WO2020029727A1 - Fault monitoring and diagnosis system for port freight electric agv - Google Patents
Fault monitoring and diagnosis system for port freight electric agv Download PDFInfo
- Publication number
- WO2020029727A1 WO2020029727A1 PCT/CN2019/094778 CN2019094778W WO2020029727A1 WO 2020029727 A1 WO2020029727 A1 WO 2020029727A1 CN 2019094778 W CN2019094778 W CN 2019094778W WO 2020029727 A1 WO2020029727 A1 WO 2020029727A1
- Authority
- WO
- WIPO (PCT)
- Prior art keywords
- module
- agv
- signal
- port
- diagnosis
- Prior art date
- Legal status (The legal status is an assumption and is not a legal conclusion. Google has not performed a legal analysis and makes no representation as to the accuracy of the status listed.)
- Ceased
Links
Images
Classifications
-
- G—PHYSICS
- G01—MEASURING; TESTING
- G01M—TESTING STATIC OR DYNAMIC BALANCE OF MACHINES OR STRUCTURES; TESTING OF STRUCTURES OR APPARATUS, NOT OTHERWISE PROVIDED FOR
- G01M17/00—Testing of vehicles
- G01M17/007—Wheeled or endless-tracked vehicles
Definitions
- the invention relates to the technical field of automatic port equipment health management, in particular to a fault monitoring and diagnosis system for port freight electric AGV.
- AGVs unmanned container transport trolleys
- the AGV can move the container at the port according to the needs according to the planned path of the system and use guidance technology such as GPS and electromagnetic.
- AGV as one of the main carriers of containers in automated ports, ensuring its safe operation is extremely important and critical to the entire port system.
- the port container AGV has the characteristics of long working hours and harsh working environment, and has a short application time in China. It monitors its running status online and evaluates the performance status of AGV-related systems through data. Judging the type of failure has a very important role.
- the AGV rotating system especially the bearings in the transmission system, has a great impact on the running status of the AGV.
- it is extremely necessary to develop a reliable and effective online bearing fault diagnosis and prediction system. It can provide early warning of equipment failures and facilitate maintenance personnel to perform efficient maintenance of related equipment.
- the highly efficient operation is of great significance.
- the existing technology mainly has the following three types of defects:
- an object of the present invention is to provide a fault monitoring and diagnosis system for a port freight electric AGV.
- a fault monitoring and diagnosis system for a port freight electric AGV provided by the present invention includes an AGV vehicle and a server; the AGV vehicle runs on a port terminal site;
- Sensors are installed on the AGV vehicle and / or the port terminal site;
- the server generates a fault monitoring diagnosis signal according to the monitoring signals from the AGV vehicle and / or the sensors on the port terminal site.
- the AGV vehicle includes a body module, a transmission module, a motor module, and a battery module;
- the AGV vehicle is provided with a first signal processing module, and the port terminal site is provided with a second signal processing module;
- the server includes a remote signal receiving module
- the first signal processing module and the second signal processing module respectively process the monitoring signals from the sensors on the AGV vehicle and the monitoring signals from the sensors on the port terminal site to obtain the corresponding pre-processed data and send the corresponding pre-processed data respectively.
- the server further includes a remote fault monitoring and diagnosis module and a data management module;
- the remote fault monitoring and diagnosis module generates a fault monitoring diagnosis signal according to the preprocessed data received by the remote signal receiving module and / or the vehicle body running history data from the data management module.
- the sensors on the AGV vehicle are connected to the second signal processing module through a bus;
- the sensors on the port and dock site are connected to the second signal processing module through the bus;
- Both the first signal processing module and the second signal processing module communicate with the remote signal receiving module through a wireless transmission form
- the remote signal receiving module is connected to the remote fault monitoring and diagnosis module through a wired form;
- the server further includes a display module
- the display module displays any one or more of the following information according to the received fault monitoring diagnosis signal:
- the remote fault monitoring and diagnosis module includes any one or more of the following modules:
- Operation monitoring module monitor the overall operation of the AGV vehicle
- Fault location and level classification module calculate the location and severity of faults on AGV vehicles
- Component life estimation module estimate the remaining life of the components on the AGV vehicle.
- the fault location and classification module includes a bearing fault diagnosis module
- the bearing fault diagnosis module includes the following modules:
- Filtering module filtering the original vibration signals contained in the preprocessed data to obtain noise reduction vibration signals
- Reconstruction module Reconstruct the noise reduction vibration signal to obtain the reconstructed vibration signal
- Diagnostic result acquisition module Diagnose the reconstructed vibration signal and obtain the bearing fault diagnosis result.
- fractional Fourier transform filtering is performed on the original vibration signal to eliminate the chirp noise in the original vibration signal;
- the fractional Fourier transform is implemented by the following formula:
- f p (u) is the noise reduction vibration signal
- p is the fractional order of the free variable
- u is the parameter of the kernel function
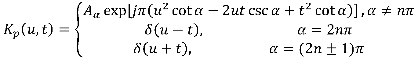
- K p (u, t) is a Fourier transform kernel signal, and t is a time domain signal;
- a ⁇ is the leading coefficient, ⁇ is the rotation angle, and ⁇ (-2 ⁇ , 2 ⁇ ];
- j is the imaginary part symbol
- n is an integer
- ⁇ () is a Dirac function
- sgn () is a symbolic function.
- the inverse fractional Fourier transform is used to reconstruct the noise reduction vibration signal.
- the diagnostic result acquisition module includes the following modules:
- Module M1 find the Hilbert transform pair of the reconstructed vibration signal
- Module M2 Construct the analytical signal with the reconstructed vibration signal as the real part and the Hilbert transform pair as the imaginary part;
- Module M3 obtain the envelope signal by modulating the analytical signal
- Module M4 Perform low-pass filtering and fast Fourier transform on the envelope signal to obtain the envelope spectrum, and obtain the modulation frequency, the higher harmonics of the modulation frequency, and the modulation function according to the envelope spectrum.
- the present invention has the following beneficial effects:
- the invention realizes the online fault detection and fault diagnosis function of the port unmanned container carrier trolley, which greatly shortens the maintenance time of the carrier vehicle, reduces the maintenance cost, and better meets the requirements of 24-hour efficient operation of the unmanned terminal. .
- the invention can collect relevant equipment data and environment data in real time, provide data for training of artificial neural network, realize effective estimation of equipment life, and effective management of overall fleet quality.
- the present invention uses a fractional Fourier transform to filter the signal, which can better remove the background noise in the vibration signal. By performing envelope spectrum analysis on the filtered reconstructed signal, efficient fault monitoring and diagnosis can be achieved. .
- FIG. 1 is a structural diagram of a fault monitoring and diagnosis system for a port freight electric AGV provided by the present invention
- Figure 2 is a flowchart of bearing fault diagnosis
- FIG. 3 is a schematic diagram of a fractional Fourier transform.
- f 0 is a center frequency of a chirp-type signal.
- f m is the FM frequency of a chirp type signal
- u 0 is the projection value of a chirp-like signal on the fractional Fourier domain
- ⁇ is the angle between the time-frequency distribution of a chirp-like signal component in the signal under test and the time axis;
- Chirp signals are chirp signals.
