WO2019162308A1 - Benzamide compounds and their use as herbicides - Google Patents
Benzamide compounds and their use as herbicides Download PDFInfo
- Publication number
- WO2019162308A1 WO2019162308A1 PCT/EP2019/054180 EP2019054180W WO2019162308A1 WO 2019162308 A1 WO2019162308 A1 WO 2019162308A1 EP 2019054180 W EP2019054180 W EP 2019054180W WO 2019162308 A1 WO2019162308 A1 WO 2019162308A1
- Authority
- WO
- WIPO (PCT)
- Prior art keywords
- alkyl
- group
- alkoxy
- cycloalkyl
- haloalkyl
- Prior art date
- Legal status (The legal status is an assumption and is not a legal conclusion. Google has not performed a legal analysis and makes no representation as to the accuracy of the status listed.)
- Ceased
Links
- 0 *c(ccc(C(Nc1nnn[n]1S)=O)c1Cl)c1O* Chemical compound *c(ccc(C(Nc1nnn[n]1S)=O)c1Cl)c1O* 0.000 description 2
- JHJVSUCUNFXIHN-UHFFFAOYSA-N Nc1n[o]nc1N Chemical compound Nc1n[o]nc1N JHJVSUCUNFXIHN-UHFFFAOYSA-N 0.000 description 1
Classifications
-
- C—CHEMISTRY; METALLURGY
- C07—ORGANIC CHEMISTRY
- C07D—HETEROCYCLIC COMPOUNDS
- C07D413/00—Heterocyclic compounds containing two or more hetero rings, at least one ring having nitrogen and oxygen atoms as the only ring hetero atoms
- C07D413/02—Heterocyclic compounds containing two or more hetero rings, at least one ring having nitrogen and oxygen atoms as the only ring hetero atoms containing two hetero rings
- C07D413/12—Heterocyclic compounds containing two or more hetero rings, at least one ring having nitrogen and oxygen atoms as the only ring hetero atoms containing two hetero rings linked by a chain containing hetero atoms as chain links
Definitions
- the present invention relates to benzamide compounds carrying on the phenyl ring an O- bound group containing a cyclic amide motif, to be more precise an O-bound carbamate group derived from a cyclic amine, or an alkoxy group substituted by a an amide group derived from a cyclic amine, or a lactam-oxy group; the N-oxides and salts thereof, and to compositions comprising the same.
- the invention also relates to the use of said benzamide compounds or of the compositions comprising such compounds for controlling unwanted vegetation, and to a method for controlling unwanted vegetation by applying said compounds or compositions.
- WO 2013/174845 describe N-(tetrazol-5-yl)- and N-(triazol-5-yl)benzamides carrying substitu- ents in the 2- and 4-positions and optionally also in the 3-position of the phenyl ring and their use as herbicides.
- WO 2013/124245 moreover also relates to N-(1 ,3,4-oxadiazol-2-yl)- benzamides.
- WO 2011/035874 relates to N-(1 ,2,5-oxadiazol-3-yl)-benzamides carrying substit- uents in the 2-, 3- and 4-positions.
- the compounds of the prior art often suffer from insufficient herbicidal activity in particular at low application rates and/or unsatisfactory selectivity resulting in a low compatibility with crop plants.
- benzamide corn- pounds having a strong herbicidal activity, in particular even at low application rates, a suffi- ciently low toxicity for humans and animals and/or a high compatibility with crop plants.
- the benzamide compounds should also show a broad activity spectrum against a large number of different unwanted plants.
- Q is selected from the group consisting of radicals of the formulae Q 1 , Q 2 , Q 3 and Q 4 ;
- R 1 is selected from the group consisting of cyano, halogen, nitro, C-i-Cs-alkyl, C-i-Cs-haloalkyl, C2-C8-alkenyl, C2-C8-alkynyl, Ci-C4-alkoxy-Ci-C4-alkyl, Ci-C4-haloalkoxy-Ci-C4-alkyl, Ci- Cs-alkoxy, Ci-C 6 -haloalkoxy, Ci-C4-alkoxy-Ci-C4-alkoxy-Z 1 - and R 1 b -S(0) k -Z 1 -;
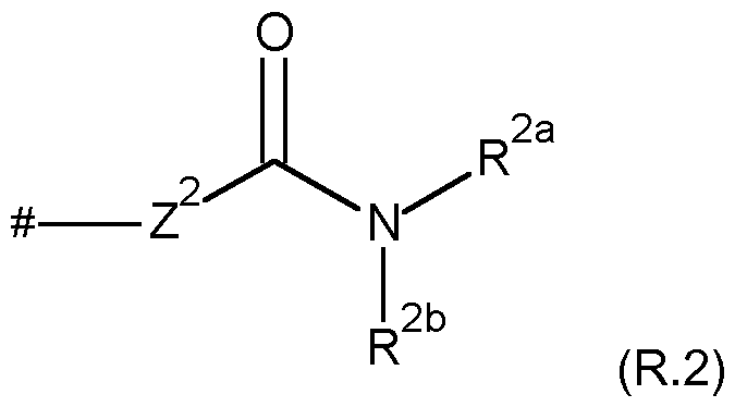
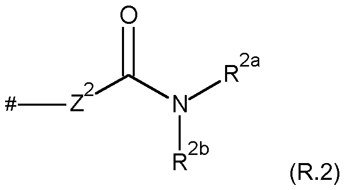
- R 2 is a radical of the formula R.2;
- # in formula R.2 indicates the point of attachment to the oxygen atom bearing R 2 ;
- R 3 is selected from the group consisting of hydrogen, cyano, thiocyanato, halogen, nitro, hy- droxy-Z 3 -, Ci-C 6 -alkyl, C-i-Cs-haloalkyl, Ci-C4-cyanoalkyl, C2-Cs-alkenyl, C2-Cs-haloalkenyl, C2-Cs-alkynyl, C 3 -C 8 -haloalkynyl, C 3 -Cio-cycloalkyl-Z 3 -, C 3 -C 6 -cycloalkenyl-Z 3 -, C 3 -Cio- cycloalkoxy-Z 3 -, C 3 -Cio-cycloalkyl-Ci-C2-alkoxy, where the cyclic groups of the four afore- mentioned radicals are unsubstituted or partially or completely halogenated; C-i-Cs-alkoxy- Z
- R 4 is selected from the group consisting of hydrogen, halogen, cyano-Z 1 , nitro, C-i-Cs-alkyl, C-i-Cs-haloalkyl, C3-C7-cycloalkyl, C3-C7-cycloalkyl-Ci-C4-alkyl, where the C3-C7-cycloalkyl groups in the two aforementioned radicals are unsubstituted or partially or completely hal- ogenated; C 2 -C 8 -alkenyl, C 2 -C 8 -alkynyl, Ci-C3-alkylamino, di-(Ci-C3-alkyl)-amino, C1-C3- aikylamino-S(0) k -, Ci-C3-alkylcarbonyl, Ci-Cs-alkoxy, Ci-C 6 -haloalkoxy, Ci-C 4 -alkoxy-C-i- C 4 -al
- Z 1 , Z 3 independently of each other, are selected from the group consisting of a covalent bond and Ci-C 4 -alkanediyl which is unsubstituted or is partly or completely fluorinated;
- Z 2 is a covalent bond or linear Ci-C 4 -alkanediyl, where the Ci-C 4 -alkanediyl group is unsub- stituted or partly or completely fluorinated or substituted by 1 , 2, 3 or 4 groups R z ; or
- Z 2 is CH-R 2c ;
- Z 3a is selected from the group consisting of a covalent bond, Ci-C 4 -alkanediyl, 0-Ci-C 4 - alkanediyl, Ci-C 4 -aikanediyl-0 and Ci-C 4 -aikanediyl-0-Ci-C 4 -alkanediyl; in case that Z 2 is a covalent bond or linear Ci-C 4 -alkanediyl which is unsubstituted or partly or completely fluorinated or substituted by 1 , 2, 3 or 4 groups R z : R 2a and R 2b , together with the nitrogen atom to which they are bound, form a 4-, 5-, 6-, 7- or 8- membered saturated or partially unsaturated heterocyclic radical which may contain a fur- ther heteroatom selected from the group consisting of O, S and N as a ring member, where the heterocyclic radical is unsubstituted or carries 1 , 2, 3
- R 2b and R 2c form together a linear Ci-C3-alkanediyl group which is unsubstituted or substituted by 1 or 2 groups R 2d ; and simultaneously
- R 2a is selected from the group consisting of hydrogen, Ci-C 6 -alkyl, Ci-C 6 -haloalkyl, C1-C6- cyanoalkyl, C3-C7-cycloalkyl, C3-C7-cycloalkyl-Ci-C4-alkyl, where the C3-C7-cycloalkyl groups in the two aforementioned radicals are unsubstituted or partially or completely hal- ogenated; C2-C6-alkenyl, C2-C6-haloalkenyl, C2-C6-alkynyl, C3-C6-haloalkynyl, C1-C6- alkoxy, Ci-C 4 -alkoxy-Ci-C 4 -alkyl, Ci-C 4 -alkyl-S(0) n -Ci-C 4 -alkyl, Ci-C 4 -alkylamino-Ci-C 4 - alkyl, di-(C
- R b , R 1b , R 3b and R 4b are selected from the group consisting of C1- C 6 -alkyl, Ci-C 6 -haloalkyl, C3-C7-cycloalkyl, C2-C6-alkenyl, C2-C6-haloalkenyl, C2-C6-alkynyl, C3-C6-haloalkynyl, phenyl and heterocyclyl, where heterocyclyl is a 5- or 6-membered monocyclic saturated, partially unsaturated or aromatic heterocycle containing 1 , 2, 3 or 4 heteroatoms selected from the group consisting of O, N and S as ring members, where phenyl and heterocyclyl are unsubstituted or substituted by 1 , 2, 3 or 4 groups which are identical or different and selected from the group consisting of halogen, Ci-C4-alkyl, C1-C4- haloalkyl, Ci-C4-alk
- R 3c and R 4c are selected from the group consisting of hydrogen, Ci-C 6 -alkyl, Ci-C 6 -haloalkyl, Ci-C 6 -cyanoalkyl, C 3 -C 7 -cycloalkyl, C 3 -C 7 -cycloalkyl-Ci-C 4 - alkyl, where the C 3 -C 7 -cycloalkyl groups in the two aforementioned radicals are unsubsti- tuted or partially or completely halogenated; C 2 -C 6 -alkenyl, C 2 -C 6 -haloalkenyl, C 2 -C 6 - alkynyl, C 3 -C 6 -haloalkynyl, Ci-C 6 -alkoxy, Ci-C 4 -alkoxy-Ci-C 4 -alkyl, Ci-C 4 -alkyl-S(0) n -Ci- C 4 -alkyl, Ci-C 6 -al
- R 3d and R 4d are selected from the group consisting of hydrogen, Ci-C 6 -alkyl, Ci-C 6 -haloalkyl, Ci-C 6 -cyanoalkyl, C 3 -C 7 -cycloalkyl, C 3 -C 7 -cycloalkyl-Ci-C 4 - alkyl, where the C 3 -C 7 -cycloalkyl groups in the two aforementioned radicals are unsubsti- tuted or partially or completely halogenated; C 2 -C 6 -alkenyl, C 2 -C 6 -haloalkenyl, C 2 -C 6 - alkynyl, C 3 -C 6 -haloalkynyl, Ci-C 6 -alkoxy, Ci-C 4 -alkoxy-Ci-C 4 -alkyl, Ci-C 4 -alkyl-S(0) n -Ci- C 4 -alkyl, Ci-C 6 -al
- R 3e , R 3f , R 4e and R 4f are selected from the group consisting of hy- drogen, Ci-C 6 -alkyl, Ci-C 6 -haloalkyl, C 3 -C 7 -cycloalkyl, C 3 -C 7 -cycloalkyl-Ci-C 4 -alkyl, where the C 3 -C 7 -cycloalkyl groups in the two aforementioned radicals are unsubstituted or par- tially or completely halogenated, C 2 -C 6 -alkenyl, C 2 -C 6 -haloalkenyl, C 2 -C 6 -alkynyl, C 3 -C 6 - haloalkynyl, Ci-C 4 -alkoxy-Ci-C 4 -alkyl, phenyl and benzyl, where phenyl and benzyl are unsubstituted or substitute
- R 3h and R 4h are selected from the group consisting of hydrogen, Ci-C 6 -alkyl, Ci-C 6 -haloalkyl, C 3 -C 7 -cycloalkyl, C 3 -C 7 -cycloalkyl-Ci-C 4 -alkyl, where the C 3 - C 7 -cycloalkyl groups in the two aforementioned radicals are unsubstituted or partially or completely halogenated; C 2 -C 6 -alkenyl, C 2 -C 6 -haloalkenyl, C 2 -C 6 -alkynyl, C 3 -C 6 - haloalkynyl, Ci-C 4 -alkoxy-Ci-C 4 -alkyl, Ci-C 4 -alkylsulfonyl, Ci-C 4 -alkylcarbonyl, a radical C(0)R k , phenyl and benzyl, where
- R 11 and R 21 are selected from the group consisting of cyano, halo- gen, nitro, Ci-C 6 -alkyl, Ci-C 6 -haloalkyl, C 3 -C 7 -cycloalkyl, C 3 -C 7 -halocycloalkyl, C 2 -C 6 - alkenyl, C 2 -C 6 -haloalkenyl, C 2 -C 6 -alkynyl, C 3 -C 6 -haloalkynyl, Ci-C 6 -alkoxy, C 1 -C 6 - haloalkoxy, Ci-C 4 -alkoxy-Ci-C 4 -alkyl, Ci-C 4 -haloalkoxy-Ci-C 4 -alkyl, Ci-C 4 -alkylthio-Ci-C 4 - alkyl, Ci-C 4 -alkoxy-Ci-C 4 -alk
- R 22 is selected from the group consisting of hydrogen, Ci-C 6 -alkyl, Ci-C 6 -haloalkyl, C 2 -C 6 - alkenyl, C 2 -C 6 -haloalkenyl, C 2 -C 6 -alkynyl, C 3 -C 6 -haloalkynyl, C 3 -C 6 -cycloalkyl, C 3 -C 6 - cycloalkenyl, C 3 -C 6 -halocycloalkyl, C 3 -C 6 -cycloalkyl-Ci-C 6 -alkyl, Ci-C 6 -alkoxy-Ci-C 6 -alkyl, C 3 -C 6 -cycloalkyl-Ci-C 6 -alkoxy-Ci-C 6 -alkyl, phenyl-Z 1 , phenyl-0-Ci-C 6 -alkyl, phenyl-N(R
- R 23 is selected from the group consisting of hydrogen, Ci-C 6 -alkyl, Ci-C 6 -haloalkyl, C 2 -C 6 - alkenyl, C 2 -C 6 -alkynyl, C3-C6-cycloalkyl, C3-C6-cycloalkyl-Ci-C6-alkyl and phenyl;
- R 24 is selected from the group consisting of Ci-C 6 -alkyl, Ci-C 6 -haloalkyl, C 2 -C 6 -alkenyl, C 2 -C 6 - alkynyl, C3-C6-cycloalkyl, C3-C6-cycloalkyl-Ci-C6-alkyl and phenyl;
- R 25 is selected from the group consisting of Ci-C 6 -alkyl, Ci-C 6 -haloalkyl, C 2 -C 6 -alkenyl, C 2 -C 6 - haloalkenyl, C 2 -C 6 -alkynyl, C3-C6-haloalkynyl, C3-C6-cycloalkyl, C3-C6-cycloalkenyl, C3-C6- halocycloalkyl, C3-C6-cycloalkyl-Ci-C6-alkyl, Ci-C 6 -alkoxy-Ci-C 6 -alkyl, C3-C6-cycloalkyl-Ci- C 6 -alkoxy-Ci-C 6 -alkyl, phenyl-Z 1 , phenyl-0-Ci-C 6 -alkyl, phenyl-N(R 23 )-Ci-C 6 -alkyl
- R k independently has one of the meanings given for R 3c ; k is 0, 1 or 2; and n is 0, 1 or 2; or an N-oxide or an agriculturally suitable salt thereof.
- the invention also relates to a composition comprising a compound of formula I, an N- oxide or a salt thereof, and at least one auxiliary.
- the invention relates to an agri- cultural composition comprising a compound of formula I or an N-oxide or an agriculturally suit- able salt thereof, and at least one auxiliary customary for crop protection formulations.
- the composition of the invention may of course also contain more than one compound I; e.g. 2 or 3 different compounds I.
- the composition may also contain a mixture of a compound I and an N- oxide thereof or of a compound I and a salt thereof or of a compound I, and N-oxide and a salt thereof.
- Such mixtures of a compound I, and N-oxide and/or a salt thereof can for example re- suit if the conversion of the compound I into its N-oxide or its salt is not complete and the sepa- ration of the mixture is not deemed necessary.
- the compounds of the present invention i.e. the compounds of formula I, their N-oxides and their agriculturally suitable salts, are particularly useful for controlling unwanted vegetation. Therefore, the invention also relates to the use of a compound of formula I or an N-oxide or an agriculturally suitable salt thereof or of a composition comprising at least one compound of for- mula I or an N-oxide or an agriculturally suitable salt thereof for combating or controlling un- wanted vegetation.
- the present invention also relates to a method for combating or controlling unwanted vegetation, which method comprises allowing a herbicidally effective amount of at least one compound of formula I or an N-oxide or a salt thereof to act on unwanted plants, their seed and/or their habitat.
- the compounds of formula I may have one or more centers of chirality, in which case they are present as mixtures of enantiomers or diastereomers.
- the invention provides both the pure enantiomers or pure diastereomers of the compounds of formula I, and their mixtures and the use according to the invention of the pure enantiomers or pure diastereomers of the compound of formula I or its mixtures.
- Suitable compounds of formula I also include all possible geometrical stereoisomers (cis/trans isomers) and mixtures thereof.
- Cis/trans isomers may be present with respect to a carbon-carbon double bond, carbon-nitrogen double bond, nitrogen-sulfur double bond (of course only if these double bonds are not part of an aromatic system) or amide group or in non-aromatic cyclic groups.
- the term "stereoiso- mer(s)" encompasses both optical isomers, such as enantiomers or diastereomers, the latter existing due to more than one center of chirality in the molecule, as well as geometrical isomers (cis/trans isomers).
- One example for the occurrence of stereoisomery is a substituted ring formed by R 2a and R 2b together with the nitrogen atom to which they are bound.
- the carbon ring atom carrying the substituent R 2e can be a stereogenic center.
- the compounds of formula I may be present in the form of their tautomers.
- One example for the occurrence of tautomery are compounds I in which Z 2 is CHR 2c , where R 2a is hydrogen.
- the tautomer of this lactam is the corresponding lactim.
- the invention also relates to the tautomers of compounds of formula I and the ste- reoisomers and salts of said tautomers.
- the present invention moreover relates to compounds as defined herein, wherein one or more of the atoms depicted in formula I have been replaced by its stable, preferably non- radioactive isotope (e.g., hydrogen by deuterium, 12 C by 13 C, 14 N by 15 N, 16 0 by 18 0) and in particular wherein at least one hydrogen atom has been replaced by a deuterium atom.
- the compounds according to the invention contain more of the respective isotope than this naturally occurs and thus is anyway present in the compounds of formula I.
- the compounds of the present invention may be amorphous or may exist in one ore more dif- ferent crystalline states (polymorphs) which may have different macroscopic properties such as stability or show different biological properties such as activities.
- the present invention includes both amorphous and crystalline compounds of formula I, their enantiomers or diastereomers, mixtures of different crystalline states of the respective compound of formula I, its enantiomers or diastereomers, as well as amorphous or crystalline salts thereof.
- Salts of the compounds of the present invention are preferably agriculturally suitable salts. They can be formed in a customary method, e.g. by reacting the compound with an acid if the compound of the present invention has a basic functionality or by reacting the compound with a suitable base if the compound of the present invention has an acidic functionality.
- Useful agriculturally suitable salts are especially the salts of those cations or the acid addi- tion salts of those acids whose cations and anions, respectively, do not have any adverse effect on the herbicidal action of the compounds according to the present invention.
- Suitable cations are in particular the ions of the alkali metals, preferably lithium, sodium and potassium, of the alkaline earth metals, preferably calcium, magnesium and barium, and of the transition metals, preferably manganese, copper, zinc and iron, and also ammonium (NH 4 + ) and substituted am- monium in which one to four of the hydrogen atoms are replaced by Ci-C4-alkyl, C1-C4- hydroxyalkyl, Ci-C4-alkoxy, Ci-C4-alkoxy-Ci-C4-alkyl, hydroxy-Ci-C4-alkoxy-Ci-C4-alkyl, phenyl or benzyl.
- substituted ammonium ions comprise methylammonium, isoprop- ylammonium, dimethylammonium, diisopropylammonium, trimethylammonium, tetrame- thylammonium, tetraethylammonium, tetrabutylammonium, 2-hydroxyethylammonium, 2-(2- hydroxyethoxy)ethylammonium, bis(2-hydroxyethyl)ammonium, benzyltrimethylammonium and benzl-triethylammonium, furthermore phosphonium ions, sulfonium ions, preferably tri(Ci-C 4 - alkyl)sulfonium, and sulfoxonium ions, preferably tri(Ci-C4-alkyl)sulfoxonium.
- Anions of useful acid addition salts are primarily chloride, bromide, fluoride, hydrogensul- fate, sulfate, dihydrogenphosphate, hydrogenphosphate, phosphate, nitrate, bicarbonate, car- bonate, hexafluorosilicate, hexafluorophosphate, benzoate, and the anions of Ci-C4-alkanoic acids, preferably formate, acetate, propionate and butyrate. They can be formed by reacting compounds of the present invention with an acid of the corresponding anion, preferably with hydrochloric acid, hydrobromic acid, sulfuric acid, phosphoric acid or nitric acid.
- the N-oxides of compounds I are compounds in which a nitrogen atom, e.g. a ring nitro- gen atom in the group Q or a nitrogen atom of an amino group, is present in oxidized form, i.e. as a group N + -0.
- the N-oxides are generally prepared by oxidation of the compound of formula I, e.g. with hydrogen peroxide or peroxy acids like meta-chloroperoxybenzoic acid (mCPBA), peroxyacetic acid or Caro's acid (peroxymonosulfuric acid).
- weeds undesired vegetation
- weeds are understood to include any vegetation grow- ing in non-crop-areas or at a crop plant site or locus of seeded and otherwise desired crop, where the vegetation is any plant species, including their germinant seeds, emerging seedlings and established vegetation, other than the seeded or desired crop (if any).
- Weeds, in the broadest sense, are plants considered undesirable in a particular location.
- the organic moieties mentioned in the above definitions of the variables are - like the term halogen - collective terms for individual listings of the individual group members.
- the prefix C n - C m indicates in each case the possible number of carbon atoms in the group.
- halogen denotes in each case fluorine, bromine, chlorine or iodine, in particular fluorine, chlorine or bromine.
- halogen atom 1 , 2, 3, 4 or 5 or all of the hydrogen atoms of a given radical have been replaced by a halogen atom, in particular by fluorine or chlorine.
- a partially or completely halogenated radical is termed below also "halo-radical”.
- partially or completely halogenated alkyl is also termed haloalkyl.
- alkyl refers to saturated straight-chain or branched hydrocarbon radicals having 1 to 2 (“C1-C2- alkyl"), 1 to 3 (“Ci-C 3 -alkyl"),1 to 4 (“Ci-C 4 -alkyl”), 1 to 6 (“Ci-C 6 -alkyl”), 1 to 8 (“Ci-C 8 -alkyl”) or 1 to 10 (“Ci-Cio-alkyl”) carbon atoms.
- Ci-C2-Alkyl is methyl or ethyl.
- Ci-C3-Alkyl is additionally propyl and isopropyl.
- Ci-C 4 -Alkyl is additionally n-butyl, 1-methylpropyl (sec-butyl), 2- methylpropyl (isobutyl) or 1 ,1-dimethylethyl (tert-butyl).
- Ci-C 6 -alkyl are, in addition to those mentioned for Ci-C 4 -alkyl, n-pentyl, 1-methylbutyl, 2-methylbutyl, 3-methylbutyl, 2,2- dimethylpropyl, 1-ethylpropyl, 1 ,1-dimethylpropyl, 1 ,2-dimethylpropyl, n-hexyl, 1-methylpentyl, 2- methylpentyl, 3-methylpentyl, 4-methylpentyl, 1 ,1 -dimethylbutyl, 1 ,2-dimethylbutyl, 1 ,3- dimethylbutyl, 2,2-dimethylbutyl, 2,3-dimethylbutyl, 3,3-dimethylbutyl, 1-ethylbutyl, 2-ethylbutyl,
- C-i-Cs-alkyl are, in addition to those mentioned for Ci-C 6 -alkyl, n-heptyl, 1- methylhexyl, 2-methylhexyl, 3-methylhexyl, 4-methylhexyl, 5-methylhexyl, 1-ethylpentyl, 2- ethylpentyl, 3-ethylpentyl, n-octyl, 1-methylheptyl, 2-methylheptyl, 1-ethylhexyl, 2-ethylhexyl,
- Ci-Cio-alkyl 1.2-dimethylhexyl, 1-propylpentyl, 2-propylpentyl, and other positional isomers thereof.
- Exam- pies for Ci-Cio-alkyl are, in addition to those mentioned for Ci-C 8 -alkyl, nonyl, decyl, 2- propylheptyl, 3-propylheptyl and other positional isomers thereof.
- haloalkyl as used herein (and in the haloalkyl moieties of other groups corn- prising a haloalkyl group, e.g. haloalkoxy, haloalkylthio, haloalkylsulfonyl and the like), which is also expressed as "alkyl which is partially or fully halogenated”, refers to straight-chain or branched alkyl groups having 1 to 2 ("Ci-C2-haloalkyl"), 1 to 3 (“Ci-C3-haloalkyl”), 1 to 4 ("C1-C4- haloalkyl”), 1 to 6 (“Ci-C 6 -haloalkyl”), 1 to 8 (“Ci-C 8 -haloalkyl”) or 1 to 10 (“Ci-Cio-haloalkyl”) carbon atoms (as mentioned above), where some or all of the hydrogen atoms in these groups are replaced by halogen atoms as mentioned above: in
- Ci-C3-haloalkyl are, in addition to those mention for Ci-C2-haloalkyl, 1- fluoropropyl, 2-fluoropropyl, 3-fluoropropyl, 1 , 1 -difluoropropyl, 2,2-difluoropropyl, 1 ,2- difluoropropyl, 3,3-difluoropropyl, 3,3,3-trifluoropropyl, heptafluoropropyl, 1 ,1 ,1 -trifluoroprop-2-yl, 3-chloropropyl and the like.
- Ci-C 4 -haloalkyl are, in addition to those mentioned for Ci-C3-haloalkyl, 4-chlorobutyl and the like.
- cyanoalkyl refers to straight-chain or branched alkyl groups having 1 to 4 (“Ci-C4-cyanoalkyl”) or 1 to 6 (“Ci-C 6 -cyanoalkyl) carbon atoms (as mentioned above), where 1 or 2, preferably 1 , of the hydrogen atoms in these groups are replaced by a cyano (CN) group.
- CN cyano
- Examples are cyanomethyl, 1-cyanoethyl, 2-cyanoethyl, 1-cyanopropyl, 2- cyanopropyl, 3-cyanopropyl, 1-cyanobutyl, 2-cyanobutyl, 3-cyanobutyl, 4-cyanobutyl and the like.
- alkenyl refers to monounsaturated straight-chain or branched hydrocarbon radicals having 2 to 3 (“C2- Cs-alkenyl"), 2 to 4 (“C 2 -C 4 -alkenyl"), 2 to 6 (“C 2 -C 6 -alkenyl”) or 2 to 8 (“C 2 -C 8 -alkenyl”) carbon atoms and a double bond in any position, for example C2-C3-alkenyl, such as ethenyl, prop-1 - en-1-yl, prop-1 -en-2-yl, prop-1 -en-3-yl, or 1-methylethenyl; C2-C 4 -alkenyl, such as ethenyl, 1- propenyl (prop-1 -en-1-yl), 2-propenyl (prop-1 -en-3-yl), 1-methylethenyl (
- haloalkenyl as used herein (and in the haloalkenyl moieties in haloalkenyloxy and the like), which is also expressed as "alkenyl which is partially or fully halogenated”, refers to unsaturated straight-chain or branched hydrocarbon radicals having 2 to 3 ("C2-C 3 - haloalkenyl"), 2 to 4 ("C 2 -C 4 -haloalkenyl”), 2 to 6 (“C 2 -C 6 -haloalkenyl”) or 2 to 8 (“C 2 -C 6 - haloalkenyl”) carbon atoms and a double bond in any position (as mentioned above), where some or all of the hydrogen atoms in these groups are replaced by halogen atoms as men- tioned above, in particular fluorine, chlorine and bromine, for example chlorovinyl, chloroallyl and the like.
- alkynyl refers to straight-chain or branched hydrocarbon groups having 2 to 3 (“C2-C3-alkynyl”), 2 to 4 (“C2-C4-alkynyl”), 2 to 6 (“C2-C6-alkynyl”) or 2 to 8 (“C2-C8-alkynyl”) carbon atoms and a triple bond in any position, for example C2-C3-alkynyl, such as ethynyl, 1-propynyl or 2-propynyl; C2- C 4 -alkynyl, such as ethynyl, 1-propynyl, 2-propynyl, 1-butynyl, 2-butynyl, 3-butynyl, 1-methyl-2- propynyl and the like, C2-C6-alkynyl, such as ethynyl, 1-
- haloalkynyl as used herein (and in the haloalkynyl moieties in haloalkynyloxy and the like), which is also expressed as “alkynyl which is partially or fully halogenated”, refers to unsaturated straight-chain or branched hydrocarbon radicals having 2 to 3 ("C2-C 3 - haloalkynyl"), 2 to 4 ("C 2 -C 4 -haloalkynyl"), 3 to 4 ("C 3 -C 4 -haloalkynyl”), 2 to 6 ("C 2 -C 6 - haloalkynyl"), 3 to 6 (“C 3 -C 6 -haloalkynyl”), 2 to 8 (“C 2 -C 8 -haloalkynyl”) or 3 to 8 (“C 3 -C 8 - haloalkynyl”) carbon atoms and a triple bond in any position (as mentioned above), where some or all of the hydrogen
- cycloalkyl refers to mono- or bi- or polycyclic saturated hydro- carbon radicals having 3 to 10 (“C3-Cio-cycloalkyl”), in particular 3 to 7 (“C3-C7-cycloalkyl”) or 3 to 6 (“C3-C6-cycloalkyl”) carbon atoms.
- monocyclic radicals having 3 to 6 carbon atoms comprise cyclopropyl, cyclobutyl, cyclopentyl and cyclohexyl.
- monocyclic radicals having 3 to 7 carbon atoms comprise cyclopropyl, cyclobutyl, cyclopentyl, cyclohexyl and cycloheptyl.
- Examples of monocyclic radicals having 3 to 10 carbon atoms comprise cyclo- propyl, cyclobutyl, cyclopentyl, cyclohexyl, cycloheptyl, cyclooctyl, cyclononyl and cyclodecyl.
- Examples of bicyclic radicals having 7 or 8 carbon atoms comprise bicyclo[2.2.1]heptyl, bicyclo- [3.1.1 ]heptyl, bicyclo[2.2.2]octyl and bicyclo[3.2.1]octyl.
- the term cycloalkyl denotes a monocyclic saturated hydrocarbon radical.
- halocycloalkyl as used herein, which is also expressed as “cycloalkyl which is partially or fully halogenated”, refers to mono- or bi- or polycyclic saturated hydrocarbon groups having 3 to 7 (“C3-C7-halocycloalkyl”) or preferably 3 to 6 (“C3-C6-halocycloalkyl”) carbon ring members (as mentioned above) in which some or all of the hydrogen atoms are replaced by halogen atoms as mentioned above, in particular fluorine, chlorine and bromine. Examples are
- cycloalkyl-alkyl used herein denotes a cycloalkyl group, as defined above, which is bound to the remainder of the molecule via an alkyl group (or inversely expressed, it denotes an alkyl group, as described above, in which one hydrogen atom is replaced by a cy- cloalkyl group, as defined above).
- C3-C7-cycloalkyl-Ci-C4-alkyl refers to a C3-C7- cycloalkyl group as defined above (preferably a monocyclic cycloalkyl group) which is bound to the remainder of the molecule via a Ci-C 4 -alkyl group, as defined above.
- Examples are cyclo- propylmethyl, cyclopropylethyl, cyclopropylpropyl, cyclobutylmethyl, cyclobutylethyl, cyclobu- tylpropyl, cyclopentylmethyl, cyclopentylethyl, cyclopentylpropyl, cyclohexylmethyl, cyclo- hexylethyl, cyclohexylpropyl, cycloheptylmethyl, cycloheptylethyl, cycloheptylpropyl and the like.
- C3-C6-cycloalkyl-Ci-C6-alkyl refers to a C3-C6-cycloalkyl group as defined above (preferably a monocyclic cycloalkyl group) which is bound to the remainder of the molecule via a Ci-C 6 -alkyl group, as defined above.
- Examples are cyclopropylmethyl, cyclopropylethyl, cyclo- propylpropyl, cyclobutylmethyl, cyclobutylethyl, cyclobutylpropyl, cyclopentylmethyl, cyclopen- tylethyl, cyclopentylpropyl, cyclohexylmethyl, cyclohexylethyl, cyclohexylpropyl and the like.
- cycloalkenyl used herein denotes a monocyclic partially unsaturated, non- aromatic hydrocarbon radical.
- Examples for C3-C6-cycloalkenyl are cycloprop-1 -en-1-yl, cyclo- prop-1 -en-3-yl, cyclobut-1-en-1-yl, cyclobut-1-en-3-yl, cyclooct-1-en-1-yl, cyclopent-1-en-1-yl, cyclopent-1-en-3-yl, cyclopent-1-en-4-yl, cyclopenta-1 ,3-dien-1-yl, cyclopenta-1 ,3-dien-2-yl, cy- clopenta-1 ,3-dien-5-yl, cyclohex-1 -en-1-yl, cyclohex-1 -en-3-yl, cyclohex-1 -en-4-yl, cyclohexa-
- alkoxy denotes an alkyl group, as defined above, attached via an oxygen atom to the remainder of the molecule.
- Ci-C2-Alkoxy is methoxy or ethoxy.
- Ci-C3-Alkoxy is additional ly, for example, n-propoxy and 1-methylethoxy (isopropoxy).
- Ci-C 4 -Alkoxy is additionally, for example, butoxy, 1-methylpropoxy (sec-butoxy), 2-methylpropoxy (isobutoxy) or 1 ,1- dimethylethoxy (tert-butoxy).
- Ci-C 6 -Alkoxy is additionally, for example, pentoxy, 1-methylbutoxy,
- Ci-Cs-Alkoxy is additionally, for example, heptyloxy, octyloxy, 2-ethyl hexyl oxy and positional isomers thereof.
- haloalkoxy denotes a haloalkyl group, as defined above, attached via an oxy- gen atom to remainder of the molecule.
- Ci-C2-Haloalkoxy is, for example, OCH2F, OCHF2, OCF3, OCH2CI, OCHCI2, OCCI3, chlorofluoromethoxy, dichlorofluoromethoxy, chlorodifluoro- methoxy, 2-fluoroethoxy, 2-chloroethoxy, 2-bromoethoxy, 2-iodoethoxy, 2,2-difluoroethoxy,
- Ci-C3-Haloalkoxy is additionally, for example, 2-fluoropropoxy, 3-fluoropropoxy, 2,2-difluoropropoxy, 2,3-difluoropropoxy, 2-chloropropoxy, 3- chloropropoxy, 2,3-dichloropropoxy, 2-bromopropoxy, 3-bromopropoxy, 3,3,3-trifluoropropoxy,
- Ci-C4-Haloalkoxy is additionally, for example, 4-fluorobutoxy, 4-chlorobutoxy, 4-bromobutoxy or nonafluorobutoxy.
- Ci-C 6 -Haloalkoxy is addi- tionally, for example, 5-fluoropentoxy, 5-chloropentoxy, 5-brompentoxy, 5-iodopentoxy, unde- cafluoropentoxy, 6-fluorohexoxy, 6-chlorohexoxy, 6-bromohexoxy, 6-iodohexoxy or dodecafluo- rohexoxy.
- alkenyloxy denotes an alkenyl group, as defined above, attached via an oxy- gen atom to the remainder of the molecule.
- C2-C6-Alkenyloxy is a C2-C6-alkenyl group, as de- fined above, attached via an oxygen atom to the remainder of the molecule.
- C2-C8-Alkenyloxy is a C2-C8-alkenyl group, as defined above, attached via an oxygen atom to the remainder of the molecule.
- haloalkenyloxy denotes a haloalkenyl group, as defined above, attached via an oxygen atom to the remainder of the molecule.
- C2-C6-Haloalkenyloxy is a C2-C6-haloalkenyl group, as defined above, attached via an oxygen atom to the remainder of the molecule.
- C2-C8- Haloalkenyloxy is a C2-Cs-haloalkenyl group, as defined above, attached via an oxygen atom to the remainder of the molecule.
- alkynyloxy denotes an alkynyl group, as defined above, attached via an oxy- gen atom to the remainder of the molecule.
- C2-C6-Alkynyloxy is a C2-C6-alkynyl group, as de- fined above, attached via an oxygen atom to the remainder of the molecule.
- C2-Cs-Alkynyloxy is a C2-C8-alkynyl group, as defined above, attached via an oxygen atom to the remainder of the molecule.
- haloalkynyloxy denotes a haloalkynyl group, as defined above, attached via an oxygen atom to the remainder of the molecule.
- C2-C6-Haloalkynyloxy is a C2-C6-haloalkynyl group, as defined above, attached via an oxygen atom to the remainder of the molecule.
- C2-C8- Haloalkynyloxy is a C2-Cs-haloalkynyl group, as defined above, attached via an oxygen atom to the remainder of the molecule.
- Cs-Cs-Haloalkynyloxy is a Cs-Cs-haloalkynyl group, as defined above, attached via an oxygen atom to the remainder of the molecule.
- alkoxy-alkyl refers to a straight-chain or branched alkyl group, as defined above, where one hydrogen atom is replaced by an alkoxy group, as defined above.
- Ci-C4-alkoxy-Ci-C4-alkyl refers to a straight-chain or branched alkyl group having 1 to 4 carbon atoms, as defined above, where one hydrogen atom is replaced by a Ci-C4-alkoxy group, as defined above.
- Ci-C 6 -alkoxy-Ci-C 6 -alkyl refers to a straight-chain or branched alkyl group having 1 to 6 carbon atoms, as defined above, where one hydrogen atom is replaced by a Ci-C 6 -alkoxy group, as defined above.
- Examples are methoxymethyl, ethoxymethyl, propoxymethyl, isopropoxymethyl, n-butoxymethyl, sec- butoxymethyl, isobutoxymethyl, tert-butoxymethyl, 1 -methoxyethyl, 1 -ethoxyethyl, 1 - propoxyethyl, 1 -isopropoxyethyl, 1 -n-butoxyethyl, 1 -sec-butoxyethyl, 1 -isobutoxyethyl, 1 -tert- butoxyethyl, 2-methoxyethyl, 2-ethoxyethyl, 2-propoxyethyl, 2-isopropoxyethyl, 2-n-butoxyethyl, 2-sec-butoxyethyl, 2-isobutoxyethyl, 2-tert-butoxyethyl, 1 -methoxypropyl, 1 -ethoxypropyl, 1 -propoxypropyl, 1 -iso
- haloalkoxy-alkyl denotes a straight-chain or branched alkyl group, wherein one of the hydrogen atoms is replaced by an alkoxy group and wherein at least one, e.g. 1 , 2, 3, 4 or all of the remaining hydrogen atoms (either in the alkoxy moiety or in the alkyl moiety or in both) are replaced by halogen atoms.
- Ci-C4-Haloalkoxy-Ci-C4-alkyl is a straight-chain or branched alkyl group having from 1 to 4 carbon atoms, wherein one of the hydrogen atoms is replaced by a Ci-C4-alkoxy group and wherein at least one, e.g.
- alkoxy-alkoxy refers to an alkoxy group, as defined above, where one hydrogen atom is replaced by another alkoxy group, as defined above.
- C1- C4-alkoxy-Ci-C4-alkoxy refers to an alkoxy group having 1 to 4 carbon atoms, as defined above, where one hydrogen atom is replaced by a Ci-C4-alkoxy group, as defined above.
- Examples are methoxymethoxy, ethoxymethoxy, propoxymethoxy, isopropoxymethoxy, n-butoxymethoxy, sec-butoxymethoxy, isobutoxymethoxy, tert-butoxymethoxy, 1 - methoxyethoxy, 1 -ethoxyethoxy, 1 -propoxyethoxy, 1 -isopropoxyethoxy, 1 -n-butoxyethoxy, 1 - sec-butoxyethoxy, 1 -isobutoxyethoxy, 1 -tert-butoxyethoxy, 2-methoxyethoxy, 2-ethoxyethoxy, 2- propoxyethoxy, 2-isopropoxyethoxy, 2-n-butoxyethoxy, 2-sec-butoxyethoxy, 2-isobutoxyethoxy,
- haloalkoxy-alkoxy denotes an alkoxy group, wherein one of the hydrogen at- oms is replaced by an alkoxy group and wherein at least one, e.g. 1 , 2, 3, 4 or all of the remain- ing hydrogen atoms (either in one or in both alkoxy moieties) are replaced by halogen atoms.
- Ci-C4-Haloalkoxy-Ci-C4-alkoxy is a Ci-C4-alkoxy group, wherein one of the hydrogen atoms is replaced by a Ci-C 4 -alkoxy group and wherein at least one, e.g.
- Cycloalkoxy denotes a cycloalkyl group, as defined above, bound to the remainder of the molecule via an oxygen atom.
- Examples of C3-C7-cycloalkoxy comprise cyclopropoxy, cy- clobutoxy, cyclopentoxy, cyclohexoxy and cycloheptoxy.
- Examples of C3-Cio-cycloalkoxy corn- prise cyclopropoxy, cyclobutoxy, cyclopentoxy, cyclohexoxy, cycloheptoxy, cyclooctoxy, cy- clononoxy and cyclodecoxy.
- cycloalkyl-alkoxy refers to an alkoxy group, as defined above, where one hydrogen atom is replaced by a cycloalkyl group, as defined above.
- C3- Cio-cycloalkyl-Ci-C2-alkoxy refers to an alkoxy group having 1 or 2 carbon at- oms, as defined above, where one hydrogen atom is replaced by a C3-Cio-cycloalkyl group, as defined above.
- Examples are cyclpropylmethoxy, cyclopropylethoxy, cyclobutyl methoxy, cyclo- butylethoxy, cyclopentyl methoxy, cyclopentylethoxy, cyclohexylmethoxy, cyclohexylethoxy, cy- cloheptylmethoxy, cycloheptylethoxy, cyclooctylmethoxy, cyclooctylethoxy, cyclononylmethoxy, cyclononylethoxy, cyclodecylmethoxy and cyclodecylethoxy.
- cycloalkyl-alkoxy-alkyl refers to an alkyl group, as defined above, wherein one hydrogen atom is replaced by an alkoxy group, as defined above, where in turn in the alkoxy group one hydrogen atom is replaced by a cycloalkyl group, as defined above.
- C3-C6-cycloalkyl-Ci-C6-alkoxy-Ci-C6-alkyl refers to an alkyl group having 1 to 6 carbon atoms, as defined above, where one hydrogen atom is replaced by a C1- C 6 -alkoxy group, as defined above, where in this alkoxy group, in turn, one hydrogen atom is replaced by a C3-C6-cycloalkyl group, as defined above.
- alkylthio (also alkylsulfanyl, “alkyl-S” or “alkyl-S(0) k “ (wherein k is 0)) as used herein denotes an alkyl group, as defined above, attached via a sulfur atom to the remainder of the molecule.
- Ci-C2-Alkylthio is methylthio or ethylthio.
- Ci-C3-Alkylthio is additionally, for exam- pie, n-propylthio or 1-methylethylthio (isopropylthio).
- Ci-C 4 -Alkylthio is additionally, for example, butylthio, 1-methylpropylthio (sec-butylthio), 2-methylpropylthio (isobutylthio) or 1 ,1- dimethylethylthio (tert-butylthio).
- Ci-C 6 -Alkylthio is additionally, for example, pentylthio, 1- methylbutylthio, 2-methylbutylthio, 3-methylbutylthio, 1 ,1-dimethylpropylthio, 1 ,2- dimethylpropylthio, 2,2-dimethylpropylthio, 1-ethylpropylthio, hexylthio, 1-methylpentylthio, 2- methylpentylthio, 3-methylpentylthio, 4-methylpentylthio, 1 , 1 -dimethylbutylthio, 1 ,2- dimethylbutylthio, 1 ,3-dimethylbutylthio, 2,2-dimethylbutylthio, 2,3-dimethylbutylthio,
- C-i-Cs-Alkylthio is additionally, for example, heptylthio, octylthio, 2-ethylhexylthio and positional isomers thereof.
- Ci-Cio-Alkylthio is additionally, for example, nonylthio, decylthio and positional isomers thereof.
- haloalkylthio also haloalkylsulfanyl, “haloalkyl-S” or “haloalkyi-S(0) k “ (wherein k is 0)
- haloalkyl group as defined above, attached via a sulfur atom to the remainder of the molecule.
- Ci-C2-Haloalkylthio is, for example, SCFhF, SCHF2, SCF3, SCH2CI, SCHC , SCCI3, chlorofluoromethylthio, dichlorofluoromethylthio, chlorodifluoromethyl- thio, 2-fluoroethylthio, 2-chloroethylthio, 2-bromoethylthio, 2-iodoethylthio, 2,2-difluoroethylthio, 2,2,2-trifluoroethylthio, 2-chloro-2-fluoroethylthio, 2-chloro-2,2-difluoroethylthio, 2,2-dichloro-2- fluoroethylthio, 2,2,2-trichloroethylthio or SC2F5.
- Ci-C3-Haloalkylthio is additionally, for example, 2-fluoropropylthio, 3-fluoropropylthio, 2,2-difluoropropylthio, 2,3-difluoropropylthio,
- C1-C4- Haloalkylthio is additionally, for example, 4-fluorobutylthio, 4-chlorobutylthio, 4-bromobutylthio or nonafluorobutylthio.
- Ci-C 6 -Haloalkylthio is additionally, for example, 5-fluoropentylthio, 5- chloropentylthio, 5-brompentylthio, 5-iodopentylthio, undecafluoropentylthio, 6-fluorohexylthio, 6-chlorohexylthio, 6-bromohexylthio, 6-iodohexylthio or dodecafluorohexylthio.
- alkylsulfonyl denotes an alkyl group, as defined above, attached via a sulfonyl [S(0) 2 ] group to the remainder of the molecule.
- Ci-C2-Alkylsulfonyl is methylsulfonyl or ethyl- sulfonyl.
- Ci-C3-Alkylsulfonyl is additionally, for example, n-propylsulfonyl or 1 - methylethylsulfonyl (isopropylsulfonyl).
- Ci-C 4 -Alkylsulfonyl is additionally, for example, butyl- sulfonyl, 1 -methylpropylsulfonyl (sec-butylsulfonyl), 2-methylpropylsulfonyl (isobutylsulfonyl) or 1 ,1 -dimethylethylsulfonyl (tert-butylsulfonyl).
- Ci-C 6 -Alkylsulfonyl is additionally, for example, pentylsulfonyl, 1 -methylbutylsulfonyl, 2-methylbutylsulfonyl, 3-methylbutylsulfonyl, 1 ,1 - dimethylpropylsulfonyl, 1 ,2-dimethylpropylsulfonyl, 2,2-dimethylpropylsulfonyl, 1 - ethylpropylsulfonyl, hexylsulfonyl, 1 -methylpentylsulfonyl, 2-methylpentylsulfonyl,
- C-i-Cs-Alkylsulfonyl is additionally, for example, heptylsulfonyl, oc- tylsulfonyl, 2-ethylhexylsulfonyl and positional isomers thereof.
- Ci-Cio-Alkylsulfonyl is additional ly, for example, nonylsulfonyl, decylsulfonyl and positional isomers thereof.
- haloalkylsulfonyl denotes a haloalkyl group, as defined above, attached via a sulfonyl [S(0) 2 ] group to the remainder of the molecule.
- Ci-C2-Haloalkylsulfonyl is, for example, S(0) 2 CH 2 F, S(0) 2 CHF 2 , S(0) 2 CF 3 , S(0) 2 CH 2 CI, S(0) 2 CHCI 2 , S(0) 2 CCI 3 , chlorofluoromethyl- sulfonyl, dichlorofluoromethylsulfonyl, chlorodifluoromethylsulfonyl, 2-fluoroethylsulfonyl, 2- chloroethylsulfonyl, 2-bromoethylsulfonyl, 2-iodoethylsulfonyl, 2,2-difluoroethylsulfonyl, 2,2,2- trifluoro
- Ci-C3-Haloalkylsulfonyl is additionally, for example, 2-fluoropropylsulfonyl, 3-fluoropropylsulfonyl, 2,2- difluoropropylsulfonyl, 2,3-difluoropropylsulfonyl, 2-chloropropylsulfonyl, 3-chloropropylsulfonyl, 2,3-dichloropropylsulfonyl, 2-bromopropylsulfonyl, 3-bromopropylsulfonyl, 3,3,3- trifluoropropylsulfonyl, 3,3,3-trichloropropylsulfonyl, S(0) 2 CH 2 -C 2 F 5 , S(0) 2 CF 2 -C 2 F 5 , 1 -(CH 2 F)-2- fluoroethylsulfonyl, 1 -(CH 2 CI)
- C1-C4- Haloalkylsulfonyl is additionally, for example, 4-fluorobutylsulfonyl, 4-chlorobutylsulfonyl, 4- bromobutylsulfonyl or nonafluorobutylsulfonyl.
- Ci-C 6 -Haloalkylsulfonyl is additionally, for exam- pie, 5-fluoropentylsulfonyl, 5-chloropentylsulfonyl, 5-brompentylsulfonyl, 5-iodopentylsulfonyl, undecafluoropentylsulfonyl, 6-fluorohexylsulfonyl, 6-chlorohexylsulfonyl, 6-bromohexylsulfonyl, 6-iodohexylsulfonyl or dodecafluorohexylsulfonyl.
- alkylthio-alkyl refers to a straight-chain or branched alkyl group, as defined above, where one hydrogen atom is replaced by an alkylthio group, as de- fined above.
- Ci-C4-alkylthio-Ci-C4-alkyl refers to a straight-chain or branched alkyl group having 1 to 4 carbon atoms, as defined above, where one hydrogen atom is replaced by a Ci-C4-alkylthio group, as defined above.
- Examples are methylthiomethyl, ethyl- thiomethyl, propylthiomethyl, isopropylthiomethyl, n-butylthiomethyl, sec-butylthiomethyl, isobu- tylthiomethyl, tert-butylthiomethyl, 1-methylthioethyl, 1-ethylthioethyl, 1-propylthioethyl, 1- isopropylthioethyl, 1-n-butylthioethyl, 1-sec-butylthioethyl, 1-isobutylthioethyl, 1-tert- butylthioethyl, 2-methylthioethyl, 2-ethylthioethyl, 2-propylthioethyl, 2-isopropylthioethyl, 2-n- butylthioethyl, 2-sec-butylthioethyl, 2-isobutylthio
- alkylthio-alkylthio refers to an alkylthio group, as defined above, where one hydrogen atom is replaced by an alkylthio group, as defined above.
- Ci-C4-alkylthio-Ci-C4-alkylthio refers to an alkylthio group having 1 to 4 carbon atoms, as defined above, where one hydrogen atom is replaced by a Ci-C4-alkylthio group, as defined above.
- Examples are methylthiomethylthio, ethylthiomethylthio, propylthiomethylthio, isopropylthiomethylthio, n-butylthiomethylthio, sec-butylthiomethylthio, isobutylthiomethylthio, tert-butylthiomethylthio, 1-methylthioethylthio, 1-ethylthioethylthio, 1-propylthioethylthio, 1- isopropylthioethylthio, 1-n-butylthioethylthio, 1-sec-butylthioethylthio, 1-isobutylthioethylthio, 1- tert-butylthioethylthio, 2-methylthioethylthio, 2-ethylthioethylthio, 2-propylthioethylthio, 2- isopropylthioethylthi
- Ci-C3-alkylcarbonyl examples are acetyl (methylcarbonyl), propionyl (ethylcarbonyl), propylcarbonyl and isopropylcarbonyl.
- Examples for C1-C4- alkylcarbonyl are acetyl (methylcarbonyl), propionyl (ethylcarbonyl), propylcarbonyl, isopropyl- carbonyl n-butylcarbonyl and the like.
- C-i-C3-alkylamino denotes a group -N(H)Ci-C3-alkyl.
- C1-C4- alkylamino denotes a group -N(H)Ci-C4-alkyl.
- Ci-C3-alkylamino are methylamino, ethylamino, propylamino and isopropylamino and the like.
- Ci-C4-alkylamino are methylamino, ethylamino, propylamino, isopropylamino, butylamino and the like.
- di-(Ci-C3-alkyl)-amino denotes a group -N(Ci-C3-alkyl)2.
- di-(Ci-C4- alkyl)amino denotes a group -N(Ci-C 4 -alkyl) 2 .
- Examples are dimethylamino, diethylamino, ethylmethylamino, dipropylamino, diisopropylamino, methylpropylamino, methylisopropylamino, ethylpropylamino, ethylisopropylamino and the like.
- di-(Ci-C4-alkyl)amino examples are, in addition to those listed for di-(Ci-C3-alkyl)amino, n-butyl-methylamino, n-butyl-ethylamino, n- butyl-propylamino, di-n-butylamino, 2-butyl-methylamino, 2-butyl-ethylamino, 2-butyl- propylamino, isobutyl-methylamino, ethyl-isobutylamino, isobutyl-propylamino, tert-butyl- methylamino, tert-butyl-ethylamino, tert-butyl-propylamino and the like.
- alkylamino-alkyl denotes an alkyl group, as defined above, wherein one hydro- gen atom is replaced by an alkylamino group, as defined above.
- Ci-C4-alkylamino-Ci-C4-alkyl is a Ci-C4-alkyl group, as defined above, wherein one hydrogen atom is replaced by a C1-C4- alkylamino group, as defined above. Examples are methylaminomethyl, 1 -(methylamino)-ethyl,
- dialkylamino-alkyl denotes an alkyl group, as defined above, wherein one hy- drogen atom is replaced by a dialkylamino group, as defined above.
- Di-(Ci-C4-alkyl)-amino-Ci- C4-alkyl is a Ci-C4-alkyl group, as defined above, wherein one hydrogen atom is replaced by a di-(Ci-C4-alkyl)-amino group, as defined above.
- Examples are dimethylaminomethyl, 1 - (dimethylamino)-ethyl, 2-(dimethylamino)-ethyl, 1 -(dimethylamino)-propyl, 2-(dimethylamino)- propyl, 3-(dimethylamino)-propyl, 1 -(dimethylamino)-butyl, 2-(dimethylamino)-butyl, 3- (dimethylamino)-butyl, 4-(dimethylamino)-butyl, (ethylmethylamino)-methyl, 1 - (ethylmethylamino)-ethyl, 2-(ethylmethylamino)-ethyl, 1 -(ethylmethylamino)-propyl, 2- (ethylmethylamino)-propyl, 3-(ethylmethylamino)-propyl, 1 -(ethylmethylamino
- Ci-C3-Alkylene or Ci-C3-alkanediyl is a linear or branched divalent alkyl radical having 1 , 2 or 3 carbon atoms. Examples are -CH2-, -CH2CH2-, -CH(CH3)-, -CH2CH2CH2-, -CH(CH3)CH2-, -CH2CH(CH3)- and -C(CH3)2-.
- Ci-C 4 -Alkylene or Ci-C4-alkanediyl is a linear or branched diva- lent alkyl radical having 1 , 2, 3 or 4 carbon atoms.
- Linear Ci-C 3 -alkylene or Ci-C 3 -alkanediyl is -CH2-, -CH2CH2- or -CH2CH2CH2-.
- Linear Ci-C 4 -alkylene or Ci-C 4 -alkanediyl is -CH2-, -CH2CH2-, -CH2CH2CH2- or -CH2CH2CH2-.
- Heterocyclic rings or heterocyclyl or heteroaromatic rings or heteroaryl or hetaryl contain one or more heteroatoms as ring members, i.e. atoms different from carbon.
- these heteroatoms are N, O and S, where N and S can also be present as oxidized heteroatom groups, namely as NO, SO or S0 2 .
- rings termed as heterocyclic rings or heterocyclyl or heteroaromatic rings or heteroaryl or hetaryl contain one or more heteroatoms and/or heteroatom groups selected from the group consisting of N, O, S, NO, SO and S0 2 as ring members.
- heterocyclic rings or heterocyclyl may be saturated, partially unsaturated or maximally unsaturated.
- Unsaturated rings contain at least one C-C and/or C-N and/or N-N double bond(s). Maxi- mally unsaturated rings contain as many conjugated C-C and/or C-N and/or N-N double bonds as allowed by the ring size. Maximally unsaturated 5- or 6-membered heteromonocyclic rings are generally aromatic. Exceptions are maximally unsaturated 6-membered rings containing O, S, SO and/or S0 2 as ring members, such as pyran and thiopyran, which are not aromatic. Par- tially unsaturated rings contain less than the maximum number of C-C and/or C-N and/or N-N double bond(s) allowed by the ring size.
- heterocyclic rings or heterocyclyl or heteroaromatic rings or heteroaryl or hetaryl may be attached to the remainder of the molecule via a carbon ring member or via a nitrogen ring member.
- the ring contains at least one carbon ring atom. If the ring con- tains more than one O ring atom, these are not adjacent.
