WO2021102332A1 - Tgfbetar2 inhibitor-lrrc15 antibody conjugates and uses thereof - Google Patents
Tgfbetar2 inhibitor-lrrc15 antibody conjugates and uses thereof Download PDFInfo
- Publication number
- WO2021102332A1 WO2021102332A1 PCT/US2020/061618 US2020061618W WO2021102332A1 WO 2021102332 A1 WO2021102332 A1 WO 2021102332A1 US 2020061618 W US2020061618 W US 2020061618W WO 2021102332 A1 WO2021102332 A1 WO 2021102332A1
- Authority
- WO
- WIPO (PCT)
- Prior art keywords
- amino acid
- acid sequence
- seq
- unsubstituted
- substituted
- Prior art date
- Legal status (The legal status is an assumption and is not a legal conclusion. Google has not performed a legal analysis and makes no representation as to the accuracy of the status listed.)
- Ceased
Links
- 0 C=*Cc1c[n]cn1 Chemical compound C=*Cc1c[n]cn1 0.000 description 14
- VCUMVIHYQTXUCN-UHFFFAOYSA-N CC(C)(C)OC(N(CC1)CCN1c(cn1)nc2c1N=CN(C)C2=O)=O Chemical compound CC(C)(C)OC(N(CC1)CCN1c(cn1)nc2c1N=CN(C)C2=O)=O VCUMVIHYQTXUCN-UHFFFAOYSA-N 0.000 description 1
- GDEHXPCZWFXRKC-UHFFFAOYSA-N CC(C)Cc(cc1)ccc1O Chemical compound CC(C)Cc(cc1)ccc1O GDEHXPCZWFXRKC-UHFFFAOYSA-N 0.000 description 1
- VHYUNSUGCNKWSO-UHFFFAOYSA-N CC(C)OCCCN Chemical compound CC(C)OCCCN VHYUNSUGCNKWSO-UHFFFAOYSA-N 0.000 description 1
- OPWAPCOSDAFWFB-UHFFFAOYSA-N CC1(C)OB(c2cc(C(O)=O)ccc2)OC1(C)C Chemical compound CC1(C)OB(c2cc(C(O)=O)ccc2)OC1(C)C OPWAPCOSDAFWFB-UHFFFAOYSA-N 0.000 description 1
- RKBLAXHVQYRXFV-UHFFFAOYSA-N CCCN(C)C(OC(C)(C)C)=O Chemical compound CCCN(C)C(OC(C)(C)C)=O RKBLAXHVQYRXFV-UHFFFAOYSA-N 0.000 description 1
- ZLBZUUZABFILLE-UHFFFAOYSA-N CCCNC(C(CCCCNC(OCc1ccccc1)=O)NC(OC(C)(C)C)=O)=O Chemical compound CCCNC(C(CCCCNC(OCc1ccccc1)=O)NC(OC(C)(C)C)=O)=O ZLBZUUZABFILLE-UHFFFAOYSA-N 0.000 description 1
- RBMCGDGLECZWMY-UHFFFAOYSA-N CCc1c(CC(C)C)c(cccc2)c2[nH]1 Chemical compound CCc1c(CC(C)C)c(cccc2)c2[nH]1 RBMCGDGLECZWMY-UHFFFAOYSA-N 0.000 description 1
- BYTWOWAEURBZCV-UHFFFAOYSA-N CN(C=Nc(c1n2)ncc2[BrH]C)C1=O Chemical compound CN(C=Nc(c1n2)ncc2[BrH]C)C1=O BYTWOWAEURBZCV-UHFFFAOYSA-N 0.000 description 1
- HJQKMELBIQDFCQ-UHFFFAOYSA-N CN(CCNC(c1cccc(-c(nc2C(OC)=O)cnc2N)c1)=O)c(ccnc1)c1N Chemical compound CN(CCNC(c1cccc(-c(nc2C(OC)=O)cnc2N)c1)=O)c(ccnc1)c1N HJQKMELBIQDFCQ-UHFFFAOYSA-N 0.000 description 1
- DCMLWUHPFIFMDY-UHFFFAOYSA-N CN(CCNC(c1cccc(-c(nc2C(OC)=O)cnc2N)c1)=O)c(ccnc1)c1[N+]([O-])=O Chemical compound CN(CCNC(c1cccc(-c(nc2C(OC)=O)cnc2N)c1)=O)c(ccnc1)c1[N+]([O-])=O DCMLWUHPFIFMDY-UHFFFAOYSA-N 0.000 description 1
- DJYXOCKOGDESFK-UHFFFAOYSA-N CN(CCOc1cccc(-c(nc2C(OC)=O)cnc2N)c1)c(ccnc1)c1[N+]([O-])=O Chemical compound CN(CCOc1cccc(-c(nc2C(OC)=O)cnc2N)c1)c(ccnc1)c1[N+]([O-])=O DJYXOCKOGDESFK-UHFFFAOYSA-N 0.000 description 1
- IUIVZFUHNWNKFV-UHFFFAOYSA-N CN(CCOc1cccc(-c(nc2C(OC)=O)cnc2N)c1)c1ccncc1N Chemical compound CN(CCOc1cccc(-c(nc2C(OC)=O)cnc2N)c1)c1ccncc1N IUIVZFUHNWNKFV-UHFFFAOYSA-N 0.000 description 1
- KFGVGQBYWJYJDB-UHFFFAOYSA-N COC(c1nc(-c2cc(C(O)=O)ccc2)cnc1N)=O Chemical compound COC(c1nc(-c2cc(C(O)=O)ccc2)cnc1N)=O KFGVGQBYWJYJDB-UHFFFAOYSA-N 0.000 description 1
- CNXSIRHOIFRMOB-UHFFFAOYSA-N COC(c1nc(Br)cnc1N)=O Chemical compound COC(c1nc(Br)cnc1N)=O CNXSIRHOIFRMOB-UHFFFAOYSA-N 0.000 description 1
- LKQGBXRGSPSTES-UHFFFAOYSA-N Nc(cncc1)c1Br Chemical compound Nc(cncc1)c1Br LKQGBXRGSPSTES-UHFFFAOYSA-N 0.000 description 1
Classifications
-
- A—HUMAN NECESSITIES
- A61—MEDICAL OR VETERINARY SCIENCE; HYGIENE
- A61K—PREPARATIONS FOR MEDICAL, DENTAL OR TOILETRY PURPOSES
- A61K47/00—Medicinal preparations characterised by the non-active ingredients used, e.g. carriers or inert additives; Targeting or modifying agents chemically bound to the active ingredient
- A61K47/50—Medicinal preparations characterised by the non-active ingredients used, e.g. carriers or inert additives; Targeting or modifying agents chemically bound to the active ingredient the non-active ingredient being chemically bound to the active ingredient, e.g. polymer-drug conjugates
- A61K47/51—Medicinal preparations characterised by the non-active ingredients used, e.g. carriers or inert additives; Targeting or modifying agents chemically bound to the active ingredient the non-active ingredient being chemically bound to the active ingredient, e.g. polymer-drug conjugates the non-active ingredient being a modifying agent
- A61K47/68—Medicinal preparations characterised by the non-active ingredients used, e.g. carriers or inert additives; Targeting or modifying agents chemically bound to the active ingredient the non-active ingredient being chemically bound to the active ingredient, e.g. polymer-drug conjugates the non-active ingredient being a modifying agent the modifying agent being an antibody, an immunoglobulin or a fragment thereof, e.g. an Fc-fragment
- A61K47/6801—Drug-antibody or immunoglobulin conjugates defined by the pharmacologically or therapeutically active agent
- A61K47/6803—Drugs conjugated to an antibody or immunoglobulin, e.g. cisplatin-antibody conjugates
-
- A—HUMAN NECESSITIES
- A61—MEDICAL OR VETERINARY SCIENCE; HYGIENE
- A61K—PREPARATIONS FOR MEDICAL, DENTAL OR TOILETRY PURPOSES
- A61K47/00—Medicinal preparations characterised by the non-active ingredients used, e.g. carriers or inert additives; Targeting or modifying agents chemically bound to the active ingredient
- A61K47/50—Medicinal preparations characterised by the non-active ingredients used, e.g. carriers or inert additives; Targeting or modifying agents chemically bound to the active ingredient the non-active ingredient being chemically bound to the active ingredient, e.g. polymer-drug conjugates
- A61K47/51—Medicinal preparations characterised by the non-active ingredients used, e.g. carriers or inert additives; Targeting or modifying agents chemically bound to the active ingredient the non-active ingredient being chemically bound to the active ingredient, e.g. polymer-drug conjugates the non-active ingredient being a modifying agent
- A61K47/68—Medicinal preparations characterised by the non-active ingredients used, e.g. carriers or inert additives; Targeting or modifying agents chemically bound to the active ingredient the non-active ingredient being chemically bound to the active ingredient, e.g. polymer-drug conjugates the non-active ingredient being a modifying agent the modifying agent being an antibody, an immunoglobulin or a fragment thereof, e.g. an Fc-fragment
- A61K47/6835—Medicinal preparations characterised by the non-active ingredients used, e.g. carriers or inert additives; Targeting or modifying agents chemically bound to the active ingredient the non-active ingredient being chemically bound to the active ingredient, e.g. polymer-drug conjugates the non-active ingredient being a modifying agent the modifying agent being an antibody, an immunoglobulin or a fragment thereof, e.g. an Fc-fragment the modifying agent being an antibody or an immunoglobulin bearing at least one antigen-binding site
- A61K47/6849—Medicinal preparations characterised by the non-active ingredients used, e.g. carriers or inert additives; Targeting or modifying agents chemically bound to the active ingredient the non-active ingredient being chemically bound to the active ingredient, e.g. polymer-drug conjugates the non-active ingredient being a modifying agent the modifying agent being an antibody, an immunoglobulin or a fragment thereof, e.g. an Fc-fragment the modifying agent being an antibody or an immunoglobulin bearing at least one antigen-binding site the antibody targeting a receptor, a cell surface antigen or a cell surface determinant
-
- A—HUMAN NECESSITIES
- A61—MEDICAL OR VETERINARY SCIENCE; HYGIENE
- A61P—SPECIFIC THERAPEUTIC ACTIVITY OF CHEMICAL COMPOUNDS OR MEDICINAL PREPARATIONS
- A61P35/00—Antineoplastic agents
Definitions
- the present disclosure provides conjugates comprising a TGF ⁇ R2 inhibitor and an anti-LRRC15 antibody, compositions comprising the conjugates, and methods of treating cancer and fibrotic diseases with the conjugates.
- the present disclosure also provides for anti-LRRC15 antibodies and uses for the antibodies.
- 15 Description of the Related Art [0002] One of the leading causes of death in the United States is cancer.
- the conventional methods of cancer treatment like chemotherapy, surgery, or radiation therapy, tend to be either highly toxic or nonspecific to a cancer, or both, resulting in limited efficacy and harmful side effects.
- the immune system has the 20 potential to be a powerful, specific tool in fighting cancers.
- tumors can specifically express genes whose products are required for inducing or maintaining the malignant state. These proteins may serve as antigen markers for the development and establishment of more specific anti-cancer immune response.
- the boosting of this specific immune response has the potential to be a powerful anti-cancer treatment that 25 can be more effective than conventional methods of cancer treatment and can have fewer side effects.
- Fibrosis is the formation of excess fibrous connective tissue or scar tissue in an organ or tissue in a reparative or reactive process. Fibrosis can occur in many tissues within the body, typically as a result of inflammation or damage, which include the lungs, liver, heart, and brain. Scar tissue blocks arteries, immobilizes joints 5 and damages internal organs, wreaking havoc on the body's ability to maintain vital functions. Every year, millions of people are hospitalized due to the damaging effects of fibrosis. However, current therapeutics for treating fibrotic diseases are lacking or have drawbacks. Thus, there remains a considerable need for alternative or improved treatments for fibrotic diseases.
- the present disclosure generally relates to conjugates of TGF ⁇ R2 inhibitor compounds with anti-LRRC15 antibodies and pharmaceutical compositions of the conjugates.
- the conjugates may be used to treat or prevent cancer and/or fibrotic diseases.
- the present disclosure also relates to anti-LRRC15 antibodies, including 20 humanized anti-LRRC15 antibodies.
- a TGF ⁇ R2 inhibitor conjugate comprises: (1) an anti-LRRC15 antibody comprising: a) a heavy chain CDR1 (VH-CDR1) comprising the amino acid sequence of SEQ ID NO: 1, a VH-CDR2 comprising an amino acid sequence selected 25 from SEQ ID NOs: 11-15, a VH-CDR3 comprising the amino acid sequence of SEQ ID NO: 32, a light chain CDR1 (VL-CDR1) comprising the amino acid sequence of SEQ ID NO: 46, a VL-CDR2 comprising the amino acid sequence of SEQ ID NO: 57, and a VL-CDR3 comprising the amino acid sequence of SEQ ID NO: 65; or
- VH-CDR1 comprising the amino acid sequence of SEQ ID NO: 2
- VH-CDR2 comprising an amino acid sequence selected from SEQ ID NO: 16-18
- VH-CDR3 comprising the amino acid sequence of SEQ ID NO: 33
- a light chain CDR1 VL-CDR1
- VL-CDR1 comprising the amino acid sequence of SEQ ID NO: 47 or 48
- VL-CDR2 5 comprising the amino acid sequence of SEQ ID NO: 58
- VL-CDR3 comprising an amino acid sequence selected from SEQ ID NOs: 66-70
- a VH-CDR1 comprising the amino acid sequence of SEQ ID NO: 3
- VH-CDR2 comprising the amino acid sequence of SEQ ID NO: 19
- VH-CDR3 comprising the amino acid sequence of SEQ ID NO: 34 or 35
- a light chain CDR1 VL- 10 CDR1
- VH-CDR1 comprising the amino acid sequence of SEQ ID NO: 2; a VH-CDR2 comprising the amino acid sequence of SEQ ID NO: 26, a VH-CDR3 comprising the amino acid sequence of SEQ ID NO: 39, a light chain CDR1 (VL- CDR1) comprising the amino acid sequence of SEQ ID NO: 52, a VL-CDR2 5 comprising the amino acid sequence of SEQ ID NO: 61, and a VL-CDR3 comprising the amino acid sequence of SEQ ID NO: 74; or h) a VH-CDR1 comprising the amino acid sequence of SEQ ID NO: 5, a VH-CDR2 comprising the amino acid sequence of SEQ ID NO: 25, a VH-CDR3 comprising the amino acid sequence of SEQ ID NO: 38, a light chain CDR1 (VL- 10 CDR1) comprising the amino acid sequence of SEQ ID NO: 51, a VL-CDR2 comprising the amino acid sequence
- VH-CDR1 comprising the amino acid sequence of SEQ ID NO: 9
- VH-CDR2 comprising the amino acid sequence of SEQ ID NO: 30
- VH-CDR3 comprising the amino acid sequence of SEQ ID NO: 44
- VL- CDR1 comprising the amino acid sequence of SEQ ID NO: 55
- VL-CDR2 5 comprising the amino acid sequence of SEQ ID NO: 63
- VL-CDR3 comprising the amino acid sequence of SEQ ID NO: 77
- m a VH-CDR1 comprising the amino acid sequence of SEQ ID NO: 10
- VH-CDR2 comprising the amino acid sequence of SEQ ID NO: 31
- VH-CDR3 comprising the amino acid sequence of SEQ ID NO: 45
- a light chain CDR1 (VL- 10 CDR1) comprising the amino acid sequence of SEQ ID NO: 56
- VL-CDR2 comprising the amino acid sequence of
- a TGF ⁇ R2 inhibitor conjugate is represented by Formula (I): 20 wherein: A is the anti-LRRC15 antibody; L 3 is the linker; Dx is the TGR ⁇ R2 inhibitor; n is selected from 1 to 20; and z is from 1 to 20.
- the present disclosure relates to a pharmaceutical composition comprising a TGF ⁇ R2 inhibitor conjugate as described herein and a pharmaceutically acceptable carrier. 25 [0009] in another aspect, the present disclosure relates to a method of treating cancer, comprising administering to a subject a TGF ⁇ R2 inhibitor conjugate or a pharmaceutical composition comprising a TGF ⁇ R2 inhibitor conjugate as described herein.
- the cancer is a LRRC15-expressing cancer.
- the cancer expresses TGF ⁇ R2.
- the cancer is lung cancer.
- the cancer is associated with fibroblasts.
- the present disclosure relates to a method for treating a disease mediated by TGF ⁇ R2 activity in a subject in need thereof, comprising 5 administering to the subject an effective amount of a TGF ⁇ R2 inhibitor conjugate or a pharmaceutical composition comprising a TGF ⁇ R2 inhibitor conjugate as described herein.
- the present disclosure provides a method for treating fibrosis in a subject, comprising administering to the subject an effective amount of a 10 TGF ⁇ R2 inhibitor conjugate or a pharmaceutical composition comprising a TGF ⁇ R2 inhibitor conjugate as described herein.
- the fibrosis is cancer- associated. In some aspects, the fibrosis is not cancer-associated. In one aspect, the fibrosis is scleroderma. In another aspect, the fibrosis is systemic fibrosis. In another aspect, the fibrosis is lung fibrosis. In another aspect, the fibrosis is idiopathic 15 pulmonary fibrosis.
- FIG.1 illustrates that an exemplary TGF ⁇ R2 inhibitor conjugated to an anti-LRRC15 antibody through either cleavable or non-cleavable linkers inhibits TGF ⁇ - induced SMAD2 promoter activity in a reporter assay.
- a TGF ⁇ /SMAD promoter- 25 luciferase reporter line stably transfected with human LRRC15 was treated with conjugates and control antibodies at indicated concentrations for 24 hours followed by TGF ⁇ for 18 hours. Luciferase activity in treated samples was determined by a chemiluminescence assay and extent of inhibition determined by the relative reduction of chemiluminescence compared to samples receiving only buffer then TGF ⁇ .
- FIG.2 shows that in a concentration dependent manner selected compounds inhibit TGF ⁇ -induction of ⁇ SMA gene expression in a human lung fibroblast cell line derived from an idiopathic pulmonary fibrosis (IPF) patient.
- LL97a cells were treated with TGF ⁇ and selected compounds or DMSO carrier at indicated 5 concentrations for 24 hours before implementation of qPCR to determine ⁇ SMA mRNA levels.
- Upper and lower dashed lines indicate 100% and 50% level of ⁇ SMA mRNA induction in cells treated with TGF ⁇ only.
- FIG.3 shows that in a concentration dependent manner compound 250 inhibits TGF ⁇ -induction of ⁇ SMA gene expression in a human lung fibroblast cell line 10 derived from an IPF patient.
- FIG.4 shows that in a concentration dependent manner compound 250 15 inhibits TGF ⁇ -induction of elastin gene expression in a human lung fibroblast cell line derived from an IPF patient.
- LL97a cells were treated with TGF ⁇ and Compound 250 or DMSO carrier at indicated concentrations for 24 hours before implementation of qPCR to determine elastin mRNA levels.
- FIG.5 shows that in a concentration dependent manner selected compounds inhibit TGF ⁇ -induction of ⁇ SMA gene expression in a human lung fibroblast cell line derived from an IPF patient.
- LL97a cells were treated with TGF ⁇ and selected compounds or DMSO carrier at indicated concentrations for 24 hours before implementation of qPCR to determine ⁇ SMA mRNA levels.
- Upper and lower 25 dashed lines indicate 100% and 50% level of ⁇ SMA mRNA induction in cells treated with TGF ⁇ only.
- FIGS.6A-6B show that antibody conjugates of selected compounds linked to cysteines with PABC cleavable linkers at a high average DAR have high potency inhibiting TGF ⁇ -induction of ⁇ SMA gene expression in LL97a cells (FIG.6A) 30 or elastin gene expression in NHFL cells (FIG.6B). Cells were treated with TGF ⁇ and
- FIGS.7A-7B show that similar average DAR conjugates of LP1 to an 5 anti-LRRC15 antibody with a wild type Fc (asterisk) or to the antibody with a null Fc domain have similar potency in reducing TGF ⁇ -induced ⁇ SMA gene expression in LL97a cells (FIG.7A) or elastin gene expression in normal human lung fibroblast (NHLF) cells (FIG.7B).
- RNA 10 was prepared and subjected to qPCR.
- Upper and lower dashed lines indicate 100% and 50% level of mRNA induction in cells treated only with buffer and TGF ⁇ .
- FIGS.8A-8C show that intratumoral injections of Compound 211 reduces the mRNA level of select TGF ⁇ -inducible genes in mice inoculated with PANC-1 tumor cells (FIG.8A), of Compounds 171 and 211 reduce the mRNA level of 15 select TGF ⁇ -inducible genes in mice inoculated with BxPC3 tumor cells (FIG.8B) and of Compound 211 reduces the mRNA level of select TGF ⁇ -inducible genes in mice inoculated with BxPC3 tumor cells (FIG.8C).
- Asterisks denote a statistically significant reduction of gene mRNA was found after treatment with the compound compared to DMSO carrier control treated animals.
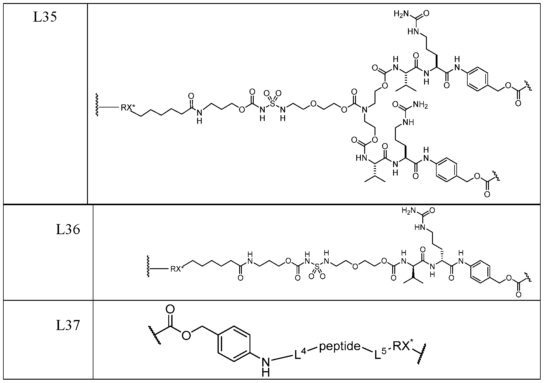
- FIG.9 shows that systemic dosing of anti-LRRC15 conjugates LP35 and LP36 reduce the mRNA level of select TGF ⁇ -regulated genes within tumors of mice inoculated with BxPC3 tumor cells.
- Animals were dosed intravenously with either conjugate or controls of the unconjugated antibody or an irrelevant antibody isotype control.
- Asterisks denote a statistically significant reduction of select gene 25 mRNA within the tumors was found after treatment with the conjugate compared to control animals receiving doses of the unconjugated antibody.
- FIG.10 shows that systemic dosing anti-LRRC15 conjugate LP36 reduces the mRNA level of select TGF ⁇ -regulated genes within tumors of mice inoculated with BxPC3 tumor cells at doses of 5 mpk and 20 milligrams per kilogram. 30 Animals were dosed intravenously with either conjugate or controls of the unconjugated
- FIG.11 shows that systemic administration of the anti-LRRC15 conjugate LP1 decreases histopathological fibrosis in a model of systemic scleroderma. Mice received daily intradermal injections of bleomycin for 22 days. Treatment of animals with either ip injections of 10mpk of conjugate or in PBS was initiated on d14 after the onset on fibrosis.
- FIG.12 shows that systemic administration of the anti-LRRC15 conjugate LP1 decreases fibrosis in a model of systemic fibrosis. Mice received daily 15 intradermal injections of bleomycin for 22 days. Treatment of animals with either ip injections of 10mpk of conjugate or in PBS was initiated on d14 after the onset on fibrosis. After sacrifice of animals on d23 dermal tissue was subjected to a Sircol Red collagen content assay.
- FIG.13 shows epitope binning of humanized LRRC15 monoclonal antibodies.
- Octet® kinetic analysis showed a competitive blocking profile of five (5) different epitope bins, referred to as bins A (further subdivided into bins A1 and A2), B, C, D, and M25 (underlined titles). Antibodies belonging in each bin are listed under the bin titles.
- FIGS.14A-14B shows results from a TGF ⁇ reporter assay.
- TGF ⁇ /SMAD promoter-luciferase reporter lines stably transfected with human LRRC15 (FIG.14A) or untransfected (FIG.14B) were treated with antibody conjugates and control antibody (naked) at indicated concentrations for 24 hours followed by TGF ⁇ treatment for 18 hours. Luciferase activity in treated samples was determined by
- FIG.15 shows results on inhibition of TGF ⁇ -induced ⁇ SMA expression in a human lung fibroblast cell line derived from an IPF patient.
- LL97a cells were 5 treated with TGF ⁇ and the M25-mIgG2A antibody alone or the M25-mIgG2A antibody conjugated to the linker-payload LP1 comprised of Linker L1 and TGF ⁇ R2 inhibitor Compound 2.1 (M25-mIgG2A-LP1), and ⁇ SMA levels were measured.
- FIG.16 shows effects of intratumoral administration of vehicle, TGF ⁇ R2 inhibitor Compound 211, M25-mIgG2A antibody, or the M25-mIgG2A 10 antibody conjugated to linker-payload LP14 comprised of Linker L1 and Compound 171 (M25-mIgG2A-LP14) on elastin (ELN) expression in the Panc 1 xenograft tumor model in mice.
- FIG.17 shows LRRC15 positive staining in stromal, non-tumor cells in a sample from the BxPC3 xenograft tumor model in mice.
- FIG.18 shows expression of the TGF ⁇ -regulated fibroblast genes ELN, IGFBP3, Col4a1, and CTGF in BxPC3 tumors after in vivo treatment with M25- mIgG2a, M25-mIgG2a-LP14, or an isotype control.
- DETAILED DESCRIPTION [0031] While preferred embodiments of the present disclosure have been shown 20 and described herein, it will be obvious to those skilled in the art that such embodiments are provided by way of example only. Numerous variations, changes, and substitutions will now occur to those skilled in the art without departing from the invention. It should be understood that various alternatives to the embodiments described herein may be employed in practicing the invention.
- TGFs Transforming growth factors
- TGFRs Transforming growth factors
- TGFs and TGFRs are also involved in many pathological processes, such as those underlying the development and 5 progression of cancer, immune and inflammatory diseases, fibrosis, scarring, atherosclerosis, viral infections, and others.
- TGF ⁇ 1 is the prototypical member of the TGF superfamily of ligands. TGF ⁇ 1 is a growth factor and cytokine involved in signaling within a broad array of tissue types.
- TGF ⁇ 1 plays numerous roles in tumor progression. TGF ⁇ 1 can induce epithelial to mesenchymal transition, enhance the ability of tumor cells to grow, influence tumor cell fate, and modulate the composition of the tumor microenvironment 15 so that it is more permissive to tumor growth. [0035] TGF ⁇ 1 plays a role in the maintenance of peripheral tolerance in T-cells and in the prevention of maturation of dendritic cells.
- TGF ⁇ 1 has been shown to regulate the antigen-presentation functions of dendritic cells by down-regulating expression of Major Histocompatibility Complex class II (MHC-II) and the secretion of 20 Interleukin-12 (IL-12).
- MHC-II Major Histocompatibility Complex class II
- IL-12 Interleukin-12
- TGF ⁇ 1 signaling by its receptors in myeloid cells has been shown to play roles in tumor promotion and tumor immune suppression including in dendritic cells, myeloid-derived suppressor cells, tumor associated macrophages or combinations of these cells.
- TGF ⁇ R2 Transforming growth factor beta receptor 2
- TGF ⁇ R2 is one of two transmembrane serine/threonine kinase receptors that are required for TGF ⁇ 1 signal transduction, with the other receptor being TGF ⁇ R1.
- TGF ⁇ 1 first binds to TGF ⁇ R2 at the plasma membrane, inducing the formation of the TGF ⁇ R1—TGF ⁇ R2 complex, which leads
- TGF ⁇ 1 plays a prominent role
- pharmacological inhibition of 5 TGF ⁇ 1 or its receptors, TGF ⁇ R1 or TGF ⁇ R2 may prove to be useful in the treatment of several diseases.
- Challenges to developing targeted therapies include achieving high selectivity for the primary pharmacological target and maintaining prolonged target inhibition. In overcoming these two challenges, it is possible to develop pharmaceutical 10 products with increased therapeutic efficacy and reduced systemic toxicity.
- the present disclosure provides compounds, conjugates, compositions, and methods that address this need and related needs.
- the present disclosure provides compounds, conjugates, and 20 pharmaceutical compositions for use in the treatment or prevention of disease, such as cancer and fibrotic diseases.
- the conjugates may be useful, among other things, in treating and preventing cancer, treating and preventing fibrotic diseases, and modulating TGF ⁇ 1, TGF ⁇ R1, TGF ⁇ R2, or combinations thereof.
- the conjugates may useful in indirectly inhibiting TGF ⁇ 1 signaling, or directly inhibiting the function of 25 TGF ⁇ R1, TGF ⁇ R2, or both.
- the conjugates have utility in the treatment of cancer either as single agents or in combination therapy.
- the conjugates have utility as single agent immunomodulators or in combination with conventional cancer therapies.
- the conjugates can be utilized, 30 for example, to enhance an immune response when treating cancer or for treating
- combination therapy comprises administering a conjugate as disclosed herein and nintedanib or pirfenidone.
- a conjugate as disclosed herein and nintedanib or pirfenidone comprises administering a conjugate as disclosed herein and nintedanib or pirfenidone.
- Anti-LRRC15 antibodies and conjugates thereof as provided herein are capable of specifically binding to LRRC15 expressing cells.
- LRRC15 leucine-rich repeat-containing protein 15
- LRRC15 is a LRRC15 highly expressed on cancer-associated fibroblasts in the stromal microenvironment of many solid tumors and is a mesenchymal marker, which may be targeted for the treatment of cancers with 10 LRRC15-positive stromal desmoplasia or cancers of mesenchymal origin.
- LRRC15 expression is also upregulated in fibrotic fibroblasts and may be targeted for the treatment of fibrotic diseases.
- TGF ⁇ R2 inhibitor anti-LRRC15 conjugates are capable of reducing TGF ⁇ -induced SMAD2 activity; reducing TGF ⁇ -induced gene expression in vitro and 15 in vivo; and/or reducing fibrosis in a model of systemic scleroderma and systemic fibrosis.
- any concentration range, percentage range, ratio range, or integer range is to be understood to include the value of any integer 5 within the recited range and, when appropriate, fractions thereof (such as one tenth and one hundredth of an integer), unless otherwise indicated.
- any number range recited herein relating to any physical feature, such as polymer subunits, size, or thickness are to be understood to include any integer within the recited range, unless otherwise indicated. 10
- the use of the alternative e.g., “or” should be understood to mean either one, both, or any combination thereof of the alternatives.
- the terms “include” and “comprise” are used synonymously.
- the phrase “at least one of” when followed by a list of items or elements refers to an open ended set of one or more of the elements in the list, which may, but 15 does not necessarily, include more than one of the elements.
- the term “antibody” refers to an immunoglobulin molecule that specifically binds to, or is immunologically reactive toward, a specific antigen. The portion of the antibody that binds a specific antigen may be referred to as an “antigen binding domain.”
- An antibody can include, for example, polyclonal, 20 monoclonal, and genetically engineered antibodies, and antigen binding fragments thereof.
- An antibody can be, for example, murine, chimeric, humanized, heteroconjugate, bispecific, diabody, triabody, or tetrabody.
- An antigen binding fragment can include, for example, a Fab ⁇ , F(ab ⁇ ) 2 , Fab, Fv, rIgG, scFv, hcAbs (heavy chain antibodies), a single domain antibody, VHH, VNAR, sdAbs, or nanobody.
- an “antigen binding domain” refers to a region of a molecule that specifically binds to an antigen.
- An antigen binding domain can be an antigen-binding portion of an antibody or an antibody fragment.
- An antigen binding domain can be one or more fragments of an antibody that can retain the ability to specifically bind to an antigen.
- An antigen binding domain can be an antigen binding
- an antigen binding domain can recognize a single antigen.
- An antigen binding domain can recognize, for example, two or three antigens.
- the abbreviations for the natural L-enantiomeric amino acids are conventional and can be as follows: alanine (A, Ala); arginine (R, Arg); 5 asparagine (N, Asn); aspartic acid (D, Asp); cysteine (C, Cys); glutamic acid (E, Glu); glutamine (Q, Gln); glycine (G, Gly); histidine (H, His); isoleucine (I, Ile); leucine (L, Leu); lysine (K, Lys); methionine (M, Met); phenylalanine (F, Phe); proline (P, Pro); serine (S, Ser); threonine (T, Thr); tryptophan (W, Trp); tyrosine (Y, Tyr); va
- a “conjugate” refers to a polypeptide attached to at least one TGR ⁇ R2 inhibitor, optionally via a linker.
- the polypeptide is an antibody or antigen binding fragment thereof.
- an “Fc domain” refers to a domain from an Fc portion of an antibody that can specifically bind to an Fc receptor, such as an Fcgamma receptor 15 or an FcRn receptor.
- “identical” or “identity” refer to the similarity between a DNA, RNA, nucleotide, amino acid, or protein sequence to another DNA, RNA, nucleotide, amino acid, or protein sequence.
- Identity can be expressed in terms of a percentage of sequence identity of a first sequence to a second sequence.
- Percent (%) 20 sequence identity with respect to a reference DNA sequence can be the percentage of DNA nucleotides in a candidate sequence that are identical with the DNA nucleotides in the reference DNA sequence after aligning the sequences.
- Percent (%) sequence identity with respect to a reference amino acid sequence can be the percentage of amino acid residues in a candidate sequence that are identical with the amino acid residues in 25 the reference amino acid sequence after aligning the sequences and introducing gaps, if necessary, to achieve the maximum percent sequence identity, and not considering any conservative substitutions as part of the sequence identity.
- the percent sequence identity values can be generated using the NCBI BLAST 2.0 software as defined by Altschul et al., “Gapped BLAST and PSI-BLAST: a new generation of
- a “small molecule” is an organic compound with a molecular weight of less than 1500, or 100, or 900, or 750, or 600, or 500 Daltons.
- a 5 small molecule agonist has an octanol-water partition coefficient (logP) in the range of from 3 to 6, or from 4 to 5, or from 2 to 4.
- a small molecule agonist has a polar surface area of less than 200, or less than 150 ⁇ 2 .
- the small molecule agonist has not more than five, or not more than three, hydrogen bond donors, and not more than 10, or not more than three hydrogen 10 bond acceptors.
- a small molecule is not a protein, a polysaccharide, or a nucleic acid.
- “specifically binds” and the like refers to the specific association or specific binding between the antigen binding domain and the antigen, as compared with the interaction of the antigen binding domain with a different antigen (i.e., non-specific binding).
- an antigen binding domain that 15 recognizes or specifically binds to an antigen has a dissociation constant (KD) of ⁇ 100 nM, ⁇ 10 nM, ⁇ 1 nM, ⁇ 0.1 nM, ⁇ 0.01 nM, or ⁇ 0.001 nM (e.g., 10 -8 M or less, e.g., from 10 -8 M to 10 -13 M, e.g., from 10 -9 M to 10 -13 M).
- KD dissociation constant
- Specific binding does not require that the antigen binding domain does not associate with or bind to any other antigen, but rather that it preferentially associates with or binds to the antigen, as compared to 20 association with or binding to an unrelated antigen.
- a “TGF ⁇ R2 inhibitor” refers to a compound that binds TGF ⁇ R2 and inhibits TGF ⁇ R2 activity. In some embodiments, a TGF ⁇ R2 inhibitor inhibits TGF ⁇ R2 serine/threonine kinase activity.
- a TGF ⁇ R2 inhibitor inhibits TGF ⁇ R2 serine/threonine kinase activity by about 35%, 40%, 45%, 25 50%, 55%, 60%, 65%, 70%, 75%, 80%, 85%, 86%, 87%, 88%, 89%, 90%, 91%, 92%, 93%, 94%, 95%, 96%, 97%, 98%, 99%, or 100% as compared to TGF ⁇ R2 activity in the absence of the inhibitor.
- a “tumor antigen” can be an antigenic substance associated with a tumor or cancer cell, and can trigger an immune response in a host.
- C x-y or “C x -C y ” when used in conjunction with a chemical moiety, such as alkyl, alkenyl, or alkynyl is meant to include groups that contain from x to y carbons in the chain.
- Alkyl refers to a monovalent hydrocarbon consisting solely of carbon 5 and hydrogen, containing no unsaturation, and preferably having from one to twelve carbon atoms, for example, methyl, ethyl, propyl, isopropyl, butyl, and the like. In other embodiments, an alkyl comprises one to five carbon atoms (i.e., C 1 -C 5 alkyl).
- an alkyl comprises one to four carbon atoms (i.e., C1-C4 alkyl). In other embodiments, an alkyl comprises one to three carbon atoms (i.e., C 1 -C 3 alkyl). In 10 other embodiments, an alkyl comprises one to two carbon atoms (i.e., C1-C2 alkyl). In other embodiments, an alkyl comprises one carbon atom (i.e., C 1 alkyl or methyl). In other embodiments, an alkyl comprises five to eight carbon atoms (i.e., C5-C8 alkyl). In other embodiments, an alkyl comprises two to five carbon atoms (i.e., C 2 -C 5 alkyl).
- an alkyl comprises three to five carbon atoms (i.e., C3-C5 alkyl). 15 Unless stated otherwise specifically in the specification, an alkyl chain is optionally substituted by one or more substituents such as those substituents described herein.
- Alkylene refers to a straight divalent hydrocarbon chain linking the rest of the molecule to a radical group, consisting solely of carbon and hydrogen, containing no unsaturation, and preferably having from one to twelve carbon atoms, for 20 example, methylene, ethylene, propylene, butylene, and the like. The alkylene chain is attached to the rest of the molecule through a single bond and to the radical group through a single bond.
- an alkylene comprises one to five carbon atoms (i.e., C1-C5 25 alkylene). In other embodiments, an alkylene comprises one to four carbon atoms (i.e., C1-C4 alkylene). In other embodiments, an alkylene comprises one to three carbon atoms (i.e., C 1 -C 3 alkylene). In other embodiments, an alkylene comprises one to two carbon atoms (i.e., C1-C2 alkylene). In other embodiments, an alkylene comprises one carbon atom (i.e., C 1 alkylene). In other embodiments, an alkylene comprises five to 30 eight carbon atoms (i.e., C5-C8 alkylene). In other embodiments, an alkylene comprises
- alkylene comprises three to five carbon atoms (i.e., C3-C5 alkylene).
- an alkylene chain is optionally substituted by one or more substituents such as those substituents described herein. 5 [0064] “Alkenyl” refers to a monovalent hydrocarbon chain consisting solely of carbon and hydrogen, containing at least one carbon-carbon double bond, and preferably having from two to twelve carbon atoms. The alkenyl chain is attached to the rest of the molecule through a single bond.
- an alkenyl comprises two to five carbon atoms (i.e., C 2 -C 5 alkenyl). In other embodiments, an 10 alkenyl comprises two to four carbon atoms (i.e., C2-C4 alkenyl). In other embodiments, an alkenyl comprises two to three carbon atoms (i.e., C 2 -C 3 alkenyl). In other embodiments, an alkenyl comprises two carbon atom (i.e., C2 alkenyl). In other embodiments, an alkenyl comprises five to eight carbon atoms (i.e., C 5 -C 8 alkenyl).
- an alkenyl comprises three to five carbon atoms (i.e., C3-C5 15 alkenyl). Unless stated otherwise specifically in the specification, an alkenyl chain is optionally substituted by one or more substituents such as those substituents described herein.
- Alkenylene refers to a straight divalent hydrocarbon chain linking the rest of the molecule to a radical group, consisting solely of carbon and hydrogen, 20 containing at least one carbon-carbon double bond, and preferably having from two to twelve carbon atoms. The alkenylene chain is attached to the rest of the molecule through a single bond and to the radical group through a single bond.
- an alkenylene 25 comprises two to five carbon atoms (i.e., C 2 -C 5 alkenylene).
- an alkenylene comprises two to four carbon atoms (i.e., C2-C4 alkenylene).
- an alkenylene comprises two to three carbon atoms (i.e., C 2 -C 3 alkenylene).
- an alkenylene comprises two carbon atom (i.e., C2 alkenylene).
- an alkenylene comprises five to eight carbon atoms 30 (i.e., C5-C8 alkenylene).
- an alkenylene comprises three to five carbon atoms
- alkenylene chain is optionally substituted by one or more substituents such as those substituents described herein.
- Alkynyl refers to a monovalent hydrocarbon chain consisting solely of 5 carbon and hydrogen, containing at least one carbon-carbon triple bond, and preferably having from two to twelve carbon atoms. The alkynyl chain is attached to the rest of the molecule through a single bond. In other embodiments, an alkynyl comprises two to five carbon atoms (i.e., C2-C5 alkynyl).
- an alkynyl comprises two to four carbon atoms (i.e., C 2 -C 4 alkynyl).
- an alkynyl 10 comprises two to three carbon atoms (i.e., C2-C3 alkynyl).
- an alkynyl comprises two carbon atom (i.e., C 2 alkynyl).
- an alkynyl comprises five to eight carbon atoms (i.e., C5-C8 alkynyl).
- an alkynyl comprises three to five carbon atoms (i.e., C 3 -C 5 alkynyl).
- alkynyl chain is optionally 15 substituted by one or more substituents such as those substituents described herein.
- “Alkynylene” refers to a straight divalent hydrocarbon chain linking the rest of the molecule to a radical group, consisting solely of carbon and hydrogen, containing at least one carbon-carbon triple bond, and preferably having from two to twelve carbon atoms.
- the alkynylene chain is attached to the rest of the molecule 20 through a single bond and to the radical group through a single bond. The points of attachment of the alkynylene chain to the rest of the molecule and to the radical group are through the terminal carbons respectively.
- an alkynylene comprises two to five carbon atoms (i.e., C 2 -C 5 alkynylene). In other embodiments, an alkynylene comprises two to four carbon atoms (i.e., C2-C4 alkynylene). In other 25 embodiments, an alkynylene comprises two to three carbon atoms (i.e., C 2 -C 3 alkynylene). In other embodiments, an alkynylene comprises two carbon atom (i.e., C2 alkynylene). In other embodiments, an alkynylene comprises five to eight carbon atoms (i.e., C5-C8 alkynylene). In other embodiments, an alkynylene comprises three to five carbon atoms (i.e., C 3 -C 5 alkynylene). Unless stated otherwise specifically in the
- aryl refers to an aromatic monocyclic or aromatic multicyclic hydrocarbon ring system.
- the aromatic monocyclic or aromatic multicyclic 5 hydrocarbon ring system contains only hydrogen and carbon and from five to eighteen carbon atoms, where at least one of the rings in the ring system is aromatic, i.e., it contains a cyclic, delocalized (4n+2) ⁇ -electron system in accordance with the Hückel theory.
- aryl groups include, but are not limited to, groups such as benzene, fluorene, indane, indene, tetralin and naphthalene.
- aryl or the prefix “ar” (such as in “aralkyl”) is meant to include aryl radicals optionally substituted by one or more substituents such as those substituents described herein.
- carbocycle or “carbocyclyl” as used herein refers to a saturated, unsaturated or aromatic ring in which each atom of the ring is carbon.
- Carbocycle includes 3- to 10-membered monocyclic rings, 6- to 12-membered bicyclic rings, and 6- to 12-membered bridged rings.
- Each ring of a bicyclic carbocycle may be selected from saturated, unsaturated, and aromatic rings.
- an aromatic ring e.g., phenyl
- a bicyclic carbocycle includes any 20 combination of saturated, unsaturated and aromatic bicyclic rings, as valence permits.
- a bicyclic carbocycle includes any combination of ring sizes such as 4-5 fused ring systems, 5-5 fused ring systems, 5-6 fused ring systems, 6-6 fused ring systems, 5-7 fused ring systems, 6-7 fused ring systems, 5-8 fused ring systems, and 6-8 fused ring systems.
- Exemplary carbocycles include cyclopentyl, cyclohexyl, cyclohexenyl, 25 adamantyl, phenyl, indanyl, and naphthyl.
- the term “unsaturated carbocycle” refers to carbocycles with at least one degree of unsaturation and excluding aromatic carbocycles.
- cycloalkyl refers to a saturated ring in which each atom of 30 the ring is carbon. Cycloalkyl may include monocyclic and polycyclic rings such as 3-
- a cycloalkyl comprises three to ten carbon atoms. In other embodiments, a cycloalkyl comprises five to seven carbon atoms.
- the cycloalkyl may be attached to the rest of the molecule by a single bond. 5 Examples of monocyclic cycloalkyls include, e.g., cyclopropyl, cyclobutyl, cyclopentyl, cyclohexyl, cycloheptyl, and cyclooctyl.
- Polycyclic cycloalkyl radicals include, for example, adamantyl, norbornyl (i.e., bicyclo[2.2.1]heptanyl), decalinyl, 7,7 dimethyl bicyclo[2.2.1]heptanyl, and the like.
- cycloalkyl is meant to include cycloalkyl radicals that are 10 optionally substituted by one or more substituents such as those substituents described herein.
- cycloalkenyl refers to a saturated ring in which each atom of the ring is carbon and there is at least one double bond between two ring carbons.
- Cycloalkenyl may include monocyclic and polycyclic rings such as 3- to 10-membered 15 monocyclic rings, 6- to 12-membered bicyclic rings, and 6- to 12-membered bridged rings. In other embodiments, a cycloalkenyl comprises five to seven carbon atoms. The cycloalkenyl may be attached to the rest of the molecule by a single bond. Examples of monocyclic cycloalkenyls include, e.g., cyclopentenyl, cyclohexenyl, cycloheptenyl, and cyclooctenyl.
- heteroalkyl refers to a monovalent hydrocarbon chain including at least one heteroatom in the chain, containing no unsaturation, and preferably having from one to twelve carbon atoms and from one to 6 heteroatoms, e.g., -O-, -NH-, -S-. 25
- the heteroalkyl is attached to the rest of the molecule through a single bond.
- a heteroalkyl comprises one to five carbon atoms and from one to three heteroatoms.
- a heteroalkyl comprises one to four carbon atoms and from one to three heteroatoms. In other embodiments, a heteroalkyl comprises one to three carbon atoms and from one to two heteroatoms. In other embodiments, a 30 heteroalkyl comprises one to two carbon atoms and from one to two heteroatoms.
- a heteroalkyl comprises one carbon atom and from one to two heteroatoms. In other embodiments, a heteroalkyl comprises five to eight carbon atoms and from one to four heteroatoms. In other embodiments, a heteroalkyl comprises two to five carbon atoms and from one to three heteroatoms. In other embodiments, a 5 heteroalkyl comprises three to five carbon atoms and from one to three heteroatoms. Unless stated otherwise specifically in the specification, a heteroalkyl chain is optionally substituted by one or more substituents such as those substituents described herein.
- Heteroalkylene refers to a straight divalent hydrocarbon chain 10 including at least one heteroatom in the chain, containing no unsaturation, and preferably having from one to twelve carbon atoms and from one to 6 heteroatoms, e.g., -O-, -NH-, -S-.
- the heteroalkylene chain is attached to the rest of the molecule through a single bond and to the radical group through a single bond.
- the points of attachment of the heteroalkylene chain to the rest of the molecule and to the radical group are 15 through the terminal atoms of the chain.
- a heteroalkylene comprises one to five carbon atoms and from one to three heteroatoms.
- a heteroalkylene comprises one to four carbon atoms and from one to three heteroatoms. In other embodiments, a heteroalkylene comprises one to three carbon atoms and from one to two heteroatoms. In other embodiments, a heteroalkylene 20 comprises one to two carbon atoms and from one to two heteroatoms. In other embodiments, a heteroalkylene comprises one carbon atom and from one to two heteroatoms. In other embodiments, a heteroalkylene comprises five to eight carbon atoms and from one to four heteroatoms. In other embodiments, a heteroalkylene comprises two to five carbon atoms and from one to three heteroatoms.
- a heteroalkylene comprises three to five carbon atoms and from one to three heteroatoms. Unless stated otherwise specifically in the specification, a heteroalkylene chain is optionally substituted by one or more substituents such as those substituents described herein.
- halo or, alternatively, “halogen” or “halide,” means fluoro, 30 chloro, bromo or iodo. In some embodiments, halo is fluoro, chloro, or bromo.
- haloalkyl refers to an alkyl radical, as defined above, that is substituted by one or more halo radicals, for example, trifluoromethyl, dichloromethyl, bromomethyl, 2,2,2-trifluoroethyl, 1-chloromethyl-2-fluoroethyl, and the like.
- the alkyl part of the haloalkyl radical is optionally substituted as 5 described herein.
- heterocycle or “heterocyclyl” as used herein refers to a saturated, unsaturated or aromatic ring comprising one or more heteroatoms. Exemplary heteroatoms include N, O, Si, P, B, and S atoms.
- Heterocycles include 3- to 10- membered monocyclic rings, 6- to 12-membered bicyclic rings, and 6- to 12-membered 10 bridged rings.
- a bicyclic heterocycle includes any combination of saturated, unsaturated and aromatic bicyclic rings, as valence permits.
- an aromatic ring e.g., pyridyl
- a bicyclic heterocycle includes any combination of ring sizes such as 4-5 fused ring 15 systems, 5-5 fused ring systems, 5-6 fused ring systems, 6-6 fused ring systems, 5-7 fused ring systems, 6-7 fused ring systems, 5-8 fused ring systems, and 6-8 fused ring systems.
- the term “unsaturated heterocycle” refers to heterocycles with at least one degree of unsaturation and excluding aromatic heterocycles. Examples of unsaturated heterocycles include dihydropyrrole, dihydrofuran, oxazoline, pyrazoline, and 20 dihydropyridine.
- heteroaryl includes aromatic single ring structures, preferably 5- to 7-membered rings, more preferably 5- to 6-membered rings, whose ring structures include at least one heteroatom, preferably one to four heteroatoms, more preferably one or two heteroatoms.
- heteroaryl also includes polycyclic ring 25 systems having two or more rings in which two or more carbons are common to two adjoining rings wherein at least one of the rings is heteroaromatic, e.g., the other rings can be aromatic or non-aromatic carbocyclic, or heterocyclic.
- Heteroaryl groups include, for example, pyrrole, furan, thiophene, imidazole, oxazole, thiazole, pyrazole, pyridine, pyrazine, pyridazine, and pyrimidine, and the like.
- heterocycloalkyl refers to a saturated ring with carbon atoms and at least one heteroatom.
- exemplary heteroatoms include N, O, Si, P, B, and S atoms.
- Heterocycloalkyl may include monocyclic and polycyclic rings such as 3- to 10- membered monocyclic rings, 6- to 12-membered bicyclic rings, and 6- to 12-membered 5 bridged rings.
- the heteroatoms in the heterocycloalkyl radical are optionally oxidized.
- One or more nitrogen atoms, if present, are optionally quaternized.
- heterocycloalkyl is attached to the rest of the molecule through any atom of the heterocycloalkyl, valence permitting, such as any carbon or nitrogen atoms of the heterocycloalkyl.
- heterocycloalkyl radicals include, but are not limited to, 10 dioxolanyl, thienyl[1,3]dithianyl, decahydroisoquinolyl, imidazolinyl, imidazolidinyl, isothiazolidinyl, isoxazolidinyl, morpholinyl, octahydroindolyl, octahydroisoindolyl, 2-oxopiperazinyl, 2-oxopiperidinyl, 2-oxopyrrolidinyl, oxazolidinyl, piperidinyl, piperazinyl, 4-piperidonyl, pyrrolidinyl, pyrazolidinyl, quinuclidinyl,
- heterocycloalkyl is meant to include heterocycloalkyl radicals as defined above that are optionally substituted by one or more substituents such as those substituents described herein.
- heterocycloalkenyl refers to an unsaturated ring with carbon 20 atoms and at least one heteroatom and there is at least one double bond between two ring carbons. Heterocycloalkenyl does not include heteroaryl rings. Exemplary heteroatoms include N, O, Si, P, B, and S atoms.
- Heterocycloalkenyl may include monocyclic and polycyclic rings such as 3- to 10-membered monocyclic rings, 6- to 12- membered bicyclic rings, and 6- to 12-membered bridged rings. In other embodiments, 25 a heterocycloalkenyl comprises five to seven ring atoms. The heterocycloalkenyl may be attached to the rest of the molecule by a single bond.
- Examples of monocyclic cycloalkenyls include, e.g., pyrroline (dihydropyrrole), pyrazoline (dihydropyrazole), imidazoline (dihydroimidazole), triazoline (dihydrotriazole), dihydrofuran, dihydrothiophene, oxazoline (dihydrooxazole), isoxazoline (dihydroisoxazole), 30 thiazoline (dihydrothiazole), isothiazoline (dihydroisothiazole), oxadiazoline
- dihydrooxadiazole thiadiazoline (dihydrothiadiazole), dihydropyridine, tetrahydropyridine, dihydropyridazine, tetrahydropyridazine, dihydropyrimidine, tetrahydropyrimidine, dihydropyrazine, tetrahydropyrazine, pyran, dihydropyran, thiopyran, dihydrothiopyran, dioxine, dihydrodioxine, oxazine, dihydrooxazine, 5 thiazine, and dihydrothiazine.
- heterocycloalkenyl is meant to include heterocycloalkenyl radicals that are optionally substituted by one or more substituents such as those substituents described herein.
- substituted refers to moieties having substituents replacing a 10 hydrogen on one or more carbons or substitutable heteroatoms, e.g., an NH or NH2 of a compound.
- substitution or “substituted with” includes the implicit proviso that such substitution is in accordance with permitted valence of the substituted atom and the substituent, and that the substitution results in a stable compound, i.e., a compound which does not spontaneously undergo transformation 15 such as by rearrangement, cyclization, elimination, etc.
- substituted refers to moieties having substituents replacing two hydrogen atoms on the same carbon atom, such as substituting the two hydrogen atoms on a single carbon with an oxo, imino or thioxo group.
- substituted is contemplated to include all permissible substituents of organic compounds.
- the 20 permissible substituents include acyclic and cyclic, branched and unbranched, carbocyclic and heterocyclic, aromatic and non-aromatic substituents of organic compounds.
- the permissible substituents can be one or more and the same or different for appropriate organic compounds.
- Representative amino or amine protecting groups include, formyl, acyl groups (such as acetyl, trifluoroacetyl, and benzoyl), benzyl, 5 alkoxycarbonyl (such as benzyloxycarbonyl (CBZ), and tert-butoxycarbonyl (Boc)), trimethyl silyl (TMS), 2-trimethylsilyl-ethanesulfonyl (SES), trityl and substituted trityl groups, allyloxycarbonyl, 9-fluorenylmethyloxycarbonyl (FMOC), nitro- veratryloxycarbonyl (NVOC), sulfonyl, and the like.
- parenteral administration and “administered parenterally” as used herein means modes of administration other than enteral and topical administration, usually by injection, and includes, without limitation, intravenous, intramuscular, intraarterial, intrathecal, intracapsular, intraorbital, intracardiac, 15 intradermal, intraperitoneal, transtracheal, subcutaneous, subcuticular, intraarticular, subcapsular, subarachnoid, intraspinal and intrasternal injection and infusion.
- intravenous administration and “administered intravenously” as used herein refer to injection or infusion of a conjugate into a vein of a subject.
- IV slow infusion refers to an intravenous infusion that results in a Tmax of about 4 hours or more.
- subcutaneous administration refers to administration of a conjugate into the subcutis of a subject. For clarity, a subcutaneous administration is distinct from an intratumoral 25 injection into a tumor or cancerous lesion located in the subcuta.
- phrases “pharmaceutically acceptable” is employed herein to refer to those compounds, materials, compositions, and/or dosage forms which are, within the scope of sound medical judgment, suitable for use in contact with the tissues of human beings and animals without excessive toxicity, irritation, allergic response, or other 30 problem or complication, commensurate with a reasonable benefit/risk ratio.
- phrases “pharmaceutically acceptable excipient” or “pharmaceutically acceptable carrier” as used herein means a pharmaceutically acceptable material, composition or vehicle, such as a liquid or solid filler, diluent, excipient, solvent or encapsulating material. Each carrier must be “acceptable” in the 5 sense of being compatible with the other ingredients of the formulation and not injurious to the patient.
- materials which can serve as pharmaceutically acceptable carriers include: (1) sugars, such as lactose, glucose and sucrose; (2) starches, such as corn starch and potato starch; (3) cellulose, and its derivatives, such as sodium carboxymethyl cellulose, ethyl cellulose and cellulose 10 acetate; (4) powdered tragacanth; (5) malt; (6) gelatin; (7) talc; (8) excipients, such as cocoa butter and suppository waxes; (9) oils, such as peanut oil, cottonseed oil, safflower oil, sesame oil, olive oil, corn oil and soybean oil; (10) glycols, such as propylene glycol; (11) polyols, such as glycerin, sorbitol, mannitol and polyethylene glycol; (12) esters, such as ethyl oleate and ethyl laurate; (13) agar; (14) buffering 15 agents, such as magnesium hydroxide and aluminum hydrox
- salt or “pharmaceutically acceptable salt” refers to salts 20 derived from a variety of organic and inorganic counter ions well known in the art.
- Pharmaceutically acceptable acid addition salts can be formed with inorganic acids and organic acids.
- Inorganic acids from which salts can be derived include, for example, hydrochloric acid, hydrobromic acid, sulfuric acid, nitric acid, phosphoric acid, and the like.
- Organic acids from which salts can be derived include, for example, acetic acid, 25 propionic acid, glycolic acid, pyruvic acid, oxalic acid, maleic acid, malonic acid, succinic acid, fumaric acid, tartaric acid, citric acid, benzoic acid, cinnamic acid, mandelic acid, methanesulfonic acid, ethanesulfonic acid, p-toluenesulfonic acid, salicylic acid, and the like.
- Pharmaceutically acceptable base addition salts can be formed with inorganic and organic bases.
- Inorganic bases from which salts can be 30 derived include, for example, sodium, potassium, lithium, ammonium, calcium,
- Organic bases from which salts can be derived include, for example, primary, secondary, and tertiary amines, substituted amines including naturally occurring substituted amines, cyclic amines, basic ion exchange resins, and the like, specifically such as isopropylamine, 5 trimethylamine, diethylamine, triethylamine, tripropylamine, and ethanolamine.
- the pharmaceutically acceptable base addition salt is chosen from ammonium, potassium, sodium, calcium, and magnesium salts.
- tautomer refers to a molecule wherein a proton shift from one atom of a molecule to another atom of the same molecule is possible.
- the compounds 15 presented herein in certain embodiments, exist as tautomers. In circumstances where tautomerization is possible, a chemical equilibrium of the tautomers will exist. The exact ratio of the tautomers depends on several factors, including physical state, temperature, solvent, and pH. Some examples of tautomeric equilibrium include: .
- the compounds disclosed herein are used in different enriched isotopic forms, e.g., enriched in the content of 2 H, 3 H, 11 C, 13 C and/or 1 4 C.
- the compound is deuterated in at least one position.
- deuterated forms can be made by the procedure described in U.S. Patent Nos. 5 5,846,514 and 6,334,997.
- deuteration can improve the metabolic stability and or efficacy, thus increasing the duration of action of drugs.
- compounds described herein are intended to include compounds which differ only in the presence of one or more isotopically 10 enriched atoms.
- compounds having the present structures except for the replacement of a hydrogen by a deuterium or tritium, or the replacement of a carbon by 1 3 C- or 14 C-enriched carbon are within the scope of the present disclosure.
- the compounds of the present disclosure optionally contain unnatural proportions of atomic isotopes at one or more atoms that constitute such compounds.
- the compounds may be labeled with isotopes, such as for example, deuterium ( 2 H), tritium ( 3 H), iodine-125 ( 125 I) or carbon-14 ( 14 C).
- Deuterated starting materials are readily available and are subjected to the synthetic methods described herein to provide for the synthesis of deuterium- 5 containing compounds. Large numbers of deuterium-containing reagents and building blocks are available commercially from chemical vendors, such as Aldrich Chemical Co.
- Compounds disclosed herein also include crystalline and amorphous forms of those compounds, pharmaceutically acceptable salts, and active metabolites of 10 these compounds having the same type of activity, including, for example, polymorphs, pseudopolymorphs, solvates, hydrates, unsolvated polymorphs (including anhydrates), conformational polymorphs, and amorphous forms of the compounds, as well as mixtures thereof.
- Included in the present disclosure are salts, particularly pharmaceutically 15 acceptable salts, of the compounds described herein.
- the compounds of the present disclosure that possess a sufficiently acidic, a sufficiently basic, or both functional groups, can react with any of a number of inorganic bases, and inorganic and organic acids, to form a salt.
- compounds that are inherently charged can form a salt with an appropriate counterion, e.g., a 20 halide such as bromide, chloride, or fluoride, particularly bromide.
- an appropriate counterion e.g., a 20 halide such as bromide, chloride, or fluoride, particularly bromide.
- the compounds described herein may in some cases exist as diastereomers, enantiomers, or other stereoisomeric forms.
- the compounds presented herein include all diastereomeric, enantiomeric, and epimeric forms as well as the appropriate mixtures thereof. Separation of stereoisomers may be performed by 25 chromatography or by forming diastereomers and separating by recrystallization, or chromatography, or any combination thereof. (Jean Jacques, Andre Collet, Samuel H. Wilen, “Enantiomers, Racemates and Resolutions”, John Wiley And Sons, Inc., 1981, herein incorporated by reference for this disclosure). Stereoisomers may
- compositions described herein include the use of amorphous forms as well as crystalline forms (also known as polymorphs).
- the compounds described herein may be in the form of pharmaceutically acceptable salts.
- active metabolites of these compounds having the same 5 type of activity are included in the scope of the present disclosure.
- the compounds described herein can exist in unsolvated as well as solvated forms with pharmaceutically acceptable solvents such as water, ethanol, and the like.
- the solvated forms of the compounds presented herein are also considered to be disclosed herein.
- compounds or salts of the compounds may be 10 prodrugs, e.g., wherein a hydroxyl in the parent compound is presented as an ester or a carbonate, or carboxylic acid present in the parent compound is presented as an ester.
- prodrug is intended to encompass compounds which, under physiologic conditions, are converted into pharmaceutical agents of the present disclosure.
- One method for making a prodrug is to include one or more selected moieties which are 15 hydrolyzed under physiologic conditions to reveal the desired molecule.
- the prodrug is converted by an enzymatic activity of the host animal such as specific target cells in the host animal.
- esters or carbonates are preferred prodrugs of the present disclosure.
- Prodrug forms of the herein described compounds, wherein the prodrug is metabolized in vivo to produce a compound as set forth herein are included within the scope of the claims. In some cases, some of the herein-described compounds may be a prodrug for another derivative or active compound.
- Prodrugs are often useful because, in some situations, they may be easier 25 to administer than the parent drug. They may, for instance, be bioavailable by oral administration whereas the parent is not. Prodrugs may help enhance the cell permeability of a compound relative to the parent drug. The prodrug may also have improved solubility in pharmaceutical compositions over the parent drug.
- Prodrugs may be designed as reversible drug derivatives, for use as modifiers to enhance drug 30 transport to site-specific tissues or to increase drug residence inside of a cell.
- the prodrug may be converted, e.g., enzymatically or chemically, to the parent compound under the conditions within a cell.
- the parent compound comprises an acidic moiety, e.g., resulting from the hydrolysis of the prodrug, which may be charged under the 5 conditions within the cell.
- the prodrug is converted to the parent compound once it has passed through the cell membrane into a cell.
- the parent compound has diminished cell membrane permeability properties relative to the prodrug, such as decreased lipophilicity and increased hydrophilicity.
- the parent compound with the acidic moiety is retained within a cell for a longer duration than the same compound without the acidic moiety.
- the parent compound, with an acidic moiety may be retained within the cell, i.e., drug residence, for 10% or longer, such as 15% or longer, such as 20% or 15 longer, such as 25% or longer, such as 30% or longer, such as 35% or longer, such as 40% or longer, such as 45% or longer, such as 50% or longer, such as 55% or longer, such as 60% or longer, such as 65% or longer, such as 70% or longer, such as 75% or longer, such as 80% or longer, such as 85% or longer, or even 90% or longer relative to the same compound without an acidic moiety.
- the design of a prodrug increases the lipophilicity of the pharmaceutical agent. In some embodiments, the design of a prodrug increases the effective water solubility. See, e.g., Fedorak et al., Am. J. Physiol., 269:G210-218 (1995); McLoed et al., Gastroenterol, 106:405-413 (1994); Hochhaus et al., Biomed. Chrom., 6:283-286 (1992); J. Larsen and H. Bundgaard, Int. J. Pharmaceutics, 37, 87 25 (1987); J. Larsen et al., Int. J.
- the present disclosure provides methods of producing the above-defined compounds.
- the compounds may be synthesized using conventional techniques.
- these compounds are conveniently synthesized from readily available starting materials.
- Synthetic chemistry transformations and methodologies useful in synthesizing the compounds described herein are known in the art and include, for 5 example, those described in R. Larock, Comprehensive Organic Transformations (1989); T. W. Greene and P. G. M. Wuts, Protective Groups in Organic Synthesis, 2d. Ed. (1991); L. Fieser and M. Fieser, Fieser and Fieser's Reagents for Organic Synthesis (1994); and L. Paquette, ed., Encyclopedia of Reagents for Organic Synthesis (1995).
- anti-LRRC15 antibodies or antigen binding fragments thereof are provided.
- a conjugate as described herein comprises an anti-LRRC15 antibody.
- an antibody comprises an antigen binding domain and an Fc domain.
- an antibody comprises two light chain polypeptides (light chains) and two heavy chain polypeptides 15 (heavy chains), held together covalently by disulfide linkages.
- the heavy chain typically comprises a heavy chain variable region (VH) and a heavy chain constant region.
- the heavy chain constant region comprises three domains, CH1, CH2, and CH3.
- An Fc domain typically comprises heavy chain CH2 and CH3 domains.
- Nonlimiting exemplary heavy chain constant regions include human IgG1, human 20 IgG2, human IgG3, and human IgG4 constant regions.
- an antibody provided herein comprises an IgG1 constant region.
- an antibody provided herein comprises an IgG1 constant region comprising one or more substitutions that reduce or eliminate effector function.
- an antibody provided herein comprises an IgG1 constant region comprising L117A, 25 L118A, G120A, and/or K205A substitutions.
- an antibody provided herein comprises an IgG1 constant region comprising L234A, L235A, G237A, and/or K322A substitutions.
- Nonlimiting exemplary human IgG1 constant region and human IgG1 null constant region are shown in SEQ ID NOs: 143 and 144, respectively.
- the light chain typically comprises a light chain variable region (VL) and
- Nonlimiting exemplary light chain constant regions include kappa and lambda constant regions.
- a nonlimiting exemplary human kappa constant region is shown in SEQ ID NO: 145.
- the antigen-recognition regions of the antibody variable domains typically comprise six complementarity determining regions 5 (CDRs), or hypervariable regions, that lie within the framework of the heavy chain variable region and light chain variable region at the N-terminal ends of the two heavy and two light chains.
- CDRs complementarity determining regions 5
- the constant domains provide the general framework of the antibody and may not be involved directly in binding the antibody to an antigen, but can be involved in various effector functions, such as participation of the antibody in 10 antibody-dependent cellular cytotoxicity (ADCC).
- ADCC antibody-dependent cellular cytotoxicity
- An antibody can be any class, e.g., IgA, IgD, IgE, IgG, and IgM. Certain classes can be further divided into isotypes, e.g., IgG1, IgG2, IgG3, IgG4, IgA1, and IgA2.
- the heavy-chain constant regions that correspond to the different classes of immunoglobulins can be ⁇ , ⁇ , ⁇ , ⁇ , and ⁇ , respectively.
- the light chains can be either 15 kappa (or ⁇ ) or lambda (or ⁇ ).
- an antigen binding domain comprises a light chain complementary determining region 1 (LCDR1), a light chain complementary determining region 2 (LCDR2), a light chain complementary determining region 3 (LCDR3), a heavy chain complementary determining region 1 (HCDR1), a heavy chain 20 complementary determining region 2 (HCDR2), and a heavy chain complementary determining region 3 (HCDR3).
- an antibody may be a heavy- chain only antibody, in which case the antigen binding domain comprises HCDR1, HCDR2, and HCDR3, and the antibody lacks a light chain.
- the CDRs described herein can be defined according to the IMGT (the international 25 ImMunoGeneTics information) system.
- an anti-LRRC15 antibody comprises a heavy chain CDR1 (VH-CDR1) comprising the amino acid sequence of SEQ ID NO: 1, a VH- CDR2 comprising an amino acid sequence selected from SEQ ID NOs: 11-15, a VH- CDR3 comprising the amino acid sequence of SEQ ID NO: 32, a light chain CDR1 30 (VL-CDR1) comprising the amino acid sequence of SEQ ID NO: 46, a VL-CDR2
- the antibody comprises a heavy chain variable region (VH) comprising an amino acid sequence that is at least 90%, 91%, 92%, 93 %, 94%, 95%, 96%, 97%, 98%, or 99% identical to an 5 amino acid sequence selected from SEQ ID NOs: 79 and 92-101, and a light chain variable region (VL) comprising an amino acid sequence that is at least 90%, 91%, 92%, 93 %, 94%, 95%, 96%, 97%, 98%, or 99% identical to an amino acid sequence selected from SEQ ID NOs: 122, 132, and 133.
- VH heavy chain variable region
- VL light chain variable region
- the antibody comprises a heavy chain comprising an amino acid sequence that is at least 90%, 91%, 10 92%, 93%, 94%, 95%, 96%, 97%, 98%, or 99% identical to an amino acid sequence selected from SEQ ID NOs: 146, 159-168, 189, and 202-211, and a light chain comprising an amino acid sequence that is at least 90%, 91%, 92%, 93%, 94%, 95%, 96%, 97%, 98%, or 99% identical to an amino acid sequence selected from SEQ ID NOs: 232, 242, and 243.
- an anti-LRRC15 antibody comprises a VH-CDR1 comprising the amino acid sequence of SEQ ID NO: 2, a VH-CDR2 comprising an amino acid sequence selected from SEQ ID NO: 16-18, a VH-CDR3 comprising the amino acid sequence of SEQ ID NO: 33, a light chain CDR1 (VL-CDR1) comprising the amino acid sequence of SEQ ID NO: 47 or 48, a VL-CDR2 comprising the amino 20 acid sequence of SEQ ID NO: 58, and a VL-CDR3 comprising an amino acid sequence selected from SEQ ID NOs: 66-70.
- the antibody comprises a heavy chain variable region (VH) comprising an amino acid sequence that is at least 90%, 91%, 92%, 93 %, 94%, 95%, 96%, 97%, 98%, or 99% identical to an amino acid sequence selected from SEQ ID NOs: 80 and 102-107, and a light chain variable region 25 (VL) comprising an amino acid sequence that is at least 90%, 91%, 92%, 93 %, 94%, 95%, 96%, 97%, 98%, or 99% identical to an amino acid sequence selected from SEQ ID NOs: 123 and 134-138.
- VH heavy chain variable region
- VL light chain variable region 25
- the antibody comprises a heavy chain comprising an amino acid sequence that is at least 90%, 91%, 92%, 93%, 94%, 95%, 96%, 97%, 98%, or 99% identical to an amino acid sequence selected from SEQ ID 30 NOs: 147, 169-174, 190, and 212-217, and a light chain comprising an amino acid
- an anti-LRRC15 antibody comprises a VH-CDR1 comprising the amino acid sequence of SEQ ID NO: 3, a VH-CDR2 comprising the 5 amino acid sequence of SEQ ID NO: 19, a VH-CDR3 comprising the amino acid sequence of SEQ ID NO: 34 or 35, a light chain CDR1 (VL-CDR1) comprising the amino acid sequence of SEQ ID NO: 49, a VL-CDR2 comprising the amino acid sequence of SEQ ID NO: 59, and a VL-CDR3 comprising the amino acid sequence of SEQ ID NO: 71.
- the antibody comprises a heavy chain 10 variable region (VH) comprising an amino acid sequence that is at least 90%, 91%, 92%, 93 %, 94%, 95%, 96%, 97%, 98%, or 99% identical to an amino acid sequence selected from SEQ ID NOs: 81 and 108-113, and a light chain variable region (VL) comprising an amino acid sequence that is at least 90%, 91%, 92%, 93 %, 94%, 95%, 96%, 97%, 98%, or 99% identical to an amino acid sequence selected from SEQ ID 15 NOs: 124, 139, and 140.
- VH heavy chain 10 variable region
- VL light chain variable region
- the antibody comprises a heavy chain comprising an amino acid sequence that is at least 90%, 91%, 92%, 93%, 94%, 95%, 96%, 97%, 98%, or 99% identical to an amino acid sequence selected from SEQ ID NOs: 148, 175-180, 191, and 218-223, and a light chain comprising an amino acid sequence that is at least 90%, 91%, 92%, 93%, 94%, 95%, 96%, 97%, 98%, or 99% 20 identical to an amino acid sequence selected from SEQ ID NOs: 234, 249, and 250.
- an anti-LRRC15 antibody comprises a VH-CDR1 comprising the amino acid sequence of SEQ ID NO: 4, a VH-CDR2 comprising the amino acid sequence of SEQ ID NO: 20-23, a VH-CDR3 comprising the amino acid sequence of SEQ ID NO: 36, a light chain CDR1 (VL-CDR1) comprising the amino 25 acid sequence of SEQ ID NO: 50, a VL-CDR2 comprising the amino acid sequence of SEQ ID NO: 60, and a VL-CDR3 comprising the amino acid sequence of SEQ ID NO: 72.
- the antibody comprises a heavy chain variable region (VH) comprising an amino acid sequence that is at least 90%, 91%, 92%, 93 %, 94%, 95%, 96%, 97%, 98%, or 99% identical to an amino acid sequence selected from SEQ 30 ID NOs: 82 and 114-121, and a light chain variable region (VL) comprising an amino acid sequence selected from SEQ 30 ID NOs: 82 and 114-121, and a light chain variable region (VL) comprising an amino
- the antibody comprises a heavy chain comprising an amino acid sequence that is at least 90%, 91%, 92%, 93%, 94%, 95%, 96%, 97%, 98%, or 5 99% identical to an amino acid sequence selected from SEQ ID NOs: 149, 181-188, 192, and 224-231, and a light chain comprising an amino acid sequence that is at least 90%, 91%, 92%, 93%, 94%, 95%, 96%, 97%, 98%, or 99% identical to an amino acid sequence selected from SEQ ID NOs: 235, 251, and 252.
- an anti-LRRC15 antibody comprises a VH-CDR1 10 comprising the amino acid sequence of SEQ ID NO: 1, a VH-CDR2 comprising the amino acid sequence of SEQ ID NO: 24, a VH-CDR3 comprising the amino acid sequence of SEQ ID NO: 37, a light chain CDR1 (VL-CDR1) comprising the amino acid sequence of SEQ ID NO: 46, a VL-CDR2 comprising the amino acid sequence of SEQ ID NO: 57, and a VL-CDR3 comprising the amino acid sequence of SEQ ID NO: 15 65.
- the antibody comprises a heavy chain variable region (VH) comprising an amino acid sequence that is at least 90%, 91%, 92%, 93 %, 94%, 95%, 96%, 97%, 98%, or 99% identical to the amino acid sequence of SEQ ID NO: 83, and a light chain variable region (VL) comprising an amino acid sequence that is at least 90%, 91%, 92%, 93 %, 94%, 95%, 96%, 97%, 98%, or 99% identical to an amino 20 acid sequence selected from SEQ ID NOs: 122, 132, and 133.
- VH heavy chain variable region
- VL light chain variable region
- the antibody comprises a heavy chain comprising an amino acid sequence that is at least 90%, 91%, 92%, 93%, 94%, 95%, 96%, 97%, 98%, or 99% identical to an amino acid sequence selected from SEQ ID NOs: 150 and 193, and a light chain comprising an amino acid sequence that is at least 90%, 91%, 92%, 93%, 94%, 95%, 96%, 97%, 98%, 25 or 99% identical to an amino acid sequence selected from SEQ ID NOs: 232, 242, and 243.
- an anti-LRRC15 antibody comprises a VH-CDR1 comprising the amino acid sequence of SEQ ID NO: 2, a VH-CDR2 comprising the amino acid sequence of SEQ ID NO: 16, a VH-CDR3 comprising the amino acid 30 sequence of SEQ ID NO: 42, a light chain CDR1 (VL-CDR1) comprising the amino
- the antibody comprises a heavy chain variable region (VH) comprising an amino acid sequence that is at least 90%, 91%, 92%, 93 %, 94%, 5 95%, 96%, 97%, 98%, or 99% identical to the amino acid sequence of SEQ ID NO: 88, and a light chain variable region (VL) comprising an amino acid sequence that is at least 90%, 91%, 92%, 93 %, 94%, 95%, 96%, 97%, 98%, or 99% identical to the amino acid sequence selected from SEQ ID NOs: 123 and 134.
- VH heavy chain variable region
- VL light chain variable region
- the antibody comprises a heavy chain comprising an amino acid sequence that is at least 10 90%, 91%, 92%, 93%, 94%, 95%, 96%, 97%, 98%, or 99% identical to an amino acid sequence selected from SEQ ID NOs: 155 and 198, and a light chain comprising an amino acid sequence that is at least 90%, 91%, 92%, 93%, 94%, 95%, 96%, 97%, 98%, or 99% identical to the amino acid sequence selected from SEQ ID NOs: 233, 244-247.
- an anti-LRRC15 antibody comprises a VH-CDR1 15 comprising the amino acid sequence of SEQ ID NO: 2; a VH-CDR2 comprising the amino acid sequence of SEQ ID NO: 26, a VH-CDR3 comprising the amino acid sequence of SEQ ID NO: 39, a light chain CDR1 (VL-CDR1) comprising the amino acid sequence of SEQ ID NO: 52, a VL-CDR2 comprising the amino acid sequence of SEQ ID NO: 61, and a VL-CDR3 comprising the amino acid sequence of SEQ ID NO: 20 74.
- the antibody comprises a heavy chain variable region (VH) comprising an amino acid sequence that is at least 90%, 91%, 92%, 93 %, 94%, 95%, 96%, 97%, 98%, or 99% identical to the amino acid sequence of SEQ ID NO: 85, and a light chain variable region (VL) comprising an amino acid sequence that is at least 90%, 91%, 92%, 93 %, 94%, 95%, 96%, 97%, 98%, or 99% identical to the amino 25 acid sequence of SEQ ID NO: 127.
- VH heavy chain variable region
- VL light chain variable region
- the antibody comprises a heavy chain comprising an amino acid sequence that is at least 90%, 91%, 92%, 93%, 94%, 95%, 96%, 97%, 98%, or 99% identical to an amino acid sequence selected from SEQ ID NOs: 152 and 195, and a light chain comprising an amino acid sequence that is at least 90%, 91%, 92%, 93%, 94%, 95%, 96%, 97%, 98%, or 99% identical to the 30 amino acid sequence of SEQ ID NO: 237.
- an anti-LRRC15 antibody comprises a VH-CDR1 comprising the amino acid sequence of SEQ ID NO: 5, a VH-CDR2 comprising the amino acid sequence of SEQ ID NO: 25, a VH-CDR3 comprising the amino acid sequence of SEQ ID NO: 38, a light chain CDR1 (VL-CDR1) comprising the amino 5 acid sequence of SEQ ID NO: 51, a VL-CDR2 comprising the amino acid sequence of SEQ ID NO: 60, and a VL-CDR3 comprising the amino acid sequence of SEQ ID NO: 73.
- the antibody comprises a heavy chain variable region (VH) comprising an amino acid sequence that is at least 90%, 91%, 92%, 93 %, 94%, 95%, 96%, 97%, 98%, or 99% identical to the amino acid sequence of SEQ ID NO: 84, 10 and a light chain variable region (VL) comprising an amino acid sequence that is at least 90%, 91%, 92%, 93 %, 94%, 95%, 96%, 97%, 98%, or 99% identical to the amino acid sequence of SEQ ID NO: 126.
- VH heavy chain variable region
- VL light chain variable region
- the antibody comprises a heavy chain comprising an amino acid sequence that is at least 90%, 91%, 92%, 93%, 94%, 95%, 96%, 97%, 98%, or 99% identical to an amino acid sequence selected from 15 SEQ ID NOs: 151 and 194, and a light chain comprising an amino acid sequence that is at least 90%, 91%, 92%, 93%, 94%, 95%, 96%, 97%, 98%, or 99% identical to the amino acid sequence of SEQ ID NO: 236.
- an anti-LRRC15 antibody comprises a VH-CDR1 comprising the amino acid sequence of SEQ ID NO: 6, a VH-CDR2 comprising the 20 amino acid sequence of SEQ ID NO: 27, a VH-CDR3 comprising the amino acid sequence of SEQ ID NO: 40, a light chain CDR1 (VL-CDR1) comprising the amino acid sequence of SEQ ID NO: 53, a VL-CDR2 comprising the amino acid sequence of SEQ ID NO: 62, and a VL-CDR3 comprising the amino acid sequence of SEQ ID NO: 75.
- the antibody comprises a heavy chain variable region 25 (VH) comprising an amino acid sequence that is at least 90%, 91%, 92%, 93 %, 94%, 95%, 96%, 97%, 98%, or 99% identical to the amino acid sequence of SEQ ID NO: 86, and the light chain variable region (VL) comprising an amino acid sequence that is at least 90%, 91%, 92%, 93 %, 94%, 95%, 96%, 97%, 98%, or 99% identical to the amino acid sequence of SEQ ID NO: 128.
- the antibody comprises a 30 heavy chain comprising an amino acid sequence that is at least 90%, 91%, 92%, 93%,
- an anti-LRRC15 antibody comprises a VH-CDR1 comprising the amino acid sequence of SEQ ID NO: 7, a VH-CDR2 comprising the amino acid sequence of SEQ ID NO: 28, a VH-CDR3 comprising the amino acid sequence of SEQ ID NO: 41, a light chain CDR1 (VL-CDR1) comprising the amino acid sequence of SEQ ID NO: 53, a VL-CDR2 comprising the amino acid sequence of 10 SEQ ID NO: 62, and a VL-CDR3 comprising the amino acid sequence of SEQ ID NO: 75.
- the antibody comprises a heavy chain variable region (VH) comprising an amino acid sequence that is at least 90%, 91%, 92%, 93 %, 94%, 95%, 96%, 97%, 98%, or 99% identical to the amino acid sequence of SEQ ID NO: 87, and a light chain variable region (VL) comprising an amino acid sequence that is at 15 least 90%, 91%, 92%, 93 %, 94%, 95%, 96%, 97%, 98%, or 99% identical to the amino acid sequence of SEQ ID NO: 128.
- VH heavy chain variable region
- VL light chain variable region
- the antibody comprises a heavy chain comprising an amino acid sequence that is at least 90%, 91%, 92%, 93%, 94%, 95%, 96%, 97%, 98%, or 99% identical to an amino acid sequence selected from SEQ ID NOs: 154 and 197, and a light chain comprising an amino acid sequence that is 20 at least 90%, 91%, 92%, 93%, 94%, 95%, 96%, 97%, 98%, or 99% identical to the amino acid sequence of SEQ ID NO: 238.
- an anti-LRRC15 antibody comprises a VH-CDR1 comprising the amino acid sequence of SEQ ID NO: 8, a VH-CDR2 comprising the amino acid sequence of SEQ ID NO: 29, a VH-CDR3 comprising the amino acid 25 sequence of SEQ ID NO: 43, a light chain CDR1 (VL-CDR1) comprising the amino acid sequence of SEQ ID NO: 54, a VL-CDR2 comprising the amino acid sequence of SEQ ID NO: 62, and a VL-CDR3 comprising the amino acid sequence of SEQ ID NO: 76.
- the antibody comprises a heavy chain variable region (VH) comprising an amino acid sequence that is at least 90%, 91%, 92%, 93 %, 94%, 30 95%, 96%, 97%, 98%, or 99% identical to the amino acid sequence of SEQ ID NO: 89,
- VH heavy chain variable region
- VL light chain variable region
- the antibody comprises a heavy chain comprising an amino acid sequence that is at least 90%, 91%, 92%, 93%, 5 94%, 95%, 96%, 97%, 98%, or 99% identical to an amino acid sequence selected from SEQ ID NOs: 156 and 199, and a light chain comprising an amino acid sequence that is at least 90%, 91%, 92%, 93%, 94%, 95%, 96%, 97%, 98%, or 99% identical to the amino acid sequence of SEQ ID NO: 239.
- an anti-LRRC15 antibody comprises a VH-CDR1 10 comprising the amino acid sequence of SEQ ID NO: 9, a VH-CDR2 comprising the amino acid sequence of SEQ ID NO: 30, a VH-CDR3 comprising the amino acid sequence of SEQ ID NO: 44, a light chain CDR1 (VL-CDR1) comprising the amino acid sequence of SEQ ID NO: 55, a VL-CDR2 comprising the amino acid sequence of SEQ ID NO: 63, and a VL-CDR3 comprising the amino acid sequence of SEQ ID NO: 15 77.
- the antibody comprises a heavy chain variable region (VH) comprising an amino acid sequence that is at least 90%, 91%, 92%, 93 %, 94%, 95%, 96%, 97%, 98%, or 99% identical to the amino acid sequence of SEQ ID NO: 90, and a light chain variable region (VL) comprising an amino acid sequence that is at least 90%, 91%, 92%, 93 %, 94%, 95%, 96%, 97%, 98%, or 99% identical to the amino 20 acid sequence of SEQ ID NO: 130.
- VH heavy chain variable region
- VL light chain variable region
- the antibody comprises a heavy chain comprising an amino acid sequence that is at least 90%, 91%, 92%, 93%, 94%, 95%, 96%, 97%, 98%, or 99% identical to an amino acid sequence selected from SEQ ID NOs: 157 and 200, and a light chain comprising an amino acid sequence that is at least 90%, 91%, 92%, 93%, 94%, 95%, 96%, 97%, 98%, or 99% identical to the 25 amino acid sequence of SEQ ID NO: 240.
- an anti-LRRC15 antibody comprises a VH-CDR1 comprising the amino acid sequence of SEQ ID NO: 10, a VH-CDR2 comprising the amino acid sequence of SEQ ID NO: 31, a VH-CDR3 comprising the amino acid sequence of SEQ ID NO: 45, a light chain CDR1 (VL-CDR1) comprising the amino 30 acid sequence of SEQ ID NO: 56, a VL-CDR2 comprising the amino acid sequence of
- the antibody comprises a heavy chain variable region (VH) comprising an amino acid sequence that is at least 90%, 91%, 92%, 93 %, 94%, 95%, 96%, 97%, 98%, or 99% identical to the amino acid sequence of SEQ ID NO: 91, 5 and a light chain variable region (VL) comprising an amino acid sequence that is at least 90%, 91%, 92%, 93 %, 94%, 95%, 96%, 97%, 98%, or 99% identical to the amino acid sequence of SEQ ID NO: 131.
- VH heavy chain variable region
- VL light chain variable region
- the antibody comprises a heavy chain comprising an amino acid sequence that is at least 90%, 91%, 92%, 93%, 94%, 95%, 96%, 97%, 98%, or 99% identical to an amino acid sequence selected from 10 SEQ ID NOs: 158 and 201, and a light chain comprising an amino acid sequence that is at least 90%, 91%, 92%, 93%, 94%, 95%, 96%, 97%, 98%, or 99% identical to the amino acid sequence of SEQ ID NO: 241.
- an anti-LRRC15 antibody comprises a VH-CDR1 comprising the amino acid sequence of SEQ ID NO: 1, a VH-CDR2 comprising the 15 amino acid sequence of SEQ ID NO: 11, a VH-CDR3 comprising the amino acid sequence of SEQ ID NO: 32, a light chain CDR1 (VL-CDR1) comprising the amino acid sequence of SEQ ID NO: 46, a VL-CDR2 comprising the amino acid sequence of SEQ ID NO: 57, and a VL-CDR3 comprising the amino acid sequence of SEQ ID NO: 65.
- an anti-LRRC15 antibody comprises a VH-CDR1 comprising the amino acid sequence of SEQ ID NO: 1, a VH-CDR2 comprising the amino acid sequence of SEQ ID NO: 15, a VH-CDR3 comprising the amino acid sequence of SEQ ID NO: 32, a light chain CDR1 (VL-CDR1) comprising the amino acid sequence of SEQ ID NO: 46, a VL-CDR2 comprising the amino acid sequence of 25 SEQ ID NO: 57, and a VL-CDR3 comprising the amino acid sequence of SEQ ID NO: 65.
- an anti-LRRC15 antibody comprises a VH-CDR1 comprising the amino acid sequence of SEQ ID NO: 2, a VH-CDR2 comprising the amino acid sequence of SEQ ID NO: 16, a VH-CDR3 comprising the amino acid 30 sequence of SEQ ID NO: 33, a light chain CDR1 (VL-CDR1) comprising the amino
- an anti-LRRC15 antibody comprises a VH-CDR1 5 comprising the amino acid sequence of SEQ ID NO: 2, a VH-CDR2 comprising the amino acid sequence of SEQ ID NO: 18, a VH-CDR3 comprising the amino acid sequence of SEQ ID NO: 33, a light chain CDR1 (VL-CDR1) comprising the amino acid sequence of SEQ ID NO: 47, a VL-CDR2 comprising the amino acid sequence of SEQ ID NO: 58, and a VL-CDR3 comprising the amino acid sequence of SEQ ID NO: 10 69.
- an anti-LRRC15 antibody comprises a VH-CDR1 comprising the amino acid sequence of SEQ ID NO: 3, a VH-CDR2 comprising the amino acid sequence of SEQ ID NO: 19, a VH-CDR3 comprising the amino acid sequence of SEQ ID NO: 34, a light chain CDR1 (VL-CDR1) comprising the amino 15 acid sequence of SEQ ID NO: 49, a VL-CDR2 comprising the amino acid sequence of SEQ ID NO: 59, and a VL-CDR3 comprising the amino acid sequence of SEQ ID NO: 71.
- an anti-LRRC15 antibody comprises a VH-CDR1 comprising the amino acid sequence of SEQ ID NO: 3, a VH-CDR2 comprising the 20 amino acid sequence of SEQ ID NO: 19, a VH-CDR3 comprising the amino acid sequence of SEQ ID NO: 35, a light chain CDR1 (VL-CDR1) comprising the amino acid sequence of SEQ ID NO: 49, a VL-CDR2 comprising the amino acid sequence of SEQ ID NO: 59, and a VL-CDR3 comprising the amino acid sequence of SEQ ID NO: 71.
- an anti-LRRC15 antibody comprises a VH-CDR1 comprising the amino acid sequence of SEQ ID NO: 4, a VH-CDR2 comprising the amino acid sequence of SEQ ID NO: 20, a VH-CDR3 comprising the amino acid sequence of SEQ ID NO: 36, a light chain CDR1 (VL-CDR1) comprising the amino acid sequence of SEQ ID NO: 50, a VL-CDR2 comprising the amino acid sequence of
- an anti-LRRC15 antibody comprises: (a) a heavy chain variable region (VH) comprising an amino acid sequence 5 selected from SEQ ID NOs: 79 and 92-101, and a light chain variable region (VL) comprising an amino acid sequence selected from SEQ ID NOs: 122, 132, and 133; or (b) a heavy chain variable region (VH) comprising an amino acid sequence selected from SEQ ID NOs: 80 and 102-107, and a light chain variable region (VL) comprising an amino acid sequence selected from SEQ ID NOs: 123 and 134-138; or 10 (c) a heavy chain variable region (VH) comprising an amino acid sequence selected from SEQ ID NOs: 81 and 108-113, and a light chain variable region (VL) comprising an amino acid sequence selected from SEQ ID NOs: 124, 139, and
- a heavy chain variable region (VH) comprising the amino acid sequence of SEQ ID NO: 87, and a light chain variable region (VL) comprising the amino acid sequence of SEQ ID NO: 128; or (k) a heavy chain variable region (VH) comprising the amino acid sequence 5 of SEQ ID NO: 89, and a light chain variable region (VL) comprising the amino acid sequence of SEQ ID NO: 129; or (l) a heavy chain variable region (VH) comprising the amino acid sequence of SEQ ID NO: 90, and a light chain variable region (VL) comprising the amino acid sequence of SEQ ID NO: 130; or 10 (m) a heavy chain variable region (VH) comprising the amino acid sequence of SEQ ID NO: 91, and a light chain variable region (VL) comprising the amino acid sequence of SEQ ID NO: 131.
- an anti-LRRC15 antibody comprises: a heavy chain variable region (VH) comprising an amino acid sequence of SEQ ID NO: 94, and 15 a light chain variable region (VL) comprising an amino acid sequence of SEQ ID NO: 132.
- an anti-LRRC15 antibody comprises: a heavy chain variable region (VH) comprising an amino acid sequence of SEQ ID NO: 101, and a light chain variable region (VL) comprising an amino acid sequence of SEQ ID 20 NO: 132.
- an anti-LRRC15 antibody comprises: a heavy chain variable region (VH) comprising an amino acid sequence of SEQ ID NO: 103, and a light chain variable region (VL) comprising an amino acid sequence of SEQ ID NO: 134. 25 [0138] In some embodiments, an anti-LRRC15 antibody comprises: a heavy chain variable region (VH) comprising an amino acid sequence of SEQ ID NO: 106, and a light chain variable region (VL) comprising an amino acid sequence of SEQ ID NO: 137. [0139] In some embodiments, an anti-LRRC15 antibody comprises: a heavy 30 chain variable region (VH) comprising an amino acid sequence of SEQ ID NO: 108,
- an anti-LRRC15 antibody comprises: a heavy chain variable region (VH) comprising an amino acid sequence of SEQ ID NO: 113, 5 and a light chain variable region (VL) comprising an amino acid sequence of SEQ ID NO: 139.
- an anti-LRRC15 antibody comprises: a heavy chain variable region (VH) comprising an amino acid sequence of SEQ ID NO: 114, and a light chain variable region (VL) comprising an amino acid sequence of SEQ ID 10 NO: 141.
- an anti-LRRC15 antibody comprises: (a) a heavy chain comprising an amino acid sequence selected from SEQ ID NOs: 146, 159-168, 189, and 202-211, and a light chain comprising an amino acid sequence selected from SEQ ID NOs: 232, 242, and 243; or 15 (b) a heavy chain comprising an amino acid sequence selected from SEQ ID NOs: 147, 169-174, 190, and 212-217, and a light chain comprising an amino acid sequence selected from SEQ ID NOs: 233 and 244-248; or (c) a heavy chain comprising an amino acid sequence selected from SEQ ID NOs: 148, 175-180, 191, and 218-223, and a light chain comprising an amino acid 20 sequence selected from SEQ ID NOs: 234, 249, and 250; or (d) a heavy chain comprising an amino acid sequence selected from SEQ ID NOs: 149, 181-188, 192, and 224-231, and
- an anti-LRRC15 antibody comprises: a heavy chain comprising an amino acid sequence of SEQ ID NO: 161, and a light chain comprising an amino acid sequence of SEQ ID NO: 242. 25 [0144] In some embodiments, an anti-LRRC15 antibody comprises: a heavy chain comprising an amino acid sequence of SEQ ID NO: 204, and a light chain comprising an amino acid sequence of SEQ ID NO: 242. [0145] In some embodiments, an anti-LRRC15 antibody comprises: a heavy chain comprising an amino acid sequence of SEQ ID NO: 168, and a light chain 30 comprising an amino acid sequence of SEQ ID NO: 242.
- an anti-LRRC15 antibody comprises: a heavy chain comprising an amino acid sequence of SEQ ID NO: 211, and a light chain comprising an amino acid sequence of SEQ ID NO: 242. [0147] In some embodiments, an anti-LRRC15 antibody comprises: a heavy 5 chain comprising an amino acid sequence of SEQ ID NO: 170, and a light chain comprising an amino acid sequence of SEQ ID NO: 244. [0148] In some embodiments, an anti-LRRC15 antibody comprises: a heavy chain comprising an amino acid sequence of SEQ ID NO: 213, and a light chain comprising an amino acid sequence of SEQ ID NO: 244.
- an anti-LRRC15 antibody comprises: a heavy chain comprising an amino acid sequence of SEQ ID NO: 173, and a light chain comprising an amino acid sequence of SEQ ID NO: 247.
- an anti-LRRC15 antibody comprises: a heavy chain comprising an amino acid sequence of SEQ ID NO: 216, and a light chain 15 comprising an amino acid sequence of SEQ ID NO: 247.
- an anti-LRRC15 antibody comprises: a heavy chain comprising an amino acid sequence of SEQ ID NO: 175, and a light chain comprising an amino acid sequence of SEQ ID NO: 249.
- an anti-LRRC15 antibody comprises: a heavy 20 chain comprising an amino acid sequence of SEQ ID NO: 218, and a light chain comprising an amino acid sequence of SEQ ID NO: 249. [0153] In some embodiments, an anti-LRRC15 antibody comprises: a heavy chain comprising an amino acid sequence of SEQ ID NO: 180, and a light chain comprising an amino acid sequence of SEQ ID NO: 249. 25 [0154] In some embodiments, an anti-LRRC15 antibody comprises: a heavy chain comprising an amino acid sequence of SEQ ID NO: 223, and a light chain comprising an amino acid sequence of SEQ ID NO: 249. [0155] In some embodiments, an anti-LRRC15 antibody comprises: a heavy chain comprising an amino acid sequence of SEQ ID NO: 181, and a light chain 30 comprising an amino acid sequence of SEQ ID NO: 251.
- an anti-LRRC15 antibody comprises: a heavy chain comprising an amino acid sequence of SEQ ID NO: 224, and a light chain comprising an amino acid sequence of SEQ ID NO: 251.
- an antibody is conjugated to a small molecule 5 drug.
- an antibody is conjugated to a TGF ⁇ R2 inhibitor to form a TGF ⁇ R2 inhibitor conjugate.
- an antibody is an isolated monoclonal antibody.
- an antibody is a bispecific antibody.
- An antibody can be chimeric or humanized.
- Chimeric and humanized forms of non-human (e.g., murine) antibodies can be intact (full length) chimeric 10 immunoglobulins, immunoglobulin chains or antigen binding fragments thereof (such as Fv, Fab, Fab', F(ab') 2 or other target-binding subdomains of antibodies), which can contain sequences derived from non-human immunoglobulin.
- the humanized antibody can comprise substantially all of at least one, and typically two, variable domains, in which all or substantially all of the CDR regions correspond to those of a 15 non-human immunoglobulin and all or substantially all of the framework (FR) regions are those of a human immunoglobulin sequence.
- a humanized antibody can also comprise at least a portion of an immunoglobulin constant region (Fc), an Fc domain, typically that of a human immunoglobulin sequence.
- An antibody described herein can be a human antibody.
- 20 “human antibodies” can include antibodies having, for example, the amino acid sequence of a human immunoglobulin and include antibodies isolated from human immunoglobulin libraries or from animals transgenic for one or more human immunoglobulins and that typically do not express endogenous immunoglobulins.
- Human antibodies can be produced using transgenic mice which are incapable of 25 expressing functional endogenous immunoglobulins, but which can express human immunoglobulin genes.
- Completely human antibodies that recognize a selected epitope can be generated using guided selection. In this approach, a selected non-human monoclonal antibody, e.g., a mouse antibody, is used to guide the selection of a completely human antibody recognizing the same epitope.
- An antibody described herein can comprise a human IgG1, human IgG2, human IgG3, or human IgG4 constant region.
- the antibody described herein can comprise a human IgG1 constant region comprising L117A, L118A, G120A, and/or K205A substitutions.
- An antibody described herein can be a bispecific antibody or a dual variable domain antibody (DVD). Bispecific and DVD antibodies are monoclonal, often human or humanized, antibodies that have binding specificities for at least two different antigens.
- An antibody described herein can be derivatized or otherwise modified.
- a polypeptide such as a fusion protein or an antibody, may comprise an 15 Fc domain.
- An Fc domain is a structure that can bind to one or more Fc receptors (FcRs).
- FcRs Fc receptors
- an Fc domain is from an IgG antibody, such as an IgG1, IgG2, or IgG4 antibody.
- An Fc domain typically comprises CH2 and CH3 domains of a heavy chain constant region, but may comprise more or less of the heavy chain constant region as well.
- An Fc domain can be a domain of an antibody that can bind to an FcR(s).
- FcRs are organized into classes (e.g., gamma ( ⁇ ), alpha ( ⁇ ) and epsilon ( ⁇ )) based on the class of antibody that the FcR recognizes.
- the Fc ⁇ R class binds to IgA and includes several isoforms, Fc ⁇ RI (CD89) and Fc ⁇ R.
- the Fc ⁇ R class binds to IgG and includes several isoforms, Fc ⁇ RI (CD64), Fc ⁇ RIIA (CD32a), Fc ⁇ RIIB (CD32b), 25 Fc ⁇ RIIIA (CD16a), and Fc ⁇ RIIIB (CD16b).
- An Fc ⁇ RIIIA can be an Fc ⁇ RIIIA (CD16a) F158 variant or a V158 variant.
- FcRs also can be FcRn receptors.
- Each Fc ⁇ R isoform can differ in binding affinity to the Fc domain of the IgG antibody.
- Fc ⁇ RI can bind to IgG with greater affinity than Fc ⁇ RII or Fc ⁇ RIII.
- the affinity of a particular Fc ⁇ R isoform to an IgG can be controlled, in part,
- a glycan e.g., oligosaccharide
- fucose containing CH284.4 glycans can reduce IgG affinity for Fc ⁇ RIIIA.
- G0 glucans can have increased affinity for Fc ⁇ RIIIA due to the lack of galactose and terminal GlcNAc moiety. 5 [0166] Binding of an Fc domain to an FcR can enhance an immune response. FcR-mediated signaling that can result from an Fc domain binding to an FcR and can lead to the maturation of immune cells.
- FcR-mediated signaling that can result from an Fc domain binding to an FcR can lead to the maturation of dendritic cells (DCs).
- FcR- mediated signaling that can result from an Fc domain binding to an FcR can lead to 10 antibody dependent cellular cytotoxicity.
- FcR-mediated signaling that can result from an Fc domain binding to an FcR can lead to more efficient immune cell antigen uptake and processing.
- FcR-mediated signaling that can result from an Fc domain binding to an FcR can promote the expansion and activation of T cells.
- FcR-mediated signaling that can result from an Fc domain binding to an FcR can promote the expansion and 15 activation of CD8+ T cells.
- FcR-mediated signaling that can result from an Fc domain binding to an FcR can influence immune cell regulation of T cell responses.
- FcR- mediated signaling that can result from an Fc domain binding to an FcR can influence dendritic cell regulation of T cell responses.
- FcR-mediated signaling that can result from an Fc domain binding to an FcR can influence functional polarization of T cells 20 (e.g., polarization can be toward a TH1 cell response).
- An Fc domain can be modified, such as by a modification of the amino acid sequence, to alter the recognition of an FcR for the Fc domain. Such modification(s) may still allow for FcR-mediated signaling, depending on the modification.
- a modification can be a substitution of an amino acid at a residue of an 25 Fc domain for a different amino acid at that residue.
- a modification can be an insertion or deletion of an amino acid at a residue of an Fc domain.
- a modification can permit binding of an FcR to a site on the Fc domain to which the FcR may not otherwise bind.
- a modification can increase binding affinity of an FcR to the Fc domain.
- a modification can decrease binding affinity of an FcR to the Fc domain.
- An Fc domain can be a variant of a naturally occurring Fc domain (e.g., a wild type Fc domain) and can comprise at least one amino acid change as compared to the sequence of a wild-type Fc domain.
- An amino acid change in an Fc domain can allow the antibody or conjugate to bind to at least one Fc receptor with greater affinity 5 compared to a wild-type Fc domain.
- An amino acid change in an Fc domain can allow the antibody or conjugate to bind to at least one Fc receptor with lessor affinity compared to a wild-type Fc domain.
- an Fc domain exhibits increased binding affinity to one or more Fc receptors.
- an Fc domain exhibits increased 10 binding affinity to one or more Fcgamma receptors. In some embodiments, an Fc domain exhibits increased binding affinity to FcRn receptors. In some embodiments, an Fc domain exhibits increased binding affinity to Fcgamma and FcRn receptors. In other embodiments, an Fc domain exhibits the same or substantially similar binding affinity to Fcgamma and/or FcRn receptors as compared to a wild-type Fc domain from an IgG 15 antibody (e.g., IgG1 antibody). [0170] In some embodiments, an Fc domain exhibits decreased binding affinity to one or more Fc receptors.
- an Fc domain exhibits decreased binding affinity to one or more Fcgamma receptors. In some embodiments, an Fc domain exhibits decreased binding affinity to FcRn receptors. In some embodiments, 20 an Fc domain exhibits decreased binding affinity to Fcgamma and FcRn receptors. In some embodiments, an Fc domain is an Fc null domain. In some embodiments, an Fc domain exhibits decreased binding affinity to FcRn receptors, but exhibits the same or increased binding affinity to one or more Fcgamma receptors as compared to a wildtype Fc domain. In some embodiments, an Fc domain exhibits increased binding affinity to 25 FcRn receptors, but exhibits the same or decreased binding affinity to one or more Fcgamma receptors.
- An Fc domain may have one or more, two or more, three or more, or four or more amino acid substitutions that decrease binding of the Fc domain to an Fc receptor.
- an Fc domain has decreased binding affinity for one 30 or more of Fc ⁇ RI (CD64), Fc ⁇ RIIA (CD32), Fc ⁇ RIIIA (CD16a), Fc ⁇ RIIIB (CD16b), or
- the Fc domain may comprise one or more amino acid substitutions that reduces the binding affinity of the Fc domain to an Fc receptor.
- an Fc domain exhibits the same or substantially similar binding affinity to one or more 5 of Fc ⁇ RI (CD64), Fc ⁇ RIIA (CD32), Fc ⁇ RIIIA (CD16a), Fc ⁇ RIIIB (CD16b), or any combination thereof as compared to a wild-type Fc domain from an IgG antibody (e.g., IgG1 antibody).
- an Fc domain can comprise a sequence of an IgG isoform that has been modified from the wild-type IgG sequence.
- the Fc domain can comprise a sequence of the IgG1 isoform that has 10 been modified from the wild-type IgG1 sequence.
- the modification comprises substitution of one or more amino acids that reduce binding affinity of an IgG Fc domain to all Fc ⁇ receptors.
- a modification can be substitution of E233, L234 and L235, such as E233P/L234V/L235A or E233P/L234V/L235A/ ⁇ G236, according to the EU index of 15 Kabat.
- a modification can be a substitution of P238, such as P238A, according to the EU index of Kabat.
- a modification can be a substitution of D265, such as D265A, according to the EU index of Kabat.
- a modification can be a substitution of N297, such as N297A, according to the EU index of Kabat.
- a modification can be a substitution of A327, such as A327Q, according to the EU index of Kabat.
- a 20 modification can be a substitution of P329, such as P239A, according to the EU index of Kabat.
- an IgG Fc domain comprises at least one amino acid substitution that reduces its binding affinity to Fc ⁇ R1, as compared to a wild-type or reference IgG Fc domain.
- a modification can comprise a substitution at F241, such 25 as F241A, according to the EU index of Kabat.
- a modification can comprise a substitution at F243, such as F243A, according to the EU index of Kabat.
- a modification can comprise a substitution at V264, such as V264A, according to the EU index of Kabat.
- a modification can comprise a substitution at D265, such as D265A according to the EU index of Kabat.
- an IgG Fc domain comprises at least one amino acid substitution that increases its binding affinity to Fc ⁇ R1, as compared to a wild-type or reference IgG Fc domain.
- a modification can comprise a substitution at A327 and P329, such as A327Q/P329A, according to the EU index of Kabat. 5
- the modification comprises substitution of one or more amino acids that reduce binding affinity of an IgG Fc domain to Fc ⁇ RII and Fc ⁇ RIIIA receptors.
- a modification can be a substitution of D270, such as D270A, according to the EU index of Kabat.
- a modification can be a substitution of Q295, such as Q295A, according to the EU index of Kabat.
- a modification can be a 10 substitution of A327, such as A237S, according to the EU index of Kabat.
- the modification comprises substitution of one or more amino acids that increases binding affinity of an IgG Fc domain to Fc ⁇ RII and Fc ⁇ RIIIA receptors.
- a modification can be a substitution of T256, such as T256A, according to the EU index of Kabat.
- a modification can be a substitution of K290, 15 such as K290A, according to the EU index of Kabat.
- the modification comprises substitution of one or more amino acids that increases binding affinity of an IgG Fc domain to Fc ⁇ RII receptor.
- a modification can be a substitution of R255, such as R255A, according to the EU index of Kabat.
- a modification can be a substitution of E258, such as E258A, 20 according to the EU index of Kabat.
- a modification can be a substitution of S267, such as S267A, according to the EU index of Kabat.
- a modification can be a substitution of E272, such as E272A, according to the EU index of Kabat.
- a modification can be a substitution of N276, such as N276A, according to the EU index of Kabat.
- a modification can be a substitution of D280, such as D280A, according to the EU index 25 of Kabat.
- a modification can be a substitution of H285, such as H285A, according to the EU index of Kabat.
- a modification can be a substitution of N286, such as N286A, according to the EU index of Kabat.
- a modification can be a substitution of T307, such as T307A, according to the EU index of Kabat.
- a modification can be a substitution of L309, such as L309A, according to the EU index of Kabat.
- a modification can be a 30 substitution of N315, such as N315A, according to the EU index of Kabat.
- the modification can be a substitution of K326, such as K326A, according to the EU index of Kabat.
- a modification can be a substitution of P331, such as P331A, according to the EU index of Kabat.
- a modification can be a substitution of S337, such as S337A, according to the EU index of Kabat.
- a modification can be a substitution of A378, 5 such as A378A, according to the EU index of Kabat.
- a modification can be a substitution of E430, such as E430, according to the EU index of Kabat.
- the modification comprises substitution of one or more amino acids that increases binding affinity of an IgG Fc domain to Fc ⁇ RII receptor and reduces the binding affinity to Fc ⁇ RIIIA receptor.
- a modification can be a 10 substitution of H268, such as H268A, according to the EU index of Kabat.
- a modification can be a substitution of R301, such as R301A, according to the EU index of Kabat.
- a modification can be a substitution of K322, such as K322A, according to the EU index of Kabat.
- the modification comprises substitution of one or 15 more amino acids that decreases binding affinity of an IgG Fc domain to Fc ⁇ RII receptor but does not affect the binding affinity to Fc ⁇ RIIIA receptor.
- a modification can be a substitution of R292, such as R292A, according to the EU index of Kabat.
- a modification can be a substitution of K414, such as K414A, according to the EU index of Kabat.
- the modification comprises substitution of one or more amino acids that decreases binding affinity of an IgG Fc domain to Fc ⁇ RII receptor and increases the binding affinity to Fc ⁇ RIIIA receptor.
- a modification can be a substitution of S298, such as S298A, according to the EU index of Kabat.
- a modification can be substitution of S239, I332 and A330, such as S239D/I332E/A330L.
- 25 A modification can be substitution of S239 and I332, such as S239D/I332E.
- the modification comprises substitution of one or more amino acids that decreases binding affinity of an IgG Fc domain to Fc ⁇ RIIIA receptor.
- a modification can be substitution of F241 and F243, such as F241S/F243S or F241I/F243I, according to the EU index of Kabat.
- the modification comprises substitution of one or more amino acids that decreases binding affinity of an IgG Fc domain to Fc ⁇ RIIIA receptor and does not affect the binding affinity to Fc ⁇ RII receptor.
- a modification can be a substitution of S239, such as S239A, according to the EU index of Kabat.
- a 5 modification can be a substitution of E269, such as E269A, according to the EU index of Kabat.
- a modification can be a substitution of E293, such as E293A, according to the EU index of Kabat.
- a modification can be a substitution of Y296, such as Y296F, according to the EU index of Kabat.
- a modification can be a substitution of V303, such as V303A, according to the EU index of Kabat.
- a modification can be a 10 substitution of A327, such as A327G, according to the EU index of Kabat.
- a modification can be a substitution of K338, such as K338A, according to the EU index of Kabat.
- a modification can be a substitution of D376, such as D376A, according to the EU index of Kabat.
- the modification comprises substitution of one or 15 more amino acids that increases binding affinity of an IgG Fc domain to Fc ⁇ RIIIA receptor and does not affect the binding affinity to Fc ⁇ RII receptor.
- a modification can be a substitution of E333, such as E333A, according to the EU index of Kabat.
- a modification can be a substitution of K334, such as K334A, according to the EU index of Kabat.