- a fault monitoring and diagnosis system for a port freight electric AGV includes an AGV vehicle and a server; the AGV vehicle runs on a port terminal site; and the AGV vehicle and / or a port terminal site are installed with Sensors:
- the server generates fault monitoring and diagnosis signals based on the monitoring signals from AGV vehicles and / or sensors on the port terminal site.
- the AGV vehicle includes a body module, a transmission module, a motor module, and a battery module. Any one of the following positions: body module, transmission module, motor module, battery module, port and dock site. Any one or more of the following sensors are installed: vibration sensor, humidity sensor, temperature sensor, voltage sensor, current sensor.
- the AGV vehicle is provided with a first signal processing module, and the port terminal site is provided with a second signal processing module; the server includes a remote signal receiving module; the first signal processing module and the second signal processing module will each come from the AGV vehicle
- the monitoring signals of the upper sensors and the monitoring signals from the sensors on the port and dock site are processed to obtain the corresponding pre-processed data, and send the corresponding pre-processed data to the remote signal receiving module respectively.
- the server further includes a remote fault monitoring and diagnosis module and a data management module; the remote fault monitoring and diagnosis module generates a fault monitoring and diagnosis signal according to the preprocessed data received by the remote signal receiving module and / or the vehicle body running history data from the data management module.
- the sensors on the AGV vehicle are connected to the second signal processing module via the bus; the sensors on the port terminal are connected to the second signal processing module via the bus; both the first signal processing module and the second signal processing module are connected to the remote signal receiving module by wireless transmission.
- the server further includes a display module; the display module displays any one or more of the following information according to the received fault monitoring diagnosis signal: fault information of the AGV vehicle; information on the health status of the AGV vehicle; parts on the AGV vehicle Remaining life information.
- the remote fault monitoring and diagnosis module includes any one or more of the following modules: operation monitoring module: monitoring the overall operation of the AGV vehicle; fault location and classification module: calculating the location and severity of the fault on the AGV vehicle; component life Estimation module: estimate the remaining life of the parts on the AGV.
- the fault location and classification module includes a bearing fault diagnosis module
- the bearing fault diagnosis module includes the following modules: a filtering module: filtering the original vibration signal included in the preprocessed data to obtain a reduction Noise vibration signal; Reconstruction module: Reconstruct the noise reduction vibration signal to obtain the reconstructed vibration signal; Diagnostic result acquisition module: Diagnose the reconstructed vibration signal to obtain the bearing fault diagnosis result.
- fractional Fourier transform filtering is performed on the original vibration signal to eliminate the chirp noise in the original vibration signal.
- the fractional Fourier transform FRFT is a unified video transformation that reflects the signal in the time domain And frequency domain information, it uses a single variable to represent video information without interference from cross terms: compared with traditional Fourier transforms, it is more suitable for processing non-stationary signals due to the addition of a free parameter (transformation order p). And, due to the existence of more mature fast discrete algorithms, FRFT can obtain better analysis results with reasonable calculation limits.
- the fractional Fourier transform is implemented by the following formula:
- f p (u) is the noise reduction vibration signal
- p is the fractional order of the free variable
- u is the kernel function parameter
- K p (u, t) is the Fourier transform Nuclear signal
- t is the time domain signal
- f (t) is the original vibration signal
- a ⁇ is the leading coefficient
- ⁇ is the rotation angle
- j is the symbol of the imaginary part
- n is an integer
- ⁇ () is a Dirac function
- sgn () is a sign function.
- K p (u, t) is essentially a set of chirp signals with a tuning frequency of cot ⁇ .
- the basis of different tuning frequencies can be obtained.
- the signal will also form a delta function on the group of bases, and because the fractional Fourier transform is a linear transformation, the fractional order of the signal and noise are superimposed.
- the Fourier transform is equal to the superposition of fractional transforms respectively.
- the signal can be filtered in the fractional Fourier domain.
- the inverse fractional Fourier transform is used to reduce the Noise and vibration signals are reconstructed.
- similar algorithms such as batteries, motors, and variable speeds can also be used. And other parts of the specific diagnosis.
- the specific working steps and inspection principles of the diagnostic result acquisition module are as follows.
- the failure of rotating machinery such as rolling bearings generally has a periodic pulse impact force, which generates a modulation phenomenon of the vibration signal.
- the modulation analysis method is used to extract modulation information from the signal and analyze its strength. And frequency can judge the degree and location of part damage.
- the diagnosis result acquisition module includes the following modules: module M1: seeking a Hilbert transform pair of the reconstructed vibration signal; module M2: constructing an analytical signal with the reconstructed vibration signal as a real part and using the Hilbert transform pair as an imaginary part; module M3: modulate the analytical signal to obtain the envelope signal; module M4: perform low-pass filtering and fast Fourier transform on the envelope signal to obtain the envelope spectrum, and obtain the modulation frequency and higher harmonics of the modulation frequency based on the envelope spectrum And the modulation function.
- Port freight electric AGV fault monitoring and diagnosis system includes sensors installed throughout the AGV body, sensors installed in the port, AGV vehicle signal pre-processing module, port site signal pre-processing module, remote signal receiving center and remote fault monitoring and diagnosis center.
- the sensors on the body are mounted on the frame module, transmission module, motor module and battery module of the AGV.
- the sensors mainly include vibration sensors, temperature sensors, current sensors, and voltage sensors. These sensors are used to collect the overall vibration data of the vehicle body, the vibration data and temperature data of the gearbox and bearings in the mechanical transmission module, the voltage, current, temperature and vibration data of the drive motor, and the current, voltage and temperature data of the power battery pack. .
- the data collected by the sensor is sent to the on-board signal pre-processing module via the bus.
- the signal is pre-processed, including amplification, filtering, and debugging, the pre-processed data is passed through the port.
- the established wireless network transmits data to a remote signal receiving center located on the port.
- a basic meteorological acquisition unit is arranged at a suitable location on the port, and a temperature and humidity sensor is arranged on the unit to measure the meteorological conditions of AGV work in the port.
- the signal of the sensor is transmitted to the port site signal processing module through the bus.
- This module performs basic preprocessing of the signal, including amplification, filtering, modulation, etc., and transmits the preprocessed data through the wireless network built on the port to transmit the data.
- a remote signal receiving center located on the port.
- the remote signal receiving center demodulates the received signal and sends the signal to the remote fault monitoring and diagnosis center.
- the remote fault monitoring and diagnosis center simultaneously receives data sent from the remote data receiving center and data about the historical running track of AGV vehicles sent from the port AGV vehicle dispatch center, analyzes these data, and monitors the overall operation of the AGV at the port in real time. Situation, the health of the relevant equipment parts, whether there is a failure, and the location of the failure.
- the real-time monitoring of the health status of the running vehicle is characterized in that the system displays the health status of each vehicle in the running process on the designed human-computer interaction interface in real time, and submits the faulty vehicle to the management personnel for processing or to other programs Automatically handled.
- the fault location and classification are characterized in that the location and severity of the vehicle fault can be pointed out.
