonamide group or ureido group; more preferably, R 8 is independently selected from the following group of substituted or unsubstituted groups: hydrogen, deuterium, C 1 -C 6 alkyl, deuterated C 1- C
- each R 8 is a methyl group.
- the compound has a structure represented by formula (VIII):
- R"' are each independently selected from the following group of substituted or unsubstituted groups: hydrogen, deuterium, halogen, nitro, hydroxyl, cyano, ester, amine, amide, C 1 -C 6 alkyl, C 3 -C 8 cycloalkyl, C 4 -C 10 cycloalkenyl, 4-8 membered heterocyclic group, C 6 -C 14 aryl, 5-14 membered heteroaryl, wherein the substitution means selected Substituting one or more groups from the following group: deuterium, halogen, nitro, hydroxyl, cyano, ester, amine, amide, C 1 -C 6 alkyl, C 3 -C 8 cycloalkyl, C 4 -C 10 cycloalkenyl, 4-8 membered heterocyclic group, C 6 -C 14 aryl group, 5-14 membered heteroaryl group;
- q is selected from: 1, 2, 3, or 4;
- R 1 , R 4 , R 8 , R', V, and Q are as described above.
- the compound has a structure represented by formula (IX):
- R 1 , R 4 , R', V, R"', Q and q are as described above.
- Rx is selected from: hydrogen, deuterium, C 1 -C 3 alkyl, deuterated C 1 -C 3 alkyl, halogenated C 1 -C 3 alkyl, C 3 -C 6 cycloalkyl, C 1- C 3 alkoxy, halogen, nitro, hydroxyl, cyano, ester, 4-6 membered heterocyclic group, preferably, Partly
- Rx is selected from: hydrogen, deuterium, C 1 -C 3 alkyl, deuterated C 1 -C 3 alkyl, halogenated C 1 -C 3 alkyl, C 3 -C 6 cycloalkyl, C 1- C 3 alkoxy, halogen, nitro, hydroxyl, cyano, ester, 4-6 membered heterocyclic group, preferably, Partly
- R 2 is selected from the following group:
- K is independently O, S, CH2 or NH; e and f are each independently 0, 1 or 2, preferably H in the above groups can be optionally deuterated, halogen, nitro, hydroxyl, cyano, Ester group, amine group, amide group, C 1 -C 3 alkyl substitution.
- the compound has a structure represented by formula (VIII):
- R"' is selected from the following group of substituted or unsubstituted groups: hydrogen, deuterium, halogen, nitro, hydroxyl, cyano, ester, amine, amide, C 1 -C 6 alkyl, C 3 -C 8 -cycloalkyl, C 4 -C 10 cycloalkenyl, 4-8 membered heterocyclic group, C 6 -C 14 aryl, 5-14 membered heteroaryl, wherein the substitution refers to being selected from the following group Substitution of one or more groups: deuterium, halogen, nitro, hydroxyl, cyano, ester, amine, amide, C 1 -C 6 alkyl, C 3 -C 8 cycloalkyl, C 4- C 10 cycloalkenyl, 4-8 membered heterocyclic group, C 6 -C 14 aryl, 5-14 membered heteroaryl;
- R 1 , R 4 , R 8 , R′, V, Q, and q are as described above.
- R"' is selected from the following group of substituted or unsubstituted groups: C 1 -C 6 alkyl, C 3 -C 8 cycloalkyl, C 4 -C 10 cycloalkenyl, 4-8 membered heterocycle Group, C 6 -C 10 aryl group, 5-10 membered heteroaryl group, wherein the substitution refers to substitution by one or more groups selected from the following group: deuterium, halogen, nitro, hydroxyl, cyano , Ester group, amino group, amide group, C 1 -C 6 alkyl group, C 3 -C 8 cycloalkyl group, 4-8 membered heterocyclic group.
- R"' is selected from the following group of substituted or unsubstituted groups: C 1 -C 6 alkyl, C 3 -C 6 cycloalkyl, C 4 -C 6 cycloalkenyl, 4-6 membered heterocycle More preferably, R"' is selected from the following substituted or unsubstituted groups: radical, n-propyl, isopropyl, cyclopropyl, cyclobutyl, cyclopentyl, cyclohexyl, cyclopropylamino, Azetidinyl, azetidinyl, azetidinyl, oxiranyl, oxetanyl, oxolanyl, oxetanyl, of which, The substitution refers to substitution by one or more groups selected from the following group: deuterium, halogen, nitro, hydroxyl, cyano, ester, amine, amide, C 1 -C 3
- Part of it is selected from the following group:
- K is independently O, S, CH 2 or NH; e and f are each independently 0, 1 or 2, preferably H in the above groups can be optionally deuterated, halogen, nitro, hydroxyl, cyano , Ester group, amine group, amide group, C 1 -C 3 alkyl substitution.
- the compound has a structure represented by formula (X) or (XI):
- Rm is selected from the following group of substituted or unsubstituted groups: amino group, C 1 -C 6 alkyl group, C 3 -C 6 cycloalkyl group, 4-6 membered heterocyclic group, wherein the substitution refers to the selected Substituting one or more groups from the following group: deuterium, halogen, nitro, hydroxyl, cyano, ester, amine, amide, C 1 -C 3 alkyl, C3-C6 cycloalkyl, 4- 6-membered heterocyclic group;
- Rn is selected from the following group of substituted or unsubstituted groups: amino, C 1 -C 6 alkyl, C 1 -C 6 alkoxy, C 3 -C 6 cycloalkyl, -OC 3 -C 6 cycloalkane Group, C 1 -C 6 alkyl C 3 -C 6 cycloalkyl, -OC 1 -C 6 alkyl C 3 -C 6 cycloalkyl, 4-6 membered heterocyclic group, wherein the substitution refers to Substituted by one or more groups selected from the following group: deuterium, halogen, nitro, hydroxyl, cyano, ester, amine, amide, C 1 -C 3 alkyl, C 1 -C 3 haloalkyl , C3-C6 cycloalkyl, 4-6 membered heterocyclic group;
- Rx is selected from: F or Cl
- R A is selected from: H, D, halo, or cyano, preferably R A is selected from: H or F.
- R"' is as described above;
- q' is selected from 0, 1, 2, or 3.
- the compound has a structure represented by formula (VIII-1):
- R 1 , Rx, R 4 , Rm and Rn are as defined above.
- the compound has a structure represented by formula (X)
- R A , Rx, R 4 , Rm, Rn, q"' and q' are as defined above.
- the compound has a structure represented by formula (XII)
- R 4a, R 4b, R 4c, R 4d, R 4e, Rm, Rn, Rx, R A, q ', R "' described above.
- the compound has a structure represented by formula (XIV):
- Rn is selected from the following group of substituted or unsubstituted groups: ethyl, n-propyl, isopropyl, cyclopropyl, cyclobutyl, cyclopentyl, cyclohexyl, cyclopropylamino, azetidine Alkyl, azepanyl, azetidine, oxiranyl, oxetanyl, oxolane, oxetanyl, wherein the substitution is Refers to substitution by one or more groups selected from the following group: deuterium, halogen, nitro, hydroxyl, cyano, ester, amine, amide, C 1 -C 3 alkyl.
- Rm is selected from the following group of substituted or unsubstituted groups: methyl, ethyl, n-propyl, isopropyl, cyclopropyl, cyclobutyl, cyclopentyl, cyclohexyl, cyclopropylamino, nitrogen Etanyl, azepanyl, azetidine, oxiranyl, oxetanyl, oxolanyl, oxetanyl, among which,
- the substitution refers to substitution by one or more groups selected from the following group: deuterium, halogen, nitro, hydroxyl, cyano, ester, amine, amide, C 1 -C 3 alkyl.
- Salts that may be formed by the compounds of the present invention also belong to the scope of the present invention. Unless otherwise specified, the compounds in the present invention are understood to include their salts.
- the term "salt” as used herein refers to a salt formed into an acid or basic form with an inorganic or organic acid and a base.
- the compound of the present invention contains a basic fragment, it includes but is not limited to pyridine or imidazole, and when it contains an acidic fragment, including but not limited to carboxylic acid, the zwitterion (“internal salt") that may be formed is contained in Within the scope of the term "salt”.
- salts are preferred, although other salts are also useful, for example, they can be used in separation or purification steps in the preparation process.
- the compound of the present invention may form a salt.
- the compound I can be obtained by reacting with a certain amount of acid or base, such as an equivalent amount, to salt out in the medium, or freeze-dried in an aqueous solution.
- the basic fragments contained in the compounds of the present invention may form salts with organic or inorganic acids.
- Typical acids that can form salts include acetate (such as acetic acid or trihaloacetic acid, such as trifluoroacetic acid), adipate, alginate, ascorbate, aspartate, and benzoate.
- Benzene sulfonate hydrogen sulfate, borate, butyrate, citrate, camphor salt, camphor sulfonate, cyclopentane propionate, diglycolate, dodecyl sulfate, Ethane sulfonate, fumarate, glucoheptonate, glycerophosphate, hemisulfate, heptanoate, caproate, hydrochloride, hydrobromide, hydroiodide, isethionate (E.g. 2-hydroxyethanesulfonate), lactate, maleate, methanesulfonate, naphthalenesulfonate (e.g.
- 2-naphthalenesulfonate nicotinate, nitrate, oxalic acid Salt, pectinate, persulfate, phenylpropionate (such as 3-phenylpropionate), phosphate, picrate, pivalate, propionate, salicylate, succinate, Sulfate (such as formed with sulfuric acid), sulfonate, tartrate, thiocyanate, toluenesulfonate such as p-toluenesulfonate, dodecanoate, etc.
- the acidic fragments that some compounds of the present invention may contain, including but not limited to carboxylic acids, may form salts with various organic or inorganic bases.
- Typical salts formed by bases include ammonium salts, alkali metal salts such as sodium, lithium, and potassium salts, alkaline earth metal salts such as calcium and magnesium salts, and salts formed by organic bases (such as organic amines) such as benzathine and bicyclohexyl Amine, Hypamine (a salt formed with N,N-bis(dehydroabietyl)ethylenediamine), N-methyl-D-glucosamine, N-methyl-D-glucamide, tert-butyl Base amines, and salts with amino acids such as arginine, lysine, etc.
- Basic nitrogen-containing groups can be combined with halide quaternary ammonium salts, such as small molecular alkyl halides (such as methyl, ethyl, propyl and butyl chlorides, bromides and iodides), dialkyl sulfates (E.g., dimethyl sulfate, diethyl, dibutyl and dipentyl sulfate), long-chain halides (such as chlorides and bromides of decyl, dodecyl, tetradecyl and tetradecyl And iodides), aralkyl halides (such as benzyl and phenyl bromides) and so on.
- small molecular alkyl halides such as methyl, ethyl, propyl and butyl chlorides, bromides and iodides
- dialkyl sulfates E.g., dimethyl sulfate, diethyl
- prodrugs and solvates of the compounds of the present invention are also covered.
- prodrug herein refers to a compound that undergoes metabolic or chemical transformation to produce the compound, salt, or solvate of the present invention when treating related diseases.
- the compounds of the present invention include solvates, such as hydrates.
- the compounds, salts or solvates of the present invention may exist in tautomeric forms (such as amides and imine ethers). All these tautomers are part of the invention.
- All stereoisomers of compounds (for example, those asymmetric carbon atoms that may exist due to various substitutions), including their enantiomeric forms and diastereomeric forms, fall within the scope of the present invention.
- the independent stereoisomers of the compound in the present invention may not coexist with other isomers (for example, as a pure or substantially pure optical isomer with special activity), or may be a mixture, such as Racemates, or mixtures with all other stereoisomers or part of them.
- the chiral center of the present invention has two configurations, S or R, defined by the International Union of Theoretical and Applied Chemistry (IUPAC) in 1974.
- racemic form can be resolved by physical methods, such as fractional crystallization, or separation of crystallization by derivatization into diastereomers, or separation by chiral column chromatography.
- Individual optical isomers can be obtained from racemates by suitable methods, including but not limited to traditional methods, such as salt formation with an optically active acid and recrystallization.
- the weight content of the compound obtained by successive preparation, separation and purification is equal to or greater than 90%, for example, equal to or greater than 95%, equal to or greater than 99% ("very pure" compound), as described in the text Listed.
- very pure compounds of the invention are also part of the invention.
- All configuration isomers of the compounds of the present invention are within the scope of coverage, whether in mixture, pure or very pure form.
- the definition of the compound of the present invention includes two olefin isomers, cis (Z) and trans (E), as well as cis and trans isomers of carbocyclic and heterocyclic rings.
- Certain compounds of the present invention may exist in specific geometric or stereoisomeric forms.
- the present invention covers all compounds, including their cis and trans isomers, R and S enantiomers, diastereomers, (D) isomers, (L) isomers, and exogenous Spin mixtures and other mixtures.
- the asymmetric carbon atom may represent a substituent, such as an alkyl group. All isomers and their mixtures are included in the present invention.
- the ratio of the mixture of isomers containing the isomers can be varied.
- a mixture of only two isomers can have the following combinations: 50:50, 60:40, 70:30, 80:20, 90:10, 95:5, 96:4, 97:3, 98: 2, 99:1, or 100:0, all ratios of isomers are within the scope of the present invention. Similar ratios, which are easily understood by those skilled in the art, and ratios that are mixtures of more complex isomers are also within the scope of the present invention.
- the present invention also includes isotopically labeled compounds, which are equivalent to the original compounds disclosed herein. In practice, however, it usually occurs when one or more atoms are replaced by atoms whose atomic weight or mass number is different.
- isotopes that can be classified as compounds of the present invention include hydrogen, carbon, nitrogen, oxygen, phosphorus, sulfur, fluorine, and chlorine isotopes, such as 2 H, 3 H, 13 C, 11 C, 14 C, 15 N, and 18 O, respectively. , 17 O, 31 P, 32 P, 35 S, 18 F and 36 Cl.
- the compounds of the present invention or enantiomers, diastereomers, isomers, or pharmaceutically acceptable salts or solvates, which contain isotopes or other isotopic atoms of the above compounds are all within the scope of the present invention.
- Certain isotope-labeled compounds in the present invention such as radioisotopes of 3 H and 14 C, are also among them, which are useful in tissue distribution experiments of drugs and substrates.
- Isotopically-labeled compounds can be prepared by general methods, by replacing readily available isotope-labeled reagents with non-isotopic reagents, using the protocol disclosed in the examples.
- a specific enantiomer of the compound of the present invention can be prepared by asymmetric synthesis, or derivatized with a chiral adjuvant, and the resulting diastereomeric mixture is separated, and then the chiral adjuvant is removed. Pure enantiomer.
- a suitable optically active acid or base can be used to form a diastereomeric salt with it, and then through separation crystallization or chromatography, etc. After separation by conventional means, the pure enantiomers are obtained.
- the preparation process of the compound of the present invention is as follows, wherein the raw materials and reagents used can be purchased through commercial channels or synthesized according to reported literature unless otherwise specified.
- E is halogen, OH, OCOR 1 , OCO ( i Bu), etc.
- E 1 is -BH 2 , -B(OH) 2 , -Sn(Bu) 3 , -ZnBr, etc.;
- PG is an amino protecting group, and the protecting group is selected from the group consisting of Boc, Bn, Cbz or Fmoc;
- Y and Z are leaving groups, and the leaving groups are selected from the group consisting of halogen or OTf;
- the first base is selected from the group consisting of KHMDS, NaHMDS, LiHMDS, NaH, NaOMe, NaOEt or t BuONa;
- the second base is selected from the group consisting of TEA, DIPEA, DMAP or N,N-dimethylaniline;
- R 1 , R 2 , R 4 , L, A, B, X, U, V, W, and Q are as described above.
- reaction solvent the reaction solvent, reaction catalyst, base used in the reaction, reaction temperature, reaction time, etc.
- reaction solvent the reaction solvent, reaction catalyst, base used in the reaction, reaction temperature, reaction time, etc.
- the pharmaceutical composition of the present invention is used to prevent and/or treat the following diseases: inflammation, cancer, cardiovascular disease, infection, immune disease, and metabolic disease.
- the compound of formula (I) can be used in combination with other drugs known to treat or improve similar conditions.
- the original drug administration mode and dosage can remain unchanged, while the compound of formula (I) is administered at the same time or subsequently.
- a pharmaceutical composition containing one or more known drugs and the compound of formula (I) can be preferably used.
- the combination of drugs also includes taking the compound of formula (I) and one or more other known drugs in overlapping time periods.
- the dose of the compound of formula (I) or a known drug may be lower than the dose of the compound used alone.
- Drugs or active ingredients that can be used in combination with the compound of formula (I) include but are not limited to: PD-1 inhibitors (such as nivolumab, pembrolizumab, pidilizumab, cemiplimab, JS-001, SHR -120, BGB-A317, IBI-308, GLS-010, GB-226, STW204, HX008, HLX10, BAT1306, AK105, LZM 009 or biological analogues of the above drugs, etc.), PD-L1 inhibitors (such as Duval Monoclonal antibody, atezolizumab, avelumab, CS1001, KN035, HLX20, SHR-1316, BGB-A333, JS003, CS1003, KL-A167, F520, GR1405, MSB2311 or the above drugs Biosimilar drugs, etc.), CD20 antibodies (e.g.
- rituximab obin utuzumab, ofatumumab, veltuzumab, tositumomab, 131I-tositumomab, crizuzumab Anti-, 90Y- ibritumomab, 90In- ibritumomab, ibritumomab tiuxetan, etc.), CD47 antibodies (such as Hu5F9-G4, CC-90002, TTI-621, TTI-622, OSE-172, SRF-231, ALX-148, NI-1701, SHR-1603, IBI188, IMM01), ALK inhibitors (such as ceritinib, alectinib, brigatinib, loratinib, Ocatinib), PI3K inhibitors (such as Adelaris, Duvelisib, Dactolisib, Taselisib, Bimiralisib, Omi
- the dosage form of the pharmaceutical composition of the present invention includes (but is not limited to): injection, tablet, capsule, aerosol, suppository, film, dripping pill, external liniment, controlled release or sustained release or nano preparation.
- the pharmaceutical composition of the present invention contains a safe and effective amount of the compound of the present invention or a pharmacologically acceptable salt thereof and a pharmacologically acceptable excipient or carrier.
- the "safe and effective amount” refers to: the amount of the compound is sufficient to significantly improve the condition without causing serious side effects.
- the pharmaceutical composition contains 1-2000 mg of the compound of the present invention per agent, and more preferably, contains 10-1000 mg of the compound of the present invention per agent.
- the "one dose" is a capsule or tablet.
- “Pharmaceutically acceptable carrier” refers to: one or more compatible solid or liquid fillers or gel substances, which are suitable for human use, and must have sufficient purity and sufficiently low toxicity. "Compatibility” here means that the components in the composition can be blended with the compound of the present invention and between them without significantly reducing the efficacy of the compound.
- pharmaceutically acceptable carriers include cellulose and its derivatives (such as sodium carboxymethyl cellulose, sodium ethyl cellulose, cellulose acetate, etc.), gelatin, talc, and solid lubricants (such as stearic acid).
- Magnesium stearate calcium sulfate, vegetable oils (such as soybean oil, sesame oil, peanut oil, olive oil, etc.), polyols (such as propylene glycol, glycerin, mannitol, sorbitol, etc.), emulsifiers (such as ), wetting agents (such as sodium lauryl sulfate), coloring agents, flavoring agents, stabilizers, antioxidants, preservatives, pyrogen-free water, etc.
- vegetable oils such as soybean oil, sesame oil, peanut oil, olive oil, etc.
- polyols such as propylene glycol, glycerin, mannitol, sorbitol, etc.
- emulsifiers such as emulsifiers
- wetting agents such as sodium lauryl sulfate
- administration method of the compound or pharmaceutical composition of the present invention is not particularly limited.
- Representative administration methods include (but are not limited to): oral, intratumoral, rectal, parenteral (intravenous, intramuscular or subcutaneous), and topical administration .
- Solid dosage forms for oral administration include capsules, tablets, pills, powders and granules.
- the active compound is mixed with at least one conventional inert excipient (or carrier), such as sodium citrate or dicalcium phosphate, or mixed with the following ingredients: (a) fillers or compatibilizers, for example, Starch, lactose, sucrose, glucose, mannitol and silicic acid; (b) binders such as hydroxymethyl cellulose, alginate, gelatin, polyvinylpyrrolidone, sucrose and gum arabic; (c) humectants, For example, glycerin; (d) disintegrants, such as agar, calcium carbonate, potato starch or tapioca starch, alginic acid, certain complex silicates, and sodium carbonate; (e) slow solvents, such as paraffin; (f) Absorption accelerators, for example, quaternary amine compounds; (g) wetting agents, such as cetyl alcohol and g
- Solid dosage forms such as tablets, sugar pills, capsules, pills and granules can be prepared with coatings and shell materials, such as enteric coatings and other materials known in the art. They may contain opacifying agents, and the active compound or the release of the compound in such compositions may be released in a certain part of the digestive tract in a delayed manner. Examples of embedding components that can be used are polymeric substances and waxes. If necessary, the active compound can also be formed into microcapsules with one or more of the above-mentioned excipients.
- Liquid dosage forms for oral administration include pharmaceutically acceptable emulsions, solutions, suspensions, syrups or tinctures.
- the liquid dosage form may contain inert diluents conventionally used in the art, such as water or other solvents, solubilizers and emulsifiers, for example, ethanol, isopropanol, ethyl carbonate, ethyl acetate, propylene glycol, 1 , 3-Butanediol, dimethylformamide and oils, especially cottonseed oil, peanut oil, corn germ oil, olive oil, castor oil and sesame oil or mixtures of these substances.
- composition may also contain adjuvants such as wetting agents, emulsifying and suspending agents, sweetening agents, flavoring agents and perfumes.
- adjuvants such as wetting agents, emulsifying and suspending agents, sweetening agents, flavoring agents and perfumes.
- the suspension may contain suspending agents, for example, ethoxylated isostearyl alcohol, polyoxyethylene sorbitol and sorbitan esters, microcrystalline cellulose, aluminum methoxide and agar, or mixtures of these substances, and the like.
- suspending agents for example, ethoxylated isostearyl alcohol, polyoxyethylene sorbitol and sorbitan esters, microcrystalline cellulose, aluminum methoxide and agar, or mixtures of these substances, and the like.
- composition for parenteral injection may contain physiologically acceptable sterile aqueous or non-aqueous solutions, dispersions, suspensions or emulsions, and sterile powders for reconstitution into sterile injectable solutions or dispersions.
- Suitable aqueous and non-aqueous carriers, diluents, solvents or excipients include water, ethanol, polyols and suitable mixtures thereof.
- the dosage forms of the compound of the present invention for topical administration include ointments, powders, patches, sprays and inhalants.
- the active ingredient is mixed under sterile conditions with a physiologically acceptable carrier and any preservatives, buffers, or propellants that may be required if necessary.
- the treatment method of the present invention can be administered alone or in combination with other treatment means or therapeutic drugs.
- a safe and effective amount of the compound of the present invention is applied to a mammal (such as a human) in need of treatment.
- the dosage is usually 1 to 2000 mg, preferably 50 to 1000 mg.
- the specific dosage should also consider factors such as the route of administration, the patient's health status, etc., which are all within the skill range of a skilled physician.
- the present invention also provides a method for preparing a pharmaceutical composition, which comprises the steps of: combining a pharmaceutically acceptable carrier with the compound of formula (I) or its crystal form, pharmaceutically acceptable salt, hydrate or solvent of the present invention The compound is mixed to form a pharmaceutical composition.
- the present invention also provides a method of treatment, which includes the steps of: administering the compound of formula (I), or a crystal form, pharmaceutically acceptable salt, hydrate or solvate thereof, of the present invention to a subject in need of treatment, Or administer the pharmaceutical composition of the present invention for selectively inhibiting KRAS G12C .
- the present invention has the following main advantages:
- the compound has a very good selective inhibitory effect on KRAS G12C;
- the compound has better pharmacodynamics, pharmacokinetic properties and lower toxic and side effects; among them, the experimental results show that the pharmacokinetic properties of the compound containing the phenylsulfone structure are better than other structures, For example, compounds with pyridine sulfone structure, compounds with dimethylpiperazine structure have better efficacy than monomethylpiperazine;
- the structure of the compound of the present invention is determined by nuclear magnetic resonance (NMR) and liquid mass spectrometry (LC-MS).
- the solvent for determination includes deuterated dimethyl sulfoxide (DMSO-d 6 ), deuterated acetone (CD 3 COCD 3 ), deuterated chloroform (CDCl 3 ) and deuterated methanol ( CD 3 OD), etc.
- the internal standard uses tetramethylsilane (TMS), and the chemical shift is measured in units of parts per million (ppm).
- LC-MS Liquid chromatography mass spectrometry
- Waters SQD2 mass spectrometer The measurement of HPLC uses Agilent1100 high pressure chromatograph (Microsorb 5 micron C18 100 x 3.0mm chromatographic column).
- the thin layer chromatography silica gel plate uses Qingdao GF254 silica gel plate, the TLC uses 0.15-0.20mm, and the preparative thin layer chromatography uses 0.4mm-0.5mm.
- Column chromatography generally uses Qingdao silica gel 200-300 mesh silica gel as a carrier.
- the starting materials in the examples of the present invention are all known and commercially available, or can be synthesized by using or according to literature reported in the field.
- 2,6-Dichloro-5-fluoronicotinamide (873mg, 4.2mmol) was dissolved in 15ml of anhydrous tetrahydrofuran, and oxalyl chloride (3.6mL, 42.0mmol) in dichloromethane (4.5 mL) solution. After the addition is complete, the mixture is refluxed and stirred at 75°C for 2 hours, and then concentrated to dryness under reduced pressure. The residue was diluted with 15 ml of anhydrous tetrahydrofuran and cooled to zero degrees.
- the 7-chloro-6-fluoro-1-(4-methyl-2-(methylsulfonyl)pyridin-3-yl)pyridine[2,3-d]pyrimidine-2,4(1H,3H)- The diketone (300mg, 0.8mmol) was suspended in 9ml of acetonitrile, and N,N-diisopropylethylamine (0.77mL, 4.7mmol) and phosphorus oxychloride (0.36mL, 3.9mmol) were added dropwise, and the reaction solution changed to clarify. The reaction solution was stirred at 80°C for 1 hour, and concentrated to dryness under reduced pressure.
- the crude product was dissolved in 6 mL of dichloromethane, cooled to zero, and N,N-diisopropylethylamine (0.38mL, 2.3mmol) and acryloyl chloride (63mg, 0.7mmol) in dichloromethane (1mL) were added dropwise. ) Solution.
- the reaction solution was stirred at zero for 30 minutes, quenched with 20 ml of saturated sodium bicarbonate, and extracted 3 times with 20 ml of dichloromethane.
- Step 7 4-((S)-4-acryloyl-2-methylpiperazin-1-yl)-6-fluoro-7-(2-fluoro-6-hydroxyphenyl)-1-(4 -Methyl-2-(methylsulfo)pyridin-3-yl)pyrido[2,3-d]pyrimidin-2(1H)-one
- Example 5-1 two isomers, Example 5A and Example 5B, were obtained by chiral separation:
- Example 5A LC-MS: m/z 610(M+H) + .
- Example 5B LC-MS: m/z 610(M+H) + .
- Example 6-1 obtained two isomers Example 5A and Example 5B through chiral separation:
- Example 6A LC-MS: m/z 622(M+H) + .
- Example 6B LC-MS: m/z 622(M+H) + .
- Example 10-1 two isomers, Example 10A and Example 10B, were obtained by chiral separation:
- Example 10A LC-MS: m/z 624(M+H) + .
- Example 10B LC-MS: m/z 624(M+H) + .
- Example 12 4-((2S,5R)-4-acryloyl-2,5-dimethylpiperazin-1-yl)-1-(2-ethyl-6-(methylsulfonyl)phenyl )-6-fluoro-7-(2-fluoro-6-hydroxyphenyl)pyrido[2,3-d]pyrimidin-2(1H)-one
- Example 16-1 two isomers, Example 16A and Example 16B, were obtained by chiral separation:
- Example 16A LC-MS: m/z 625(M+H) + .
- Example 16B LC-MS: m/z 625(M+H) + .
- Example 18-1 obtained two isomers, Example 18A and Example 18B, through chiral separation:
- Example 18A LC-MS: m/z 625(M+H) + .
- 1 H NMR 400MHz, DMSO
- Example 18B LC-MS: m/z 625(M+H) + .
- 1 H NMR 400MHz, DMSO
- Example 20-1 obtained two isomers Example 20A and Example 20B through chiral separation:
- Example 20A LC-MS: m/z 625(M+H) + .
- Example 20B LC-MS: m/z 625(M+H) + .
- Example 25-1 obtained two isomers Example 25A and Example 25B through chiral separation:
- Example 25A LC-MS: m/z 636(M+H) + .
- Example 25B LC-MS: m/z 636(M+H) + .
- 1 H NMR 400MHz, DMSO
- Example 29-1 obtained two isomers, Example 29A and Example 29B through chiral separation:
- Example 29A LC-MS: m/z 625(M+H) + .
- Example 29B LC-MS: m/z 625(M+H) + .
- Example 30-1 obtained two isomers Example 30A and Example 30B through chiral separation:
- Example 30A LC-MS: m/z 624(M+H) + .
- 1 H NMR 400MHz, DMSO
- 7.86 m, 2H
- 7.47 m, 3H
- 6.92–6.74 m,1H
- 6.22(d,J 16.6Hz,1H)
- 5.77(d,J 10.7Hz,1H)
- Example 30B LC-MS: m/z 624(M+H) + .
- Example 31-1 obtained two isomers, Example 31A and Example 31B through chiral separation:
- Example 31A LC-MS: m/z 666(M+H) + .
- 1 H NMR 400MHz, DMSO
- 7.66(t,J 7.8Hz,1H)
- 7.25(t,J 8.7Hz,1H)
- 7.12(d,J 7.8Hz,1H)
- 6.22(d,J 16.7Hz,1H)
- 5.78(d,J 10.6Hz,1H)
- 4.93(brs,1H) 4.35(m,2H), 4.10(m,1H ), 3.86–3.46(m,2H), 3.24(m,1H), 2.99(m,3H), 2.60(
- Example 31B LC-MS: m/z 666(M+H) + .
- Example 32-1 two isomers, Example 32A and Example 32B, were obtained by chiral separation:
- Example 32A LC-MS: m/z 642(M+H) + .
- Example 32B LC-MS: m/z 642(M+H) + .
- Example 33-1 two isomers, Example 33A and Example 33B, were obtained by chiral separation:
- Example 33A LC-MS: m/z 625(M+H) + .
- Example 33B LC-MS: m/z 625(M+H) + .
- Example 34-1 obtained two isomers, Example 34A and Example 34B, through chiral separation:
- Example 34A LC-MS: m/z 643(M+H) + .
- Example 34B LC-MS: m/z 643(M+H) + .
- Example 35-1 two isomers, Example 35A and Example 35B, were obtained by chiral separation:
- Example 35A LC-MS: m/z 636(M+H) + .
- Example 35B LC-MS: m/z 636(M+H) + .
- Example 36-1 obtained two isomers, Example 36A and Example 36B, through chiral separation:
- Example 36A LC-MS: m/z 654(M+H) + .
- Example 36B LC-MS: m/z 654(M+H) + .
- Example 37-1 two isomers, Example 37A and Example 37B, were obtained by chiral separation:
- Example 37A LC-MS: m/z 625(M+H) + .
- Example 37B LC-MS: m/z 625(M+H) + .
- Example 38-1 obtained two isomers, Example 38A and Example 38B, through chiral separation:
- Example 38A LC-MS: m/z 625(M+H) + .
- Example 38B LC-MS: m/z 625(M+H) + .
- Example 39-1 obtained two isomers, Example 39A and Example 39B through chiral separation:
- Example 39A LC-MS: m/z 625(M+H) + .
- Example 39B LC-MS: m/z 625(M+H) + .
- Example 40-1 obtained two isomers, Example 39A and Example 39B through chiral separation:
- Example 40A LC-MS: m/z 625(M+H) + .
- Example 40B LC-MS: m/z 625(M+H) + .
- Example 41-1 two isomers, Example 41A and Example 41B, were obtained by chiral separation:
- Example 41A LC-MS: m/z 606(M+H) + .
- Example 41B LC-MS: m/z 606(M+H) + .
- Example 42-1 obtained two isomers, Example 42A and Example 42B through chiral separation:
- Example 42A LC-MS: m/z 606(M+H) + .
- Example 42B LC-MS: m/z 606(M+H) + .
- Example 43-1 obtained two isomers, Example 43A and Example 43B through chiral separation:
- Example 43A LC-MS: m/z 606(M+H) + .
- Example 43B LC-MS: m/z 606(M+H) + .
- Example 44-1 obtained two isomers, Example 44A and Example 44B, through chiral separation:
- Example 44A LC-MS: m/z 606(M+H) + .
- Example 44B LC-MS: m/z 606(M+H) + .
- Example 45-1 obtained two isomers, Example 45A and Example 45B through chiral separation:
- Example 45A LC-MS: m/z 680(M+H) + .
- Example 45B LC-MS: m/z 680(M+H) + .
- Example 46-1 obtained two isomers, Example 46A and Example 46B, through chiral separation:
- Example 46A LC-MS: m/z 694 (M+H) + .
- Example 46B LC-MS: m/z 694(M+H) + .
- Example 47-1 obtained two isomers, Example 47A and Example 47B, through chiral separation:
- Example 47A LC-MS: m/z 681(M+H) + .
- Example 47B LC-MS: m/z 681(M+H) + .
- Example 48 (2-(4-((S)-4-acryloyl-2-methylpiperazin-1-yl)-6-fluoro-1-(2-isopropyl-6-(methylsulfone) )Phenyl)-2-oxo-1,2-dihydropyridine[2,3-d]pyrimidin-7-yl)-3-fluorophenyl)methyl carbamate
- Example 48-1 obtained two isomers, Example 48A and Example 48B, through chiral separation:
- Example 48A LC-MS: m/z 681(M+H) + .
- Example 48B LC-MS: m/z 681(M+H) + .
- Example 49-1 obtained two isomers, Example 49A and Example 49B, through chiral separation:
- Example 49A LC-MS: m/z 680(M+H) + .
- Example 49B LC-MS: m/z 680(M+H) + .
- Example 50-1 obtained two isomers, Example 50A and Example 50B, through chiral separation:
- Example 50A LC-MS: m/z 701(M+H) + .
- Example 50B LC-MS: m/z 701(M+H) + .
- 2,6-Dichloro-5-fluoronicotinamide (420mg, 2.0mmol) was dissolved in anhydrous tetrahydrofuran (7mL), and oxalyl chloride (1.7mL, 20.0mmol) in dichloromethane ( 2mL) solution. After the addition was completed, the mixture was refluxed and stirred at 75°C for 2 h, and then concentrated to dryness under reduced pressure. The residue was diluted with anhydrous tetrahydrofuran (7 mL) and cooled to 0°C. 2-(Methylsulfonyl)aniline (360mg, 2.1mmol) was dissolved in dry tetrahydrofuran (3mL), and then added dropwise to the above solution.
- Step 5 4-((S)-4-acryloyl-2-methylpiperazin-1-yl)-6-fluoro-7-(2-fluoro-6-hydroxyphenyl)-1-(2 -(Methylsulfonyl)phenyl)pyridine[2,3-d]pyrimidin-2(1H)-one
- Example 53-1 obtained two isomers Example 53A and Example 53B through chiral separation:
- Example 53A LC-MS: m/z 596 (M+H) + .
- Example 53B LC-MS: m/z 596(M+H) + .
- Example 62-1 obtained two isomers, Example 62A and Example 62B, through chiral separation:
- Example 62A LC-MS: m/z 692(M+H) + .
- Example 62B LC-MS: m/z 692(M+H) + .
- reaction solution was quenched with 30 mL of 1M phosphoric acid, and extracted twice with ethyl acetate.
- 2,6-Dichloro-5-fluoronicotinic acid amide (7.7g, 37mmol) was dissolved in 100ml of anhydrous tetrahydrofuran, and oxalyl chloride (47g, 370mmol) was slowly added dropwise to this solution. After the addition is complete, the mixture is refluxed and stirred at 75°C for 2 hours, and then concentrated to dryness under reduced pressure. The residue was diluted with 100 ml of anhydrous tetrahydrofuran and cooled to zero degrees.
- 2-Cyclobutyl-6-(methylsulfonyl)aniline (8.8g, 39mmol) was dissolved in 50ml of anhydrous tetrahydrofuran, and then added dropwise to the above solution.
- the reaction solution was stirred at zero for 2 hours, quenched with saturated ammonium chloride/saturated brine (1:1, 100 mL), and then extracted twice with ethyl acetate (50 mL).
- the organic phases were combined and dried, concentrated, and the residual solid was slurried with petroleum ether/ethyl acetate (5:1, 200 mL), filtered with suction, and dried to obtain the target product (12.7 g, yield: 75%).
- the 7-chloro-1-(2-cyclobutyl-6-(methylsulfonyl)phenyl)-6-fluoropyrido[2,3-d]pyrimidine-2,4(1H,3H)-di The ketone (23.2g, 54.7mmol) was suspended in 350ml of acetonitrile, and N,N-diisopropylethylamine (42.3g, 328mmol) and phosphorus oxychloride (33.5g, 219mmol) were added dropwise, and the reaction solution became clear. The reaction solution was stirred at 80°C for 1 hour, and concentrated to dryness under reduced pressure.
- Step 7 4-((2S,5R)-4-acryloyl-2,5-dimethylpiperazin-1-yl)-1-(2-cyclobutyl-6-(methylsulfonyl) (Phenyl)-6-fluoro-7-(2-fluoro-6-hydroxyphenyl)pyrido[2,3-d]pyrimidin-2(1H)-one
- Example 63-1 obtained two isomers, Examples 63A and 63B, through chiral separation:
- Example 76 4-((S)-4-acryloyl-2-methylpiperazin-1-yl)-7-(1,4-dimethyl-1H-imidazol-5-yl)-6-fluoro -1-(2-isopropyl-6-(methylsulfonyl)phenyl)pyrido[2,3-d]pyrimidin-2(1H)-one
- Example 78 4-((2S,5R)-4-acryloyl-2,5-dimethylpiperazin-1-yl)-1-(2-isopropyl-6-(methylsulfonyl)benzene Yl)-6-fluoro-7-(2-fluoro-6-hydroxyphenyl)pyrido[2,3-d]pyrimidin-2(1H)-one
- Example 78-1 obtained two isomers, Example 78A and 78B, through chiral separation:
- Example 79-1 obtained two isomers, Example 79A and 79B, through chiral separation:
- Example 80 4-((S)-4-acryloyl-2-methylpiperazin-1-yl)-6-fluoro-7-(2-fluoro-6-hydroxyphenyl)-1-(2- Isopropyl-6-(isopropylsulfonyl)phenyl)pyrido[2,3-d]pyrimidin-2(1H)-one
- Example 80-1 two isomers, Example 80A and 80B, were obtained by chiral separation:
- Example 81 4-((2S,5R)-4-acryloyl-2,5-dimethylpiperazin-1-yl)-1-(2-cyclopropyl-6-(methylsulfonyl)benzene Yl)-6-fluoro-7-(2-fluoro-6-hydroxyphenyl)pyrido[2,3-d]pyrimidin-2(1H)-one
- Example 81-1 obtained two isomers, Examples 81A and 81B through chiral separation:
- Example 82 4-((2S,5R)-4-acryloyl-2,5-dimethylpiperazin-1-yl)-1-(2-ethyl-6-(isopropylsulfonyl)benzene Yl)-6-fluoro-7-(2-fluoro-6-hydroxyphenyl)pyrido[2,3-d]pyrimidin-2(1H)-one
- Example 82-1 two isomers, Example 82A and 82B, were obtained by chiral separation:
- Example 83-1 two isomers, Example 83A and 83B, were obtained by chiral separation:
- Example 84 4-((2S,5R)-4-acryloyl-2,5-dimethylpiperazin-1-yl)-6-chloro-1-(2-ethyl-6-(methylsulfon) Acyl)phenyl)-7-(2-fluoro-6-hydroxyphenyl)pyrido[2,3-d]pyrimidin-2(1H)-one
- Example 84-1 two isomers, Example 84A and 84B, were obtained by chiral separation:
- 2,6-Dichloro-5-fluoronicotinamide (420mg, 2.0mmol) was dissolved in anhydrous tetrahydrofuran (7mL), and oxalyl chloride (1.7mL, 20.0mmol) in dichloromethane ( 2mL) solution. After the addition was completed, the mixture was refluxed and stirred at 75°C for 2 h, and then concentrated to dryness under reduced pressure. The residue was diluted with anhydrous tetrahydrofuran (7 mL) and cooled to 0°C. 2-(Methylsulfonyl)aniline (360mg, 2.1mmol) was dissolved in dry tetrahydrofuran (3mL), and then added dropwise to the above solution.
- Step 5 4-((S)-4-acryloyl-2-methylpiperazin-1-yl)-6-fluoro-7-(2-fluoro-6-hydroxyphenyl)-1-(2 -(Methylsulfonyl)phenyl)pyridine[2,3-d]pyrimidin-2(1H)-one
- Example 87-1 obtained two isomers, Example 87A and Example 87B through chiral separation:
- Example 87A LC-MS: m/z 596 (M+H) + .
- Example 87B LC-MS: m/z 596 (M+H) + .
- the compounds to be tested are diluted in a gradient, each compound is diluted in 10 concentration gradients (diluted from 50 ⁇ M to 0.003 ⁇ M) and 100 nL is added to the corresponding wells of the microplate. After adding the drug, add 40 ⁇ L of phosphate buffer to each well in rows A, P and columns 1, 24, and then place the microtiter plate in a carbon dioxide incubator for 5 days.
- Table 1 shows the anti-proliferative activity of the compound of the examples of the present invention on NCI-H358 (KRAS G12C mutation) cells.
- Example 5 IC 50 NCI-H358( ⁇ M) Example 1 0.09 Example 2 0.54 Example 3 0.87 Example 4 0.42 Example 5 0.028 Example 5A 0.23 Example 5B 0.011 Example 6 0.028 Example 6A 0.2 Example 6B 0.015 Example 7 0.24 Example 8 0.17 Example 9 0.23 Example 10 0.010 Example 10A 0.28 Example 10B 0.005 Example 11 0.18 Example 12 0.041 Example 13 0.015 Example 14 0.36
- Example 15 0.058 Example 16 0.012 Example 16A 0.72 Example 16B 0.007 Example 17 0.031 Example 18 0.030 Example 18A 0.013 Example 18B 0.46 Example 19 0.048 Example 20 0.023 Example 20A 1.5 Example 20B 0.013 Example 21 1.2 Example 22 0.039 Example 23 1.1 Example 24 0.028 Example 25 0.009 Example 25A 0.35 Example 25B 0.006 Example 26 0.018 Example 27 0.03 Example 28 0.026 Example 29 0.053 Example 30 0.018 Example 30A 0.74 Example 30B 0.011 Example 31 0.008 Example 31A 0.30 Example 31B 0.006 Example 53B 0.066 Example 54 2.5 Example 55 5.3 Example 56 8.0 Example 57 10
- Example 58 10 Example 59 0.20 Example 60 >10 Example 61 >10 Example 63A 0.37 Example 63B 0.008 Example 64 0.12 Example 65 >10 Example 66 >10 Example 67 >10 Example 68 2.2 Example 69 >10 Example 70 >10 Example 71 >10 Example 72 >10 Example 73 >10 Example 74 >10 Example 75 >10 Example 76 >10 Example 77 >10 Example 78A 0.17 Example 78B 0.007 Example 79A 0.048 Example 79B 0.002 Example 80B 0.007 Example 81B 0.009 Example 82B 0.050 Example 83B 0.026 Example 84B 0.006 Example 85 0.62 Example 86 0.56 Example 87 0.037 Example 87A 0.029 Example 87B 0.43
- Example 88 2.5
- Example 89 5.3 Example 90
- Example 91 1.5
- Example 92 >10
- the compounds of the examples of the present invention show good cell anti-proliferation activity on KRAS G12C mutant NCI-H358 cells.
- R 4 is a substituted phenyl group
- the activity is better than that of heteroaryl groups, especially compounds containing a phenylsulfone structure.
- mice Male ICR mice weighing about 20-30 g, fasted overnight, were given 30 mg/kg of the solution of the compound of the present invention in Examples 10B, 16B, 18A, 63B, 78B [CMC/TW80 as carrier]. Blood was collected 0.5, 1.0, 2.0, 4.0, 6.0, 8.0, 12 and 24 hours after administration of the compound of the present invention, and the concentration of the compound of the present invention in plasma was determined by LC/MS/MS.
- test results show that the compound of the present invention has good pharmacokinetic properties relative to AMG510.
Landscapes
- Health & Medical Sciences (AREA)
- Chemical & Material Sciences (AREA)
- Organic Chemistry (AREA)
- General Health & Medical Sciences (AREA)
- Life Sciences & Earth Sciences (AREA)
- Medicinal Chemistry (AREA)
- Veterinary Medicine (AREA)
- Pharmacology & Pharmacy (AREA)
- Public Health (AREA)
- Animal Behavior & Ethology (AREA)
- Epidemiology (AREA)
- Chemical Kinetics & Catalysis (AREA)
- General Chemical & Material Sciences (AREA)
- Nuclear Medicine, Radiotherapy & Molecular Imaging (AREA)
- Biochemistry (AREA)
- Molecular Biology (AREA)
- Hematology (AREA)
- Oncology (AREA)
- Pharmaceuticals Containing Other Organic And Inorganic Compounds (AREA)
Abstract
Description
本发明属于药物领域,具体涉及一种芳基或杂芳基并吡啶酮或嘧啶酮类衍生物及其制备方法和应用。The invention belongs to the field of medicine, and specifically relates to an aryl or heteroaryl pyridone or pyrimidinone derivative, and a preparation method and application thereof.
肺癌是人类癌症致死的重要原因之一。按照细胞类型肺癌可以分为小细胞肺癌(SCLC)和非小细胞肺癌(NSCLC),其中NSCLC占所有肺癌患者的85%。据统计2016年全球NSCLC的市场约为209亿美元,其中美国市场占据一半,其次是日本、德国和中国。从现有趋势来看,非小细胞肺癌市场保持着持续增长,预计2023年全球市场将达到540亿美元(Nature,2018;553(7689):446-454)。Lung cancer is one of the important causes of human cancer deaths. According to the cell type, lung cancer can be divided into small cell lung cancer (SCLC) and non-small cell lung cancer (NSCLC). Among them, NSCLC accounts for 85% of all lung cancer patients. According to statistics, the global NSCLC market in 2016 was approximately US$20.9 billion, of which the US market accounted for half, followed by Japan, Germany and China. Judging from the current trends, the non-small cell lung cancer market has maintained continuous growth, and the global market is expected to reach 54 billion U.S. dollars in 2023 (Nature, 2018; 553(7689):446-454).
目前NSCLC的主要治疗用药分为化疗药物、分子靶向药物以及肿瘤免疫疗法等。其中化疗药物主要包括吉西他滨、紫杉醇以及铂类药物等,但是这类药物普遍具有选择性差、毒性大从而导致比较强烈的毒副作用。近年来,分子靶向药物因其选择性较高、毒副作用相对较小,能够实现精准治疗等明显优势从而逐渐成为研究热点。现有的NSCLC分子靶向药物包括EGFR抑制剂(如阿法替尼、吉非替尼、厄洛替尼、拉帕替尼、达克替尼、埃克替尼、吡咯替尼、诺司替尼(Rociletinib)、奥希替尼等)、ALK抑制剂(如色瑞替尼、艾乐替尼、布加替尼、劳拉替尼、奥卡替尼等),以及VEGFR抑制剂(索拉非尼、瑞戈非尼、卡博替尼、舒尼替尼、多纳非尼等)。At present, the main therapeutic drugs for NSCLC are divided into chemotherapeutics, molecular targeted drugs and tumor immunotherapy. Among them, chemotherapeutic drugs mainly include gemcitabine, paclitaxel and platinum drugs, but these drugs generally have poor selectivity and high toxicity, which leads to relatively strong side effects. In recent years, molecular targeted drugs have gradually become research hotspots due to their high selectivity, relatively small side effects, and their obvious advantages such as precise treatment. Existing NSCLC molecular targeted drugs include EGFR inhibitors (such as afatinib, gefitinib, erlotinib, lapatinib, dacomitinib, icotinib, pirotinib, and nos) (Rociletinib, osimertinib, etc.), ALK inhibitors (such as ceritinib, alectinib, brigatinib, loratinib, okatinib, etc.), and VEGFR inhibitors ( Sorafenib, Regorafenib, Cabozantinib, Sunitinib, Donafenib, etc.).
在肺癌病患里面,经常检测到KRAS突变,约占所有致癌基因突变的32%。其中KRAS G12C突变在NSCLC里面占所有致癌基因突变的44%。到目前为止,市场上仍然没有针对KRAS G12C突变的药物被批准上市。 In lung cancer patients, KRAS mutations are frequently detected, accounting for about 32% of all oncogene mutations. Among them, KRAS G12C mutation accounts for 44% of all oncogene mutations in NSCLC. So far, no drugs targeting the KRAS G12C mutation have been approved on the market.
由于KRAS G12C靶蛋白在病理学上与多种疾病相关,因此目前还需要新型的KRAS G12C抑制剂用于临床治疗。高选择性高活性的KRAS G12C抑制剂可以对KRAS G12C突变导致的癌症等疾病更有效治疗,以及减少脱靶效应的潜力,因而具有更迫切的临床需求。 Since the KRAS G12C target protein is pathologically related to a variety of diseases, there is a need for new KRAS G12C inhibitors for clinical treatment. Highly selective and active KRAS G12C inhibitors can treat cancers and other diseases caused by KRAS G12C mutations more effectively, and reduce the potential for off-target effects, so they have more urgent clinical needs.
发明内容Summary of the invention
本发明的目的在于提供一类新型的对KRAS G12C有选择性抑制作用和/或更好药效学性能的化合物及其用途。 The purpose of the present invention is to provide a new type of compound with selective inhibitory effect on KRAS G12C and/or better pharmacodynamic performance and its use.
本发明的第一方面,提供一种式(I)化合物、其立体异构体、互变异构体、晶型、药学上可接受的盐、水合物、溶剂合物或前药:The first aspect of the present invention provides a compound of formula (I), its stereoisomer, tautomer, crystal form, pharmaceutically acceptable salt, hydrate, solvate or prodrug:
式中:Where:
A、B相同或者不同,各自独立地选自下组:CH、CR 5或N; A and B are the same or different, and are independently selected from the following group: CH, CR 5 or N;
X选自下组:4-14元饱和或不饱和杂环基、C 4-C 14环烷基、C 6-C 14芳基或5-14元杂芳基,其中,所述的杂环基、环烷基、芳基或杂芳基可以任选地被一个或多个(如2、3或4)R 8所取代; X is selected from the following group: 4-14 membered saturated or unsaturated heterocyclic group, C 4 -C 14 cycloalkyl group, C 6 -C 14 aryl group or 5-14 membered heteroaryl group, wherein the heterocyclic group The radical, cycloalkyl, aryl or heteroaryl group may be optionally substituted by one or more (such as 2, 3 or 4) R 8 ;
U、V、W和Q相同或者不同,各自独立地选自下组:CH、CR 3或N; U, V, W and Q are the same or different, and are each independently selected from the following group: CH, CR 3 or N;
R 1选自下组: 其中, 代表双键“≡”或三键“≡”; R 1 is selected from the following group: in, Represents double bond "≡" or triple bond "≡";
R A为不存在,或者独立地选自下组:氢、氘、氟、氰基或者C 1-C 3烷基;各R B独立地选自下组:氢、氘、氰基或者C 1-C 3烷基;其中,所述烷基可以被选自下组的一个或多个(如2、3或4)取代基取代:氘、卤素、氰基、胺基、C 3-C 7环烷基、4-7元杂环基、NHR 9或NR 9R 10;R 9和R 10各自独立地为C 1-C 3烷基;或R 9,R 10与其连接的N原子一起构成取代或未取代的4-8元杂环基; R A is absent, or independently selected from the following group: hydrogen, deuterium, fluorine, cyano or C 1 -C 3 alkyl; each R B is independently selected from the following group: hydrogen, deuterium, cyano or C 1 -C 3 alkyl; wherein, the alkyl can be substituted by one or more (such as 2, 3 or 4) substituents selected from the following group: deuterium, halogen, cyano, amine, C 3 -C 7 Cycloalkyl, 4-7 membered heterocyclyl, NHR 9 or NR 9 R 10 ; R 9 and R 10 are each independently a C 1 -C 3 alkyl group; or R 9 , R 10 and the N atom to which they are connected are formed together A substituted or unsubstituted 4-8 membered heterocyclic group;
p为1或2的整数;p is an integer of 1 or 2;
R 2选自取代的下组基团:C 6-C 14芳基、5-14元杂芳基,其中,所述取代是指被选自下组的一个或多个基团取代:R'、-SR'、-SOR'、-SO 2R'、-SO 2NR'R”、-NR'SO 2R”、-P(=O)R'R”;限定条件是所述C 6-C 14芳基、5-14元杂芳基至少含有一个取代基选自:-SR'、-SOR'、-SO 2R'、-SO 2NR'R”、-NR'SO 2R”、或-P(=O)R'R”;R'、R”相同或不同,各自独立地选自取代或未取代的下组基团:氢、氘、卤素、硝基、羟基、氰基、酯基、胺基、酰胺基、C 1-C 6烷基、C 3-C 8环烷基、C 4-C 10环烯基、4-8元杂环基、C 6-C 14芳基、5-14元杂芳基;或当R'和R”连接于同一个N原子时,R'、R”与其连接的N原子一起构成取代或未取代的4-8元杂环基; R 2 is selected from the following group of substituted groups: C 6 -C 14 aryl groups, 5-14 membered heteroaryl groups, wherein the substitution refers to substitution by one or more groups selected from the following group: R' , -SR', -SOR', -SO 2 R', -SO 2 NR'R", -NR'SO 2 R", -P(=O)R'R"; the limiting condition is that the C 6- C 14 aryl and 5-14 membered heteroaryl groups contain at least one substituent selected from: -SR', -SOR', -SO 2 R', -SO 2 NR'R", -NR'SO 2 R", Or -P(=O)R'R";R'andR" are the same or different, each independently selected from the following substituted or unsubstituted groups: hydrogen, deuterium, halogen, nitro, hydroxyl, cyano, Ester group, amino group, amide group, C 1 -C 6 alkyl group, C 3 -C 8 cycloalkyl group, C 4 -C 10 cycloalkenyl group, 4-8 membered heterocyclic group, C 6 -C 14 aryl group , 5-14 membered heteroaryl; or when R'and R" are connected to the same N atom, R', R" and the N atom to which they are connected together form a substituted or unsubstituted 4-8 membered heterocyclic group;
R 3选自取代或未取代的下组基团:氢、氘、C 1-C 18烷基、氘代C 1-C 18烷基、卤代C 1-C 18烷基、C 3-C 20环烷基、C 1-C 18烷氧基、氘代C 1-C 18烷氧基、卤代C 1-C 18烷氧基、卤素、硝基、羟基、氰基、酯基、胺基、酰胺基、磺酰胺基、脲基、4-20元杂环基、C 6-C 14芳基、5-14元杂芳基; R 3 is selected from the following group of substituted or unsubstituted groups: hydrogen, deuterium, C 1 -C 18 alkyl, deuterated C 1 -C 18 alkyl, halogenated C 1 -C 18 alkyl, C 3 -C 20 cycloalkyl, C 1 -C 18 alkoxy, deuterated C 1 -C 18 alkoxy, halogenated C 1 -C 18 alkoxy, halogen, nitro, hydroxyl, cyano, ester, amine Group, amide group, sulfonamide group, ureido group, 4-20 membered heterocyclic group, C 6 -C 14 aryl group, 5-14 membered heteroaryl group;
L选自下组:键、-C(O)-、C 1-C 3亚烷基; L is selected from the following group: bond, -C(O)-, C 1 -C 3 alkylene;
R 4选自取代或未取代的下组基团:氢、氘、C 1-C 18烷基、氘代C 1-C 18烷基、卤代C 1-C 18烷基、C 3-C 20环烷基、C 1-C 18烷氧基、氘代C 1-C 18烷氧基、卤代C 1-C 18烷氧基、胺基、羟基、4-20元杂环基、C 6-C 14芳基、5-14元杂芳基; R 4 is selected from the following group of substituted or unsubstituted groups: hydrogen, deuterium, C 1 -C 18 alkyl, deuterated C 1 -C 18 alkyl, halogenated C 1 -C 18 alkyl, C 3 -C 20 cycloalkyl, C 1 -C 18 alkoxy, deuterated C 1 -C 18 alkoxy, halogenated C 1 -C 18 alkoxy, amino, hydroxyl, 4-20 membered heterocyclic group, C 6 -C 14 aryl, 5-14 membered heteroaryl;
R 5选自取代或未取代的下组基团:氢、氘、C 1-C 18烷基、氘代C 1-C 18烷基、卤代C 1-C 18烷基、C 3-C 20环烷基、C 1-C 18烷氧基、氘代C 1-C 18烷氧基、卤代C 1-C 18烷氧基、卤素、硝基、羟基、氰基、酯基、胺基、酰胺基、磺酰胺基、脲基、4-20元杂环基、C 6-C 14芳基、5-14元杂芳基; R 5 is selected from the following group of substituted or unsubstituted groups: hydrogen, deuterium, C 1 -C 18 alkyl, deuterated C 1 -C 18 alkyl, halogenated C 1 -C 18 alkyl, C 3 -C 20 cycloalkyl, C 1 -C 18 alkoxy, deuterated C 1 -C 18 alkoxy, halogenated C 1 -C 18 alkoxy, halogen, nitro, hydroxyl, cyano, ester, amine Group, amide group, sulfonamide group, ureido group, 4-20 membered heterocyclic group, C 6 -C 14 aryl group, 5-14 membered heteroaryl group;
R 6选自取代或未取代的下组基团:氢、氘、C 1-C 18烷基、氘代C 1-C 18烷基、卤代C 1-C 18烷基、C 3-C 20环烷基、C 1-C 18烷氧基、氘代C 1-C 18烷氧基、卤代C 1-C 18烷氧基、4-20元杂环基、C 6-C 14芳基、5-14元杂芳基; R 6 is selected from the following group of substituted or unsubstituted groups: hydrogen, deuterium, C 1 -C 18 alkyl, deuterated C 1 -C 18 alkyl, halogenated C 1 -C 18 alkyl, C 3 -C 20 cycloalkyl, C 1 -C 18 alkoxy, deuterated C 1 -C 18 alkoxy, halogenated C 1 -C 18 alkoxy, 4-20 membered heterocyclic group, C 6 -C 14 aryl Group, 5-14 membered heteroaryl group;
R 8独立地选自取代或未取代的下组基团:氢、氘、C 1-C 18烷基、氘代C 1-C 18烷基、卤代C 1-C 18烷基、C 3-C 20环烷基、C 1-C 18烷氧基、氘代C 1-C 18烷氧基、卤代C 1-C 18烷氧基、氨基、羟基、4-20元杂环基、C 6-C 14芳基、5-14元杂芳基; R 8 is independently selected from the following group of substituted or unsubstituted groups: hydrogen, deuterium, C 1 -C 18 alkyl, deuterated C 1 -C 18 alkyl, halo C 1 -C 18 alkyl, C 3 -C 20 cycloalkyl, C 1 -C 18 alkoxy, deuterated C 1 -C 18 alkoxy, halogenated C 1 -C 18 alkoxy, amino, hydroxyl, 4-20 membered heterocyclic group, C 6 -C 14 aryl, 5-14 membered heteroaryl;
其中,所述“取代”未特别说明的情况下,均是指被选自下组的一个或多个基团取代:氢、氘、C 1-C 18烷基、氘代C 1-C 18烷基、卤代C 1-C 18烷基、C 3-C 20环烷基、C 1-C 18烷氧基、氘代C 1-C 18烷氧基、卤代C 1-C 18烷氧基、C 6-C 14芳基、5-14元杂芳基、4-20元杂环基、卤素、硝基、羟基、氰基、酯基、胺基、NR bC(=O)OR e、OC(=O)R e、OC(=O)NR bR c、酰胺基、磺酰胺基或脲基;R b、R c可以独立表示氢、氘、C1-C6烷基、C3-C8环烷基、4-8元杂环基、5-14元杂芳基或C6-C14芳环,或者说R b和R c与N原子一起可以形成4-8元杂环基;R e可以独立表示氢、C1-C6烷基、C3-C8环烷基、C2-C6烯基、C3-C6环烯基、C2-C6炔基、4-8元杂环基、5-14元杂芳基或C6-C14芳环; Wherein, the "substitution" refers to the substitution by one or more groups selected from the following group: hydrogen, deuterium, C 1 -C 18 alkyl, and deuterated C 1 -C 18 unless otherwise specified. Alkyl, halogenated C 1 -C 18 alkyl, C 3 -C 20 cycloalkyl, C 1 -C 18 alkoxy, deuterated C 1 -C 18 alkoxy, halogenated C 1 -C 18 alkane Oxy, C 6 -C 14 aryl, 5-14 membered heteroaryl, 4-20 membered heterocyclic group, halogen, nitro, hydroxyl, cyano, ester, amino, NR b C(=O) OR e , OC(=O)R e , OC(=O)NR b R c , amide group, sulfonamide group or urea group; R b and R c can independently represent hydrogen, deuterium, C1-C6 alkyl, C3 -C8 cycloalkyl, 4-8 membered heterocyclic group, 5-14 membered heteroaryl or C6-C14 aromatic ring, or R b and R c together with the N atom can form a 4-8 membered heterocyclic group; R e can independently represent hydrogen, C1-C6 alkyl, C3-C8 cycloalkyl, C2-C6 alkenyl, C3-C6 cycloalkenyl, C2-C6 alkynyl, 4-8 membered heterocyclic group, 5-14 membered Heteroaryl or C6-C14 aromatic ring;
限定条件为:The qualifications are:
当B为N时,R 1选自下组: 其中,p为2; When B is N, R 1 is selected from the following group: Among them, p is 2;
当B为CH或CR 5时,R 1选自下组: 其中,p为2; When B is CH or CR 5 , R 1 is selected from the following group: Among them, p is 2;
当V为C(Cl)时,R 2不选自: When V is C(Cl), R 2 is not selected from:
且L不选自键;和R 4不选自: And L is not selected from bonds; and R 4 is not selected from:
在另一优选例中,本发明化合物不包含如下化合物:In another preferred embodiment, the compound of the present invention does not include the following compounds:
在另一优选例中,所述化合物不包含如下化合物:In another preferred embodiment, the compound does not include the following compounds:
在另一优选例中,R 8各自独立地选自取代或未取代的下组基团:氢、氘、C 1-C 6烷基、氘代C 1-C 6烷基、卤代C 1-C 6烷基、C 3-C 8环烷基、C 1-C 6烷氧基、氘代C 1-C 6烷氧基、卤代C 1-C 6烷氧基、氨基、羟基、4-8元杂环基;所述取代是指被选自下组的一个或多个基团取代:氢、氘、卤素、硝基、羟基、氰基、酯基、胺基、酰胺基、磺酰胺基或脲基。 In another preferred embodiment, R 8 is each independently selected from the following group of substituted or unsubstituted groups: hydrogen, deuterium, C 1 -C 6 alkyl, deuterated C 1 -C 6 alkyl, halo C 1 -C 6 alkyl, C 3 -C 8 cycloalkyl, C 1 -C 6 alkoxy, deuterated C 1 -C 6 alkoxy, halogenated C 1 -C 6 alkoxy, amino, hydroxyl, 4-8 membered heterocyclic group; the substitution refers to the substitution by one or more groups selected from the following group: hydrogen, deuterium, halogen, nitro, hydroxyl, cyano, ester, amine, amide, Sulfonamide group or urea group.
另一优选例中,R 8各自独立地选自取代或未取代的下组基团:氢、氘、C 1-C 18烷基、氘代C 1-C 18烷基、卤代C 1-C 18烷基;其中,所述取代是指被氰基取代。 In another preferred example, R 8 is each independently selected from the following group of substituted or unsubstituted groups: hydrogen, deuterium, C 1 -C 18 alkyl, deuterated C 1 -C 18 alkyl, and halogenated C 1- C 18 alkyl; wherein, the substitution refers to substitution by a cyano group.
