WO2019224172A1 - Novel process for making allofuranose from glucofuranose - Google Patents
Novel process for making allofuranose from glucofuranose Download PDFInfo
- Publication number
- WO2019224172A1 WO2019224172A1 PCT/EP2019/063044 EP2019063044W WO2019224172A1 WO 2019224172 A1 WO2019224172 A1 WO 2019224172A1 EP 2019063044 W EP2019063044 W EP 2019063044W WO 2019224172 A1 WO2019224172 A1 WO 2019224172A1
- Authority
- WO
- WIPO (PCT)
- Prior art keywords
- lna
- synthesis
- formula
- added
- allofuranose
- Prior art date
- Legal status (The legal status is an assumption and is not a legal conclusion. Google has not performed a legal analysis and makes no representation as to the accuracy of the status listed.)
- Ceased
Links
- 0 C*[C@@](CN)(C(C1=C(*)C1COC)N)O Chemical compound C*[C@@](CN)(C(C1=C(*)C1COC)N)O 0.000 description 4
- RWQNBRDOKXIBIV-UHFFFAOYSA-N CC(C(N1)=O)=CNC1=O Chemical compound CC(C(N1)=O)=CNC1=O RWQNBRDOKXIBIV-UHFFFAOYSA-N 0.000 description 1
- FQXLCJUJNJQPIY-JYXTUMRVSA-N CC(C)(OC1)OC1[C@H]1O[C@@H]2OC(C)(C)OC2=C1O Chemical compound CC(C)(OC1)OC1[C@H]1O[C@@H]2OC(C)(C)OC2=C1O FQXLCJUJNJQPIY-JYXTUMRVSA-N 0.000 description 1
- JZZSVWKIEQZERY-IBMBOUKDSA-N CC(C)(O[C@H]1O[C@]2(C)C3OC(C)(C)CCCCC3)OC1=C2O Chemical compound CC(C)(O[C@H]1O[C@]2(C)C3OC(C)(C)CCCCC3)OC1=C2O JZZSVWKIEQZERY-IBMBOUKDSA-N 0.000 description 1
Classifications
-
- C—CHEMISTRY; METALLURGY
- C07—ORGANIC CHEMISTRY
- C07H—SUGARS; DERIVATIVES THEREOF; NUCLEOSIDES; NUCLEOTIDES; NUCLEIC ACIDS
- C07H9/00—Compounds containing a hetero ring sharing at least two hetero atoms with a saccharide radical
- C07H9/02—Compounds containing a hetero ring sharing at least two hetero atoms with a saccharide radical the hetero ring containing only oxygen as ring hetero atoms
- C07H9/04—Cyclic acetals
-
- C—CHEMISTRY; METALLURGY
- C07—ORGANIC CHEMISTRY
- C07H—SUGARS; DERIVATIVES THEREOF; NUCLEOSIDES; NUCLEOTIDES; NUCLEIC ACIDS
- C07H19/00—Compounds containing a hetero ring sharing one ring hetero atom with a saccharide radical; Nucleosides; Mononucleotides; Anhydro-derivatives thereof
- C07H19/02—Compounds containing a hetero ring sharing one ring hetero atom with a saccharide radical; Nucleosides; Mononucleotides; Anhydro-derivatives thereof sharing nitrogen
- C07H19/04—Heterocyclic radicals containing only nitrogen atoms as ring hetero atom
- C07H19/06—Pyrimidine radicals
-
- C—CHEMISTRY; METALLURGY
- C07—ORGANIC CHEMISTRY
- C07H—SUGARS; DERIVATIVES THEREOF; NUCLEOSIDES; NUCLEOTIDES; NUCLEIC ACIDS
- C07H19/00—Compounds containing a hetero ring sharing one ring hetero atom with a saccharide radical; Nucleosides; Mononucleotides; Anhydro-derivatives thereof
- C07H19/02—Compounds containing a hetero ring sharing one ring hetero atom with a saccharide radical; Nucleosides; Mononucleotides; Anhydro-derivatives thereof sharing nitrogen
- C07H19/04—Heterocyclic radicals containing only nitrogen atoms as ring hetero atom
- C07H19/16—Purine radicals
Definitions
- the invention relates to a novel process for making allofuranose from gluco- furanose.
- Allofuranose and glucofuranose are useful intermediates in the manufacture of synthetic, pharmaceutically active oligonucleotides.
- Allofuranose in particular is useful in the manufacture of Locked Nucleic Acid (LNA) nucleoside monomers, which are useful as monomers of LNA oligonucleotides.
- LNA Locked Nucleic Acid
- oligonucleotides as therapeutic agents has witnessed remarkable progress over recent decades leading to the development of molecules acting by diverse mechanisms including RNase H activating gapmers, splice switching oligonucleotides, microRNA inhibitors, siRNA or aptamers (S. T. Crooke, Antisense drug technology : principles, strategies, and applications, 2nd ed. ed., Boca Raton, FL : CRC Press, 2008).
- LNA monomer synthesis consists of 15-17 steps. Due to the length of the synthesis it is very important that all steps proceed in the most optimal way.
- the synthesis steps are optimised on four parameters: 1. Fast reaction time; 2. Employing cheap reagents; 3. Easy to handle; 4. Proceeds in high overall yields.
- the starting material was l,2:5,6-di-0- isopropylidene-a-D-allofuranose.
- l,2:5,6-di-0-isopropylidene-a-D-allofuranose is comer- cially available (e.g. at Sigma Aldrich now Merck, CAS Number: 2595-05-03 in smaller quantities). Reducing the cost of the starting material by improving the synthesis is of great value for LNA synthesis.
- l,2:5,6-di-0-isopropylidene-a-D-allofuranose is normally prepared from the much cheaper l,2:5,6-di-0-isopropylidene-a-D-gIucofuranose in two steps.
- the first step is oxidation of the secondary alcohol which is subsequently reduced to provide the allo- configuration. Oxidation of secondary hydroxyl groups to their corresponding carbonyl derivatives with dimethyl sulfoxide (DMSO) and acetic anhydride has been described (Albright J.D. and Goldman L., J. Am. Chem. Soc, 1967, 89: 10).
- Fuertes C. M. and Cesar M. prepared l,2:5,6-di-0-isopropylidene-a-D-allofuranose by a consecutive two step reaction from l,2:5,6-di-0-isopropylidene-a-D-glucofuranose.
- the yield in the oxidation step was 60%.
- the subsequent reduction was performed in 75% yield, thus the overall yield in the sequential reactions was 45%.
- W02002098892 describes the synthesis of allofuranose using glucofuranose as starting material in a one-pot reaction.
- the oxidation of 1,2: 5,6-di-O- isopropylidene-a-D-glucofuranose is carried out with DMSO/acetic anhydride.
- the reduction reaction is performed in one pot obtaining what was believed to be high yields of recrystallised and analytical pure l,2:5,6-di-0-isopropylidene-a-D-allofuranose.
- the invention relates to a method for the synthesis of allofuranose from glucofuranose, said method comprising the steps of a catalytic oxidation of glucosefuranose in a reaction solution comprising hypochlorite salt, and a reduction to produce allofuranose.
- the inventors were surprised by the following findings about the method of the invention. Firstly, it achieves a high yield when compared to methods of the prior art. Secondly, it is cheap, for instance, it allows for the use of very low amounts of TEMPO as a catalyst. Thirdly, it allows to avoid noxious oxidations by using NaOCl(aq) instead. Finally, the reduction step according to the method of the invention requires no
- allofuranose signifies allofuranose wherein 4 alcohol moieties are protected except the alcohol on position 3. Allofuranose is also known as (3R, 4S, 5R)-5-[(lR)-l,2-dihydroxyethyl]oxolane-2,3,4-triol or D-allofuranose:
- glucofuranose signifies glucofuranose wherein 4 alcohol moieties are protected except the alcohol on position 3.
- Glucofuranose is also known as D-glucose or D-glucofuranose.
- Glucoruranose according to the invention has the following chemical structure:
- alkyl signifies a straight-chain or branched- chain alkyl group with 1 to 8 carbon atoms, particularly a straight or branched-chain alkyl group with 1 to 6 carbon atoms and more particularly a straight or branched-chain alkyl group with 1 to 4 carbon atoms.
- straight-chain and branched-chain Ci-Cs alkyl groups are methyl, ethyl, propyl, isopropyl, butyl, isobutyl, tert.
- cycloalkyl signifies a cycloalkyl ring with 3 to 8 carbon atoms and particularly a cycloalkyl ring with 3 to 6 carbon atoms.
- cycloalkyl are cyclopropyl, cyclobutyl, cyclopentyl, cyclohexyl, cycloheptyl and cyclooctyl, more particularly cyclopropyl and cyclobutyl.
- a particular example of “cycloalkyl” is cyclopropyl.
- alkoxy signifies a group of the formula alkyl- O- in which the term "alkyl” has the previously given significance, such as methoxy, ethoxy, n-propoxy, isopropoxy, n-butoxy, isobutoxy, sec.butoxy and tert.butoxy.
- Particular “alkoxy” are methoxy and ethoxy.
- Methoxyethoxy is a particular example of
- alkenyl signifies a straight-chain or branched hydrocarbon residue comprising an olefinic bond and up to 8, preferably up to 6, particularly preferred up to 4 carbon atoms.
- alkenyl groups are ethenyl, 1- propenyl, 2-propenyl, isopropenyl, l-butenyl, 2-butenyl, 3-butenyl and isobutenyl.
- alkynyl signifies a straight-chain or branched hydrocarbon residue comprising a triple bond and up to 8, particularly 2 carbon atoms.
- halogen or“halo”, alone or in combination, signifies fluorine, chlorine, bromine or iodine and particularly fluorine, chlorine or bromine, more particularly fluorine.
- halo in combination with another group, denotes the substitution of said group with at least one halogen, particularly substituted with one to five halogens, particularly one to four halogens, i.e. one, two, three or four halogens.
- haloalkyl denotes an alkyl group substituted with at least one halogen, particularly substituted with one to five halogens, particularly one to three halogens.
- haloalkyl include monofluoro-, difluoro- or trifluoro- methyl, -ethyl or -propyl, for example 3,3,3-trifluoropropyl, 2-fluoroethyl, 2,2,2- trifluoroethyl, fluoromethyl or trifluoromethyl. Fluoromethyl, difluoromethyl and trifluoromethyl are particular“haloalkyl”.
- halocycloalkyl denotes a cycloalkyl group as defined above substituted with at least one halogen, particularly substituted with one to five halogens, particularly one to three halogens.
- Particular example of“halocycloalkyl” are halocyclopropyl, in particular fluorocyclopropyl, difluorocyclopropyl and
- carbonyl alone or in combination, signifies the -C(O)- group.
- amino alone or in combination, signifies the primary amino group (- NH 2 ), the secondary amino group (-NH-), or the tertiary amino group (-N-).
- alkylamino alone or in combination, signifies an amino group as defined above substituted with one or two alkyl groups as defined above.
- sulfonyl alone or in combination, means the -SO2 group.
- cabamido alone or in combination, signifies the -NH-C(0)-NH 2 group.
- aryl denotes a monovalent aromatic carbocyclic mono- or bicyclic ring system comprising 6 to 10 carbon ring atoms, optionally substituted with 1 to 3 substituents independently selected from halogen, hydroxyl, alkyl, alkenyl, alkynyl, alkoxy, alkoxyalkyl, alkenyloxy, carboxyl,
- alkoxycarbonyl alkylcarbonyl and formyl.
- aryl examples include phenyl and naphthyl, in particular phenyl.
- heteroaryl denotes a monovalent aromatic heterocyclic mono- or bicyclic ring system of 5 to 12 ring atoms, comprising 1, 2, 3 or 4 heteroatoms selected from N, O and S, the remaining ring atoms being carbon, optionally substituted with 1 to 3 substituents independently selected from halogen, hydroxyl, alkyl, alkenyl, alkynyl, alkoxy, alkoxyalkyl, alkenyloxy, carboxyl, alkoxycarbonyl,
- heteroaryl examples include pyrrolyl, furanyl, thienyl, imidazolyl, oxazolyl, thiazolyl, triazolyl, oxadiazolyl, thiadiazolyl, tetrazolyl, pyridinyl, pyrazinyl, pyrazolyl, pyridazinyl, pyrimidinyl, triazinyl, azepinyl, diazepinyl, isoxazolyl, benzofuranyl, isothiazolyl, benzothienyl, indolyl, isoindolyl, isobenzofuranyl,
- benzimidazolyl benzoxazolyl, benzoisoxazolyl, benzothiazolyl, benzoisothiazolyl, benzooxadiazolyl, benzothiadiazolyl, benzotriazolyl, purinyl, quinolinyl, isoquinolinyl, quinazolinyl, quinoxalinyl, carbazolyl or acridinyl.
- heterocyclyl signifies a monovalent saturated or partly unsaturated mono- or bicyclic ring system of 4 to 12, in particular 4 to 9 ring atoms, comprising 1, 2, 3 or 4 ring heteroatoms selected from N, O and S, the remaining ring atoms being carbon, optionally substituted with 1 to 3 substituents independently selected from halogen, hydroxyl, alkyl, alkenyl, alkynyl, alkoxy, alkoxyalkyl, alkenyloxy, carboxyl, alkoxycarbonyl, alkylcarbonyl and formyl.
- Examples for monocyclic saturated heterocyclyl are azetidinyl, pyrrolidinyl, tetrahydrofuranyl, tetrahydro-thienyl, pyrazolidinyl, imidazolidinyl, oxazolidinyl, isoxazolidinyl, thiazolidinyl, piperidinyl, tetrahydropyranyl, tetrahydrothiopyranyl, piperazinyl, morpholinyl, thiomorpholinyl, 1,1- dioxo-thiomorpholin-4-yl, azepanyl, diazepanyl, homopiperazinyl, or oxazepanyl.
- bicyclic saturated heterocycloalkyl examples include 8-aza-bicyclo[3.2.l]octyl, quinuclidinyl, 8-oxa-3-aza-bicyclo[3.2.l]octyl, 9-aza-bicyclo[3.3.l]nonyl, 3-oxa-9-aza- bicyclo[3.3.l]nonyl, or 3-thia-9-aza-bicyclo[3.3.l]nonyl.
- partly unsaturated heterocycloalkyl examples include dihydrofuryl, imidazolinyl, dihydro-oxazolyl, tetrahydro-pyridinyl or dihydropyranyl.
- salts refers to those salts which retain the biological effectiveness and properties of the free bases or free acids, which are not biologically or otherwise undesirable.
- the salts are formed with inorganic acids such as hydrochloric acid, hydrobromic acid, sulfuric acid, nitric acid, phosphoric acid, particularly hydrochloric acid, and organic acids such as acetic acid, propionic acid, glycolic acid, pyruvic acid, oxalic acid, maleic acid, malonic acid, succinic acid, fumaric acid, tartaric acid, citric acid, benzoic acid, cinnamic acid, mandelic acid, methanesulfonic acid, ethanesulfonic acid, p-toluenesulfonic acid, salicylic acid, N-acetylcystein.
- salts derived from an inorganic base include, but are not limited to, the sodium, potassium, lithium, ammonium, calcium, magnesium salts.
- Salts derived from organic bases include, but are not limited to salts of primary, secondary, and tertiary amines, substituted amines including naturally occurring substituted amines, cyclic amines and basic ion exchange resins, such as isopropylamine, trimethylamine, diethylamine, triethylamine, tripropylamine, ethanolamine, lysine, arginine, N-ethylpiperidine, piperidine, polyamine resins.
- the oligonucleotide of the invention can also be present in the form of zwitterions.
- Particularly preferred pharmaceutically acceptable salts of the invention are the sodium, lithium, potassium and trialkylammonium salts.
- protecting group signifies a group which selectively blocks a reactive site in a multifunctional compound such that a chemical reaction can be carried out selectively at another unprotected reactive site.
- Protecting groups can be removed.
- Exemplary protecting groups are amino-protecting groups, carboxy-protecting groups or hydroxy-protecting groups.
- Phosphate protecting group is a protecting group of the phosphate group.
- phosphate protecting group examples include 2-cyanoethyl and methyl.
- a particular example of phosphate protecting group is 2-cyanoethyl.
- “Hydroxyl protecting group” is a protecting group of the hydroxyl group and is also used to protect thiol groups.
- Examples of hydroxyl protecting groups are acetyl (Ac), benzoyl (Bz), benzyl (Bn), b-methoxyethoxymethyl ether (MEM), dimethoxytrityl (or bis- (4-methoxyphenyl)phenylmethyl) (DMT), trimethoxytrityl (or tris-(4- methoxyphenyl)phenylmethyl) (TMT), methoxymethyl ether (MOM), methoxytrityl [(4- methoxyphenyl)diphenylmethyl (MMT), p-methoxybenzyl ether (PMB), methylthiomethyl ether, pivaloyl (Piv), tetrahydropyranyl (THP), tetrahydrofuran (THF), trityl or triphenylmethyl (T
- Thiohydroxyl protecting group is a protecting group of the thiohydroxyl group.
- Examples of thiohydroxyl protecting groups are those of the“hydroxyl protecting group”.
- one of the starting materials or compounds of the invention contain one or more functional groups which are not stable or are reactive under the reaction conditions of one or more reaction steps
- appropriate protecting groups as described e.g. in“Protective Groups in Organic Chemistry” by T. W. Greene and P. G. M. Wuts, 3 rd Ed., 1999, Wiley, New York
- Such protecting groups can be removed at a later stage of the synthesis using standard methods described in the literature.
- protecting groups are tert-butoxycarbonyl (Boc), 9-fluorenylmethyl carbamate (Fmoc), 2-trimethylsilylethyl carbamate (Teoc), carbobenzyloxy (Cbz) and p-methoxybenzyloxycarbonyl (Moz).
- the compounds described herein can contain several asymmetric centers and can be present in the form of optically pure enantiomers, mixtures of enantiomers such as, for example, racemates, mixtures of diastereoisomers, diastereoisomeric racemates or mixtures of diastereoisomeric racemates.
- oligonucleotide as used herein is defined as it is generally understood by the skilled person as a molecule comprising two or more covalently linked nucleosides. Such covalently bound nucleosides may also be referred to as nucleic acid molecules or oligomers. Oligonucleotides are commonly made in the laboratory by solid-phase chemical synthesis followed by purification. When referring to a sequence of the oligonucleotide, reference is made to the sequence or order of nucleobase moieties, or modifications thereof, of the covalently linked nucleotides or nucleosides. The
- oligonucleotide of the invention is man-made, and is chemically synthesized, and is typically purified or isolated.
- the oligonucleotide of the invention may comprise one or more modified nucleosides or nucleotides.
- Antisense oligonucleotide as used herein is defined as oligonucleotides capable of modulating expression of a target gene by hybridizing to a target nucleic acid, in particular to a contiguous sequence on a target nucleic acid.
- oligonucleotides are not essentially double stranded and are therefore not siRNAs or shRNAs.
- the antisense oligonucleotides of the present invention are single stranded. It is understood that single stranded oligonucleotides of the present invention can form hairpins or intermolecular duplex structures (duplex between two molecules of the same oligonucleotide), as long as the degree of intra or inter self complementarity is less than 50% across of the full length of the oligonucleotide
- sequence refers to the region of the sequence
- oligonucleotide which is complementary to the target nucleic acid.
- the term is used interchangeably herein with the term“contiguous nucleobase sequence” and the term “oligonucleotide motif sequence”.
- all the nucleotides of the oligonucleotide constitute the contiguous nucleotide sequence.
- the oligonucleotide comprises the contiguous nucleotide sequence, such as a F-G-F’ gapmer region, and may optionally comprise further nucleotide(s), for example a nucleotide linker region which may be used to attach a functional group to the contiguous nucleotide sequence.
- the nucleotide linker region may or may not be complementary to the target nucleic acid.
- Nucleotides are the building blocks of oligonucleotides and polynucleotides, and for the purposes of the present invention include both naturally occurring and non-naturally occurring nucleotides.
- nucleotides such as DNA and R A nucleotides comprise a ribose sugar moiety, a nucleobase moiety and one or more phosphate groups (which is absent in nucleosides).
- Nucleosides and nucleotides may also interchangeably be referred to as“units” or“monomers”.
- modified nucleoside or“nucleoside modification” as used herein refers to nucleosides modified as compared to the equivalent DNA or RNA nucleoside by the introduction of one or more modifications of the sugar moiety or the (nucleo)base moiety.
- the modified nucleoside comprise a modified sugar moiety.
- modified nucleoside may also be used herein interchangeably with the term “nucleoside analogue” or modified“units” or modified“monomers”. Nucleosides with an unmodified DNA or RNA sugar moiety are termed DNA or RNA nucleosides herein. Nucleosides with modifications in the base region of the DNA or RNA nucleoside are still generally termed DNA or RNA if they allow Watson Crick base pairing. Nucleobase
- nucleobase includes the purine (e.g. adenine and guanine) and pyrimidine (e.g. uracil, thymine and cytosine) moieties present in nucleosides and nucleotides which form hydrogen bonds in nucleic acid hybridization.
- pyrimidine e.g. uracil, thymine and cytosine
- nucleobase also encompasses modified nucleobases which may differ from naturally occurring nucleobases, but are functional during nucleic acid hybridization.
- nucleobase refers to both naturally occurring nucleobases such as adenine, guanine, cytosine, thymidine, uracil, xanthine and hypoxanthine, as well as non-naturally occurring variants. Such variants are for example described in Hirao et al (2012) Accounts of Chemical Research vol 45 page 2055 and Bergstrom (2009) Current Protocols in Nucleic Acid Chemistry Suppl. 37 1.4.1.
- the nucleobase moiety is modified by changing the purine or pyrimidine into a modified purine or pyrimidine, such as substituted purine or substituted pyrimidine, such as a nucleobase selected from isocytosine, pseudoisocytosine, 5 -methyl cytosine, 5-thiozolo-cytosine, 5-propynyl-cytosine, 5-propynyl-uracil, 5-bromouracil 5- thiazolo-uracil, 2-thio-uracil, 2’thio-thymine, inosine, diaminopurine, 6-aminopurine, 2- aminopurine, 2,6-diaminopurine and 2-chloro-6-aminopurine.
- a nucleobase selected from isocytosine, pseudoisocytosine, 5 -methyl cytosine, 5-thiozolo-cytosine, 5-propynyl-cytosine, 5-propynyl-uracil,
- the nucleobase moieties may be indicated by the letter code for each corresponding nucleobase, e.g. A, T, G, C or U, wherein each letter may optionally include modified nucleobases of equivalent function.
- the nucleobase moieties are selected from A, T, G, C, and 5-methyl cytosine.
- 5-methyl cytosine LNA nucleosides may be used.
- modified oligonucleotide describes an oligonucleotide comprising one or more sugar-modified nucleosides and/or modified intemucleoside linkages.
- chimeric oligonucleotide is a term that has been used in the literature to describe oligonucleotides with modified nucleosides.
- a stereodefined oligonucleotide is an oligonucleotide wherein at least one of the intemucleoside linkages is a stereodefined intemucleoside linkage.
- a stereodefined phosphorothioate oligonucleotide is an oligonucleotide wherein at least one of the intemucleoside linkages is a stereodefined phosphorothioate
- Watson-Crick base pairs are guanine (G)-cytosine (C) and adenine (A) - thymine (T)/uracil (U).
- oligonucleotides may comprise nucleosides with modified nucleobases, for example 5-methyl cytosine is often used in place of cytosine, and as such the term complementarity encompasses Watson Crick base-paring between non-modified and modified nucleobases (see for example Hirao et al (2012) Accounts of Chemical Research vol 45 page 2055 and Bergstrom (2009) Current Protocols in Nucleic Acid Chemistry Suppl. 37 1.4.1).
- the term“% complementary” as used herein, refers to the proportion of nucleotides in a contiguous nucleotide sequence in a nucleic acid molecule (e.g.
- oligonucleotide which, at a given position, are complementary to (i.e. form Watson Crick base pairs with) a contiguous nucleotide sequence, at a given position of a separate nucleic acid molecule (e.g. the target nucleic acid).
- the percentage is calculated by counting the number of aligned bases that form pairs between the two sequences (when aligned with the target sequence 5’-3’ and the oligonucleotide sequence from 3’-5’), dividing by the total number of nucleotides in the oligonucleotide and multiplying by 100.
- a nucleobase/nucleotide which does not align (form a base pair) is termed a mismatch.
- insertions and deletions are not allowed in the calculation of %
- insertions and deletions are not allowed in the calculation of %
- hybridizing or“hybridizes” as used herein is to be understood as two nucleic acid strands (e.g. an oligonucleotide and a target nucleic acid) forming hydrogen bonds between base pairs on opposite strands thereby forming a duplex.
- the affinity of the binding between two nucleic acid strands is the strength of the hybridization. It is often described in terms of the melting temperature (T m ) defined as the temperature at which half of the oligonucleotides are duplexed with the target nucleic acid. At physiological conditions T m is not strictly proportional to the affinity (Mergny and Lacroix,
- AG° is the energy associated with a reaction where aqueous concentrations are 1M, the pH is 7, and the temperature is 37°C.
- the hybridization of oligonucleotides to a target nucleic acid is a spontaneous reaction and for spontaneous reactions AG° is less than zero.
- AG° can be measured experimentally, for example, by use of the isothermal titration calorimetry (ITC) method as described in Hansen et al., 1965, Chem. Comm. 36- 38 and Holdgate et al., 2005, Drug Discov Today. The skilled person will know that commercial equipment is available for AG° measurements.
- AG° can also be estimated numerically by using the nearest neighbor model as described by SantaLucia, 1998, Proc Natl Acad Sci USA.
- oligonucleotides of the present invention hybridize to a target nucleic acid with estimated AG° values below -10 kcal for oligonucleotides that are 10-30 nucleotides in length.
- the degree or strength of hybridization is measured by the standard state Gibbs free energy AG°.
- the oligonucleotides may hybridize to a target nucleic acid with estimated AG° values below the range of -10 kcal, such as below -15 kcal, such as below -20 kcal and such as below -25 kcal for oligonucleotides that are 8-30 nucleotides in length.
- the oligonucleotides hybridize to a target nucleic acid with an estimated AG° value of -10 to -60 kcal, such as -12 to -40, such as from -15 to -30 kcal or-l6 to -27 kcal such as -18 to -25 kcal.
- the oligomer of the invention may comprise one or more nucleosides which have a modified sugar moiety, i.e. a modification of the sugar moiety when compared to the ribose sugar moiety found in DNA and RNA.
- a modified sugar moiety i.e. a modification of the sugar moiety when compared to the ribose sugar moiety found in DNA and RNA.
- Numerous nucleosides with modification of the ribose sugar moiety have been made, primarily with the aim of improving certain properties of oligonucleotides, such as affinity and/or nuclease resistance.
- Such modifications include those where the ribose ring structure is modified, e.g. by replacement with a hexose ring (HNA), or a bicyclic ring, which typically have a biradical bridge between the C2 and C4 carbons on the ribose ring (LNA), or an unlinked ribose ring which typically lacks a bond between the C2 and C3 carbons (e.g. UNA).
- HNA hexose ring
- LNA ribose ring
- UNA unlinked ribose ring which typically lacks a bond between the C2 and C3 carbons
- Other sugar modified nucleosides include, for example, bicyclohexose nucleic acids (WO
- Modified nucleosides also include nucleosides where the sugar moiety is replaced with a non-sugar moiety, for example in the case of peptide nucleic acids (PNA), or morpholino nucleic acids.
- PNA peptide nucleic acids
- Sugar modifications also include modifications made via altering the substituent groups on the ribose ring to groups other than hydrogen, or the 2’ -OH group naturally found in DNA and RNA nucleosides. Substituents may, for example be introduced at the 2’, 3’, 4’ or 5’ positions.
- a 2’ sugar modified nucleoside is a nucleoside which has a substituent other than H or -OH at the 2’ position (2’ substituted nucleoside) or comprises a 2’ linked biradical capable of forming a bridge between the 2’ carbon and a second carbon in the ribose ring, such as LNA (2’ - 4’ biradical bridged) nucleosides.
- the 2’ modified sugar may provide enhanced binding affinity and/or increased nuclease resistance to the oligonucleotide.
- 2’ substituted modified nucleosides are 2’-0-alkyl-RNA, 2’-0-methyl-RNA, 2’-alkoxy-RNA, 2’-0-methoxyethyl-RNA (MOE), 2’-amino-DNA, 2’-fluoro-RNA and 2’- F-ANA nucleoside. Further examples can be found in e.g. Freier & Altmann; Nucl.
- LNA nucleosides Locked Nucleic Acid Nucleosides
- A“LNA nucleoside” is a 2’-modified nucleoside which comprises a biradical linking the C2’ and C4’ of the ribose sugar ring of said nucleoside (also referred to as a “2’- 4’ bridge”), which restricts or locks the conformation of the ribose ring.
- These nucleosides are also termed bridged nucleic acid or bicyclic nucleic acid (BNA) in the literature.
- BNA bicyclic nucleic acid
- the locking of the conformation of the ribose is associated with an enhanced affinity of hybridization (duplex stabilization) when the LNA is incorporated into an oligonucleotide for a complementary RNA or DNA molecule. This can be routinely determined by measuring the melting temperature of the oligonucleotide/complement duplex.
- Non limiting, exemplary LNA nucleosides are disclosed in WO 99/014226, WO
- R a and R b are independently selected from hydrogen, halogen, hydroxyl, cyano, thiohydroxyl, alkyl, substituted alkyl, alkenyl, substituted alkenyl, alkynyl, substituted alkynyl, alkoxy, substituted alkoxy, alkoxyalkyl, alkenyloxy, carboxyl, alkoxycarbonyl, alkylcarbonyl, formyl, aryl, heterocyclyl, amino, alkylamino, carbamoyl, alkylaminocarbonyl, aminoalkylaminocarbonyl, alkylaminoalkylaminocarbonyl, alkylcarbonylamino, carbamido, alkanoyloxy, sulfonyl, alkylsulfonyloxy, nitro, azido, thiohydroxylsulfidealkylsulfanyl, aryloxycarbonyl, aryloxy, arylcarbonyl, hetero
- X a is oxygen, sulfur or -NR C ; R c , R d and R e are independently selected from hydrogen and alkyl; and n is 1 , 2 or 3.
- Y is -CR a R b -, -CR a R b -CR a R b - or - CR a R b CR a R b CR a R b - , particularly -CH 2 -CHCH 3 -, -CHCH 3 -CH 2 -, -CH2-CH2- or -CH2- CH2-CH2-.
- R a and R b are independently selected from the group consisting of hydrogen, halogen, hydroxyl, alkyl and alkoxyalkyl, in particular hydrogen, halogen, alkyl and alkoxyalkyl.
- R a and R b are independently selected from the group consisting of hydrogen, fluoro, hydroxyl, methyl and -CH2-0-CH 3 , in particular hydrogen, fluoro, methyl and -CH2-0-CH 3 .
- one of R a and R b of -X-Y- is as defined above and the other ones are all hydrogen at the same time.
- R a is hydrogen or alkyl, in particular hydrogen or methyl.
- R b is hydrogen or or alkyl, in particular hydrogen or methyl.
- R a and R b are hydrogen.
- R a and R b are hydrogen.
- one of R a and R b is methyl and the other one is hydrogen.
- R a and R b are both methyl at the same time.
- -X-Y- is -0-CR a R b - wherein R a and R b are independently selected from the group consisting of hydrogen, alkyl and alkoxyalkyl, in particular hydrogen, methyl and -CH2-O-CH3.
- -X-Y- is -O-CH2- or -0-CH(CH 3 )-, particularly -O-CH2-
- the 2’- 4’ bridge may be positioned either below the plane of the ribose ring (beta- D- configuration), or above the plane of the ring (alpha-L- configuration), as illustrated in formula (A) and formula (B) respectively.
