WO2020002696A1 - Injectable solution at ph 7, comprising at least one basal insulin whose pi is between 5.8 and 8.5, and a copolyaminoacid bearing carboxylate charges and hydrophobic radicals - Google Patents
Injectable solution at ph 7, comprising at least one basal insulin whose pi is between 5.8 and 8.5, and a copolyaminoacid bearing carboxylate charges and hydrophobic radicals Download PDFInfo
- Publication number
- WO2020002696A1 WO2020002696A1 PCT/EP2019/067501 EP2019067501W WO2020002696A1 WO 2020002696 A1 WO2020002696 A1 WO 2020002696A1 EP 2019067501 W EP2019067501 W EP 2019067501W WO 2020002696 A1 WO2020002696 A1 WO 2020002696A1
- Authority
- WO
- WIPO (PCT)
- Prior art keywords
- radical
- formula
- polyamino acid
- hydrophobic
- molecule
- Prior art date
- Legal status (The legal status is an assumption and is not a legal conclusion. Google has not performed a legal analysis and makes no representation as to the accuracy of the status listed.)
- Ceased
Links
- 0 CC(C)(*)C(C(*C(*)=O)NC(C)(C)I)=O Chemical compound CC(C)(*)C(C(*C(*)=O)NC(C)(C)I)=O 0.000 description 4
- WSTNFGAKGUERTC-UHFFFAOYSA-N CCCCCCNCC Chemical compound CCCCCCNCC WSTNFGAKGUERTC-UHFFFAOYSA-N 0.000 description 1
Classifications
-
- A—HUMAN NECESSITIES
- A61—MEDICAL OR VETERINARY SCIENCE; HYGIENE
- A61P—SPECIFIC THERAPEUTIC ACTIVITY OF CHEMICAL COMPOUNDS OR MEDICINAL PREPARATIONS
- A61P3/00—Drugs for disorders of the metabolism
- A61P3/08—Drugs for disorders of the metabolism for glucose homeostasis
- A61P3/10—Drugs for disorders of the metabolism for glucose homeostasis for hyperglycaemia, e.g. antidiabetics
-
- A—HUMAN NECESSITIES
- A61—MEDICAL OR VETERINARY SCIENCE; HYGIENE
- A61K—PREPARATIONS FOR MEDICAL, DENTAL OR TOILETRY PURPOSES
- A61K38/00—Medicinal preparations containing peptides
- A61K38/16—Peptides having more than 20 amino acids; Gastrins; Somatostatins; Melanotropins; Derivatives thereof
- A61K38/17—Peptides having more than 20 amino acids; Gastrins; Somatostatins; Melanotropins; Derivatives thereof from animals; from humans
- A61K38/22—Hormones
- A61K38/28—Insulins
-
- A—HUMAN NECESSITIES
- A61—MEDICAL OR VETERINARY SCIENCE; HYGIENE
- A61K—PREPARATIONS FOR MEDICAL, DENTAL OR TOILETRY PURPOSES
- A61K47/00—Medicinal preparations characterised by the non-active ingredients used, e.g. carriers or inert additives; Targeting or modifying agents chemically bound to the active ingredient
- A61K47/30—Macromolecular organic or inorganic compounds, e.g. inorganic polyphosphates
- A61K47/42—Proteins; Polypeptides; Degradation products thereof; Derivatives thereof, e.g. albumin, gelatin or zein
-
- A—HUMAN NECESSITIES
- A61—MEDICAL OR VETERINARY SCIENCE; HYGIENE
- A61K—PREPARATIONS FOR MEDICAL, DENTAL OR TOILETRY PURPOSES
- A61K9/00—Medicinal preparations characterised by special physical form
- A61K9/0012—Galenical forms characterised by the site of application
- A61K9/0019—Injectable compositions; Intramuscular, intravenous, arterial, subcutaneous administration; Compositions to be administered through the skin in an invasive manner
-
- A—HUMAN NECESSITIES
- A61—MEDICAL OR VETERINARY SCIENCE; HYGIENE
- A61K—PREPARATIONS FOR MEDICAL, DENTAL OR TOILETRY PURPOSES
- A61K9/00—Medicinal preparations characterised by special physical form
- A61K9/08—Solutions
Definitions
- PH N Neutral Protamine Hagedorn; Humulin NPH ®, Insulatard ®
- This formulation is the result of a precipitation of human insulin (anionic at neutral pH) by a cationic protein, protamine.
- the microcrystals thus formed are dispersed in an aqueous suspension and dissolve slowly after subcutaneous injection. This slow dissolution ensures a sustained release of insulin. However, this release does not ensure a constant concentration of insulin over time.
- the release profile is bell-shaped and lasts only between 12 and 16 hours. So it is injected two times a day.
- This N PH basal insulin is much less efficient than modern basal insulins, Levemir ® and Lantus ® .
- NPH is a basal acting insulin.
- Insulin glargine is considered today as the most used basal insulin.
- the invention thus relates to physically stable compositions in the form of an injectable aqueous solution, the pH of which is between 6.0 and 8.0, comprising at least:
- a basal insulin whose isoelectric point (pi) is between 5.8 and 8.5, and b) meal insulin,
- the invention relates to a physically stable composition in the form of an injectable aqueous solution, the pH of which is between 6.0 and 8.0, comprising at least:
- GpA is a radical of formulas III or IIG:
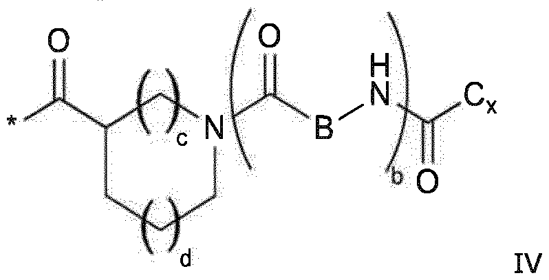
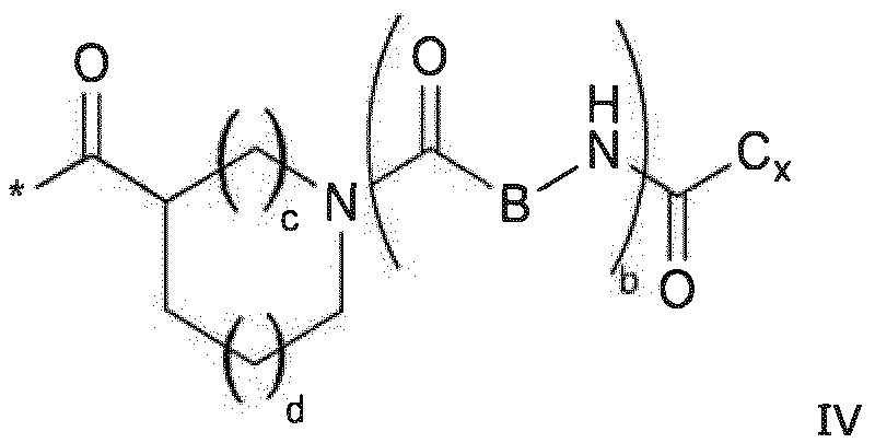
- GpC is a radical of formula IV
- - d is an integer equal to 0, 1 or 2;
- a divalent linear or branched alkyl radical comprising from 2 to 11 carbon atoms if GpR is a radical of formula II or from 1 to 11 carbon atoms if GpR is a radical of formula IG or II ", said alkyl radical carrying one or more -CONH2 functions, and
- - B is a radical chosen from the group consisting of an unsubstituted ether or polyether radical comprising from 4 to 14 carbon atoms and from 1 to 5 oxygen atoms or a linear or branched alkyl radical, optionally comprising an aromatic ring, comprising from 1 to 9 carbon atoms;
- x is between 9 and 25 (9 ⁇ x ⁇ 25): o if p is equal to 2, x is between 9 and 15 (9 ⁇ x ⁇ 15),
- GpC is a radical of formula IV
- a divalent linear or branched alkyl radical comprising from 2 to 11 carbon atoms if GpR is a radical of formula II or from 1 to 11 carbon atoms if GpR is a radical of formula I or II ", said alkyl radical carrying one or more -CONH2 functions, and
- an ether or unsubstituted polyether radical comprising from 4 to 14 carbon atoms and from 1 to 5 oxygen atoms;
- - A is a linear or branched alkyl radical comprising from 1 to 8 carbon atoms and optionally substituted by a radical derived from a saturated, unsaturated or aromatic ring;
- the GpR group linked to the PLG is chosen from the GpRs of formula II ".
- x is between 11 and 25 (11 ⁇ x ⁇ 25);
- compositions in the form of an injectable aqueous solution according to the invention are clear solutions.
- nuclear solution means compositions which satisfy the criteria described in the American and European pharmacopoeias concerning injectable solutions.
- the solutions are defined in the section ⁇ 1151> referring to the injection ( ⁇ 1>) (referring to ⁇ 788> according to USP 35 and specified in ⁇ 788> according to USP 35 and in ⁇ 787> , ⁇ 788> and ⁇ 790> USP 38 (from 1 August 2014), according to USP 38).
- injectable solutions must meet the criteria given in sections 2.9.19 and 2.9.20.
- compositions which satisfy the criteria of visual inspection described in the European, American and international pharmacopoeia, that is to say compositions which are clear and which do not contain visible particles, but also colorless.
- co-polyamino acid consisting of glutamic or aspartic units is understood to mean non-cyclic linear sequences of glutamic acid or aspartic acid units linked together by peptide bonds, said sequences having a C-terminal part, corresponding to the carboxylic acid at one end, and an N-terminal part, corresponding to the amine at the other end of the chain.
- soluble is intended to allow a clear solution free of particles to be prepared at a concentration of less than 100 mg / ml in distilled water at 25 ° C.
- alkyl radical means a carbon chain, linear or branched, which does not include a heteroatom.
- the co-polyamino acid is a statistical or block co-polyamino acid.
- composition according to the invention is characterized in that Hy comprises between 15 and 100 carbon atoms.
- Hy comprises more than 30 carbon atoms.
- the composition is characterized in that the pH is between 6.0 and 8.0.
- the composition is characterized in that the pH is between 6.6 and 7.8.
- the composition is characterized in that the pH is between 7.0 and 7.8.
- the * indicate the sites of attachment of the hydrophobic radicals to the co-polyamino acid.
- the -Hy radicals are attached to the co-polyamino acid via amide functions.
- radicals -Hy, GpR, GpA, and GpC, and D are each independently identical or different from one monomer unit to another.
- the composition is characterized in that the hydrophobic radical is a radical formula I, the ', V or VI in which GpR is a radical of formula II in which R is a divalent alkyl radical comprising of 2 to 6 carbon atoms.
- the composition is characterized in that the hydrophobic radical is a radical of formula I, the ', V or VI in which GpR is a radical of formula II in which R is a divalent linear alkyl radical comprising from 2 to 4 carbon atoms.
- the composition is characterized in that the hydrophobic radical is a radical of formula I, the ', V or VI in which GpR is a radical of formula II in which R is a divalent alkyl radical comprising 2 carbon atoms.
- the composition is characterized in that the hydrophobic radical is a radical of formula I, the ', V or VI in which GpR is a radical of formula IG in which R is a divalent linear alkyl radical comprising from 1 to 11 carbon atoms. In one embodiment, the composition is characterized in that the hydrophobic radical is a radical of formula I, the ', V or VI in which GpR is a radical of formula IG in which R is a divalent alkyl radical comprising from 1 to 6 carbon atoms.
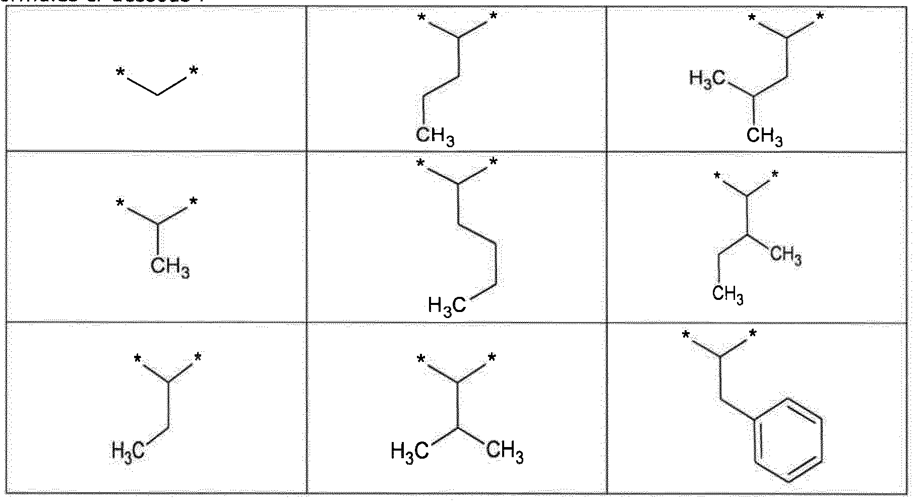
- the composition is characterized in that the hydrophobic radical is a radical of formula I, the ', V or VI in which GpR is a radical of formula II or IG in which R is a chosen radical in the group formed by the radicals represented by the formulas below:
- the composition is characterized in that the hydrophobic radical is a radical of formula I, the ', V or VI in which GpR is a radical of formula II, I or II ", in which R is an ether radical comprising from 4 to 6 carbon atoms.
- the composition is characterized in that the hydrophobic radical is a radical of formula I, Ic ', V or VI in which GpR is a radical of formula II, IG or II "in which R is an ether radical represented by the formula
- the composition is characterized in that the hydrophobic radical is a radical of formula I, V or VI in which GpR is a radical of formula II, IG or II ", in which R is a radical polyether.
- the composition is characterized in that the hydrophobic radical is a radical of formula I, the ', V or VI in which GpR is a radical of formula II, I or II ", in which R is a linear polyether radical comprising from 6 to 10 carbon atoms and from 2 to 3 oxygen atoms.
- the composition is characterized in that the hydrophobic radical of formula I, the ', V or VI in which GpR is a radical of formula II, IG or II ", in which R is a radical polyether chosen from the group consisting of radicals represented by the formulas below:
- the composition is characterized in that the hydrophobic radical is a radical of formula I, the ', V or VI in which the GpC radical of formula IV is chosen from the group consisting of radicals of formulas IVa, IVb or IVc below represented:
- the composition is characterized in that the hydrophobic radical is a radical of formula I, the ', V or VI in which the GpC radical is of formula IVa.
- the composition is characterized in that the hydrophobic radical is a radical of formula I, the ', V or VI in which the GpC radical of formula IV is chosen from the group consisting of radicals in which Cx is chosen from the group consisting of linear alkyl radicals.
- the composition is characterized in that the hydrophobic radical is a radical of formula I, the ', V or VI in which the GpC radical of formula IV is chosen from the group consisting of radicals in which Cx is chosen from the group consisting of branched alkyl radicals.
- the composition is characterized in that the hydrophobic radical is a radical of formula I, the ', V or VI in which the GpC radical of formula IV is chosen from the group consisting of radicals in which Cx is chosen from the group consisting of alkyl radicals comprising between 11 and 14 carbon atoms.
- the composition is characterized in that the hydrophobic radical is a radical of formula I, the ', V or VI in which the GpC radical of formula IV is chosen from the group consisting of radicals in which Cx is chosen from the group consisting of alkyl radicals comprising between 15 and 16 carbon atoms.
- the composition is characterized in that the hydrophobic radical is a radical of formula I, V or VI in which the GpC radical of formula IV is chosen from the group consisting of radicals in which Cx is chosen in the group consisting of the radicals represented by the formula below;
- the composition is characterized in that the hydrophobic radical is a radical of formula I, the ', V or VI in which the GpC radical of formula IV is chosen from the group consisting of radicals in which Cx is chosen from the group consisting of alkyl radicals comprising between 17 and 25 carbon atoms.
- the composition is characterized in that the hydrophobic radical is a radical of formula I, the ', V or VI in which the GpC radical of formula IV is chosen from the group consisting of radicals in which Cx is chosen from the group consisting of alkyl radicals comprising between 17 and 18 carbon atoms.
- the composition is characterized in that the hydrophobic radical is a radical of formula I, the ', V or VI in which the GpC radical of formula IV is chosen from the group consisting of radicals in which Cx is chosen from the group consisting of the alkyl radicals represented by the formula below:
- the composition is characterized in that the hydrophobic radical is a radical of formula I, the ', V or VI in which the GpC radical of formula IV is chosen from the group consisting of radicals in which Cx is chosen from the group consisting of alkyl radicals comprising between 18 and 25 carbon atoms.
- the composition is characterized in that the hydrophobic radical is a radical of formula I, the ', V or VI in which the GpC radical of formula IV is chosen from the group consisting of radicals in which Cx is chosen from the group consisting of the alkyl radicals represented by the formulas below:
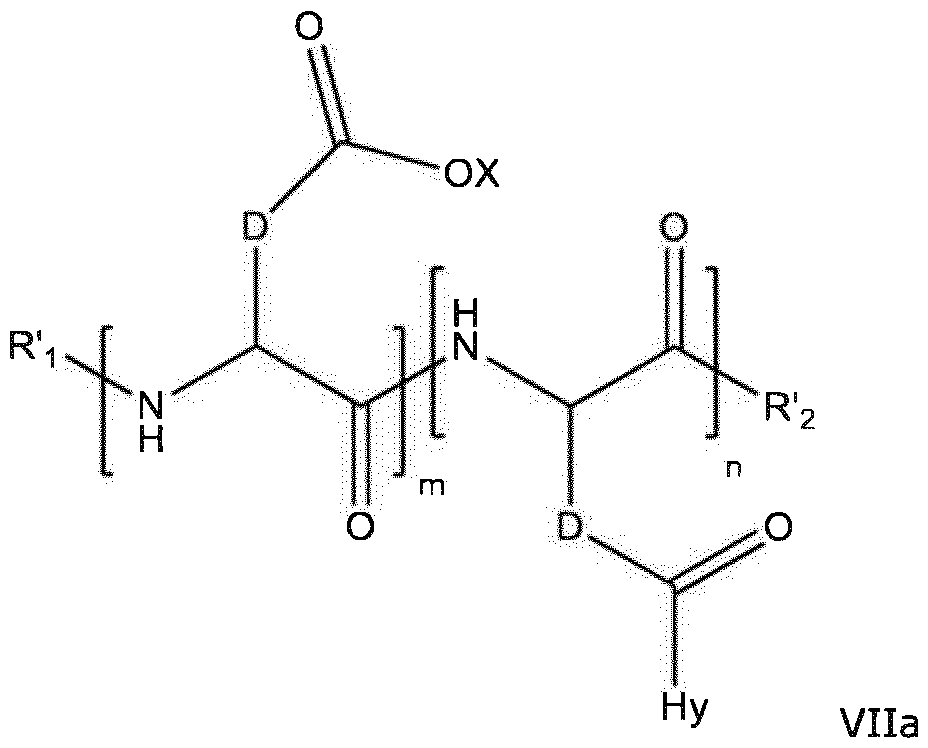
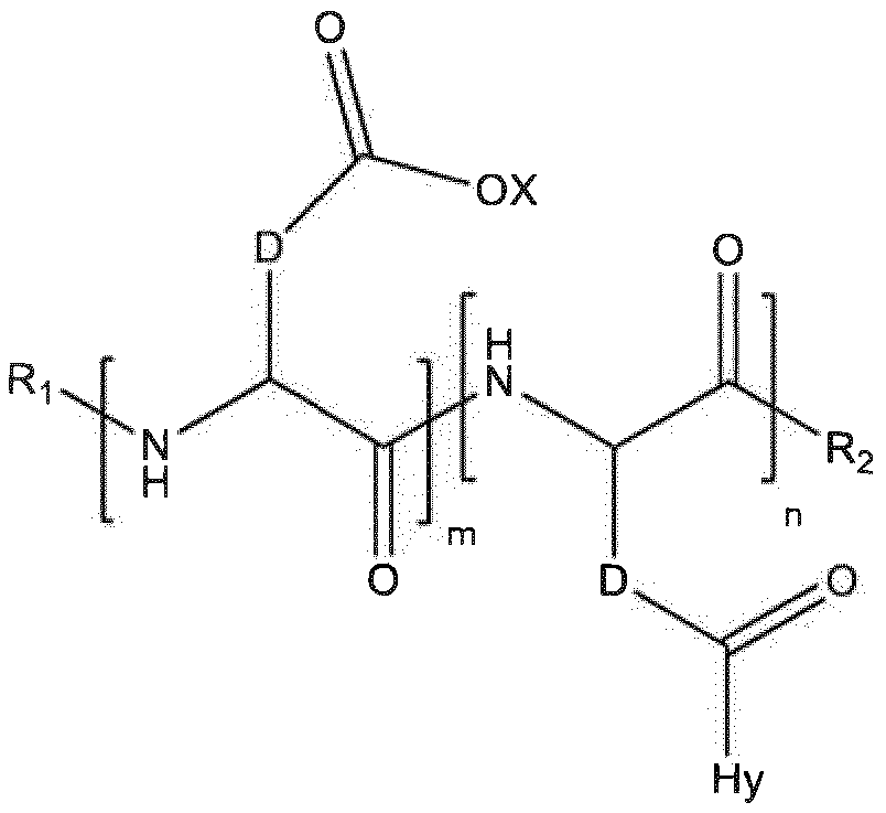
- composition is characterized in that the co-polyamino acid carrying carboxylate charges and hydrophobic radicals is chosen from the co-polyamino acids of formula VII below:
- D independently represents either a -CH2- group (aspartic unit) or a -CH2-CH2- group (glutamic unit);
- Hy is a hydrophobic radical chosen from hydrophobic radicals of formulas I, V or VI
- Ri is a hydrophobic radical chosen from the hydrophobic radicals of formulas I, V or VI, or a radical chosen from the group consisting of an H, a linear acyl group from C2 to CIO, a branched acyl group from C3 to CIO, a benzyl, a terminal "amino acid" unit and a pyroglutamate;
- ⁇ R is a hydrophobic radical chosen from hydrophobic radicals of formulas
- X represents an H or a cationic entity chosen from the group comprising metal cations
- n + m represents the degree of polymerization DP of the co-polyamino acid, that is to say the average number of monomeric units per chain of co-polyamino acid and 5 ⁇ n + m ⁇ 250.
- statistical co-polyamino acid means a co-polyamino acid carrying carboxylate charges and at least one hydrophobic radical, a co-polyamino acid of formula Vlla.
- R'i is a radical chosen from the group consisting of an H, a linear C2 to CIO acyl group, a branched C3 to CIO acyl group, a benzyl, a terminal "amino acid” unit and a pyroglutamate;
- R'2 is a radical -IMR'R ", R 'and R" identical or different being chosen from the group consisting of H, linear or branched or cyclic C2 to CIO alkyl, benzyl and said R' and R " alkyls which can together form one or more saturated, unsaturated and / or aromatic carbon rings and / or which may contain heteroatoms, chosen from the group consisting of O, N and S.
- the composition is characterized in that the co-polyamino acid carrying carboxylate charges and hydrophobic radicals is chosen from the co-polyamino acids of formulas Vlla in which Hyd is of formula V, GpR is of formula II, GpA is of formula IIG in which A is the radical
- the composition is characterized in that the co-polyamino acid carrying carboxylate charges and hydrophobic radicals is chosen from the co-polyamino acids of formulas Vlla in which Hyd is of formula V, GpR is of formula II in which R is -CH2-CH2-, GpA is of formula IIG in which A is the radical
- the composition is characterized in that the co-polyamino acid carrying carboxylate charges and hydrophobic radicals is chosen from the co-polyamino acids of formulas VII, Vlla or Vllb in which group D is a group -CH2- (aspartic unit).
- the composition is characterized in that the co-polyamino acid carrying carboxylate charges and hydrophobic radicals is chosen from the co-polyamino acids of formulas VII, Vlla or Vllb in which group D is a group -CH2-CH2- (glutamic unit).
- the composition is characterized in that the ratio i between the number of hydrophobic radicals and the number of glutamic or aspartic units is between 0.007 and 0.3.
- the composition is characterized in that the ratio i between the number of hydrophobic radicals and the number of glutamic or aspartic units is between 0.01 and 0.3.
- the composition is characterized in that the ratio i between the number of hydrophobic radicals and the number of glutamic or aspartic units is between 0.02 and 0.2.
- the composition is characterized in that the hydrophobic radical corresponds to formula VI and the ratio i between the number of hydrophobic radicals and the number of glutamic or aspartic units is between 0.007 and 0, 15.
- the composition is characterized in that the hydrophobic radical corresponds to formula VI and the ratio i between the number of hydrophobic radicals and the number of glutamic or aspartic units is between 0.02 and 0.08.
- the composition is characterized in that the hydrophobic radical corresponds to formula VI in which the Cx radical comprises between 11 and 12 carbon atoms and the ratio i between the number of hydrophobic radicals and the number of glutamic or aspartic units is between 0.015 and 0.1.
- the composition is characterized in that the hydrophobic radical corresponds to formula VI in which the Cx radical comprises between 11 and 12 carbon atoms and the ratio i between the number of hydrophobic radicals and the number of glutamic or aspartic units is between 0.02 and 0.08.
- the composition is characterized in that the hydrophobic radical corresponds to formula VI in which the Cx radical comprises between 13 and 15 carbon atoms and the ratio i between the number of hydrophobic radicals and the number of glutamic or aspartic units is between 0.01 and 0.1.
- the composition is characterized in that the hydrophobic radical corresponds to formula VI in which the Cx radical comprises between 13 and 15 carbon atoms and the ratio i between the number of hydrophobic radicals and the number of glutamic or aspartic units is between 0.01 and 0.06.
- the composition is characterized in that the hydrophobic radical corresponds to formula V and the ratio i between the number of hydrophobic radicals and the number of glutamic or aspartic units is between 0.007 and 0, 3.
- the composition is characterized in that the hydrophobic radical corresponds to formula V and the ratio i between the number of hydrophobic radicals and the number of glutamic or aspartic units is between 0.015 and 0, 2.
- the composition is characterized in that the hydrophobic radical corresponds to formula V in which the Cx radical comprises between 11 and 14 carbon atoms and the ratio i between the number of hydrophobic radicals and the number of glutamic or aspartic units is between 0, 1 and 0.2.
- the composition is characterized in that the hydrophobic radical corresponds to formula V in which the Cx radical comprises between 15 and 16 carbon atoms and the ratio i between the number of hydrophobic radicals and the number of glutamic or aspartic units is between 0.04 and 0.15.
- the composition is characterized in that the hydrophobic radical corresponds to formula V in which the Cx radical comprises between 17 and 18 atoms of carbon and the ratio i between the number of hydrophobic radicals and the number of glutamic or aspartic units is between 0.02 and 0.06.
- the composition is characterized in that the hydrophobic radical corresponds to formula V in which the Cx radical comprises between 19 and 25 carbon atoms and the ratio i between the number of hydrophobic radicals and the number of glutamic or aspartic units is between 0.01 and 0.06.
- composition according to the invention is characterized in that n + m is between 10 and 200.
- composition according to the invention is characterized in that n + m is between 15 and 150.
- composition according to the invention is characterized in that n + m is between 15 and 100.
- composition according to the invention is characterized in that n + m is between 15 and 80.
- composition according to the invention is characterized in that n + m is between 20 and 50.
- composition according to the invention is characterized in that n + m is between 20 and 40.
- the invention also relates to said co-polyamino acids carrying carboxylate charges and hydrophobic radicals of formula I and the precursors of said hydrophobic radicals.
- the concentration of co-polyamino acid carrying carboxylate charges and hydrophobic radicals is at most 60 mg / ml.
- the concentration of co-polyamino acid carrying carboxylate charges and hydrophobic radicals is at most 40 mg / ml. In one embodiment, the concentration of co-polyamino acid carrying carboxylate charges and hydrophobic radicals is at most 20 mg / ml.
- the concentration of co-polyamino acid carrying carboxylate charges and hydrophobic radicals is at most 10 mg / ml.
- the concentration of co-polyamino acid carrying carboxylate charges and hydrophobic radicals is at most 2.5 mg / ml.
- the invention further relates to a method for preparing stable injectable compositions.
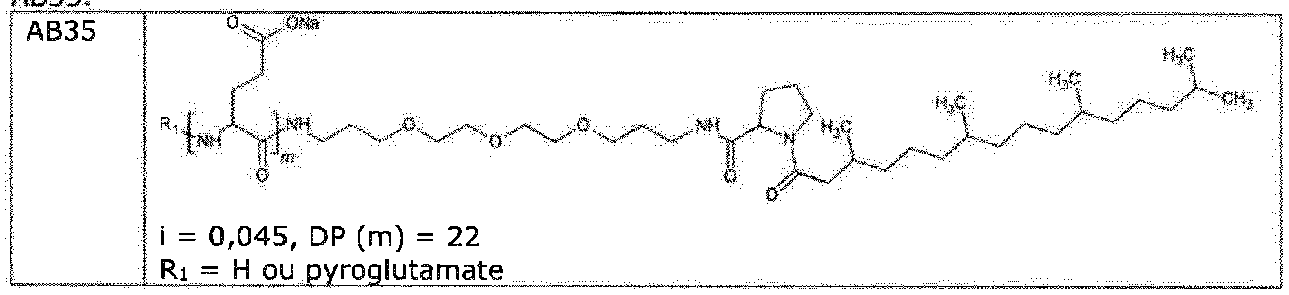
- the copolyamino acid is a sodium poly-L-glutamate modified at one of its ends of the formula below represented described described in Example AB24.
- the copolyamino acid is a sodium poly-L-glutamate modified at one of its ends of the formula below represented described described in Example AB22.
- the copolyamino acid is a sodium poly-L-glutamate modified at one of its ends of the formula below represented described described in the example
- the copolyamino acid is a sodium poly-L-glutamate modified at one of its ends of the formula below represented described described in example BB15, BB17, BB18 and BB19.
- the composition according to the invention is characterized in that the co-polyamino acid comes from a polyamino acid obtained by polymerization.
- the composition according to the invention is characterized in that the co-polyamino acid comes from a polyamino acid obtained by polymerization of a derivative of N-carboxyanhydride of glutamic acid or of a derivative of N-carboxyanhydride of aspartic acid as described in the article Deming, TJ., Adv. Polym. Sci. 2006, 202, 1--18.
- the composition according to the invention is characterized in that the co-polyamino acid is derived from a polyamino acid obtained by polymerization of a derivative of N-carboxyanhydride of glutamic acid.
- the composition according to the invention is characterized in that the co-polyamino acid is derived from a polyamino acid obtained by polymerization of an N-carboxyanhydride derivative of glutamic acid chosen from the group consisting by N-carboxyanhydride poly-methyl glutamate (GluOMe-NCA), N-carboxyanhydride poly-benzyl glutamate (GluOBzl-NCA) and N-carboxyanhydride poly t-butyl glutamate (GluOtBu-NCA).
- an N-carboxyanhydride derivative of glutamic acid chosen from the group consisting by N-carboxyanhydride poly-methyl glutamate (GluOMe-NCA), N-carboxyanhydride poly-benzyl glutamate (GluOBzl-NCA) and N-carboxyanhydride poly t-butyl glutamate (GluOtBu-NCA).
- the composition according to the invention is characterized in that the co-polyamino acid is derived from a polyamino acid obtained by polymerization of an N-carboxyanhydride derivative of glutamic acid or of a derivative of N -carboxyanhydride of aspartic acid using as initiator an organometallic complex of a transition metal as described in the publication Deming, TJ., Nature 1997, 390, 386-389.
- the composition according to the invention is characterized in that the co-polyamino acid is derived from a polyamino acid obtained by polymerization of a derivative of N-carboxyanhydride of glutamic acid or of a derivative of N -carboxyanhydride of aspartic acid using as initiator hexamethyldisilazane as described in the publication Lu H. ; et al., 3. Am. Chem. Soc. 2007, 129, 14114-14115 or a silylated amine as described in the publication Lu H. ; et al., J. Am. Chem. Soc. 2008, 130, 12562-12563.
- the composition according to the invention is characterized in that the process for the synthesis of the polyamino acid obtained by polymerization of a derivative of N-carboxyanhydride of glutamic acid or of a derivative of N-carboxyanhydride of aspartic acid from which the co-polyamino acid is derived comprises a step of hydrolysis of ester functions.
- this step of hydrolysis of ester functions can consist of hydrolysis in acid medium or hydrolysis in basic medium or be carried out by hydrogenation.
- this step of hydrolysis of ester groups is a hydrolysis in an acid medium.
- this step of hydrolysis of ester groups is carried out by hydrogenation.
- the composition according to the invention is characterized in that the co-polyamino acid is derived from a polyamino acid obtained by depolymerization of a polyamino acid of higher molecular weight.
- the composition according to the invention is characterized in that the co-polyamino acid comes from a polyamino acid obtained by enzymatic depolymerization of a polyamino acid of higher molecular weight.
- the composition according to the invention is characterized in that the co-polyamino acid is derived from a polyamino acid obtained by chemical depolymerization of a polyamino acid of higher molecular weight.
- the composition according to the invention is characterized in that the co-polyamino acid is derived from a polyamino acid obtained by enzymatic and chemical depolymerization of a polyamino acid of higher molecular weight.
- the composition according to the invention is characterized in that the co-polyamino acid is derived from a polyamino acid obtained by depolymerization of a polyamino acid of higher molecular weight chosen from the group consisting of polyglutamate sodium and sodium polyaspartate.
- the composition according to the invention is characterized in that the co-polyamino acid is derived from a polyamino acid obtained by depolymerization of a sodium polyaspartate of higher molecular weight.
- the composition according to the invention is characterized in that the co-polyamino acid is obtained by grafting a hydrophobic group on a poly-L-glutamic acid or poly-L-aspartic acid using the methods of amide bond formation used for peptide synthesis. In one embodiment, the composition according to the invention is characterized in that the co-polyamino acid is obtained by grafting a hydrophobic group on a poly-L-glutamic acid or poly-L-aspartic acid as described in patent FR 2,840,614.
- the invention also relates to the co-polyamino acid carrying carboxylate charges and hydrophobic Hy radicals, said co-polyamino acid consisting of glutamic or aspartic units and said hydrophobic Hy radicals chosen from the radicals of formula I as defined below. below: Formula I
- - GpR is a radical of formulas II, IG or II ":
- GpA is a radical of formulas III or IIG;
- - GpC is a radical of formula IV:
- - a is an integer equal to 0 or 1;
- - b is an integer equal to 0 or 1;
- GpA is a radical of formula IIG and
- - c is an integer equal to 0 or 1, and if c is equal to 0 then d is equal to 1 or 2; - d is an integer equal to 0, 1 or 2;
- the hydrophobic radical of formula I is linked to the co-polyamino acid via a covalent bond between a carbonyl of the hydrophobic radical and a nitrogen atom in the N-terminal position of the co-polyamino acid, thus forming an amide function resulting from the reaction of an amine function in the N-terminal position of the co-polyamino acid precursor and an acid function carried by the precursor of the hydrophobic radical, and
- R is a radical chosen from the group consisting of a divalent, linear or branched alkyl radical comprising from 1 to 12 carbon atoms, a divalent, linear or branched alkyl radical comprising from 1 to 12 carbon atoms carrying one or more functions - CONH2 or an unsubstituted ether or polyether radical comprising from 4 to 14 carbon atoms and from 1 to 5 oxygen atoms, a divalent, linear or branched alkyl radical comprising from 1 to 12 carbon atoms carrying one or more unsaturated rings or an unsubstituted ether or polyether radical comprising from 4 to 14 carbon atoms and from 1 to 5 oxygen atoms; more precisely, R is a radical chosen from the group consisting of:
- a divalent linear or branched alkyl radical comprising from 2 to 11 carbon atoms if GpR is a radical of formula II or from 1 to 11 carbon atoms if GpR is a radical of formula IG or II ", said alkyl radical carrying one or more -COIMH2 functions, and
- - B is a linear or branched alkyl radical, optionally comprising an aromatic ring, comprising from 1 to 9 carbon atoms;
- - C x is a linear or branched monovalent alkyl radical, optionally comprising a cyclic part, in which x indicates the number of carbon atoms and:
- the degree of DP polymerization in glutamic or aspartic units is between 5 and 250;
- the free acid functions being in the form of an alkali cation salt chosen from the group consisting of Na + and K +
- the invention also relates to the Hy 'precursor of the hydrophobic radical Hy of formula I as defined below:
- a is an integer equal to 0 or 1;
- b is an integer equal to 0 or 1;
- p is an integer equal to 1 or 2 and
- GpA is a radical of formula IIG and
- d is an integer equal to 0, 1 or 2;
- r is an integer equal to 0, 1 or 2
- the hydrophobic radical of formula I is linked to the co-polyamino acid via a covalent bond between a carbonyl of the hydrophobic radical and a nitrogen atom in the N-terminal position of the co-polyamino acid, thus forming an amide function resulting from the reaction of an amine function in the IM terminal position of the precursor of the co-polyamino acid and an acid function carried by the precursor of the hydrophobic radical, and
- a divalent linear or branched alkyl radical comprising from 2 to 11 carbon atoms if GpR is a radical of formula II or from 1 to 11 carbon atoms if GpR is a radical of formula IG or II ", said alkyl radical carrying one or more -CONH2 functions, and
- an ether or unsubstituted polyether radical comprising from 4 to 14 carbon atoms and from 1 to 5 oxygen atoms;
- - A is a linear or branched alkyl radical comprising from 1 to 8 carbon atoms and optionally substituted by a radical derived from a saturated, unsaturated or aromatic ring;
- - B is a radical chosen from the group consisting of an unsubstituted ether or polyether radical comprising from 4 to 14 carbon atoms and from 1 to 5 oxygen atoms or a linear or branched alkyl radical, optionally comprising an aromatic ring, comprising from 1 to 9 carbon atoms;
- the invention also relates to the precursors of said hydrophobic radicals of formula V 'and VI':
- the units used are for insulins those recommended by the pharmacopoeias whose correspondences in mg / ml are given in the table below:
- basic insulin the isoelectric point of which is between 5.8 and 8.5, is understood to mean insulin insoluble at pH 7 and the duration of action of which is between 8 and 24 hours or more in standard models of diabetes. .
- basal insulins whose isoelectric point is between 5.8 and 8.5 are recombinant insulins whose primary structure has been modified mainly by the introduction of basic amino acids such as Arginine or Lysine. They are described for example in the following patents, patent applications or publications WO 2003/053339, WO 2004/096854, US 5,656,722 and US 6,100,376, the content of which is incorporated by reference.
- the basal insulin, the isoelectric point of which is between 5.8 and 8.5 is insulin glargine.
- Insulin glargine is marketed under the brand name Lantus ® (100 U / ml) or Toujeo ® (300 U / ml) by SANOFI.
- compositions according to the invention comprise between 40 and 500 U / ml of basal insulin, the isoelectric point of which is between 5.8 and 8.5.
- compositions according to the invention comprise 40 U / ml of basal insulin, the isoelectric point of which is between 5.8 and 8.5.
- compositions according to the invention comprise 100 U / ml (or approximately 3.6 mg / ml) of basal insulin, the isoelectric point of which is between 5.8 and 8.5.
- compositions according to the invention comprise 150 U / ml of basal insulin, the isoelectric point of which is between 5.8 and 8.5.
- compositions according to the invention comprise 200 U / ml of basal insulin, the isoelectric point of which is between 5.8 and 8.5.
- compositions according to the invention comprise 225 U / ml of basal insulin, the isoelectric point of which is between 5.8 and 8.5.
- compositions according to the invention comprise 250 U / ml of basal insulin, the isoelectric point of which is between 5.8 and 8.5.
- compositions according to the invention comprise 300 U / ml of basal insulin, the isoelectric point of which is between 5.8 and 8.5.
- compositions according to the invention comprise 400 U / ml of basal insulin, the isoelectric point of which is between 5.8 and 8.5.
- compositions according to the invention comprise 500 U / ml of basal insulin, the isoelectric point of which is between 5.8 and 8.5.
- the mass ratio between basal insulin, the isoelectric point of which is between 5.8 and 8.5, and the co-polyamino acid, ie co-polyamino acid / basal insulin is between 0.2 and 8. [000229] In one embodiment, the mass ratio is between 0.2 and 6.
- the mass ratio is between 0.2 and 4.
- the mass ratio is between 0.2 and 3.
- the mass ratio is between 0.2 and 2.
- the mass ratio is between 0.2 and 1.
- mealtime insulin is meant a so-called rapid or “regular” insulin.
- the so-called rapid meal insulins are insulins which must meet the needs caused by the ingestion of proteins and carbohydrates during a meal, they must act in less than 30 minutes.
- the so-called "regular” mealtime insulin is human insulin.
- Human insulin is marketed under such brands Humulin ® (Eli Lilly) and Novolin ® (Novo Nordisk).
- the so-called very fast prandial insulins are insulins which are obtained by recombination and whose primary structure has been modified to reduce their action time.
- the meal insulin is insulin lispro.
- the meal insulin is insulin glulisine.
- the meal insulin is insulin aspart.
- compositions according to the invention comprise in total between 60 and 800 U / ml of insulin with a combination of mealtime insulin and basal insulin, the isoelectric point of which is between 5.8 and 8.5.
- compositions according to the invention comprise in total between 100 and 500 U / ml of insulin with a combination of mealtime insulin and basal insulin, the isoelectric point of which is between 5.8 and 8.5. In one embodiment, the compositions according to the invention comprise in total 800 U / ml of insulin with a combination of prandial insulin and basal insulin, the isoelectric point of which is between 5.8 and 8, 5.
- compositions according to the invention comprise a total of 700 U / ml of insulin with a combination of prandial insulin and basal insulin, the isoelectric point of which is between 5.8 and 8, 5.
- compositions according to the invention comprise a total of 600 U / ml of insulin with a combination of prandial insulin and basal insulin, the isoelectric point of which is between 5.8 and 8, 5.
- compositions according to the invention comprise a total of 500 U / ml of insulin with a combination of prandial insulin and basal insulin, the isoelectric point of which is between 5.8 and 8, 5.
- compositions according to the invention comprise a total of 400 U / ml of insulin with a combination of mealtime insulin and basal insulin, the isoelectric point of which is between 5.8 and 8 5.
- compositions according to the invention comprise a total of 300 U / ml of insulin with a combination of prandial insulin and basal insulin, the isoelectric point of which is between 5.8 and 8, 5.
- compositions according to the invention comprise a total of 266 U / ml of insulin with a combination of mealtime insulin and basal insulin, the isoelectric point of which is between 5.8 and 8, 5.
- compositions according to the invention comprise a total of 200 U / ml of insulin with a combination of prandial insulin and basal insulin, the isoelectric point of which is between 5.8 and 8, 5.
- compositions according to the invention comprise a total of 100 U / ml of insulin with a combination of mealtime insulin and basal insulin, the isoelectric point of which is between 5.8 and 8, 5.
- the proportions between the basal insulin whose isoelectric point is between 5.8 and 8.5 and the mealtime insulin are for example in percentage of 25/75, 30/70, 40/60, 50/50 , 60/40, 63/37, 70/30, 75/25, 80/20, 83/17, 90/10 for formulations as described above comprising from 60 to 800 U / m L. However, any other proportion can be achieved.
- the basal insulin whose isoelectric point is between 5.8 and 8.5 and the mealtime insulin are present respectively in the following concentrations (in U / ml) 75/25, 150 / 50, 200/66 or 300/100. In one embodiment, the basal insulin whose isoelectric point is between 5.8 and 8.5 and the mealtime insulin are present respectively in the following concentrations (in U / ml) 75/25.
- the basal insulin whose isoelectric point is between 5.8 and 8.5 and the mealtime insulin are present respectively in the following concentrations (in U / ml) 150/50.
- compositions according to the invention include a gastrointestinal hormone.
- gastrointestinal hormones means the hormones chosen from the group consisting of GLP-1 RA (Glucagon like peptide-1 receptor agonist) and GIP (Glucose-dependent insulinotropic peptide), oxyntomodulin (a derivative proglucagon), peptide YY, amylin, cholecystokinin, pancreatic polypeptide (PP), ghreline and enterostatin, their analogs or derivatives and / or their pharmaceutically acceptable salts.
- GLP-1 RA Glucagon like peptide-1 receptor agonist
- GIP Glucose-dependent insulinotropic peptide
- oxyntomodulin a derivative proglucagon
- peptide YY amylin
- cholecystokinin pancreatic polypeptide
- enterostatin enterostatin
- Amylin or "amyloid polypeptide islet" (IAPP) is a peptide hormone with 37 residues. It is co-secreted with insulin from pancreatic beta cells in the ratio of about 100/1. Amylin plays a role in glycemic regulation by stopping the secretion of endogenous glucagon and slowing gastric emptying and promoting satiety, thus reducing postprandial glycemic excursions in blood glucose levels.
- IAPP is treated from a coding sequence of 89 residues.
- the amyloid pro-islet polypeptide (proIAPP, proamyline, proislet protein) is produced in pancreatic beta cells (beta cells) as a 67 amino acid pro-peptide, 7404 Dalton, and undergoes post-translational modifications including protease cleavage to produce insulin glargine.
- amylin as mentioned refers to the compounds described in US patents 5,124,314 and US 5,234,906.
- analogue is understood to mean, when used with reference to a peptide or a protein, a peptide or a protein, in which one or more amino acid residues constituting the primary sequence have been substituted with d other amino acid residues and / or in which one or more constituent amino acid residues have been deleted and / or in which one or more constitutive amino acid residues have been added.
- the percentage of homology accepted for the present definition of an analogue is 50%.
- an analog may for example be derived from the primary amino acid sequence of amylin by substituting one or more natural or non-natural or peptidomimetic amino acids.
- derivative means, when used with reference to a peptide or a protein, a peptide or a protein or an analog chemically modified by a substituent which is not present in the reference peptide or protein or analog, that is to say a peptide or protein which has been modified by creation of covalent bonds, to introduce non-amino type substituents acid.
- the gastrointestinal hormones are analogs or derivatives of GLP-1 RA chosen from the group consisting of exenatide or Byetta ® (ASTRA-ZEI ⁇ IECA), liraglutide or Victoza ® ( NOVO NORDISK), lixisenatide or Lyxumia ® (SANOFI), albiglutide or Tanzeum ® (GSK) or dulaglutide or Trulicity ® (ELI LILLY & CO), their analogs or derivatives and their pharmaceutically acceptable salts.
- GLP-1 RA GLP-1 RA chosen from the group consisting of exenatide or Byetta ® (ASTRA-ZEI ⁇ IECA), liraglutide or Victoza ® ( NOVO NORDISK), lixisenatide or Lyxumia ® (SANOFI), albiglutide or Tanzeum ® (GSK) or dulaglutide or Trulicity ® (ELI LILLY & CO), their analogs or derivatives and their pharmaceutical
- the gastrointestinal hormone is exenatide or Byetta ® , its analogs or derivatives and their pharmaceutically acceptable salts.
- the hormone is gastrointestinal liraglutide or Victoza ®, analogs or derivatives and their pharmaceutically acceptable salts.
- the gastrointestinal hormone is lixisenatide or Lyxumia ® , its analogs or derivatives and their pharmaceutically acceptable salts.
- the gastrointestinal hormone is dulaglutide or Trulicity ® , its analogs or derivatives and their pharmaceutically acceptable salts.
- the hormone is pramlintide or gastrointestinal Symlin ®, analogs or derivatives and their pharmaceutically acceptable salts.
- analogue is understood to mean, when used with reference to a peptide or a protein, a peptide or a protein, in which one or more constituent amino acid residues have been substituted by other residues d amino acids and / or in which one or more constituent amino acid residues have been deleted and / or in which one or more constitutive amino acid residues have been added.
- the percentage of homology accepted for the present definition of an analogue is 50%.
- derivative means, when used with reference to a peptide or a protein, a peptide or a protein or an analog chemically modified by a substituent which is not present in the peptide or the protein or the reference analogue, that is to say a peptide or a protein which has been modified by creation of covalent bonds, to introduce substituents.
- the substituent is chosen from the group consisting of fatty chains.
- the concentration of gastrointestinal hormone is in the range of 0.01 to 100 mg / mL.
- the concentration of liraglutide, its analogs or derivatives and their pharmaceutically acceptable salts is in the range from 1 to 10 mg / ml.
- the concentration of lixisenatide, its analogs or derivatives and their pharmaceutically acceptable salts is in the range of 0.01 to 1 mg / ml.
- the concentration of albiglutide, its analogs or derivatives and their pharmaceutically acceptable salts is between 5 to 100 mg / ml.
- the concentration of dulaglutide, its analogs or derivatives and their pharmaceutically acceptable salts is between 0.1 and 10 mg / ml.
- the concentration of pramlintide, its analogs or derivatives and their pharmaceutically acceptable salts is between 0.1 and 5 mg / ml.
- compositions according to the invention are produced by mixing commercial solutions of basal insulin the isoelectric point of which is between 5.8 and 8.5 and commercial solutions of GLP-1 RA, GLP-1 RA analog or derivative in volume ratios in the range of 10/90 to 90/10.
- the composition according to the invention comprises a daily dose of basal insulin and a daily dose of gastrointestinal hormone.
- compositions according to the invention comprise between 40 U / mL and 500 U / mL of basal insulin, the isoelectric point of which is between 5.8 and 8.5 and, from 1 to 10 mg / mL of liraglutide.
- compositions according to the invention comprise between 40 U / mL and 500 U / mL of basal insulin, the isoelectric point of which is between 5.8 and 8.5 and, from 0.01 1 mg / mL lixisenatide. In one embodiment, the compositions according to the invention comprise between 40 U / mL and 500 U / mL of basal insulin, the isoelectric point of which is between 5.8 and 8.5 and, from 5 to 100 mg / mL albiglutide.
- compositions according to the invention comprise between 40 U / mL and 500 U / mL of basal insulin, the isoelectric point of which is between 5, 8 and 8.5 and, from 0.1 10 mg / mL dulaglutide.
- compositions according to the invention comprise 500 U / ml of basal insulin, the isoelectric point of which is between 5.8 and 8.5 and, from 0.04 to 0.5 mg / mL of exenatide.
- compositions according to the invention comprise 500 U / ml of basal insulin, the isoelectric point of which is between 5.8 and 8.5 and, from 1 to 10 mg / ml of liraglutide.
- compositions according to the invention comprise 500 U / ml of basal insulin, the isoelectric point of which is between 5.8 and 8.5 and, from 0.01 to 1 mg / ml of lixisenatide.
- compositions according to the invention comprise 500 U / ml of basal insulin, the isoelectric point of which is between 5.8 and 8.5 and, from 5 to 100 mg / ml of albiglutide .
- compositions according to the invention comprise 500 U / ml of basal insulin, the isoelectric point of which is between 5.8 and 8.5 and, from 0.1 to 10 mg / ml of Dulaglutide.
- compositions according to the invention comprise 400 U / ml of basal insulin, the isoelectric point of which is between 5.8 and 8.5 and, from 0.04 to 0.5 mg / mL of exenatide.
- compositions according to the invention comprise 400 U / ml of basal insulin, the isoelectric point of which is between 5.8 and 8.5 and, from 1 to 10 mg / ml of liraglutide.
- compositions according to the invention comprise 400 U / ml of basal insulin, the isoelectric point of which is between 5.8 and 8.5 and, from 0.01 to 1 mg / ml of lixisenatide.
- compositions according to the invention comprise 400 U / mL of basal insulin, the isoelectric point of which is between 5.8 and 8.5 and, from 0.1 to 10 mg / mL of Dulaglutide. In one embodiment, the compositions according to the invention comprise 300 U / ml of basal insulin, the isoelectric point of which is between 5.8 and 8.5 and, from 0.04 to 0.5 mg / mL of exenatide.
- compositions according to the invention comprise 300 U / ml of basal insulin, the isoelectric point of which is between 5.8 and 8.5 and, from 1 to 10 mg / ml of liraglutide.
- compositions according to the invention comprise 300 U / mL of basal insulin, the isoelectric point of which is between 5.8 and 8.5 and, from 0.01 to 1 mg / mL of lixisenatide.
- compositions according to the invention comprise 300 U / ml of basal insulin, the isoelectric point of which is between 5.8 and 8.5 and, from 5 to 100 mg / ml of albiglutide .
- compositions according to the invention comprise 300 U / ml of basal insulin, the isoelectric point of which is between 5.8 and 8.5 and, from 0.1 to 10 mg / ml of Dulaglutide.
- compositions according to the invention comprise 225 U / ml of basal insulin, the isoelectric point of which is between 5.8 and 8.5 and, from 0.04 to 0.5 mg / mL of exenatide.
- compositions according to the invention comprise 225 U / ml of basal insulin, the isoelectric point of which is between 5.8 and 8.5 and, from 0.01 to 1 mg / ml of lixisenatide.
- compositions according to the invention comprise 200 U / ml of basal insulin, the isoelectric point of which is between 5.8 and 8.5 and, from 0.04 to 0.5 mg / mL of exenatide.
- compositions according to the invention comprise 100 U / ml (or approximately 3.6 mg / ml) of basal insulin, the isoelectric point of which is between 5.8 and 8.5 and, 0.04 to 0.5 mg / mL exenatide.
- compositions according to the invention comprise 100 U / ml (or approximately 3.6 mg / ml) of basal insulin, the isoelectric point of which is between 5.8 and 8.5 and, 1 to 10 mg / mL of liraglutide.
- compositions according to the invention comprise 100 U / ml (or approximately 3.6 mg / ml) of basal insulin, the isoelectric point of which is between 5.8 and 8.5 and, 0.01 to 1 mg / mL of lixisenatide.
- compositions according to the invention comprise 100 U / ml of basal insulin, the isoelectric point of which is between 5.8 and 8.5 and, from 0.1 to 10 mg / ml of Dulaglutide.
- compositions according to the invention comprise 40 U / ml of basal insulin, the isoelectric point of which is between 5.8 and 8.5 and, from 0.04 to 0.5 mg / mL of exenatide.
- compositions according to the invention comprise 40 U / ml of basal insulin, the isoelectric point of which is between 5.8 and 8.5 and, from 1 to 10 mg / ml of liraglutide.
- compositions according to the invention comprise 40 U / ml of basal insulin, the isoelectric point of which is between 5.8 and 8.5 and, from 0.01 to 1 mg / ml of lixisenatide.
- compositions according to the invention comprise 40 U / ml of basal insulin, the isoelectric point of which is between 5.8 and 8.5 and, from 5 to 100 mg / ml of albiglutide . In one embodiment, the compositions according to the invention comprise 40 U / mL of basal insulin, the isoelectric point of which is between 5.8 and 8.5 and, from 0.1 to 10 mg / mL of Dulaglutide.
- compositions according to the invention further comprise zinc salts at a concentration between 0 and
- compositions according to the invention also comprise zinc salts at a concentration between 0 and
- compositions according to the invention further comprise zinc salts at a concentration between 0 and
- compositions according to the invention also comprise zinc salts at a concentration between 0 and
- compositions according to the invention further comprise zinc salts at a concentration between 0 and
- compositions according to the invention also comprise zinc salts at a concentration of between 50 and
- compositions according to the invention also comprise zinc salts at a concentration of between 100 and
- compositions according to the invention also comprise zinc salts at a concentration of between 200 and
- compositions according to the invention further comprise buffers.
- compositions according to the invention comprise buffers at concentrations between 0 and 100 mM.
- compositions according to the invention comprise buffers at concentrations between 15 and 50 mM.
- compositions according to the invention comprise a buffer chosen from the group consisting of a phosphate buffer, Tris (trishydroxymethylaminomethane) and sodium citrate.
- the buffer is sodium phosphate. In one embodiment, the buffer is Tris (trishydroxymethylaminomethane).
- the buffer is sodium citrate.
- compositions according to the invention also comprise preservatives.
- the preservatives are chosen from the group consisting of m-cresol and phenol, alone or as a mixture.
- the concentration of preservatives is between 10 and 50 mM.
- the surfactant is chosen from the group consisting of propylene glycol and polysorbate.
- the tonicity agents are chosen from the group consisting of glycerin, sodium chloride, mannitol and glycine.
- compositions according to the invention may also comprise all the excipients in accordance with the pharmacopoeias and compatible with the insulins used at the usual concentrations.
- the invention also relates to a pharmaceutical formulation according to the invention, characterized in that it is obtained by drying and / or lyophilization.
- the modes of administration envisaged are by the intravenous, subcutaneous, intradermal or intramuscular route.
- transdermal, oral, nasal, vaginal, ocular, oral, pulmonary administration routes are also envisaged.
- composition according to the invention is characterized in that it is administered 1 time per day.
- composition according to the invention is characterized in that it is administered at least 2 times a day.
- composition according to the invention is characterized in that it is administered 2 times a day.
- the composition according to the invention is characterized in that it further comprises a mealtime insulin. In one embodiment, the composition according to the invention further comprising at least one prandial insulin is characterized in that it is administered 1 time per day.
- composition according to the invention further comprising at least one prandial insulin is characterized in that it is administered at least 2 times a day.
- composition according to the invention further comprising at least one prandial insulin is characterized in that it is administered 2 times a day.
- composition according to the invention is characterized in that it also comprises a gastrointestinal hormone.
- composition according to the invention further comprising at least one gastrointestinal hormone is characterized in that it is administered
- composition according to the invention further comprising at least one gastrointestinal hormone is characterized in that it is administered at least 2 times a day.
- composition according to the invention further comprising at least one gastrointestinal hormone is characterized in that it is administered
- composition according to the invention is characterized in that the gastrointestinal hormone is a GLP-1 RA.
- composition according to the invention further comprising a GLP-1 RA is characterized in that it is administered 1 time per day.
- composition according to the invention further comprising at least one GLP-1 RA is characterized in that it is administered 2 times a day.
- the invention also relates to single-dose formulations at pH between 6.0 and 8.0 comprising a basal insulin whose isoelectric point is between 5.8 and 8.5 and a mealtime insulin.
- the invention also relates to single-dose formulations at pH between 6.0 and 8.0 comprising a basal insulin whose isoelectric point is between 5.8 and 8.5 and a gastrointestinal hormone, as defined above.
- the invention also relates to single-dose formulations at pH between 6.0 and 8.0 comprising a basal insulin whose isoelectric point is between 5.8 and 8.5, a meal insulin and a gastrointestinal hormone, as defined above.
- the invention also relates to single-dose formulations at pH between
- the invention also relates to single-dose formulations at pH between
- 6.6 and 7.6 comprising a basal insulin whose isoelectric point is between 5.8 and
- the invention also relates to single-dose formulations at pH between
- 6.6 and 7.6 comprising a basal insulin whose isoelectric point is between 5.8 and
- the invention also relates to single-dose formulations at pH between
- the single-dose formulations further comprise a co-polyamino acid as defined above.
- the formulations are in the form of an injectable solution.
- the basal insulin whose isoelectric point is between 5.8 and 8.5 is insulin glargine.
- the meal insulin is human insulin.
- the insulin is a recombinant human insulin as described in the European Pharmacopoeia and the American Pharmacopoeia.
- the prandial insulin is selected from the group consisting of insulin lispro (Humalog ®), insulin glulisine (Apidra ®) and insulin aspart (NovoLog ®).
- the meal insulin is insulin lispro.
- the meal insulin is insulin glulisine.
- the meal insulin is aspart insulin.
- GLP-1 RA analog or derivative of GLP- 1 RA is chosen from the group comprising exenatide (Byetta ® ), liraglutide (Victoza ® ), lixisenatide (Lyxumia ® ), albiglutide (Tanzeum ® ), dulaglutide (Trulicity ® ) or one of their derivatives.
- the gastrointestinal hormone is exenatide.
- the gastrointestinal hormone is liraglutide.
- the gastrointestinal hormone is lixisenatide.
- the gastrointestinal hormone is albiglutide.
- the gastrointestinal hormone is dulaglutide.
- the solubilization at pH between 6.6 and 7.8 of the basal insulins whose isoelectric point is between 5.8 and 8.5, by the co-polyamino acids carrying carboxylate charges and at least one radical hydrophobic according to the invention, can be observed and controlled in a simple manner, with the naked eye, by virtue of a change in appearance of the solution.
- the Applicant has been able to verify that a basal insulin whose isoelectric point is between 5.8 and 8.5, solubilized at pH between 6.0 and 8.0 in presence of a co-polyamino acid carrying carboxylate charges and at least one hydrophobic radical according to the invention retains its slow insulin action, whether alone or in combination with a prandial insulin or a gastrointestinal hormone.
- the Applicant has also been able to verify that a mixed meal insulin mixed at a pH of between 6.0 and 8.0 in the presence of a co-polyamino acid carrying carboxylate charges and at least one hydrophobic radical according to the invention and a basal insulin whose isoelectric point is between 5.8 and 8.5, retains its rapid insulin action.
- the preparation of a composition according to the invention has the advantage of being able to be carried out by simple mixing of an aqueous solution of basal insulin, the isoelectric point of which is between 5.8 and 8.5, and d 'A co-polyamino acid carrying carboxylate charges and at least one hydrophobic radical according to the invention, in aqueous solution or in lyophilized form. If necessary, the pH of the preparation is adjusted to pH between 6 and 8.
- the preparation of a composition according to the invention has the advantage of being able to be carried out by simple mixing of an aqueous solution of basal insulin, the isoelectric point of which is between 5.8 and 8.5, a solution of prandial insulin, and of a co-polyamino acid carrying carboxylate charges and of at least one hydrophobic radical according to the invention, in aqueous solution or in lyophilized form. If necessary, the pH of the preparation is adjusted to pH between 6 and 8.
- the preparation of a composition according to the invention has the advantage of being able to be carried out by simple mixing of an aqueous solution of basal insulin whose isoelectric point is between 5.8 and 8.5, d '' a solution of prandial insulin, a solution of GLP-1 RA or an analog or derivative of GLP-1 RA and a co-polyamino acid carrying carboxylate charges and at least one hydrophobic radical according to l invention, in aqueous solution or in lyophilized form. If necessary, the pH of the preparation is adjusted to pH between 6 and 8.
- the mixture of basal insulin and co-polyamino acid is concentrated by ultrafiltration before mixing with the mealtime insulin in aqueous solution or in lyophilized form.
- composition of the mixture is adjusted by excipients such as glycerin, m-cresol, zinc chloride, and polysorbate (Tween ®) by addition of concentrated solutions of these excipients in the mixture.
- excipients such as glycerin, m-cresol, zinc chloride, and polysorbate (Tween ®)
- pH of the preparation is adjusted to pH between 6 and 8.
- the sodium chloride is present in a concentration ranging from 2 to 25 mM
- the sodium chloride is present in a concentration ranging from 2.5 to 20 mM
- the sodium chloride is present in a concentration ranging from 4 to 15 mM
- the sodium chloride is present in a concentration ranging from 5 to 10 mM
- hydrophobic intermediate compounds are represented in the following table by the corresponding hydrophobic molecule before grafting on the co-polyamino acid.
- Example AAI AAI molecule
- Molecule Al Product obtained by the reaction between palmitoyl chloride and L-proline.
- the opalescent reaction medium is then cooled to 0 ° C.
- the precipitate obtained is filtered on a frit and then washed with water (5 x 50 mL) until filtrates of physiological pH between 6.0 and 8.0 are obtained, then they are dried in an oven at 50 ° C. empty overnight.
- the product is purified by recrystallization from diisopropyl ether. A white solid is obtained.
- Molecule A2 Product obtained by reaction between the molecule Al and / V-Boc-ethylenediamine.
- Molecule A3 15-methylhexadecan-l-ol.
- aqueous phase is extracted with dichloromethane and the combined organic phases are dried over Na2SO4, filtered and concentrated in vacuo. After purification by chromatography on silica gel (cyclohexane, ethyl acetate, acetic acid), a white solid is obtained.
- the medium is treated with a 1N aqueous HCl solution to pH 1.
- the aqueous phase is extracted with dichloromethane (2 x 125 mL).
- the combined organic phases are washed with a 1N aqueous HCl solution (2 x 100 mL), water (100 mL), then an aqueous solution saturated with NaCl (100 mL).
- the organic phase is filtered, concentrated under vacuum and the residue is purified by chromatography on silica gel (cyclohexane, ethyl acetate, acetic acid)
- A6 molecule Product obtained by reaction between the A5 molecule and / V-Boc-ethylenediamine.
- Molecule A7 Product obtained by the reaction between the molecule Al and Boc- tri (ethylene glycol) diamine.
- Molecule A8 Product obtained by the reaction between the molecule Al and Boc-1- amino-4,7,10-trioxa-13-tridecane amine.
- Molecule A9 1 Product obtained by reaction between the molecule Al and the methyl ester of / V-Boc-L-lysine.
- Molecule A10 Product obtained by treatment of the molecule A9 with ammonia.
- Molecule Ai l Product obtained by the reaction between stearoyl chloride and L-proline.
- Molecule Al 2 1 Product obtained by reaction between the molecule Ai l and Boc- tri (ethylene glycol) diamine.
- Molecule A14 Product obtained by the reaction between the molecule A13 and Boc-1-amino-4,7,10-trioxa-13-tridecane amine.
- A16 molecule Product obtained by the reaction between the A15 molecule and the methyl ester of L-proline
- Molecule A18 Product obtained by the reaction between / V-Boc-ethylenediamine and the molecule A17.
- Molecule A19 Product obtained by the reaction between lauric acid and L-phenylalanine.
- Molecule A20 Product obtained by the reaction between the molecule A19 and the hydrochloride salt of the methyl ester of L-proline.
- Molecule A23 Product obtained by the reaction between the molecule B7 and N- Boc- ethylenediamine
- Molecule A24 Product obtained by the reaction between the molecule B7 and Boc-1-amino-4,7,10-trioxa-13-tridecane amine.
- Example AA12 AAI 2 molecule
- Molecule A25 Product obtained by the reaction between the molecule B4 and N-Boc-ethylenediamine.
- Molecule A26 Product obtained by coupling between the molecule B1 and / V-Boc-ethylenediamine.
- Molecule A27 Product obtained by hydrogenation of phytol.
- A28 molecule Product obtained by oxidation of the A27 molecule
- reaction medium is then stirred for 4 h 30 at reflux, cooled to 10 ° C. and then acidified to pH 1 with a solution of 6N HCl (20 mL).
- A2SC 53.90 g is gradually added while maintaining the temperature at 10 ° C. and the medium is stirred until complete discoloration.
- Water 200 mL is added, the phases are separated and the aqueous phase is extracted with DCM (2 x 400 mL). The combined organic phases are washed with an aqueous solution of 10% HCl (20 mml), water (2 x 200 mL), aqueous saturated NaCl (200 mL), dried over Na2S0 4, filtered and concentrated under reduced pressure.
- a yellow oil of molecule A28 is obtained after purification by flash chromatography
- A29 molecule Product obtained by coupling between the A28 molecule and methyl L-prolinate.
- a yellow oil of molecule A29 is obtained after washing the organic phase with a saturated aqueous solution of NaHCC (2 x 150 mL), a solution aqueous 10% HCl (2 x 150 mL), an aqueous solution saturated with NaCl (2 x 150 mL), then drying over Na2SO 4 , filtration and concentration under reduced pressure.
- Molecule A3 ⁇ Product obtained by the saponification of the molecule A29.
- Molecule A31 Product obtained by coupling between the molecule A30 and Boc-1-amino- 4,7,10-trioxa- 13-tridecane amine.
- the AAI 5 molecule is obtained by the conventional method of solid phase peptide synthesis (SPPS) on 2-chlorotrityl resin.
- palmitic acid (3 equivalents) are successively coupled using l- [bis (dimethylamino) methylene] -lH-1,2,3-triazolo [4,5- bjpyridinium 3-oxide hexafluorophosphate (HATU, 3 equivalents) as coupling agent in the presence of DIPEA (6 equivalents) in a DCM / DMF 1: 1 mixture.
- DIPEA 6- equivalents
- DCM / DMF 1: 1 mixture A 20% piperidine solution in DMF is used for the stages of cleavage of the protective group
- the resin is washed with DCM, DMF and isopropanol after each coupling and deprotection step.
- the cleavage of the product from the resin is carried out using a TFA / DCM 1: 1 mixture.
- the solvents are evaporated under reduced pressure, the residue is dissolved in DCM (50 ml) and the organic phase is washed with an aqueous solution of 1 N NaOH (1 x 50 mL) then a saturated NaCl solution (2 x 50 mL). After drying over a2SÜ4, the organic phase is filtered, concentrated under reduced pressure and the residue is purified by chromatography on silica gel (dichloromethane, methanol, NH4OH).
- the molecule AA16 is obtained in the form of a yellow oil.
- the AA18 molecule is obtained in the form of a white solid.
- Example AB1 Co-polyamino acid AB1 - sodium poly-L-glutamate modified by the molecule AAI and having a number-average molar mass (Mn) of 2900 g / mol
- Co-polvamino acid AB1-1 poly-L-glutamic acid with a number-average molar mass (Mn) relative 3861 g / mol resulting from the polymerization of y-benzyl-L-glutamate / V-carboxyanhydride initiated by hexylamine
- the white precipitate is recovered by filtration, washed with diisopropyl ether (2 x 200 mL) then dried under vacuum at 30 ° C to give a poly (gamma-benzyl-L-glutamic acid) (PBLG).
- PBLG poly (gamma-benzyl-L-glutamic acid)
- the solid obtained is then dissolved in water (1.5 L) by adjusting the pH to 7 by adding a 10N aqueous sodium hydroxide solution and then a 1N aqueous sodium hydroxide solution. After solubilization, the theoretical concentration is adjusted to 20 g / L theoretical by adding water to obtain a final volume of 2, 1 L.
- the solution is filtered on a 0.45 ⁇ m filter and then purified by ultrafiltration against a 0.9% NaCl solution, then water until the conductimetry of the permeate is less than 50 pS / cm.
- the co-polyamino acid solution is then concentrated until a final volume of 1.8 L is obtained.
- the co-polyamino acid AB1-1 (10.0 g) is dissolved in DMF (700 mL) at 30-40 ° C and then cooled to 0 ° C.
- the AAI molecule in the form of the hydrochloride salt (1.64 g, 3.8 mmol) is suspended in DMF (23 mL) and triethylamine (0.39 g, 3.8 mmol) is then added and the mixture is slightly heated with stirring until complete dissolution.
- N-methylmorpholine NMM, 7.6 g, 75 mmol
- ECF ethyl chloroformate
- the white solid obtained is taken up in water (500 mL) and the pH is adjusted to 7 by slow addition of a 1N aqueous NaOH solution. After filtration through a 0.45 ⁇ m filter, the clear solution obtained is purified. by ultrafiltration against a 0.9% NaCl solution and then water, until the conductimetry of the permeate is less than 50 pS / cm. After unloading, the solution is filtered through a 0.2 ⁇ m filter and stored at 2-8 ° C.
- the calculated average molar mass of the co-polyamino acid AB1 is 3945 g / mol.
- Example AB2 Co-polyamino acid AB2 - sodium poly-L-glutamate modified by the molecule AAI and having a number-average molar mass (Mn) of 3700 g / mol
- the calculated average molar mass of the AB2 co-polyamino acid is 5972 g / mol.
- the calculated average molar mass of the AB3 co-polyamino acid is 6594 g / mol.
- Example AB4 Co-polyamino acid AB4 - sodium poly-L-glutamate modified by the molecule AA2 and having a number-average molar mass (Mn) of 1800 g / mol
- the calculated average molar mass of the AB4 co-polyamino acid is 6022 g / mol.
- Example AB5 Co-polyamino acid AB5 - sodium poly-L-glutamate modified by the molecule AA6 and having a number-average molar mass (Mn) of 2600 g / mol
- the calculated average molar mass of the AB5 co-polyamino acid is 4079 g / mol.
- Example AB6 Co-polyamino acid AB6 - sodium poly-L-glutamate modified by the molecule AA7 and having a number-average molar mass (Mn) of 4000 g / mol
- a poly-L-glutamic acid of average mass Mn 3500 g / mol and of degree of polymerization 22 (10.0 g) obtained by a process similar to that used for the preparation of the co-polyamino acid AB1-1 is solubilized in DMF (420 mL) at 30-40 ° C then maintained at this temperature.
- the hydrochloride salt of the molecule AA7 (1.47 g, 2.3 mmol) is suspended in DMF (12 mL) and triethylamine (0.23 g, 2.3 mmol) is added , then the mixture is slightly heated with stirring until complete dissolution.
- the pH is readjusted to 2 with a 37% HCl solution, and the suspension is left to stand overnight.
- the precipitate is collected by filtration, then rinsed with 100 ml of water.
- the white solid obtained is solubilized in 500 ml of water by slow addition of a 1N aqueous NaOH solution to pH 7 with stirring, then the solution is filtered through a 0.45 ⁇ m filter.
- the clear solution obtained is purified by ultrafiltration against a 0.9% NaCl solution and then with water, until the conductimetry of the permeate is less than 50 pS / cm.
- the solution is filtered through a 0.2 ⁇ m filter and stored at 2-8 ° C.
- the calculated average molar mass of the AB6 co-polyamino acid is 3369 g / mol.
- Example AB7 Co-polyamino acid AB7 - sodium poly-L-glutamate capped at one of its ends by an acetyl group and modified by the molecule AA7 and having a number-average molar mass (Mn) of 3300 g / mol
- Co-polvaminoactde AB7-1 poly-L-glutamic acid of average molar mass in number (Mn) relative 3600 g / mol and of DP 21 resulting from the polymerization of g-benzyl-L-glutamate N- carboxyanhydride initiated by hexylamine and capped at one of its ends by an acetyl group
- the precipitate is recovered by filtration, washed twice with diisopropyl ether (225 ml) and then dried to give a white solid which is dissolved in 450 ml of THF.
- DIPEA 31 mL, 176 mmol
- acetic anhydride 17 mL, 176 mmol
- the solution is poured slowly into diisopropyl ether (3 L) with stirring.
- the precipitate is filtered, washed twice with diisopropyl ether (250 ml) then dried under vacuum at 30 ° C to give a poly (gamma -benzyl-L-glutamic acid) capped at one of its ends. by an acetyl group.
- the aqueous solution is then acidified by adding 37% hydrochloric acid solution until reaching a pH of 2. After 4 h of stirring, the precipitate obtained is filtered, washed with water (330 mL) then dried under vacuum at 30 ° C to give a poly-L-glutamic acid of number average molar mass (Mn) 3600 g / mol relative to a polyoxyethylene (PEG) standard, and of average degree of polymerization 21 .
- Mn number average molar mass
- PEG polyoxyethylene
- the calculated average molar mass of the AB7 co-polyamino acid is 3677 g / mol.
- Example AB8 Co-polyamino acid AB8 - sodium poly-L-glutamate modified by the molecule AA7 and having a number-average molar mass (Mn) of 3600 g / mol
- Co-polvamino acid AB8-1 poly-L-glutamic acid of number-average molar mass (Mn) 3800 g / mol and of degree of polymerization 24 resulting from the polymerization of y-methyl- L-glutamate / V-carboxyanhydride initiated by ammonia
- the calculated average molar mass of AB8 co-polyamino acid is 4099 g / mol.
- Example AB9 Co-polyamino acid AB9 - sodium poly-L-glutamate modified by the molecule AA3 and having a number-average molar mass (Mn) of 3200 g / mol
- the calculated average molar mass of AB9 co-polyamino acid is 6192 g / mol.
- Example ABIO Co-polyamino acid ABIO - sodium poly-L-glutamate modified by the molecule AA4 and having a number-average molar mass (Mn) of 2600 g / mol
- the calculated average molar mass of the AB10 co-polyamino acid is 4870 g / mol.
- Aqueous HPLC-SEC PEG calibrator
- Mn 2600 g / mol.
- Example ABU Co-polyamino acid ABU - sodium poly-L-glutamate modified by the molecule AA5 and having a number-average molar mass (Mn) of 2700 g / mol
- the calculated average molar mass of the ABU co-polyamino acid is 4072 g / mol.
- Example AB12 Co-polyamino acid AB12 - sodium poly-L-glutamate modified by the molecule AA8 and having a number-average molar mass (Mn) of 3000 g / mol
- the calculated average molar mass of the AB12 co-polyamino acid is 4477 g / mol.
- Example AB13 Co-polyamino acid AB13 - sodium poly-L-glutamate modified by the molecule AA9 and having a number-average molar mass (Mn) of 3300 g / mol
- the calculated average molar mass of the AB13 co-polyamino acid is 7226 g / mol.
- Aqueous HPLC-SEC (PEG calibrator): Mn 3300 g / mol.
- Example AB21 Co-polyamino acid AB21 - sodium poly-L-glutamate modified by the molecule AA7 and having a number-average molar mass (Mn) of 3400 g / mol
- the calculated average molar mass of the AB21 co-polyamino acid is 4090 g / mol.
- Example AB22 Co-polyamino acid AB22 - sodium poly-L-glutamate capped at one of its ends by an acetyl group and modified by the molecule AAIO and having a number-average molar mass (Mn) of 4000 g / mol
- the hydrochloride salt of the molecule AA10 (4.56 g, 11.29 mmol) is dissolved in chloroform (60 mL) and triethylamine (1.14 g, 11.29 mmol) is added .
- reaction medium is then cooled to 0 ° C, then EDC (4.33 g, 22.58 mmol) is added, the medium is stirred for 1 hour at 0 ° C and then the solution of molecule AA10 is added.
- the reaction mixture is stirred for 2 h between 0 ° C and room temperature.
- the reaction medium is filtered through a 0.2 mm woven filter and poured dropwise onto 3.95 L of water containing NaCl at 15% by mass and HCl (pH 2) with stirring. At the end of the addition, the pH is readjusted to 2 with a 37% HCl solution, and the suspension is left to stand overnight.
- the precipitate is collected by filtration, then dissolved in 780 ml of water by slow addition of a 1N aqueous NaOH solution to pH 7 with stirring. After filtration through a 0.45 ⁇ m filter, the solution is diluted by adding water and then acetone is added to obtain a solution containing 30% by mass of acetone. This solution is filtered on an activated carbon filter and then the acetone is distilled (40 ° C, 100 mbar).
- the product After filtration through a 0.45 ⁇ m filter, the product is purified by ultrafiltration against a 0.9% aqueous NaCl solution, a carbonate buffer solution (150 mM), a 0.9% aqueous NaCl solution, a solution phosphate buffer (150 mM), 0.9% aqueous NaCl solution, then water until the conductivity of the permeate is less than 50 pS / cm. The solution is then concentrated, filtered through a 0.2 ⁇ m filter and stored at 2-8 ° C.
- the calculated average molar mass of the AB22 co-polyamino acid is 7877 g / mol.
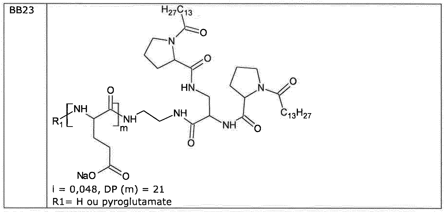
- Example AB23 Co-polyamino acid AB23 - sodium poly-L-glutamate modified by the molecule AA10 and having a number-average molar mass (Mn) of 7600 g / mol
- Co-polvamino acid AB23-1 poly-L-glutamic acid resulting from the polymerization of y-benzyl-L-glutamate / V-carboxyanhydride initiated by hexylamine and capped at one of its ends by a pyroglutamate group
- a poly-L-glutamic acid (20.0 g) obtained by a process similar to that used for the preparation of the co-polyamino acid AB1-1 is dissolved in DMF at 80 ° C and then maintained at this temperature. After 24 h, the reaction medium is poured into a 15% NaCl solution at pH 2. After 4 h, the white solid is collected by filtration, rinsed with water, then dried under vacuum at 30 ° C.
- the calculated average molar mass of the AB23 co-polyamino acid is 11,034 g / mol.
- Example AB24 Co-polyamino acid AB24 - sodium poly-L-glutamate modified by the molecule AAIO and having a number-average molar mass (Mn) of 4300 g / mol
- Example AB25 Co-polyamino acid AB25 - sodium poly-L-glutamate modified by the molecule AAIO and having a number-average molar mass (Mn) of 4200 g / mol
Landscapes
- Health & Medical Sciences (AREA)
- Life Sciences & Earth Sciences (AREA)
- Chemical & Material Sciences (AREA)
- Medicinal Chemistry (AREA)
- Pharmacology & Pharmacy (AREA)
- Animal Behavior & Ethology (AREA)
- General Health & Medical Sciences (AREA)
- Public Health (AREA)
- Veterinary Medicine (AREA)
- Diabetes (AREA)
- Epidemiology (AREA)
- Engineering & Computer Science (AREA)
- Bioinformatics & Cheminformatics (AREA)
- Endocrinology (AREA)
- Proteomics, Peptides & Aminoacids (AREA)
- Nuclear Medicine, Radiotherapy & Molecular Imaging (AREA)
- Dermatology (AREA)
- Obesity (AREA)
- Chemical Kinetics & Catalysis (AREA)
- General Chemical & Material Sciences (AREA)
- Emergency Medicine (AREA)
- Organic Chemistry (AREA)
- Hematology (AREA)
- Inorganic Chemistry (AREA)
- Zoology (AREA)
- Gastroenterology & Hepatology (AREA)
- Immunology (AREA)
- Medicinal Preparation (AREA)
- Medicines That Contain Protein Lipid Enzymes And Other Medicines (AREA)
Abstract
Description
SOLUTION INJECTABLE A PH 7 COMPRENANT AU MOINS UNE INSULINE BASALE DONT LE PI EST COMPRIS ENTRE 5,8 ET 8,5 ET UN CO-POLYAMINOACIDE PORTEUR DE CHARGES SOLUTION FOR INJECTION AT PH 7 COMPRISING AT LEAST ONE BASAL INSULIN OF WHICH THE PI IS BETWEEN 5.8 AND 8.5 AND A LOAD-CARRYING CO-POLYAMINOACID
CARBOXYLATES ET DE RADICAUX HYDROPHOBES CARBOXYLATES AND HYDROPHOBIC RADICALS
[0001] L'invention concerne les thérapies par injection d'insuline(s) pour traiter le diabète. The invention relates to insulin injection therapy (s) for treating diabetes.
[0002] L'invention concerne des compositions stables physiquement sous forme d'une solution aqueuse injectable, dont le pH est compris entre 6,0 et 8,0, comprenant au moins une insuline basale dont le point isoélectrique (pi) est compris entre 5,8 et 8,5 et un co- polyaminoacide porteur de charges carboxylates et de radicaux hydrophobes. The invention relates to physically stable compositions in the form of an injectable aqueous solution, the pH of which is between 6.0 and 8.0, comprising at least one basal insulin whose isoelectric point (pi) is between 5.8 and 8.5 and a co-polyamino acid carrying carboxylate charges and hydrophobic radicals.