在另一优选例中,R 1选自下组:-C(O)C(R A)=C(R B) 2、-S(O) 2C(R A) =C(R B) 2、-NR 6C(O)C(R A)=C(R B) 2或-NR 6S(O) 2C(R A)=C(R B) 2; In another preferred example, R 1 is selected from the following group: -C(O)C(R A )=C(R B ) 2 , -S(O) 2 C(R A ) = C(R B ) 2 , -NR 6 C(O)C(R A )=C(R B ) 2 or -NR 6 S(O) 2 C(R A )=C(R B ) 2 ;
其中,R A独立地选自下组:氢、氘、氟、氰基或者C 1-C 3烷基;各R B相同或不同,且独立地选自下组:氢、氘、氰基或者C 1-C 3烷基;其中,所述烷基可以被选自下组的一个或多个取代基取代:氘、卤素、氰基、胺基、C 3-C 7环烷基、4-7元杂环基、NHR 9或NR 9R 10;R 9和R 10各自独立地为C 1-C 3烷基;或R 9,R 10与其连接的N原子一起构成取代或未取代的4-8元杂环基; Wherein, R A is independently selected from the following group: hydrogen, deuterium, fluorine, cyano or C 1 -C 3 alkyl; each R B is the same or different, and is independently selected from the following group: hydrogen, deuterium, cyano or C 1 -C 3 alkyl; wherein the alkyl can be substituted by one or more substituents selected from the group consisting of deuterium, halogen, cyano, amine, C 3 -C 7 cycloalkyl, 4- 7-membered heterocyclic group, NHR 9 or NR 9 R 10 ; R 9 and R 10 are each independently a C 1 -C 3 alkyl group; or R 9 , R 10 and the N atom to which they are attached together form a substituted or unsubstituted 4 -8 membered heterocyclic group;
R 6选自取代或未取代的下组基团:氢、氘、C 1-C 6烷基、氘代C 1-C 6烷基、卤代C 1-C 6烷基、C 3-C 8环烷基、C 1-C 6烷氧基、氘代C 1-C 6烷氧基、卤代C 1-C 6烷氧基、4-8元杂环基、C 6-C 14芳基、5-14元杂芳基; R 6 is selected from the following group of substituted or unsubstituted groups: hydrogen, deuterium, C 1 -C 6 alkyl, deuterated C 1 -C 6 alkyl, halo C 1 -C 6 alkyl, C 3 -C 8 cycloalkyl, C 1 -C 6 alkoxy, deuterated C 1 -C 6 alkoxy, halogenated C 1 -C 6 alkoxy, 4-8 membered heterocyclic group, C 6 -C 14 aromatic Group, 5-14 membered heteroaryl group;
其中,所述“取代”未特别说明的情况下,均是指被选自下组的一个或多个基团取代:氢、氘、C 1-C 6烷基、氘代C 1-C 6烷基、卤代C 1-C 6烷基、C 3-C 8环烷基、C 1-C 6烷氧基、氘代C 1-C 6烷氧基、卤代C 1-C 6烷氧基、C 6-C 10芳基、5-10元杂芳基、4-8元杂环基、卤素、硝基、羟基、氰基、酯基、胺基、酰胺基、磺酰胺基或脲基; Wherein, the "substitution" refers to the substitution by one or more groups selected from the following group: hydrogen, deuterium, C 1 -C 6 alkyl, and deuterated C 1 -C 6 unless otherwise specified. Alkyl, halogenated C 1 -C 6 alkyl, C 3 -C 8 cycloalkyl, C 1 -C 6 alkoxy, deuterated C 1 -C 6 alkoxy, halogenated C 1 -C 6 alkane Oxy, C 6 -C 10 aryl, 5-10 membered heteroaryl, 4-8 membered heterocyclic group, halogen, nitro, hydroxyl, cyano, ester, amine, amide, sulfonamide or Urea
限定条件为:The qualifications are:
当B为N时,R 1选自下组:-C(O)C(R A)=C(R B) 2或-S(O) 2C(R A)=C(R B) 2; When B is N, R 1 is selected from the group consisting of: -C (O) C (R A) = C (R B) 2 , or -S (O) 2 C (R A) = C (R B) 2;
当B为CH或CR 5时,R 1选自下组:-NR 6C(O)C(R A)=C(R B) 2或-NR 6S(O) 2C(R A)=C(R B) 2。 When B is CH or CR 5, the group R is selected from: -NR 6 C (O) C (R A) = C (R B) 2 , or -NR 6 S (O) 2 C (R A) = C(R B ) 2 .
在另一优选例中,R 1为-C(O)C(R A)=C(R B) 2,其中,R A独立地选自下组:氢、氟;各R B相同或不同,且独立地选自下组:氢或C 1-C 3烷基,其中,所述烷基可以被选自下组 的一个或多个取代基取代:氘、卤素、氰基、胺基、C 3-C 7环烷基、4-7元杂环基、NHR 9或NR 9R 10;R 9和R 10各自独立地为C 1-C 3烷基;或R 9,R 10与其连接的N原子一起构成4-8元杂环基。 In another preferred example, R 1 is -C(O)C(R A )=C(R B ) 2 , wherein R A is independently selected from the following group: hydrogen and fluorine; each R B is the same or different, And are independently selected from the following group: hydrogen or C 1 -C 3 alkyl, wherein the alkyl group may be substituted by one or more substituents selected from the following group: deuterium, halogen, cyano, amine, C 3 -C 7 cycloalkyl, 4-7 membered heterocyclic group, NHR 9 or NR 9 R 10 ; R 9 and R 10 are each independently a C 1 -C 3 alkyl group; or R 9 , R 10 is connected to it The N atoms together form a 4-8 membered heterocyclic group.
在另一优选例中,R 2选自取代的下组基团:苯基、5-6元杂芳基,其中,R 2中所述取代是指被选自下组的一个或多个基团取代:R'、-SO 2R'、-SO 2NR'R”、-NR'SO 2R”、-P(=O)R'R”;R'、R”相同或不同,各自独立地选自取代或未取代的下组基团:氢、氘、卤素、硝基、羟基、氰基、酯基、胺基、酰胺基、C 1-C 6烷基、C 3-C 6环烷基、C 4-C 6环烯基、4-8元杂环基、C 6-C 10芳基、5-10元杂芳基;或当R'和R”连接于同一个N原子时,R'、R”与其连接的N原子一起构成取代或未取代的4-6元杂环基;其中,R'和R”中所述取代是指被选自下组的一个或多个基团取代:氢、氘、C 1-C 6烷基、氘代C 1-C 6烷基、卤代C 1-C 6烷基、C 3-C 8环烷基、C 1-C 6烷氧基、氘代C 1-C 6烷氧基、卤代C 1-C 6烷氧基、C 6-C 10芳基、5-10元杂芳基、4-8元杂环基、卤素、硝基、羟基、氰基、酯基、胺基、酰胺基、磺酰胺基或脲基。 In another preferred example, R 2 is selected from the following group of substituted groups: phenyl, 5-6 membered heteroaryl, wherein the substitution in R 2 refers to one or more groups selected from the following group Group substitution: R', -SO 2 R', -SO 2 NR'R", -NR'SO 2 R", -P(=O)R'R";R'andR" are the same or different, each independently Ground is selected from the following group of substituted or unsubstituted groups: hydrogen, deuterium, halogen, nitro, hydroxyl, cyano, ester, amine, amide, C 1 -C 6 alkyl, C 3 -C 6 ring Alkyl group, C 4 -C 6 cycloalkenyl group, 4-8 membered heterocyclic group, C 6 -C 10 aryl group, 5-10 membered heteroaryl group; or when R'and R" are connected to the same N atom , R', R" and the N atom to which they are connected together constitute a substituted or unsubstituted 4-6 membered heterocyclic group; wherein, the substitution in R'and R" refers to one or more groups selected from the following group Group substitution: hydrogen, deuterium, C 1 -C 6 alkyl, deuterated C 1 -C 6 alkyl, halo C 1 -C 6 alkyl, C 3 -C 8 cycloalkyl, C 1 -C 6 alkane Oxy, deuterated C 1 -C 6 alkoxy, halogenated C 1 -C 6 alkoxy, C 6 -C 10 aryl, 5-10 membered heteroaryl, 4-8 membered heterocyclic group, halogen , Nitro, hydroxyl, cyano, ester, amine, amide, sulfonamide or urea group.
在另一优选例中,R 3为卤素。 In another preferred embodiment, R 3 is halogen.
在另一优选例中,R 4选自取代或未取代的下组基团:苯基或5-6元杂芳基,其中,所述取代是指被选自下组的一个或多个基团取代:氢、氘、卤素、酯基、NR bC(=O)OR e、OC(=O)R e、OC(=O)NR bR c、胺基、卤代C 1-C 18烷基(优选卤代C 1-C 6烷基,更优选卤代C 1-C 3烷基)、羟基;R b、R c可以独立表示氢、氘、C1-C6烷基、C3-C8环烷基、4-8元杂环基、5-14元杂芳基或C6-C14芳环,或者说R b和R c与N原子一起可以形成4-8元杂环基;R e可以独立表示氢、C1-C6烷基、C3-C8环烷基、C2-C6烯基、C3-C6环烯基、C2-C6炔基、4-8元杂环基、5-14元杂芳基或C6-C14芳环。 In another preferred example, R 4 is selected from the following group of substituted or unsubstituted groups: phenyl or 5-6 membered heteroaryl, wherein the substitution refers to one or more groups selected from the following group Group substitution: hydrogen, deuterium, halogen, ester group, NR b C(=O)OR e , OC(=O)R e , OC(=O)NR b R c , amine group, halogenated C 1 -C 18 Alkyl (preferably halo C 1 -C 6 alkyl, more preferably halo C 1 -C 3 alkyl), hydroxyl; R b and R c can independently represent hydrogen, deuterium, C1-C6 alkyl, C3-C8 cycloalkyl, 4-8 membered heterocyclyl, 5-14 membered heteroaryl, or C6-C14 aromatic ring, or R b and R c with the N atom may form a 4-8 membered heterocyclyl; R e may Independently represent hydrogen, C1-C6 alkyl, C3-C8 cycloalkyl, C2-C6 alkenyl, C3-C6 cycloalkenyl, C2-C6 alkynyl, 4-8 membered heterocyclic group, 5-14 membered heteroaryl Group or C6-C14 aromatic ring.
在另一优选例中,A、B相同或者不同,各自独立地为CH或N。In another preferred example, A and B are the same or different, and each independently is CH or N.
在另一优选例中,Q为N。In another preferred example, Q is N.
在另一优选例中,U为N。In another preferred example, U is N.
在另一优选例中,V、W各自独立地为CR 3,R 3为H或卤素。 In another preferred embodiment, V and W are each independently CR 3 , and R 3 is H or halogen.
在另一优选例中,所述的式(I)化合物、其立体异构体、互变异构体、晶型、药学上可接受的盐、水合物、溶剂合物或前药,其具有式(II-A)或(II-B)所示的结构:In another preferred embodiment, the compound of formula (I), its stereoisomers, tautomers, crystal forms, pharmaceutically acceptable salts, hydrates, solvates or prodrugs have The structure shown in formula (II-A) or (II-B):
式中:Where:
R 1、R 2、R 4、A、B、L、X、U、V、W、Q的定义如上所述。 The definitions of R 1 , R 2 , R 4 , A, B, L, X, U, V, W, and Q are as described above.
在另一优选例中,所述的式(I)化合物、其立体异构体、互变异构体、晶型、药学上可接受的盐、水合物、溶剂合物或前药,其具有式(III)所示结构:In another preferred embodiment, the compound of formula (I), its stereoisomers, tautomers, crystal forms, pharmaceutically acceptable salts, hydrates, solvates or prodrugs have The structure shown in formula (III):
R 1、R 2、R 4、X、L、U、V、W、Q的定义如上所述。 The definitions of R 1 , R 2 , R 4 , X, L, U, V, W, and Q are as described above.
在另一优选例中,所述的式(I)化合物、其立体异构体、互变异构体、晶型、药学上可接受的盐、水合物、溶剂合物或前药,其具有式(IV)所示结构:In another preferred embodiment, the compound of formula (I), its stereoisomers, tautomers, crystal forms, pharmaceutically acceptable salts, hydrates, solvates or prodrugs have The structure shown in formula (IV):
式中:Where:
R 1、R 2、R 4、R 8、L、U、V、W、Q的定义如上所述。 The definitions of R 1 , R 2 , R 4 , R 8 , L, U, V, W, and Q are as described above.
在另一优选例中,所述的式(I)化合物、其立体异构体、互变异构体、晶型、药学上可接受的盐、水合物、溶剂合物或前药,其具有式(V)所示结构:In another preferred embodiment, the compound of formula (I), its stereoisomers, tautomers, crystal forms, pharmaceutically acceptable salts, hydrates, solvates or prodrugs have The structure shown in formula (V):
式中:Where:
R 1、R 2、R 4、R 8、U、V、W、Q的定义如上所述。 The definitions of R 1 , R 2 , R 4 , R 8 , U, V, W, and Q are as described above.
在另一优选例中,所述的式(I)化合物、其立体异构体、互变异构体、晶型、药学上可接受的盐、水合物、溶剂合物或前药,其具有式(VI)所示结构:In another preferred embodiment, the compound of formula (I), its stereoisomers, tautomers, crystal forms, pharmaceutically acceptable salts, hydrates, solvates or prodrugs have The structure shown in formula (VI):
式中:Where:
R 1、R 2、R 4、R 8、U、V、Q的定义如上所述。 The definitions of R 1 , R 2 , R 4 , R 8 , U, V, and Q are as described above.
在另一优选例中,所述的式(I)化合物、其立体异构体、互变异构体、晶型、药学上可接受的盐、水合物、溶剂合物或前药,其特征在于,其具有式(VII)所示的结构:In another preferred embodiment, the compound of formula (I), its stereoisomers, tautomers, crystal forms, pharmaceutically acceptable salts, hydrates, solvates or prodrugs are characterized by Is that it has the structure represented by formula (VII):
式中:Where:
R 1、R 2、R 4、R 8、V、Q的定义如上所述。 The definitions of R 1 , R 2 , R 4 , R 8 , V, and Q are as described above.
在另一优选例中,所述的式(I)化合物、其立体异构体、互变异构体、晶型、药学上可接受的盐、水合物、溶剂合物或前药,其具有式(VIII)所示的结构:In another preferred embodiment, the compound of formula (I), its stereoisomers, tautomers, crystal forms, pharmaceutically acceptable salts, hydrates, solvates or prodrugs have The structure shown in formula (VIII):
式中,Where
R”'选自取代或未取代的下组基团:氢、氘、卤素、硝基、羟基、氰基、酯基、胺基、酰胺基、C 1-C 6烷基、C 3-C 8环烷基、C 4-C 10环烯基、4-8元杂环基、C 6-C 14芳基、5-14元杂芳基,其中,所述取代是指被选自下组的一个或多个基团取代:氘、卤素、硝基、羟基、氰基、酯基、胺基、酰胺基、C 1-C 6烷基、C 3-C 8环烷基、C 4-C 10环烯基、4-8元杂环基、C 6-C 14芳基、5-14元杂芳基; R"' is selected from the following group of substituted or unsubstituted groups: hydrogen, deuterium, halogen, nitro, hydroxyl, cyano, ester, amine, amide, C 1 -C 6 alkyl, C 3 -C 8 -cycloalkyl, C 4 -C 10 cycloalkenyl, 4-8 membered heterocyclic group, C 6 -C 14 aryl, 5-14 membered heteroaryl, wherein the substitution refers to being selected from the following group Substitution of one or more groups: deuterium, halogen, nitro, hydroxyl, cyano, ester, amine, amide, C 1 -C 6 alkyl, C 3 -C 8 cycloalkyl, C 4- C 10 cycloalkenyl, 4-8 membered heterocyclic group, C 6 -C 14 aryl, 5-14 membered heteroaryl;
q选自:1、2、3或4;q is selected from: 1, 2, 3 or 4;
R 1、R 4、R 8、R'、V、Q的定义如上所述。 The definitions of R 1 , R 4 , R 8 , R', V, and Q are as described above.
在另一优选例中, 部分中,R 8可以是1、2、3或4个,或者两个相邻的R 8可以与其相连的C原子共同形成C 3-C 6环烷基。 In another preferred example, In the part, R 8 can be 1, 2, 3, or 4, or two adjacent R 8 can form a C 3 -C 6 cycloalkyl group together with the C atom to which they are connected.
在另一优选例中, 选自: In another preferred example, Selected from:
在另一优选例中, 部分选自: In another preferred example, Partly selected from:
在另一优选例中,R 1选自: In another preferred embodiment, R 1 is selected from:
在另一优选例中,所述的化合物具有式(VIII-A)所示的结构:In another preferred embodiment, the compound has a structure represented by formula (VIII-A):
式中,Where
R”'各自独立地选自取代或未取代的下组基团:氘、卤素、硝基、羟基、氰基、酯基、胺基、酰胺基、C 1-C 6烷基、C 3-C 8环烷基、C 4-C 10环烯基、4-8元杂环基、C 6-C 14芳基、5-14元杂芳基,其中,所述取代是指被选自下组的一个或多个基团取代:氘、卤素、硝基、羟基、氰基、酯基、胺基、酰胺基、C 1-C 6烷基、C 3-C 8环烷基、C 4-C 10环烯基、4-8元杂环基、C 6-C 14芳基、5-14元杂芳基; R"' are each independently selected from the following group of substituted or unsubstituted groups: deuterium, halogen, nitro, hydroxyl, cyano, ester, amine, amide, C 1 -C 6 alkyl, C 3- C 8 cycloalkyl, C 4 -C 10 cycloalkenyl, 4-8 membered heterocyclic group, C 6 -C 14 aryl, 5-14 membered heteroaryl, wherein the substitution means being selected from One or more group substitutions of the group: deuterium, halogen, nitro, hydroxyl, cyano, ester, amine, amide, C 1 -C 6 alkyl, C 3 -C 8 cycloalkyl, C 4 -C 10 cycloalkenyl, 4-8 membered heterocyclic group, C 6 -C 14 aryl, 5-14 membered heteroaryl;
q选自:1、2、3或4;q is selected from: 1, 2, 3 or 4;
R 1、R 4、R 8、R'、V、Q的定义如上所述。 The definitions of R 1 , R 4 , R 8 , R', V, and Q are as described above.
在另一优选例中,R 8各自独立地选自取代或未取代的下组基团:氢、氘、C 1-C 6烷基、氘代C 1-C 6烷基、卤代C 1-C 6烷基,其中,所述取代是指被氰基取代。 In another preferred embodiment, R 8 is each independently selected from the following group of substituted or unsubstituted groups: hydrogen, deuterium, C 1 -C 6 alkyl, deuterated C 1 -C 6 alkyl, halo C 1 -C 6 alkyl, wherein the substitution refers to substitution by a cyano group.
在另一优选例中,各R 8独立地为取代或未取代的C 1-C 3烷基,其中,所述取代是指被氰基取代。 In another preferred embodiment, each R 8 is independently a substituted or unsubstituted C 1 -C 3 alkyl group, wherein the substitution refers to substitution by a cyano group.
在另一优选例中,各R 8为甲基。 In another preferred embodiment, each R 8 is a methyl group.
在另一优选例中,所述的式(I)化合物、其立体异构体、互变异构体、晶型、药学上可接受的盐、水合物、溶剂合物或前药,其具有式(IX)所示的结构:In another preferred embodiment, the compound of formula (I), its stereoisomers, tautomers, crystal forms, pharmaceutically acceptable salts, hydrates, solvates or prodrugs have The structure shown in formula (IX):
式中,Where
R 1选自: 其中,R A选自:H、D、卤素或氰基;R B、R B’相同或不同,各自独立地选自:H、D、卤素、氰基、取代或未取代的C 1-C 3烷基;其中,所述取代是指被选自下组的一个或多个基团取代:D、卤素、氰基、C 1-C 3烷基、C 3-C 6环烷基、4-6元杂环基或NR IVR V;R IV、R V相同或不同,各自独立地选自:H、C 1-C 3烷基、C 3-C 6环烷基或4-6元杂环基;或者R IV、R V和相邻的N一起环合形成4-6元杂环基; R 1 is selected from: Wherein, R A is selected from: H, D, halogen or cyano; R B and R B'are the same or different, each independently selected from: H, D, halogen, cyano, substituted or unsubstituted C 1 -C 3 Alkyl; wherein, the substitution refers to substitution by one or more groups selected from the following group: D, halogen, cyano, C 1 -C 3 alkyl, C 3 -C 6 cycloalkyl, 4 -6 membered heterocyclic group or NR IV R V ; R IV and R V are the same or different, each independently selected from: H, C 1 -C 3 alkyl, C 3 -C 6 cycloalkyl or 4-6 membered Heterocyclic group; or R IV , R V and adjacent N are cyclized together to form a 4-6 membered heterocyclic group;
R 4、R'、V、Q、R”'和q的定义如上所述。 The definitions of R 4 , R', V, Q, R"' and q are as described above.
在另一优选例中,R”'选自取代或未取代的下组基团:C 1-C 6烷基、C 3-C 8环烷基、C 4-C 10环烯基、4-8元杂环基、C 6-C 10芳基、5-10元杂芳基,其中,所述取代是指被选自下组的一个或多个基团取代:氘、卤素、硝基、羟基、氰基、酯基、胺基、酰胺基、C 1-C 6烷基、C 3-C 8环烷基、4-8元杂环基。 In another preferred example, R"' is selected from substituted or unsubstituted groups: C 1 -C 6 alkyl, C 3 -C 8 cycloalkyl, C 4 -C 10 cycloalkenyl, 4- 8-membered heterocyclic group, C 6 -C 10 aryl group, 5-10 membered heteroaryl group, wherein the substitution refers to substitution by one or more groups selected from the following group: deuterium, halogen, nitro, Hydroxyl group, cyano group, ester group, amino group, amide group, C 1 -C 6 alkyl group, C 3 -C 8 cycloalkyl group, 4-8 membered heterocyclic group.
在另一优选例中,R”'选自取代或未取代的下组基团:C 1-C 6烷基、C 3-C 6环烷基、C 4-C 6环烯基、4-6元杂环基,其中,所述取代是指被选自下组的一个或多个基团取代:氘、卤素、硝基、羟基、氰基、酯基、胺基、酰胺基、C 1-C 3烷基。 In another preferred example, R"' is selected from the following group of substituted or unsubstituted groups: C 1 -C 6 alkyl, C 3 -C 6 cycloalkyl, C 4 -C 6 cycloalkenyl, 4- 6-membered heterocyclic group, wherein the substitution refers to substitution by one or more groups selected from the following group: deuterium, halogen, nitro, hydroxyl, cyano, ester, amine, amide, C 1 -C 3 alkyl.
在另一优选例中,R”'选自取代或未取代的下组基团:C 3-C 8环烷基、4-8元杂环基,其中,所述取代是指被选自下组的一个或多个基团取代:氘、卤素、硝基、羟基、氰基、酯基、胺基、酰胺基、C 1-C 3烷基。 In another preferred example, R"' is selected from the following group of substituted or unsubstituted groups: C 3 -C 8 cycloalkyl, 4-8 membered heterocyclic group, wherein the substitution refers to being selected from One or more group substitutions of the group: deuterium, halogen, nitro, hydroxyl, cyano, ester, amine, amide, C 1 -C 3 alkyl.
在另一优选例中,R”'选自取代或未取代的下组基团:乙基、正丙基、异丙基、环丙基、环丁基、环戊基、环己基、环丙氨基、氮杂环丁烷基、氮杂环戊烷基、氮杂环己烷基、环氧乙烷基、氧杂环丁烷基、氧杂环戊烷基、氧杂环己烷基,其中,所述取代是指被选自下组的一个或多个(如2、3、4)基团取代:氘、卤素、硝基、羟基、氰基、酯基、胺基、酰胺基、C 1-C 3烷基。 In another preferred example, R"' is selected from the following substituted or unsubstituted groups: ethyl, n-propyl, isopropyl, cyclopropyl, cyclobutyl, cyclopentyl, cyclohexyl, cyclopropyl Amino, azetidinyl, azetidinyl, azetidinyl, oxiranyl, oxetanyl, oxetanyl, oxetanyl, Wherein, the substitution refers to substitution by one or more (such as 2, 3, 4) groups selected from the following group: deuterium, halogen, nitro, hydroxyl, cyano, ester, amine, amide, C 1 -C 3 alkyl.
在另一优选例中,q为1。In another preferred example, q is 1.
在另一优选例中,R 2选自: In another preferred embodiment, R 2 is selected from:
K=O、S、CH 2或NH;f=0、1或2。 K=0, S, CH 2 or NH; f=0, 1 or 2.
在另一优选例中,R 2选自下组: In another preferred example, R 2 is selected from the following group:
K独立地为O、S、CH 2或NH;e和f各自独立地为0、1或2,优选地上述基团中的H可任选地被氘、卤素、硝基、羟基、氰基、酯基、胺基、酰胺基、C 1-C 3烷基取代。 K is independently O, S, CH 2 or NH; e and f are each independently 0, 1 or 2, preferably H in the above groups can be optionally deuterated, halogen, nitro, hydroxyl, cyano , Ester group, amine group, amide group, C 1 -C 3 alkyl substitution.
在另一优选例中, 部分选自下组: In another preferred example, Part of it is selected from the following group:
K独立地为O、S、CH 2或NH;e和f各自独立地为0、1或2,优选地上述基团中的H可任选地被氘、卤素、硝基、羟基、氰基、酯基、胺基、酰胺基、C 1-C 3烷基取代。 K is independently O, S, CH 2 or NH; e and f are each independently 0, 1 or 2, preferably H in the above groups can be optionally deuterated, halogen, nitro, hydroxyl, cyano , Ester group, amine group, amide group, C 1 -C 3 alkyl substitution.
在另一优选例中,所述的化合物具有式(VIII-1)或(VIII-2)所示的结构:In another preferred example, the compound has a structure represented by formula (VIII-1) or (VIII-2):
式中,Where
Rx选自:F或Cl;Rx is selected from: F or Cl;
R 4选自取代或未取代苯基,其中,所述取代是指被选自下组的一个或多个基团取代:氘、卤素、酯基、氰基、NR bC(=O)OR e、OC(=O)R e、OC(=O)NR bR c、胺基、C 1-C 6烷基、卤代C 1-C 6烷基、C 1-C 6烷氧基、羟基;R b、R c可以独立表示氢、氘、C 1-C 6烷基、C 3-C 8环烷基、4-8元杂环基、5-14元杂芳基或C 6-C 14芳环,或者说R b和R c与N原子一起可以形成4-8元杂环基;R e可以独立表示氢、C1-C 6烷基、C 3-C 8环烷基、C 2-C 6烯基、C 3-C 6环烯基、C 2-C 6炔基、4-8元杂环基、5-14元杂芳基或C6-C14芳环; R 4 is selected from substituted or unsubstituted phenyl, wherein the substitution refers to substitution by one or more groups selected from the following group: deuterium, halogen, ester group, cyano group, NR b C(=O)OR e , OC(=O)R e , OC(=O)NR b R c , amine group, C 1 -C 6 alkyl, halogenated C 1 -C 6 alkyl, C 1 -C 6 alkoxy, Hydroxyl; R b and R c can independently represent hydrogen, deuterium, C 1 -C 6 alkyl, C 3 -C 8 cycloalkyl, 4-8 membered heterocyclic group, 5-14 membered heteroaryl or C 6- C 14 aromatic ring, or R b and R c together with the N atom may form a 4-8 membered heterocyclyl group; R e independently represent hydrogen, C1-C 6 alkyl, C 3 -C 8 cycloalkyl, C 2- C 6 alkenyl, C 3 -C 6 cycloalkenyl, C 2 -C 6 alkynyl, 4-8 membered heterocyclic group, 5-14 membered heteroaryl or C6-C14 aromatic ring;
Rm选自取代或未取代的下组基团:胺基、C 1-C 6烷基、C 3-C 6环烷基、4-6元杂环基,其中,所述取代是指被选自下组的一个或多个基团取代:氘、卤素、硝基、羟基、氰基、酯基、胺基、酰胺基、C 1-C 3烷基、C 3-C 6环烷基、4-6元杂环基; Rm is selected from the following group of substituted or unsubstituted groups: amino group, C 1 -C 6 alkyl group, C 3 -C 6 cycloalkyl group, 4-6 membered heterocyclic group, wherein the substitution refers to the selected Substituting one or more groups from the following group: deuterium, halogen, nitro, hydroxyl, cyano, ester, amine, amide, C 1 -C 3 alkyl, C 3 -C 6 cycloalkyl, 4-6 membered heterocyclic group;
Rn选自取代或未取代的下组基团:胺基、C 1-C 6烷基、C 1-C 6烷氧基、C 3-C 6环烷基、-O-C 3-C 6环烷基、C 1-C 6烷基C 3-C 6环烷基、-O-C 1-C 6烷基C 3-C 6环烷基、4-6元杂环基,其中,所述取代是指被选自下组的一个或多个基团取代:氘、卤素、硝基、羟基、氰基、酯基、胺基、酰胺基、C 1-C 3烷基、C 1-C 3卤代烷基、C 3-C 6环烷基、4-6元杂环基; Rn is selected from the following group of substituted or unsubstituted groups: amino, C 1 -C 6 alkyl, C 1 -C 6 alkoxy, C 3 -C 6 cycloalkyl, -OC 3 -C 6 cycloalkane Group, C 1 -C 6 alkyl C 3 -C 6 cycloalkyl, -OC 1 -C 6 alkyl C 3 -C 6 cycloalkyl, 4-6 membered heterocyclic group, wherein the substitution refers to Substituted by one or more groups selected from the following group: deuterium, halogen, nitro, hydroxyl, cyano, ester, amine, amide, C 1 -C 3 alkyl, C 1 -C 3 haloalkyl , C 3 -C 6 cycloalkyl, 4-6 membered heterocyclic group;
R 1的定义如上所述。 The definition of R 1 is as described above.
在另一优选例中,所述的式(I)化合物、其立体异构体、互变异构体、晶型、药学上可接受的盐、水合物、溶剂合物或前药,其具有式(X)或(XI)所示的结构:In another preferred embodiment, the compound of formula (I), its stereoisomers, tautomers, crystal forms, pharmaceutically acceptable salts, hydrates, solvates or prodrugs have The structure shown in formula (X) or (XI):
式中,Where
R 4选自取代或未取代C 6-C 14芳基或5-10元杂芳基,其中,所述取代是指被选自下组的一个或多个(如2、3、4或5个)基团取代:氘、卤素、酯基、氰基、NR bC(=O)OR e、OC(=O)R e、OC(=O)NR bR c、胺基、C 1-C 6烷基、卤代C 1-C 6烷基、羟基;R b、R c可以独立表示氢、氘、C 1-C 6烷基、C 3-C8环烷基、4-8元杂环基、5-14元杂芳基或C 6-C 14芳环,或者说R b和R c与N原子一起可以形成4-8元杂环基;R e可以独立表示氢、C 1-C 6烷基、C 3-C 8环烷基、C 2-C 6烯基、C 3-C 6环烯基、C 2-C 6炔基、4-8元杂环基、5-14元杂芳基或C 6-C 14芳环; R 4 is selected from substituted or unsubstituted C 6 -C 14 aryl groups or 5-10 membered heteroaryl groups, wherein the substitution refers to one or more selected from the group (such as 2, 3, 4 or 5 One) group substitution: deuterium, halogen, ester group, cyano group, NR b C(=O)OR e , OC(=O)R e , OC(=O)NR b R c , amine group, C 1- C 6 alkyl, halogenated C 1 -C 6 alkyl, hydroxy; R b and R c can independently represent hydrogen, deuterium, C 1 -C 6 alkyl, C 3 -C8 cycloalkyl, 4-8 membered hetero Cyclic group, 5-14 membered heteroaryl group or C 6 -C 14 aromatic ring, or R b and R c together with the N atom can form a 4-8 membered heterocyclic group; R e can independently represent hydrogen, C 1- C 6 alkyl, C 3 -C 8 cycloalkyl, C 2 -C 6 alkenyl, C 3 -C 6 cycloalkenyl, C 2 -C 6 alkynyl, 4-8 membered heterocyclic group, 5-14 Member heteroaryl or C 6 -C 14 aromatic ring;
Rm选自取代或未取代的下组基团:胺基、C 1-C 6烷基、C 3-C 6环烷基、4-6元杂环基,其中,所述取代是指被选自下组的一个或多个(如2、3、4)基团取代:氘、卤素、硝基、羟基、氰基、酯基、胺基、酰胺基、C 1-C 3烷基、C3-C6环烷基、4-6元杂环基; Rm is selected from the following group of substituted or unsubstituted groups: amino group, C 1 -C 6 alkyl group, C 3 -C 6 cycloalkyl group, 4-6 membered heterocyclic group, wherein the substitution refers to the selected Substitution from one or more (such as 2, 3, 4) groups from the following group: deuterium, halogen, nitro, hydroxyl, cyano, ester, amine, amide, C 1 -C 3 alkyl, C3 -C6 cycloalkyl, 4-6 membered heterocyclic group;
Rn选自取代或未取代的下组基团:胺基、C 1-C 6烷基、C 1-C 6烷氧基、C 3-C 6环烷基、-O-C 3-C 6环烷基、C 1-C 6烷基C 3-C 6环烷基、-O-C 1-C 6烷基C 3-C 6环烷基、4-6元杂环基,其中,所述取代是指被选自下组的一个或多个(如2、3、4)基团取代:氘、卤素、硝基、羟基、氰基、酯基、胺基、酰胺基、C 1-C 3烷基、C 1-C 3卤代烷基、C 3-C 6环烷基、4-6元杂环基; Rn is selected from the following group of substituted or unsubstituted groups: amino, C 1 -C 6 alkyl, C 1 -C 6 alkoxy, C 3 -C 6 cycloalkyl, -OC 3 -C 6 cycloalkane Group, C 1 -C 6 alkyl C 3 -C 6 cycloalkyl, -OC 1 -C 6 alkyl C 3 -C 6 cycloalkyl, 4-6 membered heterocyclic group, wherein the substitution refers to Substitution by one or more (such as 2, 3, 4) groups selected from the following group: deuterium, halogen, nitro, hydroxyl, cyano, ester, amine, amide, C 1 -C 3 alkyl , C 1 -C 3 haloalkyl, C 3 -C 6 cycloalkyl, 4-6 membered heterocyclic group;
Rx选自:F或Cl;Rx is selected from: F or Cl;
R A选自:H、D、卤素,优选地R A选自:H或F。 R A is selected from: H, D, halo, preferably, R A is selected from: H or F.
R”'的定义如上所述;The definition of R"' is as described above;
q'选自0、1、2、或3。q'is selected from 0, 1, 2, or 3.
在另一优选例中,所述化合物具有式(XII)或(XIII)所示的结构:In another preferred embodiment, the compound has a structure represented by formula (XII) or (XIII):
R 4a、R 4b、R 4c、R 4d、R 4e相同或不同,各自独立地选自:H、氘、卤素、酯基、氰基、NR bC(=O)OR e、OC(=O)R e、OC(=O)NR bR c、胺基、C 1-C 6烷基、卤代C 1-C 6烷基、羟基;R b、R c可以独立表示氢、氘、C 1-C 6烷基、C 3-C 8环烷基、4-8元杂环基、5-14元杂芳基或C 6-C 14芳环,或者说R b和R c与N原子一起可以形成4-8元杂环基;R e可以独立表示氢、C1-C 6烷基、C 3-C 8环烷基、C 2-C 6烯基、C 3-C 6环烯基、C 2-C 6炔基、4-8元杂环基、5-14元杂芳基或C6-C14 芳环; R 4a , R 4b , R 4c , R 4d , R 4e are the same or different, each independently selected from: H, deuterium, halogen, ester, cyano, NR b C(=O)OR e , OC(=O )R e , OC(=O)NR b R c , amine group, C 1 -C 6 alkyl group, halogenated C 1 -C 6 alkyl group, hydroxyl group; R b , R c can independently represent hydrogen, deuterium, C 1 -C 6 alkyl, C 3 -C 8 cycloalkyl, 4-8 membered heterocyclic group, 5-14 membered heteroaryl or C 6 -C 14 aromatic ring, or R b and R c and N atom Together they can form a 4-8 membered heterocyclic group; R e can independently represent hydrogen, C1-C 6 alkyl, C 3 -C 8 cycloalkyl, C 2 -C 6 alkenyl, C 3 -C 6 cycloalkenyl , C 2 -C 6 alkynyl, 4-8 membered heterocyclic group, 5-14 membered heteroaryl or C6-C14 aromatic ring;
Rm、Rn、Rx、R A、q'、R”'如上所述。 Rm, Rn, Rx, R A , q ', R "' described above.
在另一优选例中,q'为0。In another preferred example, q'is 0.
在另一优选例中,所述化合物具有式(XIV)或(XV)所示的结构:In another preferred embodiment, the compound has a structure represented by formula (XIV) or (XV):
式中,Where
R 4a、R 4b、R 4c、R 4d、R 4e各自独立地选自:H、氘、卤素、羟基、胺基、C 1-C 3烷基、卤代C 1-C 3烷基、NR bC(=O)OR e、OC(=O)R e、OC(=O)NR bR c;其中,R b、R c可以独立表示氢、氘、C 1-C 6烷基;R e可以独立表示氢、C 1-C 6烷基、C 3-C 8环烷基、4-8元杂环基; R 4a , R 4b , R 4c , R 4d , R 4e are each independently selected from: H, deuterium, halogen, hydroxyl, amino, C 1 -C 3 alkyl, halogenated C 1 -C 3 alkyl, NR b C(=O)OR e , OC(=O)R e , OC(=O)NR b R c ; where R b and R c can independently represent hydrogen, deuterium, C 1 -C 6 alkyl; R e can independently represent hydrogen, C 1 -C 6 alkyl, C 3 -C 8 cycloalkyl, 4-8 membered heterocyclic group;
Rm、Rn、Rx、R A如上所述。 Rm, Rn, Rx, R A described above.
在另一优选例中,Rn选自取代或未取代的下组基团:乙基、正丙基、异丙基、环丙基、环丁基、环戊基、环己基、环丙氨基、氮杂环丁烷基、氮杂环戊烷基、氮杂环己烷基、环氧乙烷基、氧杂环丁烷基、氧杂环戊烷基、氧杂环己烷基,其中,所述取代是指被选自下组的一个或多个(如2、3、4)基团取代:氘、卤素、硝基、羟基、氰基、酯基、胺基、酰胺基、C 1-C 3烷基。 In another preferred example, Rn is selected from the following group of substituted or unsubstituted groups: ethyl, n-propyl, isopropyl, cyclopropyl, cyclobutyl, cyclopentyl, cyclohexyl, cyclopropylamino, Azetidinyl, azetidinyl, azetidinyl, oxiranyl, oxetanyl, oxolanyl, oxetanyl, of which, The substitution refers to substitution by one or more (such as 2, 3, 4) groups selected from the following group: deuterium, halogen, nitro, hydroxyl, cyano, ester, amine, amide, C 1 -C 3 alkyl.
在另一优选例中,Rm选自取代或未取代的下组基团:甲基、乙基、正丙基、异丙基、环丙基、环丁基、环戊基、环己基、环丙氨基、氮杂环丁烷基、氮杂环戊烷基、氮杂环己烷基、环氧乙烷基、氧杂环丁烷基、氧杂环戊烷基、氧杂环己烷基,其中,所述取代是指被选自下组的一个或多个(如2、3、4)基团取代:氘、卤素、硝基、羟基、氰基、酯基、胺基、酰胺基、C 1-C 3烷基。 In another preferred example, Rm is selected from the following group of substituted or unsubstituted groups: methyl, ethyl, n-propyl, isopropyl, cyclopropyl, cyclobutyl, cyclopentyl, cyclohexyl, cyclo Propylamino, azetidinyl, azetidinyl, azetidinyl, oxiranyl, oxetanyl, oxetanyl, oxetanyl , Wherein, the substitution refers to substitution by one or more (such as 2, 3, 4) groups selected from the following group: deuterium, halogen, nitro, hydroxyl, cyano, ester, amine, amide , C 1 -C 3 alkyl.
在另一优选例中,Rn选自取代或未取代的下组基团:乙基、正丙基、异丙基、环丙基、环丁基、环戊基、环己基、环丙氨基、氮杂环丁烷基、氮杂环戊烷基、氮杂环己烷基、环氧乙烷基、氧杂环丁烷基、氧杂环戊烷基、氧杂环己烷基,其中,所述取代是指被选自下组的一个或多个基团取代:氘、卤素、硝基、羟基、氰基、酯基、胺基、酰胺基、C 1-C 3烷基; In another preferred example, Rn is selected from the following group of substituted or unsubstituted groups: ethyl, n-propyl, isopropyl, cyclopropyl, cyclobutyl, cyclopentyl, cyclohexyl, cyclopropylamino, Azetidinyl, azetidinyl, azetidinyl, oxiranyl, oxetanyl, oxolanyl, oxetanyl, of which, The substitution refers to substitution by one or more groups selected from the following group: deuterium, halogen, nitro, hydroxyl, cyano, ester, amine, amide, C 1 -C 3 alkyl;
Rm选自取代或未取代的下组基团:甲基、乙基、正丙基、异丙基、环丙基、环丁基、环戊基、环己基、环丙氨基、氮杂环丁烷基、氮杂环戊烷基、氮杂环己烷基、环氧乙烷基、氧杂环丁烷基、氧杂环戊烷基、氧杂环己烷基,其中,所述取代是指被选自下组的一个或多个基团取代:氘、卤素、硝基、羟基、氰基、酯基、胺基、酰胺基、C 1-C 3烷基。 Rm is selected from the following group of substituted or unsubstituted groups: methyl, ethyl, n-propyl, isopropyl, cyclopropyl, cyclobutyl, cyclopentyl, cyclohexyl, cyclopropylamino, azetidine Alkyl, azepanyl, azetidine, oxiranyl, oxetanyl, oxolane, oxetanyl, wherein the substitution is Refers to substitution by one or more groups selected from the following group: deuterium, halogen, nitro, hydroxyl, cyano, ester, amine, amide, C 1 -C 3 alkyl.
在另一优选例中, 选自: In another preferred example, Selected from:
在另一优选例中,R 4b、R 4c和R 4d为H。 In another preferred embodiment, R 4b , R 4c and R 4d are H.
在另一优选例中,Rx选自:F或Cl。In another preferred example, Rx is selected from: F or Cl.
在另一优选例中,R A选自:H、D、卤素,优选地R A选自:H或F。 In another preferred embodiment, R A is selected from: H, D, halo, preferably, R A is selected from: H or F.
在另一优选例中,R 1、R 2、R 4、R 8、L、U、V、W、Q、p、A、B、X、Rn、Rm、Rx、R A、R”'、R 4a、R 4b、R 4c、R 4d、R 4e、q和q'为实施例中各具体化合物相对应的具体基团。 In another preferred example, R 1 , R 2 , R 4 , R 8 , L, U, V, W, Q, p, A, B, X, Rn, Rm, Rx, R A , R"', R 4a , R 4b , R 4c , R 4d , R 4e , q and q'are specific groups corresponding to each specific compound in the embodiment.
在另一优选例中,所述的式(I)化合物、其立体异构体、互变异构体、晶型、药学上可接受的盐、水合物、溶剂合物或前药,所述化合物选自下组:In another preferred embodiment, the compound of formula (I), its stereoisomers, tautomers, crystal forms, pharmaceutically acceptable salts, hydrates, solvates or prodrugs, said The compound is selected from the following group:
在另一优选例中,所述式(I)化合物、其立体异构体、互变异构体、晶型、药学上可 接受的盐、水合物、溶剂合物或前药不包含 In another preferred embodiment, the compound of formula (I), its stereoisomers, tautomers, crystal forms, pharmaceutically acceptable salts, hydrates, solvates or prodrugs do not contain
在另一优选例中,所述式(I)化合物、其立体异构体、互变异构体、晶型、药学上可接受的盐、水合物、溶剂合物或前药选自实施例中所示化合物。In another preferred embodiment, the compound of formula (I), its stereoisomers, tautomers, crystal forms, pharmaceutically acceptable salts, hydrates, solvates or prodrugs are selected from the examples The compound shown in.
本发明第二方面,提供一种制备式(I)化合物、其立体异构体、互变异构体、晶型、药学上可接受的盐、水合物、溶剂合物或前药的方法,包括步骤:The second aspect of the present invention provides a method for preparing a compound of formula (I), its stereoisomers, tautomers, crystal forms, pharmaceutically acceptable salts, hydrates, solvates or prodrugs, Including steps:
(i)在惰性溶剂(如四氢呋喃)中,式P-1化合物先与草酰氯反应,然后与胺基化合物R 2-NH 2反应,得到式P-2化合物; (i) In an inert solvent (such as tetrahydrofuran), the compound of formula P-1 is first reacted with oxalyl chloride, and then reacted with the amino compound R 2 -NH 2 to obtain the compound of formula P-2;
(ii)在惰性溶剂(如四氢呋喃)中,在第一种碱存在下,式P-2化合物关环,得到式P-3化合物;(ii) In an inert solvent (such as tetrahydrofuran), the compound of formula P-2 is ring-closed in the presence of the first base to obtain a compound of formula P-3;
(iii)在惰性溶剂(如乙腈)中,式P-3化合物与三氯氧磷在第二种碱存在下,得到式P-4化合物;(iii) In an inert solvent (such as acetonitrile), a compound of formula P-3 and phosphorous oxychloride in the presence of a second base to obtain a compound of formula P-4;
(iv)在惰性溶剂(如乙腈)中,碱(如N,N-二异丙基乙胺)存在下,式P-4化合物与 通过偶联或者取代反应,得到式P-5化合物; (iv) In the presence of a base (such as N,N-diisopropylethylamine) in an inert solvent (such as acetonitrile), the compound of formula P-4 and Through coupling or substitution reaction, a compound of formula P-5 is obtained;
(v)在惰性溶剂(如二氯甲烷)中,酸(如三氟乙酸)存在下,式P-5化合物脱保护,得到式P-6化合物;(v) In the presence of an acid (such as trifluoroacetic acid) in an inert solvent (such as dichloromethane), the compound of formula P-5 is deprotected to obtain a compound of formula P-6;
(vi)在惰性溶剂(如二氯甲烷)中,碱(如N,N-二异丙基乙胺)存在下,式P-6化合物与R 1E通过偶联、取代或酰化反应,得到式P-7化合物; (vi) In the presence of a base (such as N,N-diisopropylethylamine) in an inert solvent (such as dichloromethane), the compound of formula P-6 and R 1 E are reacted by coupling, substitution or acylation, The compound of formula P-7 is obtained;
(vii)在惰性溶剂(如二氧六环/水)中,碱(如乙酸钾)和催化剂(如[1,1'-双(二苯基膦)二茂铁]二氯化钯)存在下,式P-7与R 4-L-E 1通过偶联、取代或者酰化反应,得到式(I)化合物; (vii) In an inert solvent (such as dioxane/water), a base (such as potassium acetate) and a catalyst (such as [1,1'-bis(diphenylphosphine)ferrocene]palladium dichloride) are present Below, formula P-7 and R 4 -LE 1 are coupled, substituted or acylated to obtain a compound of formula (I);
式中,Where
E为卤素、OH、OCOR 1、OCO( iBu)等; E is halogen, OH, OCOR 1 , OCO ( i Bu), etc.;
E 1为-BH 2、-B(OH) 2、 -Sn(Bu) 3、-ZnBr等; E 1 is -BH 2 , -B(OH) 2 , -Sn(Bu) 3 , -ZnBr, etc.;
PG为氨基保护基,所述保护基选自下组:Boc、Bn、Cbz或Fmoc;PG is an amino protecting group, and the protecting group is selected from the group consisting of Boc, Bn, Cbz or Fmoc;
Y和Z为离去基团,所述离去基团选自下组:卤素或者OTf;Y and Z are leaving groups, and the leaving groups are selected from the group consisting of halogen or OTf;
所述第一种碱选自下组:KHMDS、NaHMDS、LiHMDS、NaH、NaOMe、NaOEt或 tBuONa; The first base is selected from the group consisting of KHMDS, NaHMDS, LiHMDS, NaH, NaOMe, NaOEt or t BuONa;
所述第二种碱选自下组:TEA、DIPEA、DMAP或N,N-二甲基苯胺;The second base is selected from the group consisting of TEA, DIPEA, DMAP or N,N-dimethylaniline;
R 1、R 2、R 4、L、A、B、X、U、V、W和Q的定义如第一方面所述。 The definitions of R 1 , R 2 , R 4 , L, A, B, X, U, V, W, and Q are as described in the first aspect.
本发明第三方面,提供一种药物组合物,所述药物组合物包含一种或多种第一方面所述的式(I)化合物、其立体异构体、互变异构体、晶型、药学上可接受的盐、水合物、溶剂合物或前药;和药学上可接受的载体。The third aspect of the present invention provides a pharmaceutical composition comprising one or more of the compounds of formula (I) described in the first aspect, its stereoisomers, tautomers, and crystal forms , Pharmaceutically acceptable salts, hydrates, solvates or prodrugs; and pharmaceutically acceptable carriers.
在另一优选例中,所述药物组合物还包含选自下组的药物:PD-1抑制剂(如纳武单抗、派姆单抗、pidilizumab、cemiplimab、JS-001、SHR-120、BGB-A317、IBI-308、GLS-010、GB-226、STW204、HX008、HLX10、BAT1306、AK105、LZM 009或上述药物的生物类似药等)、PD-L1抑制剂(如度伐单抗、阿特珠单抗、阿维鲁单抗(avelumab)、CS1001、KN035、HLX20、SHR-1316、BGB-A333、JS003、CS1003、KL-A167、F 520、GR1405、MSB2311或上述药物的生物类似药等)、CD20抗体(如利妥昔单抗、奥滨尤妥珠单抗、奥法木单抗、veltuzumab,托西莫单抗、131I-托西莫单抗、替伊莫单抗、90Y-替伊莫单抗、90In-替伊莫单抗、替伊莫单抗(ibritumomab tiuxetan)等)、CD47抗体(如Hu5F9-G4、CC-90002、TTI-621、TTI-622、OSE-172、SRF-231、ALX-148、NI-1701、SHR-1603、IBI188、IMM01)、ALK抑制剂(如色瑞替尼、艾乐替尼、布加替尼、劳拉替尼、奥卡替尼)、PI3K抑制剂(如艾代拉里斯、Duvelisib、Dactolisib、Taselisib、Bimiralisib、Omipalisib、Buparlisib等)、BTK抑制剂(如依鲁替尼、Tirabrutinib、阿卡替尼、赞布替尼、Vecabrutinib等)、EGFR抑制剂(如阿法替尼、吉非替尼、厄洛替尼、拉帕替尼、达克替尼、埃克替尼、卡奈替尼、沙普替尼、Naquotinib、吡咯替尼、罗乐替尼、奥希替尼等)、VEGFR抑制剂(如索拉非尼、帕唑帕尼、瑞戈非尼、司曲替尼、Ningetinib、卡博替尼、舒尼替尼、多纳非尼等)、HDAC抑制剂(如Givinostat、Tucidinostat、伏立诺他、Fimepinostat、Droxinostat、恩替诺特、达西司特、Quisinostat、泰克地那林等)、CDK抑制剂(如帕博西尼、瑞博西尼、Abemaciclib、Milciclib、Trilaciclib、Lerociclib等)、MEK抑制剂(如司美替尼(AZD6244)、曲美替尼(GSK1120212)、PD0325901、U0126、Pimasertib(AS-703026)、PD184352(CI-1040)等)、mTOR抑制剂(如Vistusertib等)、SHP2抑制剂(如RMC-4630、JAB-3068、TNO155等),或其组合。In another preferred embodiment, the pharmaceutical composition further comprises a drug selected from the group consisting of PD-1 inhibitors (such as nivolumab, pembrolizumab, pidilizumab, cemipilimab, JS-001, SHR-120, BGB-A317, IBI-308, GLS-010, GB-226, STW204, HX008, HLX10, BAT1306, AK105, LZM 009 or biosimilars of the above drugs, etc.), PD-L1 inhibitors (such as duvacizumab, Atezolizumab, avelumab, CS1001, KN035, HLX20, SHR-1316, BGB-A333, JS003, CS1003, KL-A167, F520, GR1405, MSB2311 or biological analogues of the above drugs Etc.), CD20 antibodies (such as rituximab, obin utuzumab, ofatumumab, veltuzumab, tositumomab, 131I-tositumomab, ibrituzumab, 90Y -Ibritumomab, 90In- ibritumomab, ibritumomab tiuxetan, etc.), CD47 antibodies (such as Hu5F9-G4, CC-90002, TTI-621, TTI-622, OSE-172 , SRF-231, ALX-148, NI-1701, SHR-1603, IBI188, IMM01), ALK inhibitors (such as ceritinib, alectinib, brigatinib, loratinib, okatinib) Ni), PI3K inhibitors (such as Adelaris, Duvelisib, Dactolisib, Taselisib, Bimiralisib, Omipalisib, Buparlisib, etc.), BTK inhibitors (such as Ibrutinib, Tirabrutinib, Acatinib, Zambutinib, Vecabrutinib, etc.) Etc.), EGFR inhibitors (such as afatinib, gefitinib, erlotinib, lapatinib, dacomitinib, icotinib, canetinib, saputinib, Naquotinib, Pirrotinib, Rolotinib, Osimertinib, etc.), VEGFR inhibitors (such as Sorafenib, Pazopanib, Regorafenib, Stritinib, Ningetinib, Cabozantinib, Suni (Tinib, Donafinil, etc.), HDAC inhibitors (such as Givinostat, Tucidinostat, Vorinostat, Fimepinostat, Droxinostat, entinostat, Daxistat, Quisinostat, Tecdinaline, etc.), CDK inhibitors (E.g. Pabocinib, Rebocinib, Abemaciclib, Milciclib, Trilaciclib, Lerociclib, etc.), MEK inhibitors (e.g. Smeltinib (AZD6244), Trametinib (GSK11 20212), PD0325901, U0126, Pimasertib (AS-703026), PD184352 (CI-1040), etc.), mTOR inhibitors (such as Vistusertib, etc.), SHP2 inhibitors (such as RMC-4630, JAB-3068, TNO155, etc.), or Its combination.
在另一优选例中,提供一种药物组合物的制备方法,包括步骤:将药学上可接受的载 体与本发明第一方面所述式(I)化合物、立体异构体、互变异构体、晶型、药学上可接受的盐、水合物、溶剂合物或前药进行混合,从而形成药物组合物。In another preferred embodiment, a method for preparing a pharmaceutical composition is provided, which includes the steps of combining a pharmaceutically acceptable carrier with the compound of formula (I), stereoisomers, and tautomers described in the first aspect of the present invention. Forms, crystal forms, pharmaceutically acceptable salts, hydrates, solvates or prodrugs are mixed to form a pharmaceutical composition.
本发明第四方面,提供第一方面所述的式(I)化合物、其立体异构体、互变异构体、晶型、药学上可接受的盐、水合物、溶剂合物或前药,或第三方面所述的药物组合物的用途,用于制备预防和/或治疗与KRAS G12C的活性或表达量相关的疾病的药物组合物。 The fourth aspect of the present invention provides the compound of formula (I) described in the first aspect, its stereoisomer, tautomer, crystal form, pharmaceutically acceptable salt, hydrate, solvate or prodrug , Or the use of the pharmaceutical composition of the third aspect to prepare a pharmaceutical composition for preventing and/or treating diseases related to the activity or expression of KRAS G12C.
本发明第五方面,提供一种预防和/或治疗与KRAS G12C的活性或表达量相关疾病的方法,它包括步骤:向所需患者施用有效量的第一方面所述的式(I)化合物、其立体异构体、互变异构体、晶型、药学上可接受的盐、水合物、溶剂合物或前药,或施用第三方面所述的药物组合物。 The fifth aspect of the present invention provides a method for preventing and/or treating diseases related to the activity or expression level of KRAS G12C , which comprises the step of: administering an effective amount of the compound of formula (I) described in the first aspect to the patient in need , Its stereoisomers, tautomers, crystal forms, pharmaceutically acceptable salts, hydrates, solvates or prodrugs, or administration of the pharmaceutical composition described in the third aspect.
在另一优选例中,所述的疾病是肿瘤或失调性疾病。In another preferred embodiment, the disease is a tumor or a disordered disease.
在另一优选例中,所述疾病选自下组:肺癌、乳腺癌、前列腺癌、食道癌、结直肠癌、骨癌、肾癌、胃癌、肝癌、大肠癌、黑色素瘤、淋巴瘤、血癌、脑瘤、骨髓瘤、软组织肉瘤、胰腺癌、皮肤癌。In another preferred embodiment, the disease is selected from the following group: lung cancer, breast cancer, prostate cancer, esophageal cancer, colorectal cancer, bone cancer, kidney cancer, gastric cancer, liver cancer, colorectal cancer, melanoma, lymphoma, blood cancer , Brain tumor, myeloma, soft tissue sarcoma, pancreatic cancer, skin cancer.
本发明第六方面,提供一种非诊断性、非治疗性地抑制KRAS G12C的方法,它包括步骤:向所需患者施用有效量的第一方面所述的式(I)化合物、其立体异构体、互变异构体、晶型、药学上可接受的盐、水合物、溶剂合物或前药,或施用第三方面所述的药物组合物。 The sixth aspect of the present invention provides a non-diagnostic and non-therapeutic method for inhibiting KRAS G12C , which comprises the steps of: administering to a patient in need an effective amount of the compound of formula (I) described in the first aspect, and its stereospecificity Constructs, tautomers, crystal forms, pharmaceutically acceptable salts, hydrates, solvates or prodrugs, or administration of the pharmaceutical composition described in the third aspect.
本发明第七方面,提供一种体外抑制抑制KRAS G12C的方法,包括步骤:将第一方面所述的化合物、其立体异构体、互变异构体、晶型、药学上可接受的盐、水合物、溶剂合物或前药或第三方面所述的组合物,与体细胞接触。 The seventh aspect of the present invention provides a method for inhibiting the inhibition of KRAS G12C in vitro, which comprises the steps of: combining the compound described in the first aspect, its stereoisomers, tautomers, crystal forms, and pharmaceutically acceptable salts , Hydrate, solvate or prodrug, or the composition of the third aspect, in contact with somatic cells.
在另一优选例中,所述体细胞来自灵长动物(如人)。In another preferred embodiment, the somatic cells are derived from primates (such as humans).
应理解,在本发明范围内中,本发明的上述各技术特征和在下文(如实施例)中具体描述的各技术特征之间都可以互相组合,从而构成新的或优选的技术方案。限于篇幅,在此不再一一累述。It should be understood that within the scope of the present invention, the above-mentioned technical features of the present invention and the technical features specifically described in the following (such as the embodiments) can be combined with each other to form a new or preferred technical solution. Due to space limitations, I will not repeat them one by one here.
本发明人经过长期而深入的研究,意外地制备了一类新型的KRAS G12C有选择性抑制作用和/或更好药效学性能的化合物。在此基础上,发明人完成了本发明。 After long-term and in-depth research, the inventors unexpectedly prepared a new type of KRAS G12C compound with selective inhibition and/or better pharmacodynamic properties. On this basis, the inventor completed the present invention.
术语the term
在本发明中,除非特别指出,所用术语具有本领域技术人员公知的一般含义。In the present invention, unless otherwise specified, the terms used have the general meanings known to those skilled in the art.
通过从左向右书写的常规化学式描述取代基时,该取代基也同样包括从右向左书写结构式时所得到的在化学上等同的取代基。举例而言,-CH 2O-等同于-OCH 2-。 When a substituent is described by a conventional chemical formula written from left to right, the substituent also includes the chemically equivalent substituent obtained when the structural formula is written from right to left. For example, -CH 2 O- is equivalent to -OCH 2 -.
术语“烷基”是指直链或支链烷烃基,其可包括任何数量的碳原子,其中,“C 1-C 18烷基”是指包括1、2、3、4、5、6、7、8、9、10、11、12、13、14、15、16、17或18个碳原 子,优选例如C 1-C 2、C 1-C 3、C 1-C 4、C 1-C 5、C 1-C 6、C 1-C 7、C 1-C 8、C 1-C 9、C 1-C 10、C 2-C 3、C 2-C 4、C 2-C 5、C 2-C 6、C 3-C 4、C 3-C 5、C 3-C 6、C 4-C 5、C 4-C 6或C 5-6。典型的“烷基”包括但不限于甲基、乙基、丙基、异丙基、正丁基、叔丁基、异丁基、 戊基、异戊基、庚基、4,4–二甲基戊基、辛基、2,2,4-三甲基戊基、壬基、癸基、十一烷基,十二烷基等等。本发明中,烷基还包括取代烷基。“取代烷基”是指烷基中的一个或多个位置被取代,尤其是1-4个取代基,可在任何位置上取代。 The term "alkyl" refers to a straight or branched chain alkane group, which can include any number of carbon atoms, where "C 1 -C 18 alkyl" refers to including 1, 2, 3, 4, 5, 6, 7, 8, 9, 10, 11, 12, 13, 14, 15, 16, 17 or 18 carbon atoms, preferably, for example, C 1 -C 2 , C 1 -C 3 , C 1 -C 4 , C 1- C 5 , C 1 -C 6 , C 1 -C 7 , C 1 -C 8 , C 1 -C 9 , C 1 -C 10 , C 2 -C 3 , C 2 -C 4 , C 2 -C 5 , C 2 -C 6 , C 3 -C 4 , C 3 -C 5 , C 3 -C 6 , C 4 -C 5 , C 4 -C 6 or C 5-6 . Typical "alkyl" includes but is not limited to methyl, ethyl, propyl, isopropyl, n-butyl, tert-butyl, isobutyl, Pentyl, isopentyl, heptyl, 4,4-dimethylpentyl, octyl, 2,2,4-trimethylpentyl, nonyl, decyl, undecyl, dodecyl etc. In the present invention, the alkyl group also includes a substituted alkyl group. "Substituted alkyl" means that one or more positions in the alkyl group are substituted, especially 1-4 substituents, which can be substituted at any position.
术语“环烷基”是指完全饱和的环状烃类化合物基团,其中,“C 3-C 20环烷基”是指包含3、4、5、6、7、8、9、10、11、12、13、14、15、16、17、18、19或20个碳原子的完全饱和的环状烃类化合物基团,包括1-4个环,每个环中含有3-8个碳原子。优选地为C 3-C 4、C 3-C 5、C 3-C 6、C 3-C 7、C 3-C 8、C 3-C 9、C 3-C 10。“取代环烷基”是指环烷基中的一个或多个位置被取代,尤其是1-4个取代基,可在任何位置上取代。本发明中,“环烷基”意在包含“取代环烷基”。 The term "cycloalkyl" refers to a fully saturated cyclic hydrocarbon compound group, where "C 3 -C 20 cycloalkyl" refers to containing 3, 4, 5, 6, 7, 8, 9, 10, 11, 12, 13, 14, 15, 16, 17, 18, 19 or 20 carbon atoms fully saturated cyclic hydrocarbon compound group, including 1-4 rings, each ring contains 3-8 carbon atom. Preferably, it is C 3 -C 4 , C 3 -C 5 , C 3 -C 6 , C 3 -C 7 , C 3 -C 8 , C 3 -C 9 , C 3 -C 10 . "Substituted cycloalkyl" means that one or more positions in the cycloalkyl group are substituted, especially 1-4 substituents, which can be substituted at any position. In the present invention, "cycloalkyl" is intended to include "substituted cycloalkyl".
术语“杂环基”是指完全饱和的或部分不饱和的环状基团,其中,“3-20元杂环基”是指包含3、4、5、6、7、8、9、10、11、12、13、14、15、16、17、18、19或20个环原子的完全饱和的或部分不饱和的环状基团(包含但不限于如3-7元单环,6-11元双环,或8-16元三环系统),其中至少有一个杂原子存在于至少有一个碳原子的环中。每个含有杂原子的杂环可以带有1、2、3或4个杂原子,这些杂原子选自氮、氧或硫,其中氮或硫可以被氧化,氮也可以被季铵化。杂环基团可以连接到环或环系分子的任何杂原子或碳原子的残基上。典型的单环杂环基包括但不限于氮杂环丁烷基、吡咯烷基、氧杂环丁烷基、吡唑啉基、咪唑啉基、咪唑烷基、噁唑烷基、异噁唑烷基、噻唑烷基、异噻唑烷基、四氢呋喃基、哌啶基、哌嗪基、2-氧代哌嗪基、2-氧代哌啶基、2-氧代吡咯烷基、六氢吖庚因基、4-哌啶酮基、四氢吡喃基、吗啡啉基、硫代吗啡啉基、硫代吗啡啉亚砜基、硫代吗啡啉砜基、1,3-二噁烷基和四氢-1,1-二氧噻吩等。多环杂环基包括螺环、稠环和桥环的杂环基;其中涉及到的螺环、稠环和桥环的杂环基任选与其他基团通过单键相连接,或者通过环上的任意两个或两个以上的原子与其他环烷基、杂环基、芳基和杂芳基进一步并环连接;杂环基团可以是取代的或者未取代的。The term "heterocyclic group" refers to a fully saturated or partially unsaturated cyclic group, where "3-20 membered heterocyclic group" refers to a group containing 3, 4, 5, 6, 7, 8, 9, 10 , 11, 12, 13, 14, 15, 16, 17, 18, 19 or 20 ring atoms fully saturated or partially unsaturated cyclic groups (including but not limited to such as 3-7 membered monocyclic ring, 6 -11-membered bicyclic ring, or 8-16-membered tricyclic ring system), in which at least one heteroatom is present in a ring with at least one carbon atom. Each heterocyclic ring containing heteroatoms can have 1, 2, 3, or 4 heteroatoms, and these heteroatoms are selected from nitrogen, oxygen or sulfur, wherein nitrogen or sulfur can be oxidized, and nitrogen can also be quaternized. The heterocyclic group can be attached to any heteroatom or carbon atom residue of the ring or ring system molecule. Typical monocyclic heterocyclic groups include, but are not limited to, azetidinyl, pyrrolidinyl, oxetanyl, pyrazolinyl, imidazolinyl, imidazolidinyl, oxazolidinyl, isoxazole Alkyl, thiazolidinyl, isothiazolidinyl, tetrahydrofuranyl, piperidinyl, piperazinyl, 2-oxopiperazinyl, 2-oxopiperidinyl, 2-oxopyrrolidinyl, hexahydroacridine Heptinyl, 4-piperidinone, tetrahydropyranyl, morpholinyl, thiomorpholinyl, thiomorpholinyl sulfoxide, thiomorpholinylsulfone, 1,3-dioxanyl And tetrahydro-1,1-dioxythiophene and so on. Polycyclic heterocyclic groups include spiro, condensed and bridged heterocyclic groups; the spiro, condensed and bridged heterocyclic groups involved are optionally connected to other groups through a single bond, or through a ring Any two or more of the above atoms are further connected to other cycloalkyl groups, heterocyclic groups, aryl groups and heteroaryl groups; the heterocyclic group may be substituted or unsubstituted.
