WO2019241787A1 - Novel cyclic gmp-amp synthase (cgas) inhibitors and their method of use - Google Patents
Novel cyclic gmp-amp synthase (cgas) inhibitors and their method of use Download PDFInfo
- Publication number
- WO2019241787A1 WO2019241787A1 PCT/US2019/037502 US2019037502W WO2019241787A1 WO 2019241787 A1 WO2019241787 A1 WO 2019241787A1 US 2019037502 W US2019037502 W US 2019037502W WO 2019241787 A1 WO2019241787 A1 WO 2019241787A1
- Authority
- WO
- WIPO (PCT)
- Prior art keywords
- compound
- pharmaceutically acceptable
- formula
- acceptable salt
- cgas
- Prior art date
- Legal status (The legal status is an assumption and is not a legal conclusion. Google has not performed a legal analysis and makes no representation as to the accuracy of the status listed.)
- Ceased
Links
- 0 C[C@@](C*)[C@](C)(C1)[*@]1C(N)=NC(NC(C=C[C@]12)=CC1C=C2F)=N Chemical compound C[C@@](C*)[C@](C)(C1)[*@]1C(N)=NC(NC(C=C[C@]12)=CC1C=C2F)=N 0.000 description 8
- PVOAHINGSUIXLS-UHFFFAOYSA-N CN1CCNCC1 Chemical compound CN1CCNCC1 PVOAHINGSUIXLS-UHFFFAOYSA-N 0.000 description 1
- GPHHVUOLHZANSW-UHFFFAOYSA-N Cc(cc1F)cc(C)c1F Chemical compound Cc(cc1F)cc(C)c1F GPHHVUOLHZANSW-UHFFFAOYSA-N 0.000 description 1
Classifications
-
- A—HUMAN NECESSITIES
- A61—MEDICAL OR VETERINARY SCIENCE; HYGIENE
- A61P—SPECIFIC THERAPEUTIC ACTIVITY OF CHEMICAL COMPOUNDS OR MEDICINAL PREPARATIONS
- A61P35/00—Antineoplastic agents
-
- A—HUMAN NECESSITIES
- A61—MEDICAL OR VETERINARY SCIENCE; HYGIENE
- A61K—PREPARATIONS FOR MEDICAL, DENTAL OR TOILETRY PURPOSES
- A61K31/00—Medicinal preparations containing organic active ingredients
- A61K31/21—Esters, e.g. nitroglycerine, selenocyanates
- A61K31/215—Esters, e.g. nitroglycerine, selenocyanates of carboxylic acids
- A61K31/235—Esters, e.g. nitroglycerine, selenocyanates of carboxylic acids having an aromatic ring attached to a carboxyl group
- A61K31/24—Esters, e.g. nitroglycerine, selenocyanates of carboxylic acids having an aromatic ring attached to a carboxyl group having an amino or nitro group
-
- A—HUMAN NECESSITIES
- A61—MEDICAL OR VETERINARY SCIENCE; HYGIENE
- A61K—PREPARATIONS FOR MEDICAL, DENTAL OR TOILETRY PURPOSES
- A61K31/00—Medicinal preparations containing organic active ingredients
- A61K31/33—Heterocyclic compounds
- A61K31/395—Heterocyclic compounds having nitrogen as a ring hetero atom, e.g. guanethidine or rifamycins
- A61K31/435—Heterocyclic compounds having nitrogen as a ring hetero atom, e.g. guanethidine or rifamycins having six-membered rings with one nitrogen as the only ring hetero atom
- A61K31/44—Non condensed pyridines; Hydrogenated derivatives thereof
-
- A—HUMAN NECESSITIES
- A61—MEDICAL OR VETERINARY SCIENCE; HYGIENE
- A61K—PREPARATIONS FOR MEDICAL, DENTAL OR TOILETRY PURPOSES
- A61K31/00—Medicinal preparations containing organic active ingredients
- A61K31/33—Heterocyclic compounds
- A61K31/395—Heterocyclic compounds having nitrogen as a ring hetero atom, e.g. guanethidine or rifamycins
- A61K31/495—Heterocyclic compounds having nitrogen as a ring hetero atom, e.g. guanethidine or rifamycins having six-membered rings with two or more nitrogen atoms as the only ring heteroatoms, e.g. piperazine or tetrazines
- A61K31/505—Pyrimidines; Hydrogenated pyrimidines, e.g. trimethoprim
-
- A—HUMAN NECESSITIES
- A61—MEDICAL OR VETERINARY SCIENCE; HYGIENE
- A61K—PREPARATIONS FOR MEDICAL, DENTAL OR TOILETRY PURPOSES
- A61K31/00—Medicinal preparations containing organic active ingredients
- A61K31/33—Heterocyclic compounds
- A61K31/395—Heterocyclic compounds having nitrogen as a ring hetero atom, e.g. guanethidine or rifamycins
- A61K31/53—Heterocyclic compounds having nitrogen as a ring hetero atom, e.g. guanethidine or rifamycins having six-membered rings with three nitrogens as the only ring hetero atoms, e.g. chlorazanil, melamine
-
- A—HUMAN NECESSITIES
- A61—MEDICAL OR VETERINARY SCIENCE; HYGIENE
- A61K—PREPARATIONS FOR MEDICAL, DENTAL OR TOILETRY PURPOSES
- A61K45/00—Medicinal preparations containing active ingredients not provided for in groups A61K31/00 - A61K41/00
- A61K45/06—Mixtures of active ingredients without chemical characterisation, e.g. antiphlogistics and cardiaca
-
- C—CHEMISTRY; METALLURGY
- C07—ORGANIC CHEMISTRY
- C07D—HETEROCYCLIC COMPOUNDS
- C07D213/00—Heterocyclic compounds containing six-membered rings, not condensed with other rings, with one nitrogen atom as the only ring hetero atom and three or more double bonds between ring members or between ring members and non-ring members
- C07D213/02—Heterocyclic compounds containing six-membered rings, not condensed with other rings, with one nitrogen atom as the only ring hetero atom and three or more double bonds between ring members or between ring members and non-ring members having three double bonds between ring members or between ring members and non-ring members
- C07D213/04—Heterocyclic compounds containing six-membered rings, not condensed with other rings, with one nitrogen atom as the only ring hetero atom and three or more double bonds between ring members or between ring members and non-ring members having three double bonds between ring members or between ring members and non-ring members having no bond between the ring nitrogen atom and a non-ring member or having only hydrogen or carbon atoms directly attached to the ring nitrogen atom
- C07D213/60—Heterocyclic compounds containing six-membered rings, not condensed with other rings, with one nitrogen atom as the only ring hetero atom and three or more double bonds between ring members or between ring members and non-ring members having three double bonds between ring members or between ring members and non-ring members having no bond between the ring nitrogen atom and a non-ring member or having only hydrogen or carbon atoms directly attached to the ring nitrogen atom with hetero atoms or with carbon atoms having three bonds to hetero atoms with at the most one bond to halogen, e.g. ester or nitrile radicals, directly attached to ring carbon atoms
- C07D213/78—Carbon atoms having three bonds to hetero atoms, with at the most one bond to halogen, e.g. ester or nitrile radicals
- C07D213/79—Acids; Esters
-
- C—CHEMISTRY; METALLURGY
- C07—ORGANIC CHEMISTRY
- C07D—HETEROCYCLIC COMPOUNDS
- C07D239/00—Heterocyclic compounds containing 1,3-diazine or hydrogenated 1,3-diazine rings
- C07D239/02—Heterocyclic compounds containing 1,3-diazine or hydrogenated 1,3-diazine rings not condensed with other rings
- C07D239/24—Heterocyclic compounds containing 1,3-diazine or hydrogenated 1,3-diazine rings not condensed with other rings having three or more double bonds between ring members or between ring members and non-ring members
- C07D239/28—Heterocyclic compounds containing 1,3-diazine or hydrogenated 1,3-diazine rings not condensed with other rings having three or more double bonds between ring members or between ring members and non-ring members with hetero atoms or with carbon atoms having three bonds to hetero atoms with at the most one bond to halogen, directly attached to ring carbon atoms
- C07D239/32—One oxygen, sulfur or nitrogen atom
- C07D239/42—One nitrogen atom
-
- C—CHEMISTRY; METALLURGY
- C07—ORGANIC CHEMISTRY
- C07D—HETEROCYCLIC COMPOUNDS
- C07D251/00—Heterocyclic compounds containing 1,3,5-triazine rings
- C07D251/02—Heterocyclic compounds containing 1,3,5-triazine rings not condensed with other rings
- C07D251/12—Heterocyclic compounds containing 1,3,5-triazine rings not condensed with other rings having three double bonds between ring members or between ring members and non-ring members
- C07D251/14—Heterocyclic compounds containing 1,3,5-triazine rings not condensed with other rings having three double bonds between ring members or between ring members and non-ring members with hydrogen or carbon atoms directly attached to at least one ring carbon atom
- C07D251/16—Heterocyclic compounds containing 1,3,5-triazine rings not condensed with other rings having three double bonds between ring members or between ring members and non-ring members with hydrogen or carbon atoms directly attached to at least one ring carbon atom to only one ring carbon atom
- C07D251/18—Heterocyclic compounds containing 1,3,5-triazine rings not condensed with other rings having three double bonds between ring members or between ring members and non-ring members with hydrogen or carbon atoms directly attached to at least one ring carbon atom to only one ring carbon atom with nitrogen atoms directly attached to the two other ring carbon atoms, e.g. guanamines
-
- C—CHEMISTRY; METALLURGY
- C07—ORGANIC CHEMISTRY
- C07D—HETEROCYCLIC COMPOUNDS
- C07D401/00—Heterocyclic compounds containing two or more hetero rings, having nitrogen atoms as the only ring hetero atoms, at least one ring being a six-membered ring with only one nitrogen atom
- C07D401/02—Heterocyclic compounds containing two or more hetero rings, having nitrogen atoms as the only ring hetero atoms, at least one ring being a six-membered ring with only one nitrogen atom containing two hetero rings
- C07D401/06—Heterocyclic compounds containing two or more hetero rings, having nitrogen atoms as the only ring hetero atoms, at least one ring being a six-membered ring with only one nitrogen atom containing two hetero rings linked by a carbon chain containing only aliphatic carbon atoms
-
- C—CHEMISTRY; METALLURGY
- C07—ORGANIC CHEMISTRY
- C07D—HETEROCYCLIC COMPOUNDS
- C07D401/00—Heterocyclic compounds containing two or more hetero rings, having nitrogen atoms as the only ring hetero atoms, at least one ring being a six-membered ring with only one nitrogen atom
- C07D401/02—Heterocyclic compounds containing two or more hetero rings, having nitrogen atoms as the only ring hetero atoms, at least one ring being a six-membered ring with only one nitrogen atom containing two hetero rings
- C07D401/12—Heterocyclic compounds containing two or more hetero rings, having nitrogen atoms as the only ring hetero atoms, at least one ring being a six-membered ring with only one nitrogen atom containing two hetero rings linked by a chain containing hetero atoms as chain links
-
- C—CHEMISTRY; METALLURGY
- C07—ORGANIC CHEMISTRY
- C07D—HETEROCYCLIC COMPOUNDS
- C07D403/00—Heterocyclic compounds containing two or more hetero rings, having nitrogen atoms as the only ring hetero atoms, not provided for by group C07D401/00
- C07D403/02—Heterocyclic compounds containing two or more hetero rings, having nitrogen atoms as the only ring hetero atoms, not provided for by group C07D401/00 containing two hetero rings
- C07D403/04—Heterocyclic compounds containing two or more hetero rings, having nitrogen atoms as the only ring hetero atoms, not provided for by group C07D401/00 containing two hetero rings directly linked by a ring-member-to-ring-member bond
-
- C—CHEMISTRY; METALLURGY
- C07—ORGANIC CHEMISTRY
- C07D—HETEROCYCLIC COMPOUNDS
- C07D403/00—Heterocyclic compounds containing two or more hetero rings, having nitrogen atoms as the only ring hetero atoms, not provided for by group C07D401/00
- C07D403/02—Heterocyclic compounds containing two or more hetero rings, having nitrogen atoms as the only ring hetero atoms, not provided for by group C07D401/00 containing two hetero rings
- C07D403/06—Heterocyclic compounds containing two or more hetero rings, having nitrogen atoms as the only ring hetero atoms, not provided for by group C07D401/00 containing two hetero rings linked by a carbon chain containing only aliphatic carbon atoms
-
- C—CHEMISTRY; METALLURGY
- C07—ORGANIC CHEMISTRY
- C07D—HETEROCYCLIC COMPOUNDS
- C07D403/00—Heterocyclic compounds containing two or more hetero rings, having nitrogen atoms as the only ring hetero atoms, not provided for by group C07D401/00
- C07D403/02—Heterocyclic compounds containing two or more hetero rings, having nitrogen atoms as the only ring hetero atoms, not provided for by group C07D401/00 containing two hetero rings
- C07D403/12—Heterocyclic compounds containing two or more hetero rings, having nitrogen atoms as the only ring hetero atoms, not provided for by group C07D401/00 containing two hetero rings linked by a chain containing hetero atoms as chain links
-
- C—CHEMISTRY; METALLURGY
- C07—ORGANIC CHEMISTRY
- C07D—HETEROCYCLIC COMPOUNDS
- C07D413/00—Heterocyclic compounds containing two or more hetero rings, at least one ring having nitrogen and oxygen atoms as the only ring hetero atoms
- C07D413/02—Heterocyclic compounds containing two or more hetero rings, at least one ring having nitrogen and oxygen atoms as the only ring hetero atoms containing two hetero rings
- C07D413/04—Heterocyclic compounds containing two or more hetero rings, at least one ring having nitrogen and oxygen atoms as the only ring hetero atoms containing two hetero rings directly linked by a ring-member-to-ring-member bond
-
- C—CHEMISTRY; METALLURGY
- C07—ORGANIC CHEMISTRY
- C07D—HETEROCYCLIC COMPOUNDS
- C07D471/00—Heterocyclic compounds containing nitrogen atoms as the only ring hetero atoms in the condensed system, at least one ring being a six-membered ring with one nitrogen atom, not provided for by groups C07D451/00 - C07D463/00
- C07D471/02—Heterocyclic compounds containing nitrogen atoms as the only ring hetero atoms in the condensed system, at least one ring being a six-membered ring with one nitrogen atom, not provided for by groups C07D451/00 - C07D463/00 in which the condensed system contains two hetero rings
- C07D471/04—Ortho-condensed systems
Definitions
- This invention relates generally to the fields of biology, chemistry and medicine. More particularly, it concerns methods and compositions relating to autoimmunity and inflammation.
- Cytosolic DNA including cytoplasmic chromatin fragments, endogenous nuclear, or mitochondrial DNA, and DNA arising from intracellular pathogens, triggers a powerful innate immune response. It is sensed by cyclic GMP-AMP synthase (cGAS), which elicits the production of type I interferons by generating the second messenger 2'3'-cyclic-GMP-AMP (cGAMP), activating the innate immunity cytosolic DNA-sensing cGAS-STING (cyclic GMP- AMP synthase linked to stimulator of interferon genes) pathway, leading to short-term inflammation, but also to chronic inflammation that has been linked to the onset and progression of autoimmunity.
- cGAS cyclic GMP-AMP synthase linked to stimulator of interferon genes
- cGAS systemic lupus erythematosus
- RA rheumatoid arthritis
- IBD inflammatory bowel disease
- Aicardi-Gouties syndrome Aicardi-Gouties syndrome
- microbial RNA with specific features can be recognized by Retinoic acid-inducible Gene I (RIG-I) or Melanoma Differentiation- Associated protein 5 (Mda5), which activate Mitochondrial Anti-Viral Signaling protein (MAVS).
- RIG-I Retinoic acid-inducible Gene I
- Mda5 Melanoma Differentiation- Associated protein 5
- MAVS Mitochondrial Anti-Viral Signaling protein
- TK1 Tank-Binding Kinase 1
- IKK Inhibitor of KB Kinase
- cytosolic DNA is detected by cGAS, a primary DNA sensor that belongs to the nucleotidyltransferase enzyme family.
- cGAS catalyzes the formation of cyclic dinucleotide, cyclic GMP-AMP (cGAMP or c[G(2’,5’)pA(3’,5’)p]).
- cGAMP binds to the adaptor protein stimulator of interferon genes (STING) and triggers its cellular trafficking and activation of TBK1 and IKK complexes.
- TBK1 and IKK activate the transcription factors Interferon regulatory factor 3 (IRF3) and Nuclear Factor kappa-light-chain-enhancer of activated B cells (NF-KB), which are essential for induction of type I interferons and other inflammatory cytokines.
- IRF3 Interferon regulatory factor 3
- NF-KB Nuclear Factor kappa-light-chain-enhancer of activated B cells
- cGAS does not distinguish self- from non-self-DNA, therefore aberrant accumulation of self-DNA in the cytoplasm can induce unwanted immune response.
- Normal cells deploy multiple DNases including Trexl to keep cytoplasm clear of DNA.
- endogenous DNA can activate cGAS-STING pathway.
- Aicardi-Gouties syndrome Aicardi-Gouties syndrome
- Gain-of-function mutations within STING in human patients are linked to early onset STING-associated vasculopathy, an autoinflammatory disease.
- cGAS-STING signaling has also been shown to promote cancer growth and metastasis through modulation of the tumor microenvironment.
- Crystal structures of the cGAS dimer bound to dsDNA have provided valuable insight into the activation mechanism of cGAS.
- the central role of cGAS-STING pathway in inflammation, autoimmunity, cancer, and tumor progression has spurred intensive investigations toward the identification and characterization of small molecule inhibitors for cGAS, including RU.521, PF-06928215, suramin, and X6.
- these modulators all have demonstrated antagonistic effects on cGAS, the inhibitors are also associated with drawbacks that may limit their utility as cellular chemical tools.
- RU.521 is a potent small molecule inhibitor of murine cGAS (mcGAS), and PF-06928215 only inhibits human cGAS (hcGAS) but lacks cellular activity.
- Suramin, an approved drug, and amino acridine, X6 were also identified as viable cGAS inhibitors.
- suramin and X6 inhibit hcGAS and mcGAS, respectively, through the displacement of DNA from cGAS.
- suramin is active in human cells, the inhibitor suffers from off-target effects through inhibition of the Toll-like receptor (TLR) 3 dsRNA sensing pathway. Indeed, only few small molecule cGAS inhibitors exist, highlighting the urgent need to discover new chemical scaffolds that can selectively inhibit hcGAS in cells.
- TLR Toll-like receptor
- the inventors have developed small molecule inhibitors that directly target cytosolic cyclic-GMP-AMP (cGAMP) Synthase (cGAS), thereby inhibiting the cGAS/Stimulator of Interferon Genes (STING) pathway and providing new therapeutic paths for down regulating the cytosolic DNA sensing pathway, regulating inflammation and ultimately preventing or treating autoimmune diseases and disorders.
- cGAMP cytosolic cyclic-GMP-AMP
- STING Interferon Genes
- cGAS novel small molecule human cGAS
- CU-32 and CU-76 selectively inhibit the DNA pathway in human cells but had no effect on RIG-I-MAVS or Toll-like Receptor pathways.
- CU-32 and CU-76 represent a new class of hcGAS inhibitors with activity in cells and provide a new chemical scaffold for designing probes to study cGAS function and development of autoimmune therapeutics.
- novel small molecule inhibitors CU-32, CU-76, and analogs selectively inhibit the DNA pathway representing a new class of hcGAS inhibitors with cellular activity in human THP-l cells. More specifically, the inhibitory activity of CU-32 is specific for hcGAS versus mcGAS in cells. Moreover, the novel small molecule inhibitors CU-32 and CU- 76 are selective for the cytosolic DNA pathway over other NA-sensing pathways such as RIG-I- MAVS and endosomal TLRs. Such small molecule inhibitors provide a new chemical scaffold for developing hcGAS inhibitors with potential therapeutic applications and a much-needed small molecule chemical probe for studying cGAS biology and cGAS related disorders in human cells.
- This disclosure therefore provides therapeutic strategies for the treatment of inflammation and autoimmune diseases associated with chronic inflammation and autoimmunity due to cGAS activation.
- a compound of Formula I, II, III, IV or claim 4 or a pharmaceutically acceptable salt, solvate, stereoisomer, tautomer, or prodrug thereof, for use in medical therapy.
- a pharmaceutical composition comprising (a) a compound of Formula I, II, III, IV or claim 4, or a pharmaceutically acceptable salt, solvate, stereoisomer, tautomer, or prodrug thereof, and (b) a pharmaceutically acceptable carrier, for use in medical therapy.
- a method for treating a disease or condition for which modulation of cGAS activity is beneficial comprising: administering to a patient in need thereof, a therapeutically effective amount of a compound of I, II, III, IV, or claim 4, or a pharmaceutically acceptable salt thereof.
- a method for treating a disease or condition for which modulation of cGAS is beneficial comprising: administering to a patient in need thereof, a therapeutically effective amount of a combination comprising a compound of Formula I, II, III, IV or claim 4, or a pharmaceutically acceptable salt thereof, and at least one further therapeutic agent.
- a pharmaceutical composition comprising a compound of Formula I, II, III, IV or claim 4, or a pharmaceutically acceptable salt thereof, for use in the treatment of a disease or condition for which modulation of cGAS is beneficial.
- a pharmaceutical composition comprising: a compound of Formula I, II, III, IV or claim 4, or a pharmaceutically acceptable salt thereof, and at least one further therapeutic agent, for use in the treatment of a disease or condition for which modulation of cGAS is beneficial.
- a pharmaceutical composition comprising: a compound of Formula I, II, III, IV or claim 4, or a pharmaceutically acceptable salt thereof, at least one further therapeutic agent, and one or more of pharmaceutically acceptable excipients, for use in the treatment of a disease or condition for which modulation of cGAS is beneficial.
- a method of treating an inflammatory, allergic or autoimmune disease comprising: administering to a patient in need thereof a therapeutically effective amount of a compound of Formula I, II, III, IV or claim 4, or a pharmaceutically acceptable salt thereof.
- the inflammatory, allergic or autoimmune diseases is systemic lupus erythematosus, psoriasis, insulin-dependent diabetes mellitus (IDDM), scleroderma, Aicardi Gourtiers syndrome, dermatomyositis, inflammatory bowel diseases, multiple sclerosis, rheumatoid arthritis or Sjogren's syndrome (SS).
- IDDM insulin-dependent diabetes mellitus
- SS Sjogren's syndrome
- a method for treating an inflammatory, allergic or autoimmune disease comprising: administering to a patient in need thereof, a therapeutically effective amount of a combination comprising a compound of Formula I, II, III, IV or claim 4, or a pharmaceutically acceptable salt thereof, and at least one further therapeutic agent.
- a pharmaceutical composition comprising a compound of Formula I, II, III, IV or claim 4, or a pharmaceutically acceptable salt thereof, for the treatment of an inflammatory, allergic or autoimmune disease.
- a pharmaceutical composition comprising a compound of Formula I, II, III, IV or claim 4, or a pharmaceutically acceptable salt thereof, and at least one further therapeutic agent, for the treatment of an inflammatory, allergic or autoimmune disease.
- a method of treating an infectious disease comprising administering to a patient in need thereof a therapeutically effective amount of a compound of Formula I, II, III, IV or claim 4, or a pharmaceutically acceptable salt thereof.
- infectious disease is a viral, bacterial or parasite infection.
- a method for treating an infectious disease comprising: administering to a patient in need thereof, a therapeutically effective amount of a combination comprising a compound of Formula I, II, III, IV or claim 4, or a pharmaceutically acceptable salt thereof, and at least one further therapeutic agent.
- a pharmaceutical composition comprising a compound of Formula I, II, III, IV or claim 4, or a pharmaceutically acceptable salt thereof, for use in the treatment of an infectious disease.
- a pharmaceutical composition comprising a compound of Formula I, II, III, IV or claim 4, or a pharmaceutically acceptable salt thereof, and at least one further therapeutic agent, for use in the treatment of an infectious disease.
- a compound of Formula I, II, III, IV or claim 4, or a pharmaceutically acceptable salt thereof, for use in the treatment of a senescence-related disease comprising: administering to a patient in need thereof a therapeutically effective amount of a compound of Formula I, II, III, IV or claim 4, or a pharmaceutically acceptable salt thereof.
- the senescence-related disease is atherosclerosis, myocardial infarction, Alzheimer's disease, Parkinson's diseases, Huntington's disease, amyotrophic lateral sclerosis, hepatitis, renal disease, diabetes, cancer and aging.
- a method for treating a senescence-related disease comprising: administering to a patient in need thereof, a therapeutically effective amount of a combination comprising a compound of Formula I, II, III, IV or claim 4, or a pharmaceutically acceptable salt thereof, and at least one further therapeutic agent.
- a pharmaceutical composition comprising a compound of Formula I, II, III, IV or claim 4, or a pharmaceutically acceptable salt thereof, for the treatment of a senescence-related disease.
- a pharmaceutical composition comprising a compound of Formula I, II, III, IV or claim 4, or a pharmaceutically acceptable salt thereof, and at least one further therapeutic agent, for the treatment of a senescence-related disease.
- FIG. 1 Residues mediating important cGAS-cGAS and cGAS-DNA interactions and the design of an unprecedented strategy for inhibiting hcGAS.
- FIG. 9 A Schematic of mcGAS and dsDNA interaction surfaces. The residues highlighted in red are involved in the dimer interface of cGAS and mediate cGAS-DNA interactions.
- FIG. 9B Close-up view of the grid generated on the PPI of mcGAS. For the virtual high throughput screen of the Maybridge and Enamine drug databases, the grid box was generated to target the PPI of mcGAS with incorporation of important residues mediating the PPI interactions.
- FIG. 2 Preliminary SAR studies for hcGAS inhibitors.
- A Targets synthesized to identify key protein binding structural motifs.
- B Structures of additional derivatives designed to probe inhibitor interactions.
- FIG. 3 SAR in vitro results for analogs bearing an NH-heterocycles at the six position.
- Table 4 (A) Key targets synthesized to identify protein binding structural motifs.
- B Structure of additional derivatives designed to probe inhibitor interactions. (Table 4 for chemical structure of compounds 31-3).
- FIG. 4 CU-76 and CU-32 selectively inhibit the cytosolic DNA sensing, but not the RNA sensing pathway.
- IRF3 interferon regulatory factor 3
- the (IRF)2 dimer was not detected at 30 and 100 mM for CU-76 and at 100 mM for CU-32 confirming the compounds effectiveness for inhibiting the cGAS-STING pathway.
- At 10, 30, and 100 mM CU-76 and CU-32 did not reduce dimerization of IRF3 induced by the RIG-I-MAVs pathways confirming the specificity of these compounds for the DNA pathway.
- (B) Effects of CU-76 and CU-32 treatment on the production of interferon beta- 1 alpha (IFN-b) (ELISA measurements) in THP-l cells stimulated with interferon-stimulatory DNA (ISD) (upper panel and Sendai virus (Sev).
- CU-32 and CU-76 (10, 30, and 100 mM) suppressed levels of IFN-b in media for ISD stimulated THP-l cells in a dose dependent manner further supporting the compounds specificity for the DNA pathway.
- the levels of IFN-b in media were not reduced in THP-l cells stimulated with Sev showing CU-32 and CU-76 (10, 30, and 100 mM) do not display off-target effects for the RNA pathway.
- FIG. 5 Effect of CU-32 and CU-76 on mouse cGAS.
- A In vitro concentration-dependent inhibition of mcGAS enzymatic activity in an ATP consumption assay by CU-32 and CU-76. The IC50 value reported represents the mean value.
- B RAW-ISG-luc cells were transfected with interferon-stimulatory DNA (ISD) or infected with Sendai virus (SEV) for 16 h in the presence of serial concentrations of compounds or DMSO, followed by measurement of ISRE reporter expression using luminescence. CU-32 and CU-76 were ineffective for suppressing the enzymatic activity of mcGAS in RAW 264.7 cells.
- ISD interferon-stimulatory DNA
- SEV Sendai virus
- FIG. 6 Molecular docking studies for CU-45 and CU-76 cGAS inhibitors.
- A Close-up view of the binding site of CU-76 on the cGAS dimer interface. CU-76 may potentially disrupt the interface of the mcGAS dimer by inserting aside the Zn loop.
- B Schematic representation of residues around the molecules (left, using MOE v.2014.0901) and close-up view of the binding site on the protein interface (right, using PYMOL v2.0.7) are shown.
- methylation of -NH2 abrogates H-bond interaction with GLU386.
- contacts within 3 A are shown. See FIGS. 24A and 24B.
- FIG. 7 Synthesis of 1, 2a and related compounds.
- A Schematic representation of the one-step condensation cyclisation reaction for the synthesis of 4-amino-6-(arylamino)-l,3,5- triazine-2-carboxylate derivatives.
- B Schematic representation of select 6-subsituted 4-amino- 6-(arylamino)-l,3,5-triazine derivatives.
- C Synthetic routes for targets are summarized in the supplemental information (Fig. 17)
- FIG. 8 In vitro validation studies of the ten lead hits, Related to Figure 2A.
- the inhibitory activity of the indicated compounds was evaluated by the measurement of ATP consumption from hcGAS-mediated 2’,3’-cGAMP synthesis.
- the compounds in DMSO were added at 0.1 mM and 1 mM concentrations to a reaction mixture containing 20mM Tris-Cl, 5mM MgCl2, 0.2mg/ml bovine serum albumin (BSA), O.Olmg/ml Herring testis DNA (HT-DNA), O. lmM GTP, 0.006mM ATP, and 30nM human cGAS protein, incubated at 37 DC for 20min.
- BSA bovine serum albumin
- HT-DNA O.Olmg/ml Herring testis DNA
- O. lmM GTP O. lmM GTP
- 0.006mM ATP 0.006mM ATP
- Remaining ATP levels was measured by adding 40 Dl of KinaseGlo (Promega) and reading luminescence. Reactions omitting cGAS and reactions without compounds but DMSO were considered 100% and 0% inhibition, respectively. Inhibition of cGAS enzymatic activity at 100 mM was observed for one compound, Z918, (-20% inhibition) of the ten hits identified from the screen. The IC50 for hit Z918, was estimated. A full dose-response curve was not conducted for the Z918 and the IC50 was estimated to be 100 mM.
- FIG. 9 depicts a schematic representation of the pathway from cGAS activation to STING and type I interferons and pro-inflammatory cytokines.
- the interaction point of inhibitory molecules of this disclosure in this pathway is indicated at the‘X’.
- FIG. 10A illustrates the functional portions of a core chemical structure of cGAS inhibitory compounds of this disclosure.
- (B) shows modifications made to the core chemical structure and the resulting cGAS inhibitory activity.
- FIG. 11 illustrates further strategies for structure activity relationship (SAR) studies of functional portions of a core chemical structure of cGAS inhibitors of this disclosure.
- FIGS. 12 (A)-(C) each depict chemical modifications made to the hydrophilic portion of the core chemical structure, and the resulting cGAS inhibitory activity.
- FIG. 13 depicts chemical modifications made to the hydrophobic portion of the core chemical structure, and the resulting cGAS inhibitory activity.
- FIG. 14 depicts chemical modifications made to the 4-amino position on the 1,3,5- triazine motif within the core chemical structure, and the resulting cGAS inhibitory activity.
- FIG. 15 depicts the effect of CoCl 2 on the in vitro measured cGAS inhibitory activity of compounds of this disclosure.
- FIG. 16 shows the results of specificity testing of compound CU-32 on endosomal TLR signaling pathways in the presence of natural ligands.
- (B) shows the results of specificity testing of compound 32 on endosomal TLR8 signaling in the presence of ssRNA ligands.
- FIG. 8C shows a dose-response curve for compound CU-32 demonstrating that compound CU-32 does not inhibit TLR8.
- D shows the results of a fluorescence polarization assay evaluating the intercalation of compounds CU-32 and CU-40 with dsDNA.
- FIG. 17A-N Supplementary synthesis schemes.
- FIG. 18 Cellular toxicity of hcGAS inhibitors in THEM cells. The toxicity was examined by treating THP-l cells with sample compound in DMSO (1% final concentration) for 16 hours. Cell survival rate was determined by measuring the intracellular ATP levels and comparing to DMSO treated cells. Cells of top analogs were non-toxic at low concentrations (0.3 and 3 mM) with only partial toxicity at 300 mM.
- FIG. 19 cGAS inhibitors do not intercalate DNA.
- CU-32 and selective active and inactive targets were examined for their ability to intercalate DNA.
- the assay was performed in a final volume of 30 pL in a 384-solid bottom opaque plates.
- Each well contained 10 pL microliters of HEN buffer (10 mM HEPES pH 7.5, 1 mM EDTA pH 7.5, 100 mM NaCl), 10 pL of a solution of 150 nM acridine orange in HEN buffer, 10 pL of a solution of 45-bp dsDNA at pgmU 1 , and 10 pL of compound.
- Serial dilutions of compounds in DMSO were prepared using HEN buffer.
- mP millipolarization
- Mitoxantrone a known DNA intercalator was used at 50 mM as a positive control, while DMSO alone was used as negative control.
- CU-32 and analogs were determined to not intercalate with DNA.
- FIG. 20 Cellular activity of CU-l and CU-lb in THP1 cells.
- THP1 cells were transfected with 2pg/ml of ISD in the presence of indicated concentrations of CU-l, CU-lb (structures shown in right panel), or DMSO for 3 hours.
- Cell lysates were subjected to native PAGE and western blot using an anti-IRF3 antibody (left panel).
- Activation of the pathway was indicated by dimerization of IRF3, shown as (IRF3) 2 .
- the (IRF) 2 dimer was not detected at 100 mM for CU-l suggesting the compound is effective for inhibiting the cGAS-STING pathway in THP1 cells while CU-lb was inactive at 10, 30 and 100 mM in cells.
- FIG. 21 Selective inhibition of CU-32 does not affect the cGAS/STING pathways in murine cells.
- RAW-Dual mouse macrophage cells transfected with IRF-Luc/KI-[MIP-2]SEAP reporter genes were treated with G3YSD.
- At 3, 10, and 30 mM CU-32 does not modulate type-l IFN transcription mediated by cGAS in RAW-Dual cells stimulated with G3-YSD.
- the data was normalized as [(raw data - untreated cells)/(ligand + solvent control - untreated cells)].
- Ligand + solvent is 100% activation, and untreated cells are 0% activation.
- the result of one representative biological replicate for two independent days is plotted with the error bars representing the standard deviation of three technical replicates for one independent biological replicate.
- FIG. 22 Effect of CU-32 on DNA and RNA nucleic acid sensing pathways.
- HEK Human embryonic kidney
- hTLR human toll-like receptor
- SEAP embryonic alkaline phosphatase
- Ligand + solvent is 100% activation, and untreated cells are 0% activation.
- the result of one representative biological replicate for three independent days is plotted with the error bars representing the standard deviation of three technical replicates for one independent biological replicate.
- B At 10, 25 and 50 mM CU-32 does not modulate the NF-KB inhibition induced by ssRNA-Lyo-40 in HEK 293 TLR8 cells. See above for data normalization.
- C RAW 264.7 macrophage cells were incubated with CU-32 for 16 h. Activation of TLR7 results in the activation of NO synthase and the production of NO in RAW 264.7 cells. The NO level was monitored as an indicator of R848-induced TLR7 activation to evaluate the compound inhibitory activity.
- FIG. 23 Dose-response curves for compound 17-26, Related to Table 1.
- IC 50 derived from dose-response curves for the measurement of ATP consumption from hcGAS- mediated 2’,3’-cGAMPsynthesis.
- Serial dilutions of compounds in DMSO were added to a reaction mixture containing 20mM Tris-Cl, 5mM MgCl 2 , 0.2mg/ml bovine serum albumin (BSA), O.Olmg/ml Herring testis DNA (HT-DNA), O. lmM GTP, 0.006mM ATP, and 30nM human cGAS protein, incubated at 37°C for 20 min.
- BSA bovine serum albumin
- HT-DNA O.Olmg/ml Herring testis DNA
- O. lmM GTP O. lmM GTP
- 0.006mM ATP 0.006mM ATP
- Remaining ATP levels was measured by adding 40m1 of KinaseGlo (Promega) and reading luminescence. Reactions omitting cGAS and reactions without compounds but DMSO were considered 100% and 0% inhibition, respectively. IC50 values were deduced from non-linear fitting of [inhibitor] vs response in Prism 8. Unless otherwise noted all IC50 values represent mean.
- FIG. 24 Molecular docking studies for CU-76 and CU-45, Related to Figure 5A and 5B.
- A The grid box set for docking CU-76 and CU-45.
- B Schematic representation showing that methylation of -NH 2 abrogates the H-bond interaction of CU-45 with GLU386 (left: CU-76, right CU-45).
- FIG. 25 EMSA of recombinant human cGAS and ISD.
- EMSA Electrophoretic mobility shift assay
- ISD Electrophoretic mobility shift assay
- This disclosure provides potent and selective inhibitors of cGAS and the cGAS-STING pathway and therapies for treating inflammation and autoimmune diseases associated with chronic inflammation and autoimmunity due to cGAS activation. These therapies provide therapeutic strategies for treatment of severe debilitating diseases associated with IFN-I.
- structures depicted herein are also meant to include all isomeric (e.g., enantiomeric, diastereomeric, and geometric (or conformational)) forms of the structure; for example, the R and S configurations for each asymmetric center, Z and E double bond isomers, and Z and E conformational isomers. Therefore, single stereochemical isomers as well as enantiomeric, diastereomeric, and geometric (or conformational) mixtures of the present compounds are within the scope of the invention. Unless otherwise stated, all tautomeric forms of the compounds of the invention are within the scope of the invention.
- structures depicted herein are also meant to include compounds that differ only in the presence of one or more isotopically enriched atoms.
- compounds having the present structures including the replacement of hydrogen by deuterium or tritium, or the replacement of a carbon by a 13C- or l4C-enriched carbon are within the scope of this invention.
- Such compounds are useful, for example, as analytical tools, as probes in biological assays, or as therapeutic agents in accordance with the present invention.
- the singular forms“a”,“and”, and“the” include plural referents unless the context clearly dictates otherwise.
- reference to“a compound” includes a plurality of such compounds
- reference to“the method” includes reference to one or more methods, method steps, and equivalents thereof known to those skilled in the art, and so forth.
- compositions ot“a compound of the invention includes all solvates, complexes, polymorphs, radiolabeled derivatives, tautomers, stereoisomers, and optical isomers of the compounds of the cGAS inhibitors generally described herein, and salts thereof, unless otherwise specified.
- the term“docking” refers to orienting, rotating, translating a chemical entity in the binding pocket, domain, molecule or molecular complex or portion thereof based on distance geometry or energy. Docking may be performed by distance geometry methods that find sets of atoms of a chemical entity that match sets of sphere centers of the binding pocket, domain, molecule or molecular complex or portion thereof. See Meng et al. J. Comp. Chem. 4: 505-524 (1992). Sphere centers are generated by providing an extra radius of given length from the atoms (excluding hydrogen atoms) in the binding pocket, domain, molecule or molecular complex or portion thereof.
- Real-time interaction energy calculations, energy minimizations or rigid-body minimizations can be performed while orienting the chemical entity to facilitate docking.
- interactive docking experiments can be designed to follow the path of least resistance. If the user in an interactive docking experiment makes a move to increase the energy, the system will resist that move. However, if that user makes a move to decrease energy, the system will favor that move by increased responsiveness. (Cohen et al., J. Med. Chem. 33 :889-894 (1990)). Docking can also be performed by combining a Monte Carlo search technique with rapid energy evaluation using molecular affinity potentials.
- the term“designed” “rational design” refers to an agent (i) whose structure is or was selected by the hand of man; (ii) that is produced by a process requiring the hand of man; and/or (iii) that is distinct from natural substances and other known agents.
- the term“autoimmune disease,” refers to a disease wherein a patient's immune system is producing an unwanted immune response to one or more of their own proteins.
- Non-limiting examples may be selected from the group consisting of: systemic lupus erythematosus (SLE), lupus nephritis (LN), rheumatoid arthritis, juvenile rheumatoid arthritis, Wegener's disease, inflammatory bowel disease, idiopathic thrombocytopenic purpura (ITP), thrombotic thrombocytopenic purpura (TTP), autoimmune thrombocytopenia, multiple sclerosis, psoriasis, IgA nephropathy, IgM polyneuropathies, myasthenia gravis, vasculitis, diabetes mellitus, Reynaud's syndrome, Sjorgen's disease, scleroderma, polymyositis and gl omerul onephriti s .
- SLE systemic lupus erythematosus
- LN lupus nephritis
- monogenic disorder refers to a disease that is the result of a single defective gene on the autosomes.
- Representative monogenic disorders may include rare monogenic disorders, such as Aicardi-Goutiere's Syndrome (AGS).
- Aicardi-Goutiere's Syndrome Aicardi-Goutiere's Syndrome
- Representative examples of autoimmune diseases include STING-Associated Vasculopathy with onset in Infancy (SAVI), and spondyloenchondrodysplasia (SPENCD).
- a “biological sample” encompasses a variety of sample types obtained from an individual and can be used in a diagnostic or monitoring assay.
- the definition encompasses blood and other liquid samples of biological origin, solid tissue samples such as a biopsy specimen or tissue cultures or cells derived there from and the progeny thereof.
- the definition also includes samples that have been manipulated in any way after their procurement, such as by treatment with reagents, solubilization, or enrichment for certain components, such as polynucleotides.
- the term“biological sample” encompasses a clinical sample, and also includes cells in culture, cell supernatants, cell lysates, serum, plasma, biological fluid, and tissue samples.
- treatment refers to obtaining a desired pharmacologic and/or physiologic effect.
- the effect may be prophylactic in terms of completely or partially preventing a disease or symptom thereof and/or may be therapeutic in terms of a partial or complete cure for a disease and/or adverse effect attributable to the disease.
- Treatment covers any treatment of a disease in a mammal, and particularly in a human, and includes: (a) preventing the disease from occurring in a subject which may be predisposed to the disease but has not yet been diagnosed as having it: (b) inhibiting the disease, i.e., arresting its development; (c) relieving the disease, i.e., causing regression of the disease; (d) protection from or relief of a symptom or pathology caused by cGAS activity or activation; (e) reduction, decrease, inhibition, amelioration, or prevention of onset, severity, duration, progression, frequency or probability of one or more symptoms or pathologies associated with cGAS activity or activation; and (f) prevention or inhibition of a worsening or progression of symptoms or pathologies associated with cGAS activity or activation.
- the terms“individual,”“subject,” and“patient,” used interchangeably herein, refer to a mammal, including, but not limited to, murines, simians, humans, mammalian farm animals, mammalian sport animals, and mammalian pets.
- the subject herein is human.
- R-group or“substituent” refers to a single atom (for example, a halogen atom) or a group of two or more atoms that are covalently bonded to each other, which are covalently bonded to an atom or atoms in a molecule to satisfy the valency requirements of the atom or atoms of the molecule, typically in place of a hydrogen atom.
- R-group s/substituents include alkyl groups, hydroxyl groups, alkoxy groups, acyloxy groups, mercapto groups, and aryl groups.
- “Substituted” or“substitution” refer to replacement of a hydrogen atom of a molecule or an R-group with one or more additional R-groups such as halogen, alkyl, alkoxy, alkylthio, trifluoromethyl, acyloxy, hydroxy, mercapto, carboxy, aryloxy, aryl, arylalkyl, heteroaryl, amino, alkylamino, dialkylamino, morpholino, piperidino, pyrrolidin-l-yl, piperazin-l-yl, nitro, sulfate, or other R-groups.
- additional R-groups such as halogen, alkyl, alkoxy, alkylthio, trifluoromethyl, acyloxy, hydroxy, mercapto, carboxy, aryloxy, aryl, arylalkyl, heteroaryl, amino, alkylamino, dialkylamino, morpholino, piperidino
- “Acyl” refers to a group having the structure RCO-, where R may be alkyl, or substituted alkyl.“Lower acyl” groups are those that contain one to six carbon atoms.
- acyloxy refers to a group having the structure RCOO-, where R may be alkyl or substituted alkyl.“Lower acyloxy” groups contain one to six carbon atoms.
- Alkenyl refers to a cyclic, branched or straight chain group containing only carbon and hydrogen, and unless otherwise mentioned typically contains one to twelve carbon atoms, and contains one or more double bonds that may or may not be conjugated. Alkenyl groups may be unsubstituted or substituted.“Lower alkenyl” groups contain one to six carbon atoms.
- alkoxy refers to a straight, branched or cyclic hydrocarbon configuration and combinations thereof, including from 1 to 20 carbon atoms, preferably from 1 to 8 carbon atoms (referred to as a“lower alkoxy”), more preferably from 1 to 4 carbon atoms, that include an oxygen atom at the point of attachment.
- An example of an“alkoxy group” is represented by the formula -OR, where R can be an alkyl group, optionally substituted with an alkenyl, alkynyl, aryl, aralkyl, cycloalkyl, halogenated alkyl, alkoxy or heterocycloalkyl group.
- Suitable alkoxy groups include methoxy, ethoxy, n-propoxy, i-propoxy, n-butoxy, i-butoxy, sec-butoxy, tert- butoxy cyclopropoxy, cyclohexyloxy, and the like.
- alkyl refers to a branched or unbranched saturated hydrocarbon group of 1 to 24 carbon atoms, such as methyl, ethyl, n-propyl, isopropyl, n-butyl, isobutyl, t-butyl, pentyl, hexyl, heptyl, octyl, decyl, tetradecyl, hexadecyl, eicosyl, tetracosyl and the like.
- A“lower alkyl” group is a saturated branched or unbranched hydrocarbon having from 1 to 6 carbon atoms. Preferred alkyl groups have 1 to 4 carbon atoms.
- Alkyl groups may be“substituted alkyls” wherein one or more hydrogen atoms are substituted with a substituent such as halogen, cycloalkyl, alkoxy, amino, hydroxyl, aryl, alkenyl, or carboxyl.
- a lower alkyl or (Ci-C 6 )alkyl can be methyl, ethyl, propyl, isopropyl, butyl, iso-butyl, sec-butyl, pentyl, 3-pentyl, or hexyl;
- (C3-C 6 )cycloalkyl can be cyclopropyl, cyclobutyl, cyclopentyl, or cyclohexyl;
- (C 3 - C 6 )cycloalkyl(C l -C 6 )alkyl can be cyclopropylmethyl, cyclobutylmethyl, cyclopentylmethyl, cyclohexylmethyl, 2-cyclopropylethyl, 2-cyclobutylethyl, 2-cyclopentylethyl, or 2- cyclohexylethyl;
- (Ci-C 6 )alkoxy can be methoxy, ethoxy, propoxy
- Alkynyl refers to a cyclic, branched or straight chain group containing only carbon and hydrogen, and unless otherwise mentioned typically contains one to twelve carbon atoms, and contains one or more triple bonds. Alkynyl groups may be unsubstituted or substituted.“Lower alkynyl” groups are those that contain one to six carbon atoms.
- halogen refers to fluoro, bromo, chloro, and iodo substituents.
- Aryl refers to a monovalent unsaturated aromatic carbocyclic group having a single ring (e.g., phenyl) or multiple condensed rings (e.g., naphthyl or anthryl), which can optionally be unsubstituted or substituted.
- amino refers to an R-group having the structure -NH 2 , which can be optionally substituted with, for example, lower alkyl groups, to yield an amino group having the general structure -NHR or -NR 2 .
- Niro refers to an R-group having the structure -N0 2 .
- aliphatic as applied to cyclic groups refers to ring structures in which any double bonds that are present in the ring are not conjugated around the entire ring structure.
- aromatic refers to ring structures which contain double bonds that are conjugated around the entire ring structure, possibly through a heteroatom such as an oxygen atom or a nitrogen atom.
