WO2020230938A1 - Device for recommending receipt advertisements by using products purchased by customers in connection with pos terminal - Google Patents
Device for recommending receipt advertisements by using products purchased by customers in connection with pos terminal Download PDFInfo
- Publication number
- WO2020230938A1 WO2020230938A1 PCT/KR2019/006172 KR2019006172W WO2020230938A1 WO 2020230938 A1 WO2020230938 A1 WO 2020230938A1 KR 2019006172 W KR2019006172 W KR 2019006172W WO 2020230938 A1 WO2020230938 A1 WO 2020230938A1
- Authority
- WO
- WIPO (PCT)
- Prior art keywords
- advertisement
- receipt
- dimensional
- vector
- image
- Prior art date
- Legal status (The legal status is an assumption and is not a legal conclusion. Google has not performed a legal analysis and makes no representation as to the accuracy of the status listed.)
- Ceased
Links
Images
Classifications
-
- G—PHYSICS
- G06—COMPUTING OR CALCULATING; COUNTING
- G06Q—INFORMATION AND COMMUNICATION TECHNOLOGY [ICT] SPECIALLY ADAPTED FOR ADMINISTRATIVE, COMMERCIAL, FINANCIAL, MANAGERIAL OR SUPERVISORY PURPOSES; SYSTEMS OR METHODS SPECIALLY ADAPTED FOR ADMINISTRATIVE, COMMERCIAL, FINANCIAL, MANAGERIAL OR SUPERVISORY PURPOSES, NOT OTHERWISE PROVIDED FOR
- G06Q30/00—Commerce
- G06Q30/02—Marketing; Price estimation or determination; Fundraising
- G06Q30/0241—Advertisements
- G06Q30/0251—Targeted advertisements
-
- G—PHYSICS
- G06—COMPUTING OR CALCULATING; COUNTING
- G06F—ELECTRIC DIGITAL DATA PROCESSING
- G06F16/00—Information retrieval; Database structures therefor; File system structures therefor
- G06F16/50—Information retrieval; Database structures therefor; File system structures therefor of still image data
- G06F16/51—Indexing; Data structures therefor; Storage structures
-
- G—PHYSICS
- G06—COMPUTING OR CALCULATING; COUNTING
- G06F—ELECTRIC DIGITAL DATA PROCESSING
- G06F16/00—Information retrieval; Database structures therefor; File system structures therefor
- G06F16/90—Details of database functions independent of the retrieved data types
- G06F16/95—Retrieval from the web
- G06F16/955—Retrieval from the web using information identifiers, e.g. uniform resource locators [URL]
-
- G—PHYSICS
- G06—COMPUTING OR CALCULATING; COUNTING
- G06F—ELECTRIC DIGITAL DATA PROCESSING
- G06F16/00—Information retrieval; Database structures therefor; File system structures therefor
- G06F16/90—Details of database functions independent of the retrieved data types
- G06F16/95—Retrieval from the web
- G06F16/955—Retrieval from the web using information identifiers, e.g. uniform resource locators [URL]
- G06F16/9566—URL specific, e.g. using aliases, detecting broken or misspelled links
-
- G—PHYSICS
- G06—COMPUTING OR CALCULATING; COUNTING
- G06K—GRAPHICAL DATA READING; PRESENTATION OF DATA; RECORD CARRIERS; HANDLING RECORD CARRIERS
- G06K19/00—Record carriers for use with machines and with at least a part designed to carry digital markings
- G06K19/06—Record carriers for use with machines and with at least a part designed to carry digital markings characterised by the kind of the digital marking, e.g. shape, nature, code
-
- G—PHYSICS
- G06—COMPUTING OR CALCULATING; COUNTING
- G06K—GRAPHICAL DATA READING; PRESENTATION OF DATA; RECORD CARRIERS; HANDLING RECORD CARRIERS
- G06K19/00—Record carriers for use with machines and with at least a part designed to carry digital markings
- G06K19/06—Record carriers for use with machines and with at least a part designed to carry digital markings characterised by the kind of the digital marking, e.g. shape, nature, code
- G06K19/06009—Record carriers for use with machines and with at least a part designed to carry digital markings characterised by the kind of the digital marking, e.g. shape, nature, code with optically detectable marking
- G06K19/06037—Record carriers for use with machines and with at least a part designed to carry digital markings characterised by the kind of the digital marking, e.g. shape, nature, code with optically detectable marking multi-dimensional coding
-
- G—PHYSICS
- G06—COMPUTING OR CALCULATING; COUNTING
- G06Q—INFORMATION AND COMMUNICATION TECHNOLOGY [ICT] SPECIALLY ADAPTED FOR ADMINISTRATIVE, COMMERCIAL, FINANCIAL, MANAGERIAL OR SUPERVISORY PURPOSES; SYSTEMS OR METHODS SPECIALLY ADAPTED FOR ADMINISTRATIVE, COMMERCIAL, FINANCIAL, MANAGERIAL OR SUPERVISORY PURPOSES, NOT OTHERWISE PROVIDED FOR
- G06Q20/00—Payment architectures, schemes or protocols
- G06Q20/08—Payment architectures
- G06Q20/20—Point-of-sale [POS] network systems
-
- G—PHYSICS
- G06—COMPUTING OR CALCULATING; COUNTING
- G06Q—INFORMATION AND COMMUNICATION TECHNOLOGY [ICT] SPECIALLY ADAPTED FOR ADMINISTRATIVE, COMMERCIAL, FINANCIAL, MANAGERIAL OR SUPERVISORY PURPOSES; SYSTEMS OR METHODS SPECIALLY ADAPTED FOR ADMINISTRATIVE, COMMERCIAL, FINANCIAL, MANAGERIAL OR SUPERVISORY PURPOSES, NOT OTHERWISE PROVIDED FOR
- G06Q30/00—Commerce
- G06Q30/02—Marketing; Price estimation or determination; Fundraising
-
- G—PHYSICS
- G06—COMPUTING OR CALCULATING; COUNTING
- G06Q—INFORMATION AND COMMUNICATION TECHNOLOGY [ICT] SPECIALLY ADAPTED FOR ADMINISTRATIVE, COMMERCIAL, FINANCIAL, MANAGERIAL OR SUPERVISORY PURPOSES; SYSTEMS OR METHODS SPECIALLY ADAPTED FOR ADMINISTRATIVE, COMMERCIAL, FINANCIAL, MANAGERIAL OR SUPERVISORY PURPOSES, NOT OTHERWISE PROVIDED FOR
- G06Q30/00—Commerce
- G06Q30/02—Marketing; Price estimation or determination; Fundraising
- G06Q30/0241—Advertisements
- G06Q30/0277—Online advertisement
Definitions
- the present invention relates to a device capable of recommending advertisements related to products purchased by a customer in connection with a POS terminal, and an operating method thereof.
- a plan has been devised to output an advertisement in the additional area after allocating an additional area in addition to the existing area when printing a receipt.
- Receipt advertisement recommendation apparatus when a product identifier for products purchased by a user and a request to transmit advertisement images are received from a POS terminal installed in a supermarket, the product identifiers are randomly extracted to generate an eigenvector, and a plurality of Calculates a vector similarity between the advertisement vector for each of the advertisement images and the eigenvector, selects an advertisement vector having the calculated vector similarity among the advertisement vectors for each of the plurality of advertisement images, and then selects the selected advertisement vector.
- an advertisement image related to a product purchased by the user can be displayed on a receipt output through the POS terminal.
- the apparatus for recommending receipt advertisements using products purchased by a customer in connection with a POS terminal includes a plurality of advertisement images and a predetermined n (n is 2) for each of the plurality of advertisement images.
- An advertisement information database in which advertisement vectors of the above natural number) are stored in correspondence with each other, product information in which a product identifier for each of a plurality of products and a preset unique number for each of the plurality of products correspond to each other and are stored Database, a receiving unit that receives product identifiers and advertisement image transmission requests for first products purchased by a user from a first POS (Point of Sale) terminal installed in a first supermarket, and the first POS terminal When a product identifier for the first products and a request to transmit the advertisement image are received, the n products stored in the product information database after extracting any n product identifiers from product identifiers for the first products.
- An eigenvector generation unit that generates an n-dimensional eigenvector including an identification number for
- Receipt advertisement recommendation apparatus when a product identifier for products purchased by a user and a request to transmit advertisement images are received from a POS terminal installed in a supermarket, the product identifiers are randomly extracted to generate an eigenvector, and a plurality of Calculates a vector similarity between the advertisement vector for each of the advertisement images and the eigenvector, selects an advertisement vector having the calculated vector similarity among the advertisement vectors for each of the plurality of advertisement images, and then selects the selected advertisement vector.
- the product identifiers are randomly extracted to generate an eigenvector, and a plurality of Calculates a vector similarity between the advertisement vector for each of the advertisement images and the eigenvector, selects an advertisement vector having the calculated vector similarity among the advertisement vectors for each of the plurality of advertisement images, and then selects the selected advertisement vector.
- FIG. 1 is a diagram showing the structure of a device for recommending a receipt advertisement using products purchased by a customer in connection with a POS terminal according to an embodiment of the present invention.
- FIG. 2 is a flowchart illustrating a method of operating a device for recommending a receipt advertisement using products purchased by a customer in connection with a POS terminal according to an embodiment of the present invention.
- each component, functional blocks or means may be composed of one or more sub-components, and the electrical, electronic, and mechanical functions performed by each component are electronic.
- a circuit, an integrated circuit, and an application specific integrated circuit (ASIC) may be implemented with various known devices or mechanical elements, and may be implemented separately or two or more may be integrated into one.
- the blocks of the attached block diagram and the steps in the flowchart are computer program instructions that are mounted on a processor or memory of equipment capable of processing data such as a general-purpose computer, a special-purpose computer, a portable notebook computer, and a network computer to perform specified functions. It can be interpreted as meaning. Since these computer program instructions can be stored in a memory provided in a computer device or in a memory readable by a computer, the functions described in the blocks in the block diagram or in the steps in the flowchart are produced as a product containing the instruction means to perform this. It could be.
- each block or each step may represent a module, segment, or part of code that contains one or more executable instructions for executing the specified logical function(s).
- FIG. 1 is a diagram showing the structure of a device for recommending a receipt advertisement using products purchased by a customer in connection with a POS terminal according to an embodiment of the present invention.