术语“芳基”是指芳香环状烃类化合物基团,其中,“C6-C14芳基”是指包含6、7、8、9、10、11、12、13或14个环碳原子的芳香环状烃类化合物基团,具有1-5个环,尤其指单环和双环基团,如苯基、联苯基或萘基。凡含有两个或两个以上芳香环(双环等),芳基基团的芳香环可由单键联接(如联苯),或稠合(如萘、蒽等等)。“取代芳基”是指芳基中的一个或多个位置被取代,尤其是1-3个取代基,可在任何位置上取代。The term "aryl" refers to an aromatic cyclic hydrocarbon compound group, where "C6-C14 aryl" refers to a group containing 6, 7, 8, 9, 10, 11, 12, 13 or 14 ring carbon atoms Aromatic cyclic hydrocarbon compound groups have 1-5 rings, especially monocyclic and bicyclic groups, such as phenyl, biphenyl or naphthyl. Where there are two or more aromatic rings (bicyclic, etc.), the aromatic ring of the aryl group can be connected by a single bond (such as biphenyl) or condensed (such as naphthalene, anthracene, etc.). "Substituted aryl" means that one or more positions in the aryl group are substituted, especially 1-3 substituents, which can be substituted at any position.
术语“杂芳基”指包含1-4个杂原子芳香环状烃类化合物基团,其中,杂原子选自氧、氮和硫。其中,“5-14元杂芳基”是指包含5、6、7、8、9、10、11、12、13或14个环原子的芳香环状烃类化合物基团,其中环原子中含有1-4个选自N、O、S的杂原子。杂芳基优选5至10元环,更优选为5元或6元,杂芳基包括但不限于吡咯基、吡唑基、咪唑基、噁唑基、异 噁唑基、噻唑基、噻二唑基、异噻唑基、呋喃基、吡啶基、吡嗪基、嘧啶基、哒嗪基、三氮嗪基、三氮唑基及四氮唑基等。The term "heteroaryl" refers to an aromatic cyclic hydrocarbon compound group containing 1 to 4 heteroatoms, wherein the heteroatoms are selected from oxygen, nitrogen and sulfur. Among them, "5-14 membered heteroaryl" refers to an aromatic cyclic hydrocarbon compound group containing 5, 6, 7, 8, 9, 10, 11, 12, 13, or 14 ring atoms, wherein the ring atoms Contain 1-4 heteroatoms selected from N, O, S. Heteroaryl groups are preferably 5- to 10-membered rings, more preferably 5-membered or 6-membered. Heteroaryl groups include but are not limited to pyrrolyl, pyrazolyl, imidazolyl, oxazolyl, isoxazolyl, thiazolyl, thiadi Azolyl, isothiazolyl, furanyl, pyridyl, pyrazinyl, pyrimidinyl, pyridazinyl, triazinyl, triazolyl and tetrazolyl, etc.
术语“烷氧基”是指具有直链或支链或环状烷氧基,其中,“C1-C18烷氧基”是指具有1至18个碳原子的直链或支链或环状烷氧基,包含C1-C18烷基-O-、-C1-C6烷基-O-C1-C6烷基,优选为C1-C8烷氧基,更优选C1-C6烷氧基,烷氧基包括但不限于甲氧基、乙氧基、丙氧基、异丙氧基和丁氧基等。The term "alkoxy" refers to a straight or branched chain or cyclic alkoxy group, where "C1-C18 alkoxy" refers to a straight or branched chain or cyclic alkyl group having 1 to 18 carbon atoms The oxy group includes C1-C18 alkyl-O-, -C1-C6 alkyl-O-C1-C6 alkyl, preferably C1-C8 alkoxy, more preferably C1-C6 alkoxy, alkoxy includes But it is not limited to methoxy, ethoxy, propoxy, isopropoxy and butoxy.
“环烯基”是指具有一个或多个双键的环状烃基,其中,“C 4-C 10环烯基”是指具有一个或多个双键,包含4、5、6、7、8、9或10个碳原子的环状烃基,优选地为C 4-C 6环烯基,环烯基包括但不限于:环丁烯基、环戊烯基、环戊二烯基、环己烯基、环己二烯基等。 "Cycloalkenyl" refers to a cyclic hydrocarbon group with one or more double bonds, where "C 4 -C 10 cycloalkenyl" refers to one or more double bonds, including 4, 5, 6, 7, Cyclic hydrocarbon groups with 8, 9 or 10 carbon atoms, preferably C 4 -C 6 cycloalkenyl groups, including but not limited to: cyclobutenyl, cyclopentenyl, cyclopentadienyl, cycloalkenyl Hexenyl, cyclohexadienyl, etc.
术语“酯基”是指带有结构-COOR的基团,其中R代表氢、烷基或取代的烷基、环烷基或取代的环烷基、环烯基或取代的环烯基、芳基或取代的芳基、杂芳基或取代的杂芳基、杂环基或取代的杂环基。其中,烷基、环烷基、环烯基、芳基、杂芳基、杂环基具有如上所述的定义。The term "ester group" refers to a group with the structure -COOR, where R represents hydrogen, alkyl or substituted alkyl, cycloalkyl or substituted cycloalkyl, cycloalkenyl or substituted cycloalkenyl, aryl Group or substituted aryl group, heteroaryl group or substituted heteroaryl group, heterocyclic group or substituted heterocyclic group. Among them, the alkyl group, cycloalkyl group, cycloalkenyl group, aryl group, heteroaryl group, and heterocyclic group have the definitions as described above.
术语“胺基”是指带有结构-NRR'的基团,其中R和R'可以独立的代表氢、烷基或取代的烷基、环烷基或取代的环烷基、环烯基或取代的环烯基、芳基或取代的芳基、杂芳基或取代的杂芳基、杂环基或取代的杂环基。其中,烷基、环烷基、环烯基、芳基、杂芳基、杂环基具有如上所述的定义。R和R'可以相同或不同,R和R'同时为H时,胺基为-NH 2。胺基的实例包括但不限于甲胺基、二甲胺基、乙胺基、二乙胺基、丙胺基、异丙胺基、丁胺基等。 The term "amino" refers to a group with the structure -NRR', where R and R'can independently represent hydrogen, alkyl or substituted alkyl, cycloalkyl or substituted cycloalkyl, cycloalkenyl or A substituted cycloalkenyl, aryl or substituted aryl, heteroaryl or substituted heteroaryl, heterocyclic or substituted heterocyclic group. Among them, the alkyl group, cycloalkyl group, cycloalkenyl group, aryl group, heteroaryl group, and heterocyclic group have the definitions as described above. R and R'can be the same or different. When R and R'are H at the same time, the amine group is -NH 2 . Examples of amine groups include, but are not limited to, methylamino, dimethylamino, ethylamino, diethylamino, propylamino, isopropylamino, butylamino, and the like.
术语“酰胺基”是指带有结构-CONRR'的基团,其中R和R'可以独立的代表氢、烷基或取代的烷基、环烷基或取代的环烷基、环烯基或取代的环烯基、芳基或取代的芳基、杂芳基或取代的杂芳基、杂环基或取代的杂环基。其中,烷基、环烷基、环烯基、芳基、杂芳基、杂环基具有如上所述的定义。R和R'可以相同或不同。The term "amide group" refers to a group with the structure -CONRR', where R and R'can independently represent hydrogen, alkyl or substituted alkyl, cycloalkyl or substituted cycloalkyl, cycloalkenyl or A substituted cycloalkenyl, aryl or substituted aryl, heteroaryl or substituted heteroaryl, heterocyclic or substituted heterocyclic group. Among them, the alkyl group, cycloalkyl group, cycloalkenyl group, aryl group, heteroaryl group, and heterocyclic group have the definitions as described above. R and R'can be the same or different.
术语“磺酰胺基”是指带有结构-SO 2NRR'的基团,其中R和R'可以独立的代表氢、烷基或取代的烷基、环烷基或取代的环烷基、环烯基或取代的环烯基、芳基或取代的芳基、杂芳基或取代的杂芳基、杂环基或取代的杂环基。其中,烷基、环烷基、环烯基、芳基、杂芳基、杂环基具有如上所述的定义。R和R'可以相同或不同。 The term "sulfonamido" refers to a group with the structure -SO 2 NRR', where R and R'can independently represent hydrogen, alkyl or substituted alkyl, cycloalkyl or substituted cycloalkyl, ring Alkenyl or substituted cycloalkenyl, aryl or substituted aryl, heteroaryl or substituted heteroaryl, heterocyclic or substituted heterocyclic. Among them, the alkyl group, cycloalkyl group, cycloalkenyl group, aryl group, heteroaryl group, and heterocyclic group have the definitions as described above. R and R'can be the same or different.
术语“胺基磺酰基”是指带有结构-NRSO 2R'的基团,其中R和R'可以独立的代表氢、烷基或取代的烷基、环烷基或取代的环烷基、环烯基或取代的环烯基、芳基或取代的芳基、杂芳基或取代的杂芳基、杂环基或取代的杂环基。其中,烷基、环烷基、环烯基、芳基、杂芳基、杂环基具有如上所述的定义。R和R'可以相同或不同。 The term "aminosulfonyl" refers to a group with the structure -NRSO 2 R', where R and R'can independently represent hydrogen, alkyl or substituted alkyl, cycloalkyl or substituted cycloalkyl, Cycloalkenyl or substituted cycloalkenyl, aryl or substituted aryl, heteroaryl or substituted heteroaryl, heterocyclic or substituted heterocyclic. Among them, the alkyl group, cycloalkyl group, cycloalkenyl group, aryl group, heteroaryl group, and heterocyclic group have the definitions as described above. R and R'can be the same or different.
术语“脲基”是指带有结构-NRCONR'R"的基团,其中R、R'和R"可以独立的代表氢、烷基或取代的烷基、环烷基或取代的环烷基、环烯基或取代的环烯基、芳基或取代的芳基、杂芳基或取代的杂芳基、杂环基或取代的杂环基。其中,烷基、环烷基、环烯基、芳基、杂芳基、杂环基具有如上所述的定义。R、R'和R"可以相同或不同。The term "ureido" refers to a group with the structure -NRCONR'R", where R, R'and R" can independently represent hydrogen, alkyl or substituted alkyl, cycloalkyl or substituted cycloalkyl , Cycloalkenyl or substituted cycloalkenyl, aryl or substituted aryl, heteroaryl or substituted heteroaryl, heterocyclic group or substituted heterocyclic group. Among them, the alkyl group, cycloalkyl group, cycloalkenyl group, aryl group, heteroaryl group, and heterocyclic group have the definitions as described above. R, R'and R" may be the same or different.
当取代基为非末端取代基或者相关基团脱掉一个H原子时,其为相应基团的亚基,通常为二价基团,例如烷基脱掉一个H原子后为亚烷基(例如:亚甲基、亚乙基、亚丙基、亚异丙基(如 )、亚丁基(如 )、亚戊基(如 )、亚己基(如 )、亚庚基(如 )等)、环烷基对应亚环烷基(如: 等)、杂环基对应亚杂环基(如如: )、环烷基对应亚杂环基(如: 等)、烷氧基对应亚烷氧基(-CH 2O-、-CH 2CH 2-O-CH 2-、-CH 2OCH 2CH 2CH 2-)等。 When a substituent is a non-terminal substituent or a related group has one H atom removed, it is a subunit of the corresponding group, usually a divalent group, for example, an alkyl group has an alkylene group after one H atom removed (e.g. :Methylene, ethylene, propylene, isopropylidene (such as ), butylene (e.g. ), pentylene (e.g. ), hexyl (e.g. ), Heptyl (e.g. ), etc.), the cycloalkyl group corresponds to the cycloalkylene group (such as: Etc.), the heterocyclic group corresponds to the heterocyclylene group (such as: ), cycloalkyl corresponds to heterocyclylene (such as: Etc.), alkoxy corresponds to alkyleneoxy (-CH 2 O-, -CH 2 CH 2 -O-CH 2 -, -CH 2 OCH 2 CH 2 CH 2 -) and so on.
术语“卤素”或“卤”是指氯、溴、氟、碘。The term "halogen" or "halo" refers to chlorine, bromine, fluorine, and iodine.
术语“卤代”是指基团中的H被卤素取代。The term "halo" means that the H in the group is replaced by halogen.
术语“氘代”是指基团中的H被氘取代。The term "deuterated" means that the H in the group is replaced by deuterium.
术语“羟基”是指带有结构OH的基团。The term "hydroxyl" refers to a group with the structure OH.
术语“硝基”是指带有结构NO 2的基团。 The term "nitro" refers to a group bearing the structure NO 2.
术语“氰基”是指带有结构CN的基团。The term "cyano" refers to a group bearing the structure CN.
术语“选自取代或未取代的下组基团”是指所选基团的H原子被取代或未被取代,而所选基团不含H原子则不会被取代。The term "selected from the following group of substituted or unsubstituted groups" means that the H atom of the selected group is substituted or unsubstituted, and the selected group does not contain a H atom and will not be substituted.
除非另外说明,假定任何不满价态的杂原子有足够的氢原子补充其价态。Unless otherwise stated, it is assumed that any heteroatom with a dissatisfaction valence state has enough hydrogen atoms to supplement its valence state.
如本文所述,本发明中的化合物可与任何数量取代基或官能团取而扩大其包涵范围。通常,术语“取代”不论在术语“可选”前面或后面出现,在本发明配方中包括取代基的通式,是指用指定结构取代基,代替氢自由基。当特定结构中的多个位置被多个特定的取代基取代时,取代基每一个位置可以是相同或不同。本文中所使用的术语“取代”包括所有允许有机化合物取代。从广义上讲,允许的取代基包括非环状的、环状的、支链的非支链的、碳环的和杂环的,芳环的和非芳环的有机化合物。在本发明中,如杂原子氮可以有氢取代基或任何允许的上文所述的有机化合物来补充其价态。此外,本发明是无意以任何方式限制允许取代有机化合物。本发明认为取代基和可变基团的组合在以稳定化合物形式在疾病的治疗上是很好的,例如传染病或增生性疾病。此处术语“稳定”是指具有稳定的化合物,在足够长的时间内检测足以维持化合物结构的完整性,最好是在足够长的时间内都在效,本文在此用于上述目的。As described herein, the compounds of the present invention can be combined with any number of substituents or functional groups to expand their scope of inclusion. Generally, whether the term "substituted" appears before or after the term "optional", the general formula including substituents in the formula of the present invention refers to the replacement of hydrogen radicals with designated structural substituents. When multiple positions in a specific structure are substituted by multiple specific substituents, each position of the substituents may be the same or different. The term "substitution" as used herein includes all permissible substitution of organic compounds. Broadly speaking, the permissible substituents include acyclic, cyclic, branched unbranched, carbocyclic and heterocyclic, aromatic and non-aromatic organic compounds. In the present invention, for example, the heteroatom nitrogen may have hydrogen substituents or any permitted organic compounds described above to supplement its valence. In addition, the present invention is not intended to limit the permitted substitution of organic compounds in any way. The present invention believes that the combination of substituents and variable groups is good in the treatment of diseases in the form of stable compounds, such as infectious diseases or proliferative diseases. The term "stable" here refers to a compound that is stable and can be tested for a long enough time to maintain the structural integrity of the compound, preferably for a long enough time to be effective, and is used herein for the above purpose.
在本发明中,术语“取代”指特定的基团上的一个或多个氢原子被特定的取代基所取代。特定的取代基为在前文中相应描述的取代基,或各实施例中所出现的取代基。除非特别说明,某个取代的基团可以在该基团的任何可取代的位点上具有一个选自特定组的取代基,所述的取代基在各个位置上可以是相同或不同的。本发明中,未特别说明的情况下,所述 基团包含相应的取代基团及亚基,例如:烷基包含取代烷基、环烷基包含取代的环烷基、芳基包含取代芳基、杂芳基包含取代杂芳基、杂环基包含取代杂环基等。本领域技术人员应理解,本发明所预期的取代基的组合是那些稳定的或化学上可实现的组合。典型的取代包括但不限于一个或多个以下基团:如氢、氘、卤素(例如,单卤素取代基或多卤素取代基,后者如三氟甲基或包含Cl 3的烷基)、腈基、硝基、氧(如=O)、三氟甲基、三氟甲氧基、环烷基、C2-C6烯基、C4-C10环烯基、C2-C6炔基、杂环基、芳基、杂芳基、OR a、SR a、S(=O)R e、S(=O) 2R e、P(=O) 2R e、S(=O) 2OR e、P(=O) 2OR e、NR bR c、NR bS(=O) 2R e、NR bP(=O) 2R e、S(=O) 2NR bR c、P(=O) 2NR bR c、C(=O)OR d、C(=O)R a、C(=O)NR bR c、OC(=O)R a、OC(=O)NR bR c、NR bC(=O)OR e、NR dC(=O)NR bR c、NR dS(=O) 2NR bR c、NR dP(=O) 2NR bR c、NR bC(=O)R a、或NR bP(=O) 2R e,其中在此出现的R a可以独立表示氢、氘、C1-C6烷基、C3-C8环烷基、C2-C6烯基、C3-C10环烯基、C2-C6炔基、4-8元杂环基、5-14元杂芳基或C6-C14芳基,R b、R c和R d可以独立表示氢、氘、C1-C6烷基、C3-C8环烷基、4-8元杂环基、5-14元杂芳基或C6-C14芳环,或者说R b和R c与N原子一起可以形成杂环;R e可以独立表示氢、C1-C6烷基、C3-C8环烷基、C2-C6烯基、C3-C6环烯基、C2-C6炔基、4-8元杂环基、5-14元杂芳基或C6-C14芳环。上述典型的取代基,如烷基、环烷基、烯基、环烯基、炔基、杂环基、杂芳基或芳基及其相应的取代基团和亚基可以任选取代,其中,所述的烷基、环烷基、环烯基、杂环基、杂芳基或芳基具有如上所述的定义。 In the present invention, the term "substituted" means that one or more hydrogen atoms on a specific group are replaced by a specific substituent. The specific substituents are the substituents correspondingly described in the foregoing, or the substituents appearing in each embodiment. Unless otherwise specified, a substituted group may have a substituent selected from a specific group at any substitutable position of the group, and the substituent may be the same or different in each position. In the present invention, unless otherwise specified, the groups include corresponding substituent groups and subgroups, for example, alkyl groups include substituted alkyl groups, cycloalkyl groups include substituted cycloalkyl groups, and aryl groups include substituted aryl groups. , Heteroaryl groups include substituted heteroaryl groups, heterocyclic groups include substituted heterocyclic groups and the like. Those skilled in the art should understand that the combinations of substituents contemplated by the present invention are those that are stable or chemically achievable. Typical substitutions include, but are not limited to, one or more of the following groups: such as hydrogen, deuterium, halogen (e.g., single halogen substituent or polyhalogen substituent, the latter such as trifluoromethyl or alkyl containing Cl 3 ), Nitrile, nitro, oxygen (such as =0), trifluoromethyl, trifluoromethoxy, cycloalkyl, C2-C6 alkenyl, C4-C10 cycloalkenyl, C2-C6 alkynyl, heterocyclic group , Aryl, heteroaryl, OR a , SR a , S(=O)R e , S(=O) 2 R e , P(=O) 2 R e , S(=O) 2 OR e , P (=O) 2 OR e , NR b R c , NR b S(=O) 2 R e , NR b P(=O) 2 R e , S(=O) 2 NR b R c , P(=O ) 2 NR b R c , C(=O)OR d , C(=O)R a , C(=O)NR b R c , OC(=O)R a , OC(=O)NR b R c , NR b C(=O)OR e , NR d C(=O)NR b R c , NR d S(=O) 2 NR b R c , NR d P(=O) 2 NR b R c , NR b C (= O) R a , or NR b P (= O) 2 R e, wherein R a occurring here can independently represent hydrogen, deuterium, C1-C6 alkyl, C3-C8 cycloalkyl, C2- C6 alkenyl, C3-C10 cycloalkenyl, C2-C6 alkynyl, 4-8 membered heterocyclic group, 5-14 membered heteroaryl group or C6-C14 aryl group, R b , R c and R d can be independently represented Hydrogen, deuterium, C1-C6 alkyl, C3-C8 cycloalkyl, 4-8 membered heterocyclic group, 5-14 membered heteroaryl or C6-C14 aromatic ring, or R b and R c together with N atom Can form a heterocyclic ring; R e can independently represent hydrogen, C1-C6 alkyl, C3-C8 cycloalkyl, C2-C6 alkenyl, C3-C6 cycloalkenyl, C2-C6 alkynyl, 4-8 membered heterocycle Group, 5-14 membered heteroaryl or C6-C14 aromatic ring. The above-mentioned typical substituents, such as alkyl, cycloalkyl, alkenyl, cycloalkenyl, alkynyl, heterocyclyl, heteroaryl or aryl and their corresponding substituents and subunits can be optionally substituted, wherein , The alkyl group, cycloalkyl group, cycloalkenyl group, heterocyclic group, heteroaryl group or aryl group has the above-mentioned definition.
活性成分Active ingredient
如本文所用,术语“本发明的化合物”或“本发明的活性成分”可互换使用,指式(I)化合物、或其药学上可接受的盐、水合物、溶剂化物、同位素化合物(如氘代化合物)或前药。该术语还包括外消旋体、光学异构体。As used herein, the terms "compounds of the present invention" or "active ingredients of the present invention" are used interchangeably and refer to compounds of formula (I), or pharmaceutically acceptable salts, hydrates, solvates, isotopic compounds (such as Deuterated compounds) or prodrugs. The term also includes racemates and optical isomers.
所述式(I)化合物具有如下结构:The compound of formula (I) has the following structure:
其中,R 1、R 2、R 4、L、U、V、W、Q、A、B、X的定义如上所述。 Among them, the definitions of R 1 , R 2 , R 4 , L, U, V, W, Q, A, B, and X are as described above.
优选地,所述的式(I)化合物具有式(II-A)或(II-B)所示的结构:Preferably, the compound of formula (I) has a structure represented by formula (II-A) or (II-B):
式中:Where:
R 1、R 2、R 4、A、B、L、X、U、V、W、Q的定义如上所述。 The definitions of R 1 , R 2 , R 4 , A, B, L, X, U, V, W, and Q are as described above.
优选地,所述的式(I)化合物具有式(III)所示结构:Preferably, the compound of formula (I) has a structure represented by formula (III):
R 1、R 2、R 4、X、L、U、V、W、Q的定义如上所述。 The definitions of R 1 , R 2 , R 4 , X, L, U, V, W, and Q are as described above.
优选地,所述的式(I)化合物具有式(IV)所示结构:Preferably, the compound of formula (I) has a structure represented by formula (IV):
式中:Where:
R 1、R 2、R 4、R 8、L、U、V、W、Q的定义如上所述。 The definitions of R 1 , R 2 , R 4 , R 8 , L, U, V, W, and Q are as described above.
优选地,所述的式(I)化合物具有式(V)所示结构:Preferably, the compound of formula (I) has a structure represented by formula (V):
式中:Where:
R 1、R 2、R 4、R 8、U、V、W、Q的定义如上所述。 The definitions of R 1 , R 2 , R 4 , R 8 , U, V, W, and Q are as described above.
优选地,所述的式(I)化合物具有式(VI)所示结构:Preferably, the compound of formula (I) has a structure represented by formula (VI):
式中:Where:
R 1、R 2、R 4、R 8、U、V、Q的定义如上所述。 The definitions of R 1 , R 2 , R 4 , R 8 , U, V, and Q are as described above.
优选地,所述的式(I)化合物具有式(VII)所示的结构:Preferably, the compound of formula (I) has a structure represented by formula (VII):
式中:Where:
R 1、R 2、R 4、R 8、V、Q的定义如上所述。 The definitions of R 1 , R 2 , R 4 , R 8 , V, and Q are as described above.
优选地,R 1选自下组:-C(O)C(R A)=C(R B) 2、-S(O) 2C(R A)=C(R B) 2、-NR 6C(O)C(R A)=C(R B) 2或-NR 6S(O) 2C(R A)=C(R B) 2; The group Preferably, R is selected from 1: -C (O) C ( R A) = C (R B) 2, -S (O) 2 C (R A) = C (R B) 2, -NR 6 C(O)C(R A )=C(R B ) 2 or -NR 6 S(O) 2 C(R A )=C(R B ) 2 ;
其中,R A独立地选自下组:氢、氘、氟、氰基或者C 1-C 3烷基;各R B相同或不同,且独立地选自下组:氢、氘、氰基或者C 1-C 3烷基;其中,所述烷基可以被选自下组的一个或多个(如2、3、4或5个)取代基取代:氘、卤素、氰基、胺基、C 3-C 7环烷基、4-7元杂环基、NHR 9或NR 9R 10;R 9和R 10各自独立地为C 1-C 3烷基;或R 9,R 10与其连接的N原子一起构成取代或未取代的4-8元杂环基; Wherein, R A is independently selected from the following group: hydrogen, deuterium, fluorine, cyano or C 1 -C 3 alkyl; each R B is the same or different, and is independently selected from the following group: hydrogen, deuterium, cyano or C 1 -C 3 alkyl; wherein, the alkyl can be substituted by one or more (such as 2, 3, 4 or 5) substituents selected from the following group: deuterium, halogen, cyano, amine, C 3 -C 7 cycloalkyl, 4-7 membered heterocyclic group, NHR 9 or NR 9 R 10 ; R 9 and R 10 are each independently a C 1 -C 3 alkyl group; or R 9 , R 10 are connected to it The N atoms of together form a substituted or unsubstituted 4-8 membered heterocyclic group;
R 6选自取代或未取代的下组基团:氢、氘、C 1-C 6烷基、氘代C 1-C 6烷基、卤代C 1-C 6烷基、C 3-C 8环烷基、C 1-C 6烷氧基、氘代C 1-C 6烷氧基、卤代C 1-C 6烷氧基、4-8元杂环基、C 6-C 14芳基、5-14元杂芳基; R 6 is selected from the following group of substituted or unsubstituted groups: hydrogen, deuterium, C 1 -C 6 alkyl, deuterated C 1 -C 6 alkyl, halo C 1 -C 6 alkyl, C 3 -C 8 cycloalkyl, C 1 -C 6 alkoxy, deuterated C 1 -C 6 alkoxy, halogenated C 1 -C 6 alkoxy, 4-8 membered heterocyclic group, C 6 -C 14 aromatic Group, 5-14 membered heteroaryl group;
其中,所述“取代”未特别说明的情况下,均是指被选自下组的一个或多个基团取代:氢、氘、C 1-C 6烷基、氘代C 1-C 6烷基、卤代C 1-C 6烷基、C 3-C 8环烷基、C 1-C 6烷氧基、氘代C 1-C 6烷氧基、卤代C 1-C 6烷氧基、C 6-C 10芳基、5-10元杂芳基、4-8元杂环基、卤素、硝基、羟基、氰基、酯基、胺基、NR bC(=O)OR e、OC(=O)NR bR c、酰胺基、磺酰胺基或脲基;R b、R c可以独立表示氢、氘、C1-C6烷基、C3-C8环烷基、4-8元杂环基、5-14元杂芳基或C6-C14芳环,或者说R b和R c与N原子一起可以形成4-8元杂环基;R e可以独立表示氢、C1-C6烷基、C3-C8环烷基、C2-C6烯基、C3-C6环烯基、C2-C6炔基、4-8元杂环基、5-14元杂芳基或C6-C14芳环; Wherein, the "substitution" refers to the substitution by one or more groups selected from the following group: hydrogen, deuterium, C 1 -C 6 alkyl, and deuterated C 1 -C 6 unless otherwise specified. Alkyl, halogenated C 1 -C 6 alkyl, C 3 -C 8 cycloalkyl, C 1 -C 6 alkoxy, deuterated C 1 -C 6 alkoxy, halogenated C 1 -C 6 alkane Oxy, C 6 -C 10 aryl, 5-10 membered heteroaryl, 4-8 membered heterocyclic, halogen, nitro, hydroxyl, cyano, ester, amino, NR b C(=O) OR e , OC(=O)NR b R c , amide group, sulfonamide group or ureido group; R b and R c can independently represent hydrogen, deuterium, C1-C6 alkyl, C3-C8 cycloalkyl, 4- 8-membered heterocyclic group, 5-14 membered heteroaryl group or C6-C14 aromatic ring, or R b and R c together with N atom can form 4-8 membered heterocyclic group; R e may independently represent hydrogen, C1- C6 alkyl, C3-C8 cycloalkyl, C2-C6 alkenyl, C3-C6 cycloalkenyl, C2-C6 alkynyl, 4-8 membered heterocyclic group, 5-14 membered heteroaryl or C6-C14 aromatic ring;
限定条件为:The qualifications are:
当B为N时,R 1选自下组:-C(O)C(R A)=C(R B) 2或-S(O) 2C(R A)=C(R B) 2; When B is N, R 1 is selected from the group consisting of: -C (O) C (R A) = C (R B) 2 , or -S (O) 2 C (R A) = C (R B) 2;
当B为CH或CR 5时,R 1选自下组:-NR 6C(O)C(R A)=C(R B) 2或-NR 6S(O) 2C(R A)=C(R B) 2,更优选地,R 1为-C(O)C(R A)=C(R B) 2,其中,R A独立地选自下组:氢、氟;各R B相同或不同,且独立地选自下组:氢或C 1-C 3烷基,其中,所述烷基可以被选自下组的一个或多个取代基取代:氘、卤素、氰基、胺基、C 3-C 7环烷基、4-7元杂环基、NHR 9或NR 9R 10;R 9和R 10各自独立地为C 1-C 3烷基;或R 9,R 10与其连接的N原子一起构成4-8元杂环基。 When B is CH or CR 5, the group R is selected from: -NR 6 C (O) C (R A) = C (R B) 2 , or -NR 6 S (O) 2 C (R A) = C (R B) 2, more preferably, R 1 is -C (O) C (R A ) = C (R B) 2, in which, R A is independently selected from the group consisting of: hydrogen, fluorine; each R B The same or different, and are independently selected from the following group: hydrogen or C 1 -C 3 alkyl, wherein the alkyl group may be substituted by one or more substituents selected from the following group: deuterium, halogen, cyano, Amino group, C 3 -C 7 cycloalkyl group, 4-7 membered heterocyclic group, NHR 9 or NR 9 R 10 ; R 9 and R 10 are each independently a C 1 -C 3 alkyl group; or R 9 , R 10 together with the N atom to which it is attached constitutes a 4-8 membered heterocyclic group.
优选地,R 2选自取代的下组基团:苯基、5-6元杂芳基,其中,所述取代是指被选自下组的一个或多个(如2、3、4或5个)基团取代:R'、-SO 2R'、-SO 2NR'R”、- NR'SO 2R”、-P(=O)R'R”;R'、R”相同或不同,各自独立地选自取代或未取代的下组基团:氢、氘、卤素、硝基、羟基、氰基、酯基、胺基、酰胺基、C 1-C 6烷基、C 3-C 6环烷基、C 4-C 6环烯基、4-8元杂环基、C 6-C 10芳基、5-10元杂芳基;或当R'和R”连接于同一个N原子时,R'、R”与其连接的N原子一起构成取代或未取代的4-6元杂环基;其中,所述取代是指被选自下组的一个或多个(如2、3、4或5个)基团取代:氢、氘、C 1-C 6烷基、氘代C 1-C 6烷基、卤代C 1-C 6烷基、C 3-C 8环烷基、C 1-C 6烷氧基、氘代C 1-C 6烷氧基、卤代C 1-C 6烷氧基、C 6-C 10芳基、5-10元杂芳基、4-8元杂环基、卤素、硝基、羟基、氰基、酯基、胺基、酰胺基、磺酰胺基或脲基。 Preferably, R 2 is selected from the following group of substituted groups: phenyl, 5-6 membered heteroaryl, wherein the substitution refers to one or more selected from the following group (such as 2, 3, 4 or 5) group substitution: R', -SO 2 R', -SO 2 NR'R", -NR'SO 2 R", -P(=O)R'R";R',R" are the same or Different, each independently selected from the following group of substituted or unsubstituted groups: hydrogen, deuterium, halogen, nitro, hydroxyl, cyano, ester, amine, amide, C 1 -C 6 alkyl, C 3 -C 6 cycloalkyl, C 4 -C 6 cycloalkenyl, 4-8 membered heterocyclic group, C 6 -C 10 aryl, 5-10 membered heteroaryl; or when R'and R" are connected to the same When there is one N atom, R', R" and the N atom to which they are connected together form a substituted or unsubstituted 4-6 membered heterocyclic group; wherein, the substitution refers to one or more selected from the group (such as 2 , 3, 4 or 5) group substitution: hydrogen, deuterium, C 1 -C 6 alkyl, deuterated C 1 -C 6 alkyl, halo C 1 -C 6 alkyl, C 3 -C 8 ring Alkyl, C 1 -C 6 alkoxy, deuterated C 1 -C 6 alkoxy, halogenated C 1 -C 6 alkoxy, C 6 -C 10 aryl, 5-10 membered heteroaryl, 4-8 membered heterocyclic group, halogen, nitro group, hydroxyl group, cyano group, ester group, amine group, amide group, sulfonamide group or urea group.
优选地,R 4选自取代或未取代的下组基团:苯基或5-6元杂芳基,其中,所述取代是指被选自下组的一个或多个(如2、3、4或5个)基团取代:氢、氘、卤素、酯基、氰基、NR bC(=O)OR e、OC(=O)R e、OC(=O)NR bR c、胺基、C 1-C 18烷基(优选C 1-C 6烷基、更优选C 1-C 3烷基)、卤代C 1-C 18烷基(优选卤代C 1-C 6烷基、更优选卤代C 1-C 3烷基)、羟基;R b、R c可以独立表示氢、氘、C1-C6烷基、C3-C8环烷基、4-8元杂环基、5-14元杂芳基或C6-C14芳环,或者说R b和R c与N原子一起可以形成4-8元杂环基;R e可以独立表示氢、C1-C6烷基、C3-C8环烷基、C2-C6烯基、C3-C6环烯基、C2-C6炔基、4-8元杂环基、5-14元杂芳基或C6-C14芳环。 Preferably, R 4 is selected from the following group of substituted or unsubstituted groups: phenyl or 5-6 membered heteroaryl, wherein the substitution refers to one or more selected from the group (such as 2, 3 , 4 or 5) group substitution: hydrogen, deuterium, halogen, ester group, cyano group, NR b C(=O)OR e , OC(=O)R e , OC(=O)NR b R c , Amino, C 1 -C 18 alkyl (preferably C 1 -C 6 alkyl, more preferably C 1 -C 3 alkyl), halogenated C 1 -C 18 alkyl (preferably halogenated C 1 -C 6 alkane Group, more preferably halogenated C 1 -C 3 alkyl), hydroxy; R b and R c can independently represent hydrogen, deuterium, C1-C6 alkyl, C3-C8 cycloalkyl, 4-8 membered heterocyclic group, 5-14 membered heteroaryl or C6-C14 aromatic ring, or R b and R c together with N atom can form 4-8 membered heterocyclic group; R e can independently represent hydrogen, C1-C6 alkyl, C3- C8 cycloalkyl, C2-C6 alkenyl, C3-C6 cycloalkenyl, C2-C6 alkynyl, 4-8 membered heterocyclic group, 5-14 membered heteroaryl or C6-C14 aromatic ring.
优选地,Q为N。Preferably, Q is N.
优选地,V、W各自独立地为CR 3,R 3为H或卤素;优选地,R 3为卤素。 Preferably, V and W are each independently CR 3 , and R 3 is H or halogen; preferably, R 3 is halogen.
优选地,R 8独立地选自取代或未取代的下组基团:氢、氘、C 1-C 6烷基、氘代C 1-C 6烷基、卤代C 1-C 6烷基、C 3-C 8环烷基、C 1-C 6烷氧基、氘代C 1-C 6烷氧基、卤代C 1-C 6烷氧基、氨基、羟基、4-8元杂环基;所述取代是指被选自下组的一个或多个(如2、3、4或5个)基团取代:氢、氘、卤素、硝基、羟基、氰基、酯基、胺基、酰胺基、磺酰胺基或脲基;更优选地,R 8独立地选自取代或未取代的下组基团:氢、氘、C 1-C 6烷基、氘代C 1-C 6烷基、卤代C 1-C 6烷基,更优选地,各R 8独立地为取代或未取代的C 1-C 3烷基,其中,所述取代是指被氰基取代。 Preferably, R 8 is independently selected from the following group of substituted or unsubstituted groups: hydrogen, deuterium, C 1 -C 6 alkyl, deuterated C 1 -C 6 alkyl, halo C 1 -C 6 alkyl , C 3 -C 8 cycloalkyl, C 1 -C 6 alkoxy, deuterated C 1 -C 6 alkoxy, halogenated C 1 -C 6 alkoxy, amino, hydroxyl, 4-8 membered hetero Cyclic; the substitution refers to the substitution by one or more (such as 2, 3, 4 or 5) groups selected from the following group: hydrogen, deuterium, halogen, nitro, hydroxyl, cyano, ester, Amine group, amide group, sulfonamide group or ureido group; more preferably, R 8 is independently selected from the following group of substituted or unsubstituted groups: hydrogen, deuterium, C 1 -C 6 alkyl, deuterated C 1- C 6 alkyl, halo C 1 -C 6 alkyl, more preferably, each R 8 is independently a substituted or unsubstituted C 1 -C 3 alkyl, wherein the substitution refers to substitution by a cyano group.
优选地,各R 8为甲基。 Preferably, each R 8 is a methyl group.
优选地,所述的化合物具有式(VIII)所示的结构:Preferably, the compound has a structure represented by formula (VIII):
式中,Where
R”'各自独立地选自取代或未取代的下组基团:氢、氘、卤素、硝基、羟基、氰基、酯基、胺基、酰胺基、C 1-C 6烷基、C 3-C 8环烷基、C 4-C 10环烯基、4-8元杂环基、C 6-C 14芳 基、5-14元杂芳基,其中,所述取代是指被选自下组的一个或多个基团取代:氘、卤素、硝基、羟基、氰基、酯基、胺基、酰胺基、C 1-C 6烷基、C 3-C 8环烷基、C 4-C 10环烯基、4-8元杂环基、C 6-C 14芳基、5-14元杂芳基; R"' are each independently selected from the following group of substituted or unsubstituted groups: hydrogen, deuterium, halogen, nitro, hydroxyl, cyano, ester, amine, amide, C 1 -C 6 alkyl, C 3 -C 8 cycloalkyl, C 4 -C 10 cycloalkenyl, 4-8 membered heterocyclic group, C 6 -C 14 aryl, 5-14 membered heteroaryl, wherein the substitution means selected Substituting one or more groups from the following group: deuterium, halogen, nitro, hydroxyl, cyano, ester, amine, amide, C 1 -C 6 alkyl, C 3 -C 8 cycloalkyl, C 4 -C 10 cycloalkenyl, 4-8 membered heterocyclic group, C 6 -C 14 aryl group, 5-14 membered heteroaryl group;
q选自:1、2、3、或4;q is selected from: 1, 2, 3, or 4;
R 1、R 4、R 8、R'、V、Q的定义如上所述。 The definitions of R 1 , R 4 , R 8 , R', V, and Q are as described above.
优选地,所述的化合物具有式(IX)所示的结构:Preferably, the compound has a structure represented by formula (IX):
式中,Where
R 1、R 4、R'、V、R”'、Q和q的定义如上所述。 The definitions of R 1 , R 4 , R', V, R"', Q and q are as described above.
优选地, 部分选自: Preferably, Partly selected from:
优选地, 部分选自: Preferably, Partly selected from:
优选地, 部分为 其中,Rx选自:氢、氘、C 1-C 3烷基、氘代C 1-C 3烷基、卤代C 1-C 3烷基、C 3-C 6环烷基、C 1-C 3烷氧基、卤素、硝基、羟基、氰基、酯基、4-6元杂环基,优选地, 部分为 Preferably, Partly Wherein, Rx is selected from: hydrogen, deuterium, C 1 -C 3 alkyl, deuterated C 1 -C 3 alkyl, halogenated C 1 -C 3 alkyl, C 3 -C 6 cycloalkyl, C 1- C 3 alkoxy, halogen, nitro, hydroxyl, cyano, ester, 4-6 membered heterocyclic group, preferably, Partly
优选地, 部分为 其中,Rx选自:氢、氘、C 1-C 3烷基、氘代C 1-C 3烷基、卤代C 1-C 3烷基、C 3-C 6环烷基、C 1-C 3烷氧基、卤素、硝基、羟基、氰基、酯基、4-6元杂环基,优选地, 部分为 Preferably, Partly Wherein, Rx is selected from: hydrogen, deuterium, C 1 -C 3 alkyl, deuterated C 1 -C 3 alkyl, halogenated C 1 -C 3 alkyl, C 3 -C 6 cycloalkyl, C 1- C 3 alkoxy, halogen, nitro, hydroxyl, cyano, ester, 4-6 membered heterocyclic group, preferably, Partly
优选地,R 2选自下组: Preferably, R 2 is selected from the following group:
K独立地为O、S、CH2或NH;e和f各自独立地为0、1或2,优选地上述基团中的H可任选地被氘、卤素、硝基、羟基、氰基、酯基、胺基、酰胺基、C 1-C 3烷基取代。 K is independently O, S, CH2 or NH; e and f are each independently 0, 1 or 2, preferably H in the above groups can be optionally deuterated, halogen, nitro, hydroxyl, cyano, Ester group, amine group, amide group, C 1 -C 3 alkyl substitution.
优选地,所述的化合物具有式(VIII)所示的结构:Preferably, the compound has a structure represented by formula (VIII):
式中,Where
R”'选自取代或未取代的下组基团:氢、氘、卤素、硝基、羟基、氰基、酯基、胺基、酰胺基、C 1-C 6烷基、C 3-C 8环烷基、C 4-C 10环烯基、4-8元杂环基、C 6-C 14芳基、5-14元杂芳基,其中,所述取代是指被选自下组的一个或多个基团取代:氘、卤素、硝基、羟基、氰基、酯基、胺基、酰胺基、C 1-C 6烷基、C 3-C 8环烷基、C 4-C 10环烯基、4-8元杂环基、C 6-C 14芳基、5-14元杂芳基; R"' is selected from the following group of substituted or unsubstituted groups: hydrogen, deuterium, halogen, nitro, hydroxyl, cyano, ester, amine, amide, C 1 -C 6 alkyl, C 3 -C 8 -cycloalkyl, C 4 -C 10 cycloalkenyl, 4-8 membered heterocyclic group, C 6 -C 14 aryl, 5-14 membered heteroaryl, wherein the substitution refers to being selected from the following group Substitution of one or more groups: deuterium, halogen, nitro, hydroxyl, cyano, ester, amine, amide, C 1 -C 6 alkyl, C 3 -C 8 cycloalkyl, C 4- C 10 cycloalkenyl, 4-8 membered heterocyclic group, C 6 -C 14 aryl, 5-14 membered heteroaryl;
R 1、R 4、R 8、R'、V、Q、和q的定义如上所述。 The definitions of R 1 , R 4 , R 8 , R′, V, Q, and q are as described above.
优选地,R”'选自取代或未取代的下组基团:C 1-C 6烷基、C 3-C 8环烷基、C 4-C 10环烯基、4-8元杂环基、C 6-C 10芳基、5-10元杂芳基,其中,所述取代是指被选自下组的一个或多个基团取代:氘、卤素、硝基、羟基、氰基、酯基、胺基、酰胺基、C 1-C 6烷基、C 3-C 8环烷基、4-8元杂环基。 Preferably, R"' is selected from the following group of substituted or unsubstituted groups: C 1 -C 6 alkyl, C 3 -C 8 cycloalkyl, C 4 -C 10 cycloalkenyl, 4-8 membered heterocycle Group, C 6 -C 10 aryl group, 5-10 membered heteroaryl group, wherein the substitution refers to substitution by one or more groups selected from the following group: deuterium, halogen, nitro, hydroxyl, cyano , Ester group, amino group, amide group, C 1 -C 6 alkyl group, C 3 -C 8 cycloalkyl group, 4-8 membered heterocyclic group.
优选地,R”'选自取代或未取代的下组基团:C 1-C 6烷基、C 3-C 6环烷基、C 4-C 6环烯基、4-6元杂环基,更优选地,R”'选自取代或未取代的下组基团:基、正丙基、异丙基、环丙基、环丁基、环戊基、环己基、环丙氨基、氮杂环丁烷基、氮杂环戊烷基、氮杂环己烷基、环氧乙烷基、氧杂环丁烷基、氧杂环戊烷基、氧杂环己烷基,其中,所述取代是指被选自下组的一个或多个基团取代:氘、卤素、硝基、羟基、氰基、酯基、胺基、酰胺基、C 1-C 3烷基。 Preferably, R"' is selected from the following group of substituted or unsubstituted groups: C 1 -C 6 alkyl, C 3 -C 6 cycloalkyl, C 4 -C 6 cycloalkenyl, 4-6 membered heterocycle More preferably, R"' is selected from the following substituted or unsubstituted groups: radical, n-propyl, isopropyl, cyclopropyl, cyclobutyl, cyclopentyl, cyclohexyl, cyclopropylamino, Azetidinyl, azetidinyl, azetidinyl, oxiranyl, oxetanyl, oxolanyl, oxetanyl, of which, The substitution refers to substitution by one or more groups selected from the following group: deuterium, halogen, nitro, hydroxyl, cyano, ester, amine, amide, C 1 -C 3 alkyl.
优选地, 部分选自下组: Preferably, Part of it is selected from the following group:
K独立地为O、S、CH 2或NH;e和f各自独立地为0、1或2,优选地上述基团中的H可任选地被氘、卤素、硝基、羟基、氰基、酯基、胺基、酰胺基、C 1-C 3烷基取代。 K is independently O, S, CH 2 or NH; e and f are each independently 0, 1 or 2, preferably H in the above groups can be optionally deuterated, halogen, nitro, hydroxyl, cyano , Ester group, amine group, amide group, C 1 -C 3 alkyl substitution.
优选地,所述的化合物具有式(X)或(XI)所示的结构:Preferably, the compound has a structure represented by formula (X) or (XI):
式中,Where
R 4选自取代或未取代C 6-C 14芳基或5-10元杂芳基,其中,所述取代是指被选自下组的一个或多个(如2、3、4或5个)基团取代:氘、卤素、酯基、氰基、NR bC(=O)OR e、OC(=O)R e、OC(=O)NR bR c、胺基、C 1-C 6烷基、卤代C 1-C 6烷基、羟基;R b、R c可以独立表示氢、氘、C1-C6烷基、C3-C8环烷基、4-8元杂环基、5-14元杂芳基或C6-C14芳环,或者说R b和R c与N原子一起可以形成4-8元杂环基;R e可以独立表示氢、C1-C6烷基、C3-C8环烷基、C2-C6烯基、C3-C6环烯基、C2-C6炔基、4-8元杂环基、5-14元杂芳基或C6-C14芳环; R 4 is selected from substituted or unsubstituted C 6 -C 14 aryl groups or 5-10 membered heteroaryl groups, wherein the substitution refers to one or more selected from the group (such as 2, 3, 4 or 5 One) group substitution: deuterium, halogen, ester group, cyano group, NR b C(=O)OR e , OC(=O)R e , OC(=O)NR b R c , amine group, C 1- C 6 alkyl, halogenated C 1 -C 6 alkyl, hydroxy; R b and R c can independently represent hydrogen, deuterium, C1-C6 alkyl, C3-C8 cycloalkyl, 4-8 membered heterocyclic group, 5-14 membered heteroaryl or C6-C14 aromatic ring, or R b and R c together with N atom can form 4-8 membered heterocyclic group; R e can independently represent hydrogen, C1-C6 alkyl, C3- C8 cycloalkyl, C2-C6 alkenyl, C3-C6 cycloalkenyl, C2-C6 alkynyl, 4-8 membered heterocyclic group, 5-14 membered heteroaryl or C6-C14 aromatic ring;
Rm选自取代或未取代的下组基团:胺基、C 1-C 6烷基、C 3-C 6环烷基、4-6元杂环基,其中,所述取代是指被选自下组的一个或多个基团取代:氘、卤素、硝基、羟基、氰基、酯基、胺基、酰胺基、C 1-C 3烷基、C3-C6环烷基、4-6元杂环基; Rm is selected from the following group of substituted or unsubstituted groups: amino group, C 1 -C 6 alkyl group, C 3 -C 6 cycloalkyl group, 4-6 membered heterocyclic group, wherein the substitution refers to the selected Substituting one or more groups from the following group: deuterium, halogen, nitro, hydroxyl, cyano, ester, amine, amide, C 1 -C 3 alkyl, C3-C6 cycloalkyl, 4- 6-membered heterocyclic group;
Rn选自取代或未取代的下组基团:胺基、C 1-C 6烷基、C 1-C 6烷氧基、C 3-C 6环烷基、-O-C 3-C 6环烷基、C 1-C 6烷基C 3-C 6环烷基、-O-C 1-C 6烷基C 3-C 6环烷基、4-6元杂环基,其中,所述取代是指被选自下组的一个或多个基团取代:氘、卤素、硝基、羟基、氰基、酯基、胺基、酰胺基、C 1-C 3烷基、C 1-C 3卤代烷基、C3-C6环烷基、4-6元杂环基; Rn is selected from the following group of substituted or unsubstituted groups: amino, C 1 -C 6 alkyl, C 1 -C 6 alkoxy, C 3 -C 6 cycloalkyl, -OC 3 -C 6 cycloalkane Group, C 1 -C 6 alkyl C 3 -C 6 cycloalkyl, -OC 1 -C 6 alkyl C 3 -C 6 cycloalkyl, 4-6 membered heterocyclic group, wherein the substitution refers to Substituted by one or more groups selected from the following group: deuterium, halogen, nitro, hydroxyl, cyano, ester, amine, amide, C 1 -C 3 alkyl, C 1 -C 3 haloalkyl , C3-C6 cycloalkyl, 4-6 membered heterocyclic group;
Rx选自:F或Cl;Rx is selected from: F or Cl;
R A选自:H、D、卤素、或氰基,优选地R A选自:H或F。 R A is selected from: H, D, halo, or cyano, preferably R A is selected from: H or F.
R”'的定义如上所述;The definition of R"' is as described above;
q'选自0、1、2、或3。q'is selected from 0, 1, 2, or 3.
优选地,所述化合物其具有式(VIII-1)所示的结构:Preferably, the compound has a structure represented by formula (VIII-1):
式中,R 1、Rx、R 4、Rm和Rn的定义如上所述。 In the formula, R 1 , Rx, R 4 , Rm and Rn are as defined above.
优选地,所述化合物具有式(X)所示的结构Preferably, the compound has a structure represented by formula (X)
式中,R A、Rx、R 4、Rm、Rn、q”'和q'的定义如上所述。 In the formula, R A , Rx, R 4 , Rm, Rn, q"' and q'are as defined above.
优选地,所述化合物具有式(XII)所示的结构Preferably, the compound has a structure represented by formula (XII)
式中,R 4a、R 4b、R 4c、R 4d、R 4e、Rm、Rn、Rx、R A、q'、R”'如上所述。 Wherein, R 4a, R 4b, R 4c, R 4d, R 4e, Rm, Rn, Rx, R A, q ', R "' described above.
优选地,所述化合物具有式(XIV)所示的结构:Preferably, the compound has a structure represented by formula (XIV):
式中,R 4a、R 4b、R 4c、R 4d、R 4e、Rm、Rn、Rx、R A如上所述。 Wherein, R 4a, R 4b, R 4c, R 4d, R 4e, Rm, Rn, Rx, R A described above.
优选地,R 4选自取代或未取代苯基或5-6元杂芳基,更优选地,R 4选自取代或未取代苯基,其中,所述取代是指被选自下组的一个或多个(如2、3、4或5个)基团取代:氘、卤素、酯基、氰基、NR bC(=O)OR e、OC(=O)R e、OC(=O)NR bR c、胺基、C 1-C 3烷基、卤代 C 1-C 3烷基、羟基;R b、R c可以独立表示氢、氘、C1-C3烷基、C3-C6环烷基、4-6元杂环基、5-6元杂芳基或苯基,或者说R b和R c与N原子一起可以形成4-6元杂环基;R e可以独立表示氢、C1-C3烷基、C3-C6环烷基。 Preferably, R 4 is selected from substituted or unsubstituted phenyl or 5-6 membered heteroaryl, more preferably, R 4 is selected from substituted or unsubstituted phenyl, wherein the substitution refers to one selected from the group consisting of One or more (such as 2, 3, 4 or 5) group substitutions: deuterium, halogen, ester, cyano, NR b C(=O)OR e , OC(=O)R e , OC(= O) NR b R c , amino, C 1 -C 3 alkyl, halogenated C 1 -C 3 alkyl, hydroxyl; R b and R c can independently represent hydrogen, deuterium, C1-C3 alkyl, C3- C6 cycloalkyl, 4-6 membered heterocyclyl, 5-6 membered heteroaryl or phenyl, or R b and R c with the N atom may form a 4-6 membered heterocyclyl; R e independently represent Hydrogen, C1-C3 alkyl, C3-C6 cycloalkyl.
优选地,Rn选自取代或未取代的下组基团:乙基、正丙基、异丙基、环丙基、环丁基、环戊基、环己基、环丙氨基、氮杂环丁烷基、氮杂环戊烷基、氮杂环己烷基、环氧乙烷基、氧杂环丁烷基、氧杂环戊烷基、氧杂环己烷基,其中,所述取代是指被选自下组的一个或多个基团取代:氘、卤素、硝基、羟基、氰基、酯基、胺基、酰胺基、C 1-C 3烷基。 Preferably, Rn is selected from the following group of substituted or unsubstituted groups: ethyl, n-propyl, isopropyl, cyclopropyl, cyclobutyl, cyclopentyl, cyclohexyl, cyclopropylamino, azetidine Alkyl, azepanyl, azetidine, oxiranyl, oxetanyl, oxolane, oxetanyl, wherein the substitution is Refers to substitution by one or more groups selected from the following group: deuterium, halogen, nitro, hydroxyl, cyano, ester, amine, amide, C 1 -C 3 alkyl.
优选地,Rm选自取代或未取代的下组基团:甲基、乙基、正丙基、异丙基、环丙基、环丁基、环戊基、环己基、环丙氨基、氮杂环丁烷基、氮杂环戊烷基、氮杂环己烷基、环氧乙烷基、氧杂环丁烷基、氧杂环戊烷基、氧杂环己烷基,其中,所述取代是指被选自下组的一个或多个基团取代:氘、卤素、硝基、羟基、氰基、酯基、胺基、酰胺基、C 1-C 3烷基。 Preferably, Rm is selected from the following group of substituted or unsubstituted groups: methyl, ethyl, n-propyl, isopropyl, cyclopropyl, cyclobutyl, cyclopentyl, cyclohexyl, cyclopropylamino, nitrogen Etanyl, azepanyl, azetidine, oxiranyl, oxetanyl, oxolanyl, oxetanyl, among which, The substitution refers to substitution by one or more groups selected from the following group: deuterium, halogen, nitro, hydroxyl, cyano, ester, amine, amide, C 1 -C 3 alkyl.
本发明中的化合物可能形成的盐也是属于本发明的范围。除非另有说明,本发明中的化合物被理解为包括其盐类。在此使用的术语“盐”,指用无机或有机酸和碱形成酸式或碱式的盐。此外,当本发明中的化合物含一个碱性片段时,它包括但不限于吡啶或咪唑,含一个酸性片段时,包括但不限于羧酸,可能形成的两性离子(“内盐”)包含在术语“盐”的范围内。药学上可接受的(即无毒,生理可接受的)盐是首选,虽然其他盐类也有用,例如可以用在制备过程中的分离或纯化步骤。本发明的化合物可能形成盐,例如,化合物I与一定量如等当量的酸或碱反应,在介质中盐析出来,或在水溶液中冷冻干燥得来。Salts that may be formed by the compounds of the present invention also belong to the scope of the present invention. Unless otherwise specified, the compounds in the present invention are understood to include their salts. The term "salt" as used herein refers to a salt formed into an acid or basic form with an inorganic or organic acid and a base. In addition, when the compound of the present invention contains a basic fragment, it includes but is not limited to pyridine or imidazole, and when it contains an acidic fragment, including but not limited to carboxylic acid, the zwitterion ("internal salt") that may be formed is contained in Within the scope of the term "salt". Pharmaceutically acceptable (i.e., non-toxic, physiologically acceptable) salts are preferred, although other salts are also useful, for example, they can be used in separation or purification steps in the preparation process. The compound of the present invention may form a salt. For example, the compound I can be obtained by reacting with a certain amount of acid or base, such as an equivalent amount, to salt out in the medium, or freeze-dried in an aqueous solution.
本发明中的化合物含有的碱性片段,包括但不限于胺或吡啶或咪唑环,可能会和有机或无机酸形成盐。可以成盐的典型的酸包括醋酸盐(如用醋酸或三卤代醋酸,如三氟乙酸)、己二酸盐、藻朊酸盐、抗坏血酸盐、天冬氨酸盐、苯甲酸盐、苯磺酸盐、硫酸氢盐、硼酸盐、丁酸盐、柠檬酸盐、樟脑盐、樟脑磺酸盐、环戊烷丙酸盐、二甘醇酸盐、十二烷基硫酸盐、乙烷磺酸盐、延胡索酸盐、葡庚糖酸盐、甘油磷酸盐、半硫酸盐、庚酸盐、己酸盐、盐酸盐、氢溴酸盐、氢碘酸盐、羟基乙磺酸盐(如,2-羟基乙磺酸盐)、乳酸盐、马来酸盐、甲磺酸盐、萘磺酸盐(如,2-萘磺酸盐)、烟酸盐、硝酸盐、草酸盐、果胶酸盐、过硫酸盐、苯丙酸盐(如3-苯丙酸盐)、磷酸盐、苦味酸盐、新戊酸盐、丙酸盐,水杨酸盐、琥珀酸盐、硫酸盐(如与硫酸形成的)、磺酸盐、酒石酸盐、硫氰酸盐、甲苯磺酸盐如对甲苯磺酸盐、十二烷酸盐等等The basic fragments contained in the compounds of the present invention, including but not limited to amines or pyridine or imidazole rings, may form salts with organic or inorganic acids. Typical acids that can form salts include acetate (such as acetic acid or trihaloacetic acid, such as trifluoroacetic acid), adipate, alginate, ascorbate, aspartate, and benzoate. , Benzene sulfonate, hydrogen sulfate, borate, butyrate, citrate, camphor salt, camphor sulfonate, cyclopentane propionate, diglycolate, dodecyl sulfate, Ethane sulfonate, fumarate, glucoheptonate, glycerophosphate, hemisulfate, heptanoate, caproate, hydrochloride, hydrobromide, hydroiodide, isethionate (E.g. 2-hydroxyethanesulfonate), lactate, maleate, methanesulfonate, naphthalenesulfonate (e.g. 2-naphthalenesulfonate), nicotinate, nitrate, oxalic acid Salt, pectinate, persulfate, phenylpropionate (such as 3-phenylpropionate), phosphate, picrate, pivalate, propionate, salicylate, succinate, Sulfate (such as formed with sulfuric acid), sulfonate, tartrate, thiocyanate, toluenesulfonate such as p-toluenesulfonate, dodecanoate, etc.
本发明的某些化合物可能含有的酸性片段,包括但不限于羧酸,可能会和各种有机或无机碱形成盐。典型的碱形成的盐包括铵盐、碱金属盐如钠、锂、钾盐,碱土金属盐如钙、镁盐,和有机碱形成的盐(如有机胺),如苄星、二环已基胺、海巴胺(与N,N-二(去氢枞基)乙二胺形成的盐)、N-甲基-D-葡糖胺、N-甲基-D-葡糖酰胺、叔丁基胺,以及和氨基酸如精氨酸、赖氨酸等等形成的盐。碱性含氮基团可以与卤化物季铵盐,如小分子烷基卤化物(如甲基、乙基、丙基和丁基的氯化物、溴化物及碘化物),二烷基硫酸盐(如, 硫酸二甲酯、二乙酯,二丁酯和二戊酯),长链卤化物(如癸基、十二烷基、十四烷基和十四烷基的氯化物、溴化物及碘化物),芳烷基卤化物(如苄基和苯基溴化物)等等。The acidic fragments that some compounds of the present invention may contain, including but not limited to carboxylic acids, may form salts with various organic or inorganic bases. Typical salts formed by bases include ammonium salts, alkali metal salts such as sodium, lithium, and potassium salts, alkaline earth metal salts such as calcium and magnesium salts, and salts formed by organic bases (such as organic amines) such as benzathine and bicyclohexyl Amine, Hypamine (a salt formed with N,N-bis(dehydroabietyl)ethylenediamine), N-methyl-D-glucosamine, N-methyl-D-glucamide, tert-butyl Base amines, and salts with amino acids such as arginine, lysine, etc. Basic nitrogen-containing groups can be combined with halide quaternary ammonium salts, such as small molecular alkyl halides (such as methyl, ethyl, propyl and butyl chlorides, bromides and iodides), dialkyl sulfates (E.g., dimethyl sulfate, diethyl, dibutyl and dipentyl sulfate), long-chain halides (such as chlorides and bromides of decyl, dodecyl, tetradecyl and tetradecyl And iodides), aralkyl halides (such as benzyl and phenyl bromides) and so on.
本发明中化合物的前药及溶剂合物也在涵盖的范围之内。此处术语“前药”是指一种化合物,在治疗相关疾病时,经过代谢或化学过程的化学转化而产生本发明中的化合物、盐、或溶剂合物。本发明的化合物包括溶剂合物,如水合物。The prodrugs and solvates of the compounds of the present invention are also covered. The term "prodrug" herein refers to a compound that undergoes metabolic or chemical transformation to produce the compound, salt, or solvate of the present invention when treating related diseases. The compounds of the present invention include solvates, such as hydrates.
本发明中的化合物、盐或溶剂合物,可能存在的互变异构形式(例如酰胺和亚胺醚)。所有这些互变异构体都是本发明的一部分。The compounds, salts or solvates of the present invention may exist in tautomeric forms (such as amides and imine ethers). All these tautomers are part of the invention.
所有化合物的立体异构体(例如,那些由于对各种取代可能存在的不对称碳原子),包括其对映体形式和非对映形式,都属于本发明的设想范围。本发明中的化合物独立的立体异构体可能不与其他异构体同时存在(例如,作为一个纯的或者实质上是纯的光学异构体具有特殊的活性),或者也可能是混合物,如消旋体,或与所有其他立体异构体或其中的一部分形成的混合物。本发明的手性中心有S或R两种构型,由理论与应用化学国际联合会(IUPAC)1974年建议定义。外消旋形式可通过物理方法解决,例如分步结晶,或通过衍生为非对映异构体分离结晶,或通过手性柱色谱法分离。单个的光学异构体可通过合适的方法由外消旋体得到,包括但不限于传统的方法,例如与光学活性酸成盐后再结晶。All stereoisomers of compounds (for example, those asymmetric carbon atoms that may exist due to various substitutions), including their enantiomeric forms and diastereomeric forms, fall within the scope of the present invention. The independent stereoisomers of the compound in the present invention may not coexist with other isomers (for example, as a pure or substantially pure optical isomer with special activity), or may be a mixture, such as Racemates, or mixtures with all other stereoisomers or part of them. The chiral center of the present invention has two configurations, S or R, defined by the International Union of Theoretical and Applied Chemistry (IUPAC) in 1974. The racemic form can be resolved by physical methods, such as fractional crystallization, or separation of crystallization by derivatization into diastereomers, or separation by chiral column chromatography. Individual optical isomers can be obtained from racemates by suitable methods, including but not limited to traditional methods, such as salt formation with an optically active acid and recrystallization.
本发明中的化合物,依次通过制备、分离纯化获得的该化合物其重量含量等于或大于90%,例如,等于或大于95%,等于或大于99%(“非常纯”的化合物),在正文描述列出。此处这种“非常纯”本发明的化合物也作为本发明的一部分。In the compound of the present invention, the weight content of the compound obtained by successive preparation, separation and purification is equal to or greater than 90%, for example, equal to or greater than 95%, equal to or greater than 99% ("very pure" compound), as described in the text Listed. Here, such "very pure" compounds of the invention are also part of the invention.