- Aryl groups, pyridyl groups and furan groups are examples of aromatic groups.
- the conjugated system of an aromatic group contains a characteristic number of electrons, for example, 6 or 10 electrons that occupy the electronic orbitals making up the conjugated system, which are typically un-hybridized p-orbitals.
- “Pharmaceutical compositions” are compositions that include an amount (for example, a unit dosage) of one or more of the disclosed compounds together with one or more non-toxic pharmaceutically acceptable additives, including carriers, diluents, and/or adjuvants, and optionally other biologically active ingredients.
- Such pharmaceutical compositions can be prepared by standard pharmaceutical formulation techniques such as those disclosed in Remington's Pharmaceutical Sciences , Mack Publishing Co., Easton, Pa. (l9th Edition).
- salts or esters refers to salts or esters prepared by conventional means that include salts, e.g., of inorganic and organic acids, including but not limited to hydrochloric acid, hydrobromic acid, sulfuric acid, phosphoric acid, methanesulfonic acid, ethanesulfonic acid, malic acid, acetic acid, oxalic acid, tartaric acid, citric acid, lactic acid, fumaric acid, succinic acid, maleic acid, salicylic acid, benzoic acid, phenylacetic acid, mandelic acid, and the like.
- inorganic and organic acids including but not limited to hydrochloric acid, hydrobromic acid, sulfuric acid, phosphoric acid, methanesulfonic acid, ethanesulfonic acid, malic acid, acetic acid, oxalic acid, tartaric acid, citric acid, lactic acid, fumaric acid, succinic acid, maleic acid, salicylic acid, benzoic acid,
- salts of the compounds are those wherein the counter-ion is pharmaceutically acceptable.
- salts of acids and bases which are non-pharmaceutically acceptable may also find use, for example, in the preparation or purification of a pharmaceutically acceptable compound.
- the pharmaceutically acceptable acid and base addition salts as mentioned above are meant to comprise the therapeutically active non-toxic acid and base addition salt forms which the compounds can form.
- the pharmaceutically acceptable acid addition salts can conveniently be obtained by treating the base form with such appropriate acid.
- Appropriate acids comprise, for example, inorganic acids such as hydrohalic acids, e.g. hydrochloric or hydrobromic acid, sulfuric, nitric, phosphoric and the like acids; or organic acids such as, for example, acetic, propanoic, hydroxyacetic, lactic, pyruvic, oxalic (i.e. ethanedioic), malonic, succinic (i.e.
- salt forms can be converted into the free base form by treatment with an appropriate base.
- the compounds containing an acidic proton may also be converted into their non-toxic metal or amine addition salt forms by treatment with appropriate organic and inorganic bases.
- Appropriate base salt forms comprise, for example, the ammonium salts, the alkali and earth alkaline metal salts, e.g. the lithium, sodium, potassium, magnesium, calcium salts and the like, salts with organic bases, e.g. the benzathine, N-methyl-D-glucamine, hydrabamine salts, and salts with amino acids such as, for example, arginine, lysine, and the like.
- A“therapeutically effective amount” of the disclosed compounds is a dosage of the compound that is sufficient to achieve a desired therapeutic effect, such as promotion of cell cycle, mitotic catastrophe, promotion of apoptosis, inhibition of angiogenesis or an anti-tumor or anti-metastatic effect, inhibition of TNF-alpha activity, inhibition of immune cytokines, or treatment of a neurodegenerative disease.
- a therapeutically effective amount is an amount sufficient to achieve tissue concentrations at the site of action that are similar to those that are shown to modulate angiogenesis, TNF-alpha activity, or immune cytokines, in tissue culture, in vitro, or in vivo.
- a therapeutically effective amount of a compound may be such that the subject receives a dosage of about 0.1 pg/kg body weight/day to about 1000 mg/kg body weight/day, for example, a dosage of about 1 pg/kg body weight/day to about 1000 pg/kg body weight/day, such as a dosage of about 5 pg/kg body weight/day to about 500 pg/kg body weight/day.
- stereoisomer refers to a molecule that is an enantiomer, diastereomer or geometric isomer of a molecule.
- Stereoisomers unlike structural isomers, do not differ with respect to the number and types of atoms in the molecule's structure but with respect to the spatial arrangement of the molecule's atoms. Examples of stereoisomers include the (+) and (-) forms of optically active molecules.
- the present invention relates to compounds of Formula (I) or a prodrug, therapeutically active metabolite, hydrate, solvate, or pharmaceutically acceptable salt thereof (hereinafter compounds of this disclosure):
- Ri is wherein Xi and X are independently N, NH, O, or S;
- R 2 is -NH , -NR 4 R 5 , -OR 4 , -CF 3 , -N0 2 ;
- SR4 or R 2 is phenyl optionally substituted with halogen, -OH, -OR4, -CN, -S02R4, -C02R4, -CF3, -C(0)H, -Ci- 6 alkyl, or -NHC(0)CH 3 ;
- X 7 is S, O, NH, or NR, and n is 0-12; each R is independently H, -OH, or -NH 2 ; or R is Ci- 6 alkyl optionally substituted with one or more of halogen, -OH, -NR 4 R 5 , or Ci -6 cycloalkyl, or R 4 is Ci- 6 cycloalkyl, or R is Ci- 6 aryl optionally substituted with one or more of halogen, -OH, -CN or -NHR 5 ; and, each R 5 is independently H, halogen, -NH 2 , -OH, -CN, -S0 2 Me, -C0 2 Me, -CF 3 , -CHO, -
- R 5 is -Ci- 6 alkyl optionally substituted with one or more of halogen, -NH 2 , -OH, -CN; or R 5 is -Ci- 6 aryl optionally substituted with one or more of halogen, -OH, -CN, -NH 2 , -Ci -6 alkyl.
- R 2 is phenyl optionally substituted with one or more of halogen, -OH, -CN, Ci -6 alkyl;
- the present invention relates to compounds of Formula (II) or a prodrug, therapeutically active metabolite, hydrate, solvate, or pharmaceutically acceptable salt thereof (hereinafter compounds of this disclosure):
- each X 8 is independently O, NH, S, or CH;
- R 6 is -NH 2 , -OH, -NRxRc , or -NS0 2 R 8 ;
- R 7 is halogen, -OH, -NH 2 , NR 8 Rg, -OR 8 , -CN, -CF 3 , or -N0 2 ;
- R 8 is H, -OH, or -NH 2 ; or R 8 is Ci- 6 alkyl optionally substituted with halogen, -OH, -NR4R5, or Ci -6 cycloalkyl, or R 8 is Ci- 6 cycloalkyl, or R 8 is Ci- 6 aryl optionally substituted with halogen, -OH, -CN or -NHR 5 ; and,
- R 9 is H, halogen, -NH 2 , -OH, -CN, -S0 2 Me, -C0 2 Me, -CF 3 , -CHO, -OMe, -SiR 3 , - C0 2 R 4 ,
- R 9 is -Ci- 6 alkyl optionally substituted with one or more of halogen, -NH 2 , -OH, or -CN; or R 9 is -Ci- 6 aryl optionally substituted with one or more of halogen, -OH, -CN, -NH 2 , or -Ci- 6 alkyl.
- Additional embodiments may include a compound having the chemical structure of Formula (III) or a prodrug, therapeutically active metabolite, hydrate, solvate, or pharmaceutically acceptable salt thereof:
- compositions may include a compound having the chemical structure of Formula (IV) or a prodrug, therapeutically active metabolite, hydrate, solvate, or pharmaceutically acceptable salt thereof:
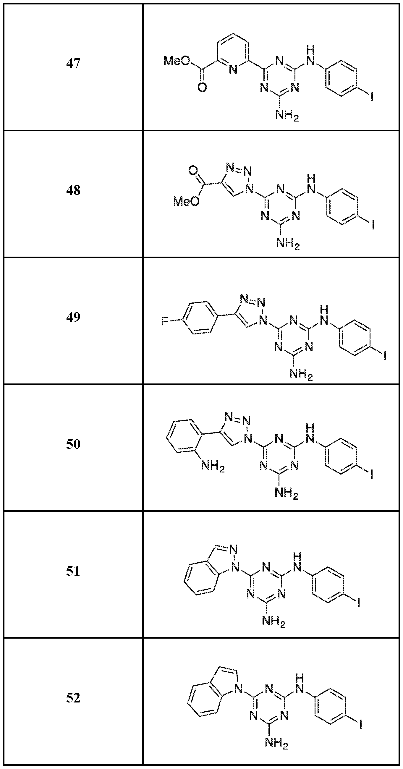
- the invention may include the compounds 0-78 listed below, also identified as CUO-78, or cGAS 0-78.
- cGAS 56 and cGAS 44 include hetero cyclic substituents at the 2-position which are tolerated and exhibit cGAS inhibition or modulation activity.
- the invention may include the compound of Formula I, or a pharmaceutically acceptable salt thereof, comprising the structure selected from the group:
- This disclosure also provides treatments of autoimmune diseases by the administration of a compound of this disclosure.
- Compounds of this disclosure are useful for the treatment of autoimmune diseases including systemic lupus erythematosus (SLE), lupus nephritis (LN), rheumatoid arthritis, juvenile rheumatoid arthritis, Wegener's disease, inflammatory bowel disease, idiopathic thrombocytopenic purpura (ITP), thrombotic thrombocytopenic purpura (TTP).
- SLE systemic lupus erythematosus
- LN lupus nephritis
- ITP idiopathic thrombocytopenic purpura
- TTP thrombotic thrombocytopenic purpura
- autoimmune thrombocytopenia multiple sclerosis, psoriasis, IgA nephropathy, IgM polyneuropathies, myasthenia gravis, vasculitis, diabetes mellitus, Reynaud's syndrome, Sjorgen's disease, scleroderma, polymyositis, and glomerulonephritis.
- This disclosure also provides treatments of monogenic disorders by the administration of a compound of this disclosure.
- Compounds of this disclosure are useful for the treatment of monogenic disorders including AGS, SAVI, or SPENCD.
- the monogenic disorder is AGS.
- the treatment of the autoimmune disease and/or monogenic disorder involves inhibition of cGAS activity.
- this disclosure also provides the use of a cGAS inhibitor compound of this disclosure, or a pharmaceutically acceptable salt thereof, in the manufacture of a medicament for the treatment of an autoimmune disease or monogenic disorder.
- this disclosure provides a cGAS inhibitor compound of this disclosure, or a pharmaceutically acceptable salt thereof, for use in the treatment of an autoimmune disease or monogenic disorder.
- These methods of treatment may include the administration of a pharmaceutical composition described herein.
- this disclosure also provides pharmaceutical compositions comprising one or more CGAS inhibitor compounds of this disclosure useful in the methods of treatment of this disclosure, these pharmaceutical compositions or formulations may include a compound of this disclosure and a pharmaceutically acceptable carrier, diluent, or excipient.
- compositions/formulations are useful for administration to a subject, in vivo or ex vivo.
- Pharmaceutical compositions and formulations include carriers or excipients for administration to a subject.
- pharmaceutically acceptable and “physiologically acceptable” mean a biologically compatible formulation, gaseous, liquid or solid, or mixture thereof, which is suitable for one or more routes of administration, in vivo delivery or contact.
- Such formulations include solvents (aqueous or non-aqueous), solutions (aqueous or non-aqueous), emulsions (e.g., oil-in-water or water-in-oil), suspensions, syrups, elixirs, dispersion and suspension media, coatings, isotonic and absorption promoting or delaying agents, compatible with pharmaceutical administration or in vivo contact or delivery.
- Aqueous and non-aqueous solvents, solutions and suspensions may include suspending agents and thickening agents.
- Such pharmaceutically acceptable carriers include tablets (coated or uncoated), capsules (hard or soft), microbeads, powder, granules and crystals.
- Supplementary active compounds can also be incorporated into the compositions.
- the formulations may, for convenience, be prepared or provided as a unit dosage form. In general, formulations are prepared by uniformly and intimately associating the active ingredient with liquid carriers or finely divided solid carriers or both, and then, if necessary, shaping the product.
- a tablet may be made by compression or molding. Compressed tablets may be prepared by compressing, in a suitable machine, an active ingredient in a free-flowing form such as a powder or granules, optionally mixed with a binder, lubricant, inert diluent, preservative, surface-active or dispersing agent.
- Molded tablets may be produced by molding, in a suitable apparatus, a mixture of powdered compound moistened with an inert liquid diluent.
- the tablets may optionally be coated or scored and may be formulated so as to provide a slow or controlled release of the active ingredient therein.
- Cosolvents and adjuvants may be added to the formulation.
- cosolvents contain hydroxyl groups or other polar groups, for example, alcohols, such as isopropyl alcohol; glycols, such as propylene glycol, polyethyleneglycol, polypropylene glycol, glycol ether; glycerol; polyoxyethylene alcohols and polyoxyethylene fatty acid esters.
- Adjuvants include, for example, surfactants such as, soya lecithin and oleic acid; sorbitan esters such as sorbitan trioleate; and polyvinylpyrrolidone.
- Supplementary active compounds e.g., preservatives, antioxidants, antimicrobial agents including biocides and biostats such as antibacterial, antiviral and antifungal agents
- Preservatives and other additives include, for example, antimicrobials, anti-oxidants, chelating agents and inert gases (e.g., nitrogen).
- Pharmaceutical compositions may therefore include preservatives, antimicrobial agents, anti-oxidants, chelating agents and inert gases.
- Preservatives can be used to inhibit microbial growth or increase stability of the active ingredient thereby prolonging the shelf life of the pharmaceutical formulation.
- Suitable preservatives include, for example, EDTA, EGTA, benzalkonium chloride or benzoic acid or benzoates, such as sodium benzoate.
- Antioxidants include, for example, ascorbic acid, vitamin A, vitamin E, tocopherols, and similar vitamins or provitamins.
- compositions can optionally be formulated to be compatible with a particular route of administration.
- routes of administration include administration to a biological fluid, an immune cell (e.g., T or B cell) or tissue, mucosal cell or tissue (e.g., mouth, buccal cavity, labia, nasopharynx, esophagus, trachea, lung, stomach, small intestine, vagina, rectum, or colon), neural cell or tissue (e.g., ganglia, motor or sensory neurons) or epithelial cell or tissue (e.g., nose, fingers, ears, cornea, conjunctiva, skin or dermis).
- an immune cell e.g., T or B cell
- mucosal cell or tissue e.g., mouth, buccal cavity, labia, nasopharynx, esophagus, trachea, lung, stomach, small intestine, vagina, rectum, or colon
- neural cell or tissue e.g.
- compositions include carriers (excipients, diluents, vehicles or filling agents) suitable for administration to any cell, tissue or organ, in vivo, ex vivo (e.g., tissue or organ transplant) or in vitro, by various routes and delivery, locally, regionally or systemically.
- Exemplary routes of administration for contact or in vivo delivery which a CGAS inhibitor can optionally be formulated include inhalation, respiration, intubation, intrapulmonary instillation, oral (buccal, sublingual, mucosal), intrapulmonary, rectal, vaginal, intrauterine, intradermal, topical, dermal, parenteral (e.g., subcutaneous, intramuscular, intravenous, intradermal, intraocular, intratracheal and epidural), intranasal, intrathecal, intraarticular, intracavity, transdermal, iontophoretic, ophthalmic, optical (e.g., corneal), intraglandular, intraorgan, and intralymphatic.
- parenteral e.g., subcutaneous, intramuscular, intravenous, intradermal, intraocular, intratracheal and epidural
- parenteral e.g., subcutaneous, intramuscular, intravenous, intradermal, intraocular, intratracheal and epi
- Formulations suitable for parenteral administration include aqueous and non-aqueous solutions, suspensions or emulsions of the compound, which may include suspending agents and thickening agents, which preparations are typically sterile and can be isotonic with the blood of the intended recipient.
- aqueous carriers include water, saline (sodium chloride solution), dextrose (e.g., Ringer's dextrose), lactated Ringer's, fructose, ethanol, animal, vegetable or synthetic oils.
- non-aqueous solvents are propylene glycol, polyethylene glycol, vegetable oils such as olive oil, and injectable organic esters such as ethyl oleate.
- Intravenous vehicles include fluid and nutrient replenishers, electrolyte replenishers (such as those based on Ringer's dextrose).
- the formulations may be presented in unit-dose or multi- dose kits, for example, ampules and vials, and may be stored in a freeze-dried (lyophilized) condition requiring addition of a sterile liquid carrier, for example, water for injections, prior to use.
- penetrants can be included in the pharmaceutical composition.
- Penetrants are known in the art, and include, for example, for transmucosal administration, detergents, bile salts, and fusidic acid derivatives.
- the active ingredient can be formulated into aerosols, sprays, ointments, salves, gels, pastes, lotions, oils or creams as generally known in the art.
- compositions typically include ointments, creams, lotions, pastes, gels, sprays, aerosols or oils.
- Carriers which may be used include Vaseline, lanolin, polyethylene glycols, alcohols, transdermal enhancers, and combinations thereof.
- An exemplary topical delivery system is a transdermal patch containing an active ingredient.
- compositions include capsules, cachets, lozenges, tablets or troches, as powder or granules.
- Oral administration formulations also include a solution or a suspension (e.g., aqueous liquid or a non-aqueous liquid; or as an oil-in- water liquid emulsion or a water-in-oil emulsion).
- compositions can be formulated in a dry powder for delivery, such as a fine or a coarse powder having a particle size, for example, in the range of 20 to 500 microns which is administered in the manner by inhalation through the airways or nasal passage.
- effective dry powder dosage levels typically fall in the range of about 10 to about 100 mg.
- Appropriate formulations, wherein the carrier is a liquid, for administration, as for example, a nasal spray or as nasal drops, include aqueous or oily solutions of the active ingredient.
- aerosol and spray delivery systems and devices also referred to as“aerosol generators” and“spray generators,” such as metered dose inhalers (MDI), nebulizers (ultrasonic, electronic and other nebulizers), nasal sprayers and dry powder inhalers can be used.
- MDIs typically include an actuator, a metering valve, and a container that holds a suspension or solution, propellant, and surfactant (e.g., oleic acid, sorbitan trioleate, lecithin).
- surfactant e.g., oleic acid, sorbitan trioleate, lecithin
- MDIs typically use liquid propellant and typically, MDIs create droplets that are 15 to 30 microns in diameter, optimized to deliver doses of 1 microgram to 10 mg of a therapeutic.
- Nebulizers are devices that turn medication into a fine mist inhalable by a subject through a face mask that covers the mouth and nose. Nebulizers provide small droplets and high mass output for delivery to upper and lower respiratory airways. Typically, nebulizers create droplets down to about 1 micron in diameter.
- DPI Dry-powder inhalers
- DPIs can be used to deliver the compounds of the invention, either alone or in combination with a pharmaceutically acceptable carrier.
- DPIs deliver active ingredient to airways and lungs while the subject inhales through the device.
- DPIs typically do not contain propellants or other ingredients, only medication, but may optionally include other components.
- DPIs are typically breath-activated, but may involve air or gas pressure to assist delivery.
- compositions can be included as a suppository with a suitable base comprising, for example, cocoa butter or a salicylate.
- a suitable base comprising, for example, cocoa butter or a salicylate.
- pharmaceutical compositions can be included as pessaries, tampons, creams, gels, pastes, foams or spray formulations containing in addition to the active ingredient a carrier, examples of appropriate carriers which are known in the art.
- compositions and methods of the invention are known in the art (see, e.g., Remington: The Science and Practice of Pharmacy (2003) 20.sup.th ed., Mack Publishing Co., Easton, Pa.; Remington's Pharmaceutical Sciences (1990) l8.sup.th ed., Mack Publishing Co., Easton, Pa.; The Merck Index (1996) l2.sup.th ed., Merck Publishing Group, Whitehouse, N.J.; Pharmaceutical Principles of Solid Dosage Forms (1993), Technonic Publishing Co., Inc., Lancaster, Pa.; Ansel and Stoklosa, Pharmaceutical Calculations (2001) l l .sup.th ed., Lippincott Williams & Wilkins, Baltimore, Md.; and Poznansky et al., Drug Delivery Systems (1980), R. L. Juliano, ed., Oxford, N.Y., pp. 253-315).
- the CGAS inhibitors may be packaged in unit dosage forms for ease of administration and uniformity of dosage.
- A“unit dosage form” as used herein refers to a physically discrete unit suited as unitary dosages for the subject to be treated; each unit containing a predetermined quantity of compound optionally in association with a pharmaceutical carrier (excipient, diluent, vehicle or filling agent) which, when administered in one or more doses, is calculated to produce a desired effect (e.g., prophylactic or therapeutic effect or benefit).
- Unit dosage forms can contain a daily dose or unit, daily sub-dose, or an appropriate fraction thereof, of an administered compound.
- Unit dosage forms also include, for example, capsules, troches, cachets, lozenges, tablets, ampules and vials, which may include a composition in a freeze-dried or lyophilized state; a sterile liquid carrier, for example, can be added prior to administration or delivery in vivo.
- Unit dosage forms additionally include, for example, ampules and vials with liquid compositions disposed therein.
- Unit dosage forms further include compounds for transdermal administration, such as“patches” that contact with the epidermis of the subject for an extended or brief period of time.
- the individual unit dosage forms can be included in multi-dose kits or containers. Pharmaceutical formulations can be packaged in single or multiple unit dosage forms for ease of administration and uniformity of dosage.
- the CGAS inhibitor(s) may be administered in accordance with the methods at any frequency as a single bolus or multiple dose e.g., one, two, three, four, five, or more times hourly, daily, weekly, monthly or annually or between about 1 to 10 days, weeks, months, or for as long as appropriate. Exemplary frequencies are typically from 1-7 times, 1-5 times, 1-3 times, 2-times or once, daily, weekly or monthly. Timing of contact, administration ex vivo or in vivo delivery can be dictated by the infection, reactivation, pathogenesis, symptom, pathology or adverse side effect to be treated. For example, an amount can be administered to the subject substantially contemporaneously with, or within about 1-60 minutes or hours of the onset of a symptom or adverse side effect of autoimmune diseases or inflammation, or treatment.
- Doses may vary depending upon whether the treatment is therapeutic or prophylactic, the onset, progression, severity, frequency, duration, probability of or susceptibility of the symptom, the type of virus infection, reactivation or pathogenesis to which treatment is directed, clinical endpoint desired, previous, simultaneous or subsequent treatments, general health, age, gender or race of the subject, bioavailability, potential adverse systemic, regional or local side effects, the presence of other disorders or diseases in the subject, and other factors that will be appreciated by the skilled artisan (e.g., medical or familial history). Dose amount, frequency or duration may be increased or reduced, as indicated by the clinical outcome desired, status of the infection, reactivation, pathology or symptom, or any adverse side effects of the treatment or therapy. The skilled artisan will appreciate the factors that may influence the dosage, frequency and timing required to provide an amount sufficient or effective for providing a prophylactic or therapeutic effect or benefit.
- the CGAS inhibitor(s) will be administered as soon as practical.
- a CGAS inhibitor can be administered prior to, concurrently with or following administration of the subject.
- Doses can be based upon current existing treatment protocols, empirically determined, determined using animal disease models or optionally in human clinical studies.
- a subject may be administered in single bolus or in divided/metered doses, which can be adjusted to be more or less according to the various consideration set forth herein and known in the art.
- Dose amount, frequency or duration may be increased or reduced, as indicated by the status of autoimmune or inflammation disease condition, reactivation or pathogenesis, associated symptom or pathology, or any adverse side effect(s).
- control or a particular endpoint for example, reducing, decreasing, inhibiting, ameliorating or preventing onset, severity, duration, progression, frequency or probability of one or more symptoms associated with an autoimmune or inflammation disease condition, reactivation or pathogenesis of one or more symptoms or pathologies associated with or caused by an autoimmune or inflammation disease condition.
- kits containing a pharmaceutical composition of this disclosure, prescribing information for the composition, and a container.
- Example 1 Strategy for discovering a small molecule hcGAS inhibitor.
- FIG. 1 A Crystallographic studies of the 2:2 mcGAS complex with DNA revealed several key residues involved in the PPI and cGAS-DNA interaction for mcGAS and are shown in FIG. 1 A. Notably, point mutations studies demonstrated that Lys335 (Lys347 in human cGAS) is involved in mediating the formation of the cGAS dimer. cGAS activity was also abolished in cGAS mutants with point mutations of both Lys335 and Lys382 (Lys 394 in humans), demonstrating their critical role for cGAS function. Furthermore, it was demonstrated hcGAS can be inhibited by aspirin mediated acetylation of either Lys384, Lys394, or Lys494 in patient cells.
- Example 2 Identification of Novel cGAS Inhibitor Molecules by High Throughput In Silico Screening.
- the inventors performed a high throughput virtual screen (HTVS) of drug-like libraries against the cGAS/dsDNA complex to identify novel small molecule hcGAS inhibitors.
- HTVS high throughput virtual screen
- An in- silico screen of the Maybridge (53,000 compounds) and Enamine (1.7 million compounds) Hit finder libraries using the Glide 5.6 program was conducted using reported co-crystal structures of recombinant mcGAS, since hcGAS-DNA complex was unknown until recently.
- FIG. 1B based on the findings described above, the inventors generated the grid on the PPI with incorporation of the residues involved in the dsDNA binding site (crystal structure PDB ID: 406 A).
- This in silico screen identified ten small molecules hits (see FIG. 8 and Table 2).
- the selection of the candidate molecules was based on four criteria: (1) predicted binding energy and spatial complementarity; (2) reasonable chemical structures found in the dsDNA-binding site of cGAS; (3) existence of at least one hydrogen bond between the ligand and one of the dsDNA- recognizing residues on the cGAS surface; (4) drug-like properties analysis.
- Drug-like properties considered by the inventors follow Lipinski’s rule of five and include properties such as molecular weight, hydrogen bond or, hydrogen bond acceptor, Lipophilicity (log P), and human oral absorption.
- cGAS consumes 100% ATP without the inhibitors in this assay, and a titration with half-log increments is conducted with the sample compound. The concentration of the sample at 50% of ATP consumption is utilized to determine the IC50 .
- the cytosolic DNA sensor cGAS forms an oligomeric complex with DNA and undergoes switch-like conformational changes in the activation loop.
- IRF3 dimerization assay with human monocyte THP-l cells was used for cell-based studies. For this assay, stimulation of cGAS/STING pathway is induced with dsDNA, which causes STING to activate IKK, and TBK1. TBK1 phosphorylates STING and recruits IRF3 for phosphorylation by TBK1. The phosphorylated IRF3 dimerizes and activates the expression of type I inteferons (FIG. 9). Readout of cellular dimerization was measured by Western Blotting to detect the IRF2 dimer.
- Example 4 Synthesis overview of the designed hcGAS inhibitor 1 and related molecules.
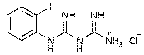
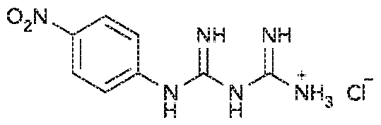
- Methyl 4-amino-6-[(4-fluorophenyl)amino]- l,3,5-triazine-2-carboxylate (1) was synthesized using a reported one-pot cyclisation condensation reaction of the N'-(azaniumylmethanimidoyl)-N-(4-fluorophenyl)guanidine chloride with dimethyl oxalate (See FIG. 7A).
- the present inventors next focused on systematically altering the 4-amino group and the heterocyclic core (see Figure 2A and 2B).
- pyrimidine 10 lacking the 4-NH 2 group was active at 100 mM, implying a critical role for the 4-NH 2 group.
- Replacement of the 1,3,5- triazine core with a benzene ring (11) abrogated the bioactivity, indicating an electron deficient heterocyclic core is necessary.
- the inventors ruled out 4-aminopyridine 12 (>1000 mM) and pyrimidine 10 (>100 mM) scaffolds because inhibition was only observed at very high concentrations.
- the methylated derivatives of 8 (CU-45) and 9 were prepared to further investigate the impact of the amine substitution.
- Example 6 Improving CU-l potency through SAR.
- the ethynyl group is a nonclassical bioisostere that has a polarized -CH moiety, and it is a weak hydrogen bond donor.
- replacement of -I with the ethynyl moiety (24) did not improve the potency, which explained that halogen bonding may not be the dominating factor.
- the inventors modified the 6-position of the l,3,5-triazine core and the 3- and 5- positions of the NH-phenylamino motif.
- Replacement of the ester group with heterocycles, such as l,3,4-oxaziazole (27), N- pyrazole (28), and aryl- 1,2, 3 -triazoles (29 and 30) only showed modest inhibitory activity while benzimidazole (31) and indole (32) were inactive (see Table 4 for chemical structures).
- 3,4,5-trisubstituted and 3, 5 -di substituted phenylamino rings were examined to thoroughly explore additional substitutions on the NH-phenylamino motif.
- the inventors introduced two F- atoms at the 3- and 5-positions of the NH-phenylamino motif and a ⁇ 3-fold increase of inhibitory potency with compound CU-76 (25) was achieved showing a low micromolar IC50 (0.24 ⁇ 0.0l mM) value.
- Selected target compounds from the SAR studies were tested in a high throughput fluorescence polarization (FP) assay for their capacity to intercalate DNA following the protocol developed for RU.521.
- the five compounds tested showed 0% DNA intercalation compared to mitoxantrone, a known DNA intercalator. (see Figure 19).
- the biological investigation for CU- 32 and CU-76 was prioritized based on stability, potency, and lack of DNA interaction for further testing in cellular assays.
- Example 7 CU-32 analogs selectively inhibit cGAS pathway in human cells.
- the inventors used ELISA to measure IFN-b production from these cells following ISD transfection or Sendai virus infection.
- CU-32 and CU-76 suppressed levels of IFN-b in the media dose-dependently; however, IFN-b levels I response to Sendai virus were not affected ( Figure 4B), confirming the effectiveness and specificity of these compounds.
- the inventors also confirmed the inhibitory activity of CU-32 and analogs was not the result of toxicity, as the top inhibitors had no effect on cell viability up to 30 mM, with only partial toxicity at 300 mM ( Figure 18).
- the carboxylic acid derivatives of CU-1 and CU-32 were also prepared and determined to have an in vitro IC 50 value of 3.8F1.9 mM (lb) and 0.59 ⁇ 0.3 mM (19b), see Figure 4A. for chemical structures.
- Utilizing a prodrug strategy to optimize effectiveness and“drug like” properties, such as permeability and target selectivity, is a possibility based on the in vitro activities for the carboxylic acid derivatives of lb and 19b.
- lb did not display antagonistic activity toward the cGAS-STING pathway IRF dimerization assay (See Figure 20).
- the present inventors cannot effectively conclude the active drug is the carboxylic acid of the corresponding methyl ester inhibitor (1) since two amide derivatives also inhibited hcGAS in vitro and lacked cellular activity.
- the inventors speculate the carboxylic acid (lb) and amides (15 and 16) lack cellular activity due to poor permeability caused by the 4-NH 2 and 2-COOH functional groups.
- Example 8 CU-32 does not inhibit Toll-like receptor pathways.
- TLR pathways which are membrane localized pathogen recognition receptors of the innate immune system.
- Various TLRs recognize different viral or bacterial membrane components or nucleic acids.
- the present inventors used human embryonic kidney (HEK) cell lines each ectopically expressing a TLR together with NF-KB-inducible SEAP (secreted embryonic alkaline phosphatase).
- HEK human embryonic kidney
- TLR ligands including poly(TC) for TLR3, LPS for TLR4, R848 and ssRNA for TLR7/8, and CpG-ODN for TLR9, in the presence of CU-32 or DMSO, and activation of TLR signaling was evaluated by measurement of SEAP activity in the media.
- TLR ligands including poly(TC) for TLR3, LPS for TLR4, R848 and ssRNA for TLR7/8, and CpG-ODN for TLR9
- the inventors speculate the insertion of the inhibitor molecules aside the Zn loop disturbs the interface of the dimer, thus inhibiting the dimerization through an allosteric effect (conformational change).
- the present inventors also hypothesize the 4-NH 2 (donor) may have an H-bond interaction with GLET386, Figure 6A.
- CU-45 cannot interact with GLET-386 mainly because there is not a H (donor) on the N-atom and due to steric clash with the methyl groups, see Figure 6B.
- the in vitro results for CU-45 and CU-9 (0% cGAS inhibition) are consistent with our hypothesis.
- the molecular docking studies also indicate CU-76 and analogs may bind to different pocket compared to other cGAS inhibitors.
- cGAS protein caused mobility shift of ISD (lane2) and reduction of the unbound DNA. This effect was reversed by adding Quinacrine (lane 2-4), a compound known to disrupt cGAS:DNA binding (cite PMID: 25821216), see Figure 25.
- Quinacrine lane 2-4
- CU-76 lane 9-11
- CU-32 and CU-76 do not disrupt cGAS:DNA intercalation.
- Example 10 Synthesis and Structure Activity Relationship (SAR) of Inhibitors Targeting cGAS.
- ester functionality was identified as a metabolically unstable group, as it can be hydrolyzed by esterases. This presents the possibility of utilizing a prodrug strategy to optimize effectiveness and“drug like” properties such as permeability and target selectivity.
- a prodrug strategy to optimize effectiveness and“drug like” properties such as permeability and target selectivity.
- a >20-fold increase in potency was observed with CU-2 in vitro.
- the lower in vitro activity of CU-0 could be due to poor permeability caused by the additional free amino group on the hydrophilic anthranilic acid motif.
- ester and amide functionalities were examined and the ester group was identified as the most active functional group (FIG. 10B).
- Cellular assays revealed that compounds CU-l and CU-6 prevented IRF3 dimerization, suggesting cGAS inhibition occurs.
- the inventors rationalized that the methyl ester of compounds CU-l and CU-6 could be metabolized to the pharmacologically active carboxylic acid derivatives, and that CU-9 was inactive because the amide cannot be easily hydrolyzed.
- the carboxylic acid in compound CU-l 7, and the alcohol in compound CU-2 did not inhibit cGAS in the cell-based assay further supporting a prodrug hypothesis and the importance of the ester functionality.
- the core chemical scaffold including the 1,2, 3-triazole motif provided promising SAR results and therefore the inventors undertook additional SAR studies to identify substituents that further enhance the in vitro cGAS inhibitory activity of these compounds (FIGS. 12B and 12C).
- Example 12 Optimization of the Hydrophobic Motif.
- the inventors undertook additional SAR testing of N-aryl derivatives and heterocyclic motifs to identify substituents that further enhance the in vitro cGAS inhibitory activity of these compounds (FIGS. 11 and 13).
- the inventors undertook additional SAR testing of primary, secondary, and tertiary amine derivatives of the 4-amino position in the l,3,5-triazine core (FIGS. 11 and 14). The results indicate that the amine group is necessary for inhibitory activity.
- Example 13 Effects of CoCl2 on Bioactivitv of cGAS Inhibitor Analogs.
- cGAS activity increases in the presence of CoCl 2 (or ZnCl 2 ) because the Zn-binding domain facilitates dsDNA recognition.
- the inventors rationalized that differences in the in vitro and cellular results could be attributed to the metal ion.
- Co2+ and Zn2+ complexes with triazine- based ligands are known, and the analogs have potential to bind to M2+.
- the inventors examined compound toxicity by treating THP-l cells with sample compounds in DMSO (1% final concentration) for 16 hours. Measuring intracellular ATP levels and comparing to DMSO treated cells determined the cell survival rate. The inventors’ top analogs were nontoxic at low concentrations (0.3 and 3mM) with partial toxicity at 300 mM.
- the inventors used compound CU-32 to evaluate whether the inhibitors of cGAS-STING affect other innate immune signaling pathways beyond dsDNA. Endosomal Toll-like signaling (TLR3, 7, 8, and 9) pathways are also major nucleic acid sensing pathways for dsRNA, ssRNA, and CpG methylated DNA.
- TLR3, 7, 8, and 9 Endosomal Toll-like signaling pathways are also major nucleic acid sensing pathways for dsRNA, ssRNA, and CpG methylated DNA.
- the inventors therefore used a human embryonic kidney cell (Hek)-Blue TLR cell-based assay to evaluate the specificity of the signaling inhibition of the inhibitors of this disclosure. Briefly, Hek 293 cells were transfected with the appropriate hTLR gene and an inducible secreted embryonic alkaline phosphatase (SEAP) reporter gene was used to evaluate compound potency and TLR specificity.
- SEAP inducible secreted embryonic alkaline
- the SEAP reporter gene was fused to five NF-kB and AP-l sites. Stimulation of the hTLR was induced with a natural ligand or small molecule chemical ligand (i.e., Poly(TC), R848, ssRNA-Lyo40, ORN-06, or ODN-2006) (ssRNA-Lyo40 and ORN-06 are GU-rich oligonucleotide complexed with LyoVec (Invivogen)). This activates NF-kb and AP-l, which induces the production of SEAP protein.
- a natural ligand or small ligand i.e., Poly(TC), R848, ssRNA-Lyo40, ORN-06, or ODN-2006
- ssRNA-Lyo40 and ORN-06 are GU-rich oligonucleotide complexed with LyoVec (Invivogen)
- TLR ligand i.e., 1 pg/mL R848, 5 pg/mL ssRNA/LyoVec, 5 pg/mL ORN-06, or 1 pg/mL ODN- 2006.
- the cells were incubated for 18-20 hours and assayed for NF-kB signaling using a SEAP assay.
- Quanit-Blue (Invivogen) medium for quantification of alkaline phosphatase was used to monitor expression of SEAP via detection of SEAP reporter protein secreted by cells. The compounds were considered active if they decreased SEAP levels by a decrease in absorbance at 620 nm.
- FIG. 16A the present inventors demonstrate that compound CU-32 was unable to suppress activation of endosomal TLR signaling pathways in the presence of natural ligands.
- FIG. 16B demonstrates that CU-32 was unable to suppress activation of endosomal TLR8 signaling in the presence of ssRNA ligands.
- FIG. 16C shows a dose-response curve for compound CU-32 demonstrating that compound CU-32 does not inhibit TLR8 stimulated with ssRNA-Lyo-40 (compound ZH-9a is a control).
- Fluorescence polarization is a powerful approach by which alterations in the apparent molecular weight of a fluorescent probe (or tracer) in solution are indicated by changes in the polarization of the sample’s emitted light.
- the inventors used the FP assay to interrogate the molecular interaction between compounds of this disclosure and dsDNA using acridine orange, an organic compound used as a nucleic acid- selective fluorescent cationic dye that is cell permeable and interacts with DNA and RNA by intercalation or electrostatic interactions.
- FIG. 16D shows the results of FP assay evaluating the intercalation of compounds CU-32 and CU-40 with dsDNA. Mitoxantrone, a known DNA-intercalating agent, was included as a positive control. Compounds CU-32 and CU-40 do not intercalate with dsDNA.
- High throughput virtual screening was performed against the cGAS/dsDNA complex structure.
- the Enamine drug database (1.3 million small molecules) and Maybridge library (50,000 small molecules) was docked into the dsDNA-binding domain of cGAS (PDB: 406A).
- Glide maestro protocol was used for the virtual screening using Schrodinger software.
- the grid was generated on the protein-protein interface with incorporation of important residues involved in dsDNA binding, See Figure 1.
- the protocol includes addition of hydrogens, restrained energy-minimizations of the protein structure with the Optimized Potentials for Liquid Simulations-All Atom (OPLS-AA) force field, and finally setting up the Glide grids using the Protein and Ligand Preparation Module. All compounds were first docked and ranked using High Throughput Virtual Screening Glide, continued with standard precision docking (SP) Glide for the top 10,000 compounds. To reduce the number of compounds in the library, after performing HTVS screening, the remaining 10% was docked using the more accurate and computationally intensive SP docking, after which the remaining 10% was docked using Extra-precision. The top ranked compounds were re- ranked by predicted binding energy. The compounds were filtered by Lipkinski’s rule of five and reactive functionality. It performed docking of the drug compounds in the different phases like HTVS, SP, XP (Extra-precision).
- Selection of the candidate molecules was based on four criteria: (1) predicted binding energy and spatial complementarity; (2) reasonable chemical structures found in the dsDNA- binding site of cGAS; (3) existence of at least one hydrogen bond between the ligand and one of the dsDNA-recognizing residues on the cGAS surface; (4) drug-like properties analysis.
- Drug- like properties follow Lipinski’s rule of five and include properties such as molecular weight, hydrogen bond or, hydrogen bond acceptor, Lipophilicity (log P), and human oral absorption. Ten of these molecules were selected by chemical and geometrical properties for experimental evaluation (Table 1).
- HEK human embryonic kidney
- SEAP embryonic alkaline phosphatase reporter gene
- the SEAP reporter gene is fused to five NF-kB and AP-l sites. Stimulation of the hTLR is induced with natural ligand or small molecule chemical ligand (R848, Invivogen). This activates NF-kb and AP-l, which induces the production of SEAP protein.
- Growth media for cell maintenance was prepared using DMEM media with 10% FBS, 1% L-glutamine, 1% Penicillin/Streptomycin and supplemental antibiotics (10 pg/mL blasticidin and 100 pg/mL zeocin) per manufacture’s recommendations.
- ETn-supplemented test media was prepared using DMEM media with 10% FBS (deactivated), 1% L-glutamine, and 1% Penicillin/Streptomycin (Note: supplemental antibiotics were not added). 100,000 cells/well or 70,000 cells/well were plated in a tissue culture treated 96-well (Costar 3596) in un-supplemented DMEM test media. Cells were then treated with appropriate concentration of compound, natural TLR ligand (5 pg/mL Poly(LC), 20 ng LPS, 1 pg/mL R848, 1 pg/mL CpG-ODN, or ssRNA/LyoVec, (Invivogen).
- natural TLR ligand 5 pg/mL Poly(LC), 20 ng LPS, 1 pg/mL R848, 1 pg/mL CpG-ODN, or ssRNA/LyoVec, (Invivogen).
- Quanti-Blue (Invivogen) medium for quantification of alkaline phosphatase was used to monitor expression of SEAP via detection of SEAP reporter protein secreted by cells.
- the compounds were considered active if they decreased SEAP levels as indicated by a decrease in absorbance at 620 nm.
- the data was normalized as [(raw data - untreated cells)/(ligand + solvent control - untreated cells)].
- Ligand + solvent is 100% activation, and untreated cells are 0% activation.
- the result of one representative biological replicate for three independent days is plotted with the error bars representing the standard deviation of three technical replicates for one independent biological replicate.
- the result of one representative biological replicate for three independent days is plotted with the error bars representing the standard deviation of three technical replicates for one independent biological replicate.
- Raw 264.7 cells were plated on day one at 375,000 cells/mL in a tissue culture treated 96- well plate.
- the cells were plated in supplemented RPMI medium (10% fetal bovine serum, 1% L-glutamine, 1% Penicillin/Streptomycin) and incubated at 37 °C.
- supplemented media was removed from the cells, and the unsupplemented RPMI was added (100 pL).
- the cells were treated with 1 pg/mL R848 (90 pL) (Invivogen) and varying concentrations of the appropriate organic compound (10 pL). The final volume in each well was 200 pL.
- the 96-well plate was incubated with the organic compound for 18-24 hours at 37 °C.
- the NO assay uses an aryldiazonium intermediate to convert 2,3-diaminonapthalene to fluorescent l(H)-naphthotriazole in the presence of NO. As NO is produced in the TLR inflammatory response, this readout provides information on the extent of TLR signaling.
- [macrophage inflammatory protein-2 (MIP-2)]- secreted embryonic alkaline phosphatase (SEAP) reporter genes and an inducible Lucia luciferase gene (Luc) were used to evaluate compound potency for murine macrophages.
- the Lucia luciferase gene is under the control of an ISG54 minimal promoter with IFN-stimulated response elements. Stimulation of cGAS was induced with G3YSD, a cGAS agonist (Invivogen). This activates the IRF pathway, which induces the production of the Luciferase protein.
- Growth media for cell maintenance was prepared using DMEM media with 10 % FBS 1% L-glutamine, 1% Penicillin/Streptomycin and supplemental antibiotics (100 pg/mL normocin and 200 pg/mL zeocin) per manufacture’s recommendations to select for cGAS and IRF-Lucia/KI-[MIP-2]SEAP reporter expression.
- ETn-supplemented test media was prepared using DMEM media with 10% FBS (heat deactivated), 1% L-glutamine, and 1% Penicillin/Streptomycin (Note: supplemental antibiotics were not added). 100,000 cells/well were plated in a tissue culture treated 96-well (Costar 3596) in un-supplemented DMEM test media. Cells were then treated with appropriate concentration of compound, and 1 pg/mL G3YSD ligand. The cells were incubated for 18-20 hours and assayed for IRF signaling using a Lucia luciferase assay.
- Quanit-Luc (Invivogen) medium for quantification of luciferase was used to monitor the expression of luciferase via detection of Lucia luciferase reporter protein secreted by cells.
- the compounds were considered active if they decreased luciferase levels as indicated by a decrease in luminescence relative light units (RLU).
- RLU luminescence relative light units
- the data was normalized with 100% untreated cells as the negative control and 100% cells treated with cGAS ligand (1 pg/mL G3YSD) as the positive control. All data for cell-based assays is represented as the average and standard deviation of three biological replicates, unless otherwise noted.
- the crystal structure of murine cGAS (mcGAS) -DNA(2:2) complex (PDB: 406A) was used. Similar to the approach described above for the HTVS, we processed 406 A prior to docking and only the monomer mcGAS was retained. The DNA and water molecules were removed. The compounds were first optimized using the GaussView v.5.0.9 and Gaussion v.9.5(Method: b3lyp, Basic set: 6-3 l+g(d,p), pseudo potential for I: sdd). We prepared the ligands and protein receptor with AutoDockTools-l .5.6 (added hydrogens and gaslessnesser charges, set rotatable bonds for ligands etc.).
- the GridBox was generated at the cGAS-cGAS interface, Zn loop(K382 E386) and a7 helix(K335) involved (Figure S8A.).
- the docking parameters were all set to default (Number of Genetic Algorithm Runs: 50).
- the protein structure was set to be rigid.
- redocking was conducted with select residues (Lys335, Lys382, Glu386) in the GridBox being flexible.
- CU-76 was overlapped with mcGAS- DNA(2:2) complex together (Figure S8B.).
- Mass spectrometry was performed at the mass- spectrometry facility of the Biofrontiers Institute at the University of Colorado Boulder. High resolution mass spectra were obtained using a Waters Synapt G2 QToF HR-MS using an ESI ionization mode. Infrared spectra are reported in cm-l and recorded using a Agilent Cary 630 FT/IR instrument and opitcal rotations were measured on JASCO P-1030 and are reported as an average of data points.
- the arylbiguanide salt (1.0 mmol) in anhydrous ethanol or methanol (4.4 M) was added to a mixture of sodium ethoxide (1.2 mmol) in anhydrous ethanol (0.34 M). After stirring the solution for 3 h at rt, the mixture was filtered through a pad of celite. The filtrate was concentrated by rotary evaporation. The residue was dissolved in hot ethanol and filtered through a pad of celite. The filtrate was concentrated by rotary evaporation to afford the desired arylbiguanide base and was used without further purification.
- Methyl 4-amino-6-((4-fluorophenyl)amino)-l,3,5-triazine-2-carboxylate Following the general free base procedure C, a mixture of l-carbamimidamido-N-(4- fluorophenyl)methanimidamide hydrochloride (400 mg, 1.73 mmol) and NaOEt (118 mg, 1.73 mmol) was stirred in EtOH (0.34 M) at rt for 3 h.
- N2-(4-Fluorophenyl)-6-(methoxymethyl)-l, 3, 5-triazine-2, 4-diamine The general procedure was followed using l-carbamimidamido-N-(4-fluorophenyl)methanimidamide hydrochloride (1.83 g, 7.9 mmol), NaOMe (513 mg, 9.5 mmol), and in anhydrous MeOH (23 mL). The corresponding arylbiguanide base, ethylmethoxyacetate (0.95 mL, 8.06 mmol), and 15 mL MeOH were added and then heated at reflux for 24 h. The reaction mixture was cooled to rt and concentrated to afford a white solid.