- the estimation and prediction of the remaining life of the related parts is characterized in that the fault monitoring and diagnosis center generates a model through an intelligent algorithm based on the historical data in the server, estimates the service life model of the related parts, and uses the zero Part status to estimate the remaining life of the relevant part.
Landscapes
- Physics & Mathematics (AREA)
- General Physics & Mathematics (AREA)
- Testing Of Devices, Machine Parts, Or Other Structures Thereof (AREA)
- Measurement Of Mechanical Vibrations Or Ultrasonic Waves (AREA)
Abstract
Description
本发明涉及自动化港口设备健康管理的技术领域,具体地,涉及一种港口货运电动AGV的故障监测诊断系统。The invention relates to the technical field of automatic port equipment health management, in particular to a fault monitoring and diagnosis system for port freight electric AGV.
随着港口集装箱吞吐量的不断增大和港口自动化水平的不断提高,无人引导的集装箱输送小车(下面简称AGV)在港口中得到了越来越广泛的应用。在港口,AGV能够按照系统规划的路径,采用如GPS,电磁等导引技术,将集装箱按照需求在港口上进行搬运。AGV作为自动化港口中集装箱的主要运载体之一,保障其安全运行对于整个港口系统具有极端的重要性和关键性。With the continuous increase of the container throughput of the port and the continuous improvement of the level of port automation, unmanned container transport trolleys (hereinafter referred to as AGVs) have become more and more widely used in ports. In the port, the AGV can move the container at the port according to the needs according to the planned path of the system and use guidance technology such as GPS and electromagnetic. AGV, as one of the main carriers of containers in automated ports, ensuring its safe operation is extremely important and critical to the entire port system.
港口集装箱AGV具有工作时间长,工作环境恶劣的特点,在我国投入应用时间短。对其运行状况进行在线监控并通过数据对AGV相关系统的性能状况进行评估,故障类型进行判断,具有十分重要的作用。The port container AGV has the characteristics of long working hours and harsh working environment, and has a short application time in China. It monitors its running status online and evaluates the performance status of AGV-related systems through data. Judging the type of failure has a very important role.
而AGV的转动系统,尤其是传动系统中的轴承,它的好坏对于AGV的运行状态有极大的影响。为了保障自动化港口中AGV运输系统的正常运转,研发一种可靠有效的在线轴承故障诊断预测系统是极为必要的,它可以对设备故障进行提前预警,方便维修人员对相关设备进行高效维修,对于港口的高效运转具有十分重要的意义。现有技术主要存在以下三类缺陷:The AGV rotating system, especially the bearings in the transmission system, has a great impact on the running status of the AGV. In order to ensure the normal operation of the AGV transportation system in automated ports, it is extremely necessary to develop a reliable and effective online bearing fault diagnosis and prediction system. It can provide early warning of equipment failures and facilitate maintenance personnel to perform efficient maintenance of related equipment. The highly efficient operation is of great significance. The existing technology mainly has the following three types of defects:
(1)目前市面上没有任何存在的港口无人集装箱运载小车的在线故障检测及诊断系统,一般根据检修计划对整体车队进行轮流离线检查,由于运载小车自身轴承等部件寿命波动极大,港口工作环境复杂,定期检查不仅需要耗费大量的时间和金钱,影响作业效率。也没有办法实现对故障的实时监控,提前按需准备维修零部件库存,提高生产效率。(1) At present, there is no online fault detection and diagnosis system for unmanned container carriers in the market. Generally, the overall fleet is checked off-line in turn according to the maintenance plan. Due to the large fluctuations in the life of the bearings and other components of the carrier, the port works The environment is complicated, and regular inspections not only consume a lot of time and money, but also affect the efficiency of operations. There is also no way to achieve real-time monitoring of faults, prepare spare parts inventory as needed in advance, and improve production efficiency.
(2)目前关于零件可靠性分析及寿命的相关数据及推断方法大都基于实验室标准环境之下,而对于码头这种复杂环境下各个零件寿命估计还没有一个可靠的模型,目前对于零件寿命估计效果较好的方法是人工神经网络,训练人工神经网络需 要大量的训练数据,传统的离线检修方法没有办法提供训练人工神经网络需要的数据。(2) At present, most of the relevant data and inference methods about the reliability analysis and life of parts are based on the laboratory standard environment. However, there is no reliable model for the life estimation of each part in the complex environment of the terminal. The better method is artificial neural network. Training artificial neural network requires a large amount of training data. Traditional offline maintenance methods cannot provide the data needed to train artificial neural network.
(3)目前市面上有很多现有的故障检验方法和检验设备,但其适用范围大都针对固定工况,在港口这种复杂变工况环境下,其故障诊断效果往往不是十分理想。而AGV作为在码头复杂情况中使用的大型机械,其振动信号中往往掺杂有大量的背景噪声,给信号分析带来了很大的干扰,在这些噪声中间,有一类信号是由于车辆在码头运行过程中反复启动停止,即加速减速过程中带来的线性调频信号LFM。(3) There are many existing fault inspection methods and equipment on the market, but most of them are applicable to fixed working conditions. In a complex and variable working environment such as a port, the fault diagnosis effect is often not ideal. AGV, as a large machine used in the complex situation of the dock, often has a lot of background noise doped into its vibration signal, which brings a lot of interference to the signal analysis. Among these noises, there is a type of signal due to the vehicle at the dock During the running process, it repeatedly starts and stops, that is, the linear frequency modulation signal LFM brought during acceleration and deceleration.
发明内容Summary of the invention
针对现有技术中的缺陷,本发明的目的是提供一种港口货运电动AGV的故障监测诊断系统。In view of the defects in the prior art, an object of the present invention is to provide a fault monitoring and diagnosis system for a port freight electric AGV.
根据本发明提供的港口货运电动AGV的故障监测诊断系统,包含AGV车与服务器;所述AGV车运行在港口码头场地上;A fault monitoring and diagnosis system for a port freight electric AGV provided by the present invention includes an AGV vehicle and a server; the AGV vehicle runs on a port terminal site;
所述AGV车和/或港口码头场地上安装有传感器;Sensors are installed on the AGV vehicle and / or the port terminal site;
服务器根据来自AGV车和/或港口码头场地上传感器的监测信号,生成故障监测诊断信号。The server generates a fault monitoring diagnosis signal according to the monitoring signals from the AGV vehicle and / or the sensors on the port terminal site.
优选地,所述AGV车包含车身模块、传动模块、电机模块以及电池模块;Preferably, the AGV vehicle includes a body module, a transmission module, a motor module, and a battery module;
以下任一个多任多个位置上:In any of the following positions:
--车身模块;-Body module;
--传动模块;-Transmission module;
--电机模块;-Motor module;
--电池模块;-Battery module;
--港口码头场地,-Port terminal site,
安装有以下任一种或任多种传感器:Installed with any one or more of the following sensors:
--振动传感器;--Vibration sensor;
--湿度传感器;--Humidity Sensor;
--温度传感器;--Temperature Sensor;
--电压传感器;--Voltage sensor;
--电流传感器。--current sensor.