本发明的化合物所有的构型异构体都在涵盖的范围之内,无论是混合物、纯的或非常纯的形式。在本发明化合物的定义包含顺式(Z)和返式(E)两种烯烃异构体,以及碳环和杂环的顺式和反式异构体。All configuration isomers of the compounds of the present invention are within the scope of coverage, whether in mixture, pure or very pure form. The definition of the compound of the present invention includes two olefin isomers, cis (Z) and trans (E), as well as cis and trans isomers of carbocyclic and heterocyclic rings.
在整个说明书中,基团和取代基可以被选择以提供稳定的片段和化合物。Throughout the specification, groups and substituents can be selected to provide stable fragments and compounds.
特定官能团和化学术语定义都详细介绍如下。对本发明来说,化学元素与Periodic Table of the Elements,CAS version,Handbook of Chemistry and Physics,75 th Ed.中定义的一致。特定官能团的定义也在其中描述。此外,有机化学的基本原则以及特定官能团和反应性在“Organic Chemistry”,Thomas Sorrell,University Science Books,Sausalito:1999,也有说明,其全部内容纳入参考文献之列。 Specific functional groups and chemical term definitions are described in detail below. For purposes of the present invention, the chemical elements with the Periodic Table of the Elements, CAS version , of Chemistry and Physics, 75 th Ed same as defined in Handbook.. The definition of specific functional groups is also described therein. In addition, the basic principles of organic chemistry and specific functional groups and reactivity are also explained in "Organic Chemistry", Thomas Sorrell, University Science Books, Sausalito: 1999, and the entire contents are included in the list of references.
本发明的某些化合物可能存在于特定的几何或立体异构体形式。本发明涵盖所有的化合物,包括其顺式和反式异构体、R和S对映异构体、非对映体、(D)型异构体、(L)型异构体、外消旋混合物和其它混合物。另外不对称碳原子可表示取代基,如烷基。所有异构体以及它们的混合物,都包涵在本发明中。Certain compounds of the present invention may exist in specific geometric or stereoisomeric forms. The present invention covers all compounds, including their cis and trans isomers, R and S enantiomers, diastereomers, (D) isomers, (L) isomers, and exogenous Spin mixtures and other mixtures. In addition, the asymmetric carbon atom may represent a substituent, such as an alkyl group. All isomers and their mixtures are included in the present invention.
按照本发明,同分异构体的混合物含有异构体的比率可以是多样的。例如,在只有两个异构体的混合物可以有以下组合:50:50,60:40,70:30,80:20,90:10,95:5,96:4,97:3,98:2,99:1,或100:0,异构体的所有比率都在本发明范围之内。本专业内 一般技术人员容易理解的类似的比率,及为更复杂的异构体的混合物的比率也在本发明范围之内。According to the present invention, the ratio of the mixture of isomers containing the isomers can be varied. For example, a mixture of only two isomers can have the following combinations: 50:50, 60:40, 70:30, 80:20, 90:10, 95:5, 96:4, 97:3, 98: 2, 99:1, or 100:0, all ratios of isomers are within the scope of the present invention. Similar ratios, which are easily understood by those skilled in the art, and ratios that are mixtures of more complex isomers are also within the scope of the present invention.
本发明还包括同位素标记的化合物,等同于原始化合物在此公开。不过实际上对一个或更多的原子被与其原子量或质量序数不同的原子取代通常会出现。可以列为本发明的化合物同位素的例子包括氢、碳、氮、氧、磷、硫、氟和氯同位素,分别如 2H、 3H、 13C、 11C、 14C、 15N、 18O、 17O、 31P、 32P、 35S、 18F和 36Cl。本发明中的化合物,或对映体、非对映体、异构体,或药学上可接受的盐或溶剂化物,其中含有上述化合物的同位素或其他同位素原子都在本发明的范围之内。本发明中某些同位素标记化合物,例如 3H和 14C的放射性同位素也在其中,在药物和底物的组织分布实验中是有用的。氚,即 3H和碳-14,即 14C,它们的制备和检测比较容易。是同位素中的首选。此外,较重同位素取代如氘,即 2H,由于其很好的代谢稳定性在某些疗法中有优势,例如在体内增加半衰期或减少用量,因此,在某些情况下可以优先考虑。同位素标记的化合物可以用一般的方法,通过用易得的同位素标记试剂替换为非同位素的试剂,用批露在示例中的方案可以制备。 The present invention also includes isotopically labeled compounds, which are equivalent to the original compounds disclosed herein. In practice, however, it usually occurs when one or more atoms are replaced by atoms whose atomic weight or mass number is different. Examples of isotopes that can be classified as compounds of the present invention include hydrogen, carbon, nitrogen, oxygen, phosphorus, sulfur, fluorine, and chlorine isotopes, such as 2 H, 3 H, 13 C, 11 C, 14 C, 15 N, and 18 O, respectively. , 17 O, 31 P, 32 P, 35 S, 18 F and 36 Cl. The compounds of the present invention, or enantiomers, diastereomers, isomers, or pharmaceutically acceptable salts or solvates, which contain isotopes or other isotopic atoms of the above compounds are all within the scope of the present invention. Certain isotope-labeled compounds in the present invention, such as radioisotopes of 3 H and 14 C, are also among them, which are useful in tissue distribution experiments of drugs and substrates. Tritium, namely 3 H and carbon-14, namely 14 C, their preparation and detection are relatively easy. It is the first choice among isotopes. In addition, heavier isotopic substitutions such as deuterium, ie 2 H, have advantages in certain therapies due to its good metabolic stability, such as increasing the half-life or reducing the dosage in the body, so it can be given priority in some cases. Isotopically-labeled compounds can be prepared by general methods, by replacing readily available isotope-labeled reagents with non-isotopic reagents, using the protocol disclosed in the examples.
如果要设计一个本发明的化合物特定的对映体的合成,它可以不对称合成制备,或用手性辅剂衍生化,将所产生的非对映混合物分离,再除去手性辅剂而得到纯的对映体。另外,如果分子中含有一个碱性官能团,如氨基酸,或酸性官能团,如羧基,可以用合适的光学活性的酸或碱的与之形成非对映异构体盐,再通过分离结晶或色谱等常规手段分离,然后就得到了纯的对映体。If you want to design the synthesis of a specific enantiomer of the compound of the present invention, it can be prepared by asymmetric synthesis, or derivatized with a chiral adjuvant, and the resulting diastereomeric mixture is separated, and then the chiral adjuvant is removed. Pure enantiomer. In addition, if the molecule contains a basic functional group, such as an amino acid, or an acidic functional group, such as a carboxyl group, a suitable optically active acid or base can be used to form a diastereomeric salt with it, and then through separation crystallization or chromatography, etc. After separation by conventional means, the pure enantiomers are obtained.
本申请所涉及的化合物及其药学可接受的盐的代谢产物,以及可以在体内转变为本申请所涉及的化合物及其药学可接受的盐的结构的前药,也包含在本申请的权利要求中。The metabolites of the compounds and their pharmaceutically acceptable salts involved in this application, as well as the prodrugs that can be transformed into the structure of the compounds and their pharmaceutically acceptable salts involved in this application, are also included in the claims of this application. middle.
制备方法Preparation
下面更具体地描述本发明式(I)结构化合物的制备方法,但这些具体方法不对本发明构成任何限制。本发明化合物还可以任选将在本说明书中描述的或本领域已知的各种合成方法组合起来而方便地制得,这样的组合可由本发明所属领域的技术人员容易地进行。The preparation methods of the compound of formula (I) of the present invention are described in more detail below, but these specific methods do not constitute any limitation to the present invention. The compounds of the present invention can also be conveniently prepared by combining various synthetic methods described in this specification or known in the art, and such combinations can be easily performed by those skilled in the art to which the present invention belongs.
典型地,本发明化合物的制备工艺流程如下,其中所用原料和试剂如无特殊说明,均可通过商业途径购买或按照已报道的文献合成。Typically, the preparation process of the compound of the present invention is as follows, wherein the raw materials and reagents used can be purchased through commercial channels or synthesized according to reported literature unless otherwise specified.
(i)在惰性溶剂(如四氢呋喃)中,式P-1化合物先与草酰氯反应,然后与胺基化合物R 2-NH 2反应,得到式P-2化合物; (i) In an inert solvent (such as tetrahydrofuran), the compound of formula P-1 is first reacted with oxalyl chloride, and then reacted with the amino compound R 2 -NH 2 to obtain the compound of formula P-2;
(ii)在惰性溶剂(如四氢呋喃)中,在第一种碱作用下,式P-2化合物关环,得到式P-3化合物;(ii) In an inert solvent (such as tetrahydrofuran), under the action of the first base, the compound of formula P-2 is ring-closed to obtain the compound of formula P-3;
(iii)在惰性溶剂(如乙腈)中,式P-3化合物与三氯氧磷在第二种碱作用下,得到式P-4化合物;(iii) In an inert solvent (such as acetonitrile), the compound of formula P-3 and phosphorus oxychloride are under the action of the second base to obtain the compound of formula P-4;
(iv)在惰性溶剂(如乙腈)中,碱(如N,N-二异丙基乙胺)存在下,式P-4化合物与 通过偶联或者取代反应,得到式P-5化合物; (iv) In the presence of a base (such as N,N-diisopropylethylamine) in an inert solvent (such as acetonitrile), the compound of formula P-4 and Through coupling or substitution reaction, a compound of formula P-5 is obtained;
(v)在惰性溶剂(如二氯甲烷)中,酸(如三氟乙酸)存在下,式P-5化合物脱保护,得到式P-6化合物;(v) In the presence of an acid (such as trifluoroacetic acid) in an inert solvent (such as dichloromethane), the compound of formula P-5 is deprotected to obtain a compound of formula P-6;
(vi)在惰性溶剂(如二氯甲烷)中,碱(如N,N-二异丙基乙胺)存在下,式P-6化合物与R 1E通过偶联、取代或酰化反应,得到式P-7化合物; (vi) In the presence of a base (such as N,N-diisopropylethylamine) in an inert solvent (such as dichloromethane), the compound of formula P-6 and R 1 E are reacted by coupling, substitution or acylation, The compound of formula P-7 is obtained;
(vii)在惰性溶剂(如二氧六环/水)中,碱(如乙酸钾)和催化剂(如[1,1'-双(二苯基膦)二茂铁]二氯化钯)存在下,式P-7与R 4-L-E 1通过偶联、取代或者酰化反应,得到式(I)化合物; (vii) In an inert solvent (such as dioxane/water), a base (such as potassium acetate) and a catalyst (such as [1,1'-bis(diphenylphosphine)ferrocene]palladium dichloride) are present Below, formula P-7 and R 4 -LE 1 are coupled, substituted or acylated to obtain a compound of formula (I);
式中,Where
E为卤素、OH、OCOR 1、OCO( iBu)等; E is halogen, OH, OCOR 1 , OCO ( i Bu), etc.;
E 1为-BH 2、-B(OH) 2、 -Sn(Bu) 3、-ZnBr等; E 1 is -BH 2 , -B(OH) 2 , -Sn(Bu) 3 , -ZnBr, etc.;
PG为氨基保护基,所述保护基选自下组:Boc、Bn、Cbz或Fmoc;PG is an amino protecting group, and the protecting group is selected from the group consisting of Boc, Bn, Cbz or Fmoc;
Y和Z为离去基团,所述离去基团选自下组:卤素或者OTf;Y and Z are leaving groups, and the leaving groups are selected from the group consisting of halogen or OTf;
所述第一种碱选自下组:KHMDS、NaHMDS、LiHMDS、NaH、NaOMe、NaOEt或 tBuONa; The first base is selected from the group consisting of KHMDS, NaHMDS, LiHMDS, NaH, NaOMe, NaOEt or t BuONa;
所述第二种碱选自下组:TEA、DIPEA、DMAP或N,N-二甲基苯胺;The second base is selected from the group consisting of TEA, DIPEA, DMAP or N,N-dimethylaniline;
R 1、R 2、R 4、L、A、B、X、U、V、W和Q的定义如上所述。 The definitions of R 1 , R 2 , R 4 , L, A, B, X, U, V, W, and Q are as described above.
上述反应步骤中,反应溶剂、反应催化剂、反应所用的碱、反应温度、反应时间等,本领域技术人员可以根据具体的反应物进行选择。In the above reaction steps, the reaction solvent, reaction catalyst, base used in the reaction, reaction temperature, reaction time, etc., can be selected by those skilled in the art according to the specific reactants.
药物组合物和施用方法Pharmaceutical composition and method of administration
本发明所述的药物组合物用于预防和/或治疗以下疾病:炎症、癌症、心血管疾病、感染、免疫性疾病、代谢性疾病。The pharmaceutical composition of the present invention is used to prevent and/or treat the following diseases: inflammation, cancer, cardiovascular disease, infection, immune disease, and metabolic disease.
式(I)所述化合物可以与已知的治疗或改进相似病状的其他药物联用。联合给药时,原来药物的给药方式和剂量可以保持不变,而同时或随后服用式(I)的化合物。当式(I)化合物与其它一种或几种药物同时服用时,可以优选使用同时含有一种或几种已知药物和式(I)化合物的药用组合物。药物联用也包括在重叠的时间段服用式(I)化合物与其它一种或几种已知药物。当式(I)化合物与其它一种或几种药物进行药物联用时,式(I)化合物或已知药物的剂量可能比它们单独用药的剂量低。The compound of formula (I) can be used in combination with other drugs known to treat or improve similar conditions. In the case of combined administration, the original drug administration mode and dosage can remain unchanged, while the compound of formula (I) is administered at the same time or subsequently. When the compound of formula (I) is administered with one or more other drugs at the same time, a pharmaceutical composition containing one or more known drugs and the compound of formula (I) can be preferably used. The combination of drugs also includes taking the compound of formula (I) and one or more other known drugs in overlapping time periods. When the compound of formula (I) is used in combination with one or more other drugs, the dose of the compound of formula (I) or a known drug may be lower than the dose of the compound used alone.
可以与式(I)所述化合物进行药物联用的药物或活性成分包括但不局限为:PD-1抑制剂(如纳武单抗、派姆单抗、pidilizumab、cemiplimab、JS-001、SHR-120、BGB-A317、IBI-308、GLS-010、GB-226、STW204、HX008、HLX10、BAT1306、AK105、LZM 009或上述药物的生物类似药等)、PD-L1抑制剂(如度伐单抗、阿特珠单抗、阿维鲁单抗(avelumab)、CS1001、KN035、HLX20、SHR-1316、BGB-A333、JS003、CS1003、KL-A167、F 520、GR1405、MSB2311或上述药物的生物类似药等)、CD20抗体(如利妥昔单抗、奥滨尤妥珠单抗、奥法木单抗、veltuzumab,托西莫单抗、131I-托西莫单抗、替伊莫单抗、90Y-替伊莫单抗、90In-替伊莫单抗、替伊莫单抗(ibritumomab tiuxetan)等)、CD47抗体(如Hu5F9-G4、CC-90002、TTI-621、TTI-622、OSE-172、SRF-231、ALX-148、NI-1701、SHR-1603、IBI188、IMM01)、ALK抑制剂(如色瑞替尼、艾乐替尼、布加替尼、劳拉替尼、奥卡替尼)、PI3K抑制剂(如艾代拉里斯、Duvelisib、Dactolisib、Taselisib、Bimiralisib、Omipalisib、Buparlisib等)、BTK抑制剂(如依鲁替尼、Tirabrutinib、阿卡替尼、赞布替尼、Vecabrutinib等)、EGFR抑制剂(如阿法替尼、吉非替尼、厄洛替尼、拉帕替尼、达克替尼、埃克替尼、卡奈替尼、沙普替尼、Naquotinib、吡咯替尼、罗乐替尼、奥希替尼等)、VEGFR抑制剂(如索拉非尼、帕唑帕尼、瑞戈非尼、司曲替尼、Ningetinib、卡博替尼、舒尼替尼、多纳非尼等)、HDAC抑制剂(如Givinostat、Tucidinostat、伏立诺他、Fimepinostat、Droxinostat、恩替诺特、达西司特、Quisinostat、泰克地那林等)、CDK抑制剂(如帕博西尼、瑞博西尼、Abemaciclib、Milciclib、Trilaciclib、Lerociclib等)、MEK抑制剂(如司美替尼(AZD6244)、曲美替尼(GSK1120212)、PD0325901、U0126、Pimasertib(AS-703026)、PD184352(CI-1040)等)、mTOR抑制剂(如Vistusertib等)、SHP2抑制剂(如RMC-4630、JAB-3068、TNO155等),或其组合。Drugs or active ingredients that can be used in combination with the compound of formula (I) include but are not limited to: PD-1 inhibitors (such as nivolumab, pembrolizumab, pidilizumab, cemiplimab, JS-001, SHR -120, BGB-A317, IBI-308, GLS-010, GB-226, STW204, HX008, HLX10, BAT1306, AK105, LZM 009 or biological analogues of the above drugs, etc.), PD-L1 inhibitors (such as Duval Monoclonal antibody, atezolizumab, avelumab, CS1001, KN035, HLX20, SHR-1316, BGB-A333, JS003, CS1003, KL-A167, F520, GR1405, MSB2311 or the above drugs Biosimilar drugs, etc.), CD20 antibodies (e.g. rituximab, obin utuzumab, ofatumumab, veltuzumab, tositumomab, 131I-tositumomab, irituzumab Anti-, 90Y- ibritumomab, 90In- ibritumomab, ibritumomab tiuxetan, etc.), CD47 antibodies (such as Hu5F9-G4, CC-90002, TTI-621, TTI-622, OSE-172, SRF-231, ALX-148, NI-1701, SHR-1603, IBI188, IMM01), ALK inhibitors (such as ceritinib, alectinib, brigatinib, loratinib, Ocatinib), PI3K inhibitors (such as Adelaris, Duvelisib, Dactolisib, Taselisib, Bimiralisib, Omipalisib, Buparlisib, etc.), BTK inhibitors (such as Ibrutinib, Tirabrutinib, Acatinib, Zambuti) Ni, Vecabrutinib, etc.), EGFR inhibitors (such as afatinib, gefitinib, erlotinib, lapatinib, dacomitinib, icotinib, canetinib, saprotinib) , Naquotinib, pirotinib, rollotinib, osimertinib, etc.), VEGFR inhibitors (such as sorafenib, pazopanib, regorafenib, stritinib, Ningetinib, cabozantinib, etc.) , Sunitinib, donafinib, etc.), HDAC inhibitors (such as Givinostat, Tucidinostat, vorinostat, Fimepinostat, Droxinostat, entinostat, daxistat, Quisinostat, tecdinaline, etc.), CDK inhibitors (such as Pabocinil, Rebocinil, Abemaciclib, Milciclib, Trilaciclib, Lerociclib, etc.), MEK inhibitors (such as Smeltinib (AZD6244), Trimex) Tinib (GSK1120212), PD0325901, U0126, Pimasertib (AS-703026), PD184352 (CI-1040), etc.), mTOR inhibitors (such as Vistusertib, etc.), SHP2 inhibitors (such as RMC-4630, JAB-3068, TNO155, etc.) ), or a combination thereof.
本发明所述药物组合物的剂型包括(但并不限于):注射剂、片剂、胶囊剂、气 雾剂、栓剂、膜剂、滴丸剂、外用擦剂、控释型或缓释型或纳米制剂。The dosage form of the pharmaceutical composition of the present invention includes (but is not limited to): injection, tablet, capsule, aerosol, suppository, film, dripping pill, external liniment, controlled release or sustained release or nano preparation.
本发明的药物组合物包含安全有效量范围内的本发明化合物或其药理上可接受的盐及药理上可以接受的赋形剂或载体。其中“安全有效量”指的是:化合物的量足以明显改善病情,而不至于产生严重的副作用。通常,药物组合物含有1-2000mg本发明化合物/剂,更佳地,含有10-1000mg本发明化合物/剂。较佳地,所述的“一剂”为一个胶囊或药片。The pharmaceutical composition of the present invention contains a safe and effective amount of the compound of the present invention or a pharmacologically acceptable salt thereof and a pharmacologically acceptable excipient or carrier. The "safe and effective amount" refers to: the amount of the compound is sufficient to significantly improve the condition without causing serious side effects. Generally, the pharmaceutical composition contains 1-2000 mg of the compound of the present invention per agent, and more preferably, contains 10-1000 mg of the compound of the present invention per agent. Preferably, the "one dose" is a capsule or tablet.
“药学上可以接受的载体”指的是:一种或多种相容性固体或液体填料或凝胶物质,它们适合于人使用,而且必须有足够的纯度和足够低的毒性。“相容性”在此指的是组合物中各组份能和本发明的化合物以及它们之间相互掺和,而不明显降低化合物的药效。药学上可以接受的载体部分例子有纤维素及其衍生物(如羧甲基纤维素钠、乙基纤维素钠、纤维素乙酸酯等)、明胶、滑石、固体润滑剂(如硬脂酸、硬脂酸镁)、硫酸钙、植物油(如豆油、芝麻油、花生油、橄榄油等)、多元醇(如丙二醇、甘油、甘露醇、山梨醇等)、乳化剂(如 )、润湿剂(如十二烷基硫酸钠)、着色剂、调味剂、稳定剂、抗氧化剂、防腐剂、无热原水等。 "Pharmaceutically acceptable carrier" refers to: one or more compatible solid or liquid fillers or gel substances, which are suitable for human use, and must have sufficient purity and sufficiently low toxicity. "Compatibility" here means that the components in the composition can be blended with the compound of the present invention and between them without significantly reducing the efficacy of the compound. Examples of pharmaceutically acceptable carriers include cellulose and its derivatives (such as sodium carboxymethyl cellulose, sodium ethyl cellulose, cellulose acetate, etc.), gelatin, talc, and solid lubricants (such as stearic acid). , Magnesium stearate), calcium sulfate, vegetable oils (such as soybean oil, sesame oil, peanut oil, olive oil, etc.), polyols (such as propylene glycol, glycerin, mannitol, sorbitol, etc.), emulsifiers (such as ), wetting agents (such as sodium lauryl sulfate), coloring agents, flavoring agents, stabilizers, antioxidants, preservatives, pyrogen-free water, etc.
本发明化合物或药物组合物的施用方式没有特别限制,代表性的施用方式包括(但并不限于):口服、瘤内、直肠、肠胃外(静脉内、肌肉内或皮下)、和局部给药。The administration method of the compound or pharmaceutical composition of the present invention is not particularly limited. Representative administration methods include (but are not limited to): oral, intratumoral, rectal, parenteral (intravenous, intramuscular or subcutaneous), and topical administration .
用于口服给药的固体剂型包括胶囊剂、片剂、丸剂、散剂和颗粒剂。在这些固体剂型中,活性化合物与至少一种常规惰性赋形剂(或载体)混合,如柠檬酸钠或磷酸二钙,或与下述成分混合:(a)填料或增容剂,例如,淀粉、乳糖、蔗糖、葡萄糖、甘露醇和硅酸;(b)粘合剂,例如,羟甲基纤维素、藻酸盐、明胶、聚乙烯基吡咯烷酮、蔗糖和阿拉伯胶;(c)保湿剂,例如,甘油;(d)崩解剂,例如,琼脂、碳酸钙、马铃薯淀粉或木薯淀粉、藻酸、某些复合硅酸盐、和碳酸钠;(e)缓溶剂,例如石蜡;(f)吸收加速剂,例如,季胺化合物;(g)润湿剂,例如鲸蜡醇和单硬脂酸甘油酯;(h)吸附剂,例如,高岭土;和(i)润滑剂,例如,滑石、硬脂酸钙、硬脂酸镁、固体聚乙二醇、十二烷基硫酸钠,或其混合物。胶囊剂、片剂和丸剂中,剂型也可包含缓冲剂。Solid dosage forms for oral administration include capsules, tablets, pills, powders and granules. In these solid dosage forms, the active compound is mixed with at least one conventional inert excipient (or carrier), such as sodium citrate or dicalcium phosphate, or mixed with the following ingredients: (a) fillers or compatibilizers, for example, Starch, lactose, sucrose, glucose, mannitol and silicic acid; (b) binders such as hydroxymethyl cellulose, alginate, gelatin, polyvinylpyrrolidone, sucrose and gum arabic; (c) humectants, For example, glycerin; (d) disintegrants, such as agar, calcium carbonate, potato starch or tapioca starch, alginic acid, certain complex silicates, and sodium carbonate; (e) slow solvents, such as paraffin; (f) Absorption accelerators, for example, quaternary amine compounds; (g) wetting agents, such as cetyl alcohol and glyceryl monostearate; (h) adsorbents, such as kaolin; and (i) lubricants, such as talc, hard Calcium fatty acid, magnesium stearate, solid polyethylene glycol, sodium lauryl sulfate, or mixtures thereof. In capsules, tablets and pills, the dosage form may also contain buffering agents.
固体剂型如片剂、糖丸、胶囊剂、丸剂和颗粒剂可采用包衣和壳材制备,如肠衣和其它本领域公知的材料。它们可包含不透明剂,并且,这种组合物中活性化合物或化合物的释放可以延迟的方式在消化道内的某一部分中释放。可采用的包埋组分的实例是聚合物质和蜡类物质。必要时,活性化合物也可与上述赋形剂中的一种或多种形成微胶囊形式。Solid dosage forms such as tablets, sugar pills, capsules, pills and granules can be prepared with coatings and shell materials, such as enteric coatings and other materials known in the art. They may contain opacifying agents, and the active compound or the release of the compound in such compositions may be released in a certain part of the digestive tract in a delayed manner. Examples of embedding components that can be used are polymeric substances and waxes. If necessary, the active compound can also be formed into microcapsules with one or more of the above-mentioned excipients.
用于口服给药的液体剂型包括药学上可接受的乳液、溶液、悬浮液、糖浆或酊剂。除了活性化合物外,液体剂型可包含本领域中常规采用的惰性稀释剂,如水或其它溶剂,增溶剂和乳化剂,例知,乙醇、异丙醇、碳酸乙酯、乙酸乙酯、丙二醇、1,3-丁二醇、二甲基甲酰胺以及油,特别是棉籽油、花生油、玉米胚油、橄榄油、蓖麻油和芝麻油或这些物质的混合物等。Liquid dosage forms for oral administration include pharmaceutically acceptable emulsions, solutions, suspensions, syrups or tinctures. In addition to the active compound, the liquid dosage form may contain inert diluents conventionally used in the art, such as water or other solvents, solubilizers and emulsifiers, for example, ethanol, isopropanol, ethyl carbonate, ethyl acetate, propylene glycol, 1 , 3-Butanediol, dimethylformamide and oils, especially cottonseed oil, peanut oil, corn germ oil, olive oil, castor oil and sesame oil or mixtures of these substances.
除了这些惰性稀释剂外,组合物也可包含助剂,如润湿剂、乳化剂和悬浮剂、甜味剂、矫味剂和香料。In addition to these inert diluents, the composition may also contain adjuvants such as wetting agents, emulsifying and suspending agents, sweetening agents, flavoring agents and perfumes.
除了活性化合物外,悬浮液可包含悬浮剂,例如,乙氧基化异十八烷醇、聚氧乙烯山梨醇和脱水山梨醇酯、微晶纤维素、甲醇铝和琼脂或这些物质的混合物等。In addition to the active compound, the suspension may contain suspending agents, for example, ethoxylated isostearyl alcohol, polyoxyethylene sorbitol and sorbitan esters, microcrystalline cellulose, aluminum methoxide and agar, or mixtures of these substances, and the like.
用于肠胃外注射的组合物可包含生理上可接受的无菌含水或无水溶液、分散液、悬浮液或乳液,和用于重新溶解成无菌的可注射溶液或分散液的无菌粉末。适宜的含水和非水载体、稀释剂、溶剂或赋形剂包括水、乙醇、多元醇及其适宜的混合物。The composition for parenteral injection may contain physiologically acceptable sterile aqueous or non-aqueous solutions, dispersions, suspensions or emulsions, and sterile powders for reconstitution into sterile injectable solutions or dispersions. Suitable aqueous and non-aqueous carriers, diluents, solvents or excipients include water, ethanol, polyols and suitable mixtures thereof.
用于局部给药的本发明化合物的剂型包括软膏剂、散剂、贴剂、喷射剂和吸入剂。活性成分在无菌条件下与生理上可接受的载体及任何防腐剂、缓冲剂,或必要时可能需要的推进剂一起混合。The dosage forms of the compound of the present invention for topical administration include ointments, powders, patches, sprays and inhalants. The active ingredient is mixed under sterile conditions with a physiologically acceptable carrier and any preservatives, buffers, or propellants that may be required if necessary.
本发明治疗方法可以单独施用,或者与其它治疗手段或者治疗药物联用。The treatment method of the present invention can be administered alone or in combination with other treatment means or therapeutic drugs.
使用药物组合物时,是将安全有效量的本发明化合物适用于需要治疗的哺乳动物(如人),其中施用时剂量为药学上认为的有效给药剂量,对于60kg体重的人而言,日给药剂量通常为1~2000mg,优选50~1000mg。当然,具体剂量还应考虑给药途径、病人健康状况等因素,这些都是熟练医师技能范围之内的。When the pharmaceutical composition is used, a safe and effective amount of the compound of the present invention is applied to a mammal (such as a human) in need of treatment. The dosage is usually 1 to 2000 mg, preferably 50 to 1000 mg. Of course, the specific dosage should also consider factors such as the route of administration, the patient's health status, etc., which are all within the skill range of a skilled physician.
本发明还提供了一种药物组合物的制备方法,包括步骤:将药学上可接受的载体与本发明所述式(I)化合物或其晶型、药学上可接受的盐、水合物或溶剂合物进行混合,从而形成药物组合物。The present invention also provides a method for preparing a pharmaceutical composition, which comprises the steps of: combining a pharmaceutically acceptable carrier with the compound of formula (I) or its crystal form, pharmaceutically acceptable salt, hydrate or solvent of the present invention The compound is mixed to form a pharmaceutical composition.
本发明还提供了一种治疗方法,它包括步骤:给需要治疗的对象施用本发明中所述式(I)化合物、或其晶型、药学上可接受的盐、水合物或溶剂合物,或施用本发明所述的药物组合物,用于选择性地抑制KRAS G12C。 The present invention also provides a method of treatment, which includes the steps of: administering the compound of formula (I), or a crystal form, pharmaceutically acceptable salt, hydrate or solvate thereof, of the present invention to a subject in need of treatment, Or administer the pharmaceutical composition of the present invention for selectively inhibiting KRAS G12C .
与现有技术相比,本发明具有以下主要优点:Compared with the prior art, the present invention has the following main advantages:
(1)所述化合物对KRAS G12C具有很好的选择性抑制作用; (1) The compound has a very good selective inhibitory effect on KRAS G12C;
(2)所述化合物具有更好的药效学、药代动力学性能和更低的毒副作用;其中,实验结果表明,含有苯砜结构的化合物,其药代动力学特性优于其他结构,如吡啶砜结构的化合物,含有二甲基哌嗪结构的化合物相较于单甲基哌嗪具有更好的药效;(2) The compound has better pharmacodynamics, pharmacokinetic properties and lower toxic and side effects; among them, the experimental results show that the pharmacokinetic properties of the compound containing the phenylsulfone structure are better than other structures, For example, compounds with pyridine sulfone structure, compounds with dimethylpiperazine structure have better efficacy than monomethylpiperazine;
(3)本发明化合物中,当R 4为苯基时,生物活性较佳,优于杂芳基。 (3) In the compound of the present invention, when R 4 is a phenyl group, the biological activity is better than that of a heteroaryl group.
下面结合具体实施例,进一步阐述本发明。应理解,这些实施例仅用于说明本发明而不用于限制本发明的范围。下列实施例中未注明具体条件的实验方法,通常按照常规条件,或按照制造厂商所建议的条件。除非另外说明,否则百分比和份数按重量计算。The present invention will be further explained below in conjunction with specific embodiments. It should be understood that these embodiments are only used to illustrate the present invention and not to limit the scope of the present invention. The experimental methods that do not indicate specific conditions in the following examples are usually in accordance with conventional conditions or in accordance with the conditions recommended by the manufacturer. Unless otherwise stated, percentages and parts are calculated by weight.
除非另行定义,文中所使用的所有专业与科学用语与本领域熟练人员所熟悉的意义相同。此外,任何与所记载内容相似或均等的方法及材料皆可应用于本发明方法中。文中所述的较佳实施方法与材料仅作示范之用。Unless otherwise defined, all professional and scientific terms used in the text have the same meaning as those familiar to those skilled in the art. In addition, any methods and materials similar or equivalent to the content described can be applied to the method of the present invention. The preferred implementation methods and materials described in this article are for demonstration purposes only.
本发明的化合物结构是通过核磁共振(NMR)和液质联用色谱(LC-MS)来确定的。The structure of the compound of the present invention is determined by nuclear magnetic resonance (NMR) and liquid mass spectrometry (LC-MS).
NMR是使用Bruker AVANCE-400核磁仪检测的,测定溶剂包含氘代二甲亚砜(DMSO-d 6)、氘代丙酮(CD 3COCD 3)、氘代氯仿(CDCl 3)及氘代甲醇(CD 3OD)等,内标采用四甲基硅烷(TMS),化学位移以百万分之一(ppm)的单位计量。 NMR was detected by Bruker AVANCE-400 nuclear magnetic instrument. The solvent for determination includes deuterated dimethyl sulfoxide (DMSO-d 6 ), deuterated acetone (CD 3 COCD 3 ), deuterated chloroform (CDCl 3 ) and deuterated methanol ( CD 3 OD), etc., the internal standard uses tetramethylsilane (TMS), and the chemical shift is measured in units of parts per million (ppm).
液质联用色谱(LC-MS)是使用Waters SQD2质谱仪检测的。HPLC的测定使用Agilent1100高压色谱仪(Microsorb 5 micron C18 100 x 3.0mm色谱柱)。Liquid chromatography mass spectrometry (LC-MS) is detected by Waters SQD2 mass spectrometer. The measurement of HPLC uses Agilent1100 high pressure chromatograph (Microsorb 5 micron C18 100 x 3.0mm chromatographic column).
薄层层析硅胶板使用青岛GF254硅胶板,TLC采用的是0.15-0.20mm,制备薄层色谱采用的是0.4mm-0.5mm。柱层析一般使用青岛硅胶200-300目硅胶作为载体。The thin layer chromatography silica gel plate uses Qingdao GF254 silica gel plate, the TLC uses 0.15-0.20mm, and the preparative thin layer chromatography uses 0.4mm-0.5mm. Column chromatography generally uses Qingdao silica gel 200-300 mesh silica gel as a carrier.
本发明实施例中的起始原料都是已知并有市售的,或者可以采用或按照本领域已报道的文献资料合成的。The starting materials in the examples of the present invention are all known and commercially available, or can be synthesized by using or according to literature reported in the field.
除特殊说明外,本发明所有反应均在干燥的惰性气体(如氮气或氩气)保护下通过连续磁力搅拌进行,反应温度均为摄氏度。Except for special instructions, all reactions of the present invention are carried out by continuous magnetic stirring under the protection of dry inert gas (such as nitrogen or argon), and the reaction temperature is all degrees Celsius.
实施例Example
实施例1 4-((S)-4-丙烯酰-2-甲基哌嗪-1-基)-6-氟-7-(2-氟-6-羟基苯基)-1-(4-甲基-2-(甲基磺基)吡啶-3-基)吡啶并[2,3-d]嘧啶-2(1H)-酮的制备Example 1 4-((S)-4-acryloyl-2-methylpiperazin-1-yl)-6-fluoro-7-(2-fluoro-6-hydroxyphenyl)-1-(4- Preparation of methyl-2-(methylsulfo)pyridin-3-yl)pyrido[2,3-d]pyrimidin-2(1H)-one
第1步.4-甲基-2-(甲磺酰基)-3-硝基吡啶的制备Step 1. Preparation of 4-methyl-2-(methylsulfonyl)-3-nitropyridine
将2-氯-4-甲基-3-硝基吡啶(3g,17.4mmol)溶于25毫升二甲亚砜中,向此溶液中加入甲基亚磺酸钠(2.7g,26.2mmol)。将此混合物于120度搅拌1小时,用100毫升水淬灭,然后用100毫升乙酸乙酯萃取3次。合并有机相以50毫升盐水洗涤3次,然后有机相干燥,浓缩。残留固体以乙醇/甲醇/乙酸乙酯(40毫升/5毫升/5毫升)打浆,抽滤、干燥得到目标化合物(2.3g,61%)。2-Chloro-4-methyl-3-nitropyridine (3g, 17.4mmol) was dissolved in 25ml of dimethylsulfoxide, and sodium methanesulfinate (2.7g, 26.2mmol) was added to this solution. The mixture was stirred at 120 degrees for 1 hour, quenched with 100 ml of water, and then extracted 3 times with 100 ml of ethyl acetate. The combined organic phases were washed 3 times with 50 ml brine, then the organic phases were dried and concentrated. The residual solid was slurried with ethanol/methanol/ethyl acetate (40 mL/5 mL/5 mL), filtered with suction, and dried to obtain the target compound (2.3 g, 61%).
第2步.4-甲基-2-(甲磺酰基)吡啶-3-胺的制备Step 2. Preparation of 4-methyl-2-(methylsulfonyl)pyridin-3-amine
将4-甲基-2-(甲磺酰基)-3-硝基吡啶(2.2g,10.2mmol)溶于110毫升甲醇中,向此溶液中加入10%钯碳(50%w/w,660mg)。将此混合物于氢气氛围中室温搅拌5小时。抽滤除去催化剂,滤液浓缩,硅胶柱分离(石油醚:乙酸乙酯=5:1到2:1)得到目标化合物(820mg,收率:41%)。4-Methyl-2-(methylsulfonyl)-3-nitropyridine (2.2g, 10.2mmol) was dissolved in 110ml of methanol, and 10% palladium on carbon (50%w/w, 660mg ). The mixture was stirred at room temperature for 5 hours in a hydrogen atmosphere. The catalyst was removed by suction filtration, the filtrate was concentrated, and the silica gel column was separated (petroleum ether: ethyl acetate = 5:1 to 2:1) to obtain the target compound (820 mg, yield: 41%).
LC-MS:m/z 187(M+H) +。 LC-MS: m/z 187(M+H) + .
第3步.2,6-二氯-5-氟-N-(((4-甲基-2-(甲基磺酰基)吡啶-3-基)氨基甲酰基)烟酰胺的制备Step 3. Preparation of 2,6-dichloro-5-fluoro-N-(((4-methyl-2-(methylsulfonyl)pyridin-3-yl)carbamoyl)nicotinamide
将2,6-二氯-5-氟烟酰胺(873mg,4.2mmol)溶于15毫升无水四氢呋喃中,向此溶液中缓慢滴加草酰氯(3.6mL,42.0mmol)的二氯甲烷(4.5mL)溶液。滴加完毕后,将此混合物于75度回流搅拌2小时,然后减压浓缩至干。残留物以15毫升无水四氢呋喃稀释,冷却至零度。将4-甲基-2-(甲磺酰基)吡啶-3-胺(820mg,4.4mmol)溶于6毫升无水四氢呋喃中,然后滴加进上述溶液中。反应液在零度下搅拌2小时,饱和氯化铵/饱和食盐水(V:V=1:1,30mL)淬灭,然后用二氯甲烷/甲醇(V:V=10:1,30mL)萃取3次。合并有机相干燥,浓缩,残留固体以石油醚/乙酸乙酯(2:1,25mL)打浆,抽滤,干燥,得到目标化合物(1.36g,收率:77%)。2,6-Dichloro-5-fluoronicotinamide (873mg, 4.2mmol) was dissolved in 15ml of anhydrous tetrahydrofuran, and oxalyl chloride (3.6mL, 42.0mmol) in dichloromethane (4.5 mL) solution. After the addition is complete, the mixture is refluxed and stirred at 75°C for 2 hours, and then concentrated to dryness under reduced pressure. The residue was diluted with 15 ml of anhydrous tetrahydrofuran and cooled to zero degrees. 4-Methyl-2-(methylsulfonyl)pyridin-3-amine (820 mg, 4.4 mmol) was dissolved in 6 ml of dry tetrahydrofuran, and then added dropwise to the above solution. The reaction solution was stirred at zero for 2 hours, quenched with saturated ammonium chloride/saturated brine (V:V=1:1, 30mL), and then extracted with dichloromethane/methanol (V:V=10:1, 30mL) 3 times. The organic phases were combined and dried, concentrated, and the residual solid was slurried with petroleum ether/ethyl acetate (2:1, 25 mL), filtered with suction, and dried to obtain the target compound (1.36 g, yield: 77%).
LC-MS:m/z 421(M+H) +。 LC-MS: m/z 421(M+H) + .
第4步.7-氯-6-氟-1-(4-甲基-2-(甲基磺酰基)吡啶-3-基)吡啶[2,3-d]嘧啶-2,4(1H,3H)-二酮的制备Step 4. 7-Chloro-6-fluoro-1-(4-methyl-2-(methylsulfonyl)pyridin-3-yl)pyridine[2,3-d]pyrimidine-2,4(1H, 3H)-Diketone preparation
将2,6-二氯-5-氟-N-(((4-甲基-2-(甲基磺酰基)吡啶-3-基)氨基甲酰基)烟酰胺(1.13g,2.7mmol)悬浮于34毫升四氢呋喃中,冰浴下滴加双(三甲基硅烷基)氨基钾(1摩四氢呋喃溶液,6.2mL,6.2mmol)。滴加完毕后反应液变澄清。反应液60度搅拌2小时,40毫升饱和氯化铵淬灭,然后以40毫升乙酸乙酯萃取3次。合并乙酸乙酯层干燥,浓缩。残留固体以石油醚/乙酸乙酯(V:V=1:1,25mL)打浆,抽滤,干燥得到目标化合物(870mg,收率:84%)。Suspend 2,6-dichloro-5-fluoro-N-(((4-methyl-2-(methylsulfonyl)pyridin-3-yl)carbamoyl)nicotinamide (1.13g, 2.7mmol) In 34 ml of tetrahydrofuran, add potassium bis(trimethylsilyl)amide (1 mole of tetrahydrofuran solution, 6.2 mL, 6.2 mmol) dropwise under an ice bath. After the addition is complete, the reaction solution becomes clear. The reaction solution is stirred at 60°C for 2 hours It was quenched with 40 mL saturated ammonium chloride, and then extracted 3 times with 40 mL ethyl acetate. The ethyl acetate layers were combined, dried, and concentrated. The remaining solid was petroleum ether/ethyl acetate (V:V=1:1, 25mL) Slurry, suction filtration, and drying to obtain the target compound (870 mg, yield: 84%).
LC-MS:m/z 385(M+H) +。 LC-MS: m/z 385(M+H) + .
第5步.(S)-叔丁基4-(7-氯-6-氟-1-(4-甲基-2-(甲基磺基)吡啶-3-基)-2-氧代-1,2-二氢吡啶[2,3-d]嘧啶-4-基)-3-甲基哌嗪-1-羧酸酯的制备Step 5. (S)-tert-Butyl 4-(7-chloro-6-fluoro-1-(4-methyl-2-(methylsulfo)pyridin-3-yl)-2-oxo- Preparation of 1,2-Dihydropyridine[2,3-d]pyrimidin-4-yl)-3-methylpiperazine-1-carboxylate
将7-氯-6-氟-1-(4-甲基-2-(甲基磺酰基)吡啶-3-基)吡啶[2,3-d]嘧啶-2,4(1H,3H)-二酮(300mg,0.8mmol)悬浮于9毫升乙腈中,滴加N,N-二异丙基乙胺(0.77mL,4.7mmol)和三氯氧磷(0.36mL,3.9mmol),反应液变澄清。将反应液于80度搅拌1小时,减压浓缩至干。残留物溶解在12毫升乙腈中,冷却至零度,加入N,N-二异丙基乙胺(0.4mL,2.3mmol)和(S)-3-甲基哌嗪-1-羧酸叔丁酯(188mg,0.9mmol)。反应液在室温下搅拌1小时,用饱和的碳酸氢钠溶液(20mL)淬灭,再以20毫升乙酸乙酯萃取3次。合并乙酸乙酯层干燥,浓缩,硅胶柱分离(石油醚:乙酸乙酯=3:1 到纯乙酸乙酯)得到目标化合物(328mg,收率:74%)。The 7-chloro-6-fluoro-1-(4-methyl-2-(methylsulfonyl)pyridin-3-yl)pyridine[2,3-d]pyrimidine-2,4(1H,3H)- The diketone (300mg, 0.8mmol) was suspended in 9ml of acetonitrile, and N,N-diisopropylethylamine (0.77mL, 4.7mmol) and phosphorus oxychloride (0.36mL, 3.9mmol) were added dropwise, and the reaction solution changed to clarify. The reaction solution was stirred at 80°C for 1 hour, and concentrated to dryness under reduced pressure. The residue was dissolved in 12 ml of acetonitrile, cooled to zero, and N,N-diisopropylethylamine (0.4mL, 2.3mmol) and (S)-3-methylpiperazine-1-carboxylic acid tert-butyl ester were added (188mg, 0.9mmol). The reaction solution was stirred at room temperature for 1 hour, quenched with saturated sodium bicarbonate solution (20 mL), and extracted 3 times with 20 mL of ethyl acetate. The combined ethyl acetate layer was dried, concentrated, and separated on a silica gel column (petroleum ether: ethyl acetate=3:1 to pure ethyl acetate) to obtain the target compound (328 mg, yield: 74%).
LC-MS:m/z 567(M+H) +。 LC-MS: m/z 567(M+H) + .
第6步.(S)-4-(4-丙烯酰-2-甲基哌嗪-1-基)-7-氯-6-氟-1-(4-甲基-2-(甲基磺基)吡啶-3-基)吡啶并[2,3-d]嘧啶-2(1H)-酮的制备Step 6. (S)-4-(4-acryloyl-2-methylpiperazin-1-yl)-7-chloro-6-fluoro-1-(4-methyl-2-(methylsulfon) (Yl)pyridin-3-yl)pyrido[2,3-d]pyrimidin-2(1H)-one
将(S)-叔丁基4-(7-氯-6-氟-1-(4-甲基-2-(甲基磺基)吡啶-3-基)-2-氧代-1,2-二氢吡啶[2,3-d]嘧啶-4-基)-3-甲基哌嗪-1-羧酸酯(328mg,0.6mmol)溶于4毫升二氯甲烷中,加入1毫升三氟乙酸,反应液室温搅拌2小时,浓缩干,残留物与15毫升二氯甲烷共蒸3次得粗品。将该粗品溶解在6毫升二氯甲烷中,冷却至零度,滴加N,N-二异丙基乙胺(0.38mL,2.3mmol)和丙烯酰氯(63mg,0.7mmol)的二氯甲烷(1mL)溶液。反应液在零度下搅拌30分钟,20毫升饱和碳酸氢钠淬灭,并以20毫升二氯甲烷萃取3次。合并二氯甲烷层,干燥,浓缩,残留物以硅胶柱分离(二氯甲烷:甲醇=60:1)得到目标化合物(200mg,收率:67%)。(S)-tert-Butyl 4-(7-chloro-6-fluoro-1-(4-methyl-2-(methylsulfonyl)pyridin-3-yl)-2-oxo-1,2 -Dihydropyridine[2,3-d]pyrimidin-4-yl)-3-methylpiperazine-1-carboxylate (328mg, 0.6mmol) was dissolved in 4ml of dichloromethane, and 1ml of trifluoroacetate was added Acetic acid, the reaction solution was stirred at room temperature for 2 hours, concentrated to dryness, and the residue was distilled 3 times with 15 ml of dichloromethane to obtain a crude product. The crude product was dissolved in 6 mL of dichloromethane, cooled to zero, and N,N-diisopropylethylamine (0.38mL, 2.3mmol) and acryloyl chloride (63mg, 0.7mmol) in dichloromethane (1mL) were added dropwise. ) Solution. The reaction solution was stirred at zero for 30 minutes, quenched with 20 ml of saturated sodium bicarbonate, and extracted 3 times with 20 ml of dichloromethane. The dichloromethane layers were combined, dried and concentrated, and the residue was separated with a silica gel column (dichloromethane: methanol = 60:1) to obtain the target compound (200 mg, yield: 67%).
LC-MS:m/z 521(M+H) +。 LC-MS: m/z 521(M+H) + .
第7步.4-((S)-4-丙烯酰-2-甲基哌嗪-1-基)-6-氟-7-(2-氟-6-羟基苯基)-1-(4-甲基-2-(甲基磺基)吡啶-3-基)吡啶并[2,3-d]嘧啶-2(1H)-酮的制备Step 7. 4-((S)-4-acryloyl-2-methylpiperazin-1-yl)-6-fluoro-7-(2-fluoro-6-hydroxyphenyl)-1-(4 -Methyl-2-(methylsulfo)pyridin-3-yl)pyrido[2,3-d]pyrimidin-2(1H)-one
将(S)-4-(4-丙烯酰-2-甲基哌嗪-1-基)-7-氯-6-氟-1-(4-甲基-2-(甲基磺基)吡啶-3-基)吡啶并[2,3-d]嘧啶-2(1H)-酮(126mg,0.24mmol)、(2-氟-6-羟基苯基)硼酸(49mg,0.31mmol)、[1,1'-双(二苯基膦)二茂铁]二氯化钯二氯甲烷络合物(20mg,0.024mmol)和乙酸钾(95mg,0.97mmol)悬浮于二氧六环/水(7mL/0.7mL)混合溶剂中,氮气置换3次,并于90度加热搅拌2.5小时。反应液冷却至室温后,加入20毫升半饱和碳酸氢钠溶液,并以20毫升乙酸乙酯萃取3次。合并乙酸乙酯层,干燥,浓缩,残留物以硅胶柱分离(二氯甲烷:甲醇=100:1到60:1)得到目标化合物(45mg,收率:31%)。(S)-4-(4-acryloyl-2-methylpiperazin-1-yl)-7-chloro-6-fluoro-1-(4-methyl-2-(methylsulfonyl)pyridine -3-yl)pyrido[2,3-d]pyrimidin-2(1H)-one (126mg, 0.24mmol), (2-fluoro-6-hydroxyphenyl)boronic acid (49mg, 0.31mmol), [1 ,1'-bis(diphenylphosphine)ferrocene]dichloropalladium dichloromethane complex (20mg, 0.024mmol) and potassium acetate (95mg, 0.97mmol) suspended in dioxane/water (7mL /0.7mL) In the mixed solvent, replace with nitrogen 3 times, and heat and stir at 90 degrees for 2.5 hours. After the reaction solution was cooled to room temperature, 20 ml of half-saturated sodium bicarbonate solution was added, and the mixture was extracted 3 times with 20 ml of ethyl acetate. The ethyl acetate layers were combined, dried and concentrated, and the residue was separated with a silica gel column (dichloromethane: methanol = 100:1 to 60:1) to obtain the target compound (45 mg, yield: 31%).
LC-MS:m/z 597(M+H) +。 1H NMR(400MHz,CDCl 3)δ8.65-8.63(m,1H),8.57(brs,1H),7.89(t,J=8.8Hz,1H),7.60(d,J=4.4Hz,1H),7.26(m,1H),6.71-6.56(m,3H),6.40(d,J=16.4Hz,1H),5.81(d,J=10.4Hz,1H),5.10-4.50(m,3H),4.10-3.50(m,3H),3.27(d,J=2.4Hz,3H),3.26-3.00(m,1H),2.28(d,J=6.8Hz,3H),1.53(m,3H). LC-MS: m/z 597(M+H) + . 1 H NMR (400MHz, CDCl 3 ) δ8.65-8.63 (m, 1H), 8.57 (brs, 1H), 7.89 (t, J = 8.8 Hz, 1H), 7.60 (d, J = 4.4 Hz, 1H) ,7.26(m,1H),6.71-6.56(m,3H),6.40(d,J=16.4Hz,1H),5.81(d,J=10.4Hz,1H),5.10-4.50(m,3H), 4.10-3.50(m,3H), 3.27(d,J=2.4Hz,3H), 3.26-3.00(m,1H), 2.28(d,J=6.8Hz,3H), 1.53(m,3H).
按照实施例1的方法以不同的起始原料合成了以下化合物:The following compounds were synthesized according to the method of Example 1 with different starting materials:
实施例2 4-((S)-4-丙烯酰-2-甲基哌嗪-1-基)-6-氟-7-(2-氟-6-羟基苯基)-1-(2-甲基-4-(甲基磺基)吡啶-3-基)吡啶并[2,3-d]嘧啶-2(1H)-酮Example 2 4-((S)-4-acryloyl-2-methylpiperazin-1-yl)-6-fluoro-7-(2-fluoro-6-hydroxyphenyl)-1-(2- Methyl-4-(methylsulfo)pyridin-3-yl)pyrido[2,3-d]pyrimidin-2(1H)-one
LC-MS:m/z 597(M+H) +。 1H NMR(400MHz,CDCl 3)δ8.93(d,J=5.2Hz,1H),8.65(brs,1H),7.95-7.89(m,2H),7.26(m,1H),6.72-6.75(m,3H),6.45-6.39(m,1H),5.85-5.81(m,1H),5.25-4.30(m,3H),4.20-3.50(m,3H),3.30-3.00(m,4H),2.46(d,J=10.0Hz,3H),1.51-1.48(m,3H). LC-MS: m/z 597(M+H) + . 1 H NMR (400MHz, CDCl 3 ) δ 8.93 (d, J = 5.2 Hz, 1H), 8.65 (brs, 1H), 7.95-7.89 (m, 2H), 7.26 (m, 1H), 6.72-6.75 ( m,3H),6.45-6.39(m,1H),5.85-5.81(m,1H), 5.25-4.30(m,3H), 4.20-3.50(m,3H), 3.30-3.00(m,4H), 2.46(d,J=10.0Hz,3H), 1.51-1.48(m,3H).
实施例3 2-((2S)-4-丙烯酰-1-(6-氟-7-(2-氟-6-羟基苯基)-1-(2-甲基-6-(甲磺基)苯基)-2-氧代-1,2-二氢吡啶[2,3-d]嘧啶-4-基)哌嗪-2-基)乙腈Example 3 2-((2S)-4-acryloyl-1-(6-fluoro-7-(2-fluoro-6-hydroxyphenyl)-1-(2-methyl-6-(methylsulfonyl) )Phenyl)-2-oxo-1,2-dihydropyridine[2,3-d]pyrimidin-4-yl)piperazin-2-yl)acetonitrile
LC-MS:m/z 621(M+H) +。 1H NMR(400MHz,CDCl 3)δ9.01-8.91(m,1H),8.11(t,J=7.2Hz,1H),7.95(brs,1H),7.75(t,J=8.4Hz,1H),7.70-7.64(m,1H),7.26(m,1H),6.71-6.59(m,3H),6.46(d,J=16.4Hz,1H),5.88(d,J=10.4Hz,1H),5.50-5.30(m,1H),4.75-3.40(m,6H),3.10(d,J=4.8Hz,3H),3.05-2.80(m,2H),2.18(d,J=10.8Hz,3H). LC-MS: m/z 621(M+H) + . 1 H NMR(400MHz,CDCl 3 )δ9.01-8.91(m,1H),8.11(t,J=7.2Hz,1H),7.95(brs,1H),7.75(t,J=8.4Hz,1H) ,7.70-7.64(m,1H),7.26(m,1H),6.71-6.59(m,3H),6.46(d,J=16.4Hz,1H),5.88(d,J=10.4Hz,1H), 5.50-5.30(m,1H), 4.75-3.40(m,6H), 3.10(d,J=4.8Hz,3H),3.05-2.80(m,2H), 2.18(d,J=10.8Hz,3H) .
实施例4 4-((S)-4-丙烯酰-2-甲基哌嗪-1-基)-6-氟-7-(2-氟-6-羟基苯基)-1-(2-(异丙基磺基)-6-甲基苯基)吡啶[2,3-d]嘧啶-2(1H)-酮Example 4 4-((S)-4-acryloyl-2-methylpiperazin-1-yl)-6-fluoro-7-(2-fluoro-6-hydroxyphenyl)-1-(2- (Isopropylsulfo)-6-methylphenyl)pyridine[2,3-d]pyrimidin-2(1H)-one
LC-MS:m/z 624(M+H) +。 1H NMR(400MHz,CDCl 3)δ8.98-8.94(m,1H),8.04(d,J=8.0Hz,1H),7.87(t,J=8.0Hz,1H),7.72(d,J=7.6Hz,1H),7.62(t,J=8.0Hz,1H),7.26(m,1H),6.71-6.54(m,3H),6.44-6.39(m,1H),5.83-5.80(m,1H),5.10-4.30(m,3H),4.10-3.00(m,5H),2.16(d,J=8.4Hz,3H),1.52(brs,3H),1.31-1.28(m,3H),1.16-1.14(m,3H). LC-MS: m/z 624(M+H) + . 1 H NMR (400MHz, CDCl 3 ) δ 8.98-8.94 (m, 1H), 8.04 (d, J = 8.0 Hz, 1H), 7.87 (t, J = 8.0 Hz, 1H), 7.72 (d, J = 7.6Hz,1H),7.62(t,J=8.0Hz,1H),7.26(m,1H),6.71-6.54(m,3H),6.44-6.39(m,1H),5.83-5.80(m,1H) ), 5.10-4.30 (m, 3H), 4.10-3.00 (m, 5H), 2.16 (d, J = 8.4 Hz, 3H), 1.52 (brs, 3H), 1.31-1.28 (m, 3H), 1.16 1.14(m,3H).
实施例5 4-((S)-4-丙烯酰-2-甲基哌嗪-1-基)-1-(2-乙基-6-(甲磺酰)苯基)-6-氟-7-(2-氟-6-羟基苯基)吡啶[2,3-d]嘧啶-2(1H)-酮Example 5 4-((S)-4-acryloyl-2-methylpiperazin-1-yl)-1-(2-ethyl-6-(methylsulfonyl)phenyl)-6-fluoro- 7-(2-Fluoro-6-hydroxyphenyl)pyridine[2,3-d]pyrimidin-2(1H)-one
LC-MS:m/z 610(M+H) +。 1H NMR(400MHz,CDCl 3)δ8.99(s,1H),8.12(d,J=7.6Hz,1H),7.87(dd,J=9.2Hz,3.2Hz,1H),7.78(d,J=7.6Hz,1H),7.71(t,J=7.6Hz,1H),7.26(m,1H),6.69-6.54(m,3H),6.44-6.38(m,1H),5.83-5.80(m,1H),5.10-4.38(m,3H),4.10-3.50(m,3H),3.30-3.00(m,4H),2.59-2.41(m,2H),1.58-1.49(m,3H),1.21-1.16(m,3H). LC-MS: m/z 610(M+H) + . 1 H NMR(400MHz,CDCl 3 )δ8.99(s,1H), 8.12(d,J=7.6Hz,1H), 7.87(dd,J=9.2Hz,3.2Hz,1H),7.78(d,J =7.6Hz,1H),7.71(t,J=7.6Hz,1H),7.26(m,1H),6.69-6.54(m,3H),6.44-6.38(m,1H),5.83-5.80(m, 1H), 5.10-4.38 (m, 3H), 4.10-3.50 (m, 3H), 3.30-3.00 (m, 4H), 2.59-2.41 (m, 2H), 1.58-1.49 (m, 3H), 1.21- 1.16(m,3H).
实施例5-1通过手性分离得到两个异构体实施例5A和实施例5B:In Example 5-1, two isomers, Example 5A and Example 5B, were obtained by chiral separation:
实施例5A:LC-MS:m/z 610(M+H) +。 1H NMR(400MHz,CDCl 3)δ9.02(s,1H),8.14(d,J=7.3Hz,1H),7.90(d,J=8.5Hz,1H),7.81(d,J=7.1Hz,1H),7.73(t,J=7.8Hz,1H),7.33–7.23(m,1H),6.76–6.53(m,3H),6.44(d,J=16.3Hz,1H),5.84(d,J=10.0Hz,1H),5.03(m,1H),4.57(m,2H),4.22–3.41(m,3H),3.35–3.00(m,4H),2.48(m,2H),1.51(s,3H),1.21(t,J=6.7Hz,3H). Example 5A: LC-MS: m/z 610(M+H) + . 1 H NMR(400MHz,CDCl 3 )δ9.02(s,1H), 8.14(d,J=7.3Hz,1H), 7.90(d,J=8.5Hz,1H), 7.81(d,J=7.1Hz ,1H),7.73(t,J=7.8Hz,1H),7.33-7.23(m,1H),6.76-6.53(m,3H),6.44(d,J=16.3Hz,1H),5.84(d, J = 10.0Hz, 1H), 5.03 (m, 1H), 4.57 (m, 2H), 4.22–3.41 (m, 3H), 3.35–3.00 (m, 4H), 2.48 (m, 2H), 1.51 (s ,3H),1.21(t,J=6.7Hz,3H).
实施例5B:LC-MS:m/z 610(M+H) +。 1H NMR(400MHz,CDCl 3)δ9.01(s,1H),8.21–8.07(m,1H),7.90(d,J=9.3Hz,1H),7.81(d,J=7.0Hz,1H),7.73(t,J=7.8Hz,1H),7.35–7.23(m,1H),6.68(m,3H),6.44(d,J=16.5Hz,1H),5.84(d,J=10.2Hz,1H),5.12–4.29(m,3H),3.99(m,1H),3.69(m,2H),3.22(m,4H),2.69–2.37(m,2H),1.66–1.43(m,3H),1.25–1.12(m,3H). Example 5B: LC-MS: m/z 610(M+H) + . 1 H NMR (400MHz, CDCl 3 ) δ9.01 (s, 1H), 8.21-8.07 (m, 1H), 7.90 (d, J = 9.3 Hz, 1H), 7.81 (d, J = 7.0 Hz, 1H) ,7.73(t,J=7.8Hz,1H),7.35-7.23(m,1H),6.68(m,3H),6.44(d,J=16.5Hz,1H),5.84(d,J=10.2Hz, 1H), 5.12--4.29 (m, 3H), 3.99 (m, 1H), 3.69 (m, 2H), 3.22 (m, 4H), 2.69--2.37 (m, 2H), 1.66--1.43 (m, 3H) ,1.25-1.12(m,3H).
实施例6 4-((S)-4-丙烯酰基-2-甲基哌嗪-1-基)-1-(2-环丙基-6-(甲基磺酰基)苯基)-6-氟-7-(2-氟-6-羟基苯基)吡啶并[2,3-d]嘧啶-2(1H)-酮Example 6 4-((S)-4-acryloyl-2-methylpiperazin-1-yl)-1-(2-cyclopropyl-6-(methylsulfonyl)phenyl)-6- Fluoro-7-(2-fluoro-6-hydroxyphenyl)pyrido[2,3-d]pyrimidin-2(1H)-one
LC-MS:m/z 622(M+H) +。 1H NMR(400MHz,CDCl 3)δ9.00(s,1H),8.08(d,J=7.6Hz,1H),7.88(d,J=9.2Hz,1H),7.67-7.63(m,1H),7.46(d,J=7.6Hz,1H),7.29-7.23(m,1H),6.75-6.50(m,3H),6.44-6.39(m,1H),5.83-5.80(m,1H),5.04-4.38(m,3H),4.06-3.55(m,3H),3.24-3.02(m,4H),1.55-1.49(m,4H),0.85-0.56(m,4H). LC-MS: m/z 622(M+H) + . 1 H NMR(400MHz,CDCl 3 )δ9.00(s,1H), 8.08(d,J=7.6Hz,1H), 7.88(d,J=9.2Hz,1H), 7.67-7.63(m,1H) ,7.46(d,J=7.6Hz,1H),7.29-7.23(m,1H),6.75-6.50(m,3H),6.44-6.39(m,1H),5.83-5.80(m,1H),5.04 -4.38 (m, 3H), 4.06-3.55 (m, 3H), 3.24-3.02 (m, 4H), 1.55-1.49 (m, 4H), 0.85-0.56 (m, 4H).
实施例6-1通过手性分离得到两个异构体实施例5A和实施例5B:Example 6-1 obtained two isomers Example 5A and Example 5B through chiral separation:
实施例6A:LC-MS:m/z 622(M+H) +。 1H NMR(400MHz,CDCl 3)δ9.03(s,1H),8.10(d,J=7.2Hz,1H),7.90(d,J=8.9Hz,1H),7.67(t,J=7.9Hz,1H),7.48(dd,J=7.9,1.0Hz,1H),7.40–7.17(m,1H),6.81–6.54(m,3H),6.43(dd,J=16.7,1.3Hz,1H),5.84(d,J=10.3Hz,1H),5.08(m,1H),4.59(m,2H),4.25–3.44(m,3H),3.31–2.99(m,4H),1.70(m,1H),1.51(s,3H),0.96–0.78(m,2H),0.65(m,2H). Example 6A: LC-MS: m/z 622(M+H) + . 1 H NMR(400MHz,CDCl 3 )δ9.03(s,1H), 8.10(d,J=7.2Hz,1H), 7.90(d,J=8.9Hz,1H), 7.67(t,J=7.9Hz ,1H),7.48(dd,J=7.9,1.0Hz,1H),7.40–7.17(m,1H),6.81-6.54(m,3H),6.43(dd,J=16.7,1.3Hz,1H), 5.84(d,J=10.3Hz,1H),5.08(m,1H),4.59(m,2H),4.25-3.44(m,3H),3.31-2.99(m,4H),1.70(m,1H) ,1.51(s,3H),0.96-0.78(m,2H),0.65(m,2H).