- 6-(Aminomethyl)-N2-(4-fluorophenyl)-l, 3, 5-triazine-2, 4-diamine Following the general procedure A using 4-amino-6-((4-fluorophenyl)amino)-l,3,5-triazine-2-carboxamide (240 mg, 0.967 mmol) and L1AIH 4 (110 mg, 2.90 mmol) in anhydrous THF (0.1 M). the reaction was stirred at rt and monitored by TLC. After 6.5 h, the reaction was quenched using the Feiser protocol to afford a yellow residue.
- Fluorophenyl)amino]-6-(methylamino)-l,3,5-triazine-2-carbonitrile (0.614 mmol) was weighed into a flame dried around bottom flask and dissolved with anhydrous MeOH (0.25 M). Then freshly distilled BF 3 OEt 2 (4.91 mmol) was added and refluxed. After 12 h, the mixture was cooled to rt and diluted with H 2 0 (2 mL). The mixture was extracted with CH 2 Cl 2 (3 x 5 mL). The organic mixture was dried with Na 2 S0 4 , filtered, and concentrated by rotary evaporation to afford a solid.
- 6-((4-Fluorophenyl)amino)pyrimidine-4-carboxylic acid General pyrimidine synthesis procedure was followed using pyrimidine-4-carboxylate (209 mg, 1.21 mmol) and 4- fluoroaniline (0.116 mL, 1.21 mmol) in 2-propanol (2.0 mL, 0.58 M) and 37% HC1 (2.18 mmol, 0.214 mL). The reaction was stirred at 100 °C for 19 h. The product hydrolyzed quantitatively to the corresponding carboxylic acid. Purification by column chromatography (eluent 10% MeOH:CH 2 Cl2) provided 5 (157 mg, 92% pure) in 52% yield as a yellow solid: m.p.
- Methyl 3-amino-5-((4-fluorophenyl)amino)benzoate A mixture of methyl 3-((4- fluorophenyl)amino)-5-nitrobenzoate (0.517 mmol) and 10 mol% Pd/C in 3.7 mL anhydrous methanol was stirred at rt under 1.1 atm of 3 ⁇ 4 for 12 h. The reaction progress was monitored by TLC using 5% MeOH:CH 2 Cl2. After 12 h, the catalyst was removed by filtration using Celite® and methanol. The filtrate was concentrated by rotary evaporation to afford a brown solid.
- Methyl 4-amino-6-((4-fluorophenyl)amino)picolinate A mixture of methyl 6-((4- fluorophenyl)amino)-4-nitropicolinate (0.0549 mmol) and 20 mol% Pd/C (0.01098 mmol) in anhydrous methanol (0.8 mL) was stirred at rt under 1.1 atm 3 ⁇ 4 pressure. TLC was ued to monitor rhe reaction progress. (5% MeOH:CH 2 Cl 2 ). After 2 h, the catalyst was removed by filtration using Celite ® . The solid residue was washed with methanol and the filtrate was concentrate by rotary evaporation to afford a purple residue.
- Methyl 4-amino-6-((4-fluorophenyl)(methyl)amino)-l,3,5-triazine-2-carboxylate Following the general free base procedure C, a mixture of aryl biguanide salt (2.5 g, 10.0 mmol) and NaOEt (885 mg, 13.0 mmol) was stirred in EtOH (0.3 M) at rt for 3 h. Following the general procedure D, a mixture of dimethyloxalate (3.5 g, 30.0 mmol) and the arylbiguanide base in anhydrous MeOH (0.27 M) was stirred at 25 °C for lh and then refluxed overnight.
- aryl biguanide salt 2.5 g, 10.0 mmol
- NaOEt 885 mg, 13.0 mmol
- Methyl 4-amino-6-(phenylamino)-l,3,5-triazine-2-carboxylate Following the general free base procedure C, a mixture of l-carbamimidamido-N-phenylmethanimidamide hydrochloride (1.0 g, 4.681 mmol) and NaOEt (318 mg, 4.68 mmol) was stirred in EtOH (0.34 M) at rt for 3 h. Following the general procedure D, a mixture of dimethyloxalate (1.6 g, 14.0 mmol) and the arylbiguanide base in anhydrous MeOH (0.27 M) was stirred at 25 °C for 3 h and then refluxed overnight.
- Methyl 4-amino-6-((4-iodophenyl)amino)-l,3,5-triazine-2-carboxylate The general procedure C was followed using l-carbamimidamido-N-(4-iodophenyl)methanimidamide hydrochloride (4.0 g, 11.8 mmol), sodium methoxide (829 mg, 15.34 mmol), and dimethyloxalate (4.2 g, 35.4 mmol) in anhydrous MeOH (35 mL and 20 mL, respectively) at rt to reflux for 24 h.
- Methyl 4-amino-6-((3-iodophenyl)amino)-l,3,5-triazine-2-carboxylate The general procedure C was followed using l-carbamimidamido-N-(3-iodophenyl)methanimidamide hydrochloride (300 mg, 0.883 mmol), NaOMe (62.2 mg, 1.15 mmol), and 2.6 mL in anhydrous MeOH. Following the general procedure D, the corresponding arylbiguanide base, dimethyl oxalate (313 mg, 2.65 mmol) 5.3 mL MeOH at reflux for 12 h. The reaction mixture was cooled to rt and concentrated to afford a grey-purple solid.
- Methyl 4-amino-6-((2-iodophenyl)amino)-l,3,5-triazine-2-carboxylate The general procedure C was followed using l-carbamimidamido-N-(2-iodophenyl)methanimidamide hydrochloride (400 mg, 1.08 mmol), NaOMe (75.7 mg, 1.40 mmol), and 2.7 mL in anhydrous MeOH. The corresponding arylbiguanide base, dimethyl oxalate (383 mg, 3.24 mmol) 1.8 mL MeOH at reflux 18 h. The reaction mixture was cooled to rt.
- Methyl 4-amino-6-((4-hydroxyphenyl)amino)-l,3,5-triazine-2-carboxylate The general procedure C was followed using l-carbamimidamido-N-(4-hydroxyphenyl)methanimidamide hydrochloride (700 mg, 3.05 mmol), NaOMe (200 mg, 3.7 mmol), and 7.6 mL in anhydrous MeOH. The corresponding arylbiguanide base, dimethyl oxalate (1.1 g, 9.2 mmol) 10 mL MeOH at reflux 12 h.
- Methyl 4-amino-6-((4-methoxyphenyl)amino)-l,3,5-triazine-2-carboxylate Following the general free base procedure C a l-carbamimidamido-N-(4-methoxyphenyl)methanimidamide hy drochl on de Error! Bookmark not defme(1 ⁇ (200 mg, 0.821 mmol) and NaOEt (67 mg, 0.985 mmol) was stirred in EtOH (0.34 M) at rt for 3 h.
- Methyl 4-amino-6-((4-ethynylphenyl)amino)-l,3,5-triazine-2-carboxylate To a dry THF solution of Methyl 4-amino-6-((4-((trimethylsilyl)ethynyl)phenyl)amino)-l,3,5-triazine-2- carboxylate (45 mg, 0.132 mmol) was added a solution of tetrabutylammonium fluoride (45 mg, 0.172 mmol) dropwise at 25 °C under N 2 . The mixture was stirred at rt and monitored by TLC.
- Methyl 4-amino-6-((3,4,5-trifluorophenyl)amino)-l,3,5-triazine-2-carboxylate The general procedure B was followed using l-carbamimidamido-N-(3,4,5-trifluorophenyl)methanimidamide hydrochloride (400 mg, 1.49 mmol), NaOMe (97 mg, 1.79 mmol), and 3.7 mL in anhydrous MeOH. The corresponding arylbiguanide base, dimethyl oxalate (531 mg, 4.5 mmol) 5.0 mL MeOH at reflux 12 h.
- Methyl 4-amino-6-[(3,5-difluoro-4-iodophenyl)amino]-l,3,5-triazine-2-carboxylate The general procedure C was followed using l-carbamimidamido-N-(3,5-difluoro-4- iodophenyl)methanimidamide hydrochloride (65 mg, 0.173 mmol), NaOMe (28 mg, 0.519 mmol), and 0.340 mL in anhydrous MeOH. The corresponding arylbiguanide base, dimethyl oxalate (20.4 mg, 0.173 mmol) 0.340 mL MeOH at reflux for 12 h.
- N-2-(4-Iodophenyl)-6-(l, 3, 4-oxadiazol-2-yl)-l, 3, 5-triazine-2, 4-diamine Triethyl orthofomate (0.216 mL) was added to a mixture of FeCl 3 (1.8 mg, 0.011 mmol), L-proline (1.2 mg, 0.011 mmol) and Et 3 N (3 pL, 0.022 mmol), and the resulting solution was stirred for 1 h at rt. The hydrazide substrate was added, and the mixture was stirred at 80 °C for 12 h. After cooling, the reaction mixture was washed with Et 2 0 (3 x 0.5 mL).
- N 2 -(4-Iodophenyl)-6-(lH-pyrazol-l-yl)-l, 3, 5-triazine-2, 4-diamine Pyrazole (22 mg, 0.317 mmol), 6-chloro-N 2 -(4-iodophenyl)-l, 3, 5-triazine-2, 4-diamine (100 mg, 0.288 mmol), and K 2 C0 3 (44 mg, 0.318 mmol) were weighed into a microwave vial with a stir bar.
- 6-Azido-N 2 -(4-iodophenyl)-l, 3, 5-triazine-2, 4-diamine (50 mg, 0.141 mmol) and copper iodide (8.1 mg, 0.042 mmol) were in anhydrous DMSO (0.214 mL) under N 2 . After 15 min, 2-ethynyl aniline (48 pL, 0.423 mmol) was added to the mixture and stirred at rt for 2 h. The reaction progress was monitored using TLC until completion. The reaction mixture was diluted with 10% NH 3 aq (1 mL), and the mixture was extracted with EtOAc (3 x 2 mL).
- 6-(lH-Indol-l-yl)-N 2 -(4-iodophenyl)-l, 3, 5-triazine-2, 4-diamine Indole (33.7 mg, 0.288 mmol), 6-chloro-N 2 -(4-iodophenyl)-l, 3, 5-triazine-2, 4-diamine (100 mg, 0.288 mmol), and K 2 C0 3 (51.7 mg, 0.374 mmol) were weighed into a microwave vial with a stir bar. Anhydrous DMSO (1.0 mL) was added to the sealed vial. The reaction mixture was stirred at 120 °C overnight.
- the reaction mixture was diluted with EtOAc (5 mL) and 5% aq LiCl (5 x 5 mL). The organic mixture was separated, and the aqueous mixture was extracted with EtOAc (3 x 5 mL). The combined organic mixtures were washed with 5% aq LiCl (5 x 5 mL). The organic mixture was dried with Na 2 S0 4 , filtered, and concentrated by rotary evaporation to afford a light brown residue. The residue was purified by flash column chromatography (1% MeOH:CH 2 Cl2) to afford a white solid (35.3 mg, 99% pure) in 29% yield: m.p.
- Methyl 4-amino-6-((4-chlorophenyl)amino)-l,3,5-triazine-2-carboxylate Following the general free base procedure C, a mixture of l-carbamimidamido-N-(4- chlorophenyl)methanimidamide hydrochloride (8.9 g, 35.8 mmol) and NaOEt ( 2.4 mg, 35.8 mmol) was stirred in MeOH (70 mL) at rt for 22 h.
- Methyl 4-amino-6-((4-bromophenyl)amino)-l,3,5-triazine-2-carboxylate Following the general free base procedure C, a mixture of N-(4-bromophenyl)-l- carbamimidamidomethanimidamide hydrochloride Eriw! Bookmark not defmed ⁇ (12.4 g, 42.5 mmol) and NaOEt ( 2.9 g, 42.5 mmol) was stirred in EtOH (70 mL) at rt for 22 h.
- Methyl 4-amino-6-((4-nitrophenyl)amino)-l,3,5-triazine-2-carboxylate Following the general free base procedure C a mixture of l-carbamimidamido-N-(4- nitrophenyl)methanimidamide hydrochloride (15.8 g, 61.1 mmol) and NaOEt ( 4.2 g, 61.1 mmol) was stirred in EtOH (100 mL) at rt for 22 h.
- Methyl 4-amino-6-((4-cyanophenyl)amino)-l,3,5-triazine-2-carboxylate The general procedure C was followed using l-carbamimidamido-N-(4-cyanophenyl)methanimidamide (496 mg, 2.08 mmol), NaOMe (145.9 mg, 2.70 mmol), and 6.9 mL in anhydrous MeOH. Following the general procedure D, a mixture of the corresponding arylbiguanide base, dimethyl oxalate (737 mg, 6.24 mmol) 4.0 mL MeOH was stirred at 35 °C for 0.5 h and then refluxed for 22 h.
- Methyl 4-amino-6-((4-iodophenyl)amino)-l,3,5-triazine-2-carboxylate 75 mg, 0.202 mmol
- PdCl2(PPh 3 )2 76 mg, 0.108 mmol
- Cul 10 mg, 0.054 mmol
- the flask was sealed and placed under vacuum then backfilled with N2.
- trimethyl silyl acetylene (0.157 mL, 0.592 mmol), Et 3 N (0.524 mL, 3.77 mmol), and THF (1.8 mL) were added, and the mixture was stirred at rt overnight.
- Methyl 4-amino-6-((4-iodophenyl)amino)-l,3,5-triazine-2-carboxylate 50 mg, 0.135 mmol
- PdCl2(PPh 3 ) 2 (19 mg, 0.027 mmol)
- Cul 2.6 mg, 0.014 mmol
- the flask was sealed and placed under vacuum then backfilled with N2.
- ethynylcyclopropane (12.6 pL, 0.149 mmol), Et 3 N (0.131 mL, 0.945 mmol), and THF (0.43 mL) were added, and the mixture was stirred at rt overnight.
- Methyl 4-amino-6-[(6-iodopyridin-3-yl)amino]-l,3,5-triazine-2-carboxylate The general procedure C was followed using l-Carbamimidamido-N-(6-iodopyridin-3-yl)methanimidamide hydrochloride (54) (787 mg, 2.31 mmol), NaOMe (374 mg, 6.93 mmol), and 4.6 mL in anhydrous MeOH.
- Methyl 4-amino-6-(quinolin-6-ylamino)-l,3,5-triazine-2-carboxylate The general procedure C was followed using l-carbamimidamido-N-(quinolin-6-yl)methanimidamide hydrochloride (250 mg, 0.944 mmol), NaOMe (153 mg, 2.83 mmol), and 2.7 mL in anhydrous MeOH. The corresponding arylbiguanide base and dimethyl oxalate (3.34 mg, 2.83 mmol) in anhydrous 3.5 mL MeOH at reflux for 22 h. The reaction mixture was cooled to rt.
- N-[2-(l- ⁇ 4-amino-6-[(4-iodophenyl)amino]-l,3,5-triazin-2-yl ⁇ -lH-l,2,3-triazol-4- yl)phenyl]methanesulfonamide 6-Azido-N 2 -(4-iodophenyl)-l, 3, 5-triazine-2, 4-diamine (37 mg, 0.104 mmol), Et 3 NH (14.5 pL, 0.104 mmol) and copper iodide (5.9 mg, 0.031 mmol) were in anhydrous DMSO (0.416 mL) under N 2.
- N-(2- N-(2- ethynylphenyl)methanesulfonamide (20.3 mg, 0.104 mmol) was added to the mixture and stirred at rt for 2 h.
- the reaction progress was monitored using TLC until completion.
- the reaction mixture was diluted with 10% NH 3 aq (1 mL), and the mixture was extracted with EtOAc (3 x 2 mL). The combined organic mixture was washed several times with H 2 0 and then dried with Na 2 S0 4 , filtered, and concentrated by rotary evaporation to afford a brown residue.
- 6-Azido-N 2 -(4-iodophenyl)-l, 3, 5-triazine-2, 4-diamine (50 mg, 0.141 mmol) and copper iodide (8.1 mg, 0.0423 mmol) were in anhydrous DMSO (0.214 mL) under N 2. After 15 min, 1- ethylnyl-4-fluorobenzene (49 pL, 0.423 mmol) was added to the mixture and stirred at rt for 2 h. The reaction progress was monitored using TLC until completion. The reaction mixture was diluted with 10% NH 3 aq (1 mL), and the mixture was extracted with EtOAc (3 x 2 mL).
- Methyl 4-amino-6-((3,5-difluorophenyl)amino)-l,3,5-triazine-2-carboxylate Following the general free base procedure C, a mixture of l-carbamimidamido-N-(3,5- difluorophenyl)methanimidamide hydrochloride 1 (152 mg, 0.607 mmol) and NaOEt (41 mg, 0.607 mmol) was stirred in EtOH (5 mL) at rt for 24 h.
- Methyl 4-amino-6-((3,5-dimethylphenyl)amino)-l,3,5-triazine-2-carboxylate Following the general free base procedure C, a mixture of l-carbamimidamido-N-(3,5- dimethylphenyl)methanimidamide hydrochloride (226 mg, 0.933 mmol) and NaOEt ( 64 mg, 0.933 mmol) was stirred in EtOH (5 mL) at rt for 22 h.
- Methyl 4-amino-6-((3-fluoro-4-iodophenyl)amino)-l,3,5-triazine-2-carboxylate The general procedure C was followed using l-carbamimidamido-N-(3-fluoro-4- iodophenyl)methanimidamide hydrochloride (200 mg, 0.559 mmol), NaOMe (118 mg, 2.18 mmol), and 1.6 mL in anhydrous MeOH. The corresponding arylbiguanide base, dimethyl oxalate (198 mg, 1.68 mmol) 1.8 mL MeOH at reflux 18 h. The reaction mixture was cooled to rt.
- l-Carbamimidamido-N-(2-iodophenyl)methanimidamide hydrochloride The general procedure B was followed using 2-iodoaniline (1.0 g, 4.57 mmol) and dicyandiamide (384 mg, 4.57 mmol) in 1.5 mL 3 M HC1 at 100 °C for 48 h.
- l-Carbamimidamido-N-(4-hydroxyphenyl)methanimidamide hydrochloride Into a microwave vessel was added 4-aminophenol (649 mg, 5.95 mmol), dicyandiamide (500 mg, 5.95 mmol), and (0.83 mL, 6.55 mmol). Then acetonitrile (7.9 mL) was added and the mixture was stirred at 150 °C. After 4.5 hours, a purple precipitate formed. The precipitate was dissolved in MeOH and stirred for 15 min, then concetrated by rotary evaporation to afford a purple solid.
- N'-(Azaniumylmethanimidoyl)-N-(6-iodopyridin-3-yl)guanidine chloride The general procedure B was followed using 5-amino-2-iodopyridine (500 mg, 2.27 mmol) and dicyandiamide (191 mg, 2.27 mmol) in 0.91 mL 3 M HC1 and 0.91 mL H 2 0 at 100 °C for 24 h.
- N'-(zaniumylmethanimidoyl)-N-(4-fluorophenyl)-N-methylguanidine chloride The general procedure B was followed using 4-fluoromethyl aniline (0.5 mL, 4.4 mmol) and dicyandiamide (370 mg, 4.4 mmol) in 1.5 mL 3 M HC1 at 90 °C for 24 h. The reacttion mixture was cooled for 1 h at rt.
- 6-Chloro-N 2 -(4-fluorophenyl)-N 4 ,N 4 -dimethyl-1, 3, 5-triazine-2, 4-diamine To a solution of 4,6-dichloro-N-(4-fluorophenyl)-l,3,5-triazin-2-amine (above) (300 mg, 1.16 mmol) in acetone was added K 2 C0 3 (160 mg, 1.16 mmol) and dimethylamine (0.58 mL, 1.16 mmol). The mixture was stirred at 40 °C for 6 h. The solvent was removed by rotary evaporation and ice water (11 mL) was added.
- Methyl 3-[(4-fluorophenyl)amino]-5-nitrobenzoate Methyl 3-bromo-5-nitrobenzoate (2.58 mmol), cesium carbonate (3.87 mmol), and 2, 2'-bis(diphenylphosphino)- 1,1 '-binaphthyl (BINAP) (0.194 mmol) were weighed into a Schlenck flask, and the flask was purged with N 2. Anhydrous toluene (25 mL) was then added to the flask. Pd 2 (dba) 2 was weighed into a separate microwave vial and dissolved in 1.0 mL of toluene.
- 6-Bromo-4-nitropicolinic acid To a solution of 2-bromo-6-methyl-4-nitro-pyridine (2.07 mmol) in concentrated H2SO4, Cr0 3 (8.28 mmol) was added at 0 °C. The resulting solution was stirred at rt for 4 h. The mixture was then heated to 70 °C for 30 min and then cooled to rt. Ice cold H 2 0 (13 mL) was added slowly to afford a dark green heterogeneous solution. The mixture was allowed to stand at -20 °C overnight.
- Methyl 6-((4-fluorophenyl)amino)-4-nitropicolinate Methyl 6-bromo-4-nitropicolinate (65) (0.766 mmol), 4-fluoro aniline (0.919 mmol), t-BuOK (1.07 mmol), were weighed into a
- 6-Azido-N 2 -(4-iodophenyl)-l, 3, 5-triazine-2, 4-diamine Ammonium hydroxide (0.375mL, 3.21 mmol) was added to 4-azido-6-chloro-N-(4-iodophenyl)-l,3,5-triazin-2-amine (400 mg, 1.07 mmol) in THF (2.9 mL). The reaction was refluxed overnight. The solution turned into a yellow color and a white solid precipitated. The mixture was concentrated by rotary evaporation to afford a white solid.
- 6-(Azidomethyl)-N 2 -(4-iodophenyl)-l, 3, 5-triazine-2, 4-diamine A mixture of 6- (chloromethyl)-N 2 -(4-iodophenyl)-l, 3, 5-triazine-2, 4-diamine (100 mg, 0.277 mmol) and sodium azide (54 mg, 0.830) were weighed into a microwave vial with a stir bar. Acetonitrile (2.8 mL) was added and the reaction vessel was sealed. The reaction was heated at reflux overnight. The mixture was cooled to rt and concentrated by rotary evaporation to afford a white residue, which was dissolved with 3 mL CH2CI2.
- Ar defined as aryl group.
- IC50 defined as half maximal inhibitory concentration.
- Ar defined as aryl group.
- IC50 defined as half maximal inhibitory concentration.
- Ar defined as aryl group.
- IC50 defined as half maximal inhibitory concentration. a In vitro IC50 derived from dose-response curve for the measurement of ATP consumption from cGAS- mediated 2’,3’-cGAMP synthesis.
- Cyclic GMP-AMP synthase is a cytosolic DNA sensor that activates the type I interferon pathway Science 339 , 786-791.
Landscapes
- Chemical & Material Sciences (AREA)
- Organic Chemistry (AREA)
- Health & Medical Sciences (AREA)
- General Health & Medical Sciences (AREA)
- Pharmacology & Pharmacy (AREA)
- Life Sciences & Earth Sciences (AREA)
- Animal Behavior & Ethology (AREA)
- Medicinal Chemistry (AREA)
- Public Health (AREA)
- Veterinary Medicine (AREA)
- Epidemiology (AREA)
- Emergency Medicine (AREA)
- Chemical Kinetics & Catalysis (AREA)
- General Chemical & Material Sciences (AREA)
- Nuclear Medicine, Radiotherapy & Molecular Imaging (AREA)
- Pharmaceuticals Containing Other Organic And Inorganic Compounds (AREA)
Abstract
Methods of treating diseases related to cGAS activation. Small molecule inhibitors of cGAS and pharmaceutical compositions and uses thereof in treating autoimmune diseases or inflammation.
Description
NOVEL CYCLIC GMP-AMP SYNTHASE (CGAS) INHIBITORS
AND THEIR METHOD OF USE
This International PCT Application claims the benefit of and priority to U.S. Provisional Application No. 62/685,905, filed June 15, 2018. The entire specification and figures of the above-referenced application are hereby incorporated, in their entirety by reference.
STATEMENT OF FEDERALLY SPONSORED RESEARCH
This invention was made with government support under grant numbers GM101279 and GM 103843 awarded by the National Institutes of Health. The United States government has certain rights in the invention. TECHNICAL FIELD
This invention relates generally to the fields of biology, chemistry and medicine. More particularly, it concerns methods and compositions relating to autoimmunity and inflammation.
BACKGROUND
Cytosolic DNA, including cytoplasmic chromatin fragments, endogenous nuclear, or mitochondrial DNA, and DNA arising from intracellular pathogens, triggers a powerful innate immune response. It is sensed by cyclic GMP-AMP synthase (cGAS), which elicits the production of type I interferons by generating the second messenger 2'3'-cyclic-GMP-AMP (cGAMP), activating the innate immunity cytosolic DNA-sensing cGAS-STING (cyclic GMP- AMP synthase linked to stimulator of interferon genes) pathway, leading to short-term inflammation, but also to chronic inflammation that has been linked to the onset and progression of autoimmunity.
As a result, aberrant activation of cGAS is associated with various autoimmune disorders such as such as systemic lupus erythematosus (SLE), rheumatoid arthritis (RA), inflammatory bowel disease (IBD) and Aicardi-Gouties syndrome (AGS). Targeting the cGAS-STING pathway holds promise in treating inflammation-related disorders and the onset and progression of autoimmune diseases, but there is currently only one selective probe that exists for inhibiting cGAS on cells while others are limited by their poor cellular activity or specificity, which
underscores the urgency for discovering new cGAS inhibitors. Thus, there is a need for inhibitors that directly target cytosolic cGAS and methods of using such inhibitors to prevent or treat inflammation and autoimmunity.
As generally shown in FIG. 9, in the cytosol, microbial RNA with specific features can be recognized by Retinoic acid-inducible Gene I (RIG-I) or Melanoma Differentiation- Associated protein 5 (Mda5), which activate Mitochondrial Anti-Viral Signaling protein (MAVS). As an adaptor protein, MAVS recruits and activates Tank-Binding Kinase 1 (TBK1) complex and Inhibitor of KB Kinase (IKK) complex. On the other hand, cytosolic DNA is detected by cGAS, a primary DNA sensor that belongs to the nucleotidyltransferase enzyme family. Upon dsDNA recognition, cGAS catalyzes the formation of cyclic dinucleotide, cyclic GMP-AMP (cGAMP or c[G(2’,5’)pA(3’,5’)p]). As a second messenger, cGAMP binds to the adaptor protein stimulator of interferon genes (STING) and triggers its cellular trafficking and activation of TBK1 and IKK complexes. In both RIG-I/MAVS and cGAS/STING pathways, TBK1 and IKK activate the transcription factors Interferon regulatory factor 3 (IRF3) and Nuclear Factor kappa-light-chain-enhancer of activated B cells (NF-KB), which are essential for induction of type I interferons and other inflammatory cytokines.
As noted above, unlike many other nucleic acid sensors, cGAS does not distinguish self- from non-self-DNA, therefore aberrant accumulation of self-DNA in the cytoplasm can induce unwanted immune response. Normal cells deploy multiple DNases including Trexl to keep cytoplasm clear of DNA. In the absence of functional Trexl, endogenous DNA can activate cGAS-STING pathway. Recent studies in mice and humans have shown that dysregulation of the cGAS-STING pathway leads to uncontrolled chronic inflammation and autoimmunity. For example, multiple mutations in Trexl gene are associated with Aicardi-Gouties syndrome (AGS). Mice deficient in the TREXl-gene develop lupus-like syndrome and die prematurely from multi-organ inflammation. Gain-of-function mutations within STING in human patients are linked to early onset STING-associated vasculopathy, an autoinflammatory disease. Lastly, cGAS-STING signaling has also been shown to promote cancer growth and metastasis through modulation of the tumor microenvironment.
Crystal structures of the cGAS dimer bound to dsDNA have provided valuable insight into the activation mechanism of cGAS. Notably, the central role of cGAS-STING pathway in inflammation, autoimmunity, cancer, and tumor progression has spurred intensive investigations
toward the identification and characterization of small molecule inhibitors for cGAS, including RU.521, PF-06928215, suramin, and X6. Although these modulators all have demonstrated antagonistic effects on cGAS, the inhibitors are also associated with drawbacks that may limit their utility as cellular chemical tools. For example, RU.521 is a potent small molecule inhibitor of murine cGAS (mcGAS), and PF-06928215 only inhibits human cGAS (hcGAS) but lacks cellular activity. Suramin, an approved drug, and amino acridine, X6 were also identified as viable cGAS inhibitors. Unlike RU.521 and PF-06928215, suramin and X6 inhibit hcGAS and mcGAS, respectively, through the displacement of DNA from cGAS. Although suramin is active in human cells, the inhibitor suffers from off-target effects through inhibition of the Toll-like receptor (TLR) 3 dsRNA sensing pathway. Indeed, only few small molecule cGAS inhibitors exist, highlighting the urgent need to discover new chemical scaffolds that can selectively inhibit hcGAS in cells.
Applying the crystal structure studies describing the activation loop and the mutagenesis experiments demonstrating the essential role of the two DNA binding surfaces and the protein- protein interface (PPI) of cGAS for IRF3 activation and IFN-b induction, the present inventors initiated a rational approach to target the PPI of hcGAS as a means to inhibit its enzymatic activity. This application describes the successful identification of a new chemical scaffold and the development of a novel small molecule inhibitor targeting PPI of hcGAS with in vitro and cellular activity in human monocyte THP-l cells. SUMMARY OF THE INVENTION
The inventors have developed small molecule inhibitors that directly target cytosolic cyclic-GMP-AMP (cGAMP) Synthase (cGAS), thereby inhibiting the cGAS/Stimulator of Interferon Genes (STING) pathway and providing new therapeutic paths for down regulating the cytosolic DNA sensing pathway, regulating inflammation and ultimately preventing or treating autoimmune diseases and disorders.
In view of the key role that cGAS plays in inflammation and autoimmune diseases and disorders, the inventors conducted a virtual high-throughput screen of chemical libraries that identified putative inhibitors. This information was used to develop cGAS inhibitors with strong selectivity towards cGAS.
One aspect of the current invention includes the development of a plurality of novel small molecule human cGAS (hcGAS) inhibitors with high binding affinity in vitro and cellular activity. Two compounds in particular, CU-32 and CU-76, selectively inhibit the DNA pathway in human cells but had no effect on RIG-I-MAVS or Toll-like Receptor pathways. CU-32 and CU-76 represent a new class of hcGAS inhibitors with activity in cells and provide a new chemical scaffold for designing probes to study cGAS function and development of autoimmune therapeutics.
In another aspect of the invention, the present inventors characterize a novel small molecule inhibitor, with a distinct chemical scaffold, targeting hcGAS with high binding affinity. In one preferred embodiment, novel small molecule inhibitors CU-32, CU-76, and analogs selectively inhibit the DNA pathway representing a new class of hcGAS inhibitors with cellular activity in human THP-l cells. More specifically, the inhibitory activity of CU-32 is specific for hcGAS versus mcGAS in cells. Moreover, the novel small molecule inhibitors CU-32 and CU- 76 are selective for the cytosolic DNA pathway over other NA-sensing pathways such as RIG-I- MAVS and endosomal TLRs. Such small molecule inhibitors provide a new chemical scaffold for developing hcGAS inhibitors with potential therapeutic applications and a much-needed small molecule chemical probe for studying cGAS biology and cGAS related disorders in human cells.
This disclosure therefore provides therapeutic strategies for the treatment of inflammation and autoimmune diseases associated with chronic inflammation and autoimmunity due to cGAS activation.
Additional aspects of the current invention include:
A compound of Formula I, II, III, IV or claim 4, or a pharmaceutically acceptable salt, solvate, stereoisomer, tautomer, or prodrug thereof, for use in medical therapy.
A pharmaceutical composition comprising (a) a compound of Formula I, II, III, IV or claim 4, or a pharmaceutically acceptable salt, solvate, stereoisomer, tautomer, or prodrug thereof, and (b) a pharmaceutically acceptable carrier, for use in medical therapy.
A compound of Formula 1 ,11, III, or IV, or a pharmaceutically acceptable salt thereof, for use in the modulation of cGAS activity in research, pharmaceutical and biotechnology development.
A compound of Formula I, II, III, IV or claim 4, or a pharmaceutically acceptable salt thereof, for use in the treatment of a disease or condition in which modulation of cGAS activity is beneficial.
A method for treating a disease or condition for which modulation of cGAS activity is beneficial comprising: administering to a patient in need thereof, a therapeutically effective amount of a compound of I, II, III, IV, or claim 4, or a pharmaceutically acceptable salt thereof.
A method for treating a disease or condition for which modulation of cGAS is beneficial comprising: administering to a patient in need thereof, a therapeutically effective amount of a combination comprising a compound of Formula I, II, III, IV or claim 4, or a pharmaceutically acceptable salt thereof, and at least one further therapeutic agent.
The use of a compound of Formula I, II, III, IV or claim 4, or a pharmaceutically acceptable salt thereof, in the manufacture of a medicament for use the treatment of a disease or condition for which modulation of cGAS is beneficial.
A pharmaceutical composition comprising a compound of Formula I, II, III, IV or claim 4, or a pharmaceutically acceptable salt thereof, for use in the treatment of a disease or condition for which modulation of cGAS is beneficial.
A pharmaceutical composition comprising: a compound of Formula I, II, III, IV or claim 4, or a pharmaceutically acceptable salt thereof, and at least one further therapeutic agent, for use in the treatment of a disease or condition for which modulation of cGAS is beneficial.
A pharmaceutical composition comprising: a compound of Formula I, II, III, IV or claim 4, or a pharmaceutically acceptable salt thereof, at least one further therapeutic agent, and one or more of pharmaceutically acceptable excipients, for use in the treatment of a disease or condition for which modulation of cGAS is beneficial.
A compound of Formula I, II, III, IV or claim 4, or a pharmaceutically acceptable salt thereof, for use in the treatment of an inflammatory, allergic or autoimmune disease.
A method of treating an inflammatory, allergic or autoimmune disease comprising: administering to a patient in need thereof a therapeutically effective amount of a compound of Formula I, II, III, IV or claim 4, or a pharmaceutically acceptable salt thereof.
The method of the above embodiment, wherein the inflammatory, allergic or autoimmune diseases is systemic lupus erythematosus, psoriasis, insulin-dependent diabetes mellitus (IDDM),
scleroderma, Aicardi Gourtiers syndrome, dermatomyositis, inflammatory bowel diseases, multiple sclerosis, rheumatoid arthritis or Sjogren's syndrome (SS).
A method for treating an inflammatory, allergic or autoimmune disease comprising: administering to a patient in need thereof, a therapeutically effective amount of a combination comprising a compound of Formula I, II, III, IV or claim 4, or a pharmaceutically acceptable salt thereof, and at least one further therapeutic agent.
A pharmaceutical composition comprising a compound of Formula I, II, III, IV or claim 4, or a pharmaceutically acceptable salt thereof, for the treatment of an inflammatory, allergic or autoimmune disease.
A pharmaceutical composition comprising a compound of Formula I, II, III, IV or claim 4, or a pharmaceutically acceptable salt thereof, and at least one further therapeutic agent, for the treatment of an inflammatory, allergic or autoimmune disease.
A compound of Formula I, II, III, IV or claim 4, or a pharmaceutically acceptable salt thereof, for use in the treatment of an infectious disease.
A method of treating an infectious disease comprising administering to a patient in need thereof a therapeutically effective amount of a compound of Formula I, II, III, IV or claim 4, or a pharmaceutically acceptable salt thereof.
The method of the above embodiment, wherein the infectious disease is a viral, bacterial or parasite infection.
A method for treating an infectious disease comprising: administering to a patient in need thereof, a therapeutically effective amount of a combination comprising a compound of Formula I, II, III, IV or claim 4, or a pharmaceutically acceptable salt thereof, and at least one further therapeutic agent.
A pharmaceutical composition comprising a compound of Formula I, II, III, IV or claim 4, or a pharmaceutically acceptable salt thereof, for use in the treatment of an infectious disease.
A pharmaceutical composition comprising a compound of Formula I, II, III, IV or claim 4, or a pharmaceutically acceptable salt thereof, and at least one further therapeutic agent, for use in the treatment of an infectious disease.
A compound of Formula I, II, III, IV or claim 4, or a pharmaceutically acceptable salt thereof, for use in the treatment of a senescence-related disease.
A method of treating a senescence-related disease comprising: administering to a patient in need thereof a therapeutically effective amount of a compound of Formula I, II, III, IV or claim 4, or a pharmaceutically acceptable salt thereof.
The method of the above embodiment wherein the senescence-related disease is atherosclerosis, myocardial infarction, Alzheimer's disease, Parkinson's diseases, Huntington's disease, amyotrophic lateral sclerosis, hepatitis, renal disease, diabetes, cancer and aging.
59. A method for treating a senescence-related disease comprising: administering to a patient in need thereof, a therapeutically effective amount of a combination comprising a compound of Formula I, II, III, IV or claim 4, or a pharmaceutically acceptable salt thereof, and at least one further therapeutic agent.
A pharmaceutical composition comprising a compound of Formula I, II, III, IV or claim 4, or a pharmaceutically acceptable salt thereof, for the treatment of a senescence-related disease.
A pharmaceutical composition comprising a compound of Formula I, II, III, IV or claim 4, or a pharmaceutically acceptable salt thereof, and at least one further therapeutic agent, for the treatment of a senescence-related disease.
This Summary is neither intended nor should it be construed as being representative of the full extent and scope of the present disclosure. Moreover, references made herein to“the present disclosure,” or aspects thereof, should be understood to mean certain embodiments of the present disclosure and should not necessarily be construed as limiting all embodiments to a particular description. The present disclosure is set forth in various levels of detail in this Summary as well as in the attached drawings and the Description of Embodiments and no limitation as to the scope of the present disclosure is intended by either the inclusion or non inclusion of elements, components, etc. in this Summary. Additional aspects of the present disclosure will become more readily apparent from the Description of Embodiments, particularly when taken together with the drawings.
BRIEF DESCRIPTION OF FIGURES
FIG. 1 Residues mediating important cGAS-cGAS and cGAS-DNA interactions and the design of an unprecedented strategy for inhibiting hcGAS. FIG. 9 A Schematic of mcGAS and dsDNA interaction surfaces. The residues highlighted in red are involved in the dimer interface of cGAS and mediate cGAS-DNA interactions. FIG. 9B Close-up view of the grid generated on
the PPI of mcGAS. For the virtual high throughput screen of the Maybridge and Enamine drug databases, the grid box was generated to target the PPI of mcGAS with incorporation of important residues mediating the PPI interactions.
FIG. 2 Preliminary SAR studies for hcGAS inhibitors. (A) Targets synthesized to identify key protein binding structural motifs. (B) Structures of additional derivatives designed to probe inhibitor interactions.
FIG. 3 SAR in vitro results for analogs bearing an NH-heterocycles at the six position. (Table 4) (A) Key targets synthesized to identify protein binding structural motifs. (B) Structure of additional derivatives designed to probe inhibitor interactions. (Table 4 for chemical structure of compounds 31-3).
FIG. 4 CU-76 and CU-32 selectively inhibit the cytosolic DNA sensing, but not the RNA sensing pathway. (A) The interferon regulatory factor 3 (IRF3) dimerization assay with THP-l cells was used for evaluating cellular inhibitory activity of CU-76 and CU-32. Inhibition of IRF3 activation induced by ISD (upper panel) and Sendai virus (SeV, lower panel) by CU-32 and CU- 76 in human monocyte THP-l cells. Readout of cellular dimerization is measured by Western Blotting to detect the interferon regulatory factor 3 dimer (IRF)2 dimer (0% inhibition = 100% IRF3 dimerization). The (IRF)2 dimer was not detected at 30 and 100 mM for CU-76 and at 100 mM for CU-32 confirming the compounds effectiveness for inhibiting the cGAS-STING pathway. At 10, 30, and 100 mM CU-76 and CU-32 did not reduce dimerization of IRF3 induced by the RIG-I-MAVs pathways confirming the specificity of these compounds for the DNA pathway. (B) Effects of CU-76 and CU-32 treatment on the production of interferon beta- 1 alpha (IFN-b) (ELISA measurements) in THP-l cells stimulated with interferon-stimulatory DNA (ISD) (upper panel and Sendai virus (Sev). CU-32 and CU-76 (10, 30, and 100 mM) suppressed levels of IFN-b in media for ISD stimulated THP-l cells in a dose dependent manner further supporting the compounds specificity for the DNA pathway. The levels of IFN-b in media were not reduced in THP-l cells stimulated with Sev showing CU-32 and CU-76 (10, 30, and 100 mM) do not display off-target effects for the RNA pathway.
FIG. 5 Effect of CU-32 and CU-76 on mouse cGAS. (A) In vitro concentration- dependent inhibition of mcGAS enzymatic activity in an ATP consumption assay by CU-32 and CU-76. The IC50 value reported represents the mean value. (B) RAW-ISG-luc cells were transfected with interferon-stimulatory DNA (ISD) or infected with Sendai virus (SEV) for 16 h
in the presence of serial concentrations of compounds or DMSO, followed by measurement of ISRE reporter expression using luminescence. CU-32 and CU-76 were ineffective for suppressing the enzymatic activity of mcGAS in RAW 264.7 cells.
FIG. 6 Molecular docking studies for CU-45 and CU-76 cGAS inhibitors. (A) Close-up view of the binding site of CU-76 on the cGAS dimer interface. CU-76 may potentially disrupt the interface of the mcGAS dimer by inserting aside the Zn loop. (B) Schematic representation of residues around the molecules (left, using MOE v.2014.0901) and close-up view of the binding site on the protein interface (right, using PYMOL v2.0.7) are shown. For CU-45, methylation of -NH2 abrogates H-bond interaction with GLU386. In the right pictures, contacts within 3 A are shown. See FIGS. 24A and 24B.
FIG. 7 Synthesis of 1, 2a and related compounds. (A) Schematic representation of the one-step condensation cyclisation reaction for the synthesis of 4-amino-6-(arylamino)-l,3,5- triazine-2-carboxylate derivatives. (B) Schematic representation of select 6-subsituted 4-amino- 6-(arylamino)-l,3,5-triazine derivatives. (C) Synthetic routes for targets are summarized in the supplemental information (Fig. 17)
FIG. 8 In vitro validation studies of the ten lead hits, Related to Figure 2A. The inhibitory activity of the indicated compounds was evaluated by the measurement of ATP consumption from hcGAS-mediated 2’,3’-cGAMP synthesis. The compounds in DMSO were added at 0.1 mM and 1 mM concentrations to a reaction mixture containing 20mM Tris-Cl, 5mM MgCl2, 0.2mg/ml bovine serum albumin (BSA), O.Olmg/ml Herring testis DNA (HT-DNA), O. lmM GTP, 0.006mM ATP, and 30nM human cGAS protein, incubated at 37 DC for 20min. Remaining ATP levels was measured by adding 40 Dl of KinaseGlo (Promega) and reading luminescence. Reactions omitting cGAS and reactions without compounds but DMSO were considered 100% and 0% inhibition, respectively. Inhibition of cGAS enzymatic activity at 100 mM was observed for one compound, Z918, (-20% inhibition) of the ten hits identified from the screen. The IC50 for hit Z918, was estimated. A full dose-response curve was not conducted for the Z918 and the IC50 was estimated to be 100 mM.
FIG. 9 depicts a schematic representation of the pathway from cGAS activation to STING and type I interferons and pro-inflammatory cytokines. The interaction point of inhibitory molecules of this disclosure in this pathway is indicated at the‘X’.
FIG. 10A illustrates the functional portions of a core chemical structure of cGAS inhibitory compounds of this disclosure. (B) shows modifications made to the core chemical structure and the resulting cGAS inhibitory activity.
FIG. 11 illustrates further strategies for structure activity relationship (SAR) studies of functional portions of a core chemical structure of cGAS inhibitors of this disclosure.
FIGS. 12 (A)-(C) each depict chemical modifications made to the hydrophilic portion of the core chemical structure, and the resulting cGAS inhibitory activity.
FIG. 13 depicts chemical modifications made to the hydrophobic portion of the core chemical structure, and the resulting cGAS inhibitory activity.
FIG. 14 depicts chemical modifications made to the 4-amino position on the 1,3,5- triazine motif within the core chemical structure, and the resulting cGAS inhibitory activity.
FIG. 15 depicts the effect of CoCl2 on the in vitro measured cGAS inhibitory activity of compounds of this disclosure.
FIG. 16 (A) shows the results of specificity testing of compound CU-32 on endosomal TLR signaling pathways in the presence of natural ligands. (B) shows the results of specificity testing of compound 32 on endosomal TLR8 signaling in the presence of ssRNA ligands. FIG. 8C shows a dose-response curve for compound CU-32 demonstrating that compound CU-32 does not inhibit TLR8. (D) shows the results of a fluorescence polarization assay evaluating the intercalation of compounds CU-32 and CU-40 with dsDNA.
FIG. 17A-N Supplementary synthesis schemes.
FIG. 18 Cellular toxicity of hcGAS inhibitors in THEM cells. The toxicity was examined by treating THP-l cells with sample compound in DMSO (1% final concentration) for 16 hours. Cell survival rate was determined by measuring the intracellular ATP levels and comparing to DMSO treated cells. Cells of top analogs were non-toxic at low concentrations (0.3 and 3 mM) with only partial toxicity at 300 mM.
FIG. 19 cGAS inhibitors do not intercalate DNA. CU-32 and selective active and inactive targets were examined for their ability to intercalate DNA. The assay was performed in a final volume of 30 pL in a 384-solid bottom opaque plates. Each well contained 10 pL microliters of HEN buffer (10 mM HEPES pH 7.5, 1 mM EDTA pH 7.5, 100 mM NaCl), 10 pL of a solution of 150 nM acridine orange in HEN buffer, 10 pL of a solution of 45-bp dsDNA at pgmU1, and 10 pL of compound. Serial dilutions of compounds in DMSO were prepared using
HEN buffer. The result of one representative technical replicate for two independent days is plotted with fluorescence anisotropy expressed as millipolarization (mP) units. Mitoxantrone, a known DNA intercalator was used at 50 mM as a positive control, while DMSO alone was used as negative control. The mP values were calcd using the equation mP = 1000 x [(IS-ISB)-(IP-IPB)]/[IS— ISB) + (IP-IPB)], where IS and ISB refer to the parallel and perpendicular emission intensity, respectively, and ISB and ISP corresponds to parallel emission intensity perpendicular emission intensity of the buffer, respectively. CU-32 and analogs were determined to not intercalate with DNA.
FIG. 20 Cellular activity of CU-l and CU-lb in THP1 cells. THP1 cells were transfected with 2pg/ml of ISD in the presence of indicated concentrations of CU-l, CU-lb (structures shown in right panel), or DMSO for 3 hours. Cell lysates were subjected to native PAGE and western blot using an anti-IRF3 antibody (left panel). Activation of the pathway was indicated by dimerization of IRF3, shown as (IRF3)2. The (IRF)2 dimer was not detected at 100 mM for CU-l suggesting the compound is effective for inhibiting the cGAS-STING pathway in THP1 cells while CU-lb was inactive at 10, 30 and 100 mM in cells.
FIG. 21 Selective inhibition of CU-32 does not affect the cGAS/STING pathways in murine cells. RAW-Dual mouse macrophage cells transfected with IRF-Luc/KI-[MIP-2]SEAP reporter genes were treated with G3YSD. At 3, 10, and 30 mM CU-32 does not modulate type-l IFN transcription mediated by cGAS in RAW-Dual cells stimulated with G3-YSD. The data was normalized as [(raw data - untreated cells)/(ligand + solvent control - untreated cells)]. Ligand + solvent is 100% activation, and untreated cells are 0% activation. The result of one representative biological replicate for two independent days is plotted with the error bars representing the standard deviation of three technical replicates for one independent biological replicate.
