WO2020114615A1 - Bispecific antibodies binding factor ixa and factor x - Google Patents
Bispecific antibodies binding factor ixa and factor x Download PDFInfo
- Publication number
- WO2020114615A1 WO2020114615A1 PCT/EP2018/084038 EP2018084038W WO2020114615A1 WO 2020114615 A1 WO2020114615 A1 WO 2020114615A1 EP 2018084038 W EP2018084038 W EP 2018084038W WO 2020114615 A1 WO2020114615 A1 WO 2020114615A1
- Authority
- WO
- WIPO (PCT)
- Prior art keywords
- light chain
- bispecific antibody
- heavy chain
- antibodies
- factor
- Prior art date
- Legal status (The legal status is an assumption and is not a legal conclusion. Google has not performed a legal analysis and makes no representation as to the accuracy of the status listed.)
- Ceased
Links
Classifications
-
- C—CHEMISTRY; METALLURGY
- C07—ORGANIC CHEMISTRY
- C07K—PEPTIDES
- C07K16/00—Immunoglobulins [IGs], e.g. monoclonal or polyclonal antibodies
- C07K16/18—Immunoglobulins [IGs], e.g. monoclonal or polyclonal antibodies against material from animals or humans
- C07K16/36—Immunoglobulins [IGs], e.g. monoclonal or polyclonal antibodies against material from animals or humans against blood coagulation factors
-
- A—HUMAN NECESSITIES
- A61—MEDICAL OR VETERINARY SCIENCE; HYGIENE
- A61P—SPECIFIC THERAPEUTIC ACTIVITY OF CHEMICAL COMPOUNDS OR MEDICINAL PREPARATIONS
- A61P7/00—Drugs for disorders of the blood or the extracellular fluid
- A61P7/02—Antithrombotic agents; Anticoagulants; Platelet aggregation inhibitors
-
- C—CHEMISTRY; METALLURGY
- C07—ORGANIC CHEMISTRY
- C07K—PEPTIDES
- C07K2317/00—Immunoglobulins specific features
- C07K2317/70—Immunoglobulins specific features characterized by effect upon binding to a cell or to an antigen
- C07K2317/75—Agonist effect on antigen
-
- C—CHEMISTRY; METALLURGY
- C07—ORGANIC CHEMISTRY
- C07K—PEPTIDES
- C07K2317/00—Immunoglobulins specific features
- C07K2317/90—Immunoglobulins specific features characterized by (pharmaco)kinetic aspects or by stability of the immunoglobulin
- C07K2317/92—Affinity (KD), association rate (Ka), dissociation rate (Kd) or EC50 value
Definitions
- the present invention provides therapeutics for the treatment and/or prevention of bleeding disorders such as hemophilia A.
- the present invention provides bispecific antibodies that bind to Factor IXa and Factor X.
- a bleed can appear spontaneously, or following minimum trauma. Approximately half of all patients with hemophilia A are classified as having the severe form of the disease. These patients experience severe bleeding starting in early childhood, and frequent episodes of spontaneous or excessive bleeding later in life. Bleeding commonly occurs into joints and muscles, and without appropriate treatment, recurrent bleeding can lead to irreversible hemoarthropathy (Manco-Johnson et al. (2007) N. Engl. J. Med. 357(6):535-44).
- Figure 1 Octet analysis of binding of bispecific antibody W198V282 H-CK2 to either or both of Factor IXa and Factor X.
- Figure 2 Thrombogram of bispecific antibody W198V282 H-CK2 at a concentration of 100 nM.
- the invention provides bispecific antibodies that bind to Factor IXa and Factor X. These bispecific antibodies according to the invention have a procoagulant activity. These antibodies may also bind to Factor IX and/or Factor Xa.
- the bispecific antibodies of the invention are generated using the following steps:
- Two antibodies having different specificities one antibody binding to Factor IXa and the other to Factor X), and sharing the same heavy chain variable domain but having different light chain variable domains, are isolated. This step is facilitated by the use of antibody libraries having a fixed heavy chain or transgenic animals containing a single VH gene.
- the heavy chain variable domain is fused to the constant domain of a heavy chain, one light chain variable domain is fused to a Kappa constant domain and the other light chain variable domain is fused to a Lambda constant domain.
- the light chain variable domain fused to the Kappa constant domain may be of the Kappa type and the light chain variable domain fused to the Lambda constant domain may be of the Lambda type.
- the generation of hybrid light chains is possible, so that two light chain variable domains of the same type can be used to generate bispecific antibodies of the invention.
- the antibody mixture is purified using standard chromatography techniques used for antibody purification.
- the antibody mixture can be characterized and used as a multitargeting agent.
- the bispecific antibody is purified using in a consecutive manner affinity chromatography media that bind specifically to human Kappa and human Lambda light chain constant domains. This purification process is independent of the sequence of the light chain variable domains and is thus generic for all bispecific antibodies of the invention generated by the steps described here.
- the isolated bispecific antibody bearing a light chain containing a Kappa constant domain and a light chain containing a Lambda constant domain is characterized using different biochemical and immunological methods.
- the bispecific antibody of the invention can be used for therapeutic intervention or as a research or diagnostic reagent.
- the invention provides monoclonal antibodies carrying a different specificity in each antigen-binding site and including two copies of a single heavy chain polypeptide and a first light chain and a second light chain, wherein the first and second light chains are different.
- the first light chain includes at least a Kappa constant domain. In some antibodies, the first light chain further includes a Kappa variable domain. In some antibodies, the first light chain further includes a Lambda variable domain. In some antibodies, the second light chain includes at least a Lambda constant domain. In some antibodies, the second light chain further includes a Lambda variable domain. In some antibodies, the second light chain further includes a Kappa variable domain. In some antibodies, the first light chain includes a Kappa constant domain and a Kappa variable domain, and the second light chain includes a Lambda constant domain and a Lambda variable domain.
- the constant and variable framework region sequences are human.
- the non-identical antibodies bind to different antigens, i.e. Factor !Xa and X.
- the two or more, for example, three or more, non-identical antibodies are independently selected from the group consisting of: IgGI, lgG2, lgG3, lgG4, IgAI, lgA2, IgD, IgE and IgM.
- the two or more, for example, three or more, non-identical antibodies contain a modified Fc region that modifies the effector functions of the antibodies such as Antigen Dependent Cell mediated Cytotoxicity (ADCC), Complement Dependent Cytotoxicity (CDC), Antigen Dependent Cellular Phagocytosis (ADCP) or their pharmacokinetic properties by altering its binding the neonatal Fc Receptors (J Drug Target. 2014 May;22(4):269-78. doi: 10.3109/1061186X.2013.875030. Epub 2014 Jan 9.
- Neonatal Fc receptor (FcRn) a novel target for therapeutic antibodies and antibody engineering. Wang Y1 , Tian Z, Thirumalai D, Zhang X).
- the two or more, for example, three or more, non-identical antibodies contain a modification of the Fc region that extends the serum half-life of the antibodies.
- Some methods also include the additional steps of selecting at least one host cell by assaying the two or more, for example, three or more, non-identical antibodies produced by the recombinant host cell for their ability to bind a target antigen (i.e. Factor IXa or Factor X) and/or for a procoagulant activity; culturing the recombinant host cell; and isolating the three or more non-identical antibodies.
- the antibodies can be isolated using any of the techniques described herein or any other suitable art-recognized method.
- animal refers to any multicellular eukaryotic heterotroph which is not a human.
- the animal is selected from a group consisting of cats, dogs, pigs, ferrets, rabbits, gerbils, hamsters, guinea pigs, horses, rats, mice, cows, sheep, goats, alpacas, camels, donkeys, llamas, yaks, giraffes, elephants, meerkats, lemurs, lions, tigers, kangaroos, koalas, bats, monkeys, chimpanzees, gorillas, bears, dugongs, manatees, seals and rhinoceroses.
- antibody refers to a molecule comprising at least one immunoglobulin domain that binds to, or is immunologically reactive with, a particular antigen.
- the term includes whole antibodies and any antigen binding portion or single chains thereof and combinations thereof.
- the term“antibody” in particular includes bispecific antibodies.
- a typical type of antibody comprises at least two heavy chains (“HC") and two light chains (“LC”) interconnected by disulfide bonds.
- Each “heavy chain” comprises a “heavy chain variable domain” (abbreviated herein as “VH”) and a “heavy chain constant domain” (abbreviated herein as “CH”).
- the heavy chain constant domain typically comprises three constants domains, CH1 , CH2, and CH3.
- Each “light chain” comprises a “light chain variable domain” (abbreviated herein as “VL”) and a “light chain constant domain” (“CL”).
- the light chain constant domain (CL) can be of the kappa type or of the lambda type.
- the VH and VL domains can be further subdivided into regions of hypervariability, termed Complementarity Determining Regions ("CDR"), interspersed with regions that are more conserved, termed “framework regions” (“FW").
- CDR Complementarity Determining Regions
- Each VH and VL is composed of three CDRs and four FWs, arranged from amino-terminus to carboxy-terminus in the following order: FW1 , CDR1 , FW2, CDR2, FW3, CDR3, FW4.
- the present disclosure inter alia presents VH and VL sequences as well as the subsequences corresponding to CDR1 , CDR2, and CDR3.
- FW1 is the subsequence between the N-terminus of the VH and the N-terminus of H-CDR1
- FW2 is the subsequence between the C-terminus of H-CDR1 and the N-terminus of H-CDR2
- FW3 is the subsequence between the C-terminus of H-CDR2 and the N-terminus of H-CDR3
- FW4 is the subsequence between the C-terminus of H-CDR3 and the C-terminus of the VH.
- FW1 is the subsequence between the N-terminus of the VL and the N- terminus of L-CDR1
- FW2 is the subsequence between the C-terminus of L-CDR1 and the N-terminus of L-CDR2.
- FW3 is the subsequence between the C-terminus of L-CDR2 and the N-terminus of L-CDR3
- FW4 is the subsequence between the C-terminus of L-CDR3 and the C-terminus of the VL.
- variable domains of the heavy and light chains contain a region that interacts with an antigen, and this region interacting with an antigen is also referred to as an“antigen-binding site” or“antigen binding site” herein.
- the constant domains of the antibodies can mediate the binding of the immunoglobulin to host tissues or factors, including various cells of the immune system (e.g., effector cells) and the first component (C1q) of the classical complement system.
- Exemplary antibodies of the present disclosure include typical antibodies, but also fragments and variations thereof such as scFvs, and combinations thereof where, for example, an scFv is covalently linked (for example, via peptidic bonds or via a chemical linker) to the N-terminus of either the heavy chain and/or the light chain of a typical antibody, or intercalated in the heavy chain and/or the light chain of a typical antibody.
- exemplary antibodies of the present disclosure include bispecific antibodies.
- antibody encompasses intact polyclonal antibodies, intact monoclonal antibodies, antibody fragments (such as Fab, Fab', F(ab') 2 , and Fv fragments), single chain variable fragment (scFv), disulfide stabilized scFvs, multispecific antibodies such as bispecific antibodies, chimeric antibodies, humanized antibodies, human antibodies, fusion proteins comprising an antigen determination portion of an antibody, and any other modified immunoglobulin molecule comprising an antigen binding site.
- antibody fragments such as Fab, Fab', F(ab') 2 , and Fv fragments
- scFv single chain variable fragment
- disulfide stabilized scFvs multispecific antibodies such as bispecific antibodies, chimeric antibodies, humanized antibodies, human antibodies, fusion proteins comprising an antigen determination portion of an antibody, and any other modified immunoglobulin molecule comprising an antigen binding site.
- An antibody can be of any the five major classes (isotypes) of immunoglobulins: IgA, IgD, IgE, IgG, and IgM, or subclasses thereof (e.g. lgG1 , lgG2, lgG3, lgG4, lgA1 and lgA2), based on the identity of their heavy-chain constant domains referred to as alpha, delta, epsilon, gamma, and mu, respectively.
- the different classes of immunoglobulins have different and well known subunit structures and three-dimensional configurations.
- Antibodies can be naked or conjugated to other molecules such as therapeutic agents or diagnostic agents to form immunoconjugates.
- bispecific antibody refers to an antibody, as defined above, that is able to bind to at least two different antigens through two different antigen binding sites.
- the bispecific antibodies of the present invention are able to bind to Factor IXa and Factor X.
- VH and VL domains i.e. the variable domains of the heavy chain and the light chain, respectively
- CDR complementarity determining regions
- FR framework regions
- the extent of the framework region and CDRs has been precisely defined by a number of methods (see, Kabat, E. A., et al. (1991 ) Sequences of Proteins of Immunological Interest, Fifth Edition, U.S. Department of Health and Human Services, NIH Publication No.91-3242; Chothia, C. et al. (1987) J. Mol.
- an effective amount of an agent e.g., a therapeutic agent such as an antibody
- an effective amount of an agent is, for example, an amount sufficient to reduce or decrease bleeding occurrences, as compared to the response obtained without administration of the agent.
- effective amount can be used interchangeably with “effective dose,” “therapeutically effective amount,” or “therapeutically effective dose.”
- втори ⁇ е IX refers to a protein that is synthesized by liver hepatocytes as a pre-prozymogen that requires extensive posttranslational modification.
- the pre-prozymogen contains a pre-peptide (hydrophobic signal peptide) at its amino terminal that transports the growing polypeptide into the lumen of the Endoplasmic Reticulum (ER). Once inside the ER, this signal peptide is cleaved by a signal peptidase.
- a pro-peptide functions as a recognition element for a vitamin K-dependent carboxylase (y-glutamyl carboxylase) which modifies 12 glutamic acid residues to gammacarboxyglutamyl (Gla) residues.
- FIX is in a zymogen form.
- FIX zymogen thus circulates as a 415 amino acid, single chain polypeptide.
- the zymogen of FIX is activated by FXIa or by the tissue factor/FVIIa complex.
- the first cleavage is at Arg 191 (Arg 145 in the mature FIX sequence), generating an inactive FIX- alpha.
- the second cleavage at Arg226 removes 35 amino acids of the FIX activation peptide and results in a catalytically active molecule FlXa- beta.
- This catalytically active FIXa not associated with FVIIIa is also referred to herein as free Factor IXa (free FIXa) or, briefly, as“Factor IXa” or“FIXa”.
- This resulting heterodimer is held by a disulfide bridge at Cys178-Cys335.
- the serine protease contains a catalytic triad of His267, Asp315, and Ser411.
- Val227 can form a salt bridge with Asp410, which is a characteristic of active serine proteases.
- Data concerning a non-limiting example of Factor IX has been deposited in UniProtKB under accession number P00740.
- the bispecific antibody of the present invention preferentially binds to Factor IXa over the zymogen of Factor IX (i.e. over the protein referred to as“Factor IX” or “FIX” herein).
- Fractor IXa or“FIXa” refers to the catalytically active Factor IXa molecule resulting from activation of the FIX zymogen by FXIa or by the tissue factor/FVIIa complex.
- FIXa activity of FIXa is similar to the activity of FIX zymogen, i.e. relatively low.
- the complex formation with cofactor FVIIIa represents a critical second phase of activation, after which the intrinsic Xase (tenase) complex (including FIXa) reaches an approximately 200,000-fold enhanced activity that is strictly specific toward the physiological substrate FX and restricted to the surface of activated platelets (van Dieijen et al., J Biol Chem. 1981 Apr 10;256(7):3433-42).
- This macromolecular activation is assisted by low- molecular-weight agonists, including Ca2+ (Mathur et al., Biol. Chem., 272 (1997), pp.
- procoagulant activity is used herein to define an activity that can promote coagulation, e.g. by promoting any process or reaction that contributes to coagulation (or by inhibiting any process or reaction that reduces coagulation). Accordingly, the term “procoagulant activity” encompasses (but is not limited to) one or more of the activities listed below:
- a Factor-VI I la-like activity i.e. an activity that corresponds to an activity of activated
- Factor VIII Enhancing Factor-IXa-mediated Factor X activation, as measured by a amidolytic (chromogenic or fluorogenic) assay based on FIXa-mediated FX activation.
- the assay measures FXa through cleavage of an FXa specific peptide substrate.
- the substrate is produced, giving a color that can be measured photometrically by absorbance.
- clotting assays such as Activated partial thromboplastin time (APTT) measure the activity of the intrinsic and common pathways of coagulation.
- Plasma is preincubated with an APTT reagent containing a contact activator, e.g. ellagic acid or kaolin, and phospholipid.
- a contact activator e.g. ellagic acid or kaolin
- Calcium chloride is added to promote fibrin clot formation.
- Possible readouts are clotting time or clot wave form.
- Enhancing thrombin generation as measured in a thrombin generation assay such as Calibrated Automated Thrombography (CAT).
- CAT Calibrated Automated Thrombography
- the thrombogram describes the concentration of thrombin in clotting plasma and is therefore a functional test of the hemostatic system.
- the assay is based on the measurement of fluorescence that is generated by the cleavage of the fluorogenic substrate Z G G R AMC by thrombin over time.
- thrombus formation under flow as measured by flow chamber systems such as the t-TAS (Total Thrombus-formation Analysis System).
- This assay is used for the quantitative assessment of the thrombus formation process under variable flow. Blood flows through the analytical path of a microchip, platelets adhere and aggregate on the surface of collagen-coated capillaries, eventually resulting in an increase of flow pressure.
- WBCT whole blood closure time
- VWF Von Willebrand Factor
- the aggregometer works on the basic principle of light transmission. As platelets aggregate, the light transmission of the sample increases. All methods described above can be applied to human blood-related specimen, as well as specimen of different animal species. Therefore, they are analytical tools that can be used to analyze ex vivo the procoagulant activity of samples for e.g. assessing the pharmacodynamic properties of antibodies in animal studies.
- an animal model is a living animal used during the research and development of human drugs, or for the purpose of better understanding the human disease mirrored by the animal model.
- the animal model chosen will usually recapitulate the human pathophysiology, and the pharmacology, exaggerated pharmacology, safety, and/or toxicity of the administered drug candidate while the efficacy of the treatment is reflected in modifications of a prevalent disease state or when challenging healthy animals with an artificial disease inducing insult (trauma).
- the drug candidate is administered either prophylactic or acutely through oral or parenteral routes including for example the intravenous and subcutaneous routes.
- Animal models have been proven valuable and predictive in the selection and development of human treatments for hemophilia including factor replacement therapies or bispecific antibody mimicking factor activity.
- Animal models refer to any animal classified including but not limited to rodents such as mouse, rat, guinea pig, hamster, rabbit, dog, cat, pig, cow, sheep, goat, horse, non-human primates. These include laboratory, domestic and farm animals, and also veterinary patients. Animal models make use of pharmacologic depletion or inhibition of procoagulant factors (anti-Factor VIII), and naturally occurring or genetically engineered modifications that are characterized by loss or gain of function of particular disease related genes and their encoded proteins. As an example animal models recapitulate the causative human loss of function of components in haemostatic regulation (Factor VIII, Factor IX, VWF, ARC).
- rodents such as mouse, rat, guinea pig, hamster, rabbit, dog, cat, pig, cow, sheep, goat, horse, non-human primates. These include laboratory, domestic and farm animals, and also veterinary patients. Animal models make use of pharmacologic depletion or inhibition of procoagulant factors (anti-Fa
- the rodent is mouse or rat, guinea pig, or hamster.
- the non-human model can e.g. be a rabbit, or more weight bearing animals like dog, sheep or a nonhuman primate such as Cynomolgus macaque or Rhesus macaque.
- the test-article shows pharmacokinetic behavior, specific target engagement and a pharmacologic profile that closely reflects those in human.
- animal models in this invention can monitor for endpoints related to arterial or venous thrombosis, microvascular thrombosis, thrombolysis.
- thrombosis/thrombolysis models apply ferric chloride, photochemicals, venous stasis, mechanical trauma, systemic epinephrine-collagen infusion, laser injury, spontaneous lysis of pulmonary embolism or microemboli and pharmacologic arterial thrombolysis.
- the vascular site of investigation includes but is not limited to carotid or femoral arteries, jugular or femoral veins, mesenteric or cremasteric arterioles, small ear veins and arteries, muscle arterioles, tail veins, blood vessels of the nail.
- animal models in this invention monitor for endpoints related to hemostasis and pharmacologic changes thereof after spontaneous or induced bleeding episodes.
- Assessments can include those collected through spontaneous bleeds and when challenged by tail vein transection, tail-tip bleeding, vein puncture bleeding, cremaster injury model, ferric chloride carotid artery occlusion, nail-clipping, cutaneous injury (Surgicut), intramuscular injury, subutaneous exfoliation, or injury models inducing mechanical trauma to the joint or by spontaneous hemarthrosis.
- Monitoring of disease modification includes but is not limited to endpoints assessing clinical signs, incidence and frequency of limping episodes, bleeding time, blood volume, measurements of bruised areas, joint swelling, blood hemoglobin levels, urinary hemoglobin; ex-vivo analyses of coagulation (ROTEM), APTT, factor-activity and thrombin generation; survival, re-bleeds, as well as pathological findings and changes in joint tissues, and internal bleeds in other tissues.
- ROTEM ex-vivo analyses of coagulation
- APTT APTT
- factor-activity and thrombin generation survival, re-bleeds, as well as pathological findings and changes in joint tissues, and internal bleeds in other tissues.
- the signal peptide is cleaved off by signal peptidase during export into the endoplasmic reticulum.
- the propeptide sequence is cleaved off after gamma carboxylation took place at the first 11 glutamic acid residues at the N-terminus of the mature N-terminal chain.
- a further processing step occurs by cleavage between Arg 182 and Ser 183. This processing step also leads concomitantly to the deletion of the tripeptide Arg180-Lys181-Arg182.
- the resulting secreted factor X zymogen consists of an N-terminal light chain of 139 amino acids (M, 16,200) and a C-terminal heavy chain of 306 amino acids (M, 42,000) which are covalently linked via a disulfide bridge between Cys172 and Cys342.
- the Factor X zymogen can be cleaved in its heavy chain by Factor IXa and consequently become activated after the release of an activation peptide resulting in a protein referred to as“Factor Xa” or“FXa”.
- Factor X has been deposited in UniProtKB under accession number P00742.
- the bispecific antibody of the present invention preferentially binds to the zymogen of Factor X (i.e. to the protein referred to as “Factor X” or“FX” herein) over Factor Xa.
- the terms “individual”, “patient” or “subject” are used interchangeably in the present application to designate a human being and are not meant to be limiting in any way.
- the “individual”,“patient” or“subject” can be of any age, sex and physical condition.
- prevention refers to a set of hygienic, pharmacological, surgical and/or physical means used to prevent the onset and/or development of a disease and/or symptoms.
- prevention encompasses prophylactic methods, since these are used to maintain the health of an animal or individual.
- treatment and“therapy” refer to a set of hygienic, pharmacological, surgical and/or physical means used with the intent to cure and/or alleviate a disease and/or symptoms with the goal of remediating the health problem.
- treatment and“therapy” include preventive and curative methods, since both are directed to the maintenance and/or reestablishment of the health of an individual or animal. Regardless of the origin of the symptoms, disease and disability, the administration of a suitable medicament to alleviate and/or cure a health problem should be interpreted as a form of treatment or therapy within the context of this application.
- Quadromas Quadromas and triomas can be generated by fusing either two hybridomas or one hybridoma with a B lymphocyte, respectively (Suresh MR et al., Methods Enzymol 1986; 121 : 210-228). In this case the simultaneous expression of two heavy and two light chains leads to the random assembly of 10 antibody combinations and the desired bispecific antibody (bsAb) represent only a small fraction of the secreted antibodies.
- the bsAb has to be purified using a combination of chromatographic techniques.
- a major limitation is that quadromas produce bsAb of rodent origin which limit their therapeutic potential due to immunogenicity issues.
- These formats include diabody-Fc, tandem diabody-Fc, tandem diabody-CH3, (scFv)4-Fc and DVD-lg (Lu D et al, J Immunol Methods 2003; 279: 219-232 ; Lu D et al, J Biol Chem 2005; 280: 19665-19672 ; Lu D et al, J Biol Chem 2004; 279: 2856- 2865; Wu C et al., Nat Biotechnol 2007 25:1290-7).
- Single domain based antibodies Single domain based antibodies.
- Camelid, shark and even human V domains represent alternatives to antibodies but they also be used for bsAbs generation. They can be reformatted into a classical IgG in which each arm has the potential to bind two targets either via its VH or VL domain. This single domain-lgG would have biochemical properties similar to an IgG and potentially solve problems encountered with other bsAbs formats in terms of production and heterogeneity.
- the bispecific antibodies compositions and methods provided herein overcome such development obstacles.
- the bispecific antibodies provided herein have a common heavy chain, two light chains - one Kappa (K), one Lambda (I) - that each has a different specificity (i.e., two light chains, two specificities).
- the bispecific antibodies do not contain any linkers or other modifications, including amino acid mutations.
- the methods provided herein produce molecules having specific binding where diversity is restricted to the VL domain. These methods produce the bispecific antibodies through controlled co-expression of the three chains (one heavy chain, two different light chains), and purification of the bispecific antibody.
- the bispecific antibodies described herein exhibit similar affinities for a given target as compared to the affinities of monospecific antibodies for that same target.
- the bispecific antibodies described herein are virtually indistinguishable from standard IgG molecules.