- a receipt advertisement recommendation device 110 using products purchased by a customer in connection with a POS terminal includes an advertisement information database 111, a product information database 112, a receiving unit 113, and A vector generation unit 114, a vector similarity calculation unit 115, an advertisement image extraction unit 116, and an output request unit 117 are included.
- the advertisement information database 111 stores a plurality of advertisement images and advertisement vectors of predetermined n (n is a natural number of 2 or more) dimensions corresponding to each other for each of the plurality of advertisement images.
- information may be stored in the advertisement information database 111 as shown in Table 1 below.
- the product information database 112 stores a product identifier for each of a plurality of products and a preset unique number for each of the plurality of products in correspondence with each other.
- information may be stored in the product information database 112 as shown in Table 2 below.
- the receiving unit 113 receives a product identifier and an advertisement image transmission request for first products purchased by a user from a first POS (Point of Sale) terminal 130 installed in a first supermarket.
- POS Point of Sale
- the receiving unit 113 A product identifier for the first products purchased by the user at the first supermarket and an advertisement image transmission request may be received from the first force terminal 130.
- the first force terminal 130 may store product identifiers and barcodes for each of the products currently sold in the first supermarket in correspondence with each other, and the first force terminal 130 may store the A barcode reader for recognizing a barcode of may be provided.
- the barcode is a small black bar consisting of several on a small label printed on the product when buying and calculating a product at a local supermarket, large discount store, or department store, and the barcode includes a 3-digit country code, 4 Digit manufacturer code, 5-digit product item code, and 1-digit check digit may be included.
- the clerk displays the barcode attached to the first products in the first force terminal 130.
- the first force terminal 130 sends a request for transmitting the advertisement image along with a product identifier for the first products stored in correspondence with the barcodes of the first products. ).
- any n items of product identifiers for the first products are received.
- an n-dimensional eigenvector including a unique number for each of the n product identifiers stored in the product information database 112 is generated as a component.
- the identification number refers to a number previously assigned by the manager in order to efficiently process product management, and among the products currently sold in the first supermarket,'hometown dumplings', a product related to dumplings.
- a unique number '3.2' for'Sampo Dumpling' approximate values of '3' may be assigned as unique numbers.
- an eigenvector is generated.
- the unit 114 randomly extracts product identifiers '1, 3, 5, 7, 9'among the product identifiers for the first products, and then the product identifiers '1, 3'stored in the product information database 112 5, 7, 11, 15, 19) 5 dimensional eigenvectors including components with unique numbers for each of', 5, 7, 9'can be generated.
- the vector similarity calculating unit 115 determines between the n-dimensional advertisement vector and the n-dimensional eigenvector for each of the plurality of advertisement images stored in the advertisement information database 111. Compute vector similarity.
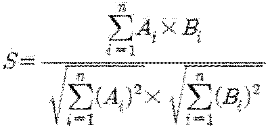
- a vector similarity between the n-dimensional advertisement vector and the n-dimensional eigenvector for each of the plurality of advertisement images may be calculated according to Equation 1 below.
- M is the vector similarity between the two vectors
- S is the cosine similarity between the two vectors
- D is the Euclidean distance between the two vectors
- the cosine similarity S and the two vectors between the two vectors The Euclidean distance D between may be calculated according to Equation 2 below and Equation 3 below.
- S is the cosine similarity between vectors A and B and has a value between -1 and 1, and the larger the value is, the more similar the vector is, A i is the i-th component of vector A, and B i is the i of vector B Means the second ingredient.
- Equation 3 D denotes the Euclidean distance, and A i and B i denote i-th components included in the two vectors.
- D denotes the Euclidean distance
- a i and B i denote i-th components included in the two vectors.
- a five-dimensional advertisement vector'(3, 9, 13, 15, 19)' and the five-dimensional eigenvector'(3, 19) stored in correspondence with'ad image 1'on the advertisement information database 111 The cosine similarity S between 7, 11, 15, and 19)' and the Euclidean distance D may be calculated as in Equation 4 below and Equation 5 below.
- the advertisement image extraction unit 116 selects an n-dimensional advertisement vector having a maximum value of the calculated vector similarity among n-dimensional advertisement vectors for each of the plurality of advertisement images, based on the calculated vector similarity, and , Extracts a first advertisement image stored in correspondence with the selected n-dimensional advertisement vector from the advertisement information database 111.
- the advertisement image extracting unit 116 determines 5 for each of the plurality of advertisement images based on the calculated vector similarity in Table 3 above.
- the five-dimensional advertisement vector'(3, 9, 13, 15, 19)' having the maximum value of the calculated vector similarity '1.34976' is selected, and the selected 5 from the advertisement information database 111 'Ad image 1'stored in correspondence with the dimensional advertisement vector'(3, 9, 13, 15, 19)' can be extracted.
- the output request unit 117 transmits the first advertisement image and an advertisement image output request to the first force terminal 130.
- the first force terminal 130 when the first force terminal 130 receives the first advertisement image and the request to output the advertisement image from the receipt advertisement recommendation device 110, the first force terminal 130 1 After arranging in a preset first area of a receipt for displaying product price information, the receipt may be printed on paper.
- the output request unit 117 receives the first advertisement image.
- the advertisement image'ad image 1'and the advertisement image output request may be transmitted to the first force terminal 130.
- the first force terminal 130 receives the first advertisement image'advertising image 1'and the advertisement image output request from the receipt advertisement recommendation device 110, the first advertisement image'advertising image 1' After arranging in a preset first area of a receipt for displaying price information of the first products, the receipt may be output as paper.
- the receipt advertisement recommendation device 110 receives a product identifier and an advertisement image transmission request for the first products purchased by the user from the first force terminal 130 installed in the first supermarket, the first product
- An n-dimensional eigenvector including a unique number for each of the n product identifiers is generated by extracting arbitrary n product identifiers among the product identifiers for the products, and n-dimensional for each of a plurality of advertisement images.
- an n-dimensional ad vector having a maximum value of the calculated vector similarity among n-dimensional ad vectors for each of the plurality of advertisement images is selected.
- the user It is possible to support to easily check advertisement images of recommended products related to purchased products on receipt paper.
- an access URL Uniform Resource
- Locator Uniform Resource
- the advertisement information database 111 may additionally store information as shown in Table 4 below.
- the output request unit 117 may include an address extraction unit 118, a code generation unit 119, and a transmission unit 120.
- the address extraction unit 118 extracts a first access URL address stored in correspondence with the first advertisement image from the advertisement information database 111.
- the code generator 119 When the first access URL address is extracted, the code generator 119 generates a two-dimensional code into which the first access URL address is inserted.
- the two-dimensional code refers to a code capable of inserting information such as various characters on a two-dimensional image pattern, such as a quick response (QR) code.
- QR quick response
- the first force terminal 130 may be equipped with a two-dimensional code reader for recognizing a two-dimensional code into which the first access URL address is inserted.
- the transmission unit 120 transmits the first advertisement image and the request for outputting the advertisement image to the first force terminal 130 and simultaneously outputs the 2D code and the 2D code.
- the request is transmitted to the first force terminal 130.
- the first force terminal 130 is configured for the first advertisement image, the advertisement image output request, the 2D code and the 2D code from the receipt advertisement recommendation device 110.
- the first advertisement image is placed in a preset first area of a receipt for displaying price information of the first products, and the two-dimensional code is placed in a preset second area of the receipt. After that, you can print the receipt on paper.
- the first advertisement image is referred to as'ad image 1'and the first access URL address is referred to as'http://supermenz.com/nmms_12345.gif'
- the first advertisement image is'ad image 1'.
- the address extraction unit 118 corresponds to the first advertisement image,'advertising image 1', and the first access URL address stored in the advertisement information database 111 'Http://supermenz.com/nmms_12345.gif' can be extracted.
- the code generation unit 119 is the first URL access address'http://supermenz.com/nmms_12345.gif'. It is possible to create a two-dimensional code with'://supermenz.com/nmms_12345.gif' inserted.
- the transmission unit 120 transmits the first advertisement image'ad image 1'and the advertisement image output request to the first force terminal 130, and at the same time, the first URL access address'http:/ /supermenz.com/nmms_12345.gif' is inserted into the 2D code and the first URL access address'http://supermenz.com/nmms_12345.gif' is inserted into the output request for the 2D code is inserted into the first force. It can be transmitted to the terminal 130.
- the first advertisement image “advertising image 1”, the advertisement image output request, and the first URL access address “http://supermenz.com/nmms_12345.gif” are inserted.
- the first force terminal 130 receives a request for output of the generated 2D code and the 2D code with the first URL access address'http://supermenz.com/nmms_12345.gif' inserted, the first force
- the terminal 130 arranges the'advertising image 1', which is the first advertisement image, in a predetermined first area of the receipt for displaying price information of the first products, and the first URL access address'http:/' /supermenz.com/nmms_12345.gif' may be inserted into a second predetermined area of the receipt, and then the receipt may be printed on paper.
- FIG. 2 is a flowchart illustrating a method of operating a device for recommending a receipt advertisement using products purchased by a customer in connection with a POS terminal according to an embodiment of the present invention.
- step S210 an advertisement information database in which advertisement vectors of a plurality of advertisement images and a preset n (n is a natural number of 2 or more) dimensions for each of the plurality of advertisement images correspond to each other and is stored is maintained.
- step S220 a product information database in which a product identifier for each of a plurality of products and a preset unique number for each of the plurality of products correspond to each other and is stored is maintained.
- step S230 a product identifier for first products purchased by a user and a request to transmit an advertisement image are received from a first force terminal installed in a first supermarket.
- step S240 when product identifiers for the first products and a request to transmit the advertisement image are received from the first force terminal, n product identifiers of the product identifiers for the first products are extracted, An n-dimensional eigenvector including a unique number for each of the n product identifiers stored in the product information database is generated.
- step S250 when the n-dimensional eigenvector is generated, a vector similarity between the n-dimensional advertisement vector and the n-dimensional eigenvector for each of the plurality of advertisement images stored in the advertisement information database is calculated. do.
- step S260 based on the calculated vector similarity, an n-dimensional advertisement vector having a maximum value of the calculated vector similarity is selected from among n-dimensional advertisement vectors for each of the plurality of advertisement images, and the advertisement A first advertisement image stored in correspondence with the selected n-dimensional advertisement vector is extracted from the information database.