实施例6B:LC-MS:m/z 622(M+H) +。 1H NMR(400MHz,CDCl 3)δ9.02(s,1H),8.10(d,J=7.5Hz,1H),7.91(d,J=9.2Hz,1H),7.67(t,J=7.9Hz,1H),7.47(d,J=7.7Hz,1H),7.36–7.19(m,1H),6.68(m,3H),6.43(d,J=16.6Hz,1H),5.84(d,J=10.3Hz,1H),4.69(m,3H),3.98(m,1H),3.70(m,2H),3.35–3.02(m,4H),1.63(m,4H),0.87(m,2H),0.67(m,2H). Example 6B: LC-MS: m/z 622(M+H) + . 1 H NMR(400MHz,CDCl 3 )δ9.02(s,1H), 8.10(d,J=7.5Hz,1H), 7.91(d,J=9.2Hz,1H), 7.67(t,J=7.9Hz ,1H),7.47(d,J=7.7Hz,1H),7.36-7.19(m,1H),6.68(m,3H),6.43(d,J=16.6Hz,1H),5.84(d,J= 10.3Hz, 1H), 4.69 (m, 3H), 3.98 (m, 1H), 3.70 (m, 2H), 3.35-3.02 (m, 4H), 1.63 (m, 4H), 0.87 (m, 2H), 0.67 (m, 2H).
实施例7 4-((S)-4-丙烯酰基-2-甲基哌嗪-1-基)-1-(2-(环丙基磺酰基)-6-甲基苯基)-6-氟-7-(2-氟-6-羟基苯基)吡啶基[2,3-d]嘧啶-2(1H)-酮Example 7 4-((S)-4-acryloyl-2-methylpiperazin-1-yl)-1-(2-(cyclopropylsulfonyl)-6-methylphenyl)-6- Fluoro-7-(2-fluoro-6-hydroxyphenyl)pyridyl[2,3-d]pyrimidin-2(1H)-one
LC-MS:m/z 622(M+H) +。 1H NMR(400MHz,CDCl 3)δ9.00(s,1H),7.97-7.85(m,2H),7.71(d,J=7.6Hz,1H),7.61(t,J=8.0Hz,1H),7.29-7.23(m,1H),6.69-6.63(m,3H),6.44-6.39(m,1H),5.83-5.80(m,1H),5.05-4.37(m,3H),4.02-3.63(m,3H),3.23-2.78(m,2H),2.19(d,J=10.8Hz,3H),1.41-1.37(m,4H).1.03-0.96(m,3H). LC-MS: m/z 622(M+H) + . 1 H NMR(400MHz,CDCl 3 )δ9.00(s,1H),7.97-7.85(m,2H),7.71(d,J=7.6Hz,1H),7.61(t,J=8.0Hz,1H) ,7.29-7.23(m,1H),6.69-6.63(m,3H),6.44-6.39(m,1H),5.83-5.80(m,1H),5.05-4.37(m,3H),4.02-3.63( m,3H),3.23-2.78(m,2H),2.19(d,J=10.8Hz,3H),1.41-1.37(m,4H).1.03-0.96(m,3H).
实施例8 4-((S)-4-丙烯酰基-2-甲基哌嗪-1-基)-1-(2-氯-6-(甲基磺酰基)苯基)-6-氟-7-(2-氟-6-羟基苯基)吡啶并[2,3-d]嘧啶-2(1H)-酮Example 8 4-((S)-4-acryloyl-2-methylpiperazin-1-yl)-1-(2-chloro-6-(methylsulfonyl)phenyl)-6-fluoro- 7-(2-Fluoro-6-hydroxyphenyl)pyrido[2,3-d]pyrimidin-2(1H)-one
LC-MS:m/z 616(M+H) +。 1H NMR(400MHz,CDCl 3)δ8.81(s,1H),8.19(d,J=8.0Hz,1H),7.95-7.85(m,2H),7.70(t,J=8.4Hz,1H),7.33-7.23(m,1H),6.74-6.50(m,3H),6.10(d,J=16.8Hz,1H),6.10(dd,J=10.4Hz,8Hz;1H),5.15-4.30(m,3H),4.15-3.39(m,3H),3.31-2.95(m,4H),1.51(s,3H). LC-MS: m/z 616(M+H) + . 1 H NMR(400MHz,CDCl 3 )δ8.81(s,1H), 8.19(d,J=8.0Hz,1H),7.95-7.85(m,2H),7.70(t,J=8.4Hz,1H) ,7.33-7.23(m,1H),6.74-6.50(m,3H),6.10(d,J=16.8Hz,1H),6.10(dd,J=10.4Hz,8Hz;1H),5.15-4.30(m ,3H),4.15-3.39(m,3H),3.31-2.95(m,4H),1.51(s,3H).
实施例9 4-((S)-4-丙烯酰基-2-甲基哌嗪-1-基)-7-(2-(二氟甲基)-6-氟苯基)-6-氟-1-(2-甲基-6-(甲基磺酰基)苯基)吡啶并[2,3-d]嘧啶-2(1H)-酮Example 9 4-((S)-4-acryloyl-2-methylpiperazin-1-yl)-7-(2-(difluoromethyl)-6-fluorophenyl)-6-fluoro- 1-(2-Methyl-6-(methylsulfonyl)phenyl)pyrido[2,3-d]pyrimidin-2(1H)-one
LC-MS:m/z 630(M+H) +。 1H NMR(400MHz,CDCl 3)δ8.01(d,J=7.6Hz,1H),7.87-7.83(m,1H),7.64-7.62(m,1H),7.56-7.46(m,3H),7.26-7.22(m,1H),6.69-6.30(m,3H),5.82(dd,J=10.4Hz,1.6Hz,1H),5.04-4.36(m,3H),4.05-3.62(m,3H),3.27-3.08(m,4H),2.16-2.13(m,3H),1.60-1.49(m,3H). LC-MS: m/z 630(M+H) + . 1 H NMR (400MHz, CDCl 3 ) δ8.01 (d, J = 7.6Hz, 1H), 7.87-7.83 (m, 1H), 7.64-7.62 (m, 1H), 7.56-7.46 (m, 3H), 7.26-7.22 (m, 1H), 6.69-6.30 (m, 3H), 5.82 (dd, J = 10.4 Hz, 1.6 Hz, 1H), 5.04-4.36 (m, 3H), 4.05-3.62 (m, 3H) , 3.27-3.08 (m, 4H), 2.16-2.13 (m, 3H), 1.60-1.49 (m, 3H).
实施例10 4-((S)-4-丙烯酰-2-甲基哌嗪-1-基)-6-氟-7-(2-氟-6-羟基苯基)-1-(2-异丙基-6-(甲基磺基)苯基)吡啶[2,3-d]嘧啶-2(1H)-酮Example 10 4-((S)-4-acryloyl-2-methylpiperazin-1-yl)-6-fluoro-7-(2-fluoro-6-hydroxyphenyl)-1-(2- Isopropyl-6-(methylsulfo)phenyl)pyridine[2,3-d]pyrimidin-2(1H)-one
LC-MS:m/z 624(M+H) +。 1H NMR(400MHz,CDCl 3)δ8.98(s,1H),8.12(dd,J=8.0Hz,1.6Hz,1H),7.89-7.82(m,2H),7.74(t,J=8.0Hz,1H),7.26(m,1H),6.69-6.62(m,3H),6.42(dd,J=16.8Hz,1.6Hz,1H),5.82(dd,J=10.4Hz,1.6Hz,1H),5.15-4.65(m,3H),4.15-3.50(m,3H),3.30-3.00(m,4H),2.85-2.70(m,1H),1.56-1.48(m,3H),1.25(dd,J=6.8Hz,2.4Hz,3H),1.05(t,J=6.4Hz,3H). LC-MS: m/z 624(M+H) + . 1 H NMR(400MHz, CDCl 3 )δ8.98(s,1H), 8.12(dd,J=8.0Hz,1.6Hz,1H),7.89-7.82(m,2H),7.74(t,J=8.0Hz ,1H),7.26(m,1H),6.69-6.62(m,3H),6.42(dd,J=16.8Hz,1.6Hz,1H),5.82(dd,J=10.4Hz,1.6Hz,1H), 5.15-4.65 (m, 3H), 4.15-3.50 (m, 3H), 3.30-3.00 (m, 4H), 2.85-2.70 (m, 1H), 1.56-1.48 (m, 3H), 1.25 (dd, J =6.8Hz,2.4Hz,3H),1.05(t,J=6.4Hz,3H).
实施例10-1通过手性分离得到两个异构体实施例10A和实施例10B:In Example 10-1, two isomers, Example 10A and Example 10B, were obtained by chiral separation:
实施例10A:LC-MS:m/z 624(M+H) +。 1H NMR(400MHz,DMSO)δ10.23(s,1H),8.31(t,J=10.5Hz,1H),7.95–7.75(m,2H),7.66(t,J=7.9Hz,1H),7.26(m,1H),6.98–6.78(m,1H),6.77–6.59(m,2H),6.22(d,J=16.6Hz,1H),5.78(dd,J=10.5,2.1Hz,1H),4.92(s,1H),4.37(m,2H),4.10(m,1H),3.88–3.46(m,2H),3.18(m,1H),2.65(d,J=6.0Hz,1H),1.34(d,J=6.6Hz,3H),1.10(d,J=6.8Hz,3H),1.00(d,J=6.8Hz,3H). Example 10A: LC-MS: m/z 624(M+H) + . 1 H NMR(400MHz,DMSO)δ10.23(s,1H),8.31(t,J=10.5Hz,1H),7.95-7.75(m,2H),7.66(t,J=7.9Hz,1H), 7.26(m,1H), 6.98–6.78(m,1H), 6.77–6.59(m,2H), 6.22(d,J=16.6Hz,1H), 5.78(dd,J=10.5,2.1Hz,1H) ,4.92(s,1H), 4.37(m,2H), 4.10(m,1H), 3.88–3.46(m,2H), 3.18(m,1H), 2.65(d,J=6.0Hz,1H), 1.34 (d, J = 6.6 Hz, 3H), 1.10 (d, J = 6.8 Hz, 3H), 1.00 (d, J = 6.8 Hz, 3H).
实施例10B:LC-MS:m/z 624(M+H) +。 1H NMR(400MHz,DMSO)δ10.28(s,1H),8.33(t,J=9.2Hz,1H),7.98–7.77(m,2H),7.66(t,J=7.8Hz,1H),7.26m,1H),6.88(m,1H),6.79–6.52(m,2H),6.22(dd,J=16.6,6.0Hz,1H),5.78(dd,J=10.4,2.2Hz,1H),4.89(s,1H),4.55–3.91(m,3H),3.65(m,1H),3.47(m,1H),3.08(m,1H),2.67(m,1H),1.30(s,3H),1.11(d,J=6.8Hz,3H),1.02(m,3H). Example 10B: LC-MS: m/z 624(M+H) + . 1 H NMR(400MHz,DMSO)δ10.28(s,1H),8.33(t,J=9.2Hz,1H),7.98–7.77(m,2H),7.66(t,J=7.8Hz,1H), 7.26m, 1H), 6.88 (m, 1H), 6.79-6.52 (m, 2H), 6.22 (dd, J = 16.6, 6.0 Hz, 1H), 5.78 (dd, J = 10.4, 2.2 Hz, 1H), 4.89 (s, 1H), 4.55-3.91 (m, 3H), 3.65 (m, 1H), 3.47 (m, 1H), 3.08 (m, 1H), 2.67 (m, 1H), 1.30 (s, 3H) ,1.11(d,J=6.8Hz,3H),1.02(m,3H).
实施例11 N-(2-(4-((S)-4-丙烯酰基-2-甲基哌嗪-1-基)-6-氟-7-(2-氟-6-羟基苯基)-2-氧吡喃并[2,3-d]嘧啶-1(2H)-基)-3-甲基苯基)-N-甲基甲磺酰胺Example 11 N-(2-(4-((S)-4-acryloyl-2-methylpiperazin-1-yl)-6-fluoro-7-(2-fluoro-6-hydroxyphenyl) -2-oxopyrano[2,3-d]pyrimidine-1(2H)-yl)-3-methylphenyl)-N-methylmethanesulfonamide
LC-MS:m/z 625(M+H) +。 1H NMR(400MHz,CDCl 3)δ8.64(brs,1H),7.86-7.78(m,1H),7.47(td,J=7.6Hz,1.6Hz;1H),7.40(d,J=7.2Hz,1H),7.32-7.21(m,2H),6.70-6.50(m,3H),6.40(dd,J=16.8Hz,1.6Hz;1H),6.10(dd,J=10.4Hz,1.6Hz;1H),5.05-4.25(m,3H),4.10-3.46(m,3H),3.31-2.99(m,4H),2.85(d,J=2.0Hz,3H),2.17(s,3H),1.54-1.42(m,3H). LC-MS: m/z 625(M+H) + . 1 H NMR(400MHz,CDCl 3 )δ8.64(brs,1H),7.86-7.78(m,1H),7.47(td,J=7.6Hz,1.6Hz;1H),7.40(d,J=7.2Hz ,1H),7.32-7.21(m,2H),6.70-6.50(m,3H),6.40(dd,J=16.8Hz,1.6Hz;1H),6.10(dd,J=10.4Hz,1.6Hz;1H ), 5.05-4.25 (m, 3H), 4.10-3.46 (m, 3H), 3.31-2.99 (m, 4H), 2.85 (d, J = 2.0Hz, 3H), 2.17 (s, 3H), 1.54- 1.42(m,3H).
实施例12 4-((2S,5R)-4-丙烯酰基-2,5-二甲基哌嗪-1-基)-1-(2-乙基-6-(甲基磺酰基)苯基)-6-氟-7-(2-氟-6-羟基苯基)吡啶并[2,3-d]嘧啶-2(1H)-酮Example 12 4-((2S,5R)-4-acryloyl-2,5-dimethylpiperazin-1-yl)-1-(2-ethyl-6-(methylsulfonyl)phenyl )-6-fluoro-7-(2-fluoro-6-hydroxyphenyl)pyrido[2,3-d]pyrimidin-2(1H)-one
LC-MS:m/z 624(M+H) +。 1H NMR(400MHz,CDCl 3)δ9.03(t,J=18.4Hz,1H),8.14-8.10(m,1H),7.89-7.68(m,3H),7.28-7.23(m,1H),6.71-6.36(m,4H),,5.83-5.79(m,1H),5.12-3.47(m,6H),3.14-3.10(m,3H),2.55-2.37(m,2H),1.51-1.16(m,9H). LC-MS: m/z 624(M+H) + . 1 H NMR (400MHz, CDCl 3 ) δ 9.03 (t, J = 18.4 Hz, 1H), 8.14-8.10 (m, 1H), 7.89-7.68 (m, 3H), 7.28-7.23 (m, 1H), 6.71-6.36(m,4H),,5.83-5.79(m,1H),5.12-3.47(m,6H),3.14-3.10(m,3H),2.55-2.37(m,2H),1.51-1.16( m,9H).
实施例13 (S)-4-(4-丙烯酰基-2-甲基哌嗪-1-基)-1-(2-环丙基-6-(甲基磺酰基)苯基)-6-氟-7-(2-氟苯基)吡啶[2,3-d]嘧啶-2(1H)-酮Example 13 (S)-4-(4-acryloyl-2-methylpiperazin-1-yl)-1-(2-cyclopropyl-6-(methylsulfonyl)phenyl)-6- Fluoro-7-(2-fluorophenyl)pyridine[2,3-d]pyrimidin-2(1H)-one
LC-MS:m/z 606(M+H) +。 1H NMR(400MHz,CDCl 3)δ7.99(d,J=7.6Hz,1H),7.80-7.77(m,1H),7.55(t,J=8.0Hz,1H),7.42-7.38(m,2H),7.31-7.26(m,1H),7.16-7.08(m,2H),6.70-6.52(m,1H),6.41(dd,J=16.8Hz,1.6Hz,1H),5.81(dd,J=10.4Hz,1.6Hz,1H),5.04-4.36(m,3H),4.05-3.58(m,3H),3.24-3.04(m,4H),1.67-1.60(m,1H),1.54-1.47(m,3H),0.82-0.76(m,2H),0.66-0.53(m,2H). LC-MS: m/z 606(M+H) + . 1 H NMR (400MHz, CDCl 3 ) δ7.99 (d, J = 7.6 Hz, 1H), 7.80-7.77 (m, 1H), 7.55 (t, J = 8.0 Hz, 1H), 7.42-7.38 (m, 2H),7.31-7.26(m,1H),7.16-7.08(m,2H),6.70-6.52(m,1H),6.41(dd,J=16.8Hz,1.6Hz,1H),5.81(dd,J =10.4Hz,1.6Hz,1H),5.04-4.36(m,3H),4.05-3.58(m,3H),3.24-3.04(m,4H),1.67-1.60(m,1H),1.54-1.47( m, 3H), 0.82-0.76 (m, 2H), 0.66-0.53 (m, 2H).
实施例14 2-(4-((S)-4-丙烯酰基-2-甲基哌嗪-1-基)-6-氟-7-(2-氟-6-羟基苯基)-2-氧吡喃并[2,3-d]嘧啶-1(2H)-基)-N,N,3-三甲基苯磺酰胺Example 14 2-(4-((S)-4-acryloyl-2-methylpiperazin-1-yl)-6-fluoro-7-(2-fluoro-6-hydroxyphenyl)-2- Oxypyrano[2,3-d]pyrimidine-1(2H)-yl)-N,N,3-trimethylbenzenesulfonamide
LC-MS:m/z 625(M+H) +。 1H NMR(400MHz,CDCl 3)δ9.04(brs,1H),7.96(d,J=8.0Hz,1H),7.89-7.81(m,1H),7.80(d,J=7.6Hz,1H),7.57(t,J=7.6Hz,1H),7.30-7.22(m,1H),6.71-6.51(m,3H),6.41(dd,J=16.4Hz,1.6Hz;1H),5.82(dd,J=10.4Hz,1.6Hz;1H),5.16-2.92(m,7H),2.73(s,6H),2.50(d,J=7.2Hz,3H),1.50-1.41(m,3H). LC-MS: m/z 625(M+H) + . 1 H NMR(400MHz,CDCl 3 )δ9.04(brs,1H),7.96(d,J=8.0Hz,1H),7.89-7.81(m,1H),7.80(d,J=7.6Hz,1H) ,7.57(t,J=7.6Hz,1H),7.30-7.22(m,1H),6.71-6.51(m,3H),6.41(dd,J=16.4Hz,1.6Hz; 1H),5.82(dd, J = 10.4 Hz, 1.6 Hz; 1H), 5.16-2.92 (m, 7H), 2.73 (s, 6H), 2.50 (d, J = 7.2 Hz, 3H), 1.50-1.41 (m, 3H).
实施例15 (S)-4-(4-丙烯酰-2-甲基哌嗪-1-基)-1-(2-环丙基-6-(甲基磺基)苯基)-7-(2,6-二氟苯基)-6-氟吡啶[2,3-d]嘧啶-2(1H)-酮Example 15 (S)-4-(4-acryloyl-2-methylpiperazin-1-yl)-1-(2-cyclopropyl-6-(methylsulfonyl)phenyl)-7- (2,6-Difluorophenyl)-6-fluoropyridine[2,3-d]pyrimidin-2(1H)-one
LC-MS:m/z 624(M+H) +。 1H NMR(400MHz,CDCl 3)δ7.95(d,J=8.0Hz,1H),7.83-7.78(m,1H),7.50(t,J=8.0Hz,1H),7.42-7.33(m,2H),6.92(t,J=8.4Hz,2H),6.70-6.53(m,1H),6.41(dd,J=16.4Hz,1.6Hz,1H),5.81(dd,J=10.4Hz,2.0Hz,1H),5.08-4.28(m,3H),4.09-3.58(m,3H),3.31-3.07(m,4H),1.65-1.57(m,1H),1.57-1.45(m,3H),0.78-0.74(m,2H),0.66-0.55(m,2H). LC-MS: m/z 624(M+H) + . 1 H NMR(400MHz,CDCl 3 )δ7.95(d,J=8.0Hz,1H),7.83-7.78(m,1H),7.50(t,J=8.0Hz,1H),7.42-7.33(m, 2H), 6.92 (t, J = 8.4 Hz, 2H), 6.70-6.53 (m, 1H), 6.41 (dd, J = 16.4 Hz, 1.6 Hz, 1H), 5.81 (dd, J = 10.4 Hz, 2.0 Hz ,1H),5.08-4.28(m,3H),4.09-3.58(m,3H),3.31-3.07(m,4H),1.65-1.57(m,1H),1.57-1.45(m,3H),0.78 -0.74 (m, 2H), 0.66-0.55 (m, 2H).
实施例16 4-((S)-4-丙烯酰基-2-甲基哌嗪-1-基)-6-氟-7-(2-氟-6-羟基苯基)-1-(4-异丙基-2-(甲基磺酰基)吡啶-3-基)吡啶基[2,3-d]嘧啶-2(1H)-酮Example 16 4-((S)-4-acryloyl-2-methylpiperazin-1-yl)-6-fluoro-7-(2-fluoro-6-hydroxyphenyl)-1-(4- Isopropyl-2-(methylsulfonyl)pyridin-3-yl)pyridyl[2,3-d]pyrimidin-2(1H)-one
LC-MS:m/z 625(M+H) +。 1H NMR(400MHz,CDCl 3)δ8.73-8.70(m,1H),8.50-8.41(m,1H),7.89(dd,J=9.2Hz,2.4Hz,1H),7.67(d,J=5.2Hz,1H),7.26(m,1H),6.70-6.50(m,3H),6.40(d,J=16.8Hz,1H),5.81(d,J=10.4Hz,1H),5.10-4.34(m,3H),4.04-3.60(m,3H),3.28-3.09(m,4H),3.00-2.80(m,1H),1.57-1.49(m,3H),1.27(dd,J=6.8Hz,1.6Hz,3H),1.07(t,J=6.4Hz,3H). LC-MS: m/z 625(M+H) + . 1 H NMR (400MHz, CDCl 3 ) δ 8.73-8.70 (m, 1H), 8.50-8.41 (m, 1H), 7.89 (dd, J = 9.2 Hz, 2.4 Hz, 1H), 7.67 (d, J = 5.2Hz, 1H), 7.26 (m, 1H), 6.70-6.50 (m, 3H), 6.40 (d, J = 16.8 Hz, 1H), 5.81 (d, J = 10.4 Hz, 1H), 5.10-4.34 ( m,3H),4.04-3.60(m,3H), 3.28-3.09(m,4H), 3.00-2.80(m,1H), 1.57-1.49(m,3H), 1.27(dd,J=6.8Hz, 1.6Hz,3H),1.07(t,J=6.4Hz,3H).
实施例16-1通过手性分离得到两个异构体实施例16A和实施例16B:In Example 16-1, two isomers, Example 16A and Example 16B, were obtained by chiral separation:
实施例16A:LC-MS:m/z 625(M+H) +。 1H NMR(400MHz,DMSO)δ10.22(s,1H),8.70(d,J=4.7Hz,1H),8.34(d,J=9.3Hz,1H),7.87(d,J=4.8Hz,1H),7.26(dd,J=15.2,7.8Hz,1H),6.85(dd,J=15.8,10.0Hz,1H),6.79–6.56(m,2H),6.21(d,J=16.2Hz,1H),5.77(d,J=10.5Hz,1H),4.97(s,1H),4.22(m,3H),3.61(m,2H),3.30–2.90(m,4H),2.81(m,1H),1.31(d,J=6.3Hz,3H),1.12(d,J=6.6Hz,3H),1.03(d,J=6.5 Hz,3H). Example 16A: LC-MS: m/z 625(M+H) + . 1 H NMR(400MHz,DMSO)δ10.22(s,1H), 8.70(d,J=4.7Hz,1H), 8.34(d,J=9.3Hz,1H), 7.87(d,J=4.8Hz, 1H), 7.26 (dd, J = 15.2, 7.8 Hz, 1H), 6.85 (dd, J = 15.8, 10.0 Hz, 1H), 6.79-6.56 (m, 2H), 6.21 (d, J = 16.2 Hz, 1H ), 5.77 (d, J = 10.5 Hz, 1H), 4.97 (s, 1H), 4.22 (m, 3H), 3.61 (m, 2H), 3.30-2.90 (m, 4H), 2.81 (m, 1H) , 1.31 (d, J = 6.3 Hz, 3H), 1.12 (d, J = 6.6 Hz, 3H), 1.03 (d, J = 6.5 Hz, 3H).
实施例16B:LC-MS:m/z 625(M+H) +。 1H NMR(400MHz,DMSO)δ10.22(s,1H),8.70(d,J=5.0Hz,1H),8.31(t,J=10.7Hz,1H),7.87(d,J=5.0Hz,1H),7.26(dd,J=15.4,8.1Hz,1H),7.01–6.77(m,1H),6.76–6.57(m,2H),6.29–6.11(m,1H),5.77(dd,J=10.5,2.0Hz,1H),4.86(s,1H),4.50–3.93(m,3H),3.78–3.40(m,2H),3.30–2.94(m,4H),2.80(m,1H),1.31(d,J=6.5Hz,3H),1.13(d,J=6.8Hz,3H),1.03(d,J=6.7Hz,3H). Example 16B: LC-MS: m/z 625(M+H) + . 1 H NMR(400MHz,DMSO)δ10.22(s,1H), 8.70(d,J=5.0Hz,1H), 8.31(t,J=10.7Hz,1H), 7.87(d,J=5.0Hz, 1H), 7.26 (dd, J = 15.4, 8.1 Hz, 1H), 7.01-6.77 (m, 1H), 6.76-6.57 (m, 2H), 6.29-6.11 (m, 1H), 5.77 (dd, J = 10.5, 2.0Hz, 1H), 4.86 (s, 1H), 4.50--3.93 (m, 3H), 3.78--3.40 (m, 2H), 3.30--2.94 (m, 4H), 2.80 (m, 1H), 1.31 (d,J=6.5Hz,3H), 1.13(d,J=6.8Hz,3H), 1.03(d,J=6.7Hz,3H).
实施例17 (S)-4-(4-丙烯酰基-2-甲基哌嗪-1-基)-7-(2-氯苯基)-1-(2-环丙基-6-(甲基磺酰基)苯基)-6-氟吡啶[2,3-d]嘧啶-2(1H)-酮Example 17 (S)-4-(4-acryloyl-2-methylpiperazin-1-yl)-7-(2-chlorophenyl)-1-(2-cyclopropyl-6-(form (Sulfonyl)phenyl)-6-fluoropyridine[2,3-d]pyrimidin-2(1H)-one
LC-MS:m/z 622(M+H) +。 1H NMR(400MHz,CDCl 3)δ7.96(d,J=7.6Hz,1H),7.80-7.77(m,1H),7.51(t,J=8.0Hz,1H),7.41-7.28(m,3H),7.26(m,2H),6.68-6.54(m,1H),6.42(dd,J=16.8Hz,2.0Hz,1H),5.81(dd,J=10.4Hz,1.6Hz,1H),5.08-4.33(m,3H),4.07-3.59(m,3H),3.28-3.09(m,4H),1.69-1.65(m,1H),1.57-1.47(m,3H),0.82-0.76(m,2H),0.67-0.51(m,2H). LC-MS: m/z 622(M+H) + . 1 H NMR (400MHz, CDCl 3 ) δ 7.96 (d, J = 7.6 Hz, 1H), 7.80-7.77 (m, 1H), 7.51 (t, J = 8.0 Hz, 1H), 7.41-7.28 (m, 3H), 7.26 (m, 2H), 6.68-6.54 (m, 1H), 6.42 (dd, J = 16.8 Hz, 2.0 Hz, 1H), 5.81 (dd, J = 10.4 Hz, 1.6 Hz, 1H), 5.08 -4.33(m,3H),4.07-3.59(m,3H),3.28-3.09(m,4H),1.69-1.65(m,1H),1.57-1.47(m,3H),0.82-0.76(m, 2H), 0.67-0.51 (m, 2H).
实施例18 4-((S)-4-丙烯酰基-2-甲基哌嗪-1-基)-6-氟-7-(2-氟-6-羟基苯基)-1-(2-异丙基-4-(甲基磺酰基)吡啶-3-基)吡啶基[2,3-d]嘧啶-2(1H)-酮Example 18 4-((S)-4-acryloyl-2-methylpiperazin-1-yl)-6-fluoro-7-(2-fluoro-6-hydroxyphenyl)-1-(2- Isopropyl-4-(methylsulfonyl)pyridin-3-yl)pyridyl[2,3-d]pyrimidin-2(1H)-one
LC-MS:m/z 625(M+H) +。 1H NMR(400MHz,CDCl 3)δ9.02(t,J=8.8Hz,1H),8.67(t,J=4.8Hz,1H),7.93-7.89(m,2H),7.28-7.26(m,1H),6.71-6.40(m,4H),5.84-5.81(m,1H),4.48-3.68(m,7H),3.15(s,3H),2.97-2.93(m,1H),1.59-1.07(m,9H). LC-MS: m/z 625(M+H) + . 1 H NMR (400MHz, CDCl 3 ) δ9.02 (t, J = 8.8Hz, 1H), 8.67 (t, J = 4.8Hz, 1H), 7.93-7.89 (m, 2H), 7.28-7.26 (m, 1H), 6.71-6.40 (m, 4H), 5.84-5.81 (m, 1H), 4.48-3.68 (m, 7H), 3.15 (s, 3H), 2.97-2.93 (m, 1H), 1.59-1.07 ( m,9H).
实施例18-1通过手性分离得到两个异构体实施例18A和实施例18B:Example 18-1 obtained two isomers, Example 18A and Example 18B, through chiral separation:
实施例18A:LC-MS:m/z 625(M+H) +。 1H NMR(400MHz,DMSO)δ10.31(s,1H),8.96(d,J=5.0Hz,1H),8.40(t,J=10.2Hz,1H),7.89(d,J=5.0Hz,1H),7.32(dd,J=15.3,8.3Hz,1H),7.02–6.84(m,1H),6.83–6.64(m,2H),6.26(dd,J=16.6,5.1Hz,1H),5.82(dd,J=10.4,2.3Hz,1H),4.96(s,1H),4.29(m,3H),3.58(m,2H),3.36–2.87(m,5H),1.43–1.33(m,3H),1.17(d,J=6.7Hz,3H),1.10–1.00(m,3H). Example 18A: LC-MS: m/z 625(M+H) + . 1 H NMR (400MHz, DMSO) δ 10.31 (s, 1H), 8.96 (d, J = 5.0 Hz, 1H), 8.40 (t, J = 10.2 Hz, 1H), 7.89 (d, J = 5.0 Hz, 1H),7.32(dd,J=15.3,8.3Hz,1H),7.02-6.84(m,1H),6.83-6.64(m,2H),6.26(dd,J=16.6,5.1Hz,1H),5.82 (dd,J=10.4,2.3Hz,1H), 4.96 (s, 1H), 4.29 (m, 3H), 3.58 (m, 2H), 3.36-2.87 (m, 5H), 1.43-1.33 (m, 3H) ), 1.17 (d, J = 6.7 Hz, 3H), 1.10-1.00 (m, 3H).
实施例18B:LC-MS:m/z 625(M+H) +。 1H NMR(400MHz,DMSO)δ10.24(s,1H),8.90(d,J=5.0Hz,1H),8.35(t,J=10.4Hz,1H),7.83(d,J=5.0Hz,1H),7.26(dd,J=15.3,8.2Hz,1H),6.95–6.79(m,1H),6.78–6.57(m,2H),6.21(d,J=16.6Hz,1H),5.77(dd,J=10.5,2.1Hz,1H),4.97(s,1H),4.22(m,3H),3.86–3.43(m,2H),3.29–2.81(m,5H),1.32(t,J=7.0Hz,3H),1.12(t,J=8.2Hz,3H),1.02(d,J=6.6Hz,3H). Example 18B: LC-MS: m/z 625(M+H) + . 1 H NMR (400MHz, DMSO) δ 10.24 (s, 1H), 8.90 (d, J = 5.0 Hz, 1H), 8.35 (t, J = 10.4 Hz, 1H), 7.83 (d, J = 5.0 Hz, 1H), 7.26 (dd, J = 15.3, 8.2 Hz, 1H), 6.95-6.79 (m, 1H), 6.78-6.57 (m, 2H), 6.21 (d, J = 16.6 Hz, 1H), 5.77 (dd ,J=10.5,2.1Hz,1H),4.97(s,1H),4.22(m,3H),3.86-3.43(m,2H),3.29-2.81(m,5H),1.32(t,J=7.0 Hz, 3H), 1.12 (t, J = 8.2 Hz, 3H), 1.02 (d, J = 6.6 Hz, 3H).
实施例19 4-((S)-4-丙烯酰-2-甲基哌嗪-1-基)-6-氟-7-(2-氟-6-甲氧基苯基)-1-(4-异丙基-2-(甲砜基)吡啶-3-基)吡啶[2,3-d]嘧啶-2(1H)-酮Example 19 4-((S)-4-acryloyl-2-methylpiperazin-1-yl)-6-fluoro-7-(2-fluoro-6-methoxyphenyl)-1-( 4-isopropyl-2-(methylsulfonyl)pyridin-3-yl)pyridine[2,3-d]pyrimidin-2(1H)-one
LC-MS:m/z 639(M+H) +。 1H NMR(400MHz,CDCl 3)δ8.66(d,J=5.2Hz,1H),7.79-7.75(m,1H),7.58(d,J=4.4Hz,1H),7.33-7.29(m,1H),6.71-6.60(m,3H),6.41-6.38(m,1H),5.80(d,J=10.4Hz,1H),5.04-4.35(m,3H),4.00-3.60(m,6H),3.18(m,4H),2.92(m,1H),1.48(m,3H),1.23(d,J=6.8Hz,3H),1.09(m,3H). LC-MS: m/z 639(M+H) + . 1 H NMR (400MHz, CDCl 3 ) δ8.66 (d, J = 5.2Hz, 1H), 7.79-7.75 (m, 1H), 7.58 (d, J = 4.4Hz, 1H), 7.33-7.29 (m, 1H),6.71-6.60(m,3H),6.41-6.38(m,1H),5.80(d,J=10.4Hz,1H),5.04-4.35(m,3H),4.00-3.60(m,6H) ,3.18(m,4H),2.92(m,1H),1.48(m,3H),1.23(d,J=6.8Hz,3H),1.09(m,3H).
实施例20 (S)-4-(4-丙烯酰-2-甲基哌嗪-1-基)-7-(2-氯苯基)-6-氟-1-(4-异丙基-2-(甲砜基)吡啶-3-基)吡啶[2,3-d]嘧啶-2(1H)-酮Example 20 (S)-4-(4-acryloyl-2-methylpiperazin-1-yl)-7-(2-chlorophenyl)-6-fluoro-1-(4-isopropyl- 2-(Methylsulfonyl)pyridin-3-yl)pyridine[2,3-d]pyrimidin-2(1H)-one
LC-MS:m/z 625(M+H) +。δ8.67-8.65(m,1H),7.81-7.77(m,1H),7.57(d,J=4.8Hz,1H),7.40-7.27(m,4H),6.61(m,1H),6.42-6.38(m,1H),5.80(d,J=10.4Hz,1H),5.16-4.36(m,3H),4.02-3.59(m,3H),3.17(m,4H),2.95(m,1H),1.49(m,3H),1.25(d,J=6.8Hz,3H),1.06(d,J=6.8Hz,3H). LC-MS: m/z 625(M+H) + . δ8.67-8.65(m,1H),7.81-7.77(m,1H),7.57(d,J=4.8Hz,1H),7.40-7.27(m,4H),6.61(m,1H),6.42- 6.38 (m, 1H), 5.80 (d, J = 10.4 Hz, 1H), 5.16-4.36 (m, 3H), 4.02-3.59 (m, 3H), 3.17 (m, 4H), 2.95 (m, 1H) ,1.49(m,3H),1.25(d,J=6.8Hz,3H),1.06(d,J=6.8Hz,3H).
实施例20-1通过手性分离得到两个异构体实施例20A和实施例20B:Example 20-1 obtained two isomers Example 20A and Example 20B through chiral separation:
实施例20A:LC-MS:m/z 625(M+H) +。 1H NMR(400MHz,DMSO)δ8.71(d,J=5.0Hz,1H),8.41(t,J=9.3Hz,1H),7.88(d,J=5.0Hz,1H),7.56(d,J=7.1Hz,1H),7.50(dd,J=7.4,1.6Hz,1H),7.42(t,J=7.5Hz,1H),7.38–7.25(m,1H),6.86(dd,J=16.6,9.3Hz,1H),6.22(d,J=16.4Hz,1H),5.89–5.69(m,1H),5.02(s,1H),4.23(m,3H),3.93–3.57(m,2H),3.30–3.01(m,4H),2.88(m,1H),1.31(d,J=6.5Hz,3H),1.15(d,J=6.8Hz,3H),1.02(d,J=6.8Hz,3H). Example 20A: LC-MS: m/z 625(M+H) + . 1 H NMR(400MHz,DMSO)δ8.71(d,J=5.0Hz,1H), 8.41(t,J=9.3Hz,1H), 7.88(d,J=5.0Hz,1H), 7.56(d, J = 7.1Hz, 1H), 7.50 (dd, J = 7.4, 1.6 Hz, 1H), 7.42 (t, J = 7.5Hz, 1H), 7.38-7.25 (m, 1H), 6.86 (dd, J = 16.6 ,9.3Hz,1H),6.22(d,J=16.4Hz,1H),5.89–5.69(m,1H),5.02(s,1H),4.23(m,3H),3.93-3.57(m,2H) , 3.30–3.01 (m, 4H), 2.88 (m, 1H), 1.31 (d, J = 6.5 Hz, 3H), 1.15 (d, J = 6.8 Hz, 3H), 1.02 (d, J = 6.8 Hz, 3H).
实施例20B:LC-MS:m/z 625(M+H) +。 1H NMR(400MHz,DMSO)δ8.71(d,J=5.0Hz,1H),8.37(t,J=10.5Hz,1H),7.88(d,J=5.0Hz,1H),7.48(m,3H),7.30(d,J=7.3Hz,1H),6.87(d,J=10.4Hz,1H),6.22(d,J=16.4Hz,1H),5.78(d,J=12.5Hz,1H),4.86(s,1H),4.62–3.99(m,3H),3.58(m,2H),3.11(m,4H),2.94–2.81(m,1H),1.33(d,J=6.6Hz,3H),1.15(d,J=6.8Hz,3H),1.02(d,J=6.8Hz,3H). Example 20B: LC-MS: m/z 625(M+H) + . 1 H NMR(400MHz,DMSO)δ8.71(d,J=5.0Hz,1H), 8.37(t,J=10.5Hz,1H), 7.88(d,J=5.0Hz,1H), 7.48(m, 3H), 7.30 (d, J = 7.3 Hz, 1H), 6.87 (d, J = 10.4 Hz, 1H), 6.22 (d, J = 16.4 Hz, 1H), 5.78 (d, J = 12.5 Hz, 1H) ,4.86(s,1H),4.62–3.99(m,3H),3.58(m,2H),3.11(m,4H),2.94–2.81(m,1H),1.33(d,J=6.6Hz,3H ), 1.15 (d, J = 6.8 Hz, 3H), 1.02 (d, J = 6.8 Hz, 3H).
实施例21 6-氟-7-(2-氟-6-羟基苯基)-4-((S)-4-(2-氟丙烯酰基)-2-甲基哌嗪-1-基)-1-(2-异丙基-6-(甲砜基)苯基)吡啶[2,3-d]嘧啶-2(1H)-酮Example 21 6-Fluoro-7-(2-fluoro-6-hydroxyphenyl)-4-((S)-4-(2-fluoroacryloyl)-2-methylpiperazin-1-yl)- 1-(2-isopropyl-6-(methylsulfonyl)phenyl)pyridine[2,3-d]pyrimidin-2(1H)-one
LC-MS:m/z 642(M+H) +。 1H NMR(400MHz,CDCl 3)δ8.97(s,1H),8.13-8.11(m,1H),7.88-7.82(m,2H),7.76-7.72(m,1H),7.28-7.22(m,1H),6.66-6.62(m,2H),5.48-5.35(m,1H),5.26-5.22(m,1H),5.02-4.90(m,1H),4.53-3.65(m,6H),3.11(s,3H),2.82-2.73(m,1H),1.60-1.03(m,9H). LC-MS: m/z 642(M+H) + . 1 H NMR (400MHz, CDCl 3 ) δ8.97 (s, 1H), 8.13-8.11 (m, 1H), 7.88-7.82 (m, 2H), 7.76-7.72 (m, 1H), 7.28-7.22 (m ,1H),6.66-6.62(m,2H),5.48-5.35(m,1H),5.26-5.22(m,1H),5.02-4.90(m,1H),4.53-3.65(m,6H),3.11 (s, 3H), 2.82-2.73 (m, 1H), 1.60-1.03 (m, 9H).
实施例22 (S)-4-(4-丙烯酰-2-甲基哌嗪-1-基)-7-(2-氯-4-氟苯基)-6-氟-1-(4-异丙基-2-(甲砜基)吡啶-3-基)吡啶[2,3-d]嘧啶-2(1H)-酮Example 22 (S)-4-(4-acryloyl-2-methylpiperazin-1-yl)-7-(2-chloro-4-fluorophenyl)-6-fluoro-1-(4- Isopropyl-2-(methylsulfonyl)pyridin-3-yl)pyridine[2,3-d]pyrimidin-2(1H)-one
LC-MS:m/z 643(M+H) +。 1H NMR(400MHz,CDCl 3)δ8.68-8.67(m,1H),7.81-7.78(m,1H),7.59(d,J=5.2Hz,1H),7.34(m,1H),7.14(dd,J=4.4,2.4Hz,1H),7.02-6.99(m,1H),6.61-6.58(m,1H),6.4-6.38(m,1H),5.82-5.80(m,1H),5.01-3.62(m,6H),3.18(m,4H),2.96(m,1H),1.48(m,3H),1.26(d,J=6.8Hz,3H),1.07-1.05(m,3H). LC-MS: m/z 643(M+H) + . 1 H NMR (400MHz, CDCl 3 ) δ 8.68-8.67 (m, 1H), 7.81-7.78 (m, 1H), 7.59 (d, J = 5.2 Hz, 1H), 7.34 (m, 1H), 7.14 ( dd,J=4.4,2.4Hz,1H),7.02-6.99(m,1H),6.61-6.58(m,1H),6.4-6.38(m,1H),5.82-5.80(m,1H),5.01- 3.62 (m, 6H), 3.18 (m, 4H), 2.96 (m, 1H), 1.48 (m, 3H), 1.26 (d, J = 6.8 Hz, 3H), 1.07-1.05 (m, 3H).
实施例23 (S)-7-(2-氯苯基)-6-氟-4-(4-(2-氟丙烯酰)-2-甲基哌嗪-1-基)-1-(2-异丙基-6-(甲砜基)苯基)吡啶[2,3-d]嘧啶-2(1H)-酮Example 23 (S)-7-(2-chlorophenyl)-6-fluoro-4-(4-(2-fluoroacryloyl)-2-methylpiperazin-1-yl)-1-(2 -Isopropyl-6-(methylsulfonyl)phenyl)pyridine[2,3-d]pyrimidin-2(1H)-one
LC-MS:m/z 642(M+H) +。 1H NMR(400MHz,CDCl 3)δ7.98(d,J=6.8Hz,1H),7.79-7.75(m,1H),7.70-7.69(m,1H),7.60-7.56(m,1H),7.39-7.19(m,4H),5.46-5.33(m,1H),5.25-5.20(m,1H),4.93(m,1H),4.65-3.20(m,6H),3.07(s,3H),2.81-2.75(m,1H),1.52(d,J=6.8Hz,3H),1.23(d,J=6.8Hz,3H),1.02-1.00(m,3H). LC-MS: m/z 642(M+H) + . 1 H NMR (400MHz, CDCl 3 ) δ 7.98 (d, J = 6.8 Hz, 1H), 7.79-7.75 (m, 1H), 7.70-7.69 (m, 1H), 7.60-7.56 (m, 1H), 7.39-7.19(m,4H),5.46-5.33(m,1H), 5.25-5.20(m,1H), 4.93(m,1H), 4.65-3.20(m,6H),3.07(s,3H), 2.81-2.75(m,1H), 1.52(d,J=6.8Hz,3H), 1.23(d,J=6.8Hz,3H), 1.02-1.00(m,3H).
实施例24 2-(4-((S)-4-丙烯酰-2-甲基哌嗪-1-基)-6-氟-1-(4-异丙基-2-(甲砜基)吡啶-3-基)-2-氧-1,2-二氢吡啶[2,3-d]嘧啶-7-基)-3-氟苯基乙酸酯Example 24 2-(4-((S)-4-acryloyl-2-methylpiperazin-1-yl)-6-fluoro-1-(4-isopropyl-2-(methylsulfonyl) (Pyridin-3-yl)-2-oxo-1,2-dihydropyridine[2,3-d]pyrimidin-7-yl)-3-fluorophenyl acetate
LC-MS:m/z 667(M+H) +。 1H NMR(400MHz,CDCl 3)δ8.68-8.67(m,1H),7.85-7.79(m,1H),7.56(d,J=4.8Hz,1H),7.43-7.37(m,1H),7.02-6.95(m,2H),6.70-6.53(m,1H),6.42-6.38(m,1H),5.81-5.79(m,1H),5.08-3.63(m,6H),3.17(m,4H),2.76(m,1H),2.02(s,3H),1.46(m,3H),1.20(d,J=6.8Hz,3H),0.99(m,3H). LC-MS: m/z 667(M+H) + . 1 H NMR(400MHz, CDCl 3 )δ8.68-8.67(m,1H), 7.85-779(m,1H), 7.56(d,J=4.8Hz,1H), 7.43-7.37(m,1H), 7.02-6.95(m,2H),6.70-6.53(m,1H),6.42-6.38(m,1H),5.81-5.79(m,1H),5.08-3.63(m,6H),3.17(m,4H) ), 2.76 (m, 1H), 2.02 (s, 3H), 1.46 (m, 3H), 1.20 (d, J = 6.8 Hz, 3H), 0.99 (m, 3H).
实施例25 4-((S)-4-丙烯酰-2-甲基哌嗪-1-基)-1-(2-环丁基-6-(甲砜基)苯基)-6-氟-7-(2-氟-6-羟基苯基)吡啶[2,3-d]嘧啶-2(1H)-酮Example 25 4-((S)-4-acryloyl-2-methylpiperazin-1-yl)-1-(2-cyclobutyl-6-(methylsulfonyl)phenyl)-6-fluoro -7-(2-Fluoro-6-hydroxyphenyl)pyridine[2,3-d]pyrimidin-2(1H)-one
LC-MS:m/z 636(M+H) +。 1H NMR(400MHz,CDCl 3)δ8.97(s,1H),8.11(d,J=6.8Hz,1H),8.10-7.70(m,3H),7.28-7.22(m,1H),6.69-6.60(m,3H),6.42-6.39(m,1H),5.83-5.80(m,1H),5.05-3.64(m,6H),3.12(m,5H),2.30-2.25(m,1H),2.11-2.08(m,2H),1.85-1.71(m,3H),1.47(d,J=6.4Hz,3H). LC-MS: m/z 636(M+H) + . 1 H NMR(400MHz, CDCl 3 )δ8.97(s,1H), 8.11(d,J=6.8Hz,1H), 8.10-7.70(m,3H), 7.28-7.22(m,1H), 6.69- 6.60(m,3H),6.42-6.39(m,1H),5.83-5.80(m,1H),5.05-3.64(m,6H),3.12(m,5H),2.30-2.25(m,1H), 2.11-2.08(m,2H),1.85-1.71(m,3H),1.47(d,J=6.4Hz,3H).
实施例25-1通过手性分离得到两个异构体实施例25A和实施例25B:Example 25-1 obtained two isomers Example 25A and Example 25B through chiral separation:
实施例25A:LC-MS:m/z 636(M+H) +。 1H NMR(400MHz,DMSO)δ10.24(s,1H),8.32(t,J=9.3Hz,1H),7.89(dd,J=7.8,1.1Hz,1H),7.76(d,J=7.3Hz,1H),7.65(m,1H),7.27(m,1H),6.87(m,1H),6.79–6.58(m,2H),6.22(m,1H),5.78(m,1H),4.87(m,1H),4.21(m,3H),3.78–3.42(m,2H),3.31–2.91(m,5H),2.19–1.87(m,3H),1.87–1.57(m,3H),1.33(m,3H). Example 25A: LC-MS: m/z 636(M+H) + . 1 H NMR (400MHz, DMSO) δ 10.24 (s, 1H), 8.32 (t, J = 9.3 Hz, 1H), 7.89 (dd, J = 7.8, 1.1 Hz, 1H), 7.76 (d, J = 7.3 Hz, 1H), 7.65 (m, 1H), 7.27 (m, 1H), 6.87 (m, 1H), 6.79-6.58 (m, 2H), 6.22 (m, 1H), 5.78 (m, 1H), 4.87 (m,1H),4.21(m,3H),3.78–3.42(m,2H),3.31–2.91(m,5H),2.19–1.87(m,3H),1.87–1.57(m,3H),1.33 (m,3H).
实施例25B:LC-MS:m/z 636(M+H) +。 1H NMR(400MHz,DMSO)δ10.24(s,1H),8.33(t,J=10.1Hz,1H),7.89(dd,J=7.8,1.1Hz,1H),7.76(d,J=7.3Hz,1H),7.66(m,1H),7.27(m,1H),6.99–6.79(m,1H),6.79–6.58(m,2H),6.21(m,1H),5.77(m,1H),4.88(s,1H),4.55–3.97(m,3H),3.77–3.42(m,2H),3.30–2.89(m,5H),2.13–1.88(m,3H),1.89–1.57(m,3H),1.29(m,3H). Example 25B: LC-MS: m/z 636(M+H) + . 1 H NMR (400MHz, DMSO) δ 10.24 (s, 1H), 8.33 (t, J = 10.1Hz, 1H), 7.89 (dd, J = 7.8, 1.1 Hz, 1H), 7.76 (d, J = 7.3 Hz, 1H), 7.66 (m, 1H), 7.27 (m, 1H), 6.99-6.79 (m, 1H), 6.79-6.58 (m, 2H), 6.21 (m, 1H), 5.77 (m, 1H) ,4.88(s,1H),4.55–3.97(m,3H),3.77–3.42(m,2H),3.30–2.89(m,5H),2.13–1.88(m,3H),1.89–1.57(m, 3H), 1.29 (m, 3H).
实施例26 (S)-4-(4-丙烯酰-2-甲基哌嗪-1-基)-7-(2-氯-3-氟苯基)-6-氟-1-(4-异丙基-2-(甲砜基)吡啶-3-基)吡啶[2,3-d]嘧啶-2(1H)-酮Example 26 (S)-4-(4-acryloyl-2-methylpiperazin-1-yl)-7-(2-chloro-3-fluorophenyl)-6-fluoro-1-(4- Isopropyl-2-(methylsulfonyl)pyridin-3-yl)pyridine[2,3-d]pyrimidin-2(1H)-one
LC-MS:m/z 643(M+H) +。 1H NMR(400MHz,CDCl 3)δ8.67-8.66(m,1H),7.83-7.80(m,1H),7.58(d,J=4.2Hz,1H),7.28-7.13(m,3H),6.61-6.58(m,1H),6.42-6.39(m,1H),5.83-5.80(m,1H),5.34-3.62(m,6H),3.18(m,4H),2.97(m,1H),1.49(m,3H),1.27-1.25(m,3H),1.07-1.06(m,3H). LC-MS: m/z 643(M+H) + . 1 H NMR(400MHz, CDCl 3 )δ8.67-8.66(m,1H), 7.83-7.80(m,1H), 7.58(d,J=4.2Hz,1H), 7.28-7.13(m,3H), 6.61-6.58(m,1H),6.42-6.39(m,1H),5.83-5.80(m,1H),5.34-3.62(m,6H),3.18(m,4H),2.97(m,1H), 1.49 (m, 3H), 1.27-1.25 (m, 3H), 1.07-1.06 (m, 3H).
实施例27 4-((S)-4-丙烯酰-2-甲基哌嗪-1-基)-7-(2-氯-6-羟基苯基)-6-氟-1-(4-异丙基-2-(甲砜基)吡啶-3-基)吡啶[2,3-d]嘧啶-2(1H)-酮Example 27 4-((S)-4-acryloyl-2-methylpiperazin-1-yl)-7-(2-chloro-6-hydroxyphenyl)-6-fluoro-1-(4- Isopropyl-2-(methylsulfonyl)pyridin-3-yl)pyridine[2,3-d]pyrimidin-2(1H)-one
LC-MS:m/z 641(M+H) +。 1H NMR(400MHz,CDCl 3)δ8.61(m,1H),7.90-7.86(m,1H),7.61-7.60(m,1H),7.26-7.18(m,1H),6.96(d,J=8.0Hz,1H),6.84(d,J=8.4Hz,1H),6.60-6.57(m,1H),6.42-6.38(m,1H),5.82-5.79(m,1H),5.06-3.61(m,6H),3.30(s,3H),2.95-2.88(m,2H),1.54-1.50(m,3H),1.28-1.26(m,3H),1.02(m,3H). LC-MS: m/z 641(M+H) + . 1 H NMR (400MHz, CDCl 3 ) δ8.61 (m, 1H), 7.90-7.86 (m, 1H), 7.61-7.60 (m, 1H), 7.26-7.18 (m, 1H), 6.96 (d, J =8.0Hz,1H),6.84(d,J=8.4Hz,1H),6.60-6.57(m,1H),6.42-6.38(m,1H),5.82-5.79(m,1H),5.06-3.61( m, 6H), 3.30 (s, 3H), 2.95-2.88 (m, 2H), 1.54-1.50 (m, 3H), 1.28-1.26 (m, 3H), 1.02 (m, 3H).
实施例28 4-((S)-4-丙烯酰-2-甲基哌嗪-1-基)-7-(2-氯-6-氟苯基)-6-氟-1-(4-异丙基-2-(甲砜基)吡啶-3-基)吡啶[2,3-d]嘧啶-2(1H)-酮Example 28 4-((S)-4-acryloyl-2-methylpiperazin-1-yl)-7-(2-chloro-6-fluorophenyl)-6-fluoro-1-(4- Isopropyl-2-(methylsulfonyl)pyridin-3-yl)pyridine[2,3-d]pyrimidin-2(1H)-one
LC-MS:m/z 643(M+H) +。 1H NMR(400MHz,CDCl 3)δ8.66(m,1H),7.87-7.83(m,1H),7.58(d,J=4.8Hz,1H),7.36-7.31(m,1H),7.23-7.21(m,1H),7.03-7.02(m,1H),6.61-6.58(m,1H),6.42-6.38(m,1H),5.82-5.79(m,1H),5.06-3.61(m,6H),3.27-3.12(m,4H),2.92(m,1H),1.53-1.50(m,3H),1.25-1.23(m,3H),1.08(m,3H). LC-MS: m/z 643(M+H) + . 1 H NMR (400MHz, CDCl 3 ) δ8.66 (m, 1H), 7.87-7.83 (m, 1H), 7.58 (d, J = 4.8Hz, 1H), 7.36-7.31 (m, 1H), 7.23 7.21(m,1H),7.03-7.02(m,1H),6.61-6.58(m,1H),6.42-6.38(m,1H),5.82-5.79(m,1H),5.06-3.61(m,6H) ), 3.27-3.12 (m, 4H), 2.92 (m, 1H), 1.53-1.50 (m, 3H), 1.25-1.23 (m, 3H), 1.08 (m, 3H).
实施例29 4-((S)-4-丙烯酰-2-甲基哌嗪-1-基)-6-氟-7-(2-氟-6-羟基苯基)-1-(3-异丙基-5-(甲砜基)嘧啶-4-基)吡啶[2,3-d]嘧啶-2(1H)-酮Example 29 4-((S)-4-acryloyl-2-methylpiperazin-1-yl)-6-fluoro-7-(2-fluoro-6-hydroxyphenyl)-1-(3- Isopropyl-5-(methylsulfonyl)pyrimidin-4-yl)pyridine[2,3-d]pyrimidin-2(1H)-one
LC-MS:m/z 625(M+H) +。 1H NMR(400MHz,CDCl 3)δ9.25(s,1H),9.06(s,1H),8.58(s,1H),7.90(d,J=9.3Hz,1H),7.32–7.23(m,1H),6.74–6.51(m,3H),6.42(dd,J=16.7,1.6Hz,1H),5.89–5.77(m,1H),5.27–3.45(m,6H),3.17(s,4H),2.83(m,1H),1.56–1.41(m,3H),1.30(m,3H),1.14(t,J=6.5Hz,3H). LC-MS: m/z 625(M+H) + . 1 H NMR(400MHz, CDCl 3 )δ9.25(s,1H), 9.06(s,1H), 8.58(s,1H), 7.90(d,J=9.3Hz,1H), 7.32–7.23(m, 1H), 6.74–6.51(m,3H), 6.42(dd,J=16.7,1.6Hz,1H), 5.89–5.77(m,1H), 5.27–3.45(m,6H), 3.17(s,4H) ,2.83(m,1H),1.56–1.41(m,3H),1.30(m,3H),1.14(t,J=6.5Hz,3H).
实施例29-1通过手性分离得到两个异构体实施例29A和实施例29B:Example 29-1 obtained two isomers, Example 29A and Example 29B through chiral separation:
实施例29A:LC-MS:m/z 625(M+H) +。 Example 29A: LC-MS: m/z 625(M+H) + .
实施例29B:LC-MS:m/z 625(M+H) +。 Example 29B: LC-MS: m/z 625(M+H) + .
实施例30 (S)-4-(4-丙烯酰-2-甲基哌嗪-1-基)-7-(2-氯苯基)-6-氟-1-(2-异丙基-6-(甲砜基)苯基)吡啶[2,3-d]嘧啶-2(1H)-酮Example 30 (S)-4-(4-acryloyl-2-methylpiperazin-1-yl)-7-(2-chlorophenyl)-6-fluoro-1-(2-isopropyl- 6-(Methylsulfonyl)phenyl)pyridine[2,3-d]pyrimidin-2(1H)-one
LC-MS:m/z 624(M+H) +。 1H NMR(400MHz,CDCl 3)δ7.98(dd,J=7.8,1.3Hz,1H),7.84–7.73(m,1H),7.70(d,J=6.8Hz,1H),7.58(t,J=7.9Hz,1H),7.44–7.30(m,2H),7.28–7.15(m,2H),6.61(m,1H),6.41(dd,J=16.8,1.7Hz,1H),5.81(d,J=10.5Hz,1H),5.13–3.47(m,6H),3.08(m,4H),2.80(m,1H),1.50(m,3H),1.24(t,J=6.4Hz,3H),1.01(d,J=6.8Hz,3H). LC-MS: m/z 624(M+H) + . 1 H NMR (400MHz, CDCl 3 ) δ7.98 (dd, J = 7.8, 1.3 Hz, 1H), 7.84–7.73 (m, 1H), 7.70 (d, J = 6.8 Hz, 1H), 7.58 (t, J = 7.9Hz, 1H), 7.44–7.30 (m, 2H), 7.28–7.15 (m, 2H), 6.61 (m, 1H), 6.41 (dd, J = 16.8, 1.7 Hz, 1H), 5.81 (d ,J=10.5Hz,1H),5.13–3.47(m,6H),3.08(m,4H),2.80(m,1H),1.50(m,3H),1.24(t,J=6.4Hz,3H) ,1.01(d,J=6.8Hz,3H).
实施例30-1通过手性分离得到两个异构体实施例30A和实施例30B:Example 30-1 obtained two isomers Example 30A and Example 30B through chiral separation:
实施例30A:LC-MS:m/z 624(M+H) +。 1H NMR(400MHz,DMSO)δ8.38(t,J=9.3Hz,1H),7.86(m,2H),7.66(t,J=7.8Hz,1H),7.47(m,3H),7.22(d,J=7.2Hz,1H),6.92–6.74(m,1H),6.22(d,J=16.6Hz,1H),5.77(d,J=10.7Hz,1H),4.96(brs,1H),4.23(m,3H),3.87–3.44(m,2H),3.28–3.07(m,1H),3.01(s,3H),2.71(d,J=6.1Hz,1H),1.30(t,J=14.4Hz,3H),1.11(d,J=6.7Hz,3H),0.94(t,J=28.8Hz,3H). Example 30A: LC-MS: m/z 624(M+H) + . 1 H NMR (400MHz, DMSO) δ 8.38 (t, J = 9.3 Hz, 1H), 7.86 (m, 2H), 7.66 (t, J = 7.8 Hz, 1H), 7.47 (m, 3H), 7.22 ( d,J=7.2Hz,1H), 6.92–6.74(m,1H), 6.22(d,J=16.6Hz,1H), 5.77(d,J=10.7Hz,1H), 4.96(brs,1H), 4.23(m,3H), 3.87–3.44(m,2H), 3.28–3.07(m,1H), 3.01(s,3H), 2.71(d,J=6.1Hz,1H), 1.30(t,J= 14.4Hz, 3H), 1.11 (d, J = 6.7 Hz, 3H), 0.94 (t, J = 28.8 Hz, 3H).
实施例30B:LC-MS:m/z 624(M+H) +。 1H NMR(400MHz,DMSO)δ8.37(m,1H),7.86(m,2H),7.66(t,J=7.5Hz,1H),7.47(m,3H),7.22(d,J=7.0Hz,1H),6.96–6.68(m,1H),6.22(d,J=15.4Hz,1H),5.77(d,J=10.3Hz,1H),4.88(brs,1H),4.53–3.94(m,3H),3.76–3.45(m,2H),3.33–2.60(m,5H),1.30(t,J=15.2Hz,3H),1.09(t,J=15.7Hz,3H),0.95(t,J=27.8Hz,3H). Example 30B: LC-MS: m/z 624(M+H) + . 1 H NMR(400MHz,DMSO)δ8.37(m,1H),7.86(m,2H),7.66(t,J=7.5Hz,1H),7.47(m,3H),7.22(d,J=7.0 Hz, 1H), 6.96–6.68 (m, 1H), 6.22 (d, J = 15.4 Hz, 1H), 5.77 (d, J = 10.3 Hz, 1H), 4.88 (brs, 1H), 4.53–3.94 (m ,3H),3.76–3.45(m,2H),3.33–2.60(m,5H),1.30(t,J=15.2Hz,3H),1.09(t,J=15.7Hz,3H),0.95(t, J=27.8Hz, 3H).
实施例31 2-(4-((S)-4-丙烯酰-2-甲基哌嗪-1-基)-6-氟-1-(2-异丙基-6-(甲砜基)苯基)-2-氧-1,2-二氢吡啶[2,3-d]嘧啶-7-基)-3-氟苯基乙酸酯Example 31 2-(4-((S)-4-acryloyl-2-methylpiperazin-1-yl)-6-fluoro-1-(2-isopropyl-6-(methylsulfonyl) (Phenyl)-2-oxo-1,2-dihydropyridine[2,3-d]pyrimidin-7-yl)-3-fluorophenyl acetate
LC-MS:m/z 666(M+H) +。 1H NMR(400MHz,CDCl 3)δ7.91(d,J=7.3Hz,1H),7.76(s,1H),7.60(d,J=7.4Hz,1H),7.52(t,J=7.6Hz,1H),7.32(m,1H),6.99–6.76(m,2H),6.55(m,1H),6.34m,1H),5.75(m,1H),5.23–3.42(m,6H),3.15(m,4H),2.54(s,1H),1.94(s,3H),1.57–1.30(m,3H),1.07(m,3H),0.85(m,3H). LC-MS: m/z 666(M+H) + . 1 H NMR(400MHz,CDCl 3 )δ7.91(d,J=7.3Hz,1H), 7.76(s,1H), 7.60(d,J=7.4Hz,1H), 7.52(t,J=7.6Hz ,1H),7.32(m,1H),6.99-6.76(m,2H),6.55(m,1H),6.34m,1H),5.75(m,1H),5.23-3.42(m,6H),3.15 (m, 4H), 2.54 (s, 1H), 1.94 (s, 3H), 1.57-1.30 (m, 3H), 1.07 (m, 3H), 0.85 (m, 3H).