- bispecific antibodies according to the invention that bind to Factor IXa and Factor X and are essentially identical in structure to a human antibody are provided.
- This type of molecule is composed of two copies of the same heavy chain polypeptide, a first light chain variable domain fused to a constant Kappa domain and second light chain variable domain fused to a constant Lambda domain.
- Each antigen-binding site displays a different antigen specificity to which both the heavy and light chain contribute.
- the light chain variable domains can be of the Lambda or Kappa family and can be fused to a Lambda and Kappa constant domains, respectively.
- This KL body format allows the affinity purification of a bispecific antibody that is virtually indistinguishable from a standard IgG molecule with characteristics that are virtually indistinguishable from a standard monoclonal antibody and, therefore, favorable as compared to previous formats (see also WO 2012/023053 A2).
- An essential step of the method in these particular embodiments is the identification of two antibody Fv regions (each composed by a variable light chain and variable heavy chain domain) having different antigen specificities that share the same heavy chain variable domain.
- Two antibody Fv regions each composed by a variable light chain and variable heavy chain domain
- Numerous methods have been described for the generation of monoclonal antibodies. (See, e.g., Antibodies: A Laboratory Manual, Harlow E, and Lane D, 1988, Cold Spring Harbor Laboratory Press, Cold Spring Harbor, NY, incorporated herein by reference).
- Fully human antibodies are antibody molecules in which there are no sequences derived from species other than human. Such antibodies are termed "human antibodies", or “fully human antibodies” herein; such human antibodies or fully human antibodies may contain artificially introduced changes in their amino acid sequence.
- Human monoclonal antibodies can be prepared by using the trioma technique; the human B-cell hybridoma technique (see Kozbor, et al., 1983 Immunol Today 4 : 72); and the EBV hybridoma technique to produce human monoclonal antibodies (see Cole, et al, 1985 In: MONOCLONAL ANTIBODIES AND CANCER THERAPY, Alan R. Liss, Inc., pp. 77-96). Human monoclonal antibodies may be utilized and may be produced by using human hybridomas (see Cote, et al, 1983.
- Monoclonal antibodies are generated, e.g., by immunizing an animal with a target antigen or an immunogenic fragment, derivative or variant thereof.
- the animal is immunized with cells transfected with a vector containing a nucleic acid molecule encoding the target antigen, such that the target antigen is expressed and associated with the surface of the transfected cells.
- a variety of techniques are well-known in the art for producing xenogenic non-human animals. For example, see U.S. Pat. No. 6,075,181 and No. 6,150,584, which is hereby incorporated by reference in its entirety.
- the antibodies are obtained by screening a library that contains antibody or antigen binding domain sequences for binding to the target antigen.
- This library is prepared, e.g., in bacteriophage as protein or peptide fusions to a bacteriophage coat protein that is expressed on the surface of assembled phage particles and the encoding DNA sequences contained within the phage particles (i.e. , "phage displayed library").
- Hybridomas resulting from myeloma/B cell fusions can be screened for reactivity to the target antigen.
- Monoclonal antibodies are prepared, for example, using hybridoma methods, such as those described by Kohler and Milstein, Nature, 256:495 (1975).
- a hybridoma method a mouse, hamster, or other appropriate host animal, is typically immunized with an immunizing agent to elicit lymphocytes that produce or are capable of producing antibodies that will specifically bind to the immunizing agent.
- the lymphocytes can be immunized in vitro.
- the serendipitous identification of different antibodies having the same heavy chain variable domain but directed against different antigens is highly unlikely. Indeed, in most cases the heavy chain contributes largely to the antigen binding surface and is also the most variable in sequence. In particular the CDR3 on the heavy chain is the most diverse CDR in sequence, length and structure. Thus, two antibodies specific for different antigens will almost invariably carry different heavy chain variable domains.
- the method described herein overcomes this limitation and greatly facilitates the isolation of antibodies having the same heavy chain variable domain by the use of antibody libraries in which the heavy chain variable domain is the same for all the library members and thus the diversity is confined to the light chain variable domain.
- antibody libraries are described, for example, in application PCT/US2010/035619, filed May 20, 2010 and published on November 25, 2010 as PCT Publication No. WO 2010/135558 and application PCT/US2010/057780, filed November 23, 2010 each of which is hereby incorporated by reference in its entirety.
- both domains can contribute to antigen binding.
- another step optionally performed is the optimization of coexpression of the common heavy chain and two different light chains into a single cell to allow for the assembly of a bispecific antibody of the invention. If all the polypeptides get expressed at the same level and get assembled equally well to form an antibody molecule then the ratio of monospecific (same light chains) and bispecific (two different light chains) should be 50%. However, it is likely that different light chains are expressed at different levels and/or do not assemble with the same efficiency. Therefore the methods of the invention also provide means to modulate the relative expression of the different polypeptides to compensate for their intrinsic expression characteristics or different propensities to assemble with the common heavy chain.
- This modulation can be achieved via promoter strength, the use of internal ribosome entry sites (IRES) featuring different efficiencies or other types of regulatory elements that can act at transcriptional or translational levels as well as acting on mRNA stability.
- IRES internal ribosome entry sites
- Different promoters of different strength could include CMV (Immediate-early Cytomegalovirus virus promoter); EFI- la (Human elongation factor la-subunit promoter); Ubc (Human ubiquitin C promoter); SV40 (Simian virus 40 promoter).
- CMV immediate-early Cytomegalovirus virus promoter
- EFI- la Human elongation factor la-subunit promoter
- Ubc Human ubiquitin C promoter
- SV40 Synimian virus 40 promoter
- IRES have also been described from mammalian and viral origin. (See e.g., Hellen CU and Sarnow P. Genes Dev 2001 15: 1593-612). These IRES can greatly differ
- the modulation of the expression can also be achieved by multiple sequential transfections of cells to increase the copy number of individual genes expressing one or the other light chain and thus modify their relative expressions (i.e. altering the ratio of the two different light chains introduced into the cell).
- the co-expression of the heavy chain and two light chains generates a mixture of three different antibodies into the cell culture supernatant: two monospecific bivalent antibodies and one bispecific bivalent antibody.
- the latter has to be purified from the mixture to obtain the molecule of interest.
- the method described herein greatly facilitates this purification procedure by the use of affinity chromatography media that specifically interact with the Kappa or Lambda light chain constant domains such as the CaptureSelect Fab Kappa and CaptureSelect Fab Lambda affinity matrices (BAC BV, Holland).
- This multi-step affinity chromatography purification approach is efficient and generally applicable to antibodies of the invention (see also Figure 8A of WO 2012/023053 A2).
- the invention also provides a means of producing simple antibody mixtures of two or more monospecific antibodies and one or more bispecific antibody according to the invention that share the same heavy chain and can be purified using standard chromatography techniques used for monoclonal antibody purification. (See e.g., Lowy, I et al. N Engl J Med 2010; 362: 197-205; Goudsmit, J . et al. J Infect Dis. 2006. 193, 796-801 ). Such simple mixtures can be used as multi-targeting agents for therapeutic usage.
- the bispecific antibodies were purified using a three-step affinity chromatography procedure: (1 ) capture of IgG (mono- and bi-), (2) Kappa select: capture IgG containing a Kappa light chain(s), and (3) Lambda select: capture IgG containing a Lambda light chain.
- Kappaselect and Lambdaselect are affinity chromatography media developed by BAC, BV and GE Healthcare.
- the purified bispecific antibodies can be characterized as described in WO 2012/023053 A2.
- the methods of generating bispecific antibodies use a complete serum-free chemically defined process.
- These methods incorporate the most widely used mammalian cell line in pharmaceutical industry, the Chinese Hamster Ovary (CHO) cell line, but also other cell lines such as PEAK cells (ATCC CRL-2828).
- CHO Chinese Hamster Ovary
- PEAK cells ATCC CRL-2828
- any mammalian cell line suitable for protein expression may be used, including e.g. also HEK293 cells.
- the methods described are used to generate both semistable and stable cell lines. However, also transiently transfected cell lines could be used.
- the methods can be used to manufacture the bispecific antibodies of the invention at small scale (e.g., in an Erlenmeyer flask) and at mid-scale (e.g., in 25L Wave bag).
- the methods are also readily adaptable for larger scale production of the bispecific antibodies, as well as antibody mixtures of the invention.
- human fibrosarcoma cell line e.g., HT1080
- baby hamster kidney cells BHK21 , ATCC CCL 10
- Chinese hamster ovary cells +/-DHFR CHO, Urlaub and Chasin, Proc. Natl. Acad. Sci. USA, 77:4216, 1980
- CHO EBNA Daramola O. et al., Biotechnol. Prog., 2014, 30(1 ):132-41
- CHO GS Fean L. et al., Biotechnol. Bioeng. 2012, 109(4): 1007-15
- mouse sertoli cells TM4, Mather, Biol.
- bispecific antibodies are produced from human cells.
- bispecific antibodies are produced from CHO cells or HEK cells or HT1080 cells.
- such cells can be used with any tissue culture vessel or any vessel treated with a suitable adhesion substrate.
- a suitable adhesion substrate is selected from the group consisting of collagen (e.g. collagen I, II, II, or IV), gelatin, fibronectin, laminin, vitronectin, fibrinogen, BD MatrigelTM, basement membrane matrix, dermatan sulfate proteoglycan, Poly-D-Lysine and/or combinations thereof.
- an adherent host cell may be selected and modified under specific growth conditions to grow in suspension. Such methods of modifying an adherent cell to grown in suspension are known in the art. For example, a cell may be conditioned to grow in suspension culture, by gradually removing animal serum from the growth media over time.
- cells that are engineered to express a bispecific antibody may comprise a transgene that encodes a bispecific antibody described herein.
- Cells can be engineered to express the bispecific antibody in a transient or a stable expression system.
- the nucleic acids encoding bispecific antibodies may contain regulatory sequences, gene control sequences, promoters, non-coding sequences and/or other appropriate sequences for expressing the bispecific antibody.
- the coding region is operably linked with one or more of these nucleic acid components.
- bispecific antibodies are expressed using a batch culture method.
- batch culture duration may be for 7-14 days.
- the batch culture may be for 14-21 days.
- bispecific antibodies are expressed using a perfusion culture method (collection of culture medium over time each day).
- bispecific antibodies are expressed using a pseudoperfusion culture method (daily collection of culture medium at a single time point with replacement with fresh medium).
- specific feeding regimens/media may be used to promote optimal bispecific antibody production (improved glycan, reduce aggregate, improved kappa/lambda body ratio).
- the cell density may be controlled/maintained to promote optimal bispecific antibody production (reduced aggregate, improved heavy/light chain, improved kappa/lambda body ratio).
- FIG. 16 of WO 2012/023053 A2 demonstrates purification and product integrity testing of exemplary bispecific antibodies purified from a semi-stable cell line.
- the bispecific antibodies were purified using the following three-step affinity chromatography procedure: (i) Protein A purification to capture IgG molecules, including both monospecific and bispecific; (ii) KappaSelect purification to capture IgG containing Kappa light chain(s); (iii) LambdaSelect purification to capture IgG containing Lambda light chain.
- the chemically defined processes for manufacturing the bispecific antibodies of the invention can be used with either pools of CHO cells or with other established cell lines such as PEAK cells (ATCC CRL-2828).
- any mammalian cell line suitable for protein expression may be used, including e.g. also HEK293 cells, and any other cell lines mentioned above in the context of manufacturing bispecific antibodies.
- Either transient or stable transfections of cells can be used for expression, as outlined in detail above.
- the results obtained with the chemically defined process using either pools or established cell lines demonstrate comparable productivities and growth characteristics to those expressing the corresponding Kappa or Lambda monospecific antibodies.
- the KL-body conserves both the structure and manufacturing characteristics of a classical human IgG.
- the present invention takes a different approach that is based on the production of a simple mixture of antibodies that have the standard characteristics of productivity and scalability of monoclonal antibodies and provides efficient and generic means to purify the bispecific antibody in KL body format from the mixture or to purify the antibody mixture, wherein the bispecific antibody binds to Factor IXa and Factor X.
- the KL-bodies produced according to these particular embodiments conserve the structure of a classical human IgG. Therefore, they have the advantage of a reduced risk of immunogenicity, as compared to certain other formats of bispecific antibodies, and thus the advantage of being particularly well suited for long-term administration to a subject, e.g. to treat a chronic disease (such as hemophilia A).
- the bispecific antibody of the present invention is a bispecific antibody that binds to Factor IXa and Factor X and that has a procoagulant activity, the bispecific antibody comprising a first heavy chain and a first light chain and a second heavy chain and a second light chain.
- Preferred embodiments of the present invention are those bispecific antibodies of the present invention that have a high procoagulant activity.
- the antibody comprises a first heavy chain and a second heavy chain each comprising in its variable domain the CDRs H-CDR1 , H-CDR2 and H- CDR3, wherein H-CDR1 is GFTFSSYA (SEQ ID NO: 1 ), H-CDR2 is ISGSGGST (SEQ ID NO: 2) and H-CDR3 is AKSYGAFDY (SEQ ID NO:3), and the antibody further comprises a first light chain and a second light chain comprising in its variable domain the CDRs of one of the Identifiers set out in Table 1 and Table 2 below, respectively.
- the bispecific antibody comprises L1 CDR1 , L1 CDR2 and L1 CDR3 of W83 according to Table 1 in the variable domain of the first light chain, and L2CDR1 , L2CDR2 and L2CDR3 of V141 , V149, V155, V198, V212, V217, V241 , V242, V245, V249, V281 , V282, V283, V284, V285, V286, V287, V288, V289, V290 or V296 according to Table 2 in the variable domain of the second light chain, and two heavy chains (i.e.
- the bispecific antibody comprises L1 CDR1 , L1 CDR2 and L1 CDR3 of W122 according to Table 1 in the variable domain of the first light chain, and L2CDR1 , L2CDR2 and L2CDR3 of V141 , V149, V155, V198, V212, V217, V241 , V242, V245, V249, V281 , V282, V283, V284, V285, V286, V287, V288, V289, V290 or V296 according to Table 2 in the variable domain of the second light chain, and two heavy chains (i.e.
- the bispecific antibody comprises L1 CDR1 , L1 CDR2 and L1 CDR3 of W128 according to Table 1 in the variable domain of the first light chain, and L2CDR1 , L2CDR2 and L2CDR3 of V141 , V149, V155, V198, V212, V217, V241 , V242, V245, V249, V281 , V282, V283, V284, V285, V286, V287, V288, V289, V290 or V296 according to Table 2 in the variable domain of the second light chain, and two heavy chains (i.e.
- the bispecific antibody comprises L1 CDR1 , L1 CDR2 and L1 CDR3 of W133 according to Table 1 in the variable domain of the first light chain, and L2CDR1 , L2CDR2 and L2CDR3 of V141 , V149, V155, V198, V212, V217, V241 , V242, V245, V249, V281 , V282, V283, V284, V285, V286, V287, V288, V289, V290 or V296 according to Table 2 in the variable domain of the second light chain, and two heavy chains (i.e.
- the bispecific antibody comprises L1 CDR1 , L1 CDR2 and L1 CDR3 of W 159 according to Table 1 in the variable domain of the first light chain, and L2CDR1 , L2CDR2 and L2CDR3 of V141 , V149, V155, V198, V212, V217, V241 , V242, V245, V249, V281 , V282, V283, V284, V285, V286, V287, V288, V289, V290 or V296 according to Table 2 in the variable domain of the second light chain, and two heavy chains (i.e.
- the bispecific antibody comprises L1 CDR1 , L1 CDR2 and L1 CDR3 of W189 according to Table 1 in the variable domain of the first light chain, and L2CDR1 , L2CDR2 and L2CDR3 of V141 , V149, V155, V198, V212, V217, V241 , V242, V245, V249, V281 , V282, V283, V284, V285, V286, V287, V288, V289, V290 or V296 according to Table 2 in the variable domain of the second light chain, and two heavy chains (i.e.
- the bispecific antibody comprises L1 CDR1 , L1 CDR2 and L1 CDR3 of W198 according to Table 1 in the variable domain of the first light chain, and L2CDR1 , L2CDR2 and L2CDR3 of V141 , V149, V155, V198, V212, V217, V241 , V242, V245, V249, V281 , V282, V283, V284, V285, V286, V287, V288, V289, V290 or V296 according to Table 2 in the variable domain of the second light chain, and two heavy chains (i.e.
- the bispecific antibody comprises L1 CDR1 , L1 CDR2 and L1 CDR3 of W204 according to Table 1 in the variable domain of the first light chain, and L2CDR1 , L2CDR2 and L2CDR3 of V141 , V149, V155, V198, V212, V217, V241 , V242, V245, V249, V281 , V282, V283, V284, V285, V286, V287, V288, V289, V290 or V296 according to Table 2 in the variable domain of the second light chain, and two heavy chains (i.e.
- the bispecific antibody comprises L1 CDR1 , L1 CDR2 and L1 CDR3 of W207 according to Table 1 in the variable domain of the first light chain, and L2CDR1 , L2CDR2 and L2CDR3 of V141 , V149, V155, V198, V212, V217, V241 , V242, V245, V249, V281 , V282, V283, V284, V285, V286, V287, V288, V289, V290 or V296 according to Table 2 in the variable domain of the second light chain, and two heavy chains (i.e.
- the bispecific antibody comprises the three CDRs (L1CDR1 , L1 CDR2, L1 CDR3 and L2CDR1 , L2CDR2, L2CDR3) of W128 and V241 , W128 and V242, W128 and V245, W206 and V245, W198 and V245, W159 and V245, W133 and V245,
- the bispecific antibody further comprises two heavy chains (i.e. the first heavy chain and the second heavy chain) each comprising identical CDRs in its variable domain, namely HCDR1 (SEQ ID NO: 1 ), HCDR2 (SEQ ID NO: 2) and HCDR3 (SEQ ID NO:3).
- the bispecific antibody of the present invention may comprise two heavy chains with identical variable domains.
- the antibody comprises two heavy chains comprising identical variable domains wherein the variable domain comprises SEQ ID NO: 97.
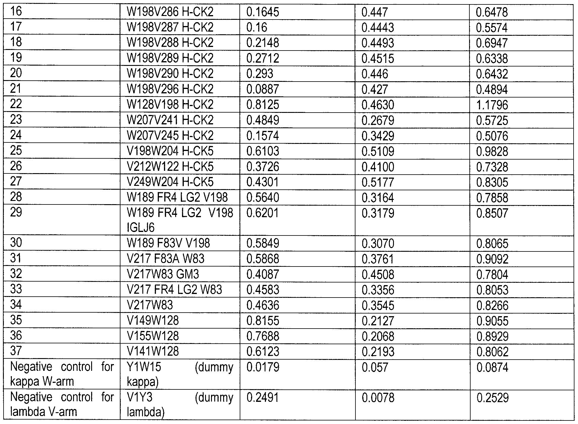
- the bispecific antibody comprises the VL of the Factor X binding arm of any one of antibodies 1 to 37 according to Table 3, and the bispecific antibody further comprises the VL of the Factor IXa binding arm of any one (i.e. the same one, or a different one) of antibodies 1 to 37 according to Table 3, and the bispecific antibody further comprises two heavy chains comprising identical variable domains wherein the heavy chain variable domain comprises SEQ ID NO: 97.
- the bispecific antibody comprises both the V L of the Factor X binding arm and the V L of the Factor IXa binding arm of any one of antibodies 1 to 37 according to Table 3, and the bispecific antibody further comprises two heavy chains comprising identical variable domains wherein the heavy chain variable domain comprises SEQ ID NO: 97.
- the bispecific antibody of the present invention may comprise two identical heavy chains.
- the bispecific antibody comprises two identical heavy chains comprising SEQ ID NO: 172. 0 SEQ ID NO: 172:
- the bispecific antibody comprises both the light chain of the Factor X binding arm and the light chain of the Factor IXa binding arm of any one of antibodies 1 to 37 according to Table 4, and the bispecific antibody further comprises two identical heavy chains each comprising SEQ ID NO: 172.
- the antigen bound i.e. Factor X or Factor IXa
- the present invention also provides a pharmaceutical composition
- a pharmaceutical composition comprising the antibodies of the present invention and a pharmaceutically acceptable carrier and/or diluent.
- the present invention provides a pharmaceutical composition
- a pharmaceutical composition comprising the antibody of the present invention and a pharmaceutically acceptable carrier or diluent.
- pharmaceutically acceptable carrier or “pharmaceutically acceptable diluent” means any and all solvents, dispersion media, coatings, antibacterial and antifungal agents, isotonic and absorption delaying agents, compatible with pharmaceutical administration. The use of such media and agents for pharmaceutically active substances is well known in the art.
- Acceptable carriers, excipients, or stabilizers are nontoxic to recipients at the dosages and concentrations employed and, without limiting the scope of the present invention, include: additional buffering agents; preservatives; cosolvents; antioxidants, including ascorbic acid and methionine; chelating agents such as EDTA; metal complexes (e.g., Znprotein complexes); biodegradable polymers, such as polyesters; saltforming counterions, such as sodium, polyhydric sugar alcohols; amino acids, such as alanine, glycine, glutamine, asparagine, histidine, arginine, lysine, ornithine, leucine, 2phenylalanine, glutamic acid, and threonine; organic sugars or sugar alcohols, such as lactitol, stachyose, mannose, sorbose, xylose, ribose, ribitol, myoinisitose, myoinisitol
- a pharmaceutical composition as described herein may also contain other substances. These substances include, but are not limited to, cryoprotectants, lyoprotectants, surfactants, bulking agents, antioxidants, and stabilizing agents. In some embodiments, the pharmaceutical composition may be lyophilized.
- cryoprotectant includes agents which provide stability to the antibody against freezinginduced stresses, by being preferentially excluded from the antibody’s surface. Cryoprotectants may also offer protection during primary and secondary drying and longterm product storage.
- Nonlimiting examples of cryoprotectants include sugars, such as sucrose, glucose, trehalose, mannitol, mannose, and lactose; polymers, such as dextran, hydroxyethyl starch and polyethylene glycol; surfactants, such as polysorbates (e.g., PS20 or PS80); and amino acids, such as glycine, arginine, leucine, and serine.
- a cryoprotectant exhibiting low toxicity in biological systems is generally used.
- a lyoprotectant is added to a pharmaceutical composition described herein.
- the term "lyoprotectant” as used herein includes agents that provide stability to the antibody during the freezedrying or dehydration process (primary and secondary freeze drying cycles), by providing an amorphous glassy matrix and by binding with the antibody’s surface through hydrogen bonding, replacing the water molecules that are removed during the drying process. This helps to minimize product degradation during the lyophilization cycle, and improve the longterm product stability.
- Nonlimiting examples of lyoprotectants include sugars, such as sucrose or trehalose; an amino acid, such as monosodium glutamate, noncrystalline glycine or histidine; a methylamine, such as betaine; a lyotropic salt, such as magnesium sulfate; a polyol, such as trihydric or higher sugar alcohols, e.g., glycerin, erythritol, glycerol, arabitol, xylitol, sorbitol, and mannitol; propylene glycol; polyethylene glycol; pluronics; and combinations thereof.
- the amount of lyoprotectant added to a pharmaceutical composition is generally an amount that does not lead to an unacceptable amount of degradation of the strain when the pharmaceutical composition is lyophilized.
- a bulking agent is included in the pharmaceutical composition.
- bulking agents may also impart useful qualities in regard to modifying the collapse temperature, providing freezethaw protection, and enhancing the strain stability over longterm storage.
- Nonlimiting examples of bulking agents include mannitol, glycine, lactose, and sucrose.
- Bulking agents may be crystalline (such as glycine, mannitol, or sodium chloride) or amorphous (such as dextran, hydroxyethyl starch) and are generally used in formulations in an amount from 0.5% to 10%.
- pharmaceutically acceptable carriers such as those described in Remington's Pharmaceutical Sciences 16th edition, Osol, A. Ed. (1980) may also be included in a pharmaceutical composition described herein, provided that they do not adversely affect the desired characteristics of the pharmaceutical composition.
- pharmaceutically acceptable carrier means any and all solvents, dispersion media, coatings, antibacterial and antifungal agents, isotonic and absorption delaying agents, compatible with pharmaceutical administration. The use of such media and agents for pharmaceutically active substances is well known in the art.
- Acceptable carriers, excipients, or stabilizers are nontoxic to recipients at the dosages and concentrations employed and include: additional buffering agents; preservatives; cosolvents; antioxidants, including ascorbic acid and methionine; chelating agents such as EDTA; metal complexes (e.g., Znprotein complexes); biodegradable polymers, such as polyesters; saltforming counterions, such as sodium, polyhydric sugar alcohols; amino acids, such as alanine, glycine, glutamine, asparagine, histidine, arginine, lysine, ornithine, leucine, 2phenylalanine, glutamic acid, and threonine; organic sugars or sugar alcohols, such as lactitol, stachyose, mannose, sorbose, xylose, ribose, ribitol, myoinisitose, myoinisitol, galactose, galactito
- the pharmaceutical composition may be a solution which is suitable for intravenous, intramuscular, conjunctival, transdermal, intraperitoneal and/or subcutaneous administration (e.g. subcutaneous administration using a device).
- the pharmaceutical composition may be in a form suitable for nasal administration or oral administration.