优选地,AGV车上设置有第一信号处理模块,所述港口码头场地上设置有第二信号 处理模块;Preferably, the AGV vehicle is provided with a first signal processing module, and the port terminal site is provided with a second signal processing module;
所述服务器包含远程信号接收模块;The server includes a remote signal receiving module;
第一信号处理模块、第二信号处理模块分别将来自AGV车上传感器的监测信号、来自港口码头场地上传感器的监测信号进行处理,获得对应的预处理数据,并分别将对应的预处理数据发送至远程信号接收模块。The first signal processing module and the second signal processing module respectively process the monitoring signals from the sensors on the AGV vehicle and the monitoring signals from the sensors on the port terminal site to obtain the corresponding pre-processed data and send the corresponding pre-processed data respectively. To the remote signal receiving module.
优选地,所述服务器还包含远程故障监测诊断模块与数据管理模块;Preferably, the server further includes a remote fault monitoring and diagnosis module and a data management module;
远程故障监测诊断模块根据远程信号接收模块接收的预处理数据,和/或来自数据管理模块的车身运行历史数据,生成故障监测诊断信号。The remote fault monitoring and diagnosis module generates a fault monitoring diagnosis signal according to the preprocessed data received by the remote signal receiving module and / or the vehicle body running history data from the data management module.
优选地,AGV车上传感器通过总线与第二信号处理模块相连;Preferably, the sensors on the AGV vehicle are connected to the second signal processing module through a bus;
港口码头场地上传感器通过总线与第二信号处理模块相连;The sensors on the port and dock site are connected to the second signal processing module through the bus;
第一信号处理模块与第二信号处理模块均通过无线传输形式与远程信号接收模块进行通信;Both the first signal processing module and the second signal processing module communicate with the remote signal receiving module through a wireless transmission form;
远程信号接收模块通过有线形式与远程故障监测诊断模块相连;The remote signal receiving module is connected to the remote fault monitoring and diagnosis module through a wired form;
所述服务器还包含显示模块;The server further includes a display module;
所述显示模块根据接收到的故障监测诊断信号,显示以下任一种或任多种信息:The display module displays any one or more of the following information according to the received fault monitoring diagnosis signal:
--AGV车的故障信息;-Fault information of AGV cars;
--AGV车的健康状况信息;-AGV vehicle health information;
--AGV车上零部件的剩余寿命信息。--Remaining life information of parts on AGV cars.
优选地,所述远程故障监测诊断模块包含以下任一个或任多个模块:Preferably, the remote fault monitoring and diagnosis module includes any one or more of the following modules:
运行监测模块:监测AGV车整体运行情况;Operation monitoring module: monitor the overall operation of the AGV vehicle;
故障定位与等级分类模块:计算AGV车上故障发生的部位及严重程度;Fault location and level classification module: calculate the location and severity of faults on AGV vehicles;
零部件寿命估测模块:预估AGV车上零部件的剩余寿命。Component life estimation module: estimate the remaining life of the components on the AGV vehicle.
优选地,故障定位与等级分类模块包含轴承故障诊断模块,所述轴承故障诊断模块包含以下模块:Preferably, the fault location and classification module includes a bearing fault diagnosis module, and the bearing fault diagnosis module includes the following modules:
滤波模块:对预处理数据所包含的原始振动信号进行滤波,获得降噪振动信号;Filtering module: filtering the original vibration signals contained in the preprocessed data to obtain noise reduction vibration signals;
重构模块:对降噪振动信号进行重构,获得重构振动信号;Reconstruction module: Reconstruct the noise reduction vibration signal to obtain the reconstructed vibration signal;
诊断结果获取模块:对重构振动信号进行诊断,获得轴承故障诊断结果。Diagnostic result acquisition module: Diagnose the reconstructed vibration signal and obtain the bearing fault diagnosis result.
优选地,所述滤波模块中,对原始振动信号进行分数阶傅里叶变换滤波,消除原始振动信号中的线性调频噪声;Preferably, in the filtering module, fractional Fourier transform filtering is performed on the original vibration signal to eliminate the chirp noise in the original vibration signal;
所述分数阶傅里叶变换通过以下公式实现:The fractional Fourier transform is implemented by the following formula:
式中:f p(u)为降噪振动信号,p为自由变量分数阶次,且p∈(-2,2],u为核函数参数; Where: f p (u) is the noise reduction vibration signal, p is the fractional order of the free variable, and p ∈ (-2, 2), u is the parameter of the kernel function;
K p(u,t)为傅里叶变换核信号,t为时域信号; K p (u, t) is a Fourier transform kernel signal, and t is a time domain signal;
f(t)为原始振动信号;f (t) is the original vibration signal;
A α为前置系数,α为旋转角度,且α∈(-2π,2π]; A α is the leading coefficient, α is the rotation angle, and α∈ (-2π, 2π];
j为虚部符号;j is the imaginary part symbol;
n为整数;n is an integer;
δ()为狄拉克函数;δ () is a Dirac function;
sgn()为符号函数。sgn () is a symbolic function.
优选地,重构模块中,使用反分数阶傅里叶变换对降噪振动信号进行重构。Preferably, in the reconstruction module, the inverse fractional Fourier transform is used to reconstruct the noise reduction vibration signal.
优选地,诊断结果获取模块包含以下模块:Preferably, the diagnostic result acquisition module includes the following modules:
模块M1:求重构振动信号的Hilbert变换对;Module M1: find the Hilbert transform pair of the reconstructed vibration signal;
模块M2:以重构振动信号为实部,以Hilbert变换对为虚部,构建解析信号;Module M2: Construct the analytical signal with the reconstructed vibration signal as the real part and the Hilbert transform pair as the imaginary part;
模块M3:对解析信号求模得到包络信号;Module M3: obtain the envelope signal by modulating the analytical signal;
模块M4:对包络信号进行低通滤波与快速傅里叶变换求出包络谱,根据包络谱得到调制频率、调制频率高次频谐波以及调制函数。Module M4: Perform low-pass filtering and fast Fourier transform on the envelope signal to obtain the envelope spectrum, and obtain the modulation frequency, the higher harmonics of the modulation frequency, and the modulation function according to the envelope spectrum.
与现有技术相比,本发明具有如下的有益效果:Compared with the prior art, the present invention has the following beneficial effects:
1、本发明实现了港口无人集装箱运载小车的在线故障检测及故障诊断功能,极大的缩短了运载车辆的维修时间,降低维修成本,更好地满足无人化码头24小时高效作业的要求。1. The invention realizes the online fault detection and fault diagnosis function of the port unmanned container carrier trolley, which greatly shortens the maintenance time of the carrier vehicle, reduces the maintenance cost, and better meets the requirements of 24-hour efficient operation of the unmanned terminal. .
2、本发明能够实时采集相关设备数据及环境数据,为人工神经网络的训练提供数据,实现对设备寿命的有效估计,及整体车队质量的有效管理。2. The invention can collect relevant equipment data and environment data in real time, provide data for training of artificial neural network, realize effective estimation of equipment life, and effective management of overall fleet quality.
3、本发明使用分数阶傅里叶变换对信号进行滤波,能较好地去除振动信号中的背景噪声,通过对滤波后的重构信号进行包络谱分析,实现对故障的高效监测和诊断。3. The present invention uses a fractional Fourier transform to filter the signal, which can better remove the background noise in the vibration signal. By performing envelope spectrum analysis on the filtered reconstructed signal, efficient fault monitoring and diagnosis can be achieved. .
