WO2021137144A1 - An efficient process for the preparation of ertugliflozin l-pyroglutamic acid and intermediates thereof - Google Patents
An efficient process for the preparation of ertugliflozin l-pyroglutamic acid and intermediates thereof Download PDFInfo
- Publication number
- WO2021137144A1 WO2021137144A1 PCT/IB2020/062502 IB2020062502W WO2021137144A1 WO 2021137144 A1 WO2021137144 A1 WO 2021137144A1 IB 2020062502 W IB2020062502 W IB 2020062502W WO 2021137144 A1 WO2021137144 A1 WO 2021137144A1
- Authority
- WO
- WIPO (PCT)
- Prior art keywords
- formula
- compound
- acid
- solvent
- ertugliflozin
- Prior art date
- Legal status (The legal status is an assumption and is not a legal conclusion. Google has not performed a legal analysis and makes no representation as to the accuracy of the status listed.)
- Ceased
Links
Classifications
-
- C—CHEMISTRY; METALLURGY
- C07—ORGANIC CHEMISTRY
- C07D—HETEROCYCLIC COMPOUNDS
- C07D207/00—Heterocyclic compounds containing five-membered rings not condensed with other rings, with one nitrogen atom as the only ring hetero atom
- C07D207/02—Heterocyclic compounds containing five-membered rings not condensed with other rings, with one nitrogen atom as the only ring hetero atom with only hydrogen or carbon atoms directly attached to the ring nitrogen atom
- C07D207/18—Heterocyclic compounds containing five-membered rings not condensed with other rings, with one nitrogen atom as the only ring hetero atom with only hydrogen or carbon atoms directly attached to the ring nitrogen atom having one double bond between ring members or between a ring member and a non-ring member
- C07D207/22—Heterocyclic compounds containing five-membered rings not condensed with other rings, with one nitrogen atom as the only ring hetero atom with only hydrogen or carbon atoms directly attached to the ring nitrogen atom having one double bond between ring members or between a ring member and a non-ring member with hetero atoms or with carbon atoms having three bonds to hetero atoms with at the most one bond to halogen, e.g. ester or nitrile radicals, directly attached to ring carbon atoms
- C07D207/24—Oxygen or sulfur atoms
- C07D207/26—2-Pyrrolidones
- C07D207/273—2-Pyrrolidones with hetero atoms or with carbon atoms having three bonds to hetero atoms with at the most one bond to halogen, e.g. ester or nitrile radicals, directly attached to other ring carbon atoms
- C07D207/277—Carbon atoms having three bonds to hetero atoms with at the most one bond to halogen, e.g. ester or nitrile radicals
- C07D207/28—2-Pyrrolidone-5- carboxylic acids; Functional derivatives thereof, e.g. esters, nitriles
-
- C—CHEMISTRY; METALLURGY
- C07—ORGANIC CHEMISTRY
- C07D—HETEROCYCLIC COMPOUNDS
- C07D493/00—Heterocyclic compounds containing oxygen atoms as the only ring hetero atoms in the condensed system
- C07D493/02—Heterocyclic compounds containing oxygen atoms as the only ring hetero atoms in the condensed system in which the condensed system contains two hetero rings
- C07D493/08—Bridged systems
Definitions
- the present invention relates to an efficient process for the preparation of Ertugliflozin L-pyroglutamic acid of formula (I) and its intermediates in environment friendly manner.
- the present invention further relates to a process for the preparation of substantially pure intermediate of formula (IV).
- Ertugliflozin is chemically known as (lS,2S,3S,4R,5S)-5- ⁇ 4-chloro-3-[(4- ethoxyphenyl)methyl]phenyl ⁇ -l-(hydroxymethyl)-6,8-dioxabicyclo[3.2.1]octane- 2,3,4-triol.
- Ertugliflozin is a sodium-glucose co-transporter-2 (SGLT2) inhibitor approved in the US on Dec 19, 2017 to improve glycemic control in adults with Type-2 diabetes.
- SGLT2 sodium-glucose co-transporter-2
- Ertugliflozinand its co -crystal Ertugliflozin L-pyroglutamic acid (Ertugliflozin LPGA), Ertugliflozin L-proline are disclosed in the US Patent No. 8,080,580 (henceforth ‘580).
- US ‘580 and US patent No. 8,669,380 discloses the preparation of Ertugliflozin, its analogues and Co-crystals thereof[Scheme-2], generically US ‘580 and US ‘380 patents disclose the process:a) treating trimethyl silyl (TMS) protected gluconolactone (Il-a) with hexyllithium to obtain O- methyl compound (Il-b) followed by in-situ sequential reaction transformations such as TMS- protection (II-c), deprotection of hydroxy group usingpotassium carbonate in methanol and TMS-protected aldehyde compound formation (Il-e) which converted to deprotected Pentahydroxy compound (II- f); b) treating TMS- protection (II-c), deprotection of hydroxy group usingpotassium carbonate in methanol and TMS-protected aldehyde compound formation (Il-e) which converted to deprotected Pentahydroxy compound (
- Pentahydroxy compound with catalyst SiliaBond® tosic acid to obtain in-situ Ertugliflozin (Il-g) which was finally reacted with L-pyroglutamic acid to obtain Ertugliflozin L-pyroglutamic acid.
- a process for the preparation of Ertugliflozin L-pyroglutamic acid is specifically exemplified by different approach using different protecting groups.
- the OPRD, 2014, 18(1), 57-65 like Scheme-2 process of US ‘580 and US ‘380 patents, discloses a specific process for preparing Ertugliflozin and Ertugliflozin L-pyroglutamic acid.
- the process involves preparation of amorphous U- methyl intermediate (4) which is isolated by seeding a methanol slurry of crystalline O- methyl intermediate (methanol solvate). It further involves the isolation of pentahydroxy compound (13) using methyl ter-butylether (MTBE) and recrystallization in methanol followed by treatment with catalyst SiliaBond® tosic acid to obtain Ertugliflozin L-pyroglutamic acid directly.
- MTBE methyl ter-butylether
- Th eOPRD, 2014, 18(1), 66-81 discloses an alternative 12-step process for preparation of Ertugliflozin and Ertugliflozin L-pyroglutamic acid (scheme 15) by different approach using different protecting group and intermediates. It involves preparation and isolation of acetyl protected Ertugliflozin (39) from Ertugliflozin using acetic anhydride, pyridine and toluene followed byconverting acetyl protected Ertugliflozin (39) to in-situ Ertugliflozin and then isolating Ertugliflozin L-pyroglutamic acid using mixture of isopropanol and water.
- US patent application US2018/0155358A1 discloses the isolation of Ertugliflozin L-pyroglutamic acid using ethyl acetate.
- the aforesaid processes involve the preparation Ertugliflozin or Ertugliflozin L- pyroglutamic acid or its intermediates (0- methyl intermediate) yields with less purity or involve tedious purification procedures. Further it is not commercially and/or industrially viable as the process involve multiple steps, use of expensive catalysts such as palladium chloride, palladium black, SiliaBond® tosic acid; use of unsafe reagents such as sodium hydride, hydrogen peroxide etc. Hence, the instant inventors are motivated to develop a process for preparation of substantially pure (9-methyl intermediate andfurther to prepare Ertugliflozin L- pyroglutamic acid with high purity in simple and industrially convenient manner.
- an efficient process for the preparation of Ertugliflozin L-pyroglutamic acid of formula (I) and intermediate thereof which comprises the steps of: a) obtaining a compound of formula (IV) by reacting a compound of formula (II) with a compound of formula (III) in presence of organolithium compoundin a suitable solvent; b) obtaining a compound of formula (IX) by following sequential reaction conversions of a compound of formula (IV), where the sequential reaction conversions comprises: i. obtaining a compound of formula (V) where TMS is trimethylsilyl, from a compound of formula (IV) by using trimethylsilylchloride, base in suitable solvent; ii.