- the bispecific antibody according to the present invention in one embodiment is formulated into a physiologically-acceptable pharmaceutical composition
- a carrier i.e., vehicle, adjuvant, buffer, or diluent.
- the particular carrier employed is limited only by chemico-physical considerations, such as solubility and lack of reactivity with the bispecific antibody, and by the route of administration.
- Physiologically- acceptable carriers are well known in the art.
- Illustrative pharmaceutical forms suitable for injectable use include without limitation sterile aqueous solutions or dispersions and sterile powders for the extemporaneous preparation of sterile injectable solutions or dispersions (for example, see U.S. Patent No. 5,466,468).
- a pharmaceutical composition comprising a bispecific antibody provided herein is optionally placed within containers, along with packaging material that provides instructions regarding the use of such pharmaceutical compositions.
- such instructions include a tangible expression describing the reagent concentration, as well as, in certain embodiments, relative amounts of excipient ingredients or diluents that may be necessary to reconstitute the pharmaceutical composition.
- a physiologically-acceptable composition such as a pharmaceutical composition comprising a bispecific antibody described herein
- a pharmaceutical composition is applied or instilled into body cavities, absorbed through the skin or mucous membranes, ingested, inhaled, and/or introduced into circulation.
- a composition comprising a bispecific antibody is administered intravenously, intraarterially, or intraperitoneally to introduce the bispecific antibody of the invention into circulation.
- Non-intravenous administration also is appropriate.
- a pharmaceutical composition comprising the bispecific antibody orally, topically, sublingually, vaginally, rectally, pulmonary; through injection by intracerebral (intra-parenchymal), intracerebroventricular, intramuscular, intra-ocular, intraportal, intralesional, intramedullary, intrathecal, intraventricular, transdermal, subcutaneous, intranasal, urethral, or enteral means; by sustained release systems; or by implantation devices.
- the bispecific antibody is administered regionally via intraarterial or intravenous administration feeding a region of interest, e.g., via the femoral artery for delivery to the leg.
- the bispecific antibody is incorporated into a microparticle as described in, for example, U.S. Patents 5,439,686 and 5,498,421 , and U.S. Patent Publications 2003/0059474, 2003/0064033, 2004/0043077, 2005/0048127, 2005/0170005, 2005/0142205, 2005/142201 , 2005/0233945, 2005/0147689. 2005/0142206, 2006/0024379, 2006/0260777,
- the pharmaceutical composition may further comprise common excipients and carriers which are known in the state of the art.
- the pharmaceutical composition may further comprise cryoprotectants, lyoprotectants, surfactants, bulking agents, antioxidants, stabilizing agents and pharmaceutically acceptable carriers.
- the present invention also provides the bispecific antibody or pharmaceutical composition of the present invention for use as a medicament. Further, the present invention provides the bispecific antibody or pharmaceutical composition of the present invention for use in a method of treating and/or preventing a bleeding disorder, wherein a patient or animal is administered a therapeutically effective amount of the bispecific antibody.
- the bispecific antibodies or pharmaceutical compositions of the present invention may be administered to a subject with mild hemophilia A, moderate hemophilia A, or severe hemophilia A.
- the bispecific antibodies or pharmaceutical compositions disclosed herein may be administered to a subject with Factor VIII plasma levels of 6% to 40%, 2% to 5%, or 1 % or less.
- the bispecific antibodies or pharmaceutical compositions of the present invention may be administered to a subject with hemophilia A or suspected of having hemophilia A when there is an external wound on the subject.
- the bispecific antibodies or pharmaceutical compositions of the present invention may be administered to a subject with hemophilia A or suspected of having hemophilia A with an existing external wound on the subject.
- bispecific antibodies or pharmaceutical compositions of the present invention may be administered to a subject with an external wound until the wound has healed.
- the wound may include, but is not limited to, an abrasion, a laceration, a puncture, or an avulsion.
- the bispecific antibodies or pharmaceutical compositions of the present invention may be administered to a subject with hemophilia, A or suspected of having hemophilia A, prior to, during, or after surgery, a serious injury, or dental work.
- the bispecific antibodies or pharmaceutical compositions of the present invention may be administered to a subject with hemophilia A, or suspected of having hemophilia A, and has experienced spontaneous bleeding. In another aspect, the bispecific antibodies or pharmaceutical compositions of the present invention may be administered to a subject with hemophilia A, or suspected of having hemophilia A, and has experienced bleeding once, twice, or more times in a week.
- the bispecific antibodies or pharmaceutical compositions of the present invention may be administered to a subject who is an infant of 0, 1 , 2, 3, 4, 5, 6, 7, 8, 9, 10, 1 1 , or 12 months of age suffering from, or suspected of having hemophilia A.
- administering the bispecific antibodies or pharmaceutical compositions of the present invention before the first episode of bleeding protects against further bleeding and development of joint damage in the future.
- administering a bispecific antibodies or pharmaceutical compositions of the present invention to subjects may have the following effects, but is not limited to, hemostasis, reduced pain, and improved mobility.
- the subject has developed, has a tendency to develop, or is at risk to develop an inhibitor against Factor VIII ("FVIM").
- the inhibitor against FVIII is a neutralizing antibody against FVIII.
- the subject is undergoing treatment with FVIII or is a candidate for treatment with FVIII, e.g., FVIII replacement therapy.
- the bleeding episode is the result of hemarthrosis, muscle bleed, oral bleed, hemorrhage, hemorrhage into muscles, oral hemorrhage, trauma, trauma capitis, gastrointestinal bleeding, intracranial hemorrhage, intraabdominal hemorrhage, intrathoracic hemorrhage, bone fracture, central nervous system bleeding, bleeding in the retropharyngeal space, bleeding in the retroperitoneal space, bleeding in the illiopsoas sheath, or any combinations thereof.
- the present invention also provides a method of treating a blood coagulation disorder in a subject in need thereof, comprising administering to the subject an effective amount of the bispecific antibody or pharmaceutical composition of the present invention.
- the blood coagulation disorder is hemophilia A or hemophilia B, preferably hemophilia A.
- the subject is a human subject.
- administration of the bispecific antibodies or pharmaceutical compositions of the present invention reduces the frequency of breakthrough bleeding episodes, spontaneous bleeding episodes, or acute bleeding. In some aspects, administration of bispecific antibodies or pharmaceutical compositions of the present invention reduces the annualized bleed rate by 5%, 10%, 20%, 30%, or 50%.
- the bispecific antibodies or pharmaceutical compositions of the present invention may be administered by any route appropriate to the condition to be treated.
- the bispecific antibodies or pharmaceutical compositions of the present invention will typically be administered parenterally, i.e. , infusion, subcutaneous, intramuscular, intravenous, or intradermal. In some aspects, the bispecific antibodies or pharmaceutical compositions of the present invention are administered subcutaneously.
- the bispecific antibodies or pharmaceutical compositions of the present invention are administered intermittently or discontinuously.
- dose levels of the bispecific antibodies of the present invention for example, administered via injection, such as subcutaneous injection, range from about 0.0001 mg/kg to about 100 mg/kg bodyweight.
- the bispecific antibodies or pharmaceutical compositions of the present invention are administered until disease progression or unacceptable toxicity. Examples
- Phage were eluted with 100 nM TEA for 30 minutes at room temperature on a rotary mixer. Eluted phage and beads were neutralized with TrisHCI 1 M pH 7.4 and directly added to 10 ml of exponentially growing TG1 cells and incubated for one hour at 37 °C with slow shaking (90 rpm). An aliquot of the infected TG1 was serial diluted to titer the selection output. The remaining infected TG1 were spun at 3800 rpm for 10 minutes and resuspended in 2 ml 2xTY and spread on 2xTYAG (2xTY medium containing 100 pg/ml ampicillin and 2% glucose) agar Bioassay plates.
- Phage rescue 50 pi of cell suspension obtained from previous selection rounds were added to 50 ml of 2xTYAG and grown at 37 °C with agitation (240 rpm) until an OD 6 oo of 0.3 to 0.5 is reached. The culture was then superinfected with 1.2x10 11 M13K07 helper phage and incubated for one hour at 37°C (90 rpm). The medium was changed by centrifuging the cells at 3800 rpm for 10 minutes, removing the medium and resuspending the pellet in 50 ml of 2xTYAK (100 Mg/ml ampicillin; 50 pg/ml kanamycin). The culture is then grown overnight at 30°C (240 rpm). The next day, 10 pi of the phage containing supernatant was used for the next round of selection.
- EXAMPLE 2 Screening for scFv binding to hFIXa or hFX
- scFv periplasmic preparation for binding assays Individual TG1 clones were inoculated into a 96well deep well plate containing 0.9 ml per well of 2xTYAG medium (0.1 % glucose) and grown at 37 °C for 56 hours (240 rpm). 100 pi per well of 0.2 mM IPTG in 2xTY medium were then added to give a final concentration of 0.02 mM IPTG. The plate was incubated overnight at 30 °C with shaking at 240 rpm. The deep well plate was centrifuged at 3200 rpm for 10 minutes at 4°C and the supernatant carefully removed.
- 2xTYAG medium 0.1 % glucose
- the pellets were resuspended in 150 pi TES buffer (50 mM TrisHCI (pH 8), 1 mM EDTA (pH 8), 20% sucrose, complemented with Complete protease inhibitor, Roche).
- a hypotonic shock was produced by adding 150 mI of diluted TES buffer (1 :5 TES:water dilution) and incubation on ice for 30 minutes. The plate was centrifuged at 4000 rpm for 10 minutes at 4 °C to pellet cells and debris. The supernatants were carefully transferred into a 96well microtiter plate and kept on ice for immediate testing in functional assays or binding assays.
- Phage clone sequencing Single TG1 clones are inoculated into a 96well deep well plate containing 1 ml LBAG medium (LB medium with 100 pg/ml ampicillin and 2% glucose) per well and grown overnight at 37 °C, 240 rpm. DMA was extracted using the Zyppy96 Plamisd Miniprep kit (Zymo Research). 5 mI of the eluted DNA was sequenced using the fdtseqlong primer, 5’GTCGT CTTT CCAGACGTTAGT AAAT G3’ (SEQ ID NO: 288).
- the expression vectors were transfected into mammalian cells using the Lipofectamine 2000 Transfection Reagent (Thermo Fisher Scientific, Waltham, MA).Transient transfections were performed using a mix containing 30 pg of DNA and 42 pl_ of Lipofectamine 2000 transfection reagent (Invitrogen) in 2 mL of DMEM for 107 cells per T175 flask in 50 mL of complete DMEM.
- IgG expression was measured using the Octet RED96 with protein Acoated biosensors (Pall ForteBio). According to antibody concentration, supernatants were harvested 7 to 10 days after transfection and clarified by centrifugation 10 min at 2000 rpm. Total IgGs were purified by one affinity chromatography step using the FcXL resin (Thermo Fischer Scientific).
- variable domain of a lambda light chain can be fused to a constant domain of the kappa type or conversely the variable domain of kappa a light chain can be fused to a constant domain of the lambda type as described in US 2012/0184716 and WO 2012/023053.
- hybrid chains were generated for several antiFIXa and antiFX arms.
- Downstream purification of bsAb containing hybrid chain follows the same strategy and affinity purification resins, as one light chain contains a kappa constant domain and the other contains a lambda constant domain.
- EXAMPLE 5 Expression and purification of bispecific antibodies carrying a Lambda and a Kappa constant light chain domain.
- the expression of the three genes is driven by human cytomegalovirus promoters (hCMV) and the vector also contains a glutamine synthetase gene (GS) that enables the selection and establishment of stable cell lines.
- hCMV human cytomegalovirus promoters
- GS glutamine synthetase gene
- the VH and VL gene of the antiFIXa or the antiFX were cloned in the abovementioned vector pNovi kHl, for transient expression in mammalian cells.
- IgG expression was measured using the Octet RED96 with protein Acoated biosensors (Pall ForteBio). According to antibody concentration, supernatants were harvested 7 to 10 days after transfection.
- the final product was quantified using the Nanodrop.
- Purified bispecific antibodies were analyzed by electrophoresis in denaturing and reducing conditions.
- the Agilent 2100 Bioanalyzer was used with the Protein 80 kit as described by the manufacturer (Agilent Technologies, Santa Clara, CA, USA). 4 pL of purified samples were mixed with sample buffer supplemented with dithiothreitol (DTT; Sigma Aldrich, St. Louis, MO). Samples were heated at 95°C for 5 min and then loaded on the chip.
- DTT dithiothreitol
- Antibodies 137 according to the present invention were analyzed for their binding to the targets FIXa and FX.
- Bio-Layer Interferometry is a label-free technology for measuring biomolecular interactions. It is an optical analytical technique that analyzes the interference pattern of white light reflected from two surfaces: a layer of immobilized protein on the biosensor tip, and an internal reference layer. The binding between the ligand-protein immobilized on the biosensor tip surface and an analyte in solution produces an increase in optical thickness at the biosensor tip, which results in a wavelength shift (nm shift), which is a direct measure of the change in thickness of the biological layer.
- nm shift wavelength shift
- Protein A biosensors were rehydrated in running buffer (HNaCT buffer) for 10 min, then conditioned by 3 cycles of: regeneration buffer (5secs, 10mM glycine pH1.7) followed by neutralization buffer (5secs, HNaCT). Baseline signal was recorded for 120 secs before dipping the biosensors for 10min in the solution containing bsAb at 10ug/ml_.
- Protein A biosensors loaded with bsAb were dipped into a solution containing human FIXa (hFIXa) or human FX (hFX) or a mixture containing hFIXa + hFX, each at 10ug/ml_. The association was recorded for 10min followed by a dissociation of 10min in running buffer. Finally, biosensors were regenerated by 3 cycles of regeneration buffer (5secs, 10mM glycine pH1.7) followed by neutralization (5 secs, HNaCT).
- KL bodies incorporating either one dummy kappa light chain or one dummy lambda light chain that - when combined with the common heavy chain - does not confer binding to either of FIXa or FX were used as negative controls.
- these dummy KL bodies incorporate only one specificity, either anti-FIXa or anti-FX, on one arm of the bispecific antibody - whereas the other (dummy) arm does not bind to FIXa or FX.
- Example 8 Calibrated automated thrombography assay in FVII1 deficient human plasma
- Antibodies 137 according to the present invention were analyzed for a procoagulant activity using a thrombin generation assay (wherein prothrombin is activated to thrombin by FXa, which is an essential reaction in the coagulation pathway).
- thrombin generation (TG) was evaluated for FVI II deficient patient plasma pool via calibrated automated thrombography (CAT), a method described by Hemker et al (Pathophysiology of Haemostasis and Thrombosis, 2003; 33:415). The data generated in this assay, i.e.
- thrombograms and values derived therefrom such as peak thrombin (see below), describe the concentration of thrombin in clotting plasma and is therefore a functional test of a procoagulant activity.
- the assay is based on the measurement of fluorescence that is generated by the cleavage of the fluorogenic substrate ZGGRAMC by thrombin over time.
- a thrombin calibrator is included to correct for inner filter effects, different coloration of plasma, substrate depletion and instrumental differences.
- the FXIatriggered CAT in FVI I I deficient human plasma was used for functional characterization of purified bispecific antibodies.
- Prewarmed (37°C) hemophilia A patient plateletpoor plasma pool (George King BioMedical Inc., Overland Park, KS, USA) (80 pL) was added to each well of a 96well microplate (Immulon 2HB, Ubottom; Thermo Electron).
- the plasma was pretreated with 62.5 pg/mL corn trypsin inhibitor (Hematologic Technologies Inc., Essex Junction, VT, USA or Enzyme Research Laboratories, South Bend, IN, USA) to prevent preactivation of the plasma.
- Thrombin generation was triggered via the intrinsic pathway by 5 pL purified plasmaderived human FXIa (Enzyme Research Laboratories, South Bend, IN, USA) and 5 pL of MP reagent (Thrombinoscope BV, Maastricht, The Netherlands) containing a phospholipid mixture composed of phosphatidylserine, phosphatidylcholine and phosphatidylethanolamine (48 pM),A plasma concentration of 500 pM FXIa was used to provide a high sensitivity to FVIII in the assay system.
- Thrombin generation was started by dispensing 20 pL of FluCa reagent (Thrombinoscope BV, Maastricht, The Netherlands) containing fluorogenic substrate and Hepes buffered CaCI2 (100 mM) into each well. Fluorescence measurements were performed in a Fluoroskan Ascent® reader (Thermo Labsystems, Helsinki, Finland; filters 390 nm excitation and 460 nm emission) at 37°C for 90 minutes with 20 seconds measurement intervals. The parameters of the resulting TG curves were calculated using the ThrombinoscopeTM software (Thrombinoscope BV, Maastricht, The Netherlands).
- thrombin calibrator With the thrombin calibrator as a reference, the molar concentration of thrombin in the test wells was derived.
Landscapes
- Health & Medical Sciences (AREA)
- Chemical & Material Sciences (AREA)
- Organic Chemistry (AREA)
- General Health & Medical Sciences (AREA)
- Hematology (AREA)
- Life Sciences & Earth Sciences (AREA)
- Medicinal Chemistry (AREA)
- Biophysics (AREA)
- Chemical Kinetics & Catalysis (AREA)
- Biochemistry (AREA)
- Molecular Biology (AREA)
- Proteomics, Peptides & Aminoacids (AREA)
- Immunology (AREA)
- Engineering & Computer Science (AREA)
- Bioinformatics & Cheminformatics (AREA)
- Diabetes (AREA)
- Genetics & Genomics (AREA)
- General Chemical & Material Sciences (AREA)
- Nuclear Medicine, Radiotherapy & Molecular Imaging (AREA)
- Pharmacology & Pharmacy (AREA)
- Animal Behavior & Ethology (AREA)
- Public Health (AREA)
- Veterinary Medicine (AREA)
- Peptides Or Proteins (AREA)
Abstract
The present invention provides bispecific antibodies that bind to Factor IXa and Factor X and that have a procoagulant activity.
Description
Bispecific antibodies binding Factor IXa and Factor X
Technical Field
The present invention provides therapeutics for the treatment and/or prevention of bleeding disorders such as hemophilia A. In particular, the present invention provides bispecific antibodies that bind to Factor IXa and Factor X.
Background art
Hemophilia A is a severe X-chromosome-linked recessive disorder caused by mutations in the factor VIII (FVIII) gene. FVIII is involved in the intrinsic pathway of blood coagulation, and FVIII deficiency leads to blood either coagulating poorly, or barely at all. FVIII deficiency, alternatively known as hemophilia A, is one of the most common hemorrhagic disorders, and affects one in about 10,000 males (Stonebraker et al. (2012) Haemophilia 18(3):e91-4). Hemophilia A has three grades of severity defined by factor FVIII plasma levels of 1% or less ("severe"), 2 to 5% ("moderate"), and 6 to 30% ("mild") (White et al. (2001 ) Thromb. Haemost. 85:560); alternatively, a range of 5-<40% is referred to in WFH“Guidelines for the Management of Hemohpilia” 2nd edition Haemophilia; Epub 6 JUL 2012. DOI: 10.1111/j.1365-2516.2012.02909.x. In severe forms of the disorder, the first bleeds typically appear at 5 to 6 months of age, whereas the first bleeds are delayed until about 1 to 2 years of age in the moderate form. A bleed can appear spontaneously, or following minimum trauma. Approximately half of all patients with hemophilia A are classified as having the severe form of the disease. These patients experience severe bleeding starting in early childhood, and frequent episodes of spontaneous or excessive bleeding later in life. Bleeding commonly occurs into joints and muscles, and without appropriate treatment, recurrent bleeding can lead to irreversible hemoarthropathy (Manco-Johnson et al. (2007) N. Engl. J. Med. 357(6):535-44).
An important goal of hemophilia A treatment is maintenance of FVIII plasma levels >1 % (even more preferably at least 3% or even at least 5%), which reduces bleeding risk. To achieve this, intravenous recombinant or plasma-derived FVIII is administered frequently as prophylactic therapy. However, this current standard of treatment of hemophilia A is difficult, has several drawbacks, and incurs a considerable physical and mental burden on patients and their families.
The most common hindrance in FVIII treatment is the production of alloantibodies against FVIII, which act as FVIII inhibitors. As many as 30% of severely affected patients develop such alloantibodies, and once development has occurred, the effective use of FVIII for
treating on-going bleeds is restricted (Kempton & White (2009) Blood 113(1 ): 11-7). In such cases, alternative bypassing agents are used to control bleeding. However, these agents typically have shorter half-lives and are not always effective. Furthermore, frequent administration of FVIII is required due to its short plasma half-life (an average of about 12 hours in adults, and even shorter in children). Such a regimen can be difficult, particularly in young children. Since available treatments are associated with complications and side effects, there is no single treatment that optimally and effectively treats hemophilia. Thus, there remains an unmet need for new and effective treatments that resolve the drawbacks of treating hemophilia A with FVIII.
Figures
Figure 1 : Octet analysis of binding of bispecific antibody W198V282 H-CK2 to either or both of Factor IXa and Factor X.
Figure 2: Thrombogram of bispecific antibody W198V282 H-CK2 at a concentration of 100 nM.
Summary of the invention
The invention provides bispecific antibodies that bind to Factor IXa and Factor X. These bispecific antibodies according to the invention have a procoagulant activity. These antibodies may also bind to Factor IX and/or Factor Xa.
In particular embodiments, the bispecific antibodies of the invention are generated using the following steps:
- Two antibodies having different specificities (one antibody binding to Factor IXa and the other to Factor X), and sharing the same heavy chain variable domain but having different light chain variable domains, are isolated. This step is facilitated by the use of antibody libraries having a fixed heavy chain or transgenic animals containing a single VH gene.
- The heavy chain variable domain is fused to the constant domain of a heavy chain, one light chain variable domain is fused to a Kappa constant domain and the other light chain variable domain is fused to a Lambda constant domain. The light chain variable domain fused to the Kappa constant domain may be of the Kappa type and the light chain variable domain fused to the Lambda constant domain may be of the Lambda type. Alternatively, the generation of hybrid light chains is possible, so that two light chain variable domains of the same type can be used to generate bispecific antibodies of the invention.
- The three chains (i.e. one heavy chain and two different light chains) are co-expressed in mammalian cells leading to the assembly and secretion in the supernatant of a mixture of
three antibodies: two monospecific antibodies and one bispecific antibody carrying two different light chains. The ratio of the different antibodies depends on the relative expression of the chains and their assembly into an IgG. Methods to tune these ratios and maximize the production of the bispecific antibodies of the present invention are also provided.
- The antibody mixture is purified using standard chromatography techniques used for antibody purification. The antibody mixture can be characterized and used as a multitargeting agent.
- The bispecific antibody is purified using in a consecutive manner affinity chromatography media that bind specifically to human Kappa and human Lambda light chain constant domains. This purification process is independent of the sequence of the light chain variable domains and is thus generic for all bispecific antibodies of the invention generated by the steps described here.
- The isolated bispecific antibody bearing a light chain containing a Kappa constant domain and a light chain containing a Lambda constant domain is characterized using different biochemical and immunological methods.
- The bispecific antibody of the invention can be used for therapeutic intervention or as a research or diagnostic reagent.
As alternatives to the particular embodiments described with reference to the steps above, the bispecific antibodies according to the invention may also be generated by any method for generating bispecific antibodies known in the art. Several such methods will be discussed further in the detailed description of the invention below.
In a particular embodiment the invention provides monoclonal antibodies carrying a different specificity in each antigen-binding site and including two copies of a single heavy chain polypeptide and a first light chain and a second light chain, wherein the first and second light chains are different.
In some antibodies, at least a first portion of the first light chain is of the Kappa type and at least a portion of the second light chain is of the Lambda type. In some antibodies, the first light chain includes at least a Kappa constant domain. In some antibodies, the first light chain further includes a Kappa variable domain. In some antibodies, the first light chain further includes a Lambda variable domain. In some antibodies, the second light chain includes at least a Lambda constant domain. In some antibodies, the second light chain further includes a Lambda variable domain. In some antibodies, the second light chain further includes a Kappa variable domain. In some antibodies, the first light chain includes a Kappa constant
domain and a Kappa variable domain, and the second light chain includes a Lambda constant domain and a Lambda variable domain.
In some embodiments, the constant and variable framework region sequences are human.
Also provided are methods to produce and generate the bispecific antibody of the present invention by a) isolating an antibody having a specificity determined by a heavy chain variable domain combined with a first light chain variable domain; b) isolating an antibody having a different specificity determined by the same heavy chain variable domain as the antibody of step a) combined with a second light chain variable domain; c) co-expressing in a cell: (i) the common heavy chain variable domain fused to an antibody heavy chain constant domain; (ii) the first light chain variable domain fused either to a light chain constant domain of the Kappa type or fused to a light chain constant domain of the Lambda type; and (iii) the second light chain variable domain fused to a light chain constant domain of a different type than the first variable constant domain.
Some methods also include the additional step of d) isolating the bispecific antibodies produced from the monospecific antibodies produced. For example, in some methods, the isolation is accomplished by using one or more affinity chromatography purification steps. In some methods, the purification step or the purification steps is or are performed using Kappa constant domain specific, Lambda constant domain specific or both Kappa constant domain specific and Lambda constant domain specific affinity chromatography media.