通过阅读参照以下附图对非限制性实施例所作的详细描述,本发明的其它特征、目的和优点将会变得更明显:Other features, objects, and advantages of the present invention will become more apparent by reading the detailed description of the non-limiting embodiments with reference to the following drawings:
图1为本发明提供的港口货运电动AGV的故障监测诊断系统的架构图;FIG. 1 is a structural diagram of a fault monitoring and diagnosis system for a port freight electric AGV provided by the present invention; FIG.
图2为轴承故障诊断流程图;Figure 2 is a flowchart of bearing fault diagnosis;
图3为分数阶傅里叶变换原理图,图中:f 0为chirp类信号的中心频率; FIG. 3 is a schematic diagram of a fractional Fourier transform. In the figure, f 0 is a center frequency of a chirp-type signal.
f m为chirp类信号的调频频率; f m is the FM frequency of a chirp type signal;
u 0为一个chirp类信号在分数阶傅里叶域上的投影值; u 0 is the projection value of a chirp-like signal on the fractional Fourier domain;
β为待测信号中一个chirp类信号分量的时频分布与时间轴的夹角;β is the angle between the time-frequency distribution of a chirp-like signal component in the signal under test and the time axis;
chirp类信号为线性调频类信号。Chirp signals are chirp signals.
下面结合具体实施例对本发明进行详细说明。以下实施例将有助于本领域的技术人员进一步理解本发明,但不以任何形式限制本发明。应当指出的是,对本领域的普通技术人员来说,在不脱离本发明构思的前提下,还可以做出若干变形和改进。这些都属于本发明的保护范围。The present invention is described in detail below with reference to specific embodiments. The following examples will help those skilled in the art to further understand the present invention, but do not limit the present invention in any form. It should be noted that, for those of ordinary skill in the art, several variations and improvements can be made without departing from the concept of the present invention. These all belong to the protection scope of the present invention.
在本发明的描述中,需要理解的是,术语“上”、“下”、“前”、“后”、“左”、“右”、“竖直”、“水平”、“顶”、“底”、“内”、“外”等指示的方位或位置关系为基于附图所示的方位或位置关系,仅是为了便于描述本发明和简化描述,而不是指示或暗示所指的装置或元件必须具有特定的方位、以特定的方位构造和操作,因此不能理解为对本发明的限制。In the description of the present invention, it should be understood that the terms "up", "down", "front", "rear", "left", "right", "vertical", "horizontal", "top", The directions or positional relationships indicated by "bottom", "inside", "outside", etc. are based on the direction or positional relationships shown in the drawings, and are only for the convenience of describing the present invention and simplifying the description, and are not intended to indicate or imply the device referred to. Or the elements must have a specific orientation, be constructed and operate in a specific orientation, and therefore cannot be understood as a limitation on the present invention.
如图1所示,本发明提供的港口货运电动AGV的故障监测诊断系统,包含AGV车与服务器;所述AGV车运行在港口码头场地上;所述AGV车和/或港口码头场地上安装有传感器;服务器根据来自AGV车和/或港口码头场地上传感器的监测信号,生成故障监测诊断信号。所述AGV车包含车身模块、传动模块、电机模块以及电池模块。以下任一个多任多个位置上:车身模块、传动模块、电机模块、电池模块、港口码头场地,安装有以下任一种或任多种传感器:振动传感器、湿度传感器、温度传感器、电压传感器、电流传感器。As shown in FIG. 1, a fault monitoring and diagnosis system for a port freight electric AGV provided by the present invention includes an AGV vehicle and a server; the AGV vehicle runs on a port terminal site; and the AGV vehicle and / or a port terminal site are installed with Sensors: The server generates fault monitoring and diagnosis signals based on the monitoring signals from AGV vehicles and / or sensors on the port terminal site. The AGV vehicle includes a body module, a transmission module, a motor module, and a battery module. Any one of the following positions: body module, transmission module, motor module, battery module, port and dock site. Any one or more of the following sensors are installed: vibration sensor, humidity sensor, temperature sensor, voltage sensor, current sensor.
AGV车上设置有第一信号处理模块,所述港口码头场地上设置有第二信号处理模块; 所述服务器包含远程信号接收模块;第一信号处理模块、第二信号处理模块分别将来自AGV车上传感器的监测信号、来自港口码头场地上传感器的监测信号进行处理,获得对应的预处理数据,并分别将对应的预处理数据发送至远程信号接收模块。所述服务器还包含远程故障监测诊断模块与数据管理模块;远程故障监测诊断模块根据远程信号接收模块接收的预处理数据,和/或来自数据管理模块的车身运行历史数据,生成故障监测诊断信号。AGV车上传感器通过总线与第二信号处理模块相连;港口码头场地上传感器通过总线与第二信号处理模块相连;第一信号处理模块与第二信号处理模块均通过无线传输形式与远程信号接收模块进行通信;远程信号接收模块通过有线形式与远程故障监测诊断模块相连。所述服务器还包含显示模块;所述显示模块根据接收到的故障监测诊断信号,显示以下任一种或任多种信息:AGV车的故障信息;AGV车的健康状况信息;AGV车上零部件的剩余寿命信息。所述远程故障监测诊断模块包含以下任一个或任多个模块:运行监测模块:监测AGV车整体运行情况;故障定位与等级分类模块:计算AGV车上故障发生的部位及严重程度;零部件寿命估测模块:预估AGV车上零部件的剩余寿命。The AGV vehicle is provided with a first signal processing module, and the port terminal site is provided with a second signal processing module; the server includes a remote signal receiving module; the first signal processing module and the second signal processing module will each come from the AGV vehicle The monitoring signals of the upper sensors and the monitoring signals from the sensors on the port and dock site are processed to obtain the corresponding pre-processed data, and send the corresponding pre-processed data to the remote signal receiving module respectively. The server further includes a remote fault monitoring and diagnosis module and a data management module; the remote fault monitoring and diagnosis module generates a fault monitoring and diagnosis signal according to the preprocessed data received by the remote signal receiving module and / or the vehicle body running history data from the data management module. The sensors on the AGV vehicle are connected to the second signal processing module via the bus; the sensors on the port terminal are connected to the second signal processing module via the bus; both the first signal processing module and the second signal processing module are connected to the remote signal receiving module by wireless transmission. Communication; the remote signal receiving module is connected to the remote fault monitoring and diagnosis module through a wired form. The server further includes a display module; the display module displays any one or more of the following information according to the received fault monitoring diagnosis signal: fault information of the AGV vehicle; information on the health status of the AGV vehicle; parts on the AGV vehicle Remaining life information. The remote fault monitoring and diagnosis module includes any one or more of the following modules: operation monitoring module: monitoring the overall operation of the AGV vehicle; fault location and classification module: calculating the location and severity of the fault on the AGV vehicle; component life Estimation module: estimate the remaining life of the parts on the AGV.