- step S270 when the first advertisement image is extracted, the first advertisement image and an advertisement image output request are transmitted to the first force terminal.
- the first force terminal when the first force terminal receives the first advertisement image and the request to output the advertisement image from the receipt advertisement recommendation device, the first advertisement image is converted to the price of the first products.
- the receipt After arranging in a predetermined first area of a receipt for displaying information, the receipt may be printed out on paper.
- an access URL address of an advertisement website on which advertisement content corresponding to each of the plurality of advertisement images is posted is added to the advertisement information database. It may be stored in correspondence with.
- step S270 when the first advertisement image is extracted, extracting a first access URL address stored in correspondence with the first advertisement image from the advertisement information database, and extracting the first access URL address Then, the step of generating a two-dimensional code in which the first access URL address is inserted, and when the two-dimensional code is generated, the first advertisement image and the request for outputting the advertisement image are transmitted to the first force terminal and the It may include transmitting a 2D code and an output request for the 2D code to the first force terminal.
- the first force terminal receives the first advertisement image, the advertisement image output request, the 2D code and the output request for the 2D code from the receipt advertisement recommendation device. Then, the first advertisement image is placed in a preset first area of a receipt for displaying price information of the first products, the two-dimensional code is placed in a preset second area of the receipt, and the receipt is You can print it out on paper.
- the calculation of the vector similarity between the n-dimensional advertisement vector and the n-dimensional eigenvector for each of the plurality of advertisement images may be performed according to Equation 1 above.
- the operation method of the apparatus for recommending a receipt advertisement using products purchased by a customer in connection with a POS terminal according to an embodiment of the present invention has been described with reference to FIG. 2.
- the operation method of the device for recommending receipt advertisement using products purchased by a customer in connection with a POS terminal according to an embodiment of the present invention is a receipt advertisement using products purchased by a customer in connection with the POS terminal described with reference to FIG. Since it may correspond to the configuration of the operation of the recommendation device 110, a more detailed description thereof will be omitted.
- a method of operating a device for recommending receipt advertisements using products purchased by a customer in connection with a POS terminal may be implemented as a computer program stored in a storage medium for execution through combination with a computer.
- the operation method of the apparatus for recommending receipt advertisements using products purchased by a customer in connection with a POS terminal is implemented in the form of program commands that can be executed through various computer means, Can be recorded.
- the computer-readable medium may include program instructions, data files, data structures, and the like alone or in combination.
- the program instructions recorded on the medium may be specially designed and configured for the present invention, or may be known and usable to those skilled in computer software. Examples of computer-readable recording media include magnetic media such as hard disks, floppy disks, and magnetic tapes, optical media such as CD-ROMs and DVDs, and magnetic media such as floptical disks.
- -A hardware device specially configured to store and execute program instructions such as magneto-optical media, and ROM, RAM, flash memory, and the like.
- program instructions include not only machine language codes such as those produced by a compiler, but also high-level language codes that can be executed by a computer using an interpreter or the like.
Landscapes
- Engineering & Computer Science (AREA)
- Business, Economics & Management (AREA)
- Theoretical Computer Science (AREA)
- Physics & Mathematics (AREA)
- General Physics & Mathematics (AREA)
- Accounting & Taxation (AREA)
- Finance (AREA)
- Strategic Management (AREA)
- Development Economics (AREA)
- Databases & Information Systems (AREA)
- General Business, Economics & Management (AREA)
- Data Mining & Analysis (AREA)
- General Engineering & Computer Science (AREA)
- Game Theory and Decision Science (AREA)
- Entrepreneurship & Innovation (AREA)
- Marketing (AREA)
- Economics (AREA)
- Software Systems (AREA)
- Management, Administration, Business Operations System, And Electronic Commerce (AREA)
- Cash Registers Or Receiving Machines (AREA)
Abstract
Description
본 발명은 포스 단말기와 연동하여 고객이 구매한 상품들과 연관된 광고를 추천할 수 있는 장치 및 그 동작 방법에 대한 것이다.The present invention relates to a device capable of recommending advertisements related to products purchased by a customer in connection with a POS terminal, and an operating method thereof.
보통, 영수증에는 사용자가 구매한 상품들에 대한 상품명, 상품 가격, 상품 수량 등의 정보들만이 출력되며, 사용자는 영수증을 수취하게 되면, 출력된 정보들을 확인한 후 영수증을 바로 버리는 경향이 있다.Usually, only information such as product name, product price, and product quantity for products purchased by the user is output on the receipt, and when the user receives a receipt, the user tends to immediately discard the receipt after checking the printed information.
이렇게, 사용자가 영수증을 수취하여 출력된 정보를 확인한 후 영수증을 바로 버리게 되면, 종이를 낭비하게 될 뿐만 아니라 영수증 활용에 있어 다소 아쉬울 수가 있다.In this way, if the user receives the receipt and immediately discards the receipt after checking the printed information, not only paper is wasted, but also it may be a little regretful in utilizing the receipt.
이에 따라, 종이 낭비를 방지하고, 영수증 활용도를 높이고자 영수증 출력 시 기존 영역 외에 추가 영역을 할당한 후 추가 영역에 광고를 출력하도록 하는 방안이 마련되었다.Accordingly, in order to prevent waste of paper and increase the utilization of receipts, a plan has been devised to output an advertisement in the additional area after allocating an additional area in addition to the existing area when printing a receipt.
기존에는 추가 영역에 광고를 출력할 때, 사용자의 구매 의도와 관계없이 매장에서 할인행사 중이거나 신상 홍보가 필요한 상품들에 대한 광고만 출력되는 경향이 있었다.In the past, when an advertisement is displayed in an additional area, there has been a tendency that only advertisements for products that are being promoted at a store or require new promotion are displayed regardless of the user's purchase intention.
그러나, 사용자의 구매 의도와 연관이 없는 상품들을 광고로 출력하게 되면, 사용자가 광고를 통해 상품들을 다시 구매하게 되는 경우가 드물게 되어, 가맹점 매장의 판매 매출로 이어지기 어렵다는 문제점이 있다.However, when products that are not related to the user's purchase intention are output as advertisements, there is a problem that it is difficult for the user to purchase products again through advertisements, and thus it is difficult to lead to sales sales of affiliated stores.
따라서, 가맹점 매장의 판매 매출 증진 방안으로 사용자가 가맹점 매장에서 구매한 상품들과 연관이 있는 상품들에 대한 광고를 영수증의 추가 영역에 표시할 수 있는 광고 추천 기법에 대한 연구가 필요하다.Therefore, as a way to increase sales sales of affiliated stores, there is a need for a study on an advertisement recommendation technique capable of displaying advertisements for products related to products purchased by users at affiliated stores in an additional area of a receipt.
본 발명에 따른 영수증 광고 추천 장치는 슈퍼마켓에 설치되어 있는 포스 단말기로부터 사용자가 구매한 상품들에 대한 상품 식별자와 광고 이미지 전송 요청이 수신되면, 상품 식별자들을 임의로 추출하여 고유벡터를 생성하고, 복수의 광고 이미지들 각각에 대한 광고벡터와 상기 고유벡터 사이의 벡터 유사도를 연산하며, 상기 복수의 광고 이미지들 각각에 대한 광고벡터 중 상기 연산된 벡터 유사도가 최대 값을 갖는 광고벡터를 선택한 후, 상기 선택된 광고벡터에 대응되는 광고 이미지를 추출하여 상기 광고 이미지를 상기 포스 단말기로 전송함으로써, 상기 포스 단말기를 통해 출력되는 영수증에 사용자가 구매한 상품과 연관된 광고 이미지가 표시될 수 있도록 한다.Receipt advertisement recommendation apparatus according to the present invention, when a product identifier for products purchased by a user and a request to transmit advertisement images are received from a POS terminal installed in a supermarket, the product identifiers are randomly extracted to generate an eigenvector, and a plurality of Calculates a vector similarity between the advertisement vector for each of the advertisement images and the eigenvector, selects an advertisement vector having the calculated vector similarity among the advertisement vectors for each of the plurality of advertisement images, and then selects the selected advertisement vector. By extracting an advertisement image corresponding to an advertisement vector and transmitting the advertisement image to the POS terminal, an advertisement image related to a product purchased by the user can be displayed on a receipt output through the POS terminal.