In some methods, a Kappa light chain variable domain is fused to a constant domain of the Kappa type. In some methods, a Kappa light chain variable domain is fused to a constant domain of the Lambda type. In some methods, a Lambda light chain variable domain is fused to a constant domain of the Kappa type. In some methods, a Lambda light chain variable domain is fused to a constant domain of the Lambda type.
In some methods, step a) and b) are facilitated by the use of antibody libraries having a common heavy chain and diversity confined to the light chain variable domain. The variable heavy chain domain that is fixed in one of such libraries can be based on different variable germline genes and have different sequences both in the CDR and framework regions. In some methods, such libraries are designed using different types of variable heavy chain domains and can be used to generate antibodies of the invention.
In some methods, the antibody library is displayed on filamentous bacteriophage, at the surface of yeast, bacteria or mammalian cells or used for ribosome or other type of in vitro display.
Also provided are methods of preparing a bispecific antibody according to the present invention that specifically binds to a first antigen and a second antigen, wherein the first and second antigens are different, by a) providing a first nucleic acid molecule encoding a first polypeptide comprising a heavy chain variable domain of an antibody that binds the first antigen coupled to a heavy chain constant domain; b) providing a second nucleic acid molecule encoding a second polypeptide comprising a light chain variable domain of the antibody that binds the first antigen coupled to a first Kappa-type or Lambda-type light chain constant domain; c) providing a third nucleic acid molecule encoding a third polypeptide comprising a light chain variable domain of an antibody that binds the second antigen coupled to a second Kappa-type or Lambda-type light chain constant domain, wherein the first and second light chain constant domains are different types; and d) culturing a host cell comprising the first, second and third nucleic acid molecules under conditions that permit expression of the first, second and third polypeptides.
Some methods also include the further step of e) recovering the bispecific antibody. For example, in some methods, the bispecific antibody is recovered in step e) using an affinity chromatography purification step. In some methods, the purification step is performed using Kappa constant domain specific, Lambda constant domain or both Kappa constant domain specific and Lambda constant domain specific affinity chromatography media.
In some methods, the second nucleic acid sequence encodes a Kappa-type light chain variable domain. In some methods, the second nucleic acid sequence encodes a Kappa-type constant domain. In some methods, the second nucleic acid sequence encodes a Lambda- type constant domain. In some methods, the second nucleic acid sequence encodes a Lambda-type light chain variable domain. In some methods, the second nucleic acid sequence encodes a Kappa-type constant domain. In some methods, the second nucleic acid sequence encodes a Lambda-type constant domain. In some methods, the third nucleic acid sequence encodes a Kappa-type light chain variable domain. In some methods, the third nucleic acid sequence encodes a Kappa-type constant domain. In some methods, the third nucleic acid sequence encodes a Lambda-type constant domain. In some methods, the third nucleic acid sequence encodes a Lambda-type light chain variable domain. In some methods, the third nucleic acid sequence encodes a Kappa-type constant domain. In some methods, the third nucleic acid sequence encodes a Lambda-type constant domain.
The invention also provides an antibody mixture that includes two monospecific antibodies and one bispecific antibody, all having a common heavy chain. For example, the bispecific antibody is any of the bispecific antibodies described herein or made using methods described herein. The invention also provides methods of generating such an antibody mixture by a) isolating an antibody having a specificity determined by a heavy chain variable domain combined with a first light chain variable domain; b) isolating an antibody having a different specificity determined by the same heavy chain variable domain as the antibody of step a) combined with a second light chain variable domain; c) co-expressing in a cell: (i) the common heavy chain variable domain fused to an antibody heavy chain constant domain; (ii) the first light chain variable domain fused either to a light chain constant domain of the Kappa type or fused to a light chain constant domain of the Lambda type; and (iii) the second light chain variable domain fused to either to a light chain constant domain of the Kappa type or fused to a light chain constant domain of the Lambda type. Some methods also include the additional step of d) isolating the antibody mixture produced in step c) from cell culture supernatant.
Also provided are methods for the production of two or more, for example, three or more non-identical antibodies in a single recombinant host cell by a) expressing in the single recombinant host cell one or more nucleic acid sequences encoding a common antibody heavy chain and at least two, for example, at least three, different antibody light chains that are capable of pairing with the common antibody heavy chain to form functional antigen binding domains to produce two or more, for example, three or more, non-identical antibodies that comprise the common heavy chain. Some methods also include the step of harvesting or otherwise purifying the two or more, for example, three or more, non-identical antibodies from the recombinant host cell or from a culture of the host cell. The host cell is, for example, a mammalian cell. In some methods, non-identical antibodies include monospecific and bispecific antibodies.
The non-identical antibodies bind to different antigens, i.e. Factor !Xa and X.
In some methods, the two or more, for example, three or more, non-identical antibodies are independently selected from the group consisting of: IgGI, lgG2, lgG3, lgG4, IgAI, lgA2, IgD, IgE and IgM.
In some methods, the two or more, for example, three or more, non-identical antibodies contain a modified Fc region that modifies the effector functions of the antibodies such as
Antigen Dependent Cell mediated Cytotoxicity (ADCC), Complement Dependent Cytotoxicity (CDC), Antigen Dependent Cellular Phagocytosis (ADCP) or their pharmacokinetic properties by altering its binding the neonatal Fc Receptors (J Drug Target. 2014 May;22(4):269-78. doi: 10.3109/1061186X.2013.875030. Epub 2014 Jan 9. Neonatal Fc receptor (FcRn): a novel target for therapeutic antibodies and antibody engineering. Wang Y1 , Tian Z, Thirumalai D, Zhang X). In some methods, the two or more, for example, three or more, non-identical antibodies contain a modification of the Fc region that extends the serum half-life of the antibodies.
In some methods, the one or more nucleic acid sequences are stably expressed in the host cell.
In some methods, the two or more, for example three or more, non-identical antibodies are produced by the host cell in vitro.
Some methods also include the additional steps of selecting at least one host cell by assaying the two or more, for example, three or more, non-identical antibodies produced by the recombinant host cell for their ability to bind a target antigen (i.e. Factor IXa or Factor X) and/or for a procoagulant activity; culturing the recombinant host cell; and isolating the three or more non-identical antibodies. The antibodies can be isolated using any of the techniques described herein or any other suitable art-recognized method.
In some methods, the different antibody light chains have identical constant domains. In some methods, the different antibody light chains have different constant domains.
Detailed description of the invention
Definitions
The term“animal”, as used in the present application, refers to any multicellular eukaryotic heterotroph which is not a human. In a particular embodiment, the animal is selected from a group consisting of cats, dogs, pigs, ferrets, rabbits, gerbils, hamsters, guinea pigs, horses, rats, mice, cows, sheep, goats, alpacas, camels, donkeys, llamas, yaks, giraffes, elephants, meerkats, lemurs, lions, tigers, kangaroos, koalas, bats, monkeys, chimpanzees, gorillas, bears, dugongs, manatees, seals and rhinoceroses.
The term "antibody" refers to a molecule comprising at least one immunoglobulin domain that binds to, or is immunologically reactive with, a particular antigen. The term includes whole
antibodies and any antigen binding portion or single chains thereof and combinations thereof. The term“antibody” in particular includes bispecific antibodies.
A typical type of antibody comprises at least two heavy chains ("HC") and two light chains ("LC") interconnected by disulfide bonds.
Each "heavy chain" comprises a "heavy chain variable domain" (abbreviated herein as "VH") and a "heavy chain constant domain" (abbreviated herein as "CH"). The heavy chain constant domain typically comprises three constants domains, CH1 , CH2, and CH3.
Each "light chain" comprises a "light chain variable domain" (abbreviated herein as "VL") and a "light chain constant domain" ("CL"). The light chain constant domain (CL) can be of the kappa type or of the lambda type. The VH and VL domains can be further subdivided into regions of hypervariability, termed Complementarity Determining Regions ("CDR"), interspersed with regions that are more conserved, termed "framework regions" ("FW").
Each VH and VL is composed of three CDRs and four FWs, arranged from amino-terminus to carboxy-terminus in the following order: FW1 , CDR1 , FW2, CDR2, FW3, CDR3, FW4. The present disclosure inter alia presents VH and VL sequences as well as the subsequences corresponding to CDR1 , CDR2, and CDR3.
Accordingly, a person skilled in the art would understand that the sequences of FW1 , FW2, FW3 and FW4 are equally disclosed. For a particular VH, FW1 is the subsequence between the N-terminus of the VH and the N-terminus of H-CDR1 , FW2 is the subsequence between the C-terminus of H-CDR1 and the N-terminus of H-CDR2, FW3 is the subsequence between the C-terminus of H-CDR2 and the N-terminus of H-CDR3, and FW4 is the subsequence between the C-terminus of H-CDR3 and the C-terminus of the VH. Similarly, for a particular VL, FW1 is the subsequence between the N-terminus of the VL and the N- terminus of L-CDR1 , FW2 is the subsequence between the C-terminus of L-CDR1 and the N-terminus of L-CDR2. FW3 is the subsequence between the C-terminus of L-CDR2 and the N-terminus of L-CDR3, and FW4 is the subsequence between the C-terminus of L-CDR3 and the C-terminus of the VL.
The variable domains of the heavy and light chains contain a region that interacts with an antigen, and this region interacting with an antigen is also referred to as an“antigen-binding site” or“antigen binding site” herein. The constant domains of the antibodies can mediate the binding of the immunoglobulin to host tissues or factors, including various cells of the
immune system (e.g., effector cells) and the first component (C1q) of the classical complement system. Exemplary antibodies of the present disclosure include typical antibodies, but also fragments and variations thereof such as scFvs, and combinations thereof where, for example, an scFv is covalently linked (for example, via peptidic bonds or via a chemical linker) to the N-terminus of either the heavy chain and/or the light chain of a typical antibody, or intercalated in the heavy chain and/or the light chain of a typical antibody. Further, exemplary antibodies of the present disclosure include bispecific antibodies.
As used herein, the term "antibody" encompasses intact polyclonal antibodies, intact monoclonal antibodies, antibody fragments (such as Fab, Fab', F(ab')2, and Fv fragments), single chain variable fragment (scFv), disulfide stabilized scFvs, multispecific antibodies such as bispecific antibodies, chimeric antibodies, humanized antibodies, human antibodies, fusion proteins comprising an antigen determination portion of an antibody, and any other modified immunoglobulin molecule comprising an antigen binding site.
An antibody can be of any the five major classes (isotypes) of immunoglobulins: IgA, IgD, IgE, IgG, and IgM, or subclasses thereof (e.g. lgG1 , lgG2, lgG3, lgG4, lgA1 and lgA2), based on the identity of their heavy-chain constant domains referred to as alpha, delta, epsilon, gamma, and mu, respectively. The different classes of immunoglobulins have different and well known subunit structures and three-dimensional configurations. Antibodies can be naked or conjugated to other molecules such as therapeutic agents or diagnostic agents to form immunoconjugates.
The term“bispecific antibody” refers to an antibody, as defined above, that is able to bind to at least two different antigens through two different antigen binding sites. The bispecific antibodies of the present invention are able to bind to Factor IXa and Factor X.
The VH and VL domains (i.e. the variable domains of the heavy chain and the light chain, respectively) can be subdivided into regions of hypervariability, termed "complementarity determining regions" (CDR), interspersed with regions that are more conserved, termed "framework regions" (FR or FW). The extent of the framework region and CDRs has been precisely defined by a number of methods (see, Kabat, E. A., et al. (1991 ) Sequences of Proteins of Immunological Interest, Fifth Edition, U.S. Department of Health and Human Services, NIH Publication No.91-3242; Chothia, C. et al. (1987) J. Mol. Biol.196:901-917; and the AbM definition used by Oxford Molecular's AbM antibody modeling software). See, generally, e.g., Protein Sequence and Structure Analysis of Antibody Variable Domains. In: Antibody Engineering Lab Manual (Ed.: Duebel, S. and Kontermann, R., Springer-Verlag,
Heidelberg). The terms“complementarity determining region,” and“CDR,” as used herein refer to the sequences of amino acids within antibody variable domains which confer antigen specificity and binding affinity. In general, there are three CDRs in each heavy chain variable domain (H-CDR1 , H-CDR2, H-CDR3) and three CDRs in each light chain variable domain (L-CDR1 , L-CDR2, L-CDR3). The precise amino acid sequence boundaries of a given CDR can be determined using any of a number of well-known schemes, including those described by Kabat et al. (1991),“Sequences of Proteins of Immunological Interest,” 5th Ed. Public Health Service, National Institutes of Health, Bethesda, MD (“Kabat” numbering scheme), Al- Lazikani et al., (1997) JMB 273,927-948 (“Chothia” numbering scheme), or Lefranc et al. (2015) Nucleic Acids Research, Vol. 43, D413-D422 (“IMGT” numbering scheme; see also Lefranc (1997) Immunology Today, 18, 509; Lefranc (1999) The Immunologist, 7, 132-136; Lefranc (2011 ) Cold Spring Harb Protoc. 2011 Jun 1 ; Lefranc et al. (2003) Dev. Comp. Immunol., 27, 55-77; Lefranc et al. (2005) Dev. Comp. Immunol., 29, 185-203). Herein, for the purposes of describing the antibodies of the invention, the“IMGT” numbering scheme is used. As used herein, the CDRs are defined according the“IMGT” number scheme and are also sometimes referred to as“hypervariable loops”.
As used herein, the term "effective amount" of an agent, e.g., a therapeutic agent such as an antibody, is that amount sufficient to effect beneficial or desired results, for example, clinical results, and, as such, an "effective amount" depends upon the context in which it is being applied. For example, in the context of administering a therapeutic agent that treats bleeding, an effective amount of an agent is, for example, an amount sufficient to reduce or decrease bleeding occurrences, as compared to the response obtained without administration of the agent. The term "effective amount" can be used interchangeably with "effective dose," "therapeutically effective amount," or "therapeutically effective dose."
The term“Factor IX” or“FIX” refers to a protein that is synthesized by liver hepatocytes as a pre-prozymogen that requires extensive posttranslational modification. The pre-prozymogen contains a pre-peptide (hydrophobic signal peptide) at its amino terminal that transports the growing polypeptide into the lumen of the Endoplasmic Reticulum (ER). Once inside the ER, this signal peptide is cleaved by a signal peptidase. A pro-peptide functions as a recognition element for a vitamin K-dependent carboxylase (y-glutamyl carboxylase) which modifies 12 glutamic acid residues to gammacarboxyglutamyl (Gla) residues. These residues are required for the association with the anionic phospholipid surface through Ca2+-dependent binding. After the cleavage of the signal peptide and the propeptide, FIX is in a zymogen form. FIX zymogen thus circulates as a 415 amino acid, single chain polypeptide.
The zymogen of FIX is activated by FXIa or by the tissue factor/FVIIa complex. The first cleavage is at Arg 191 (Arg 145 in the mature FIX sequence), generating an inactive FIX- alpha. The second cleavage at Arg226 (Arg 180 in the mature FIX sequence) removes 35 amino acids of the FIX activation peptide and results in a catalytically active molecule FlXa- beta. This catalytically active FIXa not associated with FVIIIa is also referred to herein as free Factor IXa (free FIXa) or, briefly, as“Factor IXa” or“FIXa”. This resulting heterodimer is held by a disulfide bridge at Cys178-Cys335. The serine protease contains a catalytic triad of His267, Asp315, and Ser411. Upon cleavage at Arg226, Val227 can form a salt bridge with Asp410, which is a characteristic of active serine proteases. Data concerning a non-limiting example of Factor IX has been deposited in UniProtKB under accession number P00740. In a particular embodiment, the bispecific antibody of the present invention preferentially binds to Factor IXa over the zymogen of Factor IX (i.e. over the protein referred to as“Factor IX” or “FIX” herein).
Accordingly, the term “Factor IXa” or“FIXa” refers to the catalytically active Factor IXa molecule resulting from activation of the FIX zymogen by FXIa or by the tissue factor/FVIIa complex.
It is known, however, that activity of FIXa is similar to the activity of FIX zymogen, i.e. relatively low. The complex formation with cofactor FVIIIa represents a critical second phase of activation, after which the intrinsic Xase (tenase) complex (including FIXa) reaches an approximately 200,000-fold enhanced activity that is strictly specific toward the physiological substrate FX and restricted to the surface of activated platelets (van Dieijen et al., J Biol Chem. 1981 Apr 10;256(7):3433-42). This macromolecular activation is assisted by low- molecular-weight agonists, including Ca2+ (Mathur et al., Biol. Chem., 272 (1997), pp. 23418-23426). Several lines of evidence indicate that Ca2+ binding is accompanied by a conformational rearrangement (Bajaj et al., Proc. Natl. Acad. Sei. USA, 89 (1992), pp. 152- 156, Enfield and Thompson, Blood, 64 (1984), pp. 821-831 ). Therefore, FIXa-mediated FX activation is enhanced in the presence of FVIIIa.
The term “procoagulant activity” is used herein to define an activity that can promote coagulation, e.g. by promoting any process or reaction that contributes to coagulation (or by inhibiting any process or reaction that reduces coagulation). Accordingly, the term “procoagulant activity” encompasses (but is not limited to) one or more of the activities listed below:
a Factor-VI I la-like activity, i.e. an activity that corresponds to an activity of activated
Factor VIII (Factor Villa).
Enhancing Factor-IXa-mediated Factor X activation, as measured by a amidolytic (chromogenic or fluorogenic) assay based on FIXa-mediated FX activation. The assay measures FXa through cleavage of an FXa specific peptide substrate. The substrate is produced, giving a color that can be measured photometrically by absorbance.
Shortening of clotting times, as measured by clotting assays such as Activated partial thromboplastin time (APTT) measure the activity of the intrinsic and common pathways of coagulation. Plasma is preincubated with an APTT reagent containing a contact activator, e.g. ellagic acid or kaolin, and phospholipid. Calcium chloride is added to promote fibrin clot formation. Possible readouts are clotting time or clot wave form.
Enhancing thrombin generation, as measured in a thrombin generation assay such as Calibrated Automated Thrombography (CAT). The thrombogram describes the concentration of thrombin in clotting plasma and is therefore a functional test of the hemostatic system. The assay is based on the measurement of fluorescence that is generated by the cleavage of the fluorogenic substrate Z G G R AMC by thrombin over time.
Enhancing global visco-elastic properties of clot formation as measured by viscoelastic hemostatic methods e.g. in whole blood under shear stress by assays such as ROTEM (Rotational thromboelastometry). In the instrument, a ball-bearing pin rotates in a stationary cup. The fibrin strands in the sample form between the wall of the cup and the pin during coagulation and the strength of the strands will affect the movement of the pin, which is detected.
Improved thrombus formation under flow, as measured by flow chamber systems such as the t-TAS (Total Thrombus-formation Analysis System). This assay is used for the quantitative assessment of the thrombus formation process under variable flow. Blood flows through the analytical path of a microchip, platelets adhere and aggregate on the surface of collagen-coated capillaries, eventually resulting in an increase of flow pressure.
Shortening of the whole blood closure time (WBCT), as measured by a platelet function analyzer, which is based on Von Willebrand Factor (VWF)-mediated platelet adhesion to collagen after platelet activation. High shear stress is produced which leads to platelet adhesion and platelet aggregation. The time from the beginning to end of blood flow is measured.
- Aggregation of human platelets in platelet rich plasma (PRP) using e.g. an aggregometer. The aggregometer works on the basic principle of light transmission. As platelets aggregate, the light transmission of the sample increases.
All methods described above can be applied to human blood-related specimen, as well as specimen of different animal species. Therefore, they are analytical tools that can be used to analyze ex vivo the procoagulant activity of samples for e.g. assessing the pharmacodynamic properties of antibodies in animal studies.
The present invention provides in-vivo methods and means for identifying a bispecific antibody or variants thereof with favorably characteristics typical of a therapeutic antibody as well as in-vivo methods for selecting the most qualified bispecific antibody and/or the preclinical testing of the therapeutic bispecific antibody.
In general an animal model is a living animal used during the research and development of human drugs, or for the purpose of better understanding the human disease mirrored by the animal model. The animal model chosen will usually recapitulate the human pathophysiology, and the pharmacology, exaggerated pharmacology, safety, and/or toxicity of the administered drug candidate while the efficacy of the treatment is reflected in modifications of a prevalent disease state or when challenging healthy animals with an artificial disease inducing insult (trauma). The drug candidate is administered either prophylactic or acutely through oral or parenteral routes including for example the intravenous and subcutaneous routes. Animal models have been proven valuable and predictive in the selection and development of human treatments for hemophilia including factor replacement therapies or bispecific antibody mimicking factor activity.
Animal models refer to any animal classified including but not limited to rodents such as mouse, rat, guinea pig, hamster, rabbit, dog, cat, pig, cow, sheep, goat, horse, non-human primates. These include laboratory, domestic and farm animals, and also veterinary patients. Animal models make use of pharmacologic depletion or inhibition of procoagulant factors (anti-Factor VIII), and naturally occurring or genetically engineered modifications that are characterized by loss or gain of function of particular disease related genes and their encoded proteins. As an example animal models recapitulate the causative human loss of function of components in haemostatic regulation (Factor VIII, Factor IX, VWF, ARC). In particular embodiments, the rodent is mouse or rat, guinea pig, or hamster. The non-human model can e.g. be a rabbit, or more weight bearing animals like dog, sheep or a nonhuman primate such as Cynomolgus macaque or Rhesus macaque. In a further particular animal model setting, like the non-human primate, the test-article shows pharmacokinetic behavior, specific target engagement and a pharmacologic profile that closely reflects those in human.
In particular, animal models in this invention can monitor for endpoints related to arterial or venous thrombosis, microvascular thrombosis, thrombolysis. As an example thrombosis/thrombolysis models apply ferric chloride, photochemicals, venous stasis, mechanical trauma, systemic epinephrine-collagen infusion, laser injury, spontaneous lysis of pulmonary embolism or microemboli and pharmacologic arterial thrombolysis. The vascular site of investigation includes but is not limited to carotid or femoral arteries, jugular or femoral veins, mesenteric or cremasteric arterioles, small ear veins and arteries, muscle arterioles, tail veins, blood vessels of the nail.
In particular animal models in this invention monitor for endpoints related to hemostasis and pharmacologic changes thereof after spontaneous or induced bleeding episodes. Assessments can include those collected through spontaneous bleeds and when challenged by tail vein transection, tail-tip bleeding, vein puncture bleeding, cremaster injury model, ferric chloride carotid artery occlusion, nail-clipping, cutaneous injury (Surgicut), intramuscular injury, subutaneous exfoliation, or injury models inducing mechanical trauma to the joint or by spontaneous hemarthrosis. Monitoring of disease modification includes but is not limited to endpoints assessing clinical signs, incidence and frequency of limping episodes, bleeding time, blood volume, measurements of bruised areas, joint swelling, blood hemoglobin levels, urinary hemoglobin; ex-vivo analyses of coagulation (ROTEM), APTT, factor-activity and thrombin generation; survival, re-bleeds, as well as pathological findings and changes in joint tissues, and internal bleeds in other tissues.
Murine thrombosis models. Day SM, Reeve JL, Myers DD, Fay WP. Thromb Haemost. 2004;92(3):486-94
Animal Models of Hemophilia. Denise E. Sabatino, Timothy C. Nichols, Elizabeth Merricks, Dwight A. Bellinger, Roland W. Herzog, and Paul E. Monahan Prog Mol Biol Transl Sci. 2012; 105: 151-209.
The term“Factor X” or“FX” refers to a vitamin-K dependent glycoprotein with a molecular weight of 58.5 kDa, which is secreted from liver cells into the plasma as a zymogen. Initially Factor X is produced as a prepropeptide with a signal peptide consisting in total of 488 amino acids.
The signal peptide is cleaved off by signal peptidase during export into the endoplasmic reticulum. The propeptide sequence is cleaved off after gamma carboxylation took place at the first 11 glutamic acid residues at the N-terminus of the mature N-terminal chain. A further processing step occurs by cleavage between Arg 182 and Ser 183. This processing step
also leads concomitantly to the deletion of the tripeptide Arg180-Lys181-Arg182. The resulting secreted factor X zymogen consists of an N-terminal light chain of 139 amino acids (M, 16,200) and a C-terminal heavy chain of 306 amino acids (M, 42,000) which are covalently linked via a disulfide bridge between Cys172 and Cys342. The Factor X zymogen can be cleaved in its heavy chain by Factor IXa and consequently become activated after the release of an activation peptide resulting in a protein referred to as“Factor Xa” or“FXa”. Data concerning a non-limiting example of Factor X has been deposited in UniProtKB under accession number P00742. In a particular embodiment, the bispecific antibody of the present invention preferentially binds to the zymogen of Factor X (i.e. to the protein referred to as “Factor X” or“FX” herein) over Factor Xa.
The terms “individual”, “patient” or “subject” are used interchangeably in the present application to designate a human being and are not meant to be limiting in any way. The “individual”,“patient” or“subject” can be of any age, sex and physical condition.
The term “prevention”, as used in the present application, refers to a set of hygienic, pharmacological, surgical and/or physical means used to prevent the onset and/or development of a disease and/or symptoms. The term “prevention” encompasses prophylactic methods, since these are used to maintain the health of an animal or individual.