- the LNA nucleoside according to the invention is in particular of formula (Bl) or (B2)
- W is oxygen, sulfur, -N(R a )- or -CR a R b -, in particular oxygen;
- B is a nucleobase or a modified nucleobase
- Z is an intemucleoside linkage to an adjacent nucleoside or a 5'-terminal group
- Z* is an intemucleoside linkage to an adjacent nucleoside or a 3'-terminal group
- R 1 , R 2 , R 3 , R 5 and R 5* are independently selected from hydrogen, halogen, alkyl, haloalkyl, alkenyl, alkynyl, hydroxy, alkoxy, alkoxyalkyl, azido, alkenyloxy, carboxyl, alkoxycarbonyl, alkylcarbonyl, formyl and aryl; and X, Y, R a and R b are as defined above.
- R a is hydrogen or alkyl, in particular hydrogen or methyl.
- R b is hydrogen or alkyl, in particular hydrogen or methyl.
- one or both of R a and R b are hydrogen.
- only one of R a and R b is hydrogen.
- one of R a and R b is methyl and the other one is hydrogen.
- R a and R b are both methyl at the same time.
- R a is hydrogen or alkyl, in particular hydrogen or methyl.
- R b is hydrogen or alkyl, in particular hydrogen or methyl.
- one or both of R a and R b are hydrogen.
- only one of R a and R b is hydrogen.
- one of R a and R b is methyl and the other one is hydrogen.
- R a and R b are both methyl at the same time.
- R a is hydrogen or alkyl, in particular hydrogen or methyl.
- R b is hydrogen or alkyl, in particular hydrogen or methyl.
- one or both of R a and R b are hydrogen.
- only one of R a and R b is hydrogen.
- one of R a and R b is methyl and the other one is hydrogen.
- R a and R b are both methyl at the same time.
- R 1 , R 2 , R 3 , R 5 and R 5* are independently selected from hydrogen and alkyl, in particular hydrogen and methyl.
- R 1 , R 2 , R 3 , R 5 and R 5* are all hydrogen at the same time.
- R 1 , R 2 , R 3 are all hydrogen at the same time, one of R 5 and R 5* is hydrogen and the other one is as defined above, in particular alkyl, more particularly methyl.
- R 5 and R 5* are independently selected from hydrogen, halogen, alkyl, alkoxyalkyl and azido, in particular from hydrogen, fluoro, methyl, methoxy ethyl and azido.
- one of R 5 and R 5* is hydrogen and the other one is alkyl, in particular methyl, halogen, in particular fluoro, alkoxyalkyl, in particular methoxyethyl or azido; or R 5 and R 5* are both hydrogen or halogen at the same time, in particular both hydrogen of fluoro at the same time.
- W can advantageously be oxygen, and -X-Y- advantageously -O-CH2-.
- -X-Y- is -O-CH2-
- W is oxygen
- R 1 , R 2 , R 3 , R 5 and R 5* are all hydrogen at the same time.
- LNA nucleosides are disclosed in WO 99/014226, WO 00/66604, WO 98/039352 and WO 2004/046160 which are all hereby incorporated by reference, and include what are commonly known in the art as beta-D-oxy LNA and alpha-L-oxy LNA nucleosides.
- -X-Y- is -S-CH2-
- W is oxygen
- R 1 , R 2 , R 3 , R 5 and R 5* are all hydrogen at the same time.
- -X-Y- is -NH-CH2-
- W is oxygen
- R 1 , R 2 , R 3 , R 5 and R 5* are all hydrogen at the same time.
- -X-Y- is -O-CH2CH2- or - OCH2CH2CH2-
- W is oxygen
- R 1 , R 2 , R 3 , R 5 and R 5* are all hydrogen at the same time.
- LNA nucleosides are disclosed in WO 00/047599 and Morita et al, Bioorganic & Med.Chem. Lett. 12, 73-76, which are hereby incorporated by reference, and include what are commonly known in the art as 2’-0-4’C-ethylene bridged nucleic acids (ENA).
- -X-Y- is -O-CH2-
- W is oxygen
- R 1 , R 2 , R 3 are all hydrogen at the same time
- one of R 5 and R 5* is hydrogen and the other one is not hydrogen, such as alkyl, for example methyl.
- R 5 and R 5* is hydrogen and the other one is not hydrogen, such as alkyl, for example methyl.
- -X-Y- is -0-CR a R b -, wherein one or both of R a and R b are not hydrogen, in particular alkyl such as methyl, W is oxygen, R 1 , R 2 , R 3 are all hydrogen at the same time, one of R 5 and R 5* is hydrogen and the other one is not hydrogen, in particular alkyl, for example methyl.
- R a and R b are not hydrogen, in particular alkyl such as methyl
- W is oxygen
- R 1 , R 2 , R 3 are all hydrogen at the same time
- one of R 5 and R 5* is hydrogen and the other one is not hydrogen, in particular alkyl, for example methyl.
- Such bis modified LNA nucleosides are disclosed in WO 2010/077578 which is hereby incorporated by reference.
- -X-Y- is -0-CHR a -
- W is oxygen
- R 1 , R 2 , R 3 , R 5 and R 5* are all hydrogen at the same time.
- R a is in particular C1-C6 alkyl, such as methyl.
- -X-Y- is -0-CH(CH2-0-CH3)- (“2’ O-methoxyethyl bicyclic nucleic acid”, Seth et al. J. Org. Chem. 2010, Vol 75(5) pp. 1569-81).
- -X-Y- is -0-CH(CH 2 CH3)-; In another particular embodiment of the invention, -X-Y- is -0-CH(CH 2 -0-CH3)-,
- W is oxygen and R 1 , R 2 , R 3 , R 5 and R 5* are all hydrogen at the same time.
- LNA nucleosides are also known in the art as cyclic MOEs (cMOE) and are disclosed in WO 2007/090071.
- -X-Y- is -0-CH(CH3)- (“2 ⁇ - ethyl bicyclic nucleic acid”, Seth at ai, J. Org. Chem. 2010, Vol 75(5) pp. 1569-81).
- -X-Y- is -O-CH2-O-CH2- (Seth et al., J. Org. Chem 2010 op. cit.)
- -X-Y- is -0-CH(CH3)-
- W is oxygen
- R 1 , R 2 , R 3 , R 5 and R 5* are all hydrogen at the same time.
- 6’-methyl LNA nucleosides are also known in the art as cET nucleosides, and may be either (S)-cET or (R)-cET diastereoisomers, as disclosed in WO 2007/090071 (beta-D) and WO
- -X-Y- is -0-CR a R b -, wherein neither R a nor R b is hydrogen, W is oxygen and R 1 , R 2 , R 3 , R 5 and R 5* are all hydrogen at the same time.
- R a and R b are both alkyl at the same time, in particular both methyl at the same time.
- Such 6’ -di- substituted LNA nucleosides are disclosed in WO 2009/006478 which is hereby incorporated by reference.
- -X-Y- is -S-CHR a -
- W is oxygen
- R 1 , R 2 , R 3 , R 5 and R 5* are all hydrogen at the same time.
- R a is alkyl, in particular methyl.
- R a and R b are advantagesously independently selected from hydrogen, halogen, alkyl and alkoxyalkyl, in particular hydrogen, methyl, fluoro and methoxymethyl.
- R a and R b are in particular both hydrogen or methyl at the same time or one of R a and R b is hydrogen and the other one is methyl.
- Such vinyl carbo LNA nucleosides are disclosed in WO 2008/154401 and WO 2009/067647 which are both hereby incorporated by reference.
- -X-Y- is -N(OR a )-CH2-
- W is oxygen
- R 1 , R 2 , R 3 , R 5 and R 5* are all hydrogen at the same time.
- R a is alkyl such as methyl.
- LNA nucleosides are also known as N substituted LNAs and are disclosed in WO 2008/150729 which is hereby incorporated by reference.
- -X-Y- is -0-N(R a )-, -N(R a )-0-, -NR a - CR a R b -CR a R b - or -NR a -CR a R b -, W is oxygen and R 1 , R 2 , R 3 , R 5 and R 5* are all hydrogen at the same time.
- R a and R b are advantagesously independently selected from hydrogen, halogen, alkyl and alkoxyalkyl, in particular hydrogen, methyl, fluoro and methoxymethyl.
- R a is alkyl, such as methyl
- R b is hydrogen or methyl, in particular hydrogen.
- -X-Y- is -0-N(CH3)- (Seth et al, J.
- R 5 and R 5* are both hydrogen at the same time.
- one of R 5 and R 5* is hydrogen and the other one is alkyl, such as methyl.
- R 1 , R 2 and R 3 can be in particular hydrogen and -X-Y- can be in particular -O-CH2- or -0-CHC(R a )3-, such as -0-CH(CH3)-.
- -X-Y- is -CR a R b -0-CR a R b -, such as - CH2-O-CH2-
- W is oxygen and R 1 , R 2 , R 3 , R 5 and R 5* are all hydrogen at the same time.
- R a can be in particular alkyl such as methyl, R b hydrogen or methyl, in particular hydrogen.
- LNA nucleosides are also known as conformationally restricted nucleotides (CRNs) and are disclosed in WO 2013/036868 which is hereby incorporated by reference.
- -X-Y- is -0-CR a R b -0-CR a R b -, such as - O-CH2-O-CH2-
- W is oxygen and R 1 , R 2 , R 3 , R 5 and R 5* are all hydrogen at the same time.
- R a and R b are advantagesously independently selected from hydrogen, halogen, alkyl and alkoxyalkyl, in particular hydrogen, methyl, fluoro and methoxymethyl.
- R a can be in particular alkyl such as methyl, R b hydrogen or methyl, in particular hydrogen.
- Such LNA nucleosides are also known as COC nucleotides and are disclosed in Mitsuoka et al, Nucleic Acids Research 2009, 37(4), 1225-1238, which is hereby incorporated by reference.
- the LNA nucleosides may be in the beta- D or alpha-L stereoisoform.
- LNA nucleosides are beta-D-oxy-LNA, 6’-methyl-beta-D-oxy LNA such as (S)-6’-methyl-beta-D-oxy-LNA ((S)-cET) and ENA.
- the RNase H activity of an antisense oligonucleotide refers to its ability to recruit RNase H when in a duplex with a complementary RNA molecule.
- WOO 1/23613 provides in vitro methods for determining RNaseH activity, which may be used to determine the ability to recruit RNaseH.
- an oligonucleotide is deemed capable of recruiting RNase H if it, when provided with a complementary target nucleic acid sequence, has an initial rate, as measured in pmol/l/min, of at least 5%, such as at least 10% or more than 20% of the of the initial rate determined when using a oligonucleotide having the same base sequence as the modified oligonucleotide being tested, but containing only DNA monomers with phosphorothioate linkages between all monomers in the oligonucleotide, and using the methodology provided by Example 91 - 95 of WO01/23613 (hereby incorporated by reference).
- recombinant human RNase Hl is available from Lubio Science GmbH, Lucerne, Switzerland.
- the invention relates to a method of synthesis of alcohol protected allofuranose from alcohol protected glucofuranose comprising the steps of:
- the alcohol groups in glucofuranose are protected at its postions 1, 2, 5 and 6, for example as depicted in the following formula:
- PG represents a protecting group protecting the alcohol function.
- protecting groups for alcohols are well knon in the art. Such protecting groups can for example be esters, ethers or acetals such as describedin Data from: J. Chem. Soc., Perkin Trans. 1, 1992, 3043-3048; Chem. Int. Ed., 1996, 35, 2056-2083 or J. Org. Chem., 1984, 49, 4674- 4682. Such examples are not exhaustive and other methods for protecting alcohols can be used. By the way of illustration, in the following examples benzyl ether (OBn) or mesylate (MsO) are examples of protected alcohol moieties.
- OBn benzyl ether
- MsO mesylate
- the catalytic oxidation step is performed in the presence of a TEMPO catalyst
- TEMPO catalyst can be selected from the group consisting of 2,2,6,6-Tetramethylpiperidin-l-yl)oxyl and (2, 2,6,6- tetramethylpiperidin- 1 -yl)oxidanyl.
- the concentration of the oxidative catalysts is less than 1% of the reaction solution in volume.
- the hypochlorite salt is a metal hypochlorite of the formula M + ClO .
- NaClO has been used as a hypochlorite metal salt.
- other metal salts can be formed such as KOC1, LIOC1, CaOCl, but in practice, sodium hypochlorite is the most commonly available.
- the hypochlorite salt is selected from the group consisting of NaOCl, KOC1, LIOC1, CaOCl or a combination thereof
- the solution of hypochlorite salt added to the reaction s can be between about 10% and about 15% of the reaction solution in volume. In an embodiment of the invention the solution of hypochlorite salt added to the reaction can be about 10% or 11% or 12% or 13% or 14% or 15% of the reaction solution in volume. In an embodiment of the invention the solution of hypochlorite salt added to the is about 12% of the solution in volume.
- the catalytic oxidation is performed at a temperature of about l0°C or less.
- the hypochlorite salt is removed. Removal of the hypochlorite salt can be peformed by conventional method know in the art, for example via a process of filtration and/or solvent exchange.
- reaction solution further comprises a buffer such as sodium bicarbonate (NaHCCb).
- a buffer such as sodium bicarbonate (NaHCCb).
- reaction solution further comprises an organic solvent such as ethyl acetate (EtOAc).
- organic solvent such as ethyl acetate (EtOAc).
- the reduction step is performed with a reducing agent.
- a reducing agent can be a solution of NaBH 4 .
- TEMPO for example about 1% of the reation solution
- reaction solution e.g. about 9 vol. equiv.
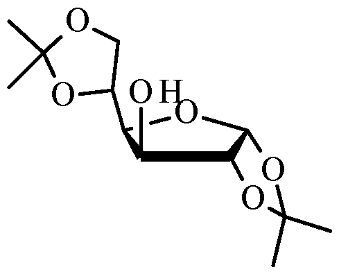
- the invention relates to a method for the synthesis of bismesylate of formula (P-D-S-7): Chiral
- said method comprising the steps of synthesizing allofuranose from glucosefuranose according to the method of the invention.
- the method for the synthesis of bismesylate of formula (P-D-S-7) according to the invention can further comprise the steps of:
- the compound of formula (b-D-S-S) can be prepared by reacting a compound of formula (b- ⁇ -8-4) with acetic acid in water: Chiral Chiral
- the compound of formula (P-D-S-4) can be prepared by reacting a compound of formula (P-D-S-3) with tetrabutylammonium hydrogen sulfate (TBAHS) in an appropriate solvent, e.g. toluene and then adding benzylchloride.
- TSAHS tetrabutylammonium hydrogen sulfate
- the compound of formula (P-D-S-3) can be prepared by reacting allofuranose with P2O5 (for example 545 g, 3.85 mol) in DMSO is to obtain a compound of formula (S- 2) and then reacting the compound of formula (S-2) with an aquous solution of NaBH 4 (for example 92 g, 2.43 mol) in water (for example 4 L). to obtain l,2:5,6-di-0-isopropyliden- a-D-allofuranose (P-D-S-3).
- the compound of formula (P-D-S-6) can be prepared from compound of formula (b-D-S-S), by reacting with NaI0 4 (for example 757 g, 3.54 mol) in water and then with dioxane (for example 2.0L), formaldehyde and sodium hydroxide.
- the invention relates to a method for the synthesis of an LNA-diol of formula 1 :
- said method comprising the step of synthesizing allofuranose from glucosefuranose according to the method of the invention.
- method for the synthesis of an LNA- diol further comprises the steps of preparing a bismesylate of formula (P-D-S-7) as described herein.
- method for the synthesis of an LNA- diol further comprises the steps of:
- the invention relates to a method for the synthesis of a LNA monomer, said method comprising the steps of synthesizing allofuranose from
- the method for the synthesis of a LNA monomer further comprises the steps of preparing a bismesylate of formula (P-D-S-7) as described herein.
- the method for the synthesis of a LNA monomer further comprises the steps of preparing a bismesylate of formula (1) as described herein.
- LNA-G monomers are LNA monomers wherein the nucleobase is guanine.
- LNA-G monomers have the following chemical formula:
- PG is a protecting group protecting an alcohol or an amine group.
- LNA-G monomers are stabilized under the form of their amidites, wich thereafter can conveniently be used for the synthesis of oligonucleotides.
- LNA-A monomers are LNA monomers wherein the nucleobase is adenosine.
- LNA-A monomers have the following chemical formula:
- PG represents a protecting group for either an alcohol or an amine group.
- LNA-A monomers are stabilized under the form of their amidites, wich thereafter can conveniently be used for the synthesis of oligonucleotides.
- LNA-T monomers are LNA monomers wherein the nucleobase is thymine.
- LNA-T monomers have the following chemical formula, wherein OPG is an protected alcohol and APG is an adenosine
- nucleobase wherein the amine group is protected :
- LNA-T monomers are stabilized under the form of their amidites, wich thereafter can conveniently be used for the synthesis of oligonucleotides.
- LNA-C monomers are LNA monomers wherein the nucleobase is cytosine.
- LNA-C monomers have the following chemical formula: Chiral
- OPG is an alcohol protecting group and me-CPG is a methylcytosine nucleobase wherein the amine group is protected.
- LNA-C monomers are stabilized under the form of their amidites, wich thereafter can conveniently be used for the synthesis of oligonucleotides.
- a fifth object of the invention is an oligonucleotide prepared using LNA monomers as made according to the methods of the invention described herein.
- the person skilled in the art will know how to prepare oligonucleotides from monomers according to methods known in the art.
- the invention relates to a gapmer oligonucleotide,
- the method of the invention can be used to prepare a gapmer oligonucleotide, pharmaceutically acceptable salt or conjugate as a medicament.
- Said oligonucleotides can be useful in a method of modulating the expression of a target RNA in a cell comprising administering an oligonucleotide or gapmer oligonucleotide according to the invention to a cell expressing said target RNA so as to modulate the expression of said target RNA.
- Said oligonucleotides can be useful in a method of inhibiting the expression of target RNA in a cell comprising administering an oligonucleotide or gapmer oligonucleotide according to the invention to a cell expressing said target RNA so as to inhibit the expression of said target RNA.
- Said oligonucleotides can further be useful in an in vitro method of modulating or inhibiting a target RNA in a cell comprising administering an
- oligonucleotide or gapmer oligonucleotide according to the invention to a cell expressing said target RNA, so as to modulate or inhibit said target RNA in said cell.
- the target RNA can, for example be a mammalian mRNA, such as a pre-mRNA or mature mRNA, a human mRNA, a viral RNA or a non-coding RNA, such as a microRNA or a long non coding RNA.
- the modulation is inhibition which may occur via target degradation (e.g . via recruitment of RNaseH, such as RNaseHl or RISC), or the inhibition may occur via an occupancy mediate mechanism which inhibits the normal biological function of the target RNA (e.g. mixmer or totalmer inhibition of microRNAs or long non coding RNAs).
- target degradation e.g . via recruitment of RNaseH, such as RNaseHl or RISC
- occupancy mediate mechanism which inhibits the normal biological function of the target RNA (e.g. mixmer or totalmer inhibition of microRNAs or long non coding RNAs).
- Ethyl acetate (20 vol. equiv.) was added to a 20L reactor at 20 - 35°C.
- l,2:5,6-Di-0- isopropylidene-a-D-glucofuranose S-l (1 wt. equiv.) was added and stirred into ethyl acetate.
- a 10% Potassium bromide solution (0.3 wt. equiv.) was added into the reaction mass at 20 - 35°C and the reaction was stirred for 5 - 10 minutes at 20 - 35°C.
- TEMPO 0.05 wt. equiv. was added into reaction mass at 20-35°C.
- reaction was stirred for 15 - 20 minutes at 20-35°C and then cooled to 0 - l0°C.
- a solution of aqueous basic Sodium hypochlorite (10-14%, 9 vol. equiv.) was then added to the reaction mixture slowly at 0 -
- a solution of sodium bicarbonate was prepared using sodium bicarbonate (1 wt. equiv.) and water (5 vol. equiv.) at 20 - 35 °C and then cooled to below 20 °C and then NLT 10% of sodium hypochlorite below 20 °C. The mixture was stirred well and the solution kept at 5 - 10 °C. The content of the well stirred solution was added to the reaction.
- the reaction was settled for 10 - 15 minutes and the upper layer (Ethyl acetate) was submitted to quality control for P-D-S-3 content by TLC.
- the reaction mass was homogeneous biphasic (top layer was organic layer, bottom layer was aqueous layer).
- Example 1.1 synthesis of allofuranose (P-D-S-3) from 100 g of glucosefuranose (SI) 1.2 Allofuranose was prepared according to the general synthesis of example 1 from 100 g of glucosefuranose. The yield was 70%.
- Example 1.2 synthesis of allofuranose (P-D-S-3) from 500 g of glucosefuranose (SI)
- LNA monomer and LNA amidite and LNA phosphoramidites are used interchangeably.
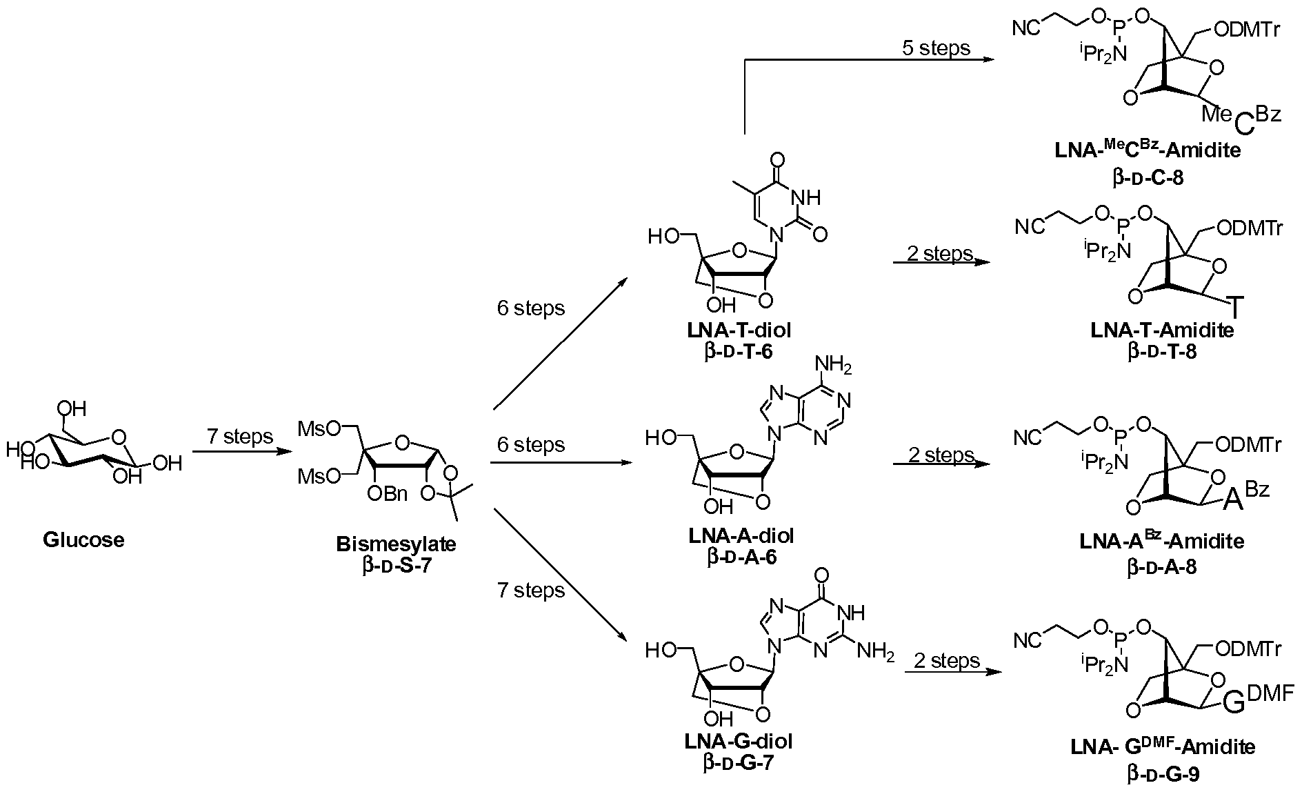
- This synthesis of four LNA monomers comprises of 37 synthetic steps starting from commercial glucose and is outlined in scheme 1. The following describes the chemical manufacture of the four LNA monomers analytical methods for the detection of these. In this synthesis, LNA monomers are considered API starting material.
- Example 2 monomer synthesis - Overview
- the total synthesis of the four LNA monomers comprises of 37 synthetic steps starting from commercial glucose and is outlined in scheme 1.
- the synthetic strategy is convergent where the first seven steps results in a modified sugar - the bismesylate (P-D-S-7) which is the common building block for all four monomers.
- the pyrimidine synthesis is also convergent because the LNA-T diol (b- ⁇ -T-6) functions as starting material for the LNA T and the LNA MeC monomers.
- the final steps from the diols to the amidites is the formation of the LNA monomeric building blocks that are compatible with the phosphoramidite approach for incorporated into oligonucleotides.
- the synthesis of the LNA-A diol starts with removal of the 1 ,2-isopropylidine group from the the Bismesylate (P-D-S-7) followed by acetylation which yields the coupling sugar (b- D-S-8).
- the coupling sugar is an anomeric mixture that is a sticky oil and therefore typically generated immediately before the following coupling step.
- the coupling step is a Vorbruggen coupling between the coupling sugar and unprotected adenine.
- SnCl 4 as Lewis catalyst results in the sole formation of b- ⁇ -A-2 without formation of the a-isomer and the N-6 sugar adduct.
- the synthesis of the LNA-G diol starts with removal of the 1 ,2-isopropylidine group from the the Bismesylate (P-D-S-7) followed by acetylation which yields the coupling sugar (b- D-S-8).
- the coupling sugar is an anomeric mixture that is a sticky oil and therefore typically generated immediately before the following coupling step.
- the coupling step is a Vorbruggen coupling between the coupling sugar and 6-Chloroguanine.
- TMSOTf as Lewis acid catalyst
- 6-Chloroguanine results in the sole formation of P-D-G-2 without formation of the a-isomer and the N-7 isomer.
- the synthesis of the LNA-T diol starts with removal of the 1 ,2-isopropylidine group from the the Bismesylate (P-D-S-7) followed by acetylation which yields the coupling sugar (b- D-S-8).
- the coupling sugar is an anomeric mixture that is a sticky oil and therefore typically generated immediately before the following coupling step.
- the coupling step is a Vorbruggen coupling between the coupling sugar and unprotected thymine.
- TMSOTf as Lewis catalyst results in the sole formation of b- ⁇ -T-2 without formation of the a-isomer and the N-3 isomer.
- the LNA-A diol (b- ⁇ -A-6) is protected with 4,4’-dimethoxytrityl at the 5’ position and with a transient trimethylsilyl group at the 3’ position followed by benzoylation at the exocyclic N-6 position.
- Treatment with ammonium hydroxide removes the silyl group giving b- ⁇ -A-7.
- Phosphitylation with 2-cyanoethyl N, N, N', A'-tctraisopropy l phosphord i- amidite gives the LNA-A monomer b- ⁇ -A-8.
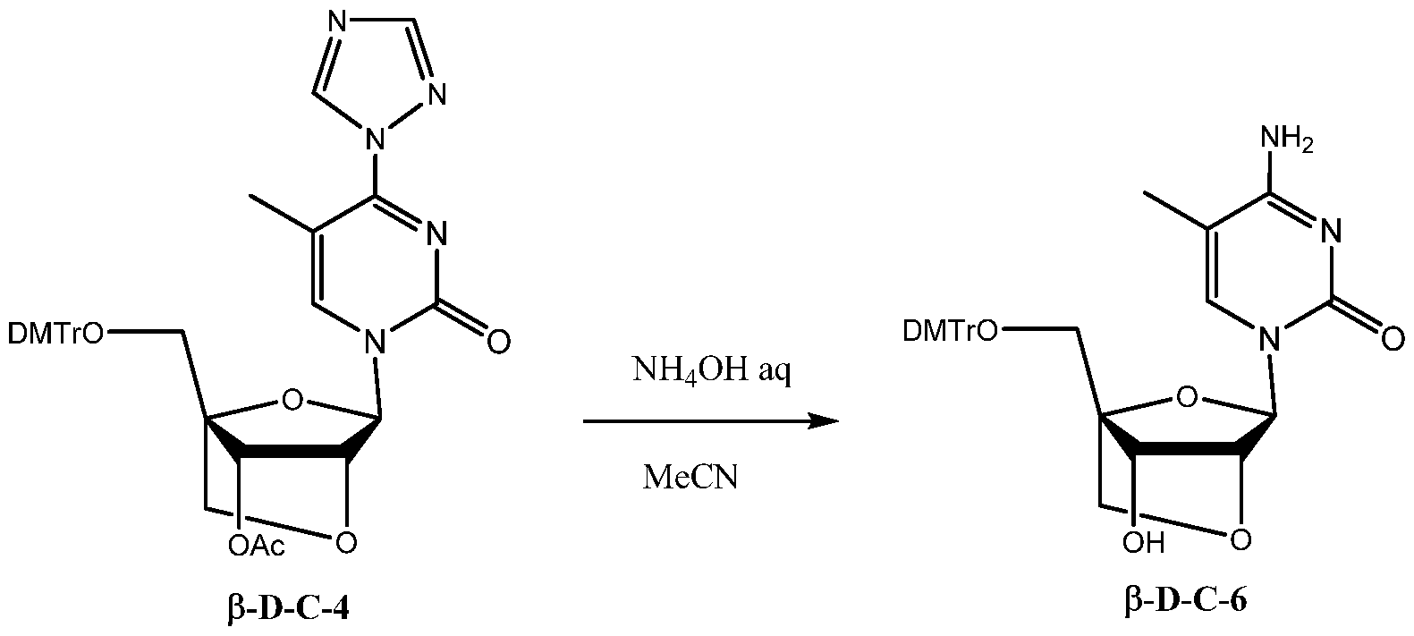
- the LNA-T diol (b- ⁇ -T-6) is protected with 4,4’-dimethoxytrityl at the 5’ position and with an acetyl group at the 3’ position giving b-0- 3.
- the exocyclic carbonyl at C-4 is converted into a triazolate b- ⁇ - 4 via reaction with phosphoroxy chloride.
- b- ⁇ - 4 is treated with concentrated aqueous ammonia resulting in the formation of the 5 -Me Cytosine nucleobase and the deprotection of the 3’ -OH (b- ⁇ - 6).
- the LNA-G diol (b-D-G-T) is protected with dimethylformimine at the 2-N exocyclic amine and with 4,4’-dimethoxytrityl at the 5’ position giving b-D-G-S.
- Phosphitylation with 2-cyanoethyl N, N, A'", A - 1 c t r a i s o p r o p y l p h o s p h o r d i a m i d i t c gives the LNA-G monomer b- ⁇ -0-9.
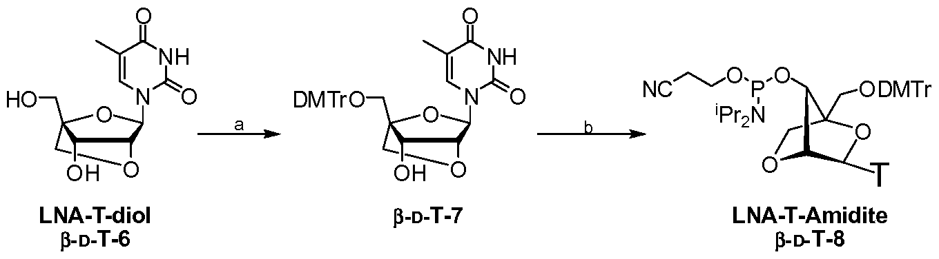
- the LNA-T diol (b- ⁇ -T-6) is protected with 4,4’-dimethoxytrityl at the 5’ -OH giving b- D-T-7.
