WO2021105391A1 - Combination comprising nupr1 inhibitors to treat cancer - Google Patents
Combination comprising nupr1 inhibitors to treat cancer Download PDFInfo
- Publication number
- WO2021105391A1 WO2021105391A1 PCT/EP2020/083680 EP2020083680W WO2021105391A1 WO 2021105391 A1 WO2021105391 A1 WO 2021105391A1 EP 2020083680 W EP2020083680 W EP 2020083680W WO 2021105391 A1 WO2021105391 A1 WO 2021105391A1
- Authority
- WO
- WIPO (PCT)
- Prior art keywords
- cancer
- group
- nupr1
- inhibitor
- treatment
- Prior art date
- Legal status (The legal status is an assumption and is not a legal conclusion. Google has not performed a legal analysis and makes no representation as to the accuracy of the status listed.)
- Ceased
Links
- 0 *N1CCCC1 Chemical compound *N1CCCC1 0.000 description 1
- BMGIBNIXSNBLIT-UHFFFAOYSA-N CN1C(CN2CCOCC2)CCCC1 Chemical compound CN1C(CN2CCOCC2)CCCC1 BMGIBNIXSNBLIT-UHFFFAOYSA-N 0.000 description 1
Classifications
-
- A—HUMAN NECESSITIES
- A61—MEDICAL OR VETERINARY SCIENCE; HYGIENE
- A61K—PREPARATIONS FOR MEDICAL, DENTAL OR TOILETRY PURPOSES
- A61K31/00—Medicinal preparations containing organic active ingredients
- A61K31/33—Heterocyclic compounds
- A61K31/395—Heterocyclic compounds having nitrogen as a ring hetero atom, e.g. guanethidine or rifamycins
- A61K31/54—Heterocyclic compounds having nitrogen as a ring hetero atom, e.g. guanethidine or rifamycins having six-membered rings with at least one nitrogen and one sulfur as the ring hetero atoms, e.g. sulthiame
- A61K31/541—Non-condensed thiazines containing further heterocyclic rings
-
- A—HUMAN NECESSITIES
- A61—MEDICAL OR VETERINARY SCIENCE; HYGIENE
- A61K—PREPARATIONS FOR MEDICAL, DENTAL OR TOILETRY PURPOSES
- A61K31/00—Medicinal preparations containing organic active ingredients
- A61K31/28—Compounds containing heavy metals
- A61K31/282—Platinum compounds
-
- A—HUMAN NECESSITIES
- A61—MEDICAL OR VETERINARY SCIENCE; HYGIENE
- A61K—PREPARATIONS FOR MEDICAL, DENTAL OR TOILETRY PURPOSES
- A61K31/00—Medicinal preparations containing organic active ingredients
- A61K31/33—Heterocyclic compounds
- A61K31/395—Heterocyclic compounds having nitrogen as a ring hetero atom, e.g. guanethidine or rifamycins
- A61K31/495—Heterocyclic compounds having nitrogen as a ring hetero atom, e.g. guanethidine or rifamycins having six-membered rings with two or more nitrogen atoms as the only ring heteroatoms, e.g. piperazine or tetrazines
-
- A—HUMAN NECESSITIES
- A61—MEDICAL OR VETERINARY SCIENCE; HYGIENE
- A61K—PREPARATIONS FOR MEDICAL, DENTAL OR TOILETRY PURPOSES
- A61K31/00—Medicinal preparations containing organic active ingredients
- A61K31/33—Heterocyclic compounds
- A61K31/395—Heterocyclic compounds having nitrogen as a ring hetero atom, e.g. guanethidine or rifamycins
- A61K31/495—Heterocyclic compounds having nitrogen as a ring hetero atom, e.g. guanethidine or rifamycins having six-membered rings with two or more nitrogen atoms as the only ring heteroatoms, e.g. piperazine or tetrazines
- A61K31/505—Pyrimidines; Hydrogenated pyrimidines, e.g. trimethoprim
- A61K31/513—Pyrimidines; Hydrogenated pyrimidines, e.g. trimethoprim having oxo groups directly attached to the heterocyclic ring, e.g. cytosine
-
- A—HUMAN NECESSITIES
- A61—MEDICAL OR VETERINARY SCIENCE; HYGIENE
- A61K—PREPARATIONS FOR MEDICAL, DENTAL OR TOILETRY PURPOSES
- A61K31/00—Medicinal preparations containing organic active ingredients
- A61K31/33—Heterocyclic compounds
- A61K31/555—Heterocyclic compounds containing heavy metals, e.g. hemin, hematin, melarsoprol
-
- A—HUMAN NECESSITIES
- A61—MEDICAL OR VETERINARY SCIENCE; HYGIENE
- A61K—PREPARATIONS FOR MEDICAL, DENTAL OR TOILETRY PURPOSES
- A61K31/00—Medicinal preparations containing organic active ingredients
- A61K31/70—Carbohydrates; Sugars; Derivatives thereof
- A61K31/7042—Compounds having saccharide radicals and heterocyclic rings
- A61K31/7052—Compounds having saccharide radicals and heterocyclic rings having nitrogen as a ring hetero atom, e.g. nucleosides, nucleotides
- A61K31/706—Compounds having saccharide radicals and heterocyclic rings having nitrogen as a ring hetero atom, e.g. nucleosides, nucleotides containing six-membered rings with nitrogen as a ring hetero atom
- A61K31/7064—Compounds having saccharide radicals and heterocyclic rings having nitrogen as a ring hetero atom, e.g. nucleosides, nucleotides containing six-membered rings with nitrogen as a ring hetero atom containing condensed or non-condensed pyrimidines
- A61K31/7068—Compounds having saccharide radicals and heterocyclic rings having nitrogen as a ring hetero atom, e.g. nucleosides, nucleotides containing six-membered rings with nitrogen as a ring hetero atom containing condensed or non-condensed pyrimidines having oxo groups directly attached to the pyrimidine ring, e.g. cytidine, cytidylic acid
-
- A—HUMAN NECESSITIES
- A61—MEDICAL OR VETERINARY SCIENCE; HYGIENE
- A61K—PREPARATIONS FOR MEDICAL, DENTAL OR TOILETRY PURPOSES
- A61K45/00—Medicinal preparations containing active ingredients not provided for in groups A61K31/00 - A61K41/00
- A61K45/06—Mixtures of active ingredients without chemical characterisation, e.g. antiphlogistics and cardiaca
-
- A—HUMAN NECESSITIES
- A61—MEDICAL OR VETERINARY SCIENCE; HYGIENE
- A61P—SPECIFIC THERAPEUTIC ACTIVITY OF CHEMICAL COMPOUNDS OR MEDICINAL PREPARATIONS
- A61P35/00—Antineoplastic agents
-
- A—HUMAN NECESSITIES
- A61—MEDICAL OR VETERINARY SCIENCE; HYGIENE
- A61N—ELECTROTHERAPY; MAGNETOTHERAPY; RADIATION THERAPY; ULTRASOUND THERAPY
- A61N5/00—Radiation therapy
- A61N5/10—X-ray therapy; Gamma-ray therapy; Particle-irradiation therapy
- A61N2005/1092—Details
- A61N2005/1098—Enhancing the effect of the particle by an injected agent or implanted device
Definitions
- the present invention relates to a combination of an inhibitor of NUPR1 and a genotoxic treatment for use in the treatment of a cancer in a subject in need thereof.
- Cancer is a major burden of disease worldwide. Each year, tens of millions of people are diagnosed with cancer around the world, and more than half of the patients eventually die from it. Globally, nearly 1 in 6 deaths is due to cancer.
- cancer In many countries, cancer ranks the second most common cause of death following cardiovascular diseases. With significant improvement in treatment and prevention of cardiovascular diseases, cancer has or will soon become the number one killer in many parts of the world. As elderly people are most susceptible to cancer and population aging continues in many countries, cancer will remain a major health problem around the globe.
- NUPR1 is a nuclear intrinsically disordered protein (IDP) of 82 amino acids long that play an important role in pancreatic ductal adenocarcinoma (PDAC) as well as other cancers since its genetic inactivation by genetic or pharmacological approaches induces tumors growth arrest and/or regression.
- IDP nuclear intrinsically disordered protein
- PDAC pancreatic ductal adenocarcinoma
- the inventors recently developed an efficient multidisciplinary strategy by combining biophysical, biochemical, bioinformatic and biological approaches for a molecular screening to select potential drug candidates against NUPR1.
- ZZW-115 A family of TFP-derived compounds was produced and the most active one, named ZZW-115, showed more than 10 times efficient antitumor activity on a large panel of primary PD AC-derived cells and several non-pancreatic cancer cells.
- ZZW-115 induced cell death by a combination of both necroptotic and apoptotic mechanisms as a consequence of at least in part by the intracellular ATP depletion. More, they showed that treatment with ZZW-115 sensitizes cancer cells to genotoxic-induced DNA damage (vitro and vivo results).
- NUPR1 is a multifunctional protein. They thus developed a strategy based on the identification of partners of NUPR1 by co-precipitation, using Flag-tagged NUPR1 as bait, under normal culture or stress-induced conditions, and found 656 partners under normal growth conditions and 1152 and 828 under glucose-starvation and thapsigargin treatment, respectively. Using this systematic and “sans a priory” method they were able to found that NUPR1 interacts with 54 proteins involved in DNA repair, suggesting that NUPR1 could participates in this process. This novel function of NUPR1 leads them to hypothesize that using its inhibitors (ZZW-115 family compounds) could improve the effect of the genotoxic agents. This assumption was confirmed by both in vitro and in vivo approaches.
- the present invention relates to a combination of an inhibitor of NUPR1 and a genotoxic treatment for use in the treatment of a cancer in a subject in need thereof.
- the invention is defined by its claims.
- a first object of the present invention relates to a combination of an inhibitor of NUPR1 and a genotoxic treatment for use in the treatment of a cancer in a subject in need thereof.
- the inventors showed that when using the combination of an inhibitor of NUPR1 and a genotoxic treatment, particularly Temozolomide, 5-Fluorouracile, Gemcitabine, Oxaliplatin, and gamma-irradiation, some proteins, including p53, are hypo-SUMOylated and thus that the repair of the ADN in cancerous cells is strongly decreased.
- a genotoxic treatment particularly Temozolomide, 5-Fluorouracile, Gemcitabine, Oxaliplatin, and gamma-irradiation
- the invention also relates to a combination of an inhibitor of NUPR1 and a genotoxic treatment to decrease the SUMOylation of proteins implicated in the repair of DNA.
- the invention relates to an inhibitor of NUPR1 and ii) a genotoxic treatment as a combined preparation for simultaneous, separate or sequential use in the treatment of a cancer in a subject in need thereof.
- NUPR1 also known as p8 or Coml denotes a stress- inducible 82-amino-acid-long, intrinsically disordered member of the AT-hook family of chromatin proteins.
- NUPR1 binds to DNA in a similar manner to other chromatin proteins (Encinar et al, 2001, The Journal of biological chemistry 276, 2742-2751; Grasso et al., 2014, Cell death and differentiation 21, 1633-1641) so as to control the expression of gene targets (Hamidi et al., 2012, The Journal of clinical investigation 122, 2092-2103).
- NUPR1 participates in many cancer-associated processes including cell-cycle regulation, apoptosis (Malicet et al., 2006a, Cell cycle 5, 829-830; Malicet et al., 2006b, Proceedings of the National Academy of Sciences of the United States of America 103, 2671-2676), cell migration and invasion (Sandi et al., 2011, Journal of cellular physiology 226, 3442-3451), development of metastases (Ree et al., 2000, Clinical cancer research : an official journal of the American Association for Cancer Research 6, 1778-1783) and DNA repair responses (Gironella et al., 2009, Journal of cellular physiology 221, 594-602).
- NUPR1 has recently elicited significant attention due to its role in promoting cancer development and progression in the pancreas (Cano et al., 2014, Gut 63, 984-995; Hamidi et al, 2012, The Journal of clinical investigation 122, 2092-2103). Notably, NUPR1 -dependent effects also mediate resistance to anticancer drugs (Giroux et al., 2006, Clinical cancer research: an official journal of the American Association for Cancer Research 12, 235-241; Palam et al, 2015, Cell death & disease 6, el913; Tang et al., 2011, Oncology reports 25, 963-970).
- a genotoxic treatment denotes all genotoxic agent or gamma irradiation which can kill cancerous cells and thus treat cancer. According to the invention, a genotoxic treatment or genotoxic agent or gamma irradiation can damage the genetic information that is to say the DNA.
- the genotoxic agent can be selected in the group consisting in, but not limited to, Temozolomide (TMZ), 5-Fluorouracile (5-FU), Gemcitabine and Oxaliplatin.
- TTZ Temozolomide
- 5-FU 5-Fluorouracile
- Gemcitabine Oxaliplatin
- gamma radiation denotes a penetrating electromagnetic radiation arising from the radioactive decay of atomic nuclei. It consists of the shortest wavelength electromagnetic waves and so imparts the highest photon energy. Gamma radiation can be used to treat some types of cancer, since the rays also kill cancer cells. In the procedure called gamma-knife surgery, multiple concentrated beams of gamma rays are directed to the growth in order to kill the cancerous cells. The beams are aimed from different angles to concentrate the radiation on the growth while minimizing damage to surrounding tissues.
- the genotoxic treatment is gamma irradiation, temozolomide (TMZ), 5-fluorouracile (5-FU), gemcitabine, oxaliplatin.
- the cancer may be selected in the group consisting of adrenal cortical cancer, anal cancer, bile duct cancer, bladder cancer, bone cancer, brain and central nervous system cancer, breast cancer, Castleman disease, cervical cancer, colorectal cancer, endometrial cancer, esophagus cancer, gallbladder cancer, gastrointestinal carcinoid tumors, Hodgkin's disease, non-Hodgkin's lymphoma, Kaposi's sarcoma, kidney cancer, laryngeal and hypopharyngeal cancer, liver cancer, lung cancer, mesothelioma, plasmacytoma, nasal cavity and paranasal sinus cancer, nasopharyngeal cancer, neuroblastoma, oral cavity and oropharyngeal cancer, ovarian cancer, pancreatic cancer, penile cancer, pituitary cancer, prostate cancer, retinoblastoma, rhabdomyosarcoma, salivary gland cancer, skin cancer, stomach cancer, testicular
- the cancer is a pancreatic cancer, liver cancer, melanoma, colon cancer, glioblastoma, osteosarcoma, prostate cancer and breast cancer.
- the cancer is a pancreatic cancer and particularly a Pancreatic Ductal AdenoCarcinoma (PDAC).
- PDAC Pancreatic Ductal AdenoCarcinoma
- the term “subject” denotes a mammal, such as a rodent, a feline, a canine, and a primate.
- the subject according to the invention is a human.
- the subject can suffer from a cancer and particularly a pancreatic cancer.
- treatment refers to both prophylactic or preventive treatment as well as curative or disease modifying treatment, including treatment of subjects at risk of contracting the disease or suspected to have contracted the disease as well as subjects who are ill or have been diagnosed as suffering from a disease or medical condition, and includes suppression of clinical relapse.
- the treatment may be administered to a subject having a medical disorder or who ultimately may acquire the disorder, in order to prevent, cure, delay the onset of, reduce the severity of, or ameliorate one or more symptoms of a disorder or recurring disorder, or in order to prolong the survival of a subject beyond that expected in the absence of such treatment.
- therapeutic regimen is meant the pattern of treatment of an illness, e.g., the pattern of dosing used during therapy.
- a therapeutic regimen may include an induction regimen and a maintenance regimen.
- the phrase “induction regimen” or “induction period” refers to a therapeutic regimen (or the portion of a therapeutic regimen) that is used for the initial treatment of a disease.
- the general goal of an induction regimen is to provide a high level of drug to a subject during the initial period of a treatment regimen.
- An induction regimen may employ (in part or in whole) a "loading regimen", which may include administering a greater dose of the drug than a physician would employ during a maintenance regimen, administering a drug more frequently than a physician would administer the drug during a maintenance regimen, or both.
- maintenance regimen refers to a therapeutic regimen (or the portion of a therapeutic regimen) that is used for the maintenance of a subject during treatment of an illness, e.g., to keep the subject in remission for long periods of time (months or years).
- a maintenance regimen may employ continuous therapy (e.g., administering a drug at a regular intervals, e.g., weekly, monthly, yearly, etc.) or intermittent therapy (e.g., interrupted treatment, intermittent treatment, treatment at relapse, or treatment upon achievement of a particular predetermined criteria [e.g., disease manifestation, etc.]).
- the inhibitor of NUPR1 according to the invention may be a low molecular weight compound, e. g. a small organic molecule (natural or not).
- small organic molecule refers to a molecule (natural or not) of a size comparable to those organic molecules generally used in pharmaceuticals.
- Preferred small organic molecules range in size up to about 10000 Da, more preferably up to 5000 Da, more preferably up to 2000 Da and most preferably up to about 1000 Da.
- the inhibitor of NUPR1 is a compound of formula (I): wherein:
- R1 represents a linear or branched (C2-C5)alkyl group, optionally substituted with a
- R2 represents a non-bonding pair or a -(CH2)1-5NR3R4 group, wherein when R2 does not represent a non-bonding pair, then the nitrogen atom to which R2 is attached is positively charged;
- R3 and R4 independently represent:
- alkyl group being optionally substituted with one or several substituents chosen from a halogen atom, a -OH group and a -SH group;
- alkoxy group being optionally substituted with one or several substituents chosen from a halogen atom, a -OH group and a - SH group; or
- R1 represents a linear or branched (C2-C5)alkyl group, preferably a linear (C2-C5)alkyl group, in particular a linear (C2-C4)alkyl group and more particularly a - C2H5 group.
- R1 represents a linear or branched (C2-C5)alkyl group substituted with one -NR3R4 group, preferably a linear (C2-C5)alkyl group substituted with one
- -NR3R4 group in particular a linear (C2-C4)alkyl group substituted with one -NR3R4 group and preferably represents a -(C2H4)NR3R4 group.
- R1 represents:
- R3 and R4 being as defined previously or as further defined here-after.
- the inhibitor of NUPR1 is a compound of formula (II): wherein: n is an integer selected from the group ranging from 1 to 4; and R2, R3 and R4 are as defined previously or as defined here-after. In an embodiment of the invention, n is 1 or 2. In an embodiment of the invention, n is 1.
- R2 according to formulae (I) or (II) represents a non-bonding pair.
- R2 according to formulae (I) or (II) represents a
- R2 according to formulae (I) or (II) represents a
- R3 and R4 independently represent a linear or branched
- (C1-C6)alkyl group preferably a linear (C1-C6)alkyl group and in particular a linear
- R2 according to formulae (I) or (II) represents a
- R2 represents a non-bonding pair or a
- R3 and R4 are identical.
- R3 and R4 independently represent a linear or branched (C1-C6)alkyl group, preferably a linear (C1-C6)alkyl group and in particular a linear (C1-C3)alkyl group. More particularly, R3 and R4 can both represent a -CH3 group or a -C2H5 group, and they preferably both represent a -CH3 group.
- said (3- to 6-membered)heterocycle is saturated.
- said heterocycle is a 5- or 6-membered heterocycle.
- said heterocycle comprises, in addition to the nitrogen atom to which R3 and R4 are attached, 0 or 1 additional heteroatom chosen from a nitrogen atom and an oxygen atom. If present, said additional heteroatom can in particular be an oxygen atom.