- a modification can be a substitution of A339, such as A339T, according to 20 the EU index of Kabat.
- a modification can be substitution of S239 and I332, such as S239D/I332E.
- the modification comprises substitution of one or more amino acids that increases binding affinity of an IgG Fc domain to Fc ⁇ RIIIA receptor.
- a modification can be substitution of L235, F243, R292, Y300 and P396, 25 such as L235V/F243L/R292P/Y300L/P396L (IgG1VLPLL) according to the EU index of Kabat.
- a modification can be substitution of S298, E333 and K334, such as S298A/E333A/K334A, according to the EU index of Kabat.
- a modification can be substitution of K246, such as K246F, according to the EU index of Kabat.
- an IgG Fc domain comprises at least one amino 5 acid substitution that reduces the binding affinity to FcRn, as compared to a wild-type or reference IgG Fc domain.
- a modification can comprise a substitution at H435, such as H435A according to the EU index of Kabat.
- a modification can comprise a substitution at I253, such as I253A according to the EU index of Kabat.
- a modification can comprise a substitution at H310, such as H310A according to the EU index of 10 Kabat.
- a modification can comprise substitutions at I253, H310 and H435, such as I253A/H310A/H435A according to the EU index of Kabat.
- a modification can comprise a substitution of one amino acid residue that increases the binding affinity of an IgG Fc domain for FcRn, relative to a wildtype or reference IgG Fc domain.
- a modification can comprise a substitution at V308, such 15 as V308P according to the EU index of Kabat.
- a modification can comprise a substitution at M428, such as M428L according to the EU index of Kabat.
- a modification can comprise a substitution at N434, such as N434A according to the EU index of Kabat or N434H according to the EU index of Kabat.
- a modification can comprise substitutions at T250 and M428, such as T250Q and M428L according to the 20 EU index of Kabat.
- a modification can comprise substitutions at M428 and N434, such as M428L and N434S, N434A or N434H according to the EU index of Kabat.
- a modification can comprise substitutions at M252, S254 and T256, such as M252Y/S254T/T256E according to the EU index of Kabat.
- a modification can be a substitution of one or more amino acids selected from P257L, P257N, P257I, V279E, 25 V279Q, V279Y, A281S, E283F, V284E, L306Y, T307V, V308F, Q311V, D376V, and N434H.
- Other substitutions in an IgG Fc domain that affect its interaction with FcRn are disclosed in U.S. Patent No.9,803,023 (the disclosure of which is incorporated by reference herein).
- an antibody is a human IgG2 antibody, including 30 an IgG2 Fc region.
- the heavy chain of the human IgG2 antibody is a human IgG2 antibody, including 30 an IgG2 Fc region.
- the heavy chain of the human IgG2 antibody is selected from P257L, P257N, P257I, V279E, 25 V279Q, V279Y, A281S,
- the present disclosure provides an isolated nucleic acid that encodes anti-LRRC15 antibody or antigen binding fragment thereof as described herein.
- the nucleic acid encoding the anti-LRRC15 antibody or antigen binding fragment thereof is codon optimized to enhance or maximize expression in 10 certain types of cells (e.g., Scholten et al., Clin. Immunol.119: 135-145, 2006).
- a "codon optimized" polynucleotide is a heterologous polypeptide having codons modified with silent mutations corresponding to the abundances of host cell tRNA levels.
- a nucleic acid molecule encodes an anti-LRRC15 15 antibody or antigen binding fragment thereof (e.g., an antibody heavy and light chains, or an antibody binding domain comprising V H and V L binding regions) as disclosed herein wherein two or more chains or regions are separated by a cleavage site.
- an anti-LRRC15 15 antibody or antigen binding fragment thereof e.g., an antibody heavy and light chains, or an antibody binding domain comprising V H and V L binding regions
- the cleavage site is a self-cleaving amino acid sequence comprising a 2A peptide from porcine teschovirus-1 (P2A), equine rhinitis A virus (E2A), Thosea asigna 20 virus (T2A), foot-and-mouth disease virus (F2A), or any combination thereof (see, e.g., Kim et al., PLOS One 6:e18556, 2011, which 2A nucleic acid and amino acid sequences are incorporated herein by reference in their entirety).
- P2A porcine teschovirus-1
- E2A equine rhinitis A virus
- T2A Thosea asigna 20 virus
- F2A foot-and-mouth disease virus
- an expression construct comprising a nucleic acid encoding an anti-LRRC15 antibody or antigen binding fragment thereof as described 25 herein is provided.
- a nucleic acid may be operably linked to an expression control sequence.
- expression construct refers to a DNA construct containing a nucleic acid molecule that is operably-linked to a suitable control sequence capable of effecting the expression of the nucleic acid molecule in a suitable host.
- An expression construct may be present in a vector (e.g., a bacterial vector, a viral
- operably linked refers to the association of two or more nucleic acids on a single polynucleotide fragment so that the function of one is affected by the other.
- a promoter is operably-linked with a coding sequence when it is capable of affecting the expression of that coding 5 sequence (i.e., the coding sequence is under the transcriptional control of the promoter).
- expression control sequence also called a regulatory sequence refers to nucleic acid sequences that effect the expression and processing of coding sequences to which they are operably linked.
- expression control sequences may include transcription initiation, termination, promoter and enhancer sequences; efficient 10 RNA processing signals such as splicing and polyadenylation signals; sequences that stabilize cytoplasmic mRNA; sequences that enhance translation efficiency (i.e., Kozak consensus sequences); sequences that enhance protein stability; and possibly sequences that enhance protein secretion.
- a nucleic acid or an expression construct 15 encoding an anti-LRRC15 antibody or antigen binding fragment thereof is present in a vector.
- a "vector” is a nucleic acid molecule that is capable of transporting another nucleic acid.
- Vectors may be, for example, plasmids, cosmids, viruses, a RNA vector or a linear or circular DNA or RNA molecule that may include chromosomal, non- chromosomal, semi-synthetic or synthetic nucleic acids.
- Exemplary vectors are those 20 capable of autonomous replication (episomal vector) or expression of nucleic acids to which they are linked (expression vectors).
- Exemplary viral vectors include retrovirus, adenovirus, parvovirus (e.g., adeno-associated viruses), coronavirus, negative strand RNA viruses such as ortho-myxovirus (e.g., influenza virus), rhabdovirus (e.g., rabies and vesicular stomatitis virus), paramyxovirus (e.g., measles and Sendai), positive 25 strand RNA viruses such as picornavirus and alphavirus, and double-stranded DNA viruses including adenovirus, herpesvirus (e.g., Herpes Simplex virus types 1 and 2, Epstein-Barr virus, cytomegalovirus), and poxvirus (e.g., vaccinia, fowlpox and canarypox).
- ortho-myxovirus e.g., influenza virus
- rhabdovirus e.g., rabies and vesicular stomatitis virus
- viruses include Norwalk virus, togavirus, flavivirus, reoviruses, papovavirus, hepadnavirus, and hepatitis virus, for example.
- retroviruses 30 include avian leukosis-sarcoma, mammalian C-type, B-type viruses, D type viruses,
- a vector is a plasmid.
- a vector is a viral vector.
- the viral vector is a lentiviral vector or a ⁇ -retroviral vector.
- the term "host” refers to a cell or microorganism targeted for genetic modification with a 10 heterologous or exogenous nucleic acid molecule to produce a polypeptide of interest (e.g., an anti-LRRC15 antibody or antigen-binding fragment thereof).
- a host cell may optionally already possess or be modified to include other genetic modifications that confer desired properties related or unrelated to biosynthesis of the heterologous or exogenous protein (e.g., inclusion of a detectable marker).
- More 15 than one heterologous or exogenous nucleic acid molecule can be introduced into a host cell as separate nucleic acid molecules, as a plurality of individually controlled genes, as a polycistronic nucleic acid molecule, as a single nucleic acid molecule encoding a fusion protein, or any combination thereof.
- two or more exogenous nucleic acid molecules are introduced into a host cell, it is understood that the two more exogenous 20 nucleic acid molecules can be introduced as a single nucleic acid molecule (e.g., on a single vector), on separate vectors, integrated into the host chromosome at a single site or multiple sites.
- the number of referenced heterologous nucleic acid molecules or protein activities refers to the number of encoding nucleic acid molecules or the number of protein activities, not the number of separate nucleic acid molecules introduced into a 25 host cell.
- Methods for producing antibodies can be produced by any method known in the art for antibody production. As one example, an antibody can be produced by a method using an isolated nucleic acid sequence encoding an antibody, vectors and host cells comprising
- the nucleic acid sequence encoding the antibody can be isolated into a replicable DNA vector for further cloning or for expression.
- DNA encoding an antibody can be readily isolated and sequenced using conventional procedures (e.g., by using 5 oligonucleotide probes that are capable of binding specifically to genes encoding the heavy and light chains of the antibody).
- Many vectors known in the art can be used as a vector.
- the vector components generally can include, but are not limited to, one or more of the following: a signal sequence, an origin of replication, one or more marker genes, an enhancer element, a promoter, and a transcription-termination sequence.
- Suitable host cells for cloning or expressing the DNA vectors herein can be prokaryote, yeast, or higher eukaryote cells described herein.
- Suitable host cells for expression of glycosylated antibody can be derived from multicellular organisms. Examples of invertebrate cells can include, but are not limited to, plant and insect cells.
- Host cells used to produce an antibody can be cultured in a variety of commercial 15 media. When using recombinant techniques, an antibody can be produced, for example, intracellularly, in the periplasmic space, or directly secreted into the medium.
- the particulate debris can be removed, for example, by centrifugation or ultrafiltration.
- supernatants from such expression systems can be 20 concentrated using a commercially available protein concentration filter.
- a protease inhibitor such as phenylmethylsuphonyl fluoride can be included in any of the foregoing steps to inhibit proteolysis, and antibiotics can be included to prevent the growth of adventitious contaminants.
- the antibody composition prepared from the cells can be purified using, 25 for example, hydroxylapatite chromatography, gel electrophoresis, dialysis, and affinity chromatography.
- a protein A as an affinity ligand can depend on the species and isotype of any immunoglobulin Fc domain that may be present in the antibody.
- Other techniques for protein purification such as fractionation on the an ion- exchange column, ethanol precipitation, reverse-phase HPLC, chromatography on 30 silica, chromatography on heparin SEPHAROSE TM , chromatography on an anion- or
- cation-exchange resin such as a polyaspartic acid column
- chromatofocusing SDS- PAGE
- ammonium-sulfate precipitation can also be used to recover the antibody.
- the mixture comprising the antibody and contaminants can be subjected to low-pH hydrophobic-interaction chromatography.
- the 5 methods for humanizing antibodies can include, for example, humanization uses CDR grafting (Jones et al., Nature 15321:522 (1986)) and variants thereof, including “reshaping” (Verhoeyen, et al., 1988 Science 239:1534-1536; Riechmann, et al., 1988 Nature 332:323-337; Tempest, et al., Bio/Technol.19919:266-271), “hyperchimerization” (Queen, et al., 1989 Proc. Natl. Acad. Sci.
- TGF ⁇ R2 inhibitor compounds typically via a linker(s) to form conjugates.
- An antibody can be attached to one or more immune-stimulatory compounds, typically from about 1 to about 10 20 compounds per antibody.
- the TGF ⁇ R2 inhibitor compound is selected from Category A or Category B, as further described herein.
- Variables and formulae of the Compounds of Category A are described in the section entitled Compounds of Category A, and variables and formulae of the Compounds of Category B are described in the section entitled Compounds of Category B.
- Formulae and 25 variables of the Compounds of Category A and the Compounds of Category B may use overlapping nomenclature or variables, but nomenclature, variables, or other formula descriptions are not intended to be interchangeable between the categories.
- the TGF ⁇ R2 inhibitor conjugate as described herein comprises a 5 compound of any one of Formulas (IA), (IA’), (IA-A), (IA-B), (IA-C), (IA-D), (IA-E) (IIA-A), (IIA-B), (IIA-C), or (IIA-D), or a compound from Table 14, or a salt thereof.
- a compound of any one of Formulas (IA), (IA-A), (IA-B), (IA-C), (IA-D), (IA-E) (IIA-A), (IIA-B), (IIA-C), or (IIA-D), or a compound from Table 14, or a salt thereof serves as D x in the conjugate of Formula (I), and may be 10 covalently bound to the linker, L 3 , which is covalently bound to the antibody in the conjugate of Formula (I).
- the TGF ⁇ R2 inhibitor is a compound of Formula 15 Formula (IA) or a pharmaceutically acceptable salt thereof, wherein: Ring A is unsubstituted or substituted cycloalkyl, unsubstituted or substituted heterocycloalkyl, unsubstituted or substituted aryl, or unsubstituted or substituted heteroaryl, wherein when Ring A is substituted, substituents on Ring A are 20 independently selected at each occurrence from R 4 ; each R 4 is selected from R L and R 20 , or two R 4 on adjacent atoms are taken together with the atoms to which they are attached to form an unsubstituted or substituted monocyclic carbocycle or unsubstituted or substituted monocyclic heterocycle; 25
- each R 52 is independently selected from hydrogen, C1-C6alkyl, C3-C6cycloalkyl, phenyl, benzyl, 5-membered heteroaryl, and 6-membered heteroaryl; or two R 52 groups are taken together with the N atom to which they are attached to form a N-containing heterocycle; and 10 each R 53 is independently selected from C1-C6alkyl, C3-C6cycloalkyl, phenyl, benzyl, 5-membered heteroaryl, and 6-membered heteroaryl; each R 54 is independently selected from
- the TGF ⁇ R2 inhibitor is a compound of Formula (IA’): 20 Formula (IA’) or a pharmaceutically acceptable salt thereof, wherein: Ring A is unsubstituted or substituted cycloalkyl, unsubstituted or substituted heterocycloalkyl, unsubstituted or substituted aryl, or unsubstituted or substituted heteroaryl, wherein when Ring A is substituted, substituents on Ring A are 25 independently selected at each occurrence from R 4 ; each R 4 is selected from R L and R 20 , or two R 4 on adjacent atoms are taken together with the atoms to which they are attached to form an unsubstituted or
- R 14 is unsubstituted or substituted C1-C6alkyl, unsubstituted or substituted C1- 5 C 6 alkenyl, unsubstituted or substituted C 1 -C 6 alkynyl, unsubstituted or substituted carbocycle, unsubstituted or substituted heterocycle, unsubstituted or substituted -C1- C 6 alkylene-carbocycle, or unsubstituted or substituted -C 1 -C 6 alkylene-heterocycle; each U 1 is -(CR 15 R 16 )-, wherein each R 15 and R 16 are independently selected from hydrogen and R 20 ; 10 r is 1-5; each R 20 is independently halogen,
- R 1 is hydrogen, halogen, -CN, -OH, -OR 50 , -SH, -SR 50 , -NO2, -NR 51 R 51 , or C1-C6alkyl.
- R 1 is hydrogen, halogen, -CN, or -NH2.
- R 1 is hydrogen.
- R 1 is methyl.
- R 1 is as set forth in any one of aspects 1-6 and each R 2 is independently -F, -Cl, -Br, -CN, -OH, -OMe, -NH 2 , -NMe 2 , 20 or C1-C6alkyl.
- R 1 is as set forth in any one of aspects 1-6 and each R 2 is independently -Cl or -NH2.
- R 1 is as set forth in any one of aspects 1-6 and R 2 is halogen.
- R 1 is as set forth in any one of aspects 1-6 and R 2 is methyl.
- R 1 is as set forth in any one of aspects 1-6 and two R 2 on adjacent atoms are taken together with the atoms to which they are attached to form an unsubstituted or substituted monocyclic carbocycle 30 or unsubstituted or substituted monocyclic heterocycle.
- R 1 and R 2 are as set forth 5 in any one of aspects 1-14, and m is 0, 1, 2, or 3.
- R 1 and R 2 are as set forth in any one of aspects 1-14, and m is 1.
- R 1 and R 2 are as set forth in any one of aspects 1-14, and m is 2. 10
- R 1 is as set forth in any one of aspects 1-6 and m is 0.
- R 1 , R 2 , and m are as set forth in any one of aspects 1-18 and Ring A is unsubstituted or substituted cycloalkyl. In some embodiments, Ring A is unsubstituted or substituted monocyclic cycloalkyl.
- ring A is unsubstituted or substituted saturated monocyclic cycloalkyl. In some embodiments, Ring A is unsubstituted or substituted C3-C8 cycloalkyl. In some embodiments, Ring A is unsubstituted or substituted cyclopropyl, cyclobutyl, cyclopentyl, cyclohexyl, cycloheptyl, or cyclooctyl. In some embodiments, Ring A is unsubstituted or substituted unsaturated cycloalkyl.
- Ring A is unsubstituted or substituted cyclobutenyl, cyclopentenyl, cyclohexenyl, cycloheptenyl, or cyclooctenyl. In some embodiments, Ring A is unsubstituted or substituted polycyclic cycloalkyl.
- R 1 , R 2 , and m are as set forth in any one of aspects 1-18 and Ring A is unsubstituted or substituted 25 heterocycloalkyl. In some embodiments, Ring A is unsubstituted or substituted saturated heterocycloalkyl.
- Ring A is unsubstituted or substituted monocyclic saturated heterocycloalkyl. In some embodiments, Ring A is unsubstituted or substituted aziridinyl, azetidinyl, oxetanyl, thietanyl, pyrrolidinyl, pyrazolidinyl, imidazolidinyl, tetrahydrofuranyl, dioxolanyl, tetrahydrothiophenyl, 30 oxathiolanyl, piperidinyl, piperazinyl, tetrahydropyranyl, dioxanyl, thianyl, dithianyl,
- Ring A is unsubstituted or substituted piperidinyl or piperazinyl. In some embodiments, Ring A is unsubstituted or substituted unsaturated heterocycle.
- Ring A is unsubstituted or substituted pyrrolinyl (dihydropyrrolyl), pyrazolinyl 5 (dihydropyrazolyl), imidazolinyl (dihydroimidazolyl), triazolinyl (dihydrotriazolyl), dihydrofuranyl, dihydrothiophenyl, oxazolinyl (dihydrooxazolyl), isoxazolinyl (dihydroisoxazolyl), thiazolinyl (dihydrothiazolyl), isothiazolinyl (dihydroisothiazolyl), oxadiazolinyl (dihydrooxadiazolyl), thiadiazolinyl (dihydrothiadiazolyl), dihydropyridinyl, tetrahydropyridinyl, dihydropyridazinyl, tetrahydropyri
- Ring A is unsubstituted or substituted polycyclic heterocycloalkyl. In some embodiments, Ring A is unsubstituted or substituted polycyclic heterocycloalkyl which is a bridged-, 15 fused-, or spiro-heterocycloalkyl. In some embodiments, Ring A is unsubstituted or substituted polycyclic heterocycloalkyl which is a bridged-heterocycloalkyl. In some embodiments, Ring A is unsubstituted or substituted polycyclic heterocycloalkyl which is a fused-heterocycloalkyl.
- Ring A is unsubstituted or substituted polycyclic heterocycloalkyl which is a spiro-heterocycloalkyl.
- R 1 , R 2 , and m are as set forth in any one of aspects 1-18 and Ring A is: wherein: W 1 is N, or CR 21 ; 25 R 21 is hydrogen, unsubstituted or substituted C1-C6alkyl, unsubstituted or substituted C 1 -C 6 alkenyl, unsubstituted or substituted C 1 -C 6 alkynyl, unsubstituted or substituted carbocycle, unsubstituted or substituted heterocycle, unsubstituted or substituted -C 1 -C 6 alkyl(carbocycle), or unsubstituted or substituted -C 1 - C6alkyl(heterocycle);
- R 1 , R 2 , and m are as set forth in any one of aspects 1-18 and Ring A is as set forth in aspect 21.
- W 1 is N.
- W 1 is CR 21 .
- W 1 is CR 21 ; and R 21 is hydrogen, or C1-C6 alkyl.
- W 1 is CH.
- W 2 is O.
- W 2 is S.
- W 2 is NR 22 .
- W 2 is NR 22 ; and R 22 is hydrogen, Boc, Fmoc, or 20 Cbz.
- W 2 is NH.
- W 2 is NBoc.
- each R 23 is independently hydrogen, halogen, -OH, -OMe, -NH2, or C1-C6alkyl.
- each R 23 is hydrogen.
- p1 is 1 to 3.
- p1 is 1 to 2, 1 to 3, or 2 to 3. In some embodiments, p1 is 1, 2, or 3. In some embodiments, p2 is 1 to 3. In some embodiments, p2 is 1 to 2, 1 to 3, or 2 to 3. In some embodiments, p2 is 1, 2, or 3. In some embodiments, p3 is 1 to 3. In some embodiments, p3 is 1 to 2, 1 to 3, or 2 to 3. In some embodiments, p3 is 1, 2, or 3. In 30 some embodiments, p4 is 1 to 3. In some embodiments, p4 is 1 to 2, 1 to 3, or 2 to 3. In
- p4 is 1, 2, or 3. In some embodiments, p1, p2, p3, and p4 are each independently 1 or 2.
- R 1 , R 2 , and m are as set forth in any one of aspects 1-18 and Ring A is aryl or heteroaryl.
- R 1 , R 2 , and m are as set forth in any one of aspects 1-18 and Ring A is unsubstituted or substituted phenyl.
- R 1 , R 2 , and m are as set forth in any one of aspects 1-18 and Ring A is substituted phenyl.
- R 1 , R 2 , and m are as set forth in any one of aspects 1-18 and Ring A is substituted or unsubstituted pyridinyl.
- R 1 , R 2 , m, and Ring 20 A are as set forth in any one of aspects 1-26 and R 3 is unsubstituted or substituted aryl, or unsubstituted or substituted heteroaryl.
- R 1 , R 2 , m, and Ring A are as set forth in any one of aspects 1-26 and R 3 is unsubstituted or substituted phenyl.
- R 1 , R 2 , m, and Ring A are as set forth in any one of aspects 1-26 and R 3 is unsubstituted phenyl.
- R 1 , R 2 , m, and Ring A are as set forth in any one of aspects 1-26 and R 3 is unsubstituted or substituted 5- or 6- membered heteroaryl.
- R 1 , R 2 , m, and Ring A 5 are as set forth in any one of aspects 1-26 and R 3 is unsubstituted or substituted pyrrole, furan, thiophene, imidazole, pyrazole, oxazole, isoxazole, thiazole, isothizole, triazole, oxadiazole, thiadiazole, tetrazole, pyridine, pyridazine, pyrimidine, pyrazine, or triazine.
- R 3 is unsubstituted or substituted pyridine, pyridazine, pyrimidine, pyrazine, or triazine. In some embodiments, R 3 is unsubstituted or 10 substituted pyridine. In some embodiments, R 3 is unsubstituted or substituted pyridazine. In some embodiments, R 3 is unsubstituted or substituted pyrimidine. In some embodiments, R 3 is unsubstituted or substituted pyrazine.
- R 3 is unsubstituted or substituted pyrrole, furan, thiophene, imidazole, pyrazole, oxazole, isoxazole, thiazole, isothizole, triazole, oxadiazole, thiadiazole, or tetrazole.
- R 1 , R 2 , m, and Ring A are as set forth in any one of aspects 1-26 and R 3 is unsubstituted or substituted imidazole, triazole, or pyridine.
- R 1 , R 2 , m, and Ring A are as set forth in any one of aspects 1-26 and R 3 is polycyclic aryl or heteroaryl.
- R 3 is bicyclic aryl or heteroaryl.
- R 3 is naphthyl.
- R 3 is indole, isoindole, indolizine, indazole, benzimidazole, azaindole, azaindazole, purine, benzofuran, isobenzofuran, benzo[b]thiophene, benzo[c]thiophene, benzoxazole, benzisoxazole, benzthiazole, benzisothiazole, quinoline, isoquinoline, quinoxaline, phthalizine, quinazoline, 25 cinnoline, naphthyridine, pyridopyrimidine, pyridopyrazine, or pteridine.
- carbocycle unsubstituted or substituted heterocycle, unsubstituted or substituted -C 1 - C6alkylene-carbocycle, or unsubstituted or substituted -C1-C6alkylene-heterocycle.
- R 1 , R 2 , m, Ring A, and R 3 is as set forth in any one of aspects 1-28 and 30-33 and each R 10 is independently -OR 50 or unsubstituted or substituted C 1 -C 6 alkyl.
- R 1 , R 2 , m, Ring A, and R 3 is as set forth in any one of aspects 1-28 and 30-33 and each R 10 is independently -OC1-C6alkyl or unsubstituted or substituted C1-C6alkyl.
- R 1 , R 2 , m, Ring A, and R 3 is as set forth in any one of aspects 1-28 and 30-33 and each R 10 is independently 15 methyl or methoxy.
- R 1 , R 2 , m, Ring A, and R 3 is as set forth in any one of aspects 1-28 and 30-33 and two R 10 on adjacent atoms are taken together with the atoms to which they are attached to form an unsubstituted or substituted monocyclic carbocycle or unsubstituted or substituted monocyclic 20 heterocycle.
- R 1 , R 2 , m, Ring A are set 25
- R 1 , R 2 , m, Ring A are set forth in any one of aspects 1-26 and R 3 is unsubstituted or substituted cycloalkyl, or 5 unsubstituted or substituted heterocycloalkyl.
- R 3 is unsubstituted or substituted heterocycloalkyl.
- R 3 is unsubstituted or substituted saturated heterocycloalkyl.
- R 3 is unsubstituted or substituted monocyclic heterocycloalkyl.
- R 3 is unsubstituted or substituted monocyclic saturated heterocycloalkyl.
- R 3 is unsubstituted or 10 substituted aziridinyl, azetidinyl, oxetanyl, thietanyl, pyrrolidinyl, pyrazolidinyl, imidazolidinyl, tetrahydrofuranyl, dioxolanyl, tetrahydrothiophenyl, sulfolanyl, oxathiolanyl, piperidinyl, piperazinyl, tetrahydropyranyl, dioxanyl, thianyl, dithianyl, morpholinyl, thiomorpholinyl, azepanyl, thiomorpholinyl dioxide, oxazepanyl, thiazepanyl, oxazocanl, and thiazocanyl.
- R 3 is unsubstituted or 15 substituted piperidinyl or piperazinyl. In some embodiments, R 3 is unsubstituted or substituted unsaturated heterocycle. In some embodiments, R 3 is unsubstituted or substituted pyrrolinyl (dihydropyrrolyl), pyrazolinyl (dihydropyrazolyl), imidazolinyl (dihydroimidazolyl), triazolinyl (dihydrotriazolyl), dihydrofuranyl, dihydrothiophenyl, oxazolinyl (dihydrooxazolyl), isoxazolinyl (dihydroisoxazolyl), thiazolinyl 20 (dihydrothiazolyl), isothiazolinyl (dihydroisothiazolyl), oxadiazolinyl (dihydrooxadiazolyl), thiadiazolin
- R 1 , R 2 , m, Ring A are set forth in any one of aspects 1-26 and R 3 is substituted or unsubstituted morpholinyl, thiomorpholinyl, azepanyl, thiomorpholinyl dioxide, or oxazepanyl.
- R 1 , R 2 , m, Ring A are 5 set forth in any one of aspects 1-26 and R 3 is unsubstituted or substituted cycloalkyl.
- R 3 is unsubstituted or substituted monocyclic cycloalkyl. In some embodiments, R 3 is unsubstituted or substituted saturated monocyclic cycloalkyl. In some embodiments, R 3 is unsubstituted or substituted C3-C8 cycloalkyl. In some embodiments, R 3 is unsubstituted or substituted cyclopropyl, cyclobutyl, cyclopentyl, 10 cyclohexyl, cycloheptyl, or cyclooctyl. In some embodiments, R 3 is unsubstituted or substituted unsaturated cycloalkyl.
- R 3 is unsubstituted or substituted cyclobutenyl, cyclopentenyl, cyclohexenyl, cycloheptenyl, or cyclooctenyl. In some embodiments, R 3 is unsubstituted or substituted polycyclic cycloalkyl. [0244] In a forty-fourth aspect of Formula (IA) or (IA’), R 1 , R 2 , m, Ring A, are 15 set forth in any one of aspects 1-26 and R 3 is unsubstituted or substituted polycyclic heterocycloalkyl.
- R 3 is unsubstituted or substituted polycyclic heterocycloalkyl which is a bridged-, fused-, or spiro-heterocycloalkyl. In some embodiments, R 3 is unsubstituted or substituted polycyclic heterocycloalkyl which is a bridged- or spiro-heterocycloalkyl. In some embodiments, R 3 is unsubstituted or 20 substituted polycyclic heterocycloalkyl which is a bridged-heterocycloalkyl. In some embodiments, R 3 is unsubstituted or substituted polycyclic heterocycloalkyl which is a fused-heterocycloalkyl.
- R 3 is unsubstituted or substituted polycyclic heterocycloalkyl which is a spiro-heterocycloalkyl.
- R 1 , R 2 , m, Ring A are25 set forth in any one of aspects 1-26 and R 3 is unsubstituted or substituted 3- to 5- membered monocyclic heterocycloalkyl.
- R 3 is unsubstituted or substituted 3- to 5-membered monocyclic heterocycloalkyl selected from aziridinyl, azetidinyl, oxetanyl, thietanyl, pyrrolidinyl, pyrazolidinyl, imidazolidinyl, tetrahydrofuranyl, dioxolanyl, tetrahydrothiophenyl, and sulfolanyl. In some 30 embodiments, R 3 is unsubstituted or substituted 6- to 8- membered monocyclic
- R 3 is unsubstituted or substituted 6- to 8- membered monocyclic heterocycloalkyl comprising 1 N atom and 1 other heteroatom selected from O or S. In some embodiments, R 3 is unsubstituted or substituted 6- to 8- 5 membered monocyclic heterocycloalkyl selected from morpholinyl, thiomorpholinyl, thiomorpholinyl dioxide, oxazepanyl, thiazepanyl, oxazocanyl, and thiazocanyl.
- R 1 , R 2 , m, Ring A are set forth in any one of aspects 1-26 and R 3 is unsubstituted or substituted morpholinyl, unsubstituted or substituted thiomorpholinyl, or unsubstituted or substituted 10 oxazepanyl.
- R 1 , R 2 , m, Ring A are set forth in any one of aspects 1-26 and R 3 is unsubstituted morpholinyl.
- R 1 , R 2 , m, Ring A are set forth in any one of aspects 1-26 and R 3 is unsubstituted or substituted morpholinyl, 15 unsubstituted or substituted thiomorpholinyl, or unsubstituted or substituted oxazepanyl connected through a N atom of R 3 .
- R 1 , R 2 , m, Ring A are set forth in any one of aspects 1-26 and R 3 is unsubstituted morpholinyl, unsubstituted or substituted thiomorpholinyl, or unsubstituted or substituted oxazepanyl connected 20 through a N atom of R 3 .
- R 1 , R 2 , m, Ring A are set forth in any one of aspects 1-26 and R 3 is unsubstituted morpholinyl connected through a N atom of R 3 .
- R 1 , R 2 , m, Ring A are set forth in any one of aspects .
- R 1 , R 2 , m, Ring A are set forth in any one of aspects some such embodiments
- R 12 5 is hydrogen or unsubstituted or substituted C1-C6alkyl.
- R 12 is hydrogen or C 1 -C 4 alkyl.
- R 12 is hydrogen or methyl.
- R 12 is hydrogen.
- R 12 is methyl.
- r is 1 to 5. In some such embodiments, r is 1 to 2, 1 to 3, 1 to 4, 1 to 5, 2 to 3, 2 to 4, 2 to 5, 3 to 4, 3 to 5, or 4 to 5. In some such embodiments, r is 1, 2, 3, 4, or 5. In some such 5 embodiments, r is 1, 2, or 3.
- R 13 is hydrogen, unsubstituted or substituted C1-C6alkyl, unsubstituted or substituted carbocycle, unsubstituted or substituted heterocycle, unsubstituted or substituted -C 1 -C 6 alkylene-carbocycle, or unsubstituted or substituted -C1-C6alkylene-heterocycle; and
- R 14 is unsubstituted or substituted C1- 10 C 6 alkyl, unsubstituted or substituted carbocycle, unsubstituted or substituted heterocycle, unsubstituted or substituted -C1-C6alkylene-carbocycle, or unsubstituted or substituted -C 1 -C 6 alkylene
- 15 Q is -OR 13 ; and R 13 is C 1 -C 6 alkyl.
- R 1 , R 2 , m, Ring A are 10 [0257]
- R 1 , R 2 , R 3 , m, and A are as set forth in any one of aspects 1-56 and each R 4 is independently R L or R 20 .
- R 1 , R 2 , R 3 , m, and A are 15 as set forth in any one of aspects 1-56 and two R 4 on adjacent atoms are taken together with the atoms to which they are attached to form an unsubstituted or substituted monocyclic heterocycle. In some embodiments, two R 4 on adjacent atoms are taken together with the atoms to which they are attached to form an unsubstituted or substituted 5- or 6- membered monocyclic heterocycle.
- two R 4 20 on adjacent atoms are taken together with the atoms to which they are attached to form an unsubstituted or substituted 6- membered monocyclic heterocycle. In some embodiments, two R 4 on adjacent atoms are taken together with the atoms to which they are attached to form a piperidine or an N-Boc piperidine.
- R 1 , R 2 , R 3 , m, and A are as set forth in any one of aspects 1-56 and at least one R 4 is R L .
- R 1 , R 2 , R 3 , m, and A are as set forth in any one of aspects 1-56 and one R 4 is R L , wherein each Y is 30 independently unsubstituted or substituted C1-C2alkylene; and each R 5 is independently
- R 1 , R 2 , R 3 , m, and A are as set forth in any one of aspects 1-56 and one R 4 is R L , wherein each Y is independently unsubstituted or substituted C 1 -C 2 alkylene; and each R 5 is -CH 3 .
- R 1 , R 2 , R 3 , m, and A 25 are as set forth in any one of aspects 1-56, one R 4 is R L , Y, Z, R 5 and R 6 are set forth in any one of aspects 1-66, wherein one R 4 is R L , wherein L is unsubstituted or substituted C 1 -C 6 alkyl, unsubstituted or substituted carbocycle, unsubstituted or substituted heterocycle, unsubstituted or substituted -C1-C6alkylene-carbocycle, or unsubstituted or substituted -C 1 -C 6 alkylene-heterocycle; and each R 7 is independently halogen, -CN,
- R 1 , R 2 , R 3 , m, and A are as set forth in any one of aspects 1-56, Y, Z, R 5 , R 6 , R 7 , and L are set forth in any 10 one of aspects 1-67, and s is 1 to 10. In some such embodiments, s is at least 1. In some such embodiments, s is at most 10.
- s is 1 to 2, 1 to 3, 1 to 4, 1 to 5, 1 to 6, 1 to 7, 1 to 8, 1 to 9, 1 to 10, 2 to 3, 2 to 4, 2 to 5, 2 to 6, 2 to 7, 2 to 8, 2 to 9, 2 to 10, 3 to 4, 3 to 5, 3 to 6, 3 to 7, 3 to 8, 3 to 9, 3 to 10, 4 to 5, 4 to 6, 4 to 7, 4 to 8, 4 to 9, 4 to 10, 5 to 6, 5 to 7, 5 to 8, 5 to 9, 5 to 10, 6 to 7, 6 to 8, 6 to 9, 6 to 10, 7 to 8, 7 to 15 9, 7 to 10, 8 to 9, 8 to 10, or 9 to 10.
- s is 1, 2, 3, 4, 5, 6, 7, 8, 9, or 10.
- s is 1 to 2. In some such embodiments, s is 1.
- R 1 , R 2 , R 3 , m, and A 5 are as set forth in any one of aspects 1-56 and each R 4 is independently , , 10 15
- the TGF ⁇ R2 inhibitor is a compound of Formula (IIA), wherein R 1 , R 2 , R 3 , R 4 , and m are as set forth in any one of aspects 1-71 for Formula (IA) or (IA’): 5 Formula (IIA) wherein: ring B is aryl or heteroaryl; and n is 0-5.
- the TGF ⁇ R2 inhibitor is a compound of Formula (IIA), wherein R 1 , R 2 , R 3 , R 4 , and m are as set forth in any one of aspects 1-71 for Formula (IA) or (IA’) and wherein Ring B is a monocyclic aryl or heteroaryl.
- the TGF ⁇ R2 inhibitor is a compound of Formula (IIA), wherein R 1 , R 2 , R 3 , R 4 , and m are as set forth in any one of aspects 1-71 for Formula (IA) or (IA’) and wherein Ring B is phenyl or 5- or 6-membered heteroaryl.
- the TGF ⁇ R2 inhibitor is a compound of 15 Formula (IIA), wherein R 1 , R 2 , R 3 , R 4 , and m are as set forth in any one of aspects 1-71 for Formula (IA) or (IA’) and wherein Ring B is phenyl.
- the TGF ⁇ R2 inhibitor is a compound of Formula (IIA), R 1 , R 2 , R 3 , R 4 , and m are as set forth in any one of aspects 1-71 for Formula (IA) or (IA’) and wherein Ring B is 5- or 6-membered heteroaryl.
- the TGF ⁇ R2 inhibitor is a compound of Formula (IIA), R 1 , R 2 , R 3 , R 4 , and m are as set forth in any one of aspects 1-71 for Formula (IA) or (IA’) and wherein Ring B is pyrrole, furan, thiophene, imidazole, pyrazole, oxazole, isoxazole, thiazole, isothiazole, triazole, oxadiazole, thiadiazole, tetrazole, pyridine, pyridazine, pyrimidine, pyrazine, or triazine.
- Ring B is pyrrole, furan, thiophene, imidazole, pyrazole, oxazole, isoxazole, thiazole, isothiazole, triazole, oxadiazole, thiadiazole, tetrazole, pyridine, pyridazine,
- the TGF ⁇ R2 inhibitor is a compound of Formula (IIA), R 1 , R 2 , R 3 , R 4 , and m are as set forth in any one of aspects 1-71 for
- the TGF ⁇ R2 inhibitor is a compound of Formula (IIA), R 1 , R 2 , R 3 , R 4 , and m are as set forth in any one of aspects 1-71 for 5 Formula (IA) or (IA’) and wherein Ring B is pyridazine.
- the TGF ⁇ R2 inhibitor is a compound of Formula (IIA), R 1 , R 2 , R 3 , R 4 , and m are as set forth in any one of aspects 1-71 for Formula (IA) or (IA’) and wherein Ring B is pyrimidine.
- the TGF ⁇ R2 inhibitor is a compound of Formula 10 (IIA), R 1 , R 2 , R 3 , R 4 , and m are as set forth in any one of aspects 1-71 for Formula (IA) or (IA’) and wherein Ring B is pyrazine.
- the TGF ⁇ R2 inhibitor is a compound of Formula (IIA), R 1 , R 2 , R 3 , R 4 , and m are as set forth in any one of aspects 1-71 for Formula (IA) or (IA’) and wherein Ring B is pyrrole, furan, thiophene, imidazole, 15 pyrazole, oxazole, isoxazole, thiazole, isothizole, triazole, oxadiazole, thiadiazole, or tetrazole.
- Ring B is pyrrole, furan, thiophene, imidazole, 15 pyrazole, oxazole, isoxazole, thiazole, isothizole, triazole, oxadiazole, thiadiazole, or tetrazole.
- the TGF ⁇ R2 inhibitor is a compound of Formula (IIA), R 1 , R 2 , R 3 , R 4 , and m are as set forth in any one of aspects 1-71 for Formula (IA) or (IA’) and wherein Ring B is polycyclic aryl or heteroaryl.
- the TGF ⁇ R2 inhibitor is a compound of Formula (IIA), R 1 , R 2 , R 3 , R 4 , and m are as set forth in any one of aspects 1-71 for Formula (IA) or (IA’) and wherein Ring B is bicyclic aryl or heteroaryl.
- the TGF ⁇ R2 inhibitor is a compound of Formula (IIA), R 1 , R 2 , R 3 , R 4 , and m are as set forth in any one of aspects 1-71 for 25 Formula (IA) or (IA’) and wherein Ring B is naphthyl.
- the TGF ⁇ R2 inhibitor is a compound of Formula (IIA), R 1 , R 2 , R 3 , R 4 , and m are as set forth in any one of aspects 1-71 for Formula (IA) or (IA’) and wherein Ring B is indole, isoindole, indolizine, indazole, benzimidazole, azaindole, azaindazole, purine, benzofuran, isobenzofuran, 30 benzo[b]thiophene, benzo[c]thiophene, benzoxazole, benzisoxazole, benzthiazole,
- the TGF ⁇ R2 inhibitor is a compound of Formula (IIA), R 1 , R 2 , R 3 , R 4 , and m are as set forth in any one of aspects 1-71 for 5 Formula (IA) or (IA’), Ring B is as set forth in any one of aspects 72-86, and wherein n is 0 to 5.
- the TGF ⁇ R2 inhibitor is a compound of Formula (IIA), R 1 , R 2 , R 3 , R 4 , and m are as set forth in any one of aspects 1-71 for Formula (IA) or (IA’), Ring B is as set forth in any one of aspects 72-86, and wherein n 10 is 0 to 1, 0 to 2, 0 to 3, 0 to 4, 0 to 5, 1 to 2, 1 to 3, 1 to 4, 1 to 5, 2 to 3, 2 to 4, 2 to 5, 3 to 4, 3 to 5, or 4 to 5.
- the TGF ⁇ R2 inhibitor is a compound of Formula (IIA), R 1 , R 2 , R 3 , R 4 , and m are as set forth in any one of aspects 1-71 for Formula (IA) or (IA’), Ring B is as set forth in any one of aspects 72-86, and wherein n 15 is 1 to 3.
- the TGF ⁇ R2 inhibitor is a compound of Formula (IIA), R 1 , R 2 , R 3 , R 4 , and m are as set forth in any one of aspects 1-71 for Formula (IA) or (IA’), Ring B is as set forth in any one of aspects 72-86, and wherein n is 1 to 5.
- the TGF ⁇ R2 inhibitor is a compound of Formula 20 (IIA), R 1 , R 2 , R 3 , R 4 , and m are as set forth in any one of aspects 1-71 for Formula (IA) or (IA’), Ring B is as set forth in any one of aspects 72-86, and wherein n is 1.
- the TGF ⁇ R2 inhibitor is a compound of Formula (IIA), R 1 , R 2 , R 3 , and m are as set forth in any one of aspects 1-71 for Formula (IA) or (IA’), Ring B is aryl or heteroaryl (including phenyl and any of the other aryl 25 and heteroaryl groups described herein for Ring B) and wherein two R 4 on adjacent atoms are taken together with the atoms to which they are attached to form an unsubstituted or substituted monocyclic heterocycle.
- R 1 , R 2 , R 3 , and m are as set forth in any one of aspects 1-71 for Formula (IA) or (IA’)
- Ring B is aryl or heteroaryl (including phenyl and any of the other aryl 25 and heteroaryl groups described herein for Ring B) and wherein two R 4 on adjacent atoms are taken together with the atoms to which they are attached to form an unsubstituted or substituted monocyclic hetero
- two R 4 on adjacent atoms are taken together with the atoms to which they are attached to form an unsubstituted or substituted 5- or 6- membered monocyclic heterocycle. In some 30 embodiments, two R 4 on adjacent atoms are taken together with the atoms to which
- the TGF ⁇ R2 inhibitor is a compound of Formula (IIA), R 1 , R 2 , R 3 , and m are as set forth in any one of aspects 1-71 for Formula (IA) or
- the TGF ⁇ R2 inhibitor is a compound wherein R 1 , R 2 , R 3 , R 4 , A, n and m are as set forth in any one of aspects 1-71 for Formula (IA) or (IA’) and the compound of Formula (IA) or (IA’) is represented by Formula (IA-A), Formula (IA-B), Formula (IA-C) or Formula (IA-D):
- R 4 is not alkyl 5 substituted with -OR 52 .
- R 4 is not alkyl substituted with -OH.
- R 4 is not hydroxyalkyl.
- the TGF ⁇ R2 inhibitor is a compound wherein R 1 , R 2 , R 3 , R 4 , B, n and m are as set forth in any one of aspects 1-93 and the compound of Formula (IA), (IA’), or (IIA) is represented by Formula (IIA-A), Formula (IIA-B), Formula (IIA-C), or Formula (IIA-D): F ormula (IIA-A) Formula (IIA-B)
- R 4 is not alkyl substituted with -OR 52 .
- R 4 is not alkyl substituted with -OH.
- R 4 is not hydroxyalkyl
- each R 4 is independently selected from halogen, -OR 50 , -NR 51 R 51 , an unsubstituted or substituted 5- or 6- membered saturated monocyclic heterocycle containing 1 or 2 ring heteroatoms independently selected from nitrogen and oxygen, 20 and substituted C1-C6alkyl with the proviso that C1-C6alkyl is substituted with -NR 52 R 52 and at least one of -OR 52 , -CO 2 R 52 , -(C 1 -C 6 alkyl)-OR 52 , or (C 1 -C 6 alkyl)-CO 2 R 52 ; or two R 4 on adjacent atoms are taken together with the atoms to which they are attached to form an unsubstituted or substituted 5- or 6- membered monocyclic carbocycle or an unsubstituted or substituted 6- membered monocyclic heterocycle wherein said 25 heterocycle contains 1 or 2 ring heteroatoms independently selected from nitrogen and oxygen
- the TGF ⁇ R2 inhibitor is a compound wherein R 1 , R 2 , R 3 , A, B, n and m are as set forth in any one of aspects 1-94 for Formulas (IA), (IA’), and (IIA) and R 4 is as set forth in any one of aspects 95-98 and at least one R 4 is 30 selected from substituted C1-C6alkyl.
- the TGF ⁇ R2 inhibitor is a compound wherein R 1 , R 2 , R 3 , A, B, n and m are as set forth in any one of aspects 1-94 for Formulas (IA), 5 (IA’), and (IIA) and R 4 is as set forth in any one of aspects 95-99, at least one R 4 is OR 50 .
- R 50 of -OR 50 is independently selected from unsubstituted or substituted C 1 -C 6 alkyl, unsubstituted or substituted 4-, 5- or 6- membered saturated heterocycle comprising one ring heteroatom selected from nitrogen, or unsubstituted or substituted 4-, 5- or 6- membered saturated carbocycle.
- R 50 of 10 -OR 50 when R 50 of 10 -OR 50 is substituted C1-C6alkyl, substituents on said alkyl are independently selected at each occurrence from CO 2 R 52 , -OR 52 , -NR 52 R 52 , -(C 1 -C 6 alkyl)-OR 52 , (C 1 -C 6 alkyl)- CO2R 52 , and -( C1-C6alkyl)- NR 52 R 52 . In some aspects, when R 50 of -OR 50 is substituted C 1 -C 6 alkyl, substituents on said C 1 -C 6 alkyl are independently selected at each occurrence from -CO2R 52 , -OR 52 , and -NR 52 R 52 .
- each R 52 of the substituted C 1 -C 6 alkyl can be, for example, independently selected from H and C 1-3 alkyl (e.g., methyl or ethyl).
- R 50 of -OR 50 is a heterocycle or carbocycle
- R 50 of -OR 50 can be, for example, an unsubstituted or substituted pyrrolidine, unsubstituted or 20 substituted piperidine, unsubstituted or substituted azetidine, or unsubstituted or substituted cyclobutyl.
- R 50 of -OR 50 is a heterocycle or carbocycle
- substituents on said heterocycle and carbocycle are independently selected from CO 2 R 52 , -OR 52 , -NR 52 R 52 , or unsubstituted or substituted C 1 -C 6 alkyl wherein substituents on said C1-C6alkyl are independently selected from -OR 52 , -CO2R 52 , or 25 -NR 52 R 52 .
- substituents on said heterocycle and carbocycle are independently selected from CO 2 R 52 , -OR 52 , -NR 52 R 52 , or unsubstituted C 1 -C 6 alkyl.
- R 50 of -OR 50 is a heterocycle or carbocycle
- substituents on said heterocycle and carbocycle are independently selected from -NR 52 R 52 .
- Each R 52 of the substituents on said 30 heterocycle or carbocycle can be, for example, independently selected from H and C1-3
- the TGF ⁇ R2 inhibitor is a compound wherein R 1 , R 2 , R 3 , A, B, n and m are as set forth in any one of aspects 1-94 for 5 Formulas (IA), (IA’), and (IIA) and R 4 is as set forth in any one of aspects 95-100 and at least one R 4 is independently selected from a 5 or 6 membered unsubstituted or substituted saturated monocyclic heterocycle.
- R 4 when R 4 is a substituted heterocycle, substituents on said heterocycle are independently selected from CO2R 52 , -OR 52 , -NR 52 R 52 , or unsubstituted or substituted C 1 -C 6 alkyl wherein substituents on said 10 C1-C6alkyl are independently selected from -OR 52 , -CO2R 52 , -NR 52 R 52 and phenyl.
- substituents on said heterocycle when R 4 is a substituted heterocycle, substituents on said heterocycle are independently selected from CO2R 52 , -OR 52 , -NR 52 R 52 , unsubstituted C1-C6alkyl and phenyl.
- each R 52 of the substituents on said heterocycle can be, for example, independently selected from H and C1-3 alkyl.
- the TGF ⁇ R2 inhibitor is a compound wherein R 1 , R 2 , R 3 , A, B, n and m are as set forth in any one of aspects 1-94 for Formulas (IA), (IA’), and (IIA) and R 4 is as set forth in any one of aspects 95-101 and at least one R 4 is independently selected from -NR 51 R 51 .
- each R 51 of -NR 51 R 51 is independently selected from hydrogen, unsubstituted or substituted C 1 - 20 C6alkyl and unsubstituted or substituted saturated N-containing heterocycle; or two R 51 are taken together with the N atom to which they are attached to form an unsubstituted or substituted N-containing heterocycle.
- R 51 of -NR 51 R 51 is a heterocycle, it is a saturated substituted or unsubstituted 5- or 6- membered heterocycle containing one ring heteroatom selected from nitrogen.
- -NR 51 R 51 is a heterocycle, it is an unsubstituted heterocycle.
- R 51 of -NR 51 R 51 is a substituted C1-C6alkyl
- substituents on the C1-C6alkyl are independently selected from OR 52 , -NR 52 R 52 , and -CO 2 R 52 .
- Each R 51 of -NR 51 R 51 can be, for example, independently selected from hydrogen and unsubstituted or substituted 5 C 1 -C 6 alkyl wherein the substituents are independently selected from OR 52 , -NR 52 R 52 , and -CO2R 52 .
- R 52 of said alkyl substituents and said heterocycle substituents are independently selected from hydrogen and C 1-3 alkyl. In some aspects, R 52 of said alkyl substituents and said heterocycle substituents are independently selected from hydrogen and methyl. In some aspects, when two R 51 of -NR 51 R 51 are 10 taken together with the N atom to which they are attached, they form an unsubstituted or substituted 5- or 6- membered saturated N-containing heterocycle.
- substituents on said C 1 -C 6 alkyl are independently selected from OR 52 , NR 52 R 52 , and CO2R 52 and substituents on said saturated monocyclic N- containing heterocycle are independently selected from OR 52 , 20 NR 52 R 52 , CO2R 52 , and unsubstituted or substituted C1-C6alkyl wherein said C1-C6alkyl substituents are independently selected from OR 52 , NR 52 R 52 , and CO 2 R 52 .
- substituents on said C 1 -C 6 alkyl are independently selected from OR 52 , NR 52 R 52 , and CO2R 52 and substituents on said saturated monocyclic N- containing heterocycle are independently selected from OR 52 , 20 NR 52 R 52 , CO2R 52 , and unsubstituted or substituted C1-C6alkyl wherein said C1-C6alkyl substituents are independently selected from OR 52 , NR 52 R 52 , and CO 2 R 52 .
- the TGF ⁇ R2 inhibitor is a compound 30 wherein R 1 , R 2 , R 3 , A, B, n and m are as set forth in any one of aspects 1-94 for
- Formulas (IA), (IA’), and (IIA) and R 4 is as set forth in any one of aspects 95-102 and at least one R 4 is halogen (e.g., chlorine).
- the TGF ⁇ R2 inhibitor is a compound wherein R 1 , R 2 , R 3 , B, n and m are as set forth in any one of aspects 1-94 for Formulas 5 (IA), (IA’), and (IIA) and R 4 is as set forth in any one of aspects 95-103 and wherein when Ring B is substituted, it is at least substituted at the para position to the pyrazine.
- the TGF ⁇ R2 inhibitor is a compound 10 wherein R 1 , R 2 , R 3 , A,B, n and m are as set forth in any one of aspects 1-94 for Formulas (IA), (IA’), and (IIA) and two R 4 on adjacent atoms are taken together with the atoms to which they are attached to form an unsubstituted or substituted 5- or 6- membered monocyclic carbocycle or unsubstituted or substituted 6- membered monocyclic heterocycle with one or two ring heteroatoms selected from oxygen and 15 nitrogen and substituents on said carbocycle and heterocycle are independently selected from NR 52 R 52 , OR 52 or -CO2R 52 , unsubstituted C1-C6 alkyl and substituted C1-C6 alkyl with the substituents on said C 1
- the TGF ⁇ R2 inhibitor a compound 20 wherein R 1 , R 2 , R 3 , n and m are as set forth in any one of aspects 1-94 for Formulas (IA), (IA’), and (IIA), A or B is phenyl and R 4 is at least one of:
- the TGF ⁇ R2 inhibitor is a compound wherein R 1 , R 2 , R 3 , n and m are as set forth in any one of aspects 1-94 for Formulas (IA), (IA’), and (IIA), A or B is phenyl and R 4 is at least one of:
- the TGF ⁇ R2 inhibitor is a compound wherein R 1 , R 2 , R 3 , n and m are as set forth in any one of aspects 1-94 for Formulas ,
- R 52 is as set forth herein for Formula (IA), (IA’), or (IIA).
- each R 52 is independently selected from hydrogen and C1-3 alkyl (e.g., methyl or ethyl).
- C1-3 alkyl e.g., methyl or ethyl.
- an electrophile is defined as a functional group that can react to form a covalent bond with a moiety of an antibody such as, for example, a lysine, serine, threonine, cysteine, tyrosine, aspartic acid, glutamine, a non-natural amino acid residue, or glutamic acid residue.
- the electrophile 15 comprises a covalent modifier.
- the electrophile comprises an acrylamide, an ⁇ , ⁇ -unsaturated carbonyl, a cyanopyridine, or a halo-nitrobenzene.
- R 3 does not comprise a covalent modifier.
- R 3 does not comprise an acrylamide, an ⁇ , ⁇ -unsaturated carbonyl, a cyanopyridine, nor a halo-nitrobenzene.
- R 3 does not comprise an acrylamide, an ⁇ , ⁇ -unsaturated carbonyl, a cyanopyridine, nor a halo-nitrobenzene.
- R 3 does not comprise an acrylamide, an ⁇ , ⁇ -unsaturated carbonyl, a cyanopyridine, nor a halo-nitrobenzene.
- R 3 does not comprise an acrylamide, an ⁇ , ⁇ -unsaturated carbonyl, a cyanopyridine, nor a halo-nitrobenzene.
- R 3 does not comprise an electrophilic group.
- R 3 does not comprise: -CN, optionally substituted ⁇ , ⁇ -unsaturated carbonyl, and optionally substituted C2-10 5 alkylene.
- Ring A is not substituted with -CH2CH2OH.
- Ring A is not hydroxyalkyl.
- Ring A is not substituted with a group selected from -CH2CH2NH2, -CH2NHBoc, 25 -CH2NH2,
- Ring A is not substituted with an optionally substituted aminoalkyl group.
- Ring A is not substituted with -CH 2 CH 2 NH 2 , -CH 2 NHBoc, 15 certain embodiments, for a compound of any one of Formulas (IA), (IA’), (IA-A), (IA- B), (IA-C), (IA-D), (IIA), (IIA-A), (IIA-B), (IIA-C), and (IIA-D), wherein Ring A is phenyl, Ring A is not substituted with an optionally substituted aminoalkyl.
- Compounds of Formula (IA) include those wherein any of R 2 , R 4 , R 5 , R 6 , R 10 , R 12 , R 13 , R 14 , R 20 , R 50 , and R 51 are substituted, substituents on the R 2 , R 4 , R 5 , R 6 , 20 R 10 , R 12 , R 13 , R 14 , R 20 , R 50 , and R 51 are independently selected at each occurrence from
- R 20 is C 1 -C 6 alkyl substituted with -OR 52 , said C1-C6alkyl is further substituted with -NR 52 R 52 .
- R 20 is C 1 -C 6 alkyl substituted with -NR 52 R 52 and at least one of -OR 52 , -CO2R 52 , -(C1-C6alkyl)-OR 52 , or (C1-C6alkyl)-CO2R 52 .
- Exemplary compounds include those set forth in Table 14 and salts thereof (including pharmaceutically acceptable salts thereof).
- the TGF ⁇ R2 inhibitor is a compound represented by Formula (IA-E): 25 and R 20 ; or two of R 40 , R 41 , R 42 , R 43 and R 44 on adjacent atoms are taken together with
- R 42 is not -CH2CH2OH. In certain embodiments, for a compound of Formula (IA-E), R 42 is 5 , [0324] In certain embodiments, for a compound of Formula (IA-E), R 42 is not hydroxyalkyl. In certain embodiments, for a compound of Formula (IA-E), each of R 40 , 10 R 41 , R 42 , R 43 and R 44 is not -CH2CH2OH.
- each of R 40 , R 41 , R 42 , R 43 and R 44 is not hydroxyalkyl.
- m is 0.
- R 1 is hydrogen.
- at least two 15 of R 40 , R 41 , R 42 , R 43 and R 44 are not hydrogen.
- R 42 is optionally substituted aminoalkyl, at least one of R 40 , R 41 , R 43 and R 44 is not hydrogen.
- R 42 together with R 41 are taken together with the atoms to which they are attached to form an unsubstituted or substituted monocyclic carbocycle or unsubstituted or substituted monocyclic heterocycle.
- R 42 is not alkyl substituted with -OR 52 . In certain embodiments, for a compound of Formula (IA- E), R 42 is not alkyl substituted with -OH. In certain embodiments, for a compound of 20 Formula (IA-E), R 42 is not hydroxyalkyl. In certain embodiments, for a compound of Formula (IA-E), each of R 40 , R 41 , R 42 , R 43 and R 44 is not alkyl substituted with -OR 52 . In certain embodiments, for a compound of Formula (IA-E), each of R 40 , R 41 , R 42 , R 43 and R 44 is not hydroxyalkyl.
- R 40 , R 41 , R 43 and R 44 are independently selected from hydrogen, and -OR 50 ; or R 41 together with R 42 are taken together with the atoms to which they are attached to form an unsubstituted or substituted monocyclic carbocycle or unsubstituted or substituted 15 monocyclic heterocycle.
- R 40 , R 41 , R 43 and R 44 are each hydrogen.
- the compound is selected from:
- exemplary Category A compounds may include, but are not limited to, a compound selected from:
- the compound of Category A is not 3-amino-6- (4-(2-aminoethyl)phenyl)-N-(4-morpholinopyridin-3-yl)pyrazine-2-carboxamide or 3- amino-6-(4-(aminomethyl)phenyl)-N-(4-morpholinopyridin-3-yl)pyrazine-2- carboxamide or a salt thereof. 10 [0337] In some embodiments, the compound of Category A is not:
- the TGF ⁇ R2 inhibitor conjugate as described herein comprises a compound of any one of Formulas (IB), (IIB), (IIB-a), (IIB-b), (IIB-c), (IIB-d), (IIIB), (IIIB-a), (IIIB-b), (IIIB-c), (IIIB-d), (IVB), (IVB-a), 10 (IVB-b), (IVB-c), or (IVB-d), or a compound from Table 1, or a salt thereof.
- the TGF ⁇ R2 inhibitor is a compound of Formula (IB):
- A, B, and D are each independently selected from N and C(R 1 ); each R 1 is independently selected from hydrogen, halogen, cyano, -OH, - 5 OR 50 , -NR 51 R 51 , unsubstituted or substituted -C1-C6alkyl, unsubstituted or substituted cycloalkyl, and unsubstituted or substituted heterocycloalkyl; each R 3 is independently selected from R 20 , R L , and -O-R L ; n is 0, 1, or 2; R 4 is selected from hydrogen, R 20 , R L , and -O-R L ; 10 R 5 is selected from hydrogen, R 20 , R L , and -O-R L ; X is selected from -O-, -S-, -NR 7 -, -C(R 8 )2-, -C(R 8 )2-O-, -C(R 1B), or a pharmaceutically acceptable salt thereof, wherein: A
- each R 51 is independently selected from hydrogen, unsubstituted or substituted -C1-C6 alkyl, unsubstituted or substituted cycloalkyl, unsubstituted or substituted heterocycloalkyl, unsubstituted or substituted aryl, unsubstituted or substituted heteroaryl, -(unsubstituted or substituted C1-C6alkylene)-cycloalkyl, -(unsubstituted or 5 substituted C 1 -C 6 alkylene)-heterocycloalkyl, -(unsubstituted or substituted C 1 - C6alkylene)-aryl, and -(unsubstituted or substituted C1-C6alkylene)-heteroaryl; or two R 51 on the same N atom are taken together with the N atom to which they are attached to form an unsubstituted or substituted N-containing heterocycle; wherein when any of L, W,
- A, B, and D each independently selected from N and C(R 1 ); wherein one of A, B, and D is N. In some embodiments, A and D are 30 C(R 1 ); and B is N. In some embodiments, A is N; and B and D are C(R 1 ). In some embodiments,
- each R 1 is independently selected from hydrogen, halogen, cyano, -OH, -OR 50 , -NR 51 R 51 , 5 unsubstituted or substituted -C 1 -C 6 alkyl, unsubstituted or substituted cycloalkyl, and unsubstituted or substituted heterocycloalkyl or any combination thereof.
- each R 1 is independently selected from hydrogen, halogen, cyano, -OH, -OR 50 , -NR 51 R 51 , and unsubstituted or substituted -C1-C6alkyl. In some embodiments, each R 1 is independently selected from hydrogen, halogen, cyano, and unsubstituted 10 -C1-C6alkyl. In some embodiments, each R 1 is independently selected from hydrogen and halogen. In some embodiments, each R 1 is hydrogen. [0342] In some embodiments of a compound of Formula (IB), or a pharmaceutically acceptable salt thereof, R 3 can be present or absent. In embodiments wherein R 3 is absent, n is 0.
- n is 1 or 2. 15 [0343] In embodiments of a compound of Formula (IB), or a pharmaceutically acceptable salt thereof, wherein n is 1 or 2, R 3 is independently selected from R 20 , R L , and -O-R L .
- each R 3 is independently selected from halogen, -CN, -OH, -OR 50 , -NR 51 R 51 , and unsubstituted or substituted C 1 -C 6 alkyl.
- the TGF ⁇ R2 inhibitor is a compound of Formula 25 (IIB): Formula (IIB).
- the compound is represented by Formula (IIB- a): [0347] In some embodiments of a compound of Formula (IB), or a pharmaceutically acceptable salt thereof, the compound is represented by Formula (IIB- b): [0348] In some embodiments of a compound of Formula (IB), or a pharmaceutically acceptable salt thereof, the compound is represented by Formula (IIB- c): [0349] In some embodiments, the TGF ⁇ R2 inhibitor is a compound of Formula (IIIB):
- the compound is represented by Formula 5 (IIIB-a): Formula (IIIB-a).
- Formula 10 In some embodiments of a compound of Formula (IB) or (IIB-b), or a pharmaceutically acceptable salt thereof, the compound is represented by Formula 10 (IIIB-b): Formula (IIIB-b).
- Formula 15 In some embodiments of a compound of Formula (IB) or (IIB-b), or a pharmaceutically acceptable salt thereof, the compound is represented by Formula 15 (IIIB-c):
- the TGF ⁇ R2 inhibitor is a compound of Formula (IVB): [0354] In some embodiments of a compound of Formula (IB) or (IIB-a), or a pharmaceutically acceptable salt thereof, the compound is represented by Formula (IVB-a): [0355] In some embodiments of a compound of Formula (IB) or (IIB-b), or a pharmaceutically acceptable salt thereof, the compound is represented by Formula (IVB-b): [0356] In some embodiments of a compound of Formula (IB) or (IIB-b), or a pharmaceutically acceptable salt thereof, the compound is represented by Formula (IVB-c):
- R 9 is selected from hydrogen and unsubstituted -C 1 - C4alkyl, and R L . In some embodiments, R 9 is R L . In some embodiments, R 9 is hydrogen. In some embodiments, R 9 is unsubstituted -C 1 -C 6 alkyl. In some embodiments, R 9 is unsubstituted -C1-C4alkyl. In some embodiments, R 9 is methyl or ethyl. In some embodiments, R 9 is methyl. In some embodiments, R 9 is ethyl.
- heterocycloalkylene the cycloalkylene or heterocycloalkylene is a 5 membered ring.
- L is -CH2-.
- a compound of Formula (IB), (IIB), (IIB-a), (IIB-b), (IIB-c), (IIIB), (IIIB-a), (IIIB-b), (IIIB-c), (IVB), (IVB-a), (IVB-b), or (IVB-c) 5 or a pharmaceutically acceptable salt thereof, when Y is -C(R 10 ) 2 -, each R 10 is independently selected from hydrogen, halogen, and unsubstituted -C1-C6alkyl.
- each R 10 is 15 hydrogen.
- Y is selected from -O-, -S-, -NR 9 -, and -CH 2 -; and R 9 is selected from hydrogen and unsubstituted -C 1 -C 6 alkyl.
- Y is -NR 9 -; and R 9 is unsubstituted -C1- C 6 alkyl. In some embodiments, Y is -NR 9 -; and R 9 is unsubstituted -C 1 -C 4 alkyl.
- Y is selected from -N(Et)- and -N(Me)-. In some embodiments, Y 25 is -N(Me)-. In some embodiments, Y is -NH- or -N(Me)-. [0365] In some embodiments of a compound of Formula (IB), (IIB), (IIB-a), (IIB-b), (IIB-c), (IIIB), (IIIB-a), (IIIB-b), (IIIB-c), (IVB), (IVB-a), (IVB-b), or (IVB-c), or a pharmaceutically acceptable salt thereof, Y is substituted or unsubstituted heterocycloalkylene. In some embodiments, Y is unsubstituted heterocycloalkylene. In 30 some embodiments, Y is substituted or unsubstituted monocyclic heterocycloalkylene.
- Y is substituted or unsubstituted monocyclic heterocycloalkylene, wherein the heterocycloalkylene contains a nitrogen atom. In some embodiments, Y is substituted or unsubstituted monocyclic heterocycloalkylene, wherein the heterocycloalkylene contains a nitrogen atom and optionally one other 5 heteroatom selected from a nitrogen atom, oxygen atom, and sulfur atom.
- each r is independently 1, 2, or 3.
- U is selected from bond, -O-, -S-, and - NR 22 -. In some embodiments, U is a bond. In some embodiments, U is -O-. In some embodiments, U is -S-. In some embodiments, U is -NR 22 -.
- R 22 when U is -NR 22 -, R 22 is selected from hydrogen and unsubstituted -C1-C4alkyl. In some embodiments, R 22 is selected from hydrogen, methyl, ethyl, n-propyl, i-propyl, n-butyl, i-butyl, s-butyl and t-butyl. In some embodiments, R 22 is selected from hydrogen, methyl and ethyl. In some embodiments, 5 R 22 is selected from hydrogen and methyl. In some embodiments, R 22 is hydrogen. In some embodiments, R 22 is methyl.
- Y is represented b each r 10 is independently 1-3; U is selected from bond, -O-, -S-, -NH- and -NMe-. [0372] In some embodiments, each r is independently 1 to 2. In some embodiments, each r is 1. In some embodiments, each r is 2. [0373] In some embodiments, U is a bond.
- U is -O-. In some embodiments, U is -S-. In some embodiments, U is -NH-. In some embodiments, 15 U is -NMe-. [0374] In some embodiments of a compound of Formula (IB), (IIB), (IIB-a), (IIB-b), (IIB-c), (IIIB), (IIIB-a), (IIIB-b), (IIIB-c), (IVB), (IVB-a), (IVB-b), or (IVB-c), or a pharmaceutically acceptable salt thereof, Y is selected from -NH-, -NMe-, -NEt-, 20 [0375] In some embodiments of a compound of Formula (IIB), (IIIB), and (IVB), or a pharmaceutically acceptable salt thereof, the compound is represented by Formulas (IIB-d), (IIIB-d), and (IVB-d):
- R 9 is methyl or ethyl; or a pharmaceutically acceptable salt thereof.
- R 7 is selected from hydrogen and unsubstituted -C1-C6alkyl. In some embodiments, R 7 is selected from hydrogen and unsubstituted -C 1 -C 4 alkyl. In some embodiments, R 7 is hydrogen. In some 10 embodiments, R 7 is unsubstituted -C1-C6alkyl. In some embodiments, R 7 is unsubstituted -C 1 -C 4 alkyl. In some embodiments, R 7 is selected from hydrogen and methyl. In some embodiments, R 7 is -CH3. In some embodiments, R 7 is R L .
- each R 8 is independently selected from hydrogen, unsubstituted -C 1 -C 6 alkyl, and R L .
- each R 8 is independently selected from hydrogen, unsubstituted -C1-C6alkyl and R L . In some embodiments, each R 8 is independently selected from hydrogen and unsubstituted -C 1 - 20 C6alkyl. In some embodiments, each R 8 is independently selected from hydrogen and unsubstituted -C 1 -C 4 alkyl. In some embodiments, each R 8 is independently selected from hydrogen and methyl. In some embodiments, each R 8 is hydrogen. In some embodiments, each R 8 is independently selected from hydrogen or R L . In some embodiments, one R 8 is hydrogen, and the other R 8 is R L .
- R 7 is selected from hydrogen, unsubstituted -C 1 -C 6 alkyl, and R L ; and each R 8 is 30 independently selected from hydrogen, unsubstituted -C1-C6alkyl, and R L .
- each R 7 and 15 R 8 is independently selected from hydrogen and -C 1 -C 6 alkyl. In some embodiments, each R 7 and R 8 is independently selected from hydrogen and -C1-C4alkyl.
- X is selected from -O- and -CH 2 -O-.
- L is selected from substituted or unsubstituted C 1 -C 10 alkylene, -[C(R 11 ) 2 ] q -(W)-, substituted or unsubstituted C2-C10 alkenylene, or substituted or unsubstituted C2-C10 alkynylene, and -[(substituted or unsubstituted C 1 -C 4 alkylene)-Z-] p -(substituted or unsubstituted 20 C1-C4
- L is selected from substituted or unsubstituted C 1 -C 10 alkylene, -[C(R 11 ) 2 ] q -(W) t - and -[(substituted or unsubstituted C 1 -C 4 alkylene)- Z]p-(substituted or unsubstituted C1-C4 alkylene)-.
- L is substituted or unsubstituted C1-C10 alkylene, substituted or unsubstituted C2-C10 alkenylene, or substituted or unsubstituted C 2 -C 10 alkynylene.
- L is substituted or unsubstituted C1-C10 alkylene. In some embodiments, L is a substituted or unsubstituted C 1 -C 6 alkylene; or L is a C 1 -C 6 alkylene which is 30 substituted by 1, 2, or 3 groups selected from halogen, -CN, -O-(C1-C6 alkyl), C1-C6
- L is an unsubstituted C 1 -C 10 alkylene. In some embodiments, L is an unsubstituted C1-C6 alkylene.
- L is selected from substituted or unsubstituted C1-C10 alkylene, -[C(R 11 )2]q-(W)t- and - [(substituted or unsubstituted C 1 -C 4 alkylene)-Z] p -(substituted or unsubstituted C 1 -C 4 alkylene)-; each Z is -O-; p is 1-5; and q is 1 to 10.
- L is selected from *-[C(R 11 )2]q- (W)t-# and #-[C(R 11 )2]q- (W)t-*, wherein # is the attachment point to L and * is the attachment point to the rest of the molecule.
- L is -[(CH2CH2)-O]p-(CH2CH2)-; and p is 1-5.
- L 15 is -[(CH 2 CH 2 )-O] p -(CH 2 CH 2 )-; and p is 1-3.
- W is unsubstituted or substituted cycloalkylene. In some embodiments, W is unsubstituted or substituted heterocycloalkylene. In some embodiments, W is unsubstituted cycloalkylene or unsubstituted heterocycloalkylene. In some embodiments, W is unsubstituted cycloalkylene. In some embodiments, W is unsubstituted heterocycloalkylene.
- each Z is independently selected from -O- and -NR 11 -. In some embodiments, each Z is -O-. [0393] In some embodiments of a compound of Formula (IB), (IIB), (IIB-a), (IIB-b), (IIB-c), (IIB-d), (IIIB), (IIIB-a), (IIIB-b), (IIIB-c), (IIIB-d), (IVB), (IVB-a), 5 (IVB-b), (IVB-c), or (IVB-d), or a pharmaceutically acceptable salt thereof, when L is - [C(R 11 )2]q-(W)t, each R 11 is independently selected from hydrogen and unsubstituted or substituted -C 1 -C 6 alkyl.
- each R 11 is independently selected from hydrogen and unsubstituted -C1-C6alkyl. In some embodiments, each R 11 is independently selected from hydrogen and unsubstituted -C 1 -C 4 alkyl. In some 10 embodiments, each R 11 is hydrogen. In some embodiments, each R 11 is independently unsubstituted -C 1 -C 6 alkyl. In some embodiments, each R 11 is independently unsubstituted -C1-C4alkyl. In some embodiments, each R 11 is independently selected from hydrogen and methyl. In some embodiments, one R 11 is -CH 3 .
- L when X is in the ortho position, L is substituted 15 or unsubstituted C 1 -C 3 alkylene. In other embodiments, wherein X is in the meta positon, L is substituted or unsubstituted C1-C6 alkylene.
- p is 1 to 2, 1 to 3, or 2 to 3. In some embodiments, p is 1, 2, or 3. [0396] In some embodiments of a compound of Formula (IB), (IIB), (IIB-a), (IIB-b), (IIB-c), (IIB-d), (IIIB), (IIIB-a), (IIIB-b), (IIIB-c), (IIIB-d), (IVB), (IVB-a), 25 (IVB-b), (IVB-c), or (IVB-d), or a pharmaceutically acceptable salt thereof, q is 1 to 2, 1 to 3, 1 to 3, or 1 to 4. In some embodiments, q is 1.
- L is a bond; 30 and Y is selected from substituted or unsubstituted cycloalkylene and substituted or
- L is a bond, and Y is substituted or unsubstituted heterocycloalkylene. In some embodiments, L is a bond, and Y is unsubstituted heterocycloalkylene. In some embodiments, L is a bond, and Y is monocyclic heterocycloalkylene.
- L is not a bond.
- L is an unsubstituted C 1 -C 6 alkylene; or L is a C 1 -C 6 alkylene which is substituted by 1, 2, or 3 groups selected from halogen, -CN, -O-(C1-C6 alkyl), -C1-C6 alkyl,-C1-C6 haloalkyl, -OH, -NH 2 , or -NHCH 3 .
- L is 20 [0400] In some embodiments of a compound of Formula (IB), (IIB), (IIB-a), (IIB-b), (IIB-c), (IIB-d), (IIIB), (IIIB-a), (IIIB-b), (IIIB-c), (IIIB-d), (IVB), (IVB-a), (IVB-b), (IVB-c), or (IVB-d), or a pharmaceutically acceptable salt thereof, L is 20 [0400] In some embodiments of a compound of Formula (IB), (IIB), (IIB-a), (IIB-b), (IIB-c), (IIB-d), (IIIB), (IIIB-a), (IIIB-b), (IIIB-c), (IIIB-d), (IVB), (IVB-a), (IVB-b), (IVB-c), or (IVB-d), or a pharmaceutically acceptable salt thereof, L is 25 [0400] In some embodiments of a
- -X-L-Y- is 5 10 [0402] In some embodiments of a compound of Formula (IB), (IIB), (IIB-a), 15 (IIB-b), (IIB-c), (IIB-d), (IIIB), (IIIB-a), (IIIB-b), (IIIB-c), (IIIB-d), (IVB), (IVB-a), (IVB-b), (IVB-c), or (IVB-d), or a pharmaceutically acceptable salt thereof, -X-L-Y- is 5 10 [0402] In some embodiments of a compound of Formula (IB), (IIB), (IIB-a), 15 (IIB-b), (IIB-c), (IIB-d), (IIIB), (IIIB-a), (IIIB-b), (IIIB-c), (IIIB-d), (IVB), (IVB-a), (IVB-b), (IVB-c), or (IVB-d), or a pharmaceutically
- R 7 is selected from hydrogen and -C 1 -C 6 alkyl, e.g., methyl; each R 8 is independently selected from R L , hydrogen and -C1-C6alkyl, e.g., 10 methyl;
- Y is selected from -O-, -S
- R 4 and R 5 are independently selected from hydrogen, R 20 , -O-R L , and R L and any combinations thereof. In certain exemplary embodiments, R 4 and R 5 are independently selected from hydrogen, unsubstituted -C 1 - C6 alkyl, -O-R L , and R L .
- R 4 and R 5 are independently selected 5 from hydrogen, unsubstituted -C 1 -C 6 alkyl, -O-R L , and R L wherein R L is -(unsubstituted C1-C6 alkylene)-N(R 13 )2; and each R 13 is independently selected from hydrogen and unsubstituted or substituted -C 1 -C 6 alkyl; or two R 13 on the same N atom are taken together with the N atom to which they are attached to form an unsubstituted or substituted N-containing heterocycle.
- R 4 and R 5 are 10 independently selected from hydrogen, unsubstituted -C1-C6 alkyl, -O-R L , and R L wherein R L is -(unsubstituted C 1 -C 6 alkylene)-N(R 13 ) 2 ; and each R 13 is independently selected from hydrogen and methyl; or two R 13 on the same N atom are taken together with the N atom to which they are attached to form an unsubstituted or substituted N- containing heterocycle.
- R 4 and R 5 are independently 15 selected from hydrogen, unsubstituted -C 1 -C 6 alkyl, -O-R L , and R L wherein R L is -(unsubstituted C1-C6 alkylene)-N(R 13 )2; and each R 13 is independently selected from hydrogen and methyl.
- R 4 and R 5 are independently selected from hydrogen, R 20 , -O-R L , and R L and any combinations thereof. In certain exemplary embodiments, R 4 and R 5 are independently selected from hydrogen, unsubstituted -C 1 - C6 alkyl, -O-R L , and R L .
- R 4 and R 5 are independently selected 5 from hydrogen, unsubstituted -C 1 -C 6 alkyl, -O-R L , and R L wherein R L is -(unsubstituted C1-C6 alkylene)-N(R 13 )2; and each R 13 is independently selected from hydrogen and unsubstituted or substituted -C 1 -C 6 alkyl; or two R 13 on the same N atom are taken together with the N atom to which they are attached to form an unsubstituted or substituted N-containing heterocycle.
- R 4 and R 5 are 10 independently selected from hydrogen, unsubstituted -C1-C6 alkyl, -O-R L , and R L wherein R L is -(unsubstituted C 1 -C 6 alkylene)-N(R 13 ) 2 ; and each R 13 is independently selected from hydrogen and methyl; or two R 13 on the same N atom are taken together with the N atom to which they are attached to form an unsubstituted or substituted N- containing heterocycle.
- R 4 and R 5 are independently 15 selected from hydrogen, unsubstituted -C 1 -C 6 alkyl, -O-R L , and R L wherein R L is -(unsubstituted C1-C6 alkylene)-N(R 13 )2; and each R 13 is independently selected from hydrogen and methyl.
- R 4 and R 5 are independently selected from hydrogen, R 20 , -O-R L , and R L and any combinations thereof. In certain exemplary embodiments, R 4 and R 5 are independently selected from hydrogen, unsubstituted -C 1 - C6 alkyl, -O-R L , and R L .
- R 4 and R 5 are independently selected 5 from hydrogen, unsubstituted -C 1 -C 6 alkyl, -O-R L , and R L wherein R L is -(unsubstituted C1-C6 alkylene)-N(R 13 )2; and each R 13 is independently selected from hydrogen and unsubstituted or substituted -C 1 -C 6 alkyl; or two R 13 on the same N atom are taken together with the N atom to which they are attached to form an unsubstituted or substituted N-containing heterocycle.
- R 4 and R 5 are 10 independently selected from hydrogen, unsubstituted -C1-C6 alkyl, -O-R L , and R L wherein R L is -(unsubstituted C 1 -C 6 alkylene)-N(R 13 ) 2 ; and each R 13 is independently selected from hydrogen and methyl; or two R 13 on the same N atom are taken together with the N atom to which they are attached to form an unsubstituted or substituted N- containing heterocycle.
- R 4 and R 5 are independently 15 selected from hydrogen, unsubstituted -C 1 -C 6 alkyl, -O-R L , and R L wherein R L is -(unsubstituted C1-C6 alkylene)-N(R 13 )2; and each R 13 is independently selected from hydrogen and methyl.
- X is selected from -O- and -C(R 8 ) 2 -O-; each R 8 is hydrogen; Y is -NR 9 ; R 9 is selected from methyl and ethyl; and 25 L is selected from unsubstituted C 1 -C 6 alkylene, e.g., ethylene, propylene, butylene, and pentylene.
- R 4 and R 5 are independently selected from hydrogen, R 20 , -O-R L , and R L and any combinations thereof. In certain exemplary embodiments, R 4 and R 5 are independently selected from hydrogen, unsubstituted -C 1 - 30 C6 alkyl, -O-R L , and R L . In certain embodiments, R 4 and R 5 are independently selected
- R L is -(unsubstituted C1-C6 alkylene)-N(R 13 )2; and each R 13 is independently selected from hydrogen and unsubstituted or substituted -C 1 -C 6 alkyl; or two R 13 on the same N atom are taken together with the N atom to which they are attached to form an unsubstituted or 5 substituted N-containing heterocycle.
- R 4 and R 5 are independently selected from hydrogen, unsubstituted -C1-C6 alkyl, -O-R L , and R L wherein R L is -(unsubstituted C 1 -C 6 alkylene)-N(R 13 ) 2 ; and each R 13 is independently selected from hydrogen and methyl; or two R 13 on the same N atom are taken together with the N atom to which they are attached to form an unsubstituted or substituted N- 10 containing heterocycle.
- R 4 and R 5 are independently selected from hydrogen, unsubstituted -C 1 -C 6 alkyl, -O-R L , and R L wherein R L is -(unsubstituted C1-C6 alkylene)-N(R 13 )2; and each R 13 is independently selected from hydrogen and methyl.
- X is-C(R 8 ) 2 -O-; each R 8 is hydrogen or R L ; Y is -NR 9 ; 20 R 9 is selected from methyl and ethyl; and L is selected from unsubstituted C 1 -C 6 alkylene, e.g., ethylene, propylene, butylene, and pentylene.
- X is-C(R 8 )2-O-; each R 8 is hydrogen or methyl;
- Y is -NR 9 ;
- R 9 is selected from methyl, ethyl, or R L ;
- L is selected from unsubstituted C 1 -C 6 alkylene, e.g., ethylene, propylene, butylene, and pentylene.
- R 4 and R 5 are independently selected from hydrogen, R 20 , -O-R L , and R L and any combinations thereof.
- R 4 and R 5 are independently selected from hydrogen, unsubstituted -C 1 - C6 alkyl, -O-R L , and R L .
- R 4 and R 5 are independently selected from hydrogen, unsubstituted -C 1 -C 6 alkyl, -O-R L , and R L wherein R L is -(unsubstituted C1-C6 alkylene)-N(R 13 )2; and each R 13 is independently selected from hydrogen and unsubstituted or substituted -C 1 -C 6 alkyl; or two R 13 on the same N atom are taken 10 together with the N atom to which they are attached to form an unsubstituted or substituted N-containing heterocycle.
- R 4 and R 5 are independently selected from hydrogen, unsubstituted -C1-C6 alkyl, -O-R L , and R L wherein R L is -(unsubstituted C 1 -C 6 alkylene)-N(R 13 ) 2 ; and each R 13 is independently selected from hydrogen and methyl; or two R 13 on the same N atom are taken together15 with the N atom to which they are attached to form an unsubstituted or substituted N- containing heterocycle.
- R 4 and R 5 are independently selected from hydrogen, unsubstituted -C 1 -C 6 alkyl, -O-R L , and R L wherein R L is -(unsubstituted C1-C6 alkylene)-N(R 13 )2; and each R 13 is independently selected from hydrogen and methyl.
- R 4 is selected from hydrogen, halogen, -CN, -OH, -OR 50 , -NR 51 R 51 , unsubstituted or substituted C1-C6 alkyl, unsubstituted or substituted cycloalkyl, unsubstituted or substituted heterocycloalkyl, -O-R L , and R L .
- R 4 is selected from
- R 4 is hydrogen. In some embodiments, R 4 is R 20 . In some embodiments, R 4 is R L .
- R 4 is -O-R L [0421]
- R 5 is selected from hydrogen, halogen, -CN, -OH, -OR 50 , -NR 51 R 51 , unsubstituted or substituted C1-C6 alkyl, unsubstituted or substituted cycloalkyl, unsubstituted or substituted heterocycloalkyl, -O-R L , and R L .
- R 5 is selected from 10 hydrogen, unsubstituted C1-C6 alkyl, -O-R L , and R L . In some embodiments, R 5 is hydrogen. In some embodiments, R 5 is R 20 . In some embodiments, R 5 is R L .
- R 5 is -O-R L , [0422]
- R L is - (unsubstituted or substituted C1-C6 alkylene)-OR 12 .
- R L is - (unsubstituted C 1 -C 6 alkylene)-OR 12 .
- R L is -(unsubstituted C 1 -C 6 alkylene)-OR 12 .
- R L is -(unsubstituted or substituted C 1 -C 6 alkylene)-N(R 13 ) 2 .
- R L is -(unsubstituted C 1 - C6 alkylene)-N(R 13 )2.
- R 12 is selected from hydrogen and unsubstituted -C1-C6alkyl. In some embodiments, R 12 is hydrogen. [0425] In some embodiments of a compound of Formula (IB), (IIB), (IIB-a), 30 (IIB-b), (IIB-c), (IIB-d), (IIIB), (IIIB-a), (IIIB-b), (IIIB-c), (IIIB-d), (IVB), (IVB-a),
- R 13 on the same N atom are taken together with the N atom to which they are attached to form a phthalimide.
- R L is -(unsubstituted C 1 -C 6 alkylene)-NH 2 .
- R L is -(unsubstituted C 1 -C 6 alkylene)-N(R 13 ) 2 ; and two R 13 on the same N atom are taken together with the N atom to which they are attached to form a phthalimide.
- R L is .
- R 4 or R 5 is selected from and .
- the other of R 4 and R 5 is hydrogen.
- R 4 and R 5 are independently selected from hydrogen or methyl.
- R 4 is selected from hydrogen, -C 1 -C 6 alkyl, and -O-R L ;
- R 5 is selected from hydrogen, -C 1 -C 6 alkyl, and -O-R L .
- R L is selected from -(unsubstituted C1-C6 15 alkylene)-NH 2 and -(unsubstituted C 1 -C 6 alkylene)-OH.
- each R 20 is independently selected from halogen, -CN, -OH, -OR 50 , -NR 51 R 51 .
- each R 20 is independently selected from -F, -Cl, -Br, -CN, -OH, -OR 50 , -NR 51 R 51 .
- each R 50 is independently selected from unsubstituted or substituted C1-C6alkyl, unsubstituted or 5 substituted carbocycle, and unsubstituted or substituted heterocycle.
- each R 50 is independently selected from unsubstituted or substituted C1- C 6 alkyl.
- each R 51 is independently selected from hydrogen, unsubstituted or substituted C 1 -C 6 alkyl, unsubstituted or substituted carbocycle, and unsubstituted or substituted heterocycle.
- each R 51 is independently selected from hydrogen, unsubstituted or substituted C1-C6alkyl.
- each R 51 is independently selected from hydrogen, unsubstituted or substituted C1-C6alkyl. 15 [0435] In some embodiments of a compound of Formula (IB), (IIB), (IIB-a), (IIB-b), (IIB-c), (IIB-d), (IIIB), (IIIB-a), (IIIB-b), (IIIB-c), (IIIB-d), (IVB), (IVB-a), (IVB-b), (IVB-c), or (IVB-d), or a pharmaceutically acceptable salt thereof, two R 51 on the same N atom are taken together with the N atom to which they are attached to form an unsubstituted or substituted N-containing heterocycle.
- each R 52 is independently selected from hydrogen, unsubstituted C1-C6alkyl, unsubstituted C3- C 6 cycloalkyl, unsubstituted phenyl, unsubstituted benzyl, unsubstituted 5-membered 10 heteroaryl, and unsubstituted 6-membered heteroaryl.
- each R 52 is independently selected from hydrogen, unsubstituted C 1 -C 6 alkyl, unsubstituted C 3 - C6cycloalkyl, and unsubstituted phenyl. In some embodiments, each R 52 is independently selected from hydrogen and unsubstituted C 1 -C 6 alkyl.
- two R 52 groups are taken together with the N atom to which they are attached to form an unsubstituted N-containing heterocycle.
- each R 53 is independently selected from unsubstituted C 1 -C 6 alkyl, unsubstituted C 3 -C 6 cycloalkyl, unsubstituted phenyl, unsubstituted benzyl, unsubstituted 5-membered heteroaryl, and unsubstituted 6-membered heteroaryl.
- each R 53 is independently selected from unsubstituted C1-C6alkyl, unsubstituted C3-C6cycloalkyl, and 25 unsubstituted phenyl. In some embodiments, each R 53 is independently selected from unsubstituted C1-C6alkyl. [0440] In certain embodiments, the compound is represented by Formula (IIIB):
- R 4 and R 5 are -O-R L .
- R 4 and R 5 are independently selected from hydrogen or methyl.
- R 4 is selected from hydrogen, -C1-C6alkyl, and -O-R L ;
- R 5 is selected from hydrogen, -C1-C6alkyl, and -O-R L .
- R L is selected from -(unsubstituted C1-C6 alkylene)-NH2 and 20 -(unsubstituted C 1 -C 6 alkylene)-OH.
- the compound is represented by Formula (IVB): or a pharmaceutically acceptable salt thereof, wherein:
- X is selected from #-C(R 8 ) 2 -O-*, wherein # is the attachment point to L and * is the attachment point to the rest of the molecule; each R 8 is independently selected from hydrogen, methyl, and R L ; R 7 is hydrogen or methyl; 5 Y is -NR 9 ; R 9 is -C1-C6alkyl, e.g., methyl, ethyl, and propyl; L is unsubstituted C 1 -C 3 alkylene; R 4 is selected from hydrogen, -C1-C6alkyl, e.g., methyl, and -O-R L ; R 5 is selected from hydrogen, -C 1 -C 6 alkyl, e.g., methyl, and -O-R L ; 10 R L is -(unsubstituted C1-C6 alkylene)-N(R 13 )2; and each R 13 is independently selected from hydrogen, and -C 1 -C 6 al
- R 4 and R 5 are -O-R L .
- R 4 and R 5 are independently selected from hydrogen or methyl.
- R 4 is selected from hydrogen, -C1-C6alkyl, and -O-R L ;
- R 5 is selected from hydrogen, -C 1 -C 6 alkyl, and -O-R L .
- R L is selected from -(unsubstituted C1-C6 alkylene)-NH2 and -(unsubstituted C 1 -C 6 alkylene)-OH.
- the compound of Category B is: , ,
- the compound of Category B is: 5 cis- trans- , , , cis- , , cis- , , , cis- , ,
- the compound of Category B is a compound as in Table 1, or a pharmaceutically acceptable salt thereof. Table 1.
- the disclosure relates to a TGF ⁇ R2 inhibitor conjugate comprising an anti-LRRC15 antibody and a TGF ⁇ R2 inhibitor.
- the TGF ⁇ R2 inhibitor is a compound of any one of the Category A formulae or Category B formulae shown herein.
- the anti- LRRC15 antibody comprises an antigen-binding domain of any of the anti-LRRC15
- the TGF ⁇ R2 inhibitor is optionally attached to the antibody via a linker.
- the average drug-to- antibody ratio (DAR) of the conjugate is from 1 to about 8, or 2 to about 6, or about 3 to about 5, or about 4. 5 [0448]
- the present disclosure provides a conjugate represented by Formula (I): (I); wherein: A is the anti-LRRC15 antibody or antigen-binding fragment thereof; L 3 is the linker; Dx is the TGR ⁇ R2 inhibitor; n is selected from 1 to 20 or from 2 to about 10 or 10 from 3 to about 8; and z is selected from 1 to 20.
- the present disclosure provides an antibody conjugate represented by the formula: wherein: 15 Antibody is an anti-LRRC15 antibody or antigen-binding fragment thereof; n is selected from 1 to about 20 or from 2 to about 10 or from about 3 to about 8; L 3 is a linker; and 20 D is selected from a compound or salt of a compound of any one of Category A Formulas (IA), (IA’), (IA-A), (IA-B), (IA-C), (IA-D), (IA-E) (IIA-A), (IIA- B), (IIA-C), or (IIA-D), or a compound from Table 14, or any one of Category B Formulas (IB), (IIB), (IIB-a), (IIB-b), (IIB-c), (IIB-d), (IIIB), (IIIB-a), (IIIB-b), (IIIB- c), (IIIB-d), (IVB), (IVB-), (IVB--
- the number of inhibitor moieties bound to the linker is n, where n is selected from 1 to 20. In some embodiments, n is selected from 1 to 10, or from 1 to 5, or is 1 or 2, or is 1. In some
- z is the number of inhibitor-linker moieties attached to the antibody.
- z is from 1 to about 20, or from 1 to about 10, or from 1 to about 9, or from 1 to about 8, or 2 to about 6, or about 3 to about 5, or about 4.
- the average drug-to-antibody ratio (DAR) of the conjugate is n 5 times z (n x z).
- the average DAR is from 1 to about 8, or 2 to about 6, or about 3 to about 5, or about 4.
- Linkers and Linker-Payloads [0451] The compounds and salts described herein may be bound to a linker,10 e.g., a peptide linker.
- the linker is also bound to an anti- LRRC15 antibody, an antibody construct, or a targeting moiety, and may be referred to as an anti-LRRC15 antibody conjugate, an antibody construct conjugate, or a targeting moiety conjugate, respectively, or may be referred to simply as a conjugate.
- Linkers of the conjugates may not affect the binding of active portions of a conjugate, e.g., the 15 antigen binding domains, Fc region or domains, target binding domain, antibody, targeting moiety, or the like, to a target, which can be a cognate binding partner, such as an antigen.
- a conjugate can comprise multiple linkers, each having one or more compounds attached.
- the multiple linkers can be the same linker or different linkers contained on a single conjugate or on separate conjugates.
- a linker connects one or more TGF ⁇ R2 inhibitors to an anti-LRRC15 antibody or antigen-binding fragment thereof by forming a covalent linkage to the compound at one location and a covalent linkage to the antibody or antigen-binding fragment thereof at another location.
- the covalent linkages can be formed by reaction between functional groups on the linker and 25 functional groups on the TGF ⁇ R2 inhibitor and on the antibody or antigen-binding fragment thereof.
- linker can include (i) unattached forms of the linker that can include a functional group capable of covalently attaching the linker to an TGF ⁇ R2 inhibitor and a functional group capable of covalently attached the linker to an antibody or antigen-binding fragment thereof; (ii) partially 30 attached forms of the linker that can include a functional group capable of covalently
- a linker can be short, flexible, rigid, cleavable, non-cleavable, hydrophilic, or hydrophobic.
- a linker can contain segments that have different 10 characteristics, such as segments of flexibility or segments of rigidity.
- the linker can be chemically stable to extracellular environments, for example, chemically stable in the blood stream, or may include linkages that are not stable or selectively stable.
- the linker can include linkages that are designed to cleave and/or immolate or otherwise breakdown specifically or non-specifically inside cells.
- a cleavable linker can be 15 sensitive to enzymes.
- a cleavable linker can be cleaved by enzymes such as proteases.
- a cleavable linker can include a valine-citrulline (Val-Cit) peptide, a valine-alanine (Val-Ala) peptide, a phenylalanine-lysine (Phe-Lys) or other peptide, such as a peptide that forms a protease recognition and cleavage site.
- a peptide- containing linker can contain a pentafluorophenyl group.
- a peptide-containing linker 20 can include a succimide or a maleimide group.
- a peptide-containing linker can include a para aminobenzoic acid (PABA) group.
- a peptide-containing linker can include an aminobenzyloxycarbonyl (PABC) group.
- a peptide-containing linker can include a PABA or PABC group and a pentafluorophenyl group.
- a peptide-containing linker can include a PABA or PABC group and a succinimide group.
- a peptide-containing linker 25 can include a PABA or PABC group and a maleimide group.
- a non-cleavable linker is generally protease-insensitive and insensitive to intracellular processes.
- a non-cleavable linker can include a maleimide group.
- a non-cleavable linker can include a succinimide group.
- a non-cleavable linker can be maleimido ⁇ alkyl ⁇ C(O) ⁇ linker.
- a non-cleavable linker can be maleimidocaproyl30 linker.
- a maleimidocaproyl linker can be N-maleimidomethylcyclohexane-1-
- a maleimidocaproyl linker can include a succinimide group.
- a maleimidocaproyl linker can include pentafluorophenyl group.
- a linker can be a combination of a maleimidocaproyl group and one or more polyethylene glycol molecules.
- a linker can be a maleimide-PEG4 linker.
- a 5 linker can be a combination of a maleimidocaproyl linker containing a succinimide group and one or more polyethylene glycol molecules.
- a linker can be a combination of a maleimidocaproyl linker containing a pentafluorophenyl group and one or more polyethylene glycol molecules.
- a linker can contain a maleimide(s) linked to polyethylene glycol molecules in which the polyethylene glycol can allow for more 10 linker flexibility or can be used lengthen the linker.
- a linker can be a (maleimidocaproyl)-(valine-alanine)-(para- aminobenzyloxycarbonyl) linker.
- a linker can be a (maleimidocaproyl)-(valine- citrulline)-(para-aminobenzyloxycarbonyl) linker.
- a linker can be a (maleimidocaproyl)-(phenylalanine-lysine)-(para-aminobenzyloxycarbonyl) linker.
- a 15 linker can be a linker suitable for attachment to an engineered cysteine (THIOMAB).
- a THIOMAB linker can be a (maleimidocaproyl)-(valine-citrulline)-(para- aminobenzyloxycarbonyl)-linker.
- a linker can also contain segments of alkylene, alkenylene, alkynylene, polyether, polyester, polyamide, polyamino acids, peptides, polypeptides, cleavable 20 peptides, and/or aminobenzyl-carbamates.
- a linker can contain a maleimide at one end and an N-hydroxysuccinimidyl ester at the other end.
- a linker can contain a lysine with an N-terminal amine acetylated, and a valine-citrulline, valine-alanine or phenylalanine- lysine cleavage site.
- a linker can be a link created by a microbial transglutaminase, wherein the link can be created between an amine-containing moiety and a moiety 25 engineered to contain glutamine as a result of the enzyme catalyzing a bond formation between the acyl group of a glutamine side chain and the primary amine of a lysine chain.
- a linker can contain a reactive primary amine.
- a linker can be a Sortase A linker.
- a Sortase A linker can be created by a Sortase A enzyme fusing an LPXTG recognition motif (SEQ ID NO:253) to an N-terminal GGG motif to regenerate a native 30 amide bond.
- the linker created can therefore link to a moiety attached to the LPXTG
- a linker can be a link created between an unnatural amino acid on one moiety reacting with oxime bond that was formed by modifying a ketone group with an alkoxyamine on another moiety.
- a moiety can be part of a conjugate.
- a moiety can be 5 part of an antibody.
- a moiety can be part of an immune-stimulatory compound, such as TGF ⁇ R2 inhibitor.
- a moiety can be part of a binding domain.
- a linker can be unsubstituted or substituted, for example, with a substituent.
- a substituent can include, for example, hydroxyl groups, amino groups, nitro groups, cyano groups, azido groups, carboxyl groups, carboxaldehyde groups, imine groups, alkyl groups, alkenyl groups, 10 alkynyl groups, alkoxy groups, acyl groups, acyloxy groups, amide groups, and ester groups.
- a compound or salt of any one of Category A, Category B, or Tables 1 or 14, or a salt thereof is linked to the antibody by way of a linker(s), also referred to herein as L or L 3 .
- L as used herein, may be selected from any 15 of the linker moieties discussed herein.
- the linker linking the compound or salt to the antibody construct of a conjugate may be short, long, hydrophobic, hydrophilic, flexible or rigid, or may be composed of segments that each independently have one or more of the above-mentioned properties such that the linker may include segments having different properties.
- the linkers may be polyvalent such that they covalently link more 20 than one compound or salt to a single site on the antibody construct, or monovalent such that covalently they link a single compound or salt to a single site on the antibody construct.
- a linker can be polyvalent such that it covalently links more than one TGF ⁇ R2 compound to a single site on the antibody or antigen-binding fragment 25 thereof, or monovalent such that it covalently links a single TGF ⁇ R2 compound to a single site on the antibody or antigen-binding fragment thereof.
- the compound may further comprise a linker (L), which 30 results a linker-payload.
- the linker may be covalently bound to any position, valence
- the linker may be bound to R 7 or R 8 .
- a linker is bound to R 7 .
- a linker is bound to a nitrogen atom, 5 e.g., an amine, or oxygen atom, e.g., a hydroxyl, of a compound of Category A, Category B, or Tables 1 or 14, or pharmaceutically acceptable isomer, tautomer, racemate, hydrate, solvate, isotope, or salt thereof.
- the linker may comprise a reactive moiety, e.g., an electrophile that can react to form a covalent bond with a reactive moiety of an antibody, an antibody construct, or a targeting moiety, e.g., a lysine, 10 serine, threonine, cysteine, tyrosine, aspartic acid, glutamine, a non-natural amino acid residue, or glutamic acid residue.
- a compound of Category A, Category B, or Tables 1 or 14, or pharmaceutically acceptable isomer, tautomer, racemate, hydrate, solvate, isotope, or salt thereof may be covalently bound through the linker to an antibody, an antibody construct, or a targeting moiety.
- a compound of Category A, Category B, or Tables 1 or 14, or pharmaceutically acceptable isomer, tautomer, racemate, hydrate, solvate, isotope, or salt thereof, is linked to an antibody, an antibody construct, or a targeting moiety by way of a linker(s), also referred to herein as L, as used herein, may be selected from any of the linker moieties discussed herein.
- the linker linking the 20 compound or salt to an antibody, an antibody construct, or a targeting moiety of a conjugate may be short, long, hydrophobic, hydrophilic, flexible or rigid, or may be composed of segments that each independently have one or more of the above- mentioned properties, such that the linker may include segments having different properties.
- linkers may be polyvalent such that they covalently link more than one 25 compound or salt to a single site on an antibody, an antibody construct, or a targeting moiety, or monovalent, such that covalently they link a single compound or salt to a single site on an antibody, an antibody construct, or a targeting moiety.
- Linkers of the disclosure (L) may have from about 10 to about 500 atoms in a linker, such as from about 10 to about 400 atoms, such as about 10 to about
- linkers of the disclosure have from about 30 to about 400 atoms, such as from about 30 to about 300 atoms in the linker.
- the linkers may link a compound of any one of Category A, Category B, or Tables 1 or 14, or 5 pharmaceutically acceptable isomer, tautomer, racemate, hydrate, solvate, isotope, or salt thereof, to an antibody, an the antibody construct, or a targeting moiety by a covalent linkages between the linker and the antibody, the antibody construct, or the targeting moiety, and the compound, to form a conjugate.
- linker is intended to include (i) unconjugated forms of the linker that 10 include a functional group capable of covalently linking the linker to a compound of any one of Category A, Category B, or Tables 1 or 14, or pharmaceutically acceptable isomer, tautomer, racemate, hydrate, solvate, isotope, or salt thereof,the present invention and a functional group capable of covalently linking the linker to an antibody, an antibody construct, or a targeting moiety; (ii) partially conjugated forms of the linker 15 that include a functional group capable of covalently linking the linker to the an antibody, the antibody construct, or the targeting moiety, and that is covalently linked to at least one compound of any one of Category A, Category B, or Tables 1 or 14, or pharmaceutically acceptable isomer, tautomer, racemate, hydrate, solvate, isotope,(s) or salt thereof(s) of any one of Category A, Category B, or Tables 1 or 14, or vice vers
- Some embodiments pertain to a conjugate formed by contacting an antibody, an antibody 25 construct, or a targeting moiety that binds a cell surface receptor or tumor- associated antigen expressed on a tumor cell with a linker-compound described herein under conditions in which the linker-compound covalently links to the antibody, the antibody construct, or the targeting moiety. Further embodiments pertain to a method of making a conjugate formed by contacting a linker-compound under conditions in which the
- linker-compound covalently links to an antibody, an antibody construct, or a targeting moiety.
- a compound of any one of Category A, Category B, or Tables 1 or 14, or pharmaceutically acceptable isomer, tautomer, 5 racemate, hydrate, solvate, isotope, or salt thereof, Salts described in the section entitled “Compounds” is covalently bound to a linker (L) to form a linker-payload (L-P).
- the linker may be covalently bound to any position of the compound, valence permitting.
- the linker may comprise a reactive moiety, e.g., an electrophile that can react to form a covalent bond with a moiety of an antibody, an antibody construct, or a targeting 10 moiety, such as, for example, a lysine, serine, threonine, cysteine, tyrosine, aspartic acid, glutamine, a non-natural amino acid residue, or glutamic acid residue.
- a linker-payload comprising a compound or salt of a compound in the section entitled “Compounds” herein and a linker, L, is covalently bound through the linker to an antibody, an antibody construct, or a targeting moiety.
- any one of the compounds or salts described in the section entitled “Compounds” is covalently bound to a linker (L).
- the linker may be covalently bound to any position, valence permitting.
- the linker may comprise a reactive moiety, e.g., an electrophile that can react to form a covalent bond with a moiety of an antibody construct such as, for example, a lysine, serine, threonine, cysteine, tyrosine, aspartic 20 acid, glutamine, a non-natural amino acid residue, or glutamic acid residue.
- a compound or salt of a compound in the section entitled “Compounds” herein is covalently bound through the linker to an antibody construct.
- a linker-payload comprising a TGF ⁇ R2 inhibitor compound or salt thereof of this disclosure and a linker, L
- a linker-payload is covalently bound 25 through L to an antibody.
- a linker-payload comprising a TGF ⁇ R2 inhibitor compound or salt thereof of this disclosure and a linker, L
- a linker-payload comprising a TGF ⁇ R2 inhibitor compound or salt thereof of this disclosure and a linker, L
- L is a noncleavable linker.
- L is a cleavable linker, such as a linker cleavable by a lysosomal enzyme.
- the antibody, the antibody construct, or the targeting moiety may specifically bind to LRRC15. In any of the aforementioned embodiments, the antibody, antibody construct, or targeting moiety 10 may further comprise a second antigen or target binding domain.
- a TGF ⁇ R2 inhibitor compound of this disclosure is covalently attached to an antibody, an antibody construct, or a targeting moiety. In particular embodiments, a TGF ⁇ R2 inhibitor compound of this disclosure is covalently attached to an antibody. In certain embodiments, a TGF ⁇ R2 inhibitor compound of this 15 disclosure is covalently attached to an antibody construct. In certain other embodiments, the compound is covalently attached to a targeting moiety.
- the antibody, the antibody construct, or the targeting moiety may specifically bind to a tumor antigen.
- the antibody, antibody construct, or targeting moiety may further 20 comprise a second antigen or target binding domain.
- Exemplary polyvalent linkers that may be used to link compounds of the invention to an antibody construct are described.
- Fleximer® linker technology has the potential to enable high-DAR conjugates with good physicochemical properties. As shown below, the Fleximer® linker technology is based 25 on incorporating drug molecules into a solubilizing poly-acetal backbone via a sequence of ester bonds:
- the methodology renders highly-loaded conjugates (DAR up to 20) whilst maintaining good physicochemical properties.
- This methodology can be utilized with a TGF ⁇ R2 inhibitor compound as shown in the scheme below, where Drug′ refers to the TGF ⁇ R2 5 inhibitor compound.
- Drug′ refers to the TGF ⁇ R2 5 inhibitor compound.
- an aliphatic alcohol can be present or introduced into the TGF ⁇ R2 compound. The alcohol moiety is then attached to an alanine moiety, which is then synthetically incorporated into the Fleximer® linker. Liposomal processing of the conjugate in vitro 10 releases the parent alcohol-containing drug.
- a moiety, construct, or conjugate described herein includes the symbol , which indicates the point of attachment, e.g., the point of attachment of a chemical or functional moiety to the compound, the point of attachment of a linker to a compound of the disclosure, or the point of attachment of a linker to an 15 antibody, an antibody construct, or a targeting moiety.
- some cleavable and noncleavable linkers that may be included in the conjugates are described below, in addition to any other described herein.
- Sulfamide linkers may be used to link many compounds of the present 20 invention to an antibody construct. Sulfamide linkers are as described herein and e.g., U.S. Patent Publication Number 2019/0038765, the linkers of which are incorporated by reference herein
- Cleavable linkers can be cleavable in vitro, in vivo, or both.
- Cleavable linkers can include chemically or enzymatically unstable or degradable linkages.
- Cleavable linkers can rely on processes inside the cell to liberate a compound of Category A, Category B, or Tables 1 or 14, such as reduction in the cytoplasm, 5 exposure to acidic conditions in the lysosome, or cleavage by specific proteases or other enzymes within the cell.
- Cleavable linkers can incorporate one or more chemical bonds that are either chemically or enzymatically cleavable while the remainder of the linker can be non-cleavable.
- L is a linker comprising a reactive moiety.
- ⁇ L is represented by the formula: . 15
- ⁇ L is represented by the formula: , wherein each R 30 is independently selected from optionally substituted C1-C6 alkyl and optionally substituted phenyl, and RX is the reactive moiety.
- RX may comprise a leaving group.
- RX may be a maleimide.
- L may be further covalently bound to an 20 antibody construct.
- ⁇ L ⁇ is represented by the formula: , wherein RX * is a bond, a succinimide moiety, or a hydrolyzed succinimide moiety bound to a residue of an antibody construct, wherein on RX* represents the point of attachment to a residue of the antibody construct; and each R 30 is independently 25 selected from optionally substituted C 1 -C 6 alkyl and optionally substituted phenyl.
- linker-payload comprising a compound of any one of Category A, Category B, or Tables 1 or 14, or pharmaceutically acceptable isomer, tautomer, racemate, hydrate, solvate, isotope, or salt thereof, and linker L; L comprises a methylene carbamate unit.
- L-P linker-payload
- the L-P is part of a conjugate and RX * comprises a hydrolyzed succinamide moiety and is bound to a cysteine residue of an antibody, an 10 antibody construct, or a targeting moiety.
- the antibody, antibody construct, or targeting moiety comprises an antigen binding domain that specifically binds to LRRC15.
- a linker can contain a chemically labile group such as hydrazone and/or disulfide groups. Linkers comprising chemically labile groups can exploit differential properties between the plasma and some cytoplasmic compartments.
- the intracellular conditions that can facilitate release of a compound any one of Category A, Category B, 20 or Tables 1 or 14, or pharmaceutically acceptable isomer, tautomer, racemate, hydrate, solvate, isotope, or salt thereof for hydrazone containing linkers can be the acidic environment of endosomes and lysosomes, while the disulfide containing linkers can be reduced in the cytosol, which can contain high thiol concentrations, e.g., glutathione.
- the plasma stability of a linker containing a chemically labile group can be increased 25 by introducing steric hindrance using substituents near the chemically labile group.
- Acid-labile groups such as hydrazone, can remain intact during systemic circulation in the blood’s neutral pH environment (pH 7.3-7.5) and can undergo hydrolysis and can release a compound of the present invention once the antibody conjugate is internalized into mildly acidic endosomal (pH 5.0-6.5) and lysosomal (pH 30 4.5-5.0) compartments of the cell.
- This pH dependent release mechanism can be
- the linker can be varied by chemical modification, e.g., substitution, allowing tuning to achieve more efficient release in the lysosome with a minimized loss in circulation.
