WO2021125813A1 - 화합물 및 이를 포함하는 유기 발광 소자 - Google Patents
화합물 및 이를 포함하는 유기 발광 소자 Download PDFInfo
- Publication number
- WO2021125813A1 WO2021125813A1 PCT/KR2020/018494 KR2020018494W WO2021125813A1 WO 2021125813 A1 WO2021125813 A1 WO 2021125813A1 KR 2020018494 W KR2020018494 W KR 2020018494W WO 2021125813 A1 WO2021125813 A1 WO 2021125813A1
- Authority
- WO
- WIPO (PCT)
- Prior art keywords
- group
- formula
- substituted
- same
- different
- Prior art date
- Legal status (The legal status is an assumption and is not a legal conclusion. Google has not performed a legal analysis and makes no representation as to the accuracy of the status listed.)
- Ceased
Links
- 0 Cc(c(*)c(*)c(*)c12)c1-c1c(*)c(C)c(*)c(*)c1C21c(c(*)c(*)c(*)c2*)c2Oc2c(*)c(*)c(*)c(*)c12 Chemical compound Cc(c(*)c(*)c(*)c12)c1-c1c(*)c(C)c(*)c(*)c1C21c(c(*)c(*)c(*)c2*)c2Oc2c(*)c(*)c(*)c(*)c12 0.000 description 15
- CCUXMMFFYQBXMJ-UHFFFAOYSA-N CC(C(C=C1)C2=NC(c3ccccc3)=NC(c3c4C5=CC=CCC5(C)C5(c6ccccc6-c6ccccc56)c4ccc3)N2C)C=C1c1ccc(-c2ccccc2)nc1-c1cccc2c1cccc2 Chemical compound CC(C(C=C1)C2=NC(c3ccccc3)=NC(c3c4C5=CC=CCC5(C)C5(c6ccccc6-c6ccccc56)c4ccc3)N2C)C=C1c1ccc(-c2ccccc2)nc1-c1cccc2c1cccc2 CCUXMMFFYQBXMJ-UHFFFAOYSA-N 0.000 description 1
- KFLNUUAIRMGAGA-UHFFFAOYSA-N CC(C1)C=CC=C1C1=NC(c(cccc2C34c5ccccc5-c5ccccc35)c2Oc2c4cccc2)N(C)C(c2ccc(C3(C)C=NC(C4=CC=CCC4C)=NC3)cc2)=N1 Chemical compound CC(C1)C=CC=C1C1=NC(c(cccc2C34c5ccccc5-c5ccccc35)c2Oc2c4cccc2)N(C)C(c2ccc(C3(C)C=NC(C4=CC=CCC4C)=NC3)cc2)=N1 KFLNUUAIRMGAGA-UHFFFAOYSA-N 0.000 description 1
- GQKOSFFKOXPAAF-UHFFFAOYSA-N CC1(C(C2(c3ccccc3-c3ccccc23)c2ccc3)=CC=CC1)Oc2c3-c1nc(-c2ccccc2)nc(-c(cc2)ccc2-c2ccc(-c3ccccc3)nc2-c2ccccc2)n1 Chemical compound CC1(C(C2(c3ccccc3-c3ccccc23)c2ccc3)=CC=CC1)Oc2c3-c1nc(-c2ccccc2)nc(-c(cc2)ccc2-c2ccc(-c3ccccc3)nc2-c2ccccc2)n1 GQKOSFFKOXPAAF-UHFFFAOYSA-N 0.000 description 1
- ZFPBEXTYAODHHT-UHFFFAOYSA-N CC1(C=CC(c2nc(cccc3)c3c(-c(cccc3C45c6ccccc6-c6ccccc46)c3Sc3c5cccc3)n2)=CC1)c1ccc(-c2ccccc2)nc1-c1ccccc1 Chemical compound CC1(C=CC(c2nc(cccc3)c3c(-c(cccc3C45c6ccccc6-c6ccccc46)c3Sc3c5cccc3)n2)=CC1)c1ccc(-c2ccccc2)nc1-c1ccccc1 ZFPBEXTYAODHHT-UHFFFAOYSA-N 0.000 description 1
- BGGJMAHZSGASPP-UHFFFAOYSA-N CC1C=CC(C2(c3cccc(-c4nc(-c5ccccc5)nc(-c(cc5)ccc5-c5ccc(-c6ccccc6)nc5-c5ccccc5)n4)c3-c3ccccc23)c2ccccc2)=CC1 Chemical compound CC1C=CC(C2(c3cccc(-c4nc(-c5ccccc5)nc(-c(cc5)ccc5-c5ccc(-c6ccccc6)nc5-c5ccccc5)n4)c3-c3ccccc23)c2ccccc2)=CC1 BGGJMAHZSGASPP-UHFFFAOYSA-N 0.000 description 1
- WRHPGSXVYHNTNY-UHFFFAOYSA-N CCC(C1c2ccccc2)C=CC=C1c(cc1)ccc1C1=CC=C(C(C=CCC2(C)C34C(C=CC(C)C5)=C5c5ccccc35)=C2Oc2c4cccc2)NC1CC Chemical compound CCC(C1c2ccccc2)C=CC=C1c(cc1)ccc1C1=CC=C(C(C=CCC2(C)C34C(C=CC(C)C5)=C5c5ccccc35)=C2Oc2c4cccc2)NC1CC WRHPGSXVYHNTNY-UHFFFAOYSA-N 0.000 description 1
- JKNBLZSNAAAUMH-UHFFFAOYSA-N CCC1C(c(cccc23)c2-c2ccccc2C32c3ccccc3OC3(C)C2(C)CC=CC3)=NC(c2cc(-c3ccccc3)nc(-c3ccccc3)c2)=NC1c1ccccc1 Chemical compound CCC1C(c(cccc23)c2-c2ccccc2C32c3ccccc3OC3(C)C2(C)CC=CC3)=NC(c2cc(-c3ccccc3)nc(-c3ccccc3)c2)=NC1c1ccccc1 JKNBLZSNAAAUMH-UHFFFAOYSA-N 0.000 description 1
- FAQORYWKBYWRJJ-UHFFFAOYSA-N CCC1C(c(cccc23)c2-c2ccccc2C32c3ccccc3Oc3c2cccc3)=C2C=CC=CC2N(C)C1c(cc1)ccc1-c(ccc(-c1cccc2c1Oc1ccccc1C21c2cccc(-c(cc3)ccc3C3=C(CC)CC(C(C)CC=C4)=C4N3c3cccc(-c4ccccc4)n3)c2-c2ccccc12)c1CC)c1-c1ccccc1 Chemical compound CCC1C(c(cccc23)c2-c2ccccc2C32c3ccccc3Oc3c2cccc3)=C2C=CC=CC2N(C)C1c(cc1)ccc1-c(ccc(-c1cccc2c1Oc1ccccc1C21c2cccc(-c(cc3)ccc3C3=C(CC)CC(C(C)CC=C4)=C4N3c3cccc(-c4ccccc4)n3)c2-c2ccccc12)c1CC)c1-c1ccccc1 FAQORYWKBYWRJJ-UHFFFAOYSA-N 0.000 description 1
- KZCHSNZNZHARGE-UHFFFAOYSA-N CCC1C(c2ccccc2)=NC(c(cc2)cc3c2-c2ccccc2C32c3ccccc3-c3ccccc23)=NC1c(cc1)ccc1-c(c(-c1ccccc1)c1CC)ccc1-c1ccccc1 Chemical compound CCC1C(c2ccccc2)=NC(c(cc2)cc3c2-c2ccccc2C32c3ccccc3-c3ccccc23)=NC1c(cc1)ccc1-c(c(-c1ccccc1)c1CC)ccc1-c1ccccc1 KZCHSNZNZHARGE-UHFFFAOYSA-N 0.000 description 1
- SABFTOFVQGLAAY-UHFFFAOYSA-N CCc1c(-c2ccccc2)c(-c(cc2)ccc2-c2nc(-c(cc3)cc(C45c6ccccc6-c6ccccc46)c3-c3c5cccc3)nc(-c3ccccc3)c2)ccc1-c1ccccc1 Chemical compound CCc1c(-c2ccccc2)c(-c(cc2)ccc2-c2nc(-c(cc3)cc(C45c6ccccc6-c6ccccc46)c3-c3c5cccc3)nc(-c3ccccc3)c2)ccc1-c1ccccc1 SABFTOFVQGLAAY-UHFFFAOYSA-N 0.000 description 1
- INQFSKCZGLOEIY-UHFFFAOYSA-N Cc1c(C)nnc(C)n1 Chemical compound Cc1c(C)nnc(C)n1 INQFSKCZGLOEIY-UHFFFAOYSA-N 0.000 description 1
- VEVXMSVNOOUXOX-UHFFFAOYSA-N Clc1ncc[n]1-c1nc(-c2ccccc2)cc(-c2ccccc2)c1 Chemical compound Clc1ncc[n]1-c1nc(-c2ccccc2)cc(-c2ccccc2)c1 VEVXMSVNOOUXOX-UHFFFAOYSA-N 0.000 description 1
- BEKQGJVLQFBFJD-UHFFFAOYSA-N OB(c(cc12)ccc1-c1ccccc1C21c2ccccc2Oc2c1cccc2)O Chemical compound OB(c(cc12)ccc1-c1ccccc1C21c2ccccc2Oc2c1cccc2)O BEKQGJVLQFBFJD-UHFFFAOYSA-N 0.000 description 1
- YOUHQPYRLQHXSQ-UHFFFAOYSA-N c(cc1)ccc1-c1c(-c2ccccc2)nc(-c(cc2)cc(C34c5ccccc5-c5ccccc35)c2Oc2c4cccc2)[n]1-c1nc(-c2ccccc2)cc(-c2ccccc2)c1 Chemical compound c(cc1)ccc1-c1c(-c2ccccc2)nc(-c(cc2)cc(C34c5ccccc5-c5ccccc35)c2Oc2c4cccc2)[n]1-c1nc(-c2ccccc2)cc(-c2ccccc2)c1 YOUHQPYRLQHXSQ-UHFFFAOYSA-N 0.000 description 1
- UPNJFNUMYOIMNP-UHFFFAOYSA-N c(cc1)ccc1-c1cc(-c(cc2)ccc2-c2nc(-c(cccc3C45c6ccccc6-c6ccccc46)c3Sc3c5cccc3)nc(-c3ccccc3)n2)nc(-c2ccccc2)n1 Chemical compound c(cc1)ccc1-c1cc(-c(cc2)ccc2-c2nc(-c(cccc3C45c6ccccc6-c6ccccc46)c3Sc3c5cccc3)nc(-c3ccccc3)n2)nc(-c2ccccc2)n1 UPNJFNUMYOIMNP-UHFFFAOYSA-N 0.000 description 1
- KGTZTYZCBPUKNY-UHFFFAOYSA-N c(cc1)ccc1-c1ccc(-c(cc2)ccc2-c2cc(-c(cc3C45c6ccccc6-c6ccccc46)ccc3Oc3c5cccc3)nc(-c3ccccc3)n2)c(-c2ccccc2)n1 Chemical compound c(cc1)ccc1-c1ccc(-c(cc2)ccc2-c2cc(-c(cc3C45c6ccccc6-c6ccccc46)ccc3Oc3c5cccc3)nc(-c3ccccc3)n2)c(-c2ccccc2)n1 KGTZTYZCBPUKNY-UHFFFAOYSA-N 0.000 description 1
- CHCQJVXJHQUBCM-UHFFFAOYSA-N c(cc1)ccc1-c1ccc(-c(cc2)ccc2-c2nc(-c(cc3)cc4c3Oc3ccccc3C43c4ccccc4-c4ccccc34)nc(-c3ccccc3)n2)c(-c2ccccc2)n1 Chemical compound c(cc1)ccc1-c1ccc(-c(cc2)ccc2-c2nc(-c(cc3)cc4c3Oc3ccccc3C43c4ccccc4-c4ccccc34)nc(-c3ccccc3)n2)c(-c2ccccc2)n1 CHCQJVXJHQUBCM-UHFFFAOYSA-N 0.000 description 1
- GRXCDWVBYHFZHL-UHFFFAOYSA-N c(cc1)ccc1-c1ccc(-c(cc2)ccc2-c2nc(-c(cc3)cc4c3Sc3ccccc3C43c4ccccc4-c4c3cccc4)nc(-c3ccccc3)n2)c(-c2ccccc2)n1 Chemical compound c(cc1)ccc1-c1ccc(-c(cc2)ccc2-c2nc(-c(cc3)cc4c3Sc3ccccc3C43c4ccccc4-c4c3cccc4)nc(-c3ccccc3)n2)c(-c2ccccc2)n1 GRXCDWVBYHFZHL-UHFFFAOYSA-N 0.000 description 1
- JEAWRHHMNHPDNF-UHFFFAOYSA-N c(cc1)ccc1-c1ccc(-c(cc2)ccc2-c2nc(-c(cc3)cc4c3Sc3ccccc3C43c4ccccc4-c4ccccc34)nc(-c3ccccc3)c2)c(-c2ccccc2)n1 Chemical compound c(cc1)ccc1-c1ccc(-c(cc2)ccc2-c2nc(-c(cc3)cc4c3Sc3ccccc3C43c4ccccc4-c4ccccc34)nc(-c3ccccc3)c2)c(-c2ccccc2)n1 JEAWRHHMNHPDNF-UHFFFAOYSA-N 0.000 description 1
- MSTXFGMGKZTIAK-UHFFFAOYSA-O c(cc1)ccc1C1=CC=C(c(cc2)ccc2-c2nc(-c3cc(-c4ccccc4C45c6ccccc6-c6ccccc46)c5cc3)nc(-c3ccccc3)n2)N[NH2+]1 Chemical compound c(cc1)ccc1C1=CC=C(c(cc2)ccc2-c2nc(-c3cc(-c4ccccc4C45c6ccccc6-c6ccccc46)c5cc3)nc(-c3ccccc3)n2)N[NH2+]1 MSTXFGMGKZTIAK-UHFFFAOYSA-O 0.000 description 1
- BILWRYVQOWYWGJ-UHFFFAOYSA-N c(nc1-c2ccc(-c3ccccc3)nc2-c2ccccc2)c(-c2ccccc2)[n]1-c(cc12)ccc1-c1ccccc1C21c2ccccc2Sc2c1cccc2 Chemical compound c(nc1-c2ccc(-c3ccccc3)nc2-c2ccccc2)c(-c2ccccc2)[n]1-c(cc12)ccc1-c1ccccc1C21c2ccccc2Sc2c1cccc2 BILWRYVQOWYWGJ-UHFFFAOYSA-N 0.000 description 1
- VGTDWTOWUUZSFS-UHFFFAOYSA-N c1ccc(C2(c(cc(cc3)-c4nc(-c5ccccc5)nc(-c(cc5)ccc5-c5nc(-c6ccccc6)nc(-c6ccccc6)c5)n4)c3-c3ccccc23)c2ccccc2)cc1 Chemical compound c1ccc(C2(c(cc(cc3)-c4nc(-c5ccccc5)nc(-c(cc5)ccc5-c5nc(-c6ccccc6)nc(-c6ccccc6)c5)n4)c3-c3ccccc23)c2ccccc2)cc1 VGTDWTOWUUZSFS-UHFFFAOYSA-N 0.000 description 1
- MUYPAJUARRWRPR-UHFFFAOYSA-N c1cnc(-c(cc2)c(-c3ccccc3)nc2-c2ccccc2)[n]1-c(cc1)cc2c1-c1ccccc1C21c2ccccc2-c2c1cccc2 Chemical compound c1cnc(-c(cc2)c(-c3ccccc3)nc2-c2ccccc2)[n]1-c(cc1)cc2c1-c1ccccc1C21c2ccccc2-c2c1cccc2 MUYPAJUARRWRPR-UHFFFAOYSA-N 0.000 description 1
- ZSZJARWHDTWKAO-UHFFFAOYSA-N c1cnc(-c(cc2)cc3c2-c2ccccc2C3(c2ccccc2)c2ccccc2)[n]1-c1cc(-c2ccccc2)cc(-c2ccccc2)n1 Chemical compound c1cnc(-c(cc2)cc3c2-c2ccccc2C3(c2ccccc2)c2ccccc2)[n]1-c1cc(-c2ccccc2)cc(-c2ccccc2)n1 ZSZJARWHDTWKAO-UHFFFAOYSA-N 0.000 description 1
- MNQXTDMFVUFSCC-UHFFFAOYSA-N c1cnc(-c(cc2)cc3c2-c2ccccc2C32c3ccccc3Oc3c2cccc3)[n]1-c1nc(-c2ccccc2)cc(-c2ccccc2)c1 Chemical compound c1cnc(-c(cc2)cc3c2-c2ccccc2C32c3ccccc3Oc3c2cccc3)[n]1-c1nc(-c2ccccc2)cc(-c2ccccc2)c1 MNQXTDMFVUFSCC-UHFFFAOYSA-N 0.000 description 1
- PLEXCJDWSKSVSS-UHFFFAOYSA-N c1cnc(-c2ccc(-c3ccccc3)nc2-c2ccccc2)[n]1-c1ccc(-c2ccc3Sc4ccccc4C4(c5ccccc5-c5ccccc45)c3c2)c2c1cccc2 Chemical compound c1cnc(-c2ccc(-c3ccccc3)nc2-c2ccccc2)[n]1-c1ccc(-c2ccc3Sc4ccccc4C4(c5ccccc5-c5ccccc45)c3c2)c2c1cccc2 PLEXCJDWSKSVSS-UHFFFAOYSA-N 0.000 description 1
Images
Classifications
-
- H—ELECTRICITY
- H10—SEMICONDUCTOR DEVICES; ELECTRIC SOLID-STATE DEVICES NOT OTHERWISE PROVIDED FOR
- H10K—ORGANIC ELECTRIC SOLID-STATE DEVICES
- H10K85/00—Organic materials used in the body or electrodes of devices covered by this subclass
- H10K85/60—Organic compounds having low molecular weight
- H10K85/649—Aromatic compounds comprising a hetero atom
- H10K85/654—Aromatic compounds comprising a hetero atom comprising only nitrogen as heteroatom
-
- C—CHEMISTRY; METALLURGY
- C07—ORGANIC CHEMISTRY
- C07D—HETEROCYCLIC COMPOUNDS
- C07D311/00—Heterocyclic compounds containing six-membered rings having one oxygen atom as the only hetero atom, condensed with other rings
- C07D311/02—Heterocyclic compounds containing six-membered rings having one oxygen atom as the only hetero atom, condensed with other rings ortho- or peri-condensed with carbocyclic rings or ring systems
- C07D311/78—Ring systems having three or more relevant rings
-
- C—CHEMISTRY; METALLURGY
- C07—ORGANIC CHEMISTRY
- C07D—HETEROCYCLIC COMPOUNDS
- C07D401/00—Heterocyclic compounds containing two or more hetero rings, having nitrogen atoms as the only ring hetero atoms, at least one ring being a six-membered ring with only one nitrogen atom
- C07D401/02—Heterocyclic compounds containing two or more hetero rings, having nitrogen atoms as the only ring hetero atoms, at least one ring being a six-membered ring with only one nitrogen atom containing two hetero rings
- C07D401/04—Heterocyclic compounds containing two or more hetero rings, having nitrogen atoms as the only ring hetero atoms, at least one ring being a six-membered ring with only one nitrogen atom containing two hetero rings directly linked by a ring-member-to-ring-member bond
-
- C—CHEMISTRY; METALLURGY
- C07—ORGANIC CHEMISTRY
- C07D—HETEROCYCLIC COMPOUNDS
- C07D401/00—Heterocyclic compounds containing two or more hetero rings, having nitrogen atoms as the only ring hetero atoms, at least one ring being a six-membered ring with only one nitrogen atom
- C07D401/02—Heterocyclic compounds containing two or more hetero rings, having nitrogen atoms as the only ring hetero atoms, at least one ring being a six-membered ring with only one nitrogen atom containing two hetero rings
- C07D401/10—Heterocyclic compounds containing two or more hetero rings, having nitrogen atoms as the only ring hetero atoms, at least one ring being a six-membered ring with only one nitrogen atom containing two hetero rings linked by a carbon chain containing aromatic rings
-
- C—CHEMISTRY; METALLURGY
- C07—ORGANIC CHEMISTRY
- C07D—HETEROCYCLIC COMPOUNDS
- C07D405/00—Heterocyclic compounds containing both one or more hetero rings having oxygen atoms as the only ring hetero atoms, and one or more rings having nitrogen as the only ring hetero atom
- C07D405/02—Heterocyclic compounds containing both one or more hetero rings having oxygen atoms as the only ring hetero atoms, and one or more rings having nitrogen as the only ring hetero atom containing two hetero rings
- C07D405/04—Heterocyclic compounds containing both one or more hetero rings having oxygen atoms as the only ring hetero atoms, and one or more rings having nitrogen as the only ring hetero atom containing two hetero rings directly linked by a ring-member-to-ring-member bond
-
- C—CHEMISTRY; METALLURGY
- C07—ORGANIC CHEMISTRY
- C07D—HETEROCYCLIC COMPOUNDS
- C07D405/00—Heterocyclic compounds containing both one or more hetero rings having oxygen atoms as the only ring hetero atoms, and one or more rings having nitrogen as the only ring hetero atom
- C07D405/14—Heterocyclic compounds containing both one or more hetero rings having oxygen atoms as the only ring hetero atoms, and one or more rings having nitrogen as the only ring hetero atom containing three or more hetero rings
-
- C—CHEMISTRY; METALLURGY
- C07—ORGANIC CHEMISTRY
- C07D—HETEROCYCLIC COMPOUNDS
- C07D409/00—Heterocyclic compounds containing two or more hetero rings, at least one ring having sulfur atoms as the only ring hetero atoms
- C07D409/02—Heterocyclic compounds containing two or more hetero rings, at least one ring having sulfur atoms as the only ring hetero atoms containing two hetero rings
- C07D409/04—Heterocyclic compounds containing two or more hetero rings, at least one ring having sulfur atoms as the only ring hetero atoms containing two hetero rings directly linked by a ring-member-to-ring-member bond
-
- C—CHEMISTRY; METALLURGY
- C07—ORGANIC CHEMISTRY
- C07D—HETEROCYCLIC COMPOUNDS
- C07D409/00—Heterocyclic compounds containing two or more hetero rings, at least one ring having sulfur atoms as the only ring hetero atoms
- C07D409/14—Heterocyclic compounds containing two or more hetero rings, at least one ring having sulfur atoms as the only ring hetero atoms containing three or more hetero rings
-
- H—ELECTRICITY
- H10—SEMICONDUCTOR DEVICES; ELECTRIC SOLID-STATE DEVICES NOT OTHERWISE PROVIDED FOR
- H10K—ORGANIC ELECTRIC SOLID-STATE DEVICES
- H10K50/00—Organic light-emitting devices
- H10K50/10—OLEDs or polymer light-emitting diodes [PLED]
- H10K50/14—Carrier transporting layers
-
- H—ELECTRICITY
- H10—SEMICONDUCTOR DEVICES; ELECTRIC SOLID-STATE DEVICES NOT OTHERWISE PROVIDED FOR
- H10K—ORGANIC ELECTRIC SOLID-STATE DEVICES
- H10K85/00—Organic materials used in the body or electrodes of devices covered by this subclass
- H10K85/60—Organic compounds having low molecular weight
- H10K85/649—Aromatic compounds comprising a hetero atom
- H10K85/657—Polycyclic condensed heteroaromatic hydrocarbons
- H10K85/6574—Polycyclic condensed heteroaromatic hydrocarbons comprising only oxygen in the heteroaromatic polycondensed ring system, e.g. cumarine dyes
-
- H—ELECTRICITY
- H10—SEMICONDUCTOR DEVICES; ELECTRIC SOLID-STATE DEVICES NOT OTHERWISE PROVIDED FOR
- H10K—ORGANIC ELECTRIC SOLID-STATE DEVICES
- H10K85/00—Organic materials used in the body or electrodes of devices covered by this subclass
- H10K85/60—Organic compounds having low molecular weight
- H10K85/649—Aromatic compounds comprising a hetero atom
- H10K85/657—Polycyclic condensed heteroaromatic hydrocarbons
- H10K85/6576—Polycyclic condensed heteroaromatic hydrocarbons comprising only sulfur in the heteroaromatic polycondensed ring system, e.g. benzothiophene
-
- H—ELECTRICITY
- H10—SEMICONDUCTOR DEVICES; ELECTRIC SOLID-STATE DEVICES NOT OTHERWISE PROVIDED FOR
- H10K—ORGANIC ELECTRIC SOLID-STATE DEVICES
- H10K50/00—Organic light-emitting devices
- H10K50/10—OLEDs or polymer light-emitting diodes [PLED]
- H10K50/18—Carrier blocking layers
Definitions
- the present specification relates to a compound and an organic light emitting device including the same.