FIG. 22 Effect of CU-32 on DNA and RNA nucleic acid sensing pathways. (A) Human embryonic kidney (HEK) 293 cells expressing human toll-like receptor (hTLR) gene and an inducible secreted embryonic alkaline phosphatase (SEAP) reporter gene were incubated with CU-32 for 16 h. At 10, 25 and 50 mM CU-32 does not modulate the NF-kB inhibition induced by LPS, R848, Poly(TC), and CpG-ODN in HEK-293 TLR4, TLR3, TLR7, TLR8 and TLR9 cells. The data was normalized as [(raw data - untreated cells)/(ligand + solvent control - untreated cells)]. Ligand + solvent is 100% activation, and untreated cells are 0% activation. The result of one representative biological replicate for three independent days is plotted with the error bars
representing the standard deviation of three technical replicates for one independent biological replicate. (B) At 10, 25 and 50 mM CU-32 does not modulate the NF-KB inhibition induced by ssRNA-Lyo-40 in HEK 293 TLR8 cells. See above for data normalization. (C) RAW 264.7 macrophage cells were incubated with CU-32 for 16 h. Activation of TLR7 results in the activation of NO synthase and the production of NO in RAW 264.7 cells. The NO level was monitored as an indicator of R848-induced TLR7 activation to evaluate the compound inhibitory activity. At 5, 10, and 20 mM CU-32 does not inhibit nitric oxide production mediated by TLR7. The data was normalized as [(raw data - untreated cells)/(ligand + solvent control - untreated cells)]. Ligand + solvent is 100% activation, and untreated cells are 0% activation. The result of one representative biological replicate for three independent days is ploted with the error bars representing the standard deviation of three technical replicates for one independent biological replicate.
FIG. 23 Dose-response curves for compound 17-26, Related to Table 1. In vitro IC50 derived from dose-response curves for the measurement of ATP consumption from hcGAS- mediated 2’,3’-cGAMPsynthesis. Serial dilutions of compounds in DMSO were added to a reaction mixture containing 20mM Tris-Cl, 5mM MgCl2, 0.2mg/ml bovine serum albumin (BSA), O.Olmg/ml Herring testis DNA (HT-DNA), O. lmM GTP, 0.006mM ATP, and 30nM human cGAS protein, incubated at 37°C for 20 min. Remaining ATP levels was measured by adding 40m1 of KinaseGlo (Promega) and reading luminescence. Reactions omitting cGAS and reactions without compounds but DMSO were considered 100% and 0% inhibition, respectively. IC50 values were deduced from non-linear fitting of [inhibitor] vs response in Prism 8. Unless otherwise noted all IC50 values represent mean.
FIG. 24 Molecular docking studies for CU-76 and CU-45, Related to Figure 5A and 5B. (A) The grid box set for docking CU-76 and CU-45. (B) Schematic representation showing that methylation of -NH2 abrogates the H-bond interaction of CU-45 with GLU386 (left: CU-76, right CU-45).
FIG. 25 EMSA of recombinant human cGAS and ISD. For the Electrophoretic mobility shift assay (EMSA) studies, 1.4 mM IFN-stimulatory dsDNA (ISD) was incubated with 2 mM cGAS and incubated at room temperature for l5min, in the presence of indicated concentrations of CU-21, CU-76, or Qainacrine as a positive control. The mixtures were resolved on 4-20% gradient polyacrylamide gel and stained with O.Olmg/ml ethidium bromide (EB) and visualized
under a UV lamp. No effect was observed for disruption of the cGAS:DNA intercalation compared to quinacrine, a compound known to disrupt cGAS:DNA binding. This result rules out disruption of the cGAS-DNA complex as an inhibition mode mediated by CU-32 or CU-76.
DETAILED DESCRIPTION OF THE INVENTION
This disclosure provides potent and selective inhibitors of cGAS and the cGAS-STING pathway and therapies for treating inflammation and autoimmune diseases associated with chronic inflammation and autoimmunity due to cGAS activation. These therapies provide therapeutic strategies for treatment of severe debilitating diseases associated with IFN-I.
This disclosure is not limited to particular embodiments described as such may vary. The terminology used herein is for the purpose of describing particular embodiments only and is not intended to be limiting.
Unless defined otherwise, all technical and scientific terms used herein have the same meaning as commonly understood by one of ordinary skill in the art to which this invention belongs. Although any methods and materials similar or equivalent to those described herein can be used in the practice or testing of the present invention, the preferred methods and materials are now described.
Unless otherwise stated, structures depicted herein are also meant to include all isomeric (e.g., enantiomeric, diastereomeric, and geometric (or conformational)) forms of the structure; for example, the R and S configurations for each asymmetric center, Z and E double bond isomers, and Z and E conformational isomers. Therefore, single stereochemical isomers as well as enantiomeric, diastereomeric, and geometric (or conformational) mixtures of the present compounds are within the scope of the invention. Unless otherwise stated, all tautomeric forms of the compounds of the invention are within the scope of the invention. Additionally, unless otherwise stated, structures depicted herein are also meant to include compounds that differ only in the presence of one or more isotopically enriched atoms. For example, compounds having the present structures including the replacement of hydrogen by deuterium or tritium, or the replacement of a carbon by a 13C- or l4C-enriched carbon are within the scope of this invention. Such compounds are useful, for example, as analytical tools, as probes in biological assays, or as therapeutic agents in accordance with the present invention.
As used herein and in the appended claims, the singular forms“a”,“and”, and“the” include plural referents unless the context clearly dictates otherwise. Thus, for example, reference to“a compound” includes a plurality of such compounds, and reference to“the method” includes reference to one or more methods, method steps, and equivalents thereof known to those skilled in the art, and so forth.
The term“compound” or“compositions ot“a compound of the invention” includes all solvates, complexes, polymorphs, radiolabeled derivatives, tautomers, stereoisomers, and optical isomers of the compounds of the cGAS inhibitors generally described herein, and salts thereof, unless otherwise specified.
As used herein, the term“docking” refers to orienting, rotating, translating a chemical entity in the binding pocket, domain, molecule or molecular complex or portion thereof based on distance geometry or energy. Docking may be performed by distance geometry methods that find sets of atoms of a chemical entity that match sets of sphere centers of the binding pocket, domain, molecule or molecular complex or portion thereof. See Meng et al. J. Comp. Chem. 4: 505-524 (1992). Sphere centers are generated by providing an extra radius of given length from the atoms (excluding hydrogen atoms) in the binding pocket, domain, molecule or molecular complex or portion thereof. Real-time interaction energy calculations, energy minimizations or rigid-body minimizations (Gschwend et al., J. Mol. Recognition 9: 175-186 (1996)) can be performed while orienting the chemical entity to facilitate docking. For example, interactive docking experiments can be designed to follow the path of least resistance. If the user in an interactive docking experiment makes a move to increase the energy, the system will resist that move. However, if that user makes a move to decrease energy, the system will favor that move by increased responsiveness. (Cohen et al., J. Med. Chem. 33 :889-894 (1990)). Docking can also be performed by combining a Monte Carlo search technique with rapid energy evaluation using molecular affinity potentials. See Goodsell and Olson, Proteins: Structure, Function and Genetics 8: 195-202 (1990). Software programs that carry out docking functions include but are not limited to MATCHMOL (Cory et al., J. Mol. Graphics 2: 39 (1984); MOLFIT (Redington, Comput. Chem. 16: 217 (1992)) and DOCK (Meng et al., supra).
As used herein, the term“designed” “rational design” refers to an agent (i) whose structure is or was selected by the hand of man; (ii) that is produced by a process requiring the hand of man; and/or (iii) that is distinct from natural substances and other known agents.
As used herein, the term“autoimmune disease,” refers to a disease wherein a patient's immune system is producing an unwanted immune response to one or more of their own proteins. Non-limiting examples may be selected from the group consisting of: systemic lupus erythematosus (SLE), lupus nephritis (LN), rheumatoid arthritis, juvenile rheumatoid arthritis, Wegener's disease, inflammatory bowel disease, idiopathic thrombocytopenic purpura (ITP), thrombotic thrombocytopenic purpura (TTP), autoimmune thrombocytopenia, multiple sclerosis, psoriasis, IgA nephropathy, IgM polyneuropathies, myasthenia gravis, vasculitis, diabetes mellitus, Reynaud's syndrome, Sjorgen's disease, scleroderma, polymyositis and gl omerul onephriti s .
As used herein, the term“monogenic disorder,” refers to a disease that is the result of a single defective gene on the autosomes. Representative monogenic disorders may include rare monogenic disorders, such as Aicardi-Goutiere's Syndrome (AGS). Representative examples of autoimmune diseases include STING-Associated Vasculopathy with onset in Infancy (SAVI), and spondyloenchondrodysplasia (SPENCD).
A “biological sample” encompasses a variety of sample types obtained from an individual and can be used in a diagnostic or monitoring assay. The definition encompasses blood and other liquid samples of biological origin, solid tissue samples such as a biopsy specimen or tissue cultures or cells derived there from and the progeny thereof. The definition also includes samples that have been manipulated in any way after their procurement, such as by treatment with reagents, solubilization, or enrichment for certain components, such as polynucleotides. The term“biological sample” encompasses a clinical sample, and also includes cells in culture, cell supernatants, cell lysates, serum, plasma, biological fluid, and tissue samples.
As used herein, the terms“treatment”,“treating”, and the like, refer to obtaining a desired pharmacologic and/or physiologic effect. The effect may be prophylactic in terms of completely or partially preventing a disease or symptom thereof and/or may be therapeutic in terms of a partial or complete cure for a disease and/or adverse effect attributable to the disease. “Treatment”, as used herein, covers any treatment of a disease in a mammal, and particularly in a human, and includes: (a) preventing the disease from occurring in a subject which may be predisposed to the disease but has not yet been diagnosed as having it: (b) inhibiting the disease, i.e., arresting its development; (c) relieving the disease, i.e., causing regression of the disease; (d)
protection from or relief of a symptom or pathology caused by cGAS activity or activation; (e) reduction, decrease, inhibition, amelioration, or prevention of onset, severity, duration, progression, frequency or probability of one or more symptoms or pathologies associated with cGAS activity or activation; and (f) prevention or inhibition of a worsening or progression of symptoms or pathologies associated with cGAS activity or activation.
The terms“individual,”“subject,” and“patient,” used interchangeably herein, refer to a mammal, including, but not limited to, murines, simians, humans, mammalian farm animals, mammalian sport animals, and mammalian pets. Preferably, the subject herein is human.
An“R-group” or“substituent” refers to a single atom (for example, a halogen atom) or a group of two or more atoms that are covalently bonded to each other, which are covalently bonded to an atom or atoms in a molecule to satisfy the valency requirements of the atom or atoms of the molecule, typically in place of a hydrogen atom. Examples of R-group s/substituents include alkyl groups, hydroxyl groups, alkoxy groups, acyloxy groups, mercapto groups, and aryl groups.
“Substituted” or“substitution” refer to replacement of a hydrogen atom of a molecule or an R-group with one or more additional R-groups such as halogen, alkyl, alkoxy, alkylthio, trifluoromethyl, acyloxy, hydroxy, mercapto, carboxy, aryloxy, aryl, arylalkyl, heteroaryl, amino, alkylamino, dialkylamino, morpholino, piperidino, pyrrolidin-l-yl, piperazin-l-yl, nitro, sulfate, or other R-groups.
“Acyl” refers to a group having the structure RCO-, where R may be alkyl, or substituted alkyl.“Lower acyl” groups are those that contain one to six carbon atoms.
“Acyloxy refers to a group having the structure RCOO-, where R may be alkyl or substituted alkyl.“Lower acyloxy” groups contain one to six carbon atoms.
“Alkenyl” refers to a cyclic, branched or straight chain group containing only carbon and hydrogen, and unless otherwise mentioned typically contains one to twelve carbon atoms, and contains one or more double bonds that may or may not be conjugated. Alkenyl groups may be unsubstituted or substituted.“Lower alkenyl” groups contain one to six carbon atoms.
The term“alkoxy” refers to a straight, branched or cyclic hydrocarbon configuration and combinations thereof, including from 1 to 20 carbon atoms, preferably from 1 to 8 carbon atoms (referred to as a“lower alkoxy”), more preferably from 1 to 4 carbon atoms, that include an oxygen atom at the point of attachment. An example of an“alkoxy group” is represented by the
formula -OR, where R can be an alkyl group, optionally substituted with an alkenyl, alkynyl, aryl, aralkyl, cycloalkyl, halogenated alkyl, alkoxy or heterocycloalkyl group. Suitable alkoxy groups include methoxy, ethoxy, n-propoxy, i-propoxy, n-butoxy, i-butoxy, sec-butoxy, tert- butoxy cyclopropoxy, cyclohexyloxy, and the like.
The term“alkyl” refers to a branched or unbranched saturated hydrocarbon group of 1 to 24 carbon atoms, such as methyl, ethyl, n-propyl, isopropyl, n-butyl, isobutyl, t-butyl, pentyl, hexyl, heptyl, octyl, decyl, tetradecyl, hexadecyl, eicosyl, tetracosyl and the like. A“lower alkyl” group is a saturated branched or unbranched hydrocarbon having from 1 to 6 carbon atoms. Preferred alkyl groups have 1 to 4 carbon atoms. Alkyl groups may be“substituted alkyls” wherein one or more hydrogen atoms are substituted with a substituent such as halogen, cycloalkyl, alkoxy, amino, hydroxyl, aryl, alkenyl, or carboxyl. For example, a lower alkyl or (Ci-C6)alkyl can be methyl, ethyl, propyl, isopropyl, butyl, iso-butyl, sec-butyl, pentyl, 3-pentyl, or hexyl; (C3-C6)cycloalkyl can be cyclopropyl, cyclobutyl, cyclopentyl, or cyclohexyl; (C3- C6)cycloalkyl(Cl-C6)alkyl can be cyclopropylmethyl, cyclobutylmethyl, cyclopentylmethyl, cyclohexylmethyl, 2-cyclopropylethyl, 2-cyclobutylethyl, 2-cyclopentylethyl, or 2- cyclohexylethyl; (Ci-C6)alkoxy can be methoxy, ethoxy, propoxy, isopropoxy, butoxy, iso- butoxy, sec-butoxy, pentoxy, 3-pentoxy, or hexyloxy; (C2-C6)alkenyl can be vinyl, allyl, 1- propenyl, 2-propenyl, l-butenyl, 2-butenyl, 3-butenyl, l,-pentenyl, 2-pentenyl, 3-pentenyl, 4- pentenyl, l-hexenyl, 2-hexenyl, 3-hexenyl, 4-hexenyl, or 5-hexenyl; (C2-C6)alkynyl can be ethynyl, l-propynyl, 2-propynyl, l-butynyl, 2-butynyl, 3-butynyl, l-pentynyl, 2-pentynyl, 3- pentynyl, 4-pentynyl, l-hexynyl, 2-hexynyl, 3-hexynyl, 4-hexynyl, or 5-hexynyl; (Ci- C6)alkanoyl can be acetyl, propanoyl or butanoyl; halo(Ci-C6)alkyl can be iodomethyl, bromomethyl, chloromethyl, fluoromethyl, trifluoromethyl, 2-chloroethyl, 2-fluoroethyl, 2,2,2- trifluoroethyl, or pentafluoroethyl; hydroxy(Ci-C6)alkyl can be hydroxymethyl, 1 -hydroxy ethyl, 2-hydroxy ethyl, l-hydroxypropyl, 2-hydroxypropyl, 3-hydroxypropyl, l-hydroxybutyl, 4- hydroxybutyl, l-hydroxypentyl, 5-hydroxypentyl, l-hydroxyhexyl, or 6-hydroxyhexyl; (Ci- C6)alkoxycarbonyl can be methoxycarbonyl, ethoxycarbonyl, propoxycarbonyl, isopropoxycarbonyl, butoxycarbonyl, pentoxycarbonyl, or hexyloxycarbonyl; (Ci-C6)alkylthio can be methylthio, ethylthio, propylthio, isopropylthio, butylthio, isobutylthio, pentylthio, or hexylthio; (C2-C6)alkanoyloxy can be acetoxy, propanoyloxy, butanoyloxy, isobutanoyloxy, pentanoyloxy, or hexanoyloxy.
“Alkynyl” refers to a cyclic, branched or straight chain group containing only carbon and hydrogen, and unless otherwise mentioned typically contains one to twelve carbon atoms, and contains one or more triple bonds. Alkynyl groups may be unsubstituted or substituted.“Lower alkynyl” groups are those that contain one to six carbon atoms.
The term“halogen” refers to fluoro, bromo, chloro, and iodo substituents.
“Aryl” refers to a monovalent unsaturated aromatic carbocyclic group having a single ring (e.g., phenyl) or multiple condensed rings (e.g., naphthyl or anthryl), which can optionally be unsubstituted or substituted.
The term “amino” refers to an R-group having the structure -NH2, which can be optionally substituted with, for example, lower alkyl groups, to yield an amino group having the general structure -NHR or -NR2.
“Nitro” refers to an R-group having the structure -N02.
The term“aliphatic” as applied to cyclic groups refers to ring structures in which any double bonds that are present in the ring are not conjugated around the entire ring structure.
The term“aromatic” as applied to cyclic groups refers to ring structures which contain double bonds that are conjugated around the entire ring structure, possibly through a heteroatom such as an oxygen atom or a nitrogen atom. Aryl groups, pyridyl groups and furan groups are examples of aromatic groups. The conjugated system of an aromatic group contains a characteristic number of electrons, for example, 6 or 10 electrons that occupy the electronic orbitals making up the conjugated system, which are typically un-hybridized p-orbitals.
“Pharmaceutical compositions” are compositions that include an amount (for example, a unit dosage) of one or more of the disclosed compounds together with one or more non-toxic pharmaceutically acceptable additives, including carriers, diluents, and/or adjuvants, and optionally other biologically active ingredients. Such pharmaceutical compositions can be prepared by standard pharmaceutical formulation techniques such as those disclosed in Remington's Pharmaceutical Sciences , Mack Publishing Co., Easton, Pa. (l9th Edition).
The terms“pharmaceutically acceptable salt or ester” refers to salts or esters prepared by conventional means that include salts, e.g., of inorganic and organic acids, including but not limited to hydrochloric acid, hydrobromic acid, sulfuric acid, phosphoric acid, methanesulfonic acid, ethanesulfonic acid, malic acid, acetic acid, oxalic acid, tartaric acid, citric acid, lactic acid,
fumaric acid, succinic acid, maleic acid, salicylic acid, benzoic acid, phenylacetic acid, mandelic acid, and the like.
For therapeutic use, salts of the compounds are those wherein the counter-ion is pharmaceutically acceptable. However, salts of acids and bases which are non-pharmaceutically acceptable may also find use, for example, in the preparation or purification of a pharmaceutically acceptable compound.
The pharmaceutically acceptable acid and base addition salts as mentioned above are meant to comprise the therapeutically active non-toxic acid and base addition salt forms which the compounds can form. The pharmaceutically acceptable acid addition salts can conveniently be obtained by treating the base form with such appropriate acid. Appropriate acids comprise, for example, inorganic acids such as hydrohalic acids, e.g. hydrochloric or hydrobromic acid, sulfuric, nitric, phosphoric and the like acids; or organic acids such as, for example, acetic, propanoic, hydroxyacetic, lactic, pyruvic, oxalic (i.e. ethanedioic), malonic, succinic (i.e. butanedioic acid), maleic, fumaric, malic (i.e. hydroxybutanedioic acid), tartaric, citric, methanesulfonic, ethanesulfonic, benzenesulfonic, p-toluenesulfonic, cyclamic, salicylic, p- aminosalicylic, pamoic, and like acids. Conversely, these salt forms can be converted into the free base form by treatment with an appropriate base.
The compounds containing an acidic proton may also be converted into their non-toxic metal or amine addition salt forms by treatment with appropriate organic and inorganic bases. Appropriate base salt forms comprise, for example, the ammonium salts, the alkali and earth alkaline metal salts, e.g. the lithium, sodium, potassium, magnesium, calcium salts and the like, salts with organic bases, e.g. the benzathine, N-methyl-D-glucamine, hydrabamine salts, and salts with amino acids such as, for example, arginine, lysine, and the like.
Some of the compounds described herein may also exist in their tautomeric form.
A“therapeutically effective amount” of the disclosed compounds is a dosage of the compound that is sufficient to achieve a desired therapeutic effect, such as promotion of cell cycle, mitotic catastrophe, promotion of apoptosis, inhibition of angiogenesis or an anti-tumor or anti-metastatic effect, inhibition of TNF-alpha activity, inhibition of immune cytokines, or treatment of a neurodegenerative disease. In some examples, a therapeutically effective amount is an amount sufficient to achieve tissue concentrations at the site of action that are similar to those that are shown to modulate angiogenesis, TNF-alpha activity, or immune cytokines, in
tissue culture, in vitro, or in vivo. For example, a therapeutically effective amount of a compound may be such that the subject receives a dosage of about 0.1 pg/kg body weight/day to about 1000 mg/kg body weight/day, for example, a dosage of about 1 pg/kg body weight/day to about 1000 pg/kg body weight/day, such as a dosage of about 5 pg/kg body weight/day to about 500 pg/kg body weight/day.
The term“stereoisomer” refers to a molecule that is an enantiomer, diastereomer or geometric isomer of a molecule. Stereoisomers, unlike structural isomers, do not differ with respect to the number and types of atoms in the molecule's structure but with respect to the spatial arrangement of the molecule's atoms. Examples of stereoisomers include the (+) and (-) forms of optically active molecules.
The present invention relates to compounds of Formula (I) or a prodrug, therapeutically active metabolite, hydrate, solvate, or pharmaceutically acceptable salt thereof (hereinafter compounds of this disclosure):
R2 is -NH , -NR4R5, -OR4, -CF3, -N02;
SR4 or R2 is phenyl optionally substituted with halogen, -OH, -OR4, -CN, -S02R4, -C02R4, -CF3, -C(0)H, -Ci-6 alkyl, or -NHC(0)CH3;
wherein X7 is S, O, NH, or NR, and n is 0-12; each R is independently H, -OH, or -NH2; or R is Ci-6 alkyl optionally substituted with one or more of halogen, -OH, -NR4R5, or Ci-6 cycloalkyl,
or R4 is Ci-6 cycloalkyl, or R is Ci-6 aryl optionally substituted with one or more of halogen, -OH, -CN or -NHR5; and, each R5 is independently H, halogen, -NH2, -OH, -CN, -S02Me, -C02Me, -CF3, -CHO, -
OMe, -SiR3, -C02R4,
-S02-aryl, -COR4 -NHC(0)CH3; or R5 is -Ci-6 alkyl optionally substituted with one or more of halogen, -NH2, -OH, -CN; or R5 is -Ci-6 aryl optionally substituted with one or more of halogen, -OH, -CN, -NH2, -Ci-6 alkyl.
R2 is phenyl optionally substituted with one or more of halogen, -OH, -CN, Ci-6 alkyl;
R3 -NH2.
The present invention relates to compounds of Formula (II) or a prodrug, therapeutically active metabolite, hydrate, solvate, or pharmaceutically acceptable salt thereof (hereinafter compounds of this disclosure):
each X8 is independently O, NH, S, or CH;
R6 is -NH2, -OH, -NRxRc , or -NS02R8;
R7 is halogen, -OH, -NH2, NR8Rg, -OR8, -CN, -CF3, or -N02;
R8 is H, -OH, or -NH2;
or R8 is Ci-6 alkyl optionally substituted with halogen, -OH, -NR4R5, or Ci-6 cycloalkyl, or R8 is Ci-6 cycloalkyl, or R8 is Ci-6 aryl optionally substituted with halogen, -OH, -CN or -NHR5; and,
R9 is H, halogen, -NH2, -OH, -CN, -S02Me, -C02Me, -CF3, -CHO, -OMe, -SiR3, - C02R4,
-S02-aryl, -COR4, or -NHC(0)CH3; or R9 is -Ci-6 alkyl optionally substituted with one or more of halogen, -NH2, -OH, or -CN; or R9 is -Ci-6 aryl optionally substituted with one or more of halogen, -OH, -CN, -NH2, or -Ci-6 alkyl.
Additional embodiments may include a compound having the chemical structure of Formula (III) or a prodrug, therapeutically active metabolite, hydrate, solvate, or pharmaceutically acceptable salt thereof:
Further preferred embodiments may include a compound having the chemical structure of Formula (IV) or a prodrug, therapeutically active metabolite, hydrate, solvate, or pharmaceutically acceptable salt thereof:
Formula IV
In another embodiment, the invention may include the compounds 0-78 listed below, also identified as CUO-78, or cGAS 0-78. In certain embodiments, for example cGAS 56 and cGAS 44 include hetero cyclic substituents at the 2-position which are tolerated and exhibit cGAS inhibition or modulation activity.
In another embodiment, the invention may include the compound of Formula I, or a pharmaceutically acceptable salt thereof, comprising the structure selected from the group:
This disclosure also provides treatments of autoimmune diseases by the administration of a compound of this disclosure. Compounds of this disclosure are useful for the treatment of autoimmune diseases including systemic lupus erythematosus (SLE), lupus nephritis (LN), rheumatoid arthritis, juvenile rheumatoid arthritis, Wegener's disease, inflammatory bowel disease, idiopathic thrombocytopenic purpura (ITP), thrombotic thrombocytopenic purpura (TTP). autoimmune thrombocytopenia, multiple sclerosis, psoriasis, IgA nephropathy, IgM polyneuropathies, myasthenia gravis, vasculitis, diabetes mellitus, Reynaud's syndrome, Sjorgen's disease, scleroderma, polymyositis, and glomerulonephritis.
This disclosure also provides treatments of monogenic disorders by the administration of a compound of this disclosure. Compounds of this disclosure are useful for the treatment of monogenic disorders including AGS, SAVI, or SPENCD. Preferably, the monogenic disorder is AGS.
In these therapeutic methods, the treatment of the autoimmune disease and/or monogenic disorder involves inhibition of cGAS activity.
In related aspects, this disclosure also provides the use of a cGAS inhibitor compound of this disclosure, or a pharmaceutically acceptable salt thereof, in the manufacture of a medicament for the treatment of an autoimmune disease or monogenic disorder. Similarly, this disclosure provides a cGAS inhibitor compound of this disclosure, or a pharmaceutically acceptable salt thereof, for use in the treatment of an autoimmune disease or monogenic disorder.
These methods of treatment may include the administration of a pharmaceutical composition described herein. Thus, this disclosure also provides pharmaceutical compositions comprising one or more CGAS inhibitor compounds of this disclosure useful in the methods of treatment of this disclosure, these pharmaceutical compositions or formulations may include a compound of this disclosure and a pharmaceutically acceptable carrier, diluent, or excipient.
Such pharmaceutical compositions/formulations are useful for administration to a subject, in vivo or ex vivo. Pharmaceutical compositions and formulations include carriers or excipients for administration to a subject. As used herein the terms“pharmaceutically acceptable” and “physiologically acceptable” mean a biologically compatible formulation, gaseous, liquid or solid, or mixture thereof, which is suitable for one or more routes of administration, in vivo delivery or contact. Such formulations include solvents (aqueous or non-aqueous), solutions (aqueous or non-aqueous), emulsions (e.g., oil-in-water or water-in-oil), suspensions, syrups, elixirs, dispersion and suspension media, coatings, isotonic and absorption promoting or delaying agents, compatible with pharmaceutical administration or in vivo contact or delivery. Aqueous and non-aqueous solvents, solutions and suspensions may include suspending agents and thickening agents. Such pharmaceutically acceptable carriers include tablets (coated or uncoated), capsules (hard or soft), microbeads, powder, granules and crystals. Supplementary active compounds (e.g., preservatives, antibacterial, antiviral and antifungal agents) can also be incorporated into the compositions. The formulations may, for convenience, be prepared or provided as a unit dosage form. In general, formulations are prepared by uniformly and intimately associating the active ingredient with liquid carriers or finely divided solid carriers or both, and then, if necessary, shaping the product. For example, a tablet may be made by compression or molding. Compressed tablets may be prepared by compressing, in a suitable machine, an active ingredient in a free-flowing form such as a powder or granules, optionally mixed with a binder, lubricant, inert diluent, preservative, surface-active or dispersing agent. Molded tablets may be produced by molding, in a suitable apparatus, a mixture of powdered compound moistened with an inert liquid diluent. The tablets may optionally be coated or scored and may be formulated so as to provide a slow or controlled release of the active ingredient therein.
Cosolvents and adjuvants may be added to the formulation. Non-limiting examples of cosolvents contain hydroxyl groups or other polar groups, for example, alcohols, such as
isopropyl alcohol; glycols, such as propylene glycol, polyethyleneglycol, polypropylene glycol, glycol ether; glycerol; polyoxyethylene alcohols and polyoxyethylene fatty acid esters. Adjuvants include, for example, surfactants such as, soya lecithin and oleic acid; sorbitan esters such as sorbitan trioleate; and polyvinylpyrrolidone. Supplementary active compounds (e.g., preservatives, antioxidants, antimicrobial agents including biocides and biostats such as antibacterial, antiviral and antifungal agents) can also be incorporated into the compositions. Preservatives and other additives include, for example, antimicrobials, anti-oxidants, chelating agents and inert gases (e.g., nitrogen). Pharmaceutical compositions may therefore include preservatives, antimicrobial agents, anti-oxidants, chelating agents and inert gases.
Preservatives can be used to inhibit microbial growth or increase stability of the active ingredient thereby prolonging the shelf life of the pharmaceutical formulation. Suitable preservatives are known in the art and include, for example, EDTA, EGTA, benzalkonium chloride or benzoic acid or benzoates, such as sodium benzoate. Antioxidants include, for example, ascorbic acid, vitamin A, vitamin E, tocopherols, and similar vitamins or provitamins.
Pharmaceutical compositions can optionally be formulated to be compatible with a particular route of administration. Exemplary routes of administration include administration to a biological fluid, an immune cell (e.g., T or B cell) or tissue, mucosal cell or tissue (e.g., mouth, buccal cavity, labia, nasopharynx, esophagus, trachea, lung, stomach, small intestine, vagina, rectum, or colon), neural cell or tissue (e.g., ganglia, motor or sensory neurons) or epithelial cell or tissue (e.g., nose, fingers, ears, cornea, conjunctiva, skin or dermis). Thus, pharmaceutical compositions include carriers (excipients, diluents, vehicles or filling agents) suitable for administration to any cell, tissue or organ, in vivo, ex vivo (e.g., tissue or organ transplant) or in vitro, by various routes and delivery, locally, regionally or systemically.
Exemplary routes of administration for contact or in vivo delivery which a CGAS inhibitor can optionally be formulated include inhalation, respiration, intubation, intrapulmonary instillation, oral (buccal, sublingual, mucosal), intrapulmonary, rectal, vaginal, intrauterine, intradermal, topical, dermal, parenteral (e.g., subcutaneous, intramuscular, intravenous, intradermal, intraocular, intratracheal and epidural), intranasal, intrathecal, intraarticular, intracavity, transdermal, iontophoretic, ophthalmic, optical (e.g., corneal), intraglandular, intraorgan, and intralymphatic.
Formulations suitable for parenteral administration include aqueous and non-aqueous solutions, suspensions or emulsions of the compound, which may include suspending agents and thickening agents, which preparations are typically sterile and can be isotonic with the blood of the intended recipient. Non-limiting illustrative examples of aqueous carriers include water, saline (sodium chloride solution), dextrose (e.g., Ringer's dextrose), lactated Ringer's, fructose, ethanol, animal, vegetable or synthetic oils. Examples of non-aqueous solvents are propylene glycol, polyethylene glycol, vegetable oils such as olive oil, and injectable organic esters such as ethyl oleate. Intravenous vehicles include fluid and nutrient replenishers, electrolyte replenishers (such as those based on Ringer's dextrose). The formulations may be presented in unit-dose or multi- dose kits, for example, ampules and vials, and may be stored in a freeze-dried (lyophilized) condition requiring addition of a sterile liquid carrier, for example, water for injections, prior to use.
For transmucosal or transdermal administration (e.g., topical contact), penetrants can be included in the pharmaceutical composition. Penetrants are known in the art, and include, for example, for transmucosal administration, detergents, bile salts, and fusidic acid derivatives. For transdermal administration, the active ingredient can be formulated into aerosols, sprays, ointments, salves, gels, pastes, lotions, oils or creams as generally known in the art.
For topical administration, for example, to skin, pharmaceutical compositions typically include ointments, creams, lotions, pastes, gels, sprays, aerosols or oils. Carriers which may be used include Vaseline, lanolin, polyethylene glycols, alcohols, transdermal enhancers, and combinations thereof. An exemplary topical delivery system is a transdermal patch containing an active ingredient.
For oral administration, pharmaceutical compositions include capsules, cachets, lozenges, tablets or troches, as powder or granules. Oral administration formulations also include a solution or a suspension (e.g., aqueous liquid or a non-aqueous liquid; or as an oil-in- water liquid emulsion or a water-in-oil emulsion).
For airway or nasal administration, pharmaceutical compositions can be formulated in a dry powder for delivery, such as a fine or a coarse powder having a particle size, for example, in the range of 20 to 500 microns which is administered in the manner by inhalation through the airways or nasal passage. Depending on delivery device efficiency, effective dry powder dosage levels typically fall in the range of about 10 to about 100 mg. Appropriate formulations, wherein
the carrier is a liquid, for administration, as for example, a nasal spray or as nasal drops, include aqueous or oily solutions of the active ingredient.
For airway or nasal administration, aerosol and spray delivery systems and devices, also referred to as“aerosol generators” and“spray generators,” such as metered dose inhalers (MDI), nebulizers (ultrasonic, electronic and other nebulizers), nasal sprayers and dry powder inhalers can be used. MDIs typically include an actuator, a metering valve, and a container that holds a suspension or solution, propellant, and surfactant (e.g., oleic acid, sorbitan trioleate, lecithin). Activation of the actuator causes a predetermined amount to be dispensed from the container in the form of an aerosol, which is inhaled by the subject. MDIs typically use liquid propellant and typically, MDIs create droplets that are 15 to 30 microns in diameter, optimized to deliver doses of 1 microgram to 10 mg of a therapeutic. Nebulizers are devices that turn medication into a fine mist inhalable by a subject through a face mask that covers the mouth and nose. Nebulizers provide small droplets and high mass output for delivery to upper and lower respiratory airways. Typically, nebulizers create droplets down to about 1 micron in diameter.
Dry-powder inhalers (DPI) can be used to deliver the compounds of the invention, either alone or in combination with a pharmaceutically acceptable carrier. DPIs deliver active ingredient to airways and lungs while the subject inhales through the device. DPIs typically do not contain propellants or other ingredients, only medication, but may optionally include other components. DPIs are typically breath-activated, but may involve air or gas pressure to assist delivery.
For rectal administration, pharmaceutical compositions can be included as a suppository with a suitable base comprising, for example, cocoa butter or a salicylate. For vaginal administration, pharmaceutical compositions can be included as pessaries, tampons, creams, gels, pastes, foams or spray formulations containing in addition to the active ingredient a carrier, examples of appropriate carriers which are known in the art.
Pharmaceutical formulations and delivery systems appropriate for the compositions and methods of the invention are known in the art (see, e.g., Remington: The Science and Practice of Pharmacy (2003) 20.sup.th ed., Mack Publishing Co., Easton, Pa.; Remington's Pharmaceutical Sciences (1990) l8.sup.th ed., Mack Publishing Co., Easton, Pa.; The Merck Index (1996) l2.sup.th ed., Merck Publishing Group, Whitehouse, N.J.; Pharmaceutical Principles of Solid Dosage Forms (1993), Technonic Publishing Co., Inc., Lancaster, Pa.; Ansel and Stoklosa,
Pharmaceutical Calculations (2001) l l .sup.th ed., Lippincott Williams & Wilkins, Baltimore, Md.; and Poznansky et al., Drug Delivery Systems (1980), R. L. Juliano, ed., Oxford, N.Y., pp. 253-315).
The CGAS inhibitors may be packaged in unit dosage forms for ease of administration and uniformity of dosage. A“unit dosage form” as used herein refers to a physically discrete unit suited as unitary dosages for the subject to be treated; each unit containing a predetermined quantity of compound optionally in association with a pharmaceutical carrier (excipient, diluent, vehicle or filling agent) which, when administered in one or more doses, is calculated to produce a desired effect (e.g., prophylactic or therapeutic effect or benefit). Unit dosage forms can contain a daily dose or unit, daily sub-dose, or an appropriate fraction thereof, of an administered compound. Unit dosage forms also include, for example, capsules, troches, cachets, lozenges, tablets, ampules and vials, which may include a composition in a freeze-dried or lyophilized state; a sterile liquid carrier, for example, can be added prior to administration or delivery in vivo. Unit dosage forms additionally include, for example, ampules and vials with liquid compositions disposed therein. Unit dosage forms further include compounds for transdermal administration, such as“patches” that contact with the epidermis of the subject for an extended or brief period of time. The individual unit dosage forms can be included in multi-dose kits or containers. Pharmaceutical formulations can be packaged in single or multiple unit dosage forms for ease of administration and uniformity of dosage.
In the methods of the invention, the CGAS inhibitor(s) may be administered in accordance with the methods at any frequency as a single bolus or multiple dose e.g., one, two, three, four, five, or more times hourly, daily, weekly, monthly or annually or between about 1 to 10 days, weeks, months, or for as long as appropriate. Exemplary frequencies are typically from 1-7 times, 1-5 times, 1-3 times, 2-times or once, daily, weekly or monthly. Timing of contact, administration ex vivo or in vivo delivery can be dictated by the infection, reactivation, pathogenesis, symptom, pathology or adverse side effect to be treated. For example, an amount can be administered to the subject substantially contemporaneously with, or within about 1-60 minutes or hours of the onset of a symptom or adverse side effect of autoimmune diseases or inflammation, or treatment.
Doses may vary depending upon whether the treatment is therapeutic or prophylactic, the onset, progression, severity, frequency, duration, probability of or susceptibility of the symptom,
the type of virus infection, reactivation or pathogenesis to which treatment is directed, clinical endpoint desired, previous, simultaneous or subsequent treatments, general health, age, gender or race of the subject, bioavailability, potential adverse systemic, regional or local side effects, the presence of other disorders or diseases in the subject, and other factors that will be appreciated by the skilled artisan (e.g., medical or familial history). Dose amount, frequency or duration may be increased or reduced, as indicated by the clinical outcome desired, status of the infection, reactivation, pathology or symptom, or any adverse side effects of the treatment or therapy. The skilled artisan will appreciate the factors that may influence the dosage, frequency and timing required to provide an amount sufficient or effective for providing a prophylactic or therapeutic effect or benefit.
Typically, for therapeutic treatment, the CGAS inhibitor(s) will be administered as soon as practical. For prophylactic treatment in connection with a subject, a CGAS inhibitor can be administered prior to, concurrently with or following administration of the subject.
Doses can be based upon current existing treatment protocols, empirically determined, determined using animal disease models or optionally in human clinical studies. A subject may be administered in single bolus or in divided/metered doses, which can be adjusted to be more or less according to the various consideration set forth herein and known in the art. Dose amount, frequency or duration may be increased or reduced, as indicated by the status of autoimmune or inflammation disease condition, reactivation or pathogenesis, associated symptom or pathology, or any adverse side effect(s). For example, once control or a particular endpoint is achieved, for example, reducing, decreasing, inhibiting, ameliorating or preventing onset, severity, duration, progression, frequency or probability of one or more symptoms associated with an autoimmune or inflammation disease condition, reactivation or pathogenesis of one or more symptoms or pathologies associated with or caused by an autoimmune or inflammation disease condition.
Another aspect of this disclosure provides pharmaceutical kits containing a pharmaceutical composition of this disclosure, prescribing information for the composition, and a container.
Each publication or patent cited herein is incorporated herein by reference in its entirety.
The invention now being generally described will be more readily understood by reference to the following examples, which are included merely for the purposes of illustration of certain aspects of the embodiments of the present invention. The examples are not intended to
limit the invention, as one of skill in the art would recognize from the above teachings and the following examples that other techniques and methods can satisfy the claims and can be employed without departing from the scope of the claimed invention.
EXAMPLES
Example 1 : Strategy for discovering a small molecule hcGAS inhibitor.
Crystallographic studies of the 2:2 mcGAS complex with DNA revealed several key residues involved in the PPI and cGAS-DNA interaction for mcGAS and are shown in FIG. 1 A. Notably, point mutations studies demonstrated that Lys335 (Lys347 in human cGAS) is involved in mediating the formation of the cGAS dimer. cGAS activity was also abolished in cGAS mutants with point mutations of both Lys335 and Lys382 (Lys 394 in humans), demonstrating their critical role for cGAS function. Furthermore, it was demonstrated hcGAS can be inhibited by aspirin mediated acetylation of either Lys384, Lys394, or Lys494 in patient cells. These results highlighted a potential druggable pocket that could be identified through a new approach directly targeting the PPI of cGAS using a virtual screen with a grid-ligand binding box that incorporated Lys335 and Lys382, (See FIG. 1B). Importantly, these findings also provide additional evidence for targeting residues, in particular Lys384, Lys394, or Lys494, involved in DNA binding to cGAS.
Example 2: Identification of Novel cGAS Inhibitor Molecules by High Throughput In Silico Screening.
The inventors performed a high throughput virtual screen (HTVS) of drug-like libraries against the cGAS/dsDNA complex to identify novel small molecule hcGAS inhibitors. An in- silico screen of the Maybridge (53,000 compounds) and Enamine (1.7 million compounds) Hit finder libraries using the Glide 5.6 program was conducted using reported co-crystal structures of recombinant mcGAS, since hcGAS-DNA complex was unknown until recently. As shown in FIG. 1B, based on the findings described above, the inventors generated the grid on the PPI with incorporation of the residues involved in the dsDNA binding site (crystal structure PDB ID: 406 A).
This in silico screen identified ten small molecules hits (see FIG. 8 and Table 2). The selection of the candidate molecules was based on four criteria: (1) predicted binding energy and spatial complementarity; (2) reasonable chemical structures found in the dsDNA-binding site of
cGAS; (3) existence of at least one hydrogen bond between the ligand and one of the dsDNA- recognizing residues on the cGAS surface; (4) drug-like properties analysis. Drug-like properties considered by the inventors follow Lipinski’s rule of five and include properties such as molecular weight, hydrogen bond or, hydrogen bond acceptor, Lipophilicity (log P), and human oral absorption.
Example 3 : Validation of Lead cGAS Inhibitor Molecules
The inventors validated the lead hits against cGAS using an in vitro cGAS assay, which detects the cGAS-mediated conversion of ATP and GTP into cyclic dinucleotide cGAMP synthesis by measuring the consumption of ATP. Briefly, cGAS consumes 100% ATP without the inhibitors in this assay, and a titration with half-log increments is conducted with the sample compound. The concentration of the sample at 50% of ATP consumption is utilized to determine the IC50. The cytosolic DNA sensor cGAS forms an oligomeric complex with DNA and undergoes switch-like conformational changes in the activation loop.
An IRF3 dimerization assay with human monocyte THP-l cells was used for cell-based studies. For this assay, stimulation of cGAS/STING pathway is induced with dsDNA, which causes STING to activate IKK, and TBK1. TBK1 phosphorylates STING and recruits IRF3 for phosphorylation by TBK1. The phosphorylated IRF3 dimerizes and activates the expression of type I inteferons (FIG. 9). Readout of cellular dimerization was measured by Western Blotting to detect the IRF2 dimer.
From the initial hits validated, only one hit inhibited hcGAS, Z918, at 100 mM in the in vitro activity assay. Notably, Z918 was the only hit with a heterocyclic core similar to PF- 06928215. Preliminary in vitro data for Z918 displayed sufficient inhibitory activity against hcGAS to advance potency optimization. Additionally, all efforts have only focused on targeting the catalytic pocket of cGAS or the dsDNA/cGAS protein-nucleic acid interface through the displacement of dsDNA. In contrast, the inventor’s innovative approach targets the PPI of hcGAS and provides an opportunity to possibly overcome the selectivity shortcomings of current cGAS inhibitors via the discovery of a new scaffold and a druggable binding pocket.
Example 4: Synthesis overview of the designed hcGAS inhibitor 1 and related molecules.
To rapidly discover a novel potent hcGAS inhibitor, the inventors used synthetic routes amenable to high throughput synthesis and designed versatile intermediates that could be diversified to different classes of target compounds. Methyl 4-amino-6-[(4-fluorophenyl)amino]-
l,3,5-triazine-2-carboxylate (1) was synthesized using a reported one-pot cyclisation condensation reaction of the N'-(azaniumylmethanimidoyl)-N-(4-fluorophenyl)guanidine chloride with dimethyl oxalate (See FIG. 7A). This strategy was robust for the synthesis of several 4-amino-6-(arylamino)-l,3,5-triazine-2-carboxylate derivatives with various substitutions of different size and electron withdrawing (EWG)/donating (EDG) capabilities on the N2-phenyl ring. Reduction of compound 1 with lithium aluminum hydride (LiAlH4) afforded 2 in 30-78% yield. (See FIG. 7A; see also FIG. 17A-N for the synthesis schemes of example compounds).
Rapid diversification of the 6-position of the l,3,5-triazine core was achieved using temperature controlled nucleophilic aromatic substitution (SNAr) of the -Cl atoms on commercially available cyanuric chloride (see Figure 7B). This synthetic route was appealing because it was a scalable route that provided access to multiple symmetrical and unsymmetrical substituted analogs in 3 steps. Based on the SAR results described herein the inventors pursued unsymmetrical 2,4,6-substitued triazine analogs with a focus on analogs bearing a 2° aniline and -NH2 group at the 2- and 4-positions respectively. Intermediates 4 and 6 were synthesized from commercially available cyanuric chloride (1) and 2-(4,6-dichloro- 1 ,3 , 5-tri azi n-2-yl )- 1 4-diazyn- 2-ium-l-ide (3) via SNAr with varying nucleophiles in moderate yields (see Figure 7B). These compounds were then further functionalized with different commercially available building blocks for the synthesis 27-33 targets. (FIG. 17K-L). Overall, the modular synthetic approaches allowed us to diversify the core scaffold, culminating in the synthesis of 80 distinct novel analogues and the discovery of two new leads and an alternative scaffold displaying similar activity compared to top inhibitors. (See FIG. 17I-M and Tables 3-5 for additional SAR analysis).
Example 5: Discovery of a small molecule inhibitor targeting hcGAS
Initially thirteen analogs were designed to identify key structural motifs contributing to the active pharmacophore and structure activity relationship (SAR) trends to improve the bioactivity of the putative lead, Z918. The ester functionality was identified as a metabolically unstable group as it can be hydrolyzed by an esterase. To test this concept, the inventors first synthesized the primary alcohol, 2a, the hydrolysis product of Z918 and -OMe (2b) as the H- bonding control for 2a. As shown in FIG. 2, a 20-fold increase in potency compared to Z918 was observed with 2a in vitro. In this instance, the lower in vitro activity of Z918 may be due to poor binding caused by the steric bulk of the large hydrophilic anthranilic acid motif. The amine (2c)
and ester (1) functional groups at the 6-position were also examined. Compound 1 with the ester functional group was identified as the most active inhibitor, as identified generally in Figure 2.