- R3 and R4 can form, together with the nitrogen atom to which they are attached, a heterocycle selected from the group consisting of:
- R3 and R4 independently represent:
- R3 and R4 independently represent:
- R3 and R4 independently represent:
- the inhibitor of NUPR1 of the invention is a compound of formula (I) is of formula (II) wherein: n is 1 or 2;
- R2 represents a non-bonding pair
- R3 and R4 independently represent:
- the inhibitor of NUPR1 of the invention of formula (I) is of formula (II) wherein: n is 1 or 2;
- R2 represents a non-bonding pair
- R3 and R4 independently represent:
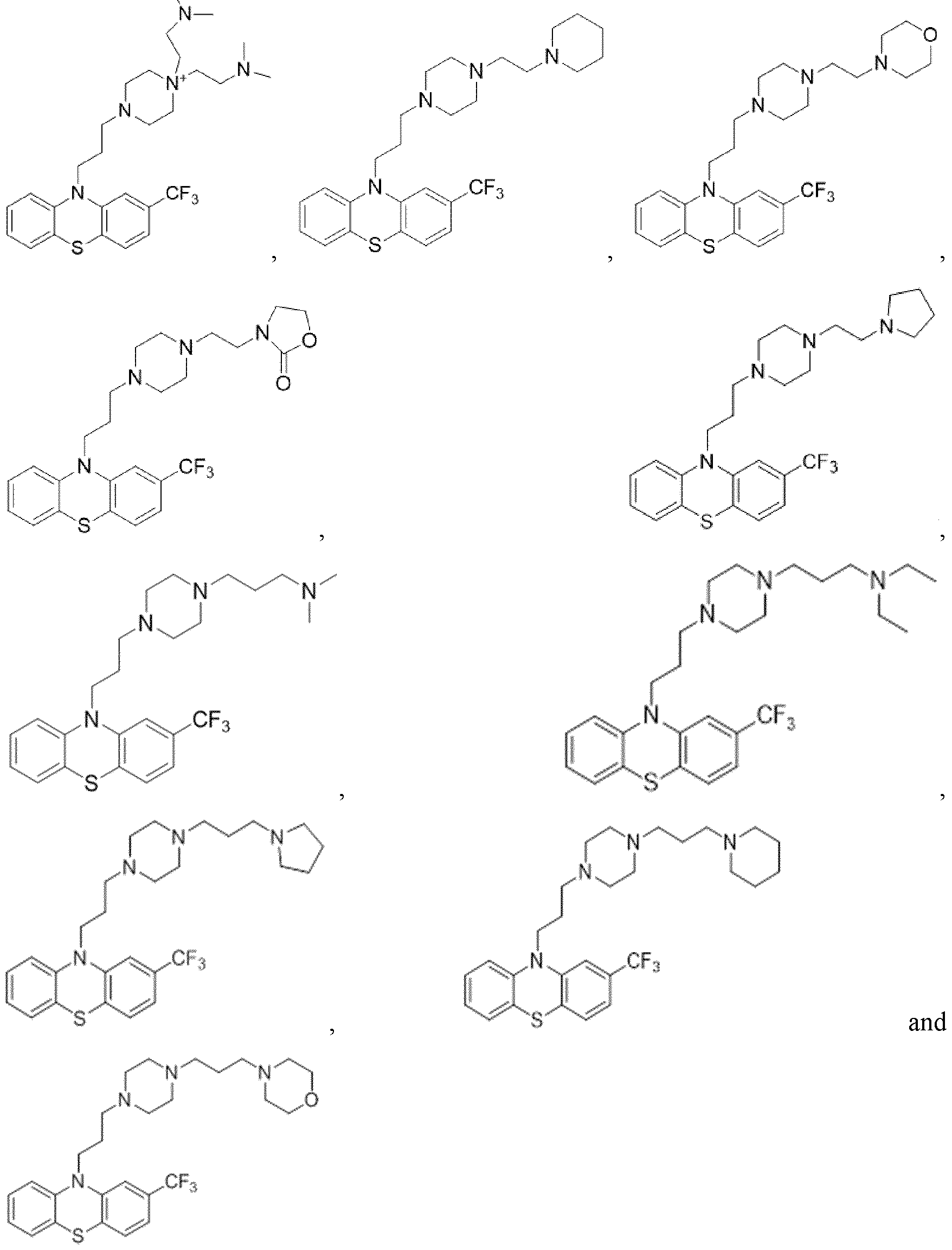
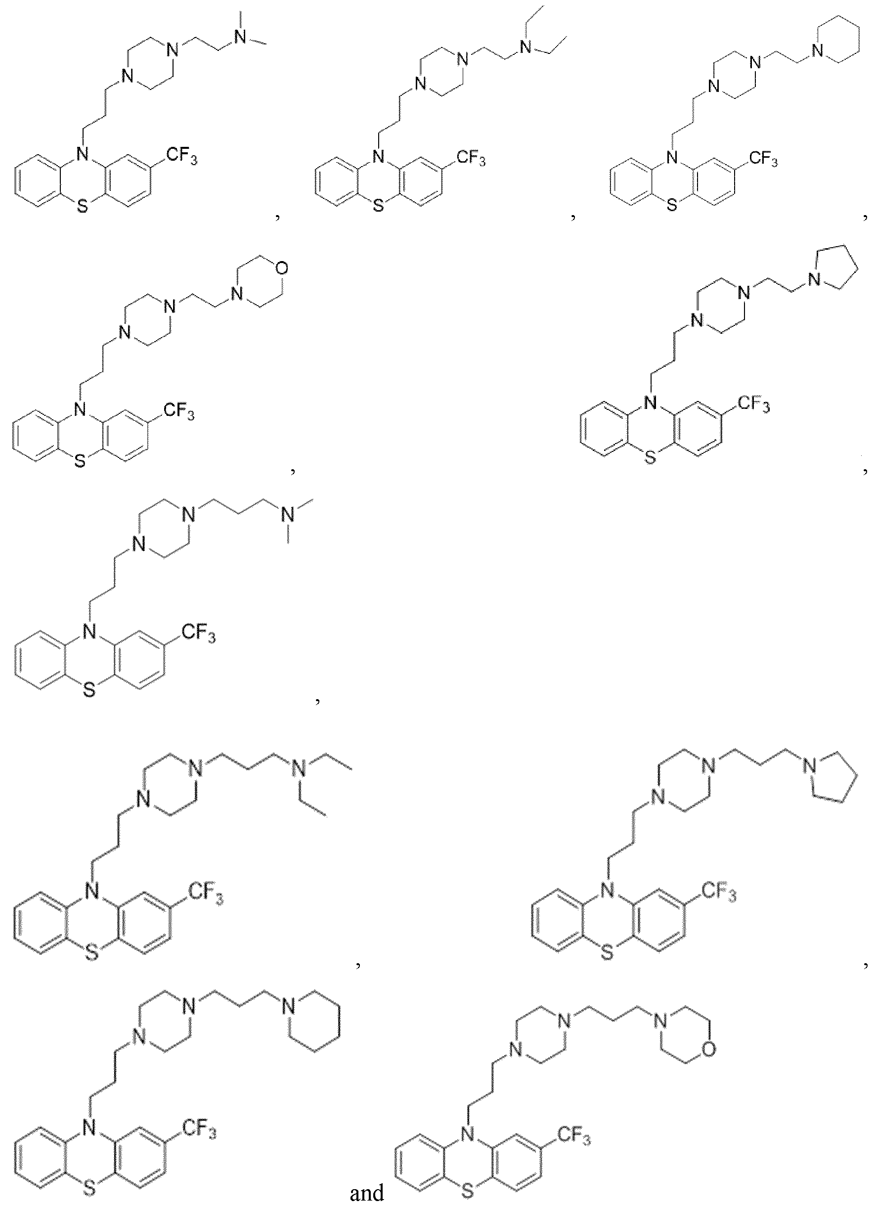
- the inhibitor of NUPR1 of the invention can in particular be selected among the following compounds:
- the inhibitor of NUPR1 for use according to the invention is selected from the group consisting of compounds A, B, C, D, F, G, I, J, K, L, M and N, in particular from the group consisting of C, D, F, G, I, J, K, L, M and N, and more particularly from the group consisting of C, I, F, K, L, M, N and D, as well as their tautomeric and isomeric forms: racemic, enantiomeric and diastereoisomeric, and also their addition salts with inorganic and organic acids or with inorganic and organic bases.
- the inhibitor of NUPR1 for use according to the invention is selected from the group consisting of compounds C, K, L, M and D, as well as their tautomeric and isomeric forms: racemic, enantiomeric and diastereoisomeric, and also their addition salts with inorganic and organic acids or with inorganic and organic bases.
- the inhibitor of NUPR1 for use according to the invention is the compound C (call ZZW-115):
- the antibody according to the invention is a single domain. In another embodiment, the antibody according to the invention is a single domain antibody against NUPR1.
- the term “single domain antibody” (sdAb) or " VHH” refers to the single heavy chain variable domain of antibodies of the type that can be found in Camelid mammals which are naturally devoid of light chains. Such VHH are also called “nanobody®”. According to the invention, sdAb can particularly be llama sdAb.
- VHH refers to the single heavy chain having 3 complementarity determining regions (CDRs): CDR1, CDR2 and CDR3.
- CDRs complementarity determining region
- CDR complementarity determining region
- VHH according to the invention can readily be prepared by an ordinarily skilled artisan using routine experimentation.
- VHH variants and modified form thereof may be produced under any known technique in the art such as in-vitro maturation.
- VHHs or sdAbs are usually generated by PCR cloning of the V-domain repertoire from blood, lymph node, or spleen cDNA obtained from immunized animals into a phage display vector, such as pHEN2.
- Antigen-specific VHHs are commonly selected by panning phage libraries on immobilized antigen, e.g., antigen coated onto the plastic surface of a test tube, biotinylated antigens immobilized on streptavidin beads, or membrane proteins expressed on the surface of cells.
- immobilized antigen e.g., antigen coated onto the plastic surface of a test tube, biotinylated antigens immobilized on streptavidin beads, or membrane proteins expressed on the surface of cells.
- VHHs often show lower affinities for their antigen than VHHs derived from animals that have received several immunizations.
- VHHs from immune libraries are attributed to the natural selection of variant VHHs during clonal expansion of B-cells in the lymphoid organs of immunized animals.
- the affinity of VHHs from non-immune libraries can often be improved by mimicking this strategy in vitro, i.e., by site directed mutagenesis of the CDR regions and further rounds of panning on immobilized antigen under conditions of increased stringency (higher temperature, high or low salt concentration, high or low pH, and low antigen concentrations).
- VHHs derived from camelid are readily expressed in and purified from the E. coli periplasm at much higher levels than the corresponding domains of conventional antibodies.
- VHHs generally display high solubility and stability and can also be readily produced in yeast, plant, and mammalian cells.
- the “Hamers patents” describe methods and techniques for generating VHH against any desired target (see for example US 5,800,988; US 5,874, 541 and US 6,015,695).
- the “Hamers patents” more particularly describe production of VHHs in bacterial hosts such as E. coli (see for example US 6,765,087) and in lower eukaryotic hosts such as moulds (for example Aspergillus or Trichoderma) or in yeast (for example Saccharomyces, Kluyveromyces, Hansenula or Pichia) (see for example US 6,838,254).
- the compound according to the invention is an aptamer.
- Aptamers are a class of molecule that represents an alternative to antibodies in term of molecular recognition.
- Aptamers are oligonucleotide or oligopeptide sequences with the capacity to recognize virtually any class of target molecules with high affinity and specificity.
- Such ligands may be isolated through Systematic Evolution of Ligands by Exponential enrichment (SELEX) of a random sequence library, as described in Tuerk C. and Gold L., 1990.
- the random sequence library is obtainable by combinatorial chemical synthesis of DNA. In this library, each member is a linear oligomer, eventually chemically modified, of a unique sequence.
- Peptide aptamers consists of a conformationally constrained antibody variable region displayed by a platform protein, such as E. coli Thioredoxin A that are selected from combinatorial libraries by two hybrid methods (Colas et al., 1996).
- the compound according to the invention is a polypeptide.
- the polypeptide is an antagonist ofNUPR1 and is capable to prevent the function ofNUPR1 for example its ability to bind to the DNA.
- the polypeptide can be a mutated version ofNUPR1 or a similar protein without the function of NUPR1.
- the polypeptide of the invention may be linked to a cell-penetrating peptide” to allow the penetration of the polypeptide in the cell.
- cell-penetrating peptides are well known in the art and refers to cell permeable sequence or membranous penetrating sequence such as penetratin, TAT mitochondrial penetrating sequence and compounds (Bechara and Sagan, 2013; Jones and Sayers, 2012; Khafagy el and Morishita, 2012; Malhi and Murthy, 2012).
- polypeptides of the invention may be produced by any suitable means, as will be apparent to those of skill in the art.
- expression may conveniently be achieved by culturing under appropriate conditions recombinant host cells containing the polypeptide of the invention.
- the polypeptide is produced by recombinant means, by expression from an encoding nucleic acid molecule.
- Systems for cloning and expression of a polypeptide in a variety of different host cells are well known.
- the polypeptide When expressed in recombinant form, the polypeptide is preferably generated by expression from an encoding nucleic acid in a host cell.
- a host cell Any host cell may be used, depending upon the individual requirements of a particular system. Suitable host cells include bacteria mammalian cells, plant cells, yeast and baculovirus systems. Mammalian cell lines available in the art for expression of a heterologous polypeptide include Chinese hamster ovary cells. HeLa cells, baby hamster kidney cells and many others. Bacteria are also preferred hosts for the production of recombinant protein, due to the ease with which bacteria may be manipulated and grown. A common, preferred bacterial host is E coli.
- polypeptides used in the therapeutic methods of the present invention may be modified in order to improve their therapeutic efficacy.
- modification of therapeutic compounds may be used to decrease toxicity, increase circulatory time, or modify biodistribution.
- the toxicity of potentially important therapeutic compounds can be decreased significantly by combination with a variety of drug carrier vehicles that modify biodistribution.
- adding dipeptides can improve the penetration of a circulating agent in the eye through the blood retinal barrier by using endogenous transporters.
- a strategy for improving drug viability is the utilization of water-soluble polymers.
- Various water-soluble polymers have been shown to modify biodistribution, improve the mode of cellular uptake, change the permeability through physiological barriers; and modify the rate of clearance from the body.
- water- soluble polymers have been synthesized that contain drug moieties as terminal groups, as part of the backbone, or as pendent groups on the polymer chain.
- PEG Polyethylene glycol
- Attachment to various drugs, proteins, and liposomes has been shown to improve residence time and decrease toxicity.
- PEG can be coupled to active agents through the hydroxyl groups at the ends of the chain and via other chemical methods; however, PEG itself is limited to at most two active agents per molecule.
- copolymers of PEG and amino acids were explored as novel biomaterials which would retain the biocompatibility properties of PEG, but which would have the added advantage of numerous attachment points per molecule (providing greater drug loading), and which could be synthetically designed to suit a variety of applications.
- PEGylation techniques for the effective modification of drugs.
- drug delivery polymers that consist of alternating polymers of PEG and tri-functional monomers such as lysine have been used by VectraMed (Plainsboro, N. J.).
- the PEG chains typically 2000 daltons or less
- Such copolymers retain the desirable properties of PEG, while providing reactive pendent groups (the carboxylic acid groups of lysine) at strictly controlled and predetermined intervals along the polymer chain.
- the reactive pendent groups can be used for derivatization, cross-linking, or conjugation with other molecules.
- These polymers are useful in producing stable, long-circulating pro-drugs by varying the molecular weight of the polymer, the molecular weight of the PEG segments, and the cleavable linkage between the drug and the polymer.
- the molecular weight of the PEG segments affects the spacing of the drug/linking group complex and the amount of drug per molecular weight of conjugate (smaller PEG segments provides greater drug loading).
- increasing the overall molecular weight of the block co-polymer conjugate will increase the circulatory half- life of the conjugate. Nevertheless, the conjugate must either be readily degradable or have a molecular weight below the threshold-limiting glomular filtration (e.g., less than 60 kDa).
- linkers may be used to maintain the therapeutic agent in a pro-drug form until released from the backbone polymer by a specific trigger, typically enzyme activity in the targeted tissue.
- a specific trigger typically enzyme activity in the targeted tissue.
- tissue activated drug delivery is particularly useful where delivery to a specific site of biodistribution is required and the therapeutic agent is released at or near the site of pathology.
- Linking group libraries for use in activated drug delivery are known to those of skill in the art and may be based on enzyme kinetics, prevalence of active enzyme, and cleavage specificity of the selected disease-specific enzymes. Such linkers may be used in modifying the protein or fragment of the protein described herein for therapeutic delivery.
- the NUPR1 inhibitor according to the invention is an inhibitor of NUPR1 gene expression.
- Small inhibitory RNAs can also function as inhibitors of NUPR1 expression for use in the present invention.
- NUPR1 gene expression can be reduced by contacting a subject or cell with a small double stranded RNA (dsRNA), or a vector or construct causing the production of a small double stranded RNA, such that NUPR1 gene expression is specifically inhibited (i.e. RNA interference or RNAi).
- dsRNA small double stranded RNA
- RNAi RNA interference
- Methods for selecting an appropriate dsRNA or dsRNA-encoding vector are well known in the art for genes whose sequence is known (e.g. see for example Tuschl, T. et al. (1999); Elbashir, S. M. et al. (2001); Hannon, GJ.
- Ribozymes can also function as inhibitors of NUPR1 gene expression for use in the present invention.
- Ribozymes are enzymatic RNA molecules capable of catalyzing the specific cleavage of RNA.
- the mechanism of ribozyme action involves sequence specific hybridization of the ribozyme molecule to complementary target RNA, followed by endonucleolytic cleavage.
- Engineered hairpin or hammerhead motif ribozyme molecules that specifically and efficiently catalyze endonucleolytic cleavage of NUPR1 mRNA sequences are thereby useful within the scope of the present invention.
- ribozyme cleavage sites within any potential RNA target are initially identified by scanning the target molecule for ribozyme cleavage sites, which typically include the following sequences, GUA, GUU, and GUC. Once identified, short RNA sequences of between about 15 and 20 ribonucleotides corresponding to the region of the target gene containing the cleavage site can be evaluated for predicted structural features, such as secondary structure, that can render the oligonucleotide sequence unsuitable. The suitability of candidate targets can also be evaluated by testing their accessibility to hybridization with complementary oligonucleotides, using, e.g., ribonuclease protection assays.
- antisense oligonucleotides and ribozymes useful as inhibitors of NUPR1 gene expression can be prepared by known methods. These include techniques for chemical synthesis such as, e.g., by solid phase phosphoramadite chemical synthesis. Alternatively, anti-sense RNA molecules can be generated by in vitro or in vivo transcription of DNA sequences encoding the RNA molecule. Such DNA sequences can be incorporated into a wide variety of vectors that incorporate suitable RNA polymerase promoters such as the T7 or SP6 polymerase promoters. Various modifications to the oligonucleotides of the invention can be introduced as a means of increasing intracellular stability and half-life.
- Possible modifications include but are not limited to the addition of flanking sequences of ribonucleotides or deoxyribonucleotides to the 5' and/or 3' ends of the molecule, or the use of phosphorothioate or 2'-0-methyl rather than phosphodiesterase linkages within the oligonucleotide backbone.