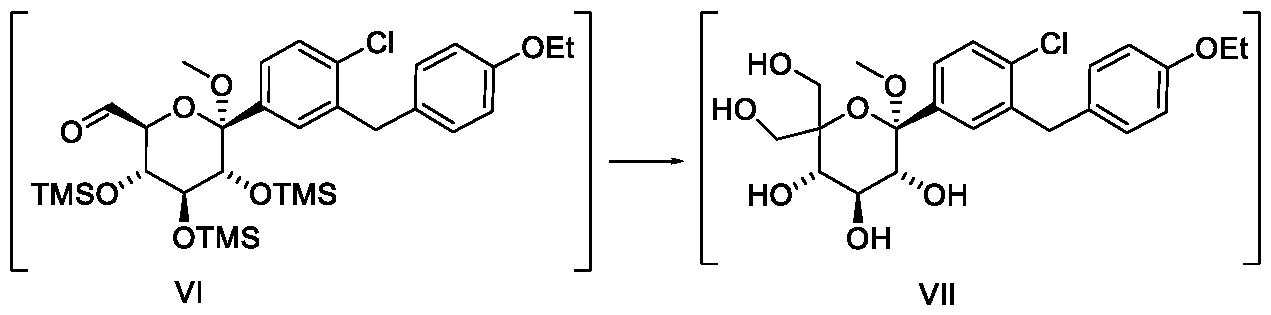
- oxidizing compound of formula (V) in presence of base using suitable oxidizing agent in suitable solvent to obtain a compound of formula (VI); iii. obtaining a compound of formula (VII) from a compound of formula (VI) using formaldehyde or para formaldehyde, alkali metal alkoxide in suitable solvent;
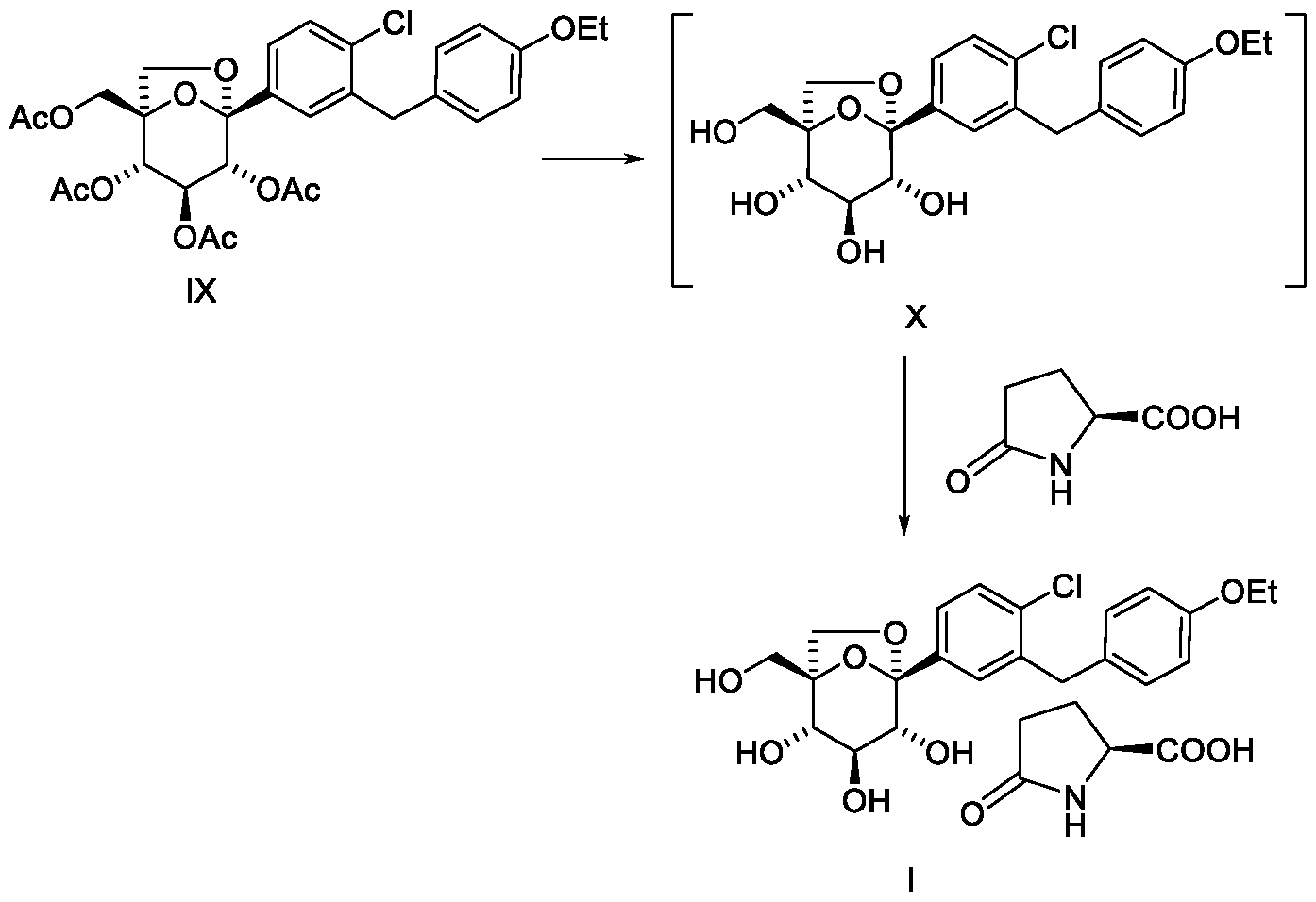
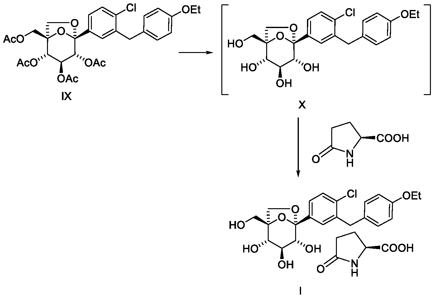
- the present invention provides an improved process for the preparation of Ertugliflozin L-pyroglutamic acid of formula (I) which is free from O-substituted impurity, which comprises the steps of: treating a compound of formula (IX) with alkali metal alkoxide in alcoholic solvent to obtain a compound of formula (X) followed by treating with weak acid, further reaction with L-pyroglutamic acid in suitable solvent such as isopropanol, acetone, ethylacetate or mixture thereof to obtain a compound of formula (I), where treatment with weak acid is performed to avoid formation of O-substituted impurity.
- suitable solvent such as isopropanol, acetone, ethylacetate or mixture thereof
- the present invention provides an improved process for the preparation of Ertugliflozin L-pyroglutamic acid of formula (I) which is free from O-substituted impurity, where the O-substituted impurityis isopropyl (1) or isopropene (2) or monoacyl (3).
- an intermediate of formula (IV) which isolated as amorphous form with chemical purity greater than 95% by following a process mentioned herein.
- the present invention provides an improved process for the preparation of Ertugliflozin L-pyroglutamic acid of formula (I) via substantially pure intermediate of formula (IV) and the said process is illustrated in the following general synthetic scheme:
- O-methyl compound refers to the intermediate of formula (IV)or chemically as (2S,3R,4S,5S,6R)-2-(4-chloro-3-(4- ethoxybenzyl)phenyl)-6-(hydroxymethyl)-2-methoxytetrahydro-2H-pyran-3,4,5- triol.
- O- substituted impurity refers tothe isopropyl (1) or isopropene (2) or monoacyl (3) impurity.