The terms“treatment” and“therapy”, as used in the present application, refer to a set of hygienic, pharmacological, surgical and/or physical means used with the intent to cure and/or alleviate a disease and/or symptoms with the goal of remediating the health problem. The terms“treatment” and“therapy” include preventive and curative methods, since both are directed to the maintenance and/or reestablishment of the health of an individual or animal. Regardless of the origin of the symptoms, disease and disability, the administration of a suitable medicament to alleviate and/or cure a health problem should be interpreted as a form of treatment or therapy within the context of this application.
Methods for obtaining bispecific antibodies
In general, in order to overcome the limitations of monoclonal and monovalent antibody therapeutics that can only target a single antigen or to overcome the limitations of combinations of monovalent antibody therapeutics, intense efforts have aimed at multiple antigen targeting using bispecific antibody formats. Such antibodies carrying more than one specificity are of interest in biotechnology and have great potential as therapeutic agents enabling novel therapeutic approaches (Fischer and Leger, Pathobiology 2007; 74:3-14; Morrison SL Nature Biotechnol 2007; 25:1233-1234). Bispecific antibodies are advantageous
as they allow for multiple targeting, they increase therapeutic potential, they address redundancy of biological systems, and they provide novel mechanisms of action. As validated single therapeutic targets become more and more exhausted, combinations allowed by bispecific antibodies provide a new and expansive universe of targets for therapeutic agents and applications.
Several strategies have been used to generate such bispecific molecules, and any of these known strategies may be used to generate antibodies according to the present invention (as alternatives to the particular embodiments described herein). These known strategies include such strategies as chemical cross-linking of antibody fragments, forced heterodimerization, quadroma technology, fusion of antibody fragments via polypeptide linkers and use of single domain antibodies. The availability of recombinant DNA technologies has lead to the generation of a multitude of bispecific antibody formats (see e.g., Ridgway JB et al. (1996) Protein Eng 9 : 617-621 ). Linkers and mutations have frequently been introduced into different domains of the antibody to force heterodimer formation or to connect different binding moieties into a single molecule. These approaches are further described below and the formats discussed are illustrated in Figure 1 of WO 2012/023053 A2.
Chemical cross-linking. The use of chemical cross-linking reagents to covalently link two antibodies is a conceptually straightforward approach. Antibody fragments generated from their respective parent antibodies by enzymatic digestion or generated through recombinant technologies are conjugated using bifunctional reagents (Glennie MJ et al., J Exp Med 1992; 175:217-225).
Quadromas. Quadromas and triomas can be generated by fusing either two hybridomas or one hybridoma with a B lymphocyte, respectively (Suresh MR et al., Methods Enzymol 1986; 121 : 210-228). In this case the simultaneous expression of two heavy and two light chains leads to the random assembly of 10 antibody combinations and the desired bispecific antibody (bsAb) represent only a small fraction of the secreted antibodies. The bsAb has to be purified using a combination of chromatographic techniques. A major limitation is that quadromas produce bsAb of rodent origin which limit their therapeutic potential due to immunogenicity issues.
Recombinant bispecific antibodies. The majority of bispecific antibody formats have been generated by genetic engineering techniques using antibody fragment such as scFv or Fab fragments as building blocks connected via polypeptide linkers. Formats based on linked antibody fragments include tandem scFv (BiTE), diabodies and tandem-diabodies
(Kipriyanov SM. Methods Mol Biol 2003; 207:323-333; Korn T et al, Int J Cancer 2002; 100:690-697). These building blocks can further be linked to an antibody Fc region given rise to 'IgGlike' molecules. These formats include diabody-Fc, tandem diabody-Fc, tandem diabody-CH3, (scFv)4-Fc and DVD-lg (Lu D et al, J Immunol Methods 2003; 279: 219-232 ; Lu D et al, J Biol Chem 2005; 280: 19665-19672 ; Lu D et al, J Biol Chem 2004; 279: 2856- 2865; Wu C et al., Nat Biotechnol 2007 25:1290-7).
An ideal bispecific molecule for human therapy should be indistinguishable from a normal IgG. Strategies based on forcing the heterodimerization of two heavy chains have been explored. A first approach coined 'knob into hole' aims at forcing the pairing of two different IgG heavy chains by introducing mutations into the CH3 domains to modify the contact interface (Ridgway JB et al., Protein Eng 1996; 9 : 617-621 ). On one chain amino acids with large side chains were introduced, to create a 'knob'. Conversely, bulky amino acids were replaced by amino acids with short side chains to create a 'hole' into the other CH3 domain. By coexpressing these two heavy chains, more than 90% heterodimer formation was observed ('knobho!e') versus homodimers formation ('hole -hole' or 'knob-knob'). A similar concept was developed using strand-exchange engineered domain (SEED) human CH3 domains based on human IgG and human IgA sequences (Davis JH et al., 2010, PEDS 23:195-202). These engineered domains lead to the formation of heterodimeric molecules that can carry two different specificities. These two approaches are attractive as they favor the production of the heterodimer of interest (up to 95%) but do not fully prevent homodimer formation. Therefore downstream purification procedures capable of removing the homodimers from the heterodimers are still required. As these strategies allow for the forced paring of the heavy chains, the different light chains can randomly pair with any of the two heavy chains and lead to the generation of different antibodies that need to be purified from one another. Recently an improvement over the 'knob into hole' approach has been described to solve the light chain pairing issue (WO 2009/080253 A1 ). This method involves the exchange of some of the light chain and heavy chain domains in addition to the 'knob into hole' mutations. The main advantage of this method is that a bispecific bivalent antibody having two different variable heavy chain domains and two different variable light chain domains can be generated and has been coined "CrossMab."
Single domain based antibodies. The immune systems of camelids (lamas and camels) and cartilaginous fish (nurse sharks) use single V-domains fused to a Fc demonstrating that a single domain can confer high affinity binding to an antigen. Camelid, shark and even human V domains represent alternatives to antibodies but they also be used for bsAbs generation. They can be reformatted into a classical IgG in which each arm has the potential to bind two
targets either via its VH or VL domain. This single domain-lgG would have biochemical properties similar to an IgG and potentially solve problems encountered with other bsAbs formats in terms of production and heterogeneity.
A representation of bispecific antibody formats described above is shown in Figure 1 of WO 2012/023053 A2. Some of these format representations are derived from Fischer and Leger, Pathobiology 2007; 74:3-14; and Morrison SL Nature Biotechnol 2007; 25:1233-1234.
In contrast to these prior formats, in particular embodiments the bispecific antibodies compositions and methods provided herein overcome such development obstacles. In particular embodiments, the bispecific antibodies provided herein have a common heavy chain, two light chains - one Kappa (K), one Lambda (I) - that each has a different specificity (i.e., two light chains, two specificities). In some embodiments, the bispecific antibodies do not contain any linkers or other modifications, including amino acid mutations. In particular embodiments, the methods provided herein produce molecules having specific binding where diversity is restricted to the VL domain. These methods produce the bispecific antibodies through controlled co-expression of the three chains (one heavy chain, two different light chains), and purification of the bispecific antibody. The bispecific antibodies described herein exhibit similar affinities for a given target as compared to the affinities of monospecific antibodies for that same target. In particular embodiments, the bispecific antibodies described herein are virtually indistinguishable from standard IgG molecules.
The methods provided herein also provide the means of generating simple antibody mixtures of two monospecific antibodies and one bispecific antibody that are useful, for example, for multiple targeting without purification of the bispecific antibody from the mixture.
Improved methods for generating bispecific and bivalent antibodies
In particular embodiments, methods of generating bispecific antibodies according to the invention that bind to Factor IXa and Factor X and are essentially identical in structure to a human antibody are provided. This type of molecule is composed of two copies of the same heavy chain polypeptide, a first light chain variable domain fused to a constant Kappa domain and second light chain variable domain fused to a constant Lambda domain. Each antigen-binding site displays a different antigen specificity to which both the heavy and light chain contribute. The light chain variable domains can be of the Lambda or Kappa family and can be fused to a Lambda and Kappa constant domains, respectively. However it is also possible to obtain bispecific antibodies of the invention by fusing a Kappa light chain variable domain to a constant Lambda domain for a first specificity and fusing a Lambda light chain
variable domain to a constant Kappa domain for the second specificity (see Figure 3 of WO 2012/023053 A2). The bispecific antibodies described herein, which are produced in accordance with these particular embodiments, are also referred to as IgG Kappa Lambda (“kl” in Greek letters, or“KL” as the abbreviation in English letters) antibodies or "KL bodies," a fully human bispecific IgG format. This KL body format allows the affinity purification of a bispecific antibody that is virtually indistinguishable from a standard IgG molecule with characteristics that are virtually indistinguishable from a standard monoclonal antibody and, therefore, favorable as compared to previous formats (see also WO 2012/023053 A2).
An essential step of the method in these particular embodiments (based on the KL body format of bispecific antibodies) is the identification of two antibody Fv regions (each composed by a variable light chain and variable heavy chain domain) having different antigen specificities that share the same heavy chain variable domain. Numerous methods have been described for the generation of monoclonal antibodies. (See, e.g., Antibodies: A Laboratory Manual, Harlow E, and Lane D, 1988, Cold Spring Harbor Laboratory Press, Cold Spring Harbor, NY, incorporated herein by reference). Fully human antibodies are antibody molecules in which there are no sequences derived from species other than human. Such antibodies are termed "human antibodies", or "fully human antibodies" herein; such human antibodies or fully human antibodies may contain artificially introduced changes in their amino acid sequence. Human monoclonal antibodies can be prepared by using the trioma technique; the human B-cell hybridoma technique (see Kozbor, et al., 1983 Immunol Today 4 : 72); and the EBV hybridoma technique to produce human monoclonal antibodies (see Cole, et al, 1985 In: MONOCLONAL ANTIBODIES AND CANCER THERAPY, Alan R. Liss, Inc., pp. 77-96). Human monoclonal antibodies may be utilized and may be produced by using human hybridomas (see Cote, et al, 1983. Proc Natl Acad Sci USA 80: 2026-2030) or by transforming human B-cells with Epstein Barr Virus in vitro (see Cole, et al., 1985 In: MONOCLONAL ANTIBODIES AND CANCER THERAPY, Alan R. Liss, Inc., pp. 77-96).
Monoclonal antibodies are generated, e.g., by immunizing an animal with a target antigen or an immunogenic fragment, derivative or variant thereof. Alternatively, the animal is immunized with cells transfected with a vector containing a nucleic acid molecule encoding the target antigen, such that the target antigen is expressed and associated with the surface of the transfected cells. A variety of techniques are well-known in the art for producing xenogenic non-human animals. For example, see U.S. Pat. No. 6,075,181 and No. 6,150,584, which is hereby incorporated by reference in its entirety.
Alternatively, the antibodies are obtained by screening a library that contains antibody or antigen binding domain sequences for binding to the target antigen. This library is prepared, e.g., in bacteriophage as protein or peptide fusions to a bacteriophage coat protein that is expressed on the surface of assembled phage particles and the encoding DNA sequences contained within the phage particles (i.e. , "phage displayed library").
Hybridomas resulting from myeloma/B cell fusions can be screened for reactivity to the target antigen. Monoclonal antibodies are prepared, for example, using hybridoma methods, such as those described by Kohler and Milstein, Nature, 256:495 (1975). In a hybridoma method, a mouse, hamster, or other appropriate host animal, is typically immunized with an immunizing agent to elicit lymphocytes that produce or are capable of producing antibodies that will specifically bind to the immunizing agent. Alternatively, the lymphocytes can be immunized in vitro.
Although not strictly impossible, the serendipitous identification of different antibodies having the same heavy chain variable domain but directed against different antigens is highly unlikely. Indeed, in most cases the heavy chain contributes largely to the antigen binding surface and is also the most variable in sequence. In particular the CDR3 on the heavy chain is the most diverse CDR in sequence, length and structure. Thus, two antibodies specific for different antigens will almost invariably carry different heavy chain variable domains.
In particular embodiments, the method described herein overcomes this limitation and greatly facilitates the isolation of antibodies having the same heavy chain variable domain by the use of antibody libraries in which the heavy chain variable domain is the same for all the library members and thus the diversity is confined to the light chain variable domain. Such libraries are described, for example, in application PCT/US2010/035619, filed May 20, 2010 and published on November 25, 2010 as PCT Publication No. WO 2010/135558 and application PCT/US2010/057780, filed November 23, 2010 each of which is hereby incorporated by reference in its entirety. However, as the light chain variable domain is expressed in conjunction with the heavy variable domain, both domains can contribute to antigen binding. To further facilitate the process, antibody libraries containing the same heavy chain variable domain and either a diversity of Lambda variable light chains or Kappa variable light chains can be used in parallel for in vitro selection of antibodies against different antigens. This approach enables the identification of two antibodies having a common heavy chain but one carrying a Lambda light chain variable domain and the other a Kappa light chain variable domain that can be used as building blocks for the generation of a bispecific antibody in the full antibody format of the invention (i.e. the KL body format). The bispecific antibodies of the
invention can be of different isotypes and their Fc portion can be modified in order to alter the binding properties to different Fc receptors and in this way modify the effector functions of the antibody as well as its pharmacokinetic properties (e.g. increase its serum half life). Numerous methods for the modification of the Fc portion have been described and are applicable to antibodies of the invention (see for example Strohl, WR Curr Opin Biotechnol 2009 (6):685-91 ; U.S. Pat. No. 6,528,624; PCT/US2009/0191 199 filed Jan 9, 2009). The methods described herein can also be used to generate bispecific antibodies and antibody mixtures according to the invention in a F(ab')2 format that lacks the Fc portion.
In these particular embodiments, another step optionally performed is the optimization of coexpression of the common heavy chain and two different light chains into a single cell to allow for the assembly of a bispecific antibody of the invention. If all the polypeptides get expressed at the same level and get assembled equally well to form an antibody molecule then the ratio of monospecific (same light chains) and bispecific (two different light chains) should be 50%. However, it is likely that different light chains are expressed at different levels and/or do not assemble with the same efficiency. Therefore the methods of the invention also provide means to modulate the relative expression of the different polypeptides to compensate for their intrinsic expression characteristics or different propensities to assemble with the common heavy chain. This modulation can be achieved via promoter strength, the use of internal ribosome entry sites (IRES) featuring different efficiencies or other types of regulatory elements that can act at transcriptional or translational levels as well as acting on mRNA stability. Different promoters of different strength could include CMV (Immediate-early Cytomegalovirus virus promoter); EFI- la (Human elongation factor la-subunit promoter); Ubc (Human ubiquitin C promoter); SV40 (Simian virus 40 promoter). Different IRES have also been described from mammalian and viral origin. (See e.g., Hellen CU and Sarnow P. Genes Dev 2001 15: 1593-612). These IRES can greatly differ in their length and ribosome recruiting efficiency. Furthermore, it is possible to further tune the activity by introducing multiple copies of an IRES (Stephen et al. 2000 Proc Natl Acad Sci USA 97: 1536-1541 ). The modulation of the expression can also be achieved by multiple sequential transfections of cells to increase the copy number of individual genes expressing one or the other light chain and thus modify their relative expressions (i.e. altering the ratio of the two different light chains introduced into the cell).
The co-expression of the heavy chain and two light chains generates a mixture of three different antibodies into the cell culture supernatant: two monospecific bivalent antibodies and one bispecific bivalent antibody. The latter has to be purified from the mixture to obtain the molecule of interest. The method described herein greatly facilitates this purification
procedure by the use of affinity chromatography media that specifically interact with the Kappa or Lambda light chain constant domains such as the CaptureSelect Fab Kappa and CaptureSelect Fab Lambda affinity matrices (BAC BV, Holland). This multi-step affinity chromatography purification approach is efficient and generally applicable to antibodies of the invention (see also Figure 8A of WO 2012/023053 A2). This is in sharp contrast to specific purification methods that have to be developed and optimized for each bispecific antibodies derived from quadromas or other cell lines expressing antibody mixtures. Indeed, if the biochemical characteristics of the different antibodies in the mixtures are similar, their separation using standard chromatography technique such as ion exchange chromatography can be challenging or not possible at all.
The invention also provides a means of producing simple antibody mixtures of two or more monospecific antibodies and one or more bispecific antibody according to the invention that share the same heavy chain and can be purified using standard chromatography techniques used for monoclonal antibody purification. (See e.g., Lowy, I et al. N Engl J Med 2010; 362: 197-205; Goudsmit, J . et al. J Infect Dis. 2006. 193, 796-801 ). Such simple mixtures can be used as multi-targeting agents for therapeutic usage.
Successful co-expression, purification and characterization of the heavy chain and two light chains and purification of the bispecific antibodies are shown in the Examples. The genes encoding the common heavy chain and the two light chains were cloned into a vector containing three promoters. After transient transfection, the supernatant of PEAK cells was collected. The co-expression of the three chains led to the assembly of three different antibodies: two monospecific and one bispecific antibodies. Their theoretical relative ratios should be 1 :1 :2 provided the expression levels and assembly rates are similar for both light chains. The bispecific antibodies were purified using a three-step affinity chromatography procedure: (1 ) capture of IgG (mono- and bi-), (2) Kappa select: capture IgG containing a Kappa light chain(s), and (3) Lambda select: capture IgG containing a Lambda light chain. Kappaselect and Lambdaselect are affinity chromatography media developed by BAC, BV and GE Healthcare.
The purified bispecific antibodies can be characterized as described in WO 2012/023053 A2.
There is no requirement of having access to two antibodies having light chain variable domains of the Kappa and Lambda type for instant invention; the methods described herein allow for the generation of KL bodies with one or more hybrid light chain(s) in which a Lambda variable domain can be fused to a Kappa constant domain and/or conversely a
Kappa variable domain can be fused to a Lambda constant domain as depicted in Figure 3 of WO 2012/023053 A2. This widens the applications of these embodiments of the invention to antibody pairs that share light chain variable domains of the same type.
An overview of one method of producing the bispecific antibodies of the invention is shown in Figure 13 of WO 2012/023053 A2. In some embodiments, the methods of generating bispecific antibodies use a complete serum-free chemically defined process. These methods incorporate the most widely used mammalian cell line in pharmaceutical industry, the Chinese Hamster Ovary (CHO) cell line, but also other cell lines such as PEAK cells (ATCC CRL-2828). However, any mammalian cell line suitable for protein expression may be used, including e.g. also HEK293 cells. The methods described are used to generate both semistable and stable cell lines. However, also transiently transfected cell lines could be used. The methods can be used to manufacture the bispecific antibodies of the invention at small scale (e.g., in an Erlenmeyer flask) and at mid-scale (e.g., in 25L Wave bag). The methods are also readily adaptable for larger scale production of the bispecific antibodies, as well as antibody mixtures of the invention.
In some embodiments, bispecific antibodies are produced in mammalian cells. Non-limiting examples of mammalian cells that may be used in accordance with the present invention include BALB/c mouse myeloma line (NSO/1 , ECACC No: 85110503); human retinoblasts (PER.C6, CruCell, Leiden, The Netherlands); monkey kidney CV1 line transformed by SV40 (COS-7, ATCC CRL 1651 ); human embryonic kidney line (HEK293 or 293 cells subcloned for growth in suspension culture, Graham et al., J. Gen Virol., 36:59, 1977); human fibrosarcoma cell line (e.g., HT1080); baby hamster kidney cells (BHK21 , ATCC CCL 10); Chinese hamster ovary cells +/-DHFR (CHO, Urlaub and Chasin, Proc. Natl. Acad. Sci. USA, 77:4216, 1980), including CHO EBNA (Daramola O. et al., Biotechnol. Prog., 2014, 30(1 ):132-41 ) and CHO GS (Fan L. et al., Biotechnol. Bioeng. 2012, 109(4): 1007-15; mouse sertoli cells (TM4, Mather, Biol. Reprod., 23:243-251 , 1980); monkey kidney cells (CV1 ATCC CCL 70); African green monkey kidney cells (VERO-76, ATCC CRL-1 587); human cervical carcinoma cells (HeLa, ATCC CCL 2); canine kidney cells (MDCK, ATCC CCL 34); buffalo rat liver cells (BRL 3A, ATCC CRL 1442); human lung cells (W138, ATCC CCL 75); human liver cells (Hep G2, HB 8065); mouse mammary tumor (MMT 060562, ATCC CCL51 ); TRI cells (Mather et al., Annals N.Y. Acad. Sci., 383:44-68, 1982); MRC 5 cells; FS4 cells; and a human hepatoma line (Hep G2).
In some embodiments, bispecific antibodies are produced from human cells. In some embodiments, bispecific antibodies are produced from CHO cells or HEK cells or HT1080 cells.
In certain embodiments, a host cell is selected for generating a cell line based on certain preferable attributes or growth under particular conditions chosen for culturing cells. It will be appreciated by one skilled in the art, such attributes may be ascertained based on known characteristic and/or traits of an established line (i.e. a characterized commercially available cell line) or though empirical evaluation. In some embodiments, a cell line may be selected for its ability to grow on a feeder layer of cells. In some embodiments, a cell line may be selected for its ability to grow in suspension. In some embodiments, a cell line may be selected for its ability to grow as an adherent monolayer of cells. In some embodiments a cell line may be chosen for preferential post translational modifications (e.g., glycosylation). In some embodiments, such cells can be used with any tissue culture vessel or any vessel treated with a suitable adhesion substrate. In some embodiments, a suitable adhesion substrate is selected from the group consisting of collagen (e.g. collagen I, II, II, or IV), gelatin, fibronectin, laminin, vitronectin, fibrinogen, BD Matrigel™, basement membrane matrix, dermatan sulfate proteoglycan, Poly-D-Lysine and/or combinations thereof. In some embodiments, an adherent host cell may be selected and modified under specific growth conditions to grow in suspension. Such methods of modifying an adherent cell to grown in suspension are known in the art. For example, a cell may be conditioned to grow in suspension culture, by gradually removing animal serum from the growth media over time.
Typically, cells that are engineered to express a bispecific antibody may comprise a transgene that encodes a bispecific antibody described herein. Cells can be engineered to express the bispecific antibody in a transient or a stable expression system. It should be appreciated that the nucleic acids encoding bispecific antibodies may contain regulatory sequences, gene control sequences, promoters, non-coding sequences and/or other appropriate sequences for expressing the bispecific antibody. Typically, the coding region is operably linked with one or more of these nucleic acid components.
In some embodiments bispecific antibodies are expressed using a batch culture method. In some embodiments batch culture duration may be for 7-14 days. In some embodiments the batch culture may be for 14-21 days. In some embodiments bispecific antibodies are expressed using a perfusion culture method (collection of culture medium over time each day). In some embodiments, bispecific antibodies are expressed using a pseudoperfusion culture method (daily collection of culture medium at a single time point with replacement
with fresh medium). In some embodiments specific feeding regimens/media may be used to promote optimal bispecific antibody production (improved glycan, reduce aggregate, improved kappa/lambda body ratio). In some embodiments the cell density may be controlled/maintained to promote optimal bispecific antibody production (reduced aggregate, improved heavy/light chain, improved kappa/lambda body ratio).
Particular methods of generating the bispecific antibodies of the invention in the KL body format are advantageous because they employ generic purification processes as shown in Figure 8A of WO 2012/023053 A2. Figure 16 of WO 2012/023053 A2 demonstrates purification and product integrity testing of exemplary bispecific antibodies purified from a semi-stable cell line. In WO 2012/023053 A2, the bispecific antibodies were purified using the following three-step affinity chromatography procedure: (i) Protein A purification to capture IgG molecules, including both monospecific and bispecific; (ii) KappaSelect purification to capture IgG containing Kappa light chain(s); (iii) LambdaSelect purification to capture IgG containing Lambda light chain. The flow-through and elution from each affinity purification steps were analyzed by SDS-PAGE. The results demonstrated the removal of each monospecific form (i.e. , monospecific IgG molecules having Kappa light chains and monospecific IgG molecules having Lambda light chains) during the purification process (see Figure 16A of WO 2012/023053 A2). The purified KL-containing antibodies (i.e., antibodies having both Kappa and Lambda light chains) contained equivalent amount of Kappa and Lambda light chains (Figure 16B of WO 2012/023053 A2). The purified KL-containing antibodies presented an intermediate migration pattern on an isoelectric focusing gel as compared to the two monospecific antibodies (see Figure 16C of WO 2012/023053 A2).
The chemically defined processes for manufacturing the bispecific antibodies of the invention can be used with either pools of CHO cells or with other established cell lines such as PEAK cells (ATCC CRL-2828). However, any mammalian cell line suitable for protein expression may be used, including e.g. also HEK293 cells, and any other cell lines mentioned above in the context of manufacturing bispecific antibodies. Either transient or stable transfections of cells can be used for expression, as outlined in detail above. The results obtained with the chemically defined process using either pools or established cell lines demonstrate comparable productivities and growth characteristics to those expressing the corresponding Kappa or Lambda monospecific antibodies. Thus, the KL-body conserves both the structure and manufacturing characteristics of a classical human IgG.
Previous approaches to produce bispecific antibody formats aimed at forcing the production of a homogenous bispecific molecule using the different antibody engineering approaches
described above and were done at the expense of productivity, scalability and stability of the product. In particular embodiments, the present invention takes a different approach that is based on the production of a simple mixture of antibodies that have the standard characteristics of productivity and scalability of monoclonal antibodies and provides efficient and generic means to purify the bispecific antibody in KL body format from the mixture or to purify the antibody mixture, wherein the bispecific antibody binds to Factor IXa and Factor X.