- the organic light emitting phenomenon refers to a phenomenon in which electric energy is converted into light energy using an organic material.
- An organic light emitting device using an organic light emitting phenomenon generally has a structure including an anode and a cathode and an organic material layer therebetween.
- the organic material layer is often formed of a multi-layered structure composed of different materials in order to increase the efficiency and stability of the organic light emitting device, and may include, for example, a hole injection layer, a hole transport layer, a light emitting layer, an electron transport layer, an electron injection layer, and the like.
- the present specification provides a compound and an organic light emitting device including the same.
- A1 is a direct bond; O; or S;
- R1 and R2 are the same as or different from each other, and are each independently a substituted or unsubstituted aryl group; Or a substituted or unsubstituted heteroaryl group, or may combine with each other to form a ring substituted or unsubstituted with -L1-Ar1,
- R3 to R10 are the same as or different from each other, and each independently hydrogen; or -L1-Ar1;
- R1 and R2 are combined with each other to form a ring substituted with -L1-Ar1, R3 to R10 are hydrogen;
- R1 and R2 are the same as or different from each other, and each independently a substituted or unsubstituted aryl group; or a substituted or unsubstituted heteroaryl group, or when combined with each other to form an unsubstituted ring, any one of R3 to R10 is -L1-Ar1 and the rest is hydrogen;
- L1 is a direct bond; Or a substituted or unsubstituted arylene group,
- Ar1 is a group represented by any one of the following formulas 2-1 to 2-7,
- Y1 is a group represented by the following formula (3),
- At least two of X1 to X3 are N, the rest are CH,
- At least one of X4 and X5 is N, the other is CH,
- At least one of X6 and X7 is N, the other is CH,
- X8 is N, Z1 is N or C, or X8 is CH, Z1 is N,
- X9 is N, Z2 is N or C, or X9 is CH, Z2 is N,
- X10 is N, Z3 is N or C, or X10 is CH, Z3 is N,
- X11 is N, Z4 is N or C, or X11 is CH, Z4 is N,
- Y2 to Y8 are the same as or different from each other, and each independently hydrogen; heavy hydrogen; a substituted or unsubstituted alkyl group; a substituted or unsubstituted aryl group; Or a substituted or unsubstituted heteroaryl group,
- y3 is an integer of 1 to 4, and when y3 is 2 or more, 2 or more Y3 are the same as or different from each other,
- y4 is 1 or 2, and when y4 is 2, two Y4 are the same as or different from each other,
- y5 is an integer of 1 to 4, and when y5 is 2 or more, 2 or more Y5 are the same as or different from each other,
- y6 is an integer of 1 to 4, and when y6 is 2 or more, 2 or more Y6 are the same as or different from each other,
- y7 is 1 or 2, and when y7 is 2, two Y7 are the same as or different from each other,
- y8 is 1 or 2, and when y8 is 2, two Y8s are the same as or different from each other,
- L2 is a direct bond; Or a substituted or unsubstituted arylene group,
- one to four of Q1 to Q5 are N, the others are CR,
- At least one of R is a substituted or unsubstituted aryl group, the rest are the same as or different from each other, and each independently hydrogen; or deuterium,
- Ar1 is in Formula 2-1 and L2 in Formula 3 is a direct bond, at least two of R are substituted or unsubstituted aryl groups.
- the present specification is a first electrode; a second electrode provided to face the first electrode; and at least one organic material layer provided between the first electrode and the second electrode, wherein at least one organic material layer includes the compound.
- the compound according to an exemplary embodiment of the present specification may be used as a material for an organic material layer of an organic light emitting device, and by using it, it is possible to improve efficiency, low driving voltage and/or lifespan characteristics in an organic light emitting device.
- 1 to 3 show examples of an organic light emitting device according to an exemplary embodiment of the present specification.
- the compound according to the exemplary embodiment of the present specification has a non-linear structure, and thus it is possible to improve efficiency, low driving voltage, and lifespan characteristics in an organic light emitting device.
- the dipole moment of the molecule can be increased.
- the efficiency and lifespan of the organic light emitting device including the compound represented by Chemical Formula 1 can be improved by smoothly controlling the electron mobility during the fabrication of the device.
- R1 and R2 of Formula 1 form a ring
- steric hindrance due to the spiro-type structure prevents crystallization occurring during film formation, and maintains high thermal stability, so that it has a very stable effect even at a high deposition temperature. Accordingly, in the organic light emitting device including the compound according to the exemplary embodiment of the present specification, it is possible to improve efficiency, lower driving voltage, and improve lifespan characteristics.
- substitution means that a hydrogen atom bonded to a carbon atom of a compound is replaced with another substituent, and the position to be substituted is not limited as long as the position at which the hydrogen atom is substituted, that is, a position where the substituent is substitutable, is not limited, and when two or more are substituted , two or more substituents may be the same as or different from each other.
- substituted or unsubstituted refers to deuterium; halogen group; cyano group; an alkyl group; cycloalkyl group; alkoxy group; alkenyl group; haloalkyl group; silyl group; boron group; amine group; aryl group; And it means that it is substituted with one or more substituents selected from the group consisting of a heteroaryl group, is substituted with a substituent to which two or more of the above-exemplified substituents are connected, or does not have any substituents.
- that two or more substituents are connected means that hydrogen of any one substituent is connected with another substituent.
- a phenyl group and a naphthyl group are connected. or can be a substituent of
- the connection of three substituents means that (substituent 1)-(substituent 2)-(substituent 3) is continuously connected, as well as (substituent 2) and (substituent 3) are connected to (substituent 1).
- a phenyl group, a naphthyl group and an isopropyl group are connected , , or can be a substituent of The above definition applies equally to the case where 4 or more substituents are connected.
- examples of the halogen group include fluorine, chlorine, bromine or iodine.
- the alkyl group may be linear or branched, and the number of carbon atoms is not particularly limited, but is preferably 1 to 30.
- Specific examples include methyl, ethyl, propyl, n-propyl, isopropyl, butyl, n-butyl, isobutyl, tert-butyl, sec-butyl, 1-methyl-butyl, 1-ethyl-butyl, pentyl, n-pentyl , isopentyl, neopentyl, tert-pentyl, hexyl, n-hexyl, 1-methylpentyl, 2-methylpentyl, 4-methyl-2-pentyl, 3,3-dimethylbutyl, 2-ethylbutyl, heptyl, n -Heptyl, 1-methylhexyl, cyclopentylmethyl, cyclohexylmethyl, octyl,
- the cycloalkyl group is not particularly limited, but preferably has 3 to 30 carbon atoms, and specifically, cyclopropyl, cyclobutyl, cyclopentyl, 3-methylcyclopentyl, 2,3-dimethylcyclopentyl, cyclohexyl, There are 3-methylcyclohexyl, 4-methylcyclohexyl, 2,3-dimethylcyclohexyl, 3,4,5-trimethylcyclohexyl, 4-tert-butylcyclohexyl, cycloheptyl, cyclooctyl, and adamantyl groups. , but is not limited thereto.
- the alkoxy group may be a straight chain, branched chain or cyclic chain. Although carbon number of an alkoxy group is not specifically limited, It is preferable that it is C1-C30. Specifically, methoxy, ethoxy, n-propoxy, isopropoxy, n-butoxy, isobutoxy, tert-butoxy, sec-butoxy, n-pentyloxy, neopentyloxy, isopentyloxy, n -hexyloxy, 3,3-dimethylbutyloxy, 2-ethylbutyloxy, n-octyloxy, n-nonyloxy, n-decyloxy, benzyloxy, p-methylbenzyloxy, etc. may be It is not limited.
- the alkenyl group may be linear or branched, and the number of carbon atoms is not particularly limited, but is preferably 2 to 30.
- Specific examples include vinyl, 1-propenyl, isopropenyl, 1-butenyl, 2-butenyl, 3-butenyl, 1-pentenyl, 2-pentenyl, 3-pentenyl, 3-methyl-1- Butenyl, 1,3-butadienyl, allyl, 1-phenylvinyl-1-yl, 2-phenylvinyl-1-yl, 2,2-diphenylvinyl-1-yl, 2-phenyl-2-( naphthyl-1-yl)vinyl-1-yl, 2,2-bis(diphenyl-1-yl)vinyl-1-yl, stilbenyl group, styrenyl group, and the like, but is not limited thereto.
- haloalkyl group means that at least one halogen group is substituted for hydrogen in the alkyl group in the definition of the alkyl group.
- the aryl group is not particularly limited, but preferably has 6 to 30 carbon atoms, and the aryl group may be monocyclic or polycyclic.
- the aryl group is a monocyclic aryl group
- the number of carbon atoms is not particularly limited, but preferably 6 to 30 carbon atoms.
- the monocyclic aryl group may be a phenyl group, a biphenyl group, a terphenyl group, and the like, but is not limited thereto.
- the aryl group is a polycyclic aryl group
- the number of carbon atoms is not particularly limited. It is preferable that it is C10-30.
- the polycyclic aryl group may be a naphthyl group, an anthracene group, a phenanthrene group, a triphenylene group, a pyrene group, a phenalene group, a perylene group, a chrysene group, a fluorene group, and the like, but is not limited thereto.
- the fluorene group may be substituted, and adjacent groups may combine with each other to form a ring.
- adjacent group means a substituent substituted on an atom directly connected to the atom in which the substituent is substituted, a substituent sterically closest to the substituent, or another substituent substituted on the atom in which the substituent is substituted.
- two substituents substituted at an ortho position in a benzene ring and two substituents substituted at the same carbon in an aliphatic ring may be interpreted as "adjacent" groups.
- the heteroaryl group includes one or more atoms other than carbon and heteroatoms, and specifically, the heteroatoms may include one or more atoms selected from the group consisting of O, N, Se and S, and the like.
- the number of carbon atoms is not particularly limited, but preferably has 2 to 30 carbon atoms, and the heteroaryl group may be monocyclic or polycyclic.
- heterocyclic group examples include a thiophene group, a furan group, a pyrrole group, an imidazole group, a thiazole group, an oxazole group, an oxadiazole group, a pyridine group, a bipyridine group, a pyrimidine group, a triazine group, a triazole group, an acridine group.
- pyridazine group pyrazine group, quinoline group, quinazoline group, quinoxaline group, phthalazine group, pyrido pyrimidine group, pyrido pyrazine group, pyrazino pyrazine group, isoquinoline group, indole group, carbazole group, benz Oxazole group, benzimidazole group, benzothiazole group, benzocarbazole group, benzothiophene group, dibenzothiophene group, benzofuran group, phenanthridine group, phenanthridine group, phenanthroline group, isoxazole group, thia Diazole group, dibenzofuran group, dibenzosilol group, phenoxanthine group (phenoxathiine), phenoxazine group (phenoxazine), phenothiazine group (phenothiazine), dihydroindenoc
- the silyl group may be an alkylsilyl group, an arylsilyl group, a heteroarylsilyl group, or the like.
- Examples of the above-described alkyl group may be applied to the alkyl group of the alkylsilyl group
- the examples of the above-described aryl group may be applied to the aryl group of the arylsilyl group
- the heteroaryl group of the heteroarylsilyl group is an example of the heteroaryl group. can be applied.
- the boron group may be -BR 100 R 101 , wherein R 100 and R 101 are the same or different, and each independently hydrogen; heavy hydrogen; halogen; nitrile group; a substituted or unsubstituted monocyclic or polycyclic cycloalkyl group having 3 to 30 carbon atoms; a substituted or unsubstituted C1-C30 linear or branched alkyl group; a substituted or unsubstituted monocyclic or polycyclic aryl group having 6 to 30 carbon atoms; And it may be selected from the group consisting of a substituted or unsubstituted monocyclic or polycyclic heteroaryl group having 2 to 30 carbon atoms.
- the boron group includes a trimethylboron group, a triethylboron group, a t-butyldimethylboron group, a triphenylboron group, a phenylboron group, and the like, but is not limited thereto.
- the amine group is -NH 2 , an alkylamine group, an N-alkylarylamine group, an arylamine group, an N-arylheteroarylamine group, an N-alkylheteroarylamine group, and a heteroarylamine group from the group consisting of may be selected, and the number of carbon atoms is not particularly limited, but is preferably 1 to 30.
- the amine group include a methylamine group, a dimethylamine group, an ethylamine group, a diethylamine group, a phenylamine group, a naphthylamine group, a biphenylamine group, an anthracenylamine group, and a 9-methyl-anthracenylamine group.
- nylfluorenylamine group, an N-biphenylfluorenylamine group, and the like but is not limited thereto.
- the N-alkylarylamine group refers to an amine group in which an alkyl group and an aryl group are substituted with N of the amine group.
- the alkyl group and the aryl group in the N-alkylarylamine group are the same as the examples of the alkyl group and the aryl group described above.
- the N-arylheteroarylamine group refers to an amine group in which an aryl group and a heteroaryl group are substituted with N of the amine group.
- the aryl group and the heteroaryl group in the N-arylheteroarylamine group are the same as the examples of the above-described aryl group and heteroaryl group.
- the N-alkylheteroarylamine group refers to an amine group in which an alkyl group and a heteroaryl group are substituted with N of the amine group.
- the alkyl group and the heteroaryl group in the N-alkylheteroarylamine group are the same as the examples of the above-described alkyl group and heteroaryl group.
- examples of the alkylamine group include a substituted or unsubstituted monoalkylamine group, or a substituted or unsubstituted dialkylamine group.
- the alkyl group in the alkylamine group may be a straight-chain or branched alkyl group.
- the alkylamine group including two or more alkyl groups may include a straight-chain alkyl group, a branched-chain alkyl group, or a straight-chain alkyl group and a branched alkyl group at the same time.
- the alkyl group in the alkylamine group may be selected from the examples of the alkyl group described above.
- examples of the heteroarylamine group include a substituted or unsubstituted monoheteroarylamine group, or a substituted or unsubstituted diheteroarylamine group.
- the heteroarylamine group including two or more heteroaryl groups may include a monocyclic heteroaryl group, a polycyclic heteroaryl group, or a monocyclic heteroaryl group and a polycyclic heteroaryl group at the same time.
- the heteroaryl group in the heteroarylamine group may be selected from the examples of the heteroaryl group described above.
- adjacent two of the substituents combine with each other to form a ring means a substituted or unsubstituted hydrocarbon ring by bonding with adjacent groups; Or it means to form a substituted or unsubstituted heterocyclic ring.
- ring is a substituted or unsubstituted hydrocarbon ring; Or it means a substituted or unsubstituted heterocyclic ring.
- the hydrocarbon ring may be an aromatic hydrocarbon ring, an aliphatic hydrocarbon ring, or a condensed ring of an aromatic hydrocarbon and an aliphatic hydrocarbon, and may be selected from the examples of the cycloalkyl group or the aryl group except for the non-monovalent.
- the heterocycle includes atoms other than carbon and one or more heteroatoms, and specifically, the heterocyclic atoms may include one or more atoms selected from the group consisting of O, N, Se and S, and the like.
- the heterocycle may be monocyclic or polycyclic, and may be aromatic, aliphatic, or a condensed ring of aromatic and aliphatic, and the aromatic heterocycle may be selected from examples of the heteroaryl group except that it is not monovalent.
- the aliphatic heterocycle refers to an aliphatic ring including one or more heteroatoms.
- aliphatic heterocycles include oxirane, tetrahydrofuran, 1,4-dioxane, pyrrolidine, piperidine, morpholine, oxepane, azocaine , thiocaine, and the like, but are not limited thereto.
- the arylene group means that the aryl group has two bonding positions, that is, a divalent group. Except that each of these is a divalent group, the description of the aryl group described above may be applied.
- the heteroarylene group means that the heteroaryl group has two bonding positions, that is, a divalent group. Except that each of these is a divalent group, the description of the heteroaryl group described above may be applied.
- R1 and R2 are the same as or different from each other, and each independently a substituted or unsubstituted monocyclic or polycyclic aryl group having 6 to 30 carbon atoms; Or a substituted or unsubstituted monocyclic or polycyclic heteroaryl group having 6 to 30 carbon atoms, or combine with each other to form a hydrocarbon ring substituted or unsubstituted with -L1-Ar1.
- R1 and R2 are the same as or different from each other, and each independently a substituted or unsubstituted monocyclic or polycyclic aryl group having 6 to 20 carbon atoms; Or a substituted or unsubstituted monocyclic or polycyclic heteroaryl group having 6 to 20 carbon atoms, or combine with each other to form an aromatic hydrocarbon ring substituted or unsubstituted with -L1-Ar1.
- R1 and R2 are the same as or different from each other, and each independently a monocyclic or polycyclic aryl group having 6 to 30 carbon atoms; Or a monocyclic or polycyclic heteroaryl group having 6 to 30 carbon atoms, or combine with each other to form a hydrocarbon ring unsubstituted or substituted with -L1-Ar1.
- R1 and R2 are the same as or different from each other, and are each independently a monocyclic or polycyclic aryl group having 6 to 30 carbon atoms, or combine with each other to form -L1-Ar1 A substituted or unsubstituted aromatic hydrocarbon ring is formed.
- R1 and R2 are the same as or different from each other, and are each independently a monocyclic or polycyclic aryl group having 6 to 20 carbon atoms, or combine with each other to form -L1-Ar1 A substituted or unsubstituted aromatic hydrocarbon ring is formed.
- R1 and R2 are the same as or different from each other, and are each independently a monocyclic or polycyclic aryl group having 6 to 10 carbon atoms, or combine with each other to form -L1-Ar1 A substituted or unsubstituted aromatic hydrocarbon ring is formed.
- R1 and R2 are phenyl groups, or combine with each other to form a fluorene ring unsubstituted or substituted with -L1-Ar1.
- R1 and R2 are phenyl groups.
- R1 and R2 are combined with each other to form a fluorene ring unsubstituted or substituted with -L1-Ar1.
- Chemical Formula 1 is represented by any one of the following Chemical Formulas 1-1 to 1-4.
- G1 and G2 are the same as or different from each other, and each is a monocyclic or polycyclic aryl group having 6 to 30 carbon atoms,
- R3 to R10 is -L1-Ar1, the rest is hydrogen,
- any one of R3 to R10 and R101 to R108 is -L1-Ar1, the rest is hydrogen,
- L1 and Ar1 are the same as defined in Formula 1 above.