The present inventors next focused on systematically altering the 4-amino group and the heterocyclic core (see Figure 2A and 2B). Interestingly pyrimidine 10, lacking the 4-NH2 group was active at 100 mM, implying a critical role for the 4-NH2 group. Replacement of the 1,3,5- triazine core with a benzene ring (11) abrogated the bioactivity, indicating an electron deficient heterocyclic core is necessary. The inventors ruled out 4-aminopyridine 12 (>1000 mM) and pyrimidine 10 (>100 mM) scaffolds because inhibition was only observed at very high concentrations. Thus, the methylated derivatives of 8 (CU-45) and 9 were prepared to further investigate the impact of the amine substitution. Methylation of the 4-NH2 group resulted in complete loss of activity. These results implied a functional group with a combination of H-bond donating/accepting capabilities at the 4-position is critical to the bioactivity. The inventors rationalized the loss in activity for 8 and 9 could be due to steric effects. Because the 4-NH2 group was key to the activity, additional derivatives were prepared with a tertiary aniline at two position, compound (13), to systematically establish the importance of the presence of the -NH bond. The inventors also observed a significant decrease in inhibitory activity for compound 13 (IC50 = 278±9l mM, see Figure 2B.). These results helped the inventors identify an additional position where a combination of H-bond donating/accepting capabilities is critical to the bioactivity. Compound 1 was advanced to chemical optimization due to its high activity and ease of synthesis.
Example 6: Improving CU-l potency through SAR.
The inventors first prepared several 4-amino-6-(arylamino)-l,3,5-triazine-2-carboxylate derivatives with various substitutions of different size and electron withdrawing (EWG)/donating (EDG) capabilities on the N2-phenyl ring, See Figure 7 for general synthesis scheme. Keeping the 2-phenylamino ring, the inventors replaced the -F with -H (17) and -CF3 (18) and this decreased inhibitory activity indicating electronics is the dominating factor rather than size. Therefore, we examined other halogens and introduced EWG at the para- position. Substitution of -F with -I led to 3 orders of magnitude increase in potency with compound (19) (IC50 = 0.45 mM) (Table 1). By contrast, substitution at the me la- (20) and ortho- positions (21) with -I decreased potency demonstrating the para- position is optimal. EWG (-N02, -CN, and -CF3) and electron donating groups (-OH and -OMe) with H-bond donating/accepting capabilities were less
active. (Table 3). Replacement of the 2-phenylamino ring with other heteroaromatic groups such quinoline, did not improve the activity. Unlike fluorine, iodine can engage in halogen bonding, an electrostatically driven interaction. To further explore this, the inventors examined the ethynyl group, as previous investigators have shown it can be used as an iodine bioisostere. The ethynyl group is a nonclassical bioisostere that has a polarized -CH moiety, and it is a weak hydrogen bond donor. For the present inhibitors, replacement of -I with the ethynyl moiety (24) did not improve the potency, which explained that halogen bonding may not be the dominating factor.
As shown in FIG. 3, to improve the cellular activity of CU-32, the inventors modified the 6-position of the l,3,5-triazine core and the 3- and 5- positions of the NH-phenylamino motif. Replacement of the ester group with heterocycles, such as l,3,4-oxaziazole (27), N- pyrazole (28), and aryl- 1,2, 3 -triazoles (29 and 30) only showed modest inhibitory activity while benzimidazole (31) and indole (32) were inactive (see Table 4 for chemical structures). Finally, 3,4,5-trisubstituted and 3, 5 -di substituted phenylamino rings were examined to thoroughly explore additional substitutions on the NH-phenylamino motif. The inventors introduced two F- atoms at the 3- and 5-positions of the NH-phenylamino motif and a ~3-fold increase of inhibitory potency with compound CU-76 (25) was achieved showing a low micromolar IC50 (0.24±0.0l mM) value. Derivatives with 3,5-disubstition only showed modest activity suggesting tri substitution with the I- atom is favorable (see Table 5) 2,4,6-trisubstituted analogs were not examined because ortho- substituents decreased potency (20).
Example 7: DNA intercalation studies.
Selected target compounds from the SAR studies were tested in a high throughput fluorescence polarization (FP) assay for their capacity to intercalate DNA following the protocol developed for RU.521. The five compounds tested showed 0% DNA intercalation compared to mitoxantrone, a known DNA intercalator. (see Figure 19). The biological investigation for CU- 32 and CU-76 was prioritized based on stability, potency, and lack of DNA interaction for further testing in cellular assays.
Example 7: CU-32 analogs selectively inhibit cGAS pathway in human cells.
To evaluate cellular activity of selected cGAS inhibitors, the inventors first examined their effects on DNA-induced IRF3 dimerization, which is a hallmark of its activation. Transfection of interferon-stimulatory DNA (ISD), a 45-basepair dsDNA that specifically triggers cGAS-STING pathway, led to strong dimerization of IRF3, which was reduced by both
CU-32 and CU-76 in a dose-dependent manner (Figure 4A, upper panel). In sharp contrast, CU- 32 and CU-76 had no effect on Sendai virus- induced IRF3 activation, which is mediated through RIG-I-MAVS pathway, indicating the specificity of these compounds (Figure 4A lower panel). To evaluate their effect on the biological outcome of DNA pathway, the inventors used ELISA to measure IFN-b production from these cells following ISD transfection or Sendai virus infection. CU-32 and CU-76 suppressed levels of IFN-b in the media dose-dependently; however, IFN-b levels I response to Sendai virus were not affected (Figure 4B), confirming the effectiveness and specificity of these compounds. Furthermore, the inventors also confirmed the inhibitory activity of CU-32 and analogs was not the result of toxicity, as the top inhibitors had no effect on cell viability up to 30 mM, with only partial toxicity at 300 mM (Figure 18).
As part of the SAR study, the carboxylic acid derivatives of CU-1 and CU-32 were also prepared and determined to have an in vitro IC50 value of 3.8F1.9 mM (lb) and 0.59±0.3 mM (19b), see Figure 4A. for chemical structures. The in vitro inhibitory activity of two amides were determined for compounds 15 at 3.4±0.35 mM and 16 at IC50 = 2.3F1.4 mM, see Figure 2B for chemical structures. Utilizing a prodrug strategy to optimize effectiveness and“drug like” properties, such as permeability and target selectivity, is a possibility based on the in vitro activities for the carboxylic acid derivatives of lb and 19b. However, lb did not display antagonistic activity toward the cGAS-STING pathway IRF dimerization assay (See Figure 20). Thus, the present inventors cannot effectively conclude the active drug is the carboxylic acid of the corresponding methyl ester inhibitor (1) since two amide derivatives also inhibited hcGAS in vitro and lacked cellular activity. The inventors speculate the carboxylic acid (lb) and amides (15 and 16) lack cellular activity due to poor permeability caused by the 4-NH2 and 2-COOH functional groups.
Recent structural and molecular docking studies of the human cGAS-DNA complex defined the species-specificity observed with RU.521 and PF-06928215 small molecule inhibitors. The inventors assessed the in vitro and cellular inhibitory activity of CU-32 and CU- 76 towards mcGAS. Both CU-32 (IC50 = 0.66F0.10 mM) and CU-76 (IC50 = 0.27F0.06 mM) inhibited the enzymatic activity of mcGAS in vitro (Figure 5A). In contrast to the effect in THP- 1 cells, CU-32 and CU-76 were much less effective to suppress DNA-dependent activation of interferon reporter in RAW cells (see Figure 5B and Figure 21).
Example 8: CU-32 does not inhibit Toll-like receptor pathways.
To further investigate the selectivity, the present inventors tested the effect of CU-32 on activation of TLR pathways, which are membrane localized pathogen recognition receptors of the innate immune system. Various TLRs recognize different viral or bacterial membrane components or nucleic acids. The present inventors used human embryonic kidney (HEK) cell lines each ectopically expressing a TLR together with NF-KB-inducible SEAP (secreted embryonic alkaline phosphatase). Each cell line was stimulated with respective TLR ligands including poly(TC) for TLR3, LPS for TLR4, R848 and ssRNA for TLR7/8, and CpG-ODN for TLR9, in the presence of CU-32 or DMSO, and activation of TLR signaling was evaluated by measurement of SEAP activity in the media. As shown in Figure 22A and Figure 22B, none of the TLR pathways was inhibited by CU-32 at concentrations up to 50 mM. This compound also had no effect on R848-induced Nitric Oxide (NO) production in Raw cells, see Figure 22C. These results further demonstrate the selectivity of CU-32.
Example 9: Molecular docking studies
Because X-ray crystallographic studies did not successfully generate a complex structure, the inventors conducted molecular docking studies to gain insight into the binding mode of CU- 76. We used mcGAS-DNA (PDB ID: 406A) for molecular docking analysis with active (CU-76) and inactive cGAS inhibitors (CU-45). Based on previously reported crystallographic studies, we utilized relevant key amino acids located on the mcGAS-mcGAS binding interface and DNA binding sites (see Figure 1). The molecular docking analysis of CU-76 against mcGAS-DNA complex show the inhibitors may bind in the groove aside the Zn loop (see Figure 6A and Figure 24. The inventors speculate the insertion of the inhibitor molecules aside the Zn loop disturbs the interface of the dimer, thus inhibiting the dimerization through an allosteric effect (conformational change). The present inventors also hypothesize the 4-NH2 (donor) may have an H-bond interaction with GLET386, Figure 6A. In the present model, CU-45 cannot interact with GLET-386 mainly because there is not a H (donor) on the N-atom and due to steric clash with the methyl groups, see Figure 6B. The in vitro results for CU-45 and CU-9 (0% cGAS inhibition) are consistent with our hypothesis. The molecular docking studies also indicate CU-76 and analogs may bind to different pocket compared to other cGAS inhibitors.
To rule out disruption of the cGAS-DNA complex as an alternative inhibition mode, the inventors performed electrophoretic mobility shift assay (EMSA) in the presence and absence of CU-32 and CU-76. cGAS protein caused mobility shift of ISD (lane2) and reduction of the
unbound DNA. This effect was reversed by adding Quinacrine (lane 2-4), a compound known to disrupt cGAS:DNA binding (cite PMID: 25821216), see Figure 25. In contrast, either CU-32 (lane 6-8) or CU-76 (lane 9-11) had no effect on cGAS-caused shift. This result indicates CU-32 and CU-76 do not disrupt cGAS:DNA intercalation.
Example 10: Synthesis and Structure Activity Relationship (SAR) of Inhibitors Targeting cGAS.
In previous experiments, the inventors designed analogs to identify the key structural motifs contributing to the active pharmacophore and SAR trends to improve the bioactivity of the putative lead, CU-0. The inventors developed robust, concise, and selective routes for the synthesis of novel analogs of CU-0, and synthesized more than 70 analogs, which have been tested in vitro, as described above. The initial SAR results are outlined in FIG. 10B.
The ester functionality was identified as a metabolically unstable group, as it can be hydrolyzed by esterases. This presents the possibility of utilizing a prodrug strategy to optimize effectiveness and“drug like” properties such as permeability and target selectivity. To test this concept, I synthesized N2-(4-fluorophenyl)-l, 3, 5-triazine-2, 4-diamine derivatives substituted with hydroxyl (compound CU-2), the hydrolysis product of CU-0, and -OMe (compound CU-19) as a hydrogen-bonding control for compound CU-2. A >20-fold increase in potency was observed with CU-2 in vitro. The lower in vitro activity of CU-0 could be due to poor permeability caused by the additional free amino group on the hydrophilic anthranilic acid motif.
The ester and amide functionalities (compounds CU-l, CU-9, and CU-7) were examined and the ester group was identified as the most active functional group (FIG. 10B). Cellular assays revealed that compounds CU-l and CU-6 prevented IRF3 dimerization, suggesting cGAS inhibition occurs. The inventors rationalized that the methyl ester of compounds CU-l and CU-6 could be metabolized to the pharmacologically active carboxylic acid derivatives, and that CU-9 was inactive because the amide cannot be easily hydrolyzed. The carboxylic acid in compound CU-l 7, and the alcohol in compound CU-2, did not inhibit cGAS in the cell-based assay further supporting a prodrug hypothesis and the importance of the ester functionality.
Replacement of the l,3,5-triazine core with benzene (compound CU-30; FIG. 10B) and N2-phenylpyridine-2, 4-diamine (compound CU-37; FIG. 10B) core abrogated the bioactivity, indicating the nitrogen heteroatoms are necessary. Substitution at the 2- and 4-position is tolerated, while highly electron-withdrawing groups (e.g. -N02) are not.
Example 11 : Optimization of the Hydrophilic Motif.
In previous experiments, the inventors identified the 1,2, 3 -triazole motif (compound cGAS-50; FIGS. 10A and 11) as a replacement for the ester functional group at the 6-position of the l,3,5-triaizine core. Further SAR studies analyzed the effect of modifications to the 1, 2,3- triazole, as well as derivatives and substitutions to this motif (FIG. 12A).
The core chemical scaffold including the 1,2, 3-triazole motif provided promising SAR results and therefore the inventors undertook additional SAR studies to identify substituents that further enhance the in vitro cGAS inhibitory activity of these compounds (FIGS. 12B and 12C). Example 12: Optimization of the Hydrophobic Motif.
Because esters are known to have better permeability across cell membranes, SAR studies of compound CU-l were previously conducted to optimize the hydrophobic motif (FIGS. 10A and 11). Removal of the N-aryl N-H bond for compound CET-l led to a significant decrease in bioactivity (IC50 = 278 mM). Replacement of -F with an -I and 2-naphthyl, CU-l, CU-32, and CU-33, resulted in an approx. 2 - 8.6-fold increase in inhibitory activity, indicating a lipophilic aryl group is required (FIG. 10B, FIG. 11). Ethyl, isopropyl, t-butyl, and phenyl esters are prepared to enhance the potency and metabolic stability of compounds CU-32 and CU-33.
The inventors undertook additional SAR testing of N-aryl derivatives and heterocyclic motifs to identify substituents that further enhance the in vitro cGAS inhibitory activity of these compounds (FIGS. 11 and 13). The inventors undertook additional SAR testing of primary, secondary, and tertiary amine derivatives of the 4-amino position in the l,3,5-triazine core (FIGS. 11 and 14). The results indicate that the amine group is necessary for inhibitory activity. Example 13 : Effects of CoCl2 on Bioactivitv of cGAS Inhibitor Analogs.
cGAS activity increases in the presence of CoCl2 (or ZnCl2) because the Zn-binding domain facilitates dsDNA recognition. The inventors rationalized that differences in the in vitro and cellular results could be attributed to the metal ion. Co2+ and Zn2+ complexes with triazine- based ligands are known, and the analogs have potential to bind to M2+. In previous experiments, the inventors demonstrated the removal of CoCl2 led to a decrease in inhibition for compound CU-32 (IC50 = 11.3 vs 0.33 pM) and compound CU-12 became active only after the addition of CoCl2 suggesting metal binding with the 4-amino-l,3,5-triazine core may be a contributing factor (FIG. 15). The results suggest the 4-amino functionality and the nitrogen atoms at the 3- and 5-positions may be important. The hypothesis is further supported by the
bioactivity of CU-30, CU-37 (IC50 > 1000 mM), and CU-38 (IC50 >100 mM). The inventors ruled out 4-aminopyridine and pyrimidine because inhibition was observed at very high concentrations.
Example 14: Toxicity Testing
In previous experiments, the inventors examined compound toxicity by treating THP-l cells with sample compounds in DMSO (1% final concentration) for 16 hours. Measuring intracellular ATP levels and comparing to DMSO treated cells determined the cell survival rate. The inventors’ top analogs were nontoxic at low concentrations (0.3 and 3mM) with partial toxicity at 300 mM.
Example 15: Specificity of Inhibition
In previous experiments, the inventors used compound CU-32 to evaluate whether the inhibitors of cGAS-STING affect other innate immune signaling pathways beyond dsDNA. Endosomal Toll-like signaling (TLR3, 7, 8, and 9) pathways are also major nucleic acid sensing pathways for dsRNA, ssRNA, and CpG methylated DNA. The inventors therefore used a human embryonic kidney cell (Hek)-Blue TLR cell-based assay to evaluate the specificity of the signaling inhibition of the inhibitors of this disclosure. Briefly, Hek 293 cells were transfected with the appropriate hTLR gene and an inducible secreted embryonic alkaline phosphatase (SEAP) reporter gene was used to evaluate compound potency and TLR specificity. The SEAP reporter gene was fused to five NF-kB and AP-l sites. Stimulation of the hTLR was induced with a natural ligand or small molecule chemical ligand (i.e., Poly(TC), R848, ssRNA-Lyo40, ORN-06, or ODN-2006) (ssRNA-Lyo40 and ORN-06 are GU-rich oligonucleotide complexed with LyoVec (Invivogen)). This activates NF-kb and AP-l, which induces the production of SEAP protein. Cells were then treated with appropriate concentration of compound, natural TLR ligand (i.e., 1 pg/mL R848, 5 pg/mL ssRNA/LyoVec, 5 pg/mL ORN-06, or 1 pg/mL ODN- 2006). The cells were incubated for 18-20 hours and assayed for NF-kB signaling using a SEAP assay. Quanit-Blue (Invivogen) medium for quantification of alkaline phosphatase was used to monitor expression of SEAP via detection of SEAP reporter protein secreted by cells. The compounds were considered active if they decreased SEAP levels by a decrease in absorbance at 620 nm. The data was normalized with 100% untreated cells as the negative control and 100% cells treated with TLR ligand (1 pg/mL R848) as the positive control. All data for cell-based assays is represented as the average and standard deviation of three biological replicates.
As shown in FIG. 16A, the present inventors demonstrate that compound CU-32 was unable to suppress activation of endosomal TLR signaling pathways in the presence of natural ligands. Similarly, FIG. 16B demonstrates that CU-32 was unable to suppress activation of endosomal TLR8 signaling in the presence of ssRNA ligands. FIG. 16C shows a dose-response curve for compound CU-32 demonstrating that compound CU-32 does not inhibit TLR8 stimulated with ssRNA-Lyo-40 (compound ZH-9a is a control).
Fluorescence polarization (FP) is a powerful approach by which alterations in the apparent molecular weight of a fluorescent probe (or tracer) in solution are indicated by changes in the polarization of the sample’s emitted light. The inventors used the FP assay to interrogate the molecular interaction between compounds of this disclosure and dsDNA using acridine orange, an organic compound used as a nucleic acid- selective fluorescent cationic dye that is cell permeable and interacts with DNA and RNA by intercalation or electrostatic interactions. FIG. 16D shows the results of FP assay evaluating the intercalation of compounds CU-32 and CU-40 with dsDNA. Mitoxantrone, a known DNA-intercalating agent, was included as a positive control. Compounds CU-32 and CU-40 do not intercalate with dsDNA.
Example 15: Materials and Methods
Virtual screening procedure
High throughput virtual screening (HTVS) was performed against the cGAS/dsDNA complex structure. The Enamine drug database (1.3 million small molecules) and Maybridge library (50,000 small molecules) was docked into the dsDNA-binding domain of cGAS (PDB: 406A). Glide maestro protocol was used for the virtual screening using Schrodinger software. The grid was generated on the protein-protein interface with incorporation of important residues involved in dsDNA binding, See Figure 1.
The protocol includes addition of hydrogens, restrained energy-minimizations of the protein structure with the Optimized Potentials for Liquid Simulations-All Atom (OPLS-AA) force field, and finally setting up the Glide grids using the Protein and Ligand Preparation Module. All compounds were first docked and ranked using High Throughput Virtual Screening Glide, continued with standard precision docking (SP) Glide for the top 10,000 compounds. To reduce the number of compounds in the library, after performing HTVS screening, the remaining 10% was docked using the more accurate and computationally intensive SP docking, after which the remaining 10% was docked using Extra-precision. The top ranked compounds were re-
ranked by predicted binding energy. The compounds were filtered by Lipkinski’s rule of five and reactive functionality. It performed docking of the drug compounds in the different phases like HTVS, SP, XP (Extra-precision).
Selection of the candidate molecules was based on four criteria: (1) predicted binding energy and spatial complementarity; (2) reasonable chemical structures found in the dsDNA- binding site of cGAS; (3) existence of at least one hydrogen bond between the ligand and one of the dsDNA-recognizing residues on the cGAS surface; (4) drug-like properties analysis. Drug- like properties follow Lipinski’s rule of five and include properties such as molecular weight, hydrogen bond or, hydrogen bond acceptor, Lipophilicity (log P), and human oral absorption. Ten of these molecules were selected by chemical and geometrical properties for experimental evaluation (Table 1).
cGAS in vitro assay
The initial hits and all cGAS inhibitors described herein were evaluated using an in vitro cGAS assay. Briefly, serial dilutions of compounds in DMSO were added to a reaction mixture containing 20mM Tris-Cl, 5mM MgCl2, 0.2mg/ml bovine serum albumin (BSA), O.Olmg/ml Herring testis DNA (HT-DNA), O. lmM GTP, 0.006mM ATP, and 30nM human cGAS protein, incubated at 37°C for 20min. Remaining ATP levels was measured by adding 40m1 of KinaseGlo (Promega) and reading luminescence. Reactions omitting cGAS and reactions without compounds but DMSO were considered 100% and 0% inhibition, respectively. ICa values were deduced from non-linear fitting of [inhibitor] vs response in Prism 8.
Florescence polarization assay (FP) for DNA Intercalation studies
Select target compounds from structure activity relationship analysis (SAR) studies were tested in a fluorescence polarization (FP) assay for their ability to intercalate DNA following the protocol developed for known cGAS inhibitors. The assay was performed in a final volume of 30 pl in 384-solid bottom opaque plates. Ten microliters of HEN buffer (lOmM HEPES pH 7.5, lmM EDTA pH 7.5, lOOmM NaCl) were dispensed per well using an Eppendorf multichannel pipette. Compounds were dissolved in DMSO and dispensed per well (10 pL dosing volume) using Eppendorf multichannel pipette. Ten microliters of a solution of 150 nM acridine orange in HEN buffer was dispensed per well using Eppendorf multichannel pipette. Subsequently, 10 pL of a solution of 45-bp dsDNA at pgml-l, see Supplemental Table S5, was dispensed per well using Eppendorf multichannel pipette. The liquid was collected at the well bottom using
centrifugation for 30 s at 180 x g. Mitoxantrone, a known DNA intercalator, was used at 50 mM as a positive control, while DMSO alone was used as negative control. FP was measured using a Synergy H2 plate reader. The data was analyzed and plotted using Microsoft Excel.
SEAP Assay
Cell Culture and SEAP Assay: Commercially available human embryonic kidney (HEK) 293 cells expressing human Toll-like receptor (hTLR) gene and an inducible secreted embryonic alkaline phosphatase (SEAP) reporter gene were used to evaluate compound potency on TLR pathways. The SEAP reporter gene is fused to five NF-kB and AP-l sites. Stimulation of the hTLR is induced with natural ligand or small molecule chemical ligand (R848, Invivogen). This activates NF-kb and AP-l, which induces the production of SEAP protein. Growth media for cell maintenance was prepared using DMEM media with 10% FBS, 1% L-glutamine, 1% Penicillin/Streptomycin and supplemental antibiotics (10 pg/mL blasticidin and 100 pg/mL zeocin) per manufacture’s recommendations.
ETn-supplemented test media was prepared using DMEM media with 10% FBS (deactivated), 1% L-glutamine, and 1% Penicillin/Streptomycin (Note: supplemental antibiotics were not added). 100,000 cells/well or 70,000 cells/well were plated in a tissue culture treated 96-well (Costar 3596) in un-supplemented DMEM test media. Cells were then treated with appropriate concentration of compound, natural TLR ligand (5 pg/mL Poly(LC), 20 ng LPS, 1 pg/mL R848, 1 pg/mL CpG-ODN, or ssRNA/LyoVec, (Invivogen). The cells were incubated for 18-20 hours and assayed for NF-kb signaling using a SEAP assay. Quanti-Blue (Invivogen) medium for quantification of alkaline phosphatase was used to monitor expression of SEAP via detection of SEAP reporter protein secreted by cells. The compounds were considered active if they decreased SEAP levels as indicated by a decrease in absorbance at 620 nm. The data was normalized as [(raw data - untreated cells)/(ligand + solvent control - untreated cells)]. Ligand + solvent is 100% activation, and untreated cells are 0% activation. The result of one representative biological replicate for three independent days is plotted with the error bars representing the standard deviation of three technical replicates for one independent biological replicate. The result of one representative biological replicate for three independent days is plotted with the error bars representing the standard deviation of three technical replicates for one independent biological replicate.
Nitric Oxide (NO) Assay
Raw 264.7 cells were plated on day one at 375,000 cells/mL in a tissue culture treated 96- well plate. The cells were plated in supplemented RPMI medium (10% fetal bovine serum, 1% L-glutamine, 1% Penicillin/Streptomycin) and incubated at 37 °C. On day two, supplemented media was removed from the cells, and the unsupplemented RPMI was added (100 pL). The cells were treated with 1 pg/mL R848 (90 pL) (Invivogen) and varying concentrations of the appropriate organic compound (10 pL). The final volume in each well was 200 pL. The 96-well plate was incubated with the organic compound for 18-24 hours at 37 °C.
On day three, a solution of 0.05 mg/mL 2,3-diaminonapthalene (DAN, Sigma Aldrich) in 0.62 M HC1 was prepared. The 96-well plate was removed from the incubator and 90 pL of media from each well was transferred to a black 96-well plate (ThermoScientific), respectively. Followed by the addition of DAN/HC1 solution (10 pL/well) each well with. The plate was covered with aluminum foil and shaken at room temperature for 15-20 minutes. The plate was quenched with 3 M aqueous NaOH (5 pL/ well). ABioTek Synergy HTX Multi-mode reader or a Beckman Coulter DTX 880 Multimode Detector were used to quantify the results. Samples were excited at 360 nm and emission was measured at 430 nm. The data was normalized as (well raw data - untreated cells)/(ligand + solvent control - untreated cells) such that ligand + solvent is 100% activation, and untreated cells are 0% activation. The experiment was conducted with a minimum of three biological replicates, in triplicate.
The NO assay uses an aryldiazonium intermediate to convert 2,3-diaminonapthalene to fluorescent l(H)-naphthotriazole in the presence of NO. As NO is produced in the TLR inflammatory response, this readout provides information on the extent of TLR signaling.
Cell Culture and Interferon Regulatory Factor (IRF)-Lucia Assay
Commercially available Raw-Dual cells (Invivogen) transfected with IRF-Luc/KI-
[macrophage inflammatory protein-2 (MIP-2)]- secreted embryonic alkaline phosphatase (SEAP) reporter genes and an inducible Lucia luciferase gene (Luc) were used to evaluate compound potency for murine macrophages. The Lucia luciferase gene is under the control of an ISG54
minimal promoter with IFN-stimulated response elements. Stimulation of cGAS was induced with G3YSD, a cGAS agonist (Invivogen). This activates the IRF pathway, which induces the production of the Luciferase protein. Growth media for cell maintenance was prepared using DMEM media with 10 % FBS 1% L-glutamine, 1% Penicillin/Streptomycin and supplemental antibiotics (100 pg/mL normocin and 200 pg/mL zeocin) per manufacture’s recommendations to select for cGAS and IRF-Lucia/KI-[MIP-2]SEAP reporter expression.
ETn-supplemented test media was prepared using DMEM media with 10% FBS (heat deactivated), 1% L-glutamine, and 1% Penicillin/Streptomycin (Note: supplemental antibiotics were not added). 100,000 cells/well were plated in a tissue culture treated 96-well (Costar 3596) in un-supplemented DMEM test media. Cells were then treated with appropriate concentration of compound, and 1 pg/mL G3YSD ligand. The cells were incubated for 18-20 hours and assayed for IRF signaling using a Lucia luciferase assay. Quanit-Luc (Invivogen) medium for quantification of luciferase was used to monitor the expression of luciferase via detection of Lucia luciferase reporter protein secreted by cells. The compounds were considered active if they decreased luciferase levels as indicated by a decrease in luminescence relative light units (RLU). The data was normalized with 100% untreated cells as the negative control and 100% cells treated with cGAS ligand (1 pg/mL G3YSD) as the positive control. All data for cell-based assays is represented as the average and standard deviation of three biological replicates, unless otherwise noted.
Quantification and Statistical Analysis
Statistical differences were performed using one-way ANOVA with the Turkey method for comparisons of experimental group against the control group. All statistical analysis was performed using OriginPro, and a P value of < 0.05 was considered statistically significant.
Molecular Docking Calculations for cGAS inhibitors
The crystal structure of murine cGAS (mcGAS) -DNA(2:2) complex (PDB: 406A) was used. Similar to the approach described above for the HTVS, we processed 406 A prior to docking and only the monomer mcGAS was retained. The DNA and water molecules were removed. The compounds were first optimized using the GaussView v.5.0.9 and Gaussion v.9.5(Method: b3lyp, Basic set: 6-3 l+g(d,p), pseudo potential for I: sdd). We prepared the ligands and protein receptor with AutoDockTools-l .5.6 (added hydrogens and gasteiger charges, set rotatable bonds for ligands etc.). The GridBox was generated at the cGAS-cGAS interface,
Zn loop(K382 E386) and a7 helix(K335) involved (Figure S8A.). The docking parameters were all set to default (Number of Genetic Algorithm Runs: 50). In the first-round of docking, the protein structure was set to be rigid. We then selected one reasonable candidate pose from the results based on the predicted binding energy and spatial complementarity. To further improve docking accuracy, redocking was conducted with select residues (Lys335, Lys382, Glu386) in the GridBox being flexible. Using the docking results, CU-76 was overlapped with mcGAS- DNA(2:2) complex together (Figure S8B.).
General Chemical Synthesis Considerations
Unless otherwise noted, all non-aqueous reactions were run under an atmosphere of dried nitrogen in dried glassware. All reagents were reagent grade and used without further purification. Moisture sensitive reagents were added via syringe. All chemicals were obtained from Sigma-Aldrich, Acros, or Strem unless otherwise noted. Flash column chromatography was performed using EM Reagents Silica Gel 60 (230-400). Analytical thin-layer chromatography (TLC) was performed using EM Reagents 0.25 mm silica gel 254-F plates. Visualization was accopmlished with UV light, p-anisaldehyde stain, and/or iodine.
1H NMR and 13C NMR spectra were recorded on Briiker 400 MHz Fourier transform NMR spectrometer. Chemical shifts are reported relative to the solvent resonance peak d 7.27 (CDCE), 3.31 (CD3OD), and 2.51 (DMSO-d6) for 1H and d 77.23 (CDCl3), 49.15 (CD3OD), and 39.51 (DMSO-d6) for 13C NMR. The 13C NMR spectra were recorded at 101 MHz in CDCl3, CD3OD, or DMSO-d6 as the internal standards, respectively. Data are reported as follows: chemical shift, multiplicity (s = singlet, d = doublet, t = triplet, q = quartet, bs = broad singlet, m = multiplet), coupling constants, and number of protons. Mass spectrometry was performed at the mass- spectrometry facility of the Biofrontiers Institute at the University of Colorado Boulder. High resolution mass spectra were obtained using a Waters Synapt G2 QToF HR-MS using an ESI ionization mode. Infrared spectra are reported in cm-l and recorded using a Agilent Cary 630 FT/IR instrument and opitcal rotations were measured on JASCO P-1030 and are reported as an average of data points. The compounds were purified using flash column chromatography (ACI systems, Biotage). Unless otherwise noted, all yields refer to isolated yields, and product purity was determined by iH NMR spectroscopy and Agilent HPLC 1200 series instrument with an Eclipse XDB-Cis column. All samples tested were > 95% pure based on HPLC and/or 1H NMR analysis.
Numbering System
The numbering system described below has been used for NMR assignments and discussion of l,3,5-triazine derivatives.
General Procedure B: Preparation of arylbiguanide hydrochloride salt:
Dicyandiamide (0.1 mmol) and the correspoding aniline (0.1 mmol) were weighed into a microwave vial followed by the addition of 3 M HC1. The vial was sealed with a microwave cap and stirred at rt for 24-36 hours. The arylbiguanide hydrochloride salt was filtered and washed with cold H20 (3 X 5 mL). The arylbuiguanide hydrochloride salts were used without further purification or were purified by trituration with Et20 or MeOH. All salts were characterized by HRMS and/or 'H NMR. Note: For previously synthesized arylbiguanide hydrochloride salts, only the characterization data for the corresponding 4-amino-l,3,5-carboxylates is provided. Characterizaiton data for all new arylbiguanide hydrochloride salts and the corresponding 4- amino-l,3,5-carboxylates is included herein.
General Procedure C: Preparation of arylbiguanide free base:
The arylbiguanide salt (1.0 mmol) in anhydrous ethanol or methanol (4.4 M) was added to a mixture of sodium ethoxide (1.2 mmol) in anhydrous ethanol (0.34 M). After stirring the solution for 3 h at rt, the mixture was filtered through a pad of celite. The filtrate was concentrated by rotary evaporation. The residue was dissolved in hot ethanol and filtered through a pad of celite. The filtrate was concentrated by rotary evaporation to afford the desired arylbiguanide base and was used without further purification.
General Procedure D: Preparation of 4-amino-l,3,5-carboxylates:
Dimethyl oxalate (3.0 mmol) was added to the arylbiguanide base in anhydrous MeOH (0.27 M). After stirring the solution at 35 °C for 1 h, the solution was heated to reflux and stirred overnight. The reaction mixture was cooled to rt and allowed to stand for 3 h. The crystals were collected by filtration, washed with cold methanol, and dried under vacuum. The solid was recrystallized with hot methanol (or isopropanol) or chromatographed to afford the product as crystalline solids.
Methyl 4-amino-6-((4-fluorophenyl)amino)-l,3,5-triazine-2-carboxylate: Following the general free base procedure C, a mixture of l-carbamimidamido-N-(4- fluorophenyl)methanimidamide hydrochloride (400 mg, 1.73 mmol) and NaOEt (118 mg, 1.73 mmol) was stirred in EtOH (0.34 M) at rt for 3 h. Following the general procedure D, a mixture of dimethyloxalate (538 mg, 5.19 mmol) and the arylbiguanide base in anhydrous MeOH (0.27 M) was stirred at 25 °C for 3 h and then refluxed overnight. The mixture was cooled to rt and the precipitate was collected by filtration. The solid was recrystallized with isopropanol and stored at -20 °C for 5 d to afford a white solid (231 mg, 97% pure) in 51% yield: m.p. = 226-227 °C; 1H NMR (DMSO-d6, 400 MHz) d 10.5 (br, 1H, Ntf), 7.78 (m, 2H, Ar H), 7.62 (m, 1H, N¾), 7.49
(m, 1H, NH2), 7.13 (t, J = 8.9 Hz, 2H, Arfl), 3.82 (s, 3H, OG¾ ); 13C NMR (DMSO-d6, 101 MHz) d 167.2 (CO), 164.2 (C6), 164.0 (C4), 163.9 (C2), 158.7 (d, ^CF = 239.2 Hz, C4’), 135.8 (d, 4JCF = 2.5 Hz, Cl’), 121.7 (d, 3JCF = 3.2 Hz, C2’), 115.1 (d, 2JCF = 22.0 Hz, C3’), 52.5 (OMe);
19F NMR (DMSO-d6, 365 MHz) d -121.0 (CF); IR (film): v = 3238 (primary amine N-H stretch), 3096 (secondary amine N-H stretch), 1748 (C=0 stretch), 1644, 1212 (C-N stretching), 787; HRMS (ESI+) calcd for CnHi0FN5O2 [M+H]+, m/z = 264.0897, found 264.0894.
(4-Amino-6-((4-fluorophenyl)amino)-l,3,5-triazin-2-yl)methanol: To a solution of methyl 4- amino-6-((4-fluorophenyl)amino)-l,3,5-triazine-2-carboxylate (250 mg, 0.950 mmol) in anhydrous THF (2.0 mL) was added dropwise to a slurry of LiAlH4 in anhydrous THF (9.5 mL) under a N2 atmosphere. After stirring the mixture at rt for 3 h, the reaction was quenched utilizing the Fieser protocol. The mixture was diluted with diethyl ether and cooled to 0 °C. Water (0.250 mL) was slowly added to the mixture and allowed to stir for 5 minutes. Next, 15% aqueous NaOH (0.250 mL) was added followed by water ( 3 x 0.75 mL) and then stirred for 15 min. Sodium sulfate was added and the mixture was stirred for another 15 min, filtered, and concentrated by rotary evaporation to afford a white solid (4%, 97% pure; Note: LiBH4 and
NaBH4 can also be used, 15 and 63-77% yield respectively): m.p. = 223-224 °C; 1H NMR (DMSO-d6, 400 MHz) d 9.59 (br, 1H, NJ7), 7.79 (dd, J = 10.5, 5.0 Hz, 2H, Ar H), 7.10 (J = 8.9 Hz, 2H, Ar H) 7.10 (br s, 2H, overlapping with -N¾), 4.86 (t, J = 6.1 Hz, 1H, -OR), 4.21 (d, J = 6.1 Hz, 2H, CH2); 13C NMR (DMSO-d6, 101 MHz) d 177.0 (C2), 166.6 (C4), 164.0 (C6), 157.4 (d, 4JCF = 238.6 Hz, Cl’), 136.3 (3JCF = 2.6 Hz, C2’), 121.4 (2JCF = 7.6 Hz, C3’), 114.9
= 238 Hz, C4’), 63.8 (C7); IR (film): v = 3499 (primary amine N-H stretch) , 3324 (secondary amine N-H stretching), 3134 (O-H stretch), 1670, 1555, 1506, 1212 (C-N stretching), 1093, 825; 19F NMR (DMSO-d6, 365 MHz) d-121.8 (CF); HRMS (ESI+) calcd for CI0HI0FN5O [M+H]+, m/z = 236.0944, found 236.0948.
N2-(4-Fluorophenyl)-6-(methoxymethyl)-l, 3, 5-triazine-2, 4-diamine: The general procedure was followed using l-carbamimidamido-N-(4-fluorophenyl)methanimidamide hydrochloride (1.83 g, 7.9 mmol), NaOMe (513 mg, 9.5 mmol), and in anhydrous MeOH (23 mL). The corresponding arylbiguanide base, ethylmethoxyacetate (0.95 mL, 8.06 mmol), and 15 mL MeOH were added and then heated at reflux for 24 h. The reaction mixture was cooled to rt and concentrated to afford a white solid. The solid was purified by column chromatography (1-5% MeOH:CH2Cl2) to afford a white solid (75 mg, 97% pure) in 4% yield: m.p. = 185-188 °C; 1H NMR (DMSO-d6, 400 MHz) d 9.60 (s, 1H, N H), 7.80 (dd, J = 9.1, 5.0 Hz, 2H, kxH), 7.10 (t, J = 8.9 Hz, 2 H, Arif), 7.10 (overlapping br s, 2H, -NH2), 4.18 (s, 2H, C ¾), 3.36 (s, 3H, -OC ¾); 13C NMR (DMSO-de, 101 MHz) d 174.4 (C2), 166.7 (C4), 164.1 (C6), 157.4 (d
238. 7 Hz, C4’), 136.2 (d, 4JCF = 2.4 Hz, CL), 121.4 (d, 3JCF = 7.5 Hz, C2’), 114.9 (d, 2JCF = 22.0 Hz, C3’), 73.8 (C7), 58.2 (OMe) (; 19F NMR (DMSO-d6, 365 MHz) d -121.3; IR (film): v = 3353 (primary amine N-H stretch), 3160 (secondary amine N-H stretch), 1201 (C-N stretching), 1119; HRMS (ESI+) calcd for C11H13FN5O [M+H]+, m/z = 250.1099, found 250.1103.
6-(Aminomethyl)-N2-(4-fluorophenyl)-l, 3, 5-triazine-2, 4-diamine: Following the general procedure A using 4-amino-6-((4-fluorophenyl)amino)-l,3,5-triazine-2-carboxamide (240 mg,
0.967 mmol) and L1AIH4 (110 mg, 2.90 mmol) in anhydrous THF (0.1 M). the reaction was stirred at rt and monitored by TLC. After 6.5 h, the reaction was quenched using the Feiser protocol to afford a yellow residue. The residue was purified using column chromatography (1- 5% MeOH:CH2Cl2) to afford a white residue (81 mg, 95% pure) in 23-36% yield (Note: Heating the reaction > rt leads to reduction of amine to afford N2-(4-fluorophenyl)-6-methyl-l,3,5- triazine-2, 4-diamine and/or decomposition byproducts. At rt, baseline decomposition is observed by TLC. For this reason, the reaction should not be stirred > 7 h at rt. The yields vary significantly between reactions. Additionally, reduction of the corresponding azide derivative using H2 Pd/C at rt for 1 h affords N2-(4-fluorophenyl)-6-methyl-l, 3, 5-triazine-2, 4-diamine instead of lc in quantitative yields.): 1NMR (DMSO-d6, 400 MHz) d 9.59 (s, 1H, -NT/), 7.80 (dd, J = 8.9, 5.1 Hz, 2H, Ar H), 7.10 (t, J = 8.7 Hz, 4H, Ar H overlapping 4-NH2), 4.87 (t, J = 6.0 Hz, 2H, NT/2), 4.21 (d, J = 5.9 Hz, 2H, C T/2); 13C NMR (DMSO-d6, 101 MHz) d 176.9 (2), 166.5 (C4), 163.9 (C6), 156.1 (^CF = 239.1 Hz, C4’) 136.2 (4JCF = 2.3 Hz, CL), 121.2 (d, 3JCF = 7.4 Hz, C2’), H4.7 (d, 2JCF = 21.9 Hz, C3’); 19F NMR (DMSO-d6, 365 MHz) d -121.9 (CF); IR (film): v = 3547 (primary amine N-H stretch), 3428 (secondary amine N-H stretch), 1718, 1502, 1204 (C-N stretching); HRMS (ESI+) calcd for CI0HI2FN6 [M+H]+, m/z = 235.1102, found 235.1107.
Methyl 4-(dimethylamino)-6-((4-fluorophenyl)amino)-l,3,5-triazine-2-carboxylate: 4- (Dimethylamino)-6-((4-fluorophenyl)amino)-l,3,5-triazine-2-carbonitrile (37 mg, 0.143 mmol) was added to a flame dried round bottom flask fitted with a reflux condenser. Anhydrous methanol (0.317 mL) was added to the reaction vessel followed by the addition of BF3»OEt2 (0.572 mmol). The reaction mixture was refluxed overnight and a white precipitate. The reaction mixture was cooled to ambient temperature and concentrated by rotary evaporation. The residue was re-dissolved in CH2Cl2 and washed with H20. The organic mixture was dried with Na2S04, filtered, and concentrated by rotary evaporation to afford a white solid. The solid was purified by flash column chromatography (100% CH2Cl2 -5% MeOH:CH2Cl2) to afford a white solid (19 mg, 95% pure) in 45% yield: 1H NMR (DMSO-d6, 400 MHz) d 9.55 (s, 1H, NT/), 7.77 - 7.71 (m, 2H, Ar//), 7.52 (br, 2H, NT/2), 7.13 (td, J = 9.1, 2.5 Hz, 2H, ArT/), 3.84 (s, 3H, OG¾), 3.16 -
3.08 (m, 6H, N(G¾)2); 13C NMR (DMSO-d6, 101 MHz) d 159.9 (CO), 155.7 (C6), 154.7 (C2), 154.3 (C4), 145.7 (^CF = 211.5 Hz, C4’) 125.8, (4JCF = 2.4 Hz, Cl’), 110.9, (3JCF = 7.0 Hz, C2’),
104.5 (2JCF = 22.1 Hz, C3’), 43.1, 25.5 (d, NMe2); 19F NMR (DMSO-d6, 365 MHz) d -121.3 (CF); IR (film): v = 3408 (secondary amine N-H stretch), 1659 (C=0 stretch), 1003 (C-F stretching); HRMS (ESI+) calcd for CI3HI5FN502 [M+H]+, m/z = 292.1205, found 292.1210.
Methyl 4- [(4-fluorophenyl)amino] -6-(methylamino)- 1 ,3,5-tr iazine-2-carboxylate : 4- [(4-
Fluorophenyl)amino]-6-(methylamino)-l,3,5-triazine-2-carbonitrile (0.614 mmol) was weighed into a flame dried around bottom flask and dissolved with anhydrous MeOH (0.25 M). Then freshly distilled BF3OEt2 (4.91 mmol) was added and refluxed. After 12 h, the mixture was cooled to rt and diluted with H20 (2 mL). The mixture was extracted with CH2Cl2 (3 x 5 mL). The organic mixture was dried with Na2S04, filtered, and concentrated by rotary evaporation to afford a solid. The solid was chromatographed (1-20% MeOH:CH2Cl2) to afford a white solid (39 mg, 96% pure) in 23% yield: m.p. = 151-152 °C; 1H NMR (DMSO-d6, 400 MHz) d 9.55 (s, 1H, NJ7), 7.89 - 7.68 (m, 2 H, Ar H), 7.43 (s, 1H, NJ7), 7.20 - 6.98 (m, 2 H, Ar H), 3.83 (d, J =
16.7 Hz, 3 H, NC¾), 2.81 (dd, J = 12.7, 4.7 Hz, 3H, OC H3 ) 13C NMR (DMSO-d6, 101 MHz) d
238.6 Hz, C4’), 121.4 (d, 4JCF = 7.3 Hz, Cl’), 144.9 (d, 3JCF = 22.1 Hz, C2’), 114.8 (d, 3JCF = 22.0 Hz, C3’, rotamer), 53.5 (OMe), 27.3 (d, NMe, rotamer); 19F NMR (DMSO-d6, 365 MHz) d -122.0 (CF); HRMS (ESI-) calcd for CI2HI2FN502 [M] , m/z = 276.0897, found 276.0900.
6-((4-Fluorophenyl)amino)pyrimidine-4-carboxylic acid: General pyrimidine synthesis procedure was followed using pyrimidine-4-carboxylate (209 mg, 1.21 mmol) and 4- fluoroaniline (0.116 mL, 1.21 mmol) in 2-propanol (2.0 mL, 0.58 M) and 37% HC1 (2.18 mmol, 0.214 mL). The reaction was stirred at 100 °C for 19 h. The product hydrolyzed quantitatively to the corresponding carboxylic acid. Purification by column chromatography (eluent 10%
MeOH:CH2Cl2) provided 5 (157 mg, 92% pure) in 52% yield as a yellow solid: m.p. = 226-227 °C; 1H NMR (DMSO-d6, 400 MHz) d 11.33 (s, 1H, OH), 8.82 (d, J = 0.9 Hz, 1H, Ar H), 7.76 (dd, J = 9.0, 4.9 Hz, 2H, Ar H), 7.51 (s, 1H, Ar H), 7.36 - 7.19 (m, 2H, Ar H), 3.88 (3H, OC H3); 19F NMR (DMSO-de, 365 MHz) d 119.5 (CF); HRMS (ESI-) calcd for CnH8FN302 [M-H]1, m/z = 232.0522, found 232.0523.
To a solution of 6-((4-fluorophenyl)amino)pyrimidine-4-carboxylic acid in anhydrous methanol was added concentrated H2S04 (20 pL). The resulting mixture was heated at reflux overnight. The mixture was concentrated by rotary evaporation, and the residue was purified by flash column chromatography (5% MeOH:CH2Cl2) to afford methyl 6-((4- fluorophenyl)amino)pyrimidine-4-carboxylate (5) (46 mg, 95% pure) in 43% yield as a white solid: 1H NMR (DMSO-d6, 400 MHz) d 10.02 (s, 1H, NJ7), 8.77 - 8.66 (m, 1H, Ar H), 7.72 (dd, J = 9.0, 4.9 Hz, 2H, Ar H), 7.37 (d, J = 1.2 Hz, 1H, Ar H), 7.30 - 7.12 (m, 2H, Ar H), 3.88 (s, 3H, OG H3); 19F NMR (DMSO-d6, 400 MHz) d 119.5; 13C NMR (DMSO-d6, 101 MHz) d 164.7 (CO), 161.0 (C4), 158.0 (d,
= 239.3 Hz, C4’), 158.5 (C2), 152.6, 135.5 (d, 4JCF = 2.4 Hz, CF), 122.0 (d, 3JCF = 7.9 Hz, C3’), 115.5 (d, 2JCF = 22.4 Hz, C2’), 107.7 (C5), 52.7 (OMe); 19F NMR (DMSO-de, 365 MHz) d -119.5 (CF); IR (film): v = 3324, 1566, 843; HRMS (ESI+) calcd for C12H11FN3O2 [M+H]+, m/z = 248.083, found 248.0837.