본 발명의 일실시예에 따른 포스 단말기와 연동하여 고객이 구매한 상품들을 이용한 영수증 광고 추천 장치는 복수의 광고 이미지들과 상기 복수의 광고 이미지들 각각에 대한 기설정된(predetermined) n(n은 2이상의 자연수임)차원의 광고벡터가 서로 대응되어 저장되어 있는 광고 정보 데이터베이스, 복수의 상품들 각각에 대한 상품 식별자와 상기 복수의 상품들 각각에 대한 기설정된 고유번호가 서로 대응되어 저장되어 있는 상품 정보 데이터베이스, 제1 슈퍼마켓에 설치되어 있는 제1 포스(POS: Point of Sale) 단말기로부터 사용자가 구매한 제1 상품들에 대한 상품 식별자와 광고 이미지 전송 요청을 수신하는 수신부, 상기 제1 포스 단말기로부터 상기 제1 상품들에 대한 상품 식별자와 상기 광고 이미지 전송 요청이 수신되면, 상기 제1 상품들에 대한 상품 식별자 중 임의의 n개의 상품 식별자들을 추출한 후, 상기 상품 정보 데이터베이스에 저장되어 있는 상기 n개의 상품 식별자들 각각에 대한 고유번호를 성분으로 포함하는 n차원의 고유벡터를 생성하는 고유벡터 생성부, 상기 n차원의 고유벡터가 생성되면, 상기 광고 정보 데이터베이스에 저장되어 있는 상기 복수의 광고 이미지들 각각에 대한 n차원의 광고벡터와 상기 n차원의 고유벡터 사이의 벡터 유사도를 연산하는 벡터 유사도 연산부, 상기 연산된 벡터 유사도를 기초로, 상기 복수의 광고 이미지들 각각에 대한 n차원의 광고벡터 중 상기 연산된 벡터 유사도가 최대 값을 갖는 n차원의 광고벡터를 선택하고, 상기 광고 정보 데이터베이스로부터 상기 선택된 n차원의 광고벡터에 대응되어 저장되어 있는 제1 광고 이미지를 추출하는 광고 이미지 추출부 및 상기 제1 광고 이미지가 추출되면, 상기 제1 광고 이미지와 광고 이미지 출력 요청을 상기 제1 포스 단말기로 전송하는 출력 요청부를 포함한다.The apparatus for recommending receipt advertisements using products purchased by a customer in connection with a POS terminal according to an embodiment of the present invention includes a plurality of advertisement images and a predetermined n (n is 2) for each of the plurality of advertisement images. An advertisement information database in which advertisement vectors of the above natural number) are stored in correspondence with each other, product information in which a product identifier for each of a plurality of products and a preset unique number for each of the plurality of products correspond to each other and are stored Database, a receiving unit that receives product identifiers and advertisement image transmission requests for first products purchased by a user from a first POS (Point of Sale) terminal installed in a first supermarket, and the first POS terminal When a product identifier for the first products and a request to transmit the advertisement image are received, the n products stored in the product information database after extracting any n product identifiers from product identifiers for the first products An eigenvector generation unit that generates an n-dimensional eigenvector including an identification number for each of the identifiers as a component, and when the n-dimensional eigenvector is generated, each of the plurality of advertisement images stored in the advertisement information database A vector similarity calculation unit that calculates a vector similarity between the n-dimensional ad vector and the n-dimensional eigenvector for, based on the calculated vector similarity, among the n-dimensional ad vectors for each of the plurality of advertisement images, the An advertisement image extracting unit configured to select an n-dimensional advertisement vector having a maximum calculated vector similarity, and extract a first advertisement image stored in correspondence with the selected n-dimensional advertisement vector from the advertisement information database, and the second advertisement vector. When the 1 advertisement image is extracted, it includes an output requesting unit that transmits the first advertisement image and the advertisement image output request to the first force terminal.
본 발명에 따른 영수증 광고 추천 장치는 슈퍼마켓에 설치되어 있는 포스 단말기로부터 사용자가 구매한 상품들에 대한 상품 식별자와 광고 이미지 전송 요청이 수신되면, 상품 식별자들을 임의로 추출하여 고유벡터를 생성하고, 복수의 광고 이미지들 각각에 대한 광고벡터와 상기 고유벡터 사이의 벡터 유사도를 연산하며, 상기 복수의 광고 이미지들 각각에 대한 광고벡터 중 상기 연산된 벡터 유사도가 최대 값을 갖는 광고벡터를 선택한 후, 상기 선택된 광고벡터에 대응되는 광고 이미지를 추출하여 상기 광고 이미지를 상기 포스 단말기로 전송함으로써, 상기 포스 단말기를 통해 출력되는 영수증에 사용자가 구매한 상품과 연관된 광고 이미지가 표시될 수 있도록 지원할 수 있다.Receipt advertisement recommendation apparatus according to the present invention, when a product identifier for products purchased by a user and a request to transmit advertisement images are received from a POS terminal installed in a supermarket, the product identifiers are randomly extracted to generate an eigenvector, and a plurality of Calculates a vector similarity between the advertisement vector for each of the advertisement images and the eigenvector, selects an advertisement vector having the calculated vector similarity among the advertisement vectors for each of the plurality of advertisement images, and then selects the selected advertisement vector. By extracting an advertisement image corresponding to an advertisement vector and transmitting the advertisement image to the POS terminal, it is possible to support the display of an advertisement image associated with a product purchased by the user on a receipt output through the POS terminal.
도 1은 본 발명의 일실시예에 따른 포스 단말기와 연동하여 고객이 구매한 상품들을 이용한 영수증 광고 추천 장치의 구조를 도시한 도면이다.1 is a diagram showing the structure of a device for recommending a receipt advertisement using products purchased by a customer in connection with a POS terminal according to an embodiment of the present invention.
도 2는 본 발명의 일실시예에 따른 포스 단말기와 연동하여 고객이 구매한 상품들을 이용한 영수증 광고 추천 장치의 동작 방법을 도시한 순서도이다.2 is a flowchart illustrating a method of operating a device for recommending a receipt advertisement using products purchased by a customer in connection with a POS terminal according to an embodiment of the present invention.
이하에서는 본 발명에 따른 실시예들을 첨부된 도면을 참조하여 상세하게 설명하기로 한다. 이러한 설명은 본 발명을 특정한 실시 형태에 대해 한정하려는 것이 아니며, 본 발명의 사상 및 기술 범위에 포함되는 모든 변경, 균등물 내지 대체물을 포함하는 것으로 이해되어야 한다. 각 도면을 설명하면서 유사한 참조부호를 유사한 구성요소에 대해 사용하였으며, 다르게 정의되지 않는 한, 기술적이거나 과학적인 용어를 포함해서 본 명세서 상에서 사용되는 모든 용어들은 본 발명이 속하는 기술분야에서 통상의 지식을 가진 사람에 의해 일반적으로 이해되는 것과 동일한 의미를 가지고 있다.Hereinafter, embodiments of the present invention will be described in detail with reference to the accompanying drawings. This description is not intended to limit the present invention to a specific embodiment, it is to be understood to include all changes, equivalents, and substitutes included in the spirit and scope of the present invention. While describing each drawing, similar reference numerals have been used for similar components, and unless otherwise defined, all terms used in the present specification including technical or scientific terms refer to common knowledge in the technical field to which the present invention belongs. It has the same meaning as commonly understood by someone who has it.
본 문서에서, 어떤 부분이 어떤 구성요소를 "포함"한다고 할 때, 이는 특별히 반대되는 기재가 없는 한 다른 구성요소를 제외하는 것이 아니라 다른 구성요소를 더 포함할 수 있다는 것을 의미한다. 또한, 본 발명의 다양한 실시예들에 있어서, 각 구성요소들, 기능 블록들 또는 수단들은 하나 또는 그 이상의 하부 구성요소로 구성될 수 있고, 각 구성요소들이 수행하는 전기, 전자, 기계적 기능들은 전자회로, 집적회로, ASIC(Application Specific Integrated Circuit) 등 공지된 다양한 소자들 또는 기계적 요소들로 구현될 수 있으며, 각각 별개로 구현되거나 2 이상이 하나로 통합되어 구현될 수도 있다.In this document, when a part "includes" a certain component, it means that other components may be further included rather than excluding other components unless otherwise stated. In addition, in various embodiments of the present invention, each component, functional blocks or means may be composed of one or more sub-components, and the electrical, electronic, and mechanical functions performed by each component are electronic. A circuit, an integrated circuit, and an application specific integrated circuit (ASIC) may be implemented with various known devices or mechanical elements, and may be implemented separately or two or more may be integrated into one.
한편, 첨부된 블록도의 블록들이나 흐름도의 단계들은 범용 컴퓨터, 특수용 컴퓨터, 휴대용 노트북 컴퓨터, 네트워크 컴퓨터 등 데이터 프로세싱이 가능한 장비의 프로세서나 메모리에 탑재되어 지정된 기능들을 수행하는 컴퓨터 프로그램 명령들(instructions)을 의미하는 것으로 해석될 수 있다. 이들 컴퓨터 프로그램 명령들은 컴퓨터 장치에 구비된 메모리 또는 컴퓨터에서 판독 가능한 메모리에 저장될 수 있기 때문에, 블록도의 블록들 또는 흐름도의 단계들에서 설명된 기능들은 이를 수행하는 명령 수단을 내포하는 제조물로 생산될 수도 있다. 아울러, 각 블록 또는 각 단계는 특정된 논리적 기능(들)을 실행하기 위한 하나 이상의 실행 가능한 명령들을 포함하는 모듈, 세그먼트 또는 코드의 일부를 나타낼 수 있다. 또, 몇 가지 대체 가능한 실시예들에서는 블록들 또는 단계들에서 언급된 기능들이 정해진 순서와 달리 실행되는 것도 가능함을 주목해야 한다. 예컨대, 잇달아 도시되어 있는 두 개의 블록들 또는 단계들은 실질적으로 동시에 수행되거나, 역순으로 수행될 수 있으며, 경우에 따라 일부 블록들 또는 단계들이 생략된 채로 수행될 수도 있다.On the other hand, the blocks of the attached block diagram and the steps in the flowchart are computer program instructions that are mounted on a processor or memory of equipment capable of processing data such as a general-purpose computer, a special-purpose computer, a portable notebook computer, and a network computer to perform specified functions. It can be interpreted as meaning. Since these computer program instructions can be stored in a memory provided in a computer device or in a memory readable by a computer, the functions described in the blocks in the block diagram or in the steps in the flowchart are produced as a product containing the instruction means to perform this. It could be. In addition, each block or each step may represent a module, segment, or part of code that contains one or more executable instructions for executing the specified logical function(s). In addition, it should be noted that in some alternative embodiments, functions mentioned in blocks or steps may be executed in a different order. For example, two blocks or steps shown in succession may be performed substantially simultaneously or may be performed in reverse order, and in some cases, some blocks or steps may be omitted.
도 1은 본 발명의 일실시예에 따른 포스 단말기와 연동하여 고객이 구매한 상품들을 이용한 영수증 광고 추천 장치의 구조를 도시한 도면이다.1 is a diagram showing the structure of a device for recommending a receipt advertisement using products purchased by a customer in connection with a POS terminal according to an embodiment of the present invention.
도 1을 참조하면, 본 발명에 따른 포스 단말기와 연동하여 고객이 구매한 상품들을 이용한 영수증 광고 추천 장치(110)는 광고 정보 데이터베이스(111), 상품 정보 데이터베이스(112), 수신부(113), 고유벡터 생성부(114), 벡터 유사도 연산부(115), 광고 이미지 추출부(116) 및 출력 요청부(117)를 포함한다.Referring to FIG. 1, a receipt
광고 정보 데이터베이스(111)에는 복수의 광고 이미지들과 상기 복수의 광고 이미지들 각각에 대한 기설정된(predetermined) n(n은 2이상의 자연수임)차원의 광고벡터가 서로 대응되어 저장되어 있다.The advertisement information database 111 stores a plurality of advertisement images and advertisement vectors of predetermined n (n is a natural number of 2 or more) dimensions corresponding to each other for each of the plurality of advertisement images.