[0003] Elle concerne plus particulièrement des compositions stables physiquement sous forme d'une solution aqueuse injectable, dont le pH est compris entre 6,0 et 8,0, comprenant au moins une insuline basale dont le point isoélectrique (pi) est compris entre 5,8 et 8,5 en association avec soit une insuline prandiale soit une hormone gastrointestinale soit une insuline prandiale et une hormone gastrointestinale, et un co-polyaminoacide porteur de charges carboxylates et de radicaux hydrophobes. It more particularly relates to physically stable compositions in the form of an injectable aqueous solution, the pH of which is between 6.0 and 8.0, comprising at least one basal insulin whose isoelectric point (pi) is between 5.8 and 8.5 in combination with either a mealtime insulin or a gastrointestinal hormone or a mealtime insulin and a gastrointestinal hormone, and a co-polyamino acid carrying carboxylate charges and hydrophobic radicals.
[0004] L'insulinothérapie, ou thérapie du diabète par injection d'insuline, a connu ces dernières années des progrès remarquables grâce notamment à la mise au point de nouvelles insulines offrant une meilleure correction de la glycémie des patients en comparaison de l'insuline humaine et qui permettent de mieux simuler l'activité physiologique du pancréas. Insulin therapy, or diabetes therapy by insulin injection, has seen remarkable progress in recent years thanks in particular to the development of new insulins offering better correction of patients' blood sugar compared to insulin. human and which allow to better simulate the physiological activity of the pancreas.
[0005] Lorsqu'un diabète de type II est diagnostiqué chez un patient, un traitement graduel est mis en place. Le patient prend en premier lieu des antidiabétiques oraux (OAD) comme la Metformine. Lorsque les OAD seuls ne suffisent plus à réguler le niveau de glucose dans le sang, un changement dans le traitement doit être fait et, en fonction des spécificités des patients, différentes associations de traitements peuvent être mises en place. Le patient peut par exemple avoir un traitement à base d'une insuline basale de type insuline glargine ou insuli ne detemir en complément des OAD, puis ensuite en fonction de l'évolution de la pathologie un traitement à base d'insuline basale et d'insuline prandiale. When type II diabetes is diagnosed in a patient, a gradual treatment is put in place. The patient first takes oral anti-diabetics (OAD) such as Metformin. When ADOs alone are no longer sufficient to regulate the level of glucose in the blood, a change in treatment must be made and, depending on the specificities of the patients, different combinations of treatments can be put in place. The patient can for example have a treatment based on a basal insulin of the insulin glargine type or insulin not detemir in addition to the OAD, then then according to the evolution of the pathology a treatment based on basal insulin and meal insulin.
[0006] Par ailleurs, aujourd'hui, pour assurer la transition des traitements par les OAD, lorsque ceux-ci ne sont plus en mesure de contrôler le niveau de glucose dans le sang, vers un traitement insuline basale/insuline prandiale, l'injection d'analogues de GLP-1 RA est préconisée. [0006] Furthermore, today, to ensure the transition of treatments with OADs, when these are no longer able to control the level of glucose in the blood, towards a basal insulin / mealtime insulin treatment, the GLP-1 RA analog injection is recommended.
[0007] Les GLP-1 RA pour agonistes du récepteur Glucagon-Like Peptide- 1, sont des peptides insulinotropiques ou incrétines, et appartiennent à la famille des hormones gastro intestinales (ou Gut Hormones) qui stimulent la sécrétion d'insuline lorsque la glycémie est trop élevée, par exemple après un repas. [0008] Les hormones gastro-intestinales (Gut hormones) sont aussi appelées hormones de satiété. Elles comprennent notamment le GLP-1 RA (Glucagon like peptide- 1 receptor agonist) et le GIP (Glucose-dependent insulinotropic peptide), l'oxyntomoduline (un dérivé du proglucagon), le peptide YY, l'amyline, la cholecystokinine, le polypeptide pancréatique (PP), la ghreline et l'entérostatine qui ont des structures peptidiques ou protéiques. Elles stimulent également la sécrétion d'insuline, en réponse au glucose et aux acides gras et sont donc à ce titre des candidats potentiels pour le traitement du diabète. GLP-1 RA for agonists of the Glucagon-Like Peptide-1 receptor, are insulinotropic or incretin peptides, and belong to the family of gastrointestinal hormones (or Gut Hormones) which stimulate the secretion of insulin when glycemia is too high, for example after a meal. [0008] The gastrointestinal hormones (Gut hormones) are also called satiety hormones. They include in particular GLP-1 RA (Glucagon like peptide-1 receptor agonist) and GIP (Glucose-dependent insulinotropic peptide), oxyntomodulin (a derivative of proglucagon), peptide YY, amylin, cholecystokinin, pancreatic polypeptide (PP), ghreline and enterostatin which have peptide or protein structures. They also stimulate the secretion of insulin, in response to glucose and fatty acids, and are therefore potential candidates for the treatment of diabetes.
[0009] Parmi celles-ci, les GLP- 1 RA sont celles qui ont apporté à ce jour les meilleurs résultats dans le développement de médicaments. Elles ont permis à des patients atteints de diabète de type II de perd re du poids tout en ayant un meilleur contrôle de leur glycémie. Among these, GLP-1 RA are those which have brought the best results to date in drug development. They have enabled patients with type II diabetes to lose weight while having better control of their blood sugar.
[00010] Des analogues ou des dérivés de GLP-1 RA ont ainsi été développés notamment pour améliorer leur stabilité. Analogs or derivatives of GLP-1 RA have thus been developed in particular to improve their stability.
[00011] D'autre part, pour couvrir ses besoins journaliers en insuline, un patient diabétique dispose, actuellement, de façon schématisée, de deux types d'insulines ayant des actions complémentaires : les insulines prandiales (ou insulines dites à action rapide) et les insulines basales (ou insulines dites à action lente). On the other hand, to cover his daily insulin needs, a diabetic patient currently has, schematically, two types of insulins having complementary actions: prandial insulins (or so-called fast-acting insulins) and basal insulins (or so-called slow-acting insulins).
[00012] Les insulines prandiales permettent une prise en charge rapide (métabolisation et/ou stockage) du glucose apporté lors des repas et collations. Le patient doit s'injecter une insuline prandiale avant chaque prise alimentaire, soit environ 2 à 3 injections par jour. Les insulines prandiales les plus utilisées sont : l'insuline humaine recombinante, NovoLog® (insuline aspart de NOVO NORDISK), Humalog® (insuline lispro de ELI LILLY) et Apidra® (insuline glulisine de SANOFI). Prandial insulins allow rapid management (metabolism and / or storage) of the glucose supplied during meals and snacks. The patient must inject a meal insulin before each food intake, approximately 2 to 3 injections per day. The most widely used prandial insulins are: recombinant human insulin, NovoLog ® (insulin aspart from NOVO NORDISK), Humalog ® (insulin lispro from ELI LILLY) and Apidra ® (insulin glulisine from SANOFI).
[00013] Les insulines basales assurent le maintien de l'homéostasie glycémique du patient, en dehors des périodes de prise alimentaire. Elles agissent essentiellement pour bloquer la production endogène de glucose (glucose hépatique). La dose journalière d'insuline basale correspond généralement à 40-50% des besoins totaux journaliers en insuline. Selon l'insuline basale utilisée, cette dose est dispensée en 1 ou 2 injections, régulièrement réparties au cours de la journée. Les insulines basales les plus utilisées sont Levemir® (insuline detemir de NOVO NORDISK) et Lantus® (insuline glargine de SANOFI) . The basal insulins maintain the patient's glycemic homeostasis, outside of periods of food intake. They mainly act to block endogenous glucose production (hepatic glucose). The daily dose of basal insulin generally corresponds to 40-50% of the total daily insulin requirements. Depending on the basal insulin used, this dose is given in 1 or 2 injections, regularly distributed throughout the day. The most commonly used basal insulins are Levemir ® (insulin detemir from NOVO NORDISK) and Lantus ® (insulin glargine from SANOFI).
[00014] On notera pour être exhaustif que la N PH (insuline NPH pour Neutral Protamine Hagedorn ; Humuline NPH®, Insulatard®) est la plus ancienne insuline basale. Cette formulation est le résultat d'une précipitation de l'insuline humaine (anionique à pH neutre) par une protéine cationique, la protamine. Les microcristaux ainsi formés sont dispersés dans une suspension aqueuse et se dissolvent lentement après injection sous-cutanée. Cette dissolution lente assure une libération prolongée de l'insuline. Cependant cette libération n'assure pas une concentration constante d'insuline au cours du temps. Le profil de libération est en forme de cloche et dure seulement entre 12 et 16 heures. Elle est donc injectée deux fois par jour. Cette insuline basale N PH est bien moins performante que les insulines basales modernes, Levemir® et Lantus®. La NPH est une insuline basale à action intermédiaire. [00014] It is noted for completeness that the PH N (NPH for Neutral Protamine Hagedorn; Humulin NPH ®, Insulatard ®) is the oldest basal insulin. This formulation is the result of a precipitation of human insulin (anionic at neutral pH) by a cationic protein, protamine. The microcrystals thus formed are dispersed in an aqueous suspension and dissolve slowly after subcutaneous injection. This slow dissolution ensures a sustained release of insulin. However, this release does not ensure a constant concentration of insulin over time. The release profile is bell-shaped and lasts only between 12 and 16 hours. So it is injected two times a day. This N PH basal insulin is much less efficient than modern basal insulins, Levemir ® and Lantus ® . NPH is a basal acting insulin.
[00015] Le principe de la NPH a évolué avec l'apparition des insulines ana logues rapides pour donner des produits appelés « Premix » offrant à la fois une action rapide et une action intermédiaire. NovoLog Mix® ( OVO NORDISK) et Humalog Mix® (ELI LILLY) sont des formulations comprenant une insuline analogue rapide, Novolog® et Humalog®, complexée partiellement par la protamine. Ces formulations contiennent ainsi des microcristaux d'insuline analogue dont l'action est dite intermédiaire et une partie d'insuline restée soluble dont l'action est rapide. Ces formulations offrent bien l'avantage d'une insuline rapide mais elles ont aussi le défaut de la NPH, c.-à-d . une durée d'action limitée entre 12 et 16 heures et une insuline libérée en « cloche ». Cependant, ces produits permettent au patient de s'injecter en une seule fois une insuline basale à action intermédiaire avec une insuline prandiale à action rapide. Or nombreux sont les patients soucieux de réduire leur nombre d'injections. The principle of NPH has evolved with the appearance of rapid analogous insulins to give products called "Premix" offering both rapid action and intermediate action. NovoLog Mix ® (OVO NORDISK) and Humalog Mix ® (ELI LILLY) are formulations comprising a rapid analog insulin, Novolog ® and Humalog ® , partially complexed by protamine. These formulations thus contain microcrystals of analogous insulin, the action of which is said to be intermediate, and a portion of insulin which remains soluble, the action of which is rapid. These formulations offer the advantage of a fast insulin but they also have the defect of NPH, i.e. a duration of action limited between 12 and 16 hours and an insulin released in a "bell". However, these products allow the patient to inject a basal intermediate acting insulin with a fast acting prandial insulin at one time. Many patients are anxious to reduce their number of injections.
[00016] Les insulines basales actuellement commercialisées peuvent être classées en fonction de la solution technique qui permet d'obtenir l'action prolongée et à ce jour deux approches sont utilisées. The basal insulins currently marketed can be classified according to the technical solution which makes it possible to obtain the prolonged action and to date two approaches are used.
[00017] La première, celle de l'insuline detemir est la liaison à l'albumine in vivo. Il s'agit d'un analogue, soluble à pH 7, qui comprend une chaîne latérale d'acide gras (tetradecanoyl) fixée à la position B29 qui, in vivo, permet à cette insuline de s'associer à l’albumine. Son action prolongée est principalement due à cette affinité pour l'albumine après injection sous- cutanée. The first, that of insulin detemir is binding to albumin in vivo. It is an analogue, soluble at pH 7, which includes a fatty acid side chain (tetradecanoyl) attached to position B29 which, in vivo, allows this insulin to associate with albumin. Its prolonged action is mainly due to this affinity for albumin after subcutaneous injection.
[00018] Cependant son profil pharmacocinétique ne permet pas de couvrir une journée, ce qui fait qu’elle est le plus souvent utilisée en deux injections par jour. However, its pharmacokinetic profile does not cover a day, which means that it is most often used in two injections per day.
[00019] Une autre insuline soluble à pH 7, est l'insuline degludec commercialisée sous le nom de Tresiba®d. Elle comprend également une chaîne latérale d'acide gras fixée sur l'insuline (hexadecandioyl-y-L-Glu). Another insulin soluble at pH 7 is insulin degludec sold under the name of Tresiba ®d . It also includes a fatty acid side chain attached to insulin (hexadecandioyl-yL-Glu).
[00020] La seconde, celle de l'insuline glargine, est la précipitation à pH physiologique. L'insuline glargine est un analogue de l'insuline humaine obtenu par élongation de la partie C-terminale de la chaîne B de l'insuline humaine par deux résidus arginine, et par substitution du résidu d'asparagine A21, par un résidu de glycine (US 5,656,722). L'addition de deux résidus d'arginine a été pensée pour ajuster le pi (point isoélectrique) d'insul ine glargine au pH physiologique, et ainsi rendre cet analogue de l'insuline humaine insoluble en milieu physiologique. The second, that of insulin glargine, is precipitation at physiological pH. Insulin glargine is an analogue of human insulin obtained by elongation of the C-terminal part of the B chain of human insulin with two arginine residues, and by substitution of the asparagine A21 residue with a glycine residue (US 5,656,722). The addition of two arginine residues has been thought to adjust the pi (isoelectric point) of insulin glargine to physiological pH, and thus make this analog of human insulin insoluble in physiological medium.
[00021] Aussi, la substitution de IΆ21 a été pensée afin de rendre l'insuline glargine stable à pH acide et pouvoir ainsi la formuler sous forme de solution injectable à pH acide. Lors de l'injection sous-cutanée, le passage de l'insuline glargine d'un pH acide (pH 4-4,5) à un pH physiologique (pH neutre) provoque sa précipitation sous la peau . La redissolution lente des micro-particules d'insuline glargine assure une action lente et prolongée. Also, the substitution of IΆ21 has been designed to make insulin glargine stable at acidic pH and thus be able to formulate it as a solution for injection at acidic pH. During subcutaneous injection, the passage of insulin glargine from an acidic pH (pH 4-4.5) to physiological pH (neutral pH) causes precipitation under the skin. The slow redissolution of insulin glargine micro-particles ensures a slow and prolonged action.
[00022] L'effet hypoglycémiant de l'insuline glargine est quasi -constant sur une durée de 24 heures ce qui permet à la plupart des patients de se limiter à une seule injection par jour. The hypoglycemic effect of insulin glargine is almost -constant over a period of 24 hours which allows most patients to limit themselves to one injection per day.
[00023] L'insuline glargine est considérée aujourd'hui comme l'insuline basale la plus utilisée. Insulin glargine is considered today as the most used basal insulin.
[00024] Cependant le pH nécessairement acide des formulations d'insulines basales, dont le point isoélectrique est compris entre 5,8 et 8,5, de type insuline glargine, peut être un réel inconvénient, car ce pH acide de la formulation d'insuline glargine entraîne parfois chez les patients des douleurs à l'injection et surtout empêche toute formulation avec d'autres protéines et en particulier avec les insulines prandiales car ces dernières ne sont pas sta bles à pH acide. L'impossibilité de formuler une insuline prandiale, à pH acide, tient au fait qu'une insuline prandiale subit, dans ces conditions, une réaction secondaire de déamidation en position A21, ce qui ne permet pas de répondre aux exigences de stabilité applicables aux médicaments injectables. However, the necessarily acid pH of basal insulin formulations, the isoelectric point of which is between 5.8 and 8.5, of the insulin glargine type, can be a real drawback, because this acid pH of the formulation of insulin glargine sometimes causes pain in patients with injection and especially prevents any formulation with other proteins and in particular with meal insulin because the latter are not stable at acidic pH. The impossibility of formulating a prandial insulin, at acidic pH, results from the fact that a prandial insulin undergoes, under these conditions, a deamidation secondary reaction in position A21, which does not make it possible to meet the stability requirements applicable to medicinal products. injectables.
[00025] A ce jour, dans les demandes WO 2013/021143 Al, WO 2013/104861 Al, WO 2014/124994 Al et WO 2014/124993 Al il a été démontré qu'il était possible de solubiliser ces insulines basales, de type insuline glargine dont le point isoélectrique est compris entre 5,8 et 8,5, à pH neutre, tout en maintenant une différence de solubilité entre le milieu in- vitro (le contenant) et le milieu in -vivo (sous la peau), indépendamment du pH. To date, in applications WO 2013/021143 A1, WO 2013/104861 A1, WO 2014/124994 A1 and WO 2014/124993 A1 it has been demonstrated that it was possible to dissolve these basal insulins, of the type insulin glargine, the isoelectric point of which is between 5.8 and 8.5, at neutral pH, while maintaining a difference in solubility between the in vitro medium (the container) and the in -vivo medium (under the skin), regardless of pH.
[00026] La demande WO 2013/104861 Al, en particulier, décrit des compositions sous forme d'une solution aqueuse injectable, dont le pH est compris entre 6,0 et 8,0, comprenant au moins (a) une insuline basale dont le point isoélectrique pi est compris entre 5,8 et 8,5 et (b) un co-polyaminoacide porteur de charges carboxylates substitué par des radicaux hydrophobes. Application WO 2013/104861 A1, in particular, describes compositions in the form of an injectable aqueous solution, the pH of which is between 6.0 and 8.0, comprising at least (a) a basal insulin of which the isoelectric point pi is between 5.8 and 8.5 and (b) a co-polyamino acid carrying carboxylate charges substituted by hydrophobic radicals.
[00027] Ces compositions de l'art antérieur ont l'inconvénient majeur de ne pas être suffisamment stables pour répondre aux cahiers des charges applicables aux formulations pharmaceutiques. These compositions of the prior art have the major drawback of not being sufficiently stable to meet the specifications applicable to pharmaceutical formulations.
[00028] Dans les exemples de la partie expérimentale de la présente demande de brevet il est démontré que les compositions décrites en particulier dans WO 2013/104861 Al présentent une stabilité insatisfaisante dans le temps. In the examples of the experimental part of this patent application, it is demonstrated that the compositions described in particular in WO 2013/104861 A1 have an unsatisfactory stability over time.
[00029] Il existe donc un besoin de trouver u ne solution qui permet de solubiliser une insuline basale dont le point isoélectrique (pi) est compris entre 5,8 et 8,5 tout en conservant son profil basal après injection mais qui permettent également de satisfaire à des conditions de stabilité physique standard pour les produits pharmaceutiques à base d'insuline. [00030] De manière surprenante, la demanderesse a trouvé que les co-polyaminoacides porteurs de charges carboxylates et de radicaux hydrophobes selon l'invention permettent d'obtenir des compositions sous forme de solutions qui non seulement répondent aux exigences décrites dans WO 2013/104861 Al mais qui de plus sont en mesure de conférer une stabilité physique améliorée auxdites compositions sans avoir à augmenter la quantité d'excipients utilisée. There is therefore a need to find a solution which makes it possible to dissolve a basal insulin whose isoelectric point (pi) is between 5.8 and 8.5 while retaining its basal profile after injection but which also make it possible to meet standard physical stability requirements for insulin-based pharmaceuticals. Surprisingly, the applicant has found that the co-polyamino acids carrying carboxylate charges and hydrophobic radicals according to the invention make it possible to obtain compositions in the form of solutions which not only meet the requirements described in WO 2013/104861 A1 but which in addition are able to impart improved physical stability to said compositions without having to increase the amount of excipients used.
[00031] Ces performances a priori jamais atteintes sont de plus conservées lorsque l'insuline basale dont le point isoélectrique est compris entre 5,8 et 8,5 est associée dans la composition avec une insuline prandiale et/ou une hormone gastro-intestinale. These performances, a priori never achieved, are moreover preserved when the basal insulin whose isoelectric point is between 5.8 and 8.5 is combined in the composition with a meal insulin and / or a gastrointestinal hormone.
[00032] Ainsi , de façon surprenante, l'affinité des co-polyaminoacides selon l'invention pour l'insuline glargine a été augmentée en ce qu'elle permet d'obtenir une solubilisation et une stabilisation des solutions d'insuline glargine à un ratio [Hy]/[insuline basale] inférieur à celui de l'art antérieur ; ces résultats sont de plus obtenus sans altérer, voire en améliorant, la propension de l'insuline glargine à précipiter comme cela est démontré dans la partie expérimentale. [00032] Thus, surprisingly, the affinity of the co-polyamino acids according to the invention for insulin glargine has been increased in that it allows solubilization and stabilization of the insulin glargine solutions to be obtained. [Hy] / [basal insulin] ratio lower than that of the prior art; these results are moreover obtained without altering, or even improving, the propensity of insulin glargine to precipitate as demonstrated in the experimental part.
[00033] Cette amélioration de l'affinité permet en outre dans le cadre de traitements chroniques de limiter le niveau d'exposition auxdits excipients. This improvement in affinity also makes it possible, within the framework of chronic treatments, to limit the level of exposure to said excipients.
[00034] Les co-polyaminoacides porteur de charges carboxylates et de radicaux hydrophobes Hy selon l'invention présentent une excellente résistance à l'hydrolyse. Ceci peut notamment être mis en évidence en conditions accélérées, par exemple par des tests d'hydrolyse à pH basique (pH 12). The co-polyamino acids carrying carboxylate charges and hydrophobic Hy radicals according to the invention have excellent resistance to hydrolysis. This can in particular be demonstrated under accelerated conditions, for example by hydrolysis tests at basic pH (pH 12).
[00035] En outre des tests d'oxydation forcée, par exemple du type oxydation de fenton, montrent que les co-polyaminoacides porteur de charges carboxylates et de radicaux hydrophobes Hy présentent une bonne résistance à l'oxydation. In addition, forced oxidation tests, for example of the fenton oxidation type, show that the co-polyamino acids carrying carboxylate charges and hydrophobic Hy radicals have good resistance to oxidation.
[00036] L'invention concerne ainsi des compositions stables physiquement sous forme d'une solution aqueuse injectable, dont le pH est compris entre 6,0 et 8,0, comprenant au moins : The invention thus relates to physically stable compositions in the form of an injectable aqueous solution, the pH of which is between 6.0 and 8.0, comprising at least:
a) une insuline basale dont le point isoélectrique (pi) est compris entre 5,8 et 8,5, a) a basal insulin whose isoelectric point (pi) is between 5.8 and 8.5,
b) un co-polyaminoacide porteur de charges carboxylates et d'au moins un radical hydrophobe de formule I, et b) a co-polyamino acid carrying carboxylate charges and at least one hydrophobic radical of formula I, and
c) du chlorure de sodium . c) sodium chloride.
[00037] Dans un mode de réalisation, l'invention concerne une composition sous forme d'une solution aqueuse injectable, dont le pH est compris entre 6,0 et 8,0, comprenant au moins : In one embodiment, the invention relates to a composition in the form of an injectable aqueous solution, the pH of which is between 6.0 and 8.0, comprising at least:
a) une insuline basale dont le point isoélectrique (pi) est compris entre 5,8 et 8,5, et b) une insuline prandiale, a) a basal insulin whose isoelectric point (pi) is between 5.8 and 8.5, and b) meal insulin,
c) un co-polyaminoacide porteur de charges carboxylates et d'au moins un radical hydrophobe de formule I, et c) a co-polyamino acid carrying carboxylate charges and at least one hydrophobic radical of formula I, and
d) chloru re de sodium. d) sodium chloride.
[00038] Dans un mode de réalisation, l'invention concerne une composition sous forme d'une solution aqueuse injectable, dont le pH est compris entre 6,0 et 8,0, comprenant au moins : In one embodiment, the invention relates to a composition in the form of an injectable aqueous solution, the pH of which is between 6.0 and 8.0, comprising at least:
a) une insuline basale dont le point isoélectrique (pi) est compris entre 5,8 et 8,5, et a) a basal insulin whose isoelectric point (pi) is between 5.8 and 8.5, and
b) une hormone gastrointestinale, b) a gastrointestinal hormone,
c) un co-polyaminoacide porteur de charges carboxylates et d'au moins un radical hydrophobe de formule I, et c) a co-polyamino acid carrying carboxylate charges and at least one hydrophobic radical of formula I, and
d) du chlorure de sodium . d) sodium chloride.
[00039] Dans un mode de réalisation, l'invention concerne une composition sous forme d'une solution aqueuse injectable, dont le pH est compris entre 6,0 et 8,0, comprenant au moins : In one embodiment, the invention relates to a composition in the form of an injectable aqueous solution, the pH of which is between 6.0 and 8.0, comprising at least:
a) une insuline basale dont le point isoélectrique (pi) est compris entre 5,8 et 8,5 , et a) a basal insulin whose isoelectric point (pi) is between 5.8 and 8.5, and
b) une insuline prandiale et une hormone gastrointestinale, b) a meal insulin and a gastrointestinal hormone,
c) un co-polyaminoacide porteur de charges carboxylates et d'au moins un radical hydrophobe de formule I, et c) a co-polyamino acid carrying carboxylate charges and at least one hydrophobic radical of formula I, and
d) du chlorure de sodium . d) sodium chloride.
[00040] Dans un mode de réalisation, l'invention concerne une composition stable physiquement sous forme d'une solution aqueuse injectable, dont le pH est compris entre 6,0 et 8,0, comprenant au moins : In one embodiment, the invention relates to a physically stable composition in the form of an injectable aqueous solution, the pH of which is between 6.0 and 8.0, comprising at least:
a) une insuline basale dont le point isoélectrique (pi) est compris entre 5,8 et 8,5, et b) un co-polyaminoacide porteur de charges carboxylates et de radicaux hydrophobes Hy, ledit co-polyaminoacide étant constitué d'unités glutamiques ou aspartiques et lesdits radicaux hydrophobes Hy étant de formule I suivante : Formule I a) a basal insulin whose isoelectric point (pi) is between 5.8 and 8.5, and b) a co-polyamino acid carrying carboxylate charges and hydrophobic Hy radicals, said co-polyamino acid being made up of glutamic units or aspartics and said hydrophobic radicals Hy being of the following formula I: Formula I
dans laquelle GpR est un radical de formules in which GpR is a radical of formulas
GpA est un radical de formules III ou IIG : GpA is a radical of formulas III or IIG:
GpC est un radical de formule IV GpC is a radical of formula IV
- les * indiquent les sites de rattachement des différents groupes; - the * indicate the sites of attachment of the different groups;
- a est un entier égal à O ou à 1 ; - a is an integer equal to O or to 1;
- b est un entier égal à 0 ou à 1 ; - b is an integer equal to 0 or 1;
p est un entier égal à 1 ou à 2 et p is an integer equal to 1 or 2 and
o si p est égal à 1 alors a est égal à 0 ou à 1 et GpA est un radical de formule IIG et, o if p is equal to 1 then a is equal to 0 or to 1 and GpA is a radical of formula IIG and,
o si p est égal à 2 alors a est égal à 1, et GpA est un radical de formule III; o if p is equal to 2 then a is equal to 1, and GpA is a radical of formula III;
- c est un entier égal à 0 ou à 1, et si c est égal à 0 alors d est égal à 1 ou à 2; - c is an integer equal to 0 or 1, and if c is equal to 0 then d is equal to 1 or 2;
- d est un entier égal à 0, à 1 ou à 2; - d is an integer equal to 0, 1 or 2;
- r est un entier égal à 0, à 1 ou à 2, et - r is an integer equal to 0, 1 or 2, and
o si r est égal à 0 alors le radical hydrophobe de formule I est lié au co- polyaminoacide via une liaison covalente entre un carbonyl du radical hydrophobe et un atome d'azote en position N terminale du co-polyaminoacide, formant ainsi une fonction amide issue de la réaction d'une fonction amine en position N terminale du précurseur du co-polyaminoacide et une fonction acide portée par le précurseur du radical hydrophobe , et o if r is equal to 0 then the hydrophobic radical of formula I is linked to the co-polyamino acid via a covalent bond between a carbonyl of the hydrophobic radical and a nitrogen atom in the N-terminal position of the co-polyamino acid, thus forming an amide function resulting from the reaction of an amine function in the N-terminal position of the co-polyamino acid precursor and an acid function carried by the precursor of the hydrophobic radical, and
o si r est égal à 1 ou 2 alors le radical hydrophobe de formule I est lié au co- polyaminoacide : ■ via une liaison covalente entre un atome d'azote du radical hydrophobe et un carbonyl du co-polyaminoacide, formant ainsi une fonction amide issue de la réaction d'une fonction amine du précurseur du radical hydrophobe et une fonction acide portée par le précurseur du co- polyaminoacide ou o if r is equal to 1 or 2 then the hydrophobic radical of formula I is linked to the co-polyamino acid: ■ via a covalent bond between a nitrogen atom of the hydrophobic radical and a carbonyl of the co-polyamino acid, thus forming an amide function resulting from the reaction of an amine function of the precursor of the hydrophobic radical and an acid function carried by the precursor of the co-polyamino acid or
• via une liaison covalente entre un carbonyl du radical hydrophobe et un atome d'azote en position N terminal du co-polyaminoacide, formant ainsi une fonction amide issue de la réaction d'une fonction acide du précurseur du radical hydrophobe et une fonction amine en position N terminale portée par le précurseur du co-polyaminoacide; • via a covalent bond between a carbonyl of the hydrophobic radical and a nitrogen atom in the N-terminal position of the co-polyamino acid, thus forming an amide function resulting from the reaction of an acid function of the precursor of the hydrophobic radical and an amine function in N terminal position carried by the precursor of the co-polyamino acid;
- R est un radical choisi dans le groupe constitué par un radical alkyle divalent, linéaire ou ramifié comprenant de 1 à 12 atomes de carbone, un radical alkyle divalent, linéaire ou ramifié comprenant de 1 à 12 atomes de carbone portant une ou plusieurs fonctions - COI H2 ou un radical éther ou polyéther non substitué comprenant de 4 à 14 atomes de carbone et de 1 à 5 atomes d'oxygène, un radical alkyle divalent, linéaire ou ramifié comprenant de 1 à 12 atomes de carbone portant un ou plusieurs cycles insaturés ou un radical éther ou polyéther non substitué comprenant de 4 à 14 atomes de carbone et de 1 à 5 atomes d'oxygène ; plus précisément, R est un radical choisi dans le groupe constitué par : - R is a radical chosen from the group consisting of a divalent, linear or branched alkyl radical comprising from 1 to 12 carbon atoms, a divalent, linear or branched alkyl radical comprising from 1 to 12 carbon atoms carrying one or more functions - COI H2 or an unsubstituted ether or polyether radical comprising from 4 to 14 carbon atoms and from 1 to 5 oxygen atoms, a divalent, linear or branched alkyl radical comprising from 1 to 12 carbon atoms carrying one or more unsaturated rings or an unsubstituted ether or polyether radical comprising from 4 to 14 carbon atoms and from 1 to 5 oxygen atoms; more precisely, R is a radical chosen from the group consisting of:
o un radical alkyle divalent, linéaire ou ramifié, comprenant, de 2 à 12 atomes de carbone si GpR est un radical de formule II ou de 1 à 11 atomes de carbone si GpR est un radical de formule IG ou II" ; o a divalent linear or branched alkyl radical comprising from 2 to 12 carbon atoms if GpR is a radical of formula II or from 1 to 11 carbon atoms if GpR is a radical of formula IG or II ";
o un radical alkyle divalent, linéaire ou ramifié, comprenant, de 2 à 11 atomes de carbone si GpR est un radical de formule II ou de 1 à 11 atomes de carbone si GpR est un radical de formule IG ou II", ledit radical alkyle portant une ou plusieurs fonctions -CONH2, et o a divalent linear or branched alkyl radical comprising from 2 to 11 carbon atoms if GpR is a radical of formula II or from 1 to 11 carbon atoms if GpR is a radical of formula IG or II ", said alkyl radical carrying one or more -CONH2 functions, and
o un radical éther ou polyéther non substitué comprenant de 4 à 14 atomes de carbone et de 1 à 5 atomes d'oxygène ; o an ether or unsubstituted polyether radical comprising from 4 to 14 carbon atoms and from 1 to 5 oxygen atoms;
- A est un radical alkyle linéaire ou ramifié comprenant de 1 à 8 atomes de carbone et éventuellement substitué par un radical issu d'un cycle saturé, in saturé ou aromatique ; - A is a linear or branched alkyl radical comprising from 1 to 8 carbon atoms and optionally substituted by a radical derived from a saturated, unsaturated or aromatic ring;
- B est un radical choisi dans le groupe constitué par un radical éther ou polyéther non substitué comprenant de 4 à 14 atomes de carbone et de 1 à 5 atomes d'oxygène ou un radical alkyle linéaire ou ramifié, éventuellement comprenant un noyau aromatique, comprenant de 1 à 9 atomes de carbone ; - B is a radical chosen from the group consisting of an unsubstituted ether or polyether radical comprising from 4 to 14 carbon atoms and from 1 to 5 oxygen atoms or a linear or branched alkyl radical, optionally comprising an aromatic ring, comprising from 1 to 9 carbon atoms;
- Cx est un radical alkyl monovalent linéaire ou ramifié, éventuellement comprenant une partie cyclique, dans lequel x indique le nombre d'atomes de carbone et : - Cx is a linear or branched monovalent alkyl radical, optionally comprising a cyclic part, in which x indicates the number of carbon atoms and:
o si p est égal à 1, x est compris entre 9 et 25 (9 < x < 25) : o si p est égal à 2, x est compris entre 9 et 15 (9 < x < 15), o if p is equal to 1, x is between 9 and 25 (9 <x <25): o if p is equal to 2, x is between 9 and 15 (9 <x <15),
le ratio i entre le nombre de radicaux hydrophobes et le nombre d'unités glutamiques ou aspartiques étant compris entre 0 < i < 0,5 ; the ratio i between the number of hydrophobic radicals and the number of glutamic or aspartic units being between 0 <i <0.5;
lorsque plusieurs radicaux hydrophobes sont portés par un co-polyaminoacide alors ils sont identiques ou différents ; when several hydrophobic radicals are carried by a co-polyamino acid then they are identical or different;
le degré de polymérisation DP en unités glutamiques ou aspartiques est compris entre 5 et 250 ; the degree of DP polymerization in glutamic or aspartic units is between 5 and 250;
les fonctions acides libres étant sous forme de sel de cation alkalin choisi dans le groupe constitué par Na+ et K+, the free acid functions being in the form of an alkaline cation salt chosen from the group consisting of Na + and K + ,
ladite composition comprenant du chlorure de sodium. said composition comprising sodium chloride.
[00041] Dans un mode de réalisation, l'invention concerne une composition stable physiquement sous forme d'une solution aqueuse injectable, dont le pH est compris entre 6,0 et 8,0, comprenant au moins : In one embodiment, the invention relates to a composition which is physically stable in the form of an injectable aqueous solution, the pH of which is between 6.0 and 8.0, comprising at least:
a) une insuline basale dont le point isoélectrique (pi) est compris entre 5,8 et 8,5, b) une insuline prandiale et/ou une hormone gastrointestinale, et a) a basal insulin whose isoelectric point (pi) is between 5.8 and 8.5, b) a mealtime insulin and / or a gastrointestinal hormone, and
c) un co-polyaminoacide porteur de charges carboxylates et de radicaux hydrophobes Hy, ledit co-polyaminoacide étant constitué d'unités glutamiques ou aspartiques et lesdits radicaux hydrophobes Hy étant de formule I suivante : c) a co-polyamino acid carrying carboxylate charges and hydrophobic Hy radicals, said co-polyamino acid consisting of glutamic or aspartic units and said hydrophobic Hy radicals being of formula I below:
*-(GPR )-(-GPA)— ( GPC) * - (G P R) - (- GPA) - (G P C)
r 3 Formule i r 3 Formula i
dans laquelle in which
- GpR est un radical de formule II ou IG : - GpR is a radical of formula II or IG:
- GpA est un radical de formule III ou IIG : - GpA is a radical of formula III or IIG:
GpC est un radical de formule IV GpC is a radical of formula IV
- les * indiquent les sites de rattachement des différents groupes; - the * indicate the sites of attachment of the different groups;
- a est un entier égal à 0 ou à 1 ; - a is an integer equal to 0 or 1;
- b est un entier égal à 0 ou à 1 ; - b is an integer equal to 0 or 1;
p est un entier égal à 1 ou à 2 et p is an integer equal to 1 or 2 and
o si p est égal à 1 alors a est égal à 0 ou à 1 et GpA est un radical de formule IIG et, o if p is equal to 1 then a is equal to 0 or to 1 and GpA is a radical of formula IIG and,
o si p est égal à 2 alors a est égal à 1, et GpA est un radical de formule III; o if p is equal to 2 then a is equal to 1, and GpA is a radical of formula III;
~ c est un entier égal à 0 ou à 1, et si c est égal à 0 alors d est égal à 1 ou à 2; ~ c is an integer equal to 0 or 1, and if c is equal to 0 then d is equal to 1 or 2;
- d est un entier égal à 0, à 1 ou à 2; - d is an integer equal to 0, 1 or 2;
- r est un entier égal à 0, à 1 ou à 2, et - r is an integer equal to 0, 1 or 2, and
o si r est égal à 0 alors le radical hydrophobe de formule I est lié au co- polyaminoacide via une liaison covalente entre un carbonyl du radical hydrophobe et un atome d'azote en position N terminale du co-polyaminoacide, formant ainsi une fonction amide issue de la réaction d'une fonction amine en position N terminale du précurseur du co-polyaminoacide et une fonction acide portée par le précurseur du radical hydrophobe , et o if r is equal to 0 then the hydrophobic radical of formula I is linked to the co-polyamino acid via a covalent bond between a carbonyl of the hydrophobic radical and a nitrogen atom in the N-terminal position of the co-polyamino acid, thus forming an amide function resulting from the reaction of an amine function in the N-terminal position of the co-polyamino acid precursor and an acid function carried by the precursor of the hydrophobic radical, and
o si r est égal à 1 ou 2 alors le radical hydrophobe de formule I est lié au co- polyaminoacide : o if r is equal to 1 or 2 then the hydrophobic radical of formula I is linked to the co-polyamino acid:
■ via une liaison covalente entre un atome d'azote du radical hydrophobe et un carbonyl du co-polyaminoacide, formant ainsi une fonction amide issue de la réaction d'une fonction amine du précurseur du radical hydrophobe et une fonction acide portée par le précurseur du co- polyaminoacide ou ■ via a covalent bond between a nitrogen atom of the hydrophobic radical and a carbonyl of the co-polyamino acid, thus forming an amide function resulting from the reaction of an amine function of the precursor of the hydrophobic radical and an acid function carried by the precursor of the co-polyamino acid or
» via une liaison covalente entre un carbonyl du radical hydrophobe et un atome d'azote en position N terminal du co-polyaminoacide, formant ainsi une fonction amide issue de la réaction d'une fonction acide du précurseur du radical hydrophobe et une fonction amine en position N terminale portée par le précurseur du co-polyaminoacide; - R est un radical choisi dans le groupe constitué par un radical alkyle divalent, linéaire ou ramifié comprenant de 1 à 12 atomes de carbone, un radical alkyle divalent, linéaire ou ramifié comprenant de 1 à 12 atomes de carbone portant une ou plusieurs fonctions - CONH2 ou un radical éther ou polyéther non substitué comprenant de 4 à 14 atomes de carbone et de 1 à 5 atomes d'oxygène, un radical alkyle divalent, linéaire ou ramifié comprenant de 1 à 12 atomes de carbone portant un ou plusieurs cycles insaturés ou un radical éther ou polyéther non substitué comprenant de 4 à 14 atomes de carbone et de 1 à 5 atomes d'oxygène ; plus précisément, R est un radical choisi dans le groupe constitué par : » Via a covalent bond between a carbonyl of the hydrophobic radical and a nitrogen atom in the N-terminal position of the co-polyamino acid, thus forming an amide function resulting from the reaction of an acid function of the precursor of the hydrophobic radical and an amine function in N terminal position carried by the precursor of the co-polyamino acid; - R is a radical chosen from the group consisting of a divalent, linear or branched alkyl radical comprising from 1 to 12 carbon atoms, a divalent, linear or branched alkyl radical comprising from 1 to 12 carbon atoms carrying one or more functions - CONH2 or an unsubstituted ether or polyether radical comprising from 4 to 14 carbon atoms and from 1 to 5 oxygen atoms, a divalent, linear or branched alkyl radical comprising from 1 to 12 carbon atoms carrying one or more unsaturated rings or an unsubstituted ether or polyether radical comprising from 4 to 14 carbon atoms and from 1 to 5 oxygen atoms; more precisely, R is a radical chosen from the group consisting of:
o un radical alkyle divalent, linéaire ou ramifié, comprenant, de 2 à 12 atomes de carbone si GpR est un radical de formule II ou de 1 à 11 atomes de carbone si GpR est un radical de formule I ou II" ; o a divalent linear or branched alkyl radical comprising from 2 to 12 carbon atoms if GpR is a radical of formula II or from 1 to 11 carbon atoms if GpR is a radical of formula I or II ";
o un radical alkyle divalent, linéaire ou ramifié, comprenant, de 2 à 11 atomes de carbone si GpR est un radical de formule II ou de 1 à 11 atomes de carbone si GpR est un radical de formule I ou II", ledit radical alkyle portant une ou plusieurs fonctions -CONH2, et o a divalent linear or branched alkyl radical comprising from 2 to 11 carbon atoms if GpR is a radical of formula II or from 1 to 11 carbon atoms if GpR is a radical of formula I or II ", said alkyl radical carrying one or more -CONH2 functions, and
o un radical éther ou polyéther non substitué comprenant de 4 à 14 atomes de carbone et de 1 à 5 atomes d'oxygène ; o an ether or unsubstituted polyether radical comprising from 4 to 14 carbon atoms and from 1 to 5 oxygen atoms;
- A est un radical alkyle linéaire ou ramifié comprenant de 1 à 8 atomes de carbone et éventuellement substitué par un radical issu d'un cycle saturé, insaturé ou aromatique ; - A is a linear or branched alkyl radical comprising from 1 to 8 carbon atoms and optionally substituted by a radical derived from a saturated, unsaturated or aromatic ring;
- B est un radical choisi dans le groupe constitué par un radical éther ou polyéther non substitué comprenant de 4 à 14 atomes de carbone et de 1 à 5 atomes d'oxygène ou un radical alkyle linéaire ou ramifié, éventuellement comprenant un noyau aromatique, comprenant de 1 à 9 atomes de carbone ; - B is a radical chosen from the group consisting of an unsubstituted ether or polyether radical comprising from 4 to 14 carbon atoms and from 1 to 5 oxygen atoms or a linear or branched alkyl radical, optionally comprising an aromatic ring, comprising from 1 to 9 carbon atoms;
- Cx est un radical alkyl monovalent linéaire ou ramifié, éventuellement comprenant une partie cyclique, dans lequel x indique le nombre d'atomes de carbone et : - C x is a linear or branched monovalent alkyl radical, optionally comprising a cyclic part, in which x indicates the number of carbon atoms and:
o si p est égal à 1, x est compris entre 9 et 25 (9 < x < 25) : o if p is equal to 1, x is between 9 and 25 (9 <x <25):
o si p est égal à 2, x est compris entre 9 et 15 (9 < x < 15), o if p is equal to 2, x is between 9 and 15 (9 <x <15),
le ratio i entre le nombre de radicaux hydrophobes et le nombre d'unités glutamiques ou aspartiques étant compris entre 0 < i < 0,5 ; the ratio i between the number of hydrophobic radicals and the number of glutamic or aspartic units being between 0 <i <0.5;
lorsque plusieurs radicaux hydrophobes sont portés par un co-polyaminoacide alors ils sont identiques ou différents ; when several hydrophobic radicals are carried by a co-polyamino acid then they are identical or different;
le degré de polymérisation DP en unités glutamiques ou aspartiques est compris entre 5 et 250 ; the degree of DP polymerization in glutamic or aspartic units is between 5 and 250;
les fonctions acides libres étant sous forme de sel de cation alkalin choisi dans le groupe constitué par Na+ et K+ ; [00042] Dans un mode de réalisation, lorsque r=2 alors le groupe GpR lié au PLG est choisi parmi les GpR de formule II. the free acid functions being in the form of an alkaline cation salt chosen from the group consisting of Na + and K + ; In one embodiment, when r = 2 then the GpR group linked to the PLG is chosen from the GpRs of formula II.
[00043] Dans un mode de réalisation, lorsque r=2 alors le groupe GpR lié au PLG est choisi parmi les GpR de formule II et le deuxième GpR est choisi parmi les GpR de formule II". In one embodiment, when r = 2 then the GpR group linked to the PLG is chosen from the GpRs of formula II and the second GpR is chosen from the GpRs of formula II ".
[00044] Dans un mode de réalisation, lorsque r=2 alors le groupe GpR lié au PLG est choisi parmi les GpR de formule II". In one embodiment, when r = 2 then the GpR group linked to the PLG is chosen from the GpRs of formula II ".
[00045] Dans un mode de réalisation, lorsque r=2 alors le groupe GpR lié au PLG est choisi parmi les GpR de formule II" et le deuxième GpR est choisi parmi les GpR de formule In one embodiment, when r = 2 then the GpR group linked to the PLG is chosen from the GpRs of formula II "and the second GpR is chosen from the GpRs of formula
II. II.
[00046] Cx est un radical alkyl monovalent linéaire ou ramifié, dans lequel x indique le nombre d'atomes de carbone et : Cx is a linear or branched monovalent alkyl radical, in which x indicates the number of carbon atoms and:
o si p est égal à 1, x est compris entre 11 et 25 (11 < x < 25) ; o if p is equal to 1, x is between 11 and 25 (11 <x <25);
o si p est égal à 2, x est compris entre 9 et 15 (9 < x < 15). o if p is equal to 2, x is between 9 and 15 (9 <x <15).
[00047] Ledit co-polyaminoacide porteur de charges carboxylates et de radicaux hydrophobes Hy est soluble en solution aqueuse à pH compris entre 6,0 et 8,0, à une température de 25 °C et à une concentration inférieure à 100 mg/ml. Said co-polyamino acid carrying carboxylate charges and hydrophobic radicals Hy is soluble in aqueous solution at pH between 6.0 and 8.0, at a temperature of 25 ° C and at a concentration of less than 100 mg / ml .
[00048] Les compositions sous forme d'une solution aqueuse injectable selon l'invention sont des solutions limpides. The compositions in the form of an injectable aqueous solution according to the invention are clear solutions.
[00049] On entend par « solution limpide », des compositions qui satisfont aux critères décrits dans les pharmacopées américaines et européenne concernant les solutions injectables. Dans la pharmacopée américaine, les solutions sont définies dans la partie < 1151 > faisant référence à l'injection (< 1 >) (faisant référence à <788> selon USP 35 et précisé dans <788> selon USP 35 et dans <787>, <788> et <790> USP 38 (à partir du 1er août 2014), selon USP 38). Dans la pharmacopée européenne, les solutions injectables doivent remplir les critères donnés dans les sections 2.9.19 et 2.9.20. The term "clear solution" means compositions which satisfy the criteria described in the American and European pharmacopoeias concerning injectable solutions. In the American Pharmacopoeia, the solutions are defined in the section <1151> referring to the injection (<1>) (referring to <788> according to USP 35 and specified in <788> according to USP 35 and in <787> , <788> and <790> USP 38 (from 1 August 2014), according to USP 38). In the European Pharmacopoeia, injectable solutions must meet the criteria given in sections 2.9.19 and 2.9.20.
[00050] On entend par « composition stable physiquement » des compositions qui satisfont aux critères de l'inspection visuelle décrite dans la pharmacopée européenne, américaine et internationale, c'est-à-dire des compositions qui sont claires et qui ne contiennent pas de particules visibles, mais également incolores. The term “physically stable composition” is understood to mean compositions which satisfy the criteria of visual inspection described in the European, American and international pharmacopoeia, that is to say compositions which are clear and which do not contain visible particles, but also colorless.
[00051] On entend par « co-polyaminoacide étant constitué d'unités glutamiques ou aspartiques » des enchaînements linéaires non cycliques d'unités acide glutamique ou acide aspartique liées entre elles par des liaisons peptidiques, lesdits enchaînements présentant une partie C-terminale, correspondant à l'acide carboxylique d'une extrémité, et une partie N-terminale, correspondant à l'amine de l'autre extrémité de l'enchaînement. [00052] On entend par « soluble », susceptible de permettre de préparer une solution limpide et dépourvue de particules à une concentration inférieure à 100 mg/ml dans de l'eau distillée à 25 °C. The term “co-polyamino acid consisting of glutamic or aspartic units” is understood to mean non-cyclic linear sequences of glutamic acid or aspartic acid units linked together by peptide bonds, said sequences having a C-terminal part, corresponding to the carboxylic acid at one end, and an N-terminal part, corresponding to the amine at the other end of the chain. The term “soluble” is intended to allow a clear solution free of particles to be prepared at a concentration of less than 100 mg / ml in distilled water at 25 ° C.
[00053] On entend par « solution », une composition liquide dépourvue de particules visibles, en utilisant la procédure conforme aux pharmacopées européenne 8.0, au point 2.9.20, et américaine. The term "solution" means a liquid composition devoid of visible particles, using the procedure in accordance with European pharmacopoeias 8.0, in point 2.9.20, and American.
[00054] On entend par « composition stable chimiquement », des compositions qui, après stockage un certain temps et à une certaine température, présentent une recouvrance minimum des principes actifs et sont conformes aux cahiers des charges applicables aux produits pharmaceutiques. The term “chemically stable composition” is intended to mean compositions which, after storage for a certain time and at a certain temperature, have a minimum recovery of the active ingredients and comply with the specifications applicable to pharmaceutical products.
[00055] On entend par « solution aqueuse injectable » des solutions à base d'eau qui répondent aux conditions des pharmacopées européenne et américaine, et qui sont suffisamment liquides pour être injectées. The term “aqueous injectable solution” is understood to mean water-based solutions which meet the conditions of the European and American pharmacopoeias, and which are sufficiently liquid to be injected.
[00056] On entend par « radical alkyl », une chaîne carbonée, linéaire ou ramifiée, qui ne comprend pas d'hétéroatome. The term "alkyl radical" means a carbon chain, linear or branched, which does not include a heteroatom.
[00057] Le co-polyaminoacide est un co-polyaminoacide statistique ou bloc. The co-polyamino acid is a statistical or block co-polyamino acid.
[00058] Le co-polyaminoacide est un co-polyaminoacide statistique dans l'enchaînement des unités glutamiques et/ou aspartiques. The co-polyamino acid is a statistical co-polyamino acid in the chain of glutamic and / or aspartic units.
[00059] Dans un mode de réalisation, la composition selon l'invention est caractérisée en ce que Hy comprend entre 15 et 100 atomes de carbone. In one embodiment, the composition according to the invention is characterized in that Hy comprises between 15 and 100 carbon atoms.
[00060] Dans un mode de réalisation, la composition selon l'invention est caractérisée en ce que Hy comprend entre 30 et 70 atomes de carbone. In one embodiment, the composition according to the invention is characterized in that Hy comprises between 30 and 70 carbon atoms.
[00061] Dans un mode de réalisation, la composition selon l'invention est caractérisée en ce que Hy comprend entre 40 et 60 atomes de carbone. In one embodiment, the composition according to the invention is characterized in that Hy comprises between 40 and 60 carbon atoms.
[00062] Dans un mode de réalisation, la composition selon l'invention est caractérisée en ce que Hy comprend entre 20 et 30 atomes de carbone In one embodiment, the composition according to the invention is characterized in that Hy comprises between 20 and 30 carbon atoms
[00063] Dans un mode de réalisation, Hy comprend plus de 15 atomes de carbone. In one embodiment, Hy comprises more than 15 carbon atoms.
[00064] Dans un mode de réalisation, Hy comprend plus de 30 atomes de carbone. In one embodiment, Hy comprises more than 30 carbon atoms.
[00065] Dans un mode de réalisation, la composition est caractérisée en ce que le pH est compris entre 6,0 et 8,0. In one embodiment, the composition is characterized in that the pH is between 6.0 and 8.0.
[00066] Dans un mode de réalisation, la composition est caractérisée en ce que le pH est compris entre 6,6 et 7,8. In one embodiment, the composition is characterized in that the pH is between 6.6 and 7.8.
[00067] Dans un mode de réalisation, la composition est caractérisée en ce que le pH est compris entre 7,0 et 7,8. In one embodiment, the composition is characterized in that the pH is between 7.0 and 7.8.
[00068] Dans un mode de réalisation, la composition est caractérisée en ce que le pH est compris entre 6,8 et 7,4. [00069] Dans les formules les * indiquent les sites de rattachements des différents éléments représentés. In one embodiment, the composition is characterized in that the pH is between 6.8 and 7.4. In the formulas the * indicate the sites of attachment of the various elements represented.
[00070] Dans les formules, les * indiquent les sites de rattachement des radicaux hydrophobes au co-polyaminoacide. Les radicaux -Hy sont rattachés au co-polyaminoacide via des fonctions amides. In the formulas, the * indicate the sites of attachment of the hydrophobic radicals to the co-polyamino acid. The -Hy radicals are attached to the co-polyamino acid via amide functions.
[00071] Dans les formules II et IG ou I , les * indiquent, les sites de rattachement de GpR : In formulas II and IG or I, the * indicate, the GpR attachment sites:
au co-polyaminoacide et with co-polyamino acid and
à GpA si a = l ou à GpC si a=0. to GpA if a = l or to GpC if a = 0.
[00072] Dans les formules III et IIG, les * indiquent, de gauche à droite respectivement, les sites de rattachement de GpA : In formulas III and IIG, the * indicate, from left to right respectively, the GpA attachment sites:
à GpR si r= l ou 2 ou au co-polyaminoacide si r=0 et to GpR if r = 1 or 2 or to the co-polyamino acid if r = 0 and
à GpC. at GpC.
[00073] Dans la formule IV, le * indique le site de rattachement de GpC : In formula IV, the * indicates the GpC attachment site:
à GpA si a = l, GpR si r= l ou 2 et a = 0 ou, to GpA if a = l, GpR if r = l or 2 and a = 0 or,
au co-polyaminoacide si r=0 et a = 0. with the co-polyamino acid if r = 0 and a = 0.
[00074] Tous les rattachements entre les différents groupes GpR, GpA, et GpC sont des fonctions amides. All the connections between the different GpR, GpA, and GpC groups are amide functions.
[00075] Les radicaux -Hy, GpR, GpA, et GpC, et D sont chacun indépendamment identiques ou différents d'une unité monomérique à l'autre. The radicals -Hy, GpR, GpA, and GpC, and D are each independently identical or different from one monomer unit to another.
[00076] Dans un mode de réalisation, la composition est caractérisée en ce que lesdits radicaux hydrophobes sont choisis parmi les radicaux hydrophobes de formule I dans laquelle si p est égal à 1 (p= l ) et si x est inférieur ou égal à 14 (x < 14) alors r=0 ou r= l . In one embodiment, the composition is characterized in that said hydrophobic radicals are chosen from the hydrophobic radicals of formula I in which if p is equal to 1 (p = l) and if x is less than or equal to 14 (x <14) then r = 0 or r = l.
[00077] Dans un mode de réalisation, la composition est caractérisée en ce que lesdits radicaux hydrophobes sont choisis parmi les radicaux hydrophobes de formule I dans laquelle si p est égal à 1 (p= l) et si x est compris entre 15 et 16 (15 < x < 16), alors r= l . In one embodiment, the composition is characterized in that said hydrophobic radicals are chosen from hydrophobic radicals of formula I in which if p is equal to 1 (p = l) and if x is between 15 and 16 (15 <x <16), then r = l.
[00078] Dans un mode de réalisation, la composition est caractérisée en ce que lesdits radicaux hydrophobes sont choisis parmi les radicaux hydrophobes de formule I dans laquelle si p est égal à 1 (p= l) et si x est supérieur à 17 ( 17 < x) alors r= l et R est un radical éther ou polyéther. In one embodiment, the composition is characterized in that said hydrophobic radicals are chosen from hydrophobic radicals of formula I in which if p is equal to 1 (p = l) and if x is greater than 17 (17 <x) then r = 1 and R is an ether or polyether radical.
[00079] Dans un mode de réalisation, la composition est caractérisée en ce que lesdits radicaux hydrophobes sont choisis parmi les radicaux hydrophobes de formule I dans laquelle si p est égal à 1 (p= l) alors x est compris entre 17 et 25 ( 17 < x < 25). In one embodiment, the composition is characterized in that said hydrophobic radicals are chosen from the hydrophobic radicals of formula I in which if p is equal to 1 (p = l) then x is between 17 and 25 ( 17 <x <25).
[00080] Dans un mode de réalisation, ledit au moins un radical hydrophobe — Hy est choisi parmi les radicaux de formule I dans laquelle r = 2 de formule le', telle que définie ci - dessous : In one embodiment, said at least one hydrophobic radical - Hy is chosen from the radicals of formula I in which r = 2 of formula le ', as defined below:
*— GpR— GpR - (GpA) - (GpC) * - GpR— GpR - (GpA) - (GpC)
a p Formule le' dans laquelle GpRi est un radical de formule II. Formule II a p Formula the ' in which GpRi is a radical of formula II. Formula II
dans laquelle GpR, GpA, GpC, R, a, et p ont les définitions données précédemment. in which GpR, GpA, GpC, R, a, and p have the definitions given above.
[00081] Dans un mode de réalisation, ledit au moins un radical hydrophobe — Hy est choisi parmi les radicaux de formule I dans laquelle r = 2 de formule le', telle que définie ci - dessous : In one embodiment, said at least one hydrophobic radical - Hy is chosen from the radicals of formula I in which r = 2 of formula le ', as defined below:
* GpR— GpR - (G p A)— (GpC) * GpR— GpR - (G p A) - (GpC)
a P Formule le' a P Formula '
dans laquelle GpRi est un radical de formule II". Formule II" in which GpRi is a radical of formula II ". Formula II "
dans laquelle GpR, GpA, GpC, R, a, et p ont les définitions données précédemment. in which GpR, GpA, GpC, R, a, and p have the definitions given above.
[00082] Dans un mode de réalisation, la composition est caractérisée en ce que lesdits radicaux hydrophobes sont choisis parmi les radicaux hydrophobes de formule I dans laquelle p= l, représentée par la formule V suivante : formule V In one embodiment, the composition is characterized in that the said hydrophobic radicals are chosen from the hydrophobic radicals of formula I in which p = l, represented by the following formula V: formula V
GpR, GpA, GpC, r et a ont les définitions données précédemment. GpR, GpA, GpC, r and a have the definitions given above.
[00083] Dans un mode de réalisation, la composition est caractérisée en ce que lesdits radicaux hydrophobes sont choisis parmi les radicaux hydrophobes de formule I dans laquelle a= l et p=2, représentée par la formule VI suivante : In one embodiment, the composition is characterized in that the said hydrophobic radicals are chosen from the hydrophobic radicals of formula I in which a = l and p = 2, represented by the following formula VI:
‘-{ GpR V- GpA— { Gpc) ‘- {GpR V- GpA— {Gpc)
r 2 Formule VI r 2 Formula VI
dans laquelle in which
GpR, GpA, GpC et r ont les définitions données précédemment. GpR, GpA, GpC and r have the definitions given above.
[00084] Dans un mode de réalisation, la composition est caractérisée en ce que le radical hydrophobe est un radical de formules I, V ou VI dans lesquelles : r est égal à 1 (r= l) et a est égal à 0 (a=0). In one embodiment, the composition is characterized in that the hydrophobic radical is a radical of formulas I, V or VI in which: r is equal to 1 (r = l) and a is equal to 0 (a = 0).
[00085] Dans un mode de réalisation, la composition est caractérisée en ce que le radical hydrophobe est un radical de formules I, le', V ou VI dans lesquelles : r est égal à 2 (r=2) et a est égal à 0 (a=0) . [00086] Dans un mode de réalisation, la composition est caractérisée en ce que le radical hydrophobe est un radical de formule I, V ou VI dans laqueller est égal à 1 (r = 1) et a est égal à 1 (a = l). In one embodiment, the composition is characterized in that the hydrophobic radical is a radical of formulas I, the ', V or VI in which: r is equal to 2 (r = 2) and a is equal to 0 (a = 0). In one embodiment, the composition is characterized in that the hydrophobic radical is a radical of formula I, V or VI in which the equator is equal to 1 (r = 1) and a is equal to 1 (a = l ).
[00087] Dans un mode de réalisation, la composition est caractérisée en ce que le radical hydrophobe est un radical de formule I, le', V ou VI dans lesquelles r est égal à 2 (r = 2) et a est égal à 1 (a = l). In one embodiment, the composition is characterized in that the hydrophobic radical is a radical of formula I, the ', V or VI in which r is equal to 2 (r = 2) and a is equal to 1 (a = l).
[00088] Dans un mode de réalisation, la composition est caractérisée en ce que le radical hydrophobe est un radical de formule I, V ou VI dans laquelle a est égal à 0 (a = 0) et r est égal à 0 (r=0). In one embodiment, the composition is characterized in that the hydrophobic radical is a radical of formula I, V or VI in which a is equal to 0 (a = 0) and r is equal to 0 (r = 0).
[00089] Dans un mode de réalisation, la composition est caractérisée en ce que le radical hydrophobe est un radical de formule V dans laquelle r = 1 , a = 1, GpR répond à la formule In one embodiment, the composition is characterized in that the hydrophobic radical is a radical of formula V in which r = 1, a = 1, GpR corresponds to the formula
II, GpA répond à la formule IIG dans laquelle A est II, GpA corresponds to the formula IIG in which A is
répond à la formule IVd. meets formula IVd.
[00090] Dans un mode de réalisation, la composition est caractérisée en ce que le radical hydrophobe est un radical de formule V dans laquelle r = 1, a = 1, GpR répond à la formule II dans laquelle R est un alkyle linéaire divalent, GpA répond à la formule IIG dans laquelle A est In one embodiment, the composition is characterized in that the hydrophobic radical is a radical of formula V in which r = 1, a = 1, GpR corresponds to formula II in which R is a divalent linear alkyl, GpA corresponds to formula IIG in which A is
répond à la formule IVd. meets formula IVd.
[00091] Dans un mode de réalisation, la composition est caractérisée en ce que le radical hydrophobe est un radical de formule V dans laquelle r = 1, a = 1, GpR répond à la formule II dans laquelle R est -CH2-CH2-, GpA répond à la formule IIG dans laquelle A est In one embodiment, the composition is characterized in that the hydrophobic radical is a radical of formula V in which r = 1, a = 1, GpR corresponds to formula II in which R is -CH2-CH2- , GpA corresponds to formula IIG in which A is
, GpC répond à la formule IVd , GpC responds to formula IVd
[00092] Dans un mode de réalisation, la composition est caractérisée en ce que le radical hydrophobe est un radical de formule V dans laquelle r = 1, a = 1, GpR répond à la formule II dans laquelle R est -CH -CH -, GpA répond à la formule IIG dans laquelle A est In one embodiment, the composition is characterized in that the hydrophobic radical is a radical of formula V in which r = 1, a = 1, GpR corresponds to formula II in which R is -CH -CH - , GpA corresponds to formula IIG in which A is
[00093] Dans un mode de réalisation, la composition est caractérisée en ce que le radical hydrophobe est un radical de formule I, le', V ou VI dans laquelle GpR est un radical de formule II. In one embodiment, the composition is characterized in that the hydrophobic radical is a radical of formula I, the ', V or VI in which GpR is a radical of formula II.
[00094] Dans un mode de réalisation, la composition est caractérisée en ce que le radical hydrophobe est un radical formule I, le', V ou VI dans laquelle GpR est un radical de formule II dans laquelle R est un radical alkyle linéaire divalent comprenant de 2 à 12 atomes de carbone. In one embodiment, the composition is characterized in that the hydrophobic radical is a radical formula I, the ', V or VI in which GpR is a radical of formula II in which R is a divalent linear alkyl radical comprising from 2 to 12 carbon atoms.
[00095] Dans un mode de réalisation, la composition est caractérisée en ce que le radical hydrophobe est un radical formule I, le', V ou VI dans laquelle GpR est un radical de formule II dans laquelle R est un radical alkyle divalent comprenant de 2 à 6 atomes de carbone. In one embodiment, the composition is characterized in that the hydrophobic radical is a radical formula I, the ', V or VI in which GpR is a radical of formula II in which R is a divalent alkyl radical comprising of 2 to 6 carbon atoms.
[00096] Dans un mode de réalisation, la composition est caractérisée en ce que le radical hydrophobe est un radical de formule I, le', V ou VI dans laquelle GpR est un radical de formule II dans laquelle R est un radical alkyle linéaire divalent comprenant de 2 à 6 atomes de carbone. In one embodiment, the composition is characterized in that the hydrophobic radical is a radical of formula I, the ', V or VI in which GpR is a radical of formula II in which R is a divalent linear alkyl radical comprising from 2 to 6 carbon atoms.
[00097] Dans un mode de réalisation, la composition est caractérisée en ce que le radical hydrophobe est un radical de formule I, le', V ou VI dans laquelle GpR est un radical de formule II dans laquelle R est un radical alkyle divalent comprenant de 2 à 4 atomes de carbone. In one embodiment, the composition is characterized in that the hydrophobic radical is a radical of formula I, the ', V or VI in which GpR is a radical of formula II in which R is a divalent alkyl radical comprising from 2 to 4 carbon atoms.
[00098] Dans un mode de réalisation, la composition est caractérisée en ce que le radical hydrophobe est un radical de formule I, le', V ou VI dans laquelle GpR est un radical de formule II dans laquelle R est un radical alkyle linéaire divalent comprenant de 2 à 4 atomes de carbone. In one embodiment, the composition is characterized in that the hydrophobic radical is a radical of formula I, the ', V or VI in which GpR is a radical of formula II in which R is a divalent linear alkyl radical comprising from 2 to 4 carbon atoms.
[00099] Dans un mode de réalisation, la composition est caractérisée en ce que le radical hydrophobe est un radical de formule I, le', V ou VI dans laquelle GpR est un radical de formule II dans laquelle R est un radical alkyle divalent comprenant 2 atomes de carbone. In one embodiment, the composition is characterized in that the hydrophobic radical is a radical of formula I, the ', V or VI in which GpR is a radical of formula II in which R is a divalent alkyl radical comprising 2 carbon atoms.
[000100] Dans un mode de réalisation, la composition est caractérisée en ce que le radical hydrophobe est un radical de formule I, le', V ou VI dans laquelle GpR est un radical de formule I . In one embodiment, the composition is characterized in that the hydrophobic radical is a radical of formula I, the ', V or VI in which GpR is a radical of formula I.
[000101] Dans un mode de réalisation, la composition est caractérisée en ce que le radical hydrophobe est un radical de formule I, le', V ou VI dans laquelle GpR est un radical de formule IG dans laquelle R est un radical alkyle linéaire divalent comprenant de 1 à 11 atomes de carbone. [000102] Dans un mode de réalisation, la composition est caractérisée en ce que le radical hydrophobe est un radical de formule I, le', V ou VI dans laquelle GpR est un radical de formule IG dans laquelle R est un radical alkyle divalent comprenant de 1 à 6 atomes de carbone. In one embodiment, the composition is characterized in that the hydrophobic radical is a radical of formula I, the ', V or VI in which GpR is a radical of formula IG in which R is a divalent linear alkyl radical comprising from 1 to 11 carbon atoms. In one embodiment, the composition is characterized in that the hydrophobic radical is a radical of formula I, the ', V or VI in which GpR is a radical of formula IG in which R is a divalent alkyl radical comprising from 1 to 6 carbon atoms.
[000103] Dans un mode de réalisation, la composition est caractérisée en ce que le radical hydrophobe est un radical de formule I, le', V ou VI dans laquelle GpR est un radical de formule II ou IG, dans laquelle R est un radical alkyle divalent, comprenant de 2 à 5 atomes de carbone et portant une ou plusieurs fonctions amide (-CONH2). In one embodiment, the composition is characterized in that the hydrophobic radical is a radical of formula I, the ', V or VI in which GpR is a radical of formula II or IG, in which R is a radical divalent alkyl, comprising from 2 to 5 carbon atoms and carrying one or more amide functions (-CONH2).
[000104] Dans un mode de réalisation, la composition est caractérisée en ce que le radical hydrophobe est un radical de formule I, le', V ou VI dans laquelle GpR est un radical de formule IG ou II, dans laquelle R est un radical alkyle linéaire divalent, comprenant de 2 à 5 atomes de carbone et portant une ou plusieurs fonctions amide (-CONH2) . In one embodiment, the composition is characterized in that the hydrophobic radical is a radical of formula I, the ', V or VI in which GpR is a radical of formula IG or II, in which R is a radical divalent linear alkyl, comprising from 2 to 5 carbon atoms and carrying one or more amide functions (-CONH 2 ).
[000105] Dans un mode de réalisation, la composition est caractérisée en ce que le radical hydrophobe est un radical de formule I, le', V ou VI dans laquelle GpR est un radical de formule II ou IG dans laquelle R est un radical choisi dans le groupe constitué par les radicaux représentés par les formules ci-dessous : In one embodiment, the composition is characterized in that the hydrophobic radical is a radical of formula I, the ', V or VI in which GpR is a radical of formula II or IG in which R is a chosen radical in the group formed by the radicals represented by the formulas below:
[000106] Dans un mode de réalisation, la composition est caractérisée en ce que le radical R est lié au co-polyaminoacide via une fonction amide portée par le carbone en position delta ou epsilon (ou en position 4 ou 5) par rapport à la fonction amide (-CONH2) . In one embodiment, the composition is characterized in that the radical R is linked to the co-polyamino acid via an amide function carried by the carbon in the delta or epsilon position (or in the 4 or 5 position) relative to the amide function (-CONH 2 ).
[000107] Dans un mode de réalisation, la composition est caractérisée en ce que le radical hydrophobe est un radical de formule I, le', V ou VI dans laquelle GpR est un radical de formule II, I ou II" , dans laquelle R est un radical linéaire éther ou polyéther non substitué comprenant de 4 à 14 atomes de carbone et de 1 à 5 atomes d'oxygène. In one embodiment, the composition is characterized in that the hydrophobic radical is a radical of formula I, the ', V or VI in which GpR is a radical of formula II, I or II ", in which R is a linear ether or unsubstituted polyether radical comprising from 4 to 14 carbon atoms and from 1 to 5 oxygen atoms.
[000108] Dans un mode de réalisation, la composition est caractérisée en ce que le radical hydrophobe est un radical de formule I, le', V ou VI dans laquelle GpR est un radical de formule II, I ou II", dans laquelle R est un radical éther. In one embodiment, the composition is characterized in that the hydrophobic radical is a radical of formula I, the ', V or VI in which GpR is a radical of formula II, I or II ", in which R is an ether radical.
[000109] Dans un mode de réalisation, la composition est caractérisée en ce que le radical hydrophobe est un radical de formule I, le', V ou VI dans laquelle GpR est un radical de formule II, I ou II", dans laquelle R est un radical éther comprenant de 4 à 6 atomes de carbone. [000110] Dans un mode de réalisation, la composition est caractérisée en ce que le radical hydrophobe est un radical de formule I, Ic',V ou VI dans lesquelles GpR est un radical de formule II, IG ou II" dans laquelle R est un radical éther représenté par la formule In one embodiment, the composition is characterized in that the hydrophobic radical is a radical of formula I, the ', V or VI in which GpR is a radical of formula II, I or II ", in which R is an ether radical comprising from 4 to 6 carbon atoms. In one embodiment, the composition is characterized in that the hydrophobic radical is a radical of formula I, Ic ', V or VI in which GpR is a radical of formula II, IG or II "in which R is an ether radical represented by the formula
[000111] Dans un mode de réalisation, la composition est caractérisée en ce que le radical hydrophobe est un radical de formule I, V ou VI dans lesquelles GpR est un radical de formule II, IG ou II", dans laquelle R est un radical polyéther. In one embodiment, the composition is characterized in that the hydrophobic radical is a radical of formula I, V or VI in which GpR is a radical of formula II, IG or II ", in which R is a radical polyether.
[000112] Dans un mode de réalisation, la composition est caractérisée en ce que le radical hydrophobe est un radical de formule I, le', V ou VI dans laquelle GpR est un radical de formule II, I ou II", dans laquelle R est un radical linéaire polyéther comprenant de 6 à 10 atomes de carbone et de 2 à 3 atomes d'oxygène. In one embodiment, the composition is characterized in that the hydrophobic radical is a radical of formula I, the ', V or VI in which GpR is a radical of formula II, I or II ", in which R is a linear polyether radical comprising from 6 to 10 carbon atoms and from 2 to 3 oxygen atoms.
[000113] Dans un mode de réalisation, la composition est caractérisée en ce que le radical hydrophobe de formule I, le', V ou VI dans laquelle GpR est un radical de formule II, IG ou II", dans laquelle R est un radical polyéther choisi dans le groupe constitué par les radicaux représentés par les formules ci-dessous : In one embodiment, the composition is characterized in that the hydrophobic radical of formula I, the ', V or VI in which GpR is a radical of formula II, IG or II ", in which R is a radical polyether chosen from the group consisting of radicals represented by the formulas below:
[000114] Dans un mode de réalisation, la composition est caractérisée en ce que le radical hydrophobe de formule I, le', V ou VI dans laquelle GpR est un radical de formule II dans laquelle R est un radical polyéther choisi dans le groupe constitué par les radicaux représentés par les formules ci-dessous : In one embodiment, the composition is characterized in that the hydrophobic radical of formula I, the ', V or VI in which GpR is a radical of formula II in which R is a polyether radical chosen from the group consisting of by the radicals represented by the formulas below:
[000115] Dans un mode de réalisation, la composition est caractérisée en ce que le radical hydrophobe est un radical de formule I, le', V ou VI dans laquelle a est égal à 1 (a = l) et le radical GpA est un radical de formule IIG dans laquelle A est choisi dans le groupe constitué des radicaux représentés par les formules ci-dessous : In one embodiment, the composition is characterized in that the hydrophobic radical is a radical of formula I, the ', V or VI in which a is equal to 1 (a = l) and the GpA radical is a radical of formula IIG in which A is chosen from the group consisting of radicals represented by the formulas below:
[000116] Dans un mode de réalisation, la composition est caractérisée en ce que le radical hydrophobe est un radical de formule I, le', V ou VI dans laquelle a est égal à 1 (a = l) et le radical GpA est un radical de formule III dans laquelle A est choisi dans le groupe constitué des radicaux représentés par la formule ci-dessous ; In one embodiment, the composition is characterized in that the hydrophobic radical is a radical of formula I, the ', V or VI in which a is equal to 1 (a = l) and the GpA radical is a radical of formula III in which A is chosen from the group consisting of radicals represented by the formula below;
[000117] Dans un mode de réalisation, la composition est caractérisée en ce que le radical hydrophobe est un radical de formule I, le', V ou VI dans laquelle le radical GpC de formule IV est choisi dans le groupe constitué des radicaux de formules IVa, IVb ou IVc ci-après représentées : In one embodiment, the composition is characterized in that the hydrophobic radical is a radical of formula I, the ', V or VI in which the GpC radical of formula IV is chosen from the group consisting of radicals of formulas IVa, IVb or IVc below represented:
[000118] Dans un mode de réalisation, la composition est caractérisée en ce que le radical hydrophobe est un radical de formule I, le', V ou VI dans laquelle le radical GpC est de formule IVa . In one embodiment, the composition is characterized in that the hydrophobic radical is a radical of formula I, the ', V or VI in which the GpC radical is of formula IVa.
[000119] Dans un mode de réalisation, la composition est caractérisée en ce que le radical hydrophobe est un radical de formule I, le', V ou VI dans laquelle le radical GpC de formule IV est choisi dans le groupe constitué des radicaux de formules IVa, IVb ou IVc dans lesquels b est égal à 0, répondant respectivement aux formules IVd, IVe, et IVf ci -a près représentées ; In one embodiment, the composition is characterized in that the hydrophobic radical is a radical of formula I, the ', V or VI in which the GpC radical of formula IV is chosen from the group consisting of radicals of formulas IVa, IVb or IVc in which b is equal to 0, corresponding respectively to the formulas IVd, IVe, and IVf below -a represented;
[000120] Dans un mode de réalisation, la composition est caractérisée en ce que le radical hydrophobe est un radical de formule I, le', V ou VI dans laquelle le radical GpC répond à la formule IV ou IVa dans lesquelles b=0, et répond à la formule IVd. In one embodiment, the composition is characterized in that the hydrophobic radical is a radical of formula I, the ', V or VI in which the GpC radical corresponds to formula IV or IVa in which b = 0, and meets formula IVd.
[000121] Dans un mode de réalisation, la composition est caractérisée en ce que le radical hydrophobe est un radical de formule I, le', V ou VI dans laquelle le radical GpC de formule IV dans laquelle b= l est choisi dans le groupe constitué des radicaux dans lesquels B est un résidu d'acide aminé choisi dans le groupe constitué par les radicaux représentés par les formules ci-dessous : In one embodiment, the composition is characterized in that the hydrophobic radical is a radical of formula I, the ', V or VI in which the GpC radical of formula IV in which b = l is chosen from the group consisting of the radicals in which B is an amino acid residue chosen from the group consisting of the radicals represented by the formulas below:
[000122] Dans un mode de réalisation, la composition est caractérisée en ce que le radical hydrophobe est un radical de formule I, le', V ou VI dans laquelle le radical GpC de formule IV ou IVa dans lesquelles b= l, est choisi dans le groupe constitué des radicaux dans lesquels B est un résidu d'acide aminé choisi dans le groupe constitué par les radicaux représentés par les formules ci-dessous : In one embodiment, the composition is characterized in that the hydrophobic radical is a radical of formula I, the ', V or VI in which the GpC radical of formula IV or IVa in which b = l, is chosen in the group consisting of radicals in which B is an amino acid residue chosen from the group consisting of radicals represented by the formulas below:
[000123] Dans un mode de réalisation, la composition est caractérisée en ce que le radical hydrophobe est un radical de formule I, le', V ou VI dans laquelle le radical GpC de formule IV est choisi dans le groupe constitué des radicaux dans lesquels Cx est choisi dans le groupe constitué par les radicaux alkyles linéaires. In one embodiment, the composition is characterized in that the hydrophobic radical is a radical of formula I, the ', V or VI in which the GpC radical of formula IV is chosen from the group consisting of radicals in which Cx is chosen from the group consisting of linear alkyl radicals.
[000124] Dans un mode de réalisation, la composition est caractérisée en ce que le radical hydrophobe est un radical de formule I, le', V ou VI dans laquelle le radical GpC de formule IV est choisi dans le groupe constitué des radicaux dans lesquels Cx est choisi dans le groupe constitué par les radicaux alkyles ramifiés. In one embodiment, the composition is characterized in that the hydrophobic radical is a radical of formula I, the ', V or VI in which the GpC radical of formula IV is chosen from the group consisting of radicals in which Cx is chosen from the group consisting of branched alkyl radicals.
[000125] Dans un mode de réalisation, la composition est caractérisée en ce que le radical hydrophobe est un radical de formule I, le', V ou VI dans laquelle le radical GpC de formule IV est choisi dans le groupe constitué des radicaux dans lesquels Cx est choisi dans le groupe constitué par les radicaux alkyles comprenant entre 11 et 14 atomes de carbone. In one embodiment, the composition is characterized in that the hydrophobic radical is a radical of formula I, the ', V or VI in which the GpC radical of formula IV is chosen from the group consisting of radicals in which Cx is chosen from the group consisting of alkyl radicals comprising between 11 and 14 carbon atoms.
[000126] Dans un mode de réalisation, la composition est caractérisée en ce que le radical hydrophobe est un radical de formule I, le', V ou VI dans laquelle le radical GpC de formule IV est choisi dans le groupe constitué des radicaux dans lesquels Cx est choisi dans le groupe constitué par les radicaux représentés par les formules ci-dessous : In one embodiment, the composition is characterized in that the hydrophobic radical is a radical of formula I, the ', V or VI in which the GpC radical of formula IV is chosen from the group consisting of radicals in which Cx is chosen from the group consisting of radicals represented by the formulas below:
[000127] Dans un mode de réalisation, la composition est caractérisée en ce que le radical hydrophobe est un radical de formule I, le', V ou VI dans laquelle le radical GpC de formule IV est choisi dans le groupe constitué des radicaux dans lesquels Cx est choisi dans le groupe constitué par les radicaux alkyles comprenant entre 15 et 16 atomes de carbone. In one embodiment, the composition is characterized in that the hydrophobic radical is a radical of formula I, the ', V or VI in which the GpC radical of formula IV is chosen from the group consisting of radicals in which Cx is chosen from the group consisting of alkyl radicals comprising between 15 and 16 carbon atoms.
[000128] Dans un mode de réalisation, la composition est caractérisée en ce que le radical hydrophobe est un radical de formule I, V ou VI dans laquelle le radical GpC de formule IV est choisi dans le groupe constitué des radicaux dans lesquels Cx est choisi dans le groupe constitué par les radicaux représentés par la formule ci-dessous ; In one embodiment, the composition is characterized in that the hydrophobic radical is a radical of formula I, V or VI in which the GpC radical of formula IV is chosen from the group consisting of radicals in which Cx is chosen in the group consisting of the radicals represented by the formula below;
[000129] Dans un mode de réalisation, la composition est caractérisée en ce que le radical hydrophobe est un radical de formule I, le', V ou VI dans laquelle le radical GpC de formule IV est choisi dans le groupe constitué des radicaux dans lesquels Cx est choisi dans le groupe constitué par les radicaux représentés par la formule ci-dessous In one embodiment, the composition is characterized in that the hydrophobic radical is a radical of formula I, the ', V or VI in which the GpC radical of formula IV is chosen from the group consisting of radicals in which Cx is chosen from the group consisting of radicals represented by the formula below
[000130] Dans un mode de réalisation, la composition est caractérisée en ce que le radical hydrophobe est un radical de formule I, le', V ou VI dans laquelle le radical GpC de formule IV est choisi dans le groupe constitué des radicaux dans lesquels Cx est choisi dans le groupe constitué par les radicaux alkyles comprenant entre 17 et 25 atomes de carbone. In one embodiment, the composition is characterized in that the hydrophobic radical is a radical of formula I, the ', V or VI in which the GpC radical of formula IV is chosen from the group consisting of radicals in which Cx is chosen from the group consisting of alkyl radicals comprising between 17 and 25 carbon atoms.
