WO2020034058A1 - PROCESS FOR REDUCTIVE AMINATION OF α,β-UNSATURATED CARBONYL COMPOUND - Google Patents
PROCESS FOR REDUCTIVE AMINATION OF α,β-UNSATURATED CARBONYL COMPOUND Download PDFInfo
- Publication number
- WO2020034058A1 WO2020034058A1 PCT/CN2018/100188 CN2018100188W WO2020034058A1 WO 2020034058 A1 WO2020034058 A1 WO 2020034058A1 CN 2018100188 W CN2018100188 W CN 2018100188W WO 2020034058 A1 WO2020034058 A1 WO 2020034058A1
- Authority
- WO
- WIPO (PCT)
- Prior art keywords
- reductive amination
- process according
- carbonyl compound
- conducted
- unsaturated carbonyl
- Prior art date
- Legal status (The legal status is an assumption and is not a legal conclusion. Google has not performed a legal analysis and makes no representation as to the accuracy of the status listed.)
- Ceased
Links
- 0 O=*CCC1OCCC1 Chemical compound O=*CCC1OCCC1 0.000 description 3
- IJZZHYVXJKPUBF-UHFFFAOYSA-N CC(C)CC(CCC1OCCC1)N Chemical compound CC(C)CC(CCC1OCCC1)N IJZZHYVXJKPUBF-UHFFFAOYSA-N 0.000 description 2
- DSNSTBVYJYHGCP-UHFFFAOYSA-N CC(C)CC(CCc1ccc[o]1)N Chemical compound CC(C)CC(CCc1ccc[o]1)N DSNSTBVYJYHGCP-UHFFFAOYSA-N 0.000 description 1
Images
Classifications
-
- B—PERFORMING OPERATIONS; TRANSPORTING
- B01—PHYSICAL OR CHEMICAL PROCESSES OR APPARATUS IN GENERAL
- B01J—CHEMICAL OR PHYSICAL PROCESSES, e.g. CATALYSIS OR COLLOID CHEMISTRY; THEIR RELEVANT APPARATUS
- B01J23/00—Catalysts comprising metals or metal oxides or hydroxides, not provided for in group B01J21/00
- B01J23/38—Catalysts comprising metals or metal oxides or hydroxides, not provided for in group B01J21/00 of noble metals
- B01J23/40—Catalysts comprising metals or metal oxides or hydroxides, not provided for in group B01J21/00 of noble metals of the platinum group metals
- B01J23/44—Palladium
-
- B—PERFORMING OPERATIONS; TRANSPORTING
- B01—PHYSICAL OR CHEMICAL PROCESSES OR APPARATUS IN GENERAL
- B01J—CHEMICAL OR PHYSICAL PROCESSES, e.g. CATALYSIS OR COLLOID CHEMISTRY; THEIR RELEVANT APPARATUS
- B01J21/00—Catalysts comprising the elements, oxides, or hydroxides of magnesium, boron, aluminium, carbon, silicon, titanium, zirconium, or hafnium
- B01J21/02—Boron or aluminium; Oxides or hydroxides thereof
- B01J21/04—Alumina
-
- B—PERFORMING OPERATIONS; TRANSPORTING
- B01—PHYSICAL OR CHEMICAL PROCESSES OR APPARATUS IN GENERAL
- B01J—CHEMICAL OR PHYSICAL PROCESSES, e.g. CATALYSIS OR COLLOID CHEMISTRY; THEIR RELEVANT APPARATUS
- B01J21/00—Catalysts comprising the elements, oxides, or hydroxides of magnesium, boron, aluminium, carbon, silicon, titanium, zirconium, or hafnium
- B01J21/18—Carbon
-
- B—PERFORMING OPERATIONS; TRANSPORTING
- B01—PHYSICAL OR CHEMICAL PROCESSES OR APPARATUS IN GENERAL
- B01J—CHEMICAL OR PHYSICAL PROCESSES, e.g. CATALYSIS OR COLLOID CHEMISTRY; THEIR RELEVANT APPARATUS
- B01J23/00—Catalysts comprising metals or metal oxides or hydroxides, not provided for in group B01J21/00
- B01J23/38—Catalysts comprising metals or metal oxides or hydroxides, not provided for in group B01J21/00 of noble metals
- B01J23/40—Catalysts comprising metals or metal oxides or hydroxides, not provided for in group B01J21/00 of noble metals of the platinum group metals
- B01J23/42—Platinum
-
- B—PERFORMING OPERATIONS; TRANSPORTING
- B01—PHYSICAL OR CHEMICAL PROCESSES OR APPARATUS IN GENERAL
- B01J—CHEMICAL OR PHYSICAL PROCESSES, e.g. CATALYSIS OR COLLOID CHEMISTRY; THEIR RELEVANT APPARATUS
- B01J23/00—Catalysts comprising metals or metal oxides or hydroxides, not provided for in group B01J21/00
- B01J23/38—Catalysts comprising metals or metal oxides or hydroxides, not provided for in group B01J21/00 of noble metals
- B01J23/40—Catalysts comprising metals or metal oxides or hydroxides, not provided for in group B01J21/00 of noble metals of the platinum group metals
- B01J23/46—Ruthenium, rhodium, osmium or iridium
- B01J23/462—Ruthenium
-
- B—PERFORMING OPERATIONS; TRANSPORTING
- B01—PHYSICAL OR CHEMICAL PROCESSES OR APPARATUS IN GENERAL
- B01J—CHEMICAL OR PHYSICAL PROCESSES, e.g. CATALYSIS OR COLLOID CHEMISTRY; THEIR RELEVANT APPARATUS
- B01J23/00—Catalysts comprising metals or metal oxides or hydroxides, not provided for in group B01J21/00
- B01J23/38—Catalysts comprising metals or metal oxides or hydroxides, not provided for in group B01J21/00 of noble metals
- B01J23/40—Catalysts comprising metals or metal oxides or hydroxides, not provided for in group B01J21/00 of noble metals of the platinum group metals
- B01J23/46—Ruthenium, rhodium, osmium or iridium
- B01J23/464—Rhodium
-
- C—CHEMISTRY; METALLURGY
- C07—ORGANIC CHEMISTRY
- C07D—HETEROCYCLIC COMPOUNDS
- C07D307/00—Heterocyclic compounds containing five-membered rings having one oxygen atom as the only ring hetero atom
- C07D307/02—Heterocyclic compounds containing five-membered rings having one oxygen atom as the only ring hetero atom not condensed with other rings
- C07D307/04—Heterocyclic compounds containing five-membered rings having one oxygen atom as the only ring hetero atom not condensed with other rings having no double bonds between ring members or between ring members and non-ring members
- C07D307/10—Heterocyclic compounds containing five-membered rings having one oxygen atom as the only ring hetero atom not condensed with other rings having no double bonds between ring members or between ring members and non-ring members with substituted hydrocarbon radicals attached to ring carbon atoms
- C07D307/14—Radicals substituted by nitrogen atoms not forming part of a nitro radical
-
- C—CHEMISTRY; METALLURGY
- C07—ORGANIC CHEMISTRY
- C07D—HETEROCYCLIC COMPOUNDS
- C07D307/00—Heterocyclic compounds containing five-membered rings having one oxygen atom as the only ring hetero atom
- C07D307/02—Heterocyclic compounds containing five-membered rings having one oxygen atom as the only ring hetero atom not condensed with other rings
- C07D307/34—Heterocyclic compounds containing five-membered rings having one oxygen atom as the only ring hetero atom not condensed with other rings having two or three double bonds between ring members or between ring members and non-ring members
- C07D307/38—Heterocyclic compounds containing five-membered rings having one oxygen atom as the only ring hetero atom not condensed with other rings having two or three double bonds between ring members or between ring members and non-ring members with substituted hydrocarbon radicals attached to ring carbon atoms
- C07D307/52—Radicals substituted by nitrogen atoms not forming part of a nitro radical
Definitions
- the invention relates to a process for the reductive amination of an ⁇ , ⁇ -unsaturated carbonyl compound.