如图2所示,实施例中,故障定位与等级分类模块包含轴承故障诊断模块,所述轴承故障诊断模块包含以下模块:滤波模块:对预处理数据所包含的原始振动信号进行滤波,获得降噪振动信号;重构模块:对降噪振动信号进行重构,获得重构振动信号;诊断结果获取模块:对重构振动信号进行诊断,获得轴承故障诊断结果。As shown in FIG. 2, in the embodiment, the fault location and classification module includes a bearing fault diagnosis module, and the bearing fault diagnosis module includes the following modules: a filtering module: filtering the original vibration signal included in the preprocessed data to obtain a reduction Noise vibration signal; Reconstruction module: Reconstruct the noise reduction vibration signal to obtain the reconstructed vibration signal; Diagnostic result acquisition module: Diagnose the reconstructed vibration signal to obtain the bearing fault diagnosis result.
所述滤波模块中,对原始振动信号进行分数阶傅里叶变换滤波,消除原始振动信号中的线性调频噪声,分数阶傅里叶变换FRFT是一种统一的视频变换,反映了信号在时域和频域上的信息,它用单一变量来表示视频信息,没有交叉项的干扰:与传统傅里叶变换相比,由于多了一个自由参量(变换阶数p)其更适合处理非平稳信号,并且由于存在较为成熟的快速离散算法,FRFT能够在合理的计算量限制下得到较好的分析结果。如图3所示,所述分数阶傅里叶变换通过以下公式实现:In the filtering module, fractional Fourier transform filtering is performed on the original vibration signal to eliminate the chirp noise in the original vibration signal. The fractional Fourier transform FRFT is a unified video transformation that reflects the signal in the time domain And frequency domain information, it uses a single variable to represent video information without interference from cross terms: compared with traditional Fourier transforms, it is more suitable for processing non-stationary signals due to the addition of a free parameter (transformation order p). And, due to the existence of more mature fast discrete algorithms, FRFT can obtain better analysis results with reasonable calculation limits. As shown in FIG. 3, the fractional Fourier transform is implemented by the following formula:
式中:f p(u)为降噪振动信号,p为自由变量分数阶次,且p∈(-2,2],u为核函数参 数;K p(u,t)为傅里叶变换核信号,t为时域信号;f(t)为原始振动信号;A α为前置系数,α为旋转角度,且α∈(-2π,2π];j为虚部符号;n为整数;δ()为狄拉克函数;sgn()为符号函数。K p(u,t)实质上是一组调频率为cotα的chirp信号,通过改变角度α,便可以得到不同调频率的基。一旦需要滤波的chirp信号与某组基的调频率吻合,那么该信号也会在该组基上形成一个δ函数,并且由于分数傅里叶变换是一个线性变换,信号和噪声叠加后的分数阶傅里叶变换等于各自分别进行分数阶变换的叠加,利用这两点便可以对信号在分数阶傅里叶域中进行滤波。优选地,重构模块中,使用反分数阶傅里叶变换对降噪振动信号进行重构。实际应用中,还可以通过类似的算法进行如电池、电机、变速箱等部位具体诊断。 Where f p (u) is the noise reduction vibration signal, p is the fractional order of the free variable, and p ∈ (-2, 2), u is the kernel function parameter; K p (u, t) is the Fourier transform Nuclear signal, t is the time domain signal; f (t) is the original vibration signal; A α is the leading coefficient, α is the rotation angle, and α∈ (-2π, 2π]; j is the symbol of the imaginary part; n is an integer; δ () is a Dirac function; sgn () is a sign function. K p (u, t) is essentially a set of chirp signals with a tuning frequency of cotα. By changing the angle α, the basis of different tuning frequencies can be obtained. Once The chirp signal that needs to be filtered is consistent with the modulation frequency of a certain group of bases, then the signal will also form a delta function on the group of bases, and because the fractional Fourier transform is a linear transformation, the fractional order of the signal and noise are superimposed. The Fourier transform is equal to the superposition of fractional transforms respectively. Using these two points, the signal can be filtered in the fractional Fourier domain. Preferably, the inverse fractional Fourier transform is used to reduce the Noise and vibration signals are reconstructed. In practical applications, similar algorithms such as batteries, motors, and variable speeds can also be used. And other parts of the specific diagnosis.
诊断结果获取模块具体工作步骤和检验原理如下,滚动轴承等旋转机械设备故障一般具有周期性的脉冲冲击力,产生振动信号的调制现象,采用调解分析的方法,从信号中提取调制信息,分析其强度和频次就可以判断零件损伤的程度和部位。实施例中,诊断结果获取模块包含以下模块:模块M1:求重构振动信号的Hilbert变换对;模块M2:以重构振动信号为实部,以Hilbert变换对为虚部,构建解析信号;模块M3:对解析信号求模得到包络信号;模块M4:对包络信号进行低通滤波与快速傅里叶变换求出包络谱,根据包络谱得到调制频率、调制频率高次频谐波以及调制函数。The specific working steps and inspection principles of the diagnostic result acquisition module are as follows. The failure of rotating machinery such as rolling bearings generally has a periodic pulse impact force, which generates a modulation phenomenon of the vibration signal. The modulation analysis method is used to extract modulation information from the signal and analyze its strength. And frequency can judge the degree and location of part damage. In the embodiment, the diagnosis result acquisition module includes the following modules: module M1: seeking a Hilbert transform pair of the reconstructed vibration signal; module M2: constructing an analytical signal with the reconstructed vibration signal as a real part and using the Hilbert transform pair as an imaginary part; module M3: modulate the analytical signal to obtain the envelope signal; module M4: perform low-pass filtering and fast Fourier transform on the envelope signal to obtain the envelope spectrum, and obtain the modulation frequency and higher harmonics of the modulation frequency based on the envelope spectrum And the modulation function.
优选实施例:Preferred embodiment:
港口货运电动AGV的故障监测诊断系统包括安装在AGV车身各处的传感器,安装在港口上的传感器,AGV车载信号预处理模块,港口场地信号预处理模块,远程信号接收中心和远程故障监测及诊断中心。Port freight electric AGV fault monitoring and diagnosis system includes sensors installed throughout the AGV body, sensors installed in the port, AGV vehicle signal pre-processing module, port site signal pre-processing module, remote signal receiving center and remote fault monitoring and diagnosis center.
车身上的传感器分别安装在AGV上的车架模块,传动模块,电机模块和电池模块。具体来说传感器主要包括振动传感器,温度传感器,电流传感器和电压传感器。这些传感器分别用来采集车身整体的振动数据,机械传动模块中齿轮箱、轴承等的振动数据和温度数据,驱动电机的电压,电流,温度和振动数据,动力电池组的电流,电压和温度数据。The sensors on the body are mounted on the frame module, transmission module, motor module and battery module of the AGV. Specifically, the sensors mainly include vibration sensors, temperature sensors, current sensors, and voltage sensors. These sensors are used to collect the overall vibration data of the vehicle body, the vibration data and temperature data of the gearbox and bearings in the mechanical transmission module, the voltage, current, temperature and vibration data of the drive motor, and the current, voltage and temperature data of the power battery pack. .