예컨대, 광고 정보 데이터베이스(111)에는 하기의 표 1과 같이 정보가 저장되어 있을 수 있다.For example, information may be stored in the advertisement information database 111 as shown in Table 1 below.
상품 정보 데이터베이스(112)에는 복수의 상품들 각각에 대한 상품 식별자와 상기 복수의 상품들 각각에 대한 기설정된 고유번호가 서로 대응되어 저장되어 있다.The
예컨대, 상품 정보 데이터베이스(112)에는 하기의 표 2와 같이 정보가 저장되어 있을 수 있다.For example, information may be stored in the
수신부(113)는 제1 슈퍼마켓에 설치되어 있는 제1 포스(POS: Point of Sale) 단말기(130)로부터 사용자가 구매한 제1 상품들에 대한 상품 식별자와 광고 이미지 전송 요청을 수신한다.The
예컨대, 사용자가 제1 슈퍼마켓에서 제1 상품들을 구매함에 따라 상기 제1 슈퍼마켓에 설치되어 있는 제1 포스 단말기(130)가 상기 제1 상품들에 대한 구매 정보를 생성하게 되면, 수신부(113)는 제1 포스 단말기(130)로부터 상기 사용자가 상기 제1 슈퍼마켓에서 구매한 상기 제1 상품들에 대한 상품 식별자와 광고 이미지 전송 요청을 수신할 수 있다.For example, as a user purchases first products in a first supermarket, when the
이때, 제1 포스 단말기(130)에는 상기 제1 슈퍼마켓에서 현재 판매하고 있는 상품들 각각에 대한 상품 식별자와 각각의 바코드가 서로 대응되어 저장되어 있을 수 있고, 제1 포스 단말기(130)에는 상기 각각의 바코드를 인식하기 위한 바코드 리더기가 구비될 수 있다.At this time, the
여기서, 바코드(Bar-Code)란 동네 슈퍼마켓, 대형 할인점 또는 백화점 등에서 물건을 사고 계산할 때 상기 물건에 인쇄된 작은 라벨에 여러 개로 구성된 검은색 작은 막대부분으로, 상기 바코드에는 3자리의 국가코드, 4자리의 제조 업체코드, 5자리의 상품 품목코드, 1자리의 체크 디지트가 포함될 수 있다.Here, the barcode (Bar-Code) is a small black bar consisting of several on a small label printed on the product when buying and calculating a product at a local supermarket, large discount store, or department store, and the barcode includes a 3-digit country code, 4 Digit manufacturer code, 5-digit product item code, and 1-digit check digit may be included.
이때, 상기 사용자가 상기 제1 슈퍼마켓에서 현재 판매하고 있는 상품들 중 상기 제1 상품들을 선택함에 따라, 점원이 상기 제1 상품들에 부착된 바코드를 제1 포스 단말기(130)에 구비되어 있는 상기 바코드 리더기에 인식시키게 되면, 제1 포스 단말기(130)는 상기 제1 상품들의 바코드에 대응되어 저장되어 있는 상기 제1 상품들에 대한 상품 식별자와 함께 상기 광고 이미지 전송 요청을 영수증 광고 추천 장치(110)로 전송할 수 있다.In this case, as the user selects the first products from among the products currently sold in the first supermarket, the clerk displays the barcode attached to the first products in the
고유벡터 생성부(114)는 제1 포스 단말기(130)로부터 상기 제1 상품들에 대한 상품 식별자와 상기 광고 이미지 전송 요청이 수신되면, 상기 제1 상품들에 대한 상품 식별자 중 임의의 n개의 상품 식별자들을 추출한 후, 상품 정보 데이터베이스(112)에 저장되어 있는 상기 n개의 상품 식별자들 각각에 대한 고유번호를 성분으로 포함하는 n차원의 고유벡터를 생성한다.When the
여기서, 고유번호(Identification Number)란 상품관리 업무를 효율적으로 처리하기 위하여 관리자에 의해 사전에 부여된 번호를 의미하는 것으로, 제1 슈퍼마켓에서 현재 판매하고 있는 상품들 중 만두류와 관련된 상품인 '고향만두'에는 고유번호 '3.1', '삼포만두'에는 고유번호 '3.2'와 같이 만두류에는 '3'의 근사값들이 고유번호로 부여될 수 있다.Here, the identification number refers to a number previously assigned by the manager in order to efficiently process product management, and among the products currently sold in the first supermarket,'hometown dumplings', a product related to dumplings. For dumplings, like '3.1', a unique number '3.2' for'Sampo Dumpling', approximate values of '3' may be assigned as unique numbers.
예컨대, 'n=5'라고 하고, 제1 포스 단말기(130)로부터 상기 제1 상품들에 대한 상품 식별자와 상기 광고 이미지 전송 요청이 영수증 광고 추천 장치(110)에 수신되었다고 하는 경우, 고유벡터 생성부(114)는 상기 제1 상품들에 대한 상품 식별자 중 상품 식별자 '1, 3, 5, 7, 9'를 임의로 추출한 후, 상품 정보 데이터베이스(112)에 저장되어 있는 상기 상품 식별자 '1, 3, 5, 7, 9' 각각에 대한 고유번호를 성분을 포함하는 5차원의 고유벡터 '(3, 7, 11, 15, 19)'를 생성할 수 있다.For example, if'n=5' and it is assumed that the product identifier for the first products and the request to transmit the advertisement image from the
벡터 유사도 연산부(115)는 상기 n차원의 고유벡터가 생성되면, 광고 정보 데이터베이스(111)에 저장되어 있는 상기 복수의 광고 이미지들 각각에 대한 n차원의 광고벡터와 상기 n차원의 고유벡터 사이의 벡터 유사도를 연산한다.When the n-dimensional eigenvector is generated, the vector
여기서, 상기 복수의 광고 이미지들 각각에 대한 n차원의 광고벡터와 상기 n차원의 고유벡터 사이의 벡터 유사도는 하기의 수학식 1에 따라 연산될 수 있다.Here, a vector similarity between the n-dimensional advertisement vector and the n-dimensional eigenvector for each of the plurality of advertisement images may be calculated according to Equation 1 below.
여기서, M은 두 벡터 사이의 벡터 유사도로 S는 상기 두 벡터 사이의 코사인 유사도, D는 상기 두 벡터 사이의 유클리드 거리(Euclidean Distance)를 의미하고, 상기 두 벡터 사이의 코사인 유사도 S와 상기 두 벡터 사이의 유클리드 거리 D는 하기의 수학식 2와 하기의 수학식 3에 따라 연산될 수 있다.Here, M is the vector similarity between the two vectors, S is the cosine similarity between the two vectors, D is the Euclidean distance between the two vectors, and the cosine similarity S and the two vectors between the two vectors The Euclidean distance D between may be calculated according to Equation 2 below and Equation 3 below.
여기서, S는 벡터 A와 B 사이의 코사인 유사도로 -1에서 1사이의 값을 가지며, 그 값이 클수록 유사한 벡터임을 의미하고, Ai는 벡터 A의 i번째 성분, Bi는 벡터 B의 i번째 성분을 의미한다.Here, S is the cosine similarity between vectors A and B and has a value between -1 and 1, and the larger the value is, the more similar the vector is, A i is the i-th component of vector A, and B i is the i of vector B Means the second ingredient.
상기 수학식 3에서 D는 유클리드 거리, Ai와 Bi는 두 벡터에 포함되어 있는 i번째 성분들을 의미한다. 보통, 두 벡터 간의 유클리드 거리가 작을수록 두 벡터는 유사한 벡터라고 볼 수 있고, 두 벡터 간의 유클리드 거리가 클수록 두 벡터는 비유사한 벡터라고 볼 수 있다.In Equation 3, D denotes the Euclidean distance, and A i and B i denote i-th components included in the two vectors. Generally, as the Euclidean distance between two vectors is smaller, the two vectors can be regarded as similar vectors, and as the Euclidean distance between two vectors is larger, the two vectors can be considered to be dissimilar vectors.
예컨대, 광고 정보 데이터베이스(111) 상의 '광고 이미지 1'에 대응되어 저장되 어 있는 5차원의 광고벡터 '(3, 9, 13, 15, 19)'와 상기 5차원의 고유벡터 '(3, 7, 11, 15, 19)' 사이의 코사인 유사도 S와 유클리드 거리 D의 연산은 하기의 수학식 4와 하기의 수학식 5와 같이 연산될 수 있다.For example, a five-dimensional advertisement vector'(3, 9, 13, 15, 19)' and the five-dimensional eigenvector'(3, 19) stored in correspondence with'ad image 1'on the advertisement information database 111 The cosine similarity S between 7, 11, 15, and 19)' and the Euclidean distance D may be calculated as in Equation 4 below and Equation 5 below.
상기의 수학식 4와 상기의 수학식 5와 같이, 상기 복수의 광고 이미지들 각각에 대한 5차원의 광고벡터와 상기 5차원의 고유벡터 '(3, 7, 11, 15, 19)' 사이의 코사인 유사도 S와 유클리드 거리 D를 도출하여 벡터 유사도 M을 연산하면, 하기의 표 3과 같다.As shown in Equation 4 and Equation 5 above, between the 5-dimensional advertisement vector for each of the plurality of advertisement images and the 5-dimensional eigenvector'(3, 7, 11, 15, 19)' When the vector similarity M is calculated by deriving the cosine similarity S and the Euclidean distance D, they are shown in Table 3 below.