- the invention furthermore relates to a process for the preparation of a tetrathydrofuran-derived amine starting from furfural or a derivative thereof.
- furanic compounds produced from carbohydrates (hexoses or pentoses) contained in lignocellulosic biomass are of prime interest, giving access to a rich variety of chemicals and fuels.
- furfural is a versatile platform chemical for the production of fuel additives, solvents, polymers, surfactants, perfumes, and agrochemical ingredients.
- the low selectivity of the chemical reactions due to partial cleavage and/or formation of larger oligomers, such as humines still hamper the industrial-scale production of high-added valuable chemicals from furanic molecules.
- a process for the preparation of tetrahydrofuran-derived amines based on biomass-derived furfural which can be conducted in a single reactor (one-reactor tandem concept) , i.e. a process wherein the aldol condensation and the hydrogenation amination are conducted as one-pot process.
- Such process would afford the generation of tetrahydrofuran-derived amines with molecular complexity and diversity without the need of separating the intermediates.
- the present inventors have found that the reductive amination of an ⁇ , ⁇ -unsaturated carbonyl compound can be conducted in high yield and at high selectivity in the presence of a supported Pd catalyst.
- the present invention therefore relates to a process for the reductive amination of an ⁇ , ⁇ -unsaturated carbonyl compound, wherein the process is conducted in the presence of supported Pd as catalyst.
- tetrahydrofuran-derived amines can be prepared in good yield starting from furfural or a derivative thereof, in particular from furfural or a derivative thereof being derived from biomass, by first conducting an aldol condensation between the furfural or derivative thereof and a carbonyl compound and then conducting a reductive amination of the product obtained in the first step in the presence of a supported Pd catalyst.
- One embodiment of the present invention relates to a process for the reductive amination of an ⁇ , ⁇ -unsaturated carbonyl compound, wherein the process is conducted in the presence of supported Pd as catalyst.
- any supported Pd may be used as catalyst. It was found that supported Pd results in significantly higher yields of the desired amine compared to the use of supported other noble metals, such as Ru, Pt and Rh. Furthermore, the use of supported Pd as catalyst results in high yield of the desired amine compared to the use of unsupported Pd catalyst, such as palladium acetate as suggested in the prior art.
- supported Pd is understood as metallic Pd which is supported on a solid support.
- Any solid material is suitable as solid support, such as those solid supports known to a person skilled in the art as being suitable for supporting a catalyst, such as ceramics and carbon (C) .
- Suitable ceramics are, for example, Al 2 O 3 , SiO 2 , CeO 2 , ZrO 2 , zeolites etc.
- Preferred supports are Al 2 O 3 and carbon, most preferably Al 2 O 3 .
- any suitable reductant known to a person skilled in the art may be used.
- a preferred reductant is hydrogen (H 2 ) .
- any ⁇ , ⁇ -unsaturated carbonyl compound may be used.
- furan derivatives are, however, preferred because they can be obtained from biomass.
- the ⁇ , ⁇ -unsaturated carbonyl compound is a furan derivative, not only the double bond in the ⁇ , ⁇ -unsaturated carbonyl compound but also the double bonds in the furan ring are hydrogenated.
- the ⁇ , ⁇ -unsaturated carbonyl compound is a ⁇ , ⁇ -ethylenically unsaturated carbonyl compound as exemplified in above Scheme 1, preferably an ⁇ , ⁇ -ethylenically unsaturated carbonyl furan derivative as exemplified in above Scheme 2.
- Suitable carbonyl compounds are ketones and aldehydes. Ketones being preferred.
- the furan derivative used as ⁇ , ⁇ -unsaturated carbonyl compound in the preferred embodiment of the process of the present invention can have the chemical formula (I) :
- R 1 is H or a hydrocarbon residue which may be interrupted by one or more heteroatoms and which may be substituted with one or more functional groups, and
- R 2 , R 3 and R 4 independently of each other are a hydrocarbon residue which may be interrupted by one or more heteroatoms and which may be substituted with one or more functional groups.
- R 1 and the substituents on the furan ring are not particularly limited because the reductive amination takes place at the carbonyl moiety and the double bonds. Therefore, the substituents on the furan ring and R 1 can be selected by the skilled person according to the desired end product.
- R 1 can be a hydrocarbon residue comprising 1 to 30 carbon atoms, preferably 1 to 20 carbon atoms, more preferably 1 to 12 carbon atoms.
- the hydrocarbon residue may be interrupted by one or more heteroatoms which can for example be selected from N, O, S and P.
- heteroatoms can for example be selected from N, O, S and P.
- interrupted means that the heteroatom is situated between at least two carbon atoms.
- the hydrocarbon residue may be substituted with one or more functional groups which may for example be selected from halogen, hydroxyl, carbonyl, carboxyl, ester, amine, amide, imide, cyanate, isocyanate, nitro, sulfonyl, thiocyanate, isothiocyanate, and phosphate.
- Any functional group may be situated at any position of the hydrocarbon residue, and, in case of for example carbonyl or ester, may interrupt the hydrocarbon residue.
- Suitable hydrocarbon residues are for example alkyl which may be linear or branched, alkenyl which may be linear or branched, alkinyl which may be linear or branched, cycloalkyl and aryl, in particular phenyl. Combinations of these groups are possible as well, such as for example combinations of linear and cyclic groups, such as alkylaryl, alkyl-cycloalkyl, arylalkyl and cycloakyl-aryl groups.
- hydrocarbon residue comprises one or more carbon-carbon double or triple bond
- Preferred groups for R 1 are methyl, ethyl, n-propyl, iso-propyl, n-butyl, iso-butyl, tert-butyl, pentyl, hexyl, heptyl, octyl, nonyl and decyl.
- R 1 is H or a C 1 to C 20 , preferably C 1 to C 12 alkyl group which may be linear or branched
- R 5 is H or a C 1 to C 20 , preferably C 1 to C 12 alkyl group which may be linear or branched
- R 3 and R 4 are both H.
- R 5 and R 1 may be the same or different, preferably R 5 and R 1 are the same.
- the reductive amination reaction in the process of the present invention may be conducted with ammonia, R 6 -NH 2 or R 6 -NH-R 7 , wherein R 6 and R 7 independently are a hydrocarbon residue which may be interrupted by one or more heteroatoms and which may be substituted with one or more functional groups.
- This hydrocarbon residue may have the same preferred embodiments as described for R 1 above.
- R 6 -NH-R 7 the substituents R 6 and R 7 together with the nitrogen atom to which they are attached may form a ring.
- amines are preferred.
- R 6 and, if present, R 7 independently are a C 1 to C 12 alkyl group which may be linear or branched and which may be substituted with one or more, preferably one amine (s) .