- Antisense oligonucleotides siRNAs and ribozymes of the invention may be delivered in vivo alone or in association with a vector.
- a "vector" is any vehicle capable of facilitating the transfer of the antisense oligonucleotide siRNA or ribozyme nucleic acid to the cells and preferably cells expressing NUPR1 ligands.
- the vector transports the nucleic acid to cells with reduced degradation relative to the extent of degradation that would result in the absence of the vector.
- the vectors useful in the invention include, but are not limited to, plasmids, phagemids, viruses, other vehicles derived from viral or bacterial sources that have been manipulated by the insertion or incorporation of the antisense oligonucleotide siRNA or ribozyme nucleic acid sequences.
- Viral vectors are a preferred type of vector and include, but are not limited to nucleic acid sequences from the following viruses: retrovirus, such as moloney murine leukemia virus, harvey murine sarcoma virus, murine mammary tumor virus, and rouse sarcoma virus; adenovirus, adeno-associated virus; SV40- type viruses; polyoma viruses; Epstein-Barr viruses; papilloma viruses; herpes virus; vaccinia virus; polio virus; and RNA virus such as a retrovirus.
- retrovirus such as moloney murine leukemia virus, harvey murine sarcoma virus, murine mammary tumor virus, and rouse sarcoma virus
- adenovirus adeno-associated virus
- SV40- type viruses polyoma viruses
- Epstein-Barr viruses Epstein-Barr viruses
- papilloma viruses herpes virus
- Non-cytopathic viral vectors are based on non-cytopathic eukaryotic viruses in which non- essential genes have been replaced with the gene of interest.
- Non-cytopathic viruses include retroviruses (e.g., lentivirus), the life cycle of which involves reverse transcription of genomic viral RNA into DNA with subsequent proviral integration into host cellular DNA.
- Retroviruses have been approved for human gene therapy trials. Most useful are those retroviruses that are replication-deficient (i.e., capable of directing synthesis of the desired proteins, but incapable of manufacturing an infectious particle).
- retroviral expression vectors have general utility for the high-efficiency transduction of genes in vivo.
- adeno-viruses and adeno-associated viruses are double-stranded DNA viruses that have already been approved for human use in gene therapy.
- the adeno-associated virus can be engineered to be replication deficient and is capable of infecting a wide range of cell types and species. It further has advantages such as, heat and lipid solvent stability; high transduction frequencies in cells of diverse lineages, including hemopoietic cells; and lack of superinfection inhibition thus allowing multiple series of transductions.
- the adeno-associated virus can integrate into human cellular DNA in a site-specific manner, thereby minimizing the possibility of insertional mutagenesis and variability of inserted gene expression characteristic of retroviral infection.
- adeno-associated vims infections have been followed in tissue culture for greater than 100 passages in the absence of selective pressure, implying that the adeno-associated vims genomic integration is a relatively stable event.
- the adeno-associated vims can also function in an extrachromosomal fashion.
- Plasmid vectors have been extensively described in the art and are well known to those of skill in the art. See e.g. Sambrook et al, 1989. In the last few years, plasmid vectors have been used as DNA vaccines for delivering antigen- encoding genes to cells in vivo. They are particularly advantageous for this because they do not have the same safety concerns as with many of the viral vectors. These plasmids, however, having a promoter compatible with the host cell, can express a peptide from a gene operatively encoded within the plasmid.
- Plasmids may be delivered by a variety of parenteral, mucosal and topical routes.
- the DNA plasmid can be injected by intramuscular, eye, intradermal, subcutaneous, or other routes. It may also be administered by intranasal sprays or drops, rectal suppository and orally.
- the plasmids may be given in an aqueous solution, dried onto gold particles or in association with another DNA delivery system including but not limited to liposomes, dendrimers, cochleate and mi croencap sul ati on.
- the antisense oligonucleotide, siRNA, shRNA or ribozyme nucleic acid sequence is under the control of a heterologous regulatory region, e.g., a heterologous promoter.
- the promoter may be specific for Muller glial cells, microglia cells, endothelial cells, pericyte cells and astrocytes
- a specific expression in Muller glial cells may be obtained through the promoter of the glutamine synthetase gene is suitable.
- the promoter can also be, e.g., a viral promoter, such as CMV promoter or any synthetic promoters.
- NUPR1 can be inactivated by 1/ downregulation of its expression; 2/ inhibition of its nuclear translocation, 3/ inhibition of its interaction with its molecular partners.
- 1/ Downregulation of its expression can be evaluated by measuring the mRNA level by RTq-PCR using specific primers or at the protein level by western blot or an ELISA on the cellular or tissue extracts using specific antibodies against NUPR1.
- 2/ NUPR1 is a protein of nuclear localization and its activity can be inhibited by inhibiting its nuclear translocation. Therefore its translocation can be measured by immunocytochemistry or immunofluorescence using specific antibodies against NUPR1.
- NUPR1 binds to several partners including PTMA, MSL1 and C-terminal region of Poly comb RING1B proteins by its Ala33 and Thr68 residues inducing structural changes. These interactions can be measured by several biophysical approaches such as Circular Dichroism (CD), RMN, Fluorescence Spectroscopies, etc. Inhibitors of these interactions can be studied by performing competition experiments in which increased amounts of the inhibitor candidates are expected to displace progressively the interaction of NUPR1 with its partners.
- CD Circular Dichroism
- RMN Fluorescence Spectroscopies
- the invention also relates to a method for treating a cancer comprising administering to a subject in need thereof a combination of an inhibitor of NUPR1 and a genotoxic treatment.
- Another object of the invention relates to a therapeutic composition
- a therapeutic composition comprising an inhibitor of NUPR1 and a genotoxic treatment for use in the treatment of cancer in a subject in need thereof.
- the compounds of formula (I) can be identical or can be a mixture of different compounds of formula (I).
- Any therapeutic agent of the invention may be combined with pharmaceutically acceptable excipients, and optionally sustained-release matrices, such as biodegradable polymers, to form therapeutic compositions.
- “Pharmaceutically” or “pharmaceutically acceptable” refers to molecular entities and compositions that do not produce an adverse, allergic or other untoward reaction when administered to a mammal, especially a human, as appropriate.
- a pharmaceutically acceptable carrier or excipient refers to a non-toxic solid, semi-solid or liquid filler, diluent, encapsulating material or formulation auxiliary of any type.
- compositions for example, the form of the pharmaceutical compositions, the route of administration, the dosage and the regimen naturally depend upon the condition to be treated, the severity of the illness, the age, weight, and sex of the subject, etc.
- compositions of the invention can be formulated for a topical, oral, intranasal, parenteral, intraocular, intravenous, intramuscular or subcutaneous administration and the like.
- the pharmaceutical compositions contain vehicles which are pharmaceutically acceptable for a formulation capable of being injected.
- vehicles which are pharmaceutically acceptable for a formulation capable of being injected.
- These may be in particular isotonic, sterile, saline solutions (monosodium or disodium phosphate, sodium, potassium, calcium or magnesium chloride and the like or mixtures of such salts), or dry, especially freeze-dried compositions which upon addition, depending on the case, of sterilized water or physiological saline, permit the constitution of injectable solutions.
- the doses used for the administration can be adapted as a function of various parameters, and in particular as a function of the mode of administration used, of the relevant pathology, or alternatively of the desired duration of treatment.
- compositions include, e.g. tablets or other solids for oral administration; time release capsules; and any other form currently can be used.
- compositions of the present invention may comprise a further therapeutic active agent.
- the present invention also relates to a kit comprising an agonist, antagonist or inhibitor of the expression according to the invention and a further therapeutic active agent.
- anti-cancer agents may be added to the pharmaceutical composition as described below.
- Anti-cancer agents may be Melphalan, Vincristine (Oncovin), Cyclophosphamide (Cytoxan), Etoposide (VP- 16), Doxorubicin (Adriamycin), Liposomal doxorubicin (Doxil) and Bendamustine (Treanda).
- Others anti-cancer agents may be for example cytarabine, anthracyclines, fludarabine, gemcitabine, capecitabine, methotrexate, taxol, taxotere, mercaptopurine, thioguanine, hydroxyurea, cyclophosphamide, ifosfamide, nitrosoureas, platinum complexes such as cisplatin, carboplatin and oxaliplatin, mitomycin, dacarbazine, procarbizine, etoposide, teniposide, campathecins, bleomycin, doxorubicin, idarubicin, daunorubicin, dactinomycin, plicamycin, mitoxantrone, L-asparaginase, doxorubicin, epimbicm, 5-fluorouracil, taxanes such as docetaxel and paclitaxel, leucovorin, levamisole
- additional anticancer agents may be selected from, but are not limited to, one or a combination of the following class of agents: alkylating agents, plant alkaloids, DNA topoisomerase inhibitors, anti-folates, pyrimidine analogs, purine analogs, DNA antimetabolites, taxanes, podophyllotoxin, hormonal therapies, retinoids, photosensitizers or photodynamic therapies, angiogenesis inhibitors, antimitotic agents, isoprenylation inhibitors, cell cycle inhibitors, actinomycins, bleomycins, MDR inhibitors and Ca2+ ATPase inhibitors.
- Additional anti-cancer agents may be selected from, but are not limited to, cytokines, chemokines, growth factors, growth inhibitory factors, hormones, soluble receptors, decoy receptors, monoclonal or polyclonal antibodies, mono-specific, bi-specific or multi-specific antibodies, monobodies, polybodies.
- Additional anti-cancer agent may be selected from, but are not limited to, growth or hematopoietic factors such as erythropoietin and thrombopoietin, and growth factor mimetics thereof.
- the further therapeutic active agent can be an antiemetic agent.
- Suitable antiemetic agents include, but are not limited to, metoclopromide, domperidone, prochlorperazine, promethazine, chlorpromazine, trimethobenzamide, ondansetron, granisetron, hydroxyzine, acethylleucine monoemanolamine, alizapride, azasetron, benzquinamide, bietanautine, bromopride, buclizine, clebopride, cyclizine, dunenhydrinate, diphenidol, dolasetron, meclizme, methallatal, metopimazine, nabilone, oxypemdyl, pipamazine, scopolamine, sulpiride, tetrahydrocannabinol s, thiefhylperazine, thioproperazine and tropisetron.
- the further therapeutic active agent can be an hematopoietic colony stimulating factor.
- Suitable hematopoietic colony stimulating factors include, but are not limited to, filgrastim, sargramostim, molgramostim and epoietin alpha.
- the other therapeutic active agent can be an opioid or non- opioid analgesic agent.
- opioid analgesic agents include, but are not limited to, morphine, heroin, hydromorphone, hydrocodone, oxymorphone, oxycodone, metopon, apomorphine, nomioiphine, etoipbine, buprenorphine, mepeddine, lopermide, anileddine, ethoheptazine, piminidine, betaprodine, diphenoxylate, fentanil, sufentanil, alfentanil, remifentanil, levorphanol, dextromethorphan, phenazodne, pemazocine, cyclazocine, methadone, isomethadone and propoxyphene.
- Suitable non-opioid analgesic agents include, but are not limited to, aspirin, celecoxib, rofecoxib, diclofmac, diflusinal, etodolac, fenoprofen, flurbiprofen, ibuprofen, ketoprofen, indomethacin, ketorolac, meclofenamate, mefanamic acid, nabumetone, naproxen, piroxicam and sulindac.
- the further therapeutic active agent can be an anxiolytic agent.
- Suitable anxiolytic agents include, but are not limited to, buspirone, and benzodiazepines such as diazepam, lorazepam, oxazapam, chlorazepate, clonazepam, chlordiazepoxide and alprazolam.
- the further therapeutic active agent can be a checkpoint blockade cancer immunotherapy agent.
- the checkpoint blockade cancer immunotherapy agent is an agent which blocks an immunosuppressive receptor expressed by activated T lymphocytes, such as cytotoxic T lymphocyte-associated protein 4 (CTLA4) and programmed cell death 1 (PDCD1, best known as PD-1), or by NK cells, like various members of the killer cell immunoglobulin- like receptor (KIR) family, or an agent which blocks the principal ligands of these receptors, such as PD-1 ligand CD274 (best known as PD-L1 or B7-H1).
- CTL4 cytotoxic T lymphocyte-associated protein 4
- PDCD1 programmed cell death 1
- NK cells like various members of the killer cell immunoglobulin- like receptor (KIR) family, or an agent which blocks the principal ligands of these receptors, such as PD-1 ligand CD274 (best known as PD-L1 or B7-H1).
- the checkpoint blockade cancer immunotherapy agent is an antibody.
- the checkpoint blockade cancer immunotherapy agent is an antibody selected from the group consisting of anti-CTLA4 antibodies, anti-PDl antibodies, anti-PDLl antibodies, anti-PDL2 antibodies, anti-TIM-3 antibodies, anti-LAG3 antibodies, anti-IDOl antibodies, anti-TIGIT antibodies, anti-B7H3 antibodies, anti-B7H4 antibodies, anti- BTLA antibodies, and anti-B7H6 antibodies.
- FIGURES are a diagrammatic representation of FIGURES.
- Figure 1 NUPR1 inhibition by ZZW-115 potentiated the efficacy of genotoxic agents.
- the efficacy of different genotoxic agents to generate DNA breaks within different cancer cell lines and the boosting effect of ZZW-115 was evaluated by ⁇ H2AC immunofluorescence staining.
- FIG. 2 ZZW-115 strongly potentiated the anti-tumoral activity of genotoxic agents in vivo.
- CAnN.Cg-Foxn1nu/Crl BALB/c nude mice xenografted with U87-red cells were separated into 4 groups of 6 mice and treated daily for 21 days with 0.5% DMSO in physiologic serum (control group), 5 mg/kg TMZ, 2.5 mg/kg ZZW-115 or 5 mg/kg TMZ in combination with 2.5 mg/kg ZZW-115. Tumor volume was measured every 3 days. Individual volume of each mouse (A) and mean of the volume of each treatment (B) are shown. For each treatment, statistical significance is *p ⁇ 0.05 and ***p ⁇ 0.001 (one-way ANOVA, Tukey’s post hoc test).
- FIG. 3 NUPR1 improved SUMOylation levels in vitro.
- A, B Western blot of in vitro SUMOylation by SUMO1 (A) or SUMO2/3 (B) of RanGAPl was performed with no treatment or in the presence of recombinant wild-type rNUPR1, Thr68Gln and Ala33Gln/Thr68Gln rNUPR1 mutants, and wild-type rNUPR1 in presence of ZZW-115.
- C, D Western blot analysis of in vitro SUMOylation by SUMO1 (C) or SUMO2/3 (D) of p53 was performed with no treatment or in the presence of recombinant NUPR1.
- Statistical significance **p ⁇ 0.01 compared with no treatment (one-way ANOVA, Tukey’s post hoc test).
- FIG. 4 MiaPaCa-2 cells expressing 6His-Flag-SUMO1 or GFP as control were treated with 10 ⁇ M 5-FU and 1.5 ⁇ M ZZW-115, alone or in combination, for 12 hours. Cells were then solubilized in fully denaturing lysis buffer containing 6M Guanidine HCL and an equal amount of protein was subjected to 6His purification using Nickel matrix following a standard protocol. Purified SUMOylated proteins were loaded on SDS-PAGE then transfer onto nitrocellulose membrane the upper part of which was immunoblotted with an anti-MREl l antibody in order to detect sumoylated MRE11 or TP53.
- Lane 1 GFP non treated
- lane 2 GFP treated 5-FU
- lane 3 GFP treated 5-FU + ZZW-115
- lane 4 GFP treated ZZW-115
- lane 5 6His-SUMO1 untreated
- lane 6 6His-SUMO1 treated 5-FU
- lane 7 6His- SUMO1 treated 5-FU + ZZW115
- lane 8 6His-SUMO1 treated ZZW-115.
- MiaPaCa-2 cells expressing Flag-NUPR1 or Flag-GFP, were plated in 10 cm2 dishes.
- MiaPaCa-2 cells expressing Flag-NUPR1 or Flag-GFP reached 70% confluence were lysed on ice by using HEPES based lysis buffer containing 10 mM NEM (N-Ethylmaleimide, Sigma 04259) and a proteases inhibitor cocktail (1:200) (Sigma P8340). Lysates were centrifuged for 10 min at 14000 rpm at 4°C.
- Protein concentration of the supernatant was determined by using Protein Assay (Bio-Rad), and equal amounts of total protein were used to incubate with 30 ⁇ l of anti-Flag M2 coated beads under rotation for 2 h at 4°C. Beads were then washed three times with cold lysis buffer and proteins were eluted using 250 ⁇ l ammonium hydrogen carbonate buffer containing 0.1 ⁇ g/ ⁇ l of Flag peptide for 90 min at 4°C while rotating. After a short spin, the supernatant was recovered by using a Hamilton syringe. Protein samples were then concentrated by using Amicon Ultra-0.5 centrifugal filter devices (Millipore) according to manufacturer’s instructions. Eluted proteins were collected and analyzed by mass spectrometry.
- a tandem 6His and Flag tag was introduced into empty pCCL-WPS-mPGK lentiviral vector, at the 5’ end of the multi-cloning sites portion, to produce the pCCL-6HF vector.
- the full-length cDNA for human Ubiquitin, Nedd8, and SUMO1 were subcloned into this vector using Smal and EcoRV restriction sites for Ubiquitin, BamHI and EcoRV for Nedd8, and BamHI for SUMO1. Each plasmid was verified by DNA sequencing.
- Lentiviral particles were generated by transfecting 293T cells with a mix of 1/3 pCCL construct (Ub, Nedd8, SUMO1, or GFP), 1/3 delta Helper (carries sequence necessary for viral assembly of lentivirus) and 1/3 pVsVg (expresses the vesicular stomatitis virus envelop glycoprotein G pseudotype), using Lipofectamine reagent (Invitrogen) and following manufacturer’s recommendations.
- the medium was changed with a fresh one.
- medium was changed again and viruses contained in the medium were collected, filtered through a 0.2 ⁇ m filter, and added on 40% confluent MiaPaCa2 cells seeded in 25 cm2 flasks. This step was repeated 24 h later to perform a second infection.
- MiaPaCa-2 cells expressing the 6His-Flag-ubiquitin-like constructs or GFP were seeded in 150 mm dishes, at 106 cells per dish, and when they reached 70% confluence were treated with 5-FU or ZZW-115 or the combination of both drugs for 12 h. Then, approximately 100 (MiaPaCa-2-6His-Flag-ubiquitin and -SUMO1) or 150 mg (MiaPaCa-2-6His-Flag-Nedd8) of proteins were used to isolate modified substrates.
- buffer 1 (6 M guanidinium chloride, 0.1 M Na2HP04/ NaH2P04, pH 8.0 plus 0.5% Triton X-100) were added directly to the cell monolayer. Lysates were sonicated three times for 30 s with a 1 min break between pulses, to reduce viscosity. Protein concentration was measured in untreated and treated samples by using Protein- Assay (Bio-Rad), and Ni2+-NTA agarose resin (Qiagen) was added with a ratio of 2 ⁇ L of resin for 1 mg of proteins.
- buffer 1 6 M guanidinium chloride, 0.1 M Na2HP04/ NaH2P04, pH 8.0 plus 0.5% Triton X-100
- Protein extracts were loaded on NuPAGE 4-12% Bis-Tris acrylamide gels according to the manufacturer’s instructions (Invitrogen). Running was stopped as soon as proteins stacked in a single band. Protein-containing bands were stained with Imperial Blue (Pierce), cut from the gel, and digested with high-sequencing-grade trypsin (Promega, Madison, WI) before mass spectrometry analysis according to Shevchenko et al. (Shevchenko et al., 1996).