- a linker-payload comprising a compound of any one of Category A, Category B, or Tables 1 or 14, or pharmaceutically acceptable isomer, tautomer, racemate, hydrate, solvate, isotope, or salt thereof; and a linker L, ⁇ L comprises a hydrazone moiety.
- L may be selected from: 10 wherein M is selected from C 1 -C 6 alkyl, aryl, and ⁇ O ⁇ C 1 -C 6 alkyl.
- Hydrazone-containing linkers can contain additional cleavage sites, such as additional acid-labile cleavage sites and/or enzymatically labile cleavage sites.
- Conjugates including exemplary hydrazone-containing linkers can include, for example, the following structures: 15 wherein D is a compound or salt of any one of Category A, Category B, or Tables 1 or 14 and Ab is an anti-LRRC15 antibody construct, respectively, and n represents the 20 number of compound-bound linkers (LP) bound to the antibody construct.
- LP compound-bound linkers
- linker (Ia) the linker can comprise two cleavable groups, a disulfide and a hydrazone moiety.
- linkers such as (Ib) and (Ic) can be effective with a single hydrazone cleavage site.
- Other acid-labile groups that can be included in linkers include cis- aconityl-containing linkers. cis-Aconityl chemistry can use a carboxylic acid juxtaposed to an amide bond to accelerate amide hydrolysis under acidic conditions.
- Cleavable linkers can also include a disulfide group.
- Disulfides can be thermodynamically stable at physiological pH and can be designed to release a 10 compound of any one of Category A, Category B, or Tables 1 or 14, or pharmaceutically acceptable isomer, tautomer, racemate, hydrate, solvate, isotope, or salt thereof; upon internalization inside cells, wherein the cytosol can provide a significantly more reducing environment compared to the extracellular environment.
- Scission of disulfide bonds can require the presence of a cytoplasmic thiol cofactor, 15 such as (reduced) glutathione (GSH), such that disulfide-containing linkers can be reasonably stable in circulation, selectively releasing a compound of any one of Category A, Category B, or Tables 1 or 14, or pharmaceutically acceptable isomer, tautomer, racemate, hydrate, solvate, isotope, or salt thereof; in the cytosol.
- GSH reduced glutathione
- the intracellular enzyme protein disulfide isomerase, or similar enzymes capable of 20 cleaving disulfide bonds can also contribute to the preferential cleavage of disulfide bonds inside cells.
- GSH can be present in cells in the concentration range of 0.5-10 mM compared with a significantly lower concentration of GSH or cysteine, the most abundant low-molecular weight thiol, in circulation at approximately 5 ⁇ M.
- Tumor cells where irregular blood flow can lead to a hypoxic state, can result in enhanced 25 activity of reductive enzymes and therefore even higher glutathione concentrations.
- the in vivo stability of a disulfide-containing linker can be enhanced by chemical modification of the linker, e.g., use of steric hindrance adjacent to the disulfide bond.
- hydrate, solvate, isotope, or salt thereof and including exemplary disulfide-containing linkers can include the following structures: 5 wherein D is a compound of any one of Category A, Category B, or Tables 1 or 14, or pharmaceutically acceptable isomer, tautomer, racemate, hydrate, solvate, isotope, or salt thereof, and Ab is an antibody, an antibody construct, or a targeting moiety, n represents the number of compounds bound to linkers (L) bound to the antibody, 10 antibody construct, or targeting moiety and R is independently selected at each occurrence from, for example, hydrogen or alkyl. Increasing steric hindrance adjacent to the disulfide bond can increase the stability of the linker.
- linker that can be used is a linker that is specifically cleaved by an enzyme.
- the linker can be cleaved by a lysosomal enzyme.
- Such linkers can be peptide-based or can include peptidic regions that can act as substrates for enzymes. Peptide based linkers can be more stable in plasma and extracellular milieu than chemically labile linkers.
- Peptide bonds can have good serum stability, as lysosomal proteolytic enzymes can have very low activity in blood due to endogenous inhibitors and the unfavorably high pH value of blood compared to lysosomes. Release of a compound of any one of Category A, Category B, or Tables 1 or 14, or pharmaceutically acceptable
- isomer, tautomer, racemate, hydrate, solvate, isotope, or salt thereof, from an antibody, an antibody construct, or a targeting moiety conjugate can occur due to the action of lysosomal proteases, e.g., cathepsin and plasmin. These proteases can be present at elevated levels in certain tumor tissues.
- the linker can be cleavable by a lysosomal 5 enzyme.
- the lysosomal enzyme can be, for example, cathepsin B, ⁇ -glucuronidase, or ⁇ -galactosidase.
- the cleavable peptide can be selected from tetrapeptides such as Gly- Phe-Leu-Gly (SEQ ID NO: 363), Ala-Leu-Ala-Leu (SEQ ID NO: 364) or dipeptides such as Val-Cit, Val-Ala, and Phe-Lys. Dipeptides can have lower hydrophobicity 10 compared to longer peptides.
- a variety of dipeptide-based cleavable linkers can be used with an antibody, an antibody construct, or a targeting moiety construct to form conjugates of a compound of any one of Category A, Category B, or Tables 1 or 14, or pharmaceutically acceptable isomer, tautomer, racemate, hydrate, solvate, isotope, or 15 salt thereof, described herein.
- Enzymatically cleavable linkers can include a self-immolative spacer to spatially separate a compound of any one of Category A, Category B, or Tables 1 or 14, or pharmaceutically acceptable isomer, tautomer, racemate, hydrate, solvate, isotope, or salt thereof, from the site of enzymatic cleavage.
- the direct attachment of a compound 20 of any one of Category A, Category B, or Tables 1 or 14, or pharmaceutically acceptable isomer, tautomer, racemate, hydrate, solvate, isotope, or salt thereof, to a peptide linker can result in proteolytic release of a compound of any one of Category A, Category B, or Tables 1 or 14, or pharmaceutically acceptable isomer, tautomer, racemate, hydrate, solvate, isotope, or salt thereof, or of an amino acid adduct of a 25 compound of any one of Category A, Category B, or Tables 1 or 14, or pharmaceutically acceptable isomer, tautomer, racemate, hydrate, solvate, isotope, or salt thereof, thereby impairing its activity.
- the use of a self-immolative spacer can allow for the elimination of the fully active, chemically unmodified compound of any one of Category A, Category B, or Tables 1 or 14, or pharmaceutically acceptable
- One self-immolative spacer can be a bifunctional para-aminobenzyl alcohol (PABA) group, which can link to a peptide through an amino group, forming an 5 amide bond, while an amine containing compound of any one of Category A, Category B, or Tables 1 or 14, or pharmaceutically acceptable isomer, tautomer, racemate, hydrate, solvate, isotope, or salt thereof, can be attached through carbamate functionalities to the benzylic hydroxyl group of the linker (to give a p- amidobenzylcarbamate, PABC).
- PABA para-aminobenzyl alcohol
- the resulting pro-compound can be activated upon 10 protease-mediated cleavage, leading to a 1,6-elimination reaction releasing the unmodified compound of any one of Category A, Category B, or Tables 1 or 14, or pharmaceutically acceptable isomer, tautomer, racemate, hydrate, solvate, isotope, or salt thereof, carbon dioxide, and remnants of the linker group.
- ⁇ L is represented by the formula:
- ⁇ L is represented by the formula: , wherein peptide comprises from one to ten amino acids and RX is a reactive moiety, 10 and represents the point of attachment to the compound (payload).
- RX comprises a leaving group.
- RX is a maleimide.
- the L-P is part of a conjugate and ⁇ L is represented by the formula: , wherein Antibody is an antibody, an RX * antibody construct, or a targeting moiety 10 peptide comprises from one to 10 amino acids, RX * is a reactive moiety that has reacted with a moiety on the antibody, antibody construct, or targeting moiety to form a conjugate, and represents the point of attachment to the compound (payload).
- L-P is part of a conjugate and ⁇ L ⁇ is represented by the formula: 15 , wherein peptide comprises from one to ten amino acids, L 4 is the C-terminus of the peptide and L 5 is selected from a bond, an alkylene and a heteroalkylene, each of which is optionally substituted with one or more groups independently selected from R 12 ; on the left represents the point of attachment to the compound (payload), RX * is a bond, 20 a succinimide moiety, or a hydrolyzed succinimide moiety attached at the on the right to a residue of an antibody, an antibody construct, or a targeting moiety.
- L-P is part of a conjugate and ⁇ L ⁇ is represented by the formula:
- peptide comprises from one to ten amino acids
- L 4 represents the C-terminus of the peptide and L 5 is selected from a bond, alkylene and heteroalkylene, wherein L 5 is optionally substituted with one or more groups independently selected from R 32 ;
- RX * is 5 a bond, a succinimide moiety, or a hydrolyzed succinimide moiety bound to a residue of an antibody, an antibody construct, or a targeting moiety, wherein on RX* represents the point of attachment to the residue of the antibody, antibody construct, or targeting moiety; and
- the enzymatically cleavable linker can be a ß-glucuronic acid-based linker. Facile release of a compound of any one of Category A, Category B, or Tables 1 or 14, or pharmaceutically acceptable isomer, tautomer, racemate, hydrate, solvate, 5 isotope, or salt thereof, can be realized through cleavage of the ß-glucuronide glycosidic bond by the lysosomal enzyme ß-glucuronidase. This enzyme can be abundantly present within lysosomes and can be overexpressed in some tumor types, while the enzyme activity outside cells can be low.
- ß-Glucuronic acid-based linkers can be used to circumvent the tendency of an antibody construct conjugate of a compound of any 10 one of Category A, Category B, or Tables 1 or 14, or pharmaceutically acceptable isomer, tautomer, racemate, hydrate, solvate, isotope, or salt thereof, to undergo aggregation due to the hydrophilic nature of ß-glucuronides.
- ß- glucuronic acid-based linkers can link an antibody, an antibody construct, or a targeting moiety to a hydrophobic compound of any one of Category A, Category B, or Tables 1 15 or 14, or pharmaceutically acceptable isomer, tautomer, racemate, hydrate, solvate, isotope, or salt thereof.
- the following scheme depicts the release of a compound of any one of Category A, Category B, or Tables 1 or 14, or pharmaceutically acceptable isomer, tautomer, racemate, hydrate, solvate, isotope, or salt thereof, (D) from a conjugate of a 20 compound of any one of Category A, Category B, or Tables 1 or 14, or pharmaceutically acceptable isomer, tautomer, racemate, hydrate, solvate, isotope, or salt thereof, containing a ß-glucuronic acid-based linker: wherein Ab indicates an antibody, an antibody construct, or a targeting moiety.
- an enzymatically cleavable linker is a ⁇ -galactoside-based linker.
- ⁇ -Galactoside is present abundantly within lysosomes, while the enzyme activity outside cells is low.
- a compound of any one of Category A, Category B, or 5 Tables 1 or 14, or pharmaceutically acceptable isomer, tautomer, racemate, hydrate, solvate, isotope, or salt thereof, containing a phenol group can be covalently bonded to a linker through the phenolic oxygen.
- Cleavable linkers can include non-cleavable portions or segments, and/or cleavable segments or portions can be included in an otherwise non-cleavable linker to render it cleavable.
- polyethylene glycol (PEG) and related polymers can include cleavable groups in the polymer backbone.
- a polyethylene glycol or polymer linker can include one or more cleavable groups such as 15 a disulfide, a hydrazone or a dipeptide.
- linkers can include ester linkages formed by the reaction of PEG carboxylic acids or activated PEG carboxylic acids with alcohol groups on a compound of any one of Category A, Category B, or Tables 1 or 14, or pharmaceutically acceptable isomer, tautomer, 20 racemate, hydrate, solvate, isotope, or salt thereof, wherein such ester groups can hydrolyze under physiological conditions to release a compound of any one of Category A, Category B, or Tables 1 or 14, or pharmaceutically acceptable isomer, tautomer, racemate, hydrate, solvate, isotope, or salt thereof.
- Hydrolytically degradable linkages can include carbonate linkages; imine linkages resulting from reaction of an amine and 25 an aldehyde; phosphate ester linkages formed by reacting an alcohol with a phosphate group; acetal linkages that are the reaction product of an aldehyde and an alcohol; orthoester linkages that are the reaction product of a formate and an alcohol; and oligonucleotide linkages formed by a phosphoramidite group, including at the end of a polymer, and a 5' hydroxyl group of an oligonucleotide.
- a linker can contain an enzymatically cleavable peptide, for example, a linker comprising structural formula (CIIIa), (CIIIb), (CIIIc), or (CIIId): 5 or a salt thereof, wherein: “peptide” represents a peptide (illustrated in N ⁇ C orientation, wherein peptide includes the amino and carboxy “termini”) that is cleavable by a lysosomal enzyme; T represents a polymer comprising one or more ethylene glycol 10 units or an alkylene chain, or combinations thereof; R a is selected from hydrogen, alkyl, sulfonate and methyl sulfonate; R y is hydrogen or C1 ⁇ 4 alkyl ⁇ (O)r ⁇ (C1 ⁇ 4 alkylene)s ⁇ G 1 or C 1 ⁇ 4 alkyl ⁇ (N) ⁇ [(C 1 ⁇ 4 alkylene) ⁇ G 1 ] 2 ; R z is C 1 ⁇ 4 alkyl ⁇ (O)
- a peptide can be a tripeptide or a dipeptide.
- a dipeptide comprises L-amino acids, such as Val-Cit; Cit-Val; Ala-Ala; Ala-Cit; Cit-Ala; Asn-Cit; Cit-Asn; Cit-Cit; Val-Glu; Glu-Val; Ser-Cit; Cit-Ser; Lys-Cit; Cit-Lys; Asp-Cit; Cit- Asp; Ala-Val; Val-Ala; Phe-Lys; Lys-Phe; Val-Lys; Lys-Val; Ala-Lys; Lys-Ala; Phe- 5 Cit; Cit-Phe; Leu-Cit; Cit-Leu; Ile-Cit; Cit-Ile; Phe-Arg; Arg-Phe; Cit-Trp; and Trp-Cit, or salts thereof.
- linkers according to structural formula (CIIIa) are illustrated below (as illustrated, the linkers include a reactive group suitable for covalently linking the linker to an antibody, an antibody construct, or a targeting 10 moiety): 15 .
- linkers wherein indicates an attachment site of a linker (L) to a compound of any one of Category A, Category B, or Tables 1 or 14, or pharmaceutically acceptable isomer, tautomer, racemate, hydrate, solvate, isotope, or salt thereof.
- exemplary embodiments of linkers according to structural formula 5 (CIIIb), (CIIIc), or (CIIId) that can be included in the conjugates can include the linkers illustrated below (as illustrated, the linkers include a reactive group suitable for covalently linking the linker to an antibody construct): 10 .
- the linker can contain an enzymatically cleavable sugar moiety, for example, a linker comprising structural formula (CIVa), (CIVb), (CIVc), (CIVd), or (CIVe):
- linkers according to structural formula (CIVa) that may be included in the antibody construct conjugates of a compound of any one of Category A, Category B, or Tables 1 or 14, or pharmaceutically acceptable isomer, tautomer, racemate, hydrate, solvate, isotope, or salt thereof, described herein 5 can include the linkers illustrated below (as illustrated, the linkers include a group suitable for covalently linking the linker to an antibody construct): .
- linkers according to structural formula (CIVb) that may be included in the conjugates include the linkers illustrated below (as illustrated, the linkers include a group suitable for covalently linking the linker to an antibody construct): .
- linker (L) represents the point of attachment of the linker (L) to a compound of any one of Category A, Category B, or Tables 1 or 14, or pharmaceutically acceptable 5 isomer, tautomer, racemate, hydrate, solvate, isotope, or salt thereof.
- linkers according to structural formula (CIVc) that may be included in the conjugates include the linkers illustrated below (as illustrated, the linkers include a group suitable for covalently linking the linker to an antibody construct): 10 (CIVc.1)
- linker (L) represents the point of attachment of the linker (L) to a compound of any one of Category A, Category B, or Tables 1 or 14, or pharmaceutically acceptable 5 isomer, tautomer, racemate, hydrate, solvate, isotope, or salt thereof.
- linkers according to structural formula (CIVd) that may be included in the conjugates include the linkers illustrated below (as illustrated, the linkers include a group suitable for covalently linking the linker to an antibody construct): 10 (CIVd.1)
- linkers according to structural formula (CIVe) that may be included in the conjugates include the linkers illustrated below (as illustrated, the linkers include a group suitable for covalently linking the linker to an antibody construct): 5 . wherein represents the point of attachment of the linker (L) to a compound of any one of Category A, Category B, or Tables 1 or 14, or pharmaceutically acceptable isomer, tautomer, racemate, hydrate, solvate, isotope, or salt thereof. 10 [0517] Although cleavable linkers can provide certain advantages, the linkers comprising the conjugate need not be cleavable.
- the payload compound release may not depend on the differential properties between the plasma and some cytoplasmic compartments.
- the release of the payload compound can occur after internalization of the conjugate via antigen-mediated endocytosis and delivery to 15 lysosomal compartment, where the antibody, antibody construct, or targeting moiety can be degraded to the level of amino acids through intracellular proteolytic degradation.
- This process can release a payload compound derivative (a metabolite of the conjugate containing a non-cleavable linker-heterocyclic compound), which is
- the payload compound derivative from conjugates with non-cleavable linkers can be more hydrophilic and less membrane permeable, which can lead to less bystander effects and less nonspecific toxicities 5 compared to conjugates with a cleavable linker.
- Conjugates with non-cleavable linkers can have greater stability in circulation than conjugates with cleavable linkers.
- Non- cleavable linkers can include alkylene chains, or can be polymeric, such as, for example, based upon polyalkylene glycol polymers, amide polymers, or can include segments of alkylene chains, polyalkylene glycols and/or amide polymers.
- the linker 10 can contain a polyethylene glycol segment having from 1 to 6 ethylene glycol units.
- the linker can be non-cleavable in vivo, for example, a linker-payload comprising a compound of any one of Category A, Category B, or Tables 1 or 14, or pharmaceutically acceptable isomer, tautomer, racemate, hydrate, solvate, isotope, or salt thereof, and a linker L;
- ⁇ L is represented by the formulas below:: 15 e 20 or salts thereof, wherein: R a is selected from hydrogen, alkyl, sulfonate and methyl sulfonate; R x is a reactive moiety including a functional group capable of covalently linking the linker to an antibody construct; and represents the point of attachment of
- linker (L) to a compound of any one of Category A, Category B, or Tables 1 or 14, or pharmaceutically acceptable isomer, tautomer, racemate, hydrate, solvate, isotope, or salt thereof.
- ⁇ L ⁇ is represented by the formula: ,
- Exemplary embodiments of linkers according to structural formula (CVa)-(Ve) that may be included in the conjugates include the linkers illustrated below (as illustrated, the linkers include a group suitable for covalently linking the linker to an antibody construct, and represents the point of attachment of the linker (L) to a compound of any one of Category A, Category B, or Tables 1 or 14, or 10 pharmaceutically acceptable isomer, tautomer, racemate, hydrate, solvate, isotope, or salt thereof: 15 .
- Attachment groups that are used to attach the linkers to an antibody, an antibody construct, or a targeting moiety can be electrophilic in nature and include, for 5 example, maleimide groups, activated disulfides, active esters such as NHS esters and HOBt esters, haloformates, acid halides, alkyl, and benzyl halides such as haloacetamides.
- maleimide groups activated disulfides
- active esters such as NHS esters and HOBt esters
- haloformates acid halides, alkyl, and benzyl halides such as haloacetamides.
- cysteine based linkers are provided in PCT 10 Patent Application Publication Number WO 2020/092385, the linkers of which are incorporated by reference herein.
- maleimide groups are frequently used in the preparation of conjugates because of their specificity for reacting with thiol groups of, for example, cysteine groups of an antibody, an antibody construct or a targeting moiety.
- the reaction 15 between a thiol group of an antibody, an antibody construct or a targeting moiety and a drug with a linker (linker-aoyload) including a maleimide group proceeds according to the following scheme: O A ntibody SH + Antibody N Linking Group Linking Group O D rug Drug [0525]
- the reverse reaction leading to maleimide elimination from a thio- 20 substituted succinimide may also take place. This reverse reaction is undesirable as the maleimide group may subsequently react with another available thiol group such as other proteins in the body having available cysteines. Accordingly, the reverse reaction can undermine the specificity of a conjugate.
- One method of preventing the reverse reaction is undesirable as the maleimide group may subsequently react with another available thiol group such as other proteins in the body
- reaction is to incorporate a basic group into the linking group shown in the scheme above.
- the presence of the basic group may increase the nucleophilicity of nearby water molecules to promote ring-opening hydrolysis of the succinimide group.
- the hydrolyzed form of the attachment group is 5 resistant to deconjugation in the presence of plasma proteins. So-called “self- stabilizing” linkers provide conjugates with improved stability.
- a representative schematic is shown below: [0526]
- the hydrolysis reaction schematically represented above may occur at 10 either carbonyl group of the succinimide group.
- Bases may include, for example, amines (e.g., -N(R 26 )(R 27 ), where R 26 and R 27 are independently selected from H and C 1-6 alkyl), nitrogen-containing heterocycles (e.g., a 3- to 12-membered heterocycle including one or more nitrogen atoms and optionally one or more double 5 bonds), amidines, guanidines, and carbocycles or heterocycles substituted with one or more amine groups (e.g., a 3- to 12-membered aromatic or non-aromatic cycle optionally including a heteroatom such as a nitrogen atom and substituted with one or more amines of the type ⁇ N(R 26 )(R 27 ), where R 26 and R 27 are independently selected from H or C 1-6 alkyl).
- amines e.g., -N(R 26 )(R 27 ), where R 26 and R 27 are independently selected from H and C 1-6 alkyl
- nitrogen-containing heterocycles e.g.,
- a basic unit may be separated from a maleimide group by, for 10 example, an alkylene chain of the form ⁇ (CH2)m ⁇ , where m is an integer from 0 to 10.
- An alkylene chain may be optionally substituted with other functional groups as described herein.
- ⁇ C(O)R O, ⁇ CN, ⁇ NO2, ⁇ CX3, ⁇ X, ⁇ C(O)OR, 15 ⁇ C(O)NR 2 , ⁇ C(O)R, ⁇ C(O)X,
- Self-stabilizing linkers may also include aryl, e.g., phenyl, or heteroaryl, e.g., pyridine, groups optionally substituted with electron withdrawing 20 groups, such as those described herein.
- aryl e.g., phenyl
- heteroaryl e.g., pyridine
- electron withdrawing 20 groups such as those described herein.
- a self-stabilizing linker useful in conjunction with the compounds of the present invention may be equivalently25 described as unsubstituted maleimide-including linkers, thio-substituted succinimide- including linkers, or hydrolyzed, ring-opened thio-substituted succinimide-including linkers.
- a linker-payload comprising a compound of any one of Category A, Category B, or Tables 1 or 14, or pharmaceutically acceptable
- L comprises a self-stabilizing moiety.
- L may be selected from: 5 [0532]
- the bottom structure may be referred to as (maleimido)-DPR-Val-Cit-PAB, where DPR refers to diaminopropinoic acid, Val refers to valine, Cit refers to citrulline, and PAB refers to para-aminobenzylcarbonyl.
- a method for bridging a pair of sulfhydryl groups derived from reduction of a native hinge disulfide bond has been disclosed and is depicted in the schematic below.
- An advantage of this methodology is the ability to synthesize homogenous conjugates by full reduction of IgGs (to give 4 pairs of sulfhydryls from 15 interchain disulfides, wherein the DAR can range from 1 to 8) followed by reaction with 4 equivalents of the alkylating agent.
- Conjugates containing "bridged disulfides” are also claimed to have increased stability.
- a linker of the disclosure, L can contain the following structural formulas (CVIa), (CVIb), or (CVIc):
- R q is H or ⁇ O ⁇ (CH2CH2O)11 ⁇ CH3; x is 0 or 1; y is 0 or 1; G 2 is ⁇ CH2CH2CH2SO3H or ⁇ CH2CH2O ⁇ (CH2CH2O)11 ⁇ CH3; R w is ⁇ O ⁇ CH2CH2SO3H or ⁇ NH(CO) ⁇ CH2CH2O ⁇ (CH2CH2O)12 ⁇ CH3; and * represents the point of attachment to 5 the remainder of the linker.
- Exemplary embodiments of linkers according to structural formula (CVIa) and (CVIb), which can be included in linker-paylod and conjugate structures of this disclosure, include the linkers illustrated below (as illustrated, the linkers include a group suitable for covalently linking the linker to an antibody construct): 10 .
- linkers illustrated below include a group suitable for covalently linking the linker to an antibody construct: 5
- linker (L) represents the point of attachment of the linker (L) to a compound of any one of Category A, Category B, or Tables 1 or 14, or pharmaceutically acceptable 5 isomer, tautomer, racemate, hydrate, solvate, isotope, or salt thereof.
- a compound of any one of Category A, Category B, or Tables 1 or 14, or pharmaceutically acceptable isomer, tautomer, racemate, hydrate, solvate, isotope, or salt thereof, wherein attachment of the linker is to a nitrogen of the 10 compound and conjugation is to a cysteine residue of an antibody or targeting moiety – L is represented by the formulas set forth in Table 2 below: TABLE 2
- the reactive 10 moiety may be selected, for example, from an electrophile, e.g., an ⁇ , ⁇ -unsaturated carbonyl, such as a maleimide, and a leaving group.
- an electrophile e.g., an ⁇ , ⁇ -unsaturated carbonyl, such as a maleimide, and a leaving group.
- ⁇ L can be represented by the formulas set forth in Table 3 below: TABLE 3
- RX * is a bond, a succinimide moiety, or a hydrolyzed succinimide moiety bound to a cysteine residue of the antibody construct, wherein on RX* represents the point of attachment to such residue;
- a particularly preferred pepide is val ⁇ ala or val ⁇ cit.
- a compound of any one of Category A, Category B, or Tables 1 or 14, or pharmaceutically acceptable isomer, tautomer, racemate, hydrate, solvate, isotope, or salt thereof wherein attachment of the linker is to 15 a nitrogen of a compound of any one of Category A, Category B, or Tables 1 or 14, or pharmaceutically acceptable isomer, tautomer, racemate, hydrate, solvate, isotope, or
- —L is represented by the formulas set forth in Table 5 below: TABLE 5 wherein represents attachment to a nitrogen of a compound of any one of 5 Category A, Category B, or Tables 1 or 14, or pharmaceutically acceptable isomer, tautomer, racemate, hydrate, solvate, isotope, or salt thereof, and RX represents a reactive moiety.
- the reactive moiety may be selected from, for example, a leaving group.
- –L can be represented by the formulas set forth in Table 6 below:
- linkers When conjugated to the lysine residue of an antibody or other targeting moiety, such linkers, can, for example, be represented by the Formulas set forth in Table 7 below wherein RX * is a bond to a nitrogen of the lysine residue of the antibody 5 construct or targeting moiety, wherein on RX* represents the point of attachment to such residue: TABLE 7
- the linker selected for a particular 5 conjugate may be influenced by a variety of factors, including the site of attachment to the antibody, antibody construct, or targeting moiety (e.g., lysine, cysteine, or other amino acid residues), structural constraints of the drug pharmacophore, and the lipophilicity of the drug.
- the specific linker selected for a conjugate should seek to balance these different factors for the specific antibody, antibody construct, or targeting 10 moiety/drug combination.
- cytotoxic conjugates have been observed to effect killing of bystander antigen-negative cells present in the vicinity of the antigen-positive tumor cells.
- the mechanism of the bystander effect by cytotoxic conjugates has indicated that metabolic products formed during intracellular processing of the conjugates may play a 15 role.
- Neutral cytotoxic metabolites generated by metabolism of the conjugates in antigen-positive cells appear to play a role in bystander cell killing while charged metabolites may be prevented from diffusing across the membrane into the medium, or
- a linker is selected to attenuate the bystander effect caused by cellular metabolites of the conjugate. In further embodiments, a linker is selected to increase the bystander effect. 5 [0546]
- the properties of the linker, or linker-payload, may also impact aggregation of a conjugate under conditions of use and/or storage. Conjugates reported in the literature contain about 3-4 drug molecules per antibody molecule. Attempts to obtain higher drug-to-antibody ratios (“DAR”) often failed, particularly if both the drug and the linker were hydrophobic, due to aggregation of the conjugate.
- DAR drug-to-antibody ratios
- DARs higher than 3-4 could be beneficial as a means of increasing potency.
- a linker incorporates chemical moieties that reduce 15 aggregation of the conjugates during storage and/or use.
- a linker may incorporate polar or hydrophilic groups such as charged groups or groups that become charged under physiological pH to reduce the aggregation of the conjugates.
- a linker may incorporate charged groups such as salts or groups that deprotonate, e.g., carboxylates, or protonate, e.g., amines, at physiological pH. 20
- aggregation of conjugates during storage or use is less than about 40% as determined by size-exclusion chromatography (SEC).
- the aggregation of the conjugates during storage or use is less than about 35%, such as less than about 30%, about 25%, about 20%, about 15%, about 10%, about 5%, about 4%, or even less, as determined by size-exclusion 25 chromatography (SEC).
- SEC size-exclusion chromatography
- –L is represented by the 30 formulas set forth in Table 8 below:
- the reactive 10 moiety may be selected, for example, from an electrophile, e.g., an ⁇ , ⁇ -unsaturated carbonyl, such as a maleimide, and a leaving group.
- an electrophile e.g., an ⁇ , ⁇ -unsaturated carbonyl, such as a maleimide, and a leaving group.
- ⁇ L 3 can be represented by the formulas set forth in Table 9 below: TABLE 9
- RX * is a bond, a succinimide moiety, or a hydrolyzed succinimide moiety bound to a cysteine residue of the antibody construct, wherein on RX* represents the point of attachment to such residue;
- —L 3 is represented by the 5 formulas set forth in Table 11 below: TABLE 11 wherein represents attachment to a nitrogen of a compound or salt of any one of Category A, Category B, or Tables 1 or 14 and RX represents a reactive moiety.
- the reactive moiety may be selected from, for example, a leaving group. 10
- –L 3 can be represented by the formulas set forth in Table 12 below:
- linkers When conjugated to the lysine residue of an antibody or other targeting moiety, such linkers, can, for example, be represented by the Formulas set forth in Table 13 below wherein RX * is a bond to a nitrogen of the lysine residue of the 5 antibody construct or targeting moiety, wherein on RX* represents the point of attachment to such residue:
- the linkers described herein, including those in the preceding paragraphs are attached to a compound of the present invention through the nitrogen of a secondary 5 acyclic amine depicted in the structure of any one of Category A, Category B, or Tables 1 or 14.
- the linkers described herein, including those in the preceding paragraphs are attached to a compound of the present invention at a nitrogen atom.
- RX represents a reactive moiety.
- the reactive 5 moiety may be selected from an activated ester.
- -L can be represented by the formulas: [0555]
- linkers can 10 be represented by the following formulas in Table 32: TABLE 32 wherein RX * is a bound to a nitrogen of the lysine residue of the antibody, wherein on RX* represents the point of attachment to such residue. 15 [0556]
- the linker is represented by the formula set forth below in Table 33.
- the linker selected for a particular conjugate may be influenced by a variety of factors, including but not limited to, the 5 site of attachment to the antibody construct (e.g., lys, cys or other amino acid residues), structural constraints of the drug pharmacophore and the lipophilicity of the drug.
- the specific linker selected for a conjugate should seek to balance these different factors for the specific antibody construct/drug combination.
- the properties of the linker, or linker-compound may also impact 10 aggregation of the conjugate under conditions of use and/or storage. Typically, conjugates reported in the literature contain no more than 3-4 drug molecules per antibody molecule.
- DAR drug-to-antibody ratio
- the linker 5 incorporates chemical moieties that reduce aggregation of the conjugates during storage and/or use.
- a linker may incorporate polar or hydrophilic groups such as charged groups or groups that become charged under physiological pH to reduce the aggregation of the conjugates.
- a linker may incorporate charged groups such as salts or groups that deprotonate, e.g., carboxylates, or protonate, e.g., amines, at physiological 10 pH.
- the aggregation of the conjugates during storage or use is less than about 40% as determined by size-exclusion chromatography (SEC). In particular embodiments, the aggregation of the conjugates during storage or use is less than 35%, such as less than about 30%, such as less than about 25%, such as 15 less than about 20%, such as less than about 15%, such as less than about 10%, such as less than about 5%, such as less than about 4%, or even less, as determined by size- exclusion chromatography (SEC).
- SEC size-exclusion chromatography
- Exemplary Linker-Compounds described herein include those set forth in Tables 15, 16, and 17, and salts thereof (including pharmaceutically acceptable salts 20 thereof.
- Exemplary conjugates described herein include those set forth in Table 34 and salts thereof (including pharmaceutically acceptable salts thereof).
- the TGF ⁇ R2 inhibitor conjugates provided herein comprise an anti-LRRC15 antibody selected from murine M25 antibody or humanized M25 antibody.
- M25 antibody sequences are described in WO2017/095805 (see PCT Publication No. WO2017/095805, incorporated herein by reference in its 5 entirety).
- a humanized M25 antibody comprises a VH comprising the amino acid sequence of SEQ ID NO:16 of WO2017/095805 and a VL comprising the amino acid sequence of SEQ ID NO:17 of WO2017/095805.
- a humanized M25 antibody comprises a heavy chain comprising the amino acid sequence of SEQ ID NO:18 of WO2017/095805, and a light chain 10 comprising the amino acid sequence of SEQ ID NO:19 of WO2017/095805.
- Exemplary conjugates according to the present disclosure are set forth in Table 35 and include salts thereof (including pharmaceutically acceptable salts thereof). TABLE 35: Additional TGF ⁇ R2 inhibitor-linker conjugates 15
- compositions described herein may be considered useful as pharmaceutical compositions for administration to a subject in need thereof.
- Pharmaceutical compositions may comprise at least the compositions described herein and one or more pharmaceutically acceptable carriers, diluents, excipients, stabilizers, dispersing agents, suspending agents, and/or thickening agents.
- a composition may comprise a conjugate having an antibody and an acyclic amino-pyrazinecarboxamide compound of this disclosure.
- a composition comprise a conjugate having an antibody and a cyclic amino-pyrazinecarboxamide compound.
- a composition comprise a conjugate having an antibody, a target binding domain, and a compound of Category A or B.
- the composition may comprise any conjugate described herein.
- the antibody is an anti-LRRC15 antibody.
- Exemplary conjugates15 of this disclosure comprise an anti-LRRC15 antibody and an acyclic or cyclic amino- pyrazinecarboxamide compound of this disclosure.
- a pharmaceutical composition comprises at least one the conjugates described herein and
- compositions may be formulated using one or more physiologically-acceptable carriers comprising excipients and auxiliaries. Formulation 5 may be modified depending upon the route of administration chosen.
- Pharmaceutical compositions comprising a conjugate may be manufactured, for example, by lyophilizing mixing, dissolving, emulsifying, encapsulating, or entrapping the conjugate.
- the pharmaceutical compositions may also include the conjugates in a free- base form or pharmaceutically-acceptable salt form.
- Methods for formulation of the conjugates may include formulating any of the conjugates with one or more inert, pharmaceutically-acceptable excipients or carriers to form a solid, semi-solid, or liquid composition.
- Solid compositions may include, for example, powders, tablets, dispersible granules and capsules, and in some aspects, the solid compositions further contain nontoxic, auxiliary substances, for 15 example wetting or emulsifying agents, pH buffering agents, and other pharmaceutically-acceptable additives.
- the conjugates may be lyophilized or in powder form for re-constitution with a suitable vehicle, e.g., sterile pyrogen-free water, before use.
- compositions of the conjugates may comprise at least 20 one active ingredient (e.g., a conjugate and other agents).
- the active ingredients may be entrapped in microcapsules prepared, for example, by coacervation techniques or by interfacial polymerization (e.g., hydroxymethylcellulose or gelatin microcapsules and poly-(methylmethacylate) microcapsules, respectively), in colloidal drug-delivery systems (e.g., liposomes, albumin microspheres, microemulsions, nano-particles and 25 nanocapsules) or in macroemulsions.
- colloidal drug-delivery systems e.g., liposomes, albumin microspheres, microemulsions, nano-particles and 25 nanocapsules
- compositions as often further may comprise more than one active compound (e.g., a compound, salt or conjugate and other agents) as necessary for the particular indication being treated.
- the active compounds may have complementary activities that do not adversely affect each other.
- the 30 composition may comprise a chemotherapeutic agent, cytotoxic agent, cytokine,
- compositions and formulations may be sterilized. Sterilization may be accomplished by filtration through sterile filtration.
- compositions may be formulated for administration as an injection.
- formulations for injection may include a sterile suspension, solution or emulsion in oily or aqueous vehicles.
- Suitable oily vehicles may include, but 10 are not limited to, lipophilic solvents or vehicles such as fatty oils or synthetic fatty acid esters, or liposomes.
- Aqueous injection suspensions may contain substances which increase the viscosity of the suspension.
- the suspension may also contain suitable stabilizers.
- Injections may be formulated for bolus injection or continuous infusion.
- the compositions may be lyophilized or in powder form for reconstitution 15 with a suitable vehicle, e.g., sterile pyrogen-free water, before use.
- the conjugates may be formulated in a unit dosage injectable form (e.g., solution, suspension, emulsion) in association with a pharmaceutically acceptable parenteral vehicle.
- Vehicles may be water, saline, Ringer’s solution, dextrose 20 solution, and 5% human serum albumin.
- Non-aqueous vehicles such as fixed oils and ethyl oleate may also be used.
- Liposomes may be used as carriers.
- the vehicle may contain minor amounts of additives such as substances that enhance isotonicity and chemical stability (e.g., buffers and preservatives).
- Sustained-release preparations may be also be prepared.
- Examples of 25 sustained-release preparations may include semipermeable matrices of solid hydrophobic polymers that may contain the compound, salt or conjugate, and these matrices may be in the form of shaped articles (e.g., films or microcapsules).
- Examples of sustained-release matrices may include polyesters, hydrogels (e.g., poly(2- hydroxyethyl-methacrylate), or poly(vinyl alcohol)), polylactides, copolymers of L- 30 glutamic acid and ⁇ ethyl-L-glutamate, non-degradable ethylene-vinyl acetate,
- degradable lactic acid-glycolic acid copolymers such as the LUPRON DEPO TM (i.e., injectable microspheres composed of lactic acid-glycolic acid copolymer and leuprolide acetate), and poly-D-(-)-3-hydroxybutyric acid.
- a pharmaceutically acceptable carrier such as the LUPRON DEPO TM (i.e., injectable microspheres composed of lactic acid-glycolic acid copolymer and leuprolide acetate), and poly-D-(-)-3-hydroxybutyric acid.
- a pharmaceutically acceptable carrier such as the LUPRON DEPO TM (i.e., injectable microspheres composed of lactic acid-glycolic acid copolymer and leuprolide acetate), and poly-D-(-)-3-hydroxybutyric acid.
- Pharmaceutical formulations may be prepared for storage by mixing a 5 conjugate with a pharmaceutically acceptable carrier, excipient, and/or a stabilizer. This formulation
Landscapes
- Health & Medical Sciences (AREA)
- Engineering & Computer Science (AREA)
- Bioinformatics & Cheminformatics (AREA)
- Life Sciences & Earth Sciences (AREA)
- Chemical & Material Sciences (AREA)
- Public Health (AREA)
- Pharmacology & Pharmacy (AREA)
- Veterinary Medicine (AREA)
- Medicinal Chemistry (AREA)
- Animal Behavior & Ethology (AREA)
- General Health & Medical Sciences (AREA)
- Immunology (AREA)
- Epidemiology (AREA)
- Chemical Kinetics & Catalysis (AREA)
- General Chemical & Material Sciences (AREA)
- Nuclear Medicine, Radiotherapy & Molecular Imaging (AREA)
- Organic Chemistry (AREA)
- Cell Biology (AREA)
- Peptides Or Proteins (AREA)
Abstract
Conjugates comprising a TGFβR2 inhibitor and an anti-LRRC15 antibody, compositions comprising the conjugates, and use of the conjugates in the treatment of disease, such as fibrosis and cancer, are disclosed herein. Also disclosed herein are anti-LRRC15 antibodies, including humanized anti-LRRC15 antibodies.
Description
TGFBetaR2 INHIBITOR-LRRC15 ANTIBODY CONJUGATES AND USES THEREOF STATEMENT REGARDING SEQUENCE LISTING The Sequence Listing associated with this application is provided in text format 5 in lieu of a paper copy, and is hereby incorporated by reference into the specification. The name of the text file containing the Sequence Listing is 860234_413WO_SEQUENCE_LISTING.txt. The text file is 418 KB, was created on November 19, 2020, and is being submitted electronically via EFS-Web. BACKGROUND 10 Technical Field [0001] The present disclosure provides conjugates comprising a TGFβR2 inhibitor and an anti-LRRC15 antibody, compositions comprising the conjugates, and methods of treating cancer and fibrotic diseases with the conjugates. The present disclosure also provides for anti-LRRC15 antibodies and uses for the antibodies. 15 Description of the Related Art [0002] One of the leading causes of death in the United States is cancer. The conventional methods of cancer treatment, like chemotherapy, surgery, or radiation therapy, tend to be either highly toxic or nonspecific to a cancer, or both, resulting in limited efficacy and harmful side effects. However, the immune system has the 20 potential to be a powerful, specific tool in fighting cancers. In many cases tumors can specifically express genes whose products are required for inducing or maintaining the malignant state. These proteins may serve as antigen markers for the development and establishment of more specific anti-cancer immune response. The boosting of this specific immune response has the potential to be a powerful anti-cancer treatment that 25 can be more effective than conventional methods of cancer treatment and can have fewer side effects.
1
[0003] Fibrosis is the formation of excess fibrous connective tissue or scar tissue in an organ or tissue in a reparative or reactive process. Fibrosis can occur in many tissues within the body, typically as a result of inflammation or damage, which include the lungs, liver, heart, and brain. Scar tissue blocks arteries, immobilizes joints 5 and damages internal organs, wreaking havoc on the body's ability to maintain vital functions. Every year, millions of people are hospitalized due to the damaging effects of fibrosis. However, current therapeutics for treating fibrotic diseases are lacking or have drawbacks. Thus, there remains a considerable need for alternative or improved treatments for fibrotic diseases. 10 INCORPORATION BY REFERENCE [0004] All publications, patents, and patent applications mentioned in this specification are herein incorporated by reference to the same extent as if each individual publication, patent, or patent application was specifically and individually indicated to be incorporated by reference. 15 BRIEF SUMMARY [0005] The present disclosure generally relates to conjugates of TGFβR2 inhibitor compounds with anti-LRRC15 antibodies and pharmaceutical compositions of the conjugates. The conjugates may be used to treat or prevent cancer and/or fibrotic diseases. The present disclosure also relates to anti-LRRC15 antibodies, including 20 humanized anti-LRRC15 antibodies. [0006] In various aspects, a TGFβR2 inhibitor conjugate comprises: (1) an anti-LRRC15 antibody comprising: a) a heavy chain CDR1 (VH-CDR1) comprising the amino acid sequence of SEQ ID NO: 1, a VH-CDR2 comprising an amino acid sequence selected 25 from SEQ ID NOs: 11-15, a VH-CDR3 comprising the amino acid sequence of SEQ ID NO: 32, a light chain CDR1 (VL-CDR1) comprising the amino acid sequence of SEQ ID NO: 46, a VL-CDR2 comprising the amino acid sequence of SEQ ID NO: 57, and a VL-CDR3 comprising the amino acid sequence of SEQ ID NO: 65; or
2
b) a VH-CDR1 comprising the amino acid sequence of SEQ ID NO: 2, a VH-CDR2 comprising an amino acid sequence selected from SEQ ID NO: 16-18, a VH-CDR3 comprising the amino acid sequence of SEQ ID NO: 33, a light chain CDR1 (VL-CDR1) comprising the amino acid sequence of SEQ ID NO: 47 or 48, a VL-CDR2 5 comprising the amino acid sequence of SEQ ID NO: 58, and a VL-CDR3 comprising an amino acid sequence selected from SEQ ID NOs: 66-70; or c) a VH-CDR1 comprising the amino acid sequence of SEQ ID NO: 3, a VH-CDR2 comprising the amino acid sequence of SEQ ID NO: 19, a VH-CDR3 comprising the amino acid sequence of SEQ ID NO: 34 or 35, a light chain CDR1 (VL- 10 CDR1) comprising the amino acid sequence of SEQ ID NO: 49, a VL-CDR2 comprising the amino acid sequence of SEQ ID NO: 59, and a VL-CDR3 comprising the amino acid sequence of SEQ ID NO: 71; or d) a VH-CDR1 comprising the amino acid sequence of SEQ ID NO: 4, a VH-CDR2 comprising the amino acid sequence of SEQ ID NO: 20-23, a VH- 15 CDR3 comprising the amino acid sequence of SEQ ID NO: 36, a light chain CDR1 (VL-CDR1) comprising the amino acid sequence of SEQ ID NO: 50, a VL-CDR2 comprising the amino acid sequence of SEQ ID NO: 60, and a VL-CDR3 comprising the amino acid sequence of SEQ ID NO: 72; or e) a VH-CDR1 comprising the amino acid sequence of SEQ ID NO: 20 1, a VH-CDR2 comprising the amino acid sequence of SEQ ID NO: 24, a VH-CDR3 comprising the amino acid sequence of SEQ ID NO: 37, a light chain CDR1 (VL- CDR1) comprising the amino acid sequence of SEQ ID NO: 46, a VL-CDR2 comprising the amino acid sequence of SEQ ID NO: 57, and a VL-CDR3 comprising the amino acid sequence of SEQ ID NO: 65; or 25 f) a VH-CDR1 comprising the amino acid sequence of SEQ ID NO: 2, a VH-CDR2 comprising the amino acid sequence of SEQ ID NO: 16, a VH-CDR3 comprising the amino acid sequence of SEQ ID NO: 42, a light chain CDR1 (VL- CDR1) comprising the amino acid sequence of SEQ ID NO: 47, a VL-CDR2 comprising the amino acid sequence of SEQ ID NO: 58, and a VL-CDR3 comprising 30 the amino acid sequence of SEQ ID NO: 66; or
3
g) a VH-CDR1 comprising the amino acid sequence of SEQ ID NO: 2; a VH-CDR2 comprising the amino acid sequence of SEQ ID NO: 26, a VH-CDR3 comprising the amino acid sequence of SEQ ID NO: 39, a light chain CDR1 (VL- CDR1) comprising the amino acid sequence of SEQ ID NO: 52, a VL-CDR2 5 comprising the amino acid sequence of SEQ ID NO: 61, and a VL-CDR3 comprising the amino acid sequence of SEQ ID NO: 74; or h) a VH-CDR1 comprising the amino acid sequence of SEQ ID NO: 5, a VH-CDR2 comprising the amino acid sequence of SEQ ID NO: 25, a VH-CDR3 comprising the amino acid sequence of SEQ ID NO: 38, a light chain CDR1 (VL- 10 CDR1) comprising the amino acid sequence of SEQ ID NO: 51, a VL-CDR2 comprising the amino acid sequence of SEQ ID NO: 60, and a VL-CDR3 comprising the amino acid sequence of SEQ ID NO: 73; or i) a VH-CDR1 comprising the amino acid sequence of SEQ ID NO: 6, a VH-CDR2 comprising the amino acid sequence of SEQ ID NO: 27, a VH-CDR315 comprising the amino acid sequence of SEQ ID NO: 40, a light chain CDR1 (VL- CDR1) comprising the amino acid sequence of SEQ ID NO: 53, a VL-CDR2 comprising the amino acid sequence of SEQ ID NO: 62, and a VL-CDR3 comprising the amino acid sequence of SEQ ID NO: 75; or j) a VH-CDR1 comprising the amino acid sequence of SEQ ID NO: 20 7, a VH-CDR2 comprising the amino acid sequence of SEQ ID NO: 28, a VH-CDR3 comprising the amino acid sequence of SEQ ID NO: 41, a light chain CDR1 (VL- CDR1) comprising the amino acid sequence of SEQ ID NO: 53, a VL-CDR2 comprising the amino acid sequence of SEQ ID NO: 62, and a VL-CDR3 comprising the amino acid sequence of SEQ ID NO: 75; or 25 k) a VH-CDR1 comprising the amino acid sequence of SEQ ID NO: 8, a VH-CDR2 comprising the amino acid sequence of SEQ ID NO: 29, a VH-CDR3 comprising the amino acid sequence of SEQ ID NO: 43, a light chain CDR1 (VL- CDR1) comprising the amino acid sequence of SEQ ID NO: 54, a VL-CDR2 comprising the amino acid sequence of SEQ ID NO: 62, and a VL-CDR3 comprising 30 the amino acid sequence of SEQ ID NO: 76; or
4
l) a VH-CDR1 comprising the amino acid sequence of SEQ ID NO: 9, a VH-CDR2 comprising the amino acid sequence of SEQ ID NO: 30, a VH-CDR3 comprising the amino acid sequence of SEQ ID NO: 44, a light chain CDR1 (VL- CDR1) comprising the amino acid sequence of SEQ ID NO: 55, a VL-CDR2 5 comprising the amino acid sequence of SEQ ID NO: 63, and a VL-CDR3 comprising the amino acid sequence of SEQ ID NO: 77; or m) a VH-CDR1 comprising the amino acid sequence of SEQ ID NO: 10, a VH-CDR2 comprising the amino acid sequence of SEQ ID NO: 31, a VH-CDR3 comprising the amino acid sequence of SEQ ID NO: 45, a light chain CDR1 (VL- 10 CDR1) comprising the amino acid sequence of SEQ ID NO: 56, a VL-CDR2 comprising the amino acid sequence of SEQ ID NO: 64, and a VL-CDR3 comprising the amino acid sequence of SEQ ID NO: 78; or an antigen binding fragment thereof; (2) a TGFβR2 inhibitor, e.g., a compound of Formula (IA), (IA’), or 15 Formula (IB); and (3) a linker covalently attached to the TGFβR2 inhibitor and to the antibody. [0007] In some aspects, a TGFβR2 inhibitor conjugate is represented by Formula (I):
20 wherein: A is the anti-LRRC15 antibody; L3 is the linker; Dx is the TGRβR2 inhibitor; n is selected from 1 to 20; and z is from 1 to 20. [0008] In another aspect, the present disclosure relates to a pharmaceutical composition comprising a TGFβR2 inhibitor conjugate as described herein and a pharmaceutically acceptable carrier. 25 [0009] In another aspect, the present disclosure relates to a method of treating cancer, comprising administering to a subject a TGFβR2 inhibitor conjugate or a pharmaceutical composition comprising a TGFβR2 inhibitor conjugate as described herein. In some embodiments, the cancer is a LRRC15-expressing cancer. In some
5
embodiments, the cancer expresses TGFβR2. In some embodiments, the cancer is lung cancer. In some embodiments, the cancer is associated with fibroblasts. [0010] In another aspect, the present disclosure relates to a method for treating a disease mediated by TGFβR2 activity in a subject in need thereof, comprising 5 administering to the subject an effective amount of a TGFβR2 inhibitor conjugate or a pharmaceutical composition comprising a TGFβR2 inhibitor conjugate as described herein. [0011] In some aspects, the present disclosure provides a method for treating fibrosis in a subject, comprising administering to the subject an effective amount of a 10 TGFβR2 inhibitor conjugate or a pharmaceutical composition comprising a TGFβR2 inhibitor conjugate as described herein. In some aspects, the fibrosis is cancer- associated. In some aspects, the fibrosis is not cancer-associated. In one aspect, the fibrosis is scleroderma. In another aspect, the fibrosis is systemic fibrosis. In another aspect, the fibrosis is lung fibrosis. In another aspect, the fibrosis is idiopathic 15 pulmonary fibrosis. BRIEF DESCRIPTION OF THE DRAWINGS [0012] The novel features of the disclosure are set forth with particularity in the appended claims. A better understanding of the features and advantages of the present disclosure will be obtained by reference to the following detailed description that sets 20 forth illustrative aspects, in which the principles of the disclosure are utilized, and the accompanying drawings of which: [0013] FIG.1 illustrates that an exemplary TGFβR2 inhibitor conjugated to an anti-LRRC15 antibody through either cleavable or non-cleavable linkers inhibits TGFβ- induced SMAD2 promoter activity in a reporter assay. A TGFβ/SMAD promoter- 25 luciferase reporter line stably transfected with human LRRC15 was treated with conjugates and control antibodies at indicated concentrations for 24 hours followed by TGFβ for 18 hours. Luciferase activity in treated samples was determined by a chemiluminescence assay and extent of inhibition determined by the relative reduction of chemiluminescence compared to samples receiving only buffer then TGFβ.
6
[0014] FIG.2 shows that in a concentration dependent manner selected compounds inhibit TGFβ-induction of αSMA gene expression in a human lung fibroblast cell line derived from an idiopathic pulmonary fibrosis (IPF) patient. LL97a cells were treated with TGFβ and selected compounds or DMSO carrier at indicated 5 concentrations for 24 hours before implementation of qPCR to determine αSMA mRNA levels. Upper and lower dashed lines indicate 100% and 50% level of αSMA mRNA induction in cells treated with TGFβ only. [0015] FIG.3 shows that in a concentration dependent manner compound 250 inhibits TGFβ-induction of αSMA gene expression in a human lung fibroblast cell line 10 derived from an IPF patient. LL97a cells were treated with TGFβ and Compound 250 or DMSO carrier at indicated concentrations for 24 hours before implementation of qPCR to determine αSMA mRNA levels. Upper and lower dashed lines indicate 100% and 50% level of αSMA mRNA induction in cells treated with TGFβ only. [0016] FIG.4 shows that in a concentration dependent manner compound 250 15 inhibits TGFβ-induction of elastin gene expression in a human lung fibroblast cell line derived from an IPF patient. LL97a cells were treated with TGFβ and Compound 250 or DMSO carrier at indicated concentrations for 24 hours before implementation of qPCR to determine elastin mRNA levels. Upper and lower dashed lines indicate 100% and 50% level of elastin mRNA induction in cells treated with TGFβ only. 20 [0017] FIG.5 shows that in a concentration dependent manner selected compounds inhibit TGFβ-induction of αSMA gene expression in a human lung fibroblast cell line derived from an IPF patient. LL97a cells were treated with TGFβ and selected compounds or DMSO carrier at indicated concentrations for 24 hours before implementation of qPCR to determine αSMA mRNA levels. Upper and lower 25 dashed lines indicate 100% and 50% level of αSMA mRNA induction in cells treated with TGFβ only. [0018] FIGS.6A-6B show that antibody conjugates of selected compounds linked to cysteines with PABC cleavable linkers at a high average DAR have high potency inhibiting TGFβ-induction of αSMA gene expression in LL97a cells (FIG.6A) 30 or elastin gene expression in NHFL cells (FIG.6B). Cells were treated with TGFβ and
7
conjugates or controls at indicated concentrations for 24 hours before RNA was prepared and subjected to qPCR. Upper and lower dashed lines indicate 100% and 50% level of mRNA induction in cells treated with only buffer and TGFβ. [0019] FIGS.7A-7B show that similar average DAR conjugates of LP1 to an 5 anti-LRRC15 antibody with a wild type Fc (asterisk) or to the antibody with a null Fc domain have similar potency in reducing TGFβ-induced αSMA gene expression in LL97a cells (FIG.7A) or elastin gene expression in normal human lung fibroblast (NHLF) cells (FIG.7B). Cells were treated with conjugates and controls at indicated concentrations plus TGFβ for 24 hours (FIG.7A) or 48 hours (FIG.7B) before RNA 10 was prepared and subjected to qPCR. Upper and lower dashed lines indicate 100% and 50% level of mRNA induction in cells treated only with buffer and TGFβ. [0020] FIGS.8A-8C show that intratumoral injections of Compound 211 reduces the mRNA level of select TGFβ-inducible genes in mice inoculated with PANC-1 tumor cells (FIG.8A), of Compounds 171 and 211 reduce the mRNA level of 15 select TGFβ-inducible genes in mice inoculated with BxPC3 tumor cells (FIG.8B) and of Compound 211 reduces the mRNA level of select TGFβ-inducible genes in mice inoculated with BxPC3 tumor cells (FIG.8C). Asterisks denote a statistically significant reduction of gene mRNA was found after treatment with the compound compared to DMSO carrier control treated animals. 20 [0021] FIG.9 shows that systemic dosing of anti-LRRC15 conjugates LP35 and LP36 reduce the mRNA level of select TGFβ-regulated genes within tumors of mice inoculated with BxPC3 tumor cells. Animals were dosed intravenously with either conjugate or controls of the unconjugated antibody or an irrelevant antibody isotype control. Asterisks denote a statistically significant reduction of select gene 25 mRNA within the tumors was found after treatment with the conjugate compared to control animals receiving doses of the unconjugated antibody. [0022] FIG.10 shows that systemic dosing anti-LRRC15 conjugate LP36 reduces the mRNA level of select TGFβ-regulated genes within tumors of mice inoculated with BxPC3 tumor cells at doses of 5 mpk and 20 milligrams per kilogram. 30 Animals were dosed intravenously with either conjugate or controls of the unconjugated
8
antibody or an irrelevant antibody isotype control at indicated dose levels. Asterisks denote a statistically significant reduction of select gene mRNA within the tumors was found after treatment with the conjugate compared to control animals receiving 20 mpk doses of the unconjugated antibody. 5 [0023] FIG.11 shows that systemic administration of the anti-LRRC15 conjugate LP1 decreases histopathological fibrosis in a model of systemic scleroderma. Mice received daily intradermal injections of bleomycin for 22 days. Treatment of animals with either ip injections of 10mpk of conjugate or in PBS was initiated on d14 after the onset on fibrosis. After sacrifice of animals on d23, fixed dermal tissue was 10 scored for fibrosis after Masson’s Trichrome Stain by histopathology. As shown treatment with the conjugate significantly lowered fibrosis by this measure compared to the PBS control animals. [0024] FIG.12 shows that systemic administration of the anti-LRRC15 conjugate LP1 decreases fibrosis in a model of systemic fibrosis. Mice received daily 15 intradermal injections of bleomycin for 22 days. Treatment of animals with either ip injections of 10mpk of conjugate or in PBS was initiated on d14 after the onset on fibrosis. After sacrifice of animals on d23 dermal tissue was subjected to a Sircol Red collagen content assay. As shown treatment with the conjugate lowered fibrosis by this measure compared to the PBS control animals. 20 [0025] FIG.13 shows epitope binning of humanized LRRC15 monoclonal antibodies. Octet® kinetic analysis showed a competitive blocking profile of five (5) different epitope bins, referred to as bins A (further subdivided into bins A1 and A2), B, C, D, and M25 (underlined titles). Antibodies belonging in each bin are listed under the bin titles. 25 [0026] FIGS.14A-14B shows results from a TGFβ reporter assay. TGFβ/SMAD promoter-luciferase reporter lines stably transfected with human LRRC15 (FIG.14A) or untransfected (FIG.14B) were treated with antibody conjugates and control antibody (naked) at indicated concentrations for 24 hours followed by TGFβ treatment for 18 hours. Luciferase activity in treated samples was determined by
9
a chemiluminescence assay, and the percentage reporter activity was measured by the chemiluminescence compared to samples receiving only buffer then TGFβ (vehicle). [0027] FIG.15 shows results on inhibition of TGFβ-induced αSMA expression in a human lung fibroblast cell line derived from an IPF patient. LL97a cells were 5 treated with TGFβ and the M25-mIgG2A antibody alone or the M25-mIgG2A antibody conjugated to the linker-payload LP1 comprised of Linker L1 and TGFβR2 inhibitor Compound 2.1 (M25-mIgG2A-LP1), and αSMA levels were measured. [0028] FIG.16 shows effects of intratumoral administration of vehicle, TGFβR2 inhibitor Compound 211, M25-mIgG2A antibody, or the M25-mIgG2A 10 antibody conjugated to linker-payload LP14 comprised of Linker L1 and Compound 171 (M25-mIgG2A-LP14) on elastin (ELN) expression in the Panc 1 xenograft tumor model in mice. [0029] FIG.17 shows LRRC15 positive staining in stromal, non-tumor cells in a sample from the BxPC3 xenograft tumor model in mice. 15 [0030] FIG.18 shows expression of the TGFβ-regulated fibroblast genes ELN, IGFBP3, Col4a1, and CTGF in BxPC3 tumors after in vivo treatment with M25- mIgG2a, M25-mIgG2a-LP14, or an isotype control. DETAILED DESCRIPTION [0031] While preferred embodiments of the present disclosure have been shown 20 and described herein, it will be obvious to those skilled in the art that such embodiments are provided by way of example only. Numerous variations, changes, and substitutions will now occur to those skilled in the art without departing from the invention. It should be understood that various alternatives to the embodiments described herein may be employed in practicing the invention. It is intended that the following claims define 25 the scope of the invention and that methods and structures within the scope of these claims and their equivalents be covered thereby. [0032] Transforming growth factors (TGFs) and their receptors (TGFRs) are evolutionarily conserved molecules that play important, pleiotropic roles in the regulation of numerous development and physiological pathways, such as cell
10
proliferation, cell differentiation, embryonic development, extracellular matrix formation, wound healing, bone development, immune responses, and inflammatory responses. Given the breadth of their biological functions, TGFs and TGFRs are also involved in many pathological processes, such as those underlying the development and 5 progression of cancer, immune and inflammatory diseases, fibrosis, scarring, atherosclerosis, viral infections, and others. [0033] Transforming growth factor beta-1 (TGFβ1) is the prototypical member of the TGF superfamily of ligands. TGFβ1 is a growth factor and cytokine involved in signaling within a broad array of tissue types. Overexpression of TGFβ1 has been 10 shown to induce fibrotic disease pathology in a number of organ systems, including the kidney, liver, heart, lung, bone marrow, and skin. [0034] TGFβ1 plays numerous roles in tumor progression. TGFβ1 can induce epithelial to mesenchymal transition, enhance the ability of tumor cells to grow, influence tumor cell fate, and modulate the composition of the tumor microenvironment 15 so that it is more permissive to tumor growth. [0035] TGFβ1 plays a role in the maintenance of peripheral tolerance in T-cells and in the prevention of maturation of dendritic cells. Further, TGFβ1 has been shown to regulate the antigen-presentation functions of dendritic cells by down-regulating expression of Major Histocompatibility Complex class II (MHC-II) and the secretion of 20 Interleukin-12 (IL-12). [0036] TGFβ1 signaling by its receptors in myeloid cells has been shown to play roles in tumor promotion and tumor immune suppression including in dendritic cells, myeloid-derived suppressor cells, tumor associated macrophages or combinations of these cells. 25 [0037] Transforming growth factor beta receptor 2 (TGFβR2) is one of two transmembrane serine/threonine kinase receptors that are required for TGFβ1 signal transduction, with the other receptor being TGFβR1. TGFβ1 first binds to TGFβR2 at the plasma membrane, inducing the formation of the TGFβR1—TGFβR2 complex, which leads to phosphorylation of Mothers Against Decapentaplegic homolog 2
11
(Smad2) and Mothers Against Decapentaplegic homolog 3 (Smad3), and subsequent modulation of a number of downstream signaling targets. [0038] Given the wide range of pathological cellular and multicellular interactions in which TGFβ1 plays a prominent role, pharmacological inhibition of 5 TGFβ1 or its receptors, TGFβR1 or TGFβR2, may prove to be useful in the treatment of several diseases. [0039] Challenges to developing targeted therapies include achieving high selectivity for the primary pharmacological target and maintaining prolonged target inhibition. In overcoming these two challenges, it is possible to develop pharmaceutical 10 products with increased therapeutic efficacy and reduced systemic toxicity. One approach to addressing these two challenges is developing covalent drugs, whereby a covalent interaction takes place between the pharmacological entity and a specific cysteine in the active site of the protein target. [0040] There is a current need for therapeutics that can inhibit TGFβ1, 15 TGFβR1, TGFβR2, or combinations thereof, treat or prevent cancer, and treat or prevent fibrosis. The fibrosis may or may not be associated with cancer. The present disclosure provides compounds, conjugates, compositions, and methods that address this need and related needs. [0041] The present disclosure provides compounds, conjugates, and 20 pharmaceutical compositions for use in the treatment or prevention of disease, such as cancer and fibrotic diseases. The conjugates may be useful, among other things, in treating and preventing cancer, treating and preventing fibrotic diseases, and modulating TGFβ1, TGFβR1, TGFβR2, or combinations thereof. The conjugates may useful in indirectly inhibiting TGFβ1 signaling, or directly inhibiting the function of 25 TGFβR1, TGFβR2, or both. [0042] In certain embodiments, the conjugates have utility in the treatment of cancer either as single agents or in combination therapy. In certain embodiments, the conjugates have utility as single agent immunomodulators or in combination with conventional cancer therapies. In certain embodiments, the conjugates can be utilized, 30 for example, to enhance an immune response when treating cancer or for treating
12
fibrosis. In certain embodiments, the disclosure provides conjugates and their use for treating cancer or fibrosis. In some embodiments, in a method of treating idiopathic pulmonary fibrosis, combination therapy comprises administering a conjugate as disclosed herein and nintedanib or pirfenidone. 5 [0043] Anti-LRRC15 antibodies and conjugates thereof as provided herein are capable of specifically binding to LRRC15 expressing cells. LRRC15 (leucine-rich repeat-containing protein 15) is a LRRC15 highly expressed on cancer-associated fibroblasts in the stromal microenvironment of many solid tumors and is a mesenchymal marker, which may be targeted for the treatment of cancers with 10 LRRC15-positive stromal desmoplasia or cancers of mesenchymal origin. LRRC15 expression is also upregulated in fibrotic fibroblasts and may be targeted for the treatment of fibrotic diseases. [0044] TGFβR2 inhibitor anti-LRRC15 conjugates are capable of reducing TGFβ-induced SMAD2 activity; reducing TGFβ-induced gene expression in vitro and 15 in vivo; and/or reducing fibrosis in a model of systemic scleroderma and systemic fibrosis. These results demonstrate the therapeutic utility for targeting TGFβ1 signaling with a TGFβ1 inhibitor anti-LRRC15 antibody conjugate for treating fibrosis or cancer. Definitions [0045] Unless defined otherwise, all technical and scientific terms used herein 20 have the same meaning as is commonly understood by one of skill in the art to which this invention belongs. [0046] As used in the specification and claims, the singular form “a,” “an,” and “the” includes plural references unless the context clearly dictates otherwise. It should be understood that the terms “a” and “an” as used herein refer to “one or more” of the 25 enumerated components. [0047] The term “about” as used herein in the context of a number refers to a range centered on that number and spanning 15% less than that number and 15% more than that number. The term “about” used in the context of a range refers to an extended
13
range spanning 15% less than that the lowest number listed in the range and 15% more than the greatest number listed in the range. [0048] In the present description, any concentration range, percentage range, ratio range, or integer range is to be understood to include the value of any integer 5 within the recited range and, when appropriate, fractions thereof (such as one tenth and one hundredth of an integer), unless otherwise indicated. Also, any number range recited herein relating to any physical feature, such as polymer subunits, size, or thickness, are to be understood to include any integer within the recited range, unless otherwise indicated. 10 [0049] The use of the alternative (e.g., “or”) should be understood to mean either one, both, or any combination thereof of the alternatives. As used herein, the terms “include” and “comprise” are used synonymously. [0050] The phrase “at least one of” when followed by a list of items or elements refers to an open ended set of one or more of the elements in the list, which may, but 15 does not necessarily, include more than one of the elements. [0051] As used herein, the term “antibody” refers to an immunoglobulin molecule that specifically binds to, or is immunologically reactive toward, a specific antigen. The portion of the antibody that binds a specific antigen may be referred to as an “antigen binding domain.” An antibody can include, for example, polyclonal, 20 monoclonal, and genetically engineered antibodies, and antigen binding fragments thereof. An antibody can be, for example, murine, chimeric, humanized, heteroconjugate, bispecific, diabody, triabody, or tetrabody. An antigen binding fragment can include, for example, a Fab ^, F(ab ^)2, Fab, Fv, rIgG, scFv, hcAbs (heavy chain antibodies), a single domain antibody, VHH, VNAR, sdAbs, or nanobody. 25 [0052] As used herein, an “antigen binding domain” refers to a region of a molecule that specifically binds to an antigen. An antigen binding domain can be an antigen-binding portion of an antibody or an antibody fragment. An antigen binding domain can be one or more fragments of an antibody that can retain the ability to specifically bind to an antigen. An antigen binding domain can be an antigen binding
14
fragment. In some embodiments, an antigen binding domain can recognize a single antigen. An antigen binding domain can recognize, for example, two or three antigens. [0053] As used herein, the abbreviations for the natural L-enantiomeric amino acids are conventional and can be as follows: alanine (A, Ala); arginine (R, Arg); 5 asparagine (N, Asn); aspartic acid (D, Asp); cysteine (C, Cys); glutamic acid (E, Glu); glutamine (Q, Gln); glycine (G, Gly); histidine (H, His); isoleucine (I, Ile); leucine (L, Leu); lysine (K, Lys); methionine (M, Met); phenylalanine (F, Phe); proline (P, Pro); serine (S, Ser); threonine (T, Thr); tryptophan (W, Trp); tyrosine (Y, Tyr); valine (V, Val). 10 [0054] As used herein, a “conjugate” refers to a polypeptide attached to at least one TGRβR2 inhibitor, optionally via a linker. In some embodiments, the polypeptide is an antibody or antigen binding fragment thereof. [0055] As used herein, an “Fc domain” refers to a domain from an Fc portion of an antibody that can specifically bind to an Fc receptor, such as an Fcgamma receptor 15 or an FcRn receptor. [0056] As used herein, “identical” or “identity” refer to the similarity between a DNA, RNA, nucleotide, amino acid, or protein sequence to another DNA, RNA, nucleotide, amino acid, or protein sequence. Identity can be expressed in terms of a percentage of sequence identity of a first sequence to a second sequence. Percent (%) 20 sequence identity with respect to a reference DNA sequence can be the percentage of DNA nucleotides in a candidate sequence that are identical with the DNA nucleotides in the reference DNA sequence after aligning the sequences. Percent (%) sequence identity with respect to a reference amino acid sequence can be the percentage of amino acid residues in a candidate sequence that are identical with the amino acid residues in 25 the reference amino acid sequence after aligning the sequences and introducing gaps, if necessary, to achieve the maximum percent sequence identity, and not considering any conservative substitutions as part of the sequence identity. For example, the percent sequence identity values can be generated using the NCBI BLAST 2.0 software as defined by Altschul et al., “Gapped BLAST and PSI-BLAST: a new generation of
15
protein database search programs,” Nucleic Acids Res.2007, 25, 3389-3402, with the parameters set to default values. [0057] A “small molecule” is an organic compound with a molecular weight of less than 1500, or 100, or 900, or 750, or 600, or 500 Daltons. In some embodiments, a 5 small molecule agonist has an octanol-water partition coefficient (logP) in the range of from 3 to 6, or from 4 to 5, or from 2 to 4. In some embodiments, a small molecule agonist has a polar surface area of less than 200, or less than 150 Å2. In some embodiments, the small molecule agonist has not more than five, or not more than three, hydrogen bond donors, and not more than 10, or not more than three hydrogen 10 bond acceptors. A small molecule is not a protein, a polysaccharide, or a nucleic acid. [0058] As used herein, “specifically binds” and the like refers to the specific association or specific binding between the antigen binding domain and the antigen, as compared with the interaction of the antigen binding domain with a different antigen (i.e., non-specific binding). In some embodiments, an antigen binding domain that 15 recognizes or specifically binds to an antigen has a dissociation constant (KD) of <<100 nM, <10 nM, <1 nM, <0.1 nM, <0.01 nM, or <0.001 nM (e.g., 10-8 M or less, e.g., from 10-8 M to 10-13 M, e.g., from 10-9 M to 10-13 M). Specific binding does not require that the antigen binding domain does not associate with or bind to any other antigen, but rather that it preferentially associates with or binds to the antigen, as compared to 20 association with or binding to an unrelated antigen. [0059] As used herein, a “TGFβR2 inhibitor” refers to a compound that binds TGFβR2 and inhibits TGFβR2 activity. In some embodiments, a TGFβR2 inhibitor inhibits TGFβR2 serine/threonine kinase activity. In some embodiments, a TGFβR2 inhibitor inhibits TGFβR2 serine/threonine kinase activity by about 35%, 40%, 45%, 25 50%, 55%, 60%, 65%, 70%, 75%, 80%, 85%, 86%, 87%, 88%, 89%, 90%, 91%, 92%, 93%, 94%, 95%, 96%, 97%, 98%, 99%, or 100% as compared to TGFβR2 activity in the absence of the inhibitor. [0060] As used herein, a “tumor antigen” can be an antigenic substance associated with a tumor or cancer cell, and can trigger an immune response in a host.
16
[0061] The term “Cx-y” or “Cx-Cy” when used in conjunction with a chemical moiety, such as alkyl, alkenyl, or alkynyl is meant to include groups that contain from x to y carbons in the chain. [0062] “Alkyl” refers to a monovalent hydrocarbon consisting solely of carbon 5 and hydrogen, containing no unsaturation, and preferably having from one to twelve carbon atoms, for example, methyl, ethyl, propyl, isopropyl, butyl, and the like. In other embodiments, an alkyl comprises one to five carbon atoms (i.e., C1-C5 alkyl). In other embodiments, an alkyl comprises one to four carbon atoms (i.e., C1-C4 alkyl). In other embodiments, an alkyl comprises one to three carbon atoms (i.e., C1-C3 alkyl). In 10 other embodiments, an alkyl comprises one to two carbon atoms (i.e., C1-C2 alkyl). In other embodiments, an alkyl comprises one carbon atom (i.e., C1 alkyl or methyl). In other embodiments, an alkyl comprises five to eight carbon atoms (i.e., C5-C8 alkyl). In other embodiments, an alkyl comprises two to five carbon atoms (i.e., C2-C5 alkyl). In other embodiments, an alkyl comprises three to five carbon atoms (i.e., C3-C5 alkyl). 15 Unless stated otherwise specifically in the specification, an alkyl chain is optionally substituted by one or more substituents such as those substituents described herein. [0063] “Alkylene” refers to a straight divalent hydrocarbon chain linking the rest of the molecule to a radical group, consisting solely of carbon and hydrogen, containing no unsaturation, and preferably having from one to twelve carbon atoms, for 20 example, methylene, ethylene, propylene, butylene, and the like. The alkylene chain is attached to the rest of the molecule through a single bond and to the radical group through a single bond. The points of attachment of the alkylene chain to the rest of the molecule and to the radical group are through the terminal carbons respectively. In other embodiments, an alkylene comprises one to five carbon atoms (i.e., C1-C5 25 alkylene). In other embodiments, an alkylene comprises one to four carbon atoms (i.e., C1-C4 alkylene). In other embodiments, an alkylene comprises one to three carbon atoms (i.e., C1-C3 alkylene). In other embodiments, an alkylene comprises one to two carbon atoms (i.e., C1-C2 alkylene). In other embodiments, an alkylene comprises one carbon atom (i.e., C1 alkylene). In other embodiments, an alkylene comprises five to 30 eight carbon atoms (i.e., C5-C8 alkylene). In other embodiments, an alkylene comprises
17
two to five carbon atoms (i.e., C2-C5 alkylene). In other embodiments, an alkylene comprises three to five carbon atoms (i.e., C3-C5 alkylene). Unless stated otherwise specifically in the specification, an alkylene chain is optionally substituted by one or more substituents such as those substituents described herein. 5 [0064] “Alkenyl” refers to a monovalent hydrocarbon chain consisting solely of carbon and hydrogen, containing at least one carbon-carbon double bond, and preferably having from two to twelve carbon atoms. The alkenyl chain is attached to the rest of the molecule through a single bond. In other embodiments, an alkenyl comprises two to five carbon atoms (i.e., C2-C5 alkenyl). In other embodiments, an 10 alkenyl comprises two to four carbon atoms (i.e., C2-C4 alkenyl). In other embodiments, an alkenyl comprises two to three carbon atoms (i.e., C2-C3 alkenyl). In other embodiments, an alkenyl comprises two carbon atom (i.e., C2 alkenyl). In other embodiments, an alkenyl comprises five to eight carbon atoms (i.e., C5-C8 alkenyl). In other embodiments, an alkenyl comprises three to five carbon atoms (i.e., C3-C5 15 alkenyl). Unless stated otherwise specifically in the specification, an alkenyl chain is optionally substituted by one or more substituents such as those substituents described herein. [0065] “Alkenylene” refers to a straight divalent hydrocarbon chain linking the rest of the molecule to a radical group, consisting solely of carbon and hydrogen, 20 containing at least one carbon-carbon double bond, and preferably having from two to twelve carbon atoms. The alkenylene chain is attached to the rest of the molecule through a single bond and to the radical group through a single bond. The points of attachment of the alkenylene chain to the rest of the molecule and to the radical group are through the terminal carbons, respectively. In other embodiments, an alkenylene 25 comprises two to five carbon atoms (i.e., C2-C5 alkenylene). In other embodiments, an alkenylene comprises two to four carbon atoms (i.e., C2-C4 alkenylene). In other embodiments, an alkenylene comprises two to three carbon atoms (i.e., C2-C3 alkenylene). In other embodiments, an alkenylene comprises two carbon atom (i.e., C2 alkenylene). In other embodiments, an alkenylene comprises five to eight carbon atoms 30 (i.e., C5-C8 alkenylene). In other embodiments, an alkenylene comprises three to five
18
carbon atoms (i.e., C3-C5 alkenylene). Unless stated otherwise specifically in the specification, an alkenylene chain is optionally substituted by one or more substituents such as those substituents described herein. [0066] “Alkynyl” refers to a monovalent hydrocarbon chain consisting solely of 5 carbon and hydrogen, containing at least one carbon-carbon triple bond, and preferably having from two to twelve carbon atoms. The alkynyl chain is attached to the rest of the molecule through a single bond. In other embodiments, an alkynyl comprises two to five carbon atoms (i.e., C2-C5 alkynyl). In other embodiments, an alkynyl comprises two to four carbon atoms (i.e., C2-C4 alkynyl). In other embodiments, an alkynyl 10 comprises two to three carbon atoms (i.e., C2-C3 alkynyl). In other embodiments, an alkynyl comprises two carbon atom (i.e., C2 alkynyl). In other embodiments, an alkynyl comprises five to eight carbon atoms (i.e., C5-C8 alkynyl). In other embodiments, an alkynyl comprises three to five carbon atoms (i.e., C3-C5 alkynyl). Unless stated otherwise specifically in the specification, an alkynyl chain is optionally 15 substituted by one or more substituents such as those substituents described herein. [0067] “Alkynylene” refers to a straight divalent hydrocarbon chain linking the rest of the molecule to a radical group, consisting solely of carbon and hydrogen, containing at least one carbon-carbon triple bond, and preferably having from two to twelve carbon atoms. The alkynylene chain is attached to the rest of the molecule 20 through a single bond and to the radical group through a single bond. The points of attachment of the alkynylene chain to the rest of the molecule and to the radical group are through the terminal carbons respectively. In other embodiments, an alkynylene comprises two to five carbon atoms (i.e., C2-C5 alkynylene). In other embodiments, an alkynylene comprises two to four carbon atoms (i.e., C2-C4 alkynylene). In other 25 embodiments, an alkynylene comprises two to three carbon atoms (i.e., C2-C3 alkynylene). In other embodiments, an alkynylene comprises two carbon atom (i.e., C2 alkynylene). In other embodiments, an alkynylene comprises five to eight carbon atoms (i.e., C5-C8 alkynylene). In other embodiments, an alkynylene comprises three to five carbon atoms (i.e., C3-C5 alkynylene). Unless stated otherwise specifically in the
19
specification, an alkynylene chain is optionally substituted by one or more substituents such as those substituents described herein. [0068] The term “aryl” refers to an aromatic monocyclic or aromatic multicyclic hydrocarbon ring system. The aromatic monocyclic or aromatic multicyclic 5 hydrocarbon ring system contains only hydrogen and carbon and from five to eighteen carbon atoms, where at least one of the rings in the ring system is aromatic, i.e., it contains a cyclic, delocalized (4n+2) π-electron system in accordance with the Hückel theory. The ring system from which aryl groups are derived include, but are not limited to, groups such as benzene, fluorene, indane, indene, tetralin and naphthalene. Unless 10 stated otherwise specifically in the specification, the term “aryl” or the prefix “ar” (such as in “aralkyl”) is meant to include aryl radicals optionally substituted by one or more substituents such as those substituents described herein. [0069] The term “carbocycle” or “carbocyclyl” as used herein refers to a saturated, unsaturated or aromatic ring in which each atom of the ring is carbon. 15 Carbocycle includes 3- to 10-membered monocyclic rings, 6- to 12-membered bicyclic rings, and 6- to 12-membered bridged rings. Each ring of a bicyclic carbocycle may be selected from saturated, unsaturated, and aromatic rings. In an exemplary embodiment, an aromatic ring, e.g., phenyl, may be fused to a saturated or unsaturated ring, e.g., cyclohexane, cyclopentane, or cyclohexene. A bicyclic carbocycle includes any 20 combination of saturated, unsaturated and aromatic bicyclic rings, as valence permits. A bicyclic carbocycle includes any combination of ring sizes such as 4-5 fused ring systems, 5-5 fused ring systems, 5-6 fused ring systems, 6-6 fused ring systems, 5-7 fused ring systems, 6-7 fused ring systems, 5-8 fused ring systems, and 6-8 fused ring systems. Exemplary carbocycles include cyclopentyl, cyclohexyl, cyclohexenyl, 25 adamantyl, phenyl, indanyl, and naphthyl. The term “unsaturated carbocycle” refers to carbocycles with at least one degree of unsaturation and excluding aromatic carbocycles. Examples of unsaturated carbocycles include cyclohexadiene, cyclohexene, and cyclopentene. [0070] The term “cycloalkyl” refers to a saturated ring in which each atom of 30 the ring is carbon. Cycloalkyl may include monocyclic and polycyclic rings such as 3-
20
to 10-membered monocyclic rings, 6- to 12-membered bicyclic rings, and 6- to 12- membered bridged rings. In certain embodiments, a cycloalkyl comprises three to ten carbon atoms. In other embodiments, a cycloalkyl comprises five to seven carbon atoms. The cycloalkyl may be attached to the rest of the molecule by a single bond. 5 Examples of monocyclic cycloalkyls include, e.g., cyclopropyl, cyclobutyl, cyclopentyl, cyclohexyl, cycloheptyl, and cyclooctyl. Polycyclic cycloalkyl radicals include, for example, adamantyl, norbornyl (i.e., bicyclo[2.2.1]heptanyl), decalinyl, 7,7 dimethyl bicyclo[2.2.1]heptanyl, and the like. Unless otherwise stated specifically in the specification, the term "cycloalkyl" is meant to include cycloalkyl radicals that are 10 optionally substituted by one or more substituents such as those substituents described herein. [0071] The term “cycloalkenyl” refers to a saturated ring in which each atom of the ring is carbon and there is at least one double bond between two ring carbons. Cycloalkenyl may include monocyclic and polycyclic rings such as 3- to 10-membered 15 monocyclic rings, 6- to 12-membered bicyclic rings, and 6- to 12-membered bridged rings. In other embodiments, a cycloalkenyl comprises five to seven carbon atoms. The cycloalkenyl may be attached to the rest of the molecule by a single bond. Examples of monocyclic cycloalkenyls include, e.g., cyclopentenyl, cyclohexenyl, cycloheptenyl, and cyclooctenyl. Unless otherwise stated specifically in the specification, the term 20 "cycloalkenyl" is meant to include cycloalkenyl radicals that are optionally substituted by one or more substituents such as those substituents described herein. [0072] “Heteroalkyl” refers to a monovalent hydrocarbon chain including at least one heteroatom in the chain, containing no unsaturation, and preferably having from one to twelve carbon atoms and from one to 6 heteroatoms, e.g., -O-, -NH-, -S-. 25 The heteroalkyl is attached to the rest of the molecule through a single bond. In other embodiments, a heteroalkyl comprises one to five carbon atoms and from one to three heteroatoms. In other embodiments, a heteroalkyl comprises one to four carbon atoms and from one to three heteroatoms. In other embodiments, a heteroalkyl comprises one to three carbon atoms and from one to two heteroatoms. In other embodiments, a 30 heteroalkyl comprises one to two carbon atoms and from one to two heteroatoms. In
21
other embodiments, a heteroalkyl comprises one carbon atom and from one to two heteroatoms. In other embodiments, a heteroalkyl comprises five to eight carbon atoms and from one to four heteroatoms. In other embodiments, a heteroalkyl comprises two to five carbon atoms and from one to three heteroatoms. In other embodiments, a 5 heteroalkyl comprises three to five carbon atoms and from one to three heteroatoms. Unless stated otherwise specifically in the specification, a heteroalkyl chain is optionally substituted by one or more substituents such as those substituents described herein. [0073] “Heteroalkylene” refers to a straight divalent hydrocarbon chain 10 including at least one heteroatom in the chain, containing no unsaturation, and preferably having from one to twelve carbon atoms and from one to 6 heteroatoms, e.g., -O-, -NH-, -S-. The heteroalkylene chain is attached to the rest of the molecule through a single bond and to the radical group through a single bond. The points of attachment of the heteroalkylene chain to the rest of the molecule and to the radical group are 15 through the terminal atoms of the chain. In other embodiments, a heteroalkylene comprises one to five carbon atoms and from one to three heteroatoms. In other embodiments, a heteroalkylene comprises one to four carbon atoms and from one to three heteroatoms. In other embodiments, a heteroalkylene comprises one to three carbon atoms and from one to two heteroatoms. In other embodiments, a heteroalkylene 20 comprises one to two carbon atoms and from one to two heteroatoms. In other embodiments, a heteroalkylene comprises one carbon atom and from one to two heteroatoms. In other embodiments, a heteroalkylene comprises five to eight carbon atoms and from one to four heteroatoms. In other embodiments, a heteroalkylene comprises two to five carbon atoms and from one to three heteroatoms. In other 25 embodiments, a heteroalkylene comprises three to five carbon atoms and from one to three heteroatoms. Unless stated otherwise specifically in the specification, a heteroalkylene chain is optionally substituted by one or more substituents such as those substituents described herein. [0074] The term “halo” or, alternatively, “halogen” or “halide,” means fluoro, 30 chloro, bromo or iodo. In some embodiments, halo is fluoro, chloro, or bromo.
22
[0075] The term “haloalkyl” refers to an alkyl radical, as defined above, that is substituted by one or more halo radicals, for example, trifluoromethyl, dichloromethyl, bromomethyl, 2,2,2-trifluoroethyl, 1-chloromethyl-2-fluoroethyl, and the like. In some embodiments, the alkyl part of the haloalkyl radical is optionally substituted as 5 described herein. [0076] The term “heterocycle” or “heterocyclyl” as used herein refers to a saturated, unsaturated or aromatic ring comprising one or more heteroatoms. Exemplary heteroatoms include N, O, Si, P, B, and S atoms. Heterocycles include 3- to 10- membered monocyclic rings, 6- to 12-membered bicyclic rings, and 6- to 12-membered 10 bridged rings. A bicyclic heterocycle includes any combination of saturated, unsaturated and aromatic bicyclic rings, as valence permits. In an exemplary embodiment, an aromatic ring, e.g., pyridyl, may be fused to a saturated or unsaturated ring, e.g., cyclohexane, cyclopentane, morpholine, piperidine or cyclohexene. A bicyclic heterocycle includes any combination of ring sizes such as 4-5 fused ring 15 systems, 5-5 fused ring systems, 5-6 fused ring systems, 6-6 fused ring systems, 5-7 fused ring systems, 6-7 fused ring systems, 5-8 fused ring systems, and 6-8 fused ring systems. The term “unsaturated heterocycle” refers to heterocycles with at least one degree of unsaturation and excluding aromatic heterocycles. Examples of unsaturated heterocycles include dihydropyrrole, dihydrofuran, oxazoline, pyrazoline, and 20 dihydropyridine. [0077] The term “heteroaryl” includes aromatic single ring structures, preferably 5- to 7-membered rings, more preferably 5- to 6-membered rings, whose ring structures include at least one heteroatom, preferably one to four heteroatoms, more preferably one or two heteroatoms. The term “heteroaryl” also includes polycyclic ring 25 systems having two or more rings in which two or more carbons are common to two adjoining rings wherein at least one of the rings is heteroaromatic, e.g., the other rings can be aromatic or non-aromatic carbocyclic, or heterocyclic. Heteroaryl groups include, for example, pyrrole, furan, thiophene, imidazole, oxazole, thiazole, pyrazole, pyridine, pyrazine, pyridazine, and pyrimidine, and the like.
23
[0078] The term “heterocycloalkyl” refers to a saturated ring with carbon atoms and at least one heteroatom. Exemplary heteroatoms include N, O, Si, P, B, and S atoms. Heterocycloalkyl may include monocyclic and polycyclic rings such as 3- to 10- membered monocyclic rings, 6- to 12-membered bicyclic rings, and 6- to 12-membered 5 bridged rings. The heteroatoms in the heterocycloalkyl radical are optionally oxidized. One or more nitrogen atoms, if present, are optionally quaternized. The heterocycloalkyl is attached to the rest of the molecule through any atom of the heterocycloalkyl, valence permitting, such as any carbon or nitrogen atoms of the heterocycloalkyl. Examples of heterocycloalkyl radicals include, but are not limited to, 10 dioxolanyl, thienyl[1,3]dithianyl, decahydroisoquinolyl, imidazolinyl, imidazolidinyl, isothiazolidinyl, isoxazolidinyl, morpholinyl, octahydroindolyl, octahydroisoindolyl, 2-oxopiperazinyl, 2-oxopiperidinyl, 2-oxopyrrolidinyl, oxazolidinyl, piperidinyl, piperazinyl, 4-piperidonyl, pyrrolidinyl, pyrazolidinyl, quinuclidinyl, thiazolidinyl, tetrahydrofuryl, trithianyl, tetrahydropyranyl, thiomorpholinyl, thiamorpholinyl, 15 1-oxo-thiomorpholinyl, and 1,1-dioxo-thiomorpholinyl. Unless stated otherwise specifically in the specification, the term “heterocycloalkyl” is meant to include heterocycloalkyl radicals as defined above that are optionally substituted by one or more substituents such as those substituents described herein. [0079] The term “heterocycloalkenyl” refers to an unsaturated ring with carbon 20 atoms and at least one heteroatom and there is at least one double bond between two ring carbons. Heterocycloalkenyl does not include heteroaryl rings. Exemplary heteroatoms include N, O, Si, P, B, and S atoms. Heterocycloalkenyl may include monocyclic and polycyclic rings such as 3- to 10-membered monocyclic rings, 6- to 12- membered bicyclic rings, and 6- to 12-membered bridged rings. In other embodiments, 25 a heterocycloalkenyl comprises five to seven ring atoms. The heterocycloalkenyl may be attached to the rest of the molecule by a single bond. Examples of monocyclic cycloalkenyls include, e.g., pyrroline (dihydropyrrole), pyrazoline (dihydropyrazole), imidazoline (dihydroimidazole), triazoline (dihydrotriazole), dihydrofuran, dihydrothiophene, oxazoline (dihydrooxazole), isoxazoline (dihydroisoxazole), 30 thiazoline (dihydrothiazole), isothiazoline (dihydroisothiazole), oxadiazoline
24
(dihydrooxadiazole), thiadiazoline (dihydrothiadiazole), dihydropyridine, tetrahydropyridine, dihydropyridazine, tetrahydropyridazine, dihydropyrimidine, tetrahydropyrimidine, dihydropyrazine, tetrahydropyrazine, pyran, dihydropyran, thiopyran, dihydrothiopyran, dioxine, dihydrodioxine, oxazine, dihydrooxazine, 5 thiazine, and dihydrothiazine. Unless otherwise stated specifically in the specification, the term “heterocycloalkenyl” is meant to include heterocycloalkenyl radicals that are optionally substituted by one or more substituents such as those substituents described herein. [0080] The term “substituted” refers to moieties having substituents replacing a 10 hydrogen on one or more carbons or substitutable heteroatoms, e.g., an NH or NH2 of a compound. It will be understood that “substitution” or “substituted with” includes the implicit proviso that such substitution is in accordance with permitted valence of the substituted atom and the substituent, and that the substitution results in a stable compound, i.e., a compound which does not spontaneously undergo transformation 15 such as by rearrangement, cyclization, elimination, etc. In certain embodiments, substituted refers to moieties having substituents replacing two hydrogen atoms on the same carbon atom, such as substituting the two hydrogen atoms on a single carbon with an oxo, imino or thioxo group. As used herein, the term “substituted” is contemplated to include all permissible substituents of organic compounds. In a broad aspect, the 20 permissible substituents include acyclic and cyclic, branched and unbranched, carbocyclic and heterocyclic, aromatic and non-aromatic substituents of organic compounds. The permissible substituents can be one or more and the same or different for appropriate organic compounds. [0081] In some embodiments, substituents may include any substituents 25 described herein, for example: halogen, hydroxy, oxo (=O), thioxo (=S), cyano (-CN), nitro (-NO2), imino (=N-H), oximo (=N-OH), hydrazino (=N-NH2), -Rb-ORa, -Rb-OC(O)-Ra, -Rb-OC(O)-ORa, -Rb-OC(O)-N(Ra)2, -Rb-N(Ra)2, -Rb-C(O)Ra, -Rb-C(O)ORa, -Rb-C(O)N(Ra)2, -Rb-O-Rc-C(O)N(Ra)2, -Rb-N(Ra)C(O)ORa, -Rb-N(Ra)C(O)Ra, -Rb-N(Ra)S(O)tRa (where t is 1 or 2), -Rb-S(O)tRa (where t is 1 or 2), 30 -Rb-S(O)tORa (where t is 1 or 2), and -Rb-S(O)tN(Ra)2 (where t is 1 or 2); and alkyl,
25
alkenyl, alkynyl, aryl, aralkyl, aralkenyl, aralkynyl, cycloalkyl, cycloalkylalkyl, heterocycloalkyl, heterocycloalkylalkyl, heteroaryl, and heteroarylalkyl, any of which may be optionally substituted by alkyl, alkenyl, alkynyl, halogen, haloalkyl, haloalkenyl, haloalkynyl, oxo (=O), thioxo (=S), cyano (-CN), nitro (-NO2), imino (=N- 5 H), oximo (=N-OH), hydrazine (=N-NH2), -Rb-ORa, -Rb-OC(O)-Ra, -Rb-OC(O)-ORa, -Rb-OC(O)-N(Ra)2, -Rb-N(Ra)2, -Rb-C(O)Ra, -Rb-C(O)ORa, -Rb-C(O)N(Ra)2, -Rb-O-Rc-C(O)N(Ra)2, -Rb-N(Ra)C(O)ORa, -Rb-N(Ra)C(O)Ra, -Rb-N(Ra)S(O)tRa (where t is 1 or 2), -Rb-S(O)tRa (where t is 1 or 2), -Rb-S(O)tORa (where t is 1 or 2) and -Rb-S(O)tN(Ra)2 (where t is 1 or 2); wherein each Ra is independently selected from 10 hydrogen, alkyl, cycloalkyl, cycloalkylalkyl, aryl, aralkyl, heterocycloalkyl, heterocycloalkylalkyl, heteroaryl, or heteroarylalkyl, wherein each Ra, valence permitting, may be optionally substituted with alkyl, alkenyl, alkynyl, halogen, haloalkyl, haloalkenyl, haloalkynyl, oxo (=O), thioxo (=S), cyano (-CN), nitro (-NO2), imino (=N-H), oximo (=N-OH), hydrazine (=N-NH2), -Rb-ORa, -Rb-OC(O)-Ra, 15 -Rb-OC(O)-ORa, -Rb-OC(O)-N(Ra)2, -Rb-N(Ra)2, -Rb-C(O)Ra, -Rb-C(O)ORa, -Rb-C(O)N(Ra)2, -Rb-O-Rc-C(O)N(Ra)2, -Rb-N(Ra)C(O)ORa, -Rb-N(Ra)C(O)Ra, -Rb-N(Ra)S(O)tRa (where t is 1 or 2), -Rb-S(O)tRa (where t is 1 or 2), -Rb-S(O)tORa (where t is 1 or 2) and -Rb-S(O)tN(Ra)2 (where t is 1 or 2); and wherein each Rb is independently selected from a direct bond or a straight or branched alkylene, 20 alkenylene, or alkynylene chain, and each Rc is a straight or branched alkylene, alkenylene or alkynylene chain. [0082] It will be understood by those skilled in the art that substituents can themselves be substituted, if appropriate. Unless specifically stated as “unsubstituted,” references to chemical moieties herein are understood to include substituted variants. 25 For example, reference to a “heteroaryl” group or moiety implicitly includes both substituted and unsubstituted variants, unless specified otherwise. [0083] “Protecting group” refers to a moiety, except alkyl groups, that when attached to a reactive group in a molecule masks, reduces or prevents that reactivity. Examples of protecting groups can be found in T. W. Greene and P. G. M. Wuts, 30 Protective Groups in Organic Synthesis, 3rd edition, John Wiley & Sons, New York,
26
1999, and Harrison and Harrison et al., Compendium of Synthetic Organic Methods, Vols.1-8 (John Wiley and Sons, 1971-1996), which are incorporated herein by reference in their entirety. Representative amino or amine protecting groups include, formyl, acyl groups (such as acetyl, trifluoroacetyl, and benzoyl), benzyl, 5 alkoxycarbonyl (such as benzyloxycarbonyl (CBZ), and tert-butoxycarbonyl (Boc)), trimethyl silyl (TMS), 2-trimethylsilyl-ethanesulfonyl (SES), trityl and substituted trityl groups, allyloxycarbonyl, 9-fluorenylmethyloxycarbonyl (FMOC), nitro- veratryloxycarbonyl (NVOC), sulfonyl, and the like. Compounds described herein can include protecting groups (e.g., a hydrogen on a reactive nitrogen atom of a compound 10 described herein can be replaced by an amino protecting group). [0084] The phrases “parenteral administration” and “administered parenterally” as used herein means modes of administration other than enteral and topical administration, usually by injection, and includes, without limitation, intravenous, intramuscular, intraarterial, intrathecal, intracapsular, intraorbital, intracardiac, 15 intradermal, intraperitoneal, transtracheal, subcutaneous, subcuticular, intraarticular, subcapsular, subarachnoid, intraspinal and intrasternal injection and infusion. [0085] The phrases “intravenous administration” and “administered intravenously” as used herein refer to injection or infusion of a conjugate into a vein of a subject. 20 [0086] The phrases “intravenous slow infusion” and “IV slow infusion” as used here refer to an intravenous infusion that results in a Tmax of about 4 hours or more. [0087] The phrases “subcutaneous administration,” “subcutaneously administering,” and the like refer to administration of a conjugate into the subcutis of a subject. For clarity, a subcutaneous administration is distinct from an intratumoral 25 injection into a tumor or cancerous lesion located in the subcuta. [0088] The phrase “pharmaceutically acceptable” is employed herein to refer to those compounds, materials, compositions, and/or dosage forms which are, within the scope of sound medical judgment, suitable for use in contact with the tissues of human beings and animals without excessive toxicity, irritation, allergic response, or other 30 problem or complication, commensurate with a reasonable benefit/risk ratio.
27
[0089] The phrase “pharmaceutically acceptable excipient” or “pharmaceutically acceptable carrier” as used herein means a pharmaceutically acceptable material, composition or vehicle, such as a liquid or solid filler, diluent, excipient, solvent or encapsulating material. Each carrier must be “acceptable” in the 5 sense of being compatible with the other ingredients of the formulation and not injurious to the patient. Some examples of materials which can serve as pharmaceutically acceptable carriers include: (1) sugars, such as lactose, glucose and sucrose; (2) starches, such as corn starch and potato starch; (3) cellulose, and its derivatives, such as sodium carboxymethyl cellulose, ethyl cellulose and cellulose 10 acetate; (4) powdered tragacanth; (5) malt; (6) gelatin; (7) talc; (8) excipients, such as cocoa butter and suppository waxes; (9) oils, such as peanut oil, cottonseed oil, safflower oil, sesame oil, olive oil, corn oil and soybean oil; (10) glycols, such as propylene glycol; (11) polyols, such as glycerin, sorbitol, mannitol and polyethylene glycol; (12) esters, such as ethyl oleate and ethyl laurate; (13) agar; (14) buffering 15 agents, such as magnesium hydroxide and aluminum hydroxide; (15) alginic acid; (16) pyrogen-free water; (17) isotonic saline; (18) Ringer's solution; (19) ethyl alcohol; (20) phosphate buffer solutions; and (21) other non-toxic compatible substances employed in pharmaceutical formulations. [0090] The term “salt” or “pharmaceutically acceptable salt” refers to salts 20 derived from a variety of organic and inorganic counter ions well known in the art. Pharmaceutically acceptable acid addition salts can be formed with inorganic acids and organic acids. Inorganic acids from which salts can be derived include, for example, hydrochloric acid, hydrobromic acid, sulfuric acid, nitric acid, phosphoric acid, and the like. Organic acids from which salts can be derived include, for example, acetic acid, 25 propionic acid, glycolic acid, pyruvic acid, oxalic acid, maleic acid, malonic acid, succinic acid, fumaric acid, tartaric acid, citric acid, benzoic acid, cinnamic acid, mandelic acid, methanesulfonic acid, ethanesulfonic acid, p-toluenesulfonic acid, salicylic acid, and the like. Pharmaceutically acceptable base addition salts can be formed with inorganic and organic bases. Inorganic bases from which salts can be 30 derived include, for example, sodium, potassium, lithium, ammonium, calcium,
28
magnesium, iron, zinc, copper, manganese, aluminum, and the like. Organic bases from which salts can be derived include, for example, primary, secondary, and tertiary amines, substituted amines including naturally occurring substituted amines, cyclic amines, basic ion exchange resins, and the like, specifically such as isopropylamine, 5 trimethylamine, diethylamine, triethylamine, tripropylamine, and ethanolamine. In some embodiments, the pharmaceutically acceptable base addition salt is chosen from ammonium, potassium, sodium, calcium, and magnesium salts. [0091] Chemical entities having carbon-carbon double bonds or carbon-nitrogen double bonds may exist in Z- or E- form (or cis- or trans- form). Furthermore, some 10 chemical entities may exist in various tautomeric forms. Unless otherwise specified, compounds described herein are intended to include all Z-, E- and tautomeric forms as well. [0092] A “tautomer” refers to a molecule wherein a proton shift from one atom of a molecule to another atom of the same molecule is possible. The compounds 15 presented herein, in certain embodiments, exist as tautomers. In circumstances where tautomerization is possible, a chemical equilibrium of the tautomers will exist. The exact ratio of the tautomers depends on several factors, including physical state, temperature, solvent, and pH. Some examples of tautomeric equilibrium include:
.
29
[0093] The compounds disclosed herein, in some embodiments, are used in different enriched isotopic forms, e.g., enriched in the content of 2H, 3H, 11C, 13C and/or 14C. In one particular embodiment, the compound is deuterated in at least one position. Such deuterated forms can be made by the procedure described in U.S. Patent Nos. 5 5,846,514 and 6,334,997. As described in U.S. Patent Nos.5,846,514 and 6,334,997, deuteration can improve the metabolic stability and or efficacy, thus increasing the duration of action of drugs. [0094] Unless otherwise stated, compounds described herein are intended to include compounds which differ only in the presence of one or more isotopically 10 enriched atoms. For example, compounds having the present structures except for the replacement of a hydrogen by a deuterium or tritium, or the replacement of a carbon by 13C- or 14C-enriched carbon are within the scope of the present disclosure. [0095] The compounds of the present disclosure optionally contain unnatural proportions of atomic isotopes at one or more atoms that constitute such compounds. 15 For example, the compounds may be labeled with isotopes, such as for example, deuterium (2H), tritium (3H), iodine-125 (125I) or carbon-14 (14C). Isotopic substitution with 2H, 11C, 13C, 14C, 15C, 12N, 13N, 15N, 16N, 16O, 17O, 14F, 15F, 16F, 17F, 18F, 33S, 34S, 35S, 36S, 35Cl, 37Cl, 79Br, 81Br, and 125I are all contemplated. All isotopic variations of the compounds disclosed herein, whether radioactive or not, are 20 encompassed within the scope of the present invention. [0096] In certain embodiments, the compounds disclosed herein have some or all of the 1H atoms replaced with 2H atoms. The methods of synthesis for deuterium- containing compounds are known in the art and include, by way of non-limiting example only, the following synthetic methods. 25 [0097] Deuterium substituted compounds are synthesized using various methods such as described in: Dean, Dennis C.; Editor. Recent Advances in the Synthesis and Applications of Radiolabeled Compounds for Drug Discovery and Development. [In: Curr., Pharm. Des., 2000; 6(10)] 2000, 110 pp; George W.; Varma, Rajender S. The Synthesis of Radiolabeled Compounds via Organometallic
30
Intermediates, Tetrahedron, 1989, 45(21), 6601-21; and Evans, E. Anthony. Synthesis of radiolabeled compounds, J. Radioanal. Chem., 1981, 64(1-2), 9-32. [0098] Deuterated starting materials are readily available and are subjected to the synthetic methods described herein to provide for the synthesis of deuterium- 5 containing compounds. Large numbers of deuterium-containing reagents and building blocks are available commercially from chemical vendors, such as Aldrich Chemical Co. [0099] Compounds disclosed hereinalso include crystalline and amorphous forms of those compounds, pharmaceutically acceptable salts, and active metabolites of 10 these compounds having the same type of activity, including, for example, polymorphs, pseudopolymorphs, solvates, hydrates, unsolvated polymorphs (including anhydrates), conformational polymorphs, and amorphous forms of the compounds, as well as mixtures thereof. [0100] Included in the present disclosure are salts, particularly pharmaceutically 15 acceptable salts, of the compounds described herein. The compounds of the present disclosure that possess a sufficiently acidic, a sufficiently basic, or both functional groups, can react with any of a number of inorganic bases, and inorganic and organic acids, to form a salt. Alternatively, compounds that are inherently charged, such as those with a quaternary nitrogen, can form a salt with an appropriate counterion, e.g., a 20 halide such as bromide, chloride, or fluoride, particularly bromide. [0101] The compounds described herein may in some cases exist as diastereomers, enantiomers, or other stereoisomeric forms. The compounds presented herein include all diastereomeric, enantiomeric, and epimeric forms as well as the appropriate mixtures thereof. Separation of stereoisomers may be performed by 25 chromatography or by forming diastereomers and separating by recrystallization, or chromatography, or any combination thereof. (Jean Jacques, Andre Collet, Samuel H. Wilen, “Enantiomers, Racemates and Resolutions”, John Wiley And Sons, Inc., 1981, herein incorporated by reference for this disclosure). Stereoisomers may also be obtained by stereoselective synthesis.
31
[0102] The methods and compositions described herein include the use of amorphous forms as well as crystalline forms (also known as polymorphs). The compounds described herein may be in the form of pharmaceutically acceptable salts. As well, in some embodiments, active metabolites of these compounds having the same 5 type of activity are included in the scope of the present disclosure. In addition, the compounds described herein can exist in unsolvated as well as solvated forms with pharmaceutically acceptable solvents such as water, ethanol, and the like. The solvated forms of the compounds presented herein are also considered to be disclosed herein. [0103] In certain embodiments, compounds or salts of the compounds may be 10 prodrugs, e.g., wherein a hydroxyl in the parent compound is presented as an ester or a carbonate, or carboxylic acid present in the parent compound is presented as an ester. The term “prodrug” is intended to encompass compounds which, under physiologic conditions, are converted into pharmaceutical agents of the present disclosure. One method for making a prodrug is to include one or more selected moieties which are 15 hydrolyzed under physiologic conditions to reveal the desired molecule. In other embodiments, the prodrug is converted by an enzymatic activity of the host animal such as specific target cells in the host animal. For example, esters or carbonates (e.g., esters or carbonates of alcohols or carboxylic acids and esters of phosphonic acids) are preferred prodrugs of the present disclosure. 20 [0104] Prodrug forms of the herein described compounds, wherein the prodrug is metabolized in vivo to produce a compound as set forth herein are included within the scope of the claims. In some cases, some of the herein-described compounds may be a prodrug for another derivative or active compound. [0105] Prodrugs are often useful because, in some situations, they may be easier 25 to administer than the parent drug. They may, for instance, be bioavailable by oral administration whereas the parent is not. Prodrugs may help enhance the cell permeability of a compound relative to the parent drug. The prodrug may also have improved solubility in pharmaceutical compositions over the parent drug. Prodrugs may be designed as reversible drug derivatives, for use as modifiers to enhance drug 30 transport to site-specific tissues or to increase drug residence inside of a cell.
32
[0106] In certain embodiments, the prodrug may be converted, e.g., enzymatically or chemically, to the parent compound under the conditions within a cell. In certain embodiments, the parent compound comprises an acidic moiety, e.g., resulting from the hydrolysis of the prodrug, which may be charged under the 5 conditions within the cell. In particular embodiments, the prodrug is converted to the parent compound once it has passed through the cell membrane into a cell. In certain embodiments, the parent compound has diminished cell membrane permeability properties relative to the prodrug, such as decreased lipophilicity and increased hydrophilicity. 10 [0107] In particular embodiments, the parent compound with the acidic moiety is retained within a cell for a longer duration than the same compound without the acidic moiety. [0108] The parent compound, with an acidic moiety, may be retained within the cell, i.e., drug residence, for 10% or longer, such as 15% or longer, such as 20% or 15 longer, such as 25% or longer, such as 30% or longer, such as 35% or longer, such as 40% or longer, such as 45% or longer, such as 50% or longer, such as 55% or longer, such as 60% or longer, such as 65% or longer, such as 70% or longer, such as 75% or longer, such as 80% or longer, such as 85% or longer, or even 90% or longer relative to the same compound without an acidic moiety. 20 [0109] In some embodiments, the design of a prodrug increases the lipophilicity of the pharmaceutical agent. In some embodiments, the design of a prodrug increases the effective water solubility. See, e.g., Fedorak et al., Am. J. Physiol., 269:G210-218 (1995); McLoed et al., Gastroenterol, 106:405-413 (1994); Hochhaus et al., Biomed. Chrom., 6:283-286 (1992); J. Larsen and H. Bundgaard, Int. J. Pharmaceutics, 37, 87 25 (1987); J. Larsen et al., Int. J. Pharmaceutics, 47, 103 (1988); Sinkula et al., J. Pharm. Sci., 64:181-210 (1975); T. Higuchi and V. Stella, Pro-drugs as Novel Delivery Systems, Vol.14 of the A.C.S. Symposium Series; and Edward B. Roche, Bioreversible Carriers in Drug Design, American Pharmaceutical Association and Pergamon Press, 1987, all incorporated herein for such disclosure). According to another embodiment, 30 the present disclosure provides methods of producing the above-defined compounds.