- Preferred amines used in the reductive amination of the ⁇ , ⁇ -unsaturated carbonyl compound in the process of the present invention are ammonia, methylamine, ethylamine, propylamine, butylamine, pentylamine, hexylamine, methyldiamine, ethyldiamine, propyldiamine, butyldiamine, pentyldiamine and hexyldiamine.
- catalyst any known supported Pd catalyst may be used. Suitable catalysts of this kind, such as Pd/Al 2 O 3 and Pd/C are, for example, available from Johnson Matthey.
- the amount of supported Pd catalyst used in the process of the invention is not particularly limited but it was found that a certain minimum amount is desireable for obtaining good yield and selectivity. Therefore, in a preferred embodiment, the supported Pd is used in an amount of at least 1 wt%, preferably at least 2 wt%, more preferably at least 3 wt%, even more preferably at least 4 wt%and most preferably at least 5 wt%, each based on the weight of the ⁇ , ⁇ -unsaturated carbonyl compound.
- the reductive amination in the process of the invention can be conducted under usual process parameters well known to a person skilled in the art. In view of yield and selectivity of the process it is, however, preferred to conduct the reductive amination at a temperature of at least 100°C, preferably in the range of 100°C to 160°C, more preferably in the range of 110°C to 130°C, such as about 120°C.
- the reductive amination in the process of the present invention can be conducted using H 2 .
- the pressure of H 2 during the reaction is not particularly limited and can be selected according to the requirements. It was, however, found that in view of selectivity and yield it is desirable that the H 2 is used at a pressure of at least 10 bar, preferably in the range of 10 bar to 50 bar, more preferably in the range of 15 bar to 40 bar, such as in the range of 20 bar to 40 bar.
- the reaction time is also not particularly limited and can be selected by the skilled person according to the desired yield and purity of the desired tetrahydrofuran-derived amine product.
- the reaction can be conducted for at least 8 hours, preferably at least 12 hours, more preferably at least 16 hours, such as about 18 hours.
- a further advantage of the use of supported Pd as catalyst in the reductive amination in the process of the present invention is that the catalyst can be reused in several consecutive reactions and/or recycled after the first use or after the first or one of the further reuses. Recycling can be conducted for example by washing with ethanol, drying under vacuum at 80°C and reducing at 180°C. Such recycled catalyst shows almost the same activity as fresh catalyst. Therefore, in the process of the invention, fresh catalyst, recycled catalyst or a mixture thereof can be employed.
- the present invention relates to a process for the production of a tetrahydrofuran-derived amine comprising the steps of
- the aldol condensation is conducted with furfural or a derivative thereof.
- Suitable derivatives are, for example, 5-hydroxymethyl furfural, 5-aminomethyl furfural and diformylfuran.
- diformylfuran is preferred.
- the carbonyl compound used in the aldol condensation is not particularly limited and can be selected by a person skilled in the art according to the desired tetrahydrofuran-derived amine.
- the carbonyl compound can have the chemical formula (II) :
- R 8 is H or a hydrocarbon residue which may be interrupted by one or more heteroatoms and which may be substituted with one or more functional groups.
- R 8 is selected such that in the aldol condensation a furan derivative of the above chemical formula (I) is obtained (i.e. R 8 is defined as R 1 above) .
- R 1 is defined as R 1 above.
- the aldol condensation can be conducted using usual process parameters well known to a person skilled in the art.
- the aldol condensation can be conducted in the presence of a base catalyst, such as A26 in hydroxide form, available from Sigma-Aldrich.
- the reaction can, for example be conducted at an elevated temperature of about 120°C for about 2 hours without the presence of any additional solvent.
- steps 1 and 2 can be conducted as one-pot process.
- the aldol condensation and the reductive amination can be conducted in one reactor without separating the ⁇ , ⁇ -unsaturated carbonyl compound obtained in the aldol condensation step. It is rather possible to charge the reactor with the furfural or a derivative thereof, the carbonyl compound, the amine, the catalysts and H 2 and then conduct both reaction steps, i.e. the aldol condensation and the reductive amination without separating any intermediate products. It was found that nevertheless the desired tetrahydrofuran-derived amine can be obtained at high overall yield of about 74 %.
- the furfural or derivative thereof used in the aldol condensation in step 1 of the above process is derived from biomass.
- the process comprises the further step of deriving the furfural or the derivative thereof from biomass. This additional step is conducted prior to step 1 above.
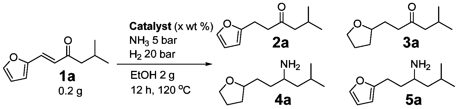
- Figure 1 shows the influence of a catalyst on the yields of the desired product (4a) and the undesired byproduct (2a, 3a and 5a) ,
- Figure 2 shows the influence of H 2 pressure a) and temperature b) on the yields of the desired product (4a) and undesired byproducts (2a, 3a and 5a) ,
- Figure 3 shows the yields of the desired product (4a) and undesired byproducts (2a and 3a) in relation to the reaction time
- Figure 4 shows the yields of the desired product (4a) and the undesired byproducts (2a, 3a and 5a) depending on the use of fresh and reused catalyst.
- the experiment was performed in a 30-mL tubular glass reactor equipped with a sealable arrangement on top.
- the reaction was performed using 1 g of furfural, 10 g of MIBK and 0.2 g of A26 catalyst in the glass tube preheated in an oil bath at 120 °C for 2 h with stirring speed of 600 rpm.
- the product was analyzed and quantified using an Agilent 7890 GC equipped with a HP-5 capillary column with 5 wt. %phenyl groups and using n-dodecane as an internal standard.
- 1 H and 13 C NMR and GC-MS analysis were also carried out.
- the experiments were carried out in a 20-mL stainless steel reactor equipped with a pressure gauge and a safety rupture disk.
- the reactor was charged with 0.2 g of the aldol condensation product from experiment 1.1 above, 2 g of ethanol and 10 mg of the pre-reduced catalyst.
- the reactor was sealed and flushed with N 2 three times.
- NH 3 (5 bar) and H 2 (20 bar) were introduced into the reactor.
- the reactor was placed on hot plate provided with magnetic stirring at 120 °C for 20 h.
- the reactor was cooled down to room temperature and the mixture was analyzed using an Agilent 7890 GC equipped with a HP-5 capillary column with 5 wt%phenyl groups and using n-dodecane as an internal standard. 1 H and 13 C NMR, as well as GC-MS analyses, were further conducted.
- a series supported noble-metal catalysts (, Pd/Al 2 O 3 (5 wt%) , Pd/C (5 wt%) , Ru/Al 2 O 3 (5 wt%) , Pt/Al 2 O 3 (5 wt%) , Rh/Al 2 O 3 (5 wt%) ; here wt%relate to Pd loading on the support) were tested to perform the reductive amination of the aldol condensation product between furfural and MIBK (1a) .
- the results are summarized in Figure 1.
- Pd/Al 2 O 3 (5wt%Pd) exhibits the best performance for producing the desired THF-derived amine (4a) with only one byproduct (3a) .
- the type of support exerts an important role on the selectivity towards product 4a, affecting also the mass balance (compare the results on 5wt%Pd/Al 2 O 3 and 5wt. %Pd/C) . This behavior differs from that observed over supported Rh, Pt and Ru catalysts (5 wt%metal) , favoring the formation of amination byproduct 5a and to a lesser extent byproduct 2a in detriment of 4a.