- Examples of a 3-, 4-, 5-, 6- or 7-membered monocyclic saturated heterocyclic ring con- taining 1 , 2, 3 or 4 heteroatoms selected from the group consisting of O, N, S, NO, S(O) and S(0) 2 as ring members include: Oxiranyl, thiiranyl, aziridinyl, oxetanyl, thietanyl, 1 -oxothietanyl,
- Examples of a 3-, 4-, 5-, 6- or 7-membered monocyclic partially unsaturated heterocyclic ring containing 1 , 2, 3 or 4 heteroatoms selected from the group consisting of O, N and S as ring members include: 2,3-dihydrofur-2-yl, 2,3-dihydrofur-3-yl, 2,4-dihydrofur-2-yl, 2,4- dihydrofur-3-yl, 2,3-dihydrothien-2-yl, 2,3-dihydrothien-3-yl, 2,4-dihydrothien-2-yl, 2,4- dihydrothien-3-yl, 2-py rro I i n-2-yl , 2-pyrrolin-3-yl, 3-pyrrolin-2-yl, 3-pyrrolin-3-yl, 2-isoxazolin-3-yl,
- Examples for a 3-, 4-, 5-, 6- or 7-membered monocyclic maximally unsaturated (including aromatic) heterocyclic ring containing 1 , 2, 3 or 4 heteroatoms selected from the group consist- ing of O, N, S and NO as ring members are 5- or 6-membered heteroaromatic rings, such as 2- furyl, 3-furyl, 2-thienyl, 3-thienyl, 1-pyrrolyl, 2-pyrrolyl, 3-pyrrolyl, 1-pyrazolyl, 3-pyrazolyl, 4-pyrazolyl, 5-pyrazolyl, 2-oxazolyl, 4-oxazolyl, 5-oxazolyl, 2-thiazolyl, 4-thiazolyl, 5-thiazolyl, 1- imidazolyl, 2-imidazolyl, 4-imidazolyl, 1 ,2,3-triazol-1-yl, 1 ,2,3-triazol-2-yl, 1 ,2,3-triazol-4-yl, 1 ,2,4- tria
- Examples for a 7-, 8-, 9- or 10-membered saturated heterobicyclic ring containing 1 , 2 or 3 (or 4) heteroatoms or heteroatom groups selected from N, O, S, NO, SO and SO2, as ring members are:
- Examples for a 7-, 8-, 9- or 10-membered partially unsaturated heterobicyclic ring contain ⁇ ing 1 , 2 or 3 (or 4) heteroatoms or heteroatom groups selected from N, O, S, NO, SO and SO2, as ring members are:
- Examples for a 7-, 8-, 9- or 10-membered maximally unsaturated heterobicyclic ring con- taining 1 , 2 or 3 (or 4) heteroatoms or heteroatom groups selected from N, O, S, NO, SO and SO2, as ring members are:
- # denotes the attachment point to the remainder of the molecule.
- the attachment point is not restricted to the ring on which is shown, but can be on either of the fused rings, and may be on a carbon or on a nitrogen ring atom. If the rings carry one or more substituents, these may be bound to carbon and/or to nitrogen ring atoms (if the latter are not part of a double bond).
- Examples for 5- or 6-membered saturated heterocyclic radicals formed by R 2a and R 2b to- gether with the nitrogen atom to which they are bound and which may contain a further heteroa- tom selected from the group consisting of O and N as a ring member are pyrrolidin-1-yl, pyrazol- idin-1-yl, imidazolidin-1-yl, oxazolidin-3-yl, isoxazolidin-2-yl, piperidin-1-yl, piperazine-1 -yl, and morpholin-4-yl (also termed morpholino).
- Examples for 5-, 6- or 7-membered saturated hetero- cyclic radicals formed by R 2a and R 2b together with the nitrogen atom to which they are bound and which may contain a further heteroatom selected from the group consisting of O, S and N as a ring member are, in addition to those listed above for 5- or 6-membered heterocyclic radi- cals, thiazolidin-3-yl, isothiazolidin-2-yl, thiomorpholin-4-yl, 1 ,2-azepan-1-yl, diazepan-1-yl, 1 ,3- diazepan-1-yl, 1 ,4-diazepan-1-yl, 1 ,3-oxazepan-3-yl and1 ,4-oxazepan-4-yl.
- Examples for 4-, 5-, 6-, 7- or 8-membered saturated or partially unsaturated heterocyclic radicals formed by R 2a and R 2b together with the nitrogen atom to which they are bound and which may contain a further heteroatom selected from the group consisting of O, S and N as a ring member are, in addition to those listed above for 5-, 6- or 7-membered saturated heterocyclic radicals, azetidin-1-yl, azocan-1 -yl, 1 ,2-diazocan-1-yl, 1 ,3-diazocan-1-yl, 1 ,4-diazocan-1-yl, 2,3-dihydropyrrol-1-yl, 2,5- dihydropyrrol-1 -yl, 2,3-dihydropyrazol-1 -yl, 3,4-dihydropyrazol-1 -yl, 4,5-dihydropyrazol-1 -yl, 2,3- dihydroimidazol-1 -yl, 3,4
- Q is Q 1 . In another preferred embodiment, Q is Q 2 . In an- other preferred embodiment, Q is Q 3 . In another preferred embodiment, Q is Q 4 . In particular, Q is Q 1 , Q 3 or Q 4 . Specifically, Q is Q 1 .
- R 1 is selected from the group consisting of halogen, nitro, cy- ano, Ci-C 4 -alkyl, Ci-C4-haloalkyl, Ci-C4-alkoxy-Ci-C4-alkoxy-Z 1 - and R 1b -S(0) k -Z 1 -.
- R 1 is halogen; specifically Cl.
- Z 2 is a covalent bond or linear Ci-C 4 -alkanediyl which is unsub- stituted or partly or completely fluorinated or substituted by 1 , 2, 3 or 4 groups R z ; and R 2a and R 2b , together with the nitrogen atom to which they are bound, form a 4-, 5-, 6-, 7- or 8- membered saturated or partially unsaturated heterocyclic radical as defined above.
- Z 2 is CHR 2c ; and R 2b and R 2c form together a linear C1-C 3 - alkanediyl group which is unsubstituted or substituted by 1 or 2 groups R 2d ; and R 2a is as defined above.
- the group R 2 can be depicted as follows:
- R 2 preference is given to the first in which Z 2 is a cova- lent bond or linear Ci-C4-alkanediyl which is unsubstituted or partly or completely fluorinated or substituted by 1 , 2, 3 or 4 groups R z ; and R 2a and R 2b , together with the nitrogen atom to which they are bound, form a 4-, 5-, 6-, 7- or 8-membered saturated or partially unsaturated heterocy-oul radical as defined above.
- R 2a and R 2b together with the nitrogen atom to which they are bound, form a 5-, 6- or 7-membered saturated heterocyclic radical which may contain a further heteroatom selected from the group consisting of O, S and N as a ring member, and where the heterocyclic radical is unsubstituted or carries 1 , 2, 3 or 4 groups R 2e or carries 1 group R 2f and 0, 1 , 2 or 3 groups R 2e , where
- R 2e is selected from the group consisting of halogen and Ci-C 4 -alkyl
- R 2f is selected from the group consisting of R 4c -C(0)-, R 4d O-C(0)- and R 4e R 4f N-C(0)-;
- R 4c , R 4d , R 4e and R 4f independently of each other, are Ci-C 4 -alkyl or Ci-C 4 -haloalkyl.
- R 2a and R 2b together with the nitrogen atom to which they are bound, form a 5- or 6-membered saturated heterocyclic radical which may contain a further heteroatom selected from the group consisting of O and N as a ring member, and where the heterocyclic radical is unsubstituted or carries 1 , 2, 3 or 4 groups R 2e ; or carries 1 group R 2f and no group R 2e ; where
- R 2e is Ci-C 4 -alkyl
- R 2f is selected from the group consisting of R 4d O-C(0)- and R 4e R 4f N-C(0)-;
- R 4d , R 4e and R 4f independently of each other, are Ci-C 4 -alkyl.
- R 2a and R 2b together with the nitrogen atom to which they are bound, form a 5- or 6-membered saturated heterocyclic radical which may contain an oxygen atom as a fur- ther heteroatom ring member, and where the heterocyclic radical is unsubstituted or carries 1 , 2 or 3 groups R 2e , preferably 1 or 2 groups R 2e ;
- R 2e is Ci-C 4 -alkyl.
- N-bound morpholinyl ring a 4-morpholinyl ring
- Examples for specific morpholin-4-yl rings formed by R 2a and R 2b together with the nitrogen atom to which they are bound are mor- pholin-4-yl, 2-methylmorpholin-4-yl, 3-methylmorpholin-4-yl, 2-ethylmorpholin-4-yl, 3- ethylmorpholin-4-yl, 2,3-dimethylmorpholin-4-yl, 2,6-dimethylmorpholin-4-yl, 3,5- dimethylmorpholin-4-yl and 2,2,6-trimethylmorpholin-4-yl.
- Z 2 is a covalent bond, Chh or CH2CH2; more preferably a covalent bond or CH2. In a specific embodiment, Z 2 is a covalent bond. In another specific em- bodiment, Z 2 is CH2.
- Z 2 is a covalent bond, CH2 or CH2CH2; and R 2a and R 2b , together with the nitrogen atom to which they are bound, form a 5-, 6- or 7-membered saturated heterocyclic radical which may contain a further heteroatom selected from the group consisting of O, S and N as a ring member, and where the heterocyclic radical is unsubstituted or carries 1 , 2, 3 or 4 groups R 2e or carries 1 group R 2f and 0, 1 , 2 or 3 groups R 2e , where
- R 2e is selected from the group consisting of halogen and Ci-C 4 -alkyl
- R 2f is selected from the group consisting of R 4c -C(0)-, R 4d O-C(0)- and R 4e R 4f N-C(0)-;
- R 4c , R 4d , R 4e and R 4f independently of each other, are Ci-C 4 -alkyl or Ci-C 4 -haloalkyl.
- Z 2 is a covalent bond or CH2; and R 2a and R 2b , to- gether with the nitrogen atom to which they are bound, form a 5-, 6- or 7-membered saturated heterocyclic radical which may contain a further heteroatom selected from the group consisting of O, S and N as a ring member, and where the heterocyclic radical is unsubstituted or carries 1 , 2, 3 or 4 groups R 2e or carries 1 group R 2f and 0, 1 , 2 or 3 groups R 2e , where
- R 2e is selected from the group consisting of halogen and Ci-C 4 -alkyl
- R 2f is selected from the group consisting of R 4c -C(0)-, R 4d O-C(0)- and R 4e R 4f N-C(0)-;
- R 4c , R 4d , R 4e and R 4f independently of each other, are Ci-C 4 -alkyl or Ci-C 4 -haloalkyl.
- Z 2 is a covalent bond or CH2; and R 2a and R 2b , together with the nitrogen atom to which they are bound, form a 5- or 6-membered saturat- ed heterocyclic radical which may contain a further heteroatom selected from the group consist- ing of O and N as a ring member, and where the heterocyclic radical is unsubstituted or carries 1 , 2, 3 or 4 groups R 2e ; or carries 1 group R 2f and no group R 2e ; where
- R 2e is Ci-C 4 -alkyl
- R 2f is selected from the group consisting of R 4d O-C(0)- and R 4e R 4f N-C(0)-;
- R 4d , R 4e and R 4f are Ci-C 4 -alkyl.
- Z 2 is a covalent bond or Chh; and R 2a and R 2b , together with the nitrogen atom to which they are bound, form a 5- or 6-membered saturated heterocyclic radical which may contain an oxygen atom as a further heteroatom ring member, and where the heterocyclic radical is unsubstituted or carries 1 , 2 or 3 groups R 2e , preferably 1 or 2 groups R 2e ;
- R 2e is Ci-C 4 -alkyl.
- Z 2 is a covalent bond or CH2; and R 2a and R 2b , together with the nitrogen atom to which they are bound, form an N-bound morpholinyl ring (morpholino) which is unsubstituted or carries 1 , 2 or 3 Ci-C 4 -alkyl groups; preferably 1 , 2 or 3 Ci-C2-alkyl groups, specifically 1 or 2 Ci-C2-alkyl groups, and very specifically 1 or 2 methyl groups; or R 2a and R 2b , together with the nitrogen atom to which they are bound, form an N-bound pyrrolidine ring.
- morpholinyl ring morpholino
- Z 2 is a covalent bond and R 2a and R 2b , together with the nitrogen atom to which they are bound, form an N-bound morpholinyl ring which is unsubsti- tuted or carries 1 , 2 or 3 Ci-C 4 -alkyl groups; preferably 1 , 2 or 3 Ci-C2-alkyl groups, specifically 1 or 2 Ci-C2-alkyl groups, and very specifically 1 or 2 methyl groups.
- R 2 , Z 2 is CH2; and R 2a and R 2b , together with the nitrogen atom to which they are bound, form an N-bound morpholinyl ring (morpholino) which is unsubstituted or carries 1 , 2 or 3 Ci-C 4 -alkyl groups; preferably 1 , 2 or 3 Ci-C2-alkyl groups, specifically 1 or 2 Ci-C2-alkyl groups, and very specifically 1 or 2 methyl groups; or R 2a and R 2b , together with the nitrogen atom to which they are bound, form an N-bound pyrrolidine ring.
- morpholinyl ring morpholino
- R 2b and R 2c form together a linear Ci-C3-alkanediyl group which is unsubstituted or substituted by 1 or 2 groups R 2d
- R 2 thus resulting in a pyrrolidin-2-on-3-yl ring which may carry a C1- C 4 -alkyl or Ci-C 4 -haloalkyl substituent on the nitrogen ring atom or in a piperidin-2-on-3-yl ring which may carry a Ci-C 4 -alkyl or Ci-C 4 -haloalkyl substituent on the nitrogen ring atom.
- R 2b and R 2c form together an unsubstituted (CH2)2 bridging group and R 2a is hydrogen or Ci-C 4 -alkyl, R 2 thus resulting in a pyrrolidin-2-on-3-yl ring which may carry a Ci-C 4 -alkyl substit- uent on the nitrogen ring atom.
- R 3 is selected from the group consisting of halogen, nitro, C1- C 6 -alkyl, Ci-C 6 -haloalkyl, Ci-C 6 -haloalkoxy-Z 3 and R 3b -S(0) k -Z 3 ; in particular from halogen and Ci-C 4 -alkylsulfonyl; specifically from Cl and methylsulfonyl; and is very specifically Cl.
- R 4 is selected from the group consisting of hydrogen, cyano, halogen, nitro, Ci-C2-alkyl, and Ci-C2-haloalkyl. More preferably, R 4 is selected from the group consisting of hydrogen, cyano, chlorine, fluorine and CH3. In particular, R 4 is hydrogen.
- each R 5 is independently selected from the group consisting of CrCe-alkyl, Ci-C 4 -alkoxy-Ci-C 4 -alkyl and phenyl; more preferably from Ci-C 4 -alkyl,
- CH 3 OCH 2 CH 2 and CH 3 OCH 2 in particular from Ci-C 4 -alkyl; and is specifically methyl.
- Q is Q 1 , Q 3 or Q 4 ;
- R 1 is halogen; in R 2 Z 2 is a covalent bond or CH 2 ; and R 2a and R 2b , together with the nitrogen atom to which they are bound, form a 5- or 6- membered saturated heterocyclic radical which may contain a further heteroatom selected from O as a ring member, where the heterocyclic radical is unsubstituted or carries 1 , 2 or 3 C 1 -C 4 - alkyl groups; preferably 1 , 2 or 3 Ci-C 2 -alkyl groups, specifically 1 or 2 Ci-C 2 -alkyl groups, and very specifically 1 or 2 methyl groups;
- R 3 is halogen or Ci-C 4 -alkylsulfonyl;
- R 4 is hydrogen; and
- R 5 is Ci-C 4 -alkyl.
- Q is Q 1 , Q 3 or Q 4 ;
- R 1 is halogen; in R 2 Z 2 is a covalent bond or CH 2 ; and R 2a and R 2b , together with the nitrogen atom to which they are bound, form an N-bound morpholinyl ring which is unsubstituted or carries 1 , 2 or 3 Ci-C 4 -alkyl groups; prefera- bly 1 , 2 or 3 Ci-C 2 -alkyl groups, specifically 1 or 2 Ci-C 2 -alkyl groups, and very specifically 1 or 2 methyl groups; or R 2a and R 2b , together with the nitrogen atom to which they are bound, form an N-bound pyrrolidine ring;
- R 3 is Cl or Ci-C 4 -alkylsulfonyl;
- R 4 is hydrogen; and
- R 5 is C 1 -C 4 - alkyl.
- Q is Q 1 , Q 3 or Q 4 , in particular Q 1 ;
- R 1 is Cl; in R 2 Z 2 is a covalent bond or CFh; and
- R 2a and R 2b together with the nitrogen atom to which they are bound, form an N-bound morpholinyl ring which is unsubstituted or carries 1 or 2 Ci-C 4 -alkyl groups; preferably 1 or 2 Ci-C 2 -alkyl groups, and specifically 1 or 2 methyl groups; or R 2a and R 2b , together with the nitrogen atom to which they are bound, form an N-bound pyrrolidine ring;
- R 3 is Cl or methyl- sulfonyl;
- R 4 is hydrogen; and
- R 5 is methyl.
- more particular and specific corn- pounds I, Z 2 is a covalent bond.
- more particular and specific corn- pounds I, Z 2 is CH 2 .
- R 11 , R 21 are preferably selected from halogen, Ci-C 4 -alkyl, C 3 -C 6 - cycloalkyl, C 3 -C 6 -halocycloalkyl, Ci-C 4 -haloalkyl, Ci-C 4 -alkoxy, Ci-C 4 -alkoxy-Ci-C 4 -alkyl, C 1 -C 4 - alkylthio-Ci-C 4 -alkyl, Ci-C 4 -alkoxy-Ci-C 4 -alkoxy and Ci-C 6 -haloalkyloxy, more preferably from halogen, Ci-C 4 -alkyl, C 3 -C 6 -cycloalkyl, Ci-C 4 -haloalkyl and Ci-C 4 -alkoxy. More preferably R 11 ,
- R 21 independently of each other are selected from the group consisting of halogen, Ci-C 4 -alkyl, C 3 -C 6 -cycloalkyl, Ci-C 4 -haloalkyl, Ci-C 4 -alkoxy, Ci-C 4 -alkoxy-Ci-C 4 -alkyl, Ci-C 4 -alkylthio-Ci-C 4 - alkyl and Ci-C 4 -alkoxy-Ci-C 4 -alkoxy; in particular from halogen, Ci-C 4 -alkyl, Ci-C 4 -alkoxy, C 1 - C 4 -haloalkyl, Ci-C 4 -alkoxy-Ci-C 4 -alkyl and Ci-C 4 -alkoxy-Ci-C 4 -alkoxy; and specifically from Cl,
- R 22 is preferably selected from hydrogen, Ci-C6-alkyl, C 3 -C 6 -cycloalkyl, C 3 -C 6 - halocycloalkyl, Ci-C 6 -haloalkyl, C 2 -C 6 -alkenyl, C 2 -C 6 -haloalkenyl, C 2 -C 6 -alkynyl, C 3 -C 6 - haloalkynyl, Ci-C 4 -alkoxy-Ci-C 4 -alkyl, phenyl, benzyl and heterocyclyl, where heterocyclyl is a 5- or 6-membered monocyclic saturated, partially unsaturated or aromatic heterocycle, which contains 1 , 2 or 3 heteroatoms as ring members, which are selected from the group consisting of O, N and S, where the rings of phenyl, benzyl and heterocyclyl are unsubstituted or substituted by 1 , 2 or 3 groups, which are
- R 22 is selected from hydrogen, Ci-C 4 -alkyl, Ci-C 4 -haloalkyl, C 2 -C 4 -alkenyl, C 2 -C 4 -haloalkenyl, C 2 -C 4 - alkynyl, C 3 -C 6 -cycloalkyl, phenyl and heterocyclyl, where heterocyclyl is a 5- or 6-membered monocyclic saturated, partially unsaturated or aromatic heterocycle, which contains 1 , 2 or 3 heteroatoms as ring members, which are selected from the group consisting of O, N and S.
- R 22 is selected from hydrogen, Ci-C 4 -alkyl, Ci-C 4 -haloalkyl, C 2 -C 4 -alkenyl, C 2 -C 4 - haloalkenyl, C 3 -C 6 -cycloalkyl, phenyl and heterocyclyl, where heterocyclyl is a 5- or 6- membered aromatic heterocyclic radical having 1 or 2 nitrogen atoms as ring members.
- R 23 is preferably selected from hydrogen, Ci-C6-alkyl, Ci-C6-haloalkyl, C 2 -C 6 -alkenyl, C 3 -C 6 - cycloalkyl and phenyl. More preferably R 23 is selected from hydrogen, Ci-C 4 -alkyl, C 1 -C 4 - haloalkyl and C 3 -C 6 -cycloalkyl; and in particular, R 23 is selected from hydrogen, Ci-C 3 -alkyl and Ci-C 3 -haloalkyl.
- R 24 is preferably selected from Ci-C6-alkyl, Ci-C6-haloalkyl, C 2 -C 6 -alkenyl, C 3 -C 6 -cycloalkyl and phenyl. More preferably R 24 is selected from Ci-C 4 -alkyl, Ci-C 4 -haloalkyl and C 3 -C 6 - cycloalkyl; and in particular R 23 is selected from Ci-C 3 -alkyl and Ci-C 3 -haloalkyl.
- R 25 is preferably selected from Ci-C 6 -alkyl, C 3 -C 6 -cycloalkyl, C 3 -C 6 -halocycloalkyl, C 1 -C 6 - haloalkyl, C 2 -C 6 -alkenyl, C 2 -C 6 -haloalkenyl, C 2 -C 6 -alkynyl, C 3 -C 6 -haloalkynyl, Ci-C 4 -alkoxy-Ci- C 4 -alkyl, phenyl, benzyl and heterocyclyl, where heterocyclyl is a 5- or 6-membered monocyclic saturated, partially unsaturated or aromatic heterocycle, which contains 1 , 2 or 3 heteroatoms as ring members, which are selected from the group consisting of O, N and S, where the rings of phenyl, benzyl and heterocyclyl are unsubstituted or substituted by 1 , 2 or 3 groups, which are
- R 25 is selected from Ci-C 4 -alkyl, Ci-C 4 -haloalkyl, C 2 -C 4 -alkenyl, C 2 -C 4 -haloalkenyl, C 2 -C 4 -alkynyl, C 3 -C 6 -cycloalkyl, phenyl and heterocyclyl, where heterocyclyl is a 5- or 6-membered monocyclic saturated, partially unsaturated or aromatic heterocycle, which contains 1 , 2 or 3 heteroatoms as ring members, which are selected from the group consisting of O, N and S.
- R 25 is selected from Ci-C 4 -alkyl, Ci-C 4 -haloalkyl, C 2 -C 4 -alkenyl, C 2 -C 4 -haloalkenyl, C 3 -C 6 -cycloalkyl, phenyl and heterocyclyl, where heterocyclyl is a 5- or 6-membered aromatic heterocyclic radical having 1 or 2 nitrogen atoms as ring members.
- Z 1 , Z 3 independently of each other, are preferably selected from a covalent bond, methanediyl and ethanediyl, and in particular are a covalent bond.
- Z 3a is preferably selected from a covalent bond, Ci-C2-alkanediyl, 0-Ci-C 2 -alkanediyl, C1- C 2 -alkanediyl-0 and Ci-C 2 -alkanediyl-0-Ci-C 2 -alkanediyl; more preferably from a covalent bond, methanediyl, ethanediyl, O-methanediyl, O-ethanediyl, methanediyl-O, and ethanediyl-O; and in particular from a covalent bond, methanediyl and ethanediyl.
- R b , R 1b , R 3b , R 4b are preferably selected from Ci-C 6 -alkyl, C 3 -C 7 -cycloalkyl, Ci-C 6 -haloalkyl, C 2 -C 6 -alkenyl, C 2 -C 6 -haloalkenyl, C 2 -C 6 -alkynyl, C 2 -C 6 - haloalkynyl, phenyl and heterocyclyl, where heterocyclyl is a 5- or 6-membered monocyclic saturated, partially unsaturated or aromatic heterocycle, which contains 1 , 2 or 3 heteroatoms as ring members, which are selected from the group consisting of O, N and S, where phenyl and heterocyclyl are unsubstituted or substituted by 1 , 2 or 3 groups, which are identical or different and selected from the group consisting of halogen, Ci-C 4 -alkyl, Ci-C 2 -alkyl, Ci
- R b , R 1b , R 3b , R 4b independently of each other are selected from the group consisting of Ci-C 4 -alkyl, C 2 -C 4 -alkenyl, C 2 -C 4 -alkynyl, Ci-C 4 -haloalkyl, C 2 -C 4 -haloalkenyl, C 2 -C 4 -haloalkynyl, C 3 -C 6 -cycloalkyl, phenyl and heterocyclyl, where heterocyclyl is a 5- or 6- membered monocyclic saturated, partially unsaturated or aromatic heterocycle, which contains 1 , 2 or 3 heteroatoms as ring members, which are selected from the group consisting of O, N and S.
- R b , R 1b , R 3b , R 4b independently of each other are selected from Ci-C 4 -alkyl, Ci-C 4 -haloalkyl, C 2 -C 4 -alkenyl, C 2 -C 4 -haloalkenyl, C 2 -C 4 -alkynyl, C 3 -C 6 -cycloalkyl, phenyl and heterocyclyl, where heterocyclyl is a 5- or 6-membered aromatic heterocyclic radical having 1 or 2 nitrogen atoms as ring members.
- R 3c , R 4c , R k are preferably selected from hydrogen, C 1 -C 6 - alkyl, C 3 -C 7 -cycloalkyl, which is unsubstituted or partly or completely halogenated, C 1 -C 6 - haloalkyl, C 2 -C 6 -alkenyl, C 2 -C 6 -haloalkenyl, C 2 -C 6 -alkynyl, C 3 -C 6 -haloalkynyl, Ci-C 4 -alkoxy-Ci- C 4 -alkyl, phenyl, benzyl and heterocyclyl, where heterocyclyl is a 5- or 6-membered monocyclic saturated, partially unsaturated or aromatic heterocycle, which contains 1 , 2 or 3 heteroatoms as ring members, which are selected from the group consisting of O, N and S, where phenyl, benzyl and heterocyclyl are un
- R 3c , R 4c , R k independently of each other are selected from hydrogen, Ci-C 4 -alkyl, Ci-C 4 -haloalkyl, C 2 -C 4 -alkenyl, C 2 -C 4 -haloalkenyl, C 2 -C 4 -alkynyl, C 3 -C 6 - cycloalkyl, phenyl and heterocyclyl, where heterocyclyl is a 5- or 6-membered monocyclic saturated, partially unsaturated or aromatic heterocycle, which contains 1 , 2 or 3 heteroatoms as ring members, which are selected from the group consisting of O, N and S.
- R 3c , R 4c , R k independently of each other are selected from hydrogen, Ci-C 4 -alkyl, Ci-C 4 -haloalkyl, C 2 -C 4 -alkenyl, C 2 -C 4 -haloalkenyl, C 3 -C 6 -cycloalkyl, phenyl and heterocyclyl, where heterocyclyl is a 5- or 6-membered aromatic heterocyclic radical having 1 or 2 nitrogen atoms as ring members.
- R 3d , R 4d are preferably selected from Ci-C6-alkyl, C 3 -C 7 - cycloalkyl, which is unsubstituted or partly or completely halogenated, Ci-C6-haloalkyl, C 2 -C 6 - alkenyl, C 2 -C 6 -haloalkenyl, C 2 -C 6 -alkynyl, C 3 -C 6 -haloalkynyl, Ci-C 4 -alkoxy-Ci-C 4 -alkyl, phenyl and benzyl.
- R 3d , R 4d independently of each other are selected from Ci-C6-alkyl, Ci-C6-haloalkyl, C 2 -C 6 -alkenyl, C 2 -C 6 -haloalkenyl, C 2 -C 6 -alkynyl, Ci-C 4 -alkoxy-Ci-C 4 -alkyl and C 3 -C 7 -cycloalkyl, which is unsubstituted or partly or completely halogenated, and in particular selected from Ci-C 4 -alkyl, Ci-C 4 -haloalkyl, C 2 -C 4 -alkenyl, C 2 -C 4 -haloalkenyl, C 2 -C 4 -alkynyl and C 3 -C 6 -cycloalkyl.
- R 3e , R 3f , R 4e , R 4f are preferably selected from the group consisting of hydrogen, Ci-C 6 -alkyl, C 3 -C 7 -cycloalkyl, which is unsubstituted or partially or completely halogenated, Ci-C 6 -haloalkyl, C 2 -C 6 -alkenyl, C 2 -C 6 -haloalkenyl, Ci-C 4 -alkoxy-C-i-C 4 - alkyl, phenyl and benzyl, where phenyl and benzyl are unsubstituted or substituted by 1 , 2 or 3 groups, which are identical or different and selected from the group consisting of halogen, Ci- C 4 -alkyl, Ci-C 4 -haloalkyl and Ci-C 4 -alkoxy, or R 3e and R 3f together with the nitrogen atom, to which they are bound may form a 5-, 6
- R 3e , R 3f , R 4e , R 4f independently of each other are selected from hydrogen, Ci- C 6 -alkyl, Ci-C 6 -haloalkyl and benzyl, or R 3e and R 3f together with the nitrogen atom, to which they are bound may form a 5- or 6-membered, saturated or unsaturated heterocyclic radical, which may carry as a ring member a further heteroatom selected from O, S and N and which is unsubstituted or may carry 1 , 2 or 3 groups, which are identical or different and selected from the group consisting of halogen, Ci-C 4 -alkyl and Ci-C 4 -haloalkyl.
- R 3e , R 3f , R 4e , R 4f independently of each other are selected from hydrogen and Ci-C 4 -alkyl, or R 3e and R 3f together with the nitrogen atom, to which they are bound may form a 5- or 6-membered, saturated heterocyclic radical, which may carry as a ring member a further heteroatom selected from O, S and N and which is unsubstituted or may carry 1 , 2 or 3 methyl groups.
- Ci-C 6 -alkyl independently of each other, are preferably selected from hydrogen, Ci-C 6 -alkyl, C 3 -C 7 -cycloalkyl, which is unsubstituted or partly or completely halogenated, Ci-C 6 -haloalkyl, C 2 -C 6 -alkenyl, C 2 -C 6 -haloalkenyl, C 2 -C 6 -alkynyl, C 3 -C 6 -haloalkynyl, Ci-C 4 -alkoxy-Ci-C 4 -alkyl, phenyl and benzyl.
- R 4 s independently of each other are selected from hydrogen, Ci-C 6 -alkyl, Ci-C 6 -haloalkyl, C 2 -C 6 -alkenyl, C 2 -C 6 -haloalkenyl, benzyl, Ci-C 4 -alkoxy- Ci-C 4 -alkyl and C 3 -C 7 -cycloalkyl, which is unsubstituted or partly or completely halogenated, and in particular selected from hydrogen, Ci-C 4 -alkyl, Ci-C 4 -haloalkyl, C 2 -C 4 -alkenyl, C 2 -C 4 - haloalkenyl, benzyl and C 3 -C 6 -cycloalkyl.
- R 3h , R 4h independently of each other are selected from hydrogen, Ci-C 6 -alkyl, Ci-C 6 -haloalkyl, C 2 -C 6 -alkenyl, C 2 -C 6 -haloalkenyl, benzyl, Ci-C 4 -alkoxy-Ci-C 4 -alkyl and C 3 -C 7 - cycloalkyl, which is unsubstituted or partly or completely halogenated, and in particular selected from hydrogen, Ci-C 4 -alkyl, Ci-C 4 -haloalkyl, C 2 -C 4 -alkenyl, C 2 -C 4 -haloalkenyl, benzyl and C 3 -C 6 - cycloalkyl; or R3 ⁇ 4 and R 3h or R 4 s and R 4h together with the nitrogen atom, to which they are bound may form a 5-, 6 or 7-membered, saturated or unsaturated hetero
- R z is preferably selected from Ci-C 6 -alkyl, Ci-C 6 -haloalkyl, C3-C7-cycloalkyl, Ci-C 6 -alkoxy, C2-C6-alkenyl, phenyl, benzyl, heterocyclyl and heterocyclylmethyl, where heterocyclyl in the last two mentioned radicals is a 5- or 6-membered monocyclic saturated, partially unsaturated or aromatic heterocycle, which contains 1 , 2 or 3 heteroatoms as ring members, which are selected from the group consisting of O, N and S, where phenyl, benzyl and heterocyclyl are unsubstitut- ed or substituted by 1 , 2, 3 or 4 groups, which are identical or different and selected from the group consisting of halogen, Ci-C 4 -alkyl, Ci-C 4 -haloalkyl, Ci-C 4 -alkoxy and Ci-C 4 -haloalkoxy.
- R z is selected from of Ci-C 6 -alkyl, Ci-C 6 -haloalkyl, Ci-C 6 -alkoxy, phenyl and benzyl, where phenyl and benzyl are unsubstituted or substituted by 1 , 2, 3 or 4 groups, which are iden- tical or different and selected from halogen, Ci-C 4 -alkyl, Ci-C 4 -haloalkyl, Ci-C 4 -alkoxy and Ci- C 4 -haloalkoxy.
- R z is Ci-C 4 -alkyl, Ci-C3-haloalkyl, Ci-C 4 -alkoxy, phenyl or ben- zyl, where phenyl and benzyl are unsubstituted or substituted by 1 or 2 groups, which are identi- cal or different and selected from halogen, Ci-C 4 -alkyl and Ci-C 4 -haloalkyl; and in particular R z is Ci-C3-alkyl, Ci-C3-haloalkyl or Ci-C 4 -alkoxy.
- n is in particular 0 or 2.
- variable k is in particular 0 or 2, and especially 2.
- Examples of preferred compounds are the compounds of formulae I. a, l.b, l.c and l.d, wherein for an individual compound the variables are as defined in one row of table 1 . Moreo- ver, the meanings mentioned below for the individual variables in table 1 are per se, inde- pendently of the combination in which they are mentioned, a particularly preferred embodiment of the substituents in question.
- # is the attachment point to the carbonyl group.
- R 2 ⁇ 1 to R 2 ⁇ 8 are as defined in the following:
- # is the attachment point to O.
- the invention relates to compounds I selected from the corn- pounds of the examples, either in form of free bases or of any agriculturally suitable salt thereof or a stereoisomer, the racemate or any mixture of stereoisomers thereof or a tautomer or a tau- tomeric mixture or an N-oxide thereof.
- the compounds of formula I can be prepared by standard methods of organic chemistry, e.g. by the methods described in the schemes below.
- the substituents, variables and indices used in the schemes are as defined above for the compounds of formula I, if not specified oth- erwise.
- Phenolic benzamide compounds of formula II can be reacted with compounds R 2 -X to af- ford compounds of the formula I.
- X is a suitable leaving group, such as halogen, in particular Cl.
- Suitable bases are for example carbonates, such as lithium, sodium or potassium car- bonates, amines, such as trimethylamine or triethylamine, and basic N-heterocycles, such as pyridine, 2,6-dimethylpyridine or 2,4,6-trimethylpyridine.
- Suitable solvents are in particular apro- tic solvents such as pentane, hexane, heptane, octane, cyclohexane, dichloromethane, chloro- form, 1 ,2-dichlorethane, benzene, chlorobenzene, toluene, the xylenes, dichlorobenzene, trime- thylbenzene, pyridine, 2,6-dimethylpyridine, 2,4,6-trimethylpyridine, acetonitrile, diethyl ether, tetrahydrofuran, 2-methyl tetrahydrofuran, methyl tert-butylether, 1 ,4-dioxane, N,N-dimethyl formamide, N-methyl pyrrolidinone or mixtures thereof.
- the starting materials are generally re- acted with one another in equimolar or nearly equimolar amounts at a reaction temperature usually in the range
- Standard amidation conditions can be applied.
- Y is a leaving group, such as halogen, in particular Cl, an anhydride residue or an active ester residue.
- X being halogen
- the reaction is suitably carried out in the presence of a base.
- bases are for example carbonates, such as lithi- um, sodium or potassium carbonates, amines, such as trimethylamine or triethylamine, and basic N-heterocycles, such as pyridine, 2,6-dimethylpyridine or 2,4,6-trimethylpyridine.
- Suitable solvents are in particular aprotic solvents such as pentane, hexane, heptane, octane, cyclohex- ane, dichloromethane, chloroform, 1 ,2-dichlorethane, benzene, chlorobenzene, toluene, the xylenes, dichlorobenzene, trimethylbenzene, pyridine, 2,6-dimethylpyridine, 2,4,6- trimethylpyridine, acetonitrile, diethyl ether, tetrahydrofuran, 2-methyl tetrahydrofuran, methyl tert-butylether, 1 ,4-dioxane, N,N-dimethyl formamide, N-methyl pyrrolidinone or mixtures there- of.
- the starting materials are generally reacted with one another in equimolar or nearly equimo- lar amounts at a reaction temperature usually in the range of -20°
- the reaction is preferably carried out in the presence of a suitable activating agent which converts the acid group of compound IV into an activated ester or amide.
- a suitable activating agent which converts the acid group of compound IV into an activated ester or amide.
- activating agents known in the art such as 1 ,T,carbonyldiimidazole (CDI), dicyclohexyl carbodiimide (DCC), 1-ethyl-3-(3-dimethylamino- propyl)carbodiimide (EDC) or 2,4,6-tripropyM ,3,5,2,4,6-trioxatriphosphorinane-2,4,6-trioxide (T3P) can be employed.
- the activated ester or amide can be formed, depending in particular on the specific activating agent used, either in situ by contacting compound IV with the activating agent in the presence of compound III, or in a separate step prior to the reaction with compound III. It may be advantageous, especially in cases where DCC or EDC are used as activating agent, to include further additives in the activating reaction, such as hydroxybenzotriazole (HOBt), nitrophenol, pentafluorophenol, 2,4,5-trichlorophenol or N-hydroxysuccinimide. It may further be advantageous to prepare the activated ester or amide in the presence of a base, for example a tertiary amine.
- a base for example a tertiary amine.
- the activated ester or amide is either in situ or subsequently reacted with the amine of formula III to afford the amide of formula I.
- the reaction normally takes place in anhydrous inert solvents, such as chlorinated hydrocarbons, e.g. dichloromethane or dichlo- roethane, ethers, e.g. tetrahydrofuran or 1 ,4-dioxane, or carboxamides, e.g. N,N-dimethylform- amide, N,N-dimethylacetamide or N-methylpyrrolidone.
- the reaction is ordinarily carried out at temperatures in the range from -20°C to +25°C.
- Phenolic benzamide compounds of formula II may be converted with phosgene to the cor- responding chloroformate which can subsequently be reacted with the amine of formula V to give the desired benzamide carbamate of formula I’.
- invert solvents are used for both reaction steps 1 ) and 2) invert solvents. Both reaction steps are usually carried out at temperatures of about -50°C to 30°C in the presence of a base, such as a tertary amine, e.g. trimethylamine, or pyri- dine.
- the compounds of formula G can also be prepared according procedures described in via the synthetic route depicted in Scheme 4 below, using procedures of T. Patonay et al., Synth. Commun. 1990, 20, 2865-2885.
- Conversion of a chloromethyl carbonate of formula VI with an amine of fomula V results in the benzamide carbamate of formula G.
- the reaction is usually carried out in an inert solvent, such as benzene, using the amine V in excess, particularly in an amount of about two molar equivalents.
- a co-base such as pyridine, may be employed.
- the reaction tempera- ture is typically in the range of 10°C to 150°C.
- the chloromethyl carbonates VI used in this reac- tion are readily available by treating chloromethyl chloroformate with the phenolic benzamide compound of formula II in the presence of a base, e.g. triethylamine.
- the compounds of formula G can be prepared according to procedures de- scribed by G. Barcelo et al., Synthesis 1986, 627-632, as depicted in Scheme 5.
- 1 -Chloromethyl carbonates of the formula VII can be reacted with amines of formula V to afford the corresponding benzamide carbamate of formula G.
- the reaction is generally run in tetrahydrofuran or dioxane in the presence of a base, such as in particular an aqueous solution of potassium carbonate, at a temperature of about -10°C to 40°C.
- the compound of formula VII can be obtained by treating the corresponding 1-chloroalkyl chloroformate with a phenolic ben- zamide compound of formula II in the presence of a base, such as in particular pyridine.
- step 1 the hydroxyl group of the phenol derivative of formula VIII is protected by intro- ducing a suitable protective group, such as in particular a benzyl group.
- a suitable protective group such as in particular a benzyl group.
- This conversion is typi- cally achieved via reaction with a benzyl halide, such as in particular benzyl bromide, in the presence of a base.
- Suitable bases are for example carbonates, such as in particular potassium carbonate.
- the reaction can be carried out in an aprotic solvent, such as acetone, at a tempera- ture in the range of about 0°C to 100°C.
- step 2) the benzyl protected compound obtained in step 1 ) is first treated with a strong base, in particular an organolithium base, such as n-butyllithium or lithium diisopropylamide, and afterwards reacted with carbon dioxide to afford to benzoic acid derivative of formula IX.
- a strong base in particular an organolithium base, such as n-butyllithium or lithium diisopropylamide
- Suita- ble solvents are inert ones, such as in particular THF. The reaction is started at a temperature in the range of -100°C to -50°C and concluded at about -10°C to 30°C.
- step 3) the benzoic acid derivative of formula IX is activated by conversion to a suitable ester or amide, or preferably to a suitable acid halide, by analogy with the synthesis described in Scheme 2.
- step 4) the activated benzoic acid derivative of formula X obtained in step 3) is amidat- ed with an amine of formula III by analogy with the synthesis described in Scheme 2. According- ly, steps 3) and 4) may also be carried in situ or even simultaneously.
- step 5 The removal of the protecting group is achieved in step 5), in case PG is a benzyl group, for instance by subjecting the amidation product obtained in step 4) to strong acidic conditions to afford the phenolic benzamide of formula II.
- Scheme 7 depicts a specific synthetic route towards compounds of the formula IV wherein Z 2 in the radical R 2 is a dimethylmethylene bridge (-C(CH3)2-).
- Z 2 in the radical R 2 is a dimethylmethylene bridge (-C(CH3)2-).
- Such compounds are termed in the following compounds of the formula IV’ and may serve as precursor for compounds of the formula I having such a substituent R 2 .
- the Bargellini reaction can be used to convert the phenol derivative of formula VIII into a compound of formula XI by reacting it with acetone and chloroform in the presence of a base, e.g. an alkali metal hydroxide, such as sodium hydroxide, at a temperature in the range of 10°C to 80°C.
- a base e.g. an alkali metal hydroxide, such as sodium hydroxide
- Acetone typically also serves as solvent and can therefore be used in excess.
- step 2 can be accomplished, for instance, by converting the compound of formula XI in analogy with the reaction described in Scheme 2 into the corresponding acid halide, which is then treated with the amine of formula V to afford a compound of formula XII.
- step 3 The carboxylation in step 3) can be carried out analogously to the reaction shown in Scheme 3 to yield the benzoic acid derivative of formula IV’, which is a useful intermediate to prepare a corresponding benzamide of the formula I via the reaction described in Scheme 2.
- phenol derivatives of the formula VIII and the benzoic acid derivatives of formula IV are either commercially available or are obtainable according to methods known from the literature. This holds also true for the amines Q-NFh of the formula III.
- 5-amino-1- R 5 -tetrazole of formula lll-a can be prepared from 5-aminotetrazole according to the method described in the Journal of the American Chemical Society, 1954, 76, 923-924 (Scheme 8).
- 5-amino-1-R 5 -tetrazole compounds of formula lll-a can be prepared accord- ing to the method described in the Journal of the American Chemical Society, 1954, 76, 88-89 (Scheme 9).
- 5-Amino-1 -R 5 -triazoles of formula lll-b are either commercially available or are obtainable according to methods described in the literature. As shown in Scheme 10, 5-amino-1 -R 5 -triazole can for example be prepared from 5-aminotriazole according to the method described in Zeitschrift fur Chemie, 1990, 30, 12, 436-437.
- 5-amino-1 -R 5 -triazole compounds of formula lll-b can also be prepared analogously to the synthesis described in Chemische Berichte, 1964, 97, 2, 396-404, as shown in Scheme 1 1 .
- 4-amino-1 ,2,5-oxadiazole compounds of the formula lll-c are either commercially available or are obtainable according to methods known from the literature.
- 3- alkyl-4-amino-1 ,2,5-oxadiazoles can be prepared from b-ketoesters pursuant to a procedure described in Russian Chemical Bulletin, Int. Ed., 54(4), 1032-1037 (2005), as depicted in Scheme 12.
- the compounds of the formula lll-c, where R 5 is halogen can be prepared from commercially available 3, 4-diamino-1 ,2,5-oxadiazole according to procedures described in the literature, e.g. by the Sandmeyer-type reaction disclosed in Heteroatom Chem- istry, 15(3), 199-207 (2004).
- the compounds of the formula lll-c, where R 5 is a nucleophilic residue can be prepared by introducing the nucleophilic residue via the substitution of a leaving group L, e.g. halogene, in the 4-position of the 1 ,2,5-oxadiazoles compounds of formula XIII in accordance to precedures disclosed, for example, in Journal of Chemical Research, Synopses (6), 190 (1985), in Izvestiya Akademii Nauk SSSR, Seriya Khimicheskaya (9), 2086-8 (1986) or in Russian Chemical Bulletin (Translation of Izvestiya Akademii Nauk, Seriya Khimicheskaya), 53(3), 596-614 (2004).
- L e.g. halogene
- compounds of formulae 111 -a , lll-b and lll-c can be obtained by purchase or can be prepared by processes known in the art or disclosed in the literature, e.g. in WO
- the compounds of formula I including their stereoisomers, salts and tautomers, as well as their precursors in the synthesis process, can be prepared by the methods described above. If individual compounds cannot be prepared via the above-described routes, they can be prepared by derivatization of other compounds I or the respective precursor or by customary modifications of the synthesis routes described. For example, in individual cases, certain corn- pounds of formula I can advantageously be prepared from other compounds of formula I by derivatization, e.g. by ester hydrolysis, amidation, esterification, ether cleavage, olefination, re- duction, oxidation and the like, or by customary modifications of the synthesis routes described.
- reaction mixtures are worked up in the customary manner, for example by mixing with water, separating the phases, and, if appropriate, purifying the crude products by chromatog- raphy, for example on alumina or on silica gel.
- Some of the intermediates and end products may be obtained in the form of colorless or pale brown viscous oils which are freed or purified from volatile components under reduced pressure and at moderately elevated temperature. If the intermediates and end products are obtained as solids, they may be purified by recrystal I iza- tion or trituration.
- the compounds of formula I and their agriculturally suitable salts are useful as herbicides. They are useful as such or as an appropriately formulated composition.
- the herbicidal composi- tions comprising the compound I, in particular the preferred aspects thereof, control vegetation on non-crop areas very efficiently, especially at high rates of application. They act against broad-leaved weeds and weed grasses in crops such as wheat, rice, corn, soybeans and cotton without causing any significant damage to the crop plants. This effect is mainly observed at low rates of application.
- the compounds of formula I, in particu- lar the preferred aspects thereof, or compositions comprising them can additionally be em- ployed in a further number of crop plants for eliminating unwanted plants.
- suitable crops are the following:
- crop plants also includes plants which have been modified by breeding, mutagenesis or genetic engineering. Genetically modified plants are plants whose genetic material has been modified in a manner which does not occur under natural conditions by crossing, mutations or natural recombination (i.e. reassembly of the genetic information).
- genetically modified plants are plants whose genetic material has been modified in a manner which does not occur under natural conditions by crossing, mutations or natural recombination (i.e. reassembly of the genetic information).
- one or more genes are integrated into the genetic material of the plant to improve the properties of the plant.
- crop plants also includes plants which, by breeding and genetic engineering, have acquired tolerance to certain classes of herbicides, such as hydroxy- phenyl pyruvate dioxygenase (HPPD) inhibitors, acetolactate synthase (ALS) inhibitors, such as, for example, sulfonylureas (EP-A-0257993, US 5,013,659) or imidazolinones (see, for example, US 6,222,100, WO 01/82685, WO 00/26390, WO 97/41218, WO 98/02526, WO 98/02527,
- herbicides such as hydroxy- phenyl pyruvate dioxygenase (HPPD) inhibitors, acetolactate synthase (ALS) inhibitors, such as, for example, sulfonylureas (EP-A-0257993, US 5,013,659) or imidazolinones (see, for example, US 6,
- EPSPS enolpyruvylshikimate 3-phosphate synthase
- EPSPS enolpyruvylshikimate 3-phosphate synthase
- GS glutamine synthetase
- glufosinate see, for example, EP-A-0242236, EP-A-242246, or oxynil herbicides (see, for example, US 5,559,024).
- crop plants refers to plants that comprise in their genomes a gene encoding a herbicide-tolerant wild-type or mutated HPPD protein.
- a gene may be an endogenous gene or a transgene, as described hereinafter.
- a “herbicide-tolerant” or “herbicide-resistant” plant it is intended that a plant that is tol- erant or resistant to at least one herbicide at a level that would normally kill, or inhibit the growth of, a normal or wild-type plant.
- “herbicide-tolerant wild-type or mutated HPPD protein” or “herbicide -resistant wild-type or mutated HPPD protein” it is intended that such a HPPD pro- tein displays higher HPPD activity, relative to the HPPD activity of a wild-type or reference HPPD protein, when in the presence of at least one herbicide that is known to interfere with HPPD activity and at a concentration or level of the herbicide that is known to inhibit the HPPD activity of the reference wild-type HPPD protein.
- the HPPD activity of such a herb- icide-tolerant or herbicide-resistant HPPD protein may be referred to herein as “herbicide- tolerant” or “herbicide-resistant” HPPD activity.
- mutated HPPD nucleic acid refers to an HPPD nucleic acid having a sequence that is mutated from a wild-type HPPD nucleic acid and that confers increased“ HPPD- inhibiting herbicide” tolerance to a plant in which it is expressed.
- mu- tated hydroxyphenyl pyruvate dioxygenase refers to the replacement of an amino acid of the wild-type primary sequences SEQ ID NO: 2, 5, 8, 11 , 14, 17, 20, 22, 24, 26, 28, 30, 32, 34, 36, 38, 40, 42, 44, 46, 48, 50, 53, 55, 57, 58, 59, 60, 61 , 62, 63, 64, 65, 66, 67, a variant, a derivative, a homologue, an orthologue, or paralogue thereof, with another amino acid.
- the expression "mutated amino acid” will be used below to designate the amino acid which is replaced by another amino acid, thereby designating the site of the mutation in the pri mary sequence of the protein.
- HPPDs and their primary sequences have been described in the state of the art, in particular the HPPDs of bacteria such as Pseudomonas (Ruetschi etal., Eur.J.Biochem., 205, 459-466, 1992, W096/38567), of plants such as Arabidopsis (W096/38567, Genebank
- the nucleotide sequence of (i) comprises the sequence of SEQ ID NO: 1 , 51 , 3, 4, 6, 7, 9, 10, 12, 13, 15, 16, 18, 19, 21 , 23, 25, 27, 29, 31 , 33, 35, 37, 39,
- the mutated HPPD nucleic acid useful for the pre- sent invention comprises a mutated nucleic acid sequence of SEQ ID NO: 1 or SEQ ID NO: 52, or a variant or derivative thereof.
- nucleotide se- quences of (i) or (ii) encompass homologues, paralogues and orthologues of SEQ ID NO: 1 , 51 , 3, 4, 6, 7, 9, 10, 12, 13, 15, 16, 18, 19, 21 , 23, 25, 27, 29, 31 , 33, 35, 37, 39, 41 , 43, 45, 47, 49, 52, 54, 56, 68, 69, as defined hereinafter.
- variants with respect to a sequence (e.g., a polypeptide or nucleic acid se- quence such as - for example - a transcription regulating nucleotide sequence of the inven- tion) is intended to mean substantially similar sequences.
- variants include those sequences that, because of the degeneracy of the genetic code, encode the identical amino acid sequence of the native protein.
- Naturally oc- curring allelic variants such as these can be identified with the use of well-known molecular bi- ology techniques, as, for example, with polymerase chain reaction (PCR) and hybridization techniques.
- Variant nucleotide sequences also include synthetically derived nucleotide se- quences, such as those generated, for example, by using site-directed mutagenesis and for open reading frames, encode the native protein, as well as those that encode a polypeptide having amino acid substitutions relative to the native protein.
- nucleotide sequence variants of the invention will have at least 30, 40, 50, 60, to 70%, e.g., preferably 71 %, 72%, 73%, 74%, 75%, 76%, 77%, 78%, to 79%, generally at least 80%, e.g., 81 %-84%, at least 85%, e.g., 86%, 87%, 88%, 89%, 90%, 91 %, 92%, 93%, 94%, 95%, 96%, 97%, to 98% and 99% nu- cleotide“ sequence identity” to the nucleotide sequence of SEQ ID NO:1 , 51 , 3, 4, 6, 7, 9, 10, 12, 13, 15, 16, 18, 19, 21 , 23, 25, 27, 29, 31 , 33, 35, 37, 39, 41 , 43, 45, 47, 49, 52, 54, 56, 68, 69, 47, or 49.
- variant polypeptide is intended a polypeptide derived from the protein of SEQ ID NO: 2, 5, 8, 11 , 14, 17, 20, 22, 24, 26, 28, 30, 32, 34, 36, 38, 40, 42, 44, 46, 48, 50, 53, 55, 57, 58, 59, 60, 61 , 62, 63, 64, 65, 66, 67, by deletion (so-called truncation) or addition of one or more amino acids to the N-terminal and/or C-terminal end of the native protein; deletion or addi- tion of one or more amino acids at one or more sites in the native protein; or substitution of one or more amino acids at one or more sites in the native protein.
- Such variants may result from, for example, genetic polymorphism or from human manipulation. Methods for such manipula- tions are generally known in the art.
- variants of the polynucleotides useful for the present inven- tion will have at least 30, 40, 50, 60, to 70%, e.g., preferably 71 %, 72%, 73%, 74%, 75%, 76%, 77%, 78%, to 79%, generally at least 80%, e.g., 81 %-84%, at least 85%, e.g., 86%, 87%, 88%, 89%, 90%, 91 %, 92%, 93%, 94%, 95%, 96%, 97%, to 98% and 99% nucleotide“ sequence identity” to the nucleotide sequence of SEQ ID NO:1 , 47, 49, or SEQ ID NO: 52.
- polynucleotide molecules and polypeptides of the invention en- compass polynucleotide molecules and polypeptides comprising a nucleotide or an amino acid sequence that is sufficiently identical to nucleotide sequences set forth in SEQ ID NOs: 1 , 51 , 3,
- sequence identity refers to the extent to which two optimally aligned DNA or amino acid sequences are invariant throughout a window of alignment of components, e.g., nucleotides or amino acids.
- identity fraction for aligned segments of a test sequence and a reference se- quence is the number of identical components that are shared by the two aligned sequences divided by the total number of components in reference sequence segment, i.e., the entire ref- erence sequence or a smaller defined part of the reference sequence. "Percent identity” is the identity fraction times 100.
- Optimal alignment of sequences for aligning a comparison window are well known to those skilled in the art and may be conducted by tools such as the local ho- mology algorithm of Smith and Waterman, the homology alignment algorithm of Needleman and Wunsch, the search for similarity method of Pearson and Lipman, and preferably by computer- ized implementations of these algorithms such as GAP, BESTFIT, FASTA, and TFASTA availa- ble as part of the GCG. Wisconsin Package. (Accelrys Inc. Burlington, Mass.)
- nucleic acid sequence(s) refers to nucleotides, either ribonucleotides or deoxyribonucleotides or a combination of both, in a polymeric un- branched form of any length.
- Derivatives of a protein encompass peptides, oligopeptides, polypeptides, proteins and enzymes having amino acid substitutions, deletions and/or insertions relative to the unmodified protein in question and having similar biological and functional activity as the unmodified protein from which they are derived.
- Homologues of a protein encompass peptides, oligopeptides, polypeptides, proteins and enzymes having amino acid substitutions, deletions and/or insertions relative to the unmodified protein in question and having similar biological and functional activity as the unmodified protein from which they are derived.
- a deletion refers to removal of one or more amino acids from a protein.
- Insertions refers to one or more amino acid residues being introduced into a predeter- mined site in a protein. Insertions may comprise N-terminal and/or C-terminal fusions as well as intra-sequence insertions of single or multiple amino acids. Generally, insertions within the ami- no acid sequence will be smaller than N- or C-terminal fusions, of the order of about 1 to 10 residues.
- N- or C-terminal fusion proteins or peptides include the binding domain or activation domain of a transcriptional activator as used in the yeast two-hybrid system, phage coat proteins, (histidine)-6-tag, glutathione S-transferase-tag, protein A, maltose-binding protein, dihydrofolate reductase, Tag ⁇ 100 epitope, c-myc epitope, FLAG ® -epitope, lacZ, CMP (cal- modulin-binding peptide), HA epitope, protein C epitope and VSV epitope.
- a transcriptional activator as used in the yeast two-hybrid system
- phage coat proteins phage coat proteins
- glutathione S-transferase-tag glutathione S-transferase-tag
- protein A maltose-binding protein
- dihydrofolate reductase Tag ⁇ 100 epitope
- a substitution refers to replacement of amino acids of the protein with other amino acids having similar properties (such as similar hydrophobicity, hydrophilicity, antigenicity, propensity to form or break a -helical structures or b -sheet structures).
- Amino acid substitutions are typi cally of single residues, but may be clustered depending upon functional constraints placed up- on the polypeptide and may range from 1 to 10 amino acids; insertions will usually be of the order of about 1 to 10 amino acid residues.
- the amino acid substitutions are preferably con- servative amino acid substitutions. Conservative substitution tables are well known in the art (see for example Creighton (1984) Proteins. W.H. Freeman and Company (Eds).
- Amino acid substitutions, deletions and/or insertions may readily be made using peptide synthetic techniques well known in the art, such as solid phase peptide synthesis and the like, or by recombinant DNA manipulation. Methods for the manipulation of DNA sequences to pro- prise substitution, insertion or deletion variants of a protein are well known in the art. For exam- pie, techniques for making substitution mutations at predetermined sites in DNA are well known to those skilled in the art and include M13 mutagenesis, T7-Gen in vitro mutagenesis (USB, Cleveland, OH), QuikChange Site Directed mutagenesis (Stratagene, San Diego, CA), PCR- mediated site-directed mutagenesis or other site-directed mutagenesis protocols.
- “Derivatives” further include peptides, oligopeptides, polypeptides which may, compared to the amino acid sequence of the naturally-occurring form of the protein, such as the protein of interest, comprise substitutions of amino acids with non-naturally occurring amino acid residues, or additions of non-naturally occurring amino acid residues.
- “Derivatives” of a protein also en- compass peptides, oligopeptides, polypeptides which comprise naturally occurring altered (gly cosylated, acylated, prenylated, phosphorylated, myristoylated, sulphated etc.) or non-naturally altered amino acid residues compared to the amino acid sequence of a naturally-occurring form of the polypeptide.
- a derivative may also comprise one or more non-amino acid substituents or additions compared to the amino acid sequence from which it is derived, for example a reporter molecule or other ligand, covalently or non-covalently bound to the amino acid sequence, such as a reporter molecule which is bound to facilitate its detection, and non-naturally occurring amino acid residues relative to the amino acid sequence of a naturally-occurring protein.