[000131] Dans un mode de réalisation, la composition est caractérisée en ce que le radical hydrophobe est un radical de formule I, le', V ou VI dans laquelle le radical GpC de formule IV est choisi dans le groupe constitué des radicaux dans lesquels Cx est choisi dans le groupe constitué par les radicaux alkyles comprenant entre 17 et 18 atomes de carbone. [000132] Dans un mode de réalisation, la composition est caractérisée en ce que le radical hydrophobe est un radical de formule I, le', V ou VI dans laquelle le radical GpC de formule IV est choisi dans le groupe constitué des radicaux dans lesquels Cx est choisi dans le groupe constitué par les radicaux aikyles représentés par la formule ci-dessous : In one embodiment, the composition is characterized in that the hydrophobic radical is a radical of formula I, the ', V or VI in which the GpC radical of formula IV is chosen from the group consisting of radicals in which Cx is chosen from the group consisting of alkyl radicals comprising between 17 and 18 carbon atoms. In one embodiment, the composition is characterized in that the hydrophobic radical is a radical of formula I, the ', V or VI in which the GpC radical of formula IV is chosen from the group consisting of radicals in which Cx is chosen from the group consisting of the alkyl radicals represented by the formula below:
[000133] Dans un mode de réalisation, la composition est caractérisée en ce que le radical hydrophobe est un radical de formule I, le', V ou VI dans laquelle le radical GpC de formule IV est choisi dans le groupe constitué des radicaux dans lesquels Cx est choisi dans le groupe constitué par les radicaux aikyles comprenant entre 18 et 25 atomes de carbone. In one embodiment, the composition is characterized in that the hydrophobic radical is a radical of formula I, the ', V or VI in which the GpC radical of formula IV is chosen from the group consisting of radicals in which Cx is chosen from the group consisting of alkyl radicals comprising between 18 and 25 carbon atoms.
[000134] Dans un mode de réalisation, la composition est caractérisée en ce que le radical hydrophobe est un radical de formule I, le', V ou VI dans laquelle le radical GpC de formule IV est choisi dans le groupe constitué des radicaux dans lesquels Cx est choisi dans le groupe constitué par les radicaux aikyles représentés par les formules ci-dessous : In one embodiment, the composition is characterized in that the hydrophobic radical is a radical of formula I, the ', V or VI in which the GpC radical of formula IV is chosen from the group consisting of radicals in which Cx is chosen from the group consisting of the alkyl radicals represented by the formulas below:
[000135] Dans un mode de réalisation, la composition est caractérisée en ce que le co- polyaminoacide porteur de charges carboxylates et de radicaux hydrophobes est choisi parmi les co-polyaminoacides de formule VII suivante : In one embodiment, the composition is characterized in that the co-polyamino acid carrying carboxylate charges and hydrophobic radicals is chosen from the co-polyamino acids of formula VII below:
dans laquelle, in which,
• D représente, indépendamment, soit un groupe -CH2- (unité aspartique) soit un groupe -CH2-CH2- (unité glutamique) ; • D independently represents either a -CH2- group (aspartic unit) or a -CH2-CH2- group (glutamic unit);
• Hy est un radical hydrophobe choisi parmi les radicaux hydrophobes de formules I, V ou VI,; • Ri est un radical hydrophobe choisi parmi les radicaux hydrophobes de formules I, V ou VI , ou un radical choisi dans le groupe constitué par un H, un groupe acyle linéaire en C2 à CIO, un groupe acyle ramifié en C3 à CIO, un benzyle, une unité « acide aminé » terminale et un pyroglutamate ; • Hy is a hydrophobic radical chosen from hydrophobic radicals of formulas I, V or VI ,; Ri is a hydrophobic radical chosen from the hydrophobic radicals of formulas I, V or VI, or a radical chosen from the group consisting of an H, a linear acyl group from C2 to CIO, a branched acyl group from C3 to CIO, a benzyl, a terminal "amino acid" unit and a pyroglutamate;
· R est un radical hydrophobe choisi parmi les radicaux hydrophobes de formules · R is a hydrophobic radical chosen from hydrophobic radicals of formulas
I, V ou VI dans lesquelles r= l et GpR est un radical de formule II, ou un radical -NR'R", R' et R" identiques ou différents étant choisis dans le groupe constitué par H, les alkyles linéaires ou ramifiés ou cycliques en C2 à CIO, le benzyle et lesdits R' et R" alkyles pouvant former ensemble un ou des cycles carbonés saturés, insaturés et/ou aromatiques et/ou pouvant comporter des hétéroatomes, choisis dans le groupe constitué par O, N et S ;I, V or VI in which r = l and GpR is a radical of formula II, or a radical -NR'R ", R 'and R" identical or different being chosen from the group consisting of H, linear or branched alkyls or cyclic in C2 to CIO, the benzyl and said R 'and R "alkyls which can together form one or more saturated, unsaturated and / or aromatic carbon rings and / or which may contain heteroatoms, chosen from the group consisting of O, N and S;
• X représente un H ou une entité cationique choisie dans le groupe comprenant les cations métalliques ; • X represents an H or a cationic entity chosen from the group comprising metal cations;
• n + m représente le degré de polymérisation DP du co-polyaminoacide, c'est - à-dire le nombre moyen d'unités monomériques par chaîne de co- polyaminoacide et 5 < n + m < 250. • n + m represents the degree of polymerization DP of the co-polyamino acid, that is to say the average number of monomeric units per chain of co-polyamino acid and 5 <n + m <250.
[000136] Le co-polyaminoacide porteur de charges carboxylates et d'au moins un radical hydrophobe de formule I peut également être appelé « co-polyaminoacide » dans la présente description. The co-polyamino acid carrying carboxylate charges and at least one hydrophobic radical of formula I can also be called "co-polyamino acid" in the present description.
[000137] On appelle « co-polyaminoacide statistique » un co-polyaminoacide porteur de charges carboxylates et d'au moins un radical hydrophobe, un co-polyaminoacide de formule Vlla. The term “statistical co-polyamino acid” means a co-polyamino acid carrying carboxylate charges and at least one hydrophobic radical, a co-polyamino acid of formula Vlla.
[000138] Dans un mode de réalisation, la composition est caractérisée en ce que le co- polyaminoacide porteur de charges carboxylates et de radicaux hydrophobes est choisi parmi les co-polyaminoacides de formules VII, dans laquelle Ri=R'i et R2=R'2, de formule Vlla suivante : In one embodiment, the composition is characterized in that the co-polyamino acid carrying carboxylate charges and hydrophobic radicals is chosen from the co-polyamino acids of formulas VII, in which Ri = R'i and R 2 = R ' 2 , of the following formula Vlla:
dans laquelle, in which,
- m, n, X, D et Hy ont les définitions données précédemment ; - m, n, X, D and Hy have the definitions given above;
- R'i est un radical choisi dans le groupe constitué par un H, un groupe acyle linéaire en C2 à CIO, un groupe acyle ramifié en C3 à CIO, un benzyle, une unité « acide aminé » terminale et un pyroglutamate ; - R'i is a radical chosen from the group consisting of an H, a linear C2 to CIO acyl group, a branched C3 to CIO acyl group, a benzyl, a terminal "amino acid" unit and a pyroglutamate;
R'2 est un radical -IMR'R", R' et R" identiques ou différents étant choisis dans le groupe constitué par H, les alkyles linéaires ou ramifiés ou cycliques en C2 à CIO, le benzyle et lesdits R' et R" alkyles pouvant former ensemble un ou des cycles carbonés saturés, insaturés et/ou aromatiques et/ou pouvant comporter des hétéroatomes, choisis dans le groupe constitué par O, N et S. Dans un mode de réalisation, la composition est caractérisée en ce que le co-polyaminoacide porteur de charges carboxylates et de radicaux hydrophobes est choisi parmi les co- polyaminoacides de formules Vlla dans laquelle Hyd est de formule V, GpR est de formule II, GpA est de formule IIG dans laquelle A est le radical R'2 is a radical -IMR'R ", R 'and R" identical or different being chosen from the group consisting of H, linear or branched or cyclic C2 to CIO alkyl, benzyl and said R' and R " alkyls which can together form one or more saturated, unsaturated and / or aromatic carbon rings and / or which may contain heteroatoms, chosen from the group consisting of O, N and S. In one embodiment, the composition is characterized in that the co-polyamino acid carrying carboxylate charges and hydrophobic radicals is chosen from the co-polyamino acids of formulas Vlla in which Hyd is of formula V, GpR is of formula II, GpA is of formula IIG in which A is the radical
répond à la formule IVd. [000139] Dans un mode de réalisation, la composition est caractérisée en ce que le co- polyaminoacide porteur de charges carboxylates et de radicaux hydrophobes est choisi parmi les co-polyaminoacides de formules Vlla dans laquelle Hyd est de formule V, GpR est de formule II dans laquelle R est -CH2-CH2-, GpA est de formule IIG dans laquelle A est le radical meets formula IVd. In one embodiment, the composition is characterized in that the co-polyamino acid carrying carboxylate charges and hydrophobic radicals is chosen from the co-polyamino acids of formulas Vlla in which Hyd is of formula V, GpR is of formula II in which R is -CH2-CH2-, GpA is of formula IIG in which A is the radical
répond à la formule IVd. meets formula IVd.
[000140] On appelle « co-polyaminoacide défini » un co-polyaminoacide porteur de charges carboxylates et d'au moins un radical hydrophobe, un co-polyaminoacide de formule Vllb. Called "defined co-polyamino acid" a co-polyamino acid carrying carboxylate charges and at least one hydrophobic radical, a co-polyamino acid of formula Vllb.
[000141] Dans un mode de réalisation, la composition est caractérisée en ce que le co- polyaminoacide porteur de charges carboxylates et de radicaux hydrophobes est choisi parmi les co-polyaminoacides de formule VII dans laquelle n=0 de formule Vllb suivante : In one embodiment, the composition is characterized in that the co-polyamino acid carrying carboxylate charges and hydrophobic radicals is chosen from the co-polyamino acids of formula VII in which n = 0 of formula Vllb below:
Vllb VIIb
dans laquelle m, X, D, Ri et Rå ont les définitions données précédemment et au moins Ri ou R2 est un radical hydrophobe de formule I, V ou VI. in which m, X, D, Ri and Rå have the definitions given above and at least Ri or R2 is a hydrophobic radical of formula I, V or VI.
[000142] Dans un mode de réalisation, la composition est caractérisée en ce que le co- polyaminoacide porteur de charges carboxylates et de radicaux hydrophobes est choisi parmi les co-polyaminoacides de formule VII dans laquelle n=0 de formule Vllb et Ri ou R2 est un radical hydrophobe de formule I, V ou VI. In one embodiment, the composition is characterized in that the co-polyamino acid carrying carboxylate charges and hydrophobic radicals is chosen from the co-polyamino acids of formula VII in which n = 0 of formula Vllb and Ri or R 2 is a hydrophobic radical of formula I, V or VI.
[000143] Dans un mode de réalisation, la composition est caractérisée en ce que le co- polyaminoacide porteur de charges carboxylates et de radicaux hydrophobes est choisi parmi les co-polyaminoacides de formule Vllb dans laquelle Ri est un radical hydrophobe de formule I, V ou VI dans lesquelles r=0 ou r= l et GpR est de formule IG. In one embodiment, the composition is characterized in that the co-polyamino acid carrying carboxylate charges and hydrophobic radicals is chosen from the co-polyamino acids of formula Vllb in which Ri is a hydrophobic radical of formula I, V or VI in which r = 0 or r = 1 and GpR is of formula IG.
[000144] Dans un mode de réalisation, la composition est caractérisée en ce que le co- polyaminoacide porteur de charges carboxylates et de radicaux hydrophobes est choisi parmi les co-polyaminoacides de formules Vllb dans laquelle R2 est un radical hydrophobe de formule I, V ou VI dans lesquelles r= l et GpR est de formule II. In one embodiment, the composition is characterized in that the co-polyamino acid carrying carboxylate charges and hydrophobic radicals is chosen from the co-polyamino acids of formulas Vllb in which R2 is a hydrophobic radical of formula I, V or VI in which r = 1 and GpR is of formula II.
[000145] Dans un mode de réalisation, la composition est caractérisée en ce que Ri est un radical choisi dans le groupe constitué par un groupe acyle linéaire en C2 à Cio, un groupe acyle ramifié en C3 à Cio, un benzyle, une unité « acide aminé » terminale et un pyroglutamate. In one embodiment, the composition is characterized in that Ri is a radical chosen from the group consisting of a linear C2 to Cio acyl group, a branched C3 to Cio acyl group, a benzyl, a unit " amino acid "terminal and a pyroglutamate.
[000146] Dans un mode de réalisation, la composition est caractérisée en ce que Ri est un radical choisi dans le groupe constitué par un groupe acyle linéaire en C2 à Cio ou un groupe acyle ramifié en C3 à Cio. In one embodiment, the composition is characterized in that Ri is a radical chosen from the group consisting of a linear acyl group in C2 to Cio or a branched acyl group in C3 to Cio.
[000147] Dans un mode de réalisation, la composition est caractérisée en ce que le co- polyaminoacide porteur de charges carboxylates et de radicaux hydrophobes est choisi parmi les co-polyaminoacides de formules VII, Vlla ou Vllb dans lesquels le groupe D est un groupe -CH2- (unité aspartique). In one embodiment, the composition is characterized in that the co-polyamino acid carrying carboxylate charges and hydrophobic radicals is chosen from the co-polyamino acids of formulas VII, Vlla or Vllb in which group D is a group -CH2- (aspartic unit).
[000148] Dans un mode de réalisation, la composition est caractérisée en ce que le co- polyaminoacide porteur de charges carboxylates et de radicaux hydrophobes est choisi parmi les co-polyaminoacides de formules VII, Vlla ou Vllb dans lesquels le groupe D est un groupe -CH2-CH2- (unité glutamique). In one embodiment, the composition is characterized in that the co-polyamino acid carrying carboxylate charges and hydrophobic radicals is chosen from the co-polyamino acids of formulas VII, Vlla or Vllb in which group D is a group -CH2-CH2- (glutamic unit).
[000149] Dans un mode de réalisation, la composition est caractérisée en ce que le ratio i entre le nombre de radicaux hydrophobes et le nombre d'unités glutamiques ou aspartiques est compris entre 0,007 et 0,3. In one embodiment, the composition is characterized in that the ratio i between the number of hydrophobic radicals and the number of glutamic or aspartic units is between 0.007 and 0.3.
[000150] Dans un mode de réalisation, la composition est caractérisée en ce que le ratio i entre le nombre de radicaux hydrophobes et le nombre d'unités glutamiques ou aspartiques est compris entre 0,01 et 0,3. In one embodiment, the composition is characterized in that the ratio i between the number of hydrophobic radicals and the number of glutamic or aspartic units is between 0.01 and 0.3.
[000151] Dans un mode de réalisation, la composition est caractérisée en ce que le ratio i entre le nombre de radicaux hydrophobes et le nombre d'unités glutamiques ou aspartiques est compris entre 0,02 et 0,2. In one embodiment, the composition is characterized in that the ratio i between the number of hydrophobic radicals and the number of glutamic or aspartic units is between 0.02 and 0.2.
[000152] Dans un mode de réalisation, la composition est caractérisée en ce que le radical hydrophobe répond à la formule VI et le ratio i entre le nombre de radicaux hydrophobes et le nombre d'unités glutamiques ou aspartiques est compris entre 0,007 et 0,15. In one embodiment, the composition is characterized in that the hydrophobic radical corresponds to formula VI and the ratio i between the number of hydrophobic radicals and the number of glutamic or aspartic units is between 0.007 and 0, 15.
[000153] Dans un mode de réalisation, la composition est caractérisée en ce que le radical hydrophobe répond à la formule VI et le ratio i entre le nombre de radicaux hydrophobes et le nombre d'unités glutamiques ou aspartiques est compris entre 0,01 et 0, 1. In one embodiment, the composition is characterized in that the hydrophobic radical corresponds to formula VI and the ratio i between the number of hydrophobic radicals and the number of glutamic or aspartic units is between 0.01 and 0, 1.
[000154] Dans un mode de réalisation, la composition est caractérisée en ce que le radical hydrophobe répond à la formule VI et le ratio i entre le nombre de radicaux hydrophobes et le nombre d'unités glutamiques ou aspartiques est compris entre 0,02 et 0,08. In one embodiment, the composition is characterized in that the hydrophobic radical corresponds to formula VI and the ratio i between the number of hydrophobic radicals and the number of glutamic or aspartic units is between 0.02 and 0.08.
[000155] Dans un mode de réalisation, la composition est caractérisée en ce que le radical hydrophobe répond à la formule VI dans laquelle le radical Cx comprend entre 9 et 10 atomes de carbone et le ratio i entre le nombre de radicaux hydrophobes et le nombre d'unités glutamiques ou aspartiques est compris entre 0,03 et 0,15. In one embodiment, the composition is characterized in that the hydrophobic radical corresponds to formula VI in which the Cx radical comprises between 9 and 10 atoms of carbon and the ratio i between the number of hydrophobic radicals and the number of glutamic or aspartic units is between 0.03 and 0.15.
[000156] Dans un mode de réalisation, la composition est caractérisée en ce que le radical hydrophobe répond à la formule VI dans laquelle le radical Cx comprend entre 11 et 12 atomes de carbone et le ratio i entre le nombre de radicaux hydrophobes et le nombre d'unités glutamiques ou aspartiques est compris entre 0,015 et 0,1. In one embodiment, the composition is characterized in that the hydrophobic radical corresponds to formula VI in which the Cx radical comprises between 11 and 12 carbon atoms and the ratio i between the number of hydrophobic radicals and the number of glutamic or aspartic units is between 0.015 and 0.1.
[000157] Dans un mode de réalisation, la composition est caractérisée en ce que le radical hydrophobe répond à la formule VI dans laquelle le radical Cx comprend entre 11 et 12 atomes de carbone et le ratio i entre le nombre de radicaux hydrophobes et le nombre d'unités glutamiques ou aspartiques est compris entre 0,02 et 0,08. In one embodiment, the composition is characterized in that the hydrophobic radical corresponds to formula VI in which the Cx radical comprises between 11 and 12 carbon atoms and the ratio i between the number of hydrophobic radicals and the number of glutamic or aspartic units is between 0.02 and 0.08.
[000158] Dans un mode de réalisation, la composition est caractérisée en ce que le radical hydrophobe répond à la formule VI dans laquelle le radical Cx comprend entre 13 et 15 atomes de carbone et le ratio i entre le nombre de radicaux hydrophobes et le nombre d'unités glutamiques ou aspartiques est compris entre 0,01 et 0,1. In one embodiment, the composition is characterized in that the hydrophobic radical corresponds to formula VI in which the Cx radical comprises between 13 and 15 carbon atoms and the ratio i between the number of hydrophobic radicals and the number of glutamic or aspartic units is between 0.01 and 0.1.
[000159] Dans un mode de réalisation, la composition est caractérisée en ce que le radical hydrophobe répond à la formule VI dans laquelle le radical Cx comprend entre 13 et 15 atomes de carbone et le ratio i entre le nombre de radicaux hydrophobes et le nombre d'unités glutamiques ou aspartiques est compris entre 0,01 et 0,06. In one embodiment, the composition is characterized in that the hydrophobic radical corresponds to formula VI in which the Cx radical comprises between 13 and 15 carbon atoms and the ratio i between the number of hydrophobic radicals and the number of glutamic or aspartic units is between 0.01 and 0.06.
[000160] Dans un mode de réalisation, la composition est caractérisée en ce que le radical hydrophobe répond à la formule V et le ratio i entre le nombre de radicaux hydrophobes et le nombre d'unités glutamiques ou aspartiques est compris entre 0,007 et 0,3. In one embodiment, the composition is characterized in that the hydrophobic radical corresponds to formula V and the ratio i between the number of hydrophobic radicals and the number of glutamic or aspartic units is between 0.007 and 0, 3.
[000161] Dans un mode de réalisation, la composition est caractérisée en ce que le radical hydrophobe répond à la formule V et le ratio i entre le nombre de radicaux hydrophobes et le nombre d'unités glutamiques ou aspartiques est compris entre 0,01 et 0,3. In one embodiment, the composition is characterized in that the hydrophobic radical corresponds to formula V and the ratio i between the number of hydrophobic radicals and the number of glutamic or aspartic units is between 0.01 and 0.3.
[000162] Dans un mode de réalisation, la composition est caractérisée en ce que le radical hydrophobe répond à la formule V et le ratio i entre le nombre de radicaux hydrophobes et le nombre d'unités glutamiques ou aspartiques est compris entre 0,015 et 0,2. In one embodiment, the composition is characterized in that the hydrophobic radical corresponds to formula V and the ratio i between the number of hydrophobic radicals and the number of glutamic or aspartic units is between 0.015 and 0, 2.
[000163] Dans un mode de réalisation, la composition est caractérisée en ce que le radical hydrophobe répond à la formule V dans laquelle le radical Cx comprend entre 11 et 14 atomes de carbone et le ratio i entre le nombre de radicaux hydrophobes et le nombre d'unités glutamiques ou aspartiques est compris entre 0, 1 et 0,2. In one embodiment, the composition is characterized in that the hydrophobic radical corresponds to formula V in which the Cx radical comprises between 11 and 14 carbon atoms and the ratio i between the number of hydrophobic radicals and the number of glutamic or aspartic units is between 0, 1 and 0.2.
[000164] Dans un mode de réalisation, la composition est caractérisée en ce que le radical hydrophobe répond à la formule V dans laquelle le radical Cx comprend entre 15 et 16 atomes de carbone et le ratio i entre le nombre de radicaux hydrophobes et le nombre d'unités glutamiques ou aspartiques est compris entre 0,04 et 0, 15. In one embodiment, the composition is characterized in that the hydrophobic radical corresponds to formula V in which the Cx radical comprises between 15 and 16 carbon atoms and the ratio i between the number of hydrophobic radicals and the number of glutamic or aspartic units is between 0.04 and 0.15.
[000165] Dans un mode de réalisation, la composition est caractérisée en ce que le radical hydrophobe répond à la formule V dans laquelle le radical Cx comprend entre 17 et 18 atomes de carbone et le ratio i entre le nombre de radicaux hydrophobes et le nombre d'unités glutamiques ou aspartiques est compris entre 0,02 et 0,06. In one embodiment, the composition is characterized in that the hydrophobic radical corresponds to formula V in which the Cx radical comprises between 17 and 18 atoms of carbon and the ratio i between the number of hydrophobic radicals and the number of glutamic or aspartic units is between 0.02 and 0.06.
[000166] Dans un mode de réalisation, la composition est caractérisée en ce que le radical hydrophobe répond à la formule V dans laquelle le radical Cx comprend entre 19 et 25 atomes de carbone et le ratio i entre le nombre de radicaux hydrophobes et le nombre d'unités glutamiques ou aspartiques est compris entre 0,01 et 0,06. In one embodiment, the composition is characterized in that the hydrophobic radical corresponds to formula V in which the Cx radical comprises between 19 and 25 carbon atoms and the ratio i between the number of hydrophobic radicals and the number of glutamic or aspartic units is between 0.01 and 0.06.
[000167] Dans un mode de réalisation, la composition est caractérisée en ce que le radical hydrophobe répond à la formule V dans laquelle le radical Cx comprend entre 19 et 25 atomes de carbone et le ratio i entre le nombre de radicaux hydrophobes et le nombre d'unités glutamiques ou aspartiques est compris entre 0,01 et 0,05. In one embodiment, the composition is characterized in that the hydrophobic radical corresponds to formula V in which the Cx radical comprises between 19 and 25 carbon atoms and the ratio i between the number of hydrophobic radicals and the number of glutamic or aspartic units is between 0.01 and 0.05.
[000168] Dans un mode de réalisation, la composition selon l'invention est caractérisée en ce que n + m est compris entre 10 et 250. In one embodiment, the composition according to the invention is characterized in that n + m is between 10 and 250.
[0001] Dans un mode de réalisation, la composition selon l'invention est caractérisée en ce que n + m est compris entre 10 et 200. In one embodiment, the composition according to the invention is characterized in that n + m is between 10 and 200.
[0002] Dans un mode de réalisation, la composition selon l'invention est caractérisée en ce que n + m est compris entre 15 et 150. In one embodiment, the composition according to the invention is characterized in that n + m is between 15 and 150.
[0003] Dans un mode de réalisation, la composition selon l'invention est caractérisée en ce que n + m est compris entre 15 et 100. In one embodiment, the composition according to the invention is characterized in that n + m is between 15 and 100.
[0004] Dans un mode de réalisation, la composition selon l'invention est caractérisée en ce que n + m est compris entre 15 et 80. In one embodiment, the composition according to the invention is characterized in that n + m is between 15 and 80.
[000169] Dans un mode de réalisation, la composition selon l'invention est caractérisée en ce que n + m est compris entre 15 et 65. In one embodiment, the composition according to the invention is characterized in that n + m is between 15 and 65.
[0005] Dans un mode de réalisation, la composition selon l'invention est caractérisée en ce que n + m est compris entre 20 et 60. In one embodiment, the composition according to the invention is characterized in that n + m is between 20 and 60.
[0006] Dans un mode de réalisation, la composition selon l'invention est caractérisée en ce que n + m est compris entre 20 et 50. In one embodiment, the composition according to the invention is characterized in that n + m is between 20 and 50.
[000170] Dans un mode de réalisation, la composition selon l'invention est caractérisée en ce que n + m est compris entre 20 et 40. In one embodiment, the composition according to the invention is characterized in that n + m is between 20 and 40.
[000171] L'invention concerne également lesdits co-polyaminoacides porteurs de charges carboxylates et de radicaux hydrophobes de formule I et les précurseurs desdits radicaux hydrophobes. The invention also relates to said co-polyamino acids carrying carboxylate charges and hydrophobic radicals of formula I and the precursors of said hydrophobic radicals.
[000172] Dans un mode de réalisation, la concentration en co-polyaminoacide porteur de charges carboxylates et de radicaux hydrophobes est au plus de 60 mg/mL. In one embodiment, the concentration of co-polyamino acid carrying carboxylate charges and hydrophobic radicals is at most 60 mg / ml.
[000173] Dans un mode de réalisation, la concentration en co-polyaminoacide porteur de charges carboxylates et de radicaux hydrophobes est au plus de 40 mg/mL. [000174] Dans un mode de réalisation, la concentration en co-polyaminoacide porteur de charges carboxylates et de radicaux hydrophobes est au plus de 20 mg/mL. In one embodiment, the concentration of co-polyamino acid carrying carboxylate charges and hydrophobic radicals is at most 40 mg / ml. In one embodiment, the concentration of co-polyamino acid carrying carboxylate charges and hydrophobic radicals is at most 20 mg / ml.
[000175] Dans un mode de réalisation, la concentration en co-polyaminoacide porteur de charges carboxylates et de radicaux hydrophobes est au plus de 10 mg/mL. In one embodiment, the concentration of co-polyamino acid carrying carboxylate charges and hydrophobic radicals is at most 10 mg / ml.
[000176] Dans un mode de réalisation, la concentration en co-polyaminoacide porteur de charges carboxylates et de radicaux hydrophobes est au plus 5 mg/ml . In one embodiment, the concentration of co-polyamino acid carrying carboxylate charges and hydrophobic radicals is at most 5 mg / ml.
[000177] Dans un mode de réalisation, la concentration en co-polyaminoacide porteur de charges carboxylates et de radicaux hydrophobes est au plus 2,5 mg/ml . In one embodiment, the concentration of co-polyamino acid carrying carboxylate charges and hydrophobic radicals is at most 2.5 mg / ml.
[000178] [000178]
[000179] L'invention concerne en outre en une méthode de préparation de compositions injectables stables. The invention further relates to a method for preparing stable injectable compositions.
[000180] Dans un mode de réalisation, le copolyaminoacide est un poly-L-glutamate de sodium modifié à une de ses extrémités de formule ci-après représentée décrit à l'exemple AB24. In one embodiment, the copolyamino acid is a sodium poly-L-glutamate modified at one of its ends of the formula below represented described described in Example AB24.
[000181] Dans un mode de réalisation, le copolyaminoacide est un poly-L-glutamate de sodium modifié à une de ses extrémités de formule ci-après représentée décrit à l'exemple AB22. In one embodiment, the copolyamino acid is a sodium poly-L-glutamate modified at one of its ends of the formula below represented described described in Example AB22.
[000182] Dans un mode de réalisation, le copolyaminoacide est un poly-L-glutamate de sodium modifié à une de ses extrémités de formule ci-après représentée décrit à l'exemple In one embodiment, the copolyamino acid is a sodium poly-L-glutamate modified at one of its ends of the formula below represented described described in the example
AB35. AB35.
[000183] Dans un mode de réalisation, le copolyaminoacide est un poly-L-glutamate de sodium modifié à une de ses extrémités de formule ci-après représentée décrit à l'exemple BB15, BB17, BB18 et BB19. In one embodiment, the copolyamino acid is a sodium poly-L-glutamate modified at one of its ends of the formula below represented described described in example BB15, BB17, BB18 and BB19.
[000184] Dans un mode de réalisation, la composition selon l'invention est caractérisée en ce que le co-polyaminoacide est issu d'un polyaminoacide obtenu par polymérisation. In one embodiment, the composition according to the invention is characterized in that the co-polyamino acid comes from a polyamino acid obtained by polymerization.
[000185] Dans un mode de réalisation, la composition selon l'invention est caractérisée en ce que le co-polyaminoacide est issu d'un polyaminoacide obtenu par polymérisation par ouverture de cycle d'un dérivé de N-carboxyanhydride d'acide glutamique ou d'un dérivé de N -ca rboxya n hyd ri d e d'acide aspartique. In one embodiment, the composition according to the invention is characterized in that the co-polyamino acid is derived from a polyamino acid obtained by ring-opening polymerization of a derivative of N-carboxyanhydride of glutamic acid or of a derivative of N-ca rboxya n hyd ri of aspartic acid.
[000186] Dans un mode de réalisation, la composition selon l'invention est caractérisée en ce que le co-polyaminoacide est issu d'un polyaminoacide obtenu par polymérisation d'un dérivé de N-carboxyanhydride d'acide glutamique ou d'un dérivé de N-carboxyanhydride d'acide aspartique comme décrit dans l'article Deming, TJ., Adv. Polym. Sci . 2006, 202, 1- 18. In one embodiment, the composition according to the invention is characterized in that the co-polyamino acid comes from a polyamino acid obtained by polymerization of a derivative of N-carboxyanhydride of glutamic acid or of a derivative of N-carboxyanhydride of aspartic acid as described in the article Deming, TJ., Adv. Polym. Sci. 2006, 202, 1--18.
[000187] Dans un mode de réalisation, la composition selon l'invention est caractérisée en ce que le co-polyaminoacide est issu d'un polyaminoacide obtenu par polymérisation d'un dérivé de N-carboxyanhydride d'acide glutamique. In one embodiment, the composition according to the invention is characterized in that the co-polyamino acid is derived from a polyamino acid obtained by polymerization of a derivative of N-carboxyanhydride of glutamic acid.
[000188] Dans un mode de réalisation, la composition selon l'invention est caractérisée en ce que le co-polyaminoacide est issu d'un polyaminoacide obtenu par polymérisation d'un dérivé de N-carboxyanhydride d'acide glutamique choisi dans le groupe constitué par le N- carboxyanhydride poly-glutamate de méthyle (GluOMe-NCA), le N-carboxyanhydride poly- glutamate de benzyle (GluOBzl-NCA) et le N-carboxyanhydride poly glutamate de t-butyle (GluOtBu-NCA). In one embodiment, the composition according to the invention is characterized in that the co-polyamino acid is derived from a polyamino acid obtained by polymerization of an N-carboxyanhydride derivative of glutamic acid chosen from the group consisting by N-carboxyanhydride poly-methyl glutamate (GluOMe-NCA), N-carboxyanhydride poly-benzyl glutamate (GluOBzl-NCA) and N-carboxyanhydride poly t-butyl glutamate (GluOtBu-NCA).
[000189] Dans un mode de réalisation, le dérivé de N-carboxyanhydride d'acide glutamique est le N-carboxyanhydride poly-L-glutamate de méthyle (L-GluOMe-NCA) . In one embodiment, the N-carboxyanhydride derivative of glutamic acid is N-carboxyanhydride poly-L-methyl glutamate (L-GluOMe-NCA).
[000190] Dans un mode de réalisation, le dérivé de N-carboxyanhydride d'acide glutamique est le N-carboxyanhydride poly-L-glutamate de benzyle (L-GluOBzl-NCA) . In one embodiment, the glutamic acid N-carboxyanhydride derivative is benzyl N-carboxyanhydride poly-L-glutamate (L-GluOBzl-NCA).
[000191] Dans un mode de réalisation, la composition selon l'invention est caractérisée en ce que le co-polyaminoacide est issu d'un polyaminoacide obtenu par polymérisation d'un dérivé de N-carboxyanhydride d'acide glutamique ou d'un dérivé de N -carboxyanhydride d'acide aspartique en utilisant comme initiateur un complexe organométallique d'un métal de transition comme décrit dans la publication Deming, T.J ., Nature 1997, 390, 386-389. In one embodiment, the composition according to the invention is characterized in that the co-polyamino acid is derived from a polyamino acid obtained by polymerization of an N-carboxyanhydride derivative of glutamic acid or of a derivative of N -carboxyanhydride of aspartic acid using as initiator an organometallic complex of a transition metal as described in the publication Deming, TJ., Nature 1997, 390, 386-389.
[000192] Dans un mode de réalisation, la composition selon l'invention est caractérisée en ce que le co-polyaminoacide est issu d'un polyaminoacide obtenu par polymérisation d'un dérivé de N-carboxyanhydride d'acide glutamique ou d'un dérivé de N -carboxyanhydride d'acide aspartique en utilisant comme initiateur l'ammoniaque ou une amine primaire comme décrit dans le brevet FR 2,801,226 et les références citées par ce brevet. In one embodiment, the composition according to the invention is characterized in that the co-polyamino acid is derived from a polyamino acid obtained by polymerization of a derivative of N-carboxyanhydride of glutamic acid or of a derivative of N -carboxyanhydride of aspartic acid using as initiator ammonia or a primary amine as described in patent FR 2,801,226 and the references cited by this patent.
[000193] Dans un mode de réalisation, la composition selon l'invention est caractérisée en ce que le co-polyaminoacide est issu d'un polyaminoacide obtenu par polymérisation d'un dérivé de N-carboxyanhydride d'acide glutamique ou d'un dérivé de N -carboxyanhydride d'acide aspartique en utilisant comme initiateur l'hexaméthyldisilazane comme décrit dans la publication Lu H . ; et al ., 3. Am . Chem. Soc. 2007, 129, 14114-14115 ou une amine silylée comme décrit dans la publication Lu H . ; et al ., J. Am. Chem . Soc. 2008, 130, 12562-12563. In one embodiment, the composition according to the invention is characterized in that the co-polyamino acid is derived from a polyamino acid obtained by polymerization of a derivative of N-carboxyanhydride of glutamic acid or of a derivative of N -carboxyanhydride of aspartic acid using as initiator hexamethyldisilazane as described in the publication Lu H. ; et al., 3. Am. Chem. Soc. 2007, 129, 14114-14115 or a silylated amine as described in the publication Lu H. ; et al., J. Am. Chem. Soc. 2008, 130, 12562-12563.
[000194] Dans un mode de réalisation, la composition selon l'invention est caractérisée en ce que le procédé de synthèse du polyaminoacide obtenu par polymérisation d'un dérivé de N-carboxyanhydride d'acide glutamique ou d'un dérivé de N-carboxyanhydride d'acide aspartique dont est issu le co-polyaminoacide comprend une étape d'hydrolyse de fonctions ester. [000195] Dans un mode de réalisation, cette étape d'hydrolyse de fonctions ester peut consister en une hydrolyse en milieu acide ou une hydrolyse en milieu basique ou être effectuée par hydrogénation . In one embodiment, the composition according to the invention is characterized in that the process for the synthesis of the polyamino acid obtained by polymerization of a derivative of N-carboxyanhydride of glutamic acid or of a derivative of N-carboxyanhydride of aspartic acid from which the co-polyamino acid is derived comprises a step of hydrolysis of ester functions. In one embodiment, this step of hydrolysis of ester functions can consist of hydrolysis in acid medium or hydrolysis in basic medium or be carried out by hydrogenation.
[000196] Dans un mode de réalisation, cette étape d'hydrolyse de groupements ester est une hydrolyse en milieu acide. In one embodiment, this step of hydrolysis of ester groups is a hydrolysis in an acid medium.
[000197] Dans un mode de réalisation, cette étape d'hydrolyse de groupements ester est effectuée par hydrogénation . In one embodiment, this step of hydrolysis of ester groups is carried out by hydrogenation.
[000198] Dans un mode de réalisation, la composition selon l'invention est caractérisée en ce que le co-polyaminoacide est issu d'un polyaminoacide obtenu par dépolymérisation d'un polyaminoacide de plus haut poids moléculaire. In one embodiment, the composition according to the invention is characterized in that the co-polyamino acid is derived from a polyamino acid obtained by depolymerization of a polyamino acid of higher molecular weight.
[000199] Dans un mode de réalisation, la composition selon l'invention est caractérisée en ce que le co-polyaminoacide est issu d'un polyaminoacide obtenu par dépolymérisation enzymatique d'un polyaminoacide de plus haut poids moléculaire. In one embodiment, the composition according to the invention is characterized in that the co-polyamino acid comes from a polyamino acid obtained by enzymatic depolymerization of a polyamino acid of higher molecular weight.
[000200] Dans un mode de réalisation, la composition selon l'invention est caractérisée en ce que le co-polyaminoacide est issu d'un polyaminoacide obtenu par dépolymérisation chimique d'un polyaminoacide de plus haut poids moléculaire. In one embodiment, the composition according to the invention is characterized in that the co-polyamino acid is derived from a polyamino acid obtained by chemical depolymerization of a polyamino acid of higher molecular weight.
[000201] Dans un mode de réalisation, la composition selon l'invention est caractérisée en ce que le co-polyaminoacide est issu d'un polyaminoacide obtenu par dépolymérisation enzymatique et chimique d'un polyaminoacide de plus haut poids moléculaire. In one embodiment, the composition according to the invention is characterized in that the co-polyamino acid is derived from a polyamino acid obtained by enzymatic and chemical depolymerization of a polyamino acid of higher molecular weight.
[000202] Dans un mode de réalisation, la composition selon l'invention est caractérisée en ce que le co-polyaminoacide est issu d'un polyaminoacide obtenu par dépolymérisation d'un polyaminoacide de plus haut poids moléculaire choisi dans le groupe constitué par le polyglutamate de sodium et le polyaspartate de sodium. In one embodiment, the composition according to the invention is characterized in that the co-polyamino acid is derived from a polyamino acid obtained by depolymerization of a polyamino acid of higher molecular weight chosen from the group consisting of polyglutamate sodium and sodium polyaspartate.
[000203] Dans un mode de réalisation, la composition selon l'invention est caractérisée en ce que le co-polyaminoacide est issu d'un polyaminoacide obtenu par dépolymérisation d'un polyglutamate de sodium de plus haut poids moléculaire. In one embodiment, the composition according to the invention is characterized in that the co-polyamino acid is derived from a polyamino acid obtained by depolymerization of a sodium polyglutamate of higher molecular weight.
[000204] Dans un mode de réalisation, la composition selon l'invention est caractérisée en ce que le co-polyaminoacide est issu d'un polyaminoacide obtenu par dépolymérisation d'un polyaspartate de sodium de plus haut poids moléculaire. In one embodiment, the composition according to the invention is characterized in that the co-polyamino acid is derived from a polyamino acid obtained by depolymerization of a sodium polyaspartate of higher molecular weight.
[000205] Dans un mode de réalisation, la composition selon l'invention est caractérisée en ce que le co-polyaminoacide est obtenu par greffage d'un groupe hydrophobe sur un poly-L- glutamique acide ou poly-L-aspartique acide en utilisant les procédés de formation de liaison amide bien connus de l'homme de l'art. In one embodiment, the composition according to the invention is characterized in that the co-polyamino acid is obtained by grafting a hydrophobic group on a poly-L-glutamic acid or poly-L-aspartic acid using methods of forming amide bonds well known to those skilled in the art.
[000206] Dans un mode de réalisation, la composition selon l'invention est caractérisée en ce que le co-polyaminoacide est obtenu par greffage d'un groupe hydrophobe sur un poly-L- glutamique acide ou poly-L-aspartique acide en utilisant les procédés de formation de liaison amide utilisés pour la synthèse peptidique. [000207] Dans un mode de réalisation, la composition selon l'invention est caractérisée en ce que le co-polyaminoacide est obtenu par greffage d'un groupe hydrophobe sur un poly-L- glutamique acide ou poly-L-aspartique acide comme décrit dans le brevet FR 2,840,614. In one embodiment, the composition according to the invention is characterized in that the co-polyamino acid is obtained by grafting a hydrophobic group on a poly-L-glutamic acid or poly-L-aspartic acid using the methods of amide bond formation used for peptide synthesis. In one embodiment, the composition according to the invention is characterized in that the co-polyamino acid is obtained by grafting a hydrophobic group on a poly-L-glutamic acid or poly-L-aspartic acid as described in patent FR 2,840,614.
[000208] L'invention concerne également le co-polyaminoacide porteur de charges carboxylates et de radicaux hydrophobes Hy, ledit co-polyaminoacide étant constitué d'unités glutamiques ou aspartiques et lesdits radicaux hydrophobes Hy choisis parmi les radicaux de formule I telle que définie ci-dessous : Formule I The invention also relates to the co-polyamino acid carrying carboxylate charges and hydrophobic Hy radicals, said co-polyamino acid consisting of glutamic or aspartic units and said hydrophobic Hy radicals chosen from the radicals of formula I as defined below. below: Formula I
dans laquelle in which
- GpR est un radical de formules II, IG ou II" : - GpR is a radical of formulas II, IG or II ":
GpA est un radical de formules III ou IIG ; GpA is a radical of formulas III or IIG;
- GpC est un radical de formule IV : - GpC is a radical of formula IV:
- les * indiquent les sites de rattachement des différents groupes; - the * indicate the sites of attachment of the different groups;
- a est un entier égal à 0 ou à 1 ; - a is an integer equal to 0 or 1;
- b est un entier égal à 0 ou à 1 ; - b is an integer equal to 0 or 1;
p est un entier égal à 1 ou à 2 et p is an integer equal to 1 or 2 and
o si p est égal à 1 alors a est égal à 0 ou à 1 et GpA est un radical de formule IIG et, o if p is equal to 1 then a is equal to 0 or to 1 and GpA is a radical of formula IIG and,
o si p est égal à 2 alors a est égal à 1, et GpA est un radical de formule III; o if p is equal to 2 then a is equal to 1, and GpA is a radical of formula III;
- c est un entier égal à 0 ou à 1, et si c est égal à 0 alors d est égal à 1 ou à 2; - d est un entier égal à 0, à 1 ou à 2; - c is an integer equal to 0 or 1, and if c is equal to 0 then d is equal to 1 or 2; - d is an integer equal to 0, 1 or 2;
- r est un entier égal à 0, à 1 ou à 2, et - r is an integer equal to 0, 1 or 2, and
o si r est égal à 0 alors le radical hydrophobe de formule I est lié au co- polyaminoacide via une liaison covalente entre un carbonyl du radical hydrophobe et un atome d'azote en position N terminale du co-polyaminoacide, formant ainsi une fonction amide issue de la réaction d'une fonction amine en position N terminale du précurseur du co-polyaminoacide et une fonction acide portée par le précurseur du radical hydrophobe , et o if r is equal to 0 then the hydrophobic radical of formula I is linked to the co-polyamino acid via a covalent bond between a carbonyl of the hydrophobic radical and a nitrogen atom in the N-terminal position of the co-polyamino acid, thus forming an amide function resulting from the reaction of an amine function in the N-terminal position of the co-polyamino acid precursor and an acid function carried by the precursor of the hydrophobic radical, and
o si r est égal à 1 ou 2 alors le radical hydrophobe de formule I est lié au co- polyaminoacide : o if r is equal to 1 or 2 then the hydrophobic radical of formula I is linked to the co-polyamino acid:
• via une liaison covalente entre un atome d'azote du radical hydrophobe et un carbonyl du co-polyaminoacide, formant ainsi une fonction amide issue de la réaction d'une fonction amine du précurseur du radical hydrophobe et une fonction acide portée par le précurseur du co- polyaminoacide ou • via a covalent bond between a nitrogen atom of the hydrophobic radical and a carbonyl of the co-polyamino acid, thus forming an amide function resulting from the reaction of an amine function of the precursor of the hydrophobic radical and an acid function carried by the precursor of the co-polyamino acid or
• via une liaison covalente entre un carbonyl du radical hydrophobe et un atome d'azote en position N terminal du co-polyaminoacide, formant ainsi une fonction amide issue de la réaction d'une fonction acide du précurseur du radical hydrophobe et une fonction amine en position N terminale portée par le précurseur du co-polyaminoacide; • via a covalent bond between a carbonyl of the hydrophobic radical and a nitrogen atom in the N-terminal position of the co-polyamino acid, thus forming an amide function resulting from the reaction of an acid function of the precursor of the hydrophobic radical and an amine function in N terminal position carried by the precursor of the co-polyamino acid;
- R est un radical choisi dans le groupe constitué par un radical alkyle divalent, linéaire ou ramifié comprenant de 1 à 12 atomes de carbone, un radical alkyle divalent, linéaire ou ramifié comprenant de 1 à 12 atomes de carbone portant une ou plusieurs fonctions - CONH2 ou un radical éther ou polyéther non substitué comprenant de 4 à 14 atomes de carbone et de 1 à 5 atomes d'oxygène, un radical alkyle divalent, linéaire ou ramifié comprenant de 1 à 12 atomes de carbone portant un ou plusieurs cycles insaturés ou un radical éther ou polyéther non substitué comprenant de 4 à 14 atomes de carbone et de 1 à 5 atomes d'oxygène ; plus précisément, R est un radical choisi dans le groupe constitué par : - R is a radical chosen from the group consisting of a divalent, linear or branched alkyl radical comprising from 1 to 12 carbon atoms, a divalent, linear or branched alkyl radical comprising from 1 to 12 carbon atoms carrying one or more functions - CONH2 or an unsubstituted ether or polyether radical comprising from 4 to 14 carbon atoms and from 1 to 5 oxygen atoms, a divalent, linear or branched alkyl radical comprising from 1 to 12 carbon atoms carrying one or more unsaturated rings or an unsubstituted ether or polyether radical comprising from 4 to 14 carbon atoms and from 1 to 5 oxygen atoms; more precisely, R is a radical chosen from the group consisting of:
o un radical alkyle divalent, linéaire ou ramifié, comprenant, de 2 à 12 atomes de carbone si GpR est un radical de formule II ou de 1 à 11 atomes de carbone si GpR est un radical de formule IG ou II" ; o a divalent linear or branched alkyl radical comprising from 2 to 12 carbon atoms if GpR is a radical of formula II or from 1 to 11 carbon atoms if GpR is a radical of formula IG or II ";
o un radical alkyle divalent, linéaire ou ramifié, comprenant, de 2 à 11 atomes de carbone si GpR est un radical de formule II ou de 1 à 11 atomes de carbone si GpR est un radical de formule IG ou II", ledit radical alkyle portant une ou plusi eurs fonctions -COIMH2, et o a divalent linear or branched alkyl radical comprising from 2 to 11 carbon atoms if GpR is a radical of formula II or from 1 to 11 carbon atoms if GpR is a radical of formula IG or II ", said alkyl radical carrying one or more -COIMH2 functions, and
o un radical éther ou polyéther non substitué comprenant de 4 à 14 atomes de carbone et de 1 à 5 atomes d'oxygène ; - A est un radical alkyle linéaire ou ramifié comprenant de 1 à 8 atomes de carbone et éventuellement substitué par un radical issu d'un cycle saturé, insaturé ou aromatique ; o an ether or unsubstituted polyether radical comprising from 4 to 14 carbon atoms and from 1 to 5 oxygen atoms; - A is a linear or branched alkyl radical comprising from 1 to 8 carbon atoms and optionally substituted by a radical derived from a saturated, unsaturated or aromatic ring;
- B est un radical choisi dans le groupe constitué par un radical éther ou polyéther non substitué comprenant de 4 à 14 atomes de carbone et de 1 à 5 atomes d'oxygène ou un radical alkyle linéaire ou ramifié, éventuellement comprenant un noyau aromatique, comprenant de 1 à 9 atomes de carbone ; - B is a radical chosen from the group consisting of an unsubstituted ether or polyether radical comprising from 4 to 14 carbon atoms and from 1 to 5 oxygen atoms or a linear or branched alkyl radical, optionally comprising an aromatic ring, comprising from 1 to 9 carbon atoms;
- B est un radical alkyle linéaire ou ramifié, éventuellement comprenant un noyau aromatique, comprenant de 1 à 9 atomes de carbone ; - B is a linear or branched alkyl radical, optionally comprising an aromatic ring, comprising from 1 to 9 carbon atoms;
- Cx est un radical alkyl monovalent linéaire ou ramifié, éventuellement comprenant une partie cyclique, dans lequel x indique le nombre d'atomes de carbone et : - C x is a linear or branched monovalent alkyl radical, optionally comprising a cyclic part, in which x indicates the number of carbon atoms and:
o si p est égal à 1, x est compris entre 9 et 25 (9 < x < 25) : o if p is equal to 1, x is between 9 and 25 (9 <x <25):
o si p est égal à 2, x est compris entre 9 et 15 (9 < x < 15), o if p is equal to 2, x is between 9 and 15 (9 <x <15),
le ratio i entre le nombre de radicaux hydrophobes et le nombre d'unités glutamiques ou aspartiques étant compris entre 0 < i < 0,5 ; the ratio i between the number of hydrophobic radicals and the number of glutamic or aspartic units being between 0 <i <0.5;
lorsque plusieurs radicaux hydrophobes sont portés par un co-polyaminoacide alors ils sont identiques ou différents ; when several hydrophobic radicals are carried by a co-polyamino acid then they are identical or different;
le degré de polymérisation DP en unités glutamiques ou aspartiques est compris entre 5 et 250 ; the degree of DP polymerization in glutamic or aspartic units is between 5 and 250;
les fonctions acides libres étant sous forme de sel de cation alkalin choisi dans le groupe constitué par Na+ et K+ the free acid functions being in the form of an alkali cation salt chosen from the group consisting of Na + and K +
[0007] L'invention concerne également le précurseur Hy' du radical hydrophobe Hy de formule I telle que définie ci-dessous : The invention also relates to the Hy 'precursor of the hydrophobic radical Hy of formula I as defined below:
-(GpR )-(-GpA)-( Gpc) - (GpR) - (- GpA) - (Gpc)
r a t r was
Formule Formula
dans laquelle in which
GpR est un radical de formule II, I ou II" : GpA est un radical de formule III ou IIG ; GpR is a radical of formula II, I or II ": GpA is a radical of formula III or IIG;
GpC est un radical de form GpC is a radical of form
les * indiquent les sites de rattachement des différents groupes; the * indicate the sites of attachment of the different groups;
a est un entier égal à 0 ou à 1 ; a is an integer equal to 0 or 1;
b est un entier égal à 0 ou à 1 ; b is an integer equal to 0 or 1;
p est un entier égal à 1 ou à 2 et p is an integer equal to 1 or 2 and
o si p est égal à 1 alors a est égal à 0 ou à 1 et GpA est un radical de formule IIG et, o if p is equal to 1 then a is equal to 0 or to 1 and GpA is a radical of formula IIG and,
o si p est égal à 2 alors a est égal à 1, et GpA est un radical de formule III ; c est un entier égal à 0 ou à 1, et si c est égal à 0 alors d est égal à 1 ou à 2; o if p is equal to 2 then a is equal to 1, and GpA is a radical of formula III; c is an integer equal to 0 or 1, and if c is equal to 0 then d is equal to 1 or 2;
d est un entier égal à 0, à 1 ou à 2; d is an integer equal to 0, 1 or 2;
r est un entier égal à 0, à 1 ou à 2, et r is an integer equal to 0, 1 or 2, and
o si r est égal à 0 alors le radical hydrophobe de formule I est lié au co- polyaminoacide via une liaison covalente entre un carbonyl du radical hydrophobe et un atome d'azote en position N terminale du co-polyaminoacide, formant ainsi une fonction amide issue de la réaction d'une fonction amine en position IM terminale du précurseur du co-polyaminoacide et une fonction acide portée par le précurseur du radical hydrophobe , et o if r is equal to 0 then the hydrophobic radical of formula I is linked to the co-polyamino acid via a covalent bond between a carbonyl of the hydrophobic radical and a nitrogen atom in the N-terminal position of the co-polyamino acid, thus forming an amide function resulting from the reaction of an amine function in the IM terminal position of the precursor of the co-polyamino acid and an acid function carried by the precursor of the hydrophobic radical, and
o si r est égal à 1 ou 2 alors le radical hydrophobe de formule I est lié au co- polyaminoacide : o if r is equal to 1 or 2 then the hydrophobic radical of formula I is linked to the co-polyamino acid:
■ via une liaison covalente entre un atome d'azote du radical hydrophobe et un carbonyl du co-polyaminoacide, formant ainsi une fonction amide issue de la réaction d'une fonction amine du précurseur du radical hydrophobe et une fonction acide portée par le précurseur du co- polyaminoacide ou ■ via une liaison covalente entre un carbonyl du radical hydrophobe et un atome d'azote en position N terminal du co-polyaminoacide, formant ainsi une fonction amide issue de la réaction d'une fonction acide du précurseur du radical hyd rophobe et une fonction amine en position N terminale portée par le précurseur du co-polyaminoacide; ■ via a covalent bond between a nitrogen atom of the hydrophobic radical and a carbonyl of the co-polyamino acid, thus forming an amide function resulting from the reaction of an amine function of the precursor of the hydrophobic radical and an acid function carried by the precursor of the co-polyamino acid or ■ via a covalent bond between a carbonyl of the hydrophobic radical and a nitrogen atom in the N-terminal position of the co-polyamino acid, thus forming an amide function resulting from the reaction of an acid function of the precursor of the hydrophobic radical and an amine function in the N terminal position carried by the precursor of the co-polyamino acid;
- R est un radical choisi dans le groupe constitué par un radical alkyle divalent, linéaire ou ramifié comprenant de 1 à 12 atomes de carbone, un radical alkyle divalent, linéaire ou ramifié comprenant de 1 à 12 atomes de carbone portant une ou plusieurs fonctions - COIMH2 ou un radical éther ou polyéther non substitué comprenant de 4 à 14 atomes de carbone et de 1 à 5 atomes d'oxygène, un radical alkyle divalent, linéaire ou ramifié comprenant de 1 à 12 atomes de carbone portant un ou plusieurs cycles insaturés ou un radical éther ou polyéther non substitué comprenant de 4 à 14 atomes de carbone et de 1 à 5 atomes d'oxygène ; plus précisément, R est un radical choisi dans le groupe constitué par : - R is a radical chosen from the group consisting of a divalent, linear or branched alkyl radical comprising from 1 to 12 carbon atoms, a divalent, linear or branched alkyl radical comprising from 1 to 12 carbon atoms carrying one or more functions - COIMH2 or an unsubstituted ether or polyether radical comprising from 4 to 14 carbon atoms and from 1 to 5 oxygen atoms, a divalent, linear or branched alkyl radical comprising from 1 to 12 carbon atoms carrying one or more unsaturated rings or an unsubstituted ether or polyether radical comprising from 4 to 14 carbon atoms and from 1 to 5 oxygen atoms; more precisely, R is a radical chosen from the group consisting of:
o un radical alkyle divalent, linéaire ou ramifié, comprenant, de 2 à 12 atomes de carbone si GpR est un radical de formule II ou de 1 à 11 atomes de carbone si GpR est un radical de formule IG ou II" ; o a divalent linear or branched alkyl radical comprising from 2 to 12 carbon atoms if GpR is a radical of formula II or from 1 to 11 carbon atoms if GpR is a radical of formula IG or II ";
o un radical alkyle divalent, linéaire ou ramifié, comprenant, de 2 à 11 atomes de carbone si GpR est un radical de formule II ou de 1 à 11 atomes de carbone si GpR est un radical de formule IG ou II", ledit radical alkyle portant une ou plusieurs fonctions -CONH2, et o a divalent linear or branched alkyl radical comprising from 2 to 11 carbon atoms if GpR is a radical of formula II or from 1 to 11 carbon atoms if GpR is a radical of formula IG or II ", said alkyl radical carrying one or more -CONH2 functions, and
o un radical éther ou polyéther non substitué comprenant de 4 à 14 atomes de carbone et de 1 à 5 atomes d'oxygène ; o an ether or unsubstituted polyether radical comprising from 4 to 14 carbon atoms and from 1 to 5 oxygen atoms;
- A est un radical alkyle linéaire ou ramifié comprenant de 1 à 8 atomes de carbone et éventuellement substitué par un radical issu d'un cycle saturé, insaturé ou aromatique ; - A is a linear or branched alkyl radical comprising from 1 to 8 carbon atoms and optionally substituted by a radical derived from a saturated, unsaturated or aromatic ring;
- B est un radical choisi dans le groupe constitué par un radical éther ou polyéther non substitué comprenant de 4 à 14 atomes de carbone et de 1 à 5 atomes d'oxygène ou un radical alkyle linéaire ou ramifié, éventuellement comprenant un noyau aromatique, comprenant de 1 à 9 atomes de carbone ; - B is a radical chosen from the group consisting of an unsubstituted ether or polyether radical comprising from 4 to 14 carbon atoms and from 1 to 5 oxygen atoms or a linear or branched alkyl radical, optionally comprising an aromatic ring, comprising from 1 to 9 carbon atoms;
- Cx est un radical alkyl monovalent linéaire ou ramifié, éventuellement comprenant une partie cyclique, dans lequel x indique le nombre d'atomes de carbone et : - C x is a linear or branched monovalent alkyl radical, optionally comprising a cyclic part, in which x indicates the number of carbon atoms and:
o si p est égal à 1, x est compris entre 9 et 25 (9 < x < 25) : o if p is equal to 1, x is between 9 and 25 (9 <x <25):
o si p est égal à 2, x est compris entre 9 et 15 (9 < x < 15), o if p is equal to 2, x is between 9 and 15 (9 <x <15),
le ratio i entre le nombre de radicaux hydrophobes et le nombre d'unités glutamiques ou aspartiques étant compris entre 0 < i < 0,5 ; the ratio i between the number of hydrophobic radicals and the number of glutamic or aspartic units being between 0 <i <0.5;
lorsque plusieurs radicaux hydrophobes sont portés par un co-polyaminoacide alors ils sont identiques ou différents ; - le degré de polymérisation DP en unités glutamiques ou aspartiques est compris entre 5 et 250 ; when several hydrophobic radicals are carried by a co-polyamino acid then they are identical or different; - the degree of DP polymerization in glutamic or aspartic units is between 5 and 250;
les fonctions acides libres étant sous forme de sel de cation alkalin choisi dans le groupe constitué par Na+ et K+ . the free acid functions being in the form of an alkaline cation salt chosen from the group consisting of Na + and K + .
[000209] Dans un mode de réalisation, l'invention concerne également les précurseurs desdits radicaux hydrophobes de formule V' et VI' : In one embodiment, the invention also relates to the precursors of said hydrophobic radicals of formula V 'and VI':
H-(GpR)-(GpA)- GpC formule V. H- (GpR) - (GpA) - GpC formula V.
G cl G cl
formule VI1 formula VI 1
dans lesquelles GpR, GpA, GpC, r et a ont les définitions données précédemment. in which GpR, GpA, GpC, r and a have the definitions given above.
[000210] Dans la suite, les unités utilisées sont pour les insulines celles recommandées par les pharmacopées dont les correspondances en mg/ml sont données dans le tableau ci - après : [000210] In the following, the units used are for insulins those recommended by the pharmacopoeias whose correspondences in mg / ml are given in the table below:
[000211] On entend par insuline basale dont le point isoélectrique est compris entre 5,8 et 8,5 une insuline insoluble à pH 7 et dont la durée d'action est comprise entre 8 et 24 heures ou supérieure dans les modèles standards de diabète. The term “basal insulin”, the isoelectric point of which is between 5.8 and 8.5, is understood to mean insulin insoluble at pH 7 and the duration of action of which is between 8 and 24 hours or more in standard models of diabetes. .
[000212] Ces insulines basales dont le point isoélectrique est compris entre 5,8 et 8,5 sont des insulines recombinantes dont la structure primaire a été modifiée principalement par introduction d'aminoacides basiques comme l'Arginine ou la Lysine. Elles sont décrites par exemple dans les brevets, demandes de brevets ou publications suivants WO 2003/053339, WO 2004/096854, US 5,656,722 et US 6,100,376 dont le contenu est incorporé par référence. [000213] Dans un mode de réalisation, l'insuline basale dont le point isoélectrique est compris entre 5,8 et 8,5 est l'insuline glargine. These basal insulins whose isoelectric point is between 5.8 and 8.5 are recombinant insulins whose primary structure has been modified mainly by the introduction of basic amino acids such as Arginine or Lysine. They are described for example in the following patents, patent applications or publications WO 2003/053339, WO 2004/096854, US 5,656,722 and US 6,100,376, the content of which is incorporated by reference. In one embodiment, the basal insulin, the isoelectric point of which is between 5.8 and 8.5 is insulin glargine.
[000214] L'insuline glargine est commercialisée sous la marque Lantus® (100 U/ml) ou Toujeo® (300 U/ml) par SANOFI. [000214] Insulin glargine is marketed under the brand name Lantus ® (100 U / ml) or Toujeo ® (300 U / ml) by SANOFI.
[000215] Dans un mode de réalisation, l'insuline basale dont le point isoélectrique est compris entre 5,8 et 8,5 est une insuline glargine biosimilaire. In one embodiment, the basal insulin whose isoelectric point is between 5.8 and 8.5 is a biosimilar insulin glargine.
[000216] Une insuline glargine biosimilaire est en voie de commercialisation sous la marque Abasaglar® ou Basaglar® par ELI LILLY. Biosimilar insulin glargine is being marketed under the brand Abasaglar ® or Basaglar ® by ELI LILLY.
[000217] Dans un mode de réalisation, les compositions selon l'invention comprennent entre 40 et 500 U/mL d'insuli ne basale dont le point isoélectrique est compris entre 5,8 et 8,5. In one embodiment, the compositions according to the invention comprise between 40 and 500 U / ml of basal insulin, the isoelectric point of which is between 5.8 and 8.5.
[000218] Dans un mode de réalisation, les compositions selon l'invention comprennent 40 U/mL d'insuline basale dont le point isoélectrique est compris entre 5,8 et 8,5. In one embodiment, the compositions according to the invention comprise 40 U / ml of basal insulin, the isoelectric point of which is between 5.8 and 8.5.
[000219] Dans un mode de réalisation, les compositions selon l'invention comprennent 75 U/mL d'insuline basale dont le point isoélectrique est compris entre 5,8 et 8,5. In one embodiment, the compositions according to the invention comprise 75 U / ml of basal insulin, the isoelectric point of which is between 5.8 and 8.5.
[000220] Dans un mode de réalisation, les compositions selon l'invention comprennent 100 U/mL (soit environ 3,6 mg/mL) d'insuline basale dont le point isoélectrique est compris entre 5,8 et 8,5. In one embodiment, the compositions according to the invention comprise 100 U / ml (or approximately 3.6 mg / ml) of basal insulin, the isoelectric point of which is between 5.8 and 8.5.
[000221] Dans un mode de réalisation, les compositions selon l'invention comprennent 150 U/mL d'insuline basale dont le point isoélectrique est compris entre 5,8 et 8,5. In one embodiment, the compositions according to the invention comprise 150 U / ml of basal insulin, the isoelectric point of which is between 5.8 and 8.5.
[000222] Dans un mode de réalisation, les compositions selon l'invention comprennent 200 U/mL d'insuline basale dont le point isoélectrique est compris entre 5,8 et 8,5. In one embodiment, the compositions according to the invention comprise 200 U / ml of basal insulin, the isoelectric point of which is between 5.8 and 8.5.
[000223] Dans un mode de réalisation, les compositions selon l'invention comprennent 225 U/mL d'insuline basale dont le point isoélectrique est compris entre 5,8 et 8,5. In one embodiment, the compositions according to the invention comprise 225 U / ml of basal insulin, the isoelectric point of which is between 5.8 and 8.5.
[000224] Dans un mode de réalisation, les compositions selon l'invention comprennent 250 U/mL d'insuline basale dont le point isoélectrique est compris entre 5,8 et 8,5. In one embodiment, the compositions according to the invention comprise 250 U / ml of basal insulin, the isoelectric point of which is between 5.8 and 8.5.
[000225] Dans un mode de réalisation, les compositions selon l'invention comprennent 300 U/mL d'insuline basale dont le point isoélectrique est compris entre 5,8 et 8,5. In one embodiment, the compositions according to the invention comprise 300 U / ml of basal insulin, the isoelectric point of which is between 5.8 and 8.5.
[000226] Dans un mode de réalisation, les compositions selon l'invention comprennent 400 U/mL d'insuline basale dont le point isoélectrique est compris entre 5,8 et 8,5. In one embodiment, the compositions according to the invention comprise 400 U / ml of basal insulin, the isoelectric point of which is between 5.8 and 8.5.
[000227] Dans un mode de réalisation, les compositions selon l'invention comprennent 500 U/mL d'insuline basale dont le point isoélectrique est compris entre 5,8 et 8,5. In one embodiment, the compositions according to the invention comprise 500 U / ml of basal insulin, the isoelectric point of which is between 5.8 and 8.5.
[000228] Dans un mode de réalisation, le ratio massique entre l'insuline basale, dont le point isoélectrique est compris entre 5,8 et 8,5, et le co-polyaminoacide, soit co- polyaminoacide /insuline basale, est compris entre 0,2 et 8. [000229] Dans un mode de réalisation, le ratio massique est compris entre 0,2 et 6. In one embodiment, the mass ratio between basal insulin, the isoelectric point of which is between 5.8 and 8.5, and the co-polyamino acid, ie co-polyamino acid / basal insulin, is between 0.2 and 8. [000229] In one embodiment, the mass ratio is between 0.2 and 6.
[000230] Dans un mode de réalisation, le ratio massique est compris entre 0,2 et 5. In one embodiment, the mass ratio is between 0.2 and 5.
[000231] Dans un mode de réalisation, le ratio massique est compris entre 0,2 et 4. In one embodiment, the mass ratio is between 0.2 and 4.
[000232] Dans un mode de réalisation, le ratio massique est compris entre 0,2 et 3. [000232] In one embodiment, the mass ratio is between 0.2 and 3.
[000233] Dans un mode de réalisation, le ratio massique est compris entre 0,2 et 2. In one embodiment, the mass ratio is between 0.2 and 2.
[000234] Dans un mode de réalisation, le ratio massique est compris entre 0,2 et 1. In one embodiment, the mass ratio is between 0.2 and 1.
[000235] Dans un mode de réalisation, les compositions selon l'invention comprennent une insuline prandiale. Les insulines prandiales sont solubles à pH 7. [000235] In one embodiment, the compositions according to the invention comprise a mealtime insulin. Prandial insulins are soluble at pH 7.
[000236] On entend par insuline prandiale une insuline dite rapide ou « regular ». By mealtime insulin is meant a so-called rapid or "regular" insulin.
[000237] Les insulines prandiales dites rapides sont des insulines qui doivent répondre aux besoins provoqués par l'ingestion des protéines et des glucides durant un repas, elles doivent agir en moins de 30 minutes. The so-called rapid meal insulins are insulins which must meet the needs caused by the ingestion of proteins and carbohydrates during a meal, they must act in less than 30 minutes.
[000238] Dans un mode de réalisation, l'insuline prandiale dite « regular » est de l'insuline humaine. In one embodiment, the so-called "regular" mealtime insulin is human insulin.
[000239] Dans un mode de réalisation, l'insuline prandiale est une insuline humaine recombinante telle que décrite dans la Pharmacopée Européenne et la Pharmacopée américaine. In one embodiment, the mealtime insulin is a recombinant human insulin as described in the European Pharmacopoeia and the American Pharmacopoeia.
[000240] L'insuline humaine est par exemple commercialisée sous les marques Humulin® (ELI LILLY) et Novolin® (NOVO NORDISK). [000240] Human insulin is marketed under such brands Humulin ® (Eli Lilly) and Novolin ® (Novo Nordisk).
[000241] Les insulines prandiales dites très rapides (fast acting) sont des insulines qui sont obtenues par recombinaison et dont la structure primaire a été modifiée pour diminuer leur temps d'action. [000241] The so-called very fast prandial insulins are insulins which are obtained by recombination and whose primary structure has been modified to reduce their action time.
[000242] Dans un mode de réalisation, les insulines prandiales dites très rapides (fast acting) sont choisies dans le groupe comprenant l'insuline lispro (Humalog®), l 'insuline glulisine (Apidra®) et l'insuline aspart (NovoLog®). [000242] In one embodiment, the prandial insulins say very fast (fast acting) are selected from the group consisting of insulin lispro (Humalog ®), insulin glulisine (Apidra ®) and insulin aspart (NovoLog ® ).
[000243] Dans un mode de réalisation, l'insuline prandiale est l’insuline lispro. In one embodiment, the meal insulin is insulin lispro.
[000244] Dans un mode de réalisation, l'insuline prandiale est l'insuline glulisine. In one embodiment, the meal insulin is insulin glulisine.
[000245] Dans un mode de réalisation, l'insuline prandiale est l'insuline aspart. In one embodiment, the meal insulin is insulin aspart.
[000246] Dans un mode de réalisation, les compositions selon l'invention comprennent au total entre 60 et 800 U/mL d'insuline avec une combinaison d'insuline prandiale et d'insuline basale dont le point isoélectrique est compris entre 5,8 et 8,5. In one embodiment, the compositions according to the invention comprise in total between 60 and 800 U / ml of insulin with a combination of mealtime insulin and basal insulin, the isoelectric point of which is between 5.8 and 8.5.
[000247] Dans un mode de réalisation, les compositions selon l'invention comprennent au total entre 100 et 500 U/mL d'insuline avec une combinaison d'insuline prandiale et d'insuline basale dont le point isoélectrique est compris entre 5,8 et 8,5. [000248] Dans un mode de réalisation, les compositions selon l'invention comprennent au total 800 U/mL d'insuline avec une combinaison d'insuline prandiale et d'insuline basale dont le point isoélectrique est compris entre 5,8 et 8,5. In one embodiment, the compositions according to the invention comprise in total between 100 and 500 U / ml of insulin with a combination of mealtime insulin and basal insulin, the isoelectric point of which is between 5.8 and 8.5. In one embodiment, the compositions according to the invention comprise in total 800 U / ml of insulin with a combination of prandial insulin and basal insulin, the isoelectric point of which is between 5.8 and 8, 5.
[000249] Dans un mode de réalisation, les compositions selon l'invention comprennent au total 700 U/mL d'insuline avec une combinaison d'insuline prandiale et d'insuline basale dont le point isoélectrique est compris entre 5,8 et 8,5. In one embodiment, the compositions according to the invention comprise a total of 700 U / ml of insulin with a combination of prandial insulin and basal insulin, the isoelectric point of which is between 5.8 and 8, 5.
[000250] Dans un mode de réalisation, les compositions selon l'invention comprennent au total 600 U/mL d'insuline avec une combinaison d'insuline prandiale et d'insuline basale dont le point isoélectrique est compris entre 5,8 et 8,5. In one embodiment, the compositions according to the invention comprise a total of 600 U / ml of insulin with a combination of prandial insulin and basal insulin, the isoelectric point of which is between 5.8 and 8, 5.
[000251] Dans un mode de réalisation, les compositions selon l'invention comprennent au total 500 U/mL d'insuline avec une combinaison d'insuline prandiale et d 'insuline basale dont le point isoélectrique est compris entre 5,8 et 8,5. In one embodiment, the compositions according to the invention comprise a total of 500 U / ml of insulin with a combination of prandial insulin and basal insulin, the isoelectric point of which is between 5.8 and 8, 5.
[000252] Dans un mode de réal isation, les compositions selon l'invention comprennent au total 400 U/mL d'insuline avec une combinaison d'insuline prandiale et d'insuline basale dont le point isoélectrique est compris entre 5,8 et 8,5. In one embodiment, the compositions according to the invention comprise a total of 400 U / ml of insulin with a combination of mealtime insulin and basal insulin, the isoelectric point of which is between 5.8 and 8 5.
[000253] Dans un mode de réalisation, les compositions selon l'invention comprennent au total 300 U/mL d 'insuline avec une combinaison d'insuline prandiale et d'insuline basale dont le point isoélectrique est compris entre 5,8 et 8,5. In one embodiment, the compositions according to the invention comprise a total of 300 U / ml of insulin with a combination of prandial insulin and basal insulin, the isoelectric point of which is between 5.8 and 8, 5.
[000254] Dans un mode de réalisation, les compositions selon l'invention comprennent au total 266 U/mL d'insuline avec une combinaison d'insuline prandiale et d'insuline basale dont le point isoélectrique est compris entre 5,8 et 8,5. In one embodiment, the compositions according to the invention comprise a total of 266 U / ml of insulin with a combination of mealtime insulin and basal insulin, the isoelectric point of which is between 5.8 and 8, 5.
[000255] Dans un mode de réalisation, les compositions selon l'invention comprennent au total 200 U/mL d'insuline avec une combinaison d'insuline prandiale et d'insuline basale dont le point isoélectrique est compris entre 5,8 et 8,5. In one embodiment, the compositions according to the invention comprise a total of 200 U / ml of insulin with a combination of prandial insulin and basal insulin, the isoelectric point of which is between 5.8 and 8, 5.
[000256] Dans un mode de réalisation, les compositions selon l'invention comprennent au total 100 U/mL d'insuline avec une combinaison d'insuline prandiale et d'insuline basale dont le point isoélectrique est compris entre 5,8 et 8,5. In one embodiment, the compositions according to the invention comprise a total of 100 U / ml of insulin with a combination of mealtime insulin and basal insulin, the isoelectric point of which is between 5.8 and 8, 5.
[000257] Les proportions entre l'insuline basale dont le point isoélectrique est compris entre 5,8 et 8,5 et l'insuline prandiale sont par exemple en pourcentage de 25/75, 30/70, 40/60, 50/50, 60/40, 63/37, 70/30, 75/25, 80/20, 83/17, 90/10 pour des formulations telles que décrites ci-dessus comprenant de 60 à 800 U/m L. Cependant toute autre proportion peut être réalisée. The proportions between the basal insulin whose isoelectric point is between 5.8 and 8.5 and the mealtime insulin are for example in percentage of 25/75, 30/70, 40/60, 50/50 , 60/40, 63/37, 70/30, 75/25, 80/20, 83/17, 90/10 for formulations as described above comprising from 60 to 800 U / m L. However, any other proportion can be achieved.
[000258] Dans un mode de réalisation, l'insuline basale dont le point isoélectrique est compris entre 5,8 et 8,5 et l'insuline prandiale sont présentes respectivement dans les concentrations suivantes (en U/ml ) 75/25, 150/50, 200/66 ou 300/100. [000259] Dans un mode de réalisation, l'insuline basale dont le point isoélectrique est compris entre 5,8 et 8,5 et l'insuline prandiale sont présentes respectivement dans les concentrations suivantes (en U/ml ) 75/25. In one embodiment, the basal insulin whose isoelectric point is between 5.8 and 8.5 and the mealtime insulin are present respectively in the following concentrations (in U / ml) 75/25, 150 / 50, 200/66 or 300/100. In one embodiment, the basal insulin whose isoelectric point is between 5.8 and 8.5 and the mealtime insulin are present respectively in the following concentrations (in U / ml) 75/25.
[000260] Dans un mode de réalisation, l'insuline basale dont le point isoélectrique est compris entre 5,8 et 8,5 et l'insuline prandiale sont présentes respectivement dans les concentrations suivantes (en U/ml) 150/50. In one embodiment, the basal insulin whose isoelectric point is between 5.8 and 8.5 and the mealtime insulin are present respectively in the following concentrations (in U / ml) 150/50.
[000261] Dans un mode de réalisation, les compositions selon l'i nvention comprennent une hormone gastrointestinale. In one embodiment, the compositions according to the invention include a gastrointestinal hormone.
[000262] On entend par « hormones gastrointestinales », les hormones choisies dans le groupe constitué par le GLP- 1 RA (Glucagon like peptide-1 receptor agonist) et le GIP (Glucose-dependent insulinotropic peptide), l'oxyntomoduline (un dérivé du proglucagon), le peptide YY, l'amyline, la cholecystokinine, le polypeptide pancréatique (PP), la ghreline et l'entérostatine, leurs analogues ou dérivés et/ou leurs sels pharmaceutiquement acceptables. The term "gastrointestinal hormones" means the hormones chosen from the group consisting of GLP-1 RA (Glucagon like peptide-1 receptor agonist) and GIP (Glucose-dependent insulinotropic peptide), oxyntomodulin (a derivative proglucagon), peptide YY, amylin, cholecystokinin, pancreatic polypeptide (PP), ghreline and enterostatin, their analogs or derivatives and / or their pharmaceutically acceptable salts.
[000263] L'amyline , ou « islet amyloid polypeptide » (IAPP), est une hormone peptidique à 37 résidus. Elle est co-sécrétée avec de l'insuline à partir des cellules béta pancréatiques dans le rapport d'environ 100/1. L'amyline joue un rôle dans la régulation glycémique en stoppant la sécrétion du glucagon endogène et en ralentissant la vidange gastrique et en favorisant la satiété, réduisant ainsi les excursions glycémiques post-prandiales dans les niveaux de glucose sanguin. [000263] Amylin, or "amyloid polypeptide islet" (IAPP), is a peptide hormone with 37 residues. It is co-secreted with insulin from pancreatic beta cells in the ratio of about 100/1. Amylin plays a role in glycemic regulation by stopping the secretion of endogenous glucagon and slowing gastric emptying and promoting satiety, thus reducing postprandial glycemic excursions in blood glucose levels.
[000264] L’IAPP est traité à partir d'une séquence codante de 89 résidus. Le pro-islet polypeptide amyloïde (proIAPP, proamyline, protéine proislet) est produit dans les cellules bêta pancréatiques (cellules béta) sous la forme d'un pro-peptide de 67 acides aminés, 7404 Dalton, et subit des modifications post-traductionnelles comprenant le clivage de protéase pour produire de l'insuline glargine. [000264] IAPP is treated from a coding sequence of 89 residues. The amyloid pro-islet polypeptide (proIAPP, proamyline, proislet protein) is produced in pancreatic beta cells (beta cells) as a 67 amino acid pro-peptide, 7404 Dalton, and undergoes post-translational modifications including protease cleavage to produce insulin glargine.
[000265] Dans la présente demande, l'amyline telle que mentionnée fait référence aux composés décrits dans les brevets US 5,124,314 et US 5,234,906. In the present application, the amylin as mentioned refers to the compounds described in US patents 5,124,314 and US 5,234,906.
[000266] On entend par « analogue », lorsqu'il est utilisé par référence à un peptide ou une protéine, un peptide ou une protéine, dans lequel un ou plusieurs résidus d'acides aminés constitutifs de la séquence primaire ont été substitués par d'autres résidus d'acides aminés et / ou dans lequel un ou plusieurs résidus d'acides aminés constitutifs ont été supprimés et / ou dans lequel un ou plusieurs résidus d'acides aminés constitutifs ont été ajoutés. Le pourcentage d'homologie admis pour la présente définition d'un analogue est de 50 %. Dans le cas de l'amyline, un analogue peut être par exemple dérivé de la séquence d'acide aminé primaire de l'amyline en substituant un ou plusieurs acides aminés naturels ou non naturels ou peptidomimétiques. The term “analog” is understood to mean, when used with reference to a peptide or a protein, a peptide or a protein, in which one or more amino acid residues constituting the primary sequence have been substituted with d other amino acid residues and / or in which one or more constituent amino acid residues have been deleted and / or in which one or more constitutive amino acid residues have been added. The percentage of homology accepted for the present definition of an analogue is 50%. In the case of amylin, an analog may for example be derived from the primary amino acid sequence of amylin by substituting one or more natural or non-natural or peptidomimetic amino acids.
[000267] On entend par « dérivé », lorsqu'il est utilisé par référence à un peptide ou une protéine, un peptide ou une protéine ou un analogue chimiquement modifié par un substituant qui n'est pas présent dans le peptide ou la protéine ou l'analogue de référence, c'est-à-dire un peptide ou une protéine qui a été modifié par création de liaisons covalentes, pour introduire des substituants de type non amino-acide. The term "derivative" means, when used with reference to a peptide or a protein, a peptide or a protein or an analog chemically modified by a substituent which is not present in the reference peptide or protein or analog, that is to say a peptide or protein which has been modified by creation of covalent bonds, to introduce non-amino type substituents acid.
[000268] Dans un mode de réalisation, les hormones gastro-intestinales sont des analogues ou dérivés de GLP-1 RA choisis dans le groupe constitué par l'exenatide ou Byetta®(ASTRA-ZEI\IECA) , le liraglutide ou Victoza® (NOVO NORDISK), le lixisenatide ou Lyxumia® (SANOFI), l'albiglutide ou Tanzeum® (GSK) ou le dulaglutide ou Trulicity® (ELI LILLY & CO), leurs analogues ou dérivés et leurs sels pharmaceutiquement acceptables. In one embodiment, the gastrointestinal hormones are analogs or derivatives of GLP-1 RA chosen from the group consisting of exenatide or Byetta ® (ASTRA-ZEI \ IECA), liraglutide or Victoza ® ( NOVO NORDISK), lixisenatide or Lyxumia ® (SANOFI), albiglutide or Tanzeum ® (GSK) or dulaglutide or Trulicity ® (ELI LILLY & CO), their analogs or derivatives and their pharmaceutically acceptable salts.
[000269] Dans un mode de réalisation, l'hormone gastro-intestinale est le pramlintide ou Symlin® ®(ASTRA-ZENECA). In one embodiment, the gastrointestinal hormone is pramlintide or Symlin ® ® (ASTRA-ZENECA).