The KL-bodies produced according to these particular embodiments conserve the structure of a classical human IgG. Therefore, they have the advantage of a reduced risk of immunogenicity, as compared to certain other formats of bispecific antibodies, and thus the advantage of being particularly well suited for long-term administration to a subject, e.g. to treat a chronic disease (such as hemophilia A).
Bispecific antibodies of the present invention
The bispecific antibody of the present invention is a bispecific antibody that binds to Factor IXa and Factor X and that has a procoagulant activity, the bispecific antibody comprising a first heavy chain and a first light chain and a second heavy chain and a second light chain.
The bispecific antibody of the present invention may comprise two heavy chains (i.e. the first heavy chain and the second heavy chain) with identical CDRs, whereas the CDRs of the first light chain and the CDRs of the second light chain differ from each other.
Preferred embodiments of the present invention are those bispecific antibodies of the present invention that have a high procoagulant activity.
In embodiments of the invention, the antibody comprises a first heavy chain and a second heavy chain each comprising in its variable domain the CDRs H-CDR1 , H-CDR2 and H- CDR3, wherein H-CDR1 is GFTFSSYA (SEQ ID NO: 1 ), H-CDR2 is ISGSGGST (SEQ ID NO: 2) and H-CDR3 is AKSYGAFDY (SEQ ID NO:3), and the antibody further comprises a first light chain and a second light chain comprising in its variable domain the CDRs of one of the Identifiers set out in Table 1 and Table 2 below, respectively.
Table 1 : CDRs of Factor X binding light chains
Table 2: CDRs of Factor IXa binding light chains
In a particular embodiment, the bispecific antibody comprises L1 CDR1 , L1 CDR2 and L1 CDR3 of W83 according to Table 1 in the variable domain of the first light chain, and L2CDR1 , L2CDR2 and L2CDR3 of V141 , V149, V155, V198, V212, V217, V241 , V242, V245, V249, V281 , V282, V283, V284, V285, V286, V287, V288, V289, V290 or V296 according to Table 2 in the variable domain of the second light chain, and two heavy chains (i.e. the first heavy chain and the second heavy chain) each comprising identical CDRs in its variable domain, namely HCDR1 (SEQ ID NO: 1 ), HCDR2 (SEQ ID NO: 2) and HCDR3 (SEQ ID NO:3). In a particular embodiment, the bispecific antibody comprises L1 CDR1 , L1 CDR2 and L1 CDR3 of W122 according to Table 1 in the variable domain of the first light chain, and L2CDR1 , L2CDR2 and L2CDR3 of V141 , V149, V155, V198, V212, V217, V241 , V242, V245, V249, V281 , V282, V283, V284, V285, V286, V287, V288, V289, V290 or V296 according to Table 2 in the variable domain of the second light chain, and two heavy chains (i.e. the first heavy chain and the second heavy chain) each comprising identical CDRs in its variable domain, namely HCDR1 (SEQ ID NO: 1 ), HCDR2 (SEQ ID NO: 2) and HCDR3 (SEQ ID NO:3). In a particular embodiment, the bispecific antibody comprises L1 CDR1 , L1 CDR2 and L1 CDR3 of W128 according to Table 1 in the variable domain of the first light chain, and L2CDR1 , L2CDR2 and L2CDR3 of V141 , V149, V155, V198, V212, V217, V241 , V242, V245, V249, V281 , V282, V283, V284, V285, V286, V287, V288, V289, V290 or V296 according to Table 2 in the variable domain of the second light chain, and two heavy chains (i.e. the first heavy chain and the second heavy chain) each comprising identical CDRs in its variable domain, namely HCDR1 (SEQ ID NO: 1 ), HCDR2 (SEQ ID NO: 2) and HCDR3 (SEQ ID NO:3). In a particular embodiment, the bispecific antibody comprises L1 CDR1 , L1 CDR2 and L1 CDR3 of W133 according to Table 1 in the variable domain of the first light chain, and L2CDR1 , L2CDR2 and L2CDR3 of V141 , V149, V155, V198, V212, V217, V241 , V242, V245, V249, V281 , V282, V283, V284, V285, V286, V287, V288, V289, V290 or V296 according to Table 2 in the variable domain of the second light chain, and two heavy chains (i.e. the first heavy chain and the second heavy chain) each comprising identical CDRs in its variable domain, namely H (SEQ ID NO: 1 ), HCDR2 (SEQ ID NO: 2) and HCDR3 (SEQ ID NO:3). In a particular embodiment, the bispecific antibody comprises L1 CDR1 , L1 CDR2 and L1 CDR3 of W 159 according to Table 1 in the variable domain of the first light chain, and L2CDR1 , L2CDR2 and L2CDR3 of V141 , V149, V155, V198, V212, V217, V241 , V242, V245, V249, V281 , V282, V283, V284, V285, V286, V287, V288, V289, V290 or V296 according to Table 2 in the variable domain of the second light chain, and two heavy chains (i.e. the first heavy chain and the second heavy chain) each comprising identical CDRs in its
variable domain, namely HCDR1 (SEQ ID NO: 1 ), HCDR2 (SEQ ID NO: 2) and HCDR3 (SEQ ID NO:3). In a particular embodiment, the bispecific antibody comprises L1 CDR1 , L1 CDR2 and L1 CDR3 of W189 according to Table 1 in the variable domain of the first light chain, and L2CDR1 , L2CDR2 and L2CDR3 of V141 , V149, V155, V198, V212, V217, V241 , V242, V245, V249, V281 , V282, V283, V284, V285, V286, V287, V288, V289, V290 or V296 according to Table 2 in the variable domain of the second light chain, and two heavy chains (i.e. the first heavy chain and the second heavy chain) each comprising identical CDRs in its variable domain, namely HCDR1 (SEQ ID NO: 1 ), HCDR2 (SEQ ID NO: 2) and HCDR3 (SEQ ID NO:3). In a particular embodiment, the bispecific antibody comprises L1 CDR1 , L1 CDR2 and L1 CDR3 of W198 according to Table 1 in the variable domain of the first light chain, and L2CDR1 , L2CDR2 and L2CDR3 of V141 , V149, V155, V198, V212, V217, V241 , V242, V245, V249, V281 , V282, V283, V284, V285, V286, V287, V288, V289, V290 or V296 according to Table 2 in the variable domain of the second light chain, and two heavy chains (i.e. the first heavy chain and the second heavy chain) each comprising identical CDRs in its variable domain, namely HCDR1 (SEQ ID NO: 1 ), HCDR2 (SEQ ID NO: 2) and HCDR3 (SEQ ID NO:3). In a particular embodiment, the bispecific antibody comprises L1 CDR1 , L1 CDR2 and L1 CDR3 of W204 according to Table 1 in the variable domain of the first light chain, and L2CDR1 , L2CDR2 and L2CDR3 of V141 , V149, V155, V198, V212, V217, V241 , V242, V245, V249, V281 , V282, V283, V284, V285, V286, V287, V288, V289, V290 or V296 according to Table 2 in the variable domain of the second light chain, and two heavy chains (i.e. the first heavy chain and the second heavy chain) each comprising identical CDRs in its variable domain, namely HCDR1 (SEQ ID NO: 1 ), HCDR2 (SEQ ID NO: 2) and HCDR3 (SEQ ID NO:3). In a particular embodiment, the bispecific antibody comprises L1CDR1 , L1 CDR2 and L1 CDR3 of W206 according to Table 1 in the variable domain of the first light chain, and L2CDR1 , L2CDR2 and L2CDR3 of V141 , V149, V155, V198, V212, V217, V241 , V242, V245, V249, V281 , V282, V283, V284, V285, V286, V287, V288, V289, V290 or V296 according to Table 2 in the variable domain of the second light chain, and two heavy chains (i.e. the first heavy chain and the second heavy chain) each comprising identical CDRs in its variable domain, namely HCDR1 (SEQ ID NO: 1 ), HCDR2 (SEQ ID NO: 2) and HCDR3 (SEQ ID NO:3). In a particular embodiment, the bispecific antibody comprises L1 CDR1 , L1 CDR2 and L1 CDR3 of W207 according to Table 1 in the variable domain of the first light chain, and L2CDR1 , L2CDR2 and L2CDR3 of V141 , V149, V155, V198, V212, V217, V241 , V242, V245, V249, V281 , V282, V283, V284, V285, V286, V287, V288, V289, V290 or V296 according to Table 2 in the variable domain of the second light chain, and two heavy chains (i.e. the first heavy chain and the second heavy chain) each comprising identical CDRs in its variable domain, namely HCDR1 (SEQ ID NO: 1 ), HCDR2 (SEQ ID NO: 2) and HCDR3 (SEQ ID NO:3).
In a particular embodiment, the bispecific antibody comprises the three CDRs (L1CDR1 , L1 CDR2, L1 CDR3 and L2CDR1 , L2CDR2, L2CDR3) of W128 and V241 , W128 and V242, W128 and V245, W206 and V245, W198 and V245, W159 and V245, W133 and V245,
W206 and V241 , W198 and V241 , W159 and V241 , W198 and V281 , W198 and V282,
W198 and V283, W198 and V284, W198 and V285, W198 and V286, W198 and V287,
W198 and V288, W198 and V289, W198 and V290, W198 and V296, W128 and V198,
W207 and V241 , W207 and V245, W204 and V198, W122 and V212, W204 and V249,
W189 and V198, W83 and V217, W128 and V149, W128 and V155, or W128 and V141 , respectively, according to Tables 1 and 2, respectively, in its first and second light chain, respectively, and the bispecific antibody further comprises two heavy chains (i.e. the first heavy chain and the second heavy chain) each comprising identical CDRs in its variable domain, namely HCDR1 (SEQ ID NO: 1 ), HCDR2 (SEQ ID NO: 2) and HCDR3 (SEQ ID NO:3).
The bispecific antibody of the present invention may comprise two heavy chains with identical variable domains. In a particular embodiment, the antibody comprises two heavy chains comprising identical variable domains wherein the variable domain comprises SEQ ID NO: 97.
SEQ ID NO: 97:
EVQLLESGGGLVQPGGSLRLSCAASGFTFSSYAMSWVRQAPGKGLEWVSAISGSGGSTYYADSVKGRFTISRDNSKN
TLYLQMNSLRAEDTAVYYCAKSYGAFDYWGQGTLVTVSS 5 Table 3: Light chain variable domains (VL) of bispecific antibodies of the present invention
In embodiments, the bispecific antibody comprises the VL of the Factor X binding arm of any one of antibodies 1 to 37 according to Table 3, and the bispecific antibody further comprises the VL of the Factor IXa binding arm of any one (i.e. the same one, or a different one) of antibodies 1 to 37 according to Table 3, and the bispecific antibody further comprises two heavy chains comprising identical variable domains wherein the heavy chain variable domain comprises SEQ ID NO: 97.
In a particular embodiment, the bispecific antibody comprises both the VL of the Factor X binding arm and the VL of the Factor IXa binding arm of any one of antibodies 1 to 37 according to Table 3, and the bispecific antibody further comprises two heavy chains comprising identical variable domains wherein the heavy chain variable domain comprises SEQ ID NO: 97.
The bispecific antibody of the present invention may comprise two identical heavy chains. In a particular embodiment, the bispecific antibody comprises two identical heavy chains comprising SEQ ID NO: 172. 0 SEQ ID NO: 172:
EVQLLESGGGLVQPGGSLRLSCAASGFTFSSYAMSWVRQAPGKGLEWVSAISGSGGSTYYADSVKGRFTISRDNSKN
TLYLQMNSLRAEDTAVYYCAKSYGAFDYWGQGTLVTVSSASTKGPSVFPLAPSSKSTSGGTAALGCLVKDYFPEPVTV
SWNSGALTSGVHTFPAVLQSSGLYSLSSVVTVPSSSLGTQTYICNVNHKPSNTKVDKRVEPKSCDKTHTCPPCPAPEA
AGGPSVFLFPPKPKDTLMISRTPEVTCVVVDVSHEDPEVKFNWYVDGVEVHNAKTKPREEQYNSTYRVVSVLTVLHQD
5 WLNGKEYKCKVSNKALPAPIEKTISKAKGQPREPQVYTLPPSREEMTKNQVSLTCLVKGFYPSDIAVEWESNGQPENN
YKTTPPVLDSDGSFFLYSKLTVDKSRWQQGNVFSCSVMHEALHNHYTQKSLSLSPG
0 Table 4: Light chains (LC) of bispecific antibodies of the present invention
Antib LC of Factor X binding arm
In a particular embodiment, the bispecific antibody comprises both the light chain of the Factor X binding arm and the light chain of the Factor IXa binding arm of any one of antibodies 1 to 37 according to Table 4, and the bispecific antibody further comprises two identical heavy chains each comprising SEQ ID NO: 172.
Also disclosed are the light chain CDRs and light chain variable domains (VL) of the following Tables 5-8. These can be combined with the above-described heavy chain CDRs (SEQ ID NO: 1-3) and heavy chain variable domain (SEQ ID NO: 97), respectively, to form the Factor X binding arm or the Factor IXa binding arm of an antibody (e.g. a bispecific antibody), as applicable: The antigen bound (i.e. Factor X or Factor IXa) is disclosed for these light chain CDRs and VL by the titles of the following Tables 5-8 in which their sequences are presented:
Table 5: L-CDRs of Factor X binding light chains
Table 6: L-CDRs of Factor IXa binding light chains
Table 7: VL of Factor X binding light chains
Table 8: VL of Factor IXa binding light chains
Pharmaceutical composition
The present invention also provides a pharmaceutical composition comprising the antibodies of the present invention and a pharmaceutically acceptable carrier and/or diluent.
In a second aspect, the present invention provides a pharmaceutical composition comprising the antibody of the present invention and a pharmaceutically acceptable carrier or diluent.
As used herein, "pharmaceutically acceptable carrier" or “pharmaceutically acceptable diluent” means any and all solvents, dispersion media, coatings, antibacterial and antifungal agents, isotonic and absorption delaying agents, compatible with pharmaceutical administration. The use of such media and agents for pharmaceutically active substances is well known in the art. Acceptable carriers, excipients, or stabilizers are nontoxic to recipients at the dosages and concentrations employed and, without limiting the scope of the present invention, include: additional buffering agents; preservatives; cosolvents; antioxidants, including ascorbic acid and methionine; chelating agents such as EDTA; metal complexes (e.g., Znprotein complexes); biodegradable polymers, such as polyesters; saltforming counterions, such as sodium, polyhydric sugar alcohols; amino acids, such as alanine, glycine, glutamine, asparagine, histidine, arginine, lysine, ornithine, leucine, 2phenylalanine, glutamic acid, and threonine; organic sugars or sugar alcohols, such as lactitol, stachyose, mannose, sorbose, xylose, ribose, ribitol, myoinisitose, myoinisitol, galactose, galactitol, glycerol, cyclitols (e.g., inositol), polyethylene glycol; sulfur containing reducing agents, such as urea, glutathione, thioctic acid, sodium thioglyco!ate, thioglycerol, [alphajmonothioglycerol, and sodium thio sulfate; low molecular weight proteins, such as human serum albumin, bovine serum albumin, gelatin, or other immunoglobulins; and hydrophilic polymers, such as polyvinylpyrrolidone.
A pharmaceutical composition as described herein may also contain other substances. These substances include, but are not limited to, cryoprotectants, lyoprotectants, surfactants, bulking agents, antioxidants, and stabilizing agents. In some embodiments, the pharmaceutical composition may be lyophilized.
The term "cryoprotectant" as used herein, includes agents which provide stability to the antibody against freezinginduced stresses, by being preferentially excluded from the antibody’s surface. Cryoprotectants may also offer protection during primary and secondary drying and longterm product storage. Nonlimiting examples of cryoprotectants include sugars, such as sucrose, glucose, trehalose, mannitol, mannose, and lactose; polymers, such as dextran, hydroxyethyl starch and polyethylene glycol; surfactants, such as polysorbates (e.g., PS20 or PS80); and amino acids, such as glycine, arginine, leucine, and serine. A cryoprotectant exhibiting low toxicity in biological systems is generally used.
In one embodiment, a lyoprotectant is added to a pharmaceutical composition described herein. The term "lyoprotectant" as used herein, includes agents that provide stability to the antibody during the freezedrying or dehydration process (primary and secondary freeze drying cycles), by providing an amorphous glassy matrix and by binding with the antibody’s surface through hydrogen bonding, replacing the water molecules that are removed during the drying process. This helps to minimize product degradation during the lyophilization cycle, and improve the longterm product stability. Nonlimiting examples of lyoprotectants include sugars, such as sucrose or trehalose; an amino acid, such as monosodium glutamate, noncrystalline glycine or histidine; a methylamine, such as betaine; a lyotropic salt, such as magnesium sulfate; a polyol, such as trihydric or higher sugar alcohols, e.g., glycerin, erythritol, glycerol, arabitol, xylitol, sorbitol, and mannitol; propylene glycol; polyethylene glycol; pluronics; and combinations thereof. The amount of lyoprotectant added to a pharmaceutical composition is generally an amount that does not lead to an unacceptable amount of degradation of the strain when the pharmaceutical composition is lyophilized.
In some embodiments, a bulking agent is included in the pharmaceutical composition. The term "bulking agent" as used herein, includes agents that provide the structure of the freeze dried product without interacting directly with the pharmaceutical product. In addition to providing a pharmaceutically elegant cake, bulking agents may also impart useful qualities in regard to modifying the collapse temperature, providing freezethaw protection, and enhancing the strain stability over longterm storage. Nonlimiting examples of bulking agents
include mannitol, glycine, lactose, and sucrose. Bulking agents may be crystalline (such as glycine, mannitol, or sodium chloride) or amorphous (such as dextran, hydroxyethyl starch) and are generally used in formulations in an amount from 0.5% to 10%.
Other pharmaceutically acceptable carriers, excipients, or stabilizers, such as those described in Remington's Pharmaceutical Sciences 16th edition, Osol, A. Ed. (1980) may also be included in a pharmaceutical composition described herein, provided that they do not adversely affect the desired characteristics of the pharmaceutical composition. As used herein, "pharmaceutically acceptable carrier" means any and all solvents, dispersion media, coatings, antibacterial and antifungal agents, isotonic and absorption delaying agents, compatible with pharmaceutical administration. The use of such media and agents for pharmaceutically active substances is well known in the art. Acceptable carriers, excipients, or stabilizers are nontoxic to recipients at the dosages and concentrations employed and include: additional buffering agents; preservatives; cosolvents; antioxidants, including ascorbic acid and methionine; chelating agents such as EDTA; metal complexes (e.g., Znprotein complexes); biodegradable polymers, such as polyesters; saltforming counterions, such as sodium, polyhydric sugar alcohols; amino acids, such as alanine, glycine, glutamine, asparagine, histidine, arginine, lysine, ornithine, leucine, 2phenylalanine, glutamic acid, and threonine; organic sugars or sugar alcohols, such as lactitol, stachyose, mannose, sorbose, xylose, ribose, ribitol, myoinisitose, myoinisitol, galactose, galactitol, glycerol, cyclitols (e.g., inositol), polyethylene glycol; sulfur containing reducing agents, such as urea, glutathione, thioctic acid, sodium thioglycolate, thioglycerol, [alphajmonothioglycerol, and sodium thio sulfate; low molecular weight proteins, such as human serum albumin, bovine serum albumin, gelatin, or other immunoglobulins; and hydrophilic polymers, such as polyvinylpyrrolidone.
In a particular embodiment, the pharmaceutical composition may be a solution which is suitable for intravenous, intramuscular, conjunctival, transdermal, intraperitoneal and/or subcutaneous administration (e.g. subcutaneous administration using a device). Alternatively, the pharmaceutical composition may be in a form suitable for nasal administration or oral administration.
To facilitate administration, the bispecific antibody according to the present invention in one embodiment is formulated into a physiologically-acceptable pharmaceutical composition comprising a carrier (i.e., vehicle, adjuvant, buffer, or diluent). The particular carrier employed is limited only by chemico-physical considerations, such as solubility and lack of reactivity with the bispecific antibody, and by the route of administration. Physiologically-
acceptable carriers are well known in the art. Illustrative pharmaceutical forms suitable for injectable use include without limitation sterile aqueous solutions or dispersions and sterile powders for the extemporaneous preparation of sterile injectable solutions or dispersions (for example, see U.S. Patent No. 5,466,468). Injectable formulations are further described in, e.g., Pharmaceutics and Pharmacy Practice, J. B. Lippincott Co., Philadelphia. Pa., Banker and Chalmers eds., pages 238-250 (1982), and ASHP Handbook on Injectable Drugs, Toissel, 4th ed., pages 622-630 (1986)). A pharmaceutical composition comprising a bispecific antibody provided herein is optionally placed within containers, along with packaging material that provides instructions regarding the use of such pharmaceutical compositions. Generally, such instructions include a tangible expression describing the reagent concentration, as well as, in certain embodiments, relative amounts of excipient ingredients or diluents that may be necessary to reconstitute the pharmaceutical composition.
Suitable methods of administering a physiologically-acceptable composition, such as a pharmaceutical composition comprising a bispecific antibody described herein, are well known in the art. Although more than one route can be used to administer a bispecific antibody, a particular route can provide a more immediate and more effective reaction than another route. Depending on the circumstances, a pharmaceutical composition is applied or instilled into body cavities, absorbed through the skin or mucous membranes, ingested, inhaled, and/or introduced into circulation. In one aspect, a composition comprising a bispecific antibody is administered intravenously, intraarterially, or intraperitoneally to introduce the bispecific antibody of the invention into circulation. Non-intravenous administration also is appropriate. In certain circumstances, it is desirable to deliver a pharmaceutical composition comprising the bispecific antibody orally, topically, sublingually, vaginally, rectally, pulmonary; through injection by intracerebral (intra-parenchymal), intracerebroventricular, intramuscular, intra-ocular, intraportal, intralesional, intramedullary, intrathecal, intraventricular, transdermal, subcutaneous, intranasal, urethral, or enteral means; by sustained release systems; or by implantation devices. If desired, the bispecific antibody is administered regionally via intraarterial or intravenous administration feeding a region of interest, e.g., via the femoral artery for delivery to the leg. In one embodiment, the bispecific antibody is incorporated into a microparticle as described in, for example, U.S. Patents 5,439,686 and 5,498,421 , and U.S. Patent Publications 2003/0059474, 2003/0064033, 2004/0043077, 2005/0048127, 2005/0170005, 2005/0142205, 2005/142201 , 2005/0233945, 2005/0147689. 2005/0142206, 2006/0024379, 2006/0260777,
2007/0207210, 2007/0092452, 2007/0281031 , and 2008/0026068. Alternatively, the composition is administered via implantation of a membrane, sponge, or another appropriate
material on to which the desired bispecific antibody has been absorbed or encapsulated. Where an implantation device is used, the device in one aspect is implanted into any suitable tissue, and delivery of the desired bispecific antibody is in various aspects via diffusion, timed-release bolus, or continuous administration. In other aspects, the bispecific antibody is administered directly to exposed tissue during surgical procedures or treatment of injury, or is administered via transfusion of blood procedures. Therapeutic delivery approaches are well known to the skilled artisan, some of which are further described, for example, in U.S. Patent No. 5,399,363.
The pharmaceutical composition may further comprise common excipients and carriers which are known in the state of the art. For solution for injection, the pharmaceutical composition may further comprise cryoprotectants, lyoprotectants, surfactants, bulking agents, antioxidants, stabilizing agents and pharmaceutically acceptable carriers.
Medical methods
The present invention also provides the bispecific antibody or pharmaceutical composition of the present invention for use as a medicament. Further, the present invention provides the bispecific antibody or pharmaceutical composition of the present invention for use in a method of treating and/or preventing a bleeding disorder, wherein a patient or animal is administered a therapeutically effective amount of the bispecific antibody.
A method of treating and/or preventing a bleeding disorder wherein the patient or animal is administered a therapeutically effective amount of the bispecific antibody or pharmaceutical composition of the present invention is also provided. Further, the present invention provides the use of the bispecific antibody or pharmaceutical composition of the present invention for the manufacture of a medicament for the treatment and/or prevention of a bleeding disorder.
In various aspects, the coagulation or bleeding disorder is caused by the absence of a coagulation factor. One of skill in the art would appreciate the types of coagulation or bleeding disorders associated with the absence of a coagulation factor. In some aspects, the coagulation or bleeding disorder may be hemophilia or von Willebrand disease. In another aspect, the coagulation or bleeding disorder is hemophilia A or acquired hemophilia. In a particular aspect, the coagulation or bleeding disorder is hemophilia A. In another aspect, the coagulation or bleeding disorder is acquired hemophilia where the subject no longer produces FVIII.
In various aspects, the bispecific antibodies or pharmaceutical compositions of the present invention may be administered to a subject with mild hemophilia A, moderate hemophilia A, or severe hemophilia A. In another aspect, the bispecific antibodies or pharmaceutical compositions disclosed herein may be administered to a subject with Factor VIII plasma levels of 6% to 40%, 2% to 5%, or 1 % or less.