- isopropyl impurity (1) refers to(lS,2S,3S,4R,5S)-5-(4- chloro-3-(4-ethoxybenzyl)phenyl)-l-(isopropoxymethyl)-6,8-dioxabicyclo
- isopropene impurity (2) refers to(lS,2S,3S,4R,5S)-5-(4- chloro-3-(4-ethoxybenzyl)phenyl)-l-((prop-l-en-2-yloxy)methyl)-6,8- dioxabicyclo[3.2.1]octane-2,3,4-triol.
- the termmonoacyl impurity (3) refers to ((lR,2S,3S,4R,5S)-5-(4- chloro-3-(4-ethoxybenzyl)phenyl)-2, 3, 4-trihydro xy-6,8-dioxabicyclo[3.2. l]octan- 1-yl) methyl acetate.
- substantially pure compound refers to the purity of compound is greater than 95%, preferably greater than 97%, more preferably greater than 99%.
- solvent refers to single solvent or mixture of solvents
- the present invention provides an efficient process for the preparation of Ertugliflozin L-pyroglutamic acid of formula (I) and intermediate thereof.
- the instant invention provides the preparation of Ertugliflozin L-pyroglutamic acid consisting of three steps (step (a), step (b) and step (c)) which essentially involve isolating solid material; thus, the process is economically viable.
- the instant invention provides the preparation of Ertugliflozin L-pyroglutamic acid where steps (a) to (c) are optionally involving isolation of the intermediates.
- the protecting group is selected from group consisting ofacetyl (Ac), trimethyls ilyl (TMS) or tert- butyldimethylsilyl (TBS), trityl (Tr) and the like.
- the said organolithium compound used in step (a) is selected from the group consisting of n-butyl lithium (n-BuLi), n-hexyllithium and the like.
- step (a) wherein the said solvent used in step (a) is selected from the group consisting of hexane, heptane, toluene, chlorinated solvents such as dichloro methane (DCM), cyclic ethers such as tetrahydrofuran (THF) and the like or mixture of solvents thereof.
- chlorinated solvents such as dichloro methane (DCM)
- cyclic ethers such as tetrahydrofuran (THF) and the like or mixture of solvents thereof.
- step (b)(i) &(b)(ii) is selected from imidazole, pyridine, triethylamine, N,N- diisopropylethylamine, 4-(dimethylamino) pyridine.
- the said solvent used in (b)(i) & (b)(ii) is selected from the group consisting of chlorinated solvents such as dichloromethane (DCM), 1,2-dimethoxyethane, cyclic ethers such as tetrahydrofuran (THF), methanol, dimethyl sulfoxide, water and the like or mixture of solvents thereof.
- chlorinated solvents such as dichloromethane (DCM), 1,2-dimethoxyethane, cyclic ethers such as tetrahydrofuran (THF), methanol, dimethyl sulfoxide, water and the like or mixture of solvents thereof.
- the said oxidizing agent used in step (b)(ii) is selected from sulfur trioxide pyridine complex, 2-iodoxy benzoic acid, dess martin periodinane (l,l,l-Tris(acetyloxy)- 1,1 -dihydro- 1,2- benziodoxol-3-(lH)-one), swern oxidation reaction condition (DMSO and Oxalyl chloride).
- alkali metal alkoxide is selected from sodium methoxide, sodium ethoxide, sodium tert- butoxide, potassium tert-butoxide, potassium methoxide, potassium ethoxide and the like.
- step (b)(iii) is selected from alcoholic solvents such asethanol, methanol, propanol, isopropanol, butanol and the like or mixture of solvents thereof.
- alcoholic solvents such asethanol, methanol, propanol, isopropanol, butanol and the like or mixture of solvents thereof.
- step (b)(iv) is selected from the group consisting oforganic or inorganic acids such as trifluoro acetic acid (TFA), p-toluenesulfonic acid (p- TSA), sulfuric acid and the like.
- TFA trifluoro acetic acid
- p- TSA p-toluenesulfonic acid
- sulfuric acid sulfuric acid
- step (b)(iv) is selected from the non-polar hydrocarbon solvents such asdichloro methane (DCM), tetrahydrofuran (THF), heptane and the like or mixture of solvents thereof.
- DCM diichloro methane
- THF tetrahydrofuran
- heptane heptane and the like or mixture of solvents thereof.
- step (b)(v) is selected from the group consisting ofacetyl chloride, acetyl bromide, acetic anhydrideand the like.
- step (b)(v) is one or more selected from imidazole, pyridine, triethylamine, N,N- diisopropylethylamine, 4-(dimethylamino)pyridine and the like or mixture thereof.
- step (b)(v) wherein in step (b)(v), 0.05 to 0.3 mole equivalents of the 4-(dimethylamino)pyridinewith respect to compound of formula (IV) is used.
- the said solvent used in step (b)(v) is selected from the non-polar hydrocarbon solvents such as dichloromethane (DCM), 1,2-dimethoxyethane, tetrahydrofuran (THF), heptane and the like or mixture of solvents thereof.
- DCM dichloromethane
- THF tetrahydrofuran
- step (c) treatment with weak acidis performed to avoid formation of O-substituted impurity in the Ertugliflozin L-pyroglutamic acid of formula (I).
- step (c) wherein the said acid used in step (c) is selected from sodium hydrogen sulfate, citric acid, potassium bisulphate and the like.
- alkali metal alkoxide in the step (c) is 0.02 to 0.1 mole equivalents with respect to compound of formula (IX).
- ErtugliflozinL-pyroglutamic acid (I) is free from any of O-substituted impurity which is being formed during isolation of Ertugliflozin L-pyroglutamic acid in a solvent for example isopropyl alcohol or acetone or ethyl acetate respectively; where the O-substituted impurity is isopropyl (1), isopropene (2) or monoacyl (3) impurity.
- Ertugliflozin L-pyroglutamic acid (I) is free from O-substituted impurity which is being prepared by treating free Ertugliflozin residue with weak acid where the weak acid is selected fromsodium hydrogen sulfate, citric acid, potassium bisulphate and the like.
- weak acid selected fromsodium hydrogen sulfate, citric acid, potassium bisulphate and the like.
- L-pyroglutamic acid in the step (c) is 1 to 1.5 mole equivalents with respect to compound of formula (IX).
- alcoholic solvents used in step (c) is selected from ethanol, methanol, propanol, isopropanol, butanol and the like or mixture of solvents thereof.
- step (c) wherein the solvent used in step (c) is selected from acetone, ethyl acetate, methanol, ethanol, isopropanol, propanol, butanol and the like or mixture of solvents thereof.
- Methanesulfonic acid (53.12 g, 0.552 mol) in methanol (300 ml) was added to the reaction mixture at -70°C to -50°C with stirring.
- Aqueous NaHCCF solution was added to the reaction mixture at 0°C to 10°C.
- the solvent was removed under vacuum and reaction mass was extracted in toluene.
- the crude product was isolated from a mixture of toluene and n-Hexane.
- Example 2a Preparation of ((2R,3R,4S,5R,6S)-6-(4-Chloro-3-(4- ethoxybenzyl) phenyl)-6-methoxy-3,4,5-tris-(trimethylsilyloxy)tetrahydro- 2H-pyran-2-yl)methanol (V)
- dichloromethane 400mL was charged under stirring followed by triethylamine (92.21 g, 0.91 mol, 4.0 eq) and DMAP (1.39 g, 0.01 lmol, 0.05 eq).
- the reaction mixture was cooled at temperature below 20°C.
- the acetic anhydride (93.04 g, 0.911 mol) was added to the reaction mixture at temperature below 20°C and the reaction mixture was stirred for 6 to 8 hrs.
- Water 500 mL was added to the reaction mixture with stirring. The organic and aqueous layers were settled and separated. The solvent was distilled out under vacuum to get the crude acyl Ertugliflozin as viscous mass.