- Example 1.2 By repeating Example 1.2 (reaction time 12 h) , the effect of the temperature and H 2 pressure on the reductive amination of reactant 1a with ammonia was further explored for the best performing catalyst (i.e. 5%wt. %Pd/Al 2 O 3 ) .
- the results are summarized in Figure 2.
- the temperature exerts a positive effect on the yield to the target product 4a in detriment of byproducts 2a and 3a with an optimal temperature about 120 °C.
- the H 2 pressure also exerts a positive effect on the yield to the product 4a in detriment of 3a.
- a H 2 pressure of at least 20 bar affords full conversion of reactant 1a after 12 h reaction at 120 °C.
- Example 1.2 By repeating Example 1.2, the kinetics of the reductive amination reaction of the aldol product 1a with ammonia over 5wt. %Pd/Al 2 O 3 was also studied at 120 °C and under 20 bar H 2 pressure. The results are summarized in Figure 3. The THF-derived amine could be obtained with 98%yield after 18 h.
- Reaction conditions b/c) catalyst (0.01 g) , ⁇ , ⁇ -insaturated ketone (0.2 g) , EtOH (2 g) , NH 3 (5 bar) , H 2 (20 bar) , 120 °C, 14 h; d/e/f) catalyst (0.01 g) , ⁇ , ⁇ -insaturated ketone (0.2 g) , EtOH (2 g) , butylamine (0.25 g) , H 2 (20 bar) , 120 °C, 8 h; g/h) catalyst (0.02 g) , ⁇ , ⁇ -insaturated ketone (0.2 g) , EtOH (2 g) , ethylenediamine (0.2 g) , H 2 (20 bar) , 120 °C, 24 h.
- the aldol condensation and reductive amination reactions were conducted simultaneously in the same reactor (one-reactor tandem concept) .
- Two catalysts were introduced into the reactor: (1) A26 (44 mg) for catalyzing the aldol condensation reaction between furfural (108 mg) and MIBK (113 mg) in ethanol (2 g) , and (2) 5wt%Pd/Al 2 O 3 (10 mg) for catalyzing the reductive amination.
- the temperature was kept constant at 120 °C for both reactions.
- NH 3 (5 bar) and H 2 (20 bar) were introduced after 4 h to ensure that enough aldolization product was formed.
- the desired THF-amine product was generated with a yield of 74%.
Landscapes
- Chemical & Material Sciences (AREA)
- Organic Chemistry (AREA)
- Engineering & Computer Science (AREA)
- Materials Engineering (AREA)
- Chemical Kinetics & Catalysis (AREA)
- Furan Compounds (AREA)
- Organic Low-Molecular-Weight Compounds And Preparation Thereof (AREA)
- Low-Molecular Organic Synthesis Reactions Using Catalysts (AREA)
Abstract
A process for the reductive amination of an α,β-unsaturated carbonyl compound and a process for the preparation of a tetrathydrofuran-derived amine starting from furfural or a derivative thereof.
Description
TECHNICAL FIELD OF THE INVENTION
The invention relates to a process for the reductive amination of an α, β-unsaturated carbonyl compound. The invention furthermore relates to a process for the preparation of a tetrathydrofuran-derived amine starting from furfural or a derivative thereof.
The depletion of fossil oil reserves has motivated intensive research on the development of chemical products from biomass. Biomass, mostly composed of carbohydrates, is a huge reservoir of renewable carbon with an annual production estimated at 180 billion metric tons. Hence, current research programs target the conversion of carbohydrates into value added chemicals.
Among biomass-derived reagents, furanic compounds produced from carbohydrates (hexoses or pentoses) contained in lignocellulosic biomass are of prime interest, giving access to a rich variety of chemicals and fuels. In particular, furfural is a versatile platform chemical for the production of fuel additives, solvents, polymers, surfactants, perfumes, and agrochemical ingredients. Despite the extensive literature dedicated to furanic compounds, the low selectivity of the chemical reactions due to partial cleavage and/or formation of larger oligomers, such as humines, still hamper the industrial-scale production of high-added valuable chemicals from furanic molecules.
Although the transformation of biomass into valuable nitrogen-containing compounds is highly desired, only few examples have been reported so far on furanic compounds. In particular, primary amines are widely used for the synthesis of polymers, dies, surfactants, pharmaceuticals and agrochemicals. Reductive amination of carbonyl compounds with ammonia (NH
3) and hydrogen (H
2) as a nitrogen source and reductant, respectively, has received much attention for the synthesis of primary amines as an alternative to synthetic processes with low atomic efficacy relying on toxic reagents and/or stoichiometric reductants.
Various heterogeneous catalysts have been developed for reductive amination reactions. Nonetheless, the synthesis of primary amines has been limited to the reductive amination of simple aryl and alkyl aldehydes, such as benzaldehyde, due to the formation of secondary and tertiary amines and/or undesired hydrogenation of carbonyl groups. In particular, the selective reductive amination of carbonyl compounds containing reduction-sensitive functional groups, such as heterocycles and halogens, is often difficult.
US 3,565,954 suggests a process for preparing primary amines by reaction of carbonyl compounds with ammonia followed by hydrogenation of the imine produced. As carbonyl compound, furfural is employed and the reaction is conducted in the presence of a catalyst, such as Raney nickel deposited on a kieselgur carrier. The highest yield obtained in one of the examples of this document is 92 %.
The direct reductive amination of aldehydes and ketones using potassium formate as reductant and catalytic palladium acetate is described by B. Basu, et al., Synlett 2003, No. 4, 555-557. This document contains only one example for the reductive amination of an α, β-unsaturated carbonyl compound, which is an aldehyde, namely cinnamaldehyde. The yield in this example is only 69 %and the aromatic phenyl ring is not hydrogenated.
Furthermore, the aldol condensation of furanic compounds has been studied aiming at the production of liquid alkanes. For example, J. Yang, et al., ChemSusChem, 2013, 6, 1149-1152 describes the production of C
10 and C
11 branched alkanes by the aldol condensation of furfural with methyl isobutyl ketone followed by a one-step hydrodeoxygenation under solvent free conditions.
Also M. Li et al., Green Chem. 2014, 16, 4371-4377 report the tandem aldol condensation-hydrogenation reaction of furfural with acetone over a Pd/CN@MgO biofunctional catalyst in a single reactor.
However, in aldol condensation reactions, the desired nitrogen-containing compounds are not obtained. Further reactions are rather required.
It is therefore desirable to provide a process for the reductive amination of an α, β-unsaturated carbonyl compound, such as a furan derivative, which is highly selective towards the desired amine and which provides the desired amine in high yield. It is also desirable to provide a process for the reductive amination of an α, β-unsaturated carbonyl compound which is a furan derivative and wherein not only the double bond of the α, β-unsaturated carbonyl compound is hydrogenated but also the furan ring to obtain a tetrahydrofuran-derived amine. It is furthermore desirable to provide a process for the preparation of tetrahydrofuran-derived amines based on biomass-derived furfural which can be conducted in a single reactor (one-reactor tandem concept) , i.e. a process wherein the aldol condensation and the hydrogenation amination are conducted as one-pot process. Such process would afford the generation of tetrahydrofuran-derived amines with molecular complexity and diversity without the need of separating the intermediates.
SUMMARY OF THE INVENTION
The present inventors have found that the reductive amination of an α, β-unsaturated carbonyl compound can be conducted in high yield and at high selectivity in the presence of a supported Pd catalyst.