[000270] Dans un mode de réalisation, l'hormone gastrointestinale est l'exenatide ou Byetta®, ses analogues ou dérivés et leurs sels pharmaceutiquement acceptables. In one embodiment, the gastrointestinal hormone is exenatide or Byetta ® , its analogs or derivatives and their pharmaceutically acceptable salts.
[000271] Dans un mode de réalisation, l'hormone gastrointestinale est le liraglutide ou Victoza®, ses analogues ou dérivés et leurs sels pharmaceutiquement acceptables. [000271] In one embodiment, the hormone is gastrointestinal liraglutide or Victoza ®, analogs or derivatives and their pharmaceutically acceptable salts.
[000272] Dans un mode de réalisation, l'hormone gastrointestinale est le lixisenatide ou Lyxumia®, ses analogues ou dérivés et leurs sels pharmaceutiquement acceptables. In one embodiment, the gastrointestinal hormone is lixisenatide or Lyxumia ® , its analogs or derivatives and their pharmaceutically acceptable salts.
[000273] Dans un mode de réalisation, l'hormone gastrointestinale est l'albiglutide ou Tanzeum®, ses analogues ou dérivés et leurs sels pharmaceutiquement acceptables. [000273] In one embodiment, gastrointestinal hormone is albiglutide or Tanzeum ®, analogs or derivatives and their pharmaceutically acceptable salts.
[000274] Dans un mode de réalisation, l'hormone gastrointestinale est le dulaglutide ou Trulicity®, ses analogues ou dérivés et leurs sels pharmaceutiquement acceptables. In one embodiment, the gastrointestinal hormone is dulaglutide or Trulicity ® , its analogs or derivatives and their pharmaceutically acceptable salts.
[000275] Dans un mode de réalisation, l'hormone gastrointestinale est le pramlintide ou Symlin®, ses analogues ou dérivés et leurs sels pharmaceutiquement acceptables. [000275] In one embodiment, the hormone is pramlintide or gastrointestinal Symlin ®, analogs or derivatives and their pharmaceutically acceptable salts.
[000276] On entend par « analogue », lorsqu'il est utilisé par référence à un peptide ou une protéine, un peptide ou une protéine, dans lequel un ou plusieurs résidus d'acides aminés constitutifs ont été substitués par d'autres résidus d'acides aminés et/ou dans lequel un ou plusieurs résidus d'acides aminés constitutifs ont été supprimés et/ou dans lequel un ou plusieurs résidus d'acides aminés constitutifs ont été ajoutés. Le pourcentage d'homologie admis pour la présente définition d'un analogue est de 50%. The term “analog” is understood to mean, when used with reference to a peptide or a protein, a peptide or a protein, in which one or more constituent amino acid residues have been substituted by other residues d amino acids and / or in which one or more constituent amino acid residues have been deleted and / or in which one or more constitutive amino acid residues have been added. The percentage of homology accepted for the present definition of an analogue is 50%.
[000277] On entend par « dérivé », lorsqu'il est utilisé par référence à un peptide ou une protéine, un peptide ou une protéine ou un analogue chimiquement modifié par un substituant qui n'est pas présent dans le peptide ou la protéine ou l'analogue de référence, c'est-à-dire un peptide ou une protéine qui a été modifié par création de liaisons covalentes, pour introduire des substituants. The term "derivative" means, when used with reference to a peptide or a protein, a peptide or a protein or an analog chemically modified by a substituent which is not present in the peptide or the protein or the reference analogue, that is to say a peptide or a protein which has been modified by creation of covalent bonds, to introduce substituents.
[000278] Dans un mode de réalisation, le substituant est choisi dans le groupe constitué des chaînes grasses. [000279] Dans un mode de réalisation, la concentration en hormone gastrointestinale est comprise dans un intervalle de 0,01 à 100 mg/mL. In one embodiment, the substituent is chosen from the group consisting of fatty chains. In one embodiment, the concentration of gastrointestinal hormone is in the range of 0.01 to 100 mg / mL.
[000280] Dans un mode de réalisation, la concentration en exenatide, ses analogues ou dérivés et leurs sels pharmaceutiquement acceptables est comprise dans un intervalle de 0,04 à 0,5 mg/mL. In one embodiment, the concentration of exenatide, its analogs or derivatives and their pharmaceutically acceptable salts is in the range of 0.04 to 0.5 mg / ml.
[000281] Dans un mode de réalisation, la concentration en liraglutide, ses analogues ou dérivés et leurs sels pharmaceutiquement acceptables est comprise dans un intervalle de 1 à 10 mg/mL. In one embodiment, the concentration of liraglutide, its analogs or derivatives and their pharmaceutically acceptable salts is in the range from 1 to 10 mg / ml.
[000282] Dans un mode de réalisation, la concentration en lixisenatide, ses analogues ou dérivés et leurs sels pharmaceutiquement acceptables est comprise dans un intervalle de 0,01 à 1 mg/mL. In one embodiment, the concentration of lixisenatide, its analogs or derivatives and their pharmaceutically acceptable salts is in the range of 0.01 to 1 mg / ml.
[000283] Dans un mode de réalisation, la concentration en albiglutide, ses analogues ou dérivés et leurs sels pharmaceutiquement acceptables est comprise entre 5 à 100 mg/mL. In one embodiment, the concentration of albiglutide, its analogs or derivatives and their pharmaceutically acceptable salts is between 5 to 100 mg / ml.
[000284] Dans un mode de réalisation, la concentration en dulaglutide, ses analogues ou dérivés et leurs sels pharmaceutiquement acceptables est comprise entre 0, 1 à 10 mg/mL. In one embodiment, the concentration of dulaglutide, its analogs or derivatives and their pharmaceutically acceptable salts is between 0.1 and 10 mg / ml.
[000285] Dans un mode de réalisation, la concentration en pramlintide, ses analogues ou dérivés et leurs sels pharmaceutiquement acceptables est comprise entre 0, 1 à 5 mg/mL. In one embodiment, the concentration of pramlintide, its analogs or derivatives and their pharmaceutically acceptable salts is between 0.1 and 5 mg / ml.
[000286] Dans un mode de réalisation, les compositions selon l'invention sont réalisées par mélange de solutions commerciales d'insuline basale dont le point isoélectrique est compris entre 5,8 et 8,5 et de solutions commerciales de GLP- 1 RA, d 'analogue ou de dérivé de GLP-1 RA en ratios volumiques compris dans un intervalle de 10/90 à 90/10. In one embodiment, the compositions according to the invention are produced by mixing commercial solutions of basal insulin the isoelectric point of which is between 5.8 and 8.5 and commercial solutions of GLP-1 RA, GLP-1 RA analog or derivative in volume ratios in the range of 10/90 to 90/10.
[000287] Dans un mode de réalisation, la composition selon l'invention comprend une dose journalière d'insuline basale et une dose journalière d'hormone gastro-intestinale. [000287] In one embodiment, the composition according to the invention comprises a daily dose of basal insulin and a daily dose of gastrointestinal hormone.
[000288] Dans un mode de réalisation, les compositions selon l'invention comprennent entre 40 U/mL et 500 U/mL d'insuline basale dont le point isoélectrique est compris entre 5,8 et 8,5 et, entre 0,05 et 0,5 mg/mL d'exenatide. In one embodiment, the compositions according to the invention comprise between 40 U / mL and 500 U / mL of basal insulin, the isoelectric point of which is between 5.8 and 8.5 and, between 0.05 and 0.5 mg / mL exenatide.
[000289] Dans un mode de réalisation, les compositions selon l'invention comprennent entre 40 U/mL et 500 U/mL d'insuline basale dont le point isoélectrique est compris entre 5,8 et 8,5 et, de 1 à 10 mg/mL de liraglutide. In one embodiment, the compositions according to the invention comprise between 40 U / mL and 500 U / mL of basal insulin, the isoelectric point of which is between 5.8 and 8.5 and, from 1 to 10 mg / mL of liraglutide.
[000290] Dans un mode de réalisation, les compositions selon l'invention comprennent entre 40 U/mL et 500 U/mL d'insuline basale dont le point isoélectrique est compris entre 5,8 et 8,5 et, de 0,01 à 1 mg/mL de lixisenatide. [000291] Dans un mode de réalisation, les compositions selon l'invention comprennent entre 40 U/mL et 500 U/mL d'insuline basale dont le point isoélectrique est compris entre 5,8 et 8,5 et, de 5 à 100 mg/mL d'albiglutide. In one embodiment, the compositions according to the invention comprise between 40 U / mL and 500 U / mL of basal insulin, the isoelectric point of which is between 5.8 and 8.5 and, from 0.01 1 mg / mL lixisenatide. In one embodiment, the compositions according to the invention comprise between 40 U / mL and 500 U / mL of basal insulin, the isoelectric point of which is between 5.8 and 8.5 and, from 5 to 100 mg / mL albiglutide.
[000292] Dans un mode de réalisation, les compositions selon l'invention comprennent entre 40 U/mL et 500 U/mL d'insuline basale dont le point isoélectrique est compris entre 5 ,8 et 8,5 et, de 0,1 à 10 mg/mL de dulaglutide. In one embodiment, the compositions according to the invention comprise between 40 U / mL and 500 U / mL of basal insulin, the isoelectric point of which is between 5, 8 and 8.5 and, from 0.1 10 mg / mL dulaglutide.
[000293] Dans un mode de réalisation, les compositions selon l'invention comprennent 500 U/mL d'insuline basale dont le point isoélectrique est compris entre 5,8 et 8,5 et, de 0,04 à 0,5 mg/mL d'exenatide. In one embodiment, the compositions according to the invention comprise 500 U / ml of basal insulin, the isoelectric point of which is between 5.8 and 8.5 and, from 0.04 to 0.5 mg / mL of exenatide.
[000294] Dans un mode de réalisation, les compositions selon l'invention comprennent 500 U/mL d'insuline basale dont le point isoélectrique est compris entre 5,8 et 8,5 et, de 1 à 10 mg/mL de liraglutide. In one embodiment, the compositions according to the invention comprise 500 U / ml of basal insulin, the isoelectric point of which is between 5.8 and 8.5 and, from 1 to 10 mg / ml of liraglutide.
[000295] Dans un mode de réalisation, les compositions selon l'invention comprennent 500 U/mL d'insuline basale dont le point isoélectrique est compris entre 5,8 et 8,5 et, de 0,01 à 1 mg/mL de lixisenatide. In one embodiment, the compositions according to the invention comprise 500 U / ml of basal insulin, the isoelectric point of which is between 5.8 and 8.5 and, from 0.01 to 1 mg / ml of lixisenatide.
[000296] Dans un mode de réalisation, les compositions selon l'invention comprennent 500 U/mL d'insuline basale dont le point isoélectrique est compris entre 5,8 et 8,5 et, de 5 à 100 mg/mL d'albiglutide. In one embodiment, the compositions according to the invention comprise 500 U / ml of basal insulin, the isoelectric point of which is between 5.8 and 8.5 and, from 5 to 100 mg / ml of albiglutide .
[000297] Dans un mode de réalisation, les compositions selon l'invention comprennent 500 U/mL d'insuline basale dont le point isoélectrique est compris entre 5,8 et 8,5 et, de 0, 1 à 10 mg/mL de dulaglutide. In one embodiment, the compositions according to the invention comprise 500 U / ml of basal insulin, the isoelectric point of which is between 5.8 and 8.5 and, from 0.1 to 10 mg / ml of Dulaglutide.
[000298] Dans un mode de réalisation, les compositions selon l'invention comprennent 400 U/mL d'insuline basale dont le point isoélectrique est compris entre 5,8 et 8,5 et, de 0,04 à 0,5 mg/mL d'exenatide. In one embodiment, the compositions according to the invention comprise 400 U / ml of basal insulin, the isoelectric point of which is between 5.8 and 8.5 and, from 0.04 to 0.5 mg / mL of exenatide.
[000299] Dans un mode de réalisation, les compositions selon l'invention comprennent 400 U/mL d'insuline basale dont le point isoélectrique est compris entre 5,8 et 8,5 et, de 1 à 10 mg/mL de liraglutide. In one embodiment, the compositions according to the invention comprise 400 U / ml of basal insulin, the isoelectric point of which is between 5.8 and 8.5 and, from 1 to 10 mg / ml of liraglutide.
[000300] Dans un mode de réalisation, les compositions selon l'invention comprennent 400 U/mL d'insuline basale dont le point isoélectrique est compris entre 5,8 et 8,5 et, de 0,01 à 1 mg/mL de lixisenatide. In one embodiment, the compositions according to the invention comprise 400 U / ml of basal insulin, the isoelectric point of which is between 5.8 and 8.5 and, from 0.01 to 1 mg / ml of lixisenatide.
[000301] Dans un mode de réalisation, les compositions selon l'invention comprennent 400 U/mL d'insuline basale dont le point isoélectrique est compris entre 5,8 et 8,5 et, de 5 à 100 mg/mL d'albiglutide. In one embodiment, the compositions according to the invention comprise 400 U / ml of basal insulin, the isoelectric point of which is between 5.8 and 8.5 and, from 5 to 100 mg / ml of albiglutide .
[000302] Dans un mode de réalisation, les compositions selon l'invention comprennent 400 U/mL d'insuline basale dont le point isoélectrique est compris entre 5,8 et 8,5 et, de 0,1 à 10 mg/mL de dulaglutide. [000303] Dans un mode de réalisation, les compositions selon l'invention comprennent 300 U/mL d'insuline basale dont le point isoélectrique est compris entre 5,8 et 8,5 et, de 0,04 à 0,5 mg/mL d'exenatide. In one embodiment, the compositions according to the invention comprise 400 U / mL of basal insulin, the isoelectric point of which is between 5.8 and 8.5 and, from 0.1 to 10 mg / mL of Dulaglutide. In one embodiment, the compositions according to the invention comprise 300 U / ml of basal insulin, the isoelectric point of which is between 5.8 and 8.5 and, from 0.04 to 0.5 mg / mL of exenatide.
[000304] Dans un mode de réalisation, les compositions selon l'invention comprennent 300 U/mL d'insuline basale dont le point isoélectrique est compris entre 5,8 et 8,5 et, de 1 à 10 mg/mL de liraglutide. In one embodiment, the compositions according to the invention comprise 300 U / ml of basal insulin, the isoelectric point of which is between 5.8 and 8.5 and, from 1 to 10 mg / ml of liraglutide.
[000305] Dans un mode de réalisation, les compositions selon l'invention comprennent 300 U/mL d'insuline basale dont le point isoélectrique est compris entre 5,8 et 8,5 et, de 0,01 à 1 mg/mL de lixisenatide. In one embodiment, the compositions according to the invention comprise 300 U / mL of basal insulin, the isoelectric point of which is between 5.8 and 8.5 and, from 0.01 to 1 mg / mL of lixisenatide.
[000306] Dans un mode de réalisation, les compositions selon l'invention comprennent 300 U/mL d'insuline basale dont le point isoélectrique est compris entre 5,8 et 8,5 et, de 5 à 100 mg/mL d'albiglutide. In one embodiment, the compositions according to the invention comprise 300 U / ml of basal insulin, the isoelectric point of which is between 5.8 and 8.5 and, from 5 to 100 mg / ml of albiglutide .
[000307] Dans un mode de réalisation, les compositions selon l'invention comprennent 300 U/mL d'insuline basale dont le point isoélectrique est compris entre 5,8 et 8,5 et, de 0, 1 à 10 mg/mL de dulaglutide. In one embodiment, the compositions according to the invention comprise 300 U / ml of basal insulin, the isoelectric point of which is between 5.8 and 8.5 and, from 0.1 to 10 mg / ml of Dulaglutide.
[000308] Dans un mode de réalisation, les compositions selon l'invention comprennent 225 U/mL d'insuline basale dont le point isoélectrique est compris entre 5,8 et 8,5 et, de 0,04 à 0,5 mg/mL d'exenatide. In one embodiment, the compositions according to the invention comprise 225 U / ml of basal insulin, the isoelectric point of which is between 5.8 and 8.5 and, from 0.04 to 0.5 mg / mL of exenatide.
[000309] Dans un mode de réalisation, les compositions selon l'invention comprennent 225 U/mL d'insuline basale dont le point isoélectrique est compris entre 5,8 et 8,5 et, de 1 à 10 mg/mL de liraglutide. In one embodiment, the compositions according to the invention comprise 225 U / ml of basal insulin, the isoelectric point of which is between 5.8 and 8.5 and, from 1 to 10 mg / ml of liraglutide.
[000310] Dans un mode de réalisation, les compositions selon l'invention comprennent 225 U/mL d'insuline basale dont le point isoélectrique est compris entre 5,8 et 8,5 et, de 0,01 à 1 mg/mL de lixisenatide. In one embodiment, the compositions according to the invention comprise 225 U / ml of basal insulin, the isoelectric point of which is between 5.8 and 8.5 and, from 0.01 to 1 mg / ml of lixisenatide.
[000311] Dans un mode de réalisation, les compositions selon l'invention comprennent 225 U/mL d'insuline basale dont le point isoélectrique est compris entre 5,8 et 8,5 et, de 5 à 100 mg/mL d'albiglutide. In one embodiment, the compositions according to the invention comprise 225 U / ml of basal insulin, the isoelectric point of which is between 5.8 and 8.5 and, from 5 to 100 mg / ml of albiglutide .
[000312] Dans un mode de réalisation, les compositions selon l'invention comprennent 225 U/mL d'insuline basale dont le point isoélectrique est compris entre 5,8 et 8,5 et, de 0,1 à lOmg/mL de dulaglutide. In one embodiment, the compositions according to the invention comprise 225 U / ml of basal insulin, the isoelectric point of which is between 5.8 and 8.5 and, from 0.1 to 10 mg / ml of dulaglutide .
[000313] Dans un mode de réalisation, les compositions selon l'invention comprennent 200 U/mL d'insuline basale dont le point isoélectrique est compris entre 5,8 et 8,5 et, de 0,04 à 0,5 mg/mL d'exenatide. In one embodiment, the compositions according to the invention comprise 200 U / ml of basal insulin, the isoelectric point of which is between 5.8 and 8.5 and, from 0.04 to 0.5 mg / mL of exenatide.
[000314] Dans un mode de réalisation, les compositions selon l'invention comprennent 200 U/mL d'insuline basale dont le point isoélectrique est compris entre 5,8 et 8,5 et, de 1 à 10 mg/mL de liraglutide. [000315] Dans un mode de réalisation, les compositions selon l'invention comprennent 200 U/mL d'insuline basale dont le point isoélectrique est compris entre 5,8 et 8,5 et, de 0,01 à 1 mg/mL de lixisenatide. In one embodiment, the compositions according to the invention comprise 200 U / ml of basal insulin, the isoelectric point of which is between 5.8 and 8.5 and, from 1 to 10 mg / ml of liraglutide. In one embodiment, the compositions according to the invention comprise 200 U / ml of basal insulin, the isoelectric point of which is between 5.8 and 8.5 and, from 0.01 to 1 mg / ml of lixisenatide.
[000316] Dans un mode de réalisation, les compositions selon l'invention comprennent 200 U/mL d'insuline basale dont le point isoélectrique est compris entre 5,8 et 8,5 et, de 5 à 100 mg/mL d'albiglutide. In one embodiment, the compositions according to the invention comprise 200 U / mL of basal insulin, the isoelectric point of which is between 5.8 and 8.5 and, from 5 to 100 mg / mL of albiglutide .
[000317] Dans un mode de réalisation, les compositions selon l'invention comprennent 200 U/mL d'insuline basale dont le point isoélectrique est compris entre 5,8 et 8,5 et, de 0,1 à 10 mg/mL de dulaglutide. In one embodiment, the compositions according to the invention comprise 200 U / ml of basal insulin, the isoelectric point of which is between 5.8 and 8.5 and, from 0.1 to 10 mg / ml of Dulaglutide.
[000318] Dans un mode de réalisation, les compositions selon l'invention comprennent 100 U/mL (soit environ 3,6 mg/mL) d'insuline basale dont le point isoélectrique est compris entre 5,8 et 8,5 et, de 0,04 à 0,5 mg/mL d'exenatide. In one embodiment, the compositions according to the invention comprise 100 U / ml (or approximately 3.6 mg / ml) of basal insulin, the isoelectric point of which is between 5.8 and 8.5 and, 0.04 to 0.5 mg / mL exenatide.
[000319] Dans un mode de réalisation, les compositions selon l'invention comprennent 100 U/mL (soit environ 3,6 mg/mL) d'insuline basale dont le point isoélectrique est compris entre 5,8 et 8,5 et, de 1 à 10 mg/mL de liraglutide. In one embodiment, the compositions according to the invention comprise 100 U / ml (or approximately 3.6 mg / ml) of basal insulin, the isoelectric point of which is between 5.8 and 8.5 and, 1 to 10 mg / mL of liraglutide.
[000320] Dans un mode de réalisation, les compositions selon l'invention comprennent 100 U/mL (soit environ 3,6 mg/mL) d'insuline basale dont le point isoélectrique est compris entre 5,8 et 8,5 et, de 0,01 à 1 mg/mL de lixisenatide. In one embodiment, the compositions according to the invention comprise 100 U / ml (or approximately 3.6 mg / ml) of basal insulin, the isoelectric point of which is between 5.8 and 8.5 and, 0.01 to 1 mg / mL of lixisenatide.
[000321] Dans un mode de réalisation, les compositions selon l'invention comprennent 100 U/mL d'insuline basale dont le point isoélectrique est compris entre 5,8 et 8,5 et, de 5 à 100 mg/mL d'albiglutide. In one embodiment, the compositions according to the invention comprise 100 U / ml of basal insulin, the isoelectric point of which is between 5.8 and 8.5 and, from 5 to 100 mg / ml of albiglutide .
[000322] Dans un mode de réalisation, les compositions selon l'invention comprennent 100 U/mL d'insuline basale dont le point isoélectrique est compris entre 5,8 et 8,5 et, de 0, 1 à 10 mg/mL de dulaglutide. In one embodiment, the compositions according to the invention comprise 100 U / ml of basal insulin, the isoelectric point of which is between 5.8 and 8.5 and, from 0.1 to 10 mg / ml of Dulaglutide.
[000323] Dans un mode de réalisation, les compositions selon l'invention comprennent 40 U/mL d'insuline basale dont le point isoélectrique est compris entre 5,8 et 8,5 et, de 0,04 à 0,5 mg/mL d'exenatide. In one embodiment, the compositions according to the invention comprise 40 U / ml of basal insulin, the isoelectric point of which is between 5.8 and 8.5 and, from 0.04 to 0.5 mg / mL of exenatide.
[000324] Dans un mode de réalisation, les compositions selon l'invention comprennent 40 U/mL d'insuline basale dont le point isoélectrique est compris entre 5,8 et 8,5 et, de 1 à 10 mg/mL de liraglutide. In one embodiment, the compositions according to the invention comprise 40 U / ml of basal insulin, the isoelectric point of which is between 5.8 and 8.5 and, from 1 to 10 mg / ml of liraglutide.
[000325] Dans un mode de réalisation, les compositions selon l'invention comprennent 40 U/mL d'insuline basale dont le point isoélectrique est compris entre 5,8 et 8,5 et, de 0,01 à 1 mg/mL de lixisenatide. In one embodiment, the compositions according to the invention comprise 40 U / ml of basal insulin, the isoelectric point of which is between 5.8 and 8.5 and, from 0.01 to 1 mg / ml of lixisenatide.
[000326] Dans un mode de réalisation, les compositions selon l'invention comprennent 40 U/mL d'insuline basale dont le point isoélectrique est compris entre 5,8 et 8,5 et, de 5 à 100 mg/mL d'albiglutide. [000327] Dans un mode de réalisation, les compositions selon l'invention comprennent 40 U/mL d'insuline basale dont le point isoélectrique est compris entre 5,8 et 8,5 et, de 0, 1 à 10 mg/mL de dulaglutide. In one embodiment, the compositions according to the invention comprise 40 U / ml of basal insulin, the isoelectric point of which is between 5.8 and 8.5 and, from 5 to 100 mg / ml of albiglutide . In one embodiment, the compositions according to the invention comprise 40 U / mL of basal insulin, the isoelectric point of which is between 5.8 and 8.5 and, from 0.1 to 10 mg / mL of Dulaglutide.
[000328] Dans un mode de réalisation, les compositions selon l'invention comprennent en outre des sels de zinc à une concentration comprise entre 0 etIn one embodiment, the compositions according to the invention further comprise zinc salts at a concentration between 0 and
5000 mM. 5000 mM.
[000329] Dans un mode de réalisation, les compositions selon l'invention comprennent en outre des sels de zinc à une concentration comprise entre 0 et In one embodiment, the compositions according to the invention also comprise zinc salts at a concentration between 0 and
4000 pM. 4000 pM.
[000330] Dans un mode de réalisation, les compositions selon l'invention comprennent en outre des sels de zinc à une concentration comprise entre 0 et In one embodiment, the compositions according to the invention further comprise zinc salts at a concentration between 0 and
3000 pM. 3000 pM.
[000331] Dans un mode de réalisation, les compositions selon l'invention comprennent en outre des sels de zinc à une concentration comprise entre 0 et In one embodiment, the compositions according to the invention also comprise zinc salts at a concentration between 0 and
2000 pM. 2000 pM.
[000332] Dans un mode de réalisation, les compositions selon l'invention comprennent en outre des sels de zinc à une concentration comprise entre 0 et In one embodiment, the compositions according to the invention further comprise zinc salts at a concentration between 0 and
1000 pM. 1000 pM.
[000333] Dans un mode de réalisation, les compositions selon l'invention comprennent en outre des sels de zinc à une concentration comprise entre 50 et In one embodiment, the compositions according to the invention also comprise zinc salts at a concentration of between 50 and
600 pM. 600 pM.
[000334] Dans un mode de réalisation, les compositions selon l 'invention comprennent en outre des sels de zinc à une concentration comprise entre 100 et In one embodiment, the compositions according to the invention also comprise zinc salts at a concentration of between 100 and
500 pM . 500 pM.
[000335] Dans un mode de réalisation, les compositions selon l'invention comprennent en outre des sels de zinc à une concentration comprise entre 200 et In one embodiment, the compositions according to the invention also comprise zinc salts at a concentration of between 200 and
500 pM. 500 pM.
[000336] Dans un mode de réalisation, les compositions selon l'invention comprennent en outre des tampons. In one embodiment, the compositions according to the invention further comprise buffers.
[000337] Dans un mode de réalisation, les compositions selon l'invention comprennent des tampons à des concentrations comprises entre 0 et 100 mM. In one embodiment, the compositions according to the invention comprise buffers at concentrations between 0 and 100 mM.
[000338] Dans un mode de réalisation, les compositions selon l'invention comprennent des tampons à des concentrations comprises entre 15 et 50 mM. In one embodiment, the compositions according to the invention comprise buffers at concentrations between 15 and 50 mM.
[000339] Dans un mode de réalisation, les compositions selon l'invention comprennent un tampon choisi dans le groupe constitué par un tampon phosphate, le Tris (trishydroxyméthylaminométhane) et le citrate de sodium. In one embodiment, the compositions according to the invention comprise a buffer chosen from the group consisting of a phosphate buffer, Tris (trishydroxymethylaminomethane) and sodium citrate.
[000340] Dans un mode de réalisation, le tampon est le phosphate de sodium. [000341] Dans un mode de réalisation, le tampon est le Tris (trishydroxyméthylaminométhane). In one embodiment, the buffer is sodium phosphate. In one embodiment, the buffer is Tris (trishydroxymethylaminomethane).
[000342] Dans un mode de réalisation, le tampon est le citrate de sodium. In one embodiment, the buffer is sodium citrate.
[000343] Dans un mode de réalisation, les compositions selon l'invention comprennent en outre des conservateurs. In one embodiment, the compositions according to the invention also comprise preservatives.
[000344] Dans un mode de réalisation, les conservateurs sont choisis dans le groupe constitué par le m-crésol et le phénol, seuls ou en mélange. In one embodiment, the preservatives are chosen from the group consisting of m-cresol and phenol, alone or as a mixture.
[000345] Dans un mode de réalisation, la concentration des conservateurs est comprise entre 10 et 50 mM . In one embodiment, the concentration of preservatives is between 10 and 50 mM.
[000346] Dans un mode de réalisation, la concentration des conservateurs est comprise entre 10 et 40 mM . In one embodiment, the concentration of preservatives is between 10 and 40 mM.
[000347] Dans un mode de réalisation, les compositions selon l'invention comprennent en outre un tensioactif. In one embodiment, the compositions according to the invention further comprise a surfactant.
[000348] Dans un mode de réalisation, le tensioactif est choisi dans le groupe constitué par le propylène glycol et le polysorbate. In one embodiment, the surfactant is chosen from the group consisting of propylene glycol and polysorbate.
[000349] Les compositions selon l'invention peuvent en outre comprendre des additifs tels que des agents de tonicité. The compositions according to the invention can also comprise additives such as tonicity agents.
[000350] Dans un mode de réalisation, les agents de tonicité sont choisis dans le groupe constitué par la glycérine, le chlorure de sodium, le mannitol et la glycine. In one embodiment, the tonicity agents are chosen from the group consisting of glycerin, sodium chloride, mannitol and glycine.
[000351] Les compositions selon l'invention peuvent comprendre en outre tous les excipients conformes aux pharmacopées et compatibles avec les insulines utilisées aux concentrations d'usage. The compositions according to the invention may also comprise all the excipients in accordance with the pharmacopoeias and compatible with the insulins used at the usual concentrations.
[000352] L'invention concerne également une formulation pharmaceutique selon l'invention, caractérisée en ce qu'elle est obtenue par séchage et/ou lyophilisation. The invention also relates to a pharmaceutical formulation according to the invention, characterized in that it is obtained by drying and / or lyophilization.
[000353] Dans le cas des libérations locale et systémique, les modes d'administration envisagés sont par voie intraveineuse, sous-cutanée, intradermique ou intramusculaire. [000353] In the case of local and systemic releases, the modes of administration envisaged are by the intravenous, subcutaneous, intradermal or intramuscular route.
[000354] Les voies d'administration transdermique, orale, nasale, vaginale, oculaire, buccale, pulmonaire sont également envisagées. [000354] The transdermal, oral, nasal, vaginal, ocular, oral, pulmonary administration routes are also envisaged.
[000355] Dans un mode de réalisation, la composition selon l'invention est caractérisée en ce qu'elle est administrée 1 fois par jour. In one embodiment, the composition according to the invention is characterized in that it is administered 1 time per day.
[000356] Dans un mode de réalisation, la composition selon l'invention est caractérisée en ce qu'elle est administrée au moins 2 fois par jour. In one embodiment, the composition according to the invention is characterized in that it is administered at least 2 times a day.
[000357] Dans un mode de réalisation, la composition selon l'invention est caractérisée en ce qu'elle est administrée 2 fois par jour. In one embodiment, the composition according to the invention is characterized in that it is administered 2 times a day.
[000358] Dans un mode de réalisation, la composition selon l'invention est caractérisée en ce qu'elle comprend en outre une insuline prandiale. [000359] Dans un mode de réalisation, la composition selon l'invention comprenant en outre au moins une insuline prandiale est caractérisée en ce qu'elle est administrée 1 fois par jour. In one embodiment, the composition according to the invention is characterized in that it further comprises a mealtime insulin. In one embodiment, the composition according to the invention further comprising at least one prandial insulin is characterized in that it is administered 1 time per day.
[000360] Dans un mode de réalisation, la composition selon l'invention comprenant en outre au moins une insuline prandiale est caractérisée en ce qu'elle est administrée au moins 2 fois par jour. In one embodiment, the composition according to the invention further comprising at least one prandial insulin is characterized in that it is administered at least 2 times a day.
[000361] Dans un mode de réalisation, la composition selon l'invention comprenant en outre au moins une insuline prandiale est caractérisée en ce qu'elle est administrée 2 fois par jour. In one embodiment, the composition according to the invention further comprising at least one prandial insulin is characterized in that it is administered 2 times a day.
[000362] Dans un mode de réalisation, la composition selon l'invention est caractérisée en ce qu'elle comprend en outre une hormone gastro-intestinale. In one embodiment, the composition according to the invention is characterized in that it also comprises a gastrointestinal hormone.
[000363] Dans un mode de réalisation, la composition selon l'invention comprenant en outre au moins une hormone gastro-intestinale est caractérisée en ce qu'elle est administrée In one embodiment, the composition according to the invention further comprising at least one gastrointestinal hormone is characterized in that it is administered
1 fois par jour. 1 time per day.
[000364] Dans un mode de réalisation, la composition selon l'invention comprenant en outre au moins une hormone gastro-intestinale est caractérisée en ce qu'elle est administrée au moins 2 fois par jour. In one embodiment, the composition according to the invention further comprising at least one gastrointestinal hormone is characterized in that it is administered at least 2 times a day.
[000365] Dans un mode de réalisation, la composition selon l'invention comprenant en outre au moins une hormone gastro-intestinale est caractérisée en ce qu'elle est administrée In one embodiment, the composition according to the invention further comprising at least one gastrointestinal hormone is characterized in that it is administered
2 fois par jour. 2 times per day.
[000366] Dans un mode de réalisation, la composition selon l'invention est caractérisée en ce que l'hormone gastro-intestinale est un GLP- 1 RA. In one embodiment, the composition according to the invention is characterized in that the gastrointestinal hormone is a GLP-1 RA.
[000367] Dans un mode de réalisation, la composition selon l'invention comprenant en outre au un GLP-1 RA est caractérisée en ce qu'elle est administrée 1 fois par jour. In one embodiment, the composition according to the invention further comprising a GLP-1 RA is characterized in that it is administered 1 time per day.
[000368] Dans un mode de réalisation, la composition selon l'invention comprenant en outre au moins un GLP- 1 RA est caractérisée en ce qu'elle est administrée au moins 2 fois par jour. In one embodiment, the composition according to the invention further comprising at least one GLP-1 RA is characterized in that it is administered at least 2 times a day.
[000369] Dans un mode de réalisation, la composition selon l'invention comprenant en outre au moins un GLP- 1 RA est caractérisée en ce qu'elle est administrée 2 fois par jour. In one embodiment, the composition according to the invention further comprising at least one GLP-1 RA is characterized in that it is administered 2 times a day.
[000370] L'invention concerne également des formulations unidoses à pH compris entre 6,0 et 8,0 comprenant une insuline basale dont le point isoélectrique est compris entre 5,8 et 8,5 et une insuline prandiale. The invention also relates to single-dose formulations at pH between 6.0 and 8.0 comprising a basal insulin whose isoelectric point is between 5.8 and 8.5 and a mealtime insulin.
[000371] L'invention concerne également des formulations unidoses à pH compris entre 6,0 et 8,0 comprenant une insuline basale dont le point isoélectrique est compris entre 5,8 et 8,5 et une hormone gastrointestinale, telle que définie précédemment. The invention also relates to single-dose formulations at pH between 6.0 and 8.0 comprising a basal insulin whose isoelectric point is between 5.8 and 8.5 and a gastrointestinal hormone, as defined above.
[000372] L'invention concerne également des formulations unidoses à pH compris entre 6,0 et 8,0 comprenant une insuline basale dont le point isoélectrique est compris entre 5,8 et 8.5 , une insuline prandiale et une hormone gastrointestinale, telle que définie précédemment. The invention also relates to single-dose formulations at pH between 6.0 and 8.0 comprising a basal insulin whose isoelectric point is between 5.8 and 8.5, a meal insulin and a gastrointestinal hormone, as defined above.
[000373] L'invention concerne également des formulations unidoses à pH compris entre The invention also relates to single-dose formulations at pH between
6.6 et 7,8 comprenant une insuline basale dont le point isoélectrique est compris entre 5,8 et6.6 and 7.8 comprising a basal insulin whose isoelectric point is between 5.8 and
8.5 et une insuline prandiale. 8.5 and a mealtime insulin.
[000374] L'invention concerne également des formulations unidoses à pH compris entre The invention also relates to single-dose formulations at pH between
6.6 et 7,8 comprenant une insuline basale dont le point isoélectrique est compris entre 5,8 et6.6 and 7.8 comprising a basal insulin whose isoelectric point is between 5.8 and
8.5 et une hormone gastrointestinale, telle que définie précédemment. 8.5 and a gastrointestinal hormone, as defined above.
[000375] L'invention concerne également des formulations unidoses à pH compris entre The invention also relates to single-dose formulations at pH between
6.6 et 7,8 comprenant une insuline basale dont le point isoélectrique est compris entre 5,8 et6.6 and 7.8 comprising a basal insulin whose isoelectric point is between 5.8 and
8.5 , une insuline prandiale et une hormone gastrointestinale, telle que définie précédemment. 8.5, a meal insulin and a gastrointestinal hormone, as defined above.
[000376] L'invention concerne également des formulations unidoses à pH compris entre The invention also relates to single-dose formulations at pH between
6.6 et 7,6 comprenant une insuline basale dont le point isoélectrique est compris entre 5,8 et6.6 and 7.6 comprising a basal insulin whose isoelectric point is between 5.8 and
8.5 et une insuline prandiale. 8.5 and a mealtime insulin.
[000377] L'invention concerne également des formulations unidoses à pH compris entre The invention also relates to single-dose formulations at pH between
6.6 et 7,6 comprenant une insuline basale dont le point isoélectrique est compris entre 5,8 et6.6 and 7.6 comprising a basal insulin whose isoelectric point is between 5.8 and
8.5 et une hormone gastrointestinale, telle que définie précédemment. 8.5 and a gastrointestinal hormone, as defined above.
[000378] L'invention concerne également des formulations unidoses à pH compris entre The invention also relates to single-dose formulations at pH between
6.6 et 7,6 comprenant une insuline basale dont le point isoélectrique est compris entre 5,8 et6.6 and 7.6 comprising a basal insulin whose isoelectric point is between 5.8 and
8,5 , une insuline prandiale et une hormone gastrointestinale, telle que définie précédemment. 8.5, a meal insulin and a gastrointestinal hormone, as defined above.
[000379] Dans un mode de réalisation, les formulations unidoses comprennent en outre un co-polyaminoacide tel que défini précédemment. In one embodiment, the single-dose formulations further comprise a co-polyamino acid as defined above.
[000380] Dans un mode de réalisation, les formulations sont sous forme d'une solution injectable. In one embodiment, the formulations are in the form of an injectable solution.
[000381] Dans un mode de réalisation, l'insuline basale dont le point isoélectrique est compris entre 5,8 et 8,5 est l'insuline glargine. In one embodiment, the basal insulin whose isoelectric point is between 5.8 and 8.5 is insulin glargine.
[000382] Dans un mode de réalisation, l'insuline prandiale est l'insuline humaine. In one embodiment, the meal insulin is human insulin.
[000383] Dans un mode de réalisation, l'insuline est une insuline humaine recombinante telle que décrite dans la Pharmacopée Européenne et la Pharmacopée américaine. In one embodiment, the insulin is a recombinant human insulin as described in the European Pharmacopoeia and the American Pharmacopoeia.
[000384] Dans un mode de réalisation, l'insuline prandiale est choisie dans le groupe comprenant l 'insuline lispro (Humalog®), l'insuline glulisine (Apidra®) et l'insuline aspart (NovoLog®). [000384] In one embodiment, the prandial insulin is selected from the group consisting of insulin lispro (Humalog ®), insulin glulisine (Apidra ®) and insulin aspart (NovoLog ®).
[000385] Dans un mode de réalisation, l'insuline prandiale est l'insuline lispro. In one embodiment, the meal insulin is insulin lispro.
[000386] Dans un mode de réalisation, l'insuline prandiale est l'insuline glulisine. [000386] In one embodiment, the meal insulin is insulin glulisine.
[000387] Dans un mode de réalisation, l'insuline prandiale est l'insuline aspart. [000388] Dans un mode de réalisation, le GLP-1 RA, analogue ou dérivé de GLP- 1 RA est choisi dans le groupe comprenant exenatide (Byetta®), liraglutide (Victoza®), lixisenatide (Lyxumia®), albiglutide (Tanzeum®), dulaglutide (Trulicity®) ou l'un de leurs dérivés. In one embodiment, the meal insulin is aspart insulin. In one embodiment, GLP-1 RA, analog or derivative of GLP- 1 RA is chosen from the group comprising exenatide (Byetta ® ), liraglutide (Victoza ® ), lixisenatide (Lyxumia ® ), albiglutide (Tanzeum ® ), dulaglutide (Trulicity ® ) or one of their derivatives.
[000389] Dans un mode de réalisation, l'hormone gastrointestinale est l 'exenatide. [000389] In one embodiment, the gastrointestinal hormone is exenatide.
[000390] Dans un mode de réalisation, l'hormone gastrointestinale est le liraglutide. [000390] In one embodiment, the gastrointestinal hormone is liraglutide.
[000391] Dans un mode de réalisation, l'hormone gastrointestinale est le lixisenatide. [000391] In one embodiment, the gastrointestinal hormone is lixisenatide.
[000392] Dans un mode de réalisation, l'hormone gastrointestinale est l'albiglutide. In one embodiment, the gastrointestinal hormone is albiglutide.
[000393] Dans un mode de réalisation, l'hormone gastrointestinale est le dulaglutide. [000393] In one embodiment, the gastrointestinal hormone is dulaglutide.
[000394] La solubilisation à pH compris entre 6,0 et 8,0 des insulines basales dont le point isoélectrique est compris entre 5,8 et 8,5, par les co-polyaminoacides porteurs de charges carboxylates et d'au moins un radical hydrophobe selon l'invention, peut être constatée et contrôlée de manière simple, à l'œil nu, grâce à un changement d'aspect de la solution. The solubilization at pH between 6.0 and 8.0 of basal insulins whose isoelectric point is between 5.8 and 8.5, by co-polyamino acids carrying carboxylate charges and at least one radical hydrophobic according to the invention, can be observed and controlled in a simple manner, with the naked eye, by virtue of a change in appearance of the solution.
[000395] La solubilisation à pH compris entre 6,6 et 7,8 des insulines basales dont le point isoélectrique est compris entre 5,8 et 8,5, par les co-polyaminoacides porteurs de charges carboxylates et d'au moins un radical hydrophobe selon l'invention, peut être constatée et contrôlée de manière simple, à l'œil nu, grâce à un changement d'aspect de la solution. The solubilization at pH between 6.6 and 7.8 of the basal insulins whose isoelectric point is between 5.8 and 8.5, by the co-polyamino acids carrying carboxylate charges and at least one radical hydrophobic according to the invention, can be observed and controlled in a simple manner, with the naked eye, by virtue of a change in appearance of the solution.
[000396] Par ailleurs et de façon toute aussi importante, la demanderesse a pu vérifier qu'une insuline basale dont le point isoélectrique est compris entre 5,8 et 8,5 , solubilisée à pH compris entre 6,0 et 8,0 en présence d'un co-polyaminoacide porteur de charges carboxylates et d'au moins un radical hydrophobe selon l'invention conserve son action d'insuline lente que ce soit seule ou en combinaison avec une insuline prandiale ou une hormone gastrointestinale. In addition, and just as importantly, the Applicant has been able to verify that a basal insulin whose isoelectric point is between 5.8 and 8.5, solubilized at pH between 6.0 and 8.0 in presence of a co-polyamino acid carrying carboxylate charges and at least one hydrophobic radical according to the invention retains its slow insulin action, whether alone or in combination with a prandial insulin or a gastrointestinal hormone.
[000397] La demanderesse a également pu vérifier qu'une insuline prandiale mélangée à pH compris entre 6,0 et 8,0 en présence d'un co-polyaminoacide porteur de charges carboxylates et d'au moins un radical hydrophobe selon l'invention et d'une insuline basale dont le point isoélectrique est compris entre 5,8 et 8,5, conserve son action d'insuline rapide. The Applicant has also been able to verify that a mixed meal insulin mixed at a pH of between 6.0 and 8.0 in the presence of a co-polyamino acid carrying carboxylate charges and at least one hydrophobic radical according to the invention and a basal insulin whose isoelectric point is between 5.8 and 8.5, retains its rapid insulin action.
[000398] La préparation d'une composition selon l'invention présente l'avantage de pouvoir être réalisée par simple mélange d'une solution aqueuse d'insuline basale dont le point isoélectrique est compris entre 5,8 et 8,5, et d'un co-polyaminoacide porteur de charges carboxylates et d'au moins un radical hydrophobe selon l'invention, en solution aqueuse ou sous forme lyophilisée. Si nécessaire, le pH de la préparation est ajusté à pH compris entre 6 et 8. The preparation of a composition according to the invention has the advantage of being able to be carried out by simple mixing of an aqueous solution of basal insulin, the isoelectric point of which is between 5.8 and 8.5, and d 'A co-polyamino acid carrying carboxylate charges and at least one hydrophobic radical according to the invention, in aqueous solution or in lyophilized form. If necessary, the pH of the preparation is adjusted to pH between 6 and 8.
[000399] La préparation d'une composition selon l'invention présente l'avantage de pouvoir être réalisée par simple mélange d'une solution aqueuse d'insuline basale dont le point isoélectrique est compris entre 5,8 et 8,5, d'une solution d'insuline prandiale, et d'un co-polyaminoacide porteur de charges carboxylates et d'au moins un radical hydrophobe selon l'invention, en solution aqueuse ou sous forme lyophilisée. Si nécessaire, le pH de la préparation est ajusté à pH compris entre 6 et 8. [000400] La préparation d'une composition selon l'invention présente l'avantage de pouvoir être réalisée par simple mélange d'une solution aqueuse d'insuline basale dont le point isoélectrique est compris entre 5,8 et 8,5, d'une solution de GLP-1 RA, un analogue ou un dérivé de GLP-1 RA, et d'un co-polyaminoacide porteur de charges carboxylates et d'au moins un radical hydrophobe selon l'invention, en solution aqueuse ou sous forme lyophilisée. Si nécessaire, le pH de la préparation est ajusté à pH compris entre 6 et 8. The preparation of a composition according to the invention has the advantage of being able to be carried out by simple mixing of an aqueous solution of basal insulin, the isoelectric point of which is between 5.8 and 8.5, a solution of prandial insulin, and of a co-polyamino acid carrying carboxylate charges and of at least one hydrophobic radical according to the invention, in aqueous solution or in lyophilized form. If necessary, the pH of the preparation is adjusted to pH between 6 and 8. The preparation of a composition according to the invention has the advantage of being able to be carried out by simple mixing of an aqueous solution of basal insulin whose isoelectric point is between 5.8 and 8.5, a solution of GLP-1 RA, an analogue or derivative of GLP-1 RA, and of a co-polyamino acid carrying carboxylate charges and of at least one hydrophobic radical according to the invention, in aqueous solution or in lyophilized form . If necessary, the pH of the preparation is adjusted to pH between 6 and 8.
[000401] La préparation d'une composition selon l'invention présente l'avantage de pouvoir être réalisée par simple mélange d'une solution aqueuse d'insuline basale dont le poi nt isoélectrique est compris entre 5,8 et 8,5, d'une solution d'insuline prandiale, d'une solution de GLP-1 RA ou d'un analogue ou dérivé de GLP-1 RA et d'un co-polyaminoacide porteur de charges carboxylates et d'au moins un radical hydrophobe selon l'invention, en solution aqueuse ou sous forme lyophilisée. Si nécessaire, le pH de la préparation est ajusté à pH compris entre 6 et 8. The preparation of a composition according to the invention has the advantage of being able to be carried out by simple mixing of an aqueous solution of basal insulin whose isoelectric point is between 5.8 and 8.5, d '' a solution of prandial insulin, a solution of GLP-1 RA or an analog or derivative of GLP-1 RA and a co-polyamino acid carrying carboxylate charges and at least one hydrophobic radical according to l invention, in aqueous solution or in lyophilized form. If necessary, the pH of the preparation is adjusted to pH between 6 and 8.
[000402] Dans un mode de réalisation, le mélange d'insuline basale et de co- polyaminoacide est concentré par ultrafiltration avant le mélange avec l'insuline prandiale en solution aqueuse ou sous forme lyophilisée. [000402] In one embodiment, the mixture of basal insulin and co-polyamino acid is concentrated by ultrafiltration before mixing with the mealtime insulin in aqueous solution or in lyophilized form.
[000403] Si nécessaire, la composition du mélange est ajustée en excipients tels que glycérine, m-crésol, chlorure de zinc, et polysorbate (Tween®) par ajout de solutions concentrées de ces excipients au sein du mélange. Si nécessaire, le pH de la préparation est ajusté à pH compris entre 6 et 8. [000403] If necessary, the composition of the mixture is adjusted by excipients such as glycerin, m-cresol, zinc chloride, and polysorbate (Tween ®) by addition of concentrated solutions of these excipients in the mixture. If necessary, the pH of the preparation is adjusted to pH between 6 and 8.
[000404] Dans un mode de réalisation le chlorure de sodium est présent en une concentration allant de 2 à 25 mM In one embodiment the sodium chloride is present in a concentration ranging from 2 to 25 mM
[000405] Dans un mode de réalisation le chlorure de sodium est présent en une concentration allant de 2,5 à 20 mM In one embodiment the sodium chloride is present in a concentration ranging from 2.5 to 20 mM
[000406] Dans un mode de réalisation le chlorure de sodium est présent en une concentration allant de 4 à 15 mM In one embodiment the sodium chloride is present in a concentration ranging from 4 to 15 mM
[000407] Dans un mode de réalisation le chlorure de sodium est présent en une concentration allant de 5 à 10 mM In one embodiment the sodium chloride is present in a concentration ranging from 5 to 10 mM
[000408] Partie A [000408] Part A
AA : Synthèse des composés intermédiaires hydrophobes Hv permettant d'obtenir les radicaux -Hv dans lesquelles o = 1 AA: Synthesis of the hydrophobic intermediate compounds Hv making it possible to obtain the -Hv radicals in which o = 1
[000409] Les composés intermédiaires hydrophobes sont représentés dans le tableau suivant par la molécule hydrophobe correspondante avant greffage sur le co-polyaminoacide. The hydrophobic intermediate compounds are represented in the following table by the corresponding hydrophobic molecule before grafting on the co-polyamino acid.
Tableau IA : liste et structures des molécules hydrophobes synthétisées selon l'invention. Table IA: list and structures of hydrophobic molecules synthesized according to the invention.
Exemple AAI : molécule AAI Example AAI: AAI molecule
Molécule Al : Produit obtenu par la réaction entre le chlorure de palmitoyle et la L-proline. Molecule Al: Product obtained by the reaction between palmitoyl chloride and L-proline.
[000410] À une solution de L-proline ( 10,6 g, 92, 1 mmol) dans de la soude aqueuse 1To a solution of L-proline (10.6 g, 92.1 mmol) in aqueous sodium hydroxide 1
[000411] N (230 mL ; 230 mmol) est ajoutée goutte-à-goutte pendant 90 min une solution de chlorure de palmitoyle (23,0 g, 83,7 mmol) dans l'acétone ( 167 mL) . Après 14 h d'agitation à température ambiante, le mélange hétérogène est refroidi à 0 °C, puis filtré sur fritté pour donner un solide blanc qui est lavé avec de l'eau (2 x 100 mL) puis du diisopropyléther ( 100 mL). Le solide est séché sous pression réduite. Le solide est alors dissout à reflux dans 200 mL d'eau puis 8 mL d'une solution d'acide chlorhydrique à 37 % sont ajoutés pour obtenir un pH = 1. Le milieu réactionnel opalescent est alors refroidi à 0 °C. Le précipité obtenu est filtré sur fritté puis lavé avec de l'eau (5 x 50 mL) jusqu'à obtenir des filtrats de pH physiologique compris entre 6,0 et 8,0 pour être ensuite séché dans une étuve à 50 °C sous vide pendant une nuit. Le produit est purifié par recristallisation dans le diisopropyléther. Un solide blanc est obtenu. N (230 mL; 230 mmol) is added dropwise over 90 min a solution of palmitoyl chloride (23.0 g, 83.7 mmol) in acetone (167 mL). After 14 h of stirring at room temperature, the heterogeneous mixture is cooled to 0 ° C., then filtered through a frit to give a white solid which is washed with water (2 x 100 mL) then diisopropyl ether (100 mL) . The solid is dried under reduced pressure. The solid is then dissolved at reflux in 200 ml of water and then 8 ml of a 37% hydrochloric acid solution are added to obtain a pH = 1. The opalescent reaction medium is then cooled to 0 ° C. The precipitate obtained is filtered on a frit and then washed with water (5 x 50 mL) until filtrates of physiological pH between 6.0 and 8.0 are obtained, then they are dried in an oven at 50 ° C. empty overnight. The product is purified by recrystallization from diisopropyl ether. A white solid is obtained.
Rendement : 22,7 g (77 %). RMN !H (CDCb, ppm) : 0,88 (3H) ; 1 , 19- 1,45 (24H) ; 1,58-1,74 (2H) ; 1,88-2, 14 (3H) ; 2,15-2,54 (3H) ; 3,47 ( 1H) ; 3,58 (1 H) ; 4,41 (0,1H) ; 4,61 (0,9H) 6,60-8,60 ( 1 H). Yield: 22.7 g (77%). NMR ! H (CDCb, ppm): 0.88 (3H); 1.19-1.45 (24H); 1.58-1.74 (2H); 1.88-2.14 (3H); 2.15-2.54 (3H); 3.47 (1H); 3.58 (1H); 4.41 (0.1H); 4.61 (0.9H) 6.60-8.60 (1H).
Molécule A2 : Produit obtenu par réaction entre la molécule Al et la /V-Boc-éthylènediamine. Molecule A2: Product obtained by reaction between the molecule Al and / V-Boc-ethylenediamine.
[000412] À une solution de molécule Al (75,1 g, 212,4 mmol) dans 1500 mL de chloroforme sont ajoutés successivement et à température ambiante de la N,N- diisopropyléthylamine (DIPEA) (68,8 g, 532,3 mmol), du 1-hydroxybenzotriazole (HOBt) (37,1 g, 274,6 mmol) puis du /V-(3-diméthylaminopropyl)-/V'-éthylcarbodiimide (EDC) (53,1 g, 277,0 mmol). Après 15 min d'agitation à température ambiante, une solution de /V-Boc- éthylènediamine (BocEDA) (37,6 g, 234,7 mmol) dans 35 mL de chloroforme est additionnée. Après 18 h d'agitation à température ambiante, une solution de HCl 0,1 N (2,1 L), puis une solution saturée de NaCI ( 1 L) sont ajoutées. Les phases sont séparées puis la phase organique est lavée successivement avec une solution de HCl 0,1 N / NaCI saturée (2,1 L/l L), une solution de NaCI saturée (2 L), une solution de NaHCCb saturée (2 L), puis une solution de NaCI saturée (2 L). La phase organique est séchée sur sulfate de sodium anhydre, filtrée puis concentrée sous pression réduite. Le solide obtenu est purifié par triturations dans le diisopropyléther (3 x 400 mL), pour donner un solide après séchage sous vide à 40 °C. Rendement : 90,4 g (86 %). [000412] To a solution of molecule Al (75.1 g, 212.4 mmol) in 1500 ml of chloroform are added successively and at room temperature N, N-diisopropylethylamine (DIPEA) (68.8 g, 532, 3 mmol), 1-hydroxybenzotriazole (HOBt) (37.1 g, 274.6 mmol) then / V- (3-dimethylaminopropyl) - / V'-ethylcarbodiimide (EDC) (53.1 g, 277.0 mmol). After 15 min of stirring at room temperature, a solution of / V-Boc-ethylenediamine (BocEDA) (37.6 g, 234.7 mmol) in 35 ml of chloroform is added. After 18 h of stirring at room temperature, a 0.1 N HCl solution (2.1 L), then a saturated NaCl solution (1 L) are added. The phases are separated then the organic phase is washed successively with a 0.1 N HCl solution / saturated NaCl (2.1 L / l L), a saturated NaCl solution (2 L), a saturated NaHCCb solution (2 L), then a saturated NaCl solution (2 L). The organic phase is dried over anhydrous sodium sulfate, filtered and then concentrated under reduced pressure. The solid obtained is purified by triturations in diisopropyl ether (3 x 400 mL), to give a solid after drying under vacuum at 40 ° C. Yield: 90.4 g (86%).
RMN (CDCb, ppm) : 0,88 (3H) ; 1,20-1,37 (24H) ; 1,44 (9H) ; 1,54- 1,70 (2H) ; 1,79-1,92 (1H) ; 1,92-2,04 ( 1H) ; 2,03-2, 17 (1 H) ; 2,17-2,44 (3H) ; 3, 14-3,36 (4H) ; 3,43 (1 H) ; 3,56 (1H) ; 4,29 (0,1 H) ; 4,51 (0,9 H) ; 4,82 (0,1H) ; 5,02 (0,9H) ; 6,84 (0,1 H) ; 7,22 (0,9H). NMR (CDCb, ppm): 0.88 (3H); 1.20-1.37 (24H); 1.44 (9H); 1.54-1.70 (2H); 1.79-1.92 (1H); 1.92-2.04 (1H); 2.03-2, 17 (1H); 2.17-2.44 (3H); 3.14-3.36 (4H); 3.43 (1H); 3.56 (1H); 4.29 (0.1 H); 4.51 (0.9 H); 4.82 (0.1H); 5.02 (0.9H); 6.84 (0.1H); 7.22 (0.9H).
Molécule AAI AAI molecule
[000413] À une solution de molécule A2 (20, 1 g, 40,5 mmol) dans 330 mL de dichlorométhane est ajoutée goutte-à-goutte et à 0 °C une solution d'acide chlorhydrique 4 N dans le dioxane (100 mL, 400 mmol). Après 3 h 30 d'agitation à température ambiante, la solution est concentrée sous pression réduite. Le résidu est purifié par chromatographie flash (méthanol, dichlorométhane) pour donner un solide blanc de molécule AAI sous forme de sel de chlorhydrate. To a solution of molecule A2 (20.1 g, 40.5 mmol) in 330 mL of dichloromethane is added dropwise and at 0 ° C. a solution of 4 N hydrochloric acid in dioxane (100 mL, 400 mmol). After 3 h 30 min of stirring at room temperature, the solution is concentrated under reduced pressure. The residue is purified by flash chromatography (methanol, dichloromethane) to give a white solid of molecule AAI in the form of the hydrochloride salt.
Rendement : 16,3 g (93 %). Yield: 16.3 g (93%).
RMN ^ (CDCb, ppm) : 0,88 (3H) ; 1 ,07- 1,40 (24H) ; 1,49-1,63 (2H) ; 1,77-2, 18 (4H) ; 2, 18-2,45 (2H) ; 3, 14-3,32 (2H) ; 3,42-3,63 (2H) ; 3,63-3,84 (2H) ; 4,37 (0,1H) ; 4,48 (0,9H ) ; 6,81-8,81 (4H). 1 H NMR (CDCb, ppm): 0.88 (3H); 1.07-1.40 (24H); 1.49-1.63 (2H); 1.77-2.18 (4H); 2.18-2.45 (2H); 3.14-3.32 (2H); 3.42-3.63 (2H); 3.63-3.84 (2H); 4.37 (0.1H); 4.48 (0.9H); 6.81-8.81 (4H).
LC/MS (ESI) : 396,5 ; (calculé ([M+ H]+) : 396,4). Exemple AA2 : molécule AA2 LC / MS (ESI): 396.5; (calculated ([M + H] + ): 396.4). Example AA2: AA2 molecule
Molécule A3 : 15-méthylhexadécan- l-ol . Molecule A3: 15-methylhexadecan-l-ol.
[000414] Dans un tricol sous argon est introduit du magnésium (9,46 g, 389 mmol ) en copeaux. Le magnésium est recouvert de THF (40 mL) anhydre et quelques gouttes de 1- bromo-3-méthylbutane sont ajoutées à température ambiante pour initier la réaction. Après l'observation d'un exotherme et un léger trouble du milieu, le reste du l -bromo-3- méthylbutane (53,87 g, 357 mmol) est ajouté au goutte-à-goutte en 90 min alors que la température du milieu reste stable entre 50 et 60 °C. Le milieu réactionnel est ensuite chauffé à 70 °C pendant 2 h. In a three-necked flask under argon is introduced magnesium (9.46 g, 389 mmol) in shavings. The magnesium is covered with anhydrous THF (40 mL) and a few drops of 1-bromo-3-methylbutane are added at room temperature to initiate the reaction. After observing an exotherm and a slight clouding of the medium, the rest of the 1-bromo-3-methylbutane (53.87 g, 357 mmol) is added dropwise over 90 min while the temperature of the medium remains stable between 50 and 60 ° C. The reaction medium is then heated at 70 ° C for 2 h.
[000415] Dans un tricol sous argon, à une solution de CuCI (482 mg, 4,86 mmol) dissout dans la NMP (62 mL) à 0 °C est ajoutée au goutte-à-goutte une solution de 12-bromo-l- dodécanol (43 g, 162, 1 mmol) dans le THF (60 mL) . À cette solution est ensuite ajoutée au goutte-à-goutte la solution de l'organomagnésien chaude fraîchement préparée de façon à maintenir la température du milieu en dessous de 20 °C. Le mélange est ensuite agité à température ambiante pendant 16 h. Le milieu est refroidi à 0 °C et la réaction est stoppée par addition d'une solution aqueuse d'HCI 1 N jusqu'à pH 1 et le milieu est extrait à l'acétate d'éthyle. Après lavage de la phase organique avec une solution saturée en NaCI et séchage sur Na2S04, la solution est filtrée et concentrée sous vide pour donner une huile. Après purification par DCVC sur gel de silice (cyclohexane, acétate d'éthyle), une huile qui cristallise à température ambiante est obtenue. In a three-necked flask under argon, to a solution of CuCl (482 mg, 4.86 mmol) dissolved in the NMP (62 mL) at 0 ° C. is added a 12-bromo- solution dropwise. l- dodecanol (43 g, 162, 1 mmol) in THF (60 mL). To this solution is then added dropwise the solution of the hot organomagnesium freshly prepared so as to maintain the temperature of the medium below 20 ° C. The mixture is then stirred at room temperature for 16 h. The medium is cooled to 0 ° C. and the reaction is stopped by adding an aqueous 1N HCl solution to pH 1 and the medium is extracted with ethyl acetate. After washing the organic phase with saturated NaCl solution and drying over Na2S0 4, the solution is filtered and concentrated in vacuo to give an oil. After purification by DCVC on silica gel (cyclohexane, ethyl acetate), an oil which crystallizes at room temperature is obtained.
Rendement : 32,8 g (74 %) Yield: 32.8 g (74%)
RMN *H (CDCI3, ppm) : 0,87 (6H) ; 1, 14 (2H) ; 1,20- 1,35 (22H) ; 1,50-1 ,55 (3H) ; 3,64 (2H). Molécule A4 : acide 15-méthylhexadécanoïque. 1 H NMR (CDCI 3 , ppm): 0.87 (6H); 1.14 (2H); 1.20-1.35 (22H); 1.50-1.55 (3H); 3.64 (2H). A4 molecule: 15-methylhexadecanoic acid.
[000416] À une solution de molécule A3 (20,65 g, 80,5 mmol) et bromure de tétrabutylammonium ( 14,02 g, 42,5 mmol) dans un mélange d'acide acétique/dichloréthane/eau (124/400/320 mL) à température ambiante est ajouté par petites portions du permanganate de potassium (38,2 g, 241,5 mmol) . Après agitation à reflux pendant 5 h et retour à température ambiante, le milieu est acidifié à pH 1 par ajout progressif de HCl 5 N. Na2SÜ3 (44,6 g, 354,3 mmol ) est ensuite ajouté progressivement jusqu'à décoloration du milieu. La phase aqueuse est extraite au dichlorométhane et les phases organiques combinées sont séchées sur Na2S04, filtrées et concentrées sous vide. Après purification par chromatographie sur gel de silice (cyclohexane, acétate d'éthyle, acide acétique), un solide blanc est obtenu. To a solution of molecule A3 (20.65 g, 80.5 mmol) and tetrabutylammonium bromide (14.02 g, 42.5 mmol) in a mixture of acetic acid / dichlorethane / water (124/400 / 320 mL) at room temperature is added in small portions of potassium permanganate (38.2 g, 241.5 mmol). After stirring at reflux for 5 h and returning to ambient temperature, the medium is acidified to pH 1 by progressive addition of 5N HCl. Na2SÜ3 (44.6 g, 354.3 mmol) is then added gradually until the medium discolours . The aqueous phase is extracted with dichloromethane and the combined organic phases are dried over Na2SO4, filtered and concentrated in vacuo. After purification by chromatography on silica gel (cyclohexane, ethyl acetate, acetic acid), a white solid is obtained.
Rendement : 19,1 g (quantitatif) Yield: 19.1 g (quantitative)
RMN (CDC , ppm) : 0,87 (6H) ; 1,14 (2H) ; 1,22- 1,38 (20H) ; 1,51 (1H) ; 1,63 (2H) ; 2,35 (2H). Molécule AS : Produit obtenu par réaction entre la molécule A4 et la L-proline. NMR (CDC, ppm): 0.87 (6H); 1.14 (2H); 1.22-1.38 (20H); 1.51 (1H); 1.63 (2H); 2.35 (2H). AS molecule: Product obtained by reaction between the molecule A4 and L-proline.
[000417] À une solution de molécule A4 ( 10 g, 37 mmol) dans le THF (360 mL) à 0 °C sont ajoutés successivement du dicyclohexyle carbodiimide (DCC) (8,01 g, 38,8 mmol) et du N- hydroxysuccinimide (NHS) (4,47 g, 38,8 mmol). Après 17 h d'agitation à température ambiante, le milieu est refroidi à 0 °C pendant 20 min, filtré sur fritté. De la L-proline (4 g, 37,7 mmol), de la triéthylamine (34 mL) et de l'eau (30 mL) sont ajoutées au filtrat. Après 20 h d'agitation à température ambiante, le milieu est traité avec une solution aqueuse d'HCI 1 N jusqu'à pH 1. La phase aqueuse est extraite avec du dichlorométhane (2 x 125 mL). Les phases organiques combinées sont lavées avec une solution aqueuse de HCl 1 N (2 x 100 mL), de l'eau ( 100 mL), puis une solution aqueuse saturée en NaCI (100 mL). Après séchage sur Na2SC>4, la phase organique est filtrée, concentrée sous vide et le résidu est purifié par chromatographie sur gel de silice (cyclohexane, acétate d'éthyle, acide acétique) To a solution of molecule A4 (10 g, 37 mmol) in THF (360 mL) at 0 ° C are successively added dicyclohexyl carbodiimide (DCC) (8.01 g, 38.8 mmol) and N - hydroxysuccinimide (NHS) (4.47 g, 38.8 mmol). After 17 h of stirring at room temperature, the medium is cooled to 0 ° C for 20 min, filtered through a frit. L-proline (4 g, 37.7 mmol), triethylamine (34 mL) and water (30 mL) are added to the filtrate. After 20 h of stirring at room temperature, the medium is treated with a 1N aqueous HCl solution to pH 1. The aqueous phase is extracted with dichloromethane (2 x 125 mL). The combined organic phases are washed with a 1N aqueous HCl solution (2 x 100 mL), water (100 mL), then an aqueous solution saturated with NaCl (100 mL). After drying over Na2SC> 4, the organic phase is filtered, concentrated under vacuum and the residue is purified by chromatography on silica gel (cyclohexane, ethyl acetate, acetic acid)
Rendement : 9,2 g (72 %) Yield: 9.2 g (72%)
RMN XH (CDCh, ppm) : 0,86 (6H) ; 1,14 (2H) ; 1,22- 1,38 (20H) ; 1,50 (1H ) ; 1,67 (2H) ; 1,95-2, 10 (3H) ; 2,34 (2H) ; 2,49 (1H) ; 3,47 ( 1H) ; 3,56 ( 1H) ; 4,61 ( 1 H). NMR X H (CDCl₃, ppm): 0.86 (6H); 1.14 (2H); 1.22-1.38 (20H); 1.50 (1H); 1.67 (2H); 1.95-2.10 (3H); 2.34 (2H); 2.49 (1H); 3.47 (1H); 3.56 (1H); 4.61 (1 H).
LC/ S (ESI) : 368,3 ; (calculé ([M + H]+) : 368,6). LC / S (ESI): 368.3; (calculated ([M + H] + ): 368.6).
Molécule A6 : Produit obtenu par réaction entre la molécule A5 et la /V-Boc-éthylènediamine. A6 molecule: Product obtained by reaction between the A5 molecule and / V-Boc-ethylenediamine.
[000418] À une solution de molécule A5 (9,22 g, 25,08 mmol) dans un mélange THF/DMF (200/50 mL) sont ajoutés de la triéthylamine (TEA) (5,23 mL) et du 2-(lH-benzotriazol-l- yl)- l, l,3,3-tétraméthyluronium tétrafluoroborate (TBTU) à température ambiante. Après 10 min d'agitation, de la BocEDA (4,42 g, 27,6 mmol) est ajoutée. Après agitation à température ambiante pendant 17 h, le mélange est dilué avec de l'eau (300 mL) à 0 °C et agité à froid pendant 20 min. Le précipité formé est filtré sur fritté et le filtrat est extrait à l'acétate d'éthyle. Les phases organiques combinées sont lavées avec une solution saturée de NaHCC , séchées sur Na2S04, filtrées, concentrées sous vide et le résidu est purifié par chromatographie flash (acétate d'éthyle, méthanol) . To a solution of molecule A5 (9.22 g, 25.08 mmol) in a THF / DMF mixture (200/50 mL) are added triethylamine (TEA) (5.23 mL) and 2- (1H-benzotriazol-1-yl) - 1,1,3,3-tetramethyluronium tetrafluoroborate (TBTU) at room temperature. After 10 min of stirring, BocEDA (4.42 g, 27.6 mmol) is added. After stirring at room temperature for 17 h, the mixture is diluted with water (300 mL) at 0 ° C and stirred cold for 20 min. The precipitate formed is filtered on a frit and the filtrate is extracted with ethyl acetate. The combined organic phases are washed with saturated NaHCO, dried over Na2S0 4, filtered, concentrated in vacuo and the residue was purified by flash chromatography (ethyl acetate, methanol).
Rendement : 6,9 g (54 %) Yield: 6.9 g (54%)
RMN !H (CDCh, ppm) : 0,86 (6H) ; 1,15 (2H) ; 1,22- 1,38 (20H) ; 1,43 (9H) ; 1,50 ( 1H) ; 1,64 (4H) ; 1,85 (1 H) ; 1,95 (1 H) ; 2,10 (1H) ; 2,31 (2H) ; 3,20-3,35 (3H) ; 3,45 (1H ) ; 3,56 ( 1H) ; 4,51 (1 H) ; 5,05 ( 1H) ; 7,24 ( 1 H). NMR ! H (CDCh, ppm): 0.86 (6H); 1.15 (2H); 1.22-1.38 (20H); 1.43 (9H); 1.50 (1H); 1.64 (4H); 1.85 (1H); 1.95 (1H); 2.10 (1H); 2.31 (2H); 3.20-3.35 (3H); 3.45 (1H); 3.56 (1H); 4.51 (1H); 5.05 (1H); 7.24 (1 H).
LC/MS (ESI) : 510,6 ; (calculé ([M + H]+) : 510,8). LC / MS (ESI): 510.6; (calculated ([M + H] + ): 510.8).
Molécule AA2 AA2 molecule
[000419] À une solution de la molécule A6 (5,3 g, 10,40 mmol) dans le dichlorométhane (50 mL) à 0 °C est ajoutée une solution de HCl 4 N dans le dioxane ( 13 mL). Après 5 h d'agitation à 0 °C, le milieu est concentré sous vide, repris dans de l'eau et lyophilisé pour donner un solide blanc de molécule AA2 sous forme de sel de chlorhydrate. Rendement : 4,6 g (99%) To a solution of the molecule A6 (5.3 g, 10.40 mmol) in dichloromethane (50 mL) at 0 ° C is added a solution of 4N HCl in dioxane (13 mL). After 5 h of stirring at 0 ° C., the medium is concentrated under vacuum, taken up in water and lyophilized to give a white solid of molecule AA2 in the form of the hydrochloride salt. Yield: 4.6 g (99%)
RMN H (DzO, ppm) : 0,91 (6H) ; 1,22 (2H) ; 1,22- 1,50 (20H) ; 1,63 (3H) ; 1,98 ( 1H) ; 2,10 (2H) ; 2,26 ( 1H) ; 2,39 (1H) ; 2,43 (1H) ; 3,22 (2H) ; 3,45-3,60 (3H) ; 3,78 (1H) ; 4,42 (1H). 1 H NMR (DzO, ppm): 0.91 (6H); 1.22 (2H); 1.22-1.50 (20H); 1.63 (3H); 1.98 (1H); 2.10 (2H); 2.26 (1H); 2.39 (1H); 2.43 (1H); 3.22 (2H); 3.45-3.60 (3H); 3.78 (1H); 4.42 (1H).
LC/MS (ESI) : 410,4 ; (calculé ([M+ H]+) : 410,7). LC / MS (ESI): 410.4; (calculated ([M + H] + ): 410.7).
Exemple AA3 : molécule AA3 Example AA3: AA3 molecule
[000420] Molécule A7 : Produit obtenu par la réaction entre la molécule Al et la Boc- tri(éthy!èneglycol)diamine. [000420] Molecule A7: Product obtained by the reaction between the molecule Al and Boc- tri (ethylene glycol) diamine.
[000421] Par un procédé similaire à celui utilisé pour la préparation de la molécule A2 appliqué à la molécule Al (4,0 g, 11,3 mmol) et à la Boc-tri(éthylèneglycol)diamine (3,1 g, 12,4 mmol), une huile incolore est obtenue après purification par chromatographie flash (méthanol, toluène). By a process similar to that used for the preparation of the molecule A2 applied to the molecule Al (4.0 g, 11.3 mmol) and to Boc-tri (ethylene glycol) diamine (3.1 g, 12 , 4 mmol), a colorless oil is obtained after purification by flash chromatography (methanol, toluene).
Rendement : 5,5 g (84 %). Yield: 5.5 g (84%).
RMN XH (CDCIa, ppm) : 0,88 (3H) ; 1,09-1,39 (24H) ; 1,44 (9H) ; 1,64 (2H) ; 1,79-2,01 (2H) ; 2,06-2,43 (4H) ; 3,23-3,68 ( 14H) ; 4,33 (0,2H) ; 4,56 (0,8H) ; 5,25 (1H) ; 6,49 (0,2H) ; 7, 13-7,50 (0,8H). X H NMR (CDCIa, ppm): 0.88 (3H); 1.09-1.39 (24H); 1.44 (9H); 1.64 (2H); 1.79-2.01 (2H); 2.06-2.43 (4H); 3.23-3.68 (14H); 4.33 (0.2H); 4.56 (0.8H); 5.25 (1H); 6.49 (0.2H); 7, 13-7.50 (0.8H).
Molécule AA3 AA3 molecule
[000422] Par un procédé similaire à celui utilisé pour la préparation de la molécule AAI appliqué à la molécule A7 (5,5 g, 9,4 mmol), un solide blanc de molécule AA3 sous forme de sel de chlorhydrate est obtenu après purification par chromatographie flash (méthanol, dichlorométhane). By a process similar to that used for the preparation of the AAI molecule applied to the A7 molecule (5.5 g, 9.4 mmol), a white solid of molecule AA3 in the form of the hydrochloride salt is obtained after purification. by flash chromatography (methanol, dichloromethane).
Rendement : 4,3 g (92 %). Yield: 4.3 g (92%).
RMN 1H (DMSO-d6, ppm) : 0,85 (3H) ; 1,08-1,40 (24H) ; 1,40-1,52 (2H) ; 1,71-2,02 (4H) ; 2,02-2,31 (2H) ; 2,90-2,98 (2H) ; 3,15-3,47 (5H) ; 3,50-3,66 (7H) ; 4,24 (0,6H) ; 4,32 (0,4H) ; 7,83 (0,6H) ; 7,95 (3H) ; 8, 17 (0,4H). 1 H NMR (DMSO-d6, ppm): 0.85 (3H); 1.08-1.40 (24H); 1.40-1.52 (2H); 1.71-2.02 (4H); 2.02-2.31 (2H); 2.90-2.98 (2H); 3.15-3.47 (5H); 3.50-3.66 (7H); 4.24 (0.6H); 4.32 (0.4H); 7.83 (0.6H); 7.95 (3H); 8, 17 (0.4H).
LC/MS (ESI) : 484,6 ; (calculé ([M+ H]+ ) : 484,4). LC / MS (ESI): 484.6; (calculated ([M + H] + ): 484.4).
Exemple AA4 : molécule AA4 Example AA4: AA4 molecule
[000423] Molécule A8 : Produit obtenu par la réaction entre la molécule Al et la Boc-1- amino-4,7,10-trioxa-13-tridécane amine. Molecule A8: Product obtained by the reaction between the molecule Al and Boc-1- amino-4,7,10-trioxa-13-tridecane amine.
[000424] Par un procédé similaire à celui utilisé pour la préparation de la molécule A2 appliqué à la molécule Al (4,5 g, 12,7 mmol) et à la Boc-l-amino-4,7,10-trioxa- 13-tridécane amine (4,5 g, 14,0 mmol), une huile jaune est obtenue après purification par chromatographie flash (méthanol, dichlorométhane) . By a process similar to that used for the preparation of the molecule A2 applied to the molecule Al (4.5 g, 12.7 mmol) and to Boc-l-amino-4,7,10-trioxa- 13-tridecane amine (4.5 g, 14.0 mmol), a yellow oil is obtained after purification by flash chromatography (methanol, dichloromethane).
Rendement : 7,7 g (92 %). RMN *H (CDCh, ppm) : 0,88 (3H) ; 1,22-1,37 (24H) ; 1,44 (9H) ; 1,59-1,67 (2H) ; 1,67-2,00 (6H) ; 2,06-2,45 (4H) ; 3,18-3,76 (18H) ; 4,28 (0,2H) ; 4,52 (Q,8H) ; 4,69-5,04 (1H) ; 6,77 (0,2H) ; 7,20 (0,8H). Yield: 7.7 g (92%). 1 H NMR (CDCh, ppm): 0.88 (3H); 1.22-1.37 (24H); 1.44 (9H); 1.59-1.67 (2H); 1.67-2.00 (6H); 2.06-2.45 (4H); 3.18-3.76 (18H); 4.28 (0.2H); 4.52 (Q, 8H); 4.69-5.04 (1H); 6.77 (0.2H); 7.20 (0.8H).
Molécule AA4 AA4 molecule
[000425] Par un procédé similaire à celui utilisé pour la préparation de la molécule AAI appliqué à la molécule A8 (7,7 g, 11,8 mmol), une huile jaune est obtenue après purification par chromatographie flash (méthanol, dichlorométhane). Une co-évaporation avec du diisopropyléther permet d'obtenir la molécule AA4 sous forme de sel de chlorhydrate sous forme d'un solide blanc qui est séché sous vide à 50 °C. By a process similar to that used for the preparation of the AAI molecule applied to the A8 molecule (7.7 g, 11.8 mmol), a yellow oil is obtained after purification by flash chromatography (methanol, dichloromethane). Co-evaporation with diisopropyl ether makes it possible to obtain the molecule AA4 in the form of the hydrochloride salt in the form of a white solid which is dried under vacuum at 50 ° C.
Rendement : 5,4 g (76 %). Yield: 5.4 g (76%).
RMN !H (CDCI3, ppm) : 0,88 (3H) ; 1,08-1,40 (24H) ; 1,49-1,65 (2H) ; 1,76-2,39 (10H) ; 3,07-3,28 (3H) ; 3,34-3,80 (15H) ; 4,34 (0,05H) ; 4,64 (0,95H) ; 7,35 (0,05H) ; 7,66-8,58 (3,95H). NMR ! H (CDCI3, ppm): 0.88 (3H); 1.08-1.40 (24H); 1.49-1.65 (2H); 1.76-2.39 (10H); 3.07-3.28 (3H); 3.34-3.80 (15H); 4.34 (0.05H); 4.64 (0.95H); 7.35 (0.05H); 7.66-8.58 (3.95H).
LC/MS (ESI) : 556,7 ; (calculé ([M+H]+) : 556,5). LC / MS (ESI): 556.7; (calculated ([M + H] + ): 556.5).
Exemple AA5 : molécule AA5 Example AA5: AA5 molecule
[000426] Molécule A9 1 Produit obtenu par réaction entre la molécule Al et l'ester méthylique de la /V-Boc-L-lysine. Molecule A9 1 Product obtained by reaction between the molecule Al and the methyl ester of / V-Boc-L-lysine.
[000427] Par un procédé similaire à celui utilisé pour la préparation de la molécule A2 appliqué à la molécule Al (4 g, 11,3 mmol) et à l'ester méthylique de la /V-Boc-L-lysine (3,2 g, 12,4 mmol), une huile incolore est obtenue après purification par chromatographie flash (méthanol, dichlorométhane). By a process similar to that used for the preparation of the molecule A2 applied to the molecule Al (4 g, 11.3 mmol) and to the methyl ester of / V-Boc-L-lysine (3, 2 g, 12.4 mmol), a colorless oil is obtained after purification by flash chromatography (methanol, dichloromethane).
Rendement : 4,9 g (73 %). Yield: 4.9 g (73%).
RMN CH (CDC , ppm) : 0,88 (3H) ; 0,99-1,54 (37H) ; 1,54-1,75 (3H) ; 1,75-2,04 (3H) ; 2,04-2,41 (4H) ; 2,94-3,19 (2H) ; 3,19-3,81 (5H) ; 4,28-4,64 (2H) ; 4,94 (1H) ; 6,45 (0,1H) ; 7,36 (0,9H). C NMR H (CDC, ppm): 0.88 (3H); 0.99-1.54 (37H); 1.54-1.75 (3H); 1.75-2.04 (3H); 2.04-2.41 (4H); 2.94-3.19 (2H); 3.19-3.81 (5H); 4.28-4.64 (2H); 4.94 (1H); 6.45 (0.1H); 7.36 (0.9H).
LC/ MS (ESI) : 596,7 ; (calculé ([M+H]+) : 596,5). LC / MS (ESI): 596.7; (calculated ([M + H] + ): 596.5).
Molécule A10 : Produit obtenu par traitement de la molécule A9 avec de l'ammoniaque. Molecule A10: Product obtained by treatment of the molecule A9 with ammonia.