- the crude compound was subjected to charcolisation in ethyl acetate and then purified from methanol and isopropanol to obtain 40 g of acyl Ertugliflozin (IX)as white solid (HPLC purity - >99.5%, % yield: 29.02%).
Landscapes
- Chemical & Material Sciences (AREA)
- Organic Chemistry (AREA)
- Pharmaceuticals Containing Other Organic And Inorganic Compounds (AREA)
Abstract
The present invention relates to an efficient process for the preparation of Ertugliflozin L-pyroglutamic acid of formula (I) and intermediate thereof, in environment friendly conditions. The present invention further relates to a process for the preparation of substantially pure intermediate of formula (IV).
Description
“AN EFFICIENT PROCESS FOR THE PREPARATION OF
ERTUGLIFLOZIN L-PYROGLUTAMIC ACID AND INTERMEDIATES
THEREOF”
RELATED APPLICATION
This application claims the benefit of Indian Provisional Application No. IN201921054634, filed on December 31, 2019, the contents of which are incorporated by reference herein.
FIELD OF THE INVENTION
The present invention relates to an efficient process for the preparation of Ertugliflozin L-pyroglutamic acid of formula (I) and its intermediates in environment friendly manner. The present invention further relates to a process for the preparation of substantially pure intermediate of formula (IV).
(I) (IV)
BACKGROUND OF THE INVENTION
Ertugliflozin, is chemically known as (lS,2S,3S,4R,5S)-5-{4-chloro-3-[(4- ethoxyphenyl)methyl]phenyl}-l-(hydroxymethyl)-6,8-dioxabicyclo[3.2.1]octane- 2,3,4-triol. Ertugliflozinis a sodium-glucose co-transporter-2 (SGLT2) inhibitor approved in the US on Dec 19, 2017 to improve glycemic control in adults with Type-2 diabetes. Ertugliflozinand its co -crystal Ertugliflozin L-pyroglutamic acid (Ertugliflozin LPGA), Ertugliflozin L-proline are disclosed in the US Patent No. 8,080,580 (henceforth ‘580).
US ‘580 and US patent No. 8,669,380 (henceforth ‘380) discloses the preparation of Ertugliflozin, its analogues and Co-crystals thereof[Scheme-2], generically US
‘580 and US ‘380 patents disclose the process:a) treating trimethyl silyl (TMS) protected gluconolactone (Il-a) with hexyllithium to obtain O- methyl compound (Il-b) followed by in-situ sequential reaction transformations such as TMS- protection (II-c), deprotection of hydroxy group usingpotassium carbonate in methanol and TMS-protected aldehyde compound formation (Il-e) which converted to deprotected Pentahydroxy compound (II- f); b) treating
Pentahydroxy compound with catalyst SiliaBond® tosic acid to obtain in-situ Ertugliflozin (Il-g) which was finally reacted with L-pyroglutamic acid to obtain Ertugliflozin L-pyroglutamic acid. However, a process for the preparation of Ertugliflozin L-pyroglutamic acid is specifically exemplified by different approach using different protecting groups.
The aforesaid US patent ‘380 discloses another approach (scheme 3) for preparation of Ertugliflozin by a) protecting secondary hydroxyl groups of trityl protected U- methyl compound (Ill-b) with acetyl or benzyl group to obtain compound (III-c); b) deprotection of primary hydroxy groupof compound (III- c), in-situ formation of Pentahydroxy compound (Ill-e) followed by treating compound (Ill-e) with Trifluoro acetic acid (TFA) in dichloromethane to obtain acetyl protected compound (Ill-g); c) deprotecting compound (Ill-g) to obtain Ertugliflozin (Sl-A).
The OPRD, 2014, 18(1), 57-65, like Scheme-2 process of US ‘580 and US ‘380 patents, discloses a specific process for preparing Ertugliflozin and Ertugliflozin L-pyroglutamic acid. The process involves preparation of amorphous U- methyl intermediate (4) which is isolated by seeding a methanol slurry of crystalline O- methyl intermediate (methanol solvate). It further involves the isolation of pentahydroxy compound (13) using methyl ter-butylether (MTBE) and recrystallization in methanol followed by treatment with catalyst SiliaBond® tosic acid to obtain Ertugliflozin L-pyroglutamic acid directly. However, the reference mentioned that the process is not commercially viable.
Th eOPRD, 2014, 18(1), 66-81, discloses an alternative 12-step process for preparation of Ertugliflozin and Ertugliflozin L-pyroglutamic acid (scheme 15) by
different approach using different protecting group and intermediates. It involves preparation and isolation of acetyl protected Ertugliflozin (39) from Ertugliflozin using acetic anhydride, pyridine and toluene followed byconverting acetyl protected Ertugliflozin (39) to in-situ Ertugliflozin and then isolating Ertugliflozin L-pyroglutamic acid using mixture of isopropanol and water.
The US patent application US2018/0155358A1 discloses the isolation of Ertugliflozin L-pyroglutamic acid using ethyl acetate.
It was found that the isolation of Ertugliflozin L-pyroglutamic acid in one or more solvents leads to formation of certain impurities. Hence, the inventors of instant application have developed a process without the formation of the impurities.
The aforesaid processes involve the preparation Ertugliflozin or Ertugliflozin L- pyroglutamic acid or its intermediates (0- methyl intermediate) yields with less purity or involve tedious purification procedures. Further it is not commercially and/or industrially viable as the process involve multiple steps, use of expensive catalysts such as palladium chloride, palladium black, SiliaBond® tosic acid; use of unsafe reagents such as sodium hydride, hydrogen peroxide etc. Hence, the instant inventors are motivated to develop a process for preparation of substantially pure (9-methyl intermediate andfurther to prepare Ertugliflozin L- pyroglutamic acid with high purity in simple and industrially convenient manner.
SUMMARY OF THE INVENTION
In one aspect of the present invention provides an efficient process for the preparation of Ertugliflozin L-pyroglutamic acid of formula (I) and intermediate thereof, which comprises the steps of:
a) obtaining a compound of formula (IV) by reacting a compound of formula (II) with a compound of formula (III) in presence of organolithium compoundin a suitable solvent;
b) obtaining a compound of formula (IX) by following sequential reaction conversions of a compound of formula (IV), where the sequential reaction conversions comprises: i. obtaining a compound of formula (V) where TMS is trimethylsilyl, from a compound of formula (IV) by using trimethylsilylchloride, base in suitable solvent;
ii. oxidizing compound of formula (V) in presence of base using suitable oxidizing agent in suitable solvent to obtain a compound of formula (VI);
iii. obtaining a compound of formula (VII) from a compound of formula (VI) using formaldehyde or para formaldehyde, alkali metal alkoxide in suitable solvent;
IV. cyclizing a compound of formula (VII) using suitable acid in suitable solvent to obtain acompound of formula (VIII);
v. acylating a compound of formula (VIII) by acylating agent in presence of base in suitable solvent to obtain a compound of formula (IX);
c) treating a compound of formula (IX) with alkali metal alkoxide in alcoholic solvent(s) to obtain a compound of formula (X) followed by treating with weak acid, and further reaction with L-pyroglutamic acid in suitable solvent such as isopropanol, acetone, ethylacetate or mixture thereof to obtain a compound of formula (I).
In another aspect of the present invention provides an improved process for the preparation of Ertugliflozin L-pyroglutamic acid of formula (I), which comprises
treating a compound of formula (IX) with alkali metal alkoxide in alcoholic solvent to obtain a compound of formula (X) followed by treating with weak acid, further reaction with L-pyroglutamic acid in suitable solvent such as isopropanol, acetone, ethylacetate or mixture thereof to obtain a compound of formula (I), where treatment with weak acid is performed to avoid formation of O-substituted impurity.