实施例31-1通过手性分离得到两个异构体实施例31A和实施例31B:Example 31-1 obtained two isomers, Example 31A and Example 31B through chiral separation:
实施例31A:LC-MS:m/z 666(M+H) +。 1H NMR(400MHz,DMSO)δ8.38(t,J= 9.3Hz,1H),7.89(dd,J=7.8,1.3Hz,1H),7.80(dt,J=14.3,7.2Hz,1H),7.66(t,J=7.8Hz,1H),7.56(td,J=8.4,6.6Hz,1H),7.25(t,J=8.7Hz,1H),7.12(d,J=7.8Hz,1H),6.87(m,1H),6.22(d,J=16.7Hz,1H),5.78(d,J=10.6Hz,1H),4.93(brs,1H),4.35(m,2H),4.10(m,1H),3.86–3.46(m,2H),3.24(m,1H),2.99(m,3H),2.60(m,1H),2.13–1.86(m,3H),1.35(d,J=6.5Hz,3H),1.09(d,J=6.6Hz,3H),0.90(t,J=12.5Hz,3H). Example 31A: LC-MS: m/z 666(M+H) + . 1 H NMR (400MHz, DMSO) δ 8.38 (t, J = 9.3 Hz, 1H), 7.89 (dd, J = 7.8, 1.3 Hz, 1H), 7.80 (dt, J = 14.3, 7.2 Hz, 1H), 7.66(t,J=7.8Hz,1H), 7.56(td,J=8.4,6.6Hz,1H), 7.25(t,J=8.7Hz,1H), 7.12(d,J=7.8Hz,1H), 6.87(m,1H), 6.22(d,J=16.7Hz,1H), 5.78(d,J=10.6Hz,1H), 4.93(brs,1H), 4.35(m,2H), 4.10(m,1H ), 3.86–3.46(m,2H), 3.24(m,1H), 2.99(m,3H), 2.60(m,1H), 2.13–1.86(m,3H), 1.35(d,J=6.5Hz, 3H), 1.09(d,J=6.6Hz,3H),0.90(t,J=12.5Hz,3H).
实施例31B:LC-MS:m/z 666(M+H) +。 1H NMR(400MHz,DMSO)δ8.41(t,J=8.8Hz,1H),7.89(dd,J=7.8,1.4Hz,1H),7.82(dt,J=7.9,3.9Hz,1H),7.66(t,J=7.8Hz,1H),7.56(td,J=8.4,6.6Hz,1H),7.25(t,J=8.8Hz,1H),7.12(d,J=8.0Hz,1H),7.00–6.78(m,1H),6.34–6.09(m,1H),5.78(dd,J=10.4,2.3Hz,1H),4.90(brs,1H),4.56–3.94(m,3H),3.63(m,2H),3.31–2.88(m,4H),2.66(m,1H),2.09–1.87(m,3H),1.31(m,3H),1.09(d,J=6.6Hz,3H),0.93(m,3H). Example 31B: LC-MS: m/z 666(M+H) + . 1 H NMR(400MHz,DMSO)δ8.41(t,J=8.8Hz,1H), 7.89(dd,J=7.8,1.4Hz,1H), 7.82(dt,J=7.9,3.9Hz,1H), 7.66(t,J=7.8Hz,1H), 7.56(td,J=8.4,6.6Hz,1H), 7.25(t,J=8.8Hz,1H), 7.12(d,J=8.0Hz,1H), 7.00–6.78(m,1H), 6.34–6.09(m,1H), 5.78(dd,J=10.4,2.3Hz,1H), 4.90(brs,1H), 4.56–3.94(m,3H), 3.63( m,2H),3.31–2.88(m,4H),2.66(m,1H),2.09–1.87(m,3H),1.31(m,3H),1.09(d,J=6.6Hz,3H),0.93 (m,3H).
实施例32 (S)-4-(4-丙烯酰-2-甲基哌嗪-1-基)-7-(2-氯-3-氟苯基)-6-氟-1-(2-异丙基-6-(甲砜基)苯基)吡啶[2,3-d]嘧啶-2(1H)-酮Example 32 (S)-4-(4-acryloyl-2-methylpiperazin-1-yl)-7-(2-chloro-3-fluorophenyl)-6-fluoro-1-(2- Isopropyl-6-(methylsulfonyl)phenyl)pyridine[2,3-d]pyrimidin-2(1H)-one
LC-MS:m/z 642(M+H) +。 1H NMR(400MHz,CDCl 3)δ8.03–7.91(m,1H),7.80(dd,J=8.6,5.5Hz,1H),7.70(d,J=7.0Hz,1H),7.59(t,J=7.8Hz,1H),7.21(m,2H),7.02(d,J=7.4Hz,1H),6.61(s,1H),6.41(dd,J=16.8,1.6Hz,1H),5.81(d,J=10.5Hz,1H),5.24–3.42(m,6H),3.08(s,4H),2.80(m,1H),1.47(m,3H),1.25(m,3H),1.06–0.93(m,3H). LC-MS: m/z 642(M+H) + . 1 H NMR(400MHz, CDCl 3 )δ8.03-7.91(m,1H), 7.80(dd,J=8.6,5.5Hz,1H), 7.70(d,J=7.0Hz,1H), 7.59(t, J = 7.8Hz, 1H), 7.21 (m, 2H), 7.02 (d, J = 7.4 Hz, 1H), 6.61 (s, 1H), 6.41 (dd, J = 16.8, 1.6 Hz, 1H), 5.81 ( d, J=10.5Hz, 1H), 5.24–3.42 (m, 6H), 3.08 (s, 4H), 2.80 (m, 1H), 1.47 (m, 3H), 1.25 (m, 3H), 1.06–0.93 (m,3H).
实施例32-1通过手性分离得到两个异构体实施例32A和实施例32B:In Example 32-1, two isomers, Example 32A and Example 32B, were obtained by chiral separation:
实施例32A:LC-MS:m/z 642(M+H) +。 1H NMR(400MHz,DMSO)δ8.42(t,J=9.4Hz,1H),7.86(m,2H),7.67(t,J=7.8Hz,1H),7.58–7.23(m,2H),7.12(m,1H),6.91(m,1H),6.22(d,J=16.9Hz,1H),5.78(d,J=11.3Hz,1H),4.97(brs,1H),4.23(m,3H),3.90–3.56(m,2H),3.20(m,1H),3.01(s,3H),2.73(m,1H),1.32(d,J=6.4Hz,3H),1.11(d,J=6.7Hz,3H),0.98(d,J=6.7Hz,3H). Example 32A: LC-MS: m/z 642(M+H) + . 1 H NMR(400MHz,DMSO)δ8.42(t,J=9.4Hz,1H), 7.86(m,2H), 7.67(t,J=7.8Hz,1H), 7.58–7.23(m,2H), 7.12(m,1H), 6.91(m,1H), 6.22(d,J=16.9Hz,1H), 5.78(d,J=11.3Hz,1H), 4.97(brs,1H), 4.23(m,3H ), 3.90–3.56 (m, 2H), 3.20 (m, 1H), 3.01 (s, 3H), 2.73 (m, 1H), 1.32 (d, J = 6.4 Hz, 3H), 1.11 (d, J = 6.7Hz, 3H), 0.98 (d, J = 6.7Hz, 3H).
实施例32B:LC-MS:m/z 642(M+H) +。 1H NMR(400MHz,DMSO)δ8.40(t,J=9.9Hz,1H),7.87(m,2H),7.67(t,J=7.8Hz,1H),7.59–7.38(m,2H),7.10(d,J=7.5Hz,1H),6.87(dd,J=26.4,15.8Hz,1H),6.22(d,J=16.5Hz,1H),5.90–5.66(m,1H),4.87(brs,1H),4.24(m,3H),3.82–3.45(m,2H),3.18(m,1H),3.01(s,3H),2.74(m,1H),1.31(t,J=6.4Hz,3H),1.11(d,J=6.8Hz,3H),0.98(d,J=6.8Hz,3H). Example 32B: LC-MS: m/z 642(M+H) + . 1 H NMR(400MHz,DMSO)δ8.40(t,J=9.9Hz,1H), 7.87(m,2H), 7.67(t,J=7.8Hz,1H), 7.59-7.38(m,2H), 7.10(d,J=7.5Hz,1H), 6.87(dd,J=26.4,15.8Hz,1H), 6.22(d,J=16.5Hz,1H), 5.90–5.66(m,1H), 4.87(brs ,1H),4.24(m,3H),3.82–3.45(m,2H),3.18(m,1H),3.01(s,3H),2.74(m,1H),1.31(t,J=6.4Hz, 3H), 1.11 (d, J = 6.8 Hz, 3H), 0.98 (d, J = 6.8 Hz, 3H).
实施例33 (S)-4-(4-丙烯酰-2-甲基哌嗪-1-基)-7-(2-氯苯基)-6-氟-1-(2-异丙基-4-(甲砜基)吡啶-3-基)吡啶[2,3-d]嘧啶-2(1H)-酮Example 33 (S)-4-(4-acryloyl-2-methylpiperazin-1-yl)-7-(2-chlorophenyl)-6-fluoro-1-(2-isopropyl- 4-(Methylsulfonyl)pyridin-3-yl)pyridine[2,3-d]pyrimidin-2(1H)-one
LC-MS:m/z 625(M+H) +。 LC-MS: m/z 625(M+H) + .
实施例33-1通过手性分离得到两个异构体实施例33A和实施例33B:In Example 33-1, two isomers, Example 33A and Example 33B, were obtained by chiral separation:
实施例33A:LC-MS:m/z 625(M+H) +。 Example 33A: LC-MS: m/z 625(M+H) + .
实施例33B:LC-MS:m/z 625(M+H) +。 Example 33B: LC-MS: m/z 625(M+H) + .
实施例34 (S)-4-(4-丙烯酰-2-甲基哌嗪-1-基)-7-(2-氯-3-氟苯基)-6-氟-1-(2-异丙基-4-(甲砜基)吡啶-3-基)吡啶[2,3-d]嘧啶-2(1H)-酮Example 34 (S)-4-(4-acryloyl-2-methylpiperazin-1-yl)-7-(2-chloro-3-fluorophenyl)-6-fluoro-1-(2- Isopropyl-4-(methylsulfonyl)pyridin-3-yl)pyridine[2,3-d]pyrimidin-2(1H)-one
LC-MS:m/z 643(M+H) +。 LC-MS: m/z 643(M+H) + .
实施例34-1通过手性分离得到两个异构体实施例34A和实施例34B:Example 34-1 obtained two isomers, Example 34A and Example 34B, through chiral separation:
实施例34A:LC-MS:m/z 643(M+H) +。 Example 34A: LC-MS: m/z 643(M+H) + .
实施例34B:LC-MS:m/z 643(M+H) +。 Example 34B: LC-MS: m/z 643(M+H) + .
实施例35 (S)-4-(4-丙烯酰-2-甲基哌嗪-1-基)-7-(2-氯苯基)-1-(2-环丁基-6-(甲砜基)苯基)-6-氟吡啶[2,3-d]嘧啶-2(1H)-酮Example 35 (S)-4-(4-acryloyl-2-methylpiperazin-1-yl)-7-(2-chlorophenyl)-1-(2-cyclobutyl-6-(form Sulfonyl)phenyl)-6-fluoropyridine[2,3-d]pyrimidin-2(1H)-one
LC-MS:m/z 636(M+H) +。 LC-MS: m/z 636(M+H) + .
实施例35-1通过手性分离得到两个异构体实施例35A和实施例35B:In Example 35-1, two isomers, Example 35A and Example 35B, were obtained by chiral separation:
实施例35A:LC-MS:m/z 636(M+H) +。 Example 35A: LC-MS: m/z 636(M+H) + .
实施例35B:LC-MS:m/z 636(M+H) +。 Example 35B: LC-MS: m/z 636(M+H) + .
实施例36 (S)-4-(4-丙烯酰-2-甲基哌嗪-1-基)-7-(2-氯-3-氟苯基)-1-(2-环丁基-6-(甲砜基)苯基)-6-氟吡啶[2,3-d]嘧啶-2(1H)-酮Example 36 (S)-4-(4-acryloyl-2-methylpiperazin-1-yl)-7-(2-chloro-3-fluorophenyl)-1-(2-cyclobutyl- 6-(Methylsulfonyl)phenyl)-6-fluoropyridine[2,3-d]pyrimidin-2(1H)-one
LC-MS:m/z 654(M+H) +。 LC-MS: m/z 654(M+H) + .
实施例36-1通过手性分离得到两个异构体实施例36A和实施例36B:Example 36-1 obtained two isomers, Example 36A and Example 36B, through chiral separation:
实施例36A:LC-MS:m/z 654(M+H) +。 Example 36A: LC-MS: m/z 654(M+H) + .
实施例36B:LC-MS:m/z 654(M+H) +。 Example 36B: LC-MS: m/z 654(M+H) + .
实施例37 (S)-4-(4-丙烯酰-2-甲基哌嗪-1-基)-7-(2-氯吡啶-3-基)-6-氟-1-(2-异丙基-6-(甲砜基)苯基)吡啶[2,3-d]嘧啶-2(1H)-酮Example 37 (S)-4-(4-acryloyl-2-methylpiperazin-1-yl)-7-(2-chloropyridin-3-yl)-6-fluoro-1-(2-iso Propyl-6-(methylsulfonyl)phenyl)pyridine[2,3-d]pyrimidin-2(1H)-one
LC-MS:m/z 625(M+H) +。 LC-MS: m/z 625(M+H) + .
实施例37-1通过手性分离得到两个异构体实施例37A和实施例37B:In Example 37-1, two isomers, Example 37A and Example 37B, were obtained by chiral separation:
实施例37A:LC-MS:m/z 625(M+H) +。 Example 37A: LC-MS: m/z 625(M+H) + .
实施例37B:LC-MS:m/z 625(M+H) +。 Example 37B: LC-MS: m/z 625(M+H) + .
实施例38 (S)-4-(4-丙烯酰-2-甲基哌嗪-1-基)-7-(3-氯吡啶-4-基)-6-氟-1-(2-异丙基-6-(甲砜基)苯基)吡啶[2,3-d]嘧啶-2(1H)-酮Example 38 (S)-4-(4-acryloyl-2-methylpiperazin-1-yl)-7-(3-chloropyridin-4-yl)-6-fluoro-1-(2-iso Propyl-6-(methylsulfonyl)phenyl)pyridine[2,3-d]pyrimidin-2(1H)-one
LC-MS:m/z 625(M+H) +。 LC-MS: m/z 625(M+H) + .
实施例38-1通过手性分离得到两个异构体实施例38A和实施例38B:Example 38-1 obtained two isomers, Example 38A and Example 38B, through chiral separation:
实施例38A:LC-MS:m/z 625(M+H) +。 Example 38A: LC-MS: m/z 625(M+H) + .
实施例38B:LC-MS:m/z 625(M+H) +。 Example 38B: LC-MS: m/z 625(M+H) + .
实施例39 (S)-4-(4-丙烯酰-2-甲基哌嗪-1-基)-7-(4-氯吡啶-3-基)-6-氟-1-(2-异丙基-6-(甲砜基)苯基)吡啶[2,3-d]嘧啶-2(1H)-酮Example 39 (S)-4-(4-acryloyl-2-methylpiperazin-1-yl)-7-(4-chloropyridin-3-yl)-6-fluoro-1-(2-iso Propyl-6-(methylsulfonyl)phenyl)pyridine[2,3-d]pyrimidin-2(1H)-one
LC-MS:m/z 625(M+H) +。 LC-MS: m/z 625(M+H) + .
实施例39-1通过手性分离得到两个异构体实施例39A和实施例39B:Example 39-1 obtained two isomers, Example 39A and Example 39B through chiral separation:
实施例39A:LC-MS:m/z 625(M+H) +。 Example 39A: LC-MS: m/z 625(M+H) + .
实施例39B:LC-MS:m/z 625(M+H) +。 Example 39B: LC-MS: m/z 625(M+H) + .
实施例40 (S)-4-(4-丙烯酰-2-甲基哌嗪-1-基)-7-(3-氯吡啶-2-基)-6-氟-1-(2-异丙基-6-(甲砜基)苯基)吡啶[2,3-d]嘧啶-2(1H)-酮Example 40 (S)-4-(4-acryloyl-2-methylpiperazin-1-yl)-7-(3-chloropyridin-2-yl)-6-fluoro-1-(2-iso Propyl-6-(methylsulfonyl)phenyl)pyridine[2,3-d]pyrimidin-2(1H)-one
LC-MS:m/z 625(M+H) +。 LC-MS: m/z 625(M+H) + .
实施例40-1通过手性分离得到两个异构体实施例39A和实施例39B:Example 40-1 obtained two isomers, Example 39A and Example 39B through chiral separation:
实施例40A:LC-MS:m/z 625(M+H) +。 Example 40A: LC-MS: m/z 625(M+H) + .
实施例40B:LC-MS:m/z 625(M+H) +。 Example 40B: LC-MS: m/z 625(M+H) + .
实施例41 (S)-4-(4-丙烯酰-2-甲基哌嗪-1-基)-7-(2-氨基吡啶-3-基)-6-氟-1-(2-异丙基-6-(甲砜基)苯基)吡啶[2,3-d]嘧啶-2(1H)-酮Example 41 (S)-4-(4-acryloyl-2-methylpiperazin-1-yl)-7-(2-aminopyridin-3-yl)-6-fluoro-1-(2-iso Propyl-6-(methylsulfonyl)phenyl)pyridine[2,3-d]pyrimidin-2(1H)-one
LC-MS:m/z 606(M+H) +。 LC-MS: m/z 606(M+H) + .
实施例41-1通过手性分离得到两个异构体实施例41A和实施例41B:In Example 41-1, two isomers, Example 41A and Example 41B, were obtained by chiral separation:
实施例41A:LC-MS:m/z 606(M+H) +。 Example 41A: LC-MS: m/z 606(M+H) + .
实施例41B:LC-MS:m/z 606(M+H) +。 Example 41B: LC-MS: m/z 606(M+H) + .
实施例42 (S)-4-(4-丙烯酰-2-甲基哌嗪-1-基)-7-(3-氨基吡啶-4-基)-6-氟-1-(2-异丙基-6-(甲砜基)苯基)吡啶[2,3-d]嘧啶-2(1H)-酮Example 42 (S)-4-(4-acryloyl-2-methylpiperazin-1-yl)-7-(3-aminopyridin-4-yl)-6-fluoro-1-(2-iso Propyl-6-(methylsulfonyl)phenyl)pyridine[2,3-d]pyrimidin-2(1H)-one
LC-MS:m/z 606(M+H) +。 LC-MS: m/z 606(M+H) + .
实施例42-1通过手性分离得到两个异构体实施例42A和实施例42B:Example 42-1 obtained two isomers, Example 42A and Example 42B through chiral separation:
实施例42A:LC-MS:m/z 606(M+H) +。 Example 42A: LC-MS: m/z 606(M+H) + .
实施例42B:LC-MS:m/z 606(M+H) +。 Example 42B: LC-MS: m/z 606(M+H) + .
实施例43 (S)-4-(4-丙烯酰-2-甲基哌嗪-1-基)-7-(4-氨基吡啶-3-基)-6-氟-1-(2-异丙基-6-(甲砜基)苯基)吡啶[2,3-d]嘧啶-2(1H)-酮Example 43 (S)-4-(4-acryloyl-2-methylpiperazin-1-yl)-7-(4-aminopyridin-3-yl)-6-fluoro-1-(2-iso Propyl-6-(methylsulfonyl)phenyl)pyridine[2,3-d]pyrimidin-2(1H)-one
LC-MS:m/z 606(M+H) +。 LC-MS: m/z 606(M+H) + .
实施例43-1通过手性分离得到两个异构体实施例43A和实施例43B:Example 43-1 obtained two isomers, Example 43A and Example 43B through chiral separation:
实施例43A:LC-MS:m/z 606(M+H) +。 Example 43A: LC-MS: m/z 606(M+H) + .
实施例43B:LC-MS:m/z 606(M+H) +。 Example 43B: LC-MS: m/z 606(M+H) + .
实施例44 (S)-4-(4-丙烯酰-2-甲基哌嗪-1-基)-7-(3-氨基吡啶-2-基)-6-氟-1-(2-异丙基-6-(甲砜基)苯基)吡啶[2,3-d]嘧啶-2(1H)-酮Example 44 (S)-4-(4-acryloyl-2-methylpiperazin-1-yl)-7-(3-aminopyridin-2-yl)-6-fluoro-1-(2-iso Propyl-6-(methylsulfonyl)phenyl)pyridine[2,3-d]pyrimidin-2(1H)-one
LC-MS:m/z 606(M+H) +。 LC-MS: m/z 606(M+H) + .
实施例44-1通过手性分离得到两个异构体实施例44A和实施例44B:Example 44-1 obtained two isomers, Example 44A and Example 44B, through chiral separation:
实施例44A:LC-MS:m/z 606(M+H) +。 Example 44A: LC-MS: m/z 606(M+H) + .
实施例44B:LC-MS:m/z 606(M+H) +。 Example 44B: LC-MS: m/z 606(M+H) + .
实施例45 2-(4-((S)-4-丙烯酰-2-甲基哌嗪-1-基)-6-氟-1-(2-异丙基-6-(甲砜基)苯基)-2-氧-1,2-二氢吡啶[2,3-d]嘧啶-7-基)-3-氟苯基丙酸酯Example 45 2-(4-((S)-4-acryloyl-2-methylpiperazin-1-yl)-6-fluoro-1-(2-isopropyl-6-(methylsulfone) (Phenyl)-2-oxo-1,2-dihydropyridine[2,3-d]pyrimidin-7-yl)-3-fluorophenylpropionate
LC-MS:m/z 680(M+H) +。 LC-MS: m/z 680(M+H) + .
实施例45-1通过手性分离得到两个异构体实施例45A和实施例45B:Example 45-1 obtained two isomers, Example 45A and Example 45B through chiral separation:
实施例45A:LC-MS:m/z 680(M+H) +。 Example 45A: LC-MS: m/z 680(M+H) + .
实施例45B:LC-MS:m/z 680(M+H) +。 Example 45B: LC-MS: m/z 680(M+H) + .
实施例46 2-(4-((S)-4-丙烯酰-2-甲基哌嗪-1-基)-6-氟-1-(2-异丙基-6-(甲砜基)苯基)-2-氧-1,2-二氢吡啶[2,3-d]嘧啶-7-基)-3-氟苯基异丁酸酯Example 46 2-(4-((S)-4-acryloyl-2-methylpiperazin-1-yl)-6-fluoro-1-(2-isopropyl-6-(methylsulfonyl) (Phenyl)-2-oxo-1,2-dihydropyridine[2,3-d]pyrimidin-7-yl)-3-fluorophenyl isobutyrate
LC-MS:m/z 694(M+H) +。 LC-MS: m/z 694(M+H) + .
实施例46-1通过手性分离得到两个异构体实施例46A和实施例46B:Example 46-1 obtained two isomers, Example 46A and Example 46B, through chiral separation:
实施例46A:LC-MS:m/z 694(M+H) +。 Example 46A: LC-MS: m/z 694 (M+H) + .
实施例46B:LC-MS:m/z 694(M+H) +。 Example 46B: LC-MS: m/z 694(M+H) + .
实施例47 2-(4-((S)-4-丙烯酰-2-甲基哌嗪-1-基)-6-氟-1-(2-异丙基-6-(甲砜基)苯基)-2-氧-1,2-二氢吡啶[2,3-d]嘧啶-7-基)-3-氟苯基甲基氨基甲酸酯Example 47 2-(4-((S)-4-acryloyl-2-methylpiperazin-1-yl)-6-fluoro-1-(2-isopropyl-6-(methylsulfonyl) (Phenyl)-2-oxo-1,2-dihydropyridine[2,3-d]pyrimidin-7-yl)-3-fluorophenylmethyl carbamate
LC-MS:m/z 681(M+H) +。 LC-MS: m/z 681(M+H) + .
实施例47-1通过手性分离得到两个异构体实施例47A和实施例47B:Example 47-1 obtained two isomers, Example 47A and Example 47B, through chiral separation:
实施例47A:LC-MS:m/z 681(M+H) +。 Example 47A: LC-MS: m/z 681(M+H) + .
实施例47B:LC-MS:m/z 681(M+H) +。 Example 47B: LC-MS: m/z 681(M+H) + .
实施例48 (2-(4-((S)-4-丙烯酰-2-甲基哌嗪-1-基)-6-氟-1-(2-异丙基-6-(甲砜基)苯基)-2-氧-1,2-二氢吡啶[2,3-d]嘧啶-7-基)-3-氟苯基)氨基甲酸甲酯Example 48 (2-(4-((S)-4-acryloyl-2-methylpiperazin-1-yl)-6-fluoro-1-(2-isopropyl-6-(methylsulfone) )Phenyl)-2-oxo-1,2-dihydropyridine[2,3-d]pyrimidin-7-yl)-3-fluorophenyl)methyl carbamate
LC-MS:m/z 681(M+H) +。 LC-MS: m/z 681(M+H) + .
实施例48-1通过手性分离得到两个异构体实施例48A和实施例48B:Example 48-1 obtained two isomers, Example 48A and Example 48B, through chiral separation:
实施例48A:LC-MS:m/z 681(M+H) +。 Example 48A: LC-MS: m/z 681(M+H) + .
实施例48B:LC-MS:m/z 681(M+H) +。 Example 48B: LC-MS: m/z 681(M+H) + .
实施例49 1-(2-(4-((S)-4-丙烯酰-2-甲基哌嗪-1-基)-6-氟-1-(2-异丙基-6-(甲砜基)苯基)-2-氧-1,2-二氢吡啶[2,3-d]嘧啶-7-基)-3-氟苯基)-3-甲基脲Example 49 1-(2-(4-((S)-4-acryloyl-2-methylpiperazin-1-yl)-6-fluoro-1-(2-isopropyl-6-(form Sulfonyl)phenyl)-2-oxo-1,2-dihydropyridine(2,3-d]pyrimidin-7-yl)-3-fluorophenyl)-3-methylurea
LC-MS:m/z 680(M+H) +。 LC-MS: m/z 680(M+H) + .
实施例49-1通过手性分离得到两个异构体实施例49A和实施例49B:Example 49-1 obtained two isomers, Example 49A and Example 49B, through chiral separation:
实施例49A:LC-MS:m/z 680(M+H) +。 Example 49A: LC-MS: m/z 680(M+H) + .
实施例49B:LC-MS:m/z 680(M+H) +。 Example 49B: LC-MS: m/z 680(M+H) + .
实施例50 N-(2-(4-((S)-4-丙烯酰-2-甲基哌嗪-1-基)-6-氟-1-(2-异丙基-6-(甲砜基)苯基)-2-氧-1,2-二氢吡啶[2,3-d]嘧啶-7-基)-3-氟苯基)-甲磺酰胺Example 50 N-(2-(4-((S)-4-acryloyl-2-methylpiperazin-1-yl)-6-fluoro-1-(2-isopropyl-6-(form Sulfonyl)phenyl)-2-oxo-1,2-dihydropyridine(2,3-d]pyrimidin-7-yl)-3-fluorophenyl)-methanesulfonamide
LC-MS:m/z 701(M+H) +。 LC-MS: m/z 701(M+H) + .
实施例50-1通过手性分离得到两个异构体实施例50A和实施例50B:Example 50-1 obtained two isomers, Example 50A and Example 50B, through chiral separation:
实施例50A:LC-MS:m/z 701(M+H) +。 Example 50A: LC-MS: m/z 701(M+H) + .
实施例50B:LC-MS:m/z 701(M+H) +。 Example 50B: LC-MS: m/z 701(M+H) + .
实施例51 4-((S)-4-丙烯酰-2-甲基哌嗪-1-基)-6-氟-7-(2-氟-6-羟基苯基)-1-(2-(甲磺酰基)苯基)吡啶[2,3-d]嘧啶-2(1H)-酮的制备Example 51 4-((S)-4-acryloyl-2-methylpiperazin-1-yl)-6-fluoro-7-(2-fluoro-6-hydroxyphenyl)-1-(2- Preparation of (methylsulfonyl)phenyl)pyridine[2,3-d]pyrimidin-2(1H)-one
第1步.2,6-二氯-5-氟-N-(((2-(甲基磺酰基)苯基)氨基甲酰基)烟酰胺的制备Step 1. Preparation of 2,6-dichloro-5-fluoro-N-(((2-(methylsulfonyl)phenyl)carbamoyl)nicotinamide
将2,6-二氯-5-氟烟酰胺(420mg,2.0mmol)溶于无水四氢呋喃(7mL)中,向此溶液中缓慢滴加草酰氯(1.7mL,20.0mmol)的二氯甲烷(2mL)溶液。滴加完毕后,将此混合物于75℃回流搅拌2h,然后减压浓缩至干。残留物用无水四氢呋喃(7 mL)稀释,冷却至0℃。将2-(甲基磺酰基)苯胺(360mg,2.1mmol)溶于无水四氢呋喃(3mL)中,然后滴加进上述溶液中。反应液在0℃下搅拌2h,饱和氯化铵/饱和食盐水(V/V=1/1,20mL)淬灭,然后用二氯甲烷/甲醇(V/V=10/1,20mL)萃取3次。合并有机相干燥,浓缩,残留固体以石油醚/乙酸乙酯(V/V=3/1,15mL)打浆,抽滤,干燥,得目标产物(645mg,收率:79%)。2,6-Dichloro-5-fluoronicotinamide (420mg, 2.0mmol) was dissolved in anhydrous tetrahydrofuran (7mL), and oxalyl chloride (1.7mL, 20.0mmol) in dichloromethane ( 2mL) solution. After the addition was completed, the mixture was refluxed and stirred at 75°C for 2 h, and then concentrated to dryness under reduced pressure. The residue was diluted with anhydrous tetrahydrofuran (7 mL) and cooled to 0°C. 2-(Methylsulfonyl)aniline (360mg, 2.1mmol) was dissolved in dry tetrahydrofuran (3mL), and then added dropwise to the above solution. The reaction solution was stirred at 0°C for 2h, quenched with saturated ammonium chloride/saturated brine (V/V=1/1, 20mL), and then extracted with dichloromethane/methanol (V/V=10/1, 20mL) 3 times. The organic phases were combined and dried, concentrated, and the residual solid was slurried with petroleum ether/ethyl acetate (V/V=3/1, 15 mL), filtered with suction, and dried to obtain the target product (645 mg, yield: 79%).
LC-MS:m/z 406(M+H) +。 LC-MS: m/z 406(M+H) + .
第2步.7-氯-6-氟-1-(2-(甲基磺酰基)苯基)吡啶并[2,3-d]嘧啶-2,4(1H,3H)-二酮的制备Step 2. Preparation of 7-chloro-6-fluoro-1-(2-(methylsulfonyl)phenyl)pyrido[2,3-d]pyrimidine-2,4(1H,3H)-dione
将2,6-二氯-5-氟-N-(((2-(甲基磺酰基)苯基)氨基甲酰基)烟酰胺(645mg,1.6mmol)悬浮于四氢呋喃(15mL)中,冰浴下滴加双(三甲基硅烷基)氨基钾(1摩四氢呋喃溶液,3.6mL,3.6mmol)。滴加完毕后反应液变澄清。反应液室温搅拌16h,饱和氯化铵(20mL)淬灭,然后以乙酸乙酯(20mL)萃取3次。合并乙酸乙酯层干燥,浓缩。残留固体以石油醚/乙酸乙酯(V/V=3/1,10mL)打浆,抽滤,干燥得得目标产物(500mg,收率:85%)。Suspend 2,6-dichloro-5-fluoro-N-(((2-(methylsulfonyl)phenyl)carbamoyl)nicotinamide (645mg, 1.6mmol) in tetrahydrofuran (15mL), ice bath Potassium bis(trimethylsilyl)amide (1 M tetrahydrofuran solution, 3.6 mL, 3.6 mmol) was added dropwise. After the addition, the reaction solution became clear. The reaction solution was stirred at room temperature for 16 hours, and quenched with saturated ammonium chloride (20 mL) Then it was extracted 3 times with ethyl acetate (20 mL). The ethyl acetate layers were combined and dried and concentrated. The residual solid was slurried with petroleum ether/ethyl acetate (V/V=3/1, 10 mL), filtered with suction, and dried to obtain The target product (500 mg, yield: 85%).
LC-MS:m/z 370(M+H) +。 1H NMR(400MHz,DMSO-d 6)δ12.32(s,1H),8.50(d,J=7.2Hz,1H),8.15(dd,J=8.0Hz,1.2Hz,1H),7.97-7.92(m,1H),7.86-7.81(m,1H),7.66(dd,J=8.0Hz,1.2Hz,1H),3.09(s,3H). LC-MS: m/z 370(M+H) + . 1 H NMR(400MHz,DMSO-d 6 )δ12.32(s,1H), 8.50(d,J=7.2Hz,1H), 8.15(dd,J=8.0Hz,1.2Hz,1H),7.97-7.92 (m,1H),7.86-7.81(m,1H), 7.66(dd,J=8.0Hz,1.2Hz,1H), 3.09(s,3H).
第3步.(S)-叔丁基4-(7-氯-6-氟-1-(2-(甲基磺酰基)苯基)-2-氧-1,2-二氢吡啶并[2,3-d]嘧啶-4-基)-3-甲基哌嗪-1-甲酸的制备Step 3. (S)-tert-Butyl 4-(7-chloro-6-fluoro-1-(2-(methylsulfonyl)phenyl)-2-oxo-1,2-dihydropyrido[ Preparation of 2,3-d]pyrimidin-4-yl)-3-methylpiperazine-1-carboxylic acid
将7-氯-6-氟-1-(2-(甲基磺酰基)苯基)吡啶并[2,3-d]嘧啶-2,4(1H,3H)-二酮(450mg,1.2mmol)悬浮于乙腈(10mL)中,滴加N,N-二异丙基乙胺(1.2mL,7.3mmol)和三氯氧磷(0.6mL,6.1mmol),反应液变澄清。将反应液于80℃搅拌4h,减压浓缩至干。残留物溶解在乙腈(10mL)中,冷却至0℃,加入N,N-二异丙基乙胺(0.6mL,3.7mmol)和(S)-3-甲基哌嗪-1-羧酸叔丁酯(290mg,1.5mmol),反应液在室温下搅拌1h,半饱和的碳酸氢钠溶液(40mL)淬灭,再以乙酸乙酯(30mL)萃取3次。合并乙酸乙酯层干燥,浓缩,硅胶柱纯化(石油醚/乙酸乙酯=3/1到1/2.5),得目标产物(460mg,收率:68%)。The 7-chloro-6-fluoro-1-(2-(methylsulfonyl)phenyl)pyrido[2,3-d]pyrimidine-2,4(1H,3H)-dione (450mg, 1.2mmol ) Was suspended in acetonitrile (10 mL), and N,N-diisopropylethylamine (1.2 mL, 7.3 mmol) and phosphorus oxychloride (0.6 mL, 6.1 mmol) were added dropwise, and the reaction solution became clear. The reaction solution was stirred at 80°C for 4 h, and concentrated to dryness under reduced pressure. The residue was dissolved in acetonitrile (10mL), cooled to 0°C, and N,N-diisopropylethylamine (0.6mL, 3.7mmol) and (S)-3-methylpiperazine-1-carboxylic acid tert Butyl ester (290 mg, 1.5 mmol), the reaction solution was stirred at room temperature for 1 h, quenched with half-saturated sodium bicarbonate solution (40 mL), and then extracted 3 times with ethyl acetate (30 mL). The combined ethyl acetate layer was dried, concentrated, and purified by silica gel column (petroleum ether/ethyl acetate=3/1 to 1/2.5) to obtain the target product (460 mg, yield: 68%).
LC-MS:m/z 552(M+H) +。 LC-MS: m/z 552(M+H) + .
第4步.(S)-4-(4-丙烯酰-2-甲基哌嗪-1-基)-7-氯-6-氟-1-(2-(甲基磺基)苯基)吡啶[2,3-d]嘧啶-2(1H)-酮的制备Step 4. (S)-4-(4-acryloyl-2-methylpiperazin-1-yl)-7-chloro-6-fluoro-1-(2-(methylsulfo)phenyl) Preparation of pyridine[2,3-d]pyrimidin-2(1H)-one
将(S)-叔丁基4-(7-氯-6-氟-1-(2-(甲基磺酰基)苯基)-2-氧-1,2-二氢吡啶并[2,3-d]嘧啶-4-基)-3-甲基哌嗪-1-甲酸(500mg,0.9mmol)溶于二氯甲烷(10mL)中,加入三氟乙酸(2mL),反应液室温搅拌2h,浓缩干,残留物与二氯甲烷(15mL)共蒸3次得粗品。将该粗品溶解在二氯甲烷(8mL)中,冷却至0℃,滴加N,N-二异丙基乙胺(0.6mL,3.6mmol)和丙烯酰氯(110mg,1.2mmol)的二氯甲烷溶液(1mL)。 反应液在0℃下搅拌30min,饱和碳酸氢钠(30mL)淬灭,并以二氯甲烷(20mL)萃取3次,合并二氯甲烷层,干燥,浓缩,残留物以硅胶柱纯化(二氯甲烷/甲醇=60/1),得目标产物(380mg,收率:83%)。Add (S)-tert-butyl 4-(7-chloro-6-fluoro-1-(2-(methylsulfonyl)phenyl)-2-oxo-1,2-dihydropyrido[2,3 -d]pyrimidin-4-yl)-3-methylpiperazine-1-carboxylic acid (500mg, 0.9mmol) was dissolved in dichloromethane (10mL), trifluoroacetic acid (2mL) was added, the reaction solution was stirred at room temperature for 2h, Concentrate to dryness, and distill the residue and dichloromethane (15 mL) 3 times to obtain a crude product. The crude product was dissolved in dichloromethane (8mL), cooled to 0°C, and N,N-diisopropylethylamine (0.6mL, 3.6mmol) and acryloyl chloride (110mg, 1.2mmol) in dichloromethane were added dropwise Solution (1mL). The reaction solution was stirred at 0°C for 30 min, quenched with saturated sodium bicarbonate (30 mL), and extracted 3 times with dichloromethane (20 mL). The dichloromethane layers were combined, dried, and concentrated. The residue was purified with a silica gel column (dichloro Methane/methanol=60/1) to obtain the target product (380mg, yield: 83%).
LC-MS:m/z 506(M+H) +。 LC-MS: m/z 506(M+H) + .
第5步.4-((S)-4-丙烯酰-2-甲基哌嗪-1-基)-6-氟-7-(2-氟-6-羟基苯基)-1-(2-(甲磺酰基)苯基)吡啶[2,3-d]嘧啶-2(1H)-酮的制备Step 5. 4-((S)-4-acryloyl-2-methylpiperazin-1-yl)-6-fluoro-7-(2-fluoro-6-hydroxyphenyl)-1-(2 -(Methylsulfonyl)phenyl)pyridine[2,3-d]pyrimidin-2(1H)-one
将(S)-4-(4-丙烯酰-2-甲基哌嗪-1-基)-7-氯-6-氟-1-(2-(甲基磺基)苯基)吡啶[2,3-d]嘧啶-2(1H)-酮(150mg,0.3mmol)、(2-氟-6-羟基苯基)硼酸(60mg,0.4mmol)、[1,1'-双(二苯基膦)二茂铁]二氯化钯二氯甲烷络合物(24mg,0.03mmol)和乙酸钾(120mg,1.2mmol)悬浮于二氧六环/水(7.5mL/0.75mL)混合溶剂中,氮气置换3次,并于90℃加热搅拌2h。反应液冷却至室温后,加入半饱和碳酸氢钠溶液(20mL),并以乙酸乙酯(20mL)萃取3次。合并乙酸乙酯层,干燥,浓缩,残留物以硅胶柱纯化(二氯甲烷/甲醇=100/1到60/1),得目标产物(90mg,收率:52%)。(S)-4-(4-acryloyl-2-methylpiperazin-1-yl)-7-chloro-6-fluoro-1-(2-(methylsulfo)phenyl)pyridine [2 ,3-d]pyrimidine-2(1H)-one (150mg, 0.3mmol), (2-fluoro-6-hydroxyphenyl)boronic acid (60mg, 0.4mmol), [1,1'-bis(diphenyl) Phosphine)ferrocene]dichloropalladium dichloromethane complex (24mg, 0.03mmol) and potassium acetate (120mg, 1.2mmol) are suspended in a mixed solvent of dioxane/water (7.5mL/0.75mL), Replace with nitrogen 3 times, and heat and stir at 90°C for 2h. After the reaction solution was cooled to room temperature, a half-saturated sodium bicarbonate solution (20 mL) was added, and the mixture was extracted 3 times with ethyl acetate (20 mL). The ethyl acetate layers were combined, dried and concentrated, and the residue was purified with a silica gel column (dichloromethane/methanol=100/1 to 60/1) to obtain the target product (90 mg, yield: 52%).
LC-MS:m/z 582(M+H) +。 1H NMR(400MHz,CDCl 3)δ8.97-8.94(m,1H),8.27(d,J=8.0Hz,1H),7.90-7.84(m,2H),7.79-7.74(m,1H),7.46-7.42(m,1H),7.29-7.23(m,1H),6.71-6.57(m,3H),6.44-6.38(m,1H),5.82(d,J=11.2Hz,1H),5.12-4.32(m,3H),4.07-3.63(m,3H),3.24-3.01(m,4H),1.50(s,3H). LC-MS: m/z 582(M+H) + . 1 H NMR (400MHz, CDCl 3 ) δ 8.97-8.94 (m, 1H), 8.27 (d, J = 8.0 Hz, 1H), 7.90-7.84 (m, 2H), 7.79-7.74 (m, 1H), 7.46-7.42(m,1H),7.29-7.23(m,1H),6.71-6.57(m,3H),6.44-6.38(m,1H),5.82(d,J=11.2Hz,1H),5.12- 4.32 (m, 3H), 4.07-3.63 (m, 3H), 3.24-3.01 (m, 4H), 1.50 (s, 3H).
按照实施例51的方法以不同的起始原料合成了以下化合物:The following compounds were synthesized according to the method of Example 51 with different starting materials:
实施例52 4-((S)-4-丙烯酰-2-甲基哌嗪-1-基)-6-氟-7-(2-氟-6-羟基苯基)-1-(2-(异丙磺酰基)苯基)吡啶[2,3-d]嘧啶-2(1H)-酮Example 52 4-((S)-4-acryloyl-2-methylpiperazin-1-yl)-6-fluoro-7-(2-fluoro-6-hydroxyphenyl)-1-(2- (Isopropylsulfonyl)phenyl)pyridine[2,3-d]pyrimidin-2(1H)-one
LC-MS:m/z 610(M+H) +。 1H NMR(400MHz,CDCl 3)δ8.91-8.86(m,1H),8.22-8.19(m,1H),7.88-7.82(m,2H),7.75-7.72(m,1H),7.45-7.42(m,1H),7.28-7.23(m,1H),6.71-6.63(m,3H),6.44-6.39(m,1H),5.83-5.80(m,1H),5.04-4.79(m,3H),4.56-3.90(m,4H),3.71-3.48(m,1H),1.50(s,3H),1.33-1.30(m,3H),1.18-1.16(m,3H). LC-MS: m/z 610(M+H) + . 1 H NMR (400MHz, CDCl 3 ) δ8.91-8.86 (m, 1H), 8.22-8.19 (m, 1H), 7.88-7.82 (m, 2H), 7.75-7.72 (m, 1H), 7.45-7.42 (m,1H),7.28-7.23(m,1H),6.71-6.63(m,3H),6.44-6.39(m,1H),5.83-5.80(m,1H),5.04-4.79(m,3H) , 4.56-3.90 (m, 4H), 3.71-3.48 (m, 1H), 1.50 (s, 3H), 1.33-1.30 (m, 3H), 1.18-1.16 (m, 3H).
实施例53 4-((S)-4-丙烯酰-2-甲基哌嗪-1-基)-6-氟-7-(2-氟-6-羟基苯基)-1-(2-甲基-6-(甲磺酰基)苯基)吡啶[2,3-d]嘧啶-2(1H)-酮Example 53 4-((S)-4-acryloyl-2-methylpiperazin-1-yl)-6-fluoro-7-(2-fluoro-6-hydroxyphenyl)-1-(2- Methyl-6-(methylsulfonyl)phenyl)pyridine[2,3-d]pyrimidin-2(1H)-one
LC-MS:m/z 596(M+H) +。 1H NMR(400MHz,CDCl 3)δ8.12-8.11(m,1H),7.89-7.87(m,1H),7.75-7.63(m,2H),7.26(m,1H),6.69-6.64(m 3H),6.44-6.40(m,1H),5.84-5.81(m,1H),5.00-4.40(m,3H),4.07-3.65(m,3H),3.25-3.16(m,4H),2.20-2.18(m,3H),1.58-1.50(m,3H). LC-MS: m/z 596(M+H) + . 1 H NMR (400MHz, CDCl 3 ) δ8.12-8.11 (m, 1H), 7.89-7.87 (m, 1H), 7.75-7.63 (m, 2H), 7.26 (m, 1H), 6.69-6.64 (m 3H),6.44-6.40(m,1H),5.84-5.81(m,1H),5.00-4.40(m,3H),4.07-3.65(m,3H),3.25-3.16(m,4H),2.20- 2.18 (m, 3H), 1.58-1.50 (m, 3H).
实施例53-1通过手性分离得到两个异构体实施例53A和实施例53B:Example 53-1 obtained two isomers Example 53A and Example 53B through chiral separation:
实施例53A:LC-MS:m/z 596(M+H) +。 Example 53A: LC-MS: m/z 596 (M+H) + .
实施例53B:LC-MS:m/z 596(M+H) +。 Example 53B: LC-MS: m/z 596(M+H) + .
实施例54 4-((S)-4-丙烯酰-2-甲基哌嗪-1-基)-6-氟-7-(2-氟-6-羟基苯基)-1-(2-(甲磺酰基)吡啶-3-基)吡啶[2,3-d]嘧啶-2(1H)-酮Example 54 4-((S)-4-acryloyl-2-methylpiperazin-1-yl)-6-fluoro-7-(2-fluoro-6-hydroxyphenyl)-1-(2- (Methylsulfonyl)pyridin-3-yl)pyridine[2,3-d]pyrimidin-2(1H)-one
LC-MS:m/z 583(M+H) +。 1H NMR(400MHz,CDCl 3)δ8.80(dd,J=4.8,1.2Hz,1H),8.37-8.25(m,1H),8.05(dd,J=8.0,1.2Hz,1H),7.90-7.87(m,1H),7.26(dd,J=14.6,7.6Hz,1H),6.92(m,1H),6.82-6.65(m,2H),6.23-6.18(m,1H),5.76(dd,J=6.4,2.4Hz,1H),4.98-4.82(m,1H),4.44-4.00(m,3H),3.81-3.62(m,2H),3.24-3.00(m,4H),1.34-1.29(m,3H). LC-MS: m/z 583(M+H) + . 1 H NMR (400MHz, CDCl 3 ) δ 8.80 (dd, J = 4.8, 1.2 Hz, 1H), 8.37-8.25 (m, 1H), 8.05 (dd, J = 8.0, 1.2 Hz, 1H), 7.90- 7.87(m,1H),7.26(dd,J=14.6,7.6Hz,1H),6.92(m,1H),6.82-6.65(m,2H),6.23-6.18(m,1H),5.76(dd, J = 6.4, 2.4 Hz, 1H), 4.98-4.82 (m, 1H), 4.44-4.00 (m, 3H), 3.81-3.62 (m, 2H), 3.24-3.00 (m, 4H), 1.34-1.29 ( m,3H).
实施例55 4-((S)-4-丙烯酰-2-甲基哌嗪-1-基)-6-氟-7-(2-氟-6-羟基苯基)-1-(4-(甲磺酰基)吡啶-3-基)吡啶[2,3-d]嘧啶-2(1H)-酮Example 55 4-((S)-4-acryloyl-2-methylpiperazin-1-yl)-6-fluoro-7-(2-fluoro-6-hydroxyphenyl)-1-(4- (Methylsulfonyl)pyridin-3-yl)pyridine[2,3-d]pyrimidin-2(1H)-one
LC-MS:m/z 583(M+H) +。 1H NMR(400MHz,CDCl 3)δ9.06(d,J=4.2Hz),8.75-8.74(m,1H),8.59-8.57(m,1H),8.10(d,J=4.2Hz),7.87(d,J=11.2Hz,1H),7.30-7.25(m,1H),6.72-6.57(m,3H),6.64-6.58(m,1H),5.84-5.82(m,1H),5.29-4.28(m,3H),4.10-3.61(m,3H),3.22-2.92(m,4H0,1.59-1.48(m,3H). LC-MS: m/z 583(M+H) + . 1 H NMR(400MHz, CDCl 3 )δ9.06(d,J=4.2Hz), 8.75-8.74(m,1H), 8.59-8.57(m,1H), 8.10(d,J=4.2Hz), 7.87 (d,J=11.2Hz,1H),7.30-7.25(m,1H),6.72-6.57(m,3H),6.64-6.58(m,1H),5.84-5.82(m,1H),5.29-4.28 (m, 3H), 4.10-3.61 (m, 3H), 3.22-2.92 (m, 4H0, 1.59-1.48 (m, 3H).
实施例56 2-(1-丙烯酰-4-(6-氟-7-(2-氟-6-羟基苯基)-1-(2-(甲磺酰基)苯基)-2-氧-1,2-二氢吡啶[2,3-d]嘧啶-4-基)哌嗪-2-基)乙腈Example 56 2-(1-acryloyl-4-(6-fluoro-7-(2-fluoro-6-hydroxyphenyl)-1-(2-(methylsulfonyl)phenyl)-2-oxy- 1,2-Dihydropyridine[2,3-d]pyrimidin-4-yl)piperazin-2-yl)acetonitrile
LC-MS:m/z 607(M+H) +。 1H NMR(400MHz,CDCl 3)δ8.29-8.24(m,1H),7.96-7.76(m,3H),7.47-7.43(m,1H),7.29(m,1H),6.70-6.56(m,3H),6.45-6.41(m,1H),5.00(brs,1H),4.56-3.70(m,6H),3.16(m,3H),3.16-3.10(m,1H),2.98-2.79(m,1H). LC-MS: m/z 607(M+H) + . 1 H NMR (400MHz, CDCl 3 ) δ 8.29-8.24 (m, 1H), 7.96-7.76 (m, 3H), 7.47-7.43 (m, 1H), 7.29 (m, 1H), 6.70-6.56 (m ,3H),6.45-6.41(m,1H),5.00(brs,1H),4.56-3.70(m,6H),3.16(m,3H),3.16-3.10(m,1H),2.98-2.79(m ,1H).
实施例57 2-(1-丙烯酰-4-(6-氟-7-(2-氟-6-羟基苯基)-1-(2-甲基-6-(甲磺酰基)苯基)-2-氧-1,2-二氢吡啶[2,3-d]嘧啶-4-基)哌嗪-2-基)乙腈Example 57 2-(1-acryloyl-4-(6-fluoro-7-(2-fluoro-6-hydroxyphenyl)-1-(2-methyl-6-(methylsulfonyl)phenyl) -2-oxo-1,2-dihydropyridine[2,3-d]pyrimidin-4-yl)piperazin-2-yl)acetonitrile
LC-MS:m/z 621(M+H) +。 1H NMR(400MHz,CDCl 3)δ8.12-7.97(m,2H),7.76-7.72(m,1H),7.67-7.64(m,1H),7.29(m,1H),6.69-6.46(m,3H),6.42-6.41(m,1H),5.88-5.86(m,1H),5.00(brs,1H),4.54-3.77(m,6H),3.12(m,4H),2.81-2.77(m,1H),2.20-2.17(m,3H). LC-MS: m/z 621(M+H) + . 1 H NMR (400MHz, CDCl 3 ) δ8.12-7.97 (m, 2H), 7.76-7.72 (m, 1H), 7.67-7.64 (m, 1H), 7.29 (m, 1H), 6.69-6.46 (m ,3H),6.42-6.41(m,1H),5.88-5.86(m,1H),5.00(brs,1H),4.54-3.77(m,6H),3.12(m,4H),2.81-2.77(m ,1H),2.20-2.17(m,3H).
实施例58 2-(1-丙烯酰-4-(6-氟-7-(2-氟-6-羟基苯基)-1-(2-(甲磺酰基)吡啶-3-基)-2-氧-1,2-二氢吡啶[2,3-d]嘧啶-4-基)哌嗪-2-基)乙腈Example 58 2-(1-acryloyl-4-(6-fluoro-7-(2-fluoro-6-hydroxyphenyl)-1-(2-(methylsulfonyl)pyridin-3-yl)-2 -Oxy-1,2-dihydropyridine[2,3-d]pyrimidin-4-yl)piperazin-2-yl)acetonitrile
LC-MS:m/z 608(M+H) +。 1H NMR(400MHz,CDCl 3)δ8.82-8.81(m,1H),7.99-7.76(m,3H),7.30(m,1H),6.70-6.56(m,3H),6.44-6.40(m,1H),5.87-5.84(m,1H),5.01(brs,1H),4.61-3.60(m,6H),3.29(m,3H),2.96-2.76(m,2H). LC-MS: m/z 608(M+H) + . 1 H NMR (400MHz, CDCl 3 ) δ8.82-8.81 (m, 1H), 7.99-7.76 (m, 3H), 7.30 (m, 1H), 6.70-6.56 (m, 3H), 6.44-6.40 (m , 1H), 5.87-5.84 (m, 1H), 5.01 (brs, 1H), 4.61-3.60 (m, 6H), 3.29 (m, 3H), 2.96-2.76 (m, 2H).
实施例59 4-((S)-4-丙烯酰-2-甲基哌嗪-1-基)-7-(2-氯-6-氟苯基)-6-氟-1-(2-甲基-6-(甲砜基)苯基)吡啶[2,3-d]嘧啶-2(1H)-酮Example 59 4-((S)-4-acryloyl-2-methylpiperazin-1-yl)-7-(2-chloro-6-fluorophenyl)-6-fluoro-1-(2- Methyl-6-(methylsulfonyl)phenyl)pyridine[2,3-d]pyrimidin-2(1H)-one
LC-MS:m/z 614(M+H) +。 1H NMR(400MHz,CDCl 3)δ7.95(d,J=3.6Hz,1H),7.82(t,J=8.4Hz,1H),7.60(d,J=3.2Hz,1H),7.50(t,J=8.4Hz,1H),7.34-7.29(m,1H),7.20(d,J=8Hz,1H),7.02(m,1H),6.60(m,1H),6.39(dd,J=1.6Hz,17.2Hz,1H),5.80(dd,J=1.2Hz,10.4Hz,1H),5.20-4.20(m,3H),4.10-3.55(m,3H),3.40-3.05(m,4H),2.17-2.15(m,3H),1,.51(m,3H). LC-MS: m/z 614(M+H) + . 1 H NMR (400MHz, CDCl 3 ) δ7.95 (d, J = 3.6 Hz, 1H), 7.82 (t, J = 8.4 Hz, 1H), 7.60 (d, J = 3.2 Hz, 1H), 7.50 (t ,J=8.4Hz,1H),7.34-7.29(m,1H),7.20(d,J=8Hz,1H),7.02(m,1H),6.60(m,1H),6.39(dd,J=1.6 Hz, 17.2 Hz, 1H), 5.80 (dd, J = 1.2 Hz, 10.4 Hz, 1H), 5.20-4.20 (m, 3H), 4.10-3.55 (m, 3H), 3.40-3.05 (m, 4H), 2.17-2.15(m,3H),1,.51(m,3H).
实施例60 2-(4-丙烯酰-1-(6-氟-7-(2-氟-6-羟基苯基)-1-(2-(甲砜基)苯基)-2-氧-1,2-二氢吡啶[2,3-d]嘧啶-4-基)哌嗪-2-基)乙腈Example 60 2-(4-acryloyl-1-(6-fluoro-7-(2-fluoro-6-hydroxyphenyl)-1-(2-(methylsulfonyl)phenyl)-2-oxy- 1,2-Dihydropyridine[2,3-d]pyrimidin-4-yl)piperazin-2-yl)acetonitrile
LC-MS:m/z 607(M+H) +。 1H NMR(400MHz,CDCl 3)δ8.87-8.77(m,1H),8.22-8.19(m,1H),7.86-7.80(m,3H),7.69(m,1H),7.37-7.36(m,1H),7.25(m,1H),6.66-6.53(m,3H),6.39(d,J=17.2Hz,1H),5.81(d,J=10Hz,1H),5.30-5.20(m,1H),4.80-3.95(m,3H),3.90-3.30(m,3H),3.09-2.88(m,5H). LC-MS: m/z 607(M+H) + . 1 H NMR (400MHz, CDCl 3 ) δ 8.87-8.77 (m, 1H), 8.22-8.19 (m, 1H), 7.86-7.80 (m, 3H), 7.69 (m, 1H), 7.37-7.36 (m ,1H),7.25(m,1H),6.66-6.53(m,3H),6.39(d,J=17.2Hz,1H),5.81(d,J=10Hz,1H),5.30-5.20(m,1H ), 4.80-3.95 (m, 3H), 3.90-3.30 (m, 3H), 3.09-2.88 (m, 5H).
实施例61 2-(4-丙烯酰-1-(6-氟-7-(2-氟-6-羟基苯基)-1-(2-(甲砜基)苯基)-2-氧-1,2-二 氢吡啶[2,3-d]嘧啶-4-基)哌嗪-2-基)乙酰胺Example 61 2-(4-acryloyl-1-(6-fluoro-7-(2-fluoro-6-hydroxyphenyl)-1-(2-(methylsulfonyl)phenyl)-2-oxy- 1,2-Dihydropyridine[2,3-d]pyrimidin-4-yl)piperazin-2-yl)acetamide
LC-MS:m/z 625(M+H) +。 1H NMR(400MHz,CDCl 3)δ8.20-7.75(m,2H),7.60-7.40(m,2H),7.11-7.01(m,2H),6.84-7.53(m,5H),6.36-6.29(m,1H),5.79(m,1H),5.44-5.23(m,1H),5.50-3.98(m,4H),3.81-3.070(m,6H),2.85-2.63(m,2H). LC-MS: m/z 625(M+H) + . 1 H NMR (400MHz, CDCl 3 ) δ 8.20-7.75 (m, 2H), 7.60-7.40 (m, 2H), 7.11-7.01 (m, 2H), 6.84-7.53 (m, 5H), 6.36-6.29 (m, 1H), 5.79 (m, 1H), 5.44-5.23 (m, 1H), 5.50-3.98 (m, 4H), 3.81-3.070 (m, 6H), 2.85-2.63 (m, 2H).
实施例62 2-(4-((S)-4-丙烯酰-2-甲基哌嗪-1-基)-6-氟-1-(2-异丙基-6-(甲砜基)苯基)-2-氧-1,2-二氢吡啶[2,3-d]嘧啶-7-基)-3-氟苯基环丙酸酯Example 62 2-(4-((S)-4-acryloyl-2-methylpiperazin-1-yl)-6-fluoro-1-(2-isopropyl-6-(methylsulfonyl) (Phenyl)-2-oxo-1,2-dihydropyridine[2,3-d]pyrimidin-7-yl)-3-fluorophenyl cyclopropionate
LC-MS:m/z 692(M+H) +。 LC-MS: m/z 692(M+H) + .
实施例62-1通过手性分离得到两个异构体实施例62A和实施例62B:Example 62-1 obtained two isomers, Example 62A and Example 62B, through chiral separation:
实施例62A:LC-MS:m/z 692(M+H) +。 Example 62A: LC-MS: m/z 692(M+H) + .
实施例62B:LC-MS:m/z 692(M+H) +。 Example 62B: LC-MS: m/z 692(M+H) + .
实施例63 4-((2S,5R)-4-丙烯酰基-2,5-二甲基哌嗪-1-基)-1-(2-环丁基-6-(甲基磺酰基)苯基)-6-氟-7-(2-氟-6-羟基苯基)吡啶并[2,3-d]嘧啶-2(1H)-酮的制备Example 63 4-((2S,5R)-4-acryloyl-2,5-dimethylpiperazin-1-yl)-1-(2-cyclobutyl-6-(methylsulfonyl)benzene Yl)-6-fluoro-7-(2-fluoro-6-hydroxyphenyl)pyrido[2,3-d]pyrimidin-2(1H)-one
第1步.2-溴-6-(甲基磺酰基)苯胺的制备Step 1. Preparation of 2-bromo-6-(methylsulfonyl)aniline
将1-溴-3-(甲基磺酰基)-2-硝基苯(44g,158mmol),铁粉(44g,788mmol),氯化铵(83g,1.6mol)悬浮于乙醇/水(600mL/120mL)混合溶剂中,于75度加热搅拌2小时。反应液冷却至室温后,抽滤除去固体,滤液加入500毫升水,并以500毫升乙酸乙酯萃取2次。合并乙酸乙酯层,500毫升盐水洗涤,干燥,浓缩,残留物以硅胶柱分离(石油醚:乙酸乙酯=10:1到2:1)得目标产物(30g,收率:77%)。Suspend 1-bromo-3-(methylsulfonyl)-2-nitrobenzene (44g, 158mmol), iron powder (44g, 788mmol), ammonium chloride (83g, 1.6mol) in ethanol/water (600mL/ 120mL) in the mixed solvent, heat and stir at 75°C for 2 hours. After the reaction solution was cooled to room temperature, the solid was removed by suction filtration, 500 ml of water was added to the filtrate, and the mixture was extracted twice with 500 ml of ethyl acetate. The ethyl acetate layers were combined, washed with 500 ml brine, dried, and concentrated. The residue was separated by a silica gel column (petroleum ether: ethyl acetate = 10:1 to 2:1) to obtain the target product (30 g, yield: 77%).
第2步.2-环丁基-6-(甲基磺酰基)苯胺的制备Step 2. Preparation of 2-cyclobutyl-6-(methylsulfonyl)aniline
将锌粉(52g,800mmol,Acros)悬浮于四氢呋喃(100mL)溶剂中,然后加入三甲基氯硅烷(8.7g,80mmol),并于75度加热搅拌半小时。然后加入溴环丁烷(54g,400mmol),反应液冷却至室温,加入2-溴-6-(甲基磺酰基)苯胺(10g,40mmol)和[1,1'-双(二苯基膦)二茂铁]二氯化钯二氯甲烷络合物(3.3g,4mmol),并于75度加热搅拌三小时。反应液用1M磷酸30毫升淬灭,乙酸乙酯萃取2次。合并乙酸乙酯层,干燥,浓缩,残留物以硅胶柱分离(石油醚:乙酸乙酯=10:1到2:1)得目标产物(8.1g,收率:90%)。Suspend zinc powder (52g, 800mmol, Acros) in tetrahydrofuran (100mL) solvent, then add trimethylchlorosilane (8.7g, 80mmol), and heat and stir at 75 degrees for half an hour. Then add bromocyclobutane (54g, 400mmol), cool the reaction solution to room temperature, add 2-bromo-6-(methylsulfonyl)aniline (10g, 40mmol) and [1,1'-bis(diphenylphosphine) ) Ferrocene] palladium dichloride dichloromethane complex (3.3 g, 4 mmol), and heated and stirred at 75 degrees for three hours. The reaction solution was quenched with 30 mL of 1M phosphoric acid, and extracted twice with ethyl acetate. The ethyl acetate layers were combined, dried and concentrated, and the residue was separated by a silica gel column (petroleum ether: ethyl acetate = 10:1 to 2:1) to obtain the target product (8.1 g, yield: 90%).
LC-MS:m/z 226(M+H) +。 LC-MS: m/z 226(M+H) + .
第3步.2,6-二氯-N-(((2-环丁基-6-(甲基磺酰基)苯基)氨基甲酰基)-5-氟烟酰胺的制备Step 3. Preparation of 2,6-dichloro-N-(((2-cyclobutyl-6-(methylsulfonyl)phenyl)carbamoyl)-5-fluoronicotinic acid amide
将2,6-二氯-5-氟烟酰胺(7.7g,37mmol)溶于100毫升无水四氢呋喃中,向此溶液中缓慢滴加草酰氯(47g,370mmol)。滴加完毕后,将此混合物于75度回流搅拌2小时,然后减压浓缩至干。残留物以100毫升无水四氢呋喃稀释,冷却至零度。将2-环丁基-6-(甲基磺酰基)苯胺(8.8g,39mmol)溶于50毫升无水四氢呋喃中,然后滴加进上述溶液中。反应液在零度下搅拌2小时,饱和氯化铵/饱和食盐水(1:1,100 mL)淬灭,然后用乙酸乙酯(50mL)萃取2次。合并有机相干燥,浓缩,残留固体以石油醚/乙酸乙酯(5:1,200mL)打浆,抽滤,干燥,得目标产物(12.7g,收率:75%)。2,6-Dichloro-5-fluoronicotinic acid amide (7.7g, 37mmol) was dissolved in 100ml of anhydrous tetrahydrofuran, and oxalyl chloride (47g, 370mmol) was slowly added dropwise to this solution. After the addition is complete, the mixture is refluxed and stirred at 75°C for 2 hours, and then concentrated to dryness under reduced pressure. The residue was diluted with 100 ml of anhydrous tetrahydrofuran and cooled to zero degrees. 2-Cyclobutyl-6-(methylsulfonyl)aniline (8.8g, 39mmol) was dissolved in 50ml of anhydrous tetrahydrofuran, and then added dropwise to the above solution. The reaction solution was stirred at zero for 2 hours, quenched with saturated ammonium chloride/saturated brine (1:1, 100 mL), and then extracted twice with ethyl acetate (50 mL). The organic phases were combined and dried, concentrated, and the residual solid was slurried with petroleum ether/ethyl acetate (5:1, 200 mL), filtered with suction, and dried to obtain the target product (12.7 g, yield: 75%).
LC-MS:m/z 460(M+H) +。 LC-MS: m/z 460(M+H) + .