- G1 and G2 are the same as or different from each other, and each independently represent a monocyclic or polycyclic aryl group having 6 to 30 carbon atoms.
- G1 and G2 are the same as or different from each other, and each independently represents a monocyclic or polycyclic aryl group having 6 to 20 carbon atoms.
- G1 and G2 are the same as or different from each other, and each independently represent a monocyclic or polycyclic aryl group having 6 to 10 carbon atoms.
- G1 and G2 are a phenyl group.
- L1 is a direct bond; or a substituted or unsubstituted monocyclic or polycyclic arylene group having 6 to 20 carbon atoms.
- L1 is a direct bond; or a substituted or unsubstituted monocyclic or polycyclic arylene group having 6 to 15 carbon atoms.
- L1 is a direct bond; or a monocyclic or polycyclic arylene group having 6 to 30 carbon atoms.
- L1 is a direct bond; or a monocyclic or polycyclic arylene group having 6 to 20 carbon atoms.
- L1 is a direct bond; or a monocyclic or polycyclic arylene group having 6 to 15 carbon atoms.
- L1 is a direct bond; phenylene group; biphenylrylene group; or a naphthylene group.
- L1 is a direct bond.
- L1 is a phenylene group.
- L1 is a biphenylrylene group.
- L1 is a naphthylene group.
- Ar1 is a group represented by any one of the following structures.
- Y1 is a group represented by Formula 3,
- Y2 to Y8 are the same as or different from each other, and each independently hydrogen; heavy hydrogen; a substituted or unsubstituted alkyl group; a substituted or unsubstituted aryl group; Or a substituted or unsubstituted heteroaryl group,
- y3 is an integer of 1 to 4, and when y3 is 2 or more, 2 or more Y3 are the same as or different from each other,
- y4 is 1 or 2, and when y4 is 2, two Y4 are the same as or different from each other,
- y5 is an integer of 1 to 4, and when y5 is 2 or more, 2 or more Y5 are the same as or different from each other,
- y6 is an integer of 1 to 4, and when y6 is 2 or more, 2 or more Y6 are the same as or different from each other,
- y7 is 1 or 2, and when y7 is 2, two Y7 are the same as or different from each other,
- y8 is 1 or 2, and when y8 is 2, two Y8s are the same as or different from each other.
- Y2 is a substituted or unsubstituted aryl group.
- Y2 is a substituted or unsubstituted monocyclic or polycyclic aryl group having 6 to 30 carbon atoms.
- Y2 is a substituted or unsubstituted monocyclic or polycyclic aryl group having 6 to 20 carbon atoms.
- Y2 is a substituted or unsubstituted monocyclic or polycyclic aryl group having 6 to 15 carbon atoms.
- Y2 is a monocyclic or polycyclic aryl group having 6 to 30 carbon atoms that is unsubstituted or substituted with a linear or branched alkyl group having 1 to 30 carbon atoms.
- Y2 is a monocyclic or polycyclic aryl group having 6 to 20 carbon atoms that is unsubstituted or substituted with a linear or branched alkyl group having 1 to 20 carbon atoms.
- Y2 is a monocyclic or polycyclic aryl group having 6 to 15 carbon atoms that is unsubstituted or substituted with a linear or branched alkyl group having 1 to 10 carbon atoms.
- Y2 is a phenyl group unsubstituted or substituted with a methyl group; biphenyl group; or a naphthyl group.
- Y3 is hydrogen
- Y4 is hydrogen
- Y5 is hydrogen
- Y6 is hydrogen
- Y7 is hydrogen; a substituted or unsubstituted alkyl group; or a substituted or unsubstituted aryl group.
- Y7 is hydrogen; a substituted or unsubstituted C1-C30 linear or branched alkyl group; or a substituted or unsubstituted monocyclic or polycyclic aryl group having 6 to 30 carbon atoms.
- Y7 is hydrogen; A substituted or unsubstituted C1-C20 linear or branched alkyl group; or a substituted or unsubstituted monocyclic or polycyclic aryl group having 6 to 20 carbon atoms.
- Y7 is hydrogen; a substituted or unsubstituted C1-C10 linear or branched alkyl group; or a substituted or unsubstituted monocyclic or polycyclic aryl group having 6 to 10 carbon atoms.
- Y7 is hydrogen; a linear or branched alkyl group having 1 to 30 carbon atoms; or a monocyclic or polycyclic aryl group having 6 to 30 carbon atoms.
- Y7 is hydrogen; a linear or branched alkyl group having 1 to 20 carbon atoms; or a monocyclic or polycyclic aryl group having 6 to 20 carbon atoms.
- Y7 is hydrogen; a linear or branched alkyl group having 1 to 10 carbon atoms; or a monocyclic or polycyclic aryl group having 6 to 10 carbon atoms.
- Y7 is hydrogen; methyl group; or a phenyl group.
- Y8 is hydrogen; a substituted or unsubstituted alkyl group; or a substituted or unsubstituted aryl group.
- Y8 is hydrogen; a substituted or unsubstituted C1-C30 linear or branched alkyl group; or a substituted or unsubstituted monocyclic or polycyclic aryl group having 6 to 30 carbon atoms.
- Y8 is hydrogen; A substituted or unsubstituted C1-C20 linear or branched alkyl group; or a substituted or unsubstituted monocyclic or polycyclic aryl group having 6 to 20 carbon atoms.
- Y8 is hydrogen; a substituted or unsubstituted C1-C10 linear or branched alkyl group; or a substituted or unsubstituted monocyclic or polycyclic aryl group having 6 to 10 carbon atoms.
- Y8 is hydrogen; a linear or branched alkyl group having 1 to 30 carbon atoms; or a monocyclic or polycyclic aryl group having 6 to 30 carbon atoms.
- Y8 is hydrogen; a linear or branched alkyl group having 1 to 20 carbon atoms; or a monocyclic or polycyclic aryl group having 6 to 20 carbon atoms.
- Y8 is hydrogen; a linear or branched alkyl group having 1 to 10 carbon atoms; or a monocyclic or polycyclic aryl group having 6 to 10 carbon atoms.
- Y8 is hydrogen; methyl group; or a phenyl group.
- Ar1 is a group represented by any one of the following structures.
- Y1 is a group represented by the above formula (3).
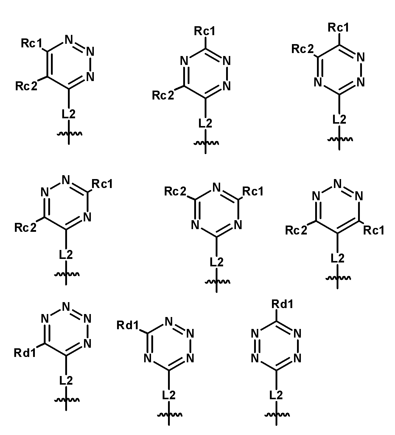
- Chemical Formula 3 is a group represented by any one of the following structures.
- L2 is the same as defined in Formula 3 above,
- At least one of Ra1 to Ra4 is a substituted or unsubstituted aryl group, the rest are the same as or different from each other, and each independently hydrogen; or deuterium,
- At least one of Rb1 to Rb3 is a substituted or unsubstituted aryl group, the rest are the same as or different from each other, and each independently hydrogen; or deuterium,
- At least one of Rc1 and Rc2 is a substituted or unsubstituted aryl group, and the remainder is hydrogen; or deuterium,
- Rd1 is a substituted or unsubstituted aryl group.
- L2 is a direct bond.
- L2 is a substituted or unsubstituted monocyclic or polycyclic arylene group having 6 to 30 carbon atoms.
- L2 is a substituted or unsubstituted monocyclic or polycyclic arylene group having 6 to 20 carbon atoms.
- L2 is a substituted or unsubstituted monocyclic or polycyclic arylene group having 6 to 15 carbon atoms.
- L2 is a monocyclic or polycyclic arylene group having 6 to 30 carbon atoms.
- L2 is a monocyclic or polycyclic arylene group having 6 to 20 carbon atoms.
- L2 is a monocyclic or polycyclic arylene group having 6 to 15 carbon atoms.
- L2 is a phenylene group; or a biphenylrylene group.
- At least one of Ra1 to Ra4 is a substituted or unsubstituted monocyclic or polycyclic aryl group having 6 to 30 carbon atoms, the rest are the same as or different from each other, and each independently hydrogen; or deuterium.
- At least one of Ra1 to Ra4 is a substituted or unsubstituted monocyclic or polycyclic aryl group having 6 to 20 carbon atoms, the rest are the same as or different from each other, and each independently hydrogen; or deuterium.
- At least one of Ra1 to Ra4 is a substituted or unsubstituted monocyclic or polycyclic aryl group having 6 to 15 carbon atoms, the rest are the same as or different from each other, and each independently hydrogen; or deuterium.
- At least one of Ra1 to Ra4 is a monocyclic or polycyclic aryl group having 6 to 30 carbon atoms, the rest are the same as or different from each other, and each independently hydrogen; or deuterium.
- At least one of Ra1 to Ra4 is a monocyclic or polycyclic aryl group having 6 to 20 carbon atoms, the rest are the same as or different from each other, and each independently hydrogen; or deuterium.
- At least one of Ra1 to Ra4 is a monocyclic or polycyclic aryl group having 6 to 15 carbon atoms, the rest are the same as or different from each other, and each independently hydrogen; or deuterium.
- At least one of Ra1 to Ra4 is a phenyl group; biphenyl group; or a naphthyl group, the rest being the same as or different from each other, and each independently hydrogen; or deuterium.
- At least one of Rb1 to Rb3 is a substituted or unsubstituted monocyclic or polycyclic aryl group having 6 to 30 carbon atoms, the rest are the same as or different from each other, and each independently hydrogen; or deuterium.
- At least one of Rb1 to Rb3 is a substituted or unsubstituted monocyclic or polycyclic aryl group having 6 to 20 carbon atoms, the rest are the same as or different from each other, and each independently hydrogen; or deuterium.
- At least one of Rb1 to Rb3 is a substituted or unsubstituted monocyclic or polycyclic aryl group having 6 to 15 carbon atoms, the rest are the same as or different from each other, and each independently hydrogen; or deuterium.
- At least one of Rb1 to Rb3 is a monocyclic or polycyclic aryl group having 6 to 30 carbon atoms, the rest are the same as or different from each other, and each independently hydrogen; or deuterium.
- At least one of Rb1 to Rb3 is a monocyclic or polycyclic aryl group having 6 to 20 carbon atoms, the rest are the same as or different from each other, and each independently hydrogen; or deuterium.
- At least one of Rb1 to Rb3 is a monocyclic or polycyclic aryl group having 6 to 15 carbon atoms, the rest are the same as or different from each other, and each independently hydrogen; or deuterium.
- At least one of Rb1 to Rb3 is a phenyl group; biphenyl group; or a naphthyl group, the rest being the same as or different from each other, and each independently hydrogen; or deuterium.
- At least one of Rc1 and Rc2 is a substituted or unsubstituted monocyclic or polycyclic aryl group having 6 to 30 carbon atoms, and the remainder is hydrogen; or deuterium.
- At least one of Rc1 and Rc2 is a substituted or unsubstituted monocyclic or polycyclic aryl group having 6 to 20 carbon atoms, and the remainder is hydrogen; or deuterium.
- At least one of Rc1 and Rc2 is a substituted or unsubstituted monocyclic or polycyclic aryl group having 6 to 15 carbon atoms, and the remainder is hydrogen; or deuterium.
- At least one of Rc1 and Rc2 is a monocyclic or polycyclic aryl group having 6 to 30 carbon atoms, and the remainder is hydrogen; or deuterium.
- At least one of Rc1 and Rc2 is a monocyclic or polycyclic aryl group having 6 to 20 carbon atoms, and the remainder is hydrogen; or deuterium.
- At least one of Rc1 and Rc2 is a monocyclic or polycyclic aryl group having 6 to 15 carbon atoms, and the remainder is hydrogen; or deuterium.
- At least one of Rc1 and Rc2 is a phenyl group; biphenyl group; or a naphthyl group, the remainder being hydrogen; or deuterium.
- Rd1 is a substituted or unsubstituted aryl group.
- Rd1 is a substituted or unsubstituted monocyclic or polycyclic aryl group having 6 to 30 carbon atoms.
- Rd1 is a substituted or unsubstituted monocyclic or polycyclic aryl group having 6 to 20 carbon atoms.
- Rd1 is a substituted or unsubstituted monocyclic or polycyclic aryl group having 6 to 15 carbon atoms.
- Rd1 is a monocyclic or polycyclic aryl group having 6 to 30 carbon atoms.
- Rd1 is a monocyclic or polycyclic aryl group having 6 to 20 carbon atoms.
- Rd1 is a monocyclic or polycyclic aryl group having 6 to 15 carbon atoms.
- Rd1 is a phenyl group; biphenyl group; or a naphthyl group.
- Rd1 is a phenyl group.
- Rd1 is a biphenyl group.
- Rd1 is a naphthyl group.
- Formula 1 is selected from the following compounds.
- the present specification provides an organic light emitting device including the compound represented by Formula 1 above.
- the 'layer' means compatible with the 'film' mainly used in the present technical field, and refers to a coating covering a desired area.
- the size of the 'layers' is not limited, and each 'layer' may have the same size or different sizes. According to an exemplary embodiment, the size of the 'layer' may be the same as the entire device, may correspond to the size of a specific functional area, and may be as small as a single sub-pixel.
- the meaning that a specific material A is included in layer B means that i) one or more types of material A are included in one layer B, and ii) layer B is composed of one or more layers, and material A is multi-layered B. It includes everything included in one or more floors among the floors.
- the meaning that a specific material A is included in the C layer or the D layer means i) is included in one or more of the one or more layers C, ii) is included in one or more of the one or more layers of D, or iii ) means all of which are included in one or more layers C and one or more layers D, respectively.
- the present specification includes a first electrode; a second electrode provided to face the first electrode; and at least one organic material layer provided between the first electrode and the second electrode, wherein at least one of the organic material layers includes the compound represented by Formula 1 above. do.
- the organic material layer of the organic light emitting device of the present specification may have a single-layer structure, but may have a multi-layer structure in which two or more organic material layers are stacked.
- it may have a structure including a hole injection layer, a hole transport layer, a light emitting layer, an electron transport layer, an electron injection layer, an electron blocking layer, a hole blocking layer, and the like.
- the structure of the organic light emitting device is not limited thereto and may include a smaller number of organic layers.
- the organic material layer includes an electron injection layer, an electron transport layer, or an electron injection and transport layer, and the electron injection layer, the electron transport layer, or the electron injection and transport layer includes the compound.
- the organic material layer includes a hole blocking layer, and the hole blocking layer includes the compound.
- the organic material layer includes a light emitting layer.
- the organic material layer includes a hole injection layer, a hole transport layer, or a hole injection and transport layer.
- the organic material layer includes an electron blocking layer.
- the organic material layer includes a hole blocking layer.
- the organic light emitting device includes a hole injection layer, a hole transport layer, a hole injection and transport layer, a light emitting layer, an electron transport layer, an electron injection layer, an electron injection and transport layer, a hole blocking layer and an electron blocking layer. It further comprises one or more floors selected from.
- the organic light emitting device includes a first electrode; a second electrode provided to face the first electrode; a light emitting layer provided between the first electrode and the second electrode; and two or more organic material layers provided between the light emitting layer and the first electrode or between the light emitting layer and the second electrode.
- the two or more organic material layers include a hole injection layer, a hole transport layer, a hole injection and transport layer, a light emitting layer, an electron transport layer, an electron injection layer, an electron injection and transport layer, a hole blocking layer and an electron blocking layer. Two or more may be selected from the group.
- two or more hole transport layers are included between the light emitting layer and the first electrode.
- the two or more hole transport layers may include the same or different materials.
- the first electrode is an anode or a cathode.
- the second electrode is a negative electrode or an anode.
- the organic light emitting device may be a normal type organic light emitting device in which an anode, one or more organic material layers, and a cathode are sequentially stacked on a substrate.
- the organic light emitting device may be an inverted type organic light emitting device in which an anode, one or more organic material layers, and a cathode are sequentially stacked on a substrate.
- FIGS. 1 to 3 illustrate an organic light emitting device, but is not limited thereto.
- FIG. 1 illustrates a structure of an organic light-emitting device in which a first electrode 102 , an organic material layer 111 , and a second electrode 110 are sequentially stacked on a substrate 101 .
- the compound represented by Formula 1 is included in the organic layer.
- FIG. 2 shows a first electrode 102, a hole injection layer 103, a hole transport layer 104, an electron blocking layer 105, a light emitting layer 106, a hole blocking layer 107, an electron transport layer ( 108 ), the electron injection layer 109 , and the second electrode 110 are sequentially stacked.
- the structure of the organic light emitting device is exemplified. According to an exemplary embodiment of the present specification, the compound represented by Formula 1 is included in the electron injection layer, the electron transport layer, or the hole blocking layer.
- FIG. 3 shows a first electrode 102, a hole injection layer 103, a first hole transport layer 104-1, a second hole transport layer 104-2, a light emitting layer 106, an electron injection and
- the structure of the organic light emitting device in which the transport layer 112 and the second electrode 110 are sequentially stacked is exemplified.
- the compound represented by Formula 1 is included in the electron injection and transport layer.
- the organic light emitting device of the present specification includes materials known in the art, except that the electron injection layer, the electron transport layer, the electron injection and transport layer, or the hole blocking layer includes the compound, that is, the compound represented by Formula 1 above. method can be prepared.
- the organic material layers may be formed of the same material or different materials.
- the organic light emitting device of the present specification may be manufactured by sequentially stacking a first electrode, an organic material layer, and a second electrode on a substrate.
- a PVD (physical vapor deposition) method such as sputtering or e-beam evaporation
- a metal or conductive metal oxide or an alloy thereof is deposited on a substrate to form an anode.
- It can be prepared by forming an organic material layer including a hole injection layer, a hole transport layer, a light emitting layer and an electron transport layer thereon, and then depositing a material that can be used as a cathode thereon.
- an organic light emitting device may be manufactured by sequentially depositing a cathode material, an organic material layer, and an anode material on a substrate.
- the compound represented by Formula 1 may be formed into an organic material layer by a solution coating method as well as a vacuum deposition method when manufacturing an organic light emitting device.
- the solution coating method refers to spin coating, dip coating, doctor blading, inkjet printing, screen printing, spraying, roll coating, and the like, but is not limited thereto.
- an organic light emitting device may be manufactured by sequentially depositing an organic material layer and an anode material from a cathode material on a substrate.
- the manufacturing method is not limited thereto.
- anode material a material having a large work function is generally preferred so that holes can be smoothly injected into the organic material layer.
- metals such as vanadium, chromium, copper, zinc, gold or alloys thereof; metal oxides such as zinc oxide, indium oxide, indium tin oxide (ITO), and indium zinc oxide (IZO); ZnO:Al or SnO 2 : a combination of a metal such as Sb and an oxide; Conductive polymers such as poly(3-methylthiophene), poly[3,4-(ethylene-1,2-dioxy)thiophene](PEDOT), polypyrrole, and polyaniline, but are not limited thereto.
- the cathode material is preferably a material having a small work function to facilitate electron injection into the organic material layer.
- metals or alloys thereof such as, for example, magnesium, calcium, sodium, potassium, titanium, indium, yttrium, lithium, gadolinium, aluminum, silver, tin and lead; LiF/Al or a multi-layered material such as LiO 2 /Al, but is not limited thereto.
- the emission layer may include a host material and a dopant material.
- the host material includes a condensed aromatic ring derivative or a compound containing a hetero ring.
- condensed aromatic ring derivatives include anthracene derivatives, pyrene derivatives, naphthalene derivatives, pentacene derivatives, phenanthrene compounds, fluoranthene compounds, and the like
- heterocyclic-containing compounds include dibenzofuran derivatives, ladder-type furan compounds, and pyrimidine derivatives, but is not limited thereto.
- the dopant material examples include an aromatic amine derivative, a strylamine compound, a boron complex, a fluoranthene compound, and a metal complex.
- the aromatic amine derivative is a condensed aromatic ring derivative having a substituted or unsubstituted arylamine group, and includes pyrene, anthracene, chrysene, and periplanthene having an arylamine group.
- the styrylamine compound is a compound in which at least one arylvinyl group is substituted with a substituted or unsubstituted arylamine, and one or two or more selected from the group consisting of an aryl group, a silyl group, an alkyl group, a cycloalkyl group, and an arylamine group A substituent is substituted or unsubstituted.
- the metal complex includes an iridium complex, a platinum complex, and the like, but is not limited thereto.
- the hole injection layer is a layer that receives holes from the electrode. It is preferable that the hole injecting material has the ability to transport holes and thus has a hole receiving effect from the anode and an excellent hole injecting effect for the light emitting layer or the light emitting material. In addition, a material having an excellent ability to prevent migration of excitons generated in the light emitting layer to the electron injection layer or the electron injection material is preferred. In addition, a material excellent in the ability to form a thin film is preferable. In addition, it is preferable that the highest occupied molecular orbital (HOMO) of the hole injection material is between the work function of the positive electrode material and the HOMO of the surrounding organic material layer.
- HOMO highest occupied molecular orbital
- the hole injection material examples include metal porphyrin, oligothiophene, arylamine-based organic material; hexanitrile hexaazatriphenylene-based organic substances; quinacridone-based organic substances; perylene-based organic materials;
- polythiophene-based conductive polymers such as anthraquinone and polyaniline, but is not limited thereto.
- the hole transport layer is a layer that receives holes from the hole injection layer and transports the holes to the light emitting layer.