- a reporter molecule or other ligand covalently or non-covalently bound to the amino acid sequence, such as a reporter molecule which is bound to facilitate its detection, and non-naturally occurring amino acid residues relative to the amino acid sequence of a naturally-occurring protein.
- “derivatives” also include fusions of the naturally-occurring form of the protein with tagging peptides such as FLAG, HIS6 or thioredoxin (for a review of tagging peptides, see Ter- pe, Appl. Microbiol. Biotechnol. 60,
- orthologues and “paralogues” encompass evolutionary concepts used to describe the ancestral relationships of genes. Paralogues are genes within the same species that have orig- inated through duplication of an ancestral gene; orthologues are genes from different organisms that have originated through speciation, and are also derived from a common ancestral gene.
- paralogues and orthologues may share distinct domains harboring suitable amino acid residues at given sites, such as binding pockets for particular substrates or binding motifs for interaction with other proteins.
- domain refers to a set of amino acids conserved at specific positions along an alignment of sequences of evolutionarily related proteins. While amino acids at other positions can vary between homologues, amino acids that are highly conserved at specific positions indi cate amino acids that are likely essential in the structure, stability or function of a protein. Iden- tified by their high degree of conservation in aligned sequences of a family of protein homo- logues, they can be used as identifiers to determine if any polypeptide in question belongs to a previously identified polypeptide family.
- motif or "consensus sequence” refers to a short conserved region in the se- quence of evolutionarily related proteins. Motifs are frequently highly conserved parts of do- mains, but may also include only part of the domain, or be located outside of conserved domain (if all of the amino acids of the motif fall outside of a defined domain). Specialist databases exist for the identification of domains, for example, SMART (Schultz et al. (1998) Proc. Natl. Acad. Sci. USA 95, 5857-5864; Letunic et al. (2002) Nucleic Acids Res 30, 242-244), InterPro (Mulder et al., (2003) Nucl. Acids. Res.
- ExPASy proteomics server Swiss Institute of Bioinformatics (Gasteiger et al., ExPASy: the proteomics server for in-depth protein knowledge and analysis, Nucleic Acids Res. 31 :3784-3788(2003)). Domains or motifs may also be identified using routine techniques, such as by sequence alignment.
- GAP uses the algorithm of Needleman and Wunsch ((1970) J Mol Biol 48: 443-453) to find the global (i.e. spanning the complete sequences) alignment of two sequences that maximizes the number of matches and minimizes the number of gaps.
- the BLAST algorithm (Altschul et al. (1990) J Mol Biol 215: 403-10) calculates percent sequence identity and performs a statistical analysis of the similarity between the two sequences.
- the software for performing BLAST analysis is publicly available through the National Centre for Biotechnology Information (NCBI).
- Homologues may readily be identified using, for example, the ClustalW multiple sequence alignment algorithm (version 1.83), with the default pairwise alignment parameters, and a scoring method in percentage. Global percentages of similarity and identity may also be determined using one of the methods available in the MatGAT software package (Campanella et al., BMC Bioinformatics. 2003 Jul 10;4:29. MatGAT: an application that generates similarity/identity matrices using protein or DNA sequences.). Minor manual editing may be performed to optimise alignment between con- served motifs, as would be apparent to a person skilled in the art. Furthermore, instead of using full-length sequences for the identification of homologues, specific domains may also be used.
- sequence identity values may be determined over the entire nucleic acid or amino acid se- quence or over selected domains or conserved motif(s), using the programs mentioned above using the default parameters.
- Smith-Waterman algorithm is particular- ly useful (Smith TF, Waterman MS (1981) J. Mol. Biol 147(1 );195-7).
- the herbicide tolerance or re- sistance of a plant to the herbicide as described herein could be remarkably increased as corn- pared to the activity of the wild type HPPD enzymes with SEQ ID NO: 2, 5, 8, 1 1 , 14, 17, 20, 22, 24, 26, 28, 30, 32, 34, 36, 38, 40, 42, 44, 46, 48, 50, 53, 55, 57, 58, 59, 60, 61 , 62, 63, 64, 65,
- mutated HPPD Preferred substitutions of mutated HPPD are those that increase the herbicide tolerance of the plant, but leave the biological activitiy of the dioxygenase activity substantially unaffected.
- the mutated HPPD useful for the present invention comprises a sequence of SEQ ID NO: 2, 5, 8, 1 1 , 14, 17, 20, 22, 24, 26, 28, 30, 32, 34, 36, 38, 40, 42, 44, 46, 48, 50, 53, 55, 57, 58, 59, 60, 61 , 62, 63, 64, 65, 66, 67, or a variant, derivative, orthologue, paralogue or homologue thereof, wherein an amino acid ⁇ 3, ⁇ 2 or ⁇ 1 amino acid positions from a key ami- no acid is substituted by any other amino acid.
- the present sequence pattern is not limited by the exact distances between two adjacent amino acid residues of said pattern.
- Each of the distances between two neighbours in the above patterns may, for example, vary independently of each other by up to ⁇ 10, ⁇ 5, ⁇ 3, ⁇ 2 or ⁇ 1 amino acid positions without substantially affecting the desired activity.
- the mutated HPPD refers to a variant or derivative of SEQ ID NO: 2 wherein the substitutions are selected from the following Table 4a.
- Table 4a (Sequence ID No: 2): single amino acid substitutions
- the herbicide tolerance or resistance could be remarkably increased as compared to the activity of the wild type HPPD enzymes or HPPD enzymes in which only one amino acid residue had been substituted. Therefore, in another preferred embodiment, the vari- ant or derivative of the mutated HPPD refers to a polypeptide of SEQ ID NO: 2, wherein two, three, four or five key amino acids are substituted by another amino acid residue. Particularly preferred double, triple, quadruple, or quintuple mutations are described in Table 4b. Table 4b: (with reference to Sequence ID No: 2): combined amino acid substitutions
- the mutated HPPD refers to a polypep- tide comprising SEQ ID NO: 2, wherein the leucine corresponding to or at position 320 is substi- tuted by a histidine, and the proline corresponding to or at position 321 is substituted by an ala- nine.
- the mutated HPPD refers to a polypeptide comprising SEQ ID NO: 2, wherein Leucine corresponding to or at position 353 is substituted by a Methionine, the Proline corresponding to or at position 321 is substituted by an Arginine, and the Leucine corresponding to or at position 320 is substituted by an Asparagine.
- the mutated HPPD refers to a polypeptide comprising SEQ ID NO: 2, wherein the Leucine corresponding to or at position 353 is substituted by a Methionine, the Proline corresponding to or at position 321 is substituted by an Arginine, and the Leucine corresponding to or at position 320 is substituted by a glutamine.
- the mutated HPPD refers to a variant or derivative of
- the variant or derivative of the mutated HPPD useful for the present invention refers to a polypeptide of SEQ ID NO: 53, a homologue, orthologue, or paralogue thereof, wherein two, three, four or five key amino acids are substituted by another amino acid residue.
- Particularly preferred double, triple, quadruple, or quintuple mutations are described in Table 4d.
- the mutated HPPD of the present invention comprises a variant of the sequence of SEQ ID NO: 50, or a homologue or functional equivalent thereof, which comprises one or more of the following:
- the amino acid corresponding to or at position 30 is other than proline
- the amino acid cor- responding to or at position 39 is other than Phe
- the amino acid corresponding to or at position 54 is other than Gly
- the amino acid corresponding to or at position 57 is other than Met
- the amino acid corresponding to or at position 84 is other than Phe
- the amino acid corresponding to or at position 210 is other than Val
- the amino acid corresponding to or at position 212 is oth- er than Asn
- the amino acid corresponding to or at position 223 is other than Val
- the amino acid corresponding to or at position 243 is other than Val
- the amino acid corresponding to or at posi- tion 247 is other than Leu
- the amino acid corresponding to or at position 249 is other than Ser
- the amino acid corresponding to or at position 251 is other than Val
- the amino acid correspond- ing to or at position 264 is other than Asn
- the amino acid corresponding to or at position 291 is other than Leu
- the mutated HPPD comprises a variant of the sequence of SEQ ID NO: 50, or a homologue or functional equivalent thereof, in which:
- amino acid corresponding to or at position 367 is Val
- amino acid corresponding to or at position 375 is Leu.
- the mutated HPPD comprises a variant of the sequence of SEQ ID NO: 50, or a homologue or functional equivalent thereof, in which:
- amino acid corresponding to or at position 367 is Val
- amino acid corresponding to or at position 375 is Leu
- amino acid corresponding to or at position 39 is Leu.
- the mutated HPPD comprises a variant of the sequence of SEQ ID NO: 50, or a homologue or functional equivalent thereof, in which:
- amino acid corresponding to or at position 367 is Val
- amino acid corresponding to or at position 375 is Leu
- amino acid corresponding to or at position 39 is Trp.
- the mutated HPPD comprises a variant of the sequence of SEQ ID NO: 50, or a homologue or functional equivalent thereof, in which:
- the amino acid corresponding to or at position 345 is Ala, Arg, Asn, Asp, Cys, Gin, Gly, His, lie, Leu, Lys, Met, Phe, Pro, Ser, Thr, Trp, Tyr, or Val, particularly preferred Gin
- the mutated HPPD comprises a variant of the sequence of SEQ ID NO: 50, or a homologue or functional equivalent thereof, in which:
- the amino acid corresponding to or at position 345 is Gin, and the amino acid corresponding to or at position 341 is lie.
- the mutated HPPD comprises a variant of the sequence of SEQ ID NO: 50, or a homologue or functional equivalent thereof, in which: the amino acid corresponding to or at position 345 is Gin, and the amino acid corresponding to or at position 326 is Glu.
- the mutated HPPD comprises a variant of the sequence of SEQ ID NO: 50, or a homologue or functional equivalent thereof, in which:
- amino acid corresponding to or at position 345 is Gin
- amino acid corresponding to or at position 326 is Asp.
- the mutated HPPD comprises a variant of the sequence of SEQ ID NO: 50, or a homologue or functional equivalent thereof, in which:
- the amino acid corresponding to or at position 345 is Gin
- the amino acid corresponding to or at position 326 is Gin.
- the mutated HPPD comprises a variant of the sequence of SEQ ID NO: 50, or a homologue or functional equivalent thereof, in which:
- amino acid corresponding to or at position 318 is Arg, Asn, Asp, Cys, Gin, Glu, Gly, His, lie, Leu, Lys, Met, Phe, Pro, Ser, Thr, Trp, Tyr, or Val, particularly preferred Pro.
- the mutated HPPD comprises a variant of the sequence of SEQ ID NO: 50, or a homologue or functional equivalent thereof, in which:
- amino acid corresponding to or at position 319 is Arg, Asn, Asp, Cys, Gin, Glu, Gly, His, lie, Leu, Lys, Met, Phe, Pro, Ser, Thr, Trp, Tyr, Val, particularly preferred Pro.
- the mutated HPPD comprises a variant of the sequence of SEQ ID NO: 50, or a homologue or functional equivalent thereof, in which:
- amino acid corresponding to or at position 318 is Pro
- amino acid corresponding to or at position 319 is Pro
- the mutated HPPD comprises a variant of the sequence of SEQ ID NO: 50, or a homologue or functional equivalent thereof, in which:
- amino acid corresponding to or at position 321 is Ala, Arg, Asn, Asp, Cys, Gin, Glu, His, lie, Leu, Lys, Met, Phe, Pro, Ser, Thr, Trp, Tyr, or Val.
- the mutated HPPD comprises a variant of the sequence of SEQ ID NO: 50, or a homologue or functional equivalent thereof, in which:
- the amino acid corresponding to or at position 350 is Ala, Arg, Asn, Asp, Cys, Gin, Glu, Gly, His, lie, Lys, Met, Phe, Pro, Ser, Thr, Trp, Tyr, or Val, particularly preferred Met.
- the mutated HPPD comprises a variant of the sequence of SEQ ID NO: 50, or a homologue or functional equivalent thereof, in which:
- the amino acid corresponding to or at position 405 is Ala, Arg, Asn, Asp, Cys, Gin, Glu, His, lie, Leu, Lys, Met, Phe, Pro, Ser, Thr, Trp, Tyr, or Val.
- the mutated HPPD comprises a variant of the sequence of SEQ ID NO: 50, or a homologue or functional equivalent thereof, in which:
- the amino acid corresponding to or at position 251 is Ala, Arg, Asn, Asp, Cys, Gin, Glu, Gly, His, lie, Leu, Lys, Met, Phe, Pro, Ser, Thr, Trp, or Tyr, particularly preferred Ala.
- the mutated HPPD comprises a variant of the sequence of SEQ ID NO: 50, or a homologue or functional equivalent thereof, in which:
- the amino acid corresponding to or at position 317 is Ala, Arg, Asn, Asp, Cys, Glu, Gly, His, lie, Leu, Lys, Met, Phe, Pro, Ser, Thr, Trp, Tyr, or Val, particularly preferred His or Met.
- the mutated HPPD comprises a variant of the sequence of SEQ ID NO: 50, or a homologue or functional equivalent thereof, in which:
- the amino acid corresponding to or at position 379 is Ala, Arg, Asn, Asp, Cys, Gin, Gly, His, lie, Leu, Lys, Met, Phe, Pro, Ser, Thr, Trp, Tyr, or Val, particularly preferred Gin.
- the mutated HPPD comprises a variant of the sequence of SEQ ID NO: 50, or a homologue or functional equivalent thereof, in which:
- amino acid corresponding to or at position 350 is Met
- amino acid corresponding to or at position 318 is Arg
- the mutated HPPD comprises a variant of the sequence of SEQ ID NO: 50, or a homologue or functional equivalent thereof, in which:
- amino acid corresponding to or at position 350 is Met
- amino acid corresponding to or at position 318 is Gly
- the mutated HPPD comprises a variant of the sequence of SEQ ID NO: 50, or a homologue or functional equivalent thereof, in which:
- amino acid corresponding to or at position 350 is Met
- amino acid corresponding to or at position 318 is Arg
- amino acid corresponding to or at position 317 is Asn.
- the mutated HPPD comprises a variant of the sequence of SEQ ID NO: 50, or a homologue or functional equivalent thereof, in which:
- the amino acid corresponding to or at position 210 is Ala, Arg, Asn, Asp, Cys, Gin, Glu, Gly, His, lie, Leu, Lys, Met, Phe, Pro, Ser, Thr, Trp, or Tyr.
- the mutated HPPD comprises a variant of the sequence of SEQ ID NO: 50, or a homologue or functional equivalent thereof, in which:
- amino acid corresponding to or at position 317 is His
- amino acid corresponding to or at position 318 is Gly
- amino acid corresponding to or at position 345 is Gin.
- the mutated HPPD comprises a variant of the sequence of SEQ ID NO: 50, or a homologue or functional equivalent thereof, in which:
- the amino acid corresponding to or at position 317 is Met
- the amino acid corresponding to or at position 318 is Gly
- the amino acid corresponding to or at position 345 is Gin.
- the mutated HPPD comprises a variant of the sequence of SEQ ID NO: 50, or a homologue or functional equivalent thereof, in which:
- the amino acid corresponding to or at position 363 is Ala, Arg, Asn, Asp, Cys, Gin, Glu, Gly, His, lie, Leu, Lys, Met, Pro, Ser, Thr, Trp, Tyr, or Val, particularly preferred lie.
- the mutated HPPD comprises a variant of the sequence of SEQ ID NO: 50, or a homologue or functional equivalent thereof, in which:
- the amino acid corresponding to or at position 419 is Ala, Arg, Asn, Asp, Cys, Gin, Glu, Gly, His, Leu, Lys, Met, Phe, Pro, Ser, Thr, Trp, Tyr, or Val, particularly preferred Val.
- the mutated HPPD comprises a variant of the sequence of SEQ ID NO: 50, or a homologue or functional equivalent thereof, in which:
- amino acid corresponding to or at position 249 is Ala, Arg, Asn, Asp, Cys, Gin, Glu, Gly, His, lie, Leu, Lys, Met, Phe, Pro, Thr, Trp, Tyr, or Val.
- the mutated HPPD comprises a variant of the sequence of SEQ ID NO: 50, or a homologue or functional equivalent thereof, in which: the amino acid corresponding to or at position 247 is Ala, Arg, Asn, Asp, Cys, Gin, Glu, Gly, His, lie, Lys, Met, Phe, Pro, Ser, Thr, Trp, Tyr, or Val.
- the mutated HPPD comprises a variant of the sequence of SEQ ID NO: 50, or a homologue or functional equivalent thereof, in which:
- amino acid corresponding to or at position 407 is Ala, Arg, Asn, Asp, Cys, Gin, Glu, Gly, His, lie, Leu, Lys, Met, Pro, Ser, Thr, Trp, Tyr, or Val.
- the mutated HPPD comprises a variant of the sequence of SEQ ID NO: 50, or a homologue or functional equivalent thereof, in which:
- the amino acid corresponding to or at position 306 is Ala, Arg, Asn, Asp, Cys, Gin, Glu, Gly, lie, Leu, Lys, Met, Phe, Pro, Ser, Thr, Trp, Tyr, or Val, particularly preferred Lys.
- the mutated HPPD comprises a variant of the sequence of SEQ ID NO: 50, or a homologue or functional equivalent thereof, in which:
- amino acid corresponding to or at position 30 is Ala, Arg, Asn, Asp, Cys, Gin, Glu, Gly, His, lie, Leu, Lys, Met, Phe, Ser, Thr, Trp, Tyr, or Val.
- the mutated HPPD comprises a variant of the sequence of SEQ ID NO: 50, or a homologue or functional equivalent thereof, in which:
- amino acid corresponding to or at position 54 is Ala, Arg, Asn, Asp, Cys, Gin, Glu, His, lie, Leu, Lys, Met, Phe, Pro, Ser, Thr, Trp, Tyr, or Val.
- the mutated HPPD comprises a variant of the sequence of SEQ ID NO: 50, or a homologue or functional equivalent thereof, in which:
- amino acid corresponding to or at position 57 is Ala, Arg, Asn, Asp, Cys, Gin, Glu, Gly, His, lie, Leu, Lys, Phe, Pro, Ser, Thr, Trp, Tyr, or Val.
- the mutated HPPD comprises a variant of the sequence of SEQ ID NO: 50, or a homologue or functional equivalent thereof, in which:
- amino acid corresponding to or at position 84 is Ala, Arg, Asn, Asp, Cys, Gin, Glu, Gly, His, lie, Leu, Lys, Met, Pro, Ser, Thr, Trp, Tyr, or Val.
- the mutated HPPD comprises a variant of the sequence of SEQ ID NO: 50, or a homologue or functional equivalent thereof, in which:
- amino acid corresponding to or at position 212 is Ala, Arg, Asp, Cys, Gin, Glu, Gly, His, lie, Leu, Lys, Met, Phe, Pro, Ser, Thr, Trp, Tyr, or Val.
- the mutated HPPD comprises a variant of the sequence of SEQ ID NO: 50, or a homologue or functional equivalent thereof, in which:
- the amino acid corresponding to or at position 223 is Ala, Arg, Asn, Asp, Cys, Gin, Glu, Gly, His, lie, Leu, Lys, Met, Phe, Pro, Ser, Thr, Trp, or Tyr.
- the mutated HPPD comprises a variant of the sequence of SEQ ID NO: 50, or a homologue or functional equivalent thereof, in which:
- the amino acid corresponding to or at position 243 is Ala, Arg, Asn, Asp, Cys, Gin, Glu, Gly, His, lie, Leu, Lys, Met, Phe, Pro, Ser, Thr, Trp, or Tyr.
- the mutated HPPD comprises a variant of the sequence of SEQ ID NO: 50, or a homologue or functional equivalent thereof, in which:
- the amino acid corresponding to or at position 264 is Ala, Arg, Asp, Cys, Gin, Glu, Gly, His, lie, Leu, Lys, Met, Phe, Pro, Ser, Thr, Trp, Tyr, or Val.
- the mutated HPPD comprises a variant of the sequence of SEQ ID NO: 50, or a homologue or functional equivalent thereof, in which:
- amino acid corresponding to or at position 291 is Ala, Arg, Asn, Asp, Cys, Gin, Glu, Gly, His, lie, Lys, Met, Phe, Pro, Ser, Thr, Trp, Tyr, or Val.
- the mutated HPPD comprises a variant of the sequence of SEQ ID NO: 50, or a homologue or functional equivalent thereof, in which:
- amino acid corresponding to or at position 327 is Ala, Asn, Asp, Cys, Gin, Glu, Gly, His, lie, Leu, Lys, Met, Phe, Pro, Ser, Thr, Trp, Tyr, or Val.
- the mutated HPPD comprises a variant of the sequence of SEQ ID NO: 50, or a homologue or functional equivalent thereof, in which:
- the amino acid corresponding to or at position 331 is Ala, Arg, Asn, Asp, Cys, Gin, Glu, Gly, His, lie, Leu, Met, Phe, Pro, Ser, Thr, Trp, Tyr, or Val.
- the mutated HPPD comprises a variant of the sequence of SEQ ID NO: 50, or a homologue or functional equivalent thereof, in which:
- amino acid corresponding to or at position 342 is Arg, Asn, Asp, Cys, Gin, Glu, Gly, His, lie, Leu, Lys, Met, Phe, Pro, Ser, Thr, Trp, Tyr, or Val.
- the mutated HPPD comprises a variant of the sequence of SEQ ID NO: 50, or a homologue or functional equivalent thereof, in which:
- the amino acid corresponding to or at position 373 is Ala, Arg, Asn, Asp, Cys, Gin, Glu, Gly, His, Leu, Lys, Met, Phe, Pro, Ser, Thr, Trp, Tyr, or Val.
- the mutated HPPD comprises a variant of the sequence of SEQ ID NO: 50, or a homologue or functional equivalent thereof, in which:
- amino acid corresponding to or at position 374 is Ala, Arg, Asn, Asp, Cys, Gin, Glu, Gly, His, lie, Leu, Lys, Met, Pro, Ser, Thr, Trp, Tyr, or Val.
- the mutated HPPD comprises a variant of the sequence of SEQ ID NO: 50, or a homologue or functional equivalent thereof, in which:
- amino acid corresponding to or at position 410 is Ala, Arg, Asn, Asp, Cys, Gin, Glu, His, lie, Leu, Lys, Met, Phe, Pro, Ser, Thr, Trp, Tyr, or Val.
- the mutated HPPD comprises a variant of the sequence of SEQ ID NO: 50, or a homologue or functional equivalent thereof, in which:
- amino acid corresponding to or at position 412 is Ala, Arg, Asn, Asp, Cys, Gin, Glu, Gly, His, lie, Leu, Lys, Met, Pro, Ser, Thr, Trp, Tyr, or Val.
- the mutated HPPD comprises a variant of the sequence of SEQ ID NO: 50, or a homologue or functional equivalent thereof, in which:
- amino acid corresponding to or at position 414 is Ala, Arg, Asn, Asp, Cys, Gin, Gly, His, lie, Leu, Lys, Met, Phe, Pro, Ser, Thr, Trp, Tyr, or Val.
- the mutated HPPD comprises a variant of the sequence of SEQ ID NO: 50, or a homologue or functional equivalent thereof, in which:
- amino acid corresponding to or at position 421 is Ala, Arg, Asn, Asp, Cys, Gin, Gly, His, lie, Leu, Lys, Met, Phe, Pro, Ser, Thr, Trp, Tyr, or Val.
- the mutated HPPD comprises a variant of the sequence of SEQ ID NO: 50, or a homologue or functional equivalent thereof, in which: the amino acid corresponding to or at position 422 is Ala, Arg, Asn, Asp, Cys, Gin, Glu, Gly, His, lie, Leu, Lys, Met, Phe, Pro, Ser, Thr, Trp, or Val.
- the mutated HPPD comprises a variant of the sequence of SEQ ID NO: 50, or a homologue or functional equivalent thereof, in which:
- amino acid corresponding to or at position 251 is Ala
- amino acid corresponding to or at position 405 is Asp.
- the mutated HPPD comprises a variant of the sequence of SEQ ID NO: 50, or a homologue or functional equivalent thereof, in which:
- amino acid corresponding to or at position 327 is Gly
- amino acid corresponding to or at position 421 is Asp.
- the mutated HPPD comprises a variant of the sequence of SEQ ID NO: 50, or a homologue or functional equivalent thereof, in which:
- the amino acid corresponding to or at position 251 is Ala
- the amino acid corresponding to or at position 306 is Arg
- the amino acid corresponding to or at position 317 is Leu
- the amino acid corresponding to or at position 318 is Pro
- the amino acid corresponding to or at position 321 is Pro
- the amino acid corresponding to or at position 331 is Glu
- the ami- no acid corresponding to or at position 350 is Met.
- the mutated HPPD comprises a variant of the sequence of SEQ ID NO: 50, or a homologue or functional equivalent thereof, in which:
- amino acid corresponding to or at position 407 is Ala, Arg, Asn, Asp, Cys, Gin, Glu, Gly, His, lie, Leu, Lys, Met, Pro, Ser, Thr, Trp, Tyr, or Val.
- the encoded protein can be expressed recombinantly and the activity of the protein can be determined using, for example, assays described herein.
- amino acids corresponding to the amino acids listed in Table 4a and 4b, 4c, and 4d can be chosen to be substituted by any other amino acid by conserved amino acids, and more preferably by the amino acids of tables 4a and 4b, 4c, and 4d.
- Crop plants for example Clearfield® oilseed rape, tolerant to imidazolinones, for example imazamox, have been generated with the aid of classic breeding methods (muta- genesis).
- Crop plants such as soybeans, cotton, corn, beet and oilseed rape, resistant to glyphosate or glufosinate, which are available under the tradenames RoundupReady ® (glypho- sate) and Liberty Link ® (glufosinate) have been generated with the aid of genetic engineering methods.
- crop plants also includes plants which, with the aid of genetic en- gineering, produce one or more toxins, for example those of the bacterial strain Bacillus ssp.
- Toxins which are produced by such genetically modified plants include, for example, insecticidal proteins of Bacillus spp., in particular B.
- thuringiensis such as the endotoxins CrylAb, CrylAc, Cry1 F, Cry1 Fa2, Cry2Ab, Cry3A, Cry3Bb1 , Cry9c, Cry34Ab1 or Cry35Ab1 ; or vegetative insec- ticidal proteins (VIPs), for example VI P1 , VI P2, VI P3, or VIP3A; insecticidal proteins of nema- tode-colonizing bacteria, for example Photorhabdus spp.
- VIPs vegetative insec- ticidal proteins
- toxins of animal organisms for example wasp, spider or scorpion toxins
- fungal toxins for example from Strep- tomycetes
- plant lectins for example from peas or barley
- agglutinins proteinase inhibitors, for example trypsin inhibitors, serine protease inhibitors, patatin, cystatin or papain inhibitors, ribo- some-inactivating proteins (RIPs), for example ricin, corn-RIP, abrin, luffin, saporin or bryodin
- steroid-metabolizing enzymes for example 3-hydroxysteroid oxidase, ecdysteroid-IDP glycosyl transferase, cholesterol oxidase, ecdysone inhibitors, or HMG-CoA reductase
- ion channel blockers for example inhibitors of sodium channels or calcium channels
- receptors of the group consisting of sodium channels or calcium channels for example
- the methods for producing these genetical- ly modified plants are known to the person skilled in the art and disclosed, for example, in the publications mentioned above. Numerous of the toxins mentioned above bestow, upon the plants by which they are produced, tolerance to pests from all taxonomic classes of arthropods, in particular to beetles (Coeleropta), dipterans (Diptera) and butterflies (Lepidoptera) and to nematodes (Nematoda).
- WO 03/018810 MON 863 from Monsanto Europe S.A., Belgium (corn varieties which produce the toxin Cry3Bb1 ), IPC 531 from Monsanto Europe S.A., Belgium (cotton varieties which pro- prise a modified version of the toxin CrylAc) and 1507 from Pioneer Overseas Corporation, Belgium (corn varieties which produce the toxin Cry1 F and the PAT enzyme).
- crop plants also includes plants which, with the aid of genetic engineer- ing, produce one or more proteins which are more robust or have increased resistance to bacte- rial, viral or fungal pathogens, such as, for example, pathogenesis-related proteins (PR proteins, see EP-A 0 392 225), resistance proteins (for example potato varieties producing two resistance genes against Phytophthora infestans ⁇ xom the wild Mexican potato Solarium bulbocastanum) or T4 lysozyme (for example potato cultivars which, by producing this protein, are resistant to bacteria such as Erwinia amylvora).
- PR proteins pathogenesis-related proteins
- resistance proteins for example potato varieties producing two resistance genes against Phytophthora infestans ⁇ xom the wild Mexican potato Solarium bulbocastanum
- T4 lysozyme for example potato cultivars which, by producing this protein, are resistant to bacteria such as Erwinia amylvora.
- crop plants also includes plants whose productivity has been im- proved with the aid of genetic engineering methods, for example by enhancing the potential yield (for example biomass, grain yield, starch, oil or protein content), tolerance to drought, salt or other limiting environmental factors or resistance to pests and fungal, bacterial and viral pathogens.
- potential yield for example biomass, grain yield, starch, oil or protein content
- tolerance to drought for example drought, salt or other limiting environmental factors or resistance to pests and fungal, bacterial and viral pathogens.
- crop plants also includes plants whose ingredients have been modified with the aid of genetic engineering methods in particular for improving human or animal diet, for ex- ample by oil plants producing health-promoting long-chain omega 3 fatty acids or monounsatu- rated omega 9 fatty acids (for example Nexera ® oilseed rape).
- crop plants also includes plants which have been modified with the aid of ge- netic engineering methods for improving the production of raw materials, for example by in- creasing the amylopectin content of potatoes (Amflora ® potato).
- the compounds of formula I are also suitable for the defoliation and/or desiccation of plant parts, for which crop plants such as cotton, potato, oilseed rape, sunflower, soybean or field beans, in particular cotton, are suitable.
- crop plants such as cotton, potato, oilseed rape, sunflower, soybean or field beans, in particular cotton
- compositions for the desiccation and/or defoliation of plants processes for preparing these compositions and methods for desiccating and/or defoliating plants using the compounds of formula I.
- the compounds of formula I are particularly suitable for desiccating the above-ground parts of crop plants such as potato, oilseed rape, sunflower and soybean, but also cereals. This makes possible the fully mechanical harvesting of these important crop plants.
- the compounds according to the invention, the N-oxides or agriculturally suitable salts thereof are used for controlling at least one of the following undesired plants: Alopecurus myosuroiedes, Echinocloa crus-galli, Amaranthus retroflexus, Chenopodium album.
- the compounds of formula I, or the herbicidal compositions comprising the compounds of formula I can be used, for example, in the form of ready-to-spray aqueous solutions, powders, suspensions, also highly concentrated aqueous, oily or other suspensions or dispersions, emulsions, oil dispersions, pastes, dusts, materials for broadcasting, or granules, by means of spraying, atomizing, dusting, spreading, watering or treatment of the seed or mixing with the seed.
- the use forms depend on the intended purpose; in each case, they should ensure the finest possible distribution of the active ingredients according to the invention.
- the herbicidal compositions comprise a herbicidally effective amount of at least one compound of the formula I or an agriculturally useful salt of I, and auxiliaries which are customary for the formulation of crop protection agents.
- auxiliaries customary for the formulation of crop protection agents are inert auxiliaries, solid carriers, surfactants (such as dispersants, protective colloids, emulsifiers, wetting agents and tackifiers), organic and inorganic thickeners, bactericides, antifreeze agents, antifoams, if appropriate colorants and, for seed formulations, adhesives.
- surfactants such as dispersants, protective colloids, emulsifiers, wetting agents and tackifiers
- organic and inorganic thickeners such as bactericides, antifreeze agents, antifoams, if appropriate colorants and, for seed formulations, adhesives.
- thickeners i.e. compounds which impart to the formulation modified flow properties, i.e. high viscosity in the state of rest and low viscosity in motion
- polysaccharides such as xanthan gum (Kelzan® from Kelco), Rhodopol® 23 (Rhone Poulenc) or Veegum® (from R.T. Vanderbilt), and also organic and inorganic sheet minerals, such as Attaclay® (from Engelhardt).
- antifoams examples include silicone emulsions (such as, for example, Silikon ® SRE, Wacker or Rhodorsil® from Rhodia), long-chain alcohols, fatty acids, salts of fatty acids, organofluorine compounds and mixtures thereof.
- Bactericides can be added for stabilizing the aqueous herbicidal formulation.
- bactericides are bactericides based on diclorophen and benzyl alcohol hemiformal (Proxel® from ICI or Acticide® RS from Thor Chemie and Kathon® MK from Rohm & Haas), and also isothiazolinone derivates, such as alkylisothiazolinones and benzisothiazolinones (Acticide MBS from Thor Chemie).
- antifreeze agents are ethylene glycol, propylene glycol, urea or glycerol.
- colorants are both sparingly water-soluble pigments and water-soluble dyes. Examples which may be mentioned are the dyes known under the names Rhodamin B, C.l. Pigment Red 112 and C.l. Solvent Red 1 , and also pigment blue 15:4, pigment blue 15:3, pigment blue 15:2, pigment blue 15:1 , pigment blue 80, pigment yellow 1 , pigment yellow 13, pigment red 1 12, pigment red 48:2, pigment red 48:1 , pigment red 57:1 , pigment red 53:1 , pigment orange 43, pigment orange 34, pigment orange 5, pigment green 36, pigment green 7, pigment white 6, pigment brown 25, basic violet 10, basic violet 49, acid red 51 , acid red 52, acid red 14, acid blue 9, acid yellow 23, basic red 10, basic red 108.
- adhesives are polyvinylpyrrolidone, polyvinyl acetate, polyvinyl alcohol and tylose.
- Suitable inert auxiliaries are, for example, the following:
- mineral oil fractions of medium to high boiling point such as kerosene and diesel oil, furthermore coal tar oils and oils of vegetable or animal origin, aliphatic, cyclic and aromatic hydrocarbons, for example paraffin, tetrahydronaphthalene, alkylated naphthalenes and their derivatives, alkylated benzenes and their derivatives, alcohols such as methanol, ethanol, propanol, butanol and cyclohexanol, ketones such as cyclohexanone or strongly polar solvents, for example amines such as N-methylpyrrolidone, and water.
- paraffin tetrahydronaphthalene
- alkylated naphthalenes and their derivatives alkylated benzenes and their derivatives
- alcohols such as methanol, ethanol, propanol, butanol and cyclohexanol
- ketones such as cyclohexanone or strongly polar
- Solid carriers are mineral earths such as silicas, silica gels, silicates, talc, kaolin, limestone, lime, chalk, bole, loess, clay, dolomite, diatomaceous earth, calcium sulfate, magnesium sulfate and magnesium oxide, ground synthetic materials, fertilizers such as ammonium sulfate, ammonium phosphate, ammonium nitrate and ureas, and products of vegetable origin, such as cereal meal, tree bark meal, wood meal and nutshell meal, cellulose powders, or other solid carriers.
- mineral earths such as silicas, silica gels, silicates, talc, kaolin, limestone, lime, chalk, bole, loess, clay, dolomite, diatomaceous earth, calcium sulfate, magnesium sulfate and magnesium oxide, ground synthetic materials, fertilizers such as ammonium sulfate, ammonium phosphate, ammonium nitrate and urea
- Suitable surfactants adjuvants, wetting agents, tackifiers, dispersants and also
- emulsifiers are the alkali metal salts, alkaline earth metal salts and ammonium salts of aromatic sulfonic acids, for example lignosulfonic acids (e.g. Borrespers-types, Borregaard),
- dibutylnaphthalenesulfonic acid Nakal types, BASF SE
- fatty acids alkyl- and alkylarylsulfonates, alkyl sulfates, lauryl ether sulfates and fatty alcohol sulfates, and salts of sulfated hexa-, hepta- and octadecanols, and also of fatty alcohol glycol ethers, condensates of sulfonated naphthalene and its derivatives with formaldehyde, condensates of naphthalene or of the naphthalenesulfonic acids with phenol and formaldehyde, polyoxyethylene octylphenol ether, ethoxylated isooctyl-, octyl- or nonylphenol, alkylphenyl or tributylphenyl polyglycol ether, alkylaryl polyether alcohols, iso
- methylcellulose methylcellulose
- hydrophobically modified starches polyvinyl alcohol (Mowiol types Clariant), polycarboxylates (BASF SE, Sokalan types), polyalkoxylates, polyvinylamine (BASF SE, Lupamine types), polyethyleneimine (BASF SE, Lupasol types), polyvinylpyrrolidone and copolymers thereof.
- Powders, materials for broadcasting and dusts can be prepared by mixing or grinding the active ingredients together with a solid carrier.
- Granules for example coated granules, impregnated granules and homogeneous granules, can be prepared by binding the active ingredients to solid carriers.
- Aqueous use forms can be prepared from emulsion concentrates, suspensions, pastes, wettable powders or water-dispersible granules by adding water.
- emulsions, pastes or oil dispersions the compounds of formula I or la, either as such or dissolved in an oil or solvent, can be homogenized in water by means of a wetting agent, tackifier, dispersant or emulsifier.
- concentrates comprising active substance, wetting agent, tackifier, dispersant or emulsifier and, if desired, solvent or oil, which are suitable for dilution with water.
- concentrations of the compounds of formula I in the ready-to-use preparations can be varied within wide ranges.
- the formulations comprise from 0.001 to 98% by weight, preferably 0.01 to 95% by weight of at least one active compound.
- the active compounds are employed in a purity of from 90% to 100%, preferably 95% to 100% (according to NMR spectrum).
- the formulations or ready-to-use preparations may also comprise acids, bases or buffer systems, suitable examples being phosphoric acid or sulfuric acid, or urea or ammonia.
- the compounds of formula I of the invention can for example be formulated as follows:
- active compound 10 parts by weight of active compound are dissolved in 90 parts by weight of water or a water- soluble solvent. As an alternative, wetters or other adjuvants are added. The active compound dissolves upon dilution with water. This gives a formulation with an active compound content of 10% by weight.
- active compound 20 parts by weight of active compound are dissolved in 70 parts by weight of cyclohexanone with addition of 10 parts by weight of a dispersant, for example polyvinylpyrrolidone. Dilution with water gives a dispersion.
- a dispersant for example polyvinylpyrrolidone.
- the active compound content is 20% by weight.
- active compound 15 parts by weight of active compound are dissolved in 75 parts by weight of an organic solvent (e.g. alkylaromatics) with addition of calcium dodecylbenzenesulfonate and castor oil ethoxylate (in each case 5 parts by weight). Dilution with water gives an emulsion.
- the formulation has an active compound content of 15% by weight.
- active compound 25 parts by weight of active compound are dissolved in 35 parts by weight of an organic solvent (e.g. alkylaromatics) with addition of calcium dodecylbenzenesulfonate and castor oil ethoxylate (in each case 5 parts by weight).
- organic solvent e.g. alkylaromatics
- calcium dodecylbenzenesulfonate and castor oil ethoxylate in each case 5 parts by weight.
- This mixture is introduced into 30 parts by weight of water by means of an emulsifier (e.g. Ultraturrax) and made into a homogeneous emulsion. Dilution with water gives an emulsion.
- emulsifier e.g. Ultraturrax
- active compound 20 parts by weight of active compound are comminuted with addition of 10 parts by weight of dispersants and wetters and 70 parts by weight of water or an organic solvent to give a fine active compound suspension. Dilution with water gives a stable suspen- sion of the active compound.
- the active compound content in the formulation is 20% by weight.
- active compound 50 parts by weight of active compound are ground finely with addition of 50 parts by weight of dispersants and wetters and made into water-dispersible or water-soluble granules by means of technical appliances (for example extrusion, spray tower, fluidized bed). Dilution with water gives a stable dispersion or solution of the active compound.
- the formulation has an active compound content of 50% by weight.
- active compound 75 parts by weight of active compound are ground in a rotor-stator mill with addition of 25 parts by weight of dispersants, wetters and silica gel. Dilution with water gives a stable dispersion or solution of the active compound.
- the active compound content of the formulation is 75% by weight.
- Dusts 5 parts by weight of active compound are ground finely and mixed intimately with 95 parts by weight of finely divided kaolin. This gives a dusting powder with an active compound content of 5% by weight.
- active compound 0.5 parts by weight are ground finely and associated with 99.5 parts by weight of carriers. Current methods here are extrusion, spray-drying or the fluidized bed. This gives granules to be applied undiluted with an active compound content of 0.5% by weight.
- the compounds of formula I or the herbicidal compositions comprising them can be applied pre- or post-emergence, or together with the seed of a crop plant. It is also possible to apply the herbicidal compositions or active compounds by applying seed, pretreated with the herbicidal compositions or active compounds, of a crop plant. If the active compounds are less well tolerated by certain crop plants, application techniques may be used in which the herbicidal compositions are sprayed, with the aid of the spraying equipment, in such a way that as far as possible they do not come into contact with the leaves of the sensitive crop plants, while the active compounds reach the leaves of undesirable plants growing underneath, or the bare soil surface (post-directed, lay-by).
- the compounds of formula I or the herbicidal compositions can be applied by treating seed.
- the treatment of seed comprises essentially all procedures familiar to the person skilled in the art (seed dressing, seed coating, seed dusting, seed soaking, seed film coating, seed multi- layer coating, seed encrusting, seed dripping and seed pelleting) based on the compounds of formula I according to the invention or the compositions prepared therefrom.
- seed dressing seed coating, seed dusting, seed soaking, seed film coating, seed multi- layer coating, seed encrusting, seed dripping and seed pelleting
- the herbicid- al compositions can be applied diluted or undiluted.
- seed comprises seed of all types, such as, for example, corns, seeds, fruits, tu- bers, cuttings and similar forms.
- seed describes corns and seeds.
- the seed used can be seed of the useful plants mentioned above, but also the seed of transgenic plants or plants obtained by customary breeding methods.
- the rates of application of active compound are from 0.001 to 3.0, preferably 0.01 to 1.0, kg/ha of active substance (a.s.), depending on the control target, the season, the target plants and the growth stage.
- the compounds of formula I are generally employed in amounts of from 0.001 to 10 kg per 100 kg of seed.
- Safeners are chemical compounds which prevent or reduce damage to useful plants without substantially affecting the herbicidal action of the compounds of formula I on unwanted plants. They can be used both before sowing (for example in the treatment of seed, or on cut- tings or seedlings) and before or after the emergence of the useful plant. The safeners and the compounds of formula I can be used simultaneously or in succession.
- Suitable safeners are, for example, (quinolin-8-oxy)acetic acids, 1 -phenyl-5-haloalkyl-1 A ,2,4- triazole-3-carboxylic acids, 1 -phenyl-4, 5-d i hyd ro-5-a I kyl- 1 A pyrazole-S ⁇ -dicarboxylic acids, 4,5- dihydro-5,5-diaryl-3-isoxazolecarboxylic acids, dichloroacetamides, alpha- oximinophenylacetonitriles, acetophenone oximes, 4,6-dihalo-2-phenylpyrimidines, N-[[4- (aminocarbonyl)phenyl]sulfonyl]-2-benzamides, 1 ,8-naphthalic anhydride, 2-halo-4-(haloalkyl)-5- thiazolecarboxylic acids, phosphorothiolates and O-phenyl
- the compounds of the formula I can be mixed and/or jointly applied with numerous representatives of other herbicidal or growth-regulating groups of active compounds or with safeners.
- Suitable mixing partners are, for example, 1 ,2,4-thiadiazoles, 1 ,3,4-thiadiazoles, amides, aminophosphoric acid and its deriv- atives, aminotriazoles, anilides, aryloxy/heteroaryloxyalkanoic acids and their derivatives, ben- zoic acid and its derivatives, benzothiadiazinones, 2-(hetaroyl/aroyl)-1 ,3-cyclohexanediones, heteroaryl aryl ketones, benzylisoxazolidinones, meta-CF3-phenyl derivatives, carbamates, quinoline carboxylic acid and its derivatives, chloroacetanilides, cyclohexenone oxime ether derivates, di
- herbicides which can be used in combination with the benzamide corn- pounds of formula I according to the present invention are:
- ametryn amicarbazone, atrazine, bentazone, bentazone-sodium, bromacil, bromofenoxim, bromoxynil and its salts and esters, chlorobromuron, chloridazone, chlorotoluron, chloroxuron, cyanazine, desmedipham, desmetryn, dimefuron, dimethametryn, diquat, diquat-dibromide, di- uron, fluometuron, hexazinone, ioxynil and its salts and esters, isoproturon, isouron, karbutilate, lenacil, linuron, metamitron, methabenzthiazuron, metobenzuron, metoxuron, metribuzin, mono- linuron, neburon, paraquat, paraquat-dichloride, paraquat-dimetilsulfate, pentanochlor, phen- medipham,
- acifluorfen acifluorfen-sodium, azafenidin, bencarbazone, benzfendizone, bifenox, butafenacil, carfentrazone, carfentrazone-ethyl, chlomethoxyfen, cinidon-ethyl, fluazolate, flufenpyr, flufenpyr-ethyl, flumiclorac, flumiclorac-pentyl, flumioxazin, fluoroglycofen, fluoroglycofen-ethyl, fluthiacet, fluthiacet-methyl, fomesafen, halosafen, lactofen, oxadiargyl, oxadiazon, oxyfluorfen, pentoxazone, profluazol, pyraclonil, pyraflufen, pyraflufen-ethyl, saflufenacil, sulfentrazone,
- glyphosate glyphosate, glyphosate-isopropylammonium and glyphosate-trimesium (sulfosate);
- bilanaphos (bialaphos), bilanaphos-sodium, glufosinate and glufosinate-ammonium;
- amiprophos amiprophos-methyl, benfluralin, butamiphos, butralin, carbetamide, chlorpropham, chlorthal, chlorthal-dimethyl, dinitramine, dithiopyr, ethalfluralin, fluchloralin, oryzalin, pendime- thalin, prodiamine, propham, propyzamide, tebutam, thiazopyr and trifluralin;
- acetochlor alachlor, anilofos, butachlor, cafenstrole, dimethachlor, dimethanamid, dimethena- mid-P, diphenamid, fentrazamide, flufenacet, mefenacet, metazachlor, metolachlor,
- metolachlor-S metolachlor-S, naproanilide, napropamide, pethoxamid, piperophos, pretilachlor, propachlor, propisochlor, pyroxasulfone (KIH-485) and thenylchlor;
- Y is phenyl or 5- or 6-membered heteroaryl as defined at the outset, which radicals may be substituted by one to three groups R aa ; R 21 ,R 22 ,R 23 ,R 24 are H, halogen or Ci-C 4 -alkyl; X is O or NH; n is 0 or 1 .
- R 21 ,R 22 ,R 23 ,R 24 are H, Cl, F or CH 3 ;
- R 25 is halogen, Ci-C 4 -alkyl or Ci-C 4 -haloalkyl;
- R 26 is C1-C4- alkyl;
- R 27 is halogen, Ci-C4-alkoxy or Ci-C4-haloalkoxy;
- R 28 is H, halogen, Ci-C4-alkyl, C1-C4- haloalkyl or Ci-C4-haloalkoxy;
- m is 0, 1 , 2 or 3;
- X is oxygen;
- n is 0 or 1 .
- Preferred compounds of the formula 2 have the following meanings:
- R 21 is H; R 22 ,R 23 are F; R 24 is H or F; X is oxygen; n is 0 or 1 .
- Particularly preferred compounds of the formula 2 are:
- auxin transport inhibitors diflufenzopyr, diflufenzopyr-sodium, nap- talam and naptalam-sodium;
- Examples of preferred safeners C are benoxacor, cloquintocet, cyometrinil, cyprosulfamide, dichlormid, dicyclonone, dietholate, fenchlorazole, fenclorim, flurazole, fluxofenim, furilazole, isoxadifen, mefenpyr, mephenate, naphthalic anhydride, oxabetrinil, 4-(dichloroacetyl)-1-oxa-4- azaspiro[4.5]decane (H-1 1 ; MON4660, CAS 71526-07-3) and 2,2,5-trimethyl-3-(dichloroacetyl)- 1 ,3-oxazolidine (H-12; R-29148, CAS 52836-31-4).
- the active compounds of groups b1 ) to b15) and the safeners C are known herbicides and safeners, see, for example, The Compendium of Pesticide Common Names
- the invention also relates to compositions in the form of a crop protection composition formulat- ed as a 1 -component composition comprising an active compound combination comprising at least one benzamide compound of the formula I and at least one further active compound, pref- erably selected from the active compounds of groups b1 to b15, and at least one solid or liquid carrier and/or one or more surfactants and, if desired, one or more further auxiliaries customary for crop protection compositions.
- the invention also relates to compositions in the form of a crop protection composition formulat- ed as a 2-component composition
- a first component comprising at least one corn- pound of the formula I, a solid or liquid carrier and/or one or more surfactants and a second component comprising at least one further active compound selected from the active corn- pounds of groups b1 to b15, a solid or liquid carrier and/or one or more surfactants, where addi- tionally both components may also comprise further auxiliaries customary for crop protection compositions.
- the weight ratio of the active compounds A:B is generally in the range of from 1 :1000 to 1000:1 , preferably in the range of from 1 :500 to 500:1 , in particular in the range of from 1 :250 to 250:1 and particularly preferably in the range of from 1 :75 to 75:1.
- the weight ratio of the active compounds A:C is generally in the range of from 1 :1000 to 1000:1 , preferably in the range of from 1 :500 to 500:1 , in particular in the range of from 1 :250 to 250:1 and particularly preferably in the range of from 1 :75 to 75:1.
- the relative parts by weight of the com- ponents A:B are generally in the range of from 1 :1000 to 1000:1 , preferably in the range of from 1 :500 to 500:1 , in particular in the range of from 1 :250 to 250:1 and particularly preferably in the range of from 1 :75 to 75:1 ;
- the weight ratio of the components A:C is generally in the range of from 1 :1000 to 1000:1 , preferably in the range of from 1 :500 to 500:1 , in particular in the range of from 1 :250 to 250:1 and particularly preferably in the range of from 1 :75 to 75:1 ;
- the weight ratio of the components B:C is generally in the range of from 1 :1000 to 1000:1 , prefera- bly in the range of from 1 :500 to 500:1 , in particular in the range of from 1 :250
- the weight ratio of the compo- nents A + B to the component C is in the range of from 1 :500 to 500:1 , in particular in the range of from 1 :250 to 250:1 and particularly preferably in the range of from 1 :75 to 75:1.
- compositions according to the invention comprising in each case one individualized compound of the formula I and one mixing partner or a mixing partner combination are given in Table B below.
- a further aspect of the invention relates to the compositions B-1 to B-1236 listed in Table B be- low, where in each case one row of Table B corresponds to a herbicidal composition comprising one of the compounds of formula I individualized in the above description (component 1) and the further active compound from groups b1) to b15) and/or safener C stated in each case in the row in question (component 2).
- the active compounds in the compositions described are in each case preferably present in synergistically effective amounts.
- the compounds of formula I and the compositions according to the invention may also have a plant-strengthening action. Accordingly, they are suitable for mobilizing the defense sys- tem of the plants against attack by unwanted microorganisms, such as harmful fungi, but also viruses and bacteria.
- Plant-strengthening (resistance-inducing) substances are to be under- stood as meaning, in the present context, those substances which are capable of stimulating the defense system of treated plants in such a way that, when subsequently inoculated by un- wanted microorganisms, the treated plants display a substantial degree of resistance to these microorganisms.
- the compounds of formula I can be employed for protecting plants against attack by un- wanted microorganisms within a certain period of time after the treatment.
- the period of time within which their protection is effected generally extends from 1 to 28 days, preferably from 1 to 14 days, after the treatment of the plants with the compounds of formula I, or, after treatment of the seed, for up to 9 months after sowing.
- the compounds of formula I and the compositions according to the invention are also suitable for increasing the harvest yield.
- HPLC-MS high performance liquid chromatography coupled with mass spectrometry;
- HPLC column 15 RP-18 column (Chromolith Speed ROD from Merck KgaA, Germany), 50 * 4.6 mm;
- mobile phase acetonitrile + 0.1 % trifluoroacetic acid (TFA)/water + 0.1 % TFA, using a gradient from 5:95 to 100:0 over 5 minutes at 40'C, flow rate 1.8 ml/min.
- 3-Benzyloxy-2,4-dichloro-benzoic acid (32.4 g, 0.109 mol) of step 2 was dissolved in 280 ml of toluene.
- Thionylchloride 39.3 ml, 0.54 mol was dosed at 80°C. After stirring overnight at 80°C the volatiles were evaporated and the crude product was obtained as a yellow wax and used as such in the next step.
- Step 4 3-Benzyloxy-2,4-dichloro-6-fluoro-N-(1 -methyltetrazol-5-yl)-benzamide
- Step 6 [2,6-Dichloro-3-[(1 -methyltetrazol-5-yl)carbamoyl]phenyl] (2S,6R)-2,6- dimethylmorpholine-4-carboxylate
- Table III Compounds of the general formula I wherein Q is Q 4 , R 1 is Cl, R 4 is H, R 5 is methyl and R 2 and R 3 are as defined in the table
- # denotes the attachment point to the oxygen atom.
- the culture containers used were plastic flowerpots containing loamy sand with approxi- mately 3.0% of humus as the substrate.
- the seeds of the test plants were sown separately for each species.
- the active ingredients which had been suspended or emulsified in water, were applied directly after sowing by means of finely distributing nozzles.
- the containers were irrigated gently to promote germination and growth and subsequently cov- ered with transparent plastic hoods until the plants had rooted. This cover caused uniform ger- mination of the test plants, unless this had been impaired by the active ingredients.
- test plants were first grown to a height of 3 to 15 cm, depending on the plant habit, and only then treated with the active ingredients which had been suspended or emulsified in water.
- the test plants were either sown di- rectly and grown in the same containers, or they were first grown separately as seedlings and transplanted into the test containers a few days prior to treatment.
- the plants were kept at 10 - 25°C or 20 - 25°C, respectively.
- the test period extended over 2 to 4 weeks. During this time, the plants were tended, and their response to the individual treatments was evaluated.
- Evaluation was carried out using a scale from 0 to 100. 100 means no emergence of the plants, or complete destruction of at least the aerial moieties, and 0 means no damage, or nor- mal course of growth. A good herbicidal activity is given at values of at least 70 and a very good herbicidal activity is given at values of at least 85.
Landscapes
- Chemical & Material Sciences (AREA)
- Organic Chemistry (AREA)
- Agricultural Chemicals And Associated Chemicals (AREA)
- Plural Heterocyclic Compounds (AREA)
Abstract
The present invention relates to benzamide compounds of formula (I) wherein the variables are defined as in the claims and the description, the N-oxides and salts thereof, and to compositions comprising the same. The invention also relates to the use of the benzamide compounds or of the compositions comprising such compounds for controlling unwanted vegetation, and to a method for controlling unwanted vegetation by applying said compounds or compositions.
Description
Benzamide compounds and their use as herbicides
Description
The present invention relates to benzamide compounds carrying on the phenyl ring an O- bound group containing a cyclic amide motif, to be more precise an O-bound carbamate group derived from a cyclic amine, or an alkoxy group substituted by a an amide group derived from a cyclic amine, or a lactam-oxy group; the N-oxides and salts thereof, and to compositions comprising the same. The invention also relates to the use of said benzamide compounds or of the compositions comprising such compounds for controlling unwanted vegetation, and to a method for controlling unwanted vegetation by applying said compounds or compositions.
For the purposes of controlling unwanted vegetation, especially in crops, there is an ongo- ing need for new herbicides which have high activities and selectivities together with a substan- tial lack of toxicity for humans and animals.
WO 2012/028579, WO 2013/017559, WO 2013/064457, WO 2013/124245 and
WO 2013/174845 describe N-(tetrazol-5-yl)- and N-(triazol-5-yl)benzamides carrying substitu- ents in the 2- and 4-positions and optionally also in the 3-position of the phenyl ring and their use as herbicides. WO 2013/124245 moreover also relates to N-(1 ,3,4-oxadiazol-2-yl)- benzamides. WO 2011/035874 relates to N-(1 ,2,5-oxadiazol-3-yl)-benzamides carrying substit- uents in the 2-, 3- and 4-positions. None of the above-listed references describes benzamide compounds which carry in the 3-position of the phenyl ring an O-bound group containing a cy- clic amide motif (cyclic amide meaning in this context that the nitrogen atom of the amide group is part of a ring).
The compounds of the prior art often suffer from insufficient herbicidal activity in particular at low application rates and/or unsatisfactory selectivity resulting in a low compatibility with crop plants.
Accordingly, it was an object of the present invention to provide further benzamide corn- pounds having a strong herbicidal activity, in particular even at low application rates, a suffi- ciently low toxicity for humans and animals and/or a high compatibility with crop plants. The benzamide compounds should also show a broad activity spectrum against a large number of different unwanted plants.