The present invention therefore relates to a process for the reductive amination of an α, β-unsaturated carbonyl compound, wherein the process is conducted in the presence of supported Pd as catalyst.
The inventors furthermore found that tetrahydrofuran-derived amines can be prepared in good yield starting from furfural or a derivative thereof, in particular from furfural or a derivative thereof being derived from biomass, by first conducting an aldol condensation between the furfural or derivative thereof and a carbonyl compound and then conducting a reductive amination of the product obtained in the first step in the presence of a supported Pd catalyst.
One embodiment of the present invention relates to a process for the reductive amination of an α, β-unsaturated carbonyl compound, wherein the process is conducted in the presence of supported Pd as catalyst.
It was found that supported Pd as catalyst in the reductive amination of an α, β-unsaturated carbonyl compound, in particular a furan derivative, results in high yield of the desired amine, in particular the tetrahydrofuran-derived amine with only little undesired byproducts, compared to other known catalysts used in reductive amination. This effect will be further demonstrated by the examples and comparative examples below.
The reductive amination of an α, β-unsaturated carbonyl compound in the presence of for example ammonia as amine is exemplified by the following general reaction scheme 1:
wherein R'a nd R”are any suitable residues.
In the preferred embodiment of the invention wherein the α, β-unsaturated carbonyl compound is a furan derivative, the general reaction scheme 2 is as follows:
wherein R”is any suitable residue.
In the process of the invention any supported Pd may be used as catalyst. It was found that supported Pd results in significantly higher yields of the desired amine compared to the use of supported other noble metals, such as Ru, Pt and Rh. Furthermore, the use of supported Pd as catalyst results in high yield of the desired amine compared to the use of unsupported Pd catalyst, such as palladium acetate as suggested in the prior art.
In the context of the present invention "supported Pd" is understood as metallic Pd which is supported on a solid support. Any solid material is suitable as solid support, such as those solid supports known to a person skilled in the art as being suitable for supporting a catalyst, such as ceramics and carbon (C) . Suitable ceramics are, for example, Al
2O
3, SiO
2, CeO
2, ZrO
2, zeolites etc. Preferred supports are Al
2O
3 and carbon, most preferably Al
2O
3.
In the reductive amination of the present invention any suitable reductant known to a person skilled in the art may be used. A preferred reductant is hydrogen (H
2) .
In the reductive amination of the present invention any α, β-unsaturated carbonyl compound may be used. In the context of the invention, furan derivatives are, however, preferred because they can be obtained from biomass. Furthermore, it was found that if the α, β-unsaturated carbonyl compound is a furan derivative, not only the double bond in the α, β-unsaturated carbonyl compound but also the double bonds in the furan ring are hydrogenated.
In one embodiment the α, β-unsaturated carbonyl compound is a α, β-ethylenically unsaturated carbonyl compound as exemplified in above Scheme 1, preferably an α, β-ethylenically unsaturated carbonyl furan derivative as exemplified in above Scheme 2.
Suitable carbonyl compounds are ketones and aldehydes. Ketones being preferred.
The furan derivative used as α, β-unsaturated carbonyl compound in the preferred embodiment of the process of the present invention can have the chemical formula (I) :
wherein R
1 is H or a hydrocarbon residue which may be interrupted by one or more heteroatoms and which may be substituted with one or more functional groups, and
R
2, R
3 and R
4 independently of each other are a hydrocarbon residue which may be interrupted by one or more heteroatoms and which may be substituted with one or more functional groups.
R
1 and the substituents on the furan ring (R
2, R
3 and R
4) are not particularly limited because the reductive amination takes place at the carbonyl moiety and the double bonds. Therefore, the substituents on the furan ring and R
1 can be selected by the skilled person according to the desired end product.
For example, R
1 can be a hydrocarbon residue comprising 1 to 30 carbon atoms, preferably 1 to 20 carbon atoms, more preferably 1 to 12 carbon atoms.
The hydrocarbon residue may be interrupted by one or more heteroatoms which can for example be selected from N, O, S and P. In this context, "interrupted" means that the heteroatom is situated between at least two carbon atoms.
The hydrocarbon residue may be substituted with one or more functional groups which may for example be selected from halogen, hydroxyl, carbonyl, carboxyl, ester, amine, amide, imide, cyanate, isocyanate, nitro, sulfonyl, thiocyanate, isothiocyanate, and phosphate. Any functional group may be situated at any position of the hydrocarbon residue, and, in case of for example carbonyl or ester, may interrupt the hydrocarbon residue.
Suitable hydrocarbon residues are for example alkyl which may be linear or branched, alkenyl which may be linear or branched, alkinyl which may be linear or branched, cycloalkyl and aryl, in particular phenyl. Combinations of these groups are possible as well, such as for example combinations of linear and cyclic groups, such as alkylaryl, alkyl-cycloalkyl, arylalkyl and cycloakyl-aryl groups.
If the hydrocarbon residue comprises one or more carbon-carbon double or triple bond, it is possible that also such double or triple bond will be hydrogenated in the reductive amination reaction in the process of the invention.
Preferred groups for R
1 are methyl, ethyl, n-propyl, iso-propyl, n-butyl, iso-butyl, tert-butyl, pentyl, hexyl, heptyl, octyl, nonyl and decyl.
The substituents on the furan ring, R
2, R
3 and R
4, may be H or hydrocarbon residues which preferably are defined as the hydrocarbon residue for R
1. In a certain embodiment, R
1 is H or a C
1 to C
20, preferably C
1 to C
12 alkyl group which may be linear or branched, R
2 is H or -CH=CH-CO-R
5, wherein R
5 is H or a C
1 to C
20, preferably C
1 to C
12 alkyl group which may be linear or branched, and R
3 and R
4 are both H. In this embodiment, R
5 and R
1 may be the same or different, preferably R
5 and R
1 are the same.
The reductive amination reaction in the process of the present invention may be conducted with ammonia, R
6-NH
2 or R
6-NH-R
7, wherein R
6 and R
7 independently are a hydrocarbon residue which may be interrupted by one or more heteroatoms and which may be substituted with one or more functional groups. This hydrocarbon residue may have the same preferred embodiments as described for R
1 above. Additionally, in case of R
6-NH-R
7, the substituents R
6 and R
7 together with the nitrogen atom to which they are attached may form a ring. Furthermore, among the functional groups with which the hydrocarbon residues for R
6 and R
7 may be substituted, amines are preferred. In one embodiment, R
6 and, if present, R
7, independently are a C
1 to C
12 alkyl group which may be linear or branched and which may be substituted with one or more, preferably one amine (s) .
Preferred amines used in the reductive amination of the α, β-unsaturated carbonyl compound in the process of the present invention are ammonia, methylamine, ethylamine, propylamine, butylamine, pentylamine, hexylamine, methyldiamine, ethyldiamine, propyldiamine, butyldiamine, pentyldiamine and hexyldiamine.
As catalyst any known supported Pd catalyst may be used. Suitable catalysts of this kind, such as Pd/Al
2O
3 and Pd/C are, for example, available from Johnson Matthey.
The amount of supported Pd catalyst used in the process of the invention is not particularly limited but it was found that a certain minimum amount is desireable for obtaining good yield and selectivity. Therefore, in a preferred embodiment, the supported Pd is used in an amount of at least 1 wt%, preferably at least 2 wt%, more preferably at least 3 wt%, even more preferably at least 4 wt%and most preferably at least 5 wt%, each based on the weight of the α, β-unsaturated carbonyl compound.