33
The compounds may be synthesized using conventional techniques. Advantageously, these compounds are conveniently synthesized from readily available starting materials. [0110] Synthetic chemistry transformations and methodologies useful in synthesizing the compounds described herein are known in the art and include, for 5 example, those described in R. Larock, Comprehensive Organic Transformations (1989); T. W. Greene and P. G. M. Wuts, Protective Groups in Organic Synthesis, 2d. Ed. (1991); L. Fieser and M. Fieser, Fieser and Fieser's Reagents for Organic Synthesis (1994); and L. Paquette, ed., Encyclopedia of Reagents for Organic Synthesis (1995). Exemplary Antibodies 10 [0111] In some embodiments, anti-LRRC15 antibodies or antigen binding fragments thereof are provided. In some embodiments, a conjugate as described herein comprises an anti-LRRC15 antibody. In some embodiments, an antibody comprises an antigen binding domain and an Fc domain. In various embodiments, an antibody comprises two light chain polypeptides (light chains) and two heavy chain polypeptides 15 (heavy chains), held together covalently by disulfide linkages. The heavy chain typically comprises a heavy chain variable region (VH) and a heavy chain constant region. The heavy chain constant region comprises three domains, CH1, CH2, and CH3. An Fc domain typically comprises heavy chain CH2 and CH3 domains. Nonlimiting exemplary heavy chain constant regions include human IgG1, human 20 IgG2, human IgG3, and human IgG4 constant regions. In some embodiments, an antibody provided herein comprises an IgG1 constant region. In some embodiments, an antibody provided herein comprises an IgG1 constant region comprising one or more substitutions that reduce or eliminate effector function. In some embodiments, an antibody provided herein comprises an IgG1 constant region comprising L117A, 25 L118A, G120A, and/or K205A substitutions. In some embodiments, an antibody provided herein comprises an IgG1 constant region comprising L234A, L235A, G237A, and/or K322A substitutions. Nonlimiting exemplary human IgG1 constant region and human IgG1 null constant region are shown in SEQ ID NOs: 143 and 144, respectively. The light chain typically comprises a light chain variable region (VL) and
34
a light chain constant region. Nonlimiting exemplary light chain constant regions include kappa and lambda constant regions. A nonlimiting exemplary human kappa constant region is shown in SEQ ID NO: 145. The antigen-recognition regions of the antibody variable domains typically comprise six complementarity determining regions 5 (CDRs), or hypervariable regions, that lie within the framework of the heavy chain variable region and light chain variable region at the N-terminal ends of the two heavy and two light chains. The constant domains provide the general framework of the antibody and may not be involved directly in binding the antibody to an antigen, but can be involved in various effector functions, such as participation of the antibody in 10 antibody-dependent cellular cytotoxicity (ADCC). [0112] An antibody can be any class, e.g., IgA, IgD, IgE, IgG, and IgM. Certain classes can be further divided into isotypes, e.g., IgG1, IgG2, IgG3, IgG4, IgA1, and IgA2. The heavy-chain constant regions that correspond to the different classes of immunoglobulins can be α, δ, ε, γ, and μ, respectively. The light chains can be either 15 kappa (or κ) or lambda (or λ). [0113] In some embodiments an antigen binding domain comprises a light chain complementary determining region 1 (LCDR1), a light chain complementary determining region 2 (LCDR2), a light chain complementary determining region 3 (LCDR3), a heavy chain complementary determining region 1 (HCDR1), a heavy chain 20 complementary determining region 2 (HCDR2), and a heavy chain complementary determining region 3 (HCDR3). In some embodiments, an antibody may be a heavy- chain only antibody, in which case the antigen binding domain comprises HCDR1, HCDR2, and HCDR3, and the antibody lacks a light chain. Unless stated otherwise, the CDRs described herein can be defined according to the IMGT (the international 25 ImMunoGeneTics information) system. [0114] In some embodiments, an anti-LRRC15 antibody comprises a heavy chain CDR1 (VH-CDR1) comprising the amino acid sequence of SEQ ID NO: 1, a VH- CDR2 comprising an amino acid sequence selected from SEQ ID NOs: 11-15, a VH- CDR3 comprising the amino acid sequence of SEQ ID NO: 32, a light chain CDR1 30 (VL-CDR1) comprising the amino acid sequence of SEQ ID NO: 46, a VL-CDR2
35
comprising the amino acid sequence of SEQ ID NO: 57, and a VL-CDR3 comprising the amino acid sequence of SEQ ID NO: 65. In some such embodiments, the antibody comprises a heavy chain variable region (VH) comprising an amino acid sequence that is at least 90%, 91%, 92%, 93 %, 94%, 95%, 96%, 97%, 98%, or 99% identical to an 5 amino acid sequence selected from SEQ ID NOs: 79 and 92-101, and a light chain variable region (VL) comprising an amino acid sequence that is at least 90%, 91%, 92%, 93 %, 94%, 95%, 96%, 97%, 98%, or 99% identical to an amino acid sequence selected from SEQ ID NOs: 122, 132, and 133. In some embodiments, the antibody comprises a heavy chain comprising an amino acid sequence that is at least 90%, 91%, 10 92%, 93%, 94%, 95%, 96%, 97%, 98%, or 99% identical to an amino acid sequence selected from SEQ ID NOs: 146, 159-168, 189, and 202-211, and a light chain comprising an amino acid sequence that is at least 90%, 91%, 92%, 93%, 94%, 95%, 96%, 97%, 98%, or 99% identical to an amino acid sequence selected from SEQ ID NOs: 232, 242, and 243. 15 [0115] In some embodiments, an anti-LRRC15 antibody comprises a VH-CDR1 comprising the amino acid sequence of SEQ ID NO: 2, a VH-CDR2 comprising an amino acid sequence selected from SEQ ID NO: 16-18, a VH-CDR3 comprising the amino acid sequence of SEQ ID NO: 33, a light chain CDR1 (VL-CDR1) comprising the amino acid sequence of SEQ ID NO: 47 or 48, a VL-CDR2 comprising the amino 20 acid sequence of SEQ ID NO: 58, and a VL-CDR3 comprising an amino acid sequence selected from SEQ ID NOs: 66-70. In some such embodiments, the antibody comprises a heavy chain variable region (VH) comprising an amino acid sequence that is at least 90%, 91%, 92%, 93 %, 94%, 95%, 96%, 97%, 98%, or 99% identical to an amino acid sequence selected from SEQ ID NOs: 80 and 102-107, and a light chain variable region 25 (VL) comprising an amino acid sequence that is at least 90%, 91%, 92%, 93 %, 94%, 95%, 96%, 97%, 98%, or 99% identical to an amino acid sequence selected from SEQ ID NOs: 123 and 134-138. In some embodiments, the antibody comprises a heavy chain comprising an amino acid sequence that is at least 90%, 91%, 92%, 93%, 94%, 95%, 96%, 97%, 98%, or 99% identical to an amino acid sequence selected from SEQ ID 30 NOs: 147, 169-174, 190, and 212-217, and a light chain comprising an amino acid
36
sequence that is at least 90%, 91%, 92%, 93%, 94%, 95%, 96%, 97%, 98%, or 99% identical to an amino acid sequence selected from SEQ ID NOs: 233 and 244-248. [0116] In some embodiments, an anti-LRRC15 antibody comprises a VH-CDR1 comprising the amino acid sequence of SEQ ID NO: 3, a VH-CDR2 comprising the 5 amino acid sequence of SEQ ID NO: 19, a VH-CDR3 comprising the amino acid sequence of SEQ ID NO: 34 or 35, a light chain CDR1 (VL-CDR1) comprising the amino acid sequence of SEQ ID NO: 49, a VL-CDR2 comprising the amino acid sequence of SEQ ID NO: 59, and a VL-CDR3 comprising the amino acid sequence of SEQ ID NO: 71. In some such embodiments, the antibody comprises a heavy chain 10 variable region (VH) comprising an amino acid sequence that is at least 90%, 91%, 92%, 93 %, 94%, 95%, 96%, 97%, 98%, or 99% identical to an amino acid sequence selected from SEQ ID NOs: 81 and 108-113, and a light chain variable region (VL) comprising an amino acid sequence that is at least 90%, 91%, 92%, 93 %, 94%, 95%, 96%, 97%, 98%, or 99% identical to an amino acid sequence selected from SEQ ID 15 NOs: 124, 139, and 140. In some embodiments, the antibody comprises a heavy chain comprising an amino acid sequence that is at least 90%, 91%, 92%, 93%, 94%, 95%, 96%, 97%, 98%, or 99% identical to an amino acid sequence selected from SEQ ID NOs: 148, 175-180, 191, and 218-223, and a light chain comprising an amino acid sequence that is at least 90%, 91%, 92%, 93%, 94%, 95%, 96%, 97%, 98%, or 99% 20 identical to an amino acid sequence selected from SEQ ID NOs: 234, 249, and 250. [0117] In some embodiments, an anti-LRRC15 antibody comprises a VH-CDR1 comprising the amino acid sequence of SEQ ID NO: 4, a VH-CDR2 comprising the amino acid sequence of SEQ ID NO: 20-23, a VH-CDR3 comprising the amino acid sequence of SEQ ID NO: 36, a light chain CDR1 (VL-CDR1) comprising the amino 25 acid sequence of SEQ ID NO: 50, a VL-CDR2 comprising the amino acid sequence of SEQ ID NO: 60, and a VL-CDR3 comprising the amino acid sequence of SEQ ID NO: 72. In some such embodiments, the antibody comprises a heavy chain variable region (VH) comprising an amino acid sequence that is at least 90%, 91%, 92%, 93 %, 94%, 95%, 96%, 97%, 98%, or 99% identical to an amino acid sequence selected from SEQ 30 ID NOs: 82 and 114-121, and a light chain variable region (VL) comprising an amino
37
acid sequence that is at least 90%, 91%, 92%, 93 %, 94%, 95%, 96%, 97%, 98%, or 99% identical to an amino acid sequence selected from SEQ ID NOs: 125, 141, and 142. In some embodiments, the antibody comprises a heavy chain comprising an amino acid sequence that is at least 90%, 91%, 92%, 93%, 94%, 95%, 96%, 97%, 98%, or 5 99% identical to an amino acid sequence selected from SEQ ID NOs: 149, 181-188, 192, and 224-231, and a light chain comprising an amino acid sequence that is at least 90%, 91%, 92%, 93%, 94%, 95%, 96%, 97%, 98%, or 99% identical to an amino acid sequence selected from SEQ ID NOs: 235, 251, and 252. [0118] In some embodiments, an anti-LRRC15 antibody comprises a VH-CDR1 10 comprising the amino acid sequence of SEQ ID NO: 1, a VH-CDR2 comprising the amino acid sequence of SEQ ID NO: 24, a VH-CDR3 comprising the amino acid sequence of SEQ ID NO: 37, a light chain CDR1 (VL-CDR1) comprising the amino acid sequence of SEQ ID NO: 46, a VL-CDR2 comprising the amino acid sequence of SEQ ID NO: 57, and a VL-CDR3 comprising the amino acid sequence of SEQ ID NO: 15 65. In some such embodiments, the antibody comprises a heavy chain variable region (VH) comprising an amino acid sequence that is at least 90%, 91%, 92%, 93 %, 94%, 95%, 96%, 97%, 98%, or 99% identical to the amino acid sequence of SEQ ID NO: 83, and a light chain variable region (VL) comprising an amino acid sequence that is at least 90%, 91%, 92%, 93 %, 94%, 95%, 96%, 97%, 98%, or 99% identical to an amino 20 acid sequence selected from SEQ ID NOs: 122, 132, and 133. In some embodiments, the antibody comprises a heavy chain comprising an amino acid sequence that is at least 90%, 91%, 92%, 93%, 94%, 95%, 96%, 97%, 98%, or 99% identical to an amino acid sequence selected from SEQ ID NOs: 150 and 193, and a light chain comprising an amino acid sequence that is at least 90%, 91%, 92%, 93%, 94%, 95%, 96%, 97%, 98%, 25 or 99% identical to an amino acid sequence selected from SEQ ID NOs: 232, 242, and 243. [0119] In some embodiments, an anti-LRRC15 antibody comprises a VH-CDR1 comprising the amino acid sequence of SEQ ID NO: 2, a VH-CDR2 comprising the amino acid sequence of SEQ ID NO: 16, a VH-CDR3 comprising the amino acid 30 sequence of SEQ ID NO: 42, a light chain CDR1 (VL-CDR1) comprising the amino
38
acid sequence of SEQ ID NO: 47, a VL-CDR2 comprising the amino acid sequence of SEQ ID NO: 58, and a VL-CDR3 comprising the amino acid sequence of SEQ ID NO: 66. In some such embodiments, the antibody comprises a heavy chain variable region (VH) comprising an amino acid sequence that is at least 90%, 91%, 92%, 93 %, 94%, 5 95%, 96%, 97%, 98%, or 99% identical to the amino acid sequence of SEQ ID NO: 88, and a light chain variable region (VL) comprising an amino acid sequence that is at least 90%, 91%, 92%, 93 %, 94%, 95%, 96%, 97%, 98%, or 99% identical to the amino acid sequence selected from SEQ ID NOs: 123 and 134. In some embodiments, the antibody comprises a heavy chain comprising an amino acid sequence that is at least 10 90%, 91%, 92%, 93%, 94%, 95%, 96%, 97%, 98%, or 99% identical to an amino acid sequence selected from SEQ ID NOs: 155 and 198, and a light chain comprising an amino acid sequence that is at least 90%, 91%, 92%, 93%, 94%, 95%, 96%, 97%, 98%, or 99% identical to the amino acid sequence selected from SEQ ID NOs: 233, 244-247. [0120] In some embodiments, an anti-LRRC15 antibody comprises a VH-CDR1 15 comprising the amino acid sequence of SEQ ID NO: 2; a VH-CDR2 comprising the amino acid sequence of SEQ ID NO: 26, a VH-CDR3 comprising the amino acid sequence of SEQ ID NO: 39, a light chain CDR1 (VL-CDR1) comprising the amino acid sequence of SEQ ID NO: 52, a VL-CDR2 comprising the amino acid sequence of SEQ ID NO: 61, and a VL-CDR3 comprising the amino acid sequence of SEQ ID NO: 20 74. In some such embodiments, the antibody comprises a heavy chain variable region (VH) comprising an amino acid sequence that is at least 90%, 91%, 92%, 93 %, 94%, 95%, 96%, 97%, 98%, or 99% identical to the amino acid sequence of SEQ ID NO: 85, and a light chain variable region (VL) comprising an amino acid sequence that is at least 90%, 91%, 92%, 93 %, 94%, 95%, 96%, 97%, 98%, or 99% identical to the amino 25 acid sequence of SEQ ID NO: 127. In some embodiments, the antibody comprises a heavy chain comprising an amino acid sequence that is at least 90%, 91%, 92%, 93%, 94%, 95%, 96%, 97%, 98%, or 99% identical to an amino acid sequence selected from SEQ ID NOs: 152 and 195, and a light chain comprising an amino acid sequence that is at least 90%, 91%, 92%, 93%, 94%, 95%, 96%, 97%, 98%, or 99% identical to the 30 amino acid sequence of SEQ ID NO: 237.
39
[0121] In some embodiments, an anti-LRRC15 antibody comprises a VH-CDR1 comprising the amino acid sequence of SEQ ID NO: 5, a VH-CDR2 comprising the amino acid sequence of SEQ ID NO: 25, a VH-CDR3 comprising the amino acid sequence of SEQ ID NO: 38, a light chain CDR1 (VL-CDR1) comprising the amino 5 acid sequence of SEQ ID NO: 51, a VL-CDR2 comprising the amino acid sequence of SEQ ID NO: 60, and a VL-CDR3 comprising the amino acid sequence of SEQ ID NO: 73. In some such embodiments, the antibody comprises a heavy chain variable region (VH) comprising an amino acid sequence that is at least 90%, 91%, 92%, 93 %, 94%, 95%, 96%, 97%, 98%, or 99% identical to the amino acid sequence of SEQ ID NO: 84, 10 and a light chain variable region (VL) comprising an amino acid sequence that is at least 90%, 91%, 92%, 93 %, 94%, 95%, 96%, 97%, 98%, or 99% identical to the amino acid sequence of SEQ ID NO: 126. In some embodiments, the antibody comprises a heavy chain comprising an amino acid sequence that is at least 90%, 91%, 92%, 93%, 94%, 95%, 96%, 97%, 98%, or 99% identical to an amino acid sequence selected from 15 SEQ ID NOs: 151 and 194, and a light chain comprising an amino acid sequence that is at least 90%, 91%, 92%, 93%, 94%, 95%, 96%, 97%, 98%, or 99% identical to the amino acid sequence of SEQ ID NO: 236. [0122] In some embodiments, an anti-LRRC15 antibody comprises a VH-CDR1 comprising the amino acid sequence of SEQ ID NO: 6, a VH-CDR2 comprising the 20 amino acid sequence of SEQ ID NO: 27, a VH-CDR3 comprising the amino acid sequence of SEQ ID NO: 40, a light chain CDR1 (VL-CDR1) comprising the amino acid sequence of SEQ ID NO: 53, a VL-CDR2 comprising the amino acid sequence of SEQ ID NO: 62, and a VL-CDR3 comprising the amino acid sequence of SEQ ID NO: 75. In some such embodiments, the antibody comprises a heavy chain variable region 25 (VH) comprising an amino acid sequence that is at least 90%, 91%, 92%, 93 %, 94%, 95%, 96%, 97%, 98%, or 99% identical to the amino acid sequence of SEQ ID NO: 86, and the light chain variable region (VL) comprising an amino acid sequence that is at least 90%, 91%, 92%, 93 %, 94%, 95%, 96%, 97%, 98%, or 99% identical to the amino acid sequence of SEQ ID NO: 128. In some embodiments, the antibody comprises a 30 heavy chain comprising an amino acid sequence that is at least 90%, 91%, 92%, 93%,
40
94%, 95%, 96%, 97%, 98%, or 99% identical to an amino acid sequence selected from SEQ ID NOs: 153 and 196, and a light chain comprising an amino acid sequence that is at least 90%, 91%, 92%, 93%, 94%, 95%, 96%, 97%, 98%, or 99% identical to the amino acid sequence of SEQ ID NO: 238. 5 [0123] In some embodiments, an anti-LRRC15 antibody comprises a VH-CDR1 comprising the amino acid sequence of SEQ ID NO: 7, a VH-CDR2 comprising the amino acid sequence of SEQ ID NO: 28, a VH-CDR3 comprising the amino acid sequence of SEQ ID NO: 41, a light chain CDR1 (VL-CDR1) comprising the amino acid sequence of SEQ ID NO: 53, a VL-CDR2 comprising the amino acid sequence of 10 SEQ ID NO: 62, and a VL-CDR3 comprising the amino acid sequence of SEQ ID NO: 75. In some such embodiments, the antibody comprises a heavy chain variable region (VH) comprising an amino acid sequence that is at least 90%, 91%, 92%, 93 %, 94%, 95%, 96%, 97%, 98%, or 99% identical to the amino acid sequence of SEQ ID NO: 87, and a light chain variable region (VL) comprising an amino acid sequence that is at 15 least 90%, 91%, 92%, 93 %, 94%, 95%, 96%, 97%, 98%, or 99% identical to the amino acid sequence of SEQ ID NO: 128. In some embodiments, the antibody comprises a heavy chain comprising an amino acid sequence that is at least 90%, 91%, 92%, 93%, 94%, 95%, 96%, 97%, 98%, or 99% identical to an amino acid sequence selected from SEQ ID NOs: 154 and 197, and a light chain comprising an amino acid sequence that is 20 at least 90%, 91%, 92%, 93%, 94%, 95%, 96%, 97%, 98%, or 99% identical to the amino acid sequence of SEQ ID NO: 238. [0124] In some embodiments, an anti-LRRC15 antibody comprises a VH-CDR1 comprising the amino acid sequence of SEQ ID NO: 8, a VH-CDR2 comprising the amino acid sequence of SEQ ID NO: 29, a VH-CDR3 comprising the amino acid 25 sequence of SEQ ID NO: 43, a light chain CDR1 (VL-CDR1) comprising the amino acid sequence of SEQ ID NO: 54, a VL-CDR2 comprising the amino acid sequence of SEQ ID NO: 62, and a VL-CDR3 comprising the amino acid sequence of SEQ ID NO: 76. In some such embodiments, the antibody comprises a heavy chain variable region (VH) comprising an amino acid sequence that is at least 90%, 91%, 92%, 93 %, 94%, 30 95%, 96%, 97%, 98%, or 99% identical to the amino acid sequence of SEQ ID NO: 89,
41
and a light chain variable region (VL) comprising an amino acid sequence that is at least 90%, 91%, 92%, 93 %, 94%, 95%, 96%, 97%, 98%, or 99% identical to the amino acid sequence of SEQ ID NO: 129. In some embodiments, the antibody comprises a heavy chain comprising an amino acid sequence that is at least 90%, 91%, 92%, 93%, 5 94%, 95%, 96%, 97%, 98%, or 99% identical to an amino acid sequence selected from SEQ ID NOs: 156 and 199, and a light chain comprising an amino acid sequence that is at least 90%, 91%, 92%, 93%, 94%, 95%, 96%, 97%, 98%, or 99% identical to the amino acid sequence of SEQ ID NO: 239. [0125] In some embodiments, an anti-LRRC15 antibody comprises a VH-CDR1 10 comprising the amino acid sequence of SEQ ID NO: 9, a VH-CDR2 comprising the amino acid sequence of SEQ ID NO: 30, a VH-CDR3 comprising the amino acid sequence of SEQ ID NO: 44, a light chain CDR1 (VL-CDR1) comprising the amino acid sequence of SEQ ID NO: 55, a VL-CDR2 comprising the amino acid sequence of SEQ ID NO: 63, and a VL-CDR3 comprising the amino acid sequence of SEQ ID NO: 15 77. In some such embodiments, the antibody comprises a heavy chain variable region (VH) comprising an amino acid sequence that is at least 90%, 91%, 92%, 93 %, 94%, 95%, 96%, 97%, 98%, or 99% identical to the amino acid sequence of SEQ ID NO: 90, and a light chain variable region (VL) comprising an amino acid sequence that is at least 90%, 91%, 92%, 93 %, 94%, 95%, 96%, 97%, 98%, or 99% identical to the amino 20 acid sequence of SEQ ID NO: 130. In some embodiments, the antibody comprises a heavy chain comprising an amino acid sequence that is at least 90%, 91%, 92%, 93%, 94%, 95%, 96%, 97%, 98%, or 99% identical to an amino acid sequence selected from SEQ ID NOs: 157 and 200, and a light chain comprising an amino acid sequence that is at least 90%, 91%, 92%, 93%, 94%, 95%, 96%, 97%, 98%, or 99% identical to the 25 amino acid sequence of SEQ ID NO: 240. [0126] In some embodiments, an anti-LRRC15 antibody comprises a VH-CDR1 comprising the amino acid sequence of SEQ ID NO: 10, a VH-CDR2 comprising the amino acid sequence of SEQ ID NO: 31, a VH-CDR3 comprising the amino acid sequence of SEQ ID NO: 45, a light chain CDR1 (VL-CDR1) comprising the amino 30 acid sequence of SEQ ID NO: 56, a VL-CDR2 comprising the amino acid sequence of
42
SEQ ID NO: 64, and a VL-CDR3 comprising the amino acid sequence of SEQ ID NO: 78. In some such embodiments, the antibody comprises a heavy chain variable region (VH) comprising an amino acid sequence that is at least 90%, 91%, 92%, 93 %, 94%, 95%, 96%, 97%, 98%, or 99% identical to the amino acid sequence of SEQ ID NO: 91, 5 and a light chain variable region (VL) comprising an amino acid sequence that is at least 90%, 91%, 92%, 93 %, 94%, 95%, 96%, 97%, 98%, or 99% identical to the amino acid sequence of SEQ ID NO: 131. In some embodiments, the antibody comprises a heavy chain comprising an amino acid sequence that is at least 90%, 91%, 92%, 93%, 94%, 95%, 96%, 97%, 98%, or 99% identical to an amino acid sequence selected from 10 SEQ ID NOs: 158 and 201, and a light chain comprising an amino acid sequence that is at least 90%, 91%, 92%, 93%, 94%, 95%, 96%, 97%, 98%, or 99% identical to the amino acid sequence of SEQ ID NO: 241. [0127] In some embodiments, an anti-LRRC15 antibody comprises a VH-CDR1 comprising the amino acid sequence of SEQ ID NO: 1, a VH-CDR2 comprising the 15 amino acid sequence of SEQ ID NO: 11, a VH-CDR3 comprising the amino acid sequence of SEQ ID NO: 32, a light chain CDR1 (VL-CDR1) comprising the amino acid sequence of SEQ ID NO: 46, a VL-CDR2 comprising the amino acid sequence of SEQ ID NO: 57, and a VL-CDR3 comprising the amino acid sequence of SEQ ID NO: 65. 20 [0128] In some embodiments, an anti-LRRC15 antibody comprises a VH-CDR1 comprising the amino acid sequence of SEQ ID NO: 1, a VH-CDR2 comprising the amino acid sequence of SEQ ID NO: 15, a VH-CDR3 comprising the amino acid sequence of SEQ ID NO: 32, a light chain CDR1 (VL-CDR1) comprising the amino acid sequence of SEQ ID NO: 46, a VL-CDR2 comprising the amino acid sequence of 25 SEQ ID NO: 57, and a VL-CDR3 comprising the amino acid sequence of SEQ ID NO: 65. [0129] In some embodiments, an anti-LRRC15 antibody comprises a VH-CDR1 comprising the amino acid sequence of SEQ ID NO: 2, a VH-CDR2 comprising the amino acid sequence of SEQ ID NO: 16, a VH-CDR3 comprising the amino acid 30 sequence of SEQ ID NO: 33, a light chain CDR1 (VL-CDR1) comprising the amino
43
acid sequence of SEQ ID NO: 47, a VL-CDR2 comprising the amino acid sequence of SEQ ID NO: 58, and a VL-CDR3 comprising the amino acid sequence of SEQ ID NO: 66. [0130] In some embodiments, an anti-LRRC15 antibody comprises a VH-CDR1 5 comprising the amino acid sequence of SEQ ID NO: 2, a VH-CDR2 comprising the amino acid sequence of SEQ ID NO: 18, a VH-CDR3 comprising the amino acid sequence of SEQ ID NO: 33, a light chain CDR1 (VL-CDR1) comprising the amino acid sequence of SEQ ID NO: 47, a VL-CDR2 comprising the amino acid sequence of SEQ ID NO: 58, and a VL-CDR3 comprising the amino acid sequence of SEQ ID NO: 10 69. [0131] In some embodiments, an anti-LRRC15 antibody comprises a VH-CDR1 comprising the amino acid sequence of SEQ ID NO: 3, a VH-CDR2 comprising the amino acid sequence of SEQ ID NO: 19, a VH-CDR3 comprising the amino acid sequence of SEQ ID NO: 34, a light chain CDR1 (VL-CDR1) comprising the amino 15 acid sequence of SEQ ID NO: 49, a VL-CDR2 comprising the amino acid sequence of SEQ ID NO: 59, and a VL-CDR3 comprising the amino acid sequence of SEQ ID NO: 71. [0132] In some embodiments, an anti-LRRC15 antibody comprises a VH-CDR1 comprising the amino acid sequence of SEQ ID NO: 3, a VH-CDR2 comprising the 20 amino acid sequence of SEQ ID NO: 19, a VH-CDR3 comprising the amino acid sequence of SEQ ID NO: 35, a light chain CDR1 (VL-CDR1) comprising the amino acid sequence of SEQ ID NO: 49, a VL-CDR2 comprising the amino acid sequence of SEQ ID NO: 59, and a VL-CDR3 comprising the amino acid sequence of SEQ ID NO: 71. 25 [0133] In some embodiments, an anti-LRRC15 antibody comprises a VH-CDR1 comprising the amino acid sequence of SEQ ID NO: 4, a VH-CDR2 comprising the amino acid sequence of SEQ ID NO: 20, a VH-CDR3 comprising the amino acid sequence of SEQ ID NO: 36, a light chain CDR1 (VL-CDR1) comprising the amino acid sequence of SEQ ID NO: 50, a VL-CDR2 comprising the amino acid sequence of
44
SEQ ID NO: 60, and a VL-CDR3 comprising the amino acid sequence of SEQ ID NO: 72. [0134] In some embodiments, an anti-LRRC15 antibody comprises: (a) a heavy chain variable region (VH) comprising an amino acid sequence 5 selected from SEQ ID NOs: 79 and 92-101, and a light chain variable region (VL) comprising an amino acid sequence selected from SEQ ID NOs: 122, 132, and 133; or (b) a heavy chain variable region (VH) comprising an amino acid sequence selected from SEQ ID NOs: 80 and 102-107, and a light chain variable region (VL) comprising an amino acid sequence selected from SEQ ID NOs: 123 and 134-138; or 10 (c) a heavy chain variable region (VH) comprising an amino acid sequence selected from SEQ ID NOs: 81 and 108-113, and a light chain variable region (VL) comprising an amino acid sequence selected from SEQ ID NOs: 124, 139, and 140; or (d) a heavy chain variable region (VH) comprising an amino acid sequence selected from SEQ ID NOs: 82 and 114-121, and a light chain variable region (VL) 15 comprising an amino acid sequence selected from SEQ ID NOs: 125, 141, and 142; or (e) a heavy chain variable region (VH) comprising the amino acid sequence of SEQ ID NO: 83, and a light chain variable region (VL) comprising an amino acid sequence selected from SEQ ID NOs: 122, 132, and 133; or (f) a heavy chain variable region (VH) comprising the amino acid of SEQ 20 ID NO: 88, and a light chain variable region (VL) comprising the amino acid sequence selected from SEQ ID NOs: 123 and 134; or (g) a heavy chain variable region (VH) comprising the amino acid sequence of SEQ ID NO: 85, and a light chain variable region (VL) comprising the amino acid sequence of SEQ ID NO: 127; or 25 (h) a heavy chain variable region (VH) comprising the amino acid sequence of SEQ ID NO: 84, and a light chain variable region (VL) comprising the amino acid sequence of SEQ ID NO: 126; or (i) a heavy chain variable region (VH) comprising the amino acid sequence of SEQ ID NO: 86, and the light chain variable region (VL) comprising the amino acid 30 sequence of SEQ ID NO: 128; or
45
(j) a heavy chain variable region (VH) comprising the amino acid sequence of SEQ ID NO: 87, and a light chain variable region (VL) comprising the amino acid sequence of SEQ ID NO: 128; or (k) a heavy chain variable region (VH) comprising the amino acid sequence 5 of SEQ ID NO: 89, and a light chain variable region (VL) comprising the amino acid sequence of SEQ ID NO: 129; or (l) a heavy chain variable region (VH) comprising the amino acid sequence of SEQ ID NO: 90, and a light chain variable region (VL) comprising the amino acid sequence of SEQ ID NO: 130; or 10 (m) a heavy chain variable region (VH) comprising the amino acid sequence of SEQ ID NO: 91, and a light chain variable region (VL) comprising the amino acid sequence of SEQ ID NO: 131. [0135] In some embodiments, an anti-LRRC15 antibody comprises: a heavy chain variable region (VH) comprising an amino acid sequence of SEQ ID NO: 94, and 15 a light chain variable region (VL) comprising an amino acid sequence of SEQ ID NO: 132. [0136] In some embodiments, an anti-LRRC15 antibody comprises: a heavy chain variable region (VH) comprising an amino acid sequence of SEQ ID NO: 101, and a light chain variable region (VL) comprising an amino acid sequence of SEQ ID 20 NO: 132. [0137] In some embodiments, an anti-LRRC15 antibody comprises: a heavy chain variable region (VH) comprising an amino acid sequence of SEQ ID NO: 103, and a light chain variable region (VL) comprising an amino acid sequence of SEQ ID NO: 134. 25 [0138] In some embodiments, an anti-LRRC15 antibody comprises: a heavy chain variable region (VH) comprising an amino acid sequence of SEQ ID NO: 106, and a light chain variable region (VL) comprising an amino acid sequence of SEQ ID NO: 137. [0139] In some embodiments, an anti-LRRC15 antibody comprises: a heavy 30 chain variable region (VH) comprising an amino acid sequence of SEQ ID NO: 108,
46
and a light chain variable region (VL) comprising an amino acid sequence of SEQ ID NO: 139. [0140] In some embodiments, an anti-LRRC15 antibody comprises: a heavy chain variable region (VH) comprising an amino acid sequence of SEQ ID NO: 113, 5 and a light chain variable region (VL) comprising an amino acid sequence of SEQ ID NO: 139. [0141] In some embodiments, an anti-LRRC15 antibody comprises: a heavy chain variable region (VH) comprising an amino acid sequence of SEQ ID NO: 114, and a light chain variable region (VL) comprising an amino acid sequence of SEQ ID 10 NO: 141. [0142] In some embodiments, an anti-LRRC15 antibody comprises: (a) a heavy chain comprising an amino acid sequence selected from SEQ ID NOs: 146, 159-168, 189, and 202-211, and a light chain comprising an amino acid sequence selected from SEQ ID NOs: 232, 242, and 243; or 15 (b) a heavy chain comprising an amino acid sequence selected from SEQ ID NOs: 147, 169-174, 190, and 212-217, and a light chain comprising an amino acid sequence selected from SEQ ID NOs: 233 and 244-248; or (c) a heavy chain comprising an amino acid sequence selected from SEQ ID NOs: 148, 175-180, 191, and 218-223, and a light chain comprising an amino acid 20 sequence selected from SEQ ID NOs: 234, 249, and 250; or (d) a heavy chain comprising an amino acid sequence selected from SEQ ID NOs: 149, 181-188, 192, and 224-231, and a light chain comprising an amino acid sequence selected from SEQ ID NOs: 235, 251, and 252; or (e) a heavy chain comprising an amino acid sequence selected from SEQ ID 25 NOs: 150 and 193, and a light chain comprising an amino acid sequence selected from SEQ ID NOs: 232, 242, and 243; or (f) a heavy chain comprising an amino acid sequence selected from SEQ ID NOs: 155 and 198, and a light chain comprising the amino acid sequence selected from SEQ ID NOs: 233, and 244-247; or
47
(g) a heavy chain comprising an amino acid sequence selected from SEQ ID NOs: 152 and 195, and a light chain comprising the amino acid sequence of SEQ ID NO: 237; or (h) a heavy chain comprising an amino acid sequence selected from SEQ ID 5 NOs: 151 and 194, and a light chain comprising the amino acid sequence of SEQ ID NO: 236; or (i) a heavy chain comprising an amino acid sequence selected from SEQ ID NOs: 153 and 196, and a light chain comprising the amino acid sequence of SEQ ID NO: 238; or 10 (j) a heavy chain comprising an amino acid sequence selected from SEQ ID NOs: 154 and 197, and a light chain comprising the amino acid sequence of SEQ ID NO: 238; or (k) a heavy chain comprising an amino acid sequence selected from SEQ ID NOs: 156 and 199, and a light chain comprising the amino acid sequence of SEQ ID 15 NO: 239; or (l) a heavy chain comprising an amino acid sequence selected from SEQ ID NOs: 157 and 200, and a light chain comprising the amino acid sequence of SEQ ID NO: 240; or (m) a heavy chain comprising an amino acid sequence selected from SEQ ID 20 NOs: 158 and 201, and a light chain comprising the amino acid sequence of SEQ ID NO: 241. [0143] In some embodiments, an anti-LRRC15 antibody comprises: a heavy chain comprising an amino acid sequence of SEQ ID NO: 161, and a light chain comprising an amino acid sequence of SEQ ID NO: 242. 25 [0144] In some embodiments, an anti-LRRC15 antibody comprises: a heavy chain comprising an amino acid sequence of SEQ ID NO: 204, and a light chain comprising an amino acid sequence of SEQ ID NO: 242. [0145] In some embodiments, an anti-LRRC15 antibody comprises: a heavy chain comprising an amino acid sequence of SEQ ID NO: 168, and a light chain 30 comprising an amino acid sequence of SEQ ID NO: 242.
48
[0146] In some embodiments, an anti-LRRC15 antibody comprises: a heavy chain comprising an amino acid sequence of SEQ ID NO: 211, and a light chain comprising an amino acid sequence of SEQ ID NO: 242. [0147] In some embodiments, an anti-LRRC15 antibody comprises: a heavy 5 chain comprising an amino acid sequence of SEQ ID NO: 170, and a light chain comprising an amino acid sequence of SEQ ID NO: 244. [0148] In some embodiments, an anti-LRRC15 antibody comprises: a heavy chain comprising an amino acid sequence of SEQ ID NO: 213, and a light chain comprising an amino acid sequence of SEQ ID NO: 244. 10 [0149] In some embodiments, an anti-LRRC15 antibody comprises: a heavy chain comprising an amino acid sequence of SEQ ID NO: 173, and a light chain comprising an amino acid sequence of SEQ ID NO: 247. [0150] In some embodiments, an anti-LRRC15 antibody comprises: a heavy chain comprising an amino acid sequence of SEQ ID NO: 216, and a light chain 15 comprising an amino acid sequence of SEQ ID NO: 247. [0151] In some embodiments, an anti-LRRC15 antibody comprises: a heavy chain comprising an amino acid sequence of SEQ ID NO: 175, and a light chain comprising an amino acid sequence of SEQ ID NO: 249. [0152] In some embodiments, an anti-LRRC15 antibody comprises: a heavy 20 chain comprising an amino acid sequence of SEQ ID NO: 218, and a light chain comprising an amino acid sequence of SEQ ID NO: 249. [0153] In some embodiments, an anti-LRRC15 antibody comprises: a heavy chain comprising an amino acid sequence of SEQ ID NO: 180, and a light chain comprising an amino acid sequence of SEQ ID NO: 249. 25 [0154] In some embodiments, an anti-LRRC15 antibody comprises: a heavy chain comprising an amino acid sequence of SEQ ID NO: 223, and a light chain comprising an amino acid sequence of SEQ ID NO: 249. [0155] In some embodiments, an anti-LRRC15 antibody comprises: a heavy chain comprising an amino acid sequence of SEQ ID NO: 181, and a light chain 30 comprising an amino acid sequence of SEQ ID NO: 251.
49
[0156] In some embodiments, an anti-LRRC15 antibody comprises: a heavy chain comprising an amino acid sequence of SEQ ID NO: 224, and a light chain comprising an amino acid sequence of SEQ ID NO: 251. [0157] In some embodiments, an antibody is conjugated to a small molecule 5 drug. In some embodiments, an antibody is conjugated to a TGFβR2 inhibitor to form a TGFβR2 inhibitor conjugate. In some embodiments, an antibody is an isolated monoclonal antibody. In some embodiments, an antibody is a bispecific antibody. [0158] An antibody can be chimeric or humanized. Chimeric and humanized forms of non-human (e.g., murine) antibodies can be intact (full length) chimeric 10 immunoglobulins, immunoglobulin chains or antigen binding fragments thereof (such as Fv, Fab, Fab', F(ab')2 or other target-binding subdomains of antibodies), which can contain sequences derived from non-human immunoglobulin. In general, the humanized antibody can comprise substantially all of at least one, and typically two, variable domains, in which all or substantially all of the CDR regions correspond to those of a 15 non-human immunoglobulin and all or substantially all of the framework (FR) regions are those of a human immunoglobulin sequence. A humanized antibody can also comprise at least a portion of an immunoglobulin constant region (Fc), an Fc domain, typically that of a human immunoglobulin sequence. [0159] An antibody described herein can be a human antibody. As used herein, 20 “human antibodies” can include antibodies having, for example, the amino acid sequence of a human immunoglobulin and include antibodies isolated from human immunoglobulin libraries or from animals transgenic for one or more human immunoglobulins and that typically do not express endogenous immunoglobulins. Human antibodies can be produced using transgenic mice which are incapable of 25 expressing functional endogenous immunoglobulins, but which can express human immunoglobulin genes. Completely human antibodies that recognize a selected epitope can be generated using guided selection. In this approach, a selected non-human monoclonal antibody, e.g., a mouse antibody, is used to guide the selection of a completely human antibody recognizing the same epitope.
50
[0160] An antibody described herein can comprise a human IgG1, human IgG2, human IgG3, or human IgG4 constant region. The antibody described herein can comprise a human IgG1 constant region comprising L117A, L118A, G120A, and/or K205A substitutions. 5 [0161] An antibody described herein can be a bispecific antibody or a dual variable domain antibody (DVD). Bispecific and DVD antibodies are monoclonal, often human or humanized, antibodies that have binding specificities for at least two different antigens. [0162] An antibody described herein can be derivatized or otherwise modified. 10 For example, derivatized antibodies can be modified by glycosylation, acetylation, pegylation, phosphorylation, amidation, derivatization by known protecting/blocking groups, proteolytic cleavage, or the like. Exemplary Fc domains [0163] A polypeptide, such as a fusion protein or an antibody, may comprise an 15 Fc domain. An Fc domain is a structure that can bind to one or more Fc receptors (FcRs). In various embodiments, an Fc domain is from an IgG antibody, such as an IgG1, IgG2, or IgG4 antibody. An Fc domain typically comprises CH2 and CH3 domains of a heavy chain constant region, but may comprise more or less of the heavy chain constant region as well. 20 [0164] An Fc domain can be a domain of an antibody that can bind to an FcR(s). FcRs are organized into classes (e.g., gamma (γ), alpha (α) and epsilon (ε)) based on the class of antibody that the FcR recognizes. The FcαR class binds to IgA and includes several isoforms, FcαRI (CD89) and FcαµR. The FcγR class binds to IgG and includes several isoforms, FcγRI (CD64), FcγRIIA (CD32a), FcγRIIB (CD32b), 25 FcγRIIIA (CD16a), and FcγRIIIB (CD16b). An FcγRIIIA (CD16a) can be an FcγRIIIA (CD16a) F158 variant or a V158 variant. FcRs also can be FcRn receptors. [0165] Each FcγR isoform can differ in binding affinity to the Fc domain of the IgG antibody. For example, FcγRI can bind to IgG with greater affinity than FcγRII or FcγRIII. The affinity of a particular FcγR isoform to an IgG can be controlled, in part,
51
by a glycan (e.g., oligosaccharide) at position CH284.4 of the IgG antibody. For example, fucose containing CH284.4 glycans can reduce IgG affinity for FcγRIIIA. In addition, G0 glucans can have increased affinity for FcγRIIIA due to the lack of galactose and terminal GlcNAc moiety. 5 [0166] Binding of an Fc domain to an FcR can enhance an immune response. FcR-mediated signaling that can result from an Fc domain binding to an FcR and can lead to the maturation of immune cells. FcR-mediated signaling that can result from an Fc domain binding to an FcR can lead to the maturation of dendritic cells (DCs). FcR- mediated signaling that can result from an Fc domain binding to an FcR can lead to 10 antibody dependent cellular cytotoxicity. FcR-mediated signaling that can result from an Fc domain binding to an FcR can lead to more efficient immune cell antigen uptake and processing. FcR-mediated signaling that can result from an Fc domain binding to an FcR can promote the expansion and activation of T cells. FcR-mediated signaling that can result from an Fc domain binding to an FcR can promote the expansion and 15 activation of CD8+ T cells. FcR-mediated signaling that can result from an Fc domain binding to an FcR can influence immune cell regulation of T cell responses. FcR- mediated signaling that can result from an Fc domain binding to an FcR can influence dendritic cell regulation of T cell responses. FcR-mediated signaling that can result from an Fc domain binding to an FcR can influence functional polarization of T cells 20 (e.g., polarization can be toward a TH1 cell response). [0167] An Fc domain can be modified, such as by a modification of the amino acid sequence, to alter the recognition of an FcR for the Fc domain. Such modification(s) may still allow for FcR-mediated signaling, depending on the modification. A modification can be a substitution of an amino acid at a residue of an 25 Fc domain for a different amino acid at that residue. A modification can be an insertion or deletion of an amino acid at a residue of an Fc domain. A modification can permit binding of an FcR to a site on the Fc domain to which the FcR may not otherwise bind. A modification can increase binding affinity of an FcR to the Fc domain. A modification can decrease binding affinity of an FcR to the Fc domain.
52
[0168] An Fc domain can be a variant of a naturally occurring Fc domain (e.g., a wild type Fc domain) and can comprise at least one amino acid change as compared to the sequence of a wild-type Fc domain. An amino acid change in an Fc domain can allow the antibody or conjugate to bind to at least one Fc receptor with greater affinity 5 compared to a wild-type Fc domain. An amino acid change in an Fc domain can allow the antibody or conjugate to bind to at least one Fc receptor with lessor affinity compared to a wild-type Fc domain. [0169] In some embodiments, an Fc domain exhibits increased binding affinity to one or more Fc receptors. In some embodiments, an Fc domain exhibits increased 10 binding affinity to one or more Fcgamma receptors. In some embodiments, an Fc domain exhibits increased binding affinity to FcRn receptors. In some embodiments, an Fc domain exhibits increased binding affinity to Fcgamma and FcRn receptors. In other embodiments, an Fc domain exhibits the same or substantially similar binding affinity to Fcgamma and/or FcRn receptors as compared to a wild-type Fc domain from an IgG 15 antibody (e.g., IgG1 antibody). [0170] In some embodiments, an Fc domain exhibits decreased binding affinity to one or more Fc receptors. In some embodiments, an Fc domain exhibits decreased binding affinity to one or more Fcgamma receptors. In some embodiments, an Fc domain exhibits decreased binding affinity to FcRn receptors. In some embodiments, 20 an Fc domain exhibits decreased binding affinity to Fcgamma and FcRn receptors. In some embodiments, an Fc domain is an Fc null domain. In some embodiments, an Fc domain exhibits decreased binding affinity to FcRn receptors, but exhibits the same or increased binding affinity to one or more Fcgamma receptors as compared to a wildtype Fc domain. In some embodiments, an Fc domain exhibits increased binding affinity to 25 FcRn receptors, but exhibits the same or decreased binding affinity to one or more Fcgamma receptors. [0171] An Fc domain may have one or more, two or more, three or more, or four or more amino acid substitutions that decrease binding of the Fc domain to an Fc receptor. In certain embodiments, an Fc domain has decreased binding affinity for one 30 or more of FcγRI (CD64), FcγRIIA (CD32), FcγRIIIA (CD16a), FcγRIIIB (CD16b), or
53
any combination thereof. In order to decrease binding affinity of an Fc domain to an Fc receptor, the Fc domain may comprise one or more amino acid substitutions that reduces the binding affinity of the Fc domain to an Fc receptor. In other embodiments, an Fc domain exhibits the same or substantially similar binding affinity to one or more 5 of FcγRI (CD64), FcγRIIA (CD32), FcγRIIIA (CD16a), FcγRIIIB (CD16b), or any combination thereof as compared to a wild-type Fc domain from an IgG antibody (e.g., IgG1 antibody). In some embodiments, an Fc domain can comprise a sequence of an IgG isoform that has been modified from the wild-type IgG sequence. In some embodiments, the Fc domain can comprise a sequence of the IgG1 isoform that has 10 been modified from the wild-type IgG1 sequence. In some embodiments, the modification comprises substitution of one or more amino acids that reduce binding affinity of an IgG Fc domain to all Fcγ receptors. [0172] A modification can be substitution of E233, L234 and L235, such as E233P/L234V/L235A or E233P/L234V/L235A/ΔG236, according to the EU index of 15 Kabat. A modification can be a substitution of P238, such as P238A, according to the EU index of Kabat. A modification can be a substitution of D265, such as D265A, according to the EU index of Kabat. A modification can be a substitution of N297, such as N297A, according to the EU index of Kabat. A modification can be a substitution of A327, such as A327Q, according to the EU index of Kabat. A 20 modification can be a substitution of P329, such as P239A, according to the EU index of Kabat. [0173] In some embodiments, an IgG Fc domain comprises at least one amino acid substitution that reduces its binding affinity to FcγR1, as compared to a wild-type or reference IgG Fc domain. A modification can comprise a substitution at F241, such 25 as F241A, according to the EU index of Kabat. A modification can comprise a substitution at F243, such as F243A, according to the EU index of Kabat. A modification can comprise a substitution at V264, such as V264A, according to the EU index of Kabat. A modification can comprise a substitution at D265, such as D265A according to the EU index of Kabat.
54
[0174] In some embodiments, an IgG Fc domain comprises at least one amino acid substitution that increases its binding affinity to FcγR1, as compared to a wild-type or reference IgG Fc domain. A modification can comprise a substitution at A327 and P329, such as A327Q/P329A, according to the EU index of Kabat. 5 [0175] In some embodiments, the modification comprises substitution of one or more amino acids that reduce binding affinity of an IgG Fc domain to FcγRII and FcγRIIIA receptors. A modification can be a substitution of D270, such as D270A, according to the EU index of Kabat. A modification can be a substitution of Q295, such as Q295A, according to the EU index of Kabat. A modification can be a 10 substitution of A327, such as A237S, according to the EU index of Kabat. [0176] In some embodiments, the modification comprises substitution of one or more amino acids that increases binding affinity of an IgG Fc domain to FcγRII and FcγRIIIA receptors. A modification can be a substitution of T256, such as T256A, according to the EU index of Kabat. A modification can be a substitution of K290, 15 such as K290A, according to the EU index of Kabat. [0177] In some embodiments, the modification comprises substitution of one or more amino acids that increases binding affinity of an IgG Fc domain to FcγRII receptor. A modification can be a substitution of R255, such as R255A, according to the EU index of Kabat. A modification can be a substitution of E258, such as E258A, 20 according to the EU index of Kabat. A modification can be a substitution of S267, such as S267A, according to the EU index of Kabat. A modification can be a substitution of E272, such as E272A, according to the EU index of Kabat. A modification can be a substitution of N276, such as N276A, according to the EU index of Kabat. A modification can be a substitution of D280, such as D280A, according to the EU index 25 of Kabat. A modification can be a substitution of H285, such as H285A, according to the EU index of Kabat. A modification can be a substitution of N286, such as N286A, according to the EU index of Kabat. A modification can be a substitution of T307, such as T307A, according to the EU index of Kabat. A modification can be a substitution of L309, such as L309A, according to the EU index of Kabat. A modification can be a 30 substitution of N315, such as N315A, according to the EU index of Kabat. A
55
modification can be a substitution of K326, such as K326A, according to the EU index of Kabat. A modification can be a substitution of P331, such as P331A, according to the EU index of Kabat. A modification can be a substitution of S337, such as S337A, according to the EU index of Kabat. A modification can be a substitution of A378, 5 such as A378A, according to the EU index of Kabat. A modification can be a substitution of E430, such as E430, according to the EU index of Kabat. [0178] In some embodiments, the modification comprises substitution of one or more amino acids that increases binding affinity of an IgG Fc domain to FcγRII receptor and reduces the binding affinity to FcγRIIIA receptor. A modification can be a 10 substitution of H268, such as H268A, according to the EU index of Kabat. A modification can be a substitution of R301, such as R301A, according to the EU index of Kabat. A modification can be a substitution of K322, such as K322A, according to the EU index of Kabat. [0179] In some embodiments, the modification comprises substitution of one or 15 more amino acids that decreases binding affinity of an IgG Fc domain to FcγRII receptor but does not affect the binding affinity to FcγRIIIA receptor. A modification can be a substitution of R292, such as R292A, according to the EU index of Kabat. A modification can be a substitution of K414, such as K414A, according to the EU index of Kabat. 20 [0180] In some embodiments, the modification comprises substitution of one or more amino acids that decreases binding affinity of an IgG Fc domain to FcγRII receptor and increases the binding affinity to FcγRIIIA receptor. A modification can be a substitution of S298, such as S298A, according to the EU index of Kabat. A modification can be substitution of S239, I332 and A330, such as S239D/I332E/A330L. 25 A modification can be substitution of S239 and I332, such as S239D/I332E. [0181] In some embodiments, the modification comprises substitution of one or more amino acids that decreases binding affinity of an IgG Fc domain to FcγRIIIA receptor. A modification can be substitution of F241 and F243, such as F241S/F243S or F241I/F243I, according to the EU index of Kabat.
56
[0182] In some embodiments, the modification comprises substitution of one or more amino acids that decreases binding affinity of an IgG Fc domain to FcγRIIIA receptor and does not affect the binding affinity to FcγRII receptor. A modification can be a substitution of S239, such as S239A, according to the EU index of Kabat. A 5 modification can be a substitution of E269, such as E269A, according to the EU index of Kabat. A modification can be a substitution of E293, such as E293A, according to the EU index of Kabat. A modification can be a substitution of Y296, such as Y296F, according to the EU index of Kabat. A modification can be a substitution of V303, such as V303A, according to the EU index of Kabat. A modification can be a 10 substitution of A327, such as A327G, according to the EU index of Kabat. A modification can be a substitution of K338, such as K338A, according to the EU index of Kabat. A modification can be a substitution of D376, such as D376A, according to the EU index of Kabat. [0183] In some embodiments, the modification comprises substitution of one or 15 more amino acids that increases binding affinity of an IgG Fc domain to FcγRIIIA receptor and does not affect the binding affinity to FcγRII receptor. A modification can be a substitution of E333, such as E333A, according to the EU index of Kabat. A modification can be a substitution of K334, such as K334A, according to the EU index of Kabat. A modification can be a substitution of A339, such as A339T, according to 20 the EU index of Kabat. A modification can be substitution of S239 and I332, such as S239D/I332E. [0184] In some embodiments, the modification comprises substitution of one or more amino acids that increases binding affinity of an IgG Fc domain to FcγRIIIA receptor. A modification can be substitution of L235, F243, R292, Y300 and P396, 25 such as L235V/F243L/R292P/Y300L/P396L (IgG1VLPLL) according to the EU index of Kabat. A modification can be substitution of S298, E333 and K334, such as S298A/E333A/K334A, according to the EU index of Kabat. A modification can be substitution of K246, such as K246F, according to the EU index of Kabat.
57
[0185] Other substitutions in an IgG Fc domain that affect its interaction with one or more Fcγ receptors are disclosed in U.S. Patent Nos.7,317,091 and 8,969,526 (the disclosures of which are incorporated by reference herein). [0186] In some embodiments, an IgG Fc domain comprises at least one amino 5 acid substitution that reduces the binding affinity to FcRn, as compared to a wild-type or reference IgG Fc domain. A modification can comprise a substitution at H435, such as H435A according to the EU index of Kabat. A modification can comprise a substitution at I253, such as I253A according to the EU index of Kabat. A modification can comprise a substitution at H310, such as H310A according to the EU index of 10 Kabat. A modification can comprise substitutions at I253, H310 and H435, such as I253A/H310A/H435A according to the EU index of Kabat. [0187] A modification can comprise a substitution of one amino acid residue that increases the binding affinity of an IgG Fc domain for FcRn, relative to a wildtype or reference IgG Fc domain. A modification can comprise a substitution at V308, such 15 as V308P according to the EU index of Kabat. A modification can comprise a substitution at M428, such as M428L according to the EU index of Kabat. A modification can comprise a substitution at N434, such as N434A according to the EU index of Kabat or N434H according to the EU index of Kabat. A modification can comprise substitutions at T250 and M428, such as T250Q and M428L according to the 20 EU index of Kabat. A modification can comprise substitutions at M428 and N434, such as M428L and N434S, N434A or N434H according to the EU index of Kabat. A modification can comprise substitutions at M252, S254 and T256, such as M252Y/S254T/T256E according to the EU index of Kabat. A modification can be a substitution of one or more amino acids selected from P257L, P257N, P257I, V279E, 25 V279Q, V279Y, A281S, E283F, V284E, L306Y, T307V, V308F, Q311V, D376V, and N434H. Other substitutions in an IgG Fc domain that affect its interaction with FcRn are disclosed in U.S. Patent No.9,803,023 (the disclosure of which is incorporated by reference herein). [0188] In some embodiments, an antibody is a human IgG2 antibody, including 30 an IgG2 Fc region. In some embodiments, the heavy chain of the human IgG2 antibody
58
can be mutated at cysteines at positions 127, 232, or 233. In some embodiments, the light chain of a human IgG2 antibody can be mutated at a cysteine at position 214. The mutations in the heavy and light chains of the human IgG2 antibody can be from a cysteine residue to a serine residue. 5 Nucleic Acids, Vectors, and Host Cells [0189] The present disclosure provides an isolated nucleic acid that encodes anti-LRRC15 antibody or antigen binding fragment thereof as described herein. In some embodiments, the nucleic acid encoding the anti-LRRC15 antibody or antigen binding fragment thereof is codon optimized to enhance or maximize expression in 10 certain types of cells (e.g., Scholten et al., Clin. Immunol.119: 135-145, 2006). As used herein a "codon optimized" polynucleotide is a heterologous polypeptide having codons modified with silent mutations corresponding to the abundances of host cell tRNA levels. [0190] In some embodiments, a nucleic acid molecule encodes an anti-LRRC15 15 antibody or antigen binding fragment thereof (e.g., an antibody heavy and light chains, or an antibody binding domain comprising VH and VL binding regions) as disclosed herein wherein two or more chains or regions are separated by a cleavage site. In some embodiments, the cleavage site is a self-cleaving amino acid sequence comprising a 2A peptide from porcine teschovirus-1 (P2A), equine rhinitis A virus (E2A), Thosea asigna 20 virus (T2A), foot-and-mouth disease virus (F2A), or any combination thereof (see, e.g., Kim et al., PLOS One 6:e18556, 2011, which 2A nucleic acid and amino acid sequences are incorporated herein by reference in their entirety). [0191] In another aspect, an expression construct comprising a nucleic acid encoding an anti-LRRC15 antibody or antigen binding fragment thereof as described 25 herein is provided. In some embodiments, a nucleic acid may be operably linked to an expression control sequence. As used herein, "expression construct" refers to a DNA construct containing a nucleic acid molecule that is operably-linked to a suitable control sequence capable of effecting the expression of the nucleic acid molecule in a suitable host. An expression construct may be present in a vector (e.g., a bacterial vector, a viral
59
vector) or may be integrated into a genome. The term "operably linked" refers to the association of two or more nucleic acids on a single polynucleotide fragment so that the function of one is affected by the other. For example, a promoter is operably-linked with a coding sequence when it is capable of affecting the expression of that coding 5 sequence (i.e., the coding sequence is under the transcriptional control of the promoter). The term "expression control sequence" (also called a regulatory sequence) refers to nucleic acid sequences that effect the expression and processing of coding sequences to which they are operably linked. For example, expression control sequences may include transcription initiation, termination, promoter and enhancer sequences; efficient 10 RNA processing signals such as splicing and polyadenylation signals; sequences that stabilize cytoplasmic mRNA; sequences that enhance translation efficiency (i.e., Kozak consensus sequences); sequences that enhance protein stability; and possibly sequences that enhance protein secretion. [0192] In some embodiments, a nucleic acid or an expression construct 15 encoding an anti-LRRC15 antibody or antigen binding fragment thereof is present in a vector. A "vector" is a nucleic acid molecule that is capable of transporting another nucleic acid. Vectors may be, for example, plasmids, cosmids, viruses, a RNA vector or a linear or circular DNA or RNA molecule that may include chromosomal, non- chromosomal, semi-synthetic or synthetic nucleic acids. Exemplary vectors are those 20 capable of autonomous replication (episomal vector) or expression of nucleic acids to which they are linked (expression vectors). Exemplary viral vectors include retrovirus, adenovirus, parvovirus (e.g., adeno-associated viruses), coronavirus, negative strand RNA viruses such as ortho-myxovirus (e.g., influenza virus), rhabdovirus (e.g., rabies and vesicular stomatitis virus), paramyxovirus (e.g., measles and Sendai), positive 25 strand RNA viruses such as picornavirus and alphavirus, and double-stranded DNA viruses including adenovirus, herpesvirus (e.g., Herpes Simplex virus types 1 and 2, Epstein-Barr virus, cytomegalovirus), and poxvirus (e.g., vaccinia, fowlpox and canarypox). Other viruses include Norwalk virus, togavirus, flavivirus, reoviruses, papovavirus, hepadnavirus, and hepatitis virus, for example. Examples of retroviruses 30 include avian leukosis-sarcoma, mammalian C-type, B-type viruses, D type viruses,
60
HTLV-BLV group, lentivirus, spumavirus (Coffin, J. M., Retroviridae: The viruses and their replication, In Fundamental Virology, Third Edition, B. N. Fields et al., Eds., Lippincott-Raven Publishers, Philadelphia, 1996). In some embodiments, a vector is a plasmid. In some other embodiments, a vector is a viral vector. In some such 5 embodiments, the viral vector is a lentiviral vector or a γ-retroviral vector. [0193] In yet another aspect, the disclosure provides an isolated host cell comprising a nucleic acid, expression construct, or vector encoding an anti-LRRC15 antibody or antigen binding fragment thereof, as described herein. As used herein, the term "host" refers to a cell or microorganism targeted for genetic modification with a 10 heterologous or exogenous nucleic acid molecule to produce a polypeptide of interest (e.g., an anti-LRRC15 antibody or antigen-binding fragment thereof). In certain embodiments, a host cell may optionally already possess or be modified to include other genetic modifications that confer desired properties related or unrelated to biosynthesis of the heterologous or exogenous protein (e.g., inclusion of a detectable marker). More 15 than one heterologous or exogenous nucleic acid molecule can be introduced into a host cell as separate nucleic acid molecules, as a plurality of individually controlled genes, as a polycistronic nucleic acid molecule, as a single nucleic acid molecule encoding a fusion protein, or any combination thereof. When two or more exogenous nucleic acid molecules are introduced into a host cell, it is understood that the two more exogenous 20 nucleic acid molecules can be introduced as a single nucleic acid molecule (e.g., on a single vector), on separate vectors, integrated into the host chromosome at a single site or multiple sites. The number of referenced heterologous nucleic acid molecules or protein activities refers to the number of encoding nucleic acid molecules or the number of protein activities, not the number of separate nucleic acid molecules introduced into a 25 host cell. Methods for producing antibodies [0194] Antibodies can be produced by any method known in the art for antibody production. As one example, an antibody can be produced by a method using an isolated nucleic acid sequence encoding an antibody, vectors and host cells comprising
61
the nucleic acid sequence, and recombinant techniques for the production of the antibody. The nucleic acid sequence encoding the antibody can be isolated into a replicable DNA vector for further cloning or for expression. DNA encoding an antibody can be readily isolated and sequenced using conventional procedures (e.g., by using 5 oligonucleotide probes that are capable of binding specifically to genes encoding the heavy and light chains of the antibody). Many vectors known in the art can be used as a vector. The vector components generally can include, but are not limited to, one or more of the following: a signal sequence, an origin of replication, one or more marker genes, an enhancer element, a promoter, and a transcription-termination sequence. 10 [0195] Suitable host cells for cloning or expressing the DNA vectors herein can be prokaryote, yeast, or higher eukaryote cells described herein. Suitable host cells for expression of glycosylated antibody can be derived from multicellular organisms. Examples of invertebrate cells can include, but are not limited to, plant and insect cells. Host cells used to produce an antibody can be cultured in a variety of commercial 15 media. When using recombinant techniques, an antibody can be produced, for example, intracellularly, in the periplasmic space, or directly secreted into the medium. If the antibody is produced intracellularly, the particulate debris, either host cells or lysed fragments, can be removed, for example, by centrifugation or ultrafiltration. Where the antibody is secreted into the medium, supernatants from such expression systems can be 20 concentrated using a commercially available protein concentration filter. A protease inhibitor such as phenylmethylsuphonyl fluoride can be included in any of the foregoing steps to inhibit proteolysis, and antibiotics can be included to prevent the growth of adventitious contaminants. [0196] The antibody composition prepared from the cells can be purified using, 25 for example, hydroxylapatite chromatography, gel electrophoresis, dialysis, and affinity chromatography. The suitability of a protein A as an affinity ligand can depend on the species and isotype of any immunoglobulin Fc domain that may be present in the antibody. Other techniques for protein purification such as fractionation on the an ion- exchange column, ethanol precipitation, reverse-phase HPLC, chromatography on 30 silica, chromatography on heparin SEPHAROSETM, chromatography on an anion- or
62
cation-exchange resin (such as a polyaspartic acid column), chromatofocusing, SDS- PAGE, and ammonium-sulfate precipitation can also be used to recover the antibody. Following any preliminary purification step(s), the mixture comprising the antibody and contaminants can be subjected to low-pH hydrophobic-interaction chromatography. The 5 methods for humanizing antibodies can include, for example, humanization uses CDR grafting (Jones et al., Nature 15321:522 (1986)) and variants thereof, including “reshaping” (Verhoeyen, et al., 1988 Science 239:1534-1536; Riechmann, et al., 1988 Nature 332:323-337; Tempest, et al., Bio/Technol.19919:266-271), “hyperchimerization” (Queen, et al., 1989 Proc. Natl. Acad. Sci. USA 86:10029-10033; 10 Co, et al., 1991 Proc Natl Acad Sci USA 88:2869-2873; Co, et al., 1992 J. Immunol. 148:1149-1154), and “veneering” (Mark, et al., BW Metcalf, BJ Dalton (Eds.) Cellular adhesion: molecular definition to therapeutic potential. Plenum Press, New York; 1994:291-312). Superhumanization (Tan, et al., 2002 J Immunol 169: 1119-25) is another variant humanization method that can be used to graft non-human CDRs into 15 human germline antibody sequences having similar CDR canonical structures. Compounds [0197] The antibodies described herein are attached to TGFβR2 inhibitor compounds, typically via a linker(s) to form conjugates. An antibody can be attached to one or more immune-stimulatory compounds, typically from about 1 to about 10 20 compounds per antibody. In certain aspects, the TGFβR2 inhibitor compound is selected from Category A or Category B, as further described herein. Variables and formulae of the Compounds of Category A are described in the section entitled Compounds of Category A, and variables and formulae of the Compounds of Category B are described in the section entitled Compounds of Category B. Formulae and 25 variables of the Compounds of Category A and the Compounds of Category B may use overlapping nomenclature or variables, but nomenclature, variables, or other formula descriptions are not intended to be interchangeable between the categories.
63
Compounds of Category A, Acyclic Amino-Pyrazinecarboxamide Compounds [0198] The following is a discussion of compounds and salts thereof that are TGFβR2 inhibitors that may be used in the conjugates as disclosed herein. In some embodiments, the TGFβR2 inhibitor conjugate as described herein comprises a 5 compound of any one of Formulas (IA), (IA’), (IA-A), (IA-B), (IA-C), (IA-D), (IA-E) (IIA-A), (IIA-B), (IIA-C), or (IIA-D), or a compound from Table 14, or a salt thereof. In some embodiments of Formula (I), a compound of any one of Formulas (IA), (IA-A), (IA-B), (IA-C), (IA-D), (IA-E) (IIA-A), (IIA-B), (IIA-C), or (IIA-D), or a compound from Table 14, or a salt thereof serves as Dx in the conjugate of Formula (I), and may be 10 covalently bound to the linker, L3, which is covalently bound to the antibody in the conjugate of Formula (I). [0199] In some embodiments, the TGFβR2 inhibitor is a compound of Formula
15 Formula (IA) or a pharmaceutically acceptable salt thereof, wherein: Ring A is unsubstituted or substituted cycloalkyl, unsubstituted or substituted heterocycloalkyl, unsubstituted or substituted aryl, or unsubstituted or substituted heteroaryl, wherein when Ring A is substituted, substituents on Ring A are 20 independently selected at each occurrence from R4; each R4 is selected from RL and R20, or two R4 on adjacent atoms are taken together with the atoms to which they are attached to form an unsubstituted or substituted monocyclic carbocycle or unsubstituted or substituted monocyclic heterocycle; 25
64
each Y is independently unsubstituted or substituted C1-C6alkylene; wherein when Y is substituted, substituents on Y are independently selected at each occurrence from R5; each R5 is selected from R20, or two R5 on adjacent atoms are taken together 5 with the atoms to which they are attached to form an unsubstituted or substituted monocyclic carbocycle, or unsubstituted or substituted monocyclic heterocycle; each Z is independently -NR6S(=O)2-, -S(=O)2NR6-, -OC(=O)-, -C(=O)O-, -C(=O)NR6-, or -NR6C(=O)-; wherein each R6 is independently selected from hydrogen, unsubstituted or substituted C1-C6alkyl, unsubstituted or substituted 10 carbocycle, and unsubstituted or substituted heterocycle, or an R5 and an R6 on adjacent atoms are taken together with the atoms to which they are attached to form an unsubstituted or substituted monocyclic heterocycle; L is unsubstituted or substituted C1-C6alkyl, unsubstituted or substituted C2- C6alkenyl, unsubstituted or substituted C2-C6alkynyl, unsubstituted or substituted15 carbocycle, unsubstituted or substituted heterocycle, unsubstituted or substituted -C1- C6alkylene-carbocycle, or unsubstituted or substituted -C1-C6alkylene-heterocycle; wherein when L is substituted, substituents on L are independently selected at each occurrence from R7; each R7 is selected from -SSR50 and R20; 20 s is 1-10; R1 is selected from hydrogen and R20; each R2 is independently selected from R20, or two R2 on adjacent atoms are taken together with the atoms to which they are attached to form an unsubstituted or substituted monocyclic carbocycle or unsubstituted or substituted monocyclic 25 heterocycle; m is 0-3; R3 is selected from (i), (ii), (iii), and (iv): (i) unsubstituted or substituted aryl, or unsubstituted or substituted heteroaryl; wherein when R3 is substituted, substituents on R3 are independently 30 selected at each occurrence from R10;
65
(ii) unsubstituted or substituted cycloalkyl, or unsubstituted or substituted heterocycloalkyl; wherein when R3 is substituted, substituents on R3 are independently selected at each occurrence from R11; (iii) unsubstituted or substituted polycyclic heterocycloalkyl, 5 unsubstituted or substituted 3- to 5-membered monocyclic heterocycloalkyl, unsubstituted or substituted 6- to 8- membered monocyclic heterocycloalkyl comprising 1 or 2 N atoms and 1 or 2 other heteroatoms selected from O or S; wherein when R3 is substituted, substituents on R3 are independently selected at each occurrence from R11; and 10
wherein when R3 is at the 2-, 5-, or 6-position of the pyridine, R3 is selected from (i), (ii), and (iv), and when R3 is at the 4-position of the pyridine, R3 is selected from (i), (iii), and (iv); and each R10 is selected from R20, or two R10 on adjacent atoms are taken together 15 with the atoms to which they are attached to form an unsubstituted or substituted monocyclic carbocycle or unsubstituted or substituted monocyclic heterocycle; each R11 is selected from =O, =S, and R20; R12 is hydrogen, unsubstituted or substituted C1-C6alkyl, unsubstituted or substituted C1-C6alkenyl, unsubstituted or substituted C1-C6alkynyl, unsubstituted or 20 substituted carbocycle, unsubstituted or substituted heterocycle, unsubstituted or substituted -C1-C6alkylene-carbocycle, or unsubstituted or substituted -C1-C6alkylene- heterocycle; Q is -OR13, -NR13R13, -SR13, -CN, -C(=O)R14, -C(=O)NR13R13, -S(=O)R14, or -S(=O)2R14, or -S(=O)2NR13R13; 25 R13 is hydrogen, unsubstituted or substituted C1-C6alkyl, unsubstituted or substituted C1-C6alkenyl, unsubstituted or substituted C1-C6alkynyl, unsubstituted or substituted carbocycle, unsubstituted or substituted heterocycle, unsubstituted or substituted -C1-C6alkylene-carbocycle, or unsubstituted or substituted -C1-C6alkylene- heterocycle;
66
R14 is unsubstituted or substituted C1-C6alkyl, unsubstituted or substituted C1- C6alkenyl, unsubstituted or substituted C1-C6alkynyl, unsubstituted or substituted carbocycle, unsubstituted or substituted heterocycle, unsubstituted or substituted -C1- C6alkylene-carbocycle, or unsubstituted or substituted -C1-C6alkylene-heterocycle; 5 each U1 is -(CR15R16)-, wherein each R15 and R16 are independently selected from hydrogen and R20; r is 1-5; each R20 is independently halogen, -CN, -OH, -OR50, -SH, -SR50, -NO2, -NR51R51, -S(=O)2R50, -NR51S(=O)2R50, -S(=O)R50, -S(=O)2NR51R51, -C(=O)R50, 10 -OC(=O)R50, -C(=O)OR51, -OC(=O)OR51, -C(=O)NR51R51, -OC(=O)NR51R51, -NR51C(=O)NR51R51, -NR51C(=O)R50, -NR51C(=O)OR51, unsubstituted or substituted C1-C6alkyl, unsubstituted or substituted C2-C6alkenyl, unsubstituted or substituted C2- C6alkynyl, unsubstituted or substituted carbocycle, unsubstituted or substituted heterocycle, unsubstituted or substituted -C1-C6alkylene-carbocycle, or unsubstituted or 15 substituted -C1-C6alkylene-heterocycle; each R50 is independently selected from unsubstituted or substituted C1-C6alkyl, unsubstituted or substituted carbocycle, unsubstituted or substituted heterocycle, unsubstituted or substituted -C1-C6alkylene-carbocycle, and unsubstituted or substituted -C1-C6alkylene-heterocycle; 20 each R51 is independently selected from hydrogen, unsubstituted or substituted C1-C6alkyl, unsubstituted or substituted carbocycle, unsubstituted or substituted heterocycle, unsubstituted or substituted -C1-C6alkylene-carbocycle, and unsubstituted or substituted -C1-C6alkylene-heterocycle; or two R51 on the same N atom are taken together with the N atom to which they 25 are attached to form an unsubstituted or substituted N-containing heterocycle; wherein when any of R2, R4, R5, R6, R10, R12, R13, R14, R20, R50, and R51 are substituted, substituents on the R2, R4, R5, R6, R10, R12, R13, R14, R20, R50, and R51 are independently selected at each occurrence from halogen, -CN, -NO2, -OR52, -CO2R52, -C(=O)R53, -C(=O)NR52R52, -NR52R52, -NR52C(=O)R53, -NR52C(=O)OR52 , -SR52,30 -S(=O)R53, -SO2R53, -SO2NR52R52, unsubstituted or substituted C1-C6alkyl, C1-
67
C6haloalkyl, unsubstituted or substituted monocyclic carbocycle, unsubstituted or substituted monocyclic heterocycle, or two substituents on the same carbon atom are taken together to form a C=O or C=S and wherein substituents on said C1-C6alkyl are independently selected from R54 and substituents on said carbocyle and heterocycle are 5 independently selected from R55; each R52 is independently selected from hydrogen, C1-C6alkyl, C3-C6cycloalkyl, phenyl, benzyl, 5-membered heteroaryl, and 6-membered heteroaryl; or two R52 groups are taken together with the N atom to which they are attached to form a N-containing heterocycle; and 10 each R53 is independently selected from C1-C6alkyl, C3-C6cycloalkyl, phenyl, benzyl, 5-membered heteroaryl, and 6-membered heteroaryl; each R54 is independently selected from -OR52, -CO2R52, -C(=O)R53, -C(=O)NR52R52, -NR52R52, -NR52C(=O)R53, -NR52C(=O)OR52, and phenyl; each R55 is independently selected from -OR52, -CO2R52, -C(=O)R53, 15 -C(=O)NR52R52, -NR52R52, -NR52C(=O)R53, -NR52C(=O)OR52, and unsubstituted or substituted C1-C6alkyl wherein substituents on said C1-C6alkyl are independently selected from R54. [0200] In a first aspect, the TGFβR2 inhibitor is a compound of Formula (IA’):
20 Formula (IA’) or a pharmaceutically acceptable salt thereof, wherein: Ring A is unsubstituted or substituted cycloalkyl, unsubstituted or substituted heterocycloalkyl, unsubstituted or substituted aryl, or unsubstituted or substituted heteroaryl, wherein when Ring A is substituted, substituents on Ring A are 25 independently selected at each occurrence from R4; each R4 is selected from RL and R20, or two R4 on adjacent atoms are taken together with the atoms to which they are attached to form an unsubstituted or
68
substituted monocyclic carbocycle or unsubstituted or substituted monocyclic heterocycle;
each Y is independently unsubstituted or substituted C1-C6alkylene; wherein 5 when Y is substituted, substituents on Y are independently selected at each occurrence from R5; each R5 is selected from R20, or two R5 on adjacent atoms are taken together with the atoms to which they are attached to form an unsubstituted or substituted monocyclic carbocycle, or unsubstituted or substituted monocyclic heterocycle; 10 each Z is independently -NR6S(=O)2-, -S(=O)2NR6-, -OC(=O)-, -C(=O)O-, -C(=O)NR6-, or -NR6C(=O)-; wherein each R6 is independently selected from hydrogen, unsubstituted or substituted C1-C6alkyl, unsubstituted or substituted carbocycle, and unsubstituted or substituted heterocycle, or an R5 and an R6 on adjacent atoms are taken together with the atoms to which they are attached to form an 15 unsubstituted or substituted monocyclic heterocycle; L is unsubstituted or substituted C1-C6alkyl, unsubstituted or substituted C2- C6alkenyl, unsubstituted or substituted C2-C6alkynyl, unsubstituted or substituted carbocycle, unsubstituted or substituted heterocycle, unsubstituted or substituted -C1- C6alkylene-carbocycle, or unsubstituted or substituted -C1-C6alkylene-heterocycle; 20 wherein when L is substituted, substituents on L are independently selected at each occurrence from R7; each R7 is selected from -SSR50 and R20; s is 1-10; R1 is selected from hydrogen and R20; 25 each R2 is independently selected from R20, or two R2 on adjacent atoms are taken together with the atoms to which they are attached to form an unsubstituted or substituted monocyclic carbocycle or unsubstituted or substituted monocyclic heterocycle; m is 0-3; 30 R3 is selected from (i), (ii), (iii), and (iv):
69
(i) unsubstituted or substituted aryl, or unsubstituted or substituted heteroaryl; wherein when R3 is substituted, substituents on R3 are independently selected at each occurrence from R10; (ii) unsubstituted or substituted cycloalkyl, or unsubstituted or 5 substituted heterocycloalkyl; wherein when R3 is substituted, substituents on R3 are independently selected at each occurrence from R11; (iii) unsubstituted or substituted polycyclic heterocycloalkyl, unsubstituted or substituted 3- to 5-membered monocyclic heterocycloalkyl, unsubstituted or substituted 6- to 8- membered monocyclic heterocycloalkyl comprising 10 1 or 2 N atoms and 1 or 2 other heteroatoms selected from O or S; wherein when R3 is substituted, substituents on R3 are independently selected at each occurrence from R11; and
wherein when R3 is at the 2-, 5-, or 6-position of the pyridine, R3 is selected 15 from (i), (ii), and (iv), and when R3 is at the 4-position of the pyridine, R3 is selected from (i), (iii), and (iv); and each R10 is selected from R20, or two R10 on adjacent atoms are taken together with the atoms to which they are attached to form an unsubstituted or substituted monocyclic carbocycle or unsubstituted or substituted monocyclic heterocycle; 20 each R11 is selected from =O, =S, and R20; R12 is hydrogen, unsubstituted or substituted C1-C6alkyl, unsubstituted or substituted C1-C6alkenyl, unsubstituted or substituted C1-C6alkynyl, unsubstituted or substituted carbocycle, unsubstituted or substituted heterocycle, unsubstituted or substituted -C1-C6alkylene-carbocycle, or unsubstituted or substituted -C1-C6alkylene- 25 heterocycle; Q is -OR13, -NR13R13, -SR13, -CN, -C(=O)R14, -C(=O)NR13R13, -S(=O)R14, or -S(=O)2R14, or -S(=O)2NR13R13; R13 is hydrogen, unsubstituted or substituted C1-C6alkyl, unsubstituted or substituted C1-C6alkenyl, unsubstituted or substituted C1-C6alkynyl, unsubstituted or
70
substituted carbocycle, unsubstituted or substituted heterocycle, unsubstituted or substituted -C1-C6alkylene-carbocycle, or unsubstituted or substituted -C1-C6alkylene- heterocycle; R14 is unsubstituted or substituted C1-C6alkyl, unsubstituted or substituted C1- 5 C6alkenyl, unsubstituted or substituted C1-C6alkynyl, unsubstituted or substituted carbocycle, unsubstituted or substituted heterocycle, unsubstituted or substituted -C1- C6alkylene-carbocycle, or unsubstituted or substituted -C1-C6alkylene-heterocycle; each U1 is -(CR15R16)-, wherein each R15 and R16 are independently selected from hydrogen and R20; 10 r is 1-5; each R20 is independently halogen, -CN, -OH, -OR50, -SH, -SR50, -NO2, -NR51R51, -S(=O)2R50, -NR51S(=O)2R50, -S(=O)R50, -S(=O)2NR51R51, -C(=O)R50, -OC(=O)R50, -C(=O)OR51, -OC(=O)OR51, -C(=O)NR51R51, -OC(=O)NR51R51, -NR51C(=O)NR51R51, -NR51C(=O)R50, -NR51C(=O)OR51, unsubstituted or substituted15 C1-C6alkyl, unsubstituted or substituted C2-C6alkenyl, unsubstituted or substituted C2- C6alkynyl, unsubstituted or substituted carbocycle, unsubstituted or substituted heterocycle, unsubstituted or substituted -C1-C6alkylene-carbocycle, or unsubstituted or substituted -C1-C6alkylene-heterocycle; each R50 is independently selected from unsubstituted or substituted C1-C6alkyl, 20 unsubstituted or substituted C1-C6alkenyl, unsubstituted or substituted C1-C6alkynyl, unsubstituted or substituted carbocycle, unsubstituted or substituted heterocycle, unsubstituted or substituted -C1-C6alkylene-carbocycle, and unsubstituted or substituted -C1-C6alkylene-heterocycle; each R51 is independently selected from hydrogen, unsubstituted or substituted25 C1-C6alkyl, unsubstituted or substituted C1-C6alkenyl, unsubstituted or substituted C1- C6alkynyl, unsubstituted or substituted carbocycle, unsubstituted or substituted heterocycle, unsubstituted or substituted -C1-C6alkylene-carbocycle, and unsubstituted or substituted -C1-C6alkylene-heterocycle; or two R51 on the same N atom are taken together with the N atom to which they 30 are attached to form an unsubstituted or substituted N-containing heterocycle;
71
wherein when any of R2, R4, R5, R6, R10, R12, R13, R14, R20, R50, and R51 are substituted, substituents on the R2, R4, R5, R6, R10, R12, R13, R14, R20, R50, and R51 are independently selected at each occurrence from halogen, -CN, -NO2, -OR52, -CO2R52, -C(=O)R53, -C(=O)NR52R52, -NR52R52, -NR52C(=O)R53, -NR52C(=O)OR52 , -SR52, 5 -S(=O)R53, -SO2R53, -SO2NR52R52, C1-C6alkyl, C1-C6haloalkyl, monocyclic carbocycle, and monocyclic heterocycle; or two substituents on the same carbon atom are taken together to form a C=O or C=S; each R52 is independently selected from hydrogen, C1-C6alkyl, C3-C6cycloalkyl, phenyl, benzyl, 5-membered heteroaryl, and 6-membered heteroaryl; 10 or two R52 groups are taken together with the N atom to which they are attached to form a N-containing heterocycle; and each R53 is independently selected from C1-C6alkyl, C3-C6cycloalkyl, phenyl, benzyl, 5-membered heteroaryl, and 6-membered heteroaryl. [0201] In another aspect, the compound of Formula (IA) represented by 15 Formula (IIA):
wherein: ring B is aryl or heteroaryl; and 20 n is 0-5. [0202] In a second aspect of Formula (IA) or (IA’), R1 is hydrogen, halogen, -CN, -OH, -OR50, -SH, -SR50, -NO2, -NR51R51, -S(=O)2R50, -NR51S(=O)2R50, -S(=O)2NR51R51, -C(=O)R50, -OC(=O)R50, -C(=O)OR51, -C(=O)NR51R51, -NR51C(=O)R50, unsubstituted or substituted C1-C6alkyl, or unsubstituted or substituted 25 carbocycle. [0203] In a third aspect of Formula (IA) or (IA’), R1 is hydrogen, halogen, -CN, -OH, -OR50, -SH, -SR50, -NO2, -NR51R51, or C1-C6alkyl.
72
[0204] In a fourth aspect of Formula (IA) or (IA’), R1 is hydrogen, halogen, -CN, or -NH2. [0205] In a fifth aspect of Formula (IA) or (IA’), R1 is hydrogen. [0206] In a sixth aspect of Formula (IA) or (IA’), R1 is methyl. 5 [0207] In a seventh aspect of Formula (IA) or (IA’), R1 is as set forth in any one of aspects 1-6 and each R2 is independently halogen, -CN, -OH, -OR50, -SH, -SR50, -NO2, -NR51R51, -S(=O)2R50, -NR51S(=O)2R50, -S(=O)2NR51R51, -C(=O)R50, -OC(=O)R50, -C(=O)OR51, -C(=O)NR51R51, -NR51C(=O)R50, unsubstituted or substituted C1-C6alkyl, or unsubstituted or substituted carbocycle. 10 [0208] In an eighth aspect of Formula (IA) or (IA’), R1 is as set forth in any one of aspects 1-6 and each R2 is independently halogen, -CN, -OH, -OR50, -NO2, -NR51R51, -NR51S(=O)2R50, -S(=O)2NR51R51, -OC(=O)R50, -C(=O)OR51, -C(=O)NR51R51, -NR51C(=O)R50, unsubstituted or substituted C1-C6alkyl, unsubstituted or substituted carbocycle, or unsubstituted or substituted heterocycle. 15 [0209] In a ninth aspect of Formula (IA) or (IA’), R1 is as set forth in any one of aspects 1-6 and each R2 is independently -F, -Cl, -Br, -CN, -OH, -OR50, -NR51R51, -C(=O)NR51R51, -NR51C(=O)R50, or unsubstituted or substituted C1-C6alkyl. [0210] In a tenth aspect of Formula (IA) or (IA’), R1 is as set forth in any one of aspects 1-6 and each R2 is independently -F, -Cl, -Br, -CN, -OH, -OMe, -NH2, -NMe2, 20 or C1-C6alkyl. [0211] In an eleventh aspect of Formula (IA) or (IA’), R1 is as set forth in any one of aspects 1-6 and each R2 is independently -Cl or -NH2. [0212] In a twelfth aspect of Formula (IA) or (IA’), R1 is as set forth in any one of aspects 1-6 and R2 is halogen. 25 [0213] In a thirteenth aspect of Formula (IA) or (IA’), R1 is as set forth in any one of aspects 1-6 and R2 is methyl. [0214] In a fourteenth aspect of Formula (IA) or (IA’), R1 is as set forth in any one of aspects 1-6 and two R2 on adjacent atoms are taken together with the atoms to which they are attached to form an unsubstituted or substituted monocyclic carbocycle 30 or unsubstituted or substituted monocyclic heterocycle. In some embodiments, two R2
73
on adjacent atoms are taken together with the atoms to which they are attached to form an unsubstituted or substituted monocyclic phenyl or unsubstituted or substituted monocyclic 5- or 6-membered heteroaryl. [0215] In a fifteenth aspect of Formula (IA) or (IA’), R1 and R2 are as set forth 5 in any one of aspects 1-14, and m is 0, 1, 2, or 3. [0216] In a sixteenth aspect of Formula (IA) or (IA’), R1 and R2 are as set forth in any one of aspects 1-14, and m is 1. [0217] In a seventeenth aspect of Formula (IA) or (IA’), R1 and R2 are as set forth in any one of aspects 1-14, and m is 2. 10 [0218] In an eighteenth aspect of Formula (IA) or (IA’), R1 is as set forth in any one of aspects 1-6 and m is 0. [0219] In a nineteenth aspect of Formula (IA) or (IA’), R1, R2, and m are as set forth in any one of aspects 1-18 and Ring A is unsubstituted or substituted cycloalkyl. In some embodiments, Ring A is unsubstituted or substituted monocyclic cycloalkyl. In 15 some embodiments, ring A is unsubstituted or substituted saturated monocyclic cycloalkyl. In some embodiments, Ring A is unsubstituted or substituted C3-C8 cycloalkyl. In some embodiments, Ring A is unsubstituted or substituted cyclopropyl, cyclobutyl, cyclopentyl, cyclohexyl, cycloheptyl, or cyclooctyl. In some embodiments, Ring A is unsubstituted or substituted unsaturated cycloalkyl. In some embodiments, 20 Ring A is unsubstituted or substituted cyclobutenyl, cyclopentenyl, cyclohexenyl, cycloheptenyl, or cyclooctenyl. In some embodiments, Ring A is unsubstituted or substituted polycyclic cycloalkyl. [0220] In a twentieth aspect of Formula (IA) or (IA’), R1, R2, and m are as set forth in any one of aspects 1-18 and Ring A is unsubstituted or substituted 25 heterocycloalkyl. In some embodiments, Ring A is unsubstituted or substituted saturated heterocycloalkyl. In some embodiments, Ring A is unsubstituted or substituted monocyclic saturated heterocycloalkyl. In some embodiments, Ring A is unsubstituted or substituted aziridinyl, azetidinyl, oxetanyl, thietanyl, pyrrolidinyl, pyrazolidinyl, imidazolidinyl, tetrahydrofuranyl, dioxolanyl, tetrahydrothiophenyl, 30 oxathiolanyl, piperidinyl, piperazinyl, tetrahydropyranyl, dioxanyl, thianyl, dithianyl,
74
morpholinyl, thiomorpholinyl, azepanyl, or oxazepanyl. In some embodiments, Ring A is unsubstituted or substituted piperidinyl or piperazinyl. In some embodiments, Ring A is unsubstituted or substituted unsaturated heterocycle. In some embodiments, Ring A is unsubstituted or substituted pyrrolinyl (dihydropyrrolyl), pyrazolinyl 5 (dihydropyrazolyl), imidazolinyl (dihydroimidazolyl), triazolinyl (dihydrotriazolyl), dihydrofuranyl, dihydrothiophenyl, oxazolinyl (dihydrooxazolyl), isoxazolinyl (dihydroisoxazolyl), thiazolinyl (dihydrothiazolyl), isothiazolinyl (dihydroisothiazolyl), oxadiazolinyl (dihydrooxadiazolyl), thiadiazolinyl (dihydrothiadiazolyl), dihydropyridinyl, tetrahydropyridinyl, dihydropyridazinyl, tetrahydropyridazinyl, 10 dihydropyrimidinyl, tetrahydropyrimidinyl, dihydropyrazinyl, tetrahydropyrazinyl, pyranyl, dihydropyranyl, thiopyranyl, dihydrothiopyranyl, dioxinyl, dihydrodioxinyl, oxazinyl, dihydrooxazineyl, thiazinyl, or dihydrothiazinyl. In some embodiments, Ring A is unsubstituted or substituted polycyclic heterocycloalkyl. In some embodiments, Ring A is unsubstituted or substituted polycyclic heterocycloalkyl which is a bridged-, 15 fused-, or spiro-heterocycloalkyl. In some embodiments, Ring A is unsubstituted or substituted polycyclic heterocycloalkyl which is a bridged-heterocycloalkyl. In some embodiments, Ring A is unsubstituted or substituted polycyclic heterocycloalkyl which is a fused-heterocycloalkyl. In some embodiments, Ring A is unsubstituted or substituted polycyclic heterocycloalkyl which is a spiro-heterocycloalkyl. 20 [0221] In a twenty-first aspect of Formula (IA) or (IA’), R1, R2, and m are as set forth in any one of aspects 1-18 and Ring A is:
wherein: W1 is N, or CR21; 25 R21 is hydrogen, unsubstituted or substituted C1-C6alkyl, unsubstituted or substituted C1-C6alkenyl, unsubstituted or substituted C1-C6alkynyl, unsubstituted or substituted carbocycle, unsubstituted or substituted heterocycle, unsubstituted or substituted -C1-C6alkyl(carbocycle), or unsubstituted or substituted -C1- C6alkyl(heterocycle);
75
W2 is NR22, O, S, or S(=O)2; R22 is hydrogen, -S(=O)2R50, -S(=O)R50, -S(=O)2NR51R51, -C(=O)R50, -C(=O)OR51, -C(=O)NR51R51, unsubstituted or substituted C1-C6alkyl, unsubstituted or substituted C1-C6alkenyl, unsubstituted or substituted C1-C6alkynyl, unsubstituted or 5 substituted carbocycle, unsubstituted or substituted heterocycle, unsubstituted or substituted -C1-C6alkyl(carbocycle), or unsubstituted or substituted -C1- C6alkyl(heterocycle); each U2, U2', U3, and U3' is C(R23)2; each R23 is independently hydrogen or R20; and 10 p1, p2, p3, and p4 are each independently 1-3. [0222] In a twenty-second aspect of Formula (IA) or (IA’), R1, R2, and m are as set forth in any one of aspects 1-18 and Ring A is as set forth in aspect 21. In some such embodiments, W1 is N. In some such embodiments, W1 is CR21. In some such embodiments, W1 is CR21; and R21 is hydrogen, or C1-C6 alkyl. In some such 15 embodiments, W1 is CH. In some such embodiments, W2 is O. In some such embodiments, W2 is S. In some such embodiments, W2 is S(=O)2. In some such embodiments, W2 is NR22. In some such embodiments, W2 is NR22; and R22 is hydrogen, -C(=O)R50, -C(=O)OR51, -C(=O)NR51R51, or unsubstituted or substituted C1- C6alkyl. In some such embodiments, W2 is NR22; and R22 is hydrogen, Boc, Fmoc, or 20 Cbz. In some such embodiments, W2 is NH. In some embodiments, W2 is NBoc. In some embodiments, each R23 is independently hydrogen, halogen, -CN, -OH, -OR50, -NR51R51, -C(=O)R50, -OC(=O)R50, -C(=O)OR51, -C(=O)NR51R51, -NR51C(=O)R50, or unsubstituted or substituted C1-C6alkyl. In some embodiments, each R23 is independently hydrogen, halogen, -OH, -OMe, -NH2, or C1-C6alkyl. In some 25 embodiments, each R23 is hydrogen. In some embodiments, p1 is 1 to 3. In some embodiments, p1 is 1 to 2, 1 to 3, or 2 to 3. In some embodiments, p1 is 1, 2, or 3. In some embodiments, p2 is 1 to 3. In some embodiments, p2 is 1 to 2, 1 to 3, or 2 to 3. In some embodiments, p2 is 1, 2, or 3. In some embodiments, p3 is 1 to 3. In some embodiments, p3 is 1 to 2, 1 to 3, or 2 to 3. In some embodiments, p3 is 1, 2, or 3. In 30 some embodiments, p4 is 1 to 3. In some embodiments, p4 is 1 to 2, 1 to 3, or 2 to 3. In
76
some embodiments, p4 is 1, 2, or 3. In some embodiments, p1, p2, p3, and p4 are each independently 1 or 2. In some embodiments, W1 is N; W2 is NR22; R22 is hydrogen, -C(=O)R50, -C(=O)OR51, -C(=O)NR51R51, or unsubstituted or substituted C1-C6alkyl; each R23 is independently hydrogen, halogen, -CN, -OH, -OR50, -NR51R51, -C(=O)R50, 5 -OC(=O)R50, -C(=O)OR51, -C(=O)NR51R51, -NR51C(=O)R50, and unsubstituted or substituted C1-C6alkyl; and p1, p2, p3, and p4 are each independently 1-2. In some such embodiments, 10
[0223] In a twenty-third aspect of Formula (IA) or (IA’), R1, R2, and m are as set forth in any one of aspects 1-18 and Ring A is aryl or heteroaryl. [0224] In a twenty-fourth aspect of Formula (IA) or (IA’), R1, R2, and m are as set forth in any one of aspects 1-18 and Ring A is unsubstituted or substituted phenyl. 15 [0225] In a twenty-fifth aspect of Formula (IA) or (IA’), R1, R2, and m are as set forth in any one of aspects 1-18 and Ring A is substituted phenyl. [0226] In a twenty-sixth aspect of Formula (IA) or (IA’), R1, R2, and m are as set forth in any one of aspects 1-18 and Ring A is substituted or unsubstituted pyridinyl. [0227] In a twenty-seventh aspect of Formula (IA) or (IA’), R1, R2, m, and Ring 20 A are as set forth in any one of aspects 1-26 and R3 is unsubstituted or substituted aryl, or unsubstituted or substituted heteroaryl. [0228] In a twenty-eighth aspect of Formula (IA) or (IA’), R1, R2, m, and Ring A are as set forth in any one of aspects 1-26 and R3 is unsubstituted or substituted phenyl. 25 [0229] In a twenty-ninth aspect of Formula (IA) or (IA’), R1, R2, m, and Ring A are as set forth in any one of aspects 1-26 and R3 is unsubstituted phenyl.
77
[0230] In a thirtieth aspect of Formula (IA) or (IA’), R1, R2, m, and Ring A are as set forth in any one of aspects 1-26 and R3 is unsubstituted or substituted 5- or 6- membered heteroaryl. [0231] In a thirty-first aspect of Formula (IA) or (IA’), R1, R2, m, and Ring A 5 are as set forth in any one of aspects 1-26 and R3 is unsubstituted or substituted pyrrole, furan, thiophene, imidazole, pyrazole, oxazole, isoxazole, thiazole, isothizole, triazole, oxadiazole, thiadiazole, tetrazole, pyridine, pyridazine, pyrimidine, pyrazine, or triazine. In some embodiments, R3 is unsubstituted or substituted pyridine, pyridazine, pyrimidine, pyrazine, or triazine. In some embodiments, R3 is unsubstituted or 10 substituted pyridine. In some embodiments, R3 is unsubstituted or substituted pyridazine. In some embodiments, R3 is unsubstituted or substituted pyrimidine. In some embodiments, R3 is unsubstituted or substituted pyrazine. In some embodiments, R3 is unsubstituted or substituted pyrrole, furan, thiophene, imidazole, pyrazole, oxazole, isoxazole, thiazole, isothizole, triazole, oxadiazole, thiadiazole, or tetrazole. 15 [0232] In a thirty-second aspect of Formula (IA) or (IA’), R1, R2, m, and Ring A are as set forth in any one of aspects 1-26 and R3 is unsubstituted or substituted imidazole, triazole, or pyridine. [0233] In a thirty-third aspect of Formula (IA) or (IA’), R1, R2, m, and Ring A are as set forth in any one of aspects 1-26 and R3 is polycyclic aryl or heteroaryl. In 20 some embodiments, R3 is bicyclic aryl or heteroaryl. In some embodiments, R3 is naphthyl. In some embodiments, R3 is indole, isoindole, indolizine, indazole, benzimidazole, azaindole, azaindazole, purine, benzofuran, isobenzofuran, benzo[b]thiophene, benzo[c]thiophene, benzoxazole, benzisoxazole, benzthiazole, benzisothiazole, quinoline, isoquinoline, quinoxaline, phthalizine, quinazoline, 25 cinnoline, naphthyridine, pyridopyrimidine, pyridopyrazine, or pteridine. [0234] In a thirty-fourth aspect of Formula (IA) or (IA’), R1, R2, m, Ring A, and R3 is as set forth in any one of aspects 1-28 and 30-33 and each R10 is independently halogen, -CN, -OH, -OR50, -NO2, -NR51R51, -S(=O)2R50, -NR51S(=O)2R50, -S(=O)R50, -S(=O)2NR51R51, -C(=O)R50, -OC(=O)R50, -C(=O)OR51, -C(=O)NR51R51, 30 -NR51C(=O)R50, unsubstituted or substituted C1-C6alkyl, unsubstituted or substituted
78
carbocycle, unsubstituted or substituted heterocycle, unsubstituted or substituted -C1- C6alkylene-carbocycle, or unsubstituted or substituted -C1-C6alkylene-heterocycle. [0235] In a thirty-fifth aspect of Formula (IA) or (IA’), R1, R2, m, Ring A, and R3 is as set forth in any one of aspects 1-28 and 30-33 and each R10 is independently -F, 5 -Cl, -Br, -CN, -OH, -OR50, -NR51R51, -C(=O)OR51, -C(=O)NR51R51, -NR51C(=O)R50, or unsubstituted or substituted C1-C6alkyl. [0236] In a thirty-sixth aspect of Formula (IA) or (IA’), R1, R2, m, Ring A, and R3 is as set forth in any one of aspects 1-28 and 30-33 and each R10 is independently -OR50or unsubstituted or substituted C1-C6alkyl. 10 [0237] In a thirty-seventh aspect of Formula (IA) or (IA’), R1, R2, m, Ring A, and R3 is as set forth in any one of aspects 1-28 and 30-33 and each R10 is independently -OC1-C6alkyl or unsubstituted or substituted C1-C6alkyl. [0238] In a thirty-eight aspect of Formula (IA) or (IA’), R1, R2, m, Ring A, and R3 is as set forth in any one of aspects 1-28 and 30-33 and each R10 is independently 15 methyl or methoxy. [0239] In a thirty-ninth aspect of Formula (IA) or (IA’), R1, R2, m, Ring A, and R3 is as set forth in any one of aspects 1-28 and 30-33 and two R10 on adjacent atoms are taken together with the atoms to which they are attached to form an unsubstituted or substituted monocyclic carbocycle or unsubstituted or substituted monocyclic 20 heterocycle. In some embodiments, two R10 on adjacent atoms are taken together with the atoms to which they are attached to form unsubstituted or substituted 5- or 6- membered monocyclic heterocycle. [0240] In a fortieth aspect of Formula (IA) or (IA’), R1, R2, m, Ring A, are set 25
79
[0241] In a forty-first aspect of Formula (IA) or (IA’), R1, R2, m, Ring A, are set forth in any one of aspects 1-26 and R3 is unsubstituted or substituted cycloalkyl, or 5 unsubstituted or substituted heterocycloalkyl. In some embodiments, R3 is unsubstituted or substituted heterocycloalkyl. In some embodiments, R3 is unsubstituted or substituted saturated heterocycloalkyl. In some embodiments, R3 is unsubstituted or substituted monocyclic heterocycloalkyl. In some embodiments, R3 is unsubstituted or substituted monocyclic saturated heterocycloalkyl. In some embodiments, R3 is unsubstituted or 10 substituted aziridinyl, azetidinyl, oxetanyl, thietanyl, pyrrolidinyl, pyrazolidinyl, imidazolidinyl, tetrahydrofuranyl, dioxolanyl, tetrahydrothiophenyl, sulfolanyl, oxathiolanyl, piperidinyl, piperazinyl, tetrahydropyranyl, dioxanyl, thianyl, dithianyl, morpholinyl, thiomorpholinyl, azepanyl, thiomorpholinyl dioxide, oxazepanyl, thiazepanyl, oxazocanl, and thiazocanyl. In some embodiments, R3 is unsubstituted or 15 substituted piperidinyl or piperazinyl. In some embodiments, R3 is unsubstituted or substituted unsaturated heterocycle. In some embodiments, R3 is unsubstituted or substituted pyrrolinyl (dihydropyrrolyl), pyrazolinyl (dihydropyrazolyl), imidazolinyl (dihydroimidazolyl), triazolinyl (dihydrotriazolyl), dihydrofuranyl, dihydrothiophenyl, oxazolinyl (dihydrooxazolyl), isoxazolinyl (dihydroisoxazolyl), thiazolinyl 20 (dihydrothiazolyl), isothiazolinyl (dihydroisothiazolyl), oxadiazolinyl (dihydrooxadiazolyl), thiadiazolinyl (dihydrothiadiazolyl), dihydropyridinyl, tetrahydropyridinyl, dihydropyridazinyl, tetrahydropyridazinyl, dihydropyrimidinyl, tetrahydropyrimidinyl, dihydropyrazinyl, tetrahydropyrazinyl, pyranyl, dihydropyranyl, thiopyranyl, dihydrothiopyranyl, dioxinyl, dihydrodioxinyl, oxazinyl, dihydrooxazineyl, 25 thiazinyl, or dihydrothiazinyl.