These and further objectives are achieved by the compounds of formula I defined below and their agriculturally suitable salts.
wherein
Q is selected from the group consisting of radicals of the formulae Q1, Q2, Q3 and Q4;
4
(Q1) (Q2) (Q3) (Q ) where # in formulae Q1, Q2, Q3 and Q4 indicates the point of attachment to the nitrogen atom (of the NH-CO group);
R1 is selected from the group consisting of cyano, halogen, nitro, C-i-Cs-alkyl, C-i-Cs-haloalkyl, C2-C8-alkenyl, C2-C8-alkynyl, Ci-C4-alkoxy-Ci-C4-alkyl, Ci-C4-haloalkoxy-Ci-C4-alkyl, Ci- Cs-alkoxy, Ci-C6-haloalkoxy, Ci-C4-alkoxy-Ci-C4-alkoxy-Z1- and R1 b-S(0)k-Z1-;
R2 is a radical of the formula R.2;
R3 is selected from the group consisting of hydrogen, cyano, thiocyanato, halogen, nitro, hy- droxy-Z3-, Ci-C6-alkyl, C-i-Cs-haloalkyl, Ci-C4-cyanoalkyl, C2-Cs-alkenyl, C2-Cs-haloalkenyl, C2-Cs-alkynyl, C3-C8-haloalkynyl, C3-Cio-cycloalkyl-Z3-, C3-C6-cycloalkenyl-Z3-, C3-Cio- cycloalkoxy-Z3-, C3-Cio-cycloalkyl-Ci-C2-alkoxy, where the cyclic groups of the four afore- mentioned radicals are unsubstituted or partially or completely halogenated; C-i-Cs-alkoxy- Z3-, C-i-Cs-haloalkoxy-Z3-, Ci-C4-alkoxy-Ci-C4-alkoxy-Z3-, Ci-C4-haloalkoxy-Ci-C4-alkoxy- Z3-, C2-C8-alkenyloxy-Z3-, C2-C8-haloalkenyloxy-Z3-, C2-C8-alkynyloxy-Z3-, C3-Cs- oxy-Z3- , R3b-S(0)k-Z3-, R3c-C(0)-Z3-, R3d0-C(0)-Z3-, R3dO-N=CH-Z3-, R3eR3fN- ¾R3hN-Z3-, R22C(0)0-Z3-, R250C(0)0-Z3-, (R22)2NC(0)0-Z3-, R25S(0)20-Z3-,
Z3-, (R22)2NS(0)2-Z3-, R250C(0)N(R22)-Z3-, (R22)2NC(0)N(R22)-Z3-,
(R22)2NS(0)2N(R22)-Z3-, (0H)2P(0)-Z3-, (Ci-C4-alkoxy)2P(0)-Z3-, phenyl-Z3a- and heterocy- clyl-Z3a-, where heterocyclyl is a 3-, 4-, 5- or 6-membered monocyclic or a 8-, 9- or 10- membered bicyclic saturated, partially unsaturated or aromatic heterocycle which contains 1 , 2, 3 or 4 heteroatoms selected from the group consisting of O, N and S as ring mem- bers, where the cyclic groups in phenyl-Z3a- and heterocyclyl-Z3a- are unsubstituted or substituted by 1 , 2, 3 or 4 groups R21 which are identical or different;
R4 is selected from the group consisting of hydrogen, halogen, cyano-Z1, nitro, C-i-Cs-alkyl, C-i-Cs-haloalkyl, C3-C7-cycloalkyl, C3-C7-cycloalkyl-Ci-C4-alkyl, where the C3-C7-cycloalkyl groups in the two aforementioned radicals are unsubstituted or partially or completely hal- ogenated; C2-C8-alkenyl, C2-C8-alkynyl, Ci-C3-alkylamino, di-(Ci-C3-alkyl)-amino, C1-C3- aikylamino-S(0)k-, Ci-C3-alkylcarbonyl, Ci-Cs-alkoxy, Ci-C6-haloalkoxy, Ci-C4-alkoxy-C-i- C4-alkyl, Ci-C4-haloalkoxy-Ci-C4-alkyl, Ci-C4-alkoxy-Ci-C4-alkoxy-Z1-, Ci-C4-haloalkoxy- Ci-C4-alkoxy-Z1-, Ci-C4-alkylthio-Ci-C4-alkylthio-Z1-, C2-C6-alkenyloxy, C2-C6-alkynyloxy, R1b-S(0)k-Z1-, phenoxy-Z1- and heterocyclyloxy-Z1-, where heterocyclyloxy is a 5- or 6- membered monocyclic or 8-, 9- or 10-membered bicyclic saturated, partially unsaturated or aromatic heterocycle which is bound to the remainder of the molecule via an oxygen atom and which contains 1 , 2, 3 or 4 heteroatoms selected from the group consisting of O, N and S as ring members, where the cyclic groups in phenoxy and heterocyclyloxy are unsubstituted or substituted by 1 , 2, 3 or 4 groups R11 which are identical or different; each R5 is independently selected from the group consisting of Ci-C6-alkyl, Ci-C6-haloalkyl, C3- C7-cycloalkyl, C3-C7-cycloalkyl-Ci-C4-alkyl, where the C3-C7-cycloalkyl groups of the two aforementioned radicals are unsubstituted or partially or completely halogenated; C2-C&- alkenyl, C2-C6-haloalkenyl, C2-C6-alkynyl, C3-C6-haloalkynyl, Ci-C4-alkoxy-Ci-C4-alkyl, C1- C4-haloalkoxy-Ci-C4-alkyl, Rb-S(0)n-Ci-C3-alkyl, phenyl and benzyl, where phenyl and benzyl are unsubstituted or substituted by 1 , 2, 3 or 4 groups which are identical or differ- ent and selected from the group consisting of halogen, Ci-C4-alkyl, Ci-C4-haloalkyl, Ci-C4- alkoxy and Ci-C4-haloalkoxy;
Z1, Z3, independently of each other, are selected from the group consisting of a covalent bond and Ci-C4-alkanediyl which is unsubstituted or is partly or completely fluorinated;
Z2 is a covalent bond or linear Ci-C4-alkanediyl, where the Ci-C4-alkanediyl group is unsub- stituted or partly or completely fluorinated or substituted by 1 , 2, 3 or 4 groups Rz; or
Z2 is CH-R2c;
Z3a is selected from the group consisting of a covalent bond, Ci-C4-alkanediyl, 0-Ci-C4- alkanediyl, Ci-C4-aikanediyl-0 and Ci-C4-aikanediyl-0-Ci-C4-alkanediyl; in case that Z2 is a covalent bond or linear Ci-C4-alkanediyl which is unsubstituted or partly or completely fluorinated or substituted by 1 , 2, 3 or 4 groups Rz:
R2a and R2b, together with the nitrogen atom to which they are bound, form a 4-, 5-, 6-, 7- or 8- membered saturated or partially unsaturated heterocyclic radical which may contain a fur- ther heteroatom selected from the group consisting of O, S and N as a ring member, where the heterocyclic radical is unsubstituted or carries 1 , 2, 3 or 4 groups R2e, or carries 1 group R2f and 0, 1 , 2 or 3 groups R2e; and in case that Z2 is CHR2c:
R2b and R2c form together a linear Ci-C3-alkanediyl group which is unsubstituted or substituted by 1 or 2 groups R2d; and simultaneously
R2a is selected from the group consisting of hydrogen, Ci-C6-alkyl, Ci-C6-haloalkyl, C1-C6- cyanoalkyl, C3-C7-cycloalkyl, C3-C7-cycloalkyl-Ci-C4-alkyl, where the C3-C7-cycloalkyl groups in the two aforementioned radicals are unsubstituted or partially or completely hal- ogenated; C2-C6-alkenyl, C2-C6-haloalkenyl, C2-C6-alkynyl, C3-C6-haloalkynyl, C1-C6- alkoxy, Ci-C4-alkoxy-Ci-C4-alkyl, Ci-C4-alkyl-S(0)n-Ci-C4-alkyl, Ci-C4-alkylamino-Ci-C4- alkyl, di-(Ci-C4-alkyl)-amino-Ci-C4-alkyl, R3c-C(0)-Ci-C4-alkyl, R3d0-C(0)-Ci-C4-alkyl, R3eR3fN-C(0)-Ci-C4-alkyl, R3eR3fNS(0)2-Ci-C4-alkyl, phenyl, benzyl, heterocyclyl and het- erocyclylmethyl, where heterocyclyl in the last two mentioned radicals is a 5- or 6- membered monocyclic saturated, partially unsaturated or aromatic heterocycle containing 1 , 2, 3 or 4 heteroatoms selected from the group consisting of O, N and S as ring mem- bers, where phenyl, benzyl and heterocyclyl are unsubstituted or substituted by 1 , 2, 3 or 4 groups which are identical or different and selected from the group consisting of halogen, Ci-C4-alkyl, Ci-C4-haloalkyl, Ci-C4-alkoxy and Ci-C4-haloalkoxy; each R2d is independently selected from the group consisting of halogen, Ci-C4-alkyl and C1-C4- haloalkyl; each R2e is independently selected from the group consisting of halogen, CN, Ci-C4-alkyl, C1- C4-haloalkyl, Ci-C4-alkoxy and Ci-C4-haloalkoxy;
R2f is selected from the group consisting of =0, R4b-S(0)k-, R4c-C(0)-,
R4dO-C(0)-, R4eR4fN-C(0)-, R49R4hN- and R4eR4fNS(0)2-
(where R2e and R2f can be bound to a carbon ring atom of the heterocyclic radical and/or to the optionally present additional nitrogen ring atom; where in case that R2e or R2f is bound to the nitrogen ring atom, R2e is not halogen and R2f is not =0);
Rb, R1b, R3b and R4b, independently of each other, are selected from the group consisting of C1- C6-alkyl, Ci-C6-haloalkyl, C3-C7-cycloalkyl, C2-C6-alkenyl, C2-C6-haloalkenyl, C2-C6-alkynyl, C3-C6-haloalkynyl, phenyl and heterocyclyl, where heterocyclyl is a 5- or 6-membered monocyclic saturated, partially unsaturated or aromatic heterocycle containing 1 , 2, 3 or 4 heteroatoms selected from the group consisting of O, N and S as ring members, where phenyl and heterocyclyl are unsubstituted or substituted by 1 , 2, 3 or 4 groups which are
identical or different and selected from the group consisting of halogen, Ci-C4-alkyl, C1-C4- haloalkyl, Ci-C4-alkoxy and Ci-C4-haloalkoxy;
R3c and R4c, independently of each other, are selected from the group consisting of hydrogen, Ci-C6-alkyl, Ci-C6-haloalkyl, Ci-C6-cyanoalkyl, C3-C7-cycloalkyl, C3-C7-cycloalkyl-Ci-C4- alkyl, where the C3-C7-cycloalkyl groups in the two aforementioned radicals are unsubsti- tuted or partially or completely halogenated; C2-C6-alkenyl, C2-C6-haloalkenyl, C2-C6- alkynyl, C3-C6-haloalkynyl, Ci-C6-alkoxy, Ci-C4-alkoxy-Ci-C4-alkyl, Ci-C4-alkyl-S(0)n-Ci- C4-alkyl, Ci-C4-alkylamino-Ci-C4-alkyl, di-(Ci-C4-alkyl)-amino-Ci-C4-alkyl, phenyl, benzyl and heterocyclyl, where heterocyclyl is a 5- or 6-membered monocyclic saturated, partially unsaturated or aromatic heterocycle which contains 1 , 2, 3 or 4 heteroatoms selected from the group consisting of O, N and S as ring members, where phenyl, benzyl and het- erocyclyl are unsubstituted or substituted by 1 , 2, 3 or 4 groups which are identical or dif- ferent and selected from the group consisting of halogen, Ci-C4-alkyl, Ci-C4-haloalkyl, C1- C4-alkoxy and Ci-C4-haloalkoxy;
R3d and R4d, independently of each other, are selected from the group consisting of hydrogen, Ci-C6-alkyl, Ci-C6-haloalkyl, Ci-C6-cyanoalkyl, C3-C7-cycloalkyl, C3-C7-cycloalkyl-Ci-C4- alkyl, where the C3-C7-cycloalkyl groups in the two aforementioned radicals are unsubsti- tuted or partially or completely halogenated; C2-C6-alkenyl, C2-C6-haloalkenyl, C2-C6- alkynyl, C3-C6-haloalkynyl, Ci-C6-alkoxy, Ci-C4-alkoxy-Ci-C4-alkyl, Ci-C4-alkyl-S(0)n-Ci- C4-alkyl, Ci-C4-alkylamino-Ci-C4-alkyl, di-(Ci-C4-alkyl)-amino-Ci-C4-alkyl, phenyl and ben- zyl, where phenyl and benzyl are unsubstituted or substituted by 1 , 2, 3 or 4 groups which are identical or different and selected from the group consisting of halogen, Ci-C4-alkyl, Ci-C4-haloalkyl, Ci-C4-alkoxy and Ci-C4-haloalkoxy;
R3e, R3f, R4e and R4f, independently of each other, are selected from the group consisting of hy- drogen, Ci-C6-alkyl, Ci-C6-haloalkyl, C3-C7-cycloalkyl, C3-C7-cycloalkyl-Ci-C4-alkyl, where the C3-C7-cycloalkyl groups in the two aforementioned radicals are unsubstituted or par- tially or completely halogenated, C2-C6-alkenyl, C2-C6-haloalkenyl, C2-C6-alkynyl, C3-C6- haloalkynyl, Ci-C4-alkoxy-Ci-C4-alkyl, phenyl and benzyl, where phenyl and benzyl are unsubstituted or substituted by 1 , 2, 3 or 4 groups which are identical or different and se- lected from the group consisting of halogen, Ci-C4-alkyl, Ci-C4-haloalkyl, Ci-C4-alkoxy and Ci-C4-haloalkoxy; or
R3e and R3f, or R4e and R4f, together with the nitrogen atom to which they are bound, may form a 4-, 5-, 6- or 7-membered saturated, partially unsaturated or aromatic heterocyclic radical which may carry as a ring member a further heteroatom selected from the group consist- ing of O, S and N and which is unsubstituted or carries 1 , 2, 3 or 4 groups which are iden- tical or different and selected from the group consisting of =0, halogen, Ci-C4-alkyl, C1- C4-haloalkyl, Ci-C4-alkoxy and Ci-C4-haloalkoxy;
R¾ and R4s, independently of each other, are selected from the group consisting of hydrogen, Ci-C6-alkyl, Ci-C6-haloalkyl, C3-C7-cycloalkyl, C3-C7-cycloalkyl-Ci-C4-alkyl, where the C3- C7-cycloalkyl groups in the two aforementioned radicals are unsubstituted or partially or completely halogenated; C2-C6-alkenyl, C2-C6-haloalkenyl, C2-C6-alkynyl, C3-C6- haloalkynyl, Ci-C4-alkoxy-Ci-C4-alkyl, Ci-C4-alkylsulfonyl, Ci-C4-alkylcarbonyl, phenyl and benzyl, where phenyl and benzyl are unsubstituted or substituted by 1 , 2, 3 or 4 groups which are identical or different and selected from the group consisting of halogen, C1-C4- alkyl, Ci-C4-haloalkyl, Ci-C4-alkoxy and Ci-C4-haloalkoxy;
R3h and R4h, independently of each other, are selected from the group consisting of hydrogen, Ci-C6-alkyl, Ci-C6-haloalkyl, C3-C7-cycloalkyl, C3-C7-cycloalkyl-Ci-C4-alkyl, where the C3- C7-cycloalkyl groups in the two aforementioned radicals are unsubstituted or partially or completely halogenated; C2-C6-alkenyl, C2-C6-haloalkenyl, C2-C6-alkynyl, C3-C6- haloalkynyl, Ci-C4-alkoxy-Ci-C4-alkyl, Ci-C4-alkylsulfonyl, Ci-C4-alkylcarbonyl, a radical C(0)Rk, phenyl and benzyl, where phenyl and benzyl are unsubstituted or substituted by 1 , 2, 3 or 4 groups which are identical or different and selected from the group consisting of halogen, Ci-C4-alkyl, Ci-C4-haloalkyl, Ci-C4-alkoxy and Ci-C4-haloalkoxy; or
R¾ and R3h, or R4s and R4h, together with the nitrogen atom to which they are bound, may form a 4-, 5-, 6- or 7-membered, saturated, partially unsaturated or aromatic heterocyclic radi- cal which may contain as a ring member a further heteroatom selected from the group consisting of O, S and N and which is unsubstituted or carries 1 , 2, 3 or 4 groups which are identical or different and selected from the group consisting of =0, halogen, C1-C4- alkyl, Ci-C4-haloalkyl, Ci-C4-alkoxy and Ci-C4-haloalkoxy;
R11 and R21, independently of each other, are selected from the group consisting of cyano, halo- gen, nitro, Ci-C6-alkyl, Ci-C6-haloalkyl, C3-C7-cycloalkyl, C3-C7-halocycloalkyl, C2-C6- alkenyl, C2-C6-haloalkenyl, C2-C6-alkynyl, C3-C6-haloalkynyl, Ci-C6-alkoxy, C1-C6- haloalkoxy, Ci-C4-alkoxy-Ci-C4-alkyl, Ci-C4-haloalkoxy-Ci-C4-alkyl, Ci-C4-alkylthio-Ci-C4- alkyl, Ci-C4-alkoxy-Ci-C4-alkoxy and C3-C7-cycloalkoxy, or two radicals R21 bound to the same carbon atom together may form a group =0;
R22 is selected from the group consisting of hydrogen, Ci-C6-alkyl, Ci-C6-haloalkyl, C2-C6- alkenyl, C2-C6-haloalkenyl, C2-C6-alkynyl, C3-C6-haloalkynyl, C3-C6-cycloalkyl, C3-C6- cycloalkenyl, C3-C6-halocycloalkyl, C3-C6-cycloalkyl-Ci-C6-alkyl, Ci-C6-alkoxy-Ci-C6-alkyl, C3-C6-cycloalkyl-Ci-C6-alkoxy-Ci-C6-alkyl, phenyl-Z1, phenyl-0-Ci-C6-alkyl, phenyl-N(R23)- Ci-C6-alkyl, phenyl-S(0)n-Ci-C6-alkyl, heterocyclyl-Z1, heterocyclyl-N(R23)-Ci-C6-alkyl, heterocyclyl-0-Ci-C6-alkyl and heterocyclyl-S(0)n-Ci-C6-alkyl, where heterocyclyl is a 5- or 6-membered monocyclic saturated, partially unsaturated or aromatic heterocycle contain- ing 1 , 2, 3 or 4 heteroatoms selected from the group consisting of O, N and S as ring
members, where phenyl and heterocyclyl are unsubstituted or substituted by 1 , 2, 3 or 4 groups which are identical or different and selected from the group consisting of cyano, halogen, nitro, thiocyanato, Ci-C6-alkyl, Ci-C6-haloalkyl, C3-C6-cycloalkyl, C(0)0R23, C(0)N(R23)2, OR23, N(R23)2, S(0)nR24, S(0)20R23, S(0)2N(R23)2 and R230-Ci-C6-aikyl, and where heterocyclyl bears 0, 1 or 2 oxo groups;
R23 is selected from the group consisting of hydrogen, Ci-C6-alkyl, Ci-C6-haloalkyl, C2-C6- alkenyl, C2-C6-alkynyl, C3-C6-cycloalkyl, C3-C6-cycloalkyl-Ci-C6-alkyl and phenyl;
R24 is selected from the group consisting of Ci-C6-alkyl, Ci-C6-haloalkyl, C2-C6-alkenyl, C2-C6- alkynyl, C3-C6-cycloalkyl, C3-C6-cycloalkyl-Ci-C6-alkyl and phenyl;
R25 is selected from the group consisting of Ci-C6-alkyl, Ci-C6-haloalkyl, C2-C6-alkenyl, C2-C6- haloalkenyl, C2-C6-alkynyl, C3-C6-haloalkynyl, C3-C6-cycloalkyl, C3-C6-cycloalkenyl, C3-C6- halocycloalkyl, C3-C6-cycloalkyl-Ci-C6-alkyl, Ci-C6-alkoxy-Ci-C6-alkyl, C3-C6-cycloalkyl-Ci- C6-alkoxy-Ci-C6-alkyl, phenyl-Z1, phenyl-0-Ci-C6-alkyl, phenyl-N(R23)-Ci-C6-alkyl, phenyl- S(0)n-Ci-C6-alkyl, heterocyclyl-Z1, heterocyclyl-N(R23)-Ci-C6-alkyl, heterocyclyl-0-Ci-C6- alkyl and heterocyclyl-S(0)n-Ci-C6-alkyl, where heterocyclyl is a 5- or 6-membered mono- cyclic saturated, partially unsaturated or aromatic heterocycle containing 1 , 2, 3 or 4 het- eroatoms selected from the group consisting of O, N and S as ring members, where phe- nyl and heterocyclyl are unsubstituted or substituted by 1 , 2, 3 or 4 groups which are iden- tical or different and selected from the group consisting of cyano, halogen, nitro, thiocya- nato, CrCe-alkyl, Ci-C6-haloalkyl, C3-C6-cycloalkyl, C(0)0R23, C(0)N(R23)2, OR23, N(R23)2, S(0)nR24, S(0)20R23, S(0)2N(R23)2 and R230-Ci-C6-aikyl, and where heterocyclyl bears 0, 1 or 2 oxo groups; each Rz is independently selected from the group consisting of Ci-C6-alkyl, Ci-C6-haloalkyl, C1- C6-cya noalkyl, C3-C7-cycloalkyl, C3-C7-cycloalkyl-Ci-C4-alkyl, where the C3-C7-cycloalkyl groups in the two aforementioned radicals are unsubstituted or partially or completely hal- ogenated; C2-C6-alkenyl, C2-C6-haloalkenyl, C2-C6-alkynyl, C3-C6-haloalkynyl, C1-C6- alkoxy, Ci-C4-alkoxy-Ci-C4-alkyl, Ci-C4-alkyl-S(0)n-Ci-C4-alkyl, Ci-C4-alkylamino-Ci-C4- alkyl, di-(Ci-C4-alkyl)-amino-Ci-C4-alkyl, phenyl, benzyl, heterocyclyl and heterocyclylme- thyl, where heterocyclyl in the two last-mentioned radicals is a 5- or 6-membered monocy- clic saturated, partially unsaturated or aromatic heterocycle containing 1 , 2, 3 or 4 het- eroatoms selected from the group consisting of O, N and S as ring members, where phe- nyl, benzyl, heterocyclyl and heterocyclylmethyl are unsubstituted or substituted by 1 , 2, 3 or 4 groups which are identical or different and selected from the group consisting of halo- gen, Ci-C4-alkyl, Ci-C4-haloalkyl, Ci-C4-alkoxy and Ci-C4-haloalkoxy;
Rk independently has one of the meanings given for R3c; k is 0, 1 or 2; and
n is 0, 1 or 2; or an N-oxide or an agriculturally suitable salt thereof.
The invention also relates to a composition comprising a compound of formula I, an N- oxide or a salt thereof, and at least one auxiliary. In particular, the invention relates to an agri- cultural composition comprising a compound of formula I or an N-oxide or an agriculturally suit- able salt thereof, and at least one auxiliary customary for crop protection formulations. The composition of the invention may of course also contain more than one compound I; e.g. 2 or 3 different compounds I. The composition may also contain a mixture of a compound I and an N- oxide thereof or of a compound I and a salt thereof or of a compound I, and N-oxide and a salt thereof. Such mixtures of a compound I, and N-oxide and/or a salt thereof can for example re- suit if the conversion of the compound I into its N-oxide or its salt is not complete and the sepa- ration of the mixture is not deemed necessary.
The compounds of the present invention, i.e. the compounds of formula I, their N-oxides and their agriculturally suitable salts, are particularly useful for controlling unwanted vegetation. Therefore, the invention also relates to the use of a compound of formula I or an N-oxide or an agriculturally suitable salt thereof or of a composition comprising at least one compound of for- mula I or an N-oxide or an agriculturally suitable salt thereof for combating or controlling un- wanted vegetation.
The present invention also relates to a method for combating or controlling unwanted vegetation, which method comprises allowing a herbicidally effective amount of at least one compound of formula I or an N-oxide or a salt thereof to act on unwanted plants, their seed and/or their habitat.
Depending on the substitution pattern, the compounds of formula I may have one or more centers of chirality, in which case they are present as mixtures of enantiomers or diastereomers. The invention provides both the pure enantiomers or pure diastereomers of the compounds of formula I, and their mixtures and the use according to the invention of the pure enantiomers or pure diastereomers of the compound of formula I or its mixtures. Suitable compounds of formula I also include all possible geometrical stereoisomers (cis/trans isomers) and mixtures thereof. Cis/trans isomers may be present with respect to a carbon-carbon double bond, carbon-nitrogen double bond, nitrogen-sulfur double bond (of course only if these double bonds are not part of an aromatic system) or amide group or in non-aromatic cyclic groups. The term "stereoiso- mer(s)" encompasses both optical isomers, such as enantiomers or diastereomers, the latter existing due to more than one center of chirality in the molecule, as well as geometrical isomers (cis/trans isomers). One example for the occurrence of stereoisomery is a substituted ring formed by R2a and R2b together with the nitrogen atom to which they are bound. The carbon ring atom carrying the substituent R2e can be a stereogenic center.
Depending on the substitution pattern, the compounds of formula I may be present in the form of their tautomers. One example for the occurrence of tautomery are compounds I in which Z2 is CHR2c, where R2a is hydrogen. The tautomer of this lactam is the corresponding lactim.
Hence the invention also relates to the tautomers of compounds of formula I and the ste- reoisomers and salts of said tautomers.
The present invention moreover relates to compounds as defined herein, wherein one or more of the atoms depicted in formula I have been replaced by its stable, preferably non- radioactive isotope (e.g., hydrogen by deuterium, 12C by 13C, 14N by 15N, 160 by 180) and in particular wherein at least one hydrogen atom has been replaced by a deuterium atom. Of course, the compounds according to the invention contain more of the respective isotope than this naturally occurs and thus is anyway present in the compounds of formula I.
The compounds of the present invention may be amorphous or may exist in one ore more dif- ferent crystalline states (polymorphs) which may have different macroscopic properties such as stability or show different biological properties such as activities. The present invention includes both amorphous and crystalline compounds of formula I, their enantiomers or diastereomers, mixtures of different crystalline states of the respective compound of formula I, its enantiomers or diastereomers, as well as amorphous or crystalline salts thereof.
Salts of the compounds of the present invention are preferably agriculturally suitable salts. They can be formed in a customary method, e.g. by reacting the compound with an acid if the compound of the present invention has a basic functionality or by reacting the compound with a suitable base if the compound of the present invention has an acidic functionality.
Useful agriculturally suitable salts are especially the salts of those cations or the acid addi- tion salts of those acids whose cations and anions, respectively, do not have any adverse effect on the herbicidal action of the compounds according to the present invention. Suitable cations are in particular the ions of the alkali metals, preferably lithium, sodium and potassium, of the alkaline earth metals, preferably calcium, magnesium and barium, and of the transition metals, preferably manganese, copper, zinc and iron, and also ammonium (NH4 +) and substituted am- monium in which one to four of the hydrogen atoms are replaced by Ci-C4-alkyl, C1-C4- hydroxyalkyl, Ci-C4-alkoxy, Ci-C4-alkoxy-Ci-C4-alkyl, hydroxy-Ci-C4-alkoxy-Ci-C4-alkyl, phenyl or benzyl. Examples of substituted ammonium ions comprise methylammonium, isoprop- ylammonium, dimethylammonium, diisopropylammonium, trimethylammonium, tetrame- thylammonium, tetraethylammonium, tetrabutylammonium, 2-hydroxyethylammonium, 2-(2- hydroxyethoxy)ethylammonium, bis(2-hydroxyethyl)ammonium, benzyltrimethylammonium and benzl-triethylammonium, furthermore phosphonium ions, sulfonium ions, preferably tri(Ci-C4- alkyl)sulfonium, and sulfoxonium ions, preferably tri(Ci-C4-alkyl)sulfoxonium.
Anions of useful acid addition salts are primarily chloride, bromide, fluoride, hydrogensul- fate, sulfate, dihydrogenphosphate, hydrogenphosphate, phosphate, nitrate, bicarbonate, car- bonate, hexafluorosilicate, hexafluorophosphate, benzoate, and the anions of Ci-C4-alkanoic acids, preferably formate, acetate, propionate and butyrate. They can be formed by reacting compounds of the present invention with an acid of the corresponding anion, preferably with hydrochloric acid, hydrobromic acid, sulfuric acid, phosphoric acid or nitric acid.
The N-oxides of compounds I are compounds in which a nitrogen atom, e.g. a ring nitro- gen atom in the group Q or a nitrogen atom of an amino group, is present in oxidized form, i.e. as a group N+-0. The N-oxides are generally prepared by oxidation of the compound of formula
I, e.g. with hydrogen peroxide or peroxy acids like meta-chloroperoxybenzoic acid (mCPBA), peroxyacetic acid or Caro's acid (peroxymonosulfuric acid).
The term "undesired vegetation" ("weeds") is understood to include any vegetation grow- ing in non-crop-areas or at a crop plant site or locus of seeded and otherwise desired crop, where the vegetation is any plant species, including their germinant seeds, emerging seedlings and established vegetation, other than the seeded or desired crop (if any). Weeds, in the broadest sense, are plants considered undesirable in a particular location.
The organic moieties mentioned in the above definitions of the variables are - like the term halogen - collective terms for individual listings of the individual group members. The prefix Cn- Cm indicates in each case the possible number of carbon atoms in the group.
The term "halogen" denotes in each case fluorine, bromine, chlorine or iodine, in particular fluorine, chlorine or bromine.
The term "partially or completely halogenated" will be taken to mean that 1 or more, e.g.
1 , 2, 3, 4 or 5 or all of the hydrogen atoms of a given radical have been replaced by a halogen atom, in particular by fluorine or chlorine. A partially or completely halogenated radical is termed below also "halo-radical". For example, partially or completely halogenated alkyl is also termed haloalkyl.
The term "alkyl" as used herein (and in the alkyl moieties of other groups comprising an alkyl group, e.g. alkoxy, alkylamino, alkylcarbonyl, alkylthio, alkylsulfonyl, alkoxyalkyl and the like) refers to saturated straight-chain or branched hydrocarbon radicals having 1 to 2 ("C1-C2- alkyl"), 1 to 3 ("Ci-C3-alkyl"),1 to 4 ("Ci-C4-alkyl"), 1 to 6 ("Ci-C6-alkyl"), 1 to 8 ("Ci-C8-alkyl") or 1 to 10 ("Ci-Cio-alkyl") carbon atoms. Ci-C2-Alkyl is methyl or ethyl. Ci-C3-Alkyl is additionally propyl and isopropyl. Ci-C4-Alkyl is additionally n-butyl, 1-methylpropyl (sec-butyl), 2- methylpropyl (isobutyl) or 1 ,1-dimethylethyl (tert-butyl). Examples for Ci-C6-alkyl are, in addition to those mentioned for Ci-C4-alkyl, n-pentyl, 1-methylbutyl, 2-methylbutyl, 3-methylbutyl, 2,2- dimethylpropyl, 1-ethylpropyl, 1 ,1-dimethylpropyl, 1 ,2-dimethylpropyl, n-hexyl, 1-methylpentyl, 2- methylpentyl, 3-methylpentyl, 4-methylpentyl, 1 ,1 -dimethylbutyl, 1 ,2-dimethylbutyl, 1 ,3- dimethylbutyl, 2,2-dimethylbutyl, 2,3-dimethylbutyl, 3,3-dimethylbutyl, 1-ethylbutyl, 2-ethylbutyl,
1.1.2-trimethylpropyl, 1 ,2,2-trimethylpropyl, 1 -ethyl-1 -methylpropyl and 1-ethyl-2-methylpropyl. Examples for C-i-Cs-alkyl are, in addition to those mentioned for Ci-C6-alkyl, n-heptyl, 1- methylhexyl, 2-methylhexyl, 3-methylhexyl, 4-methylhexyl, 5-methylhexyl, 1-ethylpentyl, 2- ethylpentyl, 3-ethylpentyl, n-octyl, 1-methylheptyl, 2-methylheptyl, 1-ethylhexyl, 2-ethylhexyl,
1.2-dimethylhexyl, 1-propylpentyl, 2-propylpentyl, and other positional isomers thereof. Exam- pies for Ci-Cio-alkyl are, in addition to those mentioned for Ci-C8-alkyl, nonyl, decyl, 2- propylheptyl, 3-propylheptyl and other positional isomers thereof.
The term "haloalkyl" as used herein (and in the haloalkyl moieties of other groups corn- prising a haloalkyl group, e.g. haloalkoxy, haloalkylthio, haloalkylsulfonyl and the like), which is also expressed as "alkyl which is partially or fully halogenated", refers to straight-chain or branched alkyl groups having 1 to 2 ("Ci-C2-haloalkyl"), 1 to 3 ("Ci-C3-haloalkyl"), 1 to 4 ("C1-C4- haloalkyl"), 1 to 6 ("Ci-C6-haloalkyl"), 1 to 8 ("Ci-C8-haloalkyl") or 1 to 10 ("Ci-Cio-haloalkyl") carbon atoms (as mentioned above), where some or all of the hydrogen atoms in these groups
are replaced by halogen atoms as mentioned above: in particular Ci-C2-haloalkyl, such as chloromethyl, bromomethyl, dichloromethyl, trichloromethyl, fluoromethyl, difluoromethyl, trifluo- romethyl, chlorofluoromethyl, dichlorofluoromethyl, chlorodifluoromethyl, 1-chloroethyl, 1- bromoethyl, 1-fluoroethyl, 2-fluoroethyl, 2,2-difluoroethyl, 2,2,2-trifluoroethyl, 2-chloro-2- fluoroethyl, 2-chloro-2,2-difluoroethyl, 2,2-dichloro-2-fluoroethyl, 2,2,2-trichloroethyl or pentafluo- roethyl. Examples for Ci-C3-haloalkyl are, in addition to those mention for Ci-C2-haloalkyl, 1- fluoropropyl, 2-fluoropropyl, 3-fluoropropyl, 1 , 1 -difluoropropyl, 2,2-difluoropropyl, 1 ,2- difluoropropyl, 3,3-difluoropropyl, 3,3,3-trifluoropropyl, heptafluoropropyl, 1 ,1 ,1 -trifluoroprop-2-yl, 3-chloropropyl and the like. Examples for Ci-C4-haloalkyl are, in addition to those mentioned for Ci-C3-haloalkyl, 4-chlorobutyl and the like.
The term "cyanoalkyl" as used herein refers to straight-chain or branched alkyl groups having 1 to 4 ("Ci-C4-cyanoalkyl") or 1 to 6 ("Ci-C6-cyanoalkyl) carbon atoms (as mentioned above), where 1 or 2, preferably 1 , of the hydrogen atoms in these groups are replaced by a cyano (CN) group. Examples are cyanomethyl, 1-cyanoethyl, 2-cyanoethyl, 1-cyanopropyl, 2- cyanopropyl, 3-cyanopropyl, 1-cyanobutyl, 2-cyanobutyl, 3-cyanobutyl, 4-cyanobutyl and the like.
The term "alkenyl" as used herein (and in the alkenyl moieties in alkenyloxy and the like) refers to monounsaturated straight-chain or branched hydrocarbon radicals having 2 to 3 ("C2- Cs-alkenyl"), 2 to 4 ("C2-C4-alkenyl"), 2 to 6 ("C2-C6-alkenyl") or 2 to 8 ("C2-C8-alkenyl") carbon atoms and a double bond in any position, for example C2-C3-alkenyl, such as ethenyl, prop-1 - en-1-yl, prop-1 -en-2-yl, prop-1 -en-3-yl, or 1-methylethenyl; C2-C4-alkenyl, such as ethenyl, 1- propenyl (prop-1 -en-1-yl), 2-propenyl (prop-1 -en-3-yl), 1-methylethenyl (prop-1 -en-2-yl), 1- butenyl (but-1-en-1-yl), 2-butenyl (but-2-en-1-yl), 3-butenyl (but-1-en-4-yl), but-1-en-2-yl, 1- methyl-1-propenyl (but-2-en-2-yl), 2-methyl-1-propenyl (2-methyl-prop-1-en-1-yl), 1 -methyl-2 - propenyl (but-1-en-3-yl) or 2-methyl-2-propenyl (2-methyl-prop-1-en-3-yl); C2-C6-alkenyl, such as ethenyl, 1-propenyl, 2-propenyl, 1-methylethenyl, 1-butenyl, 2-butenyl, 3-butenyl, 1 -methyl-1 - propenyl, 2-methyl-1-propenyl, 1-methyl-2-propenyl, 2-methyl-2-propenyl, 1-pentenyl, 2- pentenyl, 3-pentenyl, 4-pentenyl, 1 -methyl-1 -butenyl, 2-methyl-1-butenyl, 3-methyl-1-butenyl, 1- methyl-2-butenyl, 2-methyl-2-butenyl, 3-methyl-2-butenyl, 1-methyl-3-butenyl, 2-methyl-3- butenyl, 3-methyl-3-butenyl, 1 ,1-dimethyl-2-propenyl, 1 ,2-dimethyl-1 -propenyl, 1 ,2-dimethyl-2- propenyl, 1 -ethyl-1 -propenyl, 1-ethyl-2-propenyl, 1-hexenyl, 2-hexenyl, 3-hexenyl, 4-hexenyl, 5-hexenyl, 1 -methyl-1 -pentenyl, 2-methyl-1-pentenyl, 3-methyl-1-pentenyl, 4-methyl-1-pentenyl,
1-methyl-2-pentenyl, 2-methyl-2-pentenyl, 3-methyl-2-pentenyl, 4-methyl-2-pentenyl, 1-methyl- 3-pentenyl, 2-methyl-3-pentenyl, 3-methyl-3-pentenyl, 4-methyl-3-pentenyl, 1-methyl-4-pentenyl,
2-methyl-4-pentenyl, 3-methyl-4-pentenyl, 4-methyl-4-pentenyl, 1 ,1-dimethyl-2-butenyl, 1 ,1- dimethyl-3-butenyl, 1 ,2-dimethyl-1 -butenyl, 1 ,2-dimethyl-2-butenyl, 1 ,2-dimethyl-3-butenyl,
1.3-dimethyl-1 -butenyl, 1 ,3-dimethyl-2-butenyl, 1 ,3-dimethyl-3-butenyl, 2,2-dimethyl-3-butenyl,
2.3-dimethyl-1 -butenyl, 2,3-dimethyl-2-butenyl, 2,3-dimethyl-3-butenyl, 3, 3-dimethyl-1 -butenyl,
3.3-dimethyl-2-butenyl, 1 -ethyl-1 -butenyl, 1-ethyl-2-butenyl, 1-ethyl-3-butenyl, 2-ethyl-1 -butenyl, 2-ethyl-2-butenyl, 2-ethyl-3-butenyl, 1 ,1 ,2-trimethyl-2-propenyl, 1 -ethyl-1 -methyl-2-propenyl, 1- ethyl-2-methyl-1 -propenyl, 1-ethyl-2-methyl-2-propenyl and the like, or C2-Cs-alkenyl, such as
the radicals mentioned for C2-C6-alkenyl and additionally also 1-heptenyl, 2-heptenyl, 3- heptenyl, 1-octenyl, 2-octenyl, 3-octenyl, 4-octenyl, and the positional isomers thereof.
The term "haloalkenyl" as used herein (and in the haloalkenyl moieties in haloalkenyloxy and the like), which is also expressed as "alkenyl which is partially or fully halogenated", refers to unsaturated straight-chain or branched hydrocarbon radicals having 2 to 3 ("C2-C3- haloalkenyl"), 2 to 4 ("C2-C4-haloalkenyl"), 2 to 6 ("C2-C6-haloalkenyl") or 2 to 8 ("C2-C6- haloalkenyl") carbon atoms and a double bond in any position (as mentioned above), where some or all of the hydrogen atoms in these groups are replaced by halogen atoms as men- tioned above, in particular fluorine, chlorine and bromine, for example chlorovinyl, chloroallyl and the like.
The term "alkynyl" as used herein (and in the alkynyl moieties in alkynyloxy and the like) refers to straight-chain or branched hydrocarbon groups having 2 to 3 ("C2-C3-alkynyl"), 2 to 4 ("C2-C4-alkynyl"), 2 to 6 ("C2-C6-alkynyl") or 2 to 8 ("C2-C8-alkynyl") carbon atoms and a triple bond in any position, for example C2-C3-alkynyl, such as ethynyl, 1-propynyl or 2-propynyl; C2- C4-alkynyl, such as ethynyl, 1-propynyl, 2-propynyl, 1-butynyl, 2-butynyl, 3-butynyl, 1-methyl-2- propynyl and the like, C2-C6-alkynyl, such as ethynyl, 1-propynyl, 2-propynyl, 1-butynyl, 2- butynyl, 3-butynyl, 1-methyl-2-propynyl, 1-pentynyl, 2-pentynyl, 3-pentynyl, 4-pentynyl, 1- methyl-2-butynyl, 1-methyl-3-butynyl, 2-methyl-3-butynyl, 3-methyl-1-butynyl, 1 ,1 -dimethyl-2 - propynyl, 1-ethyl-2-propynyl, 1-hexynyl, 2-hexynyl, 3-hexynyl, 4-hexynyl, 5-hexynyl, 1 -methyl-2 - pentynyl, 1-methyl-3-pentynyl, 1-methyl-4-pentynyl, 2-methyl-3-pentynyl, 2-methyl-4-pentynyl, 3- methyl-1-pentynyl, 3-methyl-4-pentynyl, 4-methyl-1-pentynyl, 4-methyl-2-pentynyl, 1 ,1-dimethyl- 2-butynyl, 1 ,1-dimethyl-3-butynyl, 1 ,2-dimethyl-3-butynyl, 2,2-dimethyl-3-butynyl, 3,3-dimethyl-1- butynyl, 1-ethyl-2-butynyl, 1-ethyl-3-butynyl, 2-ethyl-3-butynyl, 1 -ethyl-1 -methyl-2-propynyl and the like;
The term "haloalkynyl" as used herein (and in the haloalkynyl moieties in haloalkynyloxy and the like), which is also expressed as "alkynyl which is partially or fully halogenated", refers to unsaturated straight-chain or branched hydrocarbon radicals having 2 to 3 ("C2-C3- haloalkynyl"), 2 to 4 ("C2-C4-haloalkynyl"), 3 to 4 ("C3-C4-haloalkynyl"), 2 to 6 ("C2-C6- haloalkynyl"), 3 to 6 ("C3-C6-haloalkynyl"), 2 to 8 ("C2-C8-haloalkynyl") or 3 to 8 ("C3-C8- haloalkynyl") carbon atoms and a triple bond in any position (as mentioned above), where some or all of the hydrogen atoms in these groups are replaced by halogen atoms as mentioned above, in particular fluorine, chlorine and bromine.
The term "cycloalkyl" as used herein refers to mono- or bi- or polycyclic saturated hydro- carbon radicals having 3 to 10 ("C3-Cio-cycloalkyl"), in particular 3 to 7 ("C3-C7-cycloalkyl") or 3 to 6 ("C3-C6-cycloalkyl") carbon atoms. Examples of monocyclic radicals having 3 to 6 carbon atoms comprise cyclopropyl, cyclobutyl, cyclopentyl and cyclohexyl. Examples of monocyclic radicals having 3 to 7 carbon atoms comprise cyclopropyl, cyclobutyl, cyclopentyl, cyclohexyl and cycloheptyl. Examples of monocyclic radicals having 3 to 10 carbon atoms comprise cyclo- propyl, cyclobutyl, cyclopentyl, cyclohexyl, cycloheptyl, cyclooctyl, cyclononyl and cyclodecyl. Examples of bicyclic radicals having 7 or 8 carbon atoms comprise bicyclo[2.2.1]heptyl, bicyclo- [3.1.1 ]heptyl, bicyclo[2.2.2]octyl and bicyclo[3.2.1]octyl. Preferably, the term cycloalkyl denotes a monocyclic saturated hydrocarbon radical.
The term "halocycloalkyl" as used herein, which is also expressed as "cycloalkyl which is partially or fully halogenated", refers to mono- or bi- or polycyclic saturated hydrocarbon groups having 3 to 7 ("C3-C7-halocycloalkyl") or preferably 3 to 6 ("C3-C6-halocycloalkyl") carbon ring members (as mentioned above) in which some or all of the hydrogen atoms are replaced by halogen atoms as mentioned above, in particular fluorine, chlorine and bromine. Examples are
1- and 2-fluorocyclopropyl, 1 ,2-, 2,2- and 2,3-difluorocyclopropyl, 1 ,2,2-trifluorocyclopropyl,
2.2.3.3-tetrafluorocyclpropyl, 1- and 2-chlorocyclopropyl, 1 ,2-, 2,2- and 2,3-dichlorocyclopropyl,
1.2.2-trichlorocyclopropyl, 2,2,3,3-tetrachlorocyclpropyl, 1-,2- and 3-fluorocyclopentyl, 1 ,2-, 2,2-,
2.3-, 3,3-, 3,4-, 2,5-difluorocyclopentyl, 1-,2- and 3-chlorocyclopentyl, 1 ,2-, 2,2-, 2,3-, 3,3-, 3,4-, 2,5-dichlorocyclopentyl and the like.
The term "cycloalkyl-alkyl" used herein denotes a cycloalkyl group, as defined above, which is bound to the remainder of the molecule via an alkyl group (or inversely expressed, it denotes an alkyl group, as described above, in which one hydrogen atom is replaced by a cy- cloalkyl group, as defined above). The term "C3-C7-cycloalkyl-Ci-C4-alkyl" refers to a C3-C7- cycloalkyl group as defined above (preferably a monocyclic cycloalkyl group) which is bound to the remainder of the molecule via a Ci-C4-alkyl group, as defined above. Examples are cyclo- propylmethyl, cyclopropylethyl, cyclopropylpropyl, cyclobutylmethyl, cyclobutylethyl, cyclobu- tylpropyl, cyclopentylmethyl, cyclopentylethyl, cyclopentylpropyl, cyclohexylmethyl, cyclo- hexylethyl, cyclohexylpropyl, cycloheptylmethyl, cycloheptylethyl, cycloheptylpropyl and the like. The term "C3-C6-cycloalkyl-Ci-C6-alkyl" refers to a C3-C6-cycloalkyl group as defined above (preferably a monocyclic cycloalkyl group) which is bound to the remainder of the molecule via a Ci-C6-alkyl group, as defined above. Examples are cyclopropylmethyl, cyclopropylethyl, cyclo- propylpropyl, cyclobutylmethyl, cyclobutylethyl, cyclobutylpropyl, cyclopentylmethyl, cyclopen- tylethyl, cyclopentylpropyl, cyclohexylmethyl, cyclohexylethyl, cyclohexylpropyl and the like.
The term "cycloalkenyl" used herein denotes a monocyclic partially unsaturated, non- aromatic hydrocarbon radical. Examples for C3-C6-cycloalkenyl are cycloprop-1 -en-1-yl, cyclo- prop-1 -en-3-yl, cyclobut-1-en-1-yl, cyclobut-1-en-3-yl, cyclooct-1-en-1-yl, cyclopent-1-en-1-yl, cyclopent-1-en-3-yl, cyclopent-1-en-4-yl, cyclopenta-1 ,3-dien-1-yl, cyclopenta-1 ,3-dien-2-yl, cy- clopenta-1 ,3-dien-5-yl, cyclohex-1 -en-1-yl, cyclohex-1 -en-3-yl, cyclohex-1 -en-4-yl, cyclohexa-
1.3-dien-1-yl, cyclohexa-1 ,3-dien-2-yl, cyclohexa-1 ,3-dien-5-yl, cyclohexa-1 ,4-dien-1-yl and cy- clohexa-1 ,4-dien-3-yl.
The term "alkoxy" denotes an alkyl group, as defined above, attached via an oxygen atom to the remainder of the molecule. Ci-C2-Alkoxy is methoxy or ethoxy. Ci-C3-Alkoxy is additional ly, for example, n-propoxy and 1-methylethoxy (isopropoxy). Ci-C4-Alkoxy is additionally, for example, butoxy, 1-methylpropoxy (sec-butoxy), 2-methylpropoxy (isobutoxy) or 1 ,1- dimethylethoxy (tert-butoxy). Ci-C6-Alkoxy is additionally, for example, pentoxy, 1-methylbutoxy,
2-methylbutoxy, 3-methylbutoxy, 1 ,1-dimethylpropoxy, 1 ,2-dimethylpropoxy,
2.2-dimethylpropoxy, 1-ethylpropoxy, hexoxy, 1-methylpentoxy, 2-methylpentoxy,
3-methylpentoxy, 4-methylpentoxy, 1 ,1-dimethylbutoxy, 1 ,2-dimethylbutoxy, 1 ,3-dimethylbutoxy,
2.2-dimethylbutoxy, 2,3-dimethylbutoxy, 3,3-dimethylbutoxy, 1-ethylbutoxy, 2-ethylbutoxy, 1 , 1 ,2- trim ethyl p ropoxy , 1 ,2,2-trimethylpropoxy, 1 -ethyl-1 -methylpropoxy or 1-ethyl-2-methylpropoxy.
Ci-Cs-Alkoxy is additionally, for example, heptyloxy, octyloxy, 2-ethyl hexyl oxy and positional isomers thereof.
The term "haloalkoxy" denotes a haloalkyl group, as defined above, attached via an oxy- gen atom to remainder of the molecule. Ci-C2-Haloalkoxy is, for example, OCH2F, OCHF2, OCF3, OCH2CI, OCHCI2, OCCI3, chlorofluoromethoxy, dichlorofluoromethoxy, chlorodifluoro- methoxy, 2-fluoroethoxy, 2-chloroethoxy, 2-bromoethoxy, 2-iodoethoxy, 2,2-difluoroethoxy,
2.2.2-trifluoroethoxy, 2-chloro-2-fluoroethoxy, 2-chloro-2,2-difluoroethoxy, 2,2-dichloro-2- fluoroethoxy, 2,2,2-trichloroethoxy or OC2F5. Ci-C3-Haloalkoxy is additionally, for example, 2-fluoropropoxy, 3-fluoropropoxy, 2,2-difluoropropoxy, 2,3-difluoropropoxy, 2-chloropropoxy, 3- chloropropoxy, 2,3-dichloropropoxy, 2-bromopropoxy, 3-bromopropoxy, 3,3,3-trifluoropropoxy,
3.3.3-trichloropropoxy, OCH2-C2F5, OCF2-C2F5, 1-(CH2F)-2-fluoroethoxy, 1-(CH2CI)-2- chloroethoxy or 1-(CH2Br)-2-bromoethoxy. Ci-C4-Haloalkoxy is additionally, for example, 4-fluorobutoxy, 4-chlorobutoxy, 4-bromobutoxy or nonafluorobutoxy. Ci-C6-Haloalkoxy is addi- tionally, for example, 5-fluoropentoxy, 5-chloropentoxy, 5-brompentoxy, 5-iodopentoxy, unde- cafluoropentoxy, 6-fluorohexoxy, 6-chlorohexoxy, 6-bromohexoxy, 6-iodohexoxy or dodecafluo- rohexoxy.
The term "alkenyloxy" denotes an alkenyl group, as defined above, attached via an oxy- gen atom to the remainder of the molecule. C2-C6-Alkenyloxy is a C2-C6-alkenyl group, as de- fined above, attached via an oxygen atom to the remainder of the molecule. C2-C8-Alkenyloxy is a C2-C8-alkenyl group, as defined above, attached via an oxygen atom to the remainder of the molecule.
The term "haloalkenyloxy" denotes a haloalkenyl group, as defined above, attached via an oxygen atom to the remainder of the molecule. C2-C6-Haloalkenyloxy is a C2-C6-haloalkenyl group, as defined above, attached via an oxygen atom to the remainder of the molecule. C2-C8- Haloalkenyloxy is a C2-Cs-haloalkenyl group, as defined above, attached via an oxygen atom to the remainder of the molecule.
The term "alkynyloxy" denotes an alkynyl group, as defined above, attached via an oxy- gen atom to the remainder of the molecule. C2-C6-Alkynyloxy is a C2-C6-alkynyl group, as de- fined above, attached via an oxygen atom to the remainder of the molecule. C2-Cs-Alkynyloxy is a C2-C8-alkynyl group, as defined above, attached via an oxygen atom to the remainder of the molecule.
The term "haloalkynyloxy" denotes a haloalkynyl group, as defined above, attached via an oxygen atom to the remainder of the molecule. C2-C6-Haloalkynyloxy is a C2-C6-haloalkynyl group, as defined above, attached via an oxygen atom to the remainder of the molecule. C2-C8- Haloalkynyloxy is a C2-Cs-haloalkynyl group, as defined above, attached via an oxygen atom to the remainder of the molecule. Cs-Cs-Haloalkynyloxy is a Cs-Cs-haloalkynyl group, as defined above, attached via an oxygen atom to the remainder of the molecule.
The term "alkoxy-alkyl" as used herein, refers to a straight-chain or branched alkyl group, as defined above, where one hydrogen atom is replaced by an alkoxy group, as defined above. The term "Ci-C4-alkoxy-Ci-C4-alkyl" as used herein, refers to a straight-chain or branched alkyl group having 1 to 4 carbon atoms, as defined above, where one hydrogen atom is replaced by a Ci-C4-alkoxy group, as defined above. The term "Ci-C6-alkoxy-Ci-C6-alkyl" as used herein,
refers to a straight-chain or branched alkyl group having 1 to 6 carbon atoms, as defined above, where one hydrogen atom is replaced by a Ci-C6-alkoxy group, as defined above. Examples are methoxymethyl, ethoxymethyl, propoxymethyl, isopropoxymethyl, n-butoxymethyl, sec- butoxymethyl, isobutoxymethyl, tert-butoxymethyl, 1 -methoxyethyl, 1 -ethoxyethyl, 1 - propoxyethyl, 1 -isopropoxyethyl, 1 -n-butoxyethyl, 1 -sec-butoxyethyl, 1 -isobutoxyethyl, 1 -tert- butoxyethyl, 2-methoxyethyl, 2-ethoxyethyl, 2-propoxyethyl, 2-isopropoxyethyl, 2-n-butoxyethyl, 2-sec-butoxyethyl, 2-isobutoxyethyl, 2-tert-butoxyethyl, 1 -methoxypropyl, 1 -ethoxypropyl, 1 - propoxypropyl, 1 -isopropoxypropyl, 1 -n-butoxypropyl, 1 -sec-butoxypropyl, 1 -isobutoxypropyl, 1 - tert-butoxypropyl, 2-methoxypropyl, 2-ethoxypropyl, 2-propoxypropyl, 2-isopropoxypropyl, 2-n- butoxypropyl, 2-sec-butoxypropyl, 2-isobutoxypropyl, 2-tert-butoxypropyl, 3-methoxypropyl, 3- ethoxypropyl, 3-propoxypropyl, 3-isopropoxypropyl, 3-n-butoxypropyl, 3-sec-butoxypropyl, 3- isobutoxypropyl, 3-tert-butoxypropyl and the like.
The term "haloalkoxy-alkyl" denotes a straight-chain or branched alkyl group, wherein one of the hydrogen atoms is replaced by an alkoxy group and wherein at least one, e.g. 1 , 2, 3, 4 or all of the remaining hydrogen atoms (either in the alkoxy moiety or in the alkyl moiety or in both) are replaced by halogen atoms. Ci-C4-Haloalkoxy-Ci-C4-alkyl is a straight-chain or branched alkyl group having from 1 to 4 carbon atoms, wherein one of the hydrogen atoms is replaced by a Ci-C4-alkoxy group and wherein at least one, e.g. 1 , 2, 3, 4 or all of the remaining hydrogen atoms (either in the alkoxy moiety or in the alkyl moiety or in both) are replaced by halogen at- oms. Examples are difluoromethoxymethyl (CHF2OCH2), trifluoromethoxymethyl, 1 - difluoromethoxyethyl, 1 -trifluoromethoxyethyl, 2-difluoromethoxyethyl, 2-trifluoromethoxyethyl, difluoro-methoxy-methyl (CH3OCF2), 1 ,1 -difluoro-2-methoxyethyl, 2,2-difluoro-2-methoxyethyl and the like.
The term "alkoxy-alkoxy" as used herein, refers to an alkoxy group, as defined above, where one hydrogen atom is replaced by another alkoxy group, as defined above. The term "C1- C4-alkoxy-Ci-C4-alkoxy" as used herein, refers to an alkoxy group having 1 to 4 carbon atoms, as defined above, where one hydrogen atom is replaced by a Ci-C4-alkoxy group, as defined above. Examples are methoxymethoxy, ethoxymethoxy, propoxymethoxy, isopropoxymethoxy, n-butoxymethoxy, sec-butoxymethoxy, isobutoxymethoxy, tert-butoxymethoxy, 1 - methoxyethoxy, 1 -ethoxyethoxy, 1 -propoxyethoxy, 1 -isopropoxyethoxy, 1 -n-butoxyethoxy, 1 - sec-butoxyethoxy, 1 -isobutoxyethoxy, 1 -tert-butoxyethoxy, 2-methoxyethoxy, 2-ethoxyethoxy, 2- propoxyethoxy, 2-isopropoxyethoxy, 2-n-butoxyethoxy, 2-sec-butoxyethoxy, 2-isobutoxyethoxy,
2 -tert-butoxyethoxy, 1 -methoxypropoxy, 1 -ethoxypropoxy, 1 -propoxypropoxy, 1 - isopropoxypropoxy, 1 -n-butoxypropoxy, 1 -sec-butoxypropoxy, 1 -isobutoxypropoxy, 1 -tert- butoxypropoxy, 2-methoxypropoxy, 2-ethoxypropoxy, 2-propoxypropoxy, 2-isopropoxypropoxy, 2-n-butoxypropoxy, 2-sec-butoxypropoxy, 2-isobutoxypropoxy, 2-tert-butoxypropoxy, 3- methoxypropoxy, 3-ethoxypropoxy, 3-propoxypropoxy, 3-isopropoxypropoxy, 3-n- butoxypropoxy, 3-sec-butoxypropoxy, 3-isobutoxypropoxy, 3-tert-butoxypropoxy and the like.
The term "haloalkoxy-alkoxy" denotes an alkoxy group, wherein one of the hydrogen at- oms is replaced by an alkoxy group and wherein at least one, e.g. 1 , 2, 3, 4 or all of the remain- ing hydrogen atoms (either in one or in both alkoxy moieties) are replaced by halogen atoms. Ci-C4-Haloalkoxy-Ci-C4-alkoxy is a Ci-C4-alkoxy group, wherein one of the hydrogen atoms is
replaced by a Ci-C4-alkoxy group and wherein at least one, e.g. 1 , 2, 3, 4 or all of the remaining hydrogen atoms (either in one or in both alkoxy moieties) are replaced by halogen atoms. Ex- amples are difluoromethoxymethoxy (CHF2OCH2), trifluoromethoxymethoxy, 1- difluoromethoxyethoxy, 1-trifluoromethoxyethoxy, 2-difluoromethoxyethoxy, 2- trifluoromethoxyethoxy, difluoro-methoxy-methoxy (CH3OCF2), 1 ,1-difluoro-2-methoxyethoxy,
2.2-difluoro-2-methoxyethoxy and the like.
"Cycloalkoxy" denotes a cycloalkyl group, as defined above, bound to the remainder of the molecule via an oxygen atom. Examples of C3-C7-cycloalkoxy comprise cyclopropoxy, cy- clobutoxy, cyclopentoxy, cyclohexoxy and cycloheptoxy. Examples of C3-Cio-cycloalkoxy corn- prise cyclopropoxy, cyclobutoxy, cyclopentoxy, cyclohexoxy, cycloheptoxy, cyclooctoxy, cy- clononoxy and cyclodecoxy.
The term "cycloalkyl-alkoxy" as used herein, refers to an alkoxy group, as defined above, where one hydrogen atom is replaced by a cycloalkyl group, as defined above. The term "C3- Cio-cycloalkyl-Ci-C2-alkoxy" as used herein, refers to an alkoxy group having 1 or 2 carbon at- oms, as defined above, where one hydrogen atom is replaced by a C3-Cio-cycloalkyl group, as defined above. Examples are cyclpropylmethoxy, cyclopropylethoxy, cyclobutyl methoxy, cyclo- butylethoxy, cyclopentyl methoxy, cyclopentylethoxy, cyclohexylmethoxy, cyclohexylethoxy, cy- cloheptylmethoxy, cycloheptylethoxy, cyclooctylmethoxy, cyclooctylethoxy, cyclononylmethoxy, cyclononylethoxy, cyclodecylmethoxy and cyclodecylethoxy.