Methyl 3-amino-5-((4-fluorophenyl)amino)benzoate: A mixture of methyl 3-((4- fluorophenyl)amino)-5-nitrobenzoate (0.517 mmol) and 10 mol% Pd/C in 3.7 mL anhydrous methanol was stirred at rt under 1.1 atm of ¾ for 12 h. The reaction progress was monitored by TLC using 5% MeOH:CH2Cl2. After 12 h, the catalyst was removed by filtration using Celite® and methanol. The filtrate was concentrated by rotary evaporation to afford a brown solid. The solid was purified using column chromatography (1-5% MeOH:CH2Cl2) to afford a light brown solid (92 mg, 99%) 54% yield: m.p. = 135-136 °C; 1H NMR (DMSO-de, 400 MHz) d 8.01 (br, 1H, NJ7), 7.07 (d, J = 8.5 Hz, 2H, Ar H), 7.05 (d, J = 5.0 Hz, 2H, Ar H), 7.76 (dd, J = 3.6, 1.6 Hz, 1H, Ar H), 6.61 (dd, J = 3.5, 1.6 Hz, 1H, Ar H), 6.47 (t, J = 2.1 Hz, 1H, Ar H), 5.28 (br, 2H, NJ¾) 3.75 (s, 3H, OC ¾); 13C NMR (DMSO-de, 101 MHz) d 166.9 (CO), 156.5 (d, ^CF = 236.3 Hz, Cl’), 149.8 (Cl), 145.0 (C5), 139.5 (d, 4JCF = 2.0 Hz, C4’), 130.8 (C2), 119.6 (d, 3JCF = 7.7 Hz,
C3’), H5.7 (d, 2JCF = 22.2 Hz, C2’), 106.4 (C3), 104.9 (C6), 104.8 (C4), 51.8 (OMe); 19F NMR (DMSO-d6, 365 MHz) d -123.5 (CF); IR (film): v = 3413 (primary amine stretching), 3435 (secondary amine stretching), 1711 (C=0 stretching), 1506, 1219 (C-N stretching), 769, 521; HRMS (ESI+) calcd for C14H14FN2O2 [M+H]+, calcd m/z = 261.1034, found 261.1039.
Methyl 4-amino-6-((4-fluorophenyl)amino)picolinate: A mixture of methyl 6-((4- fluorophenyl)amino)-4-nitropicolinate (0.0549 mmol) and 20 mol% Pd/C (0.01098 mmol) in anhydrous methanol (0.8 mL) was stirred at rt under 1.1 atm ¾ pressure. TLC was ued to monitor rhe reaction progress. (5% MeOH:CH2Cl2). After 2 h, the catalyst was removed by filtration using Celite®. The solid residue was washed with methanol and the filtrate was concentrate by rotary evaporation to afford a purple residue. The residue was purified by flash column chromatography (gradients 100% CH2CI2 to 0.5, 1, and 5 % MeOH:CH2Cl2) to afford a solid in 71% yield (10.1 mg). 1H NMR (MeOD, 400 MHz) d 7.40 (dd, J = 9.2, 4.8 Hz, 2H, Ar H), 7.04-6.96 (m, 2H, Ar H), 6.88 (d, J = 1.9 Hz, 1H, Ar H), 6.14 (d, J = 1.9 Hz, 1H, Ar H), 3.87 (s, 3H, OC ¾); 13C NMR (MeOD, 101 MHz) d 167.8 (CO), 159.7 (d, ^CF = 240.1 Hz, C4’), 158.9 (C2), 158.2 (C6), 147.3 (C4), 138.9 (d, 4JCF = 2.6 Hz, CF), 123.0 (d, 3JCF = 7.7 Hz, C2’), 116.4 (d, 2JCF = 22.6 Hz, C3’), 106.5 (C3), 95.0 (C5), 52.8 (OMe); 19F NMR (MeOD, 365 MHz) d -123.76 (CF); HRMS (ESI+) calcd for C13H12FN3O2 [M+H]+, calcd m/z = 262.0987 , found 262.0993.
Methyl 4-amino-6-((4-fluorophenyl)(methyl)amino)-l,3,5-triazine-2-carboxylate: Following the general free base procedure C, a mixture of aryl biguanide salt (2.5 g, 10.0 mmol) and NaOEt (885 mg, 13.0 mmol) was stirred in EtOH (0.3 M) at rt for 3 h. Following the general procedure D, a mixture of dimethyloxalate (3.5 g, 30.0 mmol) and the arylbiguanide base in anhydrous MeOH (0.27 M) was stirred at 25 °C for lh and then refluxed overnight. The mixture was cooled to rt and the crude product was collected by filtration. The crude product was purified with
column chromatography (5% MeOH:CH2Cl2) to afford a white solid (784 mg, 92% pure) in 50% yield (over two steps): m.p. = 176-178 °C; 1H NMR (DMSO-d6, 400 MHz) 7.40 (s, 1H, N H), 7.40 - 7.33 (m, 2H, Ar H), 7.30 - 7.18 (m, 3H, Ar H), 3.78 (s, 3H, OG H3), 3.39 (s, 3H, NG ¾); 13C NMR (DMSO-de, 101 MHz) d 167.2 (CO), 165.9 (C6), 164.63 (C2), 164.57 (C4), 160.5 (d, ^CF = 243.6 Hz, C4’), 140.7 (d, 4JCF = 2.8 Hz, CL), 129.4 (d, 3JCF = 8.6 Hz, C2’), 116.1 (d, 2JCF = 22.6 Hz, C3’) 52.9 (OMe), 38.5 (NMe); 19F NMR (DMSO-d6, 365 MHz) d -116.2 (CF); IR (film): v = 3517 (primary amine stretching), 3137, 1610 (C=0 stretching), 1510, 1219 (C-N stretching), 799; HRMS (ESI+) calcd for CI2HI3FN502 [M+H] +, calcd m/z = 278.1048, found 278.1051.
(4-Amino-6-((4-fluorophenyl)(methyl)amino)-l,3,5-triazin-2-yl)methanol: To a solution of methyl 4-amino-6-((4-fluorophenyl)(methyl)amino)-l,3,5-triazine-2-carboxylate, (500 mg, 1.90 mmol) in anhydrous THF (0.2 M) was added LiBH4 (1.0 mL, 2.08 mmol) at 0 °C. The reaction was heated at 50 °C and monitored by TLC. After 12 h, the reaction was quenched with MeOH (1.5 mL) at 0 °C and concentrated to afford a white solid. The crude solid was purified using column chromatography (1-5% MeOH:CH2Cl2) to afford the title compound as a white solid (217 mg, 99% pure) in 48% yield: m.p. = 193-195 °C; 1H NMR (DMSO-d6, 400 MHz) d 7.43- 7.27 (m, 2H, Ar H), 7.28-7.09 (m, 2H, Ar H), 6.92 (s, 2H, NJ¾), 4.65 (t, J = 5.9 Hz, 1H, OH), 4.12 (d, J = 5.9 Hz, 2H, CH2), 3.38 (s, 3H, G ¾); 13C NMR (DMSO-d6, 101 MHz) d 176.4 (C2),
166.4 (C6), 165.2 (C4), 159.8 (d, ^CF = 242.5 Hz, C4’), 140.7 (d, 4JCF = 3.1 Hz, CL), 128.9 (d, 3JCF = 8.5 Hz, C2’), 115.5 (d, 2JCF = 22.4 Hz, C3’), 63.7 (Cl), 37.7 (OMe); 19F NMR (DMSO-d6, 365 MHz) d -116.8 (CF); IR (film): v = 3391 (primary amine N-H stretching), 3152 (hydroxyl O-H stretching), 1670, 1543, 1368 (C-N stretching), 832; HRMS (ESI+) calcd for CnHi3FN50 [M+H]+, m/z = 250.1099, found 250.1104.
4-Amino-N-benzyl-6-((4-fluorophenyl)amino)-l,3,5-triazine-2-carboxamide: A mixture of methyl 4-amino-6-((4-fluorophenyl)amino)-l,3,5-triazine-2-carboxylate (0.570 mmol), benzyl amine (0.855 mmol), and 20 mol% (0.114 mmol) glacial acetic acid in dioxane (8 mL) was heated at reflux. The reaction was monitored with TLC (5% MeOH:CH2Cl2). After 19 h, the mixture was cooled to rt and concentrated by rotary evaporation. The residue was poured onto ice, and the resulting precipitate was collected by vacuum filtration. The solid was recrystallized from MeOH to afford a white solid in 64% yield (123 mg, 96% pure): m.p. = 243-244 °C; 1H NMR (DMSO-d6, 400 MHz) d 9.94 (s, 1H, N//), 8.79 (t, J = 6.3 Hz, 1H, Ar H), 7.94 - 7.64 (m,
2H, Ar H), 7.48 - 7.37 (m, 2H, Ar H), 7.37 - 7.29 (m, 4H, Ar H), 7.18 - 7.05 (m, 2H, Ar H), 4.44 (d, J = 6.2 Hz, 2H, G¾); 13C NMR (DMSO-d6, 101 MHz) d 167.0 (CO), 166.3 (C6), 164.3 (C2), 163.1 (C4), 157.7 (d, 1JCF= 240.1 Hz, C4’), 139.0 (C9), 135.9 (d,3JCF = 2.6 Hz, C2’), 128.4 (C10), 127.5 (11), 126.7 (C12), 121.7 (m, Cl’), 115.0 (d, 2JCF = 22.2 Hz, C3’), 42.4 (C8); 19F NMR (DMSO-de, 365 MHz) d -120.7 (CF); IR (film): v = 3491, 3294, 1677, 1629, 1510, 1231, 832; HRMS (ESI+) calcd for CI7HI6FN60 [M+H]+, m/z = 339.1365, found 339.1370.
4-Amino-6-((4-fluorophenyl)amino)-N-methyl-l,3,5-triazine-2-carboxamide: Methyl-4- amino-6-((4-fluorophenyl)amino-l,3,5-triazine-2-carboxylate (300 mg, 1.14 mmol) was weighed into a glass tube followed by the addition of anhydrous MeOH (0.11 M). Then 0.5 M NH3 (39. 9 mL, 39.9 mmol) in THF was added to the mixture. The glass tube was sealed with a screw cap and heated at 120 °C for 24 h. The reaction mixture was cooled to rt and concentrated by rotary evaporation to afford a white solid. The solid was recrystallized (1 : 1 petroleum ethendiethyl ether) to afford a white solid in 96% yield (272 mg, 97% pure): m.p. = > 260 °C; 1H NMR
(DMSO-de, 400 MHz) d 9.85 (s, 1H, N H), 7.79 (dd, J = 9.0, 5.0 Hz, 2H, Ar H), 7.67 (br s, 2H, NJ¾), 7.34 (br s, 2H, NJ¾), 7.21 - 7.04 (m, 2H, Ar H) 13C NMR (DMSO-d6, 101 MHz) d 167.1 (CO), 166.5 (C6), 164.9 (C2), 164.4 (C4), 157.6 (d, ^CF = 239.1 Hz, Cl’), 135.9 (d, 4JCF = 2.6 Hz, C4’), 121.7 (d, 3JCF = 8.7 Hz, C3’), 115.0 (d, 2JCF= 22.2 Hz, C2’) ; 19F NMR (DMSO-d6, 365 MHz) d -121.3 (CF); IR (film): v = 3551, 3435, 1637, 1558; HRMS (ESI+) calcd for CIOHIOFN60 [M+H]+, m/z = 249.0895, found 249.0900.
Preparation of cGAS Inhibitors
Methyl 4-amino-6-(phenylamino)-l,3,5-triazine-2-carboxylate: Following the general free base procedure C, a mixture of l-carbamimidamido-N-phenylmethanimidamide hydrochloride (1.0 g, 4.681 mmol) and NaOEt (318 mg, 4.68 mmol) was stirred in EtOH (0.34 M) at rt for 3 h. Following the general procedure D, a mixture of dimethyloxalate (1.6 g, 14.0 mmol) and the arylbiguanide base in anhydrous MeOH (0.27 M) was stirred at 25 °C for 3 h and then refluxed overnight. The mixture was cooled to rt and the precipitate was collected by filtration. The solid was triturated with MeOH to afford a white solid (534 mg, 99% pure) in 46% yield: m.p. = 206- 207 °C; 1H NMR (DMSO-d6, 400 MHz) d 9.98 (br, 1H, Ntf), 7.79 (d, J = 8.0 Hz, 2H, Ar H) ,7.60 (br, 1H, N H2), 7.47 (br, 1H, N H2 7. 30 (d, J = 7.3 Hz, 1H, Arfl), 7.27 (d, J =7.4 Hz, 1H, Arfl), 7.03-6.98 (m, 1H, Ar H), 3.83 (s, 3H, OG ¾); 13C NMR (DMSO-d6, 101 MHz) d 167.1 (CO),
164.3 (C6), 163.9 (C2), 139.4 (Cl’), 128.5 (C2’), 122.5 (C3’), 120.0 (C4’), 52.5 (OMe); IR (film): v = 3484 (primary N-H stretching), 3350 (secondary N-H stretching), 1737 (C=0 stretching), 1644, 1242 (C-N stretching); HRMS (ESI+) calcd for C11H10N5O2 [M+H]+, m/z = 246.0986 , found 246.0991.
Following the general free base procedure C, a mixture of l-carbamimidamido-N-[4- (trifluoromethyl)phenyl]methanimidamideEriw! Bookmark not defmed· hydrochloride (l.3g, 4.75 mmol) and NaOEt ( 323 mg, 4.75 mmol) was stirred in MeOH (30 mL) at rt for 22 h. Following the general procedure D, a mixture of dimethyloxalate ( 1.7 g, 14.3 mmol) and the arylbiguanide base in anhydrous MeOH (0.20 M) was stirred at 35 °C for 1.5 h and then refluxed overnight. The mixture was cooled to rt and the crude product was collected by filtration and washed with cold MeOH. The crude product was recrystallized with MeOH to afford the title compound as a bright yellow solid in 30% yield (450 mg, 97% pure): m.p. = 243-245 °C; 1H NMR (DMSO-d6, 400 MHz) d 10.39 (s, 1H, NJ7), 8.03 (d, J = 8.5 Hz, 2H, Ar H), 7.82-7.77 (m, 1H, NJ¾), 7.64 (d, J = 8.7 Hz, 2H, Ar H), 3.85 (s, 3H, OC ¾); 13C NMR (DMSO-d6, 101 MHz) d 167.6 (CO), 165.0 (C2), 164.5 (C6), 164.2 (C4), 143.7, 126.2 (q, 3JCF3 = 7.7 Hz, C3’), 123.6, 122.7 (d, 2JCF3 = 32.0 Hz, C2’), 120.0, 53.0 (OMe), two unresolved quartet (Cl’) and C4’; 19F NMR (DMSO-d6, 365 MHz) d -60.05 (CF3); IR (film): v = 3506 (primary N-H stretching), 3119 (secondary-H stretching), 1748 (C=0 stretching), 1543, 1227 (C-N stretching), 1111, 791; HRMS (ESI+) calcd for C12H10F3N5O2 [M+H]+, m/z = 314.0860 , found 314.0858.
Methyl 4-amino-6-((4-iodophenyl)amino)-l,3,5-triazine-2-carboxylate: The general procedure C was followed using l-carbamimidamido-N-(4-iodophenyl)methanimidamide hydrochloride (4.0 g, 11.8 mmol), sodium methoxide (829 mg, 15.34 mmol), and dimethyloxalate (4.2 g, 35.4 mmol) in anhydrous MeOH (35 mL and 20 mL, respectively) at rt to reflux for 24 h. The precipitate was filtered and triturated with MeOH to afford a white solid (1.32 g, 99% pure) in 30% yield: m.p. = 224-225 °C; 1H NMR (DMSO-d6, 400 MHz) d 10.10 (br, 1H, NJ7), 7.64-7.60 (m, 4H, Ar H), 7.52 (br s, 1H, NJ7), 3.83 (s, 3H, OC ¾); 13C NMR (DMSO-de, 101 MHz) d 167.6 (CO), 164.7 (C6), 164.4 (C4), 164.3 (C2), 139.8 (CL), 137.5 (C2’), 122.6 (C3’), 86.3 (C4’), 53.0 (OMe); IR (film): v = 3327 (primary N-H stretching), 3182
3327 (secondary N-H stretching), 1752 (C=0 stretching), 1666, 1536, 1219 (C-N stretching), 795, 504; HRMS (ESI+) calcd for CIIHUIN502 [M+H]+, m/z = 371.9952 , found 371.9959.
4-Amino-6-((4-iodophenyl)amino)-l,3,5-triazine-2-carboxylic acid: Aqueous 1 M NaOH (2.16 mmol) was added to a solution of methyl 4-amino-6-((4-iodophenyl)amino)-l,3,5-triazine-
2-carboxylate (800 mg, 2.16 mmol) in ethanol (10.8 mL). After heating at reflux for 3 h, the reaction mixture was cooled to rt. Aqueous 1 M HC1 (0.540 mL, 4 M HC1 in dioxane) was added slowly. The mixture was stirred for 2 h at ambient temperature. After allowing the solution to stand for approximately 30 min, the yellow precipitate was filtered and washed with water and acetone several times. The yellow solid was dried under vacuum to afford 4-amino-6-((4- iodophenyl)amino)-l,3,5-triazine-2-carboxylic acid in (885 mg, 97% pure) in quantitative yield. The product was used without purification: m.p. = 257-258 °C; 1H NMR (DMSO-d6, 400 MHz) d 10.05 (s, 1H, COO H), 7.63 (q, J = 8.9 Hz, 4H, Ar H), 7.55-7.19 (m, 1H, N¾); 13C NMR (DMSO-d6, 101 MHz) d 166.9 (CO), 165.4 (C6), 165.0 (C2), 164.2 (C4), 139.4 (CL), 137.0 (C2’), 122.1 (C3’), 85.8 (C4’); IR (film): v = 3320 (primary amine N-H stretch), 3137
(secondary amine N-H stretch), 1681 (C=0 stretch), 1491 (O-H bend), 1622, 1566, 1331 (C-0 stretch), 776, 631; HRMS (ESI-) calcd for CioH7IN502 [M-H] , m/z = 355.9644, found 355.9645.
Methyl 4-amino-6-((3-iodophenyl)amino)-l,3,5-triazine-2-carboxylate: The general procedure C was followed using l-carbamimidamido-N-(3-iodophenyl)methanimidamide hydrochloride (300 mg, 0.883 mmol), NaOMe (62.2 mg, 1.15 mmol), and 2.6 mL in anhydrous MeOH. Following the general procedure D, the corresponding arylbiguanide base, dimethyl oxalate (313 mg, 2.65 mmol) 5.3 mL MeOH at reflux for 12 h. The reaction mixture was cooled to rt and concentrated to afford a grey-purple solid. The solid was purified by column
chromatography (1-20% MeOH:CH2Cl2) to afford a white solid (154 mg, 92% pure) in 47% yield: m.p. = 212-213 °C; 1H NMR (DMSO-d6, 400 MHz) d 10.10 (s, 1H, N /), 8.14 (s, 1H, Ar H), 7.89 (s, 1H, NJ¾), 7.71 (s, 1H, Ar H), 7.58 (s, 1H, N H2), 7.36 (dt, J = 8.0, 1.1 Hz, 1H, Ar H), 7.09 (t, J = 8.1 Hz, 1H, Ar H), 3.84 (s, 3H, OC H3); 13C NMR (DMSO-d6, 101 MHz) d 167.5 (CO), 164.7 (C6), 163.9 (C2), 163.7 (C6), 138.9 (CL), 133.2 (C2’)s 130.5 (C4’), 129.3
(C5’), 119.9 (C6’)s 94.3 (C3’), 53.8; IR (film): v = 3473 (primary N-H stretching), 3149 (secondary N-H stretching), 1744 (C=0 stretching), 1528, 1219 (C-N stretching), 1011; HRMS (ESI+) calcd for CnHi0N5O2Na [M+Na]+, m/z = 393.9777, found 393.9773.
Methyl 4-amino-6-((2-iodophenyl)amino)-l,3,5-triazine-2-carboxylate: The general procedure C was followed using l-carbamimidamido-N-(2-iodophenyl)methanimidamide hydrochloride (400 mg, 1.08 mmol), NaOMe (75.7 mg, 1.40 mmol), and 2.7 mL in anhydrous MeOH. The corresponding arylbiguanide base, dimethyl oxalate (383 mg, 3.24 mmol) 1.8 mL MeOH at reflux 18 h. The reaction mixture was cooled to rt. The solid was precipitated and purified by washing several times with H20 and Et20 to afford a white solid (122 mg) in 38% yield: m.p. = 215-216 °C; 1H NMR (DMSO-d6, 400 MHz) d 9.35 (s, 1H, NJ7), 7.96 - 7.83 (m, 1H, Ar H), 7.48 - 7.37 (m, 2H, Ar H), 7.32 (s, 1H, NJ¾), 7.02 (ddd, J = 7.9, 6.8, 2.2 Hz, 1H, Ar H), 3.82 (s, 3H, OC H3); 13C NMR (DMSO-d6, 101 MHz) d 167.6 (CO), 165.8 (C6), 164.8 (C2), 164.5 (C4), 140.4 (CL), 139.4 (C3’)s 129.3 (C6’)s 129.0 (C4’)s 128.4 (C5’)s 99.7 (C2’)s 52.9 (OMe); IR (film): v = 3499 (primary N-H stretching), 3361 (secondary N-H stretching), 1741 (C=0 stretching), 1536, 1264 (C-N stretching), 1007; HRMS (ESI+) calcd for CnHuIN502 [M+H]+, calcd m/z = 371.9957, found 317.9953.
Methyl 4-amino-6-((4-hydroxyphenyl)amino)-l,3,5-triazine-2-carboxylate: The general procedure C was followed using l-carbamimidamido-N-(4-hydroxyphenyl)methanimidamide hydrochloride (700 mg, 3.05 mmol), NaOMe (200 mg, 3.7 mmol), and 7.6 mL in anhydrous MeOH. The corresponding arylbiguanide base, dimethyl oxalate (1.1 g, 9.2 mmol) 10 mL MeOH at reflux 12 h. The solid was precipitated and purified by flash column chromatography (1-20% MeOH:CH2Cl2) to afford a white solid (283 mg, 95% pure) in 36% yield: m.p. = 228-229 °C; 1H NMR (DMSO-de, 400 MHz) d 9.76 (s, 2H, N H), 9.18 (s, 1H, OH), 7.51 (s, 2H, Ar H), 7.36 (s, 2H, N H), 6.69 (d, J = 8.9 Hz, 2H, Ar H), 3.82 (s, 3H, G ¾); 13C NMR (DMSO-d6, 101 MHz) d 167.6 (CO), 164.5 (C6), 164.2 (C2), 153.6 (C6), 131.2 (CL), 122.5 (C2’)s 115.4 (C3’)s 100.0 (C4’), 52.9 (OMe); IR (film): v = 3461 (primary N-H stretching), 3394 (secondary N-H stretching), 3163 (O-H stretching), 1737 (C=0 stretching), 1219 (C-N stretching), 1022, 638,
612; HRMS (ESI+) calcd for CnHnNsOsLi [M+Li]+, m/z = 268.1022, found 268.1029.
Methyl 4-amino-6-((4-methoxyphenyl)amino)-l,3,5-triazine-2-carboxylate: Following the general free base procedure C a l-carbamimidamido-N-(4-methoxyphenyl)methanimidamide hy drochl on deError! Bookmark not defme(1· (200 mg, 0.821 mmol) and NaOEt (67 mg, 0.985 mmol) was stirred in EtOH (0.34 M) at rt for 3 h. Following the general procedure D, a mixture of dimethyloxalate (291 mg, 2.46 mmol) and the arylbiguanide base in anhydrous MeOH (0.27 M) was stirred at 25 °C for 1 h and then refluxed overnight. The mixture was cooled to rt and the precipitate was collected by filtration. The solid was triturated with MeOH to afford a white solid (136 mg) in 60% yield: m.p. = 245-246 °C; 1H NMR (DMSO-d6, 400 MHz) d 9.86 (br, 1H, NJ7), 7.64 (br, 2H, Ar H), 7.52 (1H, NJ¾), 7.40 (br, 1H, NJ¾), 6.86 (d, J = 9.1 Hz, 2H, Ar H), 3.81 (s, 1H, OC ¾), 3.72 (s, 1 H); 13C NMR (DMSO-d6, 101 MHz) d 167.2 (CO), 164.5 (C6), 164.0 (C2), 163.8 (C4), 155.0 (CL), 132.3 (C2’), 121.7 (C3’)s 113.7 (C4’), 55.2 (OMe), 52.4 (OMe); IR (film): v = 3413 (primary N-H stretching), 3160 (secondary N-H stretching), 1744 (C=0 stretching), 1510 (C-0 stretch), 1223 (C-N stretching), 1029; HRMS (ESI+) calcd for C12H13N5O3 [M+H]+, m/z = 276.1091, found 276.1096.
Methyl 4-amino-6-((4-ethynylphenyl)amino)-l,3,5-triazine-2-carboxylate: To a dry THF solution of Methyl 4-amino-6-((4-((trimethylsilyl)ethynyl)phenyl)amino)-l,3,5-triazine-2- carboxylate (45 mg, 0.132 mmol) was added a solution of tetrabutylammonium fluoride (45 mg, 0.172 mmol) dropwise at 25 °C under N2. The mixture was stirred at rt and monitored by TLC. After 3.5 h, the mixture was concentrated by rotary evaporation and dissolved with CH2CI2 and washed with H20. The organic mixture was dried with Na2S04, filtered, and concentrated by rotary evaporation to afford a white solid. The solid was purified by flash column chromatography (1-5% MeOH:CH2Cl2) to afford a white solid (24 mg, 97% pure) in 61% yield: m.p. = 204-205 °C; 1H NMR (DMSO-d6, 400 MHz) d 10.20 (s, 1H, NJ7), 7.85 (d, J = 8.6 Hz, 2H, Ar H), 7.70 (br s, 1H, NJ¾), 7.57 (br s, 1H, NJ¾), 7.47 - 7.29 (d, J = 9.7 Hz, 2H, Ar H), 4.09 (s, 1H, CºCH), 3.84 (s, 3H, OC H3) 13C NMR (DMSO-d6, 101 MHz) d 167.6 (CO), 164.7 (C6), 164.4 (C2), 164.3 (C4), 140.6 (Cl’), 132.6 (C2’), 120.0 (C3’), 115.6 (C4’), 84.3 (CT\ 80.2 (C8’), 53.0 (OMe); IR (film): v = 3327 (primary amine N-H stretch), 3201 (secondary amine stretch), 2109 (alkyne CºC Stretch), 1744 (C=0 stretch), 1532, 1231 (C-N stretch), 1011; HRMS (ESI+) calcd Ci3Hi2N502 [M+H]+, m/z = 270.0991 , found 270.09087.
Methyl 4-amino-6-((3,4,5-trifluorophenyl)amino)-l,3,5-triazine-2-carboxylate: The general procedure B was followed using l-carbamimidamido-N-(3,4,5-trifluorophenyl)methanimidamide hydrochloride (400 mg, 1.49 mmol), NaOMe (97 mg, 1.79 mmol), and 3.7 mL in anhydrous MeOH. The corresponding arylbiguanide base, dimethyl oxalate (531 mg, 4.5 mmol) 5.0 mL MeOH at reflux 12 h. The solid was precipitated and purified by flash column chromatography (1-20% MeOH:CH2Cl2) to afford a white solid (283 mg, 93% pure) in 23% yield: m.p. = 230- 232 °C; 1H NMR (DMSO-d6, 400 MHz) d 10.40 (s, 1H, NJ7), 7.86 - 7.74 (m, 4H, Ar H), 3.84 (s,
3H, C H3); 13C NMR (DMSO-d6, 101 MHz) d 167.1 (CO), 164.2 (C2), 163.8 (C6), 163.6 (C4)
151.2 (m, JCF, C2’) 148.7 (dd, 3JCF = 9.7, 5.7 Hz, C2’), 136.0 (td, 3a’ 3b’ 4JCF 12.4, 12.2, 3.6 Hz,
CL) 132.7 (d, ^CF = 242.9 Hz, C4’), 103.6 (d, 2bJCF = 24.8 Hz, C3’), 52.5 (OMe); 19F NMR (DMSO-d6, 365 MHz) d -135.0, -135.1 (CF); IR (film) 3506 (primary amine N-H stretching), 3346 (secondary amine N-H stretching), 3301, 1744 (C=0 stretching), 1528, 1029, 791 cm 1;
HRMS (ESI+) calcd for CnH9F3N502 [M+H]+, m/z = 300.0708, found 300.0716.
Methyl 4-amino-6-[(3,5-difluoro-4-iodophenyl)amino]-l,3,5-triazine-2-carboxylate: The general procedure C was followed using l-carbamimidamido-N-(3,5-difluoro-4- iodophenyl)methanimidamide hydrochloride (65 mg, 0.173 mmol), NaOMe (28 mg, 0.519 mmol), and 0.340 mL in anhydrous MeOH. The corresponding arylbiguanide base, dimethyl oxalate (20.4 mg, 0.173 mmol) 0.340 mL MeOH at reflux for 12 h. The reaction mixture was cooled to rt and concentrated to afford a grey purple solid. The solid was purified by column chromatography (1-20% MeOH:CH2Cl2) to afford a white yellow solid (14.3 mg, 96% pure) in 20% yield: 1H NMR (DMSO-d6, 400 MHz) d 7.85 (s, 1H, NJ7), 7.69 (d, J = 9.3 Hz, 2H, Ar H),
7.24 (br, 2H, NJ¾), 3.84 (s, 3H, C ¾); 13C NMR (DMSO-d6, 101 MHz) d 170.8 (CO), 168.0
(C6), 165.2 (C2), 163.0 (dd, ^CF = 239.6 Hz, C4’), 160.7 (C4), 142.9 (t, 3JCF = 14.0 Hz. C2’), 102.3 (dd, 2JCF = 30.5 Hz, C3’), 61.4 (t, 2JCF = 31.0 Hz, CL), 53.7 (OMe); 19F NMR (DMSO-d6,
365 MHz) d -94.0 (CF); HRMS (ESI+) calcd for CnH^IN Oi [M+H]+, calcd m/z = 407.9769, found 407.9778 (+2.2 ppm off).
N-2-(4-Iodophenyl)-6-(l, 3, 4-oxadiazol-2-yl)-l, 3, 5-triazine-2, 4-diamine: Triethyl orthofomate (0.216 mL) was added to a mixture of FeCl3 (1.8 mg, 0.011 mmol), L-proline (1.2 mg, 0.011 mmol) and Et3N (3 pL, 0.022 mmol), and the resulting solution was stirred for 1 h at rt. The hydrazide substrate was added, and the mixture was stirred at 80 °C for 12 h. After cooling, the reaction mixture was washed with Et20 (3 x 0.5 mL). The organic layer was dried over MgS04 and evaporated. The residue was subjected to column chromatography on silica gel (10% MeOH:CH2Cl2) to afford a white solid (6 mg) in 29% yield: 1H NMR (DMSO-d6, 400 MHz) d 10.53 (s, 1H, Ar H), 10.04 (s, 1H, Ntf), 7.62 (m, 4H, Ar H) 13C NMR (DMSO-d6, 101 MHz) d 167. 3 (C6), 166.2 (C2), 164.6 (C4), 158.7 (C5) 139.8 158.2 (Cl’), 137.5 (C2’), 122.8 (C3’), 86.4 (C4’); HRMS (ESI+) calcd for C7H6FN05S [M+H]+, m/z = 242.011, found 242.011.
N2-(4-Iodophenyl)-6-(lH-pyrazol-l-yl)-l, 3, 5-triazine-2, 4-diamine: Pyrazole (22 mg, 0.317 mmol), 6-chloro-N2-(4-iodophenyl)-l, 3, 5-triazine-2, 4-diamine (100 mg, 0.288 mmol), and K2C03 (44 mg, 0.318 mmol) were weighed into a microwave vial with a stir bar. Anhydrous
DMSO (1.0 mL) was added to the sealed vial. The reaction mixture was stirred at 120 °C overnight. The reaction mixture was diluted with EtOAc (5 mL) and 5% aq LiCl (5 x 5 mL). The organic mixture was separated, and the aqueous mixture was extracted with EtOAc (3 x 5 mL). The combined organic mixtures were washed with 5% aq LiCl (5 x 5 mL). The organic mixture was dried with Na2S04, filtered, and concentrated by rotary evaporation to afford a light brown residue. The residue was purified by flash column chromatography (5% MeOH:CH2Cl2) to afford a white solid (40 mg, 99% pure) in 46% yield: m.p. = 204-205 °C; 1H NMR (DMSO-d6, 400 MHz) d 9.97 (br s, 1H, NJ7), 8.50 (dd, J = 2.7, 0.7 Hz, 1H, Ar H), 7.86-7.80 (m, 1H, Ar H), 7.69 (d, J = 8.8 Hz, 2H, Arfl), 7.63 (d, J = 8.9 Hz, 2H, ArH), 7.56 (s, 1H, NH2), 6.58 (dd, J = 2.7, 1.6 Hz, 1H, Ar H) 13C NMR (DMSO-d6, 101 MHz) d 167.9 (C2), 165.2 (C6), 162.0 (C4), 143.6
(Cll), 140.0 (C9), 137.5 (C10), 129.6 (CL), 122.7 (C2’), 109.0 (C3’), 86.1 (C4’); IR (film): v = 3324 (primary amine NH stretching), 3189 (secondary amine NH stretching), 1607, 1394 (C-N stretching); HRMS (ESI+) calcd for C12HnIN7 [M+H]+, m/z = 380.0121, found 380.0114.
6-(4-(2-Aminophenyl)-lH-l, 2, 3-triazol-l-yl)-N2-(4-iodophenyl)-l, 3, 5-triazine-2, 4-diamine:
6-Azido-N2-(4-iodophenyl)-l, 3, 5-triazine-2, 4-diamine (50 mg, 0.141 mmol) and copper iodide (8.1 mg, 0.042 mmol) were in anhydrous DMSO (0.214 mL) under N2. After 15 min, 2-ethynyl aniline (48 pL, 0.423 mmol) was added to the mixture and stirred at rt for 2 h. The reaction progress was monitored using TLC until completion. The reaction mixture was diluted with 10% NH3 aq (1 mL), and the mixture was extracted with EtOAc (3 x 2 mL). The combined organic mixture was washed several times with H20 and then dried with Na2S04, filtered, and concentrated by rotary evaporation to afford a brown residue. The residue was purified by flash column chromatography (50-75% EtOAc: Hexanes) to afford a white solid (20 mg, 97% pure) in 29% yield: 1H NMR (DMSO-d6, 400 MHz) d 10.25 (broad s, 1H, N//), 8.93 (s, 1H, Ar H), 7.82 (broad s, 2H, N ¾), 7.67 (p, J = 9.1 Hz, 5H, Ar//), 7.10 (ddd, J = 8.4, 7.2, 1.6 Hz, 1H, Ar//), 6.82 (dd, J = 8.3, 1.2 Hz, 1H, Ar//), 6.66 (td, J = 7.4, 1.2 Hz, 1 H), 6.00 (broad s, 2H, N ¾); 13C NMR (DMSO-de, 101 MHz) d 165.0 (C2), 163.5 (C6), 161.0 (C4), 146.4 (C4”), 140.3 (C5”), 139.7 (7”), 137.6 (L), 129.6 (C6”), 128. (C8”), 123.0 (C9”), 119.7 (C10”), 116.8 ( 11”), 113.0 (C2’), 103.8 (C3’), 86.7 (C4’); IR (film): v = 3335 (primary amine NH stretching), 1607,1439, 1234 (C-N stretching); HRMS (ESI+) calcd for CI7HI5IN9 [M+H]+, m/z = 472.0495, found 472.0497.
6-(Azidomethyl)-N2-(4-iodophenyl)-l, 3, 5-triazine-2, 4-diamine: To a solution of 6-
(azidomethyl)-N2-(4-iodophenyl)-l, 3, 5-triazine-2, 4-diamine (40 mg, 0.109 mmol) and Cul (6.2 mg, 0.0327 mmol) in DMSO (0.33 mL) was added 2-erthynyl aniline (37.2 pL, 0.327 mmol). The mixture was stirred at rt. After 5 h, the mixture was diluted with brine (1.0 mL) and
extracted with EtOAc (2.0 mL X 3). The organic mixture was washed with 5% aq Li Cl (2.0 mL). The organic mixture was dried with Na2S04, filtered, and concentrated by rotary evaporation to afford a brown solid. The solid was purified by column chromatography (1-5% MeOH: CH2CI2) to afford a light brown solid (22 mg) in 42% yield: 234-235 °C; 1H NMR (DMSO-d6, 400 MHz) d 9.66 (s, 1H), 8.60 (s, 1H), 7.50 (dd, J = 7.8, 1.6 Hz, 1H), 7.46 (br s, 5 H), 7.31 (s, 1H), 7.05
(ddd, J = 8.4, 7.1, 1.5 Hz, 1H), 6.80 (d, J = 8.1 Hz, 1 H), 6.61 (ddd, J = 8.2, 7.2, 1.2 Hz, 1H),
6.26 (s, 2 H), 5.50 (s, 2H); 13C NMR (DMSO-d6, 101 MHz) d 172.4 (C2), 167.0 (C6), 164.4 (C4), 147.9 (C4”), 146.1 (C5”), 140.0 (C7”), 137.3 (C6”), 128.9 (C8”), 128.0 (C9”), 123.4 (C10”), 122.5 (Cll”), 116.4 (CL), 116.2 (C2’), 113.1 (C3’), 85.9 (C4’). 54.5 (C7); IR (film): v = 3286 (primary amine NH stretching), 3186 (secondary amine NH stretching), 1618, 1525,
1402; HRMS (ESI+) calcd for CI8HI7IN9 [M+H]+, m/z = 486.0573, found 486.0658.
6-(lH-Benzo[d]imidazol-l-yl)-N2-(4-iodophenyl)-l,3,5-triazine-2, 4-diamine: Benzimidazole (34 mg, 0.288 mmol), 6-chloro-N2-(4-iodophenyl)-l, 3, 5-triazine-2, 4-diamine (100 mg, 0.288 mmol), and K2C03 (51.7 mg, 0.374 mmol) were weighed into a microwave vial with a stir bar.
Anhydrous DMSO (0.96 mL) was added to the sealed vial. The reaction mixture was stirred at 120 °C overnight. The reaction mixture was diluted with EtOAc (5 mL) and 5% aq LiCl (5 x 5 mL). The organic mixture was separated, and the aqueous mixture was extracted with EtOAc (3 x 5 mL). The combined organic mixtures were washed with 5% aq LiCl (5 x 5 mL). The organic mixture was dried with Na2S04, filtered, and concentrated by rotary evaporation to afford a light brown residue. The residue was purified by flash column chromatography (5% MeOH:CH2Cl2) to afford a white solid (57 mg, 95% pure) in 46% yield: m.p. = > 260 °C; 1H NMR (DMSO-d6, 400 MHz) d 9.90 (broad s, 1H, NJ7), 8.94 (s, 1H, Ar H), 8.70 (broad s, 1H, Ar H), 7.81-7.73 (m, 1H, ArH), 7.67 (m, 4H, Ar H), 7.61 (broad s, 1H, NJ¾), 7.46-7.32 (m, 2H, Ar H) 13C NMR (DMSO-de, 101 MHz) d 167.6 (C2), 164.8 (C6), 162.0 (C4), 145.0 (C8), 142.0 (C14), 139.8
(Cl 5), 137.6 (C10), 132.0 (Cll), 124.7 (C12), 124.1 (C13), 123.0 (CL), 120.4 (C2’), 116.9 (C3’), 85.6 (C4’); IR (film): v = 3491 (primary amine NH stretching), 3305 (secondary amine
stretching), 1547, 1465, 1204 (C-N stretching); HRMS (ESI-) calcd for CI6HI2IN7 [M] , m/z = 428.0121, found 428.0127.
6-(lH-Indol-l-yl)-N2-(4-iodophenyl)-l, 3, 5-triazine-2, 4-diamine: Indole (33.7 mg, 0.288 mmol), 6-chloro-N2-(4-iodophenyl)-l, 3, 5-triazine-2, 4-diamine (100 mg, 0.288 mmol), and K2C03 (51.7 mg, 0.374 mmol) were weighed into a microwave vial with a stir bar. Anhydrous DMSO (1.0 mL) was added to the sealed vial. The reaction mixture was stirred at 120 °C overnight. The reaction mixture was diluted with EtOAc (5 mL) and 5% aq LiCl (5 x 5 mL). The organic mixture was separated, and the aqueous mixture was extracted with EtOAc (3 x 5 mL). The combined organic mixtures were washed with 5% aq LiCl (5 x 5 mL). The organic mixture was dried with Na2S04, filtered, and concentrated by rotary evaporation to afford a light brown residue. The residue was purified by flash column chromatography (1% MeOH:CH2Cl2) to afford a white solid (35.3 mg, 99% pure) in 29% yield: m.p. = 163-164 °C; 1H NMR (Methanol - d4, 400 MHz) d 8.84 (d, J = 8.4 Hz, 1H, NH), 8.19 (d, J = 3.7 Hz, 1H, ArH), 7.68 - 7.60 (m, 2H, ArH), 7.60 - 7.51 (m, 3H, ArH), 7.25 (ddd, J = 8.4, 7.2, 1.4 Hz, 1H, ArH), 7.17 (td, J = 7.5, 1.1 Hz, 1H, ArH), 6.64 (dd, J = 3.8, 0.7 Hz, 1H, ArH); 13C NMR (Methanol-d4, 101 MHz) d 169.4 (C2), 166.5 (C6), 164.8 (C4), 141.0 (C8), 138.7 (C9), 137.0 (C10), 132.9 (C15), 126.6 (C14), 124.5 (Cl l), 124.0 (C12), 123.2 (C13), 121.7 (CL), 118.4 (C2’)s 107.7 (C3’)s 86.3 (C4’); IR (film): v = 3487, 3260 (primary amine NH stretching), 1607, 1555, 1450, 1216 (C-N stretching); HRMS (ESI-) calcd for CI7HI3IN6 [M] , m/z = 427.0168, found 427.0204.
6-(lH-Indazol-l-yl)-N2-(4-iodophenyl)-l, 3, 5-triazine-2, 4-diamine: Indazole (34 mg, 0.288 mmol), 6-chloro-N2-(4-iodophenyl)-l, 3, 5-triazine-2, 4-diamine (100 mg, 0.288 mmol), and K2C03 (44 mg, 0.318 mmol) were weighed into a microwave vial with a stir bar. Anhydrous DMSO (1.0 mL) was added to the sealed vial. The reaction mixture was stirred at 120 °C overnight. The reaction mixture was diluted with EtOAc (5 mL) and 5% aq LiCl (5 x 5 mL). The
organic mixture was separated, and the aqueous mixture was extracted with EtOAc (3 x 5 mL). The combined organic mixtures were washed with 5% aq LiCl (5 x 5 mL). The organic mixture was dried with Na2S04, filtered, and concentrated by rotary evaporation to afford a light brown residue. The residue was purified by flash column chromatography (gradient 100% CH2Cl2 to 5% MeOH:CH2Cl2) to afford a white solid (52 mg, 99%) in 42% yield: m.p. = 246-248 °C; 1H
NMR (DMSO-d6, 400 MHz) d 9.90 (s, 1H, NJ7), 8.90 (d, J = 8.4 Hz, 1H, NJ7), 8.43 (d, J = 0.9 Hz, 1H, Arif), 7.89 (dt, J = 7.9, 1.0 Hz, 1H, ArH), 7.80 - 7.70 (m, 2H, ArH), 7.70 - 7.63 (m, 2H, ArH), 7.63 - 7.52 (m, 2H, ArH), 7.36 (ddd, J = 7.9, 7.0, 1.0 Hz, 2H, Ar H) 13C NMR (DMSO-d6, 101 MHz) d 167.8 (C2), 165.1 (C6), 163.7 (C4), 140.2 (C9), 139.6 (C15), 139.1 (C14), 137.5 (C10), 128.5 (Cl l), 126.5 (C12), 123.6 (C13), 122.8 (CL), 121.6 (C2’), 116.9 (C3’)s 86.0 (C4’);
IR (film): v = 3491 (primary amine NH stretching), 3305 (secondary amine NH stretching), 1547, 1465, 1424, 746; HRMS (ESI+) calcd for CI6HI3IN7 [M+H]+, m/z = 430.0277, found 430.0271.
Methyl 4-amino-6-((4-chlorophenyl)amino)-l,3,5-triazine-2-carboxylate: Following the general free base procedure C, a mixture of l-carbamimidamido-N-(4- chlorophenyl)methanimidamide hydrochloride (8.9 g, 35.8 mmol) and NaOEt ( 2.4 mg, 35.8 mmol) was stirred in MeOH (70 mL) at rt for 22 h. Following the general procedure D, a mixture of dimethyloxalate ( 8.5 g, 71.6 mmol) and the arylbiguanide base (7.6 g, 35.8 mmol) in anhydrous MeOH (0.25 M) was stirred at 35 °C for 1.5 h and then refluxed overnight. The mixture was cooled to rt and the crude product was collected by filtration and washed with cold MeOH. The crude solid was triturated with MeOH to afford a white solid (7.3 g, 94% pure) in 73% yield: m.p. = 256-249 °C; 1H NMR (DMSO-d6, 400 MHz) d 10.17 (br, 1H, Ni/), 7.84 (d, J = 8.5 Hz, 2H, Ar H), 7.70 (br, 1H, NJ¾), 7.56 (br, 1H, NJ¾), 7.34 (d, J = 8.9 Hz, 2H, Ar H), 3.84
(s, 3H OCH3); 13C NMR (DMSO-d6, 101 MHz) d 167.1 (CO), 164.3 (C6), 163.9 (C2), 163.8 (C4), 138.5 (CL), 128.4 (C2’), 126.1 (C3’), 121.2 (C4’), 52.5 (OMe); IR (film): v = 3476 (primary amine stretching), 3145 (secondary amine stretching), 1748 (C=0 stretching), 1528,
1245 (C-N stretching); HRMS (ESI+) calcd for C11H11ClN502 [M+H]+, m/z = 280.0596, found 280.0608.
Methyl 4-amino-6-((4-bromophenyl)amino)-l,3,5-triazine-2-carboxylate: Following the general free base procedure C, a mixture of N-(4-bromophenyl)-l- carbamimidamidomethanimidamide hydrochlorideEriw! Bookmark not defmed· (12.4 g, 42.5 mmol) and NaOEt ( 2.9 g, 42.5 mmol) was stirred in EtOH (70 mL) at rt for 22 h. Following the general procedure D, a mixture of dimethyloxalate ( 9.1 g, 76.9 mmol) and the arylbiguanide base (9.9 g, 38.5 mmol) in anhydrous MeOH (0.21 M) was stirred at 35 °C for 1 h and then refluxed overnight for ~2.5 d. After 28 h at -20 °C, the precipitate was collected by filtration and washed with cold MeOH to afford a white solid (8.6 g) in 69% (crude). The solid was recrystallized using MeOH to afford title compound as a white solid (218 mg, 99% pure) in 18% yield: m.p. = 224-226 °C; 1H NMR (DMSO-d6, 400 MHz) d 10.17 (br, 1H, NJ7), 7.79 (d, J = 8.5 Hz, 2H,
Ar Ή), 7.70 (s, 1H, N H2), 7.60 (br s, 1H, N ¾), 7.46 (d, J = 8.9 Hz, 2H, Arfl), 3.83 (s, 3H, OG H3); 13C NMR (DMSO-de, 101 MHz) d 167.1 (CO), 164.3 (C6), 163.9 (C2), 163.8 (C4),
138.9 (Cl’), 131.3 (C2’), 121.8 (C3’) 114.1 (C4’), 52.5 (OMe); IR (film): v = 3473 (primary amine stretching), 3145 (secondary amine stretching), 1748 (C=0 stretching), 1618, 1249 (C-N stretching), 825, 519; HRMS (ESI+) calcd for CiiHuBrN502 [M+H]+, m/z =324.0091, found 324.0095.