80
[0242] In a forty-second aspect of Formula (IA) or (IA’), R1, R2, m, Ring A, are set forth in any one of aspects 1-26 and R3 is substituted or unsubstituted morpholinyl, thiomorpholinyl, azepanyl, thiomorpholinyl dioxide, or oxazepanyl. [0243] In a forty-third aspect of Formula (IA) or (IA’), R1, R2, m, Ring A, are 5 set forth in any one of aspects 1-26 and R3 is unsubstituted or substituted cycloalkyl. In some embodiments, R3 is unsubstituted or substituted monocyclic cycloalkyl. In some embodiments, R3 is unsubstituted or substituted saturated monocyclic cycloalkyl. In some embodiments, R3 is unsubstituted or substituted C3-C8 cycloalkyl. In some embodiments, R3 is unsubstituted or substituted cyclopropyl, cyclobutyl, cyclopentyl, 10 cyclohexyl, cycloheptyl, or cyclooctyl. In some embodiments, R3 is unsubstituted or substituted unsaturated cycloalkyl. In some embodiments, R3 is unsubstituted or substituted cyclobutenyl, cyclopentenyl, cyclohexenyl, cycloheptenyl, or cyclooctenyl. In some embodiments, R3 is unsubstituted or substituted polycyclic cycloalkyl. [0244] In a forty-fourth aspect of Formula (IA) or (IA’), R1, R2, m, Ring A, are 15 set forth in any one of aspects 1-26 and R3 is unsubstituted or substituted polycyclic heterocycloalkyl. In some embodiments, R3 is unsubstituted or substituted polycyclic heterocycloalkyl which is a bridged-, fused-, or spiro-heterocycloalkyl. In some embodiments, R3 is unsubstituted or substituted polycyclic heterocycloalkyl which is a bridged- or spiro-heterocycloalkyl. In some embodiments, R3 is unsubstituted or 20 substituted polycyclic heterocycloalkyl which is a bridged-heterocycloalkyl. In some embodiments, R3 is unsubstituted or substituted polycyclic heterocycloalkyl which is a fused-heterocycloalkyl. In some embodiments, R3 is unsubstituted or substituted polycyclic heterocycloalkyl which is a spiro-heterocycloalkyl. [0245] In a forty-fifth aspect of Formula (IA) or (IA’), R1, R2, m, Ring A, are25 set forth in any one of aspects 1-26 and R3 is unsubstituted or substituted 3- to 5- membered monocyclic heterocycloalkyl. In some embodiments, R3 is unsubstituted or substituted 3- to 5-membered monocyclic heterocycloalkyl selected from aziridinyl, azetidinyl, oxetanyl, thietanyl, pyrrolidinyl, pyrazolidinyl, imidazolidinyl, tetrahydrofuranyl, dioxolanyl, tetrahydrothiophenyl, and sulfolanyl. In some 30 embodiments, R3 is unsubstituted or substituted 6- to 8- membered monocyclic
81
heterocycloalkyl comprising 1 or 2 N atoms and 1 or 2 other heteroatoms selected from O or S. In some embodiments, R3 is unsubstituted or substituted 6- to 8- membered monocyclic heterocycloalkyl comprising 1 N atom and 1 other heteroatom selected from O or S. In some embodiments, R3 is unsubstituted or substituted 6- to 8- 5 membered monocyclic heterocycloalkyl selected from morpholinyl, thiomorpholinyl, thiomorpholinyl dioxide, oxazepanyl, thiazepanyl, oxazocanyl, and thiazocanyl. [0246] In a forty-sixth aspect of Formula (IA) or (IA’), R1, R2, m, Ring A, are set forth in any one of aspects 1-26 and R3 is unsubstituted or substituted morpholinyl, unsubstituted or substituted thiomorpholinyl, or unsubstituted or substituted 10 oxazepanyl. [0247] In a forty-seventh aspect of Formula (IA) or (IA’), R1, R2, m, Ring A, are set forth in any one of aspects 1-26 and R3 is unsubstituted morpholinyl. [0248] In a forty-eighth aspect of Formula (IA) or (IA’), R1, R2, m, Ring A, are set forth in any one of aspects 1-26 and R3 is unsubstituted or substituted morpholinyl, 15 unsubstituted or substituted thiomorpholinyl, or unsubstituted or substituted oxazepanyl connected through a N atom of R3. [0249] In a forty-ninth aspect of Formula (IA) or (IA’), R1, R2, m, Ring A, are set forth in any one of aspects 1-26 and R3 is unsubstituted morpholinyl, unsubstituted or substituted thiomorpholinyl, or unsubstituted or substituted oxazepanyl connected 20 through a N atom of R3. [0250] In a fiftieth aspect of Formula (IA) or (IA’), R1, R2, m, Ring A, are set forth in any one of aspects 1-26 and R3 is unsubstituted morpholinyl connected through a N atom of R3. [0251] In a fifty-first aspect of Formula (IA) or (IA’), R1, R2, m, Ring A, are set 25 forth in any one of aspects 1-26 and R3 is as set forth in any one of aspects 41-46 and 48-49 wherein each R11 is independently halogen, -CN, -OH, -OR50, -NR51R51, -S(=O)2R50, -NR51S(=O)2R50, -S(=O)2NR51R51, -C(=O)R50, -OC(=O)R50, -C(=O)OR51, -C(=O)NR51R51, -NR51C(=O)R50, unsubstituted or substituted C1-C6alkyl, unsubstituted or substituted carbocycle, unsubstituted or substituted heterocycle, unsubstituted or30 substituted -C1-C6alkyl(carbocycle), or unsubstituted or substituted -C1-
82
C6alkyl(heterocycle). In some embodiments, each R11 is independently -F, -Cl, -OH, -OR50, -NR51R51, -S(=O)2R50, -C(=O)OR51, -C(=O)NR51R51, -NR51C(=O)R50, unsubstituted or substituted C1-C6alkyl, unsubstituted or substituted -C1- C6alkyl(carbocycle). In some embodiments, when R11 is substituted, substituents on R11 5 are independently selected at each occurrence from halogen, -CN, -OH, -O-C1-C6alkyl, -O-benzyl, -CO2H, -CO2-C1-C6alkyl, -C(=O)-C1-C6alkyl, -C(=O)NR52R52, -NR52R52, -NHC(=O)-C1-C6alkyl, -NHC(=O)OBn, -NHC(=O)O-C1-C6alkyl, -SO2NR52R52 , C1- C6alkyl, or C1-C6haloalkyl; and each R52 is independently selected from hydrogen or C1-C6alkyl; or two R52 groups are taken together with the N atom to which they are 10 attached to form a N-containing heterocycle. In some embodiments, each R11 is independently -CH3, -OCH3, -CH2OH, -CH2NH2, -CH2OCH3, -S(=O)2CH3, -CH2Ph, -C(=O)NH2, or -C(=O)OCH2CH3. In some embodiments, two R11 on the same carbon atom are taken together to form a C=O. e 15
83
[0253] In a fifty-third aspect of Formula (IA) or (IA’), R1, R2, m, Ring A, are set forth in any one of aspects
. [0254] In a fifty-fourth aspect of Formula (IA) or (IA’), R1, R2, m, Ring A, are set forth in any one of aspects
some such embodiments R12 5 is hydrogen or unsubstituted or substituted C1-C6alkyl. In some such embodiments, R12 is hydrogen or C1-C4alkyl. In some such embodiments, R12 is hydrogen or methyl. In some such embodiments, R12 is hydrogen. In some such embodiments, R12 is methyl. In some such embodiments, each R15 and R16 are independently hydrogen, -F, -Cl, -CN, -OH, -OR50, -NR51R51, -C(=O)R50, -OC(=O)R50, -C(=O)OR51, -C(=O)NR51R51, 10 -NR51C(=O)R50, unsubstituted or substituted C1-C6alkyl, unsubstituted or substituted carbocycle, unsubstituted or substituted heterocycle, unsubstituted or substituted -C1- C6alkyl(carbocycle), or unsubstituted or substituted -C1-C6alkyl(heterocycle). In some such embodiments, each R15 and R16 are independently hydrogen, -CN, -OH, -OR50, -NR51R51, -C(=O)NR51R51, -NR51C(=O)R50, unsubstituted or substituted C1-C6alkyl, or 15 unsubstituted or substituted -C1-C6alkyl(carbocycle). In some such embodiments, each R15 is independently hydrogen or unsubstituted or substituted C1-C6alkyl; and each R16 is independently hydrogen, -CN, -OH, -OR50, -NR51R51, -C(=O)NR51R51, -NR51C(=O)R50, unsubstituted or substituted C1-C6alkyl, or unsubstituted or substituted -C1-C6alkyl(carbocycle). In some such embodiments, each R15 is independently 20 hydrogen or unsubstituted or substituted C1-C6alkyl; and each R16 is independently -OR50, -NR51R51, -C(=O)NR51R51, unsubstituted or substituted C1-C6alkyl, unsubstituted or substituted -C1-C2alkylene-carbocycle, or unsubstituted or substituted -C1-C2alkylene-heterocycle. In some such embodiments, each R15 is independently hydrogen or unsubstituted or substituted C1-C6alkyl; and each R16 is independently 25 -CH3, -CH(CH3)2, -CH(CH3)CH2CH3, -CH2CH(CH3)2, -CH2CH2SCH3, -CH2OH, -CH(OH)CH3, -CH2C(=O)NH2, -CH2CH2C(=O)NH2, -CH2SH, -CH2CH2CH2CH2NH2,
84
r is 1 to 5. In some such embodiments, r is 1 to 2, 1 to 3, 1 to 4, 1 to 5, 2 to 3, 2 to 4, 2 to 5, 3 to 4, 3 to 5, or 4 to 5. In some such embodiments, r is 1, 2, 3, 4, or 5. In some such 5 embodiments, r is 1, 2, or 3. In some such embodiments, Q is -OR13, -NR13R13, -SR13, -CN, -C(=O)NR13R13, or -S(=O)2NR13R13; R13 is hydrogen, unsubstituted or substituted C1-C6alkyl, unsubstituted or substituted carbocycle, unsubstituted or substituted heterocycle, unsubstituted or substituted -C1-C6alkylene-carbocycle, or unsubstituted or substituted -C1-C6alkylene-heterocycle; and R14 is unsubstituted or substituted C1- 10 C6alkyl, unsubstituted or substituted carbocycle, unsubstituted or substituted heterocycle, unsubstituted or substituted -C1-C6alkylene-carbocycle, or unsubstituted or substituted -C1-C6alkylene-heterocycle. In some such embodiments, Q is -OR13, -CN, or -C(=O)NR13R13; and R13 is hydrogen or unsubstituted or substituted C1-C6alkyl. In some such embodiments, Q is -OCH3, -CN, or -C(=O)NH2. In some such embodiments, 15 Q is -OR13; and R13 is C1-C6alkyl. [0255] In a fifty-fifth aspect of Formula (IA) or (IA’), R1, R2, m, Ring A, are set forth in any one of aspects
some such embodiments, R16 is hydrogen, -F, -Cl, -CN, -OH, -OR50, -NR51R51, -C(=O)R50, -OC(=O)R50, -C(=O)OR51, -C(=O)NR51R51, -NR51C(=O)R50, unsubstituted or substituted C1-C6alkyl, 20 unsubstituted or substituted carbocycle, unsubstituted or substituted heterocycle, unsubstituted or substituted -C1-C6alkyl(carbocycle), or unsubstituted or substituted -C1-C6alkyl(heterocycle). In some such embodiments, R16 is hydrogen, -CN, -OH, -OR50, -NR51R51, -C(=O)NR51R51, -NR51C(=O)R50, unsubstituted or substituted C1- C6alkyl, or unsubstituted or substituted -C1-C6alkyl(carbocycle). In some such 25 embodiments, R16 is hydrogen, -CN, -OH, -OR50, -NR51R51, -C(=O)NR51R51,
85
-NR51C(=O)R50, unsubstituted or substituted C1-C6alkyl, or unsubstituted or substituted -C1-C6alkyl(carbocycle). In some such embodiments, R16 is -OR50, -NR51R51, -C(=O)NR51R51, unsubstituted or substituted C1-C6alkyl, unsubstituted or substituted -C1-C2alkylene-carbocycle, or unsubstituted or substituted -C1-C2alkylene-heterocycle. 5 In some such embodiments, R16 is -CH3, -CH(CH3)2, -CH(CH3)CH2CH3, -CH2CH(CH3)2, -CH2CH2SCH3, -CH2OH, -CH(OH)CH3, -CH2C(=O)NH2,
[0256] In a fifty-sixth aspect of Formula (IA) or (IA’), R1, R2, m, Ring A, are 10
[0257] In a fifty-seventh aspect of Formula (IA) or (IA’), R1, R2, R3, m, and A are as set forth in any one of aspects 1-56 and each R4 is independently RL or R20. [0258] In a fifty-eighth aspect of Formula (IA) or (IA’), R1, R2, R3, m, and A are 15 as set forth in any one of aspects 1-56 and two R4 on adjacent atoms are taken together with the atoms to which they are attached to form an unsubstituted or substituted monocyclic heterocycle. In some embodiments, two R4 on adjacent atoms are taken together with the atoms to which they are attached to form an unsubstituted or substituted 5- or 6- membered monocyclic heterocycle. In some embodiments, two R4 20 on adjacent atoms are taken together with the atoms to which they are attached to form an unsubstituted or substituted 6- membered monocyclic heterocycle. In some embodiments, two R4 on adjacent atoms are taken together with the atoms to which they are attached to form a piperidine or an N-Boc piperidine. [0259] In a fifty-ninth aspect of Formula (IA) or (IA’), R1, R2, R3, m, and A are 25 as set forth in any one of aspects 1-56 and each R4 is independently RL, halogen, -CN, -OH, -OR50, -NO2, -NR51R51, -S(=O)2R50, -NR51S(=O)2R50, -S(=O)R50,
86
-S(=O)2NR51R51, -C(=O)R50, -OC(=O)R50, -C(=O)OR51, -C(=O)NR51R51, -NR51C(=O)R50, unsubstituted or substituted C1-C6alkyl, unsubstituted or substituted carbocycle, unsubstituted or substituted heterocycle, unsubstituted or substituted -C1- C6alkylene-carbocycle, or unsubstituted or substituted -C1-C6alkylene-heterocycle. In 5 some embodiments, each R4 is independently RL, halogen, -CN, -OH, -OR50, -NR51R51, -S(=O)2NR51R51, -C(=O)R50, -C(=O)OR51, -C(=O)NR51R51, unsubstituted or substituted C1-C6alkyl, unsubstituted or substituted heterocycle, or unsubstituted or substituted -C1- C6alkylene-heterocycle. In some embodiments, each R4 is independently RL, -F, -Cl, -Br, -OR50, -NR51R51, -S(=O)2NR51R51, -C(=O)NR51R51, unsubstituted or substituted10 C1-C6alkyl, unsubstituted or substituted heterocycle, or unsubstituted or substituted -C1- C6alkylene-heterocycle. [0260] In a sixtieth aspect of Formula (IA) or (IA’), R1, R2, R3, m, and A are as set forth in any one of aspects 1-56 and at least one R4 is RL. In some embodiments, one R4 is RL. 15 [0261] In a sixty-first aspect of Formula (IA) or (IA’), R1, R2, R3, m, and A are as set forth in any one of aspects 1-56 and one R4 is RL, wherein each Y is independently unsubstituted or substituted C1-C2alkylene; and each R5 is independently halogen, -CN, -OH, -OR50, -NR51R51, -C(=O)OR51, -C(=O)NR51R51, -NR51C(=O)R50, unsubstituted or substituted C1-C6alkyl, unsubstituted or substituted carbocycle,20 unsubstituted or substituted heterocycle, unsubstituted or substituted -C1-C6alkylene- carbocycle, or unsubstituted or substituted -C1-C6alkylene-heterocycle. [0262] In a sixty-second aspect of Formula (IA) or (IA’), R1, R2, R3, m, and A are as set forth in any one of aspects 1-56 and one R4 is RL, wherein each Y is independently unsubstituted or substituted C1-C2alkylene; and each R5 is independently 25 -OR50, -NR51R51, -C(=O)NR51R51, unsubstituted or substituted C1-C6alkyl, unsubstituted or substituted -C1-C2alkylene-carbocycle, or unsubstituted or substituted -C1-C2alkylene-heterocycle. [0263] In a sixty-third aspect of Formula (IA) or (IA’), R1, R2, R3, m, and A are as set forth in any one of aspects 1-56 and one R4 is RL, wherein each Y is 30 independently unsubstituted or substituted C1-C2alkylene; and each R5 is independently
87
-CH3, -CH(CH3)2, -CH(CH3)CH2CH3, -CH2CH(CH3)2, -CH2CH2SCH3, -CH2OH,
5 [0264] In a sixty-fourth aspect of Formula (IA) or (IA’), R1, R2, R3, m, and A are as set forth in any one of aspects 1-56 and one R4 is RL, wherein each Y is independently unsubstituted or substituted C1-C2alkylene; and each R5 is -CH3. In some embodiments, one R4 is RL, wherein each Y is independently unsubstituted C1- C2alkylene. 10 [0265] In a sixty-fifth aspect of Formula (IA) or (IA’), R1, R2, R3, m, and A are as set forth in any one of aspects 1-56, one R4 is RL, Y and R5 are set forth in any one of aspects 1-64; each Z is independently -C(=O)NR6- or -NR6C(=O)-; and each R6 is independently selected from hydrogen or unsubstituted or substituted C1-C6alkyl. In some such aspects, each R6 is independently selected from hydrogen or methyl. In some 15 such aspects each Z is independently -C(=O)NH- or -NHC(=O)-. [0266] In a sixty-sixth aspect of Formula (IA) or (IA’), R1, R2, R3, m, and A are as set forth in any one of aspects 1-56, one R4 is RL, Y and R5 are set forth in any one of aspects 1-64, wherein each Z is independently -NR6S(=O)2-, -S(=O)2NR6-, -C(=O)NR6- , or -NR6C(=O)-; and an R5 and an R6 on adjacent atoms are taken together with the 20 atoms to which they are attached to form an unsubstituted or substituted monocyclic heterocycle. In some such aspects wherein each Z is independently -C(=O)NR6- or -NR6C(=O)- R5 and an R6 on adjacent atoms are taken together with the atoms to which they are attached to form an unsubstituted or substituted pyrrolidine. [0267] In a sixty-seventh aspect of Formula (IA) or (IA’), R1, R2, R3, m, and A 25 are as set forth in any one of aspects 1-56, one R4 is RL, Y, Z, R5 and R6 are set forth in any one of aspects 1-66, wherein one R4 is RL, wherein L is unsubstituted or substituted C1-C6alkyl, unsubstituted or substituted carbocycle, unsubstituted or substituted heterocycle, unsubstituted or substituted -C1-C6alkylene-carbocycle, or unsubstituted or substituted -C1-C6alkylene-heterocycle; and each R7 is independently halogen, -CN,
88
-OH, -OR50, -SH, -SR50, -SSR50, -NO2, -NR51R51, -S(=O)2R50, -NR51S(=O)2R50, -S(=O)R50, -S(=O)2NR51R51, -C(=O)R50, -OC(=O)R50, -C(=O)OR51, -OC(=O)OR51, -C(=O)NR51R51, -OC(=O)NR51R51, -NR51C(=O)NR51R51, -NR51C(=O)R50, -NR51C(=O)OR51, unsubstituted or substituted C1-C6alkyl, unsubstituted or substituted 5 C2-C6alkenyl, unsubstituted or substituted C2-C6alkynyl, unsubstituted or substituted carbocycle, unsubstituted or substituted heterocycle, unsubstituted or substituted -C1- C6alkylene-carbocycle, or unsubstituted or substituted -C1-C6alkylene-heterocycle. In some such embodiments, one R4 is RL, wherein L is unsubstituted or substituted C1- C6alkyl, unsubstituted or substituted carbocycle, or unsubstituted or substituted 10 heterocycle; and each R7 is independently -OR50, -SSR50, -NR51R51, -C(=O)R50, -C(=O)OR51, -C(=O)NR51R51, -NR51C(=O)R50, unsubstituted or substituted C1-C6alkyl, or unsubstituted or substituted carbocycle. In some such embodiments, one R4 is RL, wherein L is unsubstituted or substituted C1-C6alkyl; and each R7 is independently -OR50, -SSR50, -NR51R51, -C(=O)R50, -C(=O)OR51, -C(=O)NR51R51, -NR51C(=O)R50, 15 unsubstituted or substituted C1-C6alkyl, or unsubstituted or substituted carbocycle. In some such embodiments, one R4 is RL, wherein L is unsubstituted or substituted C1- C6alkyl; and each R7 is independently -OH, -OMe, -OPh, -OBn, -OC6H4C(=O)Me, -SS- Ph, -SS-pyridin-2-yl, -NH2, -NHMe, -NMe2, -NHBoc, -NHCbz, -NMeBoc, -NMeCBz, -C(=O)Me, -C(=O)Ph, -C(=O)OH, -C(=O)OBn, -C(=O)NH2, -NHC(=O)Me, C1- 20 C6alkyl, or carbocycle. In some such embodiments, one R4 is RL, wherein L is unsubstituted or substituted C1-C6alkyl; and each R7 is independently -OH, -OMe, -O- tBu, -OPh, -OBn, -OC6H4C(=O)Me, -SS-Ph, -SS-pyridin-2-yl, -NH2, -NHMe, -NMe2, -NHBoc, -NHCbz, -NHFmoc, -NMeFmoc, -NMeBoc, -NMeCBz, -C(=O)Me, -C(=O)Ph, -C(=O)OH, -C(=O)OBn, -C(=O)OtBu, -C(=O)NH2, -NHC(=O)Me, C1- 25 C6alkyl, or carbocycle. In some such embodiments, one R4 is RL, wherein L is unsubstituted or substituted C1-C6alkyl; and each R7 is independently -O-tBu, -OC6H4C(=O)Me, -SS-pyridin-2-yl, -NH2, -NHMe, -NHBoc, -NHCbz, -NHFmoc, -C(=O)Me, -C(=O)Ph, -C(=O)OH, or -C(=O)OBn. In some such embodiments, one R4 is RL, wherein L is unsubstituted or substituted carbocycle; and each R7 is 30 independently -OR50, -NR51R51, -C(=O)R50, -C(=O)OR51, -C(=O)NR51R51,
89
-NR51C(=O)R50, unsubstituted or substituted C1-C6alkyl, or unsubstituted or substituted carbocycle. In such some embodiments, one R4 is RL, wherein L is unsubstituted or substituted carbocycle; and each R7 is independently -OH, -OMe, -OPh, -OBn, -OC6H4C(=O)Me, -NH2, -NHMe, -NMe2, -NHBoc, -NHCbz, -NMeBoc, -NMeCBz, 5 -C(=O)Me, -C(=O)Ph, -C(=O)OH, -C(=O)OBn, -C(=O)NH2, -NHC(=O)Me, C1- C6alkyl, or carbocycle. In some such embodiments, one R4 is RL, wherein L is unsubstituted or substituted carbocycle; and each R7 is independently -C(=O)Me. [0268] In a sixty-eighth aspect of Formula (IA) or (IA’), R1, R2, R3, m, and A are as set forth in any one of aspects 1-56, Y, Z, R5, R6, R7, and L are set forth in any 10 one of aspects 1-67, and s is 1 to 10. In some such embodiments, s is at least 1. In some such embodiments, s is at most 10. In some embodiments, s is 1 to 2, 1 to 3, 1 to 4, 1 to 5, 1 to 6, 1 to 7, 1 to 8, 1 to 9, 1 to 10, 2 to 3, 2 to 4, 2 to 5, 2 to 6, 2 to 7, 2 to 8, 2 to 9, 2 to 10, 3 to 4, 3 to 5, 3 to 6, 3 to 7, 3 to 8, 3 to 9, 3 to 10, 4 to 5, 4 to 6, 4 to 7, 4 to 8, 4 to 9, 4 to 10, 5 to 6, 5 to 7, 5 to 8, 5 to 9, 5 to 10, 6 to 7, 6 to 8, 6 to 9, 6 to 10, 7 to 8, 7 to 15 9, 7 to 10, 8 to 9, 8 to 10, or 9 to 10. In some such embodiments, s is 1, 2, 3, 4, 5, 6, 7, 8, 9, or 10. In some embodiments, s is 1 to 2. In some such embodiments, s is 1. In some such embodiments, s is 2. [0269] In a sixty-ninth aspect of Formula (IA) or (IA’), R1, R2, R3, R4, m, and A are as set forth in any one of aspects 1-69 wherein when R4 is substituted, substituents20 on R4 are independently selected at each occurrence from halogen, -CN, -OH, -O-C1- C6alkyl, -O-benzyl, -CO2H, -CO2-C1-C6alkyl, -C(=O)-C1-C6alkyl, -C(=O)NR52R52, -NR52R52, -NHC(=O)-C1-C6alkyl, -NHC(=O)OBn, -NHC(=O)O-C1-C6alkyl, -SO2NR52R52 , C1-C6alkyl, or C1-C6haloalkyl; or two substituents on the same carbon atom are taken together to form a C=O; and each R52 is independently selected from 25 hydrogen and C1-C6alkyl; or two R52 groups are taken together with the N atom to which they are attached to form a N-containing heterocycle. [0270] In a seventieth aspect of Formula (IA) or (IA’), R1, R2, R3, R4, m, and A are as set forth in any one of aspects 1-69 wherein when R4 is substituted, substituents on R4 are independently selected at each occurrence from halogen, -CN, -OH, -O-C1-30 C6alkyl, -CO2H, -C(=O)NR52R52, -NR52R52, -NHC(=O)-C1-C6alkyl, C1-C6alkyl, or C1-
90
C6haloalkyl; and each R52 is independently selected from hydrogen or C1-C6alkyl; or two R52 groups are taken together with the N atom to which they are attached to form a N-containing heterocycle. [0271] In a seventy-first aspect of Formula (IA) or (IA’), R1, R2, R3, m, and A 5 are as set forth in any one of aspects 1-56 and each R4 is independently ,
, 10 15
91
[0272] In a seventy-second aspect, the TGFβR2 inhibitor is a compound of Formula (IIA), wherein R1, R2, R3, R4, and m are as set forth in any one of aspects 1-71 for Formula (IA) or (IA’):
5 Formula (IIA) wherein: ring B is aryl or heteroaryl; and n is 0-5. [0273] In a seventy-third aspect, the TGFβR2 inhibitor is a compound of Formula (IIA), wherein R1, R2, R3, R4, and m are as set forth in any one of aspects 1-71 for Formula (IA) or (IA’) and wherein Ring B is a monocyclic aryl or heteroaryl. 10 [0274] In a seventy-fourth aspect, the TGFβR2 inhibitor is a compound of Formula (IIA), wherein R1, R2, R3, R4, and m are as set forth in any one of aspects 1-71 for Formula (IA) or (IA’) and wherein Ring B is phenyl or 5- or 6-membered heteroaryl. [0275] In a seventy-fifth aspect, the TGFβR2 inhibitor is a compound of 15 Formula (IIA), wherein R1, R2, R3, R4, and m are as set forth in any one of aspects 1-71 for Formula (IA) or (IA’) and wherein Ring B is phenyl. [0276] In a seventy-sixth aspect, the TGFβR2 inhibitor is a compound of Formula (IIA), R1, R2, R3, R4, and m are as set forth in any one of aspects 1-71 for Formula (IA) or (IA’) and wherein Ring B is 5- or 6-membered heteroaryl. 20 [0277] In a seventy-seventh aspect, the TGFβR2 inhibitor is a compound of Formula (IIA), R1, R2, R3, R4, and m are as set forth in any one of aspects 1-71 for Formula (IA) or (IA’) and wherein Ring B is pyrrole, furan, thiophene, imidazole, pyrazole, oxazole, isoxazole, thiazole, isothiazole, triazole, oxadiazole, thiadiazole, tetrazole, pyridine, pyridazine, pyrimidine, pyrazine, or triazine. 25 [0278] In a seventy-eighth aspect, the TGFβR2 inhibitor is a compound of Formula (IIA), R1, R2, R3, R4, and m are as set forth in any one of aspects 1-71 for
92
Formula (IA) or (IA’) and wherein Ring B is pyridine, pyridazine, pyrimidine, pyrazine, or triazine. [0279] In a seventy-ninth aspect, the TGFβR2 inhibitor is a compound of Formula (IIA), R1, R2, R3, R4, and m are as set forth in any one of aspects 1-71 for 5 Formula (IA) or (IA’) and wherein Ring B is pyridazine. [0280] In an eightieth aspect, the TGFβR2 inhibitor is a compound of Formula (IIA), R1, R2, R3, R4, and m are as set forth in any one of aspects 1-71 for Formula (IA) or (IA’) and wherein Ring B is pyrimidine. [0281] In an eighty- aspect, the TGFβR2 inhibitor is a compound of Formula 10 (IIA), R1, R2, R3, R4, and m are as set forth in any one of aspects 1-71 for Formula (IA) or (IA’) and wherein Ring B is pyrazine. [0282] In an eighty-second aspect, the TGFβR2 inhibitor is a compound of Formula (IIA), R1, R2, R3, R4, and m are as set forth in any one of aspects 1-71 for Formula (IA) or (IA’) and wherein Ring B is pyrrole, furan, thiophene, imidazole, 15 pyrazole, oxazole, isoxazole, thiazole, isothizole, triazole, oxadiazole, thiadiazole, or tetrazole. [0283] In an eighty-third aspect, the TGFβR2 inhibitor is a compound of Formula (IIA), R1, R2, R3, R4, and m are as set forth in any one of aspects 1-71 for Formula (IA) or (IA’) and wherein Ring B is polycyclic aryl or heteroaryl. 20 [0284] In an eighty-fourth aspect, the TGFβR2 inhibitor is a compound of Formula (IIA), R1, R2, R3, R4, and m are as set forth in any one of aspects 1-71 for Formula (IA) or (IA’) and wherein Ring B is bicyclic aryl or heteroaryl. [0285] In an eighty-fifth aspect, the TGFβR2 inhibitor is a compound of Formula (IIA), R1, R2, R3, R4, and m are as set forth in any one of aspects 1-71 for 25 Formula (IA) or (IA’) and wherein Ring B is naphthyl. [0286] In an eighty-sixth aspect, the TGFβR2 inhibitor is a compound of Formula (IIA), R1, R2, R3, R4, and m are as set forth in any one of aspects 1-71 for Formula (IA) or (IA’) and wherein Ring B is indole, isoindole, indolizine, indazole, benzimidazole, azaindole, azaindazole, purine, benzofuran, isobenzofuran, 30 benzo[b]thiophene, benzo[c]thiophene, benzoxazole, benzisoxazole, benzthiazole,
93
benzisothiazole, quinoline, isoquinoline, quinoxaline, phthalizine, quinazoline, cinnoline, naphthyridine, pyridopyrimidine, pyridopyrazine, or pteridine. [0287] In an eighty-seventh aspect, the TGFβR2 inhibitor is a compound of Formula (IIA), R1, R2, R3, R4, and m are as set forth in any one of aspects 1-71 for 5 Formula (IA) or (IA’), Ring B is as set forth in any one of aspects 72-86, and wherein n is 0 to 5. [0288] In an eighty-eighth aspect, the TGFβR2 inhibitor is a compound of Formula (IIA), R1, R2, R3, R4, and m are as set forth in any one of aspects 1-71 for Formula (IA) or (IA’), Ring B is as set forth in any one of aspects 72-86, and wherein n 10 is 0 to 1, 0 to 2, 0 to 3, 0 to 4, 0 to 5, 1 to 2, 1 to 3, 1 to 4, 1 to 5, 2 to 3, 2 to 4, 2 to 5, 3 to 4, 3 to 5, or 4 to 5. [0289] In an eighty-ninth aspect, the TGFβR2 inhibitor is a compound of Formula (IIA), R1, R2, R3, R4, and m are as set forth in any one of aspects 1-71 for Formula (IA) or (IA’), Ring B is as set forth in any one of aspects 72-86, and wherein n 15 is 1 to 3. [0290] In a ninetieth aspect, the TGFβR2 inhibitor is a compound of Formula (IIA), R1, R2, R3, R4, and m are as set forth in any one of aspects 1-71 for Formula (IA) or (IA’), Ring B is as set forth in any one of aspects 72-86, and wherein n is 1 to 5. [0291] In a ninety-first aspect, the TGFβR2 inhibitor is a compound of Formula 20 (IIA), R1, R2, R3, R4, and m are as set forth in any one of aspects 1-71 for Formula (IA) or (IA’), Ring B is as set forth in any one of aspects 72-86, and wherein n is 1. [0292] In a ninety-second aspect, the TGFβR2 inhibitor is a compound of Formula (IIA), R1, R2, R3, and m are as set forth in any one of aspects 1-71 for Formula (IA) or (IA’), Ring B is aryl or heteroaryl (including phenyl and any of the other aryl 25 and heteroaryl groups described herein for Ring B) and wherein two R4 on adjacent atoms are taken together with the atoms to which they are attached to form an unsubstituted or substituted monocyclic heterocycle. In some embodiments, two R4 on adjacent atoms are taken together with the atoms to which they are attached to form an unsubstituted or substituted 5- or 6- membered monocyclic heterocycle. In some 30 embodiments, two R4 on adjacent atoms are taken together with the atoms to which
94
they are attached to form an unsubstituted or substituted 6- membered monocyclic heterocycle. In some embodiments, two R4 on adjacent atoms are taken together with the atoms to which they are attached to form a piperidine or an N-Boc piperidine. In
[0293] In a ninety-third aspect, the TGFβR2 inhibitor is a compound of Formula (IIA), R1, R2, R3, and m are as set forth in any one of aspects 1-71 for Formula (IA) or
95
5
10 [0294] In a ninety-fourth aspect, the TGFβR2 inhibitor is a compound wherein R1, R2, R3, R4, A, n and m are as set forth in any one of aspects 1-71 for Formula (IA) or (IA’) and the compound of Formula (IA) or (IA’) is represented by Formula (IA-A), Formula (IA-B), Formula (IA-C) or Formula (IA-D):
96
[0295] In certain embodiments, for a compound Formula (IA), (IA’), (IA-A), (IA-B), (IA-C), or (IA-D), when A is phenyl and R3 is morpholine, R4 is not alkyl 5 substituted with -OR52. In certain embodiments, for a compound of Formula (IA), (IA’), (IA-A), (IA-B), (IA-C), or (IA-D), when A is phenyl and R3 is morpholine, R4 is not alkyl substituted with -OH. In certain embodiments, for a compound of Formula (IA), (IA’), (IA-A), (IA-B), (IA-C), or (IA-D), when A is phenyl and R3 is morpholine, R4 is not hydroxyalkyl. 10 [0296] In a ninety-fifth aspect, the TGFβR2 inhibitor is a compound wherein R1, R2, R3, R4, B, n and m are as set forth in any one of aspects 1-93 and the compound of Formula (IA), (IA’), or (IIA) is represented by Formula (IIA-A), Formula (IIA-B), Formula (IIA-C), or Formula (IIA-D):
Formula (IIA-A) Formula (IIA-B)
97
[0297] In certain embodiments, for a compound of Formula (IIA), (IIA-A), (IIA-B), (IIA-C), or (IIA-D), when B is phenyl and R3 is morpholine, R4 is not alkyl substituted with -OR52. In certain embodiments, for a compound of Formula (IIA), 5 (IIA-A), (IIA-B), (IIA-C), or (IIA-D), when B is phenyl and R3 is morpholine, R4 is not alkyl substituted with -OH. In certain embodiments, for a compound of Formula (IIA), (IIA-A), (IIA-B), (IIA-C), or (IIA-D), when B is phenyl and R3 is morpholine, R4 is not hydroxyalkyl. [0298] In a ninety-sixth aspect, the TGFβR2 inhibitor is a compound wherein 10 R1, R2, R3, A, B, n and m are as set forth in any one of aspects 1-94 for Formulas (IA), (IA’), and (IIA) and each R4 is independently selected from halogen, -OH, -OR50, -NR51R51, -C(=O)R50, -OC(=O)R50, -C(=O)OR51, -OC(=O)OR51, -C(=O)NR51R51, -OC(=O)NR51R51, -NR51C(=O)NR51R51, -NR51C(=O)R50, -NR51C(=O)OR51, unsubstituted or substituted carbocycle, unsubstituted or substituted heterocycle, 15 unsubstituted or substituted -C1-C6alkylene-carbocycle, unsubstituted or substituted -C1-C6alkylene-heterocycle and substituted C1-C6alkyl , with the proviso that C1- C6alkyl is substituted with -NR52R52 and at least one of -OR52, -CO2R52, -(C1-C6alkyl)- OR52, or (C1-C6alkyl)-CO2R52, or two R4 on adjacent atoms are taken together with the atoms to which they are attached to form an unsubstituted or substituted monocyclic 20 carbocycle or unsubstituted or substituted monocyclic heterocycle or alternatively, each R4 is independently selected from halogen, -OR50, -NR51R51, -C(=O)NR51R51, -NR51C(=O)R50, unsubstituted or substituted heterocycle, and substituted C1-C6alkyl with the proviso that C1-C6alkyl is substituted with -NR52R52 and at least one of -OR52, -CO2R52, -(C1-C6alkyl)-OR52, or (C1-C6alkyl)-CO2R52; or two R4 on adjacent atoms are 25 taken together with the atoms to which they are attached to form an unsubstituted or
98
substituted monocyclic carbocycle or unsubstituted or substituted monocyclic heterocycle. [0299] In a ninety-seventh aspect, the TGFβR2 inhibitor is a compound wherein R1, R2, R3, A, B, n and m are as set forth in any one of aspects 1-94 for Formulas (IA), 5 (IA’), and (IIA) and each R4 is independently selected from halogen, -OR50, -NR51R51, -C(=O)NR51R51, an unsubstituted or substituted 5- or 6- membered saturated monocyclic heterocycle containing 1 or 2 ring heteroatoms independently selected from nitrogen and oxygen, and substituted C1-C6alkyl with the proviso that C1-C6alkyl is substituted with -NR52R52 and at least one of -OR52, -CO2R52, -(C1-C6alkyl)-OR52, or 10 (C1-C6alkyl)-CO2R52; or two R4 on adjacent atoms are taken together with the atoms to which they are attached to form an unsubstituted or substituted 5- or 6- membered monocyclic carbocycle or an unsubstituted or substituted 6- membered monocyclic heterocycle wherein said heterocycle contains 1 or 2 ring heteroatoms independently selected from nitrogen and oxygen. 15 [0300] In a ninety-eighth aspect, disclosed herein is a compound wherein R1, R2, R3, A, B, n and m are as set forth in any one of aspects 1-94 for Formulas (IA). (IA’), and (IIA) and each R4 is independently selected from halogen, -OR50, -NR51R51, an unsubstituted or substituted 5- or 6- membered saturated monocyclic heterocycle containing 1 or 2 ring heteroatoms independently selected from nitrogen and oxygen, 20 and substituted C1-C6alkyl with the proviso that C1-C6alkyl is substituted with -NR52R52 and at least one of -OR52, -CO2R52, -(C1-C6alkyl)-OR52, or (C1-C6alkyl)-CO2R52; or two R4 on adjacent atoms are taken together with the atoms to which they are attached to form an unsubstituted or substituted 5- or 6- membered monocyclic carbocycle or an unsubstituted or substituted 6- membered monocyclic heterocycle wherein said 25 heterocycle contains 1 or 2 ring heteroatoms independently selected from nitrogen and oxygen. [0301] In a ninety-ninth aspect, the TGFβR2 inhibitor is a compound wherein R1, R2, R3, A, B, n and m are as set forth in any one of aspects 1-94 for Formulas (IA), (IA’), and (IIA) and R4 is as set forth in any one of aspects 95-98 and at least one R4 is 30 selected from substituted C1-C6alkyl. In some aspects, each R52 of said C1-C6alkyl
99
substituent is independently selected from H and C1-3 alkyl. In some aspects, each R52 of said C1-C6alkyl substituent is independently selected from H and methyl. [0302] In a one-hundredth aspect, the TGFβR2 inhibitor is a compound wherein R1, R2, R3, A, B, n and m are as set forth in any one of aspects 1-94 for Formulas (IA), 5 (IA’), and (IIA) and R4 is as set forth in any one of aspects 95-99, at least one R4 is OR50. In some aspects, R50 of -OR50 is independently selected from unsubstituted or substituted C1-C6alkyl, unsubstituted or substituted 4-, 5- or 6- membered saturated heterocycle comprising one ring heteroatom selected from nitrogen, or unsubstituted or substituted 4-, 5- or 6- membered saturated carbocycle. In some aspects, when R50 of 10 -OR50 is substituted C1-C6alkyl, substituents on said alkyl are independently selected at each occurrence from CO2R52, -OR52, -NR52R52, -(C1-C6alkyl)-OR52, (C1-C6alkyl)- CO2R52, and -( C1-C6alkyl)- NR52R52. In some aspects, when R50 of -OR50 is substituted C1-C6alkyl, substituents on said C1-C6alkyl are independently selected at each occurrence from -CO2R52, -OR52, and -NR52R52. In some aspects, when R50 of -OR50 is 15 substituted C1-C6alkyl, said C1-C6alkyl is substituted with -NR52R52 and optionally one of CO2R52, and -OR52. When R50 of -OR50 is substituted C1-C6alkyl, each R52 of the substituted C1-C6alkyl can be, for example, independently selected from H and C1-3 alkyl (e.g., methyl or ethyl). When R50 of -OR50 is a heterocycle or carbocycle, R50 of -OR50 can be, for example, an unsubstituted or substituted pyrrolidine, unsubstituted or 20 substituted piperidine, unsubstituted or substituted azetidine, or unsubstituted or substituted cyclobutyl. In some aspects when R50 of -OR50 is a heterocycle or carbocycle, substituents on said heterocycle and carbocycle are independently selected from CO2R52, -OR52, -NR52R52, or unsubstituted or substituted C1-C6alkyl wherein substituents on said C1-C6alkyl are independently selected from -OR52, -CO2R52, or 25 -NR52R52. In some aspects, when R50 of -OR50 is a heterocycle or carbocycle, substituents on said heterocycle and carbocycle are independently selected from CO2R52, -OR52, -NR52R52, or unsubstituted C1-C6alkyl. In some aspects, when R50 of -OR50 is a heterocycle or carbocycle, substituents on said heterocycle and carbocycle are independently selected from -NR52R52. Each R52 of the substituents on said 30 heterocycle or carbocycle can be, for example, independently selected from H and C1-3
100
alkyl (e.g., methyl or ethyl). In some exemplary aspects, when R50 of -OR50 is a heterocycle, R50 is attached to the oxygen atom of -OR50 at a carbon ring atom. [0303] In a one-hundred and first aspect, the TGFβR2 inhibitor is a compound wherein R1, R2, R3, A, B, n and m are as set forth in any one of aspects 1-94 for 5 Formulas (IA), (IA’), and (IIA) and R4 is as set forth in any one of aspects 95-100 and at least one R4 is independently selected from a 5 or 6 membered unsubstituted or substituted saturated monocyclic heterocycle. In some aspects, when R4 is a substituted heterocycle, substituents on said heterocycle are independently selected from CO2R52, -OR52, -NR52R52, or unsubstituted or substituted C1-C6alkyl wherein substituents on said 10 C1-C6alkyl are independently selected from -OR52, -CO2R52, -NR52R52 and phenyl. In some aspects, when R4 is a substituted heterocycle, substituents on said heterocycle are independently selected from CO2R52, -OR52, -NR52R52, unsubstituted C1-C6alkyl and phenyl. Each R52 of the substituents on said heterocycle can be, for example, independently selected from H and C1-3 alkyl. 15 [0304] In a one-hundred and second aspect, the TGFβR2 inhibitor is a compound wherein R1, R2, R3, A, B, n and m are as set forth in any one of aspects 1-94 for Formulas (IA), (IA’), and (IIA) and R4 is as set forth in any one of aspects 95-101 and at least one R4 is independently selected from -NR51R51. In some aspects, each R51 of -NR51R51 is independently selected from hydrogen, unsubstituted or substituted C1- 20 C6alkyl and unsubstituted or substituted saturated N-containing heterocycle; or two R51 are taken together with the N atom to which they are attached to form an unsubstituted or substituted N-containing heterocycle. In some aspects, when R51 of -NR51R51 is a heterocycle, it is a saturated substituted or unsubstituted 5- or 6- membered heterocycle containing one ring heteroatom selected from nitrogen. In some aspects, when R51 of 25 -NR51R51 is substituted C1-C6alkyl, substituents on said C1-C6alkyl are independently selected from OR52, -NR52R52, and -CO2R52 or two substituents of the same carbon atom are taken together to form C=O; and when R51 of -NR51R51 is a heterocycle, substituents on said heterocycle are independently selected from OR52, -NR52R52, -CO2R52, unsubstituted C1-C6alkyl or C1-C6alkyl substituted with substituents 30 independently selected from OR52, -NR52R52, -CO2R52. In some aspects, when R51 of
101
-NR51R51 is a heterocycle, it is an unsubstituted heterocycle. In some aspects, when R51 of -NR51R51 is a substituted C1-C6alkyl, substituents on the C1-C6alkyl are independently selected from OR52, -NR52R52, and -CO2R52. Each R51 of -NR51R51 can be, for example, independently selected from hydrogen and unsubstituted or substituted 5 C1-C6alkyl wherein the substituents are independently selected from OR52, -NR52R52, and -CO2R52. In some aspects, R52 of said alkyl substituents and said heterocycle substituents are independently selected from hydrogen and C1-3 alkyl. In some aspects, R52 of said alkyl substituents and said heterocycle substituents are independently selected from hydrogen and methyl. In some aspects, when two R51 of -NR51R51 are 10 taken together with the N atom to which they are attached, they form an unsubstituted or substituted 5- or 6- membered saturated N-containing heterocycle. In some aspects, when two R51 of -NR51R51 are taken together with the N atom to which they are attached, they form an unsubstituted or substituted 5- or 6- membered saturated N- containing heterocycle wherein said substituents are independently selected from 15 -NR52R52, unsubstituted or substituted C1-C6alkyl, and unsubstituted or substituted saturated monocyclic N- containing heterocycle, or two substituents of the same carbon atom are taken together to form C=O. In some aspects, substituents on said C1-C6alkyl are independently selected from OR52, NR52R52, and CO2R52 and substituents on said saturated monocyclic N- containing heterocycle are independently selected from OR52, 20 NR52R52, CO2R52, and unsubstituted or substituted C1-C6alkyl wherein said C1-C6alkyl substituents are independently selected from OR52, NR52R52, and CO2R52. In some aspects, when two R51 of -NR51R51 are taken together with the N atom to which they are attached, they form a 6- membered substituted saturated N-containing heterocycle wherein the substituents are meta or para to ring B. In some aspects, when two R51 of 25 -NR51R51 are taken together with the N atom to which they are attached to form a 6- membered ring, they form a substituted or unsubstituted piperazine or substituted or unsubstituted piperidine. Each R52 can be, for example, independently selected from hydrogen and C1-3 alkyl (e.g., methyl or ethyl). [0305] In a one-hundred and third aspect, the TGFβR2 inhibitor is a compound 30 wherein R1, R2, R3, A, B, n and m are as set forth in any one of aspects 1-94 for
102
Formulas (IA), (IA’), and (IIA) and R4 is as set forth in any one of aspects 95-102 and at least one R4 is halogen (e.g., chlorine). [0306] In a one-hundred and fourth aspect, the TGFβR2 inhibitor is a compound wherein R1, R2, R3, B, n and m are as set forth in any one of aspects 1-94 for Formulas 5 (IA), (IA’), and (IIA) and R4 is as set forth in any one of aspects 95-103 and wherein when Ring B is substituted, it is at least substituted at the para position to the pyrazine. In some aspects, when Ring B is substituted, it is substituted at the meta position to the pyrazine. [0307] In a one-hundred and fifth aspect, the TGFβR2 inhibitor is a compound 10 wherein R1, R2, R3, A,B, n and m are as set forth in any one of aspects 1-94 for Formulas (IA), (IA’), and (IIA) and two R4 on adjacent atoms are taken together with the atoms to which they are attached to form an unsubstituted or substituted 5- or 6- membered monocyclic carbocycle or unsubstituted or substituted 6- membered monocyclic heterocycle with one or two ring heteroatoms selected from oxygen and 15 nitrogen and substituents on said carbocycle and heterocycle are independently selected from NR52R52, OR52 or -CO2R52, unsubstituted C1-C6 alkyl and substituted C1-C6 alkyl with the substituents on said C1-C6 alkyl independently selected from NR52R52, OR52 and -CO2R52. [0308] In a one-hundred and sixth aspect, the TGFβR2 inhibitor a compound 20 wherein R1, R2, R3, n and m are as set forth in any one of aspects 1-94 for Formulas (IA), (IA’), and (IIA), A or B is phenyl and R4 is at least one of:
103
5
wherein R51 and R52 is as set forth herein for Formula (IA), (IA’), or (II). In some aspects, each R51 and R52 is independently selected from hydrogen and C1-3 alkyl (e.g., 10 methyl or ethyl). [0309] In a one-hundred and seventh aspect, the TGFβR2 inhibitor is a compound wherein R1, R2, R3, n and m are as set forth in any one of aspects 1-94 for Formulas (IA), (IA’), and (IIA), A or B is phenyl and R4 is at least one of:
104
5
10 [0310] In a one-hundred and eighth aspect, the TGFβR2 inhibitor is a compound wherein R1, R2, R3, n and m are as set forth in any one of aspects 1-94 for Formulas
,
105
5 wherein R52 is as set forth herein for Formula (IA), (IA’), or (IIA). In some aspects, each R52 is independently selected from hydrogen and C1-3 alkyl (e.g., methyl or ethyl). [0311] Any combination of the groups described above for the various variables is contemplated herein. Throughout the specification, groups and substituents thereof can be chosen to provide stable moieties and compounds. 10 [0312] In certain embodiments, compounds described herein do not contain an electrophile. In some embodiments, an electrophile is defined as a functional group that can react to form a covalent bond with a moiety of an antibody such as, for example, a lysine, serine, threonine, cysteine, tyrosine, aspartic acid, glutamine, a non-natural amino acid residue, or glutamic acid residue. In some embodiments, the electrophile 15 comprises a covalent modifier. In some embodiments, the electrophile comprises an acrylamide, an α,β-unsaturated carbonyl, a cyanopyridine, or a halo-nitrobenzene. [0313] In some embodiments, for a compound of any one of Formulas (IA), (IA’), (IA-A), (IA-B), (IA-C), (IA-D), (IIA), (IIA-A), (IIA-B), (IIA-C), and (IIA-D), R3 does not comprise a covalent modifier. In some embodiments, for a compound of any 20 one of Formulas (IA), (IA’), (IA-A), (IA-B), (IA-C), (IA-D), (IIA), (IIA-A), (IIA-B), (IIA-C), and (IIA-D), R3 does not comprise an acrylamide, an α,β-unsaturated carbonyl, a cyanopyridine, nor a halo-nitrobenzene. In some embodiments, for a compound of any one of Formulas (IA), (IA’), (IA-A), (IA-B), (IA-C), (IA-D), (IIA), (IIA-A), (IIA-
106
B), (IIA-C), and (IIA-D), R3 does not comprise an electrophilic group. In certain embodiments, for a compound of any one of Formulas (IA), (IA’), (IA-A), (IA-B), (IA- C), (IA-D), (IIA), (IIA-A), (IIA-B), (IIA-C), and (IIA-D), R3 does not comprise: -CN, optionally substituted α,β-unsaturated carbonyl, and optionally substituted C2-10 5 alkylene. [0314] In certain embodiments, for a compound of any one of Formulas (IA), (IA’), (IA-A), (IA-B), (IA-C), (IA-D), (IIA), (IIA-A), (IIA-B), (IIA-C), and (IIA-D), Ring A is not substituted with -CH2CH2OH. In certain embodiments, for a compound of any one of Formulas (IA), (IA’), (IA-A), (IA-B), (IA-C), (IA-D), (IIA), (IIA-A), (IIA- 10 B), (IIA-C), and (IIA-D), Ring A is not hydroxyalkyl. In certain embodiments, for a compound of any one of Formulas (IA), (IA’), (IA-A), (IA-B), (IA-C), (IA-D), (IIA), (IIA-A), (IIA-B), (IIA-C), and (IIA-D), wherein Ring A is phenyl, Ring A is not substituted with -CH2CH2OH at the para position to the pyrazine. In certain embodiments, for a compound of any one of Formulas (IA), (IA’), (IA-A), (IA-B), (IA- 15 C), (IA-D), (IIA), (IIA-A), (IIA-B), (IIA-C), and (IIA-D), wherein Ring A is phenyl, Ring A is not substituted with -CH2CH2OH. In certain embodiments, for a compound of any one of Formulas (IA), (IA’), (IA-A), (IA-B), (IA-C), (IA-D), (IIA), (IIA-A), (IIA- B), (IIA-C), and (IIA-D), wherein Ring A is phenyl, Ring A is not substituted with hydroxyalkyl. In certain embodiments, for a compound of any one of Formulas (IA), 20 (IA’), (IA-A), (IA-B -A), (IIA-B), (IIA-C), and (IIA-D), the compound is not
a salt thereof. [0315] In certain embodiments, for a compound of any one of Formulas (IA), (IA’), (IA-A), (IA-B), (IA-C), (IA-D), (IIA), (IIA-A), (IIA-B), (IIA-C), and (IIA-D), Ring A is not substituted with a group selected from -CH2CH2NH2, -CH2NHBoc, 25 -CH2NH2,
107
certain embodiments, for a compound of any one of Formulas (IA), (IA’), (IA-A), (IA- B), (IA-C), (IA-D), (IIA), (IIA-A), (IIA-B), (IIA-C), and (IIA-D), Ring A is not substituted with an optionally substituted aminoalkyl group. In certain embodiments, 5 for a compound of any one of Formulas (IA), (IA’), (IA-A), (IA-B), (IA-C), (IA-D), (IIA), (IIA-A), (IIA-B), (IIA-C), and (IIA-D), wherein Ring A is phenyl, Ring A is not ,
any one of which is at the para position to 10 the pyrazine. In certain embodiments, for a compound of any one of Formulas (IA), (IA’), (IA-A), (IA-B), (IA-C), (IA-D), (IIA), (IIA-A), (IIA-B), (IIA-C), and (IIA-D), wherein Ring A is phenyl, Ring A is not substituted with -CH2CH2NH2, -CH2NHBoc,
15 certain embodiments, for a compound of any one of Formulas (IA), (IA’), (IA-A), (IA- B), (IA-C), (IA-D), (IIA), (IIA-A), (IIA-B), (IIA-C), and (IIA-D), wherein Ring A is phenyl, Ring A is not substituted with an optionally substituted aminoalkyl. [0316] Compounds of Formula (IA) include those wherein any of R2, R4, R5, R6, R10, R12, R13, R14, R20, R50, and R51 are substituted, substituents on the R2, R4, R5, R6, 20 R10, R12, R13, R14, R20, R50, and R51 are independently selected at each occurrence from
108
halogen, -CN, -NO2, -OR52, -CO2R52, -C(=O)R53, -C(=O)NR52R52, -NR52R52, -NR52C(=O)R53, -NR52C(=O)OR52 , -SR52, -S(=O)R53, -SO2R53, -SO2NR52R52, unsubstituted or substituted C1-C6alkyl, C1-C6haloalkyl, monocyclic carbocycle, monocyclic heterocycle, or two substituents on the same carbon atom are taken together 5 to form a C=O or C=S; and wherein substituents on said C1-C6alkyl are independently selected from R54. [0317] Compounds of Formula (IA) include those wherein when Ring A is aryl, ring A is substituted and substituents on Ring A are independently selected at each occurrence from R4; and each R4 is selected from R20 and
, or two R4 on 10 adjacent atoms are taken together with the atoms to which they are attached to form an unsubstituted or substituted monocyclic carbocycle or unsubstituted or substituted monocyclic heterocycle; and each R20 is independently halogen, -CN, -OH, -OR50, -SH, -SR50, -NO2, -NR51R51, -S(=O)2R50, -NR51S(=O)2R50, -S(=O)R50, -S(=O)2NR51R51, -C(=O)R50, -OC(=O)R50, -C(=O)OR51, -OC(=O)OR51, -C(=O)NR51R51, 15 -OC(=O)NR51R51, -NR51C(=O)NR51R51, -NR51C(=O)R50, -NR51C(=O)OR51, unsubstituted or substituted C2-C6alkenyl, unsubstituted or substituted C2-C6alkynyl, unsubstituted or substituted carbocycle, unsubstituted or substituted heterocycle, unsubstituted or substituted -C1-C6alkylene-carbocycle, or unsubstituted or substituted -C1-C6alkylene-heterocycle, or substituted C1-C6alkyl; with the proviso that when C1- 20 C6alkyl is substituted with -C(=O)NR52R52, -NR52R52, -NR52C(=O)R53, or -NR52C(=O)OR52, said C1-C6alkyl is further substituted with at least one of -OR52, -CO2R52, -(C1-C6alkyl)-OR52, or -(C1-C6alkyl)-CO2R52. [0318] Compounds of Formula (IA) include those wherein when Ring A is aryl, ring A is substituted and substituents on Ring A are independently selected at each 25 occurrence from R4; and each R4 is selected from R20 and
, or two R4 on adjacent atoms are taken together with the atoms to which they are attached to form an unsubstituted or substituted monocyclic carbocycle or unsubstituted or substituted monocyclic heterocycle; and each R20 is independently halogen, -CN, -OH, -OR50, -SH, -SR50, -NO2, -NR51R51, -S(=O)2R50, -NR51S(=O)2R50, -S(=O)R50, -S(=O)2NR51R51,
109
-C(=O)R50, -OC(=O)R50, -C(=O)OR51, -OC(=O)OR51, -C(=O)NR51R51, -OC(=O)NR51R51, -NR51C(=O)NR51R51, -NR51C(=O)R50, -NR51C(=O)OR51, unsubstituted or substituted carbocycle, unsubstituted or substituted heterocycle, unsubstituted or substituted -C1-C6alkylene-carbocycle, or unsubstituted or substituted 5 -C1-C6alkylene-heterocycle, or substituted C1-C6alkyl; with the proviso that when C1- C6alkyl is substituted with -C(=O)NR52R52, -NR52R52, -NR52C(=O)R53, or -NR52C(=O)OR52, said C1-C6alkyl is further substituted with at least one of -OR52, -CO2R52, -(C1-C6alkyl)-OR52, or -(C1-C6alkyl)-CO2R52. Also included are those compounds wherein when R20 is C1-C6alkyl substituted with -OR52, said C1-C6alkyl is 10 further substituted with -at least one of C(=O)NR52R52, -NR52R52, -NR52C(=O)R53, or -NR52C(=O)OR52. Also included are those compounds wherein R20 is C1-C6alkyl substituted with -OR52, said C1-C6alkyl is further substituted with -NR52R52. Also included are those compounds wherein R20 is C1-C6alkyl substituted with -NR52R52 and at least one of -OR52, -CO2R52, -(C1-C6alkyl)-OR52, or (C1-C6alkyl)-CO2R52. 15 [0319] Exemplary compounds include those set forth in Table 14 and salts thereof (including pharmaceutically acceptable salts thereof). [0320] In certain embodiments for a compound of any one of Formulas (IA), (IA’), (IA-A), (IA-B), (IA-C), (IA-D), (IIA), (IIA-A), (IIA-B), (IIA-C), and (IIA-D), when Ring A is substituted with an optionally substituted aminoalkyl group, Ring A is 20 substituted with at least one other substituent. [0321] In certain embodiments, the TGFβR2 inhibitor is a compound represented by Formula (IA-E): 25
and R20; or two of R40, R41, R42, R43 and R44 on adjacent atoms are taken together with
110
the atoms to which they are attached to form an unsubstituted or substituted monocyclic carbocycle or unsubstituted or substituted monocyclic heterocycle wherein when said monocyclic carbocycle or said monocyclic heterocycle are substituted, substituents are independently selected at each occurrence from halogen, -CN, -NO2, -OR52, -CO2R52, 5 -C(=O)R53, -C(=O)NR52R52, -NR52R52, -NR52C(=O)R53, -NR52C(=O)OR52 , -SR52, -S(=O)R53, -SO2R53, -SO2NR52R52, C1-C6alkyl, C1-C6haloalkyl, aminoC1-C6alkyl-, Boc- aminoC1-C6alkyl-, Cbz-aminoC1-C6alkyl-, monocyclic carbocycle, and monocyclic heterocycle; or two substituents on the same carbon atom are taken together to form =O or =S; 10 each R52 is independently selected from hydrogen, C1-C6alkyl, C3-C6cycloalkyl, phenyl, benzyl, 5-membered heteroaryl, and 6-membered heteroaryl; or two R52 groups are taken together with the N atom to which they are attached to form a N-containing heterocycle; and each R53 is independently selected from C1-C6alkyl, C3-C6cycloalkyl, phenyl, 15 benzyl, 5-membered heteroaryl, and 6-membered heteroaryl. [0322] In certain embodiments, for a compound of Formula (IA-E), each of R40, R41, R42, R43 and R44 are independently selected from hydrogen, RL and R20; or two of R40, R41, R42, R43 and R44 on adjacent atoms are taken together with the atoms to which they are attached to form an unsubstituted or substituted monocyclic carbocycle or 20 unsubstituted or substituted monocyclic heterocycle wherein when said monocyclic carbocycle or said monocyclic heterocycle are substituted, substituents are independently selected at each occurrence from halogen, -CN, -NO2, -OR52, -CO2R52, -C(=O)R53, -C(=O)NR52R52, -NR52R52, -NR52C(=O)R53, -NR52C(=O)OR52 , -SR52, -S(=O)R53, -SO2R53, -SO2NR52R52, C1-C6alkyl, C1-C6haloalkyl, monocyclic carbocycle, 25 and monocyclic heterocycle; or two substituents on the same carbon atom are taken together to form =O or =S; each R52 is independently selected from hydrogen, C1- C6alkyl, C3-C6cycloalkyl, phenyl, benzyl, 5-membered heteroaryl, and 6-membered heteroaryl; or two R52 groups are taken together with the N atom to which they are attached to form a N-containing heterocycle; and each R53 is independently selected
111
from C1-C6alkyl, C3-C6cycloalkyl, phenyl, benzyl, 5-membered heteroaryl, and 6- membered heteroaryl. [0323] In certain embodiments, for a compound of Formula (IA-E), R42 is not -CH2CH2OH. In certain embodiments, for a compound of Formula (IA-E), R42 is 5 ,
[0324] In certain embodiments, for a compound of Formula (IA-E), R42 is not hydroxyalkyl. In certain embodiments, for a compound of Formula (IA-E), each of R40, 10 R41, R42, R43 and R44 is not -CH2CH2OH. In certain embodiments, for a compound of Formula (IA-E), each of R40, R41, R42, R43 and R44 is not hydroxyalkyl. [0325] In certain embodiments, for a compound of Formula (IA-E), m is 0. In certain embodiments, for a compound of Formula (IA-E), R1 is hydrogen. [0326] In certain embodiments, for a compound of Formula (IA-E), at least two 15 of R40, R41, R42, R43 and R44 are not hydrogen. In certain embodiments, when R42 is optionally substituted aminoalkyl, at least one of R40, R41, R43 and R44 is not hydrogen. In certain embodiments, when R42 is hydroxyalkyl, at least one of R40, R41, R43 and R44 is not hydrogen. [0327] In certain embodiments, for a compound of Formula (IA-E), R42 is 20 selected from hydrogen, halogen, -CN, -OH, -OR50, -SH, -SR50, -NO2, -NR51R51, -S(=O)2R50, -NR51S(=O)2R50, -S(=O)R50, -S(=O)2NR51R51, -C(=O)R50, -OC(=O)R50, -C(=O)OR51, -OC(=O)OR51, -C(=O)NR51R51, -OC(=O)NR51R51, -NR51C(=O)NR51R51, -NR51C(=O)R50, -NR51C(=O)OR51, unsubstituted or substituted C3-C6alkyl, unsubstituted or substituted C2-C6alkenyl, unsubstituted or substituted C2-C6alkynyl, 25 unsubstituted or substituted carbocycle, unsubstituted or substituted heterocycle,
112
unsubstituted or substituted -C1-C6alkylene-carbocycle, or unsubstituted or substituted -C1-C6alkylene-heterocycle; or R42 together with R41 are taken together with the atoms to which they are attached to form an unsubstituted or substituted monocyclic carbocycle or unsubstituted or substituted monocyclic heterocycle. 5 [0328] In certain embodiments, for a compound of Formula (IA-E), R42 is selected from hydrogen, halogen, -OH, -OR50, -S(=O)2R50, -C(=O)R50, unsubstituted or substituted C3-C6alkyl, unsubstituted or substituted heterocycle and unsubstituted or substituted -C1-C6alkylene-heterocycle; or R42 together with R41 are taken together with the atoms to which they are attached to form an unsubstituted or substituted monocyclic 10 carbocycle or unsubstituted or substituted monocyclic heterocycle. [0329] In certain embodiments, for a compound of Formula (IA-E), R42 is selected from hydrogen, -OR50, -S(=O)2R50 , -C(=O)R50, unsubstituted or substituted C3-C6alkyl, unsubstituted or substituted -C1-C6alkylene-heterocycle; or R42 together with R41 are taken together with the atoms to which they are attached to form an 15 unsubstituted or substituted monocyclic carbocycle or unsubstituted or substituted monocyclic heterocycle. [0330] In certain embodiments, for a compound of Formula (IA-E), R42 is not alkyl substituted with -OR52. In certain embodiments, for a compound of Formula (IA- E), R42 is not alkyl substituted with -OH. In certain embodiments, for a compound of 20 Formula (IA-E), R42 is not hydroxyalkyl. In certain embodiments, for a compound of Formula (IA-E), each of R40, R41, R42, R43 and R44 is not alkyl substituted with -OR52. In certain embodiments, for a compound of Formula (IA-E), each of R40, R41, R42, R43 and R44 is not hydroxyalkyl. [0331] In certain embodiments, for a compound of Formula (IA-E), at least one 25 of R40, R41, R42, R43 and R44 is (i) -OR50 when R50 is C1-C6 alkyl substituted with -NR52R52, -NR52C(=O)R53, or -NR52C(=O)OR52; (ii) C1-C6 alkyl substituted with -CO2R52 or -OR52 and one of -NR52R52, -NR52C(=O)R53, and -NR52C(=O)OR52 ; or (iii) R41 and R42 are taken together with the phenyl ring to which they are attached to form a substituted or unsubstituted ring system represented by:
113
5 [0332] In certain embodiments, for a compound of Formula (IA-E), R40, R41, R43 and R44 are independently selected from hydrogen, halogen, -OR50, -C(=O)OR51, and unsubstituted or substituted C1-C6alkyl; or R41 together with R42 or R41 together with R40 are taken together with the atoms to which they are attached to form an unsubstituted or substituted monocyclic carbocycle or unsubstituted or substituted 10 monocyclic heterocycle. [0333] In certain embodiments, for a compound of Formula (IA-E), R40, R41, R43 and R44 are independently selected from hydrogen, and -OR50; or R41 together with R42 are taken together with the atoms to which they are attached to form an unsubstituted or substituted monocyclic carbocycle or unsubstituted or substituted 15 monocyclic heterocycle. In certain embodiments, for a compound of Formula (IA-E), R40, R41, R43 and R44 are each hydrogen. [0334] In certain embodiments, for a compound of Formula (IA-E), the compound is selected from:
114
115
or a salt of any one thereof. [0335] In certain embodiments, exemplary Category A compounds may include, but are not limited to, a compound selected from:
116
117
118
119
120
121
122
123
5 and salts thereof. [0336] In some embodiments, the compound of Category A is not 3-amino-6- (4-(2-aminoethyl)phenyl)-N-(4-morpholinopyridin-3-yl)pyrazine-2-carboxamide or 3- amino-6-(4-(aminomethyl)phenyl)-N-(4-morpholinopyridin-3-yl)pyrazine-2- carboxamide or a salt thereof. 10 [0337] In some embodiments, the compound of Category A is not:
124
, or a salt of any one thereof. Compounds of Category B, Cyclic Amino-Pyrazinecarboxamide Compounds 5 [0338] The following is a discussion of cyclic amino-pyrazinecarboxamide compounds and salts thereof that are TGFβR2 inhibitors that may be used in the conjugates the disclosure. In some embodiments, the TGFβR2 inhibitor conjugate as described herein comprises a compound of any one of Formulas (IB), (IIB), (IIB-a), (IIB-b), (IIB-c), (IIB-d), (IIIB), (IIIB-a), (IIIB-b), (IIIB-c), (IIIB-d), (IVB), (IVB-a), 10 (IVB-b), (IVB-c), or (IVB-d), or a compound from Table 1, or a salt thereof. In some embodiments of Formula (I), a compound of any one of Formulas (IB), (IIB), (IIB-a), (IIB-b), (IIB-c), (IIB-d), (IIIB), (IIIB-a), (IIIB-b), (IIIB-c), (IIIB-d), (IVB), (IVB-a), (IVB-b), (IVB-c), or (IVB-d), or a compound from Table 1, or a salt thereof serves as Dx in the conjugate of Formula (I), and may be covalently bound to the linker, L3, 15 which is covalently bound to the antibody in the conjugate of Formula (I). [0339] In some embodiments, the TGFβR2 inhibitor is a compound of Formula (IB):
125
Formula (IB), or a pharmaceutically acceptable salt thereof, wherein: A, B, and D are each independently selected from N and C(R1); each R1 is independently selected from hydrogen, halogen, cyano, -OH, - 5 OR50, -NR51R51, unsubstituted or substituted -C1-C6alkyl, unsubstituted or substituted cycloalkyl, and unsubstituted or substituted heterocycloalkyl; each R3 is independently selected from R20, RL, and -O-RL; n is 0, 1, or 2; R4 is selected from hydrogen, R20, RL, and -O-RL; 10 R5 is selected from hydrogen, R20, RL, and -O-RL; X is selected from -O-, -S-, -NR7-, -C(R8)2-, -C(R8)2-O-, -C(R8)2-S-, -C(R8)2- NR7-, -S(=O)2-, -C(=O) -, -NR7-S(=O)2-, and -NR7-C(=O) -; R7 is selected from hydrogen, unsubstituted or substituted -C1-C6alkyl, and RL; each R8 is independently selected from hydrogen, halogen, unsubstituted or 15 substituted -C1-C6alkyl, and RL; Y is selected from -O-, -S-, -NR9-, -C(R10)2-, -S(=O)2-, -C(=O) -, -S(=O)2-NR9-, -C(=O) -NR9-, substituted or unsubstituted cycloalkylene, and substituted or unsubstituted heterocycloalkylene; R9 is selected from hydrogen and unsubstituted or substituted -C1-C6alkyl; 20 each R10 is independently selected from hydrogen, halogen, and unsubstituted or substituted -C1-C6alkyl; L is selected from a bond, substituted or unsubstituted C1-C10 alkylene, -[C(R11)2]q-(W)-, substituted or unsubstituted C2-C10 alkenylene, substituted or unsubstituted C2-C10 alkynylene, and [(substituted or unsubstituted C1-C4 alkylene)- 25 Z]p-(substituted or unsubstituted C1-C4 alkylene); W is unsubstituted or substituted cycloalkylene or unsubstituted or substituted heterocycloalkylene; each Z is independently selected from -O-, -S-, and -NR11-; each R11 is independently selected from hydrogen and unsubstituted or 30 substituted -C1-C6alkyl;
126
p is 1-5; q is 0-10; wherein if L is a bond, then Y is selected from substituted or unsubstituted cycloalkylene and substituted or unsubstituted heterocycloalkylene; 5 RL is selected from -(unsubstituted or substituted C1-C6 alkylene)-OR12, or - (unsubstituted or substituted C1-C6 alkylene)-N(R13)2, R12 is selected from hydrogen, unsubstituted or substituted -C1-C6alkyl, unsubstituted or substituted -C2-C6 alkenyl, unsubstituted or substituted -C2-C6 alkynyl, unsubstituted or substituted cycloalkyl, and unsubstituted or substituted 10 heterocycloalkyl; each R13 is independently selected from hydrogen, -C(=O)R50, -C(=O)OR51, -C(=O)NR51R51, unsubstituted or substituted -C1-C6alkyl, unsubstituted or substituted -C2-C6 alkenyl, unsubstituted or substituted -C2-C6 alkynyl, unsubstituted or substituted cycloalkyl, and unsubstituted or substituted heterocycloalkyl; 15 or two R13 on the same N atom are taken together with the N atom to which they are attached to form an unsubstituted or substituted N-containing heterocycle; each R20 is independently selected from halogen, -CN, -OH, -OR50, -NR51R51, -C(=O)R50, -OC(=O)R50, -C(=O)OR51, -OC(=O)OR51, -C(=O)NR51R51, -OC(=O)NR51R51, -NR51C(=O)NR51R51, -NR51C(=O)R50, -NR51C(=O)OR51, -SR51, 20 -S(=O)R50, -SO2R50, -SO2NR51R51, -NHSO2R50, unsubstituted or substituted -C1-C6 alkyl, unsubstituted or substituted -C2-C6 alkenyl, unsubstituted or substituted -C2-C6 alkynyl, unsubstituted or substituted cycloalkyl, and unsubstituted or substituted heterocycloalkyl; each R50 is independently selected from unsubstituted or substituted -C1-C6 25 alkyl, unsubstituted or substituted cycloalkyl, unsubstituted or substituted heterocycloalkyl, unsubstituted or substituted aryl, unsubstituted or substituted heteroaryl, -(unsubstituted or substituted C1-C6alkylene)-cycloalkyl, -(unsubstituted or substituted C1-C6alkylene)-heterocycloalkyl, -(unsubstituted or substituted C1- C6alkylene)-aryl, and -(unsubstituted or substituted C1-C6alkylene)-heteroaryl; and
127
each R51 is independently selected from hydrogen, unsubstituted or substituted -C1-C6 alkyl, unsubstituted or substituted cycloalkyl, unsubstituted or substituted heterocycloalkyl, unsubstituted or substituted aryl, unsubstituted or substituted heteroaryl, -(unsubstituted or substituted C1-C6alkylene)-cycloalkyl, -(unsubstituted or 5 substituted C1-C6alkylene)-heterocycloalkyl, -(unsubstituted or substituted C1- C6alkylene)-aryl, and -(unsubstituted or substituted C1-C6alkylene)-heteroaryl; or two R51 on the same N atom are taken together with the N atom to which they are attached to form an unsubstituted or substituted N-containing heterocycle; wherein when any of L, W, Y, RL, R1, R7, R8, R9, R10, R11, R12, R13, R20, R50, 10 and R51 are substituted, substituents on the L, W, Y, RL, R1, R7, R8, R9, R10, R11, R12, R13, R20, R50, and R51 are independently selected at each occurrence from halogen, -CN, -NO2, -OR52, -CO2R52, -C(=O)R53, -C(=O)NR52R52, -NR52R52, -NR52C(=O)R53, -NR52C(=O)OR52, -SR52, -S(=O)R53, -SO2R53, -SO2NR52R52, unsubstituted C1-C6 alkyl, unsubstituted C1-C6 haloalkyl, unsubstituted phenyl, unsubstituted 5- or 6-membered 15 heteroaryl, unsubstituted monocyclic cycloalkyl, and unsubstituted monocyclic heterocycloalkyl; or two substituents on the same carbon atom are taken together to form a =O or =S; each R52 is independently selected from hydrogen, unsubstituted C1-C6 alkyl, unsubstituted C3-C6 cycloalkyl, unsubstituted 3- to 6-membered heterocycloalkyl, 20 unsubstituted phenyl, unsubstituted benzyl, unsubstituted 5-membered heteroaryl, and unsubstituted 6-membered heteroaryl; or two R52 groups are taken together with the N atom to which they are attached to form an unsubstituted N-containing heterocycle; and each R53 is independently selected from unsubstituted C1-C6alkyl, unsubstituted 25 C3-C6cycloalkyl, unsubstituted phenyl, unsubstituted benzyl, unsubstituted 5-membered heteroaryl, and unsubstituted 6-membered heteroaryl. [0340] In some embodiments of a compound of Formula (IB), or a pharmaceutically acceptable salt thereof, A, B, and D each independently selected from N and C(R1); wherein one of A, B, and D is N. In some embodiments, A and D are 30 C(R1); and B is N. In some embodiments, A is N; and B and D are C(R1). In some
128
embodiments, D is N; and B and A are C(R1). In some embodiments, A, B and D are C(R1). In some embodiments, A, B and D are CH. [0341] In some embodiments of a compound of Formula (IB), each R1 is independently selected from hydrogen, halogen, cyano, -OH, -OR50, -NR51R51, 5 unsubstituted or substituted -C1-C6alkyl, unsubstituted or substituted cycloalkyl, and unsubstituted or substituted heterocycloalkyl or any combination thereof. In some embodiments, each R1 is independently selected from hydrogen, halogen, cyano, -OH, -OR50, -NR51R51, and unsubstituted or substituted -C1-C6alkyl. In some embodiments, each R1 is independently selected from hydrogen, halogen, cyano, and unsubstituted 10 -C1-C6alkyl. In some embodiments, each R1 is independently selected from hydrogen and halogen. In some embodiments, each R1 is hydrogen. [0342] In some embodiments of a compound of Formula (IB), or a pharmaceutically acceptable salt thereof, R3 can be present or absent. In embodiments wherein R3 is absent, n is 0. In embodiments wherein R3 is present, n is 1 or 2. 15 [0343] In embodiments of a compound of Formula (IB), or a pharmaceutically acceptable salt thereof, wherein n is 1 or 2, R3 is independently selected from R20, RL, and -O-RL. In some aspects, each R3 is independently selected from halogen, -CN, -OH, -OR50, -NR51R51, -C(=O)R50, -C(=O)NR51R51, -NR51C(=O)R50, unsubstituted or substituted C1-C6 alkyl, unsubstituted or substituted cycloalkyl, and unsubstituted or 20 substituted heterocycloalkyl. In some embodiments, each R3 is independently selected from halogen, -CN, -OH, -OR50, -NR51R51, and unsubstituted or substituted C1-C6 alkyl. [0344] In some embodiments of a compound of Formula (IB), or a pharmaceutically acceptable salt thereof, at least one of R3, R4, and R5 is halogen. [0345] In some embodiments, the TGFβR2 inhibitor is a compound of Formula 25 (IIB):
Formula (IIB).
129
[0346] In some embodiments of a compound of Formula (IB), or a pharmaceutically acceptable salt thereof, the compound is represented by Formula (IIB- a):
[0347] In some embodiments of a compound of Formula (IB), or a pharmaceutically acceptable salt thereof, the compound is represented by Formula (IIB- b):
[0348] In some embodiments of a compound of Formula (IB), or a pharmaceutically acceptable salt thereof, the compound is represented by Formula (IIB- c):
[0349] In some embodiments, the TGFβR2 inhibitor is a compound of Formula (IIIB):
130
[0350] In some embodiments of a compound of Formula (IB) or (IIB-a), or a pharmaceutically acceptable salt thereof, the compound is represented by Formula 5 (IIIB-a):
Formula (IIIB-a). [0351] In some embodiments of a compound of Formula (IB) or (IIB-b), or a pharmaceutically acceptable salt thereof, the compound is represented by Formula 10 (IIIB-b):
Formula (IIIB-b). [0352] In some embodiments of a compound of Formula (IB) or (IIB-b), or a pharmaceutically acceptable salt thereof, the compound is represented by Formula 15 (IIIB-c):
131
Formula (IIIB-c). [0353] In some embodiments, the TGFβR2 inhibitor is a compound of Formula (IVB):
[0354] In some embodiments of a compound of Formula (IB) or (IIB-a), or a pharmaceutically acceptable salt thereof, the compound is represented by Formula (IVB-a):
[0355] In some embodiments of a compound of Formula (IB) or (IIB-b), or a pharmaceutically acceptable salt thereof, the compound is represented by Formula (IVB-b):
[0356] In some embodiments of a compound of Formula (IB) or (IIB-b), or a pharmaceutically acceptable salt thereof, the compound is represented by Formula (IVB-c):
132
[0357] In some embodiments of a compound of Formula (IB), (IIB), (IIB-a), (IIB-b), (IIB-c), (IIIB), (IIIB-a), (IIIB-b), (IIIB-c), (IVB), (IVB-a), (IVB-b), or (IVB-c), 5 or a pharmaceutically acceptable salt thereof, Y is selected from -O-, -S-, -S(=O)2-, -NR9-, -C(R10)2-, and substituted or unsubstituted heterocycloalkylene. In some embodiments, Y is selected from -O-, -S-, -S(=O)2-, -NR9-, and -C(R10)2-. In some embodiments, Y is selected from -S-, -NR9-, and -CH2-. In some embodiments, Y is -NR9-. In some embodiments, Y is -O-. In some embodiments, Y is -S-. In some 10 embodiments, Y is -S(=O)2-. In some embodiments, Y is -C(R10)2-. [0358] In some embodiments of a compound of Formula (IB), (IIB), (IIB-a), (IIB-b), (IIB-c), (IIIB), (IIIB-a), (IIIB-b), (IIIB-c), (IVB), (IVB-a), (IVB-b), or (IVB-c), or a pharmaceutically acceptable salt thereof, Y is selected from *-NR7-C(=O) -# and #- NR7-C(=O) -*; wherein # is the attachment point to L and * is the attachment point to 15 the rest of the molecule. [0359] In some embodiments of a compound of Formula (IB), (IIB), (IIB-a), (IIB-b), (IIB-c), (IIIB), (IIIB-a), (IIIB-b), (IIIB-c), (IVB), (IVB-a), (IVB-b), or (IVB-c), or a pharmaceutically acceptable salt thereof, when Y is -NR9-, -S(=O)2-NR9-, -C(=O) -NR9-, -NR9-S(=O)2-, or -NR9-C(=O) -, R9 is selected from hydrogen, unsubstituted -20 C1-C6alkyl. In some embodiments, R9 is selected from hydrogen and unsubstituted -C1- C4alkyl, and RL. In some embodiments, R9 is RL. In some embodiments, R9 is hydrogen. In some embodiments, R9 is unsubstituted -C1-C6alkyl. In some embodiments, R9 is unsubstituted -C1-C4alkyl. In some embodiments, R9 is methyl or ethyl. In some embodiments, R9 is methyl. In some embodiments, R9 is ethyl. 25 [0360] In some embodiments of a compound of Formula (IB), (IIB), (IIB-a), (IIB-b), (IIB-c), (IIIB), (IIIB-a), (IIIB-b), (IIIB-c), (IVB), (IVB-a), (IVB-b), or (IVB-c), or a pharmaceutically acceptable salt thereof, when Y is - cycloalkylene or
133
heterocycloalkylene, the cycloalkylene or heterocycloalkylene is a 5 membered ring. In some embodiments, when Y is cycloalkylene or heterocycloalkylene, L is -CH2-. [0361] In some embodiments of a compound of Formula (IB), (IIB), (IIB-a), (IIB-b), (IIB-c), (IIIB), (IIIB-a), (IIIB-b), (IIIB-c), (IVB), (IVB-a), (IVB-b), or (IVB-c), 5 or a pharmaceutically acceptable salt thereof, when Y is -C(R10)2-, each R10 is independently selected from hydrogen, halogen, and unsubstituted -C1-C6alkyl. In some embodiments, each R10 is independently selected from hydrogen and unsubstituted -C1-C6alkyl. In some embodiments, each R10 is hydrogen. [0362] In some embodiments of a compound of Formula (IB), (IIB), (IIB-a), 10 (IIB-b), (IIB-c), (IIIB), (IIIB-a), (IIIB-b), (IIIB-c), (IVB), (IVB-a), (IVB-b), or (IVB-c), or a pharmaceutically acceptable salt thereof, Y is selected from -O-, -S-, -S(=O)2-, -NR9-, -C(R10)2-, and substituted or unsubstituted heterocycloalkylene; R9 is selected from hydrogen and unsubstituted -C1-C6alkyl; and each R10 is independently selected from hydrogen and unsubstituted -C1-C6alkyl. In some embodiments, each R10 is 15 hydrogen. [0363] In some embodiments of a compound of Formula (IB), (IIB), (IIB-a), (IIB-b), (IIB-c), (IIIB), (IIIB-a), (IIIB-b), (IIIB-c), (IVB), (IVB-a), (IVB-b), or (IVB-c), or a pharmaceutically acceptable salt thereof, Y is selected from -O-, -S-, -NR9-, and -CH2-; and R9 is selected from hydrogen and unsubstituted -C1-C6alkyl. 20 [0364] In some embodiments of a compound of Formula (IB), (IIB), (IIB-a), (IIB-b), (IIB-c), (IIIB), (IIIB-a), (IIIB-b), (IIIB-c), (IVB), (IVB-a), (IVB-b), or (IVB-c), or a pharmaceutically acceptable salt thereof, Y is -NR9-; and R9 is unsubstituted -C1- C6alkyl. In some embodiments, Y is -NR9-; and R9 is unsubstituted -C1-C4alkyl. In some embodiments, Y is selected from -N(Et)- and -N(Me)-. In some embodiments, Y 25 is -N(Me)-. In some embodiments, Y is -NH- or -N(Me)-. [0365] In some embodiments of a compound of Formula (IB), (IIB), (IIB-a), (IIB-b), (IIB-c), (IIIB), (IIIB-a), (IIIB-b), (IIIB-c), (IVB), (IVB-a), (IVB-b), or (IVB-c), or a pharmaceutically acceptable salt thereof, Y is substituted or unsubstituted heterocycloalkylene. In some embodiments, Y is unsubstituted heterocycloalkylene. In 30 some embodiments, Y is substituted or unsubstituted monocyclic heterocycloalkylene.
134
In some embodiments, Y is substituted or unsubstituted monocyclic heterocycloalkylene, wherein the heterocycloalkylene contains a nitrogen atom. In some embodiments, Y is substituted or unsubstituted monocyclic heterocycloalkylene, wherein the heterocycloalkylene contains a nitrogen atom and optionally one other 5 heteroatom selected from a nitrogen atom, oxygen atom, and sulfur atom. [0366] In some embodiments of a compound of Formula (IB), (IIB), (IIB-a), (IIB-b), (IIB-c), (IIIB), (IIIB-a), (IIIB-b), (IIIB-c), (IVB), (IVB- (IVB-c), or a pharmaceutically acceptable salt thereof, Y is represented b
, wherein # is the attachment point to L and * is the attachment point to the rest of the molecule; 10 each V is independently -(C(R21)2)r-; wherein each r is independently 1-3; each R21 is independently selected from hydrogen, halogen, -CN, -NO2, -OR52, -CO2R52, -C(=O)R53, -C(=O)NR52R52, -NR52R52, -NR52C(=O)R53, -NR52C(=O)OR52, -SR52, -S(=O)R53, -SO2R53, -SO2NR52R52, C1-C6 alkyl, C1-C6 haloalkyl, phenyl, 5- or 6- membered heteroaryl, monocyclic cycloalkyl, and monocyclic heterocycloalkyl; or two 15 R21 on the same carbon atom are taken together to form a =O or =S; and U is selected from bond, -O-, -S-, and -NR22-; wherein R22 is selected from hydrogen and unsubstituted -C1-C6alkyl. In some embodiments, each R21 is independently selected from hydrogen, halogen, -OR52, -NR52R52, C1-C6 alkyl, and C1-C6 haloalkyl; or two R21 on the same carbon atom are taken together to form a =O. 20 [0367] In some embodiments, each R21 is independently selected from hydrogen, halogen, -OR52, -NR52R52, C1-C6 alkyl, and C1-C6 haloalkyl. In some embodiments, each R21 is independently selected from hydrogen and halogen. In some embodiments, each R21 is hydrogen. [0368] In some embodiments, each r is independently 1 to 2 or 2 to 3. In some 25 embodiments, each r is independently 1, 2, or 3. [0369] In some embodiments, U is selected from bond, -O-, -S-, and - NR22-. In some embodiments, U is a bond. In some embodiments, U is -O-. In some embodiments, U is -S-. In some embodiments, U is -NR22-.
135
[0370] In some embodiments, when U is -NR22-, R22 is selected from hydrogen and unsubstituted -C1-C4alkyl. In some embodiments, R22 is selected from hydrogen, methyl, ethyl, n-propyl, i-propyl, n-butyl, i-butyl, s-butyl and t-butyl. In some embodiments, R22 is selected from hydrogen, methyl and ethyl. In some embodiments, 5 R22 is selected from hydrogen and methyl. In some embodiments, R22 is hydrogen. In some embodiments, R22 is methyl. [0371] In some embodiments of a compound of Formula (IB), (IIB), (IIB-a), (IIB-b), (IIB-c), (IIIB), (IIIB-a), (IIIB-b), (IIIB-c), (IVB), (IVB- VB-c), or a pharmaceutically acceptable salt thereof, Y is represented b
each r 10 is independently 1-3; U is selected from bond, -O-, -S-, -NH- and -NMe-. [0372] In some embodiments, each r is independently 1 to 2. In some embodiments, each r is 1. In some embodiments, each r is 2. [0373] In some embodiments, U is a bond. In some embodiments, U is -O-. In some embodiments, U is -S-. In some embodiments, U is -NH-. In some embodiments, 15 U is -NMe-. [0374] In some embodiments of a compound of Formula (IB), (IIB), (IIB-a), (IIB-b), (IIB-c), (IIIB), (IIIB-a), (IIIB-b), (IIIB-c), (IVB), (IVB-a), (IVB-b), or (IVB-c), or a pharmaceutically acceptable salt thereof, Y is selected from -NH-, -NMe-, -NEt-,
20 [0375] In some embodiments of a compound of Formula (IIB), (IIIB), and (IVB), or a pharmaceutically acceptable salt thereof, the compound is represented by Formulas (IIB-d), (IIIB-d), and (IVB-d):
136
. Formula (IVB-d) wherein R9 is methyl or ethyl; or a pharmaceutically acceptable salt thereof. [0376] In some embodiments of a compound of Formula (IB), (IIB), (IIB-a), 5 (IIB-b), (IIB-c), (IIB-d), (IIIB), (IIIB-a), (IIIB-b), (IIIB-c), (IIIB-d), (IVB), (IVB-a), (IVB-b), (IVB-c), or (IVB-d), or a pharmaceutically acceptable salt thereof, X is selected from -O-, -NR7-, -C(R8)2-, -C(R8)2-O-, -S(=O)2-, and -NR7-C(=O)-. In some embodiments, X is selected from -O-, -CH2-, -CH2-O-, -CH(R8)-O-, and -NR7-C(=O)-. In some embodiments, X is selected from *-NR7-C(=O) -# and #-NR7-C(=O) -*, 10 wherein # is the attachment point to L and * is the attachment point to the rest of the molecule. In some embodiments, X is selected from *-NR7-C(=O)-#, wherein # is the attachment point to L and * is the attachment point to the rest of the molecule. In some embodiments, X is selected from *-CH(R8)-O-# and #-CH(R8)-O-*, wherein # is the attachment point to L and * is the attachment point to the rest of the molecule. In some 15 embodiments, X is #-CH(R8)-O-*, wherein # is the attachment point to L and * is the attachment point to the rest of the molecule. In some embodiments, when X is #- CH(R8)-O-* and # is the attachment point to L and * is the attachment point to the rest of the molecule, R8 is RL. In some embodiments, X is selected from -O- and -CH2-O-. In some embodiments, X is -O- or -S(=O)2-. In some embodiments, X is -O-. In some
137
embodiments, X is -CH2-O-. In some embodiments, X is -NR7-C(=O)-. In some embodiments, X is -NH-C(=O)-. [0377] In some embodiments of a compound of Formula (IB), (IIB), (IIB-a), (IIB-b), (IIB-c), (IIB-d), (IIIB), (IIIB-a), (IIIB-b), (IIIB-c), (IIIB-d), (IVB), (IVB-a), 5 (IVB-b), (IVB-c), or (IVB-d), or a pharmaceutically acceptable salt thereof, when X is -NR7-, -C(R8)2-NR7-, -NR7-S(=O)2-, or NR7-C(=O) -, R7 is selected from hydrogen, unsubstituted -C1-C6alkyl, and RL. In some embodiments, R7 is selected from hydrogen and unsubstituted -C1-C6alkyl. In some embodiments, R7 is selected from hydrogen and unsubstituted -C1-C4alkyl. In some embodiments, R7 is hydrogen. In some 10 embodiments, R7 is unsubstituted -C1-C6alkyl. In some embodiments, R7 is unsubstituted -C1-C4alkyl. In some embodiments, R7 is selected from hydrogen and methyl. In some embodiments, R7 is -CH3. In some embodiments, R7 is RL. [0378] In some embodiments of a compound of Formula (IB), (IIB), (IIB-a), (IIB-b), (IIB-c), (IIB-d), (IIIB), (IIIB-a), (IIIB-b), (IIIB-c), (IIIB-d), (IVB), (IVB-a), 15 (IVB-b), (IVB-c), or (IVB-d), or a pharmaceutically acceptable salt thereof, when X is -C(R8)2-, -C(R8)2-O-, -C(R8)2-S-, or -C(R8)2-NR7-, each R8 is independently selected from hydrogen, unsubstituted -C1-C6alkyl, and RL. In some embodiments, each R8 is independently selected from hydrogen, unsubstituted -C1-C6alkyl and RL. In some embodiments, each R8 is independently selected from hydrogen and unsubstituted -C1- 20 C6alkyl. In some embodiments, each R8 is independently selected from hydrogen and unsubstituted -C1-C4alkyl. In some embodiments, each R8 is independently selected from hydrogen and methyl. In some embodiments, each R8 is hydrogen. In some embodiments, each R8 is independently selected from hydrogen or RL. In some embodiments, one R8 is hydrogen, and the other R8 is RL. 25 [0379] In some embodiments of a compound of Formula (IB), (IIB), (IIB-a), (IIB-b), (IIB-c), (IIB-d), (IIIB), (IIIB-a), (IIIB-b), (IIIB-c), (IIIB-d), (IVB), (IVB-a), (IVB-b), (IVB-c), or (IVB-d), or a pharmaceutically acceptable salt thereof, X is selected from -O-, -NR7-, -C(R8)2-, -C(R8)2-O-, -S(=O)2-, and -NR7-C(=O)-; R7 is selected from hydrogen, unsubstituted -C1-C6alkyl, and RL; and each R8 is 30 independently selected from hydrogen, unsubstituted -C1-C6alkyl, and RL.
138
[0380] In some embodiments of a compound of Formula (IB), (IIB), (IIB-a), (IIB-b), (IIB-c), (IIB-d), (IIIB), (IIIB-a), (IIIB-b), (IIIB-c), (IIIB-d), (IVB), (IVB-a), (IVB-b), (IVB-c), or (IVB-d), or a pharmaceutically acceptable salt thereof, X is selected from -O-, -CH2-, -CH2-O-, -CH(R8)-O-, and -NR7-C(=O)-; R7 is selected from 5 hydrogen, unsubstituted -C1-C6alkyl, and RL; and each R8 is selected from hydrogen, unsubstituted -C1-C6alkyl and RL. [0381] In some embodiments of a compound of Formula (IB), (IIB), (IIB-a), (IIB-b), (IIB-c), (IIB-d), (IIIB), (IIIB-a), (IIIB-b), (IIIB-c), (IIIB-d), (IVB), (IVB-a), (IVB-b), (IVB-c), or (IVB-d), or a pharmaceutically acceptable salt thereof, X is 10 selected from -O-, -CH2-, -CH2-O-, -CH(R8)-O-, and -NR7-C(=O)-; R7 is selected from hydrogen and unsubstituted -C1-C6alkyl; and R8 is unsubstituted -C1-C6alkyl. [0382] In some embodiments of a compound of Formula (IB), (IIB), (IIB-a), (IIB-b), (IIB-c), (IIB-d), (IIIB), (IIIB-a), (IIIB-b), (IIIB-c), (IIIB-d), (IVB), (IVB-a), (IVB-b), (IVB-c), or (IVB-d), or a pharmaceutically acceptable salt thereof, each R7 and 15 R8 is independently selected from hydrogen and -C1-C6alkyl. In some embodiments, each R7 and R8 is independently selected from hydrogen and -C1-C4alkyl. In some embodiments, each R7 and R8 is independently selected from hydrogen and -CH3. In some embodiments, each R7 and R8 is independently selected from hydrogen, CH3 or RL. 20 [0383] In some embodiments of a compound of Formula (IB), (IIB), (IIB-a), (IIB-b), (IIB-c), (IIB-d), (IIIB), (IIIB-a), (IIIB-b), (IIIB-c), (IIIB-d), (IVB), (IVB-a), (IVB-b), (IVB-c), or (IVB-d), or a pharmaceutically acceptable salt thereof, X is selected from *-NR7-C(=O) -# and #-NR7-C(=O) -*; wherein # is the attachment point to L and * is the attachment point to the rest of the molecule. In some embodiments of a 25 compound of Formula (IB), (IIB), (IIB-a), (IIB-b), (IIB-c), (IIB-d), (IIIB), (IIIB-a), (IIIB-b), (IIIB-c), (IIIB-d), (IVB), (IVB-a), (IVB-b), (IVB-c), or (IVB-d), or a pharmaceutically acceptable salt thereof, X is selected from *-NR7-C(=O) -# wherein # is the attachment point to L and * is the attachment point to the rest of the molecule. [0384] In some embodiments of a compound of Formula (IB), (IIB), (IIB-a), 30 (IIB-b), (IIB-c), (IIB-d), (IIIB), (IIIB-a), (IIIB-b), (IIIB-c), (IIIB-d), (IVB), (IVB-a),
139
(IVB-b), (IVB-c), or (IVB-d), or a pharmaceutically acceptable salt thereof, X is selected from -O-, -C(R8)2-O-, and *-NR7-C(=O) -#; wherein # is the attachment point to L and * is the attachment point to the rest of the molecule; and R7 and R8 are independently selected from hydrogen and unsubstituted -C1-C6alkyl. In some such 5 aspects, R7 and R8 are independently selected from hydrogen and -CH3. [0385] In some embodiments of a compound of Formula (IB), (IIB), (IIB-a), (IIB-b), (IIB-c), (IIB-d), (IIIB), (IIIB-a), (IIIB-b), (IIIB-c), (IIIB-d), (IVB), (IVB-a), (IVB-b), (IVB-c), or (IVB-d), or a pharmaceutically acceptable salt thereof, X is selected from -O- and -CH2-O-. 10 [0386] In some embodiments of a compound of Formula (IB), (IIB), (IIB-a), (IIB-b), (IIB-c), (IIB-d), (IIIB), (IIIB-a), (IIIB-b), (IIIB-c), (IIIB-d), (IVB), (IVB-a), (IVB-b), (IVB-c), or (IVB-d), or a pharmaceutically acceptable salt thereof, X is -O- or -S(=O)2-. [0387] In some embodiments of a compound of Formula (IB), (IIB), (IIB-a), 15 (IIB-b), (IIB-c), (IIB-d), (IIIB), (IIIB-a), (IIIB-b), (IIIB-c), (IIIB-d), (IVB), (IVB-a), (IVB-b), (IVB-c), or (IVB-d), or a pharmaceutically acceptable salt thereof , L is selected from substituted or unsubstituted C1-C10 alkylene, -[C(R11)2]q-(W)-, substituted or unsubstituted C2-C10 alkenylene, or substituted or unsubstituted C2-C10 alkynylene, and -[(substituted or unsubstituted C1-C4 alkylene)-Z-]p-(substituted or unsubstituted 20 C1-C4 alkylene). In some embodiments, L is selected from substituted or unsubstituted C1-C10 alkylene, -[C(R11)2]q-(W)t- and -[(substituted or unsubstituted C1-C4 alkylene)- Z]p-(substituted or unsubstituted C1-C4 alkylene)-. [0388] In some embodiments of a compound of Formula (IB), (IIB), (IIB-a), (IIB-b), (IIB-c), (IIB-d), (IIIB), (IIIB-a), (IIIB-b), (IIIB-c), (IIIB-d), (IVB), (IVB-a), 25 (IVB-b), (IVB-c), or (IVB-d), or a pharmaceutically acceptable salt thereof , L is substituted or unsubstituted C1-C10 alkylene, substituted or unsubstituted C2-C10 alkenylene, or substituted or unsubstituted C2-C10 alkynylene. In some embodiments, L is substituted or unsubstituted C1-C10 alkylene. In some embodiments, L is a substituted or unsubstituted C1-C6 alkylene; or L is a C1-C6 alkylene which is 30 substituted by 1, 2, or 3 groups selected from halogen, -CN, -O-(C1-C6 alkyl), C1-C6
140
alkyl, and C1-C6 haloalkyl. In some embodiments, L is an unsubstituted C1-C10 alkylene. In some embodiments, L is an unsubstituted C1-C6 alkylene. [0389] In some embodiments of a compound of Formula (IB), (IIB), (IIB-a), (IIB-b), (IIB-c), (IIB-d), (IIIB), (IIIB-a), (IIIB-b), (IIIB-c), (IIIB-d), (IVB), (IVB-a), 5 (IVB-b), (IVB-c), or (IVB-d), or a pharmaceutically acceptable salt thereof , L is selected from substituted or unsubstituted C1-C10 alkylene, -[C(R11)2]q-(W)t- and - [(substituted or unsubstituted C1-C4 alkylene)-Z]p-(substituted or unsubstituted C1-C4 alkylene)-; each Z is -O-; p is 1-5; and q is 1 to 10. [0390] In some embodiments of a compound of Formula (IB), (IIB), (IIB-a), 10 (IIB-b), (IIB-c), (IIB-d), (IIIB), (IIIB-a), (IIIB-b), (IIIB-c), (IIIB-d), (IVB), (IVB-a), (IVB-b), (IVB-c), or (IVB-d), or a pharmaceutically acceptable salt thereof , L is selected from *-[C(R11)2]q- (W)t-# and #-[C(R11)2]q- (W)t-*, wherein # is the attachment point to L and * is the attachment point to the rest of the molecule. In some embodiments, L is -[(CH2CH2)-O]p-(CH2CH2)-; and p is 1-5. In some embodiments, L 15 is -[(CH2CH2)-O]p-(CH2CH2)-; and p is 1-3. [0391] In some embodiments of a compound of Formula (IB), (IIB), (IIB-a), (IIB-b), (IIB-c), (IIB-d), (IIIB), (IIIB-a), (IIIB-b), (IIIB-c), (IIIB-d), (IVB), (IVB-a), (IVB-b), (IVB-c), or (IVB-d), or a pharmaceutically acceptable salt thereof, when L is - [C(R11)2]q-(W)t-, W is unsubstituted or substituted cycloalkylene or unsubstituted or 20 substituted heterocycloalkylene. In some embodiments, W is unsubstituted or substituted cycloalkylene. In some embodiments, W is unsubstituted or substituted heterocycloalkylene. In some embodiments, W is unsubstituted cycloalkylene or unsubstituted heterocycloalkylene. In some embodiments, W is unsubstituted cycloalkylene. In some embodiments, W is unsubstituted heterocycloalkylene. 25 [0392] In some embodiments of a compound of Formula (IB), (IIB), (IIB-a), (IIB-b), (IIB-c), (IIB-d), (IIIB), (IIIB-a), (IIIB-b), (IIIB-c), (IIIB-d), (IVB), (IVB-a), (IVB-b), (IVB-c), or (IVB-d), or a pharmaceutically acceptable salt thereof, when L is - [(substituted or unsubstituted C1-C4 alkylene)-Z]p-(substituted or unsubstituted C1-C4 alkylene)-, each Z is independently selected from -O-, -S-, and -NR11-. In some
141
embodiments, each Z is independently selected from -O- and -NR11-. In some embodiments, each Z is -O-. [0393] In some embodiments of a compound of Formula (IB), (IIB), (IIB-a), (IIB-b), (IIB-c), (IIB-d), (IIIB), (IIIB-a), (IIIB-b), (IIIB-c), (IIIB-d), (IVB), (IVB-a), 5 (IVB-b), (IVB-c), or (IVB-d), or a pharmaceutically acceptable salt thereof, when L is - [C(R11)2]q-(W)t, each R11 is independently selected from hydrogen and unsubstituted or substituted -C1-C6alkyl. In some embodiments, each R11 is independently selected from hydrogen and unsubstituted -C1-C6alkyl. In some embodiments, each R11 is independently selected from hydrogen and unsubstituted -C1-C4alkyl. In some 10 embodiments, each R11 is hydrogen. In some embodiments, each R11 is independently unsubstituted -C1-C6alkyl. In some embodiments, each R11 is independently unsubstituted -C1-C4alkyl. In some embodiments, each R11 is independently selected from hydrogen and methyl. In some embodiments, one R11 is -CH3. [0394] In some embodiments, when X is in the ortho position, L is substituted 15 or unsubstituted C1-C3 alkylene. In other embodiments, wherein X is in the meta positon, L is substituted or unsubstituted C1-C6 alkylene. [0395] In some embodiments of a compound of Formula (IB), (IIB), (IIB-a), (IIB-b), (IIB-c), (IIB-d), (IIIB), (IIIB-a), (IIIB-b), (IIIB-c), (IIIB-d), (IVB), (IVB-a), (IVB-b), (IVB-c), or (IVB-d), or a pharmaceutically acceptable salt thereof, when L is 20 - [(substituted or unsubstituted C1-C4 alkylene)-Z]p-(substituted or unsubstituted C1-C4 alkylene)-, p is 1 to 3. In some embodiments, p is 1 to 2, 1 to 3, or 2 to 3. In some embodiments, p is 1, 2, or 3. [0396] In some embodiments of a compound of Formula (IB), (IIB), (IIB-a), (IIB-b), (IIB-c), (IIB-d), (IIIB), (IIIB-a), (IIIB-b), (IIIB-c), (IIIB-d), (IVB), (IVB-a), 25 (IVB-b), (IVB-c), or (IVB-d), or a pharmaceutically acceptable salt thereof, q is 1 to 2, 1 to 3, 1 to 3, or 1 to 4. In some embodiments, q is 1. [0397] In some embodiments of a compound of Formula (IB), (IIB), (IIB-a), (IIB-b), (IIB-c), (IIB-d), (IIIB), (IIIB-a), (IIIB-b), (IIIB-c), (IIIB-d), (IVB), (IVB-a), (IVB-b), (IVB-c), or (IVB-d), or a pharmaceutically acceptable salt thereof, L is a bond; 30 and Y is selected from substituted or unsubstituted cycloalkylene and substituted or
142
unsubstituted heterocycloalkylene. In some embodiments, L is a bond, and Y is substituted or unsubstituted heterocycloalkylene. In some embodiments, L is a bond, and Y is unsubstituted heterocycloalkylene. In some embodiments, L is a bond, and Y is monocyclic heterocycloalkylene. In some embodiments of a compound of Formula 5 (IB), (IIB), (IIB-a), (IIB-b), (IIB-c), (IIB-d), (IIIB), (IIIB-a), (IIIB-b), (IIIB-c), (IIIB-d), (IVB), (IVB-a), (IVB-b), (IVB-c), or (IVB-d), or a pharmaceutically acceptable salt thereof, L is not a bond. [0398] In some embodiments of a compound of Formula (IB), (IIB), (IIB-a), (IIB-b), (IIB-c), (IIB-d), (IIIB), (IIIB-a), (IIIB-b), (IIIB-c), (IIIB-d), (IVB), (IVB-a), 10 (IVB-b), (IVB-c), or (IVB-d), or a pharmaceutically acceptable salt thereof, L is an unsubstituted C1-C6 alkylene; or L is a C1-C6 alkylene which is substituted by 1, 2, or 3 groups selected from halogen, -CN, -O-(C1-C6 alkyl), -C1-C6 alkyl,-C1-C6 haloalkyl, -OH, -NH2, or -NHCH3. [0399] In some embodiments of a compound of Formula (IB), (IIB), (IIB-a), 15 (IIB-b), (IIB-c), (IIB-d), (IIIB), (IIIB-a), (IIIB-b), (IIIB-c), (IIIB-d), (IVB), (IVB-a), (IVB-b), (IVB-c), or (IVB-d), or a pharmaceutically acceptable salt thereof, L is 20
[0400] In some embodiments of a compound of Formula (IB), (IIB), (IIB-a), (IIB-b), (IIB-c), (IIB-d), (IIIB), (IIIB-a), (IIIB-b), (IIIB-c), (IIIB-d), (IVB), (IVB-a), (IVB-b), (IVB-c), or (IVB-d), or a pharmaceutically acceptable salt thereof, L is 25
143
[0401] In some embodiments of a compound of Formula (IB), (IIB), (IIB-a), (IIB-b), (IIB-c), (IIB-d), (IIIB), (IIIB-a), (IIIB-b), (IIIB-c), (IIIB-d), (IVB), (IVB-a), (IVB-b), (IVB-c), or (IVB-d), or a pharmaceutically acceptable salt thereof, -X-L-Y- is 5 10
[0402] In some embodiments of a compound of Formula (IB), (IIB), (IIB-a), 15 (IIB-b), (IIB-c), (IIB-d), (IIIB), (IIIB-a), (IIIB-b), (IIIB-c), (IIIB-d), (IVB), (IVB-a), (IVB-b), (IVB-c), or (IVB-d), or a pharmaceutically acceptable salt thereof, -X-L-Y- is
144
5
[0403] In some embodiments of a compound of Formula (IB), (IIB), (IIB-a), (IIB-b), (IIB-c), (IIB-d), (IIIB), (IIIB-a), (IIIB-b), (IIIB-c), (IIIB-d), (IVB), (IVB-a), 10 (IVB-b), (IVB-c), or (IVB-d), or a pharmaceutically acceptable salt thereof, -X-L-Y- is selected from -X-L-Y- is selected from,
, ,
15 [0404] In some embodiments of a compound of Formula (IB), (IIB), (IIB-a), (IIB-b), (IIB-c), (IIB-d), (IIIB), (IIIB-a), (IIIB-b), (IIIB-c), (IIIB-d), (IVB), (IVB-a), (IVB-b), (IVB-c), or (IVB-d), or a pharmaceutically acceptable salt thereof, -X-L-Y- is
145
to L and * is the attachment point to the rest of the molecule. [0405] In some embodiments of a compound of Formula (IB), (IIB), (IIB-a), 5 (IIB-b), (IIB-c), (IIB-d), (IIIB), (IIIB-a), (IIIB-b), (IIIB-c), (IIIB-d), (IVB), (IVB-a), (IVB-b), (IVB-c), or (IVB-d), or a pharmaceutically acceptable salt thereof: X is selected from -O-,-C(R8)2-, -C(R8)2-O-, and -NR7-C(=O) -; R7 is selected from hydrogen and -C1-C6alkyl, e.g., methyl; each R8 is independently selected from RL, hydrogen and -C1-C6alkyl, e.g., 10 methyl; Y is selected from -O-, -S-, -NR9-, -C(R10)2-, substituted or unsubstituted heterocycloalkylene, e.g., substituted or unsubstituted morpholinylene, substituted or unsubstituted pyrrolidinylene, substituted or unsubstituted piperidinylene; R9 is selected from hydrogen and -C1-C6alkyl, e.g., methyl, ethyl and propyl; 15 each R10 is hydrogen; L is selected from a bond, substituted or unsubstituted C1-C6 alkylene, - [C(R11)2]q-(W)-, and [(substituted or unsubstituted C1-C4 alkylene)-Z-]p-(substituted or unsubstituted C1-C4 alkylene); W is unsubstituted or substituted cyclohexylene, or substituted or unsubstituted 20 pyrrolidinylene; each Z is -O-; each R11 is hydrogen; p is 1-5; and q is 1; 25 wherein if L is a bond, then Y is substituted or unsubstituted heterocycloalkylene.
146
[0406] In such embodiments R4 and R5 are independently selected from hydrogen, R20, -O-RL, and RL and any combinations thereof. In certain exemplary embodiments, R4 and R5 are independently selected from hydrogen, unsubstituted -C1- C6 alkyl, -O-RL, and RL. In certain embodiments, R4 and R5 are independently selected 5 from hydrogen, unsubstituted -C1-C6 alkyl, -O-RL, and RL wherein RL is -(unsubstituted C1-C6 alkylene)-N(R13)2; and each R13 is independently selected from hydrogen and unsubstituted or substituted -C1-C6alkyl; or two R13 on the same N atom are taken together with the N atom to which they are attached to form an unsubstituted or substituted N-containing heterocycle. In certain exemplary embodiments, R4 and R5 are 10 independently selected from hydrogen, unsubstituted -C1-C6 alkyl, -O-RL, and RL wherein RL is -(unsubstituted C1-C6 alkylene)-N(R13)2; and each R13 is independently selected from hydrogen and methyl; or two R13 on the same N atom are taken together with the N atom to which they are attached to form an unsubstituted or substituted N- containing heterocycle. In certain exemplary embodiments, R4 and R5 are independently 15 selected from hydrogen, unsubstituted -C1-C6 alkyl, -O-RL, and RL wherein RL is -(unsubstituted C1-C6 alkylene)-N(R13)2; and each R13 is independently selected from hydrogen and methyl. [0407] In some embodiments of a compound of Formula (IB), (IIB), (IIB-a), (IIB-b), (IIB-c), (IIB-d), (IIIB), (IIIB-a), (IIIB-b), (IIIB-c), (IIIB-d), (IVB), (IVB-a), 20 (IVB-b), (IVB-c), or (IVB-d), or a pharmaceutically acceptable salt thereof: X is selected from -O-, -C(R8)2-O-, and *-NR7-C(=O) -# wherein # is the attachment point to L and * is the attachment point to the rest of the molecule; R7 is selected from RL, hydrogen and -C1-C6alkyl, e.g., methyl; each R8 is independently selected from RL, hydrogen or -C1-C6alkyl, e.g., 25 methyl; Y is selected from -O-, -S-, and -NR9-; R9 is selected from methyl, ethyl and propyl; L is selected from substituted or unsubstituted C1-C10 alkylene (preferably C1-C6 alkylene). In some aspects, wherein X is in the ortho position, L is selected from 30 substituted or unsubstituted C1-C3 alkylene.
147
[0408] In such embodiments R4 and R5 are independently selected from hydrogen, R20, -O-RL, and RL and any combinations thereof. In certain exemplary embodiments, R4 and R5 are independently selected from hydrogen, unsubstituted -C1- C6 alkyl, -O-RL, and RL. In certain embodiments, R4 and R5 are independently selected 5 from hydrogen, unsubstituted -C1-C6 alkyl, -O-RL, and RL wherein RL is -(unsubstituted C1-C6 alkylene)-N(R13)2; and each R13 is independently selected from hydrogen and unsubstituted or substituted -C1-C6alkyl; or two R13 on the same N atom are taken together with the N atom to which they are attached to form an unsubstituted or substituted N-containing heterocycle. In certain exemplary embodiments, R4 and R5 are 10 independently selected from hydrogen, unsubstituted -C1-C6 alkyl, -O-RL, and RL wherein RL is -(unsubstituted C1-C6 alkylene)-N(R13)2; and each R13 is independently selected from hydrogen and methyl; or two R13 on the same N atom are taken together with the N atom to which they are attached to form an unsubstituted or substituted N- containing heterocycle. In certain exemplary embodiments, R4 and R5 are independently 15 selected from hydrogen, unsubstituted -C1-C6 alkyl, -O-RL, and RL wherein RL is -(unsubstituted C1-C6 alkylene)-N(R13)2; and each R13 is independently selected from hydrogen and methyl. [0409] In some embodiments of a compound of Formula (IB), (IIB), (IIB-a), (IIB-b), (IIB-c), (IIB-d), (IIIB), (IIIB-a), (IIIB-b), (IIIB-c), (IIIB-d), (IVB), (IVB-a), 20 (IVB-b), (IVB-c), or (IVB-d), or a pharmaceutically acceptable salt thereof: X is selected from -O-, -C(R8)2-O-, and *-NR7-C(=O) -# wherein # is the attachment point to L and * is the attachment point to the rest of the molecule; R7 is selected from hydrogen and -C1-C6alkyl, e.g., methyl; each R8 is independently selected from RL, hydrogen and -C1-C6alkyl, e.g., 25 methyl; Y is selected from -O-, -S-, and -NR9-; R9 is selected from methyl, ethyl and propyl; L is selected from substituted or unsubstituted C1-C10 alkylene (preferably C1-C6 unsubstituted alkylene). In some aspects, wherein X is in the ortho position, L is 30 selected from substituted or unsubstituted C1-C3 alkylene.