광고 이미지 추출부(116)는 상기 연산된 벡터 유사도를 기초로, 상기 복수의 광고 이미지들 각각에 대한 n차원의 광고벡터 중 상기 연산된 벡터 유사도가 최대 값을 갖는 n차원의 광고벡터를 선택하고, 광고 정보 데이터베이스(111)로부터 상기 선택된 n차원의 광고벡터에 대응되어 저장되어 있는 제1 광고 이미지를 추출한다.The advertisement
예컨대, 상기 연산된 벡터 유사도의 최대 값을 '1.34976'이라고 가정하는 경우, 광고 이미지 추출부(116)는 상기 표 3에서의 연산된 벡터 유사도를 기초로, 상기 복수의 광고 이미지들 각각에 대한 5차원의 광고벡터 중 상기 연산된 벡터 유사도의 최대 값인 '1.34976'을 갖는 5차원의 광고벡터 '(3, 9, 13, 15, 19)'를 선택하고, 광고 정보 데이터베이스(111)로부터 상기 선택된 5차원의 광고벡터 '(3, 9, 13, 15, 19)'에 대응되어 저장되어 있는 '광고 이미지 1'을 추출할 수 있다.For example, assuming that the maximum value of the calculated vector similarity is '1.34976', the advertisement
출력 요청부(117)는 상기 제1 광고 이미지가 추출되면, 상기 제1 광고 이미지와 광고 이미지 출력 요청을 제1 포스 단말기(130)로 전송한다.When the first advertisement image is extracted, the
이때, 본 발명의 일실시예에 따르면, 제1 포스 단말기(130)는 영수증 광고 추천 장치(110)로부터 상기 제1 광고 이미지와 상기 광고 이미지 출력 요청이 수신되면, 상기 제1 광고 이미지를 상기 제1 상품들의 가격 정보를 표시하기 위한 영수증의 기설정된 제1 영역에 배치한 후 상기 영수증을 종이로 출력할 수 있다.At this time, according to an embodiment of the present invention, when the
예컨대, 상기 제1 광고 이미지를 '광고 이미지 1'이라고 하는 경우, 상기 제1 광고 이미지인 '광고 이미지 1'이 영수증 광고 추천 장치(110)에서 추출되면, 출력 요청부(117)는 상기 제1 광고 이미지인 '광고 이미지 1'과 상기 광고 이미지 출력 요청을 제1 포스 단말기(130)로 전송할 수 있다.For example, when the first advertisement image is referred to as'advertising image 1', when'advertising image 1', which is the first advertisement image, is extracted from the receipt
이때, 제1 포스 단말기(130)는 영수증 광고 추천 장치(110)로부터 상기 제1 광고 이미지인 '광고 이미지 1'과 상기 광고 이미지 출력 요청이 수신되면, 상기 제1 광고 이미지인 '광고 이미지 1'을 상기 제1 상품들의 가격 정보를 표시하기 위한 영수증의 기설정된 제1 영역에 배치한 후 상기 영수증을 종이로 출력할 수 있다.At this time, when the
즉, 영수증 광고 추천 장치(110)는 제1 슈퍼마켓에 설치되어 있는 제1 포스 단말기(130)로부터 사용자가 구매한 제1 상품들에 대한 상품 식별자와 광고 이미지 전송 요청이 수신되면, 상기 제1 상품들에 대한 상품 식별자 중 임의의 n개의 상품 식별자들을 추출하여 상기 n개의 상품 식별자들 각각에 대한 고유번호를 성분으로 포함하는 n차원의 고유벡터를 생성하고, 복수의 광고 이미지들 각각에 대한 n차원의 광고벡터와 상기 n차원의 고유벡터 사이의 벡터 유사도가 연산되면, 상기 복수의 광고 이미지들 각각에 대한 n차원의 광고벡터 중 상기 연산된 벡터 유사도가 최대 값을 갖는 n차원의 광고벡터를 선택한 후, 상기 선택된 n차원의 광고벡터에 대응되어 저장되어 있는 제1 광고 이미지를 추출하여 상기 제1 광고 이미지와 광고 이미지 출력 요청을 제1 포스 단말기(130)로 전송함으로써, 사용자로 하여금 상기 사용자가 구매한 상품들과 연관된 추천 상품의 광고 이미지를 영수증 종이에서 간편하게 확인할 수 있도록 지원할 수 있다.That is, when the receipt
본 발명의 일실시예에 따르면, 광고 정보 데이터베이스(111)에는 상기 복수의 광고 이미지들 각각에 대해, 상기 복수의 광고 이미지들 각각에 대응하는 광고 콘텐츠가 게시된 광고 웹 사이트의 접속 URL(Uniform Resource Locator) 주소가 추가로 대응되어 저장되어 있을 수 있다.According to an embodiment of the present invention, in the advertisement information database 111, for each of the plurality of advertisement images, an access URL (Uniform Resource) of an advertisement website on which advertisement content corresponding to each of the plurality of advertisement images is posted. Locator) address may be additionally mapped and stored.
예컨대, 광고 정보 데이터베이스(111)에는 하기의 표 4와 같이 정보가 추가로 저장되어 있을 수 있다.For example, the advertisement information database 111 may additionally store information as shown in Table 4 below.
이때, 출력 요청부(117)는 주소 추출부(118), 코드 생성부(119) 및 전송부(120)를 포함할 수 있다.In this case, the
주소 추출부(118)는 상기 제1 광고 이미지가 추출되면, 광고 정보 데이터베이스(111)로부터 상기 제1 광고 이미지에 대응되어 저장되어 있는 제1 접속 URL 주소를 추출한다.When the first advertisement image is extracted, the
코드 생성부(119)는 상기 제1 접속 URL 주소가 추출되면, 상기 제1 접속 URL 주소가 삽입된 2차원 코드를 생성한다.When the first access URL address is extracted, the
여기서, 2차원 코드란 QR(Quick Response) 코드와 같이 2차원 이미지 패턴 상에 다양한 문자 등의 정보를 삽입할 수 있는 코드를 의미한다.Here, the two-dimensional code refers to a code capable of inserting information such as various characters on a two-dimensional image pattern, such as a quick response (QR) code.
또한, 제1 포스 단말기(130)에는 상기 제1 접속 URL 주소가 삽입된 2차원 코드를 인식하기 위한 2차원 코드 리더기가 탑재되어 있을 수 있다.In addition, the
전송부(120)는 상기 2차원 코드가 생성되면, 상기 제1 광고 이미지와 상기 광고 이미지 출력 요청을 제1 포스 단말기(130)로 전송함과 동시에 상기 2차원 코드와 상기 2차원 코드에 대한 출력 요청을 제1 포스 단말기(130)로 전송한다.When the 2D code is generated, the
이때, 본 발명의 일실시예에 따르면, 제1 포스 단말기(130)는 영수증 광고 추천 장치(110)로부터 상기 제1 광고 이미지, 상기 광고 이미지 출력 요청, 상기 2차원 코드 및 상기 2차원 코드에 대한 출력 요청이 수신되면, 상기 제1 광고 이미지를 상기 제1 상품들의 가격 정보를 표시하기 위한 영수증의 기설정된 제1 영역에 배치하고, 상기 2차원 코드를 상기 영수증의 기설정된 제2 영역에 배치한 후 상기 영수증을 종이로 출력할 수 있다.At this time, according to an embodiment of the present invention, the
예컨대, 상기 제1 광고 이미지를 '광고 이미지 1'이라고 하고, 상기 제1 접속 URL 주소를 'http://supermenz.com/nmms_12345.gif'라고 하는 경우, 상기 제1 광고 이미지인 '광고 이미지 1'이 영수증 광고 추천 장치(110)에서 추출되면, 주소 추출부(118)는 광고 정보 데이터베이스(111)로부터 상기 제1 광고 이미지인 '광고 이미지 1'에 대응되어 저장되어 있는 상기 제1 접속 URL 주소인 'http://supermenz.com/nmms_12345.gif'를 추출할 수 있다.For example, when the first advertisement image is referred to as'ad image 1'and the first access URL address is referred to as'http://supermenz.com/nmms_12345.gif', the first advertisement image is'ad image 1'. 'When extracted from the receipt
이때, 상기 제 1 접속 URL 주소인 'http://supermenz.com/nmms_12345.gif'가 영수증 광고 추천 장치(110)에서 추출되면, 코드 생성부(119)는 상기 제1 URL 접속 주소인 'http://supermenz.com/nmms_12345.gif'가 삽입된 2차원 코드를 생성할 수 있다.At this time, when the first access URL address'http://supermenz.com/nmms_12345.gif' is extracted from the receipt
그러고 나서, 전송부(120)는 상기 제1 광고 이미지인 '광고 이미지 1'과 상기 광고 이미지 출력 요청을 제1 포스 단말기(130)로 전송함과 동시에 상기 제1 URL 접속 주소인 'http://supermenz.com/nmms_12345.gif'가 삽입된 2차원 코드와 상기 제1 URL 접속 주소인 'http://supermenz.com/nmms_12345.gif'가 삽입된 2차원 코드에 대한 출력 요청을 제1 포스 단말기(130)로 전송할 수 있다.Then, the
이렇게, 영수증 광고 추천 장치(110)로부터 상기 제1 광고 이미지인 '광고 이미지 1', 상기 광고 이미지 출력 요청, 상기 제1 URL 접속 주소인 'http://supermenz.com/nmms_12345.gif'가 삽입된 2차원 코드 및 상기 제1 URL 접속 주소인 'http://supermenz.com/nmms_12345.gif'가 삽입된 2차원 코드에 대한 출력 요청이 제1 포스 단말기(130)에 수신되면, 제1 포스 단말기(130)는 상기 제1 광고 이미지인 '광고 이미지 1'을 상기 제1 상품들의 가격 정보를 표시하기 위한 영수증의 기설정된 제1 영역에 배치하고, 상기 제1 URL 접속 주소인 'http://supermenz.com/nmms_12345.gif'가 삽입된 2차원 코드를 상기 영수증의 기설정된 제2 영역에 배치한 후 상기 영수증을 종이로 출력할 수 있다.In this way, from the receipt
도 2는 본 발명의 일실시예에 따른 포스 단말기와 연동하여 고객이 구매한 상품들을 이용한 영수증 광고 추천 장치의 동작 방법을 도시한 순서도이다.2 is a flowchart illustrating a method of operating a device for recommending a receipt advertisement using products purchased by a customer in connection with a POS terminal according to an embodiment of the present invention.
단계(S210)에서는 복수의 광고 이미지들과 상기 복수의 광고 이미지들 각각에 대한 기설정된 n(n은 2이상의 자연수임)차원의 광고벡터가 서로 대응되어 저장되어 있는 광고 정보 데이터베이스를 유지한다.In step S210, an advertisement information database in which advertisement vectors of a plurality of advertisement images and a preset n (n is a natural number of 2 or more) dimensions for each of the plurality of advertisement images correspond to each other and is stored is maintained.