在车辆正常工作的过程中,传感器采集到的数据通过总线发送到车载信号预处理模块,对信号进行基础的预处理,包括放大,滤波,调试等后,将预处理后的数据通过在港口上搭建的无线网络,将数据传送至位于港口上的远程信号接收中心。During the normal operation of the vehicle, the data collected by the sensor is sent to the on-board signal pre-processing module via the bus. After the signal is pre-processed, including amplification, filtering, and debugging, the pre-processed data is passed through the port. The established wireless network transmits data to a remote signal receiving center located on the port.
在港口上合适的位置布置基础的气象采集单元,该单元上布置有温度和湿度传感器, 用于测量港口上AGV工作的气象条件。传感器的信号通过总线传输到港口场地信号处理模块,该模块对信号进行基础的预处理,包括放大,滤波,调制等后,将预处理后的数据通过在港口上搭建的无线网络,将数据传送至位于港口上的远程信号接收中心。A basic meteorological acquisition unit is arranged at a suitable location on the port, and a temperature and humidity sensor is arranged on the unit to measure the meteorological conditions of AGV work in the port. The signal of the sensor is transmitted to the port site signal processing module through the bus. This module performs basic preprocessing of the signal, including amplification, filtering, modulation, etc., and transmits the preprocessed data through the wireless network built on the port to transmit the data. To a remote signal receiving center located on the port.
远程信号接收中心将接收到的信号解调之后,将信号发送给远程故障监测及诊断中心。所述远程故障监测及诊断中心同时接收来自远程数据接收中心发送的数据和来自港口AGV车辆调度中心发送的有关AGV车辆历史运行轨迹的数据,对这些数据进行分析,实时监测港口上AGV整体的运行情况,相关设备零件的健康状况,是否发生故障以及发生故障的部位。The remote signal receiving center demodulates the received signal and sends the signal to the remote fault monitoring and diagnosis center. The remote fault monitoring and diagnosis center simultaneously receives data sent from the remote data receiving center and data about the historical running track of AGV vehicles sent from the port AGV vehicle dispatch center, analyzes these data, and monitors the overall operation of the AGV at the port in real time. Situation, the health of the relevant equipment parts, whether there is a failure, and the location of the failure.
所述运行车辆健康情况的实时监测,其特征是系统将运行过程中各车辆的健康状况实时显示在设计的人机交互界面上,并对发生故障的车辆提交管理人员处理或由交由其他程序自动处理。所述故障定位及等级分类,其特征是可以指出车辆故障发生的部位及严重程度。所述相关零部件剩余寿命的估计预测,其特征是故障监测和诊断中心根据服务器中的历史数据,通过智能算法,生成模型,预估相关零件的使用寿命模型,并通过当前传感器采集到的零部件状态来预估相关零件的剩余寿命。The real-time monitoring of the health status of the running vehicle is characterized in that the system displays the health status of each vehicle in the running process on the designed human-computer interaction interface in real time, and submits the faulty vehicle to the management personnel for processing or to other programs Automatically handled. The fault location and classification are characterized in that the location and severity of the vehicle fault can be pointed out. The estimation and prediction of the remaining life of the related parts is characterized in that the fault monitoring and diagnosis center generates a model through an intelligent algorithm based on the historical data in the server, estimates the service life model of the related parts, and uses the zero Part status to estimate the remaining life of the relevant part.
以上对本发明的具体实施例进行了描述。需要理解的是,本发明并不局限于上述特定实施方式,本领域技术人员可以在权利要求的范围内做出各种变形或修改,这并不影响本发明的实质内容。在不冲突的情况下,本申请的实施例和实施例中的特征可以任意相互组合。The specific embodiments of the present invention have been described above. It should be understood that the present invention is not limited to the specific embodiments described above, and those skilled in the art can make various changes or modifications within the scope of the claims, which does not affect the essence of the present invention. In the case of no conflict, the embodiments of the present application and the features in the embodiments can be arbitrarily combined with each other.
Claims (10)
Applications Claiming Priority (2)
| Application Number | Priority Date | Filing Date | Title |
|---|---|---|---|
| CN201810897308.9A CN109238735B (en) | 2018-08-08 | 2018-08-08 | The malfunction monitoring diagnostic system of the electronic AGV of port cargo |
| CN201810897308.9 | 2018-08-08 |
Publications (1)
| Publication Number | Publication Date |
|---|---|
| WO2020029727A1 true WO2020029727A1 (en) | 2020-02-13 |
Family
ID=65070983
Family Applications (1)
| Application Number | Title | Priority Date | Filing Date |
|---|---|---|---|
| PCT/CN2019/094778 Ceased WO2020029727A1 (en) | 2018-08-08 | 2019-07-05 | Fault monitoring and diagnosis system for port freight electric agv |
Country Status (2)
| Country | Link |
|---|---|
| CN (1) | CN109238735B (en) |
| WO (1) | WO2020029727A1 (en) |
Cited By (1)
| Publication number | Priority date | Publication date | Assignee | Title |
|---|---|---|---|---|
| CN115903849A (en) * | 2022-12-27 | 2023-04-04 | 厦门远海集装箱码头有限公司 | The device, medium and equipment of the new fault diagnosis system of AGV in the automated terminal |
Families Citing this family (11)
| Publication number | Priority date | Publication date | Assignee | Title |
|---|---|---|---|---|
| CN109238735B (en) * | 2018-08-08 | 2019-10-08 | 上海交通大学 | The malfunction monitoring diagnostic system of the electronic AGV of port cargo |
| CN110012105A (en) * | 2019-04-12 | 2019-07-12 | 青岛港国际股份有限公司 | A kind of car-mounted terminal data decoding method and decoding apparatus |
| CN110186682B (en) * | 2019-07-08 | 2021-03-23 | 石家庄铁道大学 | Fault Diagnosis Method of Rolling Bearing Based on Fractional Variational Mode Decomposition |
| CN110262362B (en) * | 2019-07-16 | 2021-01-12 | 上海快仓智能科技有限公司 | AGV working temperature monitoring method, system and device |
| CN112183290B (en) * | 2020-09-22 | 2023-02-24 | 北京邮电大学 | Mechanical fault diagnosis system based on SAsFFT algorithm |
| CN112578794B (en) * | 2020-12-12 | 2023-09-01 | 云南昆船智能装备有限公司 | AGV fault detection method, storage medium and system based on machine learning |
| CN113033663A (en) * | 2021-03-26 | 2021-06-25 | 同济大学 | Automatic container terminal equipment health prediction method based on machine learning |
| CN113607413B (en) * | 2021-08-26 | 2024-11-22 | 上海航数智能科技有限公司 | A bearing component fault monitoring and prediction method based on controllable temperature and humidity |
| CN114298410A (en) * | 2021-12-28 | 2022-04-08 | 哈尔滨工业大学芜湖机器人产业技术研究院 | AGV online fault prediction system and method based on Kalman filtering |
| CN115265645A (en) * | 2022-07-01 | 2022-11-01 | 芜湖汽车前瞻技术研究院有限公司 | In-vehicle environment monitoring method, device and system |
| CN117251772A (en) * | 2023-07-17 | 2023-12-19 | 西南石油大学 | An AGV fault diagnosis method based on the Internet of Things |
Citations (6)
| Publication number | Priority date | Publication date | Assignee | Title |
|---|---|---|---|---|