[000428] À une suspension de molécule A9 (4,9 g, 8,2 mmol) dans 10 mL de méthanol sont ajoutés 320 mL d'une solution d'ammoniaque 7 N dans le méthanol. Après 19 h d'agitation à température ambiante en atmosphère fermée, 100 mL supplémentaires de solution d'ammoniaque sont ajoutés. Après 24 h d'agitation à température ambiante en atmosphère fermée, le milieu réactionnel est concentré sous pression réduite. Le résidu est purifié par trituration dans le diisopropyléther à reflux (100 mL), pour donner un solide blanc qui est séché sous vide à 50 °C. To a suspension of molecule A9 (4.9 g, 8.2 mmol) in 10 ml of methanol are added 320 ml of a solution of 7 N ammonia in methanol. After 19 h of stirring at room temperature in a closed atmosphere, an additional 100 ml of ammonia solution are added. After 24 h of stirring at room temperature in a closed atmosphere, the reaction medium is concentrated under reduced pressure. The residue is purified by trituration in diisopropyl ether at reflux (100 ml), to give a white solid which is dried under vacuum at 50 ° C.
Rendement : 4,1 g (85 %). (CDC , ppm) : 0,88 (3H) ; 1,06-1,57 (37H) ; 1,57- 1,79 (3H) ; 1,88-2,41 (7H) ; 3,09 (2H) ; 3,49 ( 1H) ; 3,62 (1H) ; 4,34 ( 1H) ; 4,51 (1 H) ; 4,69-4,81 ( 1H) ; 5,43 (0,95H) ; 5,57 (0,05H) ; 6,25 (0,05H) ; 6,52 (0,95H) ; 6,83 (0,05H) ; 7, 11 (0,95H) . Yield: 4.1 g (85%). (CDC, ppm): 0.88 (3H); 1.06-1.57 (37H); 1.57-1.79 (3H); 1.88-2.41 (7H); 3.09 (2H); 3.49 (1H); 3.62 (1H); 4.34 (1H); 4.51 (1H); 4.69-4.81 (1H); 5.43 (0.95H); 5.57 (0.05H); 6.25 (0.05H); 6.52 (0.95H); 6.83 (0.05H); 7, 11 (0.95H).
Molécule AA5 AA5 molecule
[000429] Par un procédé similaire à celui utilisé pour la préparation de la molécule AAI appliqué à la molécule A10 (388 mg, 0,67 mmol), un solide blanc de molécule AA5 sous forme de sel de chlorhydrate est obtenu après purification par trituration dans le diisopropyléther. Rendement : 292 mg (85 %) . By a process similar to that used for the preparation of the AAI molecule applied to the A10 molecule (388 mg, 0.67 mmol), a white solid of molecule AA5 in the form of the hydrochloride salt is obtained after purification by trituration in diisopropyl ether. Yield: 292 mg (85%).
RMN *H (DMSO-d6, ppm) : 0,85 (3H) ; 1,06-2,34 (38H) ; 2,61-2,81 (2H) ; 3,29-3,68 (2H) ; 4,05-4,17 (1,7H) ; 4,42 (0,3H) ; 7,00 ( 1 H) ; 7, 16 (0,7H) ; 7,43 (0,3H) ; 7, 73-8, 04(3, 7H) ; 8, 16 (0,3H). 1 H NMR (DMSO-d6, ppm): 0.85 (3H); 1.06-2.34 (38H); 2.61-2.81 (2H); 3.29-3.68 (2H); 4.05-4.17 (1.7H); 4.42 (0.3H); 7.00 (1 H); 7.16 (0.7H); 7.43 (0.3H); 7, 73-8, 04 (3, 7H); 8, 16 (0.3H).
LC/MS (ESI) : 481,6 ; (calculé ([M + H]+) : 481,4) . LC / MS (ESI): 481.6; (calculated ([M + H] + ): 481.4).
Exemple AA6 : molécule AA6 Example AA6: AA6 molecule
Molécule Ai l : Produit obtenu par la réaction entre le chlorure de stéaroyle et la L-proline. Molecule Ai l: Product obtained by the reaction between stearoyl chloride and L-proline.
[000430] Par un procédé similaire à celui utilisé pour la préparation de la molécule Al appliqué à la L-proline (5,0 g, 43,4 mmol) et au chlorure de stéaroyle (12,0 g, 39,6 mmol), un solide blanc est obtenu après purification par chromatographie flash (méthanol, dichlorométhane). By a process similar to that used for the preparation of the molecule Al applied to L-proline (5.0 g, 43.4 mmol) and to stearoyl chloride (12.0 g, 39.6 mmol) , a white solid is obtained after purification by flash chromatography (methanol, dichloromethane).
Rendement : 5,37 g (36 %) Yield: 5.37 g (36%)
(CDCb, ppm) : 0,88 (3H) ; 1,26-1,37 (28H) ; 1,64-1,70 (2H) ; 1,88-2, 10 (3H) ; 2,36 (2H) ; 2,54-2,58 (1 H) ; 3,46 ( 1H) ; 3,56 (1H) ; 4,62 (1H). (CDCb, ppm): 0.88 (3H); 1.26-1.37 (28H); 1.64-1.70 (2H); 1.88-2.10 (3H); 2.36 (2H); 2.54-2.58 (1H); 3.46 (1H); 3.56 (1H); 4.62 (1H).
LC/MS (ESI) : 382,6 ; (calculé ([M + H]+) : 382,3). LC / MS (ESI): 382.6; (calculated ([M + H] + ): 382.3).
Molécule Al 2 1 Produit obtenu par réaction entre la molécule Ai l et la Boc- tri(éthylèneglycol)diamine. Molecule Al 2 1 Product obtained by reaction between the molecule Ai l and Boc- tri (ethylene glycol) diamine.
[000431] Par un procédé similaire à celui utilisé pour la préparation de la molécule A6 appliqué à la molécule Ai l (33,81 g, 88,6 mmol) et à la Boc-tri(éthylèneglycol)diamine (26,4 g, 106,3 mmol) dans le THF en utilisant la DIPEA au lieu de la TEA, un solide blanc est obtenu après purification par chromatographie flash (acétate d'éthyle, méthanol ). By a process similar to that used for the preparation of the molecule A6 applied to the molecule Ai l (33.81 g, 88.6 mmol) and to Boc-tri (ethylene glycol) diamine (26.4 g, 106.3 mmol) in THF using DIPEA instead of TEA, a white solid is obtained after purification by flash chromatography (ethyl acetate, methanol).
Rendement : 43,3 g (80 %) Yield: 43.3 g (80%)
RMN !H (CDCb, ppm) : 0,87 (3H) ; 1,24 (30H) ; 1,43 (9H) ; 1,61 (2H) ; 1,82 (1H) ; 1,96 ( 1H) ; 2,25-2,45 (2H) ; 3,25-3,65 ( 14H) ; 4,30 (0,15H) ; 4,53 (0,85H) ; 5,25 (1H) ; 6,43 (0, 15H) ; 7,25 (0,85H). NMR ! H (CDCb, ppm): 0.87 (3H); 1.24 (30H); 1.43 (9H); 1.61 (2H); 1.82 (1H); 1.96 (1H); 2.25-2.45 (2H); 3.25-3.65 (14H); 4.30 (0.15H); 4.53 (0.85H); 5.25 (1H); 6.43 (0.15H); 7.25 (0.85H).
LC/MS (ESI) : 612,6 ; (calculé ([M+H]+) : 612,9). Molécule AA6 LC / MS (ESI): 612.6; (calculated ([M + H] + ): 612.9). AA6 molecule
[000432] Par un procédé similaire à celui utilisé pour la préparation de la molécule AA2 appliqué à la molécule A12 (43 g, 70,3 mmol), le résidu obtenu après concentration sous vide est trituré dans l'acétonitrile. La suspension est filtrée et le solide lavé avec de l'acétonitrile puis de l'acétone. Après séchage sous vide, un solide blanc de molécule AA6 sous forme de sel de chlorhydrate est obtenu. By a process similar to that used for the preparation of the AA2 molecule applied to the A12 molecule (43 g, 70.3 mmol), the residue obtained after concentration under vacuum is triturated in acetonitrile. The suspension is filtered and the solid washed with acetonitrile and then acetone. After drying under vacuum, a white solid of molecule AA6 in the form of the hydrochloride salt is obtained.
Rendement : 31,2 g (81 %) Yield: 31.2 g (81%)
(DMSO-de, ppm) : 0,85 (3H) ; 1,23 (28H) ; 1 ,45 (2H) ; 1,70-2,05 (4H) ; 2,13 ( 1 H) ; 2,24 ( 1H) ; 2,95 (2H) ; 3,10-3,25 (2H) ; 3,30-3,65 ( 10H) ; 4,20-4,45 ( 1H) ; 7,85-8,25 (4H). LC/ MS (ESI) : 512,4 ; (calculé ([M + H]+) : 512,8). (DMSO-de, ppm): 0.85 (3H); 1.23 (28H); 1.45 (2H); 1.70-2.05 (4H); 2.13 (1H); 2.24 (1H); 2.95 (2H); 3.10-3.25 (2H); 3.30-3.65 (10H); 4.20-4.45 (1H); 7.85-8.25 (4H). LC / MS (ESI): 512.4; (calculated ([M + H] + ): 512.8).
Exemple AA7 : molécule AA7 Example AA7: AA7 molecule
Molécule Al 3 ; Produit obtenu par réaction entre l'acide arachidique et la L-proline. Al 3 molecule; Product obtained by reaction between arachidic acid and L-proline.
[000433] Par un procédé similaire à celui utilisé pour la préparation de la molécule A5 appliqué à l'acide arachidique (15,51 g, 49,63 mmol) et à la L-proline (6 g, 52,11 mmol) en utilisant la DIPEA à la place de la TEA, un solide blanc est obtenu après purification par colonne chromatographique sur gel de silice (cyclohexane, acétate d'éthyle, acide acétique). By a process similar to that used for the preparation of the molecule A5 applied to arachidic acid (15.51 g, 49.63 mmol) and to L-proline (6 g, 52.11 mmol) in using DIPEA instead of TEA, a white solid is obtained after purification by a chromatographic column on silica gel (cyclohexane, ethyl acetate, acetic acid).
Rendement : 12,9 g (63 %) Yield: 12.9 g (63%)
RMN (CDCh, ppm) : 0,88 (3H) ; 1,28 (34H) ; 1,66 (2H) ; 1,95-2, 15 (2H) ; 2,34 (2H) ; 2,45 (1H) ; 3,47 (1H) ; 3,56 ( 1H) ; 4,60 (1H). NMR (CDCh, ppm): 0.88 (3H); 1.28 (34H); 1.66 (2H); 1.95-2.15 (2H); 2.34 (2H); 2.45 (1H); 3.47 (1H); 3.56 (1H); 4.60 (1H).
LC/MS (ESI) : 410,4 ; (calculé ([M+H]+) : 410,6). LC / MS (ESI): 410.4; (calculated ([M + H] + ): 410.6).
Molécule A14 : Produit obtenu par la réaction entre la molécule A13 et la Boc-l-amino-4,7,10- trioxa-13-tridécane amine. Molecule A14: Product obtained by the reaction between the molecule A13 and Boc-1-amino-4,7,10-trioxa-13-tridecane amine.
[000434] Par un procédé similaire à celui utilisé pour la préparation de la molécule A12 appliqué à la molécule A13 (10,96 g, 26,75 mmol) et à la Boc-l-amino-4,7,10-trioxa-13- tridécane (10,29 g, 32,11 mmol), un solide est obtenu après purification par colonne chromatographique sur gel de silice (cyclohexane, acétate d'éthyle, méthanol). By a process similar to that used for the preparation of the molecule A12 applied to the molecule A13 (10.96 g, 26.75 mmol) and to Boc-l-amino-4,7,10-trioxa- 13-tridecane (10.29 g, 32.11 mmol), a solid is obtained after purification by a chromatographic column on silica gel (cyclohexane, ethyl acetate, methanol).
Rendement : 14,2 g (75 %) Yield: 14.2 g (75%)
RMN *H (CDCh, ppm) : 0,88 (3H) ; 1,24 (32H) ; 1,43 (9H) ; 1,61 (2H) ; 1,80 (1H) ; 1,96 (1H) ; 2, 10-2,45 (4H) ; 3,20-3,75 (18H) ; 4,30 (0,20H) ; 4,55 (0,80H) ; 5,03 (1H) ; 6,75 (0,20H) ; 7,20 (0,80H). 1 H NMR (CDCh, ppm): 0.88 (3H); 1.24 (32H); 1.43 (9H); 1.61 (2H); 1.80 (1H); 1.96 (1H); 2.10-2.45 (4H); 3.20-3.75 (18H); 4.30 (0.20H); 4.55 (0.80H); 5.03 (1H); 6.75 (0.20H); 7.20 (0.80H).
LC/MS (ESI) : 712,8 ; (calculé ([M+H]+) : 713,1). LC / MS (ESI): 712.8; (calculated ([M + H] + ): 713.1).
Molécule AA7 AA7 molecule
[000435] Après un procédé similaire à celui utilisé pour la préparation de la molécule AA2 appliqué à la molécule A14 (14,25 g, 20,01 mmol), le résidu obtenu après concentration sous vide du milieu réactionnel est dissout dans le méthanol et évaporé sous pression réduite, l'opération étant répétée 4 fois pour donner un solide blanc de molécule AA7 sous forme de sel de chlorhydrate. After a process similar to that used for the preparation of the AA2 molecule applied to the A14 molecule (14.25 g, 20.01 mmol), the residue obtained after concentration under vacuum of the reaction medium is dissolved in methanol and evaporated under reduced pressure, the operation being repeated 4 times to give a white solid of molecule AA7 in the form of the hydrochloride salt.
Rendement : 12,7 g (98 %) Yield: 12.7 g (98%)
RMN ^ (DMSO-de, ppm) : 0,85 (3H) ; 1,23 (32H) ; 1,45 (2H) ; 1,64 (2H) ; 1,70-2,05 (6H) ; 2, 10-2,30 (2H) ; 2,82 (2H) ; 3,08 (2H) ; 3,30-3,60 (15H) ; 4,15-4,30 ( 1H) ; 7,73-8, 13 (4H). 1 H NMR (DMSO-de, ppm): 0.85 (3H); 1.23 (32H); 1.45 (2H); 1.64 (2H); 1.70-2.05 (6H); 2.10-2.30 (2H); 2.82 (2H); 3.08 (2H); 3.30-3.60 (15H); 4.15-4.30 (1H); 7.73-8, 13 (4H).
LC/MS (ESI) : 612,7 ; (calculé ([M+H]+) : 612,9) . LC / MS (ESI): 612.7; (calculated ([M + H] + ): 612.9).
Exemple AA8 : molécule AA8 Example AA8: AA8 molecule
Molécule A1B : Produit obtenu par la réaction entre la L-leucine et le chlorure de palmitoyle. A1B molecule: Product obtained by the reaction between L-leucine and palmitoyl chloride.
[000436] Par un procédé similaire à celui utilisé pour la préparation de la molécule Al appliqué à de la L-leucine (15,0 g, 114,4 mmol) et au chlorure de pal mitoyle (34,5 g, 125 mmol), un solide blanc est obtenu par trituration dans le diisopropyléther. By a process similar to that used for the preparation of the molecule Al applied to L-leucine (15.0 g, 114.4 mmol) and to mitoyl pal chloride (34.5 g, 125 mmol) , a white solid is obtained by trituration in diisopropyl ether.
Rendement : 13,0 g (31 %) Yield: 13.0 g (31%)
RMN ^ (CDCh, ppm) : 0,88 (3H) ; 0,96 (6H) ; 1, 16-1,35 (24H) ; 1,55-1,77 (5H) ; 2,23 (2H) ; 4,55-4,60 ( 1 H) ; 5,88 ( 1H). 1 H NMR (CDCh, ppm): 0.88 (3H); 0.96 (6H); 1.16-1.35 (24H); 1.55-1.77 (5H); 2.23 (2H); 4.55-4.60 (1H); 5.88 (1H).
Molécule A16 : Produit obtenu par la réaction entre la molécule A15 et l'ester méthylique de la L-proline A16 molecule: Product obtained by the reaction between the A15 molecule and the methyl ester of L-proline
[000437] Par un procédé similaire à celui utilisé pour la préparation de la molécule A2 appliqué à la molécule A15 (6,00 g, 16,2 mmol) et à l'ester méthylique de la L-proline (3,23 g, 19,5 mmol), une huile légèrement jaune est obtenue après purification par chromatographie flash (méthanol, dichlorométhane). By a process similar to that used for the preparation of the molecule A2 applied to the molecule A15 (6.00 g, 16.2 mmol) and to the methyl ester of L-proline (3.23 g, 19.5 mmol), a slightly yellow oil is obtained after purification by flash chromatography (methanol, dichloromethane).
Rendement : 5,8 g (74 %) Yield: 5.8 g (74%)
RMN (CDCh, ppm) : 0,83-1,00 (9H) ; 1,18-1 ,32 (24H) ; 1,40-1,73 (5H) ; 1,84-2,33 (6H) ; 3,47-3,89 (2H) ; 3,70 (1, 14H) ; 3,71 ( 1,21 H) ; 3,74 (0,53H) ; 3,76 (0,12H) ; 4,40-4,56 ( 1H) ; 4,63-4,67 (0,04H) ; 4,84 (0,38) ; 4,90 (0,40) ; 5,06 (0, 18) ; 5,99 (0, 18H) ; 6,08-6,21 (0,82). NMR (CDCh, ppm): 0.83-1.00 (9H); 1.18-1.32 (24H); 1.40-1.73 (5H); 1.84-2.33 (6H); 3.47-3.89 (2H); 3.70 (1.14H); 3.71 (1.21 H); 3.74 (0.53H); 3.76 (0.12H); 4.40-4.56 (1H); 4.63-4.67 (0.04H); 4.84 (0.38); 4.90 (0.40); 5.06 (0.18); 5.99 (0.18H); 6.08-6.21 (0.82).
LC/ MS (ESI) : 481,6 ; (calculé ([M + H]+) : 481,4). LC / MS (ESI): 481.6; (calculated ([M + H] + ): 481.4).
Molécule Al? : Produit obtenu par la saponification de l'ester méthylique de la molécule A16. Al molecule? : Product obtained by the saponification of the methyl ester of the molecule A16.
[000438] À une solution de molécule A16 (5,8 g, 12,06 mmol) dans 30 mL de méthanol est ajoutée de la soude 1 N ( 13,5 mL, 13,5 mmol). Après 20 h d'agitation à température ambiante, la solution est diluée avec de l'eau puis acidifiée par 20 mL d'acide chlorhydrique 1 N à 0 °C. Le précipité est filtré puis rincé avec de l'eau (50 mL) avant d'être solubilisé dans 50 mL de dichlorométhane. La phase organique est séchée sur NazSC , filtrée puis concentrée sous pression réduite pour donner une huile incolore. To a solution of molecule A16 (5.8 g, 12.06 mmol) in 30 mL of methanol is added 1N sodium hydroxide (13.5 mL, 13.5 mmol). After 20 h of stirring at room temperature, the solution is diluted with water and then acidified with 20 ml of 1N hydrochloric acid at 0 ° C. The precipitate is filtered and then rinsed with water (50 ml) before being dissolved in 50 ml of dichloromethane. The organic phase is dried over NazSC, filtered and then concentrated under reduced pressure to give a colorless oil.
Rendement : 4,5 g (80 %) RMN ^ (CDCb, ppm) : 0,85-0,99 (9H) ; 1,14-1,41 (24H) ; 1,43-1,72 (5H) ; 1,87-2,47 (7H) ; 3,48-3,55 (0,6H) ; 3,56-3,62 (0,4H) ; 3,83-3,90 (0,4H) ; 3,90-3,96 (0,6H) ; 4,52-4,56 (0,6H) ; 4,56-4,59 (0,4H) ; 4,80-4,86 (0,4H) ; 4,86-4,91 (0,6H) ; 6,05 (0,4H) ; 6,11 (0,6H). LC/MS (ESI) : 467,6 ; (calculé ([M + H]+) : 467,4). Yield: 4.5 g (80%) 1 H NMR (CDCb, ppm): 0.85-0.99 (9H); 1.14-1.41 (24H); 1.43-1.72 (5H); 1.87-2.47 (7H); 3.48-3.55 (0.6H); 3.56-3.62 (0.4H); 3.83-3.90 (0.4H); 3.90-3.96 (0.6H); 4.52-4.56 (0.6H); 4.56-4.59 (0.4H); 4.80-4.86 (0.4H); 4.86-4.91 (0.6H); 6.05 (0.4H); 6.11 (0.6H). LC / MS (ESI): 467.6; (calculated ([M + H] + ): 467.4).
Molécule A18 : Produit obtenu par la réaction entre la /V-Boc-éthylènediamine et la molécule A17. Molecule A18: Product obtained by the reaction between / V-Boc-ethylenediamine and the molecule A17.
[000439] Par un procédé similaire à celui utilisé pour la préparation de la molécule A2 appliqué à la molécule A17 (4,5 g, 9,64 mmol) et à la BocEDA ( 1,70 g, 10,61 mmol), une huile incolore est obtenue après purification par chromatographie flash (méthanol, dichlorométhane). By a process similar to that used for the preparation of the molecule A2 applied to the molecule A17 (4.5 g, 9.64 mmol) and to BocEDA (1.70 g, 10.61 mmol), a colorless oil is obtained after purification by flash chromatography (methanol, dichloromethane).
Rendement : 2,0 g (34 %) Yield: 2.0 g (34%)
RMN !H (CDCb, ppm) : 0,83-0,99 (9H) ; 1, 19- 1,32 (24H) ; 1,44 (9H) ; 1 ,48-2,37 (14H) ; 3,09-3,99 (4H) ; 4,28-5,01 (2H) ; 5,64-6,04 (1H) ; 6,87-7,06 (1H). NMR ! H (CDCb, ppm): 0.83-0.99 (9H); 1.19-1.32 (24H); 1.44 (9H); 1.48-2.37 (14H); 3.09-3.99 (4H); 4.28-5.01 (2H); 5.64-6.04 (1H); 6.87-7.06 (1H).
LC/ MS (ESI) : 609,7 ; (calculé ([M + H]+) : 609,5). LC / MS (ESI): 609.7; (calculated ([M + H] + ): 609.5).
Molécule AAS AAS molecule
[000440] Par un procédé similaire à celui utilisé pour la préparation de la molécule AAI appliqué à la molécule A18 (2 g, 3,28 mmol), un solide de molécule AA8 sous forme de sel de chlorhydrate est obtenu après purification par chromatographie flash (méthanol, dichlorométhane). By a process similar to that used for the preparation of the AAI molecule applied to the A18 molecule (2 g, 3.28 mmol), a solid of molecule AA8 in the form of the hydrochloride salt is obtained after purification by flash chromatography (methanol, dichloromethane).
Rendement : 1,5 g (90 %) Yield: 1.5 g (90%)
RMN *H (CDCb, ppm) : 0,83-1,00 (9H) ; 1,18-1,32 (24H) ; 1,37-1,77 (5H) ; 1,93-2,41 (6H) ; 3,07-3,97 (6H) ; 4,44-4,77 (2H) ; 7,66-8,21 (2H). 1 H NMR (CDCb, ppm): 0.83-1.00 (9H); 1.18-1.32 (24H); 1.37-1.77 (5H); 1.93-2.41 (6H); 3.07-3.97 (6H); 4.44-4.77 (2H); 7.66-8.21 (2H).
LC/ MS (ESI) : 509,6 ; (calculé ([M+ H]+) : 509,4). LC / MS (ESI): 509.6; (calculated ([M + H] + ): 509.4).
Exemple AA9 : molécule AA9 Example AA9: AA9 molecule
Molécule A19 : Produit obtenu par la réaction entre l'acide laurique et la L-phénylalanine. Molecule A19: Product obtained by the reaction between lauric acid and L-phenylalanine.
[000441] Par un procédé similaire à celui utilisé pour la préparation de la molécule A5 appliqué à l'acide laurique (8,10 g, 40,45 mmol) et à la L-phénylalanine (7 g, 42,38 mmol), un solide blanc est obtenu. By a process similar to that used for the preparation of the molecule A5 applied to lauric acid (8.10 g, 40.45 mmol) and to L-phenylalanine (7 g, 42.38 mmol), a white solid is obtained.
Rendement : 12,7 g (98 %) Yield: 12.7 g (98%)
(DMSO-de, ppm) : 0,86 (3H) ; 1,10-1,30 ( 16H) ; 1,36 (2H) ; 2,02 (2H) ; 2,82 (1H) ; 3,05 (1H) ; 4,42 (1H) ; 7,15-7,30 (5H) ; 8,05 ( 1H) ; 12,61 (1H) . (DMSO-de, ppm): 0.86 (3H); 1.10-1.30 (16H); 1.36 (2H); 2.02 (2H); 2.82 (1H); 3.05 (1H); 4.42 (1H); 7.15-7.30 (5H); 8.05 (1H); 12.61 (1H).
LC/ MS (ESI) : 348,2 ; (calculé ([M + H]+) : 348,5). Molécule A20 : Produit obtenu par la réaction entre la molécule A19 et le sel de chlorhydrate de l'ester méthylique de la L-proline. LC / MS (ESI): 348.2; (calculated ([M + H] + ): 348.5). Molecule A20: Product obtained by the reaction between the molecule A19 and the hydrochloride salt of the methyl ester of L-proline.
[000442] Par un procédé similaire à celui utilisé pour la préparation de la molécule A6 appliqué à la molécule A19 (9,98 g, 28,72 mmol) et au sel chlorhydrate de l'ester méthylique de la L-proline (5,23 g, 31,59 mmol), une huile incolore est obtenue après purification par colonne chromatographique sur gel de silice (cyclohexane, acétate d'éthyle). By a process similar to that used for the preparation of the molecule A6 applied to the molecule A19 (9.98 g, 28.72 mmol) and to the hydrochloride salt of the methyl ester of L-proline (5, 23 g, 31.59 mmol), a colorless oil is obtained after purification by a chromatographic column on silica gel (cyclohexane, ethyl acetate).
Rendement : 5,75 g (44 %) Yield: 5.75 g (44%)
(CDCb, ppm) : 0,88 (3H) ; 1, 10-1,30 ( 16H) ; 1,50-1,75 (3H) ; 1,80-2,02 (3H) ; 2,17 (2H) ; 2,65 (0,5H) ; 2,95 (1H) ; 3,05-3,20 (1,5H) ; 3,50-3,65 ( 1 H) ; 3,75 (3H) ; 4,29 (0,5H) ; 4,46 (0,5H) ; 4,70 (0, 1H) ; 4,95 (0,9H) ; 6,20-6,30 (1H) ; 7, 15-7,30 (5H). (CDCb, ppm): 0.88 (3H); 1.10-1.30 (16H); 1.50-1.75 (3H); 1.80-2.02 (3H); 2.17 (2H); 2.65 (0.5H); 2.95 (1H); 3.05-3.20 (1.5H); 3.50-3.65 (1H); 3.75 (3H); 4.29 (0.5H); 4.46 (0.5H); 4.70 (0.1H); 4.95 (0.9H); 6.20-6.30 (1H); 7, 15-7.30 (5H).
LC/ MS (ESI) : 459,2 ; (calculé ([M+H]+) : 459,6) . LC / MS (ESI): 459.2; (calculated ([M + H] + ): 459.6).
Molécule A21 : Produit obtenu par saponification de la molécule A20. A21 molecule: Product obtained by saponification of the A20 molecule.
[000443] À une solution de molécule A20 (5,75 g, 12,54 mmol) dans un mélange THF/méthanol/eau (40/40/40 mL) à 0 °C est ajoutée de l 'hydroxyde de lithium (LiOH) (600,49 mg, 25,07 mmol) puis le mélange est agité à température ambiante pendant 20 h. Après évaporation des solvants organiques sous vide, la phase aqueuse est diluée dans l'eau, acidifiée avec une solution aqueuse de HCl 1 N jusqu'à pH 1. Le produit est alors extrait à l'acétate d'éthyle. Les phases organiques combinées sont lavées avec une solution aqueuse saturée de NaCI, séchées sur Na2S04, filtrées et concentrées sous pression réduite pour donner une huile incolore. Lithium hydroxide (LiOH) is added to a solution of molecule A20 (5.75 g, 12.54 mmol) in a THF / methanol / water mixture (40/40/40 mL) at 0 ° C ) (600.49 mg, 25.07 mmol) then the mixture is stirred at room temperature for 20 h. After evaporation of the organic solvents under vacuum, the aqueous phase is diluted in water, acidified with a 1N aqueous HCl solution to pH 1. The product is then extracted with ethyl acetate. The combined organic phases are washed with saturated aqueous NaCl solution, dried over Na2S0 4, filtered and concentrated under reduced pressure to give a colorless oil.
Rendement : 5,7 g (quantitatif) Yield: 5.7 g (quantitative)
RMN !H (CDCb, ppm) : 0,88 (3H) ; 1,10-1,30 ( 16H) ; 1,50-1,80 (3H) ; 1,67-2,02 (2H) ; 2,20 (2H) ; 2,25 (0,4H) ; 2,60 (0,6H) ; 2,85-3, 10 (2,6H) ; 3,55-3,65 ( 1,4H) ; ; 4,35 (0,6H) ; 4,55 (0,4H) ; 4,94 ( 1 H) ; 6,28 (0,4H) ; 6,38 (0,6H) ; 7,20-7,30 (5H). NMR ! H (CDCb, ppm): 0.88 (3H); 1.10-1.30 (16H); 1.50-1.80 (3H); 1.67-2.02 (2H); 2.20 (2H); 2.25 (0.4H); 2.60 (0.6H); 2.85-3.10 (2.6H); 3.55-3.65 (1.4H); ; 4.35 (0.6H); 4.55 (0.4H); 4.94 (1H); 6.28 (0.4H); 6.38 (0.6H); 7.20-7.30 (5H).
LC/ MS (ESI) : 445,2 ; (calculé ([M + H]+) : 445,6). LC / MS (ESI): 445.2; (calculated ([M + H] + ): 445.6).
Molécule A22 ; Produit obtenu par réaction entre la /V-Boc-éthylènediamine et la molécule A21. A22 molecule; Product obtained by reaction between / V-Boc-ethylenediamine and the molecule A21.
[000444] Par un procédé similaire à celui utilisé pour la préparation de la molécule A6 appliqué à la molécule A21 (5,67 g, 12,75 mmol) et à la BocEDA (2,25 g, 14,03 mmol), une huile incolore est obtenue après purification par colonne chromatographique sur gel de silice (dichlorométhane, méthanol). By a process similar to that used for the preparation of the molecule A6 applied to the molecule A21 (5.67 g, 12.75 mmol) and to BocEDA (2.25 g, 14.03 mmol), a colorless oil is obtained after purification by a chromatographic column on silica gel (dichloromethane, methanol).
Rendement : 5,7 g (76%) Yield: 5.7 g (76%)
(CDCb, ppm) : 0,88 (3H) ; 1,25 (16H) ; 1,43 (9H) ; 1,58 (2,6H) ; 1,75-1,95 ( 1,4H) ; 2,15-2,30 (3H) ; 2,64 (0,5H) ; 2,95-3,10 (2,5H) ; 3,20-3,40 (4H) ; 3,45 (0,5H) ; 3,55 (0,2H) ; 3,66 ( 1H) ; 4,44 (1H) ; 4,50 (0,2H) ; 4,60 (0,6H) ; 4,99 (0,7H) ; 5,54 (0,5H) ; 5,95 (0,2H) ; 6, 17 ( 1H) ; 6,60 (0,5H) ; 7,07 (0,5H) ; 7,20-7,40 (5H) . LC/MS (ESI) : 587,4 ; (calculé ([M + H]+) : 587,8), (CDCb, ppm): 0.88 (3H); 1.25 (16H); 1.43 (9H); 1.58 (2.6H); 1.75-1.95 (1.4H); 2.15-2.30 (3H); 2.64 (0.5H); 2.95-3.10 (2.5H); 3.20-3.40 (4H); 3.45 (0.5H); 3.55 (0.2H); 3.66 (1H); 4.44 (1H); 4.50 (0.2H); 4.60 (0.6H); 4.99 (0.7H); 5.54 (0.5H); 5.95 (0.2H); 6.17 (1H); 6.60 (0.5H); 7.07 (0.5H); 7.20-7.40 (5H). LC / MS (ESI): 587.4; (calculated ([M + H] + ): 587.8),
Molécule AA9 AA9 molecule
[000445] Après un procédé similaire à celui utilisé pour la préparation de la molécule AA2 appliqué à la molécule A22 (5,66 g, 9,65 mmol), le résidu obtenu après concentration sous vide du milieu réactionnel est dissout dans le méthanol et évaporé sous pression réduite, l'opération étant répétée 4 fois pour donner une mousse blanche de molécule AA9 sous forme de sel de chlorhydrate. After a process similar to that used for the preparation of the AA2 molecule applied to the A22 molecule (5.66 g, 9.65 mmol), the residue obtained after concentration under vacuum of the reaction medium is dissolved in methanol and evaporated under reduced pressure, the operation being repeated 4 times to give a white foam of molecule AA9 in the form of the hydrochloride salt.
Rendement : 4,9 g (97 %) Yield: 4.9 g (97%)
RMN h (DMSO-de, 120 °C, ppm) : 0,89 (3H) ; 1,26 (16H) ; 1 ,43 (2H) ; 1,68 (0,6H) ; 1,75- 2,00 (3H) ; 2,05-2,25 (2,4H) ; 2,82-3,05 (5H) ; 3,38 (2H) ; 3,50-3,70 ( 1,4H ) ; 4,25 (0,6H) ; 4,63 (0,4H) ; 4,77 (0,6H) ; 7,25-7,50 (5H) ;7, 55-8, 20 (4H). H NMR (DMSO-de, 120 ° C, ppm): 0.89 (3H); 1.26 (16H); 1.43 (2H); 1.68 (0.6H); 1.75-2.00 (3H); 2.05-2.25 (2.4H); 2.82-3.05 (5H); 3.38 (2H); 3.50-3.70 (1.4H); 4.25 (0.6H); 4.63 (0.4H); 4.77 (0.6H); 7.25-7.50 (5H); 7.55-8.20 (4H).
LC/ MS (ESI) : 487,4 ; (calculé ([M + H]+) : 487,7). LC / MS (ESI): 487.4; (calculated ([M + H] + ): 487.7).
Exemple AAIO : molécule AA10 Example AAIO: AA10 molecule
Molécule A23 : Produit obtenu par la réaction entre la molécule B7 et la N- Boc- éthylènediamine Molecule A23: Product obtained by the reaction between the molecule B7 and N- Boc- ethylenediamine
[000446] À une solution de molécule B7 (190,00 g, 583,73 mmol ) à 0 °C dans le DCM (2,9 [000446] To a solution of molecule B7 (190.00 g, 583.73 mmol) at 0 ° C in DCM (2.9
L) sont ajoutés successivement du HOBt (8,94 g, 58,37 mmol) puis de la BocEDA (112,20 g,L) are successively added HOBt (8.94 g, 58.37 mmol) then BocEDA (112.20 g,
700,00 mmol) en solution dans le DCM (150 mL). De l'EDC (123,10 g, 642,00 mmol) est ajouté puis le mélange est agité 17 h entre 0 °C et température ambiante. Le mélange réactionnel est ensuite lavé avec une solution aqueuse saturée en Na HCC (2x1,5 L), une solution aqueuse de HCl 1 N (2x1,5 L) puis une solution aqueuse saturée en NaCI ( 1,5 L), séché sur Na2S04, filtré et concentré sous pression réduite. Un solide blanc est obtenu après recristallisation dans l'acétonitrile. 700.00 mmol) in solution in DCM (150 mL). EDC (123.10 g, 642.00 mmol) is added and the mixture is stirred for 17 h between 0 ° C and room temperature. The reaction mixture is then washed with a saturated aqueous Na HCC solution (2x1.5 L), a 1 N aqueous HCl solution (2x1.5 L) and then a saturated aqueous NaCl solution (1.5 L), dried over Na2S0 4 , filtered and concentrated under reduced pressure. A white solid is obtained after recrystallization from acetonitrile.
Rendement : 256,50 g (93 %) Yield: 256.50 g (93%)
RMN *H (CDCh, ppm) : 0,88 (3H) ; 1, 16-1,38 (20H) ; 1,44 (9H) ; 1,56- 1,71 (2H) ; 1 ,78-2,45 (6H) ; 3, 11-3,72 (6H) ; 4,30 (0, 1H) ; 4,51 (0,9H) ; 4,87 (0,1H) ; 5,04 (0,9H) ; 6,87 (0,1H) ; 7,23 (0,9H). 1 H NMR (CDCh, ppm): 0.88 (3H); 1.16-1.38 (20H); 1.44 (9H); 1.56-1.71 (2H); 1.78-2.45 (6H); 3.11-3.72 (6H); 4.30 (0.1H); 4.51 (0.9H); 4.87 (0.1H); 5.04 (0.9H); 6.87 (0.1H); 7.23 (0.9H).
LC/MS (ESI) : 468,0 ; (calculé ([M+ H]+) : 468,4). LC / MS (ESI): 468.0; (calculated ([M + H] + ): 468.4).
Molécule AAIO AAIO molecule
[000447] Après un procédé similaire à celui utilisé pour la préparation de la molécule AAI appliqué à la molécule A23 (256,50 g, 548,43 mmol), un solide blanc de molécule AA10 sous forme de sel de chlorhydrate est obtenu par trituration dans du pentane ( 1,6 L) et séchage sous pression réduite à 40 °C. [000448] Rendement : 220,00 g (99 %) After a process similar to that used for the preparation of the AAI molecule applied to the A23 molecule (256.50 g, 548.43 mmol), a white solid of molecule AA10 in the form of the hydrochloride salt is obtained by trituration in pentane (1.6 L) and drying under reduced pressure at 40 ° C. Yield: 220.00 g (99%)
[000449] RMN H (MeOD-d4, ppm) : 0,90 (3H) ; 1 ,21-1,43 (20H) ; 1 ,54-1,66 (2H) ; 1,85- 2,28 (4H) ; 2,39 (2H) ; 3,00-3, 17 (2H) ; 3,30-3,40 ( 1H) ; 3,43-3,71 (3H) ; 4,29 (0,94H) ; 4,48 (0,061-1). H NMR (MeOD-d4, ppm): 0.90 (3H); 1.21-1.43 (20H); 1.54-1.66 (2H); 1.85-2.28 (4H); 2.39 (2H); 3.00-3, 17 (2H); 3.30-3.40 (1H); 3.43-3.71 (3H); 4.29 (0.94H); 4.48 (0.061-1).
LC/MS (ESI) : 368,2 ; (calculé ([M+H]+) : 368,3). LC / MS (ESI): 368.2; (calculated ([M + H] + ): 368.3).
Exemple AA11 : molécule AA11 Example AA11: AA11 molecule
Molécule A24 : Produit obtenu par la réaction entre la molécule B7 et le Boc- l-amino-4,7, 10- trioxa-13-tridécane amine. Molecule A24: Product obtained by the reaction between the molecule B7 and Boc-1-amino-4,7,10-trioxa-13-tridecane amine.
[000450] Par un procédé similaire à celui utilisé pour la préparation de la molécule A23 appliqué à la molécule B7 (24,00 g, 73,73 mmol) et au Boc-l-amino-4,7,10-trioxa-13- tridécane amine (28,35 g, 88,48 mmol), une huile orange de molécule A24 est obtenue. Rendement : 44,50 g (96 %) By a process similar to that used for the preparation of the molecule A23 applied to the molecule B7 (24.00 g, 73.73 mmol) and to Boc-l-amino-4,7,10-trioxa-13 - tridecane amine (28.35 g, 88.48 mmol), an orange oil of molecule A24 is obtained. Yield: 44.50 g (96%)
RMN 1H (CDCh, ppm) : 0,87 (3H) ; 1,08-1,56 (20H) ; 1,43 (9H) ; 1,58- 1,67 (2H) ; 1 ,70- 2,00 (6H) ; 2,04-2,41 (4H) ; 3,16-3,77 (18H) ; 4,26-4,29 (0,2H) ; 4,50-4,54 (0,8H) ; 4,68- 5, 10 (1H) ; 6,74 (0,2H) ; 7, 19 (0,8H). 1H NMR (CDCh, ppm): 0.87 (3H); 1.08-1.56 (20H); 1.43 (9H); 1.58-1.67 (2H); 1.70-2.00 (6H); 2.04-2.41 (4H); 3.16-3.77 (18H); 4.26-4.29 (0.2H); 4.50-4.54 (0.8H); 4.68-5.10 (1H); 6.74 (0.2H); 7.19 (0.8H).
LC/ MS (ESI) : 628,4 ; (calculé ([M+H]+) : 628,5). LC / MS (ESI): 628.4; (calculated ([M + H] + ): 628.5).
Molécule AA11 AA11 molecule
[000451] Après un procédé similaire à celui utilisé pour la préparation de la molécule AAI appliqué à la molécule A24 (43,40 g, 69, 12 mmol), un solide blanc de molécule AA11 sous forme de sel de chlorhydrate est obtenu après trituration 3 fois dans le diéthyléther, solubilisation du résidu dans l'eau et lyophilisation . After a process similar to that used for the preparation of the AAI molecule applied to the A24 molecule (43.40 g, 69.12 mmol), a white solid of the AA11 molecule in the form of the hydrochloride salt is obtained after trituration 3 times in diethyl ether, solubilization of the residue in water and lyophilization.
Rendement : 38,70 g (98 %) Yield: 38.70 g (98%)
RMN 1H (DMSO, ppm) : 0,85 (3H) ; 1,07-1,38 (20H) ; 1 ,41- 1,52 (2H) ; 1,55-1,66 (2H) ; 1,70-2,02 (6H) ; 2,08-2,30 (2H) ; 2,78-2,87 (2H) ; 3,00-3,16 (2H) ; 3,29-3,66 (14H) ; 4,16- 4,22 (0,65 H) ; 4,25-4,30 (0,35H) ; 7,74 (0,65H) ; 7,86 (3H) ; 8,10 (0,35H). 1H NMR (DMSO, ppm): 0.85 (3H); 1.07-1.38 (20H); 1, 41-1.52 (2H); 1.55-1.66 (2H); 1.70-2.02 (6H); 2.08-2.30 (2H); 2.78-2.87 (2H); 3.00-3.16 (2H); 3.29-3.66 (14H); 4.16-4.22 (0.65H); 4.25-4.30 (0.35H); 7.74 (0.65H); 7.86 (3H); 8.10 (0.35H).
LC/MS (ESI) : 528,4 ; (calculé ([M+H]+) : 528,4). LC / MS (ESI): 528.4; (calculated ([M + H] + ): 528.4).
Exemple AA12 : molécule AAI 2 Example AA12: AAI 2 molecule
Molécule A25 : Produit obtenu par la réaction entre la molécule B4 et la N- Boc- éthylènediamine. Molecule A25: Product obtained by the reaction between the molecule B4 and N-Boc-ethylenediamine.
[000452] Par un procédé similaire à celui utilisé pour la préparation de la molécule A23 appliqué à la molécule B4 (12,00 g, 40,35 mmol) et à la BocEDA (7,76 g, 48,42 mmol), une huile incolore est obtenue et utilisée sans autre purification . By a process similar to that used for the preparation of the molecule A23 applied to the molecule B4 (12.00 g, 40.35 mmol) and to BocEDA (7.76 g, 48.42 mmol), a colorless oil is obtained and used without further purification.
Rendement : 17,40 g (94 %) RM N 1 H (CDCIB, ppm) : 0,86 (3H) ; 1, 11-1,68 ( 18H) ; 1,41 (9H) ; 1,80-2,38 (6H) ; 3,06- 3,35 (4H) ; 3,37-3,49 ( 1H) ; 3,51-3,73 ( 1H) ; 4,26-4,31 (0, 1H) ; 4,45-4,52 (0,9H) ; 4,91- 5, 19 (1H) ; 6,97 (Q, 1H) ; 7,23 (0,9H). LC/MS (ESI) : 440,4 (calculé ([M + H]+) : 440,3). Yield: 17.40 g (94%) 1 H NMR (CDCIB, ppm): 0.86 (3H); 1.11-1.68 (18H); 1.41 (9H); 1.80-2.38 (6H); 3.06-3.35 (4H); 3.37-3.49 (1H); 3.51-3.73 (1H); 4.26-4.31 (0.1H); 4.45-4.52 (0.9H); 4.91-5.19 (1H); 6.97 (Q, 1H); 7.23 (0.9H). LC / MS (ESI): 440.4 (calculated ([M + H] + ): 440.3).
Molécule AAI 2 AAI 2 molecule
[000453] Après un procédé similaire à celui utilisé pour la préparation de la molécule AAI appliqué à la molécule A25 (8,85 g, 20, 13 mmol), un solide blanc de molécule AA12 est obtenu après lavage basique, concentration sous pression réduite puis recristallisation dans l'acétonitrile. After a process similar to that used for the preparation of the AAI molecule applied to the A25 molecule (8.85 g, 20, 13 mmol), a white solid of AA12 molecule is obtained after basic washing, concentration under reduced pressure then recrystallization from acetonitrile.
Rendement : 6,53 g (96 %) Yield: 6.53 g (96%)
RMN 1H (DMSO, ppm) : 0,85 (3H) ; 1,07-1,56 (20H) ; 1,68-2,03 (4H) ; 2,09-2,29 (2H) ; 2,50-2,58 (2H) ; 2,96-3,11 (2H) ; 3,21-3,59 (2H) ; 4,17-4,21 (0,65H) ; 4,25-4,29 (0,35H) ; 7,68 (0,65H) ; 8,00 (0,35H) 1H NMR (DMSO, ppm): 0.85 (3H); 1.07-1.56 (20H); 1.68-2.03 (4H); 2.09-2.29 (2H); 2.50-2.58 (2H); 2.96-3.11 (2H); 3.21-3.59 (2H); 4.17-4.21 (0.65H); 4.25-4.29 (0.35H); 7.68 (0.65H); 8.00 (0.35H)
LC/MS (ESI) : 340,3 ; (calculé ([M + H]+) : 340,3). LC / MS (ESI): 340.3; (calculated ([M + H] + ): 340.3).
Exemple AA13 : molécule AA13 Example AA13: AA13 molecule
Molécule A26 : Produit obtenu par couplage entre la molécule B1 et la /V-Boc-éthylènediamine. Molecule A26: Product obtained by coupling between the molecule B1 and / V-Boc-ethylenediamine.
[000454] Par un procédé similaire à celui utilisé pour la préparation de la molécule A23 appliqué à la molécule B1 (30,00 g, 111,36 mmol) et à la BocEDA(21 ,41 g, 133,64 mmol), un solide blanc est obtenu après recristallisation dans l'acétonitrile. By a process similar to that used for the preparation of the molecule A23 applied to the molecule B1 (30.00 g, 111.36 mmol) and to BocEDA (21, 41 g, 133.64 mmol), a white solid is obtained after recrystallization from acetonitrile.
Rendement : 34,90 g (76 %) Yield: 34.90 g (76%)
RMN 1H (CDCh, ppm) : 0,88 (3H) ; 1,10-1,70 ( 14H) ; 1,43 (9H) ; 1,80- 1,91 (1H) ; 1,92- 2,01 (1H) ; 2,04-2,42 (4H) ; 3,13-3,70 (6H) ; 4,27-4,31 (0, 15H) ; 4,47-4,53 (0,85H) ; 4,83 (0,15H) ; 5 ,02 (0,85H) ; 6,85 (0, 15H) ; 7,21 (0,85H). 1H NMR (CDCh, ppm): 0.88 (3H); 1.10-1.70 (14H); 1.43 (9H); 1.80 - 1.91 (1H); 1.92-2.01 (1H); 2.04-2.42 (4H); 3.13-3.70 (6H); 4.27-4.31 (0.15H); 4.47-4.53 (0.85H); 4.83 (0.15H); 5.02 (0.85H); 6.85 (0.15H); 7.21 (0.85H).
LC/ MS (ESI) : 412,2 ; (calculé ([M + H]+) : 412,3). LC / MS (ESI): 412.2; (calculated ([M + H] + ): 412.3).
Molécule AA13 AA13 molecule
[000455] Après un procédé similaire à celui utilisé pour la préparation de la molécule AAI appliqué à la molécule A26 (34,90 g, 84,79 mmol), un solide blanc de molécule AA13 sous forme de sel de chlorhydrate est obtenu après solubilisation dans un mélange After a process similar to that used for the preparation of the AAI molecule applied to the A26 molecule (34.90 g, 84.79 mmol), a white solid of the AA13 molecule in the form of the hydrochloride salt is obtained after solubilization in a mixture
DCM/acétonitrile et concentration sous pression réduite. DCM / acetonitrile and concentration under reduced pressure.
Rendement : 29,50 g (99 %) Yield: 29.50 g (99%)
RMN 1 H (DMSO, ppm) : 0,85 (3H) ; 1,07-1,61 (14H) ; 1,70-2,06 (4H) ; 2,10-2,35 (2H) ; 2,76-2,87 (2H) ; 3,24-3,47 (3,25H) ; 3,56-3,64 (0,75H) ; 4,13-4,19 (0,75H) ; 4,31-4,36 (0,25H) ; 8,05-8,36 (3,75H) ; 8,50 (0,25H). 1 H NMR (DMSO, ppm): 0.85 (3H); 1.07-1.61 (14H); 1.70-2.06 (4H); 2.10-2.35 (2H); 2.76-2.87 (2H); 3.24-3.47 (3.25H); 3.56-3.64 (0.75H); 4.13-4.19 (0.75H); 4.31-4.36 (0.25H); 8.05-8.36 (3.75H); 8.50 (0.25H).
LC/ MS (ESI) : 312,2 ; (calculé ([M+H]+) : 312,3). Exemple AA14 : molécule AA14 LC / MS (ESI): 312.2; (calculated ([M + H] + ): 312.3). Example AA14: AA14 molecule
Molécule A27 : Produit obtenu par hydrogénation du phytol . Molecule A27: Product obtained by hydrogenation of phytol.
[000456] À une solution de phytol (30,00 g, 101,20 mmol) dans le THF (450 mL) sous argon est ajouté de l'oxyde de platine (PtÜ2, 1, 15 g, 6,61 mmol) et le milieu est placé sous 1 bar de dihydrogène puis agité pendant 4 h à température ambiante. Après filtration sur célite en rinçant au THF, une huile noire de molécule A27 est obtenue après concentration sous pression réduite. To a solution of phytol (30.00 g, 101.20 mmol) in THF (450 mL) under argon is added platinum oxide (PtÜ2, 1.15 g, 6.61 mmol) and the medium is placed under 1 bar of dihydrogen then stirred for 4 h at room temperature. After filtration on celite by rinsing with THF, a black oil of molecule A27 is obtained after concentration under reduced pressure.
Rendement : 29,00 g (96 %) Yield: 29.00 g (96%)
RMN *H (CDCh, ppm) : 0,84 (6H) ; 0,86 (6H) ; 0,89 (3H) ; 1,00-1,46 (22H) ; 1,46- 1,68 (3H) ; 3,61-3,73 (2H). 1 H NMR (CDCh, ppm): 0.84 (6H); 0.86 (6H); 0.89 (3H); 1.00-1.46 (22H); 1.46-1.68 (3H); 3.61-3.73 (2H).
Molécule A28 : Produit obtenu par oxydation de la molécule A27 A28 molecule: Product obtained by oxidation of the A27 molecule
[000457] À une solution de molécule A27 (29,0 g, 97,13 mmol) dans un mélange dichloroéthane/eau (485 m L/388 mL) sont ajoutés successivement du bromure de tétrabutylammonium (16,90 g, 52,45 mmol), de l'acétide acétique ( 150 mL, 2,62 mol) puis du KMn04 (46,05 g, 291,40 mmol) par petites fractions en maintenant la température entreTo a solution of molecule A27 (29.0 g, 97.13 mmol) in a dichloroethane / water mixture (485 m L / 388 mL) are successively added tetrabutylammonium bromide (16.90 g, 52.45 mmol), acetic acetide (150 mL, 2.62 mol) then KMn0 4 (46.05 g, 291.40 mmol) in small fractions maintaining the temperature between
16 et 19 °C. Le milieu réactionnel est ensuite agité pendant 4 h 30 au reflux, refroidi à 10 °C puis acidifié jusqu'à pH 1 avec une soluition de HCl 6 N (20 mL). Du a2SC (53,90 g) est ajouté progressivement en maintenant la température à 10 °C et le milieu est agité jusqu'à décoloration complète. De l'eau (200 mL) est ajoutée, les phases sont séparées et la phase aqueuse est extraite au DCM (2 x 400 mL). Les phases organiques combinées sont lavées par une solution aqueuse de HCl à 10 % (20 mmL), de l'eau (2 x 200 mL), une solution aqueuse saturée en NaCI (200 mL), séchées sur Na2S04, filtrées et concentrées sous pression réduite.16 and 19 ° C. The reaction medium is then stirred for 4 h 30 at reflux, cooled to 10 ° C. and then acidified to pH 1 with a solution of 6N HCl (20 mL). A2SC (53.90 g) is gradually added while maintaining the temperature at 10 ° C. and the medium is stirred until complete discoloration. Water (200 mL) is added, the phases are separated and the aqueous phase is extracted with DCM (2 x 400 mL). The combined organic phases are washed with an aqueous solution of 10% HCl (20 mml), water (2 x 200 mL), aqueous saturated NaCl (200 mL), dried over Na2S0 4, filtered and concentrated under reduced pressure.
Une huile jaune de molécule A28 est obtenue après purification par chromatographie flashA yellow oil of molecule A28 is obtained after purification by flash chromatography
(éluant : cyclohexane, AcOEt) . (eluent: cyclohexane, AcOEt).
Rendement : 28,70 g (94 %) Yield: 28.70 g (94%)
RMN !H (CDCh, ppm) : 0,84 (6H) ; 0,86 (6H) ; 0,97 (3H) ; 1,00-1,41 (20H) ; 1,52 (1H) ; 1,96 (1 H) ; 2,14 ( 1H) ; 2,35 ( 1H) ; 11,31 (1H). NMR ! H (CDCh, ppm): 0.84 (6H); 0.86 (6H); 0.97 (3H); 1.00-1.41 (20H); 1.52 (1H); 1.96 (1H); 2.14 (1H); 2.35 (1H); 11.31 (1H).
LC/MS (ESI) : 311, 1 (calculé ([M-H]-) : 311,3) . LC / MS (ESI): 311.1 (calculated ([M-H] -): 311.3).
Molécule A29 : Produit obtenu par couplage entre la molécule A28 et la L-prolinate de méthyle. A29 molecule: Product obtained by coupling between the A28 molecule and methyl L-prolinate.
[000458] Par un procédé similaire à celui utilisé pour la préparation de la molécule A2 appliqué à la molécule A28 ( 18,00 g, 57,59 mmol) et au chlorhydrate de L-prolinate de méthyle (14,31 g, 86,39 mmol), une huile jaune de molécule A29 est obtenue après lavage de la phase organique par une solution aqueuse saturée en NaHCC (2 x 150 mL), une solution aqueuse de HCl à 10 % (2 x 150 mL), une solution aqueuse saturée en NaCI (2 x 150 mL), puis séchage sur Na2S04, filtration et concentration sous pression réduite. By a process similar to that used for the preparation of the molecule A2 applied to the molecule A28 (18.00 g, 57.59 mmol) and to methyl L-prolinate hydrochloride (14.31 g, 86, 39 mmol), a yellow oil of molecule A29 is obtained after washing the organic phase with a saturated aqueous solution of NaHCC (2 x 150 mL), a solution aqueous 10% HCl (2 x 150 mL), an aqueous solution saturated with NaCl (2 x 150 mL), then drying over Na2SO 4 , filtration and concentration under reduced pressure.
Rendement : 23,20 g (95 %) Yield: 23.20 g (95%)
RMN !H (DMSO-de, ppm) : 0,78-0,89 (15H) ; 0,97-1,43 (20H) ; 1,43-1,56 ( 1H) ; 1 ,70- 1,96 (4H) ; 1 ,96-2,32 (3H) ; 3,33-3,56 (2H) ; 3,59 (0,6H) ; 3,67 (2,4H) ; 4,27 (0,8H) ; 4,57 (0,2H). NMR ! H (DMSO-de, ppm): 0.78-0.89 (15H); 0.97-1.43 (20H); 1.43-1.56 (1H); 1.70-1.96 (4H); 1.96-2.22 (3H); 3.33-3.56 (2H); 3.59 (0.6H); 3.67 (2.4H); 4.27 (0.8H); 4.57 (0.2H).
LC/ MS (ESI) : 424,4 (calculé ([M + H]+) : 424,4) . LC / MS (ESI): 424.4 (calculated ([M + H] + ): 424.4).
Molécule A3Û : Produit obtenu par la saponification de la molécule A29. Molecule A3Û: Product obtained by the saponification of the molecule A29.
[000459] Par un procédé similaire à celui utilisé pour la préparation de la molécule A21 appliqué à la molécule A29 (21,05 g, 49,68 mmol), une huile jaune de molécule A30 est obtenue. By a process similar to that used for the preparation of the molecule A21 applied to the molecule A29 (21.05 g, 49.68 mmol), a yellow oil of molecule A30 is obtained.
Rendement : 20,40 g (99 %) Yield: 20.40 g (99%)
RMN *H (DMSO-de, ppm) : 0,77-0,91 ( 15H) ; 0,97-1,43 (20H) ; 1,43-1,56 ( 1H) ; 1,67- 1,96 (4H) ; 1,96-2,29 (3H) ; 3,26-3,56 (2H) ; 4,20 (0,8H) ; 4,41 (0,2H) . 1 H NMR (DMSO-de, ppm): 0.77-0.91 (15H); 0.97-1.43 (20H); 1.43-1.56 (1H); 1.67 - 1.96 (4H); 1.96-2.29 (3H); 3.26-3.56 (2H); 4.20 (0.8H); 4.41 (0.2H).
LC/ MS (ESI) : 410,3 (calculé ([M + H]+) : 410,4). LC / MS (ESI): 410.3 (calculated ([M + H] + ): 410.4).
Molécule A31 : Produit obtenu par le couplage entre la molécule A30 et le Boc- l-amino- 4,7, 10-trioxa- 13-tridécane amine. Molecule A31: Product obtained by coupling between the molecule A30 and Boc-1-amino- 4,7,10-trioxa- 13-tridecane amine.
[000460] Par un procédé similaire à celui utilisé pour la préparation de la molécule A23 appliqué à la molécule A30 (8,95 g, 21 ,85 mmol) et au Boc-l-amino-4,7,10-trioxa-13- tridécane amine (8,40 g, 26,21 mmol), une huile incolore de molécule A31 est obtenue après purification par chromatographie flash (éluant : DCM, AcOEt, méthanol). By a process similar to that used for the preparation of the molecule A23 applied to the molecule A30 (8.95 g, 21.85 mmol) and to Boc-l-amino-4,7,10-trioxa-13 - tridecane amine (8.40 g, 26.21 mmol), a colorless oil of molecule A31 is obtained after purification by flash chromatography (eluent: DCM, AcOEt, methanol).
Rendement : 10,08 g (65 %) Yield: 10.08 g (65%)
RMN !H (DMSO-de, ppm) : 0,78-0,89 ( 15H) ; 0,97- 1,43 (29H) ; 1,43-1,55 ( 1H) ; 1 ,55-1,66 (4H) ; 1,71-2,30 (7H) ; 2,95 (2H) ; 3,00-3,19 (2H) ; 3,34-3,58 ( 14H) ; 4,17-4,29 (1H) ; 6,30-6,79 (1H) ; 7,67 (0,65H) ; 8,00 (0,35H). NMR ! H (DMSO-de, ppm): 0.78-0.89 (15H); 0.97-1.43 (29H); 1.43-1.55 (1H); 1.55-1.66 (4H); 1.71-2.30 (7H); 2.95 (2H); 3.00-3.19 (2H); 3.34-3.58 (14H); 4.17-4.29 (1H); 6.30-6.79 (1H); 7.67 (0.65H); 8.00 (0.35H).
LC/ MS (ESI) : 712,6 (calculé ([M + H]+) : 712,6). LC / MS (ESI): 712.6 (calculated ([M + H] + ): 712.6).
Molécule AA14 AA14 molecule
[000461] Après un procédé similaire à celui utilisé pour la préparation de la molécule AAI appliqué à la molécule A31 (10,08 g, 14, 16 mmol), le résidu obtenu après concentration sous pression réduite est solubilisé dans le DCM (200 mL), la phase organique est lavée par une solution aqueuse de NaOH 2 N (2 x 100 mL), séchée sur a2S04, filtrée et concentrée sous pression réduite. Une huile incolore de molécule AA14 sous forme d'amine neutre est obtenue. Rendement : 8,23 g (95 %) RMN *H (DMSO-de, ppm) : 0,78-0,89 (15H) ; 0,97-1,43 (20H) ; 1,43-1 ,69 (6H) ; 1,69-2,30 (8H) ; 2,56 (2H) ; 2,99-3,19 (2H) ; 3,31-3,58 ( 14H) ; 4,15-4,29 (1H) ; 7,70 (0,65H) ; 8,04 (0,3514). After a process similar to that used for the preparation of the AAI molecule applied to the A31 molecule (10.08 g, 14, 16 mmol), the residue obtained after concentration under reduced pressure is dissolved in DCM (200 mL ), the organic phase is washed with a 2N aqueous NaOH solution (2 × 100 mL), dried over a 2 SO 4 , filtered and concentrated under reduced pressure. A colorless oil of molecule AA14 in the form of neutral amine is obtained. Yield: 8.23 g (95%) 1 H NMR (DMSO-de, ppm): 0.78-0.89 (15H); 0.97-1.43 (20H); 1.43-1.69 (6H); 1.69-2.30 (8H); 2.56 (2H); 2.99-3.19 (2H); 3.31-3.58 (14H); 4.15-4.29 (1H); 7.70 (0.65H); 8.04 (0.3514).
LC/MS (ESI) : 612,5 (calculé ([M + H]+) : 612,5). LC / MS (ESI): 612.5 (calculated ([M + H] + ): 612.5).
Exemple AA15 : molécule AA15 Example AA15: AA15 molecule
[000462] La molécule AAI 5 est obtenue par la méthode conventionnelle de synthèse peptidique en phase solide (SPPS) sur résine 2-chlorotrityle. The AAI 5 molecule is obtained by the conventional method of solid phase peptide synthesis (SPPS) on 2-chlorotrityl resin.
[000463] À une solution de 4,7, 10-trioxa-l, 13-tridécanediamine (TOTA, 10,87 mL, 49,60 mmol) dans du DCM (50 mL) est ajoutée de la DIPEA (8,64 mL, 49,60 mmol). Cette solution est ensuite versée sur de la résine 2-chlorotrityle (4,00 g , 1,24 mmol/g) préalablement lavée au DCM dans un réacteur adapté à la SPPS. Après 2 h d'agitation à température ambiante, du méthanol (0,8 mL/g, 3,2 mL) est ajouté et le milieu est agité pendant 15 min. La résine est filtrée, lavée successivement avec du DCM (3 x 50 mL), du DMF (2 x 50 mL), du DCM (2 x 50 mL), de l'isopropanol (1 x 50 mL) et du DCM (3 x 50 mL). Les acides aminés protégés To a solution of 4.7, 10-trioxa-1,13-tridecanediamine (TOTA, 10.87 mL, 49.60 mmol) in DCM (50 mL) is added DIPEA (8.64 mL , 49.60 mmol). This solution is then poured onto 2-chlorotrityl resin (4.00 g, 1.24 mmol / g) previously washed with DCM in a reactor suitable for SPPS. After 2 h of stirring at room temperature, methanol (0.8 ml / g, 3.2 ml) is added and the medium is stirred for 15 min. The resin is filtered, washed successively with DCM (3 x 50 mL), DMF (2 x 50 mL), DCM (2 x 50 mL), isopropanol (1 x 50 mL) and DCM (3 x 50 mL). Protected amino acids
/V-Fmoc-L-glycine et N-Fmoc-L-proline puis l'acide palmitique (3 équivalents) sont couplés successivement en utilisant le l-[bis(diméthylamino)methylène]-lH-l,2,3-triazolo[4,5- bjpyridinium 3-oxide hexafluorophosphate (HATU, 3 équivalents) comme agent de couplage en présence de DIPEA (6 équivalents) dans un mélange DCM/DMF 1 : 1. Une solution de pipéridine à 20 % dans le DMF est utilisée pour les étapes de clivage du groupe protecteur/ V-Fmoc-L-glycine and N-Fmoc-L-proline then palmitic acid (3 equivalents) are successively coupled using l- [bis (dimethylamino) methylene] -lH-1,2,3-triazolo [4,5- bjpyridinium 3-oxide hexafluorophosphate (HATU, 3 equivalents) as coupling agent in the presence of DIPEA (6 equivalents) in a DCM / DMF 1: 1 mixture. A 20% piperidine solution in DMF is used for the stages of cleavage of the protective group
Fmoc. La résine est lavée par du DCM, du DMF et de l'isopropanol après chaque étape de couplage et de déprotection. Le clivage du produit de la résine est effectué en utilisant un mélange TFA/DCM 1 : 1. Les solvants sont évaporés sous pression réduite, le résidu est solubilisé dans du DCM (50 mL) et la phase organique est lavée avec une solution aqueuse de NaOH 1 N (1 x 50 mL) puis une solution saturée de NaCI (2 x 50 mL) . Après séchage sur a2SÜ4, la phase organique est filtrée, concentrée sous pression réduite et le résidu est purifié par chromatographie sur gel de silice (dichlorométhane, méthanol, NH4OH). Fmoc. The resin is washed with DCM, DMF and isopropanol after each coupling and deprotection step. The cleavage of the product from the resin is carried out using a TFA / DCM 1: 1 mixture. The solvents are evaporated under reduced pressure, the residue is dissolved in DCM (50 ml) and the organic phase is washed with an aqueous solution of 1 N NaOH (1 x 50 mL) then a saturated NaCl solution (2 x 50 mL). After drying over a2SÜ4, the organic phase is filtered, concentrated under reduced pressure and the residue is purified by chromatography on silica gel (dichloromethane, methanol, NH4OH).
Rendement : 1,65 g (54 % global sur 7 étapes). Yield: 1.65 g (54% overall over 7 steps).
RMN (CDCb, ppm) : 0,88 (3H) ; 1 ,18-2,39 (38H) ; 2,79 (2H) ; 3,23-3,44 (2H) ; 3,47-3,69 ( 14H) ; 3,76 (0,92H) ; 3,82 (0,08H) ; 3,98 (0,08H) ; 4,03 (0,92H) ; 4,34 (0,08H) ; 4,39 (0,92H) ; 7,00-7,40 (2H). NMR (CDCb, ppm): 0.88 (3H); 1.18-2.39 (38H); 2.79 (2H); 3.23-3.44 (2H); 3.47-3.69 (14H); 3.76 (0.92H); 3.82 (0.08H); 3.98 (0.08H); 4.03 (0.92H); 4.34 (0.08H); 4.39 (0.92H); 7.00-7.40 (2H).
LC/ MS (ESI) : 613,7 ; (calculé ([M + H]+) : 613,5) . LC / MS (ESI): 613.7; (calculated ([M + H] + ): 613.5).
Exemple AA16 : molécule AA16 Example AA16: AA16 molecule
[000464] Par un procédé de SPPS similaire à celui utilisé pour la préparation de la molécule By an SPPS process similar to that used for the preparation of the molecule
AA15 et en utilisant de la /V-Fmoc-L-phénylalanine (3 équivalents) à la place de la N-Fmoc-L- glycine, la molécule AA16 est obtenue sous forme d'une huile jaune. AA15 and using / V-Fmoc-L-phenylalanine (3 equivalents) in place of N-Fmoc-L-glycine, the molecule AA16 is obtained in the form of a yellow oil.
Rendement : 14,07 g (69 %) RMN !H (CDCI3, ppm) : 0,88 (3H) ; 1,19-1,34 (24H) ; 1,41-1,61 (2H) ; 1,68-2,28 ( 12H) ; 2,84 (2H) ; 3,14 (2H) ; 3,23-3,67 ( 16H) ; 4,19-4,25 (0, 1H) ; 4,38-4,45 (0,9H) ; 4,59-4,69 (1H) ; 6,86 ( 1 H) ; 7,03 ( 1H) ; 7, 12-7,30 (5H). Yield: 14.07 g (69%) NMR ! H (CDCI 3 , ppm): 0.88 (3H); 1.19-1.34 (24H); 1.41-1.61 (2H); 1.68-2.28 (12H); 2.84 (2H); 3.14 (2H); 3.23-3.67 (16H); 4.19-4.25 (0.1H); 4.38-4.45 (0.9H); 4.59-4.69 (1H); 6.86 (1H); 7.03 (1H); 7, 12-7.30 (5H).
LC/MS (ESI) : 703,5 ; (calculé ([M+H]+) : 703,5). LC / MS (ESI): 703.5; (calculated ([M + H] + ): 703.5).
Exemple AA17 : molécule AA17 Example AA17: AA17 molecule
Par un procédé de SPPS similaire à celui utilisé pour la préparation de la molécule AA15 et en utilisant du EDA (30,48 mL, 0,456 mol) à la place du TOTA, la molécule AA17 est obtenue sous forme d'un solide blanc. By a SPPS process similar to that used for the preparation of the AA15 molecule and using EDA (30.48 mL, 0.456 mol) in place of TOTA, the AA17 molecule is obtained in the form of a white solid.
Rendement : 9,19 g (89 %) Yield: 9.19 g (89%)
RMN Ή (MeOD-d4, ppm) : 0,90 (3H) ; 1,22-1,43 (24H) ; 1,55-1,67 (2H) ; 1 ,91-2,04 (2H) ; 2,04-2,15 (1H) ; 2,17-2,29 (1H) ; 2,39 (2H) ; 2,69-2,82 (2H) ; 3,25-3,36 (2H) ; 3,58-3,70 (2H) ; 3,70-3,97 (2H) ; 4,25-4,34 (0,9H) ; 4,44-4,50 (0,1H). Ή NMR (MeOD-d4, ppm): 0.90 (3H); 1.22-1.43 (24H); 1.55-1.67 (2H); 1.91-2.04 (2H); 2.04-2.15 (1H); 2.17-2.29 (1H); 2.39 (2H); 2.69-2.82 (2H); 3.25-3.36 (2H); 3.58-3.70 (2H); 3.70-3.97 (2H); 4.25-4.34 (0.9H); 4.44-4.50 (0.1H).
LC/ MS (ESI) : 453,3 ; (calculé ([M + H]+) : 453,4) . LC / MS (ESI): 453.3; (calculated ([M + H] + ): 453.4).
Exemple AA1S : molécule AA1S Example AA1S: AA1S molecule
Par un procédé de SPPS similaire à celui utilisé pour la préparation de la molécule AAI 5 et en utilisant successivement de l'éthylènediamine (20 équivalents), de la /V-Fmoc-L-phénylalanine (1,5 équivalents) et la molécule B7 ( 1,5 équivalents), la molécule AA18 est obtenue sous forme d'un solide blanc. By an SPPS process similar to that used for the preparation of the AAI 5 molecule and successively using ethylenediamine (20 equivalents), / V-Fmoc-L-phenylalanine (1.5 equivalents) and the molecule B7 (1.5 equivalents), the AA18 molecule is obtained in the form of a white solid.
Rendement : 12,76 g (85 %) Yield: 12.76 g (85%)
RMN !H (MeOD-d4, ppm) : 0,90 (3H) ; 1,14-1 ,65 (22H) ; 1,73-2,41 (6H) ; 2,56-2,70 (2H) ; 2,91-3,26 (4H) ; 3,41-3,63 (2H) ; 4,30 (0,8H) ; 4,39 (0,2H) ; 4,53 (0,8H) ; 4,61 (0,2H) ; 7,19-7,31 (5H). NMR ! H (MeOD-d4, ppm): 0.90 (3H); 1.14-1.65 (22H); 1.73-2.41 (6H); 2.56-2.70 (2H); 2.91-3.26 (4H); 3.41-3.63 (2H); 4.30 (0.8H); 4.39 (0.2H); 4.53 (0.8H); 4.61 (0.2H); 7.19-7.31 (5H).
LC/MS (ESI) : 515,4 ; (calculé ([M+H]+) : 515,4). LC / MS (ESI): 515.4; (calculated ([M + H] + ): 515.4).
AB : Synthèse des co-polyaminoacides AB: Synthesis of co-polyamino acids
Co-polyaminoacides statistiques de formule VII ou Vlla Statistical co-polyamino acids of formula VII or VIIa
Tableau lb Liste des co-polyaminoacides synthétisés selon l’invention Table lb List of co-polyamino acids synthesized according to the invention
Co-polyaminoacides de formule VII ou Vllb : Co-polyamino acids of formula VII or Vllb:
Tableau le : Liste des co-polyaminoacides synthétisés selon l'invention. Partie AB : synthèse des co-polyaminoacides Table le: List of co-polyamino acids synthesized according to the invention. Part AB: synthesis of co-polyamino acids
Exemple AB1 : Co-polyaminoacide AB1 - poly-L-glutamate de sodium modifié par la molécule AAI et ayant une masse molaire moyenne en nombre (Mn) de 2900 g/mol Example AB1: Co-polyamino acid AB1 - sodium poly-L-glutamate modified by the molecule AAI and having a number-average molar mass (Mn) of 2900 g / mol
Co-polvaminoacide AB1-1 : acide poly-L-glutamique de masse molaire moyenne en nombre (Mn) relative 3861 g/mol issu de la polymérisation du y-benzyl-L-glutamate /V-carboxyanhydride initiée par l'hexylamine Co-polvamino acid AB1-1: poly-L-glutamic acid with a number-average molar mass (Mn) relative 3861 g / mol resulting from the polymerization of y-benzyl-L-glutamate / V-carboxyanhydride initiated by hexylamine
[000465] Dans un ballon préalablement séché à l'étuve est placé sous vide du y-benzyl- L-glutamate N-ca rboxya n hyd ri de (89,9 g, 341 mmol) pendant 30 min, puis du DMF anhydre (200 mL) est introduit. Le mélange est alors agité sous argon jusqu'à complète dissolution, refroidi à 4 °C, puis de l'hexylamine (2,05 mL 15,5 mmol) est introduite rapidement. Le mélange est agité entre 4 °C et température ambiante pendant 2 jours. Le milieu réactionnel est ensuite chauffé à 65 °C pendant 2 h, refroidi à température ambiante puis coulé goutte- à-goutte dans du diisopropyléther (3 L) sous agitation . Le précipité blanc est récupéré par filtration, lavé avec du diisopropyléther (2 x 200 mL) puis séché sous vide à 30 °C pour donner un acide poly(gamma-benzyl-L-glutamique) (PBLG). In a flask previously dried in an oven is placed under vacuum of y-benzyl-L-glutamate N-ca rboxya n hyd ri of (89.9 g, 341 mmol) for 30 min, then anhydrous DMF ( 200 mL) is introduced. The mixture is then stirred under argon until complete dissolution, cooled to 4 ° C., then hexylamine (2.05 ml 15.5 mmol) is introduced quickly. The mixture is stirred between 4 ° C and room temperature for 2 days. The reaction medium is then heated at 65 ° C for 2 h, cooled to room temperature then poured dropwise into diisopropyl ether (3 L) with stirring. The white precipitate is recovered by filtration, washed with diisopropyl ether (2 x 200 mL) then dried under vacuum at 30 ° C to give a poly (gamma-benzyl-L-glutamic acid) (PBLG).
[000466] À une solution de PBLG (74,8 g) dans l'acide trifluoroacétique (TFA, 340 mL) à 4To a solution of PBLG (74.8 g) in trifluoroacetic acid (TFA, 340 mL) at 4
°C est ajoutée goutte-à-goutte une solution d'acide bromhydrique (HBr) à 33 % dans l'acide acétique (240 mL, 1,37 mol). Le mélange est agité à température ambiante pendant 2 h, puis coulé goutte-à-goutte sur un mélange 1 : 1 (v/v) de diisopropyléther et d'eau sous agitation (4 L). Après 2 h d'agitation, le mélange hétérogène est laissé au repos pendant une nuit. Le précipité blanc est récupéré par filtration, lavé avec un mélange 1 : 1 (v/v) de diisopropyléther et d'eau (340 mL) puis avec de l'eau (340 mL) . ° C is added dropwise a solution of hydrobromic acid (HBr) at 33% in acetic acid (240 mL, 1.37 mol). The mixture is stirred at room temperature for 2 h, then poured dropwise onto a 1: 1 (v / v) mixture of diisopropyl ether and water with stirring. (4 L). After 2 h of stirring, the heterogeneous mixture is left to stand overnight. The white precipitate is recovered by filtration, washed with a 1: 1 (v / v) mixture of diisopropyl ether and water (340 mL) then with water (340 mL).
[000467] Le solide obtenu est alors solubilisé dans de l'eau ( 1,5 L) en ajustant le pH à 7 par ajout d'une solution aqueuse de soude 10 N puis une solution aqueuse de soude 1 N . Après solubilisation, la concentration théorique est ajustée à 20 g/L théorique par addition d'eau pour obtenir un volume final de 2, 1 L. The solid obtained is then dissolved in water (1.5 L) by adjusting the pH to 7 by adding a 10N aqueous sodium hydroxide solution and then a 1N aqueous sodium hydroxide solution. After solubilization, the theoretical concentration is adjusted to 20 g / L theoretical by adding water to obtain a final volume of 2, 1 L.
[000468] La solution est filtrée sur filtre 0,45 pm puis purifiée par ultrafiltration contre une solution de NaCI 0,9 %, puis de l'eau jusqu'à ce que la conductimétrie du perméat soit inférieure à 50 pS/cm. La solution de co-polyaminoacide est ensuite concentrée jusqu'à obtenir un volume final de 1,8 L. The solution is filtered on a 0.45 μm filter and then purified by ultrafiltration against a 0.9% NaCl solution, then water until the conductimetry of the permeate is less than 50 pS / cm. The co-polyamino acid solution is then concentrated until a final volume of 1.8 L is obtained.
[000469] La solution aqueuse est alors acidifiée par ajout de solution d'acide chlorhydrique 37 % jusqu'à atteindre un pH de 2. Après 4 h d'agitation, le précipité obtenu est filtré, lavé avec de l'eau (2 x 340 mL) puis séché sous vide à 30 °C pour donner un acide poly-L- glutamique de masse molaire moyenne en nombre (Mn) 3861 g/mol par rapport à un standard de polyoxyéthylène (PEG). The aqueous solution is then acidified by adding 37% hydrochloric acid solution until reaching a pH of 2. After 4 h of stirring, the precipitate obtained is filtered, washed with water (2 x 340 mL) then dried under vacuum at 30 ° C to give a poly-L-glutamic acid of number average molar mass (Mn) 3861 g / mol relative to a polyoxyethylene (PEG) standard.
Co-polyaminoacide AB1 Co-polyamino acid AB1
[000470] Le co-polyaminoacide AB1-1 ( 10,0 g) est solubilisé dans le DMF (700 mL) à 30- 40 °C puis refroidi à 0 °C. La molécule AAI sous forme de sel de chlorhydrate (1,64 g, 3,8 mmol) est mise en suspension dans du DMF (23 mL) et de la triéthylamine (0,39 g, 3,8 mmol) est ensuite ajoutée et le mélange est légèrement chauffé sous agitation jusqu'à complète dissolution. À la solution de co-polyaminoacide à 0 °C, de la N-méthylmorpholine (NMM, 7,6 g, 75 mmol) dans le DMF ( 14 mL) et du chloroformate d'éthyle (ECF, 8,2 g, 75 mmol) sont ajoutés. Après 10 min à 0 °C, la solution contenant la molécule AAI est ajoutée et le milieu maintenu à 30 °C durant 2 h. Le milieu réactionnel est coulé goutte-à-goutte sur 5,5 L d'eau contenant du NaCI à 15 % massique et du HCl (pH 2), puis laissé reposer une nuit. Le précipité est collecté par filtration et séché sous vide pendant environ 30 min. Le solide blanc obtenu est repris dans de l'eau (500 mL) et le pH est ajusté à 7 par ajout lent d'une solution aqueuse de NaOH 1 N. Après filtration sur filtre 0,45 pm, la solution limpide obtenue est purifiée par ultrafiltration contre une solution de NaCI 0,9 % puis de l'eau, jusqu'à ce que la conductimétrie du perméat soit inférieure à 50 pS/cm. Après déchargement, la solution est filtrée sur filtre 0,2 pm et stockée à 2-8 °C. The co-polyamino acid AB1-1 (10.0 g) is dissolved in DMF (700 mL) at 30-40 ° C and then cooled to 0 ° C. The AAI molecule in the form of the hydrochloride salt (1.64 g, 3.8 mmol) is suspended in DMF (23 mL) and triethylamine (0.39 g, 3.8 mmol) is then added and the mixture is slightly heated with stirring until complete dissolution. To the solution of co-polyamino acid at 0 ° C., N-methylmorpholine (NMM, 7.6 g, 75 mmol) in DMF (14 mL) and ethyl chloroformate (ECF, 8.2 g, 75 mmol) are added. After 10 min at 0 ° C, the solution containing the AAI molecule is added and the medium maintained at 30 ° C for 2 h. The reaction medium is poured dropwise onto 5.5 L of water containing NaCl at 15% by mass and HCl (pH 2), then left to stand overnight. The precipitate is collected by filtration and dried under vacuum for about 30 min. The white solid obtained is taken up in water (500 mL) and the pH is adjusted to 7 by slow addition of a 1N aqueous NaOH solution. After filtration through a 0.45 μm filter, the clear solution obtained is purified. by ultrafiltration against a 0.9% NaCl solution and then water, until the conductimetry of the permeate is less than 50 pS / cm. After unloading, the solution is filtered through a 0.2 μm filter and stored at 2-8 ° C.
Extrait sec : 24,9 mg/g Dry extract: 24.9 mg / g
[000471] Un degré de polymérisation moyen (DP) de 23 est estimé par RMN 1H dans D O en comparant l'intégration des signaux provenant de l 'hydrophobe greffé à celle des signaux provenant de la chaîne principale. An average degree of polymerization (DP) of 23 is estimated by 1 H NMR in DO by comparing the integration of the signals from the grafted hydrophobic with that of the signals from the main chain.
D'après la RMN 1H : i = 0,05 [000472] La masse molaire moyenne calculée du co-polyaminoacide AB1 est calculée sur la base des masses molaires des radicaux Ri et R2, des résidus aspartate et/ou glutamate (y compris une liaison amide), du radical hydrophobe, du DS et du DP. According to 1 H NMR: i = 0.05 The calculated average molar mass of the co-polyamino acid AB1 is calculated on the basis of the molar masses of the radicals Ri and R2, the aspartate and / or glutamate residues (including an amide bond), the hydrophobic radical, the DS and the DP.