- Mass spectrometry analysis was carried out by LC-MS/MS using an LTQ-Velos-Orbitrap or a Q Exactive Plus Hybrid Quadrupole-Orbitrap (Thermo Electron, Bremen, Germany) online with a nanoLC Ultimate3000RSLC chromatography system (Dionex, Sunnyvale, CA). Five microliters corresponding to 1/5 of the whole sample were injected in triplicate on the system. After sample preconcentration and washing on a Dionex Acclaim PepMap 100 C18 column (2 cm x 100 ⁇ m i.d.
- peptides were separated on a Dionex Acclaim PepMap RSLC C18 column (15 cm x 75 ⁇ m i.d., 100 ⁇ , 2 ⁇ m particle size) at a flow rate of 300 nL/min, a two-step linear gradient (4-20% acetonitrile/H2O; 0.1% formic acid for 90 min and 20-45% acetonitrile/H2O; 0.1% formic acid for 30 min).
- voltage was set at 1.9 kV and the capillary temperature at 275 °C. All samples were measured in a data-dependent acquisition mode. Each experiment was preceded by a blank run to monitor system background.
- the data dependent CID scans of the 10 most intense precursor ions were fragmented and measured in the linear ion trap (normalized collision energy of 35%, activation time of 10 ms, target AGC value of 1 x 104, maximum injection time 100 ms, and isolation window 2 Da).
- Parent masses obtained in Orbitrap analyzer were automatically calibrated on 445.1200 locked mass. Dynamic exclusion was implemented with a repeat count of 1 and exclusion time of 30 s.
- the 10 most intense data-dependent precursor ions were successively fragmented in higher energy collisional dissociation (HCD) cell and measured in Orbitrap (normalized collision energy of 25 %, activation time of 10 ms, target AGC value of 1.00 x 103, intensity threshold 1.00 x 104 maximum injection time 100 ms, isolation window 2 m/z, 17.5 K FWHM resolution, scan range 200 to 2000 m/z).
- HCD collisional dissociation
- NUPR1 was expressed and purified as described (Santofimia-Castano et al., 2019b). Purification was similar to that described for NUPR1 (Santofimia-Castano et al., 2019b), except that the final polish purification step was carried out with a Superdex G200 16/60 in buffer Tris (50 mM, pH 8.0) with 200 mM NaCl, running on an AKTA FPLC (GE, Barcelona, Spain) by following the absorbance at 280 nm.
- TTZ Temozolomide
- 5-Fluorouracile 5-FU
- Gemcitabine 15 ⁇ M
- Oxaliplatin 12.5 ⁇ M
- gamma irradiation 6 Gy
- ZZW-115 1.5 ⁇ M
- Sorafenib 0.5 ⁇ M was used on HepG2 (hepatocarcinoma) cells as negative control since it does not induce DNA damage.
- Proteins were resolved by SDS-PAGE, and transferred to nitrocellulose membranes for lh. Then, membranes were blocked 1 h at room temperature with TBS (Tris buffered saline solution) and 5% BSA, and blotted overnight in TBS 5% BSA containing primary antibodies at 1 :500. After extensive washes in TBS 0.1% Tween20, membranes were incubated lh at room temperature with HRP-conjugated secondary antibodies at 1:5000 before being revealed with Enhanced chemo-luminescence (ECL). Acquisition was performed with a Fusion FX7 imager (Vilber-Lourmat, France). Alternatively, the SNAPid protein detection system (Millipore) was used following the manufacturer’s instructions.
- mice Female CAnN.Cg-Foxnlnu/Crl BALB/c nude mice were provided by Charles River Laboratories. Mice were kept within the Experimental Animal House of the Centre de Cancerologie de Marseille, pole Luminy (Centre de mecanic en Cancerologie de Marseille). Ten million of U87-red glioblastoma cells were inoculated subcutaneously in nude mice (6 weeks old) and they were separated into 4 groups of 6 subjects each. Mice were treated daily with 0.5% DMSO in physiologic serum (vehicle), 5mg/kg of TMZ, 2.5mg/kg of ZZW-115 and a combination of 5mg/kg TMZ with 2.5mg/kg ZZW-115 when the tumor volume reached 300 mm3. Every 3 days, the mice were weighed and the tumor volumes were measured. Mice were sacrificed after 21 days of treatment except 3 mice from the combination group. These 3 mice were kept for an additional 25-day period without any additional treatment.
- DMSO physiologic serum
- Cells were seeded in 12-well plates on coverslips and treated with ZZW-115. After fixation, cells were incubated with the following antibodies at 1:100 dilution: rabbit anti- NUPR1 primary antibody (homemade) or ⁇ H2AC primary antibody (#ab26350, Abeam). After washing steps, samples were incubated in the presence of secondary antibodies at 1 :200 dilution (Goat anti-Mouse Alexa Fluor 488, #A28175 or Goat anti-Rabbit Alexa Fluor 488, # A27034, Thermo Fisher Scientific). DAPI (D1306, Thermo Fisher Scientific) was used to stain the nucleus.
- mice were treated daily with 0.5% DMSO in physiologic serum (vehicle), 5mg/kg of Temozolomide (TMZ), 2.5mg/kg of ZZW-115 and the combination of 5mg/kg TMZ with 2.5mg/kg ZZW-115 when the tumor volume reached 400 mm3. Every 3 days, the mice were weighed and the tumor volumes were measured. Mice were sacrificed after 21 days of treatment except 3 mice from combination group. These 3 mice kept for an additional 25-day period without any additional treatment.
- TMZ Temozolomide
- mice As expected, tumor volumes increased in an exponential manner in control mice (from 315.60 ⁇ 6.25 mm3 to 1471.00 ⁇ 176.80 mm3 during the 21 days of observation).
- the tumors had a slower development (from 334.30 ⁇ 9.80 mm3 to 950.50 ⁇ 290.85 mm3).
- Tumors from mice treated with ZZW-115 also grew more slowly than control mice (from 336.00 ⁇ 28.10 mm3 to 903.50 ⁇ 280.90 mm3).
- a significant intragroup variation was observed in both TMZ and ZZW-115 single-treated mice.
- NUPR1 improves de SUMOylation into an acellular system
- NUPR1 The interactome of NUPR1 revealed that it interacts with UBC9, the main SUMO conjugating enzyme, SUMO1, SUMO2 and RANBP2, a major SUMO E3 ligase. Therefore, we hypothesized that NUPR1 could improve the SUMOylation of many proteins by acting as a stabilizer of the SUMOylation complex, meaning UBC9-SUMO and RANBP2.
- NUPR1 acts as a facilitator of the SUMOylation by stabilizing the SUMOylation reaction probably by binding to the SUMOylation machinery as suggested by the co-immunoprecipitation data. Therefore, we can assume that NUPR1 activity is involved in SUMOylation process which in turn affects SUMOylation of several DNA repair proteins limiting its activity. We conclude that DNA damage induces hyper-SUMOylation of several proteins involved in DNA repair but when it is combined with ZZW-115 this process is prevented.
- the inventors characterized all the NUPR1 partners under normal growth conditions as well as under glucose-starvation and thapsigargin treatments. Using this systematic approach they found that NUPR1 interacts with several proteins involved in DNA repair. Based on that observation they demonstrated that ZZW-115, notably, improves the effect of several genotoxic agents, including gamma radiation, on several cancer cell types in vitro and in vivo.
- ZZW-115 treatment results in hypo-SUMOylation of some proteins involved on DNA repair, including p53, and that the presence of NUPR1 into an acellular system to measure SUMOylation improves the effect of the SUMO-conjugating enzyme UBC9, indicating that NUPR1 affects the SUMOylation of numerous proteins.
- the mechanism of inactivation of the NUPR1 by ZZW-115 is by preventing the presence of NUPR1 into the nucleus, where it is involved in several essential roles including DNA repair.
- ZZW-115 as well as its structurally related molecules, can be used to sensitize cancer cells to genotoxic-induced DNA damage.
Landscapes
- Health & Medical Sciences (AREA)
- Life Sciences & Earth Sciences (AREA)
- Medicinal Chemistry (AREA)
- Veterinary Medicine (AREA)
- Public Health (AREA)
- General Health & Medical Sciences (AREA)
- Animal Behavior & Ethology (AREA)
- Pharmacology & Pharmacy (AREA)
- Chemical & Material Sciences (AREA)
- Epidemiology (AREA)
- Organic Chemistry (AREA)
- Nuclear Medicine, Radiotherapy & Molecular Imaging (AREA)
- Chemical Kinetics & Catalysis (AREA)
- General Chemical & Material Sciences (AREA)
- Molecular Biology (AREA)
- Pharmaceuticals Containing Other Organic And Inorganic Compounds (AREA)
- Medicines That Contain Protein Lipid Enzymes And Other Medicines (AREA)
Abstract
The present invention relates to the treatment of cancer. NUPR1 is a nuclear intrinsically disordered protein (IDP) of 82 amino acids long that play an important role in pancreatic ductal adenocarcinoma (PDAC) as well as other cancers since its genetic inactivation by genetic or pharmacological approaches induces tumors growth arrest and/or regression. The inventors recently developed an efficient multidisciplinary strategy by combining biophysical, biochemical, bioinformatic and biological approaches for a molecular screening to select potential drug candidates against NUPR1. A family of TFP-derived compounds was produced and the most active one, named ZZW-115, showed more than 10 times efficient antitumor activity on a large panel of primary PDAC-derived cells and several non-pancreatic cancer cells. More, they showed that treatment with ZZW-115 sensitizes cancer cells to genotoxic-induced DNA damage. Thus, the present invention relates to a combination of an inhibitor of NUPR1 and a genotoxic treatment for use in the treatment of a cancer in a subject in need thereof. Particularly, the invention is defined by its claims.
Description
COMBINATION COMPRISING NUPR1 INHIBITORS TO TREAT CANCER
FIELD OF THE INVENTION:
The present invention relates to a combination of an inhibitor of NUPR1 and a genotoxic treatment for use in the treatment of a cancer in a subject in need thereof.
BACKGROUND OF THE INVENTION:
Cancer is a major burden of disease worldwide. Each year, tens of millions of people are diagnosed with cancer around the world, and more than half of the patients eventually die from it. Globally, nearly 1 in 6 deaths is due to cancer.
In many countries, cancer ranks the second most common cause of death following cardiovascular diseases. With significant improvement in treatment and prevention of cardiovascular diseases, cancer has or will soon become the number one killer in many parts of the world. As elderly people are most susceptible to cancer and population aging continues in many countries, cancer will remain a major health problem around the globe.
This awareness led the World Health Assembly to pass, in 2017, the resolution Cancer Prevention and Control through an Integrated Approach to urge governments and WHO to accelerate action to achieve the targets specified in the Global Action Plan and 2030 UN Agenda for Sustainable Development to reduce mortality from cancer.
In spite of the recent advances, there remains a need in the art for novel anti-cancer drugs and novel combinations of drugs either as simple alternatives to already available drugs or having better properties than the drugs or combinations already available. These better properties can have a more effective activity against tumors and/or a smaller or absent risk of developing unwanted side effects.
Accordingly, there remains a need for combinations of drugs for use in the treatment of cancers.
SUMMARY OF THE INVENTION:
NUPR1 is a nuclear intrinsically disordered protein (IDP) of 82 amino acids long that play an important role in pancreatic ductal adenocarcinoma (PDAC) as well as other cancers since its genetic inactivation by genetic or pharmacological approaches induces tumors growth arrest and/or regression. The inventors recently developed an efficient multidisciplinary strategy by combining biophysical, biochemical, bioinformatic and biological approaches for a
molecular screening to select potential drug candidates against NUPR1. To this aim, they have employed a screening method based on measuring fluorescence thermal denaturation, and identified the well-known antipsychotic agent Trifluoperazine (TFP), and its structurally related Fluphenazine hydrochloride, as ligands inducing significant differences in the temperature denaturation profile for NUPR1. On the basis of the biophysical and computational analysis they modeled this interaction and determined that amino acids around Ala33 and Thr68 were involved in the contact between NUPR1 and TFP molecules. They then started a multidisciplinary approach to optimize TFP, based on the synergy of computer molecular modeling, chemical synthesis, and a variety of biophysical, biochemical and biological evaluations. A family of TFP-derived compounds was produced and the most active one, named ZZW-115, showed more than 10 times efficient antitumor activity on a large panel of primary PD AC-derived cells and several non-pancreatic cancer cells. These in vitro results are in good agreement with the findings of Isothermal Titration Calorimetry (ITC) measurements, in which ZZW-115 was the compound inducing the greatest affinity and therefore resulted in best anticancer activity. Most importantly, ZZW-115 showed a dose-dependent tumor regression in xenografted mice leading to almost a disappearance after 30 days of treatment with 5 mg/kg/day, in 5 independent PDAC models, including an immunocompetent mice model. At the cellular level, they demonstrated that ZZW-115 induced cell death by a combination of both necroptotic and apoptotic mechanisms as a consequence of at least in part by the intracellular ATP depletion. More, they showed that treatment with ZZW-115 sensitizes cancer cells to genotoxic-induced DNA damage (vitro and vivo results).
NUPR1 is a multifunctional protein. They thus developed a strategy based on the identification of partners of NUPR1 by co-precipitation, using Flag-tagged NUPR1 as bait, under normal culture or stress-induced conditions, and found 656 partners under normal growth conditions and 1152 and 828 under glucose-starvation and thapsigargin treatment, respectively. Using this systematic and “sans a priory” method they were able to found that NUPR1 interacts with 54 proteins involved in DNA repair, suggesting that NUPR1 could participates in this process. This novel function of NUPR1 leads them to hypothesize that using its inhibitors (ZZW-115 family compounds) could improve the effect of the genotoxic agents. This assumption was confirmed by both in vitro and in vivo approaches. Then, trying to explain the mechanism by which DNA damage was most severe in ZZW-115 treated cells they found that some proteins, including p53, are hypo-SUMOylated under ZZW-115 treatment. They also demonstrated that presence of NUPR1 improves the SUMOylation into an acellular system, indicating that NUPR1 affects the SUMOylation of numerous proteins. Finally, they
demonstrated that SUMOylation of the MRE11, a key regulator of DNA repair, induced by 5- Fluorouracile treatment was completely inhibited by the treatment with ZZW-115.
Thus, the present invention relates to a combination of an inhibitor of NUPR1 and a genotoxic treatment for use in the treatment of a cancer in a subject in need thereof. Particularly, the invention is defined by its claims.
DETAILED DESCRIPTION OF THE INVENTION:
Combination of the invention
A first object of the present invention relates to a combination of an inhibitor of NUPR1 and a genotoxic treatment for use in the treatment of a cancer in a subject in need thereof.
Particularly, the inventors showed that when using the combination of an inhibitor of NUPR1 and a genotoxic treatment, particularly Temozolomide, 5-Fluorouracile, Gemcitabine, Oxaliplatin, and gamma-irradiation, some proteins, including p53, are hypo-SUMOylated and thus that the repair of the ADN in cancerous cells is strongly decreased.
Thus, the invention also relates to a combination of an inhibitor of NUPR1 and a genotoxic treatment to decrease the SUMOylation of proteins implicated in the repair of DNA.
In another particular embodiment, the invention relates to an inhibitor of NUPR1 and ii) a genotoxic treatment as a combined preparation for simultaneous, separate or sequential use in the treatment of a cancer in a subject in need thereof.
As used herein, the term “NUPR1”, also known as p8 or Coml denotes a stress- inducible 82-amino-acid-long, intrinsically disordered member of the AT-hook family of chromatin proteins. NUPR1 binds to DNA in a similar manner to other chromatin proteins (Encinar et al, 2001, The Journal of biological chemistry 276, 2742-2751; Grasso et al., 2014, Cell death and differentiation 21, 1633-1641) so as to control the expression of gene targets (Hamidi et al., 2012, The Journal of clinical investigation 122, 2092-2103). At the cellular level, NUPR1 participates in many cancer-associated processes including cell-cycle regulation, apoptosis (Malicet et al., 2006a, Cell cycle 5, 829-830; Malicet et al., 2006b, Proceedings of the National Academy of Sciences of the United States of America 103, 2671-2676), cell migration and invasion (Sandi et al., 2011, Journal of cellular physiology 226, 3442-3451), development of metastases (Ree et al., 2000, Clinical cancer research : an official journal of the American Association for Cancer Research 6, 1778-1783) and DNA repair responses (Gironella et al., 2009, Journal of cellular physiology 221, 594-602). Indeed, NUPR1 has recently elicited
significant attention due to its role in promoting cancer development and progression in the pancreas (Cano et al., 2014, Gut 63, 984-995; Hamidi et al, 2012, The Journal of clinical investigation 122, 2092-2103). Notably, NUPR1 -dependent effects also mediate resistance to anticancer drugs (Giroux et al., 2006, Clinical cancer research: an official journal of the American Association for Cancer Research 12, 235-241; Palam et al, 2015, Cell death & disease 6, el913; Tang et al., 2011, Oncology reports 25, 963-970).
As used herein, the term “a genotoxic treatment” denotes all genotoxic agent or gamma irradiation which can kill cancerous cells and thus treat cancer. According to the invention, a genotoxic treatment or genotoxic agent or gamma irradiation can damage the genetic information that is to say the DNA.
Particularly, the genotoxic agent can be selected in the group consisting in, but not limited to, Temozolomide (TMZ), 5-Fluorouracile (5-FU), Gemcitabine and Oxaliplatin.
As used herein, the terms “gamma radiation” denotes a penetrating electromagnetic radiation arising from the radioactive decay of atomic nuclei. It consists of the shortest wavelength electromagnetic waves and so imparts the highest photon energy. Gamma radiation can be used to treat some types of cancer, since the rays also kill cancer cells. In the procedure called gamma-knife surgery, multiple concentrated beams of gamma rays are directed to the growth in order to kill the cancerous cells. The beams are aimed from different angles to concentrate the radiation on the growth while minimizing damage to surrounding tissues.
In some embodiment, the genotoxic treatment is gamma irradiation, temozolomide (TMZ), 5-fluorouracile (5-FU), gemcitabine, oxaliplatin.
According to the invention, the cancer may be selected in the group consisting of adrenal cortical cancer, anal cancer, bile duct cancer, bladder cancer, bone cancer, brain and central nervous system cancer, breast cancer, Castleman disease, cervical cancer, colorectal cancer, endometrial cancer, esophagus cancer, gallbladder cancer, gastrointestinal carcinoid tumors, Hodgkin's disease, non-Hodgkin's lymphoma, Kaposi's sarcoma, kidney cancer, laryngeal and hypopharyngeal cancer, liver cancer, lung cancer, mesothelioma, plasmacytoma, nasal cavity and paranasal sinus cancer, nasopharyngeal cancer, neuroblastoma, oral cavity and oropharyngeal cancer, ovarian cancer, pancreatic cancer, penile cancer, pituitary cancer, prostate cancer, retinoblastoma, rhabdomyosarcoma, salivary gland cancer, skin cancer, stomach cancer, testicular cancer, thymus cancer, thyroid cancer, vaginal cancer, vulvar cancer, and uterine cancer.