第4步.7-氯-1-(2-环丁基-6-(甲基磺酰基)苯基)-6-氟吡啶并[2,3-d]嘧啶-2,4(1H,3H)-二酮的制备Step 4. 7-Chloro-1-(2-cyclobutyl-6-(methylsulfonyl)phenyl)-6-fluoropyrido[2,3-d]pyrimidine-2,4(1H,3H )-Diketone preparation
将2,6-二氯-N-(((2-环丁基-6-(甲基磺酰基)苯基)氨基甲酰基)-5-氟烟酰胺5(37.3g,81.1mmol)溶于550毫升四氢呋喃中,冰浴下滴加双(三甲基硅烷基)氨基钾(1mol/L,186.5mL,186.5mmol)。滴加完毕后反应液25度搅拌16小时,200毫升饱和氯化铵淬灭,然后以1000毫升乙酸乙酯萃取2次。合并乙酸乙酯层干燥,浓缩。残留固体以石油醚/乙酸乙酯(1:1,300mL)打浆,抽滤,干燥得目标产物(23.2g,收率:68%)。2,6-Dichloro-N-(((2-cyclobutyl-6-(methylsulfonyl)phenyl)carbamoyl)-5-fluoronicotinamide 5 (37.3g, 81.1mmol) was dissolved in In 550ml of tetrahydrofuran, add potassium bis(trimethylsilyl)amide (1mol/L, 186.5mL, 186.5mmol) dropwise under ice bath. After the addition is complete, the reaction solution is stirred at 25°C for 16 hours, 200ml of saturated ammonium chloride Quench, then extract twice with 1000 ml of ethyl acetate. Combine the ethyl acetate layers, dry, and concentrate. The residual solid is slurried with petroleum ether/ethyl acetate (1:1, 300 mL), filtered with suction, and dried to obtain the target product (23.2 g, yield: 68%).
LC-MS:m/z 424(M+H) +。 LC-MS: m/z 424(M+H) + .
第5步.(2R,5S)-叔丁基4-(7-氯-1-(2-环丁基-6-(甲基磺酰基)苯基)-6-氟-2-氧代-1,2-二氢吡啶基[2,3-d]嘧啶-4-基)-2,5-二甲基哌嗪-1-甲酸酯的制备Step 5. (2R, 5S)-tert-butyl 4-(7-chloro-1-(2-cyclobutyl-6-(methylsulfonyl)phenyl)-6-fluoro-2-oxo- Preparation of 1,2-dihydropyridyl[2,3-d]pyrimidin-4-yl)-2,5-dimethylpiperazine-1-carboxylate
将7-氯-1-(2-环丁基-6-(甲基磺酰基)苯基)-6-氟吡啶并[2,3-d]嘧啶-2,4(1H,3H)-二酮(23.2g,54.7mmol)悬浮于350毫升乙腈中,滴加N,N-二异丙基乙胺(42.3g,328mmol)和三氯氧磷(33.5g,219mmol),反应液变澄清。将反应液于80度搅拌1小时,减压浓缩至干。残留物溶解在350毫升乙腈中,冷却至零度,加入N,N-二异丙基乙胺(42.3g,328mmol)和2,5-二甲基哌嗪-1-甲酸(2R,5S)-叔丁基酯(14g,65.6mmol)。反应液在室温下搅拌1小时,用半饱和的碳酸氢钠溶液(400mL)淬灭,再以1000毫升乙酸乙酯萃取2次。合并乙酸乙酯层干燥,浓缩,硅胶柱分离(石油醚:乙酸乙酯=5:1到1:1)得目标产物(21.2g,收率:63%)。The 7-chloro-1-(2-cyclobutyl-6-(methylsulfonyl)phenyl)-6-fluoropyrido[2,3-d]pyrimidine-2,4(1H,3H)-di The ketone (23.2g, 54.7mmol) was suspended in 350ml of acetonitrile, and N,N-diisopropylethylamine (42.3g, 328mmol) and phosphorus oxychloride (33.5g, 219mmol) were added dropwise, and the reaction solution became clear. The reaction solution was stirred at 80°C for 1 hour, and concentrated to dryness under reduced pressure. The residue was dissolved in 350 ml of acetonitrile, cooled to zero, and N,N-diisopropylethylamine (42.3g, 328mmol) and 2,5-dimethylpiperazine-1-carboxylic acid (2R, 5S)- Tert-butyl ester (14 g, 65.6 mmol). The reaction solution was stirred at room temperature for 1 hour, quenched with half-saturated sodium bicarbonate solution (400 mL), and extracted twice with 1000 mL ethyl acetate. The combined ethyl acetate layer was dried, concentrated, and separated on a silica gel column (petroleum ether: ethyl acetate = 5:1 to 1:1) to obtain the target product (21.2 g, yield: 63%).
LC-MS:m/z 620(M+H) +。 LC-MS: m/z 620(M+H) + .
第6步.4-((2S,5R)-4-丙烯酰基-2,5-二甲基哌嗪-1-基)-7-氯-1-(2-环丁基-6-(甲基磺酰基)苯基)-6-氟吡啶[2,3-d]嘧啶-2(1H)-酮的制备Step 6. 4-((2S,5R)-4-acryloyl-2,5-dimethylpiperazin-1-yl)-7-chloro-1-(2-cyclobutyl-6-(form (Sulfonyl)phenyl)-6-fluoropyridine[2,3-d]pyrimidin-2(1H)-one
将(2R,5S)-叔丁基4-(7-氯-1-(2-环丁基-6-(甲基磺酰基)苯基)-6-氟-2-氧代-1,2-二氢吡啶基[2,3-d]嘧啶-4-基)-2,5-二甲基哌嗪-1-甲酸酯(21.2g,34.2mmol)溶于200毫升二氯甲烷中,加入65毫升三氟乙酸,反应液室温搅拌2小时,浓缩干,残留物与100毫升二氯甲烷共蒸2次得粗品。将该粗品溶解在200毫升二氯甲烷中,冷却至零度,滴加三乙胺(17.3g,171mmol)和丙烯酰氯(4g,44.5mmol)的二氯甲烷(20mL)溶液。反应液在零度下搅拌30分钟,室温下搅拌30分钟。200毫升饱和碳酸氢钠淬灭,并以800毫升二氯甲烷萃取2次。有机相干燥,浓缩,残留物以硅胶柱分离(二氯甲烷:甲醇=60:1)得目标产物(13.6g,收率:69%)。Add (2R, 5S)-tert-butyl 4-(7-chloro-1-(2-cyclobutyl-6-(methylsulfonyl)phenyl)-6-fluoro-2-oxo-1,2 -Dihydropyridyl[2,3-d]pyrimidin-4-yl)-2,5-dimethylpiperazine-1-carboxylate (21.2g, 34.2mmol) dissolved in 200ml of dichloromethane, 65 ml of trifluoroacetic acid was added, the reaction solution was stirred at room temperature for 2 hours, concentrated to dryness, and the residue was co-evaporated with 100 ml of dichloromethane twice to obtain a crude product. The crude product was dissolved in 200 ml of dichloromethane, cooled to zero, and a solution of triethylamine (17.3 g, 171 mmol) and acryloyl chloride (4 g, 44.5 mmol) in dichloromethane (20 mL) was added dropwise. The reaction solution was stirred at zero for 30 minutes and at room temperature for 30 minutes. It was quenched with 200 mL saturated sodium bicarbonate and extracted twice with 800 mL dichloromethane. The organic phase was dried and concentrated, and the residue was separated with a silica gel column (dichloromethane: methanol = 60:1) to obtain the target product (13.6 g, yield: 69%).
LC-MS:m/z 574(M+H) +。 LC-MS: m/z 574(M+H) + .
第7步.4-((2S,5R)-4-丙烯酰基-2,5-二甲基哌嗪-1-基)-1-(2-环丁基-6-(甲基磺酰基)苯基)-6-氟-7-(2-氟-6-羟基苯基)吡啶并[2,3-d]嘧啶-2(1H)-酮的制备Step 7. 4-((2S,5R)-4-acryloyl-2,5-dimethylpiperazin-1-yl)-1-(2-cyclobutyl-6-(methylsulfonyl) (Phenyl)-6-fluoro-7-(2-fluoro-6-hydroxyphenyl)pyrido[2,3-d]pyrimidin-2(1H)-one
将4-((2S,5R)-4-丙烯酰基-2,5-二甲基哌嗪-1-基)-7-氯-1-(2-环丁基-6-(甲基磺酰基)苯基)-6-氟吡啶[2,3-d]嘧啶-2(1H)-酮(13.6g,23.7mmol),(2-氟-6-羟基苯基)硼酸(5.2g,33.1mmol),[1,1'-双(二苯基膦)二茂铁]二氯化钯二氯甲烷络合物(1.94g,2.4mmol)和乙酸钾(9.3g,95mmol)悬浮于二氧六环/水(200mL/20mL)混合溶剂中,氮气置换3次,并于90度加热搅拌4小时。反应液冷却至室温后,加入200毫升半饱和碳酸氢钠溶液,并以500毫升乙酸乙酯萃取2次。合并乙酸乙酯层,干燥,浓缩,残留物用硅胶柱分离(二氯甲烷:甲醇=100:1到50:1)得到目标产物(8.6g,收率:56%)。The 4-((2S,5R)-4-acryloyl-2,5-dimethylpiperazin-1-yl)-7-chloro-1-(2-cyclobutyl-6-(methylsulfonyl) )Phenyl)-6-fluoropyridine[2,3-d]pyrimidine-2(1H)-one (13.6g, 23.7mmol), (2-fluoro-6-hydroxyphenyl)boronic acid (5.2g, 33.1mmol) ), [1,1'-bis(diphenylphosphine)ferrocene]dichloropalladium dichloromethane complex (1.94g, 2.4mmol) and potassium acetate (9.3g, 95mmol) were suspended in dioxane In the ring/water (200mL/20mL) mixed solvent, replace with nitrogen 3 times, and heat and stir at 90 degrees for 4 hours. After the reaction solution was cooled to room temperature, 200 ml of half-saturated sodium bicarbonate solution was added, and the mixture was extracted twice with 500 ml of ethyl acetate. The ethyl acetate layers were combined, dried and concentrated, and the residue was separated with a silica gel column (dichloromethane: methanol = 100:1 to 50:1) to obtain the target product (8.6 g, yield: 56%).
LC-MS:m/z 650(M+H) +。 1H NMR(400MHz,CDCl 3)δ9.07-8.93(m,1H),8.14-8.09(m,1H),7.90-7.67(m,3H),7.29-7.23(m,1H),6.71-6.52(m,3H),6.40(m,1H),5.80(m,1H),5.23-3.30(m,6H),3.15-3.08(m,3H),2.33-2.20(m,1H),2.17-2.05(m,1H),1.96-1.65(m,3H),1.60-1.32(m,8H). LC-MS: m/z 650(M+H) + . 1 H NMR (400MHz, CDCl 3 ) δ 9.07-8.93 (m, 1H), 8.14-8.09 (m, 1H), 7.90-7.67 (m, 3H), 7.29-7.23 (m, 1H), 6.71-6.52 (m,3H),6.40(m,1H),5.80(m,1H),5.23-3.30(m,6H),3.15-3.08(m,3H),2.33-2.20(m,1H),2.17-2.05 (m,1H),1.96-1.65(m,3H),1.60-1.32(m,8H).
实施例63-1通过手性分离得到两个异构体实施例63A和63B:Example 63-1 obtained two isomers, Examples 63A and 63B, through chiral separation:
化合物63ACompound 63A
LC-MS:m/z 650(M+H) +。 1H NMR(400MHz,DMSO)δ10.21(s,1H),8.32(d,J=9.1Hz,1H),7.88(d,J=7.7Hz,1H),7.75–7.59(m,2H),7.27(m,1H),6.93–6.60(m,3H),6.19(m,1H),5.74(m,1H),4.93–4.38(m,2H),4.23–3.40(m,3H),3.30–3.23(m,1H),2.99(s,3H),2.18–1.87(m,3H),1.85–1.52(m,3H),1.38–1.10(m,7H). LC-MS: m/z 650(M+H) + . 1 H NMR(400MHz,DMSO)δ10.21(s,1H), 8.32(d,J=9.1Hz,1H), 7.88(d,J=7.7Hz,1H), 7.75–7.59(m,2H), 7.27(m,1H), 6.93--6.60(m,3H), 6.19(m,1H), 5.74(m,1H), 4.93--4.38(m,2H), 4.23--3.40(m,3H), 3.30-- 3.23 (m, 1H), 2.99 (s, 3H), 2.18-1.87 (m, 3H), 1.85-1.52 (m, 3H), 1.38-1.10 (m, 7H).
化合物63BCompound 63B
LC-MS:m/z 650(M+H) +。 1H NMR(400MHz,DMSO)δ10.23(s,1H),8.34(m,1H),7.89(d,J=7.7Hz,1H),7.77(m,1H),7.66(t,J=7.8Hz,1H),7.27(m,1H),6.95–6.60(m,3H),6.19(m,1H),5.75(m,1H),4.93–4.38(m,2H),4.18–3.45(m,3H),3.28(m,1H),2.96(s,3H),2.15–1.86(m,3H),1.86–1.56(m,3H),1.35–0.98(m,7H). LC-MS: m/z 650(M+H) + . 1 H NMR (400MHz, DMSO) δ 10.23 (s, 1H), 8.34 (m, 1H), 7.89 (d, J = 7.7 Hz, 1H), 7.77 (m, 1H), 7.66 (t, J = 7.8 Hz, 1H), 7.27 (m, 1H), 6.95 - 6.60 (m, 3H), 6.19 (m, 1H), 5.75 (m, 1H), 4.93 - 4.38 (m, 2H), 4.18 - 3.45 (m, 3H), 3.28 (m, 1H), 2.96 (s, 3H), 2.15 - 1.86 (m, 3H), 1.86 - 1.56 (m, 3H), 1.35 - 0.98 (m, 7H).
按照实施例63的方法以不同的起始原料合成了以下化合物:The following compounds were synthesized according to the method of Example 63 with different starting materials:
实施例64 (S)-3-(4-(4-丙烯酰-2-甲基哌嗪-1-基)-6-氟-1-(2-异丙基-6-(甲基磺酰基)苯基)-2-氧代-1,2-二氢吡啶[2,3-d]嘧啶-7-基)-4-氯苯甲腈Example 64 (S)-3-(4-(4-acryloyl-2-methylpiperazin-1-yl)-6-fluoro-1-(2-isopropyl-6-(methylsulfonyl) )Phenyl)-2-oxo-1,2-dihydropyridine[2,3-d]pyrimidin-7-yl)-4-chlorobenzonitrile
LC-MS:m/z 649(M+H) +。 1H NMR(400MHz,CDCl 3)δ7.99(d,J=7.6Hz,1H),7.84(dd,J=8.8Hz,6.4Hz,1H),7.72(d,J=7.6Hz,1H),7.64-7.60(m,2H),7.53-7.48(m,2H),6.61(s,1H),6.40(d,J=16.8Hz,1H),5.80(d,J=12.0Hz,1H),5.06-3.62(m,6H),3.33-3.01(m,4H),2.80(s,1H),1.51(s,3H),1.24(d,J=6.8Hz,3H),1.03(d,J=6.8Hz,1H). LC-MS: m/z 649(M+H) + . 1 H NMR(400MHz, CDCl 3 )δ7.99(d,J=7.6Hz,1H), 7.84(dd,J=8.8Hz,6.4Hz,1H), 7.72(d,J=7.6Hz,1H), 7.64-7.60(m,2H),7.53-7.48(m,2H),6.61(s,1H),6.40(d,J=16.8Hz,1H),5.80(d,J=12.0Hz,1H),5.06 -3.62(m,6H),3.33-3.01(m,4H),2.80(s,1H),1.51(s,3H),1.24(d,J=6.8Hz,3H),1.03(d,J=6.8 Hz, 1H).
实施例65 (S)-3-(4-(4-丙烯酰基-2-甲基哌嗪-1-基)-6-氟-1-(2-异丙基-6-(甲基磺酰基)苯基)-2-氧-1,2-二氢吡啶并[2,3-d]嘧啶-7-基)-2-氯苄腈Example 65 (S)-3-(4-(4-acryloyl-2-methylpiperazin-1-yl)-6-fluoro-1-(2-isopropyl-6-(methylsulfonyl) )Phenyl)-2-oxo-1,2-dihydropyrido[2,3-d]pyrimidin-7-yl)-2-chlorobenzonitrile
LC-MS:m/z 649(M+H) +。 1H NMR(400MHz,CDCl 3)δ8.34(d,J=2.4Hz,1H),8.07-7.98(m,2H),7.91-7.63(m,5H),7.43(t,J=7.6Hz,1H),7.03-6.81(m,1H),5.10-3.51(m,6H),3.44-3.14(m,1H),3.06(s,3H),2.78-2.58(m,1H),1.56-1.45(m,3H),1.26-1.18(m,3H),1.13-1.05(m,3H). LC-MS: m/z 649(M+H) + . 1 H NMR(400MHz,CDCl 3 )δ8.34(d,J=2.4Hz,1H), 8.07-7.98(m,2H),7.91-7.63(m,5H),7.43(t,J=7.6Hz, 1H), 7.03-6.81 (m, 1H), 5.10-3.51 (m, 6H), 3.44-3.14 (m, 1H), 3.06 (s, 3H), 2.78-2.58 (m, 1H), 1.56-1.45 ( m,3H),1.26-1.18(m,3H),1.13-1.05(m,3H).
实施例66 (S)-4-(4-(4-丙烯酰基-2-甲基哌嗪-1-基)-6-氟-1-(2-异丙基-6-(甲基磺酰基)苯基)-2-氧代-1,2-二氢吡啶并[2,3-d]嘧啶-7-基)-3-氯苄腈Example 66 (S)-4-(4-(4-acryloyl-2-methylpiperazin-1-yl)-6-fluoro-1-(2-isopropyl-6-(methylsulfonyl) )Phenyl)-2-oxo-1,2-dihydropyrido[2,3-d]pyrimidin-7-yl)-3-chlorobenzonitrile
LC-MS:m/z 649(M+H) +。 1H NMR(400MHz,CDCl 3)δ8.34(d,J=2.0Hz,1H),8.07-7.99(m,2H),7.82-7.77(m,1H),7.76-7.64(m,4H),7.59(d,J=8.4Hz,1H),7.05-6.84(m,1H),5.10-3.12(m,7H),3.06(s,3H),2.79-2.58(m,1H),1.56-1.41(m,3H),1.26-1.18(m,3H),1.13-1.05(m,3H). LC-MS: m/z 649(M+H) + . 1 H NMR (400MHz, CDCl 3 ) δ8.34 (d, J = 2.0Hz, 1H), 8.07-7.99 (m, 2H), 7.82-7.77 (m, 1H), 7.76-7.64 (m, 4H), 7.59(d,J=8.4Hz,1H),7.05-6.84(m,1H),5.10-3.12(m,7H),3.06(s,3H),2.79-2.58(m,1H),1.56-1.41( m,3H),1.26-1.18(m,3H),1.13-1.05(m,3H).
实施例67 2-(4-((S)-4-丙烯酰基-2-甲基哌嗪-1-基)-6-氟-1-(2-异丙基-6-(甲基磺酰基)苯基)-2-氧-1,2-二氢吡啶并[2,3-d]嘧啶-7-基)-3-氯苄腈Example 67 2-(4-((S)-4-acryloyl-2-methylpiperazin-1-yl)-6-fluoro-1-(2-isopropyl-6-(methylsulfonyl) )Phenyl)-2-oxo-1,2-dihydropyrido[2,3-d]pyrimidin-7-yl)-3-chlorobenzonitrile
LC-MS:m/z 649(M+H) +。 1H NMR(400MHz,CDCl 3)δ8.34(d,J=2.4Hz,1H),8.03(d,J=8.0Hz,1H),7.94(d,J=15.6Hz,1H),7.79(d,J=7.2Hz,1H),7.76-7.63(m,4H),7.41(t,J=8.0Hz,1H),7.25-7.16(m,1H),5.01-3.60(m,6H),3.38-3.10(m,1H),3.07(s,3H),2.78-2.62(m,1H),1.56-1.46(m,3H),1.26-1.18(m,3H),1.13-1.05(m,3H). LC-MS: m/z 649(M+H) + . 1 H NMR(400MHz,CDCl 3 )δ8.34(d,J=2.4Hz,1H), 8.03(d,J=8.0Hz,1H), 7.94(d,J=15.6Hz,1H), 7.79(d ,J=7.2Hz,1H),7.76-7.63(m,4H),7.41(t,J=8.0Hz,1H),7.25-7.16(m,1H),5.01-3.60(m,6H),3.38- 3.10 (m, 1H), 3.07 (s, 3H), 2.78-2.62 (m, 1H), 1.56-1.46 (m, 3H), 1.26-1.18 (m, 3H), 1.13-1.05 (m, 3H).
实施例68 (S)-4-(4-丙烯酰-2-甲基哌嗪-1-基)-6-氟-1-(2-异丙基-6-(甲基磺酰基)苯基)-7-(1-甲基-1H-吡唑-5-基)吡啶[2,3-d]嘧啶-2(1H)-酮Example 68 (S)-4-(4-acryloyl-2-methylpiperazin-1-yl)-6-fluoro-1-(2-isopropyl-6-(methylsulfonyl)phenyl )-7-(1-methyl-1H-pyrazol-5-yl)pyridine[2,3-d]pyrimidin-2(1H)-one
LC-MS:m/z 594(M+H) +。 1H NMR(400MHz,CDCl 3)δ8.05(d,J=7.8Hz,1H),7.82-7.78(m,2H),7.73(t,J=7.8Hz,1H),7.47(d,J=1.8Hz,1H),6.94(s,1H),6.59(d,J=17.9Hz,1H),6.42(dd,J=16.7,1.6Hz,1H),5.81(d,J=10.4Hz,1H),5.01-3.67(m,7H),3.61(s,3H),3.19(s,3H),2.75(s,1H),1.52(s,3H),1.28-1.23(m,3H),1.04(d,J=5.8Hz,3H). LC-MS: m/z 594(M+H) + . 1 H NMR(400MHz, CDCl 3 )δ8.05(d,J=7.8Hz,1H),7.82-7.78(m,2H),7.73(t,J=7.8Hz,1H),7.47(d,J= 1.8Hz, 1H), 6.94 (s, 1H), 6.59 (d, J = 17.9 Hz, 1H), 6.42 (dd, J = 16.7, 1.6 Hz, 1H), 5.81 (d, J = 10.4 Hz, 1H) ,5.01-3.67(m,7H),3.61(s,3H),3.19(s,3H),2.75(s,1H),1.52(s,3H),1.28-1.23(m,3H),1.04(d ,J=5.8Hz,3H).
实施例69 (S)-4-(4-丙烯酰-2-甲基哌嗪-1-基)-6-氟-1-(2-异丙基-6-(甲基磺酰基)苯基)-7-(1H-吡唑-5-基)吡啶[2,3-d]嘧啶-2(1H)-酮Example 69 (S)-4-(4-acryloyl-2-methylpiperazin-1-yl)-6-fluoro-1-(2-isopropyl-6-(methylsulfonyl)phenyl )-7-(1H-pyrazol-5-yl)pyridine[2,3-d]pyrimidin-2(1H)-one
LC-MS:m/z 580(M+H) +。H NMR(400MHz,CDCl 3)δ8.07(d,J=7.8Hz,1H),7.86-7.77(m,2H),7.73(t,J=7.8Hz,1H),7.61(d,J=1.8Hz,1H),6.83(s,1H),6.58(d,J=17.9Hz,1H),6.40(dd,J=16.7Hz,1.6Hz,1H),5.81(d,J=10.4Hz,1H),5.01-3.67(m,6H),3.09(s,4H),2.75(s,1H),1.52(s,3H),1.28-1.23(m,3H),1.04(d,J=5.8Hz,3H). LC-MS: m/z 580(M+H) + . H NMR(400MHz, CDCl 3 )δ8.07(d,J=7.8Hz,1H),7.86-7.77(m,2H),7.73(t,J=7.8Hz,1H),7.61(d,J=1.8 Hz, 1H), 6.83 (s, 1H), 6.58 (d, J = 17.9 Hz, 1H), 6.40 (dd, J = 16.7 Hz, 1.6 Hz, 1H), 5.81 (d, J = 10.4 Hz, 1H) ,5.01-3.67(m,6H),3.09(s,4H),2.75(s,1H),1.52(s,3H),1.28-1.23(m,3H),1.04(d,J=5.8Hz,3H ).
实施例70 (S)-4-(4-丙烯酰基-2-甲基哌嗪-1-基)-6-氟-1-(2-异丙基-6-(甲基 磺酰基)苯基)-7-(1-甲基-1H-咪唑-5-基)吡啶并[2,3-d]嘧啶-2(1H)-酮Example 70 (S)-4-(4-acryloyl-2-methylpiperazin-1-yl)-6-fluoro-1-(2-isopropyl-6-(methylsulfonyl)phenyl )-7-(1-methyl-1H-imidazol-5-yl)pyrido[2,3-d]pyrimidin-2(1H)-one
LC-MS:m/z 594(M+H) +。 1H NMR(400MHz,CDCl 3)δ8.34(d,J=2.4Hz,1H),8.03(d,J=8.0Hz,1H),7.79(d,J=7.6Hz,1H),7.76-7.60(m,3H),7.57-7.45(m,2H),6.86-6.63(m,1H),5.06-3.12(m,10H),3.07(s,3H),2.78-2.59(m,1H),1.56-1.41(m,3H),1.26-1.18(m,3H),1.13-1.05(m,3H). LC-MS: m/z 594(M+H) + . 1 H NMR(400MHz, CDCl 3 )δ8.34(d,J=2.4Hz,1H), 8.03(d,J=8.0Hz,1H), 7.79(d,J=7.6Hz,1H), 7.76-7.60 (m,3H),7.57-7.45(m,2H),6.86-6.63(m,1H),5.06-3.12(m,10H),3.07(s,3H),2.78-2.59(m,1H),1.56 -1.41(m,3H),1.26-1.18(m,3H),1.13-1.05(m,3H).
实施例71 (S)-4-(4-丙烯酰基-2-甲基哌嗪-1-基)-6-氟-1-(2-异丙基-6-(甲基磺酰基)苯基)-7-(2-氧代-1,2-二氢吡啶-3-基)吡啶[2,3-d]嘧啶-2(1H)-酮Example 71 (S)-4-(4-acryloyl-2-methylpiperazin-1-yl)-6-fluoro-1-(2-isopropyl-6-(methylsulfonyl)phenyl )-7-(2-oxo-1,2-dihydropyridin-3-yl)pyridine[2,3-d]pyrimidin-2(1H)-one
LC-MS:m/z 607(M+H) +。 1H NMR(400MHz,CDCl 3)δ11.34(s,1H),8.33(d,J=2.8Hz,1H),8.06-7.88(m,2H),7.79(d,J=7.6Hz,1H),7.76-7.60(m,3H),7.56(d,J=15.2Hz,1H),7.37(d,J=6.0Hz,1H),6.39(t,J=6.4Hz,1H),5.01-3.52(m,7H),3.07(s,3H),2.78-2.62(m,1H),1.56-1.46(m,3H),1.26-1.18(m,3H),1.13-1.05(m,3H). LC-MS: m/z 607(M+H) + . 1 H NMR(400MHz,CDCl 3 )δ11.34(s,1H),8.33(d,J=2.8Hz,1H),8.06-7.88(m,2H),7.79(d,J=7.6Hz,1H) ,7.76-7.60(m,3H),7.56(d,J=15.2Hz,1H), 7.37(d,J=6.0Hz,1H), 6.39(t,J=6.4Hz,1H),5.01-3.52( m, 7H), 3.07 (s, 3H), 2.78-2.62 (m, 1H), 1.56-1.46 (m, 3H), 1.26-1.18 (m, 3H), 1.13-1.05 (m, 3H).
实施例72 (S)-4-(4-丙烯酰-2-甲基哌嗪-1-基)-6-氟-1-(2-异丙基-6-(甲基磺酰基)苯基)-7-(6-氧代-1,6-二氢吡啶-2-基)吡啶[2,3-d]嘧啶-2(1H)-酮Example 72 (S)-4-(4-acryloyl-2-methylpiperazin-1-yl)-6-fluoro-1-(2-isopropyl-6-(methylsulfonyl)phenyl )-7-(6-oxo-1,6-dihydropyridin-2-yl)pyridine[2,3-d]pyrimidin-2(1H)-one
LC-MS:m/z 607(M+H) +。 1H NMR(400MHz,CDCl 3)δ13.26(brs,1H),8.35(d,J=2.4Hz,1H),8.04(d,J=8.0Hz,1H),7.87-7.66(m,4H),7.56-7.52(m,1H),7.42-7.37(m,1H),6.52(d,J=9.2Hz,1H),6.46(d,J=6.8Hz,1H),5.14-4.24(m,4H),3.80-3.66(m,2H),3.33-3.08(m,4H),2.73-2.68(m,1H),1.56-1.50(m,3H),1.26-1.18(m,3H),1.13-1.05(m,3H). LC-MS: m/z 607(M+H) + . 1 H NMR (400MHz, CDCl 3 ) δ 13.26 (brs, 1H), 8.35 (d, J = 2.4 Hz, 1H), 8.04 (d, J = 8.0 Hz, 1H), 7.87-7.66 (m, 4H) ,7.56-7.52(m,1H),7.42-7.37(m,1H),6.52(d,J=9.2Hz,1H),6.46(d,J=6.8Hz,1H),5.14-4.24(m,4H ), 3.80-3.66(m,2H),3.33-3.08(m,4H),2.73-2.68(m,1H),1.56-1.50(m,3H),1.26-1.18(m,3H),1.13-1.05 (m,3H).
实施例73 (S)-4-(4-丙烯酰基-2-甲基哌嗪-1-基)-6-氟-1-(2-异丙基-6-(甲基磺酰基)苯基)-7-(1-甲基-2-氧代-1,2-二氢吡啶-3-基)吡啶[2,3-d]嘧啶-2(1H)-酮Example 73 (S)-4-(4-acryloyl-2-methylpiperazin-1-yl)-6-fluoro-1-(2-isopropyl-6-(methylsulfonyl)phenyl )-7-(1-methyl-2-oxo-1,2-dihydropyridin-3-yl)pyridine[2,3-d]pyrimidin-2(1H)-one
LC-MS:m/z 621(M+H) +. 1H NMR(400MHz,CDCl 3)δ8.33(d,J=2.4Hz,1H),8.11-7.94(m,2H),7.90(d,J=8.0Hz,1H),7.75-7.63(m,2H),7.59-7.51(m,2H),7.38(d,J=6.4Hz,1H),6.30(t,J=6.8Hz,1H),4.99-4.02(m,4H),3.77-3.48(m,5H),3.31-3.10(m,1H),3.07(s,3H),2.78-2.62(m,1H),1.55-1.43(m,3H),1.26-1.18(m,3H),1.13-1.05(m,3H). LC-MS: m/z 621(M+H) + . 1 H NMR(400MHz, CDCl 3 )δ8.33(d,J=2.4Hz,1H), 8.11-7.94(m,2H), 7.90(d ,J=8.0Hz,1H),7.75-7.63(m,2H),7.59-7.51(m,2H),7.38(d,J=6.4Hz,1H),6.30(t,J=6.8Hz,1H) ,4.99-4.02(m,4H),3.77-3.48(m,5H),3.31-3.10(m,1H),3.07(s,3H),2.78-2.62(m,1H),1.55-1.43(m, 3H), 1.26-1.18 (m, 3H), 1.13-1.05 (m, 3H).
实施例74 (S)-4-(4-丙烯酰基-2-甲基哌嗪-1-基)-6-氟-1-(2-异丙基-6-(甲基磺酰基)苯基)-7-(1-甲基-6-氧代-1,6-二氢吡啶-2-基)吡啶[2,3-d]嘧啶-2(1H)-酮Example 74 (S)-4-(4-acryloyl-2-methylpiperazin-1-yl)-6-fluoro-1-(2-isopropyl-6-(methylsulfonyl)phenyl )-7-(1-methyl-6-oxo-1,6-dihydropyridin-2-yl)pyridine[2,3-d]pyrimidin-2(1H)-one
LC-MS:m/z 621(M+H) +. 1H NMR(400MHz,CDCl 3)δ8.35(d,J=2.4Hz,1H),8.03(d,J=7.6Hz,1H),7.80(d,J=7.2Hz,1H),7.76-7.65(m,3H),7.31(t,J=8.0Hz,1H),6.94-6.74(m,1H),6.63(d,J=9.2Hz,1H),6.46-6.35(m,1H),5.10-3.64(m,6H),3.60(s,3H),3.45-3.09(m,1H),3.06(s,3H),2.78-2.62(m,1H),1.59-1.43(m,3H),1.23(d,J=6.8Hz,3H),1.10(d,J=5.6Hz,3H). LC-MS: m/z 621(M+H) + . 1 H NMR(400MHz, CDCl 3 )δ8.35(d,J=2.4Hz,1H), 8.03(d,J=7.6Hz,1H), 7.80(d,J=7.2Hz,1H),7.76-7.65(m,3H),7.31(t,J=8.0Hz,1H),6.94-6.74(m,1H),6.63(d,J=9.2Hz ,1H),6.46-6.35(m,1H),5.10-3.64(m,6H),3.60(s,3H),3.45-3.09(m,1H),3.06(s,3H),2.78-2.62(m ,1H),1.59-1.43(m,3H),1.23(d,J=6.8Hz,3H), 1.10(d,J=5.6Hz,3H).
实施例75 4-((S)-4-丙烯酰基-2-甲基哌嗪-1-基)-7-(6-氯-1H-吲唑-7-基)-6-氟-1-(2-异丙基-6-(甲基磺酰基)苯基)吡啶并[2,3-d]嘧啶-2(1H)-酮Example 75 4-((S)-4-acryloyl-2-methylpiperazin-1-yl)-7-(6-chloro-1H-indazol-7-yl)-6-fluoro-1- (2-isopropyl-6-(methylsulfonyl)phenyl)pyrido[2,3-d]pyrimidin-2(1H)-one
LC-MS:m/z 664(M+H) +. 1H NMR(400MHz,CDCl 3)δ12.99(brs,1H),8.57-8.20(m,3H),8.02(d,J=7.2Hz,1H),7.86-7.72(m,2H),7.67(t,J=8.0Hz,1H),7.59(d,J=7.6Hz,1H),7.23-7.03(m,2H),5.19-3.24(m,7H),3.06(s,3H),2.78-2.58(m,1H),1.60-1.42(m,3H),1.30-1.15(m,3H),1.14-0.99(m,3H). LC-MS: m/z 664(M+H) + . 1 H NMR(400MHz, CDCl 3 )δ12.99(brs,1H), 8.57-8.20(m,3H), 8.02(d,J=7.2Hz ,1H),7.86-7.72(m,2H),7.67(t,J=8.0Hz,1H),7.59(d,J=7.6Hz,1H),7.23-7.03(m,2H),5.19-3.24( m, 7H), 3.06 (s, 3H), 2.78-2.58 (m, 1H), 1.60-1.42 (m, 3H), 1.30-1.15 (m, 3H), 1.14-0.99 (m, 3H).
实施例76 4-((S)-4-丙烯酰基-2-甲基哌嗪-1-基)-7-(1,4-二甲基-1H-咪唑-5-基)-6-氟-1-(2-异丙基-6-(甲基磺酰基)苯基)吡啶并[2,3-d]嘧啶-2(1H)-酮Example 76 4-((S)-4-acryloyl-2-methylpiperazin-1-yl)-7-(1,4-dimethyl-1H-imidazol-5-yl)-6-fluoro -1-(2-isopropyl-6-(methylsulfonyl)phenyl)pyrido[2,3-d]pyrimidin-2(1H)-one
LC-MS:m/z 608(M+H) +. 1H NMR(400MHz,CDCl 3)δ8.34(d,J=2.4Hz,1H),8.03(d,J=8.0Hz,1H),7.79(d,J=6.8Hz,1H),7.76-7.64(m,3H),7.43(s,1H),6.61-6.44(m,1H),5.10-3.37(m,10H),3.07(s,3H),2.78-2.59(m,1H),2.42(s,3H),1.56-1.41(m,3H),1.28-1.18(m,3H),1.16-1.02(m,3H). LC-MS: m/z 608(M+H) + . 1 H NMR(400MHz, CDCl 3 )δ8.34(d,J=2.4Hz,1H), 8.03(d,J=8.0Hz,1H), 7.79(d,J=6.8Hz,1H),7.76-7.64(m,3H),7.43(s,1H),6.61-6.44(m,1H),5.10-3.37(m,10H),3.07(s, 3H), 2.78-2.59 (m, 1H), 2.42 (s, 3H), 1.56-1.41 (m, 3H), 1.28-1.18 (m, 3H), 1.16-1.02 (m, 3H).
实施例77 2-(4-((S)-4-丙烯酰-2-甲基哌嗪-1-基)-6-氟-1-(2-异丙基-6-(甲基磺酰基)苯基)-2-氧代-1,2-二氢吡啶[2,3-d]嘧啶-7-基)-3-氟苯甲酸甲酯Example 77 2-(4-((S)-4-acryloyl-2-methylpiperazin-1-yl)-6-fluoro-1-(2-isopropyl-6-(methylsulfonyl) )Phenyl)-2-oxo-1,2-dihydropyridine[2,3-d]pyrimidin-7-yl)-3-fluorobenzoic acid methyl ester
LC-MS:m/z 666(M+H) +. 1H NMR(400MHz,CDCl 3)δ8.34(d,J=2.4Hz,1H),8.04-7.96(m,2H),7.80-7.65(m,4H),7.41-7.36(m,1H),7.33-7.26(m,1H),7.00-6.87(m,1H),4.97-4.14(m,4H),3.94(s,3H),3.76-3.65(m,2H),3.30-3.07(m,4H),2.71(s,1H),1.55-1.49(m,3H),1.29-1.23(m,3H),1.11-1.08(m,3H). LC-MS: m/z 666(M+H) + . 1 H NMR(400MHz, CDCl 3 )δ8.34(d,J=2.4Hz,1H), 8.04-7.96(m,2H), 7.80-7.65 (m,4H),7.41-7.36(m,1H),7.33-7.26(m,1H),7.00-6.87(m,1H),4.97-4.14(m,4H),3.94(s,3H), 3.76 -3.65(m,2H), 3.30-3.07(m,4H), 2.71(s,1H), 1.55-1.49(m,3H), 1.29-1.23(m,3H), 1.11-1.08(m,3H) .
实施例78 4-((2S,5R)-4-丙烯酰基-2,5-二甲基哌嗪-1-基)-1-(2-异丙基-6-(甲基磺酰基)苯基)-6-氟-7-(2-氟-6-羟基苯基)吡啶并[2,3-d]嘧啶-2(1H)-酮的制备Example 78 4-((2S,5R)-4-acryloyl-2,5-dimethylpiperazin-1-yl)-1-(2-isopropyl-6-(methylsulfonyl)benzene Yl)-6-fluoro-7-(2-fluoro-6-hydroxyphenyl)pyrido[2,3-d]pyrimidin-2(1H)-one
LC-MS:m/z 638(M+H) +. LC-MS: m/z 638(M+H) + .
实施例78-1通过手性分离得到两个异构体实施例78A和78B:Example 78-1 obtained two isomers, Example 78A and 78B, through chiral separation:
实施例78AExample 78A
LC-MS:m/z 638(M+H) +. 1H NMR(400MHz,DMSO)δ10.21(brs,1H),8.28(m,1H),7.85(m,2H),7.65(t,J=7.8Hz,1H),7.26(m,1H),6.95–6.58(m,3H),6.19(m,1H),5.82–5.69(m,1H),4.96–4.41(m,2H),4.30–3.38(m,4H),2.95(s,3H),2.72–2.55(m,1H),1.40–0.93(m,12H). LC-MS: m/z 638(M+H) + . 1 H NMR(400MHz,DMSO)δ10.21(brs,1H), 8.28(m,1H), 7.85(m,2H), 7.65(t, J = 7.8Hz, 1H), 7.26 (m, 1H), 6.95-6.58 (m, 3H), 6.19 (m, 1H), 5.82-5.69 (m, 1H), 4.96-4.41 (m, 2H), 4.30 --3.38(m,4H), 2.95(s,3H), 2.72-2.55(m,1H), 1.40-0.93(m,12H).
实施例78BExample 78B
LC-MS:m/z 638(M+H) +. 1H NMR(400MHz,DMSO)δ10.28(brs,1H),8.51–8.33(m,1H),8.00–7.81(m,2H),7.70(t,J=7.8Hz,1H),7.31(m,1H),7.00–6.65(m,3H),6.24(m,1H),5.80(m,1H),5.02–4.46(m,2H),4.27–3.57(m,4H),2.97(s,3H),2.70–2.58(m,1H),1.43–0.97(m,12H). LC-MS: m/z 638(M+H) + . 1 H NMR(400MHz,DMSO)δ10.28(brs,1H), 8.51–8.33(m,1H), 8.00–7.81(m,2H), 7.70(t,J=7.8Hz,1H),7.31(m,1H),7.00–6.65(m,3H),6.24(m,1H),5.80(m,1H),5.02–4.46(m,2H) ,4.27-3.57(m,4H), 2.97(s,3H), 2.70-2.58(m,1H), 1.43-0.97(m,12H).
实施例79 4-((2S,5R)-4-丙烯酰基-2,5-二甲基哌嗪-1-基)-6-氯-7-(2-氟-6-羟基苯基)-1-(2-异丙基-6-(甲基磺酰基)苯基)吡啶并[2,3-d]嘧啶-2(1H)-酮Example 79 4-((2S,5R)-4-acryloyl-2,5-dimethylpiperazin-1-yl)-6-chloro-7-(2-fluoro-6-hydroxyphenyl)- 1-(2-isopropyl-6-(methylsulfonyl)phenyl)pyrido[2,3-d]pyrimidin-2(1H)-one
LC-MS:m/z 654(M+H) +. LC-MS: m/z 654(M+H) + .
实施例79-1通过手性分离得到两个异构体实施例79A和79B:Example 79-1 obtained two isomers, Example 79A and 79B, through chiral separation:
实施例79AExample 79A
LC-MS:m/z 638(M+H) +. 1H NMR(400MHz,CDCl 3)δ8.11(t,J=7.0Hz,2H),7.78(d,J=6.8Hz,1H),7.68(t,J=7.8Hz,1H),7.26–7.20(m,1H),6.78–6.49(m,3H),6.40(m,1H),5.81(m,1H),5.11(m,2H),4.53–4.19(m,1H),4.17–3.80(m,2H),3.61(m,1H),3.13(d,J=5.6Hz,3H),2.81–2.61(m,1H),1.52–0.94(m,12H). LC-MS: m/z 638(M+H) + . 1 H NMR(400MHz, CDCl 3 )δ8.11(t,J=7.0Hz,2H), 7.78(d,J=6.8Hz,1H), 7.68(t,J=7.8Hz,1H), 7.26–7.20(m,1H), 6.78–6.49(m,3H), 6.40(m,1H), 5.81(m,1H), 5.11(m,2H) ,4.53–4.19(m,1H), 4.17–3.80(m,2H), 3.61(m,1H), 3.13(d,J=5.6Hz,3H), 2.81–2.61(m,1H), 1.52–0.94 (m,12H).
实施例79BExample 79B
LC-MS:m/z 638(M+H) +. 1H NMR(400MHz,DMSO)δ10.12(brs,1H),8.48(s,1H),7.92–7.75(m,2H),7.65(t,J=7.8Hz,1H),7.22(m,1H),6.92–6.53(m,3H),6.19(m,1H),5.84–5.69(m,1H),4.70(m,2H),4.19–3.47(m,4H),2.90(s,3H),2.57(m,1H),1.37–0.90(m,12H). LC-MS: m/z 638(M+H) + . 1 H NMR(400MHz,DMSO)δ10.12(brs,1H),8.48(s,1H),7.92-7.75(m,2H),7.65( t,J=7.8Hz,1H),7.22(m,1H),6.92–6.53(m,3H),6.19(m,1H),5.84–5.69(m,1H),4.70(m,2H),4.19 --3.47(m,4H), 2.90(s,3H), 2.57(m,1H), 1.37-0.90(m,12H).
实施例80 4-((S)-4-丙烯酰基-2-甲基哌嗪-1-基)-6-氟-7-(2-氟-6-羟基苯基)-1-(2-异丙基-6-(异丙基磺酰基)苯基)吡啶并[2,3-d]嘧啶-2(1H)-酮Example 80 4-((S)-4-acryloyl-2-methylpiperazin-1-yl)-6-fluoro-7-(2-fluoro-6-hydroxyphenyl)-1-(2- Isopropyl-6-(isopropylsulfonyl)phenyl)pyrido[2,3-d]pyrimidin-2(1H)-one
LC-MS:m/z 652(M+H) +. 1H NMR(400MHz,CDCl 3)δ8.91(brs,1H),8.04(d,J=7.2Hz,1H),7.87(dd,J=9.2Hz,3.2Hz,1H),7.81(dd,J=8.0Hz,1.2Hz,1H),7.72-7.67(m,1H),7.26(overlap,1H),6.69-6.54(m,3H),6.42(dd,J=16.8Hz,1.6Hz,1H),5.81(dd,J=10.8Hz,1.6Hz,1H),5.10-3.40(m,7H),3.30-3.00(m,1H),2.75-2.60(m,1H),1.50-1.48(m,3H),1.31-1.24(m,6H),1.17-1.15(m,3H),1.02-0.99(m,3H). LC-MS: m/z 652(M+H) + . 1 H NMR(400MHz, CDCl 3 )δ8.91(brs,1H), 8.04(d,J=7.2Hz,1H), 7.87(dd,J =9.2Hz,3.2Hz,1H),7.81(dd,J=8.0Hz,1.2Hz,1H),7.72-7.67(m,1H),7.26(overlap,1H),6.69-6.54(m,3H), 6.42(dd,J=16.8Hz,1.6Hz,1H), 5.81(dd,J=10.8Hz,1.6Hz,1H), 5.10-3.40(m,7H), 3.30-3.00(m,1H), 2.75 2.60 (m, 1H), 1.50-1.48 (m, 3H), 1.31-1.24 (m, 6H), 1.17-1.15 (m, 3H), 1.02-0.99 (m, 3H).
实施例80-1通过手性分离得到两个异构体实施例80A和80B:In Example 80-1, two isomers, Example 80A and 80B, were obtained by chiral separation:
实施例80AExample 80A
LC-MS:m/z 652(M+H) +. 1H NMR(400MHz,DMSO)δ10.19(brs,1H),8.28(t,J=9.7Hz,1H),7.90–7.76(m,2H),7.64(t,J=7.8Hz,1H),7.26(m,1H),6.97–6.58(m,3H),6.21(m,1H),5.77(m,1H),4.86(m,1H),4.49–3.96(m,3H),3.83–3.48(m,2H),3.28–3.02(m,2H),2.59(m,1H),1.34(m,3H),1.18–0.89(m,12H). LC-MS: m/z 652(M+H) + . 1 H NMR(400MHz,DMSO)δ10.19(brs,1H), 8.28(t,J=9.7Hz,1H), 7.90–7.76(m, 2H), 7.64(t,J=7.8Hz,1H), 7.26(m,1H), 6.97–6.58(m,3H), 6.21(m,1H), 5.77(m,1H), 4.86(m,1H) ), 4.49–3.96(m,3H), 3.83–3.48(m,2H), 3.28–3.02(m,2H), 2.59(m,1H), 1.34(m,3H), 1.18–0.89(m,12H) ).
实施例80BExample 80B
LC-MS:m/z 652(M+H) +. 1H NMR(400MHz,DMSO)δ10.21(brs,1H),8.38(s,1H),7.82(m,2H),7.74–7.58(m,1H),7.26(m,1H),7.05–6.58(m,3H),6.22(m,1H),5.88–5.67(m,1H),4.92(m,1H),4.63–3.95(m,3H),3.74(m,2H),3.29(m,1H),3.05(m,1H),2.62(m,1H),1.35–1.19(m,3H),1.18–0.82(m,12H). LC-MS: m/z 652(M+H) + . 1 H NMR(400MHz,DMSO)δ10.21(brs,1H), 8.38(s,1H), 7.82(m,2H), 7.74–7.58( m, 1H), 7.26 (m, 1H), 7.05-6.58 (m, 3H), 6.22 (m, 1H), 5.88-5.67 (m, 1H), 4.92 (m, 1H), 4.63-3.95 (m, 3H), 3.74 (m, 2H), 3.29 (m, 1H), 3.05 (m, 1H), 2.62 (m, 1H), 1.35-1.19 (m, 3H), 1.18-0.82 (m, 12H).
实施例81 4-((2S,5R)-4-丙烯酰基-2,5-二甲基哌嗪-1-基)-1-(2-环丙基-6-(甲基磺酰基)苯基)-6-氟-7-(2-氟-6-羟基苯基)吡啶并[2,3-d]嘧啶-2(1H)-酮Example 81 4-((2S,5R)-4-acryloyl-2,5-dimethylpiperazin-1-yl)-1-(2-cyclopropyl-6-(methylsulfonyl)benzene Yl)-6-fluoro-7-(2-fluoro-6-hydroxyphenyl)pyrido[2,3-d]pyrimidin-2(1H)-one
LC-MS:m/z 636(M+H) +. 1H NMR(400MHz,CDCl 3)δ9.16-8.90(m,1H),8.14-8.02(m,1H),7.92-7.82(m,1H),7.65(t,J=8.0Hz,1H),7.54-7.41(m,1H),7.30-7.21(m,1H),6.73-6.50(m,3H),6.40(t,J=15.2Hz,1H),5.81(t,J=8.8Hz,1H),5.18-3.67(m,6H),3.18-3.07(m,3H),1.53-1.19(m,7H),0.93-0.53(m,4H). LC-MS: m/z 636(M+H) + . 1 H NMR(400MHz, CDCl 3 )δ9.16-8.90(m,1H),8.14-8.02(m,1H),7.92-7.82(m, 1H), 7.65(t,J=8.0Hz,1H),7.54-7.41(m,1H),7.30-7.21(m,1H),6.73-6.50(m,3H),6.40(t,J=15.2Hz ,1H),5.81(t,J=8.8Hz,1H),5.18-3.67(m,6H),3.18-3.07(m,3H),1.53-1.19(m,7H),0.93-0.53(m,4H) ).
实施例81-1通过手性分离得到两个异构体实施例81A和81B:Example 81-1 obtained two isomers, Examples 81A and 81B through chiral separation:
实施例81AExample 81A
LC-MS:m/z 636(M+H) +. 1H NMR(400MHz,DMSO)δ10.22(brs,1H),8.31(d,J=9.0Hz,1H),7.86(d,J=7.6Hz,1H),7.58(t,J=7.8Hz,1H),7.54–7.44(m,1H),7.26(dd,J=15.3,8.0Hz,1H),6.96–6.52(m,3H),6.19(m,1H),5.79–5.65(m,1H),4.97–4.36(m,2H),4.16(m,1H),3.95–3.41(m,3H),3.00(s,3H),1.67–1.46(m,1H),1.24(m,6H),0.75–0.43(m,4H). LC-MS: m/z 636(M+H) + . 1 H NMR(400MHz,DMSO)δ10.22(brs,1H), 8.31(d,J=9.0Hz,1H), 7.86(d,J= 7.6Hz, 1H), 7.58 (t, J = 7.8Hz, 1H), 7.54–7.44 (m, 1H), 7.26 (dd, J = 15.3, 8.0 Hz, 1H), 6.96–6.52 (m, 3H), 6.19(m,1H), 5.79--5.65(m,1H), 4.97--4.36(m,2H), 4.16(m,1H), 3.95--3.41(m,3H), 3.00(s,3H), 1.67-- 1.46(m,1H), 1.24(m,6H), 0.75-0.43(m,4H).
实施例81BExample 81B
LC-MS:m/z 636(M+H) +. 1H NMR(400MHz,DMSO)δ10.29(brs,1H),8.34(dd,J=8.9,4.0Hz,1H),7.85(d,J=7.5Hz,1H),7.58(t,J=7.8Hz,1H),7.43(d,J=7.7Hz,1H),7.26(dd,J=15.4,8.0Hz,1H),6.95–6.55(m,3H),6.19(m,1H),5.75(m,1H),4.74(m,2H),4.22–3.51(m,4H),2.96(s,3H),1.64–1.48(m,1H),1.25(m,6H),0.63(m,4H). LC-MS: m/z 636(M+H) + . 1 H NMR(400MHz,DMSO)δ10.29(brs,1H), 8.34(dd,J=8.9,4.0Hz,1H), 7.85(d, J = 7.5Hz, 1H), 7.58 (t, J = 7.8 Hz, 1H), 7.43 (d, J = 7.7 Hz, 1H), 7.26 (dd, J = 15.4, 8.0 Hz, 1H), 6.95–6.55 ( m,3H),6.19(m,1H),5.75(m,1H),4.74(m,2H),4.22-3.51(m,4H),2.96(s,3H),1.64-1.48(m,1H) ,1.25(m,6H),0.63(m,4H).
实施例82 4-((2S,5R)-4-丙烯酰基-2,5-二甲基哌嗪-1-基)-1-(2-乙基-6-(异丙基磺酰基)苯基)-6-氟-7-(2-氟-6-羟基苯基)吡啶并[2,3-d]嘧啶-2(1H)-酮Example 82 4-((2S,5R)-4-acryloyl-2,5-dimethylpiperazin-1-yl)-1-(2-ethyl-6-(isopropylsulfonyl)benzene Yl)-6-fluoro-7-(2-fluoro-6-hydroxyphenyl)pyrido[2,3-d]pyrimidin-2(1H)-one
LC-MS:m/z 652(M+H) +. 1H NMR(400MHz,CDCl 3)δ9.10-8.09(m,1H),8.06-8.03(m,1H),7.88-7.85(m,1H),7.80-7.76(m,1H),7.70-7.65(m,1H),7.28-7.22(m,1H),6.70-6.55(m,3H),6.39(t,J=13.6Hz,1H),5.80-5.78(m,1H),5.07-3.40(m,7H),2.52-2.49(m,1H),2.36-2.33(m,1H),1.50-1.41(m,3H),1.40-1.29(m,6H),1.27-1.17(m,6H). LC-MS: m/z 652(M+H) + . 1 H NMR(400MHz, CDCl 3 )δ9.10-8.09(m,1H), 8.06-8.03(m,1H), 7.88-7.85(m, 1H), 7.80-7.76(m,1H), 7.70-7.65(m,1H), 7.28-7.22(m,1H), 6.70-6.55(m,3H), 6.39(t,J=13.6Hz,1H) ,5.80-5.78(m,1H),5.07-3.40(m,7H),2.52-2.49(m,1H),2.36-2.33(m,1H),1.50-1.41(m,3H),1.40-1.29( m,6H),1.27-1.17(m,6H).
实施例82-1通过手性分离得到两个异构体实施例82A和82B:In Example 82-1, two isomers, Example 82A and 82B, were obtained by chiral separation:
实施例82AExample 82A
LC-MS:m/z 652(M+H) +. 1H NMR(400MHz,DMSO)δ10.16(brs,1H),8.29–8.11(m,1H),7.78(t,J=7.0Hz,2H),7.63(t,J=7.8Hz,1H),7.27(m,1H),6.96–6.58(m,3H),6.19(m,1H),5.75(m,1H),4.66(m,2H),4.46–4.13(m,2H),3.94–3.57(m,2H),3.23(m,1H),2.31(dd,J=14.7,7.2Hz,2H),1.38(d,J=6.5Hz,3H),1.22(m,3H),1.10–0.86(m,9H). LC-MS: m/z 652(M+H) + . 1 H NMR(400MHz,DMSO)δ10.16(brs,1H), 8.29–8.11(m,1H), 7.78(t,J=7.0Hz, 2H), 7.63 (t, J = 7.8Hz, 1H), 7.27 (m, 1H), 6.96-6.58 (m, 3H), 6.19 (m, 1H), 5.75 (m, 1H), 4.66 (m, 2H) ), 4.46–4.13(m,2H), 3.94–3.57(m,2H), 3.23(m,1H), 2.31(dd,J=14.7,7.2Hz,2H),1.38(d,J=6.5Hz, 3H), 1.22 (m, 3H), 1.10-0.86 (m, 9H).
实施例82BExample 82B
LC-MS:m/z 652(M+H) +. 1H NMR(400MHz,DMSO)δ10.13(brs,1H),8.37(t,J=8.2Hz,1H),7.79(t,J=6.4Hz,2H),7.64(t,J=7.7Hz,1H),7.26(m,1H),6.93–6.57(m,3H),6.19(m,1H),5.75(m,1H),5.05–4.31(m,2H),4.21–3.52(m,4H),3.17–2.99(m,1H),2.30(d,J=6.9Hz,2H),1.40–0.84(m,15H). LC-MS: m/z 652(M+H) + . 1 H NMR(400MHz,DMSO)δ10.13(brs,1H), 8.37(t,J=8.2Hz,1H), 7.79(t,J= 6.4Hz, 2H), 7.64 (t, J = 7.7Hz, 1H), 7.26 (m, 1H), 6.93-6.57 (m, 3H), 6.19 (m, 1H), 5.75 (m, 1H), 5.05- 4.31 (m, 2H), 4.21-3.52 (m, 4H), 3.17-2.99 (m, 1H), 2.30 (d, J = 6.9 Hz, 2H), 1.40-0.84 (m, 15H).
实施例83 4-((S)-4-丙烯酰基-2-甲基哌嗪-1-基)-1-(2-乙基-6-(异丙基磺酰基)苯基)-6-氟-7-(2-氟-6-羟基苯基)吡啶并[2,3-d]嘧啶-2(1H)-酮Example 83 4-((S)-4-acryloyl-2-methylpiperazin-1-yl)-1-(2-ethyl-6-(isopropylsulfonyl)phenyl)-6- Fluoro-7-(2-fluoro-6-hydroxyphenyl)pyrido[2,3-d]pyrimidin-2(1H)-one
LC-MS:m/z 638(M+H) +. 1H NMR(400MHz,CDCl 3)δ8.96(brs,1H),8.05(d,J=7.6Hz,1H),7.89-7.85(m,1H),7.78(d,J=8Hz,1H),7.70-7.68(m,1H),7.28-7.22(m,1H),6.70-6.61(m,3H),6.43-6.39(m,1H),5.83-5.80(m,1H),5.00-3.06(m,8H),2.58-2.50(m,1H),2.39-2.35(m,1H),1.33-1.28(m,6H),1.26-1.15(m,6H). LC-MS: m/z 638(M+H) + . 1 H NMR(400MHz, CDCl 3 )δ8.96(brs,1H), 8.05(d,J=7.6Hz,1H), 7.89-7.85(m ,1H),7.78(d,J=8Hz,1H),7.70-7.68(m,1H),7.28-7.22(m,1H),6.70-6.61(m,3H),6.43-6.39(m,1H) ,5.83-5.80(m,1H),5.00-3.06(m,8H),2.58-2.50(m,1H),2.39-2.35(m,1H),1.33-1.28(m,6H),1.26-1.15( m,6H).
实施例83-1通过手性分离得到两个异构体实施例83A和83B:In Example 83-1, two isomers, Example 83A and 83B, were obtained by chiral separation:
实施例83AExample 83A
LC-MS:m/z 638(M+H) +. 1H NMR(400MHz,DMSO)δ10.19(brs,1H),8.28(d,J=8.8Hz,1H),7.78(t,J=6.9Hz,2H),7.63(t,J=7.7Hz,1H),7.26(m,1H),6.75(m,3H),6.21(m,1H),5.77(m,1H),4.84(s,1H),4.57–3.99(m,3H),3.78–3.49(m,2H),3.19(m,2H),2.41–2.18(m,2H),1.36(d,J=6.4Hz,3H),1.12–0.81(m,9H). LC-MS: m/z 638(M+H) + . 1 H NMR(400MHz,DMSO)δ10.19(brs,1H), 8.28(d,J=8.8Hz,1H), 7.78(t,J= 6.9Hz, 2H), 7.63 (t, J = 7.7 Hz, 1H), 7.26 (m, 1H), 6.75 (m, 3H), 6.21 (m, 1H), 5.77 (m, 1H), 4.84 (s, 1H),4.57–3.99(m,3H),3.78–3.49(m,2H),3.19(m,2H),2.41–2.18(m,2H),1.36(d,J=6.4Hz,3H),1.12 --0.81(m,9H).
实施例83BExample 83B
LC-MS:m/z 638(M+H) +. 1H NMR(400MHz,DMSO)δ9.31(br,1H),8.35(s,1H),7.84–7.70(m,2H),7.63(t,J=7.8Hz,1H),7.25(m,1H),6.96–6.55(m,3H),6.21(m,1H),5.77(m,1H),4.90(m,1H),4.59–3.94(m,3H),3.66(m,2H),3.07(m,2H),2.39–2.23(m,2H),1.31–1.15(m,3H),1.15–0.89(m,9H). LC-MS: m/z 638(M+H) + . 1 H NMR(400MHz,DMSO)δ9.31(br,1H),8.35(s,1H),7.84-7.70(m,2H),7.63( t,J=7.8Hz,1H), 7.25(m,1H), 6.96–6.55(m,3H), 6.21(m,1H), 5.77(m,1H), 4.90(m,1H), 4.59–3.94 (m, 3H), 3.66 (m, 2H), 3.07 (m, 2H), 2.39-2.23 (m, 2H), 1.31-1.15 (m, 3H), 1.15-0.89 (m, 9H).
实施例84 4-((2S,5R)-4-丙烯酰基-2,5-二甲基哌嗪-1-基)-6-氯-1-(2-乙基-6-(甲基磺酰基)苯基)-7-(2-氟-6-羟基苯基)吡啶并[2,3-d]嘧啶-2(1H)-酮Example 84 4-((2S,5R)-4-acryloyl-2,5-dimethylpiperazin-1-yl)-6-chloro-1-(2-ethyl-6-(methylsulfon) Acyl)phenyl)-7-(2-fluoro-6-hydroxyphenyl)pyrido[2,3-d]pyrimidin-2(1H)-one
LC-MS:m/z 640(M+H) +. 1H NMR(400MHz,CDCl 3)δ8.19-8.06(m,2H),8.06-7.83(m,1H),7.75(t,J=8.0Hz,1H),7.66(dt,J=8.0Hz,2.0Hz,1H),7.26-7.20(m,1H),6.77-6.50(m,3H),6.40(t,J=15.2Hz,1H),5.81(t,J=8.8Hz,1H),5.21-3.64(m,6H),3.17-3.05(m,3H),2.60-2.31(m,2H),1.55-1.34(m,6H),1.22-1.11(m,3H). LC-MS: m/z 640(M+H) + . 1 H NMR(400MHz, CDCl 3 )δ8.19-8.06(m,2H), 8.06-7.83(m,1H), 7.75(t,J= 8.0Hz,1H),7.66(dt,J=8.0Hz,2.0Hz,1H),7.26-7.20(m,1H),6.77-6.50(m,3H),6.40(t,J=15.2Hz,1H) ,5.81(t,J=8.8Hz,1H),5.21-3.64(m,6H),3.17-3.05(m,3H),2.60-2.31(m,2H),1.55-1.34(m,6H),1.22 -1.11(m,3H).
实施例84-1通过手性分离得到两个异构体实施例84A和84B:In Example 84-1, two isomers, Example 84A and 84B, were obtained by chiral separation:
实施例84AExample 84A
LC-MS:m/z 640(M+H) +. 1H NMR(400MHz,DMSO)δ10.20(brs,1H),8.42(d,J=10.9Hz,1H),7.88(d,J=7.7Hz,1H),7.73(s,1H),7.60m,1H),7.22(m,1H),6.94–6.52(m,3H),6.19(m,1H),5.85–5.69(m,1H),4.65(m,2H),4.37–4.05(m,2H),3.74(m,2H),2.97(s,3H),2.33(m,2H),1.45–0.86(m,9H). LC-MS: m/z 640(M+H) + . 1 H NMR(400MHz,DMSO)δ10.20(brs,1H), 8.42(d,J=10.9Hz,1H), 7.88(d,J= 7.7Hz, 1H), 7.73 (s, 1H), 7.60m, 1H), 7.22 (m, 1H), 6.94-6.52 (m, 3H), 6.19 (m, 1H), 5.85-5.69 (m, 1H) , 4.65(m, 2H), 4.37-4.05(m, 2H), 3.74(m, 2H), 2.97(s, 3H), 2.33(m, 2H), 1.45-0.86(m, 9H).
实施例84BExample 84B
LC-MS:m/z 640(M+H) +. 1H NMR(400MHz,DMSO)δ10.21(brs,1H),8.48(m,1H),7.88(d,J=7.7Hz,1H),7.74(s,1H),7.63(t,J=7.8Hz,1H),7.23(dd,J=15.4,8.0Hz,1H),6.82(dt,J=16.8,10.0Hz,1H),6.74–6.54(m,2H),6.19(m,1H),5.85–5.64(m,1H),4.71(m,2H),3.95(m,4H),2.95(s,3H),2.31(m,2H),1.39–0.97(m,9H). LC-MS: m/z 640(M+H) + . 1 H NMR(400MHz,DMSO)δ10.21(brs,1H), 8.48(m,1H), 7.88(d,J=7.7Hz,1H) ,7.74(s,1H),7.63(t,J=7.8Hz,1H),7.23(dd,J=15.4,8.0Hz,1H), 6.82(dt,J=16.8,10.0Hz,1H),6.74– 6.54(m,2H),6.19(m,1H),5.85-5.64(m,1H),4.71(m,2H),3.95(m,4H),2.95(s,3H),2.31(m,2H) ,1.39-0.97(m,9H).