In another aspectof the present invention provides an improved process for the preparation of Ertugliflozin L-pyroglutamic acid of formula (I) which is free from O-substituted impurity, which comprises the steps of:
treating a compound of formula (IX) with alkali metal alkoxide in alcoholic solvent to obtain a compound of formula (X) followed by treating with weak acid, further reaction with L-pyroglutamic acid in suitable solvent such as isopropanol, acetone, ethylacetate or mixture thereof to obtain a compound of formula (I), where treatment with weak acid is performed to avoid formation of O-substituted impurity.
In one embodimentof the present invention provides an improved process for the preparation of Ertugliflozin L-pyroglutamic acid of formula (I) which is free from O-substituted impurity, where the O-substituted impurityis isopropyl (1) or isopropene (2) or monoacyl (3).
In another aspect of the present invention provides an intermediate of formula (IV) which isolated as amorphous form with chemical purity greater than 95% by following a process mentioned herein.
DETAILED DESCRIPTION OF THE INVENTION
The present invention now will be described more fully hereinafter. The invention may be embodied in many different forms and should not be construed as limited to the embodiments set forth herein; rather, these embodiments are provided so that this disclosure will satisfy applicable legal requirements. As used in the specification, and in the appended claims, the singular forms “a”, “an”, “the”, include plural referents unless the context clearly indicates otherwise.
The present invention provides an improved process for the preparation of Ertugliflozin L-pyroglutamic acid of formula (I) via substantially pure intermediate of formula (IV) and the said process is illustrated in the following general synthetic scheme:
The term “O-methyl compound”, as used herein, refers to the intermediate of formula (IV)or chemically as (2S,3R,4S,5S,6R)-2-(4-chloro-3-(4- ethoxybenzyl)phenyl)-6-(hydroxymethyl)-2-methoxytetrahydro-2H-pyran-3,4,5- triol.
The term “O- substituted impurity”, as used herein, refers tothe isopropyl (1) or isopropene (2) or monoacyl (3) impurity.
The termisopropyl impurity (1), as used herein, refers to(lS,2S,3S,4R,5S)-5-(4- chloro-3-(4-ethoxybenzyl)phenyl)-l-(isopropoxymethyl)-6,8-dioxabicyclo
[3.2.1]octane-2,3,4-triol.
The term isopropene impurity (2), as used herein, refers to(lS,2S,3S,4R,5S)-5-(4- chloro-3-(4-ethoxybenzyl)phenyl)-l-((prop-l-en-2-yloxy)methyl)-6,8- dioxabicyclo[3.2.1]octane-2,3,4-triol.
The termmonoacyl impurity (3), as used herein, refers to ((lR,2S,3S,4R,5S)-5-(4- chloro-3-(4-ethoxybenzyl)phenyl)-2, 3, 4-trihydro xy-6,8-dioxabicyclo[3.2. l]octan- 1-yl) methyl acetate.
The term “substantially pure” compound, as used herein, refers to the purity of compound is greater than 95%, preferably greater than 97%, more preferably greater than 99%.
The term “solvent”, as used herein, refers to single solvent or mixture of solvents
In accordance with the objectives, the present invention provides an efficient process for the preparation of Ertugliflozin L-pyroglutamic acid of formula (I) and intermediate thereof.
In one embodiment, the instant invention provides the preparation of Ertugliflozin L-pyroglutamic acid consisting of three steps (step (a), step (b) and step (c))
which essentially involve isolating solid material; thus, the process is economically viable.
In another embodiment, the instant invention provides the preparation of Ertugliflozin L-pyroglutamic acid where steps (a) to (c) are optionally involving isolation of the intermediates.
In another embodiment of the present invention, wherein the protecting group is selected from group consisting ofacetyl (Ac), trimethyls ilyl (TMS) or tert- butyldimethylsilyl (TBS), trityl (Tr) and the like.
In another embodiment of the present invention, wherein the said organolithium compound used in step (a) is selected from the group consisting of n-butyl lithium (n-BuLi), n-hexyllithium and the like.
In another embodiment of the present invention, wherein the said solvent used in step (a) is selected from the group consisting of hexane, heptane, toluene, chlorinated solvents such as dichloro methane (DCM), cyclic ethers such as tetrahydrofuran (THF) and the like or mixture of solvents thereof.
In another embodiment of the present invention, wherein the said base used in step (b)(i) &(b)(ii) is selected from imidazole, pyridine, triethylamine, N,N- diisopropylethylamine, 4-(dimethylamino) pyridine.
In another embodiment of the present invention, wherein the said solvent used in (b)(i) & (b)(ii) is selected from the group consisting of chlorinated solvents such as dichloromethane (DCM), 1,2-dimethoxyethane, cyclic ethers such as tetrahydrofuran (THF), methanol, dimethyl sulfoxide, water and the like or mixture of solvents thereof.
In another embodiment of the present invention, wherein the said oxidizing agent used in step (b)(ii) is selected from sulfur trioxide pyridine complex, 2-iodoxy benzoic acid, dess martin periodinane (l,l,l-Tris(acetyloxy)- 1,1 -dihydro- 1,2-
benziodoxol-3-(lH)-one), swern oxidation reaction condition (DMSO and Oxalyl chloride).
In another embodiment of the present invention, wherein the said alkali metal alkoxideis selected from sodium methoxide, sodium ethoxide, sodium tert- butoxide, potassium tert-butoxide, potassium methoxide, potassium ethoxide and the like.
In another embodiment of the present invention, wherein the said solvent used in step (b)(iii) is selected from alcoholic solvents such asethanol, methanol, propanol, isopropanol, butanol and the like or mixture of solvents thereof.
In another embodiment of the present invention, wherein the said acid used in step (b)(iv) is selected from the group consisting oforganic or inorganic acids such as trifluoro acetic acid (TFA), p-toluenesulfonic acid (p- TSA), sulfuric acid and the like.
In another embodiment of the present invention, wherein the said solvent used in step (b)(iv) is selected from the non-polar hydrocarbon solvents such asdichloro methane (DCM), tetrahydrofuran (THF), heptane and the like or mixture of solvents thereof.
In another embodiment of the present invention, wherein the acylating agent in step (b)(v) is selected from the group consisting ofacetyl chloride, acetyl bromide, acetic anhydrideand the like.
In another embodiment of the present invention, wherein the said base used in step (b)(v) is one or more selected from imidazole, pyridine, triethylamine, N,N- diisopropylethylamine, 4-(dimethylamino)pyridine and the like or mixture thereof.
In another embodiment of the present invention, wherein in step (b)(v), 0.05 to 0.3 mole equivalents of the 4-(dimethylamino)pyridinewith respect to compound of formula (IV) is used.
In another embodiment of the present invention, wherein the said solvent used in step (b)(v) is selected from the non-polar hydrocarbon solvents such as dichloromethane (DCM), 1,2-dimethoxyethane, tetrahydrofuran (THF), heptane and the like or mixture of solvents thereof.
In another embodiment of the present invention, wherein the compound of formula (IX) is purified by using suitable alcoholic solvent such methanol, ethanol, propanol, isopropanol, n-butanol and the like or mixture thereof.
In another embodiment of the present invention, wherein in step (c) treatment with weak acidis performed to avoid formation of O-substituted impurity in the Ertugliflozin L-pyroglutamic acid of formula (I).
In another embodiment of the present invention, wherein the said acid used in step (c) is selected from sodium hydrogen sulfate, citric acid, potassium bisulphate and the like.
In another embodiment of the present invention, wherein said acid in the step (c), is 0.03 to 0.1 mole equivalents with respect to compound of formula (IX).
In another embodiment of the present invention, wherein said alkali metal alkoxide in the step (c) is 0.02 to 0.1 mole equivalents with respect to compound of formula (IX).