| CN101487763A (en) * | 2009-02-23 | 2009-07-22 | 西北工业大学 | Method for measuring frequency response function of vibrating structure in large noise environment |
| CN102024999A (en) * | 2010-11-16 | 2011-04-20 | 上海交通大学 | Electric car running power management system |
| KR20140037428A (en) * | 2012-09-18 | 2014-03-27 | 세메스 주식회사 | Transfer robot inspection method of apparatus for processing substrate |
| CN104583889A (en) * | 2012-08-02 | 2015-04-29 | 日产自动车株式会社 | Anomaly detection system for unmanned guided vehicles |
| US20160084737A1 (en) * | 2014-09-19 | 2016-03-24 | Swisslog Logistics Inc. | Method and System for Auto Safety Verification of AGV Sensors |
| CN109238735A (en) * | 2018-08-08 | 2019-01-18 | 上海交通大学 | The malfunction monitoring diagnostic system of the electronic AGV of port cargo |
Family Cites Families (3)
| Publication number | Priority date | Publication date | Assignee | Title |
|---|---|---|---|---|
| CN202939486U (en) * | 2012-11-30 | 2013-05-15 | 东风汽车股份有限公司 | Automobile fault remote diagnosis system |
| CN104977170B (en) * | 2015-06-18 | 2018-02-16 | 奇瑞汽车股份有限公司 | Vehicle failure remote diagnosis system and its control method |
| CN107272649A (en) * | 2017-07-05 | 2017-10-20 | 东南(福建)汽车工业有限公司 | Malfunction remote diagnosis system and method |
-
2018
- 2018-08-08 CN CN201810897308.9A patent/CN109238735B/en active Active
-
2019
- 2019-07-05 WO PCT/CN2019/094778 patent/WO2020029727A1/en not_active Ceased
Patent Citations (6)
| Publication number | Priority date | Publication date | Assignee | Title |
|---|---|---|---|---|
| CN101487763A (en) * | 2009-02-23 | 2009-07-22 | 西北工业大学 | Method for measuring frequency response function of vibrating structure in large noise environment |
| CN102024999A (en) * | 2010-11-16 | 2011-04-20 | 上海交通大学 | Electric car running power management system |
| CN104583889A (en) * | 2012-08-02 | 2015-04-29 | 日产自动车株式会社 | Anomaly detection system for unmanned guided vehicles |
| KR20140037428A (en) * | 2012-09-18 | 2014-03-27 | 세메스 주식회사 | Transfer robot inspection method of apparatus for processing substrate |
| US20160084737A1 (en) * | 2014-09-19 | 2016-03-24 | Swisslog Logistics Inc. | Method and System for Auto Safety Verification of AGV Sensors |
| CN109238735A (en) * | 2018-08-08 | 2019-01-18 | 上海交通大学 | The malfunction monitoring diagnostic system of the electronic AGV of port cargo |
Non-Patent Citations (2)
| Title |
|---|
| LI BIN: "Research on key technologies of real- time fault warning for automatic material conveying system", SCEINCE ENGINEERING (B), CHINA MASTER'S, no. 3, 15 March 2108 (2108-03-15), ISSN: 1674-0246 * |
| ZIGBEE, 31 December 2015 (2015-12-31), pages 52 - 56, ISSN: 1007-080X * |
Cited By (1)
| Publication number | Priority date | Publication date | Assignee | Title |
|---|---|---|---|---|
| CN115903849A (en) * | 2022-12-27 | 2023-04-04 | 厦门远海集装箱码头有限公司 | The device, medium and equipment of the new fault diagnosis system of AGV in the automated terminal |
Also Published As
| Publication number | Publication date |
|---|---|
| CN109238735A (en) | 2019-01-18 |
| CN109238735B (en) | 2019-10-08 |
Similar Documents
| Publication | Publication Date | Title |
|---|---|---|
| WO2020029727A1 (en) | Fault monitoring and diagnosis system for port freight electric agv | |
| CN203101070U (en) | High-speed train running gear fault diagnosis and remote-monitoring system based on Internet of things | |
| CN103852271B (en) | High-speed train running gear fault diagnosis and remote monitoring system based on Internet of Things | |
| CN104503399B (en) | The regimental Wind turbines status monitoring of one kind collection and fault diagnosis platform | |
| Liu et al. | Industrial AI enabled prognostics for high-speed railway systems | |
| CN112948457A (en) | Passenger transport cableway detection monitoring and health diagnosis system, method, medium and equipment | |
| WO2013006742A1 (en) | System and method for predicting mechanical failure of a motor | |
| CN106335523A (en) | Method for long-distance collection and diagnosis treatment of vehicle-mounted equipment status | |
| CN107247230A (en) | A kind of electric rotating machine state monitoring method based on SVMs and data-driven | |
| CN107380201B (en) | Axle Health Monitoring Method and Monitoring System Based on Wide Area Network and Local Area Network | |
| CN113465953B (en) | Fault prediction and health management device for motor train unit transmission system and using method thereof | |
| CN104061963B (en) | A kind of railway is powered insulator contamination on-line detecting system | |
| CN111651530A (en) | An intelligent port monitoring system | |
| CN111668927A (en) | A substation intelligent inspection system based on ubiquitous power Internet of things and its control method | |
| CN111071291B (en) | Train wheel set monitoring system and train wheel set monitoring method | |
| CN102998130A (en) | Fault detecting method for train suspension system of data driving based on acceleration measuring | |
| CN109900501A (en) | High-speed EMUs vehicle artificial intelligence lossless detection method | |
| CN204346742U (en) | A kind of portable subway travelled by vehicle portion test diagnosis system | |
| CN112101809A (en) | Intelligent vehicle and station integrated management method | |
| CN111242329A (en) | Port crane transmission part big data monitoring system and monitoring method | |
| CN111401661A (en) | Predictive maintenance method and maintenance system for mechanical equipment | |
| Wang | Research on Monitoring Strategy of New Energy Vehicle Power System Based on the Internet of Things | |
| CN108981818B (en) | Online detection device and method for high-speed wheel set | |
| CN215734854U (en) | Operation maintenance system of rail transit vehicle | |
| CN117131785B (en) | Health management system and method for electric aeroengine |
Legal Events
| Date | Code | Title | Description |
|---|---|---|---|
| 121 | Ep: the epo has been informed by wipo that ep was designated in this application |
Ref document number: 19847845 Country of ref document: EP Kind code of ref document: A1 |
|
| NENP | Non-entry into the national phase |
Ref country code: DE |
|
| 122 | Ep: pct application non-entry in european phase |
Ref document number: 19847845 Country of ref document: EP Kind code of ref document: A1 |
|
| 32PN | Ep: public notification in the ep bulletin as address of the adressee cannot be established |
Free format text: NOTING OF LOSS OF RIGHTS PURSUANT TO RULE 112(1) EPC (EPO FORM 1205A DATED 28/05/2021) |
|
| 122 | Ep: pct application non-entry in european phase |
Ref document number: 19847845 Country of ref document: EP Kind code of ref document: A1 |