148
[0410] In such embodiments R4 and R5 are independently selected from hydrogen, R20, -O-RL, and RL and any combinations thereof. In certain exemplary embodiments, R4 and R5 are independently selected from hydrogen, unsubstituted -C1- C6 alkyl, -O-RL, and RL. In certain embodiments, R4 and R5 are independently selected 5 from hydrogen, unsubstituted -C1-C6 alkyl, -O-RL, and RL wherein RL is -(unsubstituted C1-C6 alkylene)-N(R13)2; and each R13 is independently selected from hydrogen and unsubstituted or substituted -C1-C6alkyl; or two R13 on the same N atom are taken together with the N atom to which they are attached to form an unsubstituted or substituted N-containing heterocycle. In certain exemplary embodiments, R4 and R5 are 10 independently selected from hydrogen, unsubstituted -C1-C6 alkyl, -O-RL, and RL wherein RL is -(unsubstituted C1-C6 alkylene)-N(R13)2; and each R13 is independently selected from hydrogen and methyl; or two R13 on the same N atom are taken together with the N atom to which they are attached to form an unsubstituted or substituted N- containing heterocycle. In certain exemplary embodiments, R4 and R5 are independently 15 selected from hydrogen, unsubstituted -C1-C6 alkyl, -O-RL, and RL wherein RL is -(unsubstituted C1-C6 alkylene)-N(R13)2; and each R13 is independently selected from hydrogen and methyl. [0411] In some embodiments of a compound of Formula (IB), (IIB), (IIB-a), (IIB-b), (IIB-c), (IIB-d), (IIIB), (IIIB-a), (IIIB-b), (IIIB-c), (IIIB-d), (IVB), (IVB-a), 20 (IVB-b), (IVB-c), or (IVB-d), or a pharmaceutically acceptable salt thereof: X is selected from -O- and -C(R8)2-O-; each R8 is hydrogen; Y is -NR9; R9 is selected from methyl and ethyl; and 25 L is selected from unsubstituted C1-C6 alkylene, e.g., ethylene, propylene, butylene, and pentylene. [0412] In such embodiments R4 and R5 are independently selected from hydrogen, R20, -O-RL, and RL and any combinations thereof. In certain exemplary embodiments, R4 and R5 are independently selected from hydrogen, unsubstituted -C1- 30 C6 alkyl, -O-RL, and RL. In certain embodiments, R4 and R5 are independently selected
149
from hydrogen, unsubstituted -C1-C6 alkyl, -O-RL, and RL wherein RL is -(unsubstituted C1-C6 alkylene)-N(R13)2; and each R13 is independently selected from hydrogen and unsubstituted or substituted -C1-C6alkyl; or two R13 on the same N atom are taken together with the N atom to which they are attached to form an unsubstituted or 5 substituted N-containing heterocycle. In certain exemplary embodiments, R4 and R5 are independently selected from hydrogen, unsubstituted -C1-C6 alkyl, -O-RL, and RL wherein RL is -(unsubstituted C1-C6 alkylene)-N(R13)2; and each R13 is independently selected from hydrogen and methyl; or two R13 on the same N atom are taken together with the N atom to which they are attached to form an unsubstituted or substituted N- 10 containing heterocycle. In certain exemplary embodiments, R4 and R5 are independently selected from hydrogen, unsubstituted -C1-C6 alkyl, -O-RL, and RL wherein RL is -(unsubstituted C1-C6 alkylene)-N(R13)2; and each R13 is independently selected from hydrogen and methyl. [0413] In some embodiments of a compound of Formula (IB), (IIB), (IIB-a), 15 (IIB-b), (IIB-c), (IIB-d), (IIIB), (IIIB-a), (IIIB-b), (IIIB-c), (IIIB-d), (IVB), (IVB-a), (IVB-b), (IVB-c), or (IVB-d), or a pharmaceutically acceptable salt thereof : X is-C(R8)2-O-; each R8 is hydrogen or RL; Y is -NR9; 20 R9 is selected from methyl and ethyl; and L is selected from unsubstituted C1-C6 alkylene, e.g., ethylene, propylene, butylene, and pentylene. [0414] In some embodiments of a compound of Formula (IB), (IIB), (IIB-a), (IIB-b), (IIB-c), (IIB-d), (IIIB), (IIIB-a), (IIIB-b), (IIIB-c), (IIIB-d), (IVB), (IVB-a), 25 (IVB-b), (IVB-c), or (IVB-d), or a pharmaceutically acceptable salt thereof: X is-C(R8)2-O-; each R8 is hydrogen or methyl; Y is -NR9; R9 is selected from methyl, ethyl, or RL; and
150
L is selected from unsubstituted C1-C6 alkylene, e.g., ethylene, propylene, butylene, and pentylene. [0415] In such embodiments R4 and R5 are independently selected from hydrogen, R20, -O-RL, and RL and any combinations thereof. In certain exemplary 5 embodiments, R4 and R5 are independently selected from hydrogen, unsubstituted -C1- C6 alkyl, -O-RL, and RL. In certain embodiments, R4 and R5 are independently selected from hydrogen, unsubstituted -C1-C6 alkyl, -O-RL, and RL wherein RL is -(unsubstituted C1-C6 alkylene)-N(R13)2; and each R13 is independently selected from hydrogen and unsubstituted or substituted -C1-C6alkyl; or two R13 on the same N atom are taken 10 together with the N atom to which they are attached to form an unsubstituted or substituted N-containing heterocycle. In certain exemplary embodiments, R4 and R5 are independently selected from hydrogen, unsubstituted -C1-C6 alkyl, -O-RL, and RL wherein RL is -(unsubstituted C1-C6 alkylene)-N(R13)2; and each R13 is independently selected from hydrogen and methyl; or two R13 on the same N atom are taken together15 with the N atom to which they are attached to form an unsubstituted or substituted N- containing heterocycle. In certain exemplary embodiments, R4 and R5 are independently selected from hydrogen, unsubstituted -C1-C6 alkyl, -O-RL, and RL wherein RL is -(unsubstituted C1-C6 alkylene)-N(R13)2; and each R13 is independently selected from hydrogen and methyl. 20 [0416] In some embodiments of a compound of Formula (IB), (IIB), (IIB-a), (IIB-b), (IIB-c), (IIB-d), (IIIB), (IIIB-a), (IIIB-b), (IIIB-c), (IIIB-d), (IVB), (IVB-a), (IVB-b), (IVB-c), or (IVB-d), or a pharmaceutically acceptable salt thereof, -X-L-Y- is 25
151
152
5
[0419] In some embodiments of a compound of Formula (IB), (IIB), (IIB-a), (IIB-b), (IIB-c), (IIB-d), (IIIB), (IIIB-a), (IIIB-b), (IIIB-c), (IIIB-d), (IVB), (IVB-a), (IVB-b), (IVB-c), or (IVB-d), or a pharmaceutically acceptable salt thereof, -X-L-Y- is 10
wherein # is the attachment point to L and * is the attachment point to the rest of the molecule. [0420] In some embodiments of a compound of Formula (IB), (IIB), (IIB-a), (IIB-b), (IIB-c), (IIB-d), (IIIB), (IIIB-a), (IIIB-b), (IIIB-c), (IIIB-d), (IVB), (IVB-a), 15 (IVB-b), (IVB-c), or (IVB-d), or a pharmaceutically acceptable salt thereof, R4 is selected from hydrogen, halogen, -CN, -OH, -OR50, -NR51R51, unsubstituted or substituted C1-C6 alkyl, unsubstituted or substituted cycloalkyl, unsubstituted or substituted heterocycloalkyl, -O-RL, and RL. In some embodiments, R4 is selected from
153
hydrogen, unsubstituted C1-C6 alkyl, -O-RL, and RL. In some embodiments, R4 is hydrogen. In some embodiments, R4 is R20. In some embodiments, R4 is RL. In some embodiments, R4 is -O-RL [0421] In some embodiments of a compound of Formula (IB), (IIB), (IIB-a), 5 (IIB-b), (IIB-c), (IIB-d), (IIIB), (IIIB-a), (IIIB-b), (IIIB-c), (IIIB-d), (IVB), (IVB-a), (IVB-b), (IVB-c), or (IVB-d), or a pharmaceutically acceptable salt thereof, R5 is selected from hydrogen, halogen, -CN, -OH, -OR50, -NR51R51, unsubstituted or substituted C1-C6 alkyl, unsubstituted or substituted cycloalkyl, unsubstituted or substituted heterocycloalkyl, -O-RL, and RL. In some embodiments, R5 is selected from 10 hydrogen, unsubstituted C1-C6 alkyl, -O-RL, and RL. In some embodiments, R5 is hydrogen. In some embodiments, R5 is R20. In some embodiments, R5 is RL. In some embodiments, R5 is -O-RL, [0422] In some embodiments of a compound of Formula (IB), (IIB), (IIB-a), (IIB-b), (IIB-c), (IIB-d), (IIIB), (IIIB-a), (IIIB-b), (IIIB-c), (IIIB-d), (IVB), (IVB-a), 15 (IVB-b), (IVB-c), or (IVB-d), or a pharmaceutically acceptable salt thereof, RL is - (unsubstituted or substituted C1-C6 alkylene)-OR12. In some embodiments, RL is - (unsubstituted C1-C6 alkylene)-OR12. [0423] In some embodiments of a compound of Formula (IB), (IIB), (IIB-a), (IIB-b), (IIB-c), (IIB-d), (IIIB), (IIIB-a), (IIIB-b), (IIIB-c), (IIIB-d), (IVB), (IVB-a), 20 (IVB-b), or (IVB-c), or a pharmaceutically acceptable salt thereof, RL is -(unsubstituted or substituted C1-C6 alkylene)-N(R13)2. In some embodiments, RL is -(unsubstituted C1- C6 alkylene)-N(R13)2. [0424] In some embodiments of a compound of Formula (IB), (IIB), (IIB-a), (IIB-b), (IIB-c), (IIB-d), (IIIB), (IIIB-a), (IIIB-b), (IIIB-c), (IIIB-d), (IVB), (IVB-a), 25 (IVB-b), or (IVB-c), or a pharmaceutically acceptable salt thereof, R12 is selected from hydrogen, -C(=O)R50, -C(=O)OR51, -C(=O)NR51R51, and unsubstituted or substituted -C1-C6alkyl. In some embodiments, R12 is selected from hydrogen and unsubstituted -C1-C6alkyl. In some embodiments, R12 is hydrogen. [0425] In some embodiments of a compound of Formula (IB), (IIB), (IIB-a), 30 (IIB-b), (IIB-c), (IIB-d), (IIIB), (IIIB-a), (IIIB-b), (IIIB-c), (IIIB-d), (IVB), (IVB-a),
154
(IVB-b), (IVB-c), or (IVB-d), or a pharmaceutically acceptable salt thereof, each R13 is independently selected from hydrogen, -C(=O)R50, -C(=O)OR51, -C(=O)NR51R51, and unsubstituted or substituted -C1-C6alkyl; or two R13 on the same N atom are taken together with the N atom to which they are attached to form an unsubstituted or 5 substituted N-containing heterocycle. In some embodiments, each R13 is independently selected from hydrogen, -C(=O)R50, -C(=O)OR51, -C(=O)NR51R51, and unsubstituted or substituted -C1-C6alkyl. In some embodiments, each R13 is independently selected from hydrogen and unsubstituted -C1-C6alkyl. In some embodiments, each R13 is hydrogen. In some embodiments, two R13 on the same N atom are taken together with the N atom 10 to which they are attached to form an unsubstituted or substituted N-containing heterocycle. In some embodiments, two R13 on the same N atom are taken together with the N atom to which they are attached to form a phthalimide. [0426] In some embodiments of a compound of Formula (IB), (IIB), (IIB-a), (IIB-b), (IIB-c), (IIB-d), (IIIB), (IIIB-a), (IIIB-b), (IIIB-c), (IIIB-d), (IVB), (IVB-a), 15 (IVB-b), (IVB-c), or (IVB-d), or a pharmaceutically acceptable salt thereof, RL is -(unsubstituted C1-C6 alkylene)-N(R13)2; and each R13 is independently selected from hydrogen, -C(=O)R50, -C(=O)OR51, -C(=O)NR51R51, and unsubstituted or substituted - C1-C6alkyl; or two R13 on the same N atom are taken together with the N atom to which they are attached to form an unsubstituted or substituted N-containing heterocycle. 20 [0427] In some embodiments of a compound of Formula (IB), (IIB), (IIB-a), (IIB-b), (IIB-c), (IIB-d), (IIIB), (IIIB-a), (IIIB-b), (IIIB-c), (IIIB-d), (IVB), (IVB-a), (IVB-b), (IVB-c), or (IVB-d), or a pharmaceutically acceptable salt thereof, RL is -(unsubstituted C1-C6 alkylene)-NH2. [0428] In some embodiments of a compound of Formula (IB), (IIB), (IIB-a), 25 (IIB-b), (IIB-c), (IIB-d), (IIIB), (IIIB-a), (IIIB-b), (IIIB-c), (IIIB-d), (IVB), (IVB-a), (IVB-b), (IVB-c), or (IVB-d), or a pharmaceutically acceptable salt thereof, RL is -(unsubstituted C1-C6 alkylene)-N(R13)2; and two R13 on the same N atom are taken together with the N atom to which they are attached to form a phthalimide. [0429] In some embodiments of a compound of Formula (IB), (IIB), (IIB-a), 30 (IIB-b), (IIB-c), (IIB-d), (IIIB), (IIIB-a), (IIIB-b), (IIIB-c), (IIIB-d), (IVB), (IVB-a),
155
(IVB-b), (IVB-c), or (IVB-d), or a pharmaceutically acceptable salt thereof, RL is . [0430] In some embodiments of a compound of Formula (IB), (IIB), (IIB-a), (IIB-b), (IIB-c), (IIB-d), (IIIB), (IIIB-a), (IIIB-b), (IIIB-c), (IIIB-d), (IVB), (IVB-a), 5 (IVB-b), (IVB-c), or (IVB-d), or a pharmaceutically acceptable salt thereof, one of R4 or R5 is selected from and
. In some embodiments, the other of R4 and R5 is hydrogen. [0431] In some embodiments of a compound of Formula (IB), (IIB), (IIB-a), (IIB-b), (IIB-c), (IIB-d), (IIIB), (IIIB-a), (IIIB-b), (IIIB-c), (IIIB-d), (IVB), (IVB-a), 10 (IVB-b), (IVB-c), or (IVB-d), or a pharmaceutically acceptable salt thereof, at least one of R4 and R5 is -O-RL. In alternative exemplary embodiments, R4 and R5 are independently selected from hydrogen or methyl. In some embodiments, R4 is selected from hydrogen, -C1-C6alkyl, and -O-RL; R5 is selected from hydrogen, -C1-C6alkyl, and -O-RL. In some such embodiments, RL is selected from -(unsubstituted C1-C6 15 alkylene)-NH2 and -(unsubstituted C1-C6 alkylene)-OH. [0432] In some embodiments of a compound of Formula (IB), (IIB), (IIB-a), (IIB-b), (IIB-c), (IIB-d), (IIIB), (IIIB-a), (IIIB-b), (IIIB-c), (IIIB-d), (IVB), (IVB-a), (IVB-b), (IVB-c), or (IVB-d), or a pharmaceutically acceptable salt thereof, each R20 is independently selected from halogen, -CN, -OH, -OR50, -NR51R51, -C(=O)OR50, 20 -C(=O)NR51R51, -NR51C(=O)R50, C1-C6alkyl, C1-C6haloalkyl, monocyclic carbocycle, and monocyclic heterocycle. In some embodiments, each R20 is independently selected from halogen, -CN, -OH, -OR50, -NR51R51, -C(=O)OR50, -C(=O)NR51R51, -NR51C(=O)R50, -SR51, -S(=O)R50, -SO2R50, -SO2NR51R51, -NHSO2R50, C1-C6alkyl, C1- C6haloalkyl, phenyl and monocyclic cycloalkyl. In some embodiments, each R20 is 25 independently selected from halogen, -CN, -OH, -OR50, -NR51R51, -C(=O)OR50, -C(=O)NR51R51, C1-C6alkyl, and C1-C6haloalkyl. In some embodiments, each R20 is independently selected from halogen, -CN, -OH, -OR50, -NR51R51. In some embodiments, each R20 is independently selected from -F, -Cl, -Br, -CN, -OH, -OR50, -NR51R51.
156
[0433] In some embodiments of a compound of Formula (IB), (IIB), (IIB-a), (IIB-b), (IIB-c), (IIB-d), (IIIB), (IIIB-a), (IIIB-b), (IIIB-c), (IIIB-d), (IVB), (IVB-a), (IVB-b), (IVB-c), or (IVB-d), or a pharmaceutically acceptable salt thereof, each R50 is independently selected from unsubstituted or substituted C1-C6alkyl, unsubstituted or 5 substituted carbocycle, and unsubstituted or substituted heterocycle. In some embodiments, each R50 is independently selected from unsubstituted or substituted C1- C6alkyl. [0434] In some embodiments of a compound of Formula (IB), (IIB), (IIB-a), (IIB-b), (IIB-c), (IIB-d), (IIIB), (IIIB-a), (IIIB-b), (IIIB-c), (IIIB-d), (IVB), (IVB-a), 10 (IVB-b), (IVB-c), or (IVB-d), or a pharmaceutically acceptable salt thereof, each R51 is independently selected from hydrogen, unsubstituted or substituted C1-C6alkyl, unsubstituted or substituted carbocycle, and unsubstituted or substituted heterocycle. In some embodiments, each R51 is independently selected from hydrogen, unsubstituted or substituted C1-C6alkyl. 15 [0435] In some embodiments of a compound of Formula (IB), (IIB), (IIB-a), (IIB-b), (IIB-c), (IIB-d), (IIIB), (IIIB-a), (IIIB-b), (IIIB-c), (IIIB-d), (IVB), (IVB-a), (IVB-b), (IVB-c), or (IVB-d), or a pharmaceutically acceptable salt thereof, two R51 on the same N atom are taken together with the N atom to which they are attached to form an unsubstituted or substituted N-containing heterocycle. 20 [0436] In some embodiments of a compound of Formula (IB), (IIB), (IIB-a), (IIB-b), (IIB-c), (IIB-d), (IIIB), (IIIB-a), (IIIB-b), (IIIB-c), (IIIB-d), (IVB), (IVB-a), (IVB-b), (IVB-c), or (IVB-d), or a pharmaceutically acceptable salt thereof when any of L, Y, RL, R1, R7, R8, R9, R10, R11, R12, R13, R20, R50, and R51 are substituted, substituents on the L, Y, RL, R1, R7, R8, R9, R10, R11, R12, R13, R20, R50, and R51 are independently 25 selected at each occurrence from halogen, -CN, -NO2, -OR52, -CO2R52, -C(=O)NR52R52, -NR52R52, -NR52C(=O)R53, -SR52, -S(=O)R53, -SO2R53, -SO2NR52R52, unsubstituted C1- C6alkyl, unsubstituted C1-C6haloalkyl, unsubstituted monocyclic carbocycle, and unsubstituted monocyclic heterocycle. In some embodiments, substituents are independently selected at each occurrence from halogen, -CN, -NO2-OR52, -CO2R52, 30 -C(=O)NR52R52, -NR52R52, -NR52C(=O)R53, -S(=O)R53, -SO2R53, -SO2NR52R52,
157
unsubstituted C1-C6alkyl, unsubstituted C1-C6haloalkyl, unsubstituted phenyl and unsubstituted monocyclic cycloalkyl. In some embodiments, substituents are independently selected at each occurrence from halogen, -CN, -OR52, -CO2R52, -C(=O)NR52R52, -NR52R52, unsubstituted C1-C6alkyl, and unsubstituted C1-C6haloalkyl. 5 [0437] In some embodiments of a compound of Formula (IB), (IIB), (IIB-a), (IIB-b), (IIB-c), (IIB-d), (IIIB), (IIIB-a), (IIIB-b), (IIIB-c), (IIIB-d), (IVB), (IVB-a), (IVB-b), (IVB-c), or (IVB-d), or a pharmaceutically acceptable salt thereof, each R52 is independently selected from hydrogen, unsubstituted C1-C6alkyl, unsubstituted C3- C6cycloalkyl, unsubstituted phenyl, unsubstituted benzyl, unsubstituted 5-membered 10 heteroaryl, and unsubstituted 6-membered heteroaryl. In some embodiments, each R52 is independently selected from hydrogen, unsubstituted C1-C6alkyl, unsubstituted C3- C6cycloalkyl, and unsubstituted phenyl. In some embodiments, each R52 is independently selected from hydrogen and unsubstituted C1-C6alkyl. [0438] In some embodiments of a compound of Formula (IB), (IIB), (IIB-a), 15 (IIB-b), (IIB-c), (IIIB), (IIIB-a), (IIIB-b), or (IIIB-c), or a pharmaceutically acceptable salt thereof, two R52 groups are taken together with the N atom to which they are attached to form an unsubstituted N-containing heterocycle. [0439] In some embodiments of a compound of Formula (IB), (IIB), (IIB-a), (IIB-b), (IIB-c), (IIB-d), (IIIB), (IIIB-a), (IIIB-b), (IIIB-c), (IIIB-d), (IVB), (IVB-a), 20 (IVB-b), (IVB-c), or (IVB-d), or a pharmaceutically acceptable salt thereof, each R53 is independently selected from unsubstituted C1-C6alkyl, unsubstituted C3-C6cycloalkyl, unsubstituted phenyl, unsubstituted benzyl, unsubstituted 5-membered heteroaryl, and unsubstituted 6-membered heteroaryl. In some embodiments, each R53 is independently selected from unsubstituted C1-C6alkyl, unsubstituted C3-C6cycloalkyl, and 25 unsubstituted phenyl. In some embodiments, each R53 is independently selected from unsubstituted C1-C6alkyl. [0440] In certain embodiments, the compound is represented by Formula (IIIB):
158
(IIIB); or a pharmaceutically acceptable salt thereof, wherein: X is selected from -O-, -C(R8)2-O-, and *-NR7-C(=O) -# wherein # is the attachment point to L and * is the attachment point to the rest of the molecule; 5 each R8 is independently selected from hydrogen and methyl; R7 is hydrogen or methyl; Y is -NR9; R9 is -C1-C6alkyl, e.g., methyl, ethyl, and propyl; L is unsubstituted C1-C6 alkylene, e.g., ethylene, propylene, butylene, and 10 pentylene; R4 is selected from hydrogen, -C1-C6alkyl, e.g., methyl, and -O-RL; R5 is selected from hydrogen, -C1-C6alkyl, e.g., methyl, and -O-RL; and RL is selected from -(unsubstituted C1-C6 alkylene)-NH2 and -(unsubstituted C1- C6 alkylene)-OH. 15 [0441] In some exemplary embodiments at least one of R4 and R5 is -O-RL. In alternative exemplary embodiments, R4 and R5 are independently selected from hydrogen or methyl. In some embodiments, R4 is selected from hydrogen, -C1-C6alkyl, and -O-RL; R5 is selected from hydrogen, -C1-C6alkyl, and -O-RL. In some such embodiments, RL is selected from -(unsubstituted C1-C6 alkylene)-NH2 and 20 -(unsubstituted C1-C6 alkylene)-OH. [0442] In certain embodiments, the compound is represented by Formula (IVB):
or a pharmaceutically acceptable salt thereof, wherein:
159
X is selected from #-C(R8)2-O-*, wherein # is the attachment point to L and * is the attachment point to the rest of the molecule; each R8 is independently selected from hydrogen, methyl, and RL; R7 is hydrogen or methyl; 5 Y is -NR9; R9 is -C1-C6alkyl, e.g., methyl, ethyl, and propyl; L is unsubstituted C1-C3 alkylene; R4 is selected from hydrogen, -C1-C6alkyl, e.g., methyl, and -O-RL; R5 is selected from hydrogen, -C1-C6alkyl, e.g., methyl, and -O-RL; 10 RL is -(unsubstituted C1-C6 alkylene)-N(R13)2; and each R13 is independently selected from hydrogen, and -C1-C6alkyl, e.g., methyl; or two R13 on the same N atom are taken together with the N atom to which they are attached to form an unsubstituted or substituted N-containing heterocycle. [0443] In some exemplary embodiments at least one of R4 and R5 is -O-RL. In 15 alternative exemplary embodiments, R4 and R5 are independently selected from hydrogen or methyl. In some embodiments, R4 is selected from hydrogen, -C1-C6alkyl, and -O-RL; R5 is selected from hydrogen, -C1-C6alkyl, and -O-RL. In some such embodiments, RL is selected from -(unsubstituted C1-C6 alkylene)-NH2 and -(unsubstituted C1-C6 alkylene)-OH. 20 [0444] In one aspect, the compound of Category B is: ,
,
160
161
, , , , , , , , , , , , 5 , , , N NH2 O N HN H2N O N O N N , H Me ,
162
or a pharmaceutically acceptable salt of any one thereof. [0445] In some embodiments, the compound of Category B is: 5 cis-
trans-
, , , cis-
, , cis-
, ,
163
or a pharmaceutically acceptable salt of any one thereof. [0446] In one aspect, the compound of Category B is a compound as in Table 1, or a pharmaceutically acceptable salt thereof. Table 1.
164
165
166
167
168
169
170
171
172
Conjugates of Formula (I) [0447] In certain embodiments, the disclosure relates to a TGFβR2 inhibitor conjugate comprising an anti-LRRC15 antibody and a TGFβR2 inhibitor. In some 5 embodiments, the TGFβR2 inhibitor is a compound of any one of the Category A formulae or Category B formulae shown herein. In some embodiments, the anti- LRRC15 antibody comprises an antigen-binding domain of any of the anti-LRRC15
173
antibodies disclosed herein. In some embodiments, the TGFβR2 inhibitor is optionally attached to the antibody via a linker. In some embodiments, the average drug-to- antibody ratio (DAR) of the conjugate is from 1 to about 8, or 2 to about 6, or about 3 to about 5, or about 4. 5 [0448] In some aspects, the present disclosure provides a conjugate represented by Formula (I):
(I); wherein: A is the anti-LRRC15 antibody or antigen-binding fragment thereof; L3 is the linker; Dx is the TGRβR2 inhibitor; n is selected from 1 to 20 or from 2 to about 10 or 10 from 3 to about 8; and z is selected from 1 to 20. [0449] In further aspects, the present disclosure provides an antibody conjugate represented by the formula: wherein: 15 Antibody is an anti-LRRC15 antibody or antigen-binding fragment thereof; n is selected from 1 to about 20 or from 2 to about 10 or from about 3 to about 8; L3 is a linker; and 20 D is selected from a compound or salt of a compound of any one of Category A Formulas (IA), (IA’), (IA-A), (IA-B), (IA-C), (IA-D), (IA-E) (IIA-A), (IIA- B), (IIA-C), or (IIA-D), or a compound from Table 14, or any one of Category B Formulas (IB), (IIB), (IIB-a), (IIB-b), (IIB-c), (IIB-d), (IIIB), (IIIB-a), (IIIB-b), (IIIB- c), (IIIB-d), (IVB), (IVB-a), (IVB-b), (IVB-c), or (IVB-d), or a compound from Table 25 1. [0450] In some embodiments of the conjugate of Formula (I), the number of inhibitor moieties bound to the linker is n, where n is selected from 1 to 20. In some embodiments, n is selected from 1 to 10, or from 1 to 5, or is 1 or 2, or is 1. In some
174
embodiments of Formula (I), z is the number of inhibitor-linker moieties attached to the antibody. In some embodiments, z is from 1 to about 20, or from 1 to about 10, or from 1 to about 9, or from 1 to about 8, or 2 to about 6, or about 3 to about 5, or about 4. In some embodiments, the average drug-to-antibody ratio (DAR) of the conjugate is n 5 times z (n x z). In some embodiments, the average DAR is from 1 to about 8, or 2 to about 6, or about 3 to about 5, or about 4. Linkers and Linker-Payloads [0451] The compounds and salts described herein may be bound to a linker,10 e.g., a peptide linker. In certain embodiments, the linker is also bound to an anti- LRRC15 antibody, an antibody construct, or a targeting moiety, and may be referred to as an anti-LRRC15 antibody conjugate, an antibody construct conjugate, or a targeting moiety conjugate, respectively, or may be referred to simply as a conjugate. Linkers of the conjugates may not affect the binding of active portions of a conjugate, e.g., the 15 antigen binding domains, Fc region or domains, target binding domain, antibody, targeting moiety, or the like, to a target, which can be a cognate binding partner, such as an antigen. A conjugate can comprise multiple linkers, each having one or more compounds attached. The multiple linkers can be the same linker or different linkers contained on a single conjugate or on separate conjugates. 20 [0452] As will be appreciated by skilled artisans, a linker connects one or more TGFΒR2 inhibitors to an anti-LRRC15 antibody or antigen-binding fragment thereof by forming a covalent linkage to the compound at one location and a covalent linkage to the antibody or antigen-binding fragment thereof at another location. The covalent linkages can be formed by reaction between functional groups on the linker and 25 functional groups on the TGFΒR2 inhibitor and on the antibody or antigen-binding fragment thereof. As used herein, the expression "linker" can include (i) unattached forms of the linker that can include a functional group capable of covalently attaching the linker to an TGFΒR2 inhibitor and a functional group capable of covalently attached the linker to an antibody or antigen-binding fragment thereof; (ii) partially 30 attached forms of the linker that can include a functional group capable of covalently
175
attaching the linker to an antibody or antigen-binding fragment thereof and that can be covalently attached to an TGFΒR2 inhibitor, or vice versa; and (iii) fully attached forms of the linker that can be covalently attached to both an TGFΒR2 inhibitor and to an antibody or antigen-binding fragment thereof. In some specific embodiments, the 5 functional groups on a linker and covalent linkages formed between the linker and an antibody or antigen-binding fragment thereof can be specifically illustrated as Rx and Rx’, respectively. [0453] A linker can be short, flexible, rigid, cleavable, non-cleavable, hydrophilic, or hydrophobic. A linker can contain segments that have different 10 characteristics, such as segments of flexibility or segments of rigidity. The linker can be chemically stable to extracellular environments, for example, chemically stable in the blood stream, or may include linkages that are not stable or selectively stable. The linker can include linkages that are designed to cleave and/or immolate or otherwise breakdown specifically or non-specifically inside cells. A cleavable linker can be 15 sensitive to enzymes. A cleavable linker can be cleaved by enzymes such as proteases. [0454] A cleavable linker can include a valine-citrulline (Val-Cit) peptide, a valine-alanine (Val-Ala) peptide, a phenylalanine-lysine (Phe-Lys) or other peptide, such as a peptide that forms a protease recognition and cleavage site. Such a peptide- containing linker can contain a pentafluorophenyl group. A peptide-containing linker 20 can include a succimide or a maleimide group. A peptide-containing linker can include a para aminobenzoic acid (PABA) group. A peptide-containing linker can include an aminobenzyloxycarbonyl (PABC) group. A peptide-containing linker can include a PABA or PABC group and a pentafluorophenyl group. A peptide-containing linker can include a PABA or PABC group and a succinimide group. A peptide-containing linker 25 can include a PABA or PABC group and a maleimide group. [0455] A non-cleavable linker is generally protease-insensitive and insensitive to intracellular processes. A non-cleavable linker can include a maleimide group. A non-cleavable linker can include a succinimide group. A non-cleavable linker can be maleimido−alkyl−C(O)− linker. A non-cleavable linker can be maleimidocaproyl30 linker. A maleimidocaproyl linker can be N-maleimidomethylcyclohexane-1-
176
carboxylate. A maleimidocaproyl linker can include a succinimide group. A maleimidocaproyl linker can include pentafluorophenyl group. [0456] A linker can be a combination of a maleimidocaproyl group and one or more polyethylene glycol molecules. A linker can be a maleimide-PEG4 linker. A 5 linker can be a combination of a maleimidocaproyl linker containing a succinimide group and one or more polyethylene glycol molecules. A linker can be a combination of a maleimidocaproyl linker containing a pentafluorophenyl group and one or more polyethylene glycol molecules. A linker can contain a maleimide(s) linked to polyethylene glycol molecules in which the polyethylene glycol can allow for more 10 linker flexibility or can be used lengthen the linker. [0457] A linker can be a (maleimidocaproyl)-(valine-alanine)-(para- aminobenzyloxycarbonyl) linker. A linker can be a (maleimidocaproyl)-(valine- citrulline)-(para-aminobenzyloxycarbonyl) linker. A linker can be a (maleimidocaproyl)-(phenylalanine-lysine)-(para-aminobenzyloxycarbonyl) linker. A 15 linker can be a linker suitable for attachment to an engineered cysteine (THIOMAB). A THIOMAB linker can be a (maleimidocaproyl)-(valine-citrulline)-(para- aminobenzyloxycarbonyl)-linker. [0458] A linker can also contain segments of alkylene, alkenylene, alkynylene, polyether, polyester, polyamide, polyamino acids, peptides, polypeptides, cleavable 20 peptides, and/or aminobenzyl-carbamates. A linker can contain a maleimide at one end and an N-hydroxysuccinimidyl ester at the other end. A linker can contain a lysine with an N-terminal amine acetylated, and a valine-citrulline, valine-alanine or phenylalanine- lysine cleavage site. A linker can be a link created by a microbial transglutaminase, wherein the link can be created between an amine-containing moiety and a moiety 25 engineered to contain glutamine as a result of the enzyme catalyzing a bond formation between the acyl group of a glutamine side chain and the primary amine of a lysine chain. A linker can contain a reactive primary amine. A linker can be a Sortase A linker. A Sortase A linker can be created by a Sortase A enzyme fusing an LPXTG recognition motif (SEQ ID NO:253) to an N-terminal GGG motif to regenerate a native 30 amide bond. The linker created can therefore link to a moiety attached to the LPXTG
177
recognition motif (SEQ ID NO:253) with a moiety attached to the N-terminal GGG motif. A linker can be a link created between an unnatural amino acid on one moiety reacting with oxime bond that was formed by modifying a ketone group with an alkoxyamine on another moiety. A moiety can be part of a conjugate. A moiety can be 5 part of an antibody. A moiety can be part of an immune-stimulatory compound, such as TGFΒR2 inhibitor. A moiety can be part of a binding domain. A linker can be unsubstituted or substituted, for example, with a substituent. A substituent can include, for example, hydroxyl groups, amino groups, nitro groups, cyano groups, azido groups, carboxyl groups, carboxaldehyde groups, imine groups, alkyl groups, alkenyl groups, 10 alkynyl groups, alkoxy groups, acyl groups, acyloxy groups, amide groups, and ester groups. [0459] In the conjugates, a compound or salt of any one of Category A, Category B, or Tables 1 or 14, or a salt thereof is linked to the antibody by way of a linker(s), also referred to herein as L or L3. L, as used herein, may be selected from any 15 of the linker moieties discussed herein. The linker linking the compound or salt to the antibody construct of a conjugate may be short, long, hydrophobic, hydrophilic, flexible or rigid, or may be composed of segments that each independently have one or more of the above-mentioned properties such that the linker may include segments having different properties. The linkers may be polyvalent such that they covalently link more 20 than one compound or salt to a single site on the antibody construct, or monovalent such that covalently they link a single compound or salt to a single site on the antibody construct. [0460] A linker can be polyvalent such that it covalently links more than one TGFΒR2 compound to a single site on the antibody or antigen-binding fragment 25 thereof, or monovalent such that it covalently links a single TGFΒR2 compound to a single site on the antibody or antigen-binding fragment thereof. [0461] In certain embodiments for a compound of Category A, Category B, or Tables 1 or 14, or pharmaceutically acceptable isomer, tautomer, racemate, hydrate, solvate, isotope, or salt thereof, the compound may further comprise a linker (L), which 30 results a linker-payload. The linker may be covalently bound to any position, valence
178
permitting, on a compound of Category A, Category B, or Tables 1 or 14, or a pharmaceutically acceptable isomer, tautomer, racemate, hydrate, solvate, isotope, or salt thereof. For example, the linker may be bound to R7 or R8. In some embodiments, a linker is bound to R7. In further embodiments, a linker is bound to a nitrogen atom, 5 e.g., an amine, or oxygen atom, e.g., a hydroxyl, of a compound of Category A, Category B, or Tables 1 or 14, or pharmaceutically acceptable isomer, tautomer, racemate, hydrate, solvate, isotope, or salt thereof. The linker may comprise a reactive moiety, e.g., an electrophile that can react to form a covalent bond with a reactive moiety of an antibody, an antibody construct, or a targeting moiety, e.g., a lysine, 10 serine, threonine, cysteine, tyrosine, aspartic acid, glutamine, a non-natural amino acid residue, or glutamic acid residue. In some embodiments, a compound of Category A, Category B, or Tables 1 or 14, or pharmaceutically acceptable isomer, tautomer, racemate, hydrate, solvate, isotope, or salt thereof, may be covalently bound through the linker to an antibody, an antibody construct, or a targeting moiety. 15 [0462] In the conjugates, a compound of Category A, Category B, or Tables 1 or 14, or pharmaceutically acceptable isomer, tautomer, racemate, hydrate, solvate, isotope, or salt thereof, is linked to an antibody, an antibody construct, or a targeting moiety by way of a linker(s), also referred to herein as L, as used herein, may be selected from any of the linker moieties discussed herein. The linker linking the 20 compound or salt to an antibody, an antibody construct, or a targeting moiety of a conjugate may be short, long, hydrophobic, hydrophilic, flexible or rigid, or may be composed of segments that each independently have one or more of the above- mentioned properties, such that the linker may include segments having different properties. The linkers may be polyvalent such that they covalently link more than one 25 compound or salt to a single site on an antibody, an antibody construct, or a targeting moiety, or monovalent, such that covalently they link a single compound or salt to a single site on an antibody, an antibody construct, or a targeting moiety. [0463] Linkers of the disclosure (L) may have from about 10 to about 500 atoms in a linker, such as from about 10 to about 400 atoms, such as about 10 to about
179
300 atoms in a linker. In certain embodiments, linkers of the disclosure have from about 30 to about 400 atoms, such as from about 30 to about 300 atoms in the linker. [0464] As will be appreciated by skilled artisans, the linkers may link a compound of any one of Category A, Category B, or Tables 1 or 14, or 5 pharmaceutically acceptable isomer, tautomer, racemate, hydrate, solvate, isotope, or salt thereof, to an antibody, an the antibody construct, or a targeting moiety by a covalent linkages between the linker and the antibody, the antibody construct, or the targeting moiety, and the compound, to form a conjugate. As used herein, the expression "linker" is intended to include (i) unconjugated forms of the linker that 10 include a functional group capable of covalently linking the linker to a compound of any one of Category A, Category B, or Tables 1 or 14, or pharmaceutically acceptable isomer, tautomer, racemate, hydrate, solvate, isotope, or salt thereof,the present invention and a functional group capable of covalently linking the linker to an antibody, an antibody construct, or a targeting moiety; (ii) partially conjugated forms of the linker 15 that include a functional group capable of covalently linking the linker to the an antibody, the antibody construct, or the targeting moiety, and that is covalently linked to at least one compound of any one of Category A, Category B, or Tables 1 or 14, or pharmaceutically acceptable isomer, tautomer, racemate, hydrate, solvate, isotope,(s) or salt thereof(s) of any one of Category A, Category B, or Tables 1 or 14, or vice versa; 20 and (iii) fully conjugated forms of the linker that is covalently linked to both a compound of any one of Category A, Category B, or Tables 1 or 14, or pharmaceutically acceptable isomer, tautomer, racemate, hydrate, solvate, isotope, or salt thereof, and an antibody, an antibody construct, or the targeting moiety. Some embodiments pertain to a conjugate formed by contacting an antibody, an antibody 25 construct, or a targeting moiety that binds a cell surface receptor or tumor- associated antigen expressed on a tumor cell with a linker-compound described herein under conditions in which the linker-compound covalently links to the antibody, the antibody construct, or the targeting moiety. Further embodiments pertain to a method of making a conjugate formed by contacting a linker-compound under conditions in which the
180
linker-compound covalently links to an antibody, an antibody construct, or a targeting moiety. [0465] In certain embodiments, a compound of any one of Category A, Category B, or Tables 1 or 14, or pharmaceutically acceptable isomer, tautomer, 5 racemate, hydrate, solvate, isotope, or salt thereof, Salts described in the section entitled “Compounds” is covalently bound to a linker (L) to form a linker-payload (L-P). The linker may be covalently bound to any position of the compound, valence permitting. The linker may comprise a reactive moiety, e.g., an electrophile that can react to form a covalent bond with a moiety of an antibody, an antibody construct, or a targeting 10 moiety, such as, for example, a lysine, serine, threonine, cysteine, tyrosine, aspartic acid, glutamine, a non-natural amino acid residue, or glutamic acid residue. In some embodiments, a linker-payload, comprising a compound or salt of a compound in the section entitled “Compounds” herein and a linker, L, is covalently bound through the linker to an antibody, an antibody construct, or a targeting moiety. In certain 15 embodiments, any one of the compounds or salts described in the section entitled “Compounds” is covalently bound to a linker (L). The linker may be covalently bound to any position, valence permitting. The linker may comprise a reactive moiety, e.g., an electrophile that can react to form a covalent bond with a moiety of an antibody construct such as, for example, a lysine, serine, threonine, cysteine, tyrosine, aspartic 20 acid, glutamine, a non-natural amino acid residue, or glutamic acid residue. In some embodiments, a compound or salt of a compound in the section entitled “Compounds” herein is covalently bound through the linker to an antibody construct. [0466] In certain embodiments, a linker-payload, comprising a TGFΒR2 inhibitor compound or salt thereof of this disclosure and a linker, L, is covalently bound 25 through L to an antibody. In further embodiments, a linker-payload, comprising a TGFΒR2 inhibitor compound or salt thereof of this disclosure and a linker, L, is covalently bound through L to an antibody construct. In still further embodiments, a linker-payload, comprising a TGFΒR2 inhibitor compound or salt thereof of this disclosure and a linker, L, is covalently bound through L to a targeting moiety. In any 30 of the aforementioned embodiments, for a linker-payload comprising a compound of
181
any one of Category A, Category B, or Tables 1 or 14, or pharmaceutically acceptable isomer, tautomer, racemate, hydrate, solvate, isotope, or salt thereof, L is a noncleavable linker. Alternatively, in any of the aforementioned embodiments, for a linker-payload comprising a compound of any one of Category A, Category B, or 5 Tables 1 or 14, or pharmaceutically acceptable isomer, tautomer, racemate, hydrate, solvate, isotope, or salt thereof, L is a cleavable linker, such as a linker cleavable by a lysosomal enzyme. In any of the aforementioned embodiments, the antibody, the antibody construct, or the targeting moiety may specifically bind to LRRC15. In any of the aforementioned embodiments, the antibody, antibody construct, or targeting moiety 10 may further comprise a second antigen or target binding domain. [0467] In some embodiments, a TGFΒR2 inhibitor compound of this disclosure is covalently attached to an antibody, an antibody construct, or a targeting moiety. In particular embodiments, a TGFΒR2 inhibitor compound of this disclosure is covalently attached to an antibody. In certain embodiments, a TGFΒR2 inhibitor compound of this 15 disclosure is covalently attached to an antibody construct. In certain other embodiments, the compound is covalently attached to a targeting moiety. In any of the aforementioned embodiments, the antibody, the antibody construct, or the targeting moiety may specifically bind to a tumor antigen. In any of the aforementioned embodiments, the antibody, antibody construct, or targeting moiety may further 20 comprise a second antigen or target binding domain. [0468] Exemplary polyvalent linkers that may be used to link compounds of the invention to an antibody construct are described. For example, Fleximer® linker technology has the potential to enable high-DAR conjugates with good physicochemical properties. As shown below, the Fleximer® linker technology is based 25 on incorporating drug molecules into a solubilizing poly-acetal backbone via a sequence of ester bonds:
182
The methodology renders highly-loaded conjugates (DAR up to 20) whilst maintaining good physicochemical properties. This methodology can be utilized with a TGFΒR2 inhibitor compound as shown in the scheme below, where Drug′ refers to the TGFΒR2 5 inhibitor compound. [0469] To utilize the Fleximer® linker technology depicted in the scheme above, an aliphatic alcohol can be present or introduced into the TGFΒR2 compound. The alcohol moiety is then attached to an alanine moiety, which is then synthetically incorporated into the Fleximer® linker. Liposomal processing of the conjugate in vitro 10 releases the parent alcohol-containing drug. [0470] In some embodiments, a moiety, construct, or conjugate described herein includes the symbol
, which indicates the point of attachment, e.g., the point of attachment of a chemical or functional moiety to the compound, the point of attachment of a linker to a compound of the disclosure, or the point of attachment of a linker to an 15 antibody, an antibody construct, or a targeting moiety. [0471] By way of example and not limitation, some cleavable and noncleavable linkers that may be included in the conjugates are described below, in addition to any other described herein. [0472] Sulfamide linkers may be used to link many compounds of the present 20 invention to an antibody construct. Sulfamide linkers are as described herein and e.g., U.S. Patent Publication Number 2019/0038765, the linkers of which are incorporated by reference herein
183
[0473] Cleavable linkers can be cleavable in vitro, in vivo, or both. Cleavable linkers can include chemically or enzymatically unstable or degradable linkages. Cleavable linkers can rely on processes inside the cell to liberate a compound of Category A, Category B, or Tables 1 or 14, such as reduction in the cytoplasm, 5 exposure to acidic conditions in the lysosome, or cleavage by specific proteases or other enzymes within the cell. Cleavable linkers can incorporate one or more chemical bonds that are either chemically or enzymatically cleavable while the remainder of the linker can be non-cleavable. [0474] In some embodiments, L is a linker comprising a reactive moiety. In 10 some embodiments, for a linker-payload comprising a compound of any one of Category A, Category B, or Tables 1 or 14, or pharmaceutically acceptable isomer, tautomer, racemate, hydrate, solvate, isotope, or salt thereof, −L is represented by the formula:
. 15 [0475] In some embodiments, −L is represented by the formula:
, wherein each R30 is independently selected from optionally substituted C1-C6 alkyl and optionally substituted phenyl, and RX is the reactive moiety. RX may comprise a leaving group. RX may be a maleimide. L may be further covalently bound to an 20 antibody construct. In some embodiments, −L− is represented by the formula:
, wherein RX* is a bond, a succinimide moiety, or a hydrolyzed succinimide moiety bound to a residue of an antibody construct, wherein
on RX* represents the point of attachment to a residue of the antibody construct; and each R30 is independently 25 selected from optionally substituted C1-C6 alkyl and optionally substituted phenyl.
184
[0476] In some embodiments, for a linker-payload comprising a compound of any one of Category A, Category B, or Tables 1 or 14, or pharmaceutically acceptable isomer, tautomer, racemate, hydrate, solvate, isotope, or salt thereof, and linker L; L comprises a methylene carbamate unit. 5 [0477] In some embodiments, for a linker-payload (L-P) comprising a compound of any one of Category A, Category B, or Tables 1 or 14, or pharmaceutically acceptable isomer, tautomer, racemate, hydrate, solvate, isotope, or salt thereof, and linker L-RX*; the L-P is part of a conjugate and RX* comprises a hydrolyzed succinamide moiety and is bound to a cysteine residue of an antibody, an 10 antibody construct, or a targeting moiety. In any of the aforementioned embodiments, the antibody, antibody construct, or targeting moiety comprises an antigen binding domain that specifically binds to LRRC15. [0478] By way of example and not limitation, some cleavable and noncleavable linkers that may be included in the conjugates are described below, in addition to any 15 others described herein. [0479] A linker can contain a chemically labile group such as hydrazone and/or disulfide groups. Linkers comprising chemically labile groups can exploit differential properties between the plasma and some cytoplasmic compartments. The intracellular conditions that can facilitate release of a compound any one of Category A, Category B, 20 or Tables 1 or 14, or pharmaceutically acceptable isomer, tautomer, racemate, hydrate, solvate, isotope, or salt thereof for hydrazone containing linkers can be the acidic environment of endosomes and lysosomes, while the disulfide containing linkers can be reduced in the cytosol, which can contain high thiol concentrations, e.g., glutathione. The plasma stability of a linker containing a chemically labile group can be increased 25 by introducing steric hindrance using substituents near the chemically labile group. [0480] Acid-labile groups, such as hydrazone, can remain intact during systemic circulation in the blood’s neutral pH environment (pH 7.3-7.5) and can undergo hydrolysis and can release a compound of the present invention once the antibody conjugate is internalized into mildly acidic endosomal (pH 5.0-6.5) and lysosomal (pH 30 4.5-5.0) compartments of the cell. This pH dependent release mechanism can be
185
associated with nonspecific release of the drug. To increase the stability of the hydrazone group of the linker, the linker can be varied by chemical modification, e.g., substitution, allowing tuning to achieve more efficient release in the lysosome with a minimized loss in circulation. 5 [0481] In some embodiments, for a linker-payload comprising a compound of any one of Category A, Category B, or Tables 1 or 14, or pharmaceutically acceptable isomer, tautomer, racemate, hydrate, solvate, isotope, or salt thereof; and a linker L, −L comprises a hydrazone moiety. For example, L may be selected from:
10 wherein M is selected from C1-C6 alkyl, aryl, and −O−C1-C6 alkyl. [0482] Hydrazone-containing linkers can contain additional cleavage sites, such as additional acid-labile cleavage sites and/or enzymatically labile cleavage sites. Conjugates including exemplary hydrazone-containing linkers can include, for example, the following structures: 15
wherein D is a compound or salt of any one of Category A, Category B, or Tables 1 or 14 and Ab is an anti-LRRC15 antibody construct, respectively, and n represents the 20 number of compound-bound linkers (LP) bound to the antibody construct. In certain
186
linkers, such as linker (Ia), the linker can comprise two cleavable groups, a disulfide and a hydrazone moiety. For such linkers, effective release of the unmodified free compound can require acidic pH or disulfide reduction and acidic pH. Linkers such as (Ib) and (Ic) can be effective with a single hydrazone cleavage site. 5 [0483] Other acid-labile groups that can be included in linkers include cis- aconityl-containing linkers. cis-Aconityl chemistry can use a carboxylic acid juxtaposed to an amide bond to accelerate amide hydrolysis under acidic conditions. [0484] Cleavable linkers can also include a disulfide group. Disulfides can be thermodynamically stable at physiological pH and can be designed to release a 10 compound of any one of Category A, Category B, or Tables 1 or 14, or pharmaceutically acceptable isomer, tautomer, racemate, hydrate, solvate, isotope, or salt thereof; upon internalization inside cells, wherein the cytosol can provide a significantly more reducing environment compared to the extracellular environment. Scission of disulfide bonds can require the presence of a cytoplasmic thiol cofactor, 15 such as (reduced) glutathione (GSH), such that disulfide-containing linkers can be reasonably stable in circulation, selectively releasing a compound of any one of Category A, Category B, or Tables 1 or 14, or pharmaceutically acceptable isomer, tautomer, racemate, hydrate, solvate, isotope, or salt thereof; in the cytosol. The intracellular enzyme protein disulfide isomerase, or similar enzymes capable of 20 cleaving disulfide bonds, can also contribute to the preferential cleavage of disulfide bonds inside cells. GSH can be present in cells in the concentration range of 0.5-10 mM compared with a significantly lower concentration of GSH or cysteine, the most abundant low-molecular weight thiol, in circulation at approximately 5 µM. Tumor cells, where irregular blood flow can lead to a hypoxic state, can result in enhanced 25 activity of reductive enzymes and therefore even higher glutathione concentrations. The in vivo stability of a disulfide-containing linker can be enhanced by chemical modification of the linker, e.g., use of steric hindrance adjacent to the disulfide bond. [0485] Conjugates comprising a compound of any one of Category A, Category B, or Tables 1 or 14, or pharmaceutically acceptable isomer, tautomer, racemate,
187
hydrate, solvate, isotope, or salt thereof, and including exemplary disulfide-containing linkers can include the following structures: 5
wherein D is a compound of any one of Category A, Category B, or Tables 1 or 14, or pharmaceutically acceptable isomer, tautomer, racemate, hydrate, solvate, isotope, or salt thereof, and Ab is an antibody, an antibody construct, or a targeting moiety, n represents the number of compounds bound to linkers (L) bound to the antibody, 10 antibody construct, or targeting moiety and R is independently selected at each occurrence from, for example, hydrogen or alkyl. Increasing steric hindrance adjacent to the disulfide bond can increase the stability of the linker. Structures such as (CIIa) and (CIIc) can show increased in vivo stability when one or more R groups is selected from a lower alkyl, such as methyl. 15 [0486] Another type of linker that can be used is a linker that is specifically cleaved by an enzyme. For example, the linker can be cleaved by a lysosomal enzyme. Such linkers can be peptide-based or can include peptidic regions that can act as substrates for enzymes. Peptide based linkers can be more stable in plasma and extracellular milieu than chemically labile linkers. 20 [0487] Peptide bonds can have good serum stability, as lysosomal proteolytic enzymes can have very low activity in blood due to endogenous inhibitors and the unfavorably high pH value of blood compared to lysosomes. Release of a compound of any one of Category A, Category B, or Tables 1 or 14, or pharmaceutically acceptable
188
isomer, tautomer, racemate, hydrate, solvate, isotope, or salt thereof, from an antibody, an antibody construct, or a targeting moiety conjugate can occur due to the action of lysosomal proteases, e.g., cathepsin and plasmin. These proteases can be present at elevated levels in certain tumor tissues. The linker can be cleavable by a lysosomal 5 enzyme. The lysosomal enzyme can be, for example, cathepsin B, β-glucuronidase, or β-galactosidase. [0488] The cleavable peptide can be selected from tetrapeptides such as Gly- Phe-Leu-Gly (SEQ ID NO: 363), Ala-Leu-Ala-Leu (SEQ ID NO: 364) or dipeptides such as Val-Cit, Val-Ala, and Phe-Lys. Dipeptides can have lower hydrophobicity 10 compared to longer peptides. [0489] A variety of dipeptide-based cleavable linkers can be used with an antibody, an antibody construct, or a targeting moiety construct to form conjugates of a compound of any one of Category A, Category B, or Tables 1 or 14, or pharmaceutically acceptable isomer, tautomer, racemate, hydrate, solvate, isotope, or 15 salt thereof, described herein. [0490] Enzymatically cleavable linkers can include a self-immolative spacer to spatially separate a compound of any one of Category A, Category B, or Tables 1 or 14, or pharmaceutically acceptable isomer, tautomer, racemate, hydrate, solvate, isotope, or salt thereof, from the site of enzymatic cleavage. The direct attachment of a compound 20 of any one of Category A, Category B, or Tables 1 or 14, or pharmaceutically acceptable isomer, tautomer, racemate, hydrate, solvate, isotope, or salt thereof, to a peptide linker can result in proteolytic release of a compound of any one of Category A, Category B, or Tables 1 or 14, or pharmaceutically acceptable isomer, tautomer, racemate, hydrate, solvate, isotope, or salt thereof, or of an amino acid adduct of a 25 compound of any one of Category A, Category B, or Tables 1 or 14, or pharmaceutically acceptable isomer, tautomer, racemate, hydrate, solvate, isotope, or salt thereof, thereby impairing its activity. The use of a self-immolative spacer can allow for the elimination of the fully active, chemically unmodified compound of any one of Category A, Category B, or Tables 1 or 14, or pharmaceutically acceptable
189
isomer, tautomer, racemate, hydrate, solvate, isotope, or salt thereof, upon amide bond hydrolysis. [0491] One self-immolative spacer can be a bifunctional para-aminobenzyl alcohol (PABA) group, which can link to a peptide through an amino group, forming an 5 amide bond, while an amine containing compound of any one of Category A, Category B, or Tables 1 or 14, or pharmaceutically acceptable isomer, tautomer, racemate, hydrate, solvate, isotope, or salt thereof, can be attached through carbamate functionalities to the benzylic hydroxyl group of the linker (to give a p- amidobenzylcarbamate, PABC). The resulting pro-compound can be activated upon 10 protease-mediated cleavage, leading to a 1,6-elimination reaction releasing the unmodified compound of any one of Category A, Category B, or Tables 1 or 14, or pharmaceutically acceptable isomer, tautomer, racemate, hydrate, solvate, isotope, or salt thereof, carbon dioxide, and remnants of the linker group. [0492] The following scheme depicts the fragmentation of p-amidobenzyl 15 carbamate and release of a compound of any one of Category A, Category B, or Tables 1 or 14, or pharmaceutically acceptable isomer, tautomer, racemate, hydrate, solvate, isotope, or salt thereof:
wherein D represents the unmodified drug or payload having the structure of a 20 compound of any one of Category A, Category B, or Tables 1 or 14, or pharmaceutically acceptable isomer, tautomer, racemate, hydrate, solvate, isotope, or salt thereof. [0493] In some embodiments, for a linker-payload comprising a compound of any one of Category A, Category B, or Tables 1 or 14, or pharmaceutically acceptable 25 isomer, tautomer, racemate, hydrate, solvate, isotope, or salt thereof, −L is represented by the formula:
190
, wherein peptide comprises from one to ten amino acids, and represents the point of attachment to the compound (payload). [0494] In some embodiments, for a linker-payload comprising a compound of 5 any one of Category A, Category B, or Tables 1 or 14, or pharmaceutically acceptable isomer, tautomer, racemate, hydrate, solvate, isotope, or salt thereof, −L is represented by the formula:
, wherein peptide comprises from one to ten amino acids and RX is a reactive moiety, 10 and represents the point of attachment to the compound (payload). [0495] In some embodiments, for a linker-payload comprising a compound of any one of Category A, Category B, or Tables 1 or 14, or pharmaceutically acceptable isomer, tautomer, racemate, hydrate, solvate, isotope, or salt thereof, −L is represented by the formula: 15
, wherein peptide comprises from one to ten amino acids, L4 is the C-terminus of the peptide and L5 is selected from a bond, alkylene and heteroalkylene, wherein L5 is optionally substituted with one or more groups independently selected from R32, RX is a reactive moiety; and R32 is independently selected at each occurrence from halogen, 20 −OH, −CN, −O−alkyl, −SH, =O, =S, −S(O)2OH, −NH2, −NO2; and C1-10 alkyl, C2-10 alkenyl, and C2-10 alkynyl, each of which is independently optionally substituted at each occurrence with one or more substituents selected from halogen, −OH, −CN, −O−alkyl, −SH, =O, =S, −S(O)2OH, −NH2, and −NO2. The reactive moiety may be selected from
191
an electrophile, e.g., an αβ-unsaturated carbonyl, such as a maleimide, and a leaving group. In some embodiments, RX comprises a leaving group. In certain embodiments, RX is a maleimide. [0496] In some embodiments, for a linker-payload comprising a compound of 5 any one of Category A, Category B, or Tables 1 or 14, or pharmaceutically acceptable isomer, tautomer, racemate, hydrate, solvate, isotope, or salt thereof, the L-P is part of a conjugate and −L is represented by the formula:
, wherein Antibody is an antibody, an RX* antibody construct, or a targeting moiety 10 peptide comprises from one to 10 amino acids, RX* is a reactive moiety that has reacted with a moiety on the antibody, antibody construct, or targeting moiety to form a conjugate, and
represents the point of attachment to the compound (payload). [0497] In further embodiments, L-P is part of a conjugate and −L− is represented by the formula: 15
, wherein peptide comprises from one to ten amino acids, L4 is the C-terminus of the peptide and L5 is selected from a bond, an alkylene and a heteroalkylene, each of which is optionally substituted with one or more groups independently selected from R12;
on the left represents the point of attachment to the compound (payload), RX* is a bond, 20 a succinimide moiety, or a hydrolyzed succinimide moiety attached at the
on the right to a residue of an antibody, an antibody construct, or a targeting moiety. [0498] In some embodiments, L-P is part of a conjugate and −L− is represented by the formula:
192
, wherein peptide comprises from one to ten amino acids, L4 represents the C-terminus of the peptide and L5 is selected from a bond, alkylene and heteroalkylene, wherein L5 is optionally substituted with one or more groups independently selected from R32 ; RX* is 5 a bond, a succinimide moiety, or a hydrolyzed succinimide moiety bound to a residue of an antibody, an antibody construct, or a targeting moiety, wherein
on RX* represents the point of attachment to the residue of the antibody, antibody construct, or targeting moiety; and R32 is independently selected at each occurrence from halogen, −OH, −CN, −O−alkyl, −SH, =O, =S, −S(O)2OH, −NH2, −NO2; and C1-10 alkyl, C2-10 10 alkenyl, and C2-10 alkynyl, each of which is independently optionally substituted at each occurrence with one or more substituents selected from halogen, −OH, −CN, −O−alkyl, −SH, =O, =S, −S(O)2OH, −NH2, and −NO2. In some embodiments, the peptide of L comprises Val−Cit or Val−Ala. [0499] In any of the aforementioned embodiments, −L is: 15
193
[0500] Heterocyclic variants of this self-immolative group may also be used. [0501] The enzymatically cleavable linker can be a ß-glucuronic acid-based linker. Facile release of a compound of any one of Category A, Category B, or Tables 1 or 14, or pharmaceutically acceptable isomer, tautomer, racemate, hydrate, solvate, 5 isotope, or salt thereof, can be realized through cleavage of the ß-glucuronide glycosidic bond by the lysosomal enzyme ß-glucuronidase. This enzyme can be abundantly present within lysosomes and can be overexpressed in some tumor types, while the enzyme activity outside cells can be low. ß-Glucuronic acid-based linkers can be used to circumvent the tendency of an antibody construct conjugate of a compound of any 10 one of Category A, Category B, or Tables 1 or 14, or pharmaceutically acceptable isomer, tautomer, racemate, hydrate, solvate, isotope, or salt thereof, to undergo aggregation due to the hydrophilic nature of ß-glucuronides. In some embodiments, ß- glucuronic acid-based linkers can link an antibody, an antibody construct, or a targeting moiety to a hydrophobic compound of any one of Category A, Category B, or Tables 1 15 or 14, or pharmaceutically acceptable isomer, tautomer, racemate, hydrate, solvate, isotope, or salt thereof. [0502] The following scheme depicts the release of a compound of any one of Category A, Category B, or Tables 1 or 14, or pharmaceutically acceptable isomer, tautomer, racemate, hydrate, solvate, isotope, or salt thereof, (D) from a conjugate of a 20 compound of any one of Category A, Category B, or Tables 1 or 14, or pharmaceutically acceptable isomer, tautomer, racemate, hydrate, solvate, isotope, or salt thereof, containing a ß-glucuronic acid-based linker:
wherein Ab indicates an antibody, an antibody construct, or a targeting moiety. 25 [0503] A variety of cleavable β-glucuronic acid-based linkers useful for linking drugs such as auristatins, camptothecin analogues, doxorubicin analogues, CBI minor- groove binders, and psymberin to antibodies have been described. These β-glucuronic
194
acid-based linkers may be used in the conjugates. In some embodiments, an enzymatically cleavable linker is a β-galactoside-based linker. β-Galactoside is present abundantly within lysosomes, while the enzyme activity outside cells is low. [0504] Additionally, a compound of any one of Category A, Category B, or 5 Tables 1 or 14, or pharmaceutically acceptable isomer, tautomer, racemate, hydrate, solvate, isotope, or salt thereof, containing a phenol group can be covalently bonded to a linker through the phenolic oxygen. One such linker relies on a methodology in which a diamino-ethane "Space Link" is used in conjunction with traditional "PABO"-based self-immolative groups to deliver phenols. 10 [0505] Cleavable linkers can include non-cleavable portions or segments, and/or cleavable segments or portions can be included in an otherwise non-cleavable linker to render it cleavable. By way of example only, polyethylene glycol (PEG) and related polymers can include cleavable groups in the polymer backbone. For example, a polyethylene glycol or polymer linker can include one or more cleavable groups such as 15 a disulfide, a hydrazone or a dipeptide. [0506] Other degradable linkages that can be included in linkers can include ester linkages formed by the reaction of PEG carboxylic acids or activated PEG carboxylic acids with alcohol groups on a compound of any one of Category A, Category B, or Tables 1 or 14, or pharmaceutically acceptable isomer, tautomer, 20 racemate, hydrate, solvate, isotope, or salt thereof, wherein such ester groups can hydrolyze under physiological conditions to release a compound of any one of Category A, Category B, or Tables 1 or 14, or pharmaceutically acceptable isomer, tautomer, racemate, hydrate, solvate, isotope, or salt thereof. Hydrolytically degradable linkages can include carbonate linkages; imine linkages resulting from reaction of an amine and 25 an aldehyde; phosphate ester linkages formed by reacting an alcohol with a phosphate group; acetal linkages that are the reaction product of an aldehyde and an alcohol; orthoester linkages that are the reaction product of a formate and an alcohol; and oligonucleotide linkages formed by a phosphoramidite group, including at the end of a polymer, and a 5' hydroxyl group of an oligonucleotide.
195
[0507] A linker can contain an enzymatically cleavable peptide, for example, a linker comprising structural formula (CIIIa), (CIIIb), (CIIIc), or (CIIId): 5
or a salt thereof, wherein: “peptide” represents a peptide (illustrated in N→C orientation, wherein peptide includes the amino and carboxy “termini”) that is cleavable by a lysosomal enzyme; T represents a polymer comprising one or more ethylene glycol 10 units or an alkylene chain, or combinations thereof; Ra is selected from hydrogen, alkyl, sulfonate and methyl sulfonate; Ry is hydrogen or C1−4 alkyl−(O)r−(C1−4 alkylene)s−G1 or C1−4 alkyl−(N)−[(C1−4 alkylene)−G1]2; Rz is C1−4 alkyl−(O)r−(C1−4 alkylene)s−G2; G1 is −SO3H, −CO2H, PEG 4-32, or a sugar moiety; G2 is −SO3H, −CO2H, or a PEG 4-32 moiety; r is 0 or 1; s is 0 or 1; p is an integer ranging from 0 to 5; q is 0 or 1; x is 0 or 1; 15 y is 0 or 1; represents the point of attachment of the linker to a compound of any one of Category A, Category B, or Tables 1 or 14, or pharmaceutically acceptable isomer, tautomer, racemate, hydrate, solvate, isotope, or salt thereof; and * represents the point of attachment to the remainder of the linker. [0508] In certain embodiments, a peptide can be selected to contain natural 20 amino acids, unnatural amino acids, or any combination thereof. In some embodiments,
196
a peptide can be a tripeptide or a dipeptide. In particular embodiments, a dipeptide comprises L-amino acids, such as Val-Cit; Cit-Val; Ala-Ala; Ala-Cit; Cit-Ala; Asn-Cit; Cit-Asn; Cit-Cit; Val-Glu; Glu-Val; Ser-Cit; Cit-Ser; Lys-Cit; Cit-Lys; Asp-Cit; Cit- Asp; Ala-Val; Val-Ala; Phe-Lys; Lys-Phe; Val-Lys; Lys-Val; Ala-Lys; Lys-Ala; Phe- 5 Cit; Cit-Phe; Leu-Cit; Cit-Leu; Ile-Cit; Cit-Ile; Phe-Arg; Arg-Phe; Cit-Trp; and Trp-Cit, or salts thereof. [0509] Exemplary embodiments of linkers according to structural formula (CIIIa) are illustrated below (as illustrated, the linkers include a reactive group suitable for covalently linking the linker to an antibody, an antibody construct, or a targeting 10 moiety): 15
.
197
198
wherein indicates an attachment site of a linker (L) to a compound of any one of Category A, Category B, or Tables 1 or 14, or pharmaceutically acceptable isomer, tautomer, racemate, hydrate, solvate, isotope, or salt thereof. [0510] Exemplary embodiments of linkers according to structural formula 5 (CIIIb), (CIIIc), or (CIIId) that can be included in the conjugates can include the linkers illustrated below (as illustrated, the linkers include a reactive group suitable for covalently linking the linker to an antibody construct): 10
.
199
200
201
202
203
204
205
. wherein indicates an attachment site to a compound of any one of Category A, Category B, or Tables 1 or 14, or pharmaceutically acceptable isomer, tautomer, 5 racemate, hydrate, solvate, isotope, or salt thereof. [0511] The linker can contain an enzymatically cleavable sugar moiety, for example, a linker comprising structural formula (CIVa), (CIVb), (CIVc), (CIVd), or (CIVe):
206
5 or a salt thereof, wherein: q is 0 or 1; r is 0 or 1; X1 is CH2, O or NH; represents the point of attachment of the linker (L) to a compound of any one of Category A, Category B, or Tables 1 or 14, or pharmaceutically acceptable isomer, tautomer, racemate, hydrate, solvate, isotope, or salt thereof; and * represents the point of attachment to the remainder of the linker.
207
[0512] Exemplary embodiments of linkers according to structural formula (CIVa) that may be included in the antibody construct conjugates of a compound of any one of Category A, Category B, or Tables 1 or 14, or pharmaceutically acceptable isomer, tautomer, racemate, hydrate, solvate, isotope, or salt thereof, described herein 5 can include the linkers illustrated below (as illustrated, the linkers include a group suitable for covalently linking the linker to an antibody construct):
.
208
209
. 5 wherein represents the point of attachment of the linker (L) to a compound of any one of Category A, Category B, or Tables 1 or 14, or pharmaceutically acceptable isomer, tautomer, racemate, hydrate, solvate, isotope, or salt thereof.
210
[0513] Exemplary embodiments of linkers according to structural formula (CIVb) that may be included in the conjugates include the linkers illustrated below (as illustrated, the linkers include a group suitable for covalently linking the linker to an antibody construct):
.
211
212
wherein represents the point of attachment of the linker (L) to a compound of any one of Category A, Category B, or Tables 1 or 14, or pharmaceutically acceptable 5 isomer, tautomer, racemate, hydrate, solvate, isotope, or salt thereof. [0514] Exemplary embodiments of linkers according to structural formula (CIVc) that may be included in the conjugates include the linkers illustrated below (as illustrated, the linkers include a group suitable for covalently linking the linker to an antibody construct): 10
(CIVc.1)
213
214
(CIVc.6) (CIVc.7) (CIVc.8) (CIVc.9)
215
. wherein represents the point of attachment of the linker (L) to a compound of any one of Category A, Category B, or Tables 1 or 14, or pharmaceutically acceptable 5 isomer, tautomer, racemate, hydrate, solvate, isotope, or salt thereof. [0515] Exemplary embodiments of linkers according to structural formula (CIVd) that may be included in the conjugates include the linkers illustrated below (as illustrated, the linkers include a group suitable for covalently linking the linker to an antibody construct): 10
(CIVd.1)
216
wherein represents the point of attachment of the linker (L) to a compound of any one of Category A, Category B, or Tables 1 or 14, or pharmaceutically acceptable isomer, tautomer, racemate, hydrate, solvate, isotope, or salt thereof.
217
[0516] Exemplary embodiments of linkers according to structural formula (CIVe) that may be included in the conjugates include the linkers illustrated below (as illustrated, the linkers include a group suitable for covalently linking the linker to an antibody construct): 5
. wherein represents the point of attachment of the linker (L) to a compound of any one of Category A, Category B, or Tables 1 or 14, or pharmaceutically acceptable isomer, tautomer, racemate, hydrate, solvate, isotope, or salt thereof. 10 [0517] Although cleavable linkers can provide certain advantages, the linkers comprising the conjugate need not be cleavable. For non-cleavable linkers, the payload compound release may not depend on the differential properties between the plasma and some cytoplasmic compartments. The release of the payload compound can occur after internalization of the conjugate via antigen-mediated endocytosis and delivery to 15 lysosomal compartment, where the antibody, antibody construct, or targeting moiety can be degraded to the level of amino acids through intracellular proteolytic degradation. This process can release a payload compound derivative (a metabolite of the conjugate containing a non-cleavable linker-heterocyclic compound), which is
218
formed by the payload compound, the linker, and the amino acid residue or residues to which the linker was covalently attached. The payload compound derivative from conjugates with non-cleavable linkers can be more hydrophilic and less membrane permeable, which can lead to less bystander effects and less nonspecific toxicities 5 compared to conjugates with a cleavable linker. Conjugates with non-cleavable linkers can have greater stability in circulation than conjugates with cleavable linkers. Non- cleavable linkers can include alkylene chains, or can be polymeric, such as, for example, based upon polyalkylene glycol polymers, amide polymers, or can include segments of alkylene chains, polyalkylene glycols and/or amide polymers. The linker 10 can contain a polyethylene glycol segment having from 1 to 6 ethylene glycol units. [0518] The linker can be non-cleavable in vivo, for example, a linker-payload comprising a compound of any one of Category A, Category B, or Tables 1 or 14, or pharmaceutically acceptable isomer, tautomer, racemate, hydrate, solvate, isotope, or salt thereof, and a linker L; −L is represented by the formulas below:: 15
e 20 or salts thereof, wherein: Ra is selected from hydrogen, alkyl, sulfonate and methyl sulfonate; Rx is a reactive moiety including a functional group capable of covalently linking the linker to an antibody construct; and represents the point of attachment of
219
the linker (L) to a compound of any one of Category A, Category B, or Tables 1 or 14, or pharmaceutically acceptable isomer, tautomer, racemate, hydrate, solvate, isotope, or salt thereof. [0519] In some embodiments, for a linker-payload comprising a compound of 5 any one of Category A, Category B, or Tables 1 or 14, or pharmaceutically acceptable isomer, tautomer, racemate, hydrate, solvate, isotope, or salt thereof, and a linker L; −L is represented by the formula:
wherein n = 0–9 and
represents the point of attachment to the compound (payload). 10 [0520] In some embodiments, for a linker-payload comprising a compound of any one of Category A, Category B, or Tables 1 or 14, or pharmaceutically acceptable isomer, tautomer, racemate, hydrate, solvate, isotope, or salt thereof, and a linker L; −L is represented by the formula:
, 15 wherein RX comprises a reactive moiety, e.g., a maleimide or a leaving group, n = 0–9, and represents the point of attachment to the compound (payload). [0521] In some embodiments, for a conjugate comprising a compound of any one of Category A, Category B, or Tables 1 or 14, or pharmaceutically acceptable isomer, tautomer, racemate, hydrate, solvate, isotope, or salt thereof, a linker L, and an 20 antibody, an antibody construct, or a targeting moiety; −L− is represented by the formula:
,
220
RX* is a bond, a succinimide moiety, or a hydrolyzed succinimide moiety attached at
on the left represents the point of attachment to the compound (payload), and n = 0- 9. 5 [0522] Exemplary embodiments of linkers according to structural formula (CVa)-(Ve) that may be included in the conjugates include the linkers illustrated below (as illustrated, the linkers include a group suitable for covalently linking the linker to an antibody construct, and represents the point of attachment of the linker (L) to a compound of any one of Category A, Category B, or Tables 1 or 14, or 10 pharmaceutically acceptable isomer, tautomer, racemate, hydrate, solvate, isotope, or salt thereof: 15
.
221
. [0523] Attachment groups that are used to attach the linkers to an antibody, an antibody construct, or a targeting moiety can be electrophilic in nature and include, for 5 example, maleimide groups, activated disulfides, active esters such as NHS esters and HOBt esters, haloformates, acid halides, alkyl, and benzyl halides such as haloacetamides. There are also emerging technologies related to "self-stabilizing" maleimides and "bridging disulfides" that can be used with TGFΒR2 inhibitor compounds of this disclosure. Examples of cysteine based linkers are provided in PCT 10 Patent Application Publication Number WO 2020/092385, the linkers of which are incorporated by reference herein. [0524] Maleimide groups are frequently used in the preparation of conjugates because of their specificity for reacting with thiol groups of, for example, cysteine groups of an antibody, an antibody construct or a targeting moiety. The reaction 15 between a thiol group of an antibody, an antibody construct or a targeting moiety and a drug with a linker (linker-aoyload) including a maleimide group proceeds according to the following scheme: O Antibody SH + Antibody N
Linking Group Linking Group O Drug
Drug [0525] The reverse reaction leading to maleimide elimination from a thio- 20 substituted succinimide may also take place. This reverse reaction is undesirable as the maleimide group may subsequently react with another available thiol group such as other proteins in the body having available cysteines. Accordingly, the reverse reaction can undermine the specificity of a conjugate. One method of preventing the reverse
222
reaction is to incorporate a basic group into the linking group shown in the scheme above. Without wishing to be bound by theory, the presence of the basic group may increase the nucleophilicity of nearby water molecules to promote ring-opening hydrolysis of the succinimide group. The hydrolyzed form of the attachment group is 5 resistant to deconjugation in the presence of plasma proteins. So-called “self- stabilizing” linkers provide conjugates with improved stability. A representative schematic is shown below:
[0526] The hydrolysis reaction schematically represented above may occur at 10 either carbonyl group of the succinimide group. Accordingly, two possible isomers may result, as shown below:
[0527] The identity of the base as well as the distance between the base and the maleimide group can be modified to tune the rate of hydrolysis of the thio-substituted 15 succinimide group and optimize the delivery of a conjugate to a target by, for example, improving the specificity and stability of the conjugate. [0528] Bases suitable for inclusion in a linker, e.g., any L with a maleimide group prior to conjugation to an antibody, an antibody construct, or a targeting moiety may facilitate hydrolysis of a nearby succinimide group formed after conjugation of the
223
antibody, antibody construct, or targeting moiety to the linker. Bases may include, for example, amines (e.g., -N(R26)(R27), where R26 and R27 are independently selected from H and C1-6 alkyl), nitrogen-containing heterocycles (e.g., a 3- to 12-membered heterocycle including one or more nitrogen atoms and optionally one or more double 5 bonds), amidines, guanidines, and carbocycles or heterocycles substituted with one or more amine groups (e.g., a 3- to 12-membered aromatic or non-aromatic cycle optionally including a heteroatom such as a nitrogen atom and substituted with one or more amines of the type −N(R26)(R27), where R26 and R27 are independently selected from H or C1-6 alkyl). A basic unit may be separated from a maleimide group by, for 10 example, an alkylene chain of the form −(CH2)m−, where m is an integer from 0 to 10. An alkylene chain may be optionally substituted with other functional groups as described herein. [0529] A linker (L) with a maleimide group may include an electron withdrawing groups, such as −C(O)R, =O, −CN, −NO2, −CX3, −X, −C(O)OR, 15 −C(O)NR2, −C(O)R, −C(O)X, −SO2R, −SO2OR, −SO2NHR, −SO2NR2, −PO3R2, −P(O)(CH3)NHR, −NO, −NR3+, −CR=CR2, and −C≡CR, where each R is independently selected from H and C1-6 alkyl and each X is independently selected from F, Br, Cl, and I. Self-stabilizing linkers may also include aryl, e.g., phenyl, or heteroaryl, e.g., pyridine, groups optionally substituted with electron withdrawing 20 groups, such as those described herein. [0530] Examples of self-stabilizing linkers are provided in, e.g., U.S. Patent Application Publication Number US 2013/0309256, the linkers of which are incorporated by reference herein. It will be understood that a self-stabilizing linker useful in conjunction with the compounds of the present invention may be equivalently25 described as unsubstituted maleimide-including linkers, thio-substituted succinimide- including linkers, or hydrolyzed, ring-opened thio-substituted succinimide-including linkers. [0531] In some embodiments, for a linker-payload comprising a compound of any one of Category A, Category B, or Tables 1 or 14, or pharmaceutically acceptable
224
isomer, tautomer, racemate, hydrate, solvate, isotope, or salt thereof, and a linker L; −L comprises a self-stabilizing moiety. For example, L may be selected from:
5 [0532] In the scheme provided above, the bottom structure may be referred to as (maleimido)-DPR-Val-Cit-PAB, where DPR refers to diaminopropinoic acid, Val refers to valine, Cit refers to citrulline, and PAB refers to para-aminobenzylcarbonyl.
represent the point of attachment to a compound of any one of Category A, Category B, or Tables 1 or 14, or pharmaceutically acceptable isomer, tautomer, racemate, hydrate, 10 solvate, isotope, or salt thereof. [0533] A method for bridging a pair of sulfhydryl groups derived from reduction of a native hinge disulfide bond has been disclosed and is depicted in the schematic below. An advantage of this methodology is the ability to synthesize homogenous conjugates by full reduction of IgGs (to give 4 pairs of sulfhydryls from 15 interchain disulfides, wherein the DAR can range from 1 to 8) followed by reaction with 4 equivalents of the alkylating agent. Conjugates containing "bridged disulfides" are also claimed to have increased stability.
225
[0534] Similarly, as depicted below, a maleimide derivative that is capable of bridging a pair of sulfhydryl groups has been developed.
5 [0535] A linker of the disclosure, L, can contain the following structural formulas (CVIa), (CVIb), or (CVIc):
226
or salts thereof, wherein: Rq is H or −O−(CH2CH2O)11−CH3; x is 0 or 1; y is 0 or 1; G2 is −CH2CH2CH2SO3H or −CH2CH2O−(CH2CH2O)11−CH3; Rw is −O−CH2CH2SO3H or −NH(CO)−CH2CH2O−(CH2CH2O)12−CH3; and * represents the point of attachment to 5 the remainder of the linker. [0536] Exemplary embodiments of linkers according to structural formula (CVIa) and (CVIb), which can be included in linker-paylod and conjugate structures of this disclosure, include the linkers illustrated below (as illustrated, the linkers include a group suitable for covalently linking the linker to an antibody construct): 10
.
227
228
229
(CVIb.8) 5 wherein represents the point of attachment of the linker (L) to a compound of any one of Category A, Category B, or Tables 1 or 14, or pharmaceutically acceptable isomer, tautomer, racemate, hydrate, solvate, isotope, or salt thereof. [0537] Exemplary embodiments of linkers according to structural formula (CVIc), which can be included in linker-payload and conjugate structure of this
230
disclosure, include the linkers illustrated below (as illustrated, the linkers include a group suitable for covalently linking the linker to an antibody construct): 5
231
. wherein represents the point of attachment of the linker (L) to a compound of any one of Category A, Category B, or Tables 1 or 14, or pharmaceutically acceptable 5 isomer, tautomer, racemate, hydrate, solvate, isotope, or salt thereof. [0538] Some exemplary linkers (L) are described in the following paragraphs. In some embodiments for a compound of any one of Category A, Category B, or Tables 1 or 14, or pharmaceutically acceptable isomer, tautomer, racemate, hydrate, solvate, isotope, or salt thereof, wherein attachment of the linker is to a nitrogen of the 10 compound and conjugation is to a cysteine residue of an antibody or targeting moiety, – L is represented by the formulas set forth in Table 2 below: TABLE 2
232
233
wherein represents attachment to a nitrogen of a compound or salt of any one of Formula (I), (IA), (IB), (IC), (ID), (IE), or Table 16; L4 represents the C-terminus of the peptide and L5 is selected from a bond, alkylene and heteroalkylene, wherein L5 is optionally substituted with one or more groups independently selected from R30, and 5 R30 is independently selected at each occurrence from halogen, −OH, −CN, −O−alkyl, −SH, =O, =S, −S(O)2OH, −NH2, −NO2; and C1−C10alkyl, C2-C10alkenyl, and C2- C10alkynyl, each of which is independently optionally substituted at each occurrence with one or more substituents selected from halogen, −OH, −CN, −O−alkyl, −SH, =O, =S, −S(O)2OH, −NH2, and −NO2; and RX represents a reactive moiety. The reactive 10 moiety may be selected, for example, from an electrophile, e.g., an α, ^^-unsaturated carbonyl, such as a maleimide, and a leaving group. For example, –L can be represented by the formulas set forth in Table 3 below: TABLE 3
234
235
wherein represents attachment to a nitrogen of a compound or salt of any one of Formula (I), (IA), (IB), (IC), (ID), (IE), or Table 16 and L4 represents the C-terminus of the peptide and L5 is selected from a bond, alkylene and heteroalkylene, wherein L5 is optionally substituted with one or more groups independently selected from R30, and 5 R30 is independently selected at each occurrence from halogen, −OH, −CN, −O−alkyl, −SH, =O, =S, −NH2, −NO2; and C1-C10alkyl, C2-C10alkenyl, and C2-C10alkynyl, each of which is independently optionally substituted at each occurrence with one or more substituents selected from halogen, −OH, −CN, −O−alkyl, −SH, =O, =S, −NH2, and −NO2. 10 [0539] When conjugated to the cysteine residue of the antibody or targeting moiety, such linkers can be, for example, represented by the Formulas set forth in Table 4 below:
236
237
wherein RX* is a bond, a succinimide moiety, or a hydrolyzed succinimide moiety bound to a cysteine residue of the antibody construct, wherein
on RX* represents the point of attachment to such residue; L4 when present represents the C-terminus of the peptide and L5 is selected from a bond, alkylene and heteroalkylene, wherein L5 is 5 optionally substituted with one or more groups independently selected from R30; and R30 when present is independently selected at each occurrence from halogen, −OH, −CN, −O−alkyl, −SH, =O, =S, −S(O)2OH, −NH2, −NO2; and C1-C10alkyl, C2- C10alkenyl, and C2-C10alkynyl, each of which is independently optionally substituted at each occurrence with one or more substituents selected from halogen, −OH, −CN, 10 −O−alkyl, −SH, =O, =S, −S(O)2OH, −NH2, and −NO2. A particularly preferred pepide is val−ala or val−cit. [0540] In some embodiments for a compound of any one of Category A, Category B, or Tables 1 or 14, or pharmaceutically acceptable isomer, tautomer, racemate, hydrate, solvate, isotope, or salt thereof, wherein attachment of the linker is to 15 a nitrogen of a compound of any one of Category A, Category B, or Tables 1 or 14, or pharmaceutically acceptable isomer, tautomer, racemate, hydrate, solvate, isotope, or
238
salt thereof, and conjugation is to a lysine residue of an antibody or other targeting moiety, –L is represented by the formulas set forth in Table 5 below: TABLE 5
wherein represents attachment to a nitrogen of a compound of any one of 5 Category A, Category B, or Tables 1 or 14, or pharmaceutically acceptable isomer, tautomer, racemate, hydrate, solvate, isotope, or salt thereof, and RX represents a reactive moiety. [0541] The reactive moiety may be selected from, for example, a leaving group. For example, –L can be represented by the formulas set forth in Table 6 below:
239
TABLE 6
[0542] When conjugated to the lysine residue of an antibody or other targeting moiety, such linkers, can, for example, be represented by the Formulas set forth in Table 7 below wherein RX* is a bond to a nitrogen of the lysine residue of the antibody 5 construct or targeting moiety, wherein
on RX* represents the point of attachment to such residue: TABLE 7
240
any one of Category A, Category B, or Tables 1 or 14, or pharmaceutically acceptable isomer, tautomer, racemate, hydrate, solvate, isotope, or salt thereof. [0544] As is known by skilled artisans, the linker selected for a particular 5 conjugate may be influenced by a variety of factors, including the site of attachment to the antibody, antibody construct, or targeting moiety (e.g., lysine, cysteine, or other amino acid residues), structural constraints of the drug pharmacophore, and the lipophilicity of the drug. The specific linker selected for a conjugate should seek to balance these different factors for the specific antibody, antibody construct, or targeting 10 moiety/drug combination. [0545] For example, cytotoxic conjugates have been observed to effect killing of bystander antigen-negative cells present in the vicinity of the antigen-positive tumor cells. The mechanism of the bystander effect by cytotoxic conjugates has indicated that metabolic products formed during intracellular processing of the conjugates may play a 15 role. Neutral cytotoxic metabolites generated by metabolism of the conjugates in antigen-positive cells appear to play a role in bystander cell killing while charged metabolites may be prevented from diffusing across the membrane into the medium, or
241
from the medium across the membrane and, therefore, cannot effect cell killing via the bystander effect. In some embodiments, a linker is selected to attenuate the bystander effect caused by cellular metabolites of the conjugate. In further embodiments, a linker is selected to increase the bystander effect. 5 [0546] The properties of the linker, or linker-payload, may also impact aggregation of a conjugate under conditions of use and/or storage. Conjugates reported in the literature contain about 3-4 drug molecules per antibody molecule. Attempts to obtain higher drug-to-antibody ratios (“DAR”) often failed, particularly if both the drug and the linker were hydrophobic, due to aggregation of the conjugate. In many 10 instances, DARs higher than 3-4 could be beneficial as a means of increasing potency. In instances where the payload compound is more hydrophobic in nature, it may be desirable to select linkers that are relatively hydrophilic as a means of reducing conjugate aggregation, especially in instances where DARs greater than 3-4 are desired. Thus, in some embodiments, a linker incorporates chemical moieties that reduce 15 aggregation of the conjugates during storage and/or use. A linker may incorporate polar or hydrophilic groups such as charged groups or groups that become charged under physiological pH to reduce the aggregation of the conjugates. For example, a linker may incorporate charged groups such as salts or groups that deprotonate, e.g., carboxylates, or protonate, e.g., amines, at physiological pH. 20 [0547] In preferred embodiments, aggregation of conjugates during storage or use is less than about 40% as determined by size-exclusion chromatography (SEC). In particular embodiments, the aggregation of the conjugates during storage or use is less than about 35%, such as less than about 30%, about 25%, about 20%, about 15%, about 10%, about 5%, about 4%, or even less, as determined by size-exclusion 25 chromatography (SEC). [0548] Some exemplary linkers (L) are described in the following paragraphs. In some embodiments for a compound or salt of Category A, Category B, or Tables 1 or 14wherein attachment of the linker is to a nitrogen of the compound and conjugation is to a cysteine residue of an antibody or targeting moiety, –L is represented by the 30 formulas set forth in Table 8 below:
242
243
Category A, Category B, or Tables 1 or 14; L4 represents the C-terminus of the peptide and L5 is selected from a bond, alkylene and heteroalkylene, wherein L5 is optionally substituted with one or more groups independently selected from R30, and R30 is 5 independently selected at each occurrence from halogen, −OH, −CN, −O−alkyl, −SH, =O, =S, −S(O)2OH, −NH2, −NO2; and C1-C10alkyl, C2-C10alkenyl, and C2-C10alkynyl, each of which is independently optionally substituted at each occurrence with one or more substituents selected from halogen, −OH, −CN, −O−alkyl, −SH, =O, =S, −S(O)2OH, −NH2, and −NO2; and RX represents a reactive moiety. The reactive 10 moiety may be selected, for example, from an electrophile, e.g., an α,β-unsaturated carbonyl, such as a maleimide, and a leaving group. For example, –L3 can be represented by the formulas set forth in Table 9 below: TABLE 9
244
245
wherein represents attachment to a nitrogen of a compound or salt of any one of Category A, Category B, or Tables 1 or 14, and L4 represents the C-terminus of the peptide and L5 is selected from a bond, alkylene and heteroalkylene, wherein L5 is optionally substituted with one or more groups independently selected from R30, and 5 R30 is independently selected at each occurrence from halogen, −OH, −CN, −O−alkyl, −SH, =O, =S, −S(O)2OH, −NH2, −NO2; and C1-C10alkyl, C2-C10alkenyl, and C2-C10alkynyl, each of which is independently optionally substituted at each occurrence with one or more substituents selected from halogen, −OH, −CN, −O−alkyl, −SH, =O, =S, −S(O)2OH, −NH2, and −NO2. 10 [0549] When conjugated to the cysteine residue of the antibody or targeting moiety, such linkers can be, for example, represented by the Formulas set forth in Table 10 below:
246
247
wherein RX* is a bond, a succinimide moiety, or a hydrolyzed succinimide moiety bound to a cysteine residue of the antibody construct, wherein on RX* represents the point of attachment to such residue; L4 when present represents the C-terminus of the peptide and L5 is selected from a bond, alkylene and heteroalkylene, wherein L5 is 5 optionally substituted with one or more groups independently selected from R30; and R30 when present is independently selected at each occurrence from halogen, −OH, −CN, −O−alkyl, −SH, =O, =S, −S(O)2OH, −NH2, −NO2; and C1-C10alkyl, C2-C10alkenyl, and C2-C10alkynyl, each of which is independently optionally substituted at each occurrence with one or more substituents selected from halogen, −OH, −CN, 10 −O−alkyl, −SH, =O, =S, −S(O)2OH, −NH2, and −NO2. A particularly preferred pepide is val-ala or val-cit.
248
[0550] In some embodiments for a compound or salt of Category A, Category B, or Tables 1 or 14 wherein attachment of the linker is to a nitrogen of a compound or salt of any one of Category A, Category B, or Tables 1 or 14 and conjugation is to a lysine residue of an antibody or other targeting moiety, –L3 is represented by the 5 formulas set forth in Table 11 below: TABLE 11
wherein
represents attachment to a nitrogen of a compound or salt of any one of Category A, Category B, or Tables 1 or 14 and RX represents a reactive moiety. [0551] The reactive moiety may be selected from, for example, a leaving group. 10 For example, –L3 can be represented by the formulas set forth in Table 12 below:
249
TABLE 12
[0552] When conjugated to the lysine residue of an antibody or other targeting moiety, such linkers, can, for example, be represented by the Formulas set forth in Table 13 below wherein RX* is a bond to a nitrogen of the lysine residue of the 5 antibody construct or targeting moiety, wherein on RX* represents the point of attachment to such residue:
250
salt of any one of Category A, Category B, or Tables 1 or 14. In exemplary embodiments, the linkers described herein, including those in the preceding paragraphs, are attached to a compound of the present invention through the nitrogen of a secondary 5 acyclic amine depicted in the structure of any one of Category A, Category B, or Tables 1 or 14. In exemplary embodiments, the linkers described herein, including those in the preceding paragraphs, are attached to a compound of the present invention at a nitrogen atom. [0554] In some embodiments for a compound of Category A, Category B, or 10 Tables 1 or 14, wherein attachment of the linker is to a sulfur of a compound of Category A, Category B, or Tables 1 or 14 and conjugation is to a lysine residue of an antibody, -L in an inhibitor-linker precursor (Inh-L) is represented by the formula set forth below in Table 31:
251
Table 31
wherein represents attachment to a sulfur of a compound of Category A, Category B, or Tables 1 or 14, and RX represents a reactive moiety. The reactive 5 moiety may be selected from an activated ester. For example, -L can be represented by the formulas:
[0555] When conjugated to the lysine residue of an antibody, such linkers, can 10 be represented by the following formulas in Table 32: TABLE 32
wherein RX* is a bound to a nitrogen of the lysine residue of the antibody, wherein
on RX* represents the point of attachment to such residue. 15 [0556] In some embodiments for a compound or salt of Category A, Category B, or Tables 1 or 14, the linker is represented by the formula set forth below in Table 33.
252
TABLE 33.
[0557] As is known by skilled artisans, the linker selected for a particular conjugate may be influenced by a variety of factors, including but not limited to, the 5 site of attachment to the antibody construct (e.g., lys, cys or other amino acid residues), structural constraints of the drug pharmacophore and the lipophilicity of the drug. The specific linker selected for a conjugate should seek to balance these different factors for the specific antibody construct/drug combination. [0558] The properties of the linker, or linker-compound, may also impact 10 aggregation of the conjugate under conditions of use and/or storage. Typically, conjugates reported in the literature contain no more than 3-4 drug molecules per antibody molecule. Attempts to obtain higher drug-to-antibody ratios (“DAR”) often failed, particularly if both the drug and the linker were hydrophobic, due to aggregation of the conjugate. In many instances, DARs higher than 3-4 could be beneficial as a
253
means of increasing potency. In instances where the payload compound is more hydrophobic in nature, it may be desirable to select linkers that are relatively hydrophilic as a means of reducing conjugate aggregation, especially in instances where DARS greater than 3-4 are desired. Thus, in certain embodiments, the linker 5 incorporates chemical moieties that reduce aggregation of the conjugates during storage and/or use. A linker may incorporate polar or hydrophilic groups such as charged groups or groups that become charged under physiological pH to reduce the aggregation of the conjugates. For example, a linker may incorporate charged groups such as salts or groups that deprotonate, e.g., carboxylates, or protonate, e.g., amines, at physiological 10 pH. [0559] In particular embodiments, the aggregation of the conjugates during storage or use is less than about 40% as determined by size-exclusion chromatography (SEC). In particular embodiments, the aggregation of the conjugates during storage or use is less than 35%, such as less than about 30%, such as less than about 25%, such as 15 less than about 20%, such as less than about 15%, such as less than about 10%, such as less than about 5%, such as less than about 4%, or even less, as determined by size- exclusion chromatography (SEC). [0560] Exemplary Linker-Compounds described herein include those set forth in Tables 15, 16, and 17, and salts thereof (including pharmaceutically acceptable salts 20 thereof. [0561] Exemplary conjugates described herein include those set forth in Table 34 and salts thereof (including pharmaceutically acceptable salts thereof).
254
[0562] In various embodiments, the TGFβR2 inhibitor conjugates provided herein comprise an anti-LRRC15 antibody selected from murine M25 antibody or humanized M25 antibody. M25 antibody sequences are described in WO2017/095805 (see PCT Publication No. WO2017/095805, incorporated herein by reference in its 5 entirety). In some embodiments, a humanized M25 antibody comprises a VH comprising the amino acid sequence of SEQ ID NO:16 of WO2017/095805 and a VL comprising the amino acid sequence of SEQ ID NO:17 of WO2017/095805. In some embodiments, a humanized M25 antibody comprises a heavy chain comprising the amino acid sequence of SEQ ID NO:18 of WO2017/095805, and a light chain 10 comprising the amino acid sequence of SEQ ID NO:19 of WO2017/095805. Exemplary conjugates according to the present disclosure are set forth in Table 35 and include salts thereof (including pharmaceutically acceptable salts thereof). TABLE 35: Additional TGFβR2 inhibitor-linker conjugates 15
255
256
Pharmaceutical Formulations [0563] The conjugates and compositions described herein may be considered useful as pharmaceutical compositions for administration to a subject in need thereof. 5 Pharmaceutical compositions may comprise at least the compositions described herein and one or more pharmaceutically acceptable carriers, diluents, excipients, stabilizers, dispersing agents, suspending agents, and/or thickening agents. In certain embodiments, a composition may comprise a conjugate having an antibody and an acyclic amino-pyrazinecarboxamide compound of this disclosure. In further 10 embodiments, a composition comprise a conjugate having an antibody and a cyclic amino-pyrazinecarboxamide compound. In still further embodiments, a composition comprise a conjugate having an antibody, a target binding domain, and a compound of Category A or B. The composition may comprise any conjugate described herein. In some embodiments, the antibody is an anti-LRRC15 antibody. Exemplary conjugates15 of this disclosure comprise an anti-LRRC15 antibody and an acyclic or cyclic amino- pyrazinecarboxamide compound of this disclosure. In some embodiments, a pharmaceutical composition comprises at least one the conjugates described herein and
257
one or more of a buffer, antibiotic, steroid, carbohydrate, drug (e.g., chemotherapy drug), radiation, polypeptide, chelator, adjuvant, and/or preservative. [0564] Pharmaceutical compositions may be formulated using one or more physiologically-acceptable carriers comprising excipients and auxiliaries. Formulation 5 may be modified depending upon the route of administration chosen. Pharmaceutical compositions comprising a conjugate may be manufactured, for example, by lyophilizing mixing, dissolving, emulsifying, encapsulating, or entrapping the conjugate. The pharmaceutical compositions may also include the conjugates in a free- base form or pharmaceutically-acceptable salt form. 10 [0565] Methods for formulation of the conjugates may include formulating any of the conjugates with one or more inert, pharmaceutically-acceptable excipients or carriers to form a solid, semi-solid, or liquid composition. Solid compositions may include, for example, powders, tablets, dispersible granules and capsules, and in some aspects, the solid compositions further contain nontoxic, auxiliary substances, for 15 example wetting or emulsifying agents, pH buffering agents, and other pharmaceutically-acceptable additives. Alternatively, the conjugates may be lyophilized or in powder form for re-constitution with a suitable vehicle, e.g., sterile pyrogen-free water, before use. [0566] Pharmaceutical compositions of the conjugates may comprise at least 20 one active ingredient (e.g., a conjugate and other agents). The active ingredients may be entrapped in microcapsules prepared, for example, by coacervation techniques or by interfacial polymerization (e.g., hydroxymethylcellulose or gelatin microcapsules and poly-(methylmethacylate) microcapsules, respectively), in colloidal drug-delivery systems (e.g., liposomes, albumin microspheres, microemulsions, nano-particles and 25 nanocapsules) or in macroemulsions. [0567] Pharmaceutical compositions as often further may comprise more than one active compound (e.g., a compound, salt or conjugate and other agents) as necessary for the particular indication being treated. The active compounds may have complementary activities that do not adversely affect each other. For example, the 30 composition may comprise a chemotherapeutic agent, cytotoxic agent, cytokine,
258
growth-inhibitory agent, anti-hormonal agent, anti-angiogenic agent, and/or cardioprotectant. Such molecules may be present in combination in amounts that are effective for the purpose intended. In some embodiments, the active compound is nintedanib or pirfenidone. 5 [0568] The compositions and formulations may be sterilized. Sterilization may be accomplished by filtration through sterile filtration. [0569] The compositions may be formulated for administration as an injection. Non-limiting examples of formulations for injection may include a sterile suspension, solution or emulsion in oily or aqueous vehicles. Suitable oily vehicles may include, but 10 are not limited to, lipophilic solvents or vehicles such as fatty oils or synthetic fatty acid esters, or liposomes. Aqueous injection suspensions may contain substances which increase the viscosity of the suspension. The suspension may also contain suitable stabilizers. Injections may be formulated for bolus injection or continuous infusion. Alternatively, the compositions may be lyophilized or in powder form for reconstitution 15 with a suitable vehicle, e.g., sterile pyrogen-free water, before use. [0570] For parenteral administration, the conjugates may be formulated in a unit dosage injectable form (e.g., solution, suspension, emulsion) in association with a pharmaceutically acceptable parenteral vehicle. Such vehicles may be inherently non- toxic, and non-therapeutic. Vehicles may be water, saline, Ringer’s solution, dextrose 20 solution, and 5% human serum albumin. Non-aqueous vehicles such as fixed oils and ethyl oleate may also be used. Liposomes may be used as carriers. The vehicle may contain minor amounts of additives such as substances that enhance isotonicity and chemical stability (e.g., buffers and preservatives). [0571] Sustained-release preparations may be also be prepared. Examples of 25 sustained-release preparations may include semipermeable matrices of solid hydrophobic polymers that may contain the compound, salt or conjugate, and these matrices may be in the form of shaped articles (e.g., films or microcapsules). Examples of sustained-release matrices may include polyesters, hydrogels (e.g., poly(2- hydroxyethyl-methacrylate), or poly(vinyl alcohol)), polylactides, copolymers of L- 30 glutamic acid and γ ethyl-L-glutamate, non-degradable ethylene-vinyl acetate,
259
degradable lactic acid-glycolic acid copolymers such as the LUPRON DEPOTM (i.e., injectable microspheres composed of lactic acid-glycolic acid copolymer and leuprolide acetate), and poly-D-(-)-3-hydroxybutyric acid. [0572] Pharmaceutical formulations may be prepared for storage by mixing a 5 conjugate with a pharmaceutically acceptable carrier, excipient, and/or a stabilizer. This formulation may be a lyophilized formulation or an aqueous solution. Acceptable carriers, excipients, and/or stabilizers may be nontoxic to recipients at the dosages and concentrations used. Acceptable carriers, excipients, and/or stabilizers may include buffers such as phosphate, citrate, and other organic acids; antioxidants including 10 ascorbic acid and methionine; preservatives, polypeptides; proteins, such as serum albumin or gelatin; hydrophilic polymers; amino acids; monosaccharides, disaccharides, and other carbohydrates including glucose, mannose, or dextrins; chelating agents such as EDTA; sugars such as sucrose, mannitol, trehalose or sorbitol; salt-forming counter- ions such as sodium; metal complexes; and/or non-ionic surfactants or polyethylene 15 glycol. [0573] In some embodiments, an aqueous formulation of a conjugate provided herein, such as for subcutaneous administration, has a pH from 4-5.2. The aqueous formulation may comprise one or more excipients, such as, for example, one or more buffering agents, one or more lyoprotectants, and the like. In some embodiments, the20 pH of the formulation is from 4-5.1, 4.1-5.1, 4.2-5.1, 4.3-5.1, 4.4-5.1, 4.5-5.1, 4-5, 4.1- 5, 4.2-5, 4.3-5, 4.4-5, or 4.5-5. In some embodiments, the formulation comprises at least one buffer. In various embodiments, the buffer may be selected from histidine, citrate, aspartate, acetate, phosphate, lactate, tromethamine, gluconate, glutamate, tartrate, succinate, malic acid, fumarate, α-ketoglutarate, and combinations thereof. In 25 some embodiments, the buffer is at least one buffer selected from histidine, citrate, aspartate, acetate, and combinations thereof. In some embodiments, the buffer is a combination of histidine and aspartate. In some embodiments, the total concentration of the buffer in the aqueous formulation is 10mM to 40mM, such as 15mM-30mM, 15mM-25mM, or 20 mM.
260
[0574] In some embodiments, the aqueous formulation comprises at least one lyoprotectant. In some such embodiments, the at least one lyoprotectant is selected from sucrose, arginine, glycine, sorbitol, glycerol, trehalose, dextrose, alpha- cyclodextrin, hydroxypropyl beta-cyclodextrin, hydroxypropyl gamma-cyclodextrin, 5 proline, methionine, albumin, mannitol, maltose, dextran, and combinations thereof. In some embodiments, the lyoprotectant is sucrose. In some embodiments, the total concentration of lyoprotectant in the aqueous formulation is 3-12%, such as 5-12%, 6- 10%, 5-9%, 7-9%, or 8%. [0575] In some embodiments, the aqueous formulation comprises at least one 10 surfactant. Exemplary surfactants include polysorbate 80, polysorbate 20, poloxamer 88, and combinations thereof. In some embodiments, the aqueous formulation comprises polysorbate 80. In some embodiments, the total concentration of the at least one surfactant is 0.01%-0.1%, such as 0.01%-0.05%, 0.01%-0.08%, or 0.01%-0.06%, 0.01%-0.04%, 0.01%-0.03%, or 0.02%. 15 [0576] In some embodiments, the concentration of the conjugate in the aqueous formulation is 1 mg/mL-200 mg/mL, such as 10 mg/mL-160 mg/mL, 10 mg/mL-140 mg/mL, 10 mg/mL-120 mg/mL, 20 mg/mL-120 mg/mL, or 30 mg/mL-120 mg/mL, or 40 mg/mL-120 mg/mL, or 40 mg/mL-100 mg/mL. In some embodiments, the concentration of the conjugate in the aqueous formulation is 10 mg/mL-140 mg/mL or 20 40 mg/mL-140 mg/mL. [0577] Pharmaceutical formulations of the conjugates may have an average drug-antibody ratio (“DAR”) selected from about 1 to about 20 or from about 1 to about 10, wherein the drug is a compound of any one of the formulae described herein for Category A or B. In certain embodiments, the average DAR of the formulation is from 25 about 2 to about 8, such as from about 3 to about 8, such as from about 3 to about 7, such as about 3 to about 5 or such as about 2. In certain embodiments, a pharmaceutical formulation has an average DAR of about 3, about 3.5, about 4, about 4.5 or about 5.
261
Therapeutic Applications [0578] The compositions, conjugates and methods of the present disclosure can be useful for a plurality of different subjects including, but are not limited to, a mammal, human, non-human mammal, a domesticated animal (e.g., laboratory animals, 5 household pets, or livestock), non-domesticated animal (e.g., wildlife), dog, cat, rodent, mouse, hamster, cow, bird, chicken, fish, pig, horse, goat, sheep, rabbit, and any combination thereof. [0579] The compositions, conjugates and methods can be useful as a therapeutic, for example, a treatment that can be administered to a subject in need 10 thereof. A therapeutic effect of the present disclosure can be obtained in a subject by reduction, suppression, remission, or eradication of a disease state, including, but not limited to, a symptom thereof. A therapeutic effect in a subject having a disease or condition, or pre-disposed to have or is beginning to have the disease or condition, can be obtained by a reduction, a suppression, a prevention, a remission, or an eradication 15 of the condition or disease, or pre-condition or pre-disease state. [0580] In practicing the methods described herein, therapeutically-effective amounts of the compositions, and conjugates can be administered to a subject in need thereof, often for treating and/or preventing a condition or progression thereof. A pharmaceutical composition can affect the physiology of the subject, such as the 20 immune system, an inflammatory response, or other physiologic affect. A therapeutically-effective amount can vary depending on the severity of the disease, the age and relative health of the subject, the potency of the compounds used, and other factors. [0581] Treat and/or treating refer to any indicia of success in the treatment or 25 amelioration of the disease or condition. Treating can include, for example, reducing, delaying or alleviating the severity of one or more symptoms of the disease or condition, or it can include reducing the frequency with which symptoms of a disease, defect, disorder, or adverse condition, and the like, are experienced by a patient. Treat can be used herein to refer to a method that results in some level of treatment or
262
amelioration of the disease or condition, and can contemplate a range of results directed to that end, including but not restricted to prevention of the condition entirely. [0582] Prevent, preventing and the like refer to the prevention of the disease or condition, e.g., tumor formation, in the patient. For example, if an individual at risk of 5 developing a tumor or other form of cancer is treated with the methods of the present disclosure and does not later develop the tumor or other form of cancer, then the disease has been prevented, at least over a period of time, in that individual. Preventing can also refer to preventing re-occurrence of a disease or condition in a patient that has previously been treated for the disease or condition, e.g., by preventing relapse. 10 [0583] A therapeutically effective amount (also referred to as an effective amount) can be the amount of a composition (e.g., conjugate or compound) or an active component thereof sufficient to provide a beneficial effect or to otherwise reduce a detrimental non-beneficial event to the individual to whom the composition is administered. A therapeutically effective dose can be a dose that produces one or more 15 desired or desirable (e.g., beneficial) effects for which it is administered, such administration occurring one or more times over a given period of time. An exact dose can depend on the purpose of the treatment, and can be ascertainable by one skilled in the art using known techniques and the teachings provided herein. [0584] The conjugates that can be used in therapy can be formulated and 20 dosages established in a fashion consistent with good medical practice taking into account the disease or condition to be treated, the condition of the individual patient, the site of delivery of the composition, the method of administration and other factors known to practitioners. The compositions can be prepared according to the description of preparation described herein. 25 [0585] Pharmaceutical compositions can be used in the methods described herein and can be administered to a subject in need thereof using a technique known to one of ordinary skill in the art which can be suitable as a therapy for the disease or condition affecting the subject. One of ordinary skill in the art would understand that the amount, duration and frequency of administration of a pharmaceutical composition 30 to a subject in need thereof depends on several factors including, for example but not
263
limited to, the health of the subject, the specific disease or condition of the patient, the grade or level of a specific disease or condition of the patient, the additional treatments the subject is receiving or has received, and the like. [0586] The methods and compositions can be for administration to a subject in 5 need thereof. Often, administration of the compositions can include routes of administration, non-limiting examples of administration routes include intravenous, intraarterial, subcutaneous, subdural, intramuscular, intracranial, intrasternal, intratumoral, or intraperitoneally. Additionally, a pharmaceutical composition can be administered to a subject by additional routes of administration, for example, by 10 inhalation, oral, dermal, intranasal, or intrathecal administration. [0587] Compositions and conjugates of the present disclosure can be administered to a subject in need thereof in a first administration, and in one or more additional administrations. The one or more additional administrations can be administered to the subject in need thereof minutes, hours, days, weeks or months 15 following the first administration. Any one of the additional administrations can be administered to the subject in need thereof less than 21 days, or less than 14 days, less than 10 days, less than 7 days, less than 4 days or less than 1 day after the first administration. The one or more administrations can occur more than once per day, more than once per week or more than once per month. The administrations can be 20 weekly, biweekly (every two weeks), every three weeks, monthly or bimonthly. [0588] In certain embodiments, the total dose of the conjugate within a cycle is from about 0.1 to about 10 mg/kg. In some embodiments, the total dose is from about 0.5 to about 7.5 mg/kg. In some embodiments, the total dose is from about 0.5 to about 5 mg/kg. In some embodiments, the total dose is from about 0.5 to about 4 mg/kg. In 25 some embodiments, the total dose is from about 0.5 to about 3.5 mg/kg. In some embodiments, the total dose is from about 0.5 to about 2 mg/kg. [0589] The compositions, conjugates and methods provided herein may be useful for the treatment of a plurality of diseases, conditions, preventing a disease or a condition in a subject or other therapeutic applications for subjects in need thereof. In 30 various embodiments, methods of treating a disease mediated by TGFβR2 activity are
264
provided, comprising administering to a subject in need thereof an effective amount of a TGFβR2 inhibitor conjugate provided herein. In some embodiments, the disease is fibrosis, cancer, or scleroderma. In some embodiments, the fibrosis is cancer-related. In some embodiments, the fibrosis is not cancer-related. The compositions, conjugates 5 and methods provided herein may be useful for treatment of hyperplastic conditions, including but not limited to, neoplasms, cancers, tumors and the like. The compositions, conjugates and methods provided herein may be useful in specifically targeting the signaling or activities of TGFβ1, TGFβR1, TGFβR2, or combinations thereof. The conjugates, compositions and methods provided herein may be useful in 10 inhibiting signaling by TGFβ1, and/or directly inhibiting TGFβR1, TGFβR2, or both. [0590] A condition, such as a cancer, may be associated with expression of a molecule on the cancer cells. Often, the molecule expressed by the cancer cells may comprise an extracellular portion capable of recognition by the antibody of the conjugate. A molecule expressed by the cancer cells may be a tumor antigen. An 15 antibody of the conjugate may recognize a tumor antigen. [0591] In certain embodiments, the antigen binding domain specifically binds to an antigen that is at least 80% identical to an antigen, on a T cell, a B cell, a stellate cell, an endothelial cell, a tumor cell, an APC, a fibroblast cell, a fibrocyte cell, a hepatocyte cell, or a cell associated with the pathogenesis of fibrosis. In certain embodiments, the 20 antigen binding domain may specifically bind to LRRC15, or to an antigen that is at least 80% identical to LRRC15 antigen. [0592] Additionally, such antigens may be derived from the following specific conditions and/or families of conditions, including but not limited to, cancers such as cancer associated with fibroblasts (CAF), brain cancers, skin cancers, lymphomas, 25 sarcomas, lung cancer, liver cancer, leukemias, uterine cancer, breast cancer (including triple negative breast cancer), ovarian cancer, cervical cancer, uterine cancer, bladder cancer, gastric cancer, esophageal cancer, kidney cancer, hemangiosarcomas, bone cancers, blood cancers, testicular cancer, prostate cancer, stomach cancer, colon cancer, intestinal cancers, pancreatic cancer, head and neck cancer (including head and neck
265
squamous cell carcinoma), mesothelioma, melanoma, and other types of cancers as well as pre-cancerous conditions such as hyperplasia or the like. [0593] Non-limiting examples of cancers may include Acute lymphoblastic leukemia (ALL); Acute myeloid leukemia; Adrenocortical carcinoma; Astrocytoma, 5 childhood cerebellar or cerebral; Basal-cell carcinoma; Bladder cancer; Bone tumor, osteosarcoma/malignant fibrous histiocytoma; Brain cancer; Brain tumors, such as, cerebellar astrocytoma, malignant glioma, ependymoma, medulloblastoma, visual pathway and hypothalamic glioma; Brainstem glioma; Breast cancer (including triple negative breast cancer); Bronchial adenomas/carcinoids; Burkitt's lymphoma; 10 Cerebellar astrocytoma; Cervical cancer; Cholangiocarcinoma; Chondrosarcoma; Chronic lymphocytic leukemia; Chronic myelogenous leukemia; Chronic myeloproliferative disorders; Colon cancer; Cutaneous T-cell lymphoma; Endometrial cancer; Ependymoma; Esophageal cancer; Eye cancers, such as, intraocular melanoma and retinoblastoma; Gallbladder cancer; Gastric cancer; Glioma; Hairy cell leukemia; 15 Head and neck cancer (including head and neck squamous cell carcinoma); Heart cancer; Hepatocellular (liver) cancer; Hodgkin lymphoma; Hypopharyngeal cancer; Islet cell carcinoma (endocrine pancreas); Kaposi sarcoma; Kidney cancer (renal cell cancer); Laryngeal cancer; Leukaemia, such as, acute lymphoblastic, acute myeloid, chronic lymphocytic, chronic myelogenous and, hairy cell; Lip and oral cavity cancer; 20 Liposarcoma; Lung cancer, such as, non-small cell and small cell; Lymphoma, such as, AIDS-related, Burkitt; Lymphoma, cutaneous T-Cell, Hodgkin and Non-Hodgkin, Macroglobulinemia, Malignant fibrous histiocytoma of bone/osteosarcoma; Melanoma (including cutaneous melanoma); Merkel cell cancer; Mesothelioma; Multiple myeloma/plasma cell neoplasm; Mycosis fungoides; Myelodysplastic syndromes; 25 Myelodysplastic/myeloproliferative diseases; Myeloproliferative disorders, chronic; Nasal cavity and paranasal sinus cancer; Nasopharyngeal carcinoma; Neuroblastoma; Oligodendroglioma; Oropharyngeal cancer; Osteosarcoma/malignant fibrous histiocytoma of bone; Ovarian cancer; Pancreatic cancer; Parathyroid cancer; Pharyngeal cancer; Pheochromocytoma; Pituitary adenoma; Plasma cell neoplasia; 30 Pleuropulmonary blastoma; Prostate cancer; Rectal cancer; Renal cell carcinoma
266
(kidney cancer); Renal pelvis and ureter, transitional cell cancer; Rhabdomyosarcoma; Salivary gland cancer; Sarcoma, Ewing family of tumors; Sarcoma, Kaposi; Sarcoma, soft tissue; Sarcoma, uterine; Sézary syndrome; Skin cancer (non-melanoma); Skin carcinoma; Small intestine cancer; Soft tissue sarcoma; Squamous cell carcinoma; 5 Squamous neck cancer with occult primary, metastatic; Stomach cancer; Testicular cancer; Throat cancer; Thymoma and thymic carcinoma; Thymoma; Thyroid cancer; Thyroid cancer, childhood; Uterine cancer; Vaginal cancer; Waldenström macroglobulinemia; Wilms tumor and any combination thereof. In some embodiments, the cancer is lung cancer, breast cancer, triple negative breast cancer, pancreatic cancer, 10 head & neck squamous cell carcinoma, sarcoma, ovarian cancer, gastric cancer, colon cancer, kidney cancer, uterine cancer, esophageal cancer, mesothelioma, bladder cancer, or cutaneous melanoma. [0594] In some embodiments, the cancer is a LRRC15-expressing cancer. In some embodiments, the cancer expresses TGFβR2. In some embodiments, the cancer is 15 a cancer associated with fibroblasts. In some embodiments, the cancer is lung cancer, breast cancer, triple negative breast cancer, pancreatic cancer, head & neck squamous cell carcinoma, sarcoma, ovarian cancer, gastric cancer, colon cancer, kidney cancer, uterine cancer, esophageal cancer, mesothelioma, bladder cancer, or cutaneous melanoma. 20 [0595] Non-limiting examples of fibrosis or fibrotic diseases include adhesive capsulitis, arterial stiffness, arthrofibrosis, atrial fibrosis, cirrhosis, Crohn’s disease, collagenous fibroma, cystic fibrosis, Desmoid-type fibromatosis, Dupuytren’s contracture, elastofibroma, endomyocardial fibrosis, fibroma of tendon sheath, glial scar, idiopathic pulmonary fibrosis (IPF), keloid, mediastinal fibrosis, myelofibrosis, 25 nuchal fibroma, nephrogenic systemic fibrosis, old myocardial infarction, dilated cardiomyopathy, Peyronie’s disease, interstitial lung disease (ILD), pulmonary fibrosis, progressive massive fibrosis, non-alcoholic steatohepatitis (NASH), radiation-induced lung injury, retroperitoneal fibrosis, scar, scleroderma/systemic sclerosis. In some embodiments, the fibrosis disease is idiopathic pulmonary fibrosis or myelofibrosis.