La masse molaire moyenne calculée du co-polyaminoacide AB1 est de 3945 g/mol . The calculated average molar mass of the co-polyamino acid AB1 is 3945 g / mol.
HPLC-SEC aqueuse (calibrant PEG) : Mn = 2900 g/mol . Aqueous HPLC-SEC (PEG calibrator): Mn = 2900 g / mol.
Exemple AB2 : Co-polyaminoacide AB2 - poly-L-glutamate de sodium modifié par la molécule AAI et ayant une masse molaire moyenne en nombre (Mn) de 3700 g/mol Example AB2: Co-polyamino acid AB2 - sodium poly-L-glutamate modified by the molecule AAI and having a number-average molar mass (Mn) of 3700 g / mol
[000473] Par un procédé similaire à celui utilisé pour la préparation du co-polyaminoacide AB1 appliqué au sel de chlorhydrate de la molécule AAI (1,64 g, 3,8 mmol) et à un acide poly-L-glutamique de Mn relative 5200 g/mol ( 10,0 g) obtenu par un procédé similaire à celui utilisé pour la préparation du co-polyaminoacide AB1-1, un poly-L-glutamate de sodium modifié par la molécule AAI est obtenu. By a process similar to that used for the preparation of the co-polyamino acid AB1 applied to the hydrochloride salt of the molecule AAI (1.64 g, 3.8 mmol) and to a poly-L-glutamic acid of relative Mn 5200 g / mol (10.0 g) obtained by a process similar to that used for the preparation of the co-polyamino acid AB1-1, a sodium poly-L-glutamate modified by the molecule AAI is obtained.
Extrait sec : 14,1 mg/g Dry extract: 14.1 mg / g
DP (estimé d' MN 1H) : 35 PD (estimated from MN 1 H): 35
D'après la RM 0,05 According to the RM 0.05
La masse molaire moyenne calculée du co-polyaminoacide AB2 est de 5972 g/mol . The calculated average molar mass of the AB2 co-polyamino acid is 5972 g / mol.
HPLC-SEC aqueuse (calibrant PEG) : Mn = 3700 g/mol. Aqueous HPLC-SEC (PEG calibrator): Mn = 3700 g / mol.
Exemple AB3 : Co-polyaminoacide AB3 - poly-L-glutamate de sodium modifié par la molécule AAI et ayant une masse molaire moyenne en nombre (Mn) de 4900 g/mol Example AB3: Co-polyamino acid AB3 - sodium poly-L-glutamate modified by the molecule AAI and having a number-average molar mass (Mn) of 4900 g / mol
[000474] Par un procédé similaire à celui utilisé pour la préparation du co-polyaminoacide AB1 appliqué au sel de chlorhydrate de la molécule AAI (3,30 g, 7,6 mmol) et à un acide poly-L-glutamique de masse moyenne en nombre (Mn) relative 5200 g/mol (10,0 g) obtenu par un procédé similaire à celui utilisé pour la préparation du co-polyaminoacide AB1-1, un poly-L-glutamate de sodium modifié par la molécule AAI est obtenu. By a process similar to that used for the preparation of the co-polyamino acid AB1 applied to the hydrochloride salt of the molecule AAI (3.30 g, 7.6 mmol) and to a poly-L-glutamic acid of medium mass in relative number (Mn) 5200 g / mol (10.0 g) obtained by a process similar to that used for the preparation of the co-polyamino acid AB1-1, a sodium poly-L-glutamate modified by the molecule AAI is obtained .
Extrait sec : 23,4 mg/g Dry extract: 23.4 mg / g
DP (estimé d'après la RMN CH) : 35 DP (estimated from NMR C H): 35
La masse molaire moyenne calculée du co-polyaminoacide AB3 est de 6594 g/mol . The calculated average molar mass of the AB3 co-polyamino acid is 6594 g / mol.
D'après la RMN ^ : \ = 0,10 According to the NMR ^: \ = 0.10
HPLC-SEC aqueuse (calibrant PEG) : Mn = 4900 g/mol. Aqueous HPLC-SEC (PEG calibrator): Mn = 4900 g / mol.
Exemple AB4 : Co-polyaminoacide AB4 - poly-L-glutamate de sodium modifié par la molécule AA2 et ayant une masse molaire moyenne en nombre (Mn) de 1800 g/mol Example AB4: Co-polyamino acid AB4 - sodium poly-L-glutamate modified by the molecule AA2 and having a number-average molar mass (Mn) of 1800 g / mol
[000475] Par un procédé similaire à celui utilisé pour la préparation du co-polyaminoacide AB1 appliqué au sel de chlorhydrate de la molécule AA2 ( 1,09 g, 2,4 mmol) et à un acide poly-L-glutamique de masse moyenne Mn = 5600 g/mol (6,3 g) obtenu par un procédé similaire à celui utilisé pour la préparation du co-polyaminoacide AB1-1 mais avec une étape de déprotection des esters benzyliques utilisant l'iodure de triméthylsilane selon le protocole décrit dans la publication J. Am. Chem. Soc. 2000, 122, 26-34 (Subramanian G. , et al .), un poly-L-glutamate de sodium modifié par la molécule AA2 est obtenu. By a process similar to that used for the preparation of the co-polyamino acid AB1 applied to the hydrochloride salt of the molecule AA2 (1.09 g, 2.4 mmol) and to a poly-L-glutamic acid of medium mass Mn = 5600 g / mol (6.3 g) obtained by a process similar to that used for the preparation of the co-polyamino acid AB1-1 but with a step for the deprotection of benzyl esters using trimethylsilane iodide according to the protocol described in the publication J. Am. Chem. Soc. 2000, 122, 26-34 (Subramanian G., et al.), A sodium poly-L-glutamate modified by the molecule AA2 is obtained.
Extrait sec : 21 ,5 mg/g Dry extract: 21.5 mg / g
DP (estimé d' MN : 35 DP (estimated MN : 35
D'après la RM 0,052 According to the RM 0,052
La masse molaire moyenne calculée du co-polyaminoacide AB4 est de 6022 g/mol . The calculated average molar mass of the AB4 co-polyamino acid is 6022 g / mol.
HPLC-SEC aqueuse (calibrant PEG) : Mn = 1800 g/mol . Aqueous HPLC-SEC (PEG calibrator): Mn = 1800 g / mol.
Exemple AB5 : Co-polyaminoacide AB5 - poly-L-glutamate de sodium modifié par la molécule AA6 et ayant une masse molaire moyenne en nombre (Mn) de 2600 g/mol Example AB5: Co-polyamino acid AB5 - sodium poly-L-glutamate modified by the molecule AA6 and having a number-average molar mass (Mn) of 2600 g / mol
[000476] Par un procédé similaire à celui utilisé pour la préparation du co-polyaminoacide AB1 appliqué au sel de chlorhydrate de la molécule AA6 (2,06 g, 3,8 mmol) et à un acide poly-L-glutamique (9,8 g) obtenu par un procédé similaire à celui utilisé pour la préparation du co-polyaminoacide AB1-1, un poly-L-glutamate de sodium modifié par la molécule AA6 est obtenu . By a process similar to that used for the preparation of the co-polyamino acid AB1 applied to the hydrochloride salt of the molecule AA6 (2.06 g, 3.8 mmol) and to a poly-L-glutamic acid (9, 8 g) obtained by a process similar to that used for the preparation of the co-polyamino acid AB1-1, a sodium poly-L-glutamate modified by the molecule AA6 is obtained.
Extrait sec : 20,9 mg/g Dry extract: 20.9 mg / g
DP (estimé d' MN :H) : 23 PD (estimated MN : H): 23
D'après la RM 0,05 According to the RM 0.05
La masse molaire moyenne calculée du co-polyaminoacide AB5 est de 4079 g/mol. The calculated average molar mass of the AB5 co-polyamino acid is 4079 g / mol.
HPLC-SEC aqueuse (calibrant PEG) : Mn = 2600 g/mol . Aqueous HPLC-SEC (PEG calibrator): Mn = 2600 g / mol.
Exemple AB6 : Co-polyaminoacide AB6 - poly-L-glutamate de sodium modifié par la molécule AA7 et ayant une masse molaire moyenne en nombre (Mn) de 4000 g/mol Example AB6: Co-polyamino acid AB6 - sodium poly-L-glutamate modified by the molecule AA7 and having a number-average molar mass (Mn) of 4000 g / mol
[000477] Un acide poly-L-glutamique de masse moyenne Mn = 3500 g/mol et de degré de polymérisation 22 (10,0 g) obtenu par un procédé similaire à celui utilisé pour la préparation du co-polyaminoacide AB1-1 est solubilisé dans le DMF (420 mL) à 30-40 °C puis maintenu à cette température. En parallèle, le sel de chlorhydrate de la molécule AA7 (1,47 g, 2,3 mmol) est mis en suspension dans du DMF (12 mL) et de la triéthylamine (0,23 g, 2,3 mmol) est ajoutée, puis le mélange est légèrement chauffé sous agitation jusqu'à complète dissolution. À la solution de co-polyaminoacide dans le DMF, de la NMM (7,6 g, 75 mmol), la solution de AA7 puis de la N- oxyde de 2-hydroxypyridine (HOPO, 0,84 g, 7,5 mmol) sont ajoutées successivement. Le milieu réactionnel est alors refroidi à 0 °C, puis du EDC (1,44 g, 7,5 mmol) est ajouté et le milieu est remonté à température ambiante durant 2 h. Le milieu réactionnel est filtré sur filtre tissé 0,2 mm et coulé au goutte-à-goutte sur 3,5 L d'eau contenant du NaCI à 15 % massique et du HCl (pH 2) sous agitation . À la fin de l'ajout, le pH est réajusté à 2 avec une solution de HCl 37 %, et la suspension est laissée reposer une nuit. Le précipité est collecté par filtration, puis rincé par 100 mL d'eau . Le solide blanc obtenu est solubilisé dans 500 mL d'eau par ajout lent d'une solution aqueuse de NaOH 1 N jusqu'à pH 7 sous agitation, puis la solution est filtrée sur filtre 0,45 pm. La solution limpide obtenue est purifiée par ultrafiltration contre une solution de NaCI 0,9 % puis de l'eau, jusqu'à ce que la conductimétrie du perméat soit inférieure à 50 pS/cm. La solution est filtrée sur filtre 0,2 pm et stockée à 2-8 °C. A poly-L-glutamic acid of average mass Mn = 3500 g / mol and of degree of polymerization 22 (10.0 g) obtained by a process similar to that used for the preparation of the co-polyamino acid AB1-1 is solubilized in DMF (420 mL) at 30-40 ° C then maintained at this temperature. In parallel, the hydrochloride salt of the molecule AA7 (1.47 g, 2.3 mmol) is suspended in DMF (12 mL) and triethylamine (0.23 g, 2.3 mmol) is added , then the mixture is slightly heated with stirring until complete dissolution. To the solution of co-polyamino acid in DMF, NMM (7.6 g, 75 mmol), the solution of AA7 then 2-hydroxypyridine N-oxide (HOPO, 0.84 g, 7.5 mmol ) are added successively. The reaction medium is then cooled to 0 ° C., then EDC (1.44 g, 7.5 mmol) is added and the medium is brought up to ambient temperature for 2 h. The reaction medium is filtered through a 0.2 mm woven filter and poured dropwise onto 3.5 L of water containing NaCl at 15% by mass and HCl (pH 2) with stirring. At the end of the addition, the pH is readjusted to 2 with a 37% HCl solution, and the suspension is left to stand overnight. The precipitate is collected by filtration, then rinsed with 100 ml of water. The white solid obtained is solubilized in 500 ml of water by slow addition of a 1N aqueous NaOH solution to pH 7 with stirring, then the solution is filtered through a 0.45 μm filter. The clear solution obtained is purified by ultrafiltration against a 0.9% NaCl solution and then with water, until the conductimetry of the permeate is less than 50 pS / cm. The solution is filtered through a 0.2 µm filter and stored at 2-8 ° C.
Extrait sec : 21,6 mg/g Dry extract: 21.6 mg / g
DP (estimé d' MN XH) : 20 PD (estimated from MN X H): 20
D'après la RM 0,025 According to the RM 0,025
La masse molaire moyenne calculée du co-polyaminoacide AB6 est de 3369 g/mol . The calculated average molar mass of the AB6 co-polyamino acid is 3369 g / mol.
HPLC-SEC aqueuse (calibrant PEG) : Mn = 4000 g/mol . Aqueous HPLC-SEC (PEG calibrator): Mn = 4000 g / mol.
Exemple AB7 : Co-polyaminoacide AB7 - poly-L-glutamate de sodium cappé à une de ses extrémités par un groupement acétyle et modifié par la molécule AA7 et ayant une masse molaire moyenne en nombre (Mn) de 3300 g/mol Example AB7: Co-polyamino acid AB7 - sodium poly-L-glutamate capped at one of its ends by an acetyl group and modified by the molecule AA7 and having a number-average molar mass (Mn) of 3300 g / mol
Co-polvaminoactde AB7- 1 i acide poly-L-glutamique de masse molaire moyenne en nombre (Mn) relative 3600 g/mol et de DP 21 issu de la polymérisation du g-benzyl-L-glutamate N- carboxyanhydride initiée par l'hexylamine et cappé à l'une de ses extrémités par un groupement acétyle Co-polvaminoactde AB7-1 poly-L-glutamic acid of average molar mass in number (Mn) relative 3600 g / mol and of DP 21 resulting from the polymerization of g-benzyl-L-glutamate N- carboxyanhydride initiated by hexylamine and capped at one of its ends by an acetyl group
[000478] Dans un ballon préalablement séché à l'étuve est placé sous vide du y-benzyl- L-glutamate /V-carboxyanhydride (Glu(OBn)-NCA, 100,0 g, 380 mmol) pendant 30 min puis du DMF anhydre (225 mL) est introduit. Le mélange est alors agité sous argon jusqu'à complète dissolution, refroidi à 4 °C, puis de l'hexylamine ( 1,78 g, 17 mmol) est introduite rapidement. Le mélange est agité entre 4 °C et température ambiante pendant 2 jours puis précipité dans du diisopropyléther (3,4 L). Le précipité est récupéré par filtration, lavé deux fois avec du diisopropyléther (225 mL) puis séché pour donner un solide blanc qui est dissout dans 450 mL de THF. À cette solution sont ajoutés successivement de la DIPEA, (31 mL, 176 mmol) puis de l'anhydride acétique ( 17 mL, 176 mmol) . Après une nuit d'agitation à température ambiante, la solution est versée lentement dans du diisopropyléther (3 L) sous agitation . Après 1 h d'agitation, le précipité est filtré, lavé deux fois avec du diisopropyléther (250 mL) puis séché sous vide à 30 °C pour donner un acide poly(gamma -benzyl-L- glutamique) cappé à une de ses extrémités par un groupement acétyle. In a flask previously dried in an oven is placed under vacuum of y-benzyl-L-glutamate / V-carboxyanhydride (Glu (OBn) -NCA, 100.0 g, 380 mmol) for 30 min then DMF anhydrous (225 mL) is introduced. The mixture is then stirred under argon until complete dissolution, cooled to 4 ° C., then hexylamine (1.78 g, 17 mmol) is introduced quickly. The mixture is stirred between 4 ° C and room temperature for 2 days and then precipitated in diisopropyl ether (3.4 L). The precipitate is recovered by filtration, washed twice with diisopropyl ether (225 ml) and then dried to give a white solid which is dissolved in 450 ml of THF. To this solution are successively added DIPEA (31 mL, 176 mmol) and then acetic anhydride (17 mL, 176 mmol). After stirring overnight at room temperature, the solution is poured slowly into diisopropyl ether (3 L) with stirring. After 1 h of stirring, the precipitate is filtered, washed twice with diisopropyl ether (250 ml) then dried under vacuum at 30 ° C to give a poly (gamma -benzyl-L-glutamic acid) capped at one of its ends. by an acetyl group.
[000479] À une solution du co-polyaminoacide ci-dessus (72 g) dans l'acide trifluoroacétique (TFA, 335 mL) à 4 °C est ajoutée goutte-à-goutte une solution d'acide bromhydrique (HBr) à 33 % dans l'acide acétique (235 mL) . Le mélange est agité à température ambiante pendant 3 h 30, puis coulé goutte-à-goutte sur un mélange 1 : 1 (v/v) de diisopropyléther et d'eau sous agitation (4 L). Après 2 h d'agitation, le mélange hétérogène est laissé au repos pendant une nuit. Le précipité blanc est récupéré par filtration, lavé avec un mélange 1 : 1 (v/v) de diisopropyléther et d'eau (340 mL) puis avec de l'eau (340 mL). [000480] Le solide obtenu est alors solubilisé dans de l'eau ( 1,5 L) en ajustant le pH à 7 par ajout d'une solution aqueuse de soude 10N puis une solution aqueuse de soude 1 N . Après solubilisation, la solution est diluée par addition d'eau pour obtenir un volume final de 2,1 L. La solution est filtrée sur filtre 0,45 pm puis purifiée par ultrafiltration contre une solution de NaCI 0,9 %, puis de l'eau jusqu'à ce que la conductimétrie du perméat soit inférieure à 50 pS/cm. La solution de co-polyaminoacide est ensuite concentrée jusqu'à obtenir un volume final de 1,8 L. To a solution of the above co-polyamino acid (72 g) in trifluoroacetic acid (TFA, 335 mL) at 4 ° C is added dropwise a solution of hydrobromic acid (HBr) at 33 % in acetic acid (235 mL). The mixture is stirred at room temperature for 3 h 30 min, then poured dropwise onto a 1: 1 (v / v) mixture of diisopropyl ether and water with stirring (4 L). After 2 h of stirring, the heterogeneous mixture is left to stand overnight. The white precipitate is recovered by filtration, washed with a 1: 1 (v / v) mixture of diisopropyl ether and water (340 mL) then with water (340 mL). The solid obtained is then dissolved in water (1.5 L) by adjusting the pH to 7 by adding a 10N aqueous sodium hydroxide solution and then a 1N aqueous sodium hydroxide solution. After solubilization, the solution is diluted by adding water to obtain a final volume of 2.1 L. The solution is filtered on a 0.45 μm filter and then purified by ultrafiltration against a 0.9% NaCl solution, then l until the conductivity of the permeate is less than 50 pS / cm. The co-polyamino acid solution is then concentrated until a final volume of 1.8 L is obtained.
[000481] La solution aqueuse est alors acidifiée par ajout de solution d'acide chlorhyd rique 37 % jusqu'à atteindre un pH de 2. Après 4 h d'agitation, le précipité obtenu est filtré, lavé avec de l'eau (330 mL) puis séché sous vide à 30 °C pour donner un acide poly-L-glutamique de masse molaire moyenne en nombre (Mn) 3600 g/mol par rapport à un standard de polyoxyéthylène (PEG), et de degré moyen de polymérisation 21. The aqueous solution is then acidified by adding 37% hydrochloric acid solution until reaching a pH of 2. After 4 h of stirring, the precipitate obtained is filtered, washed with water (330 mL) then dried under vacuum at 30 ° C to give a poly-L-glutamic acid of number average molar mass (Mn) 3600 g / mol relative to a polyoxyethylene (PEG) standard, and of average degree of polymerization 21 .
Co-polyaminoacide AB7 : Co-polyamino acid AB7:
[000482] Par un procédé similaire à celui utilisé pour la préparation du co-polyaminoacide AB6 appliqué au sel de chlorhydrate de la molécule AA 7 (1,43 g, 2,2 mmol) et au co- polyaminoacide AB7-1 ( 10,0 g), un acide poly-L-glutamate de sodium modifié par la molécule AA7 est obtenu . By a process similar to that used for the preparation of the co-polyamino acid AB6 applied to the hydrochloride salt of the molecule AA 7 (1.43 g, 2.2 mmol) and to the co-polyamino acid AB7-1 (10, 0 g), a sodium poly-L-glutamate acid modified with the molecule AA7 is obtained.
Extrait sec : 24,3 mg/g Dry extract: 24.3 mg / g
DP (estimé d'après la RMN : 21 DP (estimated from NMR : 21
D'après la RMN Ή : i = 0,03 According to the NMR Ή: i = 0.03
La masse molaire moyenne calculée du co-polyaminoacide AB7 est de 3677 g/mol. The calculated average molar mass of the AB7 co-polyamino acid is 3677 g / mol.
HPLC-SEC aqueuse (calibrant PEG) : Mn = 3300 g/mol. Aqueous HPLC-SEC (PEG calibrator): Mn = 3300 g / mol.
Exemple AB8 : Co-polyaminoacide AB8 - poly-L-glutamate de sodium modifié par la molécule AA7 et ayant une masse molaire moyenne en nombre (Mn) de 3600 g/molExample AB8: Co-polyamino acid AB8 - sodium poly-L-glutamate modified by the molecule AA7 and having a number-average molar mass (Mn) of 3600 g / mol
Co-polvaminoacide AB8-1 : acide poly-L-glutamique de masse molaire moyenne en nombre (Mn) 3800 g / mol et de degré de polymérisation 24 issu de la polymérisation du y-méthyl- L-glutamate /V-carboxyanhydride initiée par l'ammoniac Co-polvamino acid AB8-1: poly-L-glutamic acid of number-average molar mass (Mn) 3800 g / mol and of degree of polymerization 24 resulting from the polymerization of y-methyl- L-glutamate / V-carboxyanhydride initiated by ammonia
[000483] Par un procédé similaire à celui décrit dans la demande de brevet FR-A-2 801 226 appliqué au g-méthyl-L-acide glutamique /V-ca rboxya n hyd ri de (25,0 g, 133,6 mmol) et à une solution d'ammoniaque 0,5 N dans le dioxane ( 12,1 mL, 6,05 mmol), un acide poly-L- glutamique est obtenu. Co-polyaminoacide AB8 : By a process similar to that described in patent application FR-A-2 801 226 applied to g-methyl-L-glutamic acid / V-ca rboxya n hyd ri de (25.0 g, 133.6 mmol) and to a 0.5 N ammonia solution in dioxane (12.1 mL, 6.05 mmol), a poly-L-glutamic acid is obtained. Co-polyamino acid AB8:
[000484] Par un procédé similaire à celui utilisé pour la préparation du co-polyaminoacide AB6 appliqué au sel de chlorhydrate de la molécule AA7 (2,1 g, 3,24 mol) et au co- polyaminoacide AB8-1 ( 14,3 g), un poly-L-glutamate de sodium modifié par la molécule AA7 est obtenu. By a process similar to that used for the preparation of the co-polyamino acid AB6 applied to the hydrochloride salt of the molecule AA7 (2.1 g, 3.24 mol) and to the co-polyamino acid AB8-1 (14.3 g), a sodium poly-L-glutamate modified by the molecule AA7 is obtained.
Extrait sec : 25,2 mg/g Dry extract: 25.2 mg / g
DP (estimé d'après la RMN XH) : 24 DP (estimated by NMR X H): 24
D'après la RMN H : i = 0,03 According to H NMR: i = 0.03
La masse molaire moyenne calculée du co-polyaminoacide AB8 est de 4099 g/mol . The calculated average molar mass of AB8 co-polyamino acid is 4099 g / mol.
HPLC-SEC aqueuse (calibrant PEG) : Mn = 3600 g/mol. Aqueous HPLC-SEC (PEG calibrator): Mn = 3600 g / mol.
Exemple AB9 : Co-polyaminoacide AB9 - poly-L-glutamate de sodium modifié par la molécule AA3 et ayant une masse molaire moyenne en nombre (Mn) de 3200 g/molExample AB9: Co-polyamino acid AB9 - sodium poly-L-glutamate modified by the molecule AA3 and having a number-average molar mass (Mn) of 3200 g / mol
[000485] Par un procédé similaire à celui utilisé pour la préparation du co-polyaminoacide AB1 appliqué au sel de chlorhydrate de la molécule AA3 et à un acide poly-L-glutamique obtenu par un procédé similaire à celui utilisé pour la préparation du co-polyaminoacide AB1- 1, un poly-L-glutamate de sodium modifié par la molécule AA3 est obtenu. By a process similar to that used for the preparation of the co-polyamino acid AB1 applied to the hydrochloride salt of the molecule AA3 and to a poly-L-glutamic acid obtained by a process similar to that used for the preparation of the co- polyamino acid AB1-1, a sodium poly-L-glutamate modified by the molecule AA3 is obtained.
Extrait sec : 14,7 mg/g Dry extract: 14.7 mg / g
DP (estimé d' MN *H) : 30 DP (estimated MN * H): 30
D'après la RM 0, 12 According to the RM 0.12
La masse molaire moyenne calculée du co-polyaminoacide AB9 est de 6192 g/mol. The calculated average molar mass of AB9 co-polyamino acid is 6192 g / mol.
HPLC-SEC aqueuse (calibrant PEG) : Mn = 3200 g/mol. Aqueous HPLC-SEC (PEG calibrator): Mn = 3200 g / mol.
Exemple ABIO : Co-polyaminoacide ABIO - poly-L-glutamate de sodium modifié par la molécule AA4 et ayant une masse molaire moyenne en nombre (Mn) de 2600 g/mol Example ABIO: Co-polyamino acid ABIO - sodium poly-L-glutamate modified by the molecule AA4 and having a number-average molar mass (Mn) of 2600 g / mol
[000486] Par un procédé similaire à celui utilisé pour la préparation du co-polyaminoacide AB7 appliqué au sel de chlorhydrate de la molécule AA4 et à un acide poly-L-glutamique obtenu par un procédé similaire à celui utilisé pour la préparation du co-polyaminoacide AB1- 1, un poly-L-glutamate de sodium modifié par la molécule AA4 est obtenu. By a process similar to that used for the preparation of the AB7 co-polyamino acid applied to the hydrochloride salt of the molecule AA4 and to a poly-L-glutamic acid obtained by a process similar to that used for the preparation of the co- polyamino acid AB1-1, a sodium poly-L-glutamate modified by the molecule AA4 is obtained.
Extrait sec : 18,3 mg/g Dry extract: 18.3 mg / g
DP (estimé d' MN 'Ή) : 25 PD (estimated MN 'Ή): 25
D'après la RM 0,08 According to the RM 0.08
La masse molaire moyenne calculée du co-polyaminoacide AB10 est de 4870 g/mol. The calculated average molar mass of the AB10 co-polyamino acid is 4870 g / mol.
HPLC-SEC aqueuse (calibrant PEG) : Mn = 2600 g/mol. Exemple ABU : Co-polyaminoacide ABU - poly-L-glutamate de sodium modifié par la molécule AA5 et ayant une masse molaire moyenne en nombre (Mn) de 2700 g/mol Aqueous HPLC-SEC (PEG calibrator): Mn = 2600 g / mol. Example ABU: Co-polyamino acid ABU - sodium poly-L-glutamate modified by the molecule AA5 and having a number-average molar mass (Mn) of 2700 g / mol
[000487] Par un procédé similaire à celui utilisé pour la préparation du co-polyaminoacide AB6 appliqué au sel de chlorhydrate de la molécule AA5 et à un acide poly-L-glutamique obtenu par un procédé similaire à celui utilisé pour la préparation du co-polyaminoacide AB1- 1, un poly-L-glutamate de sodium modifié par la molécule AA5 est obtenu. By a process similar to that used for the preparation of the co-polyamino acid AB6 applied to the hydrochloride salt of the molecule AA5 and to a poly-L-glutamic acid obtained by a process similar to that used for the preparation of the co- polyamino acid AB1-1, a sodium poly-L-glutamate modified by the molecule AA5 is obtained.
Extrait sec : 20,2 mg/g Dry extract: 20.2 mg / g
DP (estimé d' MN : 23 DP (estimated MN : 23
D'après la RM 0,05 According to the RM 0.05
La masse molaire moyenne calculée du co-polyaminoacide ABU est de 4072 g/mol. The calculated average molar mass of the ABU co-polyamino acid is 4072 g / mol.
HPLC-SEC aqueuse (calibrant PEG) : Mn = 2700 g/mol. Aqueous HPLC-SEC (PEG calibrator): Mn = 2700 g / mol.
Exemple AB12 : Co-polyaminoacide AB12 - poly-L-glutamate de sodium modifié par la molécule AA8 et ayant une masse molaire moyenne en nombre (Mn) de 3000 g/mol Example AB12: Co-polyamino acid AB12 - sodium poly-L-glutamate modified by the molecule AA8 and having a number-average molar mass (Mn) of 3000 g / mol
[000488] Par un procédé similaire à celui utilisé pour la préparation du co-polyaminoacide AB1 appliqué au sel de chlorhydrate de la molécule AA8 et à un acide poly-L-glutamique obtenu par un procédé similaire à celui utilisé pour la préparation du co-polyaminoacide AB1- 1, un poly-L-glutamate de sodium modifié par la molécule AA8 est obtenu. By a process similar to that used for the preparation of the co-polyamino acid AB1 applied to the hydrochloride salt of the molecule AA8 and to a poly-L-glutamic acid obtained by a process similar to that used for the preparation of the co- polyamino acid AB1-1, a sodium poly-L-glutamate modified by the molecule AA8 is obtained.
Extrait sec : 19,5 mg/g Dry extract: 19.5 mg / g
DP (estimé d' MN 1H) : 26 PD (estimated from MN 1 H): 26
D'après la RM 0,04 According to the RM 0.04
La masse molaire moyenne calculée du co-polyaminoacide AB12 est de 4477 g/mol . The calculated average molar mass of the AB12 co-polyamino acid is 4477 g / mol.
HPLC-SEC aqueuse (calibrant PEG) : Mn = 3000 g/mol. Aqueous HPLC-SEC (PEG calibrator): Mn = 3000 g / mol.
Exemple AB13 : Co-polyaminoacide AB13 - poly-L-glutamate de sodium modifié par la molécule AA9 et ayant une masse molaire moyenne en nombre (Mn) de 3300 g/mol Example AB13: Co-polyamino acid AB13 - sodium poly-L-glutamate modified by the molecule AA9 and having a number-average molar mass (Mn) of 3300 g / mol
[000489] Par un procédé similaire à celui utilisé pour la préparation du co-polyaminoacide AB6 appliqué au sel de chlorhydrate de la molécule AA9 et à un acide poly-L-glutamique obtenu par un procédé similaire à celui utilisé pour la préparation du co-polyaminoacide AB1- 1 en utilisant l'isoamylamine comme initiateur en place de l'hexylamine, un poly-L-glutamate de sodium modifié par la molécule AA9 est obtenu. By a process similar to that used for the preparation of the co-polyamino acid AB6 applied to the hydrochloride salt of the molecule AA9 and to a poly-L-glutamic acid obtained by a process similar to that used for the preparation of the co- polyamino acid AB1-1 by using isoamylamine as initiator in place of hexylamine, a sodium poly-L-glutamate modified by the molecule AA9 is obtained.
Extrait sec : 22,3 mg/g Dry extract: 22.3 mg / g
DP (estimé d' MN : 35 DP (estimated MN : 35
D'après la RM 0,12 According to the RM 0.12
La masse molaire moyenne calculée du co-polyaminoacide AB13 est de 7226 g/mol . HPLC-SEC aqueuse (calibrant PEG) : Mn = 3300 g/mol. The calculated average molar mass of the AB13 co-polyamino acid is 7226 g / mol. Aqueous HPLC-SEC (PEG calibrator): Mn = 3300 g / mol.
Exemple AB21 : Co-polyaminoacide AB21 - poly-L-glutamate de sodium modifié par la molécule AA7 et ayant une masse molaire moyenne en nombre (Mn) de 3400 g/mol Example AB21: Co-polyamino acid AB21 - sodium poly-L-glutamate modified by the molecule AA7 and having a number-average molar mass (Mn) of 3400 g / mol
[000490] Par un procédé similaire à celui utilisé pour la préparation du co-polyaminoacide AB6 appliqué au sel de chlorhydrate de la molécule AA7 (2,44 g, 2,4 mmol) et à un acide poly-L-glutamique ( 10 g) obtenu par un procédé similaire à celui utilisé pour la préparation du co-polyaminoacide AB1- 1, un poly-L-glutamate de sodium modifié par la molécule AA7 est obtenu. By a process similar to that used for the preparation of the co-polyamino acid AB6 applied to the hydrochloride salt of the molecule AA7 (2.44 g, 2.4 mmol) and to a poly-L-glutamic acid (10 g ) obtained by a process similar to that used for the preparation of the co-polyamino acid AB1-1, a sodium poly-L-glutamate modified by the molecule AA7 is obtained.
Extrait sec : 22,7 mg/g Dry extract: 22.7 mg / g
DP (estimé d' MN 1H) : 22 PD (estimated from MN 1 H): 22
D'après la RM 0,056 According to the RM 0,056
La masse molaire moyenne calculée du co-polyaminoacide AB21 est de 4090 g/mol. The calculated average molar mass of the AB21 co-polyamino acid is 4090 g / mol.
HPLC-SEC aqueuse (calibrant PEG) : Mn = 3400 g/mol . Aqueous HPLC-SEC (PEG calibrator): Mn = 3400 g / mol.
Exemple AB22 : Co-polyaminoacide AB22 - poly-L-glutamate de sodium cappé à une de ses extrémités par un groupement acétyle et modifié par la molécule AAIO et ayant une masse molaire moyenne en nombre (Mn) de 4000 g/mol Example AB22: Co-polyamino acid AB22 - sodium poly-L-glutamate capped at one of its ends by an acetyl group and modified by the molecule AAIO and having a number-average molar mass (Mn) of 4000 g / mol
[000491 ] Le sel de chlorhydrate de la molécule AA10 (4,56 g, 11,29 mmol) est mis en solution dans du chloroforme (60 mL) et de la triéthylamine ( 1,14 g, 11,29 mmol) est ajoutée. À une solution de co-polyaminoacide ( 10,0 g, 75,3 mmol) obtenu selon un procédé similaire à celui utilisé pour la préparation du co-polyaminoacide B7- 1 dans le DMF (420 mL), de la NMM (7,6 g, 75,26 mmol), puis de la HOPO (2,51 g, 22,58 mmol) sont ajoutées successivement. Le milieu réactionnel est alors refroidi à 0 °C, puis du EDC (4,33 g, 22,58 mmol) est ajouté, le milieu est agité 1 h à 0 °C puis la solution de molécule AA10 est ajoutée. Le mélange réactionnel est agité durant 2 h entre 0 °C et température ambiante. Le milieu réactionnel est filtré sur filtre tissé 0,2 mm et coulé au goutte-à-goutte sur 3,95 L d'eau contenant du NaCI à 15 % massique et du HCl (pH 2) sous agitation . À la fin de l'ajout, le pH est réajusté à 2 avec une solution de HCl 37 %, et la suspension est laissée reposer une nuit. Le précipité est collecté par filtration, puis solubilisé dans 780 mL d'eau par ajout lent d'une solution aqueuse de NaOH 1 N jusqu'à pH 7 sous agitation . Après filtration sur filtre 0,45 pm, la solution est diluée par addition d'eau puis de l'acétone est ajoutée pour obtenir une solution contenant 30 % massique d'acétone. Cette solution est filtrée sur filtre de charbon actif puis l'acétone est distillée (40 °C, 100 mbar). Après filtration sur filtre 0,45 pm, le produit est purifié par ultrafiltration contre une solution aqueuse de NaCI à 0,9 %, une solution de tampon carbonate (150 mM), une solution aqueuse de NaCI à 0,9 %, une solution de tampon phosphate ( 150 mM), une solution aqueuse de NaCI à 0,9 %, puis de l 'eau jusqu'à ce que la conductimétrie du perméat soit inférieure à 50 pS/cm . La solution est ensuite concentrée, filtrée sur filtre 0,2 pm et stockée à 2-8 °C. The hydrochloride salt of the molecule AA10 (4.56 g, 11.29 mmol) is dissolved in chloroform (60 mL) and triethylamine (1.14 g, 11.29 mmol) is added . To a solution of co-polyamino acid (10.0 g, 75.3 mmol) obtained according to a process similar to that used for the preparation of co-polyamino acid B7-1 in DMF (420 mL), NMM (7, 6 g, 75.26 mmol), then HOPO (2.51 g, 22.58 mmol) are added successively. The reaction medium is then cooled to 0 ° C, then EDC (4.33 g, 22.58 mmol) is added, the medium is stirred for 1 hour at 0 ° C and then the solution of molecule AA10 is added. The reaction mixture is stirred for 2 h between 0 ° C and room temperature. The reaction medium is filtered through a 0.2 mm woven filter and poured dropwise onto 3.95 L of water containing NaCl at 15% by mass and HCl (pH 2) with stirring. At the end of the addition, the pH is readjusted to 2 with a 37% HCl solution, and the suspension is left to stand overnight. The precipitate is collected by filtration, then dissolved in 780 ml of water by slow addition of a 1N aqueous NaOH solution to pH 7 with stirring. After filtration through a 0.45 μm filter, the solution is diluted by adding water and then acetone is added to obtain a solution containing 30% by mass of acetone. This solution is filtered on an activated carbon filter and then the acetone is distilled (40 ° C, 100 mbar). After filtration through a 0.45 μm filter, the product is purified by ultrafiltration against a 0.9% aqueous NaCl solution, a carbonate buffer solution (150 mM), a 0.9% aqueous NaCl solution, a solution phosphate buffer (150 mM), 0.9% aqueous NaCl solution, then water until the conductivity of the permeate is less than 50 pS / cm. The solution is then concentrated, filtered through a 0.2 μm filter and stored at 2-8 ° C.
Extrait sec : 19,7 mg/g Dry extract: 19.7 mg / g
DP (estimé d' MN 1H) : 38 PD (estimated from MN 1 H): 38
D'après la RM 0, 16 According to the RM 0.16
La masse molaire moyenne calculée du co-polyaminoacide AB22 est de 7877 g/mol. The calculated average molar mass of the AB22 co-polyamino acid is 7877 g / mol.
HPLC-SEC organique (calibrant PEG) : Mn = 4000 g/mol . Organic HPLC-SEC (PEG calibrator): Mn = 4000 g / mol.
Exemple AB23 : Co-polyaminoacide AB23 - poly-L-glutamate de sodium modifié par la molécule AA10 et ayant une masse molaire moyenne en nombre (Mn) de 7600 g/mol Example AB23: Co-polyamino acid AB23 - sodium poly-L-glutamate modified by the molecule AA10 and having a number-average molar mass (Mn) of 7600 g / mol
Co-polvaminoacide AB23- 1 : acide poly-L-glutamique issu de la polymérisation du y-benzyl- L-glutamate /V-carboxyanhydride initiée par l'hexylamine et cappé à l'une de ses extrémités par un groupement pyroglutamate Co-polvamino acid AB23-1: poly-L-glutamic acid resulting from the polymerization of y-benzyl-L-glutamate / V-carboxyanhydride initiated by hexylamine and capped at one of its ends by a pyroglutamate group
[000492] Un acide poly-L-glutamique (20,0 g) obtenu par un procédé similaire à celui utilisé pour la préparation du co-polyaminoacide AB1-1 est solubilisé dans le DMF à 80 °C puis maintenu à cette température. Après 24 h, le milieu réactionnel est coulé dans une solution de NaCI à 15 % et à pH 2. Après 4 h, le solide blanc est collecté par filtration, rincé à l'eau, puis séché sous vide à 30 °C. A poly-L-glutamic acid (20.0 g) obtained by a process similar to that used for the preparation of the co-polyamino acid AB1-1 is dissolved in DMF at 80 ° C and then maintained at this temperature. After 24 h, the reaction medium is poured into a 15% NaCl solution at pH 2. After 4 h, the white solid is collected by filtration, rinsed with water, then dried under vacuum at 30 ° C.
[000493] [000493]
Co-polyamïnoamide AB23 Co-polyaminoamide AB23
[000494] Par un procédé similaire à celui utilisé pour la préparation du co-polyaminoacide AB22 appliqué au sel de chlorhydrate de la molécule AA10 (2,742 g, 6,79 mmol) et au co- polyaminoacide AB23- 1 (9,0 g), un acide poly-L-glutamate de sodium modifié par la molécule AA10 est obtenu. By a process similar to that used for the preparation of the co-polyamino acid AB22 applied to the hydrochloride salt of the molecule AA10 (2.742 g, 6.79 mmol) and to the co-polyamino acid AB23-1 (9.0 g) , a sodium poly-L-glutamate acid modified by the molecule AA10 is obtained.
Extrait sec : 21 ,9 mg/g Dry extract: 21.9 mg / g
DP (estimé d' MN : 60 DP (estimated MN : 60
D'après la RM 0,1 According to the RM 0.1
La masse molaire moyenne calculée du co-polyaminoacide AB23 est de 11034 g/mol . The calculated average molar mass of the AB23 co-polyamino acid is 11,034 g / mol.
HPLC-SEC organique (calibrant PEG) : Mn = 7600 g/mol . Organic HPLC-SEC (PEG calibrator): Mn = 7600 g / mol.
Exemple AB24 : Co-polyaminoacide AB24 - poly-L-glutamate de sodium modifié par la molécule AAIO et ayant une masse molaire moyenne en nombre (Mn) de 4300 g/mol Example AB24: Co-polyamino acid AB24 - sodium poly-L-glutamate modified by the molecule AAIO and having a number-average molar mass (Mn) of 4300 g / mol
[000495] Par un procédé similaire à celui utilisé pour la préparation du co-polyaminoacide AB23 appliqué au sel de chlorhydrate de la molécule AA10 et à un acide poly-L-glutamique obtenu par un procédé similaire à celui utilisé pour la préparation du co-polyaminoacide AB23- 1, un poly-L-glutamate de sodium modifié par la molécule AA10 est obtenu . Extrait sec : 22,9 mg/g By a process similar to that used for the preparation of the AB23 co-polyamino acid applied to the hydrochloride salt of the molecule AA10 and to a poly-L-glutamic acid obtained by a process similar to that used for the preparation of the co- polyamino acid AB23-1, a sodium poly-L-glutamate modified by the molecule AA10 is obtained. Dry extract: 22.9 mg / g
DP (estimé d'après la RMN : 39 DP (estimated from NMR : 39
D'après la RMN Ή : i = 0, 15 According to the NMR Ή: i = 0.15
La masse molaire moyenne calculée du co-polyaminoacide AB24 est de 7870 g/mol, HPLC-SEC organique (calibrant PEG) : Mn = 4300 g/mol . The calculated average molar mass of the AB24 co-polyamino acid is 7870 g / mol, organic HPLC-SEC (PEG calibrator): Mn = 4300 g / mol.
Exemple AB25 : Co-polyaminoacide AB25 - poly-L-glutamate de sodium modifié par la molécule AAIO et ayant une masse molaire moyenne en nombre (Mn) de 4200 g/mol Example AB25: Co-polyamino acid AB25 - sodium poly-L-glutamate modified by the molecule AAIO and having a number-average molar mass (Mn) of 4200 g / mol
[000496] Par un procédé similaire à celui utilisé pour la préparation du co-polyaminoacide AB23 appliqué au sel de chlorhydrate de la molécule AA10 et à un acide poly-L-glutamique obtenu par un procédé similaire à cel ui utilisé pour la préparation du co-polyaminoacide AB23- 1, un poly-L-glutamate de sodium modifié par la molécule AA10 est obtenu . By a process similar to that used for the preparation of the AB23 co-polyamino acid applied to the hydrochloride salt of the molecule AA10 and to a poly-L-glutamic acid obtained by a process similar to that used for the preparation of the co -polyamino acid AB23-1, a sodium poly-L-glutamate modified by the molecule AA10 is obtained.
Extrait sec : 25,9 mg/g Dry extract: 25.9 mg / g
DP (estimé d'après la RMN 1H) : 39 DP (estimated from 1 H NMR): 39
D'après la RMN XH : i = 0,2 According to the NMR X H: i = 0.2
La masse molaire moyenne calculée du co-polyaminoacide AB25 est de 8509 g/mol. The calculated average molar mass of the AB25 co-polyamino acid is 8509 g / mol.
HPLC-SEC organique (calibrant PEG) : Mn = 4200 g/mol. Organic HPLC-SEC (PEG calibrator): Mn = 4200 g / mol.
Exemple AB26 : Co-polyaminoacide AB26 - poly-L-glutamate de sodium modifié par la molécule AAIO et ayant une masse molaire moyenne en nombre (Mn) de 2700 g/mol Example AB26: Co-polyamino acid AB26 - sodium poly-L-glutamate modified by the molecule AAIO and having a number-average molar mass (Mn) of 2700 g / mol
[000497] Par un procédé similaire à celui utilisé pour la préparation du co-polyaminoacide AB23 appliqué au sel de chlorhydrate de la molécule AA10 et à un acide poly-L-glutamique obtenu par un procédé similaire à celui utilisé pour la préparation du co-polyaminoacide AB23- 1, un poly-L-glutamate de sodium modifié par la molécule AA10 est obtenu. By a process similar to that used for the preparation of the AB23 co-polyamino acid applied to the hydrochloride salt of the molecule AA10 and to a poly-L-glutamic acid obtained by a process similar to that used for the preparation of the co- polyamino acid AB23-1, a sodium poly-L-glutamate modified by the molecule AA10 is obtained.
Extrait sec : 23,9 mg/g Dry extract: 23.9 mg / g
DP (estimé d'après la RMN *H) : 22 DP (estimated from NMR * H): 22
D'après la RMN XH : i = 0,21 According to the NMR X H: i = 0.21
La masse molaire moyenne calculée du co-polyaminoacide AB26 est de 4899 g/mol. The calculated average molar mass of the AB26 co-polyamino acid is 4899 g / mol.
HPLC-SEC organique (calibrant PEG) : Mn = 2700 g/mol. Organic HPLC-SEC (PEG calibrator): Mn = 2700 g / mol.
Exemple AB27 : Co-polyaminoacide AB27 - poly-L-glutamate de sodium modifié par la molécule AA11 et ayant une masse molaire moyenne en nombre (Mn) de 4500 g/mol Example AB27: Co-polyamino acid AB27 - sodium poly-L-glutamate modified by the molecule AA11 and having a number-average molar mass (Mn) of 4500 g / mol
[000498] Par un procédé similaire à celui utilisé pour la préparation du co-polyaminoacide AB23 appliqué au sel de chlorhydrate de la molécule AA11 et à un acide poly-L-glutamique obtenu par un procédé similaire à celui utilisé pour la préparation du co-polyaminoacide AB23- 1, un poly-L-glutamate de sodium modifié par la molécule AA11 est obtenu. By a process similar to that used for the preparation of the co-polyamino acid AB23 applied to the hydrochloride salt of the molecule AA11 and to a poly-L-glutamic acid obtained by a process similar to that used for the preparation of the co-polyamino acid AB23-1, a sodium poly-L-glutamate modified by the molecule AA11 is obtained.
Extrait sec : 26,8 mg/g Dry extract: 26.8 mg / g
DP (estimé d'après la RMN 1H) : 39 DP (estimated from 1 H NMR): 39
D'après la RM :H : i = 0,15 From the RM : H: i = 0.15
La masse molaire moyenne calculée du co-polyaminoacide AB27 est de 8808 g/mol. The calculated average molar mass of the AB27 co-polyamino acid is 8808 g / mol.
HPLC-SEC organique (calibrant PEG) : Mn = 4500 g/mol. Organic HPLC-SEC (PEG calibrator): Mn = 4500 g / mol.
Exemple AB28 : Co-polyaminoacide AB28 - poly-L-glutamate de sodium modifié par la molécule AAI 2 et ayant une masse molaire moyenne en nombre (Mn) de 4000 g/mol Example AB28: Co-polyamino acid AB28 - sodium poly-L-glutamate modified by the molecule AAI 2 and having a number-average molar mass (Mn) of 4000 g / mol
[000499] Par un procédé similaire à celui utilisé pour la préparation du co-polyaminoacide AB23 appliqué au sel de chlorhydrate de la molécule AA12 et à un acide poly-L-glutamique obtenu par un procédé similaire à celui utilisé pour la préparation du co-polyaminoacide AB23- 1, un poly-L-glutamate de sodium modifié par la molécule AA12 est obtenu . By a process similar to that used for the preparation of the AB23 co-polyamino acid applied to the hydrochloride salt of the molecule AA12 and to a poly-L-glutamic acid obtained by a process similar to that used for the preparation of the co- polyamino acid AB23-1, a sodium poly-L-glutamate modified by the molecule AA12 is obtained.
Extrait sec : 22,9 mg/g Dry extract: 22.9 mg / g
DP (estimé d' MN : 39 DP (estimated MN : 39
D'après la RM 0,15 According to the RM 0.15
La masse molaire moyenne calculée du co-polyaminoacide AB28 est de 7706 g/mol. The calculated average molar mass of the AB28 co-polyamino acid is 7706 g / mol.
HPLC-SEC organique (calibrant PEG) : Mn = 4000 g/mol. Organic HPLC-SEC (PEG calibrator): Mn = 4000 g / mol.
Exemple AB29 : Co-polyaminoacide AB29 - poly- L-g I uta m ate de sodium modifié par la molécule AA13 et ayant une masse molaire moyenne en nombre (Mn) de 4000 g/mol Example AB29: Co-polyamino acid AB29 - poly- L-g I sodium uta m ate modified by the molecule AA13 and having a number-average molar mass (Mn) of 4000 g / mol
Co-polvaminoacide AB29-1 : acide poly-L-glutamique issu de la polymérisation du y-benzyl- L-glutamate N-ca rboxya n hydri de initiée par l'hexylamine Co-polvamino acid AB29-1: poly-L-glutamic acid resulting from the polymerization of y-benzyl- L-glutamate N-ca rboxya n hydri of initiated by hexylamine
[000500] Dans un réacteur à double enveloppe, du g-benzyl-L-glutamate N- carboxyanhydride (500 g, 1,90 mol) est solubilisé dans du DMF anhydre (1100 mL). Le mélange est alors agité jusqu'à complète dissolution, refroidi à 0 °C, puis de l'hexylamine (6,27 mL, 47,5 mmol) est introduite rapidement. Le mélange est agité à 0 °C pendant 5 h, entre 0 °C et 20 °C pendant 7 h, puis à 20 °C pendant 7 h. Le milieu réactionnel est ensuite chauffé à 65 °C pendant 2 h, refroidi à 55 °C et du méthanol (3300 mL) est introduit en 1 h 30. Le mélange réactionnel est alors refroidi à 0 °C et laissé sous ag itation pendant 18 h. Le précipité blanc est récupéré par filtration, lavé au diisopropyléther (2 x 800 mL) puis séché sous pression réduite à 30 °C pour donner un acide poly(gamma-benzyl-L-glutamique) (PBLG). [000501] À une solution de PBLG ( 180 g) dans du L/,/V-diméthylacétamide (DMAc, 450 mL) est ajouté du Pd/AbCb (36 g) sous atmosphère d'argon. Le mélange est placé sous atmosphère d'hydrogène (10 bar) et agité à 60 °C pendant 24 h. Après refroidissement à température ambiante et filtration du catalyseur sur fritté P4 puis sur membrane Omnipore 0,2 mGh PTFE hydrophile, une solution d'eau à pH 2 (2700 mL) est coulée goutte-à-goutte sur la solution de DMAc, sur une période de 45 min et sous agitation . Après 18 h sous agitation, le précipité blanc est récupéré par filtration, lavé avec de l'eau puis séché sous pression réduite à 30 °C In a jacketed reactor, g-benzyl-L-glutamate N-carboxyanhydride (500 g, 1.90 mol) is dissolved in anhydrous DMF (1100 mL). The mixture is then stirred until complete dissolution, cooled to 0 ° C, then hexylamine (6.27 mL, 47.5 mmol) is introduced quickly. The mixture is stirred at 0 ° C for 5 h, between 0 ° C and 20 ° C for 7 h, then at 20 ° C for 7 h. The reaction medium is then heated to 65 ° C for 2 h, cooled to 55 ° C and methanol (3300 mL) is introduced in 1 h 30 min. The reaction mixture is then cooled to 0 ° C and left under agitation for 18 h. The white precipitate is recovered by filtration, washed with diisopropyl ether (2 x 800 mL) then dried under reduced pressure at 30 ° C to give a poly (gamma-benzyl-L-glutamic acid) (PBLG). To a solution of PBLG (180 g) in L /, / V-dimethylacetamide (DMAc, 450 mL) is added Pd / AbCb (36 g) under an argon atmosphere. The mixture is placed under a hydrogen atmosphere (10 bar) and stirred at 60 ° C for 24 h. After cooling to room temperature and filtration of the catalyst on a sintered P4 then on a 0.2 mGh hydrophilic PTFE Omnipore membrane, a water solution at pH 2 (2700 mL) is poured dropwise onto the DMAc solution, on a 45 min period and with stirring. After 18 h with stirring, the white precipitate is recovered by filtration, washed with water and then dried under reduced pressure at 30 ° C.
Co-polyaminoacide AB29 Co-polyamino acid AB29
[000502] Par un procédé similaire à celui utilisé pour la préparation du co-polyaminoacide AB23 appliqué au sel de chlorhydrate de la molécule AA13 et au co-polyaminoacide AB29-1, un poly-L-glutamate de sodium modifié par la molécule AAI 3 est obtenu. By a process similar to that used for the preparation of the co-polyamino acid AB23 applied to the hydrochloride salt of the molecule AA13 and to the co-polyamino acid AB29-1, a sodium poly-L-glutamate modified by the molecule AAI 3 is obtained.
Extrait sec : 16,1 mg/g Dry extract: 16.1 mg / g
DP (estimé d'après la RMN 1H) : 40DP (estimated from 1 H NMR): 40
0, 15 0.15
La masse molaire moyenne calculée du co-polyaminoacide AB29 est de 7734 g/mol. The calculated average molar mass of the AB29 co-polyamino acid is 7734 g / mol.
HPLC-SEC organique (calibrant PEG) : Mn = 4000 g/mol. Organic HPLC-SEC (PEG calibrator): Mn = 4000 g / mol.
Exemple AB30 : Co-polyaminoacide AB30 - poly-L-glutamate de sodium modifié par la molécule AAIO et ayant une masse molaire moyenne en nombre (Mn) de 4300 g/mol Example AB30: Co-polyamino acid AB30 - sodium poly-L-glutamate modified by the molecule AAIO and having a number-average molar mass (Mn) of 4300 g / mol
[000503] Par un procédé similaire à celui utilisé pour la préparation du co-polyaminoacide AB29 appliqué au sel de chlorhydrate de la molécule AA10 et à un acide poly-L-glutamique obtenu par un procédé similaire à celui utilisé pour la préparation du co-polyaminoacide AB29- 1 en utilisant la molécule AA10 comme initiateur en place de l'hexylamine, un poly-L- glutamate de sodium modifié par la molécule AA10 est obtenu. By a process similar to that used for the preparation of the AB29 co-polyamino acid applied to the hydrochloride salt of the molecule AA10 and to a poly-L-glutamic acid obtained by a process similar to that used for the preparation of the co- polyamino acid AB29-1 by using the molecule AA10 as initiator in place of hexylamine, a sodium poly-L-glutamate modified by the molecule AA10 is obtained.
Extrait sec : 29,2 mg/g Dry extract: 29.2 mg / g
DP (estimé d'après la RMN 1H) : 40 DP (estimated from 1 H NMR): 40
D'après la RMN JH : i = 0, 125 According to the NMR J H: i = 0.125
La masse molaire moyenne calculée du co-polyaminoacide AB30 est de 7682 g/mol . The calculated average molar mass of the AB30 co-polyamino acid is 7682 g / mol.
HPLC-SEC organique (calibrant PEG) : Mn = 4300 g/mol. Organic HPLC-SEC (PEG calibrator): Mn = 4300 g / mol.
Exemple AB31 : Co-polyaminoacide AB30 - poly-L-glutamate de sodium modifié par la molécule AAIO et ayant une masse molaire moyenne en nombre (Mn) de 6300 g/mol Example AB31: Co-polyamino acid AB30 - sodium poly-L-glutamate modified by the molecule AAIO and having a number-average molar mass (Mn) of 6300 g / mol
[000504] Par un procédé similaire à celui utilisé pour la préparation du co-polyaminoacide AB29 appliqué au sel de chlorhydrate de la molécule AA10 et à un acide poly-L-glutamique obtenu par un procédé similaire à celui utilisé pour la préparation du co-polyaminoacide AB29- 1 en utilisant la molécule AA10 comme initiateur en place de l'hexylamine, un poly-L- glutamate de sodium modifié par la molécule AA10 est obtenu. By a process similar to that used for the preparation of the co-polyamino acid AB29 applied to the hydrochloride salt of the molecule AA10 and to a poly-L-glutamic acid obtained by a process similar to that used for the preparation of the co-polyamino acid AB29-1 using the AA10 molecule as initiator in place of hexylamine, a sodium poly-L-glutamate modified by the AA10 molecule is obtained.
Extrait sec : 23,1 mg/g Dry extract: 23.1 mg / g
DP (estimé d' MN XH) : 40 PD (estimated from MN X H): 40
D'après la RM 0, 175 According to the RM 0.175
La masse molaire moyenne calculée du co-polyaminoacide AB31 est de 8337 g/mol . The calculated average molar mass of the AB31 co-polyamino acid is 8337 g / mol.
HPLC-SEC organique (calibrant PEG) : Mn = 6300 g/mol. Organic HPLC-SEC (PEG calibrator): Mn = 6300 g / mol.
Exemple AB32 : Co-polyaminoacide AB32 - poly-L-glutamate de sodium modifié par la molécule AA14 et ayant une masse molaire moyenne en nombre (Mn) de 4700 g/mol Example AB32: Co-polyamino acid AB32 - sodium poly-L-glutamate modified by the molecule AA14 and having a number-average molar mass (Mn) of 4700 g / mol
[000505] Par un procédé similaire à celui utilisé pour la préparation du co-polyaminoacide AB29 appliqué à la molécule AA14 et à l'acide poly-L-glutamique AB29-1, un poly-L-glutamate de sodium modifié par la molécule AA14 est obtenu . By a process similar to that used for the preparation of the co-polyamino acid AB29 applied to the molecule AA14 and to the poly-L-glutamic acid AB29-1, a sodium poly-L-glutamate modified by the molecule AA14 is obtained.
Extrait sec : 13,5 mg/g Dry extract: 13.5 mg / g
DP (estimé d' MN 1H) : 40 DP (estimated from MN 1 H): 40
D'après la RM 0,109 According to the RM 0.109
La masse molaire moyenne calculée du co-polyaminoacide AB32 est de 8599 g/mol. The calculated average molar mass of the AB32 co-polyamino acid is 8599 g / mol.
HPLC-SEC organique (calibrant PEG) : Mn = 4700 g/mol. Organic HPLC-SEC (PEG calibrator): Mn = 4700 g / mol.
Exemple AB38 : co-polyaminoacide AB38 - poly-L-glutamate de sodium modifié par la molécule AA18 et ayant une masse molaire moyenne en nombre (Mn) de 4700 g/mol Example AB38: co-polyamino acid AB38 - sodium poly-L-glutamate modified by the molecule AA18 and having a number-average molar mass (Mn) of 4700 g / mol
[000506] Par un procédé similaire à celui utilisé pour la préparation du co-polyaminoacide AB29 appliqué à la molécule AA18 et à l'acide poly-L-glutamique AB29-1, un poly-L-glutamate de sodium modifié par la molécule AA18 est obtenu. By a process similar to that used for the preparation of the co-polyamino acid AB29 applied to the molecule AA18 and to the poly-L-glutamic acid AB29-1, a sodium poly-L-glutamate modified by the molecule AA18 is obtained.
Extrait sec : 25 mg/g Dry extract: 25 mg / g
DP (estimé d'après la RMN 1H) : 40 DP (estimated from 1 H NMR): 40
D'après la RMN CH : i = 0,15 According to the NMR C H: i = 0.15
La masse molaire moyenne calculée du co-polyaminoacide AB38 est de 8954 g/mol. The calculated average molar mass of the AB38 co-polyamino acid is 8954 g / mol.
HPLC-SEC organique (calibrant PEG) : Mn = 4700 g/mol . Co-polyaminoacides de formule VII ou Vllb Organic HPLC-SEC (PEG calibrator): Mn = 4700 g / mol. Co-polyamino acids of formula VII or Vllb
Exemple AB14 : Co-polyaminoacîde AB14 - poly-L-glutamate de sodium modifié à une de ses extrémités par la molécule AAI et ayant une masse molaire moyenne en nombre (Mn) de 3400 g/mol Example AB14: Co-polyamino acid AB14 - sodium poly-L-glutamate modified at one of its ends by the molecule AAI and having a number-average molar mass (Mn) of 3400 g / mol
[000507] Dans un contenant adapté sont introduits successivement le sel de chlorhydrate de la molécule AAI (2,03 g, 4,70 mmol), du chloroforme (5 mL), du tamis moléculaire 4 Â ( 1,3 g), ainsi que de la résine échangeuse d'ion Amberlite IRN 150 ( 1,3 g). Après 1 h d'agitation sur rouleaux, le milieu est filtré et la résine est rincée avec du chloroforme. Le mélange est évaporé puis co-évaporé avec du toluène. Le résidu est solubilisé dans du DMF anhydre (30 mL) pour être utilisé directement dans la réaction de polymérisation. In a suitable container are successively introduced the hydrochloride salt of the molecule AAI (2.03 g, 4.70 mmol), chloroform (5 mL), molecular sieve 4 Â (1.3 g), as well than Amberlite IRN 150 ion exchange resin (1.3 g). After 1 h of stirring on rollers, the medium is filtered and the resin is rinsed with chloroform. The mixture is evaporated and then co-evaporated with toluene. The residue is dissolved in anhydrous DMF (30 mL) to be used directly in the polymerization reaction.
[000508] Dans un ballon préalablement séché à l'étuve, du y-benzyl-L-glutamate N- carboxyanhydride (25,59 g, 97,2 mmol) est placé sous vide pendant 30 min puis du DMF anhydre ( 140 mL) est introduit. Le mélange est agité sous argon jusqu'à solubilisation complète, refroidi à 4 °C, puis la solution de molécule AAI préparée comme décrit précédemment est introduite rapidement. Le mélange est agité entre 4 °C et température ambiante pendant 2 jours, puis chauffé à 65 °C pendant 2 h . Le mélange réactionnel est alors refroidi à température ambiante puis versé goutte-à-goutte dans du diisopropyléther (1,7 L) sous agitation. Le précipité blanc est récupéré par filtration, lavé deux fois avec du diisopropyléther ( 140 mL) puis séché sous vide à 30 °C pour obtenir un solide blanc. Le solide est dilué dans du TFA ( 160 mL), et une solution d'acide bromhydrique (HBr) à 33 % dans de l'acide acétique (62 mL, 354 mmol) est alors ajoutée goutte-à-goutte et à 0 °C. La solution est agitée pendant 2 h à température ambiante puis est coulée goutte-à-goutte sur un mélange 1 : 1 (v/v) de diisopropyléther/eau et sous agitation (1,9 L). Après 2 h d'agitation, le mélange hétérogène est laissé au repos pendant une nuit. Le précipité blanc est récupéré par filtration, lavé successivement avec un mélange 1 : 1 (v/v) de diisopropyléther et d'eau (280 mL) puis avec de l'eau ( 140 mL). Le solide obtenu est solubilisé dans de l'eau (530 mL) en ajustant le pH à 7 par ajout d'une solution aqueuse de soude 10 N puis une solution aqueuse de soude 1 N . Après solubilisation, la concentration théorique est ajustée à 20 g/L théorique par addition d'eau pour obtenir un volume final de 800 mL. Le mélange est filtré sur filtre 0,45 pm puis est purifié par ultrafiltration contre une solution de NaCI 0,9 % puis de l'eau jusqu'à ce que la conductimétrie du perméat soit inférieure à 50 pS/cm . La solution de co- polyaminoacide est ensuite concentrée à environ 30 g/L théorique et le pH est ajusté à 7,0. La solution aqueuse est filtrée sur 0,2 pm et conservée à 4 °C. In a flask previously dried in an oven, y-benzyl-L-glutamate N-carboxyanhydride (25.59 g, 97.2 mmol) is placed under vacuum for 30 min and then anhydrous DMF (140 mL) is introduced. The mixture is stirred under argon until complete solubilization, cooled to 4 ° C., then the solution of AAI molecule prepared as described above is introduced quickly. The mixture is stirred between 4 ° C and room temperature for 2 days, then heated to 65 ° C for 2 h. The reaction mixture is then cooled to room temperature then poured dropwise into diisopropyl ether (1.7 L) with stirring. The white precipitate is recovered by filtration, washed twice with diisopropyl ether (140 ml) then dried under vacuum at 30 ° C to obtain a white solid. The solid is diluted in TFA (160 mL), and a 33% solution of hydrobromic acid (HBr) in acetic acid (62 mL, 354 mmol) is then added dropwise and at 0 °. vs. The solution is stirred for 2 h at room temperature and is then poured dropwise onto a 1: 1 (v / v) mixture of diisopropyl ether / water and with stirring (1.9 L). After 2 h of stirring, the heterogeneous mixture is left to stand overnight. The white precipitate is recovered by filtration, washed successively with a 1: 1 (v / v) mixture of diisopropyl ether and water (280 mL) then with water (140 mL). The solid obtained is dissolved in water (530 ml) by adjusting the pH to 7 by adding a 10N aqueous sodium hydroxide solution and then a 1N aqueous sodium hydroxide solution. After solubilization, the theoretical concentration is adjusted to 20 g / L theoretical by adding water to obtain a final volume of 800 mL. The mixture is filtered on a 0.45 μm filter and is then purified by ultrafiltration against a 0.9% NaCl solution and then with water until the conductimetry of the permeate is less than 50 pS / cm. The co-polyamino acid solution is then concentrated to approximately 30 g / L theoretical and the pH is adjusted to 7.0. The aqueous solution is filtered through 0.2 μm and stored at 4 ° C.
Extrait sec : 24,1 mg/g Dry extract: 24.1 mg / g
DP (estimé par RMN ^) = 25 donc i = 0,04 DP (estimated by NMR ^) = 25 therefore i = 0.04
La masse molaire moyenne calculée du co-polyaminoacide AB14 est de 3378 g/mol . The calculated average molar mass of the AB14 co-polyamino acid is 3378 g / mol.
HPLC-SEC aqueuse (calibrant PEG) : Mn = 3400 g/mol. Exemple AB15 : Co-polyaminoacide AB15 - poly-L-glutamate de sodium modifié à une de ses extrémités par la molécule AA6 et ayant une masse molaire moyenne en nombre (Mn) 4100 g/mol Aqueous HPLC-SEC (PEG calibrator): Mn = 3400 g / mol. Example AB15: Co-polyamino acid AB15 - sodium poly-L-glutamate modified at one of its ends by the molecule AA6 and having a number-average molar mass (Mn) 4100 g / mol
[000509] Par un procédé similaire à celui utilisé pour la préparation du co-polyaminoacide AB14 appliqué au sel de chlorhydrate de la molécule AA6 (2,16 g, 3,94 mmol) et à 25,58 g (97,2 mmol) de g-benzyl-L-glutamate /V-carboxyanhydride, un poly-L-glutamate de sodium modifié à une de ses extrémités par la molécule AA6 est obtenu . By a process similar to that used for the preparation of the AB14 co-polyamino acid applied to the hydrochloride salt of the molecule AA6 (2.16 g, 3.94 mmol) and 25.58 g (97.2 mmol) of g-benzyl-L-glutamate / V-carboxyanhydride, a sodium poly-L-glutamate modified at one of its ends by the molecule AA6 is obtained.
Extrait sec : 45,5 mg/g Dry extract: 45.5 mg / g
DP (estimé par RM N ^) = 30 donc i = 0,033 DP (estimated by RM N ^) = 30 so i = 0.033
La masse molaire moyenne calculée du co-polyaminoacide AB15 est de 5005 g/mol . The calculated average molar mass of the AB15 co-polyamino acid is 5005 g / mol.
HPLC-SEC aqueuse (calibrant PEG) : Mn = 4100 g/mol . Aqueous HPLC-SEC (PEG calibrator): Mn = 4100 g / mol.
Exemple AB16 : Co-polyaminoacide AB16 - poly-L-glutamate de sodium modifié à une de ses extrémités par la molécule AA6 et ayant une masse molaire moyenne en nombre (Mn) de 6500 g/mol Example AB16: Co-polyamino acid AB16 - sodium poly-L-glutamate modified at one of its ends by the molecule AA6 and having a number-average molar mass (Mn) of 6500 g / mol
[000510] Par un procédé similaire à celui utilisé pour la préparation du co-polyaminoacide AB14 appliqué au sel de chlorhydrate de la molécule AA6 (2,39 g, 4,36 mmol) et à 50,0 g (189,9 mmol) de g-benzyl-L-glutamate /V-carboxyanhydride, un poly-L-glutamate de sodium modifié à une de ses extrémités par la molécule AA6 est obtenu. By a process similar to that used for the preparation of the AB14 co-polyamino acid applied to the hydrochloride salt of the molecule AA6 (2.39 g, 4.36 mmol) and to 50.0 g (189.9 mmol) of g-benzyl-L-glutamate / V-carboxyanhydride, a sodium poly-L-glutamate modified at one of its ends by the molecule AA6 is obtained.
Extrait sec : 28,5 mg/g Dry extract: 28.5 mg / g
DP (estimé par RMN 1H) = 48 donc i = 0,021 DP (estimated by 1 H NMR) = 48 therefore i = 0.021
La masse molaire moyenne calculée du co-polyaminoacide AB16 est de 7725 g/mol . The calculated average molar mass of the AB16 co-polyamino acid is 7725 g / mol.
HPLC-SEC aqueuse (cal ibrant PEG) : Mn = 6500 g/mol . Aqueous HPLC-SEC (cal ibrant PEG): Mn = 6500 g / mol.
Exemple AB17 : Co-polyaminoacide AB17 - poly-L-glutamate de sodium modifié à une de ses extrémités par la molécule AA7 et ayant une masse molaire moyenne en nombre (Mn) de 3500 g/mol Example AB17: Co-polyamino acid AB17 - sodium poly-L-glutamate modified at one of its ends by the molecule AA7 and having a number-average molar mass (Mn) of 3500 g / mol
[000511] Par un procédé similaire à celui utilisé pour la préparation du co-polyaminoacide AB14 appliqué au sel de chlorhydrate de la molécule AA7 (2,80 g, 4,32 mmol) et à 25,0 g (94,9 mmol) de g-benzyl-L-glutamate /V-carboxyanhydride, un poly-L-glutamate de sodium modifié à une de ses extrémités par la molécule AA7 est obtenu. By a process similar to that used for the preparation of the co-polyamino acid AB14 applied to the hydrochloride salt of the molecule AA7 (2.80 g, 4.32 mmol) and to 25.0 g (94.9 mmol) of g-benzyl-L-glutamate / V-carboxyanhydride, a sodium poly-L-glutamate modified at one of its ends by the molecule AA7 is obtained.
Extrait sec : 25,2 mg/g Dry extract: 25.2 mg / g
DP (estimé par RMN ^) = 26 donc i = 0,038 DP (estimated by NMR ^) = 26 therefore i = 0.038
La masse molaire moyenne calculée du co-polyaminoacide AB17 est de 4500 g/mol . The calculated average molar mass of AB17 co-polyamino acid is 4500 g / mol.
HPLC-SEC aqueuse (calibrant PEG) : Mn = 3500 g/mol . Exemple AB18 : Co-polyaminoacide AB18 - poly-L-glutamate de sodium modifié à une de ses extrémités par la molécule AA7 et ayant une masse molaire moyenne en nombre (Mn) de 3700 g/mol Aqueous HPLC-SEC (PEG calibrator): Mn = 3500 g / mol. Example AB18: Co-polyamino acid AB18 - sodium poly-L-glutamate modified at one of its ends by the molecule AA7 and having a number-average molar mass (Mn) of 3700 g / mol
[000512] Un poly-L-glutamate de sodium modifié à une de ses extrémités par la molécule AA7 est obtenu par polymérisation du g-méthyl /V-carboxyanhydride d'acide glutamique (25,0 g, 133,6 mmol) en utilisant le sel chlorhydrate de la molécule AA7 (2,80 g, 4,32 mmol) comme initiateur et en effectuant une déprotection des esters méthyliques par utilisation d'une solution d'acide chlorhydrique à 37 % selon le procédé décrit dans la demande de brevet FR- A-2 801 226. A sodium poly-L-glutamate modified at one of its ends by the molecule AA7 is obtained by polymerization of g-methyl / V-carboxyanhydride of glutamic acid (25.0 g, 133.6 mmol) using the hydrochloride salt of the molecule AA7 (2.80 g, 4.32 mmol) as initiator and by deprotecting the methyl esters by using a hydrochloric acid solution at 37% according to the process described in the patent application FR- A-2 801 226.
Extrait sec : 44,3 mg/g Dry extract: 44.3 mg / g
DP (estimé par RMN = 22 donc i = 0,045 DP (estimated by NMR = 22 so i = 0.045
La masse molaire moyenne calculée du co-polyaminoacide AB18 est de 3896 g/mol. The calculated average molar mass of the AB18 co-polyamino acid is 3896 g / mol.
HPLC-SEC aqueuse (calibrant PEG) : Mn = 3700 g/mol. Aqueous HPLC-SEC (PEG calibrator): Mn = 3700 g / mol.
Exemple AB19 : Co-polyaminoacide AB19 - poly-L-glutamate de sodium modifié à une de ses extrémités par la molécule AA6 et ayant une masse molaire moyenne en nombre (Mn) de 10500 g/mol Example AB19: Co-polyamino acid AB19 - sodium poly-L-glutamate modified at one of its ends by the molecule AA6 and having a number-average molar mass (Mn) of 10500 g / mol
[000513] Par un procédé similaire à celui utilisé pour la préparation du co-polyaminoacide AB14 appliqué au sel de chlorhydrate de la molécule AA6 ( 1,64 g, 2,99 mmol) et au y-benzyl- L-glutamate /V-carboxyanhydride (49,3 g, 187 mmol), un poly-L-glutamate de sodium modifié à une de ses extrémités par la molécule AA6 est obtenu. By a process similar to that used for the preparation of the co-polyamino acid AB14 applied to the hydrochloride salt of the molecule AA6 (1.64 g, 2.99 mmol) and to y-benzyl- L-glutamate / V- carboxyanhydride (49.3 g, 187 mmol), a sodium poly-L-glutamate modified at one of its ends by the molecule AA6 is obtained.
Extrait sec : 23,4 mg/g Dry extract: 23.4 mg / g
DP (estimé par RM N 1H) = 65 donc i = 0,015 DP (estimated by RM N 1 H) = 65 therefore i = 0.015
La masse molaire moyenne calculée du co-polyaminoacide AB19 est de 10293 g/mol . The calculated average molar mass of the AB19 co-polyamino acid is 10293 g / mol.
HPLC-SEC aqueuse (calibrant PEG) : Mn = 10500 g/mol. Aqueous HPLC-SEC (PEG calibrator): Mn = 10,500 g / mol.
Exemple AB20 : Co-polyaminoacide AB20 - poly-L-glutamate de sodium cappé à une de ses extrémités par un groupement acétyle et modifié à une de ses extrémités par la molécule AA6 et ayant une masse molaire moyenne en nombre (Mn) de 10400 g/mol Example AB20: Co-polyamino acid AB20 - sodium poly-L-glutamate capped at one of its ends by an acetyl group and modified at one of its ends by the molecule AA6 and having a number-average molar mass (Mn) of 10,400 g / mol
[000514] Dans un contenant adapté sont introduits successivement le sel de chlorhydrate de la molécule AA6 (0,545 g, 1 ,00 mmol), du chloroforme (10 mL), du tamis moléculaire 4 Â (3 g), ainsi que de la résine échangeuse d'ion Amberlite IRN 150 (3 g). Après 1 h d'agitation sur rouleaux, le milieu est filtré et la résine est rincée avec du chloroforme. Le mélange est évaporé puis co-évaporé avec du toluène. Le résidu est solubilisé dans du DMF anhydre (10 mL) pour être utilisé directement dans la réaction de polymérisation . In a suitable container are successively introduced the hydrochloride salt of the molecule AA6 (0.545 g, 1.00 mmol), chloroform (10 mL), molecular sieve 4 Â (3 g), as well as resin Amberlite IRN 150 ion exchanger (3 g). After 1 h of stirring on rollers, the medium is filtered and the resin is rinsed with chloroform. The mixture is evaporated and then co-evaporated with toluene. The residue is dissolved in anhydrous DMF (10 mL) to be used directly in the polymerization reaction.
[000515] Dans un ballon préalablement séché à l'étuve, du g-benzyl-L-glutamate N- carboxyanhydride ( 17,0 g, 64,6 mmol) est placé sous vide pendant 30 min puis du DMF anhydre (30 ml_) est introduit. Le mélange est agité sous argon jusqu'à solubilisation complète, refroidi à 4 °C, puis la solution de molécule AA6 préparée comme décrit précédemment est introduite rapidement. Le mélange est agité entre 4 °C et température ambiante pendant 2 jours, puis précipité dans du diisopropyléther (0,6 L). Le précipité est récupéré par filtration, lavé deux fois avec du diisopropyléther (40 mL) puis séché pour donner un solide blanc qui est dissout dans 80 mL de THF. À cette solution sont ajoutés successivement de la DIPEA, (1,7 mL, 9,8 mmol) puis de l'anhydride acétique (0,9 mL, 9,5 mmol). Après une nuit d'agitation à température ambiante, la solution est versée lentement dans du diisopropyléther (480 mL) sur une durée de 30 min et sous agitation. Après 1 h d'agitation, le précipité est filtré, lavé deux fois avec du diisopropyléther (80 mL) puis séché sous vide à 30 °C pour donner un acide poly(gamma-benzyl-L-glutamique) cappé à une de ses extrémités par un groupement acétyle et modifié à l'autre de ses extrémités par la molécule AA6 sous la forme d'un solide blanc. In a flask previously dried in an oven, g-benzyl-L-glutamate N-carboxyanhydride (17.0 g, 64.6 mmol) is placed under vacuum for 30 min and then DMF anhydrous (30 ml_) is introduced. The mixture is stirred under argon until complete solubilization, cooled to 4 ° C., then the solution of molecule AA6 prepared as described above is introduced quickly. The mixture is stirred between 4 ° C and room temperature for 2 days, then precipitated in diisopropyl ether (0.6 L). The precipitate is recovered by filtration, washed twice with diisopropyl ether (40 ml) then dried to give a white solid which is dissolved in 80 ml of THF. To this solution are successively added DIPEA (1.7 mL, 9.8 mmol) and then acetic anhydride (0.9 mL, 9.5 mmol). After stirring overnight at room temperature, the solution is poured slowly into diisopropyl ether (480 mL) over a period of 30 min and with stirring. After 1 h of stirring, the precipitate is filtered, washed twice with diisopropyl ether (80 ml) then dried under vacuum at 30 ° C to give a poly (gamma-benzyl-L-glutamic acid) capped at one of its ends. by an acetyl group and modified at the other of its ends by the molecule AA6 in the form of a white solid.
[000516] Le solide est dilué dans du TFA (65 mL), et une solution d'acide bromhydrique (HBr) à 33 % dans de l'acide acétique (45 mL, 257,0 mmol) est alors ajoutée goutte-à-goutte et à 4 °C. La solution est agitée pendant 2 h à température ambiante puis est coulée goutte- à-goutte sur un mélange 1 : 1 (v/v) de diisopropyléther/eau et sous agitation (780 mL). Après 2 h d'agitation, le mélange hétérogène est laissé au repos pendant une nuit. Le précipité blanc est récupéré par filtration, lavé successivement avec un mélange 1 : 1 (v/v) de diisopropyléther et d'eau (70 mL) puis avec de l'eau (70 mL) . Le solide obtenu est solubilisé dans de l'eau (300 mL) en ajustant le pH à 7 par ajout d'une solution aqueuse de soude 10 N puis une solution aqueuse de soude 1 N . Après solubilisation, la concentration théorique est ajustée à 20 g/L théorique par addition d'eau pour obtenir un volume final de 440 mL. Le mélange est filtré sur filtre 0,45 pm puis est purifié par ultrafiltration contre une solution de NaCI 0,9 % puis de l'eau jusqu'à ce que la conductimétrie du perméat soit inférieure à 50 pS/cm. La solution de co-polyaminoacide est ensuite concentrée à environ 30 g/L théorique et le pH est ajusté à 7,0. La solution aqueuse est filtrée sur 0,2 pm et conservée à 4 °C. The solid is diluted in TFA (65 mL), and a solution of hydrobromic acid (HBr) at 33% in acetic acid (45 mL, 257.0 mmol) is then added dropwise. drop and at 4 ° C. The solution is stirred for 2 h at room temperature and is then poured dropwise onto a 1: 1 (v / v) mixture of diisopropyl ether / water and with stirring (780 mL). After 2 h of stirring, the heterogeneous mixture is left to stand overnight. The white precipitate is recovered by filtration, washed successively with a 1: 1 (v / v) mixture of diisopropyl ether and water (70 ml) then with water (70 ml). The solid obtained is dissolved in water (300 mL) by adjusting the pH to 7 by adding a 10N aqueous sodium hydroxide solution and then a 1N aqueous sodium hydroxide solution. After solubilization, the theoretical concentration is adjusted to 20 g / L theoretical by adding water to obtain a final volume of 440 mL. The mixture is filtered on a 0.45 μm filter and is then purified by ultrafiltration against a 0.9% NaCl solution and then with water until the conductimetry of the permeate is less than 50 pS / cm. The co-polyamino acid solution is then concentrated to approximately 30 g / L theoretical and the pH is adjusted to 7.0. The aqueous solution is filtered through 0.2 μm and stored at 4 ° C.
Extrait sec : 21,5 mg/g Dry extract: 21.5 mg / g
DP (estimé par RMN *H) = 60 donc i = 0,017 DP (estimated by NMR * H) = 60 therefore i = 0.017
La masse molaire moyenne calculée du co-polyaminoacide AB20 est de 9619 g/mol. The calculated average molar mass of the AB20 co-polyamino acid is 9619 g / mol.
HPLC-SEC aqueuse (calibrant PEG) : Mn = 10400 g/mol. Aqueous HPLC-SEC (PEG calibrator): Mn = 10400 g / mol.