- Phosphitylation with 2-cyanoethyl /V, /V, A'", A'"- 1 c t r a i s o p r o p y l p h o s p h o r d i a m i d i t c gives the LNA-T monomer b- ⁇ -T-8.
- the mixture was cooled to 20°C and pH adjust to 7-8 with 1 N aq. NaOH solution.
- a pH adjusting the pH to 7-8 may be helpful: if pH is below 7 impurity formation is observed. pH higher than 8, will form a sticky mass, which is difficult to filtrate.
- the mixture was filtered and the salts were washed with 2 x 500 mL acetone.
- the mixture was evaporated to a vol. of 5 L and 4 L DCM was added together with 5 L 1 N NaOH.
- the mixture was stirred for 15 min and phases separated.
- the aqueous phase was washed 2 times with 2 L DCM, and the combined organic phases were washed with 5 L brine and separated.
- the mixture was evaporated to 2 L and added 2 L hexane.
- the mixture was evaporated again to 2 L and again added 2 L hexane. This was repeated 2 times more.
- the resulting 2 L mixture was left at 45°C under stirring. After 45 min the mixture was slowly cooled to 30°C and left for stirring at that temperature. After 30 min the mixture was slowly cooled to l0°C and left there for 60 min.
- the product was filtered on a GF-P3 and washed with 1 L pre chilled (l0°C) hexane.
- the crystals were dry in air-vented oven at 55 - 60°C.
- DMSO 4.0 L
- P2O5 545 g, 3.85 mol
- DMSO 3.7 L
- S-l Glucofuranose
- DMSO 3.7 L
- the concentrated MTBE-phase is added to a cold stirred solution of NaBEE (92 g, 2.43 mol) in water (4 L) over a period of 1 hour.
- P-D-S-3 1000 g is dissolved in 5.0 L toluene and 2.0 L caustic lye is slowly added at 25- 30°C. 100 g TBAHS is added and the mixture is heated to 50°C. Then 608 g
- the reaction is cooled to 25-30°C and stirring stopped. After 30 min the bottom phase is separated out.
- the organic phase is isolated, and the aqueous phase washed with 1 L toluene and separated out.
- the combined organic phases are washed with 1 L demineralised water for 30 min, allowed to separate, and the bottom phase is unloaded.
- the organic phase is evaporated to an oil, and 4.0 L hexane is added.
- the mixture is cooled to 0°C and allowed to stir for 2h.
- the product is filtered on a GF-P3 and washed with 2 L pre chilled hexane.
- the reaction is cooled to 10 °C and pH is adjusted to 8 - 8.5 using 50 % sodium hydroxide (approx.: 5000 mL).
- the mixture is filtered on a GF-P3, and the filtrate is extracted with 3 x 3 L DCM.
- the combined organic phases are concentrated to afford colorless oil.
- Heptane (1.5 L) is added and the mixture allowed to cool down to room temperature.
- the first crop of crystals are isolated on a GF-P3, and the filter cake is washed with MTBE/ heptane (1 :3) (1.5 L, 20°C).
- the filtrate is evaporated, and MTBE (500 mL) and heptane (200 mL) is added to the residue.
- the hot solution (45-50°C) is transferred to a flask and allowed to reach RT.
- the secound crop of crystals are isolated on a GF-P3.
- the material is left to dry in a vacuum oven over night to give 750 g (yield: 75 %) white solid.
- P-D-S-7 1000 g is suspended in Acetic acid (3.0 L) to give an off-white suspension.
- Sulfuric acid (5.7 mL) is dissolved in 100 mL Acetic acid and added to the suspension.
- Acetic anhydride (364 mL) is added drop wise over a period of 1 hour at 20°C. The stirred reaction is left at 25°C until LC-MS analysis shows full conversion to P-D-S-8 (typical 5- 16 h).
- the organic phase is concentrated under reduced pressure using a rotary evaporator to get approximately 1200 g clear oil.
- P-D-S-8 1000 g is dissolved in anh. acetonitrile (2 L) under nitrogen atmosphere to give a colorless solution. Adenine (291 g) is added and the mixture is stirred at 25°C. SnCl 4 (1123 g) is added dropwise over a period of 30 min. at max. 45°C. The stirred reaction is left at 40°C until LC-MS analysis shows full conversion to b- ⁇ -A-2 (typical 2 h).
- reaction mixture is cooled to 0°C and pH adjusted to 4.5 - 5.0 using 14 M NaOH (aq).
- Celite added (450 g) to the mixture, filtered on a GF-P3, and the filter cake is washed with EtOAc (2 x 1 L).
- the combined organic phases are washed with 1 M K2HPO4 (1 x 3 L).
- the organic phase is concentrated under reduced pressure using a rotary evaporator to orange oil.
- the reaction mixture is concentrated under reduced pressure using a rotary evaporator until 2000 mL is collected.
- the mixture is added 2.5 L demineralized water, filtered on a GF-P3, and the filter cake is washed with demineralized water (3 x 1.5 L).
- P-D-A-3 1000 g are dissolved in acetonitrile (3 L) and coevaporated 2 times with acetonitrile (2 x 3 L), 2 times with toluene (2 x 2 L) and finally dissolved in DMF (9.0 L).
- NaOBz 805 g is added and the mixture is stirred at l05°C until LC-MS analysis shows full conversion to b- ⁇ -A-4 (typical 2 h).
- the white suspension is cooled to 25°C and added 20 L demineralized water.
- the mixture is cooled to 5°C and filtered on a GF-P3.
- the filter cake is washed with demineralized water (1 x 9 L). The wet filter cake is used without further purification in next step.
- P-D-A-4 1000 g is dissolved in THF (6.0 L) to give a yellow solution.
- Water 5.0 L
- Lithium hydroxide hydrate 115 g is added and the mixture is stirred at 25 °C until LC-MS analysis shows full conversion to b-D-A-S (typical 1 h).
- the reaction mixture is concentrated under reduced pressure using a rotary evaporator until 4000 mL is collected.
- the mixture is added 4.5 L demineralalized water, cooled to l0°C, filtered on a GF-P3, and the filter cake is washed with demineralized water (1 x 3.0 L).
- the white crystals are dried in vacuum oven (typical 16 h at 50°C, 10-50 mbar).
- the warm reaction mixture is filtered on celite at approx. 60°C.
- the filter is washed with a preheated (70°C) mixture of ethanol/ water (3000 mL ethanol/ 1000 mL water).
- the combined filtrates are concentrated under reduced pressure using a rotary evaporator until approx. 4 L solution is left.
- 2-propanol (3.5 L) is added, and evaporated until 5.0 L are collected. Then more 2-propanol (3.5 L) is added and the mixture is cooled to 0°C, filtered on a GF-P3, and the filter cake is washed with cold 2-propanol (1 x 2.0 L at 0°C).
- the white crystals are dried in oven (typical 16 h at 40°C, airflow).
- P-D-A-6 1000 g is dissolved in anh. pyridine (30 L) under nitrogen atmosphere and DMTrCl (2014 g) is added. The deep red reaction mixture is stirred at room temperature until TLC analysis (10 % MeOH in DCM) shows full conversion (typical 3 h). Reaction cooled to 0°C and TMSC1 (2064 g) is added over a period of 1 h. Benzoylchloride (2670 g) is added at 0°C, and the reaction mixture is allowed to warm up to 20 - 25°C and left overnight.
- the beige suspension is cooled to 0°C and MeOH (5.0 L) is added drop wise at max. l0°C (exothermic, jacket set to minus l0°C).
- MeOH 5.0 L
- a mixture of 25% NH3 aq (8300 mL) and purified water (3.0 L) is added to the mixture (exothermic) at max. 20°C.
- the reaction mixture is stirred at room temperature until TLC analysis (10 % MeOH in DCM) shows full conversion to TM (typical 5 h).
- the reaction is added water (5.0 L) and toluene (20.0 L).
- the phases are separated and the organic phase is concentrated under reduced pressure using a rotary evaporator (water bath 60°C).
- PN2 2-Cyanoethyl-N, N, N' , N' ,-tetraisopropylphosphorodiamidite
- reaction mixture is applied directly on a silica gel column (10 kg) packed in
- CEbCkiAcOEt (9:1 , v/v) + 0.1% Et 3 N followed by flash chromatography in QUCUTHF (88: 12, v/v) + 0.1% EtsN.
- P-D-T-6 1000 g is dissolved in anh. pyridine (10 L) under nitrogen atmosphere and DMTrCl (1505 g) is added. The deep red reaction mixture is stirred at 28°C until LC-MS analysis shows full conversion to the DMT -intermediate. Acetic anhydride (1.0 L) is added over a period of 30 min. at max. 25°C. The stirred reaction is left at 25°C until LC- MS analysis shows full conversion to P-D-C-3 (typical 16 h).
- the reaction mixture is concentrated under reduced pressure using a rotary evaporator to get approximately 7 kg red oil.
- the oil is dissolved in 2.2 L CELCN at 70°C and slowly added to 14 L stirred EtOAc at 20°C.
- the resulting mixture is filtered (the removed solid is probably pyridine chloride), and the mother liquor concentrated under reduced pressure using a rotary evaporator to get approximately 5 kg red oil.
- the 5 kg red oil is dissolved in toluene (6.0 L) and washed with sat. NaHCCh aq (2 x 3.0 L), water (1 x 3.0 L) and brine (1 x 3.0 L).
- the organic phase is concentrated under reduced pressure using a rotary evaporator to approximately 2800 g red oil.
- the crude oil is dissolved in 2 L toluene + 20 mL TEA. 8000 g Silica gel 60 is washed with toluene + 1% TEA.
- Eluent 1 10 % EtOAc in toluene + 0.1 % TEA until all DMT impurities are out (typical 6 column volumes). Shown with LC-MS. Eluent 2: EtOAc + 0.1 % TEA to eluate the b-D-C 3 out (typical 8 column volumes).
- the product containing fractions are pooled and concentrated under reduced pressure using a rotary evaporator.
- the water phase is washed with EtOAc (4.0 L) and the combined organic phases are washed with water (8.0 L) and brine (4.0 L).
- the organic phase is concentrated under reduced pressure using rotary evaporator until yellow crispy foam is obtained.
- the mixture is allowed to separate, and the organic phase is concentrated under reduced pressure using rotary evaporator until white crispy foam is obtained.
- the aqueous phase is washed with toluene (3.0 L) and the combined toluene phases are washed with water (5.0 L) and brine (5.0 L) and separated.
- the organic phase is concentrated under reduced pressure using rotary evaporator until yellow oil is obtained.
- Eluent 2 EtOAc + 0.1 % TEA to eluate the b-D-C 7 (typical 6 column volumes).
- the product containing fractions are pooled and concentrated under reduced pressure using a rotary evaporator.
- Typical yield 75 - 85 % white crispy foam.
- PN2 2-Cyanoethyl-N, N, N' , N' ,-tetraisopropylphosphorodiamidite
- PN2 (650 mL) is added to a solution of 1 M DCI (168 g in 1000 mL DCM). This mixture is added to a solution of P-D-C-7 (1000 g) dissolved in anh. DCM (5000 mL) under nitrogen atmosphere at l6°C - l8°C. The mixture was stirred at 24°C until TLC shows full conversion to P-D-C-8.
- the filtered DCM fractions are pooled and concentrated under reduced pressure. 2 L MeCN is added and this mixture is concentrated. 5 L MeCN is added and the mixture is cooled to 0°C. The mixture is filtered on a GF-P3 to isolate the white crystals.
- P-D-S-8 1000 g is dissolved in anh. acetonitrile (8.4 L) under nitrogen atmosphere to give a colorless solution. 6-Chloroguanine (382 g) is added and the mixture is stirred at 25°C. BSA (805 g) is added dropwise over a period of 15 min. at 50°C. The reaction is heated to 85 - 90°C and stirred until the mixture is clear brown (typical 2 h).
- the reaction mixture is cooled to lO°C and tap water is added (2.8 L). pH adjusted to 8 using 3M NaOH aq (approx. 1.5 L). The resulting solution is extracted with EtOAc (3.0 L + 2 x 1.5L). The combined organic phases are washed with 1 M K2HPO4 aq (2 x 3 L) and with 25 % sat. NaCl in tap water (2 x 1.8 L). The organic phase is concentrated under reduced pressure using a rotary evaporator to give brown oil.
- P-D-G-3 1000 g is dissolved in DCM (7.0 L) and cooled to minus 5°C followed by addition of benzyl alcohol (292 g). Potassium t-butoxide (243 g) is added in portions over a period of 3 hours. Temp. 0 +/- 5°C. The reaction is stirred at minus 5°C until LC-MS analysis shows full conversion to P-D-G-4 (typical 1 h after completed addition).
- the reaction mixture is added water (7 L) and stirred for 10 min.
- the phases are separated and the aqueous phase is extracted once with DCM (1.5 L).
- the combined organic phases are washed with brine (5 L) and separated.
- Silica 100-200 is added to the mixture and stirred for 1 h. Filtered on a GF-P3 and the filter cake is washed with DCM.
- This combined organic phases is concentrated (50°C, 50 mbar).
- Toluene (2.0 L) is added to the residue.
- the suspension is concentrated on rotary evaporator (50°C, 50 mbar).
- Toluene (3.0 L) is added to the residue again and stirred for 2-3 h.
- the product is isolated by filtration.
- the filter cake is washed with toluene (500 mL).
- P-D-G-4 1000 g is dissolved in DMSO (molsive dry, 5.0 L) under N2-atm. NaOBz (364 g) is added to the reaction mixture. The unclear red-brown reaction mixture is heated to l00°C until LC-MS analysis shows full conversion to b-D-G-S (typical 2 h).
- the reaction is cooled to 35°C, and poured into cold (0°C) demineralised water (20 L) and stirring is continued night over.
- the suspension is filtered on a GF-P3 (very slow!) and the off-white filter cake is suspended in 4 L water (still on the filter) to remove DMSO.
- the wet product b-D-G-S is used in the next step without drying!
- the reaction is concentrated under reduced pressure (60°C, 100 mbar) until 3.0 L is distilled off. Then 6 L demineralised water is added to the rubber like matrix and the mixture is stirred at 25°C night over.
- the warm reaction mixture is filtered through a cellulose pad at approx. 60°C.
- the filter is washed with a preheated (70°C) mixture of ethanol/ water (3000 mL ethanol/ 1000 mL water).
- the combined filtrates are concentrated under reduced pressure using a rotary evaporator until approx. 4 L solution is left.
- 2-propanol (3.5 L) is added, and evaporated until 5.0 L are collected. Then more 2-propanol (3.5 L) is added and the mixture is cooled to 0°C, filtered on a GF-P3, and the filter cake is washed with cold 2-propanol (1 x 2.0 L at 0°C).
- P-D-G-7 1000 g, 3.4 mol is suspended in pyridine (10 L).
- Dimethylformamide dimethyl acetal (907 g, 9.1 mol) is added and the resulting suspension is stirred at approx. 25°C until a clear solution is obtained (app. 2 1 ⁇ 2 h) and then further 90 min after which in- process analysis shows full conversion of the starting material into the intermediate.
- Tap water 60 mL, 3.4 mol
- the reaction mixture is stirred 30 min at 25°C followed by evaporation to dryness under reduced pressure.
- the reaction mixture is drained into jerry cans and aqueous NaHCCb (6%, 30 L) and dichloromethane (10 L) is transferred to the reactor.
- the reaction mixture is transferred to the reactor at 20-25°C over 20 min. followed by dichloromethane (3.3 L).
- the resulting emulsion is stirred for 5 min and the phases separated.
- the aqueous phase is extracted with dichloromethane (10 L).
- the combined organic phases are washed with aqueous NaCl (25%, 7 L).
- the organic phase is concentrated under reduced pressure using a jacket temperature of 60°C. When approx. 20 L of distillate has been collected the resulting mixture is subjected to a polish filtration.
- the centrifugation can be substituted with a filtration but this can be very slow.
- PN2 2-Cyanoethyl-N, N, N' , N' ,-tetraisopropylphosphorodiamidite
- Methyl fc/t-butyl ether (1.0 L) was added over 35 min. The resulting suspension was stirred at ca. 20°C for 90 min. after which it was filtered. The filter cake was washed with a mixture of methyl tert- butyl ether and toluene (1 :1, v/v, 1.55 L) followed by wash with methyl tert- butyl ether (700 mL). The wet cake was dried in vacuum.
- the pH is adjusted to 6.1 with AcOH (app. 720 mL).
- the phases are separated and the aq.- phase is extracted with 1.6 L DCM.
- the combined organic phases are washed with 4.5 L H2O.
- the organic phase is concentrated in vacuo (50°C, 40 mbar).
Landscapes
- Chemical & Material Sciences (AREA)
- Organic Chemistry (AREA)
- Health & Medical Sciences (AREA)
- Life Sciences & Earth Sciences (AREA)
- Engineering & Computer Science (AREA)
- Biochemistry (AREA)
- Biotechnology (AREA)
- General Health & Medical Sciences (AREA)
- Genetics & Genomics (AREA)
- Molecular Biology (AREA)
- Pharmaceuticals Containing Other Organic And Inorganic Compounds (AREA)
Abstract
The present invention relates to the manufacture of allofuranose from glucofuranose as defined in the description and in the claim. Allofuranos is an intermediate in the manufacture of oligonucleotides which can be used as a medicament.
Description
Novel process for making allofuranose from glucofuranose
The invention relates to a novel process for making allofuranose from gluco- furanose.
Allofuranose and glucofuranose are useful intermediates in the manufacture of synthetic, pharmaceutically active oligonucleotides. Allofuranose in particular is useful in the manufacture of Locked Nucleic Acid (LNA) nucleoside monomers, which are useful as monomers of LNA oligonucleotides.
The use of synthetic oligonucleotides as therapeutic agents has witnessed remarkable progress over recent decades leading to the development of molecules acting by diverse mechanisms including RNase H activating gapmers, splice switching oligonucleotides, microRNA inhibitors, siRNA or aptamers (S. T. Crooke, Antisense drug technology : principles, strategies, and applications, 2nd ed. ed., Boca Raton, FL : CRC Press, 2008).
Synthesis of LNA (Locked Nucleic Acid) monomers were first reported by Wengel et al (Singh, S. K.; Nielsen, P., Koshkin, A. A. and Wengel, J. Chem. Commun., 1998, 455;
Koshkin, A. A.; Singh, S. K.; Nielsen, P.; Rajwanshi, V. K.; Kumar, R.; Melgaard, M; Olsen, C. E. and Wengel, J., Tetrahedron, 1998, 54, 3607). Depending on which monomer that is prepared, LNA monomer synthesis consists of 15-17 steps. Due to the length of the synthesis it is very important that all steps proceed in the most optimal way. The synthesis steps are optimised on four parameters: 1. Fast reaction time; 2. Employing cheap reagents; 3. Easy to handle; 4. Proceeds in high overall yields.
In the procedures cited in the art the starting material was l,2:5,6-di-0- isopropylidene-a-D-allofuranose. l,2:5,6-di-0-isopropylidene-a-D-allofuranose is comer- cially available (e.g. at Sigma Aldrich now Merck, CAS Number: 2595-05-03 in smaller quantities). Reducing the cost of the starting material by improving the synthesis is of great value for LNA synthesis.
VB/20.05.19
l,2:5,6-di-0-isopropylidene-a-D-allofuranose is normally prepared from the much cheaper l,2:5,6-di-0-isopropylidene-a-D-gIucofuranose in two steps. The first step is oxidation of the secondary alcohol which is subsequently reduced to provide the allo- configuration. Oxidation of secondary hydroxyl groups to their corresponding carbonyl derivatives with dimethyl sulfoxide (DMSO) and acetic anhydride has been described (Albright J.D. and Goldman L., J. Am. Chem. Soc, 1967, 89: 10). The oxidation of alcohols with acetic anhydride-DMSO is described to be a mild oxidative method and giving good yields with sterically hindered hydroxyl groups. They demonstrate in the paper that optimal oxidation is found in the case when ca. 20 times excess of acetic anhydride in relation to the alcohol, is used. All the experiments are performed on alkaloids and on steroids, thus no examples on furanoses are shown.
Also Horton D. and Jewell J.S. (Carbohydrate Res., 1966, 2, 251-260) and Horton, D. and Godman, J.L. (Carbohydrate Res., 1968, 6, 229-232) have used DMSO/ Acetic anhydride but they point out that it is important to remove the reagents (DMSO/acetic anhydride) before further reactions and they use either evaporation at reduced pressure or lyophilation to remove the reagents. To carry out the reaction they use an excess of acetic anhydride between 7 and 26 fold.
Baker D. C. et al. (Baker D.C., Horton D. and Tindall C.G., Carbohyd. Res., 1972, 24 192- 197) show that acetic anhydride/DMSO oxidation can be applied to l,2:5,6-di-0- isopropylidene-a-D-glucofuranose and they underline that the method is not effective on large scale. For their large scale synthesis, 0.5 mole l,2:5,6-di-0-isopropylidene-a-D- glucofuranose, they use a complex reaction mixture composed of chloroform, water, potassium metaperiodate, potassium carbonate, and the rare earth metal ruthenium dioxide. After a rather laborious work-up the hydrated ketone is isolated. Thus, they illustrate in this paper that it is not possible to mix the subsequent reduction step with the oxidation step. The overall yield of these two consecutive steps is 64 % of crude material. Furthermore, they claim that the DMSO/ Acetic anhydride oxidation is not suitable for larger batches > 0.5 mole. Sowa, W. and Thomas, G. H. S., (Can. J. of Chem., 1966, Vol. 44, 836-838) used the
DMSO/acetic anhydride oxidation of l,2:5,6-di-0-isopropylidene-a-D-glucofuranose in small scale (10 mmole) using a 20 fold excess of acetic anhydride. The ulose was then reduced providing l,2:5,6-di-0-isopropylidene-a-D-allofuranose of poor quality, thus the product had to be column purified. Overall this procedure is not suitable for large-scale productions due to the large reagent consumption, two step procedure and the column purification step.
Youssefyeh R. D. et al. (Youssefyeh, R. D., Verhyden, J.P.H., Moffatt, J.G., J. Org. Chem. 1979, 44(8), 1301-1309) employed the DMSO/ Acetic anhydride oxidation and subsequent the reduction with sodium borohydride to prepare l,2-0-isopropylidene-5-0- trityl-4-(trityloxymethyl)-a-D-erythro-pentofuranose from the corresponding threo derivative. Like Baker D. C. et al. they used a large excess of acetic anhydride (10 times) and performed the reaction in small scale (2.13 mmole).
Fuertes C. M. and Cesar M. (Bol. Soc. quim. Peru, 1972. 37(4), 161-74,) prepared l,2:5,6-di-0-isopropylidene-a-D-allofuranose by a consecutive two step reaction from l,2:5,6-di-0-isopropylidene-a-D-glucofuranose. However, they used a 13 fold excess of acetic anhydride and allowed the oxidation to proceed for 72 h. The yield in the oxidation step was 60%. The subsequent reduction was performed in 75% yield, thus the overall yield in the sequential reactions was 45%.
W02002098892 describes the synthesis of allofuranose using glucofuranose as starting material in a one-pot reaction. In this document, the oxidation of 1,2: 5,6-di-O- isopropylidene-a-D-glucofuranose is carried out with DMSO/acetic anhydride. The reduction reaction is performed in one pot obtaining what was believed to be high yields of recrystallised and analytical pure l,2:5,6-di-0-isopropylidene-a-D-allofuranose.
The inventors were surprised to find a novel process for making allofuranose from glucofuranose that is much cheaper and produces much higher yields than reported in the art. Further key improvements for the process according to the invention over the art will be outlined hereinbelow.
SUMMARY OF THE INVENTION
In one aspect, the invention relates to a method for the synthesis of allofuranose from glucofuranose, said method comprising the steps of a catalytic oxidation of glucosefuranose in a reaction solution comprising hypochlorite salt, and a reduction to produce allofuranose.
The inventors were surprised by the following findings about the method of the invention. Firstly, it achieves a high yield when compared to methods of the prior art. Secondly, it is cheap, for instance, it allows for the use of very low amounts of TEMPO as a catalyst. Thirdly, it allows to avoid noxious oxidations by using NaOCl(aq) instead. Finally, the reduction step according to the method of the invention requires no
evaporation to dryness and no chromatography.
DEFINITIONS
In the present description the term“allofuranose” signifies allofuranose wherein 4 alcohol moieties are protected except the alcohol on position 3. Allofuranose is also known as (3R, 4S, 5R)-5-[(lR)-l,2-dihydroxyethyl]oxolane-2,3,4-triol or D-allofuranose:
Encompassed by this definition are compounds wherein the alcohol moieties are protected as depicted in the following structure:
In the present description the term“glucofuranose” signifies glucofuranose wherein 4 alcohol moieties are protected except the alcohol on position 3. Glucofuranose is also known as D-glucose or D-glucofuranose. Glucoruranose according to the invention has the following chemical structure:
Encompassed by this definition are compounds wherein the alcohol moieties are protected, for example a compound wherein protection is performed by treatment with acetone and acid resulting in a furanoside of the following structure:
The person skilled in the art will recognize that compounds having alcohol moieties are typically protected in chemical reactions to avoid undesired by-products.
The term“alkyl”, alone or in combination, signifies a straight-chain or branched- chain alkyl group with 1 to 8 carbon atoms, particularly a straight or branched-chain alkyl group with 1 to 6 carbon atoms and more particularly a straight or branched-chain alkyl group with 1 to 4 carbon atoms. Examples of straight-chain and branched-chain Ci-Cs alkyl groups are methyl, ethyl, propyl, isopropyl, butyl, isobutyl, tert. -butyl, the isomeric pentyls, the isomeric hexyls, the isomeric heptyls and the isomeric octyls, particularly methyl, ethyl, propyl, butyl and pentyl. Particular examples of alkyl are methyl, ethyl and propyl.
The term“cycloalkyl”, alone or in combination, signifies a cycloalkyl ring with 3 to 8 carbon atoms and particularly a cycloalkyl ring with 3 to 6 carbon atoms. Examples of cycloalkyl are cyclopropyl, cyclobutyl, cyclopentyl, cyclohexyl, cycloheptyl and cyclooctyl, more particularly cyclopropyl and cyclobutyl. A particular example of “cycloalkyl” is cyclopropyl.
The term“alkoxy”, alone or in combination, signifies a group of the formula alkyl- O- in which the term "alkyl" has the previously given significance, such as methoxy, ethoxy, n-propoxy, isopropoxy, n-butoxy, isobutoxy, sec.butoxy and tert.butoxy. Particular “alkoxy” are methoxy and ethoxy. Methoxyethoxy is a particular example of
“alkoxy alkoxy”.
The term“oxy”, alone or in combination, signifies the -O- group.
The term“alkenyl”, alone or in combination, signifies a straight-chain or branched hydrocarbon residue comprising an olefinic bond and up to 8, preferably up to 6, particularly preferred up to 4 carbon atoms. Examples of alkenyl groups are ethenyl, 1- propenyl, 2-propenyl, isopropenyl, l-butenyl, 2-butenyl, 3-butenyl and isobutenyl.
The term“alkynyl”, alone or in combination, signifies a straight-chain or branched hydrocarbon residue comprising a triple bond and up to 8, particularly 2 carbon atoms.
The terms“halogen” or“halo”, alone or in combination, signifies fluorine, chlorine, bromine or iodine and particularly fluorine, chlorine or bromine, more particularly fluorine. The term“halo”, in combination with another group, denotes the substitution of said group with at least one halogen, particularly substituted with one to five halogens, particularly one to four halogens, i.e. one, two, three or four halogens.
The term“haloalkyl”, alone or in combination, denotes an alkyl group substituted with at least one halogen, particularly substituted with one to five halogens, particularly one to three halogens. Examples of haloalkyl include monofluoro-, difluoro- or trifluoro- methyl, -ethyl or -propyl, for example 3,3,3-trifluoropropyl, 2-fluoroethyl, 2,2,2- trifluoroethyl, fluoromethyl or trifluoromethyl. Fluoromethyl, difluoromethyl and trifluoromethyl are particular“haloalkyl”.
The term“halocycloalkyl”, alone or in combination, denotes a cycloalkyl group as defined above substituted with at least one halogen, particularly substituted with one to five halogens, particularly one to three halogens. Particular example of“halocycloalkyl” are halocyclopropyl, in particular fluorocyclopropyl, difluorocyclopropyl and
trifluorocyclopropyl.
The terms“hydroxyl” and“hydroxy”, alone or in combination, signify the -OH group.
The terms“thiohydroxyl” and“thiohydroxy”, alone or in combination, signify the - SH group.
The term“carbonyl”, alone or in combination, signifies the -C(O)- group.
The term“carboxy” or“carboxyl”, alone or in combination, signifies the -COOH group.
The term“amino”, alone or in combination, signifies the primary amino group (- NH2), the secondary amino group (-NH-), or the tertiary amino group (-N-).
The term“alkylamino”, alone or in combination, signifies an amino group as defined above substituted with one or two alkyl groups as defined above.
The term“sulfonyl”, alone or in combination, means the -SO2 group.
The term“sulfinyl”, alone or in combination, signifies the -SO- group.
The term“sulfanyl”, alone or in combination, signifies the -S- group.
The term“cyano”, alone or in combination, signifies the -CN group.
The term“azido”, alone or in combination, signifies the -N3 group.
The term“nitro”, alone or in combination, signifies the NO2 group.
The term“formyl”, alone or in combination, signifies the -C(0)H group.
The term“carbamoyl”, alone or in combination, signifies the -C(0)NH2 group.
The term“cabamido”, alone or in combination, signifies the -NH-C(0)-NH2 group.
The term“aryl”, alone or in combination, denotes a monovalent aromatic carbocyclic mono- or bicyclic ring system comprising 6 to 10 carbon ring atoms, optionally substituted with 1 to 3 substituents independently selected from halogen, hydroxyl, alkyl, alkenyl, alkynyl, alkoxy, alkoxyalkyl, alkenyloxy, carboxyl,
alkoxycarbonyl, alkylcarbonyl and formyl. Examples of aryl include phenyl and naphthyl, in particular phenyl.
The term“heteroaryl”, alone or in combination, denotes a monovalent aromatic heterocyclic mono- or bicyclic ring system of 5 to 12 ring atoms, comprising 1, 2, 3 or 4 heteroatoms selected from N, O and S, the remaining ring atoms being carbon, optionally substituted with 1 to 3 substituents independently selected from halogen, hydroxyl, alkyl, alkenyl, alkynyl, alkoxy, alkoxyalkyl, alkenyloxy, carboxyl, alkoxycarbonyl,
alkylcarbonyl and formyl. Examples of heteroaryl include pyrrolyl, furanyl, thienyl, imidazolyl, oxazolyl, thiazolyl, triazolyl, oxadiazolyl, thiadiazolyl, tetrazolyl, pyridinyl, pyrazinyl, pyrazolyl, pyridazinyl, pyrimidinyl, triazinyl, azepinyl, diazepinyl, isoxazolyl, benzofuranyl, isothiazolyl, benzothienyl, indolyl, isoindolyl, isobenzofuranyl,
benzimidazolyl, benzoxazolyl, benzoisoxazolyl, benzothiazolyl, benzoisothiazolyl, benzooxadiazolyl, benzothiadiazolyl, benzotriazolyl, purinyl, quinolinyl, isoquinolinyl, quinazolinyl, quinoxalinyl, carbazolyl or acridinyl.