In some aspects, the bispecific antibodies or pharmaceutical compositions of the present invention may be administered to a subject with hemophilia A or suspected of having hemophilia A when there is an external wound on the subject. In another aspect, the bispecific antibodies or pharmaceutical compositions of the present invention may be administered to a subject with hemophilia A or suspected of having hemophilia A with an existing external wound on the subject. In another aspect, bispecific antibodies or pharmaceutical compositions of the present invention may be administered to a subject with an external wound until the wound has healed. In some aspects, the wound may include, but is not limited to, an abrasion, a laceration, a puncture, or an avulsion.
In some aspects, the bispecific antibodies or pharmaceutical compositions of the present invention may be administered to a subject with hemophilia, A or suspected of having hemophilia A, prior to, during, or after surgery, a serious injury, or dental work.
In some aspects, the bispecific antibodies or pharmaceutical compositions of the present invention may be administered to a subject with hemophilia A, or suspected of having hemophilia A, and has experienced spontaneous bleeding. In another aspect, the bispecific antibodies or pharmaceutical compositions of the present invention may be administered to a subject with hemophilia A, or suspected of having hemophilia A, and has experienced bleeding once, twice, or more times in a week.
In various aspects, the bispecific antibodies or pharmaceutical compositions of the present invention may be administered to a subject of any age group suffering from, or suspected of having hemophilia A. In some aspects, the bispecific antibodies or pharmaceutical compositions of the present invention may be administered to a child of 1 , 2, 3, 4, 5, 6, 7, 8, 9, 10, 1 1 , 12, 13, 14 ,15, 16, or 17 years of age suffering from, or suspected of having hemophilia A. In another aspect, the bispecific antibodies or pharmaceutical compositions of the present invention thereof may be administered to an infant suffering from or suspected of having hemophilia A.
In yet another aspect, the bispecific antibodies or pharmaceutical compositions of the present invention may be administered to a subject who is an infant of 0, 1 , 2, 3, 4, 5, 6, 7, 8, 9, 10, 1 1 , or 12 months of age suffering from, or suspected of having hemophilia A.
In some aspects, the bispecific antibodies or pharmaceutical compositions of the present invention are administered to a subject at an early age before the first episode of bleeding.
In other aspects, administering the bispecific antibodies or pharmaceutical compositions of the present invention before the first episode of bleeding protects against further bleeding and development of joint damage in the future.
In some embodiments, administering a bispecific antibodies or pharmaceutical compositions of the present invention to subjects may have the following effects, but is not limited to, hemostasis, reduced pain, and improved mobility.
Also provided is method of promoting FX activation in a subject in need thereof, comprising administering to the subject a therapeutically effective amount of the bispecific antibody or pharmaceutical composition of the present invention.
Also provided is a method of reducing the frequency or degree of a bleeding episode in a subject in need thereof, comprising administering to the subject an effective amount of the bispecific antibody or pharmaceutical composition of the present invention.
In some aspects, the subject has developed, has a tendency to develop, or is at risk to develop an inhibitor against Factor VIII ("FVIM"). In some aspects, the inhibitor against FVIII is a neutralizing antibody against FVIII. In some aspect, the subject is undergoing treatment with FVIII or is a candidate for treatment with FVIII, e.g., FVIII replacement therapy.
In some aspects, the bleeding episode is the result of hemarthrosis, muscle bleed, oral bleed, hemorrhage, hemorrhage into muscles, oral hemorrhage, trauma, trauma capitis, gastrointestinal bleeding, intracranial hemorrhage, intraabdominal hemorrhage, intrathoracic hemorrhage, bone fracture, central nervous system bleeding, bleeding in the retropharyngeal space, bleeding in the retroperitoneal space, bleeding in the illiopsoas sheath, or any combinations thereof.
The present invention also provides a method of treating a blood coagulation disorder in a subject in need thereof, comprising administering to the subject an effective amount of the bispecific antibody or pharmaceutical composition of the present invention.
In some aspects, the blood coagulation disorder is hemophilia A or hemophilia B, preferably hemophilia A. In some aspects, the subject is a human subject.
In some aspects, the subject is undergoing or has undergone FVIII replacement therapy. In some aspects, the bispecific antibody or pharmaceutical composition of the present invention is administered in combination with a hemophilia therapy. In some aspects, the hemophilia therapy is a FVIII replacement therapy. In some aspects, the bispecific antibody or pharmaceutical composition of the present invention is administered before, during or after administration of the hemophilia therapy. In some aspects, the bispecific antibody is administered prophylactically. In some aspects, the bispecific antibody or pharmaceutical composition of the present invention is administered intravenously or subcutaneously.
In some aspects, administration of the bispecific antibodies or pharmaceutical compositions of the present invention reduces the frequency of breakthrough bleeding episodes, spontaneous bleeding episodes, or acute bleeding. In some aspects, administration of bispecific antibodies or pharmaceutical compositions of the present invention reduces the annualized bleed rate by 5%, 10%, 20%, 30%, or 50%.
The bispecific antibodies or pharmaceutical compositions of the present invention may be administered by any route appropriate to the condition to be treated. The bispecific antibodies or pharmaceutical compositions of the present invention will typically be administered parenterally, i.e. , infusion, subcutaneous, intramuscular, intravenous, or intradermal. In some aspects, the bispecific antibodies or pharmaceutical compositions of the present invention are administered subcutaneously.
In certain aspects, the bispecific antibodies or pharmaceutical compositions of the present invention are administered intermittently or discontinuously. In various aspects, dose levels of the bispecific antibodies of the present invention, for example, administered via injection, such as subcutaneous injection, range from about 0.0001 mg/kg to about 100 mg/kg bodyweight.
In some aspects, the bispecific antibodies or pharmaceutical compositions of the present invention are administered until disease progression or unacceptable toxicity.
Examples
EXAMPLE 1 : Phage display selection using human scFv libraries containing fixed variable heavy chain
General procedures for construction and handling of human scFv libraries displayed on M13 bacteriophage are described in Vaughan et al., (Nat. Biotech. 1996, 14:309314), hereby incorporated by reference in its entirety. The libraries used for selection and screening encode scFv that all share the same VH domain and are solely diversified in the VL domain. Methods for the generation of fixed VH libraries and their use for the identification and assembly of bispecific antibodies are described in US 2012/0184716 and WO 2012/023053, each of which is hereby incorporated by reference in its entirety. The procedures to identify scFv binding to human Factor IXa (hFIXa) or human Factor X (hFX) are described below.
Protein selections. Aliquots of scFv phage libraries (1012 Pfu) were blocked with PBS containing 3% (w/v) skimmed milk for one hour at room temperature on a rotary mixer. Blocked phage was deselected on streptavidin magnetic beads (Dynabeads™ M280, Dynal) for one hour at room temperature on a rotary mixer. Deselected phage was incubated with in vitro biotinylated hFIXa or hFX (100 nM) captured on streptavidin magnetic beads for two hours at room temperature on a rotary mixer. Beads were captured using a magnetic stand followed by five washes with PBS/0.1 % Tween 20 and two washes with PBS. Phage were eluted with 100 nM TEA for 30 minutes at room temperature on a rotary mixer. Eluted phage and beads were neutralized with TrisHCI 1 M pH 7.4 and directly added to 10 ml of exponentially growing TG1 cells and incubated for one hour at 37 °C with slow shaking (90 rpm). An aliquot of the infected TG1 was serial diluted to titer the selection output. The remaining infected TG1 were spun at 3800 rpm for 10 minutes and resuspended in 2 ml 2xTY and spread on 2xTYAG (2xTY medium containing 100 pg/ml ampicillin and 2% glucose) agar Bioassay plates. After overnight incubation at 30 °C, 10 ml of 2xTY was added to the plates and the cells were scraped from the surface and transferred to a 50 ml polypropylene tube. 50% glycerol solution was added to the cell suspension to obtain a final concentration of 17% glycerol. Aliquots of the selection rounds were kept at 80°C.
Phage rescue. 50 pi of cell suspension obtained from previous selection rounds were added to 50 ml of 2xTYAG and grown at 37 °C with agitation (240 rpm) until an OD6oo of 0.3 to 0.5 is reached. The culture was then superinfected with 1.2x1011 M13K07 helper phage and incubated for one hour at 37°C (90 rpm). The medium was changed by centrifuging the cells at 3800 rpm for 10 minutes, removing the medium and resuspending the pellet in 50 ml of
2xTYAK (100 Mg/ml ampicillin; 50 pg/ml kanamycin). The culture is then grown overnight at 30°C (240 rpm). The next day, 10 pi of the phage containing supernatant was used for the next round of selection.
EXAMPLE 2: Screening for scFv binding to hFIXa or hFX
scFv periplasmic preparation for binding assays. Individual TG1 clones were inoculated into a 96well deep well plate containing 0.9 ml per well of 2xTYAG medium (0.1 % glucose) and grown at 37 °C for 56 hours (240 rpm). 100 pi per well of 0.2 mM IPTG in 2xTY medium were then added to give a final concentration of 0.02 mM IPTG. The plate was incubated overnight at 30 °C with shaking at 240 rpm. The deep well plate was centrifuged at 3200 rpm for 10 minutes at 4°C and the supernatant carefully removed. The pellets were resuspended in 150 pi TES buffer (50 mM TrisHCI (pH 8), 1 mM EDTA (pH 8), 20% sucrose, complemented with Complete protease inhibitor, Roche). A hypotonic shock was produced by adding 150 mI of diluted TES buffer (1 :5 TES:water dilution) and incubation on ice for 30 minutes. The plate was centrifuged at 4000 rpm for 10 minutes at 4 °C to pellet cells and debris. The supernatants were carefully transferred into a 96well microtiter plate and kept on ice for immediate testing in functional assays or binding assays.
Binding: Screening of scFv for binding to hFIXa or hFX was tested in a homogenous assay using Celllnsight technology. The following reagents were mixed in each well of a 384well clear bottom plate (Corning): 30 mI of a streptavidin polystyrene bead suspension (Polysciences; 3000 beads/well) coated with biotinylated hFIXa or hFX or a control protein (hFII); 60 mI of blocked scFv periplasmic preparation; 10 mI of detection buffer (PBS containing mouse anticmyc antibody at 5 pg/ml; antimouse Fc AlexaFluor® 647 diluted 1 :200). After mixing at 600 rpm for 5 minutes, the 384well plate was incubated at room temperature and read after 2 hours on a Celllnsight™ CX5 HighContent Screening platform (Thermo Fisher Scientific). Clones expressing scFv giving a specific signal for either hFIXa or hFX and not hFII were selected for further analysis or sequencing.
Phage clone sequencing. Single TG1 clones are inoculated into a 96well deep well plate containing 1 ml LBAG medium (LB medium with 100 pg/ml ampicillin and 2% glucose) per well and grown overnight at 37 °C, 240 rpm. DMA was extracted using the Zyppy96 Plamisd Miniprep kit (Zymo Research). 5 mI of the eluted DNA was sequenced using the fdtseqlong primer, 5’GTCGT CTTT CCAGACGTTAGT AAAT G3’ (SEQ ID NO: 288).
EXAMPLE 3: Fixed VH candidates reformatting into (monospecific) IgG and transient expression in mammalian cells
After screening, scFv candidates against hFIXa or hFX were reformatted into IgG and expressed by transient transfection into PEAK cells. The VH and VL sequences of selected scFv were amplified with specific oligonucleotides and cloned into an expression vector containing the heavy and light chain constant domains and the constructions were verified by sequencing. The expression vectors were transfected into mammalian cells using the Lipofectamine 2000 Transfection Reagent (Thermo Fisher Scientific, Waltham, MA).Transient transfections were performed using a mix containing 30 pg of DNA and 42 pl_ of Lipofectamine 2000 transfection reagent (Invitrogen) in 2 mL of DMEM for 107 cells per T175 flask in 50 mL of complete DMEM.
IgG expression was measured using the Octet RED96 with protein Acoated biosensors (Pall ForteBio). According to antibody concentration, supernatants were harvested 7 to 10 days after transfection and clarified by centrifugation 10 min at 2000 rpm. Total IgGs were purified by one affinity chromatography step using the FcXL resin (Thermo Fischer Scientific).
EXAMPLE 4: Generation of bispecific antibodies (bsAb) containing a hybrid light chain
One way to assemble KL bodies is to coexpress a complete variable light chain of the kappa type (i.e. variable and constant kappa domains) with a complete variable light chain of the lambda type (i.e. variable and constant lambda domains) and a common heavy chain (i.e. variable and constant heavy domains). However, it is also possible to use two variable domain of the same type (i.e. two kappa variable domains or two lambda variable domains) and generate a hybrid light chain. In this case, the variable domain of a lambda light chain can be fused to a constant domain of the kappa type or conversely the variable domain of kappa a light chain can be fused to a constant domain of the lambda type as described in US 2012/0184716 and WO 2012/023053. Such hybrid chains were generated for several antiFIXa and antiFX arms. Downstream purification of bsAb containing hybrid chain follows the same strategy and affinity purification resins, as one light chain contains a kappa constant domain and the other contains a lambda constant domain.
EXAMPLE 5: Expression and purification of bispecific antibodies carrying a Lambda and a Kappa constant light chain domain.
The simultaneous expression of one heavy chain and two lights chain in the same cell can lead to the assembly of three different antibody forms, two monospecific antibodies and one bsAb. Simultaneous expression can be achieved in different ways such as that the transfection of multiple vectors expressing some of the chains to be coexpressed or by using vectors that drive multiple gene expression.
Expression using a single vector. A vector pNovi kHl (i.e. pNovi Kappa H Lambda) was previously generated to allow for the coexpression of one heavy chain, one Kappa light chain and one Lambda light chain as described in US 2012/0184716 and WO 2012/023053, each of which is hereby incorporated by reference in its entirety. The expression of the three genes is driven by human cytomegalovirus promoters (hCMV) and the vector also contains a glutamine synthetase gene (GS) that enables the selection and establishment of stable cell lines. The VH and VL gene of the antiFIXa or the antiFX were cloned in the abovementioned vector pNovi kHl, for transient expression in mammalian cells.
Expression via cotransfection of two vectors. In order to rapidly screen panels of bsAb candidates for biological activity without the need of additional cloning steps, cotransfections using vectors described in Example 3 were also performed in Peak cells. The expression vectors were transfected into mammalian cells using the Lipofectamine2000 Transfection Reagent (Thermo Fisher Scientific, Waltham, MA). Transient transfections were performed using a mix containing 20+20 pg of DNA and 60 pL of Lipofectamine 2000 transfection reagent in 2 mL of DMEM for 107 cells per T 175 flask in 50 mL of complete DMEM.
IgG expression was measured using the Octet RED96 with protein Acoated biosensors (Pall ForteBio). According to antibody concentration, supernatants were harvested 7 to 10 days after transfection.
Bispecific antibody purification. After 710 and days of antibody production, the supernatant was harvested, clarified by centrifugation 10 min at 2000 rpm. Total IgGs were purified by one affinity chromatography step using the FcXL resin (Thermo Fischer Scientific). Then, two additional affinity chromatography steps were required to isolate the KL body and eliminate the two monospecific mAbs: one purification on the KappaSelect resin (GE Healthcare) to eliminate the
(i.e. IgG comprising two light chains with constant domain of Lambda type) and one purification on the LambdaFabSelect resin (GE Healthcare) to get rid of IgGicK (i.e. IgG comprising two light chains with constant domain of Kappa type).
Elution was performed with glycine 50 mM at pH 3.0. Following purification, the KL body were formulated into 25mM histidine, 125mM NaCI at pH 6.0, by desalting on Amicon Ultra4 centrifugal filters with membrane Ultracel 50 kDa (Merck Millipore) previously equilibrated with formulation buffer.
The final product was quantified using the Nanodrop. Purified bispecific antibodies were analyzed by electrophoresis in denaturing and reducing conditions. The Agilent 2100 Bioanalyzer was used with the Protein 80 kit as described by the manufacturer (Agilent
Technologies, Santa Clara, CA, USA). 4 pL of purified samples were mixed with sample buffer supplemented with dithiothreitol (DTT; Sigma Aldrich, St. Louis, MO). Samples were heated at 95°C for 5 min and then loaded on the chip.
EXAMPLE 6: Optimization of lead antiFIXa and antiFX arms
Several antiFIXa and antiFX antibodies that - when combined into a bispecific antibody - provided an increase in a procoagulant activity were selected for optimization.
All these antibodies share the same variable heavy chain but have different variable light chains. Several phage libraries displaying scFv variants were generated by introducing diversity into the CDR1 , CDR2 and CDR3 of the light chain variable domain while the heavy chain variable domain was kept unmodified. Libraries of at least 5x109 transformants were generated for each candidate. These libraries were used for phage display selections as described in Example 1. The stringency of the selection conditions was maintained relatively low using target concentration in the 10100nM range in order to enable enrichment for candidates with a wide range of affinities. After selection variants were screened for the capacity to bind to FIXa or FX. Candidate scFv giving a specific signal for binding to their respective target were then reformatted into IgG, expressed as bispecific antibodies, characterized and tested in functional assays for a procoagulant activity as e.g. described in Example 8.
Example 7: Measurement of binding of bispecific antibodies to FIXa and/or FX by Octet
Antibodies 137 according to the present invention were analyzed for their binding to the targets FIXa and FX.
Purified KL bodies were tested for binding to FIXa or FX, or for coengagement of FIXa and FX, using the BioLayer Interferometry technology on the OctetRED96 instrument. Bio-Layer Interferometry is a label-free technology for measuring biomolecular interactions. It is an optical analytical technique that analyzes the interference pattern of white light reflected from two surfaces: a layer of immobilized protein on the biosensor tip, and an internal reference layer. The binding between the ligand-protein immobilized on the biosensor tip surface and an analyte in solution produces an increase in optical thickness at the biosensor tip, which results in a wavelength shift (nm shift), which is a direct measure of the change in thickness of the biological layer. Experiments were performed at 30°C and under agitation at l OOOrpm. Protein A biosensors (Pall) were rehydrated in running buffer (HNaCT buffer) for 10 min, then conditioned by 3 cycles of: regeneration buffer (5secs, 10mM glycine pH1.7) followed by
neutralization buffer (5secs, HNaCT). Baseline signal was recorded for 120 secs before dipping the biosensors for 10min in the solution containing bsAb at 10ug/ml_. After recording a new baseline, Protein A biosensors loaded with bsAb were dipped into a solution containing human FIXa (hFIXa) or human FX (hFX) or a mixture containing hFIXa + hFX, each at 10ug/ml_. The association was recorded for 10min followed by a dissociation of 10min in running buffer. Finally, biosensors were regenerated by 3 cycles of regeneration buffer (5secs, 10mM glycine pH1.7) followed by neutralization (5 secs, HNaCT).
The data was analyzed using the Octet Analysis software version 9.0. Coengagement is observed when the signal obtained with the mixture hFIXa + hFX is increased compared to the signals obtained with hFIXa and hFX alone, and the signal of the mixture is supposed to be the sum of the signals obtained with hFIXa and hFX; see the exemplary Figure 1 (depicting analysis of antibody number 12 of Table 9 below, i.e. the antibody referred to as: W198V282 HCK2). In table 9 below, values of end association are reported, i.e. the final wavelength shift in nm at the end of the asscociation phase before switching to the dissociation.
KL bodies incorporating either one dummy kappa light chain or one dummy lambda light chain that - when combined with the common heavy chain - does not confer binding to either of FIXa or FX, were used as negative controls. Thus these dummy KL bodies incorporate only one specificity, either anti-FIXa or anti-FX, on one arm of the bispecific antibody - whereas the other (dummy) arm does not bind to FIXa or FX.
Results
Table 9: Response of binding between the antibodies and Factor IXa and/or Factor X at the end of the association phase
Example 8: Calibrated automated thrombography assay in FVII1 deficient human plasma
Antibodies 137 according to the present invention were analyzed for a procoagulant activity using a thrombin generation assay (wherein prothrombin is activated to thrombin by FXa, which is an essential reaction in the coagulation pathway). Thrombin generation (TG) was evaluated for FVI II deficient patient plasma pool via calibrated automated thrombography (CAT), a method described by Hemker et al (Pathophysiology of Haemostasis and Thrombosis, 2003; 33:415). The data generated in this assay, i.e. thrombograms and values derived therefrom such as peak thrombin (see below), describe the concentration of thrombin in clotting plasma and is therefore a functional test of a procoagulant activity. The assay is based on the measurement of fluorescence that is generated by the cleavage of the fluorogenic substrate ZGGRAMC by thrombin over time. For each plasma sample, a thrombin calibrator is included to correct for inner filter effects, different coloration of plasma, substrate depletion and instrumental differences.
The FXIatriggered CAT in FVI I I deficient human plasma was used for functional characterization of purified bispecific antibodies. Prewarmed (37°C) hemophilia A patient
plateletpoor plasma pool (George King BioMedical Inc., Overland Park, KS, USA) (80 pL) was added to each well of a 96well microplate (Immulon 2HB, Ubottom; Thermo Electron). The plasma was pretreated with 62.5 pg/mL corn trypsin inhibitor (Hematologic Technologies Inc., Essex Junction, VT, USA or Enzyme Research Laboratories, South Bend, IN, USA) to prevent preactivation of the plasma. For characterization of purified bispecific antibodies, samples were prediluted in sample buffer (25mM Histidine/125 mM NaCI pH6.0), which also served as formulation buffer for all antibodies. The prediluted antibody samples (10 pL) were added, resulting in antibody concentrations in plasma of 10 to 600 nM. As a positive control, a pooled normal human plasma and, as a negative control, hemophilia A plasma pool was used (George King BioMedical Inc., Overland Park, KS, USA). To the controls, sample buffer was added instead of diluted bispecific antibody. Thrombin generation was triggered via the intrinsic pathway by 5 pL purified plasmaderived human FXIa (Enzyme Research Laboratories, South Bend, IN, USA) and 5 pL of MP reagent (Thrombinoscope BV, Maastricht, The Netherlands) containing a phospholipid mixture composed of phosphatidylserine, phosphatidylcholine and phosphatidylethanolamine (48 pM),A plasma concentration of 500 pM FXIa was used to provide a high sensitivity to FVIII in the assay system. Thrombin generation was started by dispensing 20 pL of FluCa reagent (Thrombinoscope BV, Maastricht, The Netherlands) containing fluorogenic substrate and Hepes buffered CaCI2 (100 mM) into each well. Fluorescence measurements were performed in a Fluoroskan Ascent® reader (Thermo Labsystems, Helsinki, Finland; filters 390 nm excitation and 460 nm emission) at 37°C for 90 minutes with 20 seconds measurement intervals. The parameters of the resulting TG curves were calculated using the Thrombinoscope™ software (Thrombinoscope BV, Maastricht, The Netherlands). With the thrombin calibrator as a reference, the molar concentration of thrombin in the test wells was derived. The thrombin amounts at the peak of each TG curve (peak thrombin, nM; Cmax), lag time (time interval between starting measurement and start of thrombin generation), peak time (time interval between starting measurement and Cmax), and endogenous thrombin potential (area under curve of thrombin concentration versus time) were recorded. Peak thrombin (nM) values are reported below for each antibody used at a concentration of 100 nM as a representative TG parameter (Table 10). Further analysis and generation of graphs was performed in Microsoft Excel 2010 and/or GraphPad Prism 7. An exemplary TG curve (thrombogram) is provided in Figure 2.
Results
Claims
1 , Bispecific antibody that binds to Factor IXa and Factor X and that has a procoagulant activity, the bispecific antibody comprising a first heavy chain and a first light chain and a second heavy chain and a second light chain; wherein each of the first heavy chain and the second heavy chain comprises in its variable domain the complementarity determining regions H-CDR1 (SEQ ID NO: 1 ), H-CDR2 (SEQ ID NO: 2) and H-CDR3 (SEQ ID NO: 3), wherein the first light chain comprises in its variable domain the complementarity determining regions L1 -CDR1 , L1-CDR2 and L1 -CDR3 of any one of the Factor X binding light chains W83, W122, W128, W133, W159, W189, W198, W204, W206 and W207 as disclosed in Table 1 , and wherein the second light chain comprises in its variable domain the complementarity determining regions L2-CDR1 , L2-CDR2 and L2-CDR3 of any one of the Factor IXa binding light chains V141 , V149, V155, V198, V212, V217, V241 , V242, V245, V249, V281 , V282, V283, V284, V285, V286, V287, V288, V289, V290 and V296 as disclosed in Table 2.
2. The bispecific antibody according to claim 1 , wherein the variable domain of each of the first heavy chain and the second heavy chain comprises or consists of a polypeptide consisting of the amino acid sequence SEQ ID NO: 97, and wherein the variable domain of the first light chain comprises or consists of the light chain variable domain (VL) of the FX binding arm and the variable domain of the second light chain comprises or consists of the light chain variable domain (VL) of the FIXa binding arm of any one of antibodies number 1 to 37 disclosed in Table 3.
3. The bispecific antibody according to claim 1 or claim 2, wherein the first heavy chain and the second heavy chain are identical.
4. The bispecific antibody according to claim 3, wherein the first light chain comprises a constant domain of the kappa type and the second light chain comprises a constant domain of the lambda type.
5. The bispecific antibody according to claim 3, wherein the first light chain comprises a constant domain of the lambda type and the second light chain comprises a constant domain of the kappa type.