- the hole transport material is a material capable of receiving holes from the anode or the hole injection layer and transferring them to the light emitting layer, and a material having high hole mobility is preferable. Specific examples include, but are not limited to, an arylamine-based organic material, a conductive polymer, and a block copolymer having a conjugated portion and a non-conjugated portion together.
- the electron transport layer is a layer that receives electrons from the electron injection layer and transports electrons to the light emitting layer.
- the electron transport material is a material capable of well injecting electrons from the cathode and transferring them to the emission layer As such, a material having high electron mobility is preferable.
- Specific examples include an Al complex of 8-hydroxyquinoline; complexes containing Alq 3 ; organic radical compounds; hydroxyflavone-metal complexes, and the like, but are not limited thereto.
- the electron transport layer may be used with any desired cathode material, as used in accordance with the prior art.
- suitable cathode materials are conventional materials having a low work function, followed by a layer of aluminum or silver.
- a layer of aluminum or silver there are cesium, barium, calcium, ytterbium and samarium, and in each case, an aluminum layer or a silver layer is followed.
- the electron injection layer is a layer that receives electrons from the electrode.
- the organic light emitting device includes an additional electron injection layer other than the electron injection layer comprising Formula 1
- the electron injection material has excellent ability to transport electrons, and the second electrode It is preferable to have an electron receiving effect from, and an excellent electron injection effect for the light emitting layer or the light emitting material.
- a material that prevents excitons generated in the light emitting layer from moving to the hole injection layer and has excellent thin film formation ability is preferable.
- fluorenone anthraquinodimethane, diphenoquinone, thiopyran dioxide, oxazole, oxadiazole, triazole, imidazole, perylene tetracarboxylic acid, preorenylidene methane, anthrone, etc. derivatives thereof; metal complex compounds and nitrogen-containing 5-membered ring derivatives, but are not limited thereto.
- Examples of the metal complex compound include 8-hydroxyquinolinato lithium, bis(8-hydroxyquinolinato)zinc, bis(8-hydroxyquinolinato)copper, and bis(8-hydroxyquinolinato)manganese. , tris(8-hydroxyquinolinato)aluminum, tris(2-methyl-8-hydroxyquinolinato)aluminum, tris(8-hydroxyquinolinato)gallium, bis(10-hydroxybenzo[h ]quinolinato)beryllium, bis(10-hydroxybenzo[h]quinolinato)zinc, bis(2-methyl-8-quinolinato)chlorogallium, bis(2-methyl-8-quinolinato) (o-crezolato)gallium, bis(2-methyl-8-quinolinato)(1-naphtolato)aluminum, bis(2-methyl-8-quinolinato)(2-naphtolato)gallium, etc. , but is not limited thereto.
- the electron blocking layer is a layer capable of improving the lifetime and efficiency of the device by preventing electrons injected from the electron injection layer from entering the hole injection layer through the emission layer.
- a known material can be used without limitation, and may be formed between the light emitting layer and the hole injection layer, or between the light emitting layer and a layer that simultaneously injects and transports holes.
- the hole blocking layer is a layer that blocks the holes from reaching the cathode, and may be formed under the same conditions as the electron injection layer in general.
- the organic light emitting device according to an exemplary embodiment of the present specification includes an additional hole blocking layer other than the hole blocking layer comprising Formula 1, specifically, an oxadiazole derivative or a triazole derivative, a phenanthroline derivative, an aluminum complex, and the like, but is not limited thereto.
- the organic light emitting device may be a top emission type, a back emission type, or a double side emission type depending on the material used.
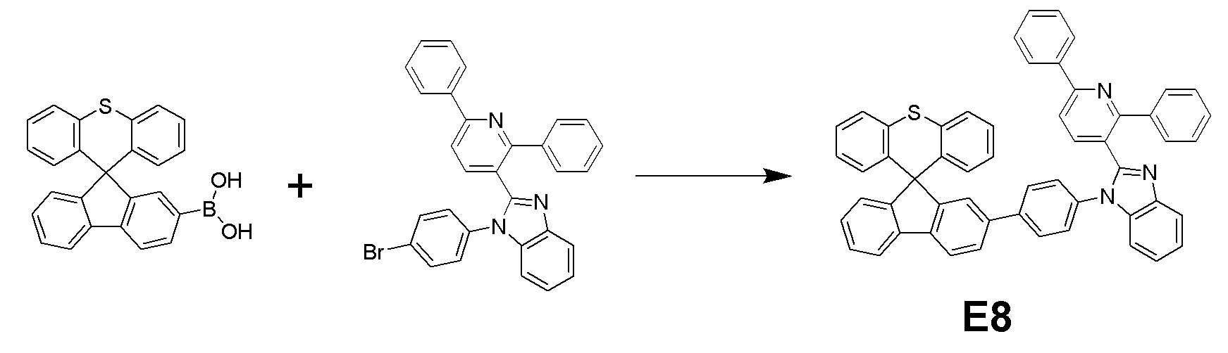
- E1-A (20 g, 55.2 mmol) and E1-B (27.4 g, 55.2 mmol) were placed in 400 ml of tetrahydrofuran, stirred and refluxed. After that, potassium carbonate (22.9 g, 165.6 mmol) was dissolved in 23 ml of water and thoroughly stirred, and then tetrakistriphenyl-phosphinopalladium (1.9 g, 1.7 mmol) was added. After the reaction for 2 hours, after cooling to room temperature, the organic layer and the water layer were separated, and the organic layer was distilled.
- Compound E2 was prepared in the same manner as in Preparation Example 1-1, except that each starting material was prepared as in the above reaction scheme.
- Compound E3 was prepared in the same manner as in Preparation Example 1-1, except that each starting material was prepared as in the above reaction scheme.
- Compound E4 was prepared in the same manner as in Preparation Example 1-1, except that each starting material was prepared as in the above reaction scheme.
- Compound E5 was prepared in the same manner as in Preparation Example 1-1, except that each starting material was prepared as in the above reaction scheme.
- Compound E6 was prepared in the same manner as in Preparation Example 1-1, except that each starting material was prepared as in the above reaction scheme.
- Compound E7 was prepared in the same manner as in Preparation Example 1-1, except that each starting material was prepared as in the above reaction scheme.
- Compound E8 was prepared in the same manner as in Preparation Example 1-1, except that each starting material was prepared as in the above reaction scheme.
- Compound E9 was prepared in the same manner as in Preparation Example 1-1, except that each starting material was prepared as in the above reaction scheme.
- Compound E10 was prepared in the same manner as in Preparation Example 1-1, except that each starting material was prepared as in the above reaction scheme.
- Compound E11 was prepared in the same manner as in Preparation Example 1-1, except that each starting material was prepared as in the above reaction scheme.
- a glass substrate coated with indium tin oxide (ITO) to a thickness of 1000 ⁇ was placed in distilled water in which detergent was dissolved and washed with ultrasonic waves.
- ITO indium tin oxide
- a product manufactured by Fischer Co. was used as the detergent
- distilled water that was secondarily filtered with a filter manufactured by Millipore Co. was used as the distilled water.
- ultrasonic cleaning was performed for 10 minutes by repeating twice with distilled water.
- ultrasonic washing was performed with a solvent of isopropyl alcohol, acetone, and methanol, dried, and then transported to a plasma cleaner.
- the substrate was transported to a vacuum evaporator.
- the following HI-A compound was thermally vacuum deposited to a thickness of 600 ⁇ to form a hole injection layer.
- a first hole transport layer and a second hole transport layer were formed by sequentially vacuum-depositing 50 ⁇ of the HAT compound and 60 ⁇ of the HT-A compound on the hole injection layer.
- the following BH compound and BD compound were vacuum-deposited at a weight ratio of 25:1 to a thickness of 20 nm on the second hole transport layer to form a light emitting layer.
- the compound E1 prepared in Preparation Example 1-1 and the LiQ compound below were vacuum deposited in a weight ratio of 1:1 to form an electron injection and transport layer to a thickness of 350 ⁇ .
- a cathode was formed by sequentially depositing lithium fluoride (LiF) to a thickness of 10 ⁇ and aluminum to a thickness of 1000 ⁇ on the electron injection and transport layer.
- LiF lithium fluoride
- the deposition rate of the organic material was maintained at 0.4 to 0.9 ⁇ /sec
- the deposition rate of lithium fluoride of the negative electrode was maintained at 0.3 ⁇ /sec
- the deposition rate of aluminum was maintained at 2 ⁇ /sec
- the vacuum degree during deposition was 1 ⁇ 10 -
- an organic light emitting device was manufactured.
- An organic light emitting diode was manufactured in the same manner as in Experimental Example 1, except that Compounds E2 to 11 described in Table 1 were used instead of Compound E1 of Example 1, respectively.
- An organic light emitting diode was manufactured in the same manner as in Experimental Example 1, except that compounds ET-A to ET-S shown in Table 1 were used instead of Compound E1 of Example 1, respectively.
- the compound represented by Formula 1 according to the present specification may be used in an organic material layer capable of simultaneously injecting and transporting electrons of the organic light emitting device. Comparing Experimental Examples 1 to 11 and Comparative Examples 1 to 6 in Table 1, the organic light emitting device including the compound of Formula 1 according to the present specification has a longer lifespan than the organic light emitting device including the compound not including Y1. It was confirmed that the remarkably excellent properties were shown.
- the organic light emitting device including Formula 1 according to the present specification includes a compound in which Y1 is an unsubstituted pyridine group or an unsubstituted pyrimidine group It was confirmed that the organic light emitting device showed significantly superior characteristics in terms of efficiency than that of the organic light emitting diode.
- the organic light emitting device including the compound of Formula 1 according to the present specification is more efficient than the organic light emitting device including the compound in which R1 and R2 are alkyl groups , and it was confirmed that it showed remarkably excellent characteristics in terms of lifespan.
- Ar1 is Chemical Formula 2-1, and at least two of X1 to X3 are N.
- Organic light emitting including a compound It can be seen that the device exhibits significantly superior characteristics in terms of driving voltage and efficiency than the organic light emitting device including the compound in which only one of X1 to X3 is N.
- Ar1 according to the present specification is Formula 2-1, L2 of Formula 3 is a direct bond, and at least two of R are substituted or
- An organic light emitting device including an unsubstituted aryl group is more efficient than an organic light emitting device including a compound in which Ar1 is Formula 2-1, L2 of Formula 3 is a direct bond, and only one of R is an aryl group, and It was confirmed that it showed remarkably excellent characteristics in terms of life.
Landscapes
- Chemical & Material Sciences (AREA)
- Organic Chemistry (AREA)
- Physics & Mathematics (AREA)
- Spectroscopy & Molecular Physics (AREA)
- Engineering & Computer Science (AREA)
- Materials Engineering (AREA)
- Optics & Photonics (AREA)
- Electroluminescent Light Sources (AREA)
Abstract
본 명세서는 화학식 1의 화합물 및 이를 포함하는 유기 발광 소자에 관한 것이다.
Description
본 출원은 2019년 12월 20일에 한국특허청에 제출된 한국 특허 출원 제 10-2019-0171444호의 출원일의 이익을 주장하며, 그 내용 전부는 본 명세서에 포함된다.
본 명세서는 화합물 및 이를 포함하는 유기 발광 소자에 관한 것이다.
일반적으로 유기 발광 현상이란 유기 물질을 이용하여 전기에너지를 빛에너지로 전환시켜주는 현상을 말한다. 유기 발광 현상을 이용하는 유기 발광 소자는 통상 양극과 음극 및 이 사이에 유기물층을 포함하는 구조를 가진다. 여기서 유기물층은 유기 발광 소자의 효율과 안정성을 높이기 위하여 각기 다른 물질로 구성된 다층의 구조로 이루어진 경우가 많으며, 예컨대 정공주입층, 정공수송층, 발광층, 전자수송층, 전자주입층 등으로 이루어 질 수 있다. 이러한 유기 발광 소자의 구조에서 두 전극 사이에 전압을 걸어주게 되면 양극에서는 정공이, 음극에서는 전자가 유기물층에 주입되게 되고, 주입된 정공과 전자가 만났을 때 엑시톤(exciton)이 형성되며, 이 엑시톤이 다시 바닥상태로 떨어질 때 빛이 나게 된다.
상기와 같은 유기 발광 소자를 위한 새로운 재료의 개발이 계속 요구되고 있다.
본 명세서는 화합물 및 이를 포함하는 유기 발광 소자를 제공한다.
본 명세서는 하기 화학식 1로 표시되는 화합물을 제공한다.
[화학식 1]
상기 화학식 1에 있어서,
A1은 직접결합; O; 또는 S이며,
R1 및 R2는 서로 같거나 상이하고, 각각 독립적으로 치환 또는 비치환된 아릴기; 또는 치환 또는 비치환된 헤테로아릴기이거나, 서로 결합하여 -L1-Ar1으로 치환 또는 비치환된 고리를 형성할 수 있고,
R3 내지 R10은 서로 같거나 상이하고, 각각 독립적으로 수소; 또는 -L1-Ar1이며,
상기 R1 및 R2가 서로 결합하여, -L1-Ar1으로 치환된 고리를 형성하는 경우, 상기 R3 내지 R10은 수소이고,
상기 R1 및 R2가 서로 같거나 상이하고, 각각 독립적으로 치환 또는 비치환된 아릴기; 또는 치환 또는 비치환된 헤테로아릴기이거나, 서로 결합하여 비치환된 고리를 형성하는 경우, 상기 R3 내지 R10 중 어느 하나는 -L1-Ar1이고 나머지는 수소이며,
L1은 직접결합; 또는 치환 또는 비치환된 아릴렌기이고,
Ar1은 하기 화학식 2-1 내지 2-7 중 어느 하나로 표시되는 기이며,
[화학식 2-1]
[화학식 2-2]
[화학식 2-3]
[화학식 2-4]
[화학식 2-5]
[화학식 2-6]
[화학식 2-7]
상기 화학식 2-1 내지 2-7에 있어서,
*는 상기 화학식 1의 L1에 결합되는 부위이며,
Y1은 하기 화학식 3으로 표시되는 기이고,
X1 내지 X3 중 적어도 두 개는 N이고, 나머지는 CH이며,
X4 및 X5 중 적어도 하나는 N이고, 나머지는 CH이고,
X6 및 X7 중 적어도 하나는 N이고, 나머지는 CH이며,
X8는 N이고, Z1은 N 또는 C이거나, X8은 CH이고, Z1은 N이고,
X9는 N이고, Z2는 N 또는 C이거나, X9는 CH이고, Z2는 N이며,
X10는 N이고, Z3은 N 또는 C이거나, X10은 CH이고, Z3은 N이고,
X11는 N이고, Z4는 N 또는 C이거나, X11는 CH이고, Z4는 N이며,
Y2 내지 Y8은 서로 같거나 상이하고, 각각 독립적으로 수소; 중수소; 치환 또는 비치환된 알킬기; 치환 또는 비치환된 아릴기; 또는 치환 또는 비치환된 헤테로아릴기이고,
y3는 1 내지 4의 정수이고, 상기 y3가 2 이상인 경우, 2 이상의 Y3는 서로 같거나 상이하며,
y4는 1 또는 2이며, 상기 y4가 2 인 경우, 두 개의 Y4는 서로 같거나 상이하고,
y5는 1 내지 4의 정수이고, 상기 y5가 2 이상인 경우, 2 이상의 Y5는 서로 같거나 상이하며,
y6은 1 내지 4의 정수이며, 상기 y6이 2 이상인 경우, 2 이상의 Y6은 서로 같거나 상이하고,
y7은 1 또는 2 이고, 상기 y7이 2 인 경우, 두 개의 Y7은 서로 같거나 상이하며,
y8은 1 또는 2 이고, 상기 y8이 2 인 경우, 두 개의 Y8은 서로 같거나 상이하며,
[화학식 3]
상기 화학식 3에 있어서,
L2는 직접결합; 또는 치환 또는 비치환된 아릴렌기이고,
Q1 내지 Q5 중 하나 내지 4개는 N이고, 나머지는 CR이며,
R 중 적어도 하나는 치환 또는 비치환된 아릴기이며, 나머지는 서로 같거나 상이하며, 각각 독립적으로 수소; 또는 중수소이고,
상기 Ar1이 상기 화학식 2-1이고, 상기 화학식 3의 L2가 직접결합인 경우, R 중 적어도 2개는 치환 또는 비치환된 아릴기이다.
또한, 본 명세서는 제1 전극; 상기 제1 전극과 대향하여 구비된 제2 전극; 및 상기 제1 전극과 상기 제2 전극 사이에 구비된 1층 이상의 유기물층을 포함하는 유기 발광 소자로서, 상기 유기물층 1층 이상은 상기 화합물을 포함하는 것인 유기 발광 소자를 제공한다.
본 명세서의 일 실시상태에 따른 화합물은 유기 발광 소자의 유기물층의 재료로서 사용될 수 있고, 이를 사용함으로써 유기 발광 소자에서 효율의 향상, 낮은 구동전압 및/또는 수명 특성의 향상이 가능하다.
도 1 내지 3은 본 명세서의 일 실시상태에 따른 유기 발광 소자의 예를 도시한 것이다.
[부호의 설명]
101: 기판
102: 제1 전극
103: 정공주입층
104: 정공수송층
105: 전자차단층
106: 발광층
107: 정공차단층
108: 전자수송층
109: 전자주입층
110: 제2 전극
111: 유기물층
112: 전자 주입 및 수송층
104-1: 제1 정공수송층
104-2: 제2 정공수송층
이하, 본 명세서에 대하여 더욱 상세하게 설명한다.
본 명세서는 상기 화학식 1로 표시되는 화합물을 제공한다.
본 명세서의 일 실시상태에 따른 화합물은 비선형 구조로 유기 발광 소자에서 효율의 향상, 낮은 구동전압 및 수명 특성의 향상 등이 가능하다. 또한, 상기 화학식 1로 표시되는 화합물의 구조에서 치환기 -L-Ar1이 전자 공핍 구조의 치환기를 가짐으로 분자의 극성(dipole moment)을 높일 수 있기 때문에 상기 화학식 1로 표시되는 화합물을 포함하는 유기 발광 소자의 제작 시 전자이동도를 원활히 조절하여, 상기 화학식 1로 표시되는 화합물을 포함하는 유기 발광 소자의 효율 및 수명을 향상 시킬 수 있다. 또한, 상기 화학식 1의 R1 및 R2가 고리를 형성하는 경우, 스피로형 구조로 인한 입체 장애는 필름 형성 시 발생하는 결정화를 방지하고, 높은 열 안정성을 유지하여 높은 증착 온도에도 매우 안정한 효과가 있다. 따라서, 본 명세서의 일 실시상태에 따른 화합물을 포함하는 유기 발광 소자는 효율의 향상, 낮은 구동전압 및 수명 특성의 향상 등이 가능하다.
본 명세서에서 치환기의 예시들은 아래에서 설명하나, 이에 한정되는 것은 아니다.
상기 "치환"이라는 용어는 화합물의 탄소 원자에 결합된 수소 원자가 다른 치환기로 바뀌는 것을 의미하며, 치환되는 위치는 수소 원자가 치환되는 위치 즉, 치환기가 치환 가능한 위치라면 한정하지 않으며, 2 이상 치환되는 경우, 2 이상의 치환기는 서로 같거나 상이할 수 있다.
본 명세서에서 "치환 또는 비치환된" 이라는 용어는 중수소; 할로겐기; 시아노기; 알킬기; 시클로알킬기; 알콕시기; 알케닐기; 할로알킬기; 실릴기; 붕소기; 아민기; 아릴기; 및 헤테로아릴기로 이루어진 군으로부터 선택되는 1 이상의 치환기로 치환되었거나, 상기 예시된 치환기 중 2 이상의 치환기가 연결된 치환기로 치환되거나, 또는 어떠한 치환기도 갖지 않는 것을 의미한다.
본 명세서에 있어서, 2 이상의 치환기가 연결된다는 것은 어느 하나의 치환기의 수소가 다른 치환기와 연결된 것을 말한다. 예컨대, 2개의 치환기가 연결되는 것은 페닐기와 나프틸기가 연결되어
또는
의 치환기가 될 수 있다. 또한, 3개의 치환기가 연결되는 것은 (치환기 1)-(치환기 2)-(치환기 3)이 연속하여 연결되는 것뿐만 아니라, (치환기 1)에 (치환기 2) 및 (치환기 3)이 연결되는 것도 포함한다. 예컨대, 페닐기, 나프틸기 및 이소프로필기가 연결되어
,
, 또는
의 치환기가 될 수 있다. 4 이상의 치환기가 연결되는 것에도 전술한 정의가 동일하게 적용된다.
본 명세서에 있어서, 할로겐기의 예로는 불소, 염소, 브롬 또는 요오드가 있다.
본 명세서에 있어서, 상기 알킬기는 직쇄 또는 분지쇄일 수 있고, 탄소수는 특별히 한정되지 않으나 1 내지 30인 것이 바람직하다. 구체적인 예로는 메틸, 에틸, 프로필, n-프로필, 이소프로필, 부틸, n-부틸, 이소부틸, tert-부틸, sec-부틸, 1-메틸-부틸, 1-에틸-부틸, 펜틸, n-펜틸, 이소펜틸, 네오펜틸, tert-펜틸, 헥실, n-헥실, 1-메틸펜틸, 2-메틸펜틸, 4-메틸-2-펜틸, 3,3-디메틸부틸, 2-에틸부틸, 헵틸, n-헵틸, 1-메틸헥실, 시클로펜틸메틸, 시클로헥실메틸, 옥틸, n-옥틸, tert-옥틸, 1-메틸헵틸, 2-에틸헥실, 2-프로필펜틸, n-노닐, 2,2-디메틸헵틸, 1-에틸-프로필, 1,1-디메틸-프로필, 이소헥실, 2-메틸펜틸, 4-메틸헥실, 5-메틸헥실 등이 있으나, 이에 한정되는 것은 아니다.