In a particular embodiment, the cancer is a pancreatic cancer, liver cancer, melanoma, colon cancer, glioblastoma, osteosarcoma, prostate cancer and breast cancer.
In another particular embodiment, the cancer is a pancreatic cancer and particularly a Pancreatic Ductal AdenoCarcinoma (PDAC).
As used herein, the term “subject” denotes a mammal, such as a rodent, a feline, a canine, and a primate. Particularly, the subject according to the invention is a human. Particularly, the subject can suffer from a cancer and particularly a pancreatic cancer.
As used herein, the term "treatment" or "treat" refer to both prophylactic or preventive treatment as well as curative or disease modifying treatment, including treatment of subjects at risk of contracting the disease or suspected to have contracted the disease as well as subjects who are ill or have been diagnosed as suffering from a disease or medical condition, and includes suppression of clinical relapse. The treatment may be administered to a subject having a medical disorder or who ultimately may acquire the disorder, in order to prevent, cure, delay the onset of, reduce the severity of, or ameliorate one or more symptoms of a disorder or recurring disorder, or in order to prolong the survival of a subject beyond that expected in the absence of such treatment. By "therapeutic regimen" is meant the pattern of treatment of an illness, e.g., the pattern of dosing used during therapy. A therapeutic regimen may include an induction regimen and a maintenance regimen. The phrase "induction regimen" or "induction period" refers to a therapeutic regimen (or the portion of a therapeutic regimen) that is used for the initial treatment of a disease. The general goal of an induction regimen is to provide a high level of drug to a subject during the initial period of a treatment regimen. An induction regimen may employ (in part or in whole) a "loading regimen", which may include administering a greater dose of the drug than a physician would employ during a maintenance regimen, administering a drug more frequently than a physician would administer the drug during a maintenance regimen, or both. The phrase "maintenance regimen" or "maintenance period" refers to a therapeutic regimen (or the portion of a therapeutic regimen) that is used for the maintenance of a subject during treatment of an illness, e.g., to keep the subject in remission for long periods of time (months or years). A maintenance regimen may employ continuous therapy (e.g., administering a drug at a regular intervals, e.g., weekly, monthly, yearly, etc.) or intermittent therapy (e.g., interrupted treatment, intermittent treatment, treatment at relapse, or treatment upon achievement of a particular predetermined criteria [e.g., disease manifestation, etc.]).
In one embodiment, the inhibitor of NUPR1 according to the invention may be a low molecular weight compound, e. g. a small organic molecule (natural or not).
The term "small organic molecule" refers to a molecule (natural or not) of a size comparable to those organic molecules generally used in pharmaceuticals. The term excludes biological macromolecules (e. g., proteins, nucleic acids, etc.). Preferred small organic molecules range in size up to about 10000 Da, more preferably up to 5000 Da, more preferably up to 2000 Da and most preferably up to about 1000 Da.
R1 represents a linear or branched (C2-C5)alkyl group, optionally substituted with a
-NR3R4 group;
R2 represents a non-bonding pair or a -(CH2)1-5NR3R4 group, wherein when R2 does not represent a non-bonding pair, then the nitrogen atom to which R2 is attached is positively charged; and
R3 and R4 independently represent:
- a hydrogen atom;
- a -OH group;
- a linear or branched (C1-C6)alkyl group, said alkyl group being optionally substituted with one or several substituents chosen from a halogen atom, a -OH group and a -SH group;
- a linear or branched (C1-C6)alkoxy group, said alkoxy group being optionally substituted with one or several substituents chosen from a halogen atom, a -OH group and a - SH group; or
- a -COOH group; or R3 and R4 form, together with the nitrogen atom to which they are attached, a saturated or unsaturated (3- to 6-membered)heterocycle comprising, in addition to the nitrogen atom to which R3 and R4 are attached, 0, 1 or 2 additional heteroatom(s) chosen from a nitrogen atom and an oxygen atom; said heterocycle being optionally substituted with one or several
substituents chosen from a halogen atom, a -OH group, a (=O) group and a linear or branched (C1-C6)alkyl group; and said compound of formula (I) being in all the possible tautomeric and isomeric forms: racemic, enantiomeric and diastereoisomeric, and also as addition salts with inorganic and organic acids or with inorganic and organic bases of the compound of formula (I).
In an embodiment, R1 represents a linear or branched (C2-C5)alkyl group, preferably a linear (C2-C5)alkyl group, in particular a linear (C2-C4)alkyl group and more particularly a - C2H5 group.
In another embodiment, R1 represents a linear or branched (C2-C5)alkyl group substituted with one -NR3R4 group, preferably a linear (C2-C5)alkyl group substituted with one
-NR3R4 group, in particular a linear (C2-C4)alkyl group substituted with one -NR3R4 group and preferably represents a -(C2H4)NR3R4 group.
In a particular embodiment, R1 represents:
- a -C2H5 group; or
- a -(C2H4)NR3R4 group, with R3 and R4 being as defined previously or as further defined here-after.
In another particular embodiment, the inhibitor of NUPR1 is a compound of formula (II):
wherein: n is an integer selected from the group ranging from 1 to 4; and R2, R3 and R4 are as defined previously or as defined here-after. In an embodiment of the invention, n is 1 or 2.
In an embodiment of the invention, n is 1.
In an embodiment, R2 according to formulae (I) or (II) represents a non-bonding pair.
In another embodiment, R2 according to formulae (I) or (II) represents a
-(CH2)1-5NR3R4 group, in particular a -(CH2)2NR3R4 group, R3 and R4 being as defined above.
In a particular embodiment, R2 according to formulae (I) or (II) represents a
-(CH2)2NR3R4 group wherein R3 and R4 independently represent a linear or branched
(C1-C6)alkyl group, preferably a linear (C1-C6)alkyl group and in particular a linear
(C1-C3)alkyl group.
In a particular embodiment, R2 according to formulae (I) or (II) represents a
-(CH2)2NR3R4 group wherein R3 and R4 both represent a -CH3 group.
In an embodiment of the invention, R2 represents a non-bonding pair or a
-(CH2)2N(CH3)2 group.
In every embodiment of the invention where R2 is different from a non-bonding pair, the nitrogen atom to which R2 is attached is positively charged.
In a particular embodiment, R3 and R4 are identical.
In an embodiment of the invention, R3 and R4 of formulae (I) or (II) independently represent a linear or branched (C1-C6)alkyl group or R3 and R4 form, together with the nitrogen atom to which they are attached, a saturated or unsaturated (3- to 6-membered)heterocycle comprising, in addition to the nitrogen atom to which R3 and R4 are attached, 0, 1 or 2 additional heteroatom(s) chosen from a nitrogen atom and an oxygen atom; said heterocycle being optionally substituted with one or several substituents chosen from a halogen atom, a - OH group, a (=O) group and a linear and branched (C1-C6)alkyl group.
In an embodiment of the invention, R3 and R4 independently represent a linear or branched (C1-C6)alkyl group, preferably a linear (C1-C6)alkyl group and in particular a linear (C1-C3)alkyl group. More particularly, R3 and R4 can both represent a -CH3 group or a -C2H5 group, and they preferably both represent a -CH3 group.
In another embodiment, R3 and R4 form, together with the nitrogen atom to which they are attached, a saturated or unsaturated (3- to 6-membered)heterocycle comprising, in addition to the nitrogen atom to which R3 and R4 are attached, 0, 1 or 2 additional heteroatom(s) chosen from a nitrogen atom and an oxygen atom; said heterocycle being optionally substituted with one or several substituents chosen from a halogen atom, a -OH group, a (=O) group and a linear and branched (C1-C6)alkyl group.
In a particular embodiment, said (3- to 6-membered)heterocycle is saturated.
In a particular embodiment, said heterocycle is a 5- or 6-membered heterocycle.
In an embodiment of the invention, said heterocycle comprises, in addition to the nitrogen atom to which R3 and R4 are attached, 0 or 1 additional heteroatom chosen from a nitrogen atom and an oxygen atom. If present, said additional heteroatom can in particular be an oxygen atom.
In particular, R3 and R4 can form, together with the nitrogen atom to which they are attached, a heterocycle selected from the group consisting of:
In a particular embodiment, said heterocycle is not substituted or is substituted with a (=O) group.
In an embodiment of the invention, R3 and R4 independently represent:
- a -(CH3) group; or
- a -(C2H5) group; or form, together with the nitrogen atom to which they are attached, a saturated (5- or 6-membered)heterocycle comprising, in addition to the nitrogen atom to which R3 and R4 are attached, 0 or 1 oxygen atom; said heterocycle being non- substituted or being substituted with a (=O) group.
In a particular embodiment, R3 and R4 independently represent:
- a -(CH3) group; or
- a -(C2H5) group; or form, together with the nitrogen atom to which they are attached, a heterocycle selected from the group consisting of:
In a particular embodiment, R3 and R4 independently represent:
- a -(CH3) group; or
- a -(C2H5) group; or form, together with the nitrogen atom to which they are attached, a heterocycle selected from the group consisting of:
In a particular embodiment, the inhibitor of NUPR1 of the invention is a compound of formula (I) is of formula (II) wherein: n is 1 or 2;
R2 represents a non-bonding pair; and R3 and R4 independently represent:
- a -(CH3) group; or
- a -(C2H5) group; or form, together with the nitrogen atom to which they are attached, a heterocycle selected from the group consisting of:
In a particular embodiment, the inhibitor of NUPR1 of the invention of formula (I) is of formula (II) wherein: n is 1 or 2;
R2 represents a non-bonding pair; and R3 and R4 independently represent:
- a -(CH3) group; or
- a -(C2H5) group; or form, together with the nitrogen atom to which they are attached, a heterocycle selected from the group consisting of:
The inhibitor of NUPR1 of the invention can in particular be selected among the following compounds:
as well as their tautomeric and isomeric forms: racemic, enantiomeric and diastereoisomeric, and also their addition salts with inorganic and organic acids or with inorganic and organic bases.
In a particular embodiment the inhibitor of NUPR1 for use according to the invention is selected from the group consisting of compounds A, B, C, D, F, G, I, J, K, L, M and N, in particular from the group consisting of C, D, F, G, I, J, K, L, M and N, and more particularly from the group consisting of C, I, F, K, L, M, N and D, as well as their tautomeric and isomeric forms: racemic, enantiomeric and diastereoisomeric, and also their addition salts with inorganic and organic acids or with inorganic and organic bases. More particularly the inhibitor of NUPR1 for use according to the invention is selected from the group consisting of compounds C, K, L, M and D, as well as their tautomeric and isomeric forms: racemic, enantiomeric and diastereoisomeric, and also their addition salts with inorganic and organic acids or with inorganic and organic bases.
In a particular embodiment the inhibitor of NUPR1 for use according to the invention is the compound C (call ZZW-115):
In one embodiment, the antibody according to the invention is a single domain. In another embodiment, the antibody according to the invention is a single domain antibody against NUPR1. The term “single domain antibody” (sdAb) or " VHH" refers to the single heavy chain variable domain of antibodies of the type that can be found in Camelid mammals which are naturally devoid of light chains. Such VHH are also called “nanobody®”. According to the invention, sdAb can particularly be llama sdAb. The term “VHH” refers to the single heavy chain having 3 complementarity determining regions (CDRs): CDR1, CDR2 and CDR3. The term “complementarity determining region” or “CDR” refers to the hypervariable amino acid sequences which define the binding affinity and specificity of the VHH.
The VHH according to the invention can readily be prepared by an ordinarily skilled artisan using routine experimentation. The VHH variants and modified form thereof may be produced under any known technique in the art such as in-vitro maturation.
VHHs or sdAbs are usually generated by PCR cloning of the V-domain repertoire from blood, lymph node, or spleen cDNA obtained from immunized animals into a phage display vector, such as pHEN2. Antigen-specific VHHs are commonly selected by panning phage libraries on immobilized antigen, e.g., antigen coated onto the plastic surface of a test tube, biotinylated antigens immobilized on streptavidin beads, or membrane proteins expressed on the surface of cells. However, such VHHs often show lower affinities for their antigen than VHHs derived from animals that have received several immunizations. The high affinity of VHHs from immune libraries is attributed to the natural selection of variant VHHs during clonal expansion of B-cells in the lymphoid organs of immunized animals. The affinity of VHHs from non-immune libraries can often be improved by mimicking this strategy in vitro, i.e., by site directed mutagenesis of the CDR regions and further rounds of panning on immobilized antigen under conditions of increased stringency (higher temperature, high or low salt concentration, high or low pH, and low antigen concentrations). VHHs derived from camelid are readily expressed in and purified from the E. coli periplasm at much higher levels than the corresponding domains of conventional antibodies. VHHs generally display high solubility and
stability and can also be readily produced in yeast, plant, and mammalian cells. For example, the “Hamers patents” describe methods and techniques for generating VHH against any desired target (see for example US 5,800,988; US 5,874, 541 and US 6,015,695). The “Hamers patents” more particularly describe production of VHHs in bacterial hosts such as E. coli (see for example US 6,765,087) and in lower eukaryotic hosts such as moulds (for example Aspergillus or Trichoderma) or in yeast (for example Saccharomyces, Kluyveromyces, Hansenula or Pichia) (see for example US 6,838,254).
In one embodiment, the compound according to the invention is an aptamer. Aptamers are a class of molecule that represents an alternative to antibodies in term of molecular recognition. Aptamers are oligonucleotide or oligopeptide sequences with the capacity to recognize virtually any class of target molecules with high affinity and specificity. Such ligands may be isolated through Systematic Evolution of Ligands by Exponential enrichment (SELEX) of a random sequence library, as described in Tuerk C. and Gold L., 1990. The random sequence library is obtainable by combinatorial chemical synthesis of DNA. In this library, each member is a linear oligomer, eventually chemically modified, of a unique sequence. Possible modifications, uses and advantages of this class of molecules have been reviewed in Jayasena S.D., 1999. Peptide aptamers consists of a conformationally constrained antibody variable region displayed by a platform protein, such as E. coli Thioredoxin A that are selected from combinatorial libraries by two hybrid methods (Colas et al., 1996).
Then, for this invention, neutralizing aptamers ofNUPR1 are selected.
In one embodiment, the compound according to the invention is a polypeptide.
In a particular embodiment the polypeptide is an antagonist ofNUPR1 and is capable to prevent the function ofNUPR1 for example its ability to bind to the DNA. Particularly, the polypeptide can be a mutated version ofNUPR1 or a similar protein without the function of NUPR1.
In one embodiment, the polypeptide of the invention may be linked to a cell-penetrating peptide” to allow the penetration of the polypeptide in the cell.
The term “cell-penetrating peptides” are well known in the art and refers to cell permeable sequence or membranous penetrating sequence such as penetratin, TAT mitochondrial penetrating sequence and compounds (Bechara and Sagan, 2013; Jones and Sayers, 2012; Khafagy el and Morishita, 2012; Malhi and Murthy, 2012).
The polypeptides of the invention may be produced by any suitable means, as will be apparent to those of skill in the art. In order to produce sufficient amounts of polypeptide or functional equivalents thereof for use in accordance with the present invention, expression may
conveniently be achieved by culturing under appropriate conditions recombinant host cells containing the polypeptide of the invention. Preferably, the polypeptide is produced by recombinant means, by expression from an encoding nucleic acid molecule. Systems for cloning and expression of a polypeptide in a variety of different host cells are well known.
When expressed in recombinant form, the polypeptide is preferably generated by expression from an encoding nucleic acid in a host cell. Any host cell may be used, depending upon the individual requirements of a particular system. Suitable host cells include bacteria mammalian cells, plant cells, yeast and baculovirus systems. Mammalian cell lines available in the art for expression of a heterologous polypeptide include Chinese hamster ovary cells. HeLa cells, baby hamster kidney cells and many others. Bacteria are also preferred hosts for the production of recombinant protein, due to the ease with which bacteria may be manipulated and grown. A common, preferred bacterial host is E coli.
In specific embodiments, it is contemplated that polypeptides used in the therapeutic methods of the present invention may be modified in order to improve their therapeutic efficacy. Such modification of therapeutic compounds may be used to decrease toxicity, increase circulatory time, or modify biodistribution. For example, the toxicity of potentially important therapeutic compounds can be decreased significantly by combination with a variety of drug carrier vehicles that modify biodistribution. In example adding dipeptides can improve the penetration of a circulating agent in the eye through the blood retinal barrier by using endogenous transporters.
A strategy for improving drug viability is the utilization of water-soluble polymers. Various water-soluble polymers have been shown to modify biodistribution, improve the mode of cellular uptake, change the permeability through physiological barriers; and modify the rate of clearance from the body. To achieve either a targeting or sustained-release effect, water- soluble polymers have been synthesized that contain drug moieties as terminal groups, as part of the backbone, or as pendent groups on the polymer chain.
Polyethylene glycol (PEG) has been widely used as a drug carrier, given its high degree of biocompatibility and ease of modification. Attachment to various drugs, proteins, and liposomes has been shown to improve residence time and decrease toxicity. PEG can be coupled to active agents through the hydroxyl groups at the ends of the chain and via other chemical methods; however, PEG itself is limited to at most two active agents per molecule. In a different approach, copolymers of PEG and amino acids were explored as novel biomaterials which would retain the biocompatibility properties of PEG, but which would have the added advantage
of numerous attachment points per molecule (providing greater drug loading), and which could be synthetically designed to suit a variety of applications.
Those of skill in the art are aware of PEGylation techniques for the effective modification of drugs. For example, drug delivery polymers that consist of alternating polymers of PEG and tri-functional monomers such as lysine have been used by VectraMed (Plainsboro, N. J.). The PEG chains (typically 2000 daltons or less) are linked to the a- and e-amino groups of lysine through stable urethane linkages. Such copolymers retain the desirable properties of PEG, while providing reactive pendent groups (the carboxylic acid groups of lysine) at strictly controlled and predetermined intervals along the polymer chain. The reactive pendent groups can be used for derivatization, cross-linking, or conjugation with other molecules. These polymers are useful in producing stable, long-circulating pro-drugs by varying the molecular weight of the polymer, the molecular weight of the PEG segments, and the cleavable linkage between the drug and the polymer. The molecular weight of the PEG segments affects the spacing of the drug/linking group complex and the amount of drug per molecular weight of conjugate (smaller PEG segments provides greater drug loading). In general, increasing the overall molecular weight of the block co-polymer conjugate will increase the circulatory half- life of the conjugate. Nevertheless, the conjugate must either be readily degradable or have a molecular weight below the threshold-limiting glomular filtration (e.g., less than 60 kDa).
In addition, to the polymer backbone being important in maintaining circulatory half- life, and biodistribution, linkers may be used to maintain the therapeutic agent in a pro-drug form until released from the backbone polymer by a specific trigger, typically enzyme activity in the targeted tissue. For example, this type of tissue activated drug delivery is particularly useful where delivery to a specific site of biodistribution is required and the therapeutic agent is released at or near the site of pathology. Linking group libraries for use in activated drug delivery are known to those of skill in the art and may be based on enzyme kinetics, prevalence of active enzyme, and cleavage specificity of the selected disease-specific enzymes. Such linkers may be used in modifying the protein or fragment of the protein described herein for therapeutic delivery.
In another embodiment, the NUPR1 inhibitor according to the invention is an inhibitor of NUPR1 gene expression.