In another embodiment of the present invention, ErtugliflozinL-pyroglutamic acid (I) is free from any of O-substituted impurity which is being formed during isolation of Ertugliflozin L-pyroglutamic acid in a solvent for example isopropyl alcohol or acetone or ethyl acetate respectively; where the O-substituted impurity is isopropyl (1), isopropene (2) or monoacyl (3) impurity.
In another embodiment of the present invention, Ertugliflozin L-pyroglutamic acid (I) is free from O-substituted impurity which is being prepared by treating free Ertugliflozin residue with weak acid where the weak acid is selected fromsodium hydrogen sulfate, citric acid, potassium bisulphate and the like.
In another embodiment of the present invention, wherein L-pyroglutamic acid in the step (c) is 1 to 1.5 mole equivalents with respect to compound of formula (IX).
In another embodiment of the present invention, wherein the alcoholic solvents used in step (c) is selected from ethanol, methanol, propanol, isopropanol, butanol and the like or mixture of solvents thereof.
In another embodiment of the present invention, wherein the solvent used in step (c) is selected from acetone, ethyl acetate, methanol, ethanol, isopropanol, propanol, butanol and the like or mixture of solvents thereof.
In another embodiment of the present invention, wherein all the crude compound is used as such or purified by distillation or crystallization or by different techniques well understood by those skilled in the art.
In another embodiment of the present invention, wherein an efficient process for the preparation of Ertugliflozin L-pyroglutamic acid of formula (I) and intermediate thereof is suitable at industrial scale.
The preparation of the starting materials and reagents used in the present invention are well known in prior art.
The invention is further illustrated by the following examples, which should not be construed to limit the scope of the invention in anyway.
Experimental
Example 1: Preparation of (2S,3R,4S,5S,6R)-2-(4-Chloro-3-(4- ethoxybenzyl)phenyl)-6-(hydroxymethyl)-2-methoxytetrahydro-2H-pyran-
3,4,5-triol(IV)
The solution of 4-(5-bromo-2-chlorobenzyl) phenyl ethyl ether (100 g, 0.307 mol) in dry THF (400 ml) was cooled at -70°C to -50°C.To this stirred solution, n- BuLi(1.6 M in hexane, 230 ml, 0.368 mol) and 2,3,4,6-tctra-0-trimcthylsilyl-//-D- glucolactone (144 g, 0.307 mol) were added at -90°C to -70°C and the reaction mixture was stirred for 10 to 20 min. Methanesulfonic acid (53.12 g, 0.552 mol)
in methanol (300 ml) was added to the reaction mixture at -70°C to -50°C with stirring. Aqueous NaHCCF solution was added to the reaction mixture at 0°C to 10°C. The solvent was removed under vacuum and reaction mass was extracted in toluene. The crude product was isolated from a mixture of toluene and n-Hexane.
The crude compound was purified using methanol. The wet solid was dried under vacuum for 10 to 12 hoursto yield 90 g of pure (9-methyl compound of formula (IV) (HPLC purity >90%, yield: 67%).
Ή NMR (400 MHz, DMSO -d6) d (ppm): 1.25-1.30 (t, 3H), 2.86-2.88 (m, 3H), 2.88-3.75 (m, 6H), 3.93-4.04 (m, 4H), 4.54-4.57 (t, 1H), 4.76-4.80 (dd, 2H), 4.98- 5.00 (d, 1H), 6.80-6.83 (d, 2H), 7.05-7.07 (d, 2H), 7.38 (s, 2H), 7.52 (s, 1H),
MS (ESI): 456 [M+NH3]+,
IR in KBr (Frequency (cm 1), 826.38 (C-Cl stretching), 1244.5 (C-0 stretching), 2926.1 (C-H stretching), 3415.2 (O-H stretching).
Example 2a: Preparation of ((2R,3R,4S,5R,6S)-6-(4-Chloro-3-(4- ethoxybenzyl) phenyl)-6-methoxy-3,4,5-tris-(trimethylsilyloxy)tetrahydro- 2H-pyran-2-yl)methanol (V)
To the solution of (9-methyl compound (100 g, 0.227mol) in DCM (500 ml), imidazole (75.99 g, 1.12 mol) was added at room temperature. The reaction mixture was cooled to 0°C to 5°C. Trimethylsilyl chloride (116.33 g, 1.07 mol) was added to the reaction mixture at below 5°C. The temperature of reaction mixture was raised to 20°C to 30°C and stirred for 2 hours. The reaction mixture was filtered. The filtrate was washed with DCM followed by aqueous sodium chloride (500mL). The organic layers were transferred to a clean RBF. A solution of para-toluene sulfonic acid monohydrate (169.88g, 0.89 mol), pyridine (79.47 g, 1.0 mol) and water (300 mL) was prepared and charged into the organic layer. The reaction mixture was stirred for 15 hours at 25°C to 32°C. After completion of reaction, the reaction mixture was diluted with water and organic and aqueous layer was separated. The organic solvent was removed under vacuum to get monohydroxy compound of formula (V)(HPFC purity >90.0%) which was proceeded for the next stage without isolation.
Example 2b: Preparation of(2S,3R,4S,5R,6S)-6-(4-Chloro-3-(4-ethoxybenzyl) phenyl)-6-methoxy-3,4,5-tris-(trimethylsilyloxy)tetrahydro-2H-pyran-2- carbaldehyde (VI)
To the residue from example 2a,dichloromethane (550 mL) was added with stirring. The reaction mixture was cooled to 10°C and dimethyl sulfoxide (200 mL) was added to the reaction mixture. Further, triethylamine( 112.56 mL, 0.8 mol) and pyridine sulfur trioxide (102.04 g, 0.64 mol) were added at temperature below 20°C The reaction mixture was stirred for 3 hours under nitrogen atmosphere. After completion of reaction, water (750 mL) was charged to the reaction mixture and stirred. The organic and aqueous layer were separated. The organic layer was washed with aqueous ammonium chloride solution (750 mL) followed by aqueous sodium chloride solution (750 mL). The solvent was distilled out under vacuum to obtain the aldehyde compound (VI) and it was proceeded to the next stage without further isolation.
Example 2c: Preparation of2S,3R,4S,5S)-2-(4-chloro-3-(4- ethoxybenzyl)phenyl)-6,6-bis(hydroxymethyl)-2-methoxytetrahydro-2H- pyran-3,4,5-triol (VII)
To the residue from example 2b, ethanol (400 mL) was added under stirring. Paraformaldehyde (136.57 g, 4.55 mol) was added to the reaction mixture and temperature raised at 50°C to 55°C. The sodium ethoxide solution in ethanol (164 mL) was slowly added to the reaction mixture and stirred at 50°C for 4 hrs. After completion of reaction, aqueous sodium bisulfite (394 g in 1100 mL) was slowly added to reaction mixture at 50°C and stirred for 2 hrs. The solvent was distilled out from reaction mixture and reaction mass was extracted in ethyl acetate (500 mL). The solvent was distilled under vacuum to get the pentahydroxy compound (VII) (HPLC purity >65%) as a viscous mass which was taken for the next stage without isolation.
Example 2d: Preparation ofErtugliflozin (VIII)
To the residue from example 2c, dichloro methane (300 mL) was charged and stirred for 30 to 40 min. The reaction mixture was cooled below 5°C. Trifluoro acetic acid (77.85g, 0.682 mol) was added to the reaction mixture and
reaction temperature was raised at 25 °C to 40°C. The reaction mixture was stirred for 8 hrs. The reaction mixture was cooled to below 20°C. The aqueous sodium bicarbonate solution (300 ml) was added to the reaction mixture under stirring below 25°C. The organic and aqueous layers were settled and separated. The organic layer was washed with water (300 mL). The solvent was distilled under vacuum to get the crude Ertugliflozin(VIII) (HPLC purity >65%) as viscous mass which was proceeded to next reaction without isolation.