6. The bispecific antibody according to any one of claims 1 , 2, 3 and 4, wherein each of the first heavy chain and the second heavy chain comprises or consists of a polypeptide consisting of the amino acid sequence SEQ ID NO: 172, and wherein the first light chain comprises or consists of the light chain (LC) of the Factor X binding arm and the second light chain comprises or consists of the light chain (LC) of the Factor IXa binding arm of any one of antibodies number 1 , 2, 3, 4, 5, 6, 7, 8, 9, 10, 1 1 , 12, 13, 14, 15, 16, 17, 18, 19, 20, 21 , 22, 23, 24, 28, 29 and 30 as disclosed in Table 4.
7. The bispecific antibody according to any one of claims 1 , 2, 3 and 5, wherein each of the first heavy chain and the second heavy chain comprises or consists of a polypeptide consisting of the amino acid sequence SEQ ID NO: 172, and wherein the first light chain comprises or consists of the light chain (LC) of the Factor X binding arm and the second light chain comprises or consists of the light chain (LC) of the Factor IXa binding arm of any one of antibodies number 25, 26, 27, 31 , 32, 33, 34, 35, 36 and 37 as disclosed in Table 4.
8. The bispecific antibody according to any one of the preceding claims, wherein the bispecific antibody also binds to Factor IX and/or Factor Xa.
9. The bispecific antibody according to any one of the preceding claims for use as a medicament.
10. A pharmaceutical composition comprising the bispecific antibody according to any one of claims 1 to 8 and a pharmaceutically acceptable carrier and/or diluent.
11. The bispecific antibody according to any one of claims 1 to 8 or the pharmaceutical composition according to claim 10 for use in a method of treating haemophilia A in a subject.
12. The bispecific antibody or the pharmaceutical composition for the use according to claim 1 1 , wherein the method is performed in the presence of Factor VIII inhibitors in the subject.
13. A nucleic acid encoding the bispecific antibody according to any one of claims 1 to 8, or encoding the first heavy chain, the second heavy chain, the first light chain and/or the second light chain of the bispecific antibody.
14. A method of producing the bispecific antibody according to any one of claims 1 to 8, wherein the first heavy chain, the second heavy chain, the first light chain and the second light chain are co-expressed in cells and, subsequently, the bispecific antibody is purified from the cells through a process comprising one or more steps of affinity chromatography.
15. The method according to claim 14, wherein at least three steps of affinity chromatography are performed, namely a first step using an affinity chromatography resin that binds to a constant domain of the first heavy chain and the second heavy chain, a second step and a third step each using an affinity chromatography resin that binds to a light chain constant domain of the kappa type or the lambda type,
wherein the affinity chromatography resins used in the second step and the third step, respectively, bind to light chain constant domains of different types, namely one to light chain constant domains of the kappa type and one to light chain constant domains of the lambda type.
16. The method according to claim 14 or claim 15, wherein the cells are mammalian cells.
Priority Applications (2)
| Application Number | Priority Date | Filing Date | Title |
|---|---|---|---|
| PCT/EP2018/084038 WO2020114615A1 (en) | 2018-12-07 | 2018-12-07 | Bispecific antibodies binding factor ixa and factor x |
| PCT/EP2019/084000 WO2020115283A1 (en) | 2018-12-07 | 2019-12-06 | Bispecific antibodies binding factor ixa and factor x |
Applications Claiming Priority (1)
| Application Number | Priority Date | Filing Date | Title |
|---|---|---|---|
| PCT/EP2018/084038 WO2020114615A1 (en) | 2018-12-07 | 2018-12-07 | Bispecific antibodies binding factor ixa and factor x |
Publications (1)
| Publication Number | Publication Date |
|---|---|
| WO2020114615A1 true WO2020114615A1 (en) | 2020-06-11 |
Family
ID=64901982
Family Applications (1)
| Application Number | Title | Priority Date | Filing Date |
|---|---|---|---|
| PCT/EP2018/084038 Ceased WO2020114615A1 (en) | 2018-12-07 | 2018-12-07 | Bispecific antibodies binding factor ixa and factor x |
Country Status (1)
| Country | Link |
|---|---|
| WO (1) | WO2020114615A1 (en) |
Cited By (1)
| Publication number | Priority date | Publication date | Assignee | Title |
|---|---|---|---|---|
| JP2024020151A (en) * | 2022-07-08 | 2024-02-14 | ノヴォ ノルディスク アー/エス | Highly Potent ISVD Compounds that Can Replace FVIII(a) |
Citations (29)
| Publication number | Priority date | Publication date | Assignee | Title |
|---|---|---|---|---|
| US5399363A (en) | 1991-01-25 | 1995-03-21 | Eastman Kodak Company | Surface modified anticancer nanoparticles |
| US5439686A (en) | 1993-02-22 | 1995-08-08 | Vivorx Pharmaceuticals, Inc. | Methods for in vivo delivery of substantially water insoluble pharmacologically active agents and compositions useful therefor |
| US5466468A (en) | 1990-04-03 | 1995-11-14 | Ciba-Geigy Corporation | Parenterally administrable liposome formulation comprising synthetic lipids |
| US5498421A (en) | 1993-02-22 | 1996-03-12 | Vivorx Pharmaceuticals, Inc. | Composition useful for in vivo delivery of biologics and methods employing same |
| US6075181A (en) | 1990-01-12 | 2000-06-13 | Abgenix, Inc. | Human antibodies derived from immunized xenomice |
| US6150584A (en) | 1990-01-12 | 2000-11-21 | Abgenix, Inc. | Human antibodies derived from immunized xenomice |
| US6528624B1 (en) | 1998-04-02 | 2003-03-04 | Genentech, Inc. | Polypeptide variants |
| US20030059474A1 (en) | 1999-10-18 | 2003-03-27 | Scott Terrence L. | Sustained release microspheres |
| US20030064033A1 (en) | 2001-08-16 | 2003-04-03 | Brown Larry R. | Propellant-based microparticle formulations |
| WO2004003019A2 (en) * | 2002-06-28 | 2004-01-08 | Domantis Limited | Immunoglobin single variant antigen-binding domains and dual-specific constructs |
| US20040043077A1 (en) | 2000-10-27 | 2004-03-04 | Brown Larry R. | Production of microspheres |
| US20050048127A1 (en) | 2003-07-22 | 2005-03-03 | Larry Brown | Small spherical particles of low molecular weight organic molecules and methods of preparation and use thereof |
| US20050142205A1 (en) | 2003-07-18 | 2005-06-30 | Julia Rashba-Step | Methods for encapsulating small spherical particles prepared by controlled phase separation |
| US20050142206A1 (en) | 2003-07-18 | 2005-06-30 | Larry Brown | Methods for fabrication, uses and compositions of small spherical particles prepared by controlled phase separation |
| US20050147689A1 (en) | 2003-12-30 | 2005-07-07 | Egilmez Nejat K. | Method for inhibiting the growth of gastrointestinal tract tumors |
| US20060024379A1 (en) | 2004-05-12 | 2006-02-02 | Larry Brown | Protein microspheres having injectable properties at high concentrations |
| US20060260777A1 (en) | 2005-04-27 | 2006-11-23 | Julia Rashba-Step | Surface-modified microparticles and methods of forming and using the same |
| US20070092452A1 (en) | 2003-07-18 | 2007-04-26 | Julia Rashba-Step | Methods for fabrication, uses, compositions of inhalable spherical particles |
| US20070207210A1 (en) | 2004-05-12 | 2007-09-06 | Brown Larry R | Protein Microspheres Retaining Pharmacokinetic and Pharmacodynamic Properties |
| US20070281031A1 (en) | 2006-06-01 | 2007-12-06 | Guohan Yang | Microparticles and methods for production thereof |
| US20080026068A1 (en) | 2001-08-16 | 2008-01-31 | Baxter Healthcare S.A. | Pulmonary delivery of spherical insulin microparticles |
| WO2009080253A1 (en) | 2007-12-21 | 2009-07-02 | F. Hoffmann-La Roche Ag | Bivalent, bispecific antibodies |
| US20090191199A1 (en) | 2000-10-06 | 2009-07-30 | Kyowa Hakko Kirin Co., Ltd. | Glycoengineered, recombinant antibody |
| WO2010135558A1 (en) | 2009-05-20 | 2010-11-25 | Novimmune S.A. | Systhetic polypeptide libraries and methods for generating naturally diversified polypeptide variants |
| WO2012023053A2 (en) | 2010-08-16 | 2012-02-23 | Novimmune S.A. | Methods for the generation of multispecific and multivalent antibodies |
| WO2016166014A1 (en) * | 2015-04-17 | 2016-10-20 | F. Hoffmann-La Roche Ag | Combination therapy with coagulation factors and multispecific antibodies |
| WO2018098363A2 (en) * | 2016-11-23 | 2018-05-31 | Bioverativ Therapeutics Inc. | Bispecific antibodies binding to coagulation factor ix and coagulation factor x |
| WO2018141863A1 (en) * | 2017-02-01 | 2018-08-09 | Novo Nordisk A/S | Procoagulant antibodies |
| WO2018215835A1 (en) * | 2017-05-26 | 2018-11-29 | Novimmune Sa | Anti-cd47 x anti-mesothelin antibodies and methods of use thereof |
-
2018
- 2018-12-07 WO PCT/EP2018/084038 patent/WO2020114615A1/en not_active Ceased
Patent Citations (33)
| Publication number | Priority date | Publication date | Assignee | Title |
|---|---|---|---|---|
| US6075181A (en) | 1990-01-12 | 2000-06-13 | Abgenix, Inc. | Human antibodies derived from immunized xenomice |
| US6150584A (en) | 1990-01-12 | 2000-11-21 | Abgenix, Inc. | Human antibodies derived from immunized xenomice |
| US5466468A (en) | 1990-04-03 | 1995-11-14 | Ciba-Geigy Corporation | Parenterally administrable liposome formulation comprising synthetic lipids |
| US5399363A (en) | 1991-01-25 | 1995-03-21 | Eastman Kodak Company | Surface modified anticancer nanoparticles |
| US5439686A (en) | 1993-02-22 | 1995-08-08 | Vivorx Pharmaceuticals, Inc. | Methods for in vivo delivery of substantially water insoluble pharmacologically active agents and compositions useful therefor |
| US5498421A (en) | 1993-02-22 | 1996-03-12 | Vivorx Pharmaceuticals, Inc. | Composition useful for in vivo delivery of biologics and methods employing same |
| US6528624B1 (en) | 1998-04-02 | 2003-03-04 | Genentech, Inc. | Polypeptide variants |
| US20030059474A1 (en) | 1999-10-18 | 2003-03-27 | Scott Terrence L. | Sustained release microspheres |
| US20090191199A1 (en) | 2000-10-06 | 2009-07-30 | Kyowa Hakko Kirin Co., Ltd. | Glycoengineered, recombinant antibody |
| US20040043077A1 (en) | 2000-10-27 | 2004-03-04 | Brown Larry R. | Production of microspheres |
| US20030064033A1 (en) | 2001-08-16 | 2003-04-03 | Brown Larry R. | Propellant-based microparticle formulations |
| US20080026068A1 (en) | 2001-08-16 | 2008-01-31 | Baxter Healthcare S.A. | Pulmonary delivery of spherical insulin microparticles |
| WO2004003019A2 (en) * | 2002-06-28 | 2004-01-08 | Domantis Limited | Immunoglobin single variant antigen-binding domains and dual-specific constructs |
| US20050170005A1 (en) | 2003-07-18 | 2005-08-04 | Julia Rashba-Step | Methods for encapsulating small spherical particles prepared by controlled phase separation |
| US20050142206A1 (en) | 2003-07-18 | 2005-06-30 | Larry Brown | Methods for fabrication, uses and compositions of small spherical particles prepared by controlled phase separation |
| US20050233945A1 (en) | 2003-07-18 | 2005-10-20 | Larry Brown | Methods for fabrication, uses and compositions of small spherical particles of insulin prepared by controlled phase separation |
| US20070092452A1 (en) | 2003-07-18 | 2007-04-26 | Julia Rashba-Step | Methods for fabrication, uses, compositions of inhalable spherical particles |
| US20050142201A1 (en) | 2003-07-18 | 2005-06-30 | Julia Rashba-Step | Methods for fabrication, uses and compositions of small spherical particles of hGH prepared by controlled phase separation |
| US20050142205A1 (en) | 2003-07-18 | 2005-06-30 | Julia Rashba-Step | Methods for encapsulating small spherical particles prepared by controlled phase separation |
| US20050048127A1 (en) | 2003-07-22 | 2005-03-03 | Larry Brown | Small spherical particles of low molecular weight organic molecules and methods of preparation and use thereof |
| US20050147689A1 (en) | 2003-12-30 | 2005-07-07 | Egilmez Nejat K. | Method for inhibiting the growth of gastrointestinal tract tumors |
| US20060024379A1 (en) | 2004-05-12 | 2006-02-02 | Larry Brown | Protein microspheres having injectable properties at high concentrations |
| US20070207210A1 (en) | 2004-05-12 | 2007-09-06 | Brown Larry R | Protein Microspheres Retaining Pharmacokinetic and Pharmacodynamic Properties |
| US20060260777A1 (en) | 2005-04-27 | 2006-11-23 | Julia Rashba-Step | Surface-modified microparticles and methods of forming and using the same |
| US20070281031A1 (en) | 2006-06-01 | 2007-12-06 | Guohan Yang | Microparticles and methods for production thereof |
| WO2009080253A1 (en) | 2007-12-21 | 2009-07-02 | F. Hoffmann-La Roche Ag | Bivalent, bispecific antibodies |
| WO2010135558A1 (en) | 2009-05-20 | 2010-11-25 | Novimmune S.A. | Systhetic polypeptide libraries and methods for generating naturally diversified polypeptide variants |
| WO2012023053A2 (en) | 2010-08-16 | 2012-02-23 | Novimmune S.A. | Methods for the generation of multispecific and multivalent antibodies |
| US20120184716A1 (en) | 2010-08-16 | 2012-07-19 | Novlmmune S.A. | Methods for the Generation of Multispecific and Multivalent Antibodies |
| WO2016166014A1 (en) * | 2015-04-17 | 2016-10-20 | F. Hoffmann-La Roche Ag | Combination therapy with coagulation factors and multispecific antibodies |
| WO2018098363A2 (en) * | 2016-11-23 | 2018-05-31 | Bioverativ Therapeutics Inc. | Bispecific antibodies binding to coagulation factor ix and coagulation factor x |
| WO2018141863A1 (en) * | 2017-02-01 | 2018-08-09 | Novo Nordisk A/S | Procoagulant antibodies |
| WO2018215835A1 (en) * | 2017-05-26 | 2018-11-29 | Novimmune Sa | Anti-cd47 x anti-mesothelin antibodies and methods of use thereof |
Non-Patent Citations (56)
| Title |
|---|
| "Antibody Engineering Lab Manual", SPRINGER-VERLAG, article "Protein Sequence and Structure Analysis of Antibody Variable Domains" |
| "ASHP Handbook on Injectable Drugs", 1986, pages: 622 - 630 |
| "Haemophilia", 6 July 2012, article "Guidelines for the Management of Hemohpilia" |
| "Pharmaceutics and Pharmacy Practice", 1982, J. B. LIPPINCOTT CO., pages: 238 - 250 |
| "Remington's Pharmaceutical Sciences", 1980 |
| AL-LAZIKANI ET AL., JMB, vol. 273, 1997, pages 927 - 948 |
| BAJAJ ET AL., PROC. NATL. ACAD. SEI. USA, vol. 89, 1992, pages 152 - 156 |
| CHO, URLAUB; CHASIN, PROC. NATL. ACAD. SCI. USA, vol. 77, 1980, pages 4216 |
| CHOTHIA, C. ET AL., J. MOL. BIOL., vol. 196, 1987, pages 901 - 917 |
| COLE ET AL.: "MONOCLONAL ANTIBODIES AND CANCER THERAPY", 1985, ALAN R. LISS, INC., pages: 77 - 96 |
| COTE ET AL., PROC NATL ACAD SCI USA, vol. 80, 1983, pages 2026 - 2030 |
| DARAMOLA O. ET AL., BIOTECHNOL. PROG., vol. 30, no. 1, 2014, pages 132 - 41 |
| DAVIS JH ET AL., PEDS, vol. 23, 2010, pages 195 - 202 |
| DAY SM; REEVE JL; MYERS DD; FAY WP: "Murine thrombosis models", THROMB HAEMOST, vol. 92, no. 3, 2004, pages 486 - 94 |
| DENISE E. SABATINO; TIMOTHY C. NICHOLS; ELIZABETH MERRICKS; DWIGHT A. BELLINGER; ROLAND W. HERZOG; PAUL E. MONAHAN: "Animal Models of Hemophilia", PROG MOL BIOL TRANSL SCI., vol. 105, 2012, pages 151 - 209 |
| ENFIELD; THOMPSON, BLOOD, vol. 64, 1984, pages 821 - 831 |
| FAN L. ET AL., BIOTECHNOL. BIOENG., vol. 109, no. 4, 2012, pages 1007 - 15 |
| FISCHER; LEGER, PATHOBIOLOGY, vol. 74, 2007, pages 3 - 14 |
| GLENNIE MJ ET AL., J EXP MED, vol. 175, 1992, pages 217 - 225 |
| GOUDSMIT, J . ET AL., J INFECT DIS., vol. 193, 2006, pages 796 - 801 |
| GRAHAM ET AL., J. GEN VIROL., vol. 36, 1977, pages 59 |
| HARLOW E; LANE D: "Antibodies: A Laboratory Manual", 1988, COLD SPRING HARBOR LABORATORY PRESS |
| HELLEN CU; SARNOW P., GENES DEV, vol. 15, 2001, pages 1593 - 612 |
| HEMKER ET AL., PATHOPHYSIOLOGY OF HAEMOSTASIS AND THROMBOSIS, vol. 33, 2003, pages 415 |
| KABAT ET AL.: "Sequences of Proteins of Immunological Interest", 1991, PUBLIC HEALTH SERVICE, NATIONAL INSTITUTES OF HEALTH |
| KABAT, E. A. ET AL.: "Sequences of Proteins of Immunological Interest", 1991, U.S. DEPARTMENT OF HEALTH AND HUMAN SERVICES |
| KEMPTON; WHITE, BLOOD, vol. 113, no. 1, 2009, pages 11 - 7 |
| KIPRIYANOV SM., METHODS MOL BIOL, vol. 207, 2003, pages 323 - 333 |
| KOHLER; MILSTEIN, NATURE, vol. 256, 1975, pages 495 |
| KORN T ET AL., INT J CANCER, vol. 100, 2002, pages 690 - 697 |
| KOZBOR ET AL.: "Immunol Today", vol. 4, 1983, pages: 72 |
| LEFRANC ET AL., DEV. COMP. IMMUNOL., vol. 27, 2003, pages 55 - 77 |
| LEFRANC ET AL., DEV. COMP. IMMUNOL., vol. 29, 2005, pages 185 - 203 |
| LEFRANC ET AL., NUCLEIC ACIDS RESEARCH, vol. 43, 2015, pages D413 - D422 |
| LEFRANC, COLD SPRING HARB PROTOC., 1 June 2011 (2011-06-01) |
| LEFRANC, IMMUNOLOGY TODAY, vol. 18, 1997, pages 509 |
| LEFRANC, THE IMMUNOLOGIST, vol. 7, 1999, pages 132 - 136 |
| LOWY, I ET AL., N ENGL J MED, vol. 362, 2010, pages 197 - 205 |
| LU D ET AL., J BIOL CHEM, vol. 279, 2004, pages 2856 - 2865 |
| LU D ET AL., J BIOL CHEM, vol. 280, 2005, pages 19665 - 19672 |
| LU D ET AL., J IMMUNOL METHODS, vol. 279, 2003, pages 219 - 232 |
| MANCO-JOHNSON ET AL., N. ENGL. J. MED., vol. 357, no. 6, 2007, pages 535 - 44 |
| MATHER ET AL., ANNALS N.Y. ACAD. SCI., vol. 383, 1982, pages 44 - 68 |
| MATHER, BIOL. REPROD., vol. 23, 1980, pages 243 - 251 |
| MATHUR ET AL., BIOL. CHEM., vol. 272, 1997, pages 23418 - 23426 |
| MORRISON SL, NATURE BIOTECHNOL, vol. 25, 2007, pages 1233 - 1234 |
| NAOKI UCHIDA ET AL: "A first-in-human phase 1 study of ACE910, a novel factor VIII-mimetic bispecific antibody, in healthy subjects", BLOOD, vol. 127, 1 December 2015 (2015-12-01), pages 1633 - 1641, XP055442821, DOI: 10.1182/blood-2015-06- * |
| RIDGWAY JB ET AL., PROTEIN ENG, vol. 9, 1996, pages 617 - 621 |
| STEPHEN ET AL., PROC NATL ACAD SCI USA, vol. 97, 2000, pages 1536 - 1541 |
| STROHL, WR CURR OPIN BIOTECHNOL, vol. 6, 2009, pages 685 - 91 |
| SURESH MR ET AL., METHODS ENZYMOL, vol. 121, 1986, pages 210 - 228 |
| VAN DIEIJEN ET AL., J BIOL CHEM., vol. 256, no. 7, 10 April 1981 (1981-04-10), pages 3433 - 42 |
| VAUGHAN ET AL., NAT. BIOTECH., vol. 14, 1996, pages 309314 |
| WANG Y1; TIAN Z; THIRUMALAI D; ZHANG X: "Neonatal Fc receptor (FcRn): a novel target for therapeutic antibodies and antibody engineering", J DRUG TARGET., vol. 22, no. 4, May 2014 (2014-05-01), pages 269 - 78, XP009185060, DOI: doi:10.3109/1061186X.2013.875030 |
| WHITE ET AL., THROMB. HAEMOST., vol. 85, 2001, pages 560 |
| WU C ET AL., NAT BIOTECHNOL, vol. 25, 2007, pages 1290 - 7 |
Cited By (4)
| Publication number | Priority date | Publication date | Assignee | Title |
|---|---|---|---|---|
| JP2024020151A (en) * | 2022-07-08 | 2024-02-14 | ノヴォ ノルディスク アー/エス | Highly Potent ISVD Compounds that Can Replace FVIII(a) |
| JP7459354B2 (en) | 2022-07-08 | 2024-04-01 | ノヴォ ノルディスク アー/エス | Highly potent ISVD compounds that can replace FVIII(a) |
| JP2024073606A (en) * | 2022-07-08 | 2024-05-29 | ノヴォ ノルディスク アー/エス | Highly potent ISVD compounds that can replace FVIII(a) |
| US12098400B2 (en) | 2022-07-08 | 2024-09-24 | Novo Nordisk A/S | Highly potent ISVD compounds capable of substituting for FVIII(A) |
Similar Documents
| Publication | Publication Date | Title |
|---|---|---|
| JP7587550B2 (en) | Factor XI Antibodies and Methods of Use | |
| JP2024170616A (en) | Compositions for inhibiting MASP-2-dependent complement activation | |
| TWI716059B (en) | Improved procoagulant antibodies | |
| CN111386285B (en) | Factor X binders that enhance FX activation | |
| CN105209497B (en) | Antibodies that specifically bind to two epitopes on tissue factor pathway inhibitor | |
| JP2020506927A (en) | Blood clotting antibody | |
| CZ2002935A3 (en) | Antibodies and antibody derivatives to factor IX or factor IXa | |
| TW201605904A (en) | Novel methods and antibodies for treating coagulapathy | |
| CN110023339A (en) | Coagulation factor binding protein and its application | |
| JP2021503891A (en) | Reversal binders for anti-factor XI / XIa antibodies and their use | |
| EP3109320B1 (en) | New anti-human pai-1 antibody | |
| CN113631579B (en) | Tissue plasminogen activator antibodies and methods of use thereof | |
| WO2020114615A1 (en) | Bispecific antibodies binding factor ixa and factor x | |
| WO2020115281A1 (en) | Proteinaceous molecules binding factor ixa and factor x | |
| WO2020114614A1 (en) | Proteinaceous molecules binding factor ixa and factor x | |
| WO2020115283A1 (en) | Bispecific antibodies binding factor ixa and factor x | |
| US20260042863A1 (en) | Tissue plasminogen activator antibodies and method of use thereof | |
| RU2810748C2 (en) | Advanced procoagulant antibodies | |
| RU2810094C2 (en) | Procoagulant antibodies | |
| TW202204421A (en) | Bispecific antigen-binding molecule, composition associated therewith, and use, kit, and method for producing composition | |
| KR20240152428A (en) | Human antibodies to activated protein C and uses thereof | |
| WO2025024323A1 (en) | P- and e-selectin-binding compositions and methods of use thereof | |
| BR112021000823B1 (en) | PROCOAGULANT ANTIBODIES CAPABLE OF STIMULATING FIXA ENZYMATIC ACTIVITY TOWARDS FX, PHARMACEUTICAL COMPOSITION COMPRISING THE SAID ANTIBODIES AND THEIR USE IN THE TREATMENT OF HEMOPHILIA A |
Legal Events
| Date | Code | Title | Description |
|---|---|---|---|
| 121 | Ep: the epo has been informed by wipo that ep was designated in this application |
Ref document number: 18829229 Country of ref document: EP Kind code of ref document: A1 |
|
| NENP | Non-entry into the national phase |
Ref country code: DE |
|
| 122 | Ep: pct application non-entry in european phase |
Ref document number: 18829229 Country of ref document: EP Kind code of ref document: A1 |