267
[0596] In various embodiments, methods of inhibiting proliferation of a LRRC15-expressing cell are provided, comprising contacting the cell with a TGFβR2 inhibitor conjugate provided herein. In some embodiments, the cell expresses TGFβR2. [0597] The invention provides any therapeutic conjugate disclosed herein for 5 use in a method of treatment of the human or animal body by therapy. The invention also provides any therapeutic compound, conjugate, or composition disclosed herein for obtaining any clinical outcome disclosed herein for any condition disclosed herein, such as reducing tumour cells in vivo or treating fibrosis. The invention also provides use of any therapeutic compound, conjugate, or composition disclosed herein in the 10 manufacture of a medicament for preventing or treating any condition disclosed herein. [0598] In some embodiments, the methods of treatment provided herein comprise administering an additional therapeutic agent to the subject, such as an anti- cancer agent or anti-fibrosis agent. In some embodiments, the additional therapeutic agent is an anti-cancer agent selected from a chemotherapeutic agent, cytotoxic agent, 15 cytokine, growth-inhibitory agent, anti-hormonal agent, anti-angiogenic agent, and/or cardioprotectant. [0599] Examples of chemotherapeutic agents contemplated as further therapeutic agents include alkylating agents, such as nitrogen mustards (e.g., mechlorethamine, cyclophosphamide, ifosfamide (IFEX®), melphalan (Alkeran®), and 20 chlorambucil); bifunctional chemotherapeutics (e.g., bendamustine); nitrosoureas (e.g., carmustine (BCNU, BiCNU®; polifeprosan 20 implant (Gliadel®)), lomustine (CCNU), and semustine (methyl-CCNU)); ethyleneimines and methyl-melamines (e.g., triethylenemelamine (TEM), triethylene thiophosphoramide (thiotepa), and hexamethylmelamine (HMM, altretamine)); alkyl sulfonates (e.g., busulfan 25 (Myleran®), busulfan injection (Busulfex®)); and triazines (e.g., dacabazine (DTIC)); antimetabolites, such as folic acid analogues (e.g., methotrexate (Folex®), trimetrexate, and pemetrexed (multi-targeted antifolate)) and capecitabine (Xeloda®); pyrimidine analogues (such as 5-fluorouracil (5-FU, Adrucil®, Efudex®), fluorodeoxyuridine, tezacitabine, gemcitabine, cytosine arabinoside (AraC, cytarabine (Cytosar-U®); 30 cytarabine liposome injection (DepoCyt®)), 5-azacytidine, and 2,2’-
268
difluorodeoxycytidine); purine analogues (e.g., 6-mercaptopurine (Purinethol®), 6- thioguanine, azathioprine, 2’-deoxycoformycin (pentostatin), erythrohydroxynonyladenine (EHNA), fludarabine phosphate (Fludara®), 2 chlorodeoxyadenosine (cladribine, 2-CdA)); Type I topoisomerase inhibitors such as 5 camptothecin (CPT), topotecan (Hycamptin®), and irinotecan (Camptosar®); natural products, such as epipodophylotoxins (e.g., etoposide (Vepesid®) and teniposide (Vumon®)); vinca alkaloids (e.g., vinblastine (Velban®), vincristine (Oncovin®), and vinorelbine (Navelbine®)); anti-tumor antibiotics such as actinomycin D (dactinomycin, Cosmegan®), doxorubicin hydrochloride (Adriamycin®, Rubex®), 10 mitoxantrone (Novantrone®), and bleomycin sulfate (Blenoxane®); radiosensitizers such as 5-bromodeozyuridine, 5-iododeoxyuridine, and bromodeoxycytidine; platinum coordination complexes such as cisplatin (Platinol®), carboplatin (Paraplatin®), and oxaliplatin (Eloxatin®); substituted ureas, such as hydroxyurea (Hydrea®); microtubule inhibitors such as paclitaxel (Taxol®) and docetaxel (Taxotere®); immunosuppressive 15 agents such as cyclophosphamide (Cytoxan® or Neosar®); hormone-based compound such as anastrozole (Arimidex®), exemestane (Aromasin®), letrozole (Femara®), fulvestrant (Faslodex®), and bicalutamide (Casodex®) and tamoxifen citrate (Nolvadex®); an anti-inflammatory agent such as dexamethasone; an anti-androgen compound such as flutamide (Eulexin®); an anthracycline compound such as idarubicin 20 (Idamycin®, Zavedos®) and epirubicin (Ellence®); bioreductive anti-cancer agent such as tirapazamine (Tirazone®); serine/threonine kinase inhibitors such as CDK4/6 inhibitors abemaciclib (Verzenio®), palbociclib (Ibrance®), and ribociclib (Kisqali®); and methylhydrazine derivatives such as N methylhydrazine (MIH) and procarbazine. [0600] In some embodiments, the additional therapeutic agent is a anti-fibrosis 25 agent, such as nintedanib, pirfenidone, trichostatin A, and rapamycin, angiotensin converting enzyme inhibitor, STX-100, QAX576, CNTO-888, SD-208, SB-525334, GC1008, BMS-986202, AM152, lebrikizumab, tralokinumab, SAR156597, PRM-151, simtuzumab (AB0024, GS-6624), GSK2126458, FG-3019, captopril, genistein, silvestrol or derivatives thereof, pateamine A or derivatives thereof, hippuristanol, or 30 EUK-207.
269
EXAMPLES List of Abbreviations [0601] As used above, and throughout this description, the following abbreviations, unless otherwise indicated, shall be understood to have the following 5 meanings: ACN or MeCN acetonitrile Bn benzyl BOC or Boc tert-butyl carbamate CDI 1,1'-carbonyldiimidazole Cy cyclohexyl DCE dichloroethane (ClCH2CH2Cl) DCM dichloromethane (CH2Cl2) DIPEA or DIEA diisopropylethylamine DMAP 4-(N,N-dimethylamino)pyridine DMF dimethylformamide DMA N,N-dimethylacetamide DMSO dimethylsulfoxide equiv equivalent(s) Et ethyl EtOH ethanol EtOAc ethyl acetate h hour(s) HATU 1-[bis(dimethylamino)methylene]-1H-1,2,3-triazolo[4,5- b]pyridinium 3-oxid hexafluorophosphate HFIP 1,1,1,3,3,3-hexafluoropropan-2-ol HPLC high performance liquid chromatography LAH lithium aluminum hydride LCMS liquid chromatography-mass spectrometry
270
mc-Val-Cit-PAB- [4-[[(2S)-5-(carbamoylamino)-2-[[(2S)-2-[6-(2,5- PNP dioxopyrrol-1-yl)hexanoylamino]-3- methylbutanoyl]amino]pentanoyl]amino]phenyl]methyl (4-nitrophenyl) carbonate Me methyl MeOH methanol MS mass spectroscopy NMM N-methylmorpholine NMR nuclear magnetic resonance PdCl2(dppf) [1,1'- Bis(diphenylphosphino)ferrocene]dichloropalladium(II) Pd(OH)2 palladium hydroxide PMB para-methoxybenzyl rt room temperature TEA triethylamine TFA trifluoroacetic acid THF tetrahydrofuran TLC thin layer chromatography General Synthetic Schemes and Examples [0602] The following synthetic schemes are provided for purposes of illustration, not limitation. [0603] The following examples illustrate the various methods of making 5 compounds described herein. It is understood that one skilled in the art may be able to make these compounds by similar methods or by combining other methods known to one skilled in the art. It is also understood that one skilled in the art would be able to make, in a similar manner as described below by using the appropriate starting materials and modifying the synthetic route as needed. In general, starting materials and 10 reagents can be obtained from commercial vendors or synthesized according to sources known to those skilled in the art or prepared as described herein.
271
[0604] Unless otherwise noted, reagents and solvents were used as received from commercial suppliers. Anhydrous solvents and oven-dried glassware were used for synthetic transformations sensitive to moisture and/or oxygen. Yields were not optimized. Reaction times are approximate and were not optimized. Column 5 chromatography and thin layer chromatography (TLC) were performed on silica gel unless otherwise noted. Spectra are given in ppm ( ^) and coupling constants (J) are reported in Hertz (Hz). For proton spectra the solvent peak was used as the reference peak. EXAMPLES FOR COMPOUNDS OF CATEGORY A 10 [0605] Compounds of Category A as described herein may be prepared according to Schemes 1, 2, and 3. Scheme 1.
[0606] The preparation of compounds are described in the literature (Tebben et 15 al. Acta Cryst. (2016). D72, 658-674; and Berg et al. J. Med. Chem. (2012), 55(21), 9107-9119). [0607] 2-Amino-5-bromopyrazine carboxylic acids are mixed with 3- aminopyridines in a polar solvent (e.g., DMF) containing a tertiary amine base (e.g., N- methylmorpholine) to form intermediates I-ii. Intermediates I-ii can be mixed with a 20 boronic acid or boronate ester in a solvent such as dioxane and a base (e.g., Na2CO3)
272
with a palladium catalyst such as PdCl2(dppf) at elevated temperature to provide final products (I-iii). Scheme 2.
5 [0608] Alternatively, a bromopyrazine (I-iv) can be heated with a boronic acid or boronate ester in a solvent such as dioxane and a base (e.g., Na2CO3) with a palladium catalyst such as PdCl2(dppf) to provide intermediates (I-v). The carboxylic ester can be converted to the carboxylic acid on treatment with a hydroxide base such as NaOH. Intermediates (I-vi) can be coupled to substituted aminopyridines in a polar 10 solvent (e.g., DMF) containing a tertiary amine base (e.g., N-methylmorpholine) to form intermediates I-iii.
273
Scheme 3.
[0609] Alternatively, a bromopyrazine (I-iv) can be condensed with methyl amine under aqueous conditions to generate a secondary amide intermediate (I-vii). The 5 secondary amide can then be treated with triethyl orthoformate under refluxing conditions to produce a 6-bromo-3-methylpteridin-4(3H)-one (I-viii). An intermediate 6-bromo-3-methylpteridin-4(3H)-one (I-viii) can then be reacted with a secondary amine at elevated temperature to produce intermediate I-x. The 3-methylpteridin-4(3H)- one (I-x) may be hydrolyzed to an aminopyrazine-2-carboxylic acid intermediate (I-xi), 10 which can be further elaborated via a coupling to substituted amino pyridines in a polar solvent (e.g., DMF) containing to form intermediates I-xii.
274
EXAMPLE I: PREPARATION OF KEY INTERMEDIATES EXAMPLE I.A: PREPARATION OF 3-AMINO-6-BROMO-N-(4-MORPHOLINOPYRIDIN-3-YL)PYRAZINE-2- 5 CARBOXAMIDE (INTERMEDIATE A)
[0610] To a solution containing 1.63 g (7.5 mmol) of 2-amino-5-bromopyrazine carboxylic acid in 25 mL of DMF was added 3.54 g (9.36 mmol) of HATU. The reaction mixture was allowed to stir for 15 minutes before the addition of 1.68 g (9.3610 mmol) of 3-amino-4-morpholinopyridine and 2.5 mL (22.5 mmol) of N- methylmorpholine. The reaction was stirred for 16 h then quenched with a 10 mL of a saturated NaHCO3 solution and extracted with EtOAc three times. The combined organic extracts were washed with brine and dried over Na2SO4. Evaporation of the solvent and column chromatography (SiO2; 10% CH3OH /DCM) provided Intermediate 15 A as a yellow solid. 1H NMR (CD3OD) ^ 9.51 (s, 1H), 8.76 (s, 1H), 8.39 (d, J=5.4Hz, 1H), 7.94 (d, J=8.1Hz, 2H), 7.39-7.27 (m, 8H), 5.10 (s, 2H), 3.81 (t, J=7.5Hz, 4H), 2.96 (t, J=7.5Hz, 4H). [M+H]+ = 568.1. EXAMPLE I.B: PREPARATION OF BENZYL (3-(4-(5-AMINO-6-(PYRAZIN-2- 20 YL)PHENYL)ETHYL)CARBAMATE (INTERMEDIATE B)
Intermediate B
275
[0611] To a solution of methyl 3-amino-6-bromopyrazine-2-carboxylate (4.6 g, 20.0 mmol) and 4-(2-(benzyloxycarbonylamino)ethyl)phenylboronic acid (6.58 g, 22.0 mmol) in 50 mL of dioxane was added 2M Na2CO3 solution (20 ml, 40.0 mmol). The reaction mixture was purged with a nitrogen before the addition of PdCl2(dppf) (1.5 g, 5 2.0 mmol). The reaction mixture was heated at 90 °C for 1.5 h under a balloon of nitrogen. The reaction mixture was cooled and diluted with ethyl acetate and saturated NaHCO3 solution. The organic layer was separated and dried over magnesium sulfate. The filtrate was concentrated and the residue was purified by silica gel chromatography (ISCO; 80g cartridge: ethyl acetate/dichloromethane, 0-50%) to give the title compound 10 as a light yellow solid which was dissolved in 60 mL of EtOH and 10 mL of THF. 30 mL (60 mmol) of 2N LiOH was added and the mixture was stirred at room temperature overnight. The reaction mixture was concentrated then treated with 2N HCl solution to pH=5 to effect a light yellow precipitate that was filtered and air dried for use without further purification. [M+H]+ = 392.2. 15 EXAMPLE I.C: PREPARATION OF BENZYL (4-(5-AMINO-6-((4-BROMOPYRIDIN-3- YL)CARBAMOYL)PYRAZIN-2-YL)PHENETHYL)-CARBAMATE (INTERMEDIATE C)
[0612] To a solution containing 392 mg (1.0 mmol) of Intermediate B in 5 mL 20 of DMF was added 456 mg (1.2 mmol) of HATU. The reaction mixture was allowed to stir for 15 minutes before the addition of 206 mg (1.2 mmol) of 3-amino-4- bromopyridine and 0.26 mL (2.4 mmol) of N-methylmorpholine. The reaction was stirred for 16 h then quenched with saturated NaHCO3 solution and extracted with EtOAc. The combined organic extracts were washed with brine and dried over Na2SO4. 25 Evaporation of the solvent and column chromatography (SiO2; 10% CH3OH /DCM) provided Intermediate C as a yellow solid. 1H NMR (DMSO-d6) ^ 10.6 (s, 1H), 9.25 (s,
276
1H), 9.01 (s, 1H), 8.29 (d, J=5.2Hz, 1H), 8.10 (d, J=8.0Hz, 2H), 7.8 (s, 1H), 7.65 (s, 2H), 7.57-7.51 (m, 8H), 5.02 (s, 2H), 3.32 (t, J=7.2Hz, 2H), 2.79 (t, J=7.2Hz, 2H), 1.23 (m, 1H). [M+H]+ = 547.4. EXAMPLE I.D: 5 PREPARATION OF TERT-BUTYL 4-(3-METHYL-4-OXO-3,4-DIHYDROPTERIDIN-6- YL)PIPERAZINE-1-CARBOXYLATE (INTERMEDIATE D)
[0613] To a solution of 6-bromo-3-methyl-pteridin-4-one (CAS #146940-38-7, 0.5 g, 2.1 mmol) in 2-methoxyethanol (10 mL/g) was added tert-butyl piperazine-1- 10 carboxylate (0.584 g, 3.1 mmol, 1.5 equiv) and the resulting suspension heated at 100 °C for 2 hours. The reaction mixture was cooled in an ice bath and the collected precipitate was purified by preparative RP-HPLC (10 ^ 80% AcN (0.1% TFA) in H2O (0.1% TFA)) to provide Intermediate D (0.35 g, 49% yield) as a yellow solid. [M+Na]+: 369.2, M-Boc: 246.2. 15 EXAMPLE I.E: PREPARATION OF 3-AMINO-6-(4-(TERT-BUTOXYCARBONYL)PIPERAZIN-1-YL)PYRAZINE-2- CARBOXYLIC ACID (INTERMEDIATE E)
[0614] To a solution of tert-butyl 4-(3-methyl-4-oxo-pteridin-6-yl)piperazine-1- 20 carboxylate (0.165 g, 0.48 mmol) in MeOH (5 mL) was added NaOH (10 %w/w, 7.0 equiv) and the resultant solution was stirred at ambient temperature for 17 hrs. The solution was then acidified, extracted with CH2Cl2, then treated with basic H2O (pH
277
~10) to precipitate the desired product which was redissolved in CH2Cl2, dried over Mg2SO4, filtered and concentrated to yield Intermediate E (0.10 g, 64% yield) as a yellow solid (90% purity). [M+Na]+: 346.2, M-Boc: 223.2. EXAMPLES 1A-7A: 5 PREPARATION OF EXEMPLARY ACYCLIC AMINO-PYRAZINECARBOXAMIDE COMPOUNDS EXAMPLE 1A: PREPARATION OF BENZYL (4-(5-AMINO-6-((4-MORPHOLINOPYRIDIN-3- YL)CARBAMOYL)PYRAZIN-2-YL)PHENETHYL)CARBAMATE (COMPOUND 1.1)
10 [0615] To a solution of Intermediate A (567 mg, 1.0 mmol) and 4-(2- (benzyloxycarbonylamino)ethyl)phenylboronic acid (329 mg, 1.1 mmol) in 5 mL of dioxane was added 2M Na2CO3 solution (1.0 ml, 2.0 mmol). The reaction mixture was purged with a nitrogen before the addition of PdCl2(dppf) (37 mg, 0.05 mmol). The reaction mixture was heated at 90 °C for 4 h under a balloon of nitrogen. The reaction 15 mixture was cooled and diluted with ethyl acetate and saturated NaHCO3 solution. The organic layer was separated and dried over magnesium sulfate. The filtrate was concentrated and the residue was purified by silica gel chromatography (ethyl acetate/dichloromethane, 0-50%) to Compound 1.1 as a light yellow solid.
278
EXAMPLE 2A: PREPARATION OF 3-AMINO-6-(4-(3-AMINOPROPYL)PHENYL)-N-(4-MORPHOLINOPYRIDIN- 3-YL)PYRAZINE-2-CARBOXAMIDE (COMPOUND 2.1)
5 [0616] To a solution containing 758 mg (2.0 mmol) of the protected amine compound 1.2 in 10 mL of EtOH and 10 mL of THF was added 200 mg of 20% Pd(OH)2 on carbon. The reaction mixture was degassed then capped with a balloon of H2 then stirred at room temperature for 4 h. The reaction mixture was filtered through a pad of Celite and evaporated to afford the crude product which was purified by reverse 10 phase HPLC to provide 750 mg of the TFA salt of Compound 2.1 as a yellow solid. 1H NMR (CD3OD) ^ 9.49 (s, 1H), 8.71 (s, 1H), 8.27 (d, J=5.1Hz, 1H), 7.94 (d, J=8.1Hz, 2H), 7.35 (d, J=8.1Hz, 2H), 7.24 (d, J=5.4Hz, 1H), 3.80 (t, J=4.2Hz, 4H), 3.00 (d, J=4.5Hz, 4H), 2.71 (m, 4H), 1.82 (m, 2H). [M+H]+ = 434.1. EXAMPLE 3A: 15 PREPARATION OF BENZYL (4-(5-AMINO-6-((4-(2-METHYL-1H-IMIDAZOL-1-YL)PYRIDIN-3- YL)CARBAMOYL)PYRAZIN-2-YL)PHENETHYL)CARBAMATE (COMPOUND 3.1)
[0617] To a solution containing 392 mg (1.0 mmol) of Intermediate B in 5 mL of DMF was added 456 mg (1.2 mmol) of HATU. The reaction mixture was allowed to20 stir for 15 minutes before the addition of 209 mg (1.2 mmol) of 4-(2-methyl-1H- imidazol-1-yl)pyridin-3-amine and 0.26 mL (2.4 mmol) of N-methylmorpholine. The reaction was stirred for 16 h then quenched with saturated NaHCO3 solution and
279
extracted with EtOAc. The combined organic extracts were washed with brine and dried over Na2SO4. Evaporation of the solvent and preparative HPLC provided Compound 3.1 as a yellow solid. 1H NMR (CD3OD) ^ 9.81 (s, 1H), 8.74 (s, 1H), 8.53 (d, J=7.2Hz, 1H), 7.64 (d, J=8.4Hz, 2H), 7.54 (d, J=7.56 (s, 1H), 7.35-7.11 (m, 9H), 5 7.36-7.24 (m, 9H), 5.07 (s, 2H), 3.43 (t, J=7.5Hz, 2H), 2.86 (t, J=7.5Hz, 2H), 2.30 (s, 3H). [M+H]+ = 449.2. EXAMPLE 4A: PREPARATION OF 3-AMINO-6-(4-(2-AMINOETHYL)PHENYL)-N-(4-(2-METHYL-1H- IMIDAZOL-1-YL)PYRIDIN-3-YL)PYRAZINE-2-CARBOXAMIDE (COMPOUND 4.1)
10 [0618] 90 mg (0.20 mmol) of Compound 3.1 was dissolved in 2 mL of TFA and the mixture was heated at 50 °C for 4 h. The reaction mixture was evaporated to afford the crude product which was purified by reverse phase HPLC to provide 50 mg of the TFA salt of Compound 4.1 as a yellow solid. 1H NMR (CD3OD) ^ 9.83 (s, 1H), 8.75 15 (s, 1H), 8.54 (d, J=8.0Hz, 1H), 7.63 (d, J=8.0Hz, 2H), 7.44 (s, 1H), 7.40-7.29 (m, 3H), 7.217 (s, 1H), 3.06 (m, 2H), 2.90 (m, 2H), 2.35 (s, 3H). [M+H]+ = 415.2 EXAMPLE 5A: PREPARATION OF BENZYL (4-(6-([4,4'-BIPYRIDIN]-3-YLCARBAMOYL)-5-AMINOPYRAZIN- 2-YL)PHENETHYL)CARBAMATE (COMPOUND 5.1)
20
280
[0619] To a solution of Intermediate C (110 mg, 0.20 mmol) and 4- pyridineboronic acid (27 mg, 0.22 mmol) in 1 mL of dioxane was added 2M Na2CO3 solution (0.2 ml, 0.4 mmol). The reaction mixture was purged with a nitrogen before the addition of PdCl2(dppf) (15 mg, 0.02 mmol). The reaction mixture was heated at 90 5 °C for 2 h under a balloon of nitrogen. The reaction mixture was cooled and diluted with ethyl acetate and saturated NaHCO3 solution. The organic layer was separated and dried over magnesium sulfate. The filtrate was concentrated and the residue was purified by reverse phase column chromatography to give Compound 5.1 as a yellow solid. 1H NMR (DMSO-d6) ^ 10.2 (s, 1H), 9.32 (s, 1H), 8.85 (s, 1H), 8.68 (d, J=6.8Hz, 10 2H), 8.5 (d, J=7.8Hz, 1H), 7.66-7.22 (m, 15H), 4.99 (s, 2H), 3.28 (m, 2H), 2.74 (m, 2H). EXAMPLE 6A: PREPARATION OF TERT-BUTYL 4-(5-AMINO-6-((4-MORPHOLINOPYRIDIN-3- YL)CARBAMOYL)PYRAZIN-2-YL)PIPERAZINE-1-CARBOXYLATE (COMPOUND 115) 15
[0620] To a solution of 3-Amino-6-(4-(tert-butoxycarbonyl)piperazin-1- yl)pyrazine-2-carboxylic acid (0.2 g, 0.62 mmol) in DMF (5.0 mL) was added HOAt (0.126 g, 0.93 mmol, 1.5 equiv) and EDCI (0.177 g, 0.93 mmol, 1.5 equiv) after the solution was allowed to stir at ambient temperature for 15 minutes, 3-amino-4- 20 bromopyridine (0.166 g, 0.93 mmol, 1.5 equiv) was added as a solid and the resultant solution was left to stir at room temperature for 16 hours. The reaction was purified directly by preparative RP-HPLC (10 ^ 80% AcN (0.1% TFA) in H2O (0.1% TFA)) to provide Compound 115 (0.080 g, 27% yield) as a yellow solid. [M+Na]+: 406.2, M- Boc: 384.3. 25
281
EXAMPLE 7A: PREPARATION OF 3-AMINO-N-(4-MORPHOLINOPYRIDIN-3-YL)-6-(PIPERAZIN-1- YL)PYRAZINE-2-CARBOXAMIDE (COMPOUND 118)
5 [0621] To a solution of tert-butyl 4-(5-amino-6-((4-morpholinopyridin-3- yl)carbamoyl)pyrazin-2-yl)piperazine-1-carboxylate (Compound 115; 0.08 g, 0.165 mmol) in CH2Cl2 (1 mL) was added TFA (1 mL) at room temperature. The resultant solution was allowed to stir at ambient temperature for 2 hrs, it was then concentrated under reduced pressure and the residue was purified by preparative RP-HPLC (10 ^ 10 65% AcN (0.1% TFA) in H2O (0.1% TFA)) to provide Compound 118 (0.037 g, 45% yield) as a yellow solid. [M+H]+: 385.3. [0622] The following compounds were prepared using the methodologies described herein in combination with the skill in the art: Table 14. Exemplary Category A Compounds
282
283
284
285
286
287
288
289
290
291
292
293
294
295
296
297
298
299
300
301
302
303
304
305
306
307
308
309
310
311
312
313
314
315
316
317
318
319
320
321
322
323
324
325
326
327
328
329
330
331
332
333
334
335
336
337
338
339
340
341
342
343
344
345
346
347
348
349
350
351
352
353
354
355
356
357
358
359
360
361
362
363
364
365
366
367
368
369
370
371
372
EXAMPLE 8A: PREPARATION OF AMINO-PYRAZINECARBOXAMIDE-LINKER COMPOUNDS (CATEGORY A CONJUGATES) 5 Preparation of 4-((S)-2-((S)-2-(6- Dioxo-2,5-dihydro-1H-pyrrol-1-yl)hexanamido)-
3-methylbutanamido)-5-ureidopentanamido)benzyl (2-(4-(5-amino-6-((4- morpholinopyridin-3-yl)carbamoyl)pyrazin-2-yl)phenyl)ethyl)carbamate (Compound LP1A)
373
[0623] A solution containing 42.0 mg (0.10 mmol) of Compound 6 was dissolved in 2 mL of DMF then treated with 74 mg (0.10 mmol) of mc-Val-Cit-PAB- PNP and 0.035 mL (0.2 mmol) of Hunig’s base. The reaction was heated at 25 °C for 1 h then purified without work-up using RP-HPLC. Product fractions were identified by 5 LCMS and pooled then lyophilized to provide 20 mg of the TFA salt of Compound LP1A as a white solid. 1H NMR (CD3OD) ^ 9.49 (s, 1H), 8.76 (s, 1H), 8.27 (d, J=5.2Hz, 1H), 7.98 (J=8.0Hz, 2H), 7.53 (d, J=8.4Hz, 2H), 7.37 (d, J=7.6Hz, 1H), 7.27 (m, 3H), 6.77 (s, 2H), 5.02 (s, 2H), 4.51-4.48 (m, 1H), 4.15 (d, J=7.6Hz, 1H), 3.79 (m, 4H), 3.46-3.39 (m, 4H), 3.02 (m, 4H), 3.87 (t, J=6.8Hz, 2H), 2.26 (t, J=7.2Hz, 2H), 10 2.08-2.03 (m, 1H), 1.90-1,69 (m, 2H), 1.65-1.51 (m, 6H), 1.33-1.29 (m, 4H), 0.95 (d, J=6.8Hz, 6H). LCMS (M+H) = 1018.7. [0624] The linker-compounds in Tables 15 and 16 were prepared in a manner similar to that described in Example 8A.
374
375
376
377
378
379
[0625] The linker-compounds in Table 17 were prepared using the teachings described herein in combination with the skill in the art.
380
381
382
383
384
385
EXAMPLE 9A: GENERATION OF ANTIBODY-TGFβR2 INHIBITOR CONJUGATES THROUGH PARTIAL REDUCTION OF NATIVE DISULFIDE BONDS OF NON-ENGINEERED ANTIBODIES 5 [0626] The mAb (3-8 mg/mL in PBS) was exchanged into HEPES (100 mM, pH 7.0, 1 mM DTPA) via molecular weight cut-off centrifugal filtration (Millipore, 30 kDa). The resultant mAb solution was transferred to a tared 50 mL conical tube. The mAb concentration was determined to be 3-8 mg/mL by A280. To the mAb solution was added TCEP (2.0-4.0 equivalents, 1 mM stock) at room temperature and the resultant 10 mixture was incubated at 37 °C for 30-90 minutes, with gentle shaking. Upon being cooled to room temperature, a stir bar was added to the reaction tube. With stirring, a linker-payload (5-10 equivalents, 10 mM DMSO) was added dropwise. The resultant reaction mixture was allowed to stir at ambient temperature for 30-60 minutes, at which point N-ethyl maleimide (3.0 equivalents, 100 mM DMA) was added. After an
386
additional 15 minutes of stirring, N-acetylcysteine (6.0-11.0 equivalents, 50 mM HEPES) was added. The crude ADC was then exchanged into PBS and purified by preparative SEC (e.g., HiLoad 26/600, Superdex 200pg) using PBS as the mobile phase. The pure fractions were concentrated via molecular weight cut-off centrifugal 5 filtration (Millipore, 30 kDa), sterile filtered, and transferred to 15 mL conical tubes. Drug-antibody ratios (molar ratios) were determined by methods described in Example 10A below. EXAMPLE 10A: GENERAL PROCEDURE FOR THE DETERMINATION OF THE DRUG-ANTIBODY-RATIOS 10 Hydrophobic Interaction Chromatography [0627] 10 µL of a 6 mg/mL solution of a conjugate is injected into an HPLC system set-up with a TOSOH TSKgel Butyl-NPRTM hydrophobic interaction chromatography (HIC) column (2.5 µM particle size, 4.6 mm x 35 mm) attached. Then, over the course of 18 minutes, a method is run in which the mobile phase 15 gradient is run from 100% mobile phase A to 100% mobile phase B over the course of 12 minutes, followed by a six-minute re-equilibration at 100% mobile phase A. The flow rate is 0.8 mL/min and the detector is set at 280 nM. Mobile phase A is 1.5 M ammonium sulfate, 25 mM sodium phosphate (pH 7). Mobile phase B is 25% isopropanol in 25 mM sodium phosphate (pH 7). Post-run, the chromatogram is 20 integrated and the molar ratio is determined by summing the weighted peak area. EXAMPLE 11A: TGFβ REPORTER ASSAY Materials and General Procedures [0628] TGFβ/SMAD Signaling Pathway SBE reporter cell line was obtained 25 from BPS Bioscience. Cells were passed, expanded, and stored in liquid nitrogen as per the supplier's instructions with the exception that growth media is changed to DMEM-C
387
with Geneticin (DMEM supplemented with 10% fetal bovine serum, 1X NEAA, 1mM Pyruvate, 2mM glutamine, 50 μg/mL penicillin, 50 U/mL streptomycin and 400 μg/mL of Geneticin). The assay media was MEM supplemented with 0.5% fetal bovine serum, 1X NEAA, 1mM Pyruvate, 50 μg/mL penicillin and 50 U/mL streptomycin. 5 General procedure for in vitro small molecule screening [0629] Test samples (at desired concentrations diluted in assay media) were added to a 96-well assay plate, 20 μL per well. Reporter cells were harvested from the tissue culture flasks by incubation in small quantity of PBS at 37 °C for two minutes after the media in the flask is removed and cells rinsed with PBS. Cells were counted 10 and diluted in the assay media at approximately 0.5 x 106 cells/mL and then 80 μL/well of cells were added to the assay plate containing the 20 μL/well of test samples (or media only), and incubated for approximately 5-6 hours at 37 °C in a 5% CO2 humidified incubator. After that time, 15 μL of TGFβ diluted to 12 ng/mL in the assay media was added to the plate. Controls included TGFβ titration (from 50 to 0 ng/mL) 15 without inhibitors, and media only (without cells, inhibitor or TGFβ). Plates were incubated at 37 °C in a 5% CO2 humidified incubator for 18 h. Luciferase substrate solution is subsequently added at 100 μL per well, incubated in the dark at room temperature for 15 min, and luminescence is measured using a luminometer. EC50 values and curve fits were obtained using Prism (GraphPad Software). 20 [0630] Table 18 includes EC50 values for selected compounds of Category A; with compounds having an EC50 value <50 nM as AA, 50 nM to 100 nM as A, 100 nM to 1000 nM as B, and greater than 1000 nM as C. [0631] Compounds of Category A were also assayed by Reaction Biology Corp. using the TGFβR2 RBC assay (enzyme inhibition assay). Table 18 also includes IC50 25 values for selected compounds; with compounds having an IC50 value 1 nM to 50 nM as AA, 51 nM to 100 nM as A, 101 nM to 1000 nM as B, and greater than 1000 nM as C. NT refers to not tested.
388
389
390
391
EXAMPLES 12A-23A [0632] In Examples 12A-23A, the LRRC15 antibody is the murine M25 antibody or a humanized variant thereof (see International Application No. 5 WO2017/095805, incorporated herein by reference in its entirety and for all purposes). Conjugation to the linker-payload is via the interchain disulfides. The antibodies have either a wild-type Fc domain or a null Fc domain. The Fcnull mutations for human IgG1 are L234A, L236A, G237A, and K322A and the Fcnull mutations for murine
392
IgG2a are L234A, L236A, G237A, K322A, and P329G; numbering by EU index. Linker-payloads for Category A compounds are as shown in Tables 15-17. EXAMPLE 12A: MULTIPLE ANTIBODY-TGFβR2 INHIBITOR CONJUGATES REDUCE TGFβ-INDUCED 5 SMAD2 ACTIVITY [0633] A set of TGFβR2 inhibitor molecules conjugated to an anti-LRRC15 antibody by a cathepsin B cleavable PABC linker at an average DAR (drug loading) of 2.5-4 were tested for their ability to decrease TGFβ1-induced SMAD2 promoter activity in target cells expressing the antibody antigen. The LP1 and LP10 linker-payloads were 10 conjugated to a humanized IgG1 M25 antibody with a Fc null domain while the other linker-payloads were conjugated to the murine IgG2a M25 antibody with a Fc null domain. HEK293 SMAD2p luciferase reporter cells (BPS Bioscience Inc.) transfected to stably express full length human LRRC15 were seeded in 96 well plates at 40,000 cells/well in an assay media of MEM +0.5% FBS, 1% NEAA, 1% NaPyr & 1% 15 Pen/Strep. Conjugates and controls were added to wells in a dose titration ranging from 500nM to .03nM. After 24 hours of culture at 37°C in a 5% CO2 environment human TGFβ1 was added (PeproTech Inc.) to a final concentration of 1.6ng/ml followed by an additional 18 hours of culture. Luciferase Steady Glo reagent (Promega Corporation) was added as recommended by manufacturer. After incubating 10 minutes with 20 shaking, SMAD2p activity was determined by measuring luminescence with an Envision Plate Reader (Perkin-Elmer Inc.) and an absolute IC50 was determined using Prism Software v8.1.0 (GraphPad Inc.). Many small molecule anti-LRRC15 antibody conjugates reduced the chemiluminescent signal thereby demonstrating inhibition of the TGFβ-induced signal. The dependence on antigen binding for inhibition was 25 demonstrated both by lack of inhibition by an irrelevant non-antigen binding anti- Digoxin antibody conjugate as well as lack of inhibition on the parental HEK293 SMAD2-luciferase reporter line by several potent anti-LRRC15 conjugates (Data not shown). Potency classes are shown in Table 19 below.
393
Table 19
EXAMPLE 13A: AN EXEMPLARY TGFβR2 INHIBITOR CONJUGATED TO A MONOCLONAL ANTIBODY WITH DIFFERENT LINKERS CAN REDUCE TGFβ-INDUCED SMAD2 ACTIVITY 5 [0634] Conjugates of Compound 2.1 covalently attached to an anti-LRRC15 antibody with different cleavable or non-cleavable linkers were tested for their ability to lower SMAD2 promoter activity induced by TGFβ using the HEK293 SMAD2- luciferase reporter cell line expressing human LRRC15. [0635] The linker-payloads were conjugated to a humanized IgG1 M25 10 antibody with a wild-type Fc domain. HEK293 SMAD2p luciferase reporter cells (BPS Bioscience Inc.) transfected to stably express full length human LRRC15 were seeded in 96 well plates at 40,000 cells/well in an assay media of MEM +0.5% FBS, 1% NEAA, 1% NaPyr & 1% Pen/Strep. Conjugates and controls were added to wells in a dose titration ranging from 500nM to .03nM. After 24 hours of culture at 37 °C in a 5% 15 CO2 environment human TGFβ1 was added (PeproTech Inc.) to a final concentration of 1.6ng/ml followed by an additional 18 hour of culture. Luciferase Steady Glo reagent (Promega Corporation) was added as recommended by manufacturer. After incubating 10 minutes with shaking, SMAD2p activity was determined by measuring luminescence with an Envision Plate Reader (Perkin-Elmer Inc.) and an absolute IC50 20 was determined using Prism Software v8.01 (GraphPad Inc.). [0636] The conjugates with cleavable linkers all displayed potency with IC50 <1nM while the conjugates with non-cleavable linkers displayed more variable potency. Dependency on LRRC15 binding was again demonstrated by minimal inhibition of the TGFβ-induced increase in SMAD2p activity by the anti-digoxin conjugate (isotype
394
mAb-LP1) or the naked anti-LRRC15 antibody comprising M25 CDRs (mAb1). See Figure 1. EXAMPLE 14A: EXEMPLARY TGFβR2 INHIBITOR MOLECULES REDUCE A TGFβ-INDUCED MRNA IN A 5 HUMAN IPF PATIENT DERIVED FIBROBLAST CELL LINE IN CONCENTRATION DEPENDENT MANNER [0637] The ability of select small molecules to lower a TGFβ1-induced mRNA were tested in assays with the cell line LL97a (ATCC) as follows. LL97a cells were seeded in 96 well plates at 10,000 cells/well in DMEM +10% FBS +1%NaPyr, +1% L- 10 glut, +1% NEAA, +1% HEPES +0.5% Pen/Strep. The following day test articles and controls were added at varying concentrations in assay media of DMEM +0.5% BSA along with 0.5ng/mL TGFβ1 (PeproTech Inc.) was added to wells. After 24 hours or 48 hours incubation with TGFβ1 at 37°C in a 5% CO2 environment RNA was prepared from cells and QPCR performed for the TGFβ-inducible genes αSMA and elastin as 15 well as the non-inducible control gene RPLPO with a Taqman® Gene Expression Cells-to-CT 1-Step Kit (Life Technologies Inc.) and with a One Step Plus Thermocycler (Applied Biosystems) as per manufacturers’ recommendations. Primer probe sets were obtained from ThermoFisher Scientific. [0638] As shown in Figures 2-5, TGFβR2 inhibitors potently inhibited the 20 TGFβ-induced genes in a concentration dependent manner. EXAMPLE 15A: TGFβR2 INHIBITORS CONJUGATED TO AN ANTI-LRRC15 ANTIBODY SHOW POTENT INHIBITION OF TGFβ-INDUCED GENE EXPRESSION [0639] Compounds 2.1 and 171 were covalently attached to an anti-LRRC15 25 antibody using different protease cleavable PABC linkers. The linker-payloads were conjugated to a murine IgG2a M25 antibody with Fc null domain. The conjugates were purified by preparative size exclusion chromatography. Average DAR level of the purified species was determined by analysis via hydrophobic interaction
395
chromatography (HIC) using TSK-gel butyl NPR (Tosoh Bioscience LLC) and by LCMS (Waters Corp.) and they were tested for their ability to reduce αSMA and elastin gene induction by TGFβ in the LL97a and NHLF human fibroblast cell lines using a qPCRassay. For the assay, 10,000 cells of LL97a or NHLF were placed in wells of 6- 5 well plates in their recommended growth media and incubated ON. The growth media was removed and replaced with assay media, DMEM + 0.5%BSA (LL97a) or FBM + 0.1%BSA (NHLF), to which varying concentrations of test articles and controls were added to the wells along with TGFβ1 (PeproTech Inc.) to a final concentration of 0.5ng/ml. After incubation at 37̊ C in 5%CO2 environment for 24 hours or 48 hours, 10 RNA was prepared from the wells and Taqman® qPCR performed using a Cells-to-CT 1-Step Kit (Life Technologies Inc.) per manufacturer’s recommendation using probe sets for αSMA and elastin with a Step One Plus thermocycler (Applied Biosystems). [0640] As shown in Figures 6A and 6B, different linkers supported effective antibody delivery of the TGFβR2 inhibitors into cells for both LL97a cells (A) and 15 normal fibroblasts (B) as evidenced by potent reduction of mRNAs for αSMA and elastin. EXAMPLE 16A: CONJUGATES OF A TGFβR2 INHIBITOR TO AN ANTI-LRRC15 ANTIBODY WITH AN FC DOMAIN WITH NO FCγR BINDING OR AN FC DOMAIN WITH FULL FCγR BINDING HAVE 20 EQUIPOTENCY ON LRRC15-EXPRESSING CELLS [0641] Compound 2.1 was covalently attached via a PABC linker to a murine IgG2a M25 antibody that carried either a wild-type Fc domain or an Fc null domain. Fcnull mutations for murine IgG2a are L234A, L236A, G237A, K322A, and P329G based on EU numbering, thereby lacking detectible FcγR binding by a biolayer 25 interferometry assay (Octet; Forte Bio) (Fcnull). For the assay, 10,000 cells of LL97a or NHLF were placed in wells of 6-well plates in their recommended growth media and incubated ON. The growth media was removed and replaced with assay media, DMEM + 0.5%BSA (LL97a) or FBM + 0.1%BSA (NHLF), to which varying concentrations of test articles and controls were added to the wells along with TGFβ1 (PeproTech Inc.) to
396
a final concentration of 0.5ng/ml. After incubation at 37°C in 5%CO2 environment for 24 hours or 48 hours, RNA was prepared from the wells and Taqman® qPCR performed using a Cells-to-CT 1-Step Kit (Life Technologies Inc.) per manufacturer’s recommendation using probe sets for αSMA and elastin with a Step One Plus 5 thermocycler (Applied Biosystems). [0642] As shown in Figures 7A and 7B, at an approximately equal average DAR, the conjugates had comparably equal ability to reduce the αSMA and elastin in both LL97a cells (Figure 7A) and normal fibroblasts (Figure 7B). The asterisk denotes the antibody that has a wild-type Fc domain. 10 EXAMPLE 17A: INTRA-TUMORAL INJECTION OF TGFβR2 INHIBITORS REDUCE GENE EXPRESSION OF DISEASE RELEVANT TGFβ-INDUCIBLE GENES IN TWO XENOGRAFT MODELS OF HUMAN PANCREATIC CANCER [0643] TGFβR2 inhibitors were tested for their ability to alter expression in 15 vivo of a set of genes reported to be regulated by TGFβ, particularly those associated with tumor CAFs. Two million BXCP3 (ATTC) or 5 million PANC-1 (ATTC) cells in Matrigel (Corning Life Sciences) were inoculated into the flanks of nude mice (JAX Labs) and allowed to grow to approximately 100mm3 in size before sorting into cohorts for treatment. BXPC3 tumors were treated by intra-tumoral injection (IT) of 2ug QD5 20 of either Compound 211, Compound 171 or equal volume of DMSO vehicle while PANC-1 tumors received 2ug injections QD5 of Compound 211 or vehicle control. Four hours after the last injection tumors were removed and processed for RT-qPCR by homogenization in M tubes (Miltenyi Biotec) using Purelink RNA Kit (Ambion) to isolate RNA and Taqman® RNA to CT 1 Step Kit (Applied Biosystems) with a 25 OneStepPlus Thermocycler. Gene specific primers were obtained from ThermoFisher Scientific. Some primers were specific for the mouse gene target (ms) while others would measure gene mRNA levels derived from both human tumor cells and mouse cells in the tumor (ms/hu). ALAS1 mRNA was not affected by treatment and was used as the reference gene. Data was analyzed and graphed using GraphPad Prism v8.1.0.
397
Statistical difference for gene mRNA expression between TGFβR2 inhibitor and vehicle treated cohorts was determined using multiple T test comparison with discovery (FDR) by the two-stage linear step-up procedure of Benjamini, Krieger and Yekutieli, with Q = 5%. Each row was analyzed individually, without assuming a consistent SD. 5 [0644] As shown in Figure 8A, Compound 211 treatment decreased many TGFβ-inducible gene mRNAs in the PANC-1 tumors values including those with q values that passed the FDR test (**q < .005; * q < .05). Also, Figures 8B and 8C show that treatment with either Compound 211 or Compound 171 (B) and/or Compound 211 (C) reduced the mRNA level of most TGFβ-inducible genes in the BXPC3 tumors 10 including some that passed the FDR test (* q<0.05, ** q< 0.005*** q<.0005, **** q<0.00005). EXAMPLE 18A: IN VIVO INTRA-TUMORAL INJECTION OF TGFβR2 INHIBITOR CONJUGATES REDUCES GENE EXPRESSION OF TGFβ-INDUCIBLE GENES IN THE TUMOR 15 [0645] To demonstrate that a TGFβR2 inhibitor conjugated to an anti-LRRC15 antibody with mouse IgG2a constant regions reduces tumor mRNAs for TGFβ- inducible genes in vivo, Compound 171 was covalently linked to the antibody at reactive cysteine residues after by partial cystine reduction with a maleimide PABC cleavable linker to produce anti-LRRC15-LP35 at an average DAR of 3.9. PANC-1 20 tumor cells were injected into the flank of nude mice (5,000,000 in Matrigel) and allowed to grow to 100mm3 before beginning treatment by intra-tumoral injection of either PBS vehicle, 157ug of non-conjugated anti-LRRC15 antibody or 157ug of the conjugate every other day for a total of 3 doses. Tumors were harvested eight hours after the last dose, processed and subjected to RT-qPCR, and analyzed as described 25 above. Statistical difference for gene mRNA expression between TGFβR2 inhibitor and vehicle treated cohorts was determined using multiple T test comparison with discovery (FDR) by the two-stage linear step-up procedure of Benjamini, Krieger and Yekutieli, with Q = 5%. Each row was analyzed individually, without assuming a consistent SD.
398
The conjugate reduced the mean of mRNA of all the genes (ELN, TAGLN, Fn1, TGFb1 and Acta2) with a number passing the FDR test (data not shown). EXAMPLE 19A: SYSTEMIC DELIVERY OF AN ANTI-LRRC15 CONJUGATES REDUCE TGFβ REGULATED 5 GENES IN A MOUSE HUMAN TUMOR XENOGRAFT MODEL [0646] Anti-LRRC15-mIgG2a conjugates of two TGFβR2 inhibitors covalently attached to the LRRC15 antibody at cysteine residues by different linkers were tested for their ability to inhibit expression of TGFβ-regulated genes after systemic dosing. Nude mice (JAX Labs) had 1.75 million BXPC3 tumor cells seeded into a flank and 10 were sorted into treatment cohorts after tumors reached approximately 100mm3. Animals received an intravenous dose of 20mpk for 4 consecutive days of either an anti-LRRC15-LP35 (wildtype IgG2a), an anti-LRRC15-LP36 conjugate (Fc null IgG2a), or controls consisting of the unconjugated anti-LRRC15 antibody or an isotype- matched control of the anti-LRRC15 antibody. Tumors were harvested 8 hours after the 15 final dose, processed for RNA isolation and the RNAs subjected to RT-qPCR as described above. [0647] The results shown in Figure 9 were analyzed statistically as in Example 17A using a Q=1% comparing gene expression in animals treated with the unconjugated antibody with the conjugates. The FDR test was passed for comparisons 20 marked with asterisks (* q<0.01, ** q<0.001, *** q<0.0001). EXAMPLE 20A: SYSTEMIC DELIVERY OF AN ANTI-LRRC15 TGFβR2 INHIBITOR CONJUGATE IS EFFECTIVE IN REDUCING TGFβ-REGULATED GENE EXPRESSION IN TUMORS AT TWO DOSE LEVELS 25 [0648] An anti-LRRC15 antibody TGFbR2 inhibitor conjugate, anti-LRRC15- LP36, was administered by intravenous route at 2 different dose levels into nude mice bearing a xenograft of the human tumor cell line BXPC3. Two million tumor cells per mouse were injected into the flank and after the tumors reached an approximate size of
399
100mm3 were sorted into treatment groups. Group received 4 daily intravenous injections of either 20mpk anti-LRRC15-LP36, 5mpk anti-LRRC15-LP36, 20mpk of unconjugated LRRC15 antibody or 20mpk of an isotype control antibody. Eight hours post final dose tumors were harvested, RNA was isolated and RT-qPCR performed as 5 described in Example 17A. [0649] The results are shown in Figure 10. When analyzed statistically by the multiple T test for discovery with a FDR of Q=5% all the genes were discovered (* q <0.05; ** q<0.005) at both doses showing effective lowered TGFβ-regulated gene expression compared to the unconjugated antibody. 10 EXAMPLE 21A: CONJUGATE ACTIVITY TRACKED ACTIVITY OF SMALL MOLECULES (CATEGORY A) [0650] Anti-LRRC15 conjugates were prepared comprising compounds 55, 56,
15 202, 203, 205, 211, 213, 219, 220, 222, 224, and 256 attached to linker L1 below at a substitutable nitrogen as shown in Table 20. Compound 171 was conjugated to Linkers L1, L2, L3 and L4 below. Average DAR was between 2 and 5. Table 20.
400
via the cell-based reporter assay track proportionally with the activity observed for the small molecule activity within the small molecule cell-based reporter assay. For examples in which the observed activity of a small molecule is low when assessed by 5 the small molecule cell-based reporter assay and high by measure within the small molecule cell-free enzymatic inhibition assay, it is believed, without being bound by theory, that this can most often be attributed to the molecule possessing low cell permeability. In these cases, the rank order of potency of the applicable TGFβR2- antibody drug conjugate tracks more closely with the observed activity within the small 10 molecule cell-free enzymatic inhibition assay. EXAMPLE 22A: TGFβR2 INHIBITORS CONJUGATED TO AN ANTI-LRRC15 ANTIBODY DECREASE HISTOPATHOLOGICAL FIBROSIS IN A MODEL OF SYSTEMIC SCLERODERMA [0652] Fibrosis was elicited in the skin of 5 to 7 week old female C3H/HeJ mice 15 by daily subcutaneous injection of bleomycin (0.1ml of 1.2u/ml) for 23 days. Compound 2.1 was covalently attached to an anti-LRRC15 antibody (humanized M25 antibody with wild-type IgG1 Fc domain) using a protease cleavable PABC linker L1. The conjugate was administered 3xw ip at a dose of 10mpk to a cohort of 10 animals beginning on day 14 and ending day 22. As a control, a matched cohort of mice 20 received PBS vehicle only. On day 23, mice were sacrificed and skin from the injectate site was fixed with paraformaldehyde and stained with Masson’s Trichrome Stain by
401
standard procedures to reveal collagen. Fibrosis, as assessed by collagen, was scored by a histopathologist using the grading system set forth in Table 21. Table 21
[0653] As seen in Figure 11, treatment with the conjugate reduced fibrosis 5 assessed by this measure reaching indicated statistical significance using Dunn’s Multiple Comparison test. EXAMPLE 23A: TGFβR2 INHIBITORS CONJUGATED TO AN ANTI-LRRC15 ANTIBODY DECREASE FIBROSIS IN A MODEL OF SYSTEMIC FIBROSIS 10 [0654] Compound 2.1 was covalently attached to an anti-LRRC15 antibody (humanized M25 antibody with wild-type IgG1 Fc domain) using a protease cleavable PABC linker. An independent assessment of fibrosis by collagen deposition in the conjugate treated animals was assayed biochemically by using a Sircol Collagen Assay on a weighed piece of non-fixed skin from the injectate site using the manufacturer’s 15 protocol to determine micrograms/mg of collagen. [0655] As seen in Figure 12, the treated cohort trended toward reduced fibrosis by this measure.
402
EXAMPLES FOR CATEGORY B COMPOUNDS [0656] Compounds of Category B may be prepared as described in Scheme 4.
5 [0657] Methyl 3-amino-6-bromopyrazine-2-carboxylate (a) can be coupled to an appropriately substituted hydroxyphenylboronate or boronic acid in the presence of a palladium catalyst such as [1,1′-bis(diphenylphosphino)ferrocene]dichloropalladium(II) and a base such as sodium carbonate at elevated temperatures to afford biaryl intermediates (c). Alkylation of compounds (c) using a protected ^-amino alkylhalide 10 or sulfonate ester in the presence of base such as sodium hydride or cesium carbonate or a protected ^-amino alkanol and triphenylphoshine / dialkylazodicarboxylate mixture can lead to ether compounds (d) which can be deprotected to terminal amine intermediates (e) using a strong acid such as HCl or TFA in cases where PG = Boc or catalytic hydrogenation in cases where PG = Cbz. Amines (e) can react with 4-chloro- 15 3-nitropyridine to provide compounds (f) which can be reduced to amines (g) using standard conditions for the conversion of an aromatic nitro group to an aryl amine such as iron in ammonium chloride solution or a palladium catalyzed hydrogenation reaction. Hydrolysis of the carboxylic ester functional group can be effected by reacting
403
intermediate (g) with a metal alkoxide base such as LiOH to provide carboxylic acids (h) which can undergo a macrolactamization reaction using an amide coupling reagent such as HATU. Intermediate macrolactams (i) can be converted to the desired targets (j) after brief exposure to methanol followed by purification. 5 EXAMPLE 1B: SYNTHESIS OF 25-AMINO-6-METHYL-9-OXA-4,6-DIAZA-2(2,6)-PYRAZINA-5(3,4)- PYRIDINA-1(1,3)-BENZENACYCLONONAPHAN-3-ONE (COMPOUND 11B)
10 [0659] Methyl 3-amino-6-bromopyrazine-2-carboxylate (2.0 g, 8.6 mmol), 3- hydroxyphenyl-boronic acid (1.3 g, 9.5 mmol) were dissolved in 20 mL of dioxane and 8.6 mL of 2M Na2CO3 solution. The mixture was degassed using nitrogen (5x) before the addition of Pd(dppf)Cl2 (628 mg, 0.086 mmol). The reaction mixture was degassed 15 again then heated at 90°C for 2h then cooled and filtered through a plug of Celite. The filtrate was diluted with EtOAc then washed with saturated NaHCO3 solution (2x), water (1x) then brine. The organic extracts were dried over Na2SO4, evaporated and chromatographed (ISCO Gold; 0% to 60% EtOAc /dichloromethane) to afford 1.1 g of compound Int 1.1a as a yellow solid. 1H NMR (DMSO-d6) ^ 9.54 (s, 1H), 8.82 (s, 1H), 20 7.42-7.39 (m, 4H), 7.25 (t, J=8.0Hz, 1H), 6.77 (m, 1H), 3.89 (s, 3H). M+H = 246.2.
404
[0660] Step B: Preparation of Int 1.1b
[0661] Compound Int 1.1a (1.1 g, 4.5 mmol) in 20 mL of dioxane treated with 4.39 g (13.5 mmol) of cesium carbonate and 1.1 g (4.5 mmol) of tert-butyl(2- 5 bromoethyl)(methyl)carbamate and the mixture was heated to 80°C for 8h. The reaction was cooled and quenched by the addition of water then extracted with EtOAc three times. The combined organic extracts were washed with brine then dried and evaporated to give 600 mg of a solid residue that was used directly without purification. M+H = 403.2. 10 [0662] Step C: Preparation of Int 1.1c
[0663] Compound Int 1.1b (600 mg, 1.5 mmol) was dissolved in 15 mL of dichloromethane then treated with 5 mL of TFA and stirred at room temperature for 3h. The solvents were removed and the residue was covered in toluene and evaporated. 15 This procedure was repeated three times to provide 440 mg of the desired compound Int 1.1c as the TFA salt. M+H = 303.2.
405
[0664] Step D: Preparation of Int 1.1d
[0665] Compound Int 1.1c (417 mg, 1.00 mmol) was dissolved in 10 mL of THF then treated with 0.70 mL (5.0 mmol) of triethylamine and 158 mg (1.0 mmol) of 5 4-chloro-3-nitropyridine and the mixture was heated at 40 ^C for 2h. The mixture was cooled and diluted with 25 mL of EtOAc then washed with water (3x) and brine (1x). The organic extracts were dried over Na2SO4, evaporated and purified by reverse phase chromatography to afford 340 mg of compound Int 1.1d as a yellow solid. M+H = 425.3. 10 [0666] Step E: Preparation of Int 1.1e
[0667] Nitro compound Int 1.1d (340 mg, 0.80 mmol) was dissolved in 10 mL of THF and 10 mL of EtOH and the mixture was degassed. 100 mg of 20% Pd(OH)2 was then added and the mixture was covered with a balloon containing hydrogen gas. 15 The reaction was stirred at room temperature for 4h then filtered through Celite. The filtrate was evaporated to afford 220 mg of the desired product Int 1.1e as a tan colored solid. M+H = 395.2.
406
[0668] Step F: Preparation of Int 1.1f
Int 1.1e Int 1.1f [0669] Compound Int 1.1e (200 mg, 0.5 mmol) was dissolved in 2 mL of THF and 1 mL of methanol at room temperature then treated with 2.2 equivalents (1.1 mL) 5 of 1N LiOH. The mixture was stirred for 3h then evaporated to dryness. The residue was covered with 5 mL of toluene and evaporated. This procedure was repeated three times to leave 120 mg of the desired amino acid Int 1.1f which was used directly in the next step. M+H = 381.1. [0670] Step G: Preparation of Compound 11B
10 [0671] A mixture containing 100 mg (0.26 mmol) of Int 1.1f in 13 mL of DMF was treated with 222 mg (0.58 mmol) of HATU and 0.18 mL (1.04 mmol) of NMM then stirred at room temperature for 4h. The reaction was then quenched with 1 mL of methanol and 1 mL of ammonium hydroxide solution and stirred for 1h. The solvents 15 were removed and the residue was chromatographed by reverse phase chromatography to provide 32 mg of Compound 11B as a yellow solid. 1H NMR (DMSO-d6) ^ 12.0 (bs, 1H), 9.09 (s, 1H), 9.03 (s, 1H), 8.78 (s, 1H), 8.22 (s, 1H), 7.53 (d, J=7.8Hz, 1H), 7.43 (s, 2H), 7.36 (t, J=7.8Hz, 1H), 7.27 (s, 1H), 6.87 (dd, J=2.4, 7.8Hz, 1H), 4.49 (m, 2H), 3.58 (m, 2H), 2.62 (s, 3H). M+H = 363.1.
407
[0672] The compounds of Category B in Table 22 below were prepared in a manner analogous to that described above in Scheme 4 and for the synthesis of Compound 11B in Example 1B. Table 22.
408
409
410
411
412
413
414
[0673] In other embodiments, compounds of Category B as described herein are prepared as described in Scheme 5.
415
Scheme 5.
[0674] Methyl 3-amino-6-bromopyrazine-2-carboxylate (a) can be coupled to an appropriately substituted arylaminoboronate or boronic acid (k) in the presence of a 5 palladium catalyst such as [1,1′-bis(diphenylphosphino)ferrocene]dichloropalladium(II) and a base such as sodium carbonate at elevated temperatures to afford biaryl intermediates (l). Acylation of compounds (l) using a protected ^-amino acid compound and an amide coupling agent such as BOP or HATU can provide amides (m) which can be deprotected to afford intermediates (n) using a strong acid such as HCl or 10 TFA in cases where PG = Boc or catalytic hydrogenation in cases where PG = Cbz. Amines (n) can react with 4-chloro-3-nitropyridine to provide compounds (o) which can be reduced to amines (p) using standard conditions for the conversion of an aromatic nitro group to an aryl amine such as iron in ammonium chloride solution or a palladium catalyzed hydrogenation reaction. Hydrolysis of the carboxylic ester 15 functional group can be effected by reacting intermediate (p) with a metal alkoxide base such as LiOH to provide carboxylic acids (q) which can undergo a macrolactamization using an amide coupling reagent such as HATU and a tertiary amine base such as DIPEA. Intermediate macrolactams (r) can be converted to the desired targets (s) after brief exposure to methanol followed by purification.
416
EXAMPLE 2B: PREPARATION OF 25-AMINO-6-METHYL-4,6,11-TRIAZA-2(2,6)-PYRAZINA-5(3,4)- PYRIDINA-1(1,3)-BENZENACYCLOUNDECAPHANE-3,10-DIONE (COMPOUND 28B) 5
[0676] To a solution of 4-((tert-butoxycarbonyl)(methyl)amino)butanoic acid (695 mg, 3.2 mmol, 1.0 equiv) in DMF (10 mL) was added DIEA (1.7 mL, 9.6 mmol, 3.0 equiv). The solution was then treated with EDCI (990 mg, 6.4 mmol, 2.0 equiv),10 HOAT (870 mg, 6.4 mmol, 2.0 equiv), and methyl 3-amino-6-(3- aminophenyl)pyrazine-2-carboxylate (800 mg, 3.27 mmol, 1.5 equiv). The reaction was stirred at room temperature for 6 hrs and then diluted with water and extracted into EtOAc. The organic layer was dried over Na2SO4, filtered and concentrated. The resultant residue was purified via column chromatography (Silica) 0 ^ 100% EtOAc in 15 dichloromethane to provide 600 mg (1.35 mmol, 42% yield) of compound Int 2.1a. M+H = 444.5.
417
[0677] Steps B-C: Preparation of Int 2.1c
[0678] Compound Int 2.1a (700 mg, 1.6 mmol) was dissolved in 15 mL of dichloromethane then treated with 10 mL of TFA and stirred at room temperature for 5 3h. The solvents were removed and the residue was azeotroped from toluene three times to provide 530 mg of compound Int 2.1b as the TFA salt. M+H = 344.2. [0679] Compound Int 2.1b (530 mg, 1.5 mmol) was then dissolved in 15 mL of THF then treated with 0.91 mL (6.5 mmol) of triethylamine and 205 mg (1.3 mmol) of 4-chloro-3-nitropyridine and the mixture was heated at 40 ^C for 2h. The mixture was 10 cooled and diluted with 45 mL of EtOAc then washed with water (3x) and brine (1x). The organic extracts were dried over Na2SO4, evaporated and purified by reverse phase chromatography to afford 440 mg (1.0 mmol, 63% yield over two steps) of compound Int 2.1c as a yellow solid. M+H = 436.4. [0680] Step D: Preparation of Int 2.1d
15 [0681] To a solution of compound Int 2.1c (350 mg, 0.8 mmol) in a mixture of EtOH (8 mL) and NH4Cl (sat. aq.) (8 mL), was added solid iron powder (450 mg, 8 mmol, 10 equiv). The resultant mixture was heated with vigorous stirring at 70 °C, for 4 hrs. The reaction was then cooled to room temperature and filtered through a pad of 20 celite and washed with MeOH. The solvent was removed via rotary evaporator and the
418
residue was washed with water and extracted into dichloromethane. The organic layers were dried over Mg2SO4, filtered and concentrated. The resultant residue was purified via column chromatography (Silica) 0 ^ 15% MeOH in dichloromethane to provide 230 mg (0.53 mmol, 66% yield) of the compound Int 2.1d. M+H = 436.2. 5 [0682] Step E: Preparation of Int 2.1e
[0683] Compound Int 2.1d (230 mg, 0.53 mmol) was dissolved in 2 mL of THF and 2 mL of methanol at room temperature then treated with 2.2 equivalents LiOH. The mixture was stirred for 3h then evaporated to dryness. The residue was azeotroped 10 with toluene. This process was repeated three times, the residue was then purified via column chromatography (C18) 0 ^ 85% acetonitrile (0.1% TFA) in water (0.1% TFA), the pure fractions were pooled, frozen and dried via lyophilization to provide 110 mg (0.26 mmol, 50% yield) of compound Int 2.1e. M-H = 420.2. [0684] Step F: Preparation of Compound 28B
15 [0685] A mixture containing 80 mg (0.19 mmol) of compound Int 2.1e in 10 mL of DMF was treated with 155 mg (0.41 mmol) of HATU and 0.13 mL (0.73 mmol) of NMM then stirred at room temperature for 4h. The reaction was then quenched with 1 mL of methanol and 1 mL of ammonium hydroxide solution and stirred for 1h. The
419
solvents were removed and the residue was chromatographed by reverse phase chromatography to provide 24 mg of Compound 28 as a yellow solid. 1H NMR (300 MHz, DMSO-d6) δ: 2.06 (s, 5H), 3.21 (s, 4H), 7.20-7.25 (m, 3H), 7.67 (s, 2H), 7.82 (s, 1H), 7.92 (s, 1H), 8.25 (s, 1H), 8.46 (s, 1H), 8.61 (s, 1H), 9.37 (s, 1H), 10.41 (s, 1H), 5 13.90 (s, 1H). LRMS (ESI+) [M+H]+; 404.5. [0686] The compounds in Table 23 below (Category B) were prepared in a manner analogous to that described above in Scheme 5 and for the synthesis of Compound 28B in Example 2B. Table 23.
10
420
[0687] In other embodiments, compounds of Category B as described herein are prepared as described in Scheme 6.
5 [0688] Methyl 3-amino-6-bromopyrazine-2-carboxylate (a) can be coupled to an appropriately substituted carboxy substituted boronate or boronic acid (t) in the presence of a palladium catalyst such as [1,1′- bis(diphenylphosphino)ferrocene]dichloropalladium(II) and a base such as sodium carbonate at elevated temperatures to afford biaryl intermediates (u). Acylation of 10 compounds (u) using a mono-protected diamine and an amide coupling agent such as BOP or HATU can provide amides (v) which can be deprotected to afford intermediates (w) using a strong acid such as HCl or TFA in cases where PG = Boc or catalytic hydrogenation in cases where PG = Cbz. Amines (w) can react with 4-chloro-3- nitropyridine to provide compounds (x) which can be reduced to amines (y) using 15 standard conditions for the conversion of an aromatic nitro group to an aryl amine such as iron in ammonium chloride solution or a palladium catalyzed hydrogenation reaction. Hydrolysis of the carboxylic ester functional group can be effected by reacting intermediate (y) with a metal alkoxide base such as LiOH to provide carboxylic acids
421
(z) which can undergo a macrolactamization using an amide coupling reagent such as HATU and a tertiary amine base such as DIPEA. Intermediate macrolactams (aa) can be converted to the desired targets (bb) after brief exposure to methanol followed by purification. 5 EXAMPLE 3B: PREPARATION OF 25-AMINO-6-METHYL-4,6,9-TRIAZA-2(2,6)-PYRAZINA-5(3,4)-PYRIDINA- 1(1,3)-BENZENACYCLODECAPHANE-3,10-DIONE (COMPOUND 30B) 10
[0690] Methyl 3-amino-6-bromopyrazine-2-carboxylate (0.42 g, 1.8 mmol) and 3-(4,4,5,5-tetramethyl-1,3,2-dioxaborolan-2-yl)benzoic acid (0.5 g, 2.0 mmol, 1.1 equiv) were dissolved in 4.5 mL of dioxane and 1.8 mL of 2M Na2CO3 solution. The mixture was degassed using nitrogen (5x) before the addition of Pd(dppf)Cl2 (130 mg, 15 0.018 mmol). The reaction mixture was degassed again then heated at 70°C for 4h then cooled and filtered through a plug of Celite. The filtrate was diluted with EtOAc then washed with saturated NaHCO3 solution (2x), water (1x) then brine. The organic extracts were dried over Na2SO4, evaporated and chromatographed (silica) 0% ^ 60% EtOAc in dichloromethane) to afford 385 g (1.4 mmol, 70% yield) of compound Int 20 3.1a as a yellow solid. M+H = 274.2
422
[0691] Step B: Preparation of Int 3.1b
[0692] To a solution of compound Int 3.1a (600 mg, 2.1 mmol, 1.0 equiv) in DMF (7 mL) was added DIEA (1.3 mL, 9.6 mmol, 3.0 equiv). The solution was then 5 treated with EDCI (990 mg, 4.2 mmol, 2.0 equiv), HOAT (570 mg, 4.2 mmol, 2.0 equiv), and tert-butyl (2-aminoethyl)(methyl)carbamate (525 mg, 2.15 mmol, 1.5 equiv). The reaction was stirred at room temperature for 6 hrs and then diluted with water and extracted into EtOAc. The organic layer was dried over Na2SO4, filtered and concentrated. The resultant residue was purified via column chromatography (Silica) 0 10 ^ 100% EtOAc in dichloromethane to provide 540 mg (1.26 mmol, 60% yield) of compound Int 3.1b. M+H = 430.5. [0693] Steps C-D: Preparation of Int 3.1d
[0694] Compound Int 3.1b (700 mg, 1.62 mmol) was dissolved in 15 mL of 15 dichloromethane then treated with 10 mL of TFA and stirred at room temperature for 3h. The solvents were removed and the residue was covered in toluene and evaporated. This procedure was repeated three times to provide 550 mg of compound Int 3.1c as the TFA salt. M+H = 330.4. [0695] Compound Int 3.1c (550 mg, 1.6 mmol) was dissolved in 20 mL of THF20 then treated with 1.40 mL (10.0 mmol) of triethylamine and 320 mg (2.0 mmol) of 4- chloro-3-nitropyridine and the mixture was heated at 40 °C for 2h. The mixture was
423
cooled and diluted with EtOAc and washed with water (3x) and brine (1x). The organic extracts were dried over Na2SO4, evaporated and purified by reverse phase chromatography to afford 400 mg of compound Int 3.1d as a yellow solid. M+H = 438.4. 5 [0696] Step E: Preparation of Int 3.1e
[0697] To a solution of compound Int 3.1d (400 mg, 0.91 mmol) in a mixture of EtOH (10 mL) and NH4Cl (sat. aq.) (10 mL), was added solid iron powder (450 mg, 8 mmol, 10 equiv). The resultant mixture was heated with vigorous stirring at 70 °C, for 4 10 hrs. The reaction was then cooled to room temperature and filtered through a pad of celite and washed with MeOH. The solvent was removed via rotary evaporator and the residue was washed with water and extracted into dichloromethane. The organic layers were dried over Mg2SO4, filtered and concentrated. The resultant residue was purified via column chromatography (Silica) 0 ^ 15% MeOH in dichloromethane to provide 15 300 mg (0.53 mmol, 66% yield) of compound Int 3.1e. M+H = 408.4. [0698] Step F: Preparation of Int 3.1f
[0699] Compound Int 3.1e (300 mg, 0.5 mmol) was dissolved in 3 mL of THF and 1.5 mL of methanol at room temperature then treated with 2.2 equivalents LiOH. 20 The mixture was stirred for 3h then evaporated to dryness. The residue was azeotroped
424
with toluene. This process was repeated three times, the residue was then purified via column chromatography (C18) 0 ^ 85% acetonitrile (0.1% TFA) in water (0.1% TFA), the pure fractions were pooled, frozen and dried via lyophilization to provide 110 mg (0.27 mmol, 54% yield) of compound Int 3.1f. M-H = 406.1. 5 [0700] Step G: Preparation of Compound 30B
[0701] A mixture containing 110 mg (0.27 mmol) of compound Int 3.1f in 3.3 mL of DMF was treated with 240 mg (0.62 mmol) of HATU and 0.195 mL (1.15 mmol) of NMM then stirred at room temperature for 4h. The reaction was then 10 quenched with 1 mL of methanol and 1 mL of ammonium hydroxide solution and stirred for 1h. The solvents were removed, and the residue was chromatographed by reverse phase chromatography to provide 20 mg of Compound 30B.1H NMR (300 MHz, DMSO-d6) δ: 2.87 (s, 3H), 3.31-3.36 (m, 2H), 3.45-3.62 (m, 2H), 7.09-7.14 (m, 1H), 7.33-7.52 (m, 2H), 7.64-7.95 (m, 3H), 8.02 (s, 1H), 8.24-8.52 (m, 2H), 8.60 (s, 15 1H), 9.47 (s, 1H), 10.76 (m, 1H). LRMS (ESI+) [M+H]+: 390.4. [0702] The compounds in Table 24 below (Category B) were prepared in a manner analogous to that described above in Scheme 6 and for the synthesis of Compound 30B in Example 3B.
425
426
[0703] In other embodiments, compounds of Category B as described herein are prepared as described in Scheme 7. Scheme 7. 5
[0704] Benzylic halides (cc) can react with protected amino alcohols to provide ethers (dd) which can be coupled with methyl 3-amino-6-(4,4,5,5-tetramethyl-1,3,2- dioxaborolan-2-yl)pyrazine-2-carboxylate in the presence of a palladium catalyst such as [1,1′-bis(diphenylphosphino)ferrocene]dichloropalladium(II) and a base such as 10 sodium carbonate at elevated temperatures to afford biaryl intermediates (ee) which can
427
be deprotected to afford intermediates (ff) using a strong acid such as HCl or TFA in cases where PG = Boc. Amines (ff) can react with 4-chloro-3-nitropyridine to provide compounds (gg) which can be reduced to amines (hh) using standard conditions for the conversion of an aromatic nitro group to an aryl amine such as iron in ammonium 5 chloride solution. Hydrolysis of the carboxylic ester functional group can be effected by reacting intermediate (hh) with a metal alkoxide base such as LiOH to provide carboxylic acids (ii) which can undergo a macrolactamization using an amide coupling reagent such as HATU and a tertiary amine base such as DIPEA. Intermediate macrolactams (jj) can be converted to the desired targets (kk) after brief exposure to 10 methanol followed by purification. EXAMPLE 4B: PREPARATION OF 25-AMINO-6-METHYL-9-OXA-4,6-DIAZA-2(2,6)-PYRAZINA-5(3,4)- PYRIDINA-1(1,3)-BENZENACYCLODECAPHAN-3-ONE (COMPOUND 15B) 15
[0706] To a solution of tert-butyl N-(2-hydroxyethyl)-N-methylcarbamate (2 g, 11.41 mmol) in THF (15 mL) at 0°C was added NaH (450 mg, 18.75 mmol). The resulting solution was stirred for 2 h at 0°C and then 3-bromobenzyl bromide (2.9 g, 20 11.69 mmol) was added dropwise with stirring at 0°C. The resulting solution was stirred for 4 h at room temperature and then quenched with saturated NH4Cl solution. The resulting solution was extracted with ethyl acetate and the organic layers were combined, washed with saturated NaCl, dried over Na2SO4, filtered and concentrated.
428
The residue was purified by chromatography (ethyl acetate/petroleum ether (1:10)) to afford 2.3 g of Int 4.1a as a white solid. [0707] Step B: Preparation of Int 4.1b
5 [0708] A solution of 686 mg (2.0 mmol) of Int 2.1a and 560 mg (2.0 mmol) of methyl 3-amino-6-(4,4,5,5-tetramethyl-1,3,2-dioxaborolan-2-yl)pyrazine-2-carboxylate were dissolved in 10 mL of dioxane and 3.0 mL of 2M Na2CO3 solution. The mixture was degassed using nitrogen (5x) before the addition of Pd(dppf)Cl2 (295 mg, 0.4 mmol). The reaction mixture was degassed again then heated at 70°C for 2h then 10 cooled and filtered through a plug of Celite. The filtrate was diluted with EtOAc then washed with saturated NaHCO3 solution (2x), water (1x) then brine. The organic extracts were dried over Na2SO4, evaporated and chromatographed (ISCO Gold; 0% to 100% EtOAc /dichloromethane) to afford compound Int 4.1b as a yellow solid. M+H = 417.2. 15 [0709] Step C: Preparation of Int 4.1c
[0710] Compound Int 4.1b (310 mg, 0.75 mmol) was dissolved in 15 mL of dichloromethane then treated with 5 mL of TFA and stirred at room temperature for 3h. The solvents were removed and the residue was covered in toluene and evaporated. 20 This procedure was repeated three times to provide 320 mg of the desired compound Int 4.1c as the TFA salt. M+H = 317.2.
429
[0711] Step D: Preparation of Int 4.1d
[0712] Compound Int 4.1c (320 mg, 0.99 mmol) was dissolved in 5 mL of THF then treated with 0.70 mL (5.0 mmol) of triethylamine and 158 mg (1.0 mmol) of 4- 5 chloro-3-nitropyridine and the mixture was heated at 40°C for 2h. The mixture was cooled and diluted with 15 mL of EtOAc then washed with water (3x) and brine (1x). The organic extracts were dried over Na2SO4, evaporated and purified by reverse phase chromatography to afford 320 mg of compound Int 4.1d as a yellow solid. M+H = 439.4. 10 [0713] Step E: Preparation of Int 4.1e
[0714] Nitro compound Int 4.1d (320 mg, 0.73 mmol) was dissolved in 10 mL of THF and 10 mL of EtOH and the mixture was degassed. Fifty milligrams of 20% Pd(OH)2 was then added and the mixture was covered with a balloon containing 15 hydrogen gas. The reaction was stirred at room temperature for 2h then filtered through Celite. The filtrate was evaporated to afford 160 mg of the desired product Int 4.1e as a tan colored solid. M+H = 409.2.
430
[0715] Step F: Preparation of Int 4.1f
[0716] Compound Int 4.1e (160 mg, 0.39 mmol) was dissolved in 2 mL of THF and 1 mL of methanol at room temperature then treated with 2.5 equivalents (1.0 mL) 5 of 1N LiOH. The mixture was stirred for 2h then evaporated to dryness. The residue was covered with 5 mL of toluene and evaporated. This procedure was repeated three times to leave 70 mg of the desired amino acid Int 4.1f which was used directly in the next step. M+H = 395.1. [0717] Step G: Preparation of Compound 15B
10 [0718] A mixture containing 40 mg (0.1 mmol) of Int 2.1f in 10 mL of DMF was treated with 85 mg (0.225 mmol) of HATU and 0.056 mL (0.4 mmol) of NMM then stirred at room temperature for 3h. The reaction was then quenched with 1 mL of methanol and 1 mL of ammonium hydroxide solution and stirred for 1h. The solvents 15 were removed and the residue was chromatographed by reverse phase chromatography to provide Compound 15B as a yellow solid. 1H NMR (DMSO-d6) ^ 11.5 (bs, 1H), 9.42 (s, 1H), 9.06 (s, 1H), 8.88 (s, 1H), 8.65 (s, 1H), 7.96 (d, J=7.8Hz, 1H), 7.63 (s, 2H), 7.43 (t, J=7.8Hz, 1H), 7.26 (d, J=5.2Hz, 1H), 7.18 (dd, J=2.4, 7.8Hz, 1H), 4.73 (s, 2H), 3.88 (m, 2H), 2.78 (s, 3H). M+H = 377.1. 20 [0719] The compounds in Table 25 below (Category B) were prepared in a manner analogous to that described above in Scheme 7 and for the synthesis of Compound 15B in Example 4B.
431
Table 25.
[0720] In other embodiments, compounds of Category B as described herein are prepared as described in Scheme 8. 5 Scheme 8.
[0721] Alcohol intermediates (ll) can react with phenol intermediates (c) using well established Mitsunobu etherification conditions to provide compounds (mm) which can be converted to the amine derivative (nn) using standard conditions for the 10 conversion of an aromatic nitro group to an aryl amine such as iron in ammonium chloride solution. Hydrolysis of the carboxylic ester functional group can be effected by reacting intermediate (nn) with a metal alkoxide base such as LiOH to provide
432
carboxylic acids (pp) which can undergo a macrolactamization using an amide coupling reagent such as HATU and a tertiary amine base such as DIPEA. Intermediate macrolactams (pp) can be converted to the desired targets (qq) after brief exposure to methanol followed by purification. 5 EXAMPLE 5B: PREPARATION OF (41,44-CIS)-15-AMINO-3,5-DIOXA-7-AZA-1(2,6)-PYRAZINA-6(4,3)- PYRIDINA-2(1,3)-BENZENA-4(1,4)-CYCLOHEXANACYCLOOCTAPHAN-8-ONE (COMPOUND 43B) 10
[0723] To a solution of trans-cyclohexane-1,4-diol (2.0g, 17.2 mmol) in DMF (100mL) at 0 °C, was added solid sodium hydride (1.1 equiv., 18.9 mmol, 454 mg); after the effervescence subsided, solid 4-chloro-3-nitropyridine (1.1 equiv., 18.9 mmol, 15 3.0 g) was added to the reaction and the solution was allowed to warm to room temperature over 2 hrs. The product was then extracted into EtOAc and washed several times with water. The organic layer was concentrated and the residue was purified by reverse phase chromatography to provide 1.6 g (46% yield) of compound Int 5.1a. M+H = 240.2.
433
[0724] Step B: Preparation of Int 5.1b
[0725] To a solution of compound Int 5.1a (1.6 g, 6.6 mmol) in DCM, at 0 °C was added Et3N (1.05 mL, 1.1 equiv, 7.3 mmol) followed by methanesulfonyl chloride 5 (830 mg, 1.1 equiv, 7.3 mmol). The solution was allowed to come to room temperature, the solvent was reduced under reduced pressure and the resultant residue compound Int 5.1b (1.47 g) was used in the subsequent step without additional purification. M+H = 317.3. [0726] Step C: Preparation of Int 5.1c 10
[0727] To a vessel containing methyl 3-amino-6-(3-hydroxyphenyl)pyrazine-2- carboxylate (Int 1.1a) (1.0 equiv., 0.42 mmol, 103 mg) and Cs2CO3 (3.0 equiv., 1.26 mmol, 410 mg), was added DMF (4 mL). To the stirring solution was then added compound Int 5.1b (1.5 equiv, 200 mg) and the reaction was stirred at 70 °C for 4 hrs. 15 Upon completion of the reaction, the product was purified via reverse phase chromatography (direct loading) to provide 112 mg (49% yield, two steps) of compound Int 5.1c. M+H = 466.5.
434
[0728] Step D: Preparation of Int 5.1d
[0729] To a solution of compound Int 5.1c (112 mg, 0.24 mmol) in a mixture of EtOH (3 mL) and NH4Cl (sat. aq.) (3 mL), was added solid iron powder (100 mg, 1.8 5 mmol, 10 equiv). The resultant mixture was heated with vigorous stirring at 70 °C, for 4 hrs. The reaction was then cooled to room temperature and filtered through a pad of celite and washed with MeOH. The solvent was removed via rotary evaporator and the residue was washed with water and extracted into dichloromethane. The organic layers were dried over Mg2SO4, filtered and concentrated. The resultant residue was purified 10 via column chromatography (Silica) 0 ^ 20% MeOH in dichloromethane to provide 70 mg (0.16 mmol, 67% yield) of compound Int 5.1d. M+H = 436.5. [0730] Step E: Preparation of Compound 43B
Compound 43B [0731] To a solution of compound Int 5.1d (20 mg, 0.046 mmol, 1.0 equiv) in 15 dry THF (1 mL) with an inert atmosphere of nitrogen, was added LiHMDS (1M in THF, 0.23 mL, 0.23 mmol, 5.0 equiv). The resulting solution was stirred at 25oC for 2 h, then quenched with 5 mL of water, extracted with 3x10 mL of ethyl acetate and the organic layers were combined and dried over anhydrous sodium sulfate, filtered, and concentrated under reduced pressure. The residue was purified by Flash-Prep-HPLC
435
with the following conditions (IntelFlash-1): C18 Column; mobile phase, Water (0.5% NH4HCO3) and ACN (10.0% ACN up to 100.0% in 15 min); Detector, UV 254 nm. This resulted in 6.5 mg (35%) of Compound 43B as a yellow solid. M+H = 403.2. [0732] The compounds in Table 26 below (Category B) were prepared in a 5 manner analogous to that described above in Scheme 8 and for the synthesis of Compound 43B in Example 5B. Table 26.
436
437
[0733] In other embodiments, compounds of Category B as described herein are prepared as described in Scheme 9.
438
Scheme 9.
[0734] Alcohol intermediates (ss) can react with phenol intermediates (c) using well established Mitsunobu etherification conditions to provide compounds (tt) which 5 can be converted to the amine derivative (uu) using standard conditions for the conversion of an aromatic nitro group to an aryl amine such as iron in ammonium chloride solution. Hydrolysis of the carboxylic ester functional group can be effected by reacting intermediate (uu) with a metal alkoxide base such as LiOH to provide carboxylic acids (vv) which can undergo a macrolactamization using an amide coupling 10 reagent such as HATU and a tertiary amine base such as DIPEA. Intermediate macrolactams (ww) can be converted to the desired targets (xx) after brief exposure to methanol followed by purification.
439
EXAMPLE 6B: PREPARATION OF 25-AMINO-16-BROMO-10-OXA-6-THIA-4-AZA-2(2,6)-PYRAZINA-5(3,4)- PYRIDINA-1(1,3)-BENZENACYCLODECAPHAN-3-ONE (COMPOUND 51B) 5
[0736] To a solution of 3-mercaptopropan-1-ol (1.0 g, 1.0 equiv., 10.9 mmol) in THF (30 mL), was added 4-chloro-3-nitropyridine (1.1 equiv., 12.0 mmol, 1.88 g) followed by DIEA (1.3 equiv., 14.2 mmol, 2.4 mL). The resultant mixture was stirred 10 for 15 hrs, diluted with EtOAc and washed with water. The organic layer was dried over Mg2SO4, filtered and concentrated. The resultant residue was purified via column chromatography (Silica) 0 ^ 60% EtOAc in dichloromethane to provide 963 mg (4.5 mmol, 41% yield) of compound Int 6.1a. M+H = 215.2. [0737] Step B: Preparation of Int 6.1b 15
440
[0738] To a mixture containing compound Int 6.1a (9.63 mg, 4.5 mmol), triphenylphosphine (1.18 g, 4.5 mmol) and methyl 3-amino-6-(2-bromo-5- hydroxyphenyl)pyrazine-2-carboxylate (969 mg, 3.0 mmol) in THF at 0 °C, was added DIAD (0.88 mL, 4.5 mmol) dropwise. The reaction was stirred for 15 hrs, concentrated 5 onto silica gel and purified via column chromatography (Silica) 0 ^ 50% EtOAc in hexanes to provide 489 mg (0.92 mmol, 31% yield) of compound Int 6.1b. M+H = 520.2. [0739] Step C: Preparation of Int 6.1c
10 [0740] To a solution of compound Int 6.1b (489 mg, 1.0 mmol) in a mixture of EtOH (10 mL) and NH4Cl (sat. aq.) (10 mL), was added solid iron powder (560 mg, 10 mmol, 10 equiv). The resultant mixture was heated with vigorous stirring at 50 °C, for 15 hrs. The reaction was then cooled to room temperature and filtered through a pad of celite and washed with MeOH. The solvent was removed via rotary evaporator and the 15 residue was washed with water and extracted into dichloromethane. The organic layers were dried over Mg2SO4, filtered and concentrated. The resultant residue was purified via column chromatography (Silica) 0 ^ 10% MeOH in dichloromethane to provide 288 mg (0.59 mmol, 59% yield) of compound Int 6.1c. M+H = 491.2.5.
441
[0741] Step D: Preparation of Int 6.1d
[0742] Compound Int 6.1c (288 mg, 0.59 mmol) was dissolved in 4 mL of THF and 2 mL of methanol at room temperature then treated with 2.1 equivalents LiOH (1M 5 aq). The mixture was stirred for 2h then evaporated to dryness. The residue was azeotroped with toluene. This process was repeated three times, the residue compound Int 6.1d was dried under vacuum and used directly in next step. M-H = 475.2. [0743] Step E: Preparation of Compound 51B
10 [0744] A mixture containing 224 mg (0.47 mmol) of compound Int 6.1d in 25 mL of DMF was treated with 400 mg (1.06 mmol) of HATU and 0.262 mL (1.9 mmol) of NMM then stirred at room temperature for 15h. The reaction was then quenched with 2 mL of methanol and 0.5 mL of ammonium hydroxide solution and stirred for 1h. The solvents were removed, and the residue was chromatographed by reverse phase 15 chromatography to provide Compound 51B. LRMS (ESI+) [M+H]+ : 559.4 [0745] The compounds in Table 27 below (Category B) were prepared in a manner analogous to that described above in Scheme 9 and for the synthesis of Compound 51B in Example 6B.
442
Table 27.
[0747] Alcohol intermediates (zz) can react with phenol intermediates (c) using well established Mitsunobu etherification conditions to provide compounds (aaa) which
443
can be converted to the amine derivatives (bbb) using standard catalytic hydrogenation procedures. Hydrolysis of the carboxylic ester functional group can be effected by reacting intermediate (bbb) with a metal alkoxide base such as LiOH to provide carboxylic acids (ccc) which can undergo a macrolactamization using an amide 5 coupling reagent such as HATU and a tertiary amine base such as DIPEA. Intermediate macrolactams (ddd) can be converted to the desired targets (eee) after brief exposure to methanol followed by purification. EXAMPLE 7B: CONJUGATES OF CATEGORY B COMPOUNDS 10 EXAMPLE 7.1B: PREPARATION OF 4-((S)-2-((S)-2-(6-(2,5-DIOXO-2,5-DIHYDRO-1H-PYRROL-1- YL)HEXANAMIDO)-3-METHYLBUTANAMIDO)-5-UREIDOPENTANAMIDO)BENZYL (3-((25- AMINO-6-METHYL-3-OXO-10-OXA-4,6-DIAZA-2(2,6)-PYRAZINA-5(3,4)-PYRIDINA-1(1,3)- BENZENACYCLODECAPHANE-15-YL)OXY)PROPYL)CARBAMATE (COMPOUND-LINKER 15 2.16)
[0748] A solution containing 16.1 mg (0.028 mmol) of Compound 16B was dissolved in 4 mL of DMF and then treated with 23.1 mg (0.031 mmol) of mc-VC- PAB-PNP and 21 µL (0.114 mmol) of Hunig’s base. The reaction was stirred at 20 ambient temperature for 15 h and then purified without work-up using RP-HPLC. Product fractions were identified by LCMS and pooled then lyophilized to provide 15.1 mg of Compound-Linker 2.16 as a white solid. LCMS (M+H) = 1049.2.
444
[0749] In other embodiments, linker-payload conjugates of compounds described herein are prepared as described herein. For example, the linker-payload compounds in Table 28 were prepared using the methods described in Scheme A and/or Scheme B, above. 5 Table 28.
445
446
EXAMPLE 8B: TGFβ REPORTER ASSAY AND TGFβR2 RBC ENZYME ASSAY EXAMPLE 8.1B: TGFβ REPORTER ASSAY RESULTS FOR CATEGORY B COMPOUNDS 5 [0750] EC50 values for various Category B compounds were determined substantially as described above for Category A compounds. Table 29 includes EC50 values for representative compounds of Category B. Table 29.
1 nM ≤ A ≤ 1000 nM; 1000 nM < B ≤ 5000 nM; C > 5000 nM. 10 EXAMPLE 8.2B: TGFβ REPORTER ASSAY RESULTS FOR ANTIBODY-LINKER-PAYLOAD CONJUGATES [0751] The linker payloads in Table 28 were covalently attached to an anti- LRRC15 antibody (designated as LRRC15 in Table 29A below). The LRRC15
447
antibody was the murine M25 antibody or a humanized variant thereof (see PCT Application Publication No. WO 2017/095805, incorporated herein by reference in its entirety). Conjugation to the linker-payload was via the interchain disulfides. The antibodies had either a wild-type Fc domain or a null Fc domain. The Fcnull mutations 5 for human IgG1 were L234A, L236A, G237A, and K322A and the Fcnull mutations for murine IgG2a were L234A, L236A, G237A, K322A, and P329G; numbering by EU index. [0752] The resultant antibody drug conjugates were tested via a cell reporter assay. HEK293 SMAD2p luciferase reporter cells transfected to stably express full 10 length human LRRC15 were seeded in 96 well plates at 40,000 cells/well in an assay media of MEM +0.5% FBS, 1% NEAA, 1% NaPyr & 1% Pen/Strep. Conjugates and controls were added to wells in a dose titration ranging from 500nM to 0.03nM. After 24 hours of culture at 37°C in a 5% CO2 environment human TGFβ1 was added (PeproTech Inc.) to a final concentration of 1.6ng/ml followed by an additional 18 hour 15 of culture. Luciferase Steady Glo reagent (Promega Corporation) was added as recommended by manufacturer. After incubating 10 minutes with shaking, SMAD2p activity was determined by measuring luminescence with an Envision Plate Reader (Perkin-Elmer Inc.) and an absolute EC50 was determined using Prism Software v8.01 (GraphPad Inc.). 20 [0753] Table 29A includes EC50 values for the above noted representative conjugates. The potencies of the antibody drug conjugates track proportionally with the activity observed for the corresponding unconjugated small molecules in the small molecule cell-based reporter assay described above. Table 29A.
448
1 nM < A ≤ 1000 nM; 1000 nM < B ≤ 5000 nM; C > 5000 nM. EXAMPLE 8.3B [0754] Certain Category B compounds were also assayed by Reaction Biology Corp. using the TGFβR2 RBC enzyme assay as described above. 5 [0755] Table 30 includes EC50 values for selected compounds of Category B. [0756] The rank order of potency of the applicable antibody drug conjugate tracks with the observed activity within the small molecule cell-free enzymatic inhibition assay, and even showed unexpectedly a degree of improved EC50 values as compared to the compounds alone. 10 Table 30.
1 nM ≤ A ≤ 100 nM; 100 nM < B ≤ 1000 nM; C > 1000 nM.
449
EXAMPLES FOR ANTI-LRRC15 ANTIBODIES AND CONJUGATES EXAMPLE 1. GENERATION AND HUMANIZATION OF LRRC15 MONOCLONAL ANTIBODIES [0757] Hybridomas producing monoclonal antibodies (mAbs) specific for 5 human LRRC15 were prepared from BALB/c and NZB/NZW immunized with human LRRC15 extracellular domain (ECD)-human Fc fusion protein using standard procedures. Antibody heavy and light chain sequences were obtained, amplified, and cloned. Clone supernatants containing the expressed mAbs were screened for certain criteria, including, for example, high titer, binding to human LRRC15 protein, binding 10 to cells expressing LRRC15, and cross-reactivity with cells expressing Cynomolgus macaque LRRC15. Based on the initial selection criteria, thirteen (13) mAbs (F36, J48, J66, K713, F32, F65, J24, K412, K55, K611, K72, K84, and 14K) were expressed and isolated. The isolated mAbs were further analyzed for the following characteristics: low aggregate content following protein A purification, low mouse cross-reactivity, and 15 epitope binning as compared to humanized mAb M25 (a known LRRC15 mAb; see, e.g., US Pat. No.10,195,209). [0758] Antibody epitope binning experiment utilizing Octet® (ForteBio, Inc.) kinetic analysis unexpectedly revealed a competitive blocking profile of five (5) different epitope bins, referred to as bins A (further subdivided into bins A1 and A2), B, 20 C, D, and M25 (see Figure 13). 10 of the 13 mAbs characterized are specific for epitopes different from the M25 epitope. Certain antibodies from bins A1, A2, B, and M25 were humanized by CDR grafting (CDR loops were identified by Kabat numbering) and further modified as described below. [0759] Bin A1 (mAb K713): For humanization of the K713 VH region (SEQ 25 ID NO:82), the 3 CDR loops as defined by Kabat were grafted into the human germline sequence IGHV1-03 to generate hzK713 VHv1 (SEQ ID NO:114). In addition, various mouse back mutations of hzK713 VHv1 were introduced into FR3 to generate hzK713 VHv1.1 (R72V (position 71 under Kabat); SEQ ID NO:115), hzK713 VHv1.2 (R67K, V68A, R72V (positions 66, 67, and 71, respectively, under Kabat); SEQ ID NO:116),
450
and hzK713 VHv1.3 (R67K, V68A, I70L, R72V (positions 66, 67, 70, and 71, respectively, under Kabat); SEQ ID NO:117), or FR2 and FR3 to generate hzK713 VHv1.4 (R38K, M48I, R67K, V68A, I70L, R72V (positions 38, 48, 66, 67, 69, and 71, respectively, under Kabat); SEQ ID NO:118). Finally, three variants of hzK713 VHv1 5 were made to remove a potential NS deamidation site in CDR2 (hzK713 VHv2 N55Q (position 54 under Kabat), SEQ ID NO:119; hzK713 VHv3 N55S (position 54 under Kabat), SEQ ID NO:120; and hzK713 VHv4 G56A (position 55 under Kabat), SEQ ID NO:121). [0760] For humanization of the K713 VL region (SEQ ID NO:125), the 3 CDR 10 loops as defined by Kabat were grafted into the human germline sequences IGKIV-B3 to generate hzK713 VLv1 (SEQ ID NO:141). In addition, one variant of hzJ66 VLv1 was made to introduce a mouse back mutation into FR1 (hzJ66 VHv1.1 G72R (position 68 under Kabat), SEQ ID NO:142). [0761] Each humanized K713 VH region was combined individually with 15 human IgG1 (SEQ ID NO:143) or IgG1null (SEQ ID NO:144) heavy chain constant region, and each humanized K713 VL region was combined individually with the human kappa light chain constant region (SEQ ID NO:145). Each heavy chain was individually co-transfected with each light chain into CHO cells. A total of 13 mAbs were generated and analyzed for titer and binding (koff and/or KD). Only 3/10 of the 20 mAbs displayed a somewhat increased koff rate compared to the parent mAb. Surprisingly, although having an increased koff rate, light chain hzK713 VLv1 in combination with CDR3 heavy chain variants hzJ48 VHv2-v4 all retained substantial binding affinity to LRRC15 (KD = 3.07 x 10-10 M, 2.12 x 10-10 M, and 3.34 x 10-10 M, respectively) compared to the parent antibody comprising hzK713 VLv1 in 25 combination with heavy chain hzK713 VHv1 (KD = 2.08 x 10-10 M). [0762] Bin A2 (mAb J66): For humanization of the J66 VH region (SEQ ID NO:81), the 3 CDR loops as defined by Kabat were grafted into the human germline sequence IGHV1-46 to generate hzJ66 VHv1 (SEQ ID NO:108). In addition, various mouse back mutations of hzJ66 VHv1 were introduced into FR3 to generate hzJ66 30 VHv1.1 (R72A (position 71 under Kabat); SEQ ID NO:109), hzJ66 VHv1.2 (R67K,
451
V68A, R72A (positions 66, 67, and 71, respectively, under Kabat); SEQ ID NO:110), and hzJ66 VHv1.3 (R67K, V68A, M70L, R72A (positions 66, 67, 69, and 71, respectively, under Kabat); SEQ ID NO:111), or FR2 and FR3 to generate hzJ66 VHv1.4 (A40R, M48I, R67K, V68A, M70L, R72A (positions 40, 48, 66, 67, 69, and 5 71, respectively, under Kabat); SEQ ID NO:112). Finally, one human mutation was introduced in CDR3 of hzJ66 VHv1 to generate hzJ66 VHv2 (M102L (position 98 under Kabat) SEQ ID NO:113). [0763] For humanization of the J66 VL region (SEQ ID NO:124), the 3 CDR loops as defined by Kabat were grafted into the human germline sequences IGKIV-B3 10 to generate hzJ66 VLv1 (SEQ ID NO:139). In addition, one variant of hzJ66 VLv1 was made to introduce a mouse back mutation into FR1 (hzJ66 VHv1.1: N22S, SEQ ID NO:140). [0764] Each humanized J66 VH region was combined individually with human IgG1 (SEQ ID NO:143) or IgG1null (SEQ ID NO:144) heavy chain constant region, 15 and each humanized J66 VL region was individually combined with the human kappa light chain constant region (SEQ ID NO:145). Each heavy chain was individually co- transfected with each light chain into CHO cells. A total of 11 mAbs were generated and analyzed for titer and binding (koff and/or KD). All of the mAbs produced displayed no change in koff rate compared to the parent mAb. Surprisingly, all 20 antibodies comprised of heavy chain variant hzJ66 VLv2 (having a mutation in CDR3) in combination with either light chain hzJ66 VHv1 or v1.1 displayed the same binding affinity to LRRC15 as did the parent humanized or mouse antibody (KD = < 10-12 M). [0765] Bin B (mAb F36): For humanization of the F36 heavy chain variable (VH) region (SEQ ID NO:79), the 3 CDR loops as defined by Kabat were grafted into 25 the human germline IGHV1-46-01 sequence to generate hzF36 VHv3 (SEQ ID NO:94). Several variants of hzF36 VHv3 were constructed to contain mutations in framework region 2 (FR2), framework region 3 (FR3), or both. Variant 1 has FR2 mutations (hzF36 VHv1: M48I G49S, SEQ ID NO:92), variants 4, 5, and 6 each contain different FR3 mutations (hzF36 VHv4: V66A M68L, SEQ ID NO:95; hzF36 VHv5: R70S 30 T72K, SEQ ID NO:96; and hzF36 VHv6: V66A M68L R70S T72K, SEQ ID NO:97),
452
and variant 2 has FR2 and FR3 mutations (hzF36 VHv2: M48I G49S V66A M68L R70S T72K, SEQ ID NO:93). Finally, four variants of hzF36 VHv6 were made to remove a potential DG isomerization site in CDR2 (hzF36 VHv6.1: D54E, SEQ ID NO:98; hzF36 VHv6.2: D54Q, SEQ ID NO:99; hzF36 VHv6.3: D54S, SEQ ID 5 NO:100; and hzF36 VHv6.4: G55A, SEQ ID NO:101). [0766] For humanization of the F36 light chain variable (VL) region (SEQ ID NO:122), the 3 CDR loops as defined by Kabat were grafted into the human germline IGKV4-01 sequence to generate hzF36 VLv1 (SEQ ID NO:132). A variant of hzF36 VLv1 containing a mouse back mutation in framework 1 (FR1) was also generated 10 (hzF36 VLv1.1: M4L, SEQ ID NO:133). [0767] Each humanized F36 VH region was combined individually with human IgG1 (SEQ ID NO:143) or IgG1null (SEQ ID NO:144, including mutations L234A, L235A, G237A, and K322A) heavy chain constant region, and each humanized F36 VL region was individually combined with the human kappa light chain constant region 15 (SEQ ID NO:145). Each heavy chain was individually co-transfected with each light chain into CHO cells. A total of 16 mAbs were generated and analyzed for titer and binding (koff and/or KD). Only six of the variants displayed a 3-4 fold reduction in koff rate (three with hzF36 VLv1 and three with hzF36 VLv1.1), though still bound well. Surprisingly, heavy chain variants hzF36 VHv6.2 and hzF36 VHv6.4, which each have 20 a mutation in HCDR2, in combination with light chain hzF36 VLv1 displayed identical binding affinity to LRRC15 (KD = 0.34 nM and 0.32 nM, respectively) as the parent heavy chain, hzF36 VHv6, in combination with light chain hzF36 VLv1.1 (KD = 0.33 nM). [0768] Bin M25 (mAb J48): For humanization of the J48 VH region (SEQ ID 25 NO:80), the 3 CDR loops as defined by Kabat were grafted into the human germline sequences IGHV1-3-01 and IGHV1-46-01 to generate hzJ48 VHv1 (SEQ ID NO:102) and hzJ48 VHv1.1 (SEQ ID NO:103). In order to reduce the amount of mouse sequence in hzJ48 VHv1, the following three human mutations were introduced in CDR2: N61S, E62Q, and K65Q to generate hzJ48 VHv2 (SEQ ID NO:105). Similarly, 30 two human mutations were introduced in CDR2 of hzJ48 VHv1.1 to generate hzJ48
453
VHv3 (SEQ ID NO:106). Finally, a FR3 variant of hzJ48 VHv3 and hzJ48 VHv1.1 was made to generate hzJ48 VHv3.1 (E62Q K65Q R72V, SEQ ID NO:107) and hzJ48 VHv1.2 (R72V, SEQ ID NO:104), respectively. [0769] For humanization of the J48 VL region (SEQ ID NO:123), the 3 CDR 5 loops as defined by Kabat were grafted into the human germline sequences IGKV1-16- 01 and IGK1-39-01 to generate hzJ48 VLv1 (SEQ ID NO:134) and hzJ48 VLv2 (SEQ ID NO:138), respectively. In addition, three variants of hzJ48 VLv1 were made to remove a potential NS deamidation site in CDR3 (hzJ48 VHv1.1: N92S, SEQ ID NO:135; hzJ48 VHv1.2: N92Q, SEQ ID NO:136; and hzJ48 VHv1.3: S93A, SEQ ID 10 NO:137). [0770] Each humanized J48 VH region was combined individually with human IgG1 (SEQ ID NO:143) or IgG1null (SEQ ID NO:144) heavy chain constant region, and each humanized J48 VL region was individually combined with the human kappa light chain constant region (SEQ ID NO:145). Each heavy chain was individually co- 15 transfected with each light chain into CHO cells. A total of 15 mAbs were generated and analyzed for titer and binding (koff and/or KD). All of the mAbs containing the hzJ48 VLv2 light change displayed no change in koff rate compared to the parent mAb. Surprisingly, light chain variants hzJ48 VLv1.1-1.3 in combination with heavy chain hzJ48 VHv3 all retained substantial binding affinity to LRRC15 (KD = 1.7 nM, 1.6 nM, 20 and 0.60 nM, respectively) compared to the parent antibody comprising hzJ48 VLv2 in combination with heavy chain hzJ48 VHv3 (KD = 0.58 nM). EXAMPLE 2. TGFβ REPORTER ASSAY Materials and General Procedures 25 [0771] TGFβ/SMAD Signaling Pathway SBE reporter cell line was obtained from BPS Bioscience. Reporter cells were transfected to stably express full length human LRRC15 or untransfected. Cells were passed, expanded, and stored in liquid nitrogen as per the supplier's instructions with the exception that growth media is
454
changed to DMEM-C with Geneticin (DMEM supplemented with 10% fetal bovine serum, 1X NEAA, 1mM Pyruvate, 2mM glutamine, 50 μg/mL penicillin, 50 U/mL streptomycin and 400 μg/mL of Geneticin). The assay media was MEM supplemented with 0.5% fetal bovine serum, 1X NEAA, 1mM Pyruvate, 50 μg/mL penicillin and 50 5 U/mL streptomycin. General procedure for in vitro small molecule screening [0772] Test anti-LRRC15-TGFβR2 inhibitor antibody conjugates and controls (vehicle alone and unconjugated M25 anti-LRRC15 IgG1 antibody (reference antibody labeled as ‘Naked’)) were added to wells containing either HEK293 SBE-LUC 10 (negative control cells) or LRRC15-HEK293 SBE-LUC cells in a dose titration ranging from about 5 μM to about 0.064 nM. The TGFβR2 inhibitors tested were Compounds 2.1 and 211. After 24 hours of culture at 37°C in a 5% CO2 environment, human TGFβ1 was added (PeproTech, Inc.) to a final concentration of about 1.6 ng/ml followed by an additional 18 hour incubation. Controls included TGFβ titration (from 15 50 to 0 ng/mL) without inhibitors, and media only (without cells, inhibitor or TGFβ). Plates were incubated at 37°C in a 5% CO2 humidified incubator for 18 h. Luciferase substrate solution is subsequently added at 100 μL per well, incubated in the dark at room temperature for 10 min, and luminescence is measured using a luminometer. EC50 values and curve fits were obtained using Prism (GraphPad Software) with a four 20 parameter non-linear regression to calculate IC50 values. [0773] Figure 14A shows that for each of the various, different anti-LRRC15 antibody conjugates, each antibody (hzF36 VHv3/VLv1-κ -IgG1, hzF36 VHv6.4/VLv1-κ - IgG1, hzJ48 VHv1.1/VLv1-κ -IgG1, hzJ48 VHv3/VLv1.3-κ -IgG1, hzK713 VHv1/VLv1-IgG1, hzJ66 VHv1/VLv1-IgG1, hzJ66 VHv2/VLv1-IgG1, and M25-IgG1) conjugated to the 25 linker-payload LP1, comprised of Linker L1 and TGFβR2 inhibitor Compound 2.1, inhibited TGFβ1-mediated luciferase expression in a dose-dependent manner (as did M25 having a mouse IgG2a conjugated linker-payload LP25, comprised of Linker L1 and TGFβR2 inhibitor Compound 211; M25-mIgG2a-LP25), whereas the vehicle alone or the naked (unconjugated) antibody had no effect on TGFβ1 activity. Moreover,
455
Figure 14B shows that in the absence of LRRC15 expression, TGFβ1 activity is unaffected by any of the controls or conjugates (except there appears to be a non- specific effect at the highest dose, which may be due to some uptake of the compounds). Overall, this shows that anti-LRRC15-TGFβR2 inhibitor antibody 5 conjugates could be used to target LRRC15-associated disease, such as fibrosis or cancer. EXAMPLE 3. EFFECT OF TGFβR2 INHIBITOR-LRRC15 ANTIBODY CONJUGATE ON TGFβ1 INDUCED αSMA PRODUCTION BY FIBROBLASTS 10 [0774] Anti-LRRC15 antibodies conjugated to TGFβR2 inhibitors were tested for their ability to affect TGFβ-induced α-smooth muscle actin (αSMA) deposition by human fibroblasts. [0775] Briefly, LL97a and LL29 cells, which are human adult pulmonary fibroblasts, were plated in 96-well plates at approximately 3 x 105 cells per well in 15 DMEM with 10% FBS and incubated overnight at 37°C in 5% CO2. After incubation, the media was replaced with DMEM containing 0.5% BSA, 0.5 ng/ml TGFβ1 (Peprotech®, Rocky Hill, NJ), and either M25-mIgG2a or M25-mIgG2a-Compound 2.1 at final concentrations of 50 nM or 500 nM. M25 is a known LRRC15 antibody (see US Pat. No.10,195,209) and the linker-payload LP1 comprised of Linker L1 and 20 Compound 2.1 was linked to the M25 antibody. After three days, cells were harvested with Accutase® (Thermo Fisher Scientific, Waltham, MA), transferred to U-bottom plates, and stained using eBioscience™ Fixable Viability Dye eFluor™ 506 per manufacturer’s instructions. Cells were then fixed and permeabilized for 30 minutes using eBioscience™ Foxp3 / Transcription Factor Staining Buffer Set and washed with 25 Intracellular Staining Permeabilization Wash Buffer (BioLegend®, San Diego, CA). After washing, cells were incubated for 15 minutes with 5% mouse serum followed by anti-αSMA-PE (1:25) (R&D Systems, Minneapolis, MN) for 60 minutes. The cells were then washed, passed through a flow cytometer (FACSCelesta™ cell analyzer, Becton Dickinson, Franklin Lakes, NJ) and data collected with BD FACSDiva™
456
Software v8.0.1.1 (Becton Dickinson, Franklin Lakes, NJ), and then analyzed using FlowJo™ v10 (FlowJo, a subsidiary of Becton Dickinson, Ashland, OR). [0776] Human fibroblast cells LL97a and LL29 produce αSMA in the presence of TGFβ1 (data not shown). Anti-LRRC15 antibody M25 was conjugated to linker- 5 payload LP1 comprised of Linker L1 and TGFβR2 inhibitor Compound 2.1 (M25- mIgG2a-LP1) significantly reduced αSMA production in both LL97a and LL29 cells in presence of TGFβ1, whereas naked antibody or vehicle alone had no effect. Results shown are from LL97a cells are shown in Figure 15. EXAMPLE 4. 10 IN VIVO EFFECT OF INTRATUMORALLY DELIVERED TGFβR2 INHIBITOR-LRRC15 ANTIBODY CONJUGATE ON TGFβ-REGULATED FIBROBLAST GENE EXPRESSION [0777] The effect of an anti-LRRC15-TGFβR2 inhibitor conjugate on TGFβ- regulated fibroblast gene expression was evaluated by intratumoral dosing in an in vivo Panc-1 xenograft tumor model in mice. 15 [0778] Briefly, seven- to eight-week old Nude mice (Jackson Labs, Bar Harbor, ME) were inoculated subcutaneously with about 5 x 106 Panc-1 (ATCC) tumor cells in PBS/Matrigel® (Corning®, Corning, NY). Once palpable, tumor dimensions were measured by calipers and volume calculated using the equation: Volume = (L x W x H x 0.5). When tumors reached approximately 100 mm3 (Day 0), mice were dosed20 intratumorally with vehicle alone (DMSO), 2 μg Compound 211, 171 μg M25-mIgG2a- LP14 conjugate, or M25-mIgG2a naked antibody daily for a total of five doses. M25 is a known LRRC15 antibody (see US Pat. No.10,195,209) and the linker-payload LP14 comprised of Linker L1 and Compound 171 was linked to the M25 antibody. Four hours after the final dose, tumors were excised, snap frozen in liquid nitrogen and 25 stored at -80°C. Frozen tumors were transferred to gentleMACS™ M-tubes (Miltenyi Biotec, Auburn, CA) containing lysis buffer (Purelink™ RNA mini kit, Invitrogen, Carlsbad, CA) with 1% β-mercaptoethanol and then homogenized using the RNA_01_01 program on the gentleMACS™ Octo Dissociator (Miltenyi Biotec, Auburn, CA). RNA was purified from the resulting lysates using the Purelink™ RNA
457
mini kit following the manufacturer’s instructions. The concentration of RNA was determined using the Nanodrop™ One (Thermo Fisher Scientific, Waltham, MA). TaqMan™ RNA-to-CT™ 1-Step Kit (Applied Biosystems, Foster City, CA) was used per manufacturer instructions with 10 ng RNA per reaction run in duplicate measuring 5 ALAS1 (aminolevulinic acid synthase 1) as the baseline (unregulated) as compared to the regulated ELN (elastin) transcript levels using the StepOnePlus™ Real-Time PCR System (Applied Biosystems, Foster City, CA). Results were analyzed using ΔΔCt method with StepOne™ Software v2.3. [0779] Intratumoral delivery of an anti-LRRC15-TGFβR2 inhibitor conjugate 10 M25-mIgG2a-LP14 significantly reduced TGFβ-induced elastin gene (ELN) expression in fibroblasts to levels comparable to intra-tumoral delivery of unconjugated TGFβR2 inhibitor Compound 211 (see Figure 16). Compounds 171 and 211 have substantially similar potency in in vitro reporter assays (data not shown). EXAMPLE 5. 15 IN VIVO EFFECT OF SYSTEMICALLY DELIVERED TGFβR2 INHIBITOR-LRRC15 ANTIBODY CONJUGATE ON TGFΒ-REGULATED FIBROBLAST GENE EXPRESSION [0780] In order to determine whether an anti-LRRC15-TGFβR2 inhibitor conjugate systemically delivered would be locally active, such a conjugate was evaluated by systemic delivery in an in vivo BxPC3 xenograft tumor model in mice. 20 First, however, immunohistochemistry was performed on BxPC3 tumors to confirm the presence and location of LRRC15 expressing cells. Briefly, eleven-week old Nude mice (Jackson Labs) were inoculated subcutaneously with about 2.0 x 106 BxPC3 cells (ATCC) in PBS/ Matrigel®. Once palpable, tumor dimensions were measured by calipers and volume calculated using the equation: Volume = (L x W x H x 0.5). When 25 tumors reached approximately 129 mm3, BxPC3 xenograft tumors were excised, immediately embedded in OCT compound, and frozen using liquid nitrogen. Frozen blocks were sectioned, thawed and mounted on capillary gap plus slides followed by fixation in ice cold acetone and 10% neutral buffered formalin. After blocking steps, the FITC-huM25 antibody was applied and visualized using secondary antibody,
458
streptavidin-horseradish peroxidase conjugate and a brown DAB chromogen substrate. Slides were counterstained in hematoxylin and differentiated in Bluing Reagent. [0781] As is evident from Figure 17, the dark grey shows LRRC15 positive staining in stromal, non-tumor cells. Therefore, this BxPC3 xenograft tumor model in 5 mice was used to test anti-LRRC15-TGFβR2 inhibitor conjugates systemically delivered. [0782] Briefly, ten (10) week old Nude mice (Jackson Labs) were inoculated subcutaneously with about 1.75 x 106 BxPC3 cells (ATCC), a human pancreatic cancer cell line, in PBS/Matrigel®. Once palpable, tumor dimensions were measured by 10 calipers and volume calculated using the equation: Volume = (L x W x H x 0.5). When tumors reached approximately 125 mm3 (Day 0), mice were dosed intravenously daily for four days with 20 mg/kg M25-mIgG2a-Compound 171 conjugate, M25-mIgG2a naked antibody, and an isotype control antibody. Eight hours after the final dose, tumors were excised, snap frozen in liquid nitrogen and stored at -80°C. RNA isolation 15 and quantitative RT-PCR was performed as described in Example 4, including the following primer/probe sets: IGFBP3 (Insulin Like Growth Factor Binding Protein 3), Col4a1 (alpha-1 subunit of collagen type IV), and CTGF (connective tissue growth factor, also known as CCN2) (Thermo Fisher Scientific). [0783] Expression of TGFβ-regulated fibroblast genes ELN, IGFBP3, Col4a1,20 and CTGF were significantly reduced in BxPC3 tumors treated with M25-mIgG2a- Compound 171 as compared to Naked M25-mIgG2a and isotype control antibody treated tumors (see Figure 18). Moreover, systemic delivery of the conjugate inhibited TGFβ fibroblast gene expression in tumors at comparable levels to tumors treated intratumorally. These results indicate that anti-LRRC15-TGFβR2 inhibitor conjugates 25 of this disclosure can be delivered systemically but have local activity. [0784] The various embodiments described above can be combined to provide further embodiments. All of the U.S. patents, U.S. patent application publications, U.S. patent applications, foreign patents, foreign patent applications and non-patent 30 publications referred to in this specification and/or listed in the Application Data Sheet, including U.S. Patent Application No.62/939,390, filed November 22, 2019, are
459
incorporated herein by reference, in their entirety. Aspects of the embodiments can be modified, if necessary to employ concepts of the various patents, applications and publications to provide yet further embodiments. [0785] These and other changes can be made to the embodiments in light of the 5 above-detailed description. In general, in the following claims, the terms used should not be construed to limit the claims to the specific embodiments disclosed in the specification and the claims, but should be construed to include all possible embodiments along with the full scope of equivalents to which such claims are entitled. Accordingly, the claims are not limited by the disclosure. 10
460
Claims
CLAIMS 1. A TGFβR2 inhibitor conjugate comprising: (1) an anti-LRRC15 antibody comprising: a) a heavy chain CDR1 (VH-CDR1) comprising the amino acid sequence of SEQ ID NO: 1, a VH-CDR2 comprising an amino acid sequence selected from SEQ ID NOs: 11-15, a VH-CDR3 comprising the amino acid sequence of SEQ ID NO: 32, a light chain CDR1 (VL-CDR1) comprising the amino acid sequence of SEQ ID NO: 46, a VL-CDR2 comprising the amino acid sequence of SEQ ID NO: 57, and a VL-CDR3 comprising the amino acid sequence of SEQ ID NO: 65; or b) a VH-CDR1 comprising the amino acid sequence of SEQ ID NO: 2, a VH-CDR2 comprising an amino acid sequence selected from SEQ ID NO: 16-18, a VH-CDR3 comprising the amino acid sequence of SEQ ID NO: 33, a light chain CDR1 (VL-CDR1) comprising the amino acid sequence of SEQ ID NO: 47 or 48, a VL-CDR2 comprising the amino acid sequence of SEQ ID NO: 58, and a VL-CDR3 comprising an amino acid sequence selected from SEQ ID NOs: 66-70; or c) a VH-CDR1 comprising the amino acid sequence of SEQ ID NO: 3, a VH-CDR2 comprising the amino acid sequence of SEQ ID NO: 19, a VH-CDR3 comprising the amino acid sequence of SEQ ID NO: 34 or 35, a light chain CDR1 (VL- CDR1) comprising the amino acid sequence of SEQ ID NO: 49, a VL-CDR2 comprising the amino acid sequence of SEQ ID NO: 59, and a VL-CDR3 comprising the amino acid sequence of SEQ ID NO: 71; or d) a VH-CDR1 comprising the amino acid sequence of SEQ ID NO: 4, a VH-CDR2 comprising the amino acid sequence of SEQ ID NO: 20-23, a VH- CDR3 comprising the amino acid sequence of SEQ ID NO: 36, a light chain CDR1 (VL-CDR1) comprising the amino acid sequence of SEQ ID NO: 50, a VL-CDR2 comprising the amino acid sequence of SEQ ID NO: 60, and a VL-CDR3 comprising the amino acid sequence of SEQ ID NO: 72; or e) a VH-CDR1 comprising the amino acid sequence of SEQ ID NO: 1, a VH-CDR2 comprising the amino acid sequence of SEQ ID NO: 24, a VH-CDR3
461
comprising the amino acid sequence of SEQ ID NO: 37, a light chain CDR1 (VL- CDR1) comprising the amino acid sequence of SEQ ID NO: 46, a VL-CDR2 comprising the amino acid sequence of SEQ ID NO: 57, and a VL-CDR3 comprising the amino acid sequence of SEQ ID NO: 65; or f) a VH-CDR1 comprising the amino acid sequence of SEQ ID NO: 2, a VH-CDR2 comprising the amino acid sequence of SEQ ID NO: 16, a VH-CDR3 comprising the amino acid sequence of SEQ ID NO: 42, a light chain CDR1 (VL- CDR1) comprising the amino acid sequence of SEQ ID NO: 47, a VL-CDR2 comprising the amino acid sequence of SEQ ID NO: 58, and a VL-CDR3 comprising the amino acid sequence of SEQ ID NO: 66; or g) a VH-CDR1 comprising the amino acid sequence of SEQ ID NO: 2; a VH-CDR2 comprising the amino acid sequence of SEQ ID NO: 26, a VH-CDR3 comprising the amino acid sequence of SEQ ID NO: 39, a light chain CDR1 (VL- CDR1) comprising the amino acid sequence of SEQ ID NO: 52, a VL-CDR2 comprising the amino acid sequence of SEQ ID NO: 61, and a VL-CDR3 comprising the amino acid sequence of SEQ ID NO: 74; or h) a VH-CDR1 comprising the amino acid sequence of SEQ ID NO: 5, a VH-CDR2 comprising the amino acid sequence of SEQ ID NO: 25, a VH-CDR3 comprising the amino acid sequence of SEQ ID NO: 38, a light chain CDR1 (VL- CDR1) comprising the amino acid sequence of SEQ ID NO: 51, a VL-CDR2 comprising the amino acid sequence of SEQ ID NO: 60, and a VL-CDR3 comprising the amino acid sequence of SEQ ID NO: 73; or i) a VH-CDR1 comprising the amino acid sequence of SEQ ID NO: 6, a VH-CDR2 comprising the amino acid sequence of SEQ ID NO: 27, a VH-CDR3 comprising the amino acid sequence of SEQ ID NO: 40, a light chain CDR1 (VL- CDR1) comprising the amino acid sequence of SEQ ID NO: 53, a VL-CDR2 comprising the amino acid sequence of SEQ ID NO: 62, and a VL-CDR3 comprising the amino acid sequence of SEQ ID NO: 75; or j) a VH-CDR1 comprising the amino acid sequence of SEQ ID NO: 7, a VH-CDR2 comprising the amino acid sequence of SEQ ID NO: 28, a VH-CDR3
462
comprising the amino acid sequence of SEQ ID NO: 41, a light chain CDR1 (VL- CDR1) comprising the amino acid sequence of SEQ ID NO: 53, a VL-CDR2 comprising the amino acid sequence of SEQ ID NO: 62, and a VL-CDR3 comprising the amino acid sequence of SEQ ID NO: 75; or k) a VH-CDR1 comprising the amino acid sequence of SEQ ID NO: 8, a VH-CDR2 comprising the amino acid sequence of SEQ ID NO: 29, a VH-CDR3 comprising the amino acid sequence of SEQ ID NO: 43, a light chain CDR1 (VL- CDR1) comprising the amino acid sequence of SEQ ID NO: 54, a VL-CDR2 comprising the amino acid sequence of SEQ ID NO: 62, and a VL-CDR3 comprising the amino acid sequence of SEQ ID NO: 76; or l) a VH-CDR1 comprising the amino acid sequence of SEQ ID NO: 9, a VH-CDR2 comprising the amino acid sequence of SEQ ID NO: 30, a VH-CDR3 comprising the amino acid sequence of SEQ ID NO: 44, a light chain CDR1 (VL- CDR1) comprising the amino acid sequence of SEQ ID NO: 55, a VL-CDR2 comprising the amino acid sequence of SEQ ID NO: 63, and a VL-CDR3 comprising the amino acid sequence of SEQ ID NO: 77; or m) a VH-CDR1 comprising the amino acid sequence of SEQ ID NO: 10, a VH-CDR2 comprising the amino acid sequence of SEQ ID NO: 31, a VH-CDR3 comprising the amino acid sequence of SEQ ID NO: 45, a light chain CDR1 (VL- CDR1) comprising the amino acid sequence of SEQ ID NO: 56, a VL-CDR2 comprising the amino acid sequence of SEQ ID NO: 64, and a VL-CDR3 comprising the amino acid sequence of SEQ ID NO: 78; or an antigen-binding fragment thereof; (2) a TGFβR2 inhibitor; and (3) a linker covalently attached to the TGFβR2 inhibitor and the antibody.