The reductive amination in the process of the invention can be conducted under usual process parameters well known to a person skilled in the art. In view of yield and selectivity of the process it is, however, preferred to conduct the reductive amination at a temperature of at least 100℃, preferably in the range of 100℃ to 160℃, more preferably in the range of 110℃ to 130℃, such as about 120℃.
The reductive amination in the process of the present invention can be conducted using H
2. The pressure of H
2 during the reaction is not particularly limited and can be selected according to the requirements. It was, however, found that in view of selectivity and yield it is desirable that the H
2 is used at a pressure of at least 10 bar, preferably in the range of 10 bar to 50 bar, more preferably in the range of 15 bar to 40 bar, such as in the range of 20 bar to 40 bar.
The reaction time is also not particularly limited and can be selected by the skilled person according to the desired yield and purity of the desired tetrahydrofuran-derived amine product. For example, the reaction can be conducted for at least 8 hours, preferably at least 12 hours, more preferably at least 16 hours, such as about 18 hours.
A further advantage of the use of supported Pd as catalyst in the reductive amination in the process of the present invention is that the catalyst can be reused in several consecutive reactions and/or recycled after the first use or after the first or one of the further reuses. Recycling can be conducted for example by washing with ethanol, drying under vacuum at 80℃ and reducing at 180℃. Such recycled catalyst shows almost the same activity as fresh catalyst. Therefore, in the process of the invention, fresh catalyst, recycled catalyst or a mixture thereof can be employed.
In a second embodiment, the present invention relates to a process for the production of a tetrahydrofuran-derived amine comprising the steps of
1. conducting an aldol condensation between furfural or a derivative thereof and a carbonyl compound, preferably a ketone, and
2. conducting a reductive amination of the product received in step 1,
wherein the reductive amination is conducted as described with respect to the first embodiment of the invention including the preferred embodiments thereof.
This embodiment of the invention is exemplified by the following general reaction scheme:
wherein R”is any suitable residue.
The aldol condensation is conducted with furfural or a derivative thereof. Suitable derivatives are, for example, 5-hydroxymethyl furfural, 5-aminomethyl furfural and diformylfuran. Among the furfural derivatives diformylfuran is preferred.
The carbonyl compound used in the aldol condensation is not particularly limited and can be selected by a person skilled in the art according to the desired tetrahydrofuran-derived amine. For example, the carbonyl compound can have the chemical formula (II) :
wherein R
8 is H or a hydrocarbon residue which may be interrupted by one or more heteroatoms and which may be substituted with one or more functional groups. Preferably, R
8 is selected such that in the aldol condensation a furan derivative of the above chemical formula (I) is obtained (i.e. R
8 is defined as R
1 above) . Thus, also the above preferred embodiments for R
1 are applicable for R
8.
The aldol condensation can be conducted using usual process parameters well known to a person skilled in the art. For example, the aldol condensation can be conducted in the presence of a base catalyst, such as
A26 in hydroxide form, available from Sigma-Aldrich. The reaction can, for example be conducted at an elevated temperature of about 120℃ for about 2 hours without the presence of any additional solvent.
It was furthermore found that in the process of the second embodiment of the present invention steps 1 and 2 can be conducted as one-pot process. Thus, the aldol condensation and the reductive amination can be conducted in one reactor without separating the α, β-unsaturated carbonyl compound obtained in the aldol condensation step. It is rather possible to charge the reactor with the furfural or a derivative thereof, the carbonyl compound, the amine, the catalysts and H
2 and then conduct both reaction steps, i.e. the aldol condensation and the reductive amination without separating any intermediate products. It was found that nevertheless the desired tetrahydrofuran-derived amine can be obtained at high overall yield of about 74 %.
In a further embodiment of the present invention the furfural or derivative thereof used in the aldol condensation in step 1 of the above process is derived from biomass. In this case, the process comprises the further step of deriving the furfural or the derivative thereof from biomass. This additional step is conducted prior to step 1 above.
The conversion of biomass to furfural can be conducted as described for example in WO 2014/008364, the content of which is incorporated herein by reference.
In the attached figures,
Figure 1 shows the influence of a catalyst on the yields of the desired product (4a) and the undesired byproduct (2a, 3a and 5a) ,
Figure 2 shows the influence of H
2 pressure a) and temperature b) on the yields of the desired product (4a) and undesired byproducts (2a, 3a and 5a) ,
Figure 3 shows the yields of the desired product (4a) and undesired byproducts (2a and 3a) in relation to the reaction time,
Figure 4 shows the yields of the desired product (4a) and the undesired byproducts (2a, 3a and 5a) depending on the use of fresh and reused catalyst.
The following examples are given by way of non-limiting illustration of the present invention.
EXAMPLES
Materials
5%Pd/Al
2O
3 (Johnson Matthey) , 5%Pd/C (Johnson Matthey) , 5%Ru/Al
2O
3 (Alfa Aesar) , 5%Pt/Al
2O
3 (Johnson Matthey) , 5%Rh/Al
2O
3 (Johnson Matthey) ,
A26 in hydroxide form (moisture 66-75%, Sigma-Aldrich) , furfural (99%, Sigma-Aldrich) , methyl isobutyl ketone (MiBK) (≥99%, Sigma-Aldrich) , ethanol (99.5%, J&K) , acetophenone (≥99%, Sigma-Aldrich) , 2-pentanone (≥99%, Sigma-Aldrich) , 2-heptanone (≥98%, Sigma-Aldrich) , 1-butylamine (≥99.5%, Sigma-Aldrich) , ethylenediamine (≥99.5%, Sigma-Aldrich) .
Example 1
1.1 Aldol Condensation
The experiment was performed in a 30-mL tubular glass reactor equipped with a sealable arrangement on top. The reaction was performed using 1 g of furfural, 10 g of MIBK and 0.2 g of
A26 catalyst in the glass tube preheated in an oil bath at 120 ℃ for 2 h with stirring speed of 600 rpm. The product was analyzed and quantified using an Agilent 7890 GC equipped with a HP-5 capillary column with 5 wt. %phenyl groups and using n-dodecane as an internal standard.
1H and
13C NMR and GC-MS analysis were also carried out. 1.2 Reductive Amination
The experiments were carried out in a 20-mL stainless steel reactor equipped with a pressure gauge and a safety rupture disk. In a given experiment, the reactor was charged with 0.2 g of the aldol condensation product from experiment 1.1 above, 2 g of ethanol and 10 mg of the pre-reduced catalyst. The reactor was sealed and flushed with N
2 three times. Then, NH
3 (5 bar) and H
2 (20 bar) were introduced into the reactor. The reactor was placed on hot plate provided with magnetic stirring at 120 ℃ for 20 h. After the reaction, the reactor was cooled down to room temperature and the mixture was analyzed using an Agilent 7890 GC equipped with a HP-5 capillary column with 5 wt%phenyl groups and using n-dodecane as an internal standard.
1H and
13C NMR, as well as GC-MS analyses, were further conducted.