본 명세서에 있어서, 시클로알킬기는 특별히 한정되지 않으나, 탄소수 3 내지 30인 것이 바람직하며, 구체적으로 시클로프로필, 시클로부틸, 시클로펜틸, 3-메틸시클로펜틸, 2,3-디메틸시클로펜틸, 시클로헥실, 3-메틸시클로헥실, 4-메틸시클로헥실, 2,3-디메틸시클로헥실, 3,4,5-트리메틸시클로헥실, 4-tert-부틸시클로헥실, 시클로헵틸, 시클로옥틸, 아다만틸기 등이 있으나, 이에 한정되는 것은 아니다.
본 명세서에 있어서, 상기 알콕시기는 직쇄, 분지쇄 또는 고리쇄일 수 있다. 알콕시기의 탄소수는 특별히 한정되지 않으나, 탄소수 1 내지 30인 것이 바람직하다. 구체적으로, 메톡시, 에톡시, n-프로폭시, 이소프로폭시, n-부톡시, 이소부톡시, tert-부톡시, sec-부톡시, n-펜틸옥시, 네오펜틸옥시, 이소펜틸옥시, n-헥실옥시, 3,3-디메틸부틸옥시, 2-에틸부틸옥시, n-옥틸옥시, n-노닐옥시, n-데실옥시, 벤질옥시, p-메틸벤질옥시 등이 될 수 있으나, 이에 한정되는 것은 아니다.
본 명세서에 있어서, 상기 알케닐기는 직쇄 또는 분지쇄일 수 있고, 탄소수는 특별히 한정되지 않으나, 2 내지 30인 것이 바람직하다. 구체적인 예로는 비닐, 1-프로페닐, 이소프로페닐, 1-부테닐, 2-부테닐, 3-부테닐, 1-펜테닐, 2-펜테닐, 3-펜테닐, 3-메틸-1-부테닐, 1,3-부타디에닐, 알릴, 1-페닐비닐-1-일, 2-페닐비닐-1-일, 2,2-디페닐비닐-1-일, 2-페닐-2-(나프틸-1-일)비닐-1-일, 2,2-비스(디페닐-1-일)비닐-1-일, 스틸베닐기, 스티레닐기 등이 있으나, 이에 한정되는 것은 아니다.
본 명세서에 있어서, 상기 할로알킬기는 상기 알킬기의 정의 중 알킬기의 수소 대신 적어도 하나의 할로겐기가 치환되는 것을 의미한다.
본 명세서에 있어서, 아릴기는 특별히 한정되지 않으나, 탄소수 6 내지 30인 것이 바람직하며, 상기 아릴기는 단환식 또는 다환식일 수 있다.
상기 아릴기가 단환식 아릴기인 경우 탄소수는 특별히 한정되지 않으나, 탄소수 6 내지 30인 것이 바람직하다. 구체적으로 단환식 아릴기로는 페닐기, 바이페닐기, 터페닐기 등이 될 수 있으나, 이에 한정되는 것은 아니다.
상기 아릴기가 다환식 아릴기인 경우 탄소수는 특별히 한정되지 않으나. 탄소수 10 내지 30인 것이 바람직하다. 구체적으로 다환식 아릴기로는 나프틸기, 안트라센기, 페난트렌기, 트리페닐렌기, 파이렌기, 페날렌기, 페릴렌기, 크라이센기, 플루오렌기 등이 될 수 있으나, 이에 한정되는 것은 아니다.
본 명세서에 있어서, 상기 플루오렌기는 치환될 수 있으며, 인접한 기들이 서로 결합하여 고리를 형성할 수 있다.
등이 있으나, 이에 한정되지 않는다.
본 명세서에 있어서, "인접한" 기는 해당 치환기가 치환된 원자와 직접 연결된 원자에 치환된 치환기, 해당 치환기와 입체구조적으로 가장 가깝게 위치한 치환기, 또는 해당 치환기가 치환된 원자에 치환된 다른 치환기를 의미할 수 있다. 예컨대, 벤젠고리에서 오르토(ortho)위치로 치환된 2개의 치환기 및 지방족 고리에서 동일 탄소에 치환된 2개의 치환기는 서로 "인접한" 기로 해석될 수 있다.
본 명세서에 있어서, 헤테로아릴기는 탄소가 아닌 원자, 이종원자를 1 이상 포함하는 것으로서, 구체적으로 상기 이종 원자는 O, N, Se 및 S 등으로 이루어진 군에서 선택되는 원자를 1 이상 포함할 수 있다. 탄소수는 특별히 한정되지 않으나, 탄소수 2 내지 30인 것이 바람직하며, 상기 헤테로아릴기는 단환식 또는 다환식일 수 있다. 헤테로고리기의 예로는 티오펜기, 퓨란기, 피롤기, 이미다졸기, 티아졸기, 옥사졸기, 옥사디아졸기, 피리딘기, 바이피리딘기, 피리미딘기, 트리아진기, 트리아졸기, 아크리딘기, 피리다진기, 피라진기, 퀴놀린기, 퀴나졸린기, 퀴녹살린기, 프탈라진기, 피리도 피리미딘기, 피리도 피라진기, 피라지노 피라진기, 이소퀴놀린기, 인돌기, 카바졸기, 벤즈옥사졸기, 벤즈이미다졸기, 벤조티아졸기, 벤조카바졸기, 벤조티오펜기, 디벤조티오펜기, 벤조퓨란기, 페난트리딘기(phenanthridine), 페난쓰롤린기(phenanthroline), 이소옥사졸기, 티아디아졸기, 디벤조퓨란기, 디벤조실롤기, 페노크산틴기(phenoxathiine), 페녹사진기(phenoxazine), 페노티아진기(phenothiazine), 디하이드로인데노카바졸기, 스피로플루오렌잔텐기 및 스피로플루오렌티옥산텐기 등이 있으나, 이에 한정되는 것은 아니다.
본 명세서 있어서, 상기 실릴기는 알킬실릴기, 아릴실릴기, 헤테로아릴실릴기 등일 수 있다. 상기 알킬실릴기 중 알킬기는 전술한 알킬기의 예시가 적용될 수 있고, 상기 아릴실릴기 중 아릴기는 전술한 아릴기의 예시가 적용될 수 있으며, 상기 헤테로아릴실릴기 중 헤테로아릴기는 상기 헤테로아릴기의 예시가 적용될 수 있다.
본 명세서에 있어서, 붕소기는 -BR
100R
101일 수 있으며, 상기 R
100 및 R
101은 같거나 상이하고, 각각 독립적으로 수소; 중수소; 할로겐; 니트릴기; 치환 또는 비치환된 탄소수 3 내지 30의 단환 또는 다환의 시클로알킬기; 치환 또는 비치환된 탄소수 1 내지 30의 직쇄 또는 분지쇄의 알킬기; 치환 또는 비치환된 탄소수 6 내지 30의 단환 또는 다환의 아릴기; 및 치환 또는 비치환된 탄소수 2 내지 30의 단환 또는 다환의 헤테로아릴기로 이루어진 군으로부터 선택될 수 있다. 상기 붕소기는 구체적으로 트리메틸붕소기, 트리에틸붕소기, t-부틸디메틸붕소기, 트리페닐붕소기, 페닐붕소기 등이 있으나 이에 한정되지 않는다.
본 명세서에 있어서, 아민기는 -NH
2, 알킬아민기, N-알킬아릴아민기, 아릴아민기, N-아릴헤테로아릴아민기, N-알킬헤테로아릴아민기, 및 헤테로아릴아민기로 이루어진 군으로부터 선택될 수 있으며, 탄소수는 특별히 한정되지 않으나, 1 내지 30인 것이 바람직하다. 아민기의 구체적인 예로는 메틸아민기, 디메틸아민기, 에틸아민기, 디에틸아민기, 페닐아민기, 나프틸아민기, 바이페닐아민기, 안트라세닐아민기, 9-메틸-안트라세닐아민기, 디페닐아민기, 디톨릴아민기, N-페닐톨릴아민기, 트리페닐아민기, N-페닐바이페닐아민기, N-페닐나프틸아민기, N-바이페닐나프틸아민기; N-나프틸플루오레닐아민기, N-페닐페난트레닐아민기, N-바이페닐페난트레닐아민기, N-페닐플루오레닐아민기, N-페닐터페닐아민기, N-페난트레닐플루오레닐아민기, N-바이페닐플루오레닐아민기 등이 있으나, 이에 한정되는 것은 아니다.
본 명세서에 있어서, N-알킬아릴아민기는 아민기의 N에 알킬기 및 아릴기가 치환된 아민기를 의미한다. 상기 N-알킬아릴아민기 중의 알킬기와 아릴기는 전술한 알킬기 및 아릴기의 예시와 같다.
본 명세서에 있어서, N-아릴헤테로아릴아민기는 아민기의 N에 아릴기 및 헤테로아릴기가 치환된 아민기를 의미한다. 상기 N-아릴헤테로아릴아민기 중의 아릴기와 헤테로아릴기는 전술한 아릴기 및 헤테로아릴기의 예시와 같다.
본 명세서에 있어서, N-알킬헤테로아릴아민기는 아민기의 N에 알킬기 및 헤테로아릴기가 치환된 아민기를 의미한다. 상기 N-알킬헤테로아릴아민기 중의 알킬기와 헤테로아릴기는 전술한 알킬기 및 헤테로아릴기의 예시와 같다.
본 명세서에 있어서, 알킬아민기의 예로는 치환 또는 비치환된 모노알킬아민기, 또는 치환 또는 비치환된 디알킬아민기가 있다. 상기 알킬아민기 중의 알킬기는 직쇄 또는 분지쇄의 알킬기일 수 있다. 상기 알킬기를 2 이상 포함하는 알킬아민기는 직쇄의 알킬기, 분지쇄의 알킬기, 또는 직쇄의 알킬기와 분지쇄의 알킬기를 동시에 포함할 수 있다. 예컨대, 상기 알킬아민기 중의 알킬기는 전술한 알킬기의 예시 중에서 선택될 수 있다.
본 명세서에 있어서, 헤테로아릴아민기의 예로는 치환 또는 비치환된 모노헤테로아릴아민기, 또는 치환 또는 비치환된 디헤테로아릴아민기가 있다. 상기 헤테로아릴기가 2 이상을 포함하는 헤테로아릴아민기는 단환식 헤테로아릴기, 다환식 헤테로아릴기, 또는 단환식 헤테로아릴기와 다환식 헤테로아릴기를 동시에 포함할 수 있다. 예컨대, 상기 헤테로아릴아민기 중의 헤테로아릴기는 전술한 헤테로아릴기의 예시 중에서 선택될 수 있다.
본 명세서에 있어서, 치환기 중 "인접한 2개는 서로 결합하여 고리를 형성한다"는 의미는 인접한 기와 서로 결합하여 치환 또는 비치환된 탄화수소고리; 또는 치환 또는 비치환된 헤테로고리를 형성하는 것을 의미한다.
본 명세서에 있어서, 서로 결합하여 형성되는 치환 또는 비치환된 고리에서, "고리"는 치환 또는 비치환된 탄화수소고리; 또는 치환 또는 비치환된 헤테로고리를 의미한다.
본 명세서에 있어서, 탄화수소고리는 방향족 탄화수소 고리, 지방족 탄화수소고리, 또는 방향족 탄화수소와 지방족 탄화수소의 축합고리일 수 있으며, 상기 1가가 아닌 것을 제외하고 상기 시클로알킬기 또는 아릴기의 예시 중에서 선택될 수 있다.
본 명세서에 있어서, 헤테로고리는 탄소가 아닌 원자, 이종원자를 1 이상 포함하는 것으로서, 구체적으로 상기 이종 원자는 O, N, Se 및 S 등으로 이루어진 군에서 선택되는 원자를 1 이상 포함할 수 있다. 상기 헤테로고리는 단환 또는 다환일 수 있으며, 방향족, 지방족 또는 방향족과 지방족의 축합고리일 수 있으며, 상기 방향족 헤테로고리는 1가가 아닌 것을 제외하고 상기 헤테로아릴기의 예시 중에서 선택될 수 있다.
본 명세서에 있어서, 지방족 헤테로고리란 헤테로원자 중 1개 이상을 포함하는 지방족 고리를 의미한다. 지방족 헤테로고리의 예로는, 옥시레인(oxirane), 테트라하이드로퓨란, 1,4-디옥세인(1,4-dioxane), 피롤리딘, 피페리딘, 모르폴린(morpholine), 옥세판, 아조케인, 티오케인 등이 있으나, 이에 한정되지 않는다.
본 명세서에 있어서, 아릴렌기는 아릴기에 결합 위치가 두 개 있는 것 즉 2가기를 의미한다. 이들은 각각 2가기인 것을 제외하고는 전술한 아릴기의 설명이 적용될 수 있다.
본 명세서에 있어서, 헤테로아릴렌기는 헤테로아릴기에 결합 위치가 두 개 있는 것 즉 2가기를 의미한다. 이들은 각각 2가기인 것을 제외하고는 전술한 헤테로아릴기의 설명이 적용될 수 있다.
이하, 상기 화학식 1로 표시되는 화합물에 관하여 상세히 설명한다.
본 명세서의 일 실시상태에 따르면, 상기 화학식 1에 있어서, 상기 R1 및 R2는 서로 같거나 상이하고, 각각 독립적으로 치환 또는 비치환된 탄소수 6 내지 30의 단환 또는 다환의 아릴기; 또는 치환 또는 비치환된 탄소수 6 내지 30의 단환 또는 다환의 헤테로아릴기이거나, 서로 결합하여 -L1-Ar1으로 치환 또는 비치환된 탄화수소고리를 형성한다.
본 명세서의 일 실시상태에 따르면, 상기 화학식 1에 있어서, 상기 R1 및 R2는 서로 같거나 상이하고, 각각 독립적으로 치환 또는 비치환된 탄소수 6 내지 20의 단환 또는 다환의 아릴기; 또는 치환 또는 비치환된 탄소수 6 내지 20의 단환 또는 다환의 헤테로아릴기이거나, 서로 결합하여 -L1-Ar1으로 치환 또는 비치환된 방향족 탄화수소고리를 형성한다.
본 명세서의 일 실시상태에 따르면, 상기 화학식 1에 있어서, 상기 R1 및 R2는 서로 같거나 상이하고, 각각 독립적으로 탄소수 6 내지 30의 단환 또는 다환의 아릴기; 또는 탄소수 6 내지 30의 단환 또는 다환의 헤테로아릴기이거나, 서로 결합하여 -L1-Ar1으로 치환 또는 비치환된 탄화수소고리를 형성한다.
본 명세서의 일 실시상태에 따르면, 상기 화학식 1에 있어서, 상기 R1 및 R2는 서로 같거나 상이하고, 각각 독립적으로 탄소수 6 내지 30의 단환 또는 다환의 아릴기이거나, 서로 결합하여 -L1-Ar1으로 치환 또는 비치환된 방향족 탄화수소고리를 형성한다.
본 명세서의 일 실시상태에 따르면, 상기 화학식 1에 있어서, 상기 R1 및 R2는 서로 같거나 상이하고, 각각 독립적으로 탄소수 6 내지 20의 단환 또는 다환의 아릴기이거나, 서로 결합하여 -L1-Ar1으로 치환 또는 비치환된 방향족 탄화수소고리를 형성한다.
본 명세서의 일 실시상태에 따르면, 상기 화학식 1에 있어서, 상기 R1 및 R2는 서로 같거나 상이하고, 각각 독립적으로 탄소수 6 내지 10의 단환 또는 다환의 아릴기이거나, 서로 결합하여 -L1-Ar1으로 치환 또는 비치환된 방향족 탄화수소고리를 형성한다.
본 명세서의 일 실시상태에 따르면, 상기 화학식 1에 있어서, 상기 R1 및 R2는 페닐기이거나, 서로 결합하여 -L1-Ar1으로 치환 또는 비치환된 플루오렌고리를 형성한다.
본 명세서의 일 실시상태에 따르면, 상기 화학식 1에 있어서, 상기 R1 및 R2는 페닐기이다.
본 명세서의 일 실시상태에 따르면, 상기 화학식 1에 있어서, 상기 R1 및 R2는 서로 결합하여 -L1-Ar1으로 치환 또는 비치환된 플루오렌고리를 형성한다.
본 명세서의 일 실시상태에 따르면, 상기 화학식 1은 하기 화학식 1-1 내지 1-4 중 어느 하나로 표시된다.
[화학식 1-1]
[화학식 1-2]
[화학식 1-3]
[화학식 1-4]
상기 화학식 1-1에 있어서,
G1 및 G2는 서로 같거나 상이하고, 각각 탄소수 6 내지 30의 단환 또는 다환의 아릴기이고,
R3 내지 R10 중 어느 하나는 -L1-Ar1이고, 나머지는 수소이며,
L1 및 Ar1은 상기 화학식 1에서 정의한 바와 동일하고,
상기 화학식 1-2 내지 1-4에 있어서,
R3 내지 R10 및 R101 내지 R108 중 어느 하나는 -L1-Ar1이고, 나머지는 수소이고,
L1 및 Ar1은 상기 화학식 1에서 정의한 바와 동일하다.
본 명세서의 일 실시상태에 따르면, 상기 G1 및 G2는 서로 같거나 상이하고, 각각 독립적으로 탄소수 6 내지 30의 단환 또는 다환의 아릴기이다.
본 명세서의 일 실시상태에 따르면, 상기 G1 및 G2는 서로 같거나 상이하고, 각각 독립적으로 탄소수 6 내지 20의 단환 또는 다환의 아릴기이다.
본 명세서의 일 실시상태에 따르면, 상기 G1 및 G2는 서로 같거나 상이하고, 각각 독립적으로 탄소수 6 내지 10의 단환 또는 다환의 아릴기이다.
본 명세서의 일 실시상태에 따르면, 상기 G1 및 G2는 페닐기이다.
본 명세서의 일 실시상태에 따르면, 상기 L1은 직접결합; 또는 치환 또는 비치환된 탄소수 6 내지 20의 단환 또는 다환의 아릴렌기이다.
본 명세서의 일 실시상태에 따르면, 상기 L1은 직접결합; 또는 치환 또는 비치환된 탄소수 6 내지 15의 단환 또는 다환의 아릴렌기이다.
본 명세서의 일 실시상태에 따르면, 상기 L1은 직접결합; 또는 탄소수 6 내지 30의 단환 또는 다환의 아릴렌기이다.
본 명세서의 일 실시상태에 따르면, 상기 L1은 직접결합; 또는 탄소수 6 내지 20의 단환 또는 다환의 아릴렌기이다.
본 명세서의 일 실시상태에 따르면, 상기 L1은 직접결합; 또는 탄소수 6 내지 15의 단환 또는 다환의 아릴렌기이다.
본 명세서의 일 실시상태에 따르면, 상기 L1은 직접결합; 페닐렌기; 바이페닐릴렌기; 또는 나프틸렌기이다.
본 명세서의 일 실시상태에 따르면, 상기 L1은 직접결합이다.
본 명세서의 일 실시상태에 따르면, 상기 L1은 페닐렌기이다.
본 명세서의 일 실시상태에 따르면, 상기 L1은 바이페닐릴렌기이다.
본 명세서의 일 실시상태에 따르면, 상기 L1은 나프틸렌기이다.
본 명세서의 일 실시상태에 따르면, 상기 Ar1은 하기 구조 중 어느 하나로 표시되는 기이다.
상기 구조에 있어서,
*는 상기 화학식 1의 L1에 결합되는 부위이며,
Y1은 상기 화학식 3으로 표시되는 기이고,
Y2 내지 Y8은 서로 같거나 상이하고, 각각 독립적으로 수소; 중수소; 치환 또는 비치환된 알킬기; 치환 또는 비치환된 아릴기; 또는 치환 또는 비치환된 헤테로아릴기이고,
y3는 1 내지 4의 정수이고, 상기 y3가 2 이상인 경우, 2 이상의 Y3는 서로 같거나 상이하며,
y4는 1 또는 2이며, 상기 y4가 2 인 경우, 두 개의 Y4는 서로 같거나 상이하고,
y5는 1 내지 4의 정수이고, 상기 y5가 2 이상인 경우, 2 이상의 Y5는 서로 같거나 상이하며,
y6은 1 내지 4의 정수이며, 상기 y6이 2 이상인 경우, 2 이상의 Y6은 서로 같거나 상이하상이하고,
y7은 1 또는 2 이고, 상기 y7이 2 인 경우, 두 개의 Y7은 서로 같거나 상이하며,
y8은 1 또는 2 이고, 상기 y8이 2 인 경우, 두 개의 Y8은 서로 같거나 상이하다.
본 명세서의 일 실시상태에 따르면, 상기 Y2는 치환 또는 비치환된 아릴기이다.
본 명세서의 일 실시상태에 따르면, 상기 Y2는 치환 또는 비치환된 탄소수 6 내지 30의 단환 또는 다환의 아릴기이다.
본 명세서의 일 실시상태에 따르면, 상기 Y2는 치환 또는 비치환된 탄소수 6 내지 20의 단환 또는 다환의 아릴기이다.
본 명세서의 일 실시상태에 따르면, 상기 Y2는 치환 또는 비치환된 탄소수 6 내지 15의 단환 또는 다환의 아릴기이다.