단계(S220)에서는 복수의 상품들 각각에 대한 상품 식별자와 상기 복수의 상품들 각각에 대한 기설정된 고유번호가 서로 대응되어 저장되어 있는 상품 정보 데이터베이스를 유지한다.In step S220, a product information database in which a product identifier for each of a plurality of products and a preset unique number for each of the plurality of products correspond to each other and is stored is maintained.
단계(S230)에서는 제1 슈퍼마켓에 설치되어 있는 제1 포스 단말기로부터 사용자가 구매한 제1 상품들에 대한 상품 식별자와 광고 이미지 전송 요청을 수신한다.In step S230, a product identifier for first products purchased by a user and a request to transmit an advertisement image are received from a first force terminal installed in a first supermarket.
단계(S240)에서는 상기 제1 포스 단말기로부터 상기 제1 상품들에 대한 상품 식별자와 상기 광고 이미지 전송 요청이 수신되면, 상기 제1 상품들에 대한 상품 식별자 중 임의의 n개의 상품 식별자들을 추출한 후, 상기 상품 정보 데이터베이스에 저장되어 있는 상기 n개의 상품 식별자들 각각에 대한 고유번호를 성분으로 포함하는 n차원의 고유벡터를 생성한다.In step S240, when product identifiers for the first products and a request to transmit the advertisement image are received from the first force terminal, n product identifiers of the product identifiers for the first products are extracted, An n-dimensional eigenvector including a unique number for each of the n product identifiers stored in the product information database is generated.
단계(S250)에서는 상기 n차원의 고유벡터가 생성되면, 상기 광고 정보 데이터베이스에 저장되어 있는 상기 복수의 광고 이미지들 각각에 대한 n차원의 광고벡터와 상기 n차원의 고유벡터 사이의 벡터 유사도를 연산한다.In step S250, when the n-dimensional eigenvector is generated, a vector similarity between the n-dimensional advertisement vector and the n-dimensional eigenvector for each of the plurality of advertisement images stored in the advertisement information database is calculated. do.
단계(S260)에서는 상기 연산된 벡터 유사도를 기초로, 상기 복수의 광고 이미지들 각각에 대한 n차원의 광고벡터 중 상기 연산된 벡터 유사도가 최대 값을 갖는 n차원의 광고벡터를 선택하고, 상기 광고 정보 데이터베이스로부터 상기 선택된 n차원의 광고벡터에 대응되어 저장되어 있는 제1 광고 이미지를 추출한다.In step S260, based on the calculated vector similarity, an n-dimensional advertisement vector having a maximum value of the calculated vector similarity is selected from among n-dimensional advertisement vectors for each of the plurality of advertisement images, and the advertisement A first advertisement image stored in correspondence with the selected n-dimensional advertisement vector is extracted from the information database.
단계(S270)에서는 상기 제1 광고 이미지가 추출되면, 상기 제1 광고 이미지와 광고 이미지 출력 요청을 상기 제1 포스 단말기로 전송한다.In step S270, when the first advertisement image is extracted, the first advertisement image and an advertisement image output request are transmitted to the first force terminal.
이때, 본 발명의 일실시예에 따르면, 상기 제1 포스 단말기는 상기 영수증 광고 추천 장치로부터 상기 제1 광고 이미지와 상기 광고 이미지 출력 요청이 수신되면, 상기 제1 광고 이미지를 상기 제1 상품들의 가격 정보를 표시하기 위한 영수증의 기설정된 제1 영역에 배치한 후 상기 영수증을 종이로 출력할 수 있다.In this case, according to an embodiment of the present invention, when the first force terminal receives the first advertisement image and the request to output the advertisement image from the receipt advertisement recommendation device, the first advertisement image is converted to the price of the first products. After arranging in a predetermined first area of a receipt for displaying information, the receipt may be printed out on paper.
또한, 본 발명의 일실시예에 따르면, 상기 광고 정보 데이터베이스에는 상기 복수의 광고 이미지들 각각에 대해, 상기 복수의 광고 이미지들 각각에 대응하는 광고 콘텐츠가 게시된 광고 웹 사이트의 접속 URL 주소가 추가로 대응되어 저장되어 있을 수 있다.In addition, according to an embodiment of the present invention, for each of the plurality of advertisement images, an access URL address of an advertisement website on which advertisement content corresponding to each of the plurality of advertisement images is posted is added to the advertisement information database. It may be stored in correspondence with.
이때, 단계(S270)에서는 상기 제1 광고 이미지가 추출되면, 상기 광고 정보 데이터베이스로부터 상기 제1 광고 이미지에 대응되어 저장되어 있는 제1 접속 URL 주소를 추출하는 단계, 상기 제1 접속 URL 주소가 추출되면, 상기 제1 접속 URL 주소가 삽입된 2차원 코드를 생성하는 단계 및 상기 2차원 코드가 생성되면, 상기 제1 광고 이미지와 상기 광고 이미지 출력 요청을 상기 제1 포스 단말기로 전송함과 동시에 상기 2차원 코드와 상기 2차원 코드에 대한 출력 요청을 상기 제1 포스 단말기로 전송하는 단계를 포함할 수 있다.At this time, in step S270, when the first advertisement image is extracted, extracting a first access URL address stored in correspondence with the first advertisement image from the advertisement information database, and extracting the first access URL address Then, the step of generating a two-dimensional code in which the first access URL address is inserted, and when the two-dimensional code is generated, the first advertisement image and the request for outputting the advertisement image are transmitted to the first force terminal and the It may include transmitting a 2D code and an output request for the 2D code to the first force terminal.
이때, 본 발명의 일실시예에 따르면, 상기 제1 포스 단말기는 상기 영수증 광고 추천 장치로부터 상기 제1 광고 이미지, 상기 광고 이미지 출력 요청, 상기 2차원 코드 및 상기 2차원 코드에 대한 출력 요청이 수신되면, 상기 제1 광고 이미지를 상기 제1 상품들의 가격 정보를 표시하기 위한 영수증의 기설정된 제1 영역에 배치하고, 상기 2차원 코드를 상기 영수증의 기설정된 제2 영역에 배치한 후 상기 영수증을 종이로 출력할 수 있다.At this time, according to an embodiment of the present invention, the first force terminal receives the first advertisement image, the advertisement image output request, the 2D code and the output request for the 2D code from the receipt advertisement recommendation device. Then, the first advertisement image is placed in a preset first area of a receipt for displaying price information of the first products, the two-dimensional code is placed in a preset second area of the receipt, and the receipt is You can print it out on paper.
또한, 본 발명의 일실시예에 따르면, 상기 복수의 광고 이미지들 각각에 대한 n차원의 광고벡터와 상기 n차원의 고유벡터 사이의 벡터 유사도의 연산은 상기 수학식 1에 따라 수행될 수 있다.In addition, according to an embodiment of the present invention, the calculation of the vector similarity between the n-dimensional advertisement vector and the n-dimensional eigenvector for each of the plurality of advertisement images may be performed according to Equation 1 above.
이상, 도 2를 참조하여 본 발명의 일실시예에 따른 포스 단말기와 연동하여 고객이 구매한 상품들을 이용한 영수증 광고 추천 장치의 동작 방법에 대해 설명하였다. 여기서, 본 발명의 일실시예에 따른 포스 단말기와 연동하여 고객이 구매한 상품들을 이용한 영수증 광고 추천 장치의 동작 방법은 도 1을 이용하여 설명한 포스 단말기와 연동하여 고객이 구매한 상품들을 이용한 영수증 광고 추천 장치(110)의 동작에 대한 구성과 대응될 수 있으므로, 이에 대한 보다 상세한 설명은 생략하기로 한다.In the above, the operation method of the apparatus for recommending a receipt advertisement using products purchased by a customer in connection with a POS terminal according to an embodiment of the present invention has been described with reference to FIG. 2. Here, the operation method of the device for recommending receipt advertisement using products purchased by a customer in connection with a POS terminal according to an embodiment of the present invention is a receipt advertisement using products purchased by a customer in connection with the POS terminal described with reference to FIG. Since it may correspond to the configuration of the operation of the
본 발명의 일실시예에 따른 포스 단말기와 연동하여 고객이 구매한 상품들을 이용한 영수증 광고 추천 장치의 동작 방법은 컴퓨터와의 결합을 통해 실행시키기 위한 저장매체에 저장된 컴퓨터 프로그램으로 구현될 수 있다.A method of operating a device for recommending receipt advertisements using products purchased by a customer in connection with a POS terminal according to an embodiment of the present invention may be implemented as a computer program stored in a storage medium for execution through combination with a computer.
또한, 본 발명의 일실시예에 따른 포스 단말기와 연동하여 고객이 구매한 상품들을 이용한 영수증 광고 추천 장치의 동작 방법은 다양한 컴퓨터 수단을 통하여 수행될 수 있는 프로그램 명령 형태로 구현되어 컴퓨터 판독 가능 매체에 기록될 수 있다. 상기 컴퓨터 판독 가능 매체는 프로그램 명령, 데이터 파일, 데이터 구조 등을 단독으로 또는 조합하여 포함할 수 있다. 상기 매체에 기록되는 프로그램 명령은 본 발명을 위하여 특별히 설계되고 구성된 것들이거나 컴퓨터 소프트웨어 당업자에게 공지되어 사용 가능한 것일 수도 있다. 컴퓨터 판독 가능 기록 매체의 예에는 하드 디스크, 플로피 디스크 및 자기 테이프와 같은 자기 매체(magnetic media), CD-ROM, DVD와 같은 광기록 매체(optical media), 플롭티컬 디스크(floptical disk)와 같은 자기-광 매체(magneto-optical media), 및 롬(ROM), 램(RAM), 플래시 메모리 등과 같은 프로그램 명령을 저장하고 수행하도록 특별히 구성된 하드웨어 장치가 포함된다. 프로그램 명령의 예에는 컴파일러에 의해 만들어지는 것과 같은 기계어 코드뿐만 아니라 인터프리터 등을 사용해서 컴퓨터에 의해서 실행될 수 있는 고급 언어 코드를 포함한다. In addition, the operation method of the apparatus for recommending receipt advertisements using products purchased by a customer in connection with a POS terminal according to an embodiment of the present invention is implemented in the form of program commands that can be executed through various computer means, Can be recorded. The computer-readable medium may include program instructions, data files, data structures, and the like alone or in combination. The program instructions recorded on the medium may be specially designed and configured for the present invention, or may be known and usable to those skilled in computer software. Examples of computer-readable recording media include magnetic media such as hard disks, floppy disks, and magnetic tapes, optical media such as CD-ROMs and DVDs, and magnetic media such as floptical disks. -A hardware device specially configured to store and execute program instructions such as magneto-optical media, and ROM, RAM, flash memory, and the like. Examples of the program instructions include not only machine language codes such as those produced by a compiler, but also high-level language codes that can be executed by a computer using an interpreter or the like.