The term "cycloalkyl-alkoxy-alkyl" as used herein, refers to an alkyl group, as defined above, wherein one hydrogen atom is replaced by an alkoxy group, as defined above, where in turn in the alkoxy group one hydrogen atom is replaced by a cycloalkyl group, as defined above. The term "C3-C6-cycloalkyl-Ci-C6-alkoxy-Ci-C6-alkyl" as used herein, refers to an alkyl group having 1 to 6 carbon atoms, as defined above, where one hydrogen atom is replaced by a C1- C6-alkoxy group, as defined above, where in this alkoxy group, in turn, one hydrogen atom is replaced by a C3-C6-cycloalkyl group, as defined above.
The term "alkylthio" (also alkylsulfanyl, "alkyl-S" or "alkyl-S(0)k" (wherein k is 0)) as used herein denotes an alkyl group, as defined above, attached via a sulfur atom to the remainder of the molecule. Ci-C2-Alkylthio is methylthio or ethylthio. Ci-C3-Alkylthio is additionally, for exam- pie, n-propylthio or 1-methylethylthio (isopropylthio). Ci-C4-Alkylthio is additionally, for example, butylthio, 1-methylpropylthio (sec-butylthio), 2-methylpropylthio (isobutylthio) or 1 ,1- dimethylethylthio (tert-butylthio). Ci-C6-Alkylthio is additionally, for example, pentylthio, 1- methylbutylthio, 2-methylbutylthio, 3-methylbutylthio, 1 ,1-dimethylpropylthio, 1 ,2- dimethylpropylthio, 2,2-dimethylpropylthio, 1-ethylpropylthio, hexylthio, 1-methylpentylthio, 2- methylpentylthio, 3-methylpentylthio, 4-methylpentylthio, 1 , 1 -dimethylbutylthio, 1 ,2- dimethylbutylthio, 1 ,3-dimethylbutylthio, 2,2-dimethylbutylthio, 2,3-dimethylbutylthio,
3.3-dimethylbutylthio, 1-ethylbutylthio, 2-ethylbutylthio, 1 ,1 ,2-trimethylpropylthio, 1 ,2,2- trimethylpropylthio, 1 -ethyl-1 -methylpropylthio or 1-ethyl-2-methylpropylthio. C-i-Cs-Alkylthio is additionally, for example, heptylthio, octylthio, 2-ethylhexylthio and positional isomers thereof. Ci-Cio-Alkylthio is additionally, for example, nonylthio, decylthio and positional isomers thereof.
The term "haloalkylthio" (also haloalkylsulfanyl, "haloalkyl-S" or "haloalkyi-S(0)k" (wherein k is 0)) as used herein denotes a haloalkyl group, as defined above, attached via a sulfur atom
to the remainder of the molecule. Ci-C2-Haloalkylthio is, for example, SCFhF, SCHF2, SCF3, SCH2CI, SCHC , SCCI3, chlorofluoromethylthio, dichlorofluoromethylthio, chlorodifluoromethyl- thio, 2-fluoroethylthio, 2-chloroethylthio, 2-bromoethylthio, 2-iodoethylthio, 2,2-difluoroethylthio, 2,2,2-trifluoroethylthio, 2-chloro-2-fluoroethylthio, 2-chloro-2,2-difluoroethylthio, 2,2-dichloro-2- fluoroethylthio, 2,2,2-trichloroethylthio or SC2F5. Ci-C3-Haloalkylthio is additionally, for example, 2-fluoropropylthio, 3-fluoropropylthio, 2,2-difluoropropylthio, 2,3-difluoropropylthio,
2-chloropropylthio, 3-chloropropylthio, 2,3-dichloropropylthio, 2-bromopropylthio,
3-bromopropylthio, 3,3,3-trifluoropropylthio, 3,3,3-trichloropropylthio, SCH2-C2F5, SCF2-C2F5, 1 - (CH2F)-2-fluoroethylthio, 1 -(CH2CI)-2-chloroethylthio or 1 -(CH2Br)-2-bromoethylthio. C1-C4- Haloalkylthio is additionally, for example, 4-fluorobutylthio, 4-chlorobutylthio, 4-bromobutylthio or nonafluorobutylthio. Ci-C6-Haloalkylthio is additionally, for example, 5-fluoropentylthio, 5- chloropentylthio, 5-brompentylthio, 5-iodopentylthio, undecafluoropentylthio, 6-fluorohexylthio, 6-chlorohexylthio, 6-bromohexylthio, 6-iodohexylthio or dodecafluorohexylthio.
The term "alkylsulfonyl" denotes an alkyl group, as defined above, attached via a sulfonyl [S(0)2] group to the remainder of the molecule. Ci-C2-Alkylsulfonyl is methylsulfonyl or ethyl- sulfonyl. Ci-C3-Alkylsulfonyl is additionally, for example, n-propylsulfonyl or 1 - methylethylsulfonyl (isopropylsulfonyl). Ci-C4-Alkylsulfonyl is additionally, for example, butyl- sulfonyl, 1 -methylpropylsulfonyl (sec-butylsulfonyl), 2-methylpropylsulfonyl (isobutylsulfonyl) or 1 ,1 -dimethylethylsulfonyl (tert-butylsulfonyl). Ci-C6-Alkylsulfonyl is additionally, for example, pentylsulfonyl, 1 -methylbutylsulfonyl, 2-methylbutylsulfonyl, 3-methylbutylsulfonyl, 1 ,1 - dimethylpropylsulfonyl, 1 ,2-dimethylpropylsulfonyl, 2,2-dimethylpropylsulfonyl, 1 - ethylpropylsulfonyl, hexylsulfonyl, 1 -methylpentylsulfonyl, 2-methylpentylsulfonyl,
3-methylpentylsulfonyl, 4-methylpentylsulfonyl, 1 ,1-dimethylbutylsulfonyl, 1 ,2- dimethylbutylsulfonyl, 1 ,3-dimethylbutylsulfonyl, 2,2-dimethylbutylsulfonyl, 2,3- dimethylbutylsulfonyl, 3,3-dimethylbutylsulfonyl, 1 -ethylbutylsulfonyl, 2-ethylbutylsulfonyl, 1 ,1 ,2- trimethylpropylsulfonyl, 1 ,2,2-trimethylpropylsulfonyl, 1 -ethyl-1 -methylpropylsulfonyl or 1 -ethyl-2- methylpropylsulfonyl. C-i-Cs-Alkylsulfonyl is additionally, for example, heptylsulfonyl, oc- tylsulfonyl, 2-ethylhexylsulfonyl and positional isomers thereof. Ci-Cio-Alkylsulfonyl is additional ly, for example, nonylsulfonyl, decylsulfonyl and positional isomers thereof.
The term "haloalkylsulfonyl" denotes a haloalkyl group, as defined above, attached via a sulfonyl [S(0)2] group to the remainder of the molecule. Ci-C2-Haloalkylsulfonyl is, for example, S(0)2CH2F, S(0)2CHF2, S(0)2CF3, S(0)2CH2CI, S(0)2CHCI2, S(0)2CCI3, chlorofluoromethyl- sulfonyl, dichlorofluoromethylsulfonyl, chlorodifluoromethylsulfonyl, 2-fluoroethylsulfonyl, 2- chloroethylsulfonyl, 2-bromoethylsulfonyl, 2-iodoethylsulfonyl, 2,2-difluoroethylsulfonyl, 2,2,2- trifluoroethylsulfonyl, 2-chloro-2-fluoroethylsulfonyl, 2-chloro-2,2-difluoroethylsulfonyl, 2,2- dichloro-2-fluoroethylsulfonyl, 2,2,2-trichloroethylsulfonyl or S(0)2C2F5. Ci-C3-Haloalkylsulfonyl is additionally, for example, 2-fluoropropylsulfonyl, 3-fluoropropylsulfonyl, 2,2- difluoropropylsulfonyl, 2,3-difluoropropylsulfonyl, 2-chloropropylsulfonyl, 3-chloropropylsulfonyl, 2,3-dichloropropylsulfonyl, 2-bromopropylsulfonyl, 3-bromopropylsulfonyl, 3,3,3- trifluoropropylsulfonyl, 3,3,3-trichloropropylsulfonyl, S(0)2CH2-C2F5, S(0)2CF2-C2F5, 1 -(CH2F)-2- fluoroethylsulfonyl, 1 -(CH2CI)-2-chloroethylsulfonylor 1 -(CH2Br)-2-bromoethylsulfonyl. C1-C4- Haloalkylsulfonyl is additionally, for example, 4-fluorobutylsulfonyl, 4-chlorobutylsulfonyl, 4-
bromobutylsulfonyl or nonafluorobutylsulfonyl. Ci-C6-Haloalkylsulfonyl is additionally, for exam- pie, 5-fluoropentylsulfonyl, 5-chloropentylsulfonyl, 5-brompentylsulfonyl, 5-iodopentylsulfonyl, undecafluoropentylsulfonyl, 6-fluorohexylsulfonyl, 6-chlorohexylsulfonyl, 6-bromohexylsulfonyl, 6-iodohexylsulfonyl or dodecafluorohexylsulfonyl.
The term "alkylthio-alkyl" as used herein, refers to a straight-chain or branched alkyl group, as defined above, where one hydrogen atom is replaced by an alkylthio group, as de- fined above. The term "Ci-C4-alkylthio-Ci-C4-alkyl" as used herein, refers to a straight-chain or branched alkyl group having 1 to 4 carbon atoms, as defined above, where one hydrogen atom is replaced by a Ci-C4-alkylthio group, as defined above. Examples are methylthiomethyl, ethyl- thiomethyl, propylthiomethyl, isopropylthiomethyl, n-butylthiomethyl, sec-butylthiomethyl, isobu- tylthiomethyl, tert-butylthiomethyl, 1-methylthioethyl, 1-ethylthioethyl, 1-propylthioethyl, 1- isopropylthioethyl, 1-n-butylthioethyl, 1-sec-butylthioethyl, 1-isobutylthioethyl, 1-tert- butylthioethyl, 2-methylthioethyl, 2-ethylthioethyl, 2-propylthioethyl, 2-isopropylthioethyl, 2-n- butylthioethyl, 2-sec-butylthioethyl, 2-isobutylthioethyl, 2-tert-butylthioethyl, 1-methylthiopropyl,
1-ethylthiopropyl, 1-propylthiopropyl, 1-isopropylthiopropyl, 1-n-butylthiopropyl, 1-sec- butylthiopropyl, 1-isobutylthiopropyl, 1-tert-butylthiopropyl, 2-methylthiopropyl, 2-ethylthiopropyl,
2-propylthiopropyl, 2-isopropylthiopropyl, 2-n-butylthiopropyl, 2-sec-butylthiopropyl, 2- isobutylthiopropyl, 2-tert-butylthiopropyl, 3-methylthiopropyl, 3-ethylthiopropyl, 3- propylthiopropyl, 3-isopropylthiopropyl, 3-n-butylthiopropyl, 3-sec-butylthiopropyl, 3- isobutylthiopropyl, 3-tert-butylthiopropyl and the like.
The term "alkylthio-alkylthio" as used herein, refers to an alkylthio group, as defined above, where one hydrogen atom is replaced by an alkylthio group, as defined above. The term "Ci-C4-alkylthio-Ci-C4-alkylthio" as used herein, refers to an alkylthio group having 1 to 4 carbon atoms, as defined above, where one hydrogen atom is replaced by a Ci-C4-alkylthio group, as defined above. Examples are methylthiomethylthio, ethylthiomethylthio, propylthiomethylthio, isopropylthiomethylthio, n-butylthiomethylthio, sec-butylthiomethylthio, isobutylthiomethylthio, tert-butylthiomethylthio, 1-methylthioethylthio, 1-ethylthioethylthio, 1-propylthioethylthio, 1- isopropylthioethylthio, 1-n-butylthioethylthio, 1-sec-butylthioethylthio, 1-isobutylthioethylthio, 1- tert-butylthioethylthio, 2-methylthioethylthio, 2-ethylthioethylthio, 2-propylthioethylthio, 2- isopropylthioethylthio, 2-n-butylthioethylthio, 2-sec-butylthioethylthio, 2-isobutylthioethylthio, 2- tert-butylthioethylthio, 1-methylthiopropylthio, 1-ethylthiopropylthio, 1-propylthiopropylthio, 1- isopropylthiopropylthio, 1-n-butylthiopropylthio, 1-sec-butylthiopropylthio, 1- isobutylthiopropylthio, 1-tert-butylthiopropylthio, 2-methylthiopropylthio, 2-ethylthiopropylthio, 2- propylthiopropylthio, 2-isopropylthiopropylthio, 2-n-butylthiopropylthio, 2-sec-butylthiopropylthio,
2-isobutylthiopropylthio, 2-tert-butylthiopropylthio, 3-methylthiopropylthio, 3-ethylthiopropylthio,
3-propylthiopropylthio, 3-isopropylthiopropylthio, 3-n-butylthiopropylthio, 3-sec- butylthiopropylthio, 3-isobutylthiopropylthio, 3-tert-butylthiopropylthio and the like.
The substituent "oxo", also expressed as =0, replaces a Chh group by a C(=0) group.
The term "alkylcarbonyl" denotes an alkyl group, as defined above, attached via a carbon- yl [C(=0)] group to the remainder of the molecule. Ci-C3-Alkylcarbonyl is a Ci-C3-alkyl group, as defined above, attached via a carbonyl [C(=0)] group to the remainder of the molecule. C1-C4- Alkylcarbonyl is a Ci-C4-alkyl group, as defined above, attached via a carbonyl [C(=0)] group to
the remainder of the molecule. Examples for Ci-C3-alkylcarbonyl are acetyl (methylcarbonyl), propionyl (ethylcarbonyl), propylcarbonyl and isopropylcarbonyl. Examples for C1-C4- alkylcarbonyl are acetyl (methylcarbonyl), propionyl (ethylcarbonyl), propylcarbonyl, isopropyl- carbonyl n-butylcarbonyl and the like.
The term "C-i-C3-alkylamino" denotes a group -N(H)Ci-C3-alkyl. The term "C1-C4- alkylamino" denotes a group -N(H)Ci-C4-alkyl. Examples for Ci-C3-alkylamino are methylamino, ethylamino, propylamino and isopropylamino and the like. Examples for Ci-C4-alkylamino are methylamino, ethylamino, propylamino, isopropylamino, butylamino and the like.
The term "di-(Ci-C3-alkyl)-amino" denotes a group -N(Ci-C3-alkyl)2. The term "di-(Ci-C4- alkyl)amino" denotes a group -N(Ci-C4-alkyl)2. Examples are dimethylamino, diethylamino, ethylmethylamino, dipropylamino, diisopropylamino, methylpropylamino, methylisopropylamino, ethylpropylamino, ethylisopropylamino and the like. Examples for di-(Ci-C4-alkyl)amino are, in addition to those listed for di-(Ci-C3-alkyl)amino, n-butyl-methylamino, n-butyl-ethylamino, n- butyl-propylamino, di-n-butylamino, 2-butyl-methylamino, 2-butyl-ethylamino, 2-butyl- propylamino, isobutyl-methylamino, ethyl-isobutylamino, isobutyl-propylamino, tert-butyl- methylamino, tert-butyl-ethylamino, tert-butyl-propylamino and the like.
The term "alkylamino-alkyl" denotes an alkyl group, as defined above, wherein one hydro- gen atom is replaced by an alkylamino group, as defined above. Ci-C4-alkylamino-Ci-C4-alkyl is a Ci-C4-alkyl group, as defined above, wherein one hydrogen atom is replaced by a C1-C4- alkylamino group, as defined above. Examples are methylaminomethyl, 1 -(methylamino)-ethyl,
2-(methylamino)-ethyl, 1 -(methylamino)-propyl, 2-(methylamino)-propyl, 3-(methylamino)-propyl, 1 -(methylamino)-prop-2-yl, 2-(methylamino)-prop-2-yl, 1 -(methylamino)-butyl, 2-(methylamino)- butyl, 3-(methylamino)-butyl, 4-(methylamino)-butyl, ethylaminomethyl, 1 -(ethylamino)-ethyl, 2- (ethylamino)-ethyl, 1 -(ethylamino)-propyl, 2-(ethylamino)-propyl, 3-(ethylamino)-propyl, 1 - (ethylamino)-prop-2-yl, 2-(ethylamino)-prop-2-yl, 1-(ethylamino)-butyl, 2-(ethylamino)-butyl, 3- (ethylamino)-butyl, 4-(ethylamino)-butyl, propylaminomethyl, 1 -(propylamino)-ethyl, 2- (propylamino)-ethyl, 1 -(propylamino)-propyl, 2-(propylamino)-propyl, 3-(propylamino)-propyl, 1 - (propylamino)-prop-2-yl, 2-(propylamino)-prop-2-yl, 1 -(propylamino)-butyl, 2-(propylamino)-butyl,
3-(propylamino)-butyl, 4-(propylamino)-butyl, butylaminomethyl, 1 -(butylamino)-ethyl, 2- (butylamino)-ethyl, 1 -(butylamino)-propyl, 2-(butylamino)-propyl, 3-(butylamino)-propyl, 1 - (butylamino)-prop-2-yl, 2-(butylamino)-prop-2-yl, 1-(butylamino)-butyl, 2-(butylamino)-butyl, 3- (butylamino)-butyl, 4-(butylamino)-butyl and the like.
The term "dialkylamino-alkyl" denotes an alkyl group, as defined above, wherein one hy- drogen atom is replaced by a dialkylamino group, as defined above. Di-(Ci-C4-alkyl)-amino-Ci- C4-alkyl is a Ci-C4-alkyl group, as defined above, wherein one hydrogen atom is replaced by a di-(Ci-C4-alkyl)-amino group, as defined above. Examples are dimethylaminomethyl, 1 - (dimethylamino)-ethyl, 2-(dimethylamino)-ethyl, 1 -(dimethylamino)-propyl, 2-(dimethylamino)- propyl, 3-(dimethylamino)-propyl, 1 -(dimethylamino)-butyl, 2-(dimethylamino)-butyl, 3- (dimethylamino)-butyl, 4-(dimethylamino)-butyl, (ethylmethylamino)-methyl, 1 - (ethylmethylamino)-ethyl, 2-(ethylmethylamino)-ethyl, 1 -(ethylmethylamino)-propyl, 2- (ethylmethylamino)-propyl, 3-(ethylmethylamino)-propyl, 1 -(ethylmethylamino)-butyl, 2- (ethylmethylamino)-butyl, 3-(ethylmethylamino)-butyl, 4-(ethylmethylamino)-butyl, (diethyla-
mino)-methyl,1 -(diethylamino)-ethyl, 2-(diethylamino)-ethyl, 1 -(diethylamino)-propyl, 2- (diethylamino)-propyl, 3-(diethylamino)-propyl, 1 -(diethylamino)-butyl, 2-(diethylamino)-butyl, 3- (diethylamino)-butyl, 4-(diethylamino)-butyl, (dipropylamino)-methyl,1 -(dipropylamino)-ethyl, 2- (dipropylamino)-ethyl, 1 -(dipropylamino)-propyl, 2-(dipropylamino)-propyl, 3-(dipropylamino)- propyl, 1 -(dipropylamino)-butyl, 2-(dipropylamino)-butyl, 3-(dipropylamino)-butyl, 4- (dipropylamino)-butyl, (dibutylamino)-methyl,1 -(dibutylamino)-ethyl, 2-(dibutylamino)-ethyl, 1 - (dibutylamino)-propyl, 2-(dibutylamino)-propyl, 3-(dibutylamino)-propyl, 1 -(dibutylamino)-butyl, 2- (dibutylamino)-butyl, 3-(dibutylamino)-butyl, 4-(dibutylamino)-butyl and the like.
Ci-C3-Alkylene or Ci-C3-alkanediyl is a linear or branched divalent alkyl radical having 1 , 2 or 3 carbon atoms. Examples are -CH2-, -CH2CH2-, -CH(CH3)-, -CH2CH2CH2-, -CH(CH3)CH2-, -CH2CH(CH3)- and -C(CH3)2-. Ci-C4-Alkylene or Ci-C4-alkanediyl is a linear or branched diva- lent alkyl radical having 1 , 2, 3 or 4 carbon atoms. Examples are -CH2-, -CH2CH2-, -CH(CH3)-, -CH2CH2CH2-, -CH(CH3)CH2-, -CH2CH(CH3)-, -C(CH3)2-, -CH2CH2CH2CH2-, -CH(CH3)CH2CH2-, -CH2CH2CH(CH3)-, -C(CH3) 2CH2-, and -CH2C(CH3)2-. Linear Ci-C3-alkylene or Ci-C3-alkanediyl is -CH2-, -CH2CH2- or -CH2CH2CH2-. Linear Ci-C4-alkylene or Ci-C4-alkanediyl is -CH2-, -CH2CH2-, -CH2CH2CH2- or -CH2CH2CH2CH2-.
Heterocyclic rings or heterocyclyl or heteroaromatic rings or heteroaryl or hetaryl contain one or more heteroatoms as ring members, i.e. atoms different from carbon. In the terms of the present invention, these heteroatoms are N, O and S, where N and S can also be present as oxidized heteroatom groups, namely as NO, SO or S02. Thus, in the terms of the present inven- tion, rings termed as heterocyclic rings or heterocyclyl or heteroaromatic rings or heteroaryl or hetaryl contain one or more heteroatoms and/or heteroatom groups selected from the group consisting of N, O, S, NO, SO and S02 as ring members.
If not specified otherwise, the heterocyclic rings or heterocyclyl may be saturated, partially unsaturated or maximally unsaturated.
Unsaturated rings contain at least one C-C and/or C-N and/or N-N double bond(s). Maxi- mally unsaturated rings contain as many conjugated C-C and/or C-N and/or N-N double bonds as allowed by the ring size. Maximally unsaturated 5- or 6-membered heteromonocyclic rings are generally aromatic. Exceptions are maximally unsaturated 6-membered rings containing O, S, SO and/or S02 as ring members, such as pyran and thiopyran, which are not aromatic. Par- tially unsaturated rings contain less than the maximum number of C-C and/or C-N and/or N-N double bond(s) allowed by the ring size.
The heterocyclic rings or heterocyclyl or heteroaromatic rings or heteroaryl or hetaryl may be attached to the remainder of the molecule via a carbon ring member or via a nitrogen ring member. As a matter of course, the ring contains at least one carbon ring atom. If the ring con- tains more than one O ring atom, these are not adjacent.
Examples of a 3-, 4-, 5-, 6- or 7-membered monocyclic saturated heterocyclic ring con- taining 1 , 2, 3 or 4 heteroatoms selected from the group consisting of O, N, S, NO, S(O) and S(0)2 as ring members include: Oxiranyl, thiiranyl, aziridinyl, oxetanyl, thietanyl, 1 -oxothietanyl,
1 ,1 -dioxothietanyl, azetidinyl, tetrahydrofuran-2-yl, tetrahydrofuran-3-yl, tetrahydrothien-2-yl, tetrahydrothien-3-yl, pyrrolidin-1 -yl, pyrrol i d i n-2-yl , pyrrolidin-3-yl, pyrazolidin-1 -yl, pyrazolidin-3- yl, pyrazolidin-4-yl, pyrazolidin-5-yl, imidazolidin-1 -yl, imidazolidin-2-yl, imidazolidin-4-yl, oxazol-
idin-2-yl, oxazolidin-3-yl, oxazolidin-4-yl, oxazolidin-5-yl, isoxazolidin-2-yl, isoxazolidin-3-yl, isoxazolidin-4-yl, isoxazolidin-5-yl, thiazolidin-2-yl, thiazolidin-3-yl, thiazolidin-4-yl, thiazolidin-5- yl, isothiazolidin-2-yl, isothiazolidin-3-yl, isothiazolidin-4-yl, isothiazolidin-5-yl, 1 ,2,4- oxadiazolidin-3-yl, 1 ,2,4-oxadiazolidin-5-yl, 1 ,2,4-thiadiazolidin-3-yl, 1 ,2,4-thiadiazolidin-5-yl,
1 .2.4-triazolidin-3-yl, 1 ,3,4-oxadiazolidin-2-yl, 1 ,3,4-thiadiazolidin-2-yl, 1 ,3,4-triazolidin-1 -yl,
1 .3.4-triazolidin-2-yl, 1 ,2,3,4-tetrazolidin-1 -yl, 1 ,2,3,4-tetrazolidin-2-yl, 1 ,2,3,4-tetrazolidin-5-yl, 2- tetrahydropyranyl, 4-tetrahydropyranyl, 1 ,3-dioxan-5-yl, 1 ,4-dioxan-2-yl, piperidin-1 -yl, piperidin-
2-yl, piperidin-3-yl, piperidin-4-yl, hexahydropyridazin-3-yl, hexahydropyridazin-4-yl, hexahydro- pyrimidin-2-yl, hexahydropyrimidin-4-yl, hexahydropyrimidin-5-yl, piperazin-1 -yl, piperazin-2-yl,
1 .3.5-hexahydrotriazin-1 -yl, 1 ,3,5-hexahydrotriazin-2-yl and 1 ,2,4-hexahydrotriazin-3-yl, mor- pholin-2-yl, morpholin-3-yl, morpholin-4-yl, thiomorpholin-2-yl, thiomorpholin-3-yl, thiomorpholin-
4-yl, 1 -oxothiomorpholin-2-yl, 1 -oxothiomorpholin-3-yl, 1 -oxothiomorpholin-4-yl, 1 ,1 - dioxothiomorpholin-2-yl, 1 ,1 -dioxothiomorpholin-3-yl, 1 ,1 -dioxothiomorpholin-4-yl, azepan-1 -, -2- , -3- or -4-yl, oxepan-2-, -3-, -4- or -5-yl, hexahydro-1 ,3-diazepinyl, hexahydro-1 ,4-diazepinyl, hexahydro-1 ,3-oxazepinyl, hexahydro-1 ,4-oxazepinyl, hexahydro-1 ,3-dioxepinyl, hexahydro-1 ,4- dioxepinyl and the like.
Examples of a 3-, 4-, 5-, 6- or 7-membered monocyclic partially unsaturated heterocyclic ring containing 1 , 2, 3 or 4 heteroatoms selected from the group consisting of O, N and S as ring members include: 2,3-dihydrofur-2-yl, 2,3-dihydrofur-3-yl, 2,4-dihydrofur-2-yl, 2,4- dihydrofur-3-yl, 2,3-dihydrothien-2-yl, 2,3-dihydrothien-3-yl, 2,4-dihydrothien-2-yl, 2,4- dihydrothien-3-yl, 2-py rro I i n-2-yl , 2-pyrrolin-3-yl, 3-pyrrolin-2-yl, 3-pyrrolin-3-yl, 2-isoxazolin-3-yl,
3-isoxazolin-3-yl, 4-isoxazolin-3-yl, 2-isoxazolin-4-yl, 3-isoxazolin-4-yl, 4-isoxazolin-4-yl, 2- isoxazolin-5-yl, 3-isoxazolin-5-yl, 4-isoxazolin-5-yl, 2-isothiazolin-3-yl, 3-isothiazolin-3-yl, 4- isothiazolin-3-yl, 2-isothiazolin-4-yl, 3-isothiazolin-4-yl, 4-isothiazolin-4-yl, 2-isothiazolin-5-yl, 3-isothiazolin-5-yl, 4-isothiazolin-5-yl, 2,3-dihydropyrazol-1 -yl, 2,3-dihydropyrazol-2-yl, 2,3- dihydropyrazol-3-yl, 2,3-dihydropyrazol-4-yl, 2,3-dihydropyrazol-5-yl, 3,4-dihydropyrazol-1 -yl,
3.4-dihydropyrazol-3-yl, 3,4-dihydropyrazol-4-yl, 3,4-dihydropyrazol-5-yl, 4,5-dihydropyrazol-1 - yl, 4,5-dihydropyrazol-3-yl, 4,5-dihydropyrazol-4-yl, 4,5-dihydropyrazol-5-yl, 2,3-dihydrooxazol- 2-yl, 2,3-dihydrooxazol-3-yl, 2,3-dihydrooxazol-4-yl, 2,3-dihydrooxazol-5-yl, 3,4-dihydrooxazol-2- yl, 3,4-dihydrooxazol-3-yl, 3,4-dihydrooxazol-4-yl, 3,4-dihydrooxazol-5-yl, 3,4-dihydrooxazol-2- yl, 3,4-dihydrooxazol-3-yl, 3,4-dihydrooxazol-4-yl, 2,3-dihydro-1 ,2,4-triazol-1 -, -2-, -3- or -5-yl,
4.5-dihydro-1 ,3,4-triazol-1 -, -2-, -4- or -5-yl, 2,5-dihydro-1 ,3,4-triazol-1 -, -2- or -5-yl, 4,5-dihydro- 1 ,2,3-triazol-1 -, -4- or -5-yl, 2,5-dihydro-1 ,2,3-triazol-1 -, -2- or -5-yl, 2,3-dihydro-1 ,2,3-triazol-1 -, - 2-, -3-, -4- or -5-yl, 2,3-dihydro-1 ,2,3,4-tetrazoM -, -2-, -3- or -5-yl, 2,5-dihydro-1 ,2,3,4-tetrazoM - , -2- or -5-yl, 4,5-dihydro-1 ,2,3,4-tetrazol-1 -, -4- or -5-yl, 2-, 3-, 4-, 5- or 6-di- or tetrahydropyridi- nyl, 3-di- or tetrahydropyridazinyl, 4-di- or tetrahydropyridazinyl, 2-di- or tetrahydropyrimidinyl, 4- di- or tetrahydropyrimidinyl, 5-di- or tetrahydropyrimidinyl, di- or tetrahydropyrazinyl, 1 ,3,5-di- or tetrahydrotriazin-2-yl, 1 ,2, 4-di- or tetrahydrotriazin-3-yl, 2,3,4,5-tetrahydro[1 H]azepin-1 -, -2-, -3-, -4-, -5-, -6- or -7-yl, 3,4,5,6-tetrahydro[2H]azepin-2-, -3-, -4-, -5-, -6- or -7-yl,
2,3,4,7-tetrahydro[1 H]azepin-1 -, -2-, -3-, -4-, -5-, -6- or -7-yl, 2,3,6,7-tetrahydro[1 H]azepin-1 -, -2- , -3-, -4-, -5-, -6- or -7-yl, tetrahydrooxepinyl, such as 2,3,4,5-tetrahydro[1 H]oxepin-2-, -3-, -4-, -
5-, -6- or -7-yl, 2,3,4,7-tetrahydro[1 H]oxepin-2-, -3-, -4-, -5-, -6- or -7-yl, 2, 3, 6, 7-
tetrahydro[1 H]oxepin-2-, -3-, -4-, -5-, -6- or -7-yl, tetrahydro-1 ,3-diazepinyl, tetrahydro-1 ,4- diazepinyl, tetrahydro-1 ,3-oxazepinyl, tetrahydro-1 ,4-oxazepinyl, tetrahydro-1 ,3-dioxepinyl and tetrahydro-1 ,4-dioxepinyl.
Examples for a 3-, 4-, 5-, 6- or 7-membered monocyclic maximally unsaturated (including aromatic) heterocyclic ring containing 1 , 2, 3 or 4 heteroatoms selected from the group consist- ing of O, N, S and NO as ring members are 5- or 6-membered heteroaromatic rings, such as 2- furyl, 3-furyl, 2-thienyl, 3-thienyl, 1-pyrrolyl, 2-pyrrolyl, 3-pyrrolyl, 1-pyrazolyl, 3-pyrazolyl, 4-pyrazolyl, 5-pyrazolyl, 2-oxazolyl, 4-oxazolyl, 5-oxazolyl, 2-thiazolyl, 4-thiazolyl, 5-thiazolyl, 1- imidazolyl, 2-imidazolyl, 4-imidazolyl, 1 ,2,3-triazol-1-yl, 1 ,2,3-triazol-2-yl, 1 ,2,3-triazol-4-yl, 1 ,2,4- triazol-1-yl, 1 ,3,4-triazol-1-yl, 1 ,3,4-triazol-2-yl, 1 ,2, 3, 4-1 H-tetrazol-1-yl, 1 ,2, 3, 4-1 H-tetrazol-5-yl,
1 ,2,3,4-2H-tetrazol-2-yl, 1 ,2,3,4-2H-tetrazol-5-yl, 2-pyridinyl, 3-pyridinyl, 4-pyridinyl, 1- oxopyridin-2-yl, 1-oxopyridin-3-yl, 1-oxopyridin-4-yl,3-pyridazinyl, 4-pyridazinyl, 2-pyrimidinyl, 4-pyrimidinyl, 5-pyrimidinyl and 2-pyrazinyl, further non-aromatic pyranyl and thiopyranyl, and also homoaromatic radicals, such as 1 H-azepine, 1 H-[1 ,3]-diazepine and 1 H-[1 ,4]-diazepine.
Examples for a 7-, 8-, 9- or 10-membered saturated heterobicyclic ring containing 1 , 2 or 3 (or 4) heteroatoms or heteroatom groups selected from N, O, S, NO, SO and SO2, as ring members are:
Examples for a 7-, 8-, 9- or 10-membered partially unsaturated heterobicyclic ring contain¬ ing 1 , 2 or 3 (or 4) heteroatoms or heteroatom groups selected from N, O, S, NO, SO and SO2, as ring members are:
Examples for a 7-, 8-, 9- or 10-membered maximally unsaturated heterobicyclic ring con- taining 1 , 2 or 3 (or 4) heteroatoms or heteroatom groups selected from N, O, S, NO, SO and SO2, as ring members are:
In the above structures # denotes the attachment point to the remainder of the molecule. The attachment point is not restricted to the ring on which is shown, but can be on either of the fused rings, and may be on a carbon or on a nitrogen ring atom. If the rings carry one or more substituents, these may be bound to carbon and/or to nitrogen ring atoms (if the latter are not part of a double bond).
Examples for 5- or 6-membered saturated heterocyclic radicals formed by R2a and R2b to- gether with the nitrogen atom to which they are bound and which may contain a further heteroa- tom selected from the group consisting of O and N as a ring member are pyrrolidin-1-yl, pyrazol- idin-1-yl, imidazolidin-1-yl, oxazolidin-3-yl, isoxazolidin-2-yl, piperidin-1-yl, piperazine-1 -yl, and morpholin-4-yl (also termed morpholino). Examples for 5-, 6- or 7-membered saturated hetero- cyclic radicals formed by R2a and R2b together with the nitrogen atom to which they are bound and which may contain a further heteroatom selected from the group consisting of O, S and N as a ring member are, in addition to those listed above for 5- or 6-membered heterocyclic radi- cals, thiazolidin-3-yl, isothiazolidin-2-yl, thiomorpholin-4-yl, 1 ,2-azepan-1-yl, diazepan-1-yl, 1 ,3- diazepan-1-yl, 1 ,4-diazepan-1-yl, 1 ,3-oxazepan-3-yl and1 ,4-oxazepan-4-yl. Examples for 4-, 5-, 6-, 7- or 8-membered saturated or partially unsaturated heterocyclic radicals formed by R2a and R2b together with the nitrogen atom to which they are bound and which may contain a further heteroatom selected from the group consisting of O, S and N as a ring member are, in addition to those listed above for 5-, 6- or 7-membered saturated heterocyclic radicals, azetidin-1-yl, azocan-1 -yl, 1 ,2-diazocan-1-yl, 1 ,3-diazocan-1-yl, 1 ,4-diazocan-1-yl, 2,3-dihydropyrrol-1-yl, 2,5-
dihydropyrrol-1 -yl, 2,3-dihydropyrazol-1 -yl, 3,4-dihydropyrazol-1 -yl, 4,5-dihydropyrazol-1 -yl, 2,3- dihydroimidazol-1 -yl, 3,4-dihydroimidazol-1 -yl, 4,5-dihydroimidazol-1 -yl, 2,3-dihydrooxazol-3-yl, 2,3-dihydroisoxazol-2-yl, 2,3-dihydrothiazol-3-yl, 2,3-dihydroisothiazol-2-yl, 1 , 2,3,4- tetrahydropyridin-1 -yl, 1 ,2,3,6-tetrahydropyridin-1 -yl, 1 ,2-dihyd ropyridin-1 -yl, 1 ,4-dihydropyridin- 1 -yl, 3,4-dihydro-2H-1 ,4-oxazin-4-yl, 4H-1 ,4-oxazin-4-yl and the like.
If two radicals bound on the same nitrogen atom (for example R3e and R3f or R¾ and R3h) together with the nitrogen atom, to which they are bound, form a 4-, 5-, 6- or 7-membered, satu- rated or unsaturated (N-bound) heterocyclic radical which may contain as a ring member a fur- ther heteroatom selected from O, S and N, this is for example azetidin-1 -yl, pyrrolidine-1 -yl, py- razolidin-1 -yl, imidazolidin-1 -yl, oxazolidin-3-yl, thiazolidin-3-yl, isoxazolidin-2-yl, isothiazolin-2- yl, piperdin-1 -yl, piperazine-1 -yl, morpholin-1 -yl, thiomorpholin-1 -yl, 1 -oxothiomorpholin-1 -yl,
1 ,1 -dioxothiomorpholin-1 -yl, azepan-1 -yl, 1 ,4-diazepan-1 -yl, pyrrolin-1 -yl, pyrazolin-1 -yl, imidaz- olin-1 -yl, oxazolin-3-yl, isoxazolin-2-yl, thiazolin-3-yl, isothiazolin-1 -yl, 1 ,2-dihydropyridin-1 -yl,
1 ,2,3,4-tetrahydropyridin-1 -yl, 1 ,2,5,6-tetrahydropyridin-1 -yl, 1 ,2-dihydropyridazin, 1 ,6- dihydropyridazin, 1 ,2,3,4-tetrahydropyridazin-1 -yl, 1 ,2,5,6-tetrahydropyridazin-1 -yl, 1 ,2- dihydropyrimidin, 1 ,6-dihydropyrimidin, 1 ,2,3,4-tetrahydropyrimidin-1 -yl, 1 , 2,5,6- tetrahydropyrimidin-1 -yl, 1 ,2-dihydropyrazin-1 -yl, 1 ,2,3,4-tetrahydropyrazin-1 -yl, 1 , 2,5,6- tetrahydropyrazin-1 -yl, pyrrol-1 -yl, pyrazol-1 -yl and imidazol-1 -yl.
The remarks made below concerning preferred embodiments of the variables of the corn- pounds of formula I, especially with respect to their substituents R1, R2, R3, R4, R5, R11, R21, R22,
R23, R24, R25, Rb, R1b, R2a, R2b, R2c, R2d, R2e, R2f, R3b, R3c, R3d, R3e, R3f, R¾, R3b, R4b, R4c, R4d,
R4e, R4f, R49, R4h, Rk, Rz, Q, Q1, Q2, Q3, Q4, Z1, Z2, Z3, Z3a, k and n, the features of the use and method according to the invention and of the composition of the invention are valid both on their own and, in particular, in every possible combination with each other.
In one preferred embodiment, Q is Q1. In another preferred embodiment, Q is Q2. In an- other preferred embodiment, Q is Q3. In another preferred embodiment, Q is Q4. In particular, Q is Q1, Q3 or Q4. Specifically, Q is Q1.
In a preferred embodiment, R1 is selected from the group consisting of halogen, nitro, cy- ano, Ci-C4-alkyl, Ci-C4-haloalkyl, Ci-C4-alkoxy-Ci-C4-alkoxy-Z1- and R1b-S(0)k-Z1-. In particular, R1 is halogen; specifically Cl.
In one embodiment of R2, Z2 is a covalent bond or linear Ci-C4-alkanediyl which is unsub- stituted or partly or completely fluorinated or substituted by 1 , 2, 3 or 4 groups Rz; and R2a and R2b, together with the nitrogen atom to which they are bound, form a 4-, 5-, 6-, 7- or 8- membered saturated or partially unsaturated heterocyclic radical as defined above.
In another embodiment of R2, Z2 is CHR2c; and R2b and R2c form together a linear C1-C3- alkanediyl group which is unsubstituted or substituted by 1 or 2 groups R2d; and R2a is as defined above.
In this case, the group R2 can be depicted as follows:
where m is 0, 1 or 2 and p is 0, 1 or 2.
Among these two embodiments of R2, preference is given to the first in which Z2 is a cova- lent bond or linear Ci-C4-alkanediyl which is unsubstituted or partly or completely fluorinated or substituted by 1 , 2, 3 or 4 groups Rz; and R2a and R2b, together with the nitrogen atom to which they are bound, form a 4-, 5-, 6-, 7- or 8-membered saturated or partially unsaturated heterocy- clic radical as defined above.
In a preferred embodiment, R2a and R2b, together with the nitrogen atom to which they are bound, form a 5-, 6- or 7-membered saturated heterocyclic radical which may contain a further heteroatom selected from the group consisting of O, S and N as a ring member, and where the heterocyclic radical is unsubstituted or carries 1 , 2, 3 or 4 groups R2e or carries 1 group R2f and 0, 1 , 2 or 3 groups R2e, where
R2e is selected from the group consisting of halogen and Ci-C4-alkyl; and
R2f is selected from the group consisting of R4c-C(0)-, R4dO-C(0)- and R4eR4fN-C(0)-; where
R4c, R4d, R4e and R4f, independently of each other, are Ci-C4-alkyl or Ci-C4-haloalkyl.
In a more preferred embodiment, R2a and R2b, together with the nitrogen atom to which they are bound, form a 5- or 6-membered saturated heterocyclic radical which may contain a further heteroatom selected from the group consisting of O and N as a ring member, and where the heterocyclic radical is unsubstituted or carries 1 , 2, 3 or 4 groups R2e; or carries 1 group R2f and no group R2e; where
R2e is Ci-C4-alkyl; and
R2f is selected from the group consisting of R4dO-C(0)- and R4eR4fN-C(0)-;
where R4d, R4e and R4f, independently of each other, are Ci-C4-alkyl.
In particular, R2a and R2b, together with the nitrogen atom to which they are bound, form a 5- or 6-membered saturated heterocyclic radical which may contain an oxygen atom as a fur- ther heteroatom ring member, and where the heterocyclic radical is unsubstituted or carries 1 , 2 or 3 groups R2e, preferably 1 or 2 groups R2e; where
R2e is Ci-C4-alkyl.
Specifcally, R2a and R2b, together with the nitrogen atom to which they are bound, form an N-bound morpholinyl ring (= a 4-morpholinyl ring) which is unsubstituted or carries 1 , 2 or 3 Ci- C4-alkyl groups; preferably 1 , 2 or 3 Ci-C2-alkyl groups, specifically 1 or 2 Ci-C2-alkyl groups, and very specifically 1 or 2 methyl groups; or R2a and R2b, together with the nitrogen atom to
which they are bound, form an N-bound pyrrolidine ring. Examples for specific morpholin-4-yl rings formed by R2a and R2b together with the nitrogen atom to which they are bound are mor- pholin-4-yl, 2-methylmorpholin-4-yl, 3-methylmorpholin-4-yl, 2-ethylmorpholin-4-yl, 3- ethylmorpholin-4-yl, 2,3-dimethylmorpholin-4-yl, 2,6-dimethylmorpholin-4-yl, 3,5- dimethylmorpholin-4-yl and 2,2,6-trimethylmorpholin-4-yl.
If Z2 in formula R.2 is a covalent bond, the group -OR2 is in sum a group -0-C(=0)- NR2aR2b i.e. a carbamate group. If Z2 is (optionally substituted) linear Ci-C4-alkanediyl, the group OR2 is a (optionally substituted) linear Ci-C4-alkoxy group carrying an amide group C(=0)NR2aR2b.
In a preferred embodiment of R2, Z2 is a covalent bond, Chh or CH2CH2; more preferably a covalent bond or CH2. In a specific embodiment, Z2 is a covalent bond. In another specific em- bodiment, Z2 is CH2.
In a preferred embodiment of R2, Z2 is a covalent bond, CH2 or CH2CH2; and R2a and R2b, together with the nitrogen atom to which they are bound, form a 5-, 6- or 7-membered saturated heterocyclic radical which may contain a further heteroatom selected from the group consisting of O, S and N as a ring member, and where the heterocyclic radical is unsubstituted or carries 1 , 2, 3 or 4 groups R2e or carries 1 group R2f and 0, 1 , 2 or 3 groups R2e, where
R2e is selected from the group consisting of halogen and Ci-C4-alkyl; and
R2f is selected from the group consisting of R4c-C(0)-, R4dO-C(0)- and R4eR4fN-C(0)-; where
R4c, R4d, R4e and R4f, independently of each other, are Ci-C4-alkyl or Ci-C4-haloalkyl.
In a more preferred embodiment of R2, Z2 is a covalent bond or CH2; and R2a and R2b, to- gether with the nitrogen atom to which they are bound, form a 5-, 6- or 7-membered saturated heterocyclic radical which may contain a further heteroatom selected from the group consisting of O, S and N as a ring member, and where the heterocyclic radical is unsubstituted or carries 1 , 2, 3 or 4 groups R2e or carries 1 group R2f and 0, 1 , 2 or 3 groups R2e, where
R2e is selected from the group consisting of halogen and Ci-C4-alkyl; and
R2f is selected from the group consisting of R4c-C(0)-, R4dO-C(0)- and R4eR4fN-C(0)-; where
R4c, R4d, R4e and R4f, independently of each other, are Ci-C4-alkyl or Ci-C4-haloalkyl.
In an even more preferred embodiment of R2, Z2 is a covalent bond or CH2; and R2a and R2b, together with the nitrogen atom to which they are bound, form a 5- or 6-membered saturat- ed heterocyclic radical which may contain a further heteroatom selected from the group consist- ing of O and N as a ring member, and where the heterocyclic radical is unsubstituted or carries 1 , 2, 3 or 4 groups R2e; or carries 1 group R2f and no group R2e; where
R2e is Ci-C4-alkyl; and
R2f is selected from the group consisting of R4dO-C(0)- and R4eR4fN-C(0)-;
where R4d, R4e and R4f, independently of each other, are Ci-C4-alkyl.
In a particular embodiment of R2, Z2 is a covalent bond or Chh; and R2a and R2b, together with the nitrogen atom to which they are bound, form a 5- or 6-membered saturated heterocyclic radical which may contain an oxygen atom as a further heteroatom ring member, and where the heterocyclic radical is unsubstituted or carries 1 , 2 or 3 groups R2e, preferably 1 or 2 groups R2e; where
R2e is Ci-C4-alkyl.
In a specific embodiment of R2, Z2 is a covalent bond or CH2; and R2a and R2b, together with the nitrogen atom to which they are bound, form an N-bound morpholinyl ring (morpholino) which is unsubstituted or carries 1 , 2 or 3 Ci-C4-alkyl groups; preferably 1 , 2 or 3 Ci-C2-alkyl groups, specifically 1 or 2 Ci-C2-alkyl groups, and very specifically 1 or 2 methyl groups; or R2a and R2b, together with the nitrogen atom to which they are bound, form an N-bound pyrrolidine ring.
In a more specific embodiment of R2, Z2 is a covalent bond and R2a and R2b, together with the nitrogen atom to which they are bound, form an N-bound morpholinyl ring which is unsubsti- tuted or carries 1 , 2 or 3 Ci-C4-alkyl groups; preferably 1 , 2 or 3 Ci-C2-alkyl groups, specifically 1 or 2 Ci-C2-alkyl groups, and very specifically 1 or 2 methyl groups.
In another more specific embodiment of R2, Z2 is CH2; and R2a and R2b, together with the nitrogen atom to which they are bound, form an N-bound morpholinyl ring (morpholino) which is unsubstituted or carries 1 , 2 or 3 Ci-C4-alkyl groups; preferably 1 , 2 or 3 Ci-C2-alkyl groups, specifically 1 or 2 Ci-C2-alkyl groups, and very specifically 1 or 2 methyl groups; or R2a and R2b, together with the nitrogen atom to which they are bound, form an N-bound pyrrolidine ring.
In case that Z2 is CHR2c; and R2b and R2c form together a linear Ci-C3-alkanediyl group which is unsubstituted or substituted by 1 or 2 groups R2d, preference is given to R2b and R2c forming together an unsubstituted (CH2)2 or (CH2)3 bridging group and R2a being hydrogen, C1- C4-alkyl or Ci-C4-haloalkyl, R2 thus resulting in a pyrrolidin-2-on-3-yl ring which may carry a C1- C4-alkyl or Ci-C4-haloalkyl substituent on the nitrogen ring atom or in a piperidin-2-on-3-yl ring which may carry a Ci-C4-alkyl or Ci-C4-haloalkyl substituent on the nitrogen ring atom. In partic- ular, R2b and R2c form together an unsubstituted (CH2)2 bridging group and R2a is hydrogen or Ci-C4-alkyl, R2 thus resulting in a pyrrolidin-2-on-3-yl ring which may carry a Ci-C4-alkyl substit- uent on the nitrogen ring atom.
In a preferred embodiment, R3 is selected from the group consisting of halogen, nitro, C1- C6-alkyl, Ci-C6-haloalkyl, Ci-C6-haloalkoxy-Z3 and R3b-S(0)k-Z3; in particular from halogen and Ci-C4-alkylsulfonyl; specifically from Cl and methylsulfonyl; and is very specifically Cl.
In a preferred embodiment, R4 is selected from the group consisting of hydrogen, cyano, halogen, nitro, Ci-C2-alkyl, and Ci-C2-haloalkyl. More preferably, R4 is selected from the group consisting of hydrogen, cyano, chlorine, fluorine and CH3. In particular, R4 is hydrogen.
In a preferred embodiment, each R5 is independently selected from the group consisting of CrCe-alkyl, Ci-C4-alkoxy-Ci-C4-alkyl and phenyl; more preferably from Ci-C4-alkyl,
CH3OCH2CH2 and CH3OCH2, in particular from Ci-C4-alkyl; and is specifically methyl.
In particular compounds I, Q is Q1, Q3 or Q4; R1 is halogen; in R2 Z2 is a covalent bond or CH2; and R2a and R2b, together with the nitrogen atom to which they are bound, form a 5- or 6- membered saturated heterocyclic radical which may contain a further heteroatom selected from O as a ring member, where the heterocyclic radical is unsubstituted or carries 1 , 2 or 3 C1-C4- alkyl groups; preferably 1 , 2 or 3 Ci-C2-alkyl groups, specifically 1 or 2 Ci-C2-alkyl groups, and very specifically 1 or 2 methyl groups; R3 is halogen or Ci-C4-alkylsulfonyl; R4 is hydrogen; and R5 is Ci-C4-alkyl.
In more particular compounds I, Q is Q1, Q3 or Q4; R1 is halogen; in R2 Z2 is a covalent bond or CH2; and R2a and R2b, together with the nitrogen atom to which they are bound, form an N-bound morpholinyl ring which is unsubstituted or carries 1 , 2 or 3 Ci-C4-alkyl groups; prefera- bly 1 , 2 or 3 Ci-C2-alkyl groups, specifically 1 or 2 Ci-C2-alkyl groups, and very specifically 1 or 2 methyl groups; or R2a and R2b, together with the nitrogen atom to which they are bound, form an N-bound pyrrolidine ring; R3 is Cl or Ci-C4-alkylsulfonyl; R4 is hydrogen; and R5 is C1-C4- alkyl.
In specific compounds I, Q is Q1, Q3 or Q4, in particular Q1; R1 is Cl; in R2 Z2 is a covalent bond or CFh; and R2a and R2b, together with the nitrogen atom to which they are bound, form an N-bound morpholinyl ring which is unsubstituted or carries 1 or 2 Ci-C4-alkyl groups; preferably 1 or 2 Ci-C2-alkyl groups, and specifically 1 or 2 methyl groups; or R2a and R2b, together with the nitrogen atom to which they are bound, form an N-bound pyrrolidine ring; R3 is Cl or methyl- sulfonyl; R4 is hydrogen; and R5 is methyl.
In one embodiment of the above-defined particular, more particular and specific corn- pounds I, Z2 is a covalent bond.
In another embodiment of the above-defined particular, more particular and specific corn- pounds I, Z2 is CH2.
If not specified otherwise, the variables R11, R21, R22, R23, R24, R25, Z1, Z3, Z3a, Rb, R1b, R3b, R3c, R3d, R3e, R3f, R¾, R3h, R4b, R4c, R4d, R4e, R4f, R4s, R4h, Rk, Rz, n and k, independently of each oth- er, preferably have one of the following meanings:
R11, R21, independently of each other, are preferably selected from halogen, Ci-C4-alkyl, C3-C6- cycloalkyl, C3-C6-halocycloalkyl, Ci-C4-haloalkyl, Ci-C4-alkoxy, Ci-C4-alkoxy-Ci-C4-alkyl, C1-C4- alkylthio-Ci-C4-alkyl, Ci-C4-alkoxy-Ci-C4-alkoxy and Ci-C6-haloalkyloxy, more preferably from halogen, Ci-C4-alkyl, C3-C6-cycloalkyl, Ci-C4-haloalkyl and Ci-C4-alkoxy. More preferably R11,
R21 independently of each other are selected from the group consisting of halogen, Ci-C4-alkyl, C3-C6-cycloalkyl, Ci-C4-haloalkyl, Ci-C4-alkoxy, Ci-C4-alkoxy-Ci-C4-alkyl, Ci-C4-alkylthio-Ci-C4- alkyl and Ci-C4-alkoxy-Ci-C4-alkoxy; in particular from halogen, Ci-C4-alkyl, Ci-C4-alkoxy, C1- C4-haloalkyl, Ci-C4-alkoxy-Ci-C4-alkyl and Ci-C4-alkoxy-Ci-C4-alkoxy; and specifically from Cl,
F, Br, methyl, ethyl, methoxy and trifluoromethyl.
R22 is preferably selected from hydrogen, Ci-C6-alkyl, C3-C6-cycloalkyl, C3-C6-
halocycloalkyl, Ci-C6-haloalkyl, C2-C6-alkenyl, C2-C6-haloalkenyl, C2-C6-alkynyl, C3-C6- haloalkynyl, Ci-C4-alkoxy-Ci-C4-alkyl, phenyl, benzyl and heterocyclyl, where heterocyclyl is a 5- or 6-membered monocyclic saturated, partially unsaturated or aromatic heterocycle, which contains 1 , 2 or 3 heteroatoms as ring members, which are selected from the group consisting of O, N and S, where the rings of phenyl, benzyl and heterocyclyl are unsubstituted or substituted by 1 , 2 or 3 groups, which are identical or different and selected from the group consisting of halogen, Ci-C4-alkyl, Ci-C4-haloalkyl and Ci-C4-alkoxy. More preferably R22 is selected from hydrogen, Ci-C4-alkyl, Ci-C4-haloalkyl, C2-C4-alkenyl, C2-C4-haloalkenyl, C2-C4- alkynyl, C3-C6-cycloalkyl, phenyl and heterocyclyl, where heterocyclyl is a 5- or 6-membered monocyclic saturated, partially unsaturated or aromatic heterocycle, which contains 1 , 2 or 3 heteroatoms as ring members, which are selected from the group consisting of O, N and S. In particular, R22 is selected from hydrogen, Ci-C4-alkyl, Ci-C4-haloalkyl, C2-C4-alkenyl, C2-C4- haloalkenyl, C3-C6-cycloalkyl, phenyl and heterocyclyl, where heterocyclyl is a 5- or 6- membered aromatic heterocyclic radical having 1 or 2 nitrogen atoms as ring members.
R23 is preferably selected from hydrogen, Ci-C6-alkyl, Ci-C6-haloalkyl, C2-C6-alkenyl, C3-C6- cycloalkyl and phenyl. More preferably R23 is selected from hydrogen, Ci-C4-alkyl, C1-C4- haloalkyl and C3-C6-cycloalkyl; and in particular, R23 is selected from hydrogen, Ci-C3-alkyl and Ci-C3-haloalkyl.
R24 is preferably selected from Ci-C6-alkyl, Ci-C6-haloalkyl, C2-C6-alkenyl, C3-C6-cycloalkyl and phenyl. More preferably R24 is selected from Ci-C4-alkyl, Ci-C4-haloalkyl and C3-C6- cycloalkyl; and in particular R23 is selected from Ci-C3-alkyl and Ci-C3-haloalkyl.
R25 is preferably selected from Ci-C6-alkyl, C3-C6-cycloalkyl, C3-C6-halocycloalkyl, C1-C6- haloalkyl, C2-C6-alkenyl, C2-C6-haloalkenyl, C2-C6-alkynyl, C3-C6-haloalkynyl, Ci-C4-alkoxy-Ci- C4-alkyl, phenyl, benzyl and heterocyclyl, where heterocyclyl is a 5- or 6-membered monocyclic saturated, partially unsaturated or aromatic heterocycle, which contains 1 , 2 or 3 heteroatoms as ring members, which are selected from the group consisting of O, N and S, where the rings of phenyl, benzyl and heterocyclyl are unsubstituted or substituted by 1 , 2 or 3 groups, which are identical or different and selected from the group consisting of halogen, Ci-C4-alkyl, C1-C4- haloalkyl and Ci-C4-alkoxy. More preferably R25 is selected from Ci-C4-alkyl, Ci-C4-haloalkyl, C2-C4-alkenyl, C2-C4-haloalkenyl, C2-C4-alkynyl, C3-C6-cycloalkyl, phenyl and heterocyclyl, where heterocyclyl is a 5- or 6-membered monocyclic saturated, partially unsaturated or aromatic heterocycle, which contains 1 , 2 or 3 heteroatoms as ring members, which are selected from the group consisting of O, N and S. In particular, R25 is selected from Ci-C4-alkyl, Ci-C4-haloalkyl, C2-C4-alkenyl, C2-C4-haloalkenyl, C3-C6-cycloalkyl, phenyl and heterocyclyl, where heterocyclyl is a 5- or 6-membered aromatic heterocyclic radical having 1 or 2 nitrogen atoms as ring members.
Z1, Z3, independently of each other, are preferably selected from a covalent bond, methanediyl and ethanediyl, and in particular are a covalent bond.
Z3a is preferably selected from a covalent bond, Ci-C2-alkanediyl, 0-Ci-C2-alkanediyl, C1- C2-alkanediyl-0 and Ci-C2-alkanediyl-0-Ci-C2-alkanediyl; more preferably from a covalent bond, methanediyl, ethanediyl, O-methanediyl, O-ethanediyl, methanediyl-O, and ethanediyl-O; and in particular from a covalent bond, methanediyl and ethanediyl.