The term“heterocyclyl”, alone or in combination, signifies a monovalent saturated or partly unsaturated mono- or bicyclic ring system of 4 to 12, in particular 4 to 9 ring atoms, comprising 1, 2, 3 or 4 ring heteroatoms selected from N, O and S, the remaining ring atoms being carbon, optionally substituted with 1 to 3 substituents independently selected from halogen, hydroxyl, alkyl, alkenyl, alkynyl, alkoxy, alkoxyalkyl, alkenyloxy, carboxyl, alkoxycarbonyl, alkylcarbonyl and formyl. Examples for monocyclic saturated heterocyclyl are azetidinyl, pyrrolidinyl, tetrahydrofuranyl, tetrahydro-thienyl, pyrazolidinyl, imidazolidinyl, oxazolidinyl, isoxazolidinyl, thiazolidinyl, piperidinyl, tetrahydropyranyl, tetrahydrothiopyranyl, piperazinyl, morpholinyl, thiomorpholinyl, 1,1- dioxo-thiomorpholin-4-yl, azepanyl, diazepanyl, homopiperazinyl, or oxazepanyl.
Examples for bicyclic saturated heterocycloalkyl are 8-aza-bicyclo[3.2.l]octyl,
quinuclidinyl, 8-oxa-3-aza-bicyclo[3.2.l]octyl, 9-aza-bicyclo[3.3.l]nonyl, 3-oxa-9-aza- bicyclo[3.3.l]nonyl, or 3-thia-9-aza-bicyclo[3.3.l]nonyl. Examples for partly unsaturated heterocycloalkyl are dihydrofuryl, imidazolinyl, dihydro-oxazolyl, tetrahydro-pyridinyl or dihydropyranyl.
The term“pharmaceutically acceptable salts” refers to those salts which retain the biological effectiveness and properties of the free bases or free acids, which are not biologically or otherwise undesirable. The salts are formed with inorganic acids such as hydrochloric acid, hydrobromic acid, sulfuric acid, nitric acid, phosphoric acid, particularly hydrochloric acid, and organic acids such as acetic acid, propionic acid, glycolic acid, pyruvic acid, oxalic acid, maleic acid, malonic acid, succinic acid, fumaric acid, tartaric acid, citric acid, benzoic acid, cinnamic acid, mandelic acid, methanesulfonic acid, ethanesulfonic acid, p-toluenesulfonic acid, salicylic acid, N-acetylcystein. In addition these salts may be prepared form addition of an inorganic base or an organic base to the free acid. Salts derived from an inorganic base include, but are not limited to, the sodium, potassium, lithium, ammonium, calcium, magnesium salts. Salts derived from organic bases include, but are not limited to salts of primary, secondary, and tertiary amines, substituted amines including naturally occurring substituted amines, cyclic amines and basic ion exchange resins, such as isopropylamine, trimethylamine, diethylamine, triethylamine, tripropylamine, ethanolamine, lysine, arginine, N-ethylpiperidine, piperidine, polyamine resins. The oligonucleotide of the invention can also be present in the form of zwitterions. Particularly preferred pharmaceutically acceptable salts of the invention are the sodium, lithium, potassium and trialkylammonium salts.
The term“protecting group”, alone or in combination, signifies a group which selectively blocks a reactive site in a multifunctional compound such that a chemical reaction can be carried out selectively at another unprotected reactive site. Protecting groups can be removed. Exemplary protecting groups are amino-protecting groups, carboxy-protecting groups or hydroxy-protecting groups.
“Phosphate protecting group” is a protecting group of the phosphate group.
Examples of phosphate protecting group are 2-cyanoethyl and methyl. A particular example of phosphate protecting group is 2-cyanoethyl.
“Hydroxyl protecting group” is a protecting group of the hydroxyl group and is also used to protect thiol groups. Examples of hydroxyl protecting groups are acetyl (Ac), benzoyl (Bz), benzyl (Bn), b-methoxyethoxymethyl ether (MEM), dimethoxytrityl (or bis- (4-methoxyphenyl)phenylmethyl) (DMT), trimethoxytrityl (or tris-(4- methoxyphenyl)phenylmethyl) (TMT), methoxymethyl ether (MOM), methoxytrityl [(4- methoxyphenyl)diphenylmethyl (MMT), p-methoxybenzyl ether (PMB),
methylthiomethyl ether, pivaloyl (Piv), tetrahydropyranyl (THP), tetrahydrofuran (THF), trityl or triphenylmethyl (Tr), silyl ether (for example trimethylsilyl (TMS), tert- butyldimethylsilyl (TBDMS), tri-iso-propylsilyloxymethyl (TOM) and triisopropylsilyl (TIPS) ethers), methyl ethers and ethoxyethyl ethers (EE). Particular examples of hydroxyl protecting group are DMT and TMT, in particular DMT.
“Thiohydroxyl protecting group” is a protecting group of the thiohydroxyl group. Examples of thiohydroxyl protecting groups are those of the“hydroxyl protecting group”.
If one of the starting materials or compounds of the invention contain one or more functional groups which are not stable or are reactive under the reaction conditions of one or more reaction steps, appropriate protecting groups (as described e.g. in“Protective Groups in Organic Chemistry” by T. W. Greene and P. G. M. Wuts, 3rd Ed., 1999, Wiley, New York) can be introduced before the critical step applying methods well known in the art. Such protecting groups can be removed at a later stage of the synthesis using standard methods described in the literature. Examples of protecting groups are tert-butoxycarbonyl (Boc), 9-fluorenylmethyl carbamate (Fmoc), 2-trimethylsilylethyl carbamate (Teoc), carbobenzyloxy (Cbz) and p-methoxybenzyloxycarbonyl (Moz).
The compounds described herein can contain several asymmetric centers and can be present in the form of optically pure enantiomers, mixtures of enantiomers such as, for example, racemates, mixtures of diastereoisomers, diastereoisomeric racemates or mixtures of diastereoisomeric racemates.
Oligon ucleotide
The term“oligonucleotide” as used herein is defined as it is generally understood by the skilled person as a molecule comprising two or more covalently linked nucleosides. Such covalently bound nucleosides may also be referred to as nucleic acid molecules or oligomers. Oligonucleotides are commonly made in the laboratory by solid-phase chemical synthesis followed by purification. When referring to a sequence of the oligonucleotide, reference is made to the sequence or order of nucleobase moieties, or modifications thereof, of the covalently linked nucleotides or nucleosides. The
oligonucleotide of the invention is man-made, and is chemically synthesized, and is typically purified or isolated. The oligonucleotide of the invention may comprise one or more modified nucleosides or nucleotides.
Antisense oligonucleotides
The term“Antisense oligonucleotide” as used herein is defined as oligonucleotides capable of modulating expression of a target gene by hybridizing to a target nucleic acid,
in particular to a contiguous sequence on a target nucleic acid. The antisense
oligonucleotides are not essentially double stranded and are therefore not siRNAs or shRNAs. Preferably, the antisense oligonucleotides of the present invention are single stranded. It is understood that single stranded oligonucleotides of the present invention can form hairpins or intermolecular duplex structures (duplex between two molecules of the same oligonucleotide), as long as the degree of intra or inter self complementarity is less than 50% across of the full length of the oligonucleotide
Contiguous Nucleotide Sequence
The term“contiguous nucleotide sequence” refers to the region of the
oligonucleotide which is complementary to the target nucleic acid. The term is used interchangeably herein with the term“contiguous nucleobase sequence” and the term “oligonucleotide motif sequence”. In some embodiments all the nucleotides of the oligonucleotide constitute the contiguous nucleotide sequence. In some embodiments the oligonucleotide comprises the contiguous nucleotide sequence, such as a F-G-F’ gapmer region, and may optionally comprise further nucleotide(s), for example a nucleotide linker region which may be used to attach a functional group to the contiguous nucleotide sequence. The nucleotide linker region may or may not be complementary to the target nucleic acid.
Nucleotides
Nucleotides are the building blocks of oligonucleotides and polynucleotides, and for the purposes of the present invention include both naturally occurring and non-naturally occurring nucleotides. In nature, nucleotides, such as DNA and R A nucleotides comprise a ribose sugar moiety, a nucleobase moiety and one or more phosphate groups (which is absent in nucleosides). Nucleosides and nucleotides may also interchangeably be referred to as“units” or“monomers”.
Modified nucleoside
The term“modified nucleoside” or“nucleoside modification” as used herein refers to nucleosides modified as compared to the equivalent DNA or RNA nucleoside by the introduction of one or more modifications of the sugar moiety or the (nucleo)base moiety. In a preferred embodiment the modified nucleoside comprise a modified sugar moiety.
The term modified nucleoside may also be used herein interchangeably with the term “nucleoside analogue” or modified“units” or modified“monomers”. Nucleosides with an unmodified DNA or RNA sugar moiety are termed DNA or RNA nucleosides herein. Nucleosides with modifications in the base region of the DNA or RNA nucleoside are still generally termed DNA or RNA if they allow Watson Crick base pairing.
Nucleobase
The term nucleobase includes the purine (e.g. adenine and guanine) and pyrimidine (e.g. uracil, thymine and cytosine) moieties present in nucleosides and nucleotides which form hydrogen bonds in nucleic acid hybridization. In the context of the present invention the term nucleobase also encompasses modified nucleobases which may differ from naturally occurring nucleobases, but are functional during nucleic acid hybridization. In this context“nucleobase” refers to both naturally occurring nucleobases such as adenine, guanine, cytosine, thymidine, uracil, xanthine and hypoxanthine, as well as non-naturally occurring variants. Such variants are for example described in Hirao et al (2012) Accounts of Chemical Research vol 45 page 2055 and Bergstrom (2009) Current Protocols in Nucleic Acid Chemistry Suppl. 37 1.4.1.
In some embodiments the nucleobase moiety is modified by changing the purine or pyrimidine into a modified purine or pyrimidine, such as substituted purine or substituted pyrimidine, such as a nucleobase selected from isocytosine, pseudoisocytosine, 5 -methyl cytosine, 5-thiozolo-cytosine, 5-propynyl-cytosine, 5-propynyl-uracil, 5-bromouracil 5- thiazolo-uracil, 2-thio-uracil, 2’thio-thymine, inosine, diaminopurine, 6-aminopurine, 2- aminopurine, 2,6-diaminopurine and 2-chloro-6-aminopurine.
The nucleobase moieties may be indicated by the letter code for each corresponding nucleobase, e.g. A, T, G, C or U, wherein each letter may optionally include modified nucleobases of equivalent function. For example, in the exemplified oligonucleotides, the nucleobase moieties are selected from A, T, G, C, and 5-methyl cytosine. Optionally, for LNA gapmers, 5-methyl cytosine LNA nucleosides may be used.
Modified oligonucleotide
The term modified oligonucleotide describes an oligonucleotide comprising one or more sugar-modified nucleosides and/or modified intemucleoside linkages. The term chimeric” oligonucleotide is a term that has been used in the literature to describe oligonucleotides with modified nucleosides.
Stereodefined oligonucleotide
A stereodefined oligonucleotide is an oligonucleotide wherein at least one of the intemucleoside linkages is a stereodefined intemucleoside linkage.
A stereodefined phosphorothioate oligonucleotide is an oligonucleotide wherein at least one of the intemucleoside linkages is a stereodefined phosphorothioate
intemucleoside linkage.
Complementarity
The term“complementarity” describes the capacity for Watson-Crick base-pairing of nucleosides/nucleotides. Watson-Crick base pairs are guanine (G)-cytosine (C) and adenine (A) - thymine (T)/uracil (U). It will be understood that oligonucleotides may comprise nucleosides with modified nucleobases, for example 5-methyl cytosine is often used in place of cytosine, and as such the term complementarity encompasses Watson Crick base-paring between non-modified and modified nucleobases (see for example Hirao et al (2012) Accounts of Chemical Research vol 45 page 2055 and Bergstrom (2009) Current Protocols in Nucleic Acid Chemistry Suppl. 37 1.4.1). The term“% complementary” as used herein, refers to the proportion of nucleotides in a contiguous nucleotide sequence in a nucleic acid molecule (e.g. oligonucleotide) which, at a given position, are complementary to (i.e. form Watson Crick base pairs with) a contiguous nucleotide sequence, at a given position of a separate nucleic acid molecule (e.g. the target nucleic acid). The percentage is calculated by counting the number of aligned bases that form pairs between the two sequences (when aligned with the target sequence 5’-3’ and the oligonucleotide sequence from 3’-5’), dividing by the total number of nucleotides in the oligonucleotide and multiplying by 100. In such a comparison a nucleobase/nucleotide which does not align (form a base pair) is termed a mismatch. Preferably, insertions and deletions are not allowed in the calculation of %
complementarity of a contiguous nucleotide sequence.
The term“fully complementary”, refers to 100% complementarity.
Identity
The term“Identity” as used herein, refers to the number of nucleotides in percent of a contiguous nucleotide sequence in a nucleic acid molecule (e.g. oligonucleotide) which, at a given position, are identical to (i.e. in their ability to form Watson Crick base pairs with the complementary nucleoside) a contiguous nucleotide sequence, at a given position of a separate nucleic acid molecule (e.g. the target nucleic acid). The percentage is calculated by counting the number of aligned bases that are identical between the two sequences dividing by the total number of nucleotides in the oligonucleotide and multiplying by 100. Percent Identity = (Matches x l00)/Length of aligned region.
Preferably, insertions and deletions are not allowed in the calculation of %
complementarity of a contiguous nucleotide sequence.
Hybridization
The term“hybridizing” or“hybridizes” as used herein is to be understood as two nucleic acid strands (e.g. an oligonucleotide and a target nucleic acid) forming hydrogen bonds between base pairs on opposite strands thereby forming a duplex. The affinity of the binding between two nucleic acid strands is the strength of the hybridization. It is often described in terms of the melting temperature (Tm) defined as the temperature at which half of the oligonucleotides are duplexed with the target nucleic acid. At physiological conditions Tm is not strictly proportional to the affinity (Mergny and Lacroix,
2003 , Oligonucleotides 13:515-537). The standard state Gibbs free energy AG° is a more accurate representation of binding affinity and is related to the dissociation constant (Kd) of the reaction by AG°=-RTln(Kd), where R is the gas constant and T is the absolute temperature. Therefore, a very low AG° of the reaction between an oligonucleotide and the target nucleic acid reflects a strong hybridization between the oligonucleotide and target nucleic acid. AG° is the energy associated with a reaction where aqueous concentrations are 1M, the pH is 7, and the temperature is 37°C. The hybridization of oligonucleotides to a target nucleic acid is a spontaneous reaction and for spontaneous reactions AG° is less than zero. AG° can be measured experimentally, for example, by use of the isothermal titration calorimetry (ITC) method as described in Hansen et al., 1965, Chem. Comm. 36- 38 and Holdgate et al., 2005, Drug Discov Today. The skilled person will know that commercial equipment is available for AG° measurements. AG° can also be estimated numerically by using the nearest neighbor model as described by SantaLucia, 1998, Proc Natl Acad Sci USA. 95: 1460-1465 using appropriately derived thermodynamic parameters described by Sugimoto et al., 1995, Biochemistry 34:11211-11216 and McTigue et al., 2004, Biochemistry 43:5388-5405. In order to have the possibility of modulating its intended nucleic acid target by hybridization, oligonucleotides of the present invention hybridize to a target nucleic acid with estimated AG° values below -10 kcal for oligonucleotides that are 10-30 nucleotides in length. In some embodiments the degree or strength of hybridization is measured by the standard state Gibbs free energy AG°. The oligonucleotides may hybridize to a target nucleic acid with estimated AG° values below the range of -10 kcal, such as below -15 kcal, such as below -20 kcal and such as below -25 kcal for oligonucleotides that are 8-30 nucleotides in length. In some embodiments the oligonucleotides hybridize to a target nucleic acid with an estimated AG° value of -10 to -60 kcal, such as -12 to -40, such as from -15 to -30 kcal or-l6 to -27 kcal such as -18 to -25 kcal.
Sugar modifications
The oligomer of the invention may comprise one or more nucleosides which have a modified sugar moiety, i.e. a modification of the sugar moiety when compared to the ribose sugar moiety found in DNA and RNA.
Numerous nucleosides with modification of the ribose sugar moiety have been made, primarily with the aim of improving certain properties of oligonucleotides, such as affinity and/or nuclease resistance.
Such modifications include those where the ribose ring structure is modified, e.g. by replacement with a hexose ring (HNA), or a bicyclic ring, which typically have a biradical bridge between the C2 and C4 carbons on the ribose ring (LNA), or an unlinked ribose ring which typically lacks a bond between the C2 and C3 carbons (e.g. UNA). Other sugar modified nucleosides include, for example, bicyclohexose nucleic acids (WO
2011/017521) or tricyclic nucleic acids (WO 2013/154798). Modified nucleosides also include nucleosides where the sugar moiety is replaced with a non-sugar moiety, for example in the case of peptide nucleic acids (PNA), or morpholino nucleic acids.
Sugar modifications also include modifications made via altering the substituent groups on the ribose ring to groups other than hydrogen, or the 2’ -OH group naturally found in DNA and RNA nucleosides. Substituents may, for example be introduced at the 2’, 3’, 4’ or 5’ positions.
2’ sugar modified nucleosides.
A 2’ sugar modified nucleoside is a nucleoside which has a substituent other than H or -OH at the 2’ position (2’ substituted nucleoside) or comprises a 2’ linked biradical capable of forming a bridge between the 2’ carbon and a second carbon in the ribose ring, such as LNA (2’ - 4’ biradical bridged) nucleosides.
Indeed, much focus has been spent on developing 2’ modified nucleosides, and numerous 2’ modified nucleosides have been found to have beneficial properties when incorporated into oligonucleotides. For example, the 2’ modified sugar may provide enhanced binding affinity and/or increased nuclease resistance to the oligonucleotide. Examples of 2’ substituted modified nucleosides are 2’-0-alkyl-RNA, 2’-0-methyl-RNA, 2’-alkoxy-RNA, 2’-0-methoxyethyl-RNA (MOE), 2’-amino-DNA, 2’-fluoro-RNA and 2’- F-ANA nucleoside. Further examples can be found in e.g. Freier & Altmann; Nucl. Acid Res., 1997, 25, 4429-4443 and Uhlmann; Curr. Opinion in Drug Development, 2000, 3(2), 293-213 and Deleavey and Damha, Chemistry and Biology 2012, 19, 937. Below are illustrations of some 2’ substituted modified nucleosides.
2' -0- 0E 2'-0-AI!yl 2'-0-Et ylar- i!¾
In relation to the present invention 2’ modified does not include 2’ bridged molecules like LNA. Locked Nucleic Acid Nucleosides (LNA nucleosides)
A“LNA nucleoside” is a 2’-modified nucleoside which comprises a biradical linking the C2’ and C4’ of the ribose sugar ring of said nucleoside (also referred to as a “2’- 4’ bridge”), which restricts or locks the conformation of the ribose ring. These nucleosides are also termed bridged nucleic acid or bicyclic nucleic acid (BNA) in the literature. The locking of the conformation of the ribose is associated with an enhanced affinity of hybridization (duplex stabilization) when the LNA is incorporated into an oligonucleotide for a complementary RNA or DNA molecule. This can be routinely determined by measuring the melting temperature of the oligonucleotide/complement duplex. Non limiting, exemplary LNA nucleosides are disclosed in WO 99/014226, WO
00/66604, WO 98/039352 , WO 2004/046160, WO 00/047599, WO 2007/134181, WO 2010/077578, WO 2010/036698, WO 2007/090071, WO 2009/006478, WO 2011/156202, WO 2008/154401, WO 2009/067647, WO 2008/150729, Morita et a , Bioorganic & Med.Chem. Lett. 12, 73-76, Seth et al. J. Org. Chem. 2010, Vol 75(5) pp. 1569-81 and Mitsuoka et al., Nucleic Acids Research 2009, 37(4), 1225-1238.
The 2’ -4’ bridge comprises 2 to 4 bridging atoms and is in particular of formula -X- Y-, Y being linked to C4’ and X linked to C2’, wherein
X is oxygen, sulfur, -CRaRb-, -C(Ra)=C(Rb)-, -C(=CRaRb)-, -C(Ra)=N-, -Si(Ra)2-, - SO2-, -NRa-; -0-NRa-, -NRa-0-, -C(=J)-, Se, -0-NRa-, -NRa-CRaRb-, -N(Ra)- O- or -0-CRaRb-;
Y is oxygen, sulfur, -(CRaRb)n-, -CRaRb-0-CRaRb-, -C(Ra)=C(Rb)-, -C(Ra)=N-, - Si(Ra)2-, -SO2-, -NRa-, -C(=J)-, Se, -0-NRa-, -NRa-CRaRb-, -N(Ra)-0- or -O-
CRaRb-; with the proviso that -X-Y- is not -O-O-, Si(Ra)2-Si(Ra)2-, -SO2-SO2-, -C(Ra)=C(Rb)- C(Ra)=C(Rb), -C(Ra)=N-C(Ra)=N-, -C (Ra)=N -C (Ra)=C (Rb) , -C(Ra)=C(Rb)- C(Ra)=N- or -Se-Se-;
J is oxygen, sulfur, =CH2 or =N(Ra);
Ra and Rb are independently selected from hydrogen, halogen, hydroxyl, cyano, thiohydroxyl, alkyl, substituted alkyl, alkenyl, substituted alkenyl, alkynyl, substituted alkynyl, alkoxy, substituted alkoxy, alkoxyalkyl, alkenyloxy, carboxyl, alkoxycarbonyl, alkylcarbonyl, formyl, aryl, heterocyclyl, amino, alkylamino, carbamoyl, alkylaminocarbonyl, aminoalkylaminocarbonyl, alkylaminoalkylaminocarbonyl, alkylcarbonylamino, carbamido, alkanoyloxy, sulfonyl, alkylsulfonyloxy, nitro, azido, thiohydroxylsulfidealkylsulfanyl, aryloxycarbonyl, aryloxy, arylcarbonyl, heteroaryl, heteroaryloxycarbonyl, heteroaryloxy, heteroarylcarbonyl, -OC(=Xa)Rc, -OC(=Xa)NRcRd and - NReC(=Xa)NRcRd; or two geminal Ra and Rb together form optionally substituted methylene; or two geminal Ra and Rb, together with the carbon atom to which they are attached, form cycloalkyl or halocycloalkyl, with only one carbon atom of -X-Y-; wherein substituted alkyl, substituted alkenyl, substituted alkynyl, substituted alkoxy and substituted methylene are alkyl, alkenyl, alkynyl and methylene substituted with 1 to 3 substituents independently selected from halogen, hydroxyl, alkyl, alkenyl, alkynyl, alkoxy, alkoxyalkyl, alkenyloxy, carboxyl, alkoxycarbonyl, alkylcarbonyl, formyl, heterocylyl, aryl and heteroaryl;
Xa is oxygen, sulfur or -NRC; Rc, Rd and Re are independently selected from hydrogen and alkyl; and n is 1 , 2 or 3.
In a further particular embodiment of the invention, X is oxygen, sulfur, -NRa-, - CRaRb- or -C(=CRaRb)-, particularly oxygen, sulfur, -NH-, -CH2- or -C(=CH2)-, more particularly oxygen.
In another particular embodiment of the invention, Y is -CRaRb-, -CRaRb-CRaRb- or - CRaRb CRaRb CRaRb- , particularly -CH2-CHCH3-, -CHCH3-CH2-, -CH2-CH2- or -CH2- CH2-CH2-.
In a particular embodiment of the invention, -X-Y- is -0-(CRaRb)n-, -S-CRaRb-, - N(Ra)CRaRb-, -CRaRb-CRaRb-, -0-CRaRb-0-CRaRb-, -CRaRb-0-CRaRb-, -C(=CRaRb)- CRaRb-, -N(Ra)CRaRb-, -0-N(Ra)-CRaRb- or -N(Ra)-0-CRaRb-. In a particular embodiment of the invention, Ra and Rb are independently selected from the group consisting of hydrogen, halogen, hydroxyl, alkyl and alkoxyalkyl, in particular hydrogen, halogen, alkyl and alkoxyalkyl.
In another embodiment of the invention, Ra and Rb are independently selected from the group consisting of hydrogen, fluoro, hydroxyl, methyl and -CH2-0-CH3, in particular hydrogen, fluoro, methyl and -CH2-0-CH3.
Advantageously, one of Ra and Rb of -X-Y- is as defined above and the other ones are all hydrogen at the same time.
In a further particular embodiment of the invention, Ra is hydrogen or alkyl, in particular hydrogen or methyl. In another particular embodiment of the invention, Rb is hydrogen or or alkyl, in particular hydrogen or methyl.
In a particular embodiment of the invention, one or both of Ra and Rb are hydrogen.
In a particular embodiment of the invention, only one of Ra and Rb is hydrogen.
In one particular embodiment of the invention, one of Ra and Rb is methyl and the other one is hydrogen.
In a particular embodiment of the invention, Ra and Rb are both methyl at the same time.
In a particular embodiment of the invention, -X-Y- is -O-CH2-, -S-CH2-, -S- CH(CH3)-, -NH-CH2-, -0-CH2CH2-, -0-CH(CH2-0-CH3)-, -0-CH(CH2CH3)-, -O- CH(CH3)-, -O-CH2-O-CH2-, -O-CH2-O-CH2-, -CH2-O-CH2-, -C(=CH2)CH2-, -
C(=CH2)CH(CH3)-, -N(OCH3)CH2- or -N(CH3)CH2-;
In a particular embodiment of the invention, -X-Y- is -0-CRaRb- wherein Ra and Rb are independently selected from the group consisting of hydrogen, alkyl and alkoxyalkyl, in particular hydrogen, methyl and -CH2-O-CH3.
In a particular embodiment, -X-Y- is -O-CH2- or -0-CH(CH3)-, particularly -O-CH2-
The 2’- 4’ bridge may be positioned either below the plane of the ribose ring (beta- D- configuration), or above the plane of the ring (alpha-L- configuration), as illustrated in formula (A) and formula (B) respectively.
The LNA nucleoside according to the invention is in particular of formula (Bl) or (B2)
W is oxygen, sulfur, -N(Ra)- or -CRaRb-, in particular oxygen;
B is a nucleobase or a modified nucleobase; Z is an intemucleoside linkage to an adjacent nucleoside or a 5'-terminal group;
Z* is an intemucleoside linkage to an adjacent nucleoside or a 3'-terminal group;
R1, R2, R3, R5 and R5* are independently selected from hydrogen, halogen, alkyl, haloalkyl, alkenyl, alkynyl, hydroxy, alkoxy, alkoxyalkyl, azido, alkenyloxy, carboxyl, alkoxycarbonyl, alkylcarbonyl, formyl and aryl; and X, Y, Ra and Rb are as defined above.
In a particuliar embodiment, in the definition of -X-Y-, Ra is hydrogen or alkyl, in particular hydrogen or methyl. In another particular embodiment, in the definition of -X- Y-, Rb is hydrogen or alkyl, in particular hydrogen or methyl. In a further particular embodiment, in the definition of -X-Y-, one or both of Ra and Rb are hydrogen. In a particular embodiment, in the definition of -X-Y-, only one of Ra and Rb is hydrogen. In one particular embodiment, in the definition of -X-Y-, one of Ra and Rb is methyl and the
other one is hydrogen. In a particular embodiment, in the definition of -X-Y-, Ra and Rb are both methyl at the same time.
In a further particuliar embodiment, in the definition of X, Ra is hydrogen or alkyl, in particular hydrogen or methyl. In another particular embodiment, in the definition of X, Rb is hydrogen or alkyl, in particular hydrogen or methyl. In a particular embodiment, in the definition of X, one or both of Ra and Rb are hydrogen. In a particular embodiment, in the definition of X, only one of Ra and Rb is hydrogen. In one particular embodiment, in the definition of X, one of Ra and Rb is methyl and the other one is hydrogen. In a particular embodiment, in the definition of X, Ra and Rb are both methyl at the same time.
In a further particuliar embodiment, in the definition of Y, Ra is hydrogen or alkyl, in particular hydrogen or methyl. In another particular embodiment, in the definition of Y, Rb is hydrogen or alkyl, in particular hydrogen or methyl. In a particular embodiment, in the definition of Y, one or both of Ra and Rb are hydrogen. In a particular embodiment, in the definition of Y, only one of Ra and Rb is hydrogen. In one particular embodiment, in the definition of Y, one of Ra and Rb is methyl and the other one is hydrogen. In a particular embodiment, in the definition of Y, Ra and Rb are both methyl at the same time.
In a particular embodiment of the invention R1, R2, R3, R5 and R5* are independently selected from hydrogen and alkyl, in particular hydrogen and methyl.
In a further particular advantageous embodiment of the invention, R1, R2, R3, R5 and R5* are all hydrogen at the same time.
In another particular embodiment of the invention, R1, R2, R3, are all hydrogen at the same time, one of R5 and R5* is hydrogen and the other one is as defined above, in particular alkyl, more particularly methyl.
In a particular embodiment of the invention, R5 and R5* are independently selected from hydrogen, halogen, alkyl, alkoxyalkyl and azido, in particular from hydrogen, fluoro, methyl, methoxy ethyl and azido. In particular advantageous embodiments of the invention, one of R5 and R5* is hydrogen and the other one is alkyl, in particular methyl, halogen, in particular fluoro, alkoxyalkyl, in particular methoxyethyl or azido; or R5 and R5* are both hydrogen or halogen at the same time, in particular both hydrogen of fluoro at the same time. In such particular embodiments, W can advantageously be oxygen, and -X-Y- advantageously -O-CH2-.
In a particular embodiment of the invention, -X-Y- is -O-CH2-, W is oxygen and R1, R2, R3, R5 and R5* are all hydrogen at the same time. Such LNA nucleosides are disclosed in WO 99/014226, WO 00/66604, WO 98/039352 and WO 2004/046160 which are all
hereby incorporated by reference, and include what are commonly known in the art as beta-D-oxy LNA and alpha-L-oxy LNA nucleosides.
In another particular embodiment of the invention, -X-Y- is -S-CH2-, W is oxygen and R1, R2, R3, R5 and R5* are all hydrogen at the same time. Such thio LNA nucleosides are disclosed in WO 99/014226 and WO 2004/046160 which are hereby incorporated by reference.
In another particular embodiment of the invention, -X-Y- is -NH-CH2-, W is oxygen and R1, R2, R3, R5 and R5* are all hydrogen at the same time. Such amino LNA nucleosides are disclosed in WO 99/014226 and WO 2004/046160 which are hereby incorporated by reference.
In another particular embodiment of the invention, -X-Y- is -O-CH2CH2- or - OCH2CH2CH2-, W is oxygen, and R1, R2, R3, R5 and R5* are all hydrogen at the same time. Such LNA nucleosides are disclosed in WO 00/047599 and Morita et al, Bioorganic & Med.Chem. Lett. 12, 73-76, which are hereby incorporated by reference, and include what are commonly known in the art as 2’-0-4’C-ethylene bridged nucleic acids (ENA).
In another particular embodiment of the invention, -X-Y- is -O-CH2-, W is oxygen, R1, R2, R3 are all hydrogen at the same time, one of R5 and R5* is hydrogen and the other one is not hydrogen, such as alkyl, for example methyl. Such 5’ substituted LNA nucleosides are disclosed in WO 2007/134181 which is hereby incorporated by reference.
In another particular embodiment of the invention, -X-Y- is -0-CRaRb-, wherein one or both of Ra and Rb are not hydrogen, in particular alkyl such as methyl, W is oxygen, R1, R2, R3 are all hydrogen at the same time, one of R5 and R5* is hydrogen and the other one is not hydrogen, in particular alkyl, for example methyl. Such bis modified LNA nucleosides are disclosed in WO 2010/077578 which is hereby incorporated by reference.
In another particular embodiment of the invention, -X-Y- is -0-CHRa-, W is oxygen and R1, R2, R3, R5 and R5* are all hydrogen at the same time. Such 6’ -substituted LNA nucleosides are disclosed in WO 2010/036698 and WO 2007/090071 which are both hereby incorporated by reference. In such 6’ -substituted LNA nucleosides, Ra is in particular C1-C6 alkyl, such as methyl.