본 명세서의 일 실시상태에 따르면, 상기 Y2는 탄소수 1 내지 30의 직쇄 또는 분지쇄의 알킬기로 치환 또는 비치환된 탄소수 6 내지 30의 단환 또는 다환의 아릴기이다.
본 명세서의 일 실시상태에 따르면, 상기 Y2는 탄소수 1 내지 20의 직쇄 또는 분지쇄의 알킬기로 치환 또는 비치환된 탄소수 6 내지 20의 단환 또는 다환의 아릴기이다.
본 명세서의 일 실시상태에 따르면, 상기 Y2는 탄소수 1 내지 10의 직쇄 또는 분지쇄의 알킬기로 치환 또는 비치환된 탄소수 6 내지 15의 단환 또는 다환의 아릴기이다.
본 명세서의 일 실시상태에 따르면, 상기 Y2는 메틸기로 치환 또는 비치환된 페닐기; 바이페닐기; 또는 나프틸기이다.
본 명세서의 일 실시상태에 따르면, 상기 Y3는 수소이다.
본 명세서의 일 실시상태에 따르면, 상기 Y4는 수소이다.
본 명세서의 일 실시상태에 따르면, 상기 Y5는 수소이다.
본 명세서의 일 실시상태에 따르면, 상기 Y6는 수소이다.
본 명세세의 일 실시상태에 따르면, 상기 Y7은 수소; 치환 또는 비치환된 알킬기; 또는 치환 또는 비치환된 아릴기이다.
본 명세세의 일 실시상태에 따르면, 상기 Y7은 수소; 치환 또는 비치환된 탄소수 1 내지 30의 직쇄 또는 분지쇄의 알킬기; 또는 치환 또는 비치환된 탄소수 6 내지 30의 단환 또는 다환의 아릴기이다.
본 명세세의 일 실시상태에 따르면, 상기 Y7은 수소; 치환 또는 비치환된 탄소수 1 내지 20의 직쇄 또는 분지쇄의 알킬기; 또는 치환 또는 비치환된 탄소수 6 내지 20의 단환 또는 다환의 아릴기이다.
본 명세세의 일 실시상태에 따르면, 상기 Y7은 수소; 치환 또는 비치환된 탄소수 1 내지 10의 직쇄 또는 분지쇄의 알킬기; 또는 치환 또는 비치환된 탄소수 6 내지 10의 단환 또는 다환의 아릴기이다.
본 명세세의 일 실시상태에 따르면, 상기 Y7은 수소; 탄소수 1 내지 30의 직쇄 또는 분지쇄의 알킬기; 또는 탄소수 6 내지 30의 단환 또는 다환의 아릴기이다.
본 명세세의 일 실시상태에 따르면, 상기 Y7은 수소; 탄소수 1 내지 20의 직쇄 또는 분지쇄의 알킬기; 또는 탄소수 6 내지 20의 단환 또는 다환의 아릴기이다.
본 명세세의 일 실시상태에 따르면, 상기 Y7은 수소; 탄소수 1 내지 10의 직쇄 또는 분지쇄의 알킬기; 또는 탄소수 6 내지 10의 단환 또는 다환의 아릴기이다.
본 명세세의 일 실시상태에 따르면, 상기 Y7은 수소; 메틸기; 또는 페닐기이다.
본 명세세의 일 실시상태에 따르면, 상기 Y8은 수소; 치환 또는 비치환된 알킬기; 또는 치환 또는 비치환된 아릴기이다.
본 명세세의 일 실시상태에 따르면, 상기 Y8은 수소; 치환 또는 비치환된 탄소수 1 내지 30의 직쇄 또는 분지쇄의 알킬기; 또는 치환 또는 비치환된 탄소수 6 내지 30의 단환 또는 다환의 아릴기이다.
본 명세세의 일 실시상태에 따르면, 상기 Y8은 수소; 치환 또는 비치환된 탄소수 1 내지 20의 직쇄 또는 분지쇄의 알킬기; 또는 치환 또는 비치환된 탄소수 6 내지 20의 단환 또는 다환의 아릴기이다.
본 명세세의 일 실시상태에 따르면, 상기 Y8은 수소; 치환 또는 비치환된 탄소수 1 내지 10의 직쇄 또는 분지쇄의 알킬기; 또는 치환 또는 비치환된 탄소수 6 내지 10의 단환 또는 다환의 아릴기이다.
본 명세세의 일 실시상태에 따르면, 상기 Y8은 수소; 탄소수 1 내지 30의 직쇄 또는 분지쇄의 알킬기; 또는 탄소수 6 내지 30의 단환 또는 다환의 아릴기이다.
본 명세세의 일 실시상태에 따르면, 상기 Y8은 수소; 탄소수 1 내지 20의 직쇄 또는 분지쇄의 알킬기; 또는 탄소수 6 내지 20의 단환 또는 다환의 아릴기이다.
본 명세세의 일 실시상태에 따르면, 상기 Y8은 수소; 탄소수 1 내지 10의 직쇄 또는 분지쇄의 알킬기; 또는 탄소수 6 내지 10의 단환 또는 다환의 아릴기이다.
본 명세세의 일 실시상태에 따르면, 상기 Y8은 수소; 메틸기; 또는 페닐기이다.
본 명세서의 일 실시상태에 따르면, 상기 Ar1은 하기 구조 중 어느 하나로 표시되는 기이다.
상기 구조에 있어서,
*는 상기 화학식 1의 L1에 결합되는 부위이며,
Y1은 상기 화학식 3으로 표시되는 기이다.
본 명세서의 일 실시상태에 따르면, 상기 화학식 3은 하기 구조 중 어느 하나로 표시되는 기이다.
상기 구조에 있어서,
L2의 정의는 상기 화학식 3에서 정의한 바와 동일하고,
Ra1 내지 Ra4 중 적어도 하나는 치환 또는 비치환된 아릴기이고, 나머지는 서로 같거나 상이하며, 각각 독립적으로 수소; 또는 중수소이며,
Rb1 내지 Rb3 중 적어도 하나는 치환 또는 비치환된 아릴기이고, 나머지는 서로 같거나 상이하며, 각각 독립적으로 수소; 또는 중수소이고,
Rc1 및 Rc2 중 적어도 하나는 치환 또는 비치환된 아릴기이고, 나머지는 수소; 또는 중수소이며,
Rd1은 치환 또는 비치환된 아릴기이다.
본 명세서의 일 실시상태에 따르면, 상기 L2는 직접결합이다.
본 명세서의 일 실시상태에 따르면, 상기 L2는 치환 또는 비치환된 탄소수 6 내지 30의 단환 또는 다환의 아릴렌기이다.
본 명세서의 일 실시상태에 따르면, 상기 L2는 치환 또는 비치환된 탄소수 6 내지 20의 단환 또는 다환의 아릴렌기이다.
본 명세서의 일 실시상태에 따르면, 상기 L2는 치환 또는 비치환된 탄소수 6 내지 15의 단환 또는 다환의 아릴렌기이다.
본 명세서의 일 실시상태에 따르면, 상기 L2는 탄소수 6 내지 30의 단환 또는 다환의 아릴렌기이다.
본 명세서의 일 실시상태에 따르면, 상기 L2는 탄소수 6 내지 20의 단환 또는 다환의 아릴렌기이다.
본 명세서의 일 실시상태에 따르면, 상기 L2는 탄소수 6 내지 15의 단환 또는 다환의 아릴렌기이다.
본 명세서의 일 실시상태에 따르면, 상기 L2는 페닐렌기; 또는 바이페닐릴렌기 이다.
본 명세서의 일 실시상태에 따르면, 상기 Ra1 내지 Ra4 중 적어도 하나는 치환 또는 비치환된 탄소수 6 내지 30의 단환 또는 다환의 아릴기이고, 나머지는 서로 같거나 상이하고, 각각 독립적으로 수소; 또는 중수소이다.
본 명세서의 일 실시상태에 따르면, 상기 Ra1 내지 Ra4 중 적어도 하나는 치환 또는 비치환된 탄소수 6 내지 20의 단환 또는 다환의 아릴기이고, 나머지는 서로 같거나 상이하고, 각각 독립적으로 수소; 또는 중수소이다.
본 명세서의 일 실시상태에 따르면, 상기 Ra1 내지 Ra4 중 적어도 하나는 치환 또는 비치환된 탄소수 6 내지 15의 단환 또는 다환의 아릴기이고, 나머지는 서로 같거나 상이하고, 각각 독립적으로 수소; 또는 중수소이다.
본 명세서의 일 실시상태에 따르면, 상기 Ra1 내지 Ra4 중 적어도 하나는 탄소수 6 내지 30의 단환 또는 다환의 아릴기이고, 나머지는 서로 같거나 상이하고, 각각 독립적으로 수소; 또는 중수소이다.
본 명세서의 일 실시상태에 따르면, 상기 Ra1 내지 Ra4 중 적어도 하나는 탄소수 6 내지 20의 단환 또는 다환의 아릴기이고, 나머지는 서로 같거나 상이하고, 각각 독립적으로 수소; 또는 중수소이다.
본 명세서의 일 실시상태에 따르면, 상기 Ra1 내지 Ra4 중 적어도 하나는 탄소수 6 내지 15의 단환 또는 다환의 아릴기이고, 나머지는 서로 같거나 상이하고, 각각 독립적으로 수소; 또는 중수소이다.
본 명세서의 일 실시상태에 따르면, 상기 Ra1 내지 Ra4 중 적어도 하나는 페닐기; 바이페닐기; 또는 나프틸기이고, 나머지는 서로 같거나 상이하고, 각각 독립적으로 수소; 또는 중수소이다.
본 명세서의 일 실시상태에 따르면, 상기 Rb1 내지 Rb3 중 적어도 하나는 치환 또는 비치환된 탄소수 6 내지 30의 단환 또는 다환의 아릴기이고, 나머지는 서로 같거나 상이하고, 각각 독립적으로 수소; 또는 중수소이다.
본 명세서의 일 실시상태에 따르면, 상기 Rb1 내지 Rb3 중 적어도 하나는 치환 또는 비치환된 탄소수 6 내지 20의 단환 또는 다환의 아릴기이고, 나머지는 서로 같거나 상이하고, 각각 독립적으로 수소; 또는 중수소이다.
본 명세서의 일 실시상태에 따르면, 상기 Rb1 내지 Rb3 중 적어도 하나는 치환 또는 비치환된 탄소수 6 내지 15의 단환 또는 다환의 아릴기이고, 나머지는 서로 같거나 상이하고, 각각 독립적으로 수소; 또는 중수소이다.
본 명세서의 일 실시상태에 따르면, 상기 Rb1 내지 Rb3 중 적어도 하나는 탄소수 6 내지 30의 단환 또는 다환의 아릴기이고, 나머지는 서로 같거나 상이하고, 각각 독립적으로 수소; 또는 중수소이다.
본 명세서의 일 실시상태에 따르면, 상기 Rb1 내지 Rb3 중 적어도 하나는 탄소수 6 내지 20의 단환 또는 다환의 아릴기이고, 나머지는 서로 같거나 상이하고, 각각 독립적으로 수소; 또는 중수소이다.
본 명세서의 일 실시상태에 따르면, 상기 Rb1 내지 Rb3 중 적어도 하나는 탄소수 6 내지 15의 단환 또는 다환의 아릴기이고, 나머지는 서로 같거나 상이하고, 각각 독립적으로 수소; 또는 중수소이다.
본 명세서의 일 실시상태에 따르면, 상기 Rb1 내지 Rb3 중 적어도 하나는 페닐기; 바이페닐기; 또는 나프틸기이고, 나머지는 서로 같거나 상이하고, 각각 독립적으로 수소; 또는 중수소이다.
본 명세서의 일 실시상태에 따르면, 상기 Rc1 및 Rc2 중 적어도 하나는 치환 또는 비치환된 탄소수 6 내지 30의 단환 또는 다환의 아릴기이고, 나머지는 수소; 또는 중수소이다.
본 명세서의 일 실시상태에 따르면, 상기 Rc1 및 Rc2 중 적어도 하나는 치환 또는 비치환된 탄소수 6 내지 20의 단환 또는 다환의 아릴기이고, 나머지는 수소; 또는 중수소이다.
본 명세서의 일 실시상태에 따르면, 상기 Rc1 및 Rc2 중 적어도 하나는 치환 또는 비치환된 탄소수 6 내지 15의 단환 또는 다환의 아릴기이고, 나머지는 수소; 또는 중수소이다.
본 명세서의 일 실시상태에 따르면, 상기 Rc1 및 Rc2 중 적어도 하나는 탄소수 6 내지 30의 단환 또는 다환의 아릴기이고, 나머지는 수소; 또는 중수소이다.
본 명세서의 일 실시상태에 따르면, 상기 Rc1 및 Rc2 중 적어도 하나는 탄소수 6 내지 20의 단환 또는 다환의 아릴기이고, 나머지는 수소; 또는 중수소이다.
본 명세서의 일 실시상태에 따르면, 상기 Rc1 및 Rc2 중 적어도 하나는 탄소수 6 내지 15의 단환 또는 다환의 아릴기이고, 나머지는 수소; 또는 중수소이다.
본 명세서의 일 실시상태에 따르면, 상기 Rc1 및 Rc2 중 적어도 하나는 페닐기; 바이페닐기; 또는 나프틸기이고, 나머지는 수소; 또는 중수소이다.
본 명세서의 일 실시상태에 따르면, 상기 Rd1은 치환 또는 비치환된 아릴기이다.
본 명세서의 일 실시상태에 따르면, 상기 Rd1은 치환 또는 비치환된 탄소수 6 내지 30의 단환 또는 다환의 아릴기이다.
본 명세서의 일 실시상태에 따르면, 상기 Rd1은 치환 또는 비치환된 탄소수 6 내지 20의 단환 또는 다환의 아릴기이다.
본 명세서의 일 실시상태에 따르면, 상기 Rd1은 치환 또는 비치환된 탄소수 6 내지 15의 단환 또는 다환의 아릴기이다.
본 명세서의 일 실시상태에 따르면, 상기 Rd1은 탄소수 6 내지 30의 단환 또는 다환의 아릴기이다.
본 명세서의 일 실시상태에 따르면, 상기 Rd1은 탄소수 6 내지 20의 단환 또는 다환의 아릴기이다.
본 명세서의 일 실시상태에 따르면, 상기 Rd1은 탄소수 6 내지 15의 단환 또는 다환의 아릴기이다.
본 명세서의 일 실시상태에 따르면, 상기 Rd1은 페닐기; 바이페닐기; 또는 나프틸기이다.
본 명세서의 일 실시상태에 따르면, 상기 Rd1은 페닐기이다.
본 명세서의 일 실시상태에 따르면, 상기 Rd1은 바이페닐기이다.
본 명세서의 일 실시상태에 따르면, 상기 Rd1은 나프틸기이다.
본 명세서의 일 실시상태에 따르면, 상기 화학식 1은 하기 화합물 중에서 선택된다.
본 명세서는 상기 화학식 1로 표시되는 화합물을 포함하는 유기 발광 소자를 제공한다.
본 명세서에서 어떤 부재가 다른 부재 "상에" 위치하고 있다고 할 때, 이는 어떤 부재가 다른 부재에 접해 있는 경우뿐 아니라 두 부재 사이에 또 다른 부재가 존재하는 경우도 포함한다.
본 명세서에서 어떤 부분이 어떤 구성요소를 "포함" 한다고 할 때, 이는 특별히 반대되는 기재가 없는 한 다른 구성요소를 제외하는 것이 아니라 다른 구성 요소를 더 포함할 수 있는 것을 의미한다.
본 명세서에 있어서, 상기 '층'은 본 기술분야에 주로 사용되는 '필름'과 호환되는 의미이며, 목적하는 영역을 덮는 코팅을 의미한다. 상기 '층'의 크기는 한정되지 않으며, 각각의 '층'은 그 크기가 같거나 상이할 수 있다. 일 실시상태에 따르면, '층'의 크기는 전체 소자와 같을 수 있고, 특정 기능성 영역의 크기에 해당할 수 있으며, 단일 서브픽셀(sub-pixel)만큼 작을 수도 있다.
본 명세서에 있어서, 특정한 A 물질이 B층에 포함된다는 의미는 i) 1종 이상의 A 물질이 하나의 B층에 포함되는 것과 ii) B층이 1층 이상으로 구성되고, A 물질이 다층의 B층 중 1층 이상에 포함되는 것을 모두 포함한다.
본 명세서에 있어서, 특정한 A 물질이 C층 또는 D층에 포함된다는 의미는 i) 1층 이상의 C층 중 1층 이상에 포함되거나, ii) 1층 이상의 D층 중 1층 이상에 포함되거나, iii) 1층 이상의 C층 및 1층 이상의 D층에 각각 포함되는 것을 모두 의미하는 것이다.
본 명세서는 제1 전극; 상기 제1 전극과 대향하여 구비된 제2 전극; 및 상기 제1 전극과 상기 제2 전극 사이에 구비된 1층 이상의 유기물층을 포함하는 유기 발광 소자로서, 상기 유기물층 중 1 층 이상은 상기 화학식 1로 표시되는 화합물을 포함하는 것인 유기 발광 소자를 제공한다.
본 명세서의 유기 발광 소자의 유기물층은 단층 구조로 이루어질 수도 있으나, 2층 이상의 유기물층이 적층된 다층 구조로 이루어질 수 있다. 예컨대, 정공 주입층, 정공 수송층, 발광층, 전자 수송층, 전자 주입층, 전자 차단층, 정공 차단층 등을 포함하는 구조를 가질 수 있다. 그러나 유기 발광 소자의 구조는 이에 한정되지 않고 더 적은 수의 유기층을 포함할 수 있다.
본 명세서의 일 실시상태에 따르면, 상기 유기물층은 전자주입층, 전자 수송층, 또는 전자 주입 및 수송층을 포함하고, 상기 전자주입층, 전자 수송층, 또는 전자 주입 및 수송층은 상기 화합물을 포함한다.
본 명세서의 일 실시상태에 따르면, 상기 유기물층은 정공차단층을 포함하고, 상기 정공차단층은 상기 화합물을 포함한다.
본 명세서의 일 실시상태에 따르면, 상기 유기물층은 발광층을 포함한다.
본 명세서의 일 실시상태에 따르면, 상기 유기물층은 정공 주입층, 정공 수송층, 또는 정공주입 및 수송층을 포함한다.
본 명세서의 일 실시상태에 따르면, 상기 유기물층은 전자 차단층을 포함한다.
본 명세서의 일 실시상태에 따르면, 상기 유기물층은 정공 차단층을 포함한다.
본 명세서의 일 실시상태에 따르면, 상기 유기 발광 소자는 정공 주입층, 정공 수송층, 정공 주입 및 수송층, 발광층, 전자 수송층, 전자 주입층, 전자 주입 및 수송층, 정공 차단층 및 전자 차단층으로 이루어진 군에서 선택되는 1층 또는 2층 이상을 더 포함한다.
본 명세서의 일 실시상태에 따르면, 상기 유기 발광 소자는 제1 전극; 상기 제1 전극과 대향하여 구비된 제2 전극; 상기 제1 전극과 상기 제2 전극 사이에 구비된 발광층; 및 상기 발광층과 상기 제1 전극 사이, 또는 상기 발광층과 상기 제2 전극 사이에 구비된 2층 이상의 유기물층을 포함한다.
본 명세서의 일 실시상태에 따르면, 상기 2층 이상의 유기물층은 정공 주입층, 정공 수송층, 정공 주입 및 수송층, 발광층, 전자 수송층, 전자 주입층, 전자 주입 및 수송층, 정공 차단층 및 전자 차단층으로 이루어진 군에서 2 이상이 선택될 수 있다.
본 명세서의 일 실시상태에 따르면, 상기 발광층과 상기 제1 전극 사이에 2층 이상의 정공수송층을 포함한다. 상기 2층 이상의 정공수송층은 서로 동일하거나 상이한 물질을 포함할 수 있다.
본 명세서의 일 실시상태에 따르면, 상기 제1 전극은 양극 또는 음극이다.
본 명세서의 일 실시상태에 따르면, 상기 제2 전극은 음극 또는 양극이다.
본 명세서의 일 실시상태에 따르면, 상기 유기 발광 소자는 기판 상에 양극, 1층 이상의 유기물층 및 음극이 순차적으로 적층된 구조(normal type)의 유기 발광 소자일 수 있다.
본 명세서의 일 실시상태에 따르면, 상기 유기 발광 소자는 기판 상에 양극, 1층 이상의 유기물층 및 음극이 순차적으로 적층된 역방향 구조(inverted type)의 유기 발광 소자일 수 있다.
예컨대, 본 명세서의 일 실시상태에 따른 유기 발광 소자의 구조가 도 1 내지 도 3에 예시되어 있다. 상기 도 1 내지 도 3은 유기 발광 소자를 예시한 것이며 이에 한정되는 것은 아니다.
도 1에는 기판(101) 위에 제1 전극(102), 유기물층(111) 및 제2 전극(110)이 순차적으로 적층된 유기 발광 소자의 구조가 예시되어 있다. 상기 화학식 1로 표시되는 화합물은 유기물층에 포함된다.
도 2에는 기판(101) 위에 제1 전극 (102), 정공 주입층(103), 정공 수송층(104), 전자 차단층(105), 발광층(106), 정공차단층(107), 전자수송층(108), 전자 주입층(109) 및 제2 전극(110)이 순차적으로 적층된 유기 발광 소자의 구조가 예시되어 있다. 본 명세서의 일 실시상태에 따르면, 상기 화학식 1로 표시되는 화합물은 전자주입층, 전자수송층, 또는 정공 차단층에 포함된다.