Methyl 4-amino-6-((4-nitrophenyl)amino)-l,3,5-triazine-2-carboxylate: Following the general free base procedure C a mixture of l-carbamimidamido-N-(4- nitrophenyl)methanimidamide hydrochloride (15.8 g, 61.1 mmol) and NaOEt ( 4.2 g, 61.1 mmol) was stirred in EtOH (100 mL) at rt for 22 h. Following the general procedure D, a mixture of dimethyloxalate ( 574 mg, 2.43 mmol) and the arylbiguanide base (540 mg, 2.43 mmol) in anhydrous MeOH (0.12 M) was stirred at 35 °C for 0.5 h and then refluxed overnight for ~2.5 d.
After 24 h at -20 °C, a precipitate formed. The crude product was collected by filtration and washed with cold MeOH to afford a tan powder (130 mg, 94% pure) in 18% yield. The solid was used without further purification: m.p. = > 260 °C; 1H NMR (DMSO-d6, 400 MHz) d 10.71
(br s, 1H, N H), 8.19 (d, J = 9.4 Hz, 2H, Ar H), 8.09 (d, J = 9.4 Hz, 2H, Ar H), 7.91 (br s, 1H, N H2), 7.74 (br s, 1H, N H2), 3.86 (s, 3H, OC H3); 13C NMR (DMSO-d6, 101 MHz) d 167.6 (CO),
164.9 (C6), 164.5 (C2), 164.0 (C4), 146.6 (Cl’), 141.7 (C2’), 125.2 (C3’), 119.5 (C4’), 53.1
(OMe); IR (film): v = 3413, 3368, 1744, 1644, 1502, 1335; HRMS (ES+) calcd for CIIHIIN604 [M+H]+, m/z = 291.0837, found 291.0842.
Methyl 4-amino-6-((4-cyanophenyl)amino)-l,3,5-triazine-2-carboxylate: The general procedure C was followed using l-carbamimidamido-N-(4-cyanophenyl)methanimidamide (496 mg, 2.08 mmol), NaOMe (145.9 mg, 2.70 mmol), and 6.9 mL in anhydrous MeOH. Following the general procedure D, a mixture of the corresponding arylbiguanide base, dimethyl oxalate (737 mg, 6.24 mmol) 4.0 mL MeOH was stirred at 35 °C for 0.5 h and then refluxed for 22 h. The reaction mixture was cooled to rt. The solid was precipitated and purified by flash column chromatography (5% MeOH:CH2Cl2) to afford a white solid (99.8 mg, 97% pure) in 18% yield: m.p. = > 260 °C; 1H NMR (DMSO-d6, 400 MHz) d 10.47 (s, 1H, N H), 8.03 (d, J = 8.9 Hz, 2H, Ar H), 7.82 (s, 1H, N¾), 7.75 (d, J = 8.8 Hz, 2H, Ar H), 7.70 (s, 1H, N¾), 3.85 (s, 3H, C H3) 13C
NMR (DMSO-de, 101 MHz) d 167.6 (CO), 164.9 (C6), 164.5 (C2), 164.1 (C4), 144.4 (Cl’), 133.4 (C2’), 120.0 (C3’), 119.8 (C4’), 104.2 (CN), 53.1 (OMe); IR (film): v = 3402, 3357, 2229,
1733, 1655, 1238, 795, 609; HRMS (ESI+) calcd for C12HnN602 [M+H]+, m/z = 271.0944, found 271.0944.
Methyl 4-amino-6-((4-iodophenyl)amino)-l,3,5-triazine-2-carboxylate (75 mg, 0.202 mmol), PdCl2(PPh3)2 (76 mg, 0.108 mmol), and Cul (10 mg, 0.054 mmol) were weighed into a microwave vial with a stir bar. The flask was sealed and placed under vacuum then backfilled with N2. Then, trimethyl silyl acetylene (0.157 mL, 0.592 mmol), Et3N (0.524 mL, 3.77 mmol), and THF (1.8 mL) were added, and the mixture was stirred at rt overnight. After 18 h, the mixture was diluted with EtOAc (1.0 mL) and washed with brine (3 mL x 2). The organic mixture was dried with Na2S04, filtered, and concentrated by rotary evaporation to afford a brown solid. The solid was purified by column chromatography (1-5% MeOLkCLLCk) to afford a white solid (118 mg, 99% pure) in 64% yield: m.p. = 204-206 °C; 1H NMR (DMSO-d6, 400 MHz) d 10.22 (s, 1H, Ntf), 7.85 (d, J = 8.6 Hz, 2H, Ar H), 7.71 (s, 1H, NJ¾), 7.40 - 7.34 (m, 2H, Arfl), 3.84 (s, 3H, OG ¾), 0.23 (s, 6H, (OG ¾)2); 13C NMR (DMSO-d6, 101 MHz) d 167.7 (CO), 164.7 (C6), 164.4 (C2), 164.2 (C4), 140.7 (CL), 132.5 (C2’), 119.9 (C3’)s 116.0 (C4’)s 106.2 (C5’), 93.4 (C6’), 53.0 (OMe), 0.50 (SiMe3); IR (film): v = 3510 (primary amine N-H stretching), 3126 (secondary amine stretching), 1748 (C=0 stretching), 1532, 1413, 1227 (C-N stretching); HRMS (ESI+) calcd for Ci6H2oN502ASi [M+H]+, m/z = 342.1386, found 342.1389.
Methyl 4-amino-6-((4-(cyclopropylethynyl)phenyl)amino)-l,3,5-triazine-2-carboxylate:
Methyl 4-amino-6-((4-iodophenyl)amino)-l,3,5-triazine-2-carboxylate (50 mg, 0.135 mmol), PdCl2(PPh3)2 (19 mg, 0.027 mmol), and Cul (2.6 mg, 0.014 mmol) were weighed into a microwave vial with a stir bar. The flask was sealed and placed under vacuum then backfilled with N2. Then, ethynylcyclopropane (12.6 pL, 0.149 mmol), Et3N (0.131 mL, 0.945 mmol), and THF (0.43 mL) were added, and the mixture was stirred at rt overnight. After 18 h, the mixture was diluted with EtOAc (1.0 mL) and washed with brine (3 mL x 2). The organic mixture was dried with Na3S04, filtered, and concentrated by rotary evaporation to afford a brown solid. The solid was purified by column chromatography (1-5% MeOH:CH2Cl2) to afford a white solid (15 mg, 96% pure) in 36% yield: 1H NMR (DMSO-d6, 400 MHz) d 10.11 (s, 1H, N H), 7.79 (d, J = 8.3 Hz, 2H, Ar H), 7.70 - 7.40 (m, 2H, NJ¾), 7.28 (d, J = 8.4 Hz, 2H, Ar H), 3.84 (s, 3H, OC H3),
1.52 (tt, J = 8.3, 5.0 Hz, 1H, C H), 0.99 - 0.79 (m, 2H, C H2 0.72 (dt, J = 5.1, 3.0 Hz, 2H, CH2); 13C NMR (DMSO-d6, 101 MHz) d 167.1 (CO), 164.2 (C6), 163.9 (C2), 163.8 (C4), 139.1 (Cl’), 131.6 (C2’), 119.5 (C3’), 116.8 (C4’), 92.6 (C5’), 75.8 (C6’), 52.4 (C7’), 8.3 (C8’); IR (film): v = 3298 (primary amine stretching), 3130 (secondary amine stretching), 1748 (C=0 stretching), 1510; HRMS (ESI+) calcd for CI6HI6N02 [M+H]+, m/z = 310.1304, found 310.1310.
Methyl 4-amino-6-[(6-iodopyridin-3-yl)amino]-l,3,5-triazine-2-carboxylate: The general procedure C was followed using l-Carbamimidamido-N-(6-iodopyridin-3-yl)methanimidamide hydrochloride (54) (787 mg, 2.31 mmol), NaOMe (374 mg, 6.93 mmol), and 4.6 mL in anhydrous MeOH. Following the general procedure D, the corresponding arylbiguanide base, dimethyl oxalate (818 mg, 6.93 mmol) and 9.0 mL MeOH were stirred at 35 °C for 3 h and then heated at reflux for 12 h. The reaction mixture was cooled to rt and concentrated to afford a grey purple solid. The solid was purified by column chromatography (1-20% MeOH:CH2Cl2) to afford a light purple solid (95 mg, 95% pure) in 11% yield: m.p. = 244-246 °C; 1H NMR (DMSO-de, 400 MHz) d 10.3 (br s, 1H, N H), 8.87 (s, 1H, Ar H), 7.91 (dd, J = 8.6, 2.9 Hz, 1H, Ar H), 7.74 (d, J = 8.7 Hz, 2H, Ar H), 7.62 (br s, 1H, NJ¾), 3.84
(DMSO-de, 101 MHz) d 167.3 (CO), 164.6 (C6), 164.2 (C2), 163.9 (C4), 143.0 (CL), 136.8 (C2’), 134.1 (C6’) 129.2 (C5’), 109.2 (C4’), 52.8 (OMe); IR (film): v = 3484 (primary amine stretching), 3353 (secondary amine stretching), 3171, 1748 (C=0 stretching), 1227 (C-N stretching), 944; HRMS (ESI+) calcd forCi0H9IN6O2 [M+H]+, m/z = 372.9910, found 372.0003.
Methyl 4-amino-6-(quinolin-6-ylamino)-l,3,5-triazine-2-carboxylate: The general procedure C was followed using l-carbamimidamido-N-(quinolin-6-yl)methanimidamide hydrochloride (250 mg, 0.944 mmol), NaOMe (153 mg, 2.83 mmol), and 2.7 mL in anhydrous MeOH. The corresponding arylbiguanide base and dimethyl oxalate (3.34 mg, 2.83 mmol) in anhydrous 3.5
mL MeOH at reflux for 22 h. The reaction mixture was cooled to rt. The precipitate was filtered, washed with MeOH, and dried under vacuum to afford a white solid (164 mg, 99% pure) in 59% yield: m.p. = 258-260 °C; 1H NMR (DMSO-d6, 400 MHz) d 10.28 (s, 1H, N//), 8.77 (dd, J = 4.2, 1.7 Hz, 1H, Arif), 8.63 (s, 1H Ar//), 8.26-8.17 (m, 1H, Ar H), 8.02 (dd, J = 9.1, 2.4 Hz, 1H, Ar//), 7.94 (d, J = 9.1 Hz, 1H, Ar//), 7.75 (br s, 1H, N ¾), 7.60 (br s, 1H, N ¾), 7.50 (dd, J = 8.3,
4.2 Hz, 1H, Ar//), 3.87 (s, 3H, OG¾); 13C NMR (DMSO-d6, 101 MHz) d 167.7 (CO), 164.9 (C6), 164.5 (C2), 164.3 (C4), 149.2, 144.9, 137.9. 135.7, 129.6, 128.8, 124.6, 122.2, 115.9, 53.0 (OMe); IR (film): v = 2784, 1756, 1644, 1208; HRMS (ESI+) calcd for C14H13N6O2 [M+H]+, m/z = 297.1095, found 297.1103.
N-[2-(l-{4-amino-6-[(4-iodophenyl)amino]-l,3,5-triazin-2-yl}-lH-l,2,3-triazol-4- yl)phenyl]methanesulfonamide: 6-Azido-N2-(4-iodophenyl)-l, 3, 5-triazine-2, 4-diamine (37 mg, 0.104 mmol), Et3NH (14.5 pL, 0.104 mmol) and copper iodide (5.9 mg, 0.031 mmol) were in anhydrous DMSO (0.416 mL) under N2. After 15 min, N-(2- N-(2- ethynylphenyl)methanesulfonamide (20.3 mg, 0.104 mmol) was added to the mixture and stirred at rt for 2 h. The reaction progress was monitored using TLC until completion. The reaction mixture was diluted with 10% NH3 aq (1 mL), and the mixture was extracted with EtOAc (3 x 2 mL). The combined organic mixture was washed several times with H20 and then dried with Na2S04, filtered, and concentrated by rotary evaporation to afford a brown residue. The residue was purified by flash column chromatography (5-100% EtOAc:Hexanes) to afford a white solid (5 mg, 90% pure) in 5% yield: 1H NMR (DMSO-d6, 400 MHz) d 13.01 (s, 1H, N//S02Me), 9.58 (s, 1H, N//), 8.04 (dq, J = 8.4, 0.9 Hz, 1H, Ar//), 7.79 - 7.66 (m, 3H, Ar//), 7.63 - 7.57 (m, 2H, Ar//), 7.37 - 7.25 (m, 2H, Ar//), 7.11 (s, 2H, N/¾), 6.75 (d, J = 0.8 Hz, 1H, ArH), 3.88 (s, 3H, - N//S02G¾); 13C NMR (DMSO-d6, 101 MHz) d 167.5 (C2), 164.9 (C6), 164.3 (C4), 146.4 (C4”), 140.4 (C7”), 137.4 (C6”), 135.9 (C8”), 128.2 (C9”), 125.1 (C10”), 123.8 (Cll”), 122.7
(Cl’), 122.3 (C2’), 114.5 (C3’), 95.6 (C12”), 85.6 (C4’), 55.8 (-NHS02Me, C12”); HRMS (ESI+) calcd for Ci0H8Cl2N4 [M ], m/z = 253.0038, found 253.0048.
6-(4-(4-Fluorophenyl)-lH-l, 2, 3-triazol-l-yl)-N2-(4-iodophenyl)-l, 3, 5-triazine-2, 4-diamine:
6-Azido-N2-(4-iodophenyl)-l, 3, 5-triazine-2, 4-diamine (50 mg, 0.141 mmol) and copper iodide (8.1 mg, 0.0423 mmol) were in anhydrous DMSO (0.214 mL) under N2. After 15 min, 1- ethylnyl-4-fluorobenzene (49 pL, 0.423 mmol) was added to the mixture and stirred at rt for 2 h. The reaction progress was monitored using TLC until completion. The reaction mixture was diluted with 10% NH3 aq (1 mL), and the mixture was extracted with EtOAc (3 x 2 mL). The combined organic mixture was washed several times with H20 and then dried with Na2S04, filtered, and concentrated by rotary evaporation to afford a yellow residue. The residue was purified by flash column chromatography (50-75% EtOAc:Hexanes) to afford a white solid (21 mg, 97% pure) in 31% yield: 1H NMR (DMSO-d6, 400 MHz) d 10.22 (s, 1H, N H), 9.06 (s, 1 H, Ar H), 8.07 (dd, J = 8.5, 5.5 Hz, 2H, Ar H), 7.78 (s, 2H, Ar H), 7.68 (q, J = 8.7 Hz, 4H, Ar H), 7.41 - 7.27 (m, 2H, Ar H) 13C NMR (DMSO-d6, 101 MHz) d 167.9 (C2), 165.0 (C6), 163.8 (d, 1JCF= 246.6 Hz, CL), 161.0 (C4), 146.1 (C8), 139.6 (C7), 137.6 (CL), 128.3 (d, 3JCF= 7.9 Hz (Cll)),
126.8 (d, 4JCF = 3.0 Hz C12), 122.9 (C2’)s 119.6 (C3’), 116.4 (d, 2JCF = 21.7 Hz, C10), 86.7 (C4’); 19F NMR (DMSO-d6, 365 MHz) d -113.1 (CF); IR (film): v = 3461 (primary amine NH stretching), 3286 (secondary amine NH stretching), 1644, 1540, 1417, 1238, 1011; HRMS
(ESI+) calcd for CI7HI3FIN8 [M+H]+, m/z = 475.0292 , found 475.0259.
Methyl 4-amino-6-((3,5-difluorophenyl)amino)-l,3,5-triazine-2-carboxylate: Following the general free base procedure C, a mixture of l-carbamimidamido-N-(3,5- difluorophenyl)methanimidamide hydrochloride1 (152 mg, 0.607 mmol) and NaOEt (41 mg, 0.607 mmol) was stirred in EtOH (5 mL) at rt for 24 h. Following the general procedure D, a mixture of dimethyloxalate ( 143 mg, 1.21 mmol) and the arylbiguanide base (129 mg, 0.607
mmol) in anhydrous MeOH (0.11 M) was stirred at 25 °C for 0.5 h and then refluxed for 44 h. After 20 h at -20 °C, the precipitate was collected by filtration. The solid was recrystallized using MeOH to afford a white solid (15 mg, 98% pure) in 8% yield: 1H NMR (DMSO-d6, 400 MHz) d 10.39 (s, 1H, NJ7), 7.81 (s, 1H, NJ¾), 7.73 (s, 1H, NJ¾), 7.67 - 7.44 (m, 2H, Ar H), 6.83 (tt, J = 9.3, 2.4 Hz, 1H, Ar H), 3.84 (s, 3H, OC H3); 13C NMR (DMSO-d6, 101 MHz) d 167.6 (CO), 164.8 (C6), 164.3 (C2), 164.1 (C4), 162.9 (dd, 1JCF = 242.8 Hz, C3’), 142.6 (t, 3JCF = 14.3 Hz, Cl’), 102.8 (d, 2JCF = 29.8 Hz, C2’), 97.7 (t, 2JCF = 26.6 Hz, C2’), 53.1 (OMe); 19F NMR (DMSO-d6, 365 MHz) d -109.6 (CF); IR (film): v = 3491 (primary amine stretching), 3294 (secondary amine stretching), 1756 (C=0 stretching), 1555, 1242 (C-N stretching), 1037; HRMS (ESI+) calcd for C11H1oF2N502 [M+H]+, m/z = 282.0798, found 282.0801.
Methyl 4-amino-6-((3,5-bis(trifluoromethyl)phenyl)amino)-l,3,5-triazine-2-carboxylate:
Following the general free base procedure C, a mixture of N-[3,5-bis(trifluoromethyl)phenyl]-l- carbamimidamidomethanimidamide hydrochloride (5.6 g, 16.1 mmol) and NaOEt ( 1.1 g, 16.1 mmol) was stirred in EtOH (30 mL) at rt for 22 h. Following the general procedure D, a mixture of dimethyloxalate ( 3.8 g, 32.2 mmol) and the arylbiguanide base (5.1 g, 16.1 mmol) in anhydrous MeOH (0.21 M) was stirred at 25 °C for 2 h and then refluxed overnight for 21 h. After 48 h at -20 °C, the precipitate was collected by filtration. The solid was recrystallized from MeOH to afford a white solid (2.9 g, 99% pure) in 47% yield: 1H NMR (DMSO-d6, 400 MHz) d 10.62 (s, 1H, NH), 8.51 (s, 2H, Ar H), 7.88 (s, 1H, NJ¾), 7.74 - 7.63 (m, 2H, Ar H), 3.85 (s, 3H,
OG H3); 13C NMR (DMSO-de, 101 MHz) d 167.1 (CO), 164.6 (C6), 163.9 C2), 163.5 (C4), 141.6 (C2’), 130.7 (q, 3JCF = 32.7 Hz, Cl’), 123.4 (q,
= 272.7 Hz, C3’), 114.8 (m, C4’), 52.7
(OMe); IR (film): v = 3286 (primary amine stretching NH stretching), 3156 (secondary amine NH stretching), 1733 (CO), 1543, 1278 (C-N stretching); HRMS (ESI+) calcd for CI3HIOF6N502 [M+H]+, m/z = 382.0734 , found 382.0738.
Methyl 4-amino-6-((3,5-dimethylphenyl)amino)-l,3,5-triazine-2-carboxylate: Following the general free base procedure C, a mixture of l-carbamimidamido-N-(3,5- dimethylphenyl)methanimidamide hydrochloride (226 mg, 0.933 mmol) and NaOEt ( 64 mg, 0.933 mmol) was stirred in EtOH (5 mL) at rt for 22 h. Following the general procedure D, a mixture of dimethyloxalate ( 3.8 g, 32.2 mmol) and the arylbiguanide base (5.1 g, 16.1 mmol) in anhydrous MeOH (0.21 M) was stirred at 25 °C for 1 h and then refluxed for 24 h. The precipitate was collected by filtration and recrystallized using MeOH to afford a white solid (53 mg, 99% pure) in 21% yield: m.p. = 214-215 °C; 1H NMR (DMSO-d6, 400 MHz) d 9.87 (br, 1 H, N H), 7.60 (br, 1 H, N H2\ 7.41 (s, 2 H, Ar H), 6.66 (s, 1 H, Ar H), 3.83 (s, 3 H, OG ¾), 2.25 (s, 6 H, G H3); 13C NMR (DMSO-d6, 101 MHz) d 167.1 (CO), 164.7 (C6), 164.3 (C2), 164.0 (C4), 139.2 (Cl’), 137.4 (C2’), 124.2 (C3’), 117.9 (C4’), 52.5 (OMe), 21.2 (Me); IR (film): v = 3346 (primary amine NH stretching), 3193 (secondary amine NH stretching), 1748 (CO), 1547, 1242 (C-N stretching), 795, 605; HRMS (ESI+) calcd for CI3HI6N502 [M+H]+, m/z = 274.1299 , found 274.1308.
Methyl 4-amino-6-((3-fluoro-4-iodophenyl)amino)-l,3,5-triazine-2-carboxylate: The general procedure C was followed using l-carbamimidamido-N-(3-fluoro-4- iodophenyl)methanimidamide hydrochloride (200 mg, 0.559 mmol), NaOMe (118 mg, 2.18 mmol), and 1.6 mL in anhydrous MeOH. The corresponding arylbiguanide base, dimethyl oxalate (198 mg, 1.68 mmol) 1.8 mL MeOH at reflux 18 h. The reaction mixture was cooled to rt. The solid was precipitated and purified by washing several times with ¾0 to afford a white solid (72 mg, 97% pure) in 33% yield: 1H NMR (DMSO-d6, 400 MHz) d 10.29 (s, 1H, N H), 8.07 - 7.99 (m, 1H, Ar H), 7.74 (s, 1H, NJ¾), 7.70 (dd, J = 8.7, 7.6 Hz, 2H, Ar H), 7.64 (s, 1H, NJ¾), 7.33 (dd, J = 8.6, 2.4 Hz, 1H, Ar H), 3.84 (s, 6H, OG¾); 13C NMR (DMSO-d6, 101 MHz) d 167.0 (CO), 164.2 (C6), 163.8 (C2), 163.6 (C6), 160.1 (4JCF = 239.6 Hz, C3’), 142.1 (d, 3JCF = 10.7 Hz, CL), 138.9 (d, 4JCF = 3.3 Hz, C6’), 117.9, 107.3 (d, 2JCF = 29.6 Hz, C2’), 72.8 (d, 2JCF = 26.2 Hz, C4’), 53.0 (OMe); IR (film) 3476, 3298, 1744, 1644, 1536, 1223, 791, 504, 493 cm 1; 19F NMR (DMSO-de, 365 MHz) d -94.60 (CF); IR (film): v = 3335 (primary amine NH
stretching), 3197 (secondary amine NH stretching), 1748 (CO), 1540, 1223 (C-N stretching), 791; HRMS (ESI+) calcd for CIIHI0FIN5O2 [M+H]+, m/z = 389.9863, found 389.9872.
l-Carbamimidamido-N-(4-iodophenyl)methanimidamide hydrochloride: The general procedure B was followed using 4-iodoaniline (18.8 g, 86 mmol) and dicyandiamide (7.2 g, 86 mmol) in 28.6 mL 3 M HC1 at 90 °C for 48 h. The precipitate was then filtered to afford a grey purple solid. The solid was triturated with Et20 and then rinsed several times with H20 ( 5 x 5 mL) to afford a grey purple solid (23.2 g) in 79%: 1H NMR (DMSO-d6, 400 MHz) d 9.93 (d, J = 3.1 Hz, 1H, N//), 7.62 (d, J = 8.7 Hz, 2H, ArH), 7.40 (s, 3H, -N ¾+), 7.23 (d, J = 8.8 Hz, 2H, Ar H), 7.10 (s, 2H, N H) 13C NMR (DMSO-d6, 101 MHz) d 161.3 (CN), 154.7 (CN), 138.7 (Cl), 137.2 (C2), 122.7 (C3), 86.7 (C4); HRMS (ESI+) calcd for C8HnClIN5Na [M+Na]+, m/z = 361.9645, found 361.9635.
l-Carbamimidamido-N-(3-iodophenyl)methanimidamide hydrochloride: The general procedure B was followed using 3-iodoaniline (500 mg, 2.28 mmol) and dicyandiamide (192 mg, 2.28 mmol) in 0.76 mL 3 M HC1 at 100 °C for 24 h. The reaction mixture was concentrated by rotary evaporation and triturated with Et20 to afford a grey purple solid (606 mg) in 78% yield: 1H NMR (DMSO-d6, 400 MHz) d 10.00 (s, 1H, N H), 7.83 (s, 1H, N H), 7.44 (s, 3H, - N H3 + 7.38 (d, J = 7.9 Hz, 2H, Ar H), 7.10 (dd, J = 14.7, 6.7 Hz, 3H, Ar H and N//); 13C NMR (DMSO-de, 101 MHz) d 161.43 (CN), 154.65 (CN), 140.35 (Cl), 131.51 (C2), 130.6 (C6), 128.5 (C5), 119.7 (C3), 94.4 (C4); HRMS (ESI+) calcd for C8HnIN5 [M]+, m/z = 304.0059, found
304.0066.
l-Carbamimidamido-N-(2-iodophenyl)methanimidamide hydrochloride: The general procedure B was followed using 2-iodoaniline (1.0 g, 4.57 mmol) and dicyandiamide (384 mg, 4.57 mmol) in 1.5 mL 3 M HC1 at 100 °C for 48 h. The reaction mixture was concentrated by rotary evaporation and triturated with Et20 to afford a grey purple solid (953 mg) in 56% yield: 1H NMR (DMSO-de, 400 MHz) d 7.75 (s, 1H, N//), 7.47 (d, J = 1.6 Hz, 1H, Ar H), 6.66 (d, J = 8.4 Hz, 1H, Ar H), 6.52 - 6.37 (m, 1H, Ar H), 4.63 (s, 3H, -N¾+); 13C NMR (DMSO-d6, 101 MHz) d 161.8, 156.6, 139.2, 128.9, 128.1, 127.7, 121.2, 96.5; HRMS (ESI+) calcd for C8HnIN5 [M]+, m/z = 304.0059, found 304.0058.
l-Carbamimidamido-N-(4-hydroxyphenyl)methanimidamide hydrochloride: Into a microwave vessel was added 4-aminophenol (649 mg, 5.95 mmol), dicyandiamide (500 mg, 5.95 mmol), and (0.83 mL, 6.55 mmol). Then acetonitrile (7.9 mL) was added and the mixture was stirred at 150 °C. After 4.5 hours, a purple precipitate formed. The precipitate was dissolved in MeOH and stirred for 15 min, then concetrated by rotary evaporation to afford a purple solid. The solid was purified by trituration with Et20 and provided the title compound (1.38 mg) in quantitative yield as a purple solid: 1H NMR (DMSO-d6, 400 MHz) d 9.39 (s, 1H, N H), 9.23 (d, J = 2.6 Hz, 1H, OH), 7.09 (d, J = 8.8 Hz, 2H, Ar H), 7.08-7.07 (m, 3H, -N H3 +), 6.95 (s, 2 H, N//), 6.72 (d, J = 8.8 Hz, 2H, Ar H) 13C NMR (DMSO-d6, 101 MHz) d 161.0 (CN), 156.8 (CN), 154.8 (C4), 129.7 (Cl), 124.6 (C2), 115.7 (C3); HRMS (ESI+) calcd for C8Hi2N50 [M]+, m/z = 194.1042, found 194.1048.
l-Carbamimidamido-N-(4-nitrophenyl)methanimidamide hydrochloride: The general procedure B was followed using 4-nitroanline (15.4 g, 111.8 mmol) and dicyandiamide (9.40 g, 111.8 mmol) in 37.2 mL 3 M HC1 at 90 °C for 4 d and 16 h. The reacttion mixture was cooled for 6 h. The precipitate was then filtered and triturated with Et20 (3 x) to afford an orange brown solid (15.7 mg) in 55% yield: 1H NMR (DMSO-d6, 400 MHz) d 10.51 (s, 1H, N H), 8.19 (d, J = 9.3 Hz, 2H, Ar H), 7.66 (d, 9.3 Hz, 2H, Ar H), 7.67-7.66 (br overlapping, 3H, -N ¾+), 7.25 (br, 2H, N//); 13C NMR (DMSO-d6, 101 MHz) d 161.8 (CN), 153.6 (CN), 141.5 (C4), 124.8 (Cl),
119.1 (C2), 117.5 (C3); HRMS (ESI+) calcd for C8HnN602 [M]+, m/z = 223.1304, found 223.0943.
l-Carbamimidamido-N-(4-cyanophenyl)methanimidamide hydrochloride: The general procedure B was followed using 4-aminobenzonitrile (1.0 g, 8.47mmol) and dicyandiamide (712 mg, 8.47 mmol) in 2.8 mL 3 M HC1 and 10 mL MeCN at 100 °C for 2 d. The precipitate was filtered and used without further purification to afford a grey solid (1.2 g) in 60% yield: 'H NMR (DMSO-de, 400 MHz) d 10.22 (s, 1H, NJ7), 7.80 - 7.69 (d, J = 8.9 Hz, 2H, Ar H), 7.60 (d, J = 8.5 Hz, 2H, Ar H), 7.18 (broad s, 2H, NJ7); 13C NMR (DMSO-d6, 101 MHz) d 162.2 (CN), 154.3 (CN), 144.1 (C4), 133.5 (Cl), 120.2 (C2), 119.7 (C3), 104.6 (C5); HRMS (ESI-) calcd for
N'-(Azaniumylmethanimidoyl)-N-(6-iodopyridin-3-yl)guanidine chloride: The general procedure B was followed using 5-amino-2-iodopyridine (500 mg, 2.27 mmol) and dicyandiamide (191 mg, 2.27 mmol) in 0.91 mL 3 M HC1 and 0.91 mL H20 at 100 °C for 24 h. The reaction mixture was concentrated by rotary evaporation and triturated with Et20 to afford a brown solid (787 mg) in 98%: 1H NMR (DMSO-d6, 400 MHz) d 8.42 (s br, 1H, NJ7), 7.76-7.73 (m, 1H, NJ7), 7.59-7.49 (m, 2H, Ar H), 7.23-7.17 (m, Ar H and -N ¾+); 13C NMR (DMSO-d6, 101 MHz) d 161.6, 154.4, 143.1, 136.1, 134.1, 130.0; HRMS (ESI+) calcd for C7HI0IN6 [MH]+, m/z = 305.0012, found 305.0007.
l-Carbamimidamido-N-(quinolin-6-yl)methanimidamide hydrochloride: The general procedure B was followed using quinolin-6-amine (l.Og, 6.94 mmol) and dicyandiamide (584 mg, 6.95 mmol) in 2.31 mL 3 M HC1 at 100 °C for 36 h. The precipicate was filtered, washed with H20, and purified by trituration (MeOH) provided 50 (802 mg) in 44% yield as a brown solid: 1H NMR (DMSO-d6, 400 MHz) d 10.05 (s, 1H, N H), 8.81 (dd, J = 4.6, 2.2 Hz, 1H, Ar H), 8.30 (d, J = 8.4 Hz, 1H, Ar H), 8.03 - 7.94 (m, 2H, Ar H), 7.78 (dd, J = 9.0, 2.4 Hz, 1H, Ar H),
7.55 - 7.48 (m, 1H, Ar H), 7.44 (s, 2H, N H), 7.17 (s, 2H, -N # ); 13C NMR (DMSO-d6, 101 MHz) d 161.5 (CN), 154.9 (CN), 148.6, 144.0, 137.0, 135.7, 128.9, 128.3, 124.8, 121.8, 116.0;
N-[3,5-Bis(trifluoromethyl)phenyl]-l-carbamimidamidomethanimidamide hydrochloride:
The general procedure B was followed using 3,5-bis(trifluoromethyl)aniline (5 mL, 32.0 mmol) and dicyandiamide (2.69 g, 36.1 mmol) in 10.7 mL 3 M HC1 at 90 °C for 21 h. The reaction mixture was cooled for 2.5 h. The precipitate was then filtered and triturated with Et20 to afford a white powder (5.6 g) in 74%: 1H NMR (DMSO-d6, 400 MHz) d 10.40 (s, 1H, N H), 8.07 (s, 1H, Ar H), 7.72 (d, J = 1.9 Hz, 1H, Ar H), 7.61 (s, 2H, N H), 7.23 (s, 1H, Ar H) 13C NMR (DMSO-d6, 101 MHz) d 161.9 (CN), 154.0 (CN), 141.5 (C3), 130.6 (q, 2JCF = 32.6 Hz, C2), 123.2 (q, A = 272.6 Hz, Cl), 119.8 (d, 3JCF = 4.4 Hz), 115.2 (t, 4JCF = 3.8 Hz, C4); HRMS (ESI+) calcd for CIOHIOF6N5 [M+H]+, m/z = 314.0840, found 314.0840.
l-Carbamimidamido-N-(3,5-dimethylphenyl)methanimidamide hydrochloride: The general procedure B was followed using 3,5-dimethylaniline (0.187 mL, 1.5 mmol) and dicyandiamide (126 mg, 1.5 mmol) in 0.5 mL 3 M HC1 at 90 °C for 48 h. The precipitate was then filtered to afford a tan solid (284 mg) in 78%: 1H NMR (DMSO-d6, 400 MHz) d 9.75 (s, 1H, N H), 7.31 (s, 3H, N H), 7.10 (s, 1H, Ar H), 6.99 (s, 2H, Ar H), 6.69 (s, 1H, Ar H), 2.22 (s, 6H, G ¾); 13C NMR (DMSO-de, 101 MHz) d 161.0 (CN), 155.4 (CN), 138.5 (Cl), 137.6 (C2), 124.9 (C3), 118.5 (C4), 21.0 (Me); HRMS (ESI+) calcd for CI0HI6N5 [M]+, m/z = 206.1406, found 2016.1402.
l-Carbamimidamido-N-(3,4,5-trifluorophenyl)methanimidamide hydrochloride : The general procedure B was followed using 3,4,5-trifluoroaniline (875 mg, 5.95 mmol) and dicyandiamide (500 mg, 5.95 mmol) in 1.98 mL 3 M HC1 and 6.0 mL acetonitrile at 150 °C for
14 h. The precipitate was filtered, washed with H20 and purified by trituration with Et20 provided the title compound (1.06 mg, 93% pure) in 67% yield as a light brown solid: 1H NMR
(DMSO-de, 400 MHz) d 7.36-7.32 (m, 2 H), 7.11-7.07 (m, 5H, NH and -N H3 +) 6.34-6.30 (s, 1H, Ar H) HRMS (ESI+) calcd for C8H9F3N5 [M]+, m/z = 232.0810, found 232.0818.
l-Carbamimidamido-N-(3,5-difluoro-4-iodophenyl)methanimidamide hydrochloride: The general procedure B was followed using 3,5-difluoro-4-iodoaniline (148 mg, 0.581 mmol) and dicyandiamide (132 mg, 0.581 mmol) in 0.193 mL 3 M HC1 and 0.193 mL H20 at 100 °C for 48 h. The reaction mixture was concentrated by rotary evaporation and triturated with Et20 to afford a brown solid (91.8 mg) in 42%: 1H NMR (DMSO-d6, 400 MHz) d 10.29 (s, 1 H, NJ7), 7.66 (d, J
= 10.1 Hz, 1 H, Ar H), 7.05 (s, 1 H, Ar H), 6.97 (s, 1 H) 13C NMR (DMSO-d6, 101 MHz) d 166.2 (Cl), 161.8 (d, 4JCF = 239.8 Hz, C3’), 162.8 (d, 4JCF = 238.9 Hz, C6’), 158.5 (Cl’), 143.0 (d, 2JCF
= 13.9 Hz, C2), 102.6 (d, 2JCF = 30.3 Hz, C4’); HRMS (ESI+) calcd for C8H9F2IN5 [M]+, m/z = 339.9871, found 339.9876.
l-Carbamimidamido-N-(3-fluoro-4-iodophenyl)methanimidamide hydrochloride : The general procedure B was followed using 3-fluoro-4-iodoaniline (500 mg, 2.11 mmol) and dicyandiamide (177 mg, 2.11 mmol) in 0.7 mL 3 M HC1 and 1.0 mL acetonitrile at 100 °C for 18 h. The precipitate was filtered, washed with H20 and purified by trituration with Et20 provided the title compound (406 mg) in 54% yield as a grey purple solid: 1H NMR (DMSO-d6, 400
MHz) d 10.29 (s, 1H, N H), 7.71 (dd, J = 8.6, 7.5 Hz, 1H, Ar H), 7.50 (d, J = 2.4 Hz, 4H, Ar H and -NH3 +), 7.15 (s, 2H, N H), 6.98 (dd, J = 8.7, 2.3 Hz, 1H, Ar H) 13C NMR (DMSO-d6, 101 MHz) d 160.9 (d, ^CF = 240 Hz, Cl), 161.5 (CN), 154.3 (CN), 141.2 (d, 3JCF = 10.3 Hz, C3), 138.6 (d,
4JCF = 3.4 Hz, C6), 117.8 (d, 4JCF = 2.9 Hz, C5), 107.2 (d, 2JCF = 29 Hz, C2), 73.0 (d, 2JCF = 26.2 Hz, C4); HRMS (ESI+) calcd for C8HiodFN5Li [M+Li]+, m/z = 363.9814, found 363.3083.
N'-(zaniumylmethanimidoyl)-N-(4-fluorophenyl)-N-methylguanidine chloride: The general procedure B was followed using 4-fluoromethyl aniline (0.5 mL, 4.4 mmol) and dicyandiamide (370 mg, 4.4 mmol) in 1.5 mL 3 M HC1 at 90 °C for 24 h. The reacttion mixture was cooled for 1 h at rt. The precipitate was filtered and triturated with Et20 to afford a dark brown solid in 98% yield (992 mg): 1H NMR (DMSO-d6, 400 MHz) d 7.43 - 7.34 (m, 2H, Ar H), 7.31 (d, J = 13.4 Hz, 2H, N H), 7.23 (dd, J = 9.9, 7.7 Hz, 2H, Ar H), 7.06 (s, 4H, s, -N H3 +), 3.26 (s, 3 H, C¾); 13C NMR (DMSO-de, 101 MHz) d 163.5 (CN), 161.0 (d, ^CF = 244.6 Hz C4), 160.2 (CN), 159.1 (Cl), 158.9 (Me), 140.3 (d, 4JCF = 2.9 Hz, Cl), 129.3 (d, 3JCF = 8.8 Hz, C2), 116.4 (d, 2JCF = 22.7 Hz, C3); HRMS (ESI+) calcd for C9H13FN5 [M]+, m/z = 210.1155, found 210.1156.
4,6-Dichloro-N-(4-fluorophenyl)-l,3,5-triazin-2-amine: To a solution of cyanuric chloride (3.86 mmol) in CH2Cl2 at 0 °C were added Na2C03 (3.86 mmol) and 4-fluoroaniline (3.86 mmol). The mixture was stirred at 0 °C for 2 h and then overnight at rt. The solvent was removed by rotary evaporation and 14 mL of ice sold water was added to the residue. The precipitate was then filtered, washed with water (3 X 7 mL), and dried under vacuum to afford a white solid (865 mg) in 87% yield. The solid was used without further purification: 1H NMR (DMSO-d6, 400 MHz) d 11.19 (d, J = 2.0 Hz, 1H, N//), 7.67 - 7.55 (m, 2H, Ar H), 7.33 - 7.22 (m, 2H, Ar H) IR (film): v = 3391 (secondary amine N-H), 3078, 1506, 1212 (C-N stretch); HRMS (ESI+) calcd for C9H6Cl2FN4 [M+H]+, m/z = 258.9949, found 258.9946.
6-Chloro-N2-(4-fluorophenyl)-N4,N4 -dimethyl-1, 3, 5-triazine-2, 4-diamine: To a solution of 4,6-dichloro-N-(4-fluorophenyl)-l,3,5-triazin-2-amine (above) (300 mg, 1.16 mmol) in acetone was added K2C03 (160 mg, 1.16 mmol) and dimethylamine (0.58 mL, 1.16 mmol). The mixture was stirred at 40 °C for 6 h. The solvent was removed by rotary evaporation and ice water (11 mL) was added. The residue was filtered and washed with water (3 X 11 mL). The residue was chromatographed to afford 58 (146 mg) in 47% yield as white solid: 1H NMR (CDCl3, 400 MHz) d 7.56 - 7.45 (m, 2H, Ar H), 7.12 (s, 1 H, Ntf), 7.07 - 6.94 (m, 2 H, Ar H), 3.18 (d, J = 12.3
Hz, 6H, G H3); 13C NMR (CDCl3, 101 MHz) d 169.3 (C6), 165.4 (C2), 163.8 (C4), 159.4 (d, ^CF = 244.3 Hz C4), 134.2 (d, 4JCF = 2.9 Hz, Cl), 122.3 (d, 3JCF = 7.9 Hz, C2), 115.8 (d, 2JCF = 22.6 Hz, C3), 36.9 (dd, Me)); 19F NMR (CDCl3, 101 MHz) d -120.0 (CF); IR (film): v = 3309 (secondary amine N-H stretch), 2929, 1201 (C-N stretch), 832; HRMS (ESI+) calcd for C11H12CIFN5 [M+H]+, m/z = 268.0760, found 268.0764.
4-(Dimethylamino)-6-((4-fluorophenyl)amino)-l,3,5-triazine-2-carbonitrile: To a solution of 6-chloro-N2-(4-fluorophenyl)-N4,N4-dimethyl-l, 3, 5-triazine-2, 4-diamine (above) (111 mg, 0.416 mmol) in anhydrous DMSO (3.5 mL) was added KCN (29 mg, 0.458 mmol). The microwave vessel was sealed and stirred at 120 °C. After 15 minutes, the solution became a light orange color. The mixture was cooled to ambient temperature and diluted with ethyl acetate (5 mL). The organic mixture was washed several times with saturated NaCl solution. The organic mixture was separated, dried with Na2S04, filtered, and concentrated by rotary evaporation. The residue was purified by column chromatography (1% MeOH:CH2Cl2) to afford 59 (75 mg) in 70% yield as a white solid: 1H NMR (CDCf, 400 MHz) d 10.2 (br s, 1H, Ntf), 7.71 (m, 2H, Ar H), 7.28 - 7.09 (m, 2H, Ar H), 3.14 (d, J = 2.9 Hz, 6H, G ¾); 13C NMR (DMSO-d6, 101 MHz) d 163.5 (C6), 163.2 (C2), 162.2 (C4), 158.1 (d, 4JCF = 234.7 Hz, CL), 151.0 (CN), 134.8, 122.0, 115.2 (d, 2JCF = 22.3 Hz, C3’), 36.2 (Me); 19F NMR (DMSO-d6, 365 MHz) d -119.5 (CF); HRMS (ESI+) calcd for CI2HI2FN6 [M+H]+, m/z = 259.1102 , found 259.1112.
4,6-Dichloro-N-(4-fluorophenyl)-l,3,5-triazin-2-amine:4,6-Dichloro-N-(4-fluorophenyl)- l,3,5-triazin-2-amine (above) (1.18 mmol) and sodium cyanide (1.30 mmol) were weighed into a microwave vial, anhydrous DMSO (0.25 M) and l5-crown-5 (1.30 mmol) were added. The mixture was stirred at 100 °C. After 3 h, the mixture was cooled to rt and diluted with EtOAc (5 mL). The organic mixture was washed with aqueous 5% LiCl (5 X 5 mL). The organic mixture was dried with Na2S04, filtered, and concentrated by rotary evaporation to afford a white solid. The solid was chromatographed (20% EtOAc:Hexanes) to afford a white solid (191 mg) in 66%
yield: 1H NMR (DMSO-d6, 400 MHz) d 10.09 (s, 1H, N H), 9.94 (s, 1H, N H), 8.05 (s, 2H, N H), 7.74 (s, 4H, s, -N H3 +), 7.27 - 7.06 (m, 2 H, Ar H), 2.82 (dd, J = 16.7, 4.8 Hz, 3H, C H3) 13C NMR (DMSO-de, 101 MHz) d 165.8 (C6), 163.6 (C2), 157.9 (d, ^CF = 240.5 Hz, C4’), 135.3 (C4), 121.8 (Cl’), 115.11 (dd, 3JCF = 22.2, 6.0 Hz, C2’), 27.3 (d, J = 10.8 Hz, Me); 19F NMR (DMSO- d6, 365 MHz) d -120.6 (CF); HRMS (ESI+) calcd for C10H9CIIFN5 [M+H]+, m/z = 254.0609, found 254.0607.
4-[(4-fluorophenyl)amino]-6-(methylamino)-l,3,5-triazine-2-carbonitrile: 6-Chloro-N2-(4- fluorophenyl)-l, 3, 5-triazine-2, 4-diamine (above) (1.18 mmol, 300 mg), l5-crown-5 (0.260 mL, 1.30 mmol), and sodium cyanide (64 mg, 130 mmol) were weighed into a microwave vial.
Anhydrous DMSO (0.25 M) was added and the mixture was heated at 100 °C. After 8 h, the mixture was cooled to rt and diluted with 5.0 mL EtOAc. The organic mixture was washed with 5% LiCl aqueous solution (5 mL x 5). The organic mixtures were dried with Na2S04, filtered, and concentrated by rotary evaporation to afford a white solid. The solid was chromatographed (20% EtOAc:Hexanes) to afford a white solid (191 mg) in 66% yield: 'H NMR (DMSO-d6, 400
MHz) d 10.24 (s, 1H, Ntf), 7.20 (d, J = 8.8 Hz, 2H, Ar H), 7.15 (d, J = 10.5 Hz, 2H, Ar H), 2.83 (dd, J = 10.9, 4.7 Hz, 3H, C ¾, rotamers); 13C NMR (DMSO-d6, 101 MHz) d 164.8 (C6), 158.1 (d, ^CF = 245.4 Hz, C4’), 155.3 (C2), 151.0 (C4), 134.9 (C4’), 121.9 (d, 3JCF = 9.0 Hz, C2’), 122.0 (CN), 115.2 (d, 2JCF = 22.3 Hz, C3’), 27.2 (d, Me); HRMS (ESI+) calcd for Cn¾FN6 [M+H]+, m/z = 245.0951, found 245.0952.