Rb, R1b, R3b, R4b, independently of each other, are preferably selected from Ci-C6-alkyl, C3-C7-cycloalkyl, Ci-C6-haloalkyl, C2-C6-alkenyl, C2-C6-haloalkenyl, C2-C6-alkynyl, C2-C6- haloalkynyl, phenyl and heterocyclyl, where heterocyclyl is a 5- or 6-membered monocyclic saturated, partially unsaturated or aromatic heterocycle, which contains 1 , 2 or 3 heteroatoms as ring members, which are selected from the group consisting of O, N and S, where phenyl and heterocyclyl are unsubstituted or substituted by 1 , 2 or 3 groups, which are identical or different and selected from the group consisting of halogen, Ci-C4-alkyl, Ci-C2-haloalkyl and C1- C2-alkoxy. More preferably Rb, R1b, R3b, R4b independently of each other are selected from the group consisting of Ci-C4-alkyl, C2-C4-alkenyl, C2-C4-alkynyl, Ci-C4-haloalkyl, C2-C4-haloalkenyl, C2-C4-haloalkynyl, C3-C6-cycloalkyl, phenyl and heterocyclyl, where heterocyclyl is a 5- or 6- membered monocyclic saturated, partially unsaturated or aromatic heterocycle, which contains 1 , 2 or 3 heteroatoms as ring members, which are selected from the group consisting of O, N and S. In particular, Rb, R1b, R3b, R4b independently of each other are selected from Ci-C4-alkyl, Ci-C4-haloalkyl, C2-C4-alkenyl, C2-C4-haloalkenyl, C2-C4-alkynyl, C3-C6-cycloalkyl, phenyl and heterocyclyl, where heterocyclyl is a 5- or 6-membered aromatic heterocyclic radical having 1 or 2 nitrogen atoms as ring members.
R3c, R4c, Rk, independently of each other, are preferably selected from hydrogen, C1-C6- alkyl, C3-C7-cycloalkyl, which is unsubstituted or partly or completely halogenated, C1-C6- haloalkyl, C2-C6-alkenyl, C2-C6-haloalkenyl, C2-C6-alkynyl, C3-C6-haloalkynyl, Ci-C4-alkoxy-Ci- C4-alkyl, phenyl, benzyl and heterocyclyl, where heterocyclyl is a 5- or 6-membered monocyclic saturated, partially unsaturated or aromatic heterocycle, which contains 1 , 2 or 3 heteroatoms as ring members, which are selected from the group consisting of O, N and S, where phenyl, benzyl and heterocyclyl are unsubstituted or substituted by 1 , 2 or 3 groups, which are identical or different and selected from the group consisting of halogen, Ci-C4-alkyl, Ci-C4-haloalkyl and Ci-C4-alkoxy. More preferably R3c, R4c, Rk independently of each other are selected from hydrogen, Ci-C4-alkyl, Ci-C4-haloalkyl, C2-C4-alkenyl, C2-C4-haloalkenyl, C2-C4-alkynyl, C3-C6- cycloalkyl, phenyl and heterocyclyl, where heterocyclyl is a 5- or 6-membered monocyclic saturated, partially unsaturated or aromatic heterocycle, which contains 1 , 2 or 3 heteroatoms as ring members, which are selected from the group consisting of O, N and S. In particular, R3c, R4c, Rk independently of each other are selected from hydrogen, Ci-C4-alkyl, Ci-C4-haloalkyl, C2-C4-alkenyl, C2-C4-haloalkenyl, C3-C6-cycloalkyl, phenyl and heterocyclyl, where heterocyclyl is a 5- or 6-membered aromatic heterocyclic radical having 1 or 2 nitrogen atoms as ring members.
R3d, R4d, independently of each other, are preferably selected from Ci-C6-alkyl, C3-C7- cycloalkyl, which is unsubstituted or partly or completely halogenated, Ci-C6-haloalkyl, C2-C6- alkenyl, C2-C6-haloalkenyl, C2-C6-alkynyl, C3-C6-haloalkynyl, Ci-C4-alkoxy-Ci-C4-alkyl, phenyl and benzyl. More preferably R3d, R4d independently of each other are selected from Ci-C6-alkyl, Ci-C6-haloalkyl, C2-C6-alkenyl, C2-C6-haloalkenyl, C2-C6-alkynyl, Ci-C4-alkoxy-Ci-C4-alkyl and C3-C7-cycloalkyl, which is unsubstituted or partly or completely halogenated, and in particular selected from Ci-C4-alkyl, Ci-C4-haloalkyl, C2-C4-alkenyl, C2-C4-haloalkenyl, C2-C4-alkynyl and C3-C6-cycloalkyl.
R3e, R3f, R4e, R4f, independently of each other, are preferably selected from the group
consisting of hydrogen, Ci-C6-alkyl, C3-C7-cycloalkyl, which is unsubstituted or partially or completely halogenated, Ci-C6-haloalkyl, C2-C6-alkenyl, C2-C6-haloalkenyl, Ci-C4-alkoxy-C-i-C4- alkyl, phenyl and benzyl, where phenyl and benzyl are unsubstituted or substituted by 1 , 2 or 3 groups, which are identical or different and selected from the group consisting of halogen, Ci- C4-alkyl, Ci-C4-haloalkyl and Ci-C4-alkoxy, or R3e and R3f together with the nitrogen atom, to which they are bound may form a 5-, 6 or 7-membered, saturated or unsaturated heterocyclic radical, which may carry as a ring member a further heteroatom selected from O, S and N and which is unsubstituted or may carry 1 , 2, 3 or 4 groups, which are identical or different and selected from the group consisting of halogen, Ci-C4-alkyl, Ci-C4-haloalkyl and Ci-C4-alkoxy. More preferably R3e, R3f, R4e, R4f independently of each other are selected from hydrogen, Ci- C6-alkyl, Ci-C6-haloalkyl and benzyl, or R3e and R3f together with the nitrogen atom, to which they are bound may form a 5- or 6-membered, saturated or unsaturated heterocyclic radical, which may carry as a ring member a further heteroatom selected from O, S and N and which is unsubstituted or may carry 1 , 2 or 3 groups, which are identical or different and selected from the group consisting of halogen, Ci-C4-alkyl and Ci-C4-haloalkyl. In particular, R3e, R3f, R4e, R4f independently of each other are selected from hydrogen and Ci-C4-alkyl, or R3e and R3f together with the nitrogen atom, to which they are bound may form a 5- or 6-membered, saturated heterocyclic radical, which may carry as a ring member a further heteroatom selected from O, S and N and which is unsubstituted or may carry 1 , 2 or 3 methyl groups.
independently of each other, are preferably selected from hydrogen, Ci-C6-alkyl, C3-C7-cycloalkyl, which is unsubstituted or partly or completely halogenated, Ci-C6-haloalkyl, C2-C6-alkenyl, C2-C6-haloalkenyl, C2-C6-alkynyl, C3-C6-haloalkynyl, Ci-C4-alkoxy-Ci-C4-alkyl, phenyl and benzyl. More preferably R¾, R4s independently of each other are selected from hydrogen, Ci-C6-alkyl, Ci-C6-haloalkyl, C2-C6-alkenyl, C2-C6-haloalkenyl, benzyl, Ci-C4-alkoxy- Ci-C4-alkyl and C3-C7-cycloalkyl, which is unsubstituted or partly or completely halogenated, and in particular selected from hydrogen, Ci-C4-alkyl, Ci-C4-haloalkyl, C2-C4-alkenyl, C2-C4- haloalkenyl, benzyl and C3-C6-cycloalkyl.
R3h, R4h, independently of each other, are preferably selected from hydrogen, Ci-C6-alkyl, C3-C7-cycloalkyl, which is unsubstituted or partly or completely halogenated, Ci-C6-haloalkyl, C2-C6-alkenyl, C2-C6-haloalkenyl, C2-C6-alkynyl, C3-C6-haloalkynyl, Ci-C4-alkoxy-Ci-C4-alkyl, phenyl, benzyl and a radical C(=0)-Rk, where Rk is H, Ci-C4-alkyl, Ci-C4-haloalkyl or phenyl. More preferably R3h, R4h independently of each other are selected from hydrogen, Ci-C6-alkyl, Ci-C6-haloalkyl, C2-C6-alkenyl, C2-C6-haloalkenyl, benzyl, Ci-C4-alkoxy-Ci-C4-alkyl and C3-C7- cycloalkyl, which is unsubstituted or partly or completely halogenated, and in particular selected from hydrogen, Ci-C4-alkyl, Ci-C4-haloalkyl, C2-C4-alkenyl, C2-C4-haloalkenyl, benzyl and C3-C6- cycloalkyl; or R¾ and R3h or R4s and R4h together with the nitrogen atom, to which they are bound may form a 5-, 6 or 7-membered, saturated or unsaturated heterocyclic radical, which may carry as a ring member a further heteroatom selected from O, S and N and which is unsubstituted or may carry 1 , 2, 3 or 4 groups, which are identical or different and selected from the group consisting of =0, halogen, Ci-C4-alkyl and Ci-C4-haloalkyl and Ci-C4-alkoxy; more preferably R¾ and R3h or R4s and R4h together with the nitrogen atom, to which they are bound may form a 5- or 6-membered, saturated or unsaturated heterocyclic radical, which may carry
as a ring member a further heteroatom selected from O, S and N and which is unsubstituted or may carry 1 , 2 or 3 groups, which are identical or different and selected from the group consisting of halogen, Ci-C4-alkyl and Ci-C4-haloalkyl; and in particular, R¾ and R3h or R4s and R4h together with the nitrogen atom, to which they are bound may form a 5- or 6-membered, saturated heterocyclic radical, which may carry as a ring member a further heteroatom selected from O, S and N and which is unsubstituted or may carry 1 , 2 or 3 methyl groups.
Rz is preferably selected from Ci-C6-alkyl, Ci-C6-haloalkyl, C3-C7-cycloalkyl, Ci-C6-alkoxy, C2-C6-alkenyl, phenyl, benzyl, heterocyclyl and heterocyclylmethyl, where heterocyclyl in the last two mentioned radicals is a 5- or 6-membered monocyclic saturated, partially unsaturated or aromatic heterocycle, which contains 1 , 2 or 3 heteroatoms as ring members, which are selected from the group consisting of O, N and S, where phenyl, benzyl and heterocyclyl are unsubstitut- ed or substituted by 1 , 2, 3 or 4 groups, which are identical or different and selected from the group consisting of halogen, Ci-C4-alkyl, Ci-C4-haloalkyl, Ci-C4-alkoxy and Ci-C4-haloalkoxy. Preferably, Rz is selected from of Ci-C6-alkyl, Ci-C6-haloalkyl, Ci-C6-alkoxy, phenyl and benzyl, where phenyl and benzyl are unsubstituted or substituted by 1 , 2, 3 or 4 groups, which are iden- tical or different and selected from halogen, Ci-C4-alkyl, Ci-C4-haloalkyl, Ci-C4-alkoxy and Ci- C4-haloalkoxy. More preferably, Rz is Ci-C4-alkyl, Ci-C3-haloalkyl, Ci-C4-alkoxy, phenyl or ben- zyl, where phenyl and benzyl are unsubstituted or substituted by 1 or 2 groups, which are identi- cal or different and selected from halogen, Ci-C4-alkyl and Ci-C4-haloalkyl; and in particular Rz is Ci-C3-alkyl, Ci-C3-haloalkyl or Ci-C4-alkoxy.
Irrespectively of its occurrence, the variable n is in particular 0 or 2.
Irrespectively of its occurrence, the variable k is in particular 0 or 2, and especially 2.
Examples of preferred compounds are the compounds of formulae I. a, l.b, l.c and l.d, wherein for an individual compound the variables are as defined in one row of table 1 . Moreo- ver, the meanings mentioned below for the individual variables in table 1 are per se, inde- pendently of the combination in which they are mentioned, a particularly preferred embodiment of the substituents in question.
Compounds of formula I. a, wherein for an individual compound the combined meanings of the variables M, Z2, R3 and R5 are as defined in one row of table 1 .
Compounds of formula l.b, wherein for an individual compound the combined meanings of the variables M, Z2, R3 and R5 are as defined in one row of table 1.
Compounds of formula l.c, wherein for an individual compound the combined meanings of the variables M, Z2, R3 and R5 are as defined in one row of table 1.
Compounds of formula l.d, wherein for an individual compound the combined meanings of the variables M, Z2, R3 and R5 are as defined in one row 1-1 to 1-180 of table 1.
Table 1
* When Z2 is a covalent bond, O is directly bound to C(0)-M, thus forming a carbamate group. When Z2 is CH2, the group 0-Z2-C(0)-M is 0-CH2-C(0)-M. When Z2 is CH2CH2, the group O-Z2- C(0)-M is 0-CH2CH2-C(0)-M. M1 to M15 are as defined in the following:
# is the attachment point to the carbonyl group.
Further examples of preferred compounds are the compounds of formula l.e, l.f, l.g and l.h, wherein for an individual compound the variables are as defined in one row of table 2.
Moreover, the meanings mentioned below for the individual variables in table 2 are per se, in- dependently of the combination in which they are mentioned, a particularly preferred embodi- ment of the substituents in question.
Compounds of formula l.e, wherein for an individual compound the combined meanings of the variables R2, R3 and R5 are as defined in one row of table 2.
Compounds of formula l.f, wherein for an individual compound the combined meanings of the variables R2, R3 and R5 are as defined in one row of table 2.
Compounds of formula l.g, wherein for an individual compound the combined meanings of the variables R2, R3 and R5 are as defined in one row of table 2.
Compounds of formula l.h, wherein for an individual compound the combined meanings of the variables R2, R3 and R5 are as defined in one row of table 2.
R2·1 to R2·8 are as defined in the following:
# is the attachment point to O.
In a specific embodiment, the invention relates to compounds I selected from the corn- pounds of the examples, either in form of free bases or of any agriculturally suitable salt thereof or a stereoisomer, the racemate or any mixture of stereoisomers thereof or a tautomer or a tau- tomeric mixture or an N-oxide thereof.
The compounds of formula I can be prepared by standard methods of organic chemistry, e.g. by the methods described in the schemes below. The substituents, variables and indices used in the schemes are as defined above for the compounds of formula I, if not specified oth- erwise.
Compounds of formula I can be prepared according to Scheme 1 below.
Scheme 1 :
Phenolic benzamide compounds of formula II can be reacted with compounds R2-X to af- ford compounds of the formula I. X is a suitable leaving group, such as halogen, in particular Cl. Especially in case of X being halogen the reaction is suitably carried out in the presence of a base. Suitable bases are for example carbonates, such as lithium, sodium or potassium car- bonates, amines, such as trimethylamine or triethylamine, and basic N-heterocycles, such as pyridine, 2,6-dimethylpyridine or 2,4,6-trimethylpyridine. Suitable solvents are in particular apro- tic solvents such as pentane, hexane, heptane, octane, cyclohexane, dichloromethane, chloro- form, 1 ,2-dichlorethane, benzene, chlorobenzene, toluene, the xylenes, dichlorobenzene, trime- thylbenzene, pyridine, 2,6-dimethylpyridine, 2,4,6-trimethylpyridine, acetonitrile, diethyl ether, tetrahydrofuran, 2-methyl tetrahydrofuran, methyl tert-butylether, 1 ,4-dioxane, N,N-dimethyl formamide, N-methyl pyrrolidinone or mixtures thereof. The starting materials are generally re- acted with one another in equimolar or nearly equimolar amounts at a reaction temperature usually in the range of -20°C to 120°C and preferably in the range of 0°C to 70°C.
Alternatively, compounds of formula I can also be prepared as shown in Scheme 2.
Standard amidation conditions can be applied.
Scheme 2:
In one embodiment, Y is a leaving group, such as halogen, in particular Cl, an anhydride residue or an active ester residue. Especially in case of X being halogen, the reaction is suitably carried out in the presence of a base. Suitable bases are for example carbonates, such as lithi- um, sodium or potassium carbonates, amines, such as trimethylamine or triethylamine, and basic N-heterocycles, such as pyridine, 2,6-dimethylpyridine or 2,4,6-trimethylpyridine. Suitable
solvents are in particular aprotic solvents such as pentane, hexane, heptane, octane, cyclohex- ane, dichloromethane, chloroform, 1 ,2-dichlorethane, benzene, chlorobenzene, toluene, the xylenes, dichlorobenzene, trimethylbenzene, pyridine, 2,6-dimethylpyridine, 2,4,6- trimethylpyridine, acetonitrile, diethyl ether, tetrahydrofuran, 2-methyl tetrahydrofuran, methyl tert-butylether, 1 ,4-dioxane, N,N-dimethyl formamide, N-methyl pyrrolidinone or mixtures there- of. The starting materials are generally reacted with one another in equimolar or nearly equimo- lar amounts at a reaction temperature usually in the range of -20°C to 100°C and preferably in the range of -5°C to 50°C.
Alternatively, in compounds IV Y is OH. In this case, the reaction is preferably carried out in the presence of a suitable activating agent which converts the acid group of compound IV into an activated ester or amide. For this purpose, activating agents known in the art, such as 1 ,T,carbonyldiimidazole (CDI), dicyclohexyl carbodiimide (DCC), 1-ethyl-3-(3-dimethylamino- propyl)carbodiimide (EDC) or 2,4,6-tripropyM ,3,5,2,4,6-trioxatriphosphorinane-2,4,6-trioxide (T3P) can be employed. The activated ester or amide can be formed, depending in particular on the specific activating agent used, either in situ by contacting compound IV with the activating agent in the presence of compound III, or in a separate step prior to the reaction with compound III. It may be advantageous, especially in cases where DCC or EDC are used as activating agent, to include further additives in the activating reaction, such as hydroxybenzotriazole (HOBt), nitrophenol, pentafluorophenol, 2,4,5-trichlorophenol or N-hydroxysuccinimide. It may further be advantageous to prepare the activated ester or amide in the presence of a base, for example a tertiary amine. The activated ester or amide is either in situ or subsequently reacted with the amine of formula III to afford the amide of formula I. The reaction normally takes place in anhydrous inert solvents, such as chlorinated hydrocarbons, e.g. dichloromethane or dichlo- roethane, ethers, e.g. tetrahydrofuran or 1 ,4-dioxane, or carboxamides, e.g. N,N-dimethylform- amide, N,N-dimethylacetamide or N-methylpyrrolidone. The reaction is ordinarily carried out at temperatures in the range from -20°C to +25°C.
The compounds of formula I, wherein Z2 in the radical R2 is a covalent bond, are corn- pounds of the formula I’ which can be prepared for instance as shown in Scheme 3 below.
Scheme 3:
Phenolic benzamide compounds of formula II may be converted with phosgene to the cor- responding chloroformate which can subsequently be reacted with the amine of formula V to give the desired benzamide carbamate of formula I’. Typically, for both reaction steps 1 ) and 2) invert solvents are used. Both reaction steps are usually carried out at temperatures of about
-50°C to 30°C in the presence of a base, such as a tertary amine, e.g. trimethylamine, or pyri- dine.
The compounds of formula G can also be prepared according procedures described in via the synthetic route depicted in Scheme 4 below, using procedures of T. Patonay et al., Synth. Commun. 1990, 20, 2865-2885.
Scheme 4:
Conversion of a chloromethyl carbonate of formula VI with an amine of fomula V results in the benzamide carbamate of formula G. The reaction is usually carried out in an inert solvent, such as benzene, using the amine V in excess, particularly in an amount of about two molar equivalents. Additionally, a co-base, such as pyridine, may be employed. The reaction tempera- ture is typically in the range of 10°C to 150°C. The chloromethyl carbonates VI used in this reac- tion are readily available by treating chloromethyl chloroformate with the phenolic benzamide compound of formula II in the presence of a base, e.g. triethylamine.
Alternatively, the compounds of formula G can be prepared according to procedures de- scribed by G. Barcelo et al., Synthesis 1986, 627-632, as depicted in Scheme 5.
Scheme 5:
1 -Chloromethyl carbonates of the formula VII can be reacted with amines of formula V to afford the corresponding benzamide carbamate of formula G. The reaction is generally run in tetrahydrofuran or dioxane in the presence of a base, such as in particular an aqueous solution of potassium carbonate, at a temperature of about -10°C to 40°C. The compound of formula VII can be obtained by treating the corresponding 1-chloroalkyl chloroformate with a phenolic ben- zamide compound of formula II in the presence of a base, such as in particular pyridine.
As shown in Scheme 6, the phenolic benzamide compounds of formula II can be prepared using a synthesis route that includes the intermediate protection of the hydroxyl group.
Scheme 6:
1 ) protection 3) activation
2) carboxylation
In step 1 ) the hydroxyl group of the phenol derivative of formula VIII is protected by intro- ducing a suitable protective group, such as in particular a benzyl group. This conversion is typi- cally achieved via reaction with a benzyl halide, such as in particular benzyl bromide, in the presence of a base. Suitable bases are for example carbonates, such as in particular potassium carbonate. The reaction can be carried out in an aprotic solvent, such as acetone, at a tempera- ture in the range of about 0°C to 100°C.
In step 2) the benzyl protected compound obtained in step 1 ) is first treated with a strong base, in particular an organolithium base, such as n-butyllithium or lithium diisopropylamide, and afterwards reacted with carbon dioxide to afford to benzoic acid derivative of formula IX. Suita- ble solvents are inert ones, such as in particular THF. The reaction is started at a temperature in the range of -100°C to -50°C and concluded at about -10°C to 30°C.
In step 3) the benzoic acid derivative of formula IX is activated by conversion to a suitable ester or amide, or preferably to a suitable acid halide, by analogy with the synthesis described in Scheme 2.
In step 4) the activated benzoic acid derivative of formula X obtained in step 3) is amidat- ed with an amine of formula III by analogy with the synthesis described in Scheme 2. According- ly, steps 3) and 4) may also be carried in situ or even simultaneously.
The removal of the protecting group is achieved in step 5), in case PG is a benzyl group, for instance by subjecting the amidation product obtained in step 4) to strong acidic conditions to afford the phenolic benzamide of formula II.
Scheme 7 depicts a specific synthetic route towards compounds of the formula IV wherein Z2 in the radical R2 is a dimethylmethylene bridge (-C(CH3)2-). Such compounds are termed in the following compounds of the formula IV’ and may serve as precursor for compounds of the formula I having such a substituent R2.
In step 1), the Bargellini reaction can be used to convert the phenol derivative of formula VIII into a compound of formula XI by reacting it with acetone and chloroform in the presence of a base, e.g. an alkali metal hydroxide, such as sodium hydroxide, at a temperature in the range of 10°C to 80°C. Acetone typically also serves as solvent and can therefore be used in excess.
The amidation in step 2) can be accomplished, for instance, by converting the compound of formula XI in analogy with the reaction described in Scheme 2 into the corresponding acid halide, which is then treated with the amine of formula V to afford a compound of formula XII.
The carboxylation in step 3) can be carried out analogously to the reaction shown in Scheme 3 to yield the benzoic acid derivative of formula IV’, which is a useful intermediate to prepare a corresponding benzamide of the formula I via the reaction described in Scheme 2.
The the phenol derivatives of the formula VIII and the benzoic acid derivatives of formula IV are either commercially available or are obtainable according to methods known from the literature. This holds also true for the amines Q-NFh of the formula III. For example, 5-amino-1- R5-tetrazole of formula lll-a can be prepared from 5-aminotetrazole according to the method described in the Journal of the American Chemical Society, 1954, 76, 923-924 (Scheme 8).
(lll-a)
Alternatively, 5-amino-1-R5-tetrazole compounds of formula lll-a can be prepared accord- ing to the method described in the Journal of the American Chemical Society, 1954, 76, 88-89 (Scheme 9).
Scheme 9:
N H
H 2N X. ,R
(lll-a)
5-Amino-1 -R5-triazoles of formula lll-b are either commercially available or are obtainable according to methods described in the literature. As shown in Scheme 10, 5-amino-1 -R5-triazole can for example be prepared from 5-aminotriazole according to the method described in Zeitschrift fur Chemie, 1990, 30, 12, 436-437.
(lll-b)
Alternatively, 5-amino-1 -R5-triazole compounds of formula lll-b can also be prepared analogously to the synthesis described in Chemische Berichte, 1964, 97, 2, 396-404, as shown in Scheme 1 1 .
(lll-b)
The 4-amino-1 ,2,5-oxadiazole compounds of the formula lll-c are either commercially available or are obtainable according to methods known from the literature. For example, 3- alkyl-4-amino-1 ,2,5-oxadiazoles can be prepared from b-ketoesters pursuant to a procedure described in Russian Chemical Bulletin, Int. Ed., 54(4), 1032-1037 (2005), as depicted in Scheme 12.
(I l l-C)
As shown in Scheme 13, the compounds of the formula lll-c, where R5 is halogen, can be prepared from commercially available 3, 4-diamino-1 ,2,5-oxadiazole according to procedures
described in the literature, e.g. by the Sandmeyer-type reaction disclosed in Heteroatom Chem- istry, 15(3), 199-207 (2004).
(lll-c)
As shown in Scheme 14, the compounds of the formula lll-c, where R5 is a nucleophilic residue, can be prepared by introducing the nucleophilic residue via the substitution of a leaving group L, e.g. halogene, in the 4-position of the 1 ,2,5-oxadiazoles compounds of formula XIII in accordance to precedures disclosed, for example, in Journal of Chemical Research, Synopses (6), 190 (1985), in Izvestiya Akademii Nauk SSSR, Seriya Khimicheskaya (9), 2086-8 (1986) or in Russian Chemical Bulletin (Translation of Izvestiya Akademii Nauk, Seriya Khimicheskaya), 53(3), 596-614 (2004).
Scheme 14:
In addition, compounds of formulae 111 -a , lll-b and lll-c can be obtained by purchase or can be prepared by processes known in the art or disclosed in the literature, e.g. in WO
9746530, WO 9831676, WO 9831681 , WO 2002/018352, WO 2000/003988, US 2007/0191335, US 6277847.
As a rule, the compounds of formula I including their stereoisomers, salts and tautomers, as well as their precursors in the synthesis process, can be prepared by the methods described above. If individual compounds cannot be prepared via the above-described routes, they can be prepared by derivatization of other compounds I or the respective precursor or by customary modifications of the synthesis routes described. For example, in individual cases, certain corn- pounds of formula I can advantageously be prepared from other compounds of formula I by derivatization, e.g. by ester hydrolysis, amidation, esterification, ether cleavage, olefination, re- duction, oxidation and the like, or by customary modifications of the synthesis routes described.
The reaction mixtures are worked up in the customary manner, for example by mixing with water, separating the phases, and, if appropriate, purifying the crude products by chromatog- raphy, for example on alumina or on silica gel. Some of the intermediates and end products
may be obtained in the form of colorless or pale brown viscous oils which are freed or purified from volatile components under reduced pressure and at moderately elevated temperature. If the intermediates and end products are obtained as solids, they may be purified by recrystal I iza- tion or trituration.
The compounds of formula I and their agriculturally suitable salts are useful as herbicides. They are useful as such or as an appropriately formulated composition. The herbicidal composi- tions comprising the compound I, in particular the preferred aspects thereof, control vegetation on non-crop areas very efficiently, especially at high rates of application. They act against broad-leaved weeds and weed grasses in crops such as wheat, rice, corn, soybeans and cotton without causing any significant damage to the crop plants. This effect is mainly observed at low rates of application.
Depending on the application method in question, the compounds of formula I, in particu- lar the preferred aspects thereof, or compositions comprising them can additionally be em- ployed in a further number of crop plants for eliminating unwanted plants. Examples of suitable crops are the following:
Allium cepa, Ananas comosus, Arachis hypogaea, Asparagus officinalis, Avena sativa, Beta vulgaris spec altissima, Beta vulgaris spec rapa, Brassica napus var. napus, Brassica napus var. napobrassica, Brassica rapa var. silvestris, Brassica oleracea, Brassica nigra, Ca- mellia sinensis, Carthamus tinctorius, Carya illinoinensis, Citrus limon, Citrus sinensis, Coffea arabica (Coffea canephora, Coffea liberica), Cucumis sativus, Cynodon dactylon, Daucus caro- ta, Elaeis guineensis, Fragaria vesca, Glycine max, Gossypium hirsutum, (Gossypium arbo- reum, Gossypium herbaceum, Gossypium vitifolium), Helianthus annuus, Hevea brasiliensis, Hordeum vulgare, Humulus lupulus, Ipomoea batatas, Juglans regia, Lens culinaris, Linum usi- tatissimum, Lycopersicon lycopersicum, Malus spec., Manihot esculenta, Medicago sativa, Mu- sa spec., Nicotiana tabacum (N.rustica), Olea europaea, Oryza sativa, Phaseolus lunatus, Phaseolus vulgaris, Picea abies, Pinus spec., Pistacia vera, Pisum sativum, Prunus avium, Prunus persica, Pyrus communis, Prunus armeniaca, Prunus cerasus, Prunus dulcis and Prunus domestica, Ribes sylvestre, Ricinus communis, Saccharum officinarum, Secale cereale, Sinapis alba, Solanum tuberosum, Sorghum bicolor (s. vulgare), Theobroma cacao, Trifolium pratense, Triticum aestivum, Triticale, Triticum durum, Vicia faba, Vitis vinifera, Zea mays.
The term "crop plants" also includes plants which have been modified by breeding, mutagenesis or genetic engineering. Genetically modified plants are plants whose genetic material has been modified in a manner which does not occur under natural conditions by crossing, mutations or natural recombination (i.e. reassembly of the genetic information). Here, in general, one or more genes are integrated into the genetic material of the plant to improve the properties of the plant.
Accordingly, the term "crop plants" also includes plants which, by breeding and genetic engineering, have acquired tolerance to certain classes of herbicides, such as hydroxy- phenyl pyruvate dioxygenase (HPPD) inhibitors, acetolactate synthase (ALS) inhibitors, such as, for example, sulfonylureas (EP-A-0257993, US 5,013,659) or imidazolinones (see, for example, US 6,222,100, WO 01/82685, WO 00/26390, WO 97/41218, WO 98/02526, WO 98/02527,
WO 04/106529, WO 05/20673, WO 03/14357, WO 03/13225, WO 03/14356, WO 04/16073),
enolpyruvylshikimate 3-phosphate synthase (EPSPS) inhibitors, such as, for example, glypho- sate (see, for example, WO 92/00377), glutamine synthetase (GS) inhibitors, such as, for ex- ample, glufosinate (see, for example, EP-A-0242236, EP-A-242246), or oxynil herbicides (see, for example, US 5,559,024).
In a preferred embodiment, the term "crop plants" refers to plants that comprise in their genomes a gene encoding a herbicide-tolerant wild-type or mutated HPPD protein. Such a gene may be an endogenous gene or a transgene, as described hereinafter.
By a "herbicide-tolerant" or "herbicide-resistant" plant, it is intended that a plant that is tol- erant or resistant to at least one herbicide at a level that would normally kill, or inhibit the growth of, a normal or wild-type plant. By "herbicide-tolerant wild-type or mutated HPPD protein" or "herbicide -resistant wild-type or mutated HPPD protein", it is intended that such a HPPD pro- tein displays higher HPPD activity, relative to the HPPD activity of a wild-type or reference HPPD protein, when in the presence of at least one herbicide that is known to interfere with HPPD activity and at a concentration or level of the herbicide that is known to inhibit the HPPD activity of the reference wild-type HPPD protein. Furthermore, the HPPD activity of such a herb- icide-tolerant or herbicide-resistant HPPD protein may be referred to herein as "herbicide- tolerant" or "herbicide-resistant" HPPD activity.
The term "mutated HPPD nucleic acid" refers to an HPPD nucleic acid having a sequence that is mutated from a wild-type HPPD nucleic acid and that confers increased“ HPPD- inhibiting herbicide” tolerance to a plant in which it is expressed. Furthermore, the term“ mu- tated hydroxyphenyl pyruvate dioxygenase (mutated HPPD)” refers to the replacement of an amino acid of the wild-type primary sequences SEQ ID NO: 2, 5, 8, 11 , 14, 17, 20, 22, 24, 26, 28, 30, 32, 34, 36, 38, 40, 42, 44, 46, 48, 50, 53, 55, 57, 58, 59, 60, 61 , 62, 63, 64, 65, 66, 67, a variant, a derivative, a homologue, an orthologue, or paralogue thereof, with another amino acid. The expression "mutated amino acid" will be used below to designate the amino acid which is replaced by another amino acid, thereby designating the site of the mutation in the pri mary sequence of the protein.
Several HPPDs and their primary sequences have been described in the state of the art, in particular the HPPDs of bacteria such as Pseudomonas (Ruetschi etal., Eur.J.Biochem., 205, 459-466, 1992, W096/38567), of plants such as Arabidopsis (W096/38567, Genebank
AF047834) or of carrot (W096/38567, Genebank 87257), of Coccicoides (Genebank COITRP), HPPDs of Brassica, cotton, Synechocystis, and tomato (US 7,297,541), of mammals such as the mouse or the pig. Furthermore, artificial HPPD sequences have been described, for exam- pie in US6,768,044; US6,268,549;
In a preferred embodiment, the nucleotide sequence of (i) comprises the sequence of SEQ ID NO: 1 , 51 , 3, 4, 6, 7, 9, 10, 12, 13, 15, 16, 18, 19, 21 , 23, 25, 27, 29, 31 , 33, 35, 37, 39,
41 , 43, 45, 47, 49, 52, 54, 56, 68, 69 or a variant or derivative thereof.
In a particularly preferred embodiment, the mutated HPPD nucleic acid useful for the pre- sent invention comprises a mutated nucleic acid sequence of SEQ ID NO: 1 or SEQ ID NO: 52, or a variant or derivative thereof.
Furthermore, it will be understood by the person skilled in the art that the nucleotide se- quences of (i) or (ii) encompass homologues, paralogues and orthologues of SEQ ID NO: 1 , 51 ,
3, 4, 6, 7, 9, 10, 12, 13, 15, 16, 18, 19, 21 , 23, 25, 27, 29, 31 , 33, 35, 37, 39, 41 , 43, 45, 47, 49, 52, 54, 56, 68, 69, as defined hereinafter.
The term "variant" with respect to a sequence (e.g., a polypeptide or nucleic acid se- quence such as - for example - a transcription regulating nucleotide sequence of the inven- tion) is intended to mean substantially similar sequences. For nucleotide sequences comprising an open reading frame, variants include those sequences that, because of the degeneracy of the genetic code, encode the identical amino acid sequence of the native protein. Naturally oc- curring allelic variants such as these can be identified with the use of well-known molecular bi- ology techniques, as, for example, with polymerase chain reaction (PCR) and hybridization techniques. Variant nucleotide sequences also include synthetically derived nucleotide se- quences, such as those generated, for example, by using site-directed mutagenesis and for open reading frames, encode the native protein, as well as those that encode a polypeptide having amino acid substitutions relative to the native protein. Generally, nucleotide sequence variants of the invention will have at least 30, 40, 50, 60, to 70%, e.g., preferably 71 %, 72%, 73%, 74%, 75%, 76%, 77%, 78%, to 79%, generally at least 80%, e.g., 81 %-84%, at least 85%, e.g., 86%, 87%, 88%, 89%, 90%, 91 %, 92%, 93%, 94%, 95%, 96%, 97%, to 98% and 99% nu- cleotide“ sequence identity” to the nucleotide sequence of SEQ ID NO:1 , 51 , 3, 4, 6, 7, 9, 10, 12, 13, 15, 16, 18, 19, 21 , 23, 25, 27, 29, 31 , 33, 35, 37, 39, 41 , 43, 45, 47, 49, 52, 54, 56, 68, 69, 47, or 49. By "variant" polypeptide is intended a polypeptide derived from the protein of SEQ ID NO: 2, 5, 8, 11 , 14, 17, 20, 22, 24, 26, 28, 30, 32, 34, 36, 38, 40, 42, 44, 46, 48, 50, 53, 55, 57, 58, 59, 60, 61 , 62, 63, 64, 65, 66, 67, by deletion (so-called truncation) or addition of one or more amino acids to the N-terminal and/or C-terminal end of the native protein; deletion or addi- tion of one or more amino acids at one or more sites in the native protein; or substitution of one or more amino acids at one or more sites in the native protein. Such variants may result from, for example, genetic polymorphism or from human manipulation. Methods for such manipula- tions are generally known in the art.
In a preferred embodiment, variants of the polynucleotides useful for the present inven- tion will have at least 30, 40, 50, 60, to 70%, e.g., preferably 71 %, 72%, 73%, 74%, 75%, 76%, 77%, 78%, to 79%, generally at least 80%, e.g., 81 %-84%, at least 85%, e.g., 86%, 87%, 88%, 89%, 90%, 91 %, 92%, 93%, 94%, 95%, 96%, 97%, to 98% and 99% nucleotide“ sequence identity” to the nucleotide sequence of SEQ ID NO:1 , 47, 49, or SEQ ID NO: 52.
It is recognized that the polynucleotide molecules and polypeptides of the invention en- compass polynucleotide molecules and polypeptides comprising a nucleotide or an amino acid sequence that is sufficiently identical to nucleotide sequences set forth in SEQ ID NOs: 1 , 51 , 3,
4, 6, 7, 9, 10, 12, 13, 15, 16, 18, 19, 21 , 23, 25, 27, 29, 31 , 33, 35, 37, 39, 41 , 43, 45, 47, 49,
52, 54, 56, 68, 69, 47, or 49, or to the amino acid sequences set forth in SEQ ID NOs: 2, 5, 8, 1 1 , 14, 17, 20, 22, 24, 26, 28, 30, 32, 34, 36, 38, 40, 42, 44, 46, 48, 50, 53, 55, 57, 58, 59, 60, 61 , 62, 63, 64, 65, 66, 67, 48, or 50 . The term "sufficiently identical" is used herein to refer to a first amino acid or nucleotide sequence that contains a sufficient or minimum number of identi- cal or equivalent (e.g., with a similar side chain) amino acid residues or nucleotides to a second amino acid or nucleotide sequence such that the first and second amino acid or nucleotide se- quences have a common structural domain and/or common functional activity.
"Sequence identity" refers to the extent to which two optimally aligned DNA or amino acid sequences are invariant throughout a window of alignment of components, e.g., nucleotides or amino acids. An "identity fraction" for aligned segments of a test sequence and a reference se- quence is the number of identical components that are shared by the two aligned sequences divided by the total number of components in reference sequence segment, i.e., the entire ref- erence sequence or a smaller defined part of the reference sequence. "Percent identity" is the identity fraction times 100. Optimal alignment of sequences for aligning a comparison window are well known to those skilled in the art and may be conducted by tools such as the local ho- mology algorithm of Smith and Waterman, the homology alignment algorithm of Needleman and Wunsch, the search for similarity method of Pearson and Lipman, and preferably by computer- ized implementations of these algorithms such as GAP, BESTFIT, FASTA, and TFASTA availa- ble as part of the GCG. Wisconsin Package. (Accelrys Inc. Burlington, Mass.)
The terms "polynucleotide(s)", "nucleic acid sequence(s)", "nucleotide sequence(s)", "nu- cleic acid(s)", "nucleic acid molecule" are used interchangeably herein and refer to nucleotides, either ribonucleotides or deoxyribonucleotides or a combination of both, in a polymeric un- branched form of any length.
"Derivatives" of a protein encompass peptides, oligopeptides, polypeptides, proteins and enzymes having amino acid substitutions, deletions and/or insertions relative to the unmodified protein in question and having similar biological and functional activity as the unmodified protein from which they are derived.
"Homologues" of a protein encompass peptides, oligopeptides, polypeptides, proteins and enzymes having amino acid substitutions, deletions and/or insertions relative to the unmodified protein in question and having similar biological and functional activity as the unmodified protein from which they are derived.
A deletion refers to removal of one or more amino acids from a protein.
An insertion refers to one or more amino acid residues being introduced into a predeter- mined site in a protein. Insertions may comprise N-terminal and/or C-terminal fusions as well as intra-sequence insertions of single or multiple amino acids. Generally, insertions within the ami- no acid sequence will be smaller than N- or C-terminal fusions, of the order of about 1 to 10 residues. Examples of N- or C-terminal fusion proteins or peptides include the binding domain or activation domain of a transcriptional activator as used in the yeast two-hybrid system, phage coat proteins, (histidine)-6-tag, glutathione S-transferase-tag, protein A, maltose-binding protein, dihydrofolate reductase, Tag· 100 epitope, c-myc epitope, FLAG®-epitope, lacZ, CMP (cal- modulin-binding peptide), HA epitope, protein C epitope and VSV epitope.
A substitution refers to replacement of amino acids of the protein with other amino acids having similar properties (such as similar hydrophobicity, hydrophilicity, antigenicity, propensity to form or break a -helical structures or b -sheet structures). Amino acid substitutions are typi cally of single residues, but may be clustered depending upon functional constraints placed up- on the polypeptide and may range from 1 to 10 amino acids; insertions will usually be of the order of about 1 to 10 amino acid residues. The amino acid substitutions are preferably con- servative amino acid substitutions. Conservative substitution tables are well known in the art (see for example Creighton (1984) Proteins. W.H. Freeman and Company (Eds).
Amino acid substitutions, deletions and/or insertions may readily be made using peptide synthetic techniques well known in the art, such as solid phase peptide synthesis and the like, or by recombinant DNA manipulation. Methods for the manipulation of DNA sequences to pro- duce substitution, insertion or deletion variants of a protein are well known in the art. For exam- pie, techniques for making substitution mutations at predetermined sites in DNA are well known to those skilled in the art and include M13 mutagenesis, T7-Gen in vitro mutagenesis (USB, Cleveland, OH), QuikChange Site Directed mutagenesis (Stratagene, San Diego, CA), PCR- mediated site-directed mutagenesis or other site-directed mutagenesis protocols.
"Derivatives" further include peptides, oligopeptides, polypeptides which may, compared to the amino acid sequence of the naturally-occurring form of the protein, such as the protein of interest, comprise substitutions of amino acids with non-naturally occurring amino acid residues, or additions of non-naturally occurring amino acid residues. "Derivatives" of a protein also en- compass peptides, oligopeptides, polypeptides which comprise naturally occurring altered (gly cosylated, acylated, prenylated, phosphorylated, myristoylated, sulphated etc.) or non-naturally altered amino acid residues compared to the amino acid sequence of a naturally-occurring form of the polypeptide. A derivative may also comprise one or more non-amino acid substituents or additions compared to the amino acid sequence from which it is derived, for example a reporter molecule or other ligand, covalently or non-covalently bound to the amino acid sequence, such as a reporter molecule which is bound to facilitate its detection, and non-naturally occurring amino acid residues relative to the amino acid sequence of a naturally-occurring protein. Fur- thermore, "derivatives" also include fusions of the naturally-occurring form of the protein with tagging peptides such as FLAG, HIS6 or thioredoxin (for a review of tagging peptides, see Ter- pe, Appl. Microbiol. Biotechnol. 60, 523-533, 2003).
"Orthologues" and "paralogues" encompass evolutionary concepts used to describe the ancestral relationships of genes. Paralogues are genes within the same species that have orig- inated through duplication of an ancestral gene; orthologues are genes from different organisms that have originated through speciation, and are also derived from a common ancestral gene.
It is well-known in the art that paralogues and orthologues may share distinct domains harboring suitable amino acid residues at given sites, such as binding pockets for particular substrates or binding motifs for interaction with other proteins.
The term "domain" refers to a set of amino acids conserved at specific positions along an alignment of sequences of evolutionarily related proteins. While amino acids at other positions can vary between homologues, amino acids that are highly conserved at specific positions indi cate amino acids that are likely essential in the structure, stability or function of a protein. Iden- tified by their high degree of conservation in aligned sequences of a family of protein homo- logues, they can be used as identifiers to determine if any polypeptide in question belongs to a previously identified polypeptide family.
The term "motif" or "consensus sequence" refers to a short conserved region in the se- quence of evolutionarily related proteins. Motifs are frequently highly conserved parts of do- mains, but may also include only part of the domain, or be located outside of conserved domain (if all of the amino acids of the motif fall outside of a defined domain).
Specialist databases exist for the identification of domains, for example, SMART (Schultz et al. (1998) Proc. Natl. Acad. Sci. USA 95, 5857-5864; Letunic et al. (2002) Nucleic Acids Res 30, 242-244), InterPro (Mulder et al., (2003) Nucl. Acids. Res. 31 , 315-318), Prosite (Bucher and Bairoch (1994), A generalized profile syntax for biomolecular sequences motifs and its func- tion in automatic sequence interpretation. (In) ISMB-94; Proceedings 2nd International Confer- ence on Intelligent Systems for Molecular Biology. Altman R., Brutlag D., Karp P., Lathrop R., Searls D., Eds., pp53-61 , AAAI Press, Menlo Park; Hulo et al., Nucl. Acids. Res. 32:D134-D137, (2004)), or Pfam (Bateman et al., Nucleic Acids Research 30(1): 276-280 (2002)). A set of tools for in siiico analysis of protein sequences is available on the ExPASy proteomics server (Swiss Institute of Bioinformatics (Gasteiger et al., ExPASy: the proteomics server for in-depth protein knowledge and analysis, Nucleic Acids Res. 31 :3784-3788(2003)). Domains or motifs may also be identified using routine techniques, such as by sequence alignment.
Methods for the alignment of sequences for comparison are well known in the art, such methods include GAP, BESTFIT, BLAST, FASTA and TFASTA. GAP uses the algorithm of Needleman and Wunsch ((1970) J Mol Biol 48: 443-453) to find the global (i.e. spanning the complete sequences) alignment of two sequences that maximizes the number of matches and minimizes the number of gaps. The BLAST algorithm (Altschul et al. (1990) J Mol Biol 215: 403-10) calculates percent sequence identity and performs a statistical analysis of the similarity between the two sequences. The software for performing BLAST analysis is publicly available through the National Centre for Biotechnology Information (NCBI). Homologues may readily be identified using, for example, the ClustalW multiple sequence alignment algorithm (version 1.83), with the default pairwise alignment parameters, and a scoring method in percentage. Global percentages of similarity and identity may also be determined using one of the methods available in the MatGAT software package (Campanella et al., BMC Bioinformatics. 2003 Jul 10;4:29. MatGAT: an application that generates similarity/identity matrices using protein or DNA sequences.). Minor manual editing may be performed to optimise alignment between con- served motifs, as would be apparent to a person skilled in the art. Furthermore, instead of using full-length sequences for the identification of homologues, specific domains may also be used. The sequence identity values may be determined over the entire nucleic acid or amino acid se- quence or over selected domains or conserved motif(s), using the programs mentioned above using the default parameters. For local alignments, the Smith-Waterman algorithm is particular- ly useful (Smith TF, Waterman MS (1981) J. Mol. Biol 147(1 );195-7).
By substituting one or more of the key amino acid residues, the herbicide tolerance or re- sistance of a plant to the herbicide as described herein could be remarkably increased as corn- pared to the activity of the wild type HPPD enzymes with SEQ ID NO: 2, 5, 8, 1 1 , 14, 17, 20, 22, 24, 26, 28, 30, 32, 34, 36, 38, 40, 42, 44, 46, 48, 50, 53, 55, 57, 58, 59, 60, 61 , 62, 63, 64, 65,
66, 67. Preferred substitutions of mutated HPPD are those that increase the herbicide tolerance of the plant, but leave the biological activitiy of the dioxygenase activity substantially unaffected.
It will be understood by the person skilled in the art that amino acids located in a close proximity to the positions of amino acids mentioned below may also be substituted. Thus, in another embodiment the mutated HPPD useful for the present invention comprises a sequence of SEQ ID NO: 2, 5, 8, 1 1 , 14, 17, 20, 22, 24, 26, 28, 30, 32, 34, 36, 38, 40, 42, 44, 46, 48, 50,
53, 55, 57, 58, 59, 60, 61 , 62, 63, 64, 65, 66, 67, or a variant, derivative, orthologue, paralogue or homologue thereof, wherein an amino acid ±3, ±2 or ±1 amino acid positions from a key ami- no acid is substituted by any other amino acid.
Based on techniques well-known in the art, a highly characteristic sequence pattern can be developed, by means of which further of mutated HPPD candidates with the desired activity may be searched.
Searching for further mutated HPPD candidates by applying a suitable sequence pattern would also be encompassed by the present invention. It will be understood by a skilled reader that the present sequence pattern is not limited by the exact distances between two adjacent amino acid residues of said pattern. Each of the distances between two neighbours in the above patterns may, for example, vary independently of each other by up to ±10, ± 5, ±3, ±2 or ±1 amino acid positions without substantially affecting the desired activity.
In line with said above functional and spatial analysis of individual amino acid residues based on the crystallographic data as obtained according to the present invention, unique partial ami- no acid sequences characteristic of potentially useful mutated HPPD candidates of the invention may be identified.
In a particularly preferred embodiment, the mutated HPPD refers to a variant or derivative of SEQ ID NO: 2 wherein the substitutions are selected from the following Table 4a. Table 4a: (Sequence ID No: 2): single amino acid substitutions
Furthermore, by substituting at least two of the key amino acid residues of SEQ ID NO: 2 with specific residues, the herbicide tolerance or resistance could be remarkably increased as compared to the activity of the wild type HPPD enzymes or HPPD enzymes in which only one amino acid residue had been substituted. Therefore, in another preferred embodiment, the vari- ant or derivative of the mutated HPPD refers to a polypeptide of SEQ ID NO: 2, wherein two, three, four or five key amino acids are substituted by another amino acid residue. Particularly preferred double, triple, quadruple, or quintuple mutations are described in Table 4b. Table 4b: (with reference to Sequence ID No: 2): combined amino acid substitutions
In a particularly preferred embodiment, the mutated HPPD enzyme comprising a polypep- tide of SEQ ID NO: 2, a variant, derivative, homologue, paralogue or orthologue thereof, useful for the present invention comprises one or more of the following: the amino acid corresponding to or at position 320 is histidine, asparagine or glutamine; the amino acid position 334 is glutam- ic acid; the amino acid position 353 is methionine; the amino acid corresponding to or at posi- tion 321 alanine or arginine; the amino acid corresponding to or at position 212 is isoleucine.
In an especially particularly preferred embodiment, the mutated HPPD refers to a polypep- tide comprising SEQ ID NO: 2, wherein the leucine corresponding to or at position 320 is substi- tuted by a histidine, and the proline corresponding to or at position 321 is substituted by an ala- nine.
In another especially particularly preferred embodiment, the mutated HPPD refers to a polypeptide comprising SEQ ID NO: 2, wherein Leucine corresponding to or at position 353 is substituted by a Methionine, the Proline corresponding to or at position 321 is substituted by an Arginine, and the Leucine corresponding to or at position 320 is substituted by an Asparagine.
In another especially particularly preferred embodiment, the mutated HPPD refers to a polypeptide comprising SEQ ID NO: 2, wherein the Leucine corresponding to or at position 353 is substituted by a Methionine, the Proline corresponding to or at position 321 is substituted by an Arginine, and the Leucine corresponding to or at position 320 is substituted by a glutamine.
In another preferred embodiment, the mutated HPPD refers to a variant or derivative of
SEQ ID NO: 53 wherein the substitutions are selected from the following Table 4c.
Table 4c: (Sequence ID No: 53): single amino acid substitutions
In another preferred embodiment, the variant or derivative of the mutated HPPD useful for the present invention refers to a polypeptide of SEQ ID NO: 53, a homologue, orthologue, or paralogue thereof, wherein two, three, four or five key amino acids are substituted by another amino acid residue. Particularly preferred double, triple, quadruple, or quintuple mutations are described in Table 4d.
Table 4d: (reference to Sequence ID No: 53): combined amino acid substitutions
Furthermore, by substituting the amino acids at some positions in the HPPD polypeptide sequences of Scenedesmus obliquus, the tolerance of crop plants as described herein towards the herbicides as described herein could be remarkably increased.
Thus, in a preferred embodiment, the mutated HPPD of the present invention comprises a variant of the sequence of SEQ ID NO: 50, or a homologue or functional equivalent thereof, which comprises one or more of the following:
the amino acid corresponding to or at position 30 is other than proline, the amino acid cor- responding to or at position 39 is other than Phe, the amino acid corresponding to or at position 54 is other than Gly, the amino acid corresponding to or at position 57 is other than Met, the amino acid corresponding to or at position 84 is other than Phe, the amino acid corresponding to or at position 210 is other than Val, the amino acid corresponding to or at position 212 is oth- er than Asn, the amino acid corresponding to or at position 223 is other than Val, the amino acid corresponding to or at position 243 is other than Val, the amino acid corresponding to or at posi- tion 247 is other than Leu, the amino acid corresponding to or at position 249 is other than Ser, the amino acid corresponding to or at position 251 is other than Val, the amino acid correspond- ing to or at position 264 is other than Asn, the amino acid corresponding to or at position 291 is other than Leu, the amino acid corresponding to or at position 306 is other than His, the amino
acid corresponding to or at position 317 is other than Gin, the amino acid corresponding to or at position 318 is other than Ala, the amino acid corresponding to or at position 319 is other than Ala, the amino acid corresponding to or at position 321 is other than Gly, the amino acid corre- sponding to or at position 326 is other than Lys, the amino acid corresponding to or at position 327 is other than Arg, the amino acid corresponding to or at position 331 is other than Lys, the amino acid corresponding to or at position 341 is other than Trp, the amino acid corresponding to or at position 342 is other than Ala, the amino acid corresponding to or at position 345 is oth- er than Glu, the amino acid corresponding to or at position 350 is other than Leu, the amino acid corresponding to or at position 363 is other than Phe, the amino acid corresponding to or at po- sition 367 is other than Leu, the amino acid corresponding to or at position 373 is other than lie, the amino acid corresponding to or at position 374 is other than Phe, the amino acid corre- sponding to or at position 375 is other than lie, the amino acid corresponding to or at position 379 is other than Glu, the amino acid corresponding to or at position 405 is other than Gly, the amino acid corresponding to or at position 407 is other than Phe, the amino acid corresponding to or at position 410 is other than Gly, the amino acid corresponding to or at position 412 is oth- er than Phe, the amino acid corresponding to or at position 414 is other than Glu, the amino acid corresponding to or at position 419 is other than lie, the amino acid corresponding to or at position 421 is other than Glu, the amino acid corresponding to or at position 422 is other than Tyr.
In another preferred embodiment, the mutated HPPD comprises a variant of the sequence of SEQ ID NO: 50, or a homologue or functional equivalent thereof, in which:
the amino acid corresponding to or at position 367 is Val, and the amino acid corresponding to or at position 375 is Leu.
In another preferred embodiment, the mutated HPPD comprises a variant of the sequence of SEQ ID NO: 50, or a homologue or functional equivalent thereof, in which:
the amino acid corresponding to or at position 367 is Val, and the amino acid corresponding to or at position 375 is Leu, and the amino acid corresponding to or at position 39 is Leu.
In another preferred embodiment, the mutated HPPD comprises a variant of the sequence of SEQ ID NO: 50, or a homologue or functional equivalent thereof, in which:
the amino acid corresponding to or at position 367 is Val, and the amino acid corresponding to or at position 375 is Leu, and the amino acid corresponding to or at position 39 is Trp.
In another preferred embodiment, the mutated HPPD comprises a variant of the sequence of SEQ ID NO: 50, or a homologue or functional equivalent thereof, in which:
the amino acid corresponding to or at position 345 is Ala, Arg, Asn, Asp, Cys, Gin, Gly, His, lie, Leu, Lys, Met, Phe, Pro, Ser, Thr, Trp, Tyr, or Val, particularly preferred Gin
In another preferred embodiment, the mutated HPPD comprises a variant of the sequence of SEQ ID NO: 50, or a homologue or functional equivalent thereof, in which:
the amino acid corresponding to or at position 345 is Gin, and the amino acid corresponding to or at position 341 is lie.
In another preferred embodiment, the mutated HPPD comprises a variant of the sequence of SEQ ID NO: 50, or a homologue or functional equivalent thereof, in which:
the amino acid corresponding to or at position 345 is Gin, and the amino acid corresponding to or at position 326 is Glu.
In another preferred embodiment, the mutated HPPD comprises a variant of the sequence of SEQ ID NO: 50, or a homologue or functional equivalent thereof, in which:
the amino acid corresponding to or at position 345 is Gin, and the amino acid corresponding to or at position 326 is Asp.
In another preferred embodiment, the mutated HPPD comprises a variant of the sequence of SEQ ID NO: 50, or a homologue or functional equivalent thereof, in which:
the amino acid corresponding to or at position 345 is Gin, and the amino acid corresponding to or at position 326 is Gin.
In another preferred embodiment, the mutated HPPD comprises a variant of the sequence of SEQ ID NO: 50, or a homologue or functional equivalent thereof, in which:
the amino acid corresponding to or at position 318 is Arg, Asn, Asp, Cys, Gin, Glu, Gly, His, lie, Leu, Lys, Met, Phe, Pro, Ser, Thr, Trp, Tyr, or Val, particularly preferred Pro.
In another preferred embodiment, the mutated HPPD comprises a variant of the sequence of SEQ ID NO: 50, or a homologue or functional equivalent thereof, in which:
the amino acid corresponding to or at position 319 is Arg, Asn, Asp, Cys, Gin, Glu, Gly, His, lie, Leu, Lys, Met, Phe, Pro, Ser, Thr, Trp, Tyr, Val, particularly preferred Pro.
In another preferred embodiment, the mutated HPPD comprises a variant of the sequence of SEQ ID NO: 50, or a homologue or functional equivalent thereof, in which:
the amino acid corresponding to or at position 318 is Pro, and the amino acid corresponding to or at position 319 is Pro.
In another preferred embodiment, the mutated HPPD comprises a variant of the sequence of SEQ ID NO: 50, or a homologue or functional equivalent thereof, in which:
the amino acid corresponding to or at position 321 is Ala, Arg, Asn, Asp, Cys, Gin, Glu, His, lie, Leu, Lys, Met, Phe, Pro, Ser, Thr, Trp, Tyr, or Val.
In another preferred embodiment, the mutated HPPD comprises a variant of the sequence of SEQ ID NO: 50, or a homologue or functional equivalent thereof, in which:
the amino acid corresponding to or at position 350 is Ala, Arg, Asn, Asp, Cys, Gin, Glu, Gly, His, lie, Lys, Met, Phe, Pro, Ser, Thr, Trp, Tyr, or Val, particularly preferred Met.
In another preferred embodiment, the mutated HPPD comprises a variant of the sequence of SEQ ID NO: 50, or a homologue or functional equivalent thereof, in which:
the amino acid corresponding to or at position 405 is Ala, Arg, Asn, Asp, Cys, Gin, Glu, His, lie, Leu, Lys, Met, Phe, Pro, Ser, Thr, Trp, Tyr, or Val.
In another preferred embodiment, the mutated HPPD comprises a variant of the sequence of SEQ ID NO: 50, or a homologue or functional equivalent thereof, in which:
the amino acid corresponding to or at position 251 is Ala, Arg, Asn, Asp, Cys, Gin, Glu, Gly, His, lie, Leu, Lys, Met, Phe, Pro, Ser, Thr, Trp, or Tyr, particularly preferred Ala.
In another preferred embodiment, the mutated HPPD comprises a variant of the sequence of SEQ ID NO: 50, or a homologue or functional equivalent thereof, in which:
the amino acid corresponding to or at position 317 is Ala, Arg, Asn, Asp, Cys, Glu, Gly, His, lie, Leu, Lys, Met, Phe, Pro, Ser, Thr, Trp, Tyr, or Val, particularly preferred His or Met.