Small inhibitory RNAs (siRNAs) can also function as inhibitors of NUPR1 expression for use in the present invention. NUPR1 gene expression can be reduced by contacting a subject or cell with a small double stranded RNA (dsRNA), or a vector or construct causing the production of a small double stranded RNA, such that NUPR1 gene expression is specifically
inhibited (i.e. RNA interference or RNAi). Methods for selecting an appropriate dsRNA or dsRNA-encoding vector are well known in the art for genes whose sequence is known (e.g. see for example Tuschl, T. et al. (1999); Elbashir, S. M. et al. (2001); Hannon, GJ. (2002); McManus, MT. et al. (2002); Brummelkamp, TR. et al. (2002); U.S. Pat. Nos. 6,573,099 and 6,506,559; and International Patent Publication Nos. WO 01/36646, WO 99/32619, and WO 01/68836).
Ribozymes can also function as inhibitors of NUPR1 gene expression for use in the present invention. Ribozymes are enzymatic RNA molecules capable of catalyzing the specific cleavage of RNA. The mechanism of ribozyme action involves sequence specific hybridization of the ribozyme molecule to complementary target RNA, followed by endonucleolytic cleavage. Engineered hairpin or hammerhead motif ribozyme molecules that specifically and efficiently catalyze endonucleolytic cleavage of NUPR1 mRNA sequences are thereby useful within the scope of the present invention. Specific ribozyme cleavage sites within any potential RNA target are initially identified by scanning the target molecule for ribozyme cleavage sites, which typically include the following sequences, GUA, GUU, and GUC. Once identified, short RNA sequences of between about 15 and 20 ribonucleotides corresponding to the region of the target gene containing the cleavage site can be evaluated for predicted structural features, such as secondary structure, that can render the oligonucleotide sequence unsuitable. The suitability of candidate targets can also be evaluated by testing their accessibility to hybridization with complementary oligonucleotides, using, e.g., ribonuclease protection assays.
Both antisense oligonucleotides and ribozymes useful as inhibitors of NUPR1 gene expression can be prepared by known methods. These include techniques for chemical synthesis such as, e.g., by solid phase phosphoramadite chemical synthesis. Alternatively, anti-sense RNA molecules can be generated by in vitro or in vivo transcription of DNA sequences encoding the RNA molecule. Such DNA sequences can be incorporated into a wide variety of vectors that incorporate suitable RNA polymerase promoters such as the T7 or SP6 polymerase promoters. Various modifications to the oligonucleotides of the invention can be introduced as a means of increasing intracellular stability and half-life. Possible modifications include but are not limited to the addition of flanking sequences of ribonucleotides or deoxyribonucleotides to the 5' and/or 3' ends of the molecule, or the use of phosphorothioate or 2'-0-methyl rather than phosphodiesterase linkages within the oligonucleotide backbone.
Antisense oligonucleotides siRNAs and ribozymes of the invention may be delivered in vivo alone or in association with a vector. In its broadest sense, a "vector" is any vehicle capable of facilitating the transfer of the antisense oligonucleotide siRNA or ribozyme nucleic acid to
the cells and preferably cells expressing NUPR1 ligands. Preferably, the vector transports the nucleic acid to cells with reduced degradation relative to the extent of degradation that would result in the absence of the vector. In general, the vectors useful in the invention include, but are not limited to, plasmids, phagemids, viruses, other vehicles derived from viral or bacterial sources that have been manipulated by the insertion or incorporation of the antisense oligonucleotide siRNA or ribozyme nucleic acid sequences. Viral vectors are a preferred type of vector and include, but are not limited to nucleic acid sequences from the following viruses: retrovirus, such as moloney murine leukemia virus, harvey murine sarcoma virus, murine mammary tumor virus, and rouse sarcoma virus; adenovirus, adeno-associated virus; SV40- type viruses; polyoma viruses; Epstein-Barr viruses; papilloma viruses; herpes virus; vaccinia virus; polio virus; and RNA virus such as a retrovirus. One can readily employ other vectors not named but known to the art.
Preferred viral vectors are based on non-cytopathic eukaryotic viruses in which non- essential genes have been replaced with the gene of interest. Non-cytopathic viruses include retroviruses (e.g., lentivirus), the life cycle of which involves reverse transcription of genomic viral RNA into DNA with subsequent proviral integration into host cellular DNA. Retroviruses have been approved for human gene therapy trials. Most useful are those retroviruses that are replication-deficient (i.e., capable of directing synthesis of the desired proteins, but incapable of manufacturing an infectious particle). Such genetically altered retroviral expression vectors have general utility for the high-efficiency transduction of genes in vivo. Standard protocols for producing replication-deficient retroviruses (including the steps of incorporation of exogenous genetic material into a plasmid, transfection of a packaging cell lined with plasmid, production of recombinant retroviruses by the packaging cell line, collection of viral particles from tissue culture media, and infection of the target cells with viral particles) are provided in Kriegler, 1990 and in Murry, 1991).
Preferred viruses for certain applications are the adeno-viruses and adeno-associated viruses, which are double-stranded DNA viruses that have already been approved for human use in gene therapy. The adeno-associated virus can be engineered to be replication deficient and is capable of infecting a wide range of cell types and species. It further has advantages such as, heat and lipid solvent stability; high transduction frequencies in cells of diverse lineages, including hemopoietic cells; and lack of superinfection inhibition thus allowing multiple series of transductions. Reportedly, the adeno-associated virus can integrate into human cellular DNA in a site-specific manner, thereby minimizing the possibility of insertional mutagenesis and variability of inserted gene expression characteristic of retroviral infection. In addition, wild-
type adeno-associated vims infections have been followed in tissue culture for greater than 100 passages in the absence of selective pressure, implying that the adeno-associated vims genomic integration is a relatively stable event. The adeno-associated vims can also function in an extrachromosomal fashion.
Other vectors include plasmid vectors. Plasmid vectors have been extensively described in the art and are well known to those of skill in the art. See e.g. Sambrook et al, 1989. In the last few years, plasmid vectors have been used as DNA vaccines for delivering antigen- encoding genes to cells in vivo. They are particularly advantageous for this because they do not have the same safety concerns as with many of the viral vectors. These plasmids, however, having a promoter compatible with the host cell, can express a peptide from a gene operatively encoded within the plasmid. Some commonly used plasmids include pBR322, pUC18, pUC19, pRC/CMV, SV40, and pBlueScript. Other plasmids are well known to those of ordinary skill in the art. Additionally, plasmids may be custom designed using restriction enzymes and ligation reactions to remove and add specific fragments of DNA. Plasmids may be delivered by a variety of parenteral, mucosal and topical routes. For example, the DNA plasmid can be injected by intramuscular, eye, intradermal, subcutaneous, or other routes. It may also be administered by intranasal sprays or drops, rectal suppository and orally. It may also be administered into the epidermis or a mucosal surface using a gene-gun. The plasmids may be given in an aqueous solution, dried onto gold particles or in association with another DNA delivery system including but not limited to liposomes, dendrimers, cochleate and mi croencap sul ati on.
In a particular embodiment, the antisense oligonucleotide, siRNA, shRNA or ribozyme nucleic acid sequence is under the control of a heterologous regulatory region, e.g., a heterologous promoter. The promoter may be specific for Muller glial cells, microglia cells, endothelial cells, pericyte cells and astrocytes For example, a specific expression in Muller glial cells may be obtained through the promoter of the glutamine synthetase gene is suitable. The promoter can also be, e.g., a viral promoter, such as CMV promoter or any synthetic promoters.
In order to test the functionality of a putative NUPR1 inhibitor a test is necessary. For that purpose, to identify NUPR1 inhibitor simple tests can be done. NUPR1 can be inactivated by 1/ downregulation of its expression; 2/ inhibition of its nuclear translocation, 3/ inhibition of its interaction with its molecular partners. 1/ Downregulation of its expression can be evaluated by measuring the mRNA level by RTq-PCR using specific primers or at the protein level by western blot or an ELISA on the cellular or tissue extracts using specific antibodies against NUPR1. 2/ NUPR1 is a protein of nuclear localization and its activity can be inhibited
by inhibiting its nuclear translocation. Therefore its translocation can be measured by immunocytochemistry or immunofluorescence using specific antibodies against NUPR1. 3/ NUPR1 binds to several partners including PTMA, MSL1 and C-terminal region of Poly comb RING1B proteins by its Ala33 and Thr68 residues inducing structural changes. These interactions can be measured by several biophysical approaches such as Circular Dichroism (CD), RMN, Fluorescence Spectroscopies, etc. Inhibitors of these interactions can be studied by performing competition experiments in which increased amounts of the inhibitor candidates are expected to displace progressively the interaction of NUPR1 with its partners.
In a particular embodiment, the invention also relates to a method for treating a cancer comprising administering to a subject in need thereof a combination of an inhibitor of NUPR1 and a genotoxic treatment.
Therapeutic composition
Another object of the invention relates to a therapeutic composition comprising an inhibitor of NUPR1 and a genotoxic treatment for use in the treatment of cancer in a subject in need thereof.
In the pharmaceutical composition according to the invention, the compounds of formula (I) can be identical or can be a mixture of different compounds of formula (I).
Any therapeutic agent of the invention may be combined with pharmaceutically acceptable excipients, and optionally sustained-release matrices, such as biodegradable polymers, to form therapeutic compositions.
"Pharmaceutically" or "pharmaceutically acceptable" refers to molecular entities and compositions that do not produce an adverse, allergic or other untoward reaction when administered to a mammal, especially a human, as appropriate. A pharmaceutically acceptable carrier or excipient refers to a non-toxic solid, semi-solid or liquid filler, diluent, encapsulating material or formulation auxiliary of any type.
The form of the pharmaceutical compositions, the route of administration, the dosage and the regimen naturally depend upon the condition to be treated, the severity of the illness, the age, weight, and sex of the subject, etc.
The pharmaceutical compositions of the invention can be formulated for a topical, oral, intranasal, parenteral, intraocular, intravenous, intramuscular or subcutaneous administration and the like.
Preferably, the pharmaceutical compositions contain vehicles which are pharmaceutically acceptable for a formulation capable of being injected. These may be in
particular isotonic, sterile, saline solutions (monosodium or disodium phosphate, sodium, potassium, calcium or magnesium chloride and the like or mixtures of such salts), or dry, especially freeze-dried compositions which upon addition, depending on the case, of sterilized water or physiological saline, permit the constitution of injectable solutions.
The doses used for the administration can be adapted as a function of various parameters, and in particular as a function of the mode of administration used, of the relevant pathology, or alternatively of the desired duration of treatment.
In addition, other pharmaceutically acceptable forms include, e.g. tablets or other solids for oral administration; time release capsules; and any other form currently can be used.
Pharmaceutical compositions of the present invention may comprise a further therapeutic active agent. The present invention also relates to a kit comprising an agonist, antagonist or inhibitor of the expression according to the invention and a further therapeutic active agent.
For example, anti-cancer agents may be added to the pharmaceutical composition as described below.
Anti-cancer agents may be Melphalan, Vincristine (Oncovin), Cyclophosphamide (Cytoxan), Etoposide (VP- 16), Doxorubicin (Adriamycin), Liposomal doxorubicin (Doxil) and Bendamustine (Treanda).
Others anti-cancer agents may be for example cytarabine, anthracyclines, fludarabine, gemcitabine, capecitabine, methotrexate, taxol, taxotere, mercaptopurine, thioguanine, hydroxyurea, cyclophosphamide, ifosfamide, nitrosoureas, platinum complexes such as cisplatin, carboplatin and oxaliplatin, mitomycin, dacarbazine, procarbizine, etoposide, teniposide, campathecins, bleomycin, doxorubicin, idarubicin, daunorubicin, dactinomycin, plicamycin, mitoxantrone, L-asparaginase, doxorubicin, epimbicm, 5-fluorouracil, taxanes such as docetaxel and paclitaxel, leucovorin, levamisole, irinotecan, estramustine, etoposide, nitrogen mustards, BCNU, nitrosoureas such as carmustme and lomustine, vinca alkaloids such as vinblastine, vincristine and vinorelbine, imatimb mesylate, hexamethyhnelamine, topotecan, kinase inhibitors, phosphatase inhibitors, ATPase inhibitors, tyrphostins, protease inhibitors, inhibitors herbimycm A, genistein, erbstatin, and lavendustin A. In one embodiment, additional anticancer agents may be selected from, but are not limited to, one or a combination of the following class of agents: alkylating agents, plant alkaloids, DNA topoisomerase inhibitors, anti-folates, pyrimidine analogs, purine analogs, DNA antimetabolites, taxanes, podophyllotoxin, hormonal therapies, retinoids, photosensitizers or photodynamic therapies,
angiogenesis inhibitors, antimitotic agents, isoprenylation inhibitors, cell cycle inhibitors, actinomycins, bleomycins, MDR inhibitors and Ca2+ ATPase inhibitors.
Additional anti-cancer agents may be selected from, but are not limited to, cytokines, chemokines, growth factors, growth inhibitory factors, hormones, soluble receptors, decoy receptors, monoclonal or polyclonal antibodies, mono-specific, bi-specific or multi-specific antibodies, monobodies, polybodies.
Additional anti-cancer agent may be selected from, but are not limited to, growth or hematopoietic factors such as erythropoietin and thrombopoietin, and growth factor mimetics thereof.
In the present methods for treating cancer the further therapeutic active agent can be an antiemetic agent. Suitable antiemetic agents include, but are not limited to, metoclopromide, domperidone, prochlorperazine, promethazine, chlorpromazine, trimethobenzamide, ondansetron, granisetron, hydroxyzine, acethylleucine monoemanolamine, alizapride, azasetron, benzquinamide, bietanautine, bromopride, buclizine, clebopride, cyclizine, dunenhydrinate, diphenidol, dolasetron, meclizme, methallatal, metopimazine, nabilone, oxypemdyl, pipamazine, scopolamine, sulpiride, tetrahydrocannabinol s, thiefhylperazine, thioproperazine and tropisetron. In a preferred embodiment, the antiemetic agent is granisetron or ondansetron.
In another embodiment, the further therapeutic active agent can be an hematopoietic colony stimulating factor. Suitable hematopoietic colony stimulating factors include, but are not limited to, filgrastim, sargramostim, molgramostim and epoietin alpha.
In still another embodiment, the other therapeutic active agent can be an opioid or non- opioid analgesic agent. Suitable opioid analgesic agents include, but are not limited to, morphine, heroin, hydromorphone, hydrocodone, oxymorphone, oxycodone, metopon, apomorphine, nomioiphine, etoipbine, buprenorphine, mepeddine, lopermide, anileddine, ethoheptazine, piminidine, betaprodine, diphenoxylate, fentanil, sufentanil, alfentanil, remifentanil, levorphanol, dextromethorphan, phenazodne, pemazocine, cyclazocine, methadone, isomethadone and propoxyphene. Suitable non-opioid analgesic agents include, but are not limited to, aspirin, celecoxib, rofecoxib, diclofmac, diflusinal, etodolac, fenoprofen, flurbiprofen, ibuprofen, ketoprofen, indomethacin, ketorolac, meclofenamate, mefanamic acid, nabumetone, naproxen, piroxicam and sulindac.
In yet another embodiment, the further therapeutic active agent can be an anxiolytic agent. Suitable anxiolytic agents include, but are not limited to, buspirone, and benzodiazepines
such as diazepam, lorazepam, oxazapam, chlorazepate, clonazepam, chlordiazepoxide and alprazolam.
In yet another embodiment, the further therapeutic active agent can be a checkpoint blockade cancer immunotherapy agent.
Typically, the checkpoint blockade cancer immunotherapy agent is an agent which blocks an immunosuppressive receptor expressed by activated T lymphocytes, such as cytotoxic T lymphocyte-associated protein 4 (CTLA4) and programmed cell death 1 (PDCD1, best known as PD-1), or by NK cells, like various members of the killer cell immunoglobulin- like receptor (KIR) family, or an agent which blocks the principal ligands of these receptors, such as PD-1 ligand CD274 (best known as PD-L1 or B7-H1).
Typically, the checkpoint blockade cancer immunotherapy agent is an antibody.
In some embodiments, the checkpoint blockade cancer immunotherapy agent is an antibody selected from the group consisting of anti-CTLA4 antibodies, anti-PDl antibodies, anti-PDLl antibodies, anti-PDL2 antibodies, anti-TIM-3 antibodies, anti-LAG3 antibodies, anti-IDOl antibodies, anti-TIGIT antibodies, anti-B7H3 antibodies, anti-B7H4 antibodies, anti- BTLA antibodies, and anti-B7H6 antibodies.
The invention will be further illustrated by the following figures and examples. However, these examples and figures should not be interpreted in any way as limiting the scope of the present invention.
FIGURES:
Figure 1: NUPR1 inhibition by ZZW-115 potentiated the efficacy of genotoxic agents. The efficacy of different genotoxic agents to generate DNA breaks within different cancer cell lines and the boosting effect of ZZW-115 was evaluated by γH2AC immunofluorescence staining. A: U87 cells (the top part); U251 cells (the lower part); B: U87 cells (the top part); AOIPC cells (the lower part); C: AOIPC cells; D: HT29 cells (the top part); AOIPC (the middle part), MiaPaCa2 cells (the lower part); E: AOIPC cells; F: Hep2G cells. Quantifications of three independent experiments were used to evaluate the statistical significance and they are shown as graphics, p-value < 0.05 *; 0.001 ***; 0.0001 **** (one- way ANOVA, Tukey’s post hoc test). Data represent mean ± SEM, n = 3. Sorafenib was used as negative control since it does not induced DNA-damage. TMZ: Temozolomide; 5-FU: 5- Fluorouracile. U87 and U251: glioblastoma cells; AOIPC: PD AC patient derived cells; HT29: colon carcinoma; MiaPaCa-2: PD AC cell line; HepG2: hepatocarcinoma.
Figure 2: ZZW-115 strongly potentiated the anti-tumoral activity of genotoxic agents in vivo. CAnN.Cg-Foxn1nu/Crl BALB/c nude mice xenografted with U87-red cells were separated into 4 groups of 6 mice and treated daily for 21 days with 0.5% DMSO in physiologic serum (control group), 5 mg/kg TMZ, 2.5 mg/kg ZZW-115 or 5 mg/kg TMZ in combination with 2.5 mg/kg ZZW-115. Tumor volume was measured every 3 days. Individual volume of each mouse (A) and mean of the volume of each treatment (B) are shown. For each treatment, statistical significance is *p < 0.05 and ***p < 0.001 (one-way ANOVA, Tukey’s post hoc test).
Figure 3: NUPR1 improved SUMOylation levels in vitro. (A, B) Western blot of in vitro SUMOylation by SUMO1 (A) or SUMO2/3 (B) of RanGAPl was performed with no treatment or in the presence of recombinant wild-type rNUPR1, Thr68Gln and Ala33Gln/Thr68Gln rNUPR1 mutants, and wild-type rNUPR1 in presence of ZZW-115. (C, D) Western blot analysis of in vitro SUMOylation by SUMO1 (C) or SUMO2/3 (D) of p53 was performed with no treatment or in the presence of recombinant NUPR1. Statistical significance: **p < 0.01 compared with no treatment (one-way ANOVA, Tukey’s post hoc test). N.S. stands for no significant. Data represent mean ± SEM, n = 4.