A series supported noble-metal catalysts (, Pd/Al
2O
3 (5 wt%) , Pd/C (5 wt%) , Ru/Al
2O
3 (5 wt%) , Pt/Al
2O
3 (5 wt%) , Rh/Al
2O
3 (5 wt%) ; here wt%relate to Pd loading on the support) were tested to perform the reductive amination of the aldol condensation product between furfural and MIBK (1a) . The results are summarized in Figure 1. Among the different catalysts, Pd/Al
2O
3 (5wt%Pd) exhibits the best performance for producing the desired THF-derived amine (4a) with only one byproduct (3a) . The type of support exerts an important role on the selectivity towards product 4a, affecting also the mass balance (compare the results on 5wt%Pd/Al
2O
3 and 5wt. %Pd/C) . This behavior differs from that observed over supported Rh, Pt and Ru catalysts (5 wt%metal) , favoring the formation of amination byproduct 5a and to a lesser extent byproduct 2a in detriment of 4a.
Example 2
By repeating Example 1.2 (reaction time 12 h) , the effect of the temperature and H
2 pressure on the reductive amination of reactant 1a with ammonia was further explored for the best performing catalyst (i.e. 5%wt. %Pd/Al
2O
3) . The results are summarized in Figure 2. The temperature exerts a positive effect on the yield to the target product 4a in detriment of byproducts 2a and 3a with an optimal temperature about 120 ℃. The H
2 pressure also exerts a positive effect on the yield to the product 4a in detriment of 3a. A H
2 pressure of at least 20 bar affords full conversion of reactant 1a after 12 h reaction at 120 ℃.
Example 3
By repeating Example 1.2, the kinetics of the reductive amination reaction of the aldol product 1a with ammonia over 5wt. %Pd/Al
2O
3 was also studied at 120 ℃ and under 20 bar H
2 pressure. The results are summarized in Figure 3. The THF-derived amine could be obtained with 98%yield after 18 h.
Example 4
The recyclability and reuse of 5wt%Pd/Al
2O
3 was further studied. In these tests, the catalyst was separated from the reaction medium by centrifugation and washed with EtOH three times. The catalyst was then added to fresh 1a and the reductive amination was repeated. The results are shown in Figure 4. The catalytic activity was modified after the 2
nd run, showing the formation of the furan-amine product 5a in detriment of 4a. However, the carbon balance after each run kept to a value higher than 90%.
Example 5
The reductive amination of different a series of carbonyl compounds over 5wt%Pd/Al
2O
3 was further extended to other α, β-insaturated ketones issued from the aldol condensation reaction of furfural with ketones showing variable chain length. In all cases, a yield higher than 90%to the desired product was obtained.
Reaction conditions: b/c) catalyst (0.01 g) , α, β-insaturated ketone (0.2 g) , EtOH (2 g) , NH
3 (5 bar) , H
2 (20 bar) , 120 ℃, 14 h; d/e/f) catalyst (0.01 g) , α, β-insaturated ketone (0.2 g) , EtOH (2 g) , butylamine (0.25 g) , H
2 (20 bar) , 120 ℃, 8 h; g/h) catalyst (0.02 g) , α, β-insaturated ketone (0.2 g) , EtOH (2 g) , ethylenediamine (0.2 g) , H
2 (20 bar) , 120 ℃, 24 h.
Example 6
In this example the aldol condensation and reductive amination reactions were conducted simultaneously in the same reactor (one-reactor tandem concept) . Two catalysts were introduced into the reactor: (1)
A26 (44 mg) for catalyzing the aldol condensation reaction between furfural (108 mg) and MIBK (113 mg) in ethanol (2 g) , and (2) 5wt%Pd/Al
2O
3 (10 mg) for catalyzing the reductive amination. The temperature was kept constant at 120 ℃ for both reactions. NH
3 (5 bar) and H
2 (20 bar) were introduced after 4 h to ensure that enough aldolization product was formed. The desired THF-amine product was generated with a yield of 74%.
Claims (15)
- Process for the reductive amination of an α, β-unsaturated carbonyl compound, wherein the process is conducted in the presence of supported Pd as catalyst.
- Process according to claim 1, wherein the support of the supported Pd is selected from ceramics and carbon and preferably from Al 2O 3 and carbon, and wherein the support most preferably is Al 2O 3.
- Process according to claim 1 or 2, wherein the reductive amination is conducted in the presence of H 2 as reductant.
- Process according to any one of the preceding claims, wherein the α, β-unsaturated carbonyl compound is a furan derivative.
- Process according to claim 4, wherein the furan derivative has the chemical formula (I) :whereinR 1 is H or a hydrocarbon residue which may be interrupted by one or more heteroatoms and which may be substituted with one or more functional groups, andR 2, R 3 and R 4 independently of each other are H or a hydrocarbon residue which may be interrupted by one or more heteroatoms and which may be substituted with one or more functional groups.
- Process according to claim 5, wherein in the chemical formula (I) R 1 is H or a C 1 to C 20 alkyl group which may be linear or branched, R 2 is H or-CH=CH-CO-R 5, wherein R 5 is H or a C 1 to C 20 alkyl group which may be linear or branched, and R 3 and R 4 are H.
- Process according to any one of the preceding claims wherein the α, β-unsaturated carbonyl compound is reacted with ammonia, R 6-NH 2 or R 6-NH-R 7, wherein R 6 and R 7 independently are a hydrocarbon residue which may be interrupted by one or more heteroatoms and which may be substituted with one or more functional groups and wherein R 6 and R 7 together with the nitrogen atom to which they are attached may from a ring.
- Process according to claim 7, wherein R 6 and R 7 are a C 1 to C 12 alkyl group which may be linear or branched and which may be substituted with one or more, preferably one amine (s) .
- Process according to any one of the preceding claims, wherein the supported Pd calatyst is used in an amount of at least 1 wt%, preferably at least 2 wt%, more preferably at least 3 wt%, even more preferably at least 4 wt%and most preferably at least 5 wt%, each based on the weight of the α, β-unsaturated carbonyl compound.
- Process according to any one of the preceding claims, wherein the reductive amination is conducted at a temperature of at least 100℃, preferably in the range of 100℃ to 160℃, more preferably in the range of 110℃ to 130℃.
- Process according to any one of the preceding claims, wherein the reductive amination is conducted at a H 2 pressure of at least 10 bar, preferably in the range of 10 bar to 50 bar, more preferably in the range of 15 bar to 40 bar.
- Process for the preparation of a tetrahydrofuran-derived amine comprising the steps of1. conducting an aldol condensation between furfural or a derivative thereof and a carbonyl compound, preferably a ketone, and2. conducting a reductive amination of the product obtained in step 1. according to the process of any one of claims 1 to 11.
- Process according to claim 12 or 13, wherein steps 1 and 2 are conducted as one-pot process.
- Process according to any one of claims 12 to 14, further comprising the step of deriving the furfural or the derivative thereof from biomass.