도 3에는 기판(101) 위에 제1 전극(102), 정공주입층(103), 제1 정공수송층(104-1), 제2 정공수송층(104-2), 발광층(106), 전자 주입 및 수송층(112), 및 제2 전극(110)이 순차적으로 적층된 유기 발광 소자의 구조가 예시되어 있다. 상기 화학식 1로 표시되는 화합물은 전자 주입 및 수송층에 포함된다.
본 명세서의 유기 발광 소자는 전자주입층, 전자 수송층, 전자 주입 및 수송층, 또는 정공차단층이 상기 화합물, 즉 상기 화학식 1로 표시되는 화합물을 포함하는 것을 제외하고는 당 기술분야에 알려져 있는 재료와 방법으로 제조될 수 있다.
상기 유기 발광 소자가 복수개의 유기물층을 포함하는 경우, 상기 유기물층은 동일한 물질 또는 다른 물질로 형성될 수 있다.
예컨대, 본 명세서의 유기 발광 소자는 기판 상에 제1 전극, 유기물층 및 제2 전극을 순차적으로 적층시킴으로써 제조할 수 있다. 이 때, 스퍼터링법(sputtering)이나 전자빔 증발법(e-beam evaporation)과 같은 PVD(physical Vapor Deposition)방법을 이용하여, 기판 상에 금속 또는 전도성을 가지는 금속 산화물 또는 이들의 합금을 증착시켜 양극을 형성하고, 그 위에 정공 주입층, 정공 수송층, 발광층 및 전자 수송층을 포함하는 유기물층을 형성한 후, 그 위에 음극로 사용할 수 있는 물질을 증착시킴으로써 제조될 수 있다. 이와 같은 방법 외에도, 기판 상에 음극 물질, 유기물층 및 양극 물질을 차례로 증착시켜 유기 발광 소자를 제조할 수 있다.
또한, 상기 화학식 1로 표시되는 화합물은 유기 발광 소자의 제조시 진공 증착법 뿐만 아니라 용액 도포법에 의하여 유기물층으로 형성될 수 있다. 여기서, 용액 도포법이라 함은 스핀 코팅, 딥코팅, 닥터 블레이딩, 잉크젯프린팅, 스크린 프린팅, 스프레이법, 롤 코팅 등을 의미하나, 이에 한정되는 것은 아니다.
이와 같은 방법 외에도, 기판 상에 음극 물질로부터 유기물층, 양극 물질을 차례로 증착시켜 유기 발광 소자를 만들 수도 있다. 다만, 제조 방법이 이에 한정되는 것은 아니다.
상기 양극 물질로는 통상 유기물층으로 정공 주입이 원활할 수 있도록 일함수가 큰 물질이 바람직하다. 예를 들어, 바나듐, 크롬, 구리, 아연, 금과 같은 금속 또는 이들의 합금; 아연 산화물, 인듐 산화물, 인듐주석 산화물(ITO), 인듐아연 산화물(IZO)과 같은 금속 산화물; ZnO:Al 또는 SnO
2 : Sb와 같은 금속과 산화물의 조합; 폴리(3-메틸티오펜), 폴리[3,4-(에틸렌-1,2-디옥시)티오펜](PEDOT), 폴리피롤 및 폴리아닐린과 같은 전도성 고분자 등이 있으나, 이에 한정되는 것은 아니다.
상기 음극 물질로는 통상 유기물층으로 전자 주입이 용이하도록 일함수가 작은 물질인 것이 바람직하다. 예를 들어, 마그네슘, 칼슘, 나트륨, 칼륨, 티타늄, 인듐, 이트륨, 리튬, 가돌리늄, 알루미늄, 은, 주석 및 납과 같은 금속 또는 이들의 합금; LiF/Al 또는 LiO
2/Al과 같은 다층 구조 물질 등이 있으나, 이에 한정되는 것은 아니다.
상기 발광층은 호스트 재료 및 도펀트 재료를 포함할 수 있다. 호스트 재료는 축합 방향족환 유도체 또는 헤테로환 함유 화합물 등이 있다. 구체적으로, 축합 방향족환 유도체로는 안트라센 유도체, 피렌 유도체, 나프탈렌 유도체, 펜타센 유도체, 페난트렌 화합물, 플루오란텐 화합물 등이 있고, 헤테로환 함유 화합물로는 디벤조퓨란 유도체, 래더형 퓨란 화합물, 피리미딘 유도체 등이 있으나, 이에 한정되는 것은 아니다.
상기 도펀트 재료로는 방향족 아민 유도체, 스트릴아민 화합물, 붕소 착체, 플루오란텐 화합물, 금속 착체 등이 있다. 구체적으로, 방향족 아민 유도체로는 치환 또는 비치환된 아릴아민기를 갖는 축합 방향족환 유도체로서, 아릴아민기를 갖는 피렌, 안트라센, 크리센, 페리플란텐 등이 있다. 또한, 스티릴아민 화합물은 치환 또는 비치환된 아릴아민에 적어도 1개의 아릴비닐기가 치환되어 있는 화합물로, 아릴기, 실릴기, 알킬기, 시클로알킬기 및 아릴아민기로 이루어진 군에서 1 또는 2 이상 선택되는 치환기가 치환 또는 비치환된다. 구체적으로 스티릴아민, 스티릴디아민, 스티릴트리아민, 스티릴테트라아민 등이 있으나, 이에 한정되지 않는다. 또한, 금속 착체로는 이리듐 착체, 백금 착체 등이 있으나, 이에 한정되는 것은 아니다.
상기 정공 주입층은 전극으로부터 정공을 수취하는 층이다. 정공 주입 물질은 정공을 수송하는 능력을 가져 양극으로부터 정공 수취 효과 및 발광층 또는 발광 재료에 대하여 우수한 정공 주입 효과를 갖는 것이 바람직하다. 또한, 발광층에서 생성된 엑시톤의 전자 주입층 또는 전자 주입 재료에의 이동을 방지할 수 있는 능력이 우수한 물질이 바람직하다. 또한, 박막 형성 능력이 우수한 물질이 바람직하다. 또한, 정공 주입 물질의 HOMO(highest occupied molecular orbital)가 양극 물질의 일함수와 주변 유기물층의 HOMO 사이인 것이 바람직하다. 정공 주입 물질의 구체적인 예로는, 금속 포피린(porphyrin), 올리고티오펜, 아릴아민 계열의 유기물; 헥사니트릴헥사아자트리페닐렌 계열의 유기물; 퀴나크리돈(quinacridone)계열의 유기물; 페릴렌(perylene) 계열의 유기물; 안트라퀴논, 폴리아닐린과 같은 폴리티오펜 계열의 전도성 고분자 등이 있으나, 이에 한정 되는 것은 아니다.
상기 정공 수송층은 정공 주입층으로부터 정공을 수취하여 발광층까지 정공을 수송하는 층이다. 정공 수송 물질로는 양극이나 정공 주입층으로부터 정공을 수취하여 발광층으로 옮겨줄 수 있는 물질로 정공에 대한 이동성이 큰 물질이 바람직하다. 구체적인 예로는, 아릴아민 계열의 유기물, 전도성 고분자, 및 공액 부분과 비공액 부분이 함께 있는 블록 공중합체 등이 있으나, 이에 한정되는 것은 아니다.
상기 전자 수송층은 전자 주입층으로부터 전자를 수취하여 발광층까지 전자를 수송하는 층이다. 본 명세서의 일 실시상태에 따른 유기 발광 소자가 상기 화학식 1을 포함하는 전자수송층 이외의 추가의 전자수송층을 포함하는 경우, 전자 수송 물질로는 음극으로부터 전자를 잘 주입 받아 발광층으로 옮겨줄 수 있는 물질로서, 전자에 대한 이동성이 큰 물질이 바람직하다. 구체적인 예로는, 8-히드록시퀴놀린의 Al착물; Alq
3를 포함한 착물; 유기 라디칼 화합물; 히드록시플라본-금속 착물 등이 있으나, 이에 한정되는 것은 아니다. 전자 수송층은 종래기술에 따라 사용된 바와 같이, 임의의 원하는 음극 물질과 함께 사용할 수 있다. 특히, 적절한 음극 물질은 낮은 일함수를 가지며, 알루미늄층 또는 실버층이 뒤따르는 통상적인 물질이다. 구체적으로, 세슘, 바륨, 칼슘, 이테르븀 및 사마륨 등이 있고, 각 경우 알루미늄층 또는 실버층이 뒤따른다.
상기 전자 주입층은 전극으로부터 전자를 수취하는 층이다. 본 명세서의 일 실시상태에 따른 유기 발광 소자가 상기 화학식 1을 포함하는 전자주입층 이외의 추가의 전자주입층을 포함하는 경우, 전자 주입물로는 전자를 수송하는 능력이 우수하고, 제2 전극으로부터의 전자 수취 효과, 발광층 또는 발광 재료에 대하여 우수한 전자주입 효과를 갖는 것이 바람직하다. 또한, 발광층에서 생성된 엑시톤이 정공 주입층으로 이동하는 것을 방지하고, 박막 형성 능력이 우수한 물질이 바람직하다. 구체적으로는, 플루오레논, 안트라퀴노다이메탄, 다이페노퀴논, 티오피란 다이옥사이드, 옥사졸, 옥사다이아졸, 트리아졸, 이미다졸, 페릴렌테트라카복실산, 프레오레닐리덴 메탄, 안트론 등과 그들의 유도체, 금속 착체 화합물 및 함질소 5원환 유도체 등이 있으나, 이에 한정되는 것은 아니다.
상기 금속 착체 화합물로는 8-히드록시퀴놀리나토 리튬, 비스(8-히드록시퀴놀리나토)아연, 비스(8-히드록시퀴놀리나토)구리, 비스(8-히드록시퀴놀리나토)망간, 트리스(8-히드록시퀴놀리나토)알루미늄, 트리스(2-메틸-8-히드록시퀴놀리나토)알루미늄, 트리스(8-히드록시퀴놀리나토)갈륨, 비스(10-히드록시벤조[h]퀴놀리나토)베릴륨, 비스(10-히드록시벤조[h]퀴놀리나토)아연, 비스(2-메틸-8-퀴놀리나토)클로로갈륨, 비스(2-메틸-8-퀴놀리나토)(o-크레졸라토)갈륨, 비스(2-메틸-8-퀴놀리나토)(1-나프톨라토)알루미늄, 비스(2-메틸-8-퀴놀리나토)(2-나프톨라토)갈륨 등이 있으나, 이에 한정되는 것은 아니다.
상기 전자 차단층은 전자 주입층으로부터 주입된 전자가 발광층을 지나 정공 주입층으로 진입하는 것을 방지하여 소자의 수명과 효율을 향상시킬 수 있는 층이다. 공지된 재료는 제한 없이 사용 가능하며, 발광층과 정공 주입층 사이에, 또는 발광층과 정공 주입 및 정공 수송을 동시에 하는 층 사이에 형성될 수 있다.
상기 정공 차단층은 정공이 음극으로 도달을 저지하는 층으로, 일반적으로 전자 주입층과 동일한 조건으로 형성될 수 있다. 본 명세서의 일 실시상태에 따른 유기 발광 소자가 상기 화학식 1을 포함하는 정공차단층 이외의 추가의 정공차단층을 포함하는 경우, 구체적으로, 옥사디아졸 유도체나 트리아졸 유도체, 페난트롤린 유도체, 알루미늄 착물 (aluminum complex) 등이 있으나, 이에 한정되는 것은 아니다.
본 명세서에 따른 유기 발광 소자는 사용되는 재료에 따라 전면 발광형, 후면 발광형 또는 양면 발광형일 수 있다.
이하, 본 명세서를 구체적으로 설명하기 위해 실시예 및 비교예 등을 들어 상세하게 설명하기로 한다. 그러나, 본 명세서에 따른 실시예 및 비교예는 여러 가지 다른 형태로 변형될 수 있으며, 본 명세서의 범위가 아래에서 상술하는 실시예 및 비교예에 한정되는 것으로 해석되지 않는다. 본 명세서의 실시예 및 비교예는 당업계에서 평균적인 지식을 가진 자에게 본 명세서를 보다 완전하게 설명하기 위해 제공되는 것이다.
제조예 1-1: 화합물 E1의 제조
질소 분위기에서 E1-A(20 g, 55.2 mmol)와 E1-B(27.4 g, 55.2mmol)를 테트라하이드로 퓨란 400ml에 넣고 교반 및 환류하였다. 이 후 포타슘카보네이트(22.9 g, 165.6mmol)를 물 23 ml에 녹여 투입하고 충분히 교반한 후 테트라키스트리페닐-포스피노팔라듐(1.9 g, 1.7mmol)을 투입하였다. 2시간 반응 후 상온으로 식인 후 유기층과 물층을 분리 후 유기층을 증류하였다. 이를 다시 클로로포름 20배 860 mL에 투입하여 녹이고, 물로 2회 세척 후에 유기층을 분리하여, 무수황산마그네슘을 넣고 교반한 후 여과하여 여액을 감압 증류하였다. 농축한 화합물을 클로로포름과 에틸아세테이트재결정을 통해 흰색의 고체 화합물 E1(27.5g, 64%, MS: [M+H]+ = 779)을 제조하였다.
제조예 1-2: 화합물 E2의 제조
각 출발 물질을 상기 반응식과 같이 하는 것을 제외하고는, 상기 제조예 1-1의 제조 방법과 동일한 방법으로 상기 화합물 E2을 제조하였다.
MS: [M+H]
+ = 792
제조예 1-3: 화합물 E3의 제조
각 출발 물질을 상기 반응식과 같이 하는 것을 제외하고는, 상기 제조예 1-1의 제조 방법과 동일한 방법으로 상기 화합물 E3을 제조하였다.
MS: [M+H]
+ = 792
제조예 1-4: 화합물 E4의 제조
각 출발 물질을 상기 반응식과 같이 하는 것을 제외하고는, 상기 제조예 1-1의 제조 방법과 동일한 방법으로 상기 화합물 E4을 제조하였다.
MS: [M+H]
+ = 809
제조예 1-5: 화합물 E5의 제조
각 출발 물질을 상기 반응식과 같이 하는 것을 제외하고는, 상기 제조예 1-1의 제조 방법과 동일한 방법으로 상기 화합물 E5을 제조하였다.
MS: [M+H]
+ = 753
제조예 1-6: 화합물 E6의 제조
각 출발 물질을 상기 반응식과 같이 하는 것을 제외하고는, 상기 제조예 1-1의 제조 방법과 동일한 방법으로 상기 화합물 E6을 제조하였다.
MS: [M+H]
+ = 717
제조예 1-7: 화합물 E7의 제조
각 출발 물질을 상기 반응식과 같이 하는 것을 제외하고는, 상기 제조예 1-1의 제조 방법과 동일한 방법으로 상기 화합물 E7을 제조하였다.
MS: [M+H]
+ = 738
제조예 1-8: 화합물 E8의 제조
각 출발 물질을 상기 반응식과 같이 하는 것을 제외하고는, 상기 제조예 1-1의 제조 방법과 동일한 방법으로 상기 화합물 E8을 제조하였다.
MS: [M+H]
+ = 770
제조예 1-9: 화합물 E9의 제조
각 출발 물질을 상기 반응식과 같이 하는 것을 제외하고는, 상기 제조예 1-1의 제조 방법과 동일한 방법으로 상기 화합물 E9을 제조하였다.
MS: [M+H]
+ = 810
제조예 1-10: 화합물 E10의 제조
각 출발 물질을 상기 반응식과 같이 하는 것을 제외하고는, 상기 제조예 1-1의 제조 방법과 동일한 방법으로 상기 화합물 E10을 제조하였다.
MS: [M+H]
+ = 626
제조예 1-11: 화합물 E11의 제조
각 출발 물질을 상기 반응식과 같이 하는 것을 제외하고는, 상기 제조예 1-1의 제조 방법과 동일한 방법으로 상기 화합물 E11을 제조하였다.
MS: [M+H]
+ = 628
[실험예 1]
ITO(indium tin oxide)가 1000 Å의 두께로 박막 코팅된 유리 기판을 세제를 녹인 증류수에 넣고 초음파로 세척하였다. 이때, 세제로는 피셔사(Fischer Co.) 제품을 사용하였으며, 증류수로는 밀리포어사(Millipore Co.) 제품의 필터(Filter)로 2차로 걸러진 증류수를 사용하였다. ITO를 30분간 세척한 후 증류수로 2회 반복하여 초음파 세척을 10분간 진행하였다. 증류수 세척이 끝난 후, 이소프로필알콜, 아세톤, 메탄올의 용제로 초음파 세척을 하고 건조시킨 후 플라즈마 세정기로 수송시켰다. 또한, 산소 플라즈마를 이용하여 상기 기판을 5분간 세정한 후 진공 증착기로 기판을 수송시켰다.
이렇게 준비된 ITO 투명 전극 위에 하기 HI-A 화합물을 600Å의 두께로 열 진공 증착하여 정공 주입층을 형성하였다. 상기 정공 주입층 상에 하기 HAT 화합물 50Å및 하기 HT-A 화합물 60Å를 순차적으로 진공 증착하여 제1 정공수송층 및 제2 정공수송층을 형성하였다.
이어서, 상기 제2 정공수송층 상에 막 두께 20nm로 하기 BH 화합물 및 BD 화합물을 25:1의 중량비로 진공 증착하여 발광층을 형성하였다.
상기 발광층 상에 상기 제조예 1-1에서 제조된 화합물 E1과 하기 LiQ 화합물을 1:1의 중량비로 진공 증착하여 350Å의 두께로 전자 주입 및 수송층을 형성하였다. 상기 전자 주입 및 수송층 상에 순차적으로 10Å의 두께로 리튬 플루오라이드(LiF)와 1000Å두께로 알루미늄을 증착하여 음극을 형성하였다.
상기의 과정에서 유기물의 증착 속도는 0.4 내지 0.9 Å/sec를 유지하였고, 음극의 리튬 플루오라이드는 0.3Å/sec, 알루미늄은 2Å/sec의 증착 속도를 유지하였으며, 증착시 진공도는 1×10
-7 내지 5×10
-5 torr를 유지하여, 유기 발광 소자를 제조하였다.
실험예 2 내지 11
상기 실시예 1의 화합물 E1 대신 하기 표 1에 기재된 화합물 E2 내지 11을 각각 사용하는 것을 제외하고는, 상기 실험예 1과 동일한 방법으로 유기 발광 소자를 제조하였다.
비교예 1 내지 19
상기 실시예 1의 화합물 E1 대신 하기의 표 1에 기재된 화합물 ET-A 내지 ET-S를 각각 사용하는 것을 제외하고는, 상기 실험예 1과 동일한 방법으로 유기 발광 소자를 제조하였다.
상기 실험예 1 내지 11 및 비교예 1 내지 19에서 제조한 유기 발광 소자에 대하여 10mA/cm
2의 전류 밀도에서 구동 전압과 발광 효율을 측정하였고, 20mA/cm
2의 전류 밀도에서 초기 휘도 대비 90%가 되는 시간(T90)을 측정하였다. 상기 결과를 하기 표 1에 나타내었다.
| 구분 | 화합물 | 전압
(V@10 mA/cm 2) |
효율
(cd/A@10 mA/cm 2) |
색좌표
(x, y) |
수명(h)
T90 at 20 mA/cm 2) |
| 실험예 1 | E1 | 4.31 | 4.72 | (0.142, 0.097) | 189 |
| 실험예 2 | E2 | 4.44 | 4.96 | (0.142, 0.098) | 147 |
| 실험예 3 | E3 | 4.22 | 4.91 | (0.142, 0.098) | 151 |
| 실험예 4 | E4 | 4.22 | 4.81 | (0.142, 0.097) | 195 |
| 실험예 5 | E5 | 4.27 | 4.77 | (0.142, 0.098) | 198 |
| 실험예 6 | E6 | 4.35 | 4.67 | (0.142, 0.098) | 212 |
| 실험예 7 | E7 | 4.22 | 4.67 | (0.143, 0.097) | 164 |
| 실험예 8 | E8 | 4.20 | 4.73 | (0.142, 0.098) | 166 |
| 실험예 9 | E9 | 4.18 | 4.86 | (0.142, 0.097) | 178 |
| 실험예 10 | E10 | 4.22 | 4.68 | (0.142, 0.098) | 174 |
| 실험예 11 | E11 | 4.27 | 4.44 | (0.142, 0.098) | 163 |
| 비교예 1 | ET-A | 4.40 | 4.01 | (0.142, 0.098) | 64 |
| 비교예 2 | ET-B | 4.53 | 4.21 | (0.142, 0.097) | 50 |
| 비교예 3 | ET-C | 4.31 | 4.17 | (0.142, 0.098) | 51 |
| 비교예 4 | ET-D | 4.31 | 4.09 | (0.142, 0.098) | 66 |
| 비교예 5 | ET-E | 4.35 | 4.05 | (0.142, 0.097) | 67 |
| 비교예 6 | ET-F | 4.44 | 3.97 | (0.142, 0.098) | 72 |
| 비교예 7 | ET-G | 4.52 | 3.13 | (0.142, 0.098) | 133 |
| 비교예 8 | ET-H | 4.50 | 3.17 | (0.143, 0.097) | 135 |
| 비교예 9 | ET-I | 4.47 | 3.26 | (0.142, 0.097) | 144 |
| 비교예 10 | ET-J | 4.52 | 3.13 | (0.142, 0.098) | 141 |
| 비교예 11 | ET-K | 4.57 | 2.97 | (0.142, 0.098) | 132 |
| 비교예 12 | ET-L | 4.61 | 3.54 | (0.142, 0.097) | 136 |
| 비교예 13 | ET-M | 4.66 | 3.47 | (0.142, 0.098) | 117 |
| 비교예 14 | ET-N | 4.96 | 2.12 | (0.142, 0.098) | 26 |
| 비교예 15 | ET-O | 4.10 | 4.38 | (0.142, 0.098) | 75 |
| 비교예 16 | ET-P | 4.62 | 3.54 | (0.142, 0.097) | 135 |
| 비교예 17 | ET-Q | 4.60 | 3.47 | (0.142, 0.098) | 117 |
| 비교예 18 | ET-R | 4.55 | 3.50 | (0.142, 0.098) | 60 |
| 비교예 19 | ET-S | 4.59 | 4.22 | (0.142, 0.098) | 65 |
상기 표 1에 기재된 바와 같이, 본 명세서에 따른 화학식 1로 표시되는 화합물은 유기 발광 소자의 전자 주입 및 전자 수송을 동시에 할 수 있는 유기물층에 사용될 수 있다. 상기 표 1의 실험예 1 내지 11 과 비교예 1 내지 6을 비교하면, 본 명세서에 따른 화학식 1의 화합물을 포함하는 유기 발광 소자는 상기 Y1을 포함하지 않는 화합물을 포함하는 유기 발광 소자 보다 수명 면에서 현저히 우수한 특성을 보임을 확인할 수 있었다.