Figure 4: MiaPaCa-2 cells expressing 6His-Flag-SUMO1 or GFP as control were treated with 10 μM 5-FU and 1.5 μM ZZW-115, alone or in combination, for 12 hours. Cells were then solubilized in fully denaturing lysis buffer containing 6M Guanidine HCL and an equal amount of protein was subjected to 6His purification using Nickel matrix following a standard protocol. Purified SUMOylated proteins were loaded on SDS-PAGE then transfer onto nitrocellulose membrane the upper part of which was immunoblotted with an anti-MREl l antibody in order to detect sumoylated MRE11 or TP53. The lower part was immunoblotted with anti-Flag antibody in order to verify the equal amount of purified material. Lane 1: GFP non treated, lane 2: GFP treated 5-FU, lane 3: GFP treated 5-FU + ZZW-115, lane 4: GFP treated ZZW-115, lane 5: 6His-SUMO1 untreated, lane 6: 6His-SUMO1 treated 5-FU, lane 7: 6His- SUMO1 treated 5-FU + ZZW115, lane 8: 6His-SUMO1 treated ZZW-115. Sumoylated forms of MREl 1 and TP53 were quantified and expressed as fold changes relative to untreated cells.
EXAMPLE: Material & Methods
Flag-NUPR1 co-immunoprecipitation
MiaPaCa-2 cells, expressing Flag-NUPR1 or Flag-GFP, were plated in 10 cm2 dishes. When MiaPaCa-2 cells expressing Flag-NUPR1 or Flag-GFP reached 70% confluence were lysed on ice by using HEPES based lysis buffer containing 10 mM NEM (N-Ethylmaleimide, Sigma 04259) and a proteases inhibitor cocktail (1:200) (Sigma P8340). Lysates were centrifuged for 10 min at 14000 rpm at 4°C. Protein concentration of the supernatant was determined by using Protein Assay (Bio-Rad), and equal amounts of total protein were used to incubate with 30 μl of anti-Flag M2 coated beads under rotation for 2 h at 4°C. Beads were then washed three times with cold lysis buffer and proteins were eluted using 250 μl ammonium hydrogen carbonate buffer containing 0.1 μg/μl of Flag peptide for 90 min at 4°C while rotating. After a short spin, the supernatant was recovered by using a Hamilton syringe. Protein samples were then concentrated by using Amicon Ultra-0.5 centrifugal filter devices (Millipore) according to manufacturer’s instructions. Eluted proteins were collected and analyzed by mass spectrometry.
Lentiviral infection of MiaPaCa-2 cells with 6His-Flag-ubiquitin like constructs
A tandem 6His and Flag tag was introduced into empty pCCL-WPS-mPGK lentiviral vector, at the 5’ end of the multi-cloning sites portion, to produce the pCCL-6HF vector. The full-length cDNA for human Ubiquitin, Nedd8, and SUMO1, were subcloned into this vector using Smal and EcoRV restriction sites for Ubiquitin, BamHI and EcoRV for Nedd8, and BamHI for SUMO1. Each plasmid was verified by DNA sequencing. Lentiviral particles were generated by transfecting 293T cells with a mix of 1/3 pCCL construct (Ub, Nedd8, SUMO1, or GFP), 1/3 delta Helper (carries sequence necessary for viral assembly of lentivirus) and 1/3 pVsVg (expresses the vesicular stomatitis virus envelop glycoprotein G pseudotype), using Lipofectamine reagent (Invitrogen) and following manufacturer’s recommendations. After 24 h post transfection, the medium was changed with a fresh one. After another 24 h, medium was changed again and viruses contained in the medium were collected, filtered through a 0.2 μm filter, and added on 40% confluent MiaPaCa2 cells seeded in 25 cm2 flasks. This step was repeated 24 h later to perform a second infection. Five days after infection, expression of GFP was verified by fluorescence microscopy and Ubiquitin, Nedd8, and SUMO1 expression controlled by western blot.
Two-Step Purification of 6His-Flag-Ubiquitim -Nedd8. and -SUMO1 Conjugates
MiaPaCa-2 cells expressing the 6His-Flag-ubiquitin-like constructs or GFP were seeded in 150 mm dishes, at 106 cells per dish, and when they reached 70% confluence were treated with 5-FU or ZZW-115 or the combination of both drugs for 12 h. Then, approximately 100 (MiaPaCa-2-6His-Flag-ubiquitin and -SUMO1) or 150 mg (MiaPaCa-2-6His-Flag-Nedd8) of
proteins were used to isolate modified substrates. For each dish of MiaPaCa-2 cells with different treatment conditions, 2 mL of buffer 1 (6 M guanidinium chloride, 0.1 M Na2HP04/ NaH2P04, pH 8.0 plus 0.5% Triton X-100) were added directly to the cell monolayer. Lysates were sonicated three times for 30 s with a 1 min break between pulses, to reduce viscosity. Protein concentration was measured in untreated and treated samples by using Protein- Assay (Bio-Rad), and Ni2+-NTA agarose resin (Qiagen) was added with a ratio of 2 μL of resin for 1 mg of proteins. Samples were rotated at room temperature for 2 h 30 min, and beads were then washed once with 1 mL of buffer 1 and twice with 1 mL of prechilled buffer 2 (50 mM NaH2P04, 150 mM NaCl, 1% Tween20, 5% glycerol, pH 8.0) plus 10 mM imidazole. Purified proteins were eluted for 2 h at 4°C in 600 μL of buffer 2 plus 250 mM imidazole. Eluted proteins were then incubated with 50 μL of anti-flag M2 agarose beads (Sigma) and rotated at 4 °C for 2 h 30 min. Beads were then washed twice with 500 μL of pre-chilled buffer 2. Purified proteins were eluted in 100 μL of buffer 2 containing 0.1 μg/μL of Flag peptide by rotating at 4°C for 1 h 30 min. Eluted proteins were collected and analyzed by mass spectrometry.
Mass Spectrometry Analysis
Protein extracts were loaded on NuPAGE 4-12% Bis-Tris acrylamide gels according to the manufacturer’s instructions (Invitrogen). Running was stopped as soon as proteins stacked in a single band. Protein-containing bands were stained with Imperial Blue (Pierce), cut from the gel, and digested with high-sequencing-grade trypsin (Promega, Madison, WI) before mass spectrometry analysis according to Shevchenko et al. (Shevchenko et al., 1996). Mass spectrometry analysis was carried out by LC-MS/MS using an LTQ-Velos-Orbitrap or a Q Exactive Plus Hybrid Quadrupole-Orbitrap (Thermo Electron, Bremen, Germany) online with a nanoLC Ultimate3000RSLC chromatography system (Dionex, Sunnyvale, CA). Five microliters corresponding to 1/5 of the whole sample were injected in triplicate on the system. After sample preconcentration and washing on a Dionex Acclaim PepMap 100 C18 column (2 cm x 100 μm i.d. 100 Å, 5 μm particle size), peptides were separated on a Dionex Acclaim PepMap RSLC C18 column (15 cm x 75 μm i.d., 100 Å, 2 μm particle size) at a flow rate of 300 nL/min, a two-step linear gradient (4-20% acetonitrile/H2O; 0.1% formic acid for 90 min and 20-45% acetonitrile/H2O; 0.1% formic acid for 30 min). For peptides ionization in the nanospray source, voltage was set at 1.9 kV and the capillary temperature at 275 °C. All samples were measured in a data-dependent acquisition mode. Each experiment was preceded by a blank run to monitor system background. The peptide masses were measured in the LTQ-velos- orbitrap in a survey full scan (scan range 300-1700 m/z, with 30 K FWHM resolution at m/z = 400, target AGC value of 1.00 x 106, and maximum injection time of 200 ms). In parallel to
the high-resolution full scan in the Orbitrap, the data dependent CID scans of the 10 most intense precursor ions were fragmented and measured in the linear ion trap (normalized collision energy of 35%, activation time of 10 ms, target AGC value of 1 x 104, maximum injection time 100 ms, and isolation window 2 Da). Parent masses obtained in Orbitrap analyzer were automatically calibrated on 445.1200 locked mass. Dynamic exclusion was implemented with a repeat count of 1 and exclusion time of 30 s.
In the Q Exactive Plus Hybrid Quadrupole-Orbitrap, the peptide masses were measured in a survey full scan (scan range 375-1500 m/z, with 70 K FWHM resolution at m/z=400, target AGC value of 3.00 x 106 and maximum injection time of 100 ms). Following the high- resolution full scan in the Orbitrap, the 10 most intense data-dependent precursor ions were successively fragmented in higher energy collisional dissociation (HCD) cell and measured in Orbitrap (normalized collision energy of 25 %, activation time of 10 ms, target AGC value of 1.00 x 103, intensity threshold 1.00 x 104 maximum injection time 100 ms, isolation window 2 m/z, 17.5 K FWHM resolution, scan range 200 to 2000 m/z). Dynamic exclusion was implemented with a repeat count of 1 and exclusion time of 20 s.
Mass Spectrometry Data Analysis
Raw files generated from mass spectrometry analysis were processed using Proteome Discoverer 1.4.1.14 (Thermo Fisher Scientific). This software was used to search data via in- house Mascot server (version 2.3.0; Matrix Science, London, U.K.) against the Human database subset of the SwissProt database (version 2017.03, 20184 human entries). A database search was done by using the following settings: a maximum of two trypsin miscleavage allowed, methionine oxidation and protein N-acetylation as dynamic modifications, and cysteine carbamido-methylation as fixed modification. A peptide mass tolerance of 6 ppm and a fragment mass tolerance of 0.8 Da were allowed for search analysis. Only peptide identified with a FDR < 1% were used for protein identification.
Protein expression
NUPR1 was expressed and purified as described (Santofimia-Castano et al., 2019b). Purification was similar to that described for NUPR1 (Santofimia-Castano et al., 2019b), except that the final polish purification step was carried out with a Superdex G200 16/60 in buffer Tris (50 mM, pH 8.0) with 200 mM NaCl, running on an AKTA FPLC (GE, Barcelona, Spain) by following the absorbance at 280 nm.
Use of genotoxic agents
The efficacy of different genotoxic agents to generate DNA breaks within different cancer cell lines (U87 and U251: glioblastoma cells; MiaPaCa-2: PD AC cell line; AOIPC:
PDAC patient-derived cells; HT29: colon carcinoma; and colon cancer HCT116 p53+/+ and HCT116 p53-/- with wildtype or inactivated p53) and the boosting effect of ZZW-115 was evaluated by γH2AC immunofluorescence staining. Cells were treated with Temozolomide (TMZ)(180 μM), 5-Fluorouracile (5-FU)(10 μM), Gemcitabine (15 μM), Oxaliplatin (12.5 μM) or gamma irradiation (6 Gy) alone or in combination with ZZW-115 (1.5 μM) and DNA damages were quantified after 12 h. Sorafenib (0.5 μM) was used on HepG2 (hepatocarcinoma) cells as negative control since it does not induce DNA damage.
Western blotting
Proteins were resolved by SDS-PAGE, and transferred to nitrocellulose membranes for lh. Then, membranes were blocked 1 h at room temperature with TBS (Tris buffered saline solution) and 5% BSA, and blotted overnight in TBS 5% BSA containing primary antibodies at 1 :500. After extensive washes in TBS 0.1% Tween20, membranes were incubated lh at room temperature with HRP-conjugated secondary antibodies at 1:5000 before being revealed with Enhanced chemo-luminescence (ECL). Acquisition was performed with a Fusion FX7 imager (Vilber-Lourmat, France). Alternatively, the SNAPid protein detection system (Millipore) was used following the manufacturer’s instructions.
Animals
Female CAnN.Cg-Foxnlnu/Crl BALB/c nude mice were provided by Charles River Laboratories. Mice were kept within the Experimental Animal House of the Centre de Cancerologie de Marseille, pole Luminy (Centre de Recherche en Cancerologie de Marseille). Ten million of U87-red glioblastoma cells were inoculated subcutaneously in nude mice (6 weeks old) and they were separated into 4 groups of 6 subjects each. Mice were treated daily with 0.5% DMSO in physiologic serum (vehicle), 5mg/kg of TMZ, 2.5mg/kg of ZZW-115 and a combination of 5mg/kg TMZ with 2.5mg/kg ZZW-115 when the tumor volume reached 300 mm3. Every 3 days, the mice were weighed and the tumor volumes were measured. Mice were sacrificed after 21 days of treatment except 3 mice from the combination group. These 3 mice were kept for an additional 25-day period without any additional treatment.
Immunofluorescence of cultured cells
Cells were seeded in 12-well plates on coverslips and treated with ZZW-115. After fixation, cells were incubated with the following antibodies at 1:100 dilution: rabbit anti- NUPR1 primary antibody (homemade) or γH2AC primary antibody (#ab26350, Abeam). After washing steps, samples were incubated in the presence of secondary antibodies at 1 :200 dilution (Goat anti-Mouse Alexa Fluor 488, #A28175 or Goat anti-Rabbit Alexa Fluor 488, # A27034, Thermo Fisher Scientific). DAPI (D1306, Thermo Fisher Scientific) was used to stain the
nucleus. Incubations were all performed at room temperature an Image acquisition of Alexa Fluor 488-derived fluorescence and DAPI staining was performed using a LSM 880 controlled by Zeiss Zen Black, 63x lens. Colocalization analysis and measurement of both channels was conducted by using the ImageJ Coloc 2 plugin.
In vitro (cell-free) SUMOylation assay
In vitro SUMO assay was performed using a SUMOylation kit by Enzo Life Sciences according to manufacturer’s protocol. Reactions containing SUMO1, SUMO2 and SUMO3, El, E2 (Ubc9) and RanGAP1 or p53 in the presence of recombinant wild-type NUPR1 (2 μM), Thr68Gln (2 μM) and Ala33Gln/Thr68Gln (2 μM) NUPR1 mutants or in the presence of NUPR1 with ZZW-115 (100 μM) were incubated 1 h at 37°C. SUMOylation of RanGAPl or p53 were analyzed by western blotting using rabbit anti-SUMO1 or SUMO2/3 antibodies provided by the Kit.
Statistics
Statistical analyses were performed by using 1-way ANOVA with Tukey post hoc test. Values are expressed as mean ± SEM. Data are representative of at least 3 independent experiments with technical triplicates completed. A P value less than 0.05 was considered significant.
Results
Identification of NUPR1 partners
To identify the partners ofNUPR1 we stably transfected MiaPaCa-2 cells with a plasmid expressing the Flag-tagged NUPR1 fusion protein followed by its co-immunoprecipitation with antibodies against the Flag tag and a LC-MS/MS proteomic analysis of the precipitate. Co- immunoprecipitation was performed under standard growth conditions and 24 h after cellular stress induced by glucose-starvation and the addition of thapsigargin in the culture media. We identified 656 proteins in the complex under control growth conditions and 1152 and 828 under glucose-starvation and thapsigargin stress-induced conditions respectively (data not shown). As expected the majority of the partners are nuclear proteins. 577 proteins were common between the three conditions whereas 7, 365 and 77 were specific of control, glucose-starvation and thapsigargin-treated respectively (data not shown).
A bioinformatic analysis using the String protein-protein interaction database (https://string-db.org/) showed a significant enrichment of nucleocytoplasmic transport (69 proteins; p=7.34e-34), DNA repair (54 proteins; p=1.09e-11), cellular response to DNA damage stimulus (63 proteins; p=3.92e-09), RNA processing (183 proteins; p=2.30e-84), metabolism
of RNA (173 proteins; p=1.88e-90), SUMO E3 ligase SUMOylated proteins (43 proteins; p=1.14e-21), SUMOylation of DNA replication proteins (27 proteins; p=3.72e-21) pathways suggesting that NUPR1 could be involved in these cellular processes (data not shown).
Treatment with ZZW-115 sensitizes cancer cells to genotoxic-induced DNA damage
The co-immunoprecipitation approach revealed that 54 of the 491 proteins known to be involved in DNA repair and 63 of the 749 proteins involved in cellular response to DNA damage stimulus were co-precipitated with NUPR1. Therefore we hypothesized that NUPR1 could be involved in the DNA repair process and therefore that ZZW-115 could be used to improve treatments with genotoxic agents. Several cancer cell types (U87 and U251: glioblastoma cells; MiaPaCa-2: PDAC cell line; AOIPC: PDAC patient-derived cells; HT29: colon carcinoma; and colon cancer HCT116 p53+/+ and HCT116 p53-/- with wildtype or inactivated p53, respectively) were treated with different genotoxic agents, alone or in combination with ZZW-115, and DNA damage was quantified by γH2AC, a specific indicator of DNA damage, immunofluorescence staining. Cells were treated with Temozolomide (TMZ), 5-Fluorouracile (5-FU), Gemcitabine, Oxaliplatin or gamma irradiated and DNA damages were quantified after 12h of treatment. Sorafenib, a multi-kinase inhibitor, was used on Hep3B (hepatocarcinoma) cells as negative control since it does not induced DNA damage. Remarkably, DNA lesions were strongly increased when cells were treated by the combination of the genotoxic agents and ZZW-115, and more important, independently of the genotoxic agent utilized or the cell type. As expected, no DNA lesions were observed in Hep3B treated with ZZW-115 in combination with Sorafenib. We conclude that NUPR1 is involved in the DNA repair process and that ZZW-115 could be used to sensitize cancer cells to the treatments with genotoxic agents (Figure 1 A to F).
Co-treatments with ZZW-115 improve the efficacy of genotoxic agents in vivo
Because the compound ZZW-115 was able to improve the DNA damages induced by several genotoxic agents on different cell types in vitro, we wondered if this could be also the case in vivo. To this purpose, we chose to follow the development of U87 glioblastoma xenografted in mice treated with TMZ and/or ZZW-155. Ten million of U87 glioblastoma cells were inoculated subcutaneously in nude mice (female CAnN.Cg-Foxnlnu/Crl BALB/c) and they were separated into 4 groups of 6 subjects each. Mice were treated daily with 0.5% DMSO in physiologic serum (vehicle), 5mg/kg of Temozolomide (TMZ), 2.5mg/kg of ZZW-115 and the combination of 5mg/kg TMZ with 2.5mg/kg ZZW-115 when the tumor volume reached 400 mm3. Every 3 days, the mice were weighed and the tumor volumes were measured. Mice
were sacrificed after 21 days of treatment except 3 mice from combination group. These 3 mice kept for an additional 25-day period without any additional treatment.
As expected, tumor volumes increased in an exponential manner in control mice (from 315.60 ± 6.25 mm3 to 1471.00 ± 176.80 mm3 during the 21 days of observation). When mice were treated with TMZ, the tumors had a slower development (from 334.30 ± 9.80 mm3 to 950.50 ± 290.85 mm3). Tumors from mice treated with ZZW-115 also grew more slowly than control mice (from 336.00 ± 28.10 mm3 to 903.50 ± 280.90 mm3). A significant intragroup variation was observed in both TMZ and ZZW-115 single-treated mice. However, size of the tumors of all mice treated with the combination of TMZ and ZZW-115 decreased immediately after starting the injections and almost disappeared after 21 days of treatment (from 329.00 ± 27.00 mm3 to 24.30 ± 5.10 mm3). This group was much more homogenous than single treatments since all tumors displayed a continuous regression until its disappearance (Figure 2). Interestingly, we observe no tumor relapse in this combinatorial treatment group, even after 25 days of no treatment.