Priority Applications (1)
| Application Number | Priority Date | Filing Date | Title |
|---|---|---|---|
| PCT/CN2018/100188 WO2020034058A1 (en) | 2018-08-13 | 2018-08-13 | PROCESS FOR REDUCTIVE AMINATION OF α,β-UNSATURATED CARBONYL COMPOUND |
Applications Claiming Priority (1)
| Application Number | Priority Date | Filing Date | Title |
|---|---|---|---|
| PCT/CN2018/100188 WO2020034058A1 (en) | 2018-08-13 | 2018-08-13 | PROCESS FOR REDUCTIVE AMINATION OF α,β-UNSATURATED CARBONYL COMPOUND |
Publications (1)
| Publication Number | Publication Date |
|---|---|
| WO2020034058A1 true WO2020034058A1 (en) | 2020-02-20 |
Family
ID=69524578
Family Applications (1)
| Application Number | Title | Priority Date | Filing Date |
|---|---|---|---|
| PCT/CN2018/100188 Ceased WO2020034058A1 (en) | 2018-08-13 | 2018-08-13 | PROCESS FOR REDUCTIVE AMINATION OF α,β-UNSATURATED CARBONYL COMPOUND |
Country Status (1)
| Country | Link |
|---|---|
| WO (1) | WO2020034058A1 (en) |
Cited By (2)
| Publication number | Priority date | Publication date | Assignee | Title |
|---|---|---|---|---|
| US11827627B2 (en) | 2021-06-04 | 2023-11-28 | Vertex Pharmaceuticals Incorporated | N-(hydroxyalkyl (hetero)aryl) tetrahydrofuran carboxamides as modulators of sodium channels |
| US11834441B2 (en) | 2019-12-06 | 2023-12-05 | Vertex Pharmaceuticals Incorporated | Substituted tetrahydrofurans as modulators of sodium channels |
Citations (2)
| Publication number | Priority date | Publication date | Assignee | Title |
|---|---|---|---|---|
| US3565954A (en) * | 1967-03-08 | 1971-02-23 | Melle Bezons | Process for preparing primary amines |
| CN1538950A (en) * | 2001-08-09 | 2004-10-20 | �������¹ɷ�����˾ | Method for preparing amine compounds by reductive amination of carbonyl compounds under transfer hydrogenation conditions |
-
2018
- 2018-08-13 WO PCT/CN2018/100188 patent/WO2020034058A1/en not_active Ceased
Patent Citations (2)
| Publication number | Priority date | Publication date | Assignee | Title |
|---|---|---|---|---|
| US3565954A (en) * | 1967-03-08 | 1971-02-23 | Melle Bezons | Process for preparing primary amines |
| CN1538950A (en) * | 2001-08-09 | 2004-10-20 | �������¹ɷ�����˾ | Method for preparing amine compounds by reductive amination of carbonyl compounds under transfer hydrogenation conditions |
Non-Patent Citations (2)
| Title |
|---|
| LI MINGMING ET AL.: "Ultrafinely dispersed Pd nanoparticles on a CN @MgO hybrid as a bifunctional catalyst for upgrading bioderived compounds", GREEN CHEMISTRY, vol. 16, no. 9, 23 June 2014 (2014-06-23), pages 4371 - 4377, XP055685106 * |
| POULHES FLORENT ET AL.: "Straightforward Access to a-Methylamines through Cross- Metathesis", SYNTHESIS, vol. 2010, no. 08, 2 May 2010 (2010-05-02), pages 1334 - 1338, XP055685101 * |
Cited By (5)
| Publication number | Priority date | Publication date | Assignee | Title |
|---|---|---|---|---|
| US11834441B2 (en) | 2019-12-06 | 2023-12-05 | Vertex Pharmaceuticals Incorporated | Substituted tetrahydrofurans as modulators of sodium channels |
| US11919887B2 (en) | 2019-12-06 | 2024-03-05 | Vertex Pharmaceuticals Incorporated | Substituted tetrahydrofurans as modulators of sodium channels |
| US12247021B2 (en) | 2019-12-06 | 2025-03-11 | Vertex Pharmaceuticals Incorporated | Substituted tetrahydrofurans as modulators of sodium channels |
| US11827627B2 (en) | 2021-06-04 | 2023-11-28 | Vertex Pharmaceuticals Incorporated | N-(hydroxyalkyl (hetero)aryl) tetrahydrofuran carboxamides as modulators of sodium channels |
| US12258333B2 (en) | 2021-06-04 | 2025-03-25 | Vertex Pharmaceuticals Incorporated | N-(hydroxyalkyl (hetero)aryl) tetrahydrofuran carboxamides as modulators of sodium channels |
Similar Documents
| Publication | Publication Date | Title |
|---|---|---|
| Liu et al. | Switchable synthesis of furfurylamine and tetrahydrofurfurylamine from furfuryl alcohol over RANEY® nickel | |
| Chatterjee et al. | Reductive amination of furfural to furfurylamine using aqueous ammonia solution and molecular hydrogen: an environmentally friendly approach | |
| Belot et al. | Enantioselective one-pot organocatalytic Michael addition/gold-catalyzed tandem acetalization/cyclization | |
| Martínez et al. | Bio-renewable enantioselective aldol reaction in natural deep eutectic solvents | |
| US5883266A (en) | Hydrogenated 5-carbon compound and method of making | |
| Nakagawa et al. | Reactions of supercritical alcohols with unsaturated hydrocarbons | |
| Zhang et al. | The sustainable heterogeneous catalytic reductive amination of lignin models to produce aromatic tertiary amines | |
| Jiang et al. | Conversion of furfural to tetrahydrofuran-derived secondary amines under mild conditions | |
| WO2020034058A1 (en) | PROCESS FOR REDUCTIVE AMINATION OF α,β-UNSATURATED CARBONYL COMPOUND | |
| CN105593220A (en) | Process for the production of furanic compounds comprising at least one amine functional group | |
| CN102050741B (en) | Process for producing nitroalcohols | |
| WO2020034062A1 (en) | Process for the reductive amination of a carbonyl compound | |
| US9475786B2 (en) | Method for synthesising 2,5-di(hydroxymethyl)furan and 2,5-di(hydroxymethyl)tetrahydrofuran by selective hydrogenation of furan-2,5-dialdehyde | |
| US12187693B2 (en) | Rapid synthesis method for biomass-based amine | |
| WO2020034057A1 (en) | PROCESS FOR REDUCTIVE AMINATION OF α, β-UNSATURATED KETONE | |
| CN108129426B (en) | A kind of method for synthesizing 2,5-dimethylaminofuran by catalytic hydrogenation of 2,5-dicyanofuran | |
| JP4368289B2 (en) | Process for producing α-alkylidene-1,3-dioxolan-2-ones | |
| CN109718850B (en) | A kind of method for preparing aviation kerosene precursor | |
| JP2016535084A (en) | Synthesis of diacids, dialdehydes, or diamines from THF-diol | |
| CN114105914A (en) | Method for preparing 2, 5-furandimethanol by using 5-chloromethyl furfural | |
| Chen et al. | One pot synthesis of pharmaceutical intermediate 5-dimethylaminomethyl-2-furanmethanol from bio-derived carbohydrates | |
| WO2019174221A1 (en) | Process for producing an amine in a solvent system containing water | |
| Coeck et al. | Ammonolytic transfer dehydrogenation of amines and amides: a versatile method to valorize nitrogen compounds to nitriles | |
| CN111315716B (en) | Process for the production of formic acid | |
| Hayashi et al. | Enantioselective Synthesis of α‐Trifluoromethyl tert‐Alcohols and Amines via Organocatalyst‐Mediated Aldol and Mannich Reactions |
Legal Events
| Date | Code | Title | Description |
|---|---|---|---|
| 121 | Ep: the epo has been informed by wipo that ep was designated in this application |
Ref document number: 18930292 Country of ref document: EP Kind code of ref document: A1 |
|
| NENP | Non-entry into the national phase |
Ref country code: DE |
|
| 122 | Ep: pct application non-entry in european phase |
Ref document number: 18930292 Country of ref document: EP Kind code of ref document: A1 |