Example 2e: Preparation of(lR,2S,3S,4R,5S)-l-(acetoxymethyl)-5-(4-chloro- 3-(4-ethoxybenzyl)phenyl)-6,8-dioxabicyclo[3.2.1]octane-2,3,4-triyl triacetate (IX)
To the residue from example 2d, dichloromethane (400mL) was charged under stirring followed by triethylamine (92.21 g, 0.91 mol, 4.0 eq) and DMAP (1.39 g, 0.01 lmol, 0.05 eq).The reaction mixture was cooled at temperature below 20°C. The acetic anhydride (93.04 g, 0.911 mol) was added to the reaction mixture at temperature below 20°C and the reaction mixture was stirred for 6 to 8 hrs. Water (500 mL) was added to the reaction mixture with stirring. The organic and aqueous layers were settled and separated. The solvent was distilled out under vacuum to get the crude acyl Ertugliflozin as viscous mass. The crude compound was subjected to charcolisation in ethyl acetate and then purified from methanol and isopropanol to obtain 40 g of acyl Ertugliflozin (IX)as white solid (HPLC purity - >99.5%, % yield: 29.02%).
Example 3: Preparation of Ertugliflozin L-pyroglutamic acid(I)
To acyl Ertugliflozin (lOOg, 0.165 mol), methanol (400 mL, 4V) was charged under stirring. To the reaction mixture, sodium methoxide (0.45g, 0.00832 mol, 0.05 eq.) was charged under stirring and reaction mixture was stirred below 50°C for 4 hours. After completion of reaction, solvent was distilled under vacuum to get residue of Ertugliflozin. To the residue, dichloromethane (500 mL) was charged followed by aqueous sodium hydrogen sulfate (1.25 g, 0.0104 mol, 0.063 eq, in 500 mL of water)and the reaction mixture was stirred for 30 to 50 min.The organic and aqueous layers were settled and separated. The solvent was distilled out under vacuum. To this, acetone (400 mL) was added and stirred for 30 to 40
min. The reaction mass was cooled at ambient temperature and L-pyroglutamic acid (31.99 g, 0.25 mol, 1.5 eq.) was added. The reaction mixture was stirred for 3 hours below 55°C.The solid was filtered and washed with acetone. The wet solid was dried under vacuum to obtain 65.47 g of Ertugliflozin L-pyroglutamic acid as white crystalline solid (HPLC purity >99.8%, yield: 70%).
The preparation of Ertugliflozin L-pyroglutamic acid was also tried by dissolvingErtugliflozin residue in dichloromethane,thensodium methoxide base was neutralized using appropriate acid as shown in table- 1. Further, L- pyroglutamic acid was added to obtain Ertugliflozin L-pyroglutamic acid using various solvents as summarized in the Table- 1;
Claims
1. A process for the preparation of Ertugliflozin L-pyroglutamic acid of formula (I) and intermediate thereof, which comprises the steps of:
a) obtaining a compound of formula (IV) by reacting a compound of formula (II) with a compound of formula (III) in presence of organolithium compound in a solvent;
b) obtaining a compound of formula (IX) by following sequential reaction conversions of a compound of formula (IV), where the sequential reaction conversions comprising of: i. obtaining a compound of formula (V) where TMS is trimethylsilyl, from a compound of formula (IV) by using trimethylsilylchloride, base in suitable solvent;
ii. oxidizing compound of formula (V)in presence of base using oxidizing agent in solvent to obtain a compound of formula (VI);
iii. obtaining a compound of formula (VII) from a compound of formula (VI) usingformaldehyde or paraformaldehyde, alkali metal alkoxide in solvent;
iv. cyclizing a compound of formula (VII) usingacid in asolvent to obtain a compound of formula (VIII);
v. acylating a compound of formula (VIII) by acylating agent in presence of base in a solvent to obtain a compound of formula (IX);
c) treating a compound of formula (IX) with alkali metal alkoxidein alcoholic solvent(s) to obtain a compound of formula (X) followed by treating with weak acid, and further reaction with L-pyroglutamic acid in solvent such as isopropanol, acetone, ethyl acetate or mixture thereof to obtain a compound of formula (I).
2. A process for the preparation of Ertugliflozin L-pyroglutamic acid of formula (I), which comprises
treating a compound of formula (IX) with alkali metal alkoxide in alcoholic solvent to obtain a compound of formula (X) followed by treating with weak acid, further reaction with L-pyroglutamic acid in solvent such as isopropanol, acetone, ethylacetate or mixture thereof to obtain a compound of formula (I), where treatment with weak acid is performed to avoid formation of O-substituted impurity.
3. The process as claimed in claim 1 or 2 wherein, Ertugliflozin L-pyroglutamic acid of formula (I) is free from O-substituted impurity, the process comprises the steps of:
treating a compound of formula (IX) with alkali metal alkoxide in alcoholic solvent to obtain a compound of formula (X) followed by treating with weak acid, further
reaction with L-pyroglutamic acid in solvent such as isopropanol, acetone, ethylacetate or mixture thereof to obtain a compound of formula (I), where treatment with weak acid is performed to avoid formation of O-substituted impurity,
where, the O-substituted impurityis isopropyl (1) or isopropene (2) or monoacyl (3).
4. The process as claimed in claim 1 wherein, the intermediate of formula (IV) having chemical purity greater than 95%.
5. The process as claimed in claim 1 wherein, the organo lithium compound used in step (a) is selected from the group consisting of n-butyl lithium (n-BuLi), n-hexyllithium.
6. The process as claimed in claim 1 wherein, the solvent used in step (a) is selected from the group consisting of hexane, heptane, toluene, chlorinated solvents such as dichloro methane (DCM), cyclic ethers such as tetrahydrofuran (THF).
7. The process as claimed in claim 1 wherein, base used in step (b)(i) & (b)(ii) is selected from imidazole, pyridine, triethylamine, N,N-diisopropylethylamine, and 4- (dimethylamino )pyridine .
8. The process as claimed in claim 1 wherein, the solvent used in (b)(i) & (b)(ii) is selected from the group consisting of chlorinated solvents such as dichloromethane (DCM), 1,2-dimethoxy ethane, cyclic ethers such as tetrahydrofuran (THF), methanol, dimethyl sulfoxide, and water.
9. The process as claimed in claim 1 wherein, the oxidizing agent used in step (b)(ii) is selected from sulfur trioxide pyridine complex, 2-iodoxy benzoic acid, dess martin periodinane( 1,1,1 -Tris(acetyloxy)- 1 , 1 -dihydro- 1 ,2-benziodoxol-3-( lH)-one), swern oxidation reaction condition (DMSO and Oxalyl chloride).
10. The process as claimed in claim 1, 2 or 3 wherein, the alkali metal alkoxide is selected from sodium methoxide, sodium ethoxide, sodium tert-butoxide, potassium tert- butoxide, potassium methoxide, and potassium ethoxide.
11. The process as claimed in claim 1 wherein, the solvent used in step (b)(iii) is selected from alcoholic solvents such asethanol, methanol, propanol, isopropanol, and butanol.
12. The process as claimed in claim 1 wherein, the acid used in step (b)(iv) is selected from the group consisting of organic or inorganic acids such as trifluoro acetic acid (TFA), p-toluenesulfonic acid (p- TSA), and sulfuric acid.
13. The process as claimed in claim 1 wherein, the solvent used in step (b)(iv) is selected from the non-polar hydrocarbon solvents such as dichloromethane (DCM), tetrahydrofuran (THF), and heptane.