实施例85 4-((S)-4-丙烯酰-2-甲基哌嗪-1-基)-6-氟-7-(2-氟-6-羟基苯基)-1-(2-(甲磺酰基)苯基)吡啶[2,3-d]嘧啶-2(1H)-酮的制备Example 85 4-((S)-4-acryloyl-2-methylpiperazin-1-yl)-6-fluoro-7-(2-fluoro-6-hydroxyphenyl)-1-(2- Preparation of (methylsulfonyl)phenyl)pyridine[2,3-d]pyrimidin-2(1H)-one
第1步.2,6-二氯-5-氟-N-(((2-(甲基磺酰基)苯基)氨基甲酰基)烟酰胺的制备Step 1. Preparation of 2,6-dichloro-5-fluoro-N-(((2-(methylsulfonyl)phenyl)carbamoyl)nicotinamide
将2,6-二氯-5-氟烟酰胺(420mg,2.0mmol)溶于无水四氢呋喃(7mL)中,向此溶液中缓慢滴加草酰氯(1.7mL,20.0mmol)的二氯甲烷(2mL)溶液。滴加完毕后,将此混合物于75℃回流搅拌2h,然后减压浓缩至干。残留物用无水四氢呋喃(7mL)稀释,冷却至0℃。将2-(甲基磺酰基)苯胺(360mg,2.1mmol)溶于无水四氢呋喃(3mL)中,然后滴加进上述溶液中。反应液在0℃下搅拌2h,饱和氯化铵/饱和食盐水(V/V=1/1,20mL)淬灭,然后用二氯甲烷/甲醇(V/V=10/1,20mL)萃取3次。合并有机相干燥,浓缩,残留固体以石油醚/乙酸乙酯(V/V=3/1,15mL)打浆,抽滤,干燥,得目标产物(645mg,收率:79%)。2,6-Dichloro-5-fluoronicotinamide (420mg, 2.0mmol) was dissolved in anhydrous tetrahydrofuran (7mL), and oxalyl chloride (1.7mL, 20.0mmol) in dichloromethane ( 2mL) solution. After the addition was completed, the mixture was refluxed and stirred at 75°C for 2 h, and then concentrated to dryness under reduced pressure. The residue was diluted with anhydrous tetrahydrofuran (7 mL) and cooled to 0°C. 2-(Methylsulfonyl)aniline (360mg, 2.1mmol) was dissolved in dry tetrahydrofuran (3mL), and then added dropwise to the above solution. The reaction solution was stirred at 0°C for 2h, quenched with saturated ammonium chloride/saturated brine (V/V=1/1, 20mL), and then extracted with dichloromethane/methanol (V/V=10/1, 20mL) 3 times. The organic phases were combined and dried, concentrated, and the residual solid was slurried with petroleum ether/ethyl acetate (V/V=3/1, 15 mL), filtered with suction, and dried to obtain the target product (645 mg, yield: 79%).
LC-MS:m/z 406(M+H) +。 LC-MS: m/z 406(M+H) + .
第2步.7-氯-6-氟-1-(2-(甲基磺酰基)苯基)吡啶并[2,3-d]嘧啶-2,4(1H,3H)-二酮的制备Step 2. Preparation of 7-chloro-6-fluoro-1-(2-(methylsulfonyl)phenyl)pyrido[2,3-d]pyrimidine-2,4(1H,3H)-dione
将2,6-二氯-5-氟-N-(((2-(甲基磺酰基)苯基)氨基甲酰基)烟酰胺(645mg,1.6mmol)悬浮于四氢呋喃(15mL)中,冰浴下滴加双(三甲基硅烷基)氨基钾(1摩四氢呋喃溶液,3.6mL,3.6mmol)。滴加完毕后反应液变澄清。反应液室温搅拌16h,饱和氯化铵(20mL)淬灭,然后以乙酸乙酯(20mL)萃取3次。合并乙酸乙酯层干燥,浓缩。残留固体以石油醚/乙酸乙酯(V/V=3/1,10mL)打浆,抽滤,干燥得得目标产物(500mg,收率:85%)。Suspend 2,6-dichloro-5-fluoro-N-(((2-(methylsulfonyl)phenyl)carbamoyl)nicotinamide (645mg, 1.6mmol) in tetrahydrofuran (15mL), ice bath Potassium bis(trimethylsilyl)amide (1 M tetrahydrofuran solution, 3.6 mL, 3.6 mmol) was added dropwise. After the addition, the reaction solution became clear. The reaction solution was stirred at room temperature for 16 hours, and quenched with saturated ammonium chloride (20 mL) Then it was extracted 3 times with ethyl acetate (20 mL). The ethyl acetate layers were combined and dried and concentrated. The residual solid was slurried with petroleum ether/ethyl acetate (V/V=3/1, 10 mL), filtered with suction, and dried to obtain The target product (500 mg, yield: 85%).
LC-MS:m/z 370(M+H) +。 1H NMR(400MHz,DMSO-d 6)δ12.32(s,1H),8.50(d,J=7.2Hz,1H),8.15(dd,J=8.0Hz,1.2Hz,1H),7.97-7.92(m,1H),7.86-7.81(m,1H),7.66(dd,J=8.0Hz,1.2Hz,1H),3.09(s,3H). LC-MS: m/z 370(M+H) + . 1 H NMR(400MHz,DMSO-d 6 )δ12.32(s,1H), 8.50(d,J=7.2Hz,1H), 8.15(dd,J=8.0Hz,1.2Hz,1H),7.97-7.92 (m,1H),7.86-7.81(m,1H), 7.66(dd,J=8.0Hz,1.2Hz,1H), 3.09(s,3H).
第3步.(S)-叔丁基4-(7-氯-6-氟-1-(2-(甲基磺酰基)苯基)-2-氧-1,2-二氢吡啶并[2,3-d]嘧啶-4-基)-3-甲基哌嗪-1-甲酸的制备Step 3. (S)-tert-Butyl 4-(7-chloro-6-fluoro-1-(2-(methylsulfonyl)phenyl)-2-oxo-1,2-dihydropyrido[ Preparation of 2,3-d]pyrimidin-4-yl)-3-methylpiperazine-1-carboxylic acid
将7-氯-6-氟-1-(2-(甲基磺酰基)苯基)吡啶并[2,3-d]嘧啶-2,4(1H,3H)-二酮(450mg,1.2mmol)悬浮于乙腈(10mL)中,滴加N,N-二异丙基乙胺(1.2mL,7.3mmol)和三氯氧磷(0.6mL,6.1mmol),反应液变澄清。将反应液于80℃搅拌4h,减压浓缩至干。残留物溶解在乙腈(10mL)中,冷却至0℃,加入N,N-二异丙基乙胺(0.6mL,3.7mmol)和(S)-3-甲基哌嗪-1-羧酸叔丁酯(290mg,1.5mmol),反应液在室温下搅拌1h,半饱和的碳酸氢钠溶液(40mL)淬灭,再以乙酸乙酯(30mL)萃取3次。合并乙酸乙酯层干燥,浓缩,硅胶柱纯化(石油醚/乙酸乙酯=3/1到1/2.5),得目标产物(460mg,收率:68%)。The 7-chloro-6-fluoro-1-(2-(methylsulfonyl)phenyl)pyrido[2,3-d]pyrimidine-2,4(1H,3H)-dione (450mg, 1.2mmol ) Was suspended in acetonitrile (10 mL), and N,N-diisopropylethylamine (1.2 mL, 7.3 mmol) and phosphorus oxychloride (0.6 mL, 6.1 mmol) were added dropwise, and the reaction solution became clear. The reaction solution was stirred at 80°C for 4 h, and concentrated to dryness under reduced pressure. The residue was dissolved in acetonitrile (10mL), cooled to 0°C, and N,N-diisopropylethylamine (0.6mL, 3.7mmol) and (S)-3-methylpiperazine-1-carboxylic acid tert Butyl ester (290 mg, 1.5 mmol), the reaction solution was stirred at room temperature for 1 h, quenched with half-saturated sodium bicarbonate solution (40 mL), and extracted 3 times with ethyl acetate (30 mL). The combined ethyl acetate layer was dried, concentrated, and purified on a silica gel column (petroleum ether/ethyl acetate=3/1 to 1/2.5) to obtain the target product (460 mg, yield: 68%).
LC-MS:m/z 552(M+H) +。 LC-MS: m/z 552(M+H) + .
第4步.(S)-4-(4-丙烯酰-2-甲基哌嗪-1-基)-7-氯-6-氟-1-(2-(甲基磺基)苯基)吡啶[2,3-d]嘧啶-2(1H)-酮的制备Step 4. (S)-4-(4-acryloyl-2-methylpiperazin-1-yl)-7-chloro-6-fluoro-1-(2-(methylsulfo)phenyl) Preparation of pyridine[2,3-d]pyrimidin-2(1H)-one
将(S)-叔丁基4-(7-氯-6-氟-1-(2-(甲基磺酰基)苯基)-2-氧-1,2-二氢吡啶并[2,3-d]嘧啶-4-基)-3-甲基哌嗪-1-甲酸(500mg,0.9mmol)溶于二氯甲烷(10mL)中,加入三氟乙酸(2mL),反应液室温搅拌2h,浓缩干,残留物与二氯甲烷(15mL)共蒸3次得粗品。将该粗品溶解在二氯甲烷(8mL)中,冷却至0℃,滴加N,N-二异丙基乙胺(0.6mL,3.6mmol)和丙烯酰氯(110mg,1.2mmol)的二氯甲烷溶液(1mL)。反应液在0℃下搅拌30min,饱和碳酸氢钠(30mL)淬灭,并以二氯甲烷(20mL)萃取3次,合并二氯甲烷层,干燥,浓缩,残留物以硅胶柱纯化(二氯甲烷/甲醇=60/1),得目标产物(380mg,收率:83%)。Add (S)-tert-butyl 4-(7-chloro-6-fluoro-1-(2-(methylsulfonyl)phenyl)-2-oxo-1,2-dihydropyrido[2,3 -d]pyrimidin-4-yl)-3-methylpiperazine-1-carboxylic acid (500mg, 0.9mmol) was dissolved in dichloromethane (10mL), trifluoroacetic acid (2mL) was added, the reaction solution was stirred at room temperature for 2h, Concentrate to dryness, and distill the residue and dichloromethane (15 mL) 3 times to obtain a crude product. The crude product was dissolved in dichloromethane (8mL), cooled to 0°C, and N,N-diisopropylethylamine (0.6mL, 3.6mmol) and acryloyl chloride (110mg, 1.2mmol) in dichloromethane were added dropwise Solution (1mL). The reaction solution was stirred at 0°C for 30 min, quenched with saturated sodium bicarbonate (30 mL), and extracted 3 times with dichloromethane (20 mL). The dichloromethane layers were combined, dried, and concentrated. The residue was purified with a silica gel column (dichloro Methane/methanol=60/1) to obtain the target product (380mg, yield: 83%).
LC-MS:m/z 506(M+H) +。 LC-MS: m/z 506(M+H) + .
第5步.4-((S)-4-丙烯酰-2-甲基哌嗪-1-基)-6-氟-7-(2-氟-6-羟基苯基)-1-(2-(甲磺酰基)苯基)吡啶[2,3-d]嘧啶-2(1H)-酮的制备Step 5. 4-((S)-4-acryloyl-2-methylpiperazin-1-yl)-6-fluoro-7-(2-fluoro-6-hydroxyphenyl)-1-(2 -(Methylsulfonyl)phenyl)pyridine[2,3-d]pyrimidin-2(1H)-one
将(S)-4-(4-丙烯酰-2-甲基哌嗪-1-基)-7-氯-6-氟-1-(2-(甲基磺基)苯基)吡啶[2,3-d]嘧啶-2(1H)-酮(150mg,0.3mmol)、(2-氟-6-羟基苯基)硼酸(60mg,0.4mmol)、[1,1'-双(二苯基膦)二茂铁]二氯化钯二氯甲烷络合物(24mg,0.03mmol)和乙酸钾(120mg,1.2mmol)悬浮于二氧六环/水(7.5mL/0.75mL)混合溶剂中,氮气置换3次,并于90℃加热搅拌2h。反应液冷却至室温后,加入半饱和碳酸氢钠溶液(20mL),并以乙酸乙酯(20mL)萃取3次。合并乙酸乙酯层,干燥,浓缩,残留物以硅胶柱纯化(二氯甲烷/甲醇=100/1到60/1),得目标产物(90mg,收率:52%)。(S)-4-(4-acryloyl-2-methylpiperazin-1-yl)-7-chloro-6-fluoro-1-(2-(methylsulfo)phenyl)pyridine [2 ,3-d]pyrimidine-2(1H)-one (150mg, 0.3mmol), (2-fluoro-6-hydroxyphenyl)boronic acid (60mg, 0.4mmol), [1,1'-bis(diphenyl) Phosphine)ferrocene]dichloropalladium dichloromethane complex (24mg, 0.03mmol) and potassium acetate (120mg, 1.2mmol) are suspended in a mixed solvent of dioxane/water (7.5mL/0.75mL), Replace with nitrogen 3 times, and heat and stir at 90°C for 2h. After the reaction solution was cooled to room temperature, a half-saturated sodium bicarbonate solution (20 mL) was added, and the mixture was extracted 3 times with ethyl acetate (20 mL). The ethyl acetate layers were combined, dried and concentrated, and the residue was purified with a silica gel column (dichloromethane/methanol=100/1 to 60/1) to obtain the target product (90 mg, yield: 52%).
LC-MS:m/z 582(M+H) +。 1H NMR(400MHz,CDCl 3)δ8.97-8.94(m,1H),8.27(d, J=8.0Hz,1H),7.90-7.84(m,2H),7.79-7.74(m,1H),7.46-7.42(m,1H),7.29-7.23(m,1H),6.71-6.57(m,3H),6.44-6.38(m,1H),5.82(d,J=11.2Hz,1H),5.12-4.32(m,3H),4.07-3.63(m,3H),3.24-3.01(m,4H),1.50(s,3H). LC-MS: m/z 582(M+H) + . 1 H NMR(400MHz, CDCl 3 )δ8.97-8.94(m,1H), 8.27(d, J=8.0Hz,1H), 7.90-7.84(m,2H), 7.79-7.74(m,1H), 7.46-7.42(m,1H),7.29-7.23(m,1H),6.71-6.57(m,3H),6.44-6.38(m,1H),5.82(d,J=11.2Hz,1H),5.12- 4.32 (m, 3H), 4.07-3.63 (m, 3H), 3.24-3.01 (m, 4H), 1.50 (s, 3H).
按照实施例85的方法以不同的起始原料合成了以下化合物:The following compounds were synthesized according to the method of Example 85 with different starting materials:
实施例86 4-((S)-4-丙烯酰-2-甲基哌嗪-1-基)-6-氟-7-(2-氟-6-羟基苯基)-1-(2-(异丙磺酰基)苯基)吡啶[2,3-d]嘧啶-2(1H)-酮Example 86 4-((S)-4-acryloyl-2-methylpiperazin-1-yl)-6-fluoro-7-(2-fluoro-6-hydroxyphenyl)-1-(2- (Isopropylsulfonyl)phenyl)pyridine[2,3-d]pyrimidin-2(1H)-one
LC-MS:m/z 610(M+H) +。 1H NMR(400MHz,CDCl 3)δ8.91-8.86(m,1H),8.22-8.19(m,1H),7.88-7.82(m,2H),7.75-7.72(m,1H),7.45-7.42(m,1H),7.28-7.23(m,1H),6.71-6.63(m,3H),6.44-6.39(m,1H),5.83-5.80(m,1H),5.04-4.79(m,3H),4.56-3.90(m,4H),3.71-3.48(m,1H),1.50(s,3H),1.33-1.30(m,3H),1.18-1.16(m,3H). LC-MS: m/z 610(M+H) + . 1 H NMR (400MHz, CDCl 3 ) δ8.91-8.86 (m, 1H), 8.22-8.19 (m, 1H), 7.88-7.82 (m, 2H), 7.75-7.72 (m, 1H), 7.45-7.42 (m,1H),7.28-7.23(m,1H),6.71-6.63(m,3H),6.44-6.39(m,1H),5.83-5.80(m,1H),5.04-4.79(m,3H) , 4.56-3.90 (m, 4H), 3.71-3.48 (m, 1H), 1.50 (s, 3H), 1.33-1.30 (m, 3H), 1.18-1.16 (m, 3H).
实施例87 4-((S)-4-丙烯酰-2-甲基哌嗪-1-基)-6-氟-7-(2-氟-6-羟基苯基)-1-(2-甲基-6-(甲磺酰基)苯基)吡啶[2,3-d]嘧啶-2(1H)-酮Example 87 4-((S)-4-acryloyl-2-methylpiperazin-1-yl)-6-fluoro-7-(2-fluoro-6-hydroxyphenyl)-1-(2- Methyl-6-(methylsulfonyl)phenyl)pyridine[2,3-d]pyrimidin-2(1H)-one
LC-MS:m/z 596(M+H) +。 1H NMR(400MHz,CDCl 3)δ8.12-8.11(m,1H),7.89-7.87(m,1H),7.75-7.63(m,2H),7.26(m,1H),6.69-6.64(m 3H),6.44-6.40(m,1H),5.84-5.81(m,1H),5.00-4.40(m,3H),4.07-3.65(m,3H),3.25-3.16(m,4H),2.20-2.18(m,3H),1.58-1.50(m,3H). LC-MS: m/z 596(M+H) + . 1 H NMR (400MHz, CDCl 3 ) δ8.12-8.11 (m, 1H), 7.89-7.87 (m, 1H), 7.75-7.63 (m, 2H), 7.26 (m, 1H), 6.69-6.64 (m 3H),6.44-6.40(m,1H),5.84-5.81(m,1H),5.00-4.40(m,3H),4.07-3.65(m,3H),3.25-3.16(m,4H),2.20- 2.18 (m, 3H), 1.58-1.50 (m, 3H).
实施例87-1通过手性分离得到两个异构体实施例87A和实施例87B:Example 87-1 obtained two isomers, Example 87A and Example 87B through chiral separation:
实施例87A:LC-MS:m/z 596(M+H) +。 Example 87A: LC-MS: m/z 596 (M+H) + .
实施例87B:LC-MS:m/z 596(M+H) +。 Example 87B: LC-MS: m/z 596 (M+H) + .
实施例88 4-((S)-4-丙烯酰-2-甲基哌嗪-1-基)-6-氟-7-(2-氟-6-羟基苯基)-1-(2-(甲磺酰基)吡啶-3-基)吡啶[2,3-d]嘧啶-2(1H)-酮Example 88 4-((S)-4-acryloyl-2-methylpiperazin-1-yl)-6-fluoro-7-(2-fluoro-6-hydroxyphenyl)-1-(2- (Methylsulfonyl)pyridin-3-yl)pyridine[2,3-d]pyrimidin-2(1H)-one
LC-MS:m/z 583(M+H) +。 1H NMR(400MHz,CDCl 3)δ8.80(dd,J=4.8,1.2Hz,1H),8.37-8.25(m,1H),8.05(dd,J=8.0,1.2Hz,1H),7.90-7.87(m,1H),7.26(dd,J=14.6,7.6Hz,1H),6.92(m,1H),6.82-6.65(m,2H),6.23-6.18(m,1H),5.76(dd,J=6.4,2.4Hz,1H),4.98-4.82(m,1H),4.44-4.00(m,3H),3.81-3.62(m,2H),3.24-3.00(m,4H),1.34-1.29(m,3H). LC-MS: m/z 583(M+H) + . 1 H NMR (400MHz, CDCl 3 ) δ 8.80 (dd, J = 4.8, 1.2 Hz, 1H), 8.37-8.25 (m, 1H), 8.05 (dd, J = 8.0, 1.2 Hz, 1H), 7.90- 7.87(m,1H),7.26(dd,J=14.6,7.6Hz,1H),6.92(m,1H),6.82-6.65(m,2H),6.23-6.18(m,1H),5.76(dd, J = 6.4, 2.4 Hz, 1H), 4.98-4.82 (m, 1H), 4.44-4.00 (m, 3H), 3.81-3.62 (m, 2H), 3.24-3.00 (m, 4H), 1.34-1.29 ( m,3H).
实施例89 4-((S)-4-丙烯酰-2-甲基哌嗪-1-基)-6-氟-7-(2-氟-6-羟基苯基)-1-(4-(甲磺酰基)吡啶-3-基)吡啶[2,3-d]嘧啶-2(1H)-酮Example 89 4-((S)-4-acryloyl-2-methylpiperazin-1-yl)-6-fluoro-7-(2-fluoro-6-hydroxyphenyl)-1-(4- (Methylsulfonyl)pyridin-3-yl)pyridine[2,3-d]pyrimidin-2(1H)-one
LC-MS:m/z 583(M+H) +。 1H NMR(400MHz,CDCl 3)δ9.06(d,J=4.2Hz),8.75-8.74(m,1H),8.59-8.57(m,1H),8.10(d,J=4.2Hz),7.87(d,J=11.2Hz,1H),7.30-7.25(m,1H),6.72-6.57(m,3H),6.64-6.58(m,1H),5.84-5.82(m,1H),5.29-4.28(m,3H),4.10-3.61(m,3H),3.22-2.92(m,4H0,1.59-1.48(m,3H). LC-MS: m/z 583(M+H) + . 1 H NMR(400MHz, CDCl 3 )δ9.06(d,J=4.2Hz), 8.75-8.74(m,1H), 8.59-8.57(m,1H), 8.10(d,J=4.2Hz), 7.87 (d,J=11.2Hz,1H),7.30-7.25(m,1H),6.72-6.57(m,3H),6.64-6.58(m,1H),5.84-5.82(m,1H),5.29-4.28 (m, 3H), 4.10-3.61 (m, 3H), 3.22-2.92 (m, 4H0, 1.59-1.48 (m, 3H).
实施例90 2-(1-丙烯酰-4-(6-氟-7-(2-氟-6-羟基苯基)-1-(2-(甲磺酰基)苯基)-2-氧-1,2-二氢吡啶[2,3-d]嘧啶-4-基)哌嗪-2-基)乙腈Example 90 2-(1-acryloyl-4-(6-fluoro-7-(2-fluoro-6-hydroxyphenyl)-1-(2-(methylsulfonyl)phenyl)-2-oxy- 1,2-Dihydropyridine[2,3-d]pyrimidin-4-yl)piperazin-2-yl)acetonitrile
LC-MS:m/z 607(M+H) +。 1H NMR(400MHz,CDCl 3)δ8.29-8.24(m,1H),7.96-7.76(m,3H),7.47-7.43(m,1H),7.29(m,1H),6.70-6.56(m,3H),6.45-6.41(m,1H),5.00(brs,1H),4.56-3.70(m,6H),3.16(m,3H),3.16-3.10(m,1H),2.98-2.79(m,1H). LC-MS: m/z 607(M+H) + . 1 H NMR (400MHz, CDCl 3 ) δ 8.29-8.24 (m, 1H), 7.96-7.76 (m, 3H), 7.47-7.43 (m, 1H), 7.29 (m, 1H), 6.70-6.56 (m ,3H),6.45-6.41(m,1H),5.00(brs,1H),4.56-3.70(m,6H),3.16(m,3H),3.16-3.10(m,1H),2.98-2.79(m ,1H).
实施例91 2-(1-丙烯酰-4-(6-氟-7-(2-氟-6-羟基苯基)-1-(2-甲基-6-(甲磺酰基)苯基)-2-氧-1,2-二氢吡啶[2,3-d]嘧啶-4-基)哌嗪-2-基)乙腈Example 91 2-(1-acryloyl-4-(6-fluoro-7-(2-fluoro-6-hydroxyphenyl)-1-(2-methyl-6-(methylsulfonyl)phenyl) -2-oxo-1,2-dihydropyridine[2,3-d]pyrimidin-4-yl)piperazin-2-yl)acetonitrile
LC-MS:m/z 621(M+H) +。 1H NMR(400MHz,CDCl 3)δ8.12-7.97(m,2H),7.76-7.72(m,1H),7.67-7.64(m,1H),7.29(m,1H),6.69-6.46(m,3H),6.42-6.41(m,1H),5.88-5.86(m,1H),5.00(brs,1H),4.54-3.77(m,6H),3.12(m,4H),2.81-2.77(m,1H),2.20-2.17(m,3H). LC-MS: m/z 621(M+H) + . 1 H NMR (400MHz, CDCl 3 ) δ8.12-7.97 (m, 2H), 7.76-7.72 (m, 1H), 7.67-7.64 (m, 1H), 7.29 (m, 1H), 6.69-6.46 (m ,3H),6.42-6.41(m,1H),5.88-5.86(m,1H),5.00(brs,1H),4.54-3.77(m,6H),3.12(m,4H),2.81-2.77(m ,1H),2.20-2.17(m,3H).
实施例92 2-(1-丙烯酰-4-(6-氟-7-(2-氟-6-羟基苯基)-1-(2-(甲磺酰基)吡啶-3-基)-2-氧-1,2-二氢吡啶[2,3-d]嘧啶-4-基)哌嗪-2-基)乙腈Example 92 2-(1-acryloyl-4-(6-fluoro-7-(2-fluoro-6-hydroxyphenyl)-1-(2-(methylsulfonyl)pyridin-3-yl)-2 -Oxy-1,2-dihydropyridine[2,3-d]pyrimidin-4-yl)piperazin-2-yl)acetonitrile
LC-MS:m/z 608(M+H) +。 1H NMR(400MHz,CDCl 3)δ8.82-8.81(m,1H),7.99-7.76(m,3H),7.30(m,1H),6.70-6.56(m,3H),6.44-6.40(m,1H),5.87-5.84(m,1H),5.01(brs,1H),4.61-3.60(m,6H),3.29(m,3H),2.96-2.76(m,2H). LC-MS: m/z 608(M+H) + . 1 H NMR (400MHz, CDCl 3 ) δ8.82-8.81 (m, 1H), 7.99-7.76 (m, 3H), 7.30 (m, 1H), 6.70-6.56 (m, 3H), 6.44-6.40 (m , 1H), 5.87-5.84 (m, 1H), 5.01 (brs, 1H), 4.61-3.60 (m, 6H), 3.29 (m, 3H), 2.96-2.76 (m, 2H).
实施例93 4-((S)-4-丙烯酰-2-甲基哌嗪-1-基)-7-(2-氯-6-氟苯基)-6-氟-1-(2-甲基-6-(甲砜基)苯基)吡啶[2,3-d]嘧啶-2(1H)-酮Example 93 4-((S)-4-acryloyl-2-methylpiperazin-1-yl)-7-(2-chloro-6-fluorophenyl)-6-fluoro-1-(2- Methyl-6-(methylsulfonyl)phenyl)pyridine[2,3-d]pyrimidin-2(1H)-one
LC-MS:m/z 614(M+H) +。 1H NMR(400MHz,CDCl 3)δ7.95(d,J=3.6Hz,1H),7.82(t,J=8.4Hz,1H),7.60(d,J=3.2Hz,1H),7.50(t,J=8.4Hz,1H),7.34-7.29(m,1H),7.20(d,J=8Hz,1H),7.02(m,1H),6.60(m,1H),6.39(dd,J=1.6Hz,17.2Hz,1H),5.80(dd,J=1.2Hz,10.4Hz,1H),5.20-4.20(m,3H),4.10-3.55(m,3H),3.40-3.05(m,4H),2.17-2.15(m,3H),1,.51(m,3H). LC-MS: m/z 614(M+H) + . 1 H NMR (400MHz, CDCl 3 ) δ7.95 (d, J = 3.6 Hz, 1H), 7.82 (t, J = 8.4 Hz, 1H), 7.60 (d, J = 3.2 Hz, 1H), 7.50 (t ,J=8.4Hz,1H),7.34-7.29(m,1H),7.20(d,J=8Hz,1H),7.02(m,1H),6.60(m,1H),6.39(dd,J=1.6 Hz, 17.2 Hz, 1H), 5.80 (dd, J = 1.2 Hz, 10.4 Hz, 1H), 5.20-4.20 (m, 3H), 4.10-3.55 (m, 3H), 3.40-3.05 (m, 4H), 2.17-2.15(m,3H),1,.51(m,3H).
实施例95 2-(4-丙烯酰-1-(6-氟-7-(2-氟-6-羟基苯基)-1-(2-(甲砜基)苯基)-2-氧-1,2-二氢吡啶[2,3-d]嘧啶-4-基)哌嗪-2-基)乙腈Example 95 2-(4-acryloyl-1-(6-fluoro-7-(2-fluoro-6-hydroxyphenyl)-1-(2-(methylsulfonyl)phenyl)-2-oxy- 1,2-Dihydropyridine[2,3-d]pyrimidin-4-yl)piperazin-2-yl)acetonitrile
LC-MS:m/z 607(M+H) +。 1H NMR(400MHz,CDCl 3)δ8.87-8.77(m,1H),8.22-8.19(m,1H),7.86-7.80(m,3H),7.69(m,1H),7.37-7.36(m,1H),7.25(m,1H),6.66-6.53(m,3H),6.39(d,J=17.2Hz,1H),5.81(d,J=10Hz,1H),5.30-5.20(m,1H),4.80-3.95(m,3H),3.90-3.30(m,3H),3.09-2.88(m,5H). LC-MS: m/z 607(M+H) + . 1 H NMR (400MHz, CDCl 3 ) δ 8.87-8.77 (m, 1H), 8.22-8.19 (m, 1H), 7.86-7.80 (m, 3H), 7.69 (m, 1H), 7.37-7.36 (m ,1H),7.25(m,1H),6.66-6.53(m,3H),6.39(d,J=17.2Hz,1H),5.81(d,J=10Hz,1H),5.30-5.20(m,1H ), 4.80-3.95 (m, 3H), 3.90-3.30 (m, 3H), 3.09-2.88 (m, 5H).
实施例96 2-(4-丙烯酰-1-(6-氟-7-(2-氟-6-羟基苯基)-1-(2-(甲砜基)苯基)-2-氧-1,2-二氢吡啶[2,3-d]嘧啶-4-yl)哌嗪-2-基)乙酰胺Example 96 2-(4-acryloyl-1-(6-fluoro-7-(2-fluoro-6-hydroxyphenyl)-1-(2-(methylsulfonyl)phenyl)-2-oxy- 1,2-Dihydropyridine[2,3-d]pyrimidine-4-yl)piperazin-2-yl)acetamide
LC-MS:m/z 625(M+H) +。 1H NMR(400MHz,CDCl 3)δ8.20-7.75(m,2H),7.60-7.40(m,2H),7.11-7.01(m,2H),6.84-7.53(m,5H),6.36-6.29(m,1H),5.79(m,1H),5.44-5.23(m,1H),5.50-3.98(m,4H),3.81-3.070(m,6H),2.85-2.63(m,2H). LC-MS: m/z 625(M+H) + . 1 H NMR (400MHz, CDCl 3 ) δ 8.20-7.75 (m, 2H), 7.60-7.40 (m, 2H), 7.11-7.01 (m, 2H), 6.84-7.53 (m, 5H), 6.36-6.29 (m, 1H), 5.79 (m, 1H), 5.44-5.23 (m, 1H), 5.50-3.98 (m, 4H), 3.81-3.070 (m, 6H), 2.85-2.63 (m, 2H).
生物学测试评价Biological test evaluation
以下生物学测试例进一步描述解释本发明,但这些实例并非意味着限制本发明的范围。The following biological test examples further describe and explain the present invention, but these examples are not meant to limit the scope of the present invention.
化合物对NCI-H358(KRAS G12C突变)细胞的抗增殖活性的细胞实验。 Cellular test of the anti-proliferative activity of the compound on NCI-H358 (KRAS G12C mutation) cells.
实验步骤Experimental steps
向384微孔板的外围孔中加入40μL磷酸盐缓冲液,随后向其他孔中加入40μL待测细胞悬浮液,然后将微孔板置于二氧化碳培养箱中培养过夜。Add 40 μL of phosphate buffer to the peripheral wells of the 384 microplate, and then add 40 μL of the cell suspension to be tested to other wells, and then place the microplate in a carbon dioxide incubator overnight.
对待测化合物进行梯度稀释,将每个化合物稀释10个浓度梯度(从50μM稀释到0.003μM)并分别加100nL到微孔板的对应孔中。加药以后,在A、P行及1、24列每孔加入40μL磷酸盐缓冲液,然后将微孔板置于二氧化碳培养箱中培养5天。The compounds to be tested are diluted in a gradient, each compound is diluted in 10 concentration gradients (diluted from 50 μM to 0.003 μM) and 100 nL is added to the corresponding wells of the microplate. After adding the drug, add 40 μL of phosphate buffer to each well in rows A, P and columns 1, 24, and then place the microtiter plate in a carbon dioxide incubator for 5 days.
向微孔板每孔中加入20μL的Promega CellTiter-Glo试剂,随后在室温震荡10min使发光信号稳定,然后采用PekinElmer Envision多标记分析仪读数。Add 20 μL of Promega CellTiter-Glo reagent to each well of the microtiter plate, then shake at room temperature for 10 minutes to stabilize the luminescence signal, and then use the PekinElmer Envision multi-label analyzer to read.
最后应用GraphPad Prism软件计算化合物的IC 50值,并绘出拟合曲线。 Finally, GraphPad Prism software was used to calculate the IC 50 value of the compound and draw a fitting curve.
本发明中实施例化合物对NCI-H358(KRAS G12C突变)细胞的抗增殖活性见表1。 Table 1 shows the anti-proliferative activity of the compound of the examples of the present invention on NCI-H358 (KRAS G12C mutation) cells.
表1本发明中实施例化合物抗增殖活性Table 1 Anti-proliferative activity of the example compounds of the present invention
从表1可以看出:It can be seen from Table 1:
本发明实施例化合物对于KRAS G12C突变型NCI-H358细胞显示出了很好的细胞抗增殖活性。此外,本发明化合物中,当R 4为取代苯基时,活性较佳,优于杂芳基,尤其是含有苯砜结构的化合物。 The compounds of the examples of the present invention show good cell anti-proliferation activity on KRAS G12C mutant NCI-H358 cells. In addition, in the compounds of the present invention, when R 4 is a substituted phenyl group, the activity is better than that of heteroaryl groups, especially compounds containing a phenylsulfone structure.
药代动力学测试评价Pharmacokinetic test evaluation
小鼠药代动力学测试评价Mouse pharmacokinetic test evaluation
雄性ICR小鼠,体重20-30g左右,禁食过夜后,灌胃给予30mg/kg本发明化合物实施例10B、16B、18A、63B、78B的溶液[CMC/TW80为载体]。分别在给于本发明化合物后0.5,1.0,2.0,4.0,6.0,8.0,12和24h采血,用LC/MS/MS测定血浆中本发明化合物的浓度。Male ICR mice weighing about 20-30 g, fasted overnight, were given 30 mg/kg of the solution of the compound of the present invention in Examples 10B, 16B, 18A, 63B, 78B [CMC/TW80 as carrier]. Blood was collected 0.5, 1.0, 2.0, 4.0, 6.0, 8.0, 12 and 24 hours after administration of the compound of the present invention, and the concentration of the compound of the present invention in plasma was determined by LC/MS/MS.
测试结果如表2所示The test results are shown in Table 2
表2药代动力学参数总结(n=4,均值)Table 2 Summary of pharmacokinetic parameters (n=4, mean value)
由检测结果看出,具有相似结构的化合物,其中,含有苯砜结构的化合物相对于吡啶砜结构的化合物具有更好的药代动力学特性。It can be seen from the test results that the compounds with similar structures, among them, the compounds with the phenylsulfone structure have better pharmacokinetic properties than the compounds with the pyridinesulfone structure.
大鼠药代动力学测试评价Rat pharmacokinetic test evaluation
雄性SD大鼠,体重220g左右,禁食过夜后,灌胃给予15mg/kg本发明化合物或对照化合物AMG510的溶液[DMSO/PEG400为载体]。分别在给于本发明化合物后0.5,1.0,2.0,4.0,6.0,8.0,12和24采血,或者连续给药7天以后0.5,1.0,2.0,4.0,6.0,8.0,12,和24采血,用LC/MS/MS测定血浆中本发明化合物或对照化合物 AMG510的浓度。Male SD rats, weighing about 220 g, were fasted overnight, and were given 15 mg/kg of the compound of the present invention or a solution of the control compound AMG510 [DMSO/PEG400 as carrier] by gavage. Blood was collected at 0.5, 1.0, 2.0, 4.0, 6.0, 8.0, 12, and 24 after administration of the compound of the present invention, or at 0.5, 1.0, 2.0, 4.0, 6.0, 8.0, 12, and 24 after continuous administration for 7 days, The concentration of the compound of the invention or the control compound AMG510 in the plasma was determined by LC/MS/MS.
检测结果表明,本发明化合物相对于AMG510具有良好的药代动力学特性。The test results show that the compound of the present invention has good pharmacokinetic properties relative to AMG510.
抗肿瘤活性药效学测试评价Anti-tumor activity pharmacodynamic test evaluation
1、H358 CDX肿瘤模型1. H358 CDX tumor model
将100uL含5x10 6NCI-H358肿瘤细胞悬液皮下接种到裸鼠右后背部。每天监测小鼠健康状况,当肿瘤生长至可触及时开始测量。肿瘤体积计算公式采用:0.5xLxW2,其中L、W分别代表肿瘤长、宽。肿瘤长至~200mm 3,对小鼠进行随机分组。小鼠每天灌胃给予相应剂量(20mg/Kg)化合物的溶液,同时对其一般状态进行监测。肿瘤每周测量2次,体重每周测量两次。测试结果如表3所示。 100 uL of 5x10 6 NCI-H358 tumor cell suspension was subcutaneously inoculated into the right back of nude mice. Monitor the health of the mice every day, and start measuring when the tumor grows to be palpable. The tumor volume calculation formula adopts: 0.5xLxW2, where L and W represent the length and width of the tumor respectively. The tumor grew to ~200mm 3 , and the mice were randomly divided into groups. Mice were given a corresponding dose (20mg/Kg) of compound solution by gavage every day, and their general status was monitored at the same time. The tumor is measured twice a week, and the body weight is measured twice a week. The test results are shown in Table 3.
表3抗肿瘤活性药效学测试评价Table 3 Pharmacodynamic test evaluation of anti-tumor activity
结果表明,本发明含有苯砜结构的化合物(如实施例63B和实施例78B)具有比对照化合物AMG510更好的药效。此外,含有二甲基哌嗪结构的实施例63B和实施例78B具有比单甲基哌嗪化合物实施例10B更好的药效。The results show that the compounds of the present invention containing a phenylsulfone structure (such as Example 63B and Example 78B) have better efficacy than the control compound AMG510. In addition, Example 63B and Example 78B containing the dimethylpiperazine structure have better efficacy than the monomethylpiperazine compound Example 10B.
2、MIA PaCa-2 CDX肿瘤模型2. MIA PaCa-2 CDX tumor model
将100uL含5x10 6MIA PaCa-2肿瘤细胞悬液皮下接种到裸鼠右后侧腹部。每天监测小鼠健康状况,当肿瘤生长至可触及时开始测量。肿瘤体积计算公式采用:0.5xLxW 2,其中L、W分别代表肿瘤长、宽。肿瘤长至~150mm 3,对小鼠进行随机分组。小鼠每天灌胃给予相应剂量(3、10mg/Kg)化合物的CMC-Na悬液,同时对其一般状态进行监测。肿瘤每周测量3次,体重每周测量两次。 100 uL of tumor cell suspension containing 5x10 6 MIA PaCa-2 was subcutaneously inoculated into the right posterior abdomen of nude mice. Monitor the health of the mice every day, and start measuring when the tumor grows to be palpable. The tumor volume calculation formula adopts: 0.5xLxW 2 , where L and W represent the length and width of the tumor respectively. The tumor grew to ~150mm 3 , and the mice were randomly divided into groups. Mice were given the corresponding dose (3, 10mg/Kg) of CMC-Na suspension of compound by gavage every day, and their general status was monitored at the same time. The tumor is measured 3 times a week, and the body weight is measured twice a week.
由检测结果看出,本发明化合物具有良好的抗肿瘤效果。It can be seen from the test results that the compound of the present invention has a good anti-tumor effect.
在本发明提及的所有文献都在本申请中引用作为参考,就如同每一篇文献被单独引用作为参考那样。此外应理解,在阅读了本发明的上述讲授内容之后,本领域技术人员可以对本发明作各种改动或修改,这些等价形式同样落于本申请所附权利要求书所限定的范围。All documents mentioned in the present invention are cited as references in this application, as if each document was individually cited as a reference. In addition, it should be understood that after reading the above teaching content of the present invention, those skilled in the art can make various changes or modifications to the present invention, and these equivalent forms also fall within the scope defined by the appended claims of the present application.
Claims (20)
Priority Applications (1)
| Application Number | Priority Date | Filing Date | Title |
|---|---|---|---|
| PCT/CN2021/141360 WO2022135591A1 (en) | 2020-12-25 | 2021-12-24 | Aryl or heteroaryl pyridone or pyrimidone derivative and preparation method therefor and application thereof |
Applications Claiming Priority (4)
| Application Number | Priority Date | Filing Date | Title |
|---|---|---|---|
| CN202010534664.1 | 2020-06-12 | ||
| CN202010534664.1A CN113801113A (en) | 2020-06-12 | 2020-06-12 | Aryl or heteroaryl pyridone or pyrimidinone derivatives and preparation method and application thereof |
| CN202011563650.9 | 2020-12-25 | ||
| CN202011563650.9A CN114671866A (en) | 2020-12-25 | 2020-12-25 | Aryl or heteroaryl pyridone or pyrimidinone derivatives and preparation method and application thereof |
Publications (1)
| Publication Number | Publication Date |
|---|---|
| WO2021249563A1 true WO2021249563A1 (en) | 2021-12-16 |
Family
ID=78846896
Family Applications (1)
| Application Number | Title | Priority Date | Filing Date |
|---|---|---|---|
| PCT/CN2021/099875 Ceased WO2021249563A1 (en) | 2020-06-12 | 2021-06-11 | Aryl or heteroaryl pyridone or pyrimidone derivative, preparation method therefor and application thereof |
Country Status (1)
| Country | Link |
|---|---|
| WO (1) | WO2021249563A1 (en) |
Cited By (16)
| Publication number | Priority date | Publication date | Assignee | Title |
|---|---|---|---|---|
| US11453683B1 (en) | 2019-08-29 | 2022-09-27 | Mirati Therapeutics, Inc. | KRas G12D inhibitors |
| CN115175908A (en) * | 2020-01-13 | 2022-10-11 | 苏州泽璟生物制药股份有限公司 | Aryl or heteroaryl pyridone or pyrimidone derivative and preparation method and application thereof |
| WO2022266206A1 (en) | 2021-06-16 | 2022-12-22 | Erasca, Inc. | Kras inhibitor conjugates |
| US11548888B2 (en) | 2019-01-10 | 2023-01-10 | Mirati Therapeutics, Inc. | KRas G12C inhibitors |
| US11702418B2 (en) | 2019-12-20 | 2023-07-18 | Mirati Therapeutics, Inc. | SOS1 inhibitors |
| US11890285B2 (en) | 2019-09-24 | 2024-02-06 | Mirati Therapeutics, Inc. | Combination therapies |
| US11932633B2 (en) | 2018-05-07 | 2024-03-19 | Mirati Therapeutics, Inc. | KRas G12C inhibitors |
| EP4194452A4 (en) * | 2020-08-02 | 2024-08-21 | Shanghai Zheye Biotechnology Co., Ltd. | Aromatic compound and application thereof in antitumor drug |
| US12208099B2 (en) | 2018-09-10 | 2025-01-28 | Mirati Therapeutics, Inc. | Combination therapies |
| US12281113B2 (en) | 2020-09-11 | 2025-04-22 | Mirati Therapeutics, Inc. | Crystalline forms of a KRas G12C inhibitor |
| US12336995B2 (en) | 2018-09-10 | 2025-06-24 | Mirati Therapeutics, Inc. | Combination therapies |
| US12377101B2 (en) | 2018-12-05 | 2025-08-05 | Mirati Therapeutics, Inc. | Combination therapies |
| US12398154B2 (en) | 2020-12-15 | 2025-08-26 | Mirati Therapeutics, Inc. | Azaquinazoline pan-KRas inhibitors |
| US12421253B2 (en) | 2020-12-16 | 2025-09-23 | Mirati Therapeutics, Inc. | Tetrahydropyridopyrimidine pan-KRas inhibitors |
| US12485122B2 (en) | 2018-09-10 | 2025-12-02 | Mirati Therapeutics, Inc. | Combination of palbociclib and adagrasib for lung cancer |
| US12527795B2 (en) | 2018-09-10 | 2026-01-20 | Mirati Therapeutics, Inc. | Compositions of adagrasib and mTOR inhibitors and methods of treatment therewith |
Citations (30)
| Publication number | Priority date | Publication date | Assignee | Title |
|---|---|---|---|---|
| TW201906821A (en) * | 2017-05-22 | 2019-02-16 | 美商安進公司 | KRAS G12C inhibitor and method of use thereof |
| TW201922739A (en) * | 2017-09-08 | 2019-06-16 | 美商安進公司 | Inhibitors of KRAS G12C and methods of using the same |
| CN110366550A (en) * | 2016-12-22 | 2019-10-22 | 美国安进公司 | Benzisothiazole, isothiazolo[3,4-b]pyridine, quinazoline, phthalazine, pyrido[2,3-d as KRAS G12C inhibitors for the treatment of lung, pancreatic or colorectal cancer ]pyridazine and pyrido[2,3-d]pyrimidine derivatives |
| WO2019213516A1 (en) * | 2018-05-04 | 2019-11-07 | Amgen Inc. | Kras g12c inhibitors and methods of using the same |
| US20190374542A1 (en) * | 2018-06-12 | 2019-12-12 | Amgen Inc. | Kras g12c inhibitors and methods of using the same |
| WO2019241157A1 (en) * | 2018-06-11 | 2019-12-19 | Amgen Inc. | Kras g12c inhibitors for treating cancer |
| WO2020106647A2 (en) * | 2018-11-19 | 2020-05-28 | Amgen Inc. | Combination therapy including a krasg12c inhibitor and one or more additional pharmaceutically active agents for the treatment of cancers |
| CN111205286A (en) * | 2020-01-13 | 2020-05-29 | 李丹 | Nitrile methyl piperazine derivative as KRAS G12C mutant protein inhibitor and application thereof |
| CN111377918A (en) * | 2019-11-29 | 2020-07-07 | 苏州信诺维医药科技有限公司 | A KRAS inhibitor compound |
| CN111484477A (en) * | 2019-01-29 | 2020-08-04 | 博瑞生物医药(苏州)股份有限公司 | Benzopyridone heterocyclic compound and application thereof |
| WO2020236948A1 (en) * | 2019-05-21 | 2020-11-26 | Amgen Inc. | Solid state forms |
| WO2020239077A1 (en) * | 2019-05-29 | 2020-12-03 | 上海翰森生物医药科技有限公司 | Nitrogen-containing heterocyclic derivative regulator, preparation method therefor and application thereof |
| CN112159405A (en) * | 2020-02-04 | 2021-01-01 | 广州必贝特医药技术有限公司 | Pyridopyrimidinone compounds and application thereof |
| CN112225734A (en) * | 2019-10-25 | 2021-01-15 | 南京瑞捷医药科技有限公司 | KRAS G12C inhibitors and their uses |
| WO2021011417A1 (en) * | 2019-07-12 | 2021-01-21 | The Regents Of The University Of California | Chemically controlled monoclonal antibody target engagement |
| CN112390796A (en) * | 2019-08-19 | 2021-02-23 | 贝达药业股份有限公司 | KRAS G12C inhibitor and application thereof in medicines |
| CN112390818A (en) * | 2019-08-12 | 2021-02-23 | 劲方医药科技(上海)有限公司 | Substituted heteroaromatic dihydro pyrimidone derivatives, preparation method and medical application thereof |
| CN112552294A (en) * | 2019-09-10 | 2021-03-26 | 上海翰森生物医药科技有限公司 | Piperazine heterocyclic derivative inhibitor, preparation method and application thereof |
| CN112585129A (en) * | 2019-05-21 | 2021-03-30 | 益方生物科技(上海)股份有限公司 | Heterocyclic compounds, their preparation and use |
| CN112574199A (en) * | 2020-05-20 | 2021-03-30 | 首药控股(北京)股份有限公司 | Heterocyclic compounds as Kras-G12C inhibitors |
| WO2021076655A1 (en) * | 2019-10-15 | 2021-04-22 | Amgen Inc. | Combination therapy of kras inhibitor and shp2 inhibitor for treatment of cancers |
| WO2021081212A1 (en) * | 2019-10-24 | 2021-04-29 | Amgen Inc. | Pyridopyrimidine derivatives useful as kras g12c and kras g12d inhibitors in the treatment of cancer |
| CN112920183A (en) * | 2019-12-06 | 2021-06-08 | 南京圣和药业股份有限公司 | Compounds as KRAS-G12C inhibitors and uses thereof |
| WO2021113595A1 (en) * | 2019-12-06 | 2021-06-10 | Beta Pharma, Inc. | Phosphorus derivatives as kras inhibitors |
| WO2021126816A1 (en) * | 2019-12-16 | 2021-06-24 | Amgen Inc. | Dosing regimen of a kras g12c inhibitor |
| WO2021121367A1 (en) * | 2019-12-19 | 2021-06-24 | Jacobio Pharmaceuticals Co., Ltd. | Kras mutant protein inhibitors |
| WO2021120045A1 (en) * | 2019-12-18 | 2021-06-24 | InventisBio Co., Ltd. | Heterocyclic compounds, preparation methods and uses thereof |
| CN113061132A (en) * | 2020-01-01 | 2021-07-02 | 上海凌达生物医药有限公司 | Condensed ring lactam compound, preparation method and application |
| CN113105448A (en) * | 2020-01-13 | 2021-07-13 | 苏州泽璟生物制药股份有限公司 | Aryl or heteroaryl pyridone or pyrimidone derivative and preparation method and application thereof |
| CN113286794A (en) * | 2019-11-04 | 2021-08-20 | 北京加科思新药研发有限公司 | KRAS mutein inhibitors |
-
2021
- 2021-06-11 WO PCT/CN2021/099875 patent/WO2021249563A1/en not_active Ceased
Patent Citations (31)
| Publication number | Priority date | Publication date | Assignee | Title |
|---|---|---|---|---|
| CN110366550A (en) * | 2016-12-22 | 2019-10-22 | 美国安进公司 | Benzisothiazole, isothiazolo[3,4-b]pyridine, quinazoline, phthalazine, pyrido[2,3-d as KRAS G12C inhibitors for the treatment of lung, pancreatic or colorectal cancer ]pyridazine and pyrido[2,3-d]pyrimidine derivatives |
| TW201906821A (en) * | 2017-05-22 | 2019-02-16 | 美商安進公司 | KRAS G12C inhibitor and method of use thereof |
| TW201922739A (en) * | 2017-09-08 | 2019-06-16 | 美商安進公司 | Inhibitors of KRAS G12C and methods of using the same |
| WO2019213516A1 (en) * | 2018-05-04 | 2019-11-07 | Amgen Inc. | Kras g12c inhibitors and methods of using the same |
| WO2019241157A1 (en) * | 2018-06-11 | 2019-12-19 | Amgen Inc. | Kras g12c inhibitors for treating cancer |
| US20190374542A1 (en) * | 2018-06-12 | 2019-12-12 | Amgen Inc. | Kras g12c inhibitors and methods of using the same |
| WO2020106647A2 (en) * | 2018-11-19 | 2020-05-28 | Amgen Inc. | Combination therapy including a krasg12c inhibitor and one or more additional pharmaceutically active agents for the treatment of cancers |
| CN111484477A (en) * | 2019-01-29 | 2020-08-04 | 博瑞生物医药(苏州)股份有限公司 | Benzopyridone heterocyclic compound and application thereof |
| CN112585129A (en) * | 2019-05-21 | 2021-03-30 | 益方生物科技(上海)股份有限公司 | Heterocyclic compounds, their preparation and use |
| WO2020236948A1 (en) * | 2019-05-21 | 2020-11-26 | Amgen Inc. | Solid state forms |
| WO2020239077A1 (en) * | 2019-05-29 | 2020-12-03 | 上海翰森生物医药科技有限公司 | Nitrogen-containing heterocyclic derivative regulator, preparation method therefor and application thereof |
| WO2021011417A1 (en) * | 2019-07-12 | 2021-01-21 | The Regents Of The University Of California | Chemically controlled monoclonal antibody target engagement |
| CN112390818A (en) * | 2019-08-12 | 2021-02-23 | 劲方医药科技(上海)有限公司 | Substituted heteroaromatic dihydro pyrimidone derivatives, preparation method and medical application thereof |
| CN112390796A (en) * | 2019-08-19 | 2021-02-23 | 贝达药业股份有限公司 | KRAS G12C inhibitor and application thereof in medicines |
| CN112552294A (en) * | 2019-09-10 | 2021-03-26 | 上海翰森生物医药科技有限公司 | Piperazine heterocyclic derivative inhibitor, preparation method and application thereof |
| WO2021076655A1 (en) * | 2019-10-15 | 2021-04-22 | Amgen Inc. | Combination therapy of kras inhibitor and shp2 inhibitor for treatment of cancers |
| WO2021081212A1 (en) * | 2019-10-24 | 2021-04-29 | Amgen Inc. | Pyridopyrimidine derivatives useful as kras g12c and kras g12d inhibitors in the treatment of cancer |
| CN112225734A (en) * | 2019-10-25 | 2021-01-15 | 南京瑞捷医药科技有限公司 | KRAS G12C inhibitors and their uses |
| CN113286794A (en) * | 2019-11-04 | 2021-08-20 | 北京加科思新药研发有限公司 | KRAS mutein inhibitors |
| CN111377918A (en) * | 2019-11-29 | 2020-07-07 | 苏州信诺维医药科技有限公司 | A KRAS inhibitor compound |
| WO2021113595A1 (en) * | 2019-12-06 | 2021-06-10 | Beta Pharma, Inc. | Phosphorus derivatives as kras inhibitors |
| CN112920183A (en) * | 2019-12-06 | 2021-06-08 | 南京圣和药业股份有限公司 | Compounds as KRAS-G12C inhibitors and uses thereof |
| WO2021126816A1 (en) * | 2019-12-16 | 2021-06-24 | Amgen Inc. | Dosing regimen of a kras g12c inhibitor |
| WO2021120045A1 (en) * | 2019-12-18 | 2021-06-24 | InventisBio Co., Ltd. | Heterocyclic compounds, preparation methods and uses thereof |
| WO2021121330A1 (en) * | 2019-12-18 | 2021-06-24 | InventisBio Co., Ltd. | Heterocyclic compounds, preparation methods and uses thereof |
| WO2021121367A1 (en) * | 2019-12-19 | 2021-06-24 | Jacobio Pharmaceuticals Co., Ltd. | Kras mutant protein inhibitors |
| CN113061132A (en) * | 2020-01-01 | 2021-07-02 | 上海凌达生物医药有限公司 | Condensed ring lactam compound, preparation method and application |
| CN111205286A (en) * | 2020-01-13 | 2020-05-29 | 李丹 | Nitrile methyl piperazine derivative as KRAS G12C mutant protein inhibitor and application thereof |
| CN113105448A (en) * | 2020-01-13 | 2021-07-13 | 苏州泽璟生物制药股份有限公司 | Aryl or heteroaryl pyridone or pyrimidone derivative and preparation method and application thereof |
| CN112159405A (en) * | 2020-02-04 | 2021-01-01 | 广州必贝特医药技术有限公司 | Pyridopyrimidinone compounds and application thereof |
| CN112574199A (en) * | 2020-05-20 | 2021-03-30 | 首药控股(北京)股份有限公司 | Heterocyclic compounds as Kras-G12C inhibitors |
Non-Patent Citations (3)
| Title |
|---|
| BRIAN A LANMAN; JENNIFER R ALLEN; JOHN G ALLEN; ALBERT K AMEGADZIE; KATE S ASHTON; SHON K BOOKER; JIAN JEFFREY CHEN; NING CHEN; MI: "Discovery of a Covalent Inhibitor of KRASG12C (AMG 510) for the Treatment of Solid Tumors", JOURNAL OF MEDICINAL CHEMISTRY, vol. 63, no. 1, 9 January 2019 (2019-01-09), pages 52 - 65, XP055666907, ISSN: 0022-2623, DOI: 10.1021/acs.jmedchem.9b01180 * |
| CHEN HAO, SMAILL JEFF B., LIU TONGZHENG, DING KE, LU XIAOYUN: "Small-Molecule Inhibitors Directly Targeting KRAS as Anticancer Therapeutics", JOURNAL OF MEDICINAL CHEMISTRY, vol. 63, no. 23, 23 November 2020 (2020-11-23), US, pages 14404 - 14424, XP055879585, ISSN: 0022-2623, DOI: 10.1021/acs.jmedchem.0c01312 * |
| XIAO XUANZHENG; LAI MENGZHEN; SONG ZILAN; GENG MEIYU; DING JIAN; XIE HUA; ZHANG AO: "Design, synthesis and pharmacological evaluation of bicyclic and tetracyclic pyridopyrimidinone analogues as new KRASG12C inhibitors", EUROPEAN JOURNAL OF MEDICINAL CHEMISTRY, vol. 213, 4 December 2020 (2020-12-04), pages 1 - 17, XP086503244, ISSN: 0223-5234, DOI: 10.1016/j.ejmech.2020.113082 * |
Cited By (20)
| Publication number | Priority date | Publication date | Assignee | Title |
|---|---|---|---|---|
| US11932633B2 (en) | 2018-05-07 | 2024-03-19 | Mirati Therapeutics, Inc. | KRas G12C inhibitors |
| US12527795B2 (en) | 2018-09-10 | 2026-01-20 | Mirati Therapeutics, Inc. | Compositions of adagrasib and mTOR inhibitors and methods of treatment therewith |
| US12485122B2 (en) | 2018-09-10 | 2025-12-02 | Mirati Therapeutics, Inc. | Combination of palbociclib and adagrasib for lung cancer |
| US12336995B2 (en) | 2018-09-10 | 2025-06-24 | Mirati Therapeutics, Inc. | Combination therapies |
| US12208099B2 (en) | 2018-09-10 | 2025-01-28 | Mirati Therapeutics, Inc. | Combination therapies |
| US12377101B2 (en) | 2018-12-05 | 2025-08-05 | Mirati Therapeutics, Inc. | Combination therapies |
| US11548888B2 (en) | 2019-01-10 | 2023-01-10 | Mirati Therapeutics, Inc. | KRas G12C inhibitors |
| US11964989B2 (en) | 2019-08-29 | 2024-04-23 | Mirati Therapeutics, Inc. | KRas G12D inhibitors |
| US11453683B1 (en) | 2019-08-29 | 2022-09-27 | Mirati Therapeutics, Inc. | KRas G12D inhibitors |
| US11890285B2 (en) | 2019-09-24 | 2024-02-06 | Mirati Therapeutics, Inc. | Combination therapies |
| US11702418B2 (en) | 2019-12-20 | 2023-07-18 | Mirati Therapeutics, Inc. | SOS1 inhibitors |
| US12304915B2 (en) | 2019-12-20 | 2025-05-20 | Mirati Therapeutics, Inc. | SOS1 inhibitors |
| CN115175908B (en) * | 2020-01-13 | 2024-07-23 | 苏州泽璟生物制药股份有限公司 | Aryl or heteroaryl pyridone or pyrimidone derivatives and preparation method and application thereof |
| CN115175908A (en) * | 2020-01-13 | 2022-10-11 | 苏州泽璟生物制药股份有限公司 | Aryl or heteroaryl pyridone or pyrimidone derivative and preparation method and application thereof |
| EP4194452A4 (en) * | 2020-08-02 | 2024-08-21 | Shanghai Zheye Biotechnology Co., Ltd. | Aromatic compound and application thereof in antitumor drug |
| US12286431B2 (en) | 2020-09-11 | 2025-04-29 | Mirati Therapeutics, Inc. | Crystalline forms of a KRas G12C inhibitor |
| US12281113B2 (en) | 2020-09-11 | 2025-04-22 | Mirati Therapeutics, Inc. | Crystalline forms of a KRas G12C inhibitor |
| US12398154B2 (en) | 2020-12-15 | 2025-08-26 | Mirati Therapeutics, Inc. | Azaquinazoline pan-KRas inhibitors |
| US12421253B2 (en) | 2020-12-16 | 2025-09-23 | Mirati Therapeutics, Inc. | Tetrahydropyridopyrimidine pan-KRas inhibitors |
| WO2022266206A1 (en) | 2021-06-16 | 2022-12-22 | Erasca, Inc. | Kras inhibitor conjugates |
Similar Documents
| Publication | Publication Date | Title |
|---|---|---|
| WO2021143693A1 (en) | Aryl or heteroaryl pyridone or pyrimidine derivative, preparation method and use thereof | |
| WO2021249563A1 (en) | Aryl or heteroaryl pyridone or pyrimidone derivative, preparation method therefor and application thereof | |
| JP7462985B2 (en) | Aromatic compounds and their use in the preparation of antitumor drugs - Patents.com | |
| WO2021228161A1 (en) | Alkoxlyalkyl-substituted heterocyclic inhibitor, preparation method therefor, and use thereof | |
| WO2021078312A1 (en) | Cycloalkyl and hetero-cycloalkyl inhibitors, preparation methods therefor, and use thereof | |
| KR20220119088A (en) | KRAS mutant protein inhibitor | |
| WO2022199586A1 (en) | Pyrimidopyridine inhibitor, preparation method therefor, and use thereof | |
| WO2021088938A1 (en) | Tetrahydropyridopyrimidine-based inhibitor, preparation method therefor and use thereof | |
| WO2021098859A1 (en) | Aza seven-membered ring inhibitor, and preparation method therefor and use thereof | |
| WO2022161480A1 (en) | Substituted bicyclo-aromatic heterocyclic amine inhibitor, preparation method therefor, and use thereof | |
| CN119060066A (en) | Substituted aryl or heteroaryl bicyclic inhibitors and preparation method and application thereof | |
| CN119019382A (en) | Substituted aryl or heteroaryl heterocycloalkyl inhibitors and preparation method and application thereof | |
| ES2927529T3 (en) | condensed heterocyclic compound | |
| CN113105448A (en) | Aryl or heteroaryl pyridone or pyrimidone derivative and preparation method and application thereof | |
| WO2022166592A1 (en) | Substituted pyrimidopyridone inhibitor, and preparation method therefor and use thereof | |
| EP4234548A1 (en) | Substituted benzo or pyridopyrimidine amine inhibitor, preparation method therefor, and application thereof | |
| WO2025149082A1 (en) | Substituted bridge ring inhibitor, and preparation method therefor and use thereof | |
| CN113801113A (en) | Aryl or heteroaryl pyridone or pyrimidinone derivatives and preparation method and application thereof | |
| CN115215869A (en) | Substituted tricyclic inhibitor and preparation method and application thereof | |
| WO2023078451A1 (en) | Compound used as cdk7 kinase inhibitor and use thereof | |
| CN113045569B (en) | Compounds as RET kinase inhibitors and their applications | |
| CN114437075B (en) | Compounds used as NTRK kinase inhibitors and their applications | |
| WO2022135591A1 (en) | Aryl or heteroaryl pyridone or pyrimidone derivative and preparation method therefor and application thereof | |
| CN116813646A (en) | Substituted bridged ring inhibitors and their preparation methods and applications | |
| CN115215844A (en) | Substituted pyrimidocyclic inhibitor and preparation method and application thereof |
Legal Events
| Date | Code | Title | Description |
|---|---|---|---|
| 121 | Ep: the epo has been informed by wipo that ep was designated in this application |
Ref document number: 21822964 Country of ref document: EP Kind code of ref document: A1 |
|
| NENP | Non-entry into the national phase |
Ref country code: DE |
|
| 122 | Ep: pct application non-entry in european phase |
Ref document number: 21822964 Country of ref document: EP Kind code of ref document: A1 |




































































































































































































































































































