상기 표 1의 실험예 1 내지 11 과 비교예 7 내지 11를 비교하면, 본 명세서에 따른 화학식 1의을 포함하는 유기 발광 소자는 상기 Y1이 비치환된 피리딘기 또는 비치환된 피리미딘기인 화합물을 포함하는 유기 발광 소자 보다 효율 면에서 현저히 우수한 특성을 보임을 확인할 수 있었다.
상기 표 1의 실험예 1 내지 11 과 비교예 12 내지 14를 비교하면, 본 명세서에 따른 화학식 1의 화합물을 포함하는 유기 발광 소자는 상기 R1 및 R2가 알킬기인 화합물을 포함하는 유기 발광 소자 보다 효율, 및 수명면에서 현저히 우수한 특성을 보임을 확인할 수 있었다.
상기 표 1의 실험예 9와 비교예 15를 비교하면, 본 명세서의 화학식 1의 코어인 아릴기로 치환된 플루오렌, 스피로비플루오렌, 스피로플루오로잔텐, 또는 스피로플루오로티오잔텐을 포함하는 유기 발광 소자는 상기 화학식 1의 코어를 포함하지 않는 화합물을 포함하는 유기 발광 소자 보다 효율, 및 수명면에서 현저히 우수한 특성을 보임을 확인할 수 있었다.
또한, 상기 표 1의 실험예 1 내지 6 및 9와 비교예 16 및 17을 비교하면, 본 명세서에 따른 Ar1이 화학식 2-1이고, X1 내지 X3 중 적어도 두 개가 N인 화합물을 포함하는 유기 발광 소자는 상기 X1 내지 X3 중 어느 하나만 N인 화합물을 포함하는 유기 발광 소자 보다 구동전압, 및 효율 면에서 현저히 우수한 특성을 보임을 확인할 수 있습니다.
상기 표 1의 실험예 5 및 6과 비교예 18 및 19를 비교하면, 본 명세서에 따른 Ar1이 상기 화학식 2-1이고, 상기 화학식 3의 L2가 직접결합이며, R 중 적어도 2개는 치환 또는 비치환된 아릴기인 화합물을 포함하는 유기 발광 소자는 상기 Ar1이 상기 화학식 2-1이고, 상기 화학식 3의 L2가 직접결합이며, R 중 어느 하나만 아릴기인 화합물을 포함하는 유기 발광 소자 보다 효율, 및 수명면에서 현저히 우수한 특성을 보임을 확인할 수 있었다.
Claims (9)
- 하기 화학식 1로 표시되는 화합물:[화학식 1]상기 화학식 1에 있어서,A1은 직접결합; O; 또는 S이며,R1 및 R2는 서로 같거나 상이하고, 각각 독립적으로 치환 또는 비치환된 아릴기; 또는 치환 또는 비치환된 헤테로아릴기이거나, 서로 결합하여 -L1-Ar1으로 치환 또는 비치환된 고리를 형성할 수 있고,R3 내지 R10은 서로 같거나 상이하고, 각각 독립적으로 수소; 또는 -L1-Ar1이며,상기 R1 및 R2가 서로 결합하여, -L1-Ar1으로 치환된 고리를 형성하는 경우, 상기 R3 내지 R10은 수소이고,상기 R1 및 R2가 서로 같거나 상이하고, 각각 독립적으로 치환 또는 비치환된 아릴기; 또는 치환 또는 비치환된 헤테로아릴기이거나, 서로 결합하여 비치환된 고리를 형성하는 경우, 상기 R3 내지 R10 중 어느 하나는 -L1-Ar1이고 나머지는 수소이며,L1은 직접결합; 또는 치환 또는 비치환된 아릴렌기이고,Ar1은 하기 화학식 2-1 내지 2-7 중 어느 하나로 표시되는 기이며,[화학식 2-1][화학식 2-2][화학식 2-3][화학식 2-4][화학식 2-5][화학식 2-6][화학식 2-7]상기 화학식 2-1 내지 2-7에 있어서,*는 상기 화학식 1의 L1에 결합되는 부위이며,Y1은 하기 화학식 3으로 표시되는 기이고,X1 내지 X3 중 적어도 두 개는 N이고, 나머지는 CH이며,X4 및 X5 중 적어도 하나는 N이고, 나머지는 CH이고,X6 및 X7 중 적어도 하나는 N이고, 나머지는 CH이며,X8는 N이고, Z1은 N 또는 C이거나, X8은 CH이고, Z1은 N이고,X9는 N이고, Z2는 N 또는 C이거나, X9는 CH이고, Z2는 N이며,X10는 N이고, Z3은 N 또는 C이거나, X10은 CH이고, Z3은 N이고,X11는 N이고, Z4는 N 또는 C이거나, X11는 CH이고, Z4는 N이며,Y2 내지 Y8은 서로 같거나 상이하고, 각각 독립적으로 수소; 중수소; 치환 또는 비치환된 알킬기; 치환 또는 비치환된 아릴기; 또는 치환 또는 비치환된 헤테로아릴기이고,y3는 1 내지 4의 정수이고, 상기 y3가 2 이상인 경우, 2 이상의 Y3는 서로 같거나 상이하며,y4는 1 또는 2이며, 상기 y4가 2 인 경우, 두 개의 Y4는 서로 같거나 상이하고,y5는 1 내지 4의 정수이고, 상기 y5가 2 이상인 경우, 2 이상의 Y5는 서로 같거나 상이하며,y6은 1 내지 4의 정수이며, 상기 y6이 2 이상인 경우, 2 이상의 Y6은 서로 같거나 상이하고,y7은 1 또는 2 이고, 상기 y7이 2 인 경우, 두 개의 Y7은 서로 같거나 상이하며,y8은 1 또는 2 이고, 상기 y8이 2 인 경우, 두 개의 Y8은 서로 같거나 상이하며,[화학식 3]상기 화학식 3에 있어서,L2는 직접결합; 또는 치환 또는 비치환된 아릴렌기이고,Q1 내지 Q5 중 하나 내지 4개는 N이고, 나머지는 CR이며,R 중 적어도 하나는 치환 또는 비치환된 아릴기이며, 나머지는 서로 같거나 상이하며, 각각 독립적으로 수소; 또는 중수소이고,상기 Ar1이 상기 화학식 2-1이고, 상기 화학식 3의 L2가 직접결합인 경우, R 중 적어도 2개는 치환 또는 비치환된 아릴기이다.
- 청구항 1에 있어서, 상기 R1 및 R2는 서로 같거나 상이하고, 각각 독립적으로 탄소수 6 내지 30의 단환 또는 다환의 아릴기이거나, 서로 결합하여 -L1-Ar1으로 치환 또는 비치환된 방향족 탄화수소고리를 형성하는 것인 화합물.
- 청구항 1에 있어서, 상기 화학식 1은 하기 화학식 1-1 내지 1-4 중 어느 하나로 표시되는 것인 화합물:[화학식 1-1][화학식 1-2][화학식 1-3][화학식 1-4]상기 화학식 1-1에 있어서,G1 및 G2는 서로 같거나 상이하고, 각각 독립적으로 탄소수 6 내지 30의 단환 또는 다환의 아릴기이고,R3 내지 R10 중 어느 하나는 -L1-Ar1이고, 나머지는 수소이며,L1 및 Ar1은 상기 화학식 1에서 정의한 바와 동일하고,상기 화학식 1-2 내지 1-4에 있어서,R3 내지 R10 및 R101 내지 R108 중 어느 하나는 -L1-Ar1이고, 나머지는 수소이고,L1 및 Ar1은 상기 화학식 1에서 정의한 바와 동일하다.
- 청구항 1에 있어서, 상기 Ar1은 하기 구조 중 어느 하나로 표시되 기인 것인 화합물:상기 구조에 있어서,*는 상기 화학식 1의 L1에 결합되는 부위이며,Y1은 상기 화학식 3으로 표시되는 기이고,Y2 내지 Y8은 서로 같거나 상이하고, 각각 독립적으로 수소; 중수소; 치환 또는 비치환된 알킬기; 치환 또는 비치환된 아릴기; 또는 치환 또는 비치환된 헤테로아릴기이고,y3는 1 내지 4의 정수이고, 상기 y3가 2 이상인 경우, 2 이상의 Y3는 서로 같거나 상이하며,y4는 1 또는 2이며, 상기 y4가 2 인 경우, 두 개의 Y4는 서로 같거나 상이하고,y5는 1 내지 4의 정수이고, 상기 y5가 2 이상인 경우, 2 이상의 Y5는 서로 같거나 상이하며,y6은 1 내지 4의 정수이며, 상기 y6이 2 이상인 경우, 2 이상의 Y6은 서로 같거나 상이하상이하고,y7은 1 또는 2 이고, 상기 y7이 2 인 경우, 두 개의 Y7은 서로 같거나 상이하며,y8은 1 또는 2 이고, 상기 y8이 2 인 경우, 두 개의 Y8은 서로 같거나 상이하다.
- 청구항 1에 있어서, 상기 화학식 3은 하기 구조 중 어느 하나로 표시되는 기인 것인 화합물:상기 구조에 있어서,L2의 정의는 상기 화학식 3에서 정의한 바와 동일하고,Ra1 내지 Ra4 중 적어도 하나는 치환 또는 비치환된 아릴기이고, 나머지는 서로 같거나 상이하며, 각각 독립적으로 수소; 또는 중수소이며,Rb1 내지 Rb3 중 적어도 하나는 치환 또는 비치환된 아릴기이고, 나머지는 서로 같거나 상이하며, 각각 독립적으로 수소; 또는 중수소이고,Rc1 및 Rc2 중 적어도 하나는 치환 또는 비치환된 아릴기이고, 나머지는 수소; 또는 중수소이며,Rd1은 치환 또는 비치환된 아릴기이다.
- 제1 전극; 상기 제1 전극에 대향하여 구비된 제2 전극; 및 상기 제1 전극과 제2 전극 사이에 구비된 1층 이상의 유기물층을 포함하는 유기 발광 소자로서, 상기 유기물층 중 1 층 이상은 청구항 1 내지 6 중 어느 한 항의 화합물을 포함하는 것인 유기 발광 소자.
- 청구항 7에 있어서, 상기 유기물층은 전자주입층, 전자 수송층, 또는 전자 주입 및 수송층을 포함하고, 상기 전자주입층, 전자 수송층, 또는 전자 주입 및 수송층은 상기 화합물을 포함하는 것인 유기 발광 소자.
- 청구항 7에 있어서, 상기 유기물층은 정공차단층을 포함하고, 상기 정공차단층은 상기 화합물을 포함하는 것인 유기 발광 소자.
Priority Applications (1)
| Application Number | Priority Date | Filing Date | Title |
|---|---|---|---|
| CN202080066910.3A CN114641470B (zh) | 2019-12-20 | 2020-12-17 | 化合物及包含其的有机发光器件 |
Applications Claiming Priority (2)
| Application Number | Priority Date | Filing Date | Title |
|---|---|---|---|
| KR10-2019-0171444 | 2019-12-20 | ||
| KR20190171444 | 2019-12-20 |
Publications (1)
| Publication Number | Publication Date |
|---|---|
| WO2021125813A1 true WO2021125813A1 (ko) | 2021-06-24 |
Family
ID=76477881
Family Applications (1)
| Application Number | Title | Priority Date | Filing Date |
|---|---|---|---|
| PCT/KR2020/018494 Ceased WO2021125813A1 (ko) | 2019-12-20 | 2020-12-17 | 화합물 및 이를 포함하는 유기 발광 소자 |
Country Status (3)
| Country | Link |
|---|---|
| KR (1) | KR102511678B1 (ko) |
| CN (1) | CN114641470B (ko) |
| WO (1) | WO2021125813A1 (ko) |
Cited By (1)
| Publication number | Priority date | Publication date | Assignee | Title |
|---|---|---|---|---|
| WO2022131135A1 (ja) * | 2020-12-14 | 2022-06-23 | 東ソー株式会社 | ピリミジン化合物および有機電界発光素子 |
Families Citing this family (2)
| Publication number | Priority date | Publication date | Assignee | Title |
|---|---|---|---|---|
| CN113292497B (zh) * | 2021-02-09 | 2023-04-11 | 长春海谱润斯科技股份有限公司 | 一种五元杂环衍生物及其有机电致发光器件 |
| CN116969928B (zh) * | 2022-06-30 | 2024-04-19 | 江苏三月科技股份有限公司 | 一种含氮杂环结构的化合物及其在有机电致发光器件上的应用 |
Citations (5)
| Publication number | Priority date | Publication date | Assignee | Title |
|---|---|---|---|---|
| KR20150111441A (ko) * | 2014-03-24 | 2015-10-06 | (주)피엔에이치테크 | 유기발광 화합물 및 이를 포함하는 유기전계발광소자 |
| CN105601612A (zh) * | 2015-12-29 | 2016-05-25 | 上海道亦化工科技有限公司 | 含有吲哚基团的磷光主体化合物及其有机电致发光器件 |
| KR20170101021A (ko) * | 2016-02-26 | 2017-09-05 | 삼성에스디아이 주식회사 | 유기 화합물, 유기 광전자 소자 및 표시 장치 |
| KR20170111802A (ko) * | 2016-03-29 | 2017-10-12 | 주식회사 엘지화학 | 유기 발광 소자 |
| KR20180031766A (ko) * | 2015-07-30 | 2018-03-28 | 메르크 파텐트 게엠베하 | 유기 전계발광 소자용 재료 |
Family Cites Families (7)
| Publication number | Priority date | Publication date | Assignee | Title |
|---|---|---|---|---|
| DE10135513B4 (de) | 2001-07-20 | 2005-02-24 | Novaled Gmbh | Lichtemittierendes Bauelement mit organischen Schichten |
| WO2011005060A2 (ko) * | 2009-07-10 | 2011-01-13 | 제일모직 주식회사 | 유기광전소자용 화합물 및 이를 포함하는 유기광전소자 |
| CN104193738B (zh) * | 2014-08-21 | 2016-05-18 | 上海道亦化工科技有限公司 | 一种基于苯并咪唑的电子传输化合物 |
| KR102633649B1 (ko) * | 2015-11-19 | 2024-04-17 | 솔루스첨단소재 주식회사 | 유기 화합물 및 이를 포함하는 유기 전계 발광 소자 |
| KR20180003176A (ko) * | 2016-06-30 | 2018-01-09 | 주식회사 에스케이씨 | 전력 계통 모니터링을 이용한 도금 불량 추적 시스템 |
| KR20190009994A (ko) * | 2017-07-20 | 2019-01-30 | 주식회사 두산 | 유기 발광 화합물 및 이를 이용한 유기 전계 발광 소자 |
| CN109748909B (zh) * | 2017-11-02 | 2022-04-19 | 江苏三月科技股份有限公司 | 一种含螺氧杂蒽芴和含氮六元杂环的化合物、其制备方法及其在有机电致发光器件中的应用 |
-
2020
- 2020-12-17 KR KR1020200176940A patent/KR102511678B1/ko active Active
- 2020-12-17 WO PCT/KR2020/018494 patent/WO2021125813A1/ko not_active Ceased
- 2020-12-17 CN CN202080066910.3A patent/CN114641470B/zh active Active
Patent Citations (5)
| Publication number | Priority date | Publication date | Assignee | Title |
|---|---|---|---|---|
| KR20150111441A (ko) * | 2014-03-24 | 2015-10-06 | (주)피엔에이치테크 | 유기발광 화합물 및 이를 포함하는 유기전계발광소자 |
| KR20180031766A (ko) * | 2015-07-30 | 2018-03-28 | 메르크 파텐트 게엠베하 | 유기 전계발광 소자용 재료 |
| CN105601612A (zh) * | 2015-12-29 | 2016-05-25 | 上海道亦化工科技有限公司 | 含有吲哚基团的磷光主体化合物及其有机电致发光器件 |
| KR20170101021A (ko) * | 2016-02-26 | 2017-09-05 | 삼성에스디아이 주식회사 | 유기 화합물, 유기 광전자 소자 및 표시 장치 |
| KR20170111802A (ko) * | 2016-03-29 | 2017-10-12 | 주식회사 엘지화학 | 유기 발광 소자 |
Cited By (3)
| Publication number | Priority date | Publication date | Assignee | Title |
|---|---|---|---|---|
| WO2022131135A1 (ja) * | 2020-12-14 | 2022-06-23 | 東ソー株式会社 | ピリミジン化合物および有機電界発光素子 |
| JPWO2022131135A1 (ko) * | 2020-12-14 | 2022-06-23 | ||
| JP7624132B2 (ja) | 2020-12-14 | 2025-01-30 | 東ソー株式会社 | ピリミジン化合物および有機電界発光素子 |
Also Published As
| Publication number | Publication date |
|---|---|
| CN114641470A (zh) | 2022-06-17 |
| CN114641470B (zh) | 2025-01-10 |
| KR20210080231A (ko) | 2021-06-30 |
| KR102511678B1 (ko) | 2023-03-21 |
Similar Documents
| Publication | Publication Date | Title |
|---|---|---|
| WO2019235873A1 (ko) | 유기 발광 소자 | |
| WO2020091521A1 (ko) | 화합물 및 이를 포함하는 유기 발광 소자 | |
| WO2013191428A1 (ko) | 함질소 헤테로환 화합물 및 이를 포함한 유기 전자소자 | |
| WO2017073932A1 (ko) | 아민 화합물 및 이를 포함하는 유기 발광 소자 | |
| WO2022191488A1 (ko) | 유기 발광 소자 | |
| WO2017086713A1 (ko) | 화합물 및 이를 포함하는 유기전자소자 | |
| WO2020256480A1 (ko) | 유기 발광 소자 | |
| WO2017164614A1 (ko) | 헤테로환 화합물 및 이를 포함하는 유기 발광 소자 | |
| WO2019107710A1 (ko) | 유기 발광 소자 | |
| WO2020231242A1 (ko) | 유기 발광 소자 | |
| WO2020262861A1 (ko) | 신규한 화합물 및 이를 포함하는 유기발광 소자 | |
| WO2016140551A2 (ko) | 헤테로고리 화합물 및 이를 포함하는 유기 발광 소자 | |
| WO2021125813A1 (ko) | 화합물 및 이를 포함하는 유기 발광 소자 | |
| WO2021246713A1 (ko) | 화합물 및 이를 포함하는 유기 발광 소자 | |
| WO2023200315A1 (ko) | 신규한 화합물 및 이를 이용한 유기 발광 소자 | |
| WO2023121096A1 (ko) | 신규한 화합물 및 이를 이용한 유기 발광 소자 | |
| WO2023121062A1 (ko) | 신규한 화합물 및 이를 이용한 유기 발광 소자 | |
| WO2021125814A1 (ko) | 화합물 및 이를 포함하는 유기 발광 소자 | |
| WO2022031020A1 (ko) | 신규한 화합물 및 이를 이용한 유기 발광 소자 | |
| WO2020222433A1 (ko) | 헤테로고리 화합물 및 이를 포함하는 유기 발광 소자 | |
| WO2024167186A1 (ko) | 화합물 및 이를 포함하는 유기 발광 소자 | |
| WO2024162669A1 (ko) | 신규한 화합물 및 이를 이용한 유기 발광 소자 | |
| WO2024122799A1 (ko) | 화합물 및 이를 포함하는 유기 발광 소자 | |
| WO2019221483A1 (ko) | 화합물 및 이를 포함하는 유기 발광 소자 | |
| WO2023096405A1 (ko) | 신규한 화합물 및 이를 이용한 유기발광 소자 |
Legal Events
| Date | Code | Title | Description |
|---|---|---|---|
| 121 | Ep: the epo has been informed by wipo that ep was designated in this application |
Ref document number: 20903390 Country of ref document: EP Kind code of ref document: A1 |
|
| NENP | Non-entry into the national phase |
Ref country code: DE |
|
| 122 | Ep: pct application non-entry in european phase |
Ref document number: 20903390 Country of ref document: EP Kind code of ref document: A1 |
|
| WWG | Wipo information: grant in national office |
Ref document number: 202080066910.3 Country of ref document: CN |

























































