In another preferred embodiment, the mutated HPPD comprises a variant of the sequence of SEQ ID NO: 50, or a homologue or functional equivalent thereof, in which:
the amino acid corresponding to or at position 379 is Ala, Arg, Asn, Asp, Cys, Gin, Gly, His, lie, Leu, Lys, Met, Phe, Pro, Ser, Thr, Trp, Tyr, or Val, particularly preferred Gin.
In another preferred embodiment, the mutated HPPD comprises a variant of the sequence of SEQ ID NO: 50, or a homologue or functional equivalent thereof, in which:
the amino acid corresponding to or at position 350 is Met, and the amino acid corresponding to or at position 318 is Arg.
In another preferred embodiment, the mutated HPPD comprises a variant of the sequence of SEQ ID NO: 50, or a homologue or functional equivalent thereof, in which:
the amino acid corresponding to or at position 350 is Met, and the amino acid corresponding to or at position 318 is Gly.
In another preferred embodiment, the mutated HPPD comprises a variant of the sequence of SEQ ID NO: 50, or a homologue or functional equivalent thereof, in which:
the amino acid corresponding to or at position 350 is Met, and the amino acid corresponding to or at position 318 is Arg, and the amino acid corresponding to or at position 317 is Asn.
In another preferred embodiment, the mutated HPPD comprises a variant of the sequence of SEQ ID NO: 50, or a homologue or functional equivalent thereof, in which:
the amino acid corresponding to or at position 210 is Ala, Arg, Asn, Asp, Cys, Gin, Glu, Gly, His, lie, Leu, Lys, Met, Phe, Pro, Ser, Thr, Trp, or Tyr.
In another preferred embodiment, the mutated HPPD comprises a variant of the sequence of SEQ ID NO: 50, or a homologue or functional equivalent thereof, in which:
the amino acid corresponding to or at position 317 is His, and the amino acid corresponding to or at position 318 is Gly, and the amino acid corresponding to or at position 345 is Gin.
In another preferred embodiment, the mutated HPPD comprises a variant of the sequence of SEQ ID NO: 50, or a homologue or functional equivalent thereof, in which:
the amino acid corresponding to or at position 317 is Met, and the amino acid corresponding to or at position 318 is Gly, and the amino acid corresponding to or at position 345 is Gin.
In another preferred embodiment, the mutated HPPD comprises a variant of the sequence of SEQ ID NO: 50, or a homologue or functional equivalent thereof, in which:
the amino acid corresponding to or at position 363 is Ala, Arg, Asn, Asp, Cys, Gin, Glu, Gly, His, lie, Leu, Lys, Met, Pro, Ser, Thr, Trp, Tyr, or Val, particularly preferred lie.
In another preferred embodiment, the mutated HPPD comprises a variant of the sequence of SEQ ID NO: 50, or a homologue or functional equivalent thereof, in which:
the amino acid corresponding to or at position 419 is Ala, Arg, Asn, Asp, Cys, Gin, Glu, Gly, His, Leu, Lys, Met, Phe, Pro, Ser, Thr, Trp, Tyr, or Val, particularly preferred Val.
In another preferred embodiment, the mutated HPPD comprises a variant of the sequence of SEQ ID NO: 50, or a homologue or functional equivalent thereof, in which:
the amino acid corresponding to or at position 249 is Ala, Arg, Asn, Asp, Cys, Gin, Glu, Gly, His, lie, Leu, Lys, Met, Phe, Pro, Thr, Trp, Tyr, or Val.
In another preferred embodiment, the mutated HPPD comprises a variant of the sequence of SEQ ID NO: 50, or a homologue or functional equivalent thereof, in which:
the amino acid corresponding to or at position 247 is Ala, Arg, Asn, Asp, Cys, Gin, Glu, Gly, His, lie, Lys, Met, Phe, Pro, Ser, Thr, Trp, Tyr, or Val.
In another preferred embodiment, the mutated HPPD comprises a variant of the sequence of SEQ ID NO: 50, or a homologue or functional equivalent thereof, in which:
the amino acid corresponding to or at position 407 is Ala, Arg, Asn, Asp, Cys, Gin, Glu, Gly, His, lie, Leu, Lys, Met, Pro, Ser, Thr, Trp, Tyr, or Val.
In another preferred embodiment, the mutated HPPD comprises a variant of the sequence of SEQ ID NO: 50, or a homologue or functional equivalent thereof, in which:
the amino acid corresponding to or at position 306 is Ala, Arg, Asn, Asp, Cys, Gin, Glu, Gly, lie, Leu, Lys, Met, Phe, Pro, Ser, Thr, Trp, Tyr, or Val, particularly preferred Lys.
In another preferred embodiment, the mutated HPPD comprises a variant of the sequence of SEQ ID NO: 50, or a homologue or functional equivalent thereof, in which:
the amino acid corresponding to or at position 30 is Ala, Arg, Asn, Asp, Cys, Gin, Glu, Gly, His, lie, Leu, Lys, Met, Phe, Ser, Thr, Trp, Tyr, or Val.
In another preferred embodiment, the mutated HPPD comprises a variant of the sequence of SEQ ID NO: 50, or a homologue or functional equivalent thereof, in which:
the amino acid corresponding to or at position 54 is Ala, Arg, Asn, Asp, Cys, Gin, Glu, His, lie, Leu, Lys, Met, Phe, Pro, Ser, Thr, Trp, Tyr, or Val.
In another preferred embodiment, the mutated HPPD comprises a variant of the sequence of SEQ ID NO: 50, or a homologue or functional equivalent thereof, in which:
the amino acid corresponding to or at position 57 is Ala, Arg, Asn, Asp, Cys, Gin, Glu, Gly, His, lie, Leu, Lys, Phe, Pro, Ser, Thr, Trp, Tyr, or Val.
In another preferred embodiment, the mutated HPPD comprises a variant of the sequence of SEQ ID NO: 50, or a homologue or functional equivalent thereof, in which:
the amino acid corresponding to or at position 84 is Ala, Arg, Asn, Asp, Cys, Gin, Glu, Gly, His, lie, Leu, Lys, Met, Pro, Ser, Thr, Trp, Tyr, or Val.
In another preferred embodiment, the mutated HPPD comprises a variant of the sequence of SEQ ID NO: 50, or a homologue or functional equivalent thereof, in which:
the amino acid corresponding to or at position 212 is Ala, Arg, Asp, Cys, Gin, Glu, Gly, His, lie, Leu, Lys, Met, Phe, Pro, Ser, Thr, Trp, Tyr, or Val.
In another preferred embodiment, the mutated HPPD comprises a variant of the sequence of SEQ ID NO: 50, or a homologue or functional equivalent thereof, in which:
the amino acid corresponding to or at position 223 is Ala, Arg, Asn, Asp, Cys, Gin, Glu, Gly, His, lie, Leu, Lys, Met, Phe, Pro, Ser, Thr, Trp, or Tyr.
In another preferred embodiment, the mutated HPPD comprises a variant of the sequence of SEQ ID NO: 50, or a homologue or functional equivalent thereof, in which:
the amino acid corresponding to or at position 243 is Ala, Arg, Asn, Asp, Cys, Gin, Glu, Gly, His, lie, Leu, Lys, Met, Phe, Pro, Ser, Thr, Trp, or Tyr.
In another preferred embodiment, the mutated HPPD comprises a variant of the sequence of SEQ ID NO: 50, or a homologue or functional equivalent thereof, in which:
the amino acid corresponding to or at position 264 is Ala, Arg, Asp, Cys, Gin, Glu, Gly, His, lie, Leu, Lys, Met, Phe, Pro, Ser, Thr, Trp, Tyr, or Val.
In another preferred embodiment, the mutated HPPD comprises a variant of the sequence of SEQ ID NO: 50, or a homologue or functional equivalent thereof, in which:
the amino acid corresponding to or at position 291 is Ala, Arg, Asn, Asp, Cys, Gin, Glu, Gly, His, lie, Lys, Met, Phe, Pro, Ser, Thr, Trp, Tyr, or Val.
In another preferred embodiment, the mutated HPPD comprises a variant of the sequence of SEQ ID NO: 50, or a homologue or functional equivalent thereof, in which:
the amino acid corresponding to or at position 327 is Ala, Asn, Asp, Cys, Gin, Glu, Gly, His, lie, Leu, Lys, Met, Phe, Pro, Ser, Thr, Trp, Tyr, or Val.
In another preferred embodiment, the mutated HPPD comprises a variant of the sequence of SEQ ID NO: 50, or a homologue or functional equivalent thereof, in which:
the amino acid corresponding to or at position 331 is Ala, Arg, Asn, Asp, Cys, Gin, Glu, Gly, His, lie, Leu, Met, Phe, Pro, Ser, Thr, Trp, Tyr, or Val.
In another preferred embodiment, the mutated HPPD comprises a variant of the sequence of SEQ ID NO: 50, or a homologue or functional equivalent thereof, in which:
the amino acid corresponding to or at position 342 is Arg, Asn, Asp, Cys, Gin, Glu, Gly, His, lie, Leu, Lys, Met, Phe, Pro, Ser, Thr, Trp, Tyr, or Val.
In another preferred embodiment, the mutated HPPD comprises a variant of the sequence of SEQ ID NO: 50, or a homologue or functional equivalent thereof, in which:
the amino acid corresponding to or at position 373 is Ala, Arg, Asn, Asp, Cys, Gin, Glu, Gly, His, Leu, Lys, Met, Phe, Pro, Ser, Thr, Trp, Tyr, or Val.
In another preferred embodiment, the mutated HPPD comprises a variant of the sequence of SEQ ID NO: 50, or a homologue or functional equivalent thereof, in which:
the amino acid corresponding to or at position 374 is Ala, Arg, Asn, Asp, Cys, Gin, Glu, Gly, His, lie, Leu, Lys, Met, Pro, Ser, Thr, Trp, Tyr, or Val.
In another preferred embodiment, the mutated HPPD comprises a variant of the sequence of SEQ ID NO: 50, or a homologue or functional equivalent thereof, in which:
the amino acid corresponding to or at position 410 is Ala, Arg, Asn, Asp, Cys, Gin, Glu, His, lie, Leu, Lys, Met, Phe, Pro, Ser, Thr, Trp, Tyr, or Val.
In another preferred embodiment, the mutated HPPD comprises a variant of the sequence of SEQ ID NO: 50, or a homologue or functional equivalent thereof, in which:
the amino acid corresponding to or at position 412 is Ala, Arg, Asn, Asp, Cys, Gin, Glu, Gly, His, lie, Leu, Lys, Met, Pro, Ser, Thr, Trp, Tyr, or Val.
In another preferred embodiment, the mutated HPPD comprises a variant of the sequence of SEQ ID NO: 50, or a homologue or functional equivalent thereof, in which:
the amino acid corresponding to or at position 414 is Ala, Arg, Asn, Asp, Cys, Gin, Gly, His, lie, Leu, Lys, Met, Phe, Pro, Ser, Thr, Trp, Tyr, or Val.
In another preferred embodiment, the mutated HPPD comprises a variant of the sequence of SEQ ID NO: 50, or a homologue or functional equivalent thereof, in which:
the amino acid corresponding to or at position 421 is Ala, Arg, Asn, Asp, Cys, Gin, Gly, His, lie, Leu, Lys, Met, Phe, Pro, Ser, Thr, Trp, Tyr, or Val.
In another preferred embodiment, the mutated HPPD comprises a variant of the sequence of SEQ ID NO: 50, or a homologue or functional equivalent thereof, in which:
the amino acid corresponding to or at position 422 is Ala, Arg, Asn, Asp, Cys, Gin, Glu, Gly, His, lie, Leu, Lys, Met, Phe, Pro, Ser, Thr, Trp, or Val.
In another preferred embodiment, the mutated HPPD comprises a variant of the sequence of SEQ ID NO: 50, or a homologue or functional equivalent thereof, in which:
the amino acid corresponding to or at position 251 is Ala, and the amino acid corresponding to or at position 405 is Asp.
In another preferred embodiment, the mutated HPPD comprises a variant of the sequence of SEQ ID NO: 50, or a homologue or functional equivalent thereof, in which:
the amino acid corresponding to or at position 327 is Gly, and the amino acid corresponding to or at position 421 is Asp.
In another preferred embodiment, the mutated HPPD comprises a variant of the sequence of SEQ ID NO: 50, or a homologue or functional equivalent thereof, in which:
the amino acid corresponding to or at position 251 is Ala, and the amino acid corresponding to or at position 306 is Arg, and the amino acid corresponding to or at position 317 is Leu, and the amino acid corresponding to or at position 318 is Pro, and the amino acid corresponding to or at position 321 is Pro, and the amino acid corresponding to or at position 331 is Glu, and the ami- no acid corresponding to or at position 350 is Met.
In another preferred embodiment, the mutated HPPD comprises a variant of the sequence of SEQ ID NO: 50, or a homologue or functional equivalent thereof, in which:
the amino acid corresponding to or at position 407 is Ala, Arg, Asn, Asp, Cys, Gin, Glu, Gly, His, lie, Leu, Lys, Met, Pro, Ser, Thr, Trp, Tyr, or Val.
Following mutagenesis of one of the sequences as shown herein, the encoded protein can be expressed recombinantly and the activity of the protein can be determined using, for example, assays described herein.
It will be within the knowledge of the skilled artisan to identify conserved regions and mo- tifs shared between the homologues, orthologues and paralogues of of SEQ ID NO: 2, 5, 8, 1 1 , 14, 17, 20, 22, 24, 26, 28, 30, 32, 34, 36, 38, 40, 42, 44, 46, 48, 50, 53, 55, 57, 58, 59, 60, 61 ,
62, 63, 64, 65, 66, 67, and respectively SEQ ID NO: 48 or 50. Having identified such conserved regions that may represent suitable binding motifs, amino acids corresponding to the amino acids listed in Table 4a and 4b, 4c, and 4d can be chosen to be substituted by any other amino acid by conserved amino acids, and more preferably by the amino acids of tables 4a and 4b, 4c, and 4d.
Numerous crop plants, for example Clearfield® oilseed rape, tolerant to imidazolinones, for example imazamox, have been generated with the aid of classic breeding methods (muta- genesis). Crop plants such as soybeans, cotton, corn, beet and oilseed rape, resistant to glyphosate or glufosinate, which are available under the tradenames RoundupReady® (glypho- sate) and Liberty Link® (glufosinate) have been generated with the aid of genetic engineering methods.
Accordingly, the term "crop plants" also includes plants which, with the aid of genetic en- gineering, produce one or more toxins, for example those of the bacterial strain Bacillus ssp. Toxins which are produced by such genetically modified plants include, for example, insecticidal
proteins of Bacillus spp., in particular B. thuringiensis, such as the endotoxins CrylAb, CrylAc, Cry1 F, Cry1 Fa2, Cry2Ab, Cry3A, Cry3Bb1 , Cry9c, Cry34Ab1 or Cry35Ab1 ; or vegetative insec- ticidal proteins (VIPs), for example VI P1 , VI P2, VI P3, or VIP3A; insecticidal proteins of nema- tode-colonizing bacteria, for example Photorhabdus spp. or Xenorhabdus spp.; toxins of animal organisms, for example wasp, spider or scorpion toxins; fungal toxins, for example from Strep- tomycetes; plant lectins, for example from peas or barley; agglutinins; proteinase inhibitors, for example trypsin inhibitors, serine protease inhibitors, patatin, cystatin or papain inhibitors, ribo- some-inactivating proteins (RIPs), for example ricin, corn-RIP, abrin, luffin, saporin or bryodin; steroid-metabolizing enzymes, for example 3-hydroxysteroid oxidase, ecdysteroid-IDP glycosyl transferase, cholesterol oxidase, ecdysone inhibitors, or HMG-CoA reductase; ion channel blockers, for example inhibitors of sodium channels or calcium channels; juvenile hormone es- terase; receptors of the diuretic hormone (helicokinin receptors); stilbene synthase, bibenzyl synthase, chitinases and glucanases. In the plants, these toxins may also be produced as pre- toxins, hybrid proteins or truncated or otherwise modified proteins. Hybrid proteins are charac- terized by a novel combination of different protein domains (see, for example, WO
2002/015701 ). Further examples of such toxins or genetically modified plants which produce these toxins are disclosed in EP-A 374 753, WO 93/007278, WO 95/34656, EP-A 427 529,
EP-A 451 878, WO 03/018810 and WO 03/052073. The methods for producing these genetical- ly modified plants are known to the person skilled in the art and disclosed, for example, in the publications mentioned above. Numerous of the toxins mentioned above bestow, upon the plants by which they are produced, tolerance to pests from all taxonomic classes of arthropods, in particular to beetles (Coeleropta), dipterans (Diptera) and butterflies (Lepidoptera) and to nematodes (Nematoda).
Genetically modified plants which produce one or more genes coding for insecticidal tox- ins are described, for example, in the publications mentioned above, and some of them are commercially available, such as, for example, YieldGard® (corn varieties producing the toxin CrylAb), YieldGard® Plus (corn varieties which produce the toxins CrylAb and Cry3Bb1 ), Star- link® (corn varieties which produce the toxin Cry9c), Herculex® RW (corn varieties which pro- duce the toxins Cry34Ab1 , Cry35Ab1 and the enzyme phosphinothricin-N-acetyltransferase [PAT]); NuCOTN® 33B (cotton varieties which produce the toxin CrylAc), Bollgard® I (cotton varieties which produce the toxin CrylAc), Bollgard® II (cotton varieties which produce the tox- ins CrylAc and Cry2Ab2); VIPCOT® (cotton varieties which produce a VIP toxin); NewLeaf® (potato varieties which produce the toxin Cry3A); Bt-Xtra®, NatureGard®, KnockOut®, BiteGard®, Protecta®, Bt1 1 (for example Agrisure® CB) and Bt176 from Syngenta Seeds SAS, France (corn varieties which produce the toxin CrylAb and the PAT enyzme), MIR604 from Syngenta Seeds SAS, France (corn varieties which produce a modified version of the toxin Cry3A, see
WO 03/018810), MON 863 from Monsanto Europe S.A., Belgium (corn varieties which produce the toxin Cry3Bb1 ), IPC 531 from Monsanto Europe S.A., Belgium (cotton varieties which pro- duce a modified version of the toxin CrylAc) and 1507 from Pioneer Overseas Corporation, Belgium (corn varieties which produce the toxin Cry1 F and the PAT enzyme).
Accordingly, the term "crop plants" also includes plants which, with the aid of genetic engineer- ing, produce one or more proteins which are more robust or have increased resistance to bacte-
rial, viral or fungal pathogens, such as, for example, pathogenesis-related proteins (PR proteins, see EP-A 0 392 225), resistance proteins (for example potato varieties producing two resistance genes against Phytophthora infestans\xom the wild Mexican potato Solarium bulbocastanum) or T4 lysozyme (for example potato cultivars which, by producing this protein, are resistant to bacteria such as Erwinia amylvora).
Accordingly, the term "crop plants" also includes plants whose productivity has been im- proved with the aid of genetic engineering methods, for example by enhancing the potential yield (for example biomass, grain yield, starch, oil or protein content), tolerance to drought, salt or other limiting environmental factors or resistance to pests and fungal, bacterial and viral pathogens.
The term "crop plants" also includes plants whose ingredients have been modified with the aid of genetic engineering methods in particular for improving human or animal diet, for ex- ample by oil plants producing health-promoting long-chain omega 3 fatty acids or monounsatu- rated omega 9 fatty acids (for example Nexera® oilseed rape).
The term "crop plants" also includes plants which have been modified with the aid of ge- netic engineering methods for improving the production of raw materials, for example by in- creasing the amylopectin content of potatoes (Amflora® potato).
Furthermore, it has been found that the compounds of formula I are also suitable for the defoliation and/or desiccation of plant parts, for which crop plants such as cotton, potato, oilseed rape, sunflower, soybean or field beans, in particular cotton, are suitable. In this regard, there have been found compositions for the desiccation and/or defoliation of plants, processes for preparing these compositions and methods for desiccating and/or defoliating plants using the compounds of formula I.
As desiccants, the compounds of formula I are particularly suitable for desiccating the above-ground parts of crop plants such as potato, oilseed rape, sunflower and soybean, but also cereals. This makes possible the fully mechanical harvesting of these important crop plants.
Also of economic interest is to facilitate harvesting, which is made possible by
concentrating within a certain period of time the dehiscence, or reduction of adhesion to the tree, in citrus fruit, olives and other species and varieties of pomaceous fruit, stone fruit and nuts. The same mechanism, i.e. the promotion of the development of abscission tissue between fruit part or leaf part and shoot part of the plants is also essential for the readily controllable defoliation of useful plants, in particular cotton.
Moreover, a shortening of the time interval in which the individual cotton plants mature leads to an increased fiber quality after harvesting.
In a specific embodiment, the compounds according to the invention, the N-oxides or agriculturally suitable salts thereof are used for controlling at least one of the following undesired plants: Alopecurus myosuroiedes, Echinocloa crus-galli, Amaranthus retroflexus, Chenopodium album.
The compounds of formula I, or the herbicidal compositions comprising the compounds of formula I, can be used, for example, in the form of ready-to-spray aqueous solutions, powders, suspensions, also highly concentrated aqueous, oily or other suspensions or dispersions, emulsions, oil dispersions, pastes, dusts, materials for broadcasting, or granules, by means of
spraying, atomizing, dusting, spreading, watering or treatment of the seed or mixing with the seed. The use forms depend on the intended purpose; in each case, they should ensure the finest possible distribution of the active ingredients according to the invention.
The herbicidal compositions comprise a herbicidally effective amount of at least one compound of the formula I or an agriculturally useful salt of I, and auxiliaries which are customary for the formulation of crop protection agents.
Examples of auxiliaries customary for the formulation of crop protection agents are inert auxiliaries, solid carriers, surfactants (such as dispersants, protective colloids, emulsifiers, wetting agents and tackifiers), organic and inorganic thickeners, bactericides, antifreeze agents, antifoams, if appropriate colorants and, for seed formulations, adhesives.
Examples of thickeners (i.e. compounds which impart to the formulation modified flow properties, i.e. high viscosity in the state of rest and low viscosity in motion) are
polysaccharides, such as xanthan gum (Kelzan® from Kelco), Rhodopol® 23 (Rhone Poulenc) or Veegum® (from R.T. Vanderbilt), and also organic and inorganic sheet minerals, such as Attaclay® (from Engelhardt).
Examples of antifoams are silicone emulsions (such as, for example, Silikon® SRE, Wacker or Rhodorsil® from Rhodia), long-chain alcohols, fatty acids, salts of fatty acids, organofluorine compounds and mixtures thereof.
Bactericides can be added for stabilizing the aqueous herbicidal formulation. Examples of bactericides are bactericides based on diclorophen and benzyl alcohol hemiformal (Proxel® from ICI or Acticide® RS from Thor Chemie and Kathon® MK from Rohm & Haas), and also isothiazolinone derivates, such as alkylisothiazolinones and benzisothiazolinones (Acticide MBS from Thor Chemie).
Examples of antifreeze agents are ethylene glycol, propylene glycol, urea or glycerol.
Examples of colorants are both sparingly water-soluble pigments and water-soluble dyes. Examples which may be mentioned are the dyes known under the names Rhodamin B, C.l. Pigment Red 112 and C.l. Solvent Red 1 , and also pigment blue 15:4, pigment blue 15:3, pigment blue 15:2, pigment blue 15:1 , pigment blue 80, pigment yellow 1 , pigment yellow 13, pigment red 1 12, pigment red 48:2, pigment red 48:1 , pigment red 57:1 , pigment red 53:1 , pigment orange 43, pigment orange 34, pigment orange 5, pigment green 36, pigment green 7, pigment white 6, pigment brown 25, basic violet 10, basic violet 49, acid red 51 , acid red 52, acid red 14, acid blue 9, acid yellow 23, basic red 10, basic red 108.
Examples of adhesives are polyvinylpyrrolidone, polyvinyl acetate, polyvinyl alcohol and tylose.
Suitable inert auxiliaries are, for example, the following:
mineral oil fractions of medium to high boiling point, such as kerosene and diesel oil, furthermore coal tar oils and oils of vegetable or animal origin, aliphatic, cyclic and aromatic hydrocarbons, for example paraffin, tetrahydronaphthalene, alkylated naphthalenes and their derivatives, alkylated benzenes and their derivatives, alcohols such as methanol, ethanol, propanol, butanol and cyclohexanol, ketones such as cyclohexanone or strongly polar solvents, for example amines such as N-methylpyrrolidone, and water.
Solid carriers are mineral earths such as silicas, silica gels, silicates, talc, kaolin, limestone, lime, chalk, bole, loess, clay, dolomite, diatomaceous earth, calcium sulfate, magnesium sulfate and magnesium oxide, ground synthetic materials, fertilizers such as
ammonium sulfate, ammonium phosphate, ammonium nitrate and ureas, and products of vegetable origin, such as cereal meal, tree bark meal, wood meal and nutshell meal, cellulose powders, or other solid carriers.
Suitable surfactants (adjuvants, wetting agents, tackifiers, dispersants and also
emulsifiers) are the alkali metal salts, alkaline earth metal salts and ammonium salts of aromatic sulfonic acids, for example lignosulfonic acids (e.g. Borrespers-types, Borregaard),
phenolsulfonic acids, naphthalenesulfonic acids (Morwet types, Akzo Nobel) and
dibutylnaphthalenesulfonic acid (Nekal types, BASF SE), and of fatty acids, alkyl- and alkylarylsulfonates, alkyl sulfates, lauryl ether sulfates and fatty alcohol sulfates, and salts of sulfated hexa-, hepta- and octadecanols, and also of fatty alcohol glycol ethers, condensates of sulfonated naphthalene and its derivatives with formaldehyde, condensates of naphthalene or of the naphthalenesulfonic acids with phenol and formaldehyde, polyoxyethylene octylphenol ether, ethoxylated isooctyl-, octyl- or nonylphenol, alkylphenyl or tributylphenyl polyglycol ether, alkylaryl polyether alcohols, isotridecyl alcohol, fatty alcohol/ethylene oxide condensates, ethoxylated castor oil, polyoxyethylene alkyl ethers or polyoxypropylene alkyl ethers, lauryl alcohol polyglycol ether acetate, sorbitol esters, lignosulfite waste liquors and proteins, denatured proteins, polysaccharides (e.g. methylcellulose), hydrophobically modified starches, polyvinyl alcohol (Mowiol types Clariant), polycarboxylates (BASF SE, Sokalan types), polyalkoxylates, polyvinylamine (BASF SE, Lupamine types), polyethyleneimine (BASF SE, Lupasol types), polyvinylpyrrolidone and copolymers thereof.
Powders, materials for broadcasting and dusts can be prepared by mixing or grinding the active ingredients together with a solid carrier.
Granules, for example coated granules, impregnated granules and homogeneous granules, can be prepared by binding the active ingredients to solid carriers.
Aqueous use forms can be prepared from emulsion concentrates, suspensions, pastes, wettable powders or water-dispersible granules by adding water. To prepare emulsions, pastes or oil dispersions, the compounds of formula I or la, either as such or dissolved in an oil or solvent, can be homogenized in water by means of a wetting agent, tackifier, dispersant or emulsifier. Alternatively, it is also possible to prepare concentrates comprising active substance, wetting agent, tackifier, dispersant or emulsifier and, if desired, solvent or oil, which are suitable for dilution with water.
The concentrations of the compounds of formula I in the ready-to-use preparations can be varied within wide ranges. In general, the formulations comprise from 0.001 to 98% by weight, preferably 0.01 to 95% by weight of at least one active compound. The active compounds are employed in a purity of from 90% to 100%, preferably 95% to 100% (according to NMR spectrum).
The formulations or ready-to-use preparations may also comprise acids, bases or buffer systems, suitable examples being phosphoric acid or sulfuric acid, or urea or ammonia.
The compounds of formula I of the invention can for example be formulated as follows:
1. Products for dilution with water
A. Water-soluble concentrates
10 parts by weight of active compound are dissolved in 90 parts by weight of water or a water- soluble solvent. As an alternative, wetters or other adjuvants are added. The active compound
dissolves upon dilution with water. This gives a formulation with an active compound content of 10% by weight.
B. Dispersible concentrates
20 parts by weight of active compound are dissolved in 70 parts by weight of cyclohexanone with addition of 10 parts by weight of a dispersant, for example polyvinylpyrrolidone. Dilution with water gives a dispersion. The active compound content is 20% by weight.
C. Emulsifiable concentrates
15 parts by weight of active compound are dissolved in 75 parts by weight of an organic solvent (e.g. alkylaromatics) with addition of calcium dodecylbenzenesulfonate and castor oil ethoxylate (in each case 5 parts by weight). Dilution with water gives an emulsion. The formulation has an active compound content of 15% by weight.
D. Emulsions
25 parts by weight of active compound are dissolved in 35 parts by weight of an organic solvent (e.g. alkylaromatics) with addition of calcium dodecylbenzenesulfonate and castor oil ethoxylate (in each case 5 parts by weight). This mixture is introduced into 30 parts by weight of water by means of an emulsifier (e.g. Ultraturrax) and made into a homogeneous emulsion. Dilution with water gives an emulsion. The formulation has an active compound content of 25% by weight.
E. Suspensions
In an agitated ball mill, 20 parts by weight of active compound are comminuted with addition of 10 parts by weight of dispersants and wetters and 70 parts by weight of water or an organic solvent to give a fine active compound suspension. Dilution with water gives a stable suspen- sion of the active compound. The active compound content in the formulation is 20% by weight.
F. Water-dispersible granules and water-soluble granules
50 parts by weight of active compound are ground finely with addition of 50 parts by weight of dispersants and wetters and made into water-dispersible or water-soluble granules by means of technical appliances (for example extrusion, spray tower, fluidized bed). Dilution with water gives a stable dispersion or solution of the active compound. The formulation has an active compound content of 50% by weight.
G. Water-dispersible powders and water-soluble powders
75 parts by weight of active compound are ground in a rotor-stator mill with addition of 25 parts by weight of dispersants, wetters and silica gel. Dilution with water gives a stable dispersion or solution of the active compound. The active compound content of the formulation is 75% by weight.
H. Gel formulations
In a ball mill, 20 parts by weight of active compound, 10 parts by weight of dispersant, 1 part by weight of gelling agent and 70 parts by weight of water or of an organic solvent are ground to give a fine suspension. Dilution with water gives a stable suspension with active compound con- tent of 20% by weight.
2. Products to be applied undiluted
I. Dusts
5 parts by weight of active compound are ground finely and mixed intimately with 95 parts by weight of finely divided kaolin. This gives a dusting powder with an active compound content of 5% by weight.
J. Granules (GR, FG, GG, MG)
0.5 parts by weight of active compound are ground finely and associated with 99.5 parts by weight of carriers. Current methods here are extrusion, spray-drying or the fluidized bed. This gives granules to be applied undiluted with an active compound content of 0.5% by weight.
K. ULV solutions (UL)
10 parts by weight of active compound are dissolved in 90 parts by weight of an organic solvent, for example xylene. This gives a product to be applied undiluted with an active compound con- tent of 10% by weight.
The compounds of formula I or the herbicidal compositions comprising them can be applied pre- or post-emergence, or together with the seed of a crop plant. It is also possible to apply the herbicidal compositions or active compounds by applying seed, pretreated with the herbicidal compositions or active compounds, of a crop plant. If the active compounds are less well tolerated by certain crop plants, application techniques may be used in which the herbicidal compositions are sprayed, with the aid of the spraying equipment, in such a way that as far as possible they do not come into contact with the leaves of the sensitive crop plants, while the active compounds reach the leaves of undesirable plants growing underneath, or the bare soil surface (post-directed, lay-by).
In a further embodiment, the compounds of formula I or the herbicidal compositions can be applied by treating seed.
The treatment of seed comprises essentially all procedures familiar to the person skilled in the art (seed dressing, seed coating, seed dusting, seed soaking, seed film coating, seed multi- layer coating, seed encrusting, seed dripping and seed pelleting) based on the compounds of formula I according to the invention or the compositions prepared therefrom. Here, the herbicid- al compositions can be applied diluted or undiluted.
The term seed comprises seed of all types, such as, for example, corns, seeds, fruits, tu- bers, cuttings and similar forms. Here, preferably, the term seed describes corns and seeds.
The seed used can be seed of the useful plants mentioned above, but also the seed of transgenic plants or plants obtained by customary breeding methods.
The rates of application of active compound are from 0.001 to 3.0, preferably 0.01 to 1.0, kg/ha of active substance (a.s.), depending on the control target, the season, the target plants and the growth stage. To treat the seed, the compounds of formula I are generally employed in amounts of from 0.001 to 10 kg per 100 kg of seed.
It may also be advantageous to use the compounds of formula I in combination with saf- eners. Safeners are chemical compounds which prevent or reduce damage to useful plants without substantially affecting the herbicidal action of the compounds of formula I on unwanted plants. They can be used both before sowing (for example in the treatment of seed, or on cut- tings or seedlings) and before or after the emergence of the useful plant. The safeners and the compounds of formula I can be used simultaneously or in succession.
Suitable safeners are, for example, (quinolin-8-oxy)acetic acids, 1 -phenyl-5-haloalkyl-1 A ,2,4- triazole-3-carboxylic acids, 1 -phenyl-4, 5-d i hyd ro-5-a I kyl- 1 A pyrazole-S^-dicarboxylic acids, 4,5- dihydro-5,5-diaryl-3-isoxazolecarboxylic acids, dichloroacetamides, alpha- oximinophenylacetonitriles, acetophenone oximes, 4,6-dihalo-2-phenylpyrimidines, N-[[4- (aminocarbonyl)phenyl]sulfonyl]-2-benzamides, 1 ,8-naphthalic anhydride, 2-halo-4-(haloalkyl)-5- thiazolecarboxylic acids, phosphorothiolates and O-phenyl N-alkylcarbamates and their agricul- turally useful salts and, provided that they have an acid function, their agriculturally useful deriv- atives, such as amides, esters and thioesters.
To broaden the activity spectrum and to obtain synergistic effects, the compounds of the formula I can be mixed and/or jointly applied with numerous representatives of other herbicidal or growth-regulating groups of active compounds or with safeners. Suitable mixing partners are, for example, 1 ,2,4-thiadiazoles, 1 ,3,4-thiadiazoles, amides, aminophosphoric acid and its deriv- atives, aminotriazoles, anilides, aryloxy/heteroaryloxyalkanoic acids and their derivatives, ben- zoic acid and its derivatives, benzothiadiazinones, 2-(hetaroyl/aroyl)-1 ,3-cyclohexanediones, heteroaryl aryl ketones, benzylisoxazolidinones, meta-CF3-phenyl derivatives, carbamates, quinoline carboxylic acid and its derivatives, chloroacetanilides, cyclohexenone oxime ether derivates, diazines, dichloropropionic acid and its derivatives, dihydrobenzofurans, dihydrofu- ran-3-ones, dinitroanilines, dinitrophenols, diphenyl ethers, dipyridyls, halocarboxylic acids and their derivatives, ureas, 3-phenyluracils, imidazoles, imidazolinones, N-phenyl-3, 4,5,6- tetrahydrophthalimides, oxadiazoles, oxiranes, phenols, aryloxy- and heteroaryloxyphenoxypro- pionic esters, phenylacetic acid and its derivatives, 2-phenylpropionic acid and its derivatives, pyrazoles, phenylpyrazoles, pyridazines, pyridinecarboxylic acid and its derivatives, pyrimidyl ethers, sulfonamides, sulfonylureas, triazines, triazinones, triazolinones, triazolecarboxamides, uracils and also phenylpyrazolines and isoxazolines and their derivatives.
Moreover, it may be useful to apply the compounds of formula I alone or in combination with other herbicides or else also mixed with further crop protection agents, jointly, for example with compositions for controlling pests or phytopathogenic fungi or bacteria. Also of interest is the miscibility with mineral salt solutions which are employed for alleviating nutritional and trace element deficiencies. Other additives such as nonphytotoxic oils and oil concentrates may also be added.
Examples of herbicides which can be used in combination with the benzamide corn- pounds of formula I according to the present invention are:
b1 ) from the group of the lipid biosynthesis inhibitors:
alloxydim, alloxydim-sodium, butroxydim, clethodim, clodinafop, clodinafop-propargyl, cy- cloxydim, cyhalofop, cyhalofop-butyl, diclofop, diclofop-methyl, fenoxaprop, fenoxaprop-ethyl, fenoxaprop-P, fenoxaprop-P-ethyl, fluazifop, fluazifop-butyl, fluazifop-P, fluazifop-P-butyl, halox- yfop, haloxyfop-methyl, haloxyfop-P, haloxyfop-P-methyl, metamifop, pinoxaden, profoxydim, propaquizafop, quizalofop, quizalofop-ethyl, quizalofop-tefuryl, quizalofop-P, quizalofop-P-ethyl, quizalofop-P-tefuryl, sethoxydim, tepraloxydim, tralkoxydim, benfuresate, butylate, cycloate, dalapon, dimepiperate, EPTC, esprocarb, ethofumesate, flupropanate, molinate, orbencarb, pebulate, prosulfocarb, TCA, thiobencarb, tiocarbazil, triallate and vernolate;
b2) from the group of the ALS inhibitors:
amidosulfuron, azimsulfuron, bensulfuron, bensulfuron-methyl, bispyribac, bispyribac-sodium, chlorimuron, chlorimuron-ethyl, chlorsulfuron, cinosulfuron, cloransulam, cloransulam-methyl, cyclosulfamuron, diclosulam, ethametsulfuron, ethametsulfuron-methyl, ethoxysulfuron, fla- zasulfuron, florasulam, flucarbazone, flucarbazone-sodium, flucetosulfuron, flumetsulam, flupyr- sulfuron, flupyrsulfuron-methyl-sodium, foramsulfuron, halosulfuron, halosulfuron-methyl, ima- zamethabenz, imazamethabenz-methyl, imazamox, imazapic, imazapyr, imazaquin, ima- zethapyr, imazosulfuron, iodosulfuron, iodosulfuron-methyl-sodium, mesosulfuron, metosulam, metsulfuron, metsulfuron-methyl, nicosulfuron, orthosulfamuron, oxasulfuron, penoxsulam, primisulfuron, primisulfuron-methyl, propoxycarbazone, propoxycarbazone-sodium, prosulfuron, pyrazosulfuron, pyrazosulfuron-ethyl, pyribenzoxim, pyrimisulfan, pyriftalid, pyriminobac, pyrimi- nobac-methyl, pyrithiobac, pyrithiobac-sodium, pyroxsulam, rimsulfuron, sulfometuron, sulfome- turon-methyl, sulfosulfuron, thiencarbazone, thiencarbazone-methyl, thifensulfuron, thifensulfu- ron-methyl, triasulfuron, tribenuron, tribenuron-methyl, trifloxysulfuron, triflusulfuron, triflusulfu- ron-methyl and tritosulfuron;
b3) from the group of the photosynthesis inhibitors:
ametryn, amicarbazone, atrazine, bentazone, bentazone-sodium, bromacil, bromofenoxim, bromoxynil and its salts and esters, chlorobromuron, chloridazone, chlorotoluron, chloroxuron, cyanazine, desmedipham, desmetryn, dimefuron, dimethametryn, diquat, diquat-dibromide, di- uron, fluometuron, hexazinone, ioxynil and its salts and esters, isoproturon, isouron, karbutilate, lenacil, linuron, metamitron, methabenzthiazuron, metobenzuron, metoxuron, metribuzin, mono- linuron, neburon, paraquat, paraquat-dichloride, paraquat-dimetilsulfate, pentanochlor, phen- medipham, phenmedipham-ethyl, prometon, prometryn, propanil, propazine, pyridafol, pyridate, siduron, simazine, simetryn, tebuthiuron, terbacil, terbumeton, terbuthylazine, terbutryn, thidi- azuron and trietazine;
b4) from the group of the protoporphyrinogen-IX oxidase inhibitors:
acifluorfen, acifluorfen-sodium, azafenidin, bencarbazone, benzfendizone, bifenox, butafenacil, carfentrazone, carfentrazone-ethyl, chlomethoxyfen, cinidon-ethyl, fluazolate, flufenpyr, flufenpyr-ethyl, flumiclorac, flumiclorac-pentyl, flumioxazin, fluoroglycofen, fluoroglycofen-ethyl, fluthiacet, fluthiacet-methyl, fomesafen, halosafen, lactofen, oxadiargyl, oxadiazon, oxyfluorfen, pentoxazone, profluazol, pyraclonil, pyraflufen, pyraflufen-ethyl, saflufenacil, sulfentrazone, thidiazimin, 2-chloro-5-[3,6-dihydro-3-methyl-2,6-dioxo-4-(trifluoromethyl)-1 (2A)-pyrimidinyl]-4- fluoro-N-[(isopropyl)methylsulfamoyl]benzamide (H-1 ; CAS 372137-35-4), ethyl [3-[2-chloro-4- fluoro-5-(1-methyl-6-trifluoromethyl-2,4-dioxo-1 ,2,3,4-tetrahydropyrimidin-3-yl)phenoxy]-2- pyridyloxy]acetate (H-2; CAS 353292-31-6), N-ethyl-3-(2,6-dichloro-4-trifluoromethylphenoxy)-5- methyl-1 TT-pyrazole-l -carboxamide (H-3; CAS 452098-92-9), N-tetrahydrofurfuryl-3-(2,6- dichloro-4-trifluoromethylphenoxy)-5-methyl-1 TT-pyrazole-l -carboxamide (H-4; CAS 915396-43- 9), N-ethyl-3-(2-chloro-6-fluoro-4-trifluoromethylphenoxy)-5-methyl-1 TT-pyrazole-l -carboxamide (H-5; CAS 452099-05-7), N-tetrahydrofurfuryl-3-(2-chloro-6-fluoro-4-trifluoromethylphenoxy)-5- methyl-1 TT-pyrazole-l -carboxamide (H-6; CAS 45100-03-7), 3-[7-fluoro-3-oxo-4-(prop-2-ynyl)- 3,4-dihydro-2H-benzo[1 ,4]oxazin-6-yl]-1 ,5-dimethyl-6-thioxo-[1 ,3,5]triazinan-2,4-dione, 1 ,5- dimethyl-6-thioxo-3-(2,2,7-trifluoro-3-oxo-4-(prop-2-ynyl)-3,4-dihydro-2H-benzo[b][1 ,4]oxazin-6-
yl)-1 ,3,5-triazinane-2,4-dione, 2-(2,2,7-T rifluoro-3-oxo-4-prop-2-ynyl-3,4-dihydro-2H- benzo[1 ,4]oxazin-6-yl)-4,5,6,7-tetrahydro-isoindole-1 ,3-dione and 1 -Methyl-6-trifluoromethyl-3- (2,2,7-trifluoro-3-oxo-4-prop-2-ynyl-3,4-dihydro-2H-benzo[1 ,4]oxazin-6-yl)-1 H-pyrimidine-2,4- dione;
b5) from the group of the bleacher herbicides:
aclonifen, amitrol, beflubutamid, benzobicyclon, benzofenap, clomazone, diflufenican, fluridone, flurochloridone, flurtamone, isoxaflutole, mesotrione, norflurazon, picolinafen, pyrasulfutole, py- razolynate, pyrazoxyfen, sulcotrione, tefuryltrione, tembotrione, topramezone, 4-hydroxy-3-[[2- [(2-methoxyethoxy)methyl]-6-(trifluoromethyl)-3-pyridyl]carbonyl]bicyclo[3.2.1 ]oct-3-en-2-one (H- 7; CAS 352010-68-5) and 4-(3-trifluoromethylphenoxy)-2-(4-trifluoromethylphenyl)pyrimidine (H- 8; CAS 180608-33-7);
b6) from the group of the EPSP synthase inhibitors:
glyphosate, glyphosate-isopropylammonium and glyphosate-trimesium (sulfosate);
b7) from the group of the glutamine synthase inhibitors:
bilanaphos (bialaphos), bilanaphos-sodium, glufosinate and glufosinate-ammonium;
b8) from the group of the DHP synthase inhibitors:
asulam;
b9) from the group of the mitose inhibitors:
amiprophos, amiprophos-methyl, benfluralin, butamiphos, butralin, carbetamide, chlorpropham, chlorthal, chlorthal-dimethyl, dinitramine, dithiopyr, ethalfluralin, fluchloralin, oryzalin, pendime- thalin, prodiamine, propham, propyzamide, tebutam, thiazopyr and trifluralin;
b10) from the group of the VLCFA inhibitors:
acetochlor, alachlor, anilofos, butachlor, cafenstrole, dimethachlor, dimethanamid, dimethena- mid-P, diphenamid, fentrazamide, flufenacet, mefenacet, metazachlor, metolachlor,
metolachlor-S, naproanilide, napropamide, pethoxamid, piperophos, pretilachlor, propachlor, propisochlor, pyroxasulfone (KIH-485) and thenylchlor;
Compounds of the formula 2:
Y is phenyl or 5- or 6-membered heteroaryl as defined at the outset, which radicals may be substituted by one to three groups Raa; R21,R22,R23,R24 are H, halogen or Ci-C4-alkyl; X is O or NH; n is 0 or 1 .
where # denotes the bond to the skeleton of the molecule; and
R21,R22,R23,R24 are H, Cl, F or CH3; R25 is halogen, Ci-C4-alkyl or Ci-C4-haloalkyl; R26 is C1-C4- alkyl; R27 is halogen, Ci-C4-alkoxy or Ci-C4-haloalkoxy; R28 is H, halogen, Ci-C4-alkyl, C1-C4- haloalkyl or Ci-C4-haloalkoxy; m is 0, 1 , 2 or 3; X is oxygen; n is 0 or 1 .
R21 is H; R22,R23 are F; R24 is H or F; X is oxygen; n is 0 or 1 .
Particularly preferred compounds of the formula 2 are:
3-[5-(2,2-difluoroethoxy)-1 -methyl-3-trifluoromethyl-1 H-pyrazol-4-ylmethanesulfonyl]-4-fluoro- 5,5-dimethyl-4,5-dihydroisoxazole (2-1 ); 3-{[5-(2,2-difluoroethoxy)-1 -methyl-3-trifluoromethyl-1 H- pyrazol-4-yl]fluoromethanesulfonyl}-5,5-dimethyl-4,5-dihydroisoxazole (2-2); 4-(4-fluoro-5,5- dimethyl-4,5-dihydroisoxazole-3-sulfonylmethyl)-2-methyl-5-trifluoromethyl-2H-[1 ,2,3]triazole (2- 3); 4-[(5,5-dimethyl-4,5-dihydroisoxazole-3-sulfonyl)fluoromethyl]-2-methyl-5-trifluoromethyl-2H- [1 ,2,3]triazole (2-4); 4-(5,5-dimethyl-4,5-dihydroisoxazole-3-sulfonylmethyl)-2-methyl-5-trifluoro- methyl-2H-[1 ,2,3]triazole (2-5); 3-{[5-(2,2-difluoroethoxy)-1 -methyl-3-trifluoromethyl-1 H-pyrazol-
4-yl]difluoromethanesulfonyl}-5,5-dimethyl-4,5-dihydroisoxazole (2-6); 4-[(5,5-dimethyl-4,5- dihydroisoxazole-3-sulfonyl)difluoromethyl]-2-methyl-5-trifluoromethyl-2H-[1 ,2,3]triazole (2-7); 3- {[5-(2,2-difluoroethoxy)-1 -methyl-3-trifluoromethyl-1 H-pyrazol-4-yl]difluoromethanesulfonyl}-4- fluoro-5,5-dimethyl-4,5-dihydroisoxazole (2-8); 4-[difluoro-(4-fluoro-5,5-dimethyl-4,5- dihydroisoxazole-3-sulfonyl)methyl]-2-methyl-5-trifluoromethyl-2H-[1 ,2,3]triazole (2-9);
b1 1 ) from the group of the cellulose biosynthesis inhibitors:
chlorthiamid, dichlobenil, flupoxam and isoxaben;
b12) from the group of the decoupler herbicides:
dinoseb, dinoterb and DNOC and its salts;
b13) from the group of the auxin herbicides:
2,4-D and its salts and esters, 2,4-DB and its salts and esters, aminopyralid and its salts such as aminopyralid-tris(2-hydroxypropyl)ammonium and its esters, benazolin, benazolin-ethyl, chlo- ramben and its salts and esters, clomeprop, clopyralid and its salts and esters, dicamba and its salts and esters, dichlorprop and its salts and esters, dichlorprop-P and its salts and esters, flu- roxypyr, fluroxypyr-butometyl, fluroxypyr-meptyl, MCPA and its salts and esters, MCPA- thioethyl, MCPB and its salts and esters, mecoprop and its salts and esters, mecoprop-P and its salts and esters, picloram and its salts and esters, quinclorac, quinmerac, TBA (2,3,6) and its salts and esters, triclopyr and its salts and esters, and 5,6-dichloro-2-cyclopropyl-4- pyrimidinecarboxylic acid (H-9; CAS 858956-08-8) and its salts and esters;
b14) from the group of the auxin transport inhibitors: diflufenzopyr, diflufenzopyr-sodium, nap- talam and naptalam-sodium;
b15) from the group of the other herbicides: bromobutide, chlorflurenol, chlorflurenol-methyl, cinmethylin, cumyluron, dalapon, dazomet, difenzoquat, difenzoquat-metilsulfate, dimethipin, DSMA, dymron, endothal and its salts, etobenzanid, flamprop, flamprop-isopropyl, flamprop- methyl, flamprop-M-isopropyl, flamprop-M-methyl, flurenol, flurenol-butyl, flurprimidol, fosamine, fosamine-ammonium, indanofan, maleic hydrazide, mefluidide, metam, methyl azide, methyl
bromide, methyl-dymron, methyl iodide, MSMA, oleic acid, oxaziclomefone, pelargonic acid, pyributicarb, quinoclamine, triaziflam, tridiphane and 6-chloro-3-(2-cyclopropyl-6- methylphenoxy)-4-pyridazinol (H-10; CAS 499223-49-3) and its salts and esters.
Examples of preferred safeners C are benoxacor, cloquintocet, cyometrinil, cyprosulfamide, dichlormid, dicyclonone, dietholate, fenchlorazole, fenclorim, flurazole, fluxofenim, furilazole, isoxadifen, mefenpyr, mephenate, naphthalic anhydride, oxabetrinil, 4-(dichloroacetyl)-1-oxa-4- azaspiro[4.5]decane (H-1 1 ; MON4660, CAS 71526-07-3) and 2,2,5-trimethyl-3-(dichloroacetyl)- 1 ,3-oxazolidine (H-12; R-29148, CAS 52836-31-4).
The active compounds of groups b1 ) to b15) and the safeners C are known herbicides and safeners, see, for example, The Compendium of Pesticide Common Names
(http://www.alanwood.net/pesticides/); B. Hock, C. Fedtke, R. R. Schmidt, Herbizide
[Herbicides], Georg Thieme Verlag, Stuttgart, 1995. Further herbicidally active compounds are known from WO 96/26202, WO 97/411 16, WO 97/411 17, WO 97/41 118, WO 01/83459 and WO 2008/074991 and from W. Kramer et al. (ed.) "Modern Crop Protection Compounds", Vol. 1 , Wiley VCH, 2007 and the literature quoted therein.
The invention also relates to compositions in the form of a crop protection composition formulat- ed as a 1 -component composition comprising an active compound combination comprising at least one benzamide compound of the formula I and at least one further active compound, pref- erably selected from the active compounds of groups b1 to b15, and at least one solid or liquid carrier and/or one or more surfactants and, if desired, one or more further auxiliaries customary for crop protection compositions.
The invention also relates to compositions in the form of a crop protection composition formulat- ed as a 2-component composition comprising a first component comprising at least one corn- pound of the formula I, a solid or liquid carrier and/or one or more surfactants and a second component comprising at least one further active compound selected from the active corn- pounds of groups b1 to b15, a solid or liquid carrier and/or one or more surfactants, where addi- tionally both components may also comprise further auxiliaries customary for crop protection compositions.
In binary compositions comprising at least one compound of the formula I as component A and at least one herbicide B, the weight ratio of the active compounds A:B is generally in the range of from 1 :1000 to 1000:1 , preferably in the range of from 1 :500 to 500:1 , in particular in the range of from 1 :250 to 250:1 and particularly preferably in the range of from 1 :75 to 75:1.
In binary compositions comprising at least one compound of the formula I as component A and at least one safener C, the weight ratio of the active compounds A:C is generally in the range of from 1 :1000 to 1000:1 , preferably in the range of from 1 :500 to 500:1 , in particular in the range of from 1 :250 to 250:1 and particularly preferably in the range of from 1 :75 to 75:1.
In ternary compositions comprising both at least one compound of the formula I as component A, at least one herbicide B and at least one safener C, the relative parts by weight of the com- ponents A:B are generally in the range of from 1 :1000 to 1000:1 , preferably in the range of from 1 :500 to 500:1 , in particular in the range of from 1 :250 to 250:1 and particularly preferably in the range of from 1 :75 to 75:1 ; the weight ratio of the components A:C is generally in the range of from 1 :1000 to 1000:1 , preferably in the range of from 1 :500 to 500:1 , in particular in the range
of from 1 :250 to 250:1 and particularly preferably in the range of from 1 :75 to 75:1 ; and the weight ratio of the components B:C is generally in the range of from 1 :1000 to 1000:1 , prefera- bly in the range of from 1 :500 to 500:1 , in particular in the range of from 1 :250 to 250:1 and par- ticularly preferably in the range of from 1 :75 to 75:1. Preferably, the weight ratio of the compo- nents A + B to the component C is in the range of from 1 :500 to 500:1 , in particular in the range of from 1 :250 to 250:1 and particularly preferably in the range of from 1 :75 to 75:1.
Examples of particularly preferred compositions according to the invention comprising in each case one individualized compound of the formula I and one mixing partner or a mixing partner combination are given in Table B below.
A further aspect of the invention relates to the compositions B-1 to B-1236 listed in Table B be- low, where in each case one row of Table B corresponds to a herbicidal composition comprising one of the compounds of formula I individualized in the above description (component 1) and the further active compound from groups b1) to b15) and/or safener C stated in each case in the row in question (component 2). The active compounds in the compositions described are in each case preferably present in synergistically effective amounts.
Table B:
The compounds of formula I and the compositions according to the invention may also have a plant-strengthening action. Accordingly, they are suitable for mobilizing the defense sys- tem of the plants against attack by unwanted microorganisms, such as harmful fungi, but also viruses and bacteria. Plant-strengthening (resistance-inducing) substances are to be under- stood as meaning, in the present context, those substances which are capable of stimulating the defense system of treated plants in such a way that, when subsequently inoculated by un- wanted microorganisms, the treated plants display a substantial degree of resistance to these microorganisms.
The compounds of formula I can be employed for protecting plants against attack by un- wanted microorganisms within a certain period of time after the treatment. The period of time within which their protection is effected generally extends from 1 to 28 days, preferably from 1 to 14 days, after the treatment of the plants with the compounds of formula I, or, after treatment of the seed, for up to 9 months after sowing.
The compounds of formula I and the compositions according to the invention are also suitable for increasing the harvest yield.
Moreover, they have reduced toxicity and are tolerated well by the plants.
The invention is further illustrated by the following non-limiting examples.
Examples
I. Synthesis examples
With appropriate modification of the starting materials, the procedures given in the synthesis examples below were used to obtain further compounds I. The compounds obtained in this manner are listed in the table that follows, together with physical data.
The products shown below were characterized by determination of the melting point, NMR spectroscopy or the masses ([m/z]) determined by HPLC-MS spectrometry.
HPLC-MS = high performance liquid chromatography coupled with mass spectrometry; HPLC column: 15 RP-18 column (Chromolith Speed ROD from Merck KgaA, Germany), 50*4.6 mm; mobile phase: acetonitrile + 0.1 % trifluoroacetic acid (TFA)/water + 0.1 % TFA, using a gradient from 5:95 to 100:0 over 5 minutes at 40'C, flow rate 1.8 ml/min.
MS: quadrupole electrospray ionization, 80 V (positive mode)
Example 1 : [2,6-Dichloro-3-[(1-methyltetrazol-5-yl)carbamoyl]phenyl] (2S,6R)-2,6- dimethylmorpholine-4-carboxylate
Step 1 : 2-Benzyloxy-1 ,3-dichloro-benzene
Commercially available 2,6-dichloro-phenol (CAS 87-65-0, 25.0 g, 0.15 mol) was dissolved in dimethylformamide (DMF; 50 ml). Powdered potassium carbonate (23.3 g, 0.169 mol) was sus- pended in this solution. Benzylbromide (30.17 g, 0.176 mol) was dosed to the suspension over 30 min with slight self-heating up to 45°C. After 4 h at 60°C most of the DMF was evaporated. Water was added to the residue and ethylacetate was used to re-dissolve the product. After washing the organic layer with water and brine it was dried over magnesium sulfate and evapo- rated to yield 35.5 g of the product as a pale white solid.
1H NMR (400 MHz, CDCIs), d 5.05 (s, 2H), 7.0 (t, 1 H), 7.25-7.42 (m, 5H), 7.55 (d, 2H)
Step 2: 3-Benzyloxy-2,4-dichloro-benzoic acid
2-Benzyloxy-1 ,3-dichloro-benzene (35.5 g, 0.14 mol) of step 1 was dissolved in 300 ml. of tet- rahydrofuran (THF) and cooled to -70°C, when 87.7 ml of a 1.6 molar solution of n-butyllithium in n-hexane were dosed such that the temperature remained between -69°C and -73°C. After a
post-dosage time of 0.5 h at -74°C solide carbon dioxide (dry ice) (18.5 g, 0.42 mol) was added to the solution at
-74°C. Then the external cooling was removed and the reaction mixture was left to warm-up to 25°C overnight forming a thick suspension. Water was added to dissolve the solids. After ex- traction with petrolether 100 ml of a 5 wt-% hydrochloric acid were added. The pH of the water phase should be at pH 1 -3. The aqueous phase was separated and extracted once with ethyl acetate (EtOAc). The combined organic phases were washed with brine and then evaporated to yield 32.4 g of the product as a pale white solid.
1H NMR (400 MHz, de-DMSO), d 5.05 (s, 2H), 7.0 (t, 1 H), 7.25-7.65 (m, 7H), 13-14 (br s, 1 H)
Step 3: 3-Benzyloxy-2,4-dichloro-benzoyl chloride
3-Benzyloxy-2,4-dichloro-benzoic acid (32.4 g, 0.109 mol) of step 2 was dissolved in 280 ml of toluene. Thionylchloride (39.3 ml, 0.54 mol) was dosed at 80°C. After stirring overnight at 80°C the volatiles were evaporated and the crude product was obtained as a yellow wax and used as such in the next step.