이상과 같이 본 발명에서는 구체적인 구성 요소 등과 같은 특정 사항들과 한정된 실시예 및 도면에 의해 설명되었으나 이는 본 발명의 보다 전반적인 이해를 돕기 위해서 제공된 것일 뿐, 본 발명은 상기의 실시예에 한정되는 것은 아니며, 본 발명이 속하는 분야에서 통상적인 지식을 가진 자라면 이러한 기재로부터 다양한 수정 및 변형이 가능하다.As described above, in the present invention, specific matters such as specific components, etc., and limited embodiments and drawings have been described, but this is provided only to help a more general understanding of the present invention, and the present invention is not limited to the above embodiments. , If a person of ordinary skill in the field to which the present invention belongs, various modifications and variations are possible from these descriptions.
따라서, 본 발명의 사상은 설명된 실시예에 국한되어 정해져서는 아니되며, 후술하는 특허청구범위뿐 아니라 이 특허청구범위와 균등하거나 등가적 변형이 있는 모든 것들은 본 발명 사상의 범주에 속한다고 할 것이다.Therefore, the spirit of the present invention is limited to the described embodiments and should not be defined, and all things that are equivalent or equivalent to the claims as well as the claims to be described later fall within the scope of the spirit of the present invention. .
Claims (5)
Applications Claiming Priority (2)
| Application Number | Priority Date | Filing Date | Title |
|---|---|---|---|
| KR10-2019-0056372 | 2019-05-14 | ||
| KR1020190056372A KR102243731B1 (en) | 2019-05-14 | 2019-05-14 | Receipt advertisement recommendation apparatus using products purchased by customers in cooperation with pos terminal |
Publications (1)
| Publication Number | Publication Date |
|---|---|
| WO2020230938A1 true WO2020230938A1 (en) | 2020-11-19 |
Family
ID=73289610
Family Applications (1)
| Application Number | Title | Priority Date | Filing Date |
|---|---|---|---|
| PCT/KR2019/006172 Ceased WO2020230938A1 (en) | 2019-05-14 | 2019-05-23 | Device for recommending receipt advertisements by using products purchased by customers in connection with pos terminal |
Country Status (2)
| Country | Link |
|---|---|
| KR (1) | KR102243731B1 (en) |
| WO (1) | WO2020230938A1 (en) |
Cited By (4)
| Publication number | Priority date | Publication date | Assignee | Title |
|---|---|---|---|---|
| CN112818251A (en) * | 2021-04-13 | 2021-05-18 | 腾讯科技(深圳)有限公司 | Video recommendation method and device, electronic equipment and storage medium |
| CN112884399A (en) * | 2021-01-28 | 2021-06-01 | 重庆允成互联网科技有限公司 | Industrial product online marketing method, server and system based on storeroom front-end processor |
| CN113327137A (en) * | 2021-06-23 | 2021-08-31 | 支付宝(杭州)信息技术有限公司 | Advertisement putting method, server, collection device and computer program product |
| CN115829653A (en) * | 2022-12-02 | 2023-03-21 | 北京百度网讯科技有限公司 | Method, device, equipment and medium for determining relevancy of advertisement text |
Citations (5)
| Publication number | Priority date | Publication date | Assignee | Title |
|---|---|---|---|---|
| JP2009015768A (en) * | 2007-07-09 | 2009-01-22 | Nec Mobiling Ltd | Electronic receipt issuing system, electronic receipt issuing device, and electronic receipt issuing method |
| KR20100020365A (en) * | 2008-08-12 | 2010-02-22 | 건국대학교 산학협력단 | System for recommendation the goods and method thereof |
| JP2012252720A (en) * | 2005-12-07 | 2012-12-20 | Catalina Marketing Corp | Combination printer and its paper |
| US20150278908A1 (en) * | 2014-03-27 | 2015-10-01 | Microsoft Corporation | Recommendation System With Multi-Dimensional Discovery Experience |
| KR20170119653A (en) * | 2017-07-21 | 2017-10-27 | 경희대학교 산학협력단 | The method for Goods purchase recommendation |
Family Cites Families (1)
| Publication number | Priority date | Publication date | Assignee | Title |
|---|---|---|---|---|
| KR20060078769A (en) * | 2004-12-31 | 2006-07-05 | 브이케이 주식회사 | Electronic Commerce Method of Mobile Communication Terminal by Barcode |
-
2019
- 2019-05-14 KR KR1020190056372A patent/KR102243731B1/en not_active Expired - Fee Related
- 2019-05-23 WO PCT/KR2019/006172 patent/WO2020230938A1/en not_active Ceased
Patent Citations (5)
| Publication number | Priority date | Publication date | Assignee | Title |
|---|---|---|---|---|
| JP2012252720A (en) * | 2005-12-07 | 2012-12-20 | Catalina Marketing Corp | Combination printer and its paper |
| JP2009015768A (en) * | 2007-07-09 | 2009-01-22 | Nec Mobiling Ltd | Electronic receipt issuing system, electronic receipt issuing device, and electronic receipt issuing method |
| KR20100020365A (en) * | 2008-08-12 | 2010-02-22 | 건국대학교 산학협력단 | System for recommendation the goods and method thereof |
| US20150278908A1 (en) * | 2014-03-27 | 2015-10-01 | Microsoft Corporation | Recommendation System With Multi-Dimensional Discovery Experience |
| KR20170119653A (en) * | 2017-07-21 | 2017-10-27 | 경희대학교 산학협력단 | The method for Goods purchase recommendation |
Cited By (5)
| Publication number | Priority date | Publication date | Assignee | Title |
|---|---|---|---|---|
| CN112884399A (en) * | 2021-01-28 | 2021-06-01 | 重庆允成互联网科技有限公司 | Industrial product online marketing method, server and system based on storeroom front-end processor |
| CN112884399B (en) * | 2021-01-28 | 2023-07-25 | 重庆允丰科技有限公司 | Online marketing method, server and system for industrial products based on warehouse front-end processor |
| CN112818251A (en) * | 2021-04-13 | 2021-05-18 | 腾讯科技(深圳)有限公司 | Video recommendation method and device, electronic equipment and storage medium |
| CN113327137A (en) * | 2021-06-23 | 2021-08-31 | 支付宝(杭州)信息技术有限公司 | Advertisement putting method, server, collection device and computer program product |
| CN115829653A (en) * | 2022-12-02 | 2023-03-21 | 北京百度网讯科技有限公司 | Method, device, equipment and medium for determining relevancy of advertisement text |
Also Published As
| Publication number | Publication date |
|---|---|
| KR102243731B1 (en) | 2021-04-23 |
| KR20200131576A (en) | 2020-11-24 |
Similar Documents
| Publication | Publication Date | Title |
|---|---|---|
| WO2020230938A1 (en) | Device for recommending receipt advertisements by using products purchased by customers in connection with pos terminal | |
| CN109075971A (en) | System and method for document information authenticity verification | |
| CN108416403A (en) | The automatic correlation method of commodity and label, system, equipment and storage medium | |
| JP7352263B2 (en) | Payment systems, mobile devices, and payment methods | |
| WO2020209503A1 (en) | Payment service device for providing information about products in offline affiliated store on basis of location information and assisting payment process based on virtual currency, and operation method of same | |
| CN108345597A (en) | Generate graphic code, page info access processing method and device | |
| CN112686026B (en) | Keyword extraction method, device, equipment and medium based on information entropy | |
| WO2019096222A1 (en) | Unmanned vending method and device based on identity identification and product identification | |
| WO2015064817A1 (en) | Apparatus and method for managing electronic receipt | |
| US7014116B2 (en) | Price verification method, device and program product | |
| CN111932413B (en) | Case element extraction method, case element extraction device, case element extraction equipment and case element extraction medium | |
| WO2020230939A1 (en) | Receipt information management device for changing product name in receipt issued from supermarket to standardized product name and storing receipt information | |
| JPWO2015147329A1 (en) | POS terminal device, information processing device, information processing system, image recognition method, and image recognition program | |
| CN115422901A (en) | Invoice management method, device, equipment and storage medium for newspaper subscription | |
| WO2017111521A2 (en) | Passport information converting device including additional information | |
| WO2013100395A1 (en) | Apparatus and method for providing an advertisement by using an instant coupon | |
| CN117635059A (en) | Service file processing method, device, equipment and storage medium | |
| CN111046863B (en) | Data processing method, device, equipment and computer readable storage medium | |
| CN115203364A (en) | Software fault feedback processing method, device, equipment and readable storage medium | |
| JP2018147137A (en) | Image generation program, image generation apparatus, image generation method, advertisement editing program, advertisement editing apparatus, and advertisement editing method | |
| EP3667585A1 (en) | Calling card information management system and calling card information management program | |
| KR102031522B1 (en) | Electronic book Library | |
| WO2018105780A1 (en) | Order processing service device for supermarket products, capable of managing product information database through interactions with pos terminals installed in supermarkets, and operation method therefor | |
| JP3419425B2 (en) | Recognition character correction device | |
| CN117272961A (en) | Form generation method and device, electronic equipment and storage medium |
Legal Events
| Date | Code | Title | Description |
|---|---|---|---|
| 121 | Ep: the epo has been informed by wipo that ep was designated in this application |
Ref document number: 19928656 Country of ref document: EP Kind code of ref document: A1 |
|
| NENP | Non-entry into the national phase |
Ref country code: DE |
|
| 32PN | Ep: public notification in the ep bulletin as address of the adressee cannot be established |
Free format text: NOTING OF LOSS OF RIGHTS PURSUANT TO RULE 112(1) EPC (EPO FORM 1205A DATED 22/04/2022) |
|
| 122 | Ep: pct application non-entry in european phase |
Ref document number: 19928656 Country of ref document: EP Kind code of ref document: A1 |