14. The process as claimed in claim 1 wherein, the acylating agent in step (b)(v) is selected from the group consisting of acetyl chloride, acetyl bromide, and acetic anhydride.
15. The process as claimed in claim 1 wherein, the base used in step (b)(v) is one or more selected from imidazole, pyridine, triethylamine, N,N-diisopropylethylamine,and 4- (dimethylamino )pyridine .
16. The process as claimed in claim 1 wherein, the solvent used in step (b)(v) is selected from the non-polar hydrocarbon solvents such as dichloromethane (DCM), 1,2- dimethoxyethane, tetrahydrofuran (THF), and heptane.
17. The process as claimed in claim 1 wherein, the compound of formula (IX) is purified by using suitable alcoholic solvent such methanol, ethanol, propanol, isopropanol, and n-butanol.
18. The process as claimed in claim 1, 2 or 3 wherein, the weak acid is selected from sodium hydrogen sulfate, citric acid, and potassium bisulphate.
19. The process as claimed in claim 1 wherein, in the step (c), 0.03 to 0.1 mole equivalents of the said acid with respect to compound of formula (IX) is used.
20. The process as claimed in claim 1, 2 or 3 wherein, Ertugliflozin L-pyroglutamic acid (I) is free from O-substituted impurity which is being prepared by treating free Ertugliflozin residue with weak acid where the weak acid is selected from sodium hydrogen sulfate, citric acid, and potassium bisulphate.
21. The process as claimed in claim 1 wherein, said metal alkoxide in the step (c), is 0.02 to 0.1 mole equivalents.
22. The process as claimed in claim 1 wherein, said L-pyroglutamic acidin the step (c) is 1 to 1.5 mole equivalents.
23. The process as claimed in claim 1, 2 or 3 wherein, the alcoholic solvent is selected from ethanol, methanol, propanol, isopropanol, and butanol.
Applications Claiming Priority (2)
| Application Number | Priority Date | Filing Date | Title |
|---|---|---|---|
| IN201921054634 | 2019-12-31 | ||
| IN201921054634 | 2019-12-31 |
Publications (1)
| Publication Number | Publication Date |
|---|---|
| WO2021137144A1 true WO2021137144A1 (en) | 2021-07-08 |
Family
ID=76686576
Family Applications (1)
| Application Number | Title | Priority Date | Filing Date |
|---|---|---|---|
| PCT/IB2020/062502 Ceased WO2021137144A1 (en) | 2019-12-31 | 2020-12-29 | An efficient process for the preparation of ertugliflozin l-pyroglutamic acid and intermediates thereof |
Country Status (1)
| Country | Link |
|---|---|
| WO (1) | WO2021137144A1 (en) |
Cited By (1)
| Publication number | Priority date | Publication date | Assignee | Title |
|---|---|---|---|---|
| CN117551150A (en) * | 2023-11-13 | 2024-02-13 | 江苏海悦康医药科技有限公司 | A kind of synthetic method of etogliflozin |
Citations (1)
| Publication number | Priority date | Publication date | Assignee | Title |
|---|---|---|---|---|
| US20120184486A1 (en) * | 2009-11-02 | 2012-07-19 | Pfizer Inc. | Dioxa-bicyclo[3.2.1]octane-2,3,4-triol derivatives |
-
2020
- 2020-12-29 WO PCT/IB2020/062502 patent/WO2021137144A1/en not_active Ceased
Patent Citations (1)
| Publication number | Priority date | Publication date | Assignee | Title |
|---|---|---|---|---|
| US20120184486A1 (en) * | 2009-11-02 | 2012-07-19 | Pfizer Inc. | Dioxa-bicyclo[3.2.1]octane-2,3,4-triol derivatives |
Non-Patent Citations (1)
| Title |
|---|
| PAUL BOWLES ET AL.: "Commercial Route Research and Development for SGLT2 Inhibitor Candidate Ertugliflozin", ORG. PROCESS RES. DEV. 2014, vol. 18, 20 December 2013 (2013-12-20), pages 66 - 81, XP002758835 * |
Cited By (1)
| Publication number | Priority date | Publication date | Assignee | Title |
|---|---|---|---|---|
| CN117551150A (en) * | 2023-11-13 | 2024-02-13 | 江苏海悦康医药科技有限公司 | A kind of synthetic method of etogliflozin |
Similar Documents
| Publication | Publication Date | Title |
|---|---|---|
| EP2183263B1 (en) | Methods and compounds useful for the preparation of sodium glucose co-transporter 2 inhibitors | |
| US10208058B2 (en) | Process for the preparation of macrocyclic ketone analogs of halichondrin B or pharmaceutically acceptable salts and intermediates thereof | |
| KR100672269B1 (en) | How to prepare simvastatin | |
| JP5788398B2 (en) | A novel process for producing entecavir and intermediates used therefor | |
| HK1226411A1 (en) | Process for the preparation of macrolide antibacterial agents | |
| EP2594569B1 (en) | Entecavir synthesis method and intermediate compound thereof | |
| KR100336447B1 (en) | Improved method of preparing clarithromycin | |
| WO2016147197A1 (en) | A novel process for preparing (2s,3r,4r,5s,6r)-2-[4-chloro-3-(4-ethoxybenzyl)pheny 1] -6-(hy droxy methyl)tetrahydro-2h-py ran-3,4,5-triol and its amorphous form | |
| Ireland et al. | Convergent synthesis of polyether ionophore antibiotics: protective manipulation and synthesis of monensin A | |
| US12497390B2 (en) | Intermediate useful for synthesis of SGLT inhibitor and method for preparing SGLT inhibitor using same | |
| WO2021137144A1 (en) | An efficient process for the preparation of ertugliflozin l-pyroglutamic acid and intermediates thereof | |
| CN101351438A (en) | Epoxide intermediate in the synthesis of Tamiflu | |
| US20170342100A1 (en) | Processes for the preparation of ertugliflozin | |
| US10981939B2 (en) | Process for the preparation of 4-[(1-hydroxy-1,3-dihydro-2,1-benzoxaborol-5-yl) oxy] benzonitrile (Crisaborole) | |
| CN113024489A (en) | Preparation method of oseltamivir synthesis process impurity | |
| CN118359621B (en) | Preparation method of intermediates of Li Siwei and Li Siwei and corresponding intermediates of Li Siwei | |
| US20130296558A1 (en) | Preparation process of an antiviral drug (entecavir) and intermediates thereof | |
| EP0300056A1 (en) | PROCESS FOR PREPARING TETRAKIS (3-(3,5-DI-tert-BUTYL-4-HYDROXYPHENYL)PROPIONYLOXYMETHYL)METHANE | |
| KR102436114B1 (en) | Novel preparing method of inotodiol | |
| EP4130020A1 (en) | Novel method for preparing inotodiol | |
| CN116731124A (en) | Process for the preparation of cyclosporin and intermediates thereof | |
| EP2448916B1 (en) | Production of trans-4-aminocyclopent-2-ene-1-carboxylic acid derivatives | |
| RU2802443C1 (en) | Intermediate used for synthesis of sglt inhibitor and method for producing sglt inhibitor using this intermediate | |
| WO2019043587A2 (en) | A process for the preparation of treosulfan | |
| US20250178996A1 (en) | Sglt2 inhibitor intermediate v-1 and use thereof |
Legal Events
| Date | Code | Title | Description |
|---|---|---|---|
| 121 | Ep: the epo has been informed by wipo that ep was designated in this application |
Ref document number: 20910965 Country of ref document: EP Kind code of ref document: A1 |
|
| NENP | Non-entry into the national phase |
Ref country code: DE |
|
| 122 | Ep: pct application non-entry in european phase |
Ref document number: 20910965 Country of ref document: EP Kind code of ref document: A1 |