Step 4: 3-Benzyloxy-2,4-dichloro-6-fluoro-N-(1 -methyltetrazol-5-yl)-benzamide
1 -Methyltetrazol-5-amine (21.6 g, 0.218 mol) was dissolved in anhydrous THF (300 ml) and cooled to -70°C. A solution of methyl lithium in diethoxymethane (70.2 ml, 3 molar, 0.22 mol) was added dropwise at this temperature and then the reaction mixture was warmed up to -5 °C. After 0.5 h the reaction mixture was cooled again to -75°C and the solution of 3-benzyloxy-2,4- dichloro-benzoyl chloride from step 3 in 70 ml of THF was added forming a sticky solid. The suspension was diluted with an additional 100 ml of THF, warmed up to 25°C, stirred overnight and then quenched with 1 10 ml of 2 N hydrochloric acid. The organic phase was washed three times with 20 ml of 2 N hydrochloric acid and once with 20 ml of brine. The organic phase was dried over Na2S04 and evaporated to yield 46.5 g of the title compound as a pale white solid. LC-MS: 378.
1H NMR (400 MHz, de-DMSO), d 4.0 (s, 3H), 5.05 (s, 2 H), 7.32-7.75 (m, 7H), 1 1 .8 (s, 1 H)
3-Benzyloxy-2,4-dichloro-N-(1 -methyltetrazol-5-yl)-benzamide from step 4 (41.4 g, 0.109 mol) was dissolved in acetic acid. After adding 103.6 g of cone hydrochloric acid the mixture was heated to reflux (98°C) and kept at reflux for 4 h. After cooling to 25°C and stirring overnight the reaction solution was partly evaporated until the product precipitated as solid. After filtration and washing of the solid on the filter with cold acetic acid and petrolether the product was dried at 40°C under vacuum. 12.9 g of the title compound were obtained as a pale white solid.
LC-MS (M+H): 287.9
1H NMR (400 MHz, de-DMSO), d 4.0 (s, 3H), 7.20 (d, 1 H), 7.55 (s, 1 H), 10.5-1 1.0 (br s, 1 H), 1 1 .75 (s, 1 H)
Step 6: [2,6-Dichloro-3-[(1 -methyltetrazol-5-yl)carbamoyl]phenyl] (2S,6R)-2,6- dimethylmorpholine-4-carboxylate
2,4-Dichloro-3-hydroxy-N-(1 -methyltetrazol-5-yl)-benzamide (0.5 g, 0.0017 mol) of step 5 were dissolved in 8 ml of DMF. Powdered potassium carbonate (0.48 g, 0.0034 mol) was suspended in this solution. (2R,6S)-2,6-Dimethylmorpholine-4-carbonyl chloride (0.36 g, 0.0027 mol) was added and the mixture was stirred at 25°C over weekend. DMF was evaporated at 70°. Water was added to the residue and made acidic with 2 N hydrochloric acid. After extraction with methylene chloride and evaporation of the organic solution the crude residue was purified by column chromatography to yield 0.24 g of the title compound as a pale white solid.
LC-MS (M+H): 429
1H NMR (400 MHz, de-DMSO), d 1.15 (broadend signal, 6H), 3.67 (t, 1 H), 3.85 (t, 1 H) 3.52-3.74 (m, 2H), 3.87 (d, 1 H), 4.0 (s, 3H), 4.1 (d, 1 H), 7.72 (d, 1 H), 7.80 (d, 1 H), 1 1.95 (s, 1 H)
The compounds compiled in Tables I, II and III below were prepared in analogy to the methods described above.
Table I: Compounds of the general formula I wherein Q is Q1, R1 is Cl, R4 is H, R5 is methyl and R2 and R3 are as defined in the table
Table II: Compounds of the general formula I wherein Q is Q3, R1 is Cl, R4 is H, R5 is methyl and R2 and R3 are as defined in the table
Table III: Compounds of the general formula I wherein Q is Q4, R1 is Cl, R4 is H, R5 is methyl and R2 and R3 are as defined in the table
# denotes the attachment point to the oxygen atom.
II. Use examples
The herbicidal activity of the compounds of formula (I) was demonstrated by the following greenhouse experiments:
The culture containers used were plastic flowerpots containing loamy sand with approxi- mately 3.0% of humus as the substrate. The seeds of the test plants were sown separately for each species.
For the pre-emergence treatment, the active ingredients, which had been suspended or emulsified in water, were applied directly after sowing by means of finely distributing nozzles. The containers were irrigated gently to promote germination and growth and subsequently cov- ered with transparent plastic hoods until the plants had rooted. This cover caused uniform ger- mination of the test plants, unless this had been impaired by the active ingredients.
For the post-emergence treatment, the test plants were first grown to a height of 3 to 15 cm, depending on the plant habit, and only then treated with the active ingredients which had been suspended or emulsified in water. For this purpose, the test plants were either sown di- rectly and grown in the same containers, or they were first grown separately as seedlings and transplanted into the test containers a few days prior to treatment.
Depending on the species, the plants were kept at 10 - 25°C or 20 - 25°C, respectively. The test period extended over 2 to 4 weeks. During this time, the plants were tended, and their response to the individual treatments was evaluated.
Evaluation was carried out using a scale from 0 to 100. 100 means no emergence of the plants, or complete destruction of at least the aerial moieties, and 0 means no damage, or nor- mal course of growth. A good herbicidal activity is given at values of at least 70 and a very good herbicidal activity is given at values of at least 85.
At an application rate of 250 g/ha the following compounds were tested in post-emergence tests against ALOMY (Alopecurus myosuroiedes), ECHCG (Echinocloa crus-galli), AMARE (Amaran- thus retroflexus) and CHEAL (Chenopodium album) and showed in each case a control of at least 80%:
Compounds of examples 1 , 2, 3, 4, 5, 6, 7.
Claims
1. A compound of formula I
wherein
Q is selected from the group consisting of radicals of the formulae Q1, Q2, Q3 and Q4;
4
(Q1 ) (Q2) (Q3) (Q ) where # in formulae Q1, Q2, Q3 and Q4 indicates the point of attachment to the nitrogen atom;
R1 is selected from the group consisting of cyano, halogen, nitro, C-i-Cs-alkyl, C-i-Cs- haloalkyl, C2-C8-alkenyl, C2-C8-alkynyl, Ci-C4-alkoxy-Ci-C4-alkyl, Ci-C4-haloalkoxy- Ci-C4-alkyl, Ci-Cs-alkoxy, Ci-C6-haloalkoxy, Ci-C4-alkoxy-Ci-C4-alkoxy-Z1- and R1b-S(0)k-Z1-;
R2 is a radical of the formula R.2;
R2;
R3 is selected from the group consisting of hydrogen, cyano, thiocyanato, halogen, ni- tro, hydroxy-Z3-, Ci-C6-alkyl, C-i-Cs-haloalkyl, Ci-C4-cyanoalkyl, C2-Cs-alkenyl, C2- Cs-haloalkenyl, C2-Cs-alkynyl, C3-C8-haloalkynyl, C3-Cio-cycloalkyl-Z3-, C3-C6- cycloalkenyl-Z3-, C3-Cio-cycloalkoxy-Z3-, C3-Cio-cycloalkyl-Ci-C2-alkoxy, where the cyclic groups of the four aforementioned radicals are unsubstituted or partially or
completely halogenated; C-i-Cs-alkoxy-Z3-, C-i-Cs-haloalkoxy-Z3-, Ci-C4-alkoxy-C-i- C4-alkoxy-Z3-, Ci-C4-haloalkoxy-Ci-C4-alkoxy-Z3-, C2-C8-alkenyloxy-Z3-, C2-C8- haloalkenyloxy-Z3-, C2-Cs-alkynyloxy-Z3-, C3-C8-haloalkynyloxy-Z3-, R3b-S(0)k-Z3-, R3c-C(0)-Z3-, R3d0-C(0)-Z3-, R3dO-N=CH-Z3-, R3eR3fN-C(0)-Z3-, R¾R3hN-Z3-, R22C(0)0-Z3-, R250C(0)0-Z3-, (R22)2NC(0)0-Z3-, R25S(0)20-Z3-, R220S(0)2-Z3-, (R22)2NS(0)2-Z3-, R250C(0)N(R22)-Z3-, (R22)2NC(0)N(R22)-Z3-, (R22)2NS(0)2N(R22)- Z3-, (0H)2P(0)-Z3-, (Ci-C4-alkoxy)2P(0)-Z3-, phenyl-Z3a- and heterocyclyl-Z3a-, where heterocyclyl is a 3-, 4-, 5- or 6-membered monocyclic or a 8-, 9- or 10-membered bi- cyclic saturated, partially unsaturated or aromatic heterocycle which contains 1 , 2, 3 or 4 heteroatoms selected from the group consisting of O, N and S as ring mem- bers, where the cyclic groups in phenyl-Z3a- and heterocyclyl-Z3a- are unsubstituted or substituted by 1 , 2, 3 or 4 groups R21 which are identical or different;
R4 is selected from the group consisting of hydrogen, halogen, cyano-Z1, nitro, C-i-Cs- alkyl, C-i-Cs-haloalkyl, C3-C7-cycloalkyl, C3-C7-cycloalkyl-Ci-C4-alkyl, where the C3- C7-cycloalkyl groups in the two aforementioned radicals are unsubstituted or partial- ly or completely halogenated; C2-Cs-alkenyl, C2-Cs-alkynyl, Ci-C3-alkylamino, di-(Cr C3-alkyl)-amino, Ci-C3-aikylamino-S(0)k-, Ci-C3-alkylcarbonyl, Ci-Cs-alkoxy, C1-C6- haloalkoxy, Ci-C4-alkoxy-Ci-C4-alkyl, Ci-C4-haloalkoxy-Ci-C4-alkyl, Ci-C4-alkoxy-Ci- C4-alkoxy-Z1-, Ci-C4-haloalkoxy-Ci-C4-alkoxy-Z1-, Ci-C4-alkylthio-Ci-C4-alkylthio-Z1-, C2-C6-alkenyloxy, C2-C6-alkynyloxy, R1b-S(0)k-Z1-, phenoxy-Z1- and heterocyclyloxy- Z1-, where heterocyclyloxy is a 5- or 6- membered monocyclic or 8-, 9- or 10- membered bicyclic saturated, partially unsaturated or aromatic heterocycle which is bound to the remainder of the molecule via an oxygen atom and which contains 1 , 2, 3 or 4 heteroatoms selected from the group consisting of O, N and S as ring mem- bers, where the cyclic groups in phenoxy and heterocyclyloxy are unsubstituted or substituted by 1 , 2, 3 or 4 groups R11 which are identical or different; each R5 is independently selected from the group consisting of Ci-C6-alkyl, C1-C6- haloalkyl, C3-C7-cycloalkyl, C3-C7-cycloalkyl-Ci-C4-alkyl, where the C3-C7-cycloalkyl groups of the two aforementioned radicals are unsubstituted or partially or complete- ly halogenated; C2-C6-alkenyl, C2-C6-haloalkenyl, C2-C6-alkynyl, C3-C6-haloalkynyl, Ci-C4-alkoxy-Ci-C4-alkyl, Ci-C4-haloalkoxy-Ci-C4-alkyl, Rb-S(0)n-Ci-C3-aikyl, phenyl and benzyl, where phenyl and benzyl are unsubstituted or substituted by 1 , 2, 3 or 4 groups which are identical or different and selected from the group consisting of hal- ogen, Ci-C4-alkyl, Ci-C4-haloalkyl, Ci-C4-alkoxy and Ci-C4-haloalkoxy;
Z1, Z3, independently of each other, are selected from the group consisting of a covalent bond and Ci-C4-alkanediyl which is unsubstituted or is partly or completely fluorinat- ed;
Z2 is a covalent bond or linear Ci-C4-alkanediyl,
where the Ci-C4-alkanediyl group is unsubstituted or partly or completely fluorinated or substituted by 1 , 2, 3 or 4 groups Rz; or
Z2 is CH-R2c;
Z3a is selected from the group consisting of a covalent bond, Ci-C4-alkanediyl, O-C1-C4- alkanediyl, Ci-C4-alkanediyl-0 and Ci-C4-alkanediyl-0-Ci-C4-alkanediyl; in case that Z2 is a covalent bond or linear Ci-C4-alkanediyl which is unsubstituted or partly or completely fluorinated or substituted by 1 , 2, 3 or 4 groups Rz:
R2a and R2b, together with the nitrogen atom to which they are bound, form a 4-, 5-, 6-, 7- or 8-membered saturated or partially unsaturated heterocyclic radical which may contain a further heteroatom selected from the group consisting of O, S and N as a ring member, where the heterocyclic radical is unsubstituted or carries 1 , 2, 3 or 4 groups R2e, or carries 1 group R2f and 0, 1 , 2 or 3 groups R2e; and in case that Z2 is CHR2c:
R2b and R2c form together a linear Ci-C3-alkanediyl group which is unsubstituted or
substituted by 1 or 2 groups R2d; and
R2a is selected from the group consisting of hydrogen, Ci-C6-alkyl, Ci-C6-haloalkyl, C1- C6-cyanoalkyl, C3-C7-cycloalkyl, C3-C7-cycloalkyl-Ci-C4-alkyl, where the C3-C7- cycloalkyl groups in the two aforementioned radicals are unsubstituted or partially or completely halogenated; C2-C6-alkenyl, C2-C6-haloalkenyl, C2-C6-alkynyl, C3-C6- haloalkynyl, Ci-C6-alkoxy, Ci-C4-alkoxy-Ci-C4-alkyl, Ci-C4-alkyl-S(0)n-Ci-C4-alkyl, Ci-C4-alkylamino-Ci-C4-alkyl, di-(Ci-C4-alkyl)-amino-Ci-C4-alkyl, R3C-C(0)-CI-C4- alkyl, R3d0-C(0)-Ci-C4-aikyl, R3eR3fN-C(0)-Ci-C4-aikyl, R3eR3fNS(0)2-Ci-C4-alkyl, phenyl, benzyl, heterocyclyl and heterocyclylmethyl, where heterocyclyl in the last two mentioned radicals is a 5- or 6-membered monocyclic saturated, partially unsatu- rated or aromatic heterocycle containing 1 , 2, 3 or 4 heteroatoms selected from the group consisting of O, N and S as ring members, where phenyl, benzyl and hetero- cyclyl are unsubstituted or substituted by 1 , 2, 3 or 4 groups which are identical or different and selected from the group consisting of halogen, Ci-C4-alkyl, C1-C4- haloalkyl, Ci-C4-alkoxy and Ci-C4-haloalkoxy; each R2d is independently selected from the group consisting of halogen, Ci-C4-alkyl and Ci-C4-haloalkyl; each R2e is independently selected from the group consisting of halogen, CN, Ci-C4-alkyl, Ci-C4-haloalkyl, Ci-C4-alkoxy and Ci-C4-haloalkoxy;
R2f is selected from the group consisting of =0, R4b-S(0)k-, R4c-C(0)-,
R4dO-C(0)-, R4eR4fN-C(0)-, R49R4hN- and R4eR4fNS(0)2-;
Rb, R1b, R3b and R4b, independently of each other, are selected from the group consisting of Ci-C6-alkyl, Ci-C6-haloalkyl, C3-C7-cycloalkyl, C2-C6-alkenyl, C2-C6-haloalkenyl, C2-C6-alkynyl, C3-C6-haloalkynyl, phenyl and heterocyclyl, where heterocyclyl is a 5- or 6-membered monocyclic saturated, partially unsaturated or aromatic heterocycle containing 1 , 2, 3 or 4 heteroatoms selected from the group consisting of O, N and S as ring members, where phenyl and heterocyclyl are unsubstituted or substituted by 1 , 2, 3 or 4 groups which are identical or different and selected from the group con- sisting of halogen, Ci-C4-alkyl, Ci-C4-haloalkyl, Ci-C4-alkoxy and Ci-C4-haloalkoxy;
R3c and R4c, independently of each other, are selected from the group consisting of hydro- gen, Ci-C6-alkyl, Ci-C6-haloalkyl, Ci-C6-cyanoalkyl, C3-C7-cycloalkyl, C3-C7- cycloalkyl-Ci-C4-alkyl, where the C3-C7-cycloalkyl groups in the two aforementioned radicals are unsubstituted or partially or completely halogenated; C2-C6-alkenyl, C2- C6-haloalkenyl, C2-C6-alkynyl, C3-C6-haloalkynyl, Ci-C6-alkoxy, Ci-C4-alkoxy-Ci-C4- alkyl, Ci-C4-alkyl-S(0)n-Ci-C4-alkyl, Ci-C4-alkylamino-Ci-C4-alkyl, di-(Ci-C4-alkyl)- amino-Ci-C4-alkyl, phenyl, benzyl and heterocyclyl, where heterocyclyl is a 5- or 6- membered monocyclic saturated, partially unsaturated or aromatic heterocycle which contains 1 , 2, 3 or 4 heteroatoms selected from the group consisting of O, N and S as ring members, where phenyl, benzyl and heterocyclyl are unsubstituted or substituted by 1 , 2, 3 or 4 groups which are identical or different and selected from the group consisting of halogen, Ci-C4-alkyl, Ci-C4-haloalkyl, Ci-C4-alkoxy and C1- C4-haloalkoxy;
R3d and R4d, independently of each other, are selected from the group consisting of hydro- gen, Ci-C6-alkyl, Ci-C6-haloalkyl, Ci-C6-cyanoalkyl, C3-C7-cycloalkyl, C3-C7- cycloalkyl-Ci-C4-alkyl, where the C3-C7-cycloalkyl groups in the two aforementioned radicals are unsubstituted or partially or completely halogenated; C2-C6-alkenyl, C2- C6-haloalkenyl, C2-C6-alkynyl, C3-C6-haloalkynyl, Ci-C6-alkoxy, Ci-C4-alkoxy-Ci-C4- alkyl, Ci-C4-alkyl-S(0)n-Ci-C4-alkyl, Ci-C4-alkylamino-Ci-C4-alkyl, di-(Ci-C4-alkyl)- amino-Ci-C4-alkyl, phenyl and benzyl, where phenyl and benzyl are unsubstituted or substituted by 1 , 2, 3 or 4 groups which are identical or different and selected from the group consisting of halogen, Ci-C4-alkyl, Ci-C4-haloalkyl, Ci-C4-alkoxy and C1- C4-haloalkoxy;
R3e, R3f, R4e and R4f, independently of each other, are selected from the group consisting of hydrogen, Ci-C6-alkyl, Ci-C6-haloalkyl, C3-C7-cycloalkyl, C3-C7-cycloalkyl-Ci-C4- alkyl, where the C3-C7-cycloalkyl groups in the two aforementioned radicals are un- substituted or partially or completely halogenated, C2-C6-alkenyl, C2-C6-haloalkenyl, C2-C6-alkynyl, C3-C6-haloalkynyl, Ci-C4-alkoxy-Ci-C4-alkyl, phenyl and benzyl, where phenyl and benzyl are unsubstituted or substituted by 1 , 2, 3 or 4 groups
which are identical or different and selected from the group consisting of halogen, Ci-C4-alkyl, Ci-C4-haloalkyl, Ci-C4-alkoxy and Ci-C4-haloalkoxy; or
R3e and R3f, or R4e and R4f, together with the nitrogen atom to which they are bound, may form a 4-, 5-, 6- or 7-membered saturated, partially unsaturated or aromatic hetero- cyclic radical which may carry as a ring member a further heteroatom selected from the group consisting of O, S and N and which is unsubstituted or carries 1 , 2, 3 or 4 groups which are identical or different and selected from the group consisting of =0, halogen, Ci-C4-alkyl, Ci-C4-haloalkyl, Ci-C4-alkoxy and Ci-C4-haloalkoxy;
R¾ and R4s, independently of each other, are selected from the group consisting of hydro- gen, Ci-C6-alkyl, Ci-C6-haloalkyl, C3-C7-cycloalkyl, C3-C7-cycloalkyl-Ci-C4-alkyl, where the C3-C7-cycloalkyl groups in the two aforementioned radicals are unsubsti- tuted or partially or completely halogenated; C2-C6-alkenyl, C2-C6-haloalkenyl, C2-C6- alkynyl, C3-C6-haloalkynyl, Ci-C4-alkoxy-Ci-C4-alkyl, Ci-C4-alkylsulfonyl, C1-C4- alkylcarbonyl, phenyl and benzyl, where phenyl and benzyl are unsubstituted or substituted by 1 , 2, 3 or 4 groups which are identical or different and selected from the group consisting of halogen, Ci-C4-alkyl, Ci-C4-haloalkyl, Ci-C4-alkoxy and C1- C4-haloalkoxy;
R3h and R4h, independently of each other, are selected from the group consisting of hydro- gen, Ci-C6-alkyl, Ci-C6-haloalkyl, C3-C7-cycloalkyl, C3-C7-cycloalkyl-Ci-C4-alkyl, where the C3-C7-cycloalkyl groups in the two aforementioned radicals are unsubsti- tuted or partially or completely halogenated; C2-C6-alkenyl, C2-C6-haloalkenyl, C2-C6- alkynyl, C3-C6-haloalkynyl, Ci-C4-alkoxy-Ci-C4-alkyl, Ci-C4-alkylsulfonyl, C1-C4- alkylcarbonyl, a radical C(0)Rk, phenyl and benzyl, where phenyl and benzyl are unsubstituted or substituted by 1 , 2, 3 or 4 groups which are identical or different and selected from the group consisting of halogen, Ci-C4-alkyl, Ci-C4-haloalkyl, C1- C4-alkoxy and Ci-C4-haloalkoxy; or
R¾ and R3h, or R4s and R4h, together with the nitrogen atom to which they are bound, may form a 4-, 5-, 6- or 7-membered, saturated, partially unsaturated or aromatic hetero- cyclic radical which may contain as a ring member a further heteroatom selected from the group consisting of O, S and N and which is unsubstituted or carries 1 , 2, 3 or 4 groups which are identical or different and selected from the group consisting of =0, halogen, Ci-C4-alkyl, Ci-C4-haloalkyl, Ci-C4-alkoxy and Ci-C4-haloalkoxy;
R11 and R21, independently of each other, are selected from the group consisting of cyano, halogen, nitro, Ci-C6-alkyl, Ci-C6-haloalkyl, C3-C7-cycloalkyl, C3-C7-halocycloalkyl, C2-C6-alkenyl, C2-C6-haloalkenyl, C2-C6-alkynyl, C3-C6-haloalkynyl, Ci-C6-alkoxy, C1- C6-haloalkoxy, Ci-C4-alkoxy-Ci-C4-alkyl, Ci-C4-haloalkoxy-Ci-C4-alkyl, C1-C4-
a I ky Ith i 0-C1 -C4-a I ky I , Ci-C4-alkoxy-Ci-C4-alkoxy and C3-C7-cycloalkoxy , or two radi- cals R21 bound to the same carbon atom together may form a group =0;
R22 is selected from the group consisting of hydrogen, Ci-C6-alkyl, Ci-C6-haloalkyl, C2- C6-alkenyl, C2-C6-haloalkenyl, C2-C6-alkynyl, C3-C6-haloalkynyl, C3-C6-cycloalkyl, C3- C6-cycloalkenyl, C3-C6-halocycloalkyl, C3-C6-cycloalkyl-Ci-C6-alkyl, Ci-C6-alkoxy-Ci- C6-alkyl, C3-C6-cycloalkyl-Ci-C6-alkoxy-Ci-C6-alkyl, phenyl-Z1, phenyl-0-Ci-C6-alkyl, phenyl-N(R23)-Ci-C6-alkyl, phenyl-S(0)n-Ci-C6-alkyl, heterocyclyl-Z1, heterocyclyl- N(R23)-Ci-C6-alkyl, heterocyclyl-0-Ci-C6-alkyl and heterocyclyl-S(0)n-Ci-C6-alkyl, where heterocyclyl is a 5- or 6-membered monocyclic saturated, partially unsaturated or aromatic heterocycle containing 1 , 2, 3 or 4 heteroatoms selected from the group consisting of O, N and S as ring members, where phenyl and heterocyclyl are un- substituted or substituted by 1 , 2, 3 or 4 groups which are identical or different and selected from the group consisting of cyano, halogen, nitro, thiocyanato, Ci-C6-alkyl, Ci-Ce-haloalkyl, C3-C6-cycloalkyl, C(0)0R23, C(0)N(R23)2, OR23, N(R23)2, S(0)nR24, S(0)20R23, S(0)2N(R23)2 and R230-Ci-C6-alkyl, and where heterocyclyl bears 0, 1 or 2 oxo groups;
R23 is selected from the group consisting of hydrogen, Ci-C6-alkyl, Ci-C6-haloalkyl, C2- C6-alkenyl, C2-C6-alkynyl, C3-C6-cycloalkyl, C3-C6-cycloalkyl-Ci-C6-alkyl and phenyl;
R24 is selected from the group consisting of Ci-C6-alkyl, Ci-C6-haloalkyl, C2-C6-alkenyl, C2-C6-alkynyl, C3-C6-cycloalkyl, C3-C6-cycloalkyl-Ci-C6-alkyl and phenyl;
R25 is selected from the group consisting of Ci-C6-alkyl, Ci-C6-haloalkyl, C2-C6-alkenyl, C2-C6-haloalkenyl, C2-C6-alkynyl, C3-C6-haloalkynyl, C3-C6-cycloalkyl, C3-C6- cycloalkenyl, C3-C6-halocycloalkyl, C3-C6-cycloalkyl-Ci-C6-alkyl, Ci-C6-alkoxy-Ci-C6- alkyl, C3-C6-cycloalkyl-Ci-C6-alkoxy-Ci-C6-alkyl, phenyl-Z1, phenyl-0-Ci-C6-alkyl, phenyl-N(R23)-Ci-C6-alkyl, phenyl-S(0)n-Ci-C6-alkyl, heterocyclyl-Z1, heterocyclyl- N(R23)-Ci-C6-alkyl, heterocyclyl-0-Ci-C6-alkyl and heterocyclyl-S(0)n-Ci-C6-alkyl, where heterocyclyl is a 5- or 6-membered monocyclic saturated, partially unsaturated or aromatic heterocycle containing 1 , 2, 3 or 4 heteroatoms selected from the group consisting of O, N and S as ring members, where phenyl and heterocyclyl are un- substituted or substituted by 1 , 2, 3 or 4 groups which are identical or different and selected from the group consisting of cyano, halogen, nitro, thiocyanato, Ci-C6-alkyl, Ci-Ce-haloalkyl, C3-C6-cycloalkyl, C(0)0R23, C(0)N(R23)2, OR23, N(R23)2, S(0)nR24, S(0)20R23, S(0)2N(R23)2 and R230-Ci-C6-alkyl, and where heterocyclyl bears 0, 1 or 2 oxo groups; each Rz is independently selected from the group consisting of Ci-C6-alkyl, C1-C6- haloalkyl, Ci-C6-cyanoalkyl, C3-C7-cycloalkyl, C3-C7-cycloalkyl-Ci-C4-alkyl, where the
C3-C7-cycloalkyl groups in the two aforementioned radicals are unsubstituted or par- tially or completely halogenated; C2-C6-alkenyl, C2-C6-haloalkenyl, C2-C6-alkynyl, C3- C6-haloalkynyl, Ci-C6-alkoxy, Ci-C4-alkoxy-Ci-C4-alkyl, Ci-C4-alkyl-S(0)n-Ci-C4- alkyl, Ci-C4-alkylamino-Ci-C4-alkyl, di-(Ci-C4-alkyl)-amino-Ci-C4-alkyl, phenyl, ben- zyl, heterocyclyl and heterocyclylmethyl, where heterocyclyl in the two last- mentioned radicals is a 5- or 6-membered monocyclic saturated, partially unsaturat- ed or aromatic heterocycle containing 1 , 2, 3 or 4 heteroatoms selected from the group consisting of O, N and S as ring members, where phenyl, benzyl, heterocyclyl and heterocyclylmethyl are unsubstituted or substituted by 1 , 2, 3 or 4 groups which are identical or different and selected from the group consisting of halogen, C1-C4- alkyl, Ci-C4-haloalkyl, Ci-C4-alkoxy and Ci-C4-haloalkoxy;
Rk independently has one of the meanings given for R3c; k is 0, 1 or 2; and n is 0, 1 or 2; or an N-oxide or an agriculturally suitable salt thereof.
2. The compound as claimed in claim 1 , where Q is Q1.
3. The compound as claimed in claim 1 , where Q is Q2.
4. The compound as claimed in claim 1 , where Q is Q3.
5. The compound as claimed in claim 1 , where Q is Q4.
6. The compound as claimed in any of the preceding claims, where R1 is selected from the group consisting of halogen, nitro, cyano, Ci-C4-alkyl, Ci-C4-haloalkyl, Ci-C4-alkoxy-Ci- C4-alkoxy-Z1- and R1b-S(0)k-Z1-.
7. The compound as claimed in claim 6, where R1 is halogen; in particular Cl.
8. The compound as claimed in any of the preceding claims, where
Z2 is a covalent bond or Chh; and
R2a and R2b, together with the nitrogen atom to which they are bound, form a 5-, 6- or 7- membered saturated heterocyclic radical which may contain a further heteroatom selected from the group consisting of O, S and N as a ring member, and where the heterocyclic radical is unsubstituted or carries 1 , 2, 3 or 4 groups R2e or carries 1 group R2f and 0, 1 , 2 or 3 groups R2e, where
R2e is selected from the group consisting of halogen and Ci-C4-alkyl; and
R2f is selected from the group consisting of R4c-C(0)-, R4dO-C(0)- and R4eR4fN-C(0)-; where
R4c, R4d, R4e and R4f, independently of each other, are Ci-C4-alkyl or Ci-C4-haloalkyl.
9. The compound as claimed in claim 8, where
Z2 is a covalent bond or Chh; and
R2a and R2b, together with the nitrogen atom to which they are bound, form a 5- or 6- membered saturated heterocyclic radical which may contain a further heteroatom selected from the group consisting of O and N as a ring member, and where the heterocyclic radical is unsubstituted or carries 1 , 2, 3 or 4 groups R2e; or carries 1 group R2f and no group R2e; where
R2e is Ci-C4-alkyl; and
R2f is selected from the group consisting of R4dO-C(0)- and R4eR4fN-C(0)-; where R4d, R4e and R4f, independently of each other, are Ci-C4-alkyl.
10. The compound as claimed in claim 9, where
Z2 is a covalent bond or Chh; and
R2a and R2b, together with the nitrogen atom to which they are bound, form a 5- or 6- membered saturated heterocyclic radical which may contain a further heteroatom selected from O as a ring member, and where the heterocyclic radical is unsubsti- tuted or carries 1 or 2 groups R2e; where
R2e is Ci-C4-alkyl.
1 1. The compound as claimed in any of claims 1 to 7, where Z2 is CHR2c, where R2b and R2c form together an unsubstituted (CH2)2 or (CH2)3 bridging group and R2a is hydrogen, Ci- C4-alkyl or Ci-C4-haloalkyl.
12. The compound as claimed in any of the preceding claims, where R3 is selected from the group consisting of halogen, nitro, Ci-C6-alkyl, Ci-C6-haloalkyl, C-i-Cs-haloalkoxy-Z3, and R3b-S(0)k-Z3.
13. The compound as claimed in claim 12, where R3 is selected from the group consisting of halogen and Ci-C4-alkylsulfonyl; and in particular from Cl and methylsulfonyl.
14. The compound as claimed in any of the preceding claims, where R4 is hydrogen.
15. The compound as claimed in any of the preceding claims, where each R5 is independently selected from the group consisting of Ci-C6-alkyl, Ci-C4-alkoxy-Ci-C4-alkyl and phenyl.
16. The compound as claimed in claim 15, where R5 is is Ci-C4-alkyl; in particular methyl.
17. A composition comprising a compound as claimed in any of claims 1 to 16, an N-oxide or an agriculturally suitable salt thereof, and at least one auxiliary which is customary for for- mulating crop protection compounds.
18. The use of a compound as claimed in any of claims 1 to 16, an N-oxide or an agriculturally suitable salt thereof, or of the composition of claim 17, for controlling unwanted vegetation.
19. A method for controlling unwanted vegetation which comprises allowing a herbicidally ef- fective amount of a compound as claimed in any of claims 1 to 16, an N-oxide or an agri- culturally suitable salt thereof, or of the composition of claim 17 to act on plants, their seed and/or their habitat.
Applications Claiming Priority (2)
| Application Number | Priority Date | Filing Date | Title |
|---|---|---|---|
| EP18157912.9 | 2018-02-21 | ||
| EP18157912 | 2018-02-21 |
Publications (1)
| Publication Number | Publication Date |
|---|---|
| WO2019162308A1 true WO2019162308A1 (en) | 2019-08-29 |
Family
ID=61256707
Family Applications (1)
| Application Number | Title | Priority Date | Filing Date |
|---|---|---|---|
| PCT/EP2019/054180 Ceased WO2019162308A1 (en) | 2018-02-21 | 2019-02-20 | Benzamide compounds and their use as herbicides |
Country Status (1)
| Country | Link |
|---|---|
| WO (1) | WO2019162308A1 (en) |
Cited By (1)
| Publication number | Priority date | Publication date | Assignee | Title |
|---|---|---|---|---|
| US12331027B2 (en) | 2017-11-23 | 2025-06-17 | Basf Se | Herbicidal pyridylethers |
Citations (48)
| Publication number | Priority date | Publication date | Assignee | Title |
|---|---|---|---|---|
| EP0242246A1 (en) | 1986-03-11 | 1987-10-21 | Plant Genetic Systems N.V. | Plant cells resistant to glutamine synthetase inhibitors, made by genetic engineering |
| EP0257993A2 (en) | 1986-08-26 | 1988-03-02 | E.I. Du Pont De Nemours And Company | Nucleic acid fragment encoding herbicide resistant plant acetolactate synthase |
| EP0374753A2 (en) | 1988-12-19 | 1990-06-27 | American Cyanamid Company | Insecticidal toxines, genes coding therefor, antibodies binding them, transgenic plant cells and plants expressing these toxines |
| EP0392225A2 (en) | 1989-03-24 | 1990-10-17 | Ciba-Geigy Ag | Disease-resistant transgenic plants |
| US5013659A (en) | 1987-07-27 | 1991-05-07 | E. I. Du Pont De Nemours And Company | Nucleic acid fragment encoding herbicide resistant plant acetolactate synthase |
| EP0427529A1 (en) | 1989-11-07 | 1991-05-15 | Pioneer Hi-Bred International, Inc. | Larvicidal lectins and plant insect resistance based thereon |
| EP0451878A1 (en) | 1985-01-18 | 1991-10-16 | Plant Genetic Systems, N.V. | Modifying plants by genetic engineering to combat or control insects |
| WO1992000377A1 (en) | 1990-06-25 | 1992-01-09 | Monsanto Company | Glyphosate tolerant plants |
| WO1993007278A1 (en) | 1991-10-04 | 1993-04-15 | Ciba-Geigy Ag | Synthetic dna sequence having enhanced insecticidal activity in maize |
| WO1995034656A1 (en) | 1994-06-10 | 1995-12-21 | Ciba-Geigy Ag | Novel bacillus thuringiensis genes coding toxins active against lepidopteran pests |
| WO1996026202A1 (en) | 1995-02-21 | 1996-08-29 | Degussa Aktiengesellschaft | Process for producing thietanones |
| US5559024A (en) | 1988-03-23 | 1996-09-24 | Rhone-Poulenc Agrochimie | Chimeric nitrilase-encoding gene for herbicidal resistance |
| WO1996038567A2 (en) | 1995-06-02 | 1996-12-05 | Rhone-Poulenc Agrochimie | Dna sequence of a gene of hydroxy-phenyl pyruvate dioxygenase and production of plants containing a gene of hydroxy-phenyl pyruvate dioxygenase and which are tolerant to certain herbicides |
| WO1997041218A1 (en) | 1996-04-29 | 1997-11-06 | Board Of Supervisors Of Louisiana State University And Agricultural And Mechanical College | Herbicide resistant rice |
| WO1997041116A1 (en) | 1996-04-26 | 1997-11-06 | Nippon Soda Co., Ltd. | Benzene derivatives substituted by heterocycles and herbicides |
| WO1997041118A1 (en) | 1996-04-26 | 1997-11-06 | Nippon Soda Co., Ltd. | Benzene derivatives substituted by heterocycles and herbicides |
| WO1997041117A1 (en) | 1996-04-26 | 1997-11-06 | Nippon Soda Co., Ltd. | Novel benzene derivatives substituted by heterocycles and herbicides |
| WO1997046530A1 (en) | 1996-06-06 | 1997-12-11 | E.I. Du Pont De Nemours And Company | Herbicidal pyridinyl and pyrazolylphenyl ketones |
| WO1998002527A1 (en) | 1996-07-17 | 1998-01-22 | Michigan State University | Imidazolinone herbicide resistant sugar beet plants |
| WO1998002526A1 (en) | 1996-07-17 | 1998-01-22 | Michigan State University | Imidazolinone herbicide resistant sugar beet plants |
| WO1998031681A1 (en) | 1997-01-17 | 1998-07-23 | Basf Aktiengesellschaft | 3-heterocyclyl-substituted benzoyl derivatives |
| WO1998031676A1 (en) | 1997-01-17 | 1998-07-23 | Basf Aktiengesellschaft | Process for preparing sulphurous 2-chloro-3-(4,5-dihydroisoxazol-3-yl)-benzoic acids |
| WO2000003988A1 (en) | 1998-07-14 | 2000-01-27 | Nippon Soda Co., Ltd. | Novel benzoic acid derivatives and processes for the preparation thereof |
| WO2000026390A2 (en) | 1998-10-29 | 2000-05-11 | American Cyanamid Company | Genes and vectors for conferring herbicide resistance in plants |
| US6222100B1 (en) | 1984-03-06 | 2001-04-24 | Mgi Pharma, Inc. | Herbicide resistance in plants |
| US6277847B1 (en) | 1999-04-02 | 2001-08-21 | Fmc Corporation | Herbicidal isoindolinonyl-and 3,4-dihydroisoquinolonyl-substituted heterocycles |
| WO2001083459A2 (en) | 2000-05-04 | 2001-11-08 | Basf Aktiengesellschaft | Uracil substituted phenyl sulfamoyl carboxamides |
| WO2001082685A1 (en) | 2000-04-28 | 2001-11-08 | Basf Aktiengesellschaft | Use of the maize x112 mutant ahas 2 gene and imidazolinone herbicides for selection of transgenic monocots, maize, rice and wheat plants resistant to the imidazolinone herbicides |
| WO2002015701A2 (en) | 2000-08-25 | 2002-02-28 | Syngenta Participations Ag | Bacillus thuringiensis crystal protein hybrids |
| WO2002018352A1 (en) | 2000-09-01 | 2002-03-07 | Bayer Cropscience Gmbh | Heterocyclically substituted benzoylcyclohexanediones, methods for producing them and their use as herbicides |
| WO2003014356A1 (en) | 2001-08-09 | 2003-02-20 | University Of Saskatchewan | Wheat plants having increased resistance to imidazolinone herbicides |
| WO2003014357A1 (en) | 2001-08-09 | 2003-02-20 | University Of Saskatchewan | Wheat plants having increased resistance to imidazolinone herbicides |
| WO2003013225A2 (en) | 2001-08-09 | 2003-02-20 | Northwest Plant Breeding Company | Wheat plants having increased resistance to imidazolinone herbicides |
| WO2003018810A2 (en) | 2001-08-31 | 2003-03-06 | Syngenta Participations Ag | Modified cry3a toxins and nucleic acid sequences coding therefor |
| WO2003052073A2 (en) | 2001-12-17 | 2003-06-26 | Syngenta Participations Ag | Novel corn event |
| WO2004016073A2 (en) | 2002-07-10 | 2004-02-26 | The Department Of Agriculture, Western Australia | Wheat plants having increased resistance to imidazolinone herbicides |
| US6768044B1 (en) | 2000-05-10 | 2004-07-27 | Bayer Cropscience Sa | Chimeric hydroxyl-phenyl pyruvate dioxygenase, DNA sequence and method for obtaining plants containing such a gene, with herbicide tolerance |
| WO2004106529A2 (en) | 2003-05-28 | 2004-12-09 | Basf Aktiengesellschaft | Wheat plants having increased tolerance to imidazolinone herbicides |
| WO2005020673A1 (en) | 2003-08-29 | 2005-03-10 | Instituto Nacional De Technologia Agropecuaria | Rice plants having increased tolerance to imidazolinone herbicides |
| US20070191335A1 (en) | 2006-02-15 | 2007-08-16 | Remy Lemoine | Heterocylic antiviral compounds |
| US7297541B2 (en) | 2004-01-26 | 2007-11-20 | Monsanto Technology Llc | Genes encoding 4-hydroxyphenylpyruvate dioxygenase (HPPD) enzymes for plant metabolic engineering |
| WO2008074991A1 (en) | 2006-12-21 | 2008-06-26 | Syngenta Limited | Novel herbicides |
| WO2011035874A1 (en) | 2009-09-25 | 2011-03-31 | Bayer Cropscience Ag | N-(1,2,5-oxadiazol-3-yl) benzamides and the use thereof as herbicides |
| WO2012028579A1 (en) | 2010-09-01 | 2012-03-08 | Bayer Cropscience Ag | N-(tetrazol-5-yl)- and n-(triazol-5-yl)arylcarboxamides and use thereof as herbicides |
| WO2013017559A1 (en) | 2011-08-03 | 2013-02-07 | Bayer Intellectual Property Gmbh | N-(tetrazol-5-yl)- and n-(triazol-5-yl)arylcarboxamides and use thereof as herbicides |
| WO2013064457A1 (en) | 2011-11-03 | 2013-05-10 | Bayer Intellectual Property Gmbh | 5-phenyl-substituted n-(tetrazol-5-yl) aryl carboxylic acid amides and n-(triazol-5-yl) aryl carboxylic acid amides, and use thereof as herbicides |
| WO2013124245A1 (en) | 2012-02-21 | 2013-08-29 | Bayer Intellectual Property Gmbh | Herbicidally active 4-nitro-substituted n-(tetrazol-5-yl)-, n-(triazol-5-yl)-, and n-(1,3,4-oxadiazol-2-yl)aryl carboxylic acid amides |
| WO2013174845A1 (en) | 2012-05-24 | 2013-11-28 | Bayer Cropscience Ag | Herbicidal compositions comprising n-(tetrazol-5-yl)- or n-(triazol-5-yl)arylcarboxamides |
-
2019
- 2019-02-20 WO PCT/EP2019/054180 patent/WO2019162308A1/en not_active Ceased
Patent Citations (50)
| Publication number | Priority date | Publication date | Assignee | Title |
|---|---|---|---|---|
| US6222100B1 (en) | 1984-03-06 | 2001-04-24 | Mgi Pharma, Inc. | Herbicide resistance in plants |
| EP0451878A1 (en) | 1985-01-18 | 1991-10-16 | Plant Genetic Systems, N.V. | Modifying plants by genetic engineering to combat or control insects |
| EP0242236A1 (en) | 1986-03-11 | 1987-10-21 | Plant Genetic Systems N.V. | Plant cells resistant to glutamine synthetase inhibitors, made by genetic engineering |
| EP0242246A1 (en) | 1986-03-11 | 1987-10-21 | Plant Genetic Systems N.V. | Plant cells resistant to glutamine synthetase inhibitors, made by genetic engineering |
| EP0257993A2 (en) | 1986-08-26 | 1988-03-02 | E.I. Du Pont De Nemours And Company | Nucleic acid fragment encoding herbicide resistant plant acetolactate synthase |
| US5013659A (en) | 1987-07-27 | 1991-05-07 | E. I. Du Pont De Nemours And Company | Nucleic acid fragment encoding herbicide resistant plant acetolactate synthase |
| US5559024A (en) | 1988-03-23 | 1996-09-24 | Rhone-Poulenc Agrochimie | Chimeric nitrilase-encoding gene for herbicidal resistance |
| EP0374753A2 (en) | 1988-12-19 | 1990-06-27 | American Cyanamid Company | Insecticidal toxines, genes coding therefor, antibodies binding them, transgenic plant cells and plants expressing these toxines |
| EP0392225A2 (en) | 1989-03-24 | 1990-10-17 | Ciba-Geigy Ag | Disease-resistant transgenic plants |
| EP0427529A1 (en) | 1989-11-07 | 1991-05-15 | Pioneer Hi-Bred International, Inc. | Larvicidal lectins and plant insect resistance based thereon |
| WO1992000377A1 (en) | 1990-06-25 | 1992-01-09 | Monsanto Company | Glyphosate tolerant plants |
| WO1993007278A1 (en) | 1991-10-04 | 1993-04-15 | Ciba-Geigy Ag | Synthetic dna sequence having enhanced insecticidal activity in maize |
| WO1995034656A1 (en) | 1994-06-10 | 1995-12-21 | Ciba-Geigy Ag | Novel bacillus thuringiensis genes coding toxins active against lepidopteran pests |
| WO1996026202A1 (en) | 1995-02-21 | 1996-08-29 | Degussa Aktiengesellschaft | Process for producing thietanones |
| WO1996038567A2 (en) | 1995-06-02 | 1996-12-05 | Rhone-Poulenc Agrochimie | Dna sequence of a gene of hydroxy-phenyl pyruvate dioxygenase and production of plants containing a gene of hydroxy-phenyl pyruvate dioxygenase and which are tolerant to certain herbicides |
| US6268549B1 (en) | 1995-06-02 | 2001-07-31 | Aventis Cropscience S.A. | DNA sequence of a gene of hydroxy-phenyl pyruvate dioxygenase and production of plants containing a gene of hydroxy-phenyl pyruvate dioxygenase and which are tolerant to certain herbicides |
| WO1997041118A1 (en) | 1996-04-26 | 1997-11-06 | Nippon Soda Co., Ltd. | Benzene derivatives substituted by heterocycles and herbicides |
| WO1997041117A1 (en) | 1996-04-26 | 1997-11-06 | Nippon Soda Co., Ltd. | Novel benzene derivatives substituted by heterocycles and herbicides |
| WO1997041116A1 (en) | 1996-04-26 | 1997-11-06 | Nippon Soda Co., Ltd. | Benzene derivatives substituted by heterocycles and herbicides |
| WO1997041218A1 (en) | 1996-04-29 | 1997-11-06 | Board Of Supervisors Of Louisiana State University And Agricultural And Mechanical College | Herbicide resistant rice |
| WO1997046530A1 (en) | 1996-06-06 | 1997-12-11 | E.I. Du Pont De Nemours And Company | Herbicidal pyridinyl and pyrazolylphenyl ketones |
| WO1998002527A1 (en) | 1996-07-17 | 1998-01-22 | Michigan State University | Imidazolinone herbicide resistant sugar beet plants |
| WO1998002526A1 (en) | 1996-07-17 | 1998-01-22 | Michigan State University | Imidazolinone herbicide resistant sugar beet plants |
| WO1998031681A1 (en) | 1997-01-17 | 1998-07-23 | Basf Aktiengesellschaft | 3-heterocyclyl-substituted benzoyl derivatives |
| WO1998031676A1 (en) | 1997-01-17 | 1998-07-23 | Basf Aktiengesellschaft | Process for preparing sulphurous 2-chloro-3-(4,5-dihydroisoxazol-3-yl)-benzoic acids |
| WO2000003988A1 (en) | 1998-07-14 | 2000-01-27 | Nippon Soda Co., Ltd. | Novel benzoic acid derivatives and processes for the preparation thereof |
| WO2000026390A2 (en) | 1998-10-29 | 2000-05-11 | American Cyanamid Company | Genes and vectors for conferring herbicide resistance in plants |
| US6277847B1 (en) | 1999-04-02 | 2001-08-21 | Fmc Corporation | Herbicidal isoindolinonyl-and 3,4-dihydroisoquinolonyl-substituted heterocycles |
| WO2001082685A1 (en) | 2000-04-28 | 2001-11-08 | Basf Aktiengesellschaft | Use of the maize x112 mutant ahas 2 gene and imidazolinone herbicides for selection of transgenic monocots, maize, rice and wheat plants resistant to the imidazolinone herbicides |
| WO2001083459A2 (en) | 2000-05-04 | 2001-11-08 | Basf Aktiengesellschaft | Uracil substituted phenyl sulfamoyl carboxamides |
| US6768044B1 (en) | 2000-05-10 | 2004-07-27 | Bayer Cropscience Sa | Chimeric hydroxyl-phenyl pyruvate dioxygenase, DNA sequence and method for obtaining plants containing such a gene, with herbicide tolerance |
| WO2002015701A2 (en) | 2000-08-25 | 2002-02-28 | Syngenta Participations Ag | Bacillus thuringiensis crystal protein hybrids |
| WO2002018352A1 (en) | 2000-09-01 | 2002-03-07 | Bayer Cropscience Gmbh | Heterocyclically substituted benzoylcyclohexanediones, methods for producing them and their use as herbicides |
| WO2003014356A1 (en) | 2001-08-09 | 2003-02-20 | University Of Saskatchewan | Wheat plants having increased resistance to imidazolinone herbicides |
| WO2003013225A2 (en) | 2001-08-09 | 2003-02-20 | Northwest Plant Breeding Company | Wheat plants having increased resistance to imidazolinone herbicides |
| WO2003014357A1 (en) | 2001-08-09 | 2003-02-20 | University Of Saskatchewan | Wheat plants having increased resistance to imidazolinone herbicides |
| WO2003018810A2 (en) | 2001-08-31 | 2003-03-06 | Syngenta Participations Ag | Modified cry3a toxins and nucleic acid sequences coding therefor |
| WO2003052073A2 (en) | 2001-12-17 | 2003-06-26 | Syngenta Participations Ag | Novel corn event |
| WO2004016073A2 (en) | 2002-07-10 | 2004-02-26 | The Department Of Agriculture, Western Australia | Wheat plants having increased resistance to imidazolinone herbicides |
| WO2004106529A2 (en) | 2003-05-28 | 2004-12-09 | Basf Aktiengesellschaft | Wheat plants having increased tolerance to imidazolinone herbicides |
| WO2005020673A1 (en) | 2003-08-29 | 2005-03-10 | Instituto Nacional De Technologia Agropecuaria | Rice plants having increased tolerance to imidazolinone herbicides |
| US7297541B2 (en) | 2004-01-26 | 2007-11-20 | Monsanto Technology Llc | Genes encoding 4-hydroxyphenylpyruvate dioxygenase (HPPD) enzymes for plant metabolic engineering |
| US20070191335A1 (en) | 2006-02-15 | 2007-08-16 | Remy Lemoine | Heterocylic antiviral compounds |
| WO2008074991A1 (en) | 2006-12-21 | 2008-06-26 | Syngenta Limited | Novel herbicides |
| WO2011035874A1 (en) | 2009-09-25 | 2011-03-31 | Bayer Cropscience Ag | N-(1,2,5-oxadiazol-3-yl) benzamides and the use thereof as herbicides |
| WO2012028579A1 (en) | 2010-09-01 | 2012-03-08 | Bayer Cropscience Ag | N-(tetrazol-5-yl)- and n-(triazol-5-yl)arylcarboxamides and use thereof as herbicides |
| WO2013017559A1 (en) | 2011-08-03 | 2013-02-07 | Bayer Intellectual Property Gmbh | N-(tetrazol-5-yl)- and n-(triazol-5-yl)arylcarboxamides and use thereof as herbicides |
| WO2013064457A1 (en) | 2011-11-03 | 2013-05-10 | Bayer Intellectual Property Gmbh | 5-phenyl-substituted n-(tetrazol-5-yl) aryl carboxylic acid amides and n-(triazol-5-yl) aryl carboxylic acid amides, and use thereof as herbicides |
| WO2013124245A1 (en) | 2012-02-21 | 2013-08-29 | Bayer Intellectual Property Gmbh | Herbicidally active 4-nitro-substituted n-(tetrazol-5-yl)-, n-(triazol-5-yl)-, and n-(1,3,4-oxadiazol-2-yl)aryl carboxylic acid amides |
| WO2013174845A1 (en) | 2012-05-24 | 2013-11-28 | Bayer Cropscience Ag | Herbicidal compositions comprising n-(tetrazol-5-yl)- or n-(triazol-5-yl)arylcarboxamides |
Non-Patent Citations (30)
| Title |
|---|
| "Genebank", Database accession no. 87257 |
| "Genebank", Database accession no. AF047834 |
| "Modern Crop Protection Compounds", vol. 1, 2007, WILEY VCH |
| "Proceedings 2nd International Conference on Intelligent Systems for Molecular Biology", AAAI PRESS, pages: 53 - 61 |
| ALTSCHUL ET AL., J MOL BIOL, vol. 215, 1990, pages 403 - 10 |
| B. HOCK; C. FEDTKE; R. R. SCHMIDT; HERBIZIDE: "The Compendium of Pesticide Common Names", 1995, GEORG THIEME VERLAG |
| BATEMAN ET AL., NUCLEIC ACIDS RESEARCH, vol. 30, no. 1, 2002, pages 276 - 280 |
| BUCHER; BAIROCH: "ISMB-94", 1994, article "A generalized profile syntax for biomolecular sequences motifs and its function in automatic sequence interpretation" |
| CAMPANELLA ET AL., BMC BIOINFORMATICS, vol. 4, 10 July 2003 (2003-07-10), pages 29 |
| CHEMISCHE BERICHTE, vol. 97, no. 2, 1964, pages 396 - 404 |
| CREIGHTON: "Proteins", 1984, W.H. FREEMAN AND COMPANY (EDS |
| G. BARCELO ET AL., SYNTHESIS, 1986, pages 627 - 632 |
| GASTEIGER ET AL.: "ExPASy: the proteomics server for in-depth protein knowledge and analysis", NUCLEIC ACIDS RES., vol. 31, 2003, pages 3784 - 3788 |
| HETEROATOM CHEMISTRY, vol. 15, no. 3, 2004, pages 199 - 207 |
| HULO ET AL., ACIDS. RES., vol. 32, 2004, pages D134 - D137 |
| IZVESTIYA AKADEMII NAUK SSSR, SERIYA KHIMICHESKAYA, vol. 9, 1986, pages 2086 - 8 |
| JOURNAL OF CHEMICAL RESEARCH, SYNOPSES, vol. 190, no. 6, 1985 |
| JOURNAL OF THE AMERICAN CHEMICAL SOCIETY, vol. 76, 1954, pages 88 - 89 |
| JOURNAL OF THE AMERICAN CHEMICAL SOCIETY, vol. 76, 1954, pages 923 - 924 |
| LETUNIC ET AL., NUCLEIC ACIDS RES, vol. 30, 2002, pages 242 - 244 |
| MULDER ET AL., NUCL. ACIDS. RES., vol. 31, 2003, pages 315 - 318 |
| NEEDLEMAN; WUNSCH, J MOL BIOL, vol. 48, 1970, pages 443 - 453 |
| RUETSCHI ET AL., EUR.J.BIOCHEM., vol. 205, 1992, pages 459 - 466 |
| RUSSIAN CHEMICAL BULLETIN, INT. ED., vol. 54, no. 4, 2005, pages 1032 - 1037 |
| RUSSIAN CHEMICAL BULLETIN, vol. 53, no. 3, 2004, pages 596 - 614 |
| SCHULTZ ET AL., ROC. NATL. ACAD. SCI. USA, vol. 95, 1998, pages 5857 - 5864 |
| SMITH TF; WATERMAN MS, J. MOL. BIOL, vol. 147, no. 1, 1981, pages 195 - 7 |
| T. PATONAY ET AL., SYNTH. COMMUN., vol. 20, 1990, pages 2865 - 2885 |
| TER-PE, APPL. MICROBIOL. BIOTECHNOL., vol. 60, 2003, pages 523 - 533 |
| ZEITSCHRIFT FUR CHEMIE, vol. 30, no. 12, 1990, pages 436 - 437 |
Cited By (1)
| Publication number | Priority date | Publication date | Assignee | Title |
|---|---|---|---|---|
| US12331027B2 (en) | 2017-11-23 | 2025-06-17 | Basf Se | Herbicidal pyridylethers |
Similar Documents
| Publication | Publication Date | Title |
|---|---|---|
| DK2997016T3 (en) | SUBSTITUTED N- (TETRAZOL-5-YL) AND N- (TRIAZOL-5-YL) -ARYLCARBOXAMIDE COMPOUNDS AND THEIR USE AS HERBICIDES | |
| CN105377836B (en) | Substituted N (base of 1,2,4 triazole 3) aryl carboxamide compounds and its purposes as herbicide | |
| JP6141408B2 (en) | Substituted N- (tetrazol-5-yl)-and N- (triazol-5-yl) arylcarboxamide compounds and their use as herbicides | |
| EP3390372A1 (en) | Benzamide compounds and their use as herbicides | |
| EP3737670A1 (en) | Benzamide compounds and their use as herbicides | |
| JP2014533254A (en) | Substituted 1,2,5-oxadiazole compounds and their use as herbicides | |
| JP2014533669A (en) | Substituted 1,2,5-oxadiazole compounds and their use as herbicides II | |
| JP2015519315A (en) | Substituted N- (tetrazol-5-yl)-and N- (triazol-5-yl) arylcarboxamide compounds and their use as herbicides | |
| CA3063304A1 (en) | Benzamide compounds and their use as herbicides | |
| EP3630735B1 (en) | Benzamide compounds and their use as herbicides | |
| JP2015502927A (en) | Substituted 1,2,5-oxadiazole compounds and their use as herbicides III | |
| JP2015519314A (en) | Substituted N- (tetrazol-5-yl)-and N- (triazol-5-yl) pyridin-3-yl-carboxamide compounds and their use as herbicides | |
| WO2019122345A1 (en) | Benzamide compounds and their use as herbicides | |
| WO2019162309A1 (en) | Benzamide compounds and their use as herbicides | |
| WO2019016385A1 (en) | Benzamide compounds and their use as herbicides | |
| WO2018234371A1 (en) | BENZAMIDE COMPOUNDS AND THEIR USE AS HERBICIDES | |
| WO2019162308A1 (en) | Benzamide compounds and their use as herbicides | |
| WO2019122347A1 (en) | N-(1,2,5-oxadiazol-3-yl)-benzamide compounds and their use as herbicides | |
| EP4396173A1 (en) | Herbicidal malonamides containing a condensed ring system |
Legal Events
| Date | Code | Title | Description |
|---|---|---|---|
| 121 | Ep: the epo has been informed by wipo that ep was designated in this application |
Ref document number: 19705968 Country of ref document: EP Kind code of ref document: A1 |
|
| NENP | Non-entry into the national phase |
Ref country code: DE |
|
| 122 | Ep: pct application non-entry in european phase |
Ref document number: 19705968 Country of ref document: EP Kind code of ref document: A1 |







































































