463
2. The TGFβR2 inhibitor conjugate of claim 1, wherein the conjugate is represented by Formula (I):
(I); wherein: A is the anti-LRRC15 antibody; L3 is the linker; Dx is the TGRβR2 inhibitor; n is selected from 1 to 20; and z is selected from 1 to 20. 3. The TGFβR2 inhibitor conjugate of claim 1 or claim 2, wherein the antibody is a humanized antibody. 4. The TGFβR2 inhibitor conjugate of any one of claims 1-3, wherein the antibody comprises: a) a heavy chain variable region (VH) comprising an amino acid sequence that is at least 90%, 91%, 92%, 93 %, 94%, 95%, 96%, 97%, 98%, or 99% identical to an amino acid sequence selected from SEQ ID NOs: 79 and 92-101, and a light chain variable region (VL) comprising an amino acid sequence that is at least 90%, 91%, 92%, 93 %, 94%, 95%, 96%, 97%, 98%, or 99% identical to an amino acid sequence selected from SEQ ID NOs: 122, 132, and 133; or b) a heavy chain variable region (VH) comprising an amino acid sequence that is at least 90%, 91%, 92%, 93 %, 94%, 95%, 96%, 97%, 98%, or 99% identical to an amino acid sequence selected from SEQ ID NOs: 80 and 102-107, and a light chain variable region (VL) comprising an amino acid sequence that is at least 90%, 91%, 92%, 93 %, 94%, 95%, 96%, 97%, 98%, or 99% identical to an amino acid sequence selected from SEQ ID NOs: 123 and 134-138; or
464
c) a heavy chain variable region (VH) comprising an amino acid sequence that is at least 90%, 91%, 92%, 93 %, 94%, 95%, 96%, 97%, 98%, or 99% identical to an amino acid sequence selected from SEQ ID NOs: 81 and 108-113, and a light chain variable region (VL) comprising an amino acid sequence that is at least 90%, 91%, 92%, 93 %, 94%, 95%, 96%, 97%, 98%, or 99% identical to an amino acid sequence selected from SEQ ID NOs: 124, 139, and 140; or d) a heavy chain variable region (VH) comprising an amino acid sequence that is at least 90%, 91%, 92%, 93 %, 94%, 95%, 96%, 97%, 98%, or 99% identical to an amino acid sequence selected from SEQ ID NOs: 82 and 114-121, and a light chain variable region (VL) comprising an amino acid sequence that is at least 90%, 91%, 92%, 93 %, 94%, 95%, 96%, 97%, 98%, or 99% identical to an amino acid sequence selected from SEQ ID NOs: 125, 141, and 142; or e) a heavy chain variable region (VH) comprising an amino acid sequence that is at least 90%, 91%, 92%, 93 %, 94%, 95%, 96%, 97%, 98%, or 99% identical to the amino acid sequence of SEQ ID NO: 83, and a light chain variable region (VL) comprising an amino acid sequence that is at least 90%, 91%, 92%, 93 %, 94%, 95%, 96%, 97%, 98%, or 99% identical to an amino acid sequence selected from SEQ ID NOs: 122, 132, and 133; or f) a heavy chain variable region (VH) comprising an amino acid sequence that is at least 90%, 91%, 92%, 93 %, 94%, 95%, 96%, 97%, 98%, or 99% identical to the amino acid sequence of SEQ ID NO: 88, and a light chain variable region (VL) comprising an amino acid sequence that is at least 90%, 91%, 92%, 93 %, 94%, 95%, 96%, 97%, 98%, or 99% identical to the amino acid sequence selected from SEQ ID NOs: 123 and 134; or g) a heavy chain variable region (VH) comprising an amino acid sequence that is at least 90%, 91%, 92%, 93 %, 94%, 95%, 96%, 97%, 98%, or 99% identical to the amino acid sequence of SEQ ID NO: 85, and a light chain variable region (VL) comprising an amino acid sequence that is at least 90%, 91%, 92%, 93 %, 94%, 95%, 96%, 97%, 98%, or 99% identical to the amino acid sequence of SEQ ID NO: 127; or
465
h) a heavy chain variable region (VH) comprising an amino acid sequence that is at least 90%, 91%, 92%, 93 %, 94%, 95%, 96%, 97%, 98%, or 99% identical to the amino acid sequence of SEQ ID NO: 84, and a light chain variable region (VL) comprising an amino acid sequence that is at least 90%, 91%, 92%, 93 %, 94%, 95%, 96%, 97%, 98%, or 99% identical to the amino acid sequence of SEQ ID NO: 126; or i) a heavy chain variable region (VH) comprising an amino acid sequence that is at least 90%, 91%, 92%, 93 %, 94%, 95%, 96%, 97%, 98%, or 99% identical to the amino acid sequence of SEQ ID NO: 86, and the light chain variable region (VL) comprising an amino acid sequence that is at least 90%, 91%, 92%, 93 %, 94%, 95%, 96%, 97%, 98%, or 99% identical to the amino acid sequence of SEQ ID NO: 128; or j) a heavy chain variable region (VH) comprising an amino acid sequence that is at least 90%, 91%, 92%, 93 %, 94%, 95%, 96%, 97%, 98%, or 99% identical to the amino acid sequence of SEQ ID NO: 87, and a light chain variable region (VL) comprising an amino acid sequence that is at least 90%, 91%, 92%, 93 %, 94%, 95%, 96%, 97%, 98%, or 99% identical to the amino acid sequence of SEQ ID NO: 128; or k) a heavy chain variable region (VH) comprising an amino acid sequence that is at least 90%, 91%, 92%, 93 %, 94%, 95%, 96%, 97%, 98%, or 99% identical to the amino acid sequence of SEQ ID NO: 89, and a light chain variable region (VL) comprising an amino acid sequence that is at least 90%, 91%, 92%, 93 %, 94%, 95%, 96%, 97%, 98%, or 99% identical to the amino acid sequence of SEQ ID NO: 129; or l) a heavy chain variable region (VH) comprising an amino acid sequence that is at least 90%, 91%, 92%, 93 %, 94%, 95%, 96%, 97%, 98%, or 99% identical to the amino acid sequence of SEQ ID NO: 90, and a light chain variable region (VL) comprising an amino acid sequence that is at least 90%, 91%, 92%, 93 %, 94%, 95%, 96%, 97%, 98%, or 99% identical to the amino acid sequence of SEQ ID NO: 130; or m) a heavy chain variable region (VH) comprising an amino acid sequence that is at least 90%, 91%, 92%, 93 %, 94%, 95%, 96%, 97%, 98%, or 99% identical to the amino acid sequence of SEQ ID NO: 91, and a light chain variable region (VL) comprising an amino acid sequence that is at least 90%, 91%, 92%, 93 %, 94%, 95%, 96%, 97%, 98%, or 99% identical to the amino acid sequence of SEQ ID NO: 131.
466
5. The TGFβR2 inhibitor conjugate of any one of claims 1-4, wherein the antibody comprises: a) a heavy chain variable region (VH) comprising an amino acid sequence selected from SEQ ID NOs: 79 and 92-101, and a light chain variable region (VL) comprising an amino acid sequence selected from SEQ ID NOs: 122, 132, and 133; or b) a heavy chain variable region (VH) comprising an amino acid sequence selected from SEQ ID NOs: 80 and 102-107, and a light chain variable region (VL) comprising an amino acid sequence selected from SEQ ID NOs: 123 and 134-138; or c) a heavy chain variable region (VH) comprising an amino acid sequence selected from SEQ ID NOs: 81 and 108-113, and a light chain variable region (VL) comprising an amino acid sequence selected from SEQ ID NOs: 124, 139, and 140; or d) a heavy chain variable region (VH) comprising an amino acid sequence selected from SEQ ID NOs: 82 and 114-121, and a light chain variable region (VL) comprising an amino acid sequence selected from SEQ ID NOs: 125, 141, and 142; or e) a heavy chain variable region (VH) comprising the amino acid sequence of SEQ ID NO: 83, and a light chain variable region (VL) comprising an amino acid sequence selected from SEQ ID NOs: 122, 132, and 133; or f) a heavy chain variable region (VH) comprising the amino acid of SEQ ID NO: 88, and a light chain variable region (VL) comprising the amino acid sequence selected from SEQ ID NOs: 123 and 134; or g) a heavy chain variable region (VH) comprising the amino acid sequence of SEQ ID NO: 85, and a light chain variable region (VL) comprising the amino acid sequence of SEQ ID NO: 127; or h) a heavy chain variable region (VH) comprising the amino acid sequence of SEQ ID NO: 84, and a light chain variable region (VL) comprising the amino acid sequence of SEQ ID NO: 126; or i) a heavy chain variable region (VH) comprising the amino acid sequence of SEQ ID NO: 86, and the light chain variable region (VL) comprising the amino acid sequence of SEQ ID NO: 128; or
467
j) a heavy chain variable region (VH) comprising the amino acid sequence of SEQ ID NO: 87, and a light chain variable region (VL) comprising the amino acid sequence of SEQ ID NO: 128; or k) a heavy chain variable region (VH) comprising the amino acid sequence of SEQ ID NO: 89, and a light chain variable region (VL) comprising the amino acid sequence of SEQ ID NO: 129; or l) a heavy chain variable region (VH) comprising the amino acid sequence of SEQ ID NO: 90, and a light chain variable region (VL) comprising the amino acid sequence of SEQ ID NO: 130; or m) a heavy chain variable region (VH) comprising the amino acid sequence of SEQ ID NO: 91, and a light chain variable region (VL) comprising the amino acid sequence of SEQ ID NO: 131. 6. The TGFβR2 inhibitor conjugate of any one of claims 1-5, wherein the antibody comprises a human IgG1, human IgG2, human IgG3, or human IgG4 constant region. 7. The TGFβR2 inhibitor conjugate of any one of claims 1-6, wherein the antibody comprises a human IgG1 constant region comprising L117A, L118A, G120A, and/or K205A substitutions. 8. The TGFβR2 inhibitor conjugate of any one of claims 1-7, wherein the antibody comprises: a) a heavy chain comprising an amino acid sequence that is at least 90%, 91%, 92%, 93%, 94%, 95%, 96%, 97%, 98%, or 99% identical to an amino acid sequence selected from SEQ ID NOs: 146, 159-168, 189, and 202-211, and a light chain comprising an amino acid sequence that is at least 90%, 91%, 92%, 93%, 94%, 95%, 96%, 97%, 98%, or 99% identical to an amino acid sequence selected from SEQ ID NOs: 232, 242, and 243; or
468
b) a heavy chain comprising an amino acid sequence that is at least 90%, 91%, 92%, 93%, 94%, 95%, 96%, 97%, 98%, or 99% identical to an amino acid sequence selected from SEQ ID NOs: 147, 169-174, 190, and 212-217, and a light chain comprising an amino acid sequence that is at least 90%, 91%, 92%, 93%, 94%, 95%, 96%, 97%, 98%, or 99% identical to an amino acid sequence selected from SEQ ID NOs: 233 and 244-248; or c) a heavy chain comprising an amino acid sequence that is at least 90%, 91%, 92%, 93%, 94%, 95%, 96%, 97%, 98%, or 99% identical to an amino acid sequence selected from SEQ ID NOs: 148, 175-180, 191, and 218-223, and a light chain comprising an amino acid sequence that is at least 90%, 91%, 92%, 93%, 94%, 95%, 96%, 97%, 98%, or 99% identical to an amino acid sequence selected from SEQ ID NOs: 234, 249, and 250; or d) a heavy chain comprising an amino acid sequence that is at least 90%, 91%, 92%, 93%, 94%, 95%, 96%, 97%, 98%, or 99% identical to an amino acid sequence selected from SEQ ID NOs: 149, 181-188, 192, and 224-231, and a light chain comprising an amino acid sequence that is at least 90%, 91%, 92%, 93%, 94%, 95%, 96%, 97%, 98%, or 99% identical to an amino acid sequence selected from SEQ ID NOs: 235, 251, and 252; or e) a heavy chain comprising an amino acid sequence that is at least 90%, 91%, 92%, 93%, 94%, 95%, 96%, 97%, 98%, or 99% identical to an amino acid sequence selected from SEQ ID NOs: 150 and 193, and a light chain comprising an amino acid sequence that is at least 90%, 91%, 92%, 93%, 94%, 95%, 96%, 97%, 98%, or 99% identical to an amino acid sequence selected from SEQ ID NOs: 232, 242, and 243; or f) a heavy chain comprising an amino acid sequence that is at least 90%, 91%, 92%, 93%, 94%, 95%, 96%, 97%, 98%, or 99% identical to an amino acid sequence selected from SEQ ID NOs: 155 and 198, and a light chain comprising an amino acid sequence that is at least 90%, 91%, 92%, 93%, 94%, 95%, 96%, 97%, 98%, or 99% identical to the amino acid sequence selected from SEQ ID NOs: 233, and 244- 247; or
469
g) a heavy chain comprising an amino acid sequence that is at least 90%, 91%, 92%, 93%, 94%, 95%, 96%, 97%, 98%, or 99% identical to an amino acid sequence selected from SEQ ID NOs: 152 and 195, and a light chain comprising an amino acid sequence that is at least 90%, 91%, 92%, 93%, 94%, 95%, 96%, 97%, 98%, or 99% identical to the amino acid sequence of SEQ ID NO: 237; or h) a heavy chain comprising an amino acid sequence that is at least 90%, 91%, 92%, 93%, 94%, 95%, 96%, 97%, 98%, or 99% identical to an amino acid sequence selected from SEQ ID NOs: 151 and 194, and a light chain comprising an amino acid sequence that is at least 90%, 91%, 92%, 93%, 94%, 95%, 96%, 97%, 98%, or 99% identical to the amino acid sequence of SEQ ID NO: 236; or i) a heavy chain comprising an amino acid sequence that is at least 90%, 91%, 92%, 93%, 94%, 95%, 96%, 97%, 98%, or 99% identical to an amino acid sequence selected from SEQ ID NOs: 153 and 196, and a light chain comprising an amino acid sequence that is at least 90%, 91%, 92%, 93%, 94%, 95%, 96%, 97%, 98%, or 99% identical to the amino acid sequence of SEQ ID NO: 238; or j) a heavy chain comprising an amino acid sequence that is at least 90%, 91%, 92%, 93%, 94%, 95%, 96%, 97%, 98%, or 99% identical to an amino acid sequence selected from SEQ ID NOs: 154 and 197, and a light chain comprising an amino acid sequence that is at least 90%, 91%, 92%, 93%, 94%, 95%, 96%, 97%, 98%, or 99% identical to the amino acid sequence of SEQ ID NO: 238; or k) a heavy chain comprising an amino acid sequence that is at least 90%, 91%, 92%, 93%, 94%, 95%, 96%, 97%, 98%, or 99% identical to an amino acid sequence selected from SEQ ID NOs: 156 and 199, and a light chain comprising an amino acid sequence that is at least 90%, 91%, 92%, 93%, 94%, 95%, 96%, 97%, 98%, or 99% identical to the amino acid sequence of SEQ ID NO: 239; or l) a heavy chain comprising an amino acid sequence that is at least 90%, 91%, 92%, 93%, 94%, 95%, 96%, 97%, 98%, or 99% identical to an amino acid sequence selected from SEQ ID NOs: 157 and 200, and a light chain comprising an amino acid sequence that is at least 90%, 91%, 92%, 93%, 94%, 95%, 96%, 97%, 98%, or 99% identical to the amino acid sequence of SEQ ID NO: 240; or
470
m) a heavy chain comprising an amino acid sequence that is at least 90%, 91%, 92%, 93%, 94%, 95%, 96%, 97%, 98%, or 99% identical to an amino acid sequence selected from SEQ ID NOs: 158 and 201, and a light chain comprising an amino acid sequence that is at least 90%, 91%, 92%, 93%, 94%, 95%, 96%, 97%, 98%, or 99% identical to the amino acid sequence of SEQ ID NO: 241. 9. The TGFβR2 inhibitor conjugate of any one of claims 1-8, wherein the antibody comprises: a) a heavy chain comprising an amino acid sequence selected from SEQ ID NOs: 146, 159-168, 189, and 202-211, and a light chain comprising an amino acid sequence selected from SEQ ID NOs: 232, 242, and 243; or b) a heavy chain comprising an amino acid sequence selected from SEQ ID NOs: 147, 169-174, 190, and 212-217, and a light chain comprising an amino acid sequence selected from SEQ ID NOs: 233 and 244-248; or c) a heavy chain comprising an amino acid sequence selected from SEQ ID NOs: 148, 175-180, 191, and 218-223, and a light chain comprising an amino acid sequence selected from SEQ ID NOs: 234, 249, and 250; or d) a heavy chain comprising an amino acid sequence selected from SEQ ID NOs: 149, 181-188, 192, and 224-231, and a light chain comprising an amino acid sequence selected from SEQ ID NOs: 235, 251, and 252; or e) a heavy chain comprising an amino acid sequence selected from SEQ ID NOs: 150 and 193, and a light chain comprising an amino acid sequence selected from SEQ ID NOs: 232, 242, and 243; or f) a heavy chain comprising an amino acid sequence selected from SEQ ID NOs: 155 and 198, and a light chain comprising the amino acid sequence selected from SEQ ID NOs: 233, and 244-247; or g) a heavy chain comprising an amino acid sequence selected from SEQ ID NOs: 152 and 195, and a light chain comprising the amino acid sequence of SEQ ID NO: 237; or
471
h) a heavy chain comprising an amino acid sequence selected from SEQ ID NOs: 151 and 194, and a light chain comprising the amino acid sequence of SEQ ID NO: 236; or i) a heavy chain comprising an amino acid sequence selected from SEQ ID NOs: 153 and 196, and a light chain comprising the amino acid sequence of SEQ ID NO: 238; or j) a heavy chain comprising an amino acid sequence selected from SEQ ID NOs: 154 and 197, and a light chain comprising the amino acid sequence of SEQ ID NO: 238; or k) a heavy chain comprising an amino acid sequence selected from SEQ ID NOs: 156 and 199, and a light chain comprising the amino acid sequence of SEQ ID NO: 239; or l) a heavy chain comprising an amino acid sequence selected from SEQ ID NOs: 157 and 200, and a light chain comprising the amino acid sequence of SEQ ID NO: 240; or m) a heavy chain comprising an amino acid sequence selected from SEQ ID NOs: 158 and 201, and a light chain comprising the amino acid sequence of SEQ ID NO: 241. 10. The TGFβR2 inhibitor conjugate of any one of claims 1-9, wherein the antibody comprises: a heavy chain comprising an amino acid sequence of SEQ ID NO: 161, and a light chain comprising an amino acid sequence of SEQ ID NO: 242. 11. The TGFβR2 inhibitor conjugate of any one of claims 1-9, wherein the antibody comprises: a heavy chain comprising an amino acid sequence of SEQ ID NO: 204, and a light chain comprising an amino acid sequence of SEQ ID NO: 242. 12. The TGFβR2 inhibitor conjugate of any one of claims 1-9, wherein the antibody comprises: a heavy chain comprising an amino acid sequence of SEQ ID NO: 168, and a light chain comprising an amino acid sequence of SEQ ID NO: 242.
472
13. The TGFβR2 inhibitor conjugate of any one of claims 1-9, wherein the antibody comprises: a heavy chain comprising an amino acid sequence of SEQ ID NO: 211, and a light chain comprising an amino acid sequence of SEQ ID NO: 242. 14. The TGFβR2 inhibitor conjugate of any one of claims 1-9, wherein the antibody comprises: a heavy chain comprising an amino acid sequence of SEQ ID NO: 170, and a light chain comprising an amino acid sequence of SEQ ID NO: 244. 15. The TGFβR2 inhibitor conjugate of any one of claims 1-9, wherein the antibody comprises: a heavy chain comprising an amino acid sequence of SEQ ID NO: 213, and a light chain comprising an amino acid sequence of SEQ ID NO: 244. 16. The TGFβR2 inhibitor conjugate of any one of claims 1-9, wherein the antibody comprises: a heavy chain comprising an amino acid sequence of SEQ ID NO: 173, and a light chain comprising an amino acid sequence of SEQ ID NO: 247. 17. The TGFβR2 inhibitor conjugate of any one of claims 1-9, wherein the antibody comprises: a heavy chain comprising an amino acid sequence of SEQ ID NO: 216, and a light chain comprising an amino acid sequence of SEQ ID NO: 247. 18. The TGFβR2 inhibitor conjugate of any one of claims 1-9, wherein the antibody comprises: a heavy chain comprising an amino acid sequence of SEQ ID NO: 175, and a light chain comprising an amino acid sequence of SEQ ID NO: 249. 19. The TGFβR2 inhibitor conjugate of any one of claims 1-9, wherein the antibody comprises: a heavy chain comprising an amino acid sequence of SEQ ID NO: 218, and a light chain comprising an amino acid sequence of SEQ ID NO: 249.
473
20. The TGFβR2 inhibitor conjugate of any one of claims 1-9, wherein the antibody comprises: a heavy chain comprising an amino acid sequence of SEQ ID NO: 180, and a light chain comprising an amino acid sequence of SEQ ID NO: 249. 21. The TGFβR2 inhibitor conjugate of any one of claims 1-9, wherein the antibody comprises: a heavy chain comprising an amino acid sequence of SEQ ID NO: 223, and a light chain comprising an amino acid sequence of SEQ ID NO: 249. 22. The TGFβR2 inhibitor conjugate of any one of claims 1-9, wherein the antibody comprises: a heavy chain comprising an amino acid sequence of SEQ ID NO: 181, and a light chain comprising an amino acid sequence of SEQ ID NO: 251. 23. The TGFβR2 inhibitor conjugate of any one of claims 1-9, wherein the antibody comprises: a heavy chain comprising an amino acid sequence of SEQ ID NO: 224, and a light chain comprising an amino acid sequence of SEQ ID NO: 251. 24. The TGFβR2 inhibitor conjugate of any one of claims 1-23, wherein the TGFβR2 inhibitor is a compound of Formula (IA):
Formula (IA) or a pharmaceutically acceptable salt thereof, wherein: Ring A is unsubstituted or substituted cycloalkyl, unsubstituted or substituted heterocycloalkyl, unsubstituted or substituted aryl, or unsubstituted or substituted heteroaryl, wherein when Ring A is substituted, substituents on Ring A are independently selected at each occurrence from R4; each R4 is selected from RL and R20, or two R4 on adjacent atoms are taken together with the atoms to which they are attached to form an unsubstituted or
474
substituted monocyclic carbocycle or unsubstituted or substituted monocyclic heterocycle;
each Y is independently unsubstituted or substituted C1-C6alkylene; wherein when Y is substituted, substituents on Y are independently selected at each occurrence from R5; each R5 is selected from R20, or two R5 on adjacent atoms are taken together with the atoms to which they are attached to form an unsubstituted or substituted monocyclic carbocycle, or unsubstituted or substituted monocyclic heterocycle; each Z is independently -NR6S(=O)2-, -S(=O)2NR6-, -OC(=O)-, -C(=O)O-, -C(=O)NR6-, or -NR6C(=O)-; wherein each R6 is independently selected from hydrogen, unsubstituted or substituted C1-C6alkyl, unsubstituted or substituted carbocycle, and unsubstituted or substituted heterocycle, or an R5 and an R6 on adjacent atoms are taken together with the atoms to which they are attached to form an unsubstituted or substituted monocyclic heterocycle; L is unsubstituted or substituted C1-C6alkyl, unsubstituted or substituted C2- C6alkenyl, unsubstituted or substituted C2-C6alkynyl, unsubstituted or substituted carbocycle, unsubstituted or substituted heterocycle, unsubstituted or substituted -C1- C6alkylene-carbocycle, or unsubstituted or substituted -C1-C6alkylene-heterocycle; wherein when L is substituted, substituents on L are independently selected at each occurrence from R7; each R7 is selected from -SSR50 and R20; s is 1-10; R1 is selected from hydrogen and R20; each R2 is independently selected from R20, or two R2 on adjacent atoms are taken together with the atoms to which they are attached to form an unsubstituted or substituted monocyclic carbocycle or unsubstituted or substituted monocyclic heterocycle; m is 0-3; R3 is selected from (i), (ii), (iii), and (iv):
475
(i) unsubstituted or substituted aryl, or unsubstituted or substituted heteroaryl; wherein when R3 is substituted, substituents on R3 are independently selected at each occurrence from R10; (ii) unsubstituted or substituted cycloalkyl, or unsubstituted or substituted heterocycloalkyl; wherein when R3 is substituted, substituents on R3 are independently selected at each occurrence from R11; (iii) unsubstituted or substituted polycyclic heterocycloalkyl, unsubstituted or substituted 3- to 5-membered monocyclic heterocycloalkyl, unsubstituted or substituted 6- to 8- membered monocyclic heterocycloalkyl comprising 1 or 2 N atoms and 1 or 2 other heteroatoms selected from O or S; wherein when R3 is substituted, substituents on R3 are independently selected at each occurrence from R11; and
wherein when R3 is at the 2-, 5-, or 6-position of the pyridine, R3 is selected from (i), (ii), and (iv), and when R3 is at the 4-position of the pyridine, R3 is selected from (i), (iii), and (iv); and each R10 is selected from R20, or two R10 on adjacent atoms are taken together with the atoms to which they are attached to form an unsubstituted or substituted monocyclic carbocycle or unsubstituted or substituted monocyclic heterocycle; each R11 is selected from =O, =S, and R20; R12 is hydrogen, unsubstituted or substituted C1-C6alkyl, unsubstituted or substituted C1-C6alkenyl, unsubstituted or substituted C1-C6alkynyl, unsubstituted or substituted carbocycle, unsubstituted or substituted heterocycle, unsubstituted or substituted -C1-C6alkylene-carbocycle, or unsubstituted or substituted -C1-C6alkylene- heterocycle; Q is -OR13, -NR13R13, -SR13, -CN, -C(=O)R14, -C(=O)NR13R13, -S(=O)R14, or -S(=O)2R14, or -S(=O)2NR13R13; R13 is hydrogen, unsubstituted or substituted C1-C6alkyl, unsubstituted or substituted C1-C6alkenyl, unsubstituted or substituted C1-C6alkynyl, unsubstituted or
476
substituted carbocycle, unsubstituted or substituted heterocycle, unsubstituted or substituted -C1-C6alkylene-carbocycle, or unsubstituted or substituted -C1-C6alkylene- heterocycle; R14 is unsubstituted or substituted C1-C6alkyl, unsubstituted or substituted C1- C6alkenyl, unsubstituted or substituted C1-C6alkynyl, unsubstituted or substituted carbocycle, unsubstituted or substituted heterocycle, unsubstituted or substituted -C1- C6alkylene-carbocycle, or unsubstituted or substituted -C1-C6alkylene-heterocycle; each U1 is -(CR15R16)-, wherein each R15 and R16 are independently selected from hydrogen and R20; r is 1-5; each R20 is independently halogen, -CN, -OH, -OR50, -SH, -SR50, -NO2, -NR51R51, -S(=O)2R50, -NR51S(=O)2R50, -S(=O)R50, -S(=O)2NR51R51, -C(=O)R50, -OC(=O)R50, -C(=O)OR51, -OC(=O)OR51, -C(=O)NR51R51, -OC(=O)NR51R51, -NR51C(=O)NR51R51, -NR51C(=O)R50, -NR51C(=O)OR51, unsubstituted or substituted C1-C6alkyl, unsubstituted or substituted C2-C6alkenyl, unsubstituted or substituted C2- C6alkynyl, unsubstituted or substituted carbocycle, unsubstituted or substituted heterocycle, unsubstituted or substituted -C1-C6alkylene-carbocycle, or unsubstituted or substituted -C1-C6alkylene-heterocycle; each R50 is independently selected from unsubstituted or substituted C1-C6alkyl, unsubstituted or substituted carbocycle, unsubstituted or substituted heterocycle, unsubstituted or substituted -C1-C6alkylene-carbocycle, and unsubstituted or substituted -C1-C6alkylene-heterocycle; each R51 is independently selected from hydrogen, unsubstituted or substituted C1-C6alkyl, unsubstituted or substituted carbocycle, unsubstituted or substituted heterocycle, unsubstituted or substituted -C1-C6alkylene-carbocycle, and unsubstituted or substituted -C1-C6alkylene-heterocycle; or two R51 on the same N atom are taken together with the N atom to which they are attached to form an unsubstituted or substituted N-containing heterocycle; wherein when any of R2, R4, R5, R6, R10, R12, R13, R14, R20, R50, and R51 are substituted, substituents on the R2, R4, R5, R6, R10, R12, R13, R14, R20, R50, and R51 are
477
independently selected at each occurrence from halogen, -CN, -NO2, -OR52, -CO2R52, -C(=O)R53, -C(=O)NR52R52, -NR52R52, -NR52C(=O)R53, -NR52C(=O)OR52 , -SR52, -S(=O)R53, -SO2R53, -SO2NR52R52, unsubstituted or substituted C1-C6alkyl, C1- C6haloalkyl, unsubstituted or substituted monocyclic carbocycle, unsubstituted or substituted monocyclic heterocycle, or two substituents on the same carbon atom are taken together to form a C=O or C=S and wherein substituents on said C1-C6alkyl are independently selected from R54 and substituents on said carbocyle and heterocycle are independently selected from R55; each R52 is independently selected from hydrogen, C1-C6alkyl, C3-C6cycloalkyl, phenyl, benzyl, 5-membered heteroaryl, and 6-membered heteroaryl; or two R52 groups are taken together with the N atom to which they are attached to form a N-containing heterocycle; and each R53 is independently selected from C1-C6alkyl, C3-C6cycloalkyl, phenyl, benzyl, 5-membered heteroaryl, and 6-membered heteroaryl; each R54 is independently selected from -OR52, -CO2R52, -C(=O)R53, -C(=O)NR52R52, -NR52R52, -NR52C(=O)R53, -NR52C(=O)OR52, and phenyl; each R55 is independently selected from -OR52, -CO2R52, -C(=O)R53, -C(=O)NR52R52, -NR52R52, -NR52C(=O)R53, -NR52C(=O)OR52, and unsubstituted or substituted C1-C6alkyl wherein substituents on said C1-C6alkyl are independently selected from R54. 25. The TGFβR2 inhibitor conjugate of any one of claims 1-23, wherein the TGFβR2 inhibitor is a compound of Formula (IA’):
Formula (IA’) or a pharmaceutically acceptable salt thereof, wherein:
478
Ring A is unsubstituted or substituted cycloalkyl, unsubstituted or substituted heterocycloalkyl, unsubstituted or substituted aryl, or unsubstituted or substituted heteroaryl, wherein when Ring A is substituted, substituents on Ring A are independently selected at each occurrence from R4; each R4 is selected from RL and R20, or two R4 on adjacent atoms are taken together with the atoms to which they are attached to form an unsubstituted or substituted monocyclic carbocycle or unsubstituted or substituted monocyclic heterocycle;
each Y is independently unsubstituted or substituted C1-C6alkylene; wherein when Y is substituted, substituents on Y are independently selected at each occurrence from R5; each R5 is selected from R20, or two R5 on adjacent atoms are taken together with the atoms to which they are attached to form an unsubstituted or substituted monocyclic carbocycle, or unsubstituted or substituted monocyclic heterocycle; each Z is independently -NR6S(=O)2-, -S(=O)2NR6-, -OC(=O)-, -C(=O)O-, -C(=O)NR6-, or -NR6C(=O)-; wherein each R6 is independently selected from hydrogen, unsubstituted or substituted C1-C6alkyl, unsubstituted or substituted carbocycle, and unsubstituted or substituted heterocycle, or an R5 and an R6 on adjacent atoms are taken together with the atoms to which they are attached to form an unsubstituted or substituted monocyclic heterocycle; L is unsubstituted or substituted C1-C6alkyl, unsubstituted or substituted C2- C6alkenyl, unsubstituted or substituted C2-C6alkynyl, unsubstituted or substituted carbocycle, unsubstituted or substituted heterocycle, unsubstituted or substituted -C1- C6alkylene-carbocycle, or unsubstituted or substituted -C1-C6alkylene-heterocycle; wherein when L is substituted, substituents on L are independently selected at each occurrence from R7; each R7 is selected from -SSR50 and R20; s is 1-10; R1 is selected from hydrogen and R20;
479
each R2 is independently selected from R20, or two R2 on adjacent atoms are taken together with the atoms to which they are attached to form an unsubstituted or substituted monocyclic carbocycle or unsubstituted or substituted monocyclic heterocycle; m is 0-3; R3 is selected from (i), (ii), (iii), and (iv): (i) unsubstituted or substituted aryl, or unsubstituted or substituted heteroaryl; wherein when R3 is substituted, substituents on R3 are independently selected at each occurrence from R10; (ii) unsubstituted or substituted cycloalkyl, or unsubstituted or substituted heterocycloalkyl; wherein when R3 is substituted, substituents on R3 are independently selected at each occurrence from R11; (iii) unsubstituted or substituted polycyclic heterocycloalkyl, unsubstituted or substituted 3- to 5-membered monocyclic heterocycloalkyl, unsubstituted or substituted 6- to 8- membered monocyclic heterocycloalkyl comprising 1 or 2 N atoms and 1 or 2 other heteroatoms selected from O or S; wherein when R3 is substituted, substituents on R3 are independently selected at each occurrence from R11; and
wherein when R3 is at the 2-, 5-, or 6-position of the pyridine, R3 is selected from (i), (ii), and (iv), and when R3 is at the 4-position of the pyridine, R3 is selected from (i), (iii), and (iv); and each R10 is selected from R20, or two R10 on adjacent atoms are taken together with the atoms to which they are attached to form an unsubstituted or substituted monocyclic carbocycle or unsubstituted or substituted monocyclic heterocycle; each R11 is selected from =O, =S, and R20; R12 is hydrogen, unsubstituted or substituted C1-C6alkyl, unsubstituted or substituted C1-C6alkenyl, unsubstituted or substituted C1-C6alkynyl, unsubstituted or substituted carbocycle, unsubstituted or substituted heterocycle, unsubstituted or
480
substituted -C1-C6alkylene-carbocycle, or unsubstituted or substituted -C1-C6alkylene- heterocycle; Q is -OR13, -NR13R13, -SR13, -CN, -C(=O)R14, -C(=O)NR13R13, -S(=O)R14, or -S(=O)2R14, or -S(=O)2NR13R13; R13 is hydrogen, unsubstituted or substituted C1-C6alkyl, unsubstituted or substituted C1-C6alkenyl, unsubstituted or substituted C1-C6alkynyl, unsubstituted or substituted carbocycle, unsubstituted or substituted heterocycle, unsubstituted or substituted -C1-C6alkylene-carbocycle, or unsubstituted or substituted -C1-C6alkylene- heterocycle; R14 is unsubstituted or substituted C1-C6alkyl, unsubstituted or substituted C1- C6alkenyl, unsubstituted or substituted C1-C6alkynyl, unsubstituted or substituted carbocycle, unsubstituted or substituted heterocycle, unsubstituted or substituted -C1- C6alkylene-carbocycle, or unsubstituted or substituted -C1-C6alkylene-heterocycle; each U1 is -(CR15R16)-, wherein each R15 and R16 are independently selected from hydrogen and R20; r is 1-5; each R20 is independently halogen, -CN, -OH, -OR50, -SH, -SR50, -NO2, -NR51R51, -S(=O)2R50, -NR51S(=O)2R50, -S(=O)R50, -S(=O)2NR51R51, -C(=O)R50, -OC(=O)R50, -C(=O)OR51, -OC(=O)OR51, -C(=O)NR51R51, -OC(=O)NR51R51, -NR51C(=O)NR51R51, -NR51C(=O)R50, -NR51C(=O)OR51, unsubstituted or substituted C1-C6alkyl, unsubstituted or substituted C2-C6alkenyl, unsubstituted or substituted C2- C6alkynyl, unsubstituted or substituted carbocycle, unsubstituted or substituted heterocycle, unsubstituted or substituted -C1-C6alkylene-carbocycle, or unsubstituted or substituted -C1-C6alkylene-heterocycle; each R50 is independently selected from unsubstituted or substituted C1-C6alkyl, unsubstituted or substituted C1-C6alkenyl, unsubstituted or substituted C1-C6alkynyl, unsubstituted or substituted carbocycle, unsubstituted or substituted heterocycle, unsubstituted or substituted -C1-C6alkylene-carbocycle, and unsubstituted or substituted -C1-C6alkylene-heterocycle;
481
each R51 is independently selected from hydrogen, unsubstituted or substituted C1-C6alkyl, unsubstituted or substituted C1-C6alkenyl, unsubstituted or substituted C1- C6alkynyl, unsubstituted or substituted carbocycle, unsubstituted or substituted heterocycle, unsubstituted or substituted -C1-C6alkylene-carbocycle, and unsubstituted or substituted -C1-C6alkylene-heterocycle; or two R51 on the same N atom are taken together with the N atom to which they are attached to form an unsubstituted or substituted N-containing heterocycle; wherein when any of R2, R4, R5, R6, R10, R12, R13, R14, R20, R50, and R51 are substituted, substituents on the R2, R4, R5, R6, R10, R12, R13, R14, R20, R50, and R51 are independently selected at each occurrence from halogen, -CN, -NO2, -OR52, -CO2R52, -C(=O)R53, -C(=O)NR52R52, -NR52R52, -NR52C(=O)R53, -NR52C(=O)OR52 , -SR52, -S(=O)R53, -SO2R53, -SO2NR52R52, C1-C6alkyl, C1-C6haloalkyl, monocyclic carbocycle, and monocyclic heterocycle; or two substituents on the same carbon atom are taken together to form a C=O or C=S; each R52 is independently selected from hydrogen, C1-C6alkyl, C3-C6cycloalkyl, phenyl, benzyl, 5-membered heteroaryl, and 6-membered heteroaryl; or two R52 groups are taken together with the N atom to which they are attached to form a N-containing heterocycle; and each R53 is independently selected from C1-C6alkyl, C3-C6cycloalkyl, phenyl, benzyl, 5-membered heteroaryl, and 6-membered heteroaryl. 26. The TGFβR2 inhibitor conjugate of claim 24 or claim 25, wherein the compound of Formula (IA) or Formula (IA’) is a compound of Formula (IIA):
Formula (IIA) wherein: ring B is aryl or heteroaryl; and
482
n is 0-5. 27. The TGFβR2 inhibitor conjugate of any one of claims 24-26, wherein the compound of Formula (IA), Formula (IA’), or Formula (II) is a compound of Formula (IA-A), Formula (IA-B), Formula (IA-C) or Formula (IA-D):
28. The TGFβR2 inhibitor conjugate of any one of claims 24-26, wherein the compound of Formula (IA), Formula (IA’), or Formula (II) is a compound of Formula (IIA-A), Formula (IIA-B), Formula (IIA-C), or Formula (IIA-D):
483
29. The TGFβR2 inhibitor conjugate of any one of claims 1-23, wherein the TGFβR2 inhibitor is a compound of Formula (IA-E):
(IA-E); or a salt thereof, wherein: each of R40, R41, R42, R43 and R44 are independently selected from hydrogen, RL and R20; or two of R40, R41, R42, R43 and R44 on adjacent atoms are taken together with the atoms to which they are attached to form an unsubstituted or substituted monocyclic carbocycle or unsubstituted or substituted monocyclic heterocycle wherein when said monocyclic carbocycle or said monocyclic heterocycle are substituted, substituents are independently selected at each occurrence from halogen, -CN, -NO2, -OR52, -CO2R52, -C(=O)R53, -C(=O)NR52R52, -NR52R52, -NR52C(=O)R53, -NR52C(=O)OR52 , -SR52, -S(=O)R53, -SO2R53, -SO2NR52R52, C1-C6alkyl, C1-C6haloalkyl, aminoC1-C6alkyl-, Boc- aminoC1-C6alkyl-, Cbz-aminoC1-C6alkyl-, monocyclic carbocycle, and monocyclic heterocycle; or two substituents on the same carbon atom are taken together to form =O or =S; each R52 is independently selected from hydrogen, C1-C6alkyl, C3-C6cycloalkyl, phenyl, benzyl, 5-membered heteroaryl, and 6-membered heteroaryl; or two R52 groups are taken together with the N atom to which they are attached to form a N-containing heterocycle; and each R53 is independently selected from C1-C6alkyl, C3-C6cycloalkyl, phenyl, benzyl, 5-membered heteroaryl, and 6-membered heteroaryl. 30. The TGFβR2 inhibitor conjugate of any one of claims 1-23, wherein the TGFβR2 inhibitor is selected from the compounds in Table 14 and pharmaceutically acceptable salts of the compounds in Table 14.
484
31. The TGFβR2 inhibitor conjugate of any one of the preceding claims, wherein the TGFβR2 inhibitor is not:
or a salt of any one thereof. 32. The TGFβR2 inhibitor conjugate of any one of claims 1-23, wherein the TGFβR2 inhibitor is a compound of Formula (IB):
Formula (IB), or a pharmaceutically acceptable salt thereof, wherein: A, B, and D are each independently selected from N and C(R1);
485
each R1 is independently selected from hydrogen, halogen, cyano, -OH, -OR50, -NR51R51, unsubstituted or substituted -C1-C6alkyl, unsubstituted or substituted cycloalkyl, and unsubstituted or substituted heterocycloalkyl; each R3 is independently selected from R20, RL, and -O-RL; n is 0, 1, or 2; R4 is selected from hydrogen, R20, RL, and -O-RL; R5 is selected from hydrogen, R20, RL, and -O-RL; X is selected from -O-, -S-, -NR7-, -C(R8)2-, -C(R8)2-O-, -C(R8)2-S-, -C(R8)2- NR7-, -S(=O)2-, -C(=O) -, -NR7-S(=O)2-, and -NR7-C(=O) -; R7 is selected from hydrogen, unsubstituted or substituted -C1-C6alkyl, and RL; each R8 is independently selected from hydrogen, halogen, unsubstituted or substituted -C1-C6alkyl, and RL; Y is selected from -O-, -S-, -NR9-, -C(R10)2-, -S(=O)2-, -C(=O) -, -S(=O)2-NR9-, -C(=O) -NR9-, substituted or unsubstituted cycloalkylene, and substituted or unsubstituted heterocycloalkylene; R9 is selected from hydrogen and unsubstituted or substituted -C1-C6alkyl; each R10 is independently selected from hydrogen, halogen, and unsubstituted or substituted -C1-C6alkyl; L is selected from a bond, substituted or unsubstituted C1-C10 alkylene, - [C(R11)2]q-(W)-, substituted or unsubstituted C2-C10 alkenylene, substituted or unsubstituted C2-C10 alkynylene, and [(substituted or unsubstituted C1-C4 alkylene)-Z]p- (substituted or unsubstituted C1-C4 alkylene); W is unsubstituted or substituted cycloalkylene or unsubstituted or substituted heterocycloalkylene; each Z is independently selected from -O-, -S-, and -NR11-; each R11 is independently selected from hydrogen and unsubstituted or substituted -C1-C6alkyl; p is 1-5; q is 0-10;
486
wherein if L is a bond, then Y is selected from substituted or unsubstituted cycloalkylene and substituted or unsubstituted heterocycloalkylene; RL is selected from -(unsubstituted or substituted C1-C6 alkylene)-OR12, or -(unsubstituted or substituted C1-C6 alkylene)-N(R13)2, R12 is selected from hydrogen, unsubstituted or substituted -C1-C6alkyl, unsubstituted or substituted -C2-C6 alkenyl, unsubstituted or substituted -C2-C6 alkynyl, unsubstituted or substituted cycloalkyl, and unsubstituted or substituted heterocycloalkyl; each R13 is independently selected from hydrogen, -C(=O)R50, -C(=O)OR51, -C(=O)NR51R51, unsubstituted or substituted -C1-C6alkyl, unsubstituted or substituted - C2-C6 alkenyl, unsubstituted or substituted -C2-C6 alkynyl, unsubstituted or substituted cycloalkyl, and unsubstituted or substituted heterocycloalkyl; or two R13 on the same N atom are taken together with the N atom to which they are attached to form an unsubstituted or substituted N-containing heterocycle; each R20 is independently selected from halogen, -CN, -OH, -OR50, -NR51R51, -C(=O)R50, -OC(=O)R50, -C(=O)OR51, -OC(=O)OR51, -C(=O)NR51R51, - OC(=O)NR51R51, -NR51C(=O)NR51R51, -NR51C(=O)R50, -NR51C(=O)OR51, -SR51, - S(=O)R50, -SO2R50, -SO2NR51R51, -NHSO2R50, unsubstituted or substituted -C1-C6 alkyl, unsubstituted or substituted -C2-C6 alkenyl, unsubstituted or substituted -C2-C6 alkynyl, unsubstituted or substituted cycloalkyl, and unsubstituted or substituted heterocycloalkyl; each R50 is independently selected from unsubstituted or substituted -C1-C6 alkyl, unsubstituted or substituted cycloalkyl, unsubstituted or substituted heterocycloalkyl, unsubstituted or substituted aryl, unsubstituted or substituted heteroaryl, -(unsubstituted or substituted C1-C6alkylene)-cycloalkyl, -(unsubstituted or substituted C1-C6alkylene)-heterocycloalkyl, -(unsubstituted or substituted C1- C6alkylene)-aryl, and -(unsubstituted or substituted C1-C6alkylene)-heteroaryl; and each R51 is independently selected from hydrogen, unsubstituted or substituted - C1-C6 alkyl, unsubstituted or substituted cycloalkyl, unsubstituted or substituted heterocycloalkyl, unsubstituted or substituted aryl, unsubstituted or substituted
487
heteroaryl, -(unsubstituted or substituted C1-C6alkylene)-cycloalkyl, -(unsubstituted or substituted C1-C6alkylene)-heterocycloalkyl, -(unsubstituted or substituted C1- C6alkylene)-aryl, and -(unsubstituted or substituted C1-C6alkylene)-heteroaryl; or two R51 on the same N atom are taken together with the N atom to which they are attached to form an unsubstituted or substituted N-containing heterocycle; wherein when any of L, W, Y, RL, R1, R7, R8, R9, R10, R11, R12, R13, R20, R50, and R51 are substituted, substituents on the L, W, Y, RL, R1, R7, R8, R9, R10, R11, R12, R13, R20, R50, and R51 are independently selected at each occurrence from halogen, -CN, -NO2, -OR52, -CO2R52, -C(=O)R53, -C(=O)NR52R52, -NR52R52, -NR52C(=O)R53, - NR52C(=O)OR52, -SR52, -S(=O)R53, -SO2R53, -SO2NR52R52, unsubstituted C1-C6 alkyl, unsubstituted C1-C6 haloalkyl, unsubstituted phenyl, unsubstituted 5- or 6-membered heteroaryl, unsubstituted monocyclic cycloalkyl, and unsubstituted monocyclic heterocycloalkyl; or two substituents on the same carbon atom are taken together to form a =O or =S; each R52 is independently selected from hydrogen, unsubstituted C1-C6 alkyl, unsubstituted C3-C6 cycloalkyl, unsubstituted 3- to 6-membered heterocycloalkyl, unsubstituted phenyl, unsubstituted benzyl, unsubstituted 5-membered heteroaryl, and unsubstituted 6-membered heteroaryl; or two R52 groups are taken together with the N atom to which they are attached to form an unsubstituted N-containing heterocycle; and each R53 is independently selected from unsubstituted C1-C6alkyl, unsubstituted C3-C6cycloalkyl, unsubstituted phenyl, unsubstituted benzyl, unsubstituted 5-membered heteroaryl, and unsubstituted 6-membered heteroaryl. 33. The TGFβR2 inhibitor conjugate of claim 32, wherein the compound of Formula (IB) is a compound of Formula (IIB):
488
Formula (IIB); or a pharmaceutically acceptable salt thereof. 34. The TGFβR2 inhibitor conjugate of claim 32, wherein the compound of Formula (IB) is a compound of Formula (IIB-a), (IIB-b), or (IIB-c):
or a pharmaceutically acceptable salt thereof. 35. The TGFβR2 inhibitor conjugate of claim 32, wherein the compound of Formula (IB) is a compound of Formula (IIIB):
or a pharmaceutically acceptable salt thereof.
489
36. The TGFβR2 inhibitor conjugate of claim 32, wherein the compound of Formula (IB) is a compound of Formula (IIIB-a), (IIIB-b), or (IIIB-c):
Formula (IIIB-c) or a pharmaceutically acceptable salt thereof. 37. The TGFβR2 inhibitor conjugate of claim 32, wherein the TGFβR2 inhibitor is a compound of Formula (IVB):
Formula (IVB) or a pharmaceutically acceptable salt thereof.
490
38. The TGFβR2 inhibitor conjugate of claim 32, wherein the compound of Formula (IB) is a compound of Formula (IVB-a), (IVB-b), or (IVB-c):
or a pharmaceutically acceptable salt thereof. 39. The TGFβR2 inhibitor conjugate of claim 32, wherein the compound of Formula (IB) is a compound of Formula (IIB-d), (IIIB-d), or (IVB-d):
. Formula (IVB-d) wherein R9 is methyl or ethyl.
491
492
493
494
and pharmaceutically acceptable salts thereof. 41. The conjugate of any one of claims 2-40, wherein n is an integer from 1 to 10, or from 1 to 5, or is 1 or 2, or is 1.
495
42. The conjugate of any one of claims 2-41, wherein z is from 1 to about 10, or from 1 to about 9, or from 1 to about 8, or 2 to about 6, or about 3 to about 5, or about 4. 43. The conjugate of any one of claims 1-32, wherein the conjugate is an adduct of the antibody and a TGFβR2 inhibitor-linker compound selected from LP1A, LP1, LP2, LP3, LP4, LP5, LP6, LP7, LP8, LP9, LP10, LP11, LP12, LP13, LP14, LP15, LP16, LP17, LP18, LP19, LP20, LP21, LP22, LP23, LP24, LP25, LP26, LP27, LP28, LP29, LP30, LP31, LP32, LP33, LP34, LP35, LP36, LP37, LP38, LP39, LP40, LP41, LP42, LP43, LP44, LP45, LP46, LP47, LP48, LP49, LP50, LP51, LP52, LP53, LP54, LP55, LP56, LP57, LP58, Compound 2.16, Compound 2.16A, Compound 2.61, Compound 2.62, Compound 2.63, Compound 2.64, and Compound 2.65. 44. The conjugate of claim 1 or claim 2, wherein the conjugate is hzF36 VHv3/VLv1-κ -IgG1-LP1, hzF36 VHv6.4/VLv1-κ -IgG1-LP1, hzJ48 VHv1.1/VLv1-κ -IgG1- LP1, hzJ48 VHv3/VLv1.3-κ -IgG1-LP1, hzK713 VHv1/VLv1-IgG1-LP1, hzJ66 VHv1/VLv1- IgG1-LP1, or hzJ66 VHv2/VLv1-IgG1-LP1. 45. A TGFβR2 inhibitor conjugate comprising: an anti-LRRC15 antibody; a TGFβR2 inhibitor; and a linker covalently attached to the TGFβR2 inhibitor and the antibody, wherein the conjugate is mAb-LP1, mAb-LP10, mAb-LP11, mAb-LP12, mAb-LP13, mAb-LP14, mAb-LP15, mAb-LP16, mAb-LP17, mAb-LP18, mAb-LP19, mAb-LP20, mAb-LP21, mAb-LP22, mAb-LP23, mAb-LP24, mAb-LP25, mAb-LP26, mAb-LP27, mAb-LP28, mAb-LP29, mAb-LP30, mAb-LP31, mAb-LP32, mAb-LP33, mAb1-LP1, mAb1-LP2, mAb1-LP3, mAb1-LP4, mAb1-LP5, mAb1-LP6, mAb1-LP7, mAb1-LP8, mAb1-LP14, mAb1-LP34, mAb1-LP35, mAb1*-LP1, mAb1-LP36, M25- mlgG2a-LP25, M25-IgG1-LP1, or M25-mlgG2a-LP14.
496
46. A pharmaceutical composition comprising the TGFβR2 inhibitor conjugate of any one of the preceding claims and a pharmaceutically acceptable excipient. 47. A method of treating a disease mediated by TGFβR2 activity in a subject in need thereof comprising administering to a subject in need thereof an effective amount of a TGFβR2 inhibitor conjugate of any one of claims 1-45 or the pharmaceutical composition of claim 46. 48. The method of claim 47, wherein the disease is fibrosis, cancer, or scleroderma. 49. The method of claim 47, wherein the disease is fibrosis. 50. The method of claim 49, wherein the fibrosis is idiopathic pulmonary fibrosis or myelofibrosis. 51. The method of claim 47, wherein the disease is cancer. 52. The method of claim 51, wherein the cancer is a LRRC15-expressing cancer. 53. The method of claim 51 or claim 52, wherein the cancer expresses TGFβR2. 54. The method of any one of claims 51-53, wherein the cancer is a tumor comprising a cancer associated a fibroblast. 55. The method of any one of claims 51-54, wherein the cancer is lung cancer, breast cancer, triple negative breast cancer, pancreatic cancer, head & neck
497
squamous cell carcinoma, sarcoma, ovarian cancer, gastric cancer, colon cancer, kidney cancer, uterine cancer, esophageal cancer, mesothelioma, bladder cancer, or cutaneous melanoma. 56. A method of inhibiting proliferation of a LRRC15-expressing cell comprising contacting the cell with a TGFβR2 inhibitor conjugate of any one of claims 1-45 or the pharmaceutical composition of claim 46. 57. The method of claim 56, wherein the cell expresses TGFβR2. 58. An isolated monoclonal antibody that binds LRRC15, wherein the antibody comprises: a) a heavy chain CDR1 (VH-CDR1) comprising the amino acid sequence of SEQ ID NO: 1, a VH-CDR2 comprising an amino acid sequence selected from SEQ ID NOs: 11-15, a VH-CDR3 comprising the amino acid sequence of SEQ ID NO: 32, a light chain CDR1 (VL-CDR1) comprising the amino acid sequence of SEQ ID NO: 46, a VL-CDR2 comprising the amino acid sequence of SEQ ID NO: 57, and a VL-CDR3 comprising the amino acid sequence of SEQ ID NO: 65; or b) a VH-CDR1 comprising the amino acid sequence of SEQ ID NO: 2, a VH-CDR2 comprising an amino acid sequence selected from SEQ ID NO: 16-18, a VH-CDR3 comprising the amino acid sequence of SEQ ID NO: 33, a light chain CDR1 (VL-CDR1) comprising the amino acid sequence of SEQ ID NO: 47 or 48, a VL-CDR2 comprising the amino acid sequence of SEQ ID NO: 58, and a VL-CDR3 comprising an amino acid sequence selected from SEQ ID NOs: 66-70; or c) a VH-CDR1 comprising the amino acid sequence of SEQ ID NO: 3, a VH-CDR2 comprising the amino acid sequence of SEQ ID NO: 19, a VH-CDR3 comprising the amino acid sequence of SEQ ID NO: 34 or 35, a light chain CDR1 (VL- CDR1) comprising the amino acid sequence of SEQ ID NO: 49, a VL-CDR2 comprising the amino acid sequence of SEQ ID NO: 59, and a VL-CDR3 comprising the amino acid sequence of SEQ ID NO: 71; or
498
d) a VH-CDR1 comprising the amino acid sequence of SEQ ID NO: 4, a VH-CDR2 comprising the amino acid sequence of SEQ ID NO: 20-23, a VH-CDR3 comprising the amino acid sequence of SEQ ID NO: 36, a light chain CDR1 (VL- CDR1) comprising the amino acid sequence of SEQ ID NO: 50, a VL-CDR2 comprising the amino acid sequence of SEQ ID NO: 60, and a VL-CDR3 comprising the amino acid sequence of SEQ ID NO: 72; or e) a VH-CDR1 comprising the amino acid sequence of SEQ ID NO: 1, a VH-CDR2 comprising the amino acid sequence of SEQ ID NO: 24, a VH-CDR3 comprising the amino acid sequence of SEQ ID NO: 37, a light chain CDR1 (VL- CDR1) comprising the amino acid sequence of SEQ ID NO: 46, a VL-CDR2 comprising the amino acid sequence of SEQ ID NO: 57, and a VL-CDR3 comprising the amino acid sequence of SEQ ID NO: 65; or f) a VH-CDR1 comprising the amino acid sequence of SEQ ID NO: 2, a VH-CDR2 comprising the amino acid sequence of SEQ ID NO: 16, a VH-CDR3 comprising the amino acid sequence of SEQ ID NO: 42, a light chain CDR1 (VL- CDR1) comprising the amino acid sequence of SEQ ID NO: 47, a VL-CDR2 comprising the amino acid sequence of SEQ ID NO: 58, and a VL-CDR3 comprising the amino acid sequence of SEQ ID NO: 66; or g) a VH-CDR1 comprising the amino acid sequence of SEQ ID NO: 2; a VH-CDR2 comprising the amino acid sequence of SEQ ID NO: 26, a VH-CDR3 comprising the amino acid sequence of SEQ ID NO: 39, a light chain CDR1 (VL- CDR1) comprising the amino acid sequence of SEQ ID NO: 52, a VL-CDR2 comprising the amino acid sequence of SEQ ID NO: 61, and a VL-CDR3 comprising the amino acid sequence of SEQ ID NO: 74; or h) a VH-CDR1 comprising the amino acid sequence of SEQ ID NO: 5, a VH-CDR2 comprising the amino acid sequence of SEQ ID NO: 25, a VH-CDR3 comprising the amino acid sequence of SEQ ID NO: 38, a light chain CDR1 (VL- CDR1) comprising the amino acid sequence of SEQ ID NO: 51, a VL-CDR2 comprising the amino acid sequence of SEQ ID NO: 60, and a VL-CDR3 comprising the amino acid sequence of SEQ ID NO: 73; or
499
i) a VH-CDR1 comprising the amino acid sequence of SEQ ID NO: 6, a VH-CDR2 comprising the amino acid sequence of SEQ ID NO: 27, a VH-CDR3 comprising the amino acid sequence of SEQ ID NO: 40, a light chain CDR1 (VL- CDR1) comprising the amino acid sequence of SEQ ID NO: 53, a VL-CDR2 comprising the amino acid sequence of SEQ ID NO: 62, and a VL-CDR3 comprising the amino acid sequence of SEQ ID NO: 75; or j) a VH-CDR1 comprising the amino acid sequence of SEQ ID NO: 7, a VH-CDR2 comprising the amino acid sequence of SEQ ID NO: 28, a VH-CDR3 comprising the amino acid sequence of SEQ ID NO: 41, a light chain CDR1 (VL- CDR1) comprising the amino acid sequence of SEQ ID NO: 53, a VL-CDR2 comprising the amino acid sequence of SEQ ID NO: 62, and a VL-CDR3 comprising the amino acid sequence of SEQ ID NO: 75; or k) a VH-CDR1 comprising the amino acid sequence of SEQ ID NO: 8, a VH-CDR2 comprising the amino acid sequence of SEQ ID NO: 29, a VH-CDR3 comprising the amino acid sequence of SEQ ID NO: 43, a light chain CDR1 (VL- CDR1) comprising the amino acid sequence of SEQ ID NO: 54, a VL-CDR2 comprising the amino acid sequence of SEQ ID NO: 62, and a VL-CDR3 comprising the amino acid sequence of SEQ ID NO: 76; or l) a VH-CDR1 comprising the amino acid sequence of SEQ ID NO: 9, a VH-CDR2 comprising the amino acid sequence of SEQ ID NO: 30, a VH-CDR3 comprising the amino acid sequence of SEQ ID NO: 44, a light chain CDR1 (VL- CDR1) comprising the amino acid sequence of SEQ ID NO: 55, a VL-CDR2 comprising the amino acid sequence of SEQ ID NO: 63, and a VL-CDR3 comprising the amino acid sequence of SEQ ID NO: 77; or m) a VH-CDR1 comprising the amino acid sequence of SEQ ID NO: 10, a VH-CDR2 comprising the amino acid sequence of SEQ ID NO: 31, a VH-CDR3 comprising the amino acid sequence of SEQ ID NO: 45, a light chain CDR1 (VL- CDR1) comprising the amino acid sequence of SEQ ID NO: 56, a VL-CDR2 comprising the amino acid sequence of SEQ ID NO: 64, and a VL-CDR3 comprising the amino acid sequence of SEQ ID NO: 78.
500
59. The isolated monoclonal antibody of claim 58, wherein the antibody is a humanized antibody. 60. The isolated monoclonal antibody of claim 58 or claim 59, wherein the antibody comprises: a) a heavy chain variable region (VH) comprising an amino acid sequence that is at least 90%, 91%, 92%, 93%, 94%, 95%, 96%, 97%, 98%, or 99% identical to an amino acid sequence selected from SEQ ID NOs: 79 and 92-101, and a light chain variable region (VL) comprising an amino acid sequence that is at least 90%, 91%, 92%, 93%, 94%, 95%, 96%, 97%, 98%, or 99% identical to an amino acid sequence selected from SEQ ID NOs: 122, 132, and 133; or b) a heavy chain variable region (VH) comprising an amino acid sequence that is at least 90%, 91%, 92%, 93%, 94%, 95%, 96%, 97%, 98%, or 99% identical to an amino acid sequence selected from SEQ ID NOs: 80 and 102-107, and a light chain variable region (VL) comprising an amino acid sequence that is at least 90%, 91%, 92%, 93%, 94%, 95%, 96%, 97%, 98%, or 99% identical to an amino acid sequence selected from SEQ ID NOs: 123 and 134-138; or c) a heavy chain variable region (VH) comprising an amino acid sequence that is at least 90%, 91%, 92%, 93%, 94%, 95%, 96%, 97%, 98%, or 99% identical to an amino acid sequence selected from SEQ ID NOs: 81 and 108-113, and a light chain variable region (VL) comprising an amino acid sequence that is at least 90%, 91%, 92%, 93%, 94%, 95%, 96%, 97%, 98%, or 99% identical to an amino acid sequence selected from SEQ ID NOs: 124, 139, and 140; or d) a heavy chain variable region (VH) comprising an amino acid sequence that is at least 90%, 91%, 92%, 93%, 94%, 95%, 96%, 97%, 98%, or 99% identical to an amino acid sequence selected from SEQ ID NOs: 82 and 114-121, and a light chain variable region (VL) comprising an amino acid sequence that is at least 90%, 91%, 92%, 93%, 94%, 95%, 96%, 97%, 98%, or 99% identical to an amino acid sequence selected from SEQ ID NOs: 125, 141, and 142; or
501
e) a heavy chain variable region (VH) comprising an amino acid sequence that is at least 90%, 91%, 92%, 93%, 94%, 95%, 96%, 97%, 98%, or 99% identical to the amino acid sequence of SEQ ID NO: 83, and a light chain variable region (VL) comprising an amino acid sequence that is at least 90%, 91%, 92%, 93%, 94%, 95%, 96%, 97%, 98%, or 99% identical to an amino acid sequence selected from SEQ ID NOs: 122, 132, and 133; or f) a heavy chain variable region (VH) comprising an amino acid sequence that is at least 90%, 91%, 92%, 93%, 94%, 95%, 96%, 97%, 98%, or 99% identical to the amino acid sequence of SEQ ID NO: 88, and a light chain variable region (VL) comprising an amino acid sequence that is at least 90%, 91%, 92%, 93%, 94%, 95%, 96%, 97%, 98%, or 99% identical to the amino acid sequence selected from SEQ ID NOs: 123 and 134; or g) a heavy chain variable region (VH) comprising an amino acid sequence that is at least 90%, 91%, 92%, 93%, 94%, 95%, 96%, 97%, 98%, or 99% identical to the amino acid sequence of SEQ ID NO: 85, and a light chain variable region (VL) comprising an amino acid sequence that is at least 90%, 91%, 92%, 93%, 94%, 95%, 96%, 97%, 98%, or 99% identical to the amino acid sequence of SEQ ID NO: 127; or h) a heavy chain variable region (VH) comprising an amino acid sequence that is at least 90%, 91%, 92%, 93%, 94%, 95%, 96%, 97%, 98%, or 99% identical to the amino acid sequence of SEQ ID NO: 84, and a light chain variable region (VL) comprising an amino acid sequence that is at least 90%, 91%, 92%, 93%, 94%, 95%, 96%, 97%, 98%, or 99% identical to the amino acid sequence of SEQ ID NO: 126; or i) a heavy chain variable region (VH) comprising an amino acid sequence that is at least 90%, 91%, 92%, 93%, 94%, 95%, 96%, 97%, 98%, or 99% identical to the amino acid sequence of SEQ ID NO: 86, and a light chain variable region (VL) comprising an amino acid sequence that is at least 90%, 91%, 92%, 93%, 94%, 95%, 96%, 97%, 98%, or 99% identical to the amino acid sequence of SEQ ID NO: 128; or j) a heavy chain variable region (VH) comprising an amino acid sequence that is at least 90%, 91%, 92%, 93%, 94%, 95%, 96%, 97%, 98%, or 99% identical to the amino acid sequence of SEQ ID NO: 87, and a light chain variable region (VL)
502
comprising an amino acid sequence that is at least 90%, 91%, 92%, 93%, 94%, 95%, 96%, 97%, 98%, or 99% identical to the amino acid sequence of SEQ ID NO: 128; or k) a heavy chain variable region (VH) comprising an amino acid sequence that is at least 90%, 91%, 92%, 93%, 94%, 95%, 96%, 97%, 98%, or 99% identical to the amino acid sequence of SEQ ID NO: 89, and a light chain variable region (VL) comprising an amino acid sequence that is at least 90%, 91%, 92%, 93%, 94%, 95%, 96%, 97%, 98%, or 99% identical to the amino acid sequence of SEQ ID NO: 129; or l) a heavy chain variable region (VH) comprising an amino acid sequence that is at least 90%, 91%, 92%, 93%, 94%, 95%, 96%, 97%, 98%, or 99% identical to the amino acid sequence of SEQ ID NO: 90, and a light chain variable region (VL) comprising an amino acid sequence that is at least 90%, 91%, 92%, 93%, 94%, 95%, 96%, 97%, 98%, or 99% identical to the amino acid sequence of SEQ ID NO: 130; or m) a heavy chain variable region (VH) comprising an amino acid sequence that is at least 90%, 91%, 92%, 93%, 94%, 95%, 96%, 97%, 98%, or 99% identical to the amino acid sequence of SEQ ID NO: 91, and a light chain variable region (VL) comprising an amino acid sequence that is at least 90%, 91%, 92%, 93%, 94%, 95%, 96%, 97%, 98%, or 99% identical to the amino acid sequence of SEQ ID NO: 131. 61. The isolated monoclonal antibody of any one of claims 58-60, wherein the antibody comprises: a) a heavy chain variable region (VH) comprising an amino acid sequence selected from SEQ ID NOs: 79 and 92-101, and a light chain variable region (VL) comprising an amino acid sequence selected from SEQ ID NOs: 122, 132, and 133; or b) a heavy chain variable region (VH) comprising an amino acid sequence selected from SEQ ID NOs: 80 and 102-107, and a light chain variable region (VL) comprising an amino acid sequence selected from SEQ ID NOs: 123 and 134-138; or c) a heavy chain variable region (VH) comprising an amino acid sequence selected from SEQ ID NOs: 81 and 108-113, and a light chain variable region (VL) comprising an amino acid sequence selected from SEQ ID NOs: 124, 139, and 140; or
503
d) a heavy chain variable region (VH) comprising an amino acid sequence selected from SEQ ID NOs: 82 and 114-121, and a light chain variable region (VL) comprising an amino acid sequence selected from SEQ ID NOs: 125, 141, and 142; or e) a heavy chain variable region (VH) comprising the amino acid sequence of SEQ ID NO: 83, and a light chain variable region (VL) comprising an amino acid sequence selected from SEQ ID NOs: 122, 132, and 133; or f) a heavy chain variable region (VH) comprising the amino acid of SEQ ID NO: 88, and a light chain variable region (VL) comprising the amino acid sequence seleced from SEQ ID NO: 123 and 134; or g) a heavy chain variable region (VH) comprising the amino acid sequence of SEQ ID NO: 85, and a light chain variable region (VL) comprising the amino acid sequence of SEQ ID NO: 127; or h) a heavy chain variable region (VH) comprising the amino acid sequence of SEQ ID NO: 84, and a light chain variable region (VL) comprising the amino acid sequence of SEQ ID NO: 126; or i) a heavy chain variable region (VH) comprising the amino acid sequence of SEQ ID NO: 86, and the light chain variable region (VL) comprising the amino acid sequence of SEQ ID NO: 128; or j) a heavy chain variable region (VH) comprising the amino acid sequence of SEQ ID NO: 87, and a light chain variable region (VL) comprising the amino acid sequence of SEQ ID NO: 128; or k) a heavy chain variable region (VH) comprising the amino acid sequence of SEQ ID NO: 89, and a light chain variable region (VL) comprising the amino acid sequence of SEQ ID NO: 129; or l) a heavy chain variable region (VH) comprising the amino acid sequence of SEQ ID NO: 90, and a light chain variable region (VL) comprising the amino acid sequence of SEQ ID NO: 130; or m) a heavy chain variable region (VH) comprising the amino acid sequence of SEQ ID NO: 91, and a light chain variable region (VL) comprising the amino acid sequence of SEQ ID NO: 131.
504
62. The isolated monoclonal antibody of any one of claims 58-61, wherein the antibody comprises a human IgG1, human IgG2, human IgG3, or human IgG4 constant region. 63. The isolated monoclonal antibody of any one of claims 58-62, wherein the antibody comprises a human IgG1 constant region comprising L117A, L118A, G120A, and/or K205A substitutions. 64. The isolated monoclonal antibody of any one of claims 58-63, wherein the antibody comprises: a) a heavy chain comprising an amino acid sequence that is at least 90%, 91%, 92%, 93%, 94%, 95%, 96%, 97%, 98%, or 99% identical to an amino acid sequence selected from SEQ ID NOs: 146, 159-168, 189, and 202-211, and a light chain comprising an amino acid sequence that is at least 90%, 91%, 92%, 93%, 94%, 95%, 96%, 97%, 98%, or 99% identical to an amino acid sequence selected from SEQ ID NOs: 232, 242, and 243; or b) a heavy chain comprising an amino acid sequence that is at least 90%, 91%, 92%, 93%, 94%, 95%, 96%, 97%, 98%, or 99% identical to an amino acid sequence selected from SEQ ID NOs: 147, 169-174, 190, and 212-217, and a light chain comprising an amino acid sequence that is at least 90%, 91%, 92%, 93%, 94%, 95%, 96%, 97%, 98%, or 99% identical to an amino acid sequence selected from SEQ ID NOs: 233 and 244-248; or c) a heavy chain comprising an amino acid sequence that is at least 90%, 91%, 92%, 93%, 94%, 95%, 96%, 97%, 98%, or 99% identical to an amino acid sequence selected from SEQ ID NOs: 148, 175-180, 191, and 218-223, and a light chain comprising an amino acid sequence that is at least 90%, 91%, 92%, 93%, 94%, 95%, 96%, 97%, 98%, or 99% identical to an amino acid sequence selected from SEQ ID NOs: 234, 249, and 250; or d) a heavy chain comprising an amino acid sequence that is at least 90%, 91%, 92%, 93%, 94%, 95%, 96%, 97%, 98%, or 99% identical to an amino acid
505
sequence selected from SEQ ID NOs: 149, 181-188, 192, and 224-231, and a light chain comprising an amino acid sequence that is at least 90%, 91%, 92%, 93%, 94%, 95%, 96%, 97%, 98%, or 99% identical to an amino acid sequence selected from SEQ ID NOs: 235, 251, and 252; or e) a heavy chain comprising an amino acid sequence that is at least 90%, 91%, 92%, 93%, 94%, 95%, 96%, 97%, 98%, or 99% identical to an amino acid sequence selected from SEQ ID NOs: 150 and 193, and a light chain comprising an amino acid sequence that is at least 90%, 91%, 92%, 93%, 94%, 95%, 96%, 97%, 98%, or 99% identical to an amino acid sequence selected from SEQ ID NOs: 232, 242, and 243; or f) a heavy chain comprising an amino acid sequence that is at least 90%, 91%, 92%, 93%, 94%, 95%, 96%, 97%, 98%, or 99% identical to an amino acid sequence selected from SEQ ID NOs: 155 and 198, and a light chain comprising an amino acid sequence that is at least 90%, 91%, 92%, 93%, 94%, 95%, 96%, 97%, 98%, or 99% identical to the amino acid sequence selected from SEQ ID NOs: 233 and 244- 247; or g) a heavy chain comprising an amino acid sequence that is at least 90%, 91%, 92%, 93%, 94%, 95%, 96%, 97%, 98%, or 99% identical to an amino acid sequence selected from SEQ ID NOs: 152 and 195, and a light chain comprising an amino acid sequence that is at least 90%, 91%, 92%, 93%, 94%, 95%, 96%, 97%, 98%, or 99% identical to the amino acid sequence of SEQ ID NO: 237; or h) a heavy chain comprising an amino acid sequence that is at least 90%, 91%, 92%, 93%, 94%, 95%, 96%, 97%, 98%, or 99% identical to an amino acid sequence selected from SEQ ID NOs: 151 and 194, and a light chain comprising an amino acid sequence that is at least 90%, 91%, 92%, 93%, 94%, 95%, 96%, 97%, 98%, or 99% identical to the amino acid sequence of SEQ ID NO: 236; or i) a heavy chain comprising an amino acid sequence that is at least 90%, 91%, 92%, 93%, 94%, 95%, 96%, 97%, 98%, or 99% identical to an amino acid sequence selected from SEQ ID NOs: 153 and 196, and a light chain comprising an
506
amino acid sequence that is at least 90%, 91%, 92%, 93%, 94%, 95%, 96%, 97%, 98%, or 99% identical to the amino acid sequence of SEQ ID NO: 238; or j) a heavy chain comprising an amino acid sequence that is at least 90%, 91%, 92%, 93%, 94%, 95%, 96%, 97%, 98%, or 99% identical to an amino acid sequence selected from SEQ ID NOs: 154 and 197, and a light chain comprising an amino acid sequence that is at least 90%, 91%, 92%, 93%, 94%, 95%, 96%, 97%, 98%, or 99% identical to the amino acid sequence of SEQ ID NO: 238; or k) a heavy chain comprising an amino acid sequence that is at least 90%, 91%, 92%, 93%, 94%, 95%, 96%, 97%, 98%, or 99% identical to an amino acid sequence selected from SEQ ID NOs: 156 and 199, and a light chain comprising an amino acid sequence that is at least 90%, 91%, 92%, 93%, 94%, 95%, 96%, 97%, 98%, or 99% identical to the amino acid sequence of SEQ ID NO: 239; or l) a heavy chain comprising an amino acid sequence that is at least 90%, 91%, 92%, 93%, 94%, 95%, 96%, 97%, 98%, or 99% identical to an amino acid sequence selected from SEQ ID NOs: 157 and 200, and a light chain comprising an amino acid sequence that is at least 90%, 91%, 92%, 93%, 94%, 95%, 96%, 97%, 98%, or 99% identical to the amino acid sequence of SEQ ID NO: 240; or m) a heavy chain comprising an amino acid sequence that is at least 90%, 91%, 92%, 93%, 94%, 95%, 96%, 97%, 98%, or 99% identical to an amino acid sequence selected from SEQ ID NOs: 158 and 201, and a light chain comprising an amino acid sequence that is at least 90%, 91%, 92%, 93%, 94%, 95%, 96%, 97%, 98%, or 99% identical to the amino acid sequence of SEQ ID NO: 241. 65. The isolated monoclonal antibody of any one of claims 58-64, wherein the antibody comprises: a) a heavy chain comprising an amino acid sequence selected from SEQ ID NOs: 146, 159-168, 189, and 202-211, and a light chain comprising an amino acid sequence selected from SEQ ID NOs: 232242, and 243; or
507
b) a heavy chain comprising an amino acid sequence selected from SEQ ID NOs: 147, 169-174, 190, and 212-217, and a light chain comprising an amino acid sequence selected from SEQ ID NOs: 233 and 244-248; or c) a heavy chain comprising an amino acid sequence selected from SEQ ID NOs: 148, 175-180, 191, and 218-223, and a light chain comprising an amino acid sequence selected from SEQ ID NOs: 234, 249, and 250; or d) a heavy chain comprising an amino acid sequence selected from SEQ ID NOs: 149, 181-188, 192, and 224-231, and a light chain comprising an amino acid sequence selected from SEQ ID NOs: 235, 251, and 252; or e) a heavy chain comprising an amino acid sequence selected from SEQ ID NOs: 150 and 193, and a light chain comprising an amino acid sequence selected from SEQ ID NOs: 232, 242, and 243; or f) a heavy chain comprising an amino acid sequence selected from SEQ ID NOs: 155 and 198, and a light chain comprising the amino acid sequence selected from SEQ ID NOs: 233, and 244-247; or g) a heavy chain comprising an amino acid sequence selected from SEQ ID NOs: 152 and 195, and a light chain comprising the amino acid sequence of SEQ ID NO: 237; or h) a heavy chain comprising an amino acid sequence selected from SEQ ID NOs: 151 and 194, and a light chain comprising the amino acid sequence of SEQ ID NO: 236; or i) a heavy chain comprising an amino acid sequence selected from SEQ ID NOs: 153 and 196, and a light chain comprising the amino acid sequence of SEQ ID NO: 238; or j) a heavy chain comprising an amino acid sequence selected from SEQ ID NOs: 154 and 197, and a light chain comprising the amino acid sequence of SEQ ID NO: 238; or k) a heavy chain comprising an amino acid sequence selected from SEQ ID NOs: 156 and 199, and a light chain comprising the amino acid sequence of SEQ ID NO: 239; or
508
l) a heavy chain comprising an amino acid sequence selected from SEQ ID NOs: 157 and 200, and a light chain comprising the amino acid sequence of SEQ ID NO: 240; or m) a heavy chain comprising an amino acid sequence selected from SEQ ID NOs: 158 and 201, and a light chain comprising the amino acid sequence of SEQ ID NO: 241. 66. The antibody of any one of claims 58-65, wherein the antibody is a bispecific antibody. 67. A conjugate comprising the antibody of any one of claims 58-66 and a small molecule drug. 68. The conjugate of claim 67, wherein the small molecule drug is a TGFβR2 inhibitor. 69. A pharmaceutical composition comprising an antibody of any one of claims 58-66 or the conjugate of claim 67 or claim 68 and a pharmaceutically acceptable carrier. 70. An isolated nucleic acid that encodes the antibody of any one of claims 58-66. 71. A vector comprising the nucleic acid of claim 70. 72. An isolated host cell comprising the nucleic acid of claim 70 or the vector of claim 71. 73. An isolated host cell that expresses the antibody of any one of claims 58- 66.
509
74. A method of producing an antibody that binds LRRC15, comprising culturing the host cell of claim 72 or claim 73 under conditions suitable for expressing the antibody. 75. The method of claim 74, further comprising isolating the antibody. 76. A method of treating a LRRC15-expressing cancer comprising administering to a subject with a LRRC15-expressing cancer the conjugate of any one of claims 1-45, the pharmaceutical composition of claim 46, the antibody of any one of claims 58-66, the conjugate of claim 67 or claim 68, or the pharmaceutical composition of claim 69. 77. The method of claim 76, wherein the cancer expresses TGFβR2. 78. The method of claim 76 or claim 77, wherein the cancer is cancer associated with fibroblasts. 79. The method of any one of claims 76-78, wherein the cancer is lung cancer, breast cancer, triple negative breast cancer, pancreatic cancer, head & neck squamous cell carcinoma, sarcoma, ovarian cancer, gastric cancer, colon cancer, kidney cancer, uterine cancer, esophageal cancer, mesothelioma, bladder cancer, or cutaneous melanoma. 80. A method of treating fibrosis comprising administering to a subject with fibrosis or suspected of having fibrosis the conjugate of any one of claims 1-45, the pharmaceutical composition of claim 46, the antibody of any one of claims 58-66, the conjugate of claim 67 or claim 68, or the pharmaceutical composition of claim 69. 81. The method of claim 80, wherein the fibrosis is idiopathic pulmonary fibrosis or myelofibrosis.
510
Applications Claiming Priority (2)
| Application Number | Priority Date | Filing Date | Title |
|---|---|---|---|
| US201962939390P | 2019-11-22 | 2019-11-22 | |
| US62/939,390 | 2019-11-22 |
Publications (1)
| Publication Number | Publication Date |
|---|---|
| WO2021102332A1 true WO2021102332A1 (en) | 2021-05-27 |
Family
ID=73854918
Family Applications (1)
| Application Number | Title | Priority Date | Filing Date |
|---|---|---|---|
| PCT/US2020/061618 Ceased WO2021102332A1 (en) | 2019-11-22 | 2020-11-20 | Tgfbetar2 inhibitor-lrrc15 antibody conjugates and uses thereof |
Country Status (1)
| Country | Link |
|---|---|
| WO (1) | WO2021102332A1 (en) |
Cited By (6)
| Publication number | Priority date | Publication date | Assignee | Title |
|---|---|---|---|---|
| WO2025076127A1 (en) | 2023-10-05 | 2025-04-10 | Capstan Therapeutics, Inc. | Constrained ionizable cationic lipids and lipid nanoparticles |
| WO2025076113A1 (en) | 2023-10-05 | 2025-04-10 | Capstan Therapeutics, Inc. | Ionizable cationic lipids with conserved spacing and lipid nanoparticles |
| WO2025129201A1 (en) | 2023-12-15 | 2025-06-19 | Capstan Therapeutics, Inc. | Humanized anti-cd8 antibodies and uses thereof |
| WO2025179294A2 (en) | 2024-02-22 | 2025-08-28 | Capstan Therapeutics, Inc. | Immune engineering amplification |
| WO2025217454A2 (en) | 2024-04-11 | 2025-10-16 | Capstan Therapeutics, Inc. | Ionizable cationic lipids and lipid nanoparticles |
| WO2025217452A1 (en) | 2024-04-11 | 2025-10-16 | Capstan Therapeutics, Inc. | Constrained ionizable cationic lipids and lipid nanoparticles |
Citations (17)
| Publication number | Priority date | Publication date | Assignee | Title |
|---|---|---|---|---|
| US5846514A (en) | 1994-03-25 | 1998-12-08 | Isotechnika, Inc. | Enhancement of the efficacy of nifedipine by deuteration |
| US6334997B1 (en) | 1994-03-25 | 2002-01-01 | Isotechnika, Inc. | Method of using deuterated calcium channel blockers |
| US7317091B2 (en) | 2002-03-01 | 2008-01-08 | Xencor, Inc. | Optimized Fc variants |
| US20130309256A1 (en) | 2012-05-15 | 2013-11-21 | Seattle Genetics, Inc. | Self-stabilizing linker conjugates |
| US8969526B2 (en) | 2011-03-29 | 2015-03-03 | Roche Glycart Ag | Antibody Fc variants |
| US20170151344A1 (en) * | 2015-11-30 | 2017-06-01 | Abbvie Inc. | ANTI-huLRRC15 ANTIBODY DRUG CONJUGATES AND METHODS FOR THEIR USE |
| WO2017095805A1 (en) | 2015-11-30 | 2017-06-08 | Abbvie Inc. | ANTI-huLRRC15 ANTIBODY DRUG CONJUGATES AND METHODS FOR THEIR USE |
| US9803023B2 (en) | 2004-11-12 | 2017-10-31 | Xencor, Inc. | Fc variants with altered binding to FcRn |
| WO2018227018A1 (en) * | 2017-06-07 | 2018-12-13 | Silverback Therapeutics, Inc. | Antibody conjugates of immune-modulatory compounds and uses thereof |
| US20190038765A1 (en) | 2016-02-08 | 2019-02-07 | Synaffix B.V. | Improved sulfamide linkers for use in bioconjugates |
| WO2019079357A1 (en) * | 2017-10-17 | 2019-04-25 | Silverback Therapeutics, Inc. | TNIK MODULATORS, CONJUGATES AND USES THEREOF |
| WO2019084060A1 (en) * | 2017-10-24 | 2019-05-02 | Silverback Therapeutics, Inc. | Conjugates and methods of use thereof for selective delivery of immune-modulatory agents |
| WO2019195278A1 (en) * | 2018-04-02 | 2019-10-10 | Silverback Therapeutics, Inc. | Alk5 inhibitors, conjugates, and uses thereof |
| WO2019227059A1 (en) * | 2018-05-25 | 2019-11-28 | Silverback Therapeutics, Inc. | Amino-pyrazinecarboxamide compounds, conjugates, and uses thereof |
| WO2020092385A1 (en) | 2018-10-29 | 2020-05-07 | Mersana Therapeutics, Inc. | Cysteine engineered antibody-drug conjugates with peptide-containing linkers |
| WO2020181040A1 (en) * | 2019-03-06 | 2020-09-10 | Silverback Therapeutics, Inc. | Cyclic amino-pyrazinecarboxamide compounds and uses thereof |
| WO2021011834A1 (en) * | 2019-07-16 | 2021-01-21 | Silverback Therapeutics, Inc. | Alk5 inhibitors, conjugates, and uses thereof |
-
2020
- 2020-11-20 WO PCT/US2020/061618 patent/WO2021102332A1/en not_active Ceased
Patent Citations (17)
| Publication number | Priority date | Publication date | Assignee | Title |
|---|---|---|---|---|
| US6334997B1 (en) | 1994-03-25 | 2002-01-01 | Isotechnika, Inc. | Method of using deuterated calcium channel blockers |
| US5846514A (en) | 1994-03-25 | 1998-12-08 | Isotechnika, Inc. | Enhancement of the efficacy of nifedipine by deuteration |
| US7317091B2 (en) | 2002-03-01 | 2008-01-08 | Xencor, Inc. | Optimized Fc variants |
| US9803023B2 (en) | 2004-11-12 | 2017-10-31 | Xencor, Inc. | Fc variants with altered binding to FcRn |
| US8969526B2 (en) | 2011-03-29 | 2015-03-03 | Roche Glycart Ag | Antibody Fc variants |
| US20130309256A1 (en) | 2012-05-15 | 2013-11-21 | Seattle Genetics, Inc. | Self-stabilizing linker conjugates |
| US20170151344A1 (en) * | 2015-11-30 | 2017-06-01 | Abbvie Inc. | ANTI-huLRRC15 ANTIBODY DRUG CONJUGATES AND METHODS FOR THEIR USE |
| WO2017095805A1 (en) | 2015-11-30 | 2017-06-08 | Abbvie Inc. | ANTI-huLRRC15 ANTIBODY DRUG CONJUGATES AND METHODS FOR THEIR USE |
| US20190038765A1 (en) | 2016-02-08 | 2019-02-07 | Synaffix B.V. | Improved sulfamide linkers for use in bioconjugates |
| WO2018227018A1 (en) * | 2017-06-07 | 2018-12-13 | Silverback Therapeutics, Inc. | Antibody conjugates of immune-modulatory compounds and uses thereof |
| WO2019079357A1 (en) * | 2017-10-17 | 2019-04-25 | Silverback Therapeutics, Inc. | TNIK MODULATORS, CONJUGATES AND USES THEREOF |
| WO2019084060A1 (en) * | 2017-10-24 | 2019-05-02 | Silverback Therapeutics, Inc. | Conjugates and methods of use thereof for selective delivery of immune-modulatory agents |
| WO2019195278A1 (en) * | 2018-04-02 | 2019-10-10 | Silverback Therapeutics, Inc. | Alk5 inhibitors, conjugates, and uses thereof |
| WO2019227059A1 (en) * | 2018-05-25 | 2019-11-28 | Silverback Therapeutics, Inc. | Amino-pyrazinecarboxamide compounds, conjugates, and uses thereof |
| WO2020092385A1 (en) | 2018-10-29 | 2020-05-07 | Mersana Therapeutics, Inc. | Cysteine engineered antibody-drug conjugates with peptide-containing linkers |
| WO2020181040A1 (en) * | 2019-03-06 | 2020-09-10 | Silverback Therapeutics, Inc. | Cyclic amino-pyrazinecarboxamide compounds and uses thereof |
| WO2021011834A1 (en) * | 2019-07-16 | 2021-01-21 | Silverback Therapeutics, Inc. | Alk5 inhibitors, conjugates, and uses thereof |
Non-Patent Citations (31)
| Title |
|---|
| "Curr., Pharm. Des.", vol. 6, 2000, article "Recent Advances in the Synthesis and Applications of Radiolabeled Compounds for Drug Discovery and Development", pages: 110 |
| "Encyclopedia of Reagents for Organic Synthesis", 1995 |
| ALTSCHUL ET AL.: "Gapped BLAST and PSI-BLAST: a new generation of protein database search programs", NUCLEIC ACIDS RES, vol. 25, 2007, pages 3389 - 3402, XP002905950, DOI: 10.1093/nar/25.17.3389 |
| BERG ET AL., J. MED. CHEM., vol. 55, no. 21, 2012, pages 9107 - 9119 |
| CO ET AL., J. IMMUNOL., vol. 148, 1992, pages 1149 - 1154 |
| CO ET AL., PROC NATL ACAD SCI USA, vol. 88, 1991, pages 2869 - 2873 |
| COFFIN, J. M. ET AL.: "Fundamental Virology", 1996, LIPPINCOTT-RAVEN PUBLISHERS, article "Retroviridae: The viruses and their replication" |
| EDWARD B. ROCHE: "Bioreversible Carriers in Drug Design", 1987, AMERICAN PHARMACEUTICAL ASSOCIATION AND PERGAMON PRESS |
| EVANS, E. ANTHONY: "Synthesis of radiolabeled compounds", J. RADIOANAL. CHEM., vol. 64, no. 1-2, 1981, pages 9 - 32 |
| FEDORAK ET AL., AM. J. PHYSIOL., vol. 269, 1995, pages G210 - 218 |
| GEORGE W.VARMA, RAJENDER S: "The Synthesis of Radiolabeled Compounds via Organometallic Intermediates", TETRAHEDRON, vol. 45, no. 21, 1989, pages 6601 - 21 |
| HARRISONHARRISON ET AL.: "Compendium of Synthetic Organic Methods", vol. 1-8, 1971, JOHN WILEY AND SONS |
| HOCHHAUS ET AL., BIOMED. CHROM., vol. 6, 1992, pages 283 - 286 |
| J. LARSEN ET AL., INT. J. PHARMACEUTICS, vol. 47, 1988, pages 103 |
| J. LARSENH. BUNDGAARD, INT. J. PHARMACEUTICS, vol. 37, 1987, pages 87 |
| JEAN JACQUESANDRE COLLETSAMUEL H. WILEN: "Enantiomers, Racemates and Resolutions", 1981, JOHN WILEY AND SONS, INC. |
| JONES ET AL., NATURE, vol. 321, 1986, pages 522 |
| KIM ET AL., PLOS ONE, vol. 6, 2011, pages e18556 |
| L. FIESERM. FIESER, FIESER AND FIESER'S REAGENTS FOR ORGANIC SYNTHESIS, 1994 |
| MARK ET AL.: "Cellular adhesion: molecular definition to therapeutic potential", 1994, PLENUM PRESS, pages: 291 - 312 |
| MCLOED ET AL., GASTROENTEROL, vol. 106, 1994, pages 405 - 413 |
| QUEEN ET AL., PROC. NATL. ACAD. SCI. USA, vol. 86, 1989, pages 10029 - 10033 |
| R. LAROCK, COMPREHENSIVE ORGANIC TRANSFORMATIONS, 1989 |
| RIECHMANN ET AL., NATURE, vol. 332, 1988, pages 323 - 337 |
| SCHOLTEN ET AL., CLIN. IMMUNOL., vol. 119, 2006, pages 135 - 145 |
| SINKULA ET AL., J. PHARM. SCI., vol. 64, 1975, pages 181 - 210 |
| T. HIGUCHIV. STELLA: "Pro-drugs as Novel Delivery Systems", A.C.S. SYMPOSIUM SERIES, vol. 14 |
| TAN ET AL., J IMMUNOL, vol. 169, 2002, pages 1119 - 25 |
| TEBBEN ET AL., ACTA CRYST, vol. D72, 2016, pages 658 - 674 |
| TEMPEST ET AL., BIO/TECHNOL, vol. 9, 1991, pages 266 - 271 |
| VERHOEYEN ET AL., SCIENCE, vol. 239, 1988, pages 1534 - 1536 |
Cited By (6)
| Publication number | Priority date | Publication date | Assignee | Title |
|---|---|---|---|---|
| WO2025076127A1 (en) | 2023-10-05 | 2025-04-10 | Capstan Therapeutics, Inc. | Constrained ionizable cationic lipids and lipid nanoparticles |
| WO2025076113A1 (en) | 2023-10-05 | 2025-04-10 | Capstan Therapeutics, Inc. | Ionizable cationic lipids with conserved spacing and lipid nanoparticles |
| WO2025129201A1 (en) | 2023-12-15 | 2025-06-19 | Capstan Therapeutics, Inc. | Humanized anti-cd8 antibodies and uses thereof |
| WO2025179294A2 (en) | 2024-02-22 | 2025-08-28 | Capstan Therapeutics, Inc. | Immune engineering amplification |
| WO2025217454A2 (en) | 2024-04-11 | 2025-10-16 | Capstan Therapeutics, Inc. | Ionizable cationic lipids and lipid nanoparticles |
| WO2025217452A1 (en) | 2024-04-11 | 2025-10-16 | Capstan Therapeutics, Inc. | Constrained ionizable cationic lipids and lipid nanoparticles |
Similar Documents
| Publication | Publication Date | Title |
|---|---|---|
| US20220362396A1 (en) | Amino-pyrazinecarboxamide compounds, conjugates, and uses thereof | |
| WO2021102332A1 (en) | Tgfbetar2 inhibitor-lrrc15 antibody conjugates and uses thereof | |
| WO2021011834A1 (en) | Alk5 inhibitors, conjugates, and uses thereof | |
| JP2024535637A (en) | Antibodies and their drug conjugates and uses | |
| WO2019195278A1 (en) | Alk5 inhibitors, conjugates, and uses thereof | |
| CN105555803B (en) | Oncostatin M receptor antigen binding proteins | |
| CA3112545A1 (en) | Substituted benzazepine compounds, conjugates, and uses thereof | |
| US20210130473A1 (en) | TGFßR1 INHIBITOR-ASGR ANTIBODY CONJUGATES AND USES THEREOF | |
| EP3935046A1 (en) | Cyclic amino-pyrazinecarboxamide compounds and uses thereof | |
| US12144869B2 (en) | Anti-ROR1 antibody conjugates, compositions comprising anti ROR1 antibody conjugates, and methods of making and using anti-ROR1 antibody conjugates | |
| US20250115677A1 (en) | Anti-CEA Antibody Drug Conjugates and Methods of Use | |
| TW202421115A (en) | Vhh antibody conjugates | |
| TW202421137A (en) | Antibody-drug conjugates targeting napi2b and methods of use | |
| WO2023160651A1 (en) | Antibody, and drug conjugate and use thereof | |
| WO2022006340A1 (en) | Alk5 inhibitors, conjugates, and uses thereof | |
| WO2022076905A1 (en) | Alk5 inhibitors, conjugates, and uses thereof | |
| CN121177526A (en) | VHH antibody DOTA conjugate | |
| TW202530268A (en) | Anti-napi2b antibody-drug conjugates and methods of use | |
| US20240218011A1 (en) | Glucocorticoid receptor agonists and conjugates thereof | |
| WO2025162493A1 (en) | Anti-nectin-4 antibody/ligand-drug conjugate and use thereof |
Legal Events
| Date | Code | Title | Description |
|---|---|---|---|
| 121 | Ep: the epo has been informed by wipo that ep was designated in this application |
Ref document number: 20825325 Country of ref document: EP Kind code of ref document: A1 |
|
| NENP | Non-entry into the national phase |
Ref country code: DE |
|
| 122 | Ep: pct application non-entry in european phase |
Ref document number: 20825325 Country of ref document: EP Kind code of ref document: A1 |























































































































































































































































































































































































