In another particular embodiment of the invention, -X-Y- is -0-CH(CH2-0-CH3)- (“2’ O-methoxyethyl bicyclic nucleic acid”, Seth et al. J. Org. Chem. 2010, Vol 75(5) pp. 1569-81).
In another particular embodiment of the invention, -X-Y- is -0-CH(CH2CH3)-;
In another particular embodiment of the invention, -X-Y- is -0-CH(CH2-0-CH3)-,
W is oxygen and R1, R2, R3, R5 and R5* are all hydrogen at the same time. Such LNA nucleosides are also known in the art as cyclic MOEs (cMOE) and are disclosed in WO 2007/090071.
In another particular embodiment of the invention, -X-Y- is -0-CH(CH3)- (“2Ό- ethyl bicyclic nucleic acid”, Seth at ai, J. Org. Chem. 2010, Vol 75(5) pp. 1569-81).
In another particular embodiment of the invention, -X-Y- is -O-CH2-O-CH2- (Seth et al., J. Org. Chem 2010 op. cit.)
In another particular embodiment of the invention, -X-Y- is -0-CH(CH3)-, W is oxygen and R1, R2, R3, R5 and R5* are all hydrogen at the same time. Such 6’-methyl LNA nucleosides are also known in the art as cET nucleosides, and may be either (S)-cET or (R)-cET diastereoisomers, as disclosed in WO 2007/090071 (beta-D) and WO
2010/036698 (alpha-L) which are both hereby incorporated by reference.
In another particular embodiment of the invention, -X-Y- is -0-CRaRb-, wherein neither Ra nor Rb is hydrogen, W is oxygen and R1, R2, R3, R5 and R5* are all hydrogen at the same time. In a particular embodiment, Ra and Rb are both alkyl at the same time, in particular both methyl at the same time. Such 6’ -di- substituted LNA nucleosides are disclosed in WO 2009/006478 which is hereby incorporated by reference.
In another particualr embodiment of the invention, -X-Y- is -S-CHRa-, W is oxygen and R1, R2, R3, R5 and R5* are all hydrogen at the same time. Such 6’ -substituted thio LNA nucleosides are disclosed in WO 2011/156202 which is hereby incorporated by reference. In a particular embodiment of such 6’ -substituted thio LNA, Ra is alkyl, in particular methyl.
In a particular embodiment of the invention, -X-Y- is -C(=CH2)C(RaRb)-, -
oxygen and R1, R2, R3, R5 and R5* are all hydrogen at the same time. Ra and Rb are advantagesously independently selected from hydrogen, halogen, alkyl and alkoxyalkyl, in particular hydrogen, methyl, fluoro and methoxymethyl. Ra and Rb are in particular both hydrogen or methyl at the same time or one of Ra and Rb is hydrogen and the other one is methyl. Such vinyl carbo LNA nucleosides are disclosed in WO 2008/154401 and WO 2009/067647 which are both hereby incorporated by reference.
In a particular embodiment of the invention, -X-Y- is -N(ORa)-CH2-, W is oxygen and R1, R2, R3, R5 and R5* are all hydrogen at the same time. In a particular embodiment,
Ra is alkyl such as methyl. Such LNA nucleosides are also known as N substituted LNAs and are disclosed in WO 2008/150729 which is hereby incorporated by reference.
In a particular embodiment of the invention, -X-Y- is -0-N(Ra)-, -N(Ra)-0-, -NRa- CRaRb-CRaRb- or -NRa-CRaRb-, W is oxygen and R1, R2, R3, R5 and R5* are all hydrogen at the same time. Ra and Rb are advantagesously independently selected from hydrogen, halogen, alkyl and alkoxyalkyl, in particular hydrogen, methyl, fluoro and methoxymethyl. In a particular embodiment, Ra is alkyl, such as methyl, Rb is hydrogen or methyl, in particular hydrogen. (Seth et al, J. Org. Chem 2010 op. cit.).
In a particular embodiment of the invention, -X-Y- is -0-N(CH3)- (Seth et al, J.
Org. Chem 2010 op. cit.).
In a particular embodiment of the invention, R5 and R5* are both hydrogen at the same time. In another particular embodiment of the invention, one of R5 and R5* is hydrogen and the other one is alkyl, such as methyl. In such embodiments, R1, R2 and R3 can be in particular hydrogen and -X-Y- can be in particular -O-CH2- or -0-CHC(Ra)3-, such as -0-CH(CH3)-.
In a particular embodiment of the invention, -X-Y- is -CRaRb-0-CRaRb-, such as - CH2-O-CH2-, W is oxygen and R1, R2, R3, R5 and R5* are all hydrogen at the same time. In such particular embodiments, Ra can be in particular alkyl such as methyl, Rb hydrogen or methyl, in particular hydrogen. Such LNA nucleosides are also known as conformationally restricted nucleotides (CRNs) and are disclosed in WO 2013/036868 which is hereby incorporated by reference.
In a particular embodiment of the invention, -X-Y- is -0-CRaRb-0-CRaRb-, such as - O-CH2-O-CH2-, W is oxygen and R1, R2, R3, R5 and R5* are all hydrogen at the same time. Ra and Rb are advantagesously independently selected from hydrogen, halogen, alkyl and alkoxyalkyl, in particular hydrogen, methyl, fluoro and methoxymethyl. In such a particular embodiment, Ra can be in particular alkyl such as methyl, Rb hydrogen or methyl, in particular hydrogen. Such LNA nucleosides are also known as COC nucleotides and are disclosed in Mitsuoka et al, Nucleic Acids Research 2009, 37(4), 1225-1238, which is hereby incorporated by reference.
It will be recognized than, unless specified, the LNA nucleosides may be in the beta- D or alpha-L stereoisoform.
Particular examples of LNA nucleosides of the invention are presented in Scheme 1 (wherein B is as defined above).
Scheme 1
(S)-5'-methyl-6'-di {R)-5'-methyI-0'-di (S)-5'- methyl- b-D (R)-5'-methyl-p-D metliyl-P-D-oxy LNA methyl-p-D-oxy LNA -oxy LNA -oxy LNA
-b-D-oxy LNA
(R)-cMOE ( S)-cMOE b-D-methylammo p-D-m ethoxyam ino
-methylamino LNA -methylamino LNA -amino LNA -amino LNA
-sulfoxide LNA -sulfoxide LNA -sulfonyl LNA -sulfonyl LNA
methyl-sulfoxamide methyl-sulfonamide
-Ji-D LNA -b-D LNA
carbocyclic-P-D LNA carbocyclic(viny)}
-[i-D-Z LNA
urea-methyl LNA Particular LNA nucleosides are beta-D-oxy-LNA, 6’-methyl-beta-D-oxy LNA such as (S)-6’-methyl-beta-D-oxy-LNA ((S)-cET) and ENA.
RNase H Activity and Recruitment
The RNase H activity of an antisense oligonucleotide refers to its ability to recruit RNase H when in a duplex with a complementary RNA molecule. WOO 1/23613 provides in vitro methods for determining RNaseH activity, which may be used to determine the ability to recruit RNaseH. Typically an oligonucleotide is deemed capable of recruiting RNase H if it, when provided with a complementary target nucleic acid sequence, has an initial rate, as measured in pmol/l/min, of at least 5%, such as at least 10% or more than 20% of the of the initial rate determined when using a oligonucleotide having the same base sequence as the modified oligonucleotide being tested, but containing only DNA monomers with phosphorothioate linkages between all monomers in the oligonucleotide, and using the methodology provided by Example 91 - 95 of WO01/23613 (hereby
incorporated by reference). For use in determining RHase H activity, recombinant human RNase Hl is available from Lubio Science GmbH, Lucerne, Switzerland.
DETAILED DESCRIPTION OF THE INVENTION
In a first aspect, the invention relates to a method of synthesis of alcohol protected allofuranose from alcohol protected glucofuranose comprising the steps of:
a. a catalytic oxidation of the alcohol protected glucosefuranose in an organic solvent with an aqueous solution of hypochlorite salt, and
b. a reduction to produce an alcohol protected allofuranose.
In an embodiment of the method according to the invention, the alcohol groups in glucofuranose are protected at its postions 1, 2, 5 and 6, for example as depicted in the following formula:
wherein PG represents a protecting group protecting the alcohol function. Protecting groups for alcohols are well knon in the art. Such protecting groups can for example be esters, ethers or acetals such as describedin Data from: J. Chem. Soc., Perkin Trans. 1, 1992, 3043-3048; Chem. Int. Ed., 1996, 35, 2056-2083 or J. Org. Chem., 1984, 49, 4674- 4682. Such examples are not exhaustive and other methods for protecting alcohols can be used. By the way of illustration, in the following examples benzyl ether (OBn) or mesylate (MsO) are examples of protected alcohol moieties.
In an embodiment of the method of the invention, the catalytic oxidation step is performed in the presence of a TEMPO catalyst, for example the TEMPO catalyst can be selected from the group consisting of 2,2,6,6-Tetramethylpiperidin-l-yl)oxyl and (2, 2,6,6- tetramethylpiperidin- 1 -yl)oxidanyl.
In an embodiment of the method of the invention the concentration of the oxidative catalysts is less than 1% of the reaction solution in volume.
In an embodiment of the method of the invention the hypochlorite salt is a metal hypochlorite of the formula M+ ClO . By the way of illustration, in the following examples NaClO has been used as a hypochlorite metal salt. Theoretically, other metal salts can be formed such as KOC1, LIOC1, CaOCl, but in practice, sodium hypochlorite is the most commonly available.
In an embodiment of the method of the invention the hypochlorite salt is selected from the group consisting of NaOCl, KOC1, LIOC1, CaOCl or a combination thereof
In an embodiment of the method of the invention the solution of hypochlorite salt added to the reaction s can be between about 10% and about 15% of the reaction solution in volume. In an embodiment of the invention the solution of hypochlorite salt added to the reaction can be about 10% or 11% or 12% or 13% or 14% or 15% of the reaction solution in volume. In an embodiment of the invention the solution of hypochlorite salt added to the is about 12% of the solution in volume.
In an embodiment of the method of the invention the catalytic oxidation is performed at a temperature of about l0°C or less.
In an embodiment of the method of the invention the catalytic oxidation and prior to the reduction step, the hypochlorite salt is removed. Removal of the hypochlorite salt can be peformed by conventional method know in the art, for example via a process of filtration and/or solvent exchange.
In an embodiment of the method of the invention the reaction solution further comprises a buffer such as sodium bicarbonate (NaHCCb).
In an embodiment of the method of the invention the reaction solution further comprises an organic solvent such as ethyl acetate (EtOAc).
In an embodiment of the method of the invention the reduction step is performed with a reducing agent. Such agent can be a solution of NaBH4.
In an embodiment of the method of synthesis of alcohol protected allofuranose from alcohol protected glucofuranose according to the invention comprises the steps of:
- Providing l,2:5,6-Di-0-isopropylidene-a-D-glucofuranose in ethyl acetate;
- Adding a potassium bromide solution, for example at 10% in volume (for example
0.3 wt. equiv.);
- Adding TEMPO (for example about 1% of the reation solution);
- Adding a solution of aqueous basic sodium hypochlorite (for example at about 10-
15% of the reaction solution, e.g. about 9 vol. equiv.);
- Adding a solution of sodium bicarbonate was prepared using sodium bicarbonate
(for example 1 wt. equiv.) and water (for example 5 vol. equiv.), and
- Adding a solution of NaBEE (for example 0.09 wt. equiv) in water (for example 2 vol. equiv.).
In a second aspect, the invention relates to a method for the synthesis of bismesylate of formula (P-D-S-7):
Chiral
( -D-S-7)
said method comprising the steps of synthesizing allofuranose from glucosefuranose according to the method of the invention.
The method for the synthesis of bismesylate of formula (P-D-S-7) according to the invention can further comprise the steps of:
b. selectively deprotecting the allofuranose to produce a compound of formula
(P-D-S-5):
Chiral
c. Oxidatively cleaving the compound of formula (b-D-S-S) and subjecting the resulting product to a crossed aldol condensation followed in situ by a Cannizaro reduction to produce a compound of formula (P-D-S-6):
Chiral
( -D-S-6)
d. Converting the compound of formula (P-D-S-6) into a bismesylate of
formula (P-D-S-7):
Chiral
( -D-S-7)
The compound of formula (b-D-S-S) can be prepared by reacting a compound of formula (b-ϋ-8-4) with acetic acid in water:
Chiral Chiral
3-D-S-4 -D-S-5
The compound of formula (P-D-S-4) can be prepared by reacting a compound of formula (P-D-S-3) with tetrabutylammonium hydrogen sulfate (TBAHS) in an appropriate solvent, e.g. toluene and then adding benzylchloride.
Chiral Chiral
The compound of formula (P-D-S-3) can be prepared by reacting allofuranose with P2O5 (for example 545 g, 3.85 mol) in DMSO is to obtain a compound of formula (S- 2) and then reacting the compound of formula (S-2) with an aquous solution of NaBH4 (for example 92 g, 2.43 mol) in water (for example 4 L). to obtain l,2:5,6-di-0-isopropyliden- a-D-allofuranose (P-D-S-3).
The compound of formula (P-D-S-6) can be prepared from compound of formula (b-D-S-S), by reacting with NaI04 (for example 757 g, 3.54 mol) in water and then with dioxane (for example 2.0L), formaldehyde and sodium hydroxide.
Chiral
Chiral
In a third aspect, the invention relates to a method for the synthesis of an LNA-diol of formula 1 :
Nucleobase
O H^O
(1 )
said method comprising the step of synthesizing allofuranose from glucosefuranose according to the method of the invention.
In an embodiment according to the invention, method for the synthesis of an LNA- diol further comprises the steps of preparing a bismesylate of formula (P-D-S-7) as described herein.
In an embodiment according to the invention, method for the synthesis of an LNA- diol further comprises the steps of:
e. Removing the 1 ,2-isopropylidine group from the compound of formula (b- D-S-7) followed by acetylation to produce a compound of formula (b-D-S- 8):
(p-D-S-8)
f. Coupling the compound of formula (b-D-S-S) in a Vorbruggen coupling reaction with a nucleobase or a modified nucleobase selected from the group consisting of:
g. Subjecting the resulting compound to hydrolysis and then deprotection of the alcohol groups to obtain the desired LNA-diol of formula 1.
In a fourth aspect, the invention relates to a method for the synthesis of a LNA monomer, said method comprising the steps of synthesizing allofuranose from
glucosefuranose according to the method of the invention described herein.
In an embodiment, the method for the synthesis of a LNA monomer further comprises the steps of preparing a bismesylate of formula (P-D-S-7) as described herein.
In an embodiment, the method for the synthesis of a LNA monomer further comprises the steps of preparing a bismesylate of formula (1) as described herein.
As defined herein, LNA-G monomers are LNA monomers wherein the nucleobase is guanine. In the context of this patent application, LNA-G monomers have the following chemical formula:
Chiral
LNA-G-PG-Amidite
b- D-G-9
Wherein PG is a protecting group protecting an alcohol or an amine group.
LNA-G monomers are stabilized under the form of their amidites, wich thereafter can conveniently be used for the synthesis of oligonucleotides.
In an embodiment the method for the synthesis of a LNA-G monomer comprises the steps of:
Chiral Chiral
LNA-G-Am idite
LNA-G-diol b -D-G-8
b -D-G-9 b -D-G-7
a. Protecting the 2-N exocyclic amine of the LNA-G diol and the alcohol at position 5’ of the LNA-A diol of formula (P-D-G-7) to obtain a compound of formula (P-D-G-8);
b. Phosphitylation with 2-cyanoethyl-tetraisopropyl-phosphordiamidite to obtain the compound of formula (P-D-G-9) wherein OPG is a protected alcohol, NPG is a protected amine and GPG is a guanidine nucleobase wherein the amino group is protected.
As defined herein, LNA-A monomers are LNA monomers wherein the nucleobase is adenosine. In the context of this patent application, LNA-A monomers have the following chemical formula:
Chiral
LNA-A-PG-Amidite
3-D-A-8
wherein in this formula, PG represents a protecting group for either an alcohol or an amine group.
LNA-A monomers are stabilized under the form of their amidites, wich thereafter can conveniently be used for the synthesis of oligonucleotides.
In an embodiment the method for the synthesis of a LNA-A monomer comprises the steps of:
Chiral Chiral
LNA-A-diol R-D-A-7 LNA-A-PG-Amidite
3-D-A-6 P b -D-A-8
a. Protecting the amine group on the exocyclic N-6 position and the alcohol at position 5’ of the LNA-A diol of formula (b-ϋ-A-6) to obtain a compound of formula (b-ϋ-A-7);
b. Phosphitylation with 2-cyanoethyl-tetraisopropyl-phosphordiamidite to obtain the compound of formula (b-ϋ-A-8), wherein OPG is an alcohol protecting group and NPG is an amine protecting group.
As defined herein, LNA-T monomers are LNA monomers wherein the nucleobase is thymine. In the context of this patent application, LNA-T monomers have the following chemical formula, wherein OPG is an protected alcohol and APG is an adenosine
nucleobase wherein the amine group is protected:
Chiral
LNA-T-Amidite
3-D-T-8
LNA-T monomers are stabilized under the form of their amidites, wich thereafter can conveniently be used for the synthesis of oligonucleotides.
In an embodiment the method for the synthesis of a LNA-T monomer comprises the steps of:
Chiral Chiral
LNA-T-diol b-ϋ-T-7 LNA-T-Amidite
3-D-T-6 3-D-T-8 a. Protecting the alcohol at position 5’ of the compound of formula (b-ϋ-T-6);ίo
obtain a compound of formula (b-ϋ-T-7);
b. Phosphitylation with 2-cyanoethyl-tetraisopropylphosphordiamidite to obtain
the LNA-T of formula (b-ϋ-T-8).
As defined herein, LNA-C monomers are LNA monomers wherein the nucleobase is cytosine. In the context of this patent application, LNA-C monomers have the following chemical formula:
Chiral
wherein OPG is an alcohol protecting group and me-CPG is a methylcytosine nucleobase wherein the amine group is protected.
LNA-C monomers are stabilized under the form of their amidites, wich thereafter can conveniently be used for the synthesis of oligonucleotides.
In an embodiment the method for the synthesis of a LNA-meC monomer comprises the steps of:
on-o MeCPG
i - D - C-7 LNA- MeC-PG-Amidite
B - D - C 8
a. Protecting the alcohols on positions 3’and 5’ of a compound of formal (b-ϋ-T6) b. Convert into a triazole the exocyclic carbonyl at C-4 of the compound of
formula (P-D-C-3) to obtain a compound of formula (P-D-C-4);
c. Treating the compound of formula (P-D-C-4) with ammonia to obtain a
compound of formula (P-D-C-6);
d. Protecting the exocyclic N-6 amine; and
e. Phosphitylation with 2-cyanoethyl-tetraisopropylphosphordiamidite to obtain the LNA-meC of formula (P-D-C-8).
A fifth object of the invention is an oligonucleotide prepared using LNA monomers as made according to the methods of the invention described herein. The person skilled in the art will know how to prepare oligonucleotides from monomers according to methods known in the art.
In another aspect, the invention relates to a gapmer oligonucleotide,
pharmaceutically acceptable salt or conjugate according to the invention for use as a therapeutically active substance.
The method of the invention can used to prepare a gapmer oligonucleotide, pharmaceutically acceptable salt or conjugate as a medicament. Said oligonucleotides can be useful in a method of modulating the expression of a target RNA in a cell comprising administering an oligonucleotide or gapmer oligonucleotide according to the invention to a cell expressing said target RNA so as to modulate the expression of said target RNA. Said oligonucleotides can be useful in a method of inhibiting the expression of target RNA in a cell comprising administering an oligonucleotide or gapmer oligonucleotide according to the invention to a cell expressing said target RNA so as to inhibit the expression of said target RNA. Said oligonucleotides can further be useful in an in vitro method of modulating or inhibiting a target RNA in a cell comprising administering an
oligonucleotide or gapmer oligonucleotide according to the invention to a cell expressing said target RNA, so as to modulate or inhibit said target RNA in said cell.
The target RNA can, for example be a mammalian mRNA, such as a pre-mRNA or mature mRNA, a human mRNA, a viral RNA or a non-coding RNA, such as a microRNA or a long non coding RNA.
In some embodiments, modulation is splice modulation of a pre-mRNA resulting in an altered splicing pattern of the target pre-mRNA.
In some embodiments, the modulation is inhibition which may occur via target degradation ( e.g . via recruitment of RNaseH, such as RNaseHl or RISC), or the inhibition may occur via an occupancy mediate mechanism which inhibits the normal biological function of the target RNA (e.g. mixmer or totalmer inhibition of microRNAs or long non coding RNAs).
The human mRNA can be a mature RNA or a pre-mRNA.
Examples
Example 1: general synthesis of allofuranose (P-D-S-3) from glucosefuranose (SI)
1.1 Synthesis of 1 ,2:5,6-Di-0-isopropylidene-a-D-allofuranose (b-R-5-3)
Chiral Chiral Chiral
Ethyl acetate (20 vol. equiv.) was added to a 20L reactor at 20 - 35°C. l,2:5,6-Di-0- isopropylidene-a-D-glucofuranose S-l (1 wt. equiv.) was added and stirred into ethyl acetate. A 10% Potassium bromide solution (0.3 wt. equiv.) was added into the reaction mass at 20 - 35°C and the reaction was stirred for 5 - 10 minutes at 20 - 35°C. TEMPO (0.05 wt. equiv.) was added into reaction mass at 20-35°C. The reaction was stirred for 15 - 20 minutes at 20-35°C and then cooled to 0 - l0°C. A solution of aqueous basic Sodium hypochlorite (10-14%, 9 vol. equiv.) was then added to the reaction mixture slowly at 0 -
10 °C.
A solution of sodium bicarbonate was prepared using sodium bicarbonate (1 wt. equiv.) and water (5 vol. equiv.) at 20 - 35 °C and then cooled to below 20 °C and then NLT 10% of sodium hypochlorite below 20 °C. The mixture was stirred well and the solution kept at 5 - 10 °C. The content of the well stirred solution was added to the reaction.
The reaction was stirred for 3-4 hours at 20 - 25°C until full conversion of the 1, 2:5, 6-di- O-isopropyliden-a-D-glucofuranose (S-l) to intermediat P-D-S-2 as detected by TLC. Extraction followed with ethyl acetate (5 vol. equiv. and 5 vol. equiv.). The organic phases were concentrated and charged into a clean reactor. A cold stirred solution of NaBEE (0.09 wt. equiv) in water (2 vol. equiv.) was added and the reaction stirred for 2-3 hours at 10- l5°C. The reaction was settled for 10 - 15 minutes and the upper layer (Ethyl acetate) was submitted to quality control for P-D-S-3 content by TLC. The reaction mass was homogeneous biphasic (top layer was organic layer, bottom layer was aqueous layer).
Purification:
Layers were separated (below was the aqueous layer and above was the organic layer). The organic layer was kept and the aqueous layer was charged back in the in the reactor at 20 - 30°C. Dichloromethane (5 vol. equiv.) was added to the aqueous layer at 20 - 30°C and then stirred for 10 -15 minutes at 20 - 30°C. The reaction was settled for 10 - 15 minutes at 20 - 30 C. This extraction was repeated once more and then the organic layers were combined. The combined organic layers were charged with water in a clean reactor
and the organic layers were distilled below 55°C till 1 - 2 volumes was left inside the reactor with respect to the input. Cyclohexane (2 vol. equiv.) was charged into the reaction mass below 55°C. Cyclohexane was then distilled out under vacuum below 55 °C until 1 - 2 volume was left inside the reactor with respect to the input. This cycle of distillation was repeated until quality control to check for the ethyl acetate and dichloromethane content by gas chromatography. Cyclohexane (2 vol. equiv.) was added at 20 - 30°C. The reaction was cooled to 8 - l2°C and stirred for 2 - 3 hours at 8 - l2°C. The solid mass was filtered and washed with pre chilled (8 - l2°C) cyclohexane (1 vol. equiv.). The solid was dried under vacuum (above 550 mm/Hg) at 45 - 50°C for 6 - 8 hours.
!HNMR (CDCb, Bruker 400 MHz): d (ppm) 5.8 (d, 1H); 4.62 (dd, 1H); 4.3 (dd, 1H), 3.95- 4.15 (m, 3H), 3.8 (dd, 1H), 2.5 (d, 1H), 1.33 (s, 3H), 1.36 (s, 3H), 1.45 (s, 3H), 1.55 (s, 3H) Melting point: 73-76 °C
LCMS: 261.3 (M+H)+ observed 283.3 with M+ sodium adduct
Specific optical rotation at 20 °C (0) (C=l% in chloroform) w/v: +35.4
Example 1.1: synthesis of allofuranose (P-D-S-3) from 100 g of glucosefuranose (SI) 1.2 Allofuranose was prepared according to the general synthesis of example 1 from 100 g of glucosefuranose. The yield was 70%.
Example 1.2: synthesis of allofuranose (P-D-S-3) from 500 g of glucosefuranose (SI)
1.3 Allofuranose was prepared according to the general synthesis of example 1 from 100 g of glucosefuranose. The yield was 75%.
Example 1.3: synthesis of allofuranose (P-D-S-3) from 800 g of glucosefuranose (SI)
1.4 Allofuranose was prepared according to the general synthesis of example 1 from 100 g of glucosefuranose. The yield was 80%.
The following examples describe the full synthesis of LNA monomers from glucose using the method of the invention, i.e. the conversion of glucofuranose into allofuranose, see examples herein.
In the following examples, the terms LNA monomer and LNA amidite and LNA phosphoramidites are used interchangeably. This synthesis of four LNA monomers comprises of 37 synthetic steps starting from commercial glucose and is outlined in scheme 1. The following describes the chemical manufacture of the four LNA monomers analytical methods for the detection of these. In this synthesis, LNA monomers are considered API starting material. Example 2: monomer synthesis - Overview
The total synthesis of the four LNA monomers comprises of 37 synthetic steps starting from commercial glucose and is outlined in scheme 1.
The synthetic strategy is convergent where the first seven steps results in a modified sugar - the bismesylate (P-D-S-7) which is the common building block for all four monomers. The pyrimidine synthesis is also convergent because the LNA-T diol (b-ϋ-T-6) functions as starting material for the LNA T and the LNA MeC monomers.
The final steps from the diols to the amidites is the formation of the LNA monomeric building blocks that are compatible with the phosphoramidite approach for incorporated into oligonucleotides.
Example 3: Synthesis of the diols 1.5 Synthesis of the bismesylate
Scheme 2. Synthesis of the bismesylate. a) ZnCh, H3PO4, acetone; b) P2O5, DMSO; c) NaBH4, H20; d) BnCl, NaOH (sat, aq), Bu4NHS04, toluene; e) AcOH, H20; f) i) NaI04, THF, H20; ii) HCHO, NaOH, 1,4-dioxane, H20; g) MsCl, pyridine;
dichloromethane
The synthesis of the last common intermediate that is suitable for large scale manufacture and especially storage - the“Bismesylate” (P-D-S-7) starts with the isopropylidine protection of D-glucose by treatment with acetone and acid resulting in the furanoside S-1. The stereochemistry at C-3 is inverted by an oxidation to the ulose (P-D-S-2) followed by a selective reduction giving the allofuranose (P-D-S-3). The protection of 3-hydroxyl group with a benzyl group (P-D-S-4) is followed by the selective deprotection of the 5,6- isopropylidine group (b-D-S-S). The diol is oxidatively cleaved and the resulting C-5 aldehyde is reacted with formaldehyde in a crossed aldol condensation followed in situ by a Cannizaro reduction giving a new diol (P-D-S-6) that contains the additional carbon atom at C-4 which later will form the methylene bridge that is characteristic for LNA. The two hydroxyl groups are converted into mesylates giving compound P-D-S-7 - the “Bismesylate”. This material is stabile and crystalline and is therefore used as bulk storage.
1.6 Synthesis of the LNA-A diol
Scheme 3. Synthesis of the LNA-A diol. a) AcOH, c. H2SO4; Ac20 b) SnCl4, anh. CHsCN; c) NaOH(aq), THF; d) BzONa, DMF; e) LiOH (aq), THF; f) Pd(OH)2-C; H2, EtOH:H20 (3:1)
The synthesis of the LNA-A diol starts with removal of the 1 ,2-isopropylidine group from the the Bismesylate (P-D-S-7) followed by acetylation which yields the coupling sugar (b- D-S-8). The coupling sugar is an anomeric mixture that is a sticky oil and therefore typically generated immediately before the following coupling step. The coupling step is a Vorbruggen coupling between the coupling sugar and unprotected adenine. The use of SnCl4 as Lewis catalyst results in the sole formation of b-ϋ-A-2 without formation of the a-isomer and the N-6 sugar adduct. Treatment with aqueous base gives hydrolysis of the 2’ -OAc and subsequent reaction with the mesylate results in the formation of the bicyclic carbohydrate structure in b-ϋ-A-3 as a one-pot procedure. The 5’-OMs is removed in a two step process by first substitution with NaOBz (b-ϋ-A-4) and subsequent hydrolysis of the benzoate (b-D-A-S). Finally the 3’-OBn is removed by catalytic hydrogenation under pressure giving LNA-A diol (b-ϋ-A-6) as off-white crystals.
1.7 Synthesis of the LNA-G diol
Scheme 4. Synthesis of the LNA-G diol. a) AcOH, c. H2S04; Ac20 b) BSA, TMSOTf, anh. CH3CN; C) NaOH(aq), THF; d) BnOH,‘BuOK, DCM; e) BzONa, DMSO; f) NaOH (aq), THF, EtOH; g) Pd(OH)2-C; H2, EtOH:H20 (3:2)
The synthesis of the LNA-G diol starts with removal of the 1 ,2-isopropylidine group from the the Bismesylate (P-D-S-7) followed by acetylation which yields the coupling sugar (b- D-S-8). The coupling sugar is an anomeric mixture that is a sticky oil and therefore typically generated immediately before the following coupling step. The coupling step is a Vorbruggen coupling between the coupling sugar and 6-Chloroguanine. The use of TMSOTf as Lewis acid catalyst and the 6-Chloroguanine results in the sole formation of P-D-G-2 without formation of the a-isomer and the N-7 isomer. Treatment with aqueous base gives hydrolysis of the 2’-OAc and subsequent reaction with the mesylate results in the formation of the bicyclic carbohydrate structure in p-D-G-3 as a one -pot procedure. The 6-C1 atom is substituted with OBn by a nucleophilic reaction with benzylate created in situ giving the the dibenzyl compound P-D-G-4. The 5’-OMs is removed in a two step process by first substitution with NaOBz (b-D-G-S) and subsequent hydrolysis of the benzoate (P-D-G-6). Finally both the 3’-OBn and the 6-OBn are removed by catalytic hydrogenation under pressure giving LNA-G diol (P-D-G-7) as off-white crystals.
1.8 Synthesis of the LNA-T diol
Scheme 5. Synthesis of the LNA-T diol. a) AcOH, c. H2S04, Ac20; b) BSA, TMSOTf, anh. CH3CN; c) NaOH(aq), DCM, CH3CN; d) BzONa, DMSO; e) NaOH (aq), THF; f) Pd(OH)2-C;H2, MeOH
The synthesis of the LNA-T diol starts with removal of the 1 ,2-isopropylidine group from the the Bismesylate (P-D-S-7) followed by acetylation which yields the coupling sugar (b- D-S-8). The coupling sugar is an anomeric mixture that is a sticky oil and therefore typically generated immediately before the following coupling step. The coupling step is a Vorbruggen coupling between the coupling sugar and unprotected thymine. The use of TMSOTf as Lewis catalyst results in the sole formation of b-ϋ-T-2 without formation of the a-isomer and the N-3 isomer. Treatment with aqueous base gives hydrolysis of the 2’- OAc and subsequent reaction with the mesylate results in the formation of the bicyclic carbohydrate structure in b-ϋ-T-3 as a one -pot procedure. The 5’-OMs is removed in a two step process by first substitution with NaOBz (b-ϋ-T-4) and subsequent hydrolysis of the benzoate (b-D-T-S). Finally the 3’-OBn is removed by catalytic hydrogenation under pressure giving LNA-T diol (b-ϋ-T-6) as off-white crystals.