Exemple AB33 : Co-polyaminoacide AB33 - poly-L-g I uta m ate de sodium modifié à une de ses extrémités par la molécule AA15 et ayant une masse molaire moyenne en nombre (Mn) de 1800 g/mol Example AB33: Co-polyamino acid AB33 - sodium poly-L-g I uta m ate modified at one of its ends by the molecule AA15 and having a number-average molar mass (Mn) of 1800 g / mol
[000517] Par un procédé similaire à celui utilisé pour la préparation du co-polyaminoacide AB14 appliqué à la molécule AA15 (0,82 g, 1,34 mmol) et à 7,75 g (29,4 mmol) de y-benzyl- L-glutamate /V-carboxyanhydride, une solution de poly-L-glutamate de sodium modifié à une de ses extrémités par la molécule AA15 est obtenu . By a process similar to that used for the preparation of the AB14 co-polyamino acid applied to the molecule AA15 (0.82 g, 1.34 mmol) and to 7.75 g (29.4 mmol) of y-benzyl - L-glutamate / V-carboxyanhydride, a solution of sodium poly-L-glutamate modified at one of its ends by the molecule AA15 is obtained.
Extrait sec : 16,8 mg/g Dry extract: 16.8 mg / g
DP (estimé par RM IM CH) = 22 donc i = 0,045 DP (estimated by RM IM C H) = 22 therefore i = 0.045
La masse molaire moyenne calculée du co-polyaminoacide AB33 est de 3897 g/mol. The calculated average molar mass of the co-polyamino acid AB33 is 3897 g / mol.
HPLC-SEC aqueuse (calibrant PEG) : n = 1800 g/mol . Aqueous HPLC-SEC (PEG calibrator): n = 1800 g / mol.
Exemple AB34 : Co-polyaminoacide AB34 - poly-L-glutamate de sodium modifié à une de ses extrémités par la molécule AA4 et ayant une masse molaire moyenne en nombre (Mn) de 2600 g/mol Example AB34: Co-polyamino acid AB34 - sodium poly-L-glutamate modified at one of its ends by the molecule AA4 and having a number-average molar mass (Mn) of 2600 g / mol
[000518] Dans un ballon préalablement séché à l 'étuve, du g-benzyl-L-glutamate N- carboxyanhydride (70,9 g, 269,3 mmol) est solubilisé dans du DMF anhydre ( 125 mL) . Le mélange est refroidi à 4 °C, puis une solution de molécule AA4 sous forme d'amine neutre (6,80 g, 12,23 mmol) dans le DMF (35 mL) est introduite rapidement. Le mélange est agité entre 4 °C et température ambiante pendant 18 h, puis chauffé à 65 °C pendant 2 h . Le milieu réactionnel est alors refroidi à température ambiante et versé goutte-à-goutte dans du diisopropyléther (2,4 L) sous agitation . Le précipité blanc est récupéré par filtration, lavé avec du diisopropyléther (2 x 125 mL) puis séché sous pression réduite à 30 °C pour donner un solide blanc. Le solide est solubilisé dans du L/,/V-diméthylacétamide (DMAc, 150 mL) puis du Pd/AhCb (6 g) est ajouté sous atmosphère d'argon. Le mélange est placé sous atmosphère d'hydrogène ( 10 bar) et agité à 60 °C pendant 24 h. Après refroidissement à température ambiante et filtration du catalyseur sur fritté P4 puis sur membrane Omnipore 0,2 pm PTFE hydrophile, une solution d'eau à pH 2 (900 mL) est coulée goutte-à-goutte sur la solution de DMAc, sur une période de 45 min et sous agitation. Après 18 h sous agitation, le précipité blanc est récupéré par filtration, lavé avec de l'eau puis séché sous pression réduite à 30 °C. Le solide obtenu est solubilisé dans de l'eau (1,25 L) en ajustant le pH à 7 par ajout d'une solution aqueuse de soude 1 N . Le pH est ensuite ajusté à pH 12 et la solution est maintenue sous agitation pendant 1 h . Après neutralisation à pH 7, la solution est filtrée sur 0,2 pm, diluée avec de l'éthanol afin d'obtenir une solution contenant 30 % massique d'éthanol, puis filtrée sur filtre de charbon actif (3M R53SLP). La solution obtenue est filtrée sur 0,45 pm et purifiée par ultrafiltration contre une solution de NaCI 0,9 % puis de l'eau jusqu'à ce que la conductimétrie du perméat soit inférieure à 50 pS/cm. La solution de co-polyaminoacide est ensuite concentrée à environ 30 g/L théorique et le pH est ajusté à 7. La solution aqueuse est filtrée sur 0,2 pm et conservée à 4 °C. In a flask previously dried in an oven, g-benzyl-L-glutamate N-carboxyanhydride (70.9 g, 269.3 mmol) is dissolved in anhydrous DMF (125 mL). The mixture is cooled to 4 ° C., then a solution of AA4 molecule in the form of neutral amine (6.80 g, 12.23 mmol) in DMF (35 mL) is rapidly introduced. The mixture is stirred between 4 ° C and room temperature for 18 h, then heated to 65 ° C for 2 h. The reaction medium is then cooled to room temperature and poured dropwise into diisopropyl ether (2.4 L) with stirring. The white precipitate is recovered by filtration, washed with diisopropyl ether (2 x 125 mL) and then dried under reduced pressure at 30 ° C to give a white solid. The solid is dissolved in L /, / V-dimethylacetamide (DMAc, 150 mL) then Pd / AhCb (6 g) is added under an argon atmosphere. The mixture is placed under a hydrogen atmosphere (10 bar) and stirred at 60 ° C for 24 h. After cooling to room temperature and filtration of the catalyst on a sintered P4 and then on a 0.2 μm hydrophilic PTFE Omnipore membrane, a solution of water at pH 2 (900 mL) is poured dropwise onto the DMAc solution, on a 45 min period and with stirring. After 18 h with stirring, the white precipitate is recovered by filtration, washed with water and then dried under reduced pressure at 30 ° C. The solid obtained is dissolved in water (1.25 L) by adjusting the pH to 7 by adding a 1N aqueous sodium hydroxide solution. The pH is then adjusted to pH 12 and the solution is kept stirring for 1 h. After neutralization at pH 7, the solution is filtered over 0.2 μm, diluted with ethanol in order to obtain a solution containing 30% by mass of ethanol, then filtered on an activated carbon filter (3M R53SLP). The solution obtained is filtered through 0.45 μm and purified by ultrafiltration against a 0.9% NaCl solution and then with water until the conductimetry of the permeate is less than 50 pS / cm. The co-polyamino acid solution is then concentrated to around 30 g / L theoretical and the pH is adjusted to 7. The aqueous solution is filtered through 0.2 μm and stored at 4 ° C.
Extrait sec : 38,1 mg/g Dry extract: 38.1 mg / g
DP (estimé par RMN *H) = 23 donc i = 0,043 DP (estimated by NMR * H) = 23 therefore i = 0.043
La masse molaire moyenne calculée du co-polyaminoacide AB34 est de 3991 g/mol . The calculated average molar mass of the AB34 co-polyamino acid is 3991 g / mol.
HPLC-SEC organique (calibrant PEG) : Mn = 2600 g/mol. Exemple AB35 : Co-polyaminoacide AB35 - poly-L-glutamate de sodium modifié à une de ses extrémités par la molécule AA14 et ayant une masse molaire moyenne en nombre (Mn) de 2600 g/mol Organic HPLC-SEC (PEG calibrator): Mn = 2600 g / mol. Example AB35: Co-polyamino acid AB35 - sodium poly-L-glutamate modified at one of its ends by the molecule AA14 and having a number-average molar mass (Mn) of 2600 g / mol
[000519] Par un procédé similaire à celui utilisé pour la préparation du co-polyaminoacide AB34 appliqué à la molécule AA14 (0,4 g, 0,65 mmol) en solution dans le chloroforme (6,5 ml_) et à 3,79 g ( 14,4 mmol) de g-benzyl-L-glutamate /V-carboxyanhydride en solution dans le DMF (6,5 mL), et en omettant l'étape de filtration sur charbon actif, une solution de poly- L-glutamate de sodium modifié à une de ses extrémités par la molécule AA14 est obtenu. Extrait sec : 21 ,0 mg/g By a process similar to that used for the preparation of the AB34 co-polyamino acid applied to the molecule AA14 (0.4 g, 0.65 mmol) in solution in chloroform (6.5 ml_) and at 3.79 g (14.4 mmol) of g-benzyl-L-glutamate / V-carboxyanhydride in solution in DMF (6.5 mL), and omitting the step of filtration on activated carbon, a solution of poly-L- sodium glutamate modified at one of its ends by the molecule AA14 is obtained. Dry extract: 21.0 mg / g
DP (estimé par RM N = 22 donc i = 0,045 DP (estimated by RM N = 22 so i = 0.045
La masse molaire moyenne calculée du co-polyaminoacide AB35 est de 3896 g/mol . The calculated average molar mass of the co-polyamino acid AB35 is 3896 g / mol.
HPLC-SEC organique (calibrant PEG) : Mn = 2600 g/mol . Organic HPLC-SEC (PEG calibrator): Mn = 2600 g / mol.
Exemple AB36 : Co-polyaminoacide AB36 - poly-L-glutamate de sodium modifié à une de ses extrémités par la molécule AA16 et ayant une masse molaire moyenne en nombre (Mn) de 2800 g/mol Example AB36: Co-polyamino acid AB36 - sodium poly-L-glutamate modified at one of its ends by the molecule AA16 and having a number-average molar mass (Mn) of 2800 g / mol
[000520] Par un procédé similaire à celui utilisé pour la préparation du co-polyaminoacide AB34 appliqué à la molécule AA16 (3,28 g, 4,67 mmol) et à 27,02 g ( 102,6 mmol) de y- benzyl-L-glutamate /V-carboxyanhydride, une solution de poly-L-glutamate de sodium modifié à une de ses extrémités par la molécule AA16 est obtenu. By a process similar to that used for the preparation of the co-polyamino acid AB34 applied to the molecule AA16 (3.28 g, 4.67 mmol) and to 27.02 g (102.6 mmol) of y-benzyl -L-glutamate / V-carboxyanhydride, a solution of sodium poly-L-glutamate modified at one of its ends by the molecule AA16 is obtained.
Extrait sec : 23,9 mg/g Dry extract: 23.9 mg / g
DP (estimé par RM N 1H) = 22 donc i = 0,045 DP (estimated by RM N 1 H) = 22 therefore i = 0.045
La masse molaire moyenne calculée du co-polyaminoacide AB36 est de 3987 g/mol. The calculated average molar mass of the AB36 co-polyamino acid is 3987 g / mol.
HPLC-SEC organique (calibrant PEG) : Mn = 2800 g/mol . Organic HPLC-SEC (PEG calibrator): Mn = 2800 g / mol.
Exemple AB37 : Co-polyaminoacide AB37 - poly-L-glutamate de sodium modifié à une de ses extrémités par la molécule AA17 et ayant une masse molaire moyenne en nombre (Mn) de 2800 g/mol Example AB37: Co-polyamino acid AB37 - sodium poly-L-glutamate modified at one of its ends by the molecule AA17 and having a number-average molar mass (Mn) of 2800 g / mol
Par un procédé similaire à celui utilisé pour la préparation du co-polyaminoacide AB34 appliqué à la molécule AA17 (4,50 g, 9,73 mmol) et à 56,33 g (214,0 mmol) de y-benzyl-L- glutamate /V-carboxyanhydride, une solution de poly-L-glutamate de sodium modifié à une de ses extrémités par la molécule AA17 est obtenu . By a process similar to that used for the preparation of the co-polyamino acid AB34 applied to the molecule AA17 (4.50 g, 9.73 mmol) and to 56.33 g (214.0 mmol) of y-benzyl-L- glutamate / V-carboxyanhydride, a solution of sodium poly-L-glutamate modified at one of its ends by the molecule AA17 is obtained.
Extrait sec : 26,8 mg/g Dry extract: 26.8 mg / g
DP (estimé par RMN ^) = 24 donc i = 0,042 DP (estimated by NMR ^) = 24 therefore i = 0.042
La masse molaire moyenne calculée du co-polyaminoacide AB37 est de 4049 g/mol . The calculated average molar mass of the AB37 co-polyamino acid is 4049 g / mol.
HPLC-SEC organique (calibrant PEG) : Mn = 2800 g/mol. Partie B: Organic HPLC-SEC (PEG calibrator): Mn = 2800 g / mol. Part B:
BB : synthèse des des composés intermédiaires hydrophobes Hy permettant d'obtenir les radicaux -Hy dans lesquelles p = 2 BB: synthesis of hydrophobic intermediate compounds Hy making it possible to obtain the -Hy radicals in which p = 2
[000521] Les composés intermédiaires hydrophobes sont représentés dans le tableau suivant par la molécule hydrophobe correspondante avant greffage sur le co-poiyaminoacide. The hydrophobic intermediate compounds are represented in the following table by the corresponding hydrophobic molecule before grafting on the co-poiyamino acid.
Tableau ld : Liste des composés intermédiaires hydrophobes synthétisées selon l'invention. Part BA : Synthèse des composés intermédiaires hydrophobes dans lesquelles p = 2 Table 1d: List of hydrophobic intermediate compounds synthesized according to the invention. Part BA: Synthesis of hydrophobic intermediate compounds in which p = 2
Exemple BAI : molécule BAI BAI example: BAI molecule
Molécule B1 i Produit obtenu par la réaction entre l'acide décanoïque et la L-proline. Molecule B1 i Product obtained by the reaction between decanoic acid and L-proline.
[000522] À une solution d'acide décanoïque (14,28 g, 82,91 mmol) dans le THF (520 mL) à 0 °C sont ajoutés successivement du dicyclohexyle carbodiimide (DCC) (16,29 g, 78,96 mmol) et du /V-hydroxysuccinimide (NHS) (9,09 g, 78,96 mmol) . Après 60 h d'agitation à température ambiante, le milieu est refroidi à 0 °C pendant 20 min, filtré sur fritté. De la L- proline ( 10 g, 86,86 mmol), de la diisopropyléthylamine (DIPEA) (68,8 mL) et de l'eau (60 mL) sont ajoutés au filtrat. Après 24 h d'agitation à température ambiante, le milieu est dilué avec de l'eau (300 mL). La phase aqueuse est lavée avec de l'acétate d'éthyle (2 x 250 mL), acidifiée jusqu'à pH ~ 1 avec une solution aqueuse d'HCI 1 N puis extraite avec du dichlorométhane (3 x 150 mL). Les phases organiques combinées sont séchées sur Na2S04, filtrées, concentrées sous vide et le résidu est purifié par chromatographie sur gel de silice (cyclohexane, acétate d'éthyle). Dicyclohexyl carbodiimide (DCC) (16.29 g, 78.96) are successively added to a solution of decanoic acid (14.28 g, 82.91 mmol) in THF (520 mL) at 0 ° C mmol) and / V-hydroxysuccinimide (NHS) (9.09 g, 78.96 mmol). After 60 h of stirring at room temperature, the medium is cooled to 0 ° C for 20 min, filtered through a frit. L-proline (10 g, 86.86 mmol), diisopropylethylamine (DIPEA) (68.8 mL) and water (60 mL) are added to the filtrate. After 24 h of stirring at room temperature, the medium is diluted with water (300 mL). The aqueous phase is washed with ethyl acetate (2 x 250 mL), acidified to pH ~ 1 with a 1N aqueous HCl solution and then extracted with dichloromethane (3 x 150 mL). The combined organic phases are dried over Na 2 S0 4 , filtered, concentrated in vacuo and the residue is purified by chromatography on silica gel (cyclohexane, ethyl acetate).
Rendement : 14,6 g (69 %) Yield: 14.6 g (69%)
RMN XH (CDCh, ppm) : 0,87 (3H) ; 1,26 (12H) ; 1,65 (2H) ; 2,02 (3H) ; 2,34 (2H) ; 2,41 ( 1H) ; 3,48 ( 1 H) ; 3,56 ( 1H) ; 4,58 ( 1H). NMR X H (CDCl₃, ppm): 0.87 (3H); 1.26 (12H); 1.65 (2H); 2.02 (3H); 2.34 (2H); 2.41 (1H); 3.48 (1H); 3.56 (1H); 4.58 (1H).
LC/ MS (ESI) : 270,2; (calculé ([M + H]+) : 270,4) . LC / MS (ESI): 270.2; (calculated ([M + H] + ): 270.4).
Molécule B2 : Produit obtenu par la réaction entre la molécule B1 et la L-lysine. Molecule B2: Product obtained by the reaction between the molecule B1 and L-lysine.
[000523] Par un procédé similaire à celui utilisé pour la préparation de la molécule B1 appliqué à la molécule B1 (14,57 g, 54,07 mmol) et à la L-lysine (4,15 g, 28,39 mmol), une huile jaune est obtenue. By a process similar to that used for the preparation of the B1 molecule applied to the B1 molecule (14.57 g, 54.07 mmol) and to L-lysine (4.15 g, 28.39 mmol) , a yellow oil is obtained.
Rendement : 16,4 g (93 %) Yield: 16.4 g (93%)
RMN (CDCh, ppm) : 0,88 (6H) ; 1,26 (24H) ; 1,35-1,65 (8H) ; 1,85-2,35 (12H) ; 2,53 (0,2H) ; 2,90 (0,8H) ; 3,45-3,75 (5H) ; 4,50-4,70 (3H) ; 7,82 (1H). NMR (CDCh, ppm): 0.88 (6H); 1.26 (24H); 1.35-1.65 (8H); 1.85-2.35 (12H); 2.53 (0.2H); 2.90 (0.8H); 3.45-3.75 (5H); 4.50-4.70 (3H); 7.82 (1H).
LC/ MS (ESI) : 649,6; (calculé ([M+ H]+) : 649,9) . LC / MS (ESI): 649.6; (calculated ([M + H] + ): 649.9).
Molécule 83 : Produit obtenu par réaction entre la molécule B2 et la N-Boc-éthylènediamine. Molecule 83: Product obtained by reaction between molecule B2 and N-Boc-ethylenediamine.
[000524] À une solution de molécule B2 ( 16,4 g, 25,27 mmol) dans le THF ( 170 mL) sont ajoutés de la DIPEA (8,80 mL) et du 2-( lH-benzotriazol-l-yl)-l ,l,3,3-tétraméthyluronium tétrafluoroborate (TBTU, 8,52 g, 26,54 mmol) à température ambiante. Après 30 min d'agitation, de la BocEDA (4,45 g, 27,8 mmol) est ajoutée. Après agitation à température ambiante pendant 2 h, le solvant est évaporé sous pression réduite et le résidu est dilué avec de l'acétate d'éthyle (400 mL). La phase organique est lavée avec de l'eau (250 mL), une solution aqueuse saturée de NaHCC (250 ml), une solution aqueuse de 1 N HCl (250 mL), une solution aqueuse saturée en NaCI (250 mL) et est séchée sur Na 2S04. Après filtration et concentration sous vide, le résidu obtenu est purifié par chromatographie sur gel de silice (acétate d'éthyle, méthanol) pour donner une huile incolore. To a solution of molecule B2 (16.4 g, 25.27 mmol) in THF (170 mL) are added DIPEA (8.80 mL) and 2- (1H-benzotriazol-l-yl ) -1,3,3-tetramethyluronium tetrafluoroborate (TBTU, 8.52 g, 26.54 mmol) at room temperature. After 30 min of stirring, BocEDA (4.45 g, 27.8 mmol) is added. After stirring at room temperature for 2 h, the solvent is evaporated off under reduced pressure and the residue is diluted with ethyl acetate (400 ml). The organic phase is washed with water (250 ml), a saturated aqueous solution of NaHCC (250 ml), an aqueous solution of 1 N HCl (250 ml), a saturated aqueous solution of NaCl (250 mL) and is dried over Na 2 SO 4 . After filtration and concentration under vacuum, the residue obtained is purified by chromatography on silica gel (ethyl acetate, methanol) to give a colorless oil.
Rendement : 12,8 g (64 %) Yield: 12.8 g (64%)
RM IM *H (CDCh, ppm) : 0,87 (6H) ; 1,25-1,60 (42H) ; 1,80-2,05 (4H) ; 2,15-2,45 (9H) ; 3, 10- 3,75 (10H) ; 4,30 (1 H) ; 4,50 (2H) ; 5,50 (0,6H) ; 5,89 (0,2H) ; 6,15 (0,2H) ; 7,03 (1H) ; 7,47 (1H). RM IM * H (CDCh, ppm): 0.87 (6H); 1.25-1.60 (42H); 1.80-2.05 (4H); 2.15-2.45 (9H); 3.10-3.75 (10H); 4.30 (1H); 4.50 (2H); 5.50 (0.6H); 5.89 (0.2H); 6.15 (0.2H); 7.03 (1H); 7.47 (1H).
LC/MS (ESI) : 791,8; (calculé ([M+ H]+) : 792,1) . LC / MS (ESI): 791.8; (calculated ([M + H] + ): 792.1).
Molécule BAI BAI molecule
[000525] À une solution de la molécule B3 (12,78 g, 16,15 mmol) dans le dichlorométhane (110 mL) à 5 °C est ajoutée une solution de HCl 4 N dans le dioxane (20,2 mL). Après 20 h d'agitation à 5 °C, le milieu est concentré sous vide. Le résidu obtenu est dissout dans le méthanol et évaporé sous vide, cette opération étant répétée 4 fois pour donner un solide blanc de molécule BAI sous forme de sel de chlorhydrate. To a solution of the molecule B3 (12.78 g, 16.15 mmol) in dichloromethane (110 mL) at 5 ° C is added a solution of 4N HCl in dioxane (20.2 mL). After 20 h of stirring at 5 ° C, the medium is concentrated in vacuo. The residue obtained is dissolved in methanol and evaporated in vacuo, this operation being repeated 4 times to give a white solid of BAI molecule in the form of the hydrochloride salt.
Rendement : 11,4 g (97 %) Yield: 11.4 g (97%)
R N (DMSO-de, ppm) : 0,85 (6H) ; 1,25- 1,50 (33H) ; 1 ,57 (1H) ; 1 ,70-2,40 ( 12H) ; 2,82 (2H) ; 3,00 (2H) ; 3,25-3,70 (6H) ; 4,05-4,50 (3H) ; 7,75-8,45 (6H). R N (DMSO-de, ppm): 0.85 (6H); 1.25-1.50 (33H); 1.57 (1H); 1.70-2.40 (12H); 2.82 (2H); 3.00 (2H); 3.25-3.70 (6H); 4.05-4.50 (3H); 7.75-8.45 (6H).
LC/MS (ESI) : 691,6 ; (calculé ([M+H]+) : 692,0). LC / MS (ESI): 691.6; (calculated ([M + H] + ): 692.0).
Exemple BA2 : molécule BA2 Example BA2: BA2 molecule
Molécule B4 : Produit obtenu par la réaction entre l'acide laurique et la L-proline. Molecule B4: Product obtained by the reaction between lauric acid and L-proline.
[000526] Par un procédé similaire à celui utilisé pour la préparation de la molécule B1 appliqué à l'acide laurique (31,83 g, 157,9 mmol) et à la L-proline (20 g, 173,7 mmol), une huile jaune est obtenue. By a process similar to that used for the preparation of the molecule B1 applied to lauric acid (31.83 g, 157.9 mmol) and to L-proline (20 g, 173.7 mmol), a yellow oil is obtained.
Rendement : 34,3 g (73 %) Yield: 34.3 g (73%)
RMN l (CDCh, ppm) : 0,87 (3H) ; 1,26 ( 16H) ; 1,70 (2H) ; 1,90-2,10 (3H) ; 2,35 (2H) ; 2,49 (1H) ; 3,48 ( 1H) ; 3,56 ( 1 H) ; 4,60 (1H) . The NMR (CDCl₃, ppm): 0.87 (3H); 1.26 (16H); 1.70 (2H); 1.90-2.10 (3H); 2.35 (2H); 2.49 (1H); 3.48 (1H); 3.56 (1H); 4.60 (1H).
LC/MS (ESI) : 298,2 ; (calculé ([M + H]+) : 298,4) . LC / MS (ESI): 298.2; (calculated ([M + H] + ): 298.4).
Molécule B5 : Produit obtenu par la réaction entre la molécule B4 et la L-lysine. Molecule B5: Product obtained by the reaction between the molecule B4 and L-lysine.
[000527] Par un procédé similaire à celui utilisé pour la préparation de la molécule B1 appliqué à la molécule B4 (33,72 g, 113,36 mmol) et à la L-lysine (8,70 g, 59,51 mmol), un solide blanc est obtenu. By a process similar to that used for the preparation of the molecule B1 applied to the molecule B4 (33.72 g, 113.36 mmol) and to L-lysine (8.70 g, 59.51 mmol) , a white solid is obtained.
Rendement : 26,2 g (66 %) Yield: 26.2 g (66%)
RMN (CDCh, ppm) : 0,88 (6H) ; 1,26 (32H) ; 1,35-1,65 (8H) ; 1,85-2,35 ( 15H) ; 2,87 (1H) ; 3,40-3,75 (5H) ; 4,50-4,75 (3H) ; 7,87 ( 1 H). NMR (CDCh, ppm): 0.88 (6H); 1.26 (32H); 1.35-1.65 (8H); 1.85-2.35 (15H); 2.87 (1H); 3.40-3.75 (5H); 4.50-4.75 (3H); 7.87 (1 H).
LC/ MS (ESI) : 705,6 ; (calculé ([M + H]+) : 706,0). Molécule 86 : produit obtenu par réaction entre la IM-Boc-éthylènediamine et la molécule B5. LC / MS (ESI): 705.6; (calculated ([M + H] + ): 706.0). Molecule 86: product obtained by reaction between IM-Boc-ethylenediamine and the molecule B5.
[000528] Par un procédé similaire à celui utilisé pour la préparation de la molécule B3 appliqué à la molécule B5 (25,74 g, 36,51 mmol) et à la BocEDA (6,43 g, 40,16 mmol), une huile incolore est obtenue. By a process similar to that used for the preparation of the B3 molecule applied to the B5 molecule (25.74 g, 36.51 mmol) and to BocEDA (6.43 g, 40.16 mmol), a colorless oil is obtained.
Rendement : 30,9 g (quantitatif) Yield: 30.9 g (quantitative)
RMN !H (CDCh, ppm) : 0,88 (6H) ; 1,35- 1,65 (50H) ; 1,85-2,35 ( 13H) ; 3,05-3,75 ( 10H) ; 4,25-4,65 (3H) ; 5,50 (0,4H) ; 5,88 (0,2H) ; 6,16 (0,2H) ; 7,08 (1H) ; 7,26 (1H) ; 7,49 (0,2H). NMR ! H (CDCh, ppm): 0.88 (6H); 1.35-1.65 (50H); 1.85-2.35 (13H); 3.05-3.75 (10H); 4.25-4.65 (3H); 5.50 (0.4H); 5.88 (0.2H); 6.16 (0.2H); 7.08 (1H); 7.26 (1H); 7.49 (0.2H).
LC/MS (ESI) : 847,8 ; (calculé ([M+H]+) : 848,2). LC / MS (ESI): 847.8; (calculated ([M + H] + ): 848.2).
Molécule BA2 BA2 molecule
[000529] Après un procédé similaire à celui utilisé pour la préparation de la molécule BAI appliqué à la molécule B6 (30,9 g, 36,47 mmol), le résidu obtenu après concentration sous vide est dissout dans le méthanol et évaporé sous vide, cette opération étant répétée 4 fois pour donner un solide blanc de molécule BA2 sous forme de sel de chlorhydrate après séchage sous pression réduite. After a process similar to that used for the preparation of the BAI molecule applied to the B6 molecule (30.9 g, 36.47 mmol), the residue obtained after concentration under vacuum is dissolved in methanol and evaporated in vacuo , this operation being repeated 4 times to give a white solid of molecule BA2 in the form of the hydrochloride salt after drying under reduced pressure.
Rendement : 27,65 g (97 %) Yield: 27.65 g (97%)
RMN Ή (DMSO-de, ppm) : 0,85 (6H) ; 1,10-2,40 (54H) ; 2,75-3,15 (4H) ; 3,25-3,60 (6H) ; 4,05-4,50 (3H) ; 7,50-8,50 (6H). Ή NMR (DMSO-de, ppm): 0.85 (6H); 1.10-2.40 (54H); 2.75-3.15 (4H); 3.25-3.60 (6H); 4.05-4.50 (3H); 7.50-8.50 (6H).
LC/MS (ESI) : 747,6 ; (calculé ([M + H]+) : 748, 1). LC / MS (ESI): 747.6; (calculated ([M + H] + ): 748, 1).
Exemple B A3 : molécule B A3 Example B A3: molecule B A3
Molécule B7 : Produit obtenu par la réaction entre l'acide myristique et la L-proline. Molecule B7: Product obtained by the reaction between myristic acid and L-proline.
[000530] Par un procédé similaire à celui utilisé pour la préparation de la molécule B1 appliqué à l'acide myristique ( 18,93 g, 82,91 mmol) et à la L-proline ( 10 g, 86,86 mmol), une huile jaunâtre est obtenue. By a process similar to that used for the preparation of the molecule B1 applied to myristic acid (18.93 g, 82.91 mmol) and to L-proline (10 g, 86.86 mmol), a yellowish oil is obtained.
Rendement : 20 g (78 %) Yield: 20 g (78%)
RMN !H (CDCh, ppm) : 0,88 (3H) ; 1,28 (20H) ; 1,70 (2H) ; 1,90-2, 10 (3H) ; 2,36 (2H) ; 2,51 (1H) ; 3,47 (1H) ; 3,56 ( 1H) ; 4,61 (1H) . NMR ! H (CDCh, ppm): 0.88 (3H); 1.28 (20H); 1.70 (2H); 1.90-2.10 (3H); 2.36 (2H); 2.51 (1H); 3.47 (1H); 3.56 (1H); 4.61 (1H).
LC/MS (ESI) : 326,2; (calculé ([M+H]+) : 326,6) . LC / MS (ESI): 326.2; (calculated ([M + H] + ): 326.6).
Molécule B8 : Produit obtenu par la réaction entre la molécule B7 et la L-lysine B8 molecule: Product obtained by the reaction between the B7 molecule and L-lysine
[000531] Par un procédé similaire à celui utilisé pour la préparation de la molécule B1 appliqué à la molécule B7 (20,02 g, 61,5 mmol) et à la L-lysine (4,72 g, 32,29 mmol), un solide blanc est obtenu. By a process similar to that used for the preparation of the molecule B1 applied to the molecule B7 (20.02 g, 61.5 mmol) and to L-lysine (4.72 g, 32.29 mmol) , a white solid is obtained.
Rendement : 12,3 g (53 %) RMN (DMSO-de, ppm) : 0,85 (6H) ; 1,26 (40H) ; 1,35-1,50 (6H) ; 1,50-2,10 ( 10H) ; 2,10- 2,25 (4H) ; 3,01 (2H) ; 3,31-3,55 (4H) ; 4, 10-4,40 (3H) ; 7,68 (0,6H) ; 7,97 ( 1H) ; 8,27 (0,41-1) ; 12,50 ( 1H). Yield: 12.3 g (53%) NMR (DMSO-de, ppm): 0.85 (6H); 1.26 (40H); 1.35-1.50 (6H); 1.50-2.10 (10H); 2.10-2.25 (4H); 3.01 (2H); 3.31-3.55 (4H); 4.10-4.40 (3H); 7.68 (0.6H); 7.97 (1H); 8.27 (0.41-1); 12.50 (1H).
LC/MS (ESI) : 761,8 ; (calculé ([M + H]+) : 762,1) . LC / MS (ESI): 761.8; (calculated ([M + H] + ): 762.1).
Molécule B9 : Produit obtenu par la réaction entre la N-Boc-éthylènediamine et la molécule B8. Molecule B9: Product obtained by the reaction between N-Boc-ethylenediamine and the molecule B8.
[000532] Par un procédé similaire à celui utilisé pour la préparation de la molécule B3 appliqué à la molécule B8 ( 12 g, 15,77 mmol) et à la BocEDA (3,03 g, 18,92 mmol), une huile incolore est obtenue après purification par colonne chromatographique sur gel de silice (acétate d'éthyle, méthanol). By a process similar to that used for the preparation of the B3 molecule applied to the B8 molecule (12 g, 15.77 mmol) and to BocEDA (3.03 g, 18.92 mmol), a colorless oil is obtained after purification by a chromatographic column on silica gel (ethyl acetate, methanol).
Rendement : 12,5 g (88 %) Yield: 12.5 g (88%)
RMN *H (DMSO-de, ppm) : 0,85 (6H) ; 1,20- 1,55 (55H) ; 1,50-2,25 ( 14H) ; 2,95-3,10 (6H) ; 3,31-3,55 (4H) ; 4, 10-4,40 (3H) ; 6,74 ( 1H) ; 7,60-8,25 (3H) . 1 H NMR (DMSO-de, ppm): 0.85 (6H); 1.20-1.55 (55H); 1.50-2.25 (14H); 2.95-3.10 (6H); 3.31-3.55 (4H); 4.10-4.40 (3H); 6.74 (1H); 7.60-8.25 (3H).
LC/ MS (ESI) : 904, 1 ; (calculé ([M + H]+) : 904,3) . LC / MS (ESI): 904, 1; (calculated ([M + H] + ): 904.3).
Molécule BA3 BA3 molecule
[000533] Après un procédé similaire à celui utilisé pour la préparation de la molécule BAI appliqué à la molécule B9 ( 12,5 g, 13,84 mmol), le résidu obtenu après concentration sous vide est dissout dans le méthanol et évaporé sous vide, cette opération étant répétée 4 fois pour donner un solide blanc de molécule BA3 sous forme de sel de chlorhydrate après séchage sous pression réduite. After a process similar to that used for the preparation of the BAI molecule applied to the B9 molecule (12.5 g, 13.84 mmol), the residue obtained after concentration under vacuum is dissolved in methanol and evaporated in vacuo , this operation being repeated 4 times to give a white solid of molecule BA3 in the form of the hydrochloride salt after drying under reduced pressure.
Rendement : 9,2 g (79 %) Yield: 9.2 g (79%)
RMN lH (DMSO-de, ppm) : 0,85 (6H) ; 1 , 10-1,65 (48H) ; 1,70-2,35 ( 12H) ; 2,85 (2H) ; 3,01 (2H ) ; 3,25-3,65 (6H) ; 4, 10-4,50 (3H) ; 7,70-8,40 (6H). 1 H NMR (DMSO-de, ppm): 0.85 (6H); 1.10-1.65 (48H); 1.70-2.35 (12H); 2.85 (2H); 3.01 (2H); 3.25-3.65 (6H); 4.10-4.50 (3H); 7.70-8.40 (6H).
LC/ MS (ESI) : 803,9 ; (calculé ( [M + H]+) : 804,2). LC / MS (ESI): 803.9; (calculated ([M + H] + ): 804.2).
Exemple BA4 : molécule BA4 Example BA4: BA4 molecule
Molécule BIP : Produit obtenu par la réaction entre la molécule B8 et le Boc-l-amino-4,7,10- trioxa-13-tridécane amine. BIP molecule: Product obtained by the reaction between the B8 molecule and Boc-1-amino-4,7,10-trioxa-13-tridecane amine.
[000534] Par un procédé similaire à celui utilisé pour la préparation de la molécule B3 appliqué à la molécule B8 (29,80 g, 39, 15 mmol) et au Boc-l-amino-4,7,10-trioxa-13- tridécane amine (15,05 g, 46,96 mmol), une huile épaisse incolore est obtenue. By a process similar to that used for the preparation of the molecule B3 applied to the molecule B8 (29.80 g, 39, 15 mmol) and to Boc-l-amino-4,7,10-trioxa-13 - tridecane amine (15.05 g, 46.96 mmol), a thick colorless oil is obtained.
Rendement : 25,3 g (61 %) Yield: 25.3 g (61%)
RMN H (DMSO-de, ppm) : 0,85 (6H) ; 1,25-2,35 (75H) ; 2,85-3,20 (6H) ; 3,25-3,65 (16H) ; 4, 10-4,45 (3H) ; 6,38 (0,1H) ; 6,72 (0,9H) ; 7,50-8,25 (3H) . 1 H NMR (DMSO-de, ppm): 0.85 (6H); 1.25-2.35 (75H); 2.85-3.20 (6H); 3.25-3.65 (16H); 4.10-4.45 (3H); 6.38 (0.1H); 6.72 (0.9H); 7.50-8.25 (3H).
LC/MS (ESI) : 1064,2 ; (calculé ([M+H]+) : 1064,5). Molécule BA4 LC / MS (ESI): 1064.2; (calculated ([M + H] + ): 1064.5). BA4 molecule
[000535] Après un procédé similaire à celui utilisé pour la préparation de la molécule BAI appliqué à la molécule B10 (25,3 g, 23,8 mmol), le résidu obtenu après concentration sous vide est dissout dans le méthanol et évaporé sous vide, cette opération étant répétée 4 fois pour donner un solide blanc de molécule BA4 sous forme de sel de chlorhydrate après séchage sous pression réduite. After a process similar to that used for the preparation of the BAI molecule applied to the B10 molecule (25.3 g, 23.8 mmol), the residue obtained after concentration under vacuum is dissolved in methanol and evaporated in vacuo , this operation being repeated 4 times to give a white solid of molecule BA4 in the form of the hydrochloride salt after drying under reduced pressure.
Rendement : 20,02 g (84 %) Yield: 20.02 g (84%)
RMN *H (DMSO-de, ppm) : 0,85 (6H) ; 1,15-2,35 (66H) ; 2,80-3,20 (6H) ; 3,30-3,65 (16H) ; 4, 10-4,45 (3H) ; 7,55-8,60 (6H). 1 H NMR (DMSO-de, ppm): 0.85 (6H); 1.15-2.35 (66H); 2.80-3.20 (6H); 3.30-3.65 (16H); 4.10-4.45 (3H); 7.55-8.60 (6H).
LC/MS (ESI) : 964,9 ; (calculé ([M+H]+) : 964,6). LC / MS (ESI): 964.9; (calculated ([M + H] + ): 964.6).
Exemple BA5 : molécule BA5 Example BA5: BA5 molecule
Molécule Bl l ; Produit obtenu par réaction entre la molécule Al et la L-Lysine Bl l molecule; Product obtained by reaction between the molecule Al and L-Lysine
[000536] Par un procédé similaire à celui utilisé pour la préparation de la molécule B1 appliqué à la molécule Al ( 19,10 g, 54,02 mmol ) et à la L-lysine (4,15 g, 28,36 mmol), un résidu huileux est obtenu après concentration du milieu réactionnel sous pression réduite. Ce résidu est dilué dans de l'eau (150 mL), lavé à l'acétate d'éthyle (2 x 75 mL) puis la phase aqueuse est acidifiée jusqu'à pH 1 par addition lente de HCl 6 N . Le produit est extrait 3 fois au dichlorométhane, la phase organique est séchée sur Na2S04 puis filtrée et concentrée sous pression réduite pour donner 11 ,2 g de résidu huileux jaune. Parallèlement, la phase organique d'acétate d'éthyle précédente est lavée avec une solution aqueuse de HCl 2 N (2 x 75 mL), une solution aqueuse saturée en NaCI (75 mL), séchée sur Na2S04, filtrée et concentrée pour donner 10,2 g de résidu huileux jaune. Un solide blanc est obtenu après recristallisation de chacun de ces résidus dans l'acétone. By a process similar to that used for the preparation of the molecule B1 applied to the molecule Al (19.10 g, 54.02 mmol) and to L-lysine (4.15 g, 28.36 mmol) , an oily residue is obtained after concentration of the reaction medium under reduced pressure. This residue is diluted in water (150 mL), washed with ethyl acetate (2 x 75 mL) then the aqueous phase is acidified to pH 1 by slow addition of 6N HCl. The product is extracted 3 times with dichloromethane, the organic phase is dried over Na2S0 4 and then filtered and concentrated under reduced pressure to give 11 2 g of yellow oily residue. In parallel, the above organic ethyl acetate phase is washed with an aqueous 2N HCl solution (2 x 75 mL), an aqueous solution saturated with NaCl (75 mL), dried over Na 2 S0 4 , filtered and concentrated. to give 10.2 g of yellow oily residue. A white solid is obtained after recrystallization of each of these residues in acetone.
Rendement : 11,83 g (54 %) Yield: 11.83 g (54%)
RMN JH (CDCh, ppm) : 0,87 (6H) ; 1,06-2,44 (70H) ; 2,78-2,96 ( 1H) ; 3,35-3,75 (5H) ; 4,28-4,43 (0,1 H) ; 4,43-4,52 (0,2H) ; 4,52-4,61 (1,8H) ; 4,61-4,75 (0,9H) ; 7,74-8,02 (2H). LC/ MS (ESI) : 818,0 ; (calculé ([M+H]+) : 818,7). H NMR J (CDCl₃, ppm): 0.87 (6H); 1.06-2.44 (70H); 2.78-2.96 (1H); 3.35-3.75 (5H); 4.28-4.43 (0.1 H); 4.43-4.52 (0.2H); 4.52-4.61 (1.8H); 4.61-4.75 (0.9H); 7.74-8.02 (2H). LC / MS (ESI): 818.0; (calculated ([M + H] + ): 818.7).
Molécule B12 : Produit obtenu par couplage entre la molécule Bl l et la N-Boc- éthylènediamine Molecule B12: Product obtained by coupling between the molecule Bl l and N-Boc-ethylenediamine
[000537] Par un procédé similaire à celui utilisé pour la préparation de la molécule B3 appliqué à la molécule Bll (18,00 g, 22,02 mmol) en solution dans le THF et à la BocEDA (4,23 g, 26,43 mmol), un solide blanc est obtenu après recristallisation deux fois dans l'acétonitrile. By a process similar to that used for the preparation of the B3 molecule applied to the Bll molecule (18.00 g, 22.02 mmol) in solution in THF and in BocEDA (4.23 g, 26, 43 mmol), a white solid is obtained after recrystallization twice from acetonitrile.
Rendement : 17,5 g (83 %) Yield: 17.5 g (83%)
RMN *H (DMSO-d6, ppm) : 0,85 (6H) ; 1 , 15-2,29 (79H) ; 2,92-3, 12 (6H) ; 3,30-3,59 (4H) ; 4,06-4,13 (0,65H) ; 4,16-4,29 (2H) ; 4,38-4,42 (0,35H) ; 6,71-6,76 ( 1H) ; 7,60-7,69 ( 1,3H) ; 7,76-7,81 (0,65H) ; 7,93-7,97 (0,35H) ; 8,00-8,04 (0,35H) ; 8,10-8,17 (0,35H). LC/MS (ESI) : 960,4 ; (calculé ([M + H]+) : 960,8). 1 H NMR (DMSO-d6, ppm): 0.85 (6H); 1.15-2.29 (79H); 2.92-3.12 (6H); 3.30-3.59 (4H); 4.06-4.13 (0.65H); 4.16-4.29 (2H); 4.38-4.42 (0.35H); 6.71-6.76 (1H); 7.60-7.69 (1.3H); 7.76-7.81 (0.65H); 7.93-7.97 (0.35H); 8.00-8.04 (0.35H); 8.10-8.17 (0.35H). LC / MS (ESI): 960.4; (calculated ([M + H] + ): 960.8).
Molécule BA5 BA5 molecule
[000538] Par un procédé similaire à celui utilisé pour la préparation de la molécule BAI appliqué à la molécule B12 (24,4 g, 25,43 mmol), le résidu obtenu après concentration sous vide est solubilisé dans du dichlorométhane (150 mL), la phase organique est lavée 2 fois avec une solution aqueuse de soude 2 N (90 mL). De l'acétonitrile ( 120 mL) est ajouté et le dichlorométhane est éliminé par concentration sous pression réduite. Le milieu est ensuite laissé au repos pendant 72 h et un solide blanc est obtenu après filtration et rinçage à l'acétonitrile puis séchage sous pression réduite. Cette opération est répétée 4 fois. By a process similar to that used for the preparation of the BAI molecule applied to the B12 molecule (24.4 g, 25.43 mmol), the residue obtained after concentration under vacuum is dissolved in dichloromethane (150 mL) , the organic phase is washed twice with a 2N aqueous sodium hydroxide solution (90 mL). Acetonitrile (120 mL) is added and the dichloromethane is removed by concentration under reduced pressure. The medium is then left to stand for 72 h and a white solid is obtained after filtration and rinsing with acetonitrile then drying under reduced pressure. This operation is repeated 4 times.
Rendement : 14,28 g (65 %) Yield: 14.28 g (65%)
RMN (DMSO-d6, ppm) : 0,85 (6H) ; 1,06-2,32 (70H) ; 2,53-2,63 (2H) ; 2,89-3,61 ( 10H) NMR (DMSO-d6, ppm): 0.85 (6H); 1.06-2.32 (70H); 2.53-2.63 (2H); 2.89-3.61 (10H)
; 4,04-4,43 (3H) ; 7,55-7,62 (0,65H) ; 7,65-7,72 (0,65H) ; 7,80 (0,65H) ; 7,91 (0,35H) ; 8,03 (0,35H) ; 8, 14-8,23 (0,35H). ; 4.04-4.43 (3H); 7.55-7.62 (0.65H); 7.65-7.72 (0.65H); 7.80 (0.65H); 7.91 (0.35H); 8.03 (0.35H); 8, 14-8.23 (0.35H).
LC/MS (ESI) : 860,0 ; (calculé ([M+H]+) : 860,8). LC / MS (ESI): 860.0; (calculated ([M + H] + ): 860.8).
Exemple BA6 : molécule BA6 Example BA6: BA6 molecule
Molécule B13 : Produit obtenu par la réaction entre le /V-(fert-butoxycarbonyl)- l,6- diaminohexane et la molécule B8. Molecule B13: Product obtained by the reaction between / V- (fert-butoxycarbonyl) - 1,6-diaminohexane and the molecule B8.
[000539] Par un procédé similaire à celui utilisé pour la préparation de la molécule B3 appliqué à la molécule B8 (10 g, 13, 14 mmol) et au /V-(fert-butoxycarbony()-l,6- diaminohexane (3,41 g, 15,77 mmol ) dans le dichlorométhane, un solide blanc est obtenu après recristallisation dans l'acétonitrile. By a process similar to that used for the preparation of the molecule B3 applied to the molecule B8 (10 g, 13, 14 mmol) and to / V- (fert-butoxycarbony () - l, 6- diaminohexane (3 , 41 g, 15.77 mmol) in dichloromethane, a white solid is obtained after recrystallization from acetonitrile.
Rendement : 10,7 g (85 %) Yield: 10.7 g (85%)
RMN ^ (CDCh, ppm) : 0,88 (6H) ; 1,17-2,40 (79H) ; 3,00-3,71 (10H) ; 4,26-4,58 (3H) ; 4,67 (1H) ; 6,74 (1H) ; 7,34-7,49 (2H). 1 H NMR (CDCh, ppm): 0.88 (6H); 1.17-2.40 (79H); 3.00-3.71 (10H); 4.26-4.58 (3H); 4.67 (1H); 6.74 (1H); 7.34-7.49 (2H).
LC/MS (ESI) : 959,9 ; (calculé ([M+H]+) : 959,8). LC / MS (ESI): 959.9; (calculated ([M + H] + ): 959.8).
Molécule BA6 BA6 molecule
[000540] Après un procédé similaire à celui utilisé pour la préparation de la molécule BAI appliqué à la molécule B13 (10,5 g, 10,94 mmol), une solution aqueuse de NaOH 2 N est ajoutée goutte-à-goutte au milieu réactionnel refroidi à 0 °C. La phase aqueuse est extraite au dichlorométhane puis la phase organique est lavée 3 fois avec une solution aqueuse de NaCI 5 %. Après séchage sur aîSC , la phase organique est filtrée, concentrée sous vide et le résidu est recristallisé dans l'acétonitrile. After a process similar to that used for the preparation of the BAI molecule applied to the B13 molecule (10.5 g, 10.94 mmol), an aqueous solution of NaOH 2 N is added dropwise to the medium reaction cooled to 0 ° C. The aqueous phase is extracted with dichloromethane then the organic phase is washed 3 times with a 5% aqueous NaCl solution. After drying over to I SC, the organic phase is filtered, concentrated in vacuo and the residue is recrystallized from acetonitrile.
Rendement : 5,4 g (58 %) Yield: 5.4 g (58%)
RMN *H (CDCh, ppm) : 0,88 (6H) ; 1,19-2,40 (72H) ; 2,67 (2H) ; 3,03-3,70 (8H) ; 4,26-4,57 (3H) ; 6,71 ( 1H) ; 7,39-7,49 (2H). LC/ MS (ESI) : 859,8 ; (calculé ([M + H]+) : 859,7). 1 H NMR (CDCh, ppm): 0.88 (6H); 1.19-2.40 (72H); 2.67 (2H); 3.03-3.70 (8H); 4.26-4.57 (3H); 6.71 (1H); 7.39-7.49 (2H). LC / MS (ESI): 859.8; (calculated ([M + H] + ): 859.7).
Exemple BA7 : molécule BA7 Example BA7: BA7 molecule
Molécule B 14 : Produit obtenu par couplage entre la molécule B7 et l'acide 2,3- diaminopropionique Molecule B 14: Product obtained by coupling between the molecule B7 and 2,3-diaminopropionic acid
[000541] Par un procédé similaire à celui utilisé pour la préparation de la molécule B1 appliqué à la molécule B7 (80,00 g, 245,78 mmol) et au dichlorhydrate de l'acide 2,3 - diaminopropionique (22,84 g, 129,04 mmol), un solide blanc est obtenu après recristallisation dans l'acétonitrile. By a process similar to that used for the preparation of the B1 molecule applied to the B7 molecule (80.00 g, 245.78 mmol) and to 2,3-diaminopropionic acid dihydrochloride (22.84 g , 129.04 mmol), a white solid is obtained after recrystallization from acetonitrile.
Rendement : 69 g (78 %) Yield: 69 g (78%)
(DMSO-d6, ppm) : 0,86 (6H) ; 1,08-1,38 (40H) ; 1 ,40-1,55 (4H) ; 1,68-2,30 (12H) ; 3,16-3,66 (6H) ; 4,20-4,39 (3H) ; 7,67-8,31 (2H) ; 12,70 (1H) . (DMSO-d6, ppm): 0.86 (6H); 1.08-1.38 (40H); 1.40-1.55 (4H); 1.68-2.30 (12H); 3.16-3.66 (6H); 4.20-4.39 (3H); 7.67-8.31 (2H); 12.70 (1H).
LC/ MS (ESI) : 719,4 ; 741 ,5 ; (calculé ([M+H]+) : 719,6 ; ([M + Na]+) : 741,6). LC / MS (ESI): 719.4; 741.5; (calculated ([M + H] + ): 719.6; ([M + Na] + ): 741.6).
Molécule B15 : Produit obtenu par couplage entre la molécule B14 et la N-Boc- éthylènediamine B15 molecule: Product obtained by coupling between the B14 molecule and N-Boc- ethylenediamine
[000542] Par un procédé similaire à celui utilisé pour la préparation de la molécule B3 appliqué à la molécule B14 (32,00 g, 44,50 mmol) en solution dans le dichlorométhane et à la BocEDA (8,56 g, 53,40 mmol), une huile incolore est obtenue après purification par chromatographie sur gel de silice (acétate d'éthyle, méthanol). By a process similar to that used for the preparation of the molecule B3 applied to the molecule B14 (32.00 g, 44.50 mmol) in solution in dichloromethane and to BocEDA (8.56 g, 53, 40 mmol), a colorless oil is obtained after purification by chromatography on silica gel (ethyl acetate, methanol).
Rendement : 24,5 g (64 %) Yield: 24.5 g (64%)
RMN 1H (DMSO-d6, ppm) : 0,85 (6H) ; 1,16-2,42 (65H) ; 2,89-3, 14 (4H) ; 3, 17-3,66 (6H) ; 4,11-4,43 (3H) ; 6,77 ( 1H) ; 7,38-8,23 (3H). 1 H NMR (DMSO-d6, ppm): 0.85 (6H); 1.16-2.42 (65H); 2.89-3, 14 (4H); 3.17-3.66 (6H); 4.11-4.43 (3H); 6.77 (1H); 7.38-8.23 (3H).
LC/MS (ESI) : 861,7 ; (calculé ([M+ H]+) : 861,7). LC / MS (ESI): 861.7; (calculated ([M + H] + ): 861.7).
Molécule BA7 BA7 molecule
[000543] Après un procédé similaire à celui utilisé pour la préparation de la molécule BAI appliqué à la molécule B15 (24,50 g, 28,45 mmol), le milieu réactionnel est concentré sous pression réduite, le résidu est solubilisé dans le dichlorométhane, la phase organique est lavée par une solution aqueuse de NaOH 2 N), séchée sur Na2S04, filtrée et concentrée sous pression réduite. Un solide blanc est obtenu après recristallisation dans l'acétonitrile. After a process similar to that used for the preparation of the BAI molecule applied to the B15 molecule (24.50 g, 28.45 mmol), the reaction medium is concentrated under reduced pressure, the residue is dissolved in dichloromethane , the organic phase is washed with an aqueous solution of NaOH 2 N), dried over Na 2 S0 4 , filtered and concentrated under reduced pressure. A white solid is obtained after recrystallization from acetonitrile.
Rendement : 19,7 g (91 %) Yield: 19.7 g (91%)
RMN (DMSO-d6, ppm) : 0,85 (6H) ; 1,10-2,40 (58H) ; 2,51-2,62 (2H) ; 2,90-3,16 (2H) ; 3,16-3,67 (6H) ; 4,04-4,47 (3H) ; 7,33-8,27 (3H). NMR (DMSO-d6, ppm): 0.85 (6H); 1.10-2.40 (58H); 2.51-2.62 (2H); 2.90-3.16 (2H); 3.16-3.67 (6H); 4.04-4.47 (3H); 7.33-8.27 (3H).
LC/ MS (ESI) : 761,5 ; (calculé ([M+H]+) : 761,6). BB : Synthèse des copolvaminoacidesLC / MS (ESI): 761.5; (calculated ([M + H] + ): 761.6). BB: Synthesis of copolvamino acids
Co-polvaminoacides de formule VII ou Vlla Co-polvamino acids of formula VII or VIIa
Tableau le : Liste des co-polyaminoacides synthétisés selon l'invention Table le: List of co-polyamino acids synthesized according to the invention
Co-polyaminoacides de formule VII ou Vllb Co-polyamino acids of formula VII or Vllb
Tableau lf : Liste des co-polyaminoacides synthétisés selon l'invention . Table lf: List of co-polyamino acids synthesized according to the invention.
Part BB : synthèse des co-polyaminoacides Part BB: synthesis of co-polyamino acids
Exemple BB1 : Co-polyaminoacide BB1 - poly-L-glutamate de sodium modifié par la molécule BA2 et ayant une masse molaire moyenne en nombre (Mn) de 2400 g/molExample BB1: Co-polyamino acid BB1 - sodium poly-L-glutamate modified by the molecule BA2 and having a number-average molar mass (Mn) of 2400 g / mol
Co-Dolvaminoacide BB1-1 : acide poly-L-glutamique de masse molaire moyenne en nombre (Mn) relative 3860 g/mol issu de la polymérisation du y-benzyl-L-glutamate /V-carboxy anhydride initiée par l'hexylamine Co-Dolvaminoacid BB1-1: poly-L-glutamic acid of relative number average molar mass (Mn) 3860 g / mol resulting from the polymerization of y-benzyl-L-glutamate / V-carboxy anhydride initiated by hexylamine
[000544] Dans un ballon préalablement séché à l'étuve est placé sous vide du y-benzyl- L-glutamate /V-carboxyanhydride (90,0 g, 342 mmol) pendant 30 min, puis du DMF anhydre (465 mL) est introduit. Le mélange est alors agité sous argon jusqu'à complète dissolution, refroidi à 4 °C, puis de l'hexylamine (1,8 mL 14 mmol) est introduite rapidement. Le mélange est agité entre 4 °C et température ambiante pendant 2 jours. Le milieu réactionnel est ensuite chauffé à 65 °C pendant 4 h, refroidi à température ambiante puis coulé goutte-à- goutte dans du diisopropyléther froid (6 L) sous agitation . Le précipité blanc est récupéré par filtration, lavé avec du diisopropyléther (500 mL puis 250 mL) puis séché sous vide à 30 °C pour donner un acide poly(y-benzyl-L-glutamique) (PBLG). In a flask previously dried in an oven is placed under vacuum of y-benzyl-L-glutamate / V-carboxyanhydride (90.0 g, 342 mmol) for 30 min, then anhydrous DMF (465 mL) is introduced. The mixture is then stirred under argon until complete dissolution, cooled to 4 ° C, then hexylamine (1.8 mL 14 mmol) is introduced quickly. The mixture is stirred between 4 ° C and room temperature for 2 days. The reaction medium is then heated at 65 ° C for 4 h, cooled to room temperature then poured dropwise into cold diisopropyl ether (6 L) with stirring. The white precipitate is recovered by filtration, washed with diisopropyl ether (500 ml then 250 ml) then dried under vacuum at 30 ° C to give a poly (y-benzyl-L-glutamic acid) (PBLG).
[000545] À une solution de PBLG (42,1 g) dans l'acide trifluoroacétique (TFA, 325 mL) à 4 °C est ajoutée goutte-à-goutte une solution d'acide bromhydrique (HBr) à 33 % dans l'acide acétique ( 135 mL, 0,77 mol). Le mélange est agité à température ambiante pendant 2 h, puis coulé goutte-à-goutte sur un mélange 1 : 1 (v/v) de diisopropyléther et d'eau sous agitation (1,6 L). Après 1 h 30 d'agitation, le mélange hétérogène est laissé au repos pendant une nuit. Le précipité blanc est récupéré par filtration, lavé avec un mélange 1 : 1 (v/v) de diisopropyléther et d'eau (200 mL). To a solution of PBLG (42.1 g) in trifluoroacetic acid (TFA, 325 mL) at 4 ° C is added dropwise a solution of hydrobromic acid (HBr) at 33% in l acetic acid (135 mL, 0.77 mol). The mixture is stirred at room temperature for 2 h, then poured dropwise onto a 1: 1 (v / v) mixture of diisopropyl ether and water with stirring (1.6 L). After 1 h 30 of stirring, the heterogeneous mixture is left to stand overnight. The white precipitate is recovered by filtration, washed with a 1: 1 (v / v) mixture of diisopropyl ether and water (200 mL).
[000546] Le solide obtenu est alors solubilisé dans de l'eau (1 L) en ajustant le pH à 7 par ajout d'une solution aqueuse de soude 10 N puis une solution aqueuse de soude 1 N. Après solubilisation, la concentration théorique est ajustée à 25 g/L théorique par addition d'eau pour obtenir un volume final de 1,5 L. The solid obtained is then solubilized in water (1 L) by adjusting the pH to 7 by adding a 10N aqueous sodium hydroxide solution and then a 1N aqueous sodium hydroxide solution. After solubilization, the theoretical concentration is adjusted to 25 g / L theoretical by adding water to obtain a final volume of 1.5 L.
[000547] La solution est filtrée sur filtre 0,45 pm puis purifiée par ultrafiltration contre une solution de NaCI 0,9 %, puis de l'eau jusqu'à ce que la conductimétrie du perméat soit inférieure à 50 pS/cm. The solution is filtered on a 0.45 μm filter and then purified by ultrafiltration against a 0.9% NaCl solution, then water until the conductimetry of the permeate is less than 50 pS / cm.
[000548] La solution aqueuse est alors acidifiée par ajout de solution d'acide chlorhydrique 37 % jusqu'à atteindre un pH de 2. Après 4 h d'agitation, le précipité obtenu est filtré puis séché sous vide à 30 °C pour donner un acide poly-L-glutamique de masse molaire moyenne en nombre (Mn) 3860 g/mol par rapport à un standard de polyoxyéthylène (PEG). The aqueous solution is then acidified by adding 37% hydrochloric acid solution until a pH of 2 is reached. After 4 h of stirring, the precipitate obtained is filtered and then dried under vacuum at 30 ° C to give a poly-L-glutamic acid with a number-average molar mass (Mn) 3860 g / mol relative to a polyoxyethylene (PEG) standard.
Co-polyaminoacide BB1 Co-polyamino acid BB1
[000549] Le co-polyaminoacide BB1-1 ( 10,0 g) est solubilisé dans le DMF (700 mL) à 30- 40 °C puis refroidi à 0 °C. Le sel de chlorhydrate de la molécule BA2 (2,95 g, 3,8 mmol) est mis en suspension dans du DMF (45 mL) et de la triéthylamine (0,39 g, 3,8 mmol) est ensuite ajoutée à cette suspension puis le mélange est légèrement chauffé sous agitation jusqu'à complète dissolution . À la solution de co-polyaminoacide à 0 °C, de la /V-méthylmorpholine (NMM, 7,6 g, 75 mmol) dans le DMF ( 14 mL) et du chloroformate d'éthyle (ECF, 8,1 g, 75 mmol) sont ajoutés. Après 10 min à 0 °C, la solution de molécule BA2 est ajoutée et le milieu maintenu à 30 °C durant 1 h . Le milieu réactionnel est coulé goutte-à-goutte sur 6 L d'eau contenant du NaCI à 15 % massique et du HCl (pH 2), puis laissé reposer une nuit. Le précipité est collecté par filtration, lavé par la solution de chlorure de sodium à pH 2 (1 L) et séché sous vide pendant environ 1 h . Le solide blanc obtenu est repris dans de l'eau (600 mL) et le pH est ajusté à 7 par ajout lent d'une solution aqueuse de NaOH 1 N. Le volume est ajusté à 700 mL par ajout d'eau . Après filtration sur filtre 0,45 pm, la solution limpide obtenue est purifiée par ultrafiltration contre une solution de NaCI 0,9 % puis de l'eau, jusqu'à ce que la conductimétrie du perméat soit inférieure à 50 pS/cm. Après déchargement, la solution est filtrée sur filtre 0,2 pm et stockée à 2-8 °C. The co-polyamino acid BB1-1 (10.0 g) is dissolved in DMF (700 mL) at 30-40 ° C and then cooled to 0 ° C. The hydrochloride salt of the BA2 molecule (2.95 g, 3.8 mmol) is suspended in DMF (45 ml) and triethylamine (0.39 g, 3.8 mmol) is then added to this. suspension then the mixture is slightly heated with stirring until complete dissolution. To the solution of co-polyamino acid at 0 ° C., / V-methylmorpholine (NMM, 7.6 g, 75 mmol) in DMF (14 mL) and ethyl chloroformate (ECF, 8.1 g, 75 mmol) are added. After 10 min at 0 ° C, the solution of BA2 molecule is added and the medium maintained at 30 ° C for 1 h. The reaction medium is poured dropwise onto 6 L of water containing NaCl at 15% by mass and HCl (pH 2), then left to stand overnight. The precipitate is collected by filtration, washed with sodium chloride solution at pH 2 (1 L) and dried under vacuum for about 1 h. The white solid obtained is taken up in water (600 ml) and the pH is adjusted to 7 by slow addition of a 1N aqueous NaOH solution. The volume is adjusted to 700 ml by addition of water. After filtration on a 0.45 μm filter, the clear solution obtained is purified by ultrafiltration against a 0.9% NaCl solution and then with water, until the conductivity of the permeate is less than 50 pS / cm. After unloading, the solution is filtered through a 0.2 μm filter and stored at 2-8 ° C.
Extrait sec : 19,7 mg/g Dry extract: 19.7 mg / g
DP (estimé d' MN 1H) : 23 PD (estimated from MN 1 H): 23
D'après la RM 0,05 According to the RM 0.05
La masse molaire moyenne calculée du co-polyaminoacide BB1 est de 4350 g/mol . The calculated average molar mass of the co-polyamino acid BB1 is 4350 g / mol.
HPLC-SEC aqueuse (calibrant PEG) : Mn = 2400 g/mol. Aqueous HPLC-SEC (PEG calibrator): Mn = 2400 g / mol.
Exemple BB2 : co-polyaminoacide BB2 - poly-L-glutamate de sodium modifié par la molécule BA2 et ayant une mase molaire moyenne en nombre (Mn) de 4900 g/mol Example BB2: co-polyamino acid BB2 - sodium poly-L-glutamate modified by the molecule BA2 and having a number-average molar mass (Mn) of 4900 g / mol
[000550] Un acide poly-L-glutamique de masse molaire moyenne en nombre (Mn) 4100 g/mol (5,0 g) obtenu par un procédé similaire à celui utilisé pour la préparation du co- polyaminoacide BB1-1 est solubilisé dans le DMF (205 mL) à 30-40 °C puis maintenu à cette température. En parallèle, le sel de chlorhydrate de la molécule BA2 ( 1,44 g, 1,84 mmol) est mis en suspension dans du DMF (10 mL) et de la triéthylamine (0,19 g, 1,84 mmol) est ajoutée, puis le mélange est légèrement chauffé sous agitation jusqu'à complète dissolution. À la solution de co-polyaminoacide dans le DMF, de la NMM (3,7 g, 36,7 mmol), la solution de molécule BA2 puis de la /V-oxyde de 2-hydroxypyridine (HOPO, 0,31 g, 2,76 mmol) sont ajoutées successivement. Le milieu réactionnel est alors refroidi à 0 °C, puis du EDC (0,53 g, 2,76 mmol) est ajouté et le milieu est remonté à température ambiante durant 3 h. Le milieu réactionnel est coulé au goutte-à-goutte sur 1,55 L d'eau contenant du NaCI à 15 % massique et du HCl (pH 2) sous agitation . A la fin de l'ajout, le pH est réajusté à 2 avec une solution de HCl 1 N, et la suspension est laissée reposer une nuit. Le précipité est collecté par filtration, puis rincé par 100 mL d'eau. Le solide blanc obtenu est solubilisé dans 200 mL d'eau par ajout lent d'une solution aqueuse de NaOH 1 N jusqu'à pH 7 sous agitation, puis la solution est filtrée sur filtre 0,45 pm. La solution limpide obtenue est purifiée par ultrafiltration contre une solution de NaCI 0,9 % puis de l'eau, jusqu'à ce que la conductimétrie du perméat soit inférieure à 50 pS/cm. La solution obtenue est filtrée sur filtre 0,2 pm et stockée à 2-8 °C. Extrait sec : 16,3 mg/g A poly-L-glutamic acid of number-average molar mass (Mn) 4100 g / mol (5.0 g) obtained by a process similar to that used for the preparation of the co-polyamino acid BB1-1 is dissolved in DMF (205 mL) at 30-40 ° C then maintained at this temperature. In parallel, the hydrochloride salt of the BA2 molecule (1.44 g, 1.84 mmol) is suspended in DMF (10 mL) and triethylamine (0.19 g, 1.84 mmol) is added , then the mixture is slightly heated with stirring until complete dissolution. To the solution of co-polyamino acid in DMF, NMM (3.7 g, 36.7 mmol), the solution of molecule BA2 then of 2-hydroxypyridine / V-oxide (HOPO, 0.31 g, 2.76 mmol) are added successively. The reaction medium is then cooled to 0 ° C., then EDC (0.53 g, 2.76 mmol) is added and the medium is brought up to ambient temperature for 3 h. The reaction medium is poured dropwise onto 1.55 L of water containing NaCl at 15% by mass and HCl (pH 2) with stirring. At the end of the addition, the pH is readjusted to 2 with a 1N HCl solution, and the suspension is left to stand overnight. The precipitate is collected by filtration, then rinsed with 100 ml of water. The white solid obtained is dissolved in 200 ml of water by slow addition of a 1N aqueous NaOH solution to pH 7 with stirring, then the solution is filtered through a 0.45 μm filter. The clear solution obtained is purified by ultrafiltration against a 0.9% NaCl solution and then with water, until the conductimetry of the permeate is less than 50 pS / cm. The solution obtained is filtered through a 0.2 μm filter and stored at 2-8 ° C. Dry extract: 16.3 mg / g
DP (estimé d'après la RM CH) : 21 DP (estimated from RM C H): 21
D'après la RMN XH : i = 0,047 According to the NMR X H: i = 0.047
La masse molaire moyenne calculée du co-polyaminoacide BB2 est de 3932 g/mol . The calculated average molar mass of the co-polyamino acid BB2 is 3932 g / mol.
HPLC-SEC aqueuse (calibrant PEG) : Mn = 4900 g/mol . Exemple BB3 : Co-polyaminoacide BB3 - poly-L-glutamate de sodium modifié par la molécule BA2 et ayant une masse molaire moyenne en nombre (Mn) de 6400 g/molAqueous HPLC-SEC (PEG calibrator): Mn = 4900 g / mol. Example BB3: Co-polyamino acid BB3 - sodium poly-L-glutamate modified by the molecule BA2 and having a number-average molar mass (Mn) of 6400 g / mol
Co-Dolvaminoacide BB3- 1 : acide poly-L-glutamique de masse molaire moyenne en nombre (Mn) 17500 g/mol issu de la polymérisation du g-méthyl-L-glutamate N-ca rboxya n hyd ri de initiée par la L-leucinamide Co-Dolvaminoacid BB3-1: poly-L-glutamic acid of number-average molar mass (Mn) 17,500 g / mol resulting from the polymerization of g-methyl-L-glutamate N-ca rboxya n hyd ri of initiated by L -leucinamide
[000551] Un acide poly-L-glutamique de masse moyenne en nombre (Mn) 17500 g/mol relative à un standard polymétacrylate de méthyle (PMMA) est obtenu par polymérisation du g-méthyl /V-carboxyanhydride d'acide glutamique en utilisant la L-leucinamide comme initiateur et en effectuant une déprotection des esters méthyliques par utilisation d'une solution d'acide chlorhydrique à 37 % selon le procédé décrit dans la demande de brevet FR- A-2 801 226. A poly-L-glutamic acid of number average mass (Mn) 17,500 g / mol relative to a polymethyl methacrylate (PMMA) standard is obtained by polymerization of g-methyl / V-carboxyanhydride of glutamic acid using L-leucinamide as initiator and by deprotecting the methyl esters by using a 37% hydrochloric acid solution according to the process described in patent application FR-A-2 801 226.
[000552] Par un procédé similaire à celui utilisé pour la préparation du co-polyaminoacide BB2 appliqué au sel chlorhydrate de la molécule BA2 (3,23 g, 4, 1 mmol) et au co- polyaminoacie BB3-1 ( 11 g), un poly-L-glutamate de sodium modifié par la molécule BA2 est obtenu. By a process similar to that used for the preparation of the co-polyamino acid BB2 applied to the hydrochloride salt of the molecule BA2 (3.23 g, 4.1 mmol) and to the co-polyamino acid BB3-1 (11 g), a sodium poly-L-glutamate modified by the molecule BA2 is obtained.
Extrait sec : 27,5 mg/g Dry extract: 27.5 mg / g
DP (estimé d'après la RMN *H) : 34 DP (estimated from NMR * H): 34
D'après la RMN 1H : li = 0,049 According to 1 H NMR: li = 0.049
La masse molaire moyenne calculée du co-polyaminoacide BB3 est de 6405 g/mol . The calculated average molar mass of the co-polyamino acid BB3 is 6405 g / mol.
HPLC-SEC aqueuse (calibrant PEG) : Mn = 6400 g/mol. Aqueous HPLC-SEC (PEG calibrator): Mn = 6400 g / mol.
Exemple BB4 : co-polyaminoacide BB4 - poly-L-glutamate de sodium modifié par la molécule BA2 et ayant une masse molaire moyenne en nombre (Mn) de 10500 g/mol Example BB4: co-polyamino acid BB4 - sodium poly-L-glutamate modified by the molecule BA2 and having a number-average molar mass (Mn) of 10500 g / mol
[000553] Par un procédé similaire à celui utilisé pour la préparation du co-polyaminoacide BB2 appliqué au sel de chlorhydrate de la molécule BA2 (5 g, 6,35 mmol) et à un acide poly- L-glutamique de masse molaire moyenne en nombre Mn = 10800 g / mol (21 ,7 g) obtenu par un procédé similaire à celui utilisé pour la préparation du co-polyaminoacide BB1- 1, un poly-L-glutamate de sodium modifié par la molécule BA2 est obtenu. By a process similar to that used for the preparation of the co-polyamino acid BB2 applied to the hydrochloride salt of the molecule BA2 (5 g, 6.35 mmol) and to a poly-L-glutamic acid of average molar mass in Mn number = 10800 g / mol (21.7 g) obtained by a process similar to that used for the preparation of the co-polyamino acid BB1-1, a sodium poly-L-glutamate modified by the molecule BA2 is obtained.
Extrait sec : 28,2 mg/g Dry extract: 28.2 mg / g
DP (estimé d'après la RMN ^) : 65 DP (estimated from NMR ^): 65
D'après la RMN JH : i = 0,04 According to the NMR J H: i = 0.04
La masse molaire moyenne calculée du co-polyaminoacide BB4 est de 11721 g/mol. The calculated average molar mass of the co-polyamino acid BB4 is 11,721 g / mol.
HPLC-SEC aqueuse (calibrant PEG) : Mn = 10500 g/mol . Exemple BB5 : Co-polyaminoacide BB5 - poly-L-glutamate de sodium cappé à une de ses extrémités par un groupement acétyle et modifié par la molécule BA2 et ayant une masse molaire moyenne en nombre (Mn) de 3600 g/mol Aqueous HPLC-SEC (PEG calibrator): Mn = 10,500 g / mol. Example BB5: Co-polyamino acid BB5 - sodium poly-L-glutamate capped at one of its ends by an acetyl group and modified by the molecule BA2 and having a number-average molar mass (Mn) of 3600 g / mol
Co-polvaminoadde BB5-1 : acide poly-L-glutamique de Mn 3700 g/mol issu de la polymérisation du g-benzyl-L-glutamate /V-carboxyanhydride initiée par l'hexylamine et cappé à une de ses extrémités par un groupement acétyle Co-polvaminoadde BB5-1: poly-L-glutamic acid of Mn 3700 g / mol resulting from the polymerization of g-benzyl-L-glutamate / V-carboxyanhydride initiated by hexylamine and capped at one of its ends by a group acetyl
[000554] Dans un ballon préalablement séché à l'étuve est placé sous vide du y-benzyl- L-glutamate /V-carboxyanhydride ( 100,0 g, 380 mmol) pendant 30 min puis du DMF anhydre (250 mL) est introduit. Le mélange est alors agité sous argon jusqu'à complète dissolution, refroidi à 4 °C, puis de l'hexylamine (2,3 mL, 17 mmol) est introduite rapidement. Le mélange est agité entre 4 °C et température ambiante pendant 2 jours puis précipité dans du diisopropyléther (3,4 L). Le précipité est récupéré par filtration, lavé deux fois avec du diisopropyléther (225 mL) puis séché pour donner un solide blanc qui est dissout dans 450 mL de THF. À cette solution sont ajoutés successivement de la L/,/V-diisopropyléthylamine (DIPEA, 31 mL, 176 mmol) puis de l'anhydride acétique ( 17 mL, 176 mmol). Après une nuit d'agitation à température ambiante, la solution est versée lentement dans du diisopropyléther (3 L) sur une durée de 30 min et sous agitation . Après 1 h d'agitation, le précipité est filtré, lavé deux fois avec du diisopropyléther (200 mL) puis séché sous vide à 30 °C pour donner un acide poly(y-benzyl-L-glutamique) cappé à une de ses extrémités par un groupement acétyle. In a flask previously dried in an oven is placed under vacuum of y-benzyl-L-glutamate / V-carboxyanhydride (100.0 g, 380 mmol) for 30 min and then anhydrous DMF (250 mL) is introduced . The mixture is then stirred under argon until complete dissolution, cooled to 4 ° C, then hexylamine (2.3 mL, 17 mmol) is introduced quickly. The mixture is stirred between 4 ° C and room temperature for 2 days and then precipitated in diisopropyl ether (3.4 L). The precipitate is recovered by filtration, washed twice with diisopropyl ether (225 ml) and then dried to give a white solid which is dissolved in 450 ml of THF. To this solution are successively added L /, / V-diisopropylethylamine (DIPEA, 31 mL, 176 mmol) then acetic anhydride (17 mL, 176 mmol). After stirring overnight at room temperature, the solution is poured slowly into diisopropyl ether (3 L) over a period of 30 min and with stirring. After 1 h of stirring, the precipitate is filtered, washed twice with diisopropyl ether (200 mL) then dried under vacuum at 30 ° C to give a poly (y-benzyl-L-glutamic acid) capped at one of its ends by an acetyl group.
[000555] À une solution du co-polyaminoacide cappé (72 g) dans l'acide trifluoroacétique (TFA, 335 mL) à 4 °C est ajoutée goutte-à-goutte une solution d'acide bromhydrique (HBr) à 33 % dans l'acide acétique (235 mL, 1 ,34 mol). Le mélange est agité à température ambiante pendant 3 h 30, puis coulé goutte-à-goutte sur un mélange 1 : 1 (v/v) de diisopropyléther et d'eau sous agitation (4 L). Après 2 h d'agitation, le mélange hétérogène est laissé au repos pendant une nuit. Le précipité blanc est récupéré par filtration, lavé avec un mélange 1 : 1 (v/v) de diisopropyléther et d'eau (340 mL) puis avec de l'eau (340 mL). Le solide obtenu est alors solubilisé dans de l'eau (1,5 L) en ajustant le pH à 7 par ajout d'une solution aqueuse de soude 10 Npuis une solution aqueuse de soude 1 IM . Après solubilisation, la concentration théorique est ajustée à 20 g/L théorique par addition d'eau pour obtenir un volume final de 2,1 L. La solution est filtrée sur filtre 0,45 pm puis purifiée par ultrafiltration contre une solution de NaCI 0,9 %, puis de l'eau jusqu'à ce que la conductimétrie d u perméat soit inférieure à 50 pS/cm. La solution de co-polyaminoacide est ensuite concentrée jusqu'à obtenir un volume final de 1,8 L. La solution aqueuse est alors acidifiée par ajout de solution d'acide chlorhydrique 37 % jusqu'à atteindre un pH de 2. Après 4 h d'agitation, le précipité obtenu est filtré, lavé avec de l'eau (330 mL) puis séché sous vide à 30 °C pour donner un acide poly-L-glutamique de masse molaire moyenne en nombre (Mn) 3700 g/mol par rapport à un standard de polyoxyéthylène (PEG) . To a solution of the capped co-polyamino acid (72 g) in trifluoroacetic acid (TFA, 335 mL) at 4 ° C is added dropwise a solution of hydrobromic acid (HBr) at 33% in acetic acid (235 mL, 1.34 mol). The mixture is stirred at room temperature for 3 h 30 min, then poured dropwise onto a 1: 1 (v / v) mixture of diisopropyl ether and water with stirring (4 L). After 2 h of stirring, the heterogeneous mixture is left to stand overnight. The white precipitate is recovered by filtration, washed with a 1: 1 (v / v) mixture of diisopropyl ether and water (340 mL) then with water (340 mL). The solid obtained is then dissolved in water (1.5 L) by adjusting the pH to 7 by adding a 10 N aqueous sodium hydroxide solution and then a 1 MI aqueous sodium hydroxide solution. After solubilization, the theoretical concentration is adjusted to 20 g / L theoretical by adding water to obtain a final volume of 2.1 L. The solution is filtered on a 0.45 μm filter and then purified by ultrafiltration against a solution of NaCl 0 , 9%, then water until the conductivity of the permeate is less than 50 pS / cm. The co-polyamino acid solution is then concentrated until a final volume of 1.8 L is obtained. The aqueous solution is then acidified by adding 37% hydrochloric acid solution until reaching a pH of 2. After 4 h stirring, the precipitate obtained is filtered, washed with water (330 mL) and then dried under vacuum at 30 ° C to give a poly-L-glutamic acid with number-average molar mass (Mn) 3700 g / mol compared to a polyoxyethylene (PEG) standard.
Co-polyaminoacide BB5 Co-polyamino acid BB5
[000556] Par un procédé similaire à celui utilisé pour la préparation du co-polyaminoacide BB2 appliqué au sel chlorhydrate de la molécule BA2 (6,92 g, 8,8 mmol) et au co- polyaminoacide BB5- 1 (30,0 g), un poly-L-glutamate de sodium cappé à une de ses extrémités par un groupement acétyle et modifié par la molécule BA2 est obtenu. By a process similar to that used for the preparation of the co-polyamino acid BB2 applied to the hydrochloride salt of the molecule BA2 (6.92 g, 8.8 mmol) and to the co-polyamino acid BB5-1 (30.0 g ), a sodium poly-L-glutamate capped at one of its ends by an acetyl group and modified by the molecule BA2 is obtained.
Extrait sec : 29,4 mg/g Dry extract: 29.4 mg / g
DP (estimé d'après la RMN : 23 DP (estimated from NMR : 23
D'après la RMN JH : i = 0,042 According to the NMR J H: i = 0.042
La masse molaire moyenne calculée du co-polyaminoacide BB5 est de 4302 g/mol . The calculated average molar mass of the co-polyamino acid BB5 is 4302 g / mol.
HPLC-SEC aqueuse (calibrant PEG) : Mn = 3600 g/mol . Aqueous HPLC-SEC (PEG calibrator): Mn = 3600 g / mol.
Exemple BB6 : Co-polyaminoacide BB6 - poly-L-glutamate de sodium cappé à une de ses extrémités par un groupement acétyle et modifié par la molécule BA2 et ayant une masse molaire moyenne en nombre (Mn) de 4100 g/mol Example BB6: Co-polyamino acid BB6 - sodium poly-L-glutamate capped at one of its ends by an acetyl group and modified by the molecule BA2 and having a number-average molar mass (Mn) of 4100 g / mol
[000557] Par un procédé similaire à celui utilisé pour la préparation du co-polyaminoacide BB2 appliqué au sel chlorhydrate de la molécule BA2 (5,8 g, 7,4 mmol) et à un acide poly-L- glutamique de masse molaire moyenne en nombre Mn = 3800 g / mol (25 g) obtenu par un procédé similaire à celui utilisé pour la préparation du co-polyaminoacide BB5- 1 en utilisant l'ammoniac à la place de l'hexylamine, un poly-L-glutamate de sodium cappé à une de ses extrémités par un groupement acétyle et modifié par la molécule BA2 est obtenu . By a process similar to that used for the preparation of the co-polyamino acid BB2 applied to the hydrochloride salt of the molecule BA2 (5.8 g, 7.4 mmol) and to a poly-L-glutamic acid of average molar mass in number Mn = 3800 g / mol (25 g) obtained by a process similar to that used for the preparation of co-polyamino acid BB5-1 using ammonia in place of hexylamine, a poly-L-glutamate of sodium capped at one of its ends by an acetyl group and modified by the molecule BA2 is obtained.