Methyl 3-[(4-fluorophenyl)amino]-5-nitrobenzoate: Methyl 3-bromo-5-nitrobenzoate (2.58 mmol), cesium carbonate (3.87 mmol), and 2, 2'-bis(diphenylphosphino)- 1,1 '-binaphthyl (BINAP) (0.194 mmol) were weighed into a Schlenck flask, and the flask was purged with N2. Anhydrous toluene (25 mL) was then added to the flask. Pd2(dba)2 was weighed into a separate
microwave vial and dissolved in 1.0 mL of toluene. The resulting solution was added to the Schleck flask and the mixture was stirred at 100 °C. The reaction progress was monitored by TLC (15% EtOAc:hexanes). After 29 h, the mixture was cooled to rt and diluted with EtOAc 1.0 mL, filtered over a pad of Celite®. The mixture was concentrated by rotary evaporation and purified by flash column chromatography (50% hexanes :CH2Cl2) to afford a dark yellow solid in 26% yield (194 mg, 98% pure): 1H NMR (DMSO-d6, 400 MHz) d 8.77 (dd, J = 2.1, 1.4 Hz, 1H, Ar H), 8.56 - 8.50 (m, 1H, Ar H), 8.47 (dd, J = 1.9, 1.4 Hz, 1H, Ar H), 3.97 (s, 3H, OC H3); 13C NMR (DMSO-de, 101 MHz) d 165.2 (CO), 159.7 (d, ^CF = 244.3 Hz, C4’), 149.5 (C5), 146.4, 130.0 (d, 4Jcf = 2.7 Hz, CL); 132.6 (C3), 123.7 (d, 3JCF = 8.1 Hz, C3’), 121 .2 (C6), 116.7 (d, 2JCF = 22.7 Hz, C2’), 114.9 (C2), 112.5 (C4), 52.8 (OMe); 19F NMR (DMSO-d6, 365 MHz) d -117.5; IR (film) 3414, 3350, 1711, 1506, 1219, 769 cm_1 HRMS (ESI+) calcd for C14H11FN2O4 [M+H]+, m/z = 291.0776, found 291.0781.
6-Bromo-4-nitropicolinic acid: To a solution of 2-bromo-6-methyl-4-nitro-pyridine (2.07 mmol) in concentrated H2SO4, Cr03 (8.28 mmol) was added at 0 °C. The resulting solution was stirred at rt for 4 h. The mixture was then heated to 70 °C for 30 min and then cooled to rt. Ice cold H20 (13 mL) was added slowly to afford a dark green heterogeneous solution. The mixture was allowed to stand at -20 °C overnight. The crude product was filtered and recrystallized from H20 and MeOH to afford a white solid in 75% yield (385 mg): 'H NMR (DMSO-d6, 400 MHz) d 8.63 (d, J = 1.8 Hz, 1H, Ar H), 8.50 (d, J = 1.9 Hz, 1H, Ar H).
Methyl 6-bromo-4-nitropicolinate: 6-bromo-4-nitropicolinic acid (1.21 mmol) was dissolved in anhydrous methanol followed by the addition of concentrated H2S04 (0.301 mmol). The mixture was heated at reflux overnight. The reaction was monitored using TLC (100% CH2CI2). After completion, the reaction was cooled to rt and the pH was adjusted to pH = 4. The mixture was
concentrated by rotary evaporation and the resulting residue was dissolved in EtOAc. The organic mixture was washed with water. The aqueous layer was extracted with EtOAc (3X), dried with Na2OS4, filtered, and concentrated by rotary evaporation to afford a white solid (289 mg) in 91% yield. The solid was used without further purification: 1H NMR (Methanol-d4, 400 MHz) d 8.69 (d, J = 1.8 Hz, 1H, Artf), 8.6 (d, J = 1.8 Hz, 1H, Artf), 4.03 (s, 3 H, OG¾ ); HRMS (ESI+) calcd for C13H11FN3O4 [M+H]+, m/z = 292.0729, found 292.0734.
Methyl 6-((4-fluorophenyl)amino)-4-nitropicolinate: Methyl 6-bromo-4-nitropicolinate (65) (0.766 mmol), 4-fluoro aniline (0.919 mmol), t-BuOK (1.07 mmol), were weighed into a
Schlenck flask. The flask was purged with a N2, and anhydrous toluene (5.7 mL). A solution of Pd2(dba)2 and bis[(2-diphenylphosphino)phenyl] ether (DPEPhos) in 2 mL of anhydrous toluene was added to the flask. The mixture was stirred at 100 °C, and the reaction progress was monitored by TLC (20% EtOAc: hexanes). After 48 h, the reaction was cooled to rt. The solution was washed with water, and the aqueous layer was extracted with EtOAC (3 x 5 mL). The combined organic layers were dried with Na2S04, filtered, and concentrated by rotary evaporation. The residue was purified by flash column chromatography (15% EtOAc:Hexanes) and then (100% CH2Cl2) to afford an orange solid in 14% yield (32 mg, 99% pure): 1H NMR
(CDCI3, 400 MHz) d 8.14 (d, J = 1.8 Hz, 1H, ArJT), 7.51 (d, J = 1.8 Hz, 1H, ArJT), 7.38 - 7.28 (m, 2H, Artf), 7.19 - 7.10 (m, 2H, Artf), 7.08 (s, 1H, N H), 4.03 (s, 3H, OC H3); 13C NMR
(CDCI3, 101 MHz) d 164.3 (CO), 161.9 (C2), 151.1 (d, 1JCF = 274.8 Hz, C4’), 158.6 (C4), 149.6 (C3), 134.3 (d, 4JCF = 3. l Hz, Cl’), 125.1 (d, 3JCF = 8.3 Hz, C2’), 117.1 (d, 2JCF = 22.9 Hz, C3’),
108.9 (C4), 103.5 (C5), 53.6 (OMe); 19F NMR (MeOD, 365 MHz) d -122.6 (CF); HRMS (ESI+) calcd for C13H11FN3O4 [M+H]+, m/z = 292.0729, found 292.0734.
4-Azido-6-chloro-N-(4-iodophenyl)-l,3,5-triazin-2-amine: To a solution of 2-azido-4,6- dichloro-l,3,5-triazine (505 mg, 2.64 mmol) in acetone was added K2C03 (365 mg, 2.64 mmol)
and 4-iodoaniline (578 mg, 2.64 mmol). The resulting mixture was stirred at rt for 6 h. The solvent was removed by rotary evaporation. The resulting residue was mixed with 11 mL of ice water. The solid was filtered and washed with H20 several times to afford a white solid (820 mg) in 83% yield. The solid was used without further purification: 1H NMR (DMSO-d6, 400 MHz) d 10.68 (br, 1H, NJ7), 7.69 (d, J = 8.9 Hz, 2H, Ar H), 7.49 (d, J = 8.9 Hz, 2H, Ar H) 13C NMR (DMSO-d6, 101 MHz) d 170.7 (C4), 169.9 (C2), 165.1 (C6), 138.3, 137.8, 123.4, 88.3 (2 unresolved carbons); HRMS (ESI+) calcd for C9H5CIN7 [M+H]+, m/z = 373.9413, found 373.9418.
6-Azido-N2-(4-iodophenyl)-l, 3, 5-triazine-2, 4-diamine: Ammonium hydroxide (0.375mL, 3.21 mmol) was added to 4-azido-6-chloro-N-(4-iodophenyl)-l,3,5-triazin-2-amine (400 mg, 1.07 mmol) in THF (2.9 mL). The reaction was refluxed overnight. The solution turned into a yellow color and a white solid precipitated. The mixture was concentrated by rotary evaporation to afford a white solid. The solid was purified by flash column chromatography (15-50% EtOAc:Hexanes) to afford a white solid (222 mg) in 59% yield: 'H NMR (DMSO-d6, 400 MHz) d 9.80 ( br, 1H, N H), 7.60 (m, 4H, Ar H), 7.50 (d, J = 8.9 Hz, 2H, NJ¾); 13C NMR (DMSO-d6, 101 MHz) d 168.9 (C6), 167.8 (C2), 165.1 (C4), 139.9 (Cl), 137.5 (C2), 122.7 (C3), 86.2 (C4); HRMS (ESI+) calcd for C9H8IN8 [M+H]+, m/z = 354.9912, found 354.9920.
6-(Azidomethyl)-N2-(4-iodophenyl)-l, 3, 5-triazine-2, 4-diamine: A mixture of 6- (chloromethyl)-N2-(4-iodophenyl)-l, 3, 5-triazine-2, 4-diamine (100 mg, 0.277 mmol) and sodium azide (54 mg, 0.830) were weighed into a microwave vial with a stir bar. Acetonitrile (2.8 mL) was added and the reaction vessel was sealed. The reaction was heated at reflux overnight. The mixture was cooled to rt and concentrated by rotary evaporation to afford a white residue, which was dissolved with 3 mL CH2CI2. The organic mixture was washed with H20, dried with Na2S04, filtered, and concentrated by rotary evaporation to afford a light grey solid. The solid
was purified by column chromatography (1-5% MeOH:CH2Cl2) to afford a white solid (43 mg) in 42% yield: 1H NMR (DMSO-d6, 400 MHz) d 9.80 (s, 1H, N H), 9.72 (s, 1H, N H), 7.65 (d, J = 6.6 Hz, 2H, Arif), 7.58 (d, J = 8.9 Hz, 2H, Ar H), 7.29 (s, 2H, Ar H), 4.18 (s, 2H, C H2) 13C NMR (DMSO-de, 101 MHz) d 173.5 (C6), 167.1 (C2), 164.5 (C4), 140.1 (Cl), 137.5 (C2), 122.7 (C3), 85.9 (C4), 54.2 (CH2); HRMS (ESI+) calcd for CI0H9IN8 [M+H]+, m/z = 369.0073, found 369.0066.
The various features and processes described above may be used independently of one another, or may be combined in various ways. All possible combinations and subcombinations are intended to fall within the scope of this disclosure. In addition, certain method or process blocks may be omitted in some implementations. The methods and processes described herein are also not limited to any particular sequence, and the blocks or states relating thereto can be performed in other sequences that are appropriate. For example, described blocks or states may be performed in an order other than that specifically disclosed, or multiple blocks or states may be combined in a single block or state. The example blocks or states may be performed in serial, in parallel, or in some other manner. Blocks or states may be added to or removed from the disclosed example embodiments. The example systems and components described herein may be configured differently than described. For example, elements may be added to, removed from, or rearranged compared to the disclosed example embodiments.
Conditional language used herein, such as, among others, “can,” “could,” “might,” “may,”“e.g.,” and the like, unless specifically stated otherwise, or otherwise understood within the context as used, is generally intended to convey that certain embodiments include, while other embodiments do not include, certain features, elements, and/or steps. Thus, such conditional language is not generally intended to imply that features, elements and/or steps are in any way required for one or more embodiments or that one or more embodiments necessarily include logic for deciding, with or without author input or prompting, whether these features, elements and/or steps are included or are to be performed in any particular embodiment. The terms “comprising,” “including,” “having,” and the like are synonymous and are used inclusively, in an open-ended fashion, and do not exclude additional elements, features, acts, operations, and so forth. Also, the term“or” is used in its inclusive sense (and not in its exclusive sense) so that when used, for example, to connect a list of elements, the term“or” means one, some, or all of the elements in the list.
While certain example embodiments have been described, these embodiments have been presented by way of example only, and are not intended to limit the scope of the inventions disclosed herein. Thus, nothing in the foregoing description is intended to imply that any particular feature, characteristic, step, module, or block is necessary or indispensable. Indeed, the novel methods and systems described herein may be embodied in a variety of other forms; furthermore, various omissions, substitutions and changes in the form of the methods and systems described herein may be made without departing from the spirit of the inventions disclosed herein. The accompanying claims and their equivalents are intended to cover such forms or modifications as would fall within the scope and spirit of certain of the inventions disclosed herein.
TABLES
Table 1. SAR Analysis for in vitro inhibition of cGAS.
Compound Ar IC50 ^M) Compound Ar IC50 ^M)
5.9 ± 1.20 8.7 ± 0.69 6H4 14.9 ± 1.40 4.5 ± 0.33
H 0.45 ± 0.04
1.4 ± 0.03
H, 3.9 ± 0.16
1.5 ± 0.07
21 2-I-C6H4 13.1 ± 1.00
26 ( 0.24 ± 0.01
Table 2. Chemical structures and binding energies of the ten hits identified from the in-silico screening of Enamine and Maybridge diversity drug-like libraries.
Compound Chemical Structure Binding Energy
Table 3. SAR analysis for in vitro inhibition of hcGAS, Related to Table 1.
Ar defined as aryl group. IC50 defined as half maximal inhibitory concentration.
a In vitro IC50 derived from dose-response curve for the measurement of ATP consumption from cGAS-mediated 2’,3’-cGAMP synthesis.
Table 4. SAR analysis: exploration of /VH-heterocycles, Related to Figure 3.
Ar defined as aryl group. IC50 defined as half maximal inhibitory concentration.
a in vitro IC50 derived from dose-response curve for the measurement of ATP consumption from cGAS-mediated 2’,3’-cGAMP synthesis.
Ar defined as aryl group. IC50 defined as half maximal inhibitory concentration. a In vitro IC50 derived from dose-response curve for the measurement of ATP consumption from cGAS- mediated 2’,3’-cGAMP synthesis.
REFERENCES
1. Bryant, C. E.; Orr, S.; Ferguson, B.; Symmons, M. F.; Boyle, J. P.; Monie, T. P. (2015) Internatioal Union of Basic Clinical Pharmacology. XCVI. Pattern Recognition Receptors in Health and Disease Pharmacol. (57, 462-504.
2. Sun, L.; Wu, J.; Du, F.; Chen, X.; Chen, Z.; (2013) Cyclic GMP-AMP synthase is a cytosolic DNA sensor that activates the type I interferon pathway Science 339 , 786-791.
3. Barber, G. N. (2015) STING: infection, inflammation and cancer Nat. Rev. Immunol. 75, 760-770.
4. Barrat, F. J. Elkon, K. B.; Fitzgerald, K. A. (2016) Importance of nucleic acid recognition in inflammation and autoimmunity Ann. Rev. Med., 67, 323-336.
5. Wu, J.; Chen, Z. (2014) Innate immune sensing and signaling of cytosolic nucleic acids Annul Rev. Immunol., 32, 461-488.
6. Crow, Y. J. (2015) Type I interferonopathies: mendelian type I interferon up-regulation Curr.
Opin. Immunol., 32, 7-12.
7. Ablasser, A.; Hemmerling, T; Schmid-Burgk, J. L.; Behrendt, R.; Roers, A.; Hornung, V. J.
(2014) TREX1 deficiency triggers cell-autonomous immunity in a cGAS-dependent manner Immunol., 192, 5993-.5997.
8. Liu, Y. et al. (2014) Activated STING in a vascular and pulmonary syndrome N. Engl. J.
Med., 277, 507-518.
9. Ng, K. W.; Marshall, E. A.; Bell, J. C.; Lam, W. L. (2018) cGAS-STING and cancer: dichotomous roles in tumor immunity and development Trends in Immunology, 39, 44-54.
10. Jund, T.; Barchet, W. (2015) Translating nucleic acid-sensing pathways into therapies Nat.
Rev. Immunol., 15, 529-544.
He, S.; Mao, X.; Sun, H.; Shirakawa, T.; Zhang, H.; Wang, X. (2015) Potential therapeutic targets in the process of nucleic acid recognition: opportunities and challenges Trends in Pharmacol. Sci., 36 , 51-64. Vincent J. J.; et al. (2017) Small molecule inhibition of cGAS reduces interferon expression in primary macrophages from autoimmune mice Nature Commun., 8 , 1-13. Dai, J. et al. (2019) Acetylation blocks cGAS activity and inhibits self-DNA-induced autoimmunity Cell, 176, 1447-1460. Zhang, X.; Wu, J.; Du, F.; Xu, H.; Sun, L.; Chen, Z.; Brautigam, C. A.; Zhang, X.; Chen, Z. J. (2014) The cytosolic DNA sensor cGAS forms an oligomeric complex with DNA and undergoes switch-like conformational changes in the activation loop Cell Rep, 6, 421-430. Hall, J. et al. (2017) Discovery of PF-06928215 as a high affinity inhibitor of cGAS enabled by a novel fluorescence polarization assay Plos ONE, 72, eO 184843. Zhou, W.; Whiteley, A. T.; de Olivaeira Mann, C. C.; Morehhouse, B. R.; Nowak, R. P.; Fischer, E. S.; Gray, N. S.; Mekalanos, J. J.; Kranzusch, P. J. (2018) Structure of the Human cGAS-DNA complex reveals enhanced control of immune surveillance Cell, 174 , 300-311. Zhang, X., Wu, J., Du, F., Xu, H., Sun, L., Chen, Z., Brautigam, C.A., Zhang, X., Chen, Z.J. (2014) The cytosolic DNA sensor cGAS forms an oligomeric complex with DNA and undergoes switch-lilke conformational changes in activation loop Cell Rep., 6 , 421-430. Kranzusch, P. J.; Lee, A. S.; Berger, J. M.; Doudna, J. (2013) Structure of human cGAS reveals a conserved family of second-messengers enzymes in innate immunity Cell Rep., 3, 1362-1368.
19. Kothayer, H.; Elshanawani, A. A.; Abu Kull, M. E.; El-Sabbagh, O. I.; Shekhar, M. P. V.; Brancale, A.; Jones, A. T.; Westwell, A. D. (2013) Design, synthesis and in vitro anticancer evaluation of 4,6-diamino-l,3,5-triazine-2-carbohydrazides and -carboamides Bioorg. Med. Chem. Lett., , 23, 6886-6889.
20. (a) Wilcken, R.; Zimmermann, M. O.; Lange, A.; Joerger, A. C.; Boeckler (2013) Principles and applications of halogen bonding in medicinal chemistry and chemical bilogy J. Med. Chem., 56, 1363-1388. (b) Voth, A. R.; Kuu, P.; Oishi, K.; Ho, S. (2009) Halogen bonds as orthogonal molecular interactions to hydrogen bonds Nat. Chem., 1, 74-79. (c) Politzer, P. Murray, J. S.; Clark, T. (2010) Halogen bonding: an electrostatically -driven highly directional noncovalent interaction Phys. Chem. Chem. Phys., 12, 7748-7757.
21. Meanwell, N. A. (2011) Synopsis of some recent tactical application of bioisosteres in drug design J. Med. Chem., 54, 2529-2591.
22. Wilcken, R.; Zimmermann, M. O.; Bauer, M. R.; Rutherford, T. J.; Fersht, A. R.; Joerger, A.
C.; Boeckler, F. M. (2015) Experimental and theoretical evaluation of the ethynyl moiety as a halogen bioisostre ACS Chem. Biol., 10, 2725-2732.
23. Huttunen, K. M.; Rauino, H.; Rautio, J. (2011) Pro-drugs from serendipity to rational design Pharmacol. Rev., 63, 750-771.
24. (a) Tanji, H.; Ohto, U.; Shibata, T.; Miyake, K.; Shimizu, T. (2013) Structural reorganization of the Toll-like receptor 8 dimer induced by agonistic ligands Science, 339, 1426-1429. (b) Tanji, S.; Ohto, U.; Shibata, T.; Taoka, M.; Yamauchi, Y.; Isobe, T.; Miyake, K.; Shimizu, T. (2015) Toll-like receptor 8 senses degradation products of single-stranded RNA Nat. Struc. Mol. Biol., 22, 109-115. (c) Ohto, U.; Tanji, H.; Shimizu, T. (2014) Structure and function of toll-like receptor 8 Microbes Infect., 16, 273-282.
25. Li, X.; Shu, C.; Yi, G.; Chaton, C. T.; Shelton, C. L.; Diao, L; Zuo, X.; Kao, C. C.; Herr, A. B.; Li, P. (2013) Cyclic GMP-AMP synthase is activated by double-stranded DNA-induced oligomerization Immunity, 39, 1019-1031.
26. Vincent J. L; Adura, C.; Gao, P; Luz, A.; Lama, L.; Asano, Y; Okamoto, R.; Imaeda, T.;
Aida, J.; Rothamel, K.; Gogakos, T.; Steinberg, J.; Reasnor, S.; Aso, K.; Tuschi, T.; Patel, D. J.; Glickman, J. R; Ascano, M. Nat. Commun., 2017, 8, 1-13.
27. Kothayer, H.; Morelli, M.; Brahemi, G.; Elshanawani, A. A.; Abu Kull, M. E.; El-Sabbagh, O. L; Shekhar, M. P. V; Westwell, A. D. Tetrahedron Let,t. 2014, 55, 7015-7018.
28. LeBel, O.; Maris, T.; Duval, H.; Wuest, J. D. Can. J. Chem. 2005, 83, 615-625.
29. Kim, H. W.; Lee, J. S.; Heo, H. L; Lee, H. B.; Jeong, J. K., Park, J. H.; Kim, S.; Lee , Y. W.
Biguanide compounds and use thereof, US Patent 201500126518, May 7, 2015.
30. Neelaraput, R.; Holzle, D. L.; Velaparthi, S.; Bai, H.; Brunsteinert, Blond, S. Y; Petukhov, P.
A. J. Med. Chem., 2011, 54, 4350-4364.
31. Kothayer, H.; Elshanawani, A. A.; Abu Kull, M. E.; El-Sabbagh, O. L; Shekhar, M. P. V;
Brancale, A.; Jones, A. T.; Westwell, A. D. Bioorg. Med. Chem. Lett., 2013, 23, 6886-6889.
32. Kim, H. w.; Jeong, J. K.; Lee, J. S.; Heo, H. J.; Lee, H. B.; Kook, J. A.; Kim, S. Q. Biguanide compound and use thereof, European Patent 3,222,614, 2017, September 8, 2017.
33. Shima, T; Muraoka, T.; Hoshino, N.; Akutagawa, T.; Kobayashi, Y; Kinbara, K. Angew.
Chem. Int. Ed 2014, 53, 7173-7178.
34. Kaboudin, B.; Kazemi, F.; Pirouz, M.; Khoshkhoo, A. B.; Kato, J.; Yokomatsu, T. Synthesis, 2016, 48, 3597-3602.
35. Obianom, O. N.; Coutinho, A. L.; Yang, W.; Yang, H.; Xue, E; Shu, Y. Mol. Pharmaceutics, 2017, 14, 2726 - 2739.
36. Mayer, S.; Daigle, D. D.; Brown, E. D.; Khatri, J.; Organ, M. G. J. Comb. Chem., 2004, 6, 776-782.
37. Newton, A. S.; Luca, D.; Puleo, D. E.; Cisnero, J. A.; Schlessinger, J.; Jorgensen, W. W. ACS Med. Chem. Lett., 2017 , 8, 614 - 617. 38. Zheng, M.; Xu, C.; Ma, J.; Sun, Y; Du, E; Liu, H.; Lin, L.; Li, C.; Ding, J.; Chen, K.; Jiang,
H. Bioorg. Med. Chem. 2007, 15, 1815-1827.
39. Mori, M.; Vignaroli, G.; Cau, Y; Dinic, J.; Hill, R.; Rossi, M.; Colecchia, D.; Pesic, M.;
Link, W.; Chiariello, M.; Ottmann, C.; Botta, M. Chem. MedChem., 2014, 9, 973-983.
40. Buttelmann, B. Alanine, A.; Bourson, A.; Gill, R.; Heitz, M.; Mutel, V; Pinard, E.; Trube, G.;
Wyler, R. Bioorg. Med. Chem. Lett., 2003, 13, 829-832.
41. Harmolfs, K.; Mancuso, L.; Drung, B.; Sasse, E; Kirschning, A. Beilstein J. Org. Chem., 2014, 10, 535-543.
42. Chu, J.; Huang, H.; Hsu, W.; Chen, S.; Wu, M. Organometallics, 2014, 33, 1190-1204.
43. Ameen, M. A.; Karsten, S.; Liebscher, J. Tetrahedron, 2010, 66, 2141-2147.
44. Boyu Z., SunHeping S., LiChuo C., Chen; cGAS ANTAGONIST COMPOUNDS US 15/953,494
Claims
1. A compound having the chemical structure of Formula (I) or a prodrug, therapeutically active metabolite, hydrate, solvate, or pharmaceutically acceptable salt thereof:
, , , , , or R2 is phenyl optionally substituted with halogen, -OH, -OR4, -CN, -S02R4, -C02R4, -CF3, - C(0)H, -C1-6 alkyl, or -NHC(0)CH3;
wherein X7 is S, O, NH, or NR, and n is 0-12; each R is independently H, -OH, or -NH2; or R is Ci-6 alkyl optionally substituted with one or more of halogen, -OH, -NR4R5, or Ci-6 cycloalkyl, or R is Ci-6 cycloalkyl, or R is Ci-6 aryl optionally substituted with one or more of halogen, -OH, -CN or -NHR5; and, each R5 is independently H, halogen, -NH2, -OH, -CN, -S02Me, -C02Me, -CF3, -CHO, - OMe, -SiR3, -C02R4, -S02-aryl, -COR4 -NHC(0)CH3; or R5 is -Ci-6 alkyl optionally substituted with one or more of halogen, -NH2, -OH, -CN; or R5 is -Ci-6 aryl optionally substituted with one or more of halogen, -OH, -CN, -NH2, -Ci-6 alkyl.
R2 is phenyl optionally substituted with one or more of halogen, -OH, -CN, Ci-6 alkyl;
R-3 -NH2.
3. The compound of claim 1, having a chemical structure selected from the group consisting of:
or a pharmaceutically acceptable salt thereof.
4. A compound having the chemical structure of Formula (II) or a prodrug, therapeutically active metabolite, hydrate, solvate, or pharmaceutically acceptable salt thereof:
each X8 is independently O, NH, S, or CH;
R6 is -NH2, -OH, -NRsRg, or -NS02Rxi
R7 is halogen, -OH, -NH2, NR8R9, -OR8, -CN, -CF3, or -N02;
R8 is H, -OH, or -NH2;
or R8 is Ci-6 alkyl optionally substituted with halogen, -OH, -NR4R5, or Ci-6 cycloalkyl, or R8 is Ci-6 cycloalkyl, or R8 is Ci-6 aryl optionally substituted with halogen, -OH, -CN or -NHR5; and,
R9 is H, halogen, -NH2, -OH, -CN, -S02Me, -C02Me, -CF3, -CHO, -OMe, -SiR3, - C02R4,
-S02-aryl, -COR4, or -NHC(0)CH3; or R9 is -Ci-6 alkyl optionally substituted with one or more of halogen, -NH2, -OH, or -CN; or R9 is -Ci-6 aryl optionally substituted with one or more of halogen, -OH, -CN, -NH2, or -Ci-6 alkyl.
5. A pharmaceutical composition comprising a compound of claim 1 claim 3, or claim 4 and at least one pharmaceutically acceptable additive.
6. A pharmaceutical kit containing a pharmaceutical composition of Claim 5, prescribing information for the composition, and a container.
7. A method for inhibiting STING activity in a subject, comprising administering to the subject a compound of claim 1, claim 3, or claim 4.
8. The method of claim 7, wherein inhibiting STING activity comprises inhibiting cGAS activity.
9. A method of preventing, treating, or ameliorating an autoimmune disease or monogenic disorder in a subject comprising administering a therapeutically-effective amount of a compound of claim 1, claim 3, or claim 4 to the subject.
10. The method of claim 9, wherein the monogenic disorder is AGS.
11. The method of claim 9, wherein the monogenic disorder is SAVI.
12. The method of any one of claims 8-10, wherein the compound is administered to the subject within a pharmaceutical composition.
13. The method of claim 12, wherein the pharmaceutical composition is a mono-phasic pharmaceutical composition suitable for parenteral or oral administration consisting essentially
of a therapeutically-effective amount of the compound, and a pharmaceutically acceptable additive.
14. Use of a compound of claim 1, claim 3, or claim 4 in the manufacture of a medicament for the treatment of cancer.
15. A compound of claim 1, claim 3, or claim 4 for use in the treatment of cancer.
16. A compound of claim 1, claim 3, or claim 4 for use in the treatment of an autoimmune disorder or inflammation.
17. A compound having the chemical structure of Formula (III) or a prodrug, therapeutically active metabolite, hydrate, solvate, or pharmaceutically acceptable salt thereof:
18. A compound having the chemical structure of Formula (IV) or a prodrug, therapeutically active metabolite, hydrate, solvate, or pharmaceutically acceptable salt thereof:
19. A compound of claim 17 or 18, wherein the compound is an analog of Formula (III) or Formula (IV).
20. A method of preventing, treating, or ameliorating an autoimmune disease or monogenic disorder in a subject comprising administering a therapeutically-effective amount of the compound of claim 17, or claim 18, or claim 19, to the subject.
21. A method of preventing, treating, or ameliorating an autoimmune disease or monogenic disorder in a subject comprising administering a therapeutically-effective amount the an analog of compound of claim claim 17, or claim 18 to the subject.
22. A pharmaceutical composition comprising a compound of claim 17, or claim 18, or claim 19, and at least one pharmaceutically acceptable additive.
23. A method of inhibiting cGAS activity in a subject comprising administering a
therapeutically-effective amount of the compound of claim claim 17, or claim 18, or claim 19, to the subject.
24. A compound of claim 17, or claim 18, or claim 19, for use in the treatment of an autoimmune disorder or inflammation.
25. A pharmaceutical composition comprising a two or more of the compounds of claims 1, 4, 3, 17, 18 or 19.
26. A compound of claims 1, 4, 3, 17, 18 or 19, for use in the treatment of an autoimmune disorder or inflammation.
27. A compound of Formula I, II, III, IV or claim 4, or a pharmaceutically acceptable salt, solvate, stereoisomer, tautomer, or prodrug thereof, for use in medical therapy.
28. A pharmaceutical composition comprising (a) a compound of Formula I, II, III, IV or claim 4, or a pharmaceutically acceptable salt, solvate, stereoisomer, tautomer, or prodrug thereof, and (b) a pharmaceutically acceptable carrier, for use in medical therapy.
29. A compound of Formula I , II, III, or IV, or a pharmaceutically acceptable salt thereof, for use in the modulation of cGAS activity in research, pharmaceutical and biotechnology development.
30. A compound of Formula I, II, III, IV or claim 4, or a pharmaceutically acceptable salt thereof, for use in the treatment of a disease or condition in which modulation of cGAS activity is beneficial.
31. A method for treating a disease or condition for which modulation of cGAS activity is beneficial comprising: administering to a patient in need thereof, a therapeutically effective amount of a compound of I, II, III, or IV, or a pharmaceutically acceptable salt thereof.
32. A method for treating a disease or condition for which modulation of cGAS is beneficial comprising: administering to a patient in need thereof, a therapeutically effective amount of a combination comprising a compound of Formula I, II, III, IV or claim 4, or a pharmaceutically acceptable salt thereof, and at least one further therapeutic agent.
33. The use of a compound of Formula I, II, III, IV or claim 4, or a pharmaceutically acceptable salt thereof, in the manufacture of a medicament for use the treatment of a disease or condition for which modulation of cGAS is beneficial.
34. A pharmaceutical composition comprising a compound of Formula I, II, III, IV or claim 4, or a pharmaceutically acceptable salt thereof, for use in the treatment of a disease or condition for which modulation of cGAS is beneficial.
35. A pharmaceutical composition comprising: a compound of Formula I, II, III, IV or claim 4, or a pharmaceutically acceptable salt thereof, and at least one further therapeutic agent, for use in the treatment of a disease or condition for which modulation of cGAS is beneficial.
36. A pharmaceutical composition comprising: a compound of Formula I, II, III, IV or claim 4, or a pharmaceutically acceptable salt thereof, at least one further therapeutic agent, and one or more of pharmaceutically acceptable excipients, for use in the treatment of a disease or condition for which modulation of cGAS is beneficial.
37. A compound of Formula I, II, III, IV or claim 4, or a pharmaceutically acceptable salt thereof, for use in the treatment of an inflammatory, allergic or autoimmune disease.
38. A method of treating an inflammatory, allergic or autoimmune disease comprising: administering to a patient in need thereof a therapeutically effective amount of a compound of Formula I, II, III, IV or claim 4, or a pharmaceutically acceptable salt thereof.
39. The method of claim 38, wherein the inflammatory, allergic or autoimmune diseases is systemic lupus erythematosus, psoriasis, insulin-dependent diabetes mellitus (IDDM),
scleroderma, Aicardi Gourtiers syndrome, dermatomyositis, inflammatory bowel diseases, multiple sclerosis, rheumatoid arthritis or Sjogren's syndrome (SS).
40. A method for treating an inflammatory, allergic or autoimmune disease comprising: administering to a patient in need thereof, a therapeutically effective amount of a combination comprising a compound of Formula I, II, III, IV or claim 4, or a pharmaceutically acceptable salt thereof, and at least one further therapeutic agent.
41. A pharmaceutical composition comprising a compound of Formula I, II, III, IV or claim 4, or a pharmaceutically acceptable salt thereof, for the treatment of an inflammatory, allergic or autoimmune disease.
42. A pharmaceutical composition comprising a compound of Formula I, II, III, IV or claim 4, or a pharmaceutically acceptable salt thereof, and at least one further therapeutic agent, for the treatment of an inflammatory, allergic or autoimmune disease.
43. A compound of Formula I, II, III, IV or claim 4, or a pharmaceutically acceptable salt thereof, for use in the treatment of an infectious disease.
44. A method of treating an infectious disease comprising administering to a patient in need thereof a therapeutically effective amount of a compound of Formula I, II, III, IV or claim 4, or a pharmaceutically acceptable salt thereof.
45. The method of claim 51 wherein the infectious disease is a viral, bacterial or parasite infection.
46. A method for treating an infectious disease comprising: administering to a patient in need thereof, a therapeutically effective amount of a combination comprising a compound of Formula I, II, III, IV or claim 4, or a pharmaceutically acceptable salt thereof, and at least one further therapeutic agent.
47. A pharmaceutical composition comprising a compound of Formula I, II, III, IV or claim 4, or a pharmaceutically acceptable salt thereof, for use in the treatment of an infectious disease.
48. A pharmaceutical composition comprising a compound of Formula I, II, III, IV or claim 4, or a pharmaceutically acceptable salt thereof, and at least one further therapeutic agent, for use in the treatment of an infectious disease.
49. A compound of Formula I, II, III, IV or claim 4, or a pharmaceutically acceptable salt thereof, for use in the treatment of a senescence-related disease.
50. A method of treating a senescence-related disease comprising: administering to a patient in need thereof a therapeutically effective amount of a compound of Formula I, II, III, IV or claim 4, or a pharmaceutically acceptable salt thereof.
51. The method of claim 50 wherein the senescence-related disease is atherosclerosis, myocardial infarction, Alzheimer's disease, Parkinson's diseases, Huntington's disease, amyotrophic lateral sclerosis, hepatitis, renal disease, diabetes, cancer and aging.
52. A method for treating a senescence-related disease comprising: administering to a patient in need thereof, a therapeutically effective amount of a combination comprising a compound of
Formula I, II, III, IV or claim 4, or a pharmaceutically acceptable salt thereof, and at least one further therapeutic agent.
53. A pharmaceutical composition comprising a compound of Formula I, II, III, IV or claim 4, or a pharmaceutically acceptable salt thereof, for the treatment of a senescence-related disease.
54. A pharmaceutical composition comprising a compound of Formula I, II, III, IV or claim 4, or a pharmaceutically acceptable salt thereof, and at least one further therapeutic agent, for the treatment of a senescence-related disease.
Applications Claiming Priority (2)
| Application Number | Priority Date | Filing Date | Title |
|---|---|---|---|
| US201862685905P | 2018-06-15 | 2018-06-15 | |
| US62/685,905 | 2018-06-15 |
Publications (2)
| Publication Number | Publication Date |
|---|---|
| WO2019241787A1 true WO2019241787A1 (en) | 2019-12-19 |
| WO2019241787A9 WO2019241787A9 (en) | 2020-02-06 |
Family
ID=68842363
Family Applications (1)
| Application Number | Title | Priority Date | Filing Date |
|---|---|---|---|
| PCT/US2019/037502 Ceased WO2019241787A1 (en) | 2018-06-15 | 2019-06-17 | Novel cyclic gmp-amp synthase (cgas) inhibitors and their method of use |
Country Status (1)
| Country | Link |
|---|---|
| WO (1) | WO2019241787A1 (en) |
Cited By (18)
| Publication number | Priority date | Publication date | Assignee | Title |
|---|---|---|---|---|
| WO2021209473A1 (en) * | 2020-04-16 | 2021-10-21 | F. Hoffmann-La Roche Ag | Biphenyl derivatives |
| WO2021209484A1 (en) * | 2020-04-16 | 2021-10-21 | F. Hoffmann-La Roche Ag | Benzimidazole derivatives |
| WO2021209475A1 (en) * | 2020-04-16 | 2021-10-21 | F. Hoffmann-La Roche Ag | Sulfamoylamide derivatives |
| WO2021209485A1 (en) * | 2020-04-16 | 2021-10-21 | F. Hoffmann-La Roche Ag | Benzimidazole derivatives |
| WO2021209481A1 (en) * | 2020-04-16 | 2021-10-21 | F. Hoffmann-La Roche Ag | Indazole derivatives |
| WO2022051634A1 (en) * | 2020-09-03 | 2022-03-10 | Immunesensor Therapeutics, Inc. | Quinoline cgas antagonist compounds |
| WO2022118043A1 (en) * | 2020-12-03 | 2022-06-09 | Enara Bio Limited | Novel protein-ligand complex |
| WO2022238335A1 (en) | 2021-05-12 | 2022-11-17 | Boehringer Ingelheim International Gmbh | Pyridine derivatives with c-linked cyclic substituents as cgas inhibitors |
| WO2022238327A1 (en) | 2021-05-12 | 2022-11-17 | Boehringer Ingelheim International Gmbh | Pyridine derivatives with n-linked cyclic substituents as cgas inhibitors |
| US11603351B2 (en) | 2017-07-11 | 2023-03-14 | Vertex Pharmaceuticals Incorporated | Carboxamides as modulators of sodium channels |
| US11746103B2 (en) | 2020-12-10 | 2023-09-05 | Sumitomo Pharma Oncology, Inc. | ALK-5 inhibitors and uses thereof |
| WO2024099908A1 (en) | 2022-11-09 | 2024-05-16 | Boehringer Ingelheim International Gmbh | Cyclic pyridine derivatives as cgas inhibitors |
| WO2024099907A1 (en) | 2022-11-09 | 2024-05-16 | Boehringer Ingelheim International Gmbh | Cyclic benzimidazole derivatives as cgas inhibitors |
| US12091387B2 (en) | 2022-03-02 | 2024-09-17 | Immunesensor Therapeutics, Inc. | Quinoline cGAS antagonist compounds |
| WO2025172882A1 (en) | 2024-02-14 | 2025-08-21 | Janssen Pharmaceutica Nv | Substituted pyrrolidine-2-carboxylic acid derivatives as cgas inhibitors |
| US12440481B2 (en) | 2019-01-10 | 2025-10-14 | Vertex Pharmaceuticals Incorporated | Esters and carbamates as modulators of sodium channels |
| US12441703B2 (en) | 2019-01-10 | 2025-10-14 | Vertex Pharmaceuticals Incorporated | Carboxamides as modulators of sodium channels |
| WO2025233174A1 (en) | 2024-05-08 | 2025-11-13 | Boehringer Ingelheim International Gmbh | Benzimidazole derivatives as cgas inhibitors |
Citations (2)
| Publication number | Priority date | Publication date | Assignee | Title |
|---|---|---|---|---|
| US20110118245A1 (en) * | 2008-03-17 | 2011-05-19 | Sunny Abraham | Raf kinase modulator compounds and methods of use thereof |
| US20120277430A1 (en) * | 2009-02-05 | 2012-11-01 | Takahiko Taniguchi | Pyridazinone compounds |
-
2019
- 2019-06-17 WO PCT/US2019/037502 patent/WO2019241787A1/en not_active Ceased
Patent Citations (2)
| Publication number | Priority date | Publication date | Assignee | Title |
|---|---|---|---|---|
| US20110118245A1 (en) * | 2008-03-17 | 2011-05-19 | Sunny Abraham | Raf kinase modulator compounds and methods of use thereof |
| US20120277430A1 (en) * | 2009-02-05 | 2012-11-01 | Takahiko Taniguchi | Pyridazinone compounds |
Non-Patent Citations (1)
| Title |
|---|
| DATABASE Pubchem 26 March 2005 (2005-03-26), Database accession no. 68308 * |
Cited By (27)
| Publication number | Priority date | Publication date | Assignee | Title |
|---|---|---|---|---|
| US12281057B2 (en) | 2017-07-11 | 2025-04-22 | Vertex Pharmaceuticals Incorporated | Carboxamides as modulators of sodium channels |
| US11603351B2 (en) | 2017-07-11 | 2023-03-14 | Vertex Pharmaceuticals Incorporated | Carboxamides as modulators of sodium channels |
| US12441703B2 (en) | 2019-01-10 | 2025-10-14 | Vertex Pharmaceuticals Incorporated | Carboxamides as modulators of sodium channels |
| US12440481B2 (en) | 2019-01-10 | 2025-10-14 | Vertex Pharmaceuticals Incorporated | Esters and carbamates as modulators of sodium channels |
| WO2021209481A1 (en) * | 2020-04-16 | 2021-10-21 | F. Hoffmann-La Roche Ag | Indazole derivatives |
| WO2021209473A1 (en) * | 2020-04-16 | 2021-10-21 | F. Hoffmann-La Roche Ag | Biphenyl derivatives |
| WO2021209485A1 (en) * | 2020-04-16 | 2021-10-21 | F. Hoffmann-La Roche Ag | Benzimidazole derivatives |
| CN115397813A (en) * | 2020-04-16 | 2022-11-25 | 豪夫迈·罗氏有限公司 | Biphenyl derivatives |
| WO2021209475A1 (en) * | 2020-04-16 | 2021-10-21 | F. Hoffmann-La Roche Ag | Sulfamoylamide derivatives |
| US20230192623A1 (en) * | 2020-04-16 | 2023-06-22 | Hoffmann-La Roche Inc. | Indazole Derivatives |
| WO2021209484A1 (en) * | 2020-04-16 | 2021-10-21 | F. Hoffmann-La Roche Ag | Benzimidazole derivatives |
| WO2022051634A1 (en) * | 2020-09-03 | 2022-03-10 | Immunesensor Therapeutics, Inc. | Quinoline cgas antagonist compounds |
| US12134609B2 (en) | 2020-09-03 | 2024-11-05 | Immunesensor Therapeutics, Inc. | Quinoline cGAS antagonist compounds |
| CN116234802A (en) * | 2020-09-03 | 2023-06-06 | 免疫传感器治疗股份有限公司 | Quinoline CGAS antagonist compounds |
| JP2023540081A (en) * | 2020-09-03 | 2023-09-21 | イミューンセンサー セラピューティクス、インコーポレイテッド | Quinoline CGAS antagonist compound |
| US11873291B2 (en) | 2020-09-03 | 2024-01-16 | Immunesensor Therapeutics, Inc. | Quinoline cGAS antagonist compounds |
| WO2022118043A1 (en) * | 2020-12-03 | 2022-06-09 | Enara Bio Limited | Novel protein-ligand complex |
| US11746103B2 (en) | 2020-12-10 | 2023-09-05 | Sumitomo Pharma Oncology, Inc. | ALK-5 inhibitors and uses thereof |
| US12433897B2 (en) | 2021-05-12 | 2025-10-07 | Boehringer Ingelheim International Gmbh | Pyridine derivatives with n-linked cyclic substituents as cGAS inhibitors |
| WO2022238327A1 (en) | 2021-05-12 | 2022-11-17 | Boehringer Ingelheim International Gmbh | Pyridine derivatives with n-linked cyclic substituents as cgas inhibitors |
| WO2022238335A1 (en) | 2021-05-12 | 2022-11-17 | Boehringer Ingelheim International Gmbh | Pyridine derivatives with c-linked cyclic substituents as cgas inhibitors |
| US12091387B2 (en) | 2022-03-02 | 2024-09-17 | Immunesensor Therapeutics, Inc. | Quinoline cGAS antagonist compounds |
| US12281078B2 (en) | 2022-03-02 | 2025-04-22 | Immunesensor Therapeutics, Inc. | Quinoline cGAS antagonist compounds |
| WO2024099907A1 (en) | 2022-11-09 | 2024-05-16 | Boehringer Ingelheim International Gmbh | Cyclic benzimidazole derivatives as cgas inhibitors |
| WO2024099908A1 (en) | 2022-11-09 | 2024-05-16 | Boehringer Ingelheim International Gmbh | Cyclic pyridine derivatives as cgas inhibitors |
| WO2025172882A1 (en) | 2024-02-14 | 2025-08-21 | Janssen Pharmaceutica Nv | Substituted pyrrolidine-2-carboxylic acid derivatives as cgas inhibitors |
| WO2025233174A1 (en) | 2024-05-08 | 2025-11-13 | Boehringer Ingelheim International Gmbh | Benzimidazole derivatives as cgas inhibitors |
Also Published As
| Publication number | Publication date |
|---|---|
| WO2019241787A9 (en) | 2020-02-06 |
Similar Documents
| Publication | Publication Date | Title |
|---|---|---|
| WO2019241787A1 (en) | Novel cyclic gmp-amp synthase (cgas) inhibitors and their method of use | |
| KR102021642B1 (en) | Methods of treating cancer | |
| US10196376B2 (en) | Hepatitis B antiviral agents | |
| CA2771190C (en) | Heat shock protein binding compounds, compositions, and methods for making and using same | |
| CA2959347C (en) | Ulk1 inhibitors and methods using same | |
| EP2906563B1 (en) | Pyrrolo[3,2-d]pyrimidine derivatives for the treatment of viral infections and other diseases | |
| US9573887B2 (en) | Naphthalene derivative | |
| Guirado et al. | Synthesis and biological evaluation of 4-alkoxy-6, 9-dichloro [1, 2, 4] triazolo [4, 3-a] quinoxalines as inhibitors of TNF-α and IL-6 | |
| WO2015051149A1 (en) | Sorafenib analogs and uses thereof | |
| US20110251238A1 (en) | Ppar agonist compositions and methods of use | |
| CN110603256A (en) | Pyrimidopyrimidinones useful as WEE-1 kinase inhibitors | |
| US20210363154A1 (en) | Pyrimidine compounds and methods using the same | |
| Ding et al. | Hydrophobic pocket occupation design of difluoro-biphenyl-diarylpyrimidines as non-nucleoside HIV-1 reverse transcriptase inhibitors: from N-alkylation to methyl hopping on the pyrimidine ring | |
| EP4129406A1 (en) | Novel benzimidazole derivative | |
| Panchal et al. | Molecular docking, synthesis and biological evaluation of sulphonylureas/guanidine derivatives as promising antidiabetic agent | |
| Shen et al. | Design, synthesis, and biological evaluation of 2-Arylaminopyrimidine derivatives as dual Cathepsin L and JAK inhibitors for the treatment of acute lung injury | |
| Zhang et al. | Design, synthesis, and biological evaluation of m-amidophenol derivatives as a new class of antitubercular agents | |
| US12351569B2 (en) | ALDH-2 inhibitor compounds and methods of use | |
| EP3568391B1 (en) | Benzene disulfonamide for the treatment of cancer | |
| US20190135746A1 (en) | Indoline derivatives and method for using and producing the same | |
| CA2956464C (en) | Bisamidinium-based inhibitors for the treatment of myotonic dystrophy | |
| JP6923112B2 (en) | Biarylsulfonamide derivative with filovirus cell invasion inhibitory activity | |
| US20230097678A1 (en) | New macrocyclic compounds, a process for their preparation and pharmaceutical compositions containing them | |
| US20240150313A1 (en) | Tri-substituted indole binding function 3 (bf3) compounds and methods for their use | |
| Mishra et al. | Synthesis, Computational Study, and Anticonvulsant Activity of Newly Synthesized 2-aminobenzothiazole Derivatives |
Legal Events
| Date | Code | Title | Description |
|---|---|---|---|
| 121 | Ep: the epo has been informed by wipo that ep was designated in this application |
Ref document number: 19818893 Country of ref document: EP Kind code of ref document: A1 |
|
| NENP | Non-entry into the national phase |
Ref country code: DE |
|
| 122 | Ep: pct application non-entry in european phase |
Ref document number: 19818893 Country of ref document: EP Kind code of ref document: A1 |
























































































