2 Synthesis of the LNA-monomers 2.1 Synthesis of the LNA-A monomer
Scheme 6. Synthesis of the LNA-A monomer, a) i) DMTrO, anh. Pyridine; ii) TMSC1; iii) BzCl; iv) MeOH, NH4OH; b) 4,5-dicyanoimidazole, 2-cyanoethyl V, V, V, V-tetraisopropylphosphordiamidite
The LNA-A diol (b-ϋ-A-6) is protected with 4,4’-dimethoxytrityl at the 5’ position and with a transient trimethylsilyl group at the 3’ position followed by benzoylation at the exocyclic N-6 position. Treatment with ammonium hydroxide removes the silyl group giving b-ϋ-A-7. Phosphitylation with 2-cyanoethyl N, N, N', A'-tctraisopropy l phosphord i- amidite gives the LNA-A monomer b-ϋ-A-8.
2.2 Synthesis of the LNA-MeC monomer
Scheme 7. Synthesis of the MeC-monomer. a) i) DMTrO, anh. Pyridine; ii) Ac20, anh. Pyridine; b) POCb, Triazole; MeCN; c) NH4OH (aq), MeCN; d) i) Bz20, anh. Pyridine; ii) KOH (aq), THF; e) 4,5-dicyanoimidazole, 2-cyanoethyl-tetraisopropyl- phosphordiamidite, anh. CH202.
The LNA-T diol (b-ϋ-T-6) is protected with 4,4’-dimethoxytrityl at the 5’ position and with an acetyl group at the 3’ position giving b-0- 3. The exocyclic carbonyl at C-4 is converted into a triazolate b-ϋ- 4 via reaction with phosphoroxy chloride. b-ϋ- 4 is treated with concentrated aqueous ammonia resulting in the formation of the 5 -Me Cytosine nucleobase and the deprotection of the 3’ -OH (b-ϋ- 6). Both reaction paths operate in parallel so the intermediate b-D-C-S turned out to be a mixture of the two possible compounds (6-NH2 with 3-OAc and 6-Triazole with 3’-OH). The exocyclic N-6 position is benzoylated by per-benzylation followed by selective removal of the ester at 3’ OH (and if formed the imine benzoate at exocyclic N-6) and with aqueous base giving b- D-C-7. Phosphitylation with 2-cyanoethyl A, A, A', A'-tctraisopropy l phosphordiamidite gives the LNA-MeC monomer b-0- 8.
2.3 Synthesis of the LNA-G-monomer
Scheme 8. Synthesis of the LNA-G monomer, a) i) (EtO)2CHNMe2, anh. Pyridine; ii)
DMTrCl; b) 4,5-dicyanoimidazole, 2-cyanoethyl-tetraisopropyl-phosphordiamidite, CH2C12, THF
The LNA-G diol (b-D-G-T) is protected with dimethylformimine at the 2-N exocyclic amine and with 4,4’-dimethoxytrityl at the 5’ position giving b-D-G-S. Phosphitylation with 2-cyanoethyl N, N, A'", A - 1 c t r a i s o p r o p y l p h o s p h o r d i a m i d i t c gives the LNA-G monomer b-ϋ-0-9. 2.4 Synthesis of the LNA T-monomer
Scheme 9. Synthesis of the LNA T-monomer. a) DMTrCl, anh. Pyridine; b) 4,5- dicyanoimidazole, 2-cyanoethyl-tetraisopropyl-phosphordiamidite, CH2CI2
The LNA-T diol (b-ϋ-T-6) is protected with 4,4’-dimethoxytrityl at the 5’ -OH giving b- D-T-7. Phosphitylation with 2-cyanoethyl /V, /V, A'", A'"- 1 c t r a i s o p r o p y l p h o s p h o r d i a m i d i t c gives the LNA-T monomer b-ϋ-T-8.
3 Detailed technical protocols
• In the following, all protocols are normalised to lOOOg of starting material and are fully scalable.
• All analytical methods are typical in process controls methods that can be for further analytical method development.
3.1 Synthesis of S-l
Mol. Wt: 260,28
3.1.1 Process description
1 kg glucose was dissolved in 15 L acetone in a 20 L reactor under N2 atm at 30°C. The clear mixture was cooled to l5°C and slowly added 1890 g zink chloride at max l8°C. 40 mL H3PO4 was slowly added dropwise at max temp. l8°C.
The reaction was left overnight at 25 - 30°C.
3.1.2 Purification
The mixture was cooled to 20°C and pH adjust to 7-8 with 1 N aq. NaOH solution. For purification, a pH adjusting the pH to 7-8 may be helpful: if pH is below 7 impurity formation is observed. pH higher than 8, will form a sticky mass, which is difficult to filtrate.
The mixture was filtered and the salts were washed with 2 x 500 mL acetone. The mixture was evaporated to a vol. of 5 L and 4 L DCM was added together with 5 L 1 N NaOH. The mixture was stirred for 15 min and phases separated. The aqueous phase was washed 2 times with 2 L DCM, and the combined organic phases were washed with 5 L brine and separated.
The mixture was evaporated to 2 L and added 2 L hexane. The mixture was evaporated again to 2 L and again added 2 L hexane. This was repeated 2 times more. The resulting 2 L mixture was left at 45°C under stirring. After 45 min the mixture was slowly cooled to 30°C and left for stirring at that temperature. After 30 min the mixture was slowly cooled to l0°C and left there for 60 min.
The product was filtered on a GF-P3 and washed with 1 L pre chilled (l0°C) hexane.
The crystals were dry in air-vented oven at 55 - 60°C.
Typical Yield: 938 g white crystals (65 %)
3.1.3 Analytical Methods TLC (eluent: 95/5 DCM/ MeOH, detected by H2SO4 + heat)
TM Rr: 0.3 (tail)
3.2 Synthesis of p-D-S-3
3.2.1 Process description
DMSO (4.0 L) is added to a 20 L reactor in N2-atmosphere. P2O5 (545 g, 3.85 mol) is added to the reactor in portions, and the temperature is kept below 20°C. A solution of S-l (Glucofuranose) (1000 g, 3.85 mol) dissolved in DMSO (3.7 L) is added slowly to the gray mixture in the reactor at 20°C. The reaction is heated to 50°C. The light yellow solution turns into brown during the first hours of reaction.
After 3 h TLC (eluent: 95/5 DCM/ MeOH, detected by H2SO4 + heat) indicates full conversion to the ulose intermediate. The reaction is extracted with MTBE (3.5 L, 2.5 L, 1.5 L). The organic phases are concentrated to approx. 3 L.
The concentrated MTBE-phase is added to a cold stirred solution of NaBEE (92 g, 2.43 mol) in water (4 L) over a period of 1 hour.
TLC (eluent: EtOAc/ heptane, detected by H2SO4 + heat) after 30 min. shows full conversion of ulose to l,2:5,6-di-0-isopropyliden-a-D-allofuranose (P-D-S-3). 3.2.2 Purification
DCM (4 L) and water (2 L) is added, and the layers are separated (organic phase at the bottom). Aqueous layer is extracted once more with DCM (1 L), and the combined organic phases are concentrated to colourless oil.
1200 mL MTBE is added to the oil, and this is extracted with a mixture of water and sat. NH4CI (3 x 2 L + 100 mL sat. NH4CI). The combined aqueous phases are extracted with DCM (3 x 2 L). The combined DCM-phases are dried (Na2S04, 500 g), filtered and concentrated to an oil.
Crystallization from cyclohexane (1 L). Filtration on GF-P3 and dried in air.
Yield: 610 g white crystals (Yield: 61 %)
3.2.3 Analytical Methods
TLC (eluent: 95/5 DCM/ MeOH, detected by H2SO4 + heat)
SM & TM Rf: 0.3 (tail)
Intermediate Rf: 0.6
3.3 Synthesis of p-D-S-4
Chemical Formula: C^F^oOg Chemical Formula: C19Fl2606 Exact Mass: 260,13 Exact Mass: 350,17 Molecular Weight: 260,28 Molecular Weight: 350,41
P-D-S-3 (1000 g) is dissolved in 5.0 L toluene and 2.0 L caustic lye is slowly added at 25- 30°C. 100 g TBAHS is added and the mixture is heated to 50°C. Then 608 g
benzylchloride is added at same temperature. The stirred reaction is left at 90°C until TLC shows full conversion to P-D-S-4 (typical 4 h).
3.3.2 Purification
The reaction is cooled to 25-30°C and stirring stopped. After 30 min the bottom phase is separated out. The organic phase is isolated, and the aqueous phase washed with 1 L toluene and separated out. The combined organic phases are washed with 1 L demineralised water for 30 min, allowed to separate, and the bottom phase is unloaded. The organic phase is evaporated to an oil, and 4.0 L hexane is added. The mixture is cooled to 0°C and allowed to stir for 2h. The product is filtered on a GF-P3 and washed with 2 L pre chilled hexane.
Typical yield: 1150 g crystals (Yield: 85 %) 3.3.3 Analytical Methods
TLC (eluent: 1 : 1 EtOAc/ Heptane, detected by H2SO4 + heat)
P-D-S-3 Rf: 0.5 P-D-S-4 Rf: 0.85
3.4 Synthesis of p-D-S-5
Chemical Formula: CigtLgOg Chemical Formula: CigF^Og Exact Mass: 350,17 Exact Mass: 310,14
3.4.1 Process description
P-D-S-4 (1000 g, 2.85 mol) is dissolved in a mixture of acetic acid (5250 mL) and water (1750 mL) at 20-25°C. The reaction is stirred until TLC (eluent: 1/1 EtOAc/ heptane, detected by H2SO4 + heat) shows full conversion to b-D-S-S (typical 12-15 h). 3.4.2 Purification
The reaction is cooled to 10 °C and pH is adjusted to 8 - 8.5 using 50 % sodium hydroxide (approx.: 5000 mL). The mixture is filtered on a GF-P3, and the filtrate is extracted with 3 x 3 L DCM. The combined organic phases are concentrated to afford colorless oil.
Yield: 800 - 850 g oil (90%) 3.4.3 Analytical Methods
TLC (eluent: 1 : 1 EtOAc/ Heptane, detected by H2SO4 + heat or UV)
P-D-S-4 Rf: 0.85 P-D-S-5 Rf: 0.20
Chemical Formula: CigF^Og Chemical Formula: Cig ^Og Exact Mass: 310,14 Exact Mass: 310,14 Molecular Weight: 310,34 Molecular Weight: 310,34
3.5.1 Process description step 1 b-D-S-S (1000 g, 3.22 mol) is dissolved in a mixture of THF (3.6 L) and water (3.6 L) at 5-lO°C. NaI04 (757 g, 3.54 mol) is added to the reaction mixture at max l0°C over a period of 1 hr. After addition the reaction is stirred until TLC (eluent: 1/1 EtOAc/ heptane, detected by H2SO4 + heat) shows full consumption of b-D-S-S to the aldehyde- intermediate (typical 30 min).
3.5.2 Purification step 1 The suspension is filtered on GF-P3 and the filter cake is washed with EtOAc (2x1.5 L). To the filtrate and the first of the two EtOAc washes are added sodium chloride (500 g) and the mixture is stirred until the NaCl had dissolved. The phases are separated and the aqueous phase is extracted with the second EtOAc wash and then fresh EtOAc (1.5 L).
The combined organic phases are washed with first a mixture of 25 % sodium chloride (500 mL) and 20 % potassium hydrogen carbonate (50 mL) and then a mixture of 25 % sodium chloride (500 mL) and 20 % potassium hydrogen carbonate (100 mL). The organic phase is filtered on a GF-P3, and concentrated using a 20 L rotary evaporator. Finally at 50°C and 60 mbar.
3.5.3 Process description step 2
Dioxane (2.0 L) is added to the residue and the resulting turbid solution is filtered on a GF-P3, and the filter cake is washed with dioxane (0.3 L). The yellow clear filtrate is transferred into a reactor together with 37 % formaldehyde (700 mL). 2 N Sodium hydroxide (2.3 L) is added over a period of 50 min. The temperature is kept below 30°C by occasional cooling of the mixture. The mixture is stirred at 28°C until TLC (eluent: 1/1 EtOAc/ heptane, detected by H2SO4 + heat) shows full conversion to P-D-S-6 (typical 16 h).
3.5.4 Purification step 2
Sodium chloride (0.3 kg) is added and the mixture is stirred until the NaCl has dissolved. The phases are separated, and the aqueous phase is extracted with DCM (2 x 1.5 L). The combined organic phases are washed with 20 % sodium chloride (1.5 L). Additional sodium chloride (150 g) is added to improve phase separation. The combined organic phases are concentrated using a rotary evaporator, finally at 60°C and 30 mbar. Warm MTBE (3 L, app 50°C) is added to the residue and the hot solution (45-50°C) is transferred to a glass reactor.
Heptane (1.5 L) is added and the mixture allowed to cool down to room temperature. The first crop of crystals are isolated on a GF-P3, and the filter cake is washed with MTBE/ heptane (1 :3) (1.5 L, 20°C). The filtrate is evaporated, and MTBE (500 mL) and heptane (200 mL) is added to the residue. The hot solution (45-50°C) is transferred to a flask and allowed to reach RT. The secound crop of crystals are isolated on a GF-P3. The material is left to dry in a vacuum oven over night to give 750 g (yield: 75 %) white solid.
3.5.5 Analytical method
TLC (eluent: EtO Ac/heptane 1 :1):
P-D-S-5: Rf= 0.20
Aldehyde intermediate (smear): Rf= 0.40
P-D-S-6: Rf= 0.20
3.6 Synthesis of p-D-S-7
Chemical Formula: CigF^Og Chemical Formula: C18H26O 10S2
Exact Mass: 310,14 Exact Mass: 466,10 Molecular Weight: 310,34 Molecular Weight: 466,52
3.6.1 Process description P-D-S-6 (1000 g, 3.22 mol) is dissolved in DCM/pyridine (1 :1, 2.8 L) under a nitrogen atmosphere and methanesulfonyl chlorid is added at 0°-5°C over a period of 2 hr and the mixture is stirred until TLC (eluent: Diethylether, detected by H2SO4 + heat) shows full conversion to S-7 (typical 30 min).
3.6.2 Purification Water is added at lO°C and the mixture is stirred for 30 min. DCM (1.5 L) is added and the phases are separated. The aqueous phase is washed with 1 N hydrochloric acid (2x2.5 L + 1.2 L) and 6% aqueous solution of sodium hydrogen carbonate (2.0 L). The organic phase is dried using sodium sulfate (600 g). After filtration, the organic phase is concentrated on rotary evaporator. Toluene (0.5 L) is added to the residue and the resulting mixture is concentrated in a 20 L rotary evaporator (to remove traces of pyridine). Finally at 60°C and 30 mbar to give 1500 g (yield: 98 %).
3.6.3 Analytical method
TLC Analysis:
Merck Silica gel 60, F254 , on aluminium foil.
Eluent: Diethyl ether
DetectiomUV and spraying with H2SO4/ MeOH (1 :1) + charring.
P-D-S-6: Rf = 0.20
P-D-S-7: Rf = 0.55
HPLC:
ColummXTerra, MS C-18, 5 pm, 2.1 x 100 mm
Temp.:40°C
Flow: 0.3 mL/ min
DetectiomUV at 254 nm and ESI-MS
Inj. Vol.:3 pL
Sample prep.:0.l mg/ mL in CEECN
Integ . time : 14 min
Eluent: A: 0.1 % sat. NH4OH (aq) in H2O
B: 20 % A in CHsCN
Gradient:
P-D-S-7
Rt : 4.14 min
MS - ESI: [M+Na]+ found: 484.0 Theor. Mass : 484.0
3.7 Synthesis of b-D-S 8
Chemical Formula: C18H2AhoS2 Chemical Formula: C19H2dA2S2 Exact Mass: 466,10 Exact Mass: 510,09 Molecular Weight: 466,52 Molecular Weight: 510,53
P-D-S-7 (1000 g) is suspended in Acetic acid (3.0 L) to give an off-white suspension. Sulfuric acid (5.7 mL) is dissolved in 100 mL Acetic acid and added to the suspension. Acetic anhydride (364 mL) is added drop wise over a period of 1 hour at 20°C. The stirred reaction is left at 25°C until LC-MS analysis shows full conversion to P-D-S-8 (typical 5- 16 h).
3.7.2 Purification
To the clear yellow reaction mixture is added DCM (3.0 L) and tap water (3.3 L). The phases are separated and the organic phase washed with 1 M KH2PO4 (2 x 2.5 L) and finally with sat. NaHCCb (2.5 L).
The organic phase is concentrated under reduced pressure using a rotary evaporator to get approximately 1200 g clear oil.
Typical yield: 90 - 95 % (1200 g)
3.7.3 Analytical Methods TLC Analysis:
Merck Silica gel 60, F254 , on aluminium foil.
Eluent: 95:5: 1 DCM/ MTBE/ TEA
DetectiomUV and spraying with H2SO4/ MeOH (1 : 1) + charring.
HPLC: ColummXTerra, MS C-18, 5 pm, 2.1 x 100 mm Temp.:40°C Flow: 0.3 mL/ min DetectiomUV at 254 nm Inj. Vol.:3 pL Sample prep.:0.1 mg/ mL in CELCN
Integ. time: 14 min
Eluent:A: 0.1 % sat. NH4OH (aq) in H20
B: 20 % A in CHsCN
Gradient:
MS - ESI: [M+NH4]+ found: 528 Theor. Mass : 528
3.8 Synthesis of b-ϋ-A-2
-D-S-8 b-ϋ-A-2
Chemical Formula: C19H26012S2 Chemical Formula: C22H27N5O10S2 Exact Mass: 510,09 Exact Mass: 585,12
3.8.1 Process description
P-D-S-8 (1000 g) is dissolved in anh. acetonitrile (2 L) under nitrogen atmosphere to give a colorless solution. Adenine (291 g) is added and the mixture is stirred at 25°C. SnCl4 (1123 g) is added dropwise over a period of 30 min. at max. 45°C. The stirred reaction is left at 40°C until LC-MS analysis shows full conversion to b-ϋ-A-2 (typical 2 h).
3.8.2 Purification
The reaction mixture is cooled to 0°C and pH adjusted to 4.5 - 5.0 using 14 M NaOH (aq). Celite added (450 g) to the mixture, filtered on a GF-P3, and the filter cake is washed with EtOAc (2 x 1 L).
The combined organic phases are washed with 1 M K2HPO4 (1 x 3 L). The organic phase is concentrated under reduced pressure using a rotary evaporator to orange oil.
Redissolved in EtOAc (450 mL) and added to DCM (14 L). Cooled to -l0°C and filtered on a GF-P3. The off-white crystals are washed with DCM (5 L, cooled to minus l0°C) and finally with 1 :1 Heptane: DCM (5 L, 20°C). Dried in vacuum oven at 25°C for 16 - 20 h.
Typical yield: 65 - 71 % (780 g)
3.8.3 Analytical Methods
HPLC:
ColummXTerra, MS C-18, 5 pm, 2.1 x 100 mm Temp.:40°C
Flow: 0.3 mL/ min
Detection:UV at 254 nm
Inj. Vol.:3 pL
Sample prep.:0.l mg/ mL in CH3CN
Integ. time: 14 min
Eluent: A: 0.1 % sat. NH4OH (aq) in H2O
B: 20 % A in CHsCN
Gradient:
MS - ESI: [M+H]+ found: 586.1 Theor. mass: 586.1
3.9 Synthesis of b-ϋ-A-3
b-ϋ-A-2 b-ϋ-A-3
3.9.1 Process description b-D-A 2 (1000 g) is suspended in THF (3.33 L) to give a white mixture. 1 M NaOH aq (6.83 L) is added and the mixture is stirred at 20°C until LC-MS analysis shows full conversion to b-ϋ-A-3 (typical 1 h). 3.9.2 Purification
The reaction mixture is concentrated under reduced pressure using a rotary evaporator until 2000 mL is collected. The mixture is added 2.5 L demineralized water, filtered on a GF-P3, and the filter cake is washed with demineralized water (3 x 1.5 L).
The product is dried in air vented vacuum oven at 25°C for 2-3 days. Typical yield: 90-95% (688g)
3.9.3 Analytical Methods
HPLC:
ColummXTerra, MS C-18, 5 pm, 2.1 x 100 mm Temp.:40°C Flow:0.3 mL/ min
DetectiomUV at 254 nm Inj. Vol.:3 pL
Sample prep.:0.l mg/ mL in CFLCN Integ. time: 14 min Eluent: A: 0.1 % sat. NH4OH (aq) in FLO
B: 20 % A in CFLCN
Gradient:
MS - ESI: [M+H]+ found: 448.1 Theor. mass: 448.1
3.9.4 Optional steps
Note: The synthesis of b-ϋ-A-2 and b-ϋ-A-3 can be clubbed without affecting the yield or purity of b-ϋ-A-3.
3.10 Synthesis of b-ϋ-A-4
b-ϋ-A-3 b-ϋ-A-4
Chemical Formula: CjgH^iNjOgS Chemical Formula: C H N O Exact Mass: 447,12 Exact Mass: 473,17
3.10.1 Process description
P-D-A-3 (1000 g) are dissolved in acetonitrile (3 L) and coevaporated 2 times with acetonitrile (2 x 3 L), 2 times with toluene (2 x 2 L) and finally dissolved in DMF (9.0 L). NaOBz (805 g) is added and the mixture is stirred at l05°C until LC-MS analysis shows full conversion to b-ϋ-A-4 (typical 2 h).
3.10.2 Purification
The white suspension is cooled to 25°C and added 20 L demineralized water. The mixture is cooled to 5°C and filtered on a GF-P3. The filter cake is washed with demineralized water (1 x 9 L). The wet filter cake is used without further purification in next step.
3.10.3 Analytical Methods
HPLC:
ColummXTerra, MS C-18, 5 pm, 2.1 x 100 mm Temp.:40°C
Flow: 0.3 mL/ min DetectiomUV at 254 nm Inj. Vol.:3 pL
Sample prep.:0. l mg/ mL in CFLCN
Integ. time: 14 min
Eluent: A: 0.1 % sat. NH4OH (aq) in H20
B: 20 % A in CHsCN
Gradient:
MS - ESI:
[M+H]+ found: 474.1 Theor. mass: 474.2
3.11 Synthesis of b-ϋ-A-5
b-ϋ-A-4
b-ϋ-A-5
Chemical Formula: C25H23N5O5 Chemical Formula: C18H19N5O4 Exact Mass: 473,17 Exact Mass: 369, 14 Molecular Weight: 473,48 Molecular Weight: 369,37
3.11.1 Process description
P-D-A-4 (1000 g) is dissolved in THF (6.0 L) to give a yellow solution. Water (5.0 L) and Lithium hydroxide hydrate (115 g) is added and the mixture is stirred at 25 °C until LC-MS analysis shows full conversion to b-D-A-S (typical 1 h).
3.11.2 Purification
The reaction mixture is concentrated under reduced pressure using a rotary evaporator until 4000 mL is collected. The mixture is added 4.5 L demineralalized water, cooled to l0°C, filtered on a GF-P3, and the filter cake is washed with demineralized water (1 x 3.0 L).
The white crystals are dried in vacuum oven (typical 16 h at 50°C, 10-50 mbar).
Typical yield: 90 - 95 % (750 g)
3.11.3 Analytical Methods
HPLC: ColummXTerra, MS C-18, 5 pm, 2.1 x 100 mm Temp.:40°C Flow: 0.3 mL/ min DetectiomUV at 254 nm
Inj. Vol.:3 pL
Sample prep.:0.l mg/ mL in CH3CN
Integ. time: 14 min
Eluent: A: 0.1 % sat. NH4OH (aq) in H2O
B: 20 % A in CHsCN
Gradient:
MS - ESI: [M+H]+ found: 370.1 Theor. mass: 370.1
3.12 Synthesis of b-ϋ-A-6
b-Ό-A-5 b-Ό-A-6
Chemical Formula: Ci8H19N504 Chemical Formula: C1 1H13N5O4 Exact Mass: 369,14 Exact Mass: 279,10 Molecular Weight: 369,37 Molecular Weight: 279,25
3.12.1 Process description
b-D-A-S (1000 g) and Pd(OH)2/ C is suspended in EtOH (17.25 L)/ water (5.55 L) under N2-atmosphere. 4 atm. hydrogen pressure is applied, and the mixture is stirred at 60 - 70°C until LC-MS analysis shows full conversion to b-ϋ-A-6 (typical 4 - 8 h).
3.12.2 Purification
The warm reaction mixture is filtered on celite at approx. 60°C. The filter is washed with a preheated (70°C) mixture of ethanol/ water (3000 mL ethanol/ 1000 mL water). The combined filtrates are concentrated under reduced pressure using a rotary evaporator until approx. 4 L solution is left. 2-propanol (3.5 L) is added, and evaporated until 5.0 L are collected. Then more 2-propanol (3.5 L) is added and the mixture is cooled to 0°C, filtered on a GF-P3, and the filter cake is washed with cold 2-propanol (1 x 2.0 L at 0°C).
The white crystals are dried in oven (typical 16 h at 40°C, airflow).
Typical yield: 90 - 95 % (700 g)
3.12.3 Analytical Methods HPLC:
ColummXTerra, MS C-18, 5 pm, 2.1 x 100 mm
Temp.:40°C
Flow: 0.3 mF/ min
DetectiomUV at 254 nm
Inj. Vol.:3 pF
Sample prep.:0. l mg/ mL in CH3CN
Integ. time: 14 min
Eluent: A: 0.1 % sat. NH4OH (aq) in H2O
B: 20 % A in CHsCN
Gradient:
MS - ESI:
[M+H]+ found: 280.1 Theor. mass: 280.1 3.13 Synthesis of b-ϋ-A-7
Chemical Formula: Cj jH^NjCq Chemical Formula: C39H35N507 Exact Mass: 279,10 Exact Mass: 685,25 Molecular Weight: 279,25 Molecular Weight: 685,72
3.13.1 Process description
P-D-A-6 (1000 g) is dissolved in anh. pyridine (30 L) under nitrogen atmosphere and DMTrCl (2014 g) is added. The deep red reaction mixture is stirred at room temperature until TLC analysis (10 % MeOH in DCM) shows full conversion (typical 3 h). Reaction cooled to 0°C and TMSC1 (2064 g) is added over a period of 1 h. Benzoylchloride (2670 g) is added at 0°C, and the reaction mixture is allowed to warm up to 20 - 25°C and left overnight.
The beige suspension is cooled to 0°C and MeOH (5.0 L) is added drop wise at max. l0°C (exothermic, jacket set to minus l0°C). A mixture of 25% NH3 aq (8300 mL) and purified water (3.0 L) is added to the mixture (exothermic) at max. 20°C. The reaction mixture is stirred at room temperature until TLC analysis (10 % MeOH in DCM) shows full conversion to TM (typical 5 h).
The reaction is added water (5.0 L) and toluene (20.0 L). The phases are separated and the organic phase is concentrated under reduced pressure using a rotary evaporator (water bath 60°C).
3.13.2 Purification
The purification was performed by chromatography:
The crude oil is dissolved in 1 :1 EtOAc/ Toluene + 0.1% TEA.
Silica gel is washed with 1 : 1 EtOAc/ Toluene + 0.5% TEA. Eluent: 1 : 1 EtOAc/ Toluene + 0.1% TEA until impurities are out
7:1 EtOAc/ THF + 0.1% TEA to eluate b-ϋ-A-7 out.
The product containing fractions are pooled and concentrated under reduced pressure to give white crispy crystals.
Typical yield: 90 - 95 % white crystals (2300 g)
3.13.3 Analytical Methods:
TLC Analysis:
Merck Silica gel 60, F254 , on aluminium foil.
Eluent: 10 % MeOH in DCM
DetectiomUV and spraying with H2SO4/ MeOH (1 :1) + charring.
HPLC:
ColummXTerra, MS C-18, 5 pm, 2.1 x 100 mm
Temp.:40°C
Flow: 0.3 mL/ min
DetectiomUV at 254 nm
Inj. Vol.:3 pL
Sample prep.: 0.1 mg/ mL in CH3CN
Integ. time: 14 min
Eluent: A: 0.1 % sat. NH4OH (aq) in H2O
B: 20 % A in CHsCN
Gradient:
MS - ESI: [M+H]+ found: 686.2 Theor. mass: 686.2
3.13.4 Optional steps
1) If any silylated intermediates is observed in the organic phase, an aqueous potassium fluoride solution is added at 40°C and the mixture is stirred until all silylated intermediates is deprotected.
2) If any di-benzoylated intermediates is observed in the organic phase a 25% aqueous ammonia solution is added and the mixture is stirred at 25°C.
3) In both cases the organic phase is washed twice with water
3.14 Synthesis of b-ϋ-A-8
Chemical Formula: C39H35N507 Chemical Formula: C^H^hbOgP
Exact Mass: 685,25 Exact Mass: 885,36 Molecular Weight: 685,72 Molecular Weight: 885,94
Cl = 4,5-Dicyanoimidazole
PN2 = 2-Cyanoethyl-N, N, N' , N' ,-tetraisopropylphosphorodiamidite
3.14.1 Process description
( 1 R,3R,4R,7S)-7-Hydroxy- 1 -(4,4'-dimcthoxytrityloxymcthyl)-3-(/V-6-bcnzoyl-adcninc-9- yl)-2,5-dioxabicyclo[2.2.l]heptane (b-ϋ-A-7) (1000 g, 1.46 mol) is dissolved in CH2CI2 (6.5 L) in a 20 L glass-lined steel reactor. Molecular sieves (4Ά, beads, 100 g) are added, and the clear, yellow solution is gently stirred under N2 for 16-24 hours. In a 2 L, three- necked, round-bottomed flask CH2CI2 (1.3 L) is dried by stirring with molecular sieves (4Ά, beads, 10 g) under N2 for approx. 16-24 hours. Dicyanoimidazole (147 g) is suspended in the pre-dried CH2CI2 at 20°C, followed by addition of 2-cyanoethyl- N,N,N, TV’-tctraisopropylphosphorodiamiditc (494 g) to give a clear solution under slightly
exothermic conditions. The reagent mixture is subsequently added to the solution of b-D- A-7 at 20°C. In-process analysis (TLC) after 30 min showed >99% conversion of b-D-A-
7. 3.14.2 Purification
The reaction mixture is applied directly on a silica gel column (10 kg) packed in
CEbCkiAcOEt (9:1 , v/v) + 0.1% Et3N followed by flash chromatography in QUCUTHF (88: 12, v/v) + 0.1% EtsN.
The pure fractions according to TLC are combined and concentrated, first in the reactor and later in a 20 L rotary evaporator, under reduced pressure at 30-35°C to give a light colored foam and further dried, using a vacuum oil pump (approx. 0.2 mBar) for two days to give b-ϋ-A-8 (1077 g, 83%).
3.14.3 Analytical Methods
TLC Analysis: Merck Silica gel 60, F254 , on aluminium foil.
Eluent: 10 % MeOH in DCM
DetectiomUV and spraying with H2SO4/ MeOH (1 : 1) + charring.