Extrait sec : 27,6 mg/g Dry extract: 27.6 mg / g
DP (estimé d' MN 1H) : 24 PD (estimated from MN 1 H): 24
D'après la RM 0,04 According to the RM 0.04
La masse molaire moyenne calculée du co-polyaminoacide BB6 est de 4387 g/mol . The calculated average molar mass of the co-polyamino acid BB6 is 4387 g / mol.
HPLC-SEC aqueuse (calibrant PEG) : Mn = 4100 g/mol. Aqueous HPLC-SEC (PEG calibrator): Mn = 4100 g / mol.
Exemple BB7 : Co-polyaminoacide BB7 - poly-L-glutamate de sodium modifié par la molécule BA2 et ayant une masse molaire moyenne en nombre (Mn) de 4200 g/mol Example BB7: Co-polyamino acid BB7 - sodium poly-L-glutamate modified by the molecule BA2 and having a number-average molar mass (Mn) of 4200 g / mol
[000558] Par un procédé similaire à celui utilisé pour la préparation du co-polyaminoacide BB2 appliqué au sel chlorhydrate de la molécule BA2 (7,07 g, 9,0 mmol) et à un acide poly- L-glutamique de masse molaire moyenne en nombre Mn = 3600 g / mol (30,0 g) obtenu pa r un procédé similaire à celui utilisé pour la préparation du co-polyaminoacide BB1- 1, un poly- L-glutamate de sodium modifié par la molécule BA2 est obtenu . By a process similar to that used for the preparation of the co-polyamino acid BB2 applied to the hydrochloride salt of the molecule BA2 (7.07 g, 9.0 mmol) and to a poly-L-glutamic acid of average molar mass in number Mn = 3600 g / mol (30.0 g) obtained by a process similar to that used for the preparation of the co-polyamino acid BB1-1, a sodium poly-L-glutamate modified by the molecule BA2 is obtained.
Extrait sec : 28,3 mg/g Dry extract: 28.3 mg / g
DP (estimé d'après la RMN 1H) : 22 D'après la RMN ^ : i = 0,042 DP (estimated from 1 H NMR): 22 According to the NMR ^: i = 0.042
La masse molaire moyenne calculée du co-polyaminoacide BB7 est de 4039 g/mol. The calculated average molar mass of the co-polyamino acid BB7 is 4039 g / mol.
HPLC-SEC aqueuse (calibrant PEG) : Mn = 4200 g/mol . Aqueous HPLC-SEC (PEG calibrator): Mn = 4200 g / mol.
Exemple BB8 : co-polyaminoacide BBS - poly-L-glutamate de sodium modifié par la molécule BA2 et ayant une masse molaire moyenne en nombre (Mn) de 5200 g/mol Example BB8: co-polyamino acid BBS - sodium poly-L-glutamate modified by the molecule BA2 and having a number-average molar mass (Mn) of 5200 g / mol
[000559] Par un procédé similaire à celui utilisé pour la préparation du co-polyaminoacide BB2 appliqué au sel chlorhydrate de la molécule BA2 (0,85 g, 1, 1 mmol) et à un acide poly- L-glutamique de masse molaire moyenne en nombre Mn = 4100 g / mol (5,0 g) obtenu par un procédé similaire à celui utilisé pour la préparation du co-polyaminoacide BB1-1, un poly- L-glutamate de sodium modifié par la molécule BA2 est obtenu. By a process similar to that used for the preparation of the co-polyamino acid BB2 applied to the hydrochloride salt of the molecule BA2 (0.85 g, 1.1 mmol) and to a poly-L-glutamic acid of average molar mass. in number Mn = 4100 g / mol (5.0 g) obtained by a process similar to that used for the preparation of the co-polyamino acid BB1-1, a sodium poly-L-glutamate modified by the molecule BA2 is obtained.
Extrait sec : 28,6 mg/g Dry extract: 28.6 mg / g
DP (estimé MN *H) : 21 DP (estimated MN * H): 21
D'après la 0,026 According to 0,026
La masse molaire moyenne calculée du co-polyaminoacide BB8 est de 3620 g/mol . The calculated average molar mass of the co-polyamino acid BB8 is 3620 g / mol.
HPLC-SEC aqueuse (calibrant PEG) : Mn = 5200 g/mol. Aqueous HPLC-SEC (PEG calibrator): Mn = 5200 g / mol.
Exemple BB9 : co-polyaminoacide BB9 - poly-L-glutamate de sodium modifié par la molécule BA3 et ayant une masse molaire moyenne en nombre (Mn) de 4700 g/mol Example BB9: co-polyamino acid BB9 - sodium poly-L-glutamate modified by the molecule BA3 and having a number-average molar mass (Mn) of 4700 g / mol
[000560] Par un procédé similaire à celui utilisé pour la préparation du co-polyaminoacide BB2 appliqué au sel chlorhydrate de la molécule BA3 (3,05 g, 3,6 mmol) et à un acide poly- L-glutamique de masse molaire moyenne en nombre Mn = 4100 g / mol ( 10,0 g) obtenu par un procédé similaire à celui utilisé pour la préparation du co-polyaminoacide BB1-1, un poly- L-glutamate de sodium modifié par la molécule BA3 est obtenu . By a process similar to that used for the preparation of the co-polyamino acid BB2 applied to the hydrochloride salt of the molecule BA3 (3.05 g, 3.6 mmol) and to a poly-L-glutamic acid of average molar mass in number Mn = 4100 g / mol (10.0 g) obtained by a process similar to that used for the preparation of co-polyamino acid BB1-1, a sodium poly-L-glutamate modified by the molecule BA3 is obtained.
Extrait sec : 28,6 mg/g Dry extract: 28.6 mg / g
DP (estimé d' MN ^) : 26 PD (estimated from MN ^): 26
D'après la RM 0,05 According to the RM 0.05
La masse molaire moyenne calculée du co-polyaminoacide BB9 est de 4982 g/mol . The calculated average molar mass of the co-polyamino acid BB9 is 4982 g / mol.
HPLC-SEC aqueuse (calibrant PEG) : Mn = 4700 g/mol . Aqueous HPLC-SEC (PEG calibrator): Mn = 4700 g / mol.
Exemple BBIO : co-polyaminoacide BBIO - poly-L-glutamate de sodium modifié par la molécule BA3 et ayant une masse molaire moyenne en nombre (Mn) de 4200 g/mol Example BBIO: co-polyamino acid BBIO - sodium poly-L-glutamate modified by the molecule BA3 and having a number-average molar mass (Mn) of 4200 g / mol
[000561] Par un procédé similaire à celui utilisé pour la préparation du co-polyaminoacide BB2 appliqué au sel chlorhydrate de la molécule BA3 ( 1,90 g, 2,3 mmol) et à un acide poly- L-glutamique de masse molaire moyenne en nombre Mn = 3500 g / mol ( 10,0 g) obtenu par un procédé similaire à celui utilisé pour la préparation du co-polyaminoacide BB1- 1, un poly- L-glutamate de sodium modifié par la molécule BA3 est obtenu. Extrait sec : 25,9 mg/g By a process similar to that used for the preparation of the co-polyamino acid BB2 applied to the hydrochloride salt of the molecule BA3 (1.90 g, 2.3 mmol) and to a poly-L-glutamic acid of average molar mass in number Mn = 3500 g / mol (10.0 g) obtained by a process similar to that used for the preparation of co-polyamino acid BB1-1, a sodium poly-L-glutamate modified by the molecule BA3 is obtained. Dry extract: 25.9 mg / g
DP (estimé d' MN : 22 DP (estimated MN : 22
D'après la RM 0,029 According to the RM 0,029
La masse molaire moyenne calculée du co-polyaminoacide BB10 est de 3872 g/mol. The calculated average molar mass of the co-polyamino acid BB10 is 3872 g / mol.
HPLC-SEC aqueuse (calibrant PEG) : Mn = 4200 g/mol. Aqueous HPLC-SEC (PEG calibrator): Mn = 4200 g / mol.
Exemple BB11 : co-polyaminoacide BB11 - poly-L-glutamate de sodium cappé à une de ses extrémités par un groupement acétyle et modifié par la molécule BA4 et ayant une masse molaire moyenne en nombre (Mn) de 3900 g/mol Example BB11: co-polyamino acid BB11 - sodium poly-L-glutamate capped at one of its ends by an acetyl group and modified by the molecule BA4 and having a number-average molar mass (Mn) of 3900 g / mol
[000562] Par un procédé similaire à celui utilisé pour la préparation du co-polyaminoacide BB2 appliqué au sel chlorhydrate de la molécule BA4 (2,21 g, 2,2 mmol) et à un acide poly- L-glutamique de masse moyenne en nombre Mn = 3700 g / mol (10 g) obtenu par un procédé similaire à celui utilisé pour la préparation du co-polyaminoacide BB5-1, un poly-L-glutamate de sodium cappé à une de ses extrémités par un groupement acétyle et modifié par la molécule BA4 est obtenu. By a process similar to that used for the preparation of the co-polyamino acid BB2 applied to the hydrochloride salt of the molecule BA4 (2.21 g, 2.2 mmol) and to a poly-L-glutamic acid of average mass. number Mn = 3700 g / mol (10 g) obtained by a process similar to that used for the preparation of co-polyamino acid BB5-1, a sodium poly-L-glutamate capped at one of its ends by an acetyl group and modified by the BA4 molecule is obtained.
Extrait sec : 28,1 mg/g Dry extract: 28.1 mg / g
DP (estimé d' MN : 22 DP (estimated MN : 22
D'après la RM 0,032 According to the RM 0,032
La masse molaire moyenne calculée du co-polyaminoacide BB11 est de 4118 g/mol. The calculated average molar mass of the co-polyamino acid BB11 is 4118 g / mol.
HPLC-SEC aqueuse (calibrant PEG) : Mn = 3900 g/mol. Aqueous HPLC-SEC (PEG calibrator): Mn = 3900 g / mol.
Exemple BB12 : co-polyaminoacide BB12 - poly- L-g I uta mate de sodium cappé à une de ses extrémités par un groupement acétyle et modifié par la molécule BA3 et ayant une masse molaire moyenne en nombre (Mn) de 3900 g/mol Example BB12: co-polyamino acid BB12 - poly- L-g I sodium uta mate capped at one of its ends by an acetyl group and modified by the molecule BA3 and having a number-average molar mass (Mn) of 3900 g / mol
[000563] Par un procédé similaire à celui utilisé pour la préparation du co-polyaminoacide BB2 appliqué au sel chlorhydrate de la molécule BA3 (1,9 g, 2,3 mmol) et à un acide poly-L- glutamique de masse moyenne en nombre Mn = 3600 g / mol (10 g) obtenu par un procédé similaire à celui utilisé pour la préparation du co-polyaminoacide BB5-1, un poly-L-glutamate de sodium cappé à une de ses extrémités par un groupement acétyle et modifié par la molécule BA3 est obtenu. By a process similar to that used for the preparation of the co-polyamino acid BB2 applied to the hydrochloride salt of the molecule BA3 (1.9 g, 2.3 mmol) and to a poly-L-glutamic acid of average mass. number Mn = 3600 g / mol (10 g) obtained by a process similar to that used for the preparation of co-polyamino acid BB5-1, a sodium poly-L-glutamate capped at one of its ends by an acetyl group and modified by the molecule BA3 is obtained.
Extrait sec : 26,7 mg/g Dry extract: 26.7 mg / g
DP (estim MN *H) : 23 DP (estimated MN * H): 23
D'après la 0,03 According to 0.03
La masse molaire moyenne calculée du co-polyaminoacide BB12 est de 4145 g/mol. The calculated average molar mass of the co-polyamino acid BB12 is 4145 g / mol.
HPLC-SEC aqueuse (calibrant PEG) : Mn = 3900 g/mol. Exemple BB13 : co-polyaminoacide BB13 - poly-L-glutamate de sodium modifié par la molécule BAI et ayant une masse molaire moyenne en nombre (Mn) de 2800 g/mol Aqueous HPLC-SEC (PEG calibrator): Mn = 3900 g / mol. Example BB13: co-polyamino acid BB13 - sodium poly-L-glutamate modified by the BAI molecule and having a number-average molar mass (Mn) of 2800 g / mol
[000564] Par un procédé similaire à celui utilisé pour la préparation du co-polyaminoacide BB1 appliqué au sel de chlorhydrate de la molécule BAI (3,65 g, 5 mmol) et à un acide poly- L-glutamique de masse molaire moyenne en nombre Mn = 3600 g / mol ( 10 g) obtenu par un procédé similaire à celui utilisé pour la préparation du co-polyaminoacide BB1-1, un poly- L-glutamate de sodium modifié par la molécule BAI est obtenu. By a process similar to that used for the preparation of the co-polyamino acid BB1 applied to the hydrochloride salt of the BAI molecule (3.65 g, 5 mmol) and to a poly-L-glutamic acid of average molar mass in Mn number = 3600 g / mol (10 g) obtained by a process similar to that used for the preparation of the co-polyamino acid BB1-1, a sodium poly-L-glutamate modified by the BAI molecule is obtained.
Extrait sec : 25,6 mg/g Dry extract: 25.6 mg / g
DP (estimé d' MN : 25 DP (estimated MN : 25
D'après la RM 0,08 According to the RM 0.08
La masse molaire moyenne calculée du co-polyaminoacide BB13 est de 5253 g/mol. The calculated average molar mass of the co-polyamino acid BB13 is 5253 g / mol.
HPLC-SEC aqueuse (calibrant PEG) : Mn = 2800 g/mol. Aqueous HPLC-SEC (PEG calibrator): Mn = 2800 g / mol.
Exemple BB19 : Co-polyaminoacide BB19 - poly-L-glutamate de sodium et modifié par la molécule BA3 et ayant une masse molaire moyenne en nombre (Mn) de 7700 g/mol Example BB19: Co-polyamino acid BB19 - sodium poly-L-glutamate and modified by the molecule BA3 and having a number-average molar mass (Mn) of 7700 g / mol
[000565] Par un procédé similaire à celui utilisé pour la préparation du co-polyaminoacide AB23 appliqué au sel de chlorhydrate de la molécule BA3 et au co-polyaminoacide AB23-1, un poly-L-glutamate de sodium modifié par la molécule BA3 est obtenu. By a process similar to that used for the preparation of the co-polyamino acid AB23 applied to the hydrochloride salt of the molecule BA3 and to the co-polyamino acid AB23-1, a sodium poly-L-glutamate modified by the molecule BA3 is got.
Extrait sec : 25,3 mg/g Dry extract: 25.3 mg / g
DP (estimé d'après la RMN *H) : 60 DP (estimated from NMR * H): 60
D'après la RMN 1H : i = 0,045 According to 1 H NMR: i = 0.045
La masse molaire moyenne calculée du co-polyaminoacide BB19 est de 11188 g/mol. The calculated average molar mass of the co-polyamino acid BB19 is 11188 g / mol.
HPLC-SEC organique (calibrant PEG) : Mn = 7700 g/mol . Organic HPLC-SEC (PEG calibrator): Mn = 7700 g / mol.
Exemple BB14 : co-polyaminoacide BB14 - poly-L-glutamate de sodium modifié à une de ses extrémités par la molécule BA2 et ayant une masse molaire moyenne en nombre (Mn) de 4020 g/mol Example BB14: co-polyamino acid BB14 - sodium poly-L-glutamate modified at one of its ends by the molecule BA2 and having a number-average molar mass (Mn) of 4020 g / mol
[000566] Dans un contenant adapté sont introduits successivement le sel de chlorhydrate de la molécule BA2 (2, 12 g, 2,70 mmol), du chloroforme (40 mL), du tamis moléculaire 4 Â (1,5 g), ainsi que de la résine échangeuse d'ion Amberlite IRN 150 (1,5 g). Ap rès 1 h d'agitation sur rouleaux, le milieu est filtré et la résine est rincée avec du chloroforme. Le mélange est évaporé puis co-évaporé avec du toluène. Le résidu est solubilisé dans du DMF anhydre (20 mL) pour être utilisé directement dans la réaction de polymérisation . In a suitable container are successively introduced the hydrochloride salt of the molecule BA2 (2.12 g, 2.70 mmol), chloroform (40 mL), 4 Å molecular sieve (1.5 g), as well than Amberlite IRN 150 ion exchange resin (1.5 g). After 1 hour of stirring on rollers, the medium is filtered and the resin is rinsed with chloroform. The mixture is evaporated and then co-evaporated with toluene. The residue is dissolved in anhydrous DMF (20 mL) to be used directly in the polymerization reaction.
[000567] Dans un ballon préalablement séché à l'étuve, du g-benzyl-L-glutamate N- carboxyanhydride (18 g, 68,42 mmol) est placé sous vide pendant 30 min puis du DMF anhydre ( 100 mL) est introduit. Le mélange est agité sous argon jusqu'à solubilisation complète, refroidi à 4 °C, puis la solution de molécule BA2 préparée comme décrit précédemment est introduite rapidement. Le mélange est agité entre 4 °C et température ambiante pendant 2 jours, puis chauffé à 65 °C pendant 2 h. Le mélange réactionnel est alors refroidi à température ambiante puis versé goutte-à-goutte dans du diisopropyléther (1,2 L) sous agitation. Le précipité blanc est récupéré par filtration, lavé deux fois avec du diisopropyléther ( 100 mL) puis séché sous vide à 30 °C pour obteni r un solide blanc. Le solide est dilué dans du TFA ( 105 mL), et une solution d'acide bromhydrique (HBr) à 33 % dans de l'acide acétique (38 mL, 220 mmol) est alors ajoutée goutte-à-goutte et à 0 °C. La solution est agitée pendant 2 h à température ambiante puis est coulée goutte-à-goutte sur un mélange 1 : 1 (v/v) de diisopropyléther/eau et sous agitation (600 mL). Après 2 h d'agitation, le mélange hétérogène est laissé au repos pendant une nuit. Le précipité blanc est récupéré par filtration, lavé successivement avec un mélange 1 : 1 (v/v) de diisopropyléther et d'eau (200 mL) puis avec de l'eau ( 100 mL). Le solide obtenu est solubilisé dans de l'eau (450 mL) en ajustant le pH à 7 par ajout d'une solution aqueuse de soude 10 N puis une solution aqueuse de soude 1 N. Le mélange est filtré sur filtre 0,45 pm puis est purifié par ultrafiltration contre une solution de NaCI 0,9 % puis de l'eau jusqu'à ce que la conductimétrie du perméat soit inférieure à 50 pS/cm. La solution de co-polyaminoacide est ensuite concentrée à environ 30 g/L théorique et le pH est ajusté à 7,0. La solution aqueuse est filtrée sur 0,2 pm et conservée à 4 °C. In a balloon previously dried in an oven, g-benzyl-L-glutamate N-carboxyanhydride (18 g, 68.42 mmol) is placed under vacuum for 30 min and then anhydrous DMF (100 mL) is introduced . The mixture is stirred under argon until dissolved complete, cooled to 4 ° C., then the solution of BA2 molecule prepared as described above is introduced quickly. The mixture is stirred between 4 ° C and room temperature for 2 days, then heated to 65 ° C for 2 h. The reaction mixture is then cooled to room temperature then poured dropwise into diisopropyl ether (1.2 L) with stirring. The white precipitate is recovered by filtration, washed twice with diisopropyl ether (100 ml) then dried under vacuum at 30 ° C to obtain a white solid. The solid is diluted in TFA (105 mL), and a 33% solution of hydrobromic acid (HBr) in acetic acid (38 mL, 220 mmol) is then added dropwise and at 0 °. vs. The solution is stirred for 2 h at room temperature and is then poured dropwise onto a 1: 1 (v / v) mixture of diisopropyl ether / water and with stirring (600 mL). After 2 h of stirring, the heterogeneous mixture is left to stand overnight. The white precipitate is recovered by filtration, washed successively with a 1: 1 mixture (v / v) of diisopropyl ether and water (200 ml) then with water (100 ml). The solid obtained is dissolved in water (450 mL) by adjusting the pH to 7 by adding a 10N aqueous sodium hydroxide solution and then a 1N aqueous sodium hydroxide solution. The mixture is filtered on a 0.45 μm filter. then is purified by ultrafiltration against a 0.9% NaCl solution and then water until the conductimetry of the permeate is less than 50 pS / cm. The co-polyamino acid solution is then concentrated to approximately 30 g / L theoretical and the pH is adjusted to 7.0. The aqueous solution is filtered through 0.2 μm and stored at 4 ° C.
Extrait sec : 22,3 mg/g Dry extract: 22.3 mg / g
DP (estimé par RMN 1H) = 29 donc i = 0,034 DP (estimated by 1 H NMR) = 29 therefore i = 0.034
La masse molaire moyenne calculée du co-polyaminoacide BB14 est de 5089 g/mol. The calculated average molar mass of the co-polyamino acid BB14 is 5089 g / mol.
HPLC-SEC aqueuse (calibrant PEG) : Mn = 4020 g/mol . Aqueous HPLC-SEC (PEG calibrator): Mn = 4020 g / mol.
Exemple BB15 : co-polyaminoacide BB15 - poly-L-glutamate de sodium modifié à une de ses extrémités par la molécule BA3 et ayant une masse molaire moyenne en nombre (Mn) de 3389 g/mol Example BB15: co-polyamino acid BB15 - sodium poly-L-glutamate modified at one of its ends by the molecule BA3 and having a number-average molar mass (Mn) of 3389 g / mol
[000568] Par un procédé similaire à celui utilisé pour la préparation du co-polyaminoacide BB14 appliqué au sel chlorhydrate de la molécule BA3 (3,62 g, 4,32 mmol) et à 25,0 g (94,97 mmol) de g-benzyl-L-glutamate /V-carboxyanhydride, un poly-L-glutamate de sodium modifié à une de ses extrémités par la molécule BA3 est obtenu. By a process similar to that used for the preparation of the co-polyamino acid BB14 applied to the hydrochloride salt of the molecule BA3 (3.62 g, 4.32 mmol) and to 25.0 g (94.97 mmol) of g-benzyl-L-glutamate / V-carboxyanhydride, a sodium poly-L-glutamate modified at one of its ends by the molecule BA3 is obtained.
Extrait sec : 30,4 mg/g Dry extract: 30.4 mg / g
DP (estimé par RMN ^) = 24 donc i = 0,042 DP (estimated by NMR ^) = 24 therefore i = 0.042
La masse molaire moyenne calculée du co-polyaminoacide BB15 est de 4390 g/mol. The calculated average molar mass of the co-polyamino acid BB15 is 4390 g / mol.
HPLC-SEC aqueuse (calibrant PEG) : Mn = 3389 g/mol . Exemple BB16 : co-polyaminoacide BB16 - poly-L-glutamate de sodium modifié à une de ses extrémités par la molécule BA4 et ayant une masse molaire moyenne en nombre (Mn) de 3300 g/mol Aqueous HPLC-SEC (PEG calibrator): Mn = 3389 g / mol. Example BB16: co-polyamino acid BB16 - sodium poly-L-glutamate modified at one of its ends by the molecule BA4 and having a number-average molar mass (Mn) of 3300 g / mol
[000569] Par un procédé similaire à celui utilisé pour la préparation du co-polyaminoacide BB14 appliqué au sel chlorhydrate de la molécule BA4 (5,70 g, 5,70 mmol) et à 29,99 g ( 113,9 mmol) de g-benzyl-L-glutamate /V-carboxyanhydride, un poly-L-glutamate de sodium modifié à une de ses extrémités par la molécule BA4 est obtenu. By a process similar to that used for the preparation of the co-polyamino acid BB14 applied to the hydrochloride salt of the molecule BA4 (5.70 g, 5.70 mmol) and to 29.99 g (113.9 mmol) of g-benzyl-L-glutamate / V-carboxyanhydride, a sodium poly-L-glutamate modified at one of its ends by the molecule BA4 is obtained.
Extrait sec : 32,3 mg/g Dry extract: 32.3 mg / g
DP (estimé par RMN JH) = 23 donc i = 0,043 DP (estimated by NMR J H) = 23 therefore i = 0.043
La masse molaire moyenne calculée du co-polyaminoacide BB16 est de 4399 g/mol . The calculated average molar mass of the co-polyamino acid BB16 is 4399 g / mol.
HPLC-SEC aqueuse (calibrant PEG) : Mn = 3300 g/mol . Aqueous HPLC-SEC (PEG calibrator): Mn = 3300 g / mol.
Exemple BB17 : co-polyaminoacide BB17 - poly-L-glutamate de sodium modifié à une de ses extrémités par la molécule BA3 et ayant une masse molaire moyenne en nombre de 10700 g/mol Example BB17: co-polyamino acid BB17 - sodium poly-L-glutamate modified at one of its ends by the molecule BA3 and having a number-average molar mass of 10700 g / mol
[000570] Par un procédé similaire à celui utilisé pour la préparation du co-polyaminoacide BB14 appliqué au sel chlorhydrate de la molécule BA3 (2,51 g, 3 mmol) et à 52,7 g (200 mmol) de g-benzyl-L-glutamate /V-carboxyanhydride, un poly-L-glutamate de sodium modifié à une de ses extrémités par la molécule BA3 est obtenu. By a process similar to that used for the preparation of the co-polyamino acid BB14 applied to the hydrochloride salt of the molecule BA3 (2.51 g, 3 mmol) and to 52.7 g (200 mmol) of g-benzyl- L-glutamate / V-carboxyanhydride, a sodium poly-L-glutamate modified at one of its ends by the molecule BA3 is obtained.
Extrait sec : 24,5 mg/g Dry extract: 24.5 mg / g
DP (estimé par RM ^) = 65 donc i = 0,015 DP (estimated by RM ^) = 65 therefore i = 0.015
La masse molaire moyenne calculée du co-polyaminoacide BB17 est de 10585 g/mol. The calculated average molar mass of the co-polyamino acid BB17 is 10585 g / mol.
HPLC-SEC aqueuse (calibrant PEG) : Mn = 10700 g/mol. Aqueous HPLC-SEC (PEG calibrator): Mn = 10700 g / mol.
Exemple BB18 : co-polyaminoacide BB18 - poly-L-glutamate de sodium modifié à une de ses extrémités par la molécule B A3 et ayant une masse molaire moyenne en nombre de 6600 g/mol Example BB18: co-polyamino acid BB18 - sodium poly-L-glutamate modified at one of its ends by the molecule B A3 and having a number-average molar mass of 6600 g / mol
[000571] Par un procédé similaire à celui utilisé pour la préparation du co-polyaminoacide BB14 appliqué au sel chlorhydrate de la molécule BA3 (2,51 g, 3 mmol) et à 31,6 g ( 120 mmol) de g-benzyl-L-glutamate /V-carboxyanhydride, un poly-L-glutamate de sodium modifié à une de ses extrémités par la molécule BA3 est obtenu . By a process similar to that used for the preparation of the co-polyamino acid BB14 applied to the hydrochloride salt of the molecule BA3 (2.51 g, 3 mmol) and to 31.6 g (120 mmol) of g-benzyl- L-glutamate / V-carboxyanhydride, a sodium poly-L-glutamate modified at one of its ends by the molecule BA3 is obtained.
Extrait sec : 27,3 mg/g Dry extract: 27.3 mg / g
DP (estimé par RMN ^) = 40 donc i = 0,025 DP (estimated by NMR ^) = 40 so i = 0.025
La masse molaire moyenne calculée du co-polyaminoacide BB18 est de 6889 g/mol . The calculated average molar mass of the co-polyamino acid BB18 is 6889 g / mol.
HPLC-SEC aqueuse (calibrant PEG) : Mn = 6600 g/mol . Exemple BB20 : co-polyaminoacide BB20 - poly-L-glutamate de sodium modifié à une de ses extrémités par la molécule BA5 et ayant une masse molaire moyenne en nombre (Mn) de 2800 g/mol Aqueous HPLC-SEC (PEG calibrator): Mn = 6600 g / mol. Example BB20: co-polyamino acid BB20 - sodium poly-L-glutamate modified at one of its ends by the molecule BA5 and having a number-average molar mass (Mn) of 2800 g / mol
[000572] Par un procédé similaire à celui utilisé pour la préparation du co-polyaminoacide BB14 appliqué à la molécule BA5 sous forme d'amine libre (1,70 g, 1,98 mmol) et de y- benzyl-L-glutamate /V-carboxyanhydride (11,46 g, 43,5 mmol), un poly-L-glutamate de sodium modifié à une de ses extrémités par la molécule BA5 est obtenu. By a process similar to that used for the preparation of the co-polyamino acid BB14 applied to the BA5 molecule in the form of free amine (1.70 g, 1.98 mmol) and of y-benzyl-L-glutamate / V-carboxyanhydride (11.46 g, 43.5 mmol), a sodium poly-L-glutamate modified at one of its ends by the molecule BA5 is obtained.
Extrait sec : 20,7 mg/g Dry extract: 20.7 mg / g
DP (estimé par RMN JH) = 23 donc i = 0,043 DP (estimated by NMR J H) = 23 therefore i = 0.043
La masse molaire moyenne calculée du co-polyaminoacide BB20 est de 4295 g/mol. The calculated average molar mass of the co-polyamino acid BB20 is 4295 g / mol.
HPLC-SEC aqueuse (calibrant PEG) : Mn = 2800 g/mol. Aqueous HPLC-SEC (PEG calibrator): Mn = 2800 g / mol.
Exemple BB21 : co-polyaminoacide BB21 - poly-L-glutamate de sodium modifié à une de ses extrémités par la molécule BA3 et ayant une masse molaire moyenne en nombre (Mn) de 1100 g/mol Example BB21: co-polyamino acid BB21 - sodium poly-L-glutamate modified at one of its ends by the molecule BA3 and having a number-average molar mass (Mn) of 1100 g / mol
[000573] Par un procédé similaire à celui utilisé pour la préparation du co-polyaminoacide BB14 appliqué à la molécule BA3 sous forme d'amine libre (3,814 g, 4,75 mmol) et de y- benzyl-L-glutamate /V-carboxyanhydride (10,0 g, 38,0 mmol), un poly-L-glutamate de sodium modifié à une de ses extrémités par la molécule BA3 est obtenu. By a process similar to that used for the preparation of the co-polyamino acid BB14 applied to the BA3 molecule in the form of free amine (3.814 g, 4.75 mmol) and of y-benzyl-L-glutamate / V- carboxyanhydride (10.0 g, 38.0 mmol), a sodium poly-L-glutamate modified at one of its ends by the molecule BA3 is obtained.
Extrait sec : 16,1 mg/g Dry extract: 16.1 mg / g
DP (estimé par RM *H) = 9 donc i = 0,11 DP (estimated by RM * H) = 9 so i = 0.11
La masse molaire moyenne calculée du co-polyaminoacide BB21 est de 2123 g/mol. The calculated average molar mass of the co-polyamino acid BB21 is 2123 g / mol.
HPLC-SEC aqueuse (calibrant PEG) : Mn = 1100 g/mol. Aqueous HPLC-SEC (PEG calibrator): Mn = 1100 g / mol.
Exemple BB22 : co-polyaminoacide BB22 - poly-L-glutamate de sodium modifié à une de ses extrémités par la molécule BA6 et ayant une masse molaire moyenne en nombre (Mn) de 3300 g/mol Example BB22: co-polyamino acid BB22 - sodium poly-L-glutamate modified at one of its ends by the molecule BA6 and having a number-average molar mass (Mn) of 3300 g / mol
[000574] Par un procédé similaire à celui utilisé pour la préparation du co-polyaminoacide BB14 appliqué à la molécule BA6 sous forme d'amine libre (4,45 g, 5,18 mmol) et à 30,0 g (113,96 mmol) de y-benzyl-L-glutamate /V-carboxyanhydride, un poly-L-glutamate de sodium modifié à une de ses extrémités par la molécule BA6 est obtenu. By a process similar to that used for the preparation of the co-polyamino acid BB14 applied to the BA6 molecule in the form of free amine (4.45 g, 5.18 mmol) and 30.0 g (113.96 mmol) of y-benzyl-L-glutamate / V-carboxyanhydride, a sodium poly-L-glutamate modified at one of its ends by the molecule BA6 is obtained.
Extrait sec : 29,0 mg/g Dry extract: 29.0 mg / g
DP (estimé par RMN 1H) = 25 donc i = 0,04 DP (estimated by 1 H NMR) = 25 therefore i = 0.04
La masse molaire moyenne calculée du co-polyaminoacide BB22 est de 4597 g/mol. The calculated average molar mass of the co-polyamino acid BB22 is 4597 g / mol.
HPLC-SEC aqueuse (calibrant PEG) : Mn = 3300 g/mol. Exemple BB23 : co-polyamînoacide BB23 - poly-L-glutamate de sodium modifié à une de ses extrémités par la molécule BA7 et ayant une masse molaire moyenne en nombre (Mn) de 2900 g/mol Aqueous HPLC-SEC (PEG calibrator): Mn = 3300 g / mol. Example BB23: co-polyamino acid BB23 - sodium poly-L-glutamate modified at one of its ends by the molecule BA7 and having a number-average molar mass (Mn) of 2900 g / mol
[000575] Par un procédé similaire à celui utilisé pour la préparation du co-polyaminoacide BB14 appliqué à la molécule BA7 sous forme d'amine libre (3,05 g, 4,01 mmol) et de y- benzyl-L-glutamate /V-carboxyanhydride (22,78 g, 86,5 mmol), un poly-L-glutamate de sodium modifié à une de ses extrémités par la molécule BA7 est obtenu. By a process similar to that used for the preparation of the co-polyamino acid BB14 applied to the BA7 molecule in the form of free amine (3.05 g, 4.01 mmol) and of y-benzyl-L-glutamate / V-carboxyanhydride (22.78 g, 86.5 mmol), a sodium poly-L-glutamate modified at one of its ends by the molecule BA7 is obtained.
Extrait sec : 16,9 mg/g Dry extract: 16.9 mg / g
DP (estimé par RMN 1H) = 21 donc i = 0,048 DP (estimated by 1 H NMR) = 21 therefore i = 0.048
La masse molaire moyenne calculée du co-polyaminoacide BB23 est de 3894 g/mol . The calculated average molar mass of the co-polyamino acid BB23 is 3894 g / mol.
HPLC-SEC aqueuse (calibrant PEG) : Mn = 2900 g/mol . Aqueous HPLC-SEC (PEG calibrator): Mn = 2900 g / mol.
Exemple BB24 : co-polyaminoacide BB24 - poly-L-glutamate de sodium modifié à l'une de ses extrémités par la molécule BA3 et modifié par la molécule BA3 et ayant une masse molaire moyenne en nombre (Mn) de 2300 g/mol Example BB24: co-polyamino acid BB24 - sodium poly-L-glutamate modified at one of its ends by the molecule BA3 and modified by the molecule BA3 and having a number-average molar mass (Mn) of 2300 g / mol
Co-polyaminoacide BB24-1 : acide poly-L-glutamique modifié à une de ses extrémités par la molécule BA3 et cappé à l'autre extrémité par l'acide pidolique. Co-polyamino acid BB24-1: poly-L-glutamic acid modified at one of its ends by the molecule BA3 and capped at the other end by pidolic acid.
[000576] Dans un ballon préalablement séché à l'étuve, du y-benzyl-L-glutamate /V-carboxyanhydride ( 122,58 g, 466 mmol) est placé sous vide pendant 30 min puis du DMF anhydre (220 mL) est introduit. Le mélange est agité sous argon jusqu'à solubilisation complète, refroidi à -10 °C, puis une solution de molécule BA3 sous forme d'amine libre ( 17,08 g, 21 ,3 mmol) dans le chloroforme (40 mL) est introduite rapidement. Le mélange est agité entre 0 °C et température ambiante pendant 2 jours, puis chauffé à 65 °C pendant 4 h . Le mélange réactionnel est alors refroidi à 25 °C puis est ajouté de l'acide pidolique ( 13,66 g, 105,8 mmol), du HOBt (2,35 g, 15,3 mmol) et de l'EDC (20,28 g, 105,8 mmol). Après 24 h d'agitation à 25 °C, la solution est concentrée sous vide pour éliminer le chloroforme et 50 % du DMF. Le mélange réactionnel est alors chauffé à 55 °C et 1150 mL de méthanol sont introduit en 1 h . Le mélange réactionnel est alors refroidi à 0 °C. Après 18 h, le précipité blanc est récupéré par filtration, lavé trois fois avec 270 mL de diisopropyl éther puis séché sous vide à 30 °C pour obtenir un solide blanc. Le solide est dilué dans du TFA (390 mL), et u ne solution d'acide bromhydrique (HBr) à 33 % dans de l'acide acétique (271 mL, 1547 mmol) est alors ajoutée goutte-à-goutte et à 0 °C. La solution est agitée pendant 2 h à température ambiante puis est coulée goutte-à-goutte sur un mélange 1 : 1 (v/v) de diisopropyléther / eau et sous agitation (970 mL). Après 2 h d'agitation, le mélange hétérogène est laissé au repos pendant une nuit. Le précipité blanc est récupéré par filtration, lavé successivement avec du diisopropyl éther (380 mL) puis deux fois avec de l 'eau (380 mL). Le solide obtenu est solubilisé dans de l'eau (3,6 L) en ajustant le pH à 7 par ajout d'une solution aqueuse de soude 10 N puis une solution aqueuse de soude 1 N . Le mélange est filtré sur filtre 0,45 pm puis est purifié par ultrafiltration contre une solution de NaCI 0,9 %, une solution de NaOH 0,1 N , une solution de NaCI 0,9 %, une solution de tampon phosphate (150 mM), une solution de NaCI 0,9 % puis de l'eau jusqu'à ce que la conductimétrie du perméat soit inférieure à 50 pS/cm. La solution de co-polyaminoacide est ensuite concentrée à environ 30 g/L théorique, filtrée sur 0,2 pm puis acidifié à pH 2 sous agitation par addition d'une solution de HCl à 37 %. Le précipité est alors récupéré par filtration, lavé deux fois avec de l'eau pui s séché sous vide à 30 °C pour obtenir un solide blanc. In a flask previously dried in an oven, y-benzyl-L-glutamate / V-carboxyanhydride (122.58 g, 466 mmol) is placed under vacuum for 30 min and then anhydrous DMF (220 mL) is introduced. The mixture is stirred under argon until complete solubilization, cooled to -10 ° C., then a solution of BA3 molecule in the form of free amine (17.08 g, 21.3 mmol) in chloroform (40 mL) is introduced quickly. The mixture is stirred between 0 ° C and room temperature for 2 days, then heated to 65 ° C for 4 h. The reaction mixture is then cooled to 25 ° C and then added pidolic acid (13.66 g, 105.8 mmol), HOBt (2.35 g, 15.3 mmol) and EDC (20 , 28 g, 105.8 mmol). After stirring for 24 h at 25 ° C., the solution is concentrated under vacuum to remove the chloroform and 50% of the DMF. The reaction mixture is then heated to 55 ° C. and 1150 ml of methanol are introduced over 1 hour. The reaction mixture is then cooled to 0 ° C. After 18 h, the white precipitate is recovered by filtration, washed three times with 270 ml of diisopropyl ether and then dried under vacuum at 30 ° C to obtain a white solid. The solid is diluted in TFA (390 mL), and a 33% solution of hydrobromic acid (HBr) in acetic acid (271 mL, 1547 mmol) is then added dropwise and at 0 ° C. The solution is stirred for 2 h at room temperature and is then poured dropwise onto a 1: 1 (v / v) mixture of diisopropyl ether / water and with stirring (970 mL). After 2 h of stirring, the heterogeneous mixture is left to stand overnight. The white precipitate is recovered by filtration, washed successively with diisopropyl ether (380 mL) then twice with water (380 mL). The solid obtained is dissolved in water (3.6 L) by adjusting the pH to 7 by adding a 10N aqueous sodium hydroxide solution and then a 1N aqueous sodium hydroxide solution. The mixture is filtered on a 0.45 μm filter then is purified by ultrafiltration against a 0.9% NaCl solution, a 0.1 N NaOH solution, a 0.9% NaCl solution, a phosphate buffer solution (150 mM), a 0.9Cl solution % then water until the conductivity of the permeate is less than 50 pS / cm. The co-polyamino acid solution is then concentrated to around 30 g / L theoretical, filtered through 0.2 μm and then acidified to pH 2 with stirring by addition of a 37% HCl solution. The precipitate is then recovered by filtration, washed twice with water and then dried under vacuum at 30 ° C to obtain a white solid.
Co-polyaminoacide BB24 Co-polyamino acid BB24
[000577] Par un procédé similaire à celui utilisé pour la préparation du co-polyaminoacide BB2 appliqué à la molécule BA3 sous forme d'amine libre (1,206 g, 1,50 mmol) et au co- polyaminoacide BB24-1 (5,5 g, 33,4 mmol), un poly-L-glutamate de sodium modifié à l'une de ses extrémités par la molécule BA3 et modifié par la molécule BA3 est obtenu . By a process similar to that used for the preparation of the co-polyamino acid BB2 applied to the BA3 molecule in the form of free amine (1.206 g, 1.50 mmol) and to the co-polyamino acid BB24-1 (5.5 g, 33.4 mmol), a sodium poly-L-glutamate modified at one of its ends by the molecule BA3 and modified by the molecule BA3 is obtained.
Extrait sec : 19,0 mg/g Dry extract: 19.0 mg / g
DP (estimé d'après la RM 1H) : 22 DP (estimated from RM 1 H): 22
D'après la RMN :H : i = 0,089 According to the NMR : H: i = 0.089
La masse molaire moyenne calculée du co-polyaminoacide BB24 est de 4826 g/mol. The calculated average molar mass of the co-polyamino acid BB24 is 4826 g / mol.
HPLC-SEC aqueuse (calibrant PEG) : Mn = 2300 g/mol . Aqueous HPLC-SEC (PEG calibrator): Mn = 2300 g / mol.
Exemple BB25 : co-polyaminoacide BB25 - poly-L-glutamate de sodium modifié à un de ses extrémités par la molécule BA3 et à l'autre extrémité par la molécule B8 et ayant une masse molaire moyenne en nombre (Mn) de 2000 g/mol Example BB25: co-polyamino acid BB25 - sodium poly-L-glutamate modified at one of its ends by the molecule BA3 and at the other end by the molecule B8 and having a number-average molar mass (Mn) of 2000 g / mol
[000578] À une solution de molécule B8 (0,946 g, 1,24 mmol) dans le DMF (8 mL) sont introduits du DCC (0,257 g, 1,24 mmol) et du NHS (0, 143 g, 1,24 mmol). Après 16 h d'agitation à température ambiante, la solution est filtrée pour être utilisée directement dans la réaction suivante. DCC (0.257 g, 1.24 mmol) and NHS (0.143 g, 1.24) are introduced into a solution of molecule B8 (0.946 g, 1.24 mmol) in DMF (8 mL) mmol). After 16 h of stirring at room temperature, the solution is filtered to be used directly in the following reaction.
[000579] Dans un ballon préalablement séché à l'étuve, du y-benzyl-L-glutamate /V-carboxyanhydride (6,0 g, 22,8 mmol) est placé sous vide pendant 30 min puis du DMF anhydre ( 14 mL) est introduit. Le mélange est alors agité sous argon jusqu'à complète dissolution, refroidi à 0 °C, puis une solution de molécule BA3 sous forme d'amine libre (0,832 g, 1,04 mmol) dans le chloroforme (2,0 mL) est introduit rapidement. Après 18 h d'agitation à 0 °C, la solution de molécule B8 préparée précédemment est additionnée. La solution est agitée entre 0 °C et température ambiante pendant 22 h puis coulée goutte-à-goutte dans du diisopropyléther (0,34 L) sous agitation. Le précipité est récupéré par filtration, lavé avec du diisopropyléther (7 fois 15 mL) puis séché sous vide à 30 °C pour donner un solide blanc. Le solide est dilué dans du TFA (23 mL), puis la solution est refroidie à 4 °C. Une solution de HBr à 33 % dans l'acide acétique (15 mL, 85,7 mmol) est alors ajoutée goutte-à-goutte. Le mélange est agité à température ambiante pendant 2 h, puis coulé goutte-à-goutte sur un mélange 1 : 1 (v/v) de diisopropyléther et d'eau sous agitation (0,28 L). Après 2 h d'agitation, le mélange hétérogène est laissé au repos pendant une nuit. Le précipité blanc est récupéré par filtration, lavé deux fois avec un mélange 1 : 1 (v/v) de diisopropyléther et d'eau (24 mL) puis deux fois avec de l'eau (24 mL) . Le solide obtenu est alors solubilisé dans de l'eau (0,16 L) en ajustant le pH à 12 par ajout d'une solution aqueuse de soude 10 N puis une solution aqueuse de soude 1 N . Après 30 min le pH est ajusté à 7 par ajout lent d'une solution aqueuse de HCl 1 N. La solution est filtrée sur filtre 0,45 pm puis purifiée par ultrafiltration contre une solution de NaCI 0,9 %, puis de l'eau jusqu'à ce que la conductimétrie du perméat soit inférieure à 50 pS/cm . La solution obtenue est filtrée sur filtre 0,2 pm et stockée à 2-8°C. Extrait sec : 18,9 mg/g In a flask previously dried in an oven, y-benzyl-L-glutamate / V-carboxyanhydride (6.0 g, 22.8 mmol) is placed under vacuum for 30 min and then anhydrous DMF (14 mL ) is introduced. The mixture is then stirred under argon until complete dissolution, cooled to 0 ° C., then a solution of BA3 molecule in the form of free amine (0.832 g, 1.04 mmol) in chloroform (2.0 ml) is introduced quickly. After 18 h of stirring at 0 ° C., the solution of molecule B8 previously prepared is added. The solution is stirred between 0 ° C and room temperature for 22 h then poured dropwise into diisopropyl ether (0.34 L) with stirring. The precipitate is recovered by filtration, washed with diisopropyl ether (7 times 15 mL) then dried under vacuum at 30 ° C to give a white solid. The solid is diluted in TFA (23 mL), then the solution is cooled to 4 ° C. A 33% HBr solution in acetic acid (15 mL, 85.7 mmol) is then added dropwise. The mixture is stirred at room temperature for 2 h, then poured dropwise onto a 1: 1 (v / v) mixture of diisopropyl ether and water with stirring (0.28 L). After 2 h of stirring, the heterogeneous mixture is left to stand overnight. The white precipitate is recovered by filtration, washed twice with a 1: 1 (v / v) mixture of diisopropyl ether and water (24 mL) then twice with water (24 mL). The solid obtained is then dissolved in water (0.16 L) by adjusting the pH to 12 by adding a 10N aqueous sodium hydroxide solution and then a 1N aqueous sodium hydroxide solution. After 30 min the pH is adjusted to 7 by slow addition of a 1N aqueous HCl solution. The solution is filtered on a 0.45 μm filter then purified by ultrafiltration against a 0.9% NaCl solution, then with water until the conductivity of the permeate is less than 50 pS / cm. The solution obtained is filtered through a 0.2 μm filter and stored at 2-8 ° C. Dry extract: 18.9 mg / g
DP (estimé d' MN 1H) : 22 PD (estimated from MN 1 H): 22
D'après la RM 0,09 According to the RM 0.09
La masse molaire moyenne calculée du co-polyaminoacide BB25 est de 4871 g/mol. The calculated average molar mass of the co-polyamino acid BB25 is 4871 g / mol.
HPLC-SEC aqueuse (calibrant PEG) : Mn = 2000 g/mol . Aqueous HPLC-SEC (PEG calibrator): Mn = 2000 g / mol.
Partie C Compositions d'insuline analogues rapides et insuline basale Part C Rapid insulin analogues and basal insulin
Exemple Cl Sol llQnjij SüliDe rapide (Humalog®) à 100 U/mL Example Cl Sol llQnjij SüliDe fast (Humalog ® ) at 100 U / mL
[000580] Cette solution est une solution commerciale d'insuline lispro commercialisée pa r la société ELI LILLY sous le nom de Humalog®. Ce produit est une insuline analogue rapide. Les excipients dans Humalog® sont le méta-crésol (3, 15 mg/mL), le glycérol ( 16 mg/mL), le phosphate de disodium (1,88 mg/mL), l'oxyde de zinc (pour avoir 0,0197 mg d'ion zinc/mL), l'hydroxyde de sodium et l'acide chlorhydrique pour l'ajustement du pH (pH 7-7,8) et de l'eau. [000580] This solution is a commercial solution of insulin lispro marketed pa r company Eli Lilly under the name of Humalog ®. This product is a rapid analog insulin. The excipients in Humalog ® are meta-cresol (3.15 mg / mL), glycerol (16 mg / mL), disodium phosphate (1.88 mg / mL), zinc oxide (to have 0 , 0197 mg of zinc ion / mL), sodium hydroxide and hydrochloric acid for adjusting the pH (pH 7-7.8) and water.
Exemple C2 : Solutionjd Dslillnê-rgpjde lispro à 600 U/mL Example C2: Solutionjd Dslillnê-rgpjde lispro at 600 U / mL
[000581] Cette solution est une solution d'insuline préparée à partir d'une poudre d'insuline lispro. Ce produit est une insuline analogue rapide. Les excipients utilisés sont le méta-crésol, le glycérol, l'oxyde de zinc, l'hydroxyde de sodium et l'acide chlorhydrique pour l'ajustement du pH (pH 7-7,8) et de l'eau. La concentration d'oxide de zinc est de 1800 mM et celle de glycérol est de 230 mM . La concentration de m-crésol varie selon les concentrations souhaitées dans les préparations finales. This solution is an insulin solution prepared from a lispro insulin powder. This product is a rapid analog insulin. The excipients used are meta-cresol, glycerol, zinc oxide, sodium hydroxide and hydrochloric acid for adjusting the pH (pH 7-7.8) and water. The concentration of zinc oxide is 1800 mM and that of glycerol is 230 mM. The concentration of m-cresol varies according to the concentrations desired in the final preparations.
Exemple C3 : Solution d'insuline analogue basale fLantus®j à 100 U/mL Example C3: insulin solution similar basal fLantus ® d to 100 U / mL
[000582] Cette solution est une solution commerciale d'insuline glargine commercialisée par la société SANOFI sous le nom de Lantus®. Ce produit est une insuline analogue basale. Les excipients de Lantus® sont le chlorure de zinc (460 mM), le méta-crésol (2,7 mg/mL), le glycérol (85%) (20 mg/mL), le Tween 20 ( 16 mM), l'hydroxyde de sodium et l'acide chlorhydrique pour l'ajustement du pH (pH 4) et de l'eau. Exemple C4 ; Solution d'insuline glargine à 100-400 U /mL. [000582] This solution is an insulin glargine commercial solution marketed by Sanofi under the name of Lantus ®. This product is a basal analogue insulin. The excipients of Lantus ® are zinc chloride (460 mM), meta-cresol (2.7 mg / mL), glycerol (85%) (20 mg / mL), Tween 20 (16 mM), l sodium hydroxide and hydrochloric acid for pH adjustment (pH 4) and water. Example C4; Insulin glargine solution at 100-400 U / mL.
[000583] Cette solution est une solution d'insuline glargine préparée à partir de poudre d'insuline glargine. Ce produit est une insuline analogue lente. Les excipients utilisés sont le chlorure de zinc, le méta-crésol, le glycérol, l 'hydroxyde de sodium et l'acide chlorhydrique pour l'ajustement du pH (pH 4) et de l'eau . La concentration de zinc est de 4.5 mM pour 1 UI/ml d'insuline. La concentration de glycérol et des excipients phénoliques m-crésol et phénol varient selon les concentrations souhaitées dans les préparations finales. This solution is an insulin glargine solution prepared from insulin glargine powder. This product is a slow analog insulin. The excipients used are zinc chloride, meta-cresol, glycerol, sodium hydroxide and hydrochloric acid for adjusting the pH (pH 4) and water. The zinc concentration is 4.5 mM for 1 IU / ml of insulin. The concentration of glycerol and of the phenolic excipients m-cresol and phenol vary according to the concentrations desired in the final preparations.
Exemple CA : Détermination des ratios mininimum pour solubiliser l'insuline glargine Example CA: Determination of the minimum ratios for solubilizing insulin glargine
Protocole pour la déterminatlQn de la concentration minimale pour . solubiliser l'insuline alaraLng. à_5Q..U/mL à pH 7,1 , Protocol for the determination of the minimum concentration for . dissolve insulin alaraLng. à_5Q..U / mL at pH 7.1,
[000584] À une solution mère de co-polyaminoacide à pH 7,2 ± 0,3 sont ajoutées des solutions concentrées de chlorure de zinc, chlorure de sodium, m-crésol et glycérine. 0,5 mL d'une solution d'insuline glargine à une concentration de 100 U/mL, préparée selon l'exemple C3 ou C4, est ajouté à un volume de 0,5 mL de la solution de co-polyaminoacide et d'excipients pour obtenir une composition co-polyaminoacide/insuline glargine 50 U/mL. La quantité d'excipients ajoutée est choisie de manière à obtenir une concentration de chlorure de zinc de 0-1 mM, de chlorure de sodium de 5-10 mM, de m-crésol de 35 mM et de glycérine de 184 mM dans la composition co-polyaminoacide / insuline glargine 50 U/mL. La concentration en co-polyaminoacide varie d'une préparation à l'autre : des solutions ayant des concentrations en co-polyaminoacide variant au plus de 0,25 mg/ml sont préparées de cette manière. Concentrated solutions of zinc chloride, sodium chloride, m-cresol and glycerin are added to a stock solution of co-polyamino acid at pH 7.2 ± 0.3. 0.5 ml of an insulin glargine solution at a concentration of 100 U / ml, prepared according to example C3 or C4, is added to a volume of 0.5 ml of the solution of co-polyamino acid and excipients to obtain a co-polyamino acid / insulin glargine composition 50 U / ml. The amount of excipients added is chosen so as to obtain a concentration of zinc chloride of 0-1 mM, sodium chloride of 5-10 mM, m-cresol of 35 mM and glycerin of 184 mM in the composition. co-polyamino acid / insulin glargine 50 U / mL. The co-polyamino acid concentration varies from one preparation to another: solutions having co-polyamino acid concentrations varying at most of 0.25 mg / ml are prepared in this way.
[000585] Suite à l'ajout de la solution de glargine un trouble apparaît. Le pH est ajusté à pH 7, 1 par ajout de NaOH concentré et la solution est placée dans une étuve à 40 °C pendant 1 nuit. Après la nuit à 40 °C les échantillons sont inspectés visuellement et soumis à une mesure de diffusion statique de la lumière à un angle de 173° à l'aide d'un zetasizer (Malvern). La concentration minimale de co-polyaminoacide permettant de solubiliser l'insuline glargine est définie comme la concentration la plus basse pour laquelle le mélange co-polyaminoacide / insuline glargine à pH 7, 1 ± 0,1 est visuellement limpide, ne contient pas de particules visibles et présente une intensité diffusée inférieure à 1500 kcps. Following the addition of the glargine solution, a cloudiness appears. The pH is adjusted to pH 7.1 by adding concentrated NaOH and the solution is placed in an oven at 40 ° C for 1 night. After the night at 40 ° C the samples are visually inspected and subjected to a measurement of static light scattering at an angle of 173 ° using a zetasizer (Malvern). The minimum concentration of co-polyamino acid to dissolve insulin glargine is defined as the lowest concentration for which the co-polyamino acid / insulin glargine mixture at pH 7, 1 ± 0.1 is visually clear, does not contain particles visible and has a scattered intensity of less than 1500 kcps.
Tableau 1 : Ratio minimum pour solubiliser l'insuline glargine. Table 1: Minimum ratio to dissolve insulin glargine.
[000586] L'ajout de sel permet de diminuer la concentration de co-polyaminoacide requise pour solubiliser l'insuline glargine. Exemple CB : Compositions comprenant de l'insuline glargine The addition of salt makes it possible to reduce the concentration of co-polyamino acid required to dissolve insulin glargine. Example CB: Compositions comprising insulin glargine
Procédé _ de _ BrgBara.tign.. CB1 ; _ Préparation _ d.'un_e _ composition concentrée co- polvaminoacide/insuiine glargine à pH 7,2. suivant un procédé utilisant l'insuline glargine sous forme liquide (en solution) et un co-potyaminoadde SQus.forme liquide (en solution). _ BrgBara.tign process. . CB1; _ Preparation _ of a concentrated composition co-polyamino acid / insulin glargine at pH 7.2. following a process using insulin glargine in liquid form (in solution) and a co-potyaminoadde SQus . liquid form (in solution).
[000587] A une solution mère de co-polyaminoacide à pH 7,1 sont ajoutées des solutions concentrées de ISIaCI et de chloru re du zinc de manière à atteindre les concentrations visées dans la composition finale. A cette solution de co-polyaminoacide est ajoutée une solution de l'insuline glargine décrite dans l'exemple Cl . Un trouble apparaît. Le pH est ajusté à pH 7,5 par ajout de NaOH concentrée et la solution est placée en statique à +40 °C jusqu'à solubilisation complète. La solution obtenue est visuellement limpide et est laissée à refroidir jusqu'à 20-25 °C. Le pH est ajusté à 7,2 par ajout d'une solution d'acide chlorhydrique. Concentrated solutions of ISIaCI and zinc chloride are added to a stock solution of co-polyamino acid at pH 7.1 so as to reach the concentrations targeted in the final composition. To this co-polyamino acid solution is added a solution of insulin glargine described in Example C1. A disorder appears. The pH is adjusted to pH 7.5 by adding concentrated NaOH and the solution is placed statically at +40 ° C until complete dissolution. The solution obtained is visually clear and is left to cool to 20-25 ° C. The pH is adjusted to 7.2 by adding a hydrochloric acid solution.
[000588] Selon le procédé de préparation CB1 , des compositions co- polyaminoacide/insuline glargine ont été préparées avec des concentrations en insuline glargine entre 50 UI/mL et 200 UI/mL. According to the CB1 preparation method, co-polyamino acid / insulin glargine compositions were prepared with insulin glargine concentrations between 50 IU / ml and 200 IU / ml.
Exemple CC : Compositions comprenant de l'insuline glargine et de l'insuline lispro à pH 7,2 Example CC: Compositions comprising insulin glargine and insulin lispro at pH 7.2
[000589] Procédé de _ préparation _ (XQ ; . Préparation _ d'une composition co- p yamiQoacidê/iDsuline . qtarqine/insytfoe lisprp à pH 7,2 [000589] The process for preparation _ _ (XQ;. _ Preparation of a composition co- p yamiQoacidê / iDsuline qtarqine / insytfoe lisprp pH 7.2.
[000590] A la composition concentrée co-polyaminoacide/insuline glargine à pH 7,2 décrite dans l'exemple CB1 est ajoutée une solution de lispro décrite dans l'exemple C2 et si nécessaire de l'eau . La quantité d'excipients ajoutée est choisie de manière à obtenir une concentration de chlorure de zinc de 0-1 mM, de chlorure de sodium de 5-10 mM, de m-crésol de 35 mM et de glycérine de 230 mM dans la composition co-polyaminoacide/insuline glargine/insuline lispro. La solution obtenue est limpide Si nécessaire, le pH est ajusté à la cible de 7,2 par ajout de solutions d'acide chlorhydrique ou d'hydroxyde de sodium. To the concentrated co-polyamino acid / insulin glargine composition at pH 7.2 described in example CB1 is added a solution of lispro described in example C2 and if necessary water. The amount of excipients added is chosen so as to obtain a concentration of zinc chloride of 0-1 mM, sodium chloride of 5-10 mM, m-cresol of 35 mM and glycerin of 230 mM in the composition. co-polyamino acid / insulin glargine / insulin lispro. The solution obtained is clear If necessary, the pH is adjusted to the target of 7.2 by adding solutions of hydrochloric acid or sodium hydroxide.
[000591] Les compositions sont filtrées (0,22 pm) et conservées à 4 °C. The compositions are filtered (0.22 μm) and stored at 4 ° C.
Tableau 2: Compositions d'insuline glargine et d'insuline lispro en présence de co- polyaminoacide. [000592] Les co-polyaminoacides selon l'invention permettent de solubiliser l'insuline glargine en présence d'insuline lispro à pH neutre et conduisent à des solutions limpides. Table 2: Compositions of insulin glargine and insulin lispro in the presence of co-polyamino acid. [000592] The co-polyamino acids according to the invention make it possible to dissolve insulin glargine in the presence of insulin lispro at neutral pH and lead to clear solutions.
Partie CD : Résultats Partie CD1 : Mise en évidence de la stabilité physique des compositions selon l'invention par l'étude des compositions précédemment préparées. CD part: Results Part CD1: Demonstration of the physical stability of the compositions according to the invention by studying the compositions previously prepared.
[000593] Protocole . JOBl _ _ Etydg__dê__ja_st3biiité . physique . des compositions co- poly¾minoaC)de. insuline qlarqlne/insuline lispro à pH 7,2. Protocol. JOBl _ _ Etydg__dê__ja_st3biiité . physical . co-poly¾minoaC) compositions of. insulin qlarqlne / insulin lispro at pH 7.2.
[000594] Au moins 5 cartouches en verre de 3 mL remplies avec 1 mL de composition co- polyaminoacide/insuline glargine/insuline prandiale sont placées dans une étuve à 30 °C en conditions statiques. Les cartouches sont inspectées visuellement à une fréquence bimensuelle afin de détecter l'apparition de particules visibles ou d'une turbidité. Cette inspection est réalisée selon les recommandations de la Pharmacopée Européenne (EP 2.9,20) : les cartouches sont soumises à un éclairage d'au moins 2000 Lux et sont observées face à un fond blanc et un fond noir. Le nombre de semaines de stabilité correspond à la durée à partir de laquelle la majorité des cartouches présente des particules visibles ou est turbide. Les résultats sont présentés dans le tableau 3. At least 5 3 ml glass cartridges filled with 1 ml of co-polyamino acid / insulin glargine / prandial insulin composition are placed in an oven at 30 ° C. under static conditions. The cartridges are visually inspected every two months to detect the appearance of visible particles or turbidity. This inspection is carried out according to the recommendations of the European Pharmacopoeia (EP 2.9,20): the cartridges are subjected to lighting of at least 2000 Lux and are observed in front of a white background and a black background. The number of weeks of stability corresponds to the duration at from which the majority of the cartridges has visible particles or is turbid. The results are presented in Table 3.
Tableau 3: Stabilité physique des compositions de l'invention CC2, CC5 et CC6. Table 3: Physical stability of the compositions of the invention CC2, CC5 and CC6.
[000595] Les compositions CC2, CC5 et CC6 présentent une bonne stabilité physique. CC2, CC5 and CC6 compositions have good physical stability.
Partie D Pharmacocinétique Part D Pharmacokinetics
Dl : Protocole de mesure de la pharmacocinétique de formulations d'insuline glargine et d'insuline lispro. Dl: Protocol for measuring the pharmacokinetics of insulin glargine and insulin lispro formulations.
[000596] Des études chez le chien ont été conduites dans l'objectif d'évaluer la pharmacocinétique des insulines après administration de la composition CC5 comprenant co- polyaminoacide AB35/insuline glargine (150 UI/mL)/insuline lispro (50 UI/mL) . Studies in dogs have been conducted with the aim of evaluating the pharmacokinetics of insulins after administration of the composition CC5 comprising co-polyamino acid AB35 / insulin glargine (150 IU / mL) / insulin lispro (50 IU / mL ).
[000597] Les profils pharmacocinétiques de l'insuline glargine (somme de la concentration circulante en insuline glargine et en son principal métabolite Ml) et de l'insuline lispro ont été obtenus pour cette composition. The pharmacokinetic profiles of insulin glargine (sum of the circulating concentration of insulin glargine and its main metabolite Ml) and of insulin lispro were obtained for this composition.
[000598] Dix animaux qui ont été mis à jeun depuis 17,5 heures environ ont été injectés par voie sous-cutanée à la dose de 0,68 U/ kg d'insuline. Des prélèvements sanguins sont réalisés pendant les 16h suivant l'administration pour décrire la pharmacocinétique des insulines. Les niveaux de glargine, de glargine-Ml et de lispro sont déterminés par une méthode de bioanalyse spécifique. Ten animals which have been fasted for approximately 17.5 hours were injected subcutaneously at a dose of 0.68 U / kg of insulin. Blood samples are taken during the 16 hours following administration to describe the pharmacokinetics of insulins. The levels of glargine, glargine-Ml and lispro are determined by a specific bioanalysis method.
[000599] Les paramètres pharmacocinétiques déterminés sont les suivants : The pharmacokinetic parameters determined are as follows:
- AUCo -lh/ AUCo h, AUCio-i6h, AUCi3-i6h correspondant à la surface sous la courbe des concentrations d'insuline glargine (et son métabolite Ml) en fonction du temps entre respectivement 0 et 1 h, 0 et 2 h, 10 et 16 h et 13 et 16 h post-administration ; - AUCo -30min, AUCo -lh, AUCs -i6h correspondant à la surface sous la courbe des concentrations d'insuline lispro en fonction du temps entre respectivement 0 et 0,5 h, 0 et 1 h et 8 et 16 h post-administration ; - AUCo -lh / AUCo h, AUCio-i 6h , AUCi3-i6h corresponding to the area under the insulin glargine concentration curve (and its metabolite Ml) as a function of time between 0 and 1 hr, 0 and 2 hr respectively , 10 and 4 p.m. and 1 and 4 p.m. post-administration; - AUCo -30min, AUCo -lh, AUCs -i6h corresponding to the area under the curve of lispro insulin concentrations as a function of time between 0 and 0.5 h respectively, 0 and 1 h and 8 and 16 h post-administration ;
- AUCiast correspondant à la surface sous la courbe entre le temps 0 et le dernier temps de mesure effectuée sur le sujet.. - AUCiast corresponding to the area under the curve between time 0 and the last measurement time performed on the subject.
[000600] Le tableau 4 suivant reporte différents paramètres pharmacocinétiques d'insuline glargine et d'insuline lispro. Table 4 below shows different pharmacokinetic parameters of insulin glargine and insulin lispro.
Tableau 4 : Paramètres pharmacocinétiques moyens (ratio des moyennes) de la composition Table 4: Average pharmacokinetic parameters (ratio of means) of the composition
CC5 comprenant le co-polyaminoacide AB35/insuline glargine 150 U/mL/insuline lispro 50 U/mL. CC5 comprising the co-polyamino acid AB35 / insulin glargine 150 U / mL / insulin lispro 50 U / mL.
[000601] Les résultats obtenus montrent que, d'une part, la composante glargine de la formulation est absorbée rapidement (AUCo-ih et AUCo-2h) tout en conservant son caractère basal avec une couverture importante sur la partie terminale du temps d'observation (AUCio- 16h et AUC13 -16h) . The results obtained show that, on the one hand, the glargine component of the formulation is rapidly absorbed (AUCo-ih and AUCo-2 h ) while retaining its basal character with significant coverage over the terminal part of the time d 'observation (AUCio- 4 p.m. and AUC13 -4 p.m.).
[000602] D'autre part la composante lispro est rapidement absorbée (AUCo-3Qmin et AUCo- ih) et conserve son caractère prandial. En effet il n'y a plus de lispro observée au-delà de 8h (AUC8-16h). On the other hand, the lispro component is rapidly absorbed (AUCo-3 Q min and AUCo- ih) and retains its prandial character. Indeed, there is no longer any lispro observed beyond 8h (AUC8-16h).
Claims
Applications Claiming Priority (4)
| Application Number | Priority Date | Filing Date | Title |
|---|---|---|---|
| FR1856067A FR3083089A1 (en) | 2018-06-29 | 2018-06-29 | PH 7 INJECTION SOLUTION COMPRISING AT LEAST ONE BASAL INSULIN WITH A PI BETWEEN 5.8 AND 8.5 AND A CO-POLYAMINOACID CARRYING CARBOXYLATES AND HYDROPHOBIC RADICALS |
| FR1856067 | 2018-06-29 | ||
| US16/212,960 US20190274953A1 (en) | 2017-12-07 | 2018-12-07 | Ph 7 injectable solution comprising at least one basic insulin with a pi comprised from 5.8 to 8.5 and a co-polyaminoacide bearing carboxylate charges and hydrophobic radicals |
| US16/212,960 | 2018-12-07 |
Publications (1)
| Publication Number | Publication Date |
|---|---|
| WO2020002696A1 true WO2020002696A1 (en) | 2020-01-02 |
Family
ID=65031347
Family Applications (1)
| Application Number | Title | Priority Date | Filing Date |
|---|---|---|---|
| PCT/EP2019/067501 Ceased WO2020002696A1 (en) | 2018-06-29 | 2019-06-28 | Injectable solution at ph 7, comprising at least one basal insulin whose pi is between 5.8 and 8.5, and a copolyaminoacid bearing carboxylate charges and hydrophobic radicals |
Country Status (2)
| Country | Link |
|---|---|
| FR (1) | FR3083089A1 (en) |
| WO (1) | WO2020002696A1 (en) |
Citations (16)
| Publication number | Priority date | Publication date | Assignee | Title |
|---|---|---|---|---|
| US5124314A (en) | 1987-08-26 | 1992-06-23 | Amylin Pharmaceuticals, Inc. | Pharmaceutical compositions containing amylin |
| US5234906A (en) | 1991-01-10 | 1993-08-10 | Amylin Pharmaceuticals, Inc. | Hyperglycemic compositions |
| US5656722A (en) | 1988-11-08 | 1997-08-12 | Hoechst Aktiengesellschaft | A21 -, B30 - modified insulin derivatives having an altered action profile |
| US5866538A (en) * | 1996-06-20 | 1999-02-02 | Novo Nordisk A/S | Insulin preparations containing NaCl |
| FR2801226A1 (en) | 1999-11-23 | 2001-05-25 | Flamel Tech Sa | Colloidal suspensions of block and diblock polyaminoacid copolymers useful as carriers for pharmaceutical, nutritional, phytosanitary, and cosmetically active materials, giving increased biodispersibility |
| WO2003053339A2 (en) | 2001-12-20 | 2003-07-03 | Eli Lilly And Company | Insulin molecule having protracted time action |
| FR2840614A1 (en) | 2002-06-07 | 2003-12-12 | Flamel Tech Sa | New polyamino acids having grafted alpha-tocopherol moieties, useful as biodegradable, biocompatible carriers for active agents, e.g. drugs, nutrients, cosmetic agents or plant protectants |
| WO2004096854A2 (en) | 2003-04-29 | 2004-11-11 | Eli Lilly And Company | Insulin analogs having protracted time action |
| WO2013021143A1 (en) | 2011-08-10 | 2013-02-14 | Adocia | Injectable solution of at least one type of basal insulin |
| WO2013104861A1 (en) | 2012-01-09 | 2013-07-18 | Adocia | Injectable solution having a ph of 7 and including at least basal insulin, the pi of which is between 5.8 and 8.5, and a substituted co-poly(amino acid) |
| WO2014124994A1 (en) | 2013-02-12 | 2014-08-21 | Adocia | Injectable solution at ph 7 comprising at least one basal insulin having an isoelectric point of between 5.8 and 8.5 and an anionic compound bearing carboxylate charges and hydrophobic radicals |
| WO2014124993A1 (en) | 2013-02-12 | 2014-08-21 | Adocia | Injectable solution at ph 7 comprising at least one basal insulin having an isoelectric point of between 5.8 and 8.5, and a hydrophobised anionic polymer |
| US20170216405A1 (en) * | 2010-07-30 | 2017-08-03 | Ferring B.V. | Stabilization of fsh |
| FR3052071A1 (en) * | 2016-06-07 | 2017-12-08 | Adocia | COMPOSITIONS IN THE FORM OF AQUEOUS INJECTABLE SOLUTION COMPRISING GLUCAGON AND A CO-POLYAMINOACID |
| WO2017211917A1 (en) * | 2016-06-07 | 2017-12-14 | Adocia | Compositions in the form of an injectable aqueous solution, comprising human glucagon and a statistical copolyamino acid |
| WO2017211916A1 (en) * | 2016-06-07 | 2017-12-14 | Adocia | Injectable solution at ph 7, comprising at least one basal insulin whose pi is between 5.8 and 8.5, a prandial insulin and/or a gastrointestinal hormone, and a copolyamino acid bearing carboxylate charges and hydrophobic radicals |
-
2018
- 2018-06-29 FR FR1856067A patent/FR3083089A1/en not_active Withdrawn
-
2019
- 2019-06-28 WO PCT/EP2019/067501 patent/WO2020002696A1/en not_active Ceased
Patent Citations (17)
| Publication number | Priority date | Publication date | Assignee | Title |
|---|---|---|---|---|
| US5124314A (en) | 1987-08-26 | 1992-06-23 | Amylin Pharmaceuticals, Inc. | Pharmaceutical compositions containing amylin |
| US5656722A (en) | 1988-11-08 | 1997-08-12 | Hoechst Aktiengesellschaft | A21 -, B30 - modified insulin derivatives having an altered action profile |
| US6100376A (en) | 1988-11-08 | 2000-08-08 | Hoechst Aktiengesellschaft | A21, B30, modified insulin derivatives having an altered action profile |
| US5234906A (en) | 1991-01-10 | 1993-08-10 | Amylin Pharmaceuticals, Inc. | Hyperglycemic compositions |
| US5866538A (en) * | 1996-06-20 | 1999-02-02 | Novo Nordisk A/S | Insulin preparations containing NaCl |
| FR2801226A1 (en) | 1999-11-23 | 2001-05-25 | Flamel Tech Sa | Colloidal suspensions of block and diblock polyaminoacid copolymers useful as carriers for pharmaceutical, nutritional, phytosanitary, and cosmetically active materials, giving increased biodispersibility |
| WO2003053339A2 (en) | 2001-12-20 | 2003-07-03 | Eli Lilly And Company | Insulin molecule having protracted time action |
| FR2840614A1 (en) | 2002-06-07 | 2003-12-12 | Flamel Tech Sa | New polyamino acids having grafted alpha-tocopherol moieties, useful as biodegradable, biocompatible carriers for active agents, e.g. drugs, nutrients, cosmetic agents or plant protectants |
| WO2004096854A2 (en) | 2003-04-29 | 2004-11-11 | Eli Lilly And Company | Insulin analogs having protracted time action |
| US20170216405A1 (en) * | 2010-07-30 | 2017-08-03 | Ferring B.V. | Stabilization of fsh |
| WO2013021143A1 (en) | 2011-08-10 | 2013-02-14 | Adocia | Injectable solution of at least one type of basal insulin |
| WO2013104861A1 (en) | 2012-01-09 | 2013-07-18 | Adocia | Injectable solution having a ph of 7 and including at least basal insulin, the pi of which is between 5.8 and 8.5, and a substituted co-poly(amino acid) |
| WO2014124994A1 (en) | 2013-02-12 | 2014-08-21 | Adocia | Injectable solution at ph 7 comprising at least one basal insulin having an isoelectric point of between 5.8 and 8.5 and an anionic compound bearing carboxylate charges and hydrophobic radicals |
| WO2014124993A1 (en) | 2013-02-12 | 2014-08-21 | Adocia | Injectable solution at ph 7 comprising at least one basal insulin having an isoelectric point of between 5.8 and 8.5, and a hydrophobised anionic polymer |
| FR3052071A1 (en) * | 2016-06-07 | 2017-12-08 | Adocia | COMPOSITIONS IN THE FORM OF AQUEOUS INJECTABLE SOLUTION COMPRISING GLUCAGON AND A CO-POLYAMINOACID |
| WO2017211917A1 (en) * | 2016-06-07 | 2017-12-14 | Adocia | Compositions in the form of an injectable aqueous solution, comprising human glucagon and a statistical copolyamino acid |
| WO2017211916A1 (en) * | 2016-06-07 | 2017-12-14 | Adocia | Injectable solution at ph 7, comprising at least one basal insulin whose pi is between 5.8 and 8.5, a prandial insulin and/or a gastrointestinal hormone, and a copolyamino acid bearing carboxylate charges and hydrophobic radicals |
Non-Patent Citations (5)
| Title |
|---|
| DEMING, T.J., ADV. POLYM. SCI., vol. 202, 2006, pages 1 - 18 |
| DEMING, T.J., NATURE, vol. 390, 1997, pages 386 - 389 |
| J. AM. CHEM. SOC., vol. 122, 2000, pages 26 - 34 |
| LU H. ET AL., J. AM. CHEM. SOC., vol. 129, 2007, pages 14114 - 14115 |
| LU H. ET AL., J. AM. CHEM. SOC., vol. 130, 2008, pages 12562 - 12563 |
Also Published As
| Publication number | Publication date |
|---|---|
| FR3083089A1 (en) | 2020-01-03 |
Similar Documents
| Publication | Publication Date | Title |
|---|---|---|
| EP3463292B1 (en) | Injectable solution at ph 7 comprising at least one basal insulin having a pi of between 5.8 and 8.5 and a copolyamino acid bearing carboxylate charges and hydrophobic radicals | |
| EP3463294B1 (en) | Compositions in the form of an injectable aqueous solution, comprising human glucagon and a statistical copolyamino acid | |
| EP3562500B1 (en) | Compositions in the form of an injectable aqueous solution comprising amylin, an amylin receptor agonist or an amylin analogue and a copolyamino acid | |
| EP3740229B1 (en) | Injectable solution at ph 7 comprising at least one basal insulin having a pi of between 5.8 and 8.5 and a copolyamino acid carrying carboxylate charges and hydrophobic radicals | |
| WO2019110773A1 (en) | Injectable solution at ph 7 comprising at least one basal insulin having a pi of between 5.8 and 8.5 and a copolyamino acid carrying carboxylate charges and hydrophobic radicals | |
| EP3723728A1 (en) | Injectable solution with a ph of 7 comprising at least one basal insulin with a pi of between 5.8 and 8.5 and a co-polyaminoacid bearing carboxylate charges and hydrophobic radicals | |
| FR3052071A1 (en) | COMPOSITIONS IN THE FORM OF AQUEOUS INJECTABLE SOLUTION COMPRISING GLUCAGON AND A CO-POLYAMINOACID | |
| WO2019110838A1 (en) | Compositions in the form of an injectable aqueous solution comprising human glucagon and a copolyamino acid | |
| EP3720472A1 (en) | Injectable solution at ph 7 comprising at least one basal insulin having a pi of between 5.8 and 8.5 and a copolyamino acid carrying carboxylate charges and hydrophobic radicals | |
| WO2019115411A1 (en) | Compositions in the form of an injectable aqueous solution comprising amylin, an amylin receptor agonist or an amylin analogue and a copolyamino acid | |
| WO2019243628A1 (en) | Injectable composition with a ph of 7 comprising a co-polyaminoacid bearing carboxylate charges and hydrophobic radicals and at least one basal insulin having at least a prandial effect and a basal effect | |
| EP3672638A1 (en) | Injectable solution at ph 7 comprising at least one basal insulin having a pi of between 5.8 and 8.5 and a copolyamino acid bearing carboxylate charges and hydrophobic radicals | |
| WO2020002696A1 (en) | Injectable solution at ph 7, comprising at least one basal insulin whose pi is between 5.8 and 8.5, and a copolyaminoacid bearing carboxylate charges and hydrophobic radicals | |
| US20190274953A1 (en) | Ph 7 injectable solution comprising at least one basic insulin with a pi comprised from 5.8 to 8.5 and a co-polyaminoacide bearing carboxylate charges and hydrophobic radicals | |
| FR3061023A1 (en) | COMPOSITIONS IN THE FORM OF AQUEOUS INJECTABLE SOLUTION COMPRISING AMYLINE, AMYLINE RECEPTOR AGONIST OR AMYLINE ANALOGUE AND CO-POLYAMINOACID | |
| FR3067247A1 (en) | COMPOSITIONS IN THE FORM OF AN INJECTION AQUEOUS SOLUTION COMPRISING HUMAN GLUCAGON AND A CO-POLYAMINOACID | |
| FR3061660A1 (en) | COMPOSITIONS IN THE FORM OF AN INJECTION AQUEOUS SOLUTION COMPRISING HUMAN GLUCAGON AND A CO-POLYAMINOACID | |
| FR3074680A1 (en) | COMPOSITIONS IN THE FORM OF AQUEOUS INJECTABLE SOLUTION COMPRISING AMYLINE, AMYLINE RECEPTOR AGONIST OR AMYLINE ANALOGUE AND CO-POLYAMINOACID | |
| FR3083086A1 (en) | COMPOSITIONS IN THE FORM OF AN AQUEOUS INJECTION SOLUTION COMPRISING AMYLINE, AN AMYLINE RECEPTOR AGONIST OR AN AMYLINE ANALOG AND A CO-POLYAMINOACID | |
| FR3083088A1 (en) | PH 7 INJECTION SOLUTION COMPRISING AT LEAST ONE BASAL INSULIN WITH A PI BETWEEN 5.8 AND 8.5 AND A CO-POLYAMINOACID CARRYING CARBOXYLATES AND HYDROPHOBIC RADICALS | |
| FR3074422A1 (en) | PH 7 INJECTABLE SOLUTION COMPRISING AT LEAST ONE BASIC INSULIN WITH A PI BETWEEN 5.8 AND 8.5 AND A CO-POLYAMINOACIDE CARRYING CARBOXYLATE LOADS AND HYDROPHOBIC RADICALS | |
| FR3083087A1 (en) | COMPOSITIONS IN THE FORM OF AN AQUEOUS INJECTION SOLUTION COMPRISING HUMAN GLUCAGON AND A CO-POLYAMINOACID | |
| FR3084585A1 (en) | PH 7 INJECTION SOLUTION COMPRISING AT LEAST ONE BASAL INSULIN WHICH PI IS BETWEEN 5.8 AND 8.5 AND AN AMPHIPHILIC COMPOUND CARRYING HYDROPHOBIC RADICALS | |
| FR3074681A1 (en) | PH 7 INJECTABLE SOLUTION COMPRISING AT LEAST ONE BASIC INSULIN WITH A PI BETWEEN 5.8 AND 8.5 AND A CO-POLYAMINOACIDE CARRYING CARBOXYLATE LOADS AND HYDROPHOBIC RADICALS |
Legal Events
| Date | Code | Title | Description |
|---|---|---|---|
| 121 | Ep: the epo has been informed by wipo that ep was designated in this application |
Ref document number: 19737685 Country of ref document: EP Kind code of ref document: A1 |
|
| NENP | Non-entry into the national phase |
Ref country code: DE |
|
| 122 | Ep: pct application non-entry in european phase |
Ref document number: 19737685 Country of ref document: EP Kind code of ref document: A1 |



































































