Analysis of Protein Translational Modifications (PTM) changes after treatments with 5FU alone or together with ZZW-115
Because we found that NUPR1 is involved in DNA repair process induced by genotoxic agents and DNA repair needs several PTM in essential proteins such as p53 to be efficient, rather than transcriptional regulation, we developed a strategy in which MiaPaCa-2 cells were treated with 5FU, alone or together with ZZW-115, and virtually all ubiquitinylations, SUMOylations and Neddylations were identified and quantified by a proteomic approach. After treatment with 5FU alone or in combination with ZZW-115, some proteins are ubiquitinylated, SUMOylated or Neddylated (data not shown). Remarkably, although some differences were observed in ubiquitinylation and Neddylation, the most striking differences were found in SUMOylation. After treatment with 5FU we found 1590 SUMOylated proteins compared to only 1404 in controls, including p53 as expected. However, in cells treated with the combination of 5FU with ZZW-115 we observed only 1341 proteins.
NUPR1 improves de SUMOylation into an acellular system
The interactome of NUPR1 revealed that it interacts with UBC9, the main SUMO conjugating enzyme, SUMO1, SUMO2 and RANBP2, a major SUMO E3 ligase. Therefore, we hypothesized that NUPR1 could improve the SUMOylation of many proteins by acting as a stabilizer of the SUMOylation complex, meaning UBC9-SUMO and RANBP2. To verify this possibility, we performed in vitro SUMOylation assays for SUMO1 and SUMO2/3, using recombinant RanGAPl and p53 as substrates in the presence of recombinant NUPR1 (rNUPR1)
or rNUPR1 with single or double mutations (Thr68Gln or Ala33Gln/Thr68Gln forms) or with rNUPR1 and ZZW-115. Extraordinarily, the presence of rNUPR1 wildtype, but not the mutated rNUPR1 forms or rNUPR1 in the presence of ZZW-115, significantly increased the SUMOylation of the RanGAPl and p53 substrates with both SUMO1 and SUMO2/3 as presented in Figure 3 and Figure 4. In addition, we demonstrated that the presence of ZZW-115 in the reaction is able to inhibit the effect of the NUPR1. Therefore, adding ZZW-115 into the reaction inhibited the effect of the rNUPR1. Altogether we can assume that NUPR1 acts as a facilitator of the SUMOylation by stabilizing the SUMOylation reaction probably by binding to the SUMOylation machinery as suggested by the co-immunoprecipitation data. Therefore, we can assume that NUPR1 activity is involved in SUMOylation process which in turn affects SUMOylation of several DNA repair proteins limiting its activity. We conclude that DNA damage induces hyper-SUMOylation of several proteins involved in DNA repair but when it is combined with ZZW-115 this process is prevented.
Conclusions
The inventors characterized all the NUPR1 partners under normal growth conditions as well as under glucose-starvation and thapsigargin treatments. Using this systematic approach they found that NUPR1 interacts with several proteins involved in DNA repair. Based on that observation they demonstrated that ZZW-115, notably, improves the effect of several genotoxic agents, including gamma radiation, on several cancer cell types in vitro and in vivo. Finally, they demonstrated that ZZW-115 treatment results in hypo-SUMOylation of some proteins involved on DNA repair, including p53, and that the presence of NUPR1 into an acellular system to measure SUMOylation improves the effect of the SUMO-conjugating enzyme UBC9, indicating that NUPR1 affects the SUMOylation of numerous proteins. They concluded that the mechanism of inactivation of the NUPR1 by ZZW-115 is by preventing the presence of NUPR1 into the nucleus, where it is involved in several essential roles including DNA repair. ZZW-115, as well as its structurally related molecules, can be used to sensitize cancer cells to genotoxic-induced DNA damage.
REFERENCES:
Throughout this application, various references describe the state of the art to which this invention pertains. The disclosures of these references are hereby incorporated by reference into the present disclosure.
Claims
1. A combination of an inhibitor of NUPR1 and a genotoxic treatment for use in the treatment of a cancer in a subject in need thereof.
2. An inhibitor of NUPR1 and ii) a genotoxic treatment as a combined preparation for simultaneous, separate or sequential use in the treatment of a cancer in a subject in need thereof.
3. A combination according to claim 1 or an inhibitor according to claim 2 wherein the genotoxic treatment is a genotoxic agent or gamma irradiation.
4. A combination an inhibitor according to claim 3 wherein the genotoxic agent can be selected in the group consisting in, but not limited to, Temozolomide (TMZ), 5- Fluorouracile (5-FU), Gemcitabine and Oxaliplatin.
5. A combination according to claim 1 or an inhibitor according to claim 2 wherein the cancer may be selected in the group consisting of adrenal cortical cancer, anal cancer, bile duct cancer, bladder cancer, bone cancer, brain and central nervous system cancer, breast cancer, Castleman disease, cervical cancer, colorectal cancer, endometrial cancer, esophagus cancer, gallbladder cancer, gastrointestinal carcinoid tumors, Hodgkin's disease, non-Hodgkin's lymphoma, Kaposi's sarcoma, kidney cancer, laryngeal and hypopharyngeal cancer, liver cancer, lung cancer, mesothelioma, plasmacytoma, nasal cavity and paranasal sinus cancer, nasopharyngeal cancer, neuroblastoma, oral cavity and oropharyngeal cancer, ovarian cancer, pancreatic cancer, penile cancer, pituitary cancer, prostate cancer, retinoblastoma, rhabdomyosarcoma, salivary gland cancer, skin cancer, stomach cancer, testicular cancer, thymus cancer, thyroid cancer, vaginal cancer, vulvar cancer, and uterine cancer.
6. A combination an inhibitor according to claim 5 wherein the cancer the cancer is a pancreatic cancer or a Pancreatic Ductal AdenoCarcinoma (PDAC).
7. A combination according to claim 1 or an inhibitor according to claim 2 wherein said inhibitor of NUPR1 is a compound of formula (I):
R1 represents a linear or branched (C2-C5)alkyl group, optionally substituted with a - NR3R4 group;
R2 represents a non-bonding pair or a -(CH2)1-5NR3R4 group, wherein when R2 does not represent a non-bonding pair, then the nitrogen atom to which R2 is attached is positively charged; and
R3 and R4 independently represent:
- a hydrogen atom;
- a -OH group;
- a linear or branched (C1-C6)alkyl group, said alkyl group being optionally substituted with one or several substituents chosen from a halogen atom, a -OH group and a -SH group;
- a linear or branched (C1-C6)alkoxy group, said alkoxy group being optionally substituted with one or several substituents chosen from a halogen atom, a -OH group and a - SH group; or
- a -COOH group; or R3 and R4 form, together with the nitrogen atom to which they are attached, a saturated or unsaturated (3- to 6-membered)heterocycle comprising, in addition to the nitrogen atom to which R3 and R4 are attached, 0, 1 or 2 additional heteroatom(s) chosen from a nitrogen atom and an oxygen atom; said heterocycle being optionally substituted with one or several substituents chosen from a halogen atom, a -OH group, a (=O) group and a linear or branched (C1-C6)alkyl group; and said compound of formula (I) being in all the possible tautomeric and isomeric forms: racemic, enantiomeric and diastereoisomeric, and also as addition salts with inorganic and organic acids or with inorganic and organic bases of the compound of formula (I).
8. The inhibitor according to claim 7, wherein R1 represents:
- a -C2H5 group; or
- a -(C2H4)NR3R4 group, with R3 and R4 being as defined in claim 1.
10. The inhibitor according to claim 7, wherein said inhibitor is selected from the following compounds:
11. The inhibitor according to claim 7, wherein said inhibitor is selected from the following compounds:
13. A method for treating a cancer comprising administering to a subject in need thereof a combination of an inhibitor of NUPR1 and a genotoxic treatment.
14. A therapeutic composition comprising an inhibitor ofNUPR1 and a genotoxic treatment for use in the treatment of cancer in a subject in need thereof.
Applications Claiming Priority (2)
| Application Number | Priority Date | Filing Date | Title |
|---|---|---|---|
| EP19306528.1 | 2019-11-27 | ||
| EP19306528 | 2019-11-27 |
Publications (1)
| Publication Number | Publication Date |
|---|---|
| WO2021105391A1 true WO2021105391A1 (en) | 2021-06-03 |
Family
ID=69232722
Family Applications (1)
| Application Number | Title | Priority Date | Filing Date |
|---|---|---|---|
| PCT/EP2020/083680 Ceased WO2021105391A1 (en) | 2019-11-27 | 2020-11-27 | Combination comprising nupr1 inhibitors to treat cancer |
Country Status (1)
| Country | Link |
|---|---|
| WO (1) | WO2021105391A1 (en) |
Cited By (1)
| Publication number | Priority date | Publication date | Assignee | Title |
|---|---|---|---|---|
| EP4260861A1 (en) * | 2022-04-13 | 2023-10-18 | Seoul National University R & DB Foundation | Pharmaceutical composition for anti-cancer comprising nupr1 isoform a inhibitor |
Citations (11)
| Publication number | Priority date | Publication date | Assignee | Title |
|---|---|---|---|---|
| US541A (en) | 1837-12-26 | Daniel desmond | ||
| US5874A (en) | 1848-10-24 | Apparatus eob baking- water | ||
| US5800988A (en) | 1992-08-21 | 1998-09-01 | Vrije Universiteit Brussel | Immunoglobulins devoid of light chains |
| WO1999032619A1 (en) | 1997-12-23 | 1999-07-01 | The Carnegie Institution Of Washington | Genetic inhibition by double-stranded rna |
| WO2001036646A1 (en) | 1999-11-19 | 2001-05-25 | Cancer Research Ventures Limited | Inhibiting gene expression with dsrna |
| WO2001068836A2 (en) | 2000-03-16 | 2001-09-20 | Genetica, Inc. | Methods and compositions for rna interference |
| US6573099B2 (en) | 1998-03-20 | 2003-06-03 | Benitec Australia, Ltd. | Genetic constructs for delaying or repressing the expression of a target gene |
| US6765087B1 (en) | 1992-08-21 | 2004-07-20 | Vrije Universiteit Brussel | Immunoglobulins devoid of light chains |
| US6838254B1 (en) | 1993-04-29 | 2005-01-04 | Conopco, Inc. | Production of antibodies or (functionalized) fragments thereof derived from heavy chain immunoglobulins of camelidae |
| WO2008027521A1 (en) * | 2006-09-01 | 2008-03-06 | Immune Control, Inc. | Novel compositions and methods for treatment of diseases related to activated lymphocytes |
| KR20180066780A (en) * | 2016-12-09 | 2018-06-19 | 서울대학교산학협력단 | Pharmaceutical composition for preventing or treating brain tumor |
-
2020
- 2020-11-27 WO PCT/EP2020/083680 patent/WO2021105391A1/en not_active Ceased
Patent Citations (13)
| Publication number | Priority date | Publication date | Assignee | Title |
|---|---|---|---|---|
| US5874A (en) | 1848-10-24 | Apparatus eob baking- water | ||
| US541A (en) | 1837-12-26 | Daniel desmond | ||
| US6765087B1 (en) | 1992-08-21 | 2004-07-20 | Vrije Universiteit Brussel | Immunoglobulins devoid of light chains |
| US5800988A (en) | 1992-08-21 | 1998-09-01 | Vrije Universiteit Brussel | Immunoglobulins devoid of light chains |
| US6015695A (en) | 1992-08-21 | 2000-01-18 | Vrije Universiteit Brussel | Immunoglobulins devoid of light chains |
| US6838254B1 (en) | 1993-04-29 | 2005-01-04 | Conopco, Inc. | Production of antibodies or (functionalized) fragments thereof derived from heavy chain immunoglobulins of camelidae |
| WO1999032619A1 (en) | 1997-12-23 | 1999-07-01 | The Carnegie Institution Of Washington | Genetic inhibition by double-stranded rna |
| US6506559B1 (en) | 1997-12-23 | 2003-01-14 | Carnegie Institute Of Washington | Genetic inhibition by double-stranded RNA |
| US6573099B2 (en) | 1998-03-20 | 2003-06-03 | Benitec Australia, Ltd. | Genetic constructs for delaying or repressing the expression of a target gene |
| WO2001036646A1 (en) | 1999-11-19 | 2001-05-25 | Cancer Research Ventures Limited | Inhibiting gene expression with dsrna |
| WO2001068836A2 (en) | 2000-03-16 | 2001-09-20 | Genetica, Inc. | Methods and compositions for rna interference |
| WO2008027521A1 (en) * | 2006-09-01 | 2008-03-06 | Immune Control, Inc. | Novel compositions and methods for treatment of diseases related to activated lymphocytes |
| KR20180066780A (en) * | 2016-12-09 | 2018-06-19 | 서울대학교산학협력단 | Pharmaceutical composition for preventing or treating brain tumor |
Non-Patent Citations (15)
| Title |
|---|
| CANO ET AL., GUT, vol. 63, 2014, pages 984 - 995 |
| CARLA E. CANO ET AL: "Nupr1: The Swiss-knife of cancer", JOURNAL OF CELLULAR PHYSIOLOGY, vol. 226, no. 6, 1 June 2011 (2011-06-01), US, pages 1439 - 1443, XP055396960, ISSN: 0021-9541, DOI: 10.1002/jcp.22324 * |
| DWIGHT H OWEN ET AL: "Combination therapy with capecitabine and temozolomide in patients with low and high grade neuroendocrine tumors, with an exploratory analysis of O6-methylguanine DNA methyltransferase as a biomarker for response", ONCOTARGET, vol. 8, no. 61, 24 October 2017 (2017-10-24), pages 104046 - 104056, XP055693266 * |
| ENCINAR ET AL., THE JOURNAL OF BIOLOGICAL CHEMISTRY, vol. 276, 2001, pages 2742 - 2751 |
| GIRONELLA ET AL., JOURNAL OF CELLULAR PHYSIOLOGY, vol. 221, 2009, pages 594 - 602 |
| GIROUX ET AL.: "Clinical cancer research", OFFICIAL JOURNAL OF THE AMERICAN ASSOCIATION FOR CANCER RESEARCH, vol. 12, 2006, pages 235 - 241 |
| GRASSO ET AL., CELL DEATH AND DIFFERENTIATION, vol. 21, 2014, pages 1633 - 1641 |
| HAMIDI ET AL., THE JOURNAL OF CLINICAL INVESTIGATION, vol. 122, 2012, pages 2092 - 2103 |
| MALICET ET AL., CELL CYCLE, vol. 5, 2006, pages 829 - 830 |
| MALICET ET AL., PROCEEDINGS OF THE NATIONAL ACADEMY OF SCIENCES OF THE UNITED STATES OF AMERICA, vol. 103, 2006, pages 2671 - 2676 |
| PALAM ET AL., CELL DEATH & DISEASE, vol. 6, 2015, pages e1913 |
| PATRICIA SANTOFIMIA-CASTAÑO ET AL: "Ligand-based design identifies a potent NUPR1 inhibitor exerting anticancer activity via necroptosis", JOURNAL OF CLINICAL INVESTIGATION, vol. 129, no. 6, 13 May 2019 (2019-05-13), GB, pages 2500 - 2513, XP055692827, ISSN: 0021-9738, DOI: 10.1172/JCI127223 * |
| REE ET AL.: "Clinical cancer research", OFFICIAL JOURNAL OF THE AMERICAN ASSOCIATION FOR CANCER RESEARCH, vol. 6, 2000, pages 1778 - 1783 |
| SANDI ET AL., JOURNAL OF CELLULAR PHYSIOLOGY, vol. 226, 2011, pages 3442 - 3451 |
| TANG ET AL., ONCOLOGY REPORTS, vol. 25, 2011, pages 963 - 970 |
Cited By (1)
| Publication number | Priority date | Publication date | Assignee | Title |
|---|---|---|---|---|
| EP4260861A1 (en) * | 2022-04-13 | 2023-10-18 | Seoul National University R & DB Foundation | Pharmaceutical composition for anti-cancer comprising nupr1 isoform a inhibitor |
Similar Documents
| Publication | Publication Date | Title |
|---|---|---|
| Fan et al. | Engineering MMP-2 activated nanoparticles carrying B7-H3 bispecific antibodies for ferroptosis-enhanced glioblastoma immunotherapy | |
| Wang et al. | EpCAM aptamer-mediated survivin silencing sensitized cancer stem cells to doxorubicin in a breast cancer model | |
| Lee et al. | Periostin-binding DNA aptamer inhibits breast cancer growth and metastasis | |
| WO2019012030A1 (en) | Dhodh inhibitor and chk1 inhibitor for treating cancer | |
| Guo et al. | Inhibiting metastatic breast cancer cell migration via the synergy of targeted, pH-triggered siRNA delivery and chemokine axis blockade | |
| Hu et al. | Nanodrugs incorporating LDHA siRNA inhibit M2-like polarization of TAMs and amplify autophagy to assist oxaliplatin chemotherapy against colorectal cancer | |
| Yin et al. | Immunogenicity of mammary tumor cells can be induced by shikonin via direct binding-interference with hnRNPA1 | |
| KR20150103239A (en) | Compositions and methods for polynucleotide transfection | |
| JP2019532049A (en) | Modulation method of PCSK9 and LDLR through DRP1 inhibition | |
| WO2018078083A1 (en) | New method for treating multiple myeloma | |
| US20220117911A1 (en) | Methods and compositions for modulating blood-brain barrier | |
| Chen et al. | Extracellular vesicle surface display of αPD‐L1 and αCD3 antibodies via engineered late domain‐based scaffold to activate T‐cell anti‐tumor immunity | |
| Kim et al. | Immune checkpoint-blocking nanocages cross the blood–brain barrier and impede brain tumor growth | |
| WO2021105384A1 (en) | Targeting the nls region of nupr1 protein to treat cancer | |
| WO2021105391A1 (en) | Combination comprising nupr1 inhibitors to treat cancer | |
| Wang et al. | An anti-GD2 aptamer-based bifunctional spherical nucleic acid nanoplatform for synergistic therapy targeting MDM2 for retinoblastoma | |
| Shao et al. | RNAi-based knockdown of multidrug resistance-associated protein 1 is sufficient to reverse multidrug resistance of human lung cells | |
| WO2023078906A1 (en) | Method for treating acute myeloid leukemia | |
| US20230391868A1 (en) | Compositions for and methods of treating cancer | |
| US20130345115A1 (en) | Nuclear penetrating h4 tail peptides for the treatment of diseases mediated by impaired or loss of p53 function | |
| US10786527B2 (en) | Nanoparticle-stabilized nanocapsules and methods of preparation and use for nucleic acid delivery | |
| Wang et al. | GRP78 Nanobody‐Directed Immunotoxin Activates Innate Immunity Through STING Pathway to Synergize Tumor Immunotherapy | |
| US20220227859A1 (en) | Method to treat type 2 inflammation or mast-cell dependent disease | |
| JP2021138623A (en) | Extracellular vesicle secretion inhibitor that inhibits secretion of extracellular vesicles from prostatic cancer cell, prostatic cancer therapeutic drug, and application of the same | |
| Karati et al. | Peptide-based drugs: emerging treatment strategies of lung cancer by overcoming chemoresistance |
Legal Events
| Date | Code | Title | Description |
|---|---|---|---|
| 121 | Ep: the epo has been informed by wipo that ep was designated in this application |
Ref document number: 20811403 Country of ref document: EP Kind code of ref document: A1 |
|
| NENP | Non-entry into the national phase |
Ref country code: DE |
|
| 122 | Ep: pct application non-entry in european phase |
Ref document number: 20811403 Country of ref document: EP Kind code of ref document: A1 |
