A8 Rf: 0.40 HPLC: ColummXTerra, MS C-18, 5 pm, 2.1 x 100 mm Temp.:40°C Flow: 0.3 mL/ min DetectiomUV at 254 nm Inj. Vol.:3 pL Sample prep.:0.1 mg/ mL in CH3CN
Integ. time: 14 min
Eluent: A: 0.1 % sat. NH4OH (aq) in H2O
B: 20 % A in CHsCN
Gradient:
P-D-A-8 (Rt : 6.49 + 6.61 min) MS - ESI:
[M+H]+ found: 886.3 Theor. mass: 886.3
Synthesis of p-D-C-3
b-ϋ-T-6 -D-C-3
Chemical Formula: CnH^ls^Og Chemical Formula: C H N O Exact Mass: 270,09 Exact Mass: 614,23 Molecular Weight: 270,24 Molecular Weight: 614,64
3.14.4 Process description
P-D-T-6 (1000 g) is dissolved in anh. pyridine (10 L) under nitrogen atmosphere and DMTrCl (1505 g) is added. The deep red reaction mixture is stirred at 28°C until LC-MS analysis shows full conversion to the DMT -intermediate. Acetic anhydride (1.0 L) is added over a period of 30 min. at max. 25°C. The stirred reaction is left at 25°C until LC- MS analysis shows full conversion to P-D-C-3 (typical 16 h).
The reaction mixture is concentrated under reduced pressure using a rotary evaporator to get approximately 7 kg red oil. The oil is dissolved in 2.2 L CELCN at 70°C and slowly added to 14 L stirred EtOAc at 20°C. The resulting mixture is filtered (the removed solid is probably pyridine chloride), and the mother liquor concentrated under reduced pressure using a rotary evaporator to get approximately 5 kg red oil.
The 5 kg red oil is dissolved in toluene (6.0 L) and washed with sat. NaHCCh aq (2 x 3.0 L), water (1 x 3.0 L) and brine (1 x 3.0 L). The organic phase is concentrated under reduced pressure using a rotary evaporator to approximately 2800 g red oil.
3.14.5 Purification
The purification was performed by chromatography:
The crude oil is dissolved in 2 L toluene + 20 mL TEA. 8000 g Silica gel 60 is washed with toluene + 1% TEA.
Eluent 1 : 10 % EtOAc in toluene + 0.1 % TEA until all DMT impurities are out (typical 6 column volumes). Shown with LC-MS.
Eluent 2: EtOAc + 0.1 % TEA to eluate the b-D-C 3 out (typical 8 column volumes).
The product containing fractions are pooled and concentrated under reduced pressure using a rotary evaporator.
Typical yield: 80 % clear yellow oil (1820 g). 3.14.6 Analytical methods
HPLC:
ColummXTerra, MS C-18, 5 pm, 2.1 x 100 mm Temp.:40°C Flow: 0.3 mL/ min DetectiomUV at 254 nm Inj. Vol.:3 pL
Sample prep.:0.l mg/ mL in CEECN Integ. time: 14 min
Eluent: A: 0.1 % sat. NEEOH (aq) in EhO B: 20 % A in CHsCN
Gradient:
[M+H]+ found: 615.2 Theor. mass: 615.2
3.15 Synthesis of p-D-C-4
-D-C-3 b-ϋ-0-4
Chemical Formula: C34H34N2O9 Chemical Formula: C36H35N5O8
Exact Mass: 614,23 Exact Mass: 665,25
Molecular Weight: 614,64 Molecular Weight: 665,69
3.15.1 Process description b-D-C 3 (1000 g) is dissolved in anh. acetonitrile (10 L) under nitrogen atmosphere to give an orange solution. Triethylamine (2.25 L) and 1,2, 4-triazole (1105 g) are added and the mixture is stirred until the triazole is fully dissolved. The reaction mixture is cooled to minus 3°C and maintained below 5°C while phosphorusoxychloride (0.304 L) is added
drop wise over a period of 60 min (highly exothermic!). Jacket temperature set to minus lO°C. Precipitation starts typically after 5 min.
After addition the mixture is warmed to 25°C. When LC-MS shows full conversion (typical after 1 h) the reaction mixture is poured into sat. NaHCCte (aq, 8.0 L) and EtOAc (8.0 L) and stirred for 20 min. The mixture is filtered on a GF-P3 and phases are separated.
The water phase is washed with EtOAc (4.0 L) and the combined organic phases are washed with water (8.0 L) and brine (4.0 L). The organic phase is concentrated under reduced pressure using rotary evaporator until yellow crispy foam is obtained.
Typical yield: 873g yellow crispy foam (82 %) 3.15.2 Analytical Methods
HPLC:
ColummXTerra, MS C-18, 5 pm, 2.1 x 100 mm Temp.:40°C Flow: 0.3 mL/ min DetectiomUV at 254 nm Inj. Vol.:3 pL
Sample prep.:0. l mg/ mL in CEECN Integ. time: 14 min
Eluent: A: 0.1 % sat. NH4OH (aq) in EbO
B: 20 % A in CHsCN
Gradient:
P-D-C-4 Rt : 2.64 min MS - ESI:
[M+H]+ found: 666.2 Theor. mass: 666.2
3.16 Synthesis of p-D-C-6
Chemical Formula: C36H35N5O: Chemical Formula: C32H33N3O7 Exact Mass: 665,25 Exact Mass: 571 ,23 Molecular Weight: 665,69 Molecular Weight: 571,62
3.16.1 Process description b-D-C 4 (1000 g) is dissolved in acetonitrile (10 L). Ammonium hydroxide (aq, 10.5 L) is added and the mixture is stirred until LC-MS shows full conversion to b-D-C 6 (typical 16 h).
1.6 kg NaCl is added, and the mixture is stirred until the salt is dissolved.
The mixture is allowed to separate, and the organic phase is concentrated under reduced pressure using rotary evaporator until white crispy foam is obtained.
Typical yield: 832g yellow crispy foam (97 %) 3.16.2 Analytical Methods
HPLC:
ColummXTerra, MS C-18, 5 pm, 2.1 x 100 mm Temp.:40°C Flow: 0.3 mL/ min DetectiomUV at 254 nm Inj. Vol.:3 pL
Sample prep.:0.l mg/ mL in CFLCN Integ. time: 14 min
Eluent: A: 0.1 % sat. NFLOH (aq) in FLO
B: 20 % A in CFLCN
Gradient:
P-D-C-6 Rt : 2.64 min
MS - ESI:
[M-H] found: 570.2 Theor. mass: 570.2
3.17 Synthesis of p-D-C-7
Chemical Fonnula: C H N O Chemical Formula:
Exact Mass: 571,23 Exact Mass: 675,26 Molecular Weight: 571,62 Molecular Weight: 675,73
3.17.1 Process description
P-D-C-6 (1000 g) is dissolved in anh. pyridine (9.0 L). Bz20 (870 g) is added and the mixture is stirred until LC-MS shows full conversion to a mixture of di-benzylated intermediate ([M+H]+ found: 780) and benzamide 3 -OH intermediate ([M+H]+ found: 677) (typical 16 h).
THF (6.0 L) is added to the reaction mixture, and the mixture is poured in a thin stream into KOH 1M aq (5.25 L). The pH in the orange solution is adjusted with KOH (2M aq) to 12.4 - 12.8. The mixture is stirred until LC-MS shows full conversion to P-D-C-7 (typical 1 h). pH in the reaction mixture is adjust to 9 with sat. KH2PO4 aq. (approximately 600 mL). Toluene (10.0 L) is added to the yellow reaction mixture and the mixture is separated. The aqueous phase is washed with toluene (3.0 L) and the combined toluene phases are washed with water (5.0 L) and brine (5.0 L) and separated. The organic phase is concentrated under reduced pressure using rotary evaporator until yellow oil is obtained.
3.17.2 Purification
The purification was performed by chromatography:
The crude oil is dissolved in 2 L EtOAc/ heptane 1 :1 + 20 mL TEA. 8000 g Silica gel 60 is washed with EtOAc/ heptane 1 :1 + 0.5 % TEA.
Eluent 1 : EtOAc/ heptane 1 : 1 + 0.1 % TEA to remove unpolar impurities (typical 5 column volumes).
Eluent 2: EtOAc + 0.1 % TEA to eluate the b-D-C 7 (typical 6 column volumes).
The product containing fractions are pooled and concentrated under reduced pressure using a rotary evaporator.
Typical yield: 75 - 85 % white crispy foam.
3.17.3 Analytical Methods
HPLC:
ColummXTerra, MS C-18, 5 pm, 2.1 x 100 mm Temp.:40°C
Flow: 0.3 mL/ min DetectiomUV at 254 nm Inj. Vol.:3 pL
Sample prep.:0. l mg/ mL in CEECN Integ . time : 14 min
Eluent: A: 0.1 % sat. NH4OH (aq) in EhO
B: 20 % A in CHsCN
Gradient:
P-D-C-7 Rt : 8.68 min MS - ESI:
[M+H]+ found: 676.1 Theor. mass: 676.2 3.18 Synthesis of p-D-C-8:
Chemical Formula: C48H54N5O9P Exact Mass: 875,37 Molecular Weight: 875,94
DCI = 4,5-Dicyaneimidazole
3.18.1 Process description
PN2 (650 mL) is added to a solution of 1 M DCI (168 g in 1000 mL DCM). This mixture is added to a solution of P-D-C-7 (1000 g) dissolved in anh. DCM (5000 mL) under nitrogen atmosphere at l6°C - l8°C. The mixture was stirred at 24°C until TLC shows full conversion to P-D-C-8.
The mixture is washed with 2.25 L 6 % NaHCCb, 2 x 2.25 L water and 2.25 L brine. To the organic phase is added 490 g Na2S04 and is stirred for 1 h. Filtered on a GF-P3 and washed with 0.5 L DCM. 3.18.2 Purification
The filtered DCM fractions are pooled and concentrated under reduced pressure. 2 L MeCN is added and this mixture is concentrated. 5 L MeCN is added and the mixture is cooled to 0°C. The mixture is filtered on a GF-P3 to isolate the white crystals.
Drying: 30°C in vacuum oven. Typical yield: 13 l2g white crystals (76.5 %)
3.18.3 Analytical Methods
TLC Analysis:
Merck Silica gel 60, F254 , on aluminium foil.
Eluent: EtOAc/ Heptane/ DCM 2: 1 : 1 + 0.1 % TEA DetectiomUV and spraying with H2SO4/ MeOH (1 :1) + charring.
HPLC:
Column:XTerra, MS C-18, 5 mih, 2.1 x 100 mm Temp.:40°C
Flow: 0.3 mL/ min
DetectiomUV at 254 nm
Inj. Vol.:3 pL
Sample prep.:0.l mg/ mL in CFLCN
Integ. time: 14 min
Eluent: A: 0.1 % sat. NH4OH (aq) in FLO
B: 20 % A in CHsCN
Gradient:
MS - ESI:
[M+H]+ found: 876.3 Theor. mass: 876.4
3.18.4 Optional steps
Should further purification be required preparative silica chromatography using an ethylacetate gradient in hexanes can be employed.
3.19 Synthesis of p-D-G-2
-D-S-8
P-D-G-2
Chemical Formula: C19H26O12S2 Chemical Formula: C->->H'>ftCrN«O oS'> Exact Mass: 510,09 Exact Mass: 619,08
Molecular Weight: 5 10,53 Molecular Weight: 620,05
3.19.1 Process description
P-D-S-8 (1000 g) is dissolved in anh. acetonitrile (8.4 L) under nitrogen atmosphere to give a colorless solution. 6-Chloroguanine (382 g) is added and the mixture is stirred at 25°C. BSA (805 g) is added dropwise over a period of 15 min. at 50°C. The reaction is heated to 85 - 90°C and stirred until the mixture is clear brown (typical 2 h).
TMS-OTf (761 g) is added dropwise to the reaction over a period of 30 min. at 85 - 90°C. Stirring is continued at this temperature until LC-MS analysis shows full conversion to b- D-G-2 (typical 45 min).
3.19.2 Purification
The reaction mixture is cooled to lO°C and tap water is added (2.8 L). pH adjusted to 8 using 3M NaOH aq (approx. 1.5 L). The resulting solution is extracted with EtOAc (3.0 L + 2 x 1.5L). The combined organic phases are washed with 1 M K2HPO4 aq (2 x 3 L) and with 25 % sat. NaCl in tap water (2 x 1.8 L). The organic phase is concentrated under reduced pressure using a rotary evaporator to give brown oil.
Typical yield: 94 - 98 % (1166 g)
3.19.3 Analytical Methods HPLC:
ColummXTerra, MS C-18, 5 pm, 2.1 x 100 mm Temp.:40°C Flow: 0.3 mL/ min DetectiomUV at 254 nm Inj. Vol.:3 pL
Sample prep.:0.l mg/ mL in CH3CN Integ. time: 14 min
Eluent: A: 0.1 % sat. NH4OH (aq) in H2O
B: 20 % A in CHsCN
Gradient:
P-D-G-2 Rt : 5.44 min
MS - ESI:
[M+H]+ found: 620.2 Theor. mass: 620.1
3.20 Synthesis of P-D-G-3
-D-G-2 P-D-G-3
Chemical Formula: C22H26C1N50, OS2
Exact Mass: 619,08 Chemical Formula: C19H20ClN5O6S Molecular Weight: 620,05 Exact Mass: 481,08
Molecular Weight: 481 ,91
3.20.1 Process description: b-D-G 2 (1000 g) is dissolved in THF (6.0 L) and 1 M NaOH aq (7.0 L) is added in one portion. The reaction is heated to 30°C and stirred until LC-MS analysis shows full conversion to P-D-G-3 (typical 1 h). 3.20.2 Purification
Separate the phases, and extract the aqueous layer with THF (3 L). The combined organic layers are evaporated to approx. 25% of the starting volume and 3 L water are added. This mixture is evaporated until the THF is removed (max.: 50°C under vacuum). Cool to 30°C. DCM (3 L) is added and the mixture is stirred for 10 minutes. Separate the organic layer, repeat the organic wash with DCM (2 L) and wash the combined organic phases with 40 % aq. Sodium chloride (3 L). The organic layer is distilled completely under vacuum below 40°C.
Typical yield: N/A
3.20.3 Analytical Methods HPLC:
ColummXTerra, MS C-18, 5 pm, 2.1 x 100 mm Temp.:40°C Flow: 0.3 mL/ min DetectiomUV at 254 nm Inj. Vol.:3 pL
Sample prep.:0.l mg/ mL in CH3CN Integ. time: 14 min
Eluent: A: 0.1 % sat. NH4OH (aq) in H2O B: 20 % A in CHsCN
Gradient:
P-D-G-3 Rt : 1.98 min
MS -ESI:
[M+H]+ found: 482.0 Theor. mass:482.l
3.21 Synthesis of p-D-G-4
Chemical Formula: C^F^oClNsC^S Chemical Formula: C H N O S Exact Mass: 481,08 Exact Mass: 553,16
3.21.1 Process description
P-D-G-3 (1000 g) is dissolved in DCM (7.0 L) and cooled to minus 5°C followed by addition of benzyl alcohol (292 g). Potassium t-butoxide (243 g) is added in portions over a period of 3 hours. Temp. 0 +/- 5°C. The reaction is stirred at minus 5°C until LC-MS analysis shows full conversion to P-D-G-4 (typical 1 h after completed addition).
3.21.2 Purification
The reaction mixture is added water (7 L) and stirred for 10 min. The phases are separated and the aqueous phase is extracted once with DCM (1.5 L). The combined organic phases are washed with brine (5 L) and separated. Silica 100-200 is added to the mixture and stirred for 1 h. Filtered on a GF-P3 and the filter cake is washed with DCM. This combined organic phases is concentrated (50°C, 50 mbar). Toluene (2.0 L) is added to the residue. The suspension is concentrated on rotary evaporator (50°C, 50 mbar). Toluene (3.0 L) is added to the residue again and stirred for 2-3 h. The product is isolated by filtration. The filter cake is washed with toluene (500 mL).
Typical yield: 893g (78 %)
3.21.3 Analytical Methods
HPLC: ColummXTerra, MS C-18, 5 pm, 2.1 x 100 mm
Temp.:40°C
Flow:0.3 mL/ min
DetectiomUV at 254 nm
Inj. Vol.:3 pL
Sample prep.:0. l mg/ mL in CELCN Integ. time: 14 min
Eluent: A: 0.1 % sat. NH4OH (aq) in ELO
B: 20 % A in CHsCN
Gradient:
P-D-G-4 Rt : 5.08 min
MS - ESI:
[M+H]+ found: 554.2 Theor. mass: 554.2
3.22 Synthesis of b-D-G-S
-D-G-4 P-D-G-5
Chemical Formula: C26H27N5O7S Chemical Formula: C32F[29N506 Exact Mass: 553, 16 Exact Mass: 579,21
Molecular Weight: 553,59 Molecular Weight: 579,60
3.22.1 Process description
P-D-G-4 (1000 g) is dissolved in DMSO (molsive dry, 5.0 L) under N2-atm. NaOBz (364 g) is added to the reaction mixture. The unclear red-brown reaction mixture is heated to l00°C until LC-MS analysis shows full conversion to b-D-G-S (typical 2 h).
3.22.2 Purification
The reaction is cooled to 35°C, and poured into cold (0°C) demineralised water (20 L) and stirring is continued night over. The suspension is filtered on a GF-P3 (very slow!) and the off-white filter cake is suspended in 4 L water (still on the filter) to remove DMSO. The wet product b-D-G-S is used in the next step without drying!
Typical yield: 4500 g wet off-white crystals
3.22.3 Analytical Methods
HPLC:
Column:XTerra, MS C-18, 5 mih, 2.1 x 100 mm Temp.:40°C
Flow: 0.3 mL/ min
DetectiomUV at 254 nm
Inj. Vol.:3 pL
Sample prep.:0. l mg/ mL in CFLCN
Integ. time: 14 min
Eluent: A: 0.1 % sat. NH4OH (aq) in FLO
B: 20 % A in CFLCN
Gradient:
P-D-G-5 Rt : 7.25 min
MS - ESI:
[M+H]+ found: 580.1 Theor. mass: 580.1
3.23 Synthesis of p-D-G-6
-D-G-5 -D-G-6
Chemical Formula: C32H29N5O6 Chemical Formula: C25H25N5O5
Exact Mass: 579,21 Exact Mass: 475,19
Molecular Weight: 579,60 Molecular Weight: 475,50
3.23.1 Process description b-D-G-S (1000 g) is suspended in THF (4.0 L) and EtOH (2.5 L). To the slurry is added NaOH (206 g in 500 mL water) at 25°C and the mixture turned clear. The mixture is stirred until LC-MS analysis shows full conversion to P-D-G-6 (typical 3 h).
3.23.2 Purification
The reaction is concentrated under reduced pressure (60°C, 100 mbar) until 3.0 L is distilled off. Then 6 L demineralised water is added to the rubber like matrix and the mixture is stirred at 25°C night over.
The suspension is filtered on a GF-P3 and the filter cake is washed with 4 x 2.5 L demineralised water and dried in vacuum oven (typical for 3 days)
Typical yield: 700 g yellowish crystals - 80%
3.23.3 Analytical Methods
HPLC:
Column:XTerra, MS C-18, 5 pm, 2.1 x 100 mm Temp.:40°C
Flow: 0.3 mL/ min
DetectiomUV at 254 nm
Inj. Vol.:3 pL
Sample prep.:0. l mg/ mL in CFLCN
Integ . time : 14 min
Eluent: A: 0.1 % sat. NH4OH (aq) in FLO
B: 20 % A in CFLCN
Gradient:
P-D-G-6 Rt : 3.0 min
MS - ESI:
[M+H]+ found: 476.1 Theor. mass: 476.1
3.24 Synthesis of p-D-G-7
P-D-G-7
P-D-G-6
Chemical Formula: CHH13N5O5
Chemical Formula: C25H25N5O5
Exact Mass: 295,09
Exact Mass: 475,19
Molecular Weight: 295,25
Molecular Weight: 475,50
Note: It is critical for this step that the DMSO from the synthesis of P-D-G-4 is completely removed. 3.24.1 Process description b-D-G 6 (1000 g) and Pd(OH)2/ C is suspended in EtOH (8.0 L)/ water (5.5 L) under N2- atmosphere. 4 atm (4 kg pressure from DRL description) hydrogen pressure is applied, and the mixture is stirred at 60 - 70°C until LC-MS analysis shows full conversion to P-D-G-7 (typical 2 - 4 h). 3.24.2 Purification
The warm reaction mixture is filtered through a cellulose pad at approx. 60°C. The filter is washed with a preheated (70°C) mixture of ethanol/ water (3000 mL ethanol/ 1000 mL water). The combined filtrates are concentrated under reduced pressure using a rotary evaporator until approx. 4 L solution is left. 2-propanol (3.5 L) is added, and evaporated until 5.0 L are collected. Then more 2-propanol (3.5 L) is added and the mixture is cooled
to 0°C, filtered on a GF-P3, and the filter cake is washed with cold 2-propanol (1 x 2.0 L at 0°C).
Typical yield: 70 - 75 % (450 g off-white crystals)
3.24.3 Analytical Methods
HPLC:
Column:XTerra, MS C-18, 5 pm, 2.1 x 100 mm
Temp.:40°C
Flow: 0.3 mL/ min
DetectiomUV at 254 nm
Inj. Vol.:3 pL
Sample prep.:0.l mg/ mL in CFLCN
Integ. time: 14 min
Eluent: A: 0.1 % sat. NH4OH (aq) in FLO
B: 20 % A in CFLCN
Gradient:
P-D-G-7 Rt : 0.73 min
MS - ESI:
[M+H]+ found: 296.1 Theor. mass: 296.1
3.25 Synthesis of b-D-G 8
P-D-G-7 -D-G-8
Chemical Formula: CnH13N505 Chemical Formula: C35H36N607 Exact Mass: 295,09 Exact Mass: 652,26 Molecular Weight: 295,25 Molecular Weight: 652,70
3.25.1 Process description
P-D-G-7 (1000 g, 3.4 mol) is suspended in pyridine (10 L). Dimethylformamide dimethyl acetal (907 g, 9.1 mol) is added and the resulting suspension is stirred at approx. 25°C until a clear solution is obtained (app. 2 ½ h) and then further 90 min after which in- process analysis shows full conversion of the starting material into the intermediate. Tap water (60 mL, 3.4 mol) is added and the reaction mixture is stirred 30 min at 25°C followed by evaporation to dryness under reduced pressure.
The residue is suspended in pyridine (10 L) and 4,4'-dimethoxytrityl chloride (1.38 kg, 4.1 mol) is added resulting in a clear orange solution. The reaction mixture is stirred 16 h at ca. 25°C after which an in-process analysis (LC-MS) shows full conversion to p-D-G-8.
3.25.2 Purification
The reaction mixture is drained into jerry cans and aqueous NaHCCb (6%, 30 L) and dichloromethane (10 L) is transferred to the reactor. The reaction mixture is transferred to the reactor at 20-25°C over 20 min. followed by dichloromethane (3.3 L). The resulting emulsion is stirred for 5 min and the phases separated. The aqueous phase is extracted with dichloromethane (10 L). The combined organic phases are washed with aqueous NaCl (25%, 7 L). The organic phase is concentrated under reduced pressure using a jacket temperature of 60°C. When approx. 20 L of distillate has been collected the resulting mixture is subjected to a polish filtration. The filtered solution and pyridine (350 mL) was transferred back into the reactor and distillation is continued. When additional 5 L of distillate has been collected, xylenes (3.0 L) is added and the resulting mixture is seeded. Distillation is continued and when further 3.2 L of distillate has been collected xylenes (13.3 kg) is added to the thick suspension. When further 1.5 L has been distilled off, toluene is added (4.45 kg). The resulting suspension is cooled to l8°C and stirred at this temperature for 18 h followed by centrifugation. The filter cake is washed with hexane (10.7 kg). The wet product is dried in an air- vented drying cupboard at 30°C.
Typical yield: 90 - 95 % white crystals (2175 g)
3.25.3 Analytical Methods:
TLC Analysis: Merck Silica gel 60, F254 , on aluminium foil.
Eluent: 10 % MeOH in DCM
DetectiomUV and spraying with H2SO4/ MeOH (1 :1) + charring.
HPLC:
ColummXTerra, MS C-18, 5 pm, 2.1 x 100 mm Temp.:40°C
Flow: 0.3 mL/ min DetectiomUV at 254 nm Inj. Vol.:3 pL
Sample prep.:0.l mg/ mL in CH3CN
Integ. time: 14 min
Eluent: A: 0.1 % sat. NH4OH (aq) in H20
B: 20 % A in CHsCN
Gradient:
P-D-G-8 Rt : 1.40 min
MS - ESI:
[M+H]+ found: 653.2 Theor. mass: 653.2
3.25.4 Optional steps
The centrifugation can be substituted with a filtration but this can be very slow.
3.26 Synthesis of p-D-G-9
P-D-G-8
P-D-G-9
Chemical Fonnula: C^tt^NgO/ Chemical Formula: C44H53N808P
Exact Mass: 652,26 Exact Mass: 852,37 Molecular Weight: 652,70 Molecular Weight: 852,91
DCI = 4,5-Dicyanoimidazole
PN2 = 2-Cyanoethyl-N, N, N' , N' ,-tetraisopropylphosphorodiamidite
3.26.1 Process description
P-D-G-8 (1000 g, 1.53 mol) was dissolved in THF (6 L) under nitrogen and the resulting suspension was stirred until a thin homogenous suspension was obtained. 4,5- Dicyanoimidazole (72.3g, 0.61 mol) was suspended in dichloromethane (360 mL) under a nitrogen atmosphere and added to the reactor. A solution of 2-cyanocthyl-A, /V, N', N'- tetraisopropylphosphoroamidite (600 g, 2.0 mol) in dichloromethane (400 mL) was added at ca. 22°C. The reaction is slightly exothermic and should be allowed to warm to 25-30°C. After 10 min of stirring at ca. 28°C a pale yellow turbid solution was obtained. The reaction mixture was stirred for l7h after which in-process analysis showed full conversion.
3.26.2 Purification
The mixture was added aq. NaHCCE (6%, 10 L) ca. 20°C. Toluene (8 L) was added and the resulting mixture was stirred vigorously for ca. 5 min after which the phases were separated. The organic phase was washed with purified water (8 L) under vigorous stirring. The organic phase was washed with purified water (2 x 12L) using a lower degree of stirring to avoid a slow phase separation. The organic phase concentrated under reduced pressure. When approx. 15 L was left in the reactor the solution was seeded and distillation continued. When approx. 6 L was left in the reactor precipitation took place. The resulting suspension was cooled to 5°C and stirred at this temperature for 15 h after which distillation was continued. When approx. 3 L was left in the reactor distillation was discontinued and the suspension was cooled to ca. 20°C.
Methyl fc/t-butyl ether (1.0 L) was added over 35 min. The resulting suspension was stirred at ca. 20°C for 90 min. after which it was filtered. The filter cake was washed with a mixture of methyl tert- butyl ether and toluene (1 :1, v/v, 1.55 L) followed by wash with methyl tert- butyl ether (700 mL). The wet cake was dried in vacuum.
Typical yield: l043g white crystals (80%)
3.26.3 Analytical Methods
TLC Analysis:
Merck Silica gel 60, F254 , on aluminium foil. Eluent: EtOAc/ Heptane 65:35 + 0.1 % TEA
DetectiomUV and spraying with H2SO4/ MeOH (1 :1) + charring.
HPLC:
ColummXTerra, MS C-18, 5 pm, 2.1 x 100 mm Temp.:40°C Flow: 0.3 mL/ min
DetectiomUV at 254 nm Inj. Vol.:3 pL
Sample prep.:0.l mg/ mL in CH3CN
Integ. time: 14 min
Eluent: A: 0.1 % sat. NH4OH (aq) in H20
B: 20 % A in CHsCN
Gradient:
p-D-G-9 Rt : 3.37 + 3.53 min
MS - ESI:
[M+H]+ found: 853.3 Theor. mass: 853.3
3.27 Synthesis of b-ϋ-T-2
Exact Mass: 510,09 Exact Mass: 126,04 C22R28N2O12S2 Mol. Wt: 510,53 Mol. Wt: 126,11 Exact Mass: 576,11
3.27.1 Process description b-D S 8 is dissolved in 3.65 L anh. MeCN and thymine (272 g, 2.16 mol) and BSA (841 mL, 3.40 mol) are suspended in the solution. The mixture is heated to reflux until all the thymine is dissolved, and TMSOTf (887 mL, 4.88 mol) is added at 80°C over a period of 20 min. After addition the solution is refluxed until TLC (9:1 DCM: MeOH) shows full conversion to P-D-T-2. Typically 1 h.
3.27.2 Purification The clear reaction is cooled to 25°C and 2.5 L DCM is added followed by 3 L 1M K2HPO4 - stirred for 15 min. Phases are separated and pH of the aq.-phase (lower phase) is adjusted to 6 using 3 M NaOH (app. 550 mL). The aq.-phase is extracted with 1.2 L DCM. The comb. org. phases are washed with 3.5 L sat. NaHC03 solution. Phases are separated and organic phases are dried with Na2S04, filtered and concentrated in vacuum (50mbar; 55°C)
Yield: 1100 g, ~ 99 % as yellow hard glasslike foam.
3.27.3 Analytical Methods
TLC Analysis:
Merck Silica gel 60, P254 , on aluminium foil.
Eluent: 10 % MeOH in DCM
Detection: UV and spraying with H2SO4/ MeOH (1 :1) + charring. HPLC:
Column:XTerra, MS C-18, 5 pm, 2.1 x 100 mm
Temp.:40°C
Flow: 0.3 mL/ min
DetectiomUV at 254 nm
Inj. Vol.:3 pL
Sample prep.:0.l mg/ mL in CFLCN
Integ. time: 14 min
Eluent: A: 0.1 % sat. NH4OH (aq) in FLO
B: 20 % A in CFLCN
Gradient:
MS - ESI : [M+H]+ found: 577.1 Theor. mass: 577.1
3.28 Synthesis of b-ϋ-T-3
Exact Mass: 576,11 Exact Mass: 438, 1 1 Mol. Wt: 576,60 Mol. Wt.: 438,45
3.28.1 Process description p-D-T-2 (1000 g, 1.74 mol) is dissolved in 7.2 L DCM and 3.2 L MeCN. 3.2 L NaOH (3M soln.) is added and the solution is stirred at 25°C until LC-MS shows full conversion to b-
D-T-3.
3.28.2 Purification
The pH is adjusted to 6.1 with AcOH (app. 720 mL). The phases are separated and the aq.- phase is extracted with 1.6 L DCM. The combined organic phases are washed with 4.5 L H2O. The organic phase is concentrated in vacuo (50°C, 40 mbar).
Yield: 736 g ~ 98% as crispy yellow crystals.
3.28.3 Analytical Methods
TLC Analysis:
Merck Silica gel 60, F254 , on aluminium foil.
Eluent: 10 % MeOH in DCM
DetectiomUV and spraying with H2SO4/ MeOH (1 :1) + charring. HPLC:
ColummXTerra, MS C-18, 5 pm, 2.1 x 100 mm
Temp.:40°C
Flow: 0.3 mL/ min
DetectiomUV at 254 nm
Inj. Vol.:3 pL
Sample prep.: 0.1 mg/ mL in CH3CN
Integ. time: 14 min
Eluent: A: 0.1 % sat. NH4OH (aq) in H2O
B: 20 % A in CHsCN
Gradient:
MS - ESI:
[M+H]+ found: 439.0 Theor. mass: 439.1
3.29 Synthesis of b-D-T 4
Exact Mass: 438,1 1 Exact Mass: 464,16
Mol. Wt: 438,45 Mol. Wt.: 464,47
* 1 : DMSO, anhydrous: MC-water: >0,01%
3.29.1 Process description b-D-T 3 (1000 g, 2.28 mol) and BzONa (657 g, 4.56 mol) is suspended in 6.5 L DMSO and stirred at l00°C until TLC (9: 1 DCM:MeOH) shows full conversion to b- D-T-4.
3.29.2 Purification
The reaction is allowed to cool to 75 °C and 2 L water is added. The soln. is seeded with b- D-T-4 and 10 L water is added over 30 min. During this time the solution thickens and turns milky white. The mixture is allowed to stir overnight at 25°C.
The suspension is cooled to 5°C and filtered on a GF-P3. The white crystals are washed with 5 times of 5 L water. The wet crystals are dried in vacuum oven (50°C) for 24 - 72 hour.
Yield: 978 g, 95 % as an off white solid.
3.29.3 Analytical Methods
TLC Analysis:
Merck Silica gel 60, F254 , on aluminium foil.
Eluent: 10 % MeOH in DCM
Detection: UV and spraying with H2SO4/ MeOH (1 :1) + charring. HPLC:
Column: XTerra, MS C-18, 5 pm, 2.1 x 100 mm
Temp.: 40°C
Flow: 0.3 mL/ min
Detection: UV at 254 nm
Inj. VoL: 3 pL
Sample prep.: 0.1 mg/ mL in CH3CN
Integ. time: 14 min
Eluent: A: 0.1 % sat. NH4OH (aq) in H2O
B: 20 % A in CHsCN
Gradient:
MS - ESI:
[M+H]+ found: 465.0 Teor. mass: 465.2
3.29.4 Optional steps Extensive washing of the crystals is key to the removal of DMSO, which must be completely gone before the catalytically reduction.
3.30 Synthesis of b-ϋ-T-6
3.30.1 Process description step 1 b-ϋ-T-4 (1000 g, 2.15 mol) is dissolved in THF (5.38 L) and cooled to l5°C. NaOH aq (2.15 L, 3M) is added slowly and the mixture is stirred until LC-MS shows full conversion to the intermediate b-D-T-S typically 1 h.
3.30.2 Purification step 1 pH is adjusted to 6.5 - 7.5 using 3M HC1 at l5-25°C. THF is removed in vacuum and the resulting aq. phase is extracted with DCM (3 x 3.0 L). The combined organic phases are washed with sat. NaHCCb solution (5.0 L) and separated. The aq. phase is extracted with 1.5 L DCM. The combined organic phases are concentrated in vacuum (40°C, 30 mbar) until approx. 3 L is left. Methanol (1 L) is added to the reaction mass and distilled under vacuum (40°C) until 1 L is left. Methanol (1 L) is added and the mixture is concentrated in vacuum (50mbar; 55°C).
3.30.3 Process description step 2 The reaction mass is dissolved in methanol (5 L) and transferred to a hydrogenation reactor. Pd(OH)2-C (77 g; 20%) is added and the reaction is heated to 35°C with a 2 kg pressure of H2-gas. The reaction was continued until LC-MS shows full conversion to b- D-T 6 - typical 5 h.
3.30.4 Purification step 2 The reaction is filtered through celite and the filter cake is washed with methanol (3 x 1.5 L). The filtrate is distilled at 45°C in vacuum until mass volume reaches to 3 volumes. Acetonitrile (2 L) is added and the mixture is distilled at 45°C in vacuum until mass volume reaches to 3 volumes. More acetonitrile (2 L) is added and the mass is distilled again till mass volume reaches to 3 volumes. The mass is cooled to 0-5°C and is stirring for 3 h. The mass is filtered on GF-P3 and the crystals are washed with cool acetonitrile (500 mL at 5°C). The wet crystals are dried at max. 85°C under vacuum.
Yield: 447 g, 77 % (2 steps)
3.30.5 Analytical Methods:
TLC Analysis: Merck Silica gel 60, F254 , on aluminium foil.
Eluent: 10 % MeOH in DCM
Detection: UV and spraying with H2S04/ MeOH (1 :1) + charring.
HPLC:
ColummXTerra, MS C-18, 5 pm, 2.1 x 100 mm
Temp.: 40°C
Flow: 0.3 mL/ min
Detection: UV at 254 nm
Inj. Vol.:3 pL
Sample prep.: 0.1 mg/ mL in CFLCN
Integ. time: 14 min
Eluent: A: 0.1 % sat. NH4OH (aq) in FLO
B: 20 % A in CFLCN
Gradient:
P-D-T-6 Rt 0.86: min
MS - ESI:
b-D-T-S [M+H]+ found: 361.1 Theor. mass: 361.1
b-ϋ-T-6 [M+H]+ found : 271.1 Theor. mass: 271.1
3.30.6 Optional steps
Re-crystallization:
100 g crude b-ϋ-T-6 is added methanol (1500 mL), and stirred for 30 min. 1.0 mL of triethylamine is added. The mass is distilled under vacuum until mass volume reaches to approx. 500 mL (water bath max 35°C). The product will precipitate during distillation. Acetonitrile (600 mL) is added to the slurry, and the mass is distilled again under vacuum until mass volume reaches to approx. 500 mL (water bath max 35°C). The mass is cooled to 0-5°C, stirred for 2-3 hours and filtered on GF-P3. The crystals are washed with cooled acetonitrile (300 mL). The wet crystals are dried at max. 85°C under vacuum.
3.31 Synthesis of b-ϋ-T-7
b-ϋ-T-6 b-ϋ-T-7
C„H14N2O6 C32H32N 20g
Exact Mass: 270,09 Exact Mass: 572,22 Mol. Wt.: 270,24 Mol. Wt: 572,61
3.31.1 Process description b-D-T 6 (1000 g) is dissolved in anh. pyridine (10 L) under nitrogen atmosphere and DMTrCl (1630 g) is added. The deep red reaction mixture is stirred at room temperature until TLC analysis (10 % MeOH in DCM) shows full conversion (typical 16 h).
DCM (7 L) and sat. sodium hydrogen carbonate (aq, 7 L) are added to the reaction mixture, and the mixture is stirred for 30 min.
The phases are separated and the organic phase is concentrated under reduced pressure using a rotary evaporator (water bath 60°C) until a yellow oil is obtained. The oil is stripped with two times of toluene (2 x 5 L) to remove traces of pyridine.
3.31.2 Purification
The purification was performed by DC VC:
The crude oil is dissolved in 2 L DCM + 20 mL TEA.
The 3600 g silica gel is washed with DCM + 0.5 % TEA. Gradient: 0-10 % MeOH in DCM + 0.1 % TEA, step: 1 %, fractions: 10 L.
The product containing fractions are pooled and concentrated under reduced pressure to give white crispy crystals.
Typical yield: 2040 g white crystals 90 - 95 %
3.31.3 Analytical Methods: TLC Analysis:
Merck Silica gel 60, F254 , on aluminium foil.
Eluent: 10 % MeOH in DCM
Detection: UV and spraying with H2SO4/ MeOH (1 :1) + charring.
HPLC: Column: XTerra, MS C-18, 5 pm, 2.1 x 100 mm Temp.: 40°C Flow: 0.3 mL/ min Detection: UV at 254 nm Inj. Vol.: 3 pL Sample prep.: 0.1 mg/ mL in CH3CN Integ. time: 14 min
Eluent: A: 0.1 % sat. NH4OH (aq) in H2O
B: 20 % A in CHsCN
Gradient:
b-ϋ-T-7 Rt : 9.7 min
MS - ESI:
[M+Na]+ found: 595.1 Theor. mass: 595.2 3.31.4 Optional step
To avoid di-tritylated material the reaction can be stopped when 1-2 % unconverted is observed.
3.32 Synthesis of b-ϋ-T-8
Exact Mass: 572,22 b-ϋ-T-8 Mol. Wt: 572,61
C41 H49N4O9P
Exact Mass: 772,32 Mol. Wt.: 772,82
DCI = 4,5-Dicyaneimidazole
3.32.1 Process description
P-D-T-7 (1000 g) is dissolved in anh. DCM (4000 mL) under nitrogen atmosphere to give a yellow solution. Temp. 20°C - 24°C. 1 M DCI (216 g in 1000 mL DCM) is added followed by PN2 (650 mL) and the mixture is stirred at 25°C for 22 hours at which LC- MS shows full conversion to P-D-T-8.
The reaction mixture is washed with sat. NaHCCb (1000 mL) and the phases are separated. The organic phase is concentrated in vacuum (50mbar; 55°C).
3.32.2 Purification
The purification was performed by chromatography The reaction mixture is added on a column (15 kg Silica gel 60) pre -washed with EtOAc/ Hexane 65:35 + 0.50 % TEA.
Eluent: EtOAc/ Hexane 65:35 + 0.1 % TEA.
The fractions containing product are pooled and concentrated under reduced pressure.
Typical yield: 88 - 93 % white crystals 3.32.3 Analytical Methods
TLC Analysis:
Merck Silica gel 60, F254 , on aluminium foil.
Eluent: EtOAc/ Heptane 65:35 + 0.1 % TEA
DetectiomUV and spraying with H2SO4/ MeOH (1 :1) + charring.
HPLC:
Column:XTerra, MS C-18, 5 mih, 2.1 x 100 mm
Temp.: 40°C
Flow: 0.3 mL/ min
DetectiomUV at 254 nm
Inj. Vol.:3 pL
Sample prep.:0.l mg/ mL in CFLCN
Integ. time: 14 min
Eluent: A: 0.1 % sat. NH4OH (aq) in FLO
B: 20 % A in CHsCN
Gradient:
P-D-T-8 Rt : 6.43 + 6.70 min
MS - ESI:
[M+H]+ found: 773.2 Theor. mass: 773.3 3.32.4 Optional steps
P-D-T-7 can be azeotropic dryed prior to use where triethylamine can be used as a stabilizer.
Claims
1. A method of synthesis of alcohol protected allofuranose from alcohol protected glucofuranose comprising the steps of:
a. a catalytic oxidation of the alcohol protected glucosefuranose in an organic solvent with an aqueous solution of hypochlorite salt, and
b. a reduction to produce an alcohol protected allofuranose.
2. The method of claim 1, wherein the alcohol groups in glucofuranose are protected at its postions 1, 2, 5 and 6.
3. The method according to claim 1, wherein the catalytic oxidation step is performed in the presence of a TEMPO catalyst.
4. The method of claim 2, wherein the TEMPO catalyst is selected from the group consisting of 2,2,6,6-Tetramethylpiperidin-l-yl)oxyl and (2, 2,6,6- tetramethylpiperidin- 1 -yl)oxidanyl.
5. The method according to any one of claim 1 to 5, wherein the concentration of the oxidative catalysts is less than 1% of the reaction solution.
6. The method according to any one of claims 1 to 5, wherein the hypochlorite salt is a metal hypochlorite.
7. The method according to any one of claims 1 to 6, wherein the hypochlorite salt is selected from the group consisting of NaOCl, KOC1, LIOC1, CaOCl or a combination thereof.
8. The method according to any one of claims 1 to 7, wherein the concentration of the solution of hypochlorite salt added to the reaction between about 10% and about 15% of the reaction solution.
9. The method according to any one of claims 1 to 8, wherein the catalytic oxidation is performed at a temperature of about l0°C or less.
10. The method according to any one of claims 1 to 9, wherein after the catalytic
oxidation and prior to the reduction step, the hypochlorite salt is removed.
11. The method according to claim 10, wherein the hypochlorite salt is removed via a process of filtration and solvent exchange.
12. The method according to any one of claims 1 to 11, wherein the reaction solution further comprises a buffer such as sodium bicarbonate (NaHCOfi.
13. The method according to any one of claims 1 to 12, wherein the reaction solution further comprises ethyl acetate (EtOAc).
14. The method according to any one of claims 1 to 13, wherein the reduction step is performed with a solution of NaBH4.
15. A method for the synthesis of bismesylate of formula (P-D-S-7):
Chiral
said method comprising the steps of:
a. Synthesizing allofuranose from glucosefuranose according to the method of any one of claims 1 to 14.
16. The method of claim 15, further comprising the steps of:
a. Selectively deprotecting the allofuranose to produce a compound of
formula (b-D-S-S):
Chiral
b. Oxidatively cleaving the compound of formula (b-D-S-S) and subjecting the resulting product to a crossed aldol condensation followed in situ by a Cannizaro reduction to produce a compound of formula (P-D-S-6):
Chiral
c. Converting the compound of formula (P-D-S-6) into a bismesylate of
formula (P-D-S-7):
Chiral
17. A method for the synthesis of an LNA-Diol of form 1 :
Nucleobase
OH O
said method comprising the step of:
a. Synthesizing allofuranose from glucosefuranose according to the method of any one of claims 1 to 14.
18. The method of claim 17, further comprising the steps of claim 16.
19. The method of claim 18, futher comprising the steps of:
a. Removing the 1 ,2-isopropylidine group from the compound of formula (b- D-S-7) followed by acetylation to produce a compound of formula (b-D-S- 8):
b. Coupling the compound of formula (b-D-S-S) in a Vorbruggen coupling reaction with a nucleobase or a modified nucleobase selected from the group consisting of:
c. Subjecting the resulting compound to hydrolysis and then deprotection of the alcohol groups to obtain the desired LNA-Diol of formula 1.
20. A method for the synthesis of a LNA monomer, said method comprising the steps of:
a. Synthesizing allofuranose from glucosefuranose according to the method of any one of claims lto 14.
21. The method of claim 20, further comprising the steps of claim 15.
22. The method of claim 21, further comprising the steps of claim 16.
23. The method of claim 22, further comprising the steps of claim 17.
24. The method of claim 23, further comprising the steps of claim 18.
25. The method of claim 24, further comprising the steps of claim 19.
26. An oligonucleotide manufactured according to a method of claim any one of claims 1 to 25.
27. The invention as hereinbefore described.
Applications Claiming Priority (2)
| Application Number | Priority Date | Filing Date | Title |
|---|---|---|---|
| IN201841019619 | 2018-05-25 | ||
| IN201841019619 | 2018-05-25 |
Publications (1)
| Publication Number | Publication Date |
|---|---|
| WO2019224172A1 true WO2019224172A1 (en) | 2019-11-28 |
Family
ID=66752047
Family Applications (1)
| Application Number | Title | Priority Date | Filing Date |
|---|---|---|---|
| PCT/EP2019/063044 Ceased WO2019224172A1 (en) | 2018-05-25 | 2019-05-21 | Novel process for making allofuranose from glucofuranose |
Country Status (1)
| Country | Link |
|---|---|
| WO (1) | WO2019224172A1 (en) |
Cited By (3)
| Publication number | Priority date | Publication date | Assignee | Title |
|---|---|---|---|---|
| JPWO2021075538A1 (en) * | 2019-10-18 | 2021-04-22 | ||
| CN113045612A (en) * | 2021-03-17 | 2021-06-29 | 常州市白云生物科技有限公司 | Synthesis method of 3-O-benzyl-4-C-hydroxymethyl-1, 2-O-isopropylidene-alpha-D-ribofuranose |
| JPWO2022124410A1 (en) * | 2020-12-11 | 2022-06-16 |
Citations (21)
| Publication number | Priority date | Publication date | Assignee | Title |
|---|---|---|---|---|
| WO1998039352A1 (en) | 1997-03-07 | 1998-09-11 | Takeshi Imanishi | Novel bicyclonucleoside and oligonucleotide analogues |
| WO1999014226A2 (en) | 1997-09-12 | 1999-03-25 | Exiqon A/S | Bi- and tri-cyclic nucleoside, nucleotide and oligonucleotide analogues |
| WO2000047599A1 (en) | 1999-02-12 | 2000-08-17 | Sankyo Company, Limited | Novel nucleosides and oligonucleotide analogues |
| WO2000066604A2 (en) | 1999-05-04 | 2000-11-09 | Exiqon A/S | L-ribo-lna analogues |
| WO2001023613A1 (en) | 1999-09-30 | 2001-04-05 | Isis Pharmaceuticals, Inc. | Human rnase h and oligonucleotide compositions thereof |
| WO2002098892A1 (en) | 2001-06-07 | 2002-12-12 | Santaris Pharma A/S | Improved synthesis of allofuranose |
| WO2004046160A2 (en) | 2002-11-18 | 2004-06-03 | Santaris Pharma A/S | Amino-lna, thio-lna and alpha-l-oxy-ln |
| WO2007090071A2 (en) | 2006-01-27 | 2007-08-09 | Isis Pharmaceuticals, Inc. | 6-modified bicyclic nucleic acid analogs |
| WO2007134181A2 (en) | 2006-05-11 | 2007-11-22 | Isis Pharmaceuticals, Inc. | 5'-modified bicyclic nucleic acid analogs |
| WO2008150729A2 (en) | 2007-05-30 | 2008-12-11 | Isis Pharmaceuticals, Inc. | N-substituted-aminomethylene bridged bicyclic nucleic acid analogs |
| WO2008154401A2 (en) | 2007-06-08 | 2008-12-18 | Isis Pharmaceuticals, Inc. | Carbocyclic bicyclic nucleic acid analogs |
| WO2009006478A2 (en) | 2007-07-05 | 2009-01-08 | Isis Pharmaceuticals, Inc. | 6-disubstituted bicyclic nucleic acid analogs |
| WO2009067647A1 (en) | 2007-11-21 | 2009-05-28 | Isis Pharmaceuticals, Inc. | Carbocyclic alpha-l-bicyclic nucleic acid analogs |
| US7569686B1 (en) * | 2006-01-27 | 2009-08-04 | Isis Pharmaceuticals, Inc. | Compounds and methods for synthesis of bicyclic nucleic acid analogs |
| WO2010036698A1 (en) | 2008-09-24 | 2010-04-01 | Isis Pharmaceuticals, Inc. | Substituted alpha-l-bicyclic nucleosides |
| WO2010077578A1 (en) | 2008-12-09 | 2010-07-08 | Isis Pharmaceuticals, Inc. | Bis-modified bicyclic nucleic acid analogs |
| WO2011017521A2 (en) | 2009-08-06 | 2011-02-10 | Isis Pharmaceuticals, Inc. | Bicyclic cyclohexose nucleic acid analogs |
| WO2011156202A1 (en) | 2010-06-08 | 2011-12-15 | Isis Pharmaceuticals, Inc. | Substituted 2 '-amino and 2 '-thio-bicyclic nucleosides and oligomeric compounds prepared therefrom |
| EP2537854A1 (en) * | 2010-02-12 | 2012-12-26 | Tokyo Institute of Technology | Methode for producing f-labelled compound and high molecular compound to be used in the method |
| WO2013036868A1 (en) | 2011-09-07 | 2013-03-14 | Marina Biotech Inc. | Synthesis and uses of nucleic acid compounds with conformationally restricted monomers |
| WO2013154798A1 (en) | 2012-04-09 | 2013-10-17 | Isis Pharmaceuticals, Inc. | Tricyclic nucleic acid analogs |
-
2019
- 2019-05-21 WO PCT/EP2019/063044 patent/WO2019224172A1/en not_active Ceased
Patent Citations (21)
| Publication number | Priority date | Publication date | Assignee | Title |
|---|---|---|---|---|
| WO1998039352A1 (en) | 1997-03-07 | 1998-09-11 | Takeshi Imanishi | Novel bicyclonucleoside and oligonucleotide analogues |
| WO1999014226A2 (en) | 1997-09-12 | 1999-03-25 | Exiqon A/S | Bi- and tri-cyclic nucleoside, nucleotide and oligonucleotide analogues |
| WO2000047599A1 (en) | 1999-02-12 | 2000-08-17 | Sankyo Company, Limited | Novel nucleosides and oligonucleotide analogues |
| WO2000066604A2 (en) | 1999-05-04 | 2000-11-09 | Exiqon A/S | L-ribo-lna analogues |
| WO2001023613A1 (en) | 1999-09-30 | 2001-04-05 | Isis Pharmaceuticals, Inc. | Human rnase h and oligonucleotide compositions thereof |
| WO2002098892A1 (en) | 2001-06-07 | 2002-12-12 | Santaris Pharma A/S | Improved synthesis of allofuranose |
| WO2004046160A2 (en) | 2002-11-18 | 2004-06-03 | Santaris Pharma A/S | Amino-lna, thio-lna and alpha-l-oxy-ln |
| US7569686B1 (en) * | 2006-01-27 | 2009-08-04 | Isis Pharmaceuticals, Inc. | Compounds and methods for synthesis of bicyclic nucleic acid analogs |
| WO2007090071A2 (en) | 2006-01-27 | 2007-08-09 | Isis Pharmaceuticals, Inc. | 6-modified bicyclic nucleic acid analogs |
| WO2007134181A2 (en) | 2006-05-11 | 2007-11-22 | Isis Pharmaceuticals, Inc. | 5'-modified bicyclic nucleic acid analogs |
| WO2008150729A2 (en) | 2007-05-30 | 2008-12-11 | Isis Pharmaceuticals, Inc. | N-substituted-aminomethylene bridged bicyclic nucleic acid analogs |
| WO2008154401A2 (en) | 2007-06-08 | 2008-12-18 | Isis Pharmaceuticals, Inc. | Carbocyclic bicyclic nucleic acid analogs |
| WO2009006478A2 (en) | 2007-07-05 | 2009-01-08 | Isis Pharmaceuticals, Inc. | 6-disubstituted bicyclic nucleic acid analogs |
| WO2009067647A1 (en) | 2007-11-21 | 2009-05-28 | Isis Pharmaceuticals, Inc. | Carbocyclic alpha-l-bicyclic nucleic acid analogs |
| WO2010036698A1 (en) | 2008-09-24 | 2010-04-01 | Isis Pharmaceuticals, Inc. | Substituted alpha-l-bicyclic nucleosides |
| WO2010077578A1 (en) | 2008-12-09 | 2010-07-08 | Isis Pharmaceuticals, Inc. | Bis-modified bicyclic nucleic acid analogs |
| WO2011017521A2 (en) | 2009-08-06 | 2011-02-10 | Isis Pharmaceuticals, Inc. | Bicyclic cyclohexose nucleic acid analogs |
| EP2537854A1 (en) * | 2010-02-12 | 2012-12-26 | Tokyo Institute of Technology | Methode for producing f-labelled compound and high molecular compound to be used in the method |
| WO2011156202A1 (en) | 2010-06-08 | 2011-12-15 | Isis Pharmaceuticals, Inc. | Substituted 2 '-amino and 2 '-thio-bicyclic nucleosides and oligomeric compounds prepared therefrom |
| WO2013036868A1 (en) | 2011-09-07 | 2013-03-14 | Marina Biotech Inc. | Synthesis and uses of nucleic acid compounds with conformationally restricted monomers |
| WO2013154798A1 (en) | 2012-04-09 | 2013-10-17 | Isis Pharmaceuticals, Inc. | Tricyclic nucleic acid analogs |
Non-Patent Citations (34)
| Title |
|---|
| ALBRIGHT J.D.GOLDMAN L., J. AM. CHEM. SOC, vol. 89, 1967, pages 10 |
| BAKER D.C.HORTON D.TINDALL C.G., CARBOHYD. RES., vol. 24, 1972, pages 192 - 197 |
| BERGSTROM, CURRENT PROTOCOLS IN NUCLEIC ACID CHEMISTRY, 2009 |
| CHEM. INT. ED., vol. 35, 1996, pages 2056 - 2083 |
| CHEMICAL ABSTRACTS, Columbus, Ohio, US; abstract no. 2595-05-03 |
| DELEAVEYDAMHA, CHEMISTRY AND BIOLOGY, vol. 19, 2012, pages 937 |
| FREIERALTMANN, NUCL. ACID RES., vol. 25, 1997, pages 4429 - 4443 |
| FUERTES C. M.CESAR M., BOL. SOC. QUIM. PERU, vol. 37, no. 4, 1972, pages 161 - 74 |
| HANSEN ET AL., CHEM. COMM., 1965, pages 36 - 38 |
| HIRAO ET AL., ACCOUNTS OF CHEMICAL RESEARCH, vol. 45, 2012, pages 2055 |
| HOLDGATE ET AL., DRUG DISCOV TODAY, 2005 |
| HORTON D.JEWELL J.S., CARBOHYDRATE RES., vol. 2, 1966, pages 251 - 260 |
| HORTON, D.GODMAN, J.L., CARBOHYDRATE RES., vol. 6, 1968, pages 229 - 232 |
| J. CHEM. SOC., PERKIN TRANS., vol. 1, 1992, pages 3043 - 3048 |
| J. ORG. CHEM., vol. 49, 1984, pages 4674 - 4682 |
| KOSHKIN, A. A.SINGH, S. K.NIELSEN, P.RAJWANSHI, V. K.KUMAR, R.MELGAARD, MOLSEN, C. E.WENGEL, J., TETRAHEDRON, vol. 54, 1998, pages 3607 |
| MCTIGUE ET AL., BIOCHEMISTRY, vol. 43, 2004, pages 5388 - 5405 |
| MERGNYLACROIX, OLIGONUCLEOTIDES, vol. 13, 2003, pages 515 - 537 |
| MITSUOKA ET AL., NUCLEIC ACIDS RESEARCH, vol. 37, no. 4, 2009, pages 1225 - 1238 |
| MORITA ET AL., BIOORGANIC & MED.CHEM. LETT., vol. 12, pages 73 - 76 |
| S. T. CROOKE: "Antisense drug technology : principles, strategies, and applications", 2008, CRC PRESS |
| SANTALUCIA, PROC NATL ACAD SCI USA, vol. 95, 1998, pages 1460 - 1465 |
| SETH ET AL., J. ORG. CHEM, 2010 |
| SETH ET AL., J. ORG. CHEM., vol. 75, no. 5, 2010, pages 1569 - 81 |
| SETH ET AL.: "2' O-methoxyethyl bicyclic nucleic acid", J. ORG. CHEM., vol. 75, no. 5, 2010, pages 1569 - 81 |
| SETH: "2'0-ethyl bicyclic nucleic acid", J. ORG. CHEM., vol. 75, no. 5, 2010, pages 1569 - 81 |
| SINGH, S. K.NIELSEN, P.KOSHKIN, A. A.WENGEL, J., CHEM. COMMUN., vol. 455, 1998 |
| SOWA, W.THOMAS, G. H. S., CAN. J. OF CHEM., vol. 44, 1966, pages 836 - 838 |
| SUGIMOTO ET AL., BIOCHEMISTRY, vol. 34, 1995, pages 11211 - 11216 |
| SURENDER KUMAR ET AL: "Synthesis of the 3'- C -Hydroxymethyl-Branched Locked Nucleic Acid Thymidine Monomer", EUROPEAN JOURNAL OF ORGANIC CHEMISTRY, vol. 2008, no. 34, 1 December 2008 (2008-12-01), DE, pages 5715 - 5722, XP055612114, ISSN: 1434-193X, DOI: 10.1002/ejoc.200800716 * |
| T KOCH: "Locked nucleic acids: a family of high affinity nucleic acid probes", JOURNAL OF PHYSICS: CONDENSED MATTER, 14 May 2003 (2003-05-14), pages S1861 - S1871, XP055612113, Retrieved from the Internet <URL:https://iopscience.iop.org/article/10.1088/0953-8984/15/18/317/pdf> DOI: 10.1088/0953-8984/15/18/317 * |
| T. W. GREENEP. G. M. WUTS: "Protective Groups in Organic Chemistry", 1999, WILEY |
| UHLMANN, CURR. OPINION IN DRUG DEVELOPMENT, vol. 3, no. 2, 2000, pages 293 - 213 |
| YOUSSEFYEH, R. D.VERHYDEN, J.P.H.MOFFATT, J.G., J. ORG. CHEM., vol. 44, no. 8, 1979, pages 1301 - 1309 |
Cited By (8)
| Publication number | Priority date | Publication date | Assignee | Title |
|---|---|---|---|---|
| JPWO2021075538A1 (en) * | 2019-10-18 | 2021-04-22 | ||
| WO2021075538A1 (en) * | 2019-10-18 | 2021-04-22 | 第一三共株式会社 | Method for producing bicyclic phosphoramidite |
| JP7641905B2 (en) | 2019-10-18 | 2025-03-07 | 第一三共株式会社 | Method for preparing bicyclic phosphoramidites |
| JPWO2022124410A1 (en) * | 2020-12-11 | 2022-06-16 | ||
| WO2022124410A1 (en) * | 2020-12-11 | 2022-06-16 | ヤマサ醤油株式会社 | Cytosine-type crosslinked nucleoside amidite crystals and method for producing same |
| CN116472276A (en) * | 2020-12-11 | 2023-07-21 | 雅玛山酱油株式会社 | Cytosine-type cross-linked nucleoside phosphoramidite crystal and production method thereof |
| US20240083935A1 (en) * | 2020-12-11 | 2024-03-14 | Yamasa Corporation | Cytosine-type bridged nucleoside amidite crystals and method for producing same |
| CN113045612A (en) * | 2021-03-17 | 2021-06-29 | 常州市白云生物科技有限公司 | Synthesis method of 3-O-benzyl-4-C-hydroxymethyl-1, 2-O-isopropylidene-alpha-D-ribofuranose |
Similar Documents
| Publication | Publication Date | Title |
|---|---|---|
| EP1161439B1 (en) | Xylo-lna analogues | |
| US20030082807A1 (en) | Xylo-LNA analogues | |
| JP2002516256A (en) | New nucleosides with bicyclic sugar components | |
| WO2001007455A1 (en) | Novel bicyclonucleoside analogues | |
| CN101490074A (en) | 5'-modified bicyclic nucleic acid analogs | |
| WO2019224172A1 (en) | Novel process for making allofuranose from glucofuranose | |
| MXPA05006865A (en) | Process for the production of 3'-nucleoside prodrugs. | |
| EP3728591A1 (en) | Gapmer oligonucleotides comprising a phosphorodithioate internucleoside linkage | |
| WO2019122277A1 (en) | Novel thiophosphoramidites | |
| JP7478660B2 (en) | Modified Nucleoside Phosphoramidites | |
| JP4887500B2 (en) | Nucleoside analogue or salt thereof | |
| US20040033967A1 (en) | Alkylated hexitol nucleoside analogues and oligomers thereof | |
| HU199154B (en) | Process for producing xylophenanosylthymine derivatives | |
| US11667660B2 (en) | Pyridinium salts as activators in the synthesis of stereodefined oligonucleotides | |
| JP5205873B2 (en) | Novel dideoxynucleoside derivatives | |
| CA3130431A1 (en) | Phosphonoacetate gapmer oligonucleotides | |
| US20240084295A1 (en) | Novel Synthesis of Phosphorodithioate Oligonucleotides | |
| WO2024249886A1 (en) | Functionalized tetrahydrofuran intermediate and synthesis thereof | |
| CN121532402A (en) | Functionalized tetrahydrofuran intermediates and their synthesis | |
| AU2018386524A1 (en) | Oligonucleotides comprising a phosphorodithioate internucleoside linkage | |
| US20220073916A1 (en) | Novel phosphoramidites | |
| HK40092714A (en) | Novel synthesis of phosphorodithioate oligonucleotides | |
| HK40060207A (en) | Novel phosphoramidites | |
| JP5594722B2 (en) | Method for producing intermediate compound for preparing RNA-type unnatural nucleoside derivative | |
| HK40060208A (en) | Phosphonoacetate gapmer oligonucleotides |
Legal Events
| Date | Code | Title | Description |
|---|---|---|---|
| 121 | Ep: the epo has been informed by wipo that ep was designated in this application |
Ref document number: 19728329 Country of ref document: EP Kind code of ref document: A1 |
|
| NENP | Non-entry into the national phase |
Ref country code: DE |
|
| 122 | Ep: pct application non-entry in european phase |
Ref document number: 19728329 Country of ref document: EP Kind code of ref document: A1 |














































































































































